WO2013171729A2 - Aryl and heteroaryl amide compounds as rorgamat modulator - Google Patents
Aryl and heteroaryl amide compounds as rorgamat modulator Download PDFInfo
- Publication number
- WO2013171729A2 WO2013171729A2 PCT/IB2013/058108 IB2013058108W WO2013171729A2 WO 2013171729 A2 WO2013171729 A2 WO 2013171729A2 IB 2013058108 W IB2013058108 W IB 2013058108W WO 2013171729 A2 WO2013171729 A2 WO 2013171729A2
- Authority
- WO
- WIPO (PCT)
- Prior art keywords
- phenyl
- acetamide
- ethylsulfonyl
- mmol
- fluorophenoxy
- Prior art date
- Legal status (The legal status is an assumption and is not a legal conclusion. Google has not performed a legal analysis and makes no representation as to the accuracy of the status listed.)
- Ceased
Links
- 0 CCC*(C)(*)[C@](C)(C(C=C)=CC=C)NC* Chemical compound CCC*(C)(*)[C@](C)(C(C=C)=CC=C)NC* 0.000 description 3
- KFYKZKISJBGVMR-UHFFFAOYSA-N CCC(C)NCC Chemical compound CCC(C)NCC KFYKZKISJBGVMR-UHFFFAOYSA-N 0.000 description 1
- XVIVVKIHTJTWAE-UHFFFAOYSA-N CCNCCCC(C)=C Chemical compound CCNCCCC(C)=C XVIVVKIHTJTWAE-UHFFFAOYSA-N 0.000 description 1
- APERSHRYAVFLET-UHFFFAOYSA-O CCN[SH+]c1ccc(CC(Nc(cc2)cc(Oc3cccc(F)c3)c2-c2ccccc2)=O)cc1 Chemical compound CCN[SH+]c1ccc(CC(Nc(cc2)cc(Oc3cccc(F)c3)c2-c2ccccc2)=O)cc1 APERSHRYAVFLET-UHFFFAOYSA-O 0.000 description 1
- HABUYUQFDCNSJE-UHFFFAOYSA-N CCS(c1ccc(CC(Nc(cc2)cc(Oc3cccc(F)c3)c2-c(cccc2F)c2F)=O)cc1)O Chemical compound CCS(c1ccc(CC(Nc(cc2)cc(Oc3cccc(F)c3)c2-c(cccc2F)c2F)=O)cc1)O HABUYUQFDCNSJE-UHFFFAOYSA-N 0.000 description 1
- WQCAIAYESGSNCO-UHFFFAOYSA-O CCS(c1ccc(CC(Nc(cc2)cc(Oc3cccc(OC)c3)c2NC=CC(C)=N)=O)cc1)[OH2+] Chemical compound CCS(c1ccc(CC(Nc(cc2)cc(Oc3cccc(OC)c3)c2NC=CC(C)=N)=O)cc1)[OH2+] WQCAIAYESGSNCO-UHFFFAOYSA-O 0.000 description 1
- XSAVNXXAAAJIRW-UHFFFAOYSA-N CCSc1ccc(CC(Nc(cc2)cc(Oc(cc3)cc(F)c3F)c2-c2ccccc2)=O)cc1 Chemical compound CCSc1ccc(CC(Nc(cc2)cc(Oc(cc3)cc(F)c3F)c2-c2ccccc2)=O)cc1 XSAVNXXAAAJIRW-UHFFFAOYSA-N 0.000 description 1
- DQZGFWJLSVOYPF-UHFFFAOYSA-O CC[S+](c1ccc(CC(Nc(cc2)cc(Oc3cc(F)ccc3)c2-c(cn2)cc(F)c2F)=O)cc1)O Chemical compound CC[S+](c1ccc(CC(Nc(cc2)cc(Oc3cc(F)ccc3)c2-c(cn2)cc(F)c2F)=O)cc1)O DQZGFWJLSVOYPF-UHFFFAOYSA-O 0.000 description 1
- FQNOENVHFZXPNW-UHFFFAOYSA-N CC[S+](c1ccc(CC(Nc(cc2)cc(Oc3cc(OC(F)(F)F)ccc3)c2-c2cc(C)ccc2)=O)cc1)[OH2+] Chemical compound CC[S+](c1ccc(CC(Nc(cc2)cc(Oc3cc(OC(F)(F)F)ccc3)c2-c2cc(C)ccc2)=O)cc1)[OH2+] FQNOENVHFZXPNW-UHFFFAOYSA-N 0.000 description 1
- AHUGEMAAUAUWGR-UHFFFAOYSA-O CC[S+](c1ccc(CC(Nc(cc2)cc(Oc3cccc(F)c3)c2-c2ccccc2C#N)=O)cc1)O Chemical compound CC[S+](c1ccc(CC(Nc(cc2)cc(Oc3cccc(F)c3)c2-c2ccccc2C#N)=O)cc1)O AHUGEMAAUAUWGR-UHFFFAOYSA-O 0.000 description 1
- BBIYFINWIJSECI-UHFFFAOYSA-O CC[S+](c1ccc(CC(Nc(cc2)cc(Oc3cccc(F)c3)c2-c2ccccc2F)=O)cc1)O Chemical compound CC[S+](c1ccc(CC(Nc(cc2)cc(Oc3cccc(F)c3)c2-c2ccccc2F)=O)cc1)O BBIYFINWIJSECI-UHFFFAOYSA-O 0.000 description 1
- VILBBUCKSGWPAI-UHFFFAOYSA-O CC[S-2]c1ccc(CC(Nc(cc2)cc(Oc3cc(F)ccc3)c2[N+]2=C(C)C=C2)=O)cc1 Chemical compound CC[S-2]c1ccc(CC(Nc(cc2)cc(Oc3cc(F)ccc3)c2[N+]2=C(C)C=C2)=O)cc1 VILBBUCKSGWPAI-UHFFFAOYSA-O 0.000 description 1
- AKORRDMZMVYOKU-UHFFFAOYSA-N CC[S-2]c1ccc(CC(Nc(cc2)cc(Oc3cccc(F)c3)c2-c(cc2)ccc2C#N)=O)cc1 Chemical compound CC[S-2]c1ccc(CC(Nc(cc2)cc(Oc3cccc(F)c3)c2-c(cc2)ccc2C#N)=O)cc1 AKORRDMZMVYOKU-UHFFFAOYSA-N 0.000 description 1
- KSSLSAPZWAALAY-UHFFFAOYSA-N CC[S-2]c1ccc(CC(Nc(cc2)cc(Oc3ccccc3F)c2-c2cc(Cl)ccc2)=O)cc1 Chemical compound CC[S-2]c1ccc(CC(Nc(cc2)cc(Oc3ccccc3F)c2-c2cc(Cl)ccc2)=O)cc1 KSSLSAPZWAALAY-UHFFFAOYSA-N 0.000 description 1
- PIXZYMLMEWUGQL-UHFFFAOYSA-N CC[S-2]c1ccc(CC(Nc2cc(Oc3cc(F)ccc3)c(-c(cc3)cc(F)c3F)nc2)=O)cc1 Chemical compound CC[S-2]c1ccc(CC(Nc2cc(Oc3cc(F)ccc3)c(-c(cc3)cc(F)c3F)nc2)=O)cc1 PIXZYMLMEWUGQL-UHFFFAOYSA-N 0.000 description 1
- JUSLRMGXONCCBJ-UHFFFAOYSA-N CC[S-](c1ccc(CC(Nc(cc2)cc(Oc(cc3)cc(Cl)c3F)c2[N-]2=C(C)C=C2)=O)cc1)[OH2+] Chemical compound CC[S-](c1ccc(CC(Nc(cc2)cc(Oc(cc3)cc(Cl)c3F)c2[N-]2=C(C)C=C2)=O)cc1)[OH2+] JUSLRMGXONCCBJ-UHFFFAOYSA-N 0.000 description 1
- CEOVETYXFMSXOM-UHFFFAOYSA-N CC[S-](c1ccc(CC(Nc(cc2)cc(Oc3cccc(OC(F)(F)F)c3)c2-c2cccnc2F)=O)cc1)(O)=O Chemical compound CC[S-](c1ccc(CC(Nc(cc2)cc(Oc3cccc(OC(F)(F)F)c3)c2-c2cccnc2F)=O)cc1)(O)=O CEOVETYXFMSXOM-UHFFFAOYSA-N 0.000 description 1
- PZXSWAWPKXVDCD-UHFFFAOYSA-N CC[S-](c1ccc(CC(Nc(cc2)cc(Oc3ccccc3)c2-c2ccncc2)=O)cc1)[OH2+] Chemical compound CC[S-](c1ccc(CC(Nc(cc2)cc(Oc3ccccc3)c2-c2ccncc2)=O)cc1)[OH2+] PZXSWAWPKXVDCD-UHFFFAOYSA-N 0.000 description 1
- VIHVOPYLFRFXGS-UHFFFAOYSA-O CC[SH+](c1ccc(CC(Nc(cc2)cc(Oc3cccc(F)c3)c2-c2cccnc2F)=O)cc1)=O Chemical compound CC[SH+](c1ccc(CC(Nc(cc2)cc(Oc3cccc(F)c3)c2-c2cccnc2F)=O)cc1)=O VIHVOPYLFRFXGS-UHFFFAOYSA-O 0.000 description 1
- CFBGGCDDSMCGRE-UHFFFAOYSA-O CC[SH+]c1ccc(CC(Nc(cc2)cc(Oc(cc3)ccc3F)c2-c2cc(F)ccc2)=O)cc1 Chemical compound CC[SH+]c1ccc(CC(Nc(cc2)cc(Oc(cc3)ccc3F)c2-c2cc(F)ccc2)=O)cc1 CFBGGCDDSMCGRE-UHFFFAOYSA-O 0.000 description 1
- RBOPVAMOIRXHBR-UHFFFAOYSA-O CC[SH+]c1ccc(CC(Nc(cc2)cc(Oc3cccc(Cl)c3)c2-c(cc2)ccc2F)=O)cc1 Chemical compound CC[SH+]c1ccc(CC(Nc(cc2)cc(Oc3cccc(Cl)c3)c2-c(cc2)ccc2F)=O)cc1 RBOPVAMOIRXHBR-UHFFFAOYSA-O 0.000 description 1
- KGUAWAXPHAUKEC-UHFFFAOYSA-O CC[SH+]c1ccc(CC(Nc(cc2)cc(Oc3ccccc3Cl)c2-c2cc(Cl)ccc2)=O)cc1 Chemical compound CC[SH+]c1ccc(CC(Nc(cc2)cc(Oc3ccccc3Cl)c2-c2cc(Cl)ccc2)=O)cc1 KGUAWAXPHAUKEC-UHFFFAOYSA-O 0.000 description 1
- HUPOAPHFDIBICX-UHFFFAOYSA-N CC[SH-]c1ccc(CC(Nc(cc2)cc(Oc3cccc(C#N)c3)c2-c2ccccc2)=O)cc1 Chemical compound CC[SH-]c1ccc(CC(Nc(cc2)cc(Oc3cccc(C#N)c3)c2-c2ccccc2)=O)cc1 HUPOAPHFDIBICX-UHFFFAOYSA-N 0.000 description 1
- NSRSEIGFTCYMTI-UHFFFAOYSA-N CC[SH-]c1ccc(CC(Nc(cc2)cc(Oc3ccccc3)c2-c(cc2)ccc2F)=O)cc1 Chemical compound CC[SH-]c1ccc(CC(Nc(cc2)cc(Oc3ccccc3)c2-c(cc2)ccc2F)=O)cc1 NSRSEIGFTCYMTI-UHFFFAOYSA-N 0.000 description 1
- AKPKYEARPUPUGE-UHFFFAOYSA-N CS(Nc1ccc(CC(Nc2cc(Oc3cc(F)ccc3)c(-c3cc(F)ccc3)nc2)=O)cc1)(=O)=O Chemical compound CS(Nc1ccc(CC(Nc2cc(Oc3cc(F)ccc3)c(-c3cc(F)ccc3)nc2)=O)cc1)(=O)=O AKPKYEARPUPUGE-UHFFFAOYSA-N 0.000 description 1
- BPKFJLVEIUEEDY-UHFFFAOYSA-N C[IH]c(cc1)cc(Oc2cccc(Cl)c2)c1-c1cccnc1 Chemical compound C[IH]c(cc1)cc(Oc2cccc(Cl)c2)c1-c1cccnc1 BPKFJLVEIUEEDY-UHFFFAOYSA-N 0.000 description 1
Classifications
-
- C—CHEMISTRY; METALLURGY
- C07—ORGANIC CHEMISTRY
- C07C—ACYCLIC OR CARBOCYCLIC COMPOUNDS
- C07C317/00—Sulfones; Sulfoxides
- C07C317/44—Sulfones; Sulfoxides having sulfone or sulfoxide groups and carboxyl groups bound to the same carbon skeleton
-
- A—HUMAN NECESSITIES
- A61—MEDICAL OR VETERINARY SCIENCE; HYGIENE
- A61P—SPECIFIC THERAPEUTIC ACTIVITY OF CHEMICAL COMPOUNDS OR MEDICINAL PREPARATIONS
- A61P29/00—Non-central analgesic, antipyretic or antiinflammatory agents, e.g. antirheumatic agents; Non-steroidal antiinflammatory drugs [NSAID]
-
- C—CHEMISTRY; METALLURGY
- C07—ORGANIC CHEMISTRY
- C07C—ACYCLIC OR CARBOCYCLIC COMPOUNDS
- C07C311/00—Amides of sulfonic acids, i.e. compounds having singly-bound oxygen atoms of sulfo groups replaced by nitrogen atoms, not being part of nitro or nitroso groups
- C07C311/01—Sulfonamides having sulfur atoms of sulfonamide groups bound to acyclic carbon atoms
- C07C311/02—Sulfonamides having sulfur atoms of sulfonamide groups bound to acyclic carbon atoms of an acyclic saturated carbon skeleton
- C07C311/08—Sulfonamides having sulfur atoms of sulfonamide groups bound to acyclic carbon atoms of an acyclic saturated carbon skeleton having the nitrogen atom of at least one of the sulfonamide groups bound to a carbon atom of a six-membered aromatic ring
-
- C—CHEMISTRY; METALLURGY
- C07—ORGANIC CHEMISTRY
- C07C—ACYCLIC OR CARBOCYCLIC COMPOUNDS
- C07C311/00—Amides of sulfonic acids, i.e. compounds having singly-bound oxygen atoms of sulfo groups replaced by nitrogen atoms, not being part of nitro or nitroso groups
- C07C311/15—Sulfonamides having sulfur atoms of sulfonamide groups bound to carbon atoms of six-membered aromatic rings
- C07C311/16—Sulfonamides having sulfur atoms of sulfonamide groups bound to carbon atoms of six-membered aromatic rings having the nitrogen atom of at least one of the sulfonamide groups bound to hydrogen atoms or to an acyclic carbon atom
-
- C—CHEMISTRY; METALLURGY
- C07—ORGANIC CHEMISTRY
- C07D—HETEROCYCLIC COMPOUNDS
- C07D213/00—Heterocyclic compounds containing six-membered rings, not condensed with other rings, with one nitrogen atom as the only ring hetero atom and three or more double bonds between ring members or between ring members and non-ring members
- C07D213/02—Heterocyclic compounds containing six-membered rings, not condensed with other rings, with one nitrogen atom as the only ring hetero atom and three or more double bonds between ring members or between ring members and non-ring members having three double bonds between ring members or between ring members and non-ring members
- C07D213/04—Heterocyclic compounds containing six-membered rings, not condensed with other rings, with one nitrogen atom as the only ring hetero atom and three or more double bonds between ring members or between ring members and non-ring members having three double bonds between ring members or between ring members and non-ring members having no bond between the ring nitrogen atom and a non-ring member or having only hydrogen or carbon atoms directly attached to the ring nitrogen atom
- C07D213/24—Heterocyclic compounds containing six-membered rings, not condensed with other rings, with one nitrogen atom as the only ring hetero atom and three or more double bonds between ring members or between ring members and non-ring members having three double bonds between ring members or between ring members and non-ring members having no bond between the ring nitrogen atom and a non-ring member or having only hydrogen or carbon atoms directly attached to the ring nitrogen atom with substituted hydrocarbon radicals attached to ring carbon atoms
- C07D213/36—Radicals substituted by singly-bound nitrogen atoms
- C07D213/40—Acylated substituent nitrogen atom
-
- C—CHEMISTRY; METALLURGY
- C07—ORGANIC CHEMISTRY
- C07D—HETEROCYCLIC COMPOUNDS
- C07D213/00—Heterocyclic compounds containing six-membered rings, not condensed with other rings, with one nitrogen atom as the only ring hetero atom and three or more double bonds between ring members or between ring members and non-ring members
- C07D213/02—Heterocyclic compounds containing six-membered rings, not condensed with other rings, with one nitrogen atom as the only ring hetero atom and three or more double bonds between ring members or between ring members and non-ring members having three double bonds between ring members or between ring members and non-ring members
- C07D213/04—Heterocyclic compounds containing six-membered rings, not condensed with other rings, with one nitrogen atom as the only ring hetero atom and three or more double bonds between ring members or between ring members and non-ring members having three double bonds between ring members or between ring members and non-ring members having no bond between the ring nitrogen atom and a non-ring member or having only hydrogen or carbon atoms directly attached to the ring nitrogen atom
- C07D213/60—Heterocyclic compounds containing six-membered rings, not condensed with other rings, with one nitrogen atom as the only ring hetero atom and three or more double bonds between ring members or between ring members and non-ring members having three double bonds between ring members or between ring members and non-ring members having no bond between the ring nitrogen atom and a non-ring member or having only hydrogen or carbon atoms directly attached to the ring nitrogen atom with hetero atoms or with carbon atoms having three bonds to hetero atoms with at the most one bond to halogen, e.g. ester or nitrile radicals, directly attached to ring carbon atoms
- C07D213/61—Halogen atoms or nitro radicals
-
- C—CHEMISTRY; METALLURGY
- C07—ORGANIC CHEMISTRY
- C07D—HETEROCYCLIC COMPOUNDS
- C07D231/00—Heterocyclic compounds containing 1,2-diazole or hydrogenated 1,2-diazole rings
- C07D231/02—Heterocyclic compounds containing 1,2-diazole or hydrogenated 1,2-diazole rings not condensed with other rings
- C07D231/10—Heterocyclic compounds containing 1,2-diazole or hydrogenated 1,2-diazole rings not condensed with other rings having two or three double bonds between ring members or between ring members and non-ring members
- C07D231/12—Heterocyclic compounds containing 1,2-diazole or hydrogenated 1,2-diazole rings not condensed with other rings having two or three double bonds between ring members or between ring members and non-ring members with only hydrogen atoms, hydrocarbon or substituted hydrocarbon radicals, directly attached to ring carbon atoms
-
- C—CHEMISTRY; METALLURGY
- C07—ORGANIC CHEMISTRY
- C07D—HETEROCYCLIC COMPOUNDS
- C07D233/00—Heterocyclic compounds containing 1,3-diazole or hydrogenated 1,3-diazole rings, not condensed with other rings
- C07D233/54—Heterocyclic compounds containing 1,3-diazole or hydrogenated 1,3-diazole rings, not condensed with other rings having two double bonds between ring members or between ring members and non-ring members
- C07D233/56—Heterocyclic compounds containing 1,3-diazole or hydrogenated 1,3-diazole rings, not condensed with other rings having two double bonds between ring members or between ring members and non-ring members with only hydrogen atoms or radicals containing only hydrogen and carbon atoms, attached to ring carbon atoms
- C07D233/61—Heterocyclic compounds containing 1,3-diazole or hydrogenated 1,3-diazole rings, not condensed with other rings having two double bonds between ring members or between ring members and non-ring members with only hydrogen atoms or radicals containing only hydrogen and carbon atoms, attached to ring carbon atoms with hydrocarbon radicals, substituted by nitrogen atoms not forming part of a nitro radical, attached to ring nitrogen atoms
-
- C—CHEMISTRY; METALLURGY
- C07—ORGANIC CHEMISTRY
- C07D—HETEROCYCLIC COMPOUNDS
- C07D239/00—Heterocyclic compounds containing 1,3-diazine or hydrogenated 1,3-diazine rings
- C07D239/02—Heterocyclic compounds containing 1,3-diazine or hydrogenated 1,3-diazine rings not condensed with other rings
- C07D239/24—Heterocyclic compounds containing 1,3-diazine or hydrogenated 1,3-diazine rings not condensed with other rings having three or more double bonds between ring members or between ring members and non-ring members
- C07D239/26—Heterocyclic compounds containing 1,3-diazine or hydrogenated 1,3-diazine rings not condensed with other rings having three or more double bonds between ring members or between ring members and non-ring members with only hydrogen atoms, hydrocarbon or substituted hydrocarbon radicals, directly attached to ring carbon atoms
-
- C—CHEMISTRY; METALLURGY
- C07—ORGANIC CHEMISTRY
- C07D—HETEROCYCLIC COMPOUNDS
- C07D249/00—Heterocyclic compounds containing five-membered rings having three nitrogen atoms as the only ring hetero atoms
- C07D249/02—Heterocyclic compounds containing five-membered rings having three nitrogen atoms as the only ring hetero atoms not condensed with other rings
- C07D249/08—1,2,4-Triazoles; Hydrogenated 1,2,4-triazoles
-
- C—CHEMISTRY; METALLURGY
- C07—ORGANIC CHEMISTRY
- C07D—HETEROCYCLIC COMPOUNDS
- C07D263/00—Heterocyclic compounds containing 1,3-oxazole or hydrogenated 1,3-oxazole rings
- C07D263/02—Heterocyclic compounds containing 1,3-oxazole or hydrogenated 1,3-oxazole rings not condensed with other rings
- C07D263/30—Heterocyclic compounds containing 1,3-oxazole or hydrogenated 1,3-oxazole rings not condensed with other rings having two or three double bonds between ring members or between ring members and non-ring members
- C07D263/32—Heterocyclic compounds containing 1,3-oxazole or hydrogenated 1,3-oxazole rings not condensed with other rings having two or three double bonds between ring members or between ring members and non-ring members with only hydrogen atoms, hydrocarbon or substituted hydrocarbon radicals, directly attached to ring carbon atoms
-
- C—CHEMISTRY; METALLURGY
- C07—ORGANIC CHEMISTRY
- C07D—HETEROCYCLIC COMPOUNDS
- C07D271/00—Heterocyclic compounds containing five-membered rings having two nitrogen atoms and one oxygen atom as the only ring hetero atoms
- C07D271/02—Heterocyclic compounds containing five-membered rings having two nitrogen atoms and one oxygen atom as the only ring hetero atoms not condensed with other rings
- C07D271/06—1,2,4-Oxadiazoles; Hydrogenated 1,2,4-oxadiazoles
-
- C—CHEMISTRY; METALLURGY
- C07—ORGANIC CHEMISTRY
- C07C—ACYCLIC OR CARBOCYCLIC COMPOUNDS
- C07C2601/00—Systems containing only non-condensed rings
- C07C2601/02—Systems containing only non-condensed rings with a three-membered ring
Definitions
- the present patent application is directed to amides of aryl and heteroaryl compounds which may be useful as retinoid-related orphan receptor gamma t (RORyt) modulators.
- RORs Retinoid-related orphan receptors
- the ROR family consists of three members, ROR alpha (RORa), ROR beta (RORP) and ROR gamma (RORy), also known as NR1F1, NR1F2 and NR1F3 respectively (and each encoded by a separate gene RORA, RORB and RORC, respectively).
- RORs contain four principal domains shared by the majority of nuclear receptors: an N-terminal A/B domain, a DNA-binding domain, a hinge domain, and a ligand binding domain. Each ROR gene generates several isoforms which differ only in their N-terminal A/B domain. Two isoforms of RORy, RORyl and RORyt (also known as RORy2) have been identified.
- RORyt is a truncated form of RORy, lacking the first N-terminal 21 amino acids and is exclusively expressed in cells of the lymphoid lineage and embryonic lymphoid tissue inducers (Sun et al, Science, 2000, 288, 2369-2372; Eberl et al, Nat Immunol., 2004, 5: 64-73) in contrast to RORy which is expressed in multiple tissues (heart, brain, kidney, lung, liver and muscle).
- Thl7 cells are a subset of T helper cells which produce IL-17 and other proinflammatory cytokines and have been shown to have key functions in several mouse autoimmune disease models including experimental autoimmune encephalomyelitis (EAE) and collagen-induced arthritis (CIA).
- EAE experimental autoimmune encephalomyelitis
- CIA collagen-induced arthritis
- Thl7 cells have also been associated in the pathology of a variety of human inflammatory and autoimmune disorders including multiple sclerosis, rheumatoid arthritis, psoriasis, Crohn's disease and asthma (Jetten et al, Nucl. Recept. Signal, 2009, 7:e003; Manel et al, Nat. Immunol, 2008, 9, 641-649).
- Thl7 cells are one of the important drivers of the inflammatory process in tissue-specific autoimmunity (Steinman et al., J. Exp. Med., 2008, 205: 1517-1522; Leung et al, Cell. Mol. Immunol, 2010 7: 182-189). Thl7 cells are activated during the disease process and are responsible for recruiting other inflammatory cells types, especially neutrophils, to mediate pathology in the target tissues (Korn et al., Annu. Rev.
- RORyt is also shown to play a crucial role in other non-Thl7 cells, such as mast cells (Hueber et al, / Immunol, 2010, 184: 3336-3340).
- RORyt expression and secretion of Thl7-type of cytokines has also been reported in NK T- cells (Eberl et al., Nat. Immunol, 2004, 5: 64-73) and gamma-delta T-cells (Sutton et al, Nat. Immunol, 2009, 31 : 331-341; Louten et al, J Allergy Clin. Immunol, 2009, 123: 1004-1011), suggesting an important function for RORyt in these cells.
- the present invention relates to a compound of formula (I)
- X is selected from -0-, -C(O)-, -NR C -, -S-, -S(O)- and -S(0) 2 -;
- Y is bond or selected from -0-, -C(0)-, -NR C -, -S-, -S(0)- and -S(0) 2 -;
- U, V and W are each independently selected from CR 5 and N;
- Ring A is selected from C 6-14 aryl, C 3-12 cycloalkyl, 5-14 membered heteroaryl and 3-15 membered heterocyclyl;
- Ring B is selected from C 6 _i 4 aryl, C 3-12 cycloalkyl, 5-14 membered heteroaryl and 3-15 membered heterocyclyl;
- R is selected from -S(0) 2 -R 7 , -S-R 7 , -S(0)R 7 , -S(0) 2 NR a R b and -NR d S(0) 2 -R 8 ; each occurrence of R 1 is independently selected from halogen, nitro, cyano, hydroxyl, C 1-8 alkyl, C 2-10 alkenyl, C 2-10 alkynyl, Ci_galkoxy, C 1-8 alkoxyC 1-8 alkyl, haloC 1-8 alkyl, haloCi_galkoxy, hydroxyC 1-8 alkyl, C 3-12 cycloalkyl, C 3 -gcycloalkylCi_ galkyl, C 3-8 cycloalkenyl, C 3-8 cycloalkenylC 1-8 alkyl, C 6-14 aryl, C 6-14 arylC 1-8 alkyl, C 6- i 4 aryloxy, 3-15 membered heterocyclyl, 3-15 membere
- each occurrence of R 2 is independently selected from halogen, nitro, cyano, hydroxyl, C 1-8 alkyl, C 2-10 alkenyl, C 2-10 alkynyl, Ci_galkoxy, C 1-8 alkoxyC 1-8 alkyl, haloC 1-8 alkyl, haloCi_galkoxy, hydroxyC 1-8 alkyl, C 3-12 cycloalkyl, C 3 -gcycloalkylCi_ galkyl, C 3-8 cycloalkenyl, C 3-8 cycloalkenylC 1-8 alkyl, C 6-14 aryl, C 6-14 arylC 1-8 alkyl, C 6- i 4 aryloxy, 3-15 membered heterocyclyl, 3-15 membered heterocyclylCi_galkyl, 5-14 membered heteroaryl, 5-14 membered heteroarylCi_galkyl and NR x R y ;
- R 3 and R 4 which may be same or different, are independently selected from hydrogen and Ci_galkyl; or R 3 and R 4 together with the 'C atom to which they are attached, form a cyclic ring which is substituted or unsubstituted;
- each occurrence of R 5 is independently selected from hydrogen, halogen, nitro, cyano, hydroxyl, Ci_galkyl, C 2 -ioalkenyl, C 2 -ioalkynyl, Ci_galkoxy, Ci_galkoxyCi_ galkyl, haloCi_ 8 alkyl, haloCi_ 8 alkoxy, hydroxyCi_ 8 alkyl, C 3 _i 2 cycloalkyl, C 3 _ gcycloalkylCi.galkyl, C 3 _gcycloalkenyl, C 3 _gcycloalkenylCi_galkyl, C 6 -i 4 aryl, C 6- i 4 arylCi_galkyl, C 6 -i 4 aryloxy, 3-15 membered heterocyclyl, 3-15 membered heterocyclylCi-galkyl, 5-14 membered heteroaryl, 5-14 membered heteroarylCi_galkyl and
- each occurrence of R 6 is independently selected from halogen, nitro, cyano, hydroxyl, amino, Ci_galkyl, C 2 _ioalkenyl, C 2 _ioalkynyl, Ci_galkoxy, Ci_galkoxyCi_ galkyl, haloCi_galkyl, haloCi_galkoxy, hydroxyCi_galkyl, C 3 _i 2 cycloalkyl, C 3 _ gcycloalkylCi.galkyl, C 3 _gcycloalkenyl, C 3 _gcycloalkenylCi_galkyl, C 6 -i 4 aryl, C 6- i 4 arylCi_ 8 alkyl, C 6 _i 4 aryloxy, 3-15 membered heterocyclyl, 3-15 membered heterocyclylCi-galkyl, 5-14 membered heteroaryl and 5-14 membered heteroarylCi- galkyl;
- each occurrence of R 7 is independently selected from Ci_galkyl, C 3 _ i 2 cycloalkyl and haloCi_galkyl;
- each occurrence of R 8 is independently selected from Ci_galkyl and C 3 _ i 2 cycloalkyl;
- each occurrence of R a and R b are independently selected from hydrogen, Ci_galkyl, Ci_galkoxyCi_galkyl, haloCi_galkyl, hydroxyCi.galkyl, C 3 _i 2 cycloalkyl, C 3 _gcycloalkylCi_galkyl, C 6 -i 4 aryl, C 6 -i 4 arylCi_ galkyl, 3-15 membered heterocyclyl, 3-15 membered heterocyclylCi_ 8 alkyl, 5-14 membered heteroaryl and 5-14 membered heteroarylCi_galkyl; or R a and R b together with the common atom to which they are attached, form a cyclic ring which is substituted or unsubstituted and wherein the cyclic ring optionally contains one or more hetero atoms selected from O, N or S;
- R x and R y are independently selected from hydrogen and Ci_galkyl;
- R c is independently selected from hydrogen and Ci_galkyl; each occurrence of R d is independently selected from hydrogen and Ci.galkyl; 'm' is an integer ranging from 0 to 4, both inclusive;
- 'p' is an integer ranging from 0 to 5, both inclusive
- 'r' is an integer ranging from 0 to 5, both inclusive.
- the compounds of formula (I) may involve one or more embodiments.
- Embodiments of formula (I) include compounds of formula (II), formula (III), and formua (IV) as described hereinafter. It is to be understood that the embodiments below are illustrative of the present invention and are not intended to limit the claims to the specific embodiments exemplified. It is also to be understood that the embodiments defined herein may be used independently or in conjunction with any definition, any other embodiment defined herein. Thus the invention contemplates all possible combinations and permutations of the various independently described embodiments.
- the invention provides compounds of formula (I) as defined above wherein ring A is phenyl (according to an embodiment defined below), ring B is phenyl (according to another embodiment defined below) and 'm' is 0 (according to yet another embodiment defined below).
- ring A is C 6 -i 4 aryl (e.g. phenyl).
- ring B is C 6 -i 4 aryl (e.g. phenyl) or 5-14 membered heteroaryl (e.g. pyridinyl, pyrimidinyl, pyrazolyl, imidazolyl, 1,2,4-triazolyl, 1,3-oxazolyl or 1 ,2,4-oxadiazolyl).
- aryl e.g. phenyl
- heteroaryl e.g. pyridinyl, pyrimidinyl, pyrazolyl, imidazolyl, 1,2,4-triazolyl, 1,3-oxazolyl or 1 ,2,4-oxadiazolyl.
- ring B is pyridinyl or pyrimidinyl.
- ring B is pyrazolyl, imidazolyl, 1,2,4-triazolyl, 1,3-oxazolyl or 1,2,4-oxadiazolyl.
- compounds of formula (I) in which ring B is phenyl, pyridin-3-yl, pyridin-4-yl, pyrimidin-5-yl, 1H- pyrazol-l-yl, lH-imidazol-l-yl, lH-l ,2,4-triazol-l-yl, l ,3-oxazol-2-yl or 1 ,2,4- oxadiazol-3-yl.
- each occurrence of R 1 is independently cyano, halogen (e.g. F, CI or Br), Ci_ 8 alkyl (e.g. methyl or ethyl), haloCi_ 8 alkyl (e.g. difluoromethyl or trifluoromethyl), Ci_8alkoxy (methoxy or ethoxy) or haloCi-salkoxy (e.g. difluoromethoxy or trifluoromethoxy).
- halogen e.g. F, CI or Br
- Ci_ 8 alkyl e.g. methyl or ethyl
- haloCi_ 8 alkyl e.g. difluoromethyl or trifluoromethyl
- Ci_8alkoxy methoxy or ethoxy
- haloCi-salkoxy e.g. difluoromethoxy or trifluoromethoxy
- R 1 is NR x R y .
- R x and R y are Ci_ 4 alkyl (e.g. methyl).
- each occurrence of R 1 is independently CN, F, CI, CH 3 , CF 3 , OCH 3 , OCHF 2 , OCF 3 or N(CH 3 ) 2 .
- R 1 is independently CN, F, CI, CH 3 , CF 3 , OCH 3 , OCHF 2 , OCF 3 or N(CH 3 ) 2 and 'r' is 0, 1 or 2.
- each occurrence of R 2 is independently cyano, halogen (e.g. F, CI or Br), Ci_ 8 alkyl (e.g. methyl or ethyl), haloCi_ 8 alkyl (e.g. difluoromethyl or trifluoromethyl), Ci_galkoxy (methoxy or ethoxy) or haloCi_galkoxy (e.g. difluoromethoxy or trifluoromethoxy).
- halogen e.g. F, CI or Br
- Ci_ 8 alkyl e.g. methyl or ethyl
- haloCi_ 8 alkyl e.g. difluoromethyl or trifluoromethyl
- Ci_galkoxy methoxy or ethoxy
- haloCi_galkoxy e.g. difluoromethoxy or trifluoromethoxy
- each occurrence of R 2 is independently CN, F, CI, CH 3 , CF 3 , OCH 3 , OCHF 2 or OCF 3 .
- compounds of formula (I) in which R 2 is independently CN, F, CI, CH 3 , CF 3 , OCH 3 , OCHF 2 or OCF 3 and 'p' is 0, 1, 2 or 3.
- R 6 is independently halogen (e.g. CI, F or Br) or Ci_ 4 alkyl (e.g. methyl or ethyl).
- R 7 is Ci_ 4 alkyl (e.g. methyl or ethyl), C 3 _ 6 cycloalkyl (e.g. cyclopropyl or cyclobutyl) or haloCi_ 4 alkyl (e.g. trifluoromethyl, trifluoroethyl or 2,2,2-trifluoroethyl).
- R is -S(0) 2 -R 7 .
- R 7 is methyl, ethyl, cyclopropyl or 2,2,2-trifluoroethyl.
- R is -NR d S(0) 2 -R 8 .
- R d is hydrogen or Ci_ 4 alkyl (e.g. methyl or ethyl) and R 8 is Ci_ 4 alkyl (e.g. methyl or ethyl).
- R is -NR d S(0) 2 -R 8 .
- R d is hydrogen and R 8 is methyl or ethyl.
- R is -S(0) 2 NR a R b .
- R a is hydrogen and R b is Ci_ 4 alkyl (e.g. methyl or ethyl).
- R is -S(0) 2 NR a R b .
- R a is hydrogen and R b is methyl or ethyl.
- R is -S(0) 2 CH 3 , -S(0) 2 CH 2 CH 3 , -S(0) 2 -cyclopropyl, - S(0) 2 CH 2 CF 3 , -S(0) 2 NHCH 3 , -S(0) 2 NHCH 2 CH 3 or -NHS(0) 2 CH 3 .
- R c is hydrogen.
- compounds of formula (I) with an IC 50 value of less than 1000 nM, preferably less than 500 nM, more preferably less than 100 nM, most preferably less than 50 nM with respect to RORyt activity.
- the invention specifically provides compounds of formula (II), (III) or (IV) in which 'r' is 0, 1 or 2 and consequently there is also provided a compound of formula (I) in which 'r' is 0, 1 or 2.
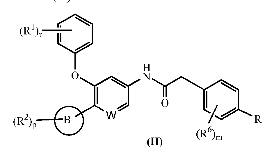
- the invention also provides a compound of formula (II), which is an embodiment of a compound of formula (I).
