WO2013191189A1 - Fused heterocyclic compound - Google Patents
Fused heterocyclic compound Download PDFInfo
- Publication number
- WO2013191189A1 WO2013191189A1 PCT/JP2013/066768 JP2013066768W WO2013191189A1 WO 2013191189 A1 WO2013191189 A1 WO 2013191189A1 JP 2013066768 W JP2013066768 W JP 2013066768W WO 2013191189 A1 WO2013191189 A1 WO 2013191189A1
- Authority
- WO
- WIPO (PCT)
- Prior art keywords
- group
- hydrogen atom
- atom
- formula
- halogen atoms
- Prior art date
- Legal status (The legal status is an assumption and is not a legal conclusion. Google has not performed a legal analysis and makes no representation as to the accuracy of the status listed.)
- Ceased
Links
- VHMNMPHPNKHKMN-UHFFFAOYSA-N CCSc(c(Cl)ccc1)c1C(O)=O Chemical compound CCSc(c(Cl)ccc1)c1C(O)=O VHMNMPHPNKHKMN-UHFFFAOYSA-N 0.000 description 1
Classifications
-
- A—HUMAN NECESSITIES
- A01—AGRICULTURE; FORESTRY; ANIMAL HUSBANDRY; HUNTING; TRAPPING; FISHING
- A01N—PRESERVATION OF BODIES OF HUMANS OR ANIMALS OR PLANTS OR PARTS THEREOF; BIOCIDES, e.g. AS DISINFECTANTS, AS PESTICIDES OR AS HERBICIDES; PEST REPELLANTS OR ATTRACTANTS; PLANT GROWTH REGULATORS
- A01N43/00—Biocides, pest repellants or attractants, or plant growth regulators containing heterocyclic compounds
- A01N43/90—Biocides, pest repellants or attractants, or plant growth regulators containing heterocyclic compounds having two or more relevant hetero rings, condensed among themselves or with a common carbocyclic ring system
-
- A—HUMAN NECESSITIES
- A01—AGRICULTURE; FORESTRY; ANIMAL HUSBANDRY; HUNTING; TRAPPING; FISHING
- A01N—PRESERVATION OF BODIES OF HUMANS OR ANIMALS OR PLANTS OR PARTS THEREOF; BIOCIDES, e.g. AS DISINFECTANTS, AS PESTICIDES OR AS HERBICIDES; PEST REPELLANTS OR ATTRACTANTS; PLANT GROWTH REGULATORS
- A01N47/00—Biocides, pest repellants or attractants, or plant growth regulators containing organic compounds containing a carbon atom not being member of a ring and having no bond to a carbon or hydrogen atom, e.g. derivatives of carbonic acid
- A01N47/02—Biocides, pest repellants or attractants, or plant growth regulators containing organic compounds containing a carbon atom not being member of a ring and having no bond to a carbon or hydrogen atom, e.g. derivatives of carbonic acid the carbon atom having no bond to a nitrogen atom
-
- A—HUMAN NECESSITIES
- A61—MEDICAL OR VETERINARY SCIENCE; HYGIENE
- A61P—SPECIFIC THERAPEUTIC ACTIVITY OF CHEMICAL COMPOUNDS OR MEDICINAL PREPARATIONS
- A61P33/00—Antiparasitic agents
- A61P33/14—Ectoparasiticides, e.g. scabicides
-
- C—CHEMISTRY; METALLURGY
- C07—ORGANIC CHEMISTRY
- C07D—HETEROCYCLIC COMPOUNDS
- C07D471/00—Heterocyclic compounds containing nitrogen atoms as the only ring hetero atoms in the condensed system, at least one ring being a six-membered ring with one nitrogen atom, not provided for by groups C07D451/00 - C07D463/00
- C07D471/02—Heterocyclic compounds containing nitrogen atoms as the only ring hetero atoms in the condensed system, at least one ring being a six-membered ring with one nitrogen atom, not provided for by groups C07D451/00 - C07D463/00 in which the condensed system contains two hetero rings
- C07D471/04—Ortho-condensed systems
-
- C—CHEMISTRY; METALLURGY
- C07—ORGANIC CHEMISTRY
- C07D—HETEROCYCLIC COMPOUNDS
- C07D498/00—Heterocyclic compounds containing in the condensed system at least one hetero ring having nitrogen and oxygen atoms as the only ring hetero atoms
- C07D498/02—Heterocyclic compounds containing in the condensed system at least one hetero ring having nitrogen and oxygen atoms as the only ring hetero atoms in which the condensed system contains two hetero rings
- C07D498/04—Ortho-condensed systems
-
- C—CHEMISTRY; METALLURGY
- C07—ORGANIC CHEMISTRY
- C07D—HETEROCYCLIC COMPOUNDS
- C07D513/00—Heterocyclic compounds containing in the condensed system at least one hetero ring having nitrogen and sulfur atoms as the only ring hetero atoms, not provided for in groups C07D463/00, C07D477/00 or C07D499/00 - C07D507/00
- C07D513/02—Heterocyclic compounds containing in the condensed system at least one hetero ring having nitrogen and sulfur atoms as the only ring hetero atoms, not provided for in groups C07D463/00, C07D477/00 or C07D499/00 - C07D507/00 in which the condensed system contains two hetero rings
- C07D513/04—Ortho-condensed systems
Definitions
- the present invention relates to certain condensed heterocyclic compounds and their use for pest control.
- WO 88/02367 describes fused heterocyclic compounds that can be used in pharmaceuticals.
- the present invention provides a compound having an excellent control effect against pests and a method for controlling pests using the compound.
- the present invention is as follows. [1] Formula (1) [Where: A 1 represents —NR 6 —, an oxygen atom or a sulfur atom, R 1 may have a C1-C6 chain hydrocarbon group which may have one or more atoms or groups selected from group X, or one or more atoms or groups selected from group Y.
- R 2 , R 3 , R 4 and R 5 are the same or different and are each a C1-C6 chain hydrocarbon group optionally having one or more halogen atoms, one or more atoms selected from group Z, or A phenyl group which may have a group, a 5- or 6-membered heterocyclic group which may have one or more atoms or groups selected from group Z, -OR 10 , -S (O) m R 10 , -NR 10 R 11, -CR 2 R 10, -C (O) R 10, represents a cyano group, a nitro group, a halogen atom, an -SF 5 or a hydrogen atom, R 6 may have a C1-C6 chain hydrocarbon group which may have one or more atoms or groups selected from group X, and one or more atoms or groups selected from group Y.
- C3-C6 alicyclic hydrocarbon group, -CO 2 R 10 represents -C (O) R 10 or a hydrogen atom
- R 7 and R 8 do not simultaneously represent a hydrogen atom, and in —S (O) m R 10 , when m is 1 or 2, R 10 does not represent a hydrogen atom.
- Group X C1-C6 alkoxy group optionally having one or more halogen atoms, C2-C6 alkenyloxy group optionally having one or more halogen atoms, having one or more halogen atoms C2-C6 alkynyloxy group which may have one or more, C1-C6 alkylsulfanyl group which may have one or more halogen atoms, C1-C6 alkylsulfinyl group which may have one or more halogen atoms A C1-C6 alkylsulfonyl group which may have one or more halogen atoms, a C2-C6 alkylcarbonyl group which may have one or more halogen atoms, and one or more halogen atoms.
- An optionally substituted C2-C6 alkoxycarbonyl group, a C3-C6 cycloalkyl group optionally having one or more halogen atoms, a cyano group, a hydroxy group The group consisting of fine-halogen atom.
- Group Z C1-C6 chain hydrocarbon group optionally having one or more halogen atoms, C1-C6 alkoxy group optionally having one or more halogen atoms, one or more halogen atoms
- R 7 and R 8 are the same or different and may have one or more halogen atoms, a C1-C6 chain hydrocarbon group, —OR 10 , —S (O) m R 10 , halogen
- R 9 is a hydrogen atom.
- R 1 , R 4 and R 5 are the same or different and are a hydrogen atom or a halogen atom, and R 3 may have one or more halogen atoms, a C1-C6 chain hydrocarbon group,
- [5] The compound according to [1] to [4], wherein A 1 is —NR 6 —.
- a 1 is —NR 6 —, and R 6 may be a C1-C6 chain hydrocarbon group which may have one or more halogen atoms, or may have one or more halogen atoms.
- a 1 is an oxygen atom.
- a 1 is a sulfur atom.
- a pest control composition comprising the compound according to any one of [1] to [8] and an inert carrier.
- a method for controlling pests which comprises applying an effective amount of the compound according to any one of [1] to [8] to a pest or a pest habitat.
- the description of the Ca—Cb chain hydrocarbon group represents a linear or branched saturated or unsaturated hydrocarbon group having a to b carbon atoms.
- the notation of the Ca—Cb alkyl group represents a linear or branched hydrocarbon group having a to b carbon atoms.
- C1-C6 chain hydrocarbon group examples include a methyl group, an ethyl group, a propyl group, an isopropyl group, a butyl group, an isobutyl group, a sec-butyl group, a tert-butyl group, a pentyl group, a neopentyl group, and a hexyl group.
- a C1-C6 alkyl group such as, vinyl group, 1-propenyl group, 2-propenyl group, 1-methylvinyl group, 2-methyl-1-propenyl group, 1-butenyl group, 2-butenyl group, 3-butenyl C2-C6 alkenyl groups such as 1-pentenyl group and 1-hexenyl group; and C2-C6 such as ethynyl group, propargyl group, 2-butynyl group, 3-butynyl group, 1-pentynyl group and 1-hexynyl group An alkynyl group is mentioned.
- the notation of the Ca-Cb alkenyl group refers to an unsaturated hydrocarbon group having one or more double bonds in the molecule, which is linear or branched having a carbon number of a to b.
- Examples of the “C2-C6 alkenyl group” include a vinyl group, 1-propenyl group, 2-propenyl group, 1-methylvinyl group, 2-methyl-1-propenyl group, 1-butenyl group, 2-butenyl group, 3 -A butenyl group, 1-pentenyl group, and 1-hexenyl group are mentioned.
- the notation of the Ca-Cb alkynyl group represents an unsaturated hydrocarbon group having a linear or branched chain structure having a to b carbon atoms and having one or more triple bonds in the molecule.
- Examples of the “C2-C6 alkynyl group” include ethynyl group, propargyl group, 2-butynyl group, 3-butynyl group, 1-pentynyl group and 1-hexynyl group.
- the notation of Ca—Cb alkoxy group represents a linear or branched alkyl-O— group having a to b carbon atoms.
- Examples of the “C1-C6 alkoxy group” include methoxy group, ethoxy group, propoxy group, isopropoxy group, butoxy group, isobutoxy group, sec-butoxy group, tert-butoxy group, pentyloxy group, neopentyloxy group and hexyl.
- An oxy group is mentioned.
- the notation of the Ca-Cb alkenyloxy group is an alkenyl-O- group which is linear or branched having 1 to 2 carbon atoms and has one or more double bonds in the molecule. Represents.
- C2-C6 alkenyloxy group examples include a vinyloxy group, 1-propenyloxy group, 2-propenyloxy group, 1-methylvinyloxy group, 2-methyl-1-propenyloxy group, 1-butenyloxy group, 2 -Butenyloxy group, 3-butenyloxy group, 1-pentenyloxy group and 1-hexenyloxy group are mentioned.
- the notation of a Ca-Cb alkynyloxy group is an alkynyl-O- group which is linear or branched having 1 to 2 carbon atoms and has one or more triple bonds in the molecule. To express.
- C2-C6 alkynyloxy group examples include ethynyloxy group, propargyloxy group, 2-butynyloxy group, 3-butynyloxy group, 1-pentynyloxy group and 1-hexynyloxy group.
- the notation of the Ca—Cb alkylsulfanyl group represents a linear or branched alkyl-S— group having a to b carbon atoms.
- C1-C6 alkylsulfanyl group examples include a methylsulfanyl group, an ethylsulfanyl group, a propylsulfanyl group, an isopropylsulfanyl group, a butylsulfanyl group, a pentylsulfanyl group, and a hexylsulfanyl group.
- the notation of the Ca—Cb alkylsulfinyl group represents a linear or branched alkyl-S (O) — group having a to b carbon atoms.
- C1-C6 alkylsulfinyl group examples include a methylsulfinyl group, an ethylsulfinyl group, a propylsulfinyl group, an isopropylsulfinyl group, a butylsulfinyl group, a pentylsulfinyl group, and a hexylsulfinyl group.
- the notation of the Ca—Cb alkylsulfonyl group is linear or branched alkyl-S (O) having a to b carbon atoms. 2 -Represents a group.
- C1-C6 alkylsulfonyl group examples include a methylsulfonyl group, an ethylsulfonyl group, a propylsulfonyl group, an isopropylsulfonyl group, a butylsulfonyl group, a pentylsulfonyl group, and a hexylsulfonyl group.
- the notation of Ca—Cb alkylcarbonyl group represents a linear or branched alkyl-C (O) — group having a to b carbon atoms.
- Examples of the “C2-C6 alkylcarbonyl group” include an acetyl group, a propionyl group, a butyryl group, a pentanoyl group, and a hexanoyl group.
- the notation of Ca—Cb alkoxycarbonyl group represents a linear or branched alkyl-O—C (O) — group having a to b carbon atoms.
- Examples of the “C2-C6 alkoxycarbonyl group” include a methoxycarbonyl group, an ethoxycarbonyl group, a propoxycarbonyl group, a butoxycarbonyl group, a pentyloxycarbonyl group, and a tert-butoxycarbonyl group.
- the notation of the Ca—Cb alicyclic hydrocarbon group represents a cyclic non-aromatic hydrocarbon group having a to b carbon atoms.
- Examples of the “C3-C6 alicyclic hydrocarbon group” include a cyclopropyl group, a cyclobutyl group, a cyclopentyl group, a cyclohexyl group, a 1-cyclohexenyl group, a 2-cyclohexenyl group, and a 3-cyclohexenyl group.
- the notation of Ca—Cb cycloalkyl group represents a cyclic alkyl group having a to b carbon atoms.
- Examples of the “C3-C6 cycloalkyl group” include a cyclopropyl group, a cyclobutyl group, a cyclopentyl group, and a cyclohexyl group.
- the notation of Ca—Cb alkylamino group represents a linear or branched alkyl-NH— group having a to b carbon atoms.
- Examples of the “C1-C6 alkylamino group” include a methylamino group, an ethylamino group, a propylamino group, an isopropylamino group, and a butylamino group.
- the notation of the Ca-Cb dialkylamino group may be a linear or branched dialkylamino in which the number of carbon atoms of the alkyl group may be the same or different, and the total number of carbon atoms is a to b. Represents a group.
- Examples of the “C2-C8 dialkylamino group” include a dimethylamino group, a diethylamino group, and a dipropylamino group.
- the notation of the Ca-Cb alkoxyalkyl group may be the same or different from each other in the number of carbon atoms of the alkyl group, and a linear or branched alkyl group in which the total number of carbon atoms is a to b.
- Examples of the “(C1-C6 alkoxy) C1-C6 alkyl group” include a methoxymethyl group, an ethoxymethyl group, a 1- (methoxy) ethyl group, a 2- (methoxy) ethyl group, a 1- (ethoxy) ethyl group, 2 -(Ethoxy) ethyl group etc. are mentioned.
- the expression “may have one or more atoms or groups selected from group X” means that when it has two or more atoms or groups selected from group X, those The atoms or groups selected from group X may be the same or different.
- the expression “which may have one or more atoms or groups selected from group Y” means that when it has two or more atoms or groups selected from group Y, those The atoms or groups selected from group Y may be the same as or different from each other.
- the expression “may have one or more atoms or groups selected from group Z” means that when it has two or more atoms or groups selected from group Z, those The atoms or groups selected from group Z may be the same or different from each other.
- halogen atom means a fluorine atom, a chlorine atom, a bromine atom and an iodine atom.
- the notation of “C1-C6 chain hydrocarbon group optionally having one or more atoms or groups selected from group X” is selected from group X in which a hydrogen atom bonded to a carbon atom is selected.
- Examples of the “C1-C6 chain hydrocarbon group optionally having one or more atoms or groups selected from group X” include a methyl group, an ethyl group, a propyl group, an isopropyl group, a butyl group, and an isobutyl group.
- C3-C6 alicyclic hydrocarbon group optionally having one or more atoms or groups selected from group Y indicates that the hydrogen atom bonded to the carbon atom is selected from group Y
- group Y represents a cyclic non-aromatic hydrocarbon group having 3 to 6 carbon atoms, optionally substituted by any atom or group having at least two atoms or groups selected from group Y
- the atoms or groups selected from those groups Y may be the same or different.
- C3-C6 alicyclic hydrocarbon group optionally having one or more atoms or groups selected from group Y include a cyclopropyl group, a cyclobutyl group, a cyclopentyl group, a cyclohexyl group, and 1-cyclohexenyl.
- C1-C6 chain hydrocarbon group optionally having one or more halogen atoms is a carbon atom in which a hydrogen atom bonded to a carbon atom is optionally substituted with a halogen atom.
- C1-C6 chain hydrocarbon group optionally having one or more halogen atoms examples include a methyl group, an ethyl group, a propyl group, an isopropyl group, a butyl group, an isobutyl group, a sec-butyl group, tert-butyl, pentyl, neopentyl, hexyl, trifluoromethyl, trichloromethyl, 2-fluoroethyl, 2,2-difluoroethyl, 2,2,2-trifluoroethyl and pentafluoro C1-C6 alkyl group optionally having one or more halogen atoms such as ethyl group, heptafluoropropyl group, heptafluoroisopropyl group; vinyl group, 1-propenyl group, 2-propenyl group, 1-methylvinyl Group, 2-methyl-1-propenyl group, 1-butenyl group,
- phenyl group optionally having one or more atoms or groups selected from group Z is arbitrarily selected depending on the atom or group selected from group Z in which a hydrogen atom bonded to a carbon atom is selected.
- a substituted phenyl group is represented, and at this time, when it has two or more atoms or groups selected from group Z, the atoms or groups selected from group Z may be the same as or different from each other.
- phenyl group optionally having one or more atoms or groups selected from group Z examples include a phenyl group, a 2-fluorophenyl group, a 3-fluorophenyl group, a 4-fluorophenyl group, 2, 3-difluorophenyl group, 2,4-difluorophenyl group, 2,5-difluorophenyl group, 2,6-difluorophenyl group, 3,4-difluorophenyl group, 3,5-difluorophenyl group, 2,3, 4,5,6-pentafluorophenyl group, 2-chlorophenyl group, 3-chlorophenyl group, 4-chlorophenyl group, 2-bromophenyl group, 3-bromophenyl group, 4-bromophenyl group, 2-iodophenyl group, 3-iodophenyl group, 4-iodophenyl group, 2-trifluoromethylphenyl group,
- the “heterocyclic group” represents a heterocyclic compound residue containing at least one nitrogen atom, oxygen atom and sulfur atom in addition to the carbon atom in the ring structure.
- the 5-membered heterocyclic group means a 5-membered aromatic heterocyclic group or a 5-membered non-aromatic heterocyclic group
- the 6-membered heterocyclic group means a 6-membered aromatic heterocyclic group. Or a 6-membered non-aromatic heterocyclic group is meant.
- the “heterocyclic group” in the “5- or 6-membered heterocyclic group optionally having one or more atoms or groups selected from group Z” means nitrogen other than carbon atoms in the ring structure. Represents a heterocyclic compound residue containing at least one atom, oxygen atom and sulfur atom. At this time, when it has two or more atoms or groups selected from group Z, an atom selected from group Z Alternatively, the groups may be the same or different from each other.
- the “5- or 6-membered heterocyclic group” means a 5- or 6-membered aromatic heterocyclic group or a 5- or 6-membered non-aromatic heterocyclic group.
- Examples of the “5- or 6-membered heterocyclic group optionally having one or more atoms or groups selected from group Z” include pyrrolidin-1-yl group, 3,3,4,4-tetrafluoropyrrolidine It may have one or more atoms or groups selected from the group Z such as -1-yl group, tetrahydrofuran-2-yl group, piperidyl group, morpholinyl group, thiomorpholinyl group, etc.
- Aromatic heterocyclic group and 2-pyrrolyl group, 2-furyl group, 3-furyl group, 5-pyrazolyl group, 4-pyrazolyl group, 1-pyrrolyl group, 1-methyl-2-pyrrolyl group, 2-methylsulfanyl -1-pyrrolyl group, 2-methylsulfinyl-1-pyrrolyl group, 2-methylsulfonyl-1-pyrrolyl group, 2-methylamino-1-pyrrolyl group, 2-dimethylamino-1-pyrrole Group, 5-bromo-2-furyl group, 5-nitro-2-furyl group, 5-cyano-2-furyl group, 5-methoxy-2-furyl group, 5-acetyl-2-furyl group, 5- Methoxycarbonyl-2-furyl group, 2-methyl-3-furyl group, 2,5-dimethyl-3-furyl group, 2,4-dimethyl-3-furyl group, 5-methyl-2-thienyl group, 3- Methyl-2-thieny
- C1-C6 alkoxy group optionally having one or more halogen atoms in the compound of the present invention include a methoxy group, a trifluoromethoxy group, an ethoxy group, a 2,2,2-trifluoroethoxy group, Examples thereof include a propoxy group, an isopropoxy group, a butoxy group, an isobutoxy group, a sec-butoxy group, a tert-butoxy group, a pentyloxy group, and a hexyloxy group.
- Examples of the “C2-C6 alkenyloxy group optionally having one or more halogen atoms” in the compound of the present invention include a 2-propenyloxy group, a 2-methyl-2-propenyloxy group, a 2-butenyloxy group, Examples include 3-butenyloxy group, 2-pentenyloxy group, 2-hexenyloxy group, 3,3-difluoroallyloxy group, and 3,3-dichloroallyloxy group.
- Examples of the “C2-C6 alkynyloxy group optionally having one or more halogen atoms” in the compound of the present invention include a propargyloxy group, 2-butynyloxy group, 3-butynyloxy group, 2-pentynyloxy group, Examples include 2-hexynyloxy group and 4,4,4-trifluoro-2-butynyloxy group.
- Examples of the “C1-C6 alkylsulfanyl group optionally having one or more halogen atoms” in the compound of the present invention include a methylsulfanyl group, an ethylsulfanyl group, a propylsulfanyl group, an isopropylsulfanyl group, a butylsulfanyl group, and pentyl. Examples thereof include a sulfanyl group, a hexylsulfanyl group, a trifluoromethylsulfanyl group, a 2,2,2-trifluoroethylsulfanyl group, and a pentafluoroethylsulfanyl group.
- Examples of the “C1-C6 alkylsulfinyl group optionally having one or more halogen atoms” in the compound of the present invention include a methylsulfinyl group, an ethylsulfinyl group, a propylsulfinyl group, an isopropylsulfinyl group, a butylsulfinyl group, and pentyl.
- Examples thereof include a sulfinyl group, a hexylsulfinyl group, a trifluoromethylsulfinyl group, a 2,2,2-trifluoroethylsulfinyl group, and a pentafluoroethylsulfinyl group.
- Examples of the “C1-C6 alkylsulfonyl group optionally having one or more halogen atoms” in the compound of the present invention include a methylsulfonyl group, an ethylsulfonyl group, a propylsulfonyl group, an isopropylsulfonyl group, a butylsulfonyl group, and pentyl.
- Examples include a sulfonyl group, a hexylsulfonyl group, a trifluoromethylsulfonyl group, a 2,2,2-trifluoroethylsulfonyl group, and a pentafluoroethylsulfonyl group.
- examples of the C2-C6 alkylcarbonyl group which may have one or more halogen atoms include acetyl group, propionyl group, butyryl group, pentanoyl group, hexanoyl group and trifluoroacetyl group. It is done.
- Examples of the “C2-C6 alkoxycarbonyl group optionally having one or more halogen atoms” in the compound of the present invention include a methoxycarbonyl group, an ethoxycarbonyl group, a propoxycarbonyl group, a butoxycarbonyl group, a pentyloxycarbonyl group, Examples thereof include a tert-butoxycarbonyl group and a 2,2,2-trifluoroethoxycarbonyl group.
- Examples of the “C3-C6 cycloalkyl group optionally having one or more halogen atoms” in the compound of the present invention include a cyclopropyl group, a 2,2-difluorocyclopropyl group, and a 2,2-dichlorocyclopropyl group. 2,2-dibromocyclopropyl group, cyclobutyl group, cyclopentyl group and cyclohexyl group.
- Examples of the “C1-C6 alkylamino group optionally having one or more halogen atoms” in the compound of the present invention include a methylamino group, an ethylamino group, a 2,2,2-trifluoroethylamino group, propyl An amino group, an isopropylamino group, and a butylamino group are mentioned.
- Examples of the “C2-C8 dialkylamino group optionally having one or more halogen atoms” in the compound of the present invention include a dimethylamino group, a diethylamino group, and a bis (2,2,2-trifluoroethyl) amino group. And a dipropylamino group.
- examples of the “(C1-C6 alkoxy) C1-C6 alkyl group optionally having one or more halogen atoms” include a methoxymethyl group, an ethoxymethyl group, a 1- (methoxy) ethyl group, Examples include 2- (methoxy) ethyl group, 1- (ethoxy) ethyl group and 2- (ethoxy) ethyl group.
- a “5- or 6-membered aromatic heterocyclic group (wherein the 5- or 6-membered aromatic heterocyclic group is a halogen atom, a C1-C3 alkyl group optionally having a halogen atom, and a halogen atom).
- the group may have one or more atoms or groups selected from the group consisting of C1-C3 alkoxy groups which may have an atom.
- C1-C6 haloalkyl group is represented by a linear or branched chain having 1 to 6 carbon atoms in which one or more hydrogen atoms bonded to carbon atoms are substituted with halogen atoms. In this case, when it has two or more halogen atoms, these halogen atoms may be the same or different from each other.
- C1-C6 haloalkyl group examples include a fluoromethyl group, a chloromethyl group, a bromomethyl group, an iodomethyl group, a difluoromethyl group, a dichloromethyl group, a trifluoromethyl group, a chlorodifluoromethyl group, a bromodifluoromethyl group, and trichloromethyl.
- examples of the “C1-C6 perfluoroalkyl group” include a trifluoromethyl group, a pentafluoroethyl group, a heptafluoropropyl group, and a heptafluoroisopropyl group.
- “(C1-C6 alkoxy) C1-C6 alkyl group” is a C1-C6 alkyl group substituted with a C1-C6 alkoxy group.
- the carbon number is, for example, 2-6.
- a “(C1-C6 alkoxy) C1-C6 alkyl group” having this carbon number can be represented as a “C2-C6 alkoxyalkyl group”. Examples of the compound of the present invention include the following compounds.
- a 1a Is -NR 6a -Represents an oxygen atom or a sulfur atom
- R 1a Is a C1-C6 alkyl group optionally having one or more atoms or groups selected from the group consisting of halogen atoms and cyclopropyl groups (wherein the cyclopropyl group is one or more halogen atoms or 1
- a C2-C6 alkenyl group which may have one or more halogen atoms, a C2 which may have one or more halogen atoms.
- R 2a , R 4a And R 5a are the same or different and each represents a halogen atom or a hydrogen atom
- R 3a Has a C1-C6 alkyl group optionally having one or more halogen atoms, a C2-C6 alkenyl group optionally having one or more halogen atoms, and one or more halogen atoms.
- a C2-C6 alkynyl group, a 5- or 6-membered aromatic heterocyclic group (wherein the 5- or 6-membered aromatic heterocyclic group is a halogen atom, a C1-C3 alkyl group optionally having a halogen atom, and One or more atoms or substituents selected from the group consisting of C1-C3 alkoxy groups optionally having halogen atoms may be present), -OR 20a (Where R 20a Represents a C1-C6 alkyl group optionally having one or more halogen atoms.
- R 21a (Where R 21a Represents a C1-C6 alkyl group which may have one or more halogen atoms, and m represents 0, 1 or 2. ), A cyano group, a nitro group, a halogen atom or a hydrogen atom, R 6a Has a C1-C6 alkyl group which may have one or more halogen atoms, a C3-C6 alkenyl group which may have one or more halogen atoms, and one or more halogen atoms.
- R 8a Represents a good C3-C6 alkynyl group
- R 8a Is a C1-C6 alkyl group optionally having one or more halogen atoms
- -OR 22a where R 22a Represents a C1-C6 alkyl group optionally having one or more halogen atoms.
- -S (O) m R 23a where R 23a Represents a C1-C6 alkyl group which may have one or more halogen atoms, and m represents 0, 1 or 2.
- R 1b Represents an ethyl group, a cyclopropyl group or a cyclopropylmethyl group
- R 6b Represents a methyl group or a propargyl group
- R 2b , R 4b And R 5b Are the same or different and each represents a halogen atom or a hydrogen atom
- R 3b Is a C1-C6 alkyl group optionally having one or more halogen atoms
- -OR 20b where R 20b Represents a C1-C6 alkyl group optionally having one or more halogen atoms.
- R 21b (Where R 21b Represents a C1-C6 alkyl group which may have one or more halogen atoms, and m represents 0, 1 or 2. ), Represents a halogen atom or a hydrogen atom, R 8b Is a C1-C6 haloalkyl group, -OR 22b (Where R 22b Represents a C1-C6 haloalkyl group. ), -S (O) m R 23b (Where R 23b Represents a C1-C6 haloalkyl group, and m represents 0, 1 or 2. ), -SF 5 Or a halogen atom, n represents 0, 1 or 2. ] The compound shown.
- R 1b Represents an ethyl group, a cyclopropyl group or a cyclopropylmethyl group
- R 2b , R 4b And R 5b Are the same or different and each represents a halogen atom or a hydrogen atom
- R 3b Is a C1-C6 alkyl group optionally having one or more halogen atoms
- -OR 20b where R 20b Represents a C1-C6 alkyl group optionally having one or more halogen atoms.
- R 21b (Where R 21b Represents a C1-C6 alkyl group which may have one or more halogen atoms, and m represents 0, 1 or 2. ), Represents a halogen atom or a hydrogen atom, R 8b Is a C1-C6 haloalkyl group, -OR 22b (Where R 22b Represents a C1-C6 haloalkyl group. ), -S (O) m R 23b (Where R 23b Represents a C1-C6 haloalkyl group, and m represents 0, 1 or 2. ), -SF 5 Or a halogen atom, n represents 0, 1 or 2. ] The compound shown.
- R 1b Represents an ethyl group, a cyclopropyl group or a cyclopropylmethyl group
- R 2b , R 4b And R 5b Are the same or different and each represents a halogen atom or a hydrogen atom
- R 3b Is a C1-C6 alkyl group optionally having one or more halogen atoms
- -OR 20b where R 20b Represents a C1-C6 alkyl group optionally having one or more halogen atoms.
- R 21b (Where R 21b Represents a C1-C6 alkyl group which may have one or more halogen atoms, and m represents 0, 1 or 2. ), Represents a halogen atom or a hydrogen atom, R 8b Is a C1-C6 haloalkyl group, -OR 22b (Where R 22b Represents a C1-C6 haloalkyl group. ), -S (O) m R 23b (Where R 23b Represents a C1-C6 haloalkyl group, and m represents 0, 1 or 2. ), -SF 5 Or a halogen atom, n represents 0, 1 or 2. ] The compound shown.
- R 1b Represents an ethyl group, a cyclopropyl group or a cyclopropylmethyl group
- R 60b Represents a hydrogen atom or a (C1-C6 alkoxy) C1-C6 alkyl group optionally having one or more halogen atoms
- R 3b Is a C1-C6 alkyl group optionally having one or more halogen atoms
- -OR 20b where R 20b Represents a C1-C6 alkyl group optionally having one or more halogen atoms.
- R 21b (Where R 21b Represents a C1-C6 alkyl group which may have one or more halogen atoms, and m represents 0, 1 or 2. ), Represents a halogen atom or a hydrogen atom, R 8b Is a C1-C6 haloalkyl group, -OR 22b (Where R 22b Represents a C1-C6 haloalkyl group. ), -S (O) m R 23b (Where R 23b Represents a C1-C6 haloalkyl group, and m represents 0, 1 or 2. ), -SF 5 Or a halogen atom, n represents 0, 1 or 2. ] The compound shown.
- a 1 -NR 6 A compound that is-.
- a 1 -NR 6 - An oxygen atom or a sulfur atom, and R 6 Is a C1-C6 chain hydrocarbon group, (C1-C6 alkoxy) C1-C6 alkyl group, cyclopropyl group or hydrogen atom which may have one or more halogen atoms.
- a 1 -NR 6 - An oxygen atom or a sulfur atom, and R 6 Is a C1-C6 chain hydrocarbon group, (C1-C6 alkoxy) C1-C6 alkyl group or cyclopropyl group optionally having one or more halogen atoms.
- a 1 -NR 6 - An oxygen atom or a sulfur atom, and R 6 Is a C1-C6 alkyl group.
- a 1 -NR 6 - An oxygen atom or a sulfur atom, and R 6 Is a methyl group, ethyl group, propyl group, isopropyl group, methoxymethyl group, ethoxymethyl group or cyclopropyl group.
- a 1 -NR 6 - An oxygen atom or a sulfur atom, and R 6 Is a methyl group.
- a 1 -NR 6 - An oxygen atom or a sulfur atom, and R 6 In which is a hydrogen atom.
- a 1 -NR 6 -And R 6 C1-C6 chain hydrocarbon group which may have one or more halogen atoms, (C1-C6 alkoxy) C1-C6 alkyl group or cyclopropyl which may have one or more halogen atoms A compound that is a group.
- a 1 -NR 6 -And R 6 Is a C1-C6 alkyl group.
- a 1 -NR 6 -And R 6 Is a methyl group, ethyl group, propyl group, isopropyl group, methoxymethyl group, ethoxymethyl group, cyclopropyl group or hydrogen atom.
- a 1 -NR 6 -And R 6 Is a methyl group, ethyl group, propyl group, isopropyl group, methoxymethyl group, ethoxymethyl group or cyclopropyl group.
- a 1 -NR 6 -And R 6 Is a methyl group.
- a 1 -NR 6 -And R 6 In which is a methyl group or a hydrogen atom.
- a 1 -NR 6 -And R 6 In which is a hydrogen atom.
- a 1 -NR 6 -And R 8 In which is a methoxymethyl group, an ethoxymethyl group or a hydrogen atom.
- R 1 Is a C1-C6 chain hydrocarbon group optionally having one or more atoms or groups selected from group X. In equation (1), R 1 Is a C1-C6 chain hydrocarbon group optionally having one or more halogen atoms. In equation (1), R 1 Is a C1-C6 chain hydrocarbon group optionally having one or more fluorine atoms. In equation (1), R 1 Is a C1-C6 chain hydrocarbon group. In equation (1), R 1 Is a C1-C6 alkyl group. In equation (1), R 1 Is a C1-C3 alkyl group.
- R 1 Is a C3-C6 alicyclic hydrocarbon group optionally having one or more atoms or groups selected from group Y.
- R 1 Is a C3-C6 alicyclic hydrocarbon group.
- R 1 In which is a cyclopropyl group, a cyclobutyl group or a cyclopentyl group.
- R 1 Is methyl, ethyl, propyl, isopropyl, butyl, sec-butyl, isobutyl, tert-butyl, cyclopropylmethyl, cyclopropyl, trifluoromethyl, 2,2,2-tri A compound that is a fluoroethyl group.
- R 1 Is a methyl group, an ethyl group, a cyclopropyl group, a cyclopropylmethyl group or a propyl group.
- R 1 In which is an ethyl group, a cyclopropyl group or a cyclopropylmethyl group.
- R 1 Is an ethyl group or a cyclopropylmethyl group.
- R 1 Is a methyl group.
- R 1 Is an ethyl group.
- R 1 Is a propyl group.
- R 1 In which is an isopropyl group.
- R 1 Is a cyclopropyl group. In equation (1), R 1 Is a cyclopropylmethyl group. In equation (1), R 1 In which is a trifluoromethyl group. In equation (1), R 1 Is a 2,2,2-trifluoroethyl group.
- R 2 , R 3 , R 4 And R 5 Are the same or different and may have one or more halogen atoms, a C1-C6 chain hydrocarbon group, -OR 10 , -S (O) mR 10 , -C (O) R 10 , -CO 2 R 10 , -NR 10 R 11 , Formyl group, cyano group, nitro group, halogen atom or hydrogen atom, R 10 And R 11 Are the same or different and are a C1-C6 chain hydrocarbon group or hydrogen atom which may have one or more halogen atoms.
- R 2 , R 3 , R 4 And R 5 In which is a hydrogen atom.
- R 2 , R 4 And R 5 Are the same or different and are a halogen atom or a hydrogen atom, and R 3 C1-C6 chain hydrocarbon group optionally having one or more halogen atoms, -OR 10 , -S (O) m R 10 , -C (O) R 10 , -CO 2 R 10 , -NR 10 R 11
- R 10 And R 11 Are the same or different and are a C1-C6 chain hydrocarbon group or hydrogen atom which may have one or more halogen atoms.
- R 2 , R 4 And R 5 Are the same or different and are a halogen atom or a hydrogen atom, and R 3 C1-C6 chain hydrocarbon group optionally having one or more halogen atoms, -OR 10 A halogen atom or a hydrogen atom, R 10 Is a C1-C6 chain hydrocarbon group or hydrogen atom optionally having one or more halogen atoms.
- R 2 , R 4 And R 5 Are the same or different and are a halogen atom or a hydrogen atom, and R 3 Is a C1-C6 chain hydrocarbon group optionally having one or more halogen atoms, a halogen atom or a hydrogen atom.
- R 2 , R 4 And R 5 are the same or different and are a halogen atom or a hydrogen atom
- R 3 Is a methyl group, ethyl group, trifluoromethyl group, pentafluoroethyl group, heptafluoropropyl group, heptafluoroisopropyl group, trifluoromethoxy group, fluorine atom, chlorine atom, bromine atom, iodine atom or hydrogen atom.
- R 2 , R 4 And R 5 Is a hydrogen atom and R 3 C1-C6 chain hydrocarbon group optionally having one or more halogen atoms, -OR 10 A halogen atom or a hydrogen atom, R 10 Is a C1-C6 chain hydrocarbon group optionally having one or more halogen atoms.
- R 2 , R 4 And R 5 Is a hydrogen atom and R 3 Is a methyl group, ethyl group, trifluoromethyl group, pentafluoroethyl group, heptafluoropropyl group, heptafluoroisopropyl group, trifluoromethoxy group, fluorine atom, chlorine atom, bromine atom, iodine atom or hydrogen atom.
- R 2 , R 4 And R 5 Is a hydrogen atom and R 3 Is a methyl group.
- R 2 , R 4 And R 5 Is a hydrogen atom and R 3 Is an ethyl group.
- R 2 , R 4 And R 5 Is a hydrogen atom and R 3 In which is a trifluoromethyl group.
- R 2 , R 4 And R 5 Is a hydrogen atom and R 3 Is a pentafluoroethyl group.
- R 2 , R 4 And R 5 Is a hydrogen atom and R 3 In which is a heptafluoropropyl group.
- R 2 , R 4 And R 5 Is a hydrogen atom and R 3 In which is a trifluoromethoxy group.
- R 2 , R 4 And R 5 Is a hydrogen atom and R 3 In which is a fluorine atom.
- R 2 , R 4 And R 5 Is a hydrogen atom and R 3 In which is a chlorine atom.
- R 2 , R 4 And R 5 Is a hydrogen atom and R 3 In which is a bromine atom.
- R 2 , R 4 And R 5 Is a hydrogen atom and R 3 In which is an iodine atom.
- R 2 , R 4 And R 5 are the same or different and are a halogen atom or a hydrogen atom
- R 3 A phenyl group which may have one or more atoms or groups selected from group Z, a 5-membered heterocyclic group which may have one or more atoms or groups selected from group Z, group Z A compound which is a 6-membered heterocyclic group optionally having one or more atoms or groups selected.
- R 2 , R 4 And R 5 are the same or different and are a halogen atom or a hydrogen atom
- R 3 Is a phenyl group optionally having one or more halogen atoms or a C1-C3 alkyl group optionally having one or more halogen atoms, or one or more halogen atoms or one or more halogen atoms.
- R 2 , R 4 And R 5 Is a hydrogen atom and R 3 Is a 2-pyridyl group, 2-pyrimidinyl group, 3-chloro-2-pyridyl group or 3-chloro-5-trifluoromethyl-2-pyridyl group.
- R 2 , R 4 And R 5 Is a hydrogen atom and R 3 Is 2-pyridyl group, 2-pyrimidinyl group, 3-chloro-2-pyridyl group, 3-chloro-5-trifluoromethyl-2-pyridyl group, methyl group, ethyl group, propyl group, isopropyl group, trifluoromethyl Group, pentafluoroethyl group, heptafluoropropyl group, heptafluoroisopropyl group, fluorine atom, chlorine atom or bromine atom.
- R 1 Is an ethyl group and R 2 , R 3 , R 4 And R 5 In which is a hydrogen atom.
- R 1 Is an ethyl group and R 2 , R 4 And R 5 Is a hydrogen atom and R 3 Is a methyl group.
- R 1 Is an ethyl group and R 2 , R 4 And R 5 Is a hydrogen atom and R 3 In which is a trifluoromethyl group.
- R 1 Is an ethyl group and R 2 , R 4 And R 5 Is a hydrogen atom and R 3 Is a pentafluoroethyl group.
- R 1 Is an ethyl group and R 2 , R 4 And R 5 Is a hydrogen atom and R 3 In which is a heptafluoropropyl group.
- R 1 Is an ethyl group and R 2 , R 4 And R 5 Is a hydrogen atom and R 3 Is a 2-pyrimidinyl group.
- R 1 Is an ethyl group and R 2 , R 4 And R 5 Is a hydrogen atom and R 3 In which is a trifluoromethoxy group.
- R 1 Is an ethyl group and R 2 , R 4 And R 5 Is a hydrogen atom and R 3 In which is a chlorine atom.
- R 1 Is an ethyl group and R 2 , R 4 And R 5 Is a hydrogen atom and R 3 In which is a bromine atom.
- R 1 Is an ethyl group and R 2 , R 4 And R 5 Is a hydrogen atom and R 3 In which is an iodine atom.
- R 7 And R 8 Are the same or different and may have one or more halogen atoms, a C1-C6 chain hydrocarbon group, -OR 10 , -S (O) m R 10 , -NR 10 R 11 , -CO 2 R 10 , -C (O) R 10 , A cyano group, a nitro group, a halogen atom or a hydrogen atom, R 10 And R 11 Are the same or different and are a C1-C6 chain hydrocarbon group or hydrogen atom which may have one or more halogen atoms.
- R 7 And R 8 Are the same or different and may have one or more halogen atoms, a C1-C6 chain hydrocarbon group, -OR 10 , -S (O) m R 10 A halogen atom or a hydrogen atom, R 10 Is a C1-C6 chain hydrocarbon group or hydrogen atom optionally having one or more halogen atoms.
- R 7 And R 8 Are the same or different and are a C1-C6 chain hydrocarbon group or hydrogen atom which may have one or more halogen atoms.
- R 7 And R 8 are the same or different, trifluoromethyl group, difluoromethyl group, fluoromethyl group, pentafluoroethyl group, heptafluoroisopropyl group, trifluoromethoxy group, trifluoromethylsulfanyl group, trifluoromethylsulfinyl group, trifluoromethylsulfonyl
- R 8 Is a C1-C3 alkyl group having one or more fluorine atoms, and R 7 In which is a hydrogen atom.
- R 8 Is a C1-C3 alkoxy group having one or more fluorine atoms, and R 7 In which is a hydrogen atom.
- R 8 Is a C1-C3 alkylsulfanyl group having one or more fluorine atoms, a C1-C3 alkylsulfinyl group having one or more fluorine atoms, or a C1- having one or more fluorine atoms.
- R 8 Is a halogen atom and R 7 In which is a hydrogen atom.
- R 8 Is a C1-C3 alkyl group having one or more fluorine atoms, a C1-C3 alkoxy group having one or more fluorine atoms, a C1-C3 alkyl having one or more fluorine atoms A sulfanyl group, a C1-C3 alkylsulfinyl group having one or more fluorine atoms, a C1-C3 alkylsulfonyl group having one or more fluorine atoms, or a halogen atom, and R 7 In which is a hydrogen atom.
- R 8 Is a trifluoromethyl group, pentafluoroethyl group, heptafluoroisopropyl group, trifluoromethoxy group, trifluoromethylsulfanyl group, trifluoromethylsulfinyl group, trifluoromethylsulfonyl group, bromine atom or iodine atom, R 7 In which is a hydrogen atom.
- R 8 Is a bromine atom and R 7 In which is a hydrogen atom.
- R 8 Is an iodine atom and R 7 In which is a hydrogen atom.
- R 8 Is a trifluoromethyl group and R 7 In which is a hydrogen atom.
- R 8 Is a pentafluoroethyl group and R 7 In which is a hydrogen atom.
- R 8 Is a trifluoromethoxy group and R 7 In which is a hydrogen atom.
- R 8 Is a trifluoromethylsulfanyl group and R 7 In which is a hydrogen atom.
- R 8 Is a trifluoromethylsulfinyl group and R 7 In which is a hydrogen atom.
- R 8 Is a trifluoromethylsulfonyl group, R 7 In which is a hydrogen atom.
- R 8 Is a heptafluoroisopropyl group and R 7 In which is a hydrogen atom.
- R 9 In which is a hydrogen atom.
- a compound in which n is 0 in formula (1).
- a compound in which n is 1 in the formula (1).
- a compound in which n is 2 in the formula (1).
- a compound in which m is 0 in formula (1).
- a compound wherein m is 1.
- a compound wherein m is 2.
- a 1 -NR 6 - An oxygen atom or a sulfur atom
- R 6 Is a C1-C6 alkyl group
- R 1 Is a C1-C3 alkyl group or cyclopropyl group optionally having one or more fluorine atoms
- R 2 , R 4 And R 5 Are the same or different and are a halogen atom or a hydrogen atom
- R 3 C1-C3 alkyl group optionally having one or more fluorine atoms, 5- or 6-membered heterocyclic group
- C1-C3 alkoxy group optionally having one or more fluorine atoms, a halogen atom or A hydrogen atom
- R 8 Is a C1-C3 alkyl group having one or more fluorine atoms, a C1-C3 alkoxy group having one or more fluorine atoms, a C1-C3 alkyl having one or more fluorine atoms A sulfanyl group,
- a 1 -NR 6 ⁇ R 6 Is a C1-C6 alkyl group
- R 1 Is a C1-C3 alkyl group or cyclopropyl group optionally having one or more fluorine atoms
- R 2 , R 4 And R 5 Are the same or different and are a halogen atom or a hydrogen atom
- R 3 Is a C1-C3 alkyl group which may have one or more fluorine atoms, a C1-C3 alkoxy group which may have one or more fluorine atoms, a 5- or 6-membered heterocyclic group, a halogen atom or A hydrogen atom
- R 8 Is a C1-C3 alkyl group having one or more fluorine atoms, a C1-C3 alkoxy group having one or more fluorine atoms, a C1-C3 alkyl having one or more fluorine atoms A sulfanyl group, a C1-
- a 1 -NR 6 ⁇ R 6 Is a methyl group, an ethyl group, a propyl group or an isopropyl group
- R 1 Is a methyl group, an ethyl group, a propyl group, an isopropyl group, a cyclopropyl group, a trifluoromethyl group or a 2,2,2-trifluoroethyl group
- R 2 , R 4 And R 5 Are the same or different and are a fluorine atom, a chlorine atom, or a hydrogen atom
- R 3 Is methyl, ethyl, propyl, isopropyl, trifluoromethyl, pentafluoroethyl, heptafluoropropyl, heptafluoroisopropyl, trifluoromethoxy, 2-pyrimidinyl, fluorine, chlorine, bromine
- R 8 Is a trifluor
- a 1 Is a sulfur atom
- R 1 Is a methyl group, an ethyl group, a propyl group, an isopropyl group, a cyclopropyl group, a trifluoromethyl group or a 2,2,2-trifluoroethyl group
- R 2 , R 4 And R 5 Are the same or different and are a fluorine atom, a chlorine atom, or a hydrogen atom
- R 3 Is methyl, ethyl, propyl, isopropyl, trifluoromethyl, pentafluoroethyl, heptafluoropropyl, heptafluoroisopropyl, trifluoromethoxy, 2-pyrimidinyl, fluorine, chlorine, bromine
- R 8 Is a trifluoromethyl group, pentafluoroethyl group, heptafluoropropyl group, hept
- a 1 Is an oxygen atom
- R 1 Is a methyl group, an ethyl group, a propyl group, an isopropyl group, a cyclopropyl group, a trifluoromethyl group or a 2,2,2-trifluoroethyl group
- R 2 , R 4 And R 5 Are the same or different and are a fluorine atom, a chlorine atom, or a hydrogen atom
- R 3 Is methyl, ethyl, propyl, isopropyl, trifluoromethyl, pentafluoroethyl, heptafluoropropyl, heptafluoroisopropyl, trifluoromethoxy, 2-pyrimidinyl, fluorine, chlorine, bromine
- R 8 Is a trifluoromethyl group, pentafluoroethyl group, heptafluoropropyl group, hepta
- a 1 -NR 6 - An oxygen atom or a sulfur atom
- R 6 Is a C1-C6 alkyl group
- R 1 Is a C1-C3 alkyl group or cyclopropyl group optionally having one or more fluorine atoms
- R 2 , R 4 And R 5 Are the same or different and are a halogen atom or a hydrogen atom
- R 3 C1-C3 alkyl group optionally having one or more fluorine atoms, 5- or 6-membered heterocyclic group
- C1-C3 alkoxy group optionally having one or more fluorine atoms, a halogen atom or A hydrogen atom
- a 1 -NR 6 - An oxygen atom or a sulfur atom
- R 1 Is an ethyl group or a cyclopropyl group
- R 2 , R 4 And R 5 Are the same or different and are a fluorine atom, a chlorine atom, or a hydrogen atom
- R 3 Is a methyl group, trifluoromethyl group, pentafluoroethyl group, heptafluoropropyl group, trifluoromethoxy group, 2-pyrimidinyl group, fluorine atom, chlorine atom, bromine atom or hydrogen atom
- R 8 Is a trifluoromethyl group, a pentafluoroethyl group, a trifluoromethylsulfanyl group or a trifluoromethylsulfonyl group
- R 7 Is a hydrogen atom
- R 9 Is a hydrogen atom
- a compound wherein n is 2.
- a 1 -NR 6 - An oxygen atom or a sulfur atom
- R 6 Is a C1-C6 alkyl group
- R 1 Is a C1-C3 alkyl group optionally having one or more fluorine atoms
- R 2 , R 4 And R 5 Are the same or different and are a halogen atom or a hydrogen atom
- R 3 Is a C1-C3 alkyl group which may have one or more fluorine atoms or a hydrogen atom
- R 8 Is a C1-C3 alkyl group having one or more fluorine atoms or a C1-C3 alkylsulfonyl group having one or more fluorine atoms
- R 7 Is a hydrogen atom
- R 9 Is a hydrogen atom
- a compound wherein n is 2.
- a 1 -NR 6 - An oxygen atom or a sulfur atom, R 6 Is a C1-C3 alkyl group, R 1 Is a C1-C3 alkyl group optionally having one or more fluorine atoms, R 2 Is a halogen atom or a hydrogen atom, R 3 Is a C1-C3 alkyl group which may have one or more fluorine atoms or a hydrogen atom, R 4 And R 5 Is a hydrogen atom, R 8 Is a C1-C3 alkyl group having one or more fluorine atoms or a C1-C3 alkylsulfonyl group having one or more fluorine atoms, R 7 Is a hydrogen atom, R 9 Is a hydrogen atom, A compound wherein n is 2.
- a 1 -NR 6 - An oxygen atom or a sulfur atom
- R 1 Is an ethyl group
- R 2 Is a chlorine atom or a hydrogen atom
- R 3 Is a trifluoromethyl group or a hydrogen atom
- R 4 And R 5 Is a hydrogen atom
- R 8 Is a trifluoromethyl group, a pentafluoroethyl group or a trifluoromethylsulfonyl group
- R 7 Is a hydrogen atom
- R 9 Is a hydrogen atom
- a compound wherein n is 2.
- a 1 -NR 6 ⁇ R 6 Is a C1-C6 alkyl group
- R 1 Is a C1-C3 alkyl group optionally having one or more fluorine atoms
- R 2 , R 4 And R 5 Are the same or different and are a halogen atom or a hydrogen atom
- R 3 Is a C1-C3 alkyl group having one or more fluorine atoms or a hydrogen atom
- R 8 Is a C1-C3 alkyl group having one or more fluorine atoms
- R 7 Is a hydrogen atom
- R 9 Is a hydrogen atom
- a compound wherein n is 2.
- a 1 -NR 6 ⁇ R 6 Is a C1-C3 alkyl group
- R 1 Is a C1-C3 alkyl group optionally having one or more fluorine atoms
- R 2 Is a halogen atom or a hydrogen atom
- R 3 Is a C1-C3 alkyl group having one or more fluorine atoms or a hydrogen atom
- R 4 And R 5 Is a hydrogen atom
- R 8 Is a C1-C3 alkyl group having one or more fluorine atoms
- R 7 Is a hydrogen atom
- R 9 Is a hydrogen atom
- a compound wherein n is 2.
- a 1 -NR 6 - An oxygen atom or a sulfur atom, R 1 Is an ethyl group, R 2 Is a chlorine atom or a hydrogen atom, R 3 Is a trifluoromethyl group or a hydrogen atom, R 4 And R 5 Is a hydrogen atom, R 8 Is a trifluoromethyl group, R 7 Is a hydrogen atom, R 9 Is a hydrogen atom, A compound wherein n is 2.
- a 1a -NR 6a A compound that is-.
- R 1a C1-C6 alkyl group optionally having one or more atoms or groups selected from the group consisting of halogen atoms and cyclopropyl groups (wherein the cyclopropyl group is one or more halogen atoms or 1 And a compound which may have one or more C1-C3 alkyl groups).
- R 1a Is a C1-C6 alkyl group, a C1-C6 haloalkyl group, or a C4-C9 cyclopropylalkyl group (wherein the cyclopropyl group has one or more halogen atoms or one or more C1-C3 alkyl groups).
- R 1a Is a C2-C6 alkyl group, a C1-C6 haloalkyl group or a C4-C9 cyclopropylalkyl group (wherein the cyclopropyl group has one or more halogen atoms or one or more C1-C3 alkyl groups).
- R 1a Is a methyl group, ethyl group, propyl group, isopropyl group, cyclopropyl group, trifluoromethyl group, 2,2,2-trifluoroethyl group or cyclopropylmethyl group.
- R 1a In which is an ethyl group, a cyclopropyl group or a cyclopropylmethyl group.
- R 1a Is an ethyl group or a cyclopropylmethyl group.
- R 1a Is a C1-C6 alkyl group.
- R 1a In which is a C2-C6 alkyl group.
- R 1a Is a C1-C3 alkyl group.
- R 1a Is an ethyl group.
- R 2a , R 4a And R 5a Are the same or different and are a halogen atom or a hydrogen atom.
- R 2a , R 4a And R 5a Are the same or different and are a chlorine atom, a fluorine atom or a hydrogen atom.
- R 2a , R 4a And R 5a Are the same or different and are a chlorine atom or a hydrogen atom.
- R 4a And R 5a Is a hydrogen atom and R 2a In which is a chlorine atom.
- R 2a , R 4a And R 5a Are the same or different and are a chlorine atom, a fluorine atom or a hydrogen atom.
- R 2a , R 4a And R 5a Are the same or different and are a chlorine atom or a hydrogen atom.
- R 4a And R 5a Is a hydrogen atom and R 2a In which is a chlorine atom.
- R 2a , R 4a And R 5a In which is a hydrogen atom.
- R 3a Has a C1-C6 alkyl group which may have one or more halogen atoms, a C2-C6 alkenyl group which may have one or more halogen atoms, and one or more halogen atoms.
- pyridyl group (wherein the pyridyl group is a halogen atom, a C1-C3 alkyl group optionally having a halogen atom, and a C1-C3 optionally having a halogen atom)
- a pyrimidinyl group (wherein the pyrimidinyl group may have a halogen atom or a halogen atom) It may have one or more atoms or substituents selected from the group consisting of a C3 alkyl group and a C1-C3 alkoxy group optionally having a halogen atom.
- R 20a (Where R 20a Is a C1-C6 alkyl group optionally having one or more halogen atoms. ), -S (O) m R 21a (Where R 21a Is a C1-C6 alkyl group optionally having one or more halogen atoms, and m is 0, 1 or 2. ), A compound which is a halogen atom or a hydrogen atom.
- R 3a C 1 -C 6 alkyl group optionally having one or more halogen atoms, —OR 20a (Where R 20a Represents a C1-C6 alkyl group optionally having one or more halogen atoms.
- R 21a represents a C1-C6 alkyl group which may have one or more halogen atoms, and m represents 0, 1 or 2.
- R 3a Is methyl, fluoromethyl, difluoromethyl, trifluoromethyl, ethyl, ethenyl, ethynyl, pentafluoroethyl (-CF 2 CF 3 ), Heptafluoropropyl group (-CF 2 CF 2 CF 3 ), -CF (CF 3 ) 2 , -CF 2 CF 2 CF 2 CF 3 , A trifluoromethoxy group (-OCF 3 ), -OCF 2 CF 3 , -SCF 3 , -S (O) CF 3 , -S (O) 2 CF 3 , -SCF 2 CF 3 , -S (O) CF 2 CF 3 , -S (O) 2 CF 2 CF 3 , 2-pyridyl group, 5-trifluoromethyl-2-pyridyl group, 2-pyrimidinyl group, a fluorine atom, a chlorine
- R 3a are methyl, fluoromethyl, difluoromethyl, trifluoromethyl, ethyl, ethenyl, ethynyl, -CF 2 CF 3 , -CF 2 CF 2 CF 3 , -CF (CF 3 ) 2 , -CF 2 CF 2 CF 2 CF 3 , -OCF 3 , -OCF 2 CF 3 , -SCF 3 , -S (O) CF 3 , -S (O) 2 CF 3 , -S (O) 2 CF 3 , -SCF 2 CF 3 , -S (O) CF 2 CF 3 , -S (O) 2 CF 2 CF 3 , 2-pyrimidinyl group, fluorine atom, chlorine atom, bromine atom, iodine atom or hydrogen atom.
- R 3a Trifluoromethyl group, ethyl group, -CF 2 CF 3 , -CF 2 CF 2 CF 3 , -OCF 3 , 2-pyrimidinyl group, a fluorine atom, a chlorine atom, a bromine atom or a hydrogen atom.
- R 3a In which is a trifluoromethyl group or a hydrogen atom.
- R 8a Is a C1-C6 haloalkyl group, -OR 22a (Where R 22a Is a C1-C6 haloalkyl group.
- R 23a Is a C1-C6 haloalkyl group and m is 0, 1 or 2.
- -SF 5 Or a compound which is a halogen atom.
- R 8a Is a C1-C6 haloalkyl group, -OR 22a (Where R 22a Is a C1-C6 haloalkyl group. ), -S (O) m R 23a (Where R 23a Is a C1-C6 haloalkyl group and m is 0, 1 or 2.
- R 8a Is a C1-C6 haloalkyl group, -OR 22a (Where R 22a Is a C1-C6 haloalkyl group. ), -S (O) m R 23a (Where R 23a Is a C1-C6 haloalkyl group and m is 0, 1 or 2. Or a compound which is a halogen atom.
- R 8a Is a C1-C6 haloalkyl group, -OR 22a (Where R 22a Is a C1-C6 haloalkyl group.
- R 23a Is a C1-C6 haloalkyl group and m is 0, 1 or 2.
- R 8a Is a C1-C6 perfluoroalkyl group
- -OR 22a Where R 22a Is a C1-C6 perfluoroalkyl group.
- -S (O) m R 23a where R 23a Is a C1-C6 perfluoroalkyl group.
- R 8a Is a trifluoromethyl group, -CF 2 CF 3 , -CF 2 CF 2 CF 3 , -CF (CF 3 ) 2 , -OCF 3 , -OCF 2 CF 3 , -SCF 3 , -S (O) CF 3 , -S (O) 2 CF 3 , -SCF 2 CF 3 , -S (O) CF 2 CF 3 , -S (O) 2 CF 2 CF 3 , SF 5 , A fluorine atom, a chlorine atom, a bromine atom or an iodine atom.
- R 8a Is a trifluoromethyl group, -CF 2 CF 3 , -SCF 3 Or -S (O) 2 CF 3
- a compound that is In formula (1-1) R 8a Is a trifluoromethyl group.
- a 1a -NR 6a -And R 6a Has a C1-C6 alkyl group which may have one or more halogen atoms, a C3-C6 alkenyl group which may have one or more halogen atoms, or one or more halogen atoms.
- a 1a -NR 6a -And R 6a Is a methyl group, ethyl group, propyl group, allyl group or propargyl group.
- a 1a -NR 6a -And R 6a In which is a methyl group or a propargyl group.
- R 1b In which is an ethyl group, a cyclopropyl group or a cyclopropylmethyl group.
- R 1b Is an ethyl group.
- R 2b , R 4b And R 5b Are the same or different and are a halogen atom or a hydrogen atom.
- R 2b , R 4b And R 5b Are the same or different and are a chlorine atom, a fluorine atom or a hydrogen atom.
- R 2b , R 4b And R 5b Are the same or different and are a chlorine atom or a hydrogen atom.
- R 4b And R 5b Is a hydrogen atom and R 2b In which is a chlorine atom.
- R 2b , R 4b And R 5b Are the same or different and are a chlorine atom, a fluorine atom or a hydrogen atom.
- R 2b , R 4b And R 5b Are the same or different and are a chlorine atom or a hydrogen atom.
- R 4b And R 5b Is a hydrogen atom and R 2b In which is a chlorine atom.
- R 2b , R 4b And R 5b In which is a hydrogen atom.
- R 3b Are methyl, fluoromethyl, difluoromethyl, trifluoromethyl, ethyl, ethenyl, ethynyl, -CF 2 CF 3 , -CF 2 CF 2 CF 3 , -CF (CF 3 ) 2 , -CF 2 CF 2 CF 2 CF 3 , -OCF 3 , -OCF 2 CF 3 , -SCF 3 , -S (O) CF 3 , -S (O) 2 CF 3 , -S (O) 2 CF 3 , -SCF 2 CF 3 , -S (O) CF 2 CF 3 , -SCF 2 CF 3 , -S (O) 2 CF 3 , -S (O
- R 3b Trifluoromethyl group, ethyl group, -CF 2 CF 3 , -CF 2 CF 2 CF 3 , -OCF 3 , 2-pyrimidinyl group, a fluorine atom, a chlorine atom, a bromine atom or a hydrogen atom.
- R 3b Trifluoromethyl group, ethyl group, -CF 2 CF 3 , -CF 2 CF 2 CF 3 , -OCF 3 , A 2-pyrimidinyl group, a fluorine atom, a bromine atom or a hydrogen atom.
- R 3b In which is a trifluoromethyl group or a hydrogen atom.
- R 8b Is a C1-C6 haloalkyl group, -OR 22b (Where R 22b Is a C1-C6 haloalkyl group. ), -S (O) m R 23b (Where R 23b Is a C1-C6 haloalkyl group and m is 0, 1 or 2. ), -SF 5 Or a compound which is a halogen atom.
- R 8b Is a C1-C6 haloalkyl group, -OR 22b (Where R 22b Is a C1-C6 haloalkyl group.
- R 23b Is a C1-C6 haloalkyl group and m is 0, 1 or 2.
- -SF 5 A compound that is In formula (1-2), R 8b Is a C1-C6 haloalkyl group, -OR 22b (Where R 22b Is a C1-C6 haloalkyl group. ), -S (O) m R 23b (Where R 23b Is a C1-C6 haloalkyl group and m is 0, 1 or 2. Or a compound which is a halogen atom.
- R 8b Is a C1-C6 haloalkyl group, -OR 22b (Where R 22b Is a C1-C6 haloalkyl group. ) Or -S (O) m R 23b (Where R 23b Is a C1-C6 haloalkyl group and m is 0, 1 or 2. ).
- R 8b Is a C1-C6 perfluoroalkyl group, -OR 22b (Where R 22b Is a C1-C6 perfluoroalkyl group. ) Or -S (O) m R 23b (Where R 23b Is a C1-C6 perfluoroalkyl group. ).
- R 8b Is a trifluoromethyl group, -CF 2 CF 3 , -CF 2 CF 2 CF 3 , -CF (CF 3 ) 2 , -OCF 3 , -OCF 2 CF 3 , -SCF 3 , -S (O) CF 3 , -S (O) 2 CF 3 , -SCF 2 CF 3 , -S (O) CF 2 CF 3 , -S (O) 2 CF 2 CF 3 , SF 5 , A fluorine atom, a chlorine atom, a bromine atom or an iodine atom.
- R 8b Is a trifluoromethyl group, -CF 2 CF 3 , -SCF 3 Or -S (O) 2 CF 3
- R 1b In which is an ethyl group, a cyclopropyl group or a cyclopropylmethyl group.
- R 1b Is an ethyl group.
- R 2b , R 4b And R 5b Are the same or different and are a halogen atom or a hydrogen atom.
- R 2b , R 4b And R 5b Are the same or different and are a chlorine atom, a fluorine atom or a hydrogen atom.
- R 2b , R 4b And R 5b Are the same or different and are a chlorine atom or a hydrogen atom.
- R 4b And R 5b Is a hydrogen atom and R 2b In which is a chlorine atom.
- R 2b , R 4b And R 5b Are the same or different and are a chlorine atom, a fluorine atom or a hydrogen atom.
- R 2b , R 4b And R 5b Are the same or different and are a chlorine atom or a hydrogen atom.
- R 4b And R 5b Is a hydrogen atom and R 2b In which is a chlorine atom.
- R 2b , R 4b And R 5b In which is a hydrogen atom.
- R 3b Are methyl, fluoromethyl, difluoromethyl, trifluoromethyl, ethyl, ethenyl, ethynyl, -CF 2 CF 3 , -CF 2 CF 2 CF 3 , -CF (CF 3 ) 2 , -CF 2 CF 2 CF 2 CF 3 , -OCF 3 , -OCF 2 CF 3 , -SCF 3 , -S (O) CF 3 , -S (O) 2 CF 3 , -S (O) 2 CF 3 , -SCF 2 CF 3 , -S (O) CF 2 CF 3 , -SCF 2 CF 3 , -S (O) 2 CF 3 , -S (O
- R 3b Trifluoromethyl group, ethyl group, -CF 2 CF 3 , -CF 2 CF 2 CF 3 , -OCF 3 , 2-pyrimidinyl group, a fluorine atom, a chlorine atom, a bromine atom or a hydrogen atom.
- R 3b In which is a trifluoromethyl group, a chlorine atom or a hydrogen atom.
- R 8b Is a C1-C6 haloalkyl group, -OR 22b (Where R 22b Is a C1-C6 haloalkyl group.
- R 23b Is a C1-C6 haloalkyl group and m is 0, 1 or 2.
- -SF 5 Or a compound which is a halogen atom.
- R 8b Is a C1-C6 haloalkyl group, -OR 22b (Where R 22b Is a C1-C6 haloalkyl group. ), -S (O) m R 23b (Where R 23b Is a C1-C6 haloalkyl group and m is 0, 1 or 2.
- R 8b Is a C1-C6 haloalkyl group, -OR 22b (Where R 22b Is a C1-C6 haloalkyl group. ), -S (O) m R 23b (Where R 23b Is a C1-C6 haloalkyl group and m is 0, 1 or 2. Or a compound which is a halogen atom.
- R 8b Is a C1-C6 haloalkyl group, -OR 22b (Where R 22b Is a C1-C6 haloalkyl group.
- R 23b Is a C1-C6 haloalkyl group and m is 0, 1 or 2.
- R 8b Is a C1-C6 perfluoroalkyl group
- -OR 22b Where R 22b Is a C1-C6 perfluoroalkyl group.
- -S (O) m R 23b where R 23b Is a C1-C6 perfluoroalkyl group.
- R 8b Is a trifluoromethyl group, -CF 2 CF 3 , -CF 2 CF 2 CF 3 , -CF (CF 3 ) 2 , -OCF 3 , -OCF 2 CF 3 , -SCF 3 , -S (O) CF 3 , -S (O) 2 CF 3 , -SCF 2 CF 3 , -S (O) CF 2 CF 3 , -S (O) 2 CF 2 CF 3 , SF 5 , A fluorine atom, a chlorine atom, a bromine atom or an iodine atom.
- R 8b Is a trifluoromethyl group, -CF 2 CF 3 , -SCF 3 Or -S (O) 2 CF 3 A compound that is In formula (1-3), R 8b Is a trifluoromethyl group, -CF 2 CF 3 Or -S (O) 2 CF 3 A compound that is In the formula (1-3), a compound wherein n is 2.
- R 1b In which is an ethyl group, a cyclopropyl group or a cyclopropylmethyl group.
- R 1b Is an ethyl group.
- R 2b , R 4b And R 5b Are the same or different and are a halogen atom or a hydrogen atom.
- R 2b , R 4b And R 5b Are the same or different and are a chlorine atom, a fluorine atom or a hydrogen atom.
- R 2b , R 4b And R 5b Are the same or different and are a chlorine atom or a hydrogen atom.
- R 4b And R 5b Is a hydrogen atom and R 2b In which is a chlorine atom.
- R 2b , R 4b And R 5b Are the same or different and are a chlorine atom, a fluorine atom or a hydrogen atom.
- R 2b , R 4b And R 5b Are the same or different and are a chlorine atom or a hydrogen atom.
- R 4b And R 5b Is a hydrogen atom and R 2b In which is a chlorine atom.
- R 2b , R 4b And R 5b In which is a hydrogen atom.
- R 3b are methyl, fluoromethyl, difluoromethyl, trifluoromethyl, ethyl, ethenyl, ethynyl, fluoromethyl, difluoromethyl, trifluoromethyl, -CF 2 CF 3 , -CF 2 CF 2 CF 3 , -CF (CF 3 ) 2 , -CF 2 CF 2 CF 2 CF 3 , -OCF 3 , -OCF 2 CF 3 , -SCF 3 , -S (O) CF 3 , -S (O) 2 CF 3 , -S (O) 2 CF 3 , -SCF 2 CF 3 , -S (O) CF 2 CF 3 , -S (O) 2 CF 2 CF 3 , -S (O) 2 CF 2 CF 3 , A fluorine atom, a chlorine atom, a bromine atom, an iodine atom or a hydrogen
- R 3b Trifluoromethyl group, ethyl group, -CF 2 CF 3 , -CF 2 CF 2 CF 3 , -OCF 3 , 2-pyrimidinyl group, a fluorine atom, a chlorine atom, a bromine atom or a hydrogen atom.
- R 3b Is a trifluoromethyl group.
- R 8b Is a C1-C6 haloalkyl group, -OR 22b (Where R 22b Is a C1-C6 haloalkyl group.
- R 23b Is a C1-C6 haloalkyl group and m is 0, 1 or 2.
- -SF 5 Or a compound which is a halogen atom.
- R 8b Is a C1-C6 haloalkyl group, -OR 22b (Where R 22b Is a C1-C6 haloalkyl group. ), -S (O) m R 23b (Where R 23b Is a C1-C6 haloalkyl group and m is 0, 1 or 2.
- R 8b Is a C1-C6 haloalkyl group, -OR 22b (Where R 22b Is a C1-C6 haloalkyl group. ), -S (O) m R 23b (Where R 23b Is a C1-C6 haloalkyl group and m is 0, 1 or 2. Or a compound which is a halogen atom.
- R 8b Is a C1-C6 haloalkyl group, -OR 22b (Where R 22b Is a C1-C6 haloalkyl group.
- R 23b Is a C1-C6 haloalkyl group and m is 0, 1 or 2.
- R 8b Is a C1-C6 perfluoroalkyl group
- -OR 22b Where R 22b Is a C1-C6 perfluoroalkyl group.
- -S (O) m R 23b where R 23b Is a C1-C6 perfluoroalkyl group.
- R 8b Is a trifluoromethyl group, -CF 2 CF 3 , -CF 2 CF 2 CF 3 , -CF (CF 3 ) 2 , -OCF 3 , -OCF 2 CF 3 , -SCF 3 , -S (O) CF 3 , -S (O) 2 CF 3 , -SCF 2 CF 3 , -S (O) CF 2 CF 3 , -S (O) 2 CF 2 CF 3 , SF 5 , A fluorine atom, a chlorine atom, a bromine atom or an iodine atom.
- R 8b Is a trifluoromethyl group, -CF 2 CF 3 , -SCF 3 Or -S (O) 2 CF 3
- R 1b In which is an ethyl group, a cyclopropyl group or a cyclopropylmethyl group.
- R 1b Is an ethyl group.
- R 3b are methyl, fluoromethyl, difluoromethyl, trifluoromethyl, ethyl, ethenyl, ethynyl, fluoromethyl, difluoromethyl, trifluoromethyl, -CF 2 CF 3 , -CF 2 CF 2 CF 3 , -CF (CF 3 ) 2 , -CF 2 CF 2 CF 2 CF 3 , -OCF 3 , -OCF 2 CF 3 , -SCF 3 , -S (O) CF 3 , -S (O) 2 CF 3 , -S (O) 2 CF 3 , -SCF 2 CF 3 , -S (O) CF 2 CF 3 , -S (O) 2 CF 2 CF 3 , -S (O) 2 CF 2 CF 3 , A fluorine atom, a chlorine atom, a bromine atom, an iodine atom or a hydrogen
- R 8b Is a C1-C6 haloalkyl group, -OR 22b (Where R 22b Is a C1-C6 haloalkyl group. ), -S (O) m R 23b (Where R 23b Is a C1-C6 haloalkyl group and m is 0, 1 or 2. ), -SF 5 Or a compound which is a halogen atom.
- R 8b Is a C1-C6 haloalkyl group, -OR 22b (Where R 22b Is a C1-C6 haloalkyl group.
- R 8b Is a C1-C6 haloalkyl group, -OR 22b (Where R 22b Is a C1-C6 haloalkyl group. ), -S (O) m R 23b (Where R 23b Is a C1-C6 haloalkyl group and m is 0, 1 or 2. Or a compound which is a halogen atom.
- R 8b Is a C1-C6 haloalkyl group, -OR 22b (Where R 22b Is a C1-C6 haloalkyl group. ) Or -S (O) m R23b (Where R 23b Is a C1-C6 haloalkyl group and m is 0, 1 or 2. ).
- R 8b Is a C1-C6 perfluoroalkyl group, -OR 22b (Where R 22b Is a C1-C6 perfluoroalkyl group. ) Or -S (O) m R 23b (Where R 23b Is a C1-C6 perfluoroalkyl group. ).
- R 8b Is a trifluoromethyl group, -CF 2 CF 3 , -CF 2 CF 2 CF 3 , -CF (CF 3 ) 2 , -OCF 3 , -OCF 2 CF 3 , -SCF 3 , -S (O) CF 3 , -S (O) 2 CF 3 , -SCF 2 CF 3 , -S (O) CF 2 CF 3 , -S (O) 2 CF 2 CF 3 , SF 5 , A fluorine atom, a chlorine atom, a bromine atom or an iodine atom.
- R 60b Is a hydrogen atom, a methoxymethyl group, an ethoxymethyl group, a 1- (methoxy) ethyl group or a 1- (ethoxy) ethyl group.
- the compound of the present invention and the intermediate compound can be produced, for example, by the following (Production Method 1) to (Production Method 15).
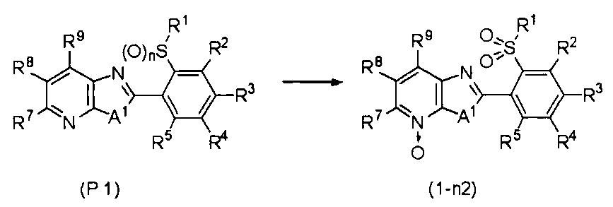
- This invention compound (1-n2) whose n is 2 in Formula (1) can be manufactured by oxidizing an intermediate compound (P1) with an oxidizing agent. [Wherein the symbols have the same meaning as in formula (1). ] The oxidation reaction is usually performed in the presence of a solvent.
- the solvent examples include aliphatic halogenated hydrocarbons such as dichloromethane and chloroform, alcohols such as methanol and ethanol, acetic acid, water, and mixtures thereof.
- the oxidizing agent examples include m-chloroperbenzoic acid and hydrogen peroxide.
- the reaction can be carried out in the presence of a catalyst as necessary.
- the catalyst include sodium tungstate. In the reaction, when n is 0 in the intermediate compound (P1), the oxidant is usually 3 to 10 moles and the catalyst is usually 0.01 to 0. Used in a proportion of 5 moles.
- the oxidizing agent is usually in a proportion of 2 to 10 mol and the catalyst is usually in a proportion of 0.01 to 0.5 mol with respect to 1 mol of the intermediate compound (P1). Used.
- n is 2 in the intermediate compound (P1), the oxidizing agent is usually in a proportion of 1 to 10 mol and the catalyst is usually in a proportion of 0.01 to 0.5 mol with respect to 1 mol of the intermediate compound (P1). Used.
- the reaction temperature is usually in the range of 0 to 120 ° C.
- the reaction time is usually in the range of 0.1 to 48 hours.
- the compound (1-n2) of the present invention can be isolated by performing post-treatment operations such as concentration.
- the isolated present compound (1-n2) can be further purified by chromatography, recrystallization and the like.
- the compound of the present invention in which n is 1 or 2 in formula (1) can be produced by oxidizing the compound of the present invention in which n is 0. [Wherein the symbols have the same meaning as in formula (1).
- This invention compound (1-n1) whose n is 1 in Formula (1) can be manufactured by oxidizing this invention compound (1-n0) whose n is 0 with an oxidizing agent.
- the oxidation reaction is usually performed in the presence of a solvent.
- the solvent include aliphatic halogenated hydrocarbons such as dichloromethane and chloroform, alcohols such as methanol and ethanol, acetic acid, water, and mixtures thereof.
- the oxidizing agent include sodium periodate and m-chloroperbenzoic acid. In this reaction, an oxidizing agent is usually used at a ratio of 1 to 3 moles with respect to 1 mole of the compound (1-n0) of the present invention.
- the oxidizing agent is used in an amount of 1 to 1.2 mol per 1 mol of the compound (1-n0) of the present invention.
- the reaction temperature is usually in the range of -20 to 80 ° C.
- the reaction time is usually in the range of 0.1 to 12 hours.
- the reaction mixture is extracted with an organic solvent, and the organic layer is washed with an aqueous solution of a reducing agent (for example, sodium sulfite, sodium thiosulfate) or an aqueous solution of a base (for example, sodium bicarbonate) as necessary, dried,
- a reducing agent for example, sodium sulfite, sodium thiosulfate
- a base for example, sodium bicarbonate
- the isolated compound (1-n1) of the present invention can be further purified by chromatography, recrystallization and the like.
- This invention compound (1-n2) whose n is 2 in Formula (1) can be manufactured by oxidizing this invention compound (1-n1) whose n is 1 with an oxidizing agent.
- the oxidation reaction is usually performed in the presence of a solvent.
- the solvent include aliphatic halogenated hydrocarbons such as dichloromethane and chloroform, alcohols such as methanol and ethanol, acetic acid, water, and mixtures thereof.
- the oxidizing agent include m-chloroperbenzoic acid and hydrogen peroxide.
- the oxidizing agent is usually used at a ratio of 1 to 4 moles with respect to 1 mole of the compound (1-n1) of the present invention.
- the oxidizing agent is used in a ratio of 1 to 2 moles relative to 1 mole of the compound (1-n1) of the present invention.
- the reaction temperature is usually in the range of -20 to 120 ° C.
- the reaction time is usually in the range of 0.1 to 12 hours.
- the compound (1-n2) of the present invention can be isolated by performing post-treatment operations such as concentration.
- the compound (1-n2) of the present invention can be further purified by chromatography, recrystallization and the like.
- the compound (1-n2) of the present invention in which n is 2 in the formula (1) can be converted into a one-step reaction (one-pot) by oxidizing the compound (1-n0) of the present invention in which n is 0 with an oxidizing agent.
- the oxidation reaction is usually performed in the presence of a solvent.
- the solvent include aliphatic halogenated hydrocarbons such as dichloromethane and chloroform, alcohols such as methanol and ethanol, acetic acid, water, and mixtures thereof.
- the oxidizing agent include m-chloroperbenzoic acid and hydrogen peroxide.
- the reaction can be carried out in the presence of a catalyst as necessary. Examples of the catalyst include sodium tungstate.
- the oxidizing agent is usually used at a ratio of 2 to 5 moles, and the catalyst is usually used at a ratio of 0.01 to 0.5 moles.
- the oxidizing agent is used in a ratio of 2 to 3 moles with respect to 1 mole of the compound (1-n0) of the present invention.
- the reaction temperature is usually in the range of 0 to 120 ° C.
- the reaction time is usually in the range of 0.1 to 12 hours.
- reaction mixture is extracted with an organic solvent, and the organic layer is washed with an aqueous solution of a reducing agent (for example, sodium sulfite, sodium thiosulfate) or an aqueous solution of a base (for example, sodium bicarbonate) as necessary, and dried.
- a reducing agent for example, sodium sulfite, sodium thiosulfate
- a base for example, sodium bicarbonate
- the compound (1-n0) of the present invention in which n is 0 in the formula (1) is produced by reacting the obtained intermediate compound (M6-N0) with the compound (M7) in the presence of a base.
- V 2 represents a halogen atom, and the other symbols have the same meaning as in formula (1).
- Intermediate compound (M6-N0) can be produced by oxidizing intermediate compound (M6).
- the oxidation reaction is usually performed in the presence of a solvent.
- the solvent include aliphatic halogenated hydrocarbons such as dichloromethane and chloroform, alcohols such as methanol and ethanol, acetic acid, water, and mixtures thereof.
- the oxidizing agent examples include m-chloroperbenzoic acid and hydrogen peroxide.
- the reaction can be carried out in the presence of a catalyst as necessary.
- the catalyst include sodium tungstate.
- the reaction with respect to 1 mol of the intermediate compound (M6), the oxidizing agent is usually used in a proportion of 1 to 10 mol, and the catalyst is usually used in a proportion of 0.01 to 0.5 mol.
- the reaction temperature is usually in the range of 0 to 120 ° C.
- the reaction time is usually in the range of 0.1 to 48 hours.
- the reaction mixture is extracted with an organic solvent, and the organic layer is washed with an aqueous solution of a reducing agent (for example, sodium sulfite, sodium thiosulfate) or an aqueous solution of a base (for example, sodium bicarbonate) as necessary, dried,
- a reducing agent for example, sodium sulfite, sodium thiosulfate
- a base for example, sodium bicarbonate
- the reaction is usually performed in the presence of a solvent.
- a solvent include ethers such as THF, ethylene glycol dimethyl ether, tert-butyl methyl ether, and 1,4-dioxane, aromatic hydrocarbons such as toluene and xylene, nitriles such as acetonitrile, DMF, NMP, DMSO, and the like.
- Aprotic polar solvents water and mixtures thereof.
- the base include alkali metal carbonates such as sodium carbonate and potassium carbonate, and alkali metal hydrides such as sodium hydride.
- the compound (M7) is usually used in a proportion of 1 to 10 mol and the base is usually used in a proportion of 1 to 10 mol with respect to 1 mol of the intermediate compound (M6-N0).
- the reaction temperature is usually in the range of 0 to 150 ° C.
- the reaction time is usually in the range of 0.5 to 24 hours.
- the compound (1-n0) of the present invention in which n is 0 can be isolated by performing post-treatment operations such as extraction of the reaction mixture with an organic solvent, and drying and concentration of the organic layer. it can.
- the isolated compound of the present invention (1-n0) in which n is 0 can be further purified by chromatography, recrystallization and the like.
- V 2 Is preferably a fluorine atom or a chlorine atom.
- the intermediate compound (P1) is obtained by reacting the intermediate compound (M1) with the intermediate compound (M2) or the intermediate compound (M18) to produce the intermediate compound (M3). It can be produced by intramolecular condensation (cyclization) of (M3). [Wherein the symbols have the same meaning as in formula (1). ]
- Intermediate compound (M3) can be produced by reacting intermediate compound (M1) and intermediate compound (M2) in the presence of a condensing agent. The reaction is usually performed in the presence of a solvent.
- the solvent examples include 1,4-dioxane, diethyl ether, tetrahydrofuran (hereinafter referred to as THF), ethers such as tert-butyl methyl ether, dichloromethane, chloroform, carbon tetrachloride, 1,2-dichloroethane, and chlorobenzene.
- ethers such as tert-butyl methyl ether, dichloromethane, chloroform, carbon tetrachloride, 1,2-dichloroethane, and chlorobenzene.
- Halogenated hydrocarbons such as toluene, benzene, xylene and the like, esters such as ethyl acetate and butyl acetate, nitriles such as acetonitrile, and N, N-dimethylformamide (hereinafter referred to as DMF).
- NMP N-methylpyrrolidone
- DMSO dimethyl sulfoxide
- pyridine quinoline
- DMSO dimethyl sulfoxide
- the condensing agent include carbodiimides such as 1-ethyl-3- (3-dimethylaminopropyl) carbodiimide hydrochloride (hereinafter referred to as EDCI hydrochloride) and 1,3-dicyclohexylcarbodiimide.
- EDCI hydrochloride 1-ethyl-3- (3-dimethylaminopropyl) carbodiimide hydrochloride
- EDCI hydrochloride 1,3-dicyclohexylcarbodiimide
- the catalyst examples include 1-hydroxybenzotriazole (hereinafter referred to as HOBt).
- HOBt 1-hydroxybenzotriazole
- the intermediate compound (M1) is usually in a proportion of 0.5 to 2 mol
- the condensing agent is usually in a proportion of 1 to 5 mol
- the catalyst is usually in an amount of 0.8. It is used at a ratio of 01 to 1 mol.
- the reaction temperature is usually in the range of 0 to 120 ° C.
- the reaction time is usually in the range of 0.1 to 24 hours. After completion of the reaction, the reaction mixture is poured into water and extracted with an organic solvent and the organic layer is concentrated; the reaction mixture is poured into water and the resulting solid is collected by filtration; or formed in the reaction mixture.
- the intermediate compound (M3) can be isolated by collecting the resulting solid by filtration.
- the isolated intermediate compound (M3) can be further purified by recrystallization, chromatography or the like.
- the intermediate compound (M3) can be produced by reacting the intermediate compound (M1) with the intermediate compound (M18).
- the reaction is usually performed in the presence of a solvent.
- the solvent include ethers such as THF, ethylene glycol dimethyl ether, tert-butyl methyl ether, and 1,4-dioxane, aliphatic hydrocarbons such as hexane, heptane, and octane, and aromatic hydrocarbons such as toluene and xylene.
- Halogenated hydrocarbons such as chlorobenzene, esters such as ethyl acetate and butyl acetate, nitriles such as acetonitrile, aprotic polar solvents such as DMF, NMP and DMSO, and mixtures thereof.
- the reaction can be carried out by adding a base as necessary.
- the base include alkali metal carbonates such as sodium carbonate and potassium carbonate, tertiary amines such as triethylamine and N-ethyldiisopropylamine, and nitrogen-containing aromatic compounds such as pyridine and 4-dimethylaminopyridine.
- the intermediate compound (M18) is usually used in a proportion of 1 to 3 mol and the base is usually used in a proportion of 1 to 10 mol with respect to 1 mol of the intermediate compound (M1).
- the reaction temperature is usually in the range of -20 to 100 ° C.
- the reaction time is usually in the range of 0.1 to 24 hours.
- the intermediate compound (M3) can be isolated by performing post-treatment operations such as adding water to the reaction mixture, extracting with an organic solvent, and drying and concentrating the organic layer. it can.
- the isolated intermediate compound (M3) can be further purified by chromatography, recrystallization and the like.
- Intermediate compound (P1) can be produced by intramolecular condensation (cyclization) of intermediate compound (M3).
- the reaction is usually performed in the presence of a solvent.
- a solvent include ethers such as 1,4-dioxane, diethyl ether, THF, tert-butyl methyl ether, halogenated hydrocarbons such as dichloromethane, chloroform, carbon tetrachloride, 1,2-dichloroethane, chlorobenzene, toluene, and the like.
- Aromatic hydrocarbons such as benzene and xylene, esters such as ethyl acetate and butyl acetate, nitriles such as acetonitrile, aprotic such as DMF, NMP, 1,3-dimethyl-2-imidazolidinone and DMSO Examples thereof include polar solvents, nitrogen-containing aromatic compounds such as pyridine and quinoline, and mixtures thereof.
- a condensing agent, an acid or a base can be used as necessary.
- Examples of the condensing agent include EDCI hydrochloride, a mixture of triphenylphosphine and a base and carbon tetrachloride or carbon tetrabromide, and a mixture of azodiesters such as triphenylphosphine and diethyl azodicarboxylate.
- Examples of the acid include sulfonic acids such as paratoluenesulfonic acid, carboxylic acids such as acetic acid, and polyphosphoric acid.
- Examples of the base include pyridine, picoline, 2,6-lutidine, 1,8-diazabicyclo [5.4.0] -7-undecene (hereinafter referred to as DBU), and 1,5-diazabicyclo [4.3.
- reaction temperature is usually in the range of 0 to 200 ° C.
- the reaction time is usually in the range of 0.1 to 24 hours.
- the reaction mixture is poured into water and extracted with an organic solvent and the organic layer is concentrated; the reaction mixture is poured into water and the resulting solid is collected by filtration; or formed in the reaction mixture.
- the intermediate compound (P1) can be isolated by collecting the resulting solid by filtration.
- the isolated intermediate compound (P1) can be further purified by recrystallization, chromatography or the like.
- Intermediate compound (P1) can be produced in a one-step reaction (one pot) by reacting intermediate compound (M1) and intermediate compound (M2) in the presence of a condensing agent. The reaction is usually performed in the presence of a solvent.
- the solvent examples include ethers such as 1,4-dioxane, diethyl ether, THF, tert-butyl methyl ether, halogenated hydrocarbons such as dichloromethane, chloroform, carbon tetrachloride, 1,2-dichloroethane, chlorobenzene, Aromatic hydrocarbons such as toluene, benzene and xylene, esters such as ethyl acetate and butyl acetate, nitriles such as acetonitrile, aprotic such as DMF, NMP, 1,3-dimethyl-2-imidazolidinone and DMSO Polar solvents, nitrogen-containing aromatic compounds such as pyridine and quinoline, and mixtures thereof.
- ethers such as 1,4-dioxane, diethyl ether, THF, tert-butyl methyl ether
- halogenated hydrocarbons such as dichloromethane, chloroform
- the condensing agent examples include carbodiimides such as EDCI hydrochloride and 1,3-dicyclohexylcarbodiimide.
- the reaction can be carried out by adding a catalyst as necessary.
- the catalyst include 1-hydroxybenzotriazole.
- the reaction temperature is usually in the range of 0 to 200 ° C.
- the reaction time is usually in the range of 0.1 to 24 hours.
- the reaction mixture After completion of the reaction, the reaction mixture is poured into water and extracted with an organic solvent and the organic layer is concentrated; the reaction mixture is poured into water and the resulting solid is collected by filtration; or formed in the reaction mixture.
- the intermediate compound (P1) can be isolated by collecting the resulting solid by filtration.
- the isolated intermediate compound (P1) can be further purified by recrystallization, chromatography or the like.
- the intermediate compound (P1) can be produced in a one-step reaction (one pot) by reacting the intermediate compound (M1) with the intermediate compound (M18). The reaction is performed in the presence or absence of a solvent.
- the solvent examples include ethers such as THF, ethylene glycol dimethyl ether, tert-butyl methyl ether, and 1,4-dioxane, aliphatic hydrocarbons such as hexane, heptane, and octane, and aromatic hydrocarbons such as toluene and xylene.
- ethers such as THF, ethylene glycol dimethyl ether, tert-butyl methyl ether, and 1,4-dioxane
- aliphatic hydrocarbons such as hexane, heptane, and octane
- aromatic hydrocarbons such as toluene and xylene.
- Halogenated hydrocarbons such as chlorobenzene, esters such as ethyl acetate and butyl acetate, nitriles such as acetonitrile, aprotic polar solvents such as DMF, NMP and DMSO, and mixtures
- the base examples include alkali metal carbonates such as sodium carbonate and potassium carbonate, tertiary amines such as triethylamine and N-ethyldiisopropylamine, and nitrogen-containing aromatic compounds such as pyridine and 4-dimethylaminopyridine.
- the intermediate compound (M18) is usually used in a proportion of 1 to 3 mol and the base is usually used in a proportion of 1 to 10 mol with respect to 1 mol of the intermediate compound (M1).
- the reaction temperature is usually in the range of 20 to 200 ° C.
- the reaction time is usually in the range of 0.1 to 24 hours.
- the intermediate compound (P1) can be isolated by performing post-treatment operations such as adding water to the reaction mixture, extracting with an organic solvent, and drying and concentrating the organic layer. it can.
- the isolated intermediate compound (P1) can be further purified by chromatography, recrystallization and the like.
- An intermediate compound (M14) is reacted with the intermediate compound (M2) or the intermediate compound (M18) to produce an intermediate compound (M14).
- By reacting with 1 Intermediate compound (P1) in which is a sulfur atom (hereinafter referred to as intermediate compound (P20)) can be produced. [Wherein the symbols have the same meaning as in formula (1). ]
- Intermediate compound (M14) can be produced by reacting intermediate compound (M9) with intermediate compound (M2).
- the reaction is performed in the presence or absence of a solvent.
- a solvent include ethers such as THF, ethylene glycol dimethyl ether, tert-butyl methyl ether, and 1,4-dioxane, aliphatic hydrocarbons such as hexane, heptane, and octane, and aromatic hydrocarbons such as toluene and xylene.
- Halogenated hydrocarbons such as chlorobenzene, esters such as ethyl acetate and butyl acetate, nitriles such as acetonitrile, aprotic polar solvents such as DMF, NMP and DMSO, and nitrogen-containing aromatic compounds such as pyridine and quinoline And mixtures thereof.
- the condensing agent include EDCI hydrochloride, carbodiimides such as 1,3-dicyclohexylcarbodiimide, and BOP reagent.
- the intermediate compound (M2) is usually used in a proportion of 1 to 3 mol and the condensing agent is usually used in a proportion of 1 to 5 mol with respect to 1 mol of the intermediate compound (M9).
- the reaction temperature is usually in the range of 0 to 200 ° C.
- the reaction time is usually in the range of 0.1 to 24 hours.
- the intermediate compound (M14) can be isolated by performing post-treatment operations such as adding water to the reaction mixture, extracting with an organic solvent, and drying and concentrating the organic layer. it can.
- the isolated intermediate compound (M14) can be further purified by chromatography, recrystallization and the like.
- the intermediate compound (M14) can be produced by reacting the intermediate compound (M9) with the intermediate compound (M18). The reaction is performed in the presence or absence of a solvent. A base can be added as necessary.
- the solvent examples include ethers such as THF, ethylene glycol dimethyl ether, tert-butyl methyl ether, and 1,4-dioxane, aliphatic hydrocarbons such as hexane, heptane, and octane, and aromatic hydrocarbons such as toluene and xylene.
- ethers such as THF, ethylene glycol dimethyl ether, tert-butyl methyl ether, and 1,4-dioxane
- aliphatic hydrocarbons such as hexane, heptane, and octane
- aromatic hydrocarbons such as toluene and xylene.
- Halogenated hydrocarbons such as chlorobenzene, esters such as ethyl acetate and butyl acetate, nitriles such as acetonitrile, aprotic polar solvents such as DMF, NMP and DMSO, and nitrogen-
- the base examples include alkali metal carbonates such as sodium carbonate and potassium carbonate, tertiary amines such as triethylamine and N-ethyldiisopropylamine, and nitrogen-containing aromatic compounds such as pyridine and 4-dimethylaminopyridine.
- the intermediate compound (M18) is usually used in a proportion of 1 to 3 mol and the base is usually used in a proportion of 1 to 5 mol with respect to 1 mol of the intermediate compound (M9).
- the reaction temperature is usually in the range of 0 to 200 ° C.
- the reaction time is usually in the range of 0.1 to 24 hours.
- the intermediate compound (M14) can be isolated by performing post-treatment operations such as adding water to the reaction mixture, extracting with an organic solvent, and drying and concentrating the organic layer. it can.
- the isolated intermediate compound (M14) can be further purified by chromatography, recrystallization and the like.
- Intermediate compound (P20) can be produced by reacting intermediate compound (M14) with a sulfurizing agent. The reaction is performed in the presence or absence of a solvent.
- the solvent examples include ethers such as 1,4-dioxane, diethyl ether, tetrahydrofuran, tert-butyl methyl ether, and diglyme, and halogenated hydrocarbons such as dichloromethane, chloroform, carbon tetrachloride, 1,2-dichloroethane, and chlorobenzene.
- Aromatic hydrocarbons such as toluene, benzene and xylene, nitriles such as acetonitrile, nitrogen-containing aromatic compounds such as pyridine, picoline, lutidine and quinoline, and mixtures thereof.
- the sulfurizing agent examples include niline pentasulfide, Lawesson's reagent (2,4-bis- (4-methoxyphenyl) -1,3-dithia-2,4-diphosphetan-2,4-disulfide), and the like.
- the sulfurizing agent is usually used in a ratio of 1 mol to 3 mol with respect to 1 mol of the intermediate compound (M14).
- the reaction temperature is usually in the range of 0 ° C. to 200 ° C., and the reaction time is usually in the range of 1 to 24 hours.
- reaction mixture After completion of the reaction, the reaction mixture is poured into water and extracted with an organic solvent and the organic layer is concentrated; the reaction mixture is poured into water and the resulting solid is collected by filtration; or formed in the reaction mixture.
- the intermediate compound (P20) can be isolated by collecting the resulting solid by filtration.
- the isolated intermediate compound (P20) can be further purified by recrystallization, chromatography or the like.
- Intermediate compound (P1) can be produced by reacting intermediate compound (M1) and intermediate compound (M4) in the presence of an oxidizing agent. [Wherein the symbols have the same meaning as in formula (1). ] The reaction is usually performed in the presence of a solvent.
- solvent examples include alcohols such as methanol and ethanol, ethers such as 1,4-dioxane, diethyl ether, THF and tert-butyl methyl ether, dichloromethane, chloroform, carbon tetrachloride, 1,2-dichloroethane, chlorobenzene and the like.
- Halogenated hydrocarbons aromatic hydrocarbons such as toluene, benzene, xylene, esters such as ethyl acetate and butyl acetate, nitriles such as acetonitrile, DMF, NMP, 1,3-dimethyl-2-imidazolide
- Non-protic polar solvents such as non-DMSO, nitrogen-containing aromatic compounds such as pyridine and quinoline, and mixtures thereof.
- the reaction can be carried out by adding an acid if necessary.
- the acid include sulfonic acids such as paratoluenesulfonic acid, carboxylic acids such as acetic acid, and polyphosphoric acid.
- the reaction can be carried out by adding sulfite as necessary.
- the sulfites include sulfites such as sodium bisulfite and sodium disulfite.
- the oxidizing agent include oxygen, copper (II) chloride, and DDQ.
- the intermediate compound (M4) is usually in a proportion of 1 to 2 mol
- the acid is usually in a proportion of 0.1 to 2 mol
- the sulfite is usually in a proportion of 1 to 1 mol of the intermediate compound (M1).
- the proportion of 5 moles and the oxidizing agent are usually used in a proportion of 1 to 5 moles.
- the reaction temperature is usually in the range of 0 to 200 ° C.
- the reaction time is usually in the range of 0.1 to 24 hours.
- reaction mixture After completion of the reaction, the reaction mixture is poured into water and extracted with an organic solvent and the organic layer is concentrated; the reaction mixture is poured into water and the resulting solid is collected by filtration; or formed in the reaction mixture.
- the intermediate compound (P1) can be isolated by collecting the resulting solid by filtration.
- the isolated intermediate compound (P1) can be further purified by recrystallization, chromatography or the like.
- (Production method 7) Intermediate compound (P1-n0) can be produced by reacting intermediate compound (M6) with compound (M7) in the presence of a base. [Wherein V 2 Represents a halogen atom, and the other symbols have the same meaning as in formula (1). ] The reaction is usually performed in the presence of a solvent.
- the solvent examples include ethers such as THF, ethylene glycol dimethyl ether, tert-butyl methyl ether, and 1,4-dioxane, aromatic hydrocarbons such as toluene and xylene, nitriles such as acetonitrile, DMF, NMP, DMSO, and the like.
- Aprotic polar solvents water and mixtures thereof.
- the base examples include alkali metal carbonates such as sodium carbonate and potassium carbonate, and alkali metal hydrides such as sodium hydride.