- Ring B is selected from C 6 -i 4 aryl, 5-14 membered heteroaryl and 3-15 membered heterocyclyl; W is selected from CR 5 and N;
- R is selected from -S(0) 2 -R 7 , -S-R 7 , -S(0)-R 7 , -S(0) 2 NR a R b and -NR d S(0) 2 -
- each occurrence of R 1 is independently selected from halogen, cyano, hydroxyl, Ci_ 8 alkyl, Ci_ 8 alkoxy, haloCi_galkyl, haloCi_galkoxy, hydroxyCi_galkyl and NR x R y ;
- each occurrence of R 2 is independently selected from halogen, cyano, hydroxyl, Ci_ 8 alkyl, Ci_ 8 alkoxy, haloCi_ 8 alkyl, haloCi_ 8 alkoxy, hydroxyCi_ 8 alkyl and NR x R y ;
- each occurrence of R 5 is independently selected from hydrogen, halogen, cyano, hydroxyl, Ci_ 8 alkyl, Ci_ 8 alkoxy and haloCi_ 8 alkyl;
- each occurrence of R 6 is independently selected from halogen, cyano, hydroxyl, Ci_ 8 alkyl, Ci_ 8 alkoxy and haloCi_ 8 alkyl;
- each occurrence of R 7 is independently selected from Ci_ 8 alkyl, C 3 _ i 2 cycloalkyl and haloCi_ 8 alkyl;
- each occurrence of R 8 is independently selected from Ci_ 8 alkyl and C 3 _ i 2 cycloalkyl;
- each occurrence of R a and R b which may be the same or different, are independently selected from hydrogen and Ci_ 8 alkyl;
- each occurrence of R d is independently selected from hydrogen and Ci_ 8 alkyl; each occurrence of R x and R y , which may be the same or different, are independently selected from hydrogen and Ci_ 8 alkyl;
- 'm' is an integer ranging from 0 to 4, both inclusive;
- 'p' is an integer ranging from 0 to 5, both inclusive
- 'r' is an integer ranging from 0 to 5, both inclusive.
- the compounds of formula (II) may involve one or more embodiments. It is to be understood that the embodiments below are illustrative of the present invention and are not intended to limit the claims to the specific embodiments exemplified. It is also to be understood that the embodiments defined herein may be used independently or in conjunction with any definition of any other embodiment defined herein. Thus the invention contemplates all possible combinations and permutations of the various independently described embodiments.
- the invention provides compounds of formula (II) as defined above wherein W is CH or N (according to an embodiment defined below), 'r' is 0, 1 or 2 (according to another embodiment defined below) and 'm' is 0 (according to yet another embodiment defined below).
- ring B is C 6 -i 4 aryl (e.g. phenyl) or 5-14 membered heteroaryl (e.g. pyridinyl, pyrimidinyl, pyrazolyl, imidazolyl, 1 ,2,4-triazolyl, 1 ,3-oxazolyl or 1 ,2,4-oxadiazolyl).
- aryl e.g. phenyl
- heteroaryl e.g. pyridinyl, pyrimidinyl, pyrazolyl, imidazolyl, 1 ,2,4-triazolyl, 1 ,3-oxazolyl or 1 ,2,4-oxadiazolyl.
- ring B is pyrazolyl, imidazolyl, 1 ,2,4-triazolyl, 1 ,3-oxazolyl or 1 ,2,4-oxadiazolyl.
- ring B is phenyl, pyridin-3-yl, pyridin-4-yl, pyrimidin-5-yl, lH-pyrazol-l-yl, lH-imidazol-l-yl, lH-l ,2,4-triazol-l-yl, l ,3-oxazol-2-yl or 1 ,2,4- oxadiazol-3-yl.
- each occurrence of R 1 is independently cyano, halogen (e.g. F, CI or Br), Ci_galkyl (e.g. methyl or ethyl), haloCi.galkyl (e.g. difluoromethyl or trifluoromethyl), Ci_8alkoxy (methoxy or ethoxy) or haloCi-salkoxy (e.g. difluoromethoxy or trifluoromethoxy).
- halogen e.g. F, CI or Br
- Ci_galkyl e.g. methyl or ethyl
- haloCi.galkyl e.g. difluoromethyl or trifluoromethyl
- Ci_8alkoxy methoxy or ethoxy
- haloCi-salkoxy e.g. difluoromethoxy or trifluoromethoxy
- R 1 is NR x R y .
- R x and R y are Ci_ 4 alkyl (e.g. methyl).
- each occurrence of R 1 is independently CN, F, CI, CH 3 , CF 3 , OCH 3 , OCHF 2 , OCF 3 or N(CH 3 ) 2 .
- compounds of formula (II) in which R 1 is independently CN, F, CI, CH 3 , CF 3 , OCH 3 , OCHF 2 , OCF 3 or N(CH 3 ) 2 and 'r' is 0, 1 or 2.
- each occurrence of R 2 is independently cyano, halogen (e.g. F, CI or Br), Ci_galkyl (e.g. methyl or ethyl), haloCi.galkyl (e.g. difluoromethyl or trifluoromethyl), Ci_8alkoxy (methoxy or ethoxy) or haloCi-salkoxy (e.g. difluoromethoxy or trifluoromethoxy).
- halogen e.g. F, CI or Br
- Ci_galkyl e.g. methyl or ethyl
- haloCi.galkyl e.g. difluoromethyl or trifluoromethyl
- Ci_8alkoxy methoxy or ethoxy
- haloCi-salkoxy e.g. difluoromethoxy or trifluoromethoxy
- each occurrence of R 2 is independently CN, F, CI, CH 3 , CF 3 , OCH 3 , OCHF 2 or OCF 3 .
- R 2 is independently CN, F, CI, CH 3 , CF 3 , OCH 3 , OCHF 2 or OCF 3 and 'p' is 0, 1, 2 or 3.
- R 6 is independently halogen (e.g. CI, F or Br) or Ci_ 4 alkyl (e.g. methyl or ethyl).
- R 7 is Ci_ 4 alkyl (e.g. methyl or ethyl), C 3 _ 6 cycloalkyl (e.g. cyclopropyl or cyclobutyl) or haloCi_ 4 alkyl (e.g. trifluoromethyl, trifluoroethyl or 2,2,2-trifluoroethyl).
- R is -S(0) 2 -R 7 .
- R 7 is methyl, ethyl, cyclopropyl or 2,2,2-trifluoroethyl.
- R is -NR d S(0) 2 -R 8 .
- R d is hydrogen or Ci_ 4 alkyl (e.g. methyl or ethyl) and R 8 is Ci_ 4 alkyl (e.g. methyl or ethyl).
- R is -NR d S(0) 2 -R 8 .
- R d is hydrogen andR 8 is methyl or ethyl.
- compounds of formula (II) in which R is -S(0) 2 NR a R b .
- R a is hydrogen and R b is Ci_ 4 alkyl (e.g. methyl or ethyl).
- R is -S(0) 2 NR a R b .
- R a is hydrogen and R b is methyl or ethyl.
- R is -S(0) 2 CH 3 , -S(0) 2 CH 2 CH 3 , -S(0) 2 -cyclopropyl, - S(0) 2 CH 2 CF 3 , -S(0) 2 NHCH 3 , -S(0) 2 NHCH 2 CH 3 or -NHS(0) 2 CH 3 .
- W is N or CH
- ring B is phenyl, pyridin-3-yl, pyridin-4-yl, pyrimidin-5-yl, lH-pyrazol-l-yl, lH-imidazol-l-yl, lH-l ,2,4-triazol-l-yl, l ,3-oxazol-2-yl or l ,2,4-oxadiazol-3-yl;
- R 1 is independently CN, F, CI, CH 3 , CF 3 , OCH 3 , OCHF 2 , OCF 3 or N(CH 3 ) 2
- R 2 is independently CN, F, CI, CH 3 , CF 3 , OCH 3 , OCHF 2 or OCF 3 ;
- R is -S(0) 2 CH 3 , -S(0) 2 CH 2 CH 3 , -S(0) 2 -cyclopropyl, -S(0) 2 CH 2 CF 3 , - S(0) 2 NHCH 3 , -S(0) 2 NHCH 2 CH 3 or -NHS(0) 2 CH 3 ;
- 'r' is 0, 1 or 2;
- 'p' is 0, 1 , 2 or 3;
- R 6 is methyl
- the invention also provides a compound of formula (III), which is an embodiment of a compound of formula (I).
- G 1 , G 2 and G 3 which may be same or different, are each independently selected from CH and N; with a proviso that G 1 , G 2 and G 3 are not N simultaneously;
- R is selected from -S(0) 2 -R 7 , -S(0) 2 NR a R b and -NR d S(0) 2 -R 8 ;
- each occurrence of R 1 is independently selected from halogen, cyano, hydroxyl, Ci_galkyl, Ci_galkoxy, haloCi_galkyl, haloCi_galkoxy, hydroxyCi_galkyl and NR x R y ;
- each occurrence of R 2 is independently selected from halogen, cyano, hydroxyl, Ci_galkyl, Ci_galkoxy, haloCi_galkyl, haloCi_galkoxy, hydroxyCi_galkyl and NR x R y ;
- each occurrence of R 6 is independently selected from halogen, cyano, hydroxyl, Ci_galkyl, Ci_galkoxy and haloCi_galkyl;
- each occurrence of R 7 is independently Ci_galkyl, C 3 -i 2 cycloalkyl and haloCi_ galkyl;
- each occurrence of R 8 is independently selected from Ci_galkyl and C 3 _ i 2 cycloalkyl;
- each occurrence of R a and R b which may be the same or different, are independently selected from hydrogen and Ci_galkyl;
- each occurrence of R d is independently selected from hydrogen and Ci_galkyl; each occurrence of R x and R y , which may be the same or different, are independently selected from hydrogen and Ci.galkyl;
- 'm' is an integer ranging from 0 to 3, both inclusive;
- 'p' is an integer ranging from 0 to 3, both inclusive;
- 'r' is an integer ranging from 0 to 3, both inclusive.
- the compounds of formula (III) may involve one or more embodiments. It is to be understood that the embodiments below are illustrative of the present invention and are not intended to limit the claims to the specific embodiments exemplified. It is also to be understood that the embodiments defined herein may be used independently or in conjunction with any definition of any other embodiment defined herein. Thus the invention contemplates all possible combinations and permutations of the various independently described embodiments.
- the invention provides compounds of formula (III) as defined above wherein G 1 is N or CH, G 2 is CH and G 3 is N or CH (according to an embodiment defined below), 'r' is 0, 1 or 2 (according to another embodiment defined below) and 'm' is 0 (according to yet another embodiment defined below).
- each occurrence of R 1 is independently cyano, halogen (e.g. F, CI or Br), Ci_galkyl (e.g. methyl or ethyl), haloCi.galkyl (e.g. difluoromethyl or trifluoromethyl), Ci_8alkoxy (methoxy or ethoxy) or haloCi-salkoxy (e.g. difluoromethoxy or trifluoromethoxy).
- halogen e.g. F, CI or Br
- Ci_galkyl e.g. methyl or ethyl
- haloCi.galkyl e.g. difluoromethyl or trifluoromethyl
- Ci_8alkoxy methoxy or ethoxy
- haloCi-salkoxy e.g. difluoromethoxy or trifluoromethoxy
- each occurrence of R 1 is NR x R y .
- R x and R y are Ci_ 4 alkyl (e.g. methyl).
- compounds of formula (III) in which each occurrence of R 1 is independently CN, F, CI, CH 3 , CF 3 , OCH 3 , OCHF 2 , OCF 3 or N(CH 3 ) 2 .
- R 1 is independently CN, F, CI, CH 3 , CF 3 , OCH 3 , OCHF 2 , OCF 3 or N(CH 3 ) 2 and 'r' is 0, 1 or 2.
- each occurrence of R 2 is independently cyano, halogen (e.g. F, CI or Br), Ci_galkyl (e.g. methyl or ethyl), haloCi.galkyl (e.g. difluoromethyl or trifluoromethyl), Ci_8alkoxy (methoxy or ethoxy) or haloCi-salkoxy (e.g. difluoromethoxy or trifluoromethoxy).
- halogen e.g. F, CI or Br
- Ci_galkyl e.g. methyl or ethyl
- haloCi.galkyl e.g. difluoromethyl or trifluoromethyl
- Ci_8alkoxy methoxy or ethoxy
- haloCi-salkoxy e.g. difluoromethoxy or trifluoromethoxy
- each occurrence of R 2 is independently CN, F, CI, CH 3 , CF 3 , OCH 3 , OCHF 2 or OCF 3 .
- R 2 is independently CN, F, CI, CH 3 , CF 3 , OCH 3 , OCHF 2 or OCF 3 and 'p' is 0, 1, 2 or 3.
- R 6 is independently halogen (e.g. CI, F or Br) or Ci_ 4 alkyl (e.g. methyl or ethyl).
- R 7 is Ci_ 4 alkyl (e.g. methyl or ethyl), C 3 _ 6 cycloalkyl (e.g. cyclopropyl or cyclobutyl) or haloCi_ 4 alkyl (e.g. trifluoromethyl, trifluoroethyl or 2,2,2-trifluoroethyl).
- R is -S(0) 2 -R 7 .
- R 7 is methyl, ethyl, cyclopropyl or 2,2,2-trifluoroethyl.
- R is -NR d S(0) 2 -R 8 .
- R d is hydrogen or Ci_ 4 alkyl (e.g. methyl or ethyl) and R 8 is Ci_ 4 alkyl (e.g. methyl or ethyl).
- R d is hydrogen and R 8 is methyl or ethyl.
- R is -S(0) 2 NR a R b .
- R a is hydrogen and R b is Ci_ 4 alkyl (e.g. methyl or ethyl).
- R is -S(0) 2 NR a R b .
- R a is hydrogen and R b is methyl or ethyl.
- R is -S(0) 2 CH 3 , -S(0) 2 CH 2 CH 3 , -S(0) 2 -cyclopropyl, - S(0) 2 CH 2 CF 3 , -S(0) 2 NHCH 3 , -S(0) 2 NHCH 2 CH 3 or -NHS(0) 2 CH 3 .
- G 1 is N or CH
- G 2 is CH
- G 3 is N or CH
- R 1 is independently CN, F, CI, CH 3 , CF 3 , OCH 3 , OCHF 2 , OCF 3 or N(CH 3 ) 2
- R 2 is independently CN, F, CI, CH 3 , CF 3 , OCH 3 , OCHF 2 or OCF 3 ;
- R is -S(0) 2 CH 3 , -S(0) 2 CH 2 CH 3 , -S(0) 2 -cyclopropyl, -S(0) 2 CH 2 CF 3 , - S(0) 2 NHCH 3 , -S(0) 2 NHCH 2 CH 3 or -NHS(0) 2 CH 3 ;
- 'r' is 0, 1 or 2;
- 'p' is 0, 1, 2 or 3;
- R 6 is methyl
- G 1 is CH
- G 2 is CH or N
- G 3 is CH
- R 1 is independently CN, F, CI, CH 3 , CF 3 , OCH 3 , OCHF 2 , OCF 3 or N(CH 3 ) 2
- R 2 is independently CN, F, CI, CH 3 , CF 3 , OCH 3 , OCHF 2 or OCF 3 ;
- R is -S(0) 2 CH 3 , -S(0) 2 CH 2 CH 3 , -S(0) 2 -cyclopropyl, -S(0) 2 CH 2 CF 3 , - S(0) 2 NHCH 3 , -S(0) 2 NHCH 2 CH 3 or -NHS(0) 2 CH 3 ;
- 'r' is 0, 1 or 2;
- 'p' is 0, 1, 2 or 3;
- R 6 is methyl
- the invention also provides a compound of formula (IV), which is an embodiment of a compound of formula (I).
- each occurrence of R 1 is independently selected from CN, F, CI, CH 3 , CF 3 , OCH 3 , OCHF 2 , OCF 3 and N(CH 3 ) 2 ;
- each occurrence of R 2 is independently selected from CN, F, CI, CH 3 , CF 3 , OCH 3 , OCHF 2 and OCF 3 ;
- R is -S(0) 2 CH 3 , -S(0) 2 CH 2 CH 3 , -S(0) 2 -cyclopropyl, -S(0) 2 CH 2 CF 3 , - S(0) 2 NHCH 3 , -S(0) 2 NHCH 2 CH 3 or -NHS(0) 2 CH 3 ;
- 'r' is 0, 1 or 2;
- 'p' is 0, 1, 2 or 3.
- Compounds of the present invention include the compounds in Examples 1- 175.
- the present application also provides a pharmaceutical composition that includes at least one compound described herein and at least one pharmaceutically acceptable excipient (such as a pharmaceutically acceptable carrier or diluent).
- the pharmaceutical composition comprises a therapeutically effective amount of at least one compound described herein.
- the compounds described in the present patent application may be associated with a pharmaceutically acceptable excipient (such as a carrier or a diluent) or be diluted by a carrier, or enclosed within a carrier which can be in the form of a capsule, sachet, paper or other container.
- the compounds and pharmaceutical compositions of the present invention are useful for inhibiting the activity of RORyt, which is believed to be related to a variety of disease states.
- the present patent application further provides a method of inhibiting RORyt in a subject in need thereof by administering to the subject one or more compounds described herein in the amount effective to cause inhibition of such receptor.
- halogen or halo means fluorine (fluoro), chlorine (chloro), bromine (bromo), or iodine (iodo).
- alkyl refers to a hydrocarbon chain radical that includes solely carbon and hydrogen atoms in the backbone, containing no unsaturation, having from one to eight carbon atoms (i.e. Ci_galkyl), and which is attached to the rest of the molecule by a single bond, e.g., methyl, ethyl, n-propyl, 1-methylethyl (isopropyl), n- butyl, n-pentyl, and 1,1-dimethylethyl (t-butyl).
- Ci_ 6 alkyl refers to an alkyl chain having 1 to 6 carbon atoms.
- Ci_ 4 alkyl refers to an alkyl chain having 1 to 4 carbon atoms. Unless set forth or recited to the contrary, all alkyl groups described or claimed herein may be straight chain or branched, substituted or unsubstituted.
- alkenyl refers to a hydrocarbon chain containing from 2 to 10 carbon atoms (i.e. C 2 -ioalkenyl) and including at least one carbon-carbon double bond.
- alkenyl groups include ethenyl, 1-propenyl, 2-propenyl (allyl), z ' sopropenyl, 2 -methyl- 1-propenyl, 1-butenyl, and 2-butenyl. Unless set forth or recited to the contrary, all alkenyl groups described or claimed herein may be straight chain or branched, substituted or unsubstituted.
- alkynyl refers to a hydrocarbyl radical having at least one carbon- carbon triple bond, and having 2 to about 12 carbon atoms (with radicals having 2 to about 10 carbon atoms being preferred i.e. C 2 _ioalkynyl).
- Non- limiting examples of alkynyl groups include ethynyl, propynyl, and butynyl. Unless set forth or recited to the contrary, all alkynyl groups described or claimed herein may be straight chain or branched, substituted or unsubstituted.
- alkoxy denotes an alkyl group attached via an oxygen linkage to the rest of the molecule (i.e. Ci_ 8 alkoxy).
- Representative examples of such groups are -OCH 3 and -OC 2 Hs. Unless set forth or recited to the contrary, all alkoxy groups described or claimed herein may be straight chain or branched, substituted or unsubstituted.
- alkoxyalkyl or “alkyloxyalkyl” refers to an alkoxy or alkyloxy group as defined above directly bonded to an alkyl group as defined above (i.e. Ci_ galkoxyCi_ 8 alkyl or Ci_ 8 alkyloxyCi_ 8 alkyl).
- alkoxyalkyl moiety includes, but are not limited to, -CH 2 OCH 3 and -CH 2 OC 2 H 5 . Unless set forth or recited to the contrary, all alkoxyalkyl groups described herein may be straight chain or branched, substituted or unsubstituted.
- haloalkyl refers to at least one halo group (selected from F, CI, Br or I), linked to an alkyl group as defined above (i.e. haloCi.galkyl).
- haloalkyl moiety include, but are not limited to, trifluoromethyl, difluoromethyl and fluoromethyl groups. Unless set forth or recited to the contrary, all haloalkyl groups described herein may be straight chain or branched, substituted or unsubstituted.
- haloalkoxy refers to an alkoxy group substituted with one or more halogen atoms (i.e. haloCi-salkoxy).
- haloalkoxy include but are not limited to fluoromethoxy, difluoromethoxy, trifluoromethoxy, 2,2,2-trifluoroethoxy, pentafluoroethoxy, pentachloroethoxy, chloromethoxy, dichlorormethoxy, trichloromethoxy and 1-bromoethoxy.
- all haloalkoxy groups described herein may be straight chain or branched, substituted or unsubstituted.
- hydroxyalkyl refers to an alkyl group as defined above wherein one to three hydrogen atoms on different carbon atoms is/are replaced by hydroxyl groups (i.e. hydroxyCi_ 8 alkyl).
- hydroxyalkyl moieties include, but are not limited to -CH 2 OH, -C 2 H 4 OH and -CH(OH)C 2 H 4 OH.
- cycloalkyl denotes a non-aromatic mono or multicyclic ring system of 3 to about 12 carbon atoms, (i.e.C3_i 2 cycloalkyl).
- monocyclic cycloalkyl include but are not limited to cyclopropyl, cyclobutyl, cyclopentyl, and cyclohexyl.
- multicyclic cycloalkyl groups include, but are not limited to, perhydronapthyl, adamantyl and norbornyl groups, bridged cyclic groups or spirobicyclic groups, e.g., spiro(4,4)non-2-yl.
- C 3 - 6 cycloalkyl refers to the cyclic ring having 3 to 6 carbon atoms. Unless set forth or recited to the contrary, all cycloalkyl groups described or claimed herein may be substituted or unsubstituted.
- cycloalkylalkyl refers to a cyclic ring-containing radical having 3 to about 8 carbon atoms directly attached to an alkyl group (i.e. C 3 _8CycloalkylCi_ galkyl).
- the cycloalkylalkyl group may be attached to the main structure at any carbon atom in the alkyl group that results in the creation of a stable structure.
- Non-limiting examples of such groups include cyclopropylmethyl, cyclobutylethyl, and cyclopentylethyl. Unless set forth or recited to the contrary, all cycloalkylalkyl groups described or claimed herein may be substituted or unsubstituted.
- cycloalkenyl refers to a cyclic ring-containing radical having 3 to about 8 carbon atoms with at least one carbon-carbon double bond, (i.e. C 3 _ gcycloalkenyl).
- Examples of “cycloalkenyl” include but are not limited to cyclopropenyl, cyclobutenyl, and cyclopentenyl. Unless set forth or recited to the contrary, all cycloalkenyl groups described or claimed herein may be substituted or unsubstituted.
- cycloalkenylalkyl refers to a cyclic ring-containing radical having 3 to about 8 carbon atoms with at least one carbon-carbon double bond, directly attached to an alkyl group, (i.e. C3_ 8 CycloalkenylCi_ 8 alkyl).
- the cycloalkenylalkyl group may be attached to the main structure at any carbon atom in the alkyl group that results in the creation of a stable structure. Unless set forth or recited to the contrary, all cycloalkenylalkyl groups described or claimed herein may be substituted or unsubstituted.
- aryl refers to an aromatic radical having 6 to 14 carbon atoms (i.e.
- C 6 -i 4 aryl including monocyclic, bicyclic and tricyclic aromatic systems, such as phenyl, naphthyl, tetrahydronapthyl, indanyl, and biphenyl. Unless set forth or recited to the contrary, all aryl groups described or claimed herein may be substituted or unsubstituted.
- aryloxy refers to an aryl group as defined above attached via an oxygen linkage to the rest of the molecule (i.e. C 6 -i 4 aryloxy).
- aryloxy moieties include, but are not limited to phenoxy and naphthoxy. Unless set forth or recited to the contrary, all aryloxy groups described herein may be substituted or unsubstituted.
- arylalkyl refers to an aryl group as defined above directly bonded to an alkyl group as defined above, i.e. C 6 -i 4 arylCi_ 8 alkyl, such as -CH 2 C 6 H 5 and - C 2 H 4 C 6 H 5 . Unless set forth or recited to the contrary, all arylalkyl groups described or claimed herein may be substituted or unsubstituted.
- heterocyclic ring or “heterocyclyl” unless otherwise specified refers to substituted or unsubstituted non-aromatic 3 to 15 membered ring radical (i.e. 3 to 15 membered heterocyclyl) which consists of carbon atoms and from one to five hetero atoms selected from nitrogen, phosphorus, oxygen and sulfur.
- the heterocyclic ring radical may be a mono-, bi- or tricyclic ring system, which may include fused, bridged or spiro ring systems, and the nitrogen, phosphorus, carbon, oxygen or sulfur atoms in the heterocyclic ring radical may be optionally oxidized to various oxidation states.
- heterocyclic ring or heterocyclyl may optionally contain one or more olefmic bond(s).
- heterocyclic ring radicals include, but are not limited to azepinyl, azetidinyl, benzodioxolyl, benzodioxanyl, chromanyl, dioxolanyl, dioxaphospholanyl, decahydroisoquinolyl, indanyl, indolinyl, isoindolinyl, isochromanyl, isothiazolidinyl, isoxazolidinyl, morpholinyl, oxazolinyl, oxazolidinyl, 2-oxopiperazinyl, 2-oxopiperidinyl, 2- oxopyrrolidinyl, 2-oxoazepinyl, octahydroin
- heterocyclic ring radical may be attached to the main structure at any heteroatom or carbon atom that results in the creation of a stable structure. Unless set forth or recited to the contrary, all heterocyclyl groups described or claimed herein may be substituted or unsubstituted.
- heterocyclylalkyl refers to a heterocyclic ring radical directly bonded to an alkyl group (i.e. 3 to 15 membered heterocyclylCi_ 8 alkyl).
- the heterocyclylalkyl radical may be attached to the main structure at any carbon atom in the alkyl group that results in the creation of a stable structure. Unless set forth or recited to the contrary, all heterocyclylalkyl groups described or claimed herein may be substituted or unsubstituted.
- heteroaryl refers to substituted or unsubstituted 5 to 14 membered aromatic heterocyclic ring radical with one or more heteroatom(s) independently selected from N, O or S (i.e. 5 to 14 membered heteroaryl).
- the heteroaryl may be a mono-, bi- or tricyclic ring system.
- the heteroaryl ring radical may be attached to the main structure at any heteroatom or carbon atom that results in the creation of a stable structure.
- heteroaryl ring radicals include, but are not limited to oxazolyl, isoxazolyl, imidazolyl, furyl, indolyl, isoindolyl, pyrrolyl, triazolyl, triazinyl, tetrazoyl, thienyl, oxadiazolyl, thiazolyl, isothiazolyl, pyridyl, pyrimidinyl, pyrazinyl, pyridazinyl, pyrazolyl, benzofuranyl, benzothiazolyl, benzoxazolyl, benzimidazolyl, benzothienyl, benzopyranyl, carbazolyl, quinolinyl, isoquinolinyl, quinazolinyl, cinnolinyl, naphthyridinyl, pteridinyl, purinyl, quinoxalinyl, quinolyl, iso
- heteroarylalkyl refers to a heteroaryl ring radical directly bonded to an alkyl group (i.e. 5 to 14 membered heterarylCi-salkyl).
- the heteroarylalkyl radical may be attached to the main structure at any carbon atom in the alkyl group that results in the creation of a stable structure. Unless set forth or recited to the contrary, all heteroarylalkyl groups described or claimed herein may be substituted or unsubstituted.
- salts prepared from pharmaceutically acceptable bases or acids including inorganic or organic bases and inorganic or organic acids include, but are not limited to, acetate, benzenesulfonate, benzoate, bicarbonate, bisulfate, bitartrate, borate, bromide, camsylate, carbonate, chloride, clavulanate, citrate, dihydrochloride, edetate, edisylate, estolate, esylate, fumarate, gluceptate, gluconate, glutamate, glycollylarsanilate, hexylresorcinate, hydrabamine, hydrobromide, hydrochloride, hydroxynaphthoate, iodide, isothionate, lactate, lactobionate, laurate, malate, maleate, mandelate, mesylate, methylbromide, methylnitrate, methylsulf
- treating or “treatment” of a state, disorder or condition includes: (a) preventing or delaying the appearance of clinical symptoms of the state, disorder or condition developing in a subject that may be afflicted with or predisposed to the state, disorder or condition but does not yet experience or display clinical or subclinical symptoms of the state, disorder or condition; (b) inhibiting the state, disorder or condition, i.e., arresting or reducing the development of the disease or at least one clinical or subclinical symptom thereof; or (c) relieving the disease, i.e., causing regression of the state, disorder or condition or at least one of its clinical or subclinical symptoms.
- subject includes mammals (especially humans) and other animals, such as domestic animals (e.g., household pets including cats and dogs) and non- domestic animals (such as wildlife).
- domestic animals e.g., household pets including cats and dogs
- non- domestic animals such as wildlife.
- a “therapeutically effective amount” means the amount of a compound that, when administered to a subject for treating a state, disorder or condition, is sufficient to effect such treatment.
- the “therapeutically effective amount” will vary depending on the compound, the disease and its severity and the age, weight, physical condition and responsiveness of the subject to be treated.
- the compounds of the invention are typically administered in the form of a pharmaceutical composition.
- Such compositions can be prepared using procedures well known in the pharmaceutical art and comprise at least one compound of the invention.
- the pharmaceutical composition of the present patent application comprises one or more compounds described herein and one or more pharmaceutically acceptable excipients.
- the pharmaceutically acceptable excipients are approved by regulatory authorities or are generally regarded as safe for human or animal use.
- the pharmaceutically acceptable excipients include, but are not limited to, carriers, diluents, glidants and lubricants, preservatives, buffering agents, chelating agents, polymers, gelling agents, viscosifying agents, solvents and the like.
- suitable carriers include, but are not limited to, water, salt solutions, alcohols, polyethylene glycols, peanut oil, olive oil, gelatin, lactose, terra alba, sucrose, dextrin, magnesium carbonate, sugar, amylose, magnesium stearate, talc, gelatin, agar, pectin, acacia, stearic acid, lower alkyl ethers of cellulose, silicic acid, fatty acids, fatty acid amines, fatty acid monoglycerides and diglycerides, fatty acid esters, and polyoxyethylene.
- the pharmaceutical composition may also include one or more pharmaceutically acceptable auxiliary agents, wetting agents, suspending agents, preserving agents, buffers, sweetening agents, flavouring agents, colorants or any combination of the foregoing.
- compositions may be in conventional forms, for example, capsules, tablets, solutions, suspensions, injectables or products for topical application. Further, the pharmaceutical composition of the present invention may be formulated so as to provide desired release profile.
- Administration of the compounds of the invention, in pure form or in an appropriate pharmaceutical composition can be carried out using any of the accepted routes of administration of pharmaceutical compositions.
- the route of administration may be any route which effectively transports the active compound of the patent application to the appropriate or desired site of action.
- Suitable routes of administration include, but are not limited to, oral, nasal, buccal, dermal, intradermal, transdermal, parenteral, rectal, subcutaneous, intravenous, intraurethral, intramuscular, or topical.
- Solid oral formulations include, but are not limited to, tablets, capsules (soft or hard gelatin), dragees (containing the active ingredient in powder or pellet form), troches and lozenges.
- Liquid formulations include, but are not limited to, syrups, emulsions, and sterile injectable liquids, such as suspensions or solutions.
- Topical dosage forms of the compounds include ointments, pastes, creams, lotions, powders, solutions, eye or ear drops, impregnated dressings, and may contain appropriate conventional additives such as preservatives, solvents to assist drug penetration.
- compositions of the present patent application may be prepared by conventional techniques, e.g., as described in Remington: The Science and Practice of Pharmacy, 20 th Ed., 2003 (Lippincott Williams & Wilkins).
- Suitable doses of the compounds for use in treating the diseases and disorders described herein can be determined by those skilled in the relevant art.
- Therapeutic doses are generally identified through a dose ranging study in humans based on preliminary evidence derived from the animal studies. Doses must be sufficient to result in a desired therapeutic benefit without causing unwanted side effects. Mode of administration, dosage forms, and suitable pharmaceutical excipients can also be well used and adjusted by those skilled in the art. All changes and modifications are envisioned within the scope of the present patent application.
- Compounds of the present invention are particularly useful because they may inhibit the activity of Retinoid-related orphan receptor gamma ⁇ and particularly Retinoid-related orphan receptor gamma t (RORyt) ⁇ , i.e., they prevent, inhibit, or suppress the action of RORyt, and/or may elicit RORyt modulating effect.
- RORyt Retinoid-related orphan receptor gamma ⁇ and particularly Retinoid-related orphan receptor gamma t
- the compounds of the present patent application are modulators of RORyt and can be useful in the treatment of diseases/disorder mediated by RORyt. Accordingly, the compounds and the pharmaceutical compositions of this invention may be useful in the treatment of inflammatory, metabolic and autoimmune diseases mediated by RORyt.
- autoimmune diseases will be understood by those skilled in the art a condition that occurs when the immune system mistakenly attacks and destroys healthy body tissue.
- An autoimmune disorder may result in the destruction of one or more types of body tissue, abnormal growth of an organ, and changes in organ function.
- An autoimmune disorder may affect one or more organ or tissue types which include blood vessels, connective tissues, endocrine glands such as the thyroid or pancreas, joints, muscles, red blood cells, and skin.
- autoimmune (or autoimmune-related) disorders include multiple sclerosis, arthritis, rheumatoid arthritis, psoriasis, Crohn's disease, gastrointestinal disorder, inflammatory bowel disease, irritable bowel syndrome, colitis, ulcerative colitis, Sjorgen's syndrome, atopic dermatitis, optic neuritis, respiratory disorder, chronic obstructive pulmonary disease (COPD), asthma, type I diabetes, neuromyelitis optica, Myasthenia Gavis, uveitis, Guillain- Barre syndrome, psoriatic arthritis, Gaves' disease, allergy, osteoarthritis, Kawasaki disease, mucosal leishmaniasis, Hashimoto's thyroiditis, Pernicious anemia, Addison's disease, Systemic lupus erythematosus, Dermatomyositis, Sjogren syndrome, Lupus erythematosus, Myasthenia gravis, Reactive arthritis, Celiac disease - spru
- inflammation will be understood by those skilled in the art to include any condition characterized by a localized or a systemic protective response, which may be elicited by physical trauma, infection, chronic diseases, and/or chemical and/or physiological reactions to external stimuli (e.g. as part of an allergic response). Any such response, which may serve to destroy, dilute or sequester both the injurious agent and the injured tissue, may be manifest by, for example, heat, swelling, pain, redness, dilation of blood vessels and/or increased blood flow, invasion of the affected area by white.
- inflammation is also understood to include any inflammatory disease, disorder or condition per se, any condition that has an inflammatory component associated with it, and/or any condition characterized by inflammation as a symptom, including inter alia acute, chronic, ulcerative, specific, allergic, infection by pathogens, immune reactions due to hypersensitivity, entering foreign bodies, physical injury, and necrotic inflammation, and other forms of inflammation known to those skilled in the art.
- the term thus also includes, for the purposes of this present patent application, inflammatory pain, pain generally and/or fever.
- the compounds of the present invention may be used for treatment of arthritis, including rheumatoid arthritis, osteoarthritis, psoriatic arthritis, septic arthritis, spondyloarthropathies, gouty arthritis, systemic lupus erythematosus and juvenile arthritis, osteoarthritis, and other arthritic conditions.
- the compounds of the present invention may be used for treatment of respiratory disorders such as chronic obstructive pulmonary disease (COPD), asthma, bronchospasm, and cough.
- COPD chronic obstructive pulmonary disease
- respiratory disorders include bronchitis, bronchiolitis, bronchiectasis, acute nasoparyngitis, acute and chronic sinusitis, maxillary sinusitis, pharyngitis, tonsillitis, laryngitis, tracheitis, epiglottitis, croup, chronic disease of tonsils and adenoids, hypertrophy of tonsils and adenoids, peritonsillar abscess, rhinitis, abscess or ulcer and nose, pneumonia, viral and bacterial pneumonia, bronchopneumonia, influenza, extrinsic allergic alveolitis, coal workers' pneumoconiosis, asbestosis, pneumoconiosis, pneumonopathy, respiratory conditions due to chemical fumes, vapors and other external agents, emphysema, pleurisy, pneumothorax, abscess of lung and mediastinum, pulmonary congestion and hypostasis, postinflammatory pulmonary fibrosis, other
- the compounds of the present invention may be used for treatment of pain conditions.
- the pain can be acute or chronic pain.
- the compounds of the present invention may be used for treatment of inflammatory pain, arthritic pain, neuropathic pain, post-operative pain, surgical pain, visceral pain, dental pain, premenstrual pain, central pain, cancer pain, pain due to burns; migraine or cluster headaches, nerve injury, neuritis, neuralgias, poisoning, ischemic injury, interstitial cystitis, viral, parasitic or bacterial infection, post-traumatic injury, or pain associated with irritable bowel syndrome.
- the compounds of the present invention may be used for treatment of gastrointestinal disorder such as irritable bowel syndrome, inflammatory bowel disease, colitis, ulcerative colitis, biliary colic and other biliary disorders, renal colic, diarrhea-dominant IBS, and pain associated with gastrointestinal distension.
- gastrointestinal disorder such as irritable bowel syndrome, inflammatory bowel disease, colitis, ulcerative colitis, biliary colic and other biliary disorders, renal colic, diarrhea-dominant IBS, and pain associated with gastrointestinal distension.
- the compounds of the present invention may be useful in the treatment of cancer, and pain associated with cancer.
- cancers include multiple myeloma and bone disease associated with multiple myeloma, melanoma, meduUoblastoma, acute myelogenous leukemia (AML), head and neck squamous cell carcinoma, hepatocellular carcinoma, gastric cancer, bladder carcinoma and colon cancer.
- the methods of treatment of the present patent application comprise administering a safe and effective amount of a compound according to Formula I or a pharmaceutically-acceptable salt thereof to a patient (particularly a human) in need thereof.
- the present patent application relates to the use of the compounds in the preparation of a medicament for the treatment of diseases mediated by RORyt.
- Compounds of the present invention are indicated both in the therapeutic and/or prophylactic treatment of the above-mentioned conditions.
- the dosage administered will, of course, vary with the compound employed, the mode of administration, the treatment desired and the disorder indicated.
- the daily dosage of the compound of the invention may be in the range from 0.05 mg/kg to 100 mg/kg.
- aryl or heteroaryl amine compound of formula (1) is coupled with suitably substituted phenylacetic acid compound of formula (1A) using a suitable coupling agent such as l-ethyl-3-(3- dimethylaminopropyl) carbodiimide (EDCI) and 1-hydroxybenzotriazole (HOBt) in the presence of suitable solvent such dichloromethane to afford the acetamide derivative of general formula (I).
- a suitable coupling agent such as l-ethyl-3-(3- dimethylaminopropyl) carbodiimide (EDCI) and 1-hydroxybenzotriazole (HOBt) in the presence of suitable solvent such dichloromethane to afford the acetamide derivative of general formula (I).
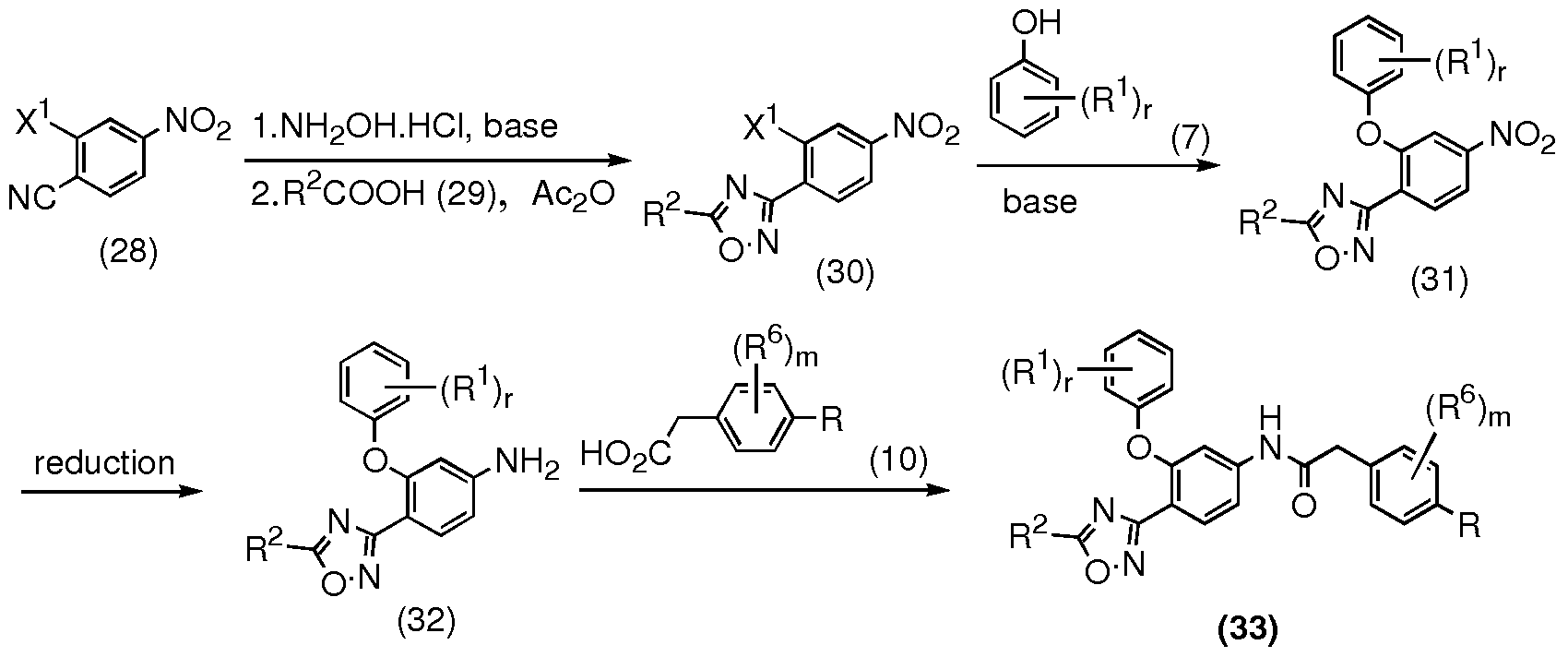
- the compound of formula (II) (wherein R 1 , R 2 , R 6 , R, ring B, W, p, r and m are as defined with respect to a compound of formula (II)) can be prepared byfollowing the synthetic step depicted in Synthetic Scheme 2.
- a compound of formula (2) can be reacted with a compound of formula (10) to form a compound of formula (II).
- the compound of formula (2) can be reacted with the compound of formula (10) in a solvent selected from DCM, THF and DMF.
- the compound of formula (2) is converted to a compound of formula (II) using one or more coupling agent.
- the coupling agent used in the process can be a mixture of l-ethyl-3-(3- dimethylaminopropyl) carbodiimide (EDCI) and 1-hydroxybenzotriazole (HOBt) or any other suitable coupling agent.
- the compound of formula (IV) (wherein R 1 , R 2 , R, p and r re as defined with respect to a compound of formula (IV)) can be prepared following the synthetic steps depicted in Synthetic Scheme 10.
- a compound of formula (40) can be reacted with a compound of formula (41) to form a compound of formula (IV).
- the compound of formula (40) can be reacted with the compound of formula (41) in solvent such as DCM, THF or DMF.
- the compound of formula (40) is converted to a compound of formula (IV) using one or more coupling agent or mixture thereof and optionally in the presence of a suitable base such as TEA or DIPEA.
- the coupling agent used in the process can be l-ethyl-3-(3- dimethylaminopropyl) carbodiimide (EDCI) and 1-hydroxybenzotriazole (HOBt) or any other suitable coupling agent.
- work-up includes distribution of the reaction mixture between the organic and aqueous phase indicated within parentheses, separation of layers and drying the organic layer over sodium sulphate, filtration and evaporation of the solvent.
- Purification includes purification by silica gel chromatographic techniques, generally using ethyl acetate/petroleum ether mixture of a suitable polarity as the mobile phase. Use of a different eluent system is indicated within parentheses.
- DMSO- ⁇ i6 Hexadeuterodimethyl sulfoxide
- DMF N,N-dimethyl formamide
- / Coupling constant in units of Hz
- RT or rt room temperature (22-26°C).
- h hour (s); min: minute (s);
- Aq. aqueous; equiv. or eq.: equivalents
- DMAP 4- dimethylaminopyridine
- HOBt Hydroxybenzotriazole
- EDCI l-Ethyl-3-(3- dimethylaminopropyl) carbodiimide
- THF Tetrahydrofuran.
- Step 1 2-Fluoro-4-nitrophenyl trifluoromethanesulfonate: To a stirred solution of 2- fluoro-4-nitrophenol (4.1 g, 26.098 mmol) in dry dichloromethane (100 ml) and dry THF (10 ml), was added pyridine (16 ml) followed by triflic anhydride (5.152 ml, 31.317 mmol) at 0 °C and the reaction mixture was stirred for 10 minutes at the same temperature. DMAP (20 mg) was added to the reaction mixture at 0 °C and the reaction mixture was stirred at room temperature for 2 h. The reaction mixture was diluted with water and extracted with ethyl acetate (3 x 250 ml).
- Step 2 2-Fluoro-4-nitrobiphenyl: To a solution of 2-fluoro-4-nitrophenyl trifluoromethanesulfonate (step 1 intermediate, 600 mg, 2.074 mmol) in toluene (20 ml), were added phenylboronic acid (303 mg, 2.489 mmol), potassium carbonate (860 mg, 6.224 mmol), ethanol (10 ml) and water (10 ml). To the reaction mixture, tetrakis triphenylphosphine palladium (1 1 mg, 0.010 mmol) was added and the resulting mixture was refluxed for 3 h.
- Step 3 4-Nitro-2-phenoxybiphenyl: To a stirred solution of 2-fluoro-4-nitrobiphenyl (step 2 intermediate, 200 mg, 0.921 mmol) in DMF (10 ml), were added cesium carbonate (600 mg, 1.842 mmol) followed by phenol (104 mg, 1.105 mmol) at room temperature and the resulting mixture was stirred at 1 10 °C overnight. The reaction mixture was cooled to room temperature, diluted with water and extracted with ethyl acetate (3 x 200 ml). The combined organic extract was washed with brine (215 ml), separated and dried over sodium sulphate. The organic layer was concentrated under reduced pressure and the residue was purified by column chromatography to yield 200 mg of product as pale yellow solid. ESI-MS (m/z) 292 (M+H) + .
- Step 4 2-Phenoxybiphenyl-4-amine: To a stirred suspension of 4-nitro-2- phenoxybiphenyl (step 3 intermediate, 200 mg, 0.686 mmol) in methanol (10 ml) and water (10 ml), were added iron powder (230 mg 4.1 19 mmol) and ammonium chloride (367 mg, 6.865 mmol) at room temperature and the resulting mixture was refluxed for 3 h. The reaction mixture was cooled to room temperature, diluted with water and extracted with ethyl acetate (3 x 150 ml). The combined organic extract was washed with brine (200 ml), separated and dried over sodium sulphate.
- Step 2 1 - ⁇ 4-Nitro-2- [3 -(trifluoromethoxy)phenoxy]phenyl ⁇ - 1 H-pyrazole :
- Step 1 intermediate (242 mg, 1.169 mmol) in DMF (5 ml) was added 3-(trifluoromethoxy)phenol (0.18 ml, 1.403 mmol) followed by cesium carbonate (1.14 g, 3.504 mmol) and the reaction mixture was further stirred at 1 10 °C overnight.
- the reaction mixture was diluted with water (50 ml) and extracted with ethyl acetate (3 x 50 ml) and the combined organic layer was washed with water (2 x 50 ml) followed by brine (25 ml). The organic layer was dried over sodium sulphate and concentrated under reduced pressure to obtain the crude residue.
- Step 3 4-( 1 H-Pyrazol- 1 -yl)-3 -[3 -(trifluoromethoxy)phenoxy] aniline;
- Step 2 intermediate 400 mg, 1.095 mmol
- methanol 10 ml
- water 10 ml
- iron powder 367 mg, 6.575 mmol
- ammonium chloride 540 mg, 10.95 mmol
- the reaction was stirred at 80 °C for 3h.
- Excess of solvent was distilled out and the residue obtained was diluted with ethyl acetate (2 x 100 ml) and the combined organic layer was washed with water (50 ml) followed by brine (25 ml).
- the organic layer was dried over sodium sulphate and concentrated under reduced pressure to obtain crude residue.
- the obtained residue was purified by column chromatography to yield 300 mg of the desired product as liquid.
- Intermediates 100-140 were synthesized by first coupling of of 1 ,2-difluoro-4- nitrobenzene with respective pyrazole, imidazole or triazole compound followed by second coupling with respective phenol compound and then reduction of nitro group as described in Intermediate 100.
- the structural formulas, chemical names and Analytical data of Intermediates 100-140 are provided in table 2.
- Step 1 2-Fluoro-4-nitro-N-(prop-2-yn-l-yl)benzamide
- Step 2 2-(2-Fluoro-4-nitrophenyl)-5-methyl- 1 ,3-oxazole;
- DCE dichloroethane
- ferric chloride 133 mg, 0.821 mmol
- the reaction mixture was diluted with water (100 ml) and extracted with ethyl acetate (2 x 100 ml) and the combined organic layer was washed with water (100 ml) followed by brine (100 ml). The organic layer was dried over sodium sulphate and concentrated under reduced pressure to obtain crude residue.
- Step 3 5-Methyl-2- ⁇ 4-nitro-2-[3-(trifluoromethoxy)phenoxy]phenyl ⁇ - 1 ,3-oxazole;
- DMSO dimethyl sulfoxide
- 3-trifloromethoxy phenol 80 mg, 0.450 mmol
- the reaction mixture was stirred at 1 10°C for 2h.
- the reaction mixture was diluted with water (50 ml) and extracted with ethyl acetate (2 x 50 ml) and the combined organic layer was washed with water (50 ml) followed by brine (25 ml).
- Step 4 4-(5-Methyl-l ,3-oxazol-2-yl)-3-[3-(trifluoromethoxy)phenoxy]aniline;
- iron powder 125 ml, 2.235 mmol
- the reaction mixture was filtered and the filtrate was concentrated under reduced pressure.
- the residue obtained was purified by silica gel column chromatography to yield 73 mg of the title compound as off white solid.
- Step 2 3-(2-Fluoro-4-nitrophenyl)-5-methyl-l ,2,4-oxadiazole:
- step 1 product 300 mg, 1.03 mmol
- glacial acetic acid 4 ml
- acetic anhydride 0.24 ml, 2.575 mmol
- the reaction mixture was heated at 140°C for 18 h.
- the reaction mixture was diluted with water (50 ml) and extracted with ethyl acetate (2 x 100 ml) and the combined organic layer was washed with water (50 ml) followed by brine (25 ml).
- the organic layer was dried over sodium sulphate and concentrated under reduced pressure to obtain crude residue.
- the residue obtained was purified by column chromatography to yield 339 mg of the desired product as off-white solid.
- 1H NMR 300 MHz, DMSO-J 6
- Step 3 5-Methyl-3- ⁇ 4-nitro-2-[3-(trifluoromethyl)phenoxy]phenyl ⁇ - 1 ,2,4-oxadiazole;
- the title compound was prepared from Step 2 product (370 mg, 1.658 mmol) and 3- (trifluoromethyl) phenol (0.2 ml, 1.658 mmol) using potassium carbonate (344 mg, 2.487 mmol) in presence of DMSO (4 ml) as described in step 3 of Intermediate 141 to yield 505 mg of the desired product as off white solid.
- Step 4 4-(5-Methyl- 1 ,2,4-oxadiazol-3-yl)-3-[3-(trifluoromethyl)phenoxy]aniline;
- the title compound was prepared by reduction of Step 3 product (150 mg, 0.410 mmol) using iron powder (229 ml, 4.10 mmol) in glacial acetic acid (2 ml) as described in step 4 of Intermediate 141 to yield 78 mg of the title compound as off- white solid.
- Intermediates 143-145 were synthesized by 2-fluoro-4-nitro benzonitrile, hydroxylamine hydrochloride, acetic acid or trifluoroacetic acid and respective phenol in steps 1 , 2, 3 and 4 as described in Intermediate 142,
- the structural formulas, chemical names and Analytical data of Intermediates 143-145 are provided in table 3.
- Table 3 Structure, chemical name and Analytical data of Intermediates 143-145.
- Step 1 3-Chloro-5-nitro-2-phenylpyridine: This intermediate was prepared by the reaction of 2,3-dichloro-5-nitropyridine (1 mg, 5.181 mmol) with phenyl boronic acid (758 mg, 6.217 mmol) using tetrakis triphenylphosphine palladium (30 mg, 0.023 mmol) in presence of potassium carbonate (2.1 g, 15.544 mmol) in toluene (60 ml) and water (25 ml) as per the process described in step 2 of Intermediate 1 to yield 1 g of product as off white solid.
- Step 2 5-Nitro-3-phenoxy-2-phenylpyridine: This intermediate was prepared by the reaction of step 1 intermediate (525 mg, 2.237 mmol) with phenol (252 mg, 2.684 mmol) using cesium fluoride (642 mg, 3.356 mmol) in DMF (10 ml) as per the process described in step 3 of Intermediate 1 to yield 241 mg of product as off white solid.
- Step 3 The title compound was prepared by nitro group reduction of step 1 intermediate (165 mg, 0.565 mmol) using iron powder (158 mg, 2.822 mmol) and ammonium chloride (302 mg, 5.645 mmol) in methanol (10 ml) and water (10 ml) as per the process described in step 4 of Intermediate 1 to yield 141 mg of product as an off-white solid.
- Step 1 Ethyl [4-(ethylsulfanyl)phenyl]acetate: To a stirred solution of (4- sulfanylphenyl)acetic acid (2.0 g, 11.889 mmol) in DMF (10 ml), potassium carbonate (6.6 g, 47.559 mmol) was added followed by addition of bromoethane (2.6 ml, 35.669 mmol) and the resulting mixture was stirred at room temperature for 3 h. The reaction mixture was partitioned between aqueous (250 ml) and ethyl acetate (250 ml). The organic layer was separated, washed with water (250 ml), brine (150 ml), dried over sodium sulphate and concentrated under reduced pressure. The obtained residue was purified by column chromatography to yield 2.46 g of desired product as liquid.
- Step 2 Ethyl [4-(ethylsulfonyl)phenyl] acetate: To a stirred solution of ethyl [4- (ethylsulfanyl)phenyl] acetate (step 1 intermediate, 1.4 g, 6.241 mmol) in dichloromethane (20 ml), m-chlorobenzoic acid (3.2 g, 18.723 mmol) was added in portions at 0 °C, under nitrogen atmosphere and the resulting mixture was stirred at room temperature overnight. The reaction mixture was diluted with dichloromethane (100 ml) and washed with aqueous saturated solution of sodium bicarbonate (250 ml) and brine (200 ml). The organic layer was separated dried over sodium sulphate and concentrated under reduced pressure and the obtained residue was purified by column chromatography to yield 1.46 g of desired solid product.
- Step 3 [4-(Ethylsulfonyl)phenyl] acetic acid: To a solution of ethyl [4- (ethylsulfonyl)phenyl] acetate (step 2 intermediate, 1.4 g, 5.461 mmol) in ethanol (15 ml) and water (15 ml), sodium hydroxide (0.786 g, 19.659 mmol) was added and the reaction mixture was stirred at room temperature overnight. The solvent was evaporated under reduced pressure and water (100 ml) was added to the residue. The reaction mixture was acidified to about pH 1 using 6 N HC1 ( ⁇ 60 ml).
- Example 1 15 2-[4-(Ethylsulfonyl)phenyl]-N- ⁇ 4-(lH-l ,2,4-triazol-l-yl)-3-[3-
Landscapes
- Chemical & Material Sciences (AREA)
- Organic Chemistry (AREA)
- Health & Medical Sciences (AREA)
- Pain & Pain Management (AREA)
- Rheumatology (AREA)
- Chemical Kinetics & Catalysis (AREA)
- General Chemical & Material Sciences (AREA)
- Medicinal Chemistry (AREA)
- Nuclear Medicine, Radiotherapy & Molecular Imaging (AREA)
- Pharmacology & Pharmacy (AREA)
- Life Sciences & Earth Sciences (AREA)
- Animal Behavior & Ethology (AREA)
- General Health & Medical Sciences (AREA)
- Public Health (AREA)
- Veterinary Medicine (AREA)
- Pharmaceuticals Containing Other Organic And Inorganic Compounds (AREA)
- Acyclic And Carbocyclic Compounds In Medicinal Compositions (AREA)
Description
ARYL AND HETEROARYL AMIDE COMPOUNDS AS RORyt
MODULATOR
Related Applications
This application claims the benefit of Indian Provisional Application Nos.
55/MUM/2013 filed on 08 January 2013 and 811/MUM/2013 filed on 19 March 2013; and U.S. Provisional Application No. 61/760,301 filed on 04 February 2013 each of which is hereby incorporated by reference in its entirety.
Technical Field
The present patent application is directed to amides of aryl and heteroaryl compounds which may be useful as retinoid-related orphan receptor gamma t (RORyt) modulators.
Background
Retinoid-related orphan receptors (RORs) are transcription factors which belong to the steroid hormone nuclear receptor super family. The ROR family consists of three members, ROR alpha (RORa), ROR beta (RORP) and ROR gamma (RORy), also known as NR1F1, NR1F2 and NR1F3 respectively (and each encoded by a separate gene RORA, RORB and RORC, respectively). RORs contain four principal domains shared by the majority of nuclear receptors: an N-terminal A/B domain, a DNA-binding domain, a hinge domain, and a ligand binding domain. Each ROR gene generates several isoforms which differ only in their N-terminal A/B domain. Two isoforms of RORy, RORyl and RORyt (also known as RORy2) have been identified.
RORyt is a truncated form of RORy, lacking the first N-terminal 21 amino acids and is exclusively expressed in cells of the lymphoid lineage and embryonic lymphoid tissue inducers (Sun et al, Science, 2000, 288, 2369-2372; Eberl et al, Nat Immunol., 2004, 5: 64-73) in contrast to RORy which is expressed in multiple tissues (heart, brain, kidney, lung, liver and muscle).
RORyt has been identified as a key regulator of Thl7 cell differentiation. Thl7 cells are a subset of T helper cells which produce IL-17 and other proinflammatory cytokines and have been shown to have key functions in several mouse autoimmune disease models including experimental autoimmune encephalomyelitis (EAE) and collagen-induced arthritis (CIA). In addition, Thl7 cells have also been associated in the pathology of a variety of human inflammatory and autoimmune disorders
including multiple sclerosis, rheumatoid arthritis, psoriasis, Crohn's disease and asthma (Jetten et al, Nucl. Recept. Signal, 2009, 7:e003; Manel et al, Nat. Immunol, 2008, 9, 641-649). The pathogenesis of chronic autoimmune diseases including multiple sclerosis and rheumatoid arthritis arises from the break in tolerance towards self-antigens and the development of auto-aggressive effector T cells infiltrating the target tissues. Studies have shown that Thl7 cells are one of the important drivers of the inflammatory process in tissue-specific autoimmunity (Steinman et al., J. Exp. Med., 2008, 205: 1517-1522; Leung et al, Cell. Mol. Immunol, 2010 7: 182-189). Thl7 cells are activated during the disease process and are responsible for recruiting other inflammatory cells types, especially neutrophils, to mediate pathology in the target tissues (Korn et al., Annu. Rev. Immunol, 2009, 27:485-517) and RORyt has been shown to play a critical role in the pathogenic responses of Thl7 cells (Ivanov et al., Cell, 2006 126: 1121-1133). RORyt deficient mice have shown no Thl7 cells and also resulted in amelioration of EAE. The genetic disruption of RORy in a mouse colitis model also prevented colitis development (Buonocore et al, Nature, 2010, 464: 1371-1375). The role of RORyt in the pathogenesis of autoimmune or inflammatory diseases has been well documented in the literature. ( Jetten et al, Adv. Dev. Biol, 2006, 16:313-355; Meier et al. Immunity, 2007, 26:643-654; Aloisi et al, Nat. Rev. Immunol, 2006, 6:205-217; Jager et al, /. Immunol, 2009, 183:7169-7177; Serafmi et al, Brain Pathol, 2004, 14: 164-174; Magliozzi et al, Brain, 2007, 130: 1089- 1104; Barnes et al, Nat. Rev. Immunol, 2008, 8: 183-192).
In addition, RORyt is also shown to play a crucial role in other non-Thl7 cells, such as mast cells (Hueber et al, / Immunol, 2010, 184: 3336-3340). RORyt expression and secretion of Thl7-type of cytokines has also been reported in NK T- cells (Eberl et al., Nat. Immunol, 2004, 5: 64-73) and gamma-delta T-cells (Sutton et al, Nat. Immunol, 2009, 31 : 331-341; Louten et al, J Allergy Clin. Immunol, 2009, 123: 1004-1011), suggesting an important function for RORyt in these cells.
In view of the above, a need exists for therapeutic agents that could modulate the activity of RORyt and thus will open new methods for treating diseases or condition associated with the modulation of RORyt.
PCT publication numbers WO2012/139775, WO2012/027965, WO2012/028100, WO2012/100732, WO2012/100734, and WO2012/064744 disclose numerous heterocyclic compounds which are shown to be modulators of retinoid- related orphan receptor gamma (RORy) receptor activity.
The present application is directed to compounds that may be modulators of the RORyt receptor. Thus in light of the role RORyt plays in the pathogenesis of diseases, it is desirable to prepare compounds that modulate RORyt activity, which can be used in the treatment of diseases mediated by RORyt.
Summary of the Invention
In one aspect, the present invention relates to a compound of formula (I)
or a pharmaceutically acceptable salt thereof,
wherein,
X is selected from -0-, -C(O)-, -NRC-, -S-, -S(O)- and -S(0)2-;
Y is bond or selected from -0-, -C(0)-, -NRC-, -S-, -S(0)- and -S(0)2-;
U, V and W are each independently selected from CR5 and N;
Ring A is selected from C6-14aryl, C3-12cycloalkyl, 5-14 membered heteroaryl and 3-15 membered heterocyclyl;
Ring B is selected from C6_i4aryl, C3-12cycloalkyl, 5-14 membered heteroaryl and 3-15 membered heterocyclyl;
R is selected from -S(0)2-R7, -S-R7, -S(0)R7, -S(0)2NRaRb and -NRdS(0)2-R8; each occurrence of R1 is independently selected from halogen, nitro, cyano, hydroxyl, C1-8alkyl, C2-10alkenyl, C2-10alkynyl, Ci_galkoxy, C1-8alkoxyC1-8alkyl, haloC1-8alkyl, haloCi_galkoxy, hydroxyC1-8alkyl, C3-12cycloalkyl, C3-gcycloalkylCi_ galkyl, C3-8cycloalkenyl, C3-8cycloalkenylC1-8alkyl, C6-14aryl, C6-14arylC1-8alkyl, C6- i4aryloxy, 3-15 membered heterocyclyl, 3-15 membered heterocyclylC1-8alkyl, 5-14 membered heteroaryl, 5-14 membered heteroarylCi_galkyl and NRxRy;
each occurrence of R2 is independently selected from halogen, nitro, cyano, hydroxyl, C1-8alkyl, C2-10alkenyl, C2-10alkynyl, Ci_galkoxy, C1-8alkoxyC1-8alkyl, haloC1-8alkyl, haloCi_galkoxy, hydroxyC1-8alkyl, C3-12cycloalkyl, C3-gcycloalkylCi_ galkyl, C3-8cycloalkenyl, C3-8cycloalkenylC1-8alkyl, C6-14aryl, C6-14arylC1-8alkyl, C6-
i4aryloxy, 3-15 membered heterocyclyl, 3-15 membered heterocyclylCi_galkyl, 5-14 membered heteroaryl, 5-14 membered heteroarylCi_galkyl and NRxRy;
R3 and R4, which may be same or different, are independently selected from hydrogen and Ci_galkyl; or R3 and R4 together with the 'C atom to which they are attached, form a cyclic ring which is substituted or unsubstituted;
each occurrence of R5 is independently selected from hydrogen, halogen, nitro, cyano, hydroxyl, Ci_galkyl, C2-ioalkenyl, C2-ioalkynyl, Ci_galkoxy, Ci_galkoxyCi_ galkyl, haloCi_8alkyl, haloCi_8alkoxy, hydroxyCi_8alkyl, C3_i2cycloalkyl, C3_ gcycloalkylCi.galkyl, C3_gcycloalkenyl, C3_gcycloalkenylCi_galkyl, C6-i4aryl, C6- i4arylCi_galkyl, C6-i4aryloxy, 3-15 membered heterocyclyl, 3-15 membered heterocyclylCi-galkyl, 5-14 membered heteroaryl, 5-14 membered heteroarylCi_galkyl and NRxRy;
each occurrence of R6 is independently selected from halogen, nitro, cyano, hydroxyl, amino, Ci_galkyl, C2_ioalkenyl, C2_ioalkynyl, Ci_galkoxy, Ci_galkoxyCi_ galkyl, haloCi_galkyl, haloCi_galkoxy, hydroxyCi_galkyl, C3_i2cycloalkyl, C3_ gcycloalkylCi.galkyl, C3_gcycloalkenyl, C3_gcycloalkenylCi_galkyl, C6-i4aryl, C6- i4arylCi_8alkyl, C6_i4aryloxy, 3-15 membered heterocyclyl, 3-15 membered heterocyclylCi-galkyl, 5-14 membered heteroaryl and 5-14 membered heteroarylCi- galkyl;
each occurrence of R7 is independently selected from Ci_galkyl, C3_ i2cycloalkyl and haloCi_galkyl;
each occurrence of R8 is independently selected from Ci_galkyl and C3_ i2cycloalkyl;
each occurrence of Ra and Rb, which may be the same or different, are independently selected from hydrogen, Ci_galkyl, Ci_galkoxyCi_galkyl, haloCi_galkyl, hydroxyCi.galkyl, C3_i2cycloalkyl, C3_gcycloalkylCi_galkyl, C6-i4aryl, C6-i4arylCi_ galkyl, 3-15 membered heterocyclyl, 3-15 membered heterocyclylCi_8alkyl, 5-14 membered heteroaryl and 5-14 membered heteroarylCi_galkyl; or Ra and Rb together with the common atom to which they are attached, form a cyclic ring which is substituted or unsubstituted and wherein the cyclic ring optionally contains one or more hetero atoms selected from O, N or S;
each occurrence of Rx and Ry, which may be the same or different, are independently selected from hydrogen and Ci_galkyl;
Rc is independently selected from hydrogen and Ci_galkyl;
each occurrence of Rd is independently selected from hydrogen and Ci.galkyl; 'm' is an integer ranging from 0 to 4, both inclusive;
'p' is an integer ranging from 0 to 5, both inclusive; and
'r' is an integer ranging from 0 to 5, both inclusive.
The compounds of formula (I) may involve one or more embodiments. Embodiments of formula (I) include compounds of formula (II), formula (III), and formua (IV) as described hereinafter. It is to be understood that the embodiments below are illustrative of the present invention and are not intended to limit the claims to the specific embodiments exemplified. It is also to be understood that the embodiments defined herein may be used independently or in conjunction with any definition, any other embodiment defined herein. Thus the invention contemplates all possible combinations and permutations of the various independently described embodiments. For example, the invention provides compounds of formula (I) as defined above wherein ring A is phenyl (according to an embodiment defined below), ring B is phenyl (according to another embodiment defined below) and 'm' is 0 (according to yet another embodiment defined below).
According to one embodiment, specifically provided are compounds of formula (I), in which ring A is C6-i4aryl (e.g. phenyl).
According to another embodiment, specifically provided are compounds of formula (I), in which ring A is phenyl.
According to yet another embodiment, specifically provided are compounds of formula (I), in which X is -O- and Y is a bond.
According to yet another embodiment, specifically provided are compounds of formula (I), in which ring B is C6-i4aryl (e.g. phenyl) or 5-14 membered heteroaryl (e.g. pyridinyl, pyrimidinyl, pyrazolyl, imidazolyl, 1,2,4-triazolyl, 1,3-oxazolyl or 1 ,2,4-oxadiazolyl).
According to yet another embodiment, specifically provided are compounds of formula (I), in which ring B is phenyl.
According to another embodiment, specifically provided are compounds of formula (I), in which ring B is pyridinyl or pyrimidinyl.
According to yet another embodiment, specifically provided are compounds of formula (I), in which ring B is pyrazolyl, imidazolyl, 1,2,4-triazolyl, 1,3-oxazolyl or 1,2,4-oxadiazolyl.
According to yet another embodiment, specifically provided are compounds of formula (I), in which ring B is phenyl, pyridin-3-yl, pyridin-4-yl, pyrimidin-5-yl, 1H- pyrazol-l-yl, lH-imidazol-l-yl, lH-l ,2,4-triazol-l-yl, l ,3-oxazol-2-yl or 1 ,2,4- oxadiazol-3-yl.
According to yet another embodiment, specifically provided are compounds of formula (I), in which U and V are CR5, and W is N or CR5.
According to yet another embodiment, specifically provided are compounds of formula (I), in which U and V are CH and W is N or CR5.
According to yet another embodiment, specifically provided are compounds of formula (I), in which U and V are CH, and W is CH or N.
According to yet another embodiment, specifically provided are compounds of formula (I), in which each occurrence of R1 is independently cyano, halogen (e.g. F, CI or Br), Ci_8alkyl (e.g. methyl or ethyl), haloCi_8alkyl (e.g. difluoromethyl or trifluoromethyl), Ci_8alkoxy (methoxy or ethoxy) or haloCi-salkoxy (e.g. difluoromethoxy or trifluoromethoxy).
According to yet another embodiment, specifically provided are compounds of formula (I), in which each occurrence of R1 is NRxRy. In this embodiment Rx and Ry are Ci_4alkyl (e.g. methyl).
According to yet another embodiment, specifically provided are compounds of formula (I), in which each occurrence of R1 is independently CN, F, CI, CH3, CF3, OCH3, OCHF2, OCF3 or N(CH3)2.
According to yet another embodiment, specifically provided are compounds of formula (I), in which R1 is independently CN, F, CI, CH3, CF3, OCH3, OCHF2, OCF3 or N(CH3)2 and 'r' is 0, 1 or 2.
According to yet another embodiment, specifically provided are compounds of formula (I), in which each occurrence of R2 is independently cyano, halogen (e.g. F, CI or Br), Ci_8alkyl (e.g. methyl or ethyl), haloCi_8alkyl (e.g. difluoromethyl or trifluoromethyl), Ci_galkoxy (methoxy or ethoxy) or haloCi_galkoxy (e.g. difluoromethoxy or trifluoromethoxy).
According to yet another embodiment, specifically provided are compounds of formula (I), in which each occurrence of R2 is independently CN, F, CI, CH3, CF3, OCH3, OCHF2 or OCF3.
According to yet another embodiment, specifically provided are compounds of formula (I), in which R2 is independently CN, F, CI, CH3, CF3, OCH3, OCHF2 or OCF3 and 'p' is 0, 1, 2 or 3.
According to yet another embodiment, specifically provided are compounds of formula (I), in which R3 and R4 are hydrogen.
According to yet another embodiment, specifically provided are compounds of formula (I), in which R5 is hydrogen.
According to yet another embodiment, specifically provided are compounds of formula (I), in which R6 is independently halogen (e.g. CI, F or Br) or Ci_4alkyl (e.g. methyl or ethyl).
According to yet another embodiment, specifically provided are compounds of formula (I), in which 'm' is 0.
According to yet another embodiment, specifically provided are compounds of formula (I), in which R is -S(0)2-R7. In this embodiment R7 is Ci_4 alkyl (e.g. methyl or ethyl), C3_6cycloalkyl (e.g. cyclopropyl or cyclobutyl) or haloCi_4alkyl (e.g. trifluoromethyl, trifluoroethyl or 2,2,2-trifluoroethyl).
According to yet another embodiment, specifically provided are compounds of formula (I), in which R is -S(0)2-R7. In this embodiment R7 is methyl, ethyl, cyclopropyl or 2,2,2-trifluoroethyl.
According to yet another embodiment, specifically provided are compounds of formula (I), in which R is -NRdS(0)2-R8. In this embodiment Rd is hydrogen or Ci_4 alkyl (e.g. methyl or ethyl) and R8 is Ci_4 alkyl (e.g. methyl or ethyl).
According to yet another embodiment, specifically provided are compounds of formula (I), in which R is -NRdS(0)2-R8. In this embodiment Rd is hydrogen and R8 is methyl or ethyl.
According to yet another embodiment, specifically provided are compounds of formula (I), in which R is -S(0)2NRaRb. In this embodiment Ra is hydrogen and Rb is Ci_4alkyl (e.g. methyl or ethyl).
According to yet another embodiment, specifically provided are compounds of formula (I), in which R is -S(0)2NRaRb. In this embodiment Ra is hydrogen and Rb is methyl or ethyl.
According to yet another embodiment, specifically provided are compounds of formula (I), in which R is -S(0)2CH3, -S(0)2CH2CH3, -S(0)2-cyclopropyl, - S(0)2CH2CF3, -S(0)2NHCH3, -S(0)2NHCH2CH3 or -NHS(0)2CH3.
According to yet another embodiment, specifically provided are compounds of formula (I), in which Rc is hydrogen.
According to yet another embodiment, specifically provided are compounds of formula (I), in which 'r' is 0, 1 or 2.
According to yet another embodiment, specifically provided are compounds of formula (I), in which 'p' is 0, 1, 2 or 3.
According to an embodiment, specifically provided are compounds of formula (I) with an IC50 value of less than 1000 nM, preferably less than 500 nM, more preferably less than 100 nM, most preferably less than 50 nM with respect to RORyt activity.
Further embodiments relating to groups R1, R2, R3, R4, R6, R, Rc, U, V, W, m, r, p, X, Y, ring A, ring B (and groups defined therein) are described hereinafter in relation to the compounds of formula (II), compounds of Formula (III) or compounds of Formula (IV). It is to be understood that these embodiments are not limited to use in conjunction with formula (II), (III) or (IV), but apply independently and individually to the compounds of formula (I). For example, in an embodiment described hereinafter, the invention specifically provides compounds of formula (II), (III) or (IV) in which 'r' is 0, 1 or 2 and consequently there is also provided a compound of formula (I) in which 'r' is 0, 1 or 2.
The invention also provides a compound of formula (II), which is an embodiment of a compound of formula (I).