- the compound (M7) is usually used in a proportion of 1 to 10 mol and the base is usually used in a proportion of 1 to 10 mol with respect to 1 mol of the intermediate compound (M6).
- the reaction temperature is usually in the range of 0 to 150 ° C.
- the reaction time is usually in the range of 0.5 to 24 hours.
- an intermediate compound (P1-n0) in which n is 0 can be isolated by performing post-treatment operations such as extraction of the reaction mixture with an organic solvent, and drying and concentration of the organic layer. it can.
- the isolated intermediate compound (P1-n0) in which n is 0 can be further purified by chromatography, recrystallization, and the like.
- V 2 Is preferably a fluorine atom or a chlorine atom.
- the intermediate compound (M20) is reacted with the intermediate compound (M19) or the intermediate compound (M39) to produce the intermediate compound (M20), and then the intramolecular mixture of the obtained intermediate compound (M20)
- the intermediate compound (M6) can be produced by condensation (cyclization). [Wherein V 2 Represents a halogen atom, and the other symbols have the same meaning as in formula (1). ]
- Intermediate compound (M20) can be produced according to the method of production method 4, using intermediate compound (M19) instead of intermediate compound (M2).
- Intermediate compound (M20) can be produced according to the method of production method 4, using intermediate compound (M39) instead of intermediate compound (M18).
- Intermediate compound (M6) can be produced according to the method of production method 4, using intermediate compound (M20) instead of intermediate compound (M3).
- the intermediate compound (M6) can be produced in a one-step reaction (one pot) according to the production method 4 using the intermediate compound (M19) instead of the intermediate compound (M2).
- the intermediate compound (M39) can be used in place of the intermediate compound (M2), and the intermediate compound (M6) can be produced in a one-step reaction (one pot) according to the production method 4.
- V 2 Is preferably a fluorine atom or a chlorine atom.
- Intermediate compound (M3) can be produced by reacting intermediate compound (M20) with compound (M7).
- the intermediate compound (P1-n0) can be produced by intramolecular condensation (cyclization) of the obtained intermediate compound (M3).
- V 2 represents a halogen atom, and the other symbols have the same meaning as in formula (1)
- Intermediate compound (M3) in which n is 0 can be produced according to the method of production method 7, using intermediate compound (M20) instead of intermediate compound (M6).
- Intermediate compound (P1-n0) can be produced according to the method of production method 4, using intermediate compound (M3) in which n is 0 instead of intermediate compound (M3).
- the intermediate compound (M20) is used instead of the intermediate compound (M6), and the intermediate compound (P1-n0) in which n is 0 is reacted in a one-step reaction (one pot) according to the method of Production Method 7. It can also be manufactured.
- V 2 Is preferably a fluorine atom or a chlorine atom.
- R 6 ′ Is R in the formula (1) 6
- L represents a leaving group such as a chlorine atom, a bromine atom, an iodine atom, a trifluoromethanesulfonyloxy group and a methanesulfonyloxy group, and other symbols are represented by the formula (1) Represents the same meaning.
- the reaction is usually performed in the presence of a solvent.
- the solvent examples include ethers such as THF, ethylene glycol dimethyl ether, tert-butyl methyl ether, and 1,4-dioxane, aromatic hydrocarbons such as toluene and xylene, nitriles such as acetonitrile, DMF, NMP, DMSO, and the like.
- the base examples include hydrides of alkali metals and alkaline earth metals such as sodium hydride, potassium hydride and calcium hydride, inorganic bases such as sodium carbonate and potassium carbonate, and organic bases such as triethylamine.
- the compound (M10) is usually used in a proportion of 1 to 5 mol and the base is usually used in a proportion of 1 to 3 mol with respect to 1 mol of the intermediate compound (P2).
- the reaction temperature is usually in the range of 0 to 100 ° C.
- the reaction time is usually in the range of 0.1 to 24 hours.
- the intermediate compound (P3) can be isolated by performing post-treatment operations such as extraction of the reaction mixture with an organic solvent and drying and concentration of the organic layer.
- the isolated intermediate compound (P3) can be further purified by chromatography, recrystallization and the like.
- Intermediate compound (M30) can be nitrated, or intermediate compound (M33) can be reacted with compound (M28) to produce intermediate compound (M30).
- intermediate compound (M30) By reducing the intermediate compound (M30) obtained here, A 1 -NR 6 An intermediate compound (M1) that is-can be produced. [Wherein the symbols have the same meaning as in formula (1). ]
- Intermediate compound (M30) can be produced by reacting intermediate compound (M33) and compound (M28) in the presence of a base. The reaction is usually performed in the presence of a solvent.
- the solvent examples include ethers such as THF, ethylene glycol dimethyl ether, tert-butyl methyl ether, and 1,4-dioxane, aromatic hydrocarbons such as toluene and xylene, nitriles such as acetonitrile, DMF, NMP, DMSO, and the like.
- ethers such as THF, ethylene glycol dimethyl ether, tert-butyl methyl ether, and 1,4-dioxane
- aromatic hydrocarbons such as toluene and xylene
- nitriles such as acetonitrile
- DMF dimethyl ether
- NMP tert-butyl methyl ether
- nitriles such as acetonitrile
- DMSO dimethyl methyl ether
- the reaction can be carried out by adding a base as necessary.
- the base examples include alkali metal hydrides such as sodium hydride, alkali metal carbonates such as sodium carbonate and potassium carbonate, tertiary amines such as triethylamine and N-ethyldiisopropylamine, and pyridine, 4-dimethylaminopyridine. And nitrogen-containing aromatic compounds.
- the compound (M28) is usually used in a proportion of 1 to 10 mol
- the base is usually used in a proportion of 0 to 10 mol.
- the reaction temperature is usually in the range of 0 to 150 ° C.
- the reaction time is usually in the range of 0.5 to 24 hours.
- the intermediate compound (M30) can be isolated by performing post-treatment operations such as extraction of the reaction mixture with an organic solvent, and drying and concentration of the organic layer.
- the isolated intermediate compound (M30) can be further purified by chromatography, recrystallization and the like.
- Intermediate compound (M30) can be produced by reacting intermediate compound (M29) with a nitrating agent.
- the reaction is usually performed in the presence of a solvent.
- the solvent include aliphatic halogenated hydrocarbons such as dichloromethane and chloroform, acetic acid, concentrated sulfuric acid, concentrated nitric acid, water, and mixtures thereof.
- the nitrating agent include concentrated nitric acid.
- the nitrating agent is usually used at a ratio of 1 to 3 moles with respect to 1 mole of the intermediate compound (M29).
- the reaction temperature is usually in the range of -10 to 100 ° C.
- the reaction time is usually in the range of 0.1 to 24 hours.
- the intermediate compound (M30) can be isolated by performing post-treatment operations such as pouring the reaction mixture into water, extraction with an organic solvent, and drying and concentration of the organic layer. .
- the isolated intermediate compound (M30) can be further purified by chromatography, recrystallization and the like.
- a 1 -NR 6 The intermediate compound (M1) which is-can be produced by reacting the intermediate compound (M30) with hydrogen in the presence of a hydrogenation catalyst.
- the reaction is usually performed in a hydrogen atmosphere at 1 to 100 atmospheres, usually in the presence of a solvent.
- a solvent include ethers such as THF, ethylene glycol dimethyl ether, tert-butyl methyl ether, and 1,4-dioxane, esters such as ethyl acetate and butyl acetate, alcohols such as methanol and ethanol, water, and mixtures thereof.
- the hydrogenation catalyst include transition metal compounds such as palladium carbon, palladium hydroxide, Raney nickel, and platinum oxide.
- the reaction can be performed by adding an acid, a base or the like, if necessary.
- the acid include acetic acid and hydrochloric acid
- examples of the base include tertiary amines such as triethylamine, magnesium oxide and the like.
- the reaction temperature is usually in the range of -20 to 100 ° C.
- the reaction time is usually in the range of 0.1 to 24 hours. After completion of the reaction, the reaction mixture is filtered, extracted with an organic solvent as necessary, and the organic layer is dried and concentrated to perform post-treatment operations such as A.
- the intermediate compound (M30) is prepared by acetylating the intermediate compound (M29) to produce the intermediate compound (M29 ′), and then nitration of the obtained intermediate compound (M29 ′). It can also be produced by producing ') and hydrolyzing the obtained intermediate compound (M30'). [Wherein the symbols have the same meaning as in formula (1). ]
- Intermediate compound (M29 ') can be produced by reacting intermediate compound (M29) with an acylating agent.
- the reaction is usually performed in the presence of a solvent or using an acylating agent as a solvent.
- the solvent include aliphatic halogenated hydrocarbons such as dichloromethane and chloroform, ethers such as THF, ethylene glycol dimethyl ether, tert-butyl methyl ether, and 1,4-dioxane, and aromatic hydrocarbons such as toluene and xylene.
- Nitriles such as acetonitrile, aprotic polar solvents such as DMF, NMP, DMSO and mixtures thereof.
- the acylating agent used in the reaction include acetic anhydride and paraacetoxynitrobenzene.
- the reaction can be carried out by adding a base as necessary.
- the base examples include tertiary amines such as triethylamine and N-ethyldiisopropylamine, and nitrogen-containing aromatic compounds such as pyridine and 4-dimethylaminopyridine.
- the acetylating agent is usually used in a proportion of 1 mol or more and the base is usually used in a proportion of 0.1 to 10 mol with respect to 1 mol of the intermediate compound (M29).
- the reaction temperature is usually in the range of 0 to 150 ° C.
- the reaction time is usually in the range of 0.5 to 24 hours.
- the intermediate compound (M29 ') can be isolated by performing post-treatment operations such as extraction of the reaction mixture with an organic solvent, and drying and concentration of the organic layer.
- the isolated intermediate compound (M29 ') can be further purified by chromatography, recrystallization and the like.
- An intermediate compound (M30 ′) is produced by nitration of the intermediate compound (M29 ′) according to the production method 11 using the intermediate compound (M29 ′) instead of the intermediate compound (M29). be able to.
- Intermediate compound (M30) can be produced by hydrolyzing intermediate compound (M30 ') in the presence of an acid or a base. When hydrolyzing with an acid, the reaction is usually carried out using an acid aqueous solution as a solvent.
- the acid include mineral acids such as hydrochloric acid and sulfuric acid, and carboxylic acids such as acetic acid and trifluoroacetic acid.
- the reaction temperature is usually in the range of 0 to 100 ° C.
- the reaction time is usually in the range of 0.1 to 24 hours.
- the intermediate compound (M30) can be isolated by performing post-treatment operations such as extraction of the reaction mixture with an organic solvent, and drying and concentration of the organic layer.
- the isolated intermediate compound (M30) can be further purified by chromatography, recrystallization and the like.
- the reaction is usually carried out in the presence of a solvent.
- the solvent include ethers such as THF, ethylene glycol dimethyl ether, tert-butyl methyl ether, and 1,4-dioxane, alcohols such as methanol and ethanol, water, and a mixture thereof.
- the base examples include alkali metal hydroxides such as sodium hydroxide and potassium hydroxide, and hydrazine.
- the base is usually used at a ratio of 1 to 10 mol per 1 mol of the intermediate compound (M30 ′).
- the reaction temperature is usually in the range of 0 to 120 ° C.
- the reaction time is usually in the range of 0.1 to 24 hours.
- the intermediate solution (M30) is isolated by performing post-treatment operations such as acidification of the reaction solution, extraction of the reaction mixture with an organic solvent, and drying and concentration of the organic layer. Can do.
- the isolated intermediate compound (M30) can be further purified by chromatography, recrystallization and the like.
- Intermediate compound (M35) was produced by brominating the intermediate compound (M29), the resulting intermediate compound (M35) was aminated to produce A 1 -NR 6 An intermediate compound (M1) that is-can be produced. [Wherein the symbols have the same meaning as in formula (1). ]
- Intermediate compound (M35) can be produced by reacting intermediate compound (M29) with a brominating agent. The reaction is usually performed in the presence of a solvent.
- the solvent examples include water, acetic acid, ethers such as 1,4-dioxane, diethyl ether, and THF, esters such as ethyl acetate and butyl acetate, and halogens such as dichloromethane, chloroform, carbon tetrachloride, and 1,2-dichloroethane. Hydrocarbons, nitriles such as acetonitrile, aprotic polar solvents such as DMF, NMP, DMSO and mixtures thereof.
- the brominating agent include N-bromosuccinimide and bromine. The brominating agent is usually used at a ratio of 1 to 3 moles relative to 1 mole of the intermediate compound (M29).
- the reaction temperature is usually in the range of ⁇ 10 to 100 ° C., and the reaction time is usually in the range of 0.1 to 24 hours.
- the reaction mixture is poured into water and extracted with an organic solvent and the organic layer is concentrated; the reaction mixture is poured into water and the resulting solid is collected by filtration; or formed in the reaction mixture.
- the intermediate compound (M35) can be isolated by collecting the resulting solid by filtration.
- the isolated intermediate compound (M35) can be further purified by recrystallization, chromatography or the like.
- a 1 -NR 7 The intermediate compound (M1) that is ⁇ can be produced by reacting the intermediate compound (M35) with an aminating agent in the presence of copper or a copper compound.
- the reaction is usually performed in the presence of a solvent.
- the solvent include alcohols such as water, methanol and ethanol, ethers such as 1,4-dioxane, diethyl ether and THF, esters such as ethyl acetate and butyl acetate, dichloromethane, chloroform, carbon tetrachloride, 1, Examples thereof include halogenated hydrocarbons such as 2-dichloroethane, nitriles such as acetonitrile, aprotic polar solvents such as DMF, NMP and DMSO, nitrogen-containing aromatic compounds such as pyridine and quinoline, and mixtures thereof.
- Examples of the aminating agent include ammonia, aqueous ammonia and lithium amide.
- Examples of the copper compound include copper iodide (I), copper oxide (I), copper oxide (II), acetylacetone copper (II), copper acetate (II), copper sulfate (II) and the like.
- the reaction can be carried out by adding a ligand as necessary.
- Examples of the ligand include acetylacetone, salen, and phenanthroline.
- the reaction can be carried out by adding a base as necessary.
- Examples of the base include pyridine, picoline, 2,6-lutidine, DBU, nitrogen-containing heterocyclic compounds such as 1,5-diazabicyclo [4.3.0] -5-nonene, triethylamine, N-ethyldiisopropylamine and the like.
- Inorganic bases such as tertiary amines, tripotassium phosphate, potassium carbonate, cesium carbonate, sodium hydroxide and the like can be mentioned.
- the aminating agent is usually used in a proportion of 1 to 5 mol, and copper or a copper compound is usually used in a proportion of 0.02 to 0.5 mol per 1 mol of the intermediate compound (M35).
- the reaction temperature is usually in the range of 30 to 200 ° C.
- the reaction time is usually in the range of 0.1 to 48 hours.
- the reaction mixture is poured into water and extracted with an organic solvent and the organic layer is concentrated; the reaction mixture is poured into water and the resulting solid is collected by filtration; or formed in the reaction mixture.
- the intermediate compound (M1) which is-can be isolated.
- Isolated A 1 -NR 7 The intermediate compound (M1) which is-can be further purified by recrystallization, chromatography or the like.
- an intermediate compound (M34) is produced by reacting the intermediate compound (M33) with a sulfurizing agent, and then the obtained intermediate compound (M34) is reacted with a reducing agent.
- a 1 Intermediate compound (M1) in which is a sulfur atom can be produced.
- Intermediate compound (M34) can be produced by reacting intermediate compound (M33) with thiourea in the presence of a base. The reaction is usually performed in the presence of a solvent.
- the solvent include alcohols such as methanol and ethanol, water, and a mixture thereof.
- the base include alkali metal hydroxides such as sodium hydroxide and potassium hydroxide.
- thiourea is usually used in a proportion of 0.5 to 3 mol and a base is usually used in a proportion of 1 to 10 mol with respect to 1 mol of the intermediate compound (M33).
- the reaction temperature is usually in the range of 0 to 100 ° C.
- the reaction time is usually in the range of 0.1 to 24 hours.
- an intermediate compound (M34) can be isolated by performing post-treatment operations such as addition of an acid to the reaction mixture, extraction with an organic solvent, and drying and concentration of the organic layer. .
- the isolated intermediate compound (M34) can also be purified by chromatography, recrystallization and the like.
- the intermediate compound (M1) in which is a sulfur atom can be produced by reacting the intermediate compound (M34) with a reducing agent.
- the reduction reaction can be performed, for example, in the presence of a reducing agent; an acid such as hydrochloric acid or acetic acid; and water.
- the reaction is usually performed in the presence of a solvent.
- the solvent include ethers such as THF, ethylene glycol dimethyl ether, tert-butyl methyl ether, and 1,4-dioxane, esters such as ethyl acetate and butyl acetate, alcohols such as methanol and ethanol, DMF, NMP, and DMSO.
- aprotic polar solvents such as and mixtures thereof.
- Examples of the reducing agent include metal powder such as iron powder and zinc powder, and tin dichloride.
- metal powder or tin dichloride is usually used at a ratio of 3 to 10 mol with respect to 1 mol of the intermediate compound (M34).
- the reaction temperature is usually in the range of 0 to 100 ° C.
- the reaction time is usually in the range of 0.1 to 24 hours.
- water is added to the reaction mixture, followed by extraction with an organic solvent, and post-treatment operations such as drying and concentration of the organic layer.
- the intermediate compound (M1) in which is a sulfur atom can be isolated. Isolated A 1
- the intermediate compound (M1) in which is a sulfur atom can also be purified by chromatography, recrystallization and the like.
- R 8 An intermediate compound (P7) in which is a C1-C6 perfluoroalkyl group is R 8 Can be produced by reacting the intermediate compound (P4) in which is a halogen atom with the compound (M11) or the compound (M11 ′) in the presence of copper or a copper compound.
- Rf represents a C1-C6 perfluoroalkyl group, and other symbols have the same meanings as in formula (1).
- the reaction is usually performed in the presence of a solvent.
- Examples of the solvent include aromatic hydrocarbons such as toluene and xylene, aprotic polar solvents such as DMF, NMP, and DMSO, and mixtures thereof.
- Examples of the copper compound include copper (I) iodide.
- the compound (M11) is usually used in a proportion of 1 to 10 mol and the copper compound is usually used in a proportion of 0.5 to 10 mol with respect to 1 mol of the intermediate compound (P4). It is done.
- the reaction temperature is usually in the range of 100 to 200 ° C.
- the reaction time is usually in the range of 0.5 to 48 hours.
- potassium fluoride may be added.
- the compound (M11 ′) is usually in a proportion of 1 to 10 mol
- copper or copper compound is usually in a proportion of 0.1 to 10 mol
- potassium fluoride is usually in a proportion of 0.1 to 1 mol of the intermediate compound (P4). Used in a proportion of 5 moles.
- the reaction temperature is usually in the range of 0 to 150 ° C.
- the reaction time is usually in the range of 0.5 to 48 hours.
- the intermediate compound (P7) can be isolated by performing post-treatment operations such as extraction of the reaction mixture with an organic solvent and drying and concentration of the organic layer.
- the isolated intermediate compound (P7) can be further purified by chromatography, recrystallization and the like.
- V 1 As for, a bromine atom and an iodine atom are preferable.
- R 2 , R 3 , R 4 , R 5 , R 7 And R 9 Is a hydrogen atom and R 8 Is a trifluoromethyl group and R 1 ,
- a 1 And n is a combination of the compounds described in [Table 1] to [Table 14].
- Me represents a methyl group
- Et represents an ethyl group
- Pr represents an n-propyl group
- iPr represents an isopropyl group
- tBu represents a tert-butyl group.
- R 2 Is a fluorine atom and R 3 , R 4 , R 5 , R 7 And R 9 Is a hydrogen atom and R 8 Is a trifluoromethyl group and R 1 , A 1 And n is a combination described in [Table 1] to [Table 14].
- R 3 Is a fluorine atom and R 2 , R 4 , R 5 , R 7 And R 9 Is a hydrogen atom and R 8 Is a trifluoromethyl group and R 1 , A 1 And n is a combination described in [Table 1] to [Table 14].
- R 4 Is a fluorine atom and R 2 , R 3 , R 5 , R 7 And R 9 Is a hydrogen atom and R 8 Is a trifluoromethyl group and R 1 , A 1 And n is a combination described in [Table 1] to [Table 14].
- R 5 Is a fluorine atom and R 2 , R 3 , R 4 , R 7 And R 9 Is a hydrogen atom and R 8 Is a trifluoromethyl group and R 1 , A 1 And n is a combination described in [Table 1] to [Table 14].
- R 2 Is a chlorine atom and R 3 , R 4 , R 5 , R 7 And R 9 Is a hydrogen atom and R 8 Is a trifluoromethyl group and R 1 , A 1 And n is a combination described in [Table 1] to [Table 14].
- R 3 Is a chlorine atom and R 2 , R 4 , R 5 , R 7 And R 9 Is a hydrogen atom and R 8 Is a trifluoromethyl group and R 1 , A 1 And n is a combination described in [Table 1] to [Table 14].
- R 4 Is a chlorine atom and R 2 , R 3 , R 5 , R 7 And R 9 Is a hydrogen atom and R 8 Is a trifluoromethyl group and R 1 , A 1 And n is a combination described in [Table 1] to [Table 14].
- R 5 Is a chlorine atom and R 2 , R 3 , R 4 , R 7 And R 9 Is a hydrogen atom and R 8 Is a trifluoromethyl group and R 1 , A 1 And n is a combination described in [Table 1] to [Table 14].
- R 2 Is a bromine atom and R 3 , R 4 , R 5 , R 7 And R 9 Is a hydrogen atom and R 8 Is a trifluoromethyl group and R 1 , A 1 And n is a combination described in [Table 1] to [Table 14].
- R 3 Is a bromine atom and R 2 , R 4 , R 5 , R 7 And R 9 Is a hydrogen atom and R 8 Is a trifluoromethyl group and R 1 , A 1 And n is a combination described in [Table 1] to [Table 14].
- R 4 Is a bromine atom and R 2 , R 3 , R 5 , R 7 And R 9 Is a hydrogen atom and R 8 Is a trifluoromethyl group and R 1 , A 1 And n is a combination described in [Table 1] to [Table 14].
- R 5 Is a bromine atom and R 2 , R 3 , R 4 , R 7 And R 9 Is a hydrogen atom and R 8 Is a trifluoromethyl group and R 1 , A 1 And n is a combination described in [Table 1] to [Table 14].
- R 2 Is a methyl group and R 3 , R 4 , R 5 , R 7 And R 9 Is a hydrogen atom and R 8 Is a trifluoromethyl group and R 1 , A 1 And n is a combination described in [Table 1] to [Table 14].
- R 3 Is a methyl group and R 2 , R 4 , R 5 , R 7 And R 9 Is a hydrogen atom and R 8 Is a trifluoromethyl group and R 1 , A 1 And n is a combination described in [Table 1] to [Table 14].
- R 4 Is a methyl group and R 2 , R 3 , R 5 , R 7 And R 9 Is a hydrogen atom and R 8 Is a trifluoromethyl group and R 1 , A 1 And n is a combination described in [Table 1] to [Table 14].
- R 5 Is a methyl group and R 2 , R 3 , R 4 , R 7 And R 9 Is a hydrogen atom and R 8 Is a trifluoromethyl group and R 1 , A 1 And n is a combination described in [Table 1] to [Table 14].
- R 2 Is an ethyl group and R 3 , R 4 , R 5 , R 7 And R 9 Is a hydrogen atom and R 8 Is a trifluoromethyl group and R 1 , A 1 And n is a combination described in [Table 1] to [Table 14].
- R 3 Is an ethyl group and R 2 , R 4 , R 5 , R 7 And R 9 Is a hydrogen atom and R 8 Is a trifluoromethyl group and R 1 , A 1 And n is a combination described in [Table 1] to [Table 14].
- R 4 Is an ethyl group and R 2 , R 3 , R 5 , R 7 And R 9 Is a hydrogen atom and R 8 Is a trifluoromethyl group and R 1 , A 1 And n is a combination described in [Table 1] to [Table 14].
- R 5 Is an ethyl group and R 2 , R 3 , R 4 , R 7 And R 9 Is a hydrogen atom and R 8 Is a trifluoromethyl group and R 1 , A 1 And n is a combination described in [Table 1] to [Table 14].
- R 2 Is a trifluoromethyl group and R 3 , R 4 , R 5 , R 7 And R 9 Is a hydrogen atom and R 8 Is a trifluoromethyl group and R 1 , A 1 And n is a combination described in [Table 1] to [Table 14].
- R 3 Is a trifluoromethyl group and R 2 , R 4 , R 5 , R 7 And R 9 Is a hydrogen atom and R 8 Is a trifluoromethyl group and R 1 , A 1 And n is a combination described in [Table 1] to [Table 14].
- R 4 Is a trifluoromethyl group and R 2 , R 3 , R 5 , R 7 And R 9 Is a hydrogen atom and R 8 Is a trifluoromethyl group and R 1 , A 1 And n is a combination described in [Table 1] to [Table 14].
- R 5 Is a trifluoromethyl group and R 2 , R 3 , R 4 , R 7 And R 9 Is a hydrogen atom and R 8 Is a trifluoromethyl group and R 1 , A 1 And n is a combination described in [Table 1] to [Table 14].
- R 3 Is a pentafluoroethyl group and R 2 , R 4 , R 5 , R 7 And R 9 Is a hydrogen atom and R 8 Is a trifluoromethyl group and R 1 , A 1 And n is a combination described in [Table 1] to [Table 14].
- R 3 Is a heptafluoropropyl group and R 2 , R 4 , R 5 , R 7 And R 9 Is a hydrogen atom and R 8 Is a trifluoromethyl group and R 1 , A 1 And n is a combination described in [Table 1] to [Table 14].
- R 3 Is a trifluoromethoxy group and R 2 , R 4 , R 5 , R 7 And R 9 Is a hydrogen atom and R 8 Is a trifluoromethyl group and R 1 , A 1 And n is a combination described in [Table 1] to [Table 14].
- R 3 Is a 2-pyridyl group and R 2 , R 4 , R 5 , R 7 And R 9 Is a hydrogen atom and R 8 Is a trifluoromethyl group and R 1 , A 1 And n is a combination described in [Table 1] to [Table 14].
- R 3 Is a 3-chloro-2-pyridyl group and R 2 , R 4 , R 5 , R 7 And R 9 Is a hydrogen atom and R 8 Is a trifluoromethyl group and R 1 , A 1 And n is a combination described in [Table 1] to [Table 14].
- R 3 Is a 2-pyrimidinyl group and R 2 , R 4 , R 5 , R 7 And R 9 Is a hydrogen atom and R 8 Is a trifluoromethyl group and R 1 , A 1 And n is a combination described in [Table 1] to [Table 14].
- R 3 -SF 5 And R 2 , R 4 , R 5 , R 7 And R 9 Is a hydrogen atom and R 8 Is a trifluoromethyl group and R 1 , A 1 And n is a combination described in [Table 1] to [Table 14].
- R 2 , R 3 , R 4 , R 5 , R 7 And R 9 Is a hydrogen atom and R 8 Is a pentafluoroethyl group and R 1 , A 1 And n is a combination described in [Table 1] to [Table 14].
- R 2 Is a fluorine atom and R 3 , R 4 , R 5 , R 7 And R 9 Is a hydrogen atom and R 8 Is a pentafluoroethyl group and R 1 , A 1 And n is a combination described in [Table 1] to [Table 14].
- R 3 Is a fluorine atom and R 2 , R 4 , R 5 , R 7 And R 9 Is a hydrogen atom and R 8 Is a pentafluoroethyl group and R 1 , A 1 And n is a combination described in [Table 1] to [Table 14].
- R 4 Is a fluorine atom and R 2 , R 3 , R 5 , R 7 And R 9 Is a hydrogen atom and R 8 Is a pentafluoroethyl group and R 1 , A 1 And n is a combination described in [Table 1] to [Table 14].
- R 5 Is a fluorine atom and R 2 , R 3 , R 4 , R 7 And R 9 Is a hydrogen atom and R 8 Is a pentafluoroethyl group and R 1 , A 1 And n is a combination described in [Table 1] to [Table 14].
- R 2 Is a chlorine atom and R 3 , R 4 , R 5 , R 7 And R 9 Is a hydrogen atom and R 8 Is a pentafluoroethyl group and R 1 , A 1 And n is a combination described in [Table 1] to [Table 14].
- R 3 Is a chlorine atom and R 2 , R 4 , R 5 , R 7 And R 9 Is a hydrogen atom and R 8 Is a pentafluoroethyl group and R 1 , A 1 And n is a combination described in [Table 1] to [Table 14].
- R 4 Is a chlorine atom and R 2 , R 3 , R 5 , R 7 And R 9 Is a hydrogen atom and R 8 Is a pentafluoroethyl group and R 1 , A 1 And n is a combination described in [Table 1] to [Table 14].
- R 5 Is a chlorine atom and R 2 , R 3 , R 4 , R 7 And R 9 Is a hydrogen atom and R 8 Is a pentafluoroethyl group and R 1 , A 1 And n is a combination described in [Table 1] to [Table 14].
- R 2 Is a bromine atom and R 3 , R 4 , R 5 , R 7 And R 9 Is a hydrogen atom and R 8 Is a pentafluoroethyl group and R 1 , A 1 And n is a combination described in [Table 1] to [Table 14].
- R 3 Is a bromine atom and R 2 , R 4 , R 5 , R 7 And R 9 Is a hydrogen atom and R 8 Is a pentafluoroethyl group and R 1 , A 1 And n is a combination described in [Table 1] to [Table 14].
- R 4 Is a bromine atom and R 2 , R 3 , R 5 , R 7 And R 9 Is a hydrogen atom and R 8 Is a pentafluoroethyl group and R 1 , A 1 And n is a combination described in [Table 1] to [Table 14].
- R 5 Is a bromine atom and R 2 , R 3 , R 4 , R 7 And R 9 Is a hydrogen atom and R 8 Is a pentafluoroethyl group and R 1 , A 1 And n is a combination described in [Table 1] to [Table 14].
- R 2 Is a methyl group and R 3 , R 4 , R 5 , R 7 And R 9 Is a hydrogen atom and R 8 Is a pentafluoroethyl group and R 1 , A 1 And n is a combination described in [Table 1] to [Table 14].
- R 3 Is a methyl group and R 2 , R 4 , R 5 , R 7 And R 9 Is a hydrogen atom and R 8 Is a pentafluoroethyl group and R 1 , A 1 And n is a combination described in [Table 1] to [Table 14].
- R 4 Is a methyl group and R 2 , R 3 , R 5 , R 7 And R 9 Is a hydrogen atom and R 8 Is a pentafluoroethyl group and R 1 , A 1 And n is a combination described in [Table 1] to [Table 14].
- R 5 Is a methyl group and R 2 , R 3 , R 4 , R 7 And R 9 Is a hydrogen atom and R 8 Is a pentafluoroethyl group and R 1 , A 1 And n is a combination described in [Table 1] to [Table 14].
- R 2 Is an ethyl group and R 3 , R 4 , R 5 , R 7 And R 9 Is a hydrogen atom and R 8 Is a pentafluoroethyl group and R 1 , A 1 And n is a combination described in [Table 1] to [Table 14].
- R 3 Is an ethyl group and R 2 , R 4 , R 5 , R 7 And R 9 Is a hydrogen atom and R 8 Is a pentafluoroethyl group and R 1 , A 1 And n is a combination described in [Table 1] to [Table 14].
- R 4 Is an ethyl group and R 2 , R 3 , R 5 , R 7 And R 9 Is a hydrogen atom and R 8 Is a pentafluoroethyl group and R 1 , A 1 And n is a combination described in [Table 1] to [Table 14].
- R 5 Is an ethyl group and R 2 , R 3 , R 4 , R 7 And R 9 Is a hydrogen atom and R 8 Is a pentafluoroethyl group and R 1 , A 1 And n is a combination described in [Table 1] to [Table 14].
- R 2 Is a trifluoromethyl group and R 3 , R 4 , R 5 , R 7 And R 9 Is a hydrogen atom and R 8 Is a pentafluoroethyl group and R 1 , A 1 And n is a combination described in [Table 1] to [Table 14].
- R 3 Is a trifluoromethyl group and R 2 , R 4 , R 5 , R 7 And R 9 Is a hydrogen atom and R 8 Is a pentafluoroethyl group and R 1 , A 1 And n is a combination described in [Table 1] to [Table 14].
- R 4 Is a trifluoromethyl group and R 2 , R 3 , R 5 , R 7 And R 9 Is a hydrogen atom and R 8 Is a pentafluoroethyl group and R 1 , A 1 And n is a combination described in [Table 1] to [Table 14].
- R 5 Is a trifluoromethyl group and R 2 , R 3 , R 4 , R 7 And R 9 Is a hydrogen atom and R 8 Is a pentafluoroethyl group and R 1 , A 1 And n is a combination described in [Table 1] to [Table 14].
- R 3 Is a pentafluoroethyl group and R 2 , R 4 , R 5 , R 7 And R 9 Is a hydrogen atom and R 8 Is a pentafluoroethyl group and R 1 , A 1 And n is a combination described in [Table 1] to [Table 14].
- R 3 Is a heptafluoropropyl group and R 2 , R 4 , R 5 , R 7 And R 9 Is a hydrogen atom and R 8 Is a pentafluoroethyl group and R 1 , A 1 And n is a combination described in [Table 1] to [Table 14].
- R 3 Is a trifluoromethoxy group and R 2 , R 4 , R 5 , R 7 And R 9 Is a hydrogen atom and R 8 Is a pentafluoroethyl group and R 1 , A 1 And n is a combination described in [Table 1] to [Table 14].
- R 3 Is a 2-pyridyl group and R 2 , R 4 , R 5 , R 7 And R 9 Is a hydrogen atom and R 8 Is a pentafluoroethyl group and R 1 , A 1 And n is a combination described in [Table 1] to [Table 14].
- R 3 Is a 3-chloro-2-pyridyl group and R 2 , R 4 , R 5 , R 7 And R 9 Is a hydrogen atom and R 8 Is a pentafluoroethyl group and R 1 , A 1 And n is a combination described in [Table 1] to [Table 14].
- R 3 Is a 2-pyrimidinyl group and R 2 , R 4 , R 5 , R 7 And R 9 Is a hydrogen atom and R 8 Is a pentafluoroethyl group and R 1 , A 1 And n is a combination described in [Table 1] to [Table 14].
- R 3 -SF 5 And R 2 , R 4 , R 5 , R 7 And R 9 Is a hydrogen atom and R 8 Is a pentafluoroethyl group and R 1 , A 1 And n is a combination described in [Table 1] to [Table 14].
- R 2 , R 3 , R 4 , R 5 , R 7 And R 9 Is a hydrogen atom and R 8 Is a heptafluoroisopropyl group and R 1 , A 1 And n is a combination described in [Table 1] to [Table 14].
- R 2 Is a fluorine atom and R 3 , R 4 , R 5 , R 7 And R 9 Is a hydrogen atom and R 8 Is a heptafluoroisopropyl group and R 1 , A 1 And n is a combination described in [Table 1] to [Table 14].
- R 3 Is a fluorine atom and R 2 , R 4 , R 5 , R 7 And R 9 Is a hydrogen atom and R 8 Is a heptafluoroisopropyl group and R 1 , A 1 And n is a combination described in [Table 1] to [Table 14].
- R 4 Is a fluorine atom and R 2 , R 3 , R 5 , R 7 And R 9 Is a hydrogen atom and R 8 Is a heptafluoroisopropyl group and R 1 , A 1 And n is a combination described in [Table 1] to [Table 14].
- R 5 Is a fluorine atom and R 2 , R 3 , R 4 , R 7 And R 9 Is a hydrogen atom and R 8 Is a heptafluoroisopropyl group and R 1 , A 1 And n is a combination described in [Table 1] to [Table 14].
- R 2 Is a chlorine atom and R 3 , R 4 , R 5 , R 7 And R 9 Is a hydrogen atom and R 8 Is a heptafluoroisopropyl group and R 1 , A 1 And n is a combination described in [Table 1] to [Table 14].
- R 3 Is a chlorine atom and R 2 , R 4 , R 5 , R 7 And R 9 Is a hydrogen atom and R 8 Is a heptafluoroisopropyl group and R 1 , A 1 And n is a combination described in [Table 1] to [Table 14].
- R 4 Is a chlorine atom and R 2 , R 3 , R 5 , R 7 And R 9 Is a hydrogen atom and R 8 Is a heptafluoroisopropyl group and R 1 , A 1 And n is a combination described in [Table 1] to [Table 14].
- R 5 Is a chlorine atom and R 2 , R 3 , R 4 , R 7 And R 9 Is a hydrogen atom and R 8 Is a heptafluoroisopropyl group and R 1 , A 1 And n is a combination described in [Table 1] to [Table 14].
- R 2 Is a bromine atom and R 3 , R 4 , R 5 , R 7 And R 9 Is a hydrogen atom and R 8 Is a heptafluoroisopropyl group and R 1 , A 1 And n is a combination described in [Table 1] to [Table 14].
- R 3 Is a bromine atom and R 2 , R 4 , R 5 , R 7 And R 9 Is a hydrogen atom and R 8 Is a heptafluoroisopropyl group and R 1 , A 1 And n is a combination described in [Table 1] to [Table 14].
- R 4 Is a bromine atom and R 2 , R 3 , R 5 , R 7 And R 9 Is a hydrogen atom and R 8 Is a heptafluoroisopropyl group and R 1 , A 1 And n is a combination described in [Table 1] to [Table 14].
- R 5 Is a bromine atom and R 2 , R 3 , R 4 , R 7 And R 9 Is a hydrogen atom and R 8 Is a heptafluoroisopropyl group and R 1 , A 1 And n is a combination described in [Table 1] to [Table 14].
- R 2 Is a methyl group and R 3 , R 4 , R 5 , R 7 And R 9 Is a hydrogen atom and R 8 Is a heptafluoroisopropyl group and R 1 , A 1 And n is a combination described in [Table 1] to [Table 14].
- R 3 Is a methyl group and R 2 , R 4 , R 5 , R 7 And R 9 Is a hydrogen atom and R 8 Is a heptafluoroisopropyl group and R 1 , A 1 And n is a combination described in [Table 1] to [Table 14].
- R 4 Is a methyl group and R 2 , R 3 , R 5 , R 7 And R 9 Is a hydrogen atom and R 8 Is a heptafluoroisopropyl group and R 1 , A 1 And n is a combination described in [Table 1] to [Table 14].
- R 5 Is a methyl group and R 2 , R 3 , R 4 , R 7 And R 9 Is a hydrogen atom and R 8 Is a heptafluoroisopropyl group and R 1 , A 1 And n is a combination described in [Table 1] to [Table 14].
- R 2 Is an ethyl group and R 3 , R 4 , R 5 , R 7 And R 9 Is a hydrogen atom and R 8 Is a heptafluoroisopropyl group and R 1 , A 1 And n is a combination described in [Table 1] to [Table 14].
- R 3 Is an ethyl group and R 2 , R 4 , R 5 , R 7 And R 9 Is a hydrogen atom and R 8 Is a heptafluoroisopropyl group and R 1 , A 1 And n is a combination described in [Table 1] to [Table 14].
- R 4 Is an ethyl group and R 2 , R 3 , R 5 , R 7 And R 9 Is a hydrogen atom and R 8 Is a heptafluoroisopropyl group and R 1 , A 1 And n is a combination described in [Table 1] to [Table 14].
- R 5 Is an ethyl group and R 2 , R 3 , R 4 , R 7 And R 9 Is a hydrogen atom and R 8 Is a heptafluoroisopropyl group and R 1 , A 1 And n is a combination described in [Table 1] to [Table 14].
- R 2 Is a trifluoromethyl group and R 3 , R 4 , R 5 , R 7 And R 9 Is a hydrogen atom and R 8 Is a heptafluoroisopropyl group and R 1 , A 1 And n is a combination described in [Table 1] to [Table 14].
- R 3 Is a trifluoromethyl group and R 2 , R 4 , R 5 , R 7 And R 9 Is a hydrogen atom and R 8 Is a heptafluoroisopropyl group and R 1 , A 1 And n is a combination described in [Table 1] to [Table 14].
- R 4 Is a trifluoromethyl group and R 2 , R 3 , R 5 , R 7 And R 9 Is a hydrogen atom and R 8 Is a heptafluoroisopropyl group and R 1 , A 1 And n is a combination described in [Table 1] to [Table 14].
- R 5 Is a trifluoromethyl group and R 2 , R 3 , R 4 , R 7 And R 9 Is a hydrogen atom and R 8 Is a heptafluoroisopropyl group and R 1 , A 1 And n is a combination described in [Table 1] to [Table 14].
- R 3 Is a pentafluoroethyl group and R 2 , R 4 , R 5 , R 7 And R 9 Is a hydrogen atom and R 8 Is a heptafluoroisopropyl group and R 1 , A 1 And n is a combination described in [Table 1] to [Table 14].
- R 3 Is a heptafluoropropyl group and R 2 , R 4 , R 5 , R 7 And R 9 Is a hydrogen atom and R 8 Is a heptafluoroisopropyl group and R 1 , A 1 And n is a combination described in [Table 1] to [Table 14].
- R 3 Is a trifluoromethoxy group and R 2 , R 4 , R 5 , R 7 And R 9 Is a hydrogen atom and R 8 Is a heptafluoroisopropyl group and R 1 , A 1 And n is a combination described in [Table 1] to [Table 14].
- R 3 Is a 2-pyridyl group and R 2 , R 4 , R 5 , R 7 And R 9 Is a hydrogen atom and R 8 Is a heptafluoroisopropyl group and R 1 , A 1 And n is a combination described in [Table 1] to [Table 14].
- R 3 Is a 3-chloro-2-pyridyl group and R 2 , R 4 , R 5 , R 7 And R 9 Is a hydrogen atom and R 8 Is a heptafluoroisopropyl group and R 1 , A 1 And n is a combination described in [Table 1] to [Table 14].
- R 3 Is a 2-pyrimidinyl group and R 2 , R 4 , R 5 , R 7 And R 9 Is a hydrogen atom and R 8 Is a heptafluoroisopropyl group and R 1 , A 1 And n is a combination described in [Table 1] to [Table 14].
- R 3 -SF 5 And R 2 , R 4 , R 5 , R 7 And R 9 Is a hydrogen atom and R 8 Is a heptafluoroisopropyl group and R 1 , A 1 And n is a combination described in [Table 1] to [Table 14].
- R 2 , R 3 , R 4 , R 5 , R 7 And R 9 Is a hydrogen atom and R 8 Is a trifluoromethoxy group and R 1 , A 1 And n is a combination described in [Table 1] to [Table 14].
- R 2 Is a fluorine atom and R 3 , R 4 , R 5 , R 7 And R 9 Is a hydrogen atom and R 8 Is a trifluoromethoxy group and R 1 , A 1 And n is a combination described in [Table 1] to [Table 14].
- R 3 Is a fluorine atom and R 2 , R 4 , R 5 , R 7 And R 9 Is a hydrogen atom and R 8 Is a trifluoromethoxy group and R 1 , A 1 And n is a combination described in [Table 1] to [Table 14].
- R 4 Is a fluorine atom and R 2 , R 3 , R 5 , R 7 And R 9 Is a hydrogen atom and R 8 Is a trifluoromethoxy group and R 1 , A 1 And n is a combination described in [Table 1] to [Table 14].
- R 5 Is a fluorine atom and R 2 , R 3 , R 4 , R 7 And R 9 Is a hydrogen atom and R 8 Is a trifluoromethoxy group and R 1 , A 1 And n is a combination described in [Table 1] to [Table 14].
- R 2 Is a chlorine atom and R 3 , R 4 , R 5 , R 7 And R 9 Is a hydrogen atom and R 8 Is a trifluoromethoxy group and R 1 , A 1 And n is a combination described in [Table 1] to [Table 14].
- R 3 Is a chlorine atom and R 2 , R 4 , R 5 , R 7 And R 9 Is a hydrogen atom and R 8 Is a trifluoromethoxy group and R 1 , A 1 And n is a combination described in [Table 1] to [Table 14].
- R 4 Is a chlorine atom and R 2 , R 3 , R 5 , R 7 And R 9 Is a hydrogen atom and R 8 Is a trifluoromethoxy group and R 1 , A 1 And n is a combination described in [Table 1] to [Table 14].
- R 5 Is a chlorine atom and R 2 , R 3 , R 4 , R 7 And R 9 Is a hydrogen atom and R 8 Is a trifluoromethoxy group and R 1 , A 1 And n is a combination described in [Table 1] to [Table 14].
- R 2 Is a bromine atom and R 3 , R 4 , R 5 , R 7 And R 9 Is a hydrogen atom and R 8 Is a trifluoromethoxy group and R 1 , A 1 And n is a combination described in [Table 1] to [Table 14].
- R 3 Is a bromine atom and R 2 , R 4 , R 5 , R 7 And R 9 Is a hydrogen atom and R 8 Is a trifluoromethoxy group and R 1 , A 1 And n is a combination described in [Table 1] to [Table 14].
- R 4 Is a bromine atom and R 2 , R 3 , R 5 , R 7 And R 9 Is a hydrogen atom and R 8 Is a trifluoromethoxy group and R 1 , A 1 And n is a combination described in [Table 1] to [Table 14].
- R 5 Is a bromine atom and R 2 , R 3 , R 4 , R 7 And R 9 Is a hydrogen atom and R 8 Is a trifluoromethoxy group and R 1 , A 1 And n is a combination described in [Table 1] to [Table 14].
- R 2 Is a methyl group and R 3 , R 4 , R 5 , R 7 And R 9 Is a hydrogen atom and R 8 Is a trifluoromethoxy group and R 1 , A 1 And n is a combination described in [Table 1] to [Table 14].
- R 3 Is a methyl group and R 2 , R 4 , R 5 , R 7 And R 9 Is a hydrogen atom and R 8 Is a trifluoromethoxy group and R 1 , A 1 And n is a combination described in [Table 1] to [Table 14].
- R 4 Is a methyl group and R 2 , R 3 , R 5 , R 7 And R 9 Is a hydrogen atom and R 8 Is a trifluoromethoxy group and R 1 , A 1 And n is a combination described in [Table 1] to [Table 14].
- R 5 Is a methyl group and R 2 , R 3 , R 4 , R 7 And R 9 Is a hydrogen atom and R 8 Is a trifluoromethoxy group and R 1 , A 1 And n is a combination described in [Table 1] to [Table 14].
- R 2 Is an ethyl group and R 3 , R 4 , R 5 , R 7 And R 9 Is a hydrogen atom and R 8 Is a trifluoromethoxy group and R 1 , A 1 And n is a combination described in [Table 1] to [Table 14].
- R 3 Is an ethyl group and R 2 , R 4 , R 5 , R 7 And R 9 Is a hydrogen atom and R 8 Is a trifluoromethoxy group and R 1 , A 1 And n is a combination described in [Table 1] to [Table 14].
- R 4 Is an ethyl group and R 2 , R 3 , R 5 , R 7 And R 9 Is a hydrogen atom and R 8 Is a trifluoromethoxy group and R 1 , A 1 And n is a combination described in [Table 1] to [Table 14].
- R 5 Is an ethyl group and R 2 , R 3 , R 4 , R 7 And R 9 Is a hydrogen atom and R 8 Is a trifluoromethoxy group and R 1 , A 1 And n is a combination described in [Table 1] to [Table 14].
- R 2 Is a trifluoromethyl group and R 3 , R 4 , R 5 , R 7 And R 9 Is a hydrogen atom and R 8 Is a trifluoromethoxy group and R 1 , A 1 And n is a combination described in [Table 1] to [Table 14].
- R 3 Is a trifluoromethyl group and R 2 , R 4 , R 5 , R 7 And R 9 Is a hydrogen atom and R 8 Is a trifluoromethoxy group and R 1 , A 1 And n is a combination described in [Table 1] to [Table 14].
- R 4 Is a trifluoromethyl group and R 2 , R 3 , R 5 , R 7 And R 9 Is a hydrogen atom and R 8 Is a trifluoromethoxy group and R 1 , A 1 And n is a combination described in [Table 1] to [Table 14].
- R 5 Is a trifluoromethyl group and R 2 , R 3 , R 4 , R 7 And R 9 Is a hydrogen atom and R 8 Is a trifluoromethoxy group and R 1 , A 1 And n is a combination described in [Table 1] to [Table 14].
- R 3 Is a pentafluoroethyl group and R 2 , R 4 , R 5 , R 7 And R 9 Is a hydrogen atom and R 8 Is a trifluoromethoxy group and R 1 , A 1 And n is a combination described in [Table 1] to [Table 14].
- R 3 Is a heptafluoropropyl group and R 2 , R 4 , R 5 , R 7 And R 9 Is a hydrogen atom and R 8 Is a trifluoromethoxy group and R 1 , A 1 And n is a combination described in [Table 1] to [Table 14].
- R 3 Is a trifluoromethoxy group and R 2 , R 4 , R 5 , R 7 And R 9 Is a hydrogen atom and R 8 Is a trifluoromethoxy group and R 1 , A 1 And n is a combination described in [Table 1] to [Table 14].
- R 3 Is a 2-pyridyl group and R 2 , R 4 , R 5 , R 7 And R 9 Is a hydrogen atom and R 8 Is a trifluoromethoxy group and R 1 , A 1 And n is a combination described in [Table 1] to [Table 14].
- R 3 Is a 3-chloro-2-pyridyl group and R 2 , R 4 , R 5 , R 7 And R 9 Is a hydrogen atom and R 8 Is a trifluoromethoxy group and R 1 , A 1 And n is a combination described in [Table 1] to [Table 14].
- R 3 Is a 2-pyrimidinyl group and R 2 , R 4 , R 5 , R 7 And R 9 Is a hydrogen atom and R 8 Is a trifluoromethoxy group and R 1 , A 1 And n is a combination described in [Table 1] to [Table 14].
- R 3 -SF 5 And R 2 , R 4 , R 5 , R 7 And R 9 Is a hydrogen atom and R 8 Is a trifluoromethoxy group and R 1 , A 1 And n is a combination described in [Table 1] to [Table 14].
- R 2 , R 3 , R 4 , R 5 , R 7 And R 9 Is a hydrogen atom and R 8 Is a trifluoromethylsulfanyl group and R 1 , A 1 And n is a combination described in [Table 1] to [Table 14].
- R 2 Is a fluorine atom and R 3 , R 4 , R 5 , R 7 And R 9 Is a hydrogen atom and R 8 Is a trifluoromethylsulfanyl group and R 1 , A 1 And n is a combination described in [Table 1] to [Table 14].
- R 3 Is a fluorine atom and R 2 , R 4 , R 5 , R 7 And R 9 Is a hydrogen atom and R 8 Is a trifluoromethylsulfanyl group and R 1 , A 1 And n is a combination described in [Table 1] to [Table 14].
- R 4 Is a fluorine atom and R 2 , R 3 , R 5 , R 7 And R 9 Is a hydrogen atom and R 8 Is a trifluoromethylsulfanyl group and R 1 , A 1 And n is a combination described in [Table 1] to [Table 14].
- R 5 Is a fluorine atom and R 2 , R 3 , R 4 , R 7 And R 9 Is a hydrogen atom and R 8 Is a trifluoromethylsulfanyl group and R 1 , A 1 And n is a combination described in [Table 1] to [Table 14].
- R 2 Is a chlorine atom and R 3 , R 4 , R 5 , R 7 And R 9 Is a hydrogen atom and R 8 Is a trifluoromethylsulfanyl group and R 1 , A 1 And n is a combination described in [Table 1] to [Table 14].
- R 3 Is a chlorine atom and R 2 , R 4 , R 5 , R 7 And R 9 Is a hydrogen atom and R 8 Is a trifluoromethylsulfanyl group and R 1 , A 1 And n is a combination described in [Table 1] to [Table 14].
- R 4 Is a chlorine atom and R 2 , R 3 , R 5 , R 7 And R 9 Is a hydrogen atom and R 8 Is a trifluoromethylsulfanyl group and R 1 , A 1 And n is a combination described in [Table 1] to [Table 14].
- R 5 Is a chlorine atom and R 2 , R 3 , R 4 , R 7 And R 9 Is a hydrogen atom and R 8 Is a trifluoromethylsulfanyl group and R 1 , A 1 And n is a combination described in [Table 1] to [Table 14].
- R 2 Is a bromine atom and R 3 , R 4 , R 5 , R 7 And R 9 Is a hydrogen atom and R 8 Is a trifluoromethylsulfanyl group and R 1 , A 1 And n is a combination described in [Table 1] to [Table 14].
- R 3 Is a bromine atom and R 2 , R 4 , R 5 , R 7 And R 9 Is a hydrogen atom and R 8 Is a trifluoromethylsulfanyl group and R 1 , A 1 And n is a combination described in [Table 1] to [Table 14].
- R 4 Is a bromine atom and R 2 , R 3 , R 5 , R 7 And R 9 Is a hydrogen atom and R 8 Is a trifluoromethylsulfanyl group and R 1 , A 1 And n is a combination described in [Table 1] to [Table 14].
- R 5 Is a bromine atom and R 2 , R 3 , R 4 , R 7 And R 9 Is a hydrogen atom and R 8 Is a trifluoromethylsulfanyl group and R 1 , A 1 And n is a combination described in [Table 1] to [Table 14].
- R 2 Is a methyl group and R 3 , R 4 , R 5 , R 7 And R 9 Is a hydrogen atom and R 8 Is a trifluoromethylsulfanyl group and R 1 , A 1 And n is a combination described in [Table 1] to [Table 14].
- R 3 Is a methyl group and R 2 , R 4 , R 5 , R 7 And R 9 Is a hydrogen atom and R 8 Is a trifluoromethylsulfanyl group and R 1 , A 1 And n is a combination described in [Table 1] to [Table 14].
- R 4 Is a methyl group and R 2 , R 3 , R 5 , R 7 And R 9 Is a hydrogen atom and R 8 Is a trifluoromethylsulfanyl group and R 1 , A 1 And n is a combination described in [Table 1] to [Table 14].
- R 5 Is a methyl group and R 2 , R 3 , R 4 , R 7 And R 9 Is a hydrogen atom and R 8 Is a trifluoromethylsulfanyl group and R 1 , A 1 And n is a combination described in [Table 1] to [Table 14].
- R 2 Is an ethyl group and R 3 , R 4 , R 5 , R 7 And R 9 Is a hydrogen atom and R 8 Is a trifluoromethylsulfanyl group and R 1 , A 1 And n is a combination described in [Table 1] to [Table 14].
- R 3 Is an ethyl group and R 2 , R 4 , R 5 , R 7 And R 9 Is a hydrogen atom and R 8 Is a trifluoromethylsulfanyl group and R 1 , A 1 And n is a combination described in [Table 1] to [Table 14].
- R 4 Is an ethyl group and R 2 , R 3 , R 5 , R 7 And R 9 Is a hydrogen atom and R 8 Is a trifluoromethylsulfanyl group and R 1 , A 1 And n is a combination described in [Table 1] to [Table 14].
- R 5 Is an ethyl group and R 2 , R 3 , R 4 , R 7 And R 9 Is a hydrogen atom and R 8 Is a trifluoromethylsulfanyl group and R 1 , A 1 And n is a combination described in [Table 1] to [Table 14].
- R 2 Is a trifluoromethyl group and R 3 , R 4 , R 5 , R 7 And R 9 Is a hydrogen atom and R 8 Is a trifluoromethylsulfanyl group and R 1 , A 1 And n is a combination described in [Table 1] to [Table 14].
- R 3 Is a trifluoromethyl group and R 2 , R 4 , R 5 , R 7 And R 9 Is a hydrogen atom and R 8 Is a trifluoromethylsulfanyl group and R 1 , A 1 And n is a combination described in [Table 1] to [Table 14].
- R 4 Is a trifluoromethyl group and R 2 , R 3 , R 5 , R 7 And R 9 Is a hydrogen atom and R 8 Is a trifluoromethylsulfanyl group and R 1 , A 1 And n is a combination described in [Table 1] to [Table 14].
- R 5 Is a trifluoromethyl group and R 2 , R 3 , R 4 , R 7 And R 9 Is a hydrogen atom and R 8 Is a trifluoromethylsulfanyl group and R 1 , A 1 And n is a combination described in [Table 1] to [Table 14].
- R 3 Is a pentafluoroethyl group and R 2 , R 4 , R 5 , R 7 And R 9 Is a hydrogen atom and R 8 Is a trifluoromethylsulfanyl group and R 1 , A 1 And n is a combination described in [Table 1] to [Table 14].
- R 3 Is a heptafluoropropyl group and R 2 , R 4 , R 5 , R 7 And R 9 Is a hydrogen atom and R 8 Is a trifluoromethylsulfanyl group and R 1 , A 1 And n is a combination described in [Table 1] to [Table 14].
- R 3 Is a trifluoromethoxy group and R 2 , R 4 , R 5 , R 7 And R 9 Is a hydrogen atom and R 8 Is a trifluoromethylsulfanyl group and R 1 , A 1 And n is a combination described in [Table 1] to [Table 14].
- R 3 Is a 2-pyridyl group and R 2 , R 4 , R 5 , R 7 And R 9 Is a hydrogen atom and R 8 Is a trifluoromethylsulfanyl group and R 1 , A 1 And n is a combination described in [Table 1] to [Table 14].
- R 3 Is a 3-chloro-2-pyridyl group and R 2 , R 4 , R 5 , R 7 And R 9 Is a hydrogen atom and R 8 Is a trifluoromethylsulfanyl group and R 1 , A 1 And n is a combination described in [Table 1] to [Table 14].
- R 3 Is a 2-pyrimidinyl group and R 2 , R 4 , R 5 , R 7 And R 9 Is a hydrogen atom and R 8 Is a trifluoromethylsulfanyl group and R 1 , A 1 And n is a combination described in [Table 1] to [Table 14].
- R 3 -SF 5 And R 2 , R 4 , R 5 , R 7 And R 9 Is a hydrogen atom and R 8 Is a trifluoromethylsulfanyl group and R 1 , A 1 And n is a combination described in [Table 1] to [Table 14].
- R 2 , R 3 , R 4 , R 5 , R 7 And R 9 Is a hydrogen atom and R 8 Is a trifluoromethylsulfinyl group and R 1 , A 1 And n is a combination described in [Table 1] to [Table 14].
- R 2 Is a fluorine atom and R 3 , R 4 , R 5 , R 7 And R 9 Is a hydrogen atom and R 8 Is a trifluoromethylsulfinyl group and R 1 , A 1 And n is a combination described in [Table 1] to [Table 14].
- R 3 Is a fluorine atom and R 2 , R 4 , R 5 , R 7 And R 9 Is a hydrogen atom and R 8 Is a trifluoromethylsulfinyl group and R 1 , A 1 And n is a combination described in [Table 1] to [Table 14].
- R 4 Is a fluorine atom and R 2 , R 3 , R 5 , R 7 And R 9 Is a hydrogen atom and R 8 Is a trifluoromethylsulfinyl group and R 1 , A 1 And n is a combination described in [Table 1] to [Table 14].
- R 5 Is a fluorine atom and R 2 , R 3 , R 4 , R 7 And R 9 Is a hydrogen atom and R 8 Is a trifluoromethylsulfinyl group and R 1 , A 1 And n is a combination described in [Table 1] to [Table 14].
- R 2 Is a chlorine atom and R 3 , R 4 , R 5 , R 7 And R 9 Is a hydrogen atom and R 8 Is a trifluoromethylsulfinyl group and R 1 , A 1 And n is a combination described in [Table 1] to [Table 14].
- R 3 Is a chlorine atom and R 2 , R 4 , R 5 , R 7 And R 9 Is a hydrogen atom and R 8 Is a trifluoromethylsulfinyl group and R 1 , A 1 And n is a combination described in [Table 1] to [Table 14].
- R 4 Is a chlorine atom and R 2 , R 3 , R 5 , R 7 And R 9 Is a hydrogen atom and R 8 Is a trifluoromethylsulfinyl group and R 1 , A 1 And n is a combination described in [Table 1] to [Table 14].
- R 5 Is a chlorine atom and R 2 , R 3 , R 4 , R 7 And R 9 Is a hydrogen atom and R 8 Is a trifluoromethylsulfinyl group and R 1 , A 1 And n is a combination described in [Table 1] to [Table 14].
- R 2 Is a bromine atom and R 3 , R 4 , R 5 , R 7 And R 9 Is a hydrogen atom and R 8 Is a trifluoromethylsulfinyl group and R 1 , A 1 And n is a combination described in [Table 1] to [Table 14].
- R 3 Is a bromine atom and R 2 , R 4 , R 5 , R 7 And R 9 Is a hydrogen atom and R 8 Is a trifluoromethylsulfinyl group and R 1 , A 1 And n is a combination described in [Table 1] to [Table 14].
- R 4 Is a bromine atom and R 2 , R 3 , R 5 , R 7 And R 9 Is a hydrogen atom and R 8 Is a trifluoromethylsulfinyl group and R 1 , A 1 And n is a combination described in [Table 1] to [Table 14].
- R 5 Is a bromine atom and R 2 , R 3 , R 4 , R 7 And R 9 Is a hydrogen atom and R 8 Is a trifluoromethylsulfinyl group and R 1 , A 1 And n is a combination described in [Table 1] to [Table 14].
- R 2 Is a methyl group and R 3 , R 4 , R 5 , R 7 And R 9 Is a hydrogen atom and R 8 Is a trifluoromethylsulfinyl group and R 1 , A 1 And n is a combination described in [Table 1] to [Table 14].
- R 3 Is a methyl group and R 2 , R 4 , R 5 , R 7 And R 9 Is a hydrogen atom and R 8 Is a trifluoromethylsulfinyl group and R 1 , A 1 And n is a combination described in [Table 1] to [Table 14].
- R 4 Is a methyl group and R 2 , R 3 , R 5 , R 7 And R 9 Is a hydrogen atom and R 8 Is a trifluoromethylsulfinyl group and R 1 , A 1 And n is a combination described in [Table 1] to [Table 14].
- R 5 Is a methyl group and R 2 , R 3 , R 4 , R 7 And R 9 Is a hydrogen atom and R 8 Is a trifluoromethylsulfinyl group and R 1 , A 1 And n is a combination described in [Table 1] to [Table 14].
- R 2 Is an ethyl group and R 3 , R 4 , R 5 , R 7 And R 9 Is a hydrogen atom and R 8 Is a trifluoromethylsulfinyl group and R 1 , A 1 And n is a combination described in [Table 1] to [Table 14].
- R 3 Is an ethyl group and R 2 , R 4 , R 5 , R 7 And R 9 Is a hydrogen atom and R 8 Is a trifluoromethylsulfinyl group and R 1 , A 1 And n is a combination described in [Table 1] to [Table 14].
- R 4 Is an ethyl group and R 2 , R 3 , R 5 , R 7 And R 9 Is a hydrogen atom and R 8 Is a trifluoromethylsulfinyl group and R 1 , A 1 And n is a combination described in [Table 1] to [Table 14].
- R 5 Is an ethyl group and R 2 , R 3 , R 4 , R 7 And R 9 Is a hydrogen atom and R 8 Is a trifluoromethylsulfinyl group and R 1 , A 1 And n is a combination described in [Table 1] to [Table 14].
- R 2 Is a trifluoromethyl group and R 3 , R 4 , R 5 , R 7 And R 9 Is a hydrogen atom and R 8 Is a trifluoromethylsulfinyl group and R 1 , A 1 And n is a combination described in [Table 1] to [Table 14].
- R 3 Is a trifluoromethyl group and R 2 , R 4 , R 5 , R 7 And R 9 Is a hydrogen atom and R 8 Is a trifluoromethylsulfinyl group and R 1 , A 1 And n is a combination described in [Table 1] to [Table 14].
- R 4 Is a trifluoromethyl group and R 2 , R 3 , R 5 , R 7 And R 9 Is a hydrogen atom and R 8 Is a trifluoromethylsulfinyl group and R 1 , A 1 And n is a combination described in [Table 1] to [Table 14].
- R 5 Is a trifluoromethyl group and R 2 , R 3 , R 4 , R 7 And R 9 Is a hydrogen atom and R 8 Is a trifluoromethylsulfinyl group and R 1 , A 1 And n is a combination described in [Table 1] to [Table 14].
- R 3 Is a pentafluoroethyl group and R 2 , R 4 , R 5 , R 7 And R 9 Is a hydrogen atom and R 8 Is a trifluoromethylsulfinyl group and R 1 , A 1 And n is a combination described in [Table 1] to [Table 14].
- R 3 Is a heptafluoropropyl group and R 2 , R 4 , R 5 , R 7 And R 9 Is a hydrogen atom and R 8 Is a trifluoromethylsulfinyl group and R 1 , A 1 And n is a combination described in [Table 1] to [Table 14].
- R 3 Is a trifluoromethoxy group and R 2 , R 4 , R 5 , R 7 And R 9 Is a hydrogen atom and R 8 Is a trifluoromethylsulfinyl group and R 1 , A 1 And n is a combination described in [Table 1] to [Table 14].
- R 3 Is a 2-pyridyl group and R 2 , R 4 , R 5 , R 7 And R 9 Is a hydrogen atom and R 8 Is a trifluoromethylsulfinyl group and R 1 , A 1 And n is a combination described in [Table 1] to [Table 14].
- R 3 Is a 3-chloro-2-pyridyl group and R 2 , R 4 , R 5 , R 7 And R 9 Is a hydrogen atom and R 8 Is a trifluoromethylsulfinyl group and R 1 , A 1 And n is a combination described in [Table 1] to [Table 14].
- R 3 Is a 2-pyrimidinyl group and R 2 , R 4 , R 5 , R 7 And R 9 Is a hydrogen atom and R 8 Is a trifluoromethylsulfinyl group and R 1 , A 1 And n is a combination described in [Table 1] to [Table 14].
- R 3 -SF 5 And R 2 , R 4 , R 5 , R 7 And R 9 Is a hydrogen atom and R 8 Is a trifluoromethylsulfinyl group and R 1 , A 1 And n is a combination described in [Table 1] to [Table 14].
- R 2 , R 3 , R 4 , R 5 , R 7 And R 9 Is a hydrogen atom and R 8 Is a trifluoromethylsulfonyl group, R 1 , A 1 And n is a combination described in [Table 1] to [Table 14].
- R 2 Is a fluorine atom and R 3 , R 4 , R 5 , R 7 And R 9 Is a hydrogen atom and R 8 Is a trifluoromethylsulfonyl group, R 1 , A 1 , And n are the combinations described in [Table 1] to [Table 14].
- R 3 Is a fluorine atom and R 2 , R 4 , R 5 , R 7 And R 9 Is a hydrogen atom and R 8 Is a trifluoromethylsulfonyl group, R 1 , A 1 And n is a combination described in [Table 1] to [Table 14].
- R 4 Is a fluorine atom and R 2 , R 3 , R 5 , R 7 And R 9 Is a hydrogen atom and R 8 Is a trifluoromethylsulfonyl group, R 1 , A 1 And n is a combination described in [Table 1] to [Table 14].
- R 5 Is a fluorine atom and R 2 , R 3 , R 4 , R 7 And R 9 Is a hydrogen atom and R 8 Is a trifluoromethylsulfonyl group, R 1 , A 1 And n is a combination described in [Table 1] to [Table 14].
- R 2 Is a chlorine atom and R 3 , R 4 , R 5 , R 7 And R 9 Is a hydrogen atom and R 8 Is a trifluoromethylsulfonyl group, R 1 , A 1 And n is a combination described in [Table 1] to [Table 14].
- R 3 Is a chlorine atom and R 2 , R 4 , R 5 , R 7 And R 9 Is a hydrogen atom and R 8 Is a trifluoromethylsulfonyl group, R 1 , A 1 And n is a combination described in [Table 1] to [Table 14].
- R 4 Is a chlorine atom and R 2 , R 3 , R 5 , R 7 And R 9 Is a hydrogen atom and R 8 Is a trifluoromethylsulfonyl group, R 1 , A 1 And n is a combination described in [Table 1] to [Table 14].
- R 5 Is a chlorine atom and R 2 , R 3 , R 4 , R 7 And R 9 Is a hydrogen atom and R 8 Is a trifluoromethylsulfonyl group, R 1 , A 1 And n is a combination described in [Table 1] to [Table 14].
- R 2 Is a bromine atom and R 3 , R 4 , R 5 , R 7 And R 9 Is a hydrogen atom and R 8 Is a trifluoromethylsulfonyl group, R 1 , A 1 And n is a combination described in [Table 1] to [Table 14].
- R 3 Is a bromine atom and R 2 , R 4 , R 5 , R 7 And R 9 Is a hydrogen atom and R 8 Is a trifluoromethylsulfonyl group, R 1 , A 1 And n is a combination described in [Table 1] to [Table 14].
- R 4 Is a bromine atom and R 2 , R 3 , R 5 , R 7 And R 9 Is a hydrogen atom and R 8 Is a trifluoromethylsulfonyl group, R 1 , A 1 And n is a combination described in [Table 1] to [Table 14].
- R 5 Is a bromine atom and R 2 , R 3 , R 4 , R 7 And R 9 Is a hydrogen atom and R 8 Is a trifluoromethylsulfonyl group, R 1 , A 1 And n is a combination described in [Table 1] to [Table 14].
- R 2 Is a methyl group and R 3 , R 4 , R 5 , R 7 And R 9 Is a hydrogen atom and R 8 Is a trifluoromethylsulfonyl group, R 1 , A 1 And n is a combination described in [Table 1] to [Table 14].
- R 3 Is a methyl group and R 2 , R 4 , R 5 , R 7 And R 9 Is a hydrogen atom and R 8 Is a trifluoromethylsulfonyl group, R 1 , A 1 And n is a combination described in [Table 1] to [Table 14].
- R 4 Is a methyl group and R 2 , R 3 , R 5 , R 7 And R 9 Is a hydrogen atom and R 8 Is a trifluoromethylsulfonyl group, R 1 , A 1 And n is a combination described in [Table 1] to [Table 14].
- R 5 Is a methyl group and R 2 , R 3 , R 4 , R 7 And R 9 Is a hydrogen atom and R 8 Is a trifluoromethylsulfonyl group, R 1 , A 1 And n is a combination described in [Table 1] to [Table 14].
- R 2 Is an ethyl group and R 3 , R 4 , R 5 , R 7 And R 9 Is a hydrogen atom and R 8 Is a trifluoromethylsulfonyl group, R 1 , A 1 And n is a combination described in [Table 1] to [Table 14].
- R 3 Is an ethyl group and R 2 , R 4 , R 5 , R 7 And R 9 Is a hydrogen atom and R 8 Is a trifluoromethylsulfonyl group, R 1 , A 1 And n is a combination described in [Table 1] to [Table 14].
- R 4 Is an ethyl group and R 2 , R 3 , R 5 , R 7 And R 9 Is a hydrogen atom and R 8 Is a trifluoromethylsulfonyl group, R 1 , A 1 And n is a combination described in [Table 1] to [Table 14].
- R 5 Is an ethyl group and R 2 , R 3 , R 4 , R 7 And R 9 Is a hydrogen atom and R 8 Is a trifluoromethylsulfonyl group, R 1 , A 1 And n is a combination described in [Table 1] to [Table 14].
- R 2 Is a trifluoromethyl group and R 3 , R 4 , R 5 , R 7 And R 9 Is a hydrogen atom and R 8 Is a trifluoromethylsulfonyl group, R 1 , A 1 And n is a combination described in [Table 1] to [Table 14].
- R 3 Is a trifluoromethyl group and R 2 , R 4 , R 5 , R 7 And R 9 Is a hydrogen atom and R 8 Is a trifluoromethylsulfonyl group, R 1 , A 1 And n is a combination described in [Table 1] to [Table 14].
- R 4 Is a trifluoromethyl group and R 2 , R 3 , R 5 , R 7 And R 9 Is a hydrogen atom and R 8 Is a trifluoromethylsulfonyl group, R 1 , A 1 And n is a combination described in [Table 1] to [Table 14].
- R 5 Is a trifluoromethyl group and R 2 , R 3 , R 4 , R 7 And R 9 Is a hydrogen atom and R 8 Is a trifluoromethylsulfonyl group, R 1 , A 1 And n is a combination described in [Table 1] to [Table 14].
- R 3 Is a pentafluoroethyl group and R 2 , R 4 , R 5 , R 7 And R 9 Is a hydrogen atom and R 8 Is a trifluoromethylsulfonyl group, R 1 , A 1 And n is a combination described in [Table 1] to [Table 14].
- R 3 Is a heptafluoropropyl group and R 2 , R 4 , R 5 , R 7 And R 9 Is a hydrogen atom and R 8 Is a trifluoromethylsulfonyl group, R 1 , A 1 And n is a combination described in [Table 1] to [Table 14].
- R 3 Is a trifluoromethoxy group and R 2 , R 4 , R 5 , R 7 And R 9 Is a hydrogen atom and R 8 Is a trifluoromethylsulfonyl group, R 1 , A 1 And n is a combination described in [Table 1] to [Table 14].
- R 3 Is a 2-pyridyl group and R 2 , R 4 , R 5 , R 7 And R 9 Is a hydrogen atom and R 8 Is a trifluoromethylsulfonyl group, R 1 , A 1 And n is a combination described in [Table 1] to [Table 14].
- R 3 Is a 3-chloro-2-pyridyl group and R 2 , R 4 , R 5 , R 7 And R 9 Is a hydrogen atom and R 8 Is a trifluoromethylsulfonyl group, R 1 , A 1 And n is a combination described in [Table 1] to [Table 14].
- R 3 Is a 2-pyrimidinyl group and R 2 , R 4 , R 5 , R 7 And R 9 Is a hydrogen atom and R 8 Is a trifluoromethylsulfonyl group, R 1 , A 1 And n is a combination described in [Table 1] to [Table 14].
- R 3 -SF 5 And R 2 , R 4 , R 5 , R 7 And R 9 Is a hydrogen atom and R 8 Is a trifluoromethylsulfonyl group, R 1 , A 1 And n is a combination described in [Table 1] to [Table 14].
- R 2 , R 3 , R 4 , R 5 , R 7 And R 9 Is a hydrogen atom and R 8 Is a bromine atom and R 1 , A 1 And n is a combination described in [Table 1] to [Table 14].
- R 2 Is a fluorine atom and R 3 , R 4 , R 5 , R 7 And R 9 Is a hydrogen atom and R 8 Is a bromine atom and R 1 , A 1 And n is a combination described in [Table 1] to [Table 14].
- R 3 Is a fluorine atom and R 2 , R 4 , R 5 , R 7 And R 9 Is a hydrogen atom and R 8 Is a bromine atom and R 1 , A 1 And n is a combination described in [Table 1] to [Table 14].
- R 4 Is a fluorine atom and R 2 , R 3 , R 5 , R 7 And R 9 Is a hydrogen atom and R 8 Is a bromine atom and R 1 , A 1 And n is a combination described in [Table 1] to [Table 14].
- R 5 Is a fluorine atom and R 2 , R 3 , R 4 , R 7 And R 9 Is a hydrogen atom and R 8 Is a bromine atom and R 1 , A 1 And n is a combination described in [Table 1] to [Table 14].
- R 2 Is a chlorine atom and R 3 , R 4 , R 5 , R 7 And R 9 Is a hydrogen atom and R 8 Is a bromine atom and R 1 , A 1 And n is a combination described in [Table 1] to [Table 14].
- R 3 Is a chlorine atom and R 2 , R 4 , R 5 , R 7 And R 9 Is a hydrogen atom and R 8 Is a bromine atom and R 1 , A 1 And n is a combination described in [Table 1] to [Table 14].
- R 4 Is a chlorine atom and R 2 , R 3 , R 5 , R 7 And R 9 Is a hydrogen atom and R 8 Is a bromine atom and R 1 , A 1 And n is a combination described in [Table 1] to [Table 14].
- R 5 Is a chlorine atom and R 2 , R 3 , R 4 , R 7 And R 9 Is a hydrogen atom and R 8 Is a bromine atom and R 1 , A 1 And n is a combination described in [Table 1] to [Table 14].
- R 2 Is a bromine atom and R 3 , R 4 , R 5 , R 7 And R 9 Is a hydrogen atom and R 8 Is a bromine atom and R 1 , A 1 And n is a combination described in [Table 1] to [Table 14].
- R 3 Is a bromine atom and R 2 , R 4 , R 5 , R 7 And R 9 Is a hydrogen atom and R 8 Is a bromine atom and R 1 , A 1 And n is a combination described in [Table 1] to [Table 14].
- R 4 Is a bromine atom and R 2 , R 3 , R 5 , R 7 And R 9 Is a hydrogen atom and R 8 Is a bromine atom and R 1 , A 1 And compounds in which n is a combination described in [Table 1] to [Table 14].
- R 5 Is a bromine atom and R 2 , R 3 , R 4 , R 7 And R 9 Is a hydrogen atom and R 8 Is a bromine atom and R 1 , A 1 , And n are the combinations described in [Table 1] to [Table 14].
- R 2 Is a methyl group and R 3 , R 4 , R 5 , R 7 And R 9 Is a hydrogen atom and R 8 Is a bromine atom and R 1 , A 1 And n is a combination described in [Table 1] to [Table 14].
- R 3 Is a methyl group and R 2 , R 4 , R 5 , R 7 And R 9 Is a hydrogen atom and R 8 Is a bromine atom and R 1 , A 1 And n is a combination described in [Table 1] to [Table 14].
- R 4 Is a methyl group and R 2 , R 3 , R 5 , R 7 And R 9 Is a hydrogen atom and R 8 Is a bromine atom and R 1 , A 1 And n is a combination described in [Table 1] to [Table 14].
- R 5 Is a methyl group and R 2 , R 3 , R 4 , R 7 And R 9 Is a hydrogen atom and R 8 Is a bromine atom and R 1 , A 1 And n is a combination described in [Table 1] to [Table 14].
- R 2 Is an ethyl group and R 3 , R 4 , R 5 , R 7 And R 9 Is a hydrogen atom and R 8 Is a bromine atom and R 1 , A 1 And n is a combination described in [Table 1] to [Table 14].
- R 3 Is an ethyl group and R 2 , R 4 , R 5 , R 7 And R 9 Is a hydrogen atom and R 8 Is a bromine atom and R 1 , A 1 And n is a combination described in [Table 1] to [Table 14].
- R 4 Is an ethyl group and R 2 , R 3 , R 5 , R 7 And R 9 Is a hydrogen atom and R 8 Is a bromine atom and R 1 , A 1 And n is a combination described in [Table 1] to [Table 14].
- R 5 Is an ethyl group and R 2 , R 3 , R 4 , R 7 And R 9 Is a hydrogen atom and R 8 Is a bromine atom and R 1 , A 1 And n is a combination described in [Table 1] to [Table 14].
- R 2 Is a trifluoromethyl group and R 3 , R 4 , R 5 , R 7 And R 9 Is a hydrogen atom and R 8 Is a bromine atom and R 1 , A 1 And n is a combination described in [Table 1] to [Table 14].
- R 3 Is a trifluoromethyl group and R 2 , R 4 , R 5 , R 7 And R 9 Is a hydrogen atom and R 8 Is a bromine atom and R 1 , A 1 And n is a combination described in [Table 1] to [Table 14].
- R 4 Is a trifluoromethyl group and R 2 , R 3 , R 5 , R 7 And R 9 Is a hydrogen atom and R 8 Is a bromine atom and R 1 , A 1 And n is a combination described in [Table 1] to [Table 14].
- R 5 Is a trifluoromethyl group and R 2 , R 3 , R 4 , R 7 And R 9 Is a hydrogen atom and R 8 Is a bromine atom and R 1 , A 1 And n is a combination described in [Table 1] to [Table 14].
- R 3 Is a pentafluoroethyl group and R 2 , R 4 , R 5 , R 7 And R 9 Is a hydrogen atom and R 8 Is a bromine atom and R 1 , A 1 And n is a combination described in [Table 1] to [Table 14].
- R 3 Is a heptafluoropropyl group and R 2 , R 4 , R 5 , R 7 And R 9 Is a hydrogen atom and R 8 Is a bromine atom and R 1 , A 1 And n is a combination described in [Table 1] to [Table 14].
- R 3 Is a trifluoromethoxy group and R 2 , R 4 , R 5 , R 7 And R 9 Is a hydrogen atom and R 8 Is a bromine atom and R 1 , A 1 And n is a combination described in [Table 1] to [Table 14].
- R 3 Is a 2-pyridyl group and R 2 , R 4 , R 5 , R 7 And R 9 Is a hydrogen atom and R 8 Is a bromine atom and R 1 , A 1 And n is a combination described in [Table 1] to [Table 14].
- R 3 Is a 3-chloro-2-pyridyl group and R 2 , R 4 , R 5 , R 7 And R 9 Is a hydrogen atom and R 8 Is a bromine atom and R 1 , A 1 And n is a combination described in [Table 1] to [Table 14].
- R 3 Is a 2-pyrimidinyl group and R 2 , R 4 , R 5 , R 7 And R 9 Is a hydrogen atom and R 8 Is a bromine atom and R 1 , A 1 , And n are the combinations described in [Table 1] to [Table 14].
- R 3 -SF 5 And R 2 , R 4 , R 5 , R 7 And R 9 Is a hydrogen atom and R 8 Is a bromine atom and R 1 , A 1 And n is a combination described in [Table 1] to [Table 14].
- R 2 , R 3 , R 4 , R 5 , R 7 And R 9 Is a hydrogen atom and R 8 Is an iodine atom and R 1 , A 1 And n is a combination described in [Table 1] to [Table 14].
- R 2 Is a fluorine atom and R 3 , R 4 , R 5 , R 7 And R 9 Is a hydrogen atom and R 8 Is an iodine atom and R 1 , A 1 And n is a combination described in [Table 1] to [Table 14].
- R 3 Is a fluorine atom and R 2 , R 4 , R 5 , R 7 And R 9 Is a hydrogen atom and R 8 Is an iodine atom and R 1 , A 1 And n is a combination described in [Table 1] to [Table 14].
- R 4 Is a fluorine atom and R 2 , R 3 , R 5 , R 7 And R 9 Is a hydrogen atom and R 8 Is an iodine atom and R 1 , A 1 And n is a combination described in [Table 1] to [Table 14].
- R 5 Is a fluorine atom and R 2 , R 3 , R 4 , R 7 And R 9 Is a hydrogen atom and R 8 Is an iodine atom and R 1 , A 1 And n is a combination described in [Table 1] to [Table 14].
- R 2 Is a chlorine atom and R 3 , R 4 , R 5 , R 7 And R 9 Is a hydrogen atom and R 8 Is an iodine atom and R 1 , A 1 And n is a combination described in [Table 1] to [Table 14].
- R 3 Is a chlorine atom and R 2 , R 4 , R 5 , R 7 And R 9 Is a hydrogen atom and R 8 Is an iodine atom and R 1 , A 1 And n is a combination described in [Table 1] to [Table 14].
- R 4 Is a chlorine atom and R 2 , R 3 , R 5 , R 7 And R 9 Is a hydrogen atom and R 8 Is an iodine atom and R 1 , A 1 And n is a combination described in [Table 1] to [Table 14].
- R 5 Is a chlorine atom and R 2 , R 3 , R 4 , R 7 And R 9 Is a hydrogen atom and R 8 Is an iodine atom and R 1 , A 1 And n is a combination described in [Table 1] to [Table 14].
- R 2 Is a bromine atom and R 3 , R 4 , R 5 , R 7 And R 9 Is a hydrogen atom and R 8 Is an iodine atom and R 1 , A 1 And n is a combination described in [Table 1] to [Table 14].
- R 3 Is a bromine atom and R 2 , R 4 , R 5 , R 7 And R 9 Is a hydrogen atom and R 8 Is an iodine atom and R 1 , A 1 And n is a combination described in [Table 1] to [Table 14].
- R 4 Is a bromine atom and R 2 , R 3 , R 5 , R 7 And R 9 Is a hydrogen atom and R 8 Is an iodine atom and R 1 , A 1 And n is a combination described in [Table 1] to [Table 14].
- R 5 Is a bromine atom and R 2 , R 3 , R 4 , R 7 And R 9 Is a hydrogen atom and R 8 Is an iodine atom and R 1 , A 1 And n is a combination described in [Table 1] to [Table 14].
- R 2 Is a methyl group and R 3 , R 4 , R 5 , R 7 And R 9 Is a hydrogen atom and R 8 Is an iodine atom and R 1 , A 1 And n is a combination described in [Table 1] to [Table 14].
- R 3 Is a methyl group and R 2 , R 4 , R 5 , R 7 And R 9 Is a hydrogen atom and R 8 Is an iodine atom and R 1 , A 1 And n is a combination described in [Table 1] to [Table 14].
- R 4 Is a methyl group and R 2 , R 3 , R 5 , R 7 And R 9 Is a hydrogen atom and R 8 Is an iodine atom and R 1 , A 1 And n is a combination described in [Table 1] to [Table 14].
- R 5 Is a methyl group and R 2 , R 3 , R 4 , R 7 And R 9 Is a hydrogen atom and R 8 Is an iodine atom and R 1 , A 1 And n is a combination described in [Table 1] to [Table 14].
- R 2 Is an ethyl group and R 3 , R 4 , R 5 , R 7 And R 9 Is a hydrogen atom and R 8 Is an iodine atom and R 1 , A 1 And n is a combination described in [Table 1] to [Table 14].
- R 3 Is an ethyl group and R 2 , R 4 , R 5 , R 7 And R 9 Is a hydrogen atom and R 8 Is an iodine atom and R 1 , A 1 And n is a combination described in [Table 1] to [Table 14].
- R 4 Is an ethyl group and R 2 , R 3 , R 5 , R 7 And R 9 Is a hydrogen atom and R 8 Is an iodine atom and R 1 , A 1 And n is a combination described in [Table 1] to [Table 14].
- R 5 Is an ethyl group and R 2 , R 3 , R 4 , R 7 And R 9 Is a hydrogen atom and R 8 Is an iodine atom and R 1 , A 1 And n is a combination described in [Table 1] to [Table 14].
- R 2 Is a trifluoromethyl group and R 3 , R 4 , R 5 , R 7 And R 9 Is a hydrogen atom and R 8 Is an iodine atom and R 1 , A 1 And n is a combination described in [Table 1] to [Table 14].
- R 3 Is a trifluoromethyl group and R 2 , R 4 , R 5 , R 7 And R 9 Is a hydrogen atom and R 8 Is an iodine atom and R 1 , A 1 And n is a combination described in [Table 1] to [Table 14].
- R 4 Is a trifluoromethyl group and R 2 , R 3 , R 5 , R 7 And R 9 Is a hydrogen atom and R 8 Is an iodine atom and R 1 , A 1 And n is a combination described in [Table 1] to [Table 14].
- R 5 Is a trifluoromethyl group and R 2 , R 3 , R 4 , R 7 And R 9 Is a hydrogen atom and R 8 Is an iodine atom and R 1 , A 1 And n is a combination described in [Table 1] to [Table 14].
- R 3 Is a pentafluoroethyl group and R 2 , R 4 , R 5 , R 7 And R 9 Is a hydrogen atom and R 8 Is an iodine atom and R 1 , A 1 And n is a combination described in [Table 1] to [Table 14].
- R 3 Is a heptafluoropropyl group and R 2 , R 4 , R 5 , R 7 And R 9 Is a hydrogen atom and R 8 Is an iodine atom and R 1 , A 1 And n is a combination described in [Table 1] to [Table 14].
- R 3 Is a trifluoromethoxy group and R 2 , R 4 , R 5 , R 7 And R 9 Is a hydrogen atom and R 8 Is an iodine atom and R 1 , A 1 And n is a combination described in [Table 1] to [Table 14].
- R 3 Is a 2-pyridyl group and R 2 , R 4 , R 5 , R 7 And R 9 Is a hydrogen atom and R 8 Is an iodine atom and R 1 , A 1 And n is a combination described in [Table 1] to [Table 14].
- R 3 Is a 3-chloro-2-pyridyl group and R 2 , R 4 , R 5 , R 7 And R 9 Is a hydrogen atom and R 8 Is an iodine atom and R 1 , A 1 And n is a combination described in [Table 1] to [Table 14].
- R 3 Is a 2-pyrimidinyl group and R 2 , R 4 , R 5 , R 7 And R 9 Is a hydrogen atom and R 8 Is an iodine atom and R 1 , A 1 And n is a combination described in [Table 1] to [Table 14].
- R 3 -SF 5 And R 2 , R 4 , R 5 , R 7 And R 9 Is a hydrogen atom and R 8 Is an iodine atom and R 1 , A 1 And n is a combination described in [Table 1] to [Table 14].
- R 2 , R 3 , R 4 , R 5 , R 7 And R 9 Is a hydrogen atom and R 8 -SF 5 And R 1 , A 1 And n is a combination described in [Table 1] to [Table 14].
- R 2 Is a fluorine atom and R 3 , R 4 , R 5 , R 7 And R 9 Is a hydrogen atom and R 8 -SF 5 And R 1 , A 1 And n is a combination described in [Table 1] to [Table 14].
- R 3 Is a fluorine atom and R 2 , R 4 , R 5 , R 7 And R 9 Is a hydrogen atom and R 8 -SF 5 And R 1 , A 1 And n is a combination described in [Table 1] to [Table 14].
- R 4 Is a fluorine atom and R 2 , R 3 , R 5 , R 7 And R 9 Is a hydrogen atom and R 8 -SF 5 And R 1 , A 1 And n is a combination described in [Table 1] to [Table 14].
- R 5 Is a fluorine atom and R 2 , R 3 , R 4 , R 7 And R 9 Is a hydrogen atom and R 8 -SF 5 And R 1 , A 1 And n is a combination described in [Table 1] to [Table 14].
- R 2 Is a chlorine atom and R 3 , R 4 , R 5 , R 7 And R 9 Is a hydrogen atom and R 8 -SF 5 And R 1 , A 1 And n is a combination described in [Table 1] to [Table 14].
- R 3 Is a chlorine atom and R 2 , R 4 , R 5 , R 7 And R 9 Is a hydrogen atom and R 8 -SF 5 And R 1 , A 1 And n is a combination described in [Table 1] to [Table 14].
- R 4 Is a chlorine atom and R 2 , R 3 , R 5 , R 7 And R 9 Is a hydrogen atom and R 8 -SF 5 And R 1 , A 1 And n is a combination described in [Table 1] to [Table 14].
- R 5 Is a chlorine atom and R 2 , R 3 , R 4 , R 7 And R 9 Is a hydrogen atom and R 8 -SF 5 And R 1 , A 1 And n is a combination described in [Table 1] to [Table 14].
- R 2 Is a bromine atom and R 3 , R 4 , R 5 , R 7 And R 9 Is a hydrogen atom and R 8 -SF 5 And R 1 , A 1 And n is a combination described in [Table 1] to [Table 14].
- R 3 Is a bromine atom and R 2 , R 4 , R 5 , R 7 And R 9 Is a hydrogen atom and R 8 -SF 5 And R 1 , A 1 And n is a combination described in [Table 1] to [Table 14].
- R 4 Is a bromine atom and R 2 , R 3 , R 5 , R 7 And R 9 Is a hydrogen atom and R 8 -SF 5 And R 1 , A 1 And n is a combination described in [Table 1] to [Table 14].
- R 5 Is a bromine atom and R 2 , R 3 , R 4 , R 7 And R 9 Is a hydrogen atom and R 8 -SF 5 And R 1 , A 1 And n is a combination described in [Table 1] to [Table 14].
- R 2 Is a methyl group and R 3 , R 4 , R 5 , R 7 And R 9 Is a hydrogen atom and R 8 -SF 5 And R 1 , A 1 And n is a combination described in [Table 1] to [Table 14].
- R 3 Is a methyl group and R 2 , R 4 , R 5 , R 7 And R 9 Is a hydrogen atom and R 8 -SF 5 And R 1 , A 1 And n is a combination described in [Table 1] to [Table 14].
- R 4 Is a methyl group and R 2 , R 3 , R 5 , R 7 And R 9 Is a hydrogen atom and R 8 -SF 5 And R 1 , A 1 And n is a combination described in [Table 1] to [Table 14].
- R 5 Is a methyl group and R 2 , R 3 , R 4 , R 7 And R 9 Is a hydrogen atom and R 8 -SF 5 And R 1 , A 1 And n is a combination described in [Table 1] to [Table 14].
- R 2 Is an ethyl group and R 3 , R 4 , R 5 , R 7 And R 9 Is a hydrogen atom and R 8 -SF 5 And R 1 , A 1 And n is a combination described in [Table 1] to [Table 14].
- R 3 Is an ethyl group and R 2 , R 4 , R 5 , R 7 And R 9 Is a hydrogen atom and R 8 -SF 5 And R 1 , A 1 And n is a combination described in [Table 1] to [Table 14].
- R 4 Is an ethyl group and R 2 , R 3 , R 5 , R 7 And R 9 Is a hydrogen atom and R 8 -SF 5 And R 1 , A 1 And n is a combination described in [Table 1] to [Table 14].
- R 5 Is an ethyl group and R 2 , R 3 , R 4 , R 7 And R 9 Is a hydrogen atom and R 8 -SF 5 And R 1 , A 1 And n is a combination described in [Table 1] to [Table 14].
- R 2 Is a trifluoromethyl group and R 3 , R 4 , R 5 , R 7 And R 9 Is a hydrogen atom and R 8 -SF 5 And R 1 , A 1 And n is a combination described in [Table 1] to [Table 14].
- R 3 Is a trifluoromethyl group and R 2 , R 4 , R 5 , R 7 And R 9 Is a hydrogen atom and R 8 -SF 5 And R 1 , A 1 And n is a combination described in [Table 1] to [Table 14].
- R 4 Is a trifluoromethyl group and R 2 , R 3 , R 5 , R 7 And R 9 Is a hydrogen atom and R 8 -SF 5 And R 1 , A 1 And n is a combination described in [Table 1] to [Table 14].
- R 5 Is a trifluoromethyl group and R 2 , R 3 , R 4 , R 7 And R 9 Is a hydrogen atom and R 8 -SF 5 And R 1 , A 1 And n is a combination described in [Table 1] to [Table 14].
- R 3 Is a pentafluoroethyl group and R 2 , R 4 , R 5 , R 7 And R 9 Is a hydrogen atom and R 8 -SF 5 And R 1 , A 1 And n is a combination described in [Table 1] to [Table 14].
- R 3 Is a heptafluoropropyl group and R 2 , R 4 , R 5 , R 7 And R 9 Is a hydrogen atom and R 8 -SF 5 And R 1 , A 1 And n is a combination described in [Table 1] to [Table 14].
- R 3 Is a trifluoromethoxy group and R 2 , R 4 , R 5 , R 7 And R 9 Is a hydrogen atom and R 8 -SF 5 And R 1 , A 1 And n is a combination described in [Table 1] to [Table 14].
- R 3 Is a 2-pyridyl group and R 2 , R 4 , R 5 , R 7 And R 9 Is a hydrogen atom and R 8 -SF 5 And R 1 , A 1 And n is a combination described in [Table 1] to [Table 14].
- R 3 Is a 3-chloro-2-pyridyl group and R 2 , R 4 , R 5 , R 7 And R 9 Is a hydrogen atom and R 8 -SF 5 And R 1 , A 1 And n is a combination described in [Table 1] to [Table 14].
- R 3 Is a 2-pyrimidinyl group and R 2 , R 4 , R 5 , R 7 And R 9 Is a hydrogen atom and R 8 -SF 5 And R 1 , A 1 And n is a combination described in [Table 1] to [Table 14].
- R 3 -SF 5 And R 2 , R 4 , R 5 , R 7 And R 9 Is a hydrogen atom and R 8 -SF 5 And R 1 , A 1 And n is a combination described in [Table 1] to [Table 14].
- pests for which the compounds of the present invention are effective include harmful arthropods and nematodes such as harmful insects and harmful mites. Specific examples of such pests include the following.
- Hemiptera small brown planthopper (Laodelphax striatellus), brown planthopper (Nilaparvata lugens), planthoppers such as Sejirounka (Sogatella furcifera), green rice leafhopper (Nephotettix cincticeps), Taiwan green rice leafhopper (Nephotettix virescens), tea Roh green leafhopper such as leafhoppers (Empoascaonukii) Cotton aphids (Aphis gossypii), peach aphids (Myus persicae), radish aphids (Brevicorine brassicae), aphis spiraecola, tulip beetle aphids ( Acrosiphum euphorbiae, potato beetle aphids (Aulacorthum solani), wheat leaf aphids (Rhopalosiphum padi), citrus aphids (Toxoptera cit
- Stink bugs such as stink bugs (Riptortus clavetus), spider helicopter bugs (Leptocorisa chinensis), bark beetle (Eysarcoris parvus), winged beetle (Halyomorpha mista)
- Whitefly species such as svaporiarum, Tobacco whitefly (Bemisia tabaci), citrus whitefly (Dialeurodes citri), Alecananthus spiniferus (Aleurocanthus sphinferus), citri), Ruby Roe beetle (Ceroplastes rubens), Iceria scale insect (Icerya purchasi), Fujino scale insect (Pranococcus kraunhiae), Swan scale scale (Pseudococcus longis) is), scale insects such as Pseudauracapaspis pentagona, bed bugs, bed bugs such as bed bugs (Cimex electrarius), and whales.
- Lepidopterous pests Chilo suppressalis, Sankaiga ( Tryporyza incertulas), leaf roller (Cnaphalocrocis medinalis), Watanomeiga (Notarcha derogata), Indian meal moth (Plodia interpunctella), the European corn borer (Ostrinia furnacalis), high Madara Roh moth (Hellula undalis), Pyralidae such as Shibatsutoga (Pediasia teterrellus), common cutworm ( Spodoptera litura, Spodoptera exigua, Ayuyoto (Pseudaletia separata), Miostra brassicae, Amantisipsilon , Tamanagin'uwaba (Plusia nigrisigna), Trichoplusia spp., Heliothis spp., Noctuidae such Helicoverpa spp such as white butterfly such as cabbage butterfly (Pieris rapae), Adokisofiesu
- Sugas such as Plutella xylostella
- cotton moths such as Pectinophora gossypiella potato (Phthromeaea perculella)
- white-spotted tigers Hirokosukoga such as Koiga (Tineola bisselliella).
- Diptera Culex (Culex pipiens pallens), Culex (Culex tritaeniorhynchus), Culex such as Culex quinquefasciatus (Culex quinquefasciatus), Aedes aegypti (Aedes aegypti), Aedes albopictus (Aedes albopictus) Aedes genus such as Anopheles sinensis (Anopheles sinensis), etc.
- Pterodoptera Tocusama grasshopper (Locusta migratoria), Kera (Gryllotalpa africana), Red-bellied lion (Oxya yezoensis), Lobster (Oxya japonica), and crickets.
- Lepidoptera Cat fleas (Ctenocephalides felis), dog fleas (Ctenocephalides canis), human fleas (Pulex irritans), keops mud mines (Xenopsylla cheopeis) and the like.
- Anoplura body louse (Pediculus humanus corporis), head lice (Pediculus humanus humanus), crab louse (Phthirus pubis), Ushijirami (Haematopinus eurysternus), Hitsujijirami (Dalmalinia ovis), Butajirami (Haematopinus suis), Inujirami (Linognathus setosus) and the like.
- White-eye pests sheep lice (Dalmalinia ovis), cattle lice (Dalmalinia bovis), chicken lice (Menopon gallinae), dog lice (Trichodictes canis), cat lice, etc.
- Hymenoptera Monomorium phalaosis, Black sea ants (Formica fusca japonica), Luriari (Ochtellus puns), Pstomyrex puns, Pseudorme spr. Ants such as Argentine ants (Linepithema humile), wasps such as wasps, scallops, and wasps such as wasp (Athalia rosae) and Japanese bee (Athalia japonica).
- Nematodes rice Shin Galle nematode (Aphelenchoides besseyi), strawberry menu nematode (Nothotylenchus acris), sweet potato root-knot nematode (Meloidogyne incognita), northern root-knot nematode (Meloidogyne hapla), Java root-knot nematode (Meloidogyne javanica), soybean cyst nematode (Heterodera glycines), Potato cyst nematode (Globodera rostochiensis), southern nematode crested pea (Pratylenchus coffeae), barley nematode nematode (Pratylenchus neglectus).