Accordingly the invention provides a compound of formula (II)
(Π)
or a pharmaceutically acceptable salt thereof,
wherein,
Ring B is selected from C6-i4aryl, 5-14 membered heteroaryl and 3-15 membered heterocyclyl;
W is selected from CR5 and N;
R is selected from -S(0)2-R7, -S-R7, -S(0)-R7, -S(0)2NRaRb and -NRdS(0)2-
R8;
each occurrence of R1 is independently selected from halogen, cyano, hydroxyl, Ci_8alkyl, Ci_8alkoxy, haloCi_galkyl, haloCi_galkoxy, hydroxyCi_galkyl and NRxRy;
each occurrence of R2 is independently selected from halogen, cyano, hydroxyl, Ci_8alkyl, Ci_8alkoxy, haloCi_8alkyl, haloCi_8alkoxy, hydroxyCi_8alkyl and NRxRy;
each occurrence of R5 is independently selected from hydrogen, halogen, cyano, hydroxyl, Ci_8alkyl, Ci_8alkoxy and haloCi_8alkyl;
each occurrence of R6 is independently selected from halogen, cyano, hydroxyl, Ci_8alkyl, Ci_8alkoxy and haloCi_8alkyl;
each occurrence of R7 is independently selected from Ci_8alkyl, C3_ i2cycloalkyl and haloCi_8alkyl;
each occurrence of R8 is independently selected from Ci_8alkyl and C3_ i2cycloalkyl;
each occurrence of Ra and Rb, which may be the same or different, are independently selected from hydrogen and Ci_8alkyl;
each occurrence of Rd is independently selected from hydrogen and Ci_8alkyl; each occurrence of Rx and Ry, which may be the same or different, are independently selected from hydrogen and Ci_8alkyl;
'm' is an integer ranging from 0 to 4, both inclusive;
'p' is an integer ranging from 0 to 5, both inclusive; and
'r' is an integer ranging from 0 to 5, both inclusive.
The compounds of formula (II) may involve one or more embodiments. It is to be understood that the embodiments below are illustrative of the present invention and are not intended to limit the claims to the specific embodiments exemplified. It is also to be understood that the embodiments defined herein may be used independently or in conjunction with any definition of any other embodiment defined herein. Thus the invention contemplates all possible combinations and permutations of the various independently described embodiments. For example, the invention provides compounds of formula (II) as defined above wherein W is CH or N (according to an
embodiment defined below), 'r' is 0, 1 or 2 (according to another embodiment defined below) and 'm' is 0 (according to yet another embodiment defined below).
According to one embodiment, specifically provided are compounds of formula (II), in which ring B is C6-i4aryl (e.g. phenyl) or 5-14 membered heteroaryl (e.g. pyridinyl, pyrimidinyl, pyrazolyl, imidazolyl, 1 ,2,4-triazolyl, 1 ,3-oxazolyl or 1 ,2,4-oxadiazolyl).
According to another embodiment, specifically provided are compounds of formula (II), in which ring B is phenyl.
According to another embodiment, specifically provided are compounds of formula (II), in which ring B is pyridinyl or pyrimidinyl.
According to yet another embodiment, specifically provided are compounds of formula (II), in which ring B is pyrazolyl, imidazolyl, 1 ,2,4-triazolyl, 1 ,3-oxazolyl or 1 ,2,4-oxadiazolyl.
According to yet another embodiment, specifically provided are compounds of formula (II), in which ring B is phenyl, pyridin-3-yl, pyridin-4-yl, pyrimidin-5-yl, lH-pyrazol-l-yl, lH-imidazol-l-yl, lH-l ,2,4-triazol-l-yl, l ,3-oxazol-2-yl or 1 ,2,4- oxadiazol-3-yl.
According to yet another embodiment, specifically provided are compounds of formula (II), in which W is N or CR5. In this embodiment R5 is hydrogen.
According to yet another embodiment, specifically provided are compounds of formula (II), in which W is CH or N.
According to yet another embodiment, specifically provided are compounds of formula (II), in which each occurrence of R1 is independently cyano, halogen (e.g. F, CI or Br), Ci_galkyl (e.g. methyl or ethyl), haloCi.galkyl (e.g. difluoromethyl or trifluoromethyl), Ci_8alkoxy (methoxy or ethoxy) or haloCi-salkoxy (e.g. difluoromethoxy or trifluoromethoxy).
According to yet another embodiment, specifically provided are compounds of formula (II), in which R1 is NRxRy. In this embodiment Rx and Ry are Ci_4alkyl (e.g. methyl).
According to yet another embodiment, specifically provided are compounds of formula (II), in which each occurrence of R1 is independently CN, F, CI, CH3, CF3, OCH3, OCHF2, OCF3 or N(CH3)2.
According to yet another embodiment, specifically provided are compounds of formula (II), in which R1 is independently CN, F, CI, CH3, CF3, OCH3, OCHF2, OCF3 or N(CH3)2 and 'r' is 0, 1 or 2.
According to yet another embodiment, specifically provided are compounds of formula (II), in which each occurrence of R2 is independently cyano, halogen (e.g. F, CI or Br), Ci_galkyl (e.g. methyl or ethyl), haloCi.galkyl (e.g. difluoromethyl or trifluoromethyl), Ci_8alkoxy (methoxy or ethoxy) or haloCi-salkoxy (e.g. difluoromethoxy or trifluoromethoxy).
According to yet another embodiment, specifically provided are compounds of formula (II), in which each occurrence of R2 is independently CN, F, CI, CH3, CF3, OCH3, OCHF2 or OCF3.
According to yet another embodiment, specifically provided are compounds of formula (II), in which R2 is independently CN, F, CI, CH3, CF3, OCH3, OCHF2 or OCF3 and 'p' is 0, 1, 2 or 3.
According to yet another embodiment, specifically provided are compounds of formula (II), in which R6 is independently halogen (e.g. CI, F or Br) or Ci_4alkyl (e.g. methyl or ethyl).
According to yet another embodiment, specifically provided are compounds of formula (II), in which 'm' is 0.
According to yet another embodiment, specifically provided are compounds of formula (II), in which R is -S(0)2-R7. In this embodiment R7 is Ci_4 alkyl (e.g. methyl or ethyl), C3_6cycloalkyl (e.g. cyclopropyl or cyclobutyl) or haloCi_4alkyl (e.g. trifluoromethyl, trifluoroethyl or 2,2,2-trifluoroethyl).
According to yet another embodiment, specifically provided are compounds of formula (II), in which R is -S(0)2-R7. In this embodiment R7 is methyl, ethyl, cyclopropyl or 2,2,2-trifluoroethyl.
According to yet another embodiment, specifically provided are compounds of formula (II), in which R is -NRdS(0)2-R8. In this embodiment Rd is hydrogen or Ci_4 alkyl (e.g. methyl or ethyl) and R8 is Ci_4 alkyl (e.g. methyl or ethyl).
According to yet another embodiment, specifically provided are compounds of formula (II), in which R is -NRdS(0)2-R8. In this embodiment Rd is hydrogen andR8 is methyl or ethyl.
According to yet another embodiment, specifically provided are compounds of formula (II), in which R is -S(0)2NRaRb. In this embodiment Ra is hydrogen and Rb is Ci_4alkyl (e.g. methyl or ethyl).
According to yet another embodiment, specifically provided are compounds of formula (II), in which R is -S(0)2NRaRb. In this embodiment Ra is hydrogen and Rb is methyl or ethyl.
According to yet another embodiment, specifically provided are compounds of formula (II), in which R is -S(0)2CH3, -S(0)2CH2CH3, -S(0)2-cyclopropyl, - S(0)2CH2CF3, -S(0)2NHCH3, -S(0)2NHCH2CH3 or -NHS(0)2CH3.
According to yet another embodiment, specifically provided are compounds of formula (II), in which 'r' is 0, 1 or 2.
According to yet another embodiment, specifically provided are compounds of formula (II), in which 'p' is 0, 1 , 2 or 3.
According to yet another embodiment, specifically provided are compounds of formula (II), in which:
W is N or CH;
ring B is phenyl, pyridin-3-yl, pyridin-4-yl, pyrimidin-5-yl, lH-pyrazol-l-yl, lH-imidazol-l-yl, lH-l ,2,4-triazol-l-yl, l ,3-oxazol-2-yl or l ,2,4-oxadiazol-3-yl;
R1 is independently CN, F, CI, CH3, CF3, OCH3, OCHF2, OCF3 or N(CH3)2; R2 is independently CN, F, CI, CH3, CF3, OCH3, OCHF2 or OCF3;
R is -S(0)2CH3, -S(0)2CH2CH3, -S(0)2-cyclopropyl, -S(0)2CH2CF3, - S(0)2NHCH3, -S(0)2NHCH2CH3 or -NHS(0)2CH3;
'r' is 0, 1 or 2;
'p' is 0, 1 , 2 or 3;
R6 is methyl and
'm' is 0.
According to an embodiment, specifically provided are compounds of formula (II) with an IC50 value of less than 1000 nM, preferably less than 500 nM, more preferably less than 100 nM, most preferably less than 50 nM with respect to RORyt activity.
Further embodiments relating to groups R1, R2, R6, R, W, ring B, m, r and p (and groups defined therein) are described hereinafter in relation to the compounds of formula (III) or (IV). It is to be understood that these embodiments are not limited to use in conjunction with formula (III) or (IV), but apply independently and
individually to the compounds of Formula (II). For example, in an embodiment described hereinafter, the invention specifically provides compounds of formula (III) or (IV) in which 'r' is 0, 1 or 2 and consequently there is also provided a compound of Formula (II) in which 'r' is 0, 1 or 2.
The invention also provides a compound of formula (III), which is an embodiment of a compound of formula (I).
Accordingly the invention provides a compound of formula (III)
or a pharmaceutically acceptable salt thereof,
wherein,
G1, G2 and G3, which may be same or different, are each independently selected from CH and N; with a proviso that G1, G2 and G3 are not N simultaneously;
R is selected from -S(0)2-R7, -S(0)2NRaRb and -NRdS(0)2-R8;
each occurrence of R1 is independently selected from halogen, cyano, hydroxyl, Ci_galkyl, Ci_galkoxy, haloCi_galkyl, haloCi_galkoxy, hydroxyCi_galkyl and NRxRy;
each occurrence of R2 is independently selected from halogen, cyano, hydroxyl, Ci_galkyl, Ci_galkoxy, haloCi_galkyl, haloCi_galkoxy, hydroxyCi_galkyl and NRxRy;
each occurrence of R6 is independently selected from halogen, cyano, hydroxyl, Ci_galkyl, Ci_galkoxy and haloCi_galkyl;
each occurrence of R7 is independently Ci_galkyl, C3-i2cycloalkyl and haloCi_ galkyl;
each occurrence of R8 is independently selected from Ci_galkyl and C3_ i2cycloalkyl;
each occurrence of Ra and Rb, which may be the same or different, are independently selected from hydrogen and Ci_galkyl;
each occurrence of Rd is independently selected from hydrogen and Ci_galkyl;
each occurrence of Rx and Ry, which may be the same or different, are independently selected from hydrogen and Ci.galkyl;
'm' is an integer ranging from 0 to 3, both inclusive;
'p' is an integer ranging from 0 to 3, both inclusive; and
'r' is an integer ranging from 0 to 3, both inclusive.
The compounds of formula (III) may involve one or more embodiments. It is to be understood that the embodiments below are illustrative of the present invention and are not intended to limit the claims to the specific embodiments exemplified. It is also to be understood that the embodiments defined herein may be used independently or in conjunction with any definition of any other embodiment defined herein. Thus the invention contemplates all possible combinations and permutations of the various independently described embodiments. For example, the invention provides compounds of formula (III) as defined above wherein G1 is N or CH, G2 is CH and G3 is N or CH (according to an embodiment defined below), 'r' is 0, 1 or 2 (according to another embodiment defined below) and 'm' is 0 (according to yet another embodiment defined below).
According to one embodiment, specifically provided are compounds of formula (III), in which G1 is N or CH, G2 is CH and G3 is N or CH.
According to another embodiment, specifically provided are compounds of formula (III), in which G1 is CH, G2 is N and G3 is CH.
According to yet another embodiment, specifically provided are compounds of formula (III), in which G1 is N, G2 and G3 are CH.
According to yet another embodiment, specifically provided are compounds of formula (III), in which G1 is N, G2 is CH and G3 is N.
According to yet another embodiment, specifically provided are compounds of formula (III), in which G1, G2 and G3 are CH.
According to yet another embodiment, specifically provided are compounds of formula (III), in which each occurrence of R1 is independently cyano, halogen (e.g. F, CI or Br), Ci_galkyl (e.g. methyl or ethyl), haloCi.galkyl (e.g. difluoromethyl or trifluoromethyl), Ci_8alkoxy (methoxy or ethoxy) or haloCi-salkoxy (e.g. difluoromethoxy or trifluoromethoxy).
According to yet another embodiment, specifically provided are compounds of formula (III), in which each occurrence of R1 is NRxRy. In this embodiment Rx and Ry are Ci_4alkyl (e.g. methyl).
According to yet another embodiment, specifically provided are compounds of formula (III), in which each occurrence of R1 is independently CN, F, CI, CH3, CF3, OCH3, OCHF2, OCF3 or N(CH3)2.
According to yet another embodiment, specifically provided are compounds of formula (III), in which R1 is independently CN, F, CI, CH3, CF3, OCH3, OCHF2, OCF3 or N(CH3)2 and 'r' is 0, 1 or 2.
According to yet another embodiment, specifically provided are compounds of formula (III), in which each occurrence of R2 is independently cyano, halogen (e.g. F, CI or Br), Ci_galkyl (e.g. methyl or ethyl), haloCi.galkyl (e.g. difluoromethyl or trifluoromethyl), Ci_8alkoxy (methoxy or ethoxy) or haloCi-salkoxy (e.g. difluoromethoxy or trifluoromethoxy).
According to yet another embodiment, specifically provided are compounds of formula (III), in which each occurrence of R2 is independently CN, F, CI, CH3, CF3, OCH3, OCHF2 or OCF3.
According to yet another embodiment, specifically provided are compounds of formula (III), in which R2 is independently CN, F, CI, CH3, CF3, OCH3, OCHF2 or OCF3 and 'p' is 0, 1, 2 or 3.
According to yet another embodiment, specifically provided are compounds of formula (III), in which R6 is independently halogen (e.g. CI, F or Br) or Ci_4alkyl (e.g. methyl or ethyl).
According to yet another embodiment, specifically provided are compounds of formula (III), in which 'm' is 0.
According to yet another embodiment, specifically provided are compounds of formula (III), in which R is -S(0)2-R7. In this embodiment R7 is Ci_4 alkyl (e.g. methyl or ethyl), C3_6cycloalkyl (e.g. cyclopropyl or cyclobutyl) or haloCi_4alkyl (e.g. trifluoromethyl, trifluoroethyl or 2,2,2-trifluoroethyl).
According to yet another embodiment, specifically provided are compounds of formula (III), in which R is -S(0)2-R7. In this embodiment R7 is methyl, ethyl, cyclopropyl or 2,2,2-trifluoroethyl.
According to yet another embodiment, specifically provided are compounds of formula (III), in which R is -NRdS(0)2-R8. In this embodiment Rd is hydrogen or Ci_4 alkyl (e.g. methyl or ethyl) and R8 is Ci_4 alkyl (e.g. methyl or ethyl).
According to yet another embodiment, specifically provided are compounds of formula (III), in which R is -NRdS(0)2-R8. In this embodiment Rd is hydrogen and R8 is methyl or ethyl.
According to yet another embodiment, specifically provided are compounds of formula (III), in which R is -S(0)2NRaRb. In this embodiment Ra is hydrogen and Rb is Ci_4alkyl (e.g. methyl or ethyl).
According to yet another embodiment, specifically provided are compounds of formula (III), in which R is -S(0)2NRaRb. In this embodiment Ra is hydrogen and Rb is methyl or ethyl.
According to yet another embodiment, specifically provided are compounds of formula (III), in which R is -S(0)2CH3, -S(0)2CH2CH3, -S(0)2-cyclopropyl, - S(0)2CH2CF3, -S(0)2NHCH3, -S(0)2NHCH2CH3 or -NHS(0)2CH3.
According to yet another embodiment, specifically provided are compounds of formula (III), in which 'r' is 0, 1 or 2.
According to yet another embodiment, specifically provided are compounds of formula (III), in which 'r' is 1 or 2.
According to yet another embodiment, specifically provided are compounds of formula (III), in which 'p' is 0, 1, 2 or 3.
According to yet another embodiment, specifically provided are compounds of formula (III), in which 'p' is 1, 2 or 3.
According to yet another embodiment, specifically provided are compounds of formula (III), in which:
G1 is N or CH;
G2 is CH;
G3 is N or CH;
R1 is independently CN, F, CI, CH3, CF3, OCH3, OCHF2, OCF3 or N(CH3)2; R2 is independently CN, F, CI, CH3, CF3, OCH3, OCHF2 or OCF3;
R is -S(0)2CH3, -S(0)2CH2CH3, -S(0)2-cyclopropyl, -S(0)2CH2CF3, - S(0)2NHCH3, -S(0)2NHCH2CH3 or -NHS(0)2CH3;
'r' is 0, 1 or 2;
'p' is 0, 1, 2 or 3;
R6 is methyl and
'm' is 0.
According to yet another embodiment, specifically provided are compounds of formula (III), in which:
G1 is CH;
G2 is CH or N;
G3 is CH;
R1 is independently CN, F, CI, CH3, CF3, OCH3, OCHF2, OCF3 or N(CH3)2; R2 is independently CN, F, CI, CH3, CF3, OCH3, OCHF2 or OCF3;
R is -S(0)2CH3, -S(0)2CH2CH3, -S(0)2-cyclopropyl, -S(0)2CH2CF3, - S(0)2NHCH3, -S(0)2NHCH2CH3 or -NHS(0)2CH3;
'r' is 0, 1 or 2;
'p' is 0, 1, 2 or 3;
R6 is methyl and
'm' is 0.
According to an embodiment, specifically provided are compounds of formula (III) with an IC50 value of less than 1000 nM, preferably less than 500 nM, more preferably less than 100 nM, most preferably less than 50 nM with respect to RORyt activity.
The invention also provides a compound of formula (IV), which is an embodiment of a compound of formula (I).
Accordingly the invention provides a compound of formula (IV)
or a pharmaceutically acceptable salt thereof,
wherein,
each occurrence of R1 is independently selected from CN, F, CI, CH3, CF3, OCH3, OCHF2, OCF3 and N(CH3)2;
each occurrence of R2 is independently selected from CN, F, CI, CH3, CF3, OCH3, OCHF2 and OCF3;
R is -S(0)2CH3, -S(0)2CH2CH3, -S(0)2-cyclopropyl, -S(0)2CH2CF3, - S(0)2NHCH3, -S(0)2NHCH2CH3 or -NHS(0)2CH3;
'r' is 0, 1 or 2; and
'p' is 0, 1, 2 or 3.
According to an embodiment, specifically provided are compounds of formula
(IV) with an IC50 value of less than 1000 nM, preferably less than 500 nM, more preferably less than 100 nM, most preferably less than 50 nM with respect to RORyt activity.
Compounds of the present invention include the compounds in Examples 1- 175.
It should be understood that the formulas (I), (II), (III) and (IV) structurally encompasses all geometrical isomers, stereoisomers, enantiomers and diastereomers, N-oxides, and pharmaceutically acceptable salts that may be contemplated from the chemical structure of the genera described herein.
The present application also provides a pharmaceutical composition that includes at least one compound described herein and at least one pharmaceutically acceptable excipient (such as a pharmaceutically acceptable carrier or diluent). Preferably, the pharmaceutical composition comprises a therapeutically effective amount of at least one compound described herein. The compounds described in the present patent application may be associated with a pharmaceutically acceptable excipient (such as a carrier or a diluent) or be diluted by a carrier, or enclosed within a carrier which can be in the form of a capsule, sachet, paper or other container.
The compounds and pharmaceutical compositions of the present invention are useful for inhibiting the activity of RORyt, which is believed to be related to a variety of disease states.
The present patent application further provides a method of inhibiting RORyt in a subject in need thereof by administering to the subject one or more compounds described herein in the amount effective to cause inhibition of such receptor. Detailed Description of the Invention
Definitions
The terms "halogen" or "halo" means fluorine (fluoro), chlorine (chloro), bromine (bromo), or iodine (iodo).
The term "alkyl" refers to a hydrocarbon chain radical that includes solely carbon and hydrogen atoms in the backbone, containing no unsaturation, having from one to eight carbon atoms (i.e. Ci_galkyl), and which is attached to the rest of the molecule by a single bond, e.g., methyl, ethyl, n-propyl, 1-methylethyl (isopropyl), n- butyl, n-pentyl, and 1,1-dimethylethyl (t-butyl). The term "Ci_6 alkyl" refers to an alkyl chain having 1 to 6 carbon atoms. The term "Ci_4alkyl" refers to an alkyl chain having 1 to 4 carbon atoms. Unless set forth or recited to the contrary, all alkyl groups described or claimed herein may be straight chain or branched, substituted or unsubstituted.
The term "alkenyl" refers to a hydrocarbon chain containing from 2 to 10 carbon atoms (i.e. C2-ioalkenyl) and including at least one carbon-carbon double bond. Non- limiting examples of alkenyl groups include ethenyl, 1-propenyl, 2-propenyl (allyl), z'sopropenyl, 2 -methyl- 1-propenyl, 1-butenyl, and 2-butenyl. Unless set forth or recited to the contrary, all alkenyl groups described or claimed herein may be straight chain or branched, substituted or unsubstituted.
The term "alkynyl" refers to a hydrocarbyl radical having at least one carbon- carbon triple bond, and having 2 to about 12 carbon atoms (with radicals having 2 to about 10 carbon atoms being preferred i.e. C2_ioalkynyl). Non- limiting examples of alkynyl groups include ethynyl, propynyl, and butynyl. Unless set forth or recited to the contrary, all alkynyl groups described or claimed herein may be straight chain or branched, substituted or unsubstituted.
The term "alkoxy" denotes an alkyl group attached via an oxygen linkage to the rest of the molecule (i.e. Ci_8 alkoxy). Representative examples of such groups are -OCH3 and -OC2Hs. Unless set forth or recited to the contrary, all alkoxy groups described or claimed herein may be straight chain or branched, substituted or unsubstituted.
The term "alkoxyalkyl" or "alkyloxyalkyl" refers to an alkoxy or alkyloxy group as defined above directly bonded to an alkyl group as defined above (i.e. Ci_ galkoxyCi_8alkyl or Ci_8alkyloxyCi_8alkyl). Example of such alkoxyalkyl moiety includes, but are not limited to, -CH2OCH3 and -CH2OC2H5. Unless set forth or recited to the contrary, all alkoxyalkyl groups described herein may be straight chain or branched, substituted or unsubstituted.
The term "haloalkyl" refers to at least one halo group (selected from F, CI, Br or I), linked to an alkyl group as defined above (i.e. haloCi.galkyl). Examples of such
haloalkyl moiety include, but are not limited to, trifluoromethyl, difluoromethyl and fluoromethyl groups. Unless set forth or recited to the contrary, all haloalkyl groups described herein may be straight chain or branched, substituted or unsubstituted.
The term "haloalkoxy" refers to an alkoxy group substituted with one or more halogen atoms (i.e. haloCi-salkoxy). Examples of "haloalkoxy" include but are not limited to fluoromethoxy, difluoromethoxy, trifluoromethoxy, 2,2,2-trifluoroethoxy, pentafluoroethoxy, pentachloroethoxy, chloromethoxy, dichlorormethoxy, trichloromethoxy and 1-bromoethoxy. Unless set forth or recited to the contrary, all haloalkoxy groups described herein may be straight chain or branched, substituted or unsubstituted.
The term "hydroxyalkyl" refers to an alkyl group as defined above wherein one to three hydrogen atoms on different carbon atoms is/are replaced by hydroxyl groups (i.e. hydroxyCi_8alkyl). Examples of hydroxyalkyl moieties include, but are not limited to -CH2OH, -C2H4OH and -CH(OH)C2H4OH.
The term "cycloalkyl" denotes a non-aromatic mono or multicyclic ring system of 3 to about 12 carbon atoms, (i.e.C3_i2cycloalkyl). Examples of monocyclic cycloalkyl include but are not limited to cyclopropyl, cyclobutyl, cyclopentyl, and cyclohexyl. Examples of multicyclic cycloalkyl groups include, but are not limited to, perhydronapthyl, adamantyl and norbornyl groups, bridged cyclic groups or spirobicyclic groups, e.g., spiro(4,4)non-2-yl. The term "C3-6cycloalkyl" refers to the cyclic ring having 3 to 6 carbon atoms. Unless set forth or recited to the contrary, all cycloalkyl groups described or claimed herein may be substituted or unsubstituted.
The term "cycloalkylalkyl" refers to a cyclic ring-containing radical having 3 to about 8 carbon atoms directly attached to an alkyl group (i.e. C3_8CycloalkylCi_ galkyl). The cycloalkylalkyl group may be attached to the main structure at any carbon atom in the alkyl group that results in the creation of a stable structure. Non-limiting examples of such groups include cyclopropylmethyl, cyclobutylethyl, and cyclopentylethyl. Unless set forth or recited to the contrary, all cycloalkylalkyl groups described or claimed herein may be substituted or unsubstituted.
The term "cycloalkenyl" refers to a cyclic ring-containing radical having 3 to about 8 carbon atoms with at least one carbon-carbon double bond, (i.e. C3_ gcycloalkenyl). Examples of "cycloalkenyl" include but are not limited to cyclopropenyl, cyclobutenyl, and cyclopentenyl. Unless set forth or recited to the
contrary, all cycloalkenyl groups described or claimed herein may be substituted or unsubstituted.
The term "cycloalkenylalkyl" refers to a cyclic ring-containing radical having 3 to about 8 carbon atoms with at least one carbon-carbon double bond, directly attached to an alkyl group, (i.e. C3_8CycloalkenylCi_8alkyl). The cycloalkenylalkyl group may be attached to the main structure at any carbon atom in the alkyl group that results in the creation of a stable structure. Unless set forth or recited to the contrary, all cycloalkenylalkyl groups described or claimed herein may be substituted or unsubstituted.
The term "aryl" refers to an aromatic radical having 6 to 14 carbon atoms (i.e.
C6-i4aryl), including monocyclic, bicyclic and tricyclic aromatic systems, such as phenyl, naphthyl, tetrahydronapthyl, indanyl, and biphenyl. Unless set forth or recited to the contrary, all aryl groups described or claimed herein may be substituted or unsubstituted.
The term "aryloxy" refers to an aryl group as defined above attached via an oxygen linkage to the rest of the molecule (i.e. C6-i4aryloxy). Examples of aryloxy moieties include, but are not limited to phenoxy and naphthoxy. Unless set forth or recited to the contrary, all aryloxy groups described herein may be substituted or unsubstituted.
The term "arylalkyl" refers to an aryl group as defined above directly bonded to an alkyl group as defined above, i.e. C6-i4arylCi_8alkyl, such as -CH2C6H5 and - C2H4C6H5. Unless set forth or recited to the contrary, all arylalkyl groups described or claimed herein may be substituted or unsubstituted.
The term "heterocyclic ring" or "heterocyclyl" unless otherwise specified refers to substituted or unsubstituted non-aromatic 3 to 15 membered ring radical (i.e. 3 to 15 membered heterocyclyl) which consists of carbon atoms and from one to five hetero atoms selected from nitrogen, phosphorus, oxygen and sulfur. The heterocyclic ring radical may be a mono-, bi- or tricyclic ring system, which may include fused, bridged or spiro ring systems, and the nitrogen, phosphorus, carbon, oxygen or sulfur atoms in the heterocyclic ring radical may be optionally oxidized to various oxidation states. In addition, the nitrogen atom may be optionally quaternized; also, unless otherwise constrained by the definition the heterocyclic ring or heterocyclyl may optionally contain one or more olefmic bond(s). Examples of such heterocyclic ring radicals include, but are not limited to azepinyl, azetidinyl, benzodioxolyl,
benzodioxanyl, chromanyl, dioxolanyl, dioxaphospholanyl, decahydroisoquinolyl, indanyl, indolinyl, isoindolinyl, isochromanyl, isothiazolidinyl, isoxazolidinyl, morpholinyl, oxazolinyl, oxazolidinyl, 2-oxopiperazinyl, 2-oxopiperidinyl, 2- oxopyrrolidinyl, 2-oxoazepinyl, octahydroindolyl, octahydroisoindolyl, perhydroazepinyl, piperazinyl, 4-piperidonyl, pyrrolidinyl, piperidinyl, phenothiazinyl, phenoxazinyl, quinuclidinyl, tetrahydroisquinolyl, tetrahydrofuryl or tetrahydrofuranyl, tetrahydropyranyl, thiazolinyl, thiazolidinyl, thiamorpholinyl, thiamorpholinyl sulfoxide and thiamorpholinyl sulfone. The heterocyclic ring radical may be attached to the main structure at any heteroatom or carbon atom that results in the creation of a stable structure. Unless set forth or recited to the contrary, all heterocyclyl groups described or claimed herein may be substituted or unsubstituted.
The term "heterocyclylalkyl" refers to a heterocyclic ring radical directly bonded to an alkyl group (i.e. 3 to 15 membered heterocyclylCi_8alkyl). The heterocyclylalkyl radical may be attached to the main structure at any carbon atom in the alkyl group that results in the creation of a stable structure. Unless set forth or recited to the contrary, all heterocyclylalkyl groups described or claimed herein may be substituted or unsubstituted.
The term "heteroaryl" unless otherwise specified refers to substituted or unsubstituted 5 to 14 membered aromatic heterocyclic ring radical with one or more heteroatom(s) independently selected from N, O or S (i.e. 5 to 14 membered heteroaryl). The heteroaryl may be a mono-, bi- or tricyclic ring system. The heteroaryl ring radical may be attached to the main structure at any heteroatom or carbon atom that results in the creation of a stable structure. Examples of such heteroaryl ring radicals include, but are not limited to oxazolyl, isoxazolyl, imidazolyl, furyl, indolyl, isoindolyl, pyrrolyl, triazolyl, triazinyl, tetrazoyl, thienyl, oxadiazolyl, thiazolyl, isothiazolyl, pyridyl, pyrimidinyl, pyrazinyl, pyridazinyl, pyrazolyl, benzofuranyl, benzothiazolyl, benzoxazolyl, benzimidazolyl, benzothienyl, benzopyranyl, carbazolyl, quinolinyl, isoquinolinyl, quinazolinyl, cinnolinyl, naphthyridinyl, pteridinyl, purinyl, quinoxalinyl, quinolyl, isoquinolyl, thiadiazolyl, indolizinyl, acridinyl, phenazinyl and phthalazinyl. Unless set forth or recited to the contrary, all heteroaryl groups described or claimed herein may be substituted or unsubstituted.
The term "heteroarylalkyl" refers to a heteroaryl ring radical directly bonded to an alkyl group (i.e. 5 to 14 membered heterarylCi-salkyl). The heteroarylalkyl
radical may be attached to the main structure at any carbon atom in the alkyl group that results in the creation of a stable structure. Unless set forth or recited to the contrary, all heteroarylalkyl groups described or claimed herein may be substituted or unsubstituted.
Unless otherwise specified, the term "substituted" as used herein refers to substitution with any one or any combination of the following substituents: hydroxy, halogen, carboxyl, cyano, nitro, oxo (=0), thio (=S), substituted or unsubstituted alkyl, substituted or unsubstituted haloalkyl, substituted or unsubstituted hydroxyl alkyl, substituted or unsubstituted alkoxy, substituted or unsubstituted haloalkoxy, substituted or unsubstituted alkenyl, substituted or unsubstituted alkynyl, substituted or unsubstituted cycloalkyl, substituted or unsubstituted cycloalkenylalkyl, substituted or unsubstituted cycloalkenyl, substituted or unsubstituted amino, substituted or unsubstituted aryl, substituted or unsubstituted arylalkyl, substituted or unsubstituted heteroaryl, substituted or unsubstituted heteroarylalkyl, substituted or unsubstituted heterocyclylalkyl ring, substituted or unsubstituted heteroarylalkyl, substituted or unsubstituted heterocyclic ring, substituted or unsubstiuted guanidine, -COORx, - C(0)Rx', -C(S)RX', -C(0)NRxR , -C(0)ONRxR , -NRxCONR Rz', -N(Rx)SOR , - N(Rx)S02R , -(=N-N(Rx)R ), -NRxC(0)OR , -NRxRy, -NRxC(0)R , -NRxC(S)R , -NRxC(S)NR Rz', -SONRxRy, -S02NRxR , -ORx', -OC(0)NR Rz', -OC(0)OR , - OC(0)Rx', -OC(0)NRxR , -SRX', -SORx', -S02Rx', and -ON02, wherein each occurrence of Rx , Ry and Rz are independently selected from hydrogen, substituted or unsubstituted alkyl, substituted or unsubstituted alkoxy, substituted or unsubstituted alkenyl, substituted or unsubstituted alkynyl, substituted or unsubstituted aryl, substituted or unsubstituted arylalkyl, substituted or unsubstituted cycloalkyl, substituted or unsubstituted cycloalkenyl, substituted or unsubstituted amino, substituted or unsubstituted aryl, substituted or unsubstituted heteroaryl, substituted heterocyclylalkyl ring, substituted or unsubstituted heteroarylalkyl, and substituted or unsubstituted heterocyclic ring. The substituents in the aforementioned "substituted" groups cannot be further substituted. For example, when the substituent on "substituted alkyl" is "substituted aryl", the substituent on "substituted aryl" can be unsubstituted alkenyl but cannot be "substituted alkenyl".
The term "pharmaceutically acceptable salt" includes salts prepared from pharmaceutically acceptable bases or acids including inorganic or organic bases and inorganic or organic acids. Examples of such salts include, but are not limited to,
acetate, benzenesulfonate, benzoate, bicarbonate, bisulfate, bitartrate, borate, bromide, camsylate, carbonate, chloride, clavulanate, citrate, dihydrochloride, edetate, edisylate, estolate, esylate, fumarate, gluceptate, gluconate, glutamate, glycollylarsanilate, hexylresorcinate, hydrabamine, hydrobromide, hydrochloride, hydroxynaphthoate, iodide, isothionate, lactate, lactobionate, laurate, malate, maleate, mandelate, mesylate, methylbromide, methylnitrate, methylsulfate, mucate, napsylate, nitrate, N-methylglucamine ammonium salt, oleate, oxalate, pamoate (embonate), palmitate, pantothenate, phosphate, diphosphate, polygalacturonate, salicylate, stearate, sulfate, subacetate, succinate, tannate, tartrate, teoclate, tosylate, triethiodide and valerate. Examples of salts derived from inorganic bases include, but are not limited to, aluminum, ammonium, calcium, copper, ferric, ferrous, lithium, magnesium, manganic, mangamous, potassium, sodium, and zinc.
The term "treating" or "treatment" of a state, disorder or condition includes: (a) preventing or delaying the appearance of clinical symptoms of the state, disorder or condition developing in a subject that may be afflicted with or predisposed to the state, disorder or condition but does not yet experience or display clinical or subclinical symptoms of the state, disorder or condition; (b) inhibiting the state, disorder or condition, i.e., arresting or reducing the development of the disease or at least one clinical or subclinical symptom thereof; or (c) relieving the disease, i.e., causing regression of the state, disorder or condition or at least one of its clinical or subclinical symptoms.
The term "subject" includes mammals (especially humans) and other animals, such as domestic animals (e.g., household pets including cats and dogs) and non- domestic animals (such as wildlife).
A "therapeutically effective amount" means the amount of a compound that, when administered to a subject for treating a state, disorder or condition, is sufficient to effect such treatment. The "therapeutically effective amount" will vary depending on the compound, the disease and its severity and the age, weight, physical condition and responsiveness of the subject to be treated.
Pharmaceutical Compositions
The compounds of the invention are typically administered in the form of a pharmaceutical composition. Such compositions can be prepared using procedures well known in the pharmaceutical art and comprise at least one compound of the
invention. The pharmaceutical composition of the present patent application comprises one or more compounds described herein and one or more pharmaceutically acceptable excipients. Typically, the pharmaceutically acceptable excipients are approved by regulatory authorities or are generally regarded as safe for human or animal use. The pharmaceutically acceptable excipients include, but are not limited to, carriers, diluents, glidants and lubricants, preservatives, buffering agents, chelating agents, polymers, gelling agents, viscosifying agents, solvents and the like.
Examples of suitable carriers include, but are not limited to, water, salt solutions, alcohols, polyethylene glycols, peanut oil, olive oil, gelatin, lactose, terra alba, sucrose, dextrin, magnesium carbonate, sugar, amylose, magnesium stearate, talc, gelatin, agar, pectin, acacia, stearic acid, lower alkyl ethers of cellulose, silicic acid, fatty acids, fatty acid amines, fatty acid monoglycerides and diglycerides, fatty acid esters, and polyoxyethylene.
The pharmaceutical composition may also include one or more pharmaceutically acceptable auxiliary agents, wetting agents, suspending agents, preserving agents, buffers, sweetening agents, flavouring agents, colorants or any combination of the foregoing.
The pharmaceutical compositions may be in conventional forms, for example, capsules, tablets, solutions, suspensions, injectables or products for topical application. Further, the pharmaceutical composition of the present invention may be formulated so as to provide desired release profile.
Administration of the compounds of the invention, in pure form or in an appropriate pharmaceutical composition, can be carried out using any of the accepted routes of administration of pharmaceutical compositions. The route of administration may be any route which effectively transports the active compound of the patent application to the appropriate or desired site of action. Suitable routes of administration include, but are not limited to, oral, nasal, buccal, dermal, intradermal, transdermal, parenteral, rectal, subcutaneous, intravenous, intraurethral, intramuscular, or topical.
Solid oral formulations include, but are not limited to, tablets, capsules (soft or hard gelatin), dragees (containing the active ingredient in powder or pellet form), troches and lozenges.
Liquid formulations include, but are not limited to, syrups, emulsions, and sterile injectable liquids, such as suspensions or solutions.
Topical dosage forms of the compounds include ointments, pastes, creams, lotions, powders, solutions, eye or ear drops, impregnated dressings, and may contain appropriate conventional additives such as preservatives, solvents to assist drug penetration.
The pharmaceutical compositions of the present patent application may be prepared by conventional techniques, e.g., as described in Remington: The Science and Practice of Pharmacy, 20th Ed., 2003 (Lippincott Williams & Wilkins).
Suitable doses of the compounds for use in treating the diseases and disorders described herein can be determined by those skilled in the relevant art. Therapeutic doses are generally identified through a dose ranging study in humans based on preliminary evidence derived from the animal studies. Doses must be sufficient to result in a desired therapeutic benefit without causing unwanted side effects. Mode of administration, dosage forms, and suitable pharmaceutical excipients can also be well used and adjusted by those skilled in the art. All changes and modifications are envisioned within the scope of the present patent application.
Methods of Treatment
Compounds of the present invention are particularly useful because they may inhibit the activity of Retinoid-related orphan receptor gamma {and particularly Retinoid-related orphan receptor gamma t (RORyt)}, i.e., they prevent, inhibit, or suppress the action of RORyt, and/or may elicit RORyt modulating effect. Compounds of the invention are thus useful in the treatment of those conditions in which inhibition of a ROR gamma activity, and particularly RORyt, is required.
The compounds of the present patent application are modulators of RORyt and can be useful in the treatment of diseases/disorder mediated by RORyt. Accordingly, the compounds and the pharmaceutical compositions of this invention may be useful in the treatment of inflammatory, metabolic and autoimmune diseases mediated by RORyt.
The term "autoimmune diseases" will be understood by those skilled in the art a condition that occurs when the immune system mistakenly attacks and destroys healthy body tissue. An autoimmune disorder may result in the destruction of one or more types of body tissue, abnormal growth of an organ, and changes in organ function. An autoimmune disorder may affect one or more organ or tissue types which include blood vessels, connective tissues, endocrine glands such as the thyroid or
pancreas, joints, muscles, red blood cells, and skin. Examples of autoimmune (or autoimmune-related) disorders include multiple sclerosis, arthritis, rheumatoid arthritis, psoriasis, Crohn's disease, gastrointestinal disorder, inflammatory bowel disease, irritable bowel syndrome, colitis, ulcerative colitis, Sjorgen's syndrome, atopic dermatitis, optic neuritis, respiratory disorder, chronic obstructive pulmonary disease (COPD), asthma, type I diabetes, neuromyelitis optica, Myasthenia Gavis, uveitis, Guillain- Barre syndrome, psoriatic arthritis, Gaves' disease, allergy, osteoarthritis, Kawasaki disease, mucosal leishmaniasis, Hashimoto's thyroiditis, Pernicious anemia, Addison's disease, Systemic lupus erythematosus, Dermatomyositis, Sjogren syndrome, Lupus erythematosus, Myasthenia gravis, Reactive arthritis, Celiac disease - sprue (gluten-sensitive enteropathy), Graves's disease, thymopoiesis and Lupus.
Compounds of the present patent application may be useful in the treatment of inflammation. The term "inflammation" will be understood by those skilled in the art to include any condition characterized by a localized or a systemic protective response, which may be elicited by physical trauma, infection, chronic diseases, and/or chemical and/or physiological reactions to external stimuli (e.g. as part of an allergic response). Any such response, which may serve to destroy, dilute or sequester both the injurious agent and the injured tissue, may be manifest by, for example, heat, swelling, pain, redness, dilation of blood vessels and/or increased blood flow, invasion of the affected area by white.
The term "inflammation" is also understood to include any inflammatory disease, disorder or condition per se, any condition that has an inflammatory component associated with it, and/or any condition characterized by inflammation as a symptom, including inter alia acute, chronic, ulcerative, specific, allergic, infection by pathogens, immune reactions due to hypersensitivity, entering foreign bodies, physical injury, and necrotic inflammation, and other forms of inflammation known to those skilled in the art. The term thus also includes, for the purposes of this present patent application, inflammatory pain, pain generally and/or fever.
The compounds of the present invention may be used for treatment of arthritis, including rheumatoid arthritis, osteoarthritis, psoriatic arthritis, septic arthritis, spondyloarthropathies, gouty arthritis, systemic lupus erythematosus and juvenile arthritis, osteoarthritis, and other arthritic conditions.
The compounds of the present invention may be used for treatment of respiratory disorders such as chronic obstructive pulmonary disease (COPD), asthma, bronchospasm, and cough.
Other respiratory disorders include bronchitis, bronchiolitis, bronchiectasis, acute nasoparyngitis, acute and chronic sinusitis, maxillary sinusitis, pharyngitis, tonsillitis, laryngitis, tracheitis, epiglottitis, croup, chronic disease of tonsils and adenoids, hypertrophy of tonsils and adenoids, peritonsillar abscess, rhinitis, abscess or ulcer and nose, pneumonia, viral and bacterial pneumonia, bronchopneumonia, influenza, extrinsic allergic alveolitis, coal workers' pneumoconiosis, asbestosis, pneumoconiosis, pneumonopathy, respiratory conditions due to chemical fumes, vapors and other external agents, emphysema, pleurisy, pneumothorax, abscess of lung and mediastinum, pulmonary congestion and hypostasis, postinflammatory pulmonary fibrosis, other alveolar and parietoalveolar pneumonopathy, idiopathic fibrosing alveolitis, Hamman-Rich syndrome, atelectasis, ARDS, acute respiratory failure, mediastinitis.
The compounds of the present invention may be used for treatment of pain conditions. The pain can be acute or chronic pain. Thus, the compounds of the present invention may be used for treatment of inflammatory pain, arthritic pain, neuropathic pain, post-operative pain, surgical pain, visceral pain, dental pain, premenstrual pain, central pain, cancer pain, pain due to burns; migraine or cluster headaches, nerve injury, neuritis, neuralgias, poisoning, ischemic injury, interstitial cystitis, viral, parasitic or bacterial infection, post-traumatic injury, or pain associated with irritable bowel syndrome.
The compounds of the present invention may be used for treatment of gastrointestinal disorder such as irritable bowel syndrome, inflammatory bowel disease, colitis, ulcerative colitis, biliary colic and other biliary disorders, renal colic, diarrhea-dominant IBS, and pain associated with gastrointestinal distension.
In addition, the compounds of the present invention may be useful in the treatment of cancer, and pain associated with cancer. Such cancers include multiple myeloma and bone disease associated with multiple myeloma, melanoma, meduUoblastoma, acute myelogenous leukemia (AML), head and neck squamous cell carcinoma, hepatocellular carcinoma, gastric cancer, bladder carcinoma and colon cancer.
The methods of treatment of the present patent application comprise administering a safe and effective amount of a compound according to Formula I or a pharmaceutically-acceptable salt thereof to a patient (particularly a human) in need thereof.
The present patent application relates to the use of the compounds in the preparation of a medicament for the treatment of diseases mediated by RORyt.
Compounds of the invention are indicated both in the therapeutic and/or prophylactic treatment of the above-mentioned conditions. For the above-mentioned therapeutic uses the dosage administered will, of course, vary with the compound employed, the mode of administration, the treatment desired and the disorder indicated.
Compounds of the present invention are indicated both in the therapeutic and/or prophylactic treatment of the above-mentioned conditions. For the above- mentioned therapeutic uses the dosage administered will, of course, vary with the compound employed, the mode of administration, the treatment desired and the disorder indicated. The daily dosage of the compound of the invention may be in the range from 0.05 mg/kg to 100 mg/kg.
General Methods of Preparation
The compounds described herein, including compounds of general formula
(I), (II), (III) and (IV) are prepared by the reaction schemes depicted below. Furthermore, in the following schemes, where specific acids, bases, reagents, coupling agents, solvents, etc. are mentioned, it is understood that other suitable acids, bases, reagents, coupling agents etc. may be used and are included within the scope of the present invention. Modifications to reaction conditions, for example, temperature, duration of the reaction or combinations thereof, are envisioned as part of the present invention. The compounds obtained by using the general reaction sequences may be of insufficient purity. These compounds can be purified by using any of the methods for purification of organic compounds for example, crystallization or silica gel or alumina column chromatography using different solvents in suitable ratios. All possible stereoisomers are envisioned within the scope of this invention.
A general approach for the synthesis of 2-phenylacetamide derivatives of the general formula (I) (wherein R1, R2, R3, R4, R6, Rc, ring A, ring B, U, V, W, X, Y, p, r and m are as defined with respect to a compound of formula (I)) is depicted in
synthetic scheme 1. Appropriately substituted aryl or heteroaryl amine compound of formula (1) is coupled with suitably substituted phenylacetic acid compound of formula (1A) using a suitable coupling agent such as l-ethyl-3-(3- dimethylaminopropyl) carbodiimide (EDCI) and 1-hydroxybenzotriazole (HOBt) in the presence of suitable solvent such dichloromethane to afford the acetamide derivative of general formula (I).
Synthetic scheme 1
(1 ) (D
In an approach, the compound of formula (II) (wherein R1, R2, R6, R, ring B, W, p, r and m are as defined with respect to a compound of formula (II)) can be prepared byfollowing the synthetic step depicted in Synthetic Scheme 2.
Synthetic scheme 2
A compound of formula (2) can be reacted with a compound of formula (10) to form a compound of formula (II). According to the process, the compound of formula (2) can be reacted with the compound of formula (10) in a solvent selected from DCM, THF and DMF. According to the process, the compound of formula (2) is converted to a compound of formula (II) using one or more coupling agent. The coupling agent used in the process can be a mixture of l-ethyl-3-(3- dimethylaminopropyl) carbodiimide (EDCI) and 1-hydroxybenzotriazole (HOBt) or any other suitable coupling agent.
An approach for the synthesis of diphenylacetamides of general formula (III) (wherein G1, G2, G3, R, R1, R2, R6, p, r and m are as defined with respect to a compound of formula (III)) is depicted in synthetic scheme 3. Thus, 2-fluoro-4-
nitrophenol (3) on reaction with trifluoromethanesulfonic anhydride in presence of suitable base such as 4-dimethylaminopyridine (DMAP) gives the corresponding triflate of formula (4). Intermediate (4) on Suzuki coupling reaction with appropriately substituted aryl boronic acid (5) in the presence of suitable catalyst such as tetrakis(triphenylphosphine)palladium and suitable base such as potassium carbonate affords corresponding biaryl derivative (6). Intermediate (6) is then reacted with appropriately substituted phenol of formula (7) using suitable base such as cesium carbonate or sodium hydride to give corresponding aryl ether derivative (8). The nitro group of compound (8) is reduced using ammonium chloride in presence of iron powder to afford amine (9). Intermediate (9) is coupled with appropriately substituted phenylacetic acid of formula (10) using suitable coupling agent such as EDCI in the presence of HOBt to furnish diphenyl acetamides of general formula (III).
Synthetic scheme 3
A general approach for the synthesis of compounds of general formula (16) (wherein R, R1, R2, R6, p, r and m are as defined with respect to a compound of formula (II)) is depicted in scheme 4. Thus, 3,4-dihalo nitro benzene of the formula (11) (wherein X1 is halogen) undergoes reaction with substituted lH-pyrazole of general formula (12) using base such as potassium carbonate to give Intermediate (13). The substituted phenol (7) reacts with Intermediate (13) using a strong base such as cesium carbonate to yield ether Intermediate (14). Reduction of the nitro group of Intermediate (14) using ammonium chloride and iron powder yields amine intermediate (15). Final compound of general formula (16) is obtained by coupling of acetic acid of formula (10) with amine derivative (15).
Synthetic scheme 4
(15) (16)
A general approach for the synthesis of imidazole substituted phenyl acetamide of the formula (19) (wherein R, R1, R2, R6, p, r and m are as defined with respect to a compound of formula (II)) is shown in scheme 5. Thus, 3,4- difluoronitrobenzene (11a) on reaction with imidazole gives the 4-imidazole derivative (17) which on further reaction with phenoxide anion gives Intermediate (18). Intermediate (18) on amino group reduction followed by coupling with phenyl acetic acid (10) gives compounds of the general formula (19).
Synthetic scheme 5
A general approach for the synthesis of triazole substituted phenyl acetamide of the formula (22) (wherein R, R1, R2, R6, p, r and m are as defined with respect to a compound of formula (II)) is shown in scheme 6. Thus, 3,4-difluoronitrobenzene (11a) on reaction with substituted triazole (20) gives the 4-triazole derivative which on further reaction with phenoxide anion gives Intermediate (21). Amino group reduction of Intermediate (21) followed by coupling with phenyl acetic acid (10) gives compounds of the general formula (22).
Synthetic scheme 6
NO?
A general approach for the synthesis of oxazole substituted diphenyl acetamides of general formula (27) (wherein R, R1, R6, r and m are as defined with respect to a compound of formula (II)) is depicted in scheme 7. Thus, coupling of benzoic acid derivative of formula (23) with propargyl amine using coupling reagent such as EDCI and HOBt followed by cyclization using ferric chloride affords oxazole derivative (24). Intermediate (24) on reaction with phenol of general formula (7) under basic conditions gives compounds of general formula (25). Reduction of nitro group of Intermediate (25) to amino group followed by coupling with phenyl acetic acid derivative (10) yields the final compound of general formula (27).
Synthetic scheme 7
An approach for the synthesis of oxadiazole substituted diphenylacetamides of general formula (33) (wherein R, R1, R2, R6, p, r and m are as defined with respect to a compound of formula (II)) is depicted in scheme 8. Thus, benzonitrile derivative of general formula (28) undergoes reaction with hydroxylamine hydrochloride using base such as sodium bicarbonate, followed by reaction with acetic acid derivative (29) and acetic anhydride to yield Intermediate of formula (30). Displacement of halogen of intermediate (30) with phenol of general formula (7) under basic conditions yields ether of general formula (31). Reduction of the nitro group of Intermediate (31) to give amine compound of formula (32), followed by coupling of the amine with
appropriately substituted phenyl acetic acid derivative (10) yields final compound of formula (33).
Synthetic scheme 8
An approach for the synthesis of 2-phenyl pyridinyl acetamides of general formula (39) (wherein R, R1, R2, R6, p, r and m are as defined with respect to a compound of formula (III)) is depicted in synthetic scheme 9. Thus, 2,3-dichloro-3- nitropyridine derivative (34) undergoes selective Suzuki coupling reaction with appropriately substituted boronic acid (35) using suitable catalyst such as tetrakis(triphenylphosphine)palladium and in presence of base such as potassium carbonate to afford corresponding 2-phenylpyridine derivative (36). Intermediate (36) undergoes displacement with appropriately substituted phenol of formula (7) using suitable base such as cesium carbonate, cesium fluoride or sodium hydride to give corresponding 3-phenoxypyridine derivative (37). Nitro group reduction of compound (37) using ammonium chloride in presence of iron powder affords amine (38). Intermediate (38) is coupled with appropriately substituted phenylacetic acid of formula (10) using suitable coupling agent such as EDCI and HOBt to furnish acetamide of general formula (39).
In an approach, the compound of formula (IV) (wherein R1, R2, R, p and r re as defined with respect to a compound of formula (IV)) can be prepared following the synthetic steps depicted in Synthetic Scheme 10.
Synthetic scheme 10
A compound of formula (40) can be reacted with a compound of formula (41) to form a compound of formula (IV). According to the process, the compound of formula (40) can be reacted with the compound of formula (41) in solvent such as DCM, THF or DMF. According to the process, the compound of formula (40) is converted to a compound of formula (IV) using one or more coupling agent or mixture thereof and optionally in the presence of a suitable base such as TEA or DIPEA. The coupling agent used in the process can be l-ethyl-3-(3- dimethylaminopropyl) carbodiimide (EDCI) and 1-hydroxybenzotriazole (HOBt) or any other suitable coupling agent.
Experimental
The intermediates required for the synthesis are commercially available or alternatively, these intermediates can be prepared using known literature methods. The invention is described in greater detail by way of specific examples.
Unless otherwise stated, work-up includes distribution of the reaction mixture between the organic and aqueous phase indicated within parentheses, separation of
layers and drying the organic layer over sodium sulphate, filtration and evaporation of the solvent. Purification, unless otherwise mentioned, includes purification by silica gel chromatographic techniques, generally using ethyl acetate/petroleum ether mixture of a suitable polarity as the mobile phase. Use of a different eluent system is indicated within parentheses. The following abbreviations are used in the text: DMSO-<i6 : Hexadeuterodimethyl sulfoxide; DMF: N,N-dimethyl formamide, /: Coupling constant in units of Hz; RT or rt: room temperature (22-26°C). h: hour (s); min: minute (s); Aq. : aqueous; equiv. or eq.: equivalents; DMAP: 4- dimethylaminopyridine; HOBt: Hydroxybenzotriazole; EDCI: l-Ethyl-3-(3- dimethylaminopropyl) carbodiimide, THF: Tetrahydrofuran.
The following intermediates required for the synthesis of compounds of the present invention are prepared using the approaches described above in synthetic schemes.
Preparation of Intermediates
Intermediate 1
2-Phenoxybiphenyl-4-amine
Step 1 : 2-Fluoro-4-nitrophenyl trifluoromethanesulfonate: To a stirred solution of 2- fluoro-4-nitrophenol (4.1 g, 26.098 mmol) in dry dichloromethane (100 ml) and dry THF (10 ml), was added pyridine (16 ml) followed by triflic anhydride (5.152 ml, 31.317 mmol) at 0 °C and the reaction mixture was stirred for 10 minutes at the same temperature. DMAP (20 mg) was added to the reaction mixture at 0 °C and the reaction mixture was stirred at room temperature for 2 h. The reaction mixture was diluted with water and extracted with ethyl acetate (3 x 250 ml). The combined organic extract was washed with aqueous solution of sodium bicarbonate (400 ml) followed by brine (250 ml). The organic layer was separated, dried over sodium sulphate and concentrated under reduced pressure to obtain crude residue. The obtained residue was purified by silica gel column chromatography to yield 5.5 g of the desired product as liquid. ESI-MS (m/z) 290 (M+H)+.
Step 2: 2-Fluoro-4-nitrobiphenyl: To a solution of 2-fluoro-4-nitrophenyl trifluoromethanesulfonate (step 1 intermediate, 600 mg, 2.074 mmol) in toluene (20
ml), were added phenylboronic acid (303 mg, 2.489 mmol), potassium carbonate (860 mg, 6.224 mmol), ethanol (10 ml) and water (10 ml). To the reaction mixture, tetrakis triphenylphosphine palladium (1 1 mg, 0.010 mmol) was added and the resulting mixture was refluxed for 3 h. The reaction mixture was cooled to room temperature, diluted with water and extracted with ethyl acetate (3 x 200 ml). The combined organic extract was washed with water (300 ml) followed by brine (250 ml), separated and dried over sodium sulphate. The organic layer was concentrated under reduced pressure and the obtained residue was purified by column chromatography to yield 400 mg of the desired product as solid. ESI-MS (m/z) 218 (M+H)+.
Step 3 : 4-Nitro-2-phenoxybiphenyl: To a stirred solution of 2-fluoro-4-nitrobiphenyl (step 2 intermediate, 200 mg, 0.921 mmol) in DMF (10 ml), were added cesium carbonate (600 mg, 1.842 mmol) followed by phenol (104 mg, 1.105 mmol) at room temperature and the resulting mixture was stirred at 1 10 °C overnight. The reaction mixture was cooled to room temperature, diluted with water and extracted with ethyl acetate (3 x 200 ml). The combined organic extract was washed with brine (215 ml), separated and dried over sodium sulphate. The organic layer was concentrated under reduced pressure and the residue was purified by column chromatography to yield 200 mg of product as pale yellow solid. ESI-MS (m/z) 292 (M+H)+.
Step 4: 2-Phenoxybiphenyl-4-amine: To a stirred suspension of 4-nitro-2- phenoxybiphenyl (step 3 intermediate, 200 mg, 0.686 mmol) in methanol (10 ml) and water (10 ml), were added iron powder (230 mg 4.1 19 mmol) and ammonium chloride (367 mg, 6.865 mmol) at room temperature and the resulting mixture was refluxed for 3 h. The reaction mixture was cooled to room temperature, diluted with water and extracted with ethyl acetate (3 x 150 ml). The combined organic extract was washed with brine (200 ml), separated and dried over sodium sulphate. The organic layer was concentrated under reduced pressure and the residue was purified by column chromatography to yield 100 mg of product as an off-white solid. 1H NMR (300 MHz, DMSO-J6) δ 5.35 (s, 2H), 6.16 (s, 1H), 6.45 (d, / = 7.8 Hz, 1H), 6.91 (d, / = 7.8 Hz, 2H), 7.02 (t, / = 7.8 Hz, 1H), 7.09-7.21 (m, 2H), 7.24-7.35 (m, 4H), 7.42 (d, / = 7.5 Hz, 2H); ESI-MS (m/z) 262 (M+H)+.
Intermediates 2-98 were synthesized by Suzuki coupling of 2-fluoro-4-nitrophenyl trifluoromethanesulfonate, formed by reaction of 2-fluoro-4-nitro phenol with triflic
anhydride, with respective boronic acid followed by substitution with appropriate phenol and finally reduction as described in Steps 1 , 2, 3 and 4 of Intermediate 1 . The structural formulas, chemical names and Analytical data of Intermediate 2-98 are provided in table 1.
Table 1 : Structure, chemical name and Analytical data of Intermediates 2-98.
12. ^00F3 2- [3 -(Trifluoromethoxy)phenoxy]biphenyl-4-amine;
1H NMR (300 MHz, DMSO-J6) δ 5.44 (br s, 2H), 6.26 (s, 1H), 6.53 (d, / = 9.3 Hz, 1H), 6.81 (s, 1H), 6.89 (d, / = 8.4 Hz, 1H), 6.97 (d, / = 9.9 Hz, 1H), 7.13-7.19 (m, Intermediate 12 2H), 7.27 (t, / = 7.5 Hz, 2H), 7.36-7.41 (m, 3H); APCI- MS (m/z) 346 (M+H)+.
13. 3-[(4-Aminobiphenyl-2-yl)oxy]benzonitrile;
ESI-MS (m/z) 287 (M+H)+.
Intermediate 13
14. 2-(3,4-Difluorophenoxy)biphenyl-4-amine;
1H NMR (300 MHz, DMSO-J6) δ 5.41 (s, 2H), 6.18 (s, 1H), 6.50 (d, / = 9.0 Hz, 1H), 6.65-6.78 (m, 1H), 6.98- 7.09 (m, 1H), 7.1 1-7.19 (m, 2H), 7.21-7.30 (m, 2H), 7.35-7.46 (m, 3H).
Intermediate 14
15. 2-(3-Fluorophenoxy)-3'-methylbiphenyl-4-amine;
1H NMR (300 MHz, DMSO-J6) δ 2.25 (s, 3H), 5.39 (br s, 2H), 6.23 (s, 1H), 6.51 (d, / = 7.8 Hz, 1H), 6.70 (d, /
Intermediate 15 = 8.1 Hz, 2H), 6.82 (t, / = 7.5 Hz, 1H), 6.99 (br s, 1H),
7.14-7.20 (m, 4H), 7.27-7.33 (m, 1H); APCI-MS (m/z) 294 (M+H)+.
16. 2-(3-Chlorophenoxy)-3'-methylbiphenyl-4-amine;
1H NMR (300 MHz, DMSO-J6) δ 2.25 (s, 3H), 5.40 (br s, 2H), 6.21 (s, 1H), 6.50 (d, / = 7.8 Hz, 1H), 6.84 (d, /
Intermediate 16 = 9.3 Hz, 1H), 6.89 (s, 1H), 6.99 (br s, 1H), 7.05 (d, / =
7.8 Hz, 1H), 7.13-7.20 (m, 4H), 7.30 (t, / = 8.4 Hz, 1H); APCI-MS (m/z) 309 (M)+.
17. 3 '-Methyl-2- [3 -(trifluoromethyl)phenoxy]biphenyl-4-
0^¾^NH2 amine;
H3ox ur 1H NMR (300 MHz, DMSO-J6) δ 2.23 (s, 3H), 5.42 (s,
Sr. No. Structure Chemical name and Analytical data
59. 2-(3,5-Difluorophenoxy)-3'-fluorobiphenyl-4-amine;
1H NMR (300 MHz, DMSO-J6) δ 5.55 (br s, 2H), 6.27
^O^^NH2
(s, 1H), 6.55 (d, / = 6.3 Hz, 1H), 6.62 (d, / = 6.9 Hz, 1H), 6.72 (d, / = 7.8 Hz, 1H), 6.85-6.91 (m, 1H), 6.98- F
7.03 (m, 1H), 7.17-7.25 (m, 3H), 7.28-7.34 (m, 1H).
Intermediate 59
60. 2-(3-Chloro-4-fluorophenoxy)-3'-fluorobiphenyl-4- amine;
1H NMR (300 MHz, DMSO-J6) δ 5.48 (s, 2H), 6.15 (s, 1H), 6.48 (d, / = 8.7 Hz, 1H), 6.95-7.01 (m, 2H), 7.19
F (d, / = 8.4 Hz, 2H), 7.25 (d, / = 7.2 Hz, 2H), 7.32-7.40
Intermediate 60
(m, 2H); APCI-MS (m/z) 332 (M+H)+.
61. 2',3'-Difluoro-2-(3-fluorophenoxy)biphenyl-4-amine;
1H NMR (300 MHz, DMSO-J6) δ 5.53 (s, 2H), 6.22 (s, 1H), 6.48 (d, / = 8.7 Hz, 1H), 6.74 (d, / = 8.4 Hz, 2H), 6.88 (br s, 1H), 7.08 (d, / = 8.4 Hz, 1H), 7.14 (br s,
F
Intermediate 61 2H), 7.29-7.35 (m, 2H); APCI-MS (m/z) 316 (M+H)+.
62. 2',5'-Difluoro-2-(3-fluorophenoxy)biphenyl-4-amine;
1H NMR (300 MHz, DMSO-J6) δ 5.51 (s, 2H), 6.20 (s, 1H), 6.47 (d, / = 6.3 Hz, 1H), 6.74 (d, / = 7.8 Hz, 2H), 7.07 (d, / = 8.1 Hz, 1H), 7.15-7.20 (m, 4H), 7.30-7.37
Intermediate 62
(m, 1H); APCI-MS (m/z) 316 (M+H)+.
63. 3',4'-Difluoro-2-(3-fluorophenoxy)biphenyl-4-amine;
1H NMR (300 MHz, DMSO-J6) δ 5.50 (br s, 2H), 6.21 (s, 1H), 6.49 (d, / = 6.9 Hz, 1H), 6.73-6.85 (m, 2H), 6.87-6.96 (m, 1H), 7.19 (d, / = 8.4 Hz, 1H), 7.24-7.30
Intermediate 63 (m, 1H), 7.33-7.42 (m, 3H); APCI-MS (m/z) 316
(M+H)+.
64. prcl 2-(3-Chlorophenoxy)-3',4'-difluorobiphenyl-4-amine;
1H NMR (300 MHz, DMSO-J6) δ 5.51 (br s, 2H), 6.20 (s, 1H), 6.50 (d, / = 8.1 Hz, 1H), 6.89 (d, / = 9.0 Hz, 1H), 6.97 (s, 1H), 7.10 (d, / = 8.7 Hz, 1H), 7.22 (d, / =
Sr. No. Structure Chemical name and Analytical data
70. 3',4',5'-Trifluoro-2-(3-fluorophenoxy)biphenyl-4-
V amine;
1H NMR (300 MHz, DMSO-J6) δ 5.75 (s, 2H), 6.39 (s,
1H), 6.45-6.51 (m, 1H), 6.81 (d, / = 7.8 Hz, 1H), 6.94-
F
7.00 (m, 2H), 7.31 (t, / = 8.7 Hz, 1H), 7.36-7.42 (m,
Intermediate 70
3H); APCI-MS (m/z) 335 (M+H)+.
71. F 3-(3-Fluorophenoxy)-4-(pyridin-3-yl)aniline;
1H NMR (300 MHz, DMSO-J6) δ 5.53 (s, 2H), 6.24 (s, 1H), 6.53 (d, / = 8.1 Hz, 1H), 6.74-6.80 (m, 2H), 6.87
N (t, / = 8.7 Hz, 1H), 7.22 (d, / = 8.4 Hz, 1H), 7.30-7.37
Intermediate 71 (m, 2H), 7.79 (d, / = 7.8 Hz, 1H), 8.37 (br s, 1H), 8.61
(s, 1H); APCI-MS (m/z) 281 (M+H)+.
72. Crcl 3-(3-Chlorophenoxy)-4-(pyridin-3-yl)aniline;
y 1H NMR (300 MHz, DMSO-J6) δ 5.54 (br s, 2H), 6.23
(s, 1H), 6.53 (d, / = 7.8 Hz, 1H), 6.89 (d, / = 8.1 Hz,
N 1H), 6.98 (s, 1H), 7.09 (d, / = 8.1 Hz, 1H), 7.23 (d, / =
Intermediate 72 8.1 Hz, 1H), 7.29-7.31 (m, 2H), 7.80 (d, / = 8.1 Hz,
1H), 8.38 (br s, 1H), 8.61 (s, 1H); APCI-MS (m/z) 297 (M+H)+.
73. CrCF3 4-(Pyridin-3-yl)-3 - [3 -(trifluoromethyl)phenoxy] aniline;
V 1H NMR (300 MHz, DMSO-J6) δ 5.56 (br s, 2H), 6.24
(s, 1H), 6.54 (d, / = 6.9 Hz, 1H), 7.21-7.27 (m, 3H),
N 7.29-7.33 (m, 1H), 7.38 (d, / = 6.9 Hz, 1H), 7.54 (t, / =
Intermediate 73 8.1 Hz, 1H), 7.80 (t, / = 7.2 Hz, 1H), 8.36 (br s, 1H),
8.60 (s, 1H); APCI-MS (m/z) 331 (M+H)+.
74. F3CO^ 4-(Pyridin-3-yl)-3-[3-
(trifluoromethoxy)phenoxy]aniline;
1H NMR (300 MHz, DMSO-J6) δ 6.30 (br s, 2H), 6.61
N (d, / = 8.7 Hz, 1H), 6.79 (br s, 1H), 6.89 (d, J = 8.1 Hz,
1H), 6.94 (d, / = 8.4 Hz, 1H), 7.25-7.33 (m, 4H), 7.59
Intermediate 74
(br s, 1H), 8.22 (br s, 1H), 8.51 (br s, 1H), 8.81 (s, 1H); APCI-MS (m/z) 347 (M+H)+.
=
Intermediate 99
4-( 1 H-Pyrazol- 1 -yl)-3 - [3 -(trifluoromethoxy)phenoxy] aniline
To a well stirred solution of 1 ,2-difluoro-4-nitrobenzene (8 ml, 73.443 mmol) in DMF (25 ml) was added pyrazole (5 g, 73.443 mmol) followed by potassium carbonate (15 g, 1 10.16 mmol) and it was further stirred at 90 °C for 16 h. The reaction mixture was diluted with water (500 ml) and extracted with ethyl acetate (3 x 350 ml) and the combined organic layer was washed with water (2 x 200 ml) followed by brine (300 ml). The organic layer was dried over sodium sulphate and concentrated under reduced pressure to obtain crude residue. The residue obtained was purified by column chromatography to yield 12.5 g of the desired product as liquid. 1H NMR (300 MHz, CDCls) δ 6.57 (s, 1H), 7.82 (s, 1H), 8.13-8.19 (m, 3H), 8.24-8.30 (m, 1H); APCI-MS (m/z) 208 (M+H)+.
Step 2: 1 - {4-Nitro-2- [3 -(trifluoromethoxy)phenoxy]phenyl} - 1 H-pyrazole :
To a well stirred solution of Step 1 intermediate (242 mg, 1.169 mmol) in DMF (5 ml) was added 3-(trifluoromethoxy)phenol (0.18 ml, 1.403 mmol) followed by cesium carbonate (1.14 g, 3.504 mmol) and the reaction mixture was further stirred at 1 10 °C overnight. The reaction mixture was diluted with water (50 ml) and extracted with ethyl acetate (3 x 50 ml) and the combined organic layer was washed with water (2 x 50 ml) followed by brine (25 ml). The organic layer was dried over sodium sulphate and concentrated under reduced pressure to obtain the crude residue. The obtained residue was purified by column chromatography to yield 410 mg of the desired product as liquid. 1H NMR (300 MHz, CDC13) δ 6.48 (s, 1H), 6.94 (d, / = 6.9 Hz, 2H), 7.09 (d, / = 7.8 Hz, 1H), 7.42 (t, / = 8.1 Hz, 1H), 7.78 (s, 1H), 7.91 (s, 1H), 8.15 (d, / = 9.0 Hz, 1H), 8.22-8.28 (m, 2H); APCI-MS (m/z) 366 (M+H)+.
Step 3 : 4-( 1 H-Pyrazol- 1 -yl)-3 -[3 -(trifluoromethoxy)phenoxy] aniline;
To a well stirred solution of Step 2 intermediate (400 mg, 1.095 mmol) in a mixture of methanol (10 ml) and water (10 ml) was added iron powder (367 mg, 6.575 mmol) and ammonium chloride (540 mg, 10.95 mmol) and the reaction was stirred at 80 °C for 3h. Excess of solvent was distilled out and the residue obtained was diluted with ethyl acetate (2 x 100 ml) and the combined organic layer was washed with water (50 ml) followed by brine (25 ml). The organic layer was dried over sodium sulphate and concentrated under reduced pressure to obtain crude residue. The obtained residue was purified by column chromatography to yield 300 mg of the desired product as liquid. 1H NMR (300 MHz, DMSO-J6) δ 3.87 (br s, 2H), 6.30 (s, 1H), 6.50 (s, 1H),
6.71 (d, / = 8.7 Hz, 1H), 6.79-6.84 (m, 2H), 6.89 (d, / = 7.8 Hz, 1H), 7.21-7.27 (m, 1H), 7.54-7.60 (m, 2H), 7.76 (s, 1H); APCI-MS (m/z) 336 (M+H)+.
Intermediates 100-140 were synthesized by first coupling of of 1 ,2-difluoro-4- nitrobenzene with respective pyrazole, imidazole or triazole compound followed by second coupling with respective phenol compound and then reduction of nitro group as described in Intermediate 100. The structural formulas, chemical names and Analytical data of Intermediates 100-140 are provided in table 2.
Table 2: Structure, chemical name and Analytical data of Intermediates 100 - 140.
103. 3-(3-Methoxyphenoxy)-4-(3-methyl- lH-pyrazol- 1 -yl) aniline;
1H NMR (300 MHz, DMSO-J6) δ 2.18 (s, 3H), 3.71
H3C (s, 3H), 5.41 (br s, 2H), 6.10 (s, 1H), 6.18 (s, 1H), 6.41
(d, / = 8.7 Hz, 1H), 6.50-6.55 (m, 2H), 7.22-7.28 (m,
Intermediate 103
2H), 7.73 (d, / = 8.7 Hz, 1H), 8.13 (m, 1H); APCI-MS (m/z) 296 (M+H)+.
104. 4-(3 -Methyl- 1 H-pyrazol- 1 -yl)-3 - [3 -(trifluoromethyl) p-CF3
phenoxy] aniline;
1H NMR (300 MHz, DMSO-J6) δ 2.13 (s, 3H), 5.50
H3C (br s, 2H), 6.06 (s, 1H), 6.25 (s, 1H), 6.48 (d, / = 8.7
Hz, 1H), 7.21-7.28 (m, 3H), 7.39-7.43 (m, 1H), 7.54
Intermediate 104
(br s, 1H), 7.71 (s, 1H); APCI-MS (m/z) 334 (M+H)+.
105. F2HCO^ 3 - [3 -(Difluoromethoxy)phenoxy]-4-(3 -methyl- 1 H- pyrazol- 1 -yl)aniline;
1H NMR (300 MHz, DMSO-J6) δ 2.16 (s, 3H), 5.47
H3C (s, 2H), 6.09 (s, 1H), 6.23 (s, 1H), 6.45 (d, / = 9.0 Hz,
1H), 6.76-6.81 (m, 2H), 6.88 (d, / = 8.4 Hz, 1H), 7.23
Intermediate 105 (t, / = 73.8 Hz, 1H), 7.27 (d, / = 9.0 Hz, 1H), 7.36 (t, /
= 7.8 Hz, 1H), 7.69 (s, 1H); APCI-MS (m/z) 332 (M+H)+.
106. Qr 4-(3 -Methyl- 1 H-pyrazol- 1 -yl)-3 - [3 -(trifluoromethoxy) phenoxy] aniline;
1H NMR (300 MHz, DMSO-J6) 5 2.14 (s, 3H), 5.50
H3C (br s, 2H), 6.07 (s, 1H), 6.25 (s, 1H), 6.47 (d, / = 8.7
Hz, 1H), 6.91-6.97 (m, 2H), 7.06 (d, / = 7.2 Hz, 1H),
Intermediate 106
Intermediate 141
4-(5-Methyl- 1 ,3 -oxazol-2-yl)-3 - [3 -(trifluoromethoxy)phenoxy]aniline
F
Step 1 : 2-Fluoro-4-nitro-N-(prop-2-yn-l-yl)benzamide;
To a well stirred solution of 2-fluoro-4-nitrobenzoic acid (500 mg, 2.701 mmol) in dry DMF (10 ml) were added EDCI (621 mg, 3.241 mmol) and HOBt (489 mg, 3.619 mmol). Propargyl amine (0.17 ml, 2.701 mmol) was added to the reaction mixture after stirring it for 20 mins and it was further stirred at RT for 18 h. The reaction mixture was diluted with water (100 ml) and extracted with ethyl acetate (3 x 100 ml) and the combined organic layer was washed with water (2 x 100 ml) followed by brine (100 ml). The organic layer was dried over sodium sulphate and concentrated under reduced pressure to obtain crude residue. The crude residue was purified by column chromatography to yield 377 mg of the desired product as white solid. 1H NMR (300 MHz, CDC13) δ 3.19 (s, 1H), 4.07 (br s, 2H), 7.84 (t, / = 8.7 Hz, 1H), 8.13 (d, / = 9.9 Hz, 1H), 8.21 (d, / = 9.9 Hz, 1H), 9.14 (br s, 1H); APCI-MS (m/z) 223 (M+H)+.