- Cockroach pests German cockroach (Blatella germanica), Black cockroach (Periplaneta fuliginosa), Cockroach cockroach (Periplaneta americana), Periplaneta brunat (Brunetella brunet)
- Termite pests Yamato termites (Reticulitermes pertus), termites (Coptothermes formosanus), American termites minor (Incitermites minor), Dikokite termites (Crypt) otermes domesticus), Taiwan termites (Odontotermes formosanus), Kou Shun termite (Neotermes koshunensis), Satsuma termites (Glyptotermes satsumensis), Nakajima termites (Glyptotermes nakajimai), Katan termites (Glyptotermes fuscus), Kodama termites (Glyptotermes kodamai), comb Moto termites ( Glypoptermes kushimensis, White termites (
- Mite order pests Tick spider mites (Tetranychus urticae), Tick spider mites (Tetranychus kanzawai), citrus spider mite (Pananychus citri), mite spider mite (Panthonychus ulmi), prickly mite pistols, citrus urticae Tomato rust mites (Aculops lycopersici), Chinese radish mites (Calacarus carinatus), Chinese radish mite (Acaphylla theevagrans), Green rust mites (Eriophyses chibaensis), Apple rust ticles ndali) Fushidani such as, dust mite such as Chanohokoridani (Polyphagotarsonemus latus), southern Hime Himehadani such as spider mites (Brevipalpus phoenicis), Kenagahadani such, longicornis (Haemaphysalis longicornis), Yamatochimadani (
- Lip and leg class Geuji (Thereuonema hilgendorfi), Tobizukade (Scoopendra subspinepes), etc. Double leg class: Yakuyasu (Oxidus gracilis), Akadesde (Nedyopus tambanus), etc. Isopods: Armadillium vulgare, etc. Gastropoda: Limax marginatus, Limax flavus, etc.
- the pest control agent of the present invention contains the compound of the present invention and an inert carrier.
- the pest control agent of the present invention is usually a mixture of the compound of the present invention and an inert carrier such as a solid carrier, a liquid carrier, a gaseous carrier, etc., and a surfactant or other formulation adjuvant is added as necessary.
- an inert carrier such as a solid carrier, a liquid carrier, a gaseous carrier, etc.
- a surfactant or other formulation adjuvant is added as necessary.
- These preparations may be used after being processed into mosquito coils, electric mosquito mats, liquid mosquito traps, fumigants, fumigants, sheet preparations, spot-on agents, or oral treatments.
- the pest control agent of the present invention usually contains 0.01 to 95% by weight of the compound of the present invention.
- solid carriers used for formulation include clays (kaolin clay, diatomaceous earth, bentonite, fusami clay, acidic clay), synthetic hydrous silicon oxide, talc, ceramics, and other inorganic minerals (sericite, quartz, sulfur).
- Polyester resins such as polyethylene terephthalate, nylon resins such as nylon-6, nylon-11, and nylon-66, polyamide resins, polyvinyl chloride, polyvinylidene chloride, and vinyl chloride-propylene copolymers).
- liquid carriers examples include water, alcohols (methanol, ethanol, isopropyl alcohol, butanol, hexanol, benzyl alcohol, ethylene glycol, propylene glycol, phenoxyethanol, etc.), ketones (acetone, methyl ethyl ketone, cyclohexanone, etc.), aromatic hydrocarbons.
- alcohols methanol, ethanol, isopropyl alcohol, butanol, hexanol, benzyl alcohol, ethylene glycol, propylene glycol, phenoxyethanol, etc.
- ketones acetone, methyl ethyl ketone, cyclohexanone, etc.
- aromatic hydrocarbons examples include water, alcohols (methanol, ethanol, isopropyl alcohol, butanol, hexanol, benzyl alcohol, ethylene glycol, propylene glycol, phenoxyethanol, etc.
- ketones acetone, methyl ethyl ket
- Acid amides N, N-dimethylformamide, N, N-dimethylacetamide, etc.
- halogenated hydrocarbons diichloromethane, trichloroethane, carbon tetrachloride, etc.
- sulfoxides dimethylsulfoxide, etc.
- propylene carbonate and vegetable oil (Soybean oil, cottonseed oil, etc.).
- gaseous carrier include fluorocarbon, butane gas, LPG (liquefied petroleum gas), dimethyl ether, and carbon dioxide gas.
- surfactant examples include nonionic surfactants such as polyoxyethylene alkyl ether, polyoxyethylene alkyl aryl ether, and polyethylene glycol fatty acid ester, and anions such as alkyl sulfonate, alkyl benzene sulfonate, and alkyl sulfate. Surfactant is mentioned.
- formulation adjuvants include sticking agents, dispersants, colorants and stabilizers, such as casein, gelatin, saccharides (starch, gum arabic, cellulose derivatives, alginic acid, etc.), lignin derivatives, bentonite, Synthetic water-soluble polymers (polyvinyl alcohol, polyvinylpyrrolidone, polyacrylic acids, etc.), PAP (isopropyl acid phosphate), BHT (2,6-di-tert-butyl-4-methylphenol), BHA (2-tert- And a mixture of butyl-4-methoxyphenol and 3-tert-butyl-4-methoxyphenol).
- sticking agents such as casein, gelatin, saccharides (starch, gum arabic, cellulose derivatives, alginic acid, etc.), lignin derivatives, bentonite, Synthetic water-soluble polymers (polyvinyl alcohol, polyvinylpyrrolidone, polyacrylic acids, etc.), PAP (iso
- the base material of the resin preparation examples include vinyl chloride polymers, polyurethanes, etc., and these base materials include phthalic acid esters (dimethyl phthalate, dioctyl phthalate, etc.) and adipic acid esters as necessary. Further, a plasticizer such as stearic acid may be added.
- the resin formulation is obtained by kneading the compound in the base material using a normal kneading apparatus, and then molding by injection molding, extrusion molding, press molding, etc., and if necessary, through steps such as molding, cutting, It can be processed into resin preparations such as plate, film, tape, net, and string.
- These resin preparations are processed, for example, as animal collars, animal ear tags, sheet preparations, attracting strings, or gardening supports.
- the bait base include cereal flour, vegetable oil, sugar, crystalline cellulose and the like, and if necessary, antioxidants such as dibutylhydroxytoluene and nordihydroguaiaretic acid, and preservatives such as dehydroacetic acid.
- antioxidants such as dibutylhydroxytoluene and nordihydroguaiaretic acid
- preservatives such as dehydroacetic acid.
- Additives for preventing accidental eating by children and pets such as pepper powder, pests such as cheese flavor, onion flavor and peanut oil are added.
- the pest control method of the present invention is carried out by applying an effective amount of the compound of the present invention to pests directly and / or to pest habitats (plants, soil, households, animal bodies, etc.).
- the pest control method of the present invention is usually used in the form of the pest control agent of the present invention.
- the application rate is 10,000 m. 2
- the amount of the compound of the present invention is usually 1 to 10,000 g.
- the pest control agent of the present invention is formulated into an emulsion, a wettable powder, a flowable agent, etc., it is usually diluted with water so that the active ingredient concentration is 0.01 to 10000 ppm. Agents, powders, etc. are usually applied as they are. These preparations and water dilutions of the preparations may be sprayed directly on pests or plants such as crops to be protected from pests, and in order to control pests that inhabit cultivated soil.
- the application amount is 1 m when treated on the surface. 2
- the amount of the compound of the present invention per unit is usually 0.01 to 1000 mg.
- the processing space is 1 m. 3
- the amount of the present compound per unit is usually 0.01 to 500 mg.
- the pest control agent of the present invention is formulated into an emulsion, a wettable powder, a flowable agent, etc., it is usually diluted with water so that the active ingredient concentration is 0.1 to 10,000 ppm.
- the harmful arthropod control agent of the present invention is used to control ectoparasites of cattle, horses, pigs, sheep, goats, chickens, small animals such as dogs, cats, rats, mice, etc., it is well known in veterinary medicine. Can be used on animals.
- systemic suppression for example, administration by tablet, feed mixing, suppository, injection (intramuscular, subcutaneous, intravenous, intraperitoneal, etc.) is intended for non-systemic suppression.
- an oil agent or an aqueous liquid is sprayed, a pour-on treatment or a spot-on treatment is performed, the animal is washed with a shampoo preparation, or a resin preparation is attached to the animal with a collar or ear tag.
- the amount of the compound of the present invention when administered to an animal body is usually in the range of 0.1 to 1000 mg per 1 kg body weight of the animal.
- the pest control agent of the present invention can be used in farmland where the following “crop” is cultivated. Agricultural crops: corn, rice, wheat, barley, rye, oat, sorghum, cotton, soybean, peanut, buckwheat, sugar beet, rapeseed, sunflower, sugarcane, tobacco, etc.
- Vegetables Solanum vegetables (eggplants, tomatoes, peppers, peppers, potatoes, etc.), Cucurbitaceae vegetables (cucumbers, pumpkins, zucchini, watermelons, melons, etc.), Brassicaceae vegetables (radish, turnip, horseradish, kohlrabi, Chinese cabbage, cabbage) , Mustard, broccoli, cauliflower, etc.), asteraceae vegetables (burdock, shungiku, artichokes, lettuce, etc.), liliaceae vegetables (leek, onion, garlic, asparagus), celery family vegetables (carrot, parsley, celery, American boofish, etc.) ), Red crustacean vegetables (spinach, chard, etc.), persimmon vegetables (perilla, mint, basil, etc.), strawberry, sweet potato, yam, taro, etc.
- Fruit trees apples, pears, Japanese pears, quince, quince, etc., nuclear fruits (peaches, plums, nectarines, ume, sweet cherry, apricots, prunes, etc.), citrus (citrus mandarin, orange, lemon, lime, grapefruit) ), Nuts (chestnut, walnut, hazel, almond, pistachio, cashew nut, macadamia nut, etc.), berries (blueberry, cranberry, blackberry, raspberry, etc.), grape, oyster, olive, loquat, banana, coffee, Date palm, coconut palm, oil palm etc.
- Trees other than fruit trees tea, mulberry, flowering trees (Satsuki, camellia, hydrangea, sasanqua, shikimi, sakura, yurinoki, crape myrtle, snapdragon, etc.), roadside trees (ash, birch, dogwood, eucalyptus, ginkgo, lilac, maple, oak) , Poplar, redwood, fu, sycamore, zelkova, blackfish, Japanese amberjack, moths, pine, pine, spruce, yew, elm, Japanese cypress, etc.), coral jug, dogwood, cedar, cypress, croton, masaki, kanamochi, etc.
- Lawn Shiba (Nasis, Pleurotus, etc.), Bermudagrass (Neurodonidae, etc.), Bentgrass (Oleoptera, Hykonukagusa, Odonoptera, etc.), Bluegrass (Nagahagusa, Oosuzunokatabira, etc.), Fescue (Oonishi nokegusa, Drosophila, etc.) , Grass, etc.), ryegrass (rat, wheat, etc.), anemonefish, blue whale, etc.
- Crop includes genetically modified crops.
- the pest control agent of the present invention can be mixed or used in combination with other insecticides, acaricides, nematicides, fungicides, plant growth regulators, herbicides and synergists. Examples of active ingredients of such insecticides, acaricides, nematicides, fungicides, plant growth regulators, herbicides and synergists are shown below.
- Active ingredient of insecticide (1) Organophosphorus compounds Acephate, aluminum phosphide, butathiofos, cadusafos, chlorethoxyphos, chlorfenvinphos, chlorpyriphos , Cyanophos (CYAP), diazinon, DCIP (dichroodiisopropyl ether), diclofenthion (ECP), dichlorvos (DDVP), dimethoate (dimeth) ate), dimethylvinphos, disulfoton, EPN, ethion, ethophos, etrimfos, fenthion (MPP), fenitrothion (m) , Formothion, hydrogen phosphide, isofenphos, isoxathion, malathion, mesulfenfos, methidathion, TP nocrotophos, nared (BRP), oxydeprofos (ESP), parathion, fosarone, pho
- Nereistoxin compounds Cartap, bensultap, thiocyclam, monosultap, and bisultap.
- Neonicotinoid compounds Imidacloprid, nitenpyram, acetamiprid, thiamethoxam, thiacloprid, dinotefuran, clothidin and clothidin.
- Phenylpyrazole compound Acetoprole, etiprole, fipronil, vaniliprole, pyriprole, and pyrafluprole.
- Bt toxin Live spores and produced crystal toxins derived from Bacillus thuringiensis, and mixtures thereof;
- Hydrazine compounds Chromafenozide, halofenozide, methoxyphenozide, and tebufenozide.
- Organochlorine compounds Aldrin, dieldrin, dienochlor, endosulfan, and methoxychlor.
- R 1000 Represents chlorine, bromine or iodine.
- a compound represented by Active ingredient of acaricide Acequinosyl, amitraz, benzoximate, bifenaate, phenisobromolate, chinomethionate, BS chlorbenzylate, chlorbenzylate (Clofenetine), cyflumethofen (cyflumetofen), kelsen (dicofol: dicofol), etoxazole (etoxazole), fenbutatin oxide (fenbutatincarb), fenothiocarb (fenothiocarb), fenpyroximate x ), Fluacrylpyrim (fluproxyfen), hexythiazox, propargite (BPPS), polynactin complex (polynatide), pyridabene (pyridenephen) tetradifon, spirodi
- Active ingredient of nematicide DCIP fostiazate, levamisole hydrochloride, methylisothiocyanate, morantel tartrate, and imicyafos.
- Active ingredient of fungicide Propiconazole, Prothioconazole, Triadimenol, Prochloraz, Penconazole, Dibuconazole, Tebuconazole, Tebuconazole, Tebuconazole, Tebuconazole, Tebuconazole, Tebuconazole, Tebuconazole, Tebuconazole, Tebuconazole, Tebuconazole, Tebuconazole, Tebuconazole, Tebuconazole, Tebuconazole, Tebuconazole bromconazole, epoxiconazole, difenoconazole, cyproconazole, metconazole, triflumizole (triflumizole) raconazole, microbutanil, fenbuconazole, hexacon
- Organic phosphorus herbicidal compound Amiprofos-methyl, butamifos, bensulide, piperophos, anilofos, glyphosate, glufosinate, glufosinate, glucosinate Vialaphos.
- Carbamate herbicidal compounds Di-allate, tri-allate, EPTC, butyrate, bentiocarb, esprocarb, molinate, dimepiperate, swep (Chlorpropham), phenmedifam, phenisopham, pyributicalb, and ashlam.
- Acid amide herbicidal compound Propanil, propyzamide, bromobutide, and etobenzanide.
- Chloroacetanilide herbicidal compound Acetochlor, alachlor, butachlor, dimethenamide, dipachenol, metazachlor, metolachlor, retilachlor, retilachlor And petoxamide.
- Diphenyl ether herbicidal compound Acifluorfen-sodium, bifenox, oxyfluorfen, lactofen, fomesafen, clomethoxynil, and acloniphen.
- Cyclic imide herbicidal compound Oxadiazone, cinidone-ethyl, carfentrazone-ethyl, sulfentrazone, flurochlorac-pentyl, flumioxazine (flumifluaflufen) Ethyl (pyraflufen-ethyl), oxadialgyl, pentoxazone, fluthiacet-methyl, butafenacil, benzfenazone, benzfendizone, benzfendizone Le (saflufenacil).
- Trione oxime herbicidal compound Alloxydim-sodium, cetoxydim, butroxydim, clesodim, cloproxidim, cyclohexyloxym, teproloxydim ).
- Seperex Piperonyl butoxide
- sesamex sesamex
- sulfoxide N- (2-ethylhexyl) -8,9,10-trinorborn-5-ene-2,3-dicarboximide
- N-Decriimidazole N-decylimidazole
- WARF-anti-resistant TBPT
- the part in a formulation example represents a weight part.
- Formulation Example 1 10 parts of any one of the compounds 1 to 28 of the present invention are dissolved in a mixture of 35 parts of xylene and 35 parts of N, N-dimethylformamide, 14 parts of polyoxyethylene styrylphenyl ether and 6 parts of calcium dodecylbenzenesulfonate And mix to obtain each emulsion.
- Formulation Example 2 4 parts of sodium lauryl sulfate, 2 parts of calcium lignin sulfonate, 20 parts of synthetic silicon hydroxide fine powder and 54 parts of diatomaceous earth are mixed, and 20 parts of any one of the compounds 1 to 28 of the present invention are added and mixed. Get a wettable powder.
- Formulation Example 3 1 part of the synthetic silicon hydrous fine powder, 2 parts of calcium lignin sulfonate, 30 parts of bentonite and 65 parts of kaolin clay are mixed with 2 parts of any one of the compounds 1 to 28 of the present invention. Next, an appropriate amount of water is added to the mixture, and the mixture is further stirred, granulated by a granulator, and dried by ventilation to obtain each granule.
- Formulation Example 4 1 part of any one of the compounds 1 to 28 of the present invention is dissolved in an appropriate amount of acetone, and 5 parts of a synthetic silicon hydroxide fine powder, 0.3 part of PAP and 93.7 parts of fubasami clay are added to this, and the mixture is thoroughly stirred and mixed.
- Formulation Example 5 35 parts of a mixture of polyoxyethylene alkyl ether sulfate ammonium salt and white carbon (weight ratio 1: 1), 10 parts of any one of the compounds 1 to 28 of the present invention, and 55 parts of water are mixed and wet pulverized. Each flowable agent is obtained by finely pulverizing with.
- Formulation Example 6 0.1 part of any one of the compounds 1 to 28 of the present invention is dissolved in 5 parts of xylene and 5 parts of trichloroethane and mixed with 89.9 parts of deodorized kerosene to obtain each oil agent.
- Formulation Example 7 10 mg of any one of the compounds 1 to 28 of the present invention is dissolved in 0.5 ml of acetone, and this solution is treated with 5 g of animal solid feed powder (solid feed powder CE-2 for breeding breeding, Nippon Claire Co., Ltd.). And mix evenly. Then acetone is evaporated to dryness to obtain each poisonous bait.
- Formulation Example 8 0.1 part of any one of the compounds 1 to 28 of the present invention, 49.9 parts of neothiozole (Chuo Kasei Co., Ltd.) are placed in an aerosol can, and after mounting an aerosol valve, 25 parts of dimethyl ether and 25 parts of LPG are filled and shaken. Finally, an oil aerosol is obtained by mounting the actuator.
- Formulation Example 10 0.1 g of any one of the compounds 1 to 28 of the present invention is dissolved in 2 ml of propylene glycol and impregnated into a porous ceramic plate having a size of 4.0 ⁇ 4.0 cm and a thickness of 1.2 cm to obtain a heating smoke. .
- Formulation Example 11 Any 5 parts of the present compounds 1-28 and 95 parts of ethylene-methyl methacrylate copolymer (ratio of methyl methacrylate in the copolymer: 10% by weight, ACRIFT WD301, manufactured by Sumitomo Chemical Co., Ltd.) are hermetically sealed.
- a kneader (manufactured by Moriyama Seisakusho) is melt-kneaded, and the obtained kneaded product is extruded from an extruder through a molding die to obtain a rod-shaped molded body having a length of 15 cm and a diameter of 3 mm.
- Formulation Example 12 5 parts of any of the compounds 1 to 28 of the present invention and 95 parts of a soft vinyl chloride resin are melt-kneaded with a closed pressure kneader (manufactured by Moriyama Seisakusho), and the resulting kneaded product is extruded from an extrusion molding machine through a molding die.
- a rod-shaped molded body having a length of 15 cm and a diameter of 3 mm is obtained.
- Formulation Example 13 100 mg of any of the present compounds 1-28, lactose 68.75 mg, corn starch 237.5 mg, microcrystalline cellulose 43.75 mg, polyvinylpyrrolidone 18.75 mg, sodium carboxymethyl starch 28.75 mg, and magnesium stearate 2. 5 mg is mixed and the resulting mixture is compressed to an appropriate size to obtain tablets.
- Formulation Example 14 25 mg of any of the present compounds 1-28, lactose 60 mg, corn starch 25 mg, carmellose calcium 6 mg, and 5% hydroxypropylmethylcellulose are mixed in an appropriate amount, and the resulting mixture is filled into a hard shell gelatin capsule or hydroxypropylmethylcellulose capsule And a capsule is obtained.
- Formulation Example 15 Any one of the present compounds 1-28, fumaric acid 500 mg, sodium chloride 2000 mg, methylparaben 150 mg, propylparaben 50 mg, granule sugar 25000 mg, sorbitol (70% solution) 13000 mg, Veegum K (Vanderbilt Co.) 100 mg, flavor 35 mg, and coloring Distilled water is added to 500 mg of the preparation so that the final volume is 100 ml, and mixed to obtain a suspension for oral administration.
- Formulation Example 16 Any 5 parts of the compounds 1 to 28 of the present invention are dissolved in 5 parts of polysorbate 85, 3 parts of benzyl alcohol and 30 parts of propylene glycol, and phosphoric acid is added so that the pH of this solution is 6.0 to 6.5.
- Formulation Example 17 5 parts of aluminum distearate is dispersed by heating in 57 parts of fractionated coconut oil and 3 parts of polysorbate 85. 25 parts of saccharin is dispersed in an oily vehicle obtained by cooling this to room temperature. To this, 10 parts of any one of the compounds 1 to 28 of the present invention are added to obtain a paste preparation for oral administration.
- Formulation Example 18 Any 5 parts of the compounds 1 to 28 of the present invention are mixed with 95 parts of limestone powder, and granules for oral administration are obtained using a wet granulation method.
- Formulation Example 19 Any 5 parts of the present compounds 1 to 28 are dissolved in 80 parts of diethylene glycol monoethyl ether, and 15 parts of propylene carbonate is mixed therewith to obtain a spot-on solution.
- Formulation Example 20 Any 10 parts of the compounds 1 to 28 of the present invention are dissolved in 70 parts of diethylene glycol monoethyl ether, and 20 parts of 2-octyldodecanol is mixed therewith to obtain a pour-on solution.
- Formulation Example 21 60 parts of Nikkor TEALS-42 (42% aqueous solution of Nikko Chemicals lauryl sulfate triethanolamine) and 20 parts of propylene glycol are added to 0.5 parts of any of the present compounds 1 to 28, and sufficient until a uniform solution is obtained. After stirring and mixing, 19.5 parts of water is added and further stirred and mixed to obtain a shampoo agent of a uniform solution.
- Formulation Example 22 0.15 parts of any of the compounds 1 to 28 of the present invention, 95 parts of animal feed, and 4.85 parts of a mixture comprising dicalcium phosphate, diatomaceous earth, Aerosil, and carbonate (or chalk) are sufficiently stirred and mixed. Get a feed premix.
- Formulation Example 23 7.2 g of any of the present compounds 1 to 28 and 92.8 g of Phosco S-55 (manufactured by Maruishi Pharmaceutical Co., Ltd.) are dissolved and mixed at 100 ° C., poured into a suppository form, cooled and solidified, and suppository. Get. Next, the pest control effect of the compound of the present invention is shown by test examples.
- Test example 1 Formulations 1 to 3 of the present invention obtained in Formulation Example 5 were diluted with water so that the active ingredient concentration was 500 ppm to prepare a test drug solution. On the other hand, about 30 cotton aphids were inoculated into cucumber seedlings (first true leaf development stage) planted in plastic cups and left for 1 day.
- Control value (%) ⁇ 1 ⁇ (Cb ⁇ Tai) / (Cai ⁇ Tb) ⁇ ⁇ 100
- the characters in the formula have the following meanings.
- Formulation Example 5 it means a group in which a preparation containing no compound of the present invention was sprayed with a test chemical diluted with the same amount of water as the treatment group. As a result, a control value of 90% or more was shown in the treatment section using the test chemical solutions of the compounds 1 to 3 of the present invention.
- Test example 2 Formulations 1 to 3 of the present invention obtained in Formulation Example 5 were diluted with water so that the active ingredient concentration was 500 ppm to prepare a test drug solution.
- Formulation Example 5 it means a group in which a preparation containing no compound of the present invention was sprayed with a test chemical diluted with the same amount of water as the treatment group. As a result, a control value of 90% or more was shown in the treatment section using the test chemical solutions of the compounds 1 to 3 of the present invention.
- Test example 3 The preparation of Compound 3 of the present invention obtained in Formulation Example 5 was diluted with water so that the active ingredient concentration was 500 ppm to prepare a test drug solution.
- Control value (%) ⁇ 1 ⁇ (Cb ⁇ Tai) / (Cai ⁇ Tb) ⁇ ⁇ 100
- the characters in the formula have the following meanings.
- Formulation Example 5 it means a group in which a preparation containing no compound of the present invention was sprayed with a test chemical diluted with the same amount of water as the treatment group. As a result, a control value of 90% or more was shown in the treatment section using the test chemical solution of the present compound 3.
- Test example 4 Formulations 1 to 3 of the present invention obtained in Formulation Example 5 were diluted with water so that the active ingredient concentration was 500 ppm to prepare a test drug solution.
- Control value (%) ⁇ 1 ⁇ (Cb ⁇ Tai) / (Cai ⁇ Tb) ⁇ ⁇ 100
- the characters in the formula have the following meanings.
- Formulation Example 5 it means a group in which a preparation containing no compound of the present invention was sprayed with a test chemical diluted with the same amount of water as the treatment group. As a result, a control value of 90% or more was shown in the treatment section using the test chemical solutions of the compounds 1 to 3 of the present invention.
- Test Example 5 Formulations 2 to 3 of the present invention obtained in Formulation Example 5 were diluted with water so that the active ingredient concentration was 500 ppm to prepare a test drug solution.
- Formulation Example 5 it means a group in which a preparation containing no compound of the present invention was sprayed with a test chemical diluted with the same amount of water as the treatment group. As a result, a control value of 90% or more was shown in the treatment section using the test chemical solutions of the compounds 2 to 3 of the present invention.
- Test Example 6 Formulations 2 to 3 of the present invention obtained in Formulation Example 5 were diluted with water so that the active ingredient concentration was 500 ppm to prepare a test drug solution.
- Test Example 7 Formulations 1 to 3 of the present invention obtained in Formulation Example 5 were diluted with water so that the active ingredient concentration would be 500 ppm to prepare a test spray solution.
- apples were planted in plastic cups and grown until the seventh and eighth true leaves developed. The apple was sprayed with the test chemical at a rate of 20 mL / cup. After the chemical solution was dried, 60 first-instar larvae of apple cockerel were released, the bottom was hollowed out, and the plastic cup with filter paper was placed upside down. Seven days later, the number of surviving insects was counted, and the death rate was calculated from the following formula.
- Test Example 9 Each formulation of the compound of the present invention obtained in Formulation Example 5 is diluted with water so that the active ingredient concentration is 500 ppm to prepare a test drug solution. A filter paper of the same size was laid on the bottom of a polyethylene cup having a diameter of 5.5 cm, 0.7 ml of the test chemical solution was dropped onto the filter paper, and 30 mg of sucrose was uniformly added as food. Two adult male German cockroaches (Blattala germanica) are released into the polyethylene cup and covered.
- Test Example 10 The preparation of Compound 2 of the present invention obtained in Formulation Example 5 was diluted with water so that the active ingredient concentration was 500 ppm to prepare a test drug solution. 0.7 ml of the test chemical solution was added to 100 ml of ion-exchanged water (active ingredient concentration 3.5 ppm). Twenty dead larvae of Culex pipiens parallels were released into the liquid, and the viability was investigated one day later to determine the mortality rate. As a result, the treatment with Compound 2 of the present invention showed a mortality rate of 91% or more.
- the compound of the present invention has a control effect against pests and is useful as an active ingredient of a pest control agent.
Landscapes
- Organic Chemistry (AREA)
- Chemical & Material Sciences (AREA)
- Life Sciences & Earth Sciences (AREA)
- Health & Medical Sciences (AREA)
- General Health & Medical Sciences (AREA)
- Pest Control & Pesticides (AREA)
- Dentistry (AREA)
- Environmental Sciences (AREA)
- Zoology (AREA)
- Wood Science & Technology (AREA)
- Engineering & Computer Science (AREA)
- Plant Pathology (AREA)
- Veterinary Medicine (AREA)
- Agronomy & Crop Science (AREA)
- Public Health (AREA)
- Tropical Medicine & Parasitology (AREA)
- Animal Behavior & Ethology (AREA)
- Chemical Kinetics & Catalysis (AREA)
- General Chemical & Material Sciences (AREA)
- Pharmacology & Pharmacy (AREA)
- Nuclear Medicine, Radiotherapy & Molecular Imaging (AREA)
- Medicinal Chemistry (AREA)
- Agricultural Chemicals And Associated Chemicals (AREA)
Abstract
Description
本発明は、ある種の縮合複素環化合物及びその有害生物防除用途に関する。 The present invention relates to certain condensed heterocyclic compounds and their use for pest control.
WO88/02367には医薬品に利用できる縮合複素環化合物が記載されている。 WO 88/02367 describes fused heterocyclic compounds that can be used in pharmaceuticals.
本発明は、有害生物に対して優れた防除効力を有する化合物及びその化合物を用いた有害生物の防除方法を提供する。
本発明は、以下のものである。
[1]式(1)
[式中、
A1は−NR6−、酸素原子又は硫黄原子を表し、
R1は群Xより選ばれる1個以上の原子若しくは基を有していてもよいC1−C6鎖式炭化水素基又は群Yより選ばれる1個以上の原子若しくは基を有していてもよいC3−C6脂環式炭化水素基を表し、
R2、R3、R4及びR5は同一又は相異なり、1個以上のハロゲン原子を有していてもよいC1−C6鎖式炭化水素基、群Zより選ばれる1個以上の原子若しくは基を有していてもよいフェニル基、群Zより選ばれる1個以上の原子若しくは基を有していてもよい5若しくは6員複素環基、−OR10、−S(O)mR10、−NR10R11、−CR2R10、−C(O)R10、シアノ基、ニトロ基、ハロゲン原子、−SF5又は水素原子を表し、
R6は群Xより選ばれる1個以上の原子若しくは基を有していてもよいC1−C6鎖式炭化水素基、群Yより選ばれる1個以上の原子若しくは基を有していてもよいC3−C6脂環式炭化水素基、−CO2R10、−C(O)R10又は水素原子を表し、
R7及びR8は同一又は相異なり、群Xより選ばれる1個以上の原子若しくは基を有していてもよいC1−C6鎖式炭化水素基、群Zより選ばれる1個以上の原子若しくは基を有していてもよいフェニル基、群Zより選ばれる1個以上の原子若しくは基を有していてもよい5若しくは6員複素環基、−OR10、−S(O)mR10、−S(O)2NR10R11、−NR10R11、−NR10CO2R11、−NR10C(O)R11、−CO2R10、−C(O)R10、シアノ基、ニトロ基、ハロゲン原子、−SF5又は水素原子を表し、
R9は1個以上のハロゲン原子を有していてもよいC1−C6鎖式炭化水素基、−OR10、−S(O)mR10、−NR10R11、−CO2R10、−C(O)R10、シアノ基、ニトロ基、ハロゲン原子又は水素原子を表し、
R10及びR11は同一又は相異なり、1個以上のハロゲン原子を有していてもよいC1−C6鎖式炭化水素基又は水素原子を表し、
mは0、1又は2を表し、nは0、1又は2を表す。
ここで、R7及びR8が同時に水素原子を表すことはなく、−S(O)mR10において、mが1又は2の場合には、R10が水素原子を表すことはない。
群X:1個以上のハロゲン原子を有していてもよいC1−C6アルコキシ基、1個以上のハロゲン原子を有していてもよいC2−C6アルケニルオキシ基、1個以上のハロゲン原子を有していてもよいC2−C6アルキニルオキシ基、1個以上のハロゲン原子を有していてもよいC1−C6アルキルスルファニル基、1個以上のハロゲン原子を有していてもよいC1−C6アルキルスルフィニル基、1個以上のハロゲン原子を有していてもよいC1−C6アルキルスルホニル基、1個以上のハロゲン原子を有していてもよいC2−C6アルキルカルボニル基、1個以上のハロゲン原子を有していてもよいC2−C6アルコキシカルボニル基、1個以上のハロゲン原子を有していてもよいC3−C6シクロアルキル基、シアノ基、ヒドロキシ基及びハロゲン原子からなる群。
群Y:1個以上のハロゲン原子を有していてもよいC1−C6鎖式炭化水素基、1個以上のハロゲン原子を有していてもよいC1−C6アルコキシ基、1個以上のハロゲン原子を有していてもよいC2−C6アルケニルオキシ基、1個以上のハロゲン原子を有していてもよいC2−C6アルキニルオキシ基、ヒドロキシ基及びハロゲン原子からなる群。
群Z:1個以上のハロゲン原子を有していてもよいC1−C6鎖式炭化水素基、1個以上のハロゲン原子を有していてもよいC1−C6アルコキシ基、1個以上のハロゲン原子を有していてもよいC1−C6アルキルスルファニル基、1個以上のハロゲン原子を有していてもよいC1−C6アルキルスルフィニル基、1個以上のハロゲン原子を有していてもよいC1−C6アルキルスルホニル基、1個以上のハロゲン原子を有していてもよいC2−C6アルキルカルボニル基、1個以上のハロゲン原子を有していてもよいC2−C6アルコキシカルボニル基、1個以上のハロゲン原子を有していてもよいC1−C6アルキルアミノ基、1個以上のハロゲン原子を有していてもよいC2−C8ジアルキルアミノ基、ハロゲン原子、シアノ基及びニトロ基からなる群。]
で示される縮合複素環化合物(以下、本発明化合物と記す)。
[2]R7及びR8が同一又は相異なり、1個以上のハロゲン原子を有していてもよいC1−C6鎖式炭化水素基、−OR10、−S(O)mR10、ハロゲン原子又は水素原子である[1]の化合物。
[3]R9が水素原子である[1]又は[2]に記載の化合物。
[4]R2、R4及びR5が同一又は相異なり、水素原子又はハロゲン原子であり、R3が1個以上のハロゲン原子を有していてもよいC1−C6鎖式炭化水素基、−OR10、ハロゲン原子又は水素原子である[1]~[3]に記載の化合物。
[5]A1が−NR6−である[1]~[4]に記載の化合物。
[6]A1が−NR6−であり、R6が1個以上のハロゲン原子を有していてもよいC1−C6鎖式炭化水素基、1個以上のハロゲン原子を有していてもよい(C1−C6アルコキシ)C1−C6アルキル基又はシクロプロピル基である[1]~[4]に記載の化合物。
[7]A1が酸素原子である[1]~[4]に記載の化合物。
[8]A1が硫黄原子である[1]~[4]に記載の化合物。
[9][1]~[8]のいずれかに記載の化合物と、不活性担体とを含有する有害生物防除組成物。
[10][1]~[8]のいずれかに記載の化合物の有効量を有害生物又は有害生物の生息場所に施用する有害生物の防除方法。
The present invention provides a compound having an excellent control effect against pests and a method for controlling pests using the compound.
The present invention is as follows.
[1] Formula (1)
[Where:
A 1 represents —NR 6 —, an oxygen atom or a sulfur atom,
R 1 may have a C1-C6 chain hydrocarbon group which may have one or more atoms or groups selected from group X, or one or more atoms or groups selected from group Y. Represents a C3-C6 alicyclic hydrocarbon group,
R 2 , R 3 , R 4 and R 5 are the same or different and are each a C1-C6 chain hydrocarbon group optionally having one or more halogen atoms, one or more atoms selected from group Z, or A phenyl group which may have a group, a 5- or 6-membered heterocyclic group which may have one or more atoms or groups selected from group Z, -OR 10 , -S (O) m R 10 , -NR 10 R 11, -CR 2 R 10, -C (O) R 10, represents a cyano group, a nitro group, a halogen atom, an -SF 5 or a hydrogen atom,
R 6 may have a C1-C6 chain hydrocarbon group which may have one or more atoms or groups selected from group X, and one or more atoms or groups selected from group Y. C3-C6 alicyclic hydrocarbon group, -CO 2 R 10, represents -C (O) R 10 or a hydrogen atom,
R 7 and R 8 are the same or different and are each a C1-C6 chain hydrocarbon group optionally having one or more atoms or groups selected from group X, one or more atoms selected from group Z, or A phenyl group which may have a group, a 5- or 6-membered heterocyclic group which may have one or more atoms or groups selected from group Z, -OR 10 , -S (O) m R 10 , -S (O) 2 NR 10 R 11 , -NR 10 R 11 , -NR 10 CO 2 R 11 , -NR 10 C (O) R 11 , -CO 2 R 10 , -C (O) R 10 , A cyano group, a nitro group, a halogen atom, —SF 5 or a hydrogen atom;
R 9 is a C1-C6 chain hydrocarbon group optionally having one or more halogen atoms, —OR 10 , —S (O) m R 10 , —NR 10 R 11 , —CO 2 R 10 , -C (O) R 10 represents a cyano group, a nitro group, a halogen atom or a hydrogen atom,
R 10 and R 11 are the same or different and each represents a C1-C6 chain hydrocarbon group or hydrogen atom which may have one or more halogen atoms,
m represents 0, 1 or 2, and n represents 0, 1 or 2.
Here, R 7 and R 8 do not simultaneously represent a hydrogen atom, and in —S (O) m R 10 , when m is 1 or 2, R 10 does not represent a hydrogen atom.
Group X: C1-C6 alkoxy group optionally having one or more halogen atoms, C2-C6 alkenyloxy group optionally having one or more halogen atoms, having one or more halogen atoms C2-C6 alkynyloxy group which may have one or more, C1-C6 alkylsulfanyl group which may have one or more halogen atoms, C1-C6 alkylsulfinyl group which may have one or more halogen atoms A C1-C6 alkylsulfonyl group which may have one or more halogen atoms, a C2-C6 alkylcarbonyl group which may have one or more halogen atoms, and one or more halogen atoms. An optionally substituted C2-C6 alkoxycarbonyl group, a C3-C6 cycloalkyl group optionally having one or more halogen atoms, a cyano group, a hydroxy group The group consisting of fine-halogen atom.
Group Y: C1-C6 chain hydrocarbon group optionally having one or more halogen atoms, C1-C6 alkoxy group optionally having one or more halogen atoms, one or more halogen atoms A group consisting of a C2-C6 alkenyloxy group optionally having one, a C2-C6 alkynyloxy group optionally having one or more halogen atoms, a hydroxy group and a halogen atom.
Group Z: C1-C6 chain hydrocarbon group optionally having one or more halogen atoms, C1-C6 alkoxy group optionally having one or more halogen atoms, one or more halogen atoms A C1-C6 alkylsulfanyl group optionally having one or more, a C1-C6 alkylsulfinyl group optionally having one or more halogen atoms, a C1-C6 optionally having one or more halogen atoms Alkylsulfonyl group, C2-C6 alkylcarbonyl group optionally having one or more halogen atoms, C2-C6 alkoxycarbonyl group optionally having one or more halogen atoms, one or more halogen atoms A C1-C6 alkylamino group optionally having one or more, a C2-C8 dialkylamino group optionally having one or more halogen atoms, a halogen atom, a cyano group, and The group consisting of Toro group. ]
A condensed heterocyclic compound represented by the following (hereinafter referred to as the present compound).
[2] R 7 and R 8 are the same or different and may have one or more halogen atoms, a C1-C6 chain hydrocarbon group, —OR 10 , —S (O) m R 10 , halogen The compound of [1], which is an atom or a hydrogen atom.
[3] The compound according to [1] or [2], wherein R 9 is a hydrogen atom.
[4] R 1 , R 4 and R 5 are the same or different and are a hydrogen atom or a halogen atom, and R 3 may have one or more halogen atoms, a C1-C6 chain hydrocarbon group, The compound according to [1] to [3], which is —OR 10 , a halogen atom or a hydrogen atom.
[5] The compound according to [1] to [4], wherein A 1 is —NR 6 —.
[6] A 1 is —NR 6 —, and R 6 may be a C1-C6 chain hydrocarbon group which may have one or more halogen atoms, or may have one or more halogen atoms. The compound according to [1] to [4], which is a good (C1-C6 alkoxy) C1-C6 alkyl group or a cyclopropyl group.
[7] The compound according to [1] to [4], wherein A 1 is an oxygen atom.
[8] The compound according to [1] to [4], wherein A 1 is a sulfur atom.
[9] A pest control composition comprising the compound according to any one of [1] to [8] and an inert carrier.
[10] A method for controlling pests, which comprises applying an effective amount of the compound according to any one of [1] to [8] to a pest or a pest habitat.
本明細書の記載において用いられる基について、例を挙げて以下に説明する。
本明細書におけるCa−Cb鎖式炭化水素基の表記は、炭素原子数がa~b個である直鎖状又は分岐鎖状の飽和又は不飽和炭化水素基を表す。
Ca−Cbアルキル基の表記は、炭素原子数がa~b個である直鎖状又は分岐鎖状の炭化水素基を表す。
「C1−C6鎖式炭化水素基」としては、例えばメチル基、エチル基、プロピル基、イソプロピル基、ブチル基、イソブチル基、sec−ブチル基、tert−ブチル基、ペンチル基、ネオペンチル基、ヘキシル基等のC1−C6アルキル基;及びビニル基、1−プロペニル基、2−プロペニル基、1−メチルビニル基、2−メチル−1−プロペニル基、1−ブテニル基、2−ブテニル基、3−ブテニル基、1−ペンテニル基、1−ヘキセニル基等のC2−C6アルケニル基;及びエチニル基、プロパルギル基、2−ブチニル基、3−ブチニル基、1−ペンチニル基、1−ヘキシニル基等のC2−C6アルキニル基が挙げられる。
Ca−Cbアルケニル基の表記は、炭素原子数がa~b個である直鎖状又は分岐鎖状で、且つ分子内に1個又は2個以上の二重結合を有する不飽和炭化水素基を表す。
「C2−C6アルケニル基」としては、例えばビニル基、1−プロペニル基、2−プロペニル基、1−メチルビニル基、2−メチル−1−プロペニル基、1−ブテニル基、2−ブテニル基、3−ブテニル基、1−ペンテニル基及び1−ヘキセニル基が挙げられる。
Ca−Cbアルキニル基の表記は、炭素原子数がa~b個である直鎖状又は分岐鎖状で、且つ分子内に1個又は2個以上の三重結合を有する不飽和炭化水素基を表す。
「C2−C6アルキニル基」としては、例えばエチニル基、プロパルギル基、2−ブチニル基、3−ブチニル基、1−ペンチニル基及び1−ヘキシニル基が挙げられる。
Ca−Cbアルコキシ基の表記は、炭素原子数がa~b個である直鎖状又は分岐鎖状のアルキル−O−基を表す。
「C1−C6アルコキシ基」としては、例えばメトキシ基、エトキシ基、プロポキシ基、イソプロポキシ基、ブトキシ基、イソブトキシ基、sec−ブトキシ基、tert−ブトキシ基、ペンチルオキシ基、ネオペンチルオキシ基及びヘキシルオキシ基が挙げられる。
Ca−Cbアルケニルオキシ基の表記は、炭素原子数がa~b個である直鎖状又は分岐鎖状で、且つ分子内に1個又は2個以上の二重結合を有するアルケニル−O−基を表す。
「C2−C6アルケニルオキシ基」としては、例えばビニルオキシ基、1−プロペニルオキシ基、2−プロペニルオキシ基、1−メチルビニルオキシ基、2−メチル−1−プロペニルオキシ基、1−ブテニルオキシ基、2−ブテニルオキシ基、3−ブテニルオキシ基、1−ペンテニルオキシ基及び1−ヘキセニルオキシ基が挙げられる。
Ca−Cbアルキニルオキシ基の表記は、炭素原子数がa~b個である直鎖状又は分岐鎖状で、且つ分子内に1個又は2個以上の三重結合を有するアルキニル−O−基を表す。
「C2−C6アルキニルオキシ基」としては、例えばエチニルオキシ基、プロパルギルオキシ基、2−ブチニルオキシ基、3−ブチニルオキシ基、1−ペンチニルオキシ基及び1−ヘキシニルオキシ基が挙げられる。
Ca−Cbアルキルスルファニル基の表記は、炭素原子数がa~b個である直鎖状又は分岐鎖状のアルキル−S−基を表す。
「C1−C6アルキルスルファニル基」としては、例えばメチルスルファニル基、エチルスルファニル基、プロピルスルファニル基、イソプロピルスルファニル基、ブチルスルファニル基、ペンチルスルファニル基及びヘキシルスルファニル基が挙げられる。
Ca−Cbアルキルスルフィニル基の表記は、炭素原子数がa~b個である直鎖状又は分岐鎖状のアルキル−S(O)−基を表す。
「C1−C6アルキルスルフィニル基」としては、例えばメチルスルフィニル基、エチルスルフィニル基、プロピルスルフィニル基、イソプロピルスルフィニル基、ブチルスルフィニル基、ペンチルスルフィニル基及びヘキシルスルフィニル基が挙げられる。
Ca−Cbアルキルスルホニル基の表記は、炭素原子数がa~b個である直鎖状又は分岐鎖状のアルキル−S(O)2−基を表す。
「C1−C6アルキルスルホニル基」としては、例えばメチルスルホニル基、エチルスルホニル基、プロピルスルホニル基、イソプロピルスルホニル基、ブチルスルホニル基、ペンチルスルホニル基及びヘキシルスルホニル基が挙げられる。
Ca−Cbアルキルカルボニル基の表記は、炭素原子数がa~b個である直鎖状又は分岐鎖状のアルキル−C(O)−基を表す。
「C2−C6アルキルカルボニル基」としては、例えばアセチル基、プロピオニル基、ブチリル基、ペンタノイル基及びヘキサノイル基が挙げられる。
Ca−Cbアルコキシカルボニル基の表記は、炭素原子数がa~b個である直鎖状又は分岐鎖状のアルキル−O−C(O)−基を表す。
「C2−C6アルコキシカルボニル基」としては、例えばメトキシカルボニル基、エトキシカルボニル基、プロポキシカルボニル基、ブトキシカルボニル基、ペンチルオキシカルボニル基及びtert−ブトキシカルボニル基が挙げられる。
Ca−Cb脂環式炭化水素基の表記は、炭素原子数がa~b個である環状の非芳香族炭化水素基を表す。
「C3−C6脂環式炭化水素基」としては、例えばシクロプロピル基、シクロブチル基、シクロペンチル基、シクロヘキシル基、1−シクロヘキセニル基、2−シクロヘキセニル基及び3−シクロヘキセニル基が挙げられる。
Ca−Cbシクロアルキル基の表記は、炭素原子数がa~b個である環状のアルキル基を表す。
「C3−C6シクロアルキル基」としては、例えばシクロプロピル基、シクロブチル基、シクロペンチル基及びシクロヘキシル基が挙げられる。
Ca−Cbアルキルアミノ基の表記は、炭素原子数がa~b個である直鎖状又は分岐鎖状のアルキル−NH−基を表す。
「C1−C6アルキルアミノ基」としては、例えばメチルアミノ基、エチルアミノ基、プロピルアミノ基、イソプロピルアミノ基、ブチルアミノ基等が挙げられる。
Ca−Cbジアルキルアミノ基の表記は、それぞれアルキル基の炭素原子数が同一又は異なっていてもよく、それぞれの炭素原子数の総和がa~b個である直鎖状又は分岐鎖状のジアルキルアミノ基を表す。
「C2−C8ジアルキルアミノ基」としては、例えばジメチルアミノ基、ジエチルアミノ基、ジプロピルアミノ基が挙げられる。
Ca−Cbアルコキシアルキル基の表記は、それぞれアルキル基の炭素原子数が同一又は異なっていてもよく、それぞれの炭素原子数の総和がa~b個である直鎖状又は分岐鎖状のアルキル−O−アルキル基を表す。
「(C1−C6アルコキシ)C1−C6アルキル基」としては、例えばメトキシメチル基、エトキシメチル基、1−(メトキシ)エチル基、2−(メトキシ)エチル基、1−(エトキシ)エチル基、2−(エトキシ)エチル基等が挙げられる。
本明細書における「群Xより選ばれる1個以上の原子若しくは基を有していてもよい」の表記は、群Xより選ばれる2個以上の原子若しくは基を有している場合、それらの群Xより選ばれる原子若しくは基は互いに同一でも異なっていてもよい。
本明細書における「群Yより選ばれる1個以上の原子若しくは基を有していてもよい」の表記は、群Yより選ばれる2個以上の原子若しくは基を有している場合、それらの群Yより選ばれる原子若しくは基は互いに同一でも異なっていてもよい。
本明細書における「群Zより選ばれる1個以上の原子若しくは基を有していてもよい」の表記は、群Zより選ばれる2個以上の原子若しくは基を有している場合、それらの群Zより選ばれる原子若しくは基は互いに同一でも異なっていてもよい。
本明細書における「1個以上のハロゲン原子を有していてもよい」の表記は、2個以上のハロゲン原子を有している場合、それらのハロゲン原子は互いに同一でも異なっていてもよい。
本発明化合物において、「ハロゲン原子」とはフッ素原子、塩素原子、臭素原子及びヨウ素原子を意味する。
本発明化合物において「群Xより選ばれる1個以上の原子若しくは基を有していてもよいC1−C6鎖式炭化水素基」の表記は、炭素原子に結合した水素原子が群Xより選ばれる原子若しくは基によって任意に置換された、炭素原子数が1~6個である直鎖状又は分岐鎖状の炭化水素基を表し、このとき、群Xより選ばれる2個以上の原子若しくは基を有している場合、それらの群Xより選ばれる原子若しくは基は互いに同一でも、異なっていてもよい。
「群Xより選ばれる1個以上の原子若しくは基を有していてもよいC1−C6鎖式炭化水素基」としては、例えばメチル基、エチル基、プロピル基、イソプロピル基、ブチル基、イソブチル基、sec−ブチル基、tert−ブチル基、ペンチル基、ネオペンチル基、ヘキシル基、メトキシメチル基、エトキシメチル基、プロポキシメチル基、イソプロポキシメチル基、ブトキシメチル基、sec−ブトキシメチル基、tert−ブトキシメチル基、2−メトキシエチル基、2−エトキシエチル基、2−プロポキシエチル基、2−イソプロポキシエチル基、2−ブトキシエチル基、2−sec−ブトキシエチル基、2−tert−ブトキシエチル基、トリフルオロメチル基、トリクロロメチル基、2−フルオロエチル基、2,2−ジフルオロエチル基、2,2,2−トリフルオロエチル基及びペンタフルオロエチル基、メチルスルファニルエチル基、エチルスルファニルエチル基、メチルスルフィニルエチル基、メチルスルホニルエチル基、2−ヒドロキシエチル基、シクロプロピルメチル基、1−メチルシクロプロピルメチル基、2,2−ジフルオロシクロプロピルメチル基等の群Xより選ばれる1個以上の原子若しくは基を有していてもよいC1−C6アルキル基;ビニル基、1−プロペニル基、2−プロペニル基、1−メチルビニル基、2−メチル−1−プロペニル基、1−ブテニル基、2−ブテニル基、3−ブテニル基、1−ペンテニル基、1−ヘキセニル基、1,1−ジフルオロアリル基、ペンタフルオロアリル基等の群Xより選ばれる1個以上の原子若しくは基を有していてもよいC2−C6アルケニル基;及びエチニル基、プロパルギル基、2−ブチニル基、3−ブチニル基、1−ペンチニル基、1−ヘキシニル基、4,4,4−トリフルオロ−2−ブチニル基等の群Xより選ばれる1個以上の原子若しくは基を有していてもよいC2−C6アルキニル基が挙げられ、各々の指定の炭素原子数の範囲で選択される。
本発明化合物において「群Yより選ばれる1個以上の原子若しくは基を有していてもよいC3−C6脂環式炭化水素基」の表記は、炭素原子に結合した水素原子が群Yより選ばれる原子若しくは基によって任意に置換された、炭素原子数が3~6個である環状の非芳香族炭化水素基を表し、このとき、群Yより選ばれる2個以上の原子若しくは基を有している場合、それらの群Yより選ばれる原子若しくは基は互いに同一でも異なっていてもよい。
「群Yより選ばれる1個以上の原子若しくは基を有していてもよいC3−C6脂環式炭化水素基」としては、例えばシクロプロピル基、シクロブチル基、シクロペンチル基シクロヘキシル基、1−シクロヘキセニル基、2−シクロヘキセニル基、3−シクロヘキセニル基、1−メチルシクロヘキシル基、2−メチルシクロヘキシル基、3−メチルシクロヘキシル基、4−メチルシクロヘキシル基、2−メトキシシクロヘキシル基、3−メトキシシクロヘキシル基、4−メトキシシクロヘキシル基、1−フルオロシクロヘキシル基、2−フルオロシクロヘキシル基、3−フルオロシクロヘキシル基及び4−フルオロシクロヘキシル基が挙げられる。
本発明化合物において「1個以上のハロゲン原子を有していてもよいC1−C6鎖式炭化水素基」の表記は、炭素原子に結合した水素原子がハロゲン原子によって任意に置換された、炭素原子数が1~6個である直鎖状又は分岐鎖状の炭化水素基を表し、このとき、2個以上のハロゲン原子を有している場合、それらのハロゲン原子は互いに同一でも異なっていてもよい。
「1個以上のハロゲン原子を有していてもよいC1−C6鎖式炭化水素基」としては、例えばメチル基、エチル基、プロピル基、イソプロピル基、ブチル基、イソブチル基、sec−ブチル基、tert−ブチル基、ペンチル基、ネオペンチル基、ヘキシル基、トリフルオロメチル基、トリクロロメチル基、2−フルオロエチル基、2,2−ジフルオロエチル基、2,2,2−トリフルオロエチル基及びペンタフルオロエチル基、ヘプタフルオロプロピル基、ヘプタフルオロイソプロピル基等の1個以上のハロゲン原子を有していてもよいC1−C6アルキル基;ビニル基、1−プロペニル基、2−プロペニル基、1−メチルビニル基、2−メチル−1−プロペニル基、1−ブテニル基、2−ブテニル基、3−ブテニル基、1−ペンテニル基、1−ヘキセニル基、1,1−ジフルオロアリル基、ペンタフルオロアリル基等の1個以上のハロゲン原子を有していてもよいC2−C6アルケニル基;及びエチニル基、プロパルギル基、2−ブチニル基、3−ブチニル基、1−ペンチニル基、1−ヘキシニル基、4,4,4−トリフルオロ−2−ブチニル基等の1個以上のハロゲン原子を有していてもよいC2−C6アルキニル基が挙げられ、各々の指定の炭素原子数の範囲で選択される。
本発明化合物において「群Zより選ばれる1個以上の原子若しくは基を有していてもよいフェニル基」の表記は、炭素原子に結合した水素原子が群Zより選ばれる原子若しくは基によって任意に置換されたフェニル基を表し、このとき、群Zより選ばれる2個以上の原子若しくは基を有している場合、それらの群Zより選ばれる原子若しくは基は互いに同一でも異なっていてもよい。
「群Zより選ばれる1個以上の原子若しくは基を有していてもよいフェニル基」としては、例えばフェニル基、2−フルオロフェニル基、3−フルオロフェニル基、4−フルオロフェニル基、2,3−ジフルオロフェニル基、2,4−ジフルオロフェニル基、2,5−ジフルオロフェニル基、2,6−ジフルオロフェニル基、3,4−ジフルオロフェニル基、3,5−ジフルオロフェニル基、2,3,4,5,6−ペンタフルオロフェニル基、2−クロロフェニル基、3−クロロフェニル基、4−クロロフェニル基、2−ブロモフェニル基、3−ブロモフェニル基、4−ブロモフェニル基、2−ヨードフェニル基、3−ヨードフェニル基、4−ヨードフェニル基、2−トリフルオロメチルフェニル基、3−トリフルオロメチルフェニル基、4−トリフルオロメチルフェニル基、2−トリフルオロメトキシフェニル基、3−トリフルオロメトキシフェニル基、4−トリフルオロメトキシフェニル基、2−トリフルオロメチルスルファニルフェニル基、3−トリフルオロメチルスルファニルフェニル基、4−トリフルオロメチルスルファニルフェニル基、4−メトキシカルボニルフェニル基、4−ニトロフェニル基、4−シアノフェニル基、4−メチルアミノフェニル基、4−ジメチルアミノフェニル基、4−メチルスルフィニルフェニル基、4−メチルスルホニルフェニル基、4−アセチルフェニル基及び4−メトキシカルボニルフェニル基が挙げられる。
本発明化合物において「複素環基」とは、環構造において、炭素原子以外に、窒素原子、酸素原子及び硫黄原子を1個以上含む複素環化合物残基を表す。
また、本発明化合物において、5員複素環基とは、5員芳香族複素環基又は5員非芳香族複素環基を意味し、6員複素環基とは、6員芳香族複素環基又は6員非芳香族複素環基を意味する。
本発明化合物において「群Zより選ばれる1個以上の原子若しくは基を有していてもよい5若しくは6員複素環基」における「複素環基」とは、環構造において炭素原子以外に、窒素原子、酸素原子及び硫黄原子を1個以上含む複素環化合物残基を表し、このとき、群Zより選ばれる2個以上の原子若しくは基を有している場合、それらの群Zより選ばれる原子若しくは基は互いに同一でも異なっていてもよい。また、本発明化合物において「5若しくは6員複素環基」とは、5若しくは6員芳香族複素環基又は5若しくは6員非芳香族複素環基を意味する。
「群Zより選ばれる1個以上の原子若しくは基を有していてもよい5若しくは6員複素環基」としては、例えばピロリジン−1−イル基、3,3,4,4−テトラフルオロピロリジン−1−イル基、テトラヒドロフラン−2−イル基、ピペリジル基、モルフォリニル基、チオモルフォリニル基等の群Zより選ばれる1個以上の原子若しくは基を有していてもよい5若しくは6員非芳香族複素環基;及び2−ピロリル基、2−フリル基、3−フリル基、5−ピラゾリル基、4−ピラゾリル基、1−ピロリル基、1−メチル−2−ピロリル基、2−メチルスルファニル−1−ピロリル基、2−メチルスルフィニル−1−ピロリル基、2−メチルスルホニル−1−ピロリル基、2−メチルアミノ−1−ピロリル基、2−ジメチルアミノ−1−ピロリル基、5−ブロモ−2−フリル基、5−ニトロ−2−フリル基、5−シアノ−2−フリル基、5−メトキシ−2−フリル基、5−アセチル−2−フリル基、5−メトキシカルボニル−2−フリル基、2−メチル−3−フリル基、2,5−ジメチル−3−フリル基、2,4−ジメチル−3−フリル基、5−メチル−2−チエニル基、3−メチル−2−チエニル基、1−メチル−3−トリフルオロメチル−5−ピラゾリル基、5−クロロ−1,3−ジメチル−4−ピラゾリル基、ピラゾール−1−イル基、3−クロロ−ピラゾール−1−イル基、3−ブロモピラゾール−1−イル基、4−クロロピラゾール−1−イル基、4−ブロモピラゾール−1−イル基、イミダゾール−1−イル基、1,2,4−トリアゾール−1−イル基、3−クロロ−1,2,4−トリアゾール−1−イル基、1,2,3,4−テトラゾール−1−イル基、1,2,3,5−テトラゾール−1−イル基、2−チエニル基、3−チエニル基、3−トリフルオロメチル−1,2,4−トリアゾール−1−イル基、4−トリフルオロメチルピラゾール−1−イル基、ピラジニル基、4−ピリミジニル基、5−ピリミジニル基、2−ピリジル基、3−ピリジル基、4−ピリジル基、3−フルオロ−2−ピリジル基、4−フルオロ−2−ピリジル基、5−フルオロ−2−ピリジル基、6−フルオロ−2−ピリジル基、2−ピリミジニル基、3−クロロ−5−トリフルオロメチルピリジン−2−イル基、5−トリフルオロメチルピリジン−2−イル基等の群Zより選ばれる1個以上の原子若しくは基を有していてもよい5若しくは6員芳香族複素環基が挙げられる。
本発明化合物において「1個以上のハロゲン原子を有していてもよいC1−C6アルコキシ基」としては、例えばメトキシ基、トリフルオロメトキシ基、エトキシ基、2,2,2−トリフルオロエトキシ基、プロポキシ基、イソプロポキシ基、ブトキシ基、イソブトキシ基、sec−ブトキシ基、tert−ブトキシ基、ペンチルオキシ基及びヘキシルオキシ基が挙げられる。
本発明化合物において「1個以上のハロゲン原子を有していてもよいC2−C6アルケニルオキシ基」としては、例えば2−プロペニルオキシ基、2−メチル−2−プロペニルオキシ基、2−ブテニルオキシ基、3−ブテニルオキシ基、2−ペンテニルオキシ基、2−ヘキセニルオキシ基、3,3−ジフルオロアリルオキシ基及び3,3−ジクロロアリルオキシ基が挙げられる。
本発明化合物において「1個以上のハロゲン原子を有していてもよいC2−C6アルキニルオキシ基」としては、例えばプロパルギルオキシ基、2−ブチニルオキシ基、3−ブチニルオキシ基、2−ペンチニルオキシ基、2−ヘキシニルオキシ基及び4,4,4−トリフルオロ−2−ブチニルオキシ基が挙げられる。
本発明化合物において「1個以上のハロゲン原子を有していてもよいC1−C6アルキルスルファニル基」としては、例えばメチルスルファニル基、エチルスルファニル基、プロピルスルファニル基、イソプロピルスルファニル基、ブチルスルファニル基、ペンチルスルファニル基、ヘキシルスルファニル基、トリフルオロメチルスルファニル基、2,2,2−トリフルオロエチルスルファニル基及びペンタフルオロエチルスルファニル基が挙げられる。
本発明化合物において「1個以上のハロゲン原子を有していてもよいC1−C6アルキルスルフィニル基」としては、例えばメチルスルフィニル基、エチルスルフィニル基、プロピルスルフィニル基、イソプロピルスルフィニル基、ブチルスルフィニル基、ペンチルスルフィニル基、ヘキシルスルフィニル基、トリフルオロメチルスルフィニル基、2,2,2−トリフルオロエチルスルフィニル基及びペンタフルオロエチルスルフィニル基が挙げられる。
本発明化合物において「1個以上のハロゲン原子を有していてもよいC1−C6アルキルスルホニル基」としては、例えばメチルスルホニル基、エチルスルホニル基、プロピルスルホニル基、イソプロピルスルホニル基、ブチルスルホニル基、ペンチルスルホニル基、ヘキシルスルホニル基、トリフルオロメチルスルホニル基、2,2,2−トリフルオロエチルスルホニル基及びペンタフルオロエチルスルホニル基が挙げられる。
本発明化合物において「1個以上のハロゲン原子を有していてもよいC2−C6アルキルカルボニル基亅としては、例えばアセチル基、プロピオニル基、ブチリル基、ペンタノイル基、ヘキサノイル基及びトリフルオロアセチル基が挙げられる。
本発明化合物において「1個以上のハロゲン原子を有していてもよいC2−C6アルコキシカルボニル基」としては、例えばメトキシカルボニル基、エトキシカルボニル基、プロポキシカルボニル基、ブトキシカルボニル基、ペンチルオキシカルボニル基、tert−ブトキシカルボニル基及び2,2,2−トリフルオロエトキシカルボニル基が挙げられる。
本発明化合物において「1個以上のハロゲン原子を有していてもよいC3−C6シクロアルキル基」としては、例えばシクロプロピル基、2,2−ジフルオロシクロプロピル基、2,2−ジクロロシクロプロピル基、2,2−ジブロモシクロプロピル基、シクロブチル基、シクロペンチル基及びシクロヘキシル基が挙げられる。
本発明化合物において「1個以上のハロゲン原子を有していてもよいC1−C6アルキルアミノ基」としては、例えばメチルアミノ基、エチルアミノ基、2,2,2−トリフルオロエチルアミノ基、プロピルアミノ基、イソプロピルアミノ基及びブチルアミノ基が挙げられる。
本発明化合物において「1個以上のハロゲン原子を有していてもよいC2−C8ジアルキルアミノ基」としては、例えばジメチルアミノ基、ジエチルアミノ基、ビス(2,2,2−トリフルオロエチル)アミノ基及びジプロピルアミノ基が挙げられる。
本発明化合物において「1個以上のハロゲン原子を有していてもよい(C1−C6アルコキシ)C1−C6アルキル基」としては、例えばメトキシメチル基、エトキシメチル基、1−(メトキシ)エチル基、2−(メトキシ)エチル基、1−(エトキシ)エチル基及び2−(エトキシ)エチル基が挙げられる。
本発明化合物において「5若しくは6員芳香族複素環基(ここで該5若しくは6員芳香族複素環基は、ハロゲン原子、ハロゲン原子を有していてもよいC1−C3アルキル基、及び、ハロゲン原子を有していてもよいC1−C3アルコキシ基からなる群より選ばれる1個以上の原子若しくは基を有していてもよい。)」としては、例えば2−ピロリル基、2−フリル基、3−フリル基、5−ピラゾリル基、4−ピラゾリル基、1−ピロリル基、1−メチル−2−ピロリル基、5−ブロモ−2−フリル基、5−メトキシ−2−フリル基、2−メチル−3−フリル基、2,5−ジメチル−3−フリル基、2,4−ジメチル−3−フリル基、5−メチル−2−チエニル基、3−メチル−2−チエニル基、1−メチル−3−トリフルオロメチル−5−ピラゾリル基、5−クロロ−1,3−ジメチル−4−ピラゾリル基、ピラゾール−1−イル基、3−クロロ−ピラゾール−1−イル基、3−ブロモピラゾール−1−イル基、4−クロロピラゾール−1−イル基、4−ブロモピラゾール−1−イル基、イミダゾール−1−イル基、1,2,4−トリアゾール−1−イル基、3−クロロ−1,2,4−トリアゾール−1−イル基、1,2,3,4−テトラゾール−1−イル基、1,2,3,5−テトラゾール−1−イル基、2−チエニル基、3−チエニル基、3−トリフルオロメチル−1,2,4−トリアゾール−1−イル基、4−トリフルオロメチルピラゾール−1−イル基、ピラジニル基、4−ピリミジニル基、5−ピリミジニル基、2−ピリジル基、3−ピリジル基、4−ピリジル基、3−フルオロ−2−ピリジル基、4−フルオロ−2−ピリジル基、5−フルオロ−2−ピリジル基、6−フルオロ−2−ピリジル基、2−ピリミジニル基、3−クロロ−5−トリフルオロメチルピリジン−2−イル基及び5−トリフルオロメチルピリジン−2−イル基が挙げられる。
本発明化合物において「C1−C6ハロアルキル基」の表記は、炭素原子に結合した水素原子がハロゲン原子によって1個以上置換された、炭素原子数が1~6個である直鎖状又は分岐鎖状のアルキル基を表し、このとき、2個以上のハロゲン原子を有している場合、それらのハロゲン原子は互いに同一でも異なっていてもよい。
「C1−C6ハロアルキル基」としては、例えばフルオロメチル基、クロロメチル基、ブロモメチル基、ヨードメチル基、ジフルオロメチル基、ジクロロメチル基、トリフルオロメチル基、クロロジフルオロメチル基、ブロモジフルオロメチル基、トリクロロメチル基、2−フルオロエチル基、2−クロロエチル基、2−ブロモエチル基、2,2−ジフルオロエチル基、2,2,2−トリフルオロエチル基、ペンタフルオロエチル基、ヘプタフルオロプロピル基及びヘプタフルオロイソプロピル基が挙げられる。
本発明化合物において「C1−C6パーフルオロアルキル基」としては、例えばトリフルオロメチル基、ペンタフルオロエチル基、ヘプタフルオロプロピル基及びヘプタフルオロイソプロピル基等が挙げられる。
本発明化合物において「(C1−C6アルコキシ)C1−C6アルキル基」は、C1−C6アルコキシ基で置換されたC1−C6アルキル基である。その炭素数は、例えば、2~6である。この炭素数を有する「(C1−C6アルコキシ)C1−C6アルキル基」を「C2−C6アルコキシアルキル基」と表すことができる。
本発明化合物としては、例えば、以下の化合物が挙げられる。
式(1−1)
[式中、
A1aは−NR6a−、酸素原子又は硫黄原子を表し、
R1aはハロゲン原子及びシクロプロピル基からなる群より選ばれる1個以上の原子若しくは基を有していてもよいC1−C6アルキル基(ここで、該シクロプロピル基は、1個以上のハロゲン原子又は1個以上のC1−C3アルキル基を有していてもよい)、1個以上のハロゲン原子を有していてもよいC2−C6アルケニル基、1個以上のハロゲン原子を有していてもよいC2−C6アルキニル基又はシクロプロピル基を表し、
R2a、R4a及びR5aは同一又は相異なり、ハロゲン原子又は水素原子を表し、
R3aは1個以上のハロゲン原子を有していてもよいC1−C6アルキル基、1個以上のハロゲン原子を有していてもよいC2−C6アルケニル基、1個以上のハロゲン原子を有していてもよいC2−C6アルキニル基、5若しくは6員芳香族複素環基(ここで該5若しくは6員芳香族複素環基は、ハロゲン原子、ハロゲン原子を有していてもよいC1−C3アルキル基及びハロゲン原子を有していてもよいC1−C3アルコキシ基からなる群より選ばれる1個以上の原子若しくは置換基を有していてもよい。)、−OR20a(ここで、R20aは1個以上のハロゲン原子を有していてもよいC1−C6アルキル基を表す。)、−S(O)mR21a(ここで、R21aは1個以上のハロゲン原子を有していてもよいC1−C6アルキル基を表し、mは0、1又は2を表す。)、シアノ基、ニトロ基、ハロゲン原子又は水素原子を表し、
R6aは1個以上のハロゲン原子を有していてもよいC1−C6アルキル基、1個以上のハロゲン原子を有していてもよいC3−C6アルケニル基、1個以上のハロゲン原子を有していてもよいC3−C6アルキニル基を表し、
R8aは1個以上のハロゲン原子を有していてもよいC1−C6アルキル基、−OR22a(ここで、R22aは1個以上のハロゲン原子を有していてもよいC1−C6アルキル基を表す。)、−S(O)mR23a(ここで、R23aは1個以上のハロゲン原子を有していてもよいC1−C6アルキル基を表し、mは0、1又は2を表す。)、−SF5又はハロゲン原子を表し、
nは0、1又は2を表す。]で示される化合物。
式(1−2)
[式中、
R1bはエチル基、シクロプロピル基又はシクロプロピルメチル基を表し、
R6bはメチル基又はプロパルギル基を表し、
R2b、R4b及びR5bは同一又は相異なり、ハロゲン原子又は水素原子を表し、
R3bは1個以上のハロゲン原子を有していてもよいC1−C6アルキル基、−OR20b(ここで、R20bは1個以上のハロゲン原子を有していてもよいC1−C6アルキル基を表す。)、−S(O)mR21b(ここで、R21bは1個以上のハロゲン原子を有していてもよいC1−C6アルキル基を表し、mは0、1又は2を表す。)、ハロゲン原子又は水素原子を表し、
R8bは、C1−C6ハロアルキル基、−OR22b(ここで、R22bはC1−C6ハロアルキル基を表す。)、−S(O)mR23b(ここで、R23bはC1−C6ハロアルキル基を表し、mは0、1又は2を表す。)、−SF5又はハロゲン原子を表し、
nは0、1又は2を表す。]で示される化合物。
式(1−3)
[式中、
R1bはエチル基、シクロプロピル基又はシクロプロピルメチル基を表し、
R2b、R4b及びR5bは同一又は相異なり、ハロゲン原子又は水素原子を表し、
R3bは1個以上のハロゲン原子を有していてもよいC1−C6アルキル基、−OR20b(ここで、R20bは1個以上のハロゲン原子を有していてもよいC1−C6アルキル基を表す。)、−S(O)mR21b(ここで、R21bは1個以上のハロゲン原子を有していてもよいC1−C6アルキル基を表し、mは0、1又は2を表す。)、ハロゲン原子又は水素原子を表し、
R8bは、C1−C6ハロアルキル基、−OR22b(ここで、R22bはC1−C6ハロアルキル基を表す。)、−S(O)mR23b(ここで、R23bはC1−C6ハロアルキル基を表し、mは0、1又は2を表す。)、−SF5又はハロゲン原子を表し、
nは0、1又は2を表す。]で示される化合物。
式(1−4)
[式中、
R1bはエチル基、シクロプロピル基又はシクロプロピルメチル基を表し、
R2b、R4b及びR5bは同一又は相異なり、ハロゲン原子又は水素原子を表し、
R3bは1個以上のハロゲン原子を有していてもよいC1−C6アルキル基、−OR20b(ここで、R20bは1個以上のハロゲン原子を有していてもよいC1−C6アルキル基を表す。)、−S(O)mR21b(ここで、R21bは1個以上のハロゲン原子を有していてもよいC1−C6アルキル基を表し、mは0、1又は2を表す。)、ハロゲン原子又は水素原子を表し、
R8bは、C1−C6ハロアルキル基、−OR22b(ここで、R22bはC1−C6ハロアルキル基を表す。)、−S(O)mR23b(ここで、R23bはC1−C6ハロアルキル基を表し、mは0、1又は2を表す。)、−SF5又はハロゲン原子を表し、
nは0、1又は2を表す。]で示される化合物。
式(1−5)
[式中、
R1bはエチル基、シクロプロピル基又はシクロプロピルメチル基を表し、
R60bは水素原子又は1個以上のハロゲン原子を有していてもよい(C1−C6アルコキシ)C1−C6アルキル基を表し、
R3bは1個以上のハロゲン原子を有していてもよいC1−C6アルキル基、−OR20b(ここで、R20bは1個以上のハロゲン原子を有していてもよいC1−C6アルキル基を表す。)、−S(O)mR21b(ここで、R21bは1個以上のハロゲン原子を有していてもよいC1−C6アルキル基を表し、mは0、1又は2を表す。)、ハロゲン原子又は水素原子を表し、
R8bは、C1−C6ハロアルキル基、−OR22b(ここで、R22bはC1−C6ハロアルキル基を表す。)、−S(O)mR23b(ここで、R23bはC1−C6ハロアルキル基を表し、mは0、1又は2を表す。)、−SF5又はハロゲン原子を表し、
nは0、1又は2を表す。]で示される化合物。
式(1)において、A1が−NR6−である化合物。
式(1)において、A1が酸素原子である化合物。
式(1)において、A1が硫黄原子である化合物。
式(1)において、A1が−NR6−、酸素原子又は硫黄原子であり、R6が1個以上のハロゲン原子を有していてもよいC1−C6鎖式炭化水素基、(C1−C6アルコキシ)C1−C6アルキル基、シクロプロピル基又は水素原子である化合物。
式(1)において、A1が−NR6−、酸素原子又は硫黄原子であり、R6が1個以上のハロゲン原子を有していてもよいC1−C6鎖式炭化水素基、(C1−C6アルコキシ)C1−C6アルキル基又はシクロプロピル基である化合物。
式(1)において、A1が−NR6−、酸素原子又は硫黄原子であり、R6がC1−C6アルキル基である化合物。
式(1)において、A1が−NR6−、酸素原子又は硫黄原子であり、R6がメチル基、エチル基、プロピル基、イソプロピル基、メトキシメチル基、エトキシメチル基又はシクロプロピル基である化合物。
式(1)において、A1が−NR6−、酸素原子又は硫黄原子であり、R6がメチル基である化合物。
式(1)において、A1が−NR6−、酸素原子又は硫黄原子であり、R6が水素原子である化合物。
式(1)において、A1が−NR6−であり、R6が1個以上のハロゲン原子を有していてもよいC1−C6鎖式炭化水素基、1個以上のハロゲン原子を有していてもよい(C1−C6アルコキシ)C1−C6アルキル基又はシクロプロピル基である化合物。
式(1)において、A1が−NR6−であり、R6がC1−C6アルキル基である化合物。
式(1)において、A1が−NR6−であり、R6がメチル基、エチル基、プロピル基、イソプロピル基、メトキシメチル基、エトキシメチル基、シクロプロピル基又は水素原子である化合物。
式(1)において、A1が−NR6−であり、R6がメチル基、エチル基、プロピル基、イソプロピル基、メトキシメチル基、エトキシメチル基又はシクロプロピル基である化合物。
式(1)において、A1が−NR6−であり、R6がメチル基である化合物。
式(1)において、A1が−NR6−であり、R6がメチル基又は水素原子である化合物。
式(1)において、A1が−NR6−であり、R6が水素原子である化合物。
式(1)において、A1が−NR6−であり、R8がメトキシメチル基、エトキシメチル基又は水素原子である化合物。
式(1)において、R1が群Xより選ばれる1個以上の原子若しくは基を有していてもよいC1−C6鎖式炭化水素基である化合物。
式(1)において、R1が1個以上のハロゲン原子を有していてもよいC1−C6鎖式炭化水素基である化合物。
式(1)において、R1が1個以上のフッ素原子を有していてもよいC1−C6鎖式炭化水素基である化合物。
式(1)において、R1がC1−C6鎖式炭化水素基である化合物。
式(1)において、R1がC1−C6アルキル基である化合物。
式(1)において、R1がC1−C3アルキル基である化合物。
式(1)において、R1が群Yより選ばれる1個以上の原子若しくは基を有していてもよいC3−C6脂環式炭化水素基である化合物。
式(1)において、R1がC3−C6脂環式炭化水素基である化合物。
式(1)において、R1がシクロプロピル基、シクロブチル基又はシクロペンチル基である化合物。
式(1)において、R1がメチル基、エチル基、プロピル基、イソプロピル基、ブチル基、sec−ブチル基、イソブチル基、tert−ブチル基、シクロプロピルメチル基、シクロプロピル基、トリフルオロメチル基、2,2,2−トリフルオロエチル基である化合物。
式(1)において、R1がメチル基、エチル基、シクロプロピル基、シクロプロピルメチル基又はプロピル基である化合物。
式(1)において、R1がエチル基、シクロプロピル基又はシクロプロピルメチル基である化合物。
式(1)において、R1がエチル基又はシクロプロピルメチル基である化合物。
式(1)において、R1がメチル基である化合物。
式(1)において、R1がエチル基である化合物。
式(1)において、R1がプロピル基である化合物。
式(1)において、R1がイソプロピル基である化合物。
式(1)において、R1がシクロプロピル基である化合物。
式(1)において、R1がシクロプロピルメチル基である化合物。
式(1)において、R1がトリフルオロメチル基である化合物。
式(1)において、R1が2,2,2−トリフルオロエチル基である化合物。
式(1)において、R2、R3、R4及びR5が同一又は相異なり、1個以上のハロゲン原子を有していてもよいC1−C6鎖式炭化水素基、−OR10、−S(O)mR10、−C(O)R10、−CO2R10、−NR10R11、ホルミル基、シアノ基、ニトロ基、ハロゲン原子又は水素原子であり、R10及びR11が同一又は相異なり、1個以上のハロゲン原子を有していてもよいC1−C6鎖式炭化水素基又は水素原子である化合物。
式(1)において、R2、R3、R4及びR5が水素原子である化合物。
式(1)において、R2、R4及びR5が同一又は相異なり、ハロゲン原子又は水素原子であり、R3が1個以上のハロゲン原子を有していてもよいC1−C6鎖式炭化水素基、−OR10、−S(O)mR10、−C(O)R10、−CO2R10、−NR10R11、アルデヒド基、シアノ基、ニトロ基、ハロゲン原子又は水素原子であり、R10及びR11が同一又は相異なり、1個以上のハロゲン原子を有していてもよいC1−C6鎖式炭化水素基又は水素原子である化合物。
式(1)において、R2、R4及びR5が同一又は相異なり、ハロゲン原子又は水素原子であり、R3が1個以上のハロゲン原子を有していてもよいC1−C6鎖式炭化水素基、−OR10、ハロゲン原子又は水素原子であり、R10が1個以上のハロゲン原子を有していてもよいC1−C6鎖式炭化水素基又は水素原子である化合物。
式(1)において、R2、R4及びR5が同一又は相異なり、ハロゲン原子又は水素原子であり、R3が1個以上のハロゲン原子を有していてもよいC1−C6鎖式炭化水素基、ハロゲン原子又は水素原子である化合物。
式(1)において、R2、R4及びR5が同一又は相異なり、ハロゲン原子又は水素原子であり、R3がメチル基、エチル基、トリフルオロメチル基、ペンタフルオロエチル基、ヘプタフルオロプロピル基、ヘプタフルオロイソプロピル基、トリフルオロメトキシ基、フッ素原子、塩素原子、臭素原子、ヨウ素原子又は水素原子である化合物。
式(1)において、R2、R4及びR5が水素原子であり、R3が1個以上のハロゲン原子を有していてもよいC1−C6鎖式炭化水素基、−OR10、ハロゲン原子又は水素原子であり、R10が1個以上のハロゲン原子を有していてもよいC1−C6鎖式炭化水素基である化合物。
式(1)において、R2、R4及びR5が水素原子であり、R3がメチル基、エチル基、トリフルオロメチル基、ペンタフルオロエチル基、ヘプタフルオロプロピル基、ヘプタフルオロイソプロピル基、トリフルオロメトキシ基、フッ素原子、塩素原子、臭素原子、ヨウ素原子又は水素原子である化合物。
式(1)において、R2、R4及びR5が水素原子であり、R3がメチル基である化合物。
式(1)において、R2、R4及びR5が水素原子であり、R3がエチル基である化合物。
式(1)において、R2、R4及びR5が水素原子であり、R3がトリフルオロメチル基である化合物。
式(1)において、R2、R4及びR5が水素原子であり、R3がペンタフルオロエチル基である化合物。
式(1)において、R2、R4及びR5が水素原子であり、R3がヘプタフルオロプロピル基である化合物。
式(1)において、R2、R4及びR5が水素原子であり、R3がトリフルオロメトキシ基である化合物。
式(1)において、R2、R4及びR5が水素原子であり、R3がフッ素原子である化合物。
式(1)において、R2、R4及びR5が水素原子であり、R3が塩素原子である化合物。
式(1)において、R2、R4及びR5が水素原子であり、R3が臭素原子である化合物。
式(1)において、R2、R4及びR5が水素原子であり、R3がヨウ素原子である化合物。
式(1)において、R2、R4及びR5が同一又は相異なり、ハロゲン原子又は水素原子であり、R3が群Zより選ばれる1個以上の原子若しくは基を有していてもよいフェニル基、群Zより選ばれる1個以上の原子若しくは基を有していてもよい5員複素環基、群Zより選ばれる1個以上の原子若しくは基を有していてもよい6員複素環基である化合物。
式(1)において、R2、R4及びR5が同一又は相異なり、ハロゲン原子又は水素原子であり、R3が1個以上のハロゲン原子若しくは1個以上のハロゲン原子を有していてもよいC1−C3アルキル基を有していてもよいフェニル基又は1個以上のハロゲン原子若しくは1個以上のハロゲン原子を有していてもよいC1−C3アルキル基を有していてもよい5若しくは6員複素環基である化合物。
式(1)において、R2、R4及びR5が水素原子であり、R3が、2−ピリジル基、2−ピリミジニル基、3−クロロ−2−ピリジル基又は3−クロロ−5−トリフルオロメチル−2−ピリジル基である化合物。
式(1)において、R2、R4及びR5が水素原子であり、R3が2−ピリジル基、2−ピリミジニル基、3−クロロ−2−ピリジル基、3−クロロ−5−トリフルオロメチル−2−ピリジル基、メチル基、エチル基、プロピル基、イソプロピル基、トリフルオロメチル基、ペンタフルオロエチル基、ヘプタフルオロプロピル基、ヘプタフルオロイソプロピル基、フッ素原子、塩素原子又は臭素原子である化合物。
式(1)において、R1がエチル基であり、R2、R3、R4及びR5が水素原子である化合物。
式(1)において、R1がエチル基であり、R2、R4及びR5が水素原子であり、R3がメチル基である化合物。
式(1)において、R1がエチル基であり、R2、R4及びR5が水素原子であり、R3がトリフルオロメチル基である化合物。
式(1)において、R1がエチル基であり、R2、R4及びR5が水素原子であり、R3がペンタフルオロエチル基である化合物。
式(1)において、R1がエチル基であり、R2、R4及びR5が水素原子であり、R3がヘプタフルオロプロピル基である化合物。
式(1)において、R1がエチル基であり、R2、R4及びR5が水素原子であり、R3が2−ピリミジニル基である化合物。
式(1)において、R1がエチル基であり、R2、R4及びR5が水素原子であり、R3がトリフルオロメトキシ基である化合物。
式(1)において、R1がエチル基であり、R2、R4及びR5が水素原子であり、R3が塩素原子である化合物。
式(1)において、R1がエチル基であり、R2、R4及びR5が水素原子であり、R3が臭素原子である化合物。
式(1)において、R1がエチル基であり、R2、R4及びR5が水素原子であり、R3がヨウ素原子である化合物。
式(1)において、R7及びR8が同一又は相異なり、1個以上のハロゲン原子を有していてもよいC1−C6鎖式炭化水素基、−OR10、−S(O)mR10、−NR10R11、−CO2R10、−C(O)R10、シアノ基、ニトロ基、ハロゲン原子又は水素原子であり、R10及びR11が同一又は相異なり、1個以上のハロゲン原子を有していてもよいC1−C6鎖式炭化水素基又は水素原子である化合物。
式(1)において、R7及びR8が同一又は相異なり、1個以上のハロゲン原子を有していてもよいC1−C6鎖式炭化水素基、−OR10、−S(O)mR10、ハロゲン原子又は水素原子であり、R10が1個以上のハロゲン原子を有していてもよいC1−C6鎖式炭化水素基又は水素原子である化合物。
式(1)において、R7及びR8が同一又は相異なり、1個以上のハロゲン原子を有していてもよいC1−C6鎖式炭化水素基又は水素原子である化合物。
式(1)において、R7及びR8が同一又は相異なり、トリフルオロメチル基、ジフルオロメチル基、フルオロメチル基、ペンタフルオロエチル基、ヘプタフルオロイソプロピル基、トリフルオロメトキシ基、トリフルオロメチルスルファニル基、トリフルオロメチルスルフィニル基、トリフルオロメチルスルホニル基、塩素原子、臭素原子、ヨウ素原子又は水素原子である化合物。
式(1)において、R8が1個以上のハロゲン原子を有していてもよいC1−C6鎖式炭化水素基、−OR11、−S(O)mR11又はハロゲン原子であり、R7が水素原子であり、R11が1個以上のハロゲン原子を有していてもよいC1−C6鎖式炭化水素基又は水素原子である化合物。
式(1)において、R8が1個以上のハロゲン原子を有しているC1−C6鎖式炭化水素基であり、R7が水素原子である化合物。
式(1)において、R8が1個以上のフッ素原子を有しているC1−C6鎖式炭化水素基であり、R7が水素原子である化合物。
式(1)において、R8が1個以上のフッ素原子を有しているC1−C3アルキル基であり、R7が水素原子である化合物。
式(1)において、R8が1個以上のフッ素原子を有しているC1−C3アルコキシ基であり、R7が水素原子である化合物。
式(1)において、R8が1個以上のフッ素原子を有しているC1−C3アルキルスルファニル基、1個以上のフッ素原子を有しているC1−C3アルキルスルフィニル基又は1個以上のフッ素原子を有しているC1−C3アルキルスルホニル基であり、R7が水素原子である化合物。
式(1)において、R8がハロゲン原子であり、R7が水素原子である化合物。
式(1)において、R8が1個以上のフッ素原子を有しているC1−C3アルキル基、1個以上のフッ素原子を有しているC1−C3アルコキシ基、1個以上のフッ素原子を有しているC1−C3アルキルスルファニル基、1個以上のフッ素原子を有しているC1−C3アルキルスルフィニル基、1個以上のフッ素原子を有しているC1−C3アルキルスルホニル基又はハロゲン原子であり、R7が水素原子である化合物。
式(1)において、R8がトリフルオロメチル基、ペンタフルオロエチル基、ヘプタフルオロイソプロピル基、トリフルオロメトキシ基、トリフルオロメチルスルファニル基、トリフルオロメチルスルフィニル基、トリフルオロメチルスルホニル基、臭素原子又はヨウ素原子であり、R7が水素原子である化合物。
式(1)において、R8が臭素原子であり、R7が水素原子である化合物。
式(1)において、R8がヨウ素原子であり、R7が水素原子である化合物。
式(1)において、R8がトリフルオロメチル基であり、R7が水素原子である化合物。
式(1)において、R8がペンタフルオロエチル基であり、R7が水素原子である化合物。
式(1)において、R8がトリフルオロメトキシ基であり、R7が水素原子である化合物。
式(1)において、R8がトリフルオロメチルスルファニル基であり、R7が水素原子である化合物。
式(1)において、R8がトリフルオロメチルスルフィニル基であり、R7が水素原子である化合物。
式(1)において、R8がトリフルオロメチルスルホニル基であり、R7が水素原子である化合物。
式(1)において、R8がヘプタフルオロイソプロピル基であり、R7が水素原子である化合物。
式(1)において、R8が−SF5であり、R7が水素原子である化合物。
式(1)において、R9が水素原子である化合物。
式(1)において、nが0である化合物。
式(1)において、nが1である化合物。
式(1)において、nが2である化合物。
式(1)において、mが0である化合物。
式(1)において、mが1である化合物。
式(1)において、mが2である化合物。
式(1)において、
A1が−NR6−、酸素原子又は硫黄原子であり、
R6がC1−C6アルキル基であり、
R1が1個以上のフッ素原子を有していてもよいC1−C3アルキル基又はシクロプロピル基であり、
R2、R4及びR5が同一又は相異なり、ハロゲン原子又は水素原子であり、
R3が1個以上のフッ素原子を有していてもよいC1−C3アルキル基、5若しくは6員複素環基、1個以上のフッ素原子を有していてもよいC1−C3アルコキシ基、ハロゲン原子又は水素原子であり、
R8が1個以上のフッ素原子を有しているC1−C3アルキル基、1個以上のフッ素原子を有しているC1−C3アルコキシ基、1個以上のフッ素原子を有しているC1−C3アルキルスルファニル基、1個以上のフッ素原子を有しているC1−C3アルキルスルフィニル基、1個以上のフッ素原子を有しているC1−C3アルキルスルホニル基又はハロゲン原子であり、
R7が水素原子であり、
R9が水素原子である化合物。
式(1)において、
A1が−NR6−であり、
R6がC1−C6アルキル基であり、
R1が1個以上のフッ素原子を有していてもよいC1−C3アルキル基又はシクロプロピル基であり、
R2、R4及びR5が同一又は相異なり、ハロゲン原子又は水素原子であり、
R3が1個以上のフッ素原子を有していてもよいC1−C3アルキル基、1個以上のフッ素原子を有していてもよいC1−C3アルコキシ基、5若しくは6員複素環基、ハロゲン原子又は水素原子であり、
R8が1個以上のフッ素原子を有しているC1−C3アルキル基、1個以上のフッ素原子を有しているC1−C3アルコキシ基、1個以上のフッ素原子を有しているC1−C3アルキルスルファニル基、1個以上のフッ素原子を有しているC1−C3アルキルスルフィニル基、1個以上のフッ素原子を有しているC1−C3アルキルスルホニル基又はハロゲン原子であり、
R7が水素原子であり、
R9が水素原子である化合物。
式(1)において、
A1が−NR6−であり、
R6がメチル基、エチル基、プロピル基又はイソプロピル基であり、
R1がメチル基、エチル基、プロピル基、イソプロピル基、シクロプロピル基、トリフルオロメチル基又は2,2,2−トリフルオロエチル基であり、
R2、R4及びR5が同一又は相異なり、フッ素原子、塩素原子、又は水素原子であり、
R3がメチル基、エチル基、プロピル基、イソプロピル基、トリフルオロメチル基、ペンタフルオロエチル基、ヘプタフルオロプロピル基、ヘプタフルオロイソプロピル基、トリフルオロメトキシ基、2−ピリミジニル基、フッ素原子、塩素原子、臭素原子又は水素原子であり、
R8がトリフルオロメチル基、ペンタフルオロエチル基、ヘプタフルオロプロピル基、ヘプタフルオロイソプロピル基、トリフルオロメトキシ基、トリフルオロメチルスルファニル基、トリフルオロメチルスルフィニル基、トリフルオロメチルスルホニル基、塩素原子、臭素原子又はヨウ素原子であり、
R7が水素原子であり、
R9が水素原子であり、
nが2である化合物。
式(1)において、
A1が硫黄原子であり、
R1がメチル基、エチル基、プロピル基、イソプロピル基、シクロプロピル基、トリフルオロメチル基又は2,2,2−トリフルオロエチル基であり、
R2、R4及びR5が同一又は相異なり、フッ素原子、塩素原子、又は水素原子であり、
R3がメチル基、エチル基、プロピル基、イソプロピル基、トリフルオロメチル基、ペンタフルオロエチル基、ヘプタフルオロプロピル基、ヘプタフルオロイソプロピル基、トリフルオロメトキシ基、2−ピリミジニル基、フッ素原子、塩素原子、臭素原子又は水素原子であり、
R8がトリフルオロメチル基、ペンタフルオロエチル基、ヘプタフルオロプロピル基、ヘプタフルオロイソプロピル基、トリフルオロメトキシ基、トリフルオロメチルスルファニル基、トリフルオロメチルスルフィニル基、トリフルオロメチルスルホニル基、塩素原子、臭素原子又はヨウ素原子であり、
R7が水素原子であり、
R9が水素原子である化合物。
式(1)において、
A1が酸素原子であり、
R1がメチル基、エチル基、プロピル基、イソプロピル基、シクロプロピル基、トリフルオロメチル基又は2,2,2−トリフルオロエチル基であり、
R2、R4及びR5が同一又は相異なり、フッ素原子、塩素原子、又は水素原子であり、
R3がメチル基、エチル基、プロピル基、イソプロピル基、トリフルオロメチル基、ペンタフルオロエチル基、ヘプタフルオロプロピル基、ヘプタフルオロイソプロピル基、トリフルオロメトキシ基、2−ピリミジニル基、フッ素原子、塩素原子、臭素原子又は水素原子であり、
R8がトリフルオロメチル基、ペンタフルオロエチル基、ヘプタフルオロプロピル基、ヘプタフルオロイソプロピル基、トリフルオロメトキシ基、トリフルオロメチルスルファニル基、トリフルオロメチルスルフィニル基、トリフルオロメチルスルホニル基、塩素原子、臭素原子又はヨウ素原子であり、
R7が水素原子であり、
R9が水素原子であり、
nが2である化合物。
式(1)において、
A1が−NR6−、酸素原子又は硫黄原子であり、
R6がC1−C6アルキル基であり、
R1が1個以上のフッ素原子を有していてもよいC1−C3アルキル基又はシクロプロピル基であり、
R2、R4及びR5が同一又は相異なり、ハロゲン原子又は水素原子であり、
R3が1個以上のフッ素原子を有していてもよいC1−C3アルキル基、5若しくは6員複素環基、1個以上のフッ素原子を有していてもよいC1−C3アルコキシ基、ハロゲン原子又は水素原子であり、
R8が1個以上のフッ素原子を有しているC1−C3アルキル基、1個以上のフッ素原子を有しているC1−C3アルキルスルファニル基又は1個以上のフッ素原子を有しているC1−C3アルキルスルホニル基であり、
R7が水素原子であり、
R9が水素原子であり、
nは0、1又は2である化合物。
式(1)において、
A1が−NR6−、酸素原子又は硫黄原子であり、
R1がエチル基又はシクロプロピル基であり、
R2、R4及びR5が同一又は相異なり、フッ素原子、塩素原子、又は水素原子であり、
R3がメチル基、トリフルオロメチル基、ペンタフルオロエチル基、ヘプタフルオロプロピル基、トリフルオロメトキシ基、2−ピリミジニル基、フッ素原子、塩素原子、臭素原子又は水素原子であり、
R8がトリフルオロメチル基、ペンタフルオロエチル基、トリフルオロメチルスルファニル基又はトリフルオロメチルスルホニル基であり、
R7が水素原子であり、
R9が水素原子であり、
nが2である化合物。
式(1)において、
A1が−NR6−、酸素原子又は硫黄原子であり、
R6がC1−C6アルキル基であり、
R1が1個以上のフッ素原子を有していてもよいC1−C3アルキル基であり、
R2、R4及びR5が同一又は相異なり、ハロゲン原子又は水素原子であり、
R3が1個以上のフッ素原子を有していてもよいC1−C3アルキル基又は水素原子であり、
R8が1個以上のフッ素原子を有しているC1−C3アルキル基又は1個以上のフッ素原子を有しているC1−C3アルキルスルホニル基であり、
R7が水素原子であり、
R9が水素原子であり、
nが2である化合物。
式(1)において、
A1が−NR6−、酸素原子又は硫黄原子であり、
R6がC1−C3アルキル基であり、
R1が1個以上のフッ素原子を有していてもよいC1−C3アルキル基であり、
R2がハロゲン原子又は水素原子であり、
R3が1個以上のフッ素原子を有していてもよいC1−C3アルキル基又は水素原子であり、
R4及びR5が水素原子であり、
R8が1個以上のフッ素原子を有しているC1−C3アルキル基又は1個以上のフッ素原子を有しているC1−C3アルキルスルホニル基であり、
R7が水素原子であり、
R9が水素原子であり、
nが2である化合物。
式(1)において、
A1が−NR6−、酸素原子又は硫黄原子であり、
R1がエチル基であり、
R2が塩素原子、又は水素原子であり、
R3がトリフルオロメチル基又は水素原子であり、
R4及びR5が水素原子であり、
R8がトリフルオロメチル基、ペンタフルオロエチル基又はトリフルオロメチルスルホニル基であり、
R7が水素原子であり、
R9が水素原子であり、
nが2である化合物。
式(1)において、
A1が−NR6−であり、
R6がC1−C6アルキル基であり、
R1が1個以上のフッ素原子を有していてもよいC1−C3アルキル基であり、
R2、R4及びR5が同一又は相異なり、ハロゲン原子又は水素原子であり、
R3が1個以上のフッ素原子を有しているC1−C3アルキル基又は水素原子であり、
R8が1個以上のフッ素原子を有しているC1−C3アルキル基であり、
R7が水素原子であり、
R9が水素原子であり、
nが2である化合物。
式(1)において、
A1が−NR6−であり、
R6がC1−C3アルキル基であり、
R1が1個以上のフッ素原子を有していてもよいC1−C3アルキル基であり、
R2がハロゲン原子又は水素原子であり、
R3が1個以上のフッ素原子を有しているC1−C3アルキル基又は水素原子であり、
R4及びR5が水素原子であり、
R8が1個以上のフッ素原子を有しているC1−C3アルキル基であり、
R7が水素原子であり、
R9が水素原子であり、
nが2である化合物。
式(1)において、
A1が−NR6−、酸素原子又は硫黄原子であり、
R1がエチル基であり、
R2が塩素原子、又は水素原子であり、
R3がトリフルオロメチル基又は水素原子であり、
R4及びR5が水素原子であり、
R8がトリフルオロメチル基であり、
R7が水素原子であり、
R9が水素原子であり、
nが2である化合物。
式(1−1)において、A1aが−NR6a−である化合物。
式(1−1)において、A1aが酸素原子である化合物。
式(1−1)において、A1aが硫黄原子である化合物。
式(1−1)において、R1aがハロゲン原子及びシクロプロピル基からなる群より選ばれる1個以上の原子若しくは基を有していてもよいC1−C6アルキル基(ここで、該シクロプロピル基は、1個以上のハロゲン原子又は1個以上のC1−C3アルキル基を有していてもよい)である化合物。
式(1−1)において、R1aがC1−C6アルキル基、C1−C6ハロアルキル基、又は、C4−C9シクロプロピルアルキル基(ここで、該シクロプロピル基は、1個以上のハロゲン原子又は1個以上のC1−C3アルキル基を有していてもよい。)である化合物。
式(1−1)において、R1aがC2−C6アルキル基、C1−C6ハロアルキル基又はC4−C9シクロプロピルアルキル基(ここで、該シクロプロピル基は、1個以上のハロゲン原子又は1個以上のC1−C3アルキル基を有していてもよい。)である化合物。
式(1−1)において、R1aがメチル基、エチル基、プロピル基、イソプロピル基、シクロプロピル基、トリフルオロメチル基、2,2,2−トリフルオロエチル基又はシクロプロピルメチル基である化合物。
式(1−1)において、R1aがエチル基、シクロプロピル基又はシクロプロピルメチル基である化合物。
式(1−1)において、R1aがエチル基又はシクロプロピルメチル基である化合物。 式(1−1)において、R1aがC1−C6アルキル基である化合物。
式(1−1)において、R1aがC2−C6アルキル基である化合物。
式(1−1)において、R1aがC1−C3アルキル基である化合物。
式(1−1)において、R1aがエチル基である化合物。
式(1−1)において、R2a、R4a及びR5aが同一又は相異なり、ハロゲン原子又は水素原子である化合物。
式(1−1)において、R2a、R4a及びR5aが同一又は相異なり、塩素原子、フッ素原子又は水素原子である化合物。
式(1−1)において、R2a、R4a及びR5aが同一又は相異なり、塩素原子又は水素原子である化合物。
式(1−1)において、R4a及びR5aが水素原子であり、R2aが塩素原子である化合物。
式(1−1)において、R2a、R4a及びR5aが同一又は相異なり、塩素原子、フッ素原子又は水素原子である化合物。
式(1−1)において、R2a、R4a及びR5aが同一又は相異なり、塩素原子又は水素原子である化合物。
式(1−1)において、R4a及びR5aが水素原子であり、R2aが塩素原子である化合物。
式(1−1)において、R2a、R4a及びR5aが水素原子である化合物。
式(1−1)において、R3aが1個以上のハロゲン原子を有していてもよいC1−C6アルキル基、1個以上のハロゲン原子を有していてもよいC2−C6アルケニル基、1個以上のハロゲン原子を有していてもよいC2−C6アルキニル基、ピリジル基(ここで該ピリジル基は、ハロゲン原子、ハロゲン原子を有していてもよいC1−C3アルキル基、及び、ハロゲン原子を有していてもよいC1−C3アルコキシ基からなる群より選ばれる1個以上の原子若しくは置換基を有していてもよい。)、ピリミジニル基(ここで該ピリミジニル基は、ハロゲン原子、ハロゲン原子を有していてもよいC1−C3アルキル基、及び、ハロゲン原子を有していてもよいC1−C3アルコキシ基からなる群より選ばれる1個以上の原子若しくは置換基を有していてもよい。)、−OR20a(ここで、R20aが1個以上のハロゲン原子を有していてもよいC1−C6アルキル基である。)、−S(O)mR21a(ここで、R21aが1個以上のハロゲン原子を有していてもよいC1−C6アルキル基であり、mは0、1又は2である。)、ハロゲン原子又は水素原子である化合物。
式(1−1)において、R3aが1個以上のハロゲン原子を有していてもよいC1−C6アルキル基、−OR20a(ここで、R20aは1個以上のハロゲン原子を有していてもよいC1−C6アルキル基を表す。)、−S(O)mR21a(ここで、R21aは1個以上のハロゲン原子を有していてもよいC1−C6アルキル基を表し、mは0、1又は2を表す。)、ピリミジニル基、ハロゲン原子又は水素原子である化合物。
式(1−1)において、R3aがメチル基、フルオロメチル基、ジフルオロメチル基、トリフルオロメチル基、エチル基、エテニル基、エチニル基、ペンタフルオロエチル基(−CF2CF3)、ヘプタフルオロプロピル基(−CF2CF2CF3)、−CF(CF3)2、−CF2CF2CF2CF3、トリフルオロメトキシ基(−OCF3)、−OCF2CF3、−SCF3、−S(O)CF3、−S(O)2CF3、−SCF2CF3、−S(O)CF2CF3、−S(O)2CF2CF3、2−ピリジル基、5−トリフルオロメチル−2−ピリジル基、2−ピリミジニル基、フッ素原子、塩素原子、臭素原子、ヨウ素原子又は水素原子である化合物。
式(1−1)において、R3aが、メチル基、フルオロメチル基、ジフルオロメチル基、トリフルオロメチル基、エチル基、エテニル基、エチニル基、−CF2CF3、−CF2CF2CF3、−CF(CF3)2、−CF2CF2CF2CF3、−OCF3、−OCF2CF3、−SCF3、−S(O)CF3、−S(O)2CF3、−SCF2CF3、−S(O)CF2CF3、−S(O)2CF2CF3、2−ピリミジニル基、フッ素原子、塩素原子、臭素原子、ヨウ素原子又は水素原子である化合物。
式(1−1)において、R3aが、トリフルオロメチル基、エチル基、−CF2CF3、−CF2CF2CF3、−OCF3、2−ピリミジニル基、フッ素原子、塩素原子、臭素原子又は水素原子である化合物。
式(1−1)において、R3aが、トリフルオロメチル基又は水素原子である化合物。
式(1−1)において、R8aがC1−C6ハロアルキル基、−OR22a(ここで、R22aがC1−C6ハロアルキル基である。)、−S(O)mR23a(ここで、R23aがC1−C6ハロアルキル基であり、mが0、1又は2である。)、−SF5又はハロゲン原子である化合物。
式(1−1)において、R8aがC1−C6ハロアルキル基、−OR22a(ここで、R22aがC1−C6ハロアルキル基である。)、−S(O)mR23a(ここで、R23aがC1−C6ハロアルキル基であり、mが0、1又は2である。)又は−SF5である化合物。
式(1−1)において、R8aがC1−C6ハロアルキル基、−OR22a(ここで、R22aがC1−C6ハロアルキル基である。)、−S(O)mR23a(ここで、R23aがC1−C6ハロアルキル基であり、mが0、1又は2である。)又はハロゲン原子である化合物。
式(1−1)において、R8aがC1−C6ハロアルキル基、−OR22a(ここで、R22aがC1−C6ハロアルキル基である。)又は−S(O)mR23a(ここで、R23aがC1−C6ハロアルキル基であり、mが0、1又は2である。)である化合物。
式(1−1)において、R8aがC1−C6パーフルオロアルキル基、−OR22a(ここで、R22aがC1−C6パーフルオロアルキル基である。)又は−S(O)mR23a(ここで、R23aがC1−C6パーフルオロアルキル基である。)である化合物。
式(1−1)において、R8aが、トリフルオロメチル基、−CF2CF3、−CF2CF2CF3、−CF(CF3)2、−OCF3、−OCF2CF3、−SCF3、−S(O)CF3、−S(O)2CF3、−SCF2CF3、−S(O)CF2CF3、−S(O)2CF2CF3、SF5、フッ素原子、塩素原子、臭素原子又はヨウ素原子である化合物。
式(1−1)において、R8aが、トリフルオロメチル基、−CF2CF3、−SCF3又は−S(O)2CF3である化合物。
式(1−1)において、R8aが、トリフルオロメチル基である化合物。
式(1−1)において、A1aが−NR6a−であり、R6aが1個以上のハロゲン原子を有していてもよいC1−C6アルキル基、1個以上のハロゲン原子を有していてもよいC3−C6アルケニル基又は1個以上のハロゲン原子を有していてもよいC3−C6アルキニル基である化合物。
式(1−1)において、A1aが−NR6a−であり、R6aがメチル基、エチル基、プロピル基、アリル基又はプロパルギル基である化合物。
式(1−1)において、A1aが−NR6a−であり、R6aがメチル基又はプロパルギル基である化合物。
式(1−2)において、R1bがエチル基、シクロプロピル基又はシクロプロピルメチル基である化合物。
式(1−2)において、R1bがエチル基である化合物。
式(1−2)において、R2b、R4b及びR5bが同一又は相異なり、ハロゲン原子又は水素原子である化合物。
式(1−2)において、R2b、R4b及びR5bが同一又は相異なり、塩素原子、フッ素原子又は水素原子である化合物。
式(1−2)において、R2b、R4b及びR5bが同一又は相異なり、塩素原子又は水素原子である化合物。
式(1−2)において、R4b及びR5bが水素原子であり、R2bが塩素原子である化合物。
式(1−2)において、R2b、R4b及びR5bが同一又は相異なり、塩素原子、フッ素原子又は水素原子である化合物。
式(1−2)において、R2b、R4b及びR5bが同一又は相異なり、塩素原子又は水素原子である化合物。
式(1−2)において、R4b及びR5bが水素原子であり、R2bが塩素原子である化合物。
式(1−2)において、R2b、R4b及びR5bが水素原子である化合物。
式(1−2)において、R3bがメチル基、フルオロメチル基、ジフルオロメチル基、トリフルオロメチル基、エチル基、エテニル基、エチニル基、−CF2CF3、−CF2CF2CF3、−CF(CF3)2、−CF2CF2CF2CF3、−OCF3、−OCF2CF3、−SCF3、−S(O)CF3、−S(O)2CF3、−SCF2CF3、−S(O)CF2CF3、−S(O)2CF2CF3、2−ピリミジニル基、フッ素原子、塩素原子、臭素原子、ヨウ素原子又は水素原子である化合物。
式(1−2)において、R3bが、トリフルオロメチル基、エチル基、−CF2CF3、−CF2CF2CF3、−OCF3、2−ピリミジニル基、フッ素原子、塩素原子、臭素原子又は水素原子である化合物。
式(1−2)において、R3bが、トリフルオロメチル基、エチル基、−CF2CF3、−CF2CF2CF3、−OCF3、2−ピリミジニル基、フッ素原子、臭素原子又は水素原子である化合物。
式(1−2)において、R3bが、トリフルオロメチル基又は水素原子である化合物。
式(1−2)において、R8bがC1−C6ハロアルキル基、−OR22b(ここで、R22bがC1−C6ハロアルキル基である。)、−S(O)mR23b(ここで、R23bがC1−C6ハロアルキル基であり、mが0、1又は2である。)、−SF5又はハロゲン原子である化合物。
式(1−2)において、R8bがC1−C6ハロアルキル基、−OR22b(ここで、R22bがC1−C6ハロアルキル基である。)、−S(O)mR23b(ここで、R23bがC1−C6ハロアルキル基であり、mが0、1又は2である。)又は−SF5である化合物。
式(1−2)において、R8bがC1−C6ハロアルキル基、−OR22b(ここで、R22bがC1−C6ハロアルキル基である。)、−S(O)mR23b(ここで、R23bがC1−C6ハロアルキル基であり、mが0、1又は2である。)又はハロゲン原子である化合物。
式(1−2)において、R8bがC1−C6ハロアルキル基、−OR22b(ここで、R22bがC1−C6ハロアルキル基である。)又は−S(O)mR23b(ここで、R23bがC1−C6ハロアルキル基であり、mが0、1又は2である。)である化合物。
式(1−2)において、R8bがC1−C6パーフルオロアルキル基、−OR22b(ここで、R22bがC1−C6パーフルオロアルキル基である。)又は−S(O)mR23b(ここで、R23bがC1−C6パーフルオロアルキル基である。)である化合物。
式(1−2)において、R8bがトリフルオロメチル基、−CF2CF3、−CF2CF2CF3、−CF(CF3)2、−OCF3、−OCF2CF3、−SCF3、−S(O)CF3、−S(O)2CF3、−SCF2CF3、−S(O)CF2CF3、−S(O)2CF2CF3、SF5、フッ素原子、塩素原子、臭素原子又はヨウ素原子である化合物。
式(1−2)において、R8bがトリフルオロメチル基、−CF2CF3、−SCF3又は−S(O)2CF3である化合物。
式(1−2)において、nが2である化合物。
式(1−3)において、R1bがエチル基、シクロプロピル基又はシクロプロピルメチル基である化合物。
式(1−3)において、R1bがエチル基である化合物。
式(1−3)において、R2b、R4b及びR5bが同一又は相異なり、ハロゲン原子又は水素原子である化合物。
式(1−3)において、R2b、R4b及びR5bが同一又は相異なり、塩素原子、フッ素原子又は水素原子である化合物。
式(1−3)において、R2b、R4b及びR5bが同一又は相異なり、塩素原子又は水素原子である化合物。
式(1−3)において、R4b及びR5bが水素原子であり、R2bが塩素原子である化合物。
式(1−3)において、R2b、R4b及びR5bが同一又は相異なり、塩素原子、フッ素原子又は水素原子である化合物。
式(1−3)において、R2b、R4b及びR5bが同一又は相異なり、塩素原子又は水素原子である化合物。
式(1−3)において、R4b及びR5bが水素原子であり、R2bが塩素原子である化合物。
式(1−3)において、R2b、R4b及びR5bが水素原子である化合物。
式(1−3)において、R3bがメチル基、フルオロメチル基、ジフルオロメチル基、トリフルオロメチル基、エチル基、エテニル基、エチニル基、−CF2CF3、−CF2CF2CF3、−CF(CF3)2、−CF2CF2CF2CF3、−OCF3、−OCF2CF3、−SCF3、−S(O)CF3、−S(O)2CF3、−SCF2CF3、−S(O)CF2CF3、−S(O)2CF2CF3、2−ピリミジニル基、フッ素原子、塩素原子、臭素原子、ヨウ素原子又は水素原子である化合物。
式(1−3)において、R3bが、トリフルオロメチル基、エチル基、−CF2CF3、−CF2CF2CF3、−OCF3、2−ピリミジニル基、フッ素原子、塩素原子、臭素原子又は水素原子である化合物。
式(1−3)において、R3bが、トリフルオロメチル基、塩素原子又は水素原子である化合物。
式(1−3)において、R8bがC1−C6ハロアルキル基、−OR22b(ここで、R22bがC1−C6ハロアルキル基である。)、−S(O)mR23b(ここで、R23bがC1−C6ハロアルキル基であり、mが0、1又は2である。)、−SF5又はハロゲン原子である化合物。
式(1−3)において、R8bがC1−C6ハロアルキル基、−OR22b(ここで、R22bがC1−C6ハロアルキル基である。)、−S(O)mR23b(ここで、R23bがC1−C6ハロアルキル基であり、mが0、1又は2である。)又は−SF5である化合物。
式(1−3)において、R8bがC1−C6ハロアルキル基、−OR22b(ここで、R22bがC1−C6ハロアルキル基である。)、−S(O)mR23b(ここで、R23bがC1−C6ハロアルキル基であり、mが0、1又は2である。)又はハロゲン原子である化合物。
式(1−3)において、R8bがC1−C6ハロアルキル基、−OR22b(ここで、R22bがC1−C6ハロアルキル基である。)又は−S(O)mR23b(ここで、R23bがC1−C6ハロアルキル基であり、mが0、1又は2である。)である化合物。
式(1−3)において、R8bがC1−C6パーフルオロアルキル基、−OR22b(ここで、R22bがC1−C6パーフルオロアルキル基である。)又は−S(O)mR23b(ここで、R23bがC1−C6パーフルオロアルキル基である。)である化合物。
式(1−3)において、R8bがトリフルオロメチル基、−CF2CF3、−CF2CF2CF3、−CF(CF3)2、−OCF3、−OCF2CF3、−SCF3、−S(O)CF3、−S(O)2CF3、−SCF2CF3、−S(O)CF2CF3、−S(O)2CF2CF3、SF5、フッ素原子、塩素原子、臭素原子又はヨウ素原子である化合物。
式(1−3)において、R8bがトリフルオロメチル基、−CF2CF3、−SCF3又は−S(O)2CF3である化合物。
式(1−3)において、R8bがトリフルオロメチル基、−CF2CF3又は−S(O)2CF3である化合物。
式(1−3)において、nが2である化合物。
式(1−4)において、R1bがエチル基、シクロプロピル基又はシクロプロピルメチル基である化合物。
式(1−4)において、R1bがエチル基である化合物。
式(1−4)において、R2b、R4b及びR5bが同一又は相異なり、ハロゲン原子又は水素原子である化合物。
式(1−4)において、R2b、R4b及びR5bが同一又は相異なり、塩素原子、フッ素原子又は水素原子である化合物。
式(1−4)において、R2b、R4b及びR5bが同一又は相異なり、塩素原子又は水素原子である化合物。
式(1−4)において、R4b及びR5bが水素原子であり、R2bが塩素原子である化合物。
式(1−4)において、R2b、R4b及びR5bが同一又は相異なり、塩素原子、フッ素原子又は水素原子である化合物。
式(1−4)において、R2b、R4b及びR5bが同一又は相異なり、塩素原子又は水素原子である化合物。
式(1−4)において、R4b及びR5bが水素原子であり、R2bが塩素原子である化合物。
式(1−4)において、R2b、R4b及びR5bが水素原子である化合物。
式(1−4)において、R3bがメチル基、フルオロメチル基、ジフルオロメチル基、トリフルオロメチル基、エチル基、エテニル基、エチニル基、フルオロメチル基、ジフルオロメチル基、トリフルオロメチル基、−CF2CF3、−CF2CF2CF3、−CF(CF3)2、−CF2CF2CF2CF3、−OCF3、−OCF2CF3、−SCF3、−S(O)CF3、−S(O)2CF3、−SCF2CF3、−S(O)CF2CF3、−S(O)2CF2CF3、フッ素原子、塩素原子、臭素原子、ヨウ素原子又は水素原子である化合物。
式(1−4)において、R3bが、トリフルオロメチル基、エチル基、−CF2CF3、−CF2CF2CF3、−OCF3、2−ピリミジニル基、フッ素原子、塩素原子、臭素原子又は水素原子である化合物。
式(1−4)において、R3bが、トリフルオロメチル基である化合物。
式(1−4)において、R8bがC1−C6ハロアルキル基、−OR22b(ここで、R22bがC1−C6ハロアルキル基である。)、−S(O)mR23b(ここで、R23bがC1−C6ハロアルキル基であり、mが0、1又は2である。)、−SF5又はハロゲン原子である化合物。
式(1−4)において、R8bがC1−C6ハロアルキル基、−OR22b(ここで、R22bがC1−C6ハロアルキル基である。)、−S(O)mR23b(ここで、R23bがC1−C6ハロアルキル基であり、mが0、1又は2である。)又は−SF5である化合物。
式(1−4)において、R8bがC1−C6ハロアルキル基、−OR22b(ここで、R22bがC1−C6ハロアルキル基である。)、−S(O)mR23b(ここで、R23bがC1−C6ハロアルキル基であり、mが0、1又は2である。)又はハロゲン原子である化合物。
式(1−4)において、R8bがC1−C6ハロアルキル基、−OR22b(ここで、R22bがC1−C6ハロアルキル基である。)又は−S(O)mR23b(ここで、R23bがC1−C6ハロアルキル基であり、mが0、1又は2である。)である化合物。
式(1−4)において、R8bがC1−C6パーフルオロアルキル基、−OR22b(ここで、R22bがC1−C6パーフルオロアルキル基である。)又は−S(O)mR23b(ここで、R23bがC1−C6パーフルオロアルキル基である。)である化合物。
式(1−4)において、R8bがトリフルオロメチル基、−CF2CF3、−CF2CF2CF3、−CF(CF3)2、−OCF3、−OCF2CF3、−SCF3、−S(O)CF3、−S(O)2CF3、−SCF2CF3、−S(O)CF2CF3、−S(O)2CF2CF3、SF5、フッ素原子、塩素原子、臭素原子又はヨウ素原子である化合物。
式(1−4)において、R8bがトリフルオロメチル基、−CF2CF3、−SCF3又は−S(O)2CF3である化合物。
式(1−4)において、nが2である化合物。
式(1−5)において、R1bがエチル基、シクロプロピル基又はシクロプロピルメチル基である化合物。
式(1−5)において、R1bがエチル基である化合物。
式(1−5)において、R3bがメチル基、フルオロメチル基、ジフルオロメチル基、トリフルオロメチル基、エチル基、エテニル基、エチニル基、フルオロメチル基、ジフルオロメチル基、トリフルオロメチル基、−CF2CF3、−CF2CF2CF3、−CF(CF3)2、−CF2CF2CF2CF3、−OCF3、−OCF2CF3、−SCF3、−S(O)CF3、−S(O)2CF3、−SCF2CF3、−S(O)CF2CF3、−S(O)2CF2CF3、フッ素原子、塩素原子、臭素原子、ヨウ素原子又は水素原子である化合物。
式(1−5)において、R8bがC1−C6ハロアルキル基、−OR22b(ここで、R22bがC1−C6ハロアルキル基である。)、−S(O)mR23b(ここで、R23bがC1−C6ハロアルキル基であり、mが0、1又は2である。)、−SF5又はハロゲン原子である化合物。
式(1−5)において、R8bがC1−C6ハロアルキル基、−OR22b(ここで、R22bがC1−C6ハロアルキル基である。)、−S(O)mR23b(ここで、R23bがC1−C6ハロアルキル基であり、mが0、1又は2である。)又は−SF5である化合物。
式(1−5)において、R8bがC1−C6ハロアルキル基、−OR22b(ここで、R22bがC1−C6ハロアルキル基である。)、−S(O)mR23b(ここで、R23bがC1−C6ハロアルキル基であり、mが0、1又は2である。)又はハロゲン原子である化合物。
式(1−5)において、R8bがC1−C6ハロアルキル基、−OR22b(ここで、R22bがC1−C6ハロアルキル基である。)又は−S(O)m
R23b(ここで、R23bがC1−C6ハロアルキル基であり、mが0、1又は2である。)である化合物。
式(1−5)において、R8bがC1−C6パーフルオロアルキル基、−OR22b(ここで、R22bがC1−C6パーフルオロアルキル基である。)又は−S(O)mR23b(ここで、R23bがC1−C6パーフルオロアルキル基である。)である化合物。
式(1−5)において、R8bがトリフルオロメチル基、−CF2CF3、−CF2CF2CF3、−CF(CF3)2、−OCF3、−OCF2CF3、−SCF3、−S(O)CF3、−S(O)2CF3、−SCF2CF3、−S(O)CF2CF3、−S(O)2CF2CF3、SF5、フッ素原子、塩素原子、臭素原子又はヨウ素原子である化合物。
式(1−5)において、R60bが水素原子、メトキシメチル基、エトキシメチル基、1−(メトキシ)エチル基又は1−(エトキシ)エチル基である化合物。
次に、本発明化合物の製造法について説明する。
本発明化合物及び中間体化合物は、例えば、以下の(製造法1)~(製造法15)により製造することができる。
(製造法1)
式(1)においてnが2である本発明化合物(1−n2)は、中間体化合物(P1)を酸化剤で酸化することにより製造することができる。
[式中、記号は式(1)と同じ意味を表す。]
酸化反応は、通常溶媒の存在下で行われる。
溶媒としては、例えばジクロロメタン、クロロホルム等の脂肪族ハロゲン化炭化水素類、メタノール、エタノール等のアルコール類、酢酸、水及びこれらの混合物が挙げられる。
酸化剤としては、例えばm−クロロ過安息香酸及び過酸化水素水が挙げられる。
該反応は必要に応じて触媒の存在下で行うこともできる。触媒としては、例えばタングステン酸ナトリウムが挙げられる。
該反応には、中間体化合物(P1)においてnが0の場合、中間体化合物(P1)1モルに対して、酸化剤が通常3~10モルの割合、触媒が通常0.01~0.5モルの割合で用いられる。中間体化合物(P1)においてnが1の場合、中間体化合物(P1)1モルに対して、酸化剤が通常2~10モルの割合、触媒が通常0.01~0.5モルの割合で用いられる。中間体化合物(P1)においてnが2の場合、中間体化合物(P1)1モルに対して、酸化剤が通常1~10モルの割合、触媒が通常0.01~0.5モルの割合で用いられる。
反応温度は通常0~120℃の範囲内である。反応時間は通常0.1~48時間の範囲内である。
反応終了後は、反応混合物を有機溶媒で抽出し、有機層を必要に応じて還元剤(例えば亜硫酸ナトリウム、チオ硫酸ナトリウム)の水溶液、塩基(例えば炭酸水素ナトリウム)の水溶液で洗浄し、乾燥、濃縮する等の後処理操作を行うことにより、本発明化合物(1−n2)を単離することができる。単離された本発明化合物(1−n2)は、クロマトグラフィー、再結晶等によりさらに精製することもできる。
(製造法2)
式(1)においてnが1又は2である本発明化合物は、nが0である本発明化合物を酸化することにより製造することができる。
[式中、記号は式(1)と同じ意味を表す。]
式(1)においてnが1である本発明化合物(1−n1)は、nが0である本発明化合物(1−n0)を酸化剤で酸化することにより製造することができる。
酸化反応は、通常溶媒の存在下で行われる。
溶媒としては、例えばジクロロメタン、クロロホルム等の脂肪族ハロゲン化炭化水素類、メタノール、エタノール等のアルコール類、酢酸、水及びこれらの混合物が挙げられる。
酸化剤としては、例えば過ヨウ素酸ナトリウム及びm−クロロ過安息香酸が挙げられる。
該反応には、本発明化合物(1−n0)1モルに対して、酸化剤が通常1~3モルの割合で用いられる。好ましくは、本発明化合物(1−n0)1モルに対して、酸化剤が1~1.2モルの割合で用いられる。
反応温度は通常−20~80℃の範囲内である。反応時間は通常0.1~12時間の範囲内である。
反応終了後は、反応混合物を有機溶媒で抽出し、有機層を必要に応じて還元剤(例えば亜硫酸ナトリウム、チオ硫酸ナトリウム)の水溶液、塩基(例えば炭酸水素ナトリウム)の水溶液で洗浄し、乾燥、濃縮する等の後処理操作を行うことにより、本発明化合物(1−n1)を単離することができる。単離された本発明化合物(1−n1)は、クロマトグラフィー、再結晶等によりさらに精製することもできる。
式(1)においてnが2である本発明化合物(1−n2)は、nが1である本発明化合物(1−n1)を酸化剤で酸化することにより製造することができる。
酸化反応は、通常溶媒の存在下で行われる。
溶媒としては、例えばジクロロメタン、クロロホルム等の脂肪族ハロゲン化炭化水素類、メタノール、エタノール等のアルコール類、酢酸、水及びこれらの混合物が挙げられる。
酸化剤としては、例えばm−クロロ過安息香酸及び過酸化水素水が挙げられる。
該反応には、本発明化合物(1−n1)1モルに対して、酸化剤が通常1~4モルの割合で用いられる。好ましくは、本発明化合物(1−n1)1モルに対して、酸化剤が1~2モルの割合で用いられる。
反応温度は通常−20~120℃の範囲内である。反応時間は通常0.1~12時間の範囲内である。
反応終了後は、反応混合物を有機溶媒で抽出し、有機層を必要に応じて還元剤(例えば亜硫酸ナトリウム、チオ硫酸ナトリウム)の水溶液、塩基(例えば炭酸水素ナトリウム)の水溶液で洗浄し、乾燥、濃縮する等の後処理操作を行うことにより、本発明化合物(1−n2)を単離することができる。本発明化合物(1−n2)は、クロマトグラフィー、再結晶等によりさらに精製することもできる。
また、式(1)においてnが2である本発明化合物(1−n2)は、nが0である本発明化合物(1−n0)を酸化剤で酸化することにより一段階反応(ワンポット)でも製造することができる。
酸化反応は、通常溶媒の存在下で行われる。
溶媒としては、例えばジクロロメタン、クロロホルム等の脂肪族ハロゲン化炭化水素類、メタノール、エタノール等のアルコール類、酢酸、水及びこれらの混合物が挙げられる。
酸化剤としては、例えばm−クロロ過安息香酸及び過酸化水素水が挙げられる。
該反応は必要に応じて触媒の存在下で行うこともできる。触媒としては、例えばタングステン酸ナトリウムが挙げられる。
該反応には、本発明化合物(1−n0)1モルに対して、酸化剤が通常2~5モルの割合、触媒が通常0.01~0.5モルの割合で用いられる。好ましくは、本発明化合物(1−n0)1モルに対して、酸化剤が2~3モルの割合で用いられる。
反応温度は通常0~120℃の範囲内である。反応時間は通常0.1~12時間の範囲内である。
反応終了後は、反応混合物を有機溶媒で抽出し、有機層を必要に応して還元剤(例えば亜硫酸ナトリウム、チオ硫酸ナトリウム)の水溶液、塩基(例えば炭酸水素ナトリウム)の水溶液で洗浄し、乾燥、濃縮する等の後処理操作を行うことにより、本発明化合物(1−n2)を単離することができる。単離された本発明化合物(1−n2)は、クロマトグラフィー、再結晶等によりさらに精製することもできる。
(製造法3)
中間体化合物(M6)を酸化剤で酸化することにより中間体化合物(M6−N0)を製造することができる。また得られた中間体化合物(M6−N0)と化合物(M7)とを塩基の存在下で反応させることにより、式(1)においてnが0である本発明化合物(1−n0)を製造することができる。
[式中、V2はハロゲン原子を表し、その他の記号は式(1)と同じ意味を表す。]
中間体化合物(M6)を酸化することにより中間体化合物(M6−N0)を製造することができる。
酸化反応は、通常溶媒の存在下で行われる。
溶媒としては、例えばジクロロメタン、クロロホルム等の脂肪族ハロゲン化炭化水素類、メタノール、エタノール等のアルコール類、酢酸、水及びこれらの混合物が挙げられる。
酸化剤としては、例えばm−クロロ過安息香酸及び過酸化水素水が挙げられる。
該反応は必要に応じて触媒の存在下で行うこともできる。触媒としては、例えばタングステン酸ナトリウムが挙げられる。
該反応には、中間体化合物(M6)1モルに対して、酸化剤が通常1~10モルの割合、触媒が通常0.01~0.5モルの割合で用いられる。
反応温度は通常0~120℃の範囲内である。反応時間は通常0.1~48時間の範囲内である。
反応終了後は、反応混合物を有機溶媒で抽出し、有機層を必要に応じて還元剤(例えば亜硫酸ナトリウム、チオ硫酸ナトリウム)の水溶液、塩基(例えば炭酸水素ナトリウム)の水溶液で洗浄し、乾燥、濃縮する等の後処理操作を行うことにより、中間体化合物(M6−N0)を単離することができる。単離された中間体化合物(M6−N0)は、クロマトグラフィー、再結晶等によりさらに精製することもできる。
中間体化合物(M6−N0)と化合物(M7)とを塩基の存在下で反応させることにより、式(1)においてnが0である本発明化合物(1−n0)を製造することができる。
該反応は、通常溶媒の存在下で行われる。
溶媒としては、例えばTHF、エチレングリコールジメチルエーテル、tert−ブチルメチルエーテル、1,4−ジオキサン等のエーテル類、トルエン、キシレン等の芳香族炭化水素類、アセトニトリル等のニトリル類、DMF、NMP、DMSO等の非プロトン性極性溶媒、水及びこれらの混合物が挙げられる。
塩基としては、例えば炭酸ナトリウム、炭酸カリウム等のアルカリ金属炭酸塩類、水素化ナトリウム等のアルカリ金属水素化物類が挙げられる。
該反応には、中間体化合物(M6−N0)1モルに対して、化合物(M7)が通常1~10モルの割合、塩基が通常1~10モルの割合で用いられる。
反応温度は通常0~150℃の範囲内である。反応時間は通常0.5~24時間の範囲内である。
反応終了後は、反応混合物を有機溶媒で抽出し、有機層を乾燥、濃縮する等の後処理操作を行うことにより、nが0である本発明化合物(1−n0)を単離することができる。単離されたnが0である本発明化合物(1−n0)は、クロマトグラフィー、再結晶等によりさらに精製することもできる。
該反応においてV2としては、フッ素原子又は塩素原子が好ましい。
(製造法4)
中間体化合物(P1)は、中間体化合物(M1)と中間体化合物(M2)又は中間体化合物(M18)とを反応させて中間体化合物(M3)を製造した後、得られた中間体化合物(M3)の分子内縮合(環化)により製造することができる。
[式中、記号は式(1)と同じ意味を表す。]
中間体化合物(M3)は、中間体化合物(M1)と中間体化合物(M2)とを、縮合剤の存在下で反応させることにより製造することができる。
該反応は、通常溶媒の存在下で行われる。溶媒としては、例えば、1,4−ジオキサン、ジエチルエーテル、テトラヒドロフラン(以下、THFと記す。)、tert−ブチルメチルエーテル等のエーテル類、ジクロロメタン、クロロホルム、四塩化炭素、1,2−ジクロロエタン、クロロベンゼン等のハロゲン化炭化水素類、トルエン、ベンゼン、キシレン等の芳香族炭化水素類、酢酸エチル、酢酸ブチル等のエステル類、アセトニトリル等のニトリル類、N,N−ジメチルホルムアミド(以下、DMFと記す。)、N−メチルピロリドン(以下、NMPと記す。)、1,3−ジメチル−2−イミダゾリジノン、ジメチルスルホキシド(以下、DMSOと記す。)等の非プロトン性極性溶媒、ピリジン、キノリン等の含窒素芳香族化合物類及びこれらの混合物が挙げられる。
縮合剤としては、例えば1−エチル−3−(3−ジメチルアミノプロピル)カルボジイミド塩酸塩(以下、EDCI塩酸塩と記す。)、1,3−ジシクロヘキシルカルボジイミド等のカルボジイミド類が挙げられる。
該反応は、必要に応じて触媒を加えて行うこともできる。触媒としては、例えば1−ヒドロキシベンゾトリアゾール(以下、HOBtと記す)が挙げられる。
該反応には、中間体化合物(M1)1モルに対して、中間体化合物(M2)が通常0.5~2モルの割合、縮合剤が通常1~5モルの割合、触媒が通常0.01~1モルの割合で用いられる。
反応温度は通常0~120℃の範囲内である。反応時間は通常0.1~24時間の範囲内である。
反応終了後は、反応混合物を水に注加してから有機溶媒抽出し、有機層を濃縮する;反応混合物を水に注加して生じた固体を濾過により集める;又は、反応混合物中に生成した固体を濾過により集めることにより中間体化合物(M3)を単離することができる。単離された中間体化合物(M3)は、再結晶、クロマトグラフィー等により更に精製することもできる。
また、中間体化合物(M3)は、中間体化合物(M1)と中間体化合物(M18)とを反応させることにより製造することができる。
該反応は、通常溶媒の存在下で行われる。
溶媒としては、例えばTHF、エチレングリコールジメチルエーテル、tert−ブチルメチルエーテル、1,4−ジオキサン等のエーテル類、ヘキサン、ヘプタン、オクタン等の脂肪族炭化水素類、トルエン、キシレン等の芳香族炭化水素類、クロロベンゼン等のハロゲン化炭化水素類、酢酸エチル、酢酸ブチル等のエステル類、アセトニトリル等のニトリル類、DMF、NMP、DMSO等の非プロトン性極性溶媒及びこれらの混合物が挙げられる。
該反応は、必要に応じて塩基を加えて行うこともできる。塩基としては、炭酸ナトリウム、炭酸カリウム等のアルカリ金属炭酸塩類、トリエチルアミン、N−エチルジイソプロピルアミン等の第3級アミン類及びピリジン、4−ジメチルアミノピリジン等の含窒素芳香族化合物類等が挙げられる。
該反応には、中間体化合物(M1)1モルに対して、中間体化合物(M18)が通常1~3モルの割合、塩基が通常1~10モルの割合で用いられる。
反応温度は通常−20~100℃の範囲内である。反応時間は通常0.1~24時間の範囲内である。
反応終了後は、反応混合物に水を注加した後、有機溶媒で抽出し、有機層を乾燥、濃縮する等の後処理操作を行うことにより、中間体化合物(M3)を単離することができる。単離された中間体化合物(M3)は、クロマトグラフィー、再結晶等によりさらに精製することもできる。
中間体化合物(P1)は、中間体化合物(M3)の分子内縮合(環化)により製造することができる。
該反応は、通常、溶媒の存在下で行われる。溶媒としては、例えば1,4−ジオキサン、ジエチルエーテル、THF、tert−ブチルメチルエーテル等のエーテル類、ジクロロメタン、クロロホルム、四塩化炭素、1,2−ジクロロエタン、クロロベンゼン等のハロゲン化炭化水素類、トルエン、ベンゼン、キシレン等の芳香族炭化水素類、酢酸エチル、酢酸ブチル等のエステル類、アセトニトリル等のニトリル類、DMF、NMP、1,3−ジメチル−2−イミダゾリジノン、DMSO等の非プロトン性極性溶媒、ピリジン、キノリン等の含窒素芳香族化合物類及びこれらの混合物が挙げられる。
該反応は必要に応じて、縮合剤、酸又は塩基を用いることができる。
縮合剤としては、例えばEDCI塩酸塩、トリフェニルホスフィンと塩基と四塩化炭素若しくは四臭化炭素の混合物、トリフェニルホスフィンとアゾジカルボン酸ジエチル等のアゾジエステル類の混合物が挙げられる。
酸としては、例えばパラトルエンスルホン酸等のスルホン酸類、酢酸等のカルボン酸類、ポリリン酸が挙げられる。
塩基としては、例えばピリジン、ピコリン、2,6−ルチジン、1,8−ジアザビシクロ〔5.4.0〕−7−ウンデセン(以下、DBUと記す。)、1,5−ジアザビシクロ〔4.3.0〕−5−ノネン等の含窒素複素環化合物、トリエチルアミン、N−エチルジイソプロピルアミン等の第3級アミン類、リン酸三カリウム、炭酸カリウム、水素化ナトリウム等の無機塩基が挙げられる。
該反応には、中間体化合物(M3)1モルに対して、縮合剤を用いる場合には縮合剤が通常1~5モルの割合、酸を用いる場合には酸が通常0.1モル~5モルの割合、塩基を用いる場合には塩基が通常1モル~5モルの割合で用いられる。
反応温度は通常0~200℃の範囲内である。反応時間は通常0.1~24時間の範囲内である。
反応終了後は、反応混合物を水に注加してから有機溶媒抽出し、有機層を濃縮する;反応混合物を水に注加して生じた固体を濾過により集める;又は、反応混合物中に生成した固体を濾過により集めることにより中間体化合物(P1)を単離することができる。単離された中間体化合物(P1)は、再結晶、クロマトグラフィー等により更に精製することもできる。
中間体化合物(P1)は、中間体化合物(M1)と中間体化合物(M2)とを縮合剤の存在下で反応させることにより一段階反応(ワンポット)で製造することができる。
該反応は、通常溶媒の存在下で行われる。溶媒としては、例えば、1,4−ジオキサン、ジエチルエーテル、THF、tert−ブチルメチルエーテル等のエーテル類、ジクロロメタン、クロロホルム、四塩化炭素、1,2−ジクロロエタン、クロロベンゼン等のハロゲン化炭化水素類、トルエン、ベンゼン、キシレン等の芳香族炭化水素類、酢酸エチル、酢酸ブチル等のエステル類、アセトニトリル等のニトリル類、DMF、NMP、1,3−ジメチル−2−イミダゾリジノン、DMSO等の非プロトン性極性溶媒、ピリジン、キノリン等の含窒素芳香族化合物類及びこれらの混合物が挙げられる。
縮合剤としては、例えばEDCI塩酸塩、1,3−ジシクロヘキシルカルボジイミド等のカルボジイミド類が挙げられる。
該反応は、必要に応じて触媒を加えて行うこともできる。触媒としては、例えば1−ヒドロキシベンゾトリアゾールが挙げられる。
該反応には、中間体化合物(M1)1モルに対して、中間体化合物(M2)が通常0.5~2モルの割合、縮合剤が通常1~5モルの割合、触媒が通常0.01~1モルの割合で用いられる。
反応温度は通常0~200℃の範囲内である。反応時間は通常0.1~24時間の範囲内である。
反応終了後は、反応混合物を水に注加してから有機溶媒抽出し、有機層を濃縮する;反応混合物を水に注加して生じた固体を濾過により集める;又は、反応混合物中に生成した固体を濾過により集めることにより中間体化合物(P1)を単離することができる。単離された中間体化合物(P1)は、再結晶、クロマトグラフィー等により更に精製することもできる。
また、中間体化合物(P1)は、中間体化合物(M1)と中間体化合物(M18)とを反応させることにより一段階反応(ワンポット)で製造することができる。
該反応は、溶媒の存在下又は非存在下で行われる。
溶媒としては、例えばTHF、エチレングリコールジメチルエーテル、tert−ブチルメチルエーテル、1,4−ジオキサン等のエーテル類、ヘキサン、ヘプタン、オクタン等の脂肪族炭化水素類、トルエン、キシレン等の芳香族炭化水素類、クロロベンゼン等のハロゲン化炭化水素類、酢酸エチル、酢酸ブチル等のエステル類、アセトニトリル等のニトリル類、DMF、NMP、DMSO等の非プロトン性極性溶媒及びこれらの混合物が挙げられる。
該反応は、必要に応じて塩基を加えて行うこともできる。塩基としては、炭酸ナトリウム、炭酸カリウム等のアルカリ金属炭酸塩類、トリエチルアミン、N−エチルジイソプロピルアミン等の第3級アミン類及びピリジン、4−ジメチルアミノピリジン等の含窒素芳香族化合物類等が挙げられる。
該反応には、中間体化合物(M1)1モルに対して、中間体化合物(M18)が通常1~3モルの割合、塩基が通常1~10モルの割合で用いられる。
反応温度は通常20~200℃の範囲内である。反応時間は通常0.1~24時間の範囲内である。
反応終了後は、反応混合物に水を注加した後、有機溶媒で抽出し、有機層を乾燥、濃縮する等の後処理操作を行うことにより、中間体化合物(P1)を単離することができる。単離された中間体化合物(P1)は、クロマトグラフィー、再結晶等によりさらに精製することもできる。
(製造法5)
中間体化合物(M9)と、中間体化合物(M2)又は中間体化合物(M18)とを反応させて中間体化合物(M14)を製造した後、得られた中間体化合物(M14)と硫化剤とを反応させることにより、A1が硫黄原子である中間体化合物(P1)(以下、中間体化合物(P20)と称する。)を製造することができる。
[式中、記号は式(1)と同じ意味を表す。]
中間体化合物(M14)は、中間体化合物(M9)と中間体化合物(M2)とを反応させることにより製造することができる。
該反応は、溶媒の存在下又は非存在下で行われる。
溶媒としては、例えばTHF、エチレングリコールジメチルエーテル、tert−ブチルメチルエーテル、1,4−ジオキサン等のエーテル類、ヘキサン、ヘプタン、オクタン等の脂肪族炭化水素類、トルエン、キシレン等の芳香族炭化水素類、クロロベンゼン等のハロゲン化炭化水素類、酢酸エチル、酢酸ブチル等のエステル類、アセトニトリル等のニトリル類、DMF、NMP、DMSO等の非プロトン性極性溶媒、ピリジン、キノリン等の含窒素芳香族化合物類及びこれらの混合物が挙げられる。
縮合剤としては、例えばEDCI塩酸塩、1,3−ジシクロヘキシルカルボジイミド等のカルボジイミド類、BOP試薬が挙げられる。
該反応には、中間体化合物(M9)1モルに対して、中間体化合物(M2)が通常1~3モルの割合、縮合剤が通常1~5モルの割合で用いられる。
反応温度は通常0~200℃の範囲内である。反応時間は通常0.1~24時間の範囲内である。
反応終了後は、反応混合物に水を注加した後、有機溶媒で抽出し、有機層を乾燥、濃縮する等の後処理操作を行うことにより、中間体化合物(M14)を単離することができる。単離された中間体化合物(M14)は、クロマトグラフィー、再結晶等によりさらに精製することもできる。
また、中間体化合物(M14)は、中間体化合物(M9)と中間体化合物(M18)とを反応させることにより製造することができる。
該反応は、溶媒の存在下又は非存在下で行われる。必要に応じて塩基を加えて行うこともできる。
溶媒としては、例えばTHF、エチレングリコールジメチルエーテル、tert−ブチルメチルエーテル、1,4−ジオキサン等のエーテル類、ヘキサン、ヘプタン、オクタン等の脂肪族炭化水素類、トルエン、キシレン等の芳香族炭化水素類、クロロベンゼン等のハロゲン化炭化水素類、酢酸エチル、酢酸ブチル等のエステル類、アセトニトリル等のニトリル類、DMF、NMP、DMSO等の非プロトン性極性溶媒、ピリジン、キノリン等の含窒素芳香族化合物類及びこれらの混合物が挙げられる。
塩基としては、炭酸ナトリウム、炭酸カリウム等のアルカリ金属炭酸塩類、トリエチルアミン、N−エチルジイソプロピルアミン等の第3級アミン類及びピリジン、4−ジメチルアミノピリジン等の含窒素芳香族化合物類等が挙げられる。
該反応には、中間体化合物(M9)1モルに対して、中間体化合物(M18)が通常1~3モルの割合、塩基が通常1~5モルの割合で用いられる。
反応温度は通常0~200℃の範囲内である。反応時間は通常0.1~24時間の範囲内である。
反応終了後は、反応混合物に水を注加した後、有機溶媒で抽出し、有機層を乾燥、濃縮する等の後処理操作を行うことにより、中間体化合物(M14)を単離することができる。単離された中間体化合物(M14)は、クロマトグラフィー、再結晶等によりさらに精製することもできる。
中間体化合物(P20)は中間体化合物(M14)と硫化剤とを反応させることにより製造することができる。
該反応は、溶媒の存在下又は非存在下で行われる。
溶媒としては、例えば1,4−ジオキサン、ジエチルエーテル、テトラヒドロフラン、tert−ブチルメチルエーテル、ジグライム等のエーテル類、ジクロロメタン、クロロホルム、四塩化炭素、1,2−ジクロロエタン、クロロベンゼン等のハロゲン化炭化水素類、トルエン、ベンゼン、キシレン等の芳香族炭化水素類、アセトニトリル等のニトリル類、ピリジン、ピコリン、ルチジン、キノリン等の含窒素芳香族化合物類及びこれらの混合物が挙げられる。
硫化剤としては、五硫化ニリン、ローソン試薬(2,4−ビス−(4−メトキシフェニル)−1,3−ジチア−2,4−ジホスフェタン−2,4−ジスルフィド)等が挙げられる。
該反応には、中間体化合物(M14)1モルに対して、硫化剤が通常1モル~3モルの割合で用いられる。
反応温度は通常0℃~200℃の範囲内であり、反応時間は通常1~24時間の範囲内である。
反応終了後は、反応混合物を水に注加してから有機溶媒抽出し、有機層を濃縮する;反応混合物を水に注加して生じた固体を濾過により集める;又は、反応混合物中に生成した固体を濾過により集めることにより中間体化合物(P20)を単離することができる。単離された中間体化合物(P20)は、再結晶、クロマトグラフィー等により更に精製することもできる。
(製造法6)
中間体化合物(P1)は、中間体化合物(M1)と中間体化合物(M4)とを酸化剤の存在下で反応させることにより製造することができる。
[式中、記号は式(1)と同じ意味を表す。]
該反応は、通常溶媒の存在下で行われる。溶媒としては、例えばメタノール、エタノール等のアルコール類、1,4−ジオキサン、ジエチルエーテル、THF、tert−ブチルメチルエーテル等のエーテル類、ジクロロメタン、クロロホルム、四塩化炭素、1,2−ジクロロエタン、クロロベンゼン等のハロゲン化炭化水素類、トルエン、ベンゼン、キシレン等の芳香族炭化水素類、酢酸エチル、酢酸ブチル等のエステル類、アセトニトリル等のニトリル類、DMF、NMP、1,3−ジメチル−2−イミダゾリジノン、DMSO等の非プロトン性極性溶媒、ピリジン、キノリン等の含窒素芳香族化合物類及びこれらの混合物が挙げられる。
該反応は必要に応じて酸を加えて行うこともできる。酸としては、例えばパラトルエンスルホン酸等のスルホン酸類、酢酸等のカルボン酸類、ポリリン酸等が挙げられる。
該反応は必要に応じて亜硫酸塩を加えて行うこともできる。亜硫酸塩としては、例えば亜硫酸水素ナトリウム、二亜硫酸ナトリウム等の亜硫酸塩類が挙げられる。
酸化剤としては、例えば酸素、塩化銅(II)及びDDQが挙げられる。
該反応には、中間体化合物(M1)1モルに対して、中間体化合物(M4)が通常1~2モルの割合、酸が通常0.1~2モルの割合、亜硫酸塩が通常1~5モルの割合、酸化剤が通常1モル~5モルの割合で用いられる。
反応温度は通常0~200℃の範囲内であり、反応時間は通常0.1~24時間の範囲内である。
反応終了後は、反応混合物を水に注加してから有機溶媒抽出し、有機層を濃縮する;反応混合物を水に注加して生じた固体を濾過により集める;又は、反応混合物中に生成した固体を濾過により集めることにより中間体化合物(P1)を単離することができる。単離された中間体化合物(P1)は、再結晶、クロマトグラフィー等により更に精製することもできる。
(製造法7)
中間体化合物(P1−n0)は、中間体化合物(M6)と化合物(M7)とを塩基の存在下で反応させることにより製造することができる。
[式中、V2はハロゲン原子を表し、その他の記号は式(1)と同じ意味を表す。]
該反応は、通常溶媒の存在下で行われる。
溶媒としては、例えばTHF、エチレングリコールジメチルエーテル、tert−ブチルメチルエーテル、1,4−ジオキサン等のエーテル類、トルエン、キシレン等の芳香族炭化水素類、アセトニトリル等のニトリル類、DMF、NMP、DMSO等の非プロトン性極性溶媒、水及びこれらの混合物が挙げられる。
塩基としては、例えば炭酸ナトリウム、炭酸カリウム等のアルカリ金属炭酸塩類、水素化ナトリウム等のアルカリ金属水素化物類が挙げられる。
該反応には、中間体化合物(M6)1モルに対して、化合物(M7)が通常1~10モルの割合、塩基が通常1~10モルの割合で用いられる。
反応温度は通常0~150℃の範囲内である。反応時間は通常0.5~24時間の範囲内である。
反応終了後は、反応混合物を有機溶媒で抽出し、有機層を乾燥、濃縮する等の後処理操作を行うことにより、nが0である中間体化合物(P1−n0)を単離することができる。単離されたnが0である中間体化合物(P1−n0)は、クロマトグラフィー、再結晶等によりさらに精製することもできる。
該反応においてV2としては、フッ素原子又は塩素原子が好ましい。
(製造法8)
中間体化合物(M1)と、中間体化合物(M19)又は中間体化合物(M39)とを反応させて中間体化合物(M20)を製造した後、得られた中間体合物(M20)の分子内縮合(環化)により中間体化合物(M6)を製造することができる。
[式中、V2はハロゲン原子を表し、その他の記号は式(1)と同じ意味を表す。]
中間体化合物(M2)に代えて中間体化合物(M19)を用い、製造法4の方法に準じて、中間体化合物(M20)を製造することができる。
中間体化合物(M18)に代えて中間体化合物(M39)を用い、製造法4の方法に準じて、中間体化合物(M20)を製造することができる。
中間体化合物(M3)に代えて中間体化合物(M20)を用い、製造法4の方法に準じて、中間体化合物(M6)を製造することができる。
また、中間体化合物(M2)に代えて中間体化合物(M19)を用い、製造法4の方法に準じて、中間体化合物(M6)を一段階反応(ワンポット)で製造することもできる。
また、中間体化合物(M2)に代えて中間体化合物(M39)を用い、製造法4の方法に準じて、中間体化合物(M6)を一段階反応(ワンポット)で製造することもできる。
該反応においてV2としては、フッ素原子又は塩素原子が好ましい。
(製造法9)
中間体化合物(M20)と化合物(M7)とを反応させることにより、中間体化合物(M3)を製造することができる。また、得られた中間体化合物(M3)の分子内縮合(環化)により、中間体化合物(P1−n0)を製造することができる。
[式中、V2はハロゲン原子を表し、その他の記号は式(1)と同じ意味を表す]
中間体化合物(M6)に代えて中間体化合物(M20)を用い、製造法7の方法に準じて、nが0である中間体化合物(M3)を製造することができる。
中間体化合物(M3)に代えてnが0である中間体化合物(M3)を用い、製造法4の方法に準じて、中間体化合物(P1−n0)を製造することができる。
また、中間体化合物(M6)に代えて中間体化合物(M20)を用い、製造法7の方法に準じて、nが0である中間体化合物(P1−n0)を一段階反応(ワンポット)で製造することもできる。
該反応においてV2としては、フッ素原子又は塩素原子が好ましい。
(製造法10)
A1が−NH−である中間体化合物(P2)と、化合物(M10)とを塩基の存在下で反応させることにより、A1が−NR6’−である中間体化合物(P3)製造することができる。
[式中、R6’は式(1)におけるR6のうちの水素原子以外のいずれかを表し、Lは塩素原子、臭素原子、ヨウ素原子、トリフルオロメタンスルホニルオキシ基及びメタンスルホニルオキシ基等の脱離基を表し、その他の記号は式(1)と同じ意味を表す。]
該反応は、通常溶媒の存在下で行われる。
溶媒としては、例えばTHF、エチレングリコールジメチルエーテル、tert−ブチルメチルエーテル、1,4−ジオキサン等のエーテル類、トルエン、キシレン等の芳香族炭化水素類、アセトニトリル等のニトリル類、DMF、NMP、DMSO等の非プロトン性極性溶媒及びこれらの混合物が挙げられる。
塩基としては、例えば水素化ナトリウム、水素化カリウム、水素化カルシウム等のアルカリ金属及びアルカリ土類金属の水素化物、炭酸ナトリウム、炭酸カリウム等の無機塩基並びにトリエチルアミン等の有機塩基が挙げられる。
該反応には、中間体化合物(P2)1モルに対して、化合物(M10)が通常1~5モルの割合で用いられ、塩基が通常1~3モルの割合で用いられる。
反応温度は通常0~100℃の範囲内である。反応時間は通常0.1~24時間の範囲内である。
反応終了後は、反応混合物を有機溶媒で抽出し、有機層を乾燥、濃縮する等の後処理操作を行うことにより、中間体化合物(P3)を単離することができる。単離され中間体化合物(P3)は、クロマトグラフィー、再結晶等によりさらに精製することもできる。
(製造法11)
中間体化合物(M29)をニトロ化するか、或いは、中間体化合物(M33)と化合物(M28)とを反応させることにより、中間体化合物(M30)を製造することができる。ここで得られた中間体化合物(M30)を還元することによりA1が−NR6−である中間体化合物(M1)を製造することができる。
[式中、記号は式(1)と同じ意味を表す。]
中間体化合物(M30)は、中間体化合物(M33)と化合物(M28)とを塩基の存在下で反応させることにより製造することができる。
該反応は、通常溶媒の存在下で行われる。
溶媒としては、例えばTHF、エチレングリコールジメチルエーテル、tert−ブチルメチルエーテル、1,4−ジオキサン等のエーテル類、トルエン、キシレン等の芳香族炭化水素類、アセトニトリル等のニトリル類、DMF、NMP、DMSO等の非プロトン性極性溶媒及びこれらの混合物が挙げられる。
該反応は、必要に応じて塩基を加えて行うこともできる。塩基としては、例えば水素化ナトリウム等のアルカリ金属水素化物類、炭酸ナトリウム、炭酸カリウム等のアルカリ金属炭酸塩類、トリエチルアミン、N−エチルジイソプロピルアミン等の第3級アミン類及びピリジン、4−ジメチルアミノピリジン等の含窒素芳香族化合物類が挙げられる。
該反応には、中間体化合物(M33)1モルに対して、化合物(M28)が通常1~10モルの割合、塩基が通常0~10モルの割合で用いられる。
反応温度は通常0~150℃の範囲内である。反応時間は通常0.5~24時間の範囲内である。
反応終了後は、反応混合物を有機溶媒で抽出し、有機層を乾燥、濃縮する等の後処理操作を行うことにより、中間体化合物(M30)を単離することができる。単離された中間体化合物(M30)は、クロマトグラフィー、再結晶等によりさらに精製することもできる。
中間体化合物(M30)は、中間体化合物(M29)とニトロ化剤とを反応させることにより製造することができる。
該反応は、通常溶媒の存在下で行われる。
溶媒としては、例えばジクロロメタン、クロロホルム等の脂肪族ハロゲン化炭化水素類、酢酸、濃硫酸、濃硝酸、水及びこれらの混合物が挙げられる。
ニトロ化剤としては、例えば濃硝酸等が挙げられる。
該反応には、中間体化合物(M29)1モルに対して、ニトロ化剤が通常1~3モルの割合で用いられる。
反応温度は通常−10~100℃の範囲内である。反応時間は通常0.1~24時間の範囲内である。
反応終了後は、反応混合物を水に注加し、有機溶媒で抽出し、有機層を乾燥、濃縮する等の後処理操作を行うことにより、中間体化合物(M30)を単離することができる。単離された中間体化合物(M30)は、クロマトグラフィー、再結晶等によりさらに精製することもできる。
A1が−NR6−である中間体化合物(M1)は、中間体化合物(M30)と水素とを、水素添加触媒の存在下で反応させることにより製造することができる。
該反応は、通常1~100気圧の水素雰囲気下、通常溶媒の存在下で行われる。
溶媒としては、例えばTHF、エチレングリコールジメチルエーテル、tert−ブチルメチルエーテル、1,4−ジオキサン等のエーテル類、酢酸エチル、酢酸ブチル等のエステル類、メタノール、エタノール等のアルコール類、水及びこれらの混合物が挙げられる。
水素添加触媒としては、例えばパラジウム炭素、水酸化パラジウム、ラネーニッケル、酸化白金等の遷移金属化合物が挙げられる。
該反応には、中間体化合物(M30)1モルに対して、水素が通常3モル~過剰量の割合、水素添加触媒が通常0.001~0.5モルの割合で用いられる。
該反応は、必要に応じて酸、塩基等を加えて行うこともできる。酸としては、酢酸、塩酸等が挙げられ、塩基としては、トリエチルアミン等の第3級アミン類、酸化マグネシウム等が挙げられる。
の反応温度は通常−20~100℃の範囲内である。反応時間は通常0.1~24時間の範囲内である。
反応終了後は、反応混合物をろ過し、必要に応じて有機溶媒で抽出し、有機層を乾燥、濃縮する等の後処理操作を行うことにより、A1が−NR6−である中間体化合物(M1)を単離することができる。単離されたA1が−NR6−である中間体化合物(M1)は、クロマトグラフィー、再結晶等によりさらに精製することもできる。
また中間体化合物(M30)は、中間体化合物(M29)をアセチル化して中間体化合物(M29’)を製造した後、得られた中間体化合物(M29’)をニトロ化して中間体化合物(M30’)を製造し、得られた中間体化合物(M30’)を加水分解することにより製造することもできる。
[式中、記号は式(1)と同じ意味を表す。]
中間体化合物(M29’)は、中間体化合物(M29)とアシル化剤とを反応させることにより製造することができる。
該反応は、通常溶媒の存在下若しくはアシル化剤を溶媒として用いて行われる。
溶媒としては、例えばジクロロメタン、クロロホルム等の脂肪族ハロゲン化炭化水素類、THF、エチレングリコールジメチルエーテル、tert−ブチルメチルエーテル、1,4−ジオキサン等のエーテル類、トルエン、キシレン等の芳香族炭化水素類、アセトニトリル等のニトリル類、DMF、NMP、DMSO等の非プロトン性極性溶媒及びこれらの混合物が挙げられる。
反応に用いられるアシル化剤としては、例えば無水酢酸、パラアセトキシニトロベンゼンが挙げられる。
該反応は、必要に応じて塩基を加えて行うこともできる。塩基としては、例えばトリエチルアミン、N−エチルジイソプロピルアミン等の第3級アミン類及びピリジン、4−ジメチルアミノピリジン等の含窒素芳香族化合物類が挙げられる。
該反応には、中間体化合物(M29)1モルに対して、アセチル化剤が通常1モル以上の割合、塩基が通常0.1~10モルの割合で用いられる。
反応温度は通常0~150℃の範囲内である。反応時間は通常0.5~24時間の範囲内である。
反応終了後は、反応混合物を有機溶媒で抽出し、有機層を乾燥、濃縮する等の後処理操作を行うことにより、中間体化合物(M29’)を単離することができる。単離された中間体化合物(M29’)は、クロマトグラフィー、再結晶等によりさらに精製することもできる。
中間体化合物(M29)に代えて、中間体化合物(M29’)を用い、製造法11に準じて中間体化合物(M29’)をニトロ化することにより、中間体化合物(M30’)を製造することができる。
中間体化合物(M30)は中間体化合物(M30’)を酸又は塩基の存在下で加水分解することにより製造することができる。
酸で加水分解する場合、該反応は通常酸の水溶液を溶媒として行われる。
酸としては、例えば塩酸、硫酸等の鉱酸類、酢酸、トリフルオロ酢酸等のカルボン酸類が挙げられる。
反応温度は通常0~100℃の範囲内である。反応時間は通常0.1~24時間の範囲内である。
反応終了後は、反応混合物を有機溶媒で抽出し、有機層を乾燥、濃縮する等の後処理操作を行うことにより、中間体化合物(M30)を単離することができる。単離された中間体化合物(M30)は、クロマトグラフィー、再結晶等によりさらに精製することもできる。
塩基で加水分解する場合、該反応は通常溶媒の存在下で行われる。
溶媒としては、例えばTHF、エチレングリコールジメチルエーテル、tert−ブチルメチルエーテル、1,4−ジオキサン等のエーテル類、メタノール、エタノール等のアルコール類、水及びこれらの混合物が挙げられる。
塩基としては、例えば水酸化ナトリウム、水酸化カリウム等のアルカリ金属水酸化物、ヒドラジンが挙げられる。
該反応には、中間体化合物(M30’)1モルに対して、塩基が通常1~10モルの割合で用いられる。
反応温度は通常0~120℃の範囲内である。反応時間は通常0.1~24時間の範囲内である。
反応終了後は、反応液を酸性にした後、反応混合物を有機溶媒で抽出し、有機層を乾燥、濃縮する等の後処理操作を行うことにより、中間体化合物(M30)を単離することができる。単離された中間体化合物(M30)は、クロマトグラフィー、再結晶等によりさらに精製することもできる。
(製造法12)
中間体化合物(M29)を臭素化することにより中間体化合物(M35)を製造した後、得られた中間体化合物(M35)をアミノ化することにより、A1が−NR6−である中間体化合物(M1)を製造することができる。
[式中、記号は式(1)と同じ意味を表す。]
中間体化合物(M35)は、中間体化合物(M29)と臭素化剤とを反応させることにより製造することができる。
該反応は、通常溶媒の存在下で行われる。
溶媒としては、例えば水、酢酸、1,4−ジオキサン、ジエチルエーテル、THF等のエーテル類、酢酸エチル、酢酸ブチル等のエステル類、ジクロロメタン、クロロホルム、四塩化炭素、1,2−ジクロロエタン等のハロゲン化炭化水素類、アセトニトリル等のニトリル類、DMF、NMP、DMSO等の非プロトン性極性溶媒及びこれらの混合物が挙げられる。
臭素化剤としては、例えばN−ブロモスクシンイミド、臭素が挙げられる。
中間体化合物(M29)1モルに対して、臭素化剤が通常1~3モルの割合で用いられる。
反応温度は通常−10~100℃の範囲内であり、反応時間は通常0.1~24時間の範囲内である。
反応終了後は、反応混合物を水に注加してから有機溶媒抽出し、有機層を濃縮する;反応混合物を水に注加して生じた固体を濾過により集める;又は、反応混合物中に生成した固体を濾過により集めることにより中間体化合物(M35)を単離することができる。単離された中間体化合物(M35)は、再結晶、クロマトグラフィー等により更に精製することもできる。
A1が−NR7−である中間体化合物(M1)は、中間体化合物(M35)とアミノ化剤とを銅又は銅化合物の存在下で反応させることにより製造することができる。
該反応は、通常溶媒の存在下で行われる。
溶媒としては、例えば水、メタノール、エタノール等のアルコール類、1,4−ジオキサン、ジエチルエーテル、THF等のエーテル類、酢酸エチル、酢酸ブチル等のエステル類、ジクロロメタン、クロロホルム、四塩化炭素、1,2−ジクロロエタン等のハロゲン化炭化水素類、アセトニトリル等のニトリル類、DMF、NMP、DMSO等の非プロトン性極性溶媒、ピリジン、キノリン等の含窒素芳香族化合物類及びこれらの混合物が挙げられる。
アミノ化剤としては、例えばアンモニア、アンモニア水及びリチウムアミドが挙げられる。
銅化合物としては、例えばヨウ化銅(I)、酸化銅(I)、酸化銅(II)、アセチルアセトン銅(II)、酢酸銅(II)、硫酸銅(II)等が挙げられる。
該反応は、必要に応じて配位子を加えて行うこともできる。配位子としては、例えばアセチルアセトン、サレン及びフェナントロリンが挙げられる。
該反応は、必要に応じて塩基を加えて行うこともできる。塩基としては、例えばピリジン、ピコリン、2,6−ルチジン、DBU、1,5−ジアザビシクロ〔4.3.0〕−5−ノネン等の含窒素複素環化合物、トリエチルアミン、N−エチルジイソプロピルアミン等の第3級アミン類、りん酸三カリウム、炭酸カリウム、炭酸セシウム、水酸化ナトリウム等の無機塩基が挙げられる。
中間体化合物(M35)1モルに対して、アミノ化剤が通常1~5モルの割合で用いられ、銅又は銅化合物が通常0.02~0.5モルの割合で用いられ、配位子が通常0.02~2モルの割合で用いられ、塩基が通常1~5モルの割合で用いられる。
反応温度は通常30~200℃の範囲内であり、反応時間は通常0.1~48時間の範囲内である。
反応終了後は、反応混合物を水に注加してから有機溶媒抽出し、有機層を濃縮する;反応混合物を水に注加して生じた固体を濾過により集める;又は、反応混合物中に生成した固体を濾過により集めることによりA1が−NR7−である中間体化合物(M1)を単離することができる。単離されたA1が−NR7−である中間体化合物(M1)は、再結晶、クロマトグラフィー等により更に精製することもできる。
(製造法13)
中間体化合物(M31)をニトロ化することにより中間体化合物(M32)を製造した後、得られた中間体化合物(M32)を還元することにより、式(M1)においてA1が酸素原子である中間体化合物(M1)を製造することができる。
[式中、記号は式(1)と同じ意味を表す。]
中間体化合物(M29)に代えて中間体化合物(M31)を用い、製造法11の方法に準じて、中間体化合物(M32)を製造することができる。
中間体化合物(M30)に代えて中間体化合物(M32)を用い、製造法11の方法に準じて、A1が酸素原子である中間体化合物(M1)を製造することができる。
(製造法14)
中間体化合物(M33)と硫化剤とを反応させることにより中間体化合物(M34)を製造した後、得られた中間体化合物(M34)と還元剤とを反応させることにより、式(M1)においてA1が硫黄原子である中間体化合物(M1)を製造することができる。
[式中、記号は式(1)と同じ意味を表す。]
中間体化合物(M34)は、中間体化合物(M33)とチオウレアとを塩基の存在下で反応させることにより製造することができる。
該反応は、通常溶媒の存在下で行われる。
溶媒としては、例えばメタノール、エタノール等のアルコール類、水及びこれらの混合物が挙げられる。
塩基としては、例えば水酸化ナトリウム、水酸化カリウム等のアルカリ金属水酸化物が挙げられる。
該反応には、中間体化合物(M33)1モルに対して、チオウレアが通常0.5~3モルの割合、塩基が通常1~10モルの割合で用いられる。
反応温度は通常0~100℃の範囲内である。反応時間は通常0.1~24時間の範囲内である。
反応終了後は、反応混合物に酸を加えた後、有機溶媒で抽出し、有機層を乾燥、濃縮する等の後処理操作を行うことにより、中間体化合物(M34)を単離することができる。単離された中間体化合物(M34)は、クロマトグラフィー、再結晶等により精製することもできる。
A1が硫黄原子である中間体化合物(M1)は、中間体化合物(M34)と還元剤とを反応させることにより製造することができる。
該還元反応は例えば還元剤;塩酸、酢酸等の酸;及び水の存在下で行うことができる。
該反応は通常溶媒の存在下で行われる。
溶媒としては、例えばTHF、エチレングリコールジメチルエーテル、tert−ブチルメチルエーテル、1,4−ジオキサン等のエーテル類、酢酸エチル、酢酸ブチル等のエステル類、メタノール、エタノール等のアルコール類、DMF、NMP、DMSO等の非プロトン性極性溶媒及びこれらの混合物が挙げられる。
還元剤としては、例えば鉄粉、亜鉛粉等の金属粉及び二塩化スズが挙げられる。
該反応には、中間体化合物(M34)1モルに対して、金属粉又は二塩化スズが通常3~10モルの割合で用いられる。
反応温度は通常0~100℃の範囲内である。反応時間は通常0.1~24時間の範囲内である。
反応終了後は、反応混合物に水を加えた後、有機溶媒で抽出し、有機層を乾燥、濃縮する等の後処理操作を行うことにより、A1が硫黄原子である中間体化合物(M1)を単離することができる。単離されたA1が硫黄原子である中間体化合物(M1)は、クロマトグラフィー、再結晶等により精製することもできる。
(製造法15)
R8がC1−C6パーフルオロアルキル基である中間体化合物(P7)は、R8がハロゲン原子である中間体化合物(P4)と、化合物(M11)又は化合物(M11’)とを、銅又は銅化合物の存在下で反応させることにより製造することができる。
[式中、V1はハロゲン原子を表し、RfはC1−C6パーフルオロアルキル基を表し、その他の記号は式(1)と同じ意味を表す。]
該反応は、通常溶媒の存在下で行われる。
溶媒としては、例えばトルエン、キシレン等の芳香族炭化水素類、DMF、NMP、DMSO等の非プロトン性極性溶媒及びこれらの混合物が挙げられる。
銅化合物としては、例えばヨウ化銅(I)が挙げられる。
該反応において化合物(M11)を用いる場合、中間体化合物(P4)1モルに対して、化合物(M11)が通常1~10モルの割合、銅化合物が通常0.5~10モルの割合で用いられる。
反応温度は通常100~200℃の範囲内である。反応時間は通常0.5~48時間の範囲内である。
該反応において化合物(M11’)を用いる場合、フッ化カリウムを加えても良い。中間体化合物(P4)1モルに対して、化合物(M11’)が通常1~10モルの割合、銅又は銅化合物が通常0.1~10モルの割合、フッ化カリウムが通常0.1~5モルの割合で用いられる。
反応温度は通常0~150℃の範囲内である。反応時間は通常0.5~48時間の範囲内である。
反応終了後は、反応混合物を有機溶媒で抽出し、有機層を乾燥、濃縮する等の後処理操作を行うことにより、中間体化合物(P7)を単離することができる。単離された中間体化合物(P7)は、クロマトグラフィー、再結晶等によりさらに精製することもできる。
該反応においてV1としては、臭素原子、ヨウ素原子が好ましい。
次に、本発明化合物の具体例を以下に示す。
式(1)
において、R2、R3、R4、R5、R7及びR9が水素原子であり、R8がトリフルオロメチル基であり、R1、A1及びnが、〔表1〕~〔表14〕に記載の組み合わせである本発明化合物。
式(1)において、R2がフッ素原子であり、R3、R4、R5、R7及びR9が水素原子であり、R8がトリフルオロメチル基であり、R1、A1及びnが〔表1〕~〔表14〕に記載の組み合わせである化合物。
式(1)において、R3がフッ素原子であり、R2、R4、R5、R7及びR9が水素原子であり、R8がトリフルオロメチル基であり、R1、A1及びnが〔表1〕~〔表14〕に記載の組み合わせである化合物。
式(1)において、R4がフッ素原子であり、R2、R3、R5、R7及びR9が水素原子であり、R8がトリフルオロメチル基であり、R1、A1及びnが〔表1〕~〔表14〕に記載の組み合わせである化合物。
式(1)において、R5がフッ素原子であり、R2、R3、R4、R7及びR9が水素原子であり、R8がトリフルオロメチル基であり、R1、A1及びnが〔表1〕~〔表14〕に記載の組み合わせである化合物。
式(1)において、R2が塩素原子であり、R3、R4、R5、R7及びR9が水素原子であり、R8がトリフルオロメチル基であり、R1、A1及びnが〔表1〕~〔表14〕に記載の組み合わせである化合物。
式(1)において、R3が塩素原子であり、R2、R4、R5、R7及びR9が水素原子であり、R8がトリフルオロメチル基であり、R1、A1及びnが〔表1〕~〔表14〕に記載の組み合わせである化合物。
式(1)において、R4が塩素原子であり、R2、R3、R5、R7及びR9が水素原子であり、R8がトリフルオロメチル基であり、R1、A1及びnが〔表1〕~〔表14〕に記載の組み合わせである化合物。
式(1)において、R5が塩素原子であり、R2、R3、R4、R7及びR9が水素原子であり、R8がトリフルオロメチル基であり、R1、A1及びnが〔表1〕~〔表14〕に記載の組み合わせである化合物。
式(1)において、R2が臭素原子であり、R3、R4、R5、R7及びR9が水素原子であり、R8がトリフルオロメチル基であり、R1、A1及びnが〔表1〕~〔表14〕に記載の組み合わせである化合物。
式(1)において、R3が臭素原子であり、R2、R4、R5、R7及びR9が水素原子であり、R8がトリフルオロメチル基であり、R1、A1及びnが〔表1〕~〔表14〕に記載の組み合わせである化合物。
式(1)において、R4が臭素原子であり、R2、R3、R5、R7及びR9が水素原子であり、R8がトリフルオロメチル基であり、R1、A1及びnが〔表1〕~〔表14〕に記載の組み合わせである化合物。
式(1)において、R5が臭素原子であり、R2、R3、R4、R7及びR9が水素原子であり、R8がトリフルオロメチル基であり、R1、A1及びnが〔表1〕~〔表14〕に記載の組み合わせである化合物。
式(1)において、R2がメチル基であり、R3、R4、R5、R7及びR9が水素原子であり、R8がトリフルオロメチル基であり、R1、A1及びnが〔表1〕~〔表14〕に記載の組み合わせである化合物。
式(1)において、R3がメチル基であり、R2、R4、R5、R7及びR9が水素原子であり、R8がトリフルオロメチル基であり、R1、A1及びnが〔表1〕~〔表14〕に記載の組み合わせである化合物。
式(1)において、R4がメチル基であり、R2、R3、R5、R7及びR9が水素原子であり、R8がトリフルオロメチル基であり、R1、A1及びnが〔表1〕~〔表14〕に記載の組み合わせである化合物。
式(1)において、R5がメチル基であり、R2、R3、R4、R7及びR9が水素原子であり、R8がトリフルオロメチル基であり、R1、A1及びnが〔表1〕~〔表14〕に記載の組み合わせである化合物。
式(1)において、R2がエチル基であり、R3、R4、R5、R7及びR9が水素原子であり、R8がトリフルオロメチル基であり、R1、A1及びnが〔表1〕~〔表14〕に記載の組み合わせである化合物。
式(1)において、R3がエチル基であり、R2、R4、R5、R7及びR9が水素原子であり、R8がトリフルオロメチル基であり、R1、A1及びnが〔表1〕~〔表14〕に記載の組み合わせである化合物。
式(1)において、R4がエチル基であり、R2、R3、R5、R7及びR9が水素原子であり、R8がトリフルオロメチル基であり、R1、A1及びnが〔表1〕~〔表14〕に記載の組み合わせである化合物。
式(1)において、R5がエチル基であり、R2、R3、R4、R7及びR9が水素原子であり、R8がトリフルオロメチル基であり、R1、A1及びnが〔表1〕~〔表14〕に記載の組み合わせである化合物。
式(1)において、R2がトリフルオロメチル基であり、R3、R4、R5、R7及びR9が水素原子であり、R8がトリフルオロメチル基であり、R1、A1及びnが〔表1〕~〔表14〕に記載の組み合わせである化合物。
式(1)において、R3がトリフルオロメチル基であり、R2、R4、R5、R7及びR9が水素原子であり、R8がトリフルオロメチル基であり、R1、A1及びnが〔表1〕~〔表14〕に記載の組み合わせである化合物。
式(1)において、R4がトリフルオロメチル基であり、R2、R3、R5、R7及びR9が水素原子であり、R8がトリフルオロメチル基であり、R1、A1及びnが〔表1〕~〔表14〕に記載の組み合わせである化合物。
式(1)において、R5がトリフルオロメチル基であり、R2、R3、R4、R7及びR9が水素原子であり、R8がトリフルオロメチル基であり、R1、A1及びnが〔表1〕~〔表14〕に記載の組み合わせである化合物。
式(1)において、R3がペンタフルオロエチル基であり、R2、R4、R5、R7及びR9が水素原子であり、R8がトリフルオロメチル基であり、R1、A1及びnが〔表1〕~〔表14〕に記載の組み合わせである化合物。
式(1)において、R3がヘプタフルオロプロピル基であり、R2、R4、R5、R7及びR9が水素原子であり、R8がトリフルオロメチル基であり、R1、A1及びnが〔表1〕~〔表14〕に記載の組み合わせである化合物。
式(1)において、R3がトリフルオロメトキシ基であり、R2、R4、R5、R7及びR9が水素原子であり、R8がトリフルオロメチル基であり、R1、A1及びnが〔表1〕~〔表14〕に記載の組み合わせである化合物。
式(1)において、R3が2−ピリジル基であり、R2、R4、R5、R7及びR9が水素原子であり、R8がトリフルオロメチル基であり、R1、A1及びnが〔表1〕~〔表14〕に記載の組み合わせである化合物。
式(1)において、R3が3−クロロ−2−ピリジル基であり、R2、R4、R5、R7及びR9が水素原子であり、R8がトリフルオロメチル基であり、R1、A1及びnが〔表1〕~〔表14〕に記載の組み合わせである化合物。
式(1)において、R3が2−ピリミジニル基であり、R2、R4、R5、R7及びR9が水素原子であり、R8がトリフルオロメチル基であり、R1、A1及びnが〔表1〕~〔表14〕に記載の組み合わせである化合物。
式(1)において、R3が−SF5であり、R2、R4、R5、R7及びR9が水素原子であり、R8がトリフルオロメチル基であり、R1、A1及びnが〔表1〕~〔表14〕に記載の組み合わせである化合物。
式(1)において、R2、R3、R4、R5、R7及びR9が水素原子であり、R8がペンタフルオロエチル基であり、R1、A1及びnが〔表1〕~〔表14〕に記載の組み合わせである化合物。
式(1)において、R2がフッ素原子であり、R3、R4、R5、R7及びR9が水素原子であり、R8がペンタフルオロエチル基であり、R1、A1及びnが〔表1〕~〔表14〕に記載の組み合わせである化合物。
式(1)において、R3がフッ素原子であり、R2、R4、R5、R7及びR9が水素原子であり、R8がペンタフルオロエチル基であり、R1、A1及びnが〔表1〕~〔表14〕に記載の組み合わせである化合物。
式(1)において、R4がフッ素原子であり、R2、R3、R5、R7及びR9が水素原子であり、R8がペンタフルオロエチル基であり、R1、A1及びnが〔表1〕~〔表14〕に記載の組み合わせである化合物。
式(1)において、R5がフッ素原子であり、R2、R3、R4、R7及びR9が水素原子であり、R8がペンタフルオロエチル基であり、R1、A1及びnが〔表1〕~〔表14〕に記載の組み合わせである化合物。
式(1)において、R2が塩素原子であり、R3、R4、R5、R7及びR9が水素原子であり、R8がペンタフルオロエチル基であり、R1、A1及びnが〔表1〕~〔表14〕に記載の組み合わせであるで化合物。
式(1)において、R3が塩素原子であり、R2、R4、R5、R7及びR9が水素原子であり、R8がペンタフルオロエチル基であり、R1、A1及びnが〔表1〕~〔表14〕に記載の組み合わせである化合物。
式(1)において、R4が塩素原子であり、R2、R3、R5、R7及びR9が水素原子であり、R8がペンタフルオロエチル基であり、R1、A1及びnが〔表1〕~〔表14〕に記載の組み合わせである化合物。
式(1)において、R5が塩素原子であり、R2、R3、R4、R7及びR9が水素原子であり、R8がペンタフルオロエチル基であり、R1、A1及びnが〔表1〕~〔表14〕に記載の組み合わせである化合物。
式(1)において、R2が臭素原子であり、R3、R4、R5、R7及びR9が水素原子であり、R8がペンタフルオロエチル基であり、R1、A1及びnが〔表1〕~〔表14〕に記載の組み合わせである化合物。
式(1)において、R3が臭素原子であり、R2、R4、R5、R7及びR9が水素原子であり、R8がペンタフルオロエチル基であり、R1、A1及びnが〔表1〕~〔表14〕に記載の組み合わせである化合物。
式(1)において、R4が臭素原子であり、R2、R3、R5、R7及びR9が水素原子であり、R8がペンタフルオロエチル基であり、R1、A1及びnが〔表1〕~〔表14〕に記載の組み合わせである化合物。
式(1)において、R5が臭素原子であり、R2、R3、R4、R7及びR9が水素原子であり、R8がペンタフルオロエチル基であり、R1、A1及びnが〔表1〕~〔表14〕に記載の組み合わせである化合物。
式(1)において、R2がメチル基であり、R3、R4、R5、R7及びR9が水素原子であり、R8がペンタフルオロエチル基であり、R1、A1及びnが〔表1〕~〔表14〕に記載の組み合わせである化合物。
式(1)において、R3がメチル基であり、R2、R4、R5、R7及びR9が水素原子であり、R8がペンタフルオロエチル基であり、R1、A1及びnが〔表1〕~〔表14〕に記載の組み合わせである化合物。
式(1)において、R4がメチル基であり、R2、R3、R5、R7及びR9が水素原子であり、R8がペンタフルオロエチル基であり、R1、A1及びnが〔表1〕~〔表14〕に記載の組み合わせである化合物。
式(1)において、R5がメチル基であり、R2、R3、R4、R7及びR9が水素原子であり、R8がペンタフルオロエチル基であり、R1、A1及びnが〔表1〕~〔表14〕に記載の組み合わせである化合物。
式(1)において、R2がエチル基であり、R3、R4、R5、R7及びR9が水素原子であり、R8がペンタフルオロエチル基であり、R1、A1及びnが〔表1〕~〔表14〕に記載の組み合わせである化合物。
式(1)において、R3がエチル基であり、R2、R4、R5、R7及びR9が水素原子であり、R8がペンタフルオロエチル基であり、R1、A1及びnが〔表1〕~〔表14〕に記載の組み合わせである化合物。
式(1)において、R4がエチル基であり、R2、R3、R5、R7及びR9が水素原子であり、R8がペンタフルオロエチル基であり、R1、A1及びnが〔表1〕~〔表14〕に記載の組み合わせである化合物。
式(1)において、R5がエチル基であり、R2、R3、R4、R7及びR9が水素原子であり、R8がペンタフルオロエチル基であり、R1、A1及びnが〔表1〕~〔表14〕に記載の組み合わせである化合物。
式(1)において、R2がトリフルオロメチル基であり、R3、R4、R5、R7及びR9が水素原子であり、R8がペンタフルオロエチル基であり、R1、A1及びnが〔表1〕~〔表14〕に記載の組み合わせである化合物。
式(1)において、R3がトリフルオロメチル基であり、R2、R4、R5、R7及びR9が水素原子であり、R8がペンタフルオロエチル基であり、R1、A1及びnが〔表1〕~〔表14〕に記載の組み合わせである化合物。
式(1)において、R4がトリフルオロメチル基であり、R2、R3、R5、R7及びR9が水素原子であり、R8がペンタフルオロエチル基であり、R1、A1及びnが〔表1〕~〔表14〕に記載の組み合わせである化合物。
式(1)において、R5がトリフルオロメチル基であり、R2、R3、R4、R7及びR9が水素原子であり、R8がペンタフルオロエチル基であり、R1、A1及びnが〔表1〕~〔表14〕に記載の組み合わせである化合物。
式(1)において、R3がペンタフルオロエチル基であり、R2、R4、R5、R7及びR9が水素原子であり、R8がペンタフルオロエチル基であり、R1、A1及びnが〔表1〕~〔表14〕に記載の組み合わせである化合物。
式(1)において、R3がヘプタフルオロプロピル基であり、R2、R4、R5、R7及びR9が水素原子であり、R8がペンタフルオロエチル基であり、R1、A1及びnが〔表1〕~〔表14〕に記載の組み合わせである化合物。
式(1)において、R3がトリフルオロメトキシ基であり、R2、R4、R5、R7及びR9が水素原子であり、R8がペンタフルオロエチル基であり、R1、A1及びnが〔表1〕~〔表14〕に記載の組み合わせである化合物。
式(1)において、R3が2−ピリジル基であり、R2、R4、R5、R7及びR9が水素原子であり、R8がペンタフルオロエチル基であり、R1、A1及びnが〔表1〕~〔表14〕に記載の組み合わせである化合物。
式(1)において、R3が3−クロロ−2−ピリジル基であり、R2、R4、R5、R7及びR9が水素原子であり、R8がペンタフルオロエチル基であり、R1、A1及びnが〔表1〕~〔表14〕に記載の組み合わせである化合物。
式(1)において、R3が2−ピリミジニル基であり、R2、R4、R5、R7及びR9が水素原子であり、R8がペンタフルオロエチル基であり、R1、A1及びnが〔表1〕~〔表14〕に記載の組み合わせである化合物。
式(1)において、R3が−SF5であり、R2、R4、R5、R7及びR9が水素原子であり、R8がペンタフルオロエチル基であり、R1、A1及びnが〔表1〕~〔表14〕に記載の組み合わせである化合物。
式(1)において、R2、R3、R4、R5、R7及びR9が水素原子であり、R8がヘプタフルオロイソプロピル基であり、R1、A1及びnが〔表1〕~〔表14〕に記載の組み合わせである化合物。
式(1)において、R2がフッ素原子であり、R3、R4、R5、R7及びR9が水素原子であり、R8がヘプタフルオロイソプロピル基であり、R1、A1及びnが〔表1〕~〔表14〕に記載の組み合わせである化合物。
式(1)において、R3がフッ素原子であり、R2、R4、R5、R7及びR9が水素原子であり、R8がヘプタフルオロイソプロピル基であり、R1、A1及びnが〔表1〕~〔表14〕に記載の組み合わせである化合物。
式(1)において、R4がフッ素原子であり、R2、R3、R5、R7及びR9が水素原子であり、R8がヘプタフルオロイソプロピル基であり、R1、A1及びnが〔表1〕~〔表14〕に記載の組み合わせである化合物。
式(1)において、R5がフッ素原子であり、R2、R3、R4、R7及びR9が水素原子であり、R8がヘプタフルオロイソプロピル基であり、R1、A1及びnが〔表1〕~〔表14〕に記載の組み合わせである化合物。
式(1)において、R2が塩素原子であり、R3、R4、R5、R7及びR9が水素原子であり、R8がヘプタフルオロイソプロピル基であり、R1、A1及びnが〔表1〕~〔表14〕に記載の組み合わせであるで合物。
式(1)において、R3が塩素原子であり、R2、R4、R5、R7及びR9が水素原子であり、R8がヘプタフルオロイソプロピル基であり、R1、A1及びnが〔表1〕~〔表14〕に記載の組み合わせである化合物。
式(1)において、R4が塩素原子であり、R2、R3、R5、R7及びR9が水素原子であり、R8がヘプタフルオロイソプロピル基であり、R1、A1及びnが〔表1〕~〔表14〕に記載の組み合わせである化合物。
式(1)において、R5が塩素原子であり、R2、R3、R4、R7及びR9が水素原子であり、R8がヘプタフルオロイソプロピル基であり、R1、A1及びnが〔表1〕~〔表14〕に記載の組み合わせである化合物。
式(1)において、R2が臭素原子であり、R3、R4、R5、R7及びR9が水素原子であり、R8がヘプタフルオロイソプロピル基であり、R1、A1及びnが〔表1〕~〔表14〕に記載の組み合わせである化合物。
式(1)において、R3が臭素原子であり、R2、R4、R5、R7及びR9が水素原子であり、R8がヘプタフルオロイソプロピル基であり、R1、A1及びnが〔表1〕~〔表14〕に記載の組み合わせである化合物。
式(1)において、R4が臭素原子であり、R2、R3、R5、R7及びR9が水素原子であり、R8がヘプタフルオロイソプロピル基であり、R1、A1及びnが〔表1〕~〔表14〕に記載の組み合わせである化合物。
式(1)において、R5が臭素原子であり、R2、R3、R4、R7及びR9が水素原子であり、R8がヘプタフルオロイソプロピル基であり、R1、A1及びnが〔表1〕~〔表14〕に記載の組み合わせである化合物。
式(1)において、R2がメチル基であり、R3、R4、R5、R7及びR9が水素原子であり、R8がヘプタフルオロイソプロピル基であり、R1、A1及びnが〔表1〕~〔表14〕に記載の組み合わせである化合物。
式(1)において、R3がメチル基であり、R2、R4、R5、R7及びR9が水素原子であり、R8がヘプタフルオロイソプロピル基であり、R1、A1及びnが〔表1〕~〔表14〕に記載の組み合わせである化合物。
式(1)において、R4がメチル基であり、R2、R3、R5、R7及びR9が水素原子であり、R8がヘプタフルオロイソプロピル基であり、R1、A1及びnが〔表1〕~〔表14〕に記載の組み合わせである化合物。
式(1)において、R5がメチル基であり、R2、R3、R4、R7及びR9が水素原子であり、R8がヘプタフルオロイソプロピル基であり、R1、A1及びnが〔表1〕~〔表14〕に記載の組み合わせである化合物。
式(1)において、R2がエチル基であり、R3、R4、R5、R7及びR9が水素原子であり、R8がヘプタフルオロイソプロピル基であり、R1、A1及びnが〔表1〕~〔表14〕に記載の組み合わせである化合物。
式(1)において、R3がエチル基であり、R2、R4、R5、R7及びR9が水素原子であり、R8がヘプタフルオロイソプロピル基であり、R1、A1及びnが〔表1〕~〔表14〕に記載の組み合わせである化合物。
式(1)において、R4がエチル基であり、R2、R3、R5、R7及びR9が水素原子であり、R8がヘプタフルオロイソプロピル基であり、R1、A1及びnが〔表1〕~〔表14〕に記載の組み合わせである化合物。
式(1)において、R5がエチル基であり、R2、R3、R4、R7及びR9が水素原子であり、R8がヘプタフルオロイソプロピル基であり、R1、A1及びnが〔表1〕~〔表14〕に記載の組み合わせである化合物。
式(1)において、R2がトリフルオロメチル基であり、R3、R4、R5、R7及びR9が水素原子であり、R8がヘプタフルオロイソプロピル基であり、R1、A1及びnが〔表1〕~〔表14〕に記載の組み合わせである化合物。
式(1)において、R3がトリフルオロメチル基であり、R2、R4、R5、R7及びR9が水素原子であり、R8がヘプタフルオロイソプロピル基であり、R1、A1及びnが〔表1〕~〔表14〕に記載の組み合わせである化合物。
式(1)において、R4がトリフルオロメチル基であり、R2、R3、R5、R7及びR9が水素原子であり、R8がヘプタフルオロイソプロピル基であり、R1、A1及びnが〔表1〕~〔表14〕に記載の組み合わせである化合物。
式(1)において、R5がトリフルオロメチル基であり、R2、R3、R4、R7及びR9が水素原子であり、R8がヘプタフルオロイソプロピル基であり、R1、A1及びnが〔表1〕~〔表14〕に記載の組み合わせである化合物。
式(1)において、R3がペンタフルオロエチル基であり、R2、R4、R5、R7及びR9が水素原子であり、R8がヘプタフルオロイソプロピル基であり、R1、A1及びnが〔表1〕~〔表14〕に記載の組み合わせである化合物。
式(1)において、R3がヘプタフルオロプロピル基であり、R2、R4、R5、R7及びR9が水素原子であり、R8がヘプタフルオロイソプロピル基であり、R1、A1及びnが〔表1〕~〔表14〕に記載の組み合わせである化合物。
式(1)において、R3がトリフルオロメトキシ基であり、R2、R4、R5、R7及びR9が水素原子であり、R8がヘプタフルオロイソプロピル基であり、R1、A1及びnが〔表1〕~〔表14〕に記載の組み合わせである化合物。
式(1)において、R3が2−ピリジル基であり、R2、R4、R5、R7及びR9が水素原子であり、R8がヘプタフルオロイソプロピル基であり、R1、A1及びnが〔表1〕~〔表14〕に記載の組み合わせである化合物。
式(1)において、R3が3−クロロ−2−ピリジル基であり、R2、R4、R5、R7及びR9が水素原子であり、R8がヘプタフルオロイソプロピル基であり、R1、A1及びnが〔表1〕~〔表14〕に記載の組み合わせである化合物。
式(1)において、R3が2−ピリミジニル基であり、R2、R4、R5、R7及びR9が水素原子であり、R8がヘプタフルオロイソプロピル基であり、R1、A1及びnが〔表1〕~〔表14〕に記載の組み合わせである化合物。
式(1)において、R3が−SF5であり、R2、R4、R5、R7及びR9が水素原子であり、R8がヘプタフルオロイソプロピル基であり、R1、A1及びnが〔表1〕~〔表14〕に記載の組み合わせである化合物。
式(1)において、R2、R3、R4、R5、R7及びR9が水素原子であり、R8がトリフルオロメトキシ基であり、R1、A1及びnが〔表1〕~〔表14〕に記載の組み合わせである化合物。
式(1)において、R2がフッ素原子であり、R3、R4、R5、R7及びR9が水素原子であり、R8がトリフルオロメトキシ基であり、R1、A1及びnが〔表1〕~〔表14〕に記載の組み合わせである化合物。
式(1)において、R3がフッ素原子であり、R2、R4、R5、R7及びR9が水素原子であり、R8がトリフルオロメトキシ基であり、R1、A1及びnが〔表1〕~〔表14〕に記載の組み合わせである化合物。
式(1)において、R4がフッ素原子であり、R2、R3、R5、R7及びR9が水素原子であり、R8がトリフルオロメトキシ基であり、R1、A1及びnが〔表1〕~〔表14〕に記載の組み合わせである化合物。
式(1)において、R5がフッ素原子であり、R2、R3、R4、R7及びR9が水素原子であり、R8がトリフルオロメトキシ基であり、R1、A1及びnが〔表1〕~〔表14〕に記載の組み合わせである化合物。
式(1)において、R2が塩素原子であり、R3、R4、R5、R7及びR9が水素原子であり、R8がトリフルオロメトキシ基であり、R1、A1及びnが〔表1〕~〔表14〕に記載の組み合わせであるで合物。
式(1)において、R3が塩素原子であり、R2、R4、R5、R7及びR9が水素原子であり、R8がトリフルオロメトキシ基であり、R1、A1及びnが〔表1〕~〔表14〕に記載の組み合わせである化合物。
式(1)において、R4が塩素原子であり、R2、R3、R5、R7及びR9が水素原子であり、R8がトリフルオロメトキシ基であり、R1、A1及びnが〔表1〕~〔表14〕に記載の組み合わせである化合物。
式(1)において、R5が塩素原子であり、R2、R3、R4、R7及びR9が水素原子であり、R8がトリフルオロメトキシ基であり、R1、A1及びnが〔表1〕~〔表14〕に記載の組み合わせである化合物。
式(1)において、R2が臭素原子であり、R3、R4、R5、R7及びR9が水素原子であり、R8がトリフルオロメトキシ基であり、R1、A1及びnが〔表1〕~〔表14〕に記載の組み合わせである化合物。
式(1)において、R3が臭素原子であり、R2、R4、R5、R7及びR9が水素原子であり、R8がトリフルオロメトキシ基であり、R1、A1及びnが〔表1〕~〔表14〕に記載の組み合わせである化合物。
式(1)において、R4が臭素原子であり、R2、R3、R5、R7及びR9が水素原子であり、R8がトリフルオロメトキシ基であり、R1、A1及びnが〔表1〕~〔表14〕に記載の組み合わせである化合物。
式(1)において、R5が臭素原子であり、R2、R3、R4、R7及びR9が水素原子であり、R8がトリフルオロメトキシ基であり、R1、A1及びnが〔表1〕~〔表14〕に記載の組み合わせである化合物。
式(1)において、R2がメチル基であり、R3、R4、R5、R7及びR9が水素原子であり、R8がトリフルオロメトキシ基であり、R1、A1及びnが〔表1〕~〔表14〕に記載の組み合わせである化合物。
式(1)において、R3がメチル基であり、R2、R4、R5、R7及びR9が水素原子であり、R8がトリフルオロメトキシ基であり、R1、A1及びnが〔表1〕~〔表14〕に記載の組み合わせである化合物。
式(1)において、R4がメチル基であり、R2、R3、R5、R7及びR9が水素原子であり、R8がトリフルオロメトキシ基であり、R1、A1及びnが〔表1〕~〔表14〕に記載の組み合わせである化合物。
式(1)において、R5がメチル基であり、R2、R3、R4、R7及びR9が水素原子であり、R8がトリフルオロメトキシ基であり、R1、A1及びnが〔表1〕~〔表14〕に記載の組み合わせである化合物。
式(1)において、R2がエチル基であり、R3、R4、R5、R7及びR9が水素原子であり、R8がトリフルオロメトキシ基であり、R1、A1及びnが〔表1〕~〔表14〕に記載の組み合わせである化合物。
式(1)において、R3がエチル基であり、R2、R4、R5、R7及びR9が水素原子であり、R8がトリフルオロメトキシ基であり、R1、A1及びnが〔表1〕~〔表14〕に記載の組み合わせである化合物。
式(1)において、R4がエチル基であり、R2、R3、R5、R7及びR9が水素原子であり、R8がトリフルオロメトキシ基であり、R1、A1及びnが〔表1〕~〔表14〕に記載の組み合わせである化合物。
式(1)において、R5がエチル基であり、R2、R3、R4、R7及びR9が水素原子であり、R8がトリフルオロメトキシ基であり、R1、A1及びnが〔表1〕~〔表14〕に記載の組み合わせである化合物。
式(1)において、R2がトリフルオロメチル基であり、R3、R4、R5、R7及びR9が水素原子であり、R8がトリフルオロメトキシ基であり、R1、A1及びnが〔表1〕~〔表14〕に記載の組み合わせである化合物。
式(1)において、R3がトリフルオロメチル基であり、R2、R4、R5、R7及びR9が水素原子であり、R8がトリフルオロメトキシ基であり、R1、A1及びnが〔表1〕~〔表14〕に記載の組み合わせである化合物。