Step 2: 2-(2-Fluoro-4-nitrophenyl)-5-methyl- 1 ,3-oxazole;
To the well stirred solution of Step 1 product (365 mg, 1.643 mmol) in dichloroethane (DCE) (20 ml) was added ferric chloride (133 mg, 0.821 mmol) and the reaction mixture was heated at 80 °C for 18h. The reaction mixture was diluted with water (100 ml) and extracted with ethyl acetate (2 x 100 ml) and the combined organic layer was washed with water (100 ml) followed by brine (100 ml). The organic layer was dried over sodium sulphate and concentrated under reduced pressure to obtain crude residue. The crude residue was purified by column chromatography to yield 208 mg of the desired product as off-white solid. 1H NMR (300 MHz, CDC13) δ 2.43 (s, 3H), 7.20 (s, 1H), 8.17-8.23 (m, 2H), 8.29 (d, / = 9.9 Hz, 1H); APCI-MS (m/z) 223 (M+H)+.
Step 3 : 5-Methyl-2- {4-nitro-2-[3-(trifluoromethoxy)phenoxy]phenyl} - 1 ,3-oxazole; To a well stirred solution of Step 2 product (100 mg, 0.450 mmol) in DMSO (2 ml) was added potassium carbonate followed by 3-trifloromethoxy phenol (80 mg, 0.450 mmol) and the reaction mixture was stirred at 1 10°C for 2h. The reaction mixture was diluted with water (50 ml) and extracted with ethyl acetate (2 x 50 ml) and the combined organic layer was washed with water (50 ml) followed by brine (25 ml). The organic layer was dried over sodium sulphate and concentrated under reduced pressure to obtain crude residue. The crude residue was purified by column chromatography to yield 33 mg of the desired product as off- white solid. 1H NMR (300 MHz, CDC13) δ 2.30 (s, 3H), 7.02-7.08 (m, 2H), 7.16 (d, / = 8.7 Hz, 2H), 7.50 (t, / = 8.4 Hz, 1H), 7.95 (s, 1H), 8.20 (d, / = 8.7 Hz, 1H), 8.29 (d, / = 9.0 Hz, 1H); APCI-MS (m/z) 381 (M+H)+.
Step 4: 4-(5-Methyl-l ,3-oxazol-2-yl)-3-[3-(trifluoromethoxy)phenoxy]aniline; To the well stirred solution of Step 3 product (85 mg, 0.223 mmol) in glacial acetic acid (2 ml) was added iron powder (125 ml, 2.235 mmol) and the reaction was stirred at RT for 2 h. The reaction mixture was filtered and the filtrate was concentrated under reduced pressure. The residue obtained was purified by silica gel column chromatography to yield 73 mg of the title compound as off white solid. 1H NMR (300 MHz, CDC13) δ 2.16 (s, 3H), 5.86 (br s, 2H), 6.27 (s, 1H), 6.52 (d, / = 9.0 Hz, 1H), 6.74 (s, 1H), 6.87 (d, / = 8.4 Hz, 2H), 7.02 (d, / = 9.0 Hz, 1H), 7.42 (t, / = 8.1 Hz, 1H), 7.65 (d, / = 8.7 Hz, 1H); APCI-MS (m/z) 351 (M+H)+.
Intermediate 142
4-(5-Methyl-l ,2,4-oxadiazol-3-yl)-3-[3-(trifluoromethyl)phenoxy]aniline
Step 1 : 2-Fluoro-N'-hydroxy-4-nitrobenzenecarboximidamide :
To a well stirred solution of 2-fluoro-4-nitro benzonitrile (6 g, 0.036 mmol) in ethanol (200 ml) were added hydroxylamine hydrochloride (25 g, 0.361 mmol) and sodium bicarbonate (38 g, 0.361 mmol) and the reaction mixture was refluxed for 18 h. Excess of solvent was distilled out and the residue obtained was diluted with ethyl acetate (3 x 300 ml) and the combined organic layer was washed with water (500 ml) followed by brine (250 ml). The organic layer was dried over sodium sulphate and concentrated under reduced pressure to obtain crude residue. The obtained residue was purified by column chromatography to yield 6.4 g of the desired product as off white solid. 1H NMR (300 MHz, DMSO-J6) δ 6.03 (s, 2H), 7.79 (d, / = 8.4 Hz, 1H), 8.09 (d, / = 8.1 Hz, 1H), 8.16 (d, / = 8.4 Hz, 1H), 10.03 (s, 1H); APCI-MS (m/z) 200 (M+H)+.
Step 2: 3-(2-Fluoro-4-nitrophenyl)-5-methyl-l ,2,4-oxadiazole:
To a well stirred solution of step 1 product (300 mg, 1.03 mmol) in glacial acetic acid (4 ml) was added acetic anhydride (0.24 ml, 2.575 mmol) and the reaction mixture was heated at 140°C for 18 h. The reaction mixture was diluted with water (50 ml) and extracted with ethyl acetate (2 x 100 ml) and the combined organic layer was washed with water (50 ml) followed by brine (25 ml). The organic layer was dried over sodium sulphate and concentrated under reduced pressure to obtain crude residue. The residue obtained was purified by column chromatography to yield 339 mg of the desired product as off-white solid. 1H NMR (300 MHz, DMSO-J6) δ 2.72 (s, 3H), 8.27-8.37 (m, 3H).
Step 3 : 5-Methyl-3- {4-nitro-2-[3-(trifluoromethyl)phenoxy]phenyl} - 1 ,2,4-oxadiazole; The title compound was prepared from Step 2 product (370 mg, 1.658 mmol) and 3- (trifluoromethyl) phenol (0.2 ml, 1.658 mmol) using potassium carbonate (344 mg, 2.487 mmol) in presence of DMSO (4 ml) as described in step 3 of Intermediate 141 to yield 505 mg of the desired product as off white solid. 1H NMR (300 MHz, DMSO-J6) δ 2.66 (s, 3H), 7.37 (d, / = 6.9 Hz, 1H), 7.47 (s, 1H), 7.56 (d, / = 7.8 Hz,
1H), 7.64 (t, / = 8.4 Hz, 1H), 7.91 (s, 1H), 8.23 (d, / = 8.4 Hz, 1H), 8.32 (d, / = 8.4 Hz, 1H); APCI-MS (m/z) 365 (M+H)+.
Step 4: 4-(5-Methyl- 1 ,2,4-oxadiazol-3-yl)-3-[3-(trifluoromethyl)phenoxy]aniline; The title compound was prepared by reduction of Step 3 product (150 mg, 0.410 mmol) using iron powder (229 ml, 4.10 mmol) in glacial acetic acid (2 ml) as described in step 4 of Intermediate 141 to yield 78 mg of the title compound as off- white solid. 1H NMR (300 MHz, DMSO-J6) δ 2.50 (s, 3H), 5.95 (s, 2H), 6.26 (s, 1H), 6.54 (d, / = 8.4 Hz, 1H), 7.16-7.21 (m, 2H), 7.41 (d, / = 8.4 Hz, 1H), 7.55 (t, / = 7.8 Hz, 1H), 7.74 (d, / = 8.7 Hz, 1H); APCI-MS (m/z) 336 (M+H)+.
Intermediates 143-145 were synthesized by 2-fluoro-4-nitro benzonitrile, hydroxylamine hydrochloride, acetic acid or trifluoroacetic acid and respective phenol in steps 1 , 2, 3 and 4 as described in Intermediate 142, The structural formulas, chemical names and Analytical data of Intermediates 143-145 are provided in table 3. Table 3 : Structure, chemical name and Analytical data of Intermediates 143-145.
Intermediate 146
5-Phenoxy-6-phenylpyridin-3-amin
Step 1 : 3-Chloro-5-nitro-2-phenylpyridine: This intermediate was prepared by the reaction of 2,3-dichloro-5-nitropyridine (1 mg, 5.181 mmol) with phenyl boronic acid (758 mg, 6.217 mmol) using tetrakis triphenylphosphine palladium (30 mg, 0.023 mmol) in presence of potassium carbonate (2.1 g, 15.544 mmol) in toluene (60 ml) and water (25 ml) as per the process described in step 2 of Intermediate 1 to yield 1 g of product as off white solid.
Step 2: 5-Nitro-3-phenoxy-2-phenylpyridine: This intermediate was prepared by the reaction of step 1 intermediate (525 mg, 2.237 mmol) with phenol (252 mg, 2.684 mmol) using cesium fluoride (642 mg, 3.356 mmol) in DMF (10 ml) as per the process described in step 3 of Intermediate 1 to yield 241 mg of product as off white solid. APCI-MS (m/z) 293.33 (M+H)+.
Step 3: The title compound was prepared by nitro group reduction of step 1 intermediate (165 mg, 0.565 mmol) using iron powder (158 mg, 2.822 mmol) and ammonium chloride (302 mg, 5.645 mmol) in methanol (10 ml) and water (10 ml) as per the process described in step 4 of Intermediate 1 to yield 141 mg of product as an off-white solid. 1H NMR (300 MHz, DMSO-J6) δ 5.62 (s, 2H), 6.60 (s, 1H), 7.01 (d, / = 9.0 Hz, 2H), 7.11 (t, / = 7.5 Hz, 1H), 7.23 (t, / = 7.5 Hz, 1H), 7.25-7.42 (m, 4H), 7.80 (d, / = 9.0 Hz, 2H), 7.87 (s, 1H); APCI-MS (m/z) 263.44 (M+H)+.
Intermediates 147-150 were synthesized by Suzuki reaction of 2,3-dichloro-5- nitropyridine with appropriate boronic acid followed by reaction with suitable phenol and finally reduction. The structural formulas, chemical names and Analytical data of Intermediate 147-150 are provided in table 4.
Table 4: Structure, chemical name and Analytical data of Intermediates 147-150.
Step 1 : Ethyl [4-(ethylsulfanyl)phenyl]acetate: To a stirred solution of (4- sulfanylphenyl)acetic acid (2.0 g, 11.889 mmol) in DMF (10 ml), potassium carbonate (6.6 g, 47.559 mmol) was added followed by addition of bromoethane (2.6 ml, 35.669 mmol) and the resulting mixture was stirred at room temperature for 3 h. The reaction mixture was partitioned between aqueous (250 ml) and ethyl acetate (250 ml). The organic layer was separated, washed with water (250 ml), brine (150 ml), dried over sodium sulphate and concentrated under reduced pressure. The obtained residue was purified by column chromatography to yield 2.46 g of desired product as liquid.
Step 2: Ethyl [4-(ethylsulfonyl)phenyl] acetate: To a stirred solution of ethyl [4- (ethylsulfanyl)phenyl] acetate (step 1 intermediate, 1.4 g, 6.241 mmol) in dichloromethane (20 ml), m-chlorobenzoic acid (3.2 g, 18.723 mmol) was added in portions at 0 °C, under nitrogen atmosphere and the resulting mixture was stirred at room temperature overnight. The reaction mixture was diluted with dichloromethane (100 ml) and washed with aqueous saturated solution of sodium bicarbonate (250 ml) and brine (200 ml). The organic layer was separated dried over sodium sulphate and concentrated under reduced pressure and the obtained residue was purified by column chromatography to yield 1.46 g of desired solid product.
Step 3 : [4-(Ethylsulfonyl)phenyl] acetic acid: To a solution of ethyl [4- (ethylsulfonyl)phenyl] acetate (step 2 intermediate, 1.4 g, 5.461 mmol) in ethanol (15 ml) and water (15 ml), sodium hydroxide (0.786 g, 19.659 mmol) was added and the reaction mixture was stirred at room temperature overnight. The solvent was evaporated under reduced pressure and water (100 ml) was added to the residue. The reaction mixture was acidified to about pH 1 using 6 N HC1 (~60 ml). The aqueous layer was extracted with ethyl acetate (2 x 250 ml). The combined extract was washed with brine (200 ml), separated and dried over sodium sulphate. The organic layer was concentrated under reduced pressure to yield 1.18 g of product as a white solid. 1H
NMR (300 MHz, DMSO-J6) δ 1.09 (t, / = 7.2 Hz, 3H), 3.22-3.35 (m, 2H), 3.74 (s, 2H), 7.55 (d, / = 8.4 Hz, 2H), 7.82 (d, / = 8.1 Hz, 2H), 12.55 (s, 1H).
Intermediates 152-157 were prepared by the process described for Intermediate 151. The structural formulas, chemical names and 1H NMR data of Intermediates 152 - 157 are provided in table-5.
Table 5: Structure, chemical name and 1H NMR data of Intermediates 152-157.
Examples
The following examples illustrate the present invention. However, these examples are not intended to limit the scope of the present invention. The person skilled in the art can readily recognize a variety of non-critical parameters which can be modified or altered to yield similar results.
Example 1
N-[2-(3-Fluorophenoxy)biphenyl-4-yl]-2-[4-(methylsulfonyl)phenyl]acetamide
To a well stirred mixture of [4-(methylsulfonyl)phenyl]acetic acid (50 mg, 0.233 mmol) in dichloromethane (5 ml) were added EDCI (53 mg, 0.280 mmol) and HOBt (32 mg, 0.239 mmol) followed by addition of Intermediate 7 (65 mg, 0.233 mmol). The reaction mixture was stirred at RT overnight. After completion of the reaction, it was diluted with water (25 ml), extracted with ethyl acetate (2 x 50 ml) and the combined organic extract was washed with water (25 ml) and brine (25 ml). The organic layer was separated, dried over sodium sulphate and concentrated under reduced pressure. The obtained residue was purified by column chromatography to yield 61 mg of the title product as a white solid. 1H NMR (300 MHz, DMSO-J6) δ 3.19 (s, 3H), 3.78 (s, 2H), 6.71-6.80 (m, 2H), 6.85-6.93 (m, 1H), 7.24-7.42 (m, 5H), 7.45 (d, / = 7.8 Hz, 4H), 7.57 (d, / = 8.4 Hz, 2H), 7.87 (d, / = 8.1 Hz, 2H), 10.44 (s, 1H); ESI-MS (m/z) 476.40 (M+H)+.
Example 2
N-[3'-Fluoro-2-(3-fluorophenoxy)biphenyl-4-yl]-2-[4- (methylsulfonyl)phenyl]acetamide
The title compound was prepared by the reaction of Intermediate 21 (69 mg, 0.233 mmol) with [4-(methylsulfonyl)phenyl]acetic acid (50 mg, 0.233 mmol) using EDCI (53 mg, 0.278 mmol), HOBt (42 mg, 0.31 1 mmol) in dichloromethane (5 ml) as per
the process described in Example 1 to yield 42 mg of product as white solid. 1H NMR (300 MHz, DMSO-J6) δ 3.19 (s, 3H), 3.78 (s, 2H), 6.75-6.99 (m, 2H), 7.03-7.1 1 (m, 1H), 7.24-7.42 (m, 6H), 7.50 (s, 2H), 7.56 (d, / = 7.8 Hz, 2H), 7.87 (d, / = 7.8 Hz, 2H), 10.46 (s, 1H); APCI-MS (m/z) 494.32 (M+H)+.
Example 3
N-[2-(3-Chlorophenoxy)-3'-fluorobiphenyl-4-yl]-2-[4- (methylsulfonyl)phenyl]acetamide
The title compound was prepared by the reaction of Intermediate 23 (30 mg, 0.095 mmol) with [4-(methylsulfonyl)phenyl]acetic acid (20 mg, 0.095 mmol) using EDCI (22 mg, 0.1 14 mmol), HOBt (18 mg, 0.128 mmol) in dichloromethane (4 ml) as per the process described in Example 1 to yield 18 mg of product as a white solid. 1H NMR (300 MHz, DMSO-J6) δ 3.19 (s, 3H), 3.78 (s, 2H), 6.97 (d, / = 6.3 Hz, 1H), 7.06 (s, 1H), 7.15 (d, / = 6.3 Hz, 2H), 7.27-7.45 (m, 5H), 7.50 (s, 2H), 7.57 (d, / = 9.3 Hz, 2H), 7.87 (d, / = 9.3 Hz, 2H), 10.46 (s, 1H); APCI-MS (m/z) 510.17 (M+H)+.
Example 4
N-[2-(3-Cyanophenoxy)-3'-fluorobiphenyl-4-yl]-2-[4- (methylsulfonyl)phenyl]acetamide
The title compound was prepared by the reaction of Intermediate 28 (71 mg, 0.233 mmol) with [4-(methylsulfonyl)phenyl]acetic acid (50 mg, 0.233 mmol) using EDCI (53 mg, 0.280 mmol), HOBt (42 mg, 0.312 mmol) in dichloromethane (5 ml) as per the process described in Example 1 to yield 30 mg of product as an off-white solid. 1H NMR (300 MHz, DMSO-J6) δ 3.19 (s, 3H), 3.78 (s, 2H), 7.12 (t, / = 6.3 Hz, 1H), 7.25-7.45 (m, 6H), 7.49-7.61 (m, 6H), 7.88 (d, / = 8.4 Hz, 2H), 10.48 (s, 1H); APCI- MS (m/z) 501.22 (M+H)+.
Example 5
2-[4-(Ethylsulfonyl)phenyl]- -(2-phenoxybiphenyl-4-yl)acetamide
The title compound was prepared by the reaction of Intermediate 1 (60 mg, 0.229 mmol) with [4-(ethylsulfonyl)phenyl] acetic acid (50 mg, 0.229 mmol) using EDCI (50 mg, 0.262 mmol), HOBt (42 mg, 0.312 mmol) in dichloromethane (5 ml) as per the process described in Example 1 to yield 38 mg of product as white solid. 1H NMR (300 MHz, DMSO-J6) δ 1.07 (t, / = 5.4 Hz, 3H), 3.25 (q, / = 5.7 Hz, 2H), 3.71 (s, 2H), 6.93 (d, / = 4.8 Hz, 2H), 7.08 (t, / = 7.2 Hz, 1H), 7.21-7.39 (m, 6H), 7.41-7.59 (m, 4H), 7.61 (d, / = 6.3 Hz, 2H), 7.81 (d, / = 6.3 Hz, 2H), 10.37 (s, 1H); ESI-MS (m/z) 472.23 (M+H)+.
Example 6
2-[4-(Ethylsulfonyl)phenyl]- -(3'-fluoro-2-phenoxybiphenyl-4-yl)acetamide
The title compound was prepared by the reaction of Intermediate 2 (47 mg, 0.169 mmol) with [4-(ethylsulfonyl)phenyl] acetic acid (50 mg, 0.169 mmol) using EDCI (39 mg, 0.202 mmol), HOBt (32 mg, 0.236 mmol) in dichloromethane (4 ml) as per the process described in Example 1 to yield 78 mg of product as a white solid. 1H NMR (300 MHz, DMSO-J6) δ 1.08 (t, / = 5.7 Hz, 3H), 3.17-3.25 (m, 2H), 3.77 (s, 2H), 6.98 (d, / = 7.8 Hz, 2H), 7.06-7.17 (m, 2H), 7.28-7.40 (m, 6H), 7.48 (s, 2H), 7.56 (d, / = 6.9 Hz, 2H), 7.83 (d, / = 7.5 Hz, 2H), 10.43 (s, 1H); APCI-MS (m/z) 490.36 (M+H)+.
Example 7
The title compound was prepared by the reaction of Intermediate 3 (60 mg, 0.214 mmol) with [4-(ethylsulfonyl)phenyl] acetic acid (49 mg, 0.214 mmol) using EDCI (49 mg, 0.257 mmol), HOBt (38 mg, 0.288 mmol) in dichloromethane (5 ml) as per the process described in Example 1 to yield 47 mg of product as white solid. 1H NMR (300 MHz, DMSO-J6) δ 1.07 (t, / = 5.7 Hz, 3H), 3.25 (q, / = 5.7 Hz, 2H), 3.75 (s, 2H), 6.93 (d, / = 5.1 Hz, 2H), 6.1 1 (d, / = 9.0 Hz, 1H), 7.08 (t, / = 5.4 Hz, 2H), 7.18 (t, / = 6.0 Hz, 3H), 7.31-7.40 (m, 2H), 7.52-7.60 (m, 4H), 7.81 (d, / = 5.7 Hz, 2H), 10.38 (s, 1H); APCI-MS (m/z) 490.54 (M+H)+.
Example 8
N-(3'-Chloro-2-phenoxybiphenyl-4-yl)-2-[4-(ethylsulfonyl)phenyl]acetamide
The title compound was prepared by the reaction of Intermediate 4 (50 mg, 0.219 mmol) with [4-(ethylsulfonyl)phenyl] acetic acid (65 mg, 0.219 mmol) using EDCI (50 mg, 0.262 mmol), HOBt (40 mg, 0.298 mmol) in dichloromethane (4 ml) as per the process described in Example 1 to yield 58 mg of product as white solid. 1H NMR (300 MHz, DMSO-J6) δ 1.08 (t, / = 5.4 Hz, 3H), 3.24 (q, / = 5.4 Hz, 2H), 3.76 (s, 2H), 6.96 (t, / = 6.0 Hz, 2H), 7.09 (t, / = 5.4 Hz, 1H), 7.29-7.40 (m, 5H), 7.43-7.49 (m, 3H), 7.52-7.60 (m, 3H), 7.81 (t, / = 6.3 Hz, 2H), 10.39 (s, 1H); APCI-MS (m/z) 506.17 (M+H)+.
Example 9
N-(4'-Chloro-2-phenoxybiphenyl-4-yl)-2-[4-(ethylsulfonyl)phenyl]acetamide
The title compound was prepared by the reaction of Intermediate 5 (65 mg, 0.169 mmol) with [4-(ethylsulfonyl)phenyl] acetic acid (50 mg, 0.169 mmol) using EDCI (50 mg, 0.263 mmol), HOBt (40 mg, 0.298 mmol) in dichloromethane (4 ml) as per the process described in Example 1 to yield 50 mg of product as an off-white solid. 1H NMR (300 MHz, DMSO-J6) δ 1.09 (t, / = 5.4 Hz, 3H), 3.26 (q, / = 5.7 Hz, 2H), 3.77 (s, 2H), 6.96 (d, / = 5.7 Hz, 2H), 7.08 (t, / = 5.7 Hz, 1H), 7.30-7.38 (m, 3H), 7.40- 7.50 (m, 4H), 7.60-7.70 (m, 4H), 7.83 (d, / = 5.7 Hz, 2H), 10.41 (s, 1H); APCI-MS (m/z) 506.54 (M+H)+.
Example 10
2-[4-(Ethylsulfonyl)phenyl]- -[2-(2-fluorophenoxy)biphenyl-4-yl]acetamide
The title compound was prepared by the reaction of Intermediate 6 (47 mg, 0.169 mmol) with [4-(ethylsulfonyl)phenyl] acetic acid (50 mg, 0.169 mmol) using EDCI (39 mg, 0.203 mmol), HOBt (32 mg, 0.236 mmol) in dichloromethane (4 ml) as per the process described in Example 1 to yield 56 mg of product as white solid. 1H NMR (300 MHz, DMSO-J6) δ 1.09 (t, / = 5.7 Hz, 3H), 3.26 (q, / = 5.4 Hz, 2H), 3.76 (s, 2H), 7.1 1-7.23 (m, 3H), 7.29-7.36 (m, 1H), 7.42-7.50 (m, 6H), 7.52-7.60 (m, 4H), 7.82 (d, / = 6.3 Hz, 2H), 10.38 (s, 1H); APCI-MS (m/z) 490.18 (M+H)+.
Example 1 1
2-[4-(Ethylsulfonyl)phenyl] - - [2-(3 -fluorophenoxy)biphenyl-4-yl] acetamide
The title compound was prepared by the reaction of Intermediate 7 (61 mg, 0.214 mmol) with [4-(ethylsulfonyl)phenyl] acetic acid (50 mg, 0.219 mmol) using EDCI (49 mg, 0.257 mmol), HOBt (38 mg, 0.287 mmol) in dichloromethane (5 ml) as per the process described in Example 1 to yield 52 mg of product as white solid. 1H NMR (300 MHz, DMSO-J6) δ 1.09 (t, / = 6.0 Hz, 3H), 3.27 (q, / = 5.4 Hz, 2H), 3.79 (s,
2H), 6.71-6.82 (m, 2H), 6.92 (t, / = 5.1 Hz, 1H), 7.25-7.51 (m, 9H), 7.58 (d, / = 6.0 Hz, 2H), 7.83 (d, / = 6.0 Hz, 2H), 10.44 (s, 1H); ESI-MS (m/z) 490.42 (M+H)+.
Example 12
2-[4-(Ethylsulfonyl)phenyl]- -[2-(4-fluorophenoxy)biphenyl-4-yl]acetamide
The title compound was prepared by the reaction of Intermediate 8 (47 mg, 0.169 mmol) with [4-(ethylsulfonyl)phenyl] acetic acid (50 mg, 0.169 mmol) using EDCI (39 mg, 0.202 mmol), HOBt (32 mg, 0.236 mmol) in dichloromethane (4 ml) as per the process described in Example 1 to yield 64 mg of product as white solid. 1H NMR (300 MHz, DMSO-J6) δ 1.09 (t, / = 5.4 Hz, 3H), 3.28 (q, / = 5.4 Hz, 2H), 3.77 (s, 2H), 6.98 (d, / = 5.1 Hz, 2H), 7.18 (t, / = 6.6 Hz, 2H), 7.30 (d, / = 6.3 Hz, 2H), 7.41- 7.62 (m, 8H), 7.83 (d, / = 6.3 Hz, 2H), 10.39 (s, 1H); APCI-MS (m/z) 490.22 (M+H)+.
Example 13
N- [2-(3 -Chlorophenoxy)biphenyl-4-yl] -2- [4-(ethylsulfonyl)phenyl] acetamide
The title compound was prepared by the reaction of Intermediate 9 (40 mg, 0.135 mmol) with [4-(ethylsulfonyl)phenyl] acetic acid (30 mg, 0.135 mmol) using EDCI (31 mg, 0.162 mmol), HOBt (24 mg, 0.181 mmol) in dichloromethane (5 ml) as per the process described in Example 1 to yield 25 mg of product as a white solid. 1H NMR (300 MHz, DMSO-J6) δ 1.08 (t, / = 5.7 Hz, 3H), 3.21-3.28 (m, 2H), 3.79 (s, 2H), 6.89 (d, / = 6.0 Hz, 1H), 7.00 (s, 1H), 7.12 (d, / = 6.0 Hz, 1H), 7.30-7.43 (m, 5H), 7.49 (d, / = 8.4 Hz, 4H), 7.57 (d, / = 8.4 Hz, 2H), 7.83 (d, / = 8.7 Hz, 2H), 10.45 (s, 1H); APCI-MS (m/z) 506.49 (M+H)+.
Example 14
The title compound was prepared by the reaction of Intermediate 10 (65 mg, 0.219 mmol) with [4-(ethylsulfonyl)phenyl] acetic acid (50 mg, 0.219 mmol) using EDCI (38 mg, 0.203 mmol), HOBt (39 mg, 0.293 mmol) in dichloromethane (5 ml) as per the process described in Example 1 to yield 50 mg of product as a white solid. 1H NMR (300 MHz, DMSO-J6) δ 1.09 (t, / = 5.7 Hz, 3H), 3.21-3.28 (m, 2H), 3.78 (s, 2H), 6.96 (d, / = 9.0 Hz, 2H), 7.25-7.50 (m, 10H), 7.57 (d, / = 8.4 Hz, 2H), 7.83 (d, / = 8.4 Hz, 2H), 10.43 (s, 1H); APCI-MS (m/z) 506.45 (M+H)+.
Example 15
2-[4-(Ethylsulfonyl)phenyl]-N- {2-[3-(trifluoromethyl)phenoxy]biphenyl-4- yl}acetamide
The title compound was prepared by the reaction of Intermediate 1 1 (72 mg, 0.219 mmol) with [4-(ethylsulfonyl)phenyl] acetic acid (50 mg, 0.219 mmol) using EDCI (50 mg, 0.262 mmol), HOBt (47 mg, 0.349 mmol) in dichloromethane (5 ml) as per the process described in Example 1 to yield 30 mg of product as white solid. 1H NMR (300 MHz, DMSO-J6) δ 1.08 (t, / = 7.2 Hz, 3H), 3.26 (q, / = 7.5 Hz, 2H), 3.79 (s, 2H), 7.19-7.26 (m, 2H), 7.27 (d, / = 6.3 Hz, 1H), 7.34 (d, / = 7.5 Hz, 2H), 7.35-7.41 (m, 2H), 7.47 (d, / = 7.8 Hz, 2H), 7.50-7.55 (m, 3H), 7.57 (d, / = 8.1 Hz, 2H), 7.83 (d, / = 7.8 Hz, 2H), 10.45 (s, 1H); APCI-MS (m/z) 540 (M+H)+.
Example 16
2-[4-(Ethylsulfonyl)phenyl]-N- {2-[3-(trifluoromethoxy)phenoxy]biphenyl-4- yl}acetamide
The title compound was prepared by the reaction of Intermediate 12 (75 mg, 0.219 mmol) with [4-(ethylsulfonyl)phenyl] acetic acid (50 mg, 0.219 mmol) using EDCI (50 mg, 0.262 mmol), HOBt (39 mg, 0.293 mmol) in dichloromethane (5 ml) as per the process described in Example 1 to yield 23 mg of product as white solid. 1H NMR (300 MHz, DMSO-J6) δ 1.08 (t, / = 7.2 Hz, 3H), 3.26 (q, / = 7.2 Hz, 2H), 3.79 (s, 2H), 6.92 (d, / = 9.0 Hz, 2H), 7.04 (br s, 1H), 7.29 (br s, 1H), 7.34 (t, / = 7.8 Hz, 2H), 7.44-7.50 (m, 6H), 7.58 (d, / = 7.5 Hz, 2H), 7.83 (d, / = 6.6 Hz, 2H), 10.45 (s, 1H); APCI-MS (m/z) 557 (M+H)+.
Example 17
N- [2-(3 -Cyanophenoxy)biphenyl-4-yl] -2- [4-(ethy lsulfonyl)phenyl] acetamide
The title compound was prepared by the reaction of Intermediate 13 (62 mg, 0.219 mmol) with [4-(ethylsulfonyl)phenyl] acetic acid (50 mg, 0.219 mmol) using EDCI (50 mg, 0.262 mmol), HOBt (39 mg, 0.293 mmol) in dichloromethane (5 ml) as per the process described in Example 1 to yield 20 mg of product as white solid. 1H NMR (300 MHz, DMSO-J6) δ 1.08 (t, / = 5.7 Hz, 3H), 3.26 (q, / = 5.7 Hz, 2H), 3.79 (s, 2H), 7.29 (t, / = 6.3 Hz, 2H), 7.34-7.53 (m, 10H), 7.57 (d, / = 8.4 Hz, 2H), 7.83 (d, / = 8.4 Hz, 2H), 10.47 (s, 1H); APCI-MS (m/z) 497 (M+H)+.
Example 18
N-[2-(3,4-Difluorophenoxy)biphenyl-4-yl]-2-[4-(ethylsulfonyl)phenyl]acetamide
The title compound was prepared by the reaction of Intermediate 14 (65 mg, 0.218 mmol) with [4-(ethylsulfonyl)phenyl] acetic acid (49 mg, 0.218 mmol) using EDCI (50 mg, 0.262 mmol), HOBt (39 mg, 0.292 mmol) in dichloromethane (5 ml) as per the process described in Example 1 to yield 60 mg of product as a white solid. 1H NMR (300 MHz, DMSO-J6) δ 1.08 (t, / = 5.7 Hz, 3H), 3.19-3.28 (m, 2H), 3.78 (s,
2H), 6.74-6.85 (m, 1H), 7.12-7.20 (m, 1H), 7.24-7.50 (m, 9H), 7.57 (d, /
2H), 7.82 (d, / = 8.4 Hz, 2H), 10.43 (s, 1H); APCI-MS (m/z) 508 (M+H)+.
Example 19
2-[4-(Ethylsulfonyl)phenyl] -N- [2-(3 -fluorophenoxy)-3 '-methylbiphenyl-4- yljacetamide
The title compound was prepared by the reaction of Intermediate 15 (64 mg, 0.219 mmol) with [4-(ethylsulfonyl)phenyl] acetic acid (50 mg, 0.219 mmol) using EDCI (50 mg, 0.262 mmol), HOBt (40 mg, 0.293 mmol) in dichloromethane (4 ml) as per the process described in Example 1 to yield 60 mg of product as a white solid. 1H NMR (300 MHz, DMSO-J6) δ 1.09 (t, / = 7.2 Hz, 3H), 2.28 (s, 3H), 3.26 (q, / = 7.5 Hz, 2H), 3.79 (s, 2H), 6.73-6.81 (m, 2H), 6.89 (d, / = 8.7 Hz, 1H), 7.09 (d, / = 6.9 Hz, 1H), 7.21-7.28 (m, 3H), 7.34 (d, / = 7.5 Hz, 1H), 7.38-7.50 (m, 3H), 7.58 (d, / = 8.1 Hz, 2H), 7.83 (d, / = 8.4 Hz, 2H), 10.43 (s, 1H); APCI-MS (m/z) 504 (M+H)+.
Example 20
N-[2-(3-Chlorophenoxy)-3'-methylbiphenyl-4-yl]-2-[4- (ethylsulfony l)pheny 1] acetamide
The title compound was prepared by the reaction of Intermediate 16 (68 mg, 0.219 mmol) with [4-(ethylsulfonyl)phenyl] acetic acid (50 mg, 0.219 mmol) using EDCI (50 mg, 0.262 mmol), HOBt (40 mg, 0.293 mmol) in dichloromethane (5 ml) as per the process described in Example 1 to yield 44 mg of product as white solid. 1H NMR (300 MHz, DMSO-J6) δ 1.09 (t, / = 7.2 Hz, 3H), 2.29 (s, 3H), 3.26 (q, / = 7.2 Hz, 2H), 3.79 (s, 2H), 6.87 (d, / = 8.4 Hz, 1H), 6.99 (br s, 1H), 7.08-7.13 (m, 2H), 7.23- 7.30 (m, 4H), 7.33-7.38 (m, 1H), 7.42-7.51 (m, 2H), 7.58 (d, / = 8.1 Hz, 2H), 7.83 (d, / = 8.1 Hz, 2H), 10.43 (s, 1H); APCI-MS (m/z) 521 (M+H)+.
Example 21
2-[4-(Ethylsulfonyl)phenyl] -N- {3 '-methyl-2- [3 -(trifluoromethyl)phenoxy]biphi yl} acetamide
The title compound was prepared by the reaction of Intermediate 17 (75 mg, 0.219 mmol) with [4-(ethylsulfonyl)phenyl] acetic acid (50 mg, 0.219 mmol) using EDCI (50 mg, 0.262 mmol), HOBt (40 mg, 0.293 mmol) in dichloromethane (10 ml) as per the process described in Example 1 to yield 72 mg of product as white solid. 1H NMR (300 MHz, DMSO-J6) δ 1.06 (t, / = 7.2 Hz, 3H), 2.25 (s, 3H), 3.24 (q, / = 7.8 Hz, 2H), 3.77 (s, 2H), 7.05 (d, / = 6.9 Hz, 1H), 7.14-7.25 (m, 5H), 7.36-7.42 (m, 2H), 7.45-7.51 (m, 3H), 7.56 (d, / = 8.4 Hz, 2H), 7.81 (d, / = 8.4 Hz, 2H), 10.43 (s, 1H); APCI-MS (m/z) 554 (M+H)+.
Example 22
2-[4-(Ethylsulfonyl)phenyl]-N- {3'-methyl-2-[3-(trifluoromethoxy)phenoxy]biphenyl- 4-yl} acetamide
The title compound was prepared by the reaction of Intermediate 18 (65 mg, 0.219 mmol) with [4-(ethylsulfonyl)phenyl] acetic acid (50 mg, 0.219 mmol) using EDCI (50 mg, 0.262 mmol), HOBt (40 mg, 0.293 mmol) in dichloromethane (5 ml) as per the process described in Example 1 to yield 92 mg of product as white solid. 1H NMR (300 MHz, DMSO-J6) δ 1.08 (t, / = 7.2 Hz, 3H), 2.26 (s, 3H), 3.26 (q, / = 6.9 Hz, 2H), 3.79 (s, 2H), 6.87-6.92 (m, 2H), 7.00-7.08 (m, 2H), 7.22-7.26 (m, 3H), 7.38-7.46 (m, 3H), 7.46-7.53 (m, 1H), 7.58 (d, / = 8.1 Hz, 2H), 7.83(d, / = 8.7 Hz, 2H), 10.45 (s, 1H); APCI-MS (m/z) 570 (M+H)+.