式(1)において、R4がトリフルオロメチル基であり、R2、R3、R5、R7及びR9が水素原子であり、R8がトリフルオロメトキシ基であり、R1、A1及びnが〔表1〕~〔表14〕に記載の組み合わせである化合物。
式(1)において、R5がトリフルオロメチル基であり、R2、R3、R4、R7及びR9が水素原子であり、R8がトリフルオロメトキシ基であり、R1、A1及びnが〔表1〕~〔表14〕に記載の組み合わせである化合物。
式(1)において、R3がペンタフルオロエチル基であり、R2、R4、R5、R7及びR9が水素原子であり、R8がトリフルオロメトキシ基であり、R1、A1及びnが〔表1〕~〔表14〕に記載の組み合わせである化合物。
式(1)において、R3がヘプタフルオロプロピル基であり、R2、R4、R5、R7及びR9が水素原子であり、R8がトリフルオロメトキシ基であり、R1、A1及びnが〔表1〕~〔表14〕に記載の組み合わせである化合物。
式(1)において、R3がトリフルオロメトキシ基であり、R2、R4、R5、R7及びR9が水素原子であり、R8がトリフルオロメトキシ基であり、R1、A1及びnが〔表1〕~〔表14〕に記載の組み合わせである化合物。
式(1)において、R3が2−ピリジル基であり、R2、R4、R5、R7及びR9が水素原子であり、R8がトリフルオロメトキシ基であり、R1、A1及びnが〔表1〕~〔表14〕に記載の組み合わせである化合物。
式(1)において、R3が3−クロロ−2−ピリジル基であり、R2、R4、R5、R7及びR9が水素原子であり、R8がトリフルオロメトキシ基であり、R1、A1及びnが〔表1〕~〔表14〕に記載の組み合わせである化合物。
式(1)において、R3が2−ピリミジニル基であり、R2、R4、R5、R7及びR9が水素原子であり、R8がトリフルオロメトキシ基であり、R1、A1及びnが〔表1〕~〔表14〕に記載の組み合わせである化合物。
式(1)において、R3が−SF5であり、R2、R4、R5、R7及びR9が水素原子であり、R8がトリフルオロメトキシ基であり、R1、A1及びnが〔表1〕~〔表14〕に記載の組み合わせである化合物。
式(1)において、R2、R3、R4、R5、R7及びR9が水素原子であり、R8がトリフルオロメチルスルファニル基であり、R1、A1及びnが〔表1〕~〔表14〕に記載の組み合わせである化合物。
式(1)において、R2がフッ素原子であり、R3、R4、R5、R7及びR9が水素原子であり、R8がトリフルオロメチルスルファニル基であり、R1、A1及びnが〔表1〕~〔表14〕に記載の組み合わせである化合物。
式(1)において、R3がフッ素原子であり、R2、R4、R5、R7及びR9が水素原子であり、R8がトリフルオロメチルスルファニル基であり、R1、A1及びnが〔表1〕~〔表14〕に記載の組み合わせである化合物。
式(1)において、R4がフッ素原子であり、R2、R3、R5、R7及びR9が水素原子であり、R8がトリフルオロメチルスルファニル基であり、R1、A1及びnが〔表1〕~〔表14〕に記載の組み合わせである化合物。
式(1)において、R5がフッ素原子であり、R2、R3、R4、R7及びR9が水素原子であり、R8がトリフルオロメチルスルファニル基であり、R1、A1及びnが〔表1〕~〔表14〕に記載の組み合わせである化合物。
式(1)において、R2が塩素原子であり、R3、R4、R5、R7及びR9が水素原子であり、R8がトリフルオロメチルスルファニル基であり、R1、A1及びnが〔表1〕~〔表14〕に記載の組み合わせであるで合物。
式(1)において、R3が塩素原子であり、R2、R4、R5、R7及びR9が水素原子であり、R8がトリフルオロメチルスルファニル基であり、R1、A1及びnが〔表1〕~〔表14〕に記載の組み合わせである化合物。
式(1)において、R4が塩素原子であり、R2、R3、R5、R7及びR9が水素原子であり、R8がトリフルオロメチルスルファニル基であり、R1、A1及びnが〔表1〕~〔表14〕に記載の組み合わせである化合物。
式(1)において、R5が塩素原子であり、R2、R3、R4、R7及びR9が水素原子であり、R8がトリフルオロメチルスルファニル基であり、R1、A1及びnが〔表1〕~〔表14〕に記載の組み合わせである化合物。
式(1)において、R2が臭素原子であり、R3、R4、R5、R7及びR9が水素原子であり、R8がトリフルオロメチルスルファニル基であり、R1、A1及びnが〔表1〕~〔表14〕に記載の組み合わせである化合物。
式(1)において、R3が臭素原子であり、R2、R4、R5、R7及びR9が水素原子であり、R8がトリフルオロメチルスルファニル基であり、R1、A1及びnが〔表1〕~〔表14〕に記載の組み合わせである化合物。
式(1)において、R4が臭素原子であり、R2、R3、R5、R7及びR9が水素原子であり、R8がトリフルオロメチルスルファニル基であり、R1、A1及びnが〔表1〕~〔表14〕に記載の組み合わせである化合物。
式(1)において、R5が臭素原子であり、R2、R3、R4、R7及びR9が水素原子であり、R8がトリフルオロメチルスルファニル基であり、R1、A1及びnが〔表1〕~〔表14〕に記載の組み合わせである化合物。
式(1)において、R2がメチル基であり、R3、R4、R5、R7及びR9が水素原子であり、R8がトリフルオロメチルスルファニル基であり、R1、A1及びnが〔表1〕~〔表14〕に記載の組み合わせである化合物。
式(1)において、R3がメチル基であり、R2、R4、R5、R7及びR9が水素原子であり、R8がトリフルオロメチルスルファニル基であり、R1、A1及びnが〔表1〕~〔表14〕に記載の組み合わせである化合物。
式(1)において、R4がメチル基であり、R2、R3、R5、R7及びR9が水素原子であり、R8がトリフルオロメチルスルファニル基であり、R1、A1及びnが〔表1〕~〔表14〕に記載の組み合わせである化合物。
式(1)において、R5がメチル基であり、R2、R3、R4、R7及びR9が水素原子であり、R8がトリフルオロメチルスルファニル基であり、R1、A1及びnが〔表1〕~〔表14〕に記載の組み合わせである化合物。
式(1)において、R2がエチル基であり、R3、R4、R5、R7及びR9が水素原子であり、R8がトリフルオロメチルスルファニル基であり、R1、A1及びnが〔表1〕~〔表14〕に記載の組み合わせである化合物。
式(1)において、R3がエチル基であり、R2、R4、R5、R7及びR9が水素原子であり、R8がトリフルオロメチルスルファニル基であり、R1、A1及びnが〔表1〕~〔表14〕に記載の組み合わせである化合物。
式(1)において、R4がエチル基であり、R2、R3、R5、R7及びR9が水素原子であり、R8がトリフルオロメチルスルファニル基であり、R1、A1及びnが〔表1〕~〔表14〕に記載の組み合わせである化合物。
式(1)において、R5がエチル基であり、R2、R3、R4、R7及びR9が水素原子であり、R8がトリフルオロメチルスルファニル基であり、R1、A1及びnが〔表1〕~〔表14〕に記載の組み合わせである化合物。
式(1)において、R2がトリフルオロメチル基であり、R3、R4、R5、R7及びR9が水素原子であり、R8がトリフルオロメチルスルファニル基であり、R1、A1及びnが〔表1〕~〔表14〕に記載の組み合わせである化合物。
式(1)において、R3がトリフルオロメチル基であり、R2、R4、R5、R7及びR9が水素原子であり、R8がトリフルオロメチルスルファニル基であり、R1、A1及びnが〔表1〕~〔表14〕に記載の組み合わせである化合物。
式(1)において、R4がトリフルオロメチル基であり、R2、R3、R5、R7及びR9が水素原子であり、R8がトリフルオロメチルスルファニル基であり、R1、A1及びnが〔表1〕~〔表14〕に記載の組み合わせである化合物。
式(1)において、R5がトリフルオロメチル基であり、R2、R3、R4、R7及びR9が水素原子であり、R8がトリフルオロメチルスルファニル基であり、R1、A1及びnが〔表1〕~〔表14〕に記載の組み合わせである化合物。
式(1)において、R3がペンタフルオロエチル基であり、R2、R4、R5、R7及びR9が水素原子であり、R8がトリフルオロメチルスルファニル基であり、R1、A1及びnが〔表1〕~〔表14〕に記載の組み合わせである化合物。
式(1)において、R3がヘプタフルオロプロピル基であり、R2、R4、R5、R7及びR9が水素原子であり、R8がトリフルオロメチルスルファニル基であり、R1、A1及びnが〔表1〕~〔表14〕に記載の組み合わせである化合物。
式(1)において、R3がトリフルオロメトキシ基であり、R2、R4、R5、R7及びR9が水素原子であり、R8がトリフルオロメチルスルファニル基であり、R1、A1及びnが〔表1〕~〔表14〕に記載の組み合わせである化合物。
式(1)において、R3が2−ピリジル基であり、R2、R4、R5、R7及びR9が水素原子であり、R8がトリフルオロメチルスルファニル基であり、R1、A1及びnが〔表1〕~〔表14〕に記載の組み合わせである化合物。
式(1)において、R3が3−クロロ−2−ピリジル基であり、R2、R4、R5、R7及びR9が水素原子であり、R8がトリフルオロメチルスルファニル基であり、R1、A1及びnが〔表1〕~〔表14〕に記載の組み合わせである化合物。
式(1)において、R3が2−ピリミジニル基であり、R2、R4、R5、R7及びR9が水素原子であり、R8がトリフルオロメチルスルファニル基であり、R1、A1及びnが〔表1〕~〔表14〕に記載の組み合わせである化合物。
式(1)において、R3が−SF5であり、R2、R4、R5、R7及びR9が水素原子であり、R8がトリフルオロメチルスルファニル基であり、R1、A1及びnが〔表1〕~〔表14〕に記載の組み合わせである化合物。
式(1)において、R2、R3、R4、R5、R7及びR9が水素原子であり、R8がトリフルオロメチルスルフィニル基であり、R1、A1及びnが〔表1〕~〔表14〕に記載の組み合わせである化合物。
式(1)において、R2がフッ素原子であり、R3、R4、R5、R7及びR9が水素原子であり、R8がトリフルオロメチルスルフィニル基であり、R1、A1及びnが〔表1〕~〔表14〕に記載の組み合わせである化合物。
式(1)において、R3がフッ素原子であり、R2、R4、R5、R7及びR9が水素原子であり、R8がトリフルオロメチルスルフィニル基であり、R1、A1及びnが〔表1〕~〔表14〕に記載の組み合わせである化合物。
式(1)において、R4がフッ素原子であり、R2、R3、R5、R7及びR9が水素原子であり、R8がトリフルオロメチルスルフィニル基であり、R1、A1及びnが〔表1〕~〔表14〕に記載の組み合わせである化合物。
式(1)において、R5がフッ素原子であり、R2、R3、R4、R7及びR9が水素原子であり、R8がトリフルオロメチルスルフィニル基であり、R1、A1及びnが〔表1〕~〔表14〕に記載の組み合わせである化合物。
式(1)において、R2が塩素原子であり、R3、R4、R5、R7及びR9が水素原子であり、R8がトリフルオロメチルスルフィニル基であり、R1、A1及びnが〔表1〕~〔表14〕に記載の組み合わせであるで合物。
式(1)において、R3が塩素原子であり、R2、R4、R5、R7及びR9が水素原子であり、R8がトリフルオロメチルスルフィニル基であり、R1、A1及びnが〔表1〕~〔表14〕に記載の組み合わせである化合物。
式(1)において、R4が塩素原子であり、R2、R3、R5、R7及びR9が水素原子であり、R8がトリフルオロメチルスルフィニル基であり、R1、A1及びnが〔表1〕~〔表14〕に記載の組み合わせである化合物。
式(1)において、R5が塩素原子であり、R2、R3、R4、R7及びR9が水素原子であり、R8がトリフルオロメチルスルフィニル基であり、R1、A1及びnが〔表1〕~〔表14〕に記載の組み合わせである化合物。
式(1)において、R2が臭素原子であり、R3、R4、R5、R7及びR9が水素原子であり、R8がトリフルオロメチルスルフィニル基であり、R1、A1及びnが〔表1〕~〔表14〕に記載の組み合わせである化合物。
式(1)において、R3が臭素原子であり、R2、R4、R5、R7及びR9が水素原子であり、R8がトリフルオロメチルスルフィニル基であり、R1、A1及びnが〔表1〕~〔表14〕に記載の組み合わせである化合物。
式(1)において、R4が臭素原子であり、R2、R3、R5、R7及びR9が水素原子であり、R8がトリフルオロメチルスルフィニル基であり、R1、A1及びnが〔表1〕~〔表14〕に記載の組み合わせである化合物。
式(1)において、R5が臭素原子であり、R2、R3、R4、R7及びR9が水素原子であり、R8がトリフルオロメチルスルフィニル基であり、R1、A1及びnが〔表1〕~〔表14〕に記載の組み合わせである化合物。
式(1)において、R2がメチル基であり、R3、R4、R5、R7及びR9が水素原子であり、R8がトリフルオロメチルスルフィニル基であり、R1、A1及びnが〔表1〕~〔表14〕に記載の組み合わせである化合物。
式(1)において、R3がメチル基であり、R2、R4、R5、R7及びR9が水素原子であり、R8がトリフルオロメチルスルフィニル基であり、R1、A1及びnが〔表1〕~〔表14〕に記載の組み合わせである化合物。
式(1)において、R4がメチル基であり、R2、R3、R5、R7及びR9が水素原子であり、R8がトリフルオロメチルスルフィニル基であり、R1、A1及びnが〔表1〕~〔表14〕に記載の組み合わせである化合物。
式(1)において、R5がメチル基であり、R2、R3、R4、R7及びR9が水素原子であり、R8がトリフルオロメチルスルフィニル基であり、R1、A1及びnが〔表1〕~〔表14〕に記載の組み合わせである化合物。
式(1)において、R2がエチル基であり、R3、R4、R5、R7及びR9が水素原子であり、R8がトリフルオロメチルスルフィニル基であり、R1、A1及びnが〔表1〕~〔表14〕に記載の組み合わせである化合物。
式(1)において、R3がエチル基であり、R2、R4、R5、R7及びR9が水素原子であり、R8がトリフルオロメチルスルフィニル基であり、R1、A1及びnが〔表1〕~〔表14〕に記載の組み合わせである化合物。
式(1)において、R4がエチル基であり、R2、R3、R5、R7及びR9が水素原子であり、R8がトリフルオロメチルスルフィニル基であり、R1、A1及びnが〔表1〕~〔表14〕に記載の組み合わせである化合物。
式(1)において、R5がエチル基であり、R2、R3、R4、R7及びR9が水素原子であり、R8がトリフルオロメチルスルフィニル基であり、R1、A1及びnが〔表1〕~〔表14〕に記載の組み合わせである化合物。
式(1)において、R2がトリフルオロメチル基であり、R3、R4、R5、R7及びR9が水素原子であり、R8がトリフルオロメチルスルフィニル基であり、R1、A1及びnが〔表1〕~〔表14〕に記載の組み合わせである化合物。
式(1)において、R3がトリフルオロメチル基であり、R2、R4、R5、R7及びR9が水素原子であり、R8がトリフルオロメチルスルフィニル基であり、R1、A1及びnが〔表1〕~〔表14〕に記載の組み合わせである化合物。
式(1)において、R4がトリフルオロメチル基であり、R2、R3、R5、R7及びR9が水素原子であり、R8がトリフルオロメチルスルフィニル基であり、R1、A1及びnが、〔表1〕~〔表14〕に記載の組み合わせである化合物。
式(1)において、R5がトリフルオロメチル基であり、R2、R3、R4、R7及びR9が水素原子であり、R8がトリフルオロメチルスルフィニル基であり、R1、A1及びnが〔表1〕~〔表14〕に記載の組み合わせである化合物。
式(1)において、R3がペンタフルオロエチル基であり、R2、R4、R5、R7及びR9が水素原子であり、R8がトリフルオロメチルスルフィニル基であり、R1、A1及びnが〔表1〕~〔表14〕に記載の組み合わせである化合物。
式(1)において、R3がヘプタフルオロプロピル基であり、R2、R4、R5、R7及びR9が水素原子であり、R8がトリフルオロメチルスルフィニル基であり、R1、A1及びnが〔表1〕~〔表14〕に記載の組み合わせである化合物。
式(1)において、R3がトリフルオロメトキシ基であり、R2、R4、R5、R7及びR9が水素原子であり、R8がトリフルオロメチルスルフィニル基であり、R1、A1及びnが〔表1〕~〔表14〕に記載の組み合わせである化合物。
式(1)において、R3が2−ピリジル基であり、R2、R4、R5、R7及びR9が水素原子であり、R8がトリフルオロメチルスルフィニル基であり、R1、A1及びnが〔表1〕~〔表14〕に記載の組み合わせである化合物。
式(1)において、R3が3−クロロ−2−ピリジル基であり、R2、R4、R5、R7及びR9が水素原子であり、R8がトリフルオロメチルスルフィニル基であり、R1、A1及びnが〔表1〕~〔表14〕に記載の組み合わせである化合物。
式(1)において、R3が2−ピリミジニル基であり、R2、R4、R5、R7及びR9が水素原子であり、R8がトリフルオロメチルスルフィニル基であり、R1、A1及びnが〔表1〕~〔表14〕に記載の組み合わせである化合物。
式(1)において、R3が−SF5であり、R2、R4、R5、R7及びR9が水素原子であり、R8がトリフルオロメチルスルフィニル基であり、R1、A1及びnが〔表1〕~〔表14〕に記載の組み合わせである化合物。
式(1)において、R2、R3、R4、R5、R7及びR9が水素原子であり、R8がトリフルオロメチルスルホニル基であり、R1、A1及びnが〔表1〕~〔表14〕に記載の組み合わせである化合物。
式(1)において、R2がフッ素原子であり、R3、R4、R5、R7及びR9が水素原子であり、R8がトリフルオロメチルスルホニル基であり、R1、A1、及びnが〔表1〕~〔表14〕に記載の組み合わせである化合物。
式(1)において、R3がフッ素原子であり、R2、R4、R5、R7及びR9が水素原子であり、R8がトリフルオロメチルスルホニル基であり、R1、A1及びnが〔表1〕~〔表14〕に記載の組み合わせである化合物。
式(1)において、R4がフッ素原子であり、R2、R3、R5、R7及びR9が水素原子であり、R8がトリフルオロメチルスルホニル基であり、R1、A1及びnが〔表1〕~〔表14〕に記載の組み合わせである化合物。
式(1)において、R5がフッ素原子であり、R2、R3、R4、R7及びR9が水素原子であり、R8がトリフルオロメチルスルホニル基であり、R1、A1及びnが〔表1〕~〔表14〕に記載の組み合わせである化合物。
式(1)において、R2が塩素原子であり、R3、R4、R5、R7及びR9が水素原子であり、R8がトリフルオロメチルスルホニル基であり、R1、A1及びnが〔表1〕~〔表14〕に記載の組み合わせであるで合物。
式(1)において、R3が塩素原子であり、R2、R4、R5、R7及びR9が水素原子であり、R8がトリフルオロメチルスルホニル基であり、R1、A1及びnが〔表1〕~〔表14〕に記載の組み合わせである化合物。
式(1)において、R4が塩素原子であり、R2、R3、R5、R7及びR9が水素原子であり、R8がトリフルオロメチルスルホニル基であり、R1、A1及びnが〔表1〕~〔表14〕に記載の組み合わせである化合物。
式(1)において、R5が塩素原子であり、R2、R3、R4、R7及びR9が水素原子であり、R8がトリフルオロメチルスルホニル基であり、R1、A1及びnが〔表1〕~〔表14〕に記載の組み合わせである化合物。
式(1)において、R2が臭素原子であり、R3、R4、R5、R7及びR9が水素原子であり、R8がトリフルオロメチルスルホニル基であり、R1、A1及びnが〔表1〕~〔表14〕に記載の組み合わせである化合物。
式(1)において、R3が臭素原子であり、R2、R4、R5、R7及びR9が水素原子であり、R8がトリフルオロメチルスルホニル基であり、R1、A1及びnが〔表1〕~〔表14〕に記載の組み合わせである化合物。
式(1)において、R4が臭素原子であり、R2、R3、R5、R7及びR9が水素原子であり、R8がトリフルオロメチルスルホニル基であり、R1、A1及びnが〔表1〕~〔表14〕に記載の組み合わせである化合物。
式(1)において、R5が臭素原子であり、R2、R3、R4、R7及びR9が水素原子であり、R8がトリフルオロメチルスルホニル基であり、R1、A1及びnが〔表1〕~〔表14〕に記載の組み合わせである化合物。
式(1)において、R2がメチル基であり、R3、R4、R5、R7及びR9が水素原子であり、R8がトリフルオロメチルスルホニル基であり、R1、A1及びnが〔表1〕~〔表14〕に記載の組み合わせである化合物。
式(1)において、R3がメチル基であり、R2、R4、R5、R7及びR9が水素原子であり、R8がトリフルオロメチルスルホニル基であり、R1、A1及びnが〔表1〕~〔表14〕に記載の組み合わせである化合物。
式(1)において、R4がメチル基であり、R2、R3、R5、R7及びR9が水素原子であり、R8がトリフルオロメチルスルホニル基であり、R1、A1及びnが〔表1〕~〔表14〕に記載の組み合わせである化合物。
式(1)において、R5がメチル基であり、R2、R3、R4、R7及びR9が水素原子であり、R8がトリフルオロメチルスルホニル基であり、R1、A1及びnが〔表1〕~〔表14〕に記載の組み合わせである化合物。
式(1)において、R2がエチル基であり、R3、R4、R5、R7及びR9が水素原子であり、R8がトリフルオロメチルスルホニル基であり、R1、A1及びnが〔表1〕~〔表14〕に記載の組み合わせである化合物。
式(1)において、R3がエチル基であり、R2、R4、R5、R7及びR9が水素原子であり、R8がトリフルオロメチルスルホニル基であり、R1、A1及びnが〔表1〕~〔表14〕に記載の組み合わせである化合物。
式(1)において、R4がエチル基であり、R2、R3、R5、R7及びR9が水素原子であり、R8がトリフルオロメチルスルホニル基であり、R1、A1及びnが〔表1〕~〔表14〕に記載の組み合わせである化合物。
式(1)において、R5がエチル基であり、R2、R3、R4、R7及びR9が水素原子であり、R8がトリフルオロメチルスルホニル基であり、R1、A1及びnが〔表1〕~〔表14〕に記載の組み合わせである化合物。
式(1)において、R2がトリフルオロメチル基であり、R3、R4、R5、R7及びR9が水素原子であり、R8がトリフルオロメチルスルホニル基であり、R1、A1及びnが〔表1〕~〔表14〕に記載の組み合わせである化合物。
式(1)において、R3がトリフルオロメチル基であり、R2、R4、R5、R7及びR9が水素原子であり、R8がトリフルオロメチルスルホニル基であり、R1、A1及びnが〔表1〕~〔表14〕に記載の組み合わせである化合物。
式(1)において、R4がトリフルオロメチル基であり、R2、R3、R5、R7及びR9が水素原子であり、R8がトリフルオロメチルスルホニル基であり、R1、A1及びnが〔表1〕~〔表14〕に記載の組み合わせである化合物。
式(1)において、R5がトリフルオロメチル基であり、R2、R3、R4、R7及びR9が水素原子であり、R8がトリフルオロメチルスルホニル基であり、R1、A1及びnが〔表1〕~〔表14〕に記載の組み合わせである化合物。
式(1)において、R3がペンタフルオロエチル基であり、R2、R4、R5、R7及びR9が水素原子であり、R8がトリフルオロメチルスルホニル基であり、R1、A1及びnが〔表1〕~〔表14〕に記載の組み合わせである化合物。
式(1)において、R3がヘプタフルオロプロピル基であり、R2、R4、R5、R7及びR9が水素原子であり、R8がトリフルオロメチルスルホニル基であり、R1、A1及びnが〔表1〕~〔表14〕に記載の組み合わせである化合物。
式(1)において、R3がトリフルオロメトキシ基であり、R2、R4、R5、R7及びR9が水素原子であり、R8がトリフルオロメチルスルホニル基であり、R1、A1及びnが〔表1〕~〔表14〕に記載の組み合わせである化合物。
式(1)において、R3が2−ピリジル基であり、R2、R4、R5、R7及びR9が水素原子であり、R8がトリフルオロメチルスルホニル基であり、R1、A1及びnが〔表1〕~〔表14〕に記載の組み合わせである化合物。
式(1)において、R3が3−クロロ−2−ピリジル基であり、R2、R4、R5、R7及びR9が水素原子であり、R8がトリフルオロメチルスルホニル基であり、R1、A1及びnが〔表1〕~〔表14〕に記載の組み合わせである化合物。
式(1)において、R3が2−ピリミジニル基であり、R2、R4、R5、R7及びR9が水素原子であり、R8がトリフルオロメチルスルホニル基であり、R1、A1及びnが〔表1〕~〔表14〕に記載の組み合わせである化合物。
式(1)において、R3が−SF5であり、R2、R4、R5、R7及びR9が水素原子であり、R8がトリフルオロメチルスルホニル基であり、R1、A1及びnが〔表1〕~〔表14〕に記載の組み合わせである化合物。
式(1)において、R2、R3、R4、R5、R7及びR9が水素原子であり、R8が臭素原子であり、R1、A1及びnが〔表1〕~〔表14〕に記載の組み合わせである化合物。
式(1)において、R2がフッ素原子であり、R3、R4、R5、R7及びR9が水素原子であり、R8が臭素原子であり、R1、A1及びnが〔表1〕~〔表14〕に記載の組み合わせである化合物。
式(1)において、R3がフッ素原子であり、R2、R4、R5、R7及びR9が水素原子であり、R8が臭素原子であり、R1、A1及びnが〔表1〕~〔表14〕に記載の組み合わせである化合物。
式(1)において、R4がフッ素原子であり、R2、R3、R5、R7及びR9が水素原子であり、R8が臭素原子であり、R1、A1及びnが〔表1〕~〔表14〕に記載の組み合わせである化合物。
式(1)において、R5がフッ素原子であり、R2、R3、R4、R7及びR9が水素原子であり、R8が臭素原子であり、R1、A1及びnが〔表1〕~〔表14〕に記載の組み合わせである化合物。
式(1)において、R2が塩素原子であり、R3、R4、R5、R7及びR9が水素原子であり、R8が臭素原子であり、R1、A1及びnが〔表1〕~〔表14〕に記載の組み合わせである化合物。
式(1)において、R3が塩素原子であり、R2、R4、R5、R7及びR9が水素原子であり、R8が臭素原子であり、R1、A1及びnが〔表1〕~〔表14〕に記載の組み合わせである化合物。
式(1)において、R4が塩素原子であり、R2、R3、R5、R7及びR9が水素原子であり、R8が臭素原子であり、R1、A1及びnが〔表1〕~〔表14〕に記載の組み合わせである化合物。
式(1)において、R5が塩素原子であり、R2、R3、R4、R7及びR9が水素原子であり、R8が臭素原子であり、R1、A1及びnが〔表1〕~〔表14〕に記載の組み合わせである化合物。
式(1)において、R2が臭素原子であり、R3、R4、R5、R7及びR9が水素原子であり、R8が臭素原子であり、R1、A1及びnが〔表1〕~〔表14〕に記載の組み合わせである化合物。
式(1)において、R3が臭素原子であり、R2、R4、R5、R7及びR9が水素原子であり、R8が臭素原子であり、R1、A1及びnが〔表1〕~〔表14〕に記載の組み合わせである化合物。
式(1)において、R4が臭素原子であり、R2、R3、R5、R7及びR9が水素原子であり、R8が臭素原子であり、R1、A1、及びnが、〔表1〕~〔表14〕に記載の組み合わせである化合物。
式(1)において、R5が臭素原子であり、R2、R3、R4、R7及びR9が水素原子であり、R8が臭素原子であり、R1、A1、及びnが〔表1〕~〔表14〕に記載の組み合わせである化合物。
式(1)において、R2がメチル基であり、R3、R4、R5、R7及びR9が水素原子であり、R8が臭素原子であり、R1、A1及びnが〔表1〕~〔表14〕に記載の組み合わせである化合物。
式(1)において、R3がメチル基であり、R2、R4、R5、R7及びR9が水素原子であり、R8が臭素原子であり、R1、A1及びnが〔表1〕~〔表14〕に記載の組み合わせである化合物。
式(1)において、R4がメチル基であり、R2、R3、R5、R7及びR9が水素原子であり、R8が臭素原子であり、R1、A1及びnが〔表1〕~〔表14〕に記載の組み合わせである化合物。
式(1)において、R5がメチル基であり、R2、R3、R4、R7及びR9が水素原子であり、R8が臭素原子であり、R1、A1及びnが〔表1〕~〔表14〕に記載の組み合わせである化合物。
式(1)において、R2がエチル基であり、R3、R4、R5、R7及びR9が水素原子であり、R8が臭素原子であり、R1、A1及びnが〔表1〕~〔表14〕に記載の組み合わせである化合物。
式(1)において、R3がエチル基であり、R2、R4、R5、R7及びR9が水素原子であり、R8が臭素原子であり、R1、A1及びnが〔表1〕~〔表14〕に記載の組み合わせである化合物。
式(1)において、R4がエチル基であり、R2、R3、R5、R7及びR9が水素原子であり、R8が臭素原子であり、R1、A1及びnが〔表1〕~〔表14〕に記載の組み合わせである化合物。
式(1)において、R5がエチル基であり、R2、R3、R4、R7及びR9が水素原子であり、R8が臭素原子であり、R1、A1及びnが〔表1〕~〔表14〕に記載の組み合わせである化合物。
式(1)において、R2がトリフルオロメチル基であり、R3、R4、R5、R7及びR9が水素原子であり、R8が臭素原子であり、R1、A1及びnが〔表1〕~〔表14〕に記載の組み合わせである化合物。
式(1)において、R3がトリフルオロメチル基であり、R2、R4、R5、R7及びR9が水素原子であり、R8が臭素原子であり、R1、A1及びnが〔表1〕~〔表14〕に記載の組み合わせである化合物。
式(1)において、R4がトリフルオロメチル基であり、R2、R3、R5、R7及びR9が水素原子であり、R8が臭素原子であり、R1、A1及びnが〔表1〕~〔表14〕に記載の組み合わせである化合物。
式(1)において、R5がトリフルオロメチル基であり、R2、R3、R4、R7及びR9が水素原子であり、R8が臭素原子であり、R1、A1及びnが〔表1〕~〔表14〕に記載の組み合わせである化合物。
式(1)において、R3がペンタフルオロエチル基であり、R2、R4、R5、R7及びR9が水素原子であり、R8が臭素原子であり、R1、A1及びnが〔表1〕~〔表14〕に記載の組み合わせである化合物。
式(1)において、R3がヘプタフルオロプロピル基であり、R2、R4、R5、R7及びR9が水素原子であり、R8が臭素原子であり、R1、A1及びnが〔表1〕~〔表14〕に記載の組み合わせである化合物。
式(1)において、R3がトリフルオロメトキシ基であり、R2、R4、R5、R7及びR9が水素原子であり、R8が臭素原子であり、R1、A1及びnが〔表1〕~〔表14〕に記載の組み合わせである化合物。
式(1)において、R3が2−ピリジル基であり、R2、R4、R5、R7及びR9が水素原子であり、R8が臭素原子であり、R1、A1及びnが〔表1〕~〔表14〕に記載の組み合わせである化合物。
式(1)において、R3が3−クロロ−2−ピリジル基であり、R2、R4、R5、R7及びR9が水素原子であり、R8が臭素原子であり、R1、A1及びnが〔表1〕~〔表14〕に記載の組み合わせである化合物。
式(1)において、R3が2−ピリミジニル基であり、R2、R4、R5、R7及びR9が水素原子であり、R8が臭素原子であり、R1、A1、及びnが〔表1〕~〔表14〕に記載の組み合わせである化合物。
式(1)において、R3が−SF5であり、R2、R4、R5、R7及びR9が水素原子であり、R8が臭素原子であり、R1、A1及びnが〔表1〕~〔表14〕に記載の組み合わせである化合物。
式(1)において、R2、R3、R4、R5、R7及びR9が水素原子であり、R8がヨウ素原子であり、R1、A1及びnが〔表1〕~〔表14〕に記載の組み合わせである化合物。
式(1)において、R2がフッ素原子であり、R3、R4、R5、R7及びR9が水素原子であり、R8がヨウ素原子であり、R1、A1及びnが〔表1〕~〔表14〕に記載の組み合わせである化合物。
式(1)において、R3がフッ素原子であり、R2、R4、R5、R7及びR9が水素原子であり、R8がヨウ素原子であり、R1、A1及びnが〔表1〕~〔表14〕に記載の組み合わせである化合物。
式(1)において、R4がフッ素原子であり、R2、R3、R5、R7及びR9が水素原子であり、R8がヨウ素原子であり、R1、A1及びnが〔表1〕~〔表14〕に記載の組み合わせである化合物。
式(1)において、R5がフッ素原子であり、R2、R3、R4、R7及びR9が水素原子であり、R8がヨウ素原子であり、R1、A1及びnが〔表1〕~〔表14〕に記載の組み合わせである化合物。
式(1)において、R2が塩素原子であり、R3、R4、R5、R7及びR9が水素原子であり、R8がヨウ素原子であり、R1、A1及びnが〔表1〕~〔表14〕に記載の組み合わせである化合物。
式(1)において、R3が塩素原子であり、R2、R4、R5、R7及びR9が水素原子であり、R8がヨウ素原子であり、R1、A1及びnが〔表1〕~〔表14〕に記載の組み合わせである化合物。
式(1)において、R4が塩素原子であり、R2、R3、R5、R7及びR9が水素原子であり、R8がヨウ素原子であり、R1、A1及びnが〔表1〕~〔表14〕に記載の組み合わせである化合物。
式(1)において、R5が塩素原子であり、R2、R3、R4、R7及びR9が水素原子であり、R8がヨウ素原子であり、R1、A1及びnが〔表1〕~〔表14〕に記載の組み合わせである化合物。
式(1)において、R2が臭素原子であり、R3、R4、R5、R7及びR9が水素原子であり、R8がヨウ素原子であり、R1、A1及びnが〔表1〕~〔表14〕に記載の組み合わせである化合物。
式(1)において、R3が臭素原子であり、R2、R4、R5、R7及びR9が水素原子であり、R8がヨウ素原子であり、R1、A1及びnが〔表1〕~〔表14〕に記載の組み合わせである化合物。
式(1)において、R4が臭素原子であり、R2、R3、R5、R7及びR9が水素原子であり、R8がヨウ素原子であり、R1、A1及びnが〔表1〕~〔表14〕に記載の組み合わせである化合物。
式(1)において、R5が臭素原子であり、R2、R3、R4、R7及びR9が水素原子であり、R8がヨウ素原子であり、R1、A1及びnが〔表1〕~〔表14〕に記載の組み合わせである化合物。
式(1)において、R2がメチル基であり、R3、R4、R5、R7及びR9が水素原子であり、R8がヨウ素原子であり、R1、A1及びnが〔表1〕~〔表14〕に記載の組み合わせである化合物。
式(1)において、R3がメチル基であり、R2、R4、R5、R7及びR9が水素原子であり、R8がヨウ素原子であり、R1、A1及びnが〔表1〕~〔表14〕に記載の組み合わせである化合物。
式(1)において、R4がメチル基であり、R2、R3、R5、R7及びR9が水素原子であり、R8がヨウ素原子であり、R1、A1及びnが〔表1〕~〔表14〕に記載の組み合わせである化合物。
式(1)において、R5がメチル基であり、R2、R3、R4、R7及びR9が水素原子であり、R8がヨウ素原子であり、R1、A1及びnが〔表1〕~〔表14〕に記載の組み合わせである化合物。
式(1)において、R2がエチル基であり、R3、R4、R5、R7及びR9が水素原子であり、R8がヨウ素原子であり、R1、A1及びnが〔表1〕~〔表14〕に記載の組み合わせである化合物。
式(1)において、R3がエチル基であり、R2、R4、R5、R7及びR9が水素原子であり、R8がヨウ素原子であり、R1、A1及びnが〔表1〕~〔表14〕に記載の組み合わせである化合物。
式(1)において、R4がエチル基であり、R2、R3、R5、R7及びR9が水素原子であり、R8がヨウ素原子であり、R1、A1及びnが〔表1〕~〔表14〕に記載の組み合わせである化合物。
式(1)において、R5がエチル基であり、R2、R3、R4、R7及びR9が水素原子であり、R8がヨウ素原子であり、R1、A1及びnが〔表1〕~〔表14〕に記載の組み合わせである化合物。
式(1)において、R2がトリフルオロメチル基であり、R3、R4、R5、R7及びR9が水素原子であり、R8がヨウ素原子であり、R1、A1及びnが〔表1〕~〔表14〕に記載の組み合わせである化合物。
式(1)において、R3がトリフルオロメチル基であり、R2、R4、R5、R7及びR9が水素原子であり、R8がヨウ素原子であり、R1、A1及びnが〔表1〕~〔表14〕に記載の組み合わせである化合物。
式(1)において、R4がトリフルオロメチル基であり、R2、R3、R5、R7及びR9が水素原子であり、R8がヨウ素原子であり、R1、A1及びnが〔表1〕~〔表14〕に記載の組み合わせである化合物。
式(1)において、R5がトリフルオロメチル基であり、R2、R3、R4、R7及びR9が水素原子であり、R8がヨウ素原子であり、R1、A1及びnが〔表1〕~〔表14〕に記載の組み合わせである化合物。
式(1)において、R3がペンタフルオロエチル基であり、R2、R4、R5、R7及びR9が水素原子であり、R8がヨウ素原子であり、R1、A1及びnが〔表1〕~〔表14〕に記載の組み合わせである化合物。
式(1)において、R3がヘプタフルオロプロピル基であり、R2、R4、R5、R7及びR9が水素原子であり、R8がヨウ素原子であり、R1、A1及びnが〔表1〕~〔表14〕に記載の組み合わせである化合物。
式(1)において、R3がトリフルオロメトキシ基であり、R2、R4、R5、R7及びR9が水素原子であり、R8がヨウ素原子であり、R1、A1及びnが〔表1〕~〔表14〕に記載の組み合わせである化合物。
式(1)において、R3が2−ピリジル基であり、R2、R4、R5、R7及びR9が水素原子であり、R8がヨウ素原子であり、R1、A1及びnが〔表1〕~〔表14〕に記載の組み合わせである化合物。
式(1)において、R3が3−クロロ−2−ピリジル基であり、R2、R4、R5、R7及びR9が水素原子であり、R8がヨウ素原子であり、R1、A1及びnが〔表1〕~〔表14〕に記載の組み合わせである化合物。
式(1)において、R3が2−ピリミジニル基であり、R2、R4、R5、R7及びR9が水素原子であり、R8がヨウ素原子であり、R1、A1及びnが〔表1〕~〔表14〕に記載の組み合わせである化合物。
式(1)において、R3が−SF5であり、R2、R4、R5、R7及びR9が水素原子であり、R8がヨウ素原子であり、R1、A1及びnが〔表1〕~〔表14〕に記載の組み合わせである化合物。
式(1)において、R2、R3、R4、R5、R7及びR9が水素原子であり、R8が−SF5であり、R1、A1及びnが〔表1〕~〔表14〕に記載の組み合わせである化合物。
式(1)において、R2がフッ素原子であり、R3、R4、R5、R7及びR9が水素原子であり、R8が−SF5であり、R1、A1及びnが〔表1〕~〔表14〕に記載の組み合わせである化合物。
式(1)において、R3がフッ素原子であり、R2、R4、R5、R7及びR9が水素原子であり、R8が−SF5であり、R1、A1及びnが〔表1〕~〔表14〕に記載の組み合わせである化合物。
式(1)において、R4がフッ素原子であり、R2、R3、R5、R7及びR9が水素原子であり、R8が−SF5であり、R1、A1及びnが〔表1〕~〔表14〕に記載の組み合わせである化合物。
式(1)において、R5がフッ素原子であり、R2、R3、R4、R7及びR9が水素原子であり、R8が−SF5であり、R1、A1及びnが〔表1〕~〔表14〕に記載の組み合わせである化合物。
式(1)において、R2が塩素原子であり、R3、R4、R5、R7及びR9が水素原子であり、R8が−SF5であり、R1、A1及びnが〔表1〕~〔表14〕に記載の組み合わせである化合物。
式(1)において、R3が塩素原子であり、R2、R4、R5、R7及びR9が水素原子であり、R8が−SF5であり、R1、A1及びnが〔表1〕~〔表14〕に記載の組み合わせである化合物。
式(1)において、R4が塩素原子であり、R2、R3、R5、R7及びR9が水素原子であり、R8が−SF5であり、R1、A1及びnが〔表1〕~〔表14〕に記載の組み合わせである化合物。
式(1)において、R5が塩素原子であり、R2、R3、R4、R7及びR9が水素原子であり、R8が−SF5であり、R1、A1及びnが〔表1〕~〔表14〕に記載の組み合わせである化合物。
式(1)において、R2が臭素原子であり、R3、R4、R5、R7及びR9が水素原子であり、R8が−SF5であり、R1、A1及びnが〔表1〕~〔表14〕に記載の組み合わせである化合物。
式(1)において、R3が臭素原子であり、R2、R4、R5、R7及びR9が水素原子であり、R8が−SF5であり、R1、A1及びnが〔表1〕~〔表14〕に記載の組み合わせである化合物。
式(1)において、R4が臭素原子であり、R2、R3、R5、R7及びR9が水素原子であり、R8が−SF5であり、R1、A1及びnが〔表1〕~〔表14〕に記載の組み合わせである化合物。
式(1)において、R5が臭素原子であり、R2、R3、R4、R7及びR9が水素原子であり、R8が−SF5であり、R1、A1及びnが〔表1〕~〔表14〕に記載の組み合わせである化合物。
式(1)において、R2がメチル基であり、R3、R4、R5、R7及びR9が水素原子であり、R8が−SF5であり、R1、A1及びnが〔表1〕~〔表14〕に記載の組み合わせである化合物。
式(1)において、R3がメチル基であり、R2、R4、R5、R7及びR9が水素原子であり、R8が−SF5であり、R1、A1及びnが〔表1〕~〔表14〕に記載の組み合わせである化合物。
式(1)において、R4がメチル基であり、R2、R3、R5、R7及びR9が水素原子であり、R8が−SF5であり、R1、A1及びnが〔表1〕~〔表14〕に記載の組み合わせである化合物。
式(1)において、R5がメチル基であり、R2、R3、R4、R7及びR9が水素原子であり、R8が−SF5であり、R1、A1及びnが〔表1〕~〔表14〕に記載の組み合わせである化合物。
式(1)において、R2がエチル基であり、R3、R4、R5、R7及びR9が水素原子であり、R8が−SF5であり、R1、A1及びnが〔表1〕~〔表14〕に記載の組み合わせである化合物。
式(1)において、R3がエチル基であり、R2、R4、R5、R7及びR9が水素原子であり、R8が−SF5であり、R1、A1及びnが〔表1〕~〔表14〕に記載の組み合わせである化合物。
式(1)において、R4がエチル基であり、R2、R3、R5、R7及びR9が水素原子であり、R8が−SF5であり、R1、A1及びnが〔表1〕~〔表14〕に記載の組み合わせである化合物。
式(1)において、R5がエチル基であり、R2、R3、R4、R7及びR9が水素原子であり、R8が−SF5であり、R1、A1及びnが〔表1〕~〔表14〕に記載の組み合わせである化合物。
式(1)において、R2がトリフルオロメチル基であり、R3、R4、R5、R7及びR9が水素原子であり、R8が−SF5であり、R1、A1及びnが〔表1〕~〔表14〕に記載の組み合わせである化合物。
式(1)において、R3がトリフルオロメチル基であり、R2、R4、R5、R7及びR9が水素原子であり、R8が−SF5であり、R1、A1及びnが〔表1〕~〔表14〕に記載の組み合わせである化合物。
式(1)において、R4がトリフルオロメチル基であり、R2、R3、R5、R7及びR9が水素原子であり、R8が−SF5であり、R1、A1及びnが〔表1〕~〔表14〕に記載の組み合わせである化合物。
式(1)において、R5がトリフルオロメチル基であり、R2、R3、R4、R7及びR9が水素原子であり、R8が−SF5であり、R1、A1及びnが〔表1〕~〔表14〕に記載の組み合わせである化合物。
式(1)において、R3がペンタフルオロエチル基であり、R2、R4、R5、R7及びR9が水素原子であり、R8が−SF5であり、R1、A1及びnが〔表1〕~〔表14〕に記載の組み合わせである化合物。
式(1)において、R3がヘプタフルオロプロピル基であり、R2、R4、R5、R7及びR9が水素原子であり、R8が−SF5であり、R1、A1及びnが〔表1〕~〔表14〕に記載の組み合わせである化合物。
式(1)において、R3がトリフルオロメトキシ基であり、R2、R4、R5、R7及びR9が水素原子であり、R8が−SF5であり、R1、A1及びnが〔表1〕~〔表14〕に記載の組み合わせである化合物。
式(1)において、R3が2−ピリジル基であり、R2、R4、R5、R7及びR9が水素原子であり、R8が−SF5であり、R1、A1及びnが〔表1〕~〔表14〕に記載の組み合わせである化合物。
式(1)において、R3が3−クロロ−2−ピリジル基であり、R2、R4、R5、R7及びR9が水素原子であり、R8が−SF5であり、R1、A1及びnが〔表1〕~〔表14〕に記載の組み合わせである化合物。
式(1)において、R3が2−ピリミジニル基であり、R2、R4、R5、R7及びR9が水素原子であり、R8が−SF5であり、R1、A1及びnが〔表1〕~〔表14〕に記載の組み合わせである化合物。
式(1)において、R3が−SF5であり、R2、R4、R5、R7及びR9が水素原子であり、R8が−SF5であり、R1、A1及びnが〔表1〕~〔表14〕に記載の組み合わせである化合物。
本発明化合物が効力を有する有害生物としては、例えば、有害昆虫類や有害ダニ類等の有害節足動物及び線虫が挙げられる。かかる有害生物としては、具体的には例えば、以下のものが挙げられる。
半翅目害虫:ヒメトビウンカ(Laodelphax striatellus)、トビイロウンカ(Nilaparvata lugens)、セジロウンカ(Sogatella furcifera)等のウンカ類、ツマグロヨコバイ(Nephotettix cincticeps)、タイワンツマグロヨコバイ(Nephotettix virescens)、チャノミドリヒメヨコバイ(Empoascaonukii)等のヨコバイ類、ワタアブラムシ(Aphis gossypii)、モモアカアブラムシ(Myzus persicae)、ダイコンアブラムシ(Brevicoryne brassicae)、ユキヤナギアブラムシ(Aphis spiraecola)、チューリップヒゲナガアブラムシ(Macrosiphum euphorbiae)、ジャガイモヒゲナガアブラムシ(Aulacorthum solani)、ムギクビレアブラムシ(Rhopalosiphum padi)、ミカンクロアブラムシ(Toxoptera citricidus)、モモコフキアブラムシ(Hyalopterus pruni)等のアブラムシ類、アオクサカメムシ(Nezara antennata)、ホソヘリカメムシ(Riptortus clavetus)、クモヘリカメムシ(Leptocorisa chinensis)、トゲシラホシカメムシ(Eysarcoris parvus)、クサギカメムシ(Halyomorpha mista)等のカメムシ類、オンシツコナジラミ(Trialeurodes vaporariorum)、タバココナジラミ(Bemisia tabaci)、ミカンコナジラミ(Dialeurodes citri)、ミカントゲコナジラミ(Aleurocanthus spiniferus)等のコナジラミ類、アカマルカイガラムシ(Aonidiela aurantii)、サンホーゼカイガラムシ(Comstockaspis perniciosa)、シトラススノースケール(Unaspis citri)、ルビーロウムシ(Ceroplastes rubens)、イセリヤカイガラムシ(Icerya purchasi)、フジコナカイガラムシ(Planococcus kraunhiae)、クワコナカイガラムシ(Pseudococcus longispinis)、クワシロカイガラムシ(Pseudaulacaspis pentagona)等のカイガラムシ類、グンバイムシ類、トコジラミ(Cimex lectularius)等のトコジラミ類、及びキジラミ類。
鱗翅目害虫:ニカメイガ(Chilo suppressalis)、サンカメイガ(
Tryporyza incertulas)、コブノメイガ(Cnaphalocrocis medinalis)、ワタノメイガ(Notarcha derogata)、ノシメマダラメイガ(Plodia interpunctella)、アワノメイガ(Ostrinia furnacalis)、ハイマダラノメイガ(Hellula undalis)、シバツトガ(Pediasia teterrellus)等のメイガ類、ハスモンヨトウ(Spodoptera litura)、シロイチモジヨトウ(Spodoptera exigua)、アワヨトウ(Pseudaletia separata)、ヨトウガ(Mamestra brassicae)、タマナヤガ(Agrotis ipsilon),タマナギンウワバ(Plusia nigrisigna),トリコプルシア属、ヘリオティス属、ヘリコベルパ属等のヤガ類、モンシロチョウ(Pieris rapae)等のシロチョウ類、アドキソフィエス属、ナシヒメシンクイ(Grapholita molesta)、マメシンクイガ(Leguminivora glycinivorella),アズキサヤムシガ(Matsumuraeses azukivora)、リンゴコカクモンハマキ(Adoxophyes orana fasciata)、チャノコカクモンハマキ(Adoxophyes honmai.)、チャハマキ(Homona magnanima)、ミダレカクモンハマキ(Archips fuscocupreanus)、コドリンガ(Cydia pomonella)等のハマキガ類、チャノホソガ(Caloptilia theivora)、キンモンホソガ(Phyllonorycter ringoneella)のホソガ類、モモシンクイガ(Carposina niponensis)等のシンクイガ類、リオネティア属等のハモグリガ類、リマントリア属、ユープロクティス属等のドクガ類、コナガ(Plutella xylostella)等のスガ類、ワタアカミムシ(Pectinophora gossypiella)ジャガイモガ(Phthorimaea operculella)等のキバガ類、アメリカシロヒトリ(Hyphantria cunea)等のヒトリガ類、及びイガ(Tinea translucens)、コイガ(Tineola bisselliella)等のヒロズコガ類。
アザミウマ目害虫:ミカンキイロアザミウマ(Frankliniella occidentalis)、ミナミキイロアザミウマ(Thrips parmi)、チャノキイロアザミウマ(Scirtothrips dorsalis)、ネギアザミウマ(Thrips tabaci)、ヒラズハナアザミウマ(Frankliniella intonsa)等のアザミウマ類。
双翅目害虫:アカイエカ(Culex pipiens pallens)、コガタアカイエカ(Culex tritaeniorhynchus)、ネッタイイエカ(Culex quinquefasciatus)等のイエカ類、ネッタイシマカ(Aedes aegypti)、ヒトスジシマカ(Aedes albopictus)等のエーデス属、シナハマダラカ(Anopheles sinensis)等のアノフェレス属、ユスリカ類、イエバエ(Musca domestica)、オオイエバエ(Muscina stabulans)等のイエバエ類、クロバエ類、ニクバエ類、ヒメイエバエ類、タネバエ(Delia platura)、タマネギバエ(Delia antiqua)等のハナバエ類、イネハモグリバエ(Agromyza oryzae)、イネヒメハモグリバエ(Hydrellia griseola)、トマトハモグリバエ、(Liriomyza sativae)、マメハモグリバエ(Liriomyza trifolii)、ナモグリバエ(Chromatomyia horticola)等のハモグリバエ類、イネキモグリバエ(Chlorops oryzae)等のキモグリバエ類、ウリミバエ(Dacus cucurbitae)、チチュウカイミバエ(Ceratitis capitata)等のミバエ類、ショウジョウバエ類、オオキモンノミバエ(Megaselia spiracularis)等のノミバエ類、オオチョウバエ(Clogmia albipunctata)等のチョウバエ類、クロバネキノコバエ類、ブユ類、ウシアブ(Tabanus trigonus)等のアブ類、シラミバエ類及びサシバエ類。
鞘翅目害虫:ウエスタンコーンルートワーム(Diabrotica virgifera virgifera)、サザンコーンルートワーム(Diabrotica undecimpunctata howardi)等のコーンルートワーム類、ドウガネブイブイ(Anomala cuprea)、ヒメコガネ(Anomala rufocuprea)、マメコガネ(Popillia japonica)等のコガネムシ類、メイズウィービル(Sitophilus zeamais)、イネミズゾウムシ(Lissorhoptrus oryzophilus)、アズキゾウムシ(Callosobruchuys chienensis)、イネゾウムシ(Echinocnemus squameus)、ワタミゾウムシ(Anthonomus grandis)、シバオサゾウムシ(Sphenophorus venatus)等のゾウムシ類、チャイロコメノゴミムシダマシ(Tenebrio molitor)、コクヌストモドキ(Tribolium castaneum)等のゴミムシダマシ類、イネドロオイムシ(Oulema oryzae)、ウリハムシ(Aulacophora femoralis)、キスジノミハムシ(Phyllotreta striolata)、コロラドハムシ(Leptinotarsa decemlineata)等のハムシ類、ヒメマルカツオブシムシ(Anthrenus verbasci)、ハラジロカツオブシムシ(Dermestes maculates)等のカツオブシムシ類、タバコシバンムシ(Lasioderma serricorne)等のシバンムシ類、ニジュウヤホシテントウ(Epilachna vigintioctopunctata)等のエピラクナ類、ヒラタキクイムシ(Lyctus brunneus)、マツノキクイムシ(Tomicus piniperda)等のキクイムシ類、ナガシンクイムシ類、ヒョウホンムシ類、ゴマダラカミキリ(Anoplophora malasiaca)等のカミキリムシ類、コメツキムシ類(Agriotes spp.)、及びアオバアリガタハネカクシ(Paederus fuscipes)。
直翅目害虫:トノサマバッタ(Locusta migratoria)、ケラ(Gryllotalpa africana)、コバネイナゴ(Oxya yezoensis)、ハネナガイナゴ(Oxya japonica)、及びコオロギ類。
隠翅目害虫:ネコノミ(Ctenocephalides felis),イヌノミ(Ctenocephalides canis),ヒトノミ(Pulex irritans),ケオプスネズミノミ(Xenopsylla cheopis)等。
シラミ目害虫:コロモジラミ(Pediculus humanus corporis),アタマジラミ(Pediculus humanus humanus)、ケジラミ (Phthirus pubis),ウシジラミ(Haematopinus eurysternus),ヒツジジラミ(Dalmalinia ovis),ブタジラミ(Haematopinus suis)、イヌジラミ(Linognathus setosus)等。
ハジラミ目害虫:ヒツジハジラミ(Dalmalinia ovis)、ウシハジラミ(Dalmalinia bovis)、ニワトリハジラミ(Menopon gallinae)、イヌハジラミ(Trichodectes canis)、ネコハジラミ(Felicola subrostrata)等
膜翅目害虫: イエヒメアリ(Monomorium pharaosis)、クロヤマアリ(Formica fusca japonica)、ルリアリ(Ochetellus glaber)、アミメアリ(Pristomyrmex pungens)、オオズアリ(Pheidole noda)、ハキリアリ(Acromyrmex spp.)、ファイヤーアント(Solenopsis spp.)、アルゼンチンアリ(Linepithema humile)等のアリ類、スズメバチ類、アリガタバチ類、及びカブラハバチ(Athalia rosae)、ニホンカブラバチ(Athalia japonica)等のハバチ類。
線虫類:イネシンガレセンチュウ(Aphelenchoides besseyi)、イチゴメセンチュウ(Nothotylenchus acris)、サツマイモネコブセンチュウ(Meloidogyne incognita)、キタネコブセンチュウ(Meloidogyne hapla)、ジャワネコブセンチュウ(Meloidogyne javanica)、ダイズシストセンチュウ(Heterodera glycines)、ジャガイモシストセンチュウ(Globodera rostochiensis)、ミナミネグサレセンチュウ(Pratylenchus coffeae)、ムギネグサレセンチュウ(Pratylenchus neglectus)。
ゴキブリ目害虫:チャバネゴキブリ(Blattella germanica)、クロゴキブリ(Periplaneta fuliginosa)、ワモンゴキブリ(Periplaneta americana)、トビイロゴキブリ(Periplaneta brunnea)、トウヨウゴキブリ(Blatta orientalis)。
シロアリ目害虫:ヤマトシロアリ(Reticulitermes speratus),イエシロアリ(Coptotermes formosanus),アメリカカンザイシロアリ(Incisitermes minor),ダイコクシロアリ(Crypt
otermes domesticus),タイワンシロアリ(Odontotermes formosanus),コウシュンシロアリ(Neotermes koshunensis),サツマシロアリ(Glyptotermes satsumensis),ナカジマシロアリ(Glyptotermes nakajimai),カタンシロアリ(Glyptotermes fuscus),コダマシロアリ(Glyptotermes kodamai),クシモトシロアリ(Glyptotermes kushimensis),オオシロアリ(Hodotermopsis japonica),コウシュウイエシロアリ(Coptotermes guangzhoensis),アマミシロアリ(Reticulitermes miyatakei),キアシシロアリ(Reticulitermes flaviceps amamianus),カンモンシロアリ(Reticulitermes sp. ),タカサゴシロアリ(Nasutitermes takasagoensis),ニトベシロアリ(Pericapritermes nitobei),ムシャシロアリ(Sinocapritermes
mushae)等。
ダニ目害虫:ナミハダニ(Tetranychus urticae)、カンザワハダニ(Tetranychus kanzawai)、ミカンハダニ(Panonychus citri)リンゴハダニ(Panonychus ulmi)、オリゴニカス属等のハダニ類、ミカンサビダニ(Aculops pelekassi)、リュウキュウミカンサビダニ(Phyllocoptruta citri)、トマトサビダニ(Aculops lycopersici)、チャノサビダニ(Calacarus carinatus)、チャノナガサビダニ(Acaphylla theavagrans)、ニセナシサビダニ(Eriophyes chibaensis)、リンゴサビダニ(Aculus schlechtendali)等のフシダニ類、チャノホコリダニ(Polyphagotarsonemus latus)等のホコリダニ類、ミナミヒメハダニ(Brevipalpus phoenicis)等のヒメハダニ類、ケナガハダニ類、フタトゲチマダニ(Haemaphysalis longicornis)、ヤマトチマダニ(Haemaphysalis flava)、タイワンカクマダニ(Dermacentor taiwanicus)、アメリカンイヌカクマダニ(Dermacentor variabilis)、ヤマトマダニ(Ixodes ovatus)、シュルツマダニ(Ixodes persulcatus)、ブラックレッグドチック(Ixodes scapularis)、アメリカキララマダニ(Amblyomma americanum)、オウシマダニ(Boophilus microplus)、クリイロコイタマダニ(Rhipicephalus sanguineus)等のマダニ類、ケナガコナダニ(Tyrophagus putrescentiae)、ホウレンソウケナガコナダニ(Tyrophagus similis)等のコナダニ類、コナヒョウヒダニ(Dermatophagoides farinae)、ヤケヒョウヒダニ(Dermatophagoides ptrenyssnus)等のヒョウヒダニ類、ホソツメダニ(Cheyletus eruditus)、クワガタツメダニ(Cheyletus malaccensis)、ミナミツメダニ(Cheyletus moorei)、イヌツメダニ(Cheyletiella yasguri)等のツメダニ類、ミミヒゼンダニ(Octodectes cynotis)、ヒゼンダニ(Sacroptes scabiei)等のヒゼンダニ類,イヌニキビダニ(Demodex canis)等のニキビダニ類,ズツキダニ類、ササラダニ類、イエダニ(Ornithonyssus bacoti)、トリサシダニ(Ornithonyssus sylvairum)、ワクモ(Dermanyssus gallinae)等のワクモ類、アオツツガムシ(Leptotrombidium akamushi)等のツツガムシ類、及びカバキコマチグモ(Chiracanthium japonicum)、セアカゴケグモ(Latrodectus hasseltii)等のクモ類等。
唇脚綱類:ゲジ(Thereuonema hilgendorfi),トビズムカデ(Scolopendra subspinipes)等。
倍脚綱類:ヤケヤスデ(Oxidus gracilis),アカヤスデ(Nedyopus tambanus)等。
等脚目類:オカダンゴムシ(Armadillidium vulgare)等。
腹足綱類:チャコウラナメクジ(Limax marginatus),キイロコウラナメクジ(Limax flavus)等。
本発明の有害生物防除剤は、本発明化合物と不活性担体とを含有する。本発明の有害生物防除剤は、通常、本発明化合物と固体担体、液体担体、ガス状担体等の不活性担体とを混合し、必要に応じて界面活性剤、その他の製剤用補助剤を添加して、乳剤、油剤、粉剤、粒剤、水和剤、フロアブル剤、マイクロカプセル剤、エアゾール剤、燻煙剤、毒餌剤、樹脂製剤、シャンプー剤、ペースト状製剤、泡沫剤、炭酸ガス製剤、錠剤等に製剤化されている。これらの製剤は蚊取り線香、電気蚊取りマット、液体蚊取り製剤、燻煙剤、燻蒸剤、シート製剤、スポットオン剤、経口処理剤に加工されて、使用されることもある。
本発明の有害生物防除剤は、本発明化合物を通常0.01~95重量%含有する。
製剤化の際に用いられる固体担体としては、例えば粘土類(カオリンクレー、珪藻土、ベントナイト、フバサミクレー、酸性白土等)、合成含水酸化珪素、タルク、セラミック、その他の無機鉱物(セリサイト、石英、硫黄、活性炭、炭酸カルシウム、水和シリカ等)、化学肥料(硫安、燐安、硝安、尿素、塩安等)等の微粉末及び粒状物等、並びに合成樹脂(ポリプロピレン、ポリアクリロニトリル、ポリメタクリル酸メチル、ポリエチレンテレフタレート等のポリエステル樹脂、ナイロン−6、ナイロン−11、ナイロン−66等のナイロン樹脂、ポリアミド樹脂、ポリ塩化ビニル、ポリ塩化ビニリデン、塩化ビニル−プロピレン共重合体等)があげられる。
液体担体としては、例えば水、アルコール類(メタノール、エタノール、イソプロピルアルコール、ブタノール、ヘキサノール、ベンジルアルコール、エチレングリコール、プロピレングリコール、フェノキシエタノール等)、ケトン類(アセトン、メチルエチルケトン、シクロヘキサノン等)、芳香族炭化水素類(トルエン、キシレン、エチルベンゼン、ドデシルベンゼン、フェニルキシリルエタン、メチルナフタレン等)、脂肪族炭化水素類(ヘキサン、シクロヘキサン、灯油、軽油等)、エステル類(酢酸エチル、酢酸ブチル、ミリスチン酸イソプロピル、オレイン酸エチル、アジピン酸ジイソプロピル、アジピン酸ジイソブチル、プロピレングリコールモノメチルエーテルアセテート等)、ニトリル類(アセトニトリル、イソブチロニトリル等)、エーテル類(ジイソプロピルエーテル、1,4−ジオキサン、エチレングリコールジメチルエーテル、ジエチレングリコールジメチルエーテル、ジエチレングリコールモノメチルエーテル、プロピレングリコールモノメチルエーテル、ジプロピレングリコールモノメチルエーテル、3−メトキシ−3−メチル−1−ブタノール等)、酸アミド類(N,N−ジメチルホルムアミド、N,N−ジメチルアセトアミド等)、ハロゲン化炭化水素類(ジクロロメタン、トリクロロエタン、四塩化炭素等)、スルホキシド類(ジメチルスルホキシド等)、炭酸プロピレン及び植物油(大豆油、綿実油等)が挙げられる。
ガス状担体としては、例えばフルオロカーボン、ブタンガス、LPG(液化石油ガス)、ジメチルエーテル及び炭酸ガスがあげられる。
界面活性剤としては、例えばポリオキシエチレンアルキルエーテル、ポリオキシエチレンアルキルアリールエーテル、ポリエチレングリコール脂肪酸エステル等の非イオン界面活性剤、及びアルキルスルホン酸塩、アルキルベンゼンスルホン酸塩、アルキル硫酸塩等の陰イオン界面活性剤が挙げられる。
その他の製剤用補助剤としては、固着剤、分散剤、着色剤及び安定剤等、具体的には例えばカゼイン、ゼラチン、糖類(澱粉、アラビアガム、セルロース誘導体、アルギン酸等)、リグニン誘導体、ベントナイト、合成水溶性高分子(ポリビニルアルコール、ポリビニルピロリドン、ポリアクリル酸類等)、PAP(酸性りん酸イソプロピル)、BHT(2,6−ジ−tert−ブチル−4−メチルフェノール)、BHA(2−tert−ブチル−4−メトキシフェノールと3−tert−ブチル−4−メトキシフェノールとの混合物)が挙げられる。
樹脂製剤の基材としては、例えば塩化ビニル系重合体、ポリウレタン等を挙げることができ、これらの基材には必要によりフタル酸エステル類(フタル酸ジメチル、フタル酸ジオクチル等)、アジピン酸エステル類、ステアリン酸等の可塑剤が添加されていてもよい。樹脂製剤は該基材中に化合物を通常の混練装置を用いて混練した後、射出成型、押出成型、プレス成型等により成型することにより得られ、必要により更に成型、裁断等の工程を経て、板状、フィルム状、テープ状、網状、ひも状等の樹脂製剤に加工できる。これらの樹脂製剤は、例えば動物用首輪、動物用イヤータッグ、シート製剤、誘引ひも、園芸用支柱として加工される。
毒餌の基材としては、例えば穀物粉、植物油、糖、結晶セルロース等が挙げられ、更に必要に応じて、ジブチルヒドロキシトルエン、ノルジヒドログアイアレチン酸等の酸化防止剤、デヒドロ酢酸等の保存料、トウガラシ末等の子供やペットによる誤食防止剤、チーズ香料、タマネギ香料ピーナッツオイル等の害虫誘引性香料等が添加される。
本発明の有害生物防除方法は、本発明化合物の有効量を有害生物に直接、及び/又は、有害生物の生息場所(植物、土壌、家屋内、動物体等)に施用することにより行われる。本発明の有害生物防除方法には、通常、本発明の有害生物防除剤の形態で用いられる。
本発明の有害生物防除剤を農業分野の有害生物防除に用いる場合、その施用量は、10000m2あたりの本発明化合物量で通常1~10000gである。本発明の有害生物防除剤が乳剤、水和剤、フロアブル剤等に製剤化されている場合は、通常、有効成分濃度が0.01~10000ppmとなるように水で希釈して施用し、粒剤、粉剤等は、通常、そのまま施用する。
これらの製剤や製剤の水希釈液は、有害生物又は有害生物から保護すべき作物等の植物に直接散布処理してもよく、また耕作地の土壌に生息する有害生物を防除するために、該土壌に処理してもよい。
また、シート状やひも状に加工した樹脂製剤を作物に巻き付ける、作物近傍に張り渡す、株元土壌に敷く等の方法により処理することもできる。
本発明の有害生物防除剤を家屋内に生息する有害生物の防除に用いる場合、その施用量は、面上に処理する場合は処理面積1m2あたりの本発明化合物量で、通常、0.01~1000mgであり、空間に処理する場合は処理空間1m3あたりの本発明化合物量で、通常、0.01~500mgである。本発明の有害生物防除剤が乳剤、水和剤、フロアブル剤等に製剤化されている場合は、通常有効成分濃度が0.1~10000ppmとなるように水で希釈して施用し、油剤、エアゾール剤、燻煙剤、毒餌剤等はそのまま施用する。
本発明の有害節足動物防除剤をウシ、ウマ、ブタ、ヒツジ、ヤギ、ニワトリ用の家畜、イヌ、ネコ、ラット、マウス等の小動物の外部寄生虫防除に用いる場合は、獣医学的に公知の方法で動物に使用することができる。具体的な使用方法としては、全身抑制を目的にする場合には、例えば錠剤、飼料混入、坐薬、注射(筋肉内、皮下、静脈内、腹腔内等)により投与され、非全身的抑制を目的とする場合には、例えば油剤若しくは水性液剤を噴霧する、ポアオン処理若しくはスポットオン処理を行う、シャンプー製剤で動物を洗う又は樹脂製剤を首輪や耳札にして動物に付ける等の方法により用いられる。動物体に投与する場合の本発明化合物の量は、通常動物の体重1kgに対して、0.1~1000mgの範囲である。
本発明の有害生物防除剤は、下記「作物」が栽培されている農地で使用することができる。
農作物:トウモロコシ、イネ、コムギ、オオムギ、ライムギ、エンバク、ソルガム、ワタ、ダイズ、ピーナッツ、ソバ、テンサイ、ナタネ、ヒマワリ、サトウキビ、タバコ等。
野菜;ナス科野菜(ナス、トマト、ピーマン、トウガラシ、ジャガイモ等)、ウリ科野菜(キュウリ、カボチャ、ズッキーニ、スイカ、メロン等)、アブラナ科野菜(ダイコン、カブ、セイヨウワサビ、コールラビ、ハクサイ、キャベツ、カラシナ、ブロッコリー、カリフラワー等)、キク科野菜(ゴボウ、シュンギク、アーティチョーク、レタス等)、ユリ科野菜(ネギ、タマネギ、ニンニク、アスパラガス)、セリ科野菜(ニンジン、パセリ、セロリ、アメリカボウフウ等)、アカザ科野菜(ホウレンソウ、フダンソウ等)、シソ科野菜(シソ、ミント、バジル等)、イチゴ、サツマイモ、ヤマノイモ、サトイモ等。
果樹:仁果類(リンゴ、セイヨウナシ、ニホンナシ、カリン、マルメロ等)、核果類(モモ、スモモ、ネクタリン、ウメ、オウトウ、アンズ、プルーン等)、カンキツ類(ウンシュウミカン、オレンジ、レモン、ライム、グレープフルーツ等)、堅果類(クリ、クルミ、ハシバミ、アーモンド、ピスタチオ、カシューナッツ、マカダミアナッツ等)、液果類(ブルーベリー、クランベリー、ブラックベリー、ラズベリー等)、ブドウ、カキ、オリーブ、ビワ、バナナ、コーヒー、ナツメヤシ、ココヤシ、アブラヤシ等。
果樹以外の樹木:チャ、クワ、花木類(サツキ、ツバキ、アジサイ、サザンカ、シキミ、サクラ、ユリノキ、サルスベリ、キンモクセイ等)、街路樹(トネリコ、カバノキ、ハナミズキ、ユーカリ、イチョウ、ライラック、カエデ、カシ、ポプラ、ハナズオウ、フウ、プラタナス、ケヤキ、クロベ、モミノキ、ツガ、ネズ、マツ、トウヒ、イチイ、ニレ、トチノキ等)、サンゴジュ、イヌマキ、スギ、ヒノキ、クロトン、マサキ、カナメモチ、等。
芝生:シバ類(ノシバ、コウライシバ等)、バミューダグラス類(ギョウギシバ等)、ベントグラス類(コヌカグサ、ハイコヌカグサ、イトコヌカグサ等)、ブルーグラス類(ナガハグサ、オオスズメノカタビラ等)、フェスク類(オニウシノケグサ、イトウシノケグサ、ハイウシノケグサ等)、ライグラス類(ネズミムギ、 ホソムギ等)、カモガヤ、オオアワガエリ等。
その他:花卉類(バラ、カーネーション、キク、トルコギキョウ、カスミソウ、ガーベラ、マリーゴールド、サルビア、ペチュニア、バーベナ、チューリップ、アスター、リンドウ、ユリ、パンジー、シクラメン、ラン、スズラン、ラベンダー、ストック、ハボタン、プリムラ、ポインセチア、グラジオラス、カトレア、デージー、シンビジューム、ベゴニア等)、バイオ燃料植物(ヤトロファ、クルカス、ベニバナ、アマナズナ類、スイッチグラス、ミスカンサス、クサヨシ、ダンチク、ケナフ、キャッサバ、ヤナギ、藻類等)、観葉植物等。
「作物」には、遺伝子組換え作物も含まれる。
本発明の有害生物防除剤は、他の殺虫剤、殺ダニ剤、殺線虫剤、殺菌剤、植物成長調節剤、除草剤及び共力剤と混用又は併用することができる。かかる殺虫剤、殺ダニ剤、殺線虫剤、殺菌剤、植物成長調節剤、除草剤及び共力剤の有効成分の例を以下に示す。
殺虫剤の有効成分
(1)有機リン化合物
アセフェート(acephate)、りん化アルミニウム(Aluminium phosphide)、ブタチオホス(butathiofos)、キャドサホス(cadusafos)、クロルエトキシホス(chlorethoxyfos)、クロルフェンビンホス(chlorfenvinphos)、クロルピリホス(chlorpyrifos)、クロルピリホスメチル(chlorpyrifos−methyl)、シアノホス(cyanophos:CYAP)、ダイアジノン(diazinon)、DCIP(dichlorodiisopropyl ether)、ジクロフェンチオン(dichlofenthion:ECP)、ジクロルボス(dichlorvos:DDVP)、ジメトエート(dimethoate)、ジメチルビンホス(dimethylvinphos)、ジスルホトン(disulfoton)、EPN、エチオン(ethion)、エトプロホス(ethoprophos)、エトリムホス(etrimfos)、フェンチオン(fenthion:MPP)、フェニトロチオン(fenitrothion:MEP)、ホスチアゼート(fosthiazate)、ホルモチオン(formothion)、りん化水素(Hydrogen phosphide)、イソフェンホス(isofenphos)、イソキサチオン(isoxathion)、マラチオン(malathion)、メスルフェンホス(mesulfenfos)、メチダチオン(methidathion:DMTP)、モノクロトホス(monocrotophos)、ナレッド(naled:BRP)、オキシデプロホス(oxydeprofos:ESP)、パラチオン(parathion)、ホサロン(phosalone)、ホスメット(phosmet:PMP)、ピリミホスメチル(pirimiphos−methyl)、ピリダフェンチオン(pyridafenthion)、キナルホス(quinalphos)、フェントエート(phenthoate:PAP)、プロフェノホス(profenofos)、プロパホス(propaphos)、プロチオホス(prothiofos)、ピラクロホス(pyraclorfos)、サリチオン(salithion)、スルプロホス(sulprofos)、テブピリムホス(tebupirimfos)、テメホス(temephos)、テトラクロルビンホス(tetrachlorvinphos)、テルブホス(terbufos)、チオメトン(thiometon)、トリクロルホン(trichlorphon:DEP)、バミドチオン(vamidothion)、フォレート(phorate)、及びカズサホス(cadusafos)。
(2)カーバメート化合物
アラニカルブ(alanycarb)、ベンダイオカルブ(bendiocarb)、ベンフラカルブ(benfuracarb)、BPMC、カルバリル(carbaryl)、カルボフラン(carbofuran)、カルボスルファン(carbosulfan)、クロエトカルブ(cloethocarb)、エチオフェンカルブ(ethiofencarb)、フェノブカルブ(fenobucarb)、フェノチオカルブ(fenothiocarb)、フェノキシカルブ(fenoxycarb)、フラチオカルブ(furathiocarb)、イソプロカルブ(isoprocarb:MIPC)、メトルカルブ(metolcarb)、 メソミル(methomyl)、メチオカルブ(methiocarb)、NAC、オキサミル(oxamyl)、ピリミカーブ(pirimicarb)、プロポキスル(propoxur:PHC)、XMC、チオジカルブ(thiodicarb)、 キシリルカルブ(xylylcarb)、及びアルジカルブ(aldicarb)。
(3)ピレスロイド化合物
アクリナトリン(acrinathrin)、アレスリン(allethrin)、ベンフルスリン(benfluthrin)、ベータ−シフルトリン(beta−cyfluthrin)、ビフェントリン(bifenthrin)、シクロプロトリン(cycloprothrin)、シフルトリン(cyfluthrin)、シハロトリン(cyhalothrin)、シペルメトリン(cypermethrin)、デルタメトリン(deltamethrin)、エスフェンバレレート(esfenvalerate)、エトフェンプロックス(ethofenprox) 、フェンプロパトリン(fenpropathrin)、フェンバレレート(fenvalerate)、フルシトリネート(flucythrinate)、フルフェンプロックス(flufenoprox)、フルメスリン(flumethrin)、フルバリネート(fluvalinate)、ハルフェンプロックス(halfenprox)、イミプロトリン(imiprothrin)、ペルメトリン(permethrin)、プラレトリン(prallethrin)、ピレトリン(pyrethrins)、レスメトリン(resmethrin)、シグマ−サイパーメスリン(sigma−cypermethrin)、シラフルオフェン(silafluofen)、テフルトリン(tefluthrin)、トラロメトリン(tralomethrin)、トランスフルトリン(transfluthrin)、テトラメトリン(tetramethrin)、フェノトリン(phenothrin)、シフェノトリン(cyphenothrin)、アルファシペルメトリン(alpha−cypermethrin)、ゼータシペルメトリン(zeta−cypermethrin)、ラムダシハロトリン(lambda−cyhalothrin)、ガンマシハロトリン(gamma−cyhalothrin)、フラメトリン(furamethrin)、タウフルバリネート(tau−fluvalinate)、メトフルトリン(metofluthrin)、プロフルトリン(profluthrin)、ジメフルトリン(dimefluthrin)、2,3,5,6−テトラフルオロ−4−(メトキシメチル)ベンジル(EZ)−(1RS,3RS;1RS,3SR)−2,2−ジメチル−3−プロプ−1−エニルシクロプロパンカルボキシレート、2,3,5,6−テトラフルオロ−4−メチルベンジル(EZ)−(1RS,3RS;1RS,3SR)−2,2−ジメチル−3−プロプ−1−エニルシクロプロパンカルボキシレート、及び2,3,5,6−テトラフルオロ−4−(メトキシメチル)ベンジル(1RS,3RS;1RS,3SR)−2,2−ジメチル−3−(2−メチル−1−プロペニル)シクロプロパンカルボキシレート、2,3,5,6−テトラフルオロ−4−(メトキシメチル)ベンジル(EZ)−(1RS,3RS;1RS,3SR)−2,2−ジメチル−3−(2−シアノ−1−プロペニル)シクロプロパンカルボキシレート。
(4)ネライストキシン化合物
カルタップ(cartap)、ベンスルタップ(bensultap)、チオシクラム(thiocyclam)、モノスルタップ(monosultap)、及びビスルタップ(bisultap)。
(5)ネオニコチノイド化合物
イミダクロプリド(imidacloprid)、ニテンピラム(nitenpyram)、アセタミプリド(acetamiprid)、チアメトキサム(thiamethoxam)、チアクロプリド(thiacloprid)、ジノテフラン(dinotefuran)、及びクロチアニジン(clothianidin)。
(6)ベンゾイル尿素化合物
クロルフルアズロン(chlorfluazuron)、ビストリフルロン(bistrifluron)、ジアフェンチウロン(diafenthiuron)、ジフルベンズロン(diflubenzuron)、フルアズロン(fluazuron)、フルシクロクスロン(flucycloxuron)、フルフェノクスロン(flufenoxuron)、ヘキサフルムロン(hexaflumuron)、ルフェヌロン(lufenuron)、ノバルロン(novaluron)、ノビフルムロン(noviflumuron)、テフルベンズロン(teflubenzuron)、トリフルムロン(triflumuron)、及びトリアズロン(triazuron)。
(7)フェニルピラゾール化合物
アセトプロール(acetoprole)、エチプロール(ethiprole)、フィプロニル(fipronil)、バニリプロール(vaniliprole)、ピリプロール(pyriprole)、及びピラフルプロール(pyrafluprole)。
(8)Btトキシン
バチルス・チューリンゲンシス菌由来の生芽胞及び産生結晶毒素、及びそれらの混合物;
(9)ヒドラジン化合物
クロマフェノジド(chromafenozide)、ハロフェノジド(halofenozide)、メトキシフェノジド(methoxyfenozide)、及びテブフェノジド(tebufenozide)。
(10)有機塩素化合物
アルドリン(aldrin)、ディルドリン(dieldrin)、ジエノクロル(dienochlor)、エンドスルファン(endosulfan)、及びメトキシクロル(methoxychlor)。
(11)その他の殺虫剤有効成分
マシン油(machine oil)、硫酸ニコチン(nicotine−sulfate);アベルメクチン(avermectin−B)、ブロモプロピレート(bromopropylate)、ブプロフェジン(buprofezin)、クロルフェナピル(chlorphenapyr)、シアントラニリプロール(cyantraniliprole)、シロマジン(cyromazine)、D−D(1,3−Dichloropropene)、エマメクチンベンゾエート(emamectin−benzoate)、フェナザキン(fenazaquin)、フルピラゾホス(flupyrazofos)、ハイドロプレン(hydroprene)、メトプレン(methoprene)、インドキサカルブ(indoxacarb)、メトキサジアゾン(metoxadiazone)、ミルベマイシンA(milbemycin−A)、ピメトロジン(pymetrozine)、ピリダリル(pyridalyl)、ピリプロキシフェン(pyriproxyfen)、スピノサッド(spinosad)、スルフラミド(sulfluramid)、トルフェンピラド(tolfenpyrad)、トリアゼメイト(triazamate)、フルベンジアミド(flubendiamide)、レピメクチン(lepimectin)、亜ひ酸(Arsenic acid)、ベンクロチアズ(benclothiaz)、石灰窒素(Calcium cyanamide)、石灰硫黄合剤(Calcium polysulfide)、クロルデン(chlordane)、DDT、DSP、フルフェネリウム(flufenerim)、フロニカミド(flonicamid)、フルリムフェン(flurimfen)、ホルメタネート(formetanate)、メタム・アンモニウム(metam−ammonium)、メタム・ナトリウム(metam−sodium)、臭化メチル(Methyl bromide)、オレイン酸カリウム(Potassium oleate)、プロトリフェンビュート(protrifenbute)、スピロメシフェン(spiromesifen)、スルフォキサフロール(sulfoxaflor)、硫黄(Sulfur)、メタフルミゾン(metaflumizone)、スピロテトラマット(spirotetramat)、ピリフルキナゾン(pyrifluquinazone)、スピネトラム(spinetoram)、クロラントラニリプロール(chlorantraniliprole)、トラロピリル(tralopyril)、シアントラニリプロール(cyantraniliprole)、
下記式(K)
〔式中、R100は塩素、臭素又はトリフルオロメチル基を表し、R200は塩素、臭素又はメチル基を表し、R300は塩素、臭素又はシアノ基を表す。〕
で示される化合物、及び
下記式(L)
〔式中、R1000は塩素、臭素又はヨウ素を表す。〕
で示される化合物。
殺ダニ剤の有効成分
アセキノシル(acequinocyl)、アミトラズ(amitraz)、ベンゾキシメート(benzoximate)、ビフェナゼート(bifenaate)、フェニソブロモレート(bromopropylate)、キノメチオネート(chinomethionat)、クロルベンジレート(chlorobenzilate)、CPCBS(chlorfenson)、クロフェンテジン(clofentezine)、シフルメトフェン(cyflumetofen)、ケルセン(ジコホル:dicofol)、エトキサゾール(etoxazole)、酸化フェンブタスズ(fenbutatin oxide)、フェノチオカルブ(fenothiocarb)、フェンピロキシメート(fenpyroximate)、フルアクリピリム(fluacrypyrim)、フルプロキシフェン(fluproxyfen)、ヘキシチアゾクス(hexythiazox)、プロパルギット(propargite:BPPS)、ポリナクチン複合体(polynactins)、ピリダベン(pyridaben)、ピリミジフェン(Pyrimidifen)、テブフェンピラド(tebufenpyrad)、テトラジホン(tetradifon)、スピロディクロフェン(spirodiclofen)、スピロメシフェン(spiromesifen)、スピロテトラマット(spirotetramat)、アミドフルメット(amidoflumet)、及びシエノピラフェン(cyenopyrafen)。
殺線虫剤の有効成分
DCIP、フォスチアゼート(fosthiazate)、塩酸レバミゾール(levamisol)、メチルイソチオシアネート(methyisothiocyanate)、酒石酸モランテル(morantel tartarate)、及びイミシアホス(imicyafos)。
殺菌剤の有効成分
プロピコナゾール(propiconazole)、プロチオコナゾール(prothioconazole)、トリアジメノール(triadimenol)、プロクロラズ(prochloraz)、ペンコナゾール(penconazole)、テブコナゾール(tebuconazole)、フルシラゾール(flusilazole)、ジニコナゾール(diniconazole)、ブロムコナゾール(bromuconazole)、エポキシコナゾール(epoxiconazole)、ジフェノコナゾール(difenoconazole)、シプロコナゾール(cyproconazole)、メトコナゾール(metconazole)、トリフルミゾール(triflumizole)、テトラコナゾール(tetraconazole)、マイクロブタニル(myclobutanil)、フェンブコナゾール(fenbuconazole)、ヘキサコナゾール(hexaconazole)、フルキンコナゾール(fluquinconazole)、トリティコナゾール(triticonazole)、ビテルタノール(bitertanol)、イマザリル(imazalil)、フルトリアホール(flutriafol)等のアゾール殺菌化合物;フェンプロピモルフ(fenpropimorph)、トリデモルフ(tridemorph)、フェンプロピジン(fenpropidin)等の環状アミン殺菌化合物;カルベンダジム(carbendezim)、ベノミル(benomyl)、チアベンダゾール(thiabendazole)、チオファネートメチル(thiophanate−methyl)等のベンズイミダゾール殺菌化合物;プロシミドン(procymidone);シプロディニル(cyprodinil);ピリメタニル(pyrimethanil);ジエトフェンカルブ(diethofencarb);チウラム(thiuram);フルアジナム(fluazinam);マンコゼブ(mancozeb);イプロジオン(iprodione);ビンクロゾリン(vinclozolin);クロロタロニル(chlorothalonil);キャプタン(captan);メパニピリム(mepanipyrim);フェンピクロニル(fenpiclonil);フルジオキソニル(fludioxonil);ジクロフルアニド(dichlofluanid);フォルペット(folpet);クレソキシムメチル(kresoxim−methyl);アゾキシストロビン(azoxystrobin);トリフロキシストロビン(trifloxystrobin);フルオキサストロビン(fluoxastrobin);ピコキシストロビン(picoxystrobin);ピラクロストロビン(pyraclostrobin);ジモキシストロビン(dimoxystrobin);ピリベンカルブ(pyribencarb);スピロキサミン(spiroxamine);キノキシフェン(quinoxyfen);フェンヘキサミド(fenhexamid);ファモキサドン(famoxadone);フェナミドン(fenamidone);ゾキサミド(zoxamide);エタボキサム(ethaboxam);アミスルブロム(amisulbrom);イプロヴァリカルブ(iprovalicarb);ベンチアバリカルブ(benthiavalicarb);シアゾファミド(cyazofamid);マンジプロパミド(mandipropamid);ボスカリド(boscalid);ペンチオピラド(penthiopyrad);メトラフェノン(metrafenone);フルオピラン(fluopiran);ビキサフェン(bixafen);シフルフェナミド(cyflufenamid);プロキナジド(proquinazid);イソチアニル(isotianil)及びチアジニル(tiadinil)。
除草剤の有効成分
(1)フェノキシ脂肪酸除草性化合物
2,4−PA、MCP、MCPB、フェノチオール(phenothiol)、メコプロップ(mecoprop)、フルロキシピル(fluroxypyr)、トリクロピル(triclopyr)、クロメプロップ(clomeprop)、及びナプロアニリド(naproanilide)。
(2)安息香酸除草性化合物
2,3,6−TBA、ジカンバ(dicamba)、クロピラリド(clopyralid)、ピクロラム(picloram)、アミノピラリド(aminopyralid)、キンクロラック(quinclorac)、及びキンメラック(quinmerac)。
(3)尿素除草性化合物
ジウロン(diuron)、リニュロン(linuron)、クロルトルロン(chlortoluron)、イソプロツロン(isoproturon)、フルオメツロン(fluometuron)、イソウロン(isouron)、テブチウロン(tebuthiuron)、メタベンズチアズロン(methabenzthiazuron)、クミルロン(cumyluron)、ダイムロン(daimuron)、及びメチルダイムロン(methyl−daimuron)。
(4)トリアジン除草性化合物
アトラジン(atrazine)、アメトリン(ametoryn)、シアナジン(cyanazine)、シマジン(simazine)、プロパジン(propazine)、シメトリン(simetryn)、ジメタメトリン(dimethametryn)、プロメトリン(prometryn)、メトリブジン(metribuzin)、トリアジフラム(triaziflam)、及びインダジフラム(indaziflam)。
(5)ビピリジニウム除草性化合物
パラコート(paraquat)、及びジクワット(diquat)。
(6)ヒドロキシベンゾニトリル除草性化合物
ブロモキシニル(bromoxynil)、及びアイオキシニル(ioxynil)。
(7)ジニトロアニリン除草性化合物
ペンディメタリン(pendimethalin)、プロジアミン(prodiamine)、及びトリフルラリン(trifluralin)。
(8)有機リン除草性化合物
アミプロホスメチル(amiprofos−methyl)、ブタミホス(butamifos)、ベンスリド(bensulide)、ピペロホス(piperophos)、アニロホス(anilofos)、グリホサート(glyphosate)、グルホシネート(glufosinate)、グルホシネート−P(glufosinate−P)、及びビアラホス(bialaphos)。
(9)カーバメート除草性化合物
ジアレート(di−allate)、トリアレート(tri−allate)、EPTC、ブチレート(butylate)、ベンチオカーブ(benthiocarb)、エスプロカルブ(esprocarb)、モリネート(molinate)、ジメピペレート(dimepiperate)、スエップ(swep)、クロルプロファム(chlorpropham)、フェンメディファム(phenmedipham)、フェニソファム(phenisopham)、ピリブチカルブ(pyributicarb)、及びアシュラム(asulam)。
(10)酸アミド除草性化合物
プロパニル(propanil)、プロピザミド(propyzamide)、ブロモブチド(bromobutide)、及びエトベンザニド(etobenzanid)。
(11)クロロアセトアニリド除草性化合物
アセトクロール(acetochlor)、アラクロール(alachlor)、ブタクロール(butachlor)、ジメテナミド(dimethenamid)、プロパクロール(propachlor)、メタザクロール(metazachlor)、メトラクロール(metolachlor)、プレチラクロール(pretilachlor)、テニルクロール(thenylchlor)、及びペトキサミド(pethoxamid)。
(12)ジフェニルエーテル除草性化合物
アシフルオルフェン(acifluorfen−sodium)、ビフェノックス(bifenox)、オキシフルオルフェン(oxyfluorfen)、ラクトフェン(lactofen)、フォメサフェン(fomesafen)、クロメトキシニル(chlomethoxynil)、及びアクロニフェン(aclonifen)。
(13)環状イミド除草性化合物
オキサジアゾン(oxadiazon)、シニドンエチル(cinidon−ethyl)、カルフェントラゾンエチル(carfentrazone−ethyl)、スルフェントラゾン(surfentrazone)、フルミクロラックペンチル(flumiclorac−pentyl)、フルミオキサジン(flumioxazin)、ピラフルフェンエチル(pyraflufen−ethyl)、オキサジアルギル(oxadiargyl)、ペントキサゾン(pentoxazone)、フルチアセットメチル(fluthiacet−methyl)、ブタフェナシル(butafenacil)、ベンズフェンジゾン(benzfendizone)、ベンカルバゾン(bencarbazone)、及びサフルフェナシル(saflufenacil)。
(14)ピラゾール除草性化合物
ベンゾフェナップ(benzofenap)、ピラゾレート(pyrazolate)、ピラゾキシフェン(pyrazoxyfen)、トプラメゾン(topramezone)、及びピラスルホトール(pyrasulfotole)。
(15)トリケトン除草性化合物
イソキサフルトール(isoxaflutole)、ベンゾビシクロン(benzobicyclon)、スルコトリオン(sulcotrione)、メソトリオン(mesotrione)、テンボトリオン(tembotrione)、及びテフリルトリオン(tefuryltrione)。
(16)アリールオキシフェノキシプロピオン酸除草性化合物
クロジナホッププロパルギル(clodinafop−propargyl)、シハロホップブチル(cyhalofop−butyl)、ジクロホップメチル(diclofop−methyl)、フェノキサプロップエチル(fenoxaprop−ethyl)、フルアジホップブチル(fluazifop−butyl)、ハロキシホップメチル(haloxyfop−methyl)、及びキザロホップエチル(quizalofop−ethyl)、メタミホップ(metamifop)。
(17)トリオンオキシム除草性化合物
アロキシジム(alloxydim−sodium)、セトキシジム(sethoxydim)、ブトロキシジム(butroxydim)、クレソジム(clethodim)、クロプロキシジム(cloproxydim)、シクロキシジム(cycloxydim)、テプラロキシジム(tepraloxydim)、トラルコキシジム(tralkoxydim)、及びプロフォキシジム(profoxydim)。
(18)スルホニル尿素除草性化合物
クロルスルフロン(chlorsulfuron)、スルホメツロンメチル(sulfometuron−methyl)、メトスルフロンメチル(metsulfuron−methyl)、クロリムロンエチル(chlorimuron−ethyl)、トリベニュロンメチル(tribenuron−methyl)、トリアスルフロン(triasulfuron)、ベンスルフロンメチル(bensulfuron−methyl)、チフェンスルフロンメチル(thifensulfuron−methyl)、ピラゾスルフロンエチル(pyrazosulfuron−ethyl)、プリミスルフロンメチル(primisulfuron−methyl)、ニコスルフロン(nicosulfuron)、アミドスルフロン(amidosulfuron)、シノスルフロン(cinosulfuron)、イマゾスルフロン(imazosulfuron)、リムスルフロン(rimsulfuron)、ハロスルフロンメチル(halosulfuron−methyl)、プロスルフロン(prosulfuron)、エタメトスルフロンメチル(ethametsulfuron−methyl)、トリフルスルフロンメチル(triflusulfuron−methyl)、フラザスルフロン(flazasulfuron)、シクロスルファムロン(cyclosulfamuron)、フルピルスルフロン(flupyrsulfuron)、スルホスルフロン(sulfosulfuron)、アジムスルフロン(azimsulfuron)、エトキシスルフロン(ethoxysulfuron)、オキサスルフロン(oxasulfuron)、ヨードスルフロンメチルナトリウム(iodosulfuron−methyl−sodium)、フォラムスルフロン(foramsulfuron)、メソスルフロンメチル(mesosulfuron−methyl)、トリフロキシスルフロン(trifloxysulfuron)、トリトスルフロン(tritosulfuron)、オルソスルファムロン(orthosulfamuron)、フルセトスルフロン(flucetosulfuron)、及びプロピリスルフロン(propyrisulfuron)。
(19)イミダゾリノン除草性化合物
イマザメタベンズメチル(imazamethabenz−methyl)、イマザメタピル(imazamethapyr)、イマザモックス(imazamox)、イマザピル(imazapyr)、イマザキン(imazaquin)、及びイマゼタピル(imazethapyr)。
(20)スルホンアミド除草性化合物
フルメトスラム(flumetsulam)、メトスラム(metosulam)、ジクロスラム(diclosulam)、フロラスラム(florasulam)、クロランスラムメチル(cloransulam−methyl)、ペノキススラム(penoxsulam)、及びピロキススラム(pyroxsulam)。
(21)ピリミジニルオキシ安息香酸除草性化合物
ピリチオバックナトリウム(pyrithiobac−sodium)、ビスピリバックナトリウム(bispyribac−sodium)、ピリミノバックメチル(pyriminobac−methyl)、ピリベンゾキシム(pyribenzoxim)、ピリフタリド(pyriftalid)、及びピリミスルファン(pyrimisulfan)。
(22)その他の除草性化合物
ベンタゾン(bentazon)、ブロマシル(bromacil)、ターバシル(terbacil)、クロルチアミド(chlorthiamid)、イソキサベン(isoxaben)、ジノセブ(dinoseb)、アミトロール(amitrole)、シンメチリン(cinmethylin)、トリジファン(tridiphane)、ダラポン(dalapon)、ジフルフェンゾピルナトリウム(diflufenzopyr−sodium)、ジチオピル(dithiopyr)、チアゾピル(thiazopyr)、フルカルバゾンナトリウム(flucarbazone−sodium)、プロポキシカルバゾンナトリウム(propoxycarbazone−sodium)、メフェナセット(mefenacet)、フルフェナセット(flufenacet)、フェントラザミド(fentrazamide)、カフェンストロール(cafenstrole)、インダノファン(indanofan)、オキサジクロメホン(oxaziclomefone)、ベンフレセート(benfuresate)、ACN、ピリデート(pyridate)、クロリダゾン(chloridazon)、ノルフルラゾン(norflurazon)、フルルタモン(flurtamone)、ジフルフェニカン(diflufenican)、ピコリナフェン(picolinafen)、ベフルブタミド(beflubutamid)、クロマゾン(clomazone)、アミカルバゾン(amicarbazone)、ピノキサデン(pinoxaden)、ピラクロニル(pyraclonil)、ピロキサスルホン(pyroxasulfone)、チエンカルバゾンメチル(thiencarbazone−methyl)、アミノシクロピラクロール(aminocyclopyrachlor)、イプフェンカルバゾン(ipfencarbazone)、及びメチオゾリン(methiozolin)。
植物成長調節剤の有効成分
ヒメキサゾール(hymexazol)、パクロブトラゾール(paclobutrazol)、ウニコナゾール−P(uniconazole−P)、イナベンフィド(inabenfide)、プロヘキサジオンカルシウム(prohexadione−calcium)、アビグリシン(aviglycine)、1−ナフチルアセトアミド(naphthalene acetamide)、アブシジン酸(abscisic acid)、インドール酪酸(indolebutyric acid)、エチクロゼート(ethychlozate)、エテホン(ethephon)、クロキシホナック(cloxyfonac)、クロルメコート(chlormequat)、ジクロルプロップ(dichlorprop)、ジベレリン(gibberellins)、プロヒドロジャスモン(prohydrojasmon)、ベンジルアミノプリン(benzyladenine)、ホルクロルフェニュロン(forchlorfenuron)、マレイン酸ヒドラジド(maleic hydrazide)、過酸化カルシウム(calcium peroxide)、メピコートクロリド(mepiquat−chloride)及び4−CPA(4−chlorophenoxyacetic acid)。
共力剤の有効成分
ピペロニル ブトキサイド(piperonyl butoxide)、セサメックス(sesamex)、スルホキシド(sulfoxide)、N−(2−エチルヘキシル)−8,9,10−トリノルボルン−5−エン−2,3−ジカルボキシイミド(MGK 264)、N−デクリイミダゾール(N−declyimidazole)、WARF−アンチレジスタント(WARF−antiresistant)、TBPT、TPP、IBP、PSCP、ヨウ化メチル(CH3I)、t−フェニルブテノン(t−phenylbutenone)、ジエチルマレエート(diethylmaleate)、DMC、FDMC、ETP、及びETN。
Examples of groups used in the description of the present specification will be described below.
In the present specification, the description of the Ca—Cb chain hydrocarbon group represents a linear or branched saturated or unsaturated hydrocarbon group having a to b carbon atoms.
The notation of the Ca—Cb alkyl group represents a linear or branched hydrocarbon group having a to b carbon atoms.
Examples of the “C1-C6 chain hydrocarbon group” include a methyl group, an ethyl group, a propyl group, an isopropyl group, a butyl group, an isobutyl group, a sec-butyl group, a tert-butyl group, a pentyl group, a neopentyl group, and a hexyl group. A C1-C6 alkyl group such as, vinyl group, 1-propenyl group, 2-propenyl group, 1-methylvinyl group, 2-methyl-1-propenyl group, 1-butenyl group, 2-butenyl group, 3-butenyl C2-C6 alkenyl groups such as 1-pentenyl group and 1-hexenyl group; and C2-C6 such as ethynyl group, propargyl group, 2-butynyl group, 3-butynyl group, 1-pentynyl group and 1-hexynyl group An alkynyl group is mentioned.
The notation of the Ca-Cb alkenyl group refers to an unsaturated hydrocarbon group having one or more double bonds in the molecule, which is linear or branched having a carbon number of a to b. To express.
Examples of the “C2-C6 alkenyl group” include a vinyl group, 1-propenyl group, 2-propenyl group, 1-methylvinyl group, 2-methyl-1-propenyl group, 1-butenyl group, 2-butenyl group, 3 -A butenyl group, 1-pentenyl group, and 1-hexenyl group are mentioned.
The notation of the Ca-Cb alkynyl group represents an unsaturated hydrocarbon group having a linear or branched chain structure having a to b carbon atoms and having one or more triple bonds in the molecule. .
Examples of the “C2-C6 alkynyl group” include ethynyl group, propargyl group, 2-butynyl group, 3-butynyl group, 1-pentynyl group and 1-hexynyl group.
The notation of Ca—Cb alkoxy group represents a linear or branched alkyl-O— group having a to b carbon atoms.
Examples of the “C1-C6 alkoxy group” include methoxy group, ethoxy group, propoxy group, isopropoxy group, butoxy group, isobutoxy group, sec-butoxy group, tert-butoxy group, pentyloxy group, neopentyloxy group and hexyl. An oxy group is mentioned.
The notation of the Ca-Cb alkenyloxy group is an alkenyl-O- group which is linear or branched having 1 to 2 carbon atoms and has one or more double bonds in the molecule. Represents.
Examples of the “C2-C6 alkenyloxy group” include a vinyloxy group, 1-propenyloxy group, 2-propenyloxy group, 1-methylvinyloxy group, 2-methyl-1-propenyloxy group, 1-butenyloxy group, 2 -Butenyloxy group, 3-butenyloxy group, 1-pentenyloxy group and 1-hexenyloxy group are mentioned.
The notation of a Ca-Cb alkynyloxy group is an alkynyl-O- group which is linear or branched having 1 to 2 carbon atoms and has one or more triple bonds in the molecule. To express.
Examples of the “C2-C6 alkynyloxy group” include ethynyloxy group, propargyloxy group, 2-butynyloxy group, 3-butynyloxy group, 1-pentynyloxy group and 1-hexynyloxy group.
The notation of the Ca—Cb alkylsulfanyl group represents a linear or branched alkyl-S— group having a to b carbon atoms.
Examples of the “C1-C6 alkylsulfanyl group” include a methylsulfanyl group, an ethylsulfanyl group, a propylsulfanyl group, an isopropylsulfanyl group, a butylsulfanyl group, a pentylsulfanyl group, and a hexylsulfanyl group.
The notation of the Ca—Cb alkylsulfinyl group represents a linear or branched alkyl-S (O) — group having a to b carbon atoms.
Examples of the “C1-C6 alkylsulfinyl group” include a methylsulfinyl group, an ethylsulfinyl group, a propylsulfinyl group, an isopropylsulfinyl group, a butylsulfinyl group, a pentylsulfinyl group, and a hexylsulfinyl group.
The notation of the Ca—Cb alkylsulfonyl group is linear or branched alkyl-S (O) having a to b carbon atoms.2-Represents a group.
Examples of the “C1-C6 alkylsulfonyl group” include a methylsulfonyl group, an ethylsulfonyl group, a propylsulfonyl group, an isopropylsulfonyl group, a butylsulfonyl group, a pentylsulfonyl group, and a hexylsulfonyl group.
The notation of Ca—Cb alkylcarbonyl group represents a linear or branched alkyl-C (O) — group having a to b carbon atoms.
Examples of the “C2-C6 alkylcarbonyl group” include an acetyl group, a propionyl group, a butyryl group, a pentanoyl group, and a hexanoyl group.
The notation of Ca—Cb alkoxycarbonyl group represents a linear or branched alkyl-O—C (O) — group having a to b carbon atoms.
Examples of the “C2-C6 alkoxycarbonyl group” include a methoxycarbonyl group, an ethoxycarbonyl group, a propoxycarbonyl group, a butoxycarbonyl group, a pentyloxycarbonyl group, and a tert-butoxycarbonyl group.
The notation of the Ca—Cb alicyclic hydrocarbon group represents a cyclic non-aromatic hydrocarbon group having a to b carbon atoms.
Examples of the “C3-C6 alicyclic hydrocarbon group” include a cyclopropyl group, a cyclobutyl group, a cyclopentyl group, a cyclohexyl group, a 1-cyclohexenyl group, a 2-cyclohexenyl group, and a 3-cyclohexenyl group.
The notation of Ca—Cb cycloalkyl group represents a cyclic alkyl group having a to b carbon atoms.
Examples of the “C3-C6 cycloalkyl group” include a cyclopropyl group, a cyclobutyl group, a cyclopentyl group, and a cyclohexyl group.
The notation of Ca—Cb alkylamino group represents a linear or branched alkyl-NH— group having a to b carbon atoms.
Examples of the “C1-C6 alkylamino group” include a methylamino group, an ethylamino group, a propylamino group, an isopropylamino group, and a butylamino group.
The notation of the Ca-Cb dialkylamino group may be a linear or branched dialkylamino in which the number of carbon atoms of the alkyl group may be the same or different, and the total number of carbon atoms is a to b. Represents a group.
Examples of the “C2-C8 dialkylamino group” include a dimethylamino group, a diethylamino group, and a dipropylamino group.
The notation of the Ca-Cb alkoxyalkyl group may be the same or different from each other in the number of carbon atoms of the alkyl group, and a linear or branched alkyl group in which the total number of carbon atoms is a to b. Represents an O-alkyl group.
Examples of the “(C1-C6 alkoxy) C1-C6 alkyl group” include a methoxymethyl group, an ethoxymethyl group, a 1- (methoxy) ethyl group, a 2- (methoxy) ethyl group, a 1- (ethoxy) ethyl group, 2 -(Ethoxy) ethyl group etc. are mentioned.
In the present specification, the expression “may have one or more atoms or groups selected from group X” means that when it has two or more atoms or groups selected from group X, those The atoms or groups selected from group X may be the same or different.
In the present specification, the expression “which may have one or more atoms or groups selected from group Y” means that when it has two or more atoms or groups selected from group Y, those The atoms or groups selected from group Y may be the same as or different from each other.
In the present specification, the expression “may have one or more atoms or groups selected from group Z” means that when it has two or more atoms or groups selected from group Z, those The atoms or groups selected from group Z may be the same or different from each other.
In the present specification, the expression “may have one or more halogen atoms”, when having two or more halogen atoms, may be the same or different from each other.
In the compound of the present invention, “halogen atom” means a fluorine atom, a chlorine atom, a bromine atom and an iodine atom.
In the compound of the present invention, the notation of “C1-C6 chain hydrocarbon group optionally having one or more atoms or groups selected from group X” is selected from group X in which a hydrogen atom bonded to a carbon atom is selected. A linear or branched hydrocarbon group having 1 to 6 carbon atoms, optionally substituted by an atom or group, wherein two or more atoms or groups selected from group X are When it has, the atom or group chosen from those group X may mutually be same or different.
Examples of the “C1-C6 chain hydrocarbon group optionally having one or more atoms or groups selected from group X” include a methyl group, an ethyl group, a propyl group, an isopropyl group, a butyl group, and an isobutyl group. , Sec-butyl group, tert-butyl group, pentyl group, neopentyl group, hexyl group, methoxymethyl group, ethoxymethyl group, propoxymethyl group, isopropoxymethyl group, butoxymethyl group, sec-butoxymethyl group, tert-butoxy Methyl group, 2-methoxyethyl group, 2-ethoxyethyl group, 2-propoxyethyl group, 2-isopropoxyethyl group, 2-butoxyethyl group, 2-sec-butoxyethyl group, 2-tert-butoxyethyl group, Trifluoromethyl group, trichloromethyl group, 2-fluoroethyl group, 2,2-difluor Ethyl group, 2,2,2-trifluoroethyl group and pentafluoroethyl group, methylsulfanylethyl group, ethylsulfanylethyl group, methylsulfinylethyl group, methylsulfonylethyl group, 2-hydroxyethyl group, cyclopropylmethyl group, A C1-C6 alkyl group optionally having one or more atoms or groups selected from group X such as 1-methylcyclopropylmethyl group, 2,2-difluorocyclopropylmethyl group; vinyl group, 1-propenyl Group, 2-propenyl group, 1-methylvinyl group, 2-methyl-1-propenyl group, 1-butenyl group, 2-butenyl group, 3-butenyl group, 1-pentenyl group, 1-hexenyl group, 1,1 -Having at least one atom or group selected from group X such as difluoroallyl group and pentafluoroallyl group An optionally substituted C2-C6 alkenyl group; and an ethynyl group, propargyl group, 2-butynyl group, 3-butynyl group, 1-pentynyl group, 1-hexynyl group, 4,4,4-trifluoro-2-butynyl group A C2-C6 alkynyl group which may have one or more atoms or groups selected from the group X such as, and the like, and is selected in the range of the respective designated number of carbon atoms.
In the compound of the present invention, the expression “C3-C6 alicyclic hydrocarbon group optionally having one or more atoms or groups selected from group Y” indicates that the hydrogen atom bonded to the carbon atom is selected from group Y Represents a cyclic non-aromatic hydrocarbon group having 3 to 6 carbon atoms, optionally substituted by any atom or group having at least two atoms or groups selected from group Y The atoms or groups selected from those groups Y may be the same or different.
Examples of the “C3-C6 alicyclic hydrocarbon group optionally having one or more atoms or groups selected from group Y” include a cyclopropyl group, a cyclobutyl group, a cyclopentyl group, a cyclohexyl group, and 1-cyclohexenyl. Group, 2-cyclohexenyl group, 3-cyclohexenyl group, 1-methylcyclohexyl group, 2-methylcyclohexyl group, 3-methylcyclohexyl group, 4-methylcyclohexyl group, 2-methoxycyclohexyl group, 3-methoxycyclohexyl group, 4-methoxycyclohexyl group, 1-fluorocyclohexyl group, 2-fluorocyclohexyl group, 3-fluorocyclohexyl group and 4-fluorocyclohexyl group are exemplified.
In the compound of the present invention, the expression “C1-C6 chain hydrocarbon group optionally having one or more halogen atoms” is a carbon atom in which a hydrogen atom bonded to a carbon atom is optionally substituted with a halogen atom. Represents a linear or branched hydrocarbon group having a number of 1 to 6, and when it has two or more halogen atoms, these halogen atoms may be the same or different from each other Good.
Examples of the “C1-C6 chain hydrocarbon group optionally having one or more halogen atoms” include a methyl group, an ethyl group, a propyl group, an isopropyl group, a butyl group, an isobutyl group, a sec-butyl group, tert-butyl, pentyl, neopentyl, hexyl, trifluoromethyl, trichloromethyl, 2-fluoroethyl, 2,2-difluoroethyl, 2,2,2-trifluoroethyl and pentafluoro C1-C6 alkyl group optionally having one or more halogen atoms such as ethyl group, heptafluoropropyl group, heptafluoroisopropyl group; vinyl group, 1-propenyl group, 2-propenyl group, 1-methylvinyl Group, 2-methyl-1-propenyl group, 1-butenyl group, 2-butenyl group, 3-butenyl group, 1-pentenyl , A 1-hexenyl group, a 1,1-difluoroallyl group, a C2-C6 alkenyl group optionally having one or more halogen atoms such as a pentafluoroallyl group; and an ethynyl group, a propargyl group, a 2-butynyl group A C2-C6 alkynyl group optionally having one or more halogen atoms such as 3-butynyl group, 1-pentynyl group, 1-hexynyl group, 4,4,4-trifluoro-2-butynyl group, Each of which is selected for each specified number of carbon atoms.
In the compound of the present invention, the expression “phenyl group optionally having one or more atoms or groups selected from group Z” is arbitrarily selected depending on the atom or group selected from group Z in which a hydrogen atom bonded to a carbon atom is selected. A substituted phenyl group is represented, and at this time, when it has two or more atoms or groups selected from group Z, the atoms or groups selected from group Z may be the same as or different from each other.
Examples of the “phenyl group optionally having one or more atoms or groups selected from group Z” include a phenyl group, a 2-fluorophenyl group, a 3-fluorophenyl group, a 4-fluorophenyl group, 2, 3-difluorophenyl group, 2,4-difluorophenyl group, 2,5-difluorophenyl group, 2,6-difluorophenyl group, 3,4-difluorophenyl group, 3,5-difluorophenyl group, 2,3, 4,5,6-pentafluorophenyl group, 2-chlorophenyl group, 3-chlorophenyl group, 4-chlorophenyl group, 2-bromophenyl group, 3-bromophenyl group, 4-bromophenyl group, 2-iodophenyl group, 3-iodophenyl group, 4-iodophenyl group, 2-trifluoromethylphenyl group, 3-trifluoromethylphenyl group, -Trifluoromethylphenyl group, 2-trifluoromethoxyphenyl group, 3-trifluoromethoxyphenyl group, 4-trifluoromethoxyphenyl group, 2-trifluoromethylsulfanylphenyl group, 3-trifluoromethylsulfanylphenyl group, 4 -Trifluoromethylsulfanylphenyl group, 4-methoxycarbonylphenyl group, 4-nitrophenyl group, 4-cyanophenyl group, 4-methylaminophenyl group, 4-dimethylaminophenyl group, 4-methylsulfinylphenyl group, 4- Examples thereof include a methylsulfonylphenyl group, a 4-acetylphenyl group, and a 4-methoxycarbonylphenyl group.
In the compound of the present invention, the “heterocyclic group” represents a heterocyclic compound residue containing at least one nitrogen atom, oxygen atom and sulfur atom in addition to the carbon atom in the ring structure.
In the compounds of the present invention, the 5-membered heterocyclic group means a 5-membered aromatic heterocyclic group or a 5-membered non-aromatic heterocyclic group, and the 6-membered heterocyclic group means a 6-membered aromatic heterocyclic group. Or a 6-membered non-aromatic heterocyclic group is meant.
In the compound of the present invention, the “heterocyclic group” in the “5- or 6-membered heterocyclic group optionally having one or more atoms or groups selected from group Z” means nitrogen other than carbon atoms in the ring structure. Represents a heterocyclic compound residue containing at least one atom, oxygen atom and sulfur atom. At this time, when it has two or more atoms or groups selected from group Z, an atom selected from group Z Alternatively, the groups may be the same or different from each other. In the compound of the present invention, the “5- or 6-membered heterocyclic group” means a 5- or 6-membered aromatic heterocyclic group or a 5- or 6-membered non-aromatic heterocyclic group.
Examples of the “5- or 6-membered heterocyclic group optionally having one or more atoms or groups selected from group Z” include pyrrolidin-1-yl group, 3,3,4,4-tetrafluoropyrrolidine It may have one or more atoms or groups selected from the group Z such as -1-yl group, tetrahydrofuran-2-yl group, piperidyl group, morpholinyl group, thiomorpholinyl group, etc. Aromatic heterocyclic group; and 2-pyrrolyl group, 2-furyl group, 3-furyl group, 5-pyrazolyl group, 4-pyrazolyl group, 1-pyrrolyl group, 1-methyl-2-pyrrolyl group, 2-methylsulfanyl -1-pyrrolyl group, 2-methylsulfinyl-1-pyrrolyl group, 2-methylsulfonyl-1-pyrrolyl group, 2-methylamino-1-pyrrolyl group, 2-dimethylamino-1-pyrrole Group, 5-bromo-2-furyl group, 5-nitro-2-furyl group, 5-cyano-2-furyl group, 5-methoxy-2-furyl group, 5-acetyl-2-furyl group, 5- Methoxycarbonyl-2-furyl group, 2-methyl-3-furyl group, 2,5-dimethyl-3-furyl group, 2,4-dimethyl-3-furyl group, 5-methyl-2-thienyl group, 3- Methyl-2-thienyl group, 1-methyl-3-trifluoromethyl-5-pyrazolyl group, 5-chloro-1,3-dimethyl-4-pyrazolyl group, pyrazol-1-yl group, 3-chloro-pyrazole- 1-yl group, 3-bromopyrazol-1-yl group, 4-chloropyrazol-1-yl group, 4-bromopyrazol-1-yl group, imidazol-1-yl group, 1,2,4-triazole- 1-yl group, 3-chloro- , 2,4-triazol-1-yl group, 1,2,3,4-tetrazol-1-yl group, 1,2,3,5-tetrazol-1-yl group, 2-thienyl group, 3-thienyl Group, 3-trifluoromethyl-1,2,4-triazol-1-yl group, 4-trifluoromethylpyrazol-1-yl group, pyrazinyl group, 4-pyrimidinyl group, 5-pyrimidinyl group, 2-pyridyl group 3-pyridyl group, 4-pyridyl group, 3-fluoro-2-pyridyl group, 4-fluoro-2-pyridyl group, 5-fluoro-2-pyridyl group, 6-fluoro-2-pyridyl group, 2-pyrimidinyl And may have one or more atoms or groups selected from group Z such as a group, 3-chloro-5-trifluoromethylpyridin-2-yl group, and 5-trifluoromethylpyridin-2-yl group. 5 young Alternatively, a 6-membered aromatic heterocyclic group can be mentioned.
Examples of the “C1-C6 alkoxy group optionally having one or more halogen atoms” in the compound of the present invention include a methoxy group, a trifluoromethoxy group, an ethoxy group, a 2,2,2-trifluoroethoxy group, Examples thereof include a propoxy group, an isopropoxy group, a butoxy group, an isobutoxy group, a sec-butoxy group, a tert-butoxy group, a pentyloxy group, and a hexyloxy group.
Examples of the “C2-C6 alkenyloxy group optionally having one or more halogen atoms” in the compound of the present invention include a 2-propenyloxy group, a 2-methyl-2-propenyloxy group, a 2-butenyloxy group, Examples include 3-butenyloxy group, 2-pentenyloxy group, 2-hexenyloxy group, 3,3-difluoroallyloxy group, and 3,3-dichloroallyloxy group.
Examples of the “C2-C6 alkynyloxy group optionally having one or more halogen atoms” in the compound of the present invention include a propargyloxy group, 2-butynyloxy group, 3-butynyloxy group, 2-pentynyloxy group, Examples include 2-hexynyloxy group and 4,4,4-trifluoro-2-butynyloxy group.
Examples of the “C1-C6 alkylsulfanyl group optionally having one or more halogen atoms” in the compound of the present invention include a methylsulfanyl group, an ethylsulfanyl group, a propylsulfanyl group, an isopropylsulfanyl group, a butylsulfanyl group, and pentyl. Examples thereof include a sulfanyl group, a hexylsulfanyl group, a trifluoromethylsulfanyl group, a 2,2,2-trifluoroethylsulfanyl group, and a pentafluoroethylsulfanyl group.
Examples of the “C1-C6 alkylsulfinyl group optionally having one or more halogen atoms” in the compound of the present invention include a methylsulfinyl group, an ethylsulfinyl group, a propylsulfinyl group, an isopropylsulfinyl group, a butylsulfinyl group, and pentyl. Examples thereof include a sulfinyl group, a hexylsulfinyl group, a trifluoromethylsulfinyl group, a 2,2,2-trifluoroethylsulfinyl group, and a pentafluoroethylsulfinyl group.
Examples of the “C1-C6 alkylsulfonyl group optionally having one or more halogen atoms” in the compound of the present invention include a methylsulfonyl group, an ethylsulfonyl group, a propylsulfonyl group, an isopropylsulfonyl group, a butylsulfonyl group, and pentyl. Examples include a sulfonyl group, a hexylsulfonyl group, a trifluoromethylsulfonyl group, a 2,2,2-trifluoroethylsulfonyl group, and a pentafluoroethylsulfonyl group.
In the compound of the present invention, examples of the C2-C6 alkylcarbonyl group which may have one or more halogen atoms include acetyl group, propionyl group, butyryl group, pentanoyl group, hexanoyl group and trifluoroacetyl group. It is done.
Examples of the “C2-C6 alkoxycarbonyl group optionally having one or more halogen atoms” in the compound of the present invention include a methoxycarbonyl group, an ethoxycarbonyl group, a propoxycarbonyl group, a butoxycarbonyl group, a pentyloxycarbonyl group, Examples thereof include a tert-butoxycarbonyl group and a 2,2,2-trifluoroethoxycarbonyl group.
Examples of the “C3-C6 cycloalkyl group optionally having one or more halogen atoms” in the compound of the present invention include a cyclopropyl group, a 2,2-difluorocyclopropyl group, and a 2,2-dichlorocyclopropyl group. 2,2-dibromocyclopropyl group, cyclobutyl group, cyclopentyl group and cyclohexyl group.
Examples of the “C1-C6 alkylamino group optionally having one or more halogen atoms” in the compound of the present invention include a methylamino group, an ethylamino group, a 2,2,2-trifluoroethylamino group, propyl An amino group, an isopropylamino group, and a butylamino group are mentioned.
Examples of the “C2-C8 dialkylamino group optionally having one or more halogen atoms” in the compound of the present invention include a dimethylamino group, a diethylamino group, and a bis (2,2,2-trifluoroethyl) amino group. And a dipropylamino group.
In the compound of the present invention, examples of the “(C1-C6 alkoxy) C1-C6 alkyl group optionally having one or more halogen atoms” include a methoxymethyl group, an ethoxymethyl group, a 1- (methoxy) ethyl group, Examples include 2- (methoxy) ethyl group, 1- (ethoxy) ethyl group and 2- (ethoxy) ethyl group.
In the compound of the present invention, a “5- or 6-membered aromatic heterocyclic group (wherein the 5- or 6-membered aromatic heterocyclic group is a halogen atom, a C1-C3 alkyl group optionally having a halogen atom, and a halogen atom). The group may have one or more atoms or groups selected from the group consisting of C1-C3 alkoxy groups which may have an atom. ”For example, 2-pyrrolyl group, 2-furyl group, 3-furyl group, 5-pyrazolyl group, 4-pyrazolyl group, 1-pyrrolyl group, 1-methyl-2-pyrrolyl group, 5-bromo-2-furyl group, 5-methoxy-2-furyl group, 2-methyl -3-furyl group, 2,5-dimethyl-3-furyl group, 2,4-dimethyl-3-furyl group, 5-methyl-2-thienyl group, 3-methyl-2-thienyl group, 1-methyl- 3-trifluoromethyl-5 Pyrazolyl group, 5-chloro-1,3-dimethyl-4-pyrazolyl group, pyrazol-1-yl group, 3-chloro-pyrazol-1-yl group, 3-bromopyrazol-1-yl group, 4-chloropyrazole -1-yl group, 4-bromopyrazol-1-yl group, imidazol-1-yl group, 1,2,4-triazol-1-yl group, 3-chloro-1,2,4-triazole-1- Yl group, 1,2,3,4-tetrazol-1-yl group, 1,2,3,5-tetrazol-1-yl group, 2-thienyl group, 3-thienyl group, 3-trifluoromethyl-1 2,4-triazol-1-yl group, 4-trifluoromethylpyrazol-1-yl group, pyrazinyl group, 4-pyrimidinyl group, 5-pyrimidinyl group, 2-pyridyl group, 3-pyridyl group, 4-pyridyl group Group, -Fluoro-2-pyridyl group, 4-fluoro-2-pyridyl group, 5-fluoro-2-pyridyl group, 6-fluoro-2-pyridyl group, 2-pyrimidinyl group, 3-chloro-5-trifluoromethylpyridine Examples include 2-yl group and 5-trifluoromethylpyridin-2-yl group.
In the compound of the present invention, “C1-C6 haloalkyl group” is represented by a linear or branched chain having 1 to 6 carbon atoms in which one or more hydrogen atoms bonded to carbon atoms are substituted with halogen atoms. In this case, when it has two or more halogen atoms, these halogen atoms may be the same or different from each other.
Examples of the “C1-C6 haloalkyl group” include a fluoromethyl group, a chloromethyl group, a bromomethyl group, an iodomethyl group, a difluoromethyl group, a dichloromethyl group, a trifluoromethyl group, a chlorodifluoromethyl group, a bromodifluoromethyl group, and trichloromethyl. Group, 2-fluoroethyl group, 2-chloroethyl group, 2-bromoethyl group, 2,2-difluoroethyl group, 2,2,2-trifluoroethyl group, pentafluoroethyl group, heptafluoropropyl group and heptafluoroisopropyl Groups.
In the present compound, examples of the “C1-C6 perfluoroalkyl group” include a trifluoromethyl group, a pentafluoroethyl group, a heptafluoropropyl group, and a heptafluoroisopropyl group.
In the compound of the present invention, “(C1-C6 alkoxy) C1-C6 alkyl group” is a C1-C6 alkyl group substituted with a C1-C6 alkoxy group. The carbon number is, for example, 2-6. A “(C1-C6 alkoxy) C1-C6 alkyl group” having this carbon number can be represented as a “C2-C6 alkoxyalkyl group”.
Examples of the compound of the present invention include the following compounds.
Formula (1-1)
[Where:
A1aIs -NR6a-Represents an oxygen atom or a sulfur atom,
R1aIs a C1-C6 alkyl group optionally having one or more atoms or groups selected from the group consisting of halogen atoms and cyclopropyl groups (wherein the cyclopropyl group is one or more halogen atoms or 1 A C2-C6 alkenyl group which may have one or more halogen atoms, a C2 which may have one or more halogen atoms. -Represents a C6 alkynyl group or a cyclopropyl group,
R2a, R4aAnd R5aAre the same or different and each represents a halogen atom or a hydrogen atom,
R3aHas a C1-C6 alkyl group optionally having one or more halogen atoms, a C2-C6 alkenyl group optionally having one or more halogen atoms, and one or more halogen atoms. A C2-C6 alkynyl group, a 5- or 6-membered aromatic heterocyclic group (wherein the 5- or 6-membered aromatic heterocyclic group is a halogen atom, a C1-C3 alkyl group optionally having a halogen atom, and One or more atoms or substituents selected from the group consisting of C1-C3 alkoxy groups optionally having halogen atoms may be present), -OR20a(Where R20aRepresents a C1-C6 alkyl group optionally having one or more halogen atoms. ), -S (O)mR21a(Where R21aRepresents a C1-C6 alkyl group which may have one or more halogen atoms, and m represents 0, 1 or 2. ), A cyano group, a nitro group, a halogen atom or a hydrogen atom,
R6aHas a C1-C6 alkyl group which may have one or more halogen atoms, a C3-C6 alkenyl group which may have one or more halogen atoms, and one or more halogen atoms. Represents a good C3-C6 alkynyl group,
R8aIs a C1-C6 alkyl group optionally having one or more halogen atoms, -OR22a(Where R22aRepresents a C1-C6 alkyl group optionally having one or more halogen atoms. ), -S (O)mR23a(Where R23aRepresents a C1-C6 alkyl group which may have one or more halogen atoms, and m represents 0, 1 or 2. ), -SF5Or a halogen atom,
n represents 0, 1 or 2. ] The compound shown.
Formula (1-2)
[Where:
R1bRepresents an ethyl group, a cyclopropyl group or a cyclopropylmethyl group,
R6bRepresents a methyl group or a propargyl group,
R2b, R4bAnd R5bAre the same or different and each represents a halogen atom or a hydrogen atom,
R3bIs a C1-C6 alkyl group optionally having one or more halogen atoms, -OR20b(Where R20bRepresents a C1-C6 alkyl group optionally having one or more halogen atoms. ), -S (O)mR21b(Where R21bRepresents a C1-C6 alkyl group which may have one or more halogen atoms, and m represents 0, 1 or 2. ), Represents a halogen atom or a hydrogen atom,
R8bIs a C1-C6 haloalkyl group, -OR22b(Where R22bRepresents a C1-C6 haloalkyl group. ), -S (O)mR23b(Where R23bRepresents a C1-C6 haloalkyl group, and m represents 0, 1 or 2. ), -SF5Or a halogen atom,
n represents 0, 1 or 2. ] The compound shown.
Formula (1-3)
[Where:
R1bRepresents an ethyl group, a cyclopropyl group or a cyclopropylmethyl group,
R2b, R4bAnd R5bAre the same or different and each represents a halogen atom or a hydrogen atom,
R3bIs a C1-C6 alkyl group optionally having one or more halogen atoms, -OR20b(Where R20bRepresents a C1-C6 alkyl group optionally having one or more halogen atoms. ), -S (O)mR21b(Where R21bRepresents a C1-C6 alkyl group which may have one or more halogen atoms, and m represents 0, 1 or 2. ), Represents a halogen atom or a hydrogen atom,
R8bIs a C1-C6 haloalkyl group, -OR22b(Where R22bRepresents a C1-C6 haloalkyl group. ), -S (O)mR23b(Where R23bRepresents a C1-C6 haloalkyl group, and m represents 0, 1 or 2. ), -SF5Or a halogen atom,
n represents 0, 1 or 2. ] The compound shown.
Formula (1-4)
[Where:
R1bRepresents an ethyl group, a cyclopropyl group or a cyclopropylmethyl group,
R2b, R4bAnd R5bAre the same or different and each represents a halogen atom or a hydrogen atom,
R3bIs a C1-C6 alkyl group optionally having one or more halogen atoms, -OR20b(Where R20bRepresents a C1-C6 alkyl group optionally having one or more halogen atoms. ), -S (O)mR21b(Where R21bRepresents a C1-C6 alkyl group which may have one or more halogen atoms, and m represents 0, 1 or 2. ), Represents a halogen atom or a hydrogen atom,
R8bIs a C1-C6 haloalkyl group, -OR22b(Where R22bRepresents a C1-C6 haloalkyl group. ), -S (O)mR23b(Where R23bRepresents a C1-C6 haloalkyl group, and m represents 0, 1 or 2. ), -SF5Or a halogen atom,
n represents 0, 1 or 2. ] The compound shown.
Formula (1-5)
[Where:
R1bRepresents an ethyl group, a cyclopropyl group or a cyclopropylmethyl group,
R60bRepresents a hydrogen atom or a (C1-C6 alkoxy) C1-C6 alkyl group optionally having one or more halogen atoms,
R3bIs a C1-C6 alkyl group optionally having one or more halogen atoms, -OR20b(Where R20bRepresents a C1-C6 alkyl group optionally having one or more halogen atoms. ), -S (O)mR21b(Where R21bRepresents a C1-C6 alkyl group which may have one or more halogen atoms, and m represents 0, 1 or 2. ), Represents a halogen atom or a hydrogen atom,
R8bIs a C1-C6 haloalkyl group, -OR22b(Where R22bRepresents a C1-C6 haloalkyl group. ), -S (O)mR23b(Where R23bRepresents a C1-C6 haloalkyl group, and m represents 0, 1 or 2. ), -SF5Or a halogen atom,
n represents 0, 1 or 2. ] The compound shown.
In equation (1), A1-NR6A compound that is-.
In equation (1), A1In which is an oxygen atom.
In equation (1), A1In which is a sulfur atom.
In equation (1), A1-NR6-, An oxygen atom or a sulfur atom, and R6Is a C1-C6 chain hydrocarbon group, (C1-C6 alkoxy) C1-C6 alkyl group, cyclopropyl group or hydrogen atom which may have one or more halogen atoms.
In equation (1), A1-NR6-, An oxygen atom or a sulfur atom, and R6Is a C1-C6 chain hydrocarbon group, (C1-C6 alkoxy) C1-C6 alkyl group or cyclopropyl group optionally having one or more halogen atoms.
In equation (1), A1-NR6-, An oxygen atom or a sulfur atom, and R6Is a C1-C6 alkyl group.
In equation (1), A1-NR6-, An oxygen atom or a sulfur atom, and R6Is a methyl group, ethyl group, propyl group, isopropyl group, methoxymethyl group, ethoxymethyl group or cyclopropyl group.
In equation (1), A1-NR6-, An oxygen atom or a sulfur atom, and R6Is a methyl group.
In equation (1), A1-NR6-, An oxygen atom or a sulfur atom, and R6In which is a hydrogen atom.
In equation (1), A1-NR6-And R6C1-C6 chain hydrocarbon group which may have one or more halogen atoms, (C1-C6 alkoxy) C1-C6 alkyl group or cyclopropyl which may have one or more halogen atoms A compound that is a group.
In equation (1), A1-NR6-And R6Is a C1-C6 alkyl group.
In equation (1), A1-NR6-And R6Is a methyl group, ethyl group, propyl group, isopropyl group, methoxymethyl group, ethoxymethyl group, cyclopropyl group or hydrogen atom.
In equation (1), A1-NR6-And R6Is a methyl group, ethyl group, propyl group, isopropyl group, methoxymethyl group, ethoxymethyl group or cyclopropyl group.
In equation (1), A1-NR6-And R6Is a methyl group.
In equation (1), A1-NR6-And R6In which is a methyl group or a hydrogen atom.
In equation (1), A1-NR6-And R6In which is a hydrogen atom.
In equation (1), A1-NR6-And R8In which is a methoxymethyl group, an ethoxymethyl group or a hydrogen atom.
In equation (1), R1Is a C1-C6 chain hydrocarbon group optionally having one or more atoms or groups selected from group X.
In equation (1), R1Is a C1-C6 chain hydrocarbon group optionally having one or more halogen atoms.
In equation (1), R1Is a C1-C6 chain hydrocarbon group optionally having one or more fluorine atoms.
In equation (1), R1Is a C1-C6 chain hydrocarbon group.
In equation (1), R1Is a C1-C6 alkyl group.
In equation (1), R1Is a C1-C3 alkyl group.
In equation (1), R1Is a C3-C6 alicyclic hydrocarbon group optionally having one or more atoms or groups selected from group Y.
In equation (1), R1Is a C3-C6 alicyclic hydrocarbon group.
In equation (1), R1In which is a cyclopropyl group, a cyclobutyl group or a cyclopentyl group.
In equation (1), R1Is methyl, ethyl, propyl, isopropyl, butyl, sec-butyl, isobutyl, tert-butyl, cyclopropylmethyl, cyclopropyl, trifluoromethyl, 2,2,2-tri A compound that is a fluoroethyl group.
In equation (1), R1Is a methyl group, an ethyl group, a cyclopropyl group, a cyclopropylmethyl group or a propyl group.
In equation (1), R1In which is an ethyl group, a cyclopropyl group or a cyclopropylmethyl group.
In equation (1), R1Is an ethyl group or a cyclopropylmethyl group.
In equation (1), R1Is a methyl group.
In equation (1), R1Is an ethyl group.
In equation (1), R1Is a propyl group.
In equation (1), R1In which is an isopropyl group.
In equation (1), R1Is a cyclopropyl group.
In equation (1), R1Is a cyclopropylmethyl group.
In equation (1), R1In which is a trifluoromethyl group.
In equation (1), R1Is a 2,2,2-trifluoroethyl group.
In equation (1), R2, R3, R4And R5Are the same or different and may have one or more halogen atoms, a C1-C6 chain hydrocarbon group, -OR10, -S (O) mR10, -C (O) R10, -CO2R10, -NR10R11, Formyl group, cyano group, nitro group, halogen atom or hydrogen atom, R10And R11Are the same or different and are a C1-C6 chain hydrocarbon group or hydrogen atom which may have one or more halogen atoms.
In equation (1), R2, R3, R4And R5In which is a hydrogen atom.
In equation (1), R2, R4And R5Are the same or different and are a halogen atom or a hydrogen atom, and R3C1-C6 chain hydrocarbon group optionally having one or more halogen atoms, -OR10, -S (O)mR10, -C (O) R10, -CO2R10, -NR10R11An aldehyde group, a cyano group, a nitro group, a halogen atom or a hydrogen atom, and R10And R11Are the same or different and are a C1-C6 chain hydrocarbon group or hydrogen atom which may have one or more halogen atoms.
In equation (1), R2, R4And R5Are the same or different and are a halogen atom or a hydrogen atom, and R3C1-C6 chain hydrocarbon group optionally having one or more halogen atoms, -OR10A halogen atom or a hydrogen atom, R10Is a C1-C6 chain hydrocarbon group or hydrogen atom optionally having one or more halogen atoms.
In equation (1), R2, R4And R5Are the same or different and are a halogen atom or a hydrogen atom, and R3Is a C1-C6 chain hydrocarbon group optionally having one or more halogen atoms, a halogen atom or a hydrogen atom.
In equation (1), R2, R4And R5Are the same or different and are a halogen atom or a hydrogen atom, and R3Is a methyl group, ethyl group, trifluoromethyl group, pentafluoroethyl group, heptafluoropropyl group, heptafluoroisopropyl group, trifluoromethoxy group, fluorine atom, chlorine atom, bromine atom, iodine atom or hydrogen atom.
In equation (1), R2, R4And R5Is a hydrogen atom and R3C1-C6 chain hydrocarbon group optionally having one or more halogen atoms, -OR10A halogen atom or a hydrogen atom, R10Is a C1-C6 chain hydrocarbon group optionally having one or more halogen atoms.
In equation (1), R2, R4And R5Is a hydrogen atom and R3Is a methyl group, ethyl group, trifluoromethyl group, pentafluoroethyl group, heptafluoropropyl group, heptafluoroisopropyl group, trifluoromethoxy group, fluorine atom, chlorine atom, bromine atom, iodine atom or hydrogen atom.
In equation (1), R2, R4And R5Is a hydrogen atom and R3Is a methyl group.
In equation (1), R2, R4And R5Is a hydrogen atom and R3Is an ethyl group.
In equation (1), R2, R4And R5Is a hydrogen atom and R3In which is a trifluoromethyl group.
In equation (1), R2, R4And R5Is a hydrogen atom and R3Is a pentafluoroethyl group.
In equation (1), R2, R4And R5Is a hydrogen atom and R3In which is a heptafluoropropyl group.
In equation (1), R2, R4And R5Is a hydrogen atom and R3In which is a trifluoromethoxy group.
In equation (1), R2, R4And R5Is a hydrogen atom and R3In which is a fluorine atom.
In equation (1), R2, R4And R5Is a hydrogen atom and R3In which is a chlorine atom.
In equation (1), R2, R4And R5Is a hydrogen atom and R3In which is a bromine atom.
In equation (1), R2, R4And R5Is a hydrogen atom and R3In which is an iodine atom.
In equation (1), R2, R4And R5Are the same or different and are a halogen atom or a hydrogen atom, and R3, A phenyl group which may have one or more atoms or groups selected from group Z, a 5-membered heterocyclic group which may have one or more atoms or groups selected from group Z, group Z A compound which is a 6-membered heterocyclic group optionally having one or more atoms or groups selected.
In equation (1), R2, R4And R5Are the same or different and are a halogen atom or a hydrogen atom, and R3Is a phenyl group optionally having one or more halogen atoms or a C1-C3 alkyl group optionally having one or more halogen atoms, or one or more halogen atoms or one or more halogen atoms. A compound which is a 5- or 6-membered heterocyclic group which may have a C1-C3 alkyl group which may have.
In equation (1), R2, R4And R5Is a hydrogen atom and R3Is a 2-pyridyl group, 2-pyrimidinyl group, 3-chloro-2-pyridyl group or 3-chloro-5-trifluoromethyl-2-pyridyl group.
In equation (1), R2, R4And R5Is a hydrogen atom and R3Is 2-pyridyl group, 2-pyrimidinyl group, 3-chloro-2-pyridyl group, 3-chloro-5-trifluoromethyl-2-pyridyl group, methyl group, ethyl group, propyl group, isopropyl group, trifluoromethyl Group, pentafluoroethyl group, heptafluoropropyl group, heptafluoroisopropyl group, fluorine atom, chlorine atom or bromine atom.
In equation (1), R1Is an ethyl group and R2, R3, R4And R5In which is a hydrogen atom.
In equation (1), R1Is an ethyl group and R2, R4And R5Is a hydrogen atom and R3Is a methyl group.
In equation (1), R1Is an ethyl group and R2, R4And R5Is a hydrogen atom and R3In which is a trifluoromethyl group.
In equation (1), R1Is an ethyl group and R2, R4And R5Is a hydrogen atom and R3Is a pentafluoroethyl group.
In equation (1), R1Is an ethyl group and R2, R4And R5Is a hydrogen atom and R3In which is a heptafluoropropyl group.
In equation (1), R1Is an ethyl group and R2, R4And R5Is a hydrogen atom and R3Is a 2-pyrimidinyl group.
In equation (1), R1Is an ethyl group and R2, R4And R5Is a hydrogen atom and R3In which is a trifluoromethoxy group.
In equation (1), R1Is an ethyl group and R2, R4And R5Is a hydrogen atom and R3In which is a chlorine atom.
In equation (1), R1Is an ethyl group and R2, R4And R5Is a hydrogen atom and R3In which is a bromine atom.
In equation (1), R1Is an ethyl group and R2, R4And R5Is a hydrogen atom and R3In which is an iodine atom.
In equation (1), R7And R8Are the same or different and may have one or more halogen atoms, a C1-C6 chain hydrocarbon group, -OR10, -S (O)mR10, -NR10R11, -CO2R10, -C (O) R10, A cyano group, a nitro group, a halogen atom or a hydrogen atom, R10And R11Are the same or different and are a C1-C6 chain hydrocarbon group or hydrogen atom which may have one or more halogen atoms.
In equation (1), R7And R8Are the same or different and may have one or more halogen atoms, a C1-C6 chain hydrocarbon group, -OR10, -S (O)mR10A halogen atom or a hydrogen atom, R10Is a C1-C6 chain hydrocarbon group or hydrogen atom optionally having one or more halogen atoms.
In equation (1), R7And R8Are the same or different and are a C1-C6 chain hydrocarbon group or hydrogen atom which may have one or more halogen atoms.
In equation (1), R7And R8Are the same or different, trifluoromethyl group, difluoromethyl group, fluoromethyl group, pentafluoroethyl group, heptafluoroisopropyl group, trifluoromethoxy group, trifluoromethylsulfanyl group, trifluoromethylsulfinyl group, trifluoromethylsulfonyl A compound which is a group, a chlorine atom, a bromine atom, an iodine atom or a hydrogen atom.
In equation (1), R8C1-C6 chain hydrocarbon group optionally having one or more halogen atoms, -OR11, -S (O)mR11Or a halogen atom and R7Is a hydrogen atom and R11Is a C1-C6 chain hydrocarbon group or hydrogen atom optionally having one or more halogen atoms.
In equation (1), R8Is a C1-C6 chain hydrocarbon group having one or more halogen atoms, and R7In which is a hydrogen atom.
In equation (1), R8Is a C1-C6 chain hydrocarbon group having one or more fluorine atoms, and R7In which is a hydrogen atom.
In equation (1), R8Is a C1-C3 alkyl group having one or more fluorine atoms, and R7In which is a hydrogen atom.
In equation (1), R8Is a C1-C3 alkoxy group having one or more fluorine atoms, and R7In which is a hydrogen atom.
In equation (1), R8Is a C1-C3 alkylsulfanyl group having one or more fluorine atoms, a C1-C3 alkylsulfinyl group having one or more fluorine atoms, or a C1- having one or more fluorine atoms. A C3 alkylsulfonyl group, R7In which is a hydrogen atom.
In equation (1), R8Is a halogen atom and R7In which is a hydrogen atom.
In equation (1), R8Is a C1-C3 alkyl group having one or more fluorine atoms, a C1-C3 alkoxy group having one or more fluorine atoms, a C1-C3 alkyl having one or more fluorine atoms A sulfanyl group, a C1-C3 alkylsulfinyl group having one or more fluorine atoms, a C1-C3 alkylsulfonyl group having one or more fluorine atoms, or a halogen atom, and R7In which is a hydrogen atom.
In equation (1), R8Is a trifluoromethyl group, pentafluoroethyl group, heptafluoroisopropyl group, trifluoromethoxy group, trifluoromethylsulfanyl group, trifluoromethylsulfinyl group, trifluoromethylsulfonyl group, bromine atom or iodine atom, R7In which is a hydrogen atom.
In equation (1), R8Is a bromine atom and R7In which is a hydrogen atom.
In equation (1), R8Is an iodine atom and R7In which is a hydrogen atom.
In equation (1), R8Is a trifluoromethyl group and R7In which is a hydrogen atom.
In equation (1), R8Is a pentafluoroethyl group and R7In which is a hydrogen atom.
In equation (1), R8Is a trifluoromethoxy group and R7In which is a hydrogen atom.
In equation (1), R8Is a trifluoromethylsulfanyl group and R7In which is a hydrogen atom.
In equation (1), R8Is a trifluoromethylsulfinyl group and R7In which is a hydrogen atom.
In equation (1), R8Is a trifluoromethylsulfonyl group, R7In which is a hydrogen atom.
In equation (1), R8Is a heptafluoroisopropyl group and R7In which is a hydrogen atom.
In equation (1), R8-SF5And R7In which is a hydrogen atom.
In equation (1), R9In which is a hydrogen atom.
A compound in which n is 0 in formula (1).
A compound in which n is 1 in the formula (1).
A compound in which n is 2 in the formula (1).
A compound in which m is 0 in formula (1).
In the formula (1), a compound wherein m is 1.
In the formula (1), a compound wherein m is 2.
In equation (1),
A1-NR6-, An oxygen atom or a sulfur atom,
R6Is a C1-C6 alkyl group,
R1Is a C1-C3 alkyl group or cyclopropyl group optionally having one or more fluorine atoms,
R2, R4And R5Are the same or different and are a halogen atom or a hydrogen atom,
R3C1-C3 alkyl group optionally having one or more fluorine atoms, 5- or 6-membered heterocyclic group, C1-C3 alkoxy group optionally having one or more fluorine atoms, a halogen atom or A hydrogen atom,
R8Is a C1-C3 alkyl group having one or more fluorine atoms, a C1-C3 alkoxy group having one or more fluorine atoms, a C1-C3 alkyl having one or more fluorine atoms A sulfanyl group, a C1-C3 alkylsulfinyl group having one or more fluorine atoms, a C1-C3 alkylsulfonyl group having one or more fluorine atoms, or a halogen atom,
R7Is a hydrogen atom,
R9In which is a hydrogen atom.
In equation (1),
A1-NR6−
R6Is a C1-C6 alkyl group,
R1Is a C1-C3 alkyl group or cyclopropyl group optionally having one or more fluorine atoms,
R2, R4And R5Are the same or different and are a halogen atom or a hydrogen atom,
R3Is a C1-C3 alkyl group which may have one or more fluorine atoms, a C1-C3 alkoxy group which may have one or more fluorine atoms, a 5- or 6-membered heterocyclic group, a halogen atom or A hydrogen atom,
R8Is a C1-C3 alkyl group having one or more fluorine atoms, a C1-C3 alkoxy group having one or more fluorine atoms, a C1-C3 alkyl having one or more fluorine atoms A sulfanyl group, a C1-C3 alkylsulfinyl group having one or more fluorine atoms, a C1-C3 alkylsulfonyl group having one or more fluorine atoms, or a halogen atom,
R7Is a hydrogen atom,
R9In which is a hydrogen atom.
In equation (1),
A1-NR6−
R6Is a methyl group, an ethyl group, a propyl group or an isopropyl group,
R1Is a methyl group, an ethyl group, a propyl group, an isopropyl group, a cyclopropyl group, a trifluoromethyl group or a 2,2,2-trifluoroethyl group,
R2, R4And R5Are the same or different and are a fluorine atom, a chlorine atom, or a hydrogen atom,
R3Is methyl, ethyl, propyl, isopropyl, trifluoromethyl, pentafluoroethyl, heptafluoropropyl, heptafluoroisopropyl, trifluoromethoxy, 2-pyrimidinyl, fluorine, chlorine, bromine An atom or a hydrogen atom,
R8Is a trifluoromethyl group, pentafluoroethyl group, heptafluoropropyl group, heptafluoroisopropyl group, trifluoromethoxy group, trifluoromethylsulfanyl group, trifluoromethylsulfinyl group, trifluoromethylsulfonyl group, chlorine atom, bromine atom or An iodine atom,
R7Is a hydrogen atom,
R9Is a hydrogen atom,
A compound wherein n is 2.
In equation (1),
A1Is a sulfur atom,
R1Is a methyl group, an ethyl group, a propyl group, an isopropyl group, a cyclopropyl group, a trifluoromethyl group or a 2,2,2-trifluoroethyl group,
R2, R4And R5Are the same or different and are a fluorine atom, a chlorine atom, or a hydrogen atom,
R3Is methyl, ethyl, propyl, isopropyl, trifluoromethyl, pentafluoroethyl, heptafluoropropyl, heptafluoroisopropyl, trifluoromethoxy, 2-pyrimidinyl, fluorine, chlorine, bromine An atom or a hydrogen atom,
R8Is a trifluoromethyl group, pentafluoroethyl group, heptafluoropropyl group, heptafluoroisopropyl group, trifluoromethoxy group, trifluoromethylsulfanyl group, trifluoromethylsulfinyl group, trifluoromethylsulfonyl group, chlorine atom, bromine atom or An iodine atom,
R7Is a hydrogen atom,
R9In which is a hydrogen atom.
In equation (1),
A1Is an oxygen atom,
R1Is a methyl group, an ethyl group, a propyl group, an isopropyl group, a cyclopropyl group, a trifluoromethyl group or a 2,2,2-trifluoroethyl group,
R2, R4And R5Are the same or different and are a fluorine atom, a chlorine atom, or a hydrogen atom,
R3Is methyl, ethyl, propyl, isopropyl, trifluoromethyl, pentafluoroethyl, heptafluoropropyl, heptafluoroisopropyl, trifluoromethoxy, 2-pyrimidinyl, fluorine, chlorine, bromine An atom or a hydrogen atom,
R8Is a trifluoromethyl group, pentafluoroethyl group, heptafluoropropyl group, heptafluoroisopropyl group, trifluoromethoxy group, trifluoromethylsulfanyl group, trifluoromethylsulfinyl group, trifluoromethylsulfonyl group, chlorine atom, bromine atom or An iodine atom,
R7Is a hydrogen atom,
R9Is a hydrogen atom,
A compound wherein n is 2.
In equation (1),
A1-NR6-, An oxygen atom or a sulfur atom,
R6Is a C1-C6 alkyl group,
R1Is a C1-C3 alkyl group or cyclopropyl group optionally having one or more fluorine atoms,
R2, R4And R5Are the same or different and are a halogen atom or a hydrogen atom,
R3C1-C3 alkyl group optionally having one or more fluorine atoms, 5- or 6-membered heterocyclic group, C1-C3 alkoxy group optionally having one or more fluorine atoms, a halogen atom or A hydrogen atom,
R8C1-C3 alkyl group having one or more fluorine atoms, C1-C3 alkylsulfanyl group having one or more fluorine atoms, or C1-C3 having one or more fluorine atoms An alkylsulfonyl group,
R7Is a hydrogen atom,
R9Is a hydrogen atom,
A compound in which n is 0, 1 or 2.
In equation (1),
A1-NR6-, An oxygen atom or a sulfur atom,
R1Is an ethyl group or a cyclopropyl group,
R2, R4And R5Are the same or different and are a fluorine atom, a chlorine atom, or a hydrogen atom,
R3Is a methyl group, trifluoromethyl group, pentafluoroethyl group, heptafluoropropyl group, trifluoromethoxy group, 2-pyrimidinyl group, fluorine atom, chlorine atom, bromine atom or hydrogen atom,
R8Is a trifluoromethyl group, a pentafluoroethyl group, a trifluoromethylsulfanyl group or a trifluoromethylsulfonyl group,
R7Is a hydrogen atom,
R9Is a hydrogen atom,
A compound wherein n is 2.
In equation (1),
A1-NR6-, An oxygen atom or a sulfur atom,
R6Is a C1-C6 alkyl group,
R1Is a C1-C3 alkyl group optionally having one or more fluorine atoms,
R2, R4And R5Are the same or different and are a halogen atom or a hydrogen atom,
R3Is a C1-C3 alkyl group which may have one or more fluorine atoms or a hydrogen atom,
R8Is a C1-C3 alkyl group having one or more fluorine atoms or a C1-C3 alkylsulfonyl group having one or more fluorine atoms,
R7Is a hydrogen atom,
R9Is a hydrogen atom,
A compound wherein n is 2.
In equation (1),
A1-NR6-, An oxygen atom or a sulfur atom,
R6Is a C1-C3 alkyl group,
R1Is a C1-C3 alkyl group optionally having one or more fluorine atoms,
R2Is a halogen atom or a hydrogen atom,
R3Is a C1-C3 alkyl group which may have one or more fluorine atoms or a hydrogen atom,
R4And R5Is a hydrogen atom,
R8Is a C1-C3 alkyl group having one or more fluorine atoms or a C1-C3 alkylsulfonyl group having one or more fluorine atoms,
R7Is a hydrogen atom,
R9Is a hydrogen atom,
A compound wherein n is 2.
In equation (1),
A1-NR6-, An oxygen atom or a sulfur atom,
R1Is an ethyl group,
R2Is a chlorine atom or a hydrogen atom,
R3Is a trifluoromethyl group or a hydrogen atom,
R4And R5Is a hydrogen atom,
R8Is a trifluoromethyl group, a pentafluoroethyl group or a trifluoromethylsulfonyl group,
R7Is a hydrogen atom,
R9Is a hydrogen atom,
A compound wherein n is 2.
In equation (1),
A1-NR6−
R6Is a C1-C6 alkyl group,
R1Is a C1-C3 alkyl group optionally having one or more fluorine atoms,
R2, R4And R5Are the same or different and are a halogen atom or a hydrogen atom,
R3Is a C1-C3 alkyl group having one or more fluorine atoms or a hydrogen atom,
R8Is a C1-C3 alkyl group having one or more fluorine atoms,
R7Is a hydrogen atom,
R9Is a hydrogen atom,
A compound wherein n is 2.
In equation (1),
A1-NR6−
R6Is a C1-C3 alkyl group,
R1Is a C1-C3 alkyl group optionally having one or more fluorine atoms,
R2Is a halogen atom or a hydrogen atom,
R3Is a C1-C3 alkyl group having one or more fluorine atoms or a hydrogen atom,
R4And R5Is a hydrogen atom,
R8Is a C1-C3 alkyl group having one or more fluorine atoms,
R7Is a hydrogen atom,
R9Is a hydrogen atom,
A compound wherein n is 2.
In equation (1),
A1-NR6-, An oxygen atom or a sulfur atom,
R1Is an ethyl group,
R2Is a chlorine atom or a hydrogen atom,
R3Is a trifluoromethyl group or a hydrogen atom,
R4And R5Is a hydrogen atom,
R8Is a trifluoromethyl group,
R7Is a hydrogen atom,
R9Is a hydrogen atom,
A compound wherein n is 2.
In Formula (1-1), A1a-NR6aA compound that is-.
In Formula (1-1), A1aIn which is an oxygen atom.
In Formula (1-1), A1aIn which is a sulfur atom.
In formula (1-1), R1aC1-C6 alkyl group optionally having one or more atoms or groups selected from the group consisting of halogen atoms and cyclopropyl groups (wherein the cyclopropyl group is one or more halogen atoms or 1 And a compound which may have one or more C1-C3 alkyl groups).
In formula (1-1), R1aIs a C1-C6 alkyl group, a C1-C6 haloalkyl group, or a C4-C9 cyclopropylalkyl group (wherein the cyclopropyl group has one or more halogen atoms or one or more C1-C3 alkyl groups). A compound that is).
In formula (1-1), R1aIs a C2-C6 alkyl group, a C1-C6 haloalkyl group or a C4-C9 cyclopropylalkyl group (wherein the cyclopropyl group has one or more halogen atoms or one or more C1-C3 alkyl groups). Compound).
In formula (1-1), R1aIs a methyl group, ethyl group, propyl group, isopropyl group, cyclopropyl group, trifluoromethyl group, 2,2,2-trifluoroethyl group or cyclopropylmethyl group.
In formula (1-1), R1aIn which is an ethyl group, a cyclopropyl group or a cyclopropylmethyl group.
In formula (1-1), R1aIs an ethyl group or a cyclopropylmethyl group. In formula (1-1), R1aIs a C1-C6 alkyl group.
In formula (1-1), R1aIn which is a C2-C6 alkyl group.
In formula (1-1), R1aIs a C1-C3 alkyl group.
In formula (1-1), R1aIs an ethyl group.
In formula (1-1), R2a, R4aAnd R5aAre the same or different and are a halogen atom or a hydrogen atom.
In formula (1-1), R2a, R4aAnd R5aAre the same or different and are a chlorine atom, a fluorine atom or a hydrogen atom.
In formula (1-1), R2a, R4aAnd R5aAre the same or different and are a chlorine atom or a hydrogen atom.
In formula (1-1), R4aAnd R5aIs a hydrogen atom and R2aIn which is a chlorine atom.
In formula (1-1), R2a, R4aAnd R5aAre the same or different and are a chlorine atom, a fluorine atom or a hydrogen atom.
In formula (1-1), R2a, R4aAnd R5aAre the same or different and are a chlorine atom or a hydrogen atom.
In formula (1-1), R4aAnd R5aIs a hydrogen atom and R2aIn which is a chlorine atom.
In formula (1-1), R2a, R4aAnd R5aIn which is a hydrogen atom.
In formula (1-1), R3aHas a C1-C6 alkyl group which may have one or more halogen atoms, a C2-C6 alkenyl group which may have one or more halogen atoms, and one or more halogen atoms. C2-C6 alkynyl group, pyridyl group (wherein the pyridyl group is a halogen atom, a C1-C3 alkyl group optionally having a halogen atom, and a C1-C3 optionally having a halogen atom) One or more atoms or substituents selected from the group consisting of alkoxy groups may be present.), A pyrimidinyl group (wherein the pyrimidinyl group may have a halogen atom or a halogen atom) It may have one or more atoms or substituents selected from the group consisting of a C3 alkyl group and a C1-C3 alkoxy group optionally having a halogen atom. R20a(Where R20aIs a C1-C6 alkyl group optionally having one or more halogen atoms. ), -S (O)mR21a(Where R21aIs a C1-C6 alkyl group optionally having one or more halogen atoms, and m is 0, 1 or 2. ), A compound which is a halogen atom or a hydrogen atom.
In formula (1-1), R3aC 1 -C 6 alkyl group optionally having one or more halogen atoms, —OR20a(Where R20aRepresents a C1-C6 alkyl group optionally having one or more halogen atoms. ), -S (O)mR21a(Where R21aRepresents a C1-C6 alkyl group which may have one or more halogen atoms, and m represents 0, 1 or 2. ), A pyrimidinyl group, a halogen atom or a hydrogen atom.
In formula (1-1), R3aIs methyl, fluoromethyl, difluoromethyl, trifluoromethyl, ethyl, ethenyl, ethynyl, pentafluoroethyl (-CF2CF3), Heptafluoropropyl group (-CF2CF2CF3), -CF (CF3)2, -CF2CF2CF2CF3, A trifluoromethoxy group (-OCF3), -OCF2CF3, -SCF3, -S (O) CF3, -S (O)2CF3, -SCF2CF3, -S (O) CF2CF3, -S (O)2CF2CF3, 2-pyridyl group, 5-trifluoromethyl-2-pyridyl group, 2-pyrimidinyl group, a fluorine atom, a chlorine atom, a bromine atom, an iodine atom or a hydrogen atom.
In formula (1-1), R3aAre methyl, fluoromethyl, difluoromethyl, trifluoromethyl, ethyl, ethenyl, ethynyl, -CF2CF3, -CF2CF2CF3, -CF (CF3)2, -CF2CF2CF2CF3, -OCF3, -OCF2CF3, -SCF3, -S (O) CF3, -S (O)2CF3, -SCF2CF3, -S (O) CF2CF3, -S (O)2CF2CF3, 2-pyrimidinyl group, fluorine atom, chlorine atom, bromine atom, iodine atom or hydrogen atom.
In formula (1-1), R3aTrifluoromethyl group, ethyl group, -CF2CF3, -CF2CF2CF3, -OCF3, 2-pyrimidinyl group, a fluorine atom, a chlorine atom, a bromine atom or a hydrogen atom.
In formula (1-1), R3aIn which is a trifluoromethyl group or a hydrogen atom.
In formula (1-1), R8aIs a C1-C6 haloalkyl group, -OR22a(Where R22aIs a C1-C6 haloalkyl group. ), -S (O)mR23a(Where R23aIs a C1-C6 haloalkyl group and m is 0, 1 or 2. ), -SF5Or a compound which is a halogen atom.
In formula (1-1), R8aIs a C1-C6 haloalkyl group, -OR22a(Where R22aIs a C1-C6 haloalkyl group. ), -S (O)mR23a(Where R23aIs a C1-C6 haloalkyl group and m is 0, 1 or 2. ) Or -SF5A compound that is
In formula (1-1), R8aIs a C1-C6 haloalkyl group, -OR22a(Where R22aIs a C1-C6 haloalkyl group. ), -S (O)mR23a(Where R23aIs a C1-C6 haloalkyl group and m is 0, 1 or 2. Or a compound which is a halogen atom.
In formula (1-1), R8aIs a C1-C6 haloalkyl group, -OR22a(Where R22aIs a C1-C6 haloalkyl group. ) Or -S (O)mR23a(Where R23aIs a C1-C6 haloalkyl group and m is 0, 1 or 2. ).
In formula (1-1), R8aIs a C1-C6 perfluoroalkyl group, -OR22a(Where R22aIs a C1-C6 perfluoroalkyl group. ) Or -S (O)mR23a(Where R23aIs a C1-C6 perfluoroalkyl group. ).
In formula (1-1), R8aIs a trifluoromethyl group, -CF2CF3, -CF2CF2CF3, -CF (CF3)2, -OCF3, -OCF2CF3, -SCF3, -S (O) CF3, -S (O)2CF3, -SCF2CF3, -S (O) CF2CF3, -S (O)2CF2CF3, SF5, A fluorine atom, a chlorine atom, a bromine atom or an iodine atom.
In formula (1-1), R8aIs a trifluoromethyl group, -CF2CF3, -SCF3Or -S (O)2CF3A compound that is
In formula (1-1), R8aIs a trifluoromethyl group.
In Formula (1-1), A1a-NR6a-And R6aHas a C1-C6 alkyl group which may have one or more halogen atoms, a C3-C6 alkenyl group which may have one or more halogen atoms, or one or more halogen atoms. A compound which is a good C3-C6 alkynyl group.
In Formula (1-1), A1a-NR6a-And R6aIs a methyl group, ethyl group, propyl group, allyl group or propargyl group.
In Formula (1-1), A1a-NR6a-And R6aIn which is a methyl group or a propargyl group.
In formula (1-2), R1bIn which is an ethyl group, a cyclopropyl group or a cyclopropylmethyl group.
In the formula (1-2), R1bIs an ethyl group.
In formula (1-2), R2b, R4bAnd R5bAre the same or different and are a halogen atom or a hydrogen atom.
In formula (1-2), R2b, R4bAnd R5bAre the same or different and are a chlorine atom, a fluorine atom or a hydrogen atom.
In formula (1-2), R2b, R4bAnd R5bAre the same or different and are a chlorine atom or a hydrogen atom.
In formula (1-2), R4bAnd R5bIs a hydrogen atom and R2bIn which is a chlorine atom.
In formula (1-2), R2b, R4bAnd R5bAre the same or different and are a chlorine atom, a fluorine atom or a hydrogen atom.
In formula (1-2), R2b, R4bAnd R5bAre the same or different and are a chlorine atom or a hydrogen atom.
In formula (1-2), R4bAnd R5bIs a hydrogen atom and R2bIn which is a chlorine atom.
In formula (1-2), R2b, R4bAnd R5bIn which is a hydrogen atom.
In formula (1-2), R3bAre methyl, fluoromethyl, difluoromethyl, trifluoromethyl, ethyl, ethenyl, ethynyl, -CF2CF3, -CF2CF2CF3, -CF (CF3)2, -CF2CF2CF2CF3, -OCF3, -OCF2CF3, -SCF3, -S (O) CF3, -S (O)2CF3, -SCF2CF3, -S (O) CF2CF3, -S (O)2CF2CF3, 2-pyrimidinyl group, fluorine atom, chlorine atom, bromine atom, iodine atom or hydrogen atom.
In formula (1-2), R3bTrifluoromethyl group, ethyl group, -CF2CF3, -CF2CF2CF3, -OCF3, 2-pyrimidinyl group, a fluorine atom, a chlorine atom, a bromine atom or a hydrogen atom.
In formula (1-2), R3bTrifluoromethyl group, ethyl group, -CF2CF3, -CF2CF2CF3, -OCF3, A 2-pyrimidinyl group, a fluorine atom, a bromine atom or a hydrogen atom.
In formula (1-2), R3bIn which is a trifluoromethyl group or a hydrogen atom.
In formula (1-2), R8bIs a C1-C6 haloalkyl group, -OR22b(Where R22bIs a C1-C6 haloalkyl group. ), -S (O)mR23b(Where R23bIs a C1-C6 haloalkyl group and m is 0, 1 or 2. ), -SF5Or a compound which is a halogen atom.
In formula (1-2), R8bIs a C1-C6 haloalkyl group, -OR22b(Where R22bIs a C1-C6 haloalkyl group. ), -S (O)mR23b(Where R23bIs a C1-C6 haloalkyl group and m is 0, 1 or 2. ) Or -SF5A compound that is
In formula (1-2), R8bIs a C1-C6 haloalkyl group, -OR22b(Where R22bIs a C1-C6 haloalkyl group. ), -S (O)mR23b(Where R23bIs a C1-C6 haloalkyl group and m is 0, 1 or 2. Or a compound which is a halogen atom.
In formula (1-2), R8bIs a C1-C6 haloalkyl group, -OR22b(Where R22bIs a C1-C6 haloalkyl group. ) Or -S (O)mR23b(Where R23bIs a C1-C6 haloalkyl group and m is 0, 1 or 2. ).
In formula (1-2), R8bIs a C1-C6 perfluoroalkyl group, -OR22b(Where R22bIs a C1-C6 perfluoroalkyl group. ) Or -S (O)mR23b(Where R23bIs a C1-C6 perfluoroalkyl group. ).
In formula (1-2), R8bIs a trifluoromethyl group, -CF2CF3, -CF2CF2CF3, -CF (CF3)2, -OCF3, -OCF2CF3, -SCF3, -S (O) CF3, -S (O)2CF3, -SCF2CF3, -S (O) CF2CF3, -S (O)2CF2CF3, SF5, A fluorine atom, a chlorine atom, a bromine atom or an iodine atom.
In formula (1-2), R8bIs a trifluoromethyl group, -CF2CF3, -SCF3Or -S (O)2CF3A compound that is
In the formula (1-2), a compound wherein n is 2.
In formula (1-3), R1bIn which is an ethyl group, a cyclopropyl group or a cyclopropylmethyl group.
In the formula (1-3), R1bIs an ethyl group.
In formula (1-3), R2b, R4bAnd R5bAre the same or different and are a halogen atom or a hydrogen atom.
In formula (1-3), R2b, R4bAnd R5bAre the same or different and are a chlorine atom, a fluorine atom or a hydrogen atom.
In formula (1-3), R2b, R4bAnd R5bAre the same or different and are a chlorine atom or a hydrogen atom.
In formula (1-3), R4bAnd R5bIs a hydrogen atom and R2bIn which is a chlorine atom.
In formula (1-3), R2b, R4bAnd R5bAre the same or different and are a chlorine atom, a fluorine atom or a hydrogen atom.
In formula (1-3), R2b, R4bAnd R5bAre the same or different and are a chlorine atom or a hydrogen atom.
In formula (1-3), R4bAnd R5bIs a hydrogen atom and R2bIn which is a chlorine atom.
In formula (1-3), R2b, R4bAnd R5bIn which is a hydrogen atom.
In formula (1-3), R3bAre methyl, fluoromethyl, difluoromethyl, trifluoromethyl, ethyl, ethenyl, ethynyl, -CF2CF3, -CF2CF2CF3, -CF (CF3)2, -CF2CF2CF2CF3, -OCF3, -OCF2CF3, -SCF3, -S (O) CF3, -S (O)2CF3, -SCF2CF3, -S (O) CF2CF3, -S (O)2CF2CF3, 2-pyrimidinyl group, fluorine atom, chlorine atom, bromine atom, iodine atom or hydrogen atom.
In formula (1-3), R3bTrifluoromethyl group, ethyl group, -CF2CF3, -CF2CF2CF3, -OCF3, 2-pyrimidinyl group, a fluorine atom, a chlorine atom, a bromine atom or a hydrogen atom.
In formula (1-3), R3bIn which is a trifluoromethyl group, a chlorine atom or a hydrogen atom.
In formula (1-3), R8bIs a C1-C6 haloalkyl group, -OR22b(Where R22bIs a C1-C6 haloalkyl group. ), -S (O)mR23b(Where R23bIs a C1-C6 haloalkyl group and m is 0, 1 or 2. ), -SF5Or a compound which is a halogen atom.
In formula (1-3), R8bIs a C1-C6 haloalkyl group, -OR22b(Where R22bIs a C1-C6 haloalkyl group. ), -S (O)mR23b(Where R23bIs a C1-C6 haloalkyl group and m is 0, 1 or 2. ) Or -SF5A compound that is
In formula (1-3), R8bIs a C1-C6 haloalkyl group, -OR22b(Where R22bIs a C1-C6 haloalkyl group. ), -S (O)mR23b(Where R23bIs a C1-C6 haloalkyl group and m is 0, 1 or 2. Or a compound which is a halogen atom.
In formula (1-3), R8bIs a C1-C6 haloalkyl group, -OR22b(Where R22bIs a C1-C6 haloalkyl group. ) Or -S (O)mR23b(Where R23bIs a C1-C6 haloalkyl group and m is 0, 1 or 2. ).
In formula (1-3), R8bIs a C1-C6 perfluoroalkyl group, -OR22b(Where R22bIs a C1-C6 perfluoroalkyl group. ) Or -S (O)mR23b(Where R23bIs a C1-C6 perfluoroalkyl group. ).
In formula (1-3), R8bIs a trifluoromethyl group, -CF2CF3, -CF2CF2CF3, -CF (CF3)2, -OCF3, -OCF2CF3, -SCF3, -S (O) CF3, -S (O)2CF3, -SCF2CF3, -S (O) CF2CF3, -S (O)2CF2CF3, SF5, A fluorine atom, a chlorine atom, a bromine atom or an iodine atom.
In formula (1-3), R8bIs a trifluoromethyl group, -CF2CF3, -SCF3Or -S (O)2CF3A compound that is
In formula (1-3), R8bIs a trifluoromethyl group, -CF2CF3Or -S (O)2CF3A compound that is
In the formula (1-3), a compound wherein n is 2.
In formula (1-4), R1bIn which is an ethyl group, a cyclopropyl group or a cyclopropylmethyl group.
In the formula (1-4), R1bIs an ethyl group.
In formula (1-4), R2b, R4bAnd R5bAre the same or different and are a halogen atom or a hydrogen atom.
In formula (1-4), R2b, R4bAnd R5bAre the same or different and are a chlorine atom, a fluorine atom or a hydrogen atom.
In formula (1-4), R2b, R4bAnd R5bAre the same or different and are a chlorine atom or a hydrogen atom.
In formula (1-4), R4bAnd R5bIs a hydrogen atom and R2bIn which is a chlorine atom.
In formula (1-4), R2b, R4bAnd R5bAre the same or different and are a chlorine atom, a fluorine atom or a hydrogen atom.
In formula (1-4), R2b, R4bAnd R5bAre the same or different and are a chlorine atom or a hydrogen atom.
In formula (1-4), R4bAnd R5bIs a hydrogen atom and R2bIn which is a chlorine atom.
In formula (1-4), R2b, R4bAnd R5bIn which is a hydrogen atom.
In formula (1-4), R3bAre methyl, fluoromethyl, difluoromethyl, trifluoromethyl, ethyl, ethenyl, ethynyl, fluoromethyl, difluoromethyl, trifluoromethyl, -CF2CF3, -CF2CF2CF3, -CF (CF3)2, -CF2CF2CF2CF3, -OCF3, -OCF2CF3, -SCF3, -S (O) CF3, -S (O)2CF3, -SCF2CF3, -S (O) CF2CF3, -S (O)2CF2CF3, A fluorine atom, a chlorine atom, a bromine atom, an iodine atom or a hydrogen atom.
In formula (1-4), R3bTrifluoromethyl group, ethyl group, -CF2CF3, -CF2CF2CF3, -OCF3, 2-pyrimidinyl group, a fluorine atom, a chlorine atom, a bromine atom or a hydrogen atom.
In formula (1-4), R3bIs a trifluoromethyl group.
In formula (1-4), R8bIs a C1-C6 haloalkyl group, -OR22b(Where R22bIs a C1-C6 haloalkyl group. ), -S (O)mR23b(Where R23bIs a C1-C6 haloalkyl group and m is 0, 1 or 2. ), -SF5Or a compound which is a halogen atom.
In formula (1-4), R8bIs a C1-C6 haloalkyl group, -OR22b(Where R22bIs a C1-C6 haloalkyl group. ), -S (O)mR23b(Where R23bIs a C1-C6 haloalkyl group and m is 0, 1 or 2. ) Or -SF5A compound that is
In formula (1-4), R8bIs a C1-C6 haloalkyl group, -OR22b(Where R22bIs a C1-C6 haloalkyl group. ), -S (O)mR23b(Where R23bIs a C1-C6 haloalkyl group and m is 0, 1 or 2. Or a compound which is a halogen atom.
In formula (1-4), R8bIs a C1-C6 haloalkyl group, -OR22b(Where R22bIs a C1-C6 haloalkyl group. ) Or -S (O)mR23b(Where R23bIs a C1-C6 haloalkyl group and m is 0, 1 or 2. ).
In formula (1-4), R8bIs a C1-C6 perfluoroalkyl group, -OR22b(Where R22bIs a C1-C6 perfluoroalkyl group. ) Or -S (O)mR23b(Where R23bIs a C1-C6 perfluoroalkyl group. ).
In formula (1-4), R8bIs a trifluoromethyl group, -CF2CF3, -CF2CF2CF3, -CF (CF3)2, -OCF3, -OCF2CF3, -SCF3, -S (O) CF3, -S (O)2CF3, -SCF2CF3, -S (O) CF2CF3, -S (O)2CF2CF3, SF5, A fluorine atom, a chlorine atom, a bromine atom or an iodine atom.
In formula (1-4), R8bIs a trifluoromethyl group, -CF2CF3, -SCF3Or -S (O)2CF3A compound that is
In the formula (1-4), a compound wherein n is 2.
In formula (1-5), R1bIn which is an ethyl group, a cyclopropyl group or a cyclopropylmethyl group.
In formula (1-5), R1bIs an ethyl group.
In formula (1-5), R3bAre methyl, fluoromethyl, difluoromethyl, trifluoromethyl, ethyl, ethenyl, ethynyl, fluoromethyl, difluoromethyl, trifluoromethyl, -CF2CF3, -CF2CF2CF3, -CF (CF3)2, -CF2CF2CF2CF3, -OCF3, -OCF2CF3, -SCF3, -S (O) CF3, -S (O)2CF3, -SCF2CF3, -S (O) CF2CF3, -S (O)2CF2CF3, A fluorine atom, a chlorine atom, a bromine atom, an iodine atom or a hydrogen atom.
In formula (1-5), R8bIs a C1-C6 haloalkyl group, -OR22b(Where R22bIs a C1-C6 haloalkyl group. ), -S (O)mR23b(Where R23bIs a C1-C6 haloalkyl group and m is 0, 1 or 2. ), -SF5Or a compound which is a halogen atom.
In formula (1-5), R8bIs a C1-C6 haloalkyl group, -OR22b(Where R22bIs a C1-C6 haloalkyl group. ), -S (O)mR23b(Where R23bIs a C1-C6 haloalkyl group and m is 0, 1 or 2. ) Or -SF5A compound that is
In formula (1-5), R8bIs a C1-C6 haloalkyl group, -OR22b(Where R22bIs a C1-C6 haloalkyl group. ), -S (O)mR23b(Where R23bIs a C1-C6 haloalkyl group and m is 0, 1 or 2. Or a compound which is a halogen atom.
In formula (1-5), R8bIs a C1-C6 haloalkyl group, -OR22b(Where R22bIs a C1-C6 haloalkyl group. ) Or -S (O)m
R23b(Where R23bIs a C1-C6 haloalkyl group and m is 0, 1 or 2. ).
In formula (1-5), R8bIs a C1-C6 perfluoroalkyl group, -OR22b(Where R22bIs a C1-C6 perfluoroalkyl group. ) Or -S (O)mR23b(Where R23bIs a C1-C6 perfluoroalkyl group. ).
In formula (1-5), R8bIs a trifluoromethyl group, -CF2CF3, -CF2CF2CF3, -CF (CF3)2, -OCF3, -OCF2CF3, -SCF3, -S (O) CF3, -S (O)2CF3, -SCF2CF3, -S (O) CF2CF3, -S (O)2CF2CF3, SF5, A fluorine atom, a chlorine atom, a bromine atom or an iodine atom.
In formula (1-5), R60bIs a hydrogen atom, a methoxymethyl group, an ethoxymethyl group, a 1- (methoxy) ethyl group or a 1- (ethoxy) ethyl group.
Next, a method for producing the compound of the present invention will be described.
The compound of the present invention and the intermediate compound can be produced, for example, by the following (Production Method 1) to (Production Method 15).
(Production method 1)
This invention compound (1-n2) whose n is 2 in Formula (1) can be manufactured by oxidizing an intermediate compound (P1) with an oxidizing agent.
[Wherein the symbols have the same meaning as in formula (1). ]
The oxidation reaction is usually performed in the presence of a solvent.
Examples of the solvent include aliphatic halogenated hydrocarbons such as dichloromethane and chloroform, alcohols such as methanol and ethanol, acetic acid, water, and mixtures thereof.
Examples of the oxidizing agent include m-chloroperbenzoic acid and hydrogen peroxide.
The reaction can be carried out in the presence of a catalyst as necessary. Examples of the catalyst include sodium tungstate.
In the reaction, when n is 0 in the intermediate compound (P1), the oxidant is usually 3 to 10 moles and the catalyst is usually 0.01 to 0. Used in a proportion of 5 moles. When n is 1 in the intermediate compound (P1), the oxidizing agent is usually in a proportion of 2 to 10 mol and the catalyst is usually in a proportion of 0.01 to 0.5 mol with respect to 1 mol of the intermediate compound (P1). Used. When n is 2 in the intermediate compound (P1), the oxidizing agent is usually in a proportion of 1 to 10 mol and the catalyst is usually in a proportion of 0.01 to 0.5 mol with respect to 1 mol of the intermediate compound (P1). Used.
The reaction temperature is usually in the range of 0 to 120 ° C. The reaction time is usually in the range of 0.1 to 48 hours.
After completion of the reaction, the reaction mixture is extracted with an organic solvent, and the organic layer is washed with an aqueous solution of a reducing agent (for example, sodium sulfite, sodium thiosulfate) or an aqueous solution of a base (for example, sodium bicarbonate) as necessary, dried, The compound (1-n2) of the present invention can be isolated by performing post-treatment operations such as concentration. The isolated present compound (1-n2) can be further purified by chromatography, recrystallization and the like.
(Production method 2)
The compound of the present invention in which n is 1 or 2 in formula (1) can be produced by oxidizing the compound of the present invention in which n is 0.
[Wherein the symbols have the same meaning as in formula (1). ]
This invention compound (1-n1) whose n is 1 in Formula (1) can be manufactured by oxidizing this invention compound (1-n0) whose n is 0 with an oxidizing agent.
The oxidation reaction is usually performed in the presence of a solvent.
Examples of the solvent include aliphatic halogenated hydrocarbons such as dichloromethane and chloroform, alcohols such as methanol and ethanol, acetic acid, water, and mixtures thereof.
Examples of the oxidizing agent include sodium periodate and m-chloroperbenzoic acid.
In this reaction, an oxidizing agent is usually used at a ratio of 1 to 3 moles with respect to 1 mole of the compound (1-n0) of the present invention. Preferably, the oxidizing agent is used in an amount of 1 to 1.2 mol per 1 mol of the compound (1-n0) of the present invention.
The reaction temperature is usually in the range of -20 to 80 ° C. The reaction time is usually in the range of 0.1 to 12 hours.
After completion of the reaction, the reaction mixture is extracted with an organic solvent, and the organic layer is washed with an aqueous solution of a reducing agent (for example, sodium sulfite, sodium thiosulfate) or an aqueous solution of a base (for example, sodium bicarbonate) as necessary, dried, The compound (1-n1) of the present invention can be isolated by performing post-treatment operations such as concentration. The isolated compound (1-n1) of the present invention can be further purified by chromatography, recrystallization and the like.
This invention compound (1-n2) whose n is 2 in Formula (1) can be manufactured by oxidizing this invention compound (1-n1) whose n is 1 with an oxidizing agent.
The oxidation reaction is usually performed in the presence of a solvent.
Examples of the solvent include aliphatic halogenated hydrocarbons such as dichloromethane and chloroform, alcohols such as methanol and ethanol, acetic acid, water, and mixtures thereof.
Examples of the oxidizing agent include m-chloroperbenzoic acid and hydrogen peroxide.
In the reaction, the oxidizing agent is usually used at a ratio of 1 to 4 moles with respect to 1 mole of the compound (1-n1) of the present invention. Preferably, the oxidizing agent is used in a ratio of 1 to 2 moles relative to 1 mole of the compound (1-n1) of the present invention.
The reaction temperature is usually in the range of -20 to 120 ° C. The reaction time is usually in the range of 0.1 to 12 hours.
After completion of the reaction, the reaction mixture is extracted with an organic solvent, and the organic layer is washed with an aqueous solution of a reducing agent (for example, sodium sulfite, sodium thiosulfate) or an aqueous solution of a base (for example, sodium bicarbonate) as necessary, dried, The compound (1-n2) of the present invention can be isolated by performing post-treatment operations such as concentration. The compound (1-n2) of the present invention can be further purified by chromatography, recrystallization and the like.
In addition, the compound (1-n2) of the present invention in which n is 2 in the formula (1) can be converted into a one-step reaction (one-pot) by oxidizing the compound (1-n0) of the present invention in which n is 0 with an oxidizing agent. Can be manufactured.
The oxidation reaction is usually performed in the presence of a solvent.
Examples of the solvent include aliphatic halogenated hydrocarbons such as dichloromethane and chloroform, alcohols such as methanol and ethanol, acetic acid, water, and mixtures thereof.
Examples of the oxidizing agent include m-chloroperbenzoic acid and hydrogen peroxide.
The reaction can be carried out in the presence of a catalyst as necessary. Examples of the catalyst include sodium tungstate.
In the reaction, with respect to 1 mole of the compound (1-n0) of the present invention, the oxidizing agent is usually used at a ratio of 2 to 5 moles, and the catalyst is usually used at a ratio of 0.01 to 0.5 moles. Preferably, the oxidizing agent is used in a ratio of 2 to 3 moles with respect to 1 mole of the compound (1-n0) of the present invention.
The reaction temperature is usually in the range of 0 to 120 ° C. The reaction time is usually in the range of 0.1 to 12 hours.
After completion of the reaction, the reaction mixture is extracted with an organic solvent, and the organic layer is washed with an aqueous solution of a reducing agent (for example, sodium sulfite, sodium thiosulfate) or an aqueous solution of a base (for example, sodium bicarbonate) as necessary, and dried. The compound (1-n2) of the present invention can be isolated by post-treatment such as concentration. The isolated present compound (1-n2) can be further purified by chromatography, recrystallization and the like.
(Production method 3)
Intermediate compound (M6-N0) can be produced by oxidizing intermediate compound (M6) with an oxidizing agent. Further, the compound (1-n0) of the present invention in which n is 0 in the formula (1) is produced by reacting the obtained intermediate compound (M6-N0) with the compound (M7) in the presence of a base. be able to.
[Wherein V2Represents a halogen atom, and the other symbols have the same meaning as in formula (1). ]
Intermediate compound (M6-N0) can be produced by oxidizing intermediate compound (M6).
The oxidation reaction is usually performed in the presence of a solvent.
Examples of the solvent include aliphatic halogenated hydrocarbons such as dichloromethane and chloroform, alcohols such as methanol and ethanol, acetic acid, water, and mixtures thereof.
Examples of the oxidizing agent include m-chloroperbenzoic acid and hydrogen peroxide.
The reaction can be carried out in the presence of a catalyst as necessary. Examples of the catalyst include sodium tungstate.
In the reaction, with respect to 1 mol of the intermediate compound (M6), the oxidizing agent is usually used in a proportion of 1 to 10 mol, and the catalyst is usually used in a proportion of 0.01 to 0.5 mol.
The reaction temperature is usually in the range of 0 to 120 ° C. The reaction time is usually in the range of 0.1 to 48 hours.
After completion of the reaction, the reaction mixture is extracted with an organic solvent, and the organic layer is washed with an aqueous solution of a reducing agent (for example, sodium sulfite, sodium thiosulfate) or an aqueous solution of a base (for example, sodium bicarbonate) as necessary, dried, By performing post-treatment operations such as concentration, the intermediate compound (M6-N0) can be isolated. The isolated intermediate compound (M6-N0) can be further purified by chromatography, recrystallization and the like.
By reacting the intermediate compound (M6-N0) and the compound (M7) in the presence of a base, the compound (1-n0) of the present invention in which n is 0 in the formula (1) can be produced.
The reaction is usually performed in the presence of a solvent.
Examples of the solvent include ethers such as THF, ethylene glycol dimethyl ether, tert-butyl methyl ether, and 1,4-dioxane, aromatic hydrocarbons such as toluene and xylene, nitriles such as acetonitrile, DMF, NMP, DMSO, and the like. Aprotic polar solvents, water and mixtures thereof.
Examples of the base include alkali metal carbonates such as sodium carbonate and potassium carbonate, and alkali metal hydrides such as sodium hydride.
In the reaction, the compound (M7) is usually used in a proportion of 1 to 10 mol and the base is usually used in a proportion of 1 to 10 mol with respect to 1 mol of the intermediate compound (M6-N0).
The reaction temperature is usually in the range of 0 to 150 ° C. The reaction time is usually in the range of 0.5 to 24 hours.
After completion of the reaction, the compound (1-n0) of the present invention in which n is 0 can be isolated by performing post-treatment operations such as extraction of the reaction mixture with an organic solvent, and drying and concentration of the organic layer. it can. The isolated compound of the present invention (1-n0) in which n is 0 can be further purified by chromatography, recrystallization and the like.
In the reaction, V2Is preferably a fluorine atom or a chlorine atom.
(Production Method 4)
The intermediate compound (P1) is obtained by reacting the intermediate compound (M1) with the intermediate compound (M2) or the intermediate compound (M18) to produce the intermediate compound (M3). It can be produced by intramolecular condensation (cyclization) of (M3).
[Wherein the symbols have the same meaning as in formula (1). ]
Intermediate compound (M3) can be produced by reacting intermediate compound (M1) and intermediate compound (M2) in the presence of a condensing agent.
The reaction is usually performed in the presence of a solvent. Examples of the solvent include 1,4-dioxane, diethyl ether, tetrahydrofuran (hereinafter referred to as THF), ethers such as tert-butyl methyl ether, dichloromethane, chloroform, carbon tetrachloride, 1,2-dichloroethane, and chlorobenzene. Halogenated hydrocarbons such as toluene, benzene, xylene and the like, esters such as ethyl acetate and butyl acetate, nitriles such as acetonitrile, and N, N-dimethylformamide (hereinafter referred to as DMF). ), N-methylpyrrolidone (hereinafter referred to as NMP), 1,3-dimethyl-2-imidazolidinone, dimethyl sulfoxide (hereinafter referred to as DMSO), and the like, pyridine, quinoline and the like Examples thereof include nitrogen-containing aromatic compounds and mixtures thereof.
Examples of the condensing agent include carbodiimides such as 1-ethyl-3- (3-dimethylaminopropyl) carbodiimide hydrochloride (hereinafter referred to as EDCI hydrochloride) and 1,3-dicyclohexylcarbodiimide.
The reaction can be carried out by adding a catalyst as necessary. Examples of the catalyst include 1-hydroxybenzotriazole (hereinafter referred to as HOBt).
In the reaction, with respect to 1 mol of the intermediate compound (M1), the intermediate compound (M2) is usually in a proportion of 0.5 to 2 mol, the condensing agent is usually in a proportion of 1 to 5 mol, and the catalyst is usually in an amount of 0.8. It is used at a ratio of 01 to 1 mol.
The reaction temperature is usually in the range of 0 to 120 ° C. The reaction time is usually in the range of 0.1 to 24 hours.
After completion of the reaction, the reaction mixture is poured into water and extracted with an organic solvent and the organic layer is concentrated; the reaction mixture is poured into water and the resulting solid is collected by filtration; or formed in the reaction mixture. The intermediate compound (M3) can be isolated by collecting the resulting solid by filtration. The isolated intermediate compound (M3) can be further purified by recrystallization, chromatography or the like.
The intermediate compound (M3) can be produced by reacting the intermediate compound (M1) with the intermediate compound (M18).
The reaction is usually performed in the presence of a solvent.
Examples of the solvent include ethers such as THF, ethylene glycol dimethyl ether, tert-butyl methyl ether, and 1,4-dioxane, aliphatic hydrocarbons such as hexane, heptane, and octane, and aromatic hydrocarbons such as toluene and xylene. Halogenated hydrocarbons such as chlorobenzene, esters such as ethyl acetate and butyl acetate, nitriles such as acetonitrile, aprotic polar solvents such as DMF, NMP and DMSO, and mixtures thereof.
The reaction can be carried out by adding a base as necessary. Examples of the base include alkali metal carbonates such as sodium carbonate and potassium carbonate, tertiary amines such as triethylamine and N-ethyldiisopropylamine, and nitrogen-containing aromatic compounds such as pyridine and 4-dimethylaminopyridine. .
In the reaction, the intermediate compound (M18) is usually used in a proportion of 1 to 3 mol and the base is usually used in a proportion of 1 to 10 mol with respect to 1 mol of the intermediate compound (M1).
The reaction temperature is usually in the range of -20 to 100 ° C. The reaction time is usually in the range of 0.1 to 24 hours.
After completion of the reaction, the intermediate compound (M3) can be isolated by performing post-treatment operations such as adding water to the reaction mixture, extracting with an organic solvent, and drying and concentrating the organic layer. it can. The isolated intermediate compound (M3) can be further purified by chromatography, recrystallization and the like.
Intermediate compound (P1) can be produced by intramolecular condensation (cyclization) of intermediate compound (M3).
The reaction is usually performed in the presence of a solvent. Examples of the solvent include ethers such as 1,4-dioxane, diethyl ether, THF, tert-butyl methyl ether, halogenated hydrocarbons such as dichloromethane, chloroform, carbon tetrachloride, 1,2-dichloroethane, chlorobenzene, toluene, and the like. , Aromatic hydrocarbons such as benzene and xylene, esters such as ethyl acetate and butyl acetate, nitriles such as acetonitrile, aprotic such as DMF, NMP, 1,3-dimethyl-2-imidazolidinone and DMSO Examples thereof include polar solvents, nitrogen-containing aromatic compounds such as pyridine and quinoline, and mixtures thereof.
In this reaction, a condensing agent, an acid or a base can be used as necessary.
Examples of the condensing agent include EDCI hydrochloride, a mixture of triphenylphosphine and a base and carbon tetrachloride or carbon tetrabromide, and a mixture of azodiesters such as triphenylphosphine and diethyl azodicarboxylate.
Examples of the acid include sulfonic acids such as paratoluenesulfonic acid, carboxylic acids such as acetic acid, and polyphosphoric acid.
Examples of the base include pyridine, picoline, 2,6-lutidine, 1,8-diazabicyclo [5.4.0] -7-undecene (hereinafter referred to as DBU), and 1,5-diazabicyclo [4.3. 0] -5-nonene, nitrogen-containing heterocyclic compounds, tertiary amines such as triethylamine and N-ethyldiisopropylamine, and inorganic bases such as tripotassium phosphate, potassium carbonate and sodium hydride.
In the reaction, with respect to 1 mol of the intermediate compound (M3), when a condensing agent is used, the ratio of the condensing agent is usually 1 to 5 mol, and when an acid is used, the acid is usually 0.1 mol to 5 mol. When using a mole ratio or base, the base is usually used in a ratio of 1 to 5 moles.
The reaction temperature is usually in the range of 0 to 200 ° C. The reaction time is usually in the range of 0.1 to 24 hours.
After completion of the reaction, the reaction mixture is poured into water and extracted with an organic solvent and the organic layer is concentrated; the reaction mixture is poured into water and the resulting solid is collected by filtration; or formed in the reaction mixture. The intermediate compound (P1) can be isolated by collecting the resulting solid by filtration. The isolated intermediate compound (P1) can be further purified by recrystallization, chromatography or the like.
Intermediate compound (P1) can be produced in a one-step reaction (one pot) by reacting intermediate compound (M1) and intermediate compound (M2) in the presence of a condensing agent.
The reaction is usually performed in the presence of a solvent. Examples of the solvent include ethers such as 1,4-dioxane, diethyl ether, THF, tert-butyl methyl ether, halogenated hydrocarbons such as dichloromethane, chloroform, carbon tetrachloride, 1,2-dichloroethane, chlorobenzene, Aromatic hydrocarbons such as toluene, benzene and xylene, esters such as ethyl acetate and butyl acetate, nitriles such as acetonitrile, aprotic such as DMF, NMP, 1,3-dimethyl-2-imidazolidinone and DMSO Polar solvents, nitrogen-containing aromatic compounds such as pyridine and quinoline, and mixtures thereof.
Examples of the condensing agent include carbodiimides such as EDCI hydrochloride and 1,3-dicyclohexylcarbodiimide.
The reaction can be carried out by adding a catalyst as necessary. Examples of the catalyst include 1-hydroxybenzotriazole.
In the reaction, with respect to 1 mol of the intermediate compound (M1), the intermediate compound (M2) is usually 0.5 to 2 mol, the condensing agent is usually 1 to 5 mol, and the catalyst is usually 0.1. It is used at a ratio of 01 to 1 mol.
The reaction temperature is usually in the range of 0 to 200 ° C. The reaction time is usually in the range of 0.1 to 24 hours.
After completion of the reaction, the reaction mixture is poured into water and extracted with an organic solvent and the organic layer is concentrated; the reaction mixture is poured into water and the resulting solid is collected by filtration; or formed in the reaction mixture. The intermediate compound (P1) can be isolated by collecting the resulting solid by filtration. The isolated intermediate compound (P1) can be further purified by recrystallization, chromatography or the like.
The intermediate compound (P1) can be produced in a one-step reaction (one pot) by reacting the intermediate compound (M1) with the intermediate compound (M18).
The reaction is performed in the presence or absence of a solvent.
Examples of the solvent include ethers such as THF, ethylene glycol dimethyl ether, tert-butyl methyl ether, and 1,4-dioxane, aliphatic hydrocarbons such as hexane, heptane, and octane, and aromatic hydrocarbons such as toluene and xylene. Halogenated hydrocarbons such as chlorobenzene, esters such as ethyl acetate and butyl acetate, nitriles such as acetonitrile, aprotic polar solvents such as DMF, NMP and DMSO, and mixtures thereof.
The reaction can be carried out by adding a base as necessary. Examples of the base include alkali metal carbonates such as sodium carbonate and potassium carbonate, tertiary amines such as triethylamine and N-ethyldiisopropylamine, and nitrogen-containing aromatic compounds such as pyridine and 4-dimethylaminopyridine. .
In the reaction, the intermediate compound (M18) is usually used in a proportion of 1 to 3 mol and the base is usually used in a proportion of 1 to 10 mol with respect to 1 mol of the intermediate compound (M1).
The reaction temperature is usually in the range of 20 to 200 ° C. The reaction time is usually in the range of 0.1 to 24 hours.
After completion of the reaction, the intermediate compound (P1) can be isolated by performing post-treatment operations such as adding water to the reaction mixture, extracting with an organic solvent, and drying and concentrating the organic layer. it can. The isolated intermediate compound (P1) can be further purified by chromatography, recrystallization and the like.
(Production method 5)
An intermediate compound (M14) is reacted with the intermediate compound (M2) or the intermediate compound (M18) to produce an intermediate compound (M14). By reacting with1Intermediate compound (P1) in which is a sulfur atom (hereinafter referred to as intermediate compound (P20)) can be produced.
[Wherein the symbols have the same meaning as in formula (1). ]
Intermediate compound (M14) can be produced by reacting intermediate compound (M9) with intermediate compound (M2).
The reaction is performed in the presence or absence of a solvent.
Examples of the solvent include ethers such as THF, ethylene glycol dimethyl ether, tert-butyl methyl ether, and 1,4-dioxane, aliphatic hydrocarbons such as hexane, heptane, and octane, and aromatic hydrocarbons such as toluene and xylene. Halogenated hydrocarbons such as chlorobenzene, esters such as ethyl acetate and butyl acetate, nitriles such as acetonitrile, aprotic polar solvents such as DMF, NMP and DMSO, and nitrogen-containing aromatic compounds such as pyridine and quinoline And mixtures thereof.
Examples of the condensing agent include EDCI hydrochloride, carbodiimides such as 1,3-dicyclohexylcarbodiimide, and BOP reagent.
In the reaction, the intermediate compound (M2) is usually used in a proportion of 1 to 3 mol and the condensing agent is usually used in a proportion of 1 to 5 mol with respect to 1 mol of the intermediate compound (M9).
The reaction temperature is usually in the range of 0 to 200 ° C. The reaction time is usually in the range of 0.1 to 24 hours.
After completion of the reaction, the intermediate compound (M14) can be isolated by performing post-treatment operations such as adding water to the reaction mixture, extracting with an organic solvent, and drying and concentrating the organic layer. it can. The isolated intermediate compound (M14) can be further purified by chromatography, recrystallization and the like.
The intermediate compound (M14) can be produced by reacting the intermediate compound (M9) with the intermediate compound (M18).
The reaction is performed in the presence or absence of a solvent. A base can be added as necessary.
Examples of the solvent include ethers such as THF, ethylene glycol dimethyl ether, tert-butyl methyl ether, and 1,4-dioxane, aliphatic hydrocarbons such as hexane, heptane, and octane, and aromatic hydrocarbons such as toluene and xylene. Halogenated hydrocarbons such as chlorobenzene, esters such as ethyl acetate and butyl acetate, nitriles such as acetonitrile, aprotic polar solvents such as DMF, NMP and DMSO, and nitrogen-containing aromatic compounds such as pyridine and quinoline And mixtures thereof.
Examples of the base include alkali metal carbonates such as sodium carbonate and potassium carbonate, tertiary amines such as triethylamine and N-ethyldiisopropylamine, and nitrogen-containing aromatic compounds such as pyridine and 4-dimethylaminopyridine. .
In the reaction, the intermediate compound (M18) is usually used in a proportion of 1 to 3 mol and the base is usually used in a proportion of 1 to 5 mol with respect to 1 mol of the intermediate compound (M9).
The reaction temperature is usually in the range of 0 to 200 ° C. The reaction time is usually in the range of 0.1 to 24 hours.
After completion of the reaction, the intermediate compound (M14) can be isolated by performing post-treatment operations such as adding water to the reaction mixture, extracting with an organic solvent, and drying and concentrating the organic layer. it can. The isolated intermediate compound (M14) can be further purified by chromatography, recrystallization and the like.
Intermediate compound (P20) can be produced by reacting intermediate compound (M14) with a sulfurizing agent.
The reaction is performed in the presence or absence of a solvent.
Examples of the solvent include ethers such as 1,4-dioxane, diethyl ether, tetrahydrofuran, tert-butyl methyl ether, and diglyme, and halogenated hydrocarbons such as dichloromethane, chloroform, carbon tetrachloride, 1,2-dichloroethane, and chlorobenzene. Aromatic hydrocarbons such as toluene, benzene and xylene, nitriles such as acetonitrile, nitrogen-containing aromatic compounds such as pyridine, picoline, lutidine and quinoline, and mixtures thereof.
Examples of the sulfurizing agent include niline pentasulfide, Lawesson's reagent (2,4-bis- (4-methoxyphenyl) -1,3-dithia-2,4-diphosphetan-2,4-disulfide), and the like.
In the reaction, the sulfurizing agent is usually used in a ratio of 1 mol to 3 mol with respect to 1 mol of the intermediate compound (M14).
The reaction temperature is usually in the range of 0 ° C. to 200 ° C., and the reaction time is usually in the range of 1 to 24 hours.
After completion of the reaction, the reaction mixture is poured into water and extracted with an organic solvent and the organic layer is concentrated; the reaction mixture is poured into water and the resulting solid is collected by filtration; or formed in the reaction mixture. The intermediate compound (P20) can be isolated by collecting the resulting solid by filtration. The isolated intermediate compound (P20) can be further purified by recrystallization, chromatography or the like.
(Production method 6)
Intermediate compound (P1) can be produced by reacting intermediate compound (M1) and intermediate compound (M4) in the presence of an oxidizing agent.
[Wherein the symbols have the same meaning as in formula (1). ]
The reaction is usually performed in the presence of a solvent. Examples of the solvent include alcohols such as methanol and ethanol, ethers such as 1,4-dioxane, diethyl ether, THF and tert-butyl methyl ether, dichloromethane, chloroform, carbon tetrachloride, 1,2-dichloroethane, chlorobenzene and the like. Halogenated hydrocarbons, aromatic hydrocarbons such as toluene, benzene, xylene, esters such as ethyl acetate and butyl acetate, nitriles such as acetonitrile, DMF, NMP, 1,3-dimethyl-2-imidazolide Non-protic polar solvents such as non-DMSO, nitrogen-containing aromatic compounds such as pyridine and quinoline, and mixtures thereof.
The reaction can be carried out by adding an acid if necessary. Examples of the acid include sulfonic acids such as paratoluenesulfonic acid, carboxylic acids such as acetic acid, and polyphosphoric acid.
The reaction can be carried out by adding sulfite as necessary. Examples of the sulfites include sulfites such as sodium bisulfite and sodium disulfite.
Examples of the oxidizing agent include oxygen, copper (II) chloride, and DDQ.
In this reaction, the intermediate compound (M4) is usually in a proportion of 1 to 2 mol, the acid is usually in a proportion of 0.1 to 2 mol, and the sulfite is usually in a proportion of 1 to 1 mol of the intermediate compound (M1). The proportion of 5 moles and the oxidizing agent are usually used in a proportion of 1 to 5 moles.
The reaction temperature is usually in the range of 0 to 200 ° C., and the reaction time is usually in the range of 0.1 to 24 hours.
After completion of the reaction, the reaction mixture is poured into water and extracted with an organic solvent and the organic layer is concentrated; the reaction mixture is poured into water and the resulting solid is collected by filtration; or formed in the reaction mixture. The intermediate compound (P1) can be isolated by collecting the resulting solid by filtration. The isolated intermediate compound (P1) can be further purified by recrystallization, chromatography or the like.
(Production method 7)
Intermediate compound (P1-n0) can be produced by reacting intermediate compound (M6) with compound (M7) in the presence of a base.
[Wherein V2Represents a halogen atom, and the other symbols have the same meaning as in formula (1). ]
The reaction is usually performed in the presence of a solvent.
Examples of the solvent include ethers such as THF, ethylene glycol dimethyl ether, tert-butyl methyl ether, and 1,4-dioxane, aromatic hydrocarbons such as toluene and xylene, nitriles such as acetonitrile, DMF, NMP, DMSO, and the like. Aprotic polar solvents, water and mixtures thereof.
Examples of the base include alkali metal carbonates such as sodium carbonate and potassium carbonate, and alkali metal hydrides such as sodium hydride.
In the reaction, the compound (M7) is usually used in a proportion of 1 to 10 mol and the base is usually used in a proportion of 1 to 10 mol with respect to 1 mol of the intermediate compound (M6).
The reaction temperature is usually in the range of 0 to 150 ° C. The reaction time is usually in the range of 0.5 to 24 hours.
After completion of the reaction, an intermediate compound (P1-n0) in which n is 0 can be isolated by performing post-treatment operations such as extraction of the reaction mixture with an organic solvent, and drying and concentration of the organic layer. it can. The isolated intermediate compound (P1-n0) in which n is 0 can be further purified by chromatography, recrystallization, and the like.
In the reaction, V2Is preferably a fluorine atom or a chlorine atom.
(Production method 8)
The intermediate compound (M20) is reacted with the intermediate compound (M19) or the intermediate compound (M39) to produce the intermediate compound (M20), and then the intramolecular mixture of the obtained intermediate compound (M20) The intermediate compound (M6) can be produced by condensation (cyclization).
[Wherein V2Represents a halogen atom, and the other symbols have the same meaning as in formula (1). ]
Intermediate compound (M20) can be produced according to the method of production method 4, using intermediate compound (M19) instead of intermediate compound (M2).
Intermediate compound (M20) can be produced according to the method of production method 4, using intermediate compound (M39) instead of intermediate compound (M18).
Intermediate compound (M6) can be produced according to the method of production method 4, using intermediate compound (M20) instead of intermediate compound (M3).
Alternatively, the intermediate compound (M6) can be produced in a one-step reaction (one pot) according to the production method 4 using the intermediate compound (M19) instead of the intermediate compound (M2).
Alternatively, the intermediate compound (M39) can be used in place of the intermediate compound (M2), and the intermediate compound (M6) can be produced in a one-step reaction (one pot) according to the production method 4.
In the reaction, V2Is preferably a fluorine atom or a chlorine atom.
(Production method 9)
Intermediate compound (M3) can be produced by reacting intermediate compound (M20) with compound (M7). The intermediate compound (P1-n0) can be produced by intramolecular condensation (cyclization) of the obtained intermediate compound (M3).
[Wherein V2Represents a halogen atom, and the other symbols have the same meaning as in formula (1)]
Intermediate compound (M3) in which n is 0 can be produced according to the method of production method 7, using intermediate compound (M20) instead of intermediate compound (M6).
Intermediate compound (P1-n0) can be produced according to the method of production method 4, using intermediate compound (M3) in which n is 0 instead of intermediate compound (M3).
Further, the intermediate compound (M20) is used instead of the intermediate compound (M6), and the intermediate compound (P1-n0) in which n is 0 is reacted in a one-step reaction (one pot) according to the method of Production Method 7. It can also be manufactured.
In the reaction, V2Is preferably a fluorine atom or a chlorine atom.