Example 23
The title compound was prepared by the reaction of Intermediate 19 (65 mg, 0.219 mmol) with [4-(ethylsulfonyl)phenyl] acetic acid (50 mg, 0.219 mmol) using EDCI (50 mg, 0.262 mmol), HOBt (39 mg, 0.293 mmol) in dichloromethane (5 ml) as per the process described in Example 1 to yield 25 mg of product as a white solid. 1H NMR (300 MHz, DMSO-J6) δ 1.08 (t, / = 7.5 Hz, 3H), 3.26 (q, / = 7.2 Hz, 2H), 3.79 (s, 2H), 6.75-6.81 (m, 2H), 6.91 (br s, 1H), 7.21 (t, / = 7.8 Hz, 2H), 7.34-7.39 (m, 5H), 7.48 (d, / = 8.4 Hz, 1H), 7.57 (d, / = 7.8 Hz, 2H), 7.83 (d, / = 8.4 Hz, 2H), 10.46 (s, 1H); APCI-MS (m/z) 508 (M+H)+.
Example 24
2-[4-(Ethylsulfonyl)phenyl] -N- [3 '-fluoro-2-(3 -methylphenoxy)biphenyl-4- yljacetamide
The title compound was prepared by the reaction of Intermediate 20 (64 mg, 0.219 mmol) with [4-(ethylsulfonyl)phenyl] acetic acid (50 mg, 0.219 mmol) using EDCI (50 mg, 0.262 mmol), HOBt (40 mg, 0.293 mmol) in dichloromethane (5 ml) as per the process described in Example 1 to yield 46 mg of product as off white solid. 1H NMR (300 MHz, DMSO-J6) δ 1.08 (t, / = 7.2 Hz, 3H), 2.26 (s, 3H), 3.26 (q, / = 7.2 Hz, 2H), 3.77 (s, 2H), 6.76 (d, / = 9.0 Hz, 1H), 6.82 (s, 1H), 6.92 (d, / = 7.5 Hz, 1H), 7.10-7.16 (m, 1H), 7.21 (d, / = 7.8 Hz, 1H), 7.27-7.34 (m, 2H), 7.37-7.43 (m, 2H), 7.48 (s, 2H), 7.56 (d, / = 8.4 Hz, 2H), 7.82 (d, / = 7.8 Hz, 2H), 10.40 (s, 1H); APCI- MS (m/z) 504 (M+H)+.
Example 25
The title compound was prepared by the reaction of Intermediate 21 (60 mg, 0.201 mmol) with [4-(ethylsulfonyl)phenyl] acetic acid (46 mg, 0.201 mmol) using EDCI (46 mg, 0.242 mmol), HOBt (36 mg, 0.270 mmol) in dichloromethane (5 ml) as per the process described in Example 1 to yield 25 mg of product as white solid. 1H NMR (300 MHz, DMSO-J6) δ 1.08 (t, / = 5.7 Hz, 3H), 3.24 (q, / = 6.6 Hz, 2H), 3.79 (s, 2H), 6.75-6.95 (m, 3H), 7.13 (t, / = 6.6 Hz, 1H), 7.25-7.45 (m, 5H), 7.50 (s, 2H), 7.57 (d, / = 8.4 Hz, 2H), 7.83 (d, / = 8.4 Hz, 2H), 10.47 (s, 1H); APCI-MS (m/z) 508.42 (M+H)+.
Example 26
N-[2-(3-Chlorophenoxy)-3'-fluorobiphenyl-4-yl]-2-[4- (ethylsulfony l)pheny 1] ac
The title compound was prepared by the reaction of Intermediate 23 (68 mg, 0.219 mmol) with [4-(ethylsulfonyl)phenyl] acetic acid (50 mg, 0.219 mmol) using EDCI (49 mg, 0.260 mmol), HOBt (39 mg, 0.290 mmol) in dichloromethane (5 ml) as per the process described in Example 1 to yield 28 mg of product as white solid. 1H NMR
(300 MHz, DMSO-J6) δ 1.08 (t, / = 5.7 Hz, 3H), 3.17-3.27 (m, 2H), 3.79 (s, 2H), 6.93 (d, / = 6.6 Hz, 1H), 7.02-7.10 (m, 1H), 7.12-7.18 (m, 2H), 7.29-7.45 (m, 5H), 7.50 (s, 2H), 7.58 (d, / = 8.4 Hz, 2H), 7.83 (d, / = 8.4 Hz, 2H), 10.47 (s, 1H); APCI- MS (m/z) 524.49 (M+H)+.
Example 27
The title compound was prepared by the reaction of Intermediate 25 (68 mg, 0.219 mmol) with [4-(ethylsulfonyl)phenyl]acetic acid (50 mg, 0.219 mmol) using EDCI 50 mg, 0.262 mmol), HOBt (40 mg, 0.293 mmol) in dichloromethane (4 ml) as per the process described in Example 1 to yield 26 mg of product as white solid. 1H NMR (300 MHz, DMSO-J6) δ 1.08 (t, / = 6.6 Hz, 3H), 3.26 (q, / = 7.2 Hz, 2H), 3.70 (s, 3H), 3.77 (s, 2H), 6.51 (d, / = 8.4 Hz, 1H), 6.56 (br s, 1H), 6.68 (d, / = 9.3 Hz, 1H), 7.09-7.16 (m, 1H), 7.24 (t, / = 8.4 Hz, 1H), 7.31-7.43 (m, 4H), 7.48 (s, 2H), 7.56 (d, / = 7.8 Hz, 2H), 7.82 (d, / = 7.8 Hz, 2H), 10.41 (s, 1H); APCI-MS (m/z) 520 (M+H)+.
Example 28
2-[4-(Ethylsulfonyl)phenyl]-N- {3'-fluoro-2-[3-(trifluoromethyl)phenoxy]biphenyl-4- yl} acetamide
The title compound was prepared by the reaction of Intermediate 26 (76 mg, 0.219 mmol) with [4-(ethylsulfonyl)phenyl] acetic acid (50 mg, 0.219 mmol) using EDCI (50 mg, 0.262 mmol), HOBt (40 mg, 0.293 mmol) in dichloromethane (4 ml) as per the process described in Example 1 to yield 34 mg of product as white solid. 1H NMR
(300 MHz, DMSO-J6) δ 1.08 (t, / = 7.5 Hz, 3H), 3.26 (q, / = 7.2 Hz, 2H), 3.79 (s, 2H), 7.1 1 (br s, 2H), 7.23 (d, / = 7.5 Hz, 2H), 7.28-7.34 (m, 3H), 7.39-7.44 (m, 3H), 7.52-7.58 (m, 5H), 7.82 (d, / = 8.1 Hz, 2H), 10.47 (s, 1H); APCI-MS (m/z) 558 (M+H)+.
Example 29
The title compound was prepared by the reaction of Intermediate 27 (65 mg, 0.219 mmol) with [4-(ethylsulfonyl)phenyl] acetic acid (50 mg, 0.219 mmol) using EDCI (38 mg, 0.203 mmol), HOBt (39 mg, 0.293 mmol) in dichloromethane (5 ml) as per the process described in Example 1 to yield 44 mg of product as white solid. 1H NMR (300 MHz, DMSO-J6) δ 1.08 (t, / = 7.2 Hz, 3H), 3.26 (q, / = 7.2 Hz, 2H), 3.79 (s, 2H), 6.95 (br s, 2H), 7.04-7.14 (m, 2H), 7.27-7.36 (m, 2H), 7.39-7.48 (m, 3H), 7.51 (s, 2H), 7.57 (d, / = 8.1 Hz, 2H), 7.83 (d, / = 8.1 Hz, 2H), 10.49 (s, 1H); APCI-MS (m/z) 574 (M+H)+.
Example 30
N-[2-(3-Cyanophenoxy)-3'-fluorobiphenyl-4-yl]-2-[4- (ethylsulfony l)pheny 1] ac
The title compound was prepared by the reaction of Intermediate 28 (66 mg, 0.219 mmol) with [4-(ethylsulfonyl)phenyl] acetic acid (50 mg, 0.219 mmol) using EDCI (50 mg, 0.262 mmol), HOBt (47 mg, 0.350 mmol) in dichloromethane (5 ml) as per the process described in Example 1 to yield 40 mg of product as off-white solid. 1H NMR (300 MHz, DMSO-J6) δ 1.08 (t, / = 6.3 Hz, 3H), 3.26 (q, / = 5.7 Hz, 2H), 3.79 (s, 2H), 7.13 (t, / = 6.0 Hz, 1H), 7.24-7.44 (m, 5H), 7.47-7.63 (m, 7H), 7.83 (d, / = 8.4 Hz, 2H), 10.48 (s, 1H); APCI-MS (m/z) 515 (M+H)+.
Example 31
The title compound was prepared by the reaction of Intermediate 22 (65 mg, 0.219 mmol) with [4-(ethylsulfonyl)phenyl] acetic acid (50 mg, 0.219 mmol) using EDCI (50 mg, 0.262 mmol), HOBt (39 mg, 0.292 mmol) in dichloromethane (5 ml) as per the process described in Example 1 to yield 40 mg of product as white solid. 1H NMR (300 MHz, DMSO-J6) δ 1.08 (t, / = 5.7 Hz, 3H), 3.21-3.28 (m, 2H), 3.77 (s, 2H), 7.04-7.40 (m, 9H), 7.46 (s, 2H), 7.56 (d, / = 6.6 Hz, 2H), 7.83 (d, / = 6.6 Hz, 2H), 10.42 (s, 1H); APCI-MS (m/z) 508 (M+H)+.
Example 32
N-[2-(4-Chlorophenoxy)-3'-fluorobiphenyl-4-yl]-2-[4- (ethylsulfony l)pheny 1] acetamide
The title compound was prepared by the reaction of Intermediate 24 (68 mg, 0.219 mmol) with [4-(ethylsulfonyl)phenyl] acetic acid (50 mg, 0.219 mmol) using EDCI (49 mg, 0.260 mmol), HOBt (43 mg, 0.325 mmol) in dichloromethane (5 ml) as per the process described in Example 1 to yield 27 mg of product as white solid. 1H NMR (300 MHz, DMSO-J6) δ 1.08 (t, / = 5.7 Hz, 3H), 3.20-3.28 (m, 2H), 3.78 (s, 2H), 6.99 (d, / = 9.0 Hz, 2H), 7.09-7.16 (m, 1H), 7.34-7.40 (m, 2H), 7.27-7.45 (m, 4H), 7.49 (s, 2H), 7.57 (d, / = 8.4 Hz, 2H), 10.45 (s, 2H), 10.58 (s, 1H); APCI-MS (m/z) 524 (M+H)+.
Example 33
The title compound was prepared by the reaction of Intermediate 29 (65 mg, 0.219 mmol) with [4-(ethylsulfonyl)phenyl] acetic acid (50 mg, 0.219 mmol) using EDCI (50 mg, 0.262 mmol), HOBt (39 mg, 0.292 mmol) in dichloromethane (5 ml) as per the process described in Example 1 to yield 30 mg of product as white solid. 1H NMR (300 MHz, DMSO-J6) δ 1.08 (t, / = 5.7 Hz, 3H), 3.26 (q, / = 6.0 Hz, 2H), 3.79 (s, 2H), 6.71-6.95 (m, 3H), 7.23 (t, / = 7.8 Hz, 2H), 7.31-7.60 (m, 8H), 7.43 (d, / = 6.6 Hz, 1H), 7.62 (d, / = 6.0 Hz, 1H), 7.67 (d, / = 5.7 Hz, 2H), 7.83 (d, / = 8.4 Hz, 2H), 10.45 (s, 1H); APCI-MS (m/z) 508 (M+H)+.
Example 34
N-[2-(3-Chlorophenoxy)-4'-fluorobiphenyl-4-yl]-2-[4- (ethylsulfony l)pheny 1] acetamide
The title compound was prepared by the reaction of Intermediate 31 (68 mg, 0.219 mmol) with [4-(ethylsulfonyl)phenyl] acetic acid (50 mg, 0.219 mmol) using EDCI (49 mg, 0.260 mmol), HOBt (39 mg, 0.290 mmol) in dichloromethane (5 ml) as per the process described in Example 1 to yield 40 mg of product as white solid. 1H NMR (300 MHz, DMSO-J6) δ 1.08 (t, / = 7.2 Hz, 3H), 3.18-3.28 (m, 2H), 3.79 (s, 2H), 6.90 (d, / = 8.4 Hz, 1H), 7.02 (s, 1H), 7.10-7.25 (m, 3H), 7.30-7.40 (m, 2H), 7.41 -
7.60 (m, 6H), 7.83 (d, / = 8.4 Hz, 2H), 10.45 (s, 1H); APCI-MS (m/z) 524 (M+H)
Example 35
N-[2-(3-Cyanophenoxy)-4'-fluorobiphenyl-4-yl]-2-[4- (ethylsulfony l)pheny 1] acetamide
The title compound was prepared by the reaction of Intermediate 33 (66 mg, 0.219 mmol) with [4-(ethylsulfonyl)phenyl] acetic acid (50 mg, 0.219 mmol) using EDCI (50 mg, 0.262 mmol), HOBt (52 mg, 0.392 mmol) in dichloromethane (5 ml) as per the process described in Example 1 to yield 40 mg of product as off white solid. 1H NMR (300 MHz, DMSO-J6) δ 1.08 (t, / = 7.2 Hz, 3H), 3.26 (q, / = 7.2 Hz, 2H), 3.79 (s, 2H), 7.19 (t, / = 9.0 Hz, 2H), 7.25-7.31 (m, 1H), 7.38 (s, 1H), 7.43-7.48 (m, 4H), 7.49-7.53 (m, 3H), 7.57 (d, / = 8.4 Hz, 2H), 7.83 (d, / = 8.1 Hz, 2H), 10.46 (s, 1H); APCI-MS (m/z) 516 (M+H)+.
Example 36
2-[4-(Ethylsulfonyl)phenyl]-N-[4'-fluoro-2-(4-fluorophenoxy)biphenyl-4- yljacetamide
The title compound was prepared by the reaction of Intermediate 30 (65 mg, 0.219 mmol) with [4-(ethylsulfonyl)phenyl] acetic acid (50 mg, 0.219 mmol) using EDCI (50 mg, 0.262 mmol), HOBt (39 mg, 0.292 mmol) in dichloromethane (5 ml) as per the process described in Example 1 to yield 45 mg of product as white solid. 1H NMR (300 MHz, DMSO-J6) δ 1.08 (t, / = 7.2 Hz, 3H), 3.26 (q, / = 6.6 Hz, 2H), 3.76 (s, 2H), 7.01-7.10 (m, 2H), 7.14-7.29 (m, 5H), 7.35-7.60 (m, 6H), 7.86 (d, / = 8.4 Hz, 2H), 10.39 (s, 1H); APCI-MS (m/z) 508 (M+H)+.
Example 37
N-[2-(4-Chlorophenoxy)-4'-fluorobiphenyl-4-yl]-2-[4- (ethylsulfony l)pheny 1] ac
The title compound was prepared by the reaction of Intermediate 32 (68 mg, 0.219 mmol) with [4-(ethylsulfonyl)phenyl] acetic acid (50 mg, 0.219 mmol) using EDCI (49 mg, 0.260 mmol), HOBt (39 mg, 0.290 mmol) in dichloromethane (5 ml) as per
the process described in Example 1 to yield 42 mg of product as white solid. 1H NMR (300 MHz, DMSO-J6) δ 1.08 (t, / = 5.7 Hz, 3H), 3.20-3.29 (m, 2H), 3.77 (s, 2H), 6.97 (d, / = 8.7 Hz, 2H), 7.23 (t, / = 9.3 Hz, 2H), 7.31-7.60 (m, 9H), 7.82 (d, / = 8.4 Hz, 2H), 10.42 (s, 1H).
Example 38
N-[2'-Chloro-2-(3-fluorophenoxy)biphenyl-4-yl]-2-[4- (ethylsulfony l)pheny 1] ac
The title compound was prepared by the reaction of Intermediate 34 (68 mg, 0.219 mmol) with [4-(ethylsulfonyl)phenyl] acetic acid (50 mg, 0.219 mmol) using EDCI (50 mg, 0.262 mmol), HOBt (39 mg, 0.293 mmol) in dichloromethane (5 ml) as described in Example 1 to yield 30 mg of product as off white solid. 1H NMR (300 MHz, DMSO-J6) δ 1.08 (t, / = 7.5 Hz, 3H), 3.26 (q, / = 6.6 Hz, 2H), 3.78 (s, 2H), 6.76 (d, / = 8.4 Hz, 2H), 6.90 (br s, 1H), 7.27-7.38 (m, 6H), 7.46 (d, / = 8.1 Hz, 2H), 7.57 (d, / = 8.4 Hz, 2H), 7.83 (d, / = 8.4 Hz, 2H), 10.45 (s, 1H); APCI-MS (m/z) 524 (M+H)+.
Example 39
N-[3'-Chloro-2-(2-fluorophenoxy)biphenyl-4-yl]-2-[4- (ethylsulfony l)pheny 1] acetami
The title compound was prepared by the reaction of Intermediate 35 (70 mg, 0.223 mmol) with [4-(ethylsulfonyl)phenyl] acetic acid (50 mg, 0.223 mmol) using EDCI (50 mg, 0.262 mmol), HOBt (40 mg, 0.297 mmol) in dichloromethane (5 ml) as per the process described in Example 1 to yield 47 mg of product as white solid. 1H NMR (300 MHz, DMSO-J6) δ 1.10 (t, / = 5.4 Hz, 3H), 3.24 (q, / = 5.7 Hz, 2H), 3.81 (s, 2H), 6.93 (d, / = 6.6 Hz, 2H), 7.1 1 (d, / = 6.3 Hz, 2H), 7.29 (t, / = 4.8 Hz, 1H), 7.38-
7.48 (m, 3H), 7.54-7.60 (m, 4H), 7.79 (s, 1H), 7.81-7.90 (d, / = 6.0 Hz, 2H), 10.41 (s, 1H); APCI-MS (m/z) 524 (M+H)+.
Example 40
N-[3'-Chloro-2-(3-fluorophenoxy)biphenyl-4-yl]-2-[4- (ethylsulfony l)pheny 1] ac
The title compound was prepared by the reaction of Intermediate 36 (68 mg, 0.219 mmol) with [4-(ethylsulfonyl)phenyl] acetic acid (50 mg, 0.219 mmol) using EDCI (49 mg, 0.260 mmol), HOBt (39 mg, 0.290 mmol) in dichloromethane (5 ml) as per the process described in Example 1 to yield 52 mg of product as an off-white solid. 1H NMR (300 MHz, DMSO-J6) δ 1.08 (t, / = 5.7 Hz, 3H), 3.18-3.25 (m, 2H), 3.79 (s, 2H), 6.79 (d, / = 7.2 Hz, 1H), 7.83-7.95 (m, 2H), 7.31-7.52 (m, 9H), 7.57 (d, / = 8.7 Hz, 2H), 7.82 (d, / = 8.7 Hz, 2H), 10.46 (s, 1H); APCI-MS (m/z) 524 (M+H)+.
Example 41
N-[3'-Chloro-2-(4-fluorophenoxy)biphenyl-4-yl]-2-[4- (ethylsulfony l)pheny 1] acetamide
The title compound was prepared by the reaction of Intermediate 37 (68 mg, 0.219 mmol) with [4-(ethylsulfonyl)phenyl] acetic acid (50 mg, 0.219 mmol) using EDCI (50 mg, 0.262 mmol), HOBt (39 mg, 0.292 mmol) in dichloromethane (5 ml) as per the process described in Example 1 to yield 42 mg of product as an off-white solid. 1H NMR (300 MHz, DMSO-J6) δ 1.08 (t, / = 5.7 Hz, 3H), 3.20-3.30 (m, 2H), 3.76 (s, 2H), 7.01-7.10 (m, 2H), 7.15-7.30 (m, 3H), 7.35-7.60 (m, 8H), 7.82 (d, / = 8.7 Hz, 2H), 10.41 (s, 1H); APCI-MS (m/z) 524.66 (M+H)+.
Example 42
N-[3'-Chloro-2-(2-chlorophenoxy)biphenyl-4-yl]-2-[4- (ethylsulfony l)pheny 1] acetami
The title compound was prepared by the reaction of Intermediate 38 (50 mg, 0.219 mmol) with [4-(ethylsulfonyl)phenyl] acetic acid (72 mg, 0.219 mmol) using EDCI (50 mg, 0.263 mmol), HOBt (40 mg, 0.298 mmol) in dichloromethane (4 ml) as per the process described in Example 1 to yield 36 mg of product as white solid. 1H NMR (300 MHz, DMSO-J6) δ 1.08 (t, / = 5.4 Hz, 3H), 3.25 (q, / = 5.7 Hz, 2H), 3.75 (s, 2H), 7.05 (d, / = 6.0 Hz, 1H), 7.14-7.21 (m, 2H), 7.29-7.56 (m, 9H), 7.62 (s, 1H), 7.81 (d, / = 6.0 Hz, 2H), 10.39 (s, 1H); APCI-MS (m/z) 540 (M+H)+.
Example 43
N-[3'-Chloro-2-(3-chlorophenoxy)biphenyl-4-yl]-2-[4- (ethylsulfony l)pheny 1] acetamide
The title compound was prepared by the reaction of Intermediate 39 (61 mg, 0.219 mmol) with [4-(ethylsulfonyl)phenyl] acetic acid (50 mg, 0.219 mmol) using EDCI (54 mg, 0.282 mmol), HOBt (35 mg, 0.291 mmol) in dichloromethane (5 ml) as per the process described in Example 1 to yield 50 mg of product as off-white solid. 1H NMR (300 MHz, DMSO-J6) δ 1.08 (t, / = 7.5 Hz, 3H), 3.20-3.28 (m, 2H), 3.79 (s, 2H), 6.92 (d, / = 8.1 Hz, 1H), 7.06 (s, 1H), 7.15 (d, / = 8.1 Hz, 1H), 7.36 (t, / = 8.4 Hz, 4H), 7.49-7.60 (m, 6H), 7.83 (d, / = 8.4 Hz, 2H), 10.46 (s, 1H); APCI-MS (m/z) 540 (M+H)+.
Example 44
The title compound was prepared by the reaction of Intermediate 40 (72 mg, 0.219 mmol) with [4-(ethylsulfonyl)phenyl] acetic acid (50 mg, 0.219 mmol) using EDCI (50 mg, 0.261 mmol), HOBt (39 mg, 0.292 mmol) in dichloromethane (5 ml) as per the process described in Example 1 to yield 58 mg of product as off-white solid. 1H NMR (300 MHz, DMSO-J6) δ 1.08 (t, / = 5.7 Hz, 3H), 3.20-3.30 (m, 2H), 3.78 (s, 2H), 6.99 (d, / = 8.7 Hz, 2H), 7.30-7.60 (m, 1 1H), 7.83 (d, / = 8.7 Hz, 2H), 10.44 (s, 1H); APCI-MS (m/z) 540 (M+H)+.
Example 45
N-[3'-Chloro-2-(2-cyanophenoxy)biphenyl-4-yl]-2-[4- (ethylsulfony l)pheny 1] ac
The title compound was prepared by the reaction of Intermediate 41 (35 mg, 0.109 mmol) with [4-(ethylsulfonyl)phenyl] acetic acid (32 mg, 0.109 mmol) using EDCI (25 mg, 0.131 mmol), HOBt (20 mg, 0.153 mmol) in dichloromethane (4 ml) as per the process described in Example 1 to yield 19 mg of product as off-white solid. 1H NMR (300 MHz, DMSO-J6) δ 1.09 (t, / = 5.7 Hz, 3H), 3.26 (q, / = 5.7 Hz, 2H), 3.81 (s, 2H), 6.91 (d, / = 6.3 Hz, 1H), 7.22 (t, / = 6.3 Hz, 1H), 7.34-7.61 (m, 10H), 7.84 (d, / = 6.3 Hz, 3H), 10.54 (s, 1H); APCI-MS (m/z) 531 (M+H)+.
Example 46
N-[3'-Chloro-2-(3-cyanophenoxy)biphenyl-4-yl]-2-[4- (ethylsulfony l)pheny 1] ac
The title compound was prepared by the reaction of Intermediate 42 (70 mg, 0.219 mmol) with [4-(ethylsulfonyl)phenyl] acetic acid (50 mg, 0.219 mmol) using EDCI (50 mg, 0.262 mmol), HOBt (39 mg, 0.292 mmol) in dichloromethane (5 ml) as per the process described in Example 1 to yield 35 mg of product as white solid. 1H NMR (300 MHz, DMSO-J6) δ 1.08 (t, / = 6.9 Hz, 3H), 3.27 (q, / = 6.6 Hz, 2H), 3.79 (s, 2H), 7.37-7.44 (m, 6H), 7.51-7.58 (m, 7H), 7.83 (d, / = 7.8 Hz, 2H), 10.49 (s, 1H); APCI-MS (m/z) 531 (M+H)+.
Example 47
N-[4'-Chloro-2-(3-fluorophenoxy)biphenyl-4-yl]-2-[4- (ethylsulfony l)pheny 1] acetamide
The title compound was prepared by the reaction of Intermediate 43 (68 mg, 0.219 mmol) with [4-(ethylsulfonyl)phenyl] acetic acid (50 mg, 0.219 mmol) using EDCI (49 mg, 0.260 mmol), HOBt (39 mg, 0.292 mmol) in dichloromethane (5 ml) as per the process described in Example 1 to yield 45 mg of product as white solid. 1H NMR (300 MHz, DMSO-J6) δ 1.08 (t, / = 5.7 Hz, 3H), 3.20-3.27 (m, 2H), 3.79 (s, 2H), 6.71-6.93 (m, 3H), 7.31-7.60 (m, 10H), 7.82 (d, / = 8.4 Hz, 2H), 10.46 (s, 1H); APCI- MS (m/z) 524 (M+H)+.
Example 48
N-[4'-Chloro-2-(3-chlorophenoxy)biphenyl-4-yl]-2-[4- (ethylsulfony l)pheny 1] ac
The title compound was prepared by the reaction of Intermediate 45 (72 mg, 0.219 mmol) with [4-(ethylsulfonyl)phenyl] acetic acid (50 mg, 0.219 mmol) using EDCI (50 mg, 0.262 mmol), HOBt (39 mg, 0.292 mmol) in dichloromethane (5 ml) as per the process described in Example 1 to yield 30 mg of product as white solid. 1H NMR
(300 MHz, DMSO-J6) δ 1.08 (t, / = 5.7 Hz, 3H), 3.20-3.31 (m, 2H), 3.79 (s, 2H), 6.90 (d, / = 6.9 Hz, 1H), 7.03 (s, 1H), 7.14 (d, / = 6.9 Hz, 1H), 7.27-7.50 (m, 8H), 7.57 (d, / = 8.4 Hz, 2H), 7.82 (d, / = 8.4 Hz, 2H), 10.45 (s, 1H); APCI-MS (m/z) 540.24 (M+H)+.
Example 49
N-[4'-Chloro-2-(3-cyanophenoxy)biphenyl-4-yl]-2-[4- (ethylsulfony l)pheny 1] ac
The title compound was prepared by the reaction of Intermediate 47 (70 mg, 0.219 mmol) with [4-(ethylsulfonyl)phenyl] acetic acid (50 mg, 0.219 mmol) using EDCI (50 mg, 0.262 mmol), HOBt (39 mg, 0.293 mmol) in dichloromethane (5 ml) as per the process described in Example 1 to yield 40 mg of product as 9 off white solid. 1H
NMR (300 MHz, DMSO-J6) δ 1.08 (t, / = 7.5 Hz, 3H), 3.26 (q, / = 7.5 Hz, 2H), 3.79 (s, 2H), 7.28 (d, / = 6.6 Hz, 1H), 7.38-7.46 (m, 6H), 7.49-7.58 (m, 6H), 7.83 (d, / = 8.4 Hz, 2H), 10.47 (s, 1H); APCI-MS (m/z) 531 (M)+.
Example 50
N-[4'-Chloro-2-(4-fluorophenoxy)biphenyl-4-yl]-2-[4- (ethylsulfony l)pheny 1] acetamide
The title compound was prepared by the reaction of Intermediate 44 (68 mg, 0.219 mmol) with [4-(ethylsulfonyl)phenyl] acetic acid (50 mg, 0.219 mmol) using EDCI (49 mg, 0.262 mmol), HOBt (39 mg, 0.290 mmol) in dichloromethane (5 ml) as per the process described in Example 1 to yield 21 mg of product as white solid. 1H NMR (300 MHz, DMSO-J6) δ 1.08 (t, / = 5.7 Hz, 3H), 3.21-3.28 (m, 2H), 3.76 (s, 2H), 7.00-7.09 (m, 2H), 7.19 (t, / = 8.7 Hz, 2H), 7.24-7.30 (m, 1H), 7.42-7.50 (m, 4H), 7.51-7.60 (m, 4H), 7.82 (d, / = 8.4 Hz, 2H), 10.40 (s, 1H); APCI-MS (m/z) 524 (M+H)+.
Example 51
N-[4'-Chloro-2-(4-chlorophenoxy)biphenyl-4-yl]-2-[4- (ethylsulfony l)pheny 1] acetamide
The title compound was prepared by the reaction of Intermediate 46 (72 mg, 0.219 mmol) with [4-(ethylsulfonyl)phenyl] acetic acid (50 mg, 0.219 mmol) using EDCI (50 mg, 0.262 mmol), HOBt (44 mg, 0.327 mmol) in dichloromethane (5 ml) as per the process described in Example 1 to yield 15 mg of product as off-white solid. 1H NMR (300 MHz, DMSO-J6) δ 1.09 (t, / = 5.7 Hz, 3H), 3.22-3.30 (m, 2H), 3.78 (s, 2H), 6.98 (d, / = 9.0 Hz, 2H), 7.30-7.60 (m, 11H), 7.83 (d, / = 9.0 Hz, 2H), 10.44 (s, 1H); APCI-MS (m/z) 540 (M+H)+.
Example 52
2-[4-(Ethylsulfonyl)phenyl]-N-[2-(3-fluorophenoxy)-2'-methoxybiphenyl-4- yl] acetamide
The title compound was prepared by the reaction of Intermediate 48 (80 mg, 0.258 mmol) with [4-(ethylsulfonyl)phenyl] acetic acid (59 mg, 0.258 mmol) using EDCI (59 mg, 0.310 mmol), HOBt (45 mg, 0.346 mmol) in dichloromethane (10 ml) as per the process described in Example 1 to yield 36 mg of product as white solid. 1H NMR (300 MHz, DMSO-J6) δ 1.08 (t, / = 7.5 Hz, 3H), 3.26 (q, / = 7.5 Hz, 2H), 3.58 (s, 3H), 3.78 (s, 2H), 6.74 (d, / = 7.8 Hz, 1H), 6.87-6.99 (m, 3H), 7.15 (d, / = 6.9 Hz, 2H), 7.24-7.36 (m, 4H), 7.43 (d, / = 8.7 Hz, 1H), 7.58 (d, / = 7.8 Hz, 2H), 7.83 (d, / = 8.4 Hz, 2H), 10.39 (s, 1H); APCI-MS (m/z) 520 (M+H)+.
Example 53
The title compound was prepared by the reaction of Intermediate 49 (76 mg, 0.219 mmol) with [4-(ethylsulfonyl)phenyl] acetic acid (50 mg, 0.219 mmol) using EDCI (50 mg, 0.262 mmol),. 1H HOBt (39 mg, 0.293 mmol) in dichloromethane (5 ml) as per the process described in Example 1 to yield 68 mg of product as white solid NMR (300 MHz, DMSO-J6) δ 1.08 (t, / = 7.2 Hz, 3H), 3.27 (q, / = 7.2 Hz, 2H), 3.80 (s, 2H), 6.78 (d, / = 8.7 Hz, 1H), 6.84-6.94 (m, 2H), 7.35 (d, / = 7.8 Hz, 1H), 7.43 (s, 1H), 7.54-7.64 (m, 6H), 7.79-7.85 (m, 4H), 10.49 (s, 1H); APCI-MS (m/z) 558 (M+H)+.
Example 54
N- [3 '-(Difluoromethoxy)-2-(3 -fluorophenoxy)biphenyl-4-yl] -2- [4- (ethylsulfonyl)phenyl] acetamide
The title compound was prepared by the reaction of Intermediate 50 (95 mg, 0.275 mmol) with [4-(ethylsulfonyl)phenyl] acetic acid (63 mg, 0.275 mmol) using EDCI (63 mg, 0.330 mmol), HOBt (50 mg, 0.368 mmol) in dichloromethane (4 ml) as per the process described in Example 1 to yield 60 mg of product as white solid. 1H NMR
(300 MHz, DMSO-J6) δ 1.08 (t, / = 7.5 Hz, 3H), 3.26 (q, / = 6.9 Hz, 2H), 3.79 (s, 2H), 6.77 (d, / = 7.8 Hz, 2H), 6.83-6.97 (m, 1H), 7.12 (br s, 1H), 7.21-7.29 (m, 2H), 7.35-7.42 (m, 4H), 7.50 (s, 2H), 7.57 (d, / = 7.8 Hz, 2H), 7.83 (d, / = 7.5 Hz, 2H), 10.47 (s, 1H); APCI-MS (m/z) 554 (M-H)~.
Example 55
The title compound was prepared by the reaction of Intermediate 51 (80 mg, 0.220 mmol) with [4-(ethylsulfonyl)phenyl] acetic acid (50 mg, 0.220 mmol) using EDCI (50 mg, 0.264 mmol), HOBt (39 mg, 0.295 mmol) in dichloromethane (10 ml) as per the process described in Example 1 to yield 35 mg of product as white solid. 1H NMR (300 MHz, DMSO-J6) δ 1.09 (t, / = 7.5 Hz, 3H), 3.26 (q, / = 7.5 Hz, 2H), 3.79 (s, 2H), 6.75 (d, / = 9.0 Hz, 2H), 6.92 (br s, 1H), 7.31-7.40 (m, 4H), 7.43-7.50 (m, 4H), 7.58 (d, / = 7.8 Hz, 2H), 7.83 (d, / = 8.4 Hz, 2H), 10.46 (s, 1H); APCI-MS (m/z) 574 (M+H)+.
Example 56
2-[4-(Ethylsulfonyl)phenyl]-N-[2-(3-fluorophenoxy)-3'-(trifluoromethoxy)biphenyl-4- yl] acetamide
The title compound was prepared by the reaction of Intermediate 52 (70 mg, 0.192 mmol) with [4-(ethylsulfonyl)phenyl] acetic acid (43 mg, 0.192 mmol) using EDCI (44 mg, 0.213 mmol), HOBt (34 mg, 0.258 mmol) in dichloromethane (5 ml) as per the process described in Example 1 to yield 45 mg of product as white solid. 1H NMR
(300 MHz, DMSO-J6) δ 1.09 (t, / = 7.8 Hz, 3H), 3.26 (q, / = 6.9 Hz, 2H), 3.79 (s, 2H), 6.77 (d, / = 7.8 Hz, 1H), 6.82-6.92 (m, 2H), 7.30 (br s, 1H), 7.35 (d, / = 8.4 Hz, 1H), 7.43 (d, / = 6.9 Hz, 2H), 7.51 (s, 4H), 7.57 (d, / = 8.1 Hz, 2H), 7.83 (d, / = 7.8 Hz, 2H), 10.47 (s, 1H); APCI-MS (m/z) 574 (M+H)+.
Example 57
The title compound was prepared by the reaction of Intermediate 53 (70 mg, 0.230 mmol) with [4-(ethylsulfonyl)phenyl] acetic acid (52 mg, 0.230 mmol) using EDCI (52 mg, 0.276 mmol), HOBt (41 mg, 0.3082 mmol) in dichloromethane (10 ml) as per the process described in Example 1 to yield 32 mg of product as white solid. 1H NMR (300 MHz, DMSO-J6) δ 1.09 (t, / = 7.8 Hz, 3H), 3.26 (q, / = 7.5 Hz, 2H), 3.80 (s, 2H), 6.80-6.86 (m, 2H), 6.95 (br s, 1H), 7.36-7.43 (m, 3H), 7.49-7.59 (m, 5H), 7.71 (t, / = 7.8 Hz, 1H), 7.82-7.88 (m, 3H), 10.51 (s, 1H); APCI-MS (m/z) 515 (M+H)+.
Example 58
N-[3'-Cyano-2-(3-fluorophenoxy)biphenyl-4-yl]-2-[4- (ethylsulfony l)pheny 1] acetamide
The title compound was prepared by the reaction of Intermediate 54 (66 mg, 0.219 mmol) with [4-(ethylsulfonyl)phenyl] acetic acid (50 mg, 0.219 mmol) using EDCI (50 mg, 0.262 mmol), HOBt (40 mg, 0.293 mmol) in dichloromethane (4 ml) as per the process described in Example 1 to yield 31 mg of product as off white solid. 1H NMR (300 MHz, DMSO-J6) δ 1.08 (t, / = 7.5 Hz, 3H), 3.27 (q, / = 7.2 Hz, 2H), 3.79 (s, 2H), 6.81 (d, / = 7.8 Hz, 1H), 6.89-6.95 (m, 2H), 7.39 (m, 2H), 7.52-7.61 (m, 5H), 7.77 (d, / = 8.4 Hz, 1H), 7.81-7.85 (m, 3H), 7.94 (br s, 1H), 10.49 (s, 1H); APCI-MS (m z) 515 (M+H)+.
Example 59
The title compound was prepared by the reaction of Intermediate 55 (70 mg, 0.219 mmol) with [4-(ethylsulfonyl)phenyl] acetic acid (50 mg, 0.219 mmol) using EDCI (50 mg, 0.262 mmol), HOBt (39 mg, 0.293 mmol) in dichloromethane (5 ml) as per the process described in Example 1 to yield 30 mg of product as off white solid. 1H NMR (300 MHz, DMSO-J6) δ 1.08 (t, / = 7.5 Hz, 3H), 3.24 (q, / = 7.2 Hz, 2H), 3.79 (s, 2H), 6.96 (d, / = 8.4 Hz, 1H), 7.1 1 (br s, 1H), 7.17 (d, / = 8.1 Hz, 1H), 7.34-7.40 (m, 2H), 7.53-7.61 (m, 5H), 7.76 (d, / = 7.8 Hz, 1H), 7.81-7.86 (m, 3H), 7.95 (br s, 1H), 10.48 (s, 1H); APCI-MS (m/z) 531 (M)+.
Example 60
N-[4'-Cyano-2-(3-fluorophenoxy)biphenyl-4-yl]-2-[4- (ethylsulfony l)pheny 1] ac
The title compound was prepared by the reaction of Intermediate 56 (66 mg, 0.219 mmol) with [4-(ethylsulfonyl)phenyl] acetic acid (50 mg, 0.219 mmol) using EDCI (50 mg, 0.262 mmol), HOBt (40 mg, 0.293 mmol) in dichloromethane (5 ml) as per the process described in Example 1 to yield 51 mg of product as off white solid. 1H NMR (300 MHz, DMSO-J6) δ 1.08 (t, / = 7.2 Hz, 3H), 3.24 (q, / = 7.5 Hz, 2H), 3.79 (s, 2H), 6.81 (d, / = 8.4 Hz, 1H), 6.82-6.95 (m, 2H), 7.34-7.39 (m, 2H), 7.52 (br s, 2H), 7.57 (d, / = 8.4 Hz, 2H), 7.70 (d, / = 8.4 Hz, 2H), 7.81-7.86 (m, 4H), 10.50 (s, 1H); APCI-MS (m/z) 515 (M+H)+.
Example 61
The title compound was prepared by the reaction of Intermediate 57 (70 mg, 0.219 mmol) with [4-(ethylsulfonyl)phenyl] acetic acid (50 mg, 0.219 mmol) using EDCI (50 mg, 0.262 mmol), HOBt (39 mg, 0.293 mmol) in dichloromethane (5 ml) as per the process described in Example 1 to yield 40 mg of product as white solid. 1H NMR (300 MHz, DMSO-J6) δ 1.08 (t, / = 7.5 Hz, 3H), 3.26 (q, / = 7.2 Hz, 2H), 3.79 (s, 2H), 6.96 (d, / = 7.8 Hz, 1H), 7.10 (br s, 1H), 7.17-7.20 (m, 1H), 7.34-7.40 (m, 2H), 7.53 (br s, 2H), 7.57 (d, / = 7.8 Hz, 2H), 7.71 (d, / = 8.1 Hz, 2H), 7.81-7.86 (m, 4H), 10.49 (s, 1H); APCI-MS (m/z) 532 (M+H)+.
Example 62
N-[2-(3,4-Difiuorophenoxy)-3'-fluorobiphenyl-4-yl]-2-[4- (ethylsulfony l)pheny 1] acetamide
The title compound was prepared by the reaction of Intermediate 58 (69 mg, 0.219 mmol) with [4-(ethylsulfonyl)phenyl] acetic acid (50 mg, 0.219 mmol) using EDCI (50 mg, 0.262 mmol), HOBt (40 mg, 0.293 mmol) in dichloromethane (2 ml) as per the process described in Example 1 to yield 53 mg of product as white solid. 1H NMR
(300 MHz, DMSO-J6) δ 1.07 (t, / = 7.5 Hz, 3H), 3.25 (q, / = 7.8 Hz, 2H), 3.76 (s, 2H), 6.79-6.84 (m, 1H), 7.09-7.19 (m, 2H), 7.29-7.35 (m, 3H), 7.37-7.41 (m, 2H), 7.46 (s, 2H), 7.55 (d, / = 8.4 Hz, 2H), 7.81 (d, / = 8.4 Hz, 2H), 10.42 (s, 1H); APCI- MS (m/z) 526 (M+H)+.
Example 63
N-[2-(3,5-Difluorophenoxy)-3'-fluorobiphenyl-4-yl]
The title compound was prepared by the reaction of Intermediate 59 (69 mg, 0.219 mmol) with [4-(ethylsulfonyl)phenyl] acetic acid (50 mg, 0.219 mmol) using EDCI (50 mg, 0.262 mmol), HOBt (40 mg, 0.293 mmol) in dichloromethane (5 ml) as per the process described in Example 1 to yield 52 mg of product as white solid. 1H NMR (300 MHz, DMSO-J6) δ 1.09 (t, / = 7.2 Hz, 3H), 3.27 (q, / = 6.6 Hz, 2H), 3.81 (s, 2H), 6.71 (br s, 2H), 6.94 (br s, 1H), 7.13 (br s, 1H), 7.32 (br s, 2H), 7.40-7.46 (m, 3H), 7.52 (s, 1H), 7.58 (d, / = 7.8 Hz, 2H), 7.83 (d, / = 6.9 Hz, 2H), 10.50 (s, 1H); APCI-MS (m/z) 526 (M+H)+.
Example 64
N-[2-(3-Chloro-4-fluorophenoxy)-3'-fluorobiphenyl-4-yl]-2-[4- (ethylsulfony l)pheny 1] acetamide
The title compound was prepared by the reaction of Intermediate 60 (73 mg, 0.219 mmol) with [4-(ethylsulfonyl)phenyl] acetic acid (50 mg, 0.219 mmol) using EDCI (50 mg, 0.262 mmol), HOBt (40 mg, 0.293 mmol) in dichloromethane (5 ml) as per the process described in Example 1 to yield 54 mg of product as off white solid. 1H NMR (300 MHz, DMSO-J6) δ 1.08 (t, / = 7.5 Hz, 3H), 3.26 (q, / = 7.2 Hz, 2H), 3.78 (s, 2H), 7.03 (br s, 1H), 7.13 (br s, 1H), 7.30-7.36 (m, 4H), 7.40-7.46 (m, 2H), 7.49 (s, 2H), 7.57 (d, / = 8.4 Hz, 2H), 7.83 (d, / = 7.2 Hz, 2H), 10.43 (s, 1H); APCI-MS (m/z) 542 (M+H)+.
Example 65
The title compound was prepared by the reaction of Intermediate 61 (90 mg, 0.285 mmol) with [4-(ethylsulfonyl)phenyl] acetic acid (65 mg, 0.285 mmol) using EDCI (65 mg, 0.342 mmol), HOBt (51 mg, 0.382 mmol) in dichloromethane (10 ml) as per the process described in Example 1 to yield 30 mg of product as off-white solid. 1H NMR (300 MHz, DMSO-J6) δ 1.08 (t, / = 7.2 Hz, 3H), 3.26 (q, / = 7.8 Hz, 2H), 3.79 (s, 2H), 6.77-6.84 (m, 2H), 6.94 (br s, 1H), 7.21 (br s, 2H), 7.36-7.43 (m, 4H), 7.51 (d, / = 9.9 Hz, 1H), 7.57 (d, / = 7.8 Hz, 2H), 7.83 (d, / = 8.1 Hz, 2H), 10.48 (s, 1H); APCI-MS (m/z) 526 (M+H)+.
Example 66
N-[2',5'-Difluoro-2-(3-fluorophenoxy)biphenyl-4-yl]-2-[4- (ethylsulfony l)pheny 1] ac
The title compound was prepared by the reaction of Intermediate 62 (90 mg, 0.285 mmol) with [4-(ethylsulfonyl)phenyl] acetic acid (65 mg, 0.285 mmol) using EDCI (65 mg, 0.342 mmol), HOBt (51 mg, 0.382 mmol) in dichloromethane (10 ml) as per the process described in Example 1 to yield 31 mg of product as white solid. 1H NMR (300 MHz, DMSO-J6) δ 1.08 (t, / = 7.2 Hz, 3H), 3.26 (q, / = 7.2 Hz, 2H), 3.78 (s, 2H), 6.81 (d, / = 9.0 Hz, 1H), 6.84 (s, 1H), 6.94 (t, / = 7.8 Hz, 1H), 7.20-7.26 (m, 3H), 7.35-7.41 (m, 3H), 7.48 (d, / = 8.4 Hz, 1H), 7.57 (d, / = 7.8 Hz, 2H), 7.83 (d, / = 7.8 Hz, 2H), 10.47 (s, 1H); APCI-MS (m/z) 526 (M+H)+.
Example 67
The title compound was prepared by the reaction of Intermediate 63 (75 mg, 0.237 mmol) with [4-(ethylsulfonyl)phenyl] acetic acid (54 mg, 0.237 mmol) using EDCI (54 mg, 0.285 mmol), HOBt (43 mg, 0.318 mmol) in dichloromethane (10 ml) as per the process described in Example 1 to yield 38 mg of product as off white solid. 1H NMR (300 MHz, DMSO-J6) δ 1.08 (t, / = 7.5 Hz, 3H), 3.26 (q, / = 7.2 Hz, 2H), 3.79 (s, 2H), 6.80 (d, / = 7.2 Hz, 1H), 6.85-6.96 (m, 2H), 7.33-7.38 (m, 4H), 7.42-7.51 (m, 3H), 7.57 (d, / = 7.8 Hz, 2H), 7.83 (d, / = 8.4 Hz, 2H), 10.45 (s, 1H); ESI-MS (m/z) 524 (M-H)+.
Example 68
N-[3',5'-Difluoro-2-(3-fluorophenoxy)biphenyl-4-yl]-2-[4- (ethylsulfony l)pheny 1] ac
The title compound was prepared by the reaction of Intermediate 66 (90 mg, 0.285 mmol) with [4-(ethylsulfonyl)phenyl] acetic acid (55 mg, 0.285 mmol) using EDCI (65 mg, 0.342 mmol), HOBt (51 mg, 0.382 mmol) in dichloromethane (10 ml) as per the process described in Example 1 to yield 40 mg of product as white solid. 1H NMR
(300 MHz, DMSO-J6) δ 1.08 (t, / = 7.5 Hz, 3H), 3.26 (q, / = 7.2 Hz, 2H), 3.79 (s, 2H), 6.82 (d, / = 9.0 Hz, 1H), 6.89-6.95 (m, 2H), 7.15-7.24 (m, 3H), 7.39 (m, 2H), 7.52 (s, 2H), 7.57 (d, / = 8.4 Hz, 2H), 7.83 (d, / = 8.4 Hz, 2H), 10.48 (s, 1H); APCI- MS (m/z) 526 (M+H)+.
Example 69
The title compound was prepared by the reaction of Intermediate 64 (80 mg, 0.241 mmol) with [4-(ethylsulfonyl)phenyl] acetic acid (55 mg, 0.241 mmol) using EDCI (55 mg, 0.289 mmol), HOBt (43 mg, 0.323 mmol) in dichloromethane (10 ml) as per the process described in Example 1 to yield 34 mg of product as white solid. 1H NMR (300 MHz, DMSO-J6) δ 1.06 (t, / = 7.2 Hz, 3H), 3.24 (q, / = 7.5 Hz, 2H), 3.77 (s, 2H), 6.92 (d, J = 8.1 Hz, 1H), 7.06 (br s, 1H), 7.14 (d, / = 7.8 Hz, 1H), 7.31-7.37 (m, 4H), 7.40-7.47 (m, 3H), 7.55 (d, / = 7.8 Hz, 2H), 7.81 (d, / = 8.4 Hz, 2H), 10.44 (s, 1H); APCI-MS (m/z) 542 (M+H)+.
Example 70
N-[2-(3-Chlorophenoxy)-3*,5*-difiuorobiphenyl-4-yl]-2-[4- (ethylsulfony l)pheny 1] ac
The title compound was prepared by the reaction of Intermediate 67 (80 mg, 0.241 mmol) with [4-(ethylsulfonyl)phenyl] acetic acid (55 mg, 0.241 mmol) using EDCI (55 mg, 0.287 mmol), HOBt (43 mg, 0.323 mmol) in dichloromethane (10 ml) as per the process described in Example 1 to yield 37 mg of product as white solid. 1H NMR (300 MHz, DMSO-J6) δ 1.08 (t, / = 7.2 Hz, 3H), 3.26 (q, / = 7.8 Hz, 2H), 3.79 (s, 2H), 6.95 (d, / = 8.1 Hz, 1H), 7.1 1 (s, 1H), 7.17-7.25 (m, 4H), 7.34 (s, 1H), 7.39 (d, / = 8.1 Hz, 1H), 7.52 (s, 2H), 7.56 (d, / = 8.1 Hz, 2H), 7.82 (d, / = 8.1 Hz, 2H), 10.47 (s, 1H); APCI-MS (m/z) 542 (M+H)+.
Example 71
The title compound was prepared by the reaction of Intermediate 68 (90 mg, 0.271 mmol) with [4-(ethylsulfonyl)phenyl] acetic acid (61 mg, 0.271 mmol) using EDCI (62 mg, 0.325 mmol), HOBt (49 mg, 0.363 mmol) in dichloromethane (10 ml) as per the process described in Example 1 to yield 34 mg of product as white solid. 1H NMR (300 MHz, DMSO-J6) δ 1.08 (t, / = 7.2 Hz, 3H), 3.26 (q, / = 7.2 Hz, 2H), 3.79 (s, 2H), 6.93 (d, / = 8.4 Hz, 1H), 7.03 (s, 1H), 7.16 (d, / = 7.2 Hz, 1H), 7.21-7.29 (m, 3H), 7.31-7.37 (m, 2H), 7.40 (d, / = 7.8 Hz, 1H), 7.50 (d, / = 9.0 Hz, 1H), 7.57 (d, / = 7.2 Hz, 2H), 7.83 (d, / = 8.7 Hz, 2H), 10.47 (s, 1H); APCI-MS (m/z) 540 (M-H)+.
Example 72
N-[2-(3-Cyanophenoxy)-3',4'-difiuorobiphenyl-4-yl]-2-[4- (ethylsulfony l)pheny 1] ac
The title compound was prepared by the reaction of Intermediate 65 (100 mg, 0.310 mmol) with [4-(ethylsulfonyl)phenyl] acetic acid (70 mg, 0.310 mmol) using EDCI (71 mg, 0.372 mmol), HOBt (56 mg, 0.415 mmol) in dichloromethane (10 ml) as per the process described in Example 1 to yield 52 mg of product as white solid. 1H NMR
(300 MHz, DMSO-J6) δ 1.08 (br s, 3H), 3.32 (q, / = 7.5 Hz, 2H), 3.78 (s, 2H), 7.35 (br s, 4H), 7.50 (br s, 5H), 7.56 (br s, 3H), 7.83 (d, / = 7.2 Hz, 2H), 10.47 (s, 1H); APCI-MS (m/z) 533 (M+H)+.
Example 73
N-[2-(3-Cyanophenoxy)-3',5'-difluorobiphenyl-4- (ethylsulfony l)pheny 1] ac
The title compound was prepared by the reaction of Intermediate 69 (67 mg, 0.219 mmol) with [4-(ethylsulfonyl)phenyl] acetic acid (50 mg, 0.219 mmol) using EDCI (50 mg, 0.262 mmol), HOBt (40 mg, 0.293 mmol) in dichloromethane (5 ml) as per the process described in Example 1 to yield 35 mg of product as white solid. 1H NMR (300 MHz, DMSO-J6) δ 1.08 (t, / = 7.2 Hz, 3H), 3.26 (d, / = 7.2 Hz, 2H), 3.79 (s, 2H), 7.18-7.24 (m, 2H), 7.35 (br s, 2H), 7.56 (br s, 7H), 7.83 (d, / = 7.2 Hz, 2H); APCI-MS (m/z) 533 (M+H)+.
Example 74
2-[4-(Ethylsulfonyl)phenyl]-N-[3',4',5'-trifluoro-2-(3-fluorophenoxy)biphi
yljacetamide
The title compound was prepared by the reaction of Intermediate 70 (1 10 mg, 0.330 mmol) with [4-(ethylsulfonyl)phenyl] acetic acid (75 mg, 0.330 mmol) using EDCI (75 mg, 0.396 mmol), HOBt (59 mg, 0.442 mmol) in dichloromethane (5 ml) as per the process described in Example 1 to yield 45 mg of product as white solid. 1H NMR (300 MHz, DMSO-J6) δ 1.01 (t, / = 7.2 Hz, 3H), 3.28 (q, / = 7.2 Hz, 2H), 3.85 (s, 2H), 6.83 (d, / = 9.6 Hz, 1H), 6.97 (d, / = 9.3 Hz, 2H), 7.42 (br s, 2H), 7.53 (d, / = 9.9 Hz, 2H), 7.61 (d, / = 8.7 Hz, 3H), 7.70-7.76 (m, 1H), 7.85 (d, / = 8.1 Hz, 2H), 10.63 (s, 1H); APCI-MS (m/z) 544 (M+H)+.
Example 75
2-[4-(Ethylsulfonyl)phenyl]-N- {4-(lH-pyrazol-l-yl)-3-[3- (trifluoromethoxy)phenoxy]phenyl} acetamide
The title compound was prepared by the reaction of Intermediate 99 (50 mg, 0.219 mmol) with [4-(ethylsulfonyl)phenyl] acetic acid (88 mg, 0.262 mmol) using EDCI (57 mg, 0.297 mmol), HOBt (36 mg, 0.262 mmol) in dichloromethane (5 ml) as per the process described in Example 1 to yield 100 mg of product as white solid. H
NMR (300 MHz, DMSO-J6) δ 1.08 (br s, 3H), 3.32 (br s, 2H), 3.78 (s, 2H), 6.41 (s, 1H), 7.04-7.1 1 (m, 3H), 7.50-7.63 (m, 5H), 7.65 (br s, 2H), 7.82 (br s, 2H), 8.08 (s, 1H), 10.52 (s, 1H); APCI-MS (m/z) 547 (M+H)+.
Example 76
2-[4-(Ethylsulfonyl)phenyl] -N- [3 -(3 -methylphenoxy)-4-(3 -methyl- 1 H-pyrazol- 1 - yl)phenyl] acetamide
The title compound was prepared by the reaction of Intermediate 100 (73 mg, 0.262 mmol) with [4-(ethylsulfonyl)phenyl] acetic acid (50 mg, 0.219 mmol) using EDCI (36 mg, 0.262 mmol), HOBt (36 mg, 0.262 mmol) in dichloromethane (5 ml) as per the process described in Example 1 to yield 90 mg of product as white solid. 1H NMR (300 MHz, DMSO-J6) δ 1.08 (t, / = 7.2 Hz, 3H), 2.22 (s, 3H), 2.27 (s, 3H), 3.26 (q, / = 7.2 Hz, 2H), 3.76 (s, 2H), 6.21 (s, 1H), 6.80 (d, / = 9.0 Hz, 1H), 6.86 (s, 1H), 6.96 (d, / = 8.4 Hz, 1H), 7.25 (t, / = 8.1 Hz, 1H), 7.35 (s, 1H), 7.46 (d, / = 9.0 Hz, 1H), 7.56 (d, / = 8.4 Hz, 2H), 7.67 (d, / = 8.7 Hz, 1H), 7.82 (d, / = 7.8 Hz, 2H), 7.96 (s, 1H), 10.42 (s, 1H); APCI-MS (m/z) 490 (M+H)+.
Example 77
2-[4-(Ethylsulfonyl)phenyl] -N- [3 -(3 -fluorophenoxy)-4-(3 -methyl- lH-pyrazol- 1 - yl)phenyl] acetamide
The title compound was prepared by the reaction of Intermediate 101 (50 mg, 0.219 mmol) with [4-(ethylsulfonyl)phenyl] acetic acid (62 mg, 0.219 mmol) using EDCI (50 mg, 0.262 mmol), HOBt (39 mg, 0.293 mmol) in dichloromethane (5 ml) as per the process described in Example 1 to yield 30 mg of product as white solid. 1H NMR (300 MHz, DMSO-J6) δ 1.08 (t, / = 7.2 Hz, 3H), 2.20 (s, 3H), 3.26 (q, / = 7.2 Hz, 2H), 3.78 (s, 2H), 6.21 (s, 1H), 6.83 (d, / = 8.4 Hz, 1H), 6.92-7.00 (m, 2H), 7.35-7.41
(m, 1H), 7.45-7.49 (m, 2H), 7.57 (d, / = 8.7 Hz, 2H), 7.69 (d, / = 8.7 Hz, 1H), 7.83 (d, / = 8.4 Hz, 2H), 7.96 (br s, 1H), 10.48 (s, 1H); APCI-MS (m/z) 494 (M+H)+.
Example 78
N- [3 -(3 -Chlorophenoxy)-4-(3 -methyl- 1 H-pyrazol- 1 -yl)phi
(ethylsulfonyl)phenyl] acetamide
The title compound was prepared by the reaction of Intermediate 102 (65 mg, 0.219 mmol) with [4-(ethylsulfonyl)phenyl] acetic acid (50 mg, 0.219 mmol) using EDCI (50 mg, 0.262 mmol), HOBt (39 mg, 0.293 mmol) in dichloromethane (5 ml) as per the process described in Example 1 to yield 40 mg of product as white solid. 1H NMR (300 MHz, DMSO-J6) δ 1.08 (br s, 3H), 2.20 (s, 3H), 3.28-3.35 (m, 2H), 3.78 (s, 2H), 6.21 (s, 1H), 6.95 (br s, 1H), 7.13-7.19 (m, 2H), 7.44-7.58 (m, 5H), 7.68 (br s, 1H), 7.81 (br s, 2H), 7.96 (br s, 1H), 10.47 (s, 1H); APCI-MS (m/z) 510 (M)+.
Example 79
2-[4-(Ethylsulfonyl)phenyl] -N- [3 -(3 -methoxyphenoxy)-4-(3 -methyl- 1 H-pyrazol- 1 - yl)phenyl] acetamide
The title compound was prepared by the reaction of Intermediate 103 (64 mg, 0.219 mmol) with [4-(ethylsulfonyl)phenyl] acetic acid (50 mg, 0.219 mmol) using EDCI (50 mg, 0.262 mmol), HOBt (40 mg, 0.350 mmol) in dichloromethane (5 ml) as per the process described in Example 1 to yield 31 mg of product as white solid. 1H NMR (300 MHz, DMSO-J6) δ 1.08 (t, / = 7.2 Hz, 3H), 2.21 (s, 3H), 3.25 (q, / = 6.6 Hz, 2H), 3.71 (s, 3H), 3.76 (s, 2H), 6.21 (s, 1H), 6.55 (d, / = 8.4 Hz, 1H), 6.63 (s, 1H), 6.72 (d, / = 8.5 Hz, 1H), 7.26 (t, / = 7.8 Hz, 1H), 7.40 (s, 1H), 7.46 (d, / = 8.4 Hz, 1H), 7.56 (d, / = 6.6 Hz, 2H), 7.67 (d, / = 8.7 Hz, 1H), 7.82 (d, / = 6.9 Hz, 2H), 7.97 (s, 1H), 10.43 (s, 1H); APCI-MS (m/z) 506 (M+H)+.
Example 80
2-[4-(Ethylsulfonyl)phenyl] -N- {4-(3 -methyl- 1 H-pyrazol- 1 -yl)-3 - [3 - (trifluoromethyl)phenoxy] phenyl} acetamide
The title compound was prepared by the reaction of Intermediate 104 (72 mg, 0.219 mmol) with [4-(ethylsulfonyl)phenyl] acetic acid (50 mg, 0.219 mmol) using EDCI (50 mg, 0.262 mmol), HOBt (39 mg, 0.289 mmol) in dichloromethane (5 ml) as per the process described in Example 1 to yield 31 mg of product as white solid. 1H NMR (300 MHz, DMSO-J6) δ 1.08 (t, / = 7.5 Hz, 3H), 2.18 (s, 3H), 3.26 (q, / = 7.2 Hz, 2H), 3.78 (s, 2H), 6.19 (s, 1H), 7.27 (d, / = 7.5 Hz, 1H), 7.39 (s, 1H), 7.46-7.52 (m, 4H), 7.57 (d, / = 8.4 Hz, 2H), 7.69 (d, / = 8.7 Hz, 1H), 7.82 (d, / = 8.1 Hz, 2H), 7.97 (s, 1H), 10.49 (s, 1H); APCI-MS (m/z) 544 (M+H)+.
Example 81
N- { 3 - [3 -(D ifluoromethoxy)phenoxy ] -4-(3 -methyl- 1 H-pyrazol- 1 -y l)phi
(ethylsulfonyl) phenyl] acetamide
The title compound was prepared by the reaction of Intermediate 105 (50 mg, 0.150 mmol) with [4-(ethylsulfonyl)phenyl] acetic acid (34 mg, 0.150 mmol) using EDCI (34 mg, 0.181 mmol), HOBt (27 mg, 0.202 mmol) in dichloromethane (5 ml) as per the process described in Example 1 to yield 34 mg of product as white solid. 1H NMR (300 MHz, DMSO-J6) δ 1.08 (t, / = 7.2 Hz, 3H), 2.20 (s, 3H), 3.26 (q, / = 7.5 Hz, 2H), 3.78 (s, 2H), 6.21 (s, 1H), 6.83-6.95 (m, 3H), 7.40 (t, / = 7.8 Hz, 1H), 7.46 (t, / = 64.5 Hz, 1H), 7.48 (d, / = 9.0 Hz, 2H), 7.57 (d, / = 7.2 Hz, 2H), 7.69 (d, / = 9.0 Hz, 1H), 7.82 (d, / = 8.1 Hz, 2H), 7.95 (s, 1H), 10.47 (s, 1H); APCI-MS (m/z) 542 (M+H)+.
Example 82
2-[4-(Ethylsulfonyl)phenyl] -N- {4-(3 -methyl- 1 H-pyrazol- 1 -yl)-3 - [3 -
(trifluoromethoxy)phenoxy] phenyl} acetamide
The title compound was prepared by the reaction of Intermediate 106 (75 mg, 0.219 mmol) with [4-(ethylsulfonyl)phenyl] acetic acid (50 mg, 0.219 mmol) using EDCI (50 mg, 0.262 mmol), HOBt (39 mg, 0.293 mmol) in dichloromethane (5 ml) as per the process described in Example 1 to yield 37 mg of product as white solid. 1H NMR (300 MHz, DMSO-J6) δ 1.08 (t, / = 7.2 Hz, 3H), 2.19 (s, 3H), 3.26 (q, / = 7.5 Hz, 2H), 3.78 (s, 2H), 6.19 (s, 1H), 6.99 (d, / = 8.4 Hz, 1H), 7.06 (s, 1H), 7.12 (d, / = 9.3 Hz, 1H), 7.44-7.51 (m, 3H), 7.57 (d, / = 8.1 Hz, 2H), 7.69 (d, / = 9.3 Hz, 1H), 7.82 (d, / = 8.1 Hz, 2H), 7.95 (s, 1H), 10.49 (s, 1H); APCI-MS (m/z) 560 (M+H)+.
Example 83
2-[4-(Ethylsulfonyl)phenyl] -N- {4-(3 -methyl- 1 H-pyrazol- 1 -yl)-3 - [4-
(trifluoromethoxy)phenoxy] phenyl} acetamide
The title compound was prepared by the reaction of Intermediate 107 (76 mg, 0.219 mmol) with [4-(ethylsulfonyl)phenyl] acetic acid (50 mg, 0.219 mmol) using EDCI (50 mg, 0.262 mmol), HOBt (47 mg, 0.350 mmol) in dichloromethane (5 ml) as per the process described in Example 1 to yield 24 mg of product as white solid. 1H NMR (300 MHz, DMSO-J6) δ 1.08 (br s, 3H), 2.20 (br s, 3H), 3.24 (q, / = 7.4 Hz, 2H), 3.78 (s, 2H), 6.20 (s, 1H), 7.10 (br s, 3H), 7.35 (br s, 2H), 7.42-7.46 (m, 1H), 7.58 (m, 2H), 7.66 (br s, 1H), 7.81 (br s, 2H), 7.95 (br s, 1H), 10.49 (s, 1H); APCI-MS (m/z) 560 (M+H)+.
Example 84
N- [3 -(3 -Cyanophenoxy)-4-(3 -methyl- 1 H-pyrazol- 1 -yl)phenyl]-2-[4- (ethylsulfonyl)phenyl acetamide
The title compound was prepared by the reaction of Intermediate 108 (63 mg, 0.219 mmol) with [4-(ethylsulfonyl)phenyl] acetic acid (50 mg, 0.219 mmol) using EDCI (49 mg, 0.260 mmol), HOBt (39 mg, 0.291 mmol) in dichloromethane (5 ml) as per the process described in Example 1 to yield 35 mg of product as white solid. 1H NMR (300 MHz, DMSO-J6) δ 1.08 (t, / = 8.1 Hz, 3H), 2.19 (s, 3H), 3.26 (q, / = 7.5 Hz, 2H), 3.79 (s, 2H), 6.19 (s, 1H), 7.33 (d, / = 9.3 Hz, 1H), 7.46-7.51 (m, 2H), 7.54-7.59 (m, 5H), 7.69 (d, / = 9.0 Hz, 1H), 7.83 (d, / = 8.4 Hz, 2H), 7.94 (s, 1H), 10.49 (s, 1H); APCI-MS (m/z) 501 (M+H)+.
Example 85
N- {3 -[3 -(Dimethylamino)phenoxy] -4-(3 -methyl- 1 H-pyrazol- 1 -yl)phenyl} -2- [4- (ethylsulfonyl) phenyljacetamide
The title compound was prepared by the reaction of Intermediate 109 (80 mg, 0.262 mmol) with [4-(ethylsulfonyl)phenyl] acetic acid (50 mg, 0.219 mmol) using EDCI (57 mg, 0.297 mmol), HOBt (36 mg, 0.262 mmol) in dichloromethane (5 ml) as per the process described in Example 1 to yield 60 mg of product as white solid. 1H NMR (300 MHz, DMSO-J6) δ 1.08 (t, / = 7.2 Hz, 3H), 2.23 (s, 3H), 2.87 (s, 6H), 3.26 (q, / = 6.9 Hz, 2H), 3.76 (s, 2H), 6.23 (br s, 2H), 6.41 (s, 1H), 6.50 (d, / = 9.3 Hz, 1H), 7.14 (t, / = 8.1 Hz, 1H), 7.33 (s, 1H), 7.45 (d, / = 9.3 Hz, 1H), 7.56 (d, / = 8.4 Hz, 2H), 7.65 (d, / = 9.3 Hz, 1H), 7.82 (d, / = 8.4 Hz, 2H), 7.99 (s, 1H), 10.39 (s, 1H); APCI-MS (m/z) 519 (M+H)+.
Example 86
N- [3 -(3 ,4-Difluorophenoxy)-4-(3 -methyl- 1 H-pyrazol- 1 -yl)phi
The title compound was prepared by the reaction of Intermediate 1 10 (65 mg, 0.219 mmol) with [4-(ethylsulfonyl)phenyl] acetic acid (50 mg, 0.219 mmol) using EDCI (50 mg, 0.262 mmol), HOBt (39 mg, 0.293 mmol) in dichloromethane (5 ml) as per the process described in Example 1 to yield 26 mg of product as white solid. 1H NMR (300 MHz, DMSO-J6) δ 1.08 (br s, 3H), 2.21 (s, 3H), 3.30 (q, / = 7.4 Hz, 2H), 3.78 (s, 2H), 6.21 (s, 1H), 6.88 (br s, 1H), 7.26 (br s, 1H), 7.41-7.46 (m, 3H), 7.58 (br s, 2H), 7.66 (d, / = 8.1 Hz, 1H), 7.82 (d, / = 8.4 Hz, 2H), 7.97 (s, 1H), 10.45 (s, 1H); APCI-MS (m/z) 512 (M+H)+.
Example 87
N-[3-(3,5-Difluorophenoxy)-4-(3-methyl- lH-pyrazol- 1 -yl)phenyl]-2-[4- (ethylsulfonyl) phenyl] acetamide
The title compound was prepared by the reaction of Intermediate 1 1 1 (65 mg, 0.219 mmol) with [4-(ethylsulfonyl)phenyl] acetic acid (50 mg, 0.219 mmol) using EDCI (50 mg, 0.262 mmol), HOBt (39 mg, 0.243 mmol) in dichloromethane (5 ml) as per the process described in Example 1 to yield 33 mg of product as white solid. 1H NMR (300 MHz, DMSO-J6) δ 1.09 (t, / = 6.9 Hz, 3H), 2.19 (s, 3H), 3.26 (q, / = 7.5 Hz, 2H), 3.80 (s, 2H), 6.21 (s, 1H), 6.78 (d, / = 8.7 Hz, 2H), 7.01 (br s, 1H), 7.49-7.59 (m, 4H), 7.69 (d, / = 8.7 Hz, 1H), 7.83 (d, / = 7.8 Hz, 2H), 7.93 (s, 1H), 10.51 (s, 1H); APCI-MS (m/z) 512 (M+H)+.
Example 88
N-[3-(3-Chloro-4-fluorophenoxy)-4-(3-methyl- lH-pyrazol- 1 -yl)phenyl]-2-[4- (ethylsulfonyl) phenyl] acetamide
The title compound was prepared by the reaction of Intermediate 1 12 (69 mg, 0.219 mmol) with [4-(ethylsulfonyl)phenyl] acetic acid (50 mg, 0.219 mmol) using EDCI (50 mg, 0.262 mmol), HOBt (47 mg, 0.350 mmol) in dichloromethane (5 ml) as per the process described in Example 1 to yield 21 mg of product as white solid. 1H NMR (300 MHz, DMSO-J6) δ 1.08 (t, / = 7.5 Hz, 3H), 2.21 (s, 3H), 3.26 (q, / = 7.2 Hz, 2H), 3.78 (s, 2H), 6.22 (s, 1H), 7.07 (br s, 1H), 7.38 (s, 2H), 7.43-7.49 (m, 2H), 7.57 (d, / = 7.8 Hz, 2H), 7.66 (d, / = 9.3 Hz, 1H), 7.83 (d, / = 7.8 Hz, 2H), 7.99 (s, 1H), 10.45 (s, 1H); APCI-MS (m/z) 528 (M)+.
Example 89
N-[3-(3-Chloro-5-fluorophenoxy)-4-(3-methyl- lH-pyrazol- 1 -yl)phenyl]-2-[4- (ethylsulfonyl) phenyl] acetamide
The title compound was prepared by the reaction of Intermediate 1 13 (50 mg, 0.219 mmol) with [4-(ethylsulfonyl)phenyl] acetic acid (83 mg, 0.262 mmol) using EDCI (57 mg, 0.297 mmol), HOBt (36 mg, 0.262 mmol) in dichloromethane (5 ml) as per the process described in Example 1 to yield 65 mg of product as white solid. 1H NMR (300 MHz, DMSO-J6) δ 1.09 (t, / = 7.5 Hz, 3H), 2.19 (s, 3H), 3.26 (q, / = 7.5 Hz, 2H), 3.80 (s, 2H), 6.21 (s, 1H), 6.95 (br s, 2H), 6.94 (d, / = 8.4 Hz, 1H), 7.51 (br s, 2H), 7.58(d, / = 9.0 Hz, 2H), 7.68 (br s, 1H), 7.83 (d, / = 7.8 Hz, 2H), 7.94 (s, 1H), 10.51 (s, 1H); APCI-MS (m/z) 528 (M)+.
Example 90
2-[4-(Ethylsulfonyl)phenyl] -N- {3 -(3 -fluorophenoxy)-4-[3 -(trifluoromethyl)- 1 H- pyrazol-l-yl] phenyl} acetamide
The title compound was prepared by the reaction of Intermediate 1 14 (73 mg, 0.219 mmol) with [4-(ethylsulfonyl)phenyl] acetic acid (50 mg, 0.219 mmol) using EDCI (50 mg, 0.262 mmol), HOBt (44 mg, 0.328 mmol) in dichloromethane (5 ml) as per the process described in Example 1 to yield 19 mg of product as white solid. 1H NMR (300 MHz, DMSO-J6) δ 1.09 (t, / = 7.2 Hz, 3H), 3.26 (q, / = 7.8 Hz, 2H), 3.80 (s, 2H), 6.89 (d, / = 8.1 Hz, 2H), 7.00 (d, / = 8.7 Hz, 2H), 7.37-7.43 (m, 1H), 7.45-7.50 (m, 1H), 7.53-7.59 (m, 3H), 7.68 (d, / = 8.4 Hz, 1H), 7.83 (d, / = 7.8 Hz, 2H), 8.30 (s, 1H), 10.56 (s, 1H); APCI-MS (m/z) 548 (M+H)+.
Example 91
2-[4-(Ethylsulfonyl)phenyl] -N- [3 -(3 -methylphenoxy)-4-(4-methyl- 1 H-pyrazol- 1 - yl)phenyl] acetamide
The title compound was prepared by the reaction of Intermediate 1 15 (73 mg, 0.262 mmol) with [4-(ethylsulfonyl)phenyl] acetic acid (50 mg, 0.219 mmol) using EDCI (57 mg, 0.297 mmol), HOBt (36 mg, 0.262 mmol) in dichloromethane (5 ml) as per the process described in Example 1 to yield 63 mg of product as white solid. 1H NMR (300 MHz, DMSO-J6) δ 1.08 (t, / = 6.9 Hz, 3H), 2.03 (s, 3H), 2.28 (s, 3H), 3.26 (q, / = 7.2 Hz, 2H), 3.76 (s, 2H), 6.82 (d, / = 8.4 Hz, 1H), 6.88 (s, 1H), 6.97 (d, / = 7.2 Hz, 1H), 7.26 (d, / = 7.2 Hz, 1H), 7.33 (s, 1H), 7.43-7.48 (m, 2H), 7.55 (d, / = 8.7 Hz, 2H), 7.65 (d, / = 8.7 