(Production method 10)
A1By reacting intermediate compound (P2) in which is —NH— with compound (M10) in the presence of a base, A1-NR6Intermediate compound (P3) which is'-can be produced.
[Wherein R6′ Is R in the formula (1)6And L represents a leaving group such as a chlorine atom, a bromine atom, an iodine atom, a trifluoromethanesulfonyloxy group and a methanesulfonyloxy group, and other symbols are represented by the formula (1) Represents the same meaning. ]
The reaction is usually performed in the presence of a solvent.
Examples of the solvent include ethers such as THF, ethylene glycol dimethyl ether, tert-butyl methyl ether, and 1,4-dioxane, aromatic hydrocarbons such as toluene and xylene, nitriles such as acetonitrile, DMF, NMP, DMSO, and the like. Aprotic polar solvents and mixtures thereof.
Examples of the base include hydrides of alkali metals and alkaline earth metals such as sodium hydride, potassium hydride and calcium hydride, inorganic bases such as sodium carbonate and potassium carbonate, and organic bases such as triethylamine.
In the reaction, the compound (M10) is usually used in a proportion of 1 to 5 mol and the base is usually used in a proportion of 1 to 3 mol with respect to 1 mol of the intermediate compound (P2).
The reaction temperature is usually in the range of 0 to 100 ° C. The reaction time is usually in the range of 0.1 to 24 hours.
After completion of the reaction, the intermediate compound (P3) can be isolated by performing post-treatment operations such as extraction of the reaction mixture with an organic solvent and drying and concentration of the organic layer. The isolated intermediate compound (P3) can be further purified by chromatography, recrystallization and the like.
(Production method 11)
Intermediate compound (M30) can be nitrated, or intermediate compound (M33) can be reacted with compound (M28) to produce intermediate compound (M30). By reducing the intermediate compound (M30) obtained here, A1-NR6An intermediate compound (M1) that is-can be produced.
[Wherein the symbols have the same meaning as in formula (1). ]
Intermediate compound (M30) can be produced by reacting intermediate compound (M33) and compound (M28) in the presence of a base.
The reaction is usually performed in the presence of a solvent.
Examples of the solvent include ethers such as THF, ethylene glycol dimethyl ether, tert-butyl methyl ether, and 1,4-dioxane, aromatic hydrocarbons such as toluene and xylene, nitriles such as acetonitrile, DMF, NMP, DMSO, and the like. Aprotic polar solvents and mixtures thereof.
The reaction can be carried out by adding a base as necessary. Examples of the base include alkali metal hydrides such as sodium hydride, alkali metal carbonates such as sodium carbonate and potassium carbonate, tertiary amines such as triethylamine and N-ethyldiisopropylamine, and pyridine, 4-dimethylaminopyridine. And nitrogen-containing aromatic compounds.
In the reaction, with respect to 1 mol of the intermediate compound (M33), the compound (M28) is usually used in a proportion of 1 to 10 mol, and the base is usually used in a proportion of 0 to 10 mol.
The reaction temperature is usually in the range of 0 to 150 ° C. The reaction time is usually in the range of 0.5 to 24 hours.
After completion of the reaction, the intermediate compound (M30) can be isolated by performing post-treatment operations such as extraction of the reaction mixture with an organic solvent, and drying and concentration of the organic layer. The isolated intermediate compound (M30) can be further purified by chromatography, recrystallization and the like.
Intermediate compound (M30) can be produced by reacting intermediate compound (M29) with a nitrating agent.
The reaction is usually performed in the presence of a solvent.
Examples of the solvent include aliphatic halogenated hydrocarbons such as dichloromethane and chloroform, acetic acid, concentrated sulfuric acid, concentrated nitric acid, water, and mixtures thereof.
Examples of the nitrating agent include concentrated nitric acid.
In this reaction, the nitrating agent is usually used at a ratio of 1 to 3 moles with respect to 1 mole of the intermediate compound (M29).
The reaction temperature is usually in the range of -10 to 100 ° C. The reaction time is usually in the range of 0.1 to 24 hours.
After completion of the reaction, the intermediate compound (M30) can be isolated by performing post-treatment operations such as pouring the reaction mixture into water, extraction with an organic solvent, and drying and concentration of the organic layer. . The isolated intermediate compound (M30) can be further purified by chromatography, recrystallization and the like.
A1-NR6The intermediate compound (M1) which is-can be produced by reacting the intermediate compound (M30) with hydrogen in the presence of a hydrogenation catalyst.
The reaction is usually performed in a hydrogen atmosphere at 1 to 100 atmospheres, usually in the presence of a solvent.
Examples of the solvent include ethers such as THF, ethylene glycol dimethyl ether, tert-butyl methyl ether, and 1,4-dioxane, esters such as ethyl acetate and butyl acetate, alcohols such as methanol and ethanol, water, and mixtures thereof. Is mentioned.
Examples of the hydrogenation catalyst include transition metal compounds such as palladium carbon, palladium hydroxide, Raney nickel, and platinum oxide.
In this reaction, hydrogen is usually used in a proportion of 3 mol to excess and hydrogenation catalyst is usually used in a proportion of 0.001 to 0.5 mol with respect to 1 mol of the intermediate compound (M30).
The reaction can be performed by adding an acid, a base or the like, if necessary. Examples of the acid include acetic acid and hydrochloric acid, and examples of the base include tertiary amines such as triethylamine, magnesium oxide and the like.
The reaction temperature is usually in the range of -20 to 100 ° C. The reaction time is usually in the range of 0.1 to 24 hours.
After completion of the reaction, the reaction mixture is filtered, extracted with an organic solvent as necessary, and the organic layer is dried and concentrated to perform post-treatment operations such as A.1-NR6The intermediate compound (M1) which is-can be isolated. Isolated A1-NR6The intermediate compound (M1) which is-can be further purified by chromatography, recrystallization and the like.
In addition, the intermediate compound (M30) is prepared by acetylating the intermediate compound (M29) to produce the intermediate compound (M29 ′), and then nitration of the obtained intermediate compound (M29 ′). It can also be produced by producing ') and hydrolyzing the obtained intermediate compound (M30').
[Wherein the symbols have the same meaning as in formula (1). ]
Intermediate compound (M29 ') can be produced by reacting intermediate compound (M29) with an acylating agent.
The reaction is usually performed in the presence of a solvent or using an acylating agent as a solvent.
Examples of the solvent include aliphatic halogenated hydrocarbons such as dichloromethane and chloroform, ethers such as THF, ethylene glycol dimethyl ether, tert-butyl methyl ether, and 1,4-dioxane, and aromatic hydrocarbons such as toluene and xylene. Nitriles such as acetonitrile, aprotic polar solvents such as DMF, NMP, DMSO and mixtures thereof.
Examples of the acylating agent used in the reaction include acetic anhydride and paraacetoxynitrobenzene.
The reaction can be carried out by adding a base as necessary. Examples of the base include tertiary amines such as triethylamine and N-ethyldiisopropylamine, and nitrogen-containing aromatic compounds such as pyridine and 4-dimethylaminopyridine.
In this reaction, the acetylating agent is usually used in a proportion of 1 mol or more and the base is usually used in a proportion of 0.1 to 10 mol with respect to 1 mol of the intermediate compound (M29).
The reaction temperature is usually in the range of 0 to 150 ° C. The reaction time is usually in the range of 0.5 to 24 hours.
After completion of the reaction, the intermediate compound (M29 ') can be isolated by performing post-treatment operations such as extraction of the reaction mixture with an organic solvent, and drying and concentration of the organic layer. The isolated intermediate compound (M29 ') can be further purified by chromatography, recrystallization and the like.
An intermediate compound (M30 ′) is produced by nitration of the intermediate compound (M29 ′) according to the production method 11 using the intermediate compound (M29 ′) instead of the intermediate compound (M29). be able to.
Intermediate compound (M30) can be produced by hydrolyzing intermediate compound (M30 ') in the presence of an acid or a base.
When hydrolyzing with an acid, the reaction is usually carried out using an acid aqueous solution as a solvent.
Examples of the acid include mineral acids such as hydrochloric acid and sulfuric acid, and carboxylic acids such as acetic acid and trifluoroacetic acid.
The reaction temperature is usually in the range of 0 to 100 ° C. The reaction time is usually in the range of 0.1 to 24 hours.
After completion of the reaction, the intermediate compound (M30) can be isolated by performing post-treatment operations such as extraction of the reaction mixture with an organic solvent, and drying and concentration of the organic layer. The isolated intermediate compound (M30) can be further purified by chromatography, recrystallization and the like.
When hydrolyzing with a base, the reaction is usually carried out in the presence of a solvent.
Examples of the solvent include ethers such as THF, ethylene glycol dimethyl ether, tert-butyl methyl ether, and 1,4-dioxane, alcohols such as methanol and ethanol, water, and a mixture thereof.
Examples of the base include alkali metal hydroxides such as sodium hydroxide and potassium hydroxide, and hydrazine.
In the reaction, the base is usually used at a ratio of 1 to 10 mol per 1 mol of the intermediate compound (M30 ′).
The reaction temperature is usually in the range of 0 to 120 ° C. The reaction time is usually in the range of 0.1 to 24 hours.
After completion of the reaction, the intermediate solution (M30) is isolated by performing post-treatment operations such as acidification of the reaction solution, extraction of the reaction mixture with an organic solvent, and drying and concentration of the organic layer. Can do. The isolated intermediate compound (M30) can be further purified by chromatography, recrystallization and the like.
(Production method 12)
After the intermediate compound (M35) was produced by brominating the intermediate compound (M29), the resulting intermediate compound (M35) was aminated to produce A1-NR6An intermediate compound (M1) that is-can be produced.
[Wherein the symbols have the same meaning as in formula (1). ]
Intermediate compound (M35) can be produced by reacting intermediate compound (M29) with a brominating agent.
The reaction is usually performed in the presence of a solvent.
Examples of the solvent include water, acetic acid, ethers such as 1,4-dioxane, diethyl ether, and THF, esters such as ethyl acetate and butyl acetate, and halogens such as dichloromethane, chloroform, carbon tetrachloride, and 1,2-dichloroethane. Hydrocarbons, nitriles such as acetonitrile, aprotic polar solvents such as DMF, NMP, DMSO and mixtures thereof.
Examples of the brominating agent include N-bromosuccinimide and bromine.
The brominating agent is usually used at a ratio of 1 to 3 moles relative to 1 mole of the intermediate compound (M29).
The reaction temperature is usually in the range of −10 to 100 ° C., and the reaction time is usually in the range of 0.1 to 24 hours.
After completion of the reaction, the reaction mixture is poured into water and extracted with an organic solvent and the organic layer is concentrated; the reaction mixture is poured into water and the resulting solid is collected by filtration; or formed in the reaction mixture. The intermediate compound (M35) can be isolated by collecting the resulting solid by filtration. The isolated intermediate compound (M35) can be further purified by recrystallization, chromatography or the like.
A1-NR7The intermediate compound (M1) that is − can be produced by reacting the intermediate compound (M35) with an aminating agent in the presence of copper or a copper compound.
The reaction is usually performed in the presence of a solvent.
Examples of the solvent include alcohols such as water, methanol and ethanol, ethers such as 1,4-dioxane, diethyl ether and THF, esters such as ethyl acetate and butyl acetate, dichloromethane, chloroform, carbon tetrachloride, 1, Examples thereof include halogenated hydrocarbons such as 2-dichloroethane, nitriles such as acetonitrile, aprotic polar solvents such as DMF, NMP and DMSO, nitrogen-containing aromatic compounds such as pyridine and quinoline, and mixtures thereof.
Examples of the aminating agent include ammonia, aqueous ammonia and lithium amide.
Examples of the copper compound include copper iodide (I), copper oxide (I), copper oxide (II), acetylacetone copper (II), copper acetate (II), copper sulfate (II) and the like.
The reaction can be carried out by adding a ligand as necessary. Examples of the ligand include acetylacetone, salen, and phenanthroline.
The reaction can be carried out by adding a base as necessary. Examples of the base include pyridine, picoline, 2,6-lutidine, DBU, nitrogen-containing heterocyclic compounds such as 1,5-diazabicyclo [4.3.0] -5-nonene, triethylamine, N-ethyldiisopropylamine and the like. Inorganic bases such as tertiary amines, tripotassium phosphate, potassium carbonate, cesium carbonate, sodium hydroxide and the like can be mentioned.
The aminating agent is usually used in a proportion of 1 to 5 mol, and copper or a copper compound is usually used in a proportion of 0.02 to 0.5 mol per 1 mol of the intermediate compound (M35). Is usually used in a proportion of 0.02 to 2 mol, and the base is usually used in a proportion of 1 to 5 mol.
The reaction temperature is usually in the range of 30 to 200 ° C., and the reaction time is usually in the range of 0.1 to 48 hours.
After completion of the reaction, the reaction mixture is poured into water and extracted with an organic solvent and the organic layer is concentrated; the reaction mixture is poured into water and the resulting solid is collected by filtration; or formed in the reaction mixture. By collecting the solid obtained by filtration1-NR7The intermediate compound (M1) which is-can be isolated. Isolated A1-NR7The intermediate compound (M1) which is-can be further purified by recrystallization, chromatography or the like.
(Production method 13)
After the intermediate compound (M32) is produced by nitration of the intermediate compound (M31), the intermediate compound (M32) thus obtained is reduced to reduce A in formula (M1).1Intermediate compound (M1) in which is an oxygen atom can be produced.
[Wherein the symbols have the same meaning as in formula (1). ]
Intermediate compound (M32) can be produced according to the method of production method 11 using intermediate compound (M31) instead of intermediate compound (M29).
Substituting the intermediate compound (M32) for the intermediate compound (M30), A1Intermediate compound (M1) in which is an oxygen atom can be produced.
(Production method 14)
In the formula (M1), an intermediate compound (M34) is produced by reacting the intermediate compound (M33) with a sulfurizing agent, and then the obtained intermediate compound (M34) is reacted with a reducing agent. A1Intermediate compound (M1) in which is a sulfur atom can be produced.
[Wherein the symbols have the same meaning as in formula (1). ]
Intermediate compound (M34) can be produced by reacting intermediate compound (M33) with thiourea in the presence of a base.
The reaction is usually performed in the presence of a solvent.
Examples of the solvent include alcohols such as methanol and ethanol, water, and a mixture thereof.
Examples of the base include alkali metal hydroxides such as sodium hydroxide and potassium hydroxide.
In this reaction, thiourea is usually used in a proportion of 0.5 to 3 mol and a base is usually used in a proportion of 1 to 10 mol with respect to 1 mol of the intermediate compound (M33).
The reaction temperature is usually in the range of 0 to 100 ° C. The reaction time is usually in the range of 0.1 to 24 hours.
After completion of the reaction, an intermediate compound (M34) can be isolated by performing post-treatment operations such as addition of an acid to the reaction mixture, extraction with an organic solvent, and drying and concentration of the organic layer. . The isolated intermediate compound (M34) can also be purified by chromatography, recrystallization and the like.
A1The intermediate compound (M1) in which is a sulfur atom can be produced by reacting the intermediate compound (M34) with a reducing agent.
The reduction reaction can be performed, for example, in the presence of a reducing agent; an acid such as hydrochloric acid or acetic acid; and water.
The reaction is usually performed in the presence of a solvent.
Examples of the solvent include ethers such as THF, ethylene glycol dimethyl ether, tert-butyl methyl ether, and 1,4-dioxane, esters such as ethyl acetate and butyl acetate, alcohols such as methanol and ethanol, DMF, NMP, and DMSO. And aprotic polar solvents such as and mixtures thereof.
Examples of the reducing agent include metal powder such as iron powder and zinc powder, and tin dichloride.
In the reaction, metal powder or tin dichloride is usually used at a ratio of 3 to 10 mol with respect to 1 mol of the intermediate compound (M34).
The reaction temperature is usually in the range of 0 to 100 ° C. The reaction time is usually in the range of 0.1 to 24 hours.
After completion of the reaction, water is added to the reaction mixture, followed by extraction with an organic solvent, and post-treatment operations such as drying and concentration of the organic layer.1The intermediate compound (M1) in which is a sulfur atom can be isolated. Isolated A1The intermediate compound (M1) in which is a sulfur atom can also be purified by chromatography, recrystallization and the like.
(Production method 15)
R8An intermediate compound (P7) in which is a C1-C6 perfluoroalkyl group is R8Can be produced by reacting the intermediate compound (P4) in which is a halogen atom with the compound (M11) or the compound (M11 ′) in the presence of copper or a copper compound.
[Wherein V1Represents a halogen atom, Rf represents a C1-C6 perfluoroalkyl group, and other symbols have the same meanings as in formula (1). ]
The reaction is usually performed in the presence of a solvent.
Examples of the solvent include aromatic hydrocarbons such as toluene and xylene, aprotic polar solvents such as DMF, NMP, and DMSO, and mixtures thereof.
Examples of the copper compound include copper (I) iodide.
When the compound (M11) is used in the reaction, the compound (M11) is usually used in a proportion of 1 to 10 mol and the copper compound is usually used in a proportion of 0.5 to 10 mol with respect to 1 mol of the intermediate compound (P4). It is done.
The reaction temperature is usually in the range of 100 to 200 ° C. The reaction time is usually in the range of 0.5 to 48 hours.
In the case of using the compound (M11 ′) in the reaction, potassium fluoride may be added. The compound (M11 ′) is usually in a proportion of 1 to 10 mol, copper or copper compound is usually in a proportion of 0.1 to 10 mol, and potassium fluoride is usually in a proportion of 0.1 to 1 mol of the intermediate compound (P4). Used in a proportion of 5 moles.
The reaction temperature is usually in the range of 0 to 150 ° C. The reaction time is usually in the range of 0.5 to 48 hours.
After completion of the reaction, the intermediate compound (P7) can be isolated by performing post-treatment operations such as extraction of the reaction mixture with an organic solvent and drying and concentration of the organic layer. The isolated intermediate compound (P7) can be further purified by chromatography, recrystallization and the like.
In the reaction, V1As for, a bromine atom and an iodine atom are preferable.
Next, specific examples of the compound of the present invention are shown below.
Formula (1)
R2, R3, R4, R5, R7And R9Is a hydrogen atom and R8Is a trifluoromethyl group and R1, A1And n is a combination of the compounds described in [Table 1] to [Table 14].
In formula (1), R2Is a fluorine atom and R3, R4, R5, R7And R9Is a hydrogen atom and R8Is a trifluoromethyl group and R1, A1And n is a combination described in [Table 1] to [Table 14].
In formula (1), R3Is a fluorine atom and R2, R4, R5, R7And R9Is a hydrogen atom and R8Is a trifluoromethyl group and R1, A1And n is a combination described in [Table 1] to [Table 14].
In formula (1), R4Is a fluorine atom and R2, R3, R5, R7And R9Is a hydrogen atom and R8Is a trifluoromethyl group and R1, A1And n is a combination described in [Table 1] to [Table 14].
In formula (1), R5Is a fluorine atom and R2, R3, R4, R7And R9Is a hydrogen atom and R8Is a trifluoromethyl group and R1, A1And n is a combination described in [Table 1] to [Table 14].
In formula (1), R2Is a chlorine atom and R3, R4, R5, R7And R9Is a hydrogen atom and R8Is a trifluoromethyl group and R1, A1And n is a combination described in [Table 1] to [Table 14].
In formula (1), R3Is a chlorine atom and R2, R4, R5, R7And R9Is a hydrogen atom and R8Is a trifluoromethyl group and R1, A1And n is a combination described in [Table 1] to [Table 14].
In formula (1), R4Is a chlorine atom and R2, R3, R5, R7And R9Is a hydrogen atom and R8Is a trifluoromethyl group and R1, A1And n is a combination described in [Table 1] to [Table 14].
In formula (1), R5Is a chlorine atom and R2, R3, R4, R7And R9Is a hydrogen atom and R8Is a trifluoromethyl group and R1, A1And n is a combination described in [Table 1] to [Table 14].
In formula (1), R2Is a bromine atom and R3, R4, R5, R7And R9Is a hydrogen atom and R8Is a trifluoromethyl group and R1, A1And n is a combination described in [Table 1] to [Table 14].
In formula (1), R3Is a bromine atom and R2, R4, R5, R7And R9Is a hydrogen atom and R8Is a trifluoromethyl group and R1, A1And n is a combination described in [Table 1] to [Table 14].
In formula (1), R4Is a bromine atom and R2, R3, R5, R7And R9Is a hydrogen atom and R8Is a trifluoromethyl group and R1, A1And n is a combination described in [Table 1] to [Table 14].
In formula (1), R5Is a bromine atom and R2, R3, R4, R7And R9Is a hydrogen atom and R8Is a trifluoromethyl group and R1, A1And n is a combination described in [Table 1] to [Table 14].
In formula (1), R2Is a methyl group and R3, R4, R5, R7And R9Is a hydrogen atom and R8Is a trifluoromethyl group and R1, A1And n is a combination described in [Table 1] to [Table 14].
In formula (1), R3Is a methyl group and R2, R4, R5, R7And R9Is a hydrogen atom and R8Is a trifluoromethyl group and R1, A1And n is a combination described in [Table 1] to [Table 14].
In formula (1), R4Is a methyl group and R2, R3, R5, R7And R9Is a hydrogen atom and R8Is a trifluoromethyl group and R1, A1And n is a combination described in [Table 1] to [Table 14].
In formula (1), R5Is a methyl group and R2, R3, R4, R7And R9Is a hydrogen atom and R8Is a trifluoromethyl group and R1, A1And n is a combination described in [Table 1] to [Table 14].
In formula (1), R2Is an ethyl group and R3, R4, R5, R7And R9Is a hydrogen atom and R8Is a trifluoromethyl group and R1, A1And n is a combination described in [Table 1] to [Table 14].
In formula (1), R3Is an ethyl group and R2, R4, R5, R7And R9Is a hydrogen atom and R8Is a trifluoromethyl group and R1, A1And n is a combination described in [Table 1] to [Table 14].
In formula (1), R4Is an ethyl group and R2, R3, R5, R7And R9Is a hydrogen atom and R8Is a trifluoromethyl group and R1, A1And n is a combination described in [Table 1] to [Table 14].
In formula (1), R5Is an ethyl group and R2, R3, R4, R7And R9Is a hydrogen atom and R8Is a trifluoromethyl group and R1, A1And n is a combination described in [Table 1] to [Table 14].
In formula (1), R2Is a trifluoromethyl group and R3, R4, R5, R7And R9Is a hydrogen atom and R8Is a trifluoromethyl group and R1, A1And n is a combination described in [Table 1] to [Table 14].
In formula (1), R3Is a trifluoromethyl group and R2, R4, R5, R7And R9Is a hydrogen atom and R8Is a trifluoromethyl group and R1, A1And n is a combination described in [Table 1] to [Table 14].
In formula (1), R4Is a trifluoromethyl group and R2, R3, R5, R7And R9Is a hydrogen atom and R8Is a trifluoromethyl group and R1, A1And n is a combination described in [Table 1] to [Table 14].
In formula (1), R5Is a trifluoromethyl group and R2, R3, R4, R7And R9Is a hydrogen atom and R8Is a trifluoromethyl group and R1, A1And n is a combination described in [Table 1] to [Table 14].
In formula (1), R3Is a pentafluoroethyl group and R2, R4, R5, R7And R9Is a hydrogen atom and R8Is a trifluoromethyl group and R1, A1And n is a combination described in [Table 1] to [Table 14].
In formula (1), R3Is a heptafluoropropyl group and R2, R4, R5, R7And R9Is a hydrogen atom and R8Is a trifluoromethyl group and R1, A1And n is a combination described in [Table 1] to [Table 14].
In formula (1), R3Is a trifluoromethoxy group and R2, R4, R5, R7And R9Is a hydrogen atom and R8Is a trifluoromethyl group and R1, A1And n is a combination described in [Table 1] to [Table 14].
In formula (1), R3Is a 2-pyridyl group and R2, R4, R5, R7And R9Is a hydrogen atom and R8Is a trifluoromethyl group and R1, A1And n is a combination described in [Table 1] to [Table 14].
In formula (1), R3Is a 3-chloro-2-pyridyl group and R2, R4, R5, R7And R9Is a hydrogen atom and R8Is a trifluoromethyl group and R1, A1And n is a combination described in [Table 1] to [Table 14].
In formula (1), R3Is a 2-pyrimidinyl group and R2, R4, R5, R7And R9Is a hydrogen atom and R8Is a trifluoromethyl group and R1, A1And n is a combination described in [Table 1] to [Table 14].
In formula (1), R3-SF5And R2, R4, R5, R7And R9Is a hydrogen atom and R8Is a trifluoromethyl group and R1, A1And n is a combination described in [Table 1] to [Table 14].
In formula (1), R2, R3, R4, R5, R7And R9Is a hydrogen atom and R8Is a pentafluoroethyl group and R1, A1And n is a combination described in [Table 1] to [Table 14].
In formula (1), R2Is a fluorine atom and R3, R4, R5, R7And R9Is a hydrogen atom and R8Is a pentafluoroethyl group and R1, A1And n is a combination described in [Table 1] to [Table 14].
In formula (1), R3Is a fluorine atom and R2, R4, R5, R7And R9Is a hydrogen atom and R8Is a pentafluoroethyl group and R1, A1And n is a combination described in [Table 1] to [Table 14].
In formula (1), R4Is a fluorine atom and R2, R3, R5, R7And R9Is a hydrogen atom and R8Is a pentafluoroethyl group and R1, A1And n is a combination described in [Table 1] to [Table 14].
In formula (1), R5Is a fluorine atom and R2, R3, R4, R7And R9Is a hydrogen atom and R8Is a pentafluoroethyl group and R1, A1And n is a combination described in [Table 1] to [Table 14].
In formula (1), R2Is a chlorine atom and R3, R4, R5, R7And R9Is a hydrogen atom and R8Is a pentafluoroethyl group and R1, A1And n is a combination described in [Table 1] to [Table 14].
In formula (1), R3Is a chlorine atom and R2, R4, R5, R7And R9Is a hydrogen atom and R8Is a pentafluoroethyl group and R1, A1And n is a combination described in [Table 1] to [Table 14].
In formula (1), R4Is a chlorine atom and R2, R3, R5, R7And R9Is a hydrogen atom and R8Is a pentafluoroethyl group and R1, A1And n is a combination described in [Table 1] to [Table 14].
In formula (1), R5Is a chlorine atom and R2, R3, R4, R7And R9Is a hydrogen atom and R8Is a pentafluoroethyl group and R1, A1And n is a combination described in [Table 1] to [Table 14].
In formula (1), R2Is a bromine atom and R3, R4, R5, R7And R9Is a hydrogen atom and R8Is a pentafluoroethyl group and R1, A1And n is a combination described in [Table 1] to [Table 14].
In formula (1), R3Is a bromine atom and R2, R4, R5, R7And R9Is a hydrogen atom and R8Is a pentafluoroethyl group and R1, A1And n is a combination described in [Table 1] to [Table 14].
In formula (1), R4Is a bromine atom and R2, R3, R5, R7And R9Is a hydrogen atom and R8Is a pentafluoroethyl group and R1, A1And n is a combination described in [Table 1] to [Table 14].
In formula (1), R5Is a bromine atom and R2, R3, R4, R7And R9Is a hydrogen atom and R8Is a pentafluoroethyl group and R1, A1And n is a combination described in [Table 1] to [Table 14].
In formula (1), R2Is a methyl group and R3, R4, R5, R7And R9Is a hydrogen atom and R8Is a pentafluoroethyl group and R1, A1And n is a combination described in [Table 1] to [Table 14].
In formula (1), R3Is a methyl group and R2, R4, R5, R7And R9Is a hydrogen atom and R8Is a pentafluoroethyl group and R1, A1And n is a combination described in [Table 1] to [Table 14].
In formula (1), R4Is a methyl group and R2, R3, R5, R7And R9Is a hydrogen atom and R8Is a pentafluoroethyl group and R1, A1And n is a combination described in [Table 1] to [Table 14].
In formula (1), R5Is a methyl group and R2, R3, R4, R7And R9Is a hydrogen atom and R8Is a pentafluoroethyl group and R1, A1And n is a combination described in [Table 1] to [Table 14].
In formula (1), R2Is an ethyl group and R3, R4, R5, R7And R9Is a hydrogen atom and R8Is a pentafluoroethyl group and R1, A1And n is a combination described in [Table 1] to [Table 14].
In formula (1), R3Is an ethyl group and R2, R4, R5, R7And R9Is a hydrogen atom and R8Is a pentafluoroethyl group and R1, A1And n is a combination described in [Table 1] to [Table 14].
In formula (1), R4Is an ethyl group and R2, R3, R5, R7And R9Is a hydrogen atom and R8Is a pentafluoroethyl group and R1, A1And n is a combination described in [Table 1] to [Table 14].
In formula (1), R5Is an ethyl group and R2, R3, R4, R7And R9Is a hydrogen atom and R8Is a pentafluoroethyl group and R1, A1And n is a combination described in [Table 1] to [Table 14].
In formula (1), R2Is a trifluoromethyl group and R3, R4, R5, R7And R9Is a hydrogen atom and R8Is a pentafluoroethyl group and R1, A1And n is a combination described in [Table 1] to [Table 14].
In formula (1), R3Is a trifluoromethyl group and R2, R4, R5, R7And R9Is a hydrogen atom and R8Is a pentafluoroethyl group and R1, A1And n is a combination described in [Table 1] to [Table 14].
In formula (1), R4Is a trifluoromethyl group and R2, R3, R5, R7And R9Is a hydrogen atom and R8Is a pentafluoroethyl group and R1, A1And n is a combination described in [Table 1] to [Table 14].
In formula (1), R5Is a trifluoromethyl group and R2, R3, R4, R7And R9Is a hydrogen atom and R8Is a pentafluoroethyl group and R1, A1And n is a combination described in [Table 1] to [Table 14].
In formula (1), R3Is a pentafluoroethyl group and R2, R4, R5, R7And R9Is a hydrogen atom and R8Is a pentafluoroethyl group and R1, A1And n is a combination described in [Table 1] to [Table 14].
In formula (1), R3Is a heptafluoropropyl group and R2, R4, R5, R7And R9Is a hydrogen atom and R8Is a pentafluoroethyl group and R1, A1And n is a combination described in [Table 1] to [Table 14].
In formula (1), R3Is a trifluoromethoxy group and R2, R4, R5, R7And R9Is a hydrogen atom and R8Is a pentafluoroethyl group and R1, A1And n is a combination described in [Table 1] to [Table 14].
In formula (1), R3Is a 2-pyridyl group and R2, R4, R5, R7And R9Is a hydrogen atom and R8Is a pentafluoroethyl group and R1, A1And n is a combination described in [Table 1] to [Table 14].
In formula (1), R3Is a 3-chloro-2-pyridyl group and R2, R4, R5, R7And R9Is a hydrogen atom and R8Is a pentafluoroethyl group and R1, A1And n is a combination described in [Table 1] to [Table 14].
In formula (1), R3Is a 2-pyrimidinyl group and R2, R4, R5, R7And R9Is a hydrogen atom and R8Is a pentafluoroethyl group and R1, A1And n is a combination described in [Table 1] to [Table 14].
In formula (1), R3-SF5And R2, R4, R5, R7And R9Is a hydrogen atom and R8Is a pentafluoroethyl group and R1, A1And n is a combination described in [Table 1] to [Table 14].
In formula (1), R2, R3, R4, R5, R7And R9Is a hydrogen atom and R8Is a heptafluoroisopropyl group and R1, A1And n is a combination described in [Table 1] to [Table 14].
In formula (1), R2Is a fluorine atom and R3, R4, R5, R7And R9Is a hydrogen atom and R8Is a heptafluoroisopropyl group and R1, A1And n is a combination described in [Table 1] to [Table 14].
In formula (1), R3Is a fluorine atom and R2, R4, R5, R7And R9Is a hydrogen atom and R8Is a heptafluoroisopropyl group and R1, A1And n is a combination described in [Table 1] to [Table 14].
In formula (1), R4Is a fluorine atom and R2, R3, R5, R7And R9Is a hydrogen atom and R8Is a heptafluoroisopropyl group and R1, A1And n is a combination described in [Table 1] to [Table 14].
In formula (1), R5Is a fluorine atom and R2, R3, R4, R7And R9Is a hydrogen atom and R8Is a heptafluoroisopropyl group and R1, A1And n is a combination described in [Table 1] to [Table 14].
In formula (1), R2Is a chlorine atom and R3, R4, R5, R7And R9Is a hydrogen atom and R8Is a heptafluoroisopropyl group and R1, A1And n is a combination described in [Table 1] to [Table 14].
In formula (1), R3Is a chlorine atom and R2, R4, R5, R7And R9Is a hydrogen atom and R8Is a heptafluoroisopropyl group and R1, A1And n is a combination described in [Table 1] to [Table 14].
In formula (1), R4Is a chlorine atom and R2, R3, R5, R7And R9Is a hydrogen atom and R8Is a heptafluoroisopropyl group and R1, A1And n is a combination described in [Table 1] to [Table 14].
In formula (1), R5Is a chlorine atom and R2, R3, R4, R7And R9Is a hydrogen atom and R8Is a heptafluoroisopropyl group and R1, A1And n is a combination described in [Table 1] to [Table 14].
In formula (1), R2Is a bromine atom and R3, R4, R5, R7And R9Is a hydrogen atom and R8Is a heptafluoroisopropyl group and R1, A1And n is a combination described in [Table 1] to [Table 14].
In formula (1), R3Is a bromine atom and R2, R4, R5, R7And R9Is a hydrogen atom and R8Is a heptafluoroisopropyl group and R1, A1And n is a combination described in [Table 1] to [Table 14].
In formula (1), R4Is a bromine atom and R2, R3, R5, R7And R9Is a hydrogen atom and R8Is a heptafluoroisopropyl group and R1, A1And n is a combination described in [Table 1] to [Table 14].
In formula (1), R5Is a bromine atom and R2, R3, R4, R7And R9Is a hydrogen atom and R8Is a heptafluoroisopropyl group and R1, A1And n is a combination described in [Table 1] to [Table 14].
In formula (1), R2Is a methyl group and R3, R4, R5, R7And R9Is a hydrogen atom and R8Is a heptafluoroisopropyl group and R1, A1And n is a combination described in [Table 1] to [Table 14].
In formula (1), R3Is a methyl group and R2, R4, R5, R7And R9Is a hydrogen atom and R8Is a heptafluoroisopropyl group and R1, A1And n is a combination described in [Table 1] to [Table 14].
In formula (1), R4Is a methyl group and R2, R3, R5, R7And R9Is a hydrogen atom and R8Is a heptafluoroisopropyl group and R1, A1And n is a combination described in [Table 1] to [Table 14].
In formula (1), R5Is a methyl group and R2, R3, R4, R7And R9Is a hydrogen atom and R8Is a heptafluoroisopropyl group and R1, A1And n is a combination described in [Table 1] to [Table 14].
In formula (1), R2Is an ethyl group and R3, R4, R5, R7And R9Is a hydrogen atom and R8Is a heptafluoroisopropyl group and R1, A1And n is a combination described in [Table 1] to [Table 14].
In formula (1), R3Is an ethyl group and R2, R4, R5, R7And R9Is a hydrogen atom and R8Is a heptafluoroisopropyl group and R1, A1And n is a combination described in [Table 1] to [Table 14].
In formula (1), R4Is an ethyl group and R2, R3, R5, R7And R9Is a hydrogen atom and R8Is a heptafluoroisopropyl group and R1, A1And n is a combination described in [Table 1] to [Table 14].
In formula (1), R5Is an ethyl group and R2, R3, R4, R7And R9Is a hydrogen atom and R8Is a heptafluoroisopropyl group and R1, A1And n is a combination described in [Table 1] to [Table 14].
In formula (1), R2Is a trifluoromethyl group and R3, R4, R5, R7And R9Is a hydrogen atom and R8Is a heptafluoroisopropyl group and R1, A1And n is a combination described in [Table 1] to [Table 14].
In formula (1), R3Is a trifluoromethyl group and R2, R4, R5, R7And R9Is a hydrogen atom and R8Is a heptafluoroisopropyl group and R1, A1And n is a combination described in [Table 1] to [Table 14].
In formula (1), R4Is a trifluoromethyl group and R2, R3, R5, R7And R9Is a hydrogen atom and R8Is a heptafluoroisopropyl group and R1, A1And n is a combination described in [Table 1] to [Table 14].
In formula (1), R5Is a trifluoromethyl group and R2, R3, R4, R7And R9Is a hydrogen atom and R8Is a heptafluoroisopropyl group and R1, A1And n is a combination described in [Table 1] to [Table 14].
In formula (1), R3Is a pentafluoroethyl group and R2, R4, R5, R7And R9Is a hydrogen atom and R8Is a heptafluoroisopropyl group and R1, A1And n is a combination described in [Table 1] to [Table 14].
In formula (1), R3Is a heptafluoropropyl group and R2, R4, R5, R7And R9Is a hydrogen atom and R8Is a heptafluoroisopropyl group and R1, A1And n is a combination described in [Table 1] to [Table 14].
In formula (1), R3Is a trifluoromethoxy group and R2, R4, R5, R7And R9Is a hydrogen atom and R8Is a heptafluoroisopropyl group and R1, A1And n is a combination described in [Table 1] to [Table 14].
In formula (1), R3Is a 2-pyridyl group and R2, R4, R5, R7And R9Is a hydrogen atom and R8Is a heptafluoroisopropyl group and R1, A1And n is a combination described in [Table 1] to [Table 14].
In formula (1), R3Is a 3-chloro-2-pyridyl group and R2, R4, R5, R7And R9Is a hydrogen atom and R8Is a heptafluoroisopropyl group and R1, A1And n is a combination described in [Table 1] to [Table 14].
In formula (1), R3Is a 2-pyrimidinyl group and R2, R4, R5, R7And R9Is a hydrogen atom and R8Is a heptafluoroisopropyl group and R1, A1And n is a combination described in [Table 1] to [Table 14].
In formula (1), R3-SF5And R2, R4, R5, R7And R9Is a hydrogen atom and R8Is a heptafluoroisopropyl group and R1, A1And n is a combination described in [Table 1] to [Table 14].
In formula (1), R2, R3, R4, R5, R7And R9Is a hydrogen atom and R8Is a trifluoromethoxy group and R1, A1And n is a combination described in [Table 1] to [Table 14].
In formula (1), R2Is a fluorine atom and R3, R4, R5, R7And R9Is a hydrogen atom and R8Is a trifluoromethoxy group and R1, A1And n is a combination described in [Table 1] to [Table 14].
In formula (1), R3Is a fluorine atom and R2, R4, R5, R7And R9Is a hydrogen atom and R8Is a trifluoromethoxy group and R1, A1And n is a combination described in [Table 1] to [Table 14].
In formula (1), R4Is a fluorine atom and R2, R3, R5, R7And R9Is a hydrogen atom and R8Is a trifluoromethoxy group and R1, A1And n is a combination described in [Table 1] to [Table 14].
In formula (1), R5Is a fluorine atom and R2, R3, R4, R7And R9Is a hydrogen atom and R8Is a trifluoromethoxy group and R1, A1And n is a combination described in [Table 1] to [Table 14].
In formula (1), R2Is a chlorine atom and R3, R4, R5, R7And R9Is a hydrogen atom and R8Is a trifluoromethoxy group and R1, A1And n is a combination described in [Table 1] to [Table 14].
In formula (1), R3Is a chlorine atom and R2, R4, R5, R7And R9Is a hydrogen atom and R8Is a trifluoromethoxy group and R1, A1And n is a combination described in [Table 1] to [Table 14].
In formula (1), R4Is a chlorine atom and R2, R3, R5, R7And R9Is a hydrogen atom and R8Is a trifluoromethoxy group and R1, A1And n is a combination described in [Table 1] to [Table 14].
In formula (1), R5Is a chlorine atom and R2, R3, R4, R7And R9Is a hydrogen atom and R8Is a trifluoromethoxy group and R1, A1And n is a combination described in [Table 1] to [Table 14].
In formula (1), R2Is a bromine atom and R3, R4, R5, R7And R9Is a hydrogen atom and R8Is a trifluoromethoxy group and R1, A1And n is a combination described in [Table 1] to [Table 14].
In formula (1), R3Is a bromine atom and R2, R4, R5, R7And R9Is a hydrogen atom and R8Is a trifluoromethoxy group and R1, A1And n is a combination described in [Table 1] to [Table 14].
In formula (1), R4Is a bromine atom and R2, R3, R5, R7And R9Is a hydrogen atom and R8Is a trifluoromethoxy group and R1, A1And n is a combination described in [Table 1] to [Table 14].
In formula (1), R5Is a bromine atom and R2, R3, R4, R7And R9Is a hydrogen atom and R8Is a trifluoromethoxy group and R1, A1And n is a combination described in [Table 1] to [Table 14].
In formula (1), R2Is a methyl group and R3, R4, R5, R7And R9Is a hydrogen atom and R8Is a trifluoromethoxy group and R1, A1And n is a combination described in [Table 1] to [Table 14].
In formula (1), R3Is a methyl group and R2, R4, R5, R7And R9Is a hydrogen atom and R8Is a trifluoromethoxy group and R1, A1And n is a combination described in [Table 1] to [Table 14].
In formula (1), R4Is a methyl group and R2, R3, R5, R7And R9Is a hydrogen atom and R8Is a trifluoromethoxy group and R1, A1And n is a combination described in [Table 1] to [Table 14].
In formula (1), R5Is a methyl group and R2, R3, R4, R7And R9Is a hydrogen atom and R8Is a trifluoromethoxy group and R1, A1And n is a combination described in [Table 1] to [Table 14].
In formula (1), R2Is an ethyl group and R3, R4, R5, R7And R9Is a hydrogen atom and R8Is a trifluoromethoxy group and R1, A1And n is a combination described in [Table 1] to [Table 14].
In formula (1), R3Is an ethyl group and R2, R4, R5, R7And R9Is a hydrogen atom and R8Is a trifluoromethoxy group and R1, A1And n is a combination described in [Table 1] to [Table 14].
In formula (1), R4Is an ethyl group and R2, R3, R5, R7And R9Is a hydrogen atom and R8Is a trifluoromethoxy group and R1, A1And n is a combination described in [Table 1] to [Table 14].
In formula (1), R5Is an ethyl group and R2, R3, R4, R7And R9Is a hydrogen atom and R8Is a trifluoromethoxy group and R1, A1And n is a combination described in [Table 1] to [Table 14].
In formula (1), R2Is a trifluoromethyl group and R3, R4, R5, R7And R9Is a hydrogen atom and R8Is a trifluoromethoxy group and R1, A1And n is a combination described in [Table 1] to [Table 14].
In formula (1), R3Is a trifluoromethyl group and R2, R4, R5, R7And R9Is a hydrogen atom and R8Is a trifluoromethoxy group and R1, A1And n is a combination described in [Table 1] to [Table 14].
In formula (1), R4Is a trifluoromethyl group and R2, R3, R5, R7And R9Is a hydrogen atom and R8Is a trifluoromethoxy group and R1, A1And n is a combination described in [Table 1] to [Table 14].
In formula (1), R5Is a trifluoromethyl group and R2, R3, R4, R7And R9Is a hydrogen atom and R8Is a trifluoromethoxy group and R1, A1And n is a combination described in [Table 1] to [Table 14].
In formula (1), R3Is a pentafluoroethyl group and R2, R4, R5, R7And R9Is a hydrogen atom and R8Is a trifluoromethoxy group and R1, A1And n is a combination described in [Table 1] to [Table 14].
In formula (1), R3Is a heptafluoropropyl group and R2, R4, R5, R7And R9Is a hydrogen atom and R8Is a trifluoromethoxy group and R1, A1And n is a combination described in [Table 1] to [Table 14].
In formula (1), R3Is a trifluoromethoxy group and R2, R4, R5, R7And R9Is a hydrogen atom and R8Is a trifluoromethoxy group and R1, A1And n is a combination described in [Table 1] to [Table 14].
In formula (1), R3Is a 2-pyridyl group and R2, R4, R5, R7And R9Is a hydrogen atom and R8Is a trifluoromethoxy group and R1, A1And n is a combination described in [Table 1] to [Table 14].
In formula (1), R3Is a 3-chloro-2-pyridyl group and R2, R4, R5, R7And R9Is a hydrogen atom and R8Is a trifluoromethoxy group and R1, A1And n is a combination described in [Table 1] to [Table 14].
In formula (1), R3Is a 2-pyrimidinyl group and R2, R4, R5, R7And R9Is a hydrogen atom and R8Is a trifluoromethoxy group and R1, A1And n is a combination described in [Table 1] to [Table 14].
In formula (1), R3-SF5And R2, R4, R5, R7And R9Is a hydrogen atom and R8Is a trifluoromethoxy group and R1, A1And n is a combination described in [Table 1] to [Table 14].
In formula (1), R2, R3, R4, R5, R7And R9Is a hydrogen atom and R8Is a trifluoromethylsulfanyl group and R1, A1And n is a combination described in [Table 1] to [Table 14].
In formula (1), R2Is a fluorine atom and R3, R4, R5, R7And R9Is a hydrogen atom and R8Is a trifluoromethylsulfanyl group and R1, A1And n is a combination described in [Table 1] to [Table 14].
In formula (1), R3Is a fluorine atom and R2, R4, R5, R7And R9Is a hydrogen atom and R8Is a trifluoromethylsulfanyl group and R1, A1And n is a combination described in [Table 1] to [Table 14].
In formula (1), R4Is a fluorine atom and R2, R3, R5, R7And R9Is a hydrogen atom and R8Is a trifluoromethylsulfanyl group and R1, A1And n is a combination described in [Table 1] to [Table 14].
In formula (1), R5Is a fluorine atom and R2, R3, R4, R7And R9Is a hydrogen atom and R8Is a trifluoromethylsulfanyl group and R1, A1And n is a combination described in [Table 1] to [Table 14].
In formula (1), R2Is a chlorine atom and R3, R4, R5, R7And R9Is a hydrogen atom and R8Is a trifluoromethylsulfanyl group and R1, A1And n is a combination described in [Table 1] to [Table 14].
In formula (1), R3Is a chlorine atom and R2, R4, R5, R7And R9Is a hydrogen atom and R8Is a trifluoromethylsulfanyl group and R1, A1And n is a combination described in [Table 1] to [Table 14].
In formula (1), R4Is a chlorine atom and R2, R3, R5, R7And R9Is a hydrogen atom and R8Is a trifluoromethylsulfanyl group and R1, A1And n is a combination described in [Table 1] to [Table 14].
In formula (1), R5Is a chlorine atom and R2, R3, R4, R7And R9Is a hydrogen atom and R8Is a trifluoromethylsulfanyl group and R1, A1And n is a combination described in [Table 1] to [Table 14].
In formula (1), R2Is a bromine atom and R3, R4, R5, R7And R9Is a hydrogen atom and R8Is a trifluoromethylsulfanyl group and R1, A1And n is a combination described in [Table 1] to [Table 14].
In formula (1), R3Is a bromine atom and R2, R4, R5, R7And R9Is a hydrogen atom and R8Is a trifluoromethylsulfanyl group and R1, A1And n is a combination described in [Table 1] to [Table 14].
In formula (1), R4Is a bromine atom and R2, R3, R5, R7And R9Is a hydrogen atom and R8Is a trifluoromethylsulfanyl group and R1, A1And n is a combination described in [Table 1] to [Table 14].
In formula (1), R5Is a bromine atom and R2, R3, R4, R7And R9Is a hydrogen atom and R8Is a trifluoromethylsulfanyl group and R1, A1And n is a combination described in [Table 1] to [Table 14].
In formula (1), R2Is a methyl group and R3, R4, R5, R7And R9Is a hydrogen atom and R8Is a trifluoromethylsulfanyl group and R1, A1And n is a combination described in [Table 1] to [Table 14].
In formula (1), R3Is a methyl group and R2, R4, R5, R7And R9Is a hydrogen atom and R8Is a trifluoromethylsulfanyl group and R1, A1And n is a combination described in [Table 1] to [Table 14].
In formula (1), R4Is a methyl group and R2, R3, R5, R7And R9Is a hydrogen atom and R8Is a trifluoromethylsulfanyl group and R1, A1And n is a combination described in [Table 1] to [Table 14].
In formula (1), R5Is a methyl group and R2, R3, R4, R7And R9Is a hydrogen atom and R8Is a trifluoromethylsulfanyl group and R1, A1And n is a combination described in [Table 1] to [Table 14].
In formula (1), R2Is an ethyl group and R3, R4, R5, R7And R9Is a hydrogen atom and R8Is a trifluoromethylsulfanyl group and R1, A1And n is a combination described in [Table 1] to [Table 14].
In formula (1), R3Is an ethyl group and R2, R4, R5, R7And R9Is a hydrogen atom and R8Is a trifluoromethylsulfanyl group and R1, A1And n is a combination described in [Table 1] to [Table 14].
In formula (1), R4Is an ethyl group and R2, R3, R5, R7And R9Is a hydrogen atom and R8Is a trifluoromethylsulfanyl group and R1, A1And n is a combination described in [Table 1] to [Table 14].
In formula (1), R5Is an ethyl group and R2, R3, R4, R7And R9Is a hydrogen atom and R8Is a trifluoromethylsulfanyl group and R1, A1And n is a combination described in [Table 1] to [Table 14].
In formula (1), R2Is a trifluoromethyl group and R3, R4, R5, R7And R9Is a hydrogen atom and R8Is a trifluoromethylsulfanyl group and R1, A1And n is a combination described in [Table 1] to [Table 14].
In formula (1), R3Is a trifluoromethyl group and R2, R4, R5, R7And R9Is a hydrogen atom and R8Is a trifluoromethylsulfanyl group and R1, A1And n is a combination described in [Table 1] to [Table 14].
In formula (1), R4Is a trifluoromethyl group and R2, R3, R5, R7And R9Is a hydrogen atom and R8Is a trifluoromethylsulfanyl group and R1, A1And n is a combination described in [Table 1] to [Table 14].
In formula (1), R5Is a trifluoromethyl group and R2, R3, R4, R7And R9Is a hydrogen atom and R8Is a trifluoromethylsulfanyl group and R1, A1And n is a combination described in [Table 1] to [Table 14].
In formula (1), R3Is a pentafluoroethyl group and R2, R4, R5, R7And R9Is a hydrogen atom and R8Is a trifluoromethylsulfanyl group and R1, A1And n is a combination described in [Table 1] to [Table 14].
In formula (1), R3Is a heptafluoropropyl group and R2, R4, R5, R7And R9Is a hydrogen atom and R8Is a trifluoromethylsulfanyl group and R1, A1And n is a combination described in [Table 1] to [Table 14].
In formula (1), R3Is a trifluoromethoxy group and R2, R4, R5, R7And R9Is a hydrogen atom and R8Is a trifluoromethylsulfanyl group and R1, A1And n is a combination described in [Table 1] to [Table 14].
In formula (1), R3Is a 2-pyridyl group and R2, R4, R5, R7And R9Is a hydrogen atom and R8Is a trifluoromethylsulfanyl group and R1, A1And n is a combination described in [Table 1] to [Table 14].
In formula (1), R3Is a 3-chloro-2-pyridyl group and R2, R4, R5, R7And R9Is a hydrogen atom and R8Is a trifluoromethylsulfanyl group and R1, A1And n is a combination described in [Table 1] to [Table 14].
In formula (1), R3Is a 2-pyrimidinyl group and R2, R4, R5, R7And R9Is a hydrogen atom and R8Is a trifluoromethylsulfanyl group and R1, A1And n is a combination described in [Table 1] to [Table 14].
In formula (1), R3-SF5And R2, R4, R5, R7And R9Is a hydrogen atom and R8Is a trifluoromethylsulfanyl group and R1, A1And n is a combination described in [Table 1] to [Table 14].
In formula (1), R2, R3, R4, R5, R7And R9Is a hydrogen atom and R8Is a trifluoromethylsulfinyl group and R1, A1And n is a combination described in [Table 1] to [Table 14].
In formula (1), R2Is a fluorine atom and R3, R4, R5, R7And R9Is a hydrogen atom and R8Is a trifluoromethylsulfinyl group and R1, A1And n is a combination described in [Table 1] to [Table 14].
In formula (1), R3Is a fluorine atom and R2, R4, R5, R7And R9Is a hydrogen atom and R8Is a trifluoromethylsulfinyl group and R1, A1And n is a combination described in [Table 1] to [Table 14].
In formula (1), R4Is a fluorine atom and R2, R3, R5, R7And R9Is a hydrogen atom and R8Is a trifluoromethylsulfinyl group and R1, A1And n is a combination described in [Table 1] to [Table 14].
In formula (1), R5Is a fluorine atom and R2, R3, R4, R7And R9Is a hydrogen atom and R8Is a trifluoromethylsulfinyl group and R1, A1And n is a combination described in [Table 1] to [Table 14].
In formula (1), R2Is a chlorine atom and R3, R4, R5, R7And R9Is a hydrogen atom and R8Is a trifluoromethylsulfinyl group and R1, A1And n is a combination described in [Table 1] to [Table 14].
In formula (1), R3Is a chlorine atom and R2, R4, R5, R7And R9Is a hydrogen atom and R8Is a trifluoromethylsulfinyl group and R1, A1And n is a combination described in [Table 1] to [Table 14].
In formula (1), R4Is a chlorine atom and R2, R3, R5, R7And R9Is a hydrogen atom and R8Is a trifluoromethylsulfinyl group and R1, A1And n is a combination described in [Table 1] to [Table 14].
In formula (1), R5Is a chlorine atom and R2, R3, R4, R7And R9Is a hydrogen atom and R8Is a trifluoromethylsulfinyl group and R1, A1And n is a combination described in [Table 1] to [Table 14].
In formula (1), R2Is a bromine atom and R3, R4, R5, R7And R9Is a hydrogen atom and R8Is a trifluoromethylsulfinyl group and R1, A1And n is a combination described in [Table 1] to [Table 14].
In formula (1), R3Is a bromine atom and R2, R4, R5, R7And R9Is a hydrogen atom and R8Is a trifluoromethylsulfinyl group and R1, A1And n is a combination described in [Table 1] to [Table 14].
In formula (1), R4Is a bromine atom and R2, R3, R5, R7And R9Is a hydrogen atom and R8Is a trifluoromethylsulfinyl group and R1, A1And n is a combination described in [Table 1] to [Table 14].
In formula (1), R5Is a bromine atom and R2, R3, R4, R7And R9Is a hydrogen atom and R8Is a trifluoromethylsulfinyl group and R1, A1And n is a combination described in [Table 1] to [Table 14].
In formula (1), R2Is a methyl group and R3, R4, R5, R7And R9Is a hydrogen atom and R8Is a trifluoromethylsulfinyl group and R1, A1And n is a combination described in [Table 1] to [Table 14].
In formula (1), R3Is a methyl group and R2, R4, R5, R7And R9Is a hydrogen atom and R8Is a trifluoromethylsulfinyl group and R1, A1And n is a combination described in [Table 1] to [Table 14].
In formula (1), R4Is a methyl group and R2, R3, R5, R7And R9Is a hydrogen atom and R8Is a trifluoromethylsulfinyl group and R1, A1And n is a combination described in [Table 1] to [Table 14].
In formula (1), R5Is a methyl group and R2, R3, R4, R7And R9Is a hydrogen atom and R8Is a trifluoromethylsulfinyl group and R1, A1And n is a combination described in [Table 1] to [Table 14].
In formula (1), R2Is an ethyl group and R3, R4, R5, R7And R9Is a hydrogen atom and R8Is a trifluoromethylsulfinyl group and R1, A1And n is a combination described in [Table 1] to [Table 14].
In formula (1), R3Is an ethyl group and R2, R4, R5, R7And R9Is a hydrogen atom and R8Is a trifluoromethylsulfinyl group and R1, A1And n is a combination described in [Table 1] to [Table 14].
In formula (1), R4Is an ethyl group and R2, R3, R5, R7And R9Is a hydrogen atom and R8Is a trifluoromethylsulfinyl group and R1, A1And n is a combination described in [Table 1] to [Table 14].
In formula (1), R5Is an ethyl group and R2, R3, R4, R7And R9Is a hydrogen atom and R8Is a trifluoromethylsulfinyl group and R1, A1And n is a combination described in [Table 1] to [Table 14].
In formula (1), R2Is a trifluoromethyl group and R3, R4, R5, R7And R9Is a hydrogen atom and R8Is a trifluoromethylsulfinyl group and R1, A1And n is a combination described in [Table 1] to [Table 14].
In formula (1), R3Is a trifluoromethyl group and R2, R4, R5, R7And R9Is a hydrogen atom and R8Is a trifluoromethylsulfinyl group and R1, A1And n is a combination described in [Table 1] to [Table 14].
In formula (1), R4Is a trifluoromethyl group and R2, R3, R5, R7And R9Is a hydrogen atom and R8Is a trifluoromethylsulfinyl group and R1, A1And n is a combination described in [Table 1] to [Table 14].
In formula (1), R5Is a trifluoromethyl group and R2, R3, R4, R7And R9Is a hydrogen atom and R8Is a trifluoromethylsulfinyl group and R1, A1And n is a combination described in [Table 1] to [Table 14].
In formula (1), R3Is a pentafluoroethyl group and R2, R4, R5, R7And R9Is a hydrogen atom and R8Is a trifluoromethylsulfinyl group and R1, A1And n is a combination described in [Table 1] to [Table 14].
In formula (1), R3Is a heptafluoropropyl group and R2, R4, R5, R7And R9Is a hydrogen atom and R8Is a trifluoromethylsulfinyl group and R1, A1And n is a combination described in [Table 1] to [Table 14].
In formula (1), R3Is a trifluoromethoxy group and R2, R4, R5, R7And R9Is a hydrogen atom and R8Is a trifluoromethylsulfinyl group and R1, A1And n is a combination described in [Table 1] to [Table 14].
In formula (1), R3Is a 2-pyridyl group and R2, R4, R5, R7And R9Is a hydrogen atom and R8Is a trifluoromethylsulfinyl group and R1, A1And n is a combination described in [Table 1] to [Table 14].
In formula (1), R3Is a 3-chloro-2-pyridyl group and R2, R4, R5, R7And R9Is a hydrogen atom and R8Is a trifluoromethylsulfinyl group and R1, A1And n is a combination described in [Table 1] to [Table 14].
In formula (1), R3Is a 2-pyrimidinyl group and R2, R4, R5, R7And R9Is a hydrogen atom and R8Is a trifluoromethylsulfinyl group and R1, A1And n is a combination described in [Table 1] to [Table 14].
In formula (1), R3-SF5And R2, R4, R5, R7And R9Is a hydrogen atom and R8Is a trifluoromethylsulfinyl group and R1, A1And n is a combination described in [Table 1] to [Table 14].
In formula (1), R2, R3, R4, R5, R7And R9Is a hydrogen atom and R8Is a trifluoromethylsulfonyl group, R1, A1And n is a combination described in [Table 1] to [Table 14].
In formula (1), R2Is a fluorine atom and R3, R4, R5, R7And R9Is a hydrogen atom and R8Is a trifluoromethylsulfonyl group, R1, A1, And n are the combinations described in [Table 1] to [Table 14].
In formula (1), R3Is a fluorine atom and R2, R4, R5, R7And R9Is a hydrogen atom and R8Is a trifluoromethylsulfonyl group, R1, A1And n is a combination described in [Table 1] to [Table 14].
In formula (1), R4Is a fluorine atom and R2, R3, R5, R7And R9Is a hydrogen atom and R8Is a trifluoromethylsulfonyl group, R1, A1And n is a combination described in [Table 1] to [Table 14].
In formula (1), R5Is a fluorine atom and R2, R3, R4, R7And R9Is a hydrogen atom and R8Is a trifluoromethylsulfonyl group, R1, A1And n is a combination described in [Table 1] to [Table 14].
In formula (1), R2Is a chlorine atom and R3, R4, R5, R7And R9Is a hydrogen atom and R8Is a trifluoromethylsulfonyl group, R1, A1And n is a combination described in [Table 1] to [Table 14].
In formula (1), R3Is a chlorine atom and R2, R4, R5, R7And R9Is a hydrogen atom and R8Is a trifluoromethylsulfonyl group, R1, A1And n is a combination described in [Table 1] to [Table 14].
In formula (1), R4Is a chlorine atom and R2, R3, R5, R7And R9Is a hydrogen atom and R8Is a trifluoromethylsulfonyl group, R1, A1And n is a combination described in [Table 1] to [Table 14].
In formula (1), R5Is a chlorine atom and R2, R3, R4, R7And R9Is a hydrogen atom and R8Is a trifluoromethylsulfonyl group, R1, A1And n is a combination described in [Table 1] to [Table 14].
In formula (1), R2Is a bromine atom and R3, R4, R5, R7And R9Is a hydrogen atom and R8Is a trifluoromethylsulfonyl group, R1, A1And n is a combination described in [Table 1] to [Table 14].
In formula (1), R3Is a bromine atom and R2, R4, R5, R7And R9Is a hydrogen atom and R8Is a trifluoromethylsulfonyl group, R1, A1And n is a combination described in [Table 1] to [Table 14].
In formula (1), R4Is a bromine atom and R2, R3, R5, R7And R9Is a hydrogen atom and R8Is a trifluoromethylsulfonyl group, R1, A1And n is a combination described in [Table 1] to [Table 14].
In formula (1), R5Is a bromine atom and R2, R3, R4, R7And R9Is a hydrogen atom and R8Is a trifluoromethylsulfonyl group, R1, A1And n is a combination described in [Table 1] to [Table 14].
In formula (1), R2Is a methyl group and R3, R4, R5, R7And R9Is a hydrogen atom and R8Is a trifluoromethylsulfonyl group, R1, A1And n is a combination described in [Table 1] to [Table 14].
In formula (1), R3Is a methyl group and R2, R4, R5, R7And R9Is a hydrogen atom and R8Is a trifluoromethylsulfonyl group, R1, A1And n is a combination described in [Table 1] to [Table 14].
In formula (1), R4Is a methyl group and R2, R3, R5, R7And R9Is a hydrogen atom and R8Is a trifluoromethylsulfonyl group, R1, A1And n is a combination described in [Table 1] to [Table 14].
In formula (1), R5Is a methyl group and R2, R3, R4, R7And R9Is a hydrogen atom and R8Is a trifluoromethylsulfonyl group, R1, A1And n is a combination described in [Table 1] to [Table 14].
In formula (1), R2Is an ethyl group and R3, R4, R5, R7And R9Is a hydrogen atom and R8Is a trifluoromethylsulfonyl group, R1, A1And n is a combination described in [Table 1] to [Table 14].
In formula (1), R3Is an ethyl group and R2, R4, R5, R7And R9Is a hydrogen atom and R8Is a trifluoromethylsulfonyl group, R1, A1And n is a combination described in [Table 1] to [Table 14].
In formula (1), R4Is an ethyl group and R2, R3, R5, R7And R9Is a hydrogen atom and R8Is a trifluoromethylsulfonyl group, R1, A1And n is a combination described in [Table 1] to [Table 14].
In formula (1), R5Is an ethyl group and R2, R3, R4, R7And R9Is a hydrogen atom and R8Is a trifluoromethylsulfonyl group, R1, A1And n is a combination described in [Table 1] to [Table 14].
In formula (1), R2Is a trifluoromethyl group and R3, R4, R5, R7And R9Is a hydrogen atom and R8Is a trifluoromethylsulfonyl group, R1, A1And n is a combination described in [Table 1] to [Table 14].
In formula (1), R3Is a trifluoromethyl group and R2, R4, R5, R7And R9Is a hydrogen atom and R8Is a trifluoromethylsulfonyl group, R1, A1And n is a combination described in [Table 1] to [Table 14].
In formula (1), R4Is a trifluoromethyl group and R2, R3, R5, R7And R9Is a hydrogen atom and R8Is a trifluoromethylsulfonyl group, R1, A1And n is a combination described in [Table 1] to [Table 14].
In formula (1), R5Is a trifluoromethyl group and R2, R3, R4, R7And R9Is a hydrogen atom and R8Is a trifluoromethylsulfonyl group, R1, A1And n is a combination described in [Table 1] to [Table 14].
In formula (1), R3Is a pentafluoroethyl group and R2, R4, R5, R7And R9Is a hydrogen atom and R8Is a trifluoromethylsulfonyl group, R1, A1And n is a combination described in [Table 1] to [Table 14].
In formula (1), R3Is a heptafluoropropyl group and R2, R4, R5, R7And R9Is a hydrogen atom and R8Is a trifluoromethylsulfonyl group, R1, A1And n is a combination described in [Table 1] to [Table 14].
In formula (1), R3Is a trifluoromethoxy group and R2, R4, R5, R7And R9Is a hydrogen atom and R8Is a trifluoromethylsulfonyl group, R1, A1And n is a combination described in [Table 1] to [Table 14].
In formula (1), R3Is a 2-pyridyl group and R2, R4, R5, R7And R9Is a hydrogen atom and R8Is a trifluoromethylsulfonyl group, R1, A1And n is a combination described in [Table 1] to [Table 14].
In formula (1), R3Is a 3-chloro-2-pyridyl group and R2, R4, R5, R7And R9Is a hydrogen atom and R8Is a trifluoromethylsulfonyl group, R1, A1And n is a combination described in [Table 1] to [Table 14].
In formula (1), R3Is a 2-pyrimidinyl group and R2, R4, R5, R7And R9Is a hydrogen atom and R8Is a trifluoromethylsulfonyl group, R1, A1And n is a combination described in [Table 1] to [Table 14].
In formula (1), R3-SF5And R2, R4, R5, R7And R9Is a hydrogen atom and R8Is a trifluoromethylsulfonyl group, R1, A1And n is a combination described in [Table 1] to [Table 14].
In formula (1), R2, R3, R4, R5, R7And R9Is a hydrogen atom and R8Is a bromine atom and R1, A1And n is a combination described in [Table 1] to [Table 14].
In formula (1), R2Is a fluorine atom and R3, R4, R5, R7And R9Is a hydrogen atom and R8Is a bromine atom and R1, A1And n is a combination described in [Table 1] to [Table 14].
In formula (1), R3Is a fluorine atom and R2, R4, R5, R7And R9Is a hydrogen atom and R8Is a bromine atom and R1, A1And n is a combination described in [Table 1] to [Table 14].
In formula (1), R4Is a fluorine atom and R2, R3, R5, R7And R9Is a hydrogen atom and R8Is a bromine atom and R1, A1And n is a combination described in [Table 1] to [Table 14].
In formula (1), R5Is a fluorine atom and R2, R3, R4, R7And R9Is a hydrogen atom and R8Is a bromine atom and R1, A1And n is a combination described in [Table 1] to [Table 14].
In formula (1), R2Is a chlorine atom and R3, R4, R5, R7And R9Is a hydrogen atom and R8Is a bromine atom and R1, A1And n is a combination described in [Table 1] to [Table 14].
In formula (1), R3Is a chlorine atom and R2, R4, R5, R7And R9Is a hydrogen atom and R8Is a bromine atom and R1, A1And n is a combination described in [Table 1] to [Table 14].
In formula (1), R4Is a chlorine atom and R2, R3, R5, R7And R9Is a hydrogen atom and R8Is a bromine atom and R1, A1And n is a combination described in [Table 1] to [Table 14].
In formula (1), R5Is a chlorine atom and R2, R3, R4, R7And R9Is a hydrogen atom and R8Is a bromine atom and R1, A1And n is a combination described in [Table 1] to [Table 14].
In formula (1), R2Is a bromine atom and R3, R4, R5, R7And R9Is a hydrogen atom and R8Is a bromine atom and R1, A1And n is a combination described in [Table 1] to [Table 14].
In formula (1), R3Is a bromine atom and R2, R4, R5, R7And R9Is a hydrogen atom and R8Is a bromine atom and R1, A1And n is a combination described in [Table 1] to [Table 14].
In formula (1), R4Is a bromine atom and R2, R3, R5, R7And R9Is a hydrogen atom and R8Is a bromine atom and R1, A1And compounds in which n is a combination described in [Table 1] to [Table 14].
In formula (1), R5Is a bromine atom and R2, R3, R4, R7And R9Is a hydrogen atom and R8Is a bromine atom and R1, A1, And n are the combinations described in [Table 1] to [Table 14].
In formula (1), R2Is a methyl group and R3, R4, R5, R7And R9Is a hydrogen atom and R8Is a bromine atom and R1, A1And n is a combination described in [Table 1] to [Table 14].
In formula (1), R3Is a methyl group and R2, R4, R5, R7And R9Is a hydrogen atom and R8Is a bromine atom and R1, A1And n is a combination described in [Table 1] to [Table 14].
In formula (1), R4Is a methyl group and R2, R3, R5, R7And R9Is a hydrogen atom and R8Is a bromine atom and R1, A1And n is a combination described in [Table 1] to [Table 14].
In formula (1), R5Is a methyl group and R2, R3, R4, R7And R9Is a hydrogen atom and R8Is a bromine atom and R1, A1And n is a combination described in [Table 1] to [Table 14].
In formula (1), R2Is an ethyl group and R3, R4, R5, R7And R9Is a hydrogen atom and R8Is a bromine atom and R1, A1And n is a combination described in [Table 1] to [Table 14].
In formula (1), R3Is an ethyl group and R2, R4, R5, R7And R9Is a hydrogen atom and R8Is a bromine atom and R1, A1And n is a combination described in [Table 1] to [Table 14].
In formula (1), R4Is an ethyl group and R2, R3, R5, R7And R9Is a hydrogen atom and R8Is a bromine atom and R1, A1And n is a combination described in [Table 1] to [Table 14].
In formula (1), R5Is an ethyl group and R2, R3, R4, R7And R9Is a hydrogen atom and R8Is a bromine atom and R1, A1And n is a combination described in [Table 1] to [Table 14].
In formula (1), R2Is a trifluoromethyl group and R3, R4, R5, R7And R9Is a hydrogen atom and R8Is a bromine atom and R1, A1And n is a combination described in [Table 1] to [Table 14].
In formula (1), R3Is a trifluoromethyl group and R2, R4, R5, R7And R9Is a hydrogen atom and R8Is a bromine atom and R1, A1And n is a combination described in [Table 1] to [Table 14].
In formula (1), R4Is a trifluoromethyl group and R2, R3, R5, R7And R9Is a hydrogen atom and R8Is a bromine atom and R1, A1And n is a combination described in [Table 1] to [Table 14].
In formula (1), R5Is a trifluoromethyl group and R2, R3, R4, R7And R9Is a hydrogen atom and R8Is a bromine atom and R1, A1And n is a combination described in [Table 1] to [Table 14].
In formula (1), R3Is a pentafluoroethyl group and R2, R4, R5, R7And R9Is a hydrogen atom and R8Is a bromine atom and R1, A1And n is a combination described in [Table 1] to [Table 14].
In formula (1), R3Is a heptafluoropropyl group and R2, R4, R5, R7And R9Is a hydrogen atom and R8Is a bromine atom and R1, A1And n is a combination described in [Table 1] to [Table 14].
In formula (1), R3Is a trifluoromethoxy group and R2, R4, R5, R7And R9Is a hydrogen atom and R8Is a bromine atom and R1, A1And n is a combination described in [Table 1] to [Table 14].
In formula (1), R3Is a 2-pyridyl group and R2, R4, R5, R7And R9Is a hydrogen atom and R8Is a bromine atom and R1, A1And n is a combination described in [Table 1] to [Table 14].
In formula (1), R3Is a 3-chloro-2-pyridyl group and R2, R4, R5, R7And R9Is a hydrogen atom and R8Is a bromine atom and R1, A1And n is a combination described in [Table 1] to [Table 14].
In formula (1), R3Is a 2-pyrimidinyl group and R2, R4, R5, R7And R9Is a hydrogen atom and R8Is a bromine atom and R1, A1, And n are the combinations described in [Table 1] to [Table 14].
In formula (1), R3-SF5And R2, R4, R5, R7And R9Is a hydrogen atom and R8Is a bromine atom and R1, A1And n is a combination described in [Table 1] to [Table 14].
In formula (1), R2, R3, R4, R5, R7And R9Is a hydrogen atom and R8Is an iodine atom and R1, A1And n is a combination described in [Table 1] to [Table 14].
In formula (1), R2Is a fluorine atom and R3, R4, R5, R7And R9Is a hydrogen atom and R8Is an iodine atom and R1, A1And n is a combination described in [Table 1] to [Table 14].
In formula (1), R3Is a fluorine atom and R2, R4, R5, R7And R9Is a hydrogen atom and R8Is an iodine atom and R1, A1And n is a combination described in [Table 1] to [Table 14].
In formula (1), R4Is a fluorine atom and R2, R3, R5, R7And R9Is a hydrogen atom and R8Is an iodine atom and R1, A1And n is a combination described in [Table 1] to [Table 14].
In formula (1), R5Is a fluorine atom and R2, R3, R4, R7And R9Is a hydrogen atom and R8Is an iodine atom and R1, A1And n is a combination described in [Table 1] to [Table 14].
In formula (1), R2Is a chlorine atom and R3, R4, R5, R7And R9Is a hydrogen atom and R8Is an iodine atom and R1, A1And n is a combination described in [Table 1] to [Table 14].
In formula (1), R3Is a chlorine atom and R2, R4, R5, R7And R9Is a hydrogen atom and R8Is an iodine atom and R1, A1And n is a combination described in [Table 1] to [Table 14].
In formula (1), R4Is a chlorine atom and R2, R3, R5, R7And R9Is a hydrogen atom and R8Is an iodine atom and R1, A1And n is a combination described in [Table 1] to [Table 14].
In formula (1), R5Is a chlorine atom and R2, R3, R4, R7And R9Is a hydrogen atom and R8Is an iodine atom and R1, A1And n is a combination described in [Table 1] to [Table 14].
In formula (1), R2Is a bromine atom and R3, R4, R5, R7And R9Is a hydrogen atom and R8Is an iodine atom and R1, A1And n is a combination described in [Table 1] to [Table 14].
In formula (1), R3Is a bromine atom and R2, R4, R5, R7And R9Is a hydrogen atom and R8Is an iodine atom and R1, A1And n is a combination described in [Table 1] to [Table 14].
In formula (1), R4Is a bromine atom and R2, R3, R5, R7And R9Is a hydrogen atom and R8Is an iodine atom and R1, A1And n is a combination described in [Table 1] to [Table 14].
In formula (1), R5Is a bromine atom and R2, R3, R4, R7And R9Is a hydrogen atom and R8Is an iodine atom and R1, A1And n is a combination described in [Table 1] to [Table 14].
In formula (1), R2Is a methyl group and R3, R4, R5, R7And R9Is a hydrogen atom and R8Is an iodine atom and R1, A1And n is a combination described in [Table 1] to [Table 14].
In formula (1), R3Is a methyl group and R2, R4, R5, R7And R9Is a hydrogen atom and R8Is an iodine atom and R1, A1And n is a combination described in [Table 1] to [Table 14].
In formula (1), R4Is a methyl group and R2, R3, R5, R7And R9Is a hydrogen atom and R8Is an iodine atom and R1, A1And n is a combination described in [Table 1] to [Table 14].
In formula (1), R5Is a methyl group and R2, R3, R4, R7And R9Is a hydrogen atom and R8Is an iodine atom and R1, A1And n is a combination described in [Table 1] to [Table 14].
In formula (1), R2Is an ethyl group and R3, R4, R5, R7And R9Is a hydrogen atom and R8Is an iodine atom and R1, A1And n is a combination described in [Table 1] to [Table 14].
In formula (1), R3Is an ethyl group and R2, R4, R5, R7And R9Is a hydrogen atom and R8Is an iodine atom and R1, A1And n is a combination described in [Table 1] to [Table 14].
In formula (1), R4Is an ethyl group and R2, R3, R5, R7And R9Is a hydrogen atom and R8Is an iodine atom and R1, A1And n is a combination described in [Table 1] to [Table 14].
In formula (1), R5Is an ethyl group and R2, R3, R4, R7And R9Is a hydrogen atom and R8Is an iodine atom and R1, A1And n is a combination described in [Table 1] to [Table 14].
In formula (1), R2Is a trifluoromethyl group and R3, R4, R5, R7And R9Is a hydrogen atom and R8Is an iodine atom and R1, A1And n is a combination described in [Table 1] to [Table 14].
In formula (1), R3Is a trifluoromethyl group and R2, R4, R5, R7And R9Is a hydrogen atom and R8Is an iodine atom and R1, A1And n is a combination described in [Table 1] to [Table 14].
In formula (1), R4Is a trifluoromethyl group and R2, R3, R5, R7And R9Is a hydrogen atom and R8Is an iodine atom and R1, A1And n is a combination described in [Table 1] to [Table 14].
In formula (1), R5Is a trifluoromethyl group and R2, R3, R4, R7And R9Is a hydrogen atom and R8Is an iodine atom and R1, A1And n is a combination described in [Table 1] to [Table 14].
In formula (1), R3Is a pentafluoroethyl group and R2, R4, R5, R7And R9Is a hydrogen atom and R8Is an iodine atom and R1, A1And n is a combination described in [Table 1] to [Table 14].
In formula (1), R3Is a heptafluoropropyl group and R2, R4, R5, R7And R9Is a hydrogen atom and R8Is an iodine atom and R1, A1And n is a combination described in [Table 1] to [Table 14].
In formula (1), R3Is a trifluoromethoxy group and R2, R4, R5, R7And R9Is a hydrogen atom and R8Is an iodine atom and R1, A1And n is a combination described in [Table 1] to [Table 14].
In formula (1), R3Is a 2-pyridyl group and R2, R4, R5, R7And R9Is a hydrogen atom and R8Is an iodine atom and R1, A1And n is a combination described in [Table 1] to [Table 14].
In formula (1), R3Is a 3-chloro-2-pyridyl group and R2, R4, R5, R7And R9Is a hydrogen atom and R8Is an iodine atom and R1, A1And n is a combination described in [Table 1] to [Table 14].
In formula (1), R3Is a 2-pyrimidinyl group and R2, R4, R5, R7And R9Is a hydrogen atom and R8Is an iodine atom and R1, A1And n is a combination described in [Table 1] to [Table 14].
In formula (1), R3-SF5And R2, R4, R5, R7And R9Is a hydrogen atom and R8Is an iodine atom and R1, A1And n is a combination described in [Table 1] to [Table 14].
In formula (1), R2, R3, R4, R5, R7And R9Is a hydrogen atom and R8-SF5And R1, A1And n is a combination described in [Table 1] to [Table 14].
In formula (1), R2Is a fluorine atom and R3, R4, R5, R7And R9Is a hydrogen atom and R8-SF5And R1, A1And n is a combination described in [Table 1] to [Table 14].
In formula (1), R3Is a fluorine atom and R2, R4, R5, R7And R9Is a hydrogen atom and R8-SF5And R1, A1And n is a combination described in [Table 1] to [Table 14].
In formula (1), R4Is a fluorine atom and R2, R3, R5, R7And R9Is a hydrogen atom and R8-SF5And R1, A1And n is a combination described in [Table 1] to [Table 14].
In formula (1), R5Is a fluorine atom and R2, R3, R4, R7And R9Is a hydrogen atom and R8-SF5And R1, A1And n is a combination described in [Table 1] to [Table 14].
In formula (1), R2Is a chlorine atom and R3, R4, R5, R7And R9Is a hydrogen atom and R8-SF5And R1, A1And n is a combination described in [Table 1] to [Table 14].
In formula (1), R3Is a chlorine atom and R2, R4, R5, R7And R9Is a hydrogen atom and R8-SF5And R1, A1And n is a combination described in [Table 1] to [Table 14].
In formula (1), R4Is a chlorine atom and R2, R3, R5, R7And R9Is a hydrogen atom and R8-SF5And R1, A1And n is a combination described in [Table 1] to [Table 14].
In formula (1), R5Is a chlorine atom and R2, R3, R4, R7And R9Is a hydrogen atom and R8-SF5And R1, A1And n is a combination described in [Table 1] to [Table 14].
In formula (1), R2Is a bromine atom and R3, R4, R5, R7And R9Is a hydrogen atom and R8-SF5And R1, A1And n is a combination described in [Table 1] to [Table 14].
In formula (1), R3Is a bromine atom and R2, R4, R5, R7And R9Is a hydrogen atom and R8-SF5And R1, A1And n is a combination described in [Table 1] to [Table 14].
In formula (1), R4Is a bromine atom and R2, R3, R5, R7And R9Is a hydrogen atom and R8-SF5And R1, A1And n is a combination described in [Table 1] to [Table 14].
In formula (1), R5Is a bromine atom and R2, R3, R4, R7And R9Is a hydrogen atom and R8-SF5And R1, A1And n is a combination described in [Table 1] to [Table 14].
In formula (1), R2Is a methyl group and R3, R4, R5, R7And R9Is a hydrogen atom and R8-SF5And R1, A1And n is a combination described in [Table 1] to [Table 14].
In formula (1), R3Is a methyl group and R2, R4, R5, R7And R9Is a hydrogen atom and R8-SF5And R1, A1And n is a combination described in [Table 1] to [Table 14].
In formula (1), R4Is a methyl group and R2, R3, R5, R7And R9Is a hydrogen atom and R8-SF5And R1, A1And n is a combination described in [Table 1] to [Table 14].
In formula (1), R5Is a methyl group and R2, R3, R4, R7And R9Is a hydrogen atom and R8-SF5And R1, A1And n is a combination described in [Table 1] to [Table 14].
In formula (1), R2Is an ethyl group and R3, R4, R5, R7And R9Is a hydrogen atom and R8-SF5And R1, A1And n is a combination described in [Table 1] to [Table 14].
In formula (1), R3Is an ethyl group and R2, R4, R5, R7And R9Is a hydrogen atom and R8-SF5And R1, A1And n is a combination described in [Table 1] to [Table 14].
In formula (1), R4Is an ethyl group and R2, R3, R5, R7And R9Is a hydrogen atom and R8-SF5And R1, A1And n is a combination described in [Table 1] to [Table 14].
In formula (1), R5Is an ethyl group and R2, R3, R4, R7And R9Is a hydrogen atom and R8-SF5And R1, A1And n is a combination described in [Table 1] to [Table 14].
In formula (1), R2Is a trifluoromethyl group and R3, R4, R5, R7And R9Is a hydrogen atom and R8-SF5And R1, A1And n is a combination described in [Table 1] to [Table 14].
In formula (1), R3Is a trifluoromethyl group and R2, R4, R5, R7And R9Is a hydrogen atom and R8-SF5And R1, A1And n is a combination described in [Table 1] to [Table 14].
In formula (1), R4Is a trifluoromethyl group and R2, R3, R5, R7And R9Is a hydrogen atom and R8-SF5And R1, A1And n is a combination described in [Table 1] to [Table 14].
In formula (1), R5Is a trifluoromethyl group and R2, R3, R4, R7And R9Is a hydrogen atom and R8-SF5And R1, A1And n is a combination described in [Table 1] to [Table 14].
In formula (1), R3Is a pentafluoroethyl group and R2, R4, R5, R7And R9Is a hydrogen atom and R8-SF5And R1, A1And n is a combination described in [Table 1] to [Table 14].
In formula (1), R3Is a heptafluoropropyl group and R2, R4, R5, R7And R9Is a hydrogen atom and R8-SF5And R1, A1And n is a combination described in [Table 1] to [Table 14].
In formula (1), R3Is a trifluoromethoxy group and R2, R4, R5, R7And R9Is a hydrogen atom and R8-SF5And R1, A1And n is a combination described in [Table 1] to [Table 14].
In formula (1), R3Is a 2-pyridyl group and R2, R4, R5, R7And R9Is a hydrogen atom and R8-SF5And R1, A1And n is a combination described in [Table 1] to [Table 14].
In formula (1), R3Is a 3-chloro-2-pyridyl group and R2, R4, R5, R7And R9Is a hydrogen atom and R8-SF5And R1, A1And n is a combination described in [Table 1] to [Table 14].
In formula (1), R3Is a 2-pyrimidinyl group and R2, R4, R5, R7And R9Is a hydrogen atom and R8-SF5And R1, A1And n is a combination described in [Table 1] to [Table 14].
In formula (1), R3-SF5And R2, R4, R5, R7And R9Is a hydrogen atom and R8-SF5And R1, A1And n is a combination described in [Table 1] to [Table 14].
Examples of pests for which the compounds of the present invention are effective include harmful arthropods and nematodes such as harmful insects and harmful mites. Specific examples of such pests include the following.
Hemiptera: small brown planthopper (Laodelphax striatellus), brown planthopper (Nilaparvata lugens), planthoppers such as Sejirounka (Sogatella furcifera), green rice leafhopper (Nephotettix cincticeps), Taiwan green rice leafhopper (Nephotettix virescens), tea Roh green leafhopper such as leafhoppers (Empoascaonukii) Cotton aphids (Aphis gossypii), peach aphids (Myus persicae), radish aphids (Brevicorine brassicae), aphis spiraecola, tulip beetle aphids ( Acrosiphum euphorbiae, potato beetle aphids (Aulacorthum solani), wheat leaf aphids (Rhopalosiphum padi), citrus aphids (Toxoptera citricidus), peach beetles, peach beetles, etc. Stink bugs such as stink bugs (Riptortus clavetus), spider helicopter bugs (Leptocorisa chinensis), bark beetle (Eysarcoris parvus), winged beetle (Halyomorpha mista) Whitefly species such as svaporiarum, Tobacco whitefly (Bemisia tabaci), citrus whitefly (Dialeurodes citri), Alecananthus spiniferus (Aleurocanthus sphinferus), citri), Ruby Roe beetle (Ceroplastes rubens), Iceria scale insect (Icerya purchasi), Fujino scale insect (Pranococcus kraunhiae), Swan scale scale (Pseudococcus longis) is), scale insects such as Pseudauracapaspis pentagona, bed bugs, bed bugs such as bed bugs (Cimex electrarius), and whales.
Lepidopterous pests: Chilo suppressalis, Sankaiga (
Tryporyza incertulas), leaf roller (Cnaphalocrocis medinalis), Watanomeiga (Notarcha derogata), Indian meal moth (Plodia interpunctella), the European corn borer (Ostrinia furnacalis), high Madara Roh moth (Hellula undalis), Pyralidae such as Shibatsutoga (Pediasia teterrellus), common cutworm ( Spodoptera litura, Spodoptera exigua, Ayuyoto (Pseudaletia separata), Miostra brassicae, Amantisipsilon , Tamanagin'uwaba (Plusia nigrisigna), Trichoplusia spp., Heliothis spp., Noctuidae such Helicoverpa spp such as white butterfly such as cabbage butterfly (Pieris rapae), Adokisofiesu genus, oriental fruit moth (Grapholita molesta), soybean pod borer, Leguminivora glycinivorella (Leguminivora glycinivorella), Azukisayamushiga (Matsumuraeses azukivora ), Apple wolfberry (Adoxophies orana fascita), tea wolfberry (Adoxophys honmai.), Chamonaki (Homona magnanima), midipakkumon makupuri (Archipsfus coprus) Species such as Cydia pomonella, Chanohosaga, Phyllonolycter lingoneella, etc. Stag beetles, Sugas such as Plutella xylostella, cotton moths such as Pectinophora gossypiella potato (Phthromeaea perculella), and white-spotted tigers, Hirokosukoga such as Koiga (Tineola bisselliella).
Thrips of the order Thrips thrips (Frankliniella occidentalis), Thrips parmi, etc.
Diptera: Culex (Culex pipiens pallens), Culex (Culex tritaeniorhynchus), Culex such as Culex quinquefasciatus (Culex quinquefasciatus), Aedes aegypti (Aedes aegypti), Aedes albopictus (Aedes albopictus) Aedes genus such as Anopheles sinensis (Anopheles sinensis), etc. Genus Anopheles, chironomids, house flies (Musca domestica), house flies (Muscina stabulans), etc., black flies, sphagnum flies, fly flies, leaf fly (Delia platura), tiger flies Guribae (Agromyza oryzae), rice Hime leafminer (Hydrellia griseola), tomato leafminer, (Liriomyza sativae), legume leafminer (Liriomyza trifolii), leafminer such as the pea (Chromatomyia horticola), chloropidae such as Inekimoguribae (Chlorops oryzae), melon fly (Dacus cucurbitae), fruit flies such as Ceratitis capitata, fruit flies such as Drosophila, fruit flies such as Megaselia spiracularis, Clogmial etc. Et acids, sciaridae acids, blackfly acids, Abu such as gadfly (Tabanus trigonus), keds acids and stable flies such.
Coleoptera pests: Western Corn Rootworm (Diabrotica virgifera virgifera), corn rootworm such as southern corn rootworm (Diabrotica undecimpunctata howardi), cupreous chafer (Anomala cuprea), rufocuprea (Anomala rufocuprea), chafers such as Japanese beetle (Popillia japonica) , Weevil (Sitophilus zeamais), Rice weevil (Lissohoptrus oryzophilus), Azuki beetle (Callosobruchuys chiensis), weevil (Echinocnemus squarius) Weevil such as Anthonymus grandis, Sphenophorus venatus, Tenebrio molitor, Tribolium stachyum Leaf beetles such as Phyllotreta striolata, Colorado potato beetle (Leptinotarsa decemlineata), Japanese pine beetle (Anthrenus verbasci), Harajiro tsuka beetle worms , Shibamushi (Lasiderma serricorne) and other species, Epilacuna (Epilacna vigintioctopuncta) and other species, Lyctus brunneus and pine , Longhorn beetles such as Anoprophora malasacia, click beetles (Agriotes spp.), And the long-horned beetle (Paederus fuscipes).
Pterodoptera: Tocusama grasshopper (Locusta migratoria), Kera (Gryllotalpa africana), Red-bellied lion (Oxya yezoensis), Lobster (Oxya japonica), and crickets.
Lepidoptera: Cat fleas (Ctenocephalides felis), dog fleas (Ctenocephalides canis), human fleas (Pulex irritans), keops mud mines (Xenopsylla cheopeis) and the like.
Anoplura: body louse (Pediculus humanus corporis), head lice (Pediculus humanus humanus), crab louse (Phthirus pubis), Ushijirami (Haematopinus eurysternus), Hitsujijirami (Dalmalinia ovis), Butajirami (Haematopinus suis), Inujirami (Linognathus setosus) and the like.
White-eye pests: sheep lice (Dalmalinia ovis), cattle lice (Dalmalinia bovis), chicken lice (Menopon gallinae), dog lice (Trichodictes canis), cat lice, etc.
Hymenoptera: Monomorium phalaosis, Black sea ants (Formica fusca japonica), Luriari (Ochtellus puns), Pstomyrex puns, Pseudorme spr. Ants such as Argentine ants (Linepithema humile), wasps such as wasps, scallops, and wasps such as wasp (Athalia rosae) and Japanese bee (Athalia japonica).
Nematodes: rice Shin Galle nematode (Aphelenchoides besseyi), strawberry menu nematode (Nothotylenchus acris), sweet potato root-knot nematode (Meloidogyne incognita), northern root-knot nematode (Meloidogyne hapla), Java root-knot nematode (Meloidogyne javanica), soybean cyst nematode (Heterodera glycines), Potato cyst nematode (Globodera rostochiensis), southern nematode crested pea (Pratylenchus coffeae), barley nematode nematode (Pratylenchus neglectus).
Cockroach pests: German cockroach (Blatella germanica), Black cockroach (Periplaneta fuliginosa), Cockroach cockroach (Periplaneta americana), Periplaneta brunat (Brunetella brunet)
Termite pests: Yamato termites (Reticulitermes pertus), termites (Coptothermes formosanus), American termites minor (Incitermites minor), Dikokite termites (Crypt)
otermes domesticus), Taiwan termites (Odontotermes formosanus), Kou Shun termite (Neotermes koshunensis), Satsuma termites (Glyptotermes satsumensis), Nakajima termites (Glyptotermes nakajimai), Katan termites (Glyptotermes fuscus), Kodama termites (Glyptotermes kodamai), comb Moto termites ( Glypoptermes kushimensis, White termites (Hodotermopsis japonica), Kushwei termites (Coptothermes guangzhoensis), Amami termites (Reticul) termes miyatakei), R. flavipes (Reticulitermes flaviceps amamianus), Kang Mont termites (Reticulitermes sp.), Takasago termite (Nasutitermes takasagoensis), Nitobe termites (Pericapritermes nitobei), warrior termites (Sinocapritermes
Mushae) et al.
Mite order pests: Tick spider mites (Tetranychus urticae), Tick spider mites (Tetranychus kanzawai), citrus spider mite (Pananychus citri), mite spider mite (Panthonychus ulmi), prickly mite pistols, citrus urticae Tomato rust mites (Aculops lycopersici), Chinese radish mites (Calacarus carinatus), Chinese radish mite (Acaphylla theevagrans), Green rust mites (Eriophyses chibaensis), Apple rust ticles ndali) Fushidani such as, dust mite such as Chanohokoridani (Polyphagotarsonemus latus), southern Hime Himehadani such as spider mites (Brevipalpus phoenicis), Kenagahadani such, longicornis (Haemaphysalis longicornis), Yamatochimadani (Haemaphysalis flava), Taiwan Kaku ticks (Dermacentor taiwanicus ), American dog ticks (Dermentertor variabilis), Yamato ticks (Ixodes ovatus), Schulz ticks (Ixodes persulcatus), Black legged ticks (Ixodes scapularis), American Kiramada (Amblyomma americanum), Boophilus microplus (Boophilus microplus), ticks such as Rhipicephalus sanguineus (Rhipicephalus sanguineus), Tyrophagus (Tyrophagus putrescentiae), grain mites such as Tyrophagus (Tyrophagus similis), D. farinae (Dermatophagoides farinae), Dermatophagoides pteronyssinus (Dermatophagoides leopard mites, such as Ptrynyssnus, Cheletus eruditus, Scarlet ticks (Cheeletus malaccensis), Scarlet ticks (Cheeletus moor) ei), claw mites such as Cheyletiella yasguri, mites such as mite mites (Octoectes cynotis), mites mites such as mites, mites such as mites, mite mites such as mite, mite mites such as mites Bacoti, Ornithonysus sylvairum, cucumbers such as Dermanysussus gallinae, tsutsugamushi such as Leptotrombidium akamushi, and cepper hasseltii) spiders such as such.
Lip and leg class: Geuji (Thereuonema hilgendorfi), Tobizukade (Scoopendra subspinepes), etc.
Double leg class: Yakuyasu (Oxidus gracilis), Akadesde (Nedyopus tambanus), etc.
Isopods: Armadillium vulgare, etc.
Gastropoda: Limax marginatus, Limax flavus, etc.
The pest control agent of the present invention contains the compound of the present invention and an inert carrier. The pest control agent of the present invention is usually a mixture of the compound of the present invention and an inert carrier such as a solid carrier, a liquid carrier, a gaseous carrier, etc., and a surfactant or other formulation adjuvant is added as necessary. Emulsions, oils, powders, granules, wettable powders, flowables, microcapsules, aerosols, smokers, poisonous baits, resin formulations, shampoos, pastes, foams, carbon dioxide formulations, It is formulated into tablets. These preparations may be used after being processed into mosquito coils, electric mosquito mats, liquid mosquito traps, fumigants, fumigants, sheet preparations, spot-on agents, or oral treatments.
The pest control agent of the present invention usually contains 0.01 to 95% by weight of the compound of the present invention.
Examples of solid carriers used for formulation include clays (kaolin clay, diatomaceous earth, bentonite, fusami clay, acidic clay), synthetic hydrous silicon oxide, talc, ceramics, and other inorganic minerals (sericite, quartz, sulfur). , Activated carbon, calcium carbonate, hydrated silica, etc.), fine powders and granules of chemical fertilizers (ammonium sulfate, phosphorous acid, ammonium nitrate, urea, ammonium chloride, etc.), and synthetic resins (polypropylene, polyacrylonitrile, polymethyl methacrylate) Polyester resins such as polyethylene terephthalate, nylon resins such as nylon-6, nylon-11, and nylon-66, polyamide resins, polyvinyl chloride, polyvinylidene chloride, and vinyl chloride-propylene copolymers).
Examples of liquid carriers include water, alcohols (methanol, ethanol, isopropyl alcohol, butanol, hexanol, benzyl alcohol, ethylene glycol, propylene glycol, phenoxyethanol, etc.), ketones (acetone, methyl ethyl ketone, cyclohexanone, etc.), aromatic hydrocarbons. (Toluene, xylene, ethylbenzene, dodecylbenzene, phenylxylylethane, methylnaphthalene, etc.), aliphatic hydrocarbons (hexane, cyclohexane, kerosene, light oil, etc.), esters (ethyl acetate, butyl acetate, isopropyl myristate, Ethyl oleate, diisopropyl adipate, diisobutyl adipate, propylene glycol monomethyl ether acetate, etc.), nitriles (acetonitrile, isobutyrate) Nitriles), ethers (diisopropyl ether, 1,4-dioxane, ethylene glycol dimethyl ether, diethylene glycol dimethyl ether, diethylene glycol monomethyl ether, propylene glycol monomethyl ether, dipropylene glycol monomethyl ether, 3-methoxy-3-methyl-1-butanol, etc. ), Acid amides (N, N-dimethylformamide, N, N-dimethylacetamide, etc.), halogenated hydrocarbons (dichloromethane, trichloroethane, carbon tetrachloride, etc.), sulfoxides (dimethylsulfoxide, etc.), propylene carbonate and vegetable oil (Soybean oil, cottonseed oil, etc.).
Examples of the gaseous carrier include fluorocarbon, butane gas, LPG (liquefied petroleum gas), dimethyl ether, and carbon dioxide gas.
Examples of the surfactant include nonionic surfactants such as polyoxyethylene alkyl ether, polyoxyethylene alkyl aryl ether, and polyethylene glycol fatty acid ester, and anions such as alkyl sulfonate, alkyl benzene sulfonate, and alkyl sulfate. Surfactant is mentioned.
Other formulation adjuvants include sticking agents, dispersants, colorants and stabilizers, such as casein, gelatin, saccharides (starch, gum arabic, cellulose derivatives, alginic acid, etc.), lignin derivatives, bentonite, Synthetic water-soluble polymers (polyvinyl alcohol, polyvinylpyrrolidone, polyacrylic acids, etc.), PAP (isopropyl acid phosphate), BHT (2,6-di-tert-butyl-4-methylphenol), BHA (2-tert- And a mixture of butyl-4-methoxyphenol and 3-tert-butyl-4-methoxyphenol).
Examples of the base material of the resin preparation include vinyl chloride polymers, polyurethanes, etc., and these base materials include phthalic acid esters (dimethyl phthalate, dioctyl phthalate, etc.) and adipic acid esters as necessary. Further, a plasticizer such as stearic acid may be added. The resin formulation is obtained by kneading the compound in the base material using a normal kneading apparatus, and then molding by injection molding, extrusion molding, press molding, etc., and if necessary, through steps such as molding, cutting, It can be processed into resin preparations such as plate, film, tape, net, and string. These resin preparations are processed, for example, as animal collars, animal ear tags, sheet preparations, attracting strings, or gardening supports.
Examples of the bait base include cereal flour, vegetable oil, sugar, crystalline cellulose and the like, and if necessary, antioxidants such as dibutylhydroxytoluene and nordihydroguaiaretic acid, and preservatives such as dehydroacetic acid. Additives for preventing accidental eating by children and pets such as pepper powder, pests such as cheese flavor, onion flavor and peanut oil are added.
The pest control method of the present invention is carried out by applying an effective amount of the compound of the present invention to pests directly and / or to pest habitats (plants, soil, households, animal bodies, etc.). The pest control method of the present invention is usually used in the form of the pest control agent of the present invention.
When using the pest control agent of the present invention for pest control in the agricultural field, the application rate is 10,000 m.2The amount of the compound of the present invention is usually 1 to 10,000 g. When the pest control agent of the present invention is formulated into an emulsion, a wettable powder, a flowable agent, etc., it is usually diluted with water so that the active ingredient concentration is 0.01 to 10000 ppm. Agents, powders, etc. are usually applied as they are.
These preparations and water dilutions of the preparations may be sprayed directly on pests or plants such as crops to be protected from pests, and in order to control pests that inhabit cultivated soil. You may process to soil.
Also, it can be treated by methods such as wrapping a resin preparation processed into a sheet or string around the crop, stretching it around the crop, or laying it on the stock soil.
When using the pest control agent of the present invention to control pests living in the house, the application amount is 1 m when treated on the surface.2The amount of the compound of the present invention per unit is usually 0.01 to 1000 mg. When processing in a space, the processing space is 1 m.3The amount of the present compound per unit is usually 0.01 to 500 mg. When the pest control agent of the present invention is formulated into an emulsion, a wettable powder, a flowable agent, etc., it is usually diluted with water so that the active ingredient concentration is 0.1 to 10,000 ppm. Apply aerosols, smoke, poisonous bait, etc. as they are.
When the harmful arthropod control agent of the present invention is used to control ectoparasites of cattle, horses, pigs, sheep, goats, chickens, small animals such as dogs, cats, rats, mice, etc., it is well known in veterinary medicine. Can be used on animals. As a specific method of use, for the purpose of systemic suppression, for example, administration by tablet, feed mixing, suppository, injection (intramuscular, subcutaneous, intravenous, intraperitoneal, etc.) is intended for non-systemic suppression. In this case, for example, an oil agent or an aqueous liquid is sprayed, a pour-on treatment or a spot-on treatment is performed, the animal is washed with a shampoo preparation, or a resin preparation is attached to the animal with a collar or ear tag. The amount of the compound of the present invention when administered to an animal body is usually in the range of 0.1 to 1000 mg per 1 kg body weight of the animal.
The pest control agent of the present invention can be used in farmland where the following “crop” is cultivated.
Agricultural crops: corn, rice, wheat, barley, rye, oat, sorghum, cotton, soybean, peanut, buckwheat, sugar beet, rapeseed, sunflower, sugarcane, tobacco, etc.
Vegetables: Solanum vegetables (eggplants, tomatoes, peppers, peppers, potatoes, etc.), Cucurbitaceae vegetables (cucumbers, pumpkins, zucchini, watermelons, melons, etc.), Brassicaceae vegetables (radish, turnip, horseradish, kohlrabi, Chinese cabbage, cabbage) , Mustard, broccoli, cauliflower, etc.), asteraceae vegetables (burdock, shungiku, artichokes, lettuce, etc.), liliaceae vegetables (leek, onion, garlic, asparagus), celery family vegetables (carrot, parsley, celery, American boofish, etc.) ), Red crustacean vegetables (spinach, chard, etc.), persimmon vegetables (perilla, mint, basil, etc.), strawberry, sweet potato, yam, taro, etc.
Fruit trees: apples, pears, Japanese pears, quince, quince, etc., nuclear fruits (peaches, plums, nectarines, ume, sweet cherry, apricots, prunes, etc.), citrus (citrus mandarin, orange, lemon, lime, grapefruit) ), Nuts (chestnut, walnut, hazel, almond, pistachio, cashew nut, macadamia nut, etc.), berries (blueberry, cranberry, blackberry, raspberry, etc.), grape, oyster, olive, loquat, banana, coffee, Date palm, coconut palm, oil palm etc.
Trees other than fruit trees: tea, mulberry, flowering trees (Satsuki, camellia, hydrangea, sasanqua, shikimi, sakura, yurinoki, crape myrtle, snapdragon, etc.), roadside trees (ash, birch, dogwood, eucalyptus, ginkgo, lilac, maple, oak) , Poplar, redwood, fu, sycamore, zelkova, blackfish, Japanese amberjack, moths, pine, pine, spruce, yew, elm, Japanese cypress, etc.), coral jug, dogwood, cedar, cypress, croton, masaki, kanamochi, etc.
Lawn: Shiba (Nasis, Pleurotus, etc.), Bermudagrass (Neurodonidae, etc.), Bentgrass (Oleoptera, Hykonukagusa, Odonoptera, etc.), Bluegrass (Nagahagusa, Oosuzunokatabira, etc.), Fescue (Oonishi nokegusa, Drosophila, etc.) , Grass, etc.), ryegrass (rat, wheat, etc.), anemonefish, blue whale, etc.
Other: Flowers (Rose, Carnation, Chrysanthemum, Eustoma, Gypsophila, Gerbera, Marigold, Salvia, Petunia, Verbena, Tulip, Aster, Gentian, Lily, Pansy, Cyclamen, Orchid, Lily of the valley, Lavender, Stock, Habutton, Primula, Poinsettia, gladiolus, cattleya, daisy, symbidium, begonia, etc.), biofuel plants (Jatropha, Curcas, safflower, Amanasuna, switchgrass, Miscanthus, Kusanoshi, Danchiku, Kenaf, cassava, willow, algae, etc.), ornamental plants .
“Crop” includes genetically modified crops.
The pest control agent of the present invention can be mixed or used in combination with other insecticides, acaricides, nematicides, fungicides, plant growth regulators, herbicides and synergists. Examples of active ingredients of such insecticides, acaricides, nematicides, fungicides, plant growth regulators, herbicides and synergists are shown below.
Active ingredient of insecticide
(1) Organophosphorus compounds
Acephate, aluminum phosphide, butathiofos, cadusafos, chlorethoxyphos, chlorfenvinphos, chlorpyriphos , Cyanophos (CYAP), diazinon, DCIP (dichroodiisopropyl ether), diclofenthion (ECP), dichlorvos (DDVP), dimethoate (dimeth) ate), dimethylvinphos, disulfoton, EPN, ethion, ethophos, etrimfos, fenthion (MPP), fenitrothion (m) , Formothion, hydrogen phosphide, isofenphos, isoxathion, malathion, mesulfenfos, methidathion, TP nocrotophos, nared (BRP), oxydeprofos (ESP), parathion, fosarone, phosmet (PMP), pirimiphos-methyl (ent), pyridafenidone quinalphos, phentoate (PAP), profenofos, propopafos, prothiophos, prochlorfos, salithion, sulprophos, sulprofos s), temephos, tetrachlorvinphos, terbufos, thiomethon, trichlorphon (DEP), bamidithion, folate, c and fos
(2) Carbamate compounds
Aranicarb, bendiocarb, benfuracarb, BPMC, carbaryl, carbofuran, carbosulfane, cloethocarb, cloethocarb , Phenothiocarb, phenoxycarb, furathiocarb, isoprocarb (MIPC), methocarb, methomyl, methocarb C, oxamyl (oxamyl), pirimicarb (pirimicarb), propoxur (propoxur: PHC), XMC, thiodicarb (thiodicarb), xylylcarb (xylylcarb), and aldicarb (aldicarb).
(3) Pyrethroid compound
Acrinathrin, allethrin, benfluthrin, beta-cyfluthrin, bifenthrin, cycloprothrin, cyfluthrin, cyfluthrin (cy). ), Deltamethrin, esfenvalerate, ethofenprox, fenpropathrin, fenvalerate, flucythrinato e), flufenprox, flumethrin, fluvalinate, halfenprox, imiprothrin, permethrin, praretrin, praretrin resmethrin), sigma-cypermethrin, silafluofen, tefluthrin, tralomethrin, transfluthrin, tetramethrin, tetramethrin. Phenothrin, cyphenothrin, alpha-cypermethrin, zeta-permethrin, lambda-cyhalothrin, gammacyhalothrin, gammacyhalothrin, gammacyhalothrin (Furamethrin), tau-fluvalinate, methfluthrin, profluthrin, dimethylfluthrin, 2,3,5,6-tetrafluoro-4- (methoxymethyl) benzyl (EZ)- (1RS, 3RS; 1RS, 3SR) -2,2-dimethyl -3-prop-1-enylcyclopropanecarboxylate, 2,3,5,6-tetrafluoro-4-methylbenzyl (EZ)-(1RS, 3RS; 1RS, 3SR) -2,2-dimethyl-3- Prop-1-enylcyclopropanecarboxylate and 2,3,5,6-tetrafluoro-4- (methoxymethyl) benzyl (1RS, 3RS; 1RS, 3SR) -2,2-dimethyl-3- (2- Methyl-1-propenyl) cyclopropanecarboxylate, 2,3,5,6-tetrafluoro-4- (methoxymethyl) benzyl (EZ)-(1RS, 3RS; 1RS, 3SR) -2,2-dimethyl-3 -(2-Cyano-1-propenyl) cyclopropanecarboxylate.
(4) Nereistoxin compounds
Cartap, bensultap, thiocyclam, monosultap, and bisultap.
(5) Neonicotinoid compounds
Imidacloprid, nitenpyram, acetamiprid, thiamethoxam, thiacloprid, dinotefuran, clothidin and clothidin.
(6) Benzoylurea compound
Chlorfluazuron, bistrifluron, diafenthiuron, diflubenzuron, fluazuron, flucycloxuron, flucycloxuron, flucycloxuron, flucycloxuron, flucycloxuron, flucycloxuron, flucycloxuron, flucycloxuron, flucycloxuron Hexaflumuron, lufenuron, novaluron, noviflumuron, teflubenzuron, triflumuron, and triazuron.
(7) Phenylpyrazole compound
Acetoprole, etiprole, fipronil, vaniliprole, pyriprole, and pyrafluprole.
(8) Bt toxin
Live spores and produced crystal toxins derived from Bacillus thuringiensis, and mixtures thereof;
(9) Hydrazine compounds
Chromafenozide, halofenozide, methoxyphenozide, and tebufenozide.
(10) Organochlorine compounds
Aldrin, dieldrin, dienochlor, endosulfan, and methoxychlor.
(11) Other active insecticide ingredients
Machine oil, nicotine-sulfate; avermectin, bromopropyrate, buprofezin, chlorophenyl, cirphenyl, cirphenyl, cirophaneyl ), DD (1,3-Dichloropropene), emamectin-benzoate, phenazaquin, flupyrazofos, hydroprene, methoprene, methoprene xacarb, methoxadiazone, milbemycin-A, pymetrozine, pyridalyl, pyriproxyl, flusidul, pyrosyl triazamate, fulvendiamide, repimectin, arsenous acid, benclothiaz, lime nitrogen, calcium, calcium Chlordane, DDT, DSP, fluphenerim, flonicamid, flurifenfen, formatenate, metham-ammonium, metam sodium Methyl bromide, Potassium oleate, Protrifen bute, Spiromesifen, Sulfoxaflor, Sulfur, et alflumione Tetramat (spirotetramat) ), Pyrifluquinazone, spinetoram, chlorantraniliprole, tralopyril, cyantraniliprole,
Following formula (K)
[In the formula, R100Represents a chlorine, bromine or trifluoromethyl group, R200Represents a chlorine, bromine or methyl group, R300Represents a chlorine, bromine or cyano group. ]
And a compound represented by
The following formula (L)
[In the formula, R1000Represents chlorine, bromine or iodine. ]
A compound represented by
Active ingredient of acaricide
Acequinosyl, amitraz, benzoximate, bifenaate, phenisobromolate, chinomethionate, BS chlorbenzylate, chlorbenzylate (Clofenetine), cyflumethofen (cyflumetofen), kelsen (dicofol: dicofol), etoxazole (etoxazole), fenbutatin oxide (fenbutatincarb), fenothiocarb (fenothiocarb), fenpyroximate x ), Fluacrylpyrim (fluproxyfen), hexythiazox, propargite (BPPS), polynactin complex (polynatide), pyridabene (pyridenephen) tetradifon, spirodiclofen, spiromesifen, spirotetramat, amidoflumet, and cienopyrafen.
Active ingredient of nematicide
DCIP, fostiazate, levamisole hydrochloride, methylisothiocyanate, morantel tartrate, and imicyafos.
Active ingredient of fungicide
Propiconazole, Prothioconazole, Triadimenol, Prochloraz, Penconazole, Dibuconazole, Tebuconazole, Tebuconazole, Tebuconazole, Tebuconazole, Tebuconazole, Tebuconazole, Tebuconazole, Tebuconazole, Tebuconazole bromconazole, epoxiconazole, difenoconazole, cyproconazole, metconazole, triflumizole (triflumizole) raconazole, microbutanil, fenbuconazole, hexaconazole, fluquinconazole, triticonazole, bittertanol, bittertanol Azole bactericidal compounds such as flutriafol; cyclic amine bactericidal compounds such as fenpropimorph, tridemorph, fenpropidin; carbendezim, benomylzol, benomylzole benzimidazole bactericidal compounds such as azole and thiophanate-methyl; procymidone; cyprodinil; pyrimethanil; diethofencarb; Iprodione; vinclozolin; chlorothalonil; captan; mepanipyrim; fenpiclonil; fludioxonil; fludioxonil; Diphlofluidid; folpet; cresoxime-methyl; azoxystrobin; trifloxystrobin; fluoxastrobin (roxinostrobin); Pyraclostrobin; dimoxystrobin; pyribencarb; spiroxamine; quinoxyfen; fenhexamidon; famoxadon f; famoxadon f; one); zoxamide; ethaboxam; amisulbrom; iprovalicalcarb; (Metrofenone); fluopiran; bixafen; cyflufenamid; proquinazid; isotianil and isothianil (isotianil).
Active ingredient of herbicide
(1) Phenoxy fatty acid herbicidal compound
2,4-PA, MCP, MCPB, phenothiol, mecoprop, fluroxypyr, triclopyr, clomeprop, and naproanilide.
(2) Benzoic acid herbicidal compound
2,3,6-TBA, dicamba, clopyralid, picloram, aminopyralid, quinclorac, and quinmerac.
(3) Urea herbicidal compound
Diuron, linuron, chlortoluron, isoproturon, fluometuron, isouron, tebuthiuron, leuthuron, methabendron (Daimuron), and methyl-daimuron.
(4) Triazine herbicidal compound
Atrazine, ametrine, cyanazine, simazine, propazine, simetrin, dimetamethrin, promethine, romethrin, promethine, romethrin. And indaziflam.
(5) Bipyridinium herbicidal compound
Paraquat and diquat.
(6) Hydroxybenzonitrile herbicidal compound
Bromoxynil and ioxynil.
(7) Dinitroaniline herbicidal compound
Pendimethalin, prodiamine, and trifluralin.
(8) Organic phosphorus herbicidal compound
Amiprofos-methyl, butamifos, bensulide, piperophos, anilofos, glyphosate, glufosinate, glufosinate, glucosinate Vialaphos.
(9) Carbamate herbicidal compounds
Di-allate, tri-allate, EPTC, butyrate, bentiocarb, esprocarb, molinate, dimepiperate, swep (Chlorpropham), phenmedifam, phenisopham, pyributicalb, and ashlam.
(10) Acid amide herbicidal compound
Propanil, propyzamide, bromobutide, and etobenzanide.
(11) Chloroacetanilide herbicidal compound
Acetochlor, alachlor, butachlor, dimethenamide, dipachenol, metazachlor, metolachlor, retilachlor, retilachlor And petoxamide.
(12) Diphenyl ether herbicidal compound
Acifluorfen-sodium, bifenox, oxyfluorfen, lactofen, fomesafen, clomethoxynil, and acloniphen.
(13) Cyclic imide herbicidal compound
Oxadiazone, cinidone-ethyl, carfentrazone-ethyl, sulfentrazone, flurochlorac-pentyl, flumioxazine (flumifluaflufen) Ethyl (pyraflufen-ethyl), oxadialgyl, pentoxazone, fluthiacet-methyl, butafenacil, benzfenazone, benzfendizone, benzfendizone Le (saflufenacil).
(14) Pyrazole herbicidal compound
Benzofenap, pyrazolate, pyrazoxifene, topramzone, and pyrasulfotole.
(15) Triketone herbicidal compound
Isoxaflutole, benzobicyclon, sulcotrione, mesotrione, tembotrione, and tefuryltrione.
(16) Aryloxyphenoxypropionic acid herbicidal compound
Clodinahop-propargyl, cyhalofop-butyl, diclohop-methyl, phenoxaprop-ethyl, fluodihopbutyl Xylohop-methyl, quizalofop-ethyl, metamihop.
(17) Trione oxime herbicidal compound
Alloxydim-sodium, cetoxydim, butroxydim, clesodim, cloproxidim, cyclohexyloxym, teproloxydim ).
(18) Sulfonylurea herbicidal compound
Chlorsulfuron, sulfomethuron-methyl, metsulfuron-methyl, chlorimuron-ethyl, tribenuron-methyl, tribenuron-methyl trisulfuron, bensulfuron-methyl, thifensulfuron-methyl, pyrazosulfuron-ethyl, primisulfuron-methylsulfuronyl-methylsulfate (Amidosulfuron), cinosulfuron (imazosulfuron), rimsulfuron (rimsulfuron), halosulfuron-methyl, prosulfuron (methylsulfuron), methulsulfuron (methylsulfuron) triflusulfuron-methyl), flazasulfuron, cyclosulfamuron, flupirsulfuron, sulfosulfuron, azimsulfuron (uronmsulfuron) , Ethoxysulfuron, oxasulfuron, sodium iodosulfuron-methyl-sodium, foramsulfuron, mesosulfuron-methylsulfuron-trisulfuron ), Tritosulfuron, orthosulfamuron, flucetosulfuron, and propyrisulfuron.
(19) Imidazolinone herbicidal compound
Imazametabenz-methyl, imazamethapyr, imazamox, imazapyr, imazaquin, thimapyr, and imazepi.
(20) Sulfonamide herbicidal compound
Flumetslam, metosulam, dicloslam, floraslam, chloranthram-methyl, penoxslam, and pyroxslam pyl
(21) Pyrimidinyloxybenzoic acid herbicidal compound
Pyrithiobac-sodium, bispyribac-sodium, pyriminobac-methyl, pyribenzoxim, pyriftalid, pyriftalid, pyriftalid, pyriftalid, pyriftalid, pyriftalid, pyriftalid, pyriftalid, pyriftalid, pyrifaltid
(22) Other herbicidal compounds
Bentazone, bromacil, terbacil, chlorthiamid, isoxaben, dinoseb, amitrole, cinmetirin, p Diflufenzopyr sodium (diflufenzopyr-sodium), dithiopyr (thiopyr), thiazopyr (thiazopyr), flucarbazone-sodium (propoxycarbazonefenecenafenecename) ), Flufenacet, fentrazamide, fenfenazamide, caffentrol, indanophan, oxadichromefone, fluidate, frenacet, frenacet , Flurtamone, diflufenican, picolinafen, beflubutamide, clomazone, amikacarbazole, pinoxaden den), pyraclonil (pyraclonil), pyroxasulfone (pyroxasulfone), thien-carbazone methyl (thiencarbazone-methyl), amino cyclo Pila crawl (aminocyclopyrachlor), type phen carbazone (ipfencarbazone), and Mechiozorin (methiozolin).
Active ingredient of plant growth regulator
Hymexazole, paclobutrazol, uniconazole-P, inabenfide, prohexadione-calcium, abiglycinyl, aviglycine , Abscisic acid, indolebutyric acid, ethiclozate, etephon, cloxyfonac, chlormequat, dichlorprop di, dichlorprop Phosphorus (gibbellellins), prohydrojasmon, benzylaminopurine, forchlorfenuron, maleic hydrazide, calcium peroxide calcide -Chloride) and 4-CPA (4-chlorophenetic acid).
Active ingredient of synergist
Piperonyl butoxide (seperex), sesamex, sulfoxide, N- (2-ethylhexyl) -8,9,10-trinorborn-5-ene-2,3-dicarboximide (MGK 264), N -Decriimidazole (N-decylimidazole), WARF-anti-resistant, TBPT, TPP, IBP, PSCP, methyl iodide (CH3I), t-phenylbutenone, diethylmaleate, DMC, FDMC, ETP, and ETN.
以下、本発明を製造例、参考製造例、製剤例及び試験例等によりさらに詳しく説明するが、本発明はこれらの例のみに限定されるものではない。
まず、本発明化合物の製造について、製造例を示す。
製造例1(1)
3−クロロアントラニル酸3.43g及び1mol/l塩酸20mlの混合物に、室温下、亜硝酸ナトリウム1.38gを少しずつ加え、10分間撹拌した。反応混合物を、別途調製したブチルキサントゲン酸カリウム5.65g及び水20mlの混合物に室温下に滴下し、1時間撹拌した。3N水酸化ナトリウム水溶液20ml及びジエチル硫酸2.9mlを添加した後、100℃まで昇温し、1時間加熱還流下に撹拌した。室温まで冷却した反応混合物に、氷冷下、12mol/l塩酸を滴下した。析出した固体を濾過し、減圧下で乾燥させた。
得られた固体に3N水酸化ナトリウム水溶液10ml、エタノール10ml及びヨウ化 エチル6.86gを加えた後、80℃まで昇温し、2時間加熱還流下に撹拌した。室温まで冷却した反応混合物に、氷冷下、12mol/l塩酸を滴下し、酢酸エチルで抽出した。有機層を無水硫酸ナトリウムで乾燥させた後、減圧下濃縮した。得られた残渣をシリカゲルカラムクロマトグラフィーに付し、3−クロロ−2−エチルスルファニル安息香酸2.79gを得た。
3−クロロ−2−エチルスルファニル安息香酸
1H−NMR(CDCl3)δ:8.10−8.05(1H,m),7.68(1H,dd),7.43(1H,t),3.00(2H,q),1.26(3H,t)
製造例1(2)
N2−メチル−5−トリフルオロメチルピリジン−2,3−ジアミン1.14g、3−クロロ−2−エチルスルファニル安息香酸1.56g、EDCI塩酸塩1.02g及びピリジン12mlの混合物を、加熱還流下に3時間撹拌した。室温まで冷却した反応混合物に、水を注加し、酢酸エチルで抽出した。有機層を無水硫酸ナトリウムで乾燥させた後、減圧下に濃縮した。得られた残渣をシリカゲルカラムクロマトグラフィーに付し、3−クロロ−2−エチルスルファニル−N−(2−メチルアミノ−5−トリフルオロメチルピリジン−3−イル)−ベンズアミドを得た。
3−クロロ−2−エチルスルファニル−N−(2−メチルアミノ−5−トリフルオロメチルピリジン−3−イル)−ベンズアミド
1H−NMR(CDCl3)δ:8.39−8.38(1H,m),7.80(1H,brs),7.70−7.68(1H,m),7.67−7.61(2H,m),7.44−7.39(1H,m),5.80(1H,brs),3.10−3.07(3H,m),3.00(2H,q),1.26(3H,t)
製造例1(3)
3−クロロ−2−エチルスルファニル−N−(2−メチルアミノ−5−トリフルオロメチルピリジン−3−イル)−ベンズアミド、リン酸三カリウム3.82g及びDMSO12mLの混合物を150℃で1時間及び165℃で2時間攪拌した。室温まで冷却した反応混合物に、水を注加し、酢酸エチルで抽出した。有機層を無水硫酸ナトリウムで乾燥させた後、減圧下に濃縮した。得られた残渣をシリカゲルカラムクロマトグラフィーに付し、2−(3−クロロ−2−エチルスルファニルフェニル)−3−メチル−6−トリフルオロメチル−3H−イミダゾ[4,5−b]ピリジン0.96gを得た。
2−(3−クロロ−2−エチルスルファニルフェニル)−3−メチル−6−トリフルオロメチル−3H−イミダゾ[4,5−b]ピリジン
1H−NMR(CDCl3)δ:8.74−8.72(1H,m),8.32−8.30(1H,m),7.71(1H,dd),7.48−7.42(2H,m),3.73(3H,s),2.73(2H,q),1.05(3H,t)
製造例1(4)
2−(3−クロロ−2−エチルスルファニルフェニル)−3−メチル−6−トリフルオロメチル−3H−イミダゾ[4,5−b]ピリジン0.72g及びクロロホルム10mlの混合物に、氷冷下、3−クロロ過安息香酸(純度69−75%)0.66gを加えた後、室温まで昇温し、20分間撹拌した。反応混合物に飽和炭酸水素ナトリウム水溶液及び飽和チオ硫酸ナトリウム水溶液を注加し、クロロホルムで2回抽出した。合わせた有機層を無水硫酸マグネシウムで乾燥させた後、減圧下に濃縮した。得られた残渣をシリカゲルカラムクロマトグラフィーに付し、2−(3−クロロ−2−エチルスルフィニルフェニル)−3−メチル−6−トリフルオロメチル−3H−イミダゾ[4,5−b]ピリジン0.67gを得た。
2−(3−クロロ−2−エチルスルフィニルフェニル)−3−メチル−6−トリフルオロメチル−3H−イミダゾ[4,5−b]ピリジン
1H−NMR(CDCl3)δ:8.69(1H,d),8.25(1H,d),7.64(1H,dd),7.58(1H,t),7.39(1H,dd),3.71(3H,s),3.60−3.49(1H,m),3.33−3.23(1H,m),1.33(3H,t)
製造例1(5)
2−(3−クロロ−2−エチルスルフィニルフェニル)−3−メチル−6−トリフルオロメチル−3H−イミダゾ[4,5−b]ピリジン0.48g及び酢酸12mlの混合物を80℃で加熱撹拌し、ここに30%過酸化水素水6mlを滴下した。この混合物を100℃まで昇温し、3時間加熱撹拌した。室温まで冷却した反応混合物に、水を注加し、酢酸エチルで抽出した。有機層を飽和炭酸水素ナトリウム水溶液で洗浄した後、無水硫酸マグネシウムで乾燥させ、減圧下に濃縮した。得られた残渣をシリカゲルカラムクロマトグラフィーに付し、2−(3−クロロ−2−エチルスルホニルフェニル)−3−メチル−6−トリフルオロメチル−3H−イミダゾ[4,5−b]ピリジン 4−オキシド0.13g(以下、本発明化合物1と記す。)を得た。
本発明化合物1
1H−NMR(CDCl3)δ:8.45(1H,s),7.89(1H,s),7.85(1H,dd),7.73(1H,t),7.42(1H,dd),4.18(3H,s),3.59−3.39(2H,m),1.34(3H,t)
製造例2(1)
N2−メチル−5−トリフルオロメチルピリジン−2,3−ジアミン5,37g、2−フルオロ−4−トリフルオロメチルベンズアルデヒド6.92g、亜硫酸水素ナトリウム3.75g及びDMF30mlの混合物を150℃で3時間還流下に撹拌した。室温まで冷却した反応混合物に、水を注加し、酢酸エチルで抽出した。有機層を無水硫酸マグネシウムで乾燥させた後、減圧下に濃縮した。得られた残渣をシリカゲルカラムクロマトグラフィーに付し、2−(2−フルオロ−4−トリフルオロメチルフェニル)−3−メチル−6−トリフルオロメチル−3H−イミダゾ[4,5−b]ピリジン7.83gを得た。
2−(2−フルオロ−4−トリフルオロメチルフェニル)−3−メチル−6−トリフルオロメチル−3H−イミダゾ[4,5−b]ピリジン
1H−NMR(CDCl3)δ:8.75(1H,d),8.35(1H,d),7.91(1H,t),7.67(1H,d),7.59(1H,d),3.92(3H,d) 製造例2(2)
エチルメルカプタンナトリウム塩(80%)0.35g及びDMF9mlの混合物に、氷冷下、2−(2−フルオロ−4−トリフルオロメチルフェニル)−3−メチル−6−トリフルオロメチル−3H−イミダゾ[4,5−b]ピリジン1.0gのDMF溶液を滴下した後、室温まで昇温し、室温で30分間撹拌した。反応混合物に、飽和炭酸水素ナトリウム水溶液を注加し、酢酸エチルで抽出した。有機層を無水硫酸マグネシウムで乾燥させた後、減圧下に濃縮した。得られた残渣をシリカゲルカラムクロマトグラフィーに付し、2−(2−エチルスルファニル−4−トリフルオロメチルフェニル)−3−メチル−6−トリフルオロメチル−3H−イミダゾ[4,5−b]ピリジン1.10gを得た。
2−(2−エチルスルファニル−4−トリフルオロメチルフェニル)−3−メチル−6−トリフルオロメチル−3H−イミダゾ[4,5−b]ピリジン
1H−NMR(CDCl3)δ:8.75−8.73(1H,m),8.35−8.33(1H,m),7.70−7.68(1H,m),7.62−7.56(2H,m),3.79(3H,s),2.95(2H,q),1.28(3H,t)
製造例2(3)
2−(2−エチルスルファニル−4−トリフルオロメチルフェニル)−3−メチル−6−トリフルオロメチル−3H−イミダゾ[4,5−b]ピリジン0.80g及びクロロホルム10mlの混合物に、水冷下、3−クロロ過安息香酸(純度65%以上)0.67gを加えた後、室温まで昇温し、30分間撹拌した。その後、飽和炭酸水素ナトリウム水溶液及び飽和チオ硫酸ナトリウム水溶液を注加し、クロロホルムで2回抽出した。合わせた有機層を無水硫酸マグネシウムで乾燥させた後、減圧下濃縮した。得られた残渣をシリカゲルカラムクロマトグラフィーに付し、2−(2−エチルスルホニル−4−トリフルオロメチルフェニル)−3−メチル−6−トリフルオロメチル−3H−イミダゾ[4,5−b]ピリジン0.26gを得た。
2−(2−エチルスルホニル−4−トリフルオロメチルフェニル)−3−メチル−6−トリフルオロメチル−3H−イミダゾ[4,5−b]ピリジン
1H−NMR(CDCl3)δ:8.78−8.76(1H,m),8.51−8.49(1H,m),8.31−8.30(1H,m),8.12−8.09(1H,m),7.74(1H,d),3.74(3H,s),3.48(2H,q),1.29(3H,t)
製造例2(3)
2−(2−エチルスルホニル−4−トリフルオロメチルフェニル)−3−メチル−6−トリフルオロメチル−3H−イミダゾ[4,5−b]ピリジン1.5g、3−クロロ過安息香酸(純度65%以上)2.47g及びクロロホルム8mlの混合物を8時間還流し、3−クロロ過安息香酸(純度65%以上)1.65gを添加した後、さらに4時間還流した。放冷した反応混合物に10%チオ硫酸ナトリウム水溶液を注加し、クロロホルムで抽出した。有機層を飽和炭酸水素ナトリウム水溶液で洗浄し、無水硫酸マグネシウムで乾燥後、減圧下に濃縮し、2−(2−エチルスルホニル−4−トリフルオロメチルフェニル)−3−メチル−6−トリフルオロメチル−3H−イミダゾ[4,5−b]ピリジン 4−オキシド(以下、本発明化合物2と記す。)638mgを得た。
本発明化合物2
1H−NMR(CDCl3)δ:8.48(1H,s),8.47(1H,s),8.12(1H,d),7.91(1H,s),7.72(1H,d),4.16(3H,s),3.50−3.38(2H,m),1.30(3H,t)
製造例3(1)
N2−メチル−5−トリフルオロメチルピリジン−2,3−ジアミン1.0g、2−エチルスルファニルベンズアルデヒド0.96g、亜硫酸水素ナトリウム1.80g及びDMF10mlの混合物を、160℃で5時間加熱撹拌した。反応混合物を氷冷し、水を添加し析出した結晶を濾取し、水、次いでヘキサンで洗浄した。得られた結晶を、減圧下乾燥し、2−(2−エチルスルファニルフェニル)−3−メチル−6−トリフルオロメチル−3H−イミダゾ[4,5−b]ピリジン1.09gを得た。
2−(2−エチルスルファニルフェニル)−3−メチル−6−トリフルオロメチル−3H−イミダゾ[4,5−b]ピリジン
1H−NMR(CDCl3)δ:8.72−8.70(1H,m),8.33−8.31(1H,m),7.56−7.49(2H,m),7.47−7.43(1H,m),7.39−7.34(1H,m),3.77(3H,s),2.87(2H,q),1.24(3H,t)
製造例3(2)
2−(2−エチルスルファニルフェニル)−3−メチル−6−トリフルオロメチル−3H−イミダゾ[4,5−b]ピリジン0.25g及びクロロホルム3mlの混合物に、氷冷下3−クロロ過安息香酸(純度65%以上)0.43gを加えた後、室温まで昇温し、1時間撹拌した。氷冷下、反応混合物にクロロホルムを加えた後、飽和チオ硫酸ナトリウム水溶液を注加し、酢酸エチルで抽出した。有機層を飽和炭酸水素ナトリウム水溶液、次いで飽和食塩水で洗浄し、無水硫酸ナトリウムで乾燥させた後、減圧下に濃縮した。得られた結晶をヘキサン、次いでメチル−tert−ブチルエーテルで洗浄し、2−(2−エチルスルホニルフェニル)−3−メチル−6−トリフルオロメチル−3H−イミダゾ[4,5−b]ピリジン0.27gを得た。
2−(2−エチルスルホニルフェニル)−3−メチル−6−トリフルオロメチル−3H−イミダゾ[4,5−b]ピリジン
1H−NMR(CDCl3)δ:8.75−8.73(1H,m),8.29−8.27(1H,m),8.25−8.21(1H,m),7.87−7.79(2H,m),7.58−7.55(1H,m),3.72(3H,s),3.42(2H,q),1.26(3H,t)
製造例3(3)
2−(2−エチルスルホニルフェニル)−3−メチル−6−トリフルオロメチル−3H−イミダゾ[4,5−b]ピリジン2.44g、3−クロロ過安息香酸(純度65%以上)3.04g、4,4’−チオビス(6−tert−ブチル−m−クレゾール)0.05g及びクロロホルム20mlの混合物を2時間還流し、3−クロロ過安息香酸(純度65%以上)1.5gを添加した後、さらに6時間還流した。放冷した反応混合物に10%チオ硫酸ナトリウム水溶液を注加し、クロロホルムで抽出した。有機層を飽和炭酸水素ナトリウム水溶液で洗浄し、無水硫酸ナトリウムで乾燥後、減圧下に濃縮した。得られた残渣をシリカゲルカラムクロマトグラフィーに付し、2−(2−エチルスルホニルフェニル)−3−メチル−6−トリフルオロメチル−3H−イミダゾ[4,5−b]ピリジン 4−オキシド(以下、本発明化合物3と記す。)0.87gを得た。
本発明化合物3
1H−NMR(CDCl3)δ:8.45(1H,s),8.25−8.20(1H,m),7.91−7.89(1H,m),7.88−7.82(2H,m),7.57−7.52(1H,m),4.14(3H,s),3.54−3.25(2H,m),1.27(3H,t)
製造例4
2−(2−エチルスルホニルフェニル)−6−トリフルオロメチルオキサゾロ[5,4−b]ピリジン0.11g、3−クロロ過安息香酸(純度65%以上)0.69g及びクロロホルム3mlの混合物を5時間還流した。放冷した反応混合物に10%チオ硫酸ナトリウム水溶液を注加し、クロロホルムで抽出した。有機層を飽和炭酸水素ナトリウム水溶液で洗浄し、無水硫酸ナトリウムで乾燥後、減圧下に濃縮した。得られた残渣をシリカゲルカラムクロマトグラフィーに付し、2−(2−エチルスルホニルフェニル)−6−トリフルオロメチルオキサゾロ[5,4−b]ピリジン 4−オキシド(以下、本発明化合物28と記す。)0.01gを得た。
本発明化合物28
1H−NMR(CDCl3)δ:8.59(1H,s),8.27(1H,dd),8.04(1H,dd),7.97(1H,s),7.92−7.85(2H,m),3.76(2H,q),1.44(3H,t).
前記の製造例に記載の化合物及び前記の製造例に記載の方法に準じた製造方法により製造される化合物を表に示す。
式(1)で表される化合物。
式中のR1、R2、R3、R4、R5、R7、R8、R9、A1及びnは、下記の〔表15〕~〔表16〕に記載の組み合わせを表す。
製剤例1
本発明化合物1~28のいずれか1種 10部を、キシレン35部とN,N−ジメチルホルムアミド35部との混合物に溶解し、ポリオキシエチレンスチリルフェニルエーテル14部及びドデシルベンゼンスルホン酸カルシウム6部を加え、混合して各々の乳剤を得る。
製剤例2
ラウリル硫酸ナトリウム4部、リグニンスルホン酸カルシウム2部、合成含水酸化珪素微粉末20部及び珪藻土54部を混合し、更に本発明化合物1~28のいずれか1種 20部を加え、混合して各々の水和剤を得る。
製剤例3
本発明化合物1~28のいずれか1種 2部に、合成含水酸化珪素微粉末1部、リグニンスルホン酸カルシウム2部、ベントナイト30部及びカオリンクレー65部を加え混合する。ついで、この混合物に適当量の水を加え、さらに攪拌し、造粒機で製粒し、通風乾燥して各々の粒剤を得る。
製剤例4
本発明化合物1~28のいずれか1種 1部を適当量のアセトンに溶解し、これに合成含水酸化珪素微粉末5部、PAP0.3部及びフバサミクレー93.7部を加え、充分攪拌混合し、アセトンを蒸発除去して各々の粉剤を得る。
製剤例5
ポリオキシエチレンアルキルエーテルサルフェートアンモニウム塩及びホワイトカーボンの混合物(重量比1:1)35部と、本発明化合物1~28のいずれか1種10部と、水55部とを混合し、湿式粉砕法で微粉砕することにより、各々のフロアブル剤を得る。
製剤例6
本発明化合物1~28のいずれか1種 0.1部をキシレン5部及びトリクロロエタン5部に溶解し、これを脱臭灯油89.9部に混合して各々の油剤を得る。
製剤例7
本発明化合物1~28のいずれか1種 10mgをアセトン0.5mlに溶解し、この溶液を、動物用固形飼料粉末(飼育繁殖用固形飼料粉末CE−2、日本クレア株式会社商品)5gに処理し、均一に混合する。ついでアセトンを蒸発乾燥させて各々の毒餌剤を得る。
製剤例8
本発明化合物1~28のいずれか1種 0.1部、ネオチオゾール(中央化成株式会社)49.9部をエアゾール缶に入れ、エアゾールバルブを装着した後、ジメチルエーテル25部、LPG25部を充填し振とうを加え、アクチュエータを装着することで油剤エアゾールを得る。
製剤例9
本発明化合物1~28のいずれか1種 0.6部、BHT(2,6−ジ−tert−ブチル−4−メチルフェノール)0.01部、キシレン5部、脱臭灯油3.39部及び乳化剤{アトモス300(アトモスケミカル社登録商標名)}1部を混合溶解したものと、蒸留水50部とをエアゾール容器に充填し、バルブを装着した後、該バルブを通じて噴射剤(LPG)40部を加圧充填して水性エアゾールを得る。
製剤例10
本発明化合1~28のいずれか0.1gを、プロピレングリコール2mlに溶解させ、4.0×4.0cm、厚さ1.2cmの多孔セラミック板に含浸させて、加熱式くん煙剤を得る。
製剤例11
本発明化合物1~28のいずれか5部とエチレン−メタクリル酸メチル共重合体(共重合体中のメタクリル酸メチルの割合:10重量%、アクリフトWD301、住友化学製)95部を密閉式加圧ニーダー(森山製作所製)で溶融混練し、得られた混練物を押出し成型機から成型ダイスを介して押出し、長さ15cm、直径3mmの棒状成型体を得る。
製剤例12
本発明化合物1~28のいずれか5部と軟質塩化ビニル樹脂95部を密閉式加圧ニーダー(森山製作所製)で溶融混練し、得られた混練物を押出し成型機から成型ダイスを介して押出し、長さ15cm、直径3mmの棒状成型体を得る。
製剤例13
本発明化合物1~28のいずれか100mg、ラクトース68.75mg、トウモロコシデンプン237.5mg、微結晶性セルロース43.75mg、ポリビニルピロリドン18.75mg、ナトリウムカルボキシメチルデンプン28.75mg、及びステアリン酸マグネシウム2.5mgを混合し、得られた混合物を適切な大きさに圧縮して、錠剤を得る。
製剤例14
本発明化合物1~28のいずれか25mg、ラクトース60mg、トウモロコシデンプン25mg、カルメロースカルシウム6mg、及び5%ヒドロキシプロピルメチルセルロース適量を混合し、得られた混合物をハードシェルゼラチンカプセル又はヒドロキシプロピルメチルセルロースカプセルに充填し、カプセル剤を得る。
製剤例15
本発明化合物1~28のいずれか1000mg、フマル酸500mg、塩化ナトリウム2000mg、メチルパラベン150mg、プロピルパラベン50mg、顆粒糖25000mg、ソルビトール(70%溶液)13000mg、VeegumK(VanderbiltCo.)100mg、香料35mg、及び着色料500mgに、最終容量が100mlとなるよう蒸留水を加え、混合して、経口投与用サスペンジョンを得る。
製剤例16
本発明化合物1~28のいずれか5部を、ポリソルベート85 5部、ベンジルアルコール3部、及びプロピレングリコール30部に溶解し、この溶液のpHが6.0~6.5となるようにリン酸塩緩衝液を加えた後、全体が100部となるまで水を加えて、経口投与用液剤を得る。
製剤例17
分留ヤシ油57部及びポリソルベート85 3部中にジステアリン酸アルミニウム5部を加熱により分散させる。これを室温に冷却して得られる油状ビヒクル中にサッカリン25部を分散させる。これに本発明化合物1~28のいずれか10部を加え、経口投与用ペースト状製剤を得る。
製剤例18
本発明化合物1~28のいずれか5部を石灰石粉95部と混合し、湿潤顆粒形成法を使用して経口投与用粒剤を得る。
製剤例19
本発明化合物1~28のいずれか5部をジエチレングリコールモノエチルエーテル80部に溶解し、これに炭酸プロピレン15部を混合して、スポットオン液剤を得る。
製剤例20
本発明化合物1~28のいずれか10部をジエチレングリコールモノエチルエーテル70部に溶解し、これに2−オクチルドデカノール20部を混合して、ポアオン液剤を得る。
製剤例21
本発明化合物1~28のいずれか0.5部に、ニッコールTEALS−42(日光ケミカルズ・ラウリル硫酸トリエタノールアミンの42%水溶液)60部、プロピレングリコール20部を添加し、均一溶液になるまで充分撹拌混合した後、水19.5部を加えてさらに充分撹拌混合し、均一溶液のシャンプー剤を得る。
製剤例22
本発明化合物1~28のいずれか0.15部、動物飼料95部、並びに、第2リン酸カルシウム、珪藻土、Aerosil、及びカーボネート(又はチョーク)からなる混合物4.85部を十分攪拌混合し、動物用飼料プレミックスを得る。
製剤例23
本発明化合物1~28のいずれか7.2g、及びホスコS−55(丸石製薬株式会社製)92.8gを100℃で溶解混和し、坐剤形に注いで、冷却固化して、坐剤を得る。
次に、本発明化合物の有害生物防除効力を試験例により示す。
試験例1
製剤例5により得られた本発明化合物1~3の製剤を、有効成分濃度が500ppmとなるように水で希釈し、試験用薬液を調製した。
一方、プラスチックカップに植えたキュウリ幼苗(第1本葉展開期)にワタアブラムシ約30頭を接種し、1日間放置した。この幼苗に、前記試験用薬液20mlを散布した。
散布6日後に該キュウリの葉上に寄生したワタアブラムシ生存虫数を調査し、以下の式により防除価を求めた。
防除価(%)={1−(Cb×Tai)/(Cai×Tb)}×100
式中の文字は以下の意味を表す。
Cb:無処理区の処理前の虫数
Cai:無処理区の観察時の虫数
Tb:処理区の処理前の虫数
Tai:処理区の観察時の虫数
ここで無処理区とは、製剤例5において本発明化合物を含まない製剤を、処理区と同量の水で希釈した試験用薬液を散布した区を意味する。
その結果、本発明化合物1~3の試験用薬液を用いた処理区において防除価90%以上を示した。
試験例2
製剤例5により得られた本発明化合物1~3の製剤を、有効成分濃度が500ppmとなるように水で希釈し、試験用薬液を調製した。
一方、プラスチックカップに植えたキュウリ幼苗(第2本葉展開期)に、前記試験用薬液5mlを株元潅注し、7日間25℃温室内に保った。ワタアブラムシ(全ステージ)30頭をキュウリ葉面に接種し、更に6日該温室内に保った後に、該キュウリの葉上に寄生したワタアブラムシ生存虫数を調査し、以下の式により防除価を求めた。
防除価(%)={1−(Cb×Tai)/(Cai×Tb)}×100
式中の文字は以下の意味を表す。
Cb:無処理区の処理前の虫数
Cai:無処理区の観察時の虫数
Tb:処理区の処理前の虫数
Tai:処理区の観察時の虫数
ここで無処理区とは、製剤例5において本発明化合物を含まない製剤を、処理区と同量の水で希釈した試験用薬液を散布した区を意味する。
その結果、本発明化合物1~3の試験用薬液を用いた処理区において防除価90%以上を示した。
試験例3
製剤例5により得られた本発明化合物3の製剤を、有効成分濃度が500ppmとなるように水で希釈し、試験用薬液を調製した。
ポリエチレンカップに植えた第2葉展開期のイネ幼苗に、前記試験用薬液10mlを散布した。風乾後、トビイロウンカの3~4齢幼虫を20頭放して、25℃の温室内に保管した。6日後イネに寄生したトビイロウンカの数を調査し、以下の式により防除価を求めた。
防除価(%)={1−(Cb×Tai)/(Cai×Tb)}×100
式中の文字は以下の意味を表す。
Cb:無処理区の処理前の虫数
Cai:無処理区の観察時の虫数
Tb:処理区の処理前の虫数
Tai:処理区の観察時の虫数
ここで無処理区とは、製剤例5において本発明化合物を含まない製剤を、処理区と同量の水で希釈した試験用薬液を散布した区を意味する。
その結果、本発明化合物3の試験用薬液を用いた処理区において防除価90%以上を示した。
試験例4
製剤例5により得られた本発明化合物1~3の製剤を、有効成分濃度が500ppmとなるように水で希釈し、試験用薬液を調製した。
一方、プラスチックカップに植えたイネ幼苗(播種2週間後、第2葉展開期)に、前記試験用薬液5mlを株元潅注し、7日間25℃温室内に保った。トビイロウンカの3~4齢幼虫を20頭放して、更に6日該温室内に保った後に、該イネの葉上に寄生したトビイロウンカ生存虫数を調査し、以下の式により防除価を求めた。
防除価(%)={1−(Cb×Tai)/(Cai×Tb)}×100
式中の文字は以下の意味を表す。
Cb:無処理区の処理前の虫数
Cai:無処理区の観察時の虫数
Tb:処理区の処理前の虫数
Tai:処理区の観察時の虫数
ここで無処理区とは、製剤例5において本発明化合物を含まない製剤を、処理区と同量の水で希釈した試験用薬液を散布した区を意味する。
その結果、本発明化合物1~3の試験用薬液を用いた処理区において防除価90%以上を示した。
試験例5
製剤例5により得られた本発明化合物2~3の製剤を、有効成分濃度が500ppmとなるように水で希釈し、試験用薬液を調製した。
一方、ポリエチレンカップに植えたトマト幼苗(第3本葉展開期)に、タバココナジラミ成虫を放ち、約72時間産卵させた。該トマト苗を8日間温室内に保持し、産下された卵から幼虫が孵化してきたところへ前記試験用薬液を20ml/カップの割合で散布し、25℃で温室内に保持した。7日後トマト葉上の生存幼虫数の調査を行い、次の式により防除価を求めた。
防除価(%)={1−(Cb×Tai)/(Cai×Tb)}×100
式中の文字は以下の意味を表す。
Cb:無処理区の処理前の虫数
Cai:無処理区の観察時の虫数
Tb:処理区の処理前の虫数
Tai:処理区の観察時の虫数
ここで無処理区とは、製剤例5において本発明化合物を含まない製剤を、処理区と同量の水で希釈した試験用薬液を散布した区を意味する。
その結果、本発明化合物2~3の試験用薬液を用いた処理区において防除価90%以上を示した。
試験例6
製剤例5により得られた本発明化合物2~3の製剤を、有効成分濃度が500ppmとなるように水で希釈し、試験用薬液を調製した。
一方、ポリエチレンカップに植えた3葉期キャベツに、前記試験用薬液を20mL/カップの割合で散布した。薬液が乾いた後、茎葉部を切り取って50mLカップに収容し、コナガ2令幼虫5頭を放ち、蓋をした。25℃で保管し、5日後に生存虫数を数え、次式より死虫率を求めた。
死虫率(%)=(死亡虫数/供試虫数)×100
その結果、本発明化合物2~3の試験用薬液を用いた処理区において死虫率80%以上を示した。
試験例7
製剤例5により得られた本発明化合物1~3の製剤を有効成分濃度が500ppmとなるように水で希釈し、試験用散布液を調製した。
一方、プラスチックカップにリンゴを植え、第7本葉ないしは第8本葉が展開するまで生育させた。そのリンゴに上記試験用薬液を20mL/カップの割合で散布した。薬液が乾いた後、リンゴコカクモンハマキ初齢幼虫60頭を放ち、底面をくりぬき、ろ紙を貼ったプラスチックカップを逆さにして被せた。7日後に生存虫数を数え、次式より死虫率を求めた。
死虫率(%)=(死亡虫数/供試虫数)×100
その結果、本発明化合物1~3の試験用薬液の処理区において死虫率90%以上を示した。
試験例8
製剤例5により得られた本発明化合物2の製剤を有効成分濃度が500ppmとなるように水で希釈し、試験用薬液を調製した。
直径5.5cmのポリエチレンカップの底に同大の濾紙を敷き、上記試験用薬液0.7mlを濾紙上に滴下し、餌としてショ糖30mgを均一に入れた。該ポリエチレンカップ内にイエバエ(Musca domestica)雌成虫10頭を放ち、蓋をした。24時間後にイエバエの生死を調査し死虫率を求めた。
その結果、本発明化合物2の処理においては死虫率100%を示した。
試験例9
製剤例5により得られた本発明化合物の各々の製剤を有効成分濃度が500ppmとなるように水で希釈し、試験用薬液を調製する。
直径5.5cmのポリエチレンカップの底に同大の濾紙を敷き、上記試験用薬液0.7mlを濾紙上に滴下し、餌としてショ糖30mgを均一に入れた。該ポリエチレンカップ内にチャバネゴキブリ(Blattalla germanica)雄成虫2頭を放ち、蓋をする。6日後にチャバネゴキブリの生死を調査し死虫率を求める。
その結果、本発明化合物の処理により十分な死虫率が得られる。
試験例10
製剤例5により得られた本発明化合物2の製剤を有効成分濃度が500ppmとなるように水で希釈し、試験用薬液を調製した。
上記試験用薬液0.7mlをイオン交換水100mlに加えた(有効成分濃度3.5ppm)。該液中にアカイエカ(Culex pipiens pallens)終令幼虫20頭を放ち、1日後にその生死を調査し死虫率を求めた。
その結果、本発明化合物2の処理において死虫率91%以上を示した。
試験例11
本発明化合物2mgをスクリュー管(マルエム No.5;27×55mm)に量り取りアセトン0.2mLを加えて蓋をし溶解する。スクリュー管を回転・反転させ内壁全体に均一になるよう薬液をコーティングする。蓋を取り約2時間風乾させた後、フタトゲチマダニ(Haemaphysalis longicornis)未吸血若ダニ1群5頭を放して蓋をする。2日後に致死数を調査し、以下の計算式で死虫率を算出する。
死虫率(%)=100×(死亡マダニ数/供試マダニ数)
その結果、本発明化合物の処理により十分な死虫率が得られる。
Hereinafter, although this invention is demonstrated in more detail by a manufacture example, a reference manufacture example, a formulation example, a test example, etc., this invention is not limited only to these examples.
First, a manufacture example is shown about manufacture of this invention compound.
Production Example 1 (1)
To a mixture of 3.43 g of 3-chloroanthranilic acid and 20 ml of 1 mol / l hydrochloric acid, 1.38 g of sodium nitrite was added little by little at room temperature and stirred for 10 minutes. The reaction mixture was added dropwise to a separately prepared mixture of 5.65 g of potassium butylxanthate and 20 ml of water at room temperature and stirred for 1 hour. After adding 20 ml of 3N sodium hydroxide aqueous solution and 2.9 ml of diethyl sulfate, the temperature was raised to 100 ° C., and the mixture was stirred for 1 hour while heating under reflux. To the reaction mixture cooled to room temperature, 12 mol / l hydrochloric acid was added dropwise under ice cooling. The precipitated solid was filtered and dried under reduced pressure.
After adding 10 ml of 3N sodium hydroxide aqueous solution, 10 ml of ethanol and 6.86 g of ethyl iodide to the obtained solid, the temperature was raised to 80 ° C. and stirred for 2 hours while heating under reflux. To the reaction mixture cooled to room temperature, 12 mol / l hydrochloric acid was added dropwise under ice cooling, and the mixture was extracted with ethyl acetate. The organic layer was dried over anhydrous sodium sulfate and concentrated under reduced pressure. The obtained residue was subjected to silica gel column chromatography to obtain 2.79 g of 3-chloro-2-ethylsulfanylbenzoic acid.
3-Chloro-2-ethylsulfanylbenzoic acid
1 H-NMR (CDCl 3 ) δ: 8.10-8.05 (1H, m), 7.68 (1H, dd), 7.43 (1H, t), 3.00 (2H, q), 1.26 (3H, t)
Production Example 1 (2)
N 2 - methyl-5-trifluoromethyl-pyridine-2,3-diamine 1.14 g, 3- chloro-2-ethylsulfanyl-benzoic acid 1.56 g, a mixture of EDCI hydrochloride 1.02g and pyridine 12 ml, heated to reflux Stir down for 3 hours. Water was poured into the reaction mixture cooled to room temperature, and the mixture was extracted with ethyl acetate. The organic layer was dried over anhydrous sodium sulfate and then concentrated under reduced pressure. The obtained residue was subjected to silica gel column chromatography to obtain 3-chloro-2-ethylsulfanyl-N- (2-methylamino-5-trifluoromethylpyridin-3-yl) -benzamide.
3-Chloro-2-ethylsulfanyl-N- (2-methylamino-5-trifluoromethylpyridin-3-yl) -benzamide
1 H-NMR (CDCl 3 ) δ: 8.39-8.38 (1H, m), 7.80 (1H, brs), 7.70-7.68 (1H, m), 7.67-7 .61 (2H, m), 7.44-7.39 (1H, m), 5.80 (1H, brs), 3.10-3.07 (3H, m), 3.00 (2H, q ), 1.26 (3H, t)
Production Example 1 (3)
A mixture of 3-chloro-2-ethylsulfanyl-N- (2-methylamino-5-trifluoromethylpyridin-3-yl) -benzamide, 3.82 g of tripotassium phosphate and 12 mL of DMSO was added at 150 ° C. for 1 hour and 165 Stir for 2 hours at ° C. Water was poured into the reaction mixture cooled to room temperature, and the mixture was extracted with ethyl acetate. The organic layer was dried over anhydrous sodium sulfate and then concentrated under reduced pressure. The obtained residue was subjected to silica gel column chromatography to give 2- (3-chloro-2-ethylsulfanylphenyl) -3-methyl-6-trifluoromethyl-3H-imidazo [4,5-b] pyridine. 96 g was obtained.
2- (3-Chloro-2-ethylsulfanylphenyl) -3-methyl-6-trifluoromethyl-3H-imidazo [4,5-b] pyridine
1 H-NMR (CDCl 3 ) δ: 8.74-8.72 (1H, m), 8.32-8.30 (1H, m), 7.71 (1H, dd), 7.48-7 .42 (2H, m), 3.73 (3H, s), 2.73 (2H, q), 1.05 (3H, t)
Production Example 1 (4)
To a mixture of 0.72 g of 2- (3-chloro-2-ethylsulfanylphenyl) -3-methyl-6-trifluoromethyl-3H-imidazo [4,5-b] pyridine and 10 ml of chloroform, -After adding 0.66 g of chloroperbenzoic acid (purity 69-75%), it heated up to room temperature and stirred for 20 minutes. Saturated aqueous sodium hydrogen carbonate solution and saturated aqueous sodium thiosulfate solution were added to the reaction mixture, and the mixture was extracted twice with chloroform. The combined organic layers were dried over anhydrous magnesium sulfate and concentrated under reduced pressure. The obtained residue was subjected to silica gel column chromatography to give 2- (3-chloro-2-ethylsulfinylphenyl) -3-methyl-6-trifluoromethyl-3H-imidazo [4,5-b] pyridine. 67 g was obtained.
2- (3-Chloro-2-ethylsulfinylphenyl) -3-methyl-6-trifluoromethyl-3H-imidazo [4,5-b] pyridine
1 H-NMR (CDCl 3 ) δ: 8.69 (1H, d), 8.25 (1H, d), 7.64 (1H, dd), 7.58 (1H, t), 7.39 ( 1H, dd), 3.71 (3H, s), 3.60-3.49 (1H, m), 3.33-3.23 (1H, m), 1.33 (3H, t)
Production Example 1 (5)
A mixture of 0.48 g of 2- (3-chloro-2-ethylsulfinylphenyl) -3-methyl-6-trifluoromethyl-3H-imidazo [4,5-b] pyridine and 12 ml of acetic acid was heated and stirred at 80 ° C. Then, 6 ml of 30% hydrogen peroxide water was added dropwise thereto. The mixture was heated to 100 ° C. and stirred for 3 hours. Water was poured into the reaction mixture cooled to room temperature, and the mixture was extracted with ethyl acetate. The organic layer was washed with a saturated aqueous sodium hydrogen carbonate solution, dried over anhydrous magnesium sulfate, and concentrated under reduced pressure. The obtained residue was subjected to silica gel column chromatography to give 2- (3-chloro-2-ethylsulfonylphenyl) -3-methyl-6-trifluoromethyl-3H-imidazo [4,5-b] pyridine 4- 0.13 g of oxide (hereinafter referred to as the present compound 1) was obtained.
Compound 1 of the present invention
1 H-NMR (CDCl 3 ) δ: 8.45 (1H, s), 7.89 (1H, s), 7.85 (1H, dd), 7.73 (1H, t), 7.42 ( 1H, dd), 4.18 (3H, s), 3.59-3.39 (2H, m), 1.34 (3H, t)
Production Example 2 (1)
A mixture of 5,37 g of N 2 -methyl-5-trifluoromethylpyridine-2,3-diamine, 6.92 g of 2-fluoro-4-trifluoromethylbenzaldehyde, 3.75 g of sodium hydrogen sulfite and 30 ml of DMF at 150 ° C. Stirred under reflux for hours. Water was poured into the reaction mixture cooled to room temperature, and the mixture was extracted with ethyl acetate. The organic layer was dried over anhydrous magnesium sulfate and then concentrated under reduced pressure. The obtained residue was subjected to silica gel column chromatography to give 2- (2-fluoro-4-trifluoromethylphenyl) -3-methyl-6-trifluoromethyl-3H-imidazo [4,5-b] pyridine 7 .83 g was obtained.
2- (2-Fluoro-4-trifluoromethylphenyl) -3-methyl-6-trifluoromethyl-3H-imidazo [4,5-b] pyridine
1 H-NMR (CDCl 3 ) δ: 8.75 (1H, d), 8.35 (1H, d), 7.91 (1H, t), 7.67 (1H, d), 7.59 ( 1H, d), 3.92 (3H, d) Production Example 2 (2)
To a mixture of 0.35 g of ethyl mercaptan sodium salt (80%) and 9 ml of DMF was added 2- (2-fluoro-4-trifluoromethylphenyl) -3-methyl-6-trifluoromethyl-3H-imidazo [ 4,5-b] DMF solution of 1.0 g of pyridine was dropped, and then the mixture was warmed to room temperature and stirred at room temperature for 30 minutes. Saturated aqueous sodium hydrogen carbonate solution was poured into the reaction mixture, and the mixture was extracted with ethyl acetate. The organic layer was dried over anhydrous magnesium sulfate and then concentrated under reduced pressure. The obtained residue was subjected to silica gel column chromatography to give 2- (2-ethylsulfanyl-4-trifluoromethylphenyl) -3-methyl-6-trifluoromethyl-3H-imidazo [4,5-b] pyridine. 1.10 g was obtained.
2- (2-Ethylsulfanyl-4-trifluoromethylphenyl) -3-methyl-6-trifluoromethyl-3H-imidazo [4,5-b] pyridine
1 H-NMR (CDCl 3 ) δ: 8.75-8.73 (1H, m), 8.35-8.33 (1H, m), 7.70-7.68 (1H, m), 7 .62-7.56 (2H, m), 3.79 (3H, s), 2.95 (2H, q), 1.28 (3H, t)
Production Example 2 (3)
A mixture of 0.80 g of 2- (2-ethylsulfanyl-4-trifluoromethylphenyl) -3-methyl-6-trifluoromethyl-3H-imidazo [4,5-b] pyridine and 10 ml of chloroform was cooled with water. After adding 0.67 g of 3-chloroperbenzoic acid (purity 65% or more), it heated up to room temperature and stirred for 30 minutes. Thereafter, a saturated aqueous sodium hydrogen carbonate solution and a saturated aqueous sodium thiosulfate solution were added, and the mixture was extracted twice with chloroform. The combined organic layers were dried over anhydrous magnesium sulfate and concentrated under reduced pressure. The obtained residue was subjected to silica gel column chromatography to give 2- (2-ethylsulfonyl-4-trifluoromethylphenyl) -3-methyl-6-trifluoromethyl-3H-imidazo [4,5-b] pyridine. 0.26 g was obtained.
2- (2-Ethylsulfonyl-4-trifluoromethylphenyl) -3-methyl-6-trifluoromethyl-3H-imidazo [4,5-b] pyridine
1 H-NMR (CDCl 3 ) δ: 8.78-8.76 (1H, m), 8.51-8.49 (1H, m), 8.31-8.30 (1H, m), 8 .12-8.09 (1H, m), 7.74 (1H, d), 3.74 (3H, s), 3.48 (2H, q), 1.29 (3H, t)
Production Example 2 (3)
2- (2-ethylsulfonyl-4-trifluoromethylphenyl) -3-methyl-6-trifluoromethyl-3H-imidazo [4,5-b] pyridine 1.5 g, 3-chloroperbenzoic acid (purity 65 A mixture of 2.47 g or more and 8 ml of chloroform was refluxed for 8 hours, and 1.65 g of 3-chloroperbenzoic acid (purity 65% or more) was added, and the mixture was further refluxed for 4 hours. A 10% aqueous sodium thiosulfate solution was poured into the cooled reaction mixture, and the mixture was extracted with chloroform. The organic layer was washed with a saturated aqueous sodium hydrogen carbonate solution, dried over anhydrous magnesium sulfate, concentrated under reduced pressure, and 2- (2-ethylsulfonyl-4-trifluoromethylphenyl) -3-methyl-6-trifluoromethyl. 638 mg of 3H-imidazo [4,5-b] pyridine 4-oxide (hereinafter referred to as the present compound 2) was obtained.
Compound 2 of the present invention
1 H-NMR (CDCl 3 ) δ: 8.48 (1H, s), 8.47 (1H, s), 8.12 (1H, d), 7.91 (1H, s), 7.72 ( 1H, d), 4.16 (3H, s), 3.50-3.38 (2H, m), 1.30 (3H, t)
Production Example 3 (1)
A mixture of 1.0 g of N 2 -methyl-5-trifluoromethylpyridine-2,3-diamine, 0.96 g of 2-ethylsulfanylbenzaldehyde, 1.80 g of sodium hydrogen sulfite and 10 ml of DMF was heated and stirred at 160 ° C. for 5 hours. . The reaction mixture was ice-cooled, water was added, and the precipitated crystals were collected by filtration, and washed with water and then hexane. The obtained crystals were dried under reduced pressure to obtain 1.09 g of 2- (2-ethylsulfanylphenyl) -3-methyl-6-trifluoromethyl-3H-imidazo [4,5-b] pyridine.
2- (2-Ethylsulfanylphenyl) -3-methyl-6-trifluoromethyl-3H-imidazo [4,5-b] pyridine
1 H-NMR (CDCl 3 ) δ: 8.72-8.70 (1H, m), 8.33-8.31 (1H, m), 7.56-7.49 (2H, m), 7 .47-7.43 (1H, m), 7.39-7.34 (1H, m), 3.77 (3H, s), 2.87 (2H, q), 1.24 (3H, t )
Production Example 3 (2)
2-Chloroperbenzoic acid was added to a mixture of 0.25 g of 2- (2-ethylsulfanylphenyl) -3-methyl-6-trifluoromethyl-3H-imidazo [4,5-b] pyridine and 3 ml of chloroform under ice cooling. After adding 0.43 g (purity 65% or more), the mixture was warmed to room temperature and stirred for 1 hour. Chloroform was added to the reaction mixture under ice-cooling, saturated aqueous sodium thiosulfate solution was added, and the mixture was extracted with ethyl acetate. The organic layer was washed with a saturated aqueous sodium hydrogen carbonate solution and then with saturated brine, dried over anhydrous sodium sulfate, and concentrated under reduced pressure. The obtained crystals were washed with hexane and then methyl-tert-butyl ether to give 2- (2-ethylsulfonylphenyl) -3-methyl-6-trifluoromethyl-3H-imidazo [4,5-b] pyridine. 27 g was obtained.
2- (2-Ethylsulfonylphenyl) -3-methyl-6-trifluoromethyl-3H-imidazo [4,5-b] pyridine
1 H-NMR (CDCl 3 ) δ: 8.75-8.73 (1H, m), 8.29-8.27 (1H, m), 8.25-8.21 (1H, m), 7 .87-7.79 (2H, m), 7.58-7.55 (1H, m), 3.72 (3H, s), 3.42 (2H, q), 1.26 (3H, t )
Production Example 3 (3)
2- (2-ethylsulfonylphenyl) -3-methyl-6-trifluoromethyl-3H-imidazo [4,5-b] pyridine 2.44 g, 3-chloroperbenzoic acid (purity 65% or more) 3.04 g , 4,4′-thiobis (6-tert-butyl-m-cresol) 0.05 g and chloroform 20 ml were refluxed for 2 hours, and 1.5 g of 3-chloroperbenzoic acid (purity 65% or more) was added. Thereafter, the mixture was further refluxed for 6 hours. A 10% aqueous sodium thiosulfate solution was poured into the cooled reaction mixture, and the mixture was extracted with chloroform. The organic layer was washed with a saturated aqueous sodium hydrogen carbonate solution, dried over anhydrous sodium sulfate, and concentrated under reduced pressure. The obtained residue was subjected to silica gel column chromatography to give 2- (2-ethylsulfonylphenyl) -3-methyl-6-trifluoromethyl-3H-imidazo [4,5-b] pyridine 4-oxide (hereinafter, This is referred to as the present compound 3.) 0.87 g was obtained.
Compound 3 of the present invention
1 H-NMR (CDCl 3 ) δ: 8.45 (1H, s), 8.25-8.20 (1H, m), 7.91-7.89 (1H, m), 7.88-7 .82 (2H, m), 7.57-7.52 (1H, m), 4.14 (3H, s), 3.54-3.25 (2H, m), 1.27 (3H, t )
Production Example 4
A mixture of 0.11 g of 2- (2-ethylsulfonylphenyl) -6-trifluoromethyloxazolo [5,4-b] pyridine, 0.69 g of 3-chloroperbenzoic acid (purity 65% or more) and 3 ml of chloroform Refluxed for 5 hours. A 10% aqueous sodium thiosulfate solution was poured into the cooled reaction mixture, and the mixture was extracted with chloroform. The organic layer was washed with a saturated aqueous sodium hydrogen carbonate solution, dried over anhydrous sodium sulfate, and concentrated under reduced pressure. The obtained residue was subjected to silica gel column chromatography to give 2- (2-ethylsulfonylphenyl) -6-trifluoromethyloxazolo [5,4-b] pyridine 4-oxide (hereinafter referred to as the present compound 28). .) 0.01 g was obtained.
Compound 28 of the present invention
1 H-NMR (CDCl 3 ) δ: 8.59 (1H, s), 8.27 (1H, dd), 8.04 (1H, dd), 7.97 (1H, s), 7.92- 7.85 (2H, m), 3.76 (2H, q), 1.44 (3H, t).
The compounds described in the above production examples and the compounds produced by the production methods according to the methods described in the above production examples are shown in the table.
The compound represented by Formula (1).
R 1 , R 2 , R 3 , R 4 , R 5 , R 7 , R 8 , R 9 , A 1 and n in the formula represent the combinations described in the following [Table 15] to [Table 16]. .
Formulation Example 1
10 parts of any one of the compounds 1 to 28 of the present invention are dissolved in a mixture of 35 parts of xylene and 35 parts of N, N-dimethylformamide, 14 parts of polyoxyethylene styrylphenyl ether and 6 parts of calcium dodecylbenzenesulfonate And mix to obtain each emulsion.
Formulation Example 2
4 parts of sodium lauryl sulfate, 2 parts of calcium lignin sulfonate, 20 parts of synthetic silicon hydroxide fine powder and 54 parts of diatomaceous earth are mixed, and 20 parts of any one of the compounds 1 to 28 of the present invention are added and mixed. Get a wettable powder.
Formulation Example 3
1 part of the synthetic silicon hydrous fine powder, 2 parts of calcium lignin sulfonate, 30 parts of bentonite and 65 parts of kaolin clay are mixed with 2 parts of any one of the compounds 1 to 28 of the present invention. Next, an appropriate amount of water is added to the mixture, and the mixture is further stirred, granulated by a granulator, and dried by ventilation to obtain each granule.
Formulation Example 4
1 part of any one of the compounds 1 to 28 of the present invention is dissolved in an appropriate amount of acetone, and 5 parts of a synthetic silicon hydroxide fine powder, 0.3 part of PAP and 93.7 parts of fubasami clay are added to this, and the mixture is thoroughly stirred and mixed. Acetone is removed by evaporation to obtain each powder.
Formulation Example 5
35 parts of a mixture of polyoxyethylene alkyl ether sulfate ammonium salt and white carbon (weight ratio 1: 1), 10 parts of any one of the compounds 1 to 28 of the present invention, and 55 parts of water are mixed and wet pulverized. Each flowable agent is obtained by finely pulverizing with.
Formulation Example 6
0.1 part of any one of the compounds 1 to 28 of the present invention is dissolved in 5 parts of xylene and 5 parts of trichloroethane and mixed with 89.9 parts of deodorized kerosene to obtain each oil agent.
Formulation Example 7
10 mg of any one of the compounds 1 to 28 of the present invention is dissolved in 0.5 ml of acetone, and this solution is treated with 5 g of animal solid feed powder (solid feed powder CE-2 for breeding breeding, Nippon Claire Co., Ltd.). And mix evenly. Then acetone is evaporated to dryness to obtain each poisonous bait.
Formulation Example 8
0.1 part of any one of the compounds 1 to 28 of the present invention, 49.9 parts of neothiozole (Chuo Kasei Co., Ltd.) are placed in an aerosol can, and after mounting an aerosol valve, 25 parts of dimethyl ether and 25 parts of LPG are filled and shaken. Finally, an oil aerosol is obtained by mounting the actuator.
Formulation Example 9
Any one of the compounds of the present invention 1-28 0.6 part, BHT (2,6-di-tert-butyl-4-methylphenol) 0.01 part, xylene 5 parts, deodorized kerosene 3.39 parts and emulsifier {Atomos 300 (registered trademark of Atmos Chemical)} 1 part mixed and dissolved and 50 parts distilled water are filled into an aerosol container, and after attaching a valve, 40 parts of propellant (LPG) is added through the valve. Pressurize to obtain an aqueous aerosol.
Formulation Example 10
0.1 g of any one of the compounds 1 to 28 of the present invention is dissolved in 2 ml of propylene glycol and impregnated into a porous ceramic plate having a size of 4.0 × 4.0 cm and a thickness of 1.2 cm to obtain a heating smoke. .
Formulation Example 11
Any 5 parts of the present compounds 1-28 and 95 parts of ethylene-methyl methacrylate copolymer (ratio of methyl methacrylate in the copolymer: 10% by weight, ACRIFT WD301, manufactured by Sumitomo Chemical Co., Ltd.) are hermetically sealed. A kneader (manufactured by Moriyama Seisakusho) is melt-kneaded, and the obtained kneaded product is extruded from an extruder through a molding die to obtain a rod-shaped molded body having a length of 15 cm and a diameter of 3 mm.
Formulation Example 12
5 parts of any of the compounds 1 to 28 of the present invention and 95 parts of a soft vinyl chloride resin are melt-kneaded with a closed pressure kneader (manufactured by Moriyama Seisakusho), and the resulting kneaded product is extruded from an extrusion molding machine through a molding die. A rod-shaped molded body having a length of 15 cm and a diameter of 3 mm is obtained.
Formulation Example 13
100 mg of any of the present compounds 1-28, lactose 68.75 mg, corn starch 237.5 mg, microcrystalline cellulose 43.75 mg, polyvinylpyrrolidone 18.75 mg, sodium carboxymethyl starch 28.75 mg, and magnesium stearate 2. 5 mg is mixed and the resulting mixture is compressed to an appropriate size to obtain tablets.
Formulation Example 14
25 mg of any of the present compounds 1-28, lactose 60 mg, corn starch 25 mg, carmellose calcium 6 mg, and 5% hydroxypropylmethylcellulose are mixed in an appropriate amount, and the resulting mixture is filled into a hard shell gelatin capsule or hydroxypropylmethylcellulose capsule And a capsule is obtained.
Formulation Example 15
Any one of the present compounds 1-28, fumaric acid 500 mg, sodium chloride 2000 mg, methylparaben 150 mg, propylparaben 50 mg, granule sugar 25000 mg, sorbitol (70% solution) 13000 mg, Veegum K (Vanderbilt Co.) 100 mg, flavor 35 mg, and coloring Distilled water is added to 500 mg of the preparation so that the final volume is 100 ml, and mixed to obtain a suspension for oral administration.
Formulation Example 16
Any 5 parts of the compounds 1 to 28 of the present invention are dissolved in 5 parts of polysorbate 85, 3 parts of benzyl alcohol and 30 parts of propylene glycol, and phosphoric acid is added so that the pH of this solution is 6.0 to 6.5. After adding the salt buffer, water is added until the whole becomes 100 parts to obtain a solution for oral administration.
Formulation Example 17
5 parts of aluminum distearate is dispersed by heating in 57 parts of fractionated coconut oil and 3 parts of polysorbate 85. 25 parts of saccharin is dispersed in an oily vehicle obtained by cooling this to room temperature. To this, 10 parts of any one of the compounds 1 to 28 of the present invention are added to obtain a paste preparation for oral administration.
Formulation Example 18
Any 5 parts of the compounds 1 to 28 of the present invention are mixed with 95 parts of limestone powder, and granules for oral administration are obtained using a wet granulation method.
Formulation Example 19
Any 5 parts of the present compounds 1 to 28 are dissolved in 80 parts of diethylene glycol monoethyl ether, and 15 parts of propylene carbonate is mixed therewith to obtain a spot-on solution.
Formulation Example 20
Any 10 parts of the compounds 1 to 28 of the present invention are dissolved in 70 parts of diethylene glycol monoethyl ether, and 20 parts of 2-octyldodecanol is mixed therewith to obtain a pour-on solution.
Formulation Example 21
60 parts of Nikkor TEALS-42 (42% aqueous solution of Nikko Chemicals lauryl sulfate triethanolamine) and 20 parts of propylene glycol are added to 0.5 parts of any of the present compounds 1 to 28, and sufficient until a uniform solution is obtained. After stirring and mixing, 19.5 parts of water is added and further stirred and mixed to obtain a shampoo agent of a uniform solution.
Formulation Example 22
0.15 parts of any of the compounds 1 to 28 of the present invention, 95 parts of animal feed, and 4.85 parts of a mixture comprising dicalcium phosphate, diatomaceous earth, Aerosil, and carbonate (or chalk) are sufficiently stirred and mixed. Get a feed premix.
Formulation Example 23
7.2 g of any of the present compounds 1 to 28 and 92.8 g of Phosco S-55 (manufactured by Maruishi Pharmaceutical Co., Ltd.) are dissolved and mixed at 100 ° C., poured into a suppository form, cooled and solidified, and suppository. Get.
Next, the pest control effect of the compound of the present invention is shown by test examples.
Test example 1
Formulations 1 to 3 of the present invention obtained in Formulation Example 5 were diluted with water so that the active ingredient concentration was 500 ppm to prepare a test drug solution.
On the other hand, about 30 cotton aphids were inoculated into cucumber seedlings (first true leaf development stage) planted in plastic cups and left for 1 day. The seedlings were sprayed with 20 ml of the test chemical solution.
Six days after spraying, the number of live cotton aphids that parasitized on the leaves of the cucumber was examined, and the control value was determined by the following formula.
Control value (%) = {1− (Cb × Tai) / (Cai × Tb)} × 100
The characters in the formula have the following meanings.
Cb: number of insects before treatment in the untreated group Cai: number of insects at the time of observation in the untreated group Tb: number of insects before the treatment in the treated group Tai: number of insects at the time of observation in the treated group In Formulation Example 5, it means a group in which a preparation containing no compound of the present invention was sprayed with a test chemical diluted with the same amount of water as the treatment group.
As a result, a control value of 90% or more was shown in the treatment section using the test chemical solutions of the compounds 1 to 3 of the present invention.
Test example 2
Formulations 1 to 3 of the present invention obtained in Formulation Example 5 were diluted with water so that the active ingredient concentration was 500 ppm to prepare a test drug solution.
On the other hand, cucumber seedlings planted in plastic cups (second true leaf development stage) were irrigated with 5 ml of the test chemical solution and kept in a greenhouse at 25 ° C. for 7 days. After inoculating 30 cotton aphids (all stages) on the cucumber leaf surface and keeping it in the greenhouse for 6 days, the number of live cotton aphids parasitized on the cucumber leaf was investigated. Asked.
Control value (%) = {1− (Cb × Tai) / (Cai × Tb)} × 100
The characters in the formula have the following meanings.
Cb: number of insects before treatment in the untreated group Cai: number of insects at the time of observation in the untreated group Tb: number of insects before the treatment in the treated group Tai: number of insects at the time of observation in the treated group In Formulation Example 5, it means a group in which a preparation containing no compound of the present invention was sprayed with a test chemical diluted with the same amount of water as the treatment group.
As a result, a control value of 90% or more was shown in the treatment section using the test chemical solutions of the compounds 1 to 3 of the present invention.
Test example 3
The preparation of Compound 3 of the present invention obtained in Formulation Example 5 was diluted with water so that the active ingredient concentration was 500 ppm to prepare a test drug solution.
10 ml of the test chemical solution was sprayed on rice seedlings in the second leaf development stage planted in a polyethylene cup. After air drying, 20 3-4 instar larvae of the brown planthopper were released and stored in a greenhouse at 25 ° C. Six days later, the number of brown planthopper infested with rice was investigated, and the control value was determined by the following formula.
Control value (%) = {1− (Cb × Tai) / (Cai × Tb)} × 100
The characters in the formula have the following meanings.
Cb: number of insects before treatment in the untreated group Cai: number of insects at the time of observation in the untreated group Tb: number of insects before the treatment in the treated group Tai: number of insects at the time of observation in the treated group In Formulation Example 5, it means a group in which a preparation containing no compound of the present invention was sprayed with a test chemical diluted with the same amount of water as the treatment group.
As a result, a control value of 90% or more was shown in the treatment section using the test chemical solution of the present compound 3.
Test example 4
Formulations 1 to 3 of the present invention obtained in Formulation Example 5 were diluted with water so that the active ingredient concentration was 500 ppm to prepare a test drug solution.
On the other hand, 5 ml of the test drug solution was irrigated to rice seedlings planted in plastic cups (2 weeks after sowing, in the second leaf development stage) and kept in a 25 ° C. greenhouse for 7 days. After releasing 20 3-4 instar larvae of the green planthopper and keeping it in the greenhouse for 6 days, the number of living brown planthoppers parasitized on the rice leaves was investigated, and the control value was determined by the following formula.
Control value (%) = {1− (Cb × Tai) / (Cai × Tb)} × 100
The characters in the formula have the following meanings.
Cb: number of insects before treatment in the untreated group Cai: number of insects at the time of observation in the untreated group Tb: number of insects before the treatment in the treated group Tai: number of insects at the time of observation in the treated group In Formulation Example 5, it means a group in which a preparation containing no compound of the present invention was sprayed with a test chemical diluted with the same amount of water as the treatment group.
As a result, a control value of 90% or more was shown in the treatment section using the test chemical solutions of the compounds 1 to 3 of the present invention.
Test Example 5
Formulations 2 to 3 of the present invention obtained in Formulation Example 5 were diluted with water so that the active ingredient concentration was 500 ppm to prepare a test drug solution.
On the other hand, adult white tobacco larvae were released on tomato seedlings (third real leaf development stage) planted in polyethylene cups and allowed to lay eggs for about 72 hours. The tomato seedlings were kept in a greenhouse for 8 days, and the test chemical solution was sprayed at a rate of 20 ml / cup onto the larvae hatched from the delivered eggs, and kept in the greenhouse at 25 ° C. Seven days later, the number of surviving larvae on the tomato leaves was examined, and the control value was determined by the following formula.
Control value (%) = {1− (Cb × Tai) / (Cai × Tb)} × 100
The characters in the formula have the following meanings.
Cb: number of insects before treatment in the untreated group Cai: number of insects at the time of observation in the untreated group Tb: number of insects before the treatment in the treated group Tai: number of insects at the time of observation in the treated group In Formulation Example 5, it means a group in which a preparation containing no compound of the present invention was sprayed with a test chemical diluted with the same amount of water as the treatment group.
As a result, a control value of 90% or more was shown in the treatment section using the test chemical solutions of the compounds 2 to 3 of the present invention.
Test Example 6
Formulations 2 to 3 of the present invention obtained in Formulation Example 5 were diluted with water so that the active ingredient concentration was 500 ppm to prepare a test drug solution.
On the other hand, the test chemical solution was sprayed at a rate of 20 mL / cup on a three-leaf cabbage planted in a polyethylene cup. After the drug solution was dried, the stems and leaves were cut out and placed in a 50 mL cup, 5 of the second-ordered larvae were released, and the lid was capped. After storing at 25 ° C., the number of live insects was counted after 5 days, and the death rate was calculated from the following formula.
Death rate (%) = (Number of dead insects / number of test insects) × 100
As a result, the mortality rate was 80% or more in the treatment group using the test chemical solutions of the compounds 2 to 3 of the present invention.
Test Example 7
Formulations 1 to 3 of the present invention obtained in Formulation Example 5 were diluted with water so that the active ingredient concentration would be 500 ppm to prepare a test spray solution.
On the other hand, apples were planted in plastic cups and grown until the seventh and eighth true leaves developed. The apple was sprayed with the test chemical at a rate of 20 mL / cup. After the chemical solution was dried, 60 first-instar larvae of apple cockerel were released, the bottom was hollowed out, and the plastic cup with filter paper was placed upside down. Seven days later, the number of surviving insects was counted, and the death rate was calculated from the following formula.
Death rate (%) = (Number of dead insects / number of test insects) × 100
As a result, a mortality rate of 90% or more was shown in the treatment group of the test chemical solutions of the compounds 1 to 3 of the present invention.
Test Example 8
The preparation of Compound 2 of the present invention obtained in Formulation Example 5 was diluted with water so that the active ingredient concentration was 500 ppm to prepare a test drug solution.
A filter paper of the same size was laid on the bottom of a polyethylene cup having a diameter of 5.5 cm, 0.7 ml of the test chemical solution was dropped onto the filter paper, and 30 mg of sucrose was uniformly added as food. Ten female fly (Musca domestica) females were released into the polyethylene cup and capped. After 24 hours, the life-and-death of the house fly was investigated to determine the death rate.
As a result, in the treatment with Compound 2 of the present invention, a mortality rate of 100% was shown.
Test Example 9
Each formulation of the compound of the present invention obtained in Formulation Example 5 is diluted with water so that the active ingredient concentration is 500 ppm to prepare a test drug solution.
A filter paper of the same size was laid on the bottom of a polyethylene cup having a diameter of 5.5 cm, 0.7 ml of the test chemical solution was dropped onto the filter paper, and 30 mg of sucrose was uniformly added as food. Two adult male German cockroaches (Blattala germanica) are released into the polyethylene cup and covered. After 6 days, investigate the life and death of German cockroaches and determine the death rate.
As a result, a sufficient death rate can be obtained by treatment with the compound of the present invention.
Test Example 10
The preparation of Compound 2 of the present invention obtained in Formulation Example 5 was diluted with water so that the active ingredient concentration was 500 ppm to prepare a test drug solution.
0.7 ml of the test chemical solution was added to 100 ml of ion-exchanged water (active ingredient concentration 3.5 ppm). Twenty dead larvae of Culex pipiens parallels were released into the liquid, and the viability was investigated one day later to determine the mortality rate.
As a result, the treatment with Compound 2 of the present invention showed a mortality rate of 91% or more.
Test Example 11
2 mg of the compound of the present invention is weighed into a screw tube (Marume No. 5; 27 × 55 mm), 0.2 mL of acetone is added, and the solution is covered and dissolved. The screw tube is rotated and inverted to coat the chemical solution so that the entire inner wall is uniform. After removing the lid and allowing it to air dry for about 2 hours, 5 groups of non-blood-sucking young ticks (Haemaphysalis longicornis) are released and covered. Two days later, the number of lethals is investigated, and the death rate is calculated using the following formula.
Death rate (%) = 100 x (number of dead ticks / number of test ticks)
As a result, a sufficient death rate can be obtained by treatment with the compound of the present invention.
本発明化合物は、有害生物に対して防除効力を有し、有害生物防除剤の有効成分として有用である。 The compound of the present invention has a control effect against pests and is useful as an active ingredient of a pest control agent.
Claims (10)
[式中、
A1は−NR6−、酸素原子又は硫黄原子を表し、
R1は群Xより選ばれる1個以上の原子若しくは基を有していてもよいC1−C6鎖式炭化水素基又は群Yより選ばれる1個以上の原子若しくは基を有していてもよいC3−C6脂環式炭化水素基を表し、
R2、R3、R4及びR5は同一又は相異なり、1個以上のハロゲン原子を有していてもよいC1−C6鎖式炭化水素基、群Zより選ばれる1個以上の原子若しくは基を有していてもよいフェニル基、群Zより選ばれる1個以上の原子若しくは基を有していてもよい5若しくは6員複素環基、−OR10、−S(O)mR10、−NR10R11、−CO2R10、−C(O)R10、シアノ基、ニトロ基、ハロゲン原子、−SF5又は水素原子を表し、
R6は群Xより選ばれる1個以上の原子若しくは基を有していてもよいC1−C6鎖式炭化水素基、群Yより選ばれる1個以上の原子若しくは基を有していてもよいC3−C6脂環式炭化水素基、−CO2R10、−C(O)R10又は水素原子を表し、
R7及びR8は同一又は相異なり、群Xより選ばれる1個以上の原子若しくは基を有していてもよいC1−C6鎖式炭化水素基、群Zより選ばれる1個以上の原子若しくは基を有していてもよいフェニル基、群Zより選ばれる1個以上の原子若しくは基を有していてもよい5若しくは6員複素環基、−OR10、−S(O)mR10、−S(O)2NR10R11、−NR10R11、−NR10CO2R11、−NR10C(O)R11、−CO2R10、−C(O)R10、シアノ基、ニトロ基、ハロゲン原子、−SF5又は水素原子を表し、
R9は1個以上のハロゲン原子を有していてもよいC1−C6鎖式炭化水素基、−OR10、−S(O)mR10、−NR10R11、−CO2R10、−C(O)R10、シアノ基、ニトロ基、ハロゲン原子又は水素原子を表し、
R10及びR11は同一又は相異なり、1個以上のハロゲン原子を有していてもよいC1−C6鎖式炭化水素基又は水素原子を表し、
mは0、1又は2を表し、nは0、1又は2を表す。
ここで、R7及びR8が同時に水素原子を表すことはなく、−S(O)mR10において、mが1又は2の場合には、R10が水素原子を表すことはない。
群X:1個以上のハロゲン原子を有していてもよいC1−C6アルコキシ基、1個以上のハロゲン原子を有していてもよいC2−C6アルケニルオキシ基、1個以上のハロゲン原子を有していてもよいC2−C6アルキニルオキシ基、1個以上のハロゲン原子を有していてもよいC1−C6アルキルスルファニル基、1個以上のハロゲン原子を有していてもよいC1−C6アルキルスルフィニル基、1個以上のハロゲン原子を有していてもよいC1−C6アルキルスルホニル基、1個以上のハロゲン原子を有していてもよいC2−C6アルキルカルボニル基、1個以上のハロゲン原子を有していてもよいC2−C6アルコキシカルボニル基、1個以上のハロゲン原子を有していてもよいC3−C6シクロアルキル基、シアノ基、ヒドロキシ基及びハロゲン原子からなる群。
群Y:1個以上のハロゲン原子を有していてもよいC1−C6鎖式炭化水素基、1個以上のハロゲン原子を有していてもよいC1−C6アルコキシ基、1個以上のハロゲン原子を有していてもよいC2−C6アルケニルオキシ基、1個以上のハロゲン原子を有していてもよいC2−C6アルキニルオキシ基、ヒドロキシ基及びハロゲン原子からなる群。
群Z:1個以上のハロゲン原子を有していてもよいC1−C6鎖式炭化水素基、1個以上のハロゲン原子を有していてもよいC1−C6アルコキシ基、1個以上のハロゲン原子を有していてもよいC1−C6アルキルスルファニル基、1個以上のハロゲン原子を有していてもよいC1−C6アルキルスルフィニル基、1個以上のハロゲン原子を有していてもよいC1−C6アルキルスルホニル基、1個以上のハロゲン原子を有していてもよいC2−C6アルキルカルボニル基、1個以上のハロゲン原子を有していてもよいC2−C6アルコキシカルボニル基、1個以上のハロゲン原子を有していてもよいC1−C6アルキルアミノ基、1個以上のハロゲン原子を有していてもよいC2−C8ジアルキルアミノ基、ハロゲン原子、シアノ基及びニトロ基からなる群。]
で示される縮合複素環化合物。 Formula (1)
[Where:
A 1 represents —NR 6 —, an oxygen atom or a sulfur atom,
R 1 may have a C1-C6 chain hydrocarbon group which may have one or more atoms or groups selected from group X, or one or more atoms or groups selected from group Y. Represents a C3-C6 alicyclic hydrocarbon group,
R 2 , R 3 , R 4 and R 5 are the same or different and are each a C1-C6 chain hydrocarbon group optionally having one or more halogen atoms, one or more atoms selected from group Z, or A phenyl group which may have a group, a 5- or 6-membered heterocyclic group which may have one or more atoms or groups selected from group Z, -OR 10 , -S (O) m R 10 , -NR 10 R 11 , -CO 2 R 10 , -C (O) R 10 , a cyano group, a nitro group, a halogen atom, -SF 5 or a hydrogen atom,
R 6 may have a C1-C6 chain hydrocarbon group which may have one or more atoms or groups selected from group X, and one or more atoms or groups selected from group Y. C3-C6 alicyclic hydrocarbon group, -CO 2 R 10, represents -C (O) R 10 or a hydrogen atom,
R 7 and R 8 are the same or different and are each a C1-C6 chain hydrocarbon group optionally having one or more atoms or groups selected from group X, one or more atoms selected from group Z, or A phenyl group which may have a group, a 5- or 6-membered heterocyclic group which may have one or more atoms or groups selected from group Z, -OR 10 , -S (O) m R 10 , -S (O) 2 NR 10 R 11 , -NR 10 R 11 , -NR 10 CO 2 R 11 , -NR 10 C (O) R 11 , -CO 2 R 10 , -C (O) R 10 , A cyano group, a nitro group, a halogen atom, —SF 5 or a hydrogen atom;
R 9 is a C1-C6 chain hydrocarbon group optionally having one or more halogen atoms, —OR 10 , —S (O) m R 10 , —NR 10 R 11 , —CO 2 R 10 , -C (O) R 10 represents a cyano group, a nitro group, a halogen atom or a hydrogen atom,
R 10 and R 11 are the same or different and each represents a C1-C6 chain hydrocarbon group or hydrogen atom which may have one or more halogen atoms,
m represents 0, 1 or 2, and n represents 0, 1 or 2.
Here, R 7 and R 8 do not simultaneously represent a hydrogen atom, and in —S (O) m R 10 , when m is 1 or 2, R 10 does not represent a hydrogen atom.
Group X: C1-C6 alkoxy group optionally having one or more halogen atoms, C2-C6 alkenyloxy group optionally having one or more halogen atoms, having one or more halogen atoms C2-C6 alkynyloxy group which may have one or more, C1-C6 alkylsulfanyl group which may have one or more halogen atoms, C1-C6 alkylsulfinyl group which may have one or more halogen atoms A C1-C6 alkylsulfonyl group which may have one or more halogen atoms, a C2-C6 alkylcarbonyl group which may have one or more halogen atoms, and one or more halogen atoms. An optionally substituted C2-C6 alkoxycarbonyl group, a C3-C6 cycloalkyl group optionally having one or more halogen atoms, a cyano group, a hydroxy group The group consisting of fine-halogen atom.
Group Y: C1-C6 chain hydrocarbon group optionally having one or more halogen atoms, C1-C6 alkoxy group optionally having one or more halogen atoms, one or more halogen atoms A group consisting of a C2-C6 alkenyloxy group optionally having one, a C2-C6 alkynyloxy group optionally having one or more halogen atoms, a hydroxy group and a halogen atom.
Group Z: C1-C6 chain hydrocarbon group optionally having one or more halogen atoms, C1-C6 alkoxy group optionally having one or more halogen atoms, one or more halogen atoms A C1-C6 alkylsulfanyl group optionally having one or more, a C1-C6 alkylsulfinyl group optionally having one or more halogen atoms, a C1-C6 optionally having one or more halogen atoms Alkylsulfonyl group, C2-C6 alkylcarbonyl group optionally having one or more halogen atoms, C2-C6 alkoxycarbonyl group optionally having one or more halogen atoms, one or more halogen atoms A C1-C6 alkylamino group optionally having one or more, a C2-C8 dialkylamino group optionally having one or more halogen atoms, a halogen atom, a cyano group, and The group consisting of Toro group. ]
A condensed heterocyclic compound represented by
Applications Claiming Priority (2)
| Application Number | Priority Date | Filing Date | Title |
|---|---|---|---|
| JP2012139958 | 2012-06-21 | ||
| JP2012-139958 | 2012-06-21 |
Publications (1)
| Publication Number | Publication Date |
|---|---|
| WO2013191189A1 true WO2013191189A1 (en) | 2013-12-27 |
Family
ID=49768783
Family Applications (1)
| Application Number | Title | Priority Date | Filing Date |
|---|---|---|---|
| PCT/JP2013/066768 Ceased WO2013191189A1 (en) | 2012-06-21 | 2013-06-12 | Fused heterocyclic compound |
Country Status (1)
| Country | Link |
|---|---|
| WO (1) | WO2013191189A1 (en) |
Cited By (6)
| Publication number | Priority date | Publication date | Assignee | Title |
|---|---|---|---|---|
| WO2014132971A1 (en) * | 2013-02-28 | 2014-09-04 | 住友化学株式会社 | Fused heterocyclic compound and pest control applications thereof |
| WO2014132972A1 (en) * | 2013-02-28 | 2014-09-04 | 住友化学株式会社 | Fused heterocyclic compound and pest control applications thereof |
| WO2016002594A1 (en) * | 2014-07-04 | 2016-01-07 | 住友化学株式会社 | Pesticide composition and application of same |
| KR20170117079A (en) | 2015-02-12 | 2017-10-20 | 닛산 가가쿠 고교 가부시키 가이샤 | Condensed heterocyclic compound and noxious organism control agent |
| KR20180116303A (en) | 2016-03-10 | 2018-10-24 | 닛산 가가쿠 가부시키가이샤 | Condensed heterocyclic compounds and pesticides |
| WO2024189139A1 (en) | 2023-03-14 | 2024-09-19 | Syngenta Crop Protection Ag | Control of pests resistant to insecticides |
Citations (3)
| Publication number | Priority date | Publication date | Assignee | Title |
|---|---|---|---|---|
| GB1445824A (en) * | 1973-02-03 | 1976-08-11 | Thomae Gmbh Dr K | Imidazo-4,5-b pyridines |
| JP2008308448A (en) * | 2007-06-15 | 2008-12-25 | Sankyo Agro Kk | (3-Sulfur atom substituted phenyl) heteroaryl derivative |
| WO2012086848A1 (en) * | 2010-12-24 | 2012-06-28 | Sumitomo Chemical Company, Limited | Fused heterocyclic compound and use for pest control thereof |
-
2013
- 2013-06-12 WO PCT/JP2013/066768 patent/WO2013191189A1/en not_active Ceased
Patent Citations (3)
| Publication number | Priority date | Publication date | Assignee | Title |
|---|---|---|---|---|
| GB1445824A (en) * | 1973-02-03 | 1976-08-11 | Thomae Gmbh Dr K | Imidazo-4,5-b pyridines |
| JP2008308448A (en) * | 2007-06-15 | 2008-12-25 | Sankyo Agro Kk | (3-Sulfur atom substituted phenyl) heteroaryl derivative |
| WO2012086848A1 (en) * | 2010-12-24 | 2012-06-28 | Sumitomo Chemical Company, Limited | Fused heterocyclic compound and use for pest control thereof |
Cited By (13)
| Publication number | Priority date | Publication date | Assignee | Title |
|---|---|---|---|---|
| WO2014132972A1 (en) * | 2013-02-28 | 2014-09-04 | 住友化学株式会社 | Fused heterocyclic compound and pest control applications thereof |
| CN105164109A (en) * | 2013-02-28 | 2015-12-16 | 住友化学株式会社 | Fused heterocyclic compound and pest control applications thereof |
| US9573963B2 (en) | 2013-02-28 | 2017-02-21 | Sumitomo Chemical Company, Limited | Fused heterocyclic compound and pest control applications thereof |
| WO2014132971A1 (en) * | 2013-02-28 | 2014-09-04 | 住友化学株式会社 | Fused heterocyclic compound and pest control applications thereof |
| WO2016002594A1 (en) * | 2014-07-04 | 2016-01-07 | 住友化学株式会社 | Pesticide composition and application of same |
| US10882869B2 (en) | 2015-02-12 | 2021-01-05 | Nissan Chemical Corporation | Condensed heterocyclic compounds and pesticides |
| KR20170117079A (en) | 2015-02-12 | 2017-10-20 | 닛산 가가쿠 고교 가부시키 가이샤 | Condensed heterocyclic compound and noxious organism control agent |
| US10464950B2 (en) | 2015-02-12 | 2019-11-05 | Nissan Chemical Corporation | Condensed heterocyclic compounds and pesticides |
| KR20180116303A (en) | 2016-03-10 | 2018-10-24 | 닛산 가가쿠 가부시키가이샤 | Condensed heterocyclic compounds and pesticides |
| US10640518B2 (en) | 2016-03-10 | 2020-05-05 | Nissan Chemical Corporation | Condensed heterocyclic compounds and pesticides |
| US10759815B2 (en) | 2016-03-10 | 2020-09-01 | Nissan Chemical Corporation | Condensed heterocyclic compounds and pesticides |
| US10544163B2 (en) | 2016-03-10 | 2020-01-28 | Nissan Chemical Corporation | Condensed heterocyclic compounds and pesticides |
| WO2024189139A1 (en) | 2023-03-14 | 2024-09-19 | Syngenta Crop Protection Ag | Control of pests resistant to insecticides |
Similar Documents
| Publication | Publication Date | Title |
|---|---|---|
| JP6168055B2 (en) | Fused heterocyclic compounds | |
| JP6311603B2 (en) | Fused heterocyclic compounds | |
| JP6547867B2 (en) | Fused heterocyclic compound and its pest control use | |
| JP6217630B2 (en) | Fused heterocyclic compounds | |
| JP6060263B2 (en) | Condensed oxazole compounds and their use for pest control | |
| JP6217629B2 (en) | Fused heterocyclic compounds | |
| KR101840511B1 (en) | Fused heterocyclic compound and use thereof for pest control | |
| JP6237629B2 (en) | Amide compounds | |
| JP6380375B2 (en) | Fused heterocyclic compounds and their use for pest control | |
| JPWO2013191188A1 (en) | Fused heterocyclic compounds | |
| JP6187459B2 (en) | Amide compounds and their use for pest control | |
| WO2014123206A1 (en) | Condensed heterocyclic compound | |
| WO2014132971A1 (en) | Fused heterocyclic compound and pest control applications thereof | |
| WO2014002754A1 (en) | Amide compound and use thereof for pest control | |
| JPWO2014123205A1 (en) | Fused heterocyclic compounds | |
| WO2015087458A1 (en) | Fused heterocyclic compound and pest control application thereof | |
| WO2013191189A1 (en) | Fused heterocyclic compound | |
| WO2015146870A9 (en) | Pyrimidine compound | |
| JP2014024840A (en) | Condensed heterocyclic compound and pest control use thereof | |
| JP2015189703A (en) | Pyrimidine compound and its application to pest control | |
| JP2015189704A (en) | Pyrimidine compounds and their use for pest control | |
| JP2015086177A (en) | Pyrazole compound and use thereof in pest control | |
| JP2015086178A (en) | Pyrazole compounds and their use for pest control | |
| JP2015086176A (en) | Pyrazole compounds and their use for pest control |
Legal Events
| Date | Code | Title | Description |
|---|---|---|---|
| 121 | Ep: the epo has been informed by wipo that ep was designated in this application |
Ref document number: 13806517 Country of ref document: EP Kind code of ref document: A1 |
|
| NENP | Non-entry into the national phase |
Ref country code: DE |
|
| 122 | Ep: pct application non-entry in european phase |
Ref document number: 13806517 Country of ref document: EP Kind code of ref document: A1 |
|
| NENP | Non-entry into the national phase |
Ref country code: JP |
































































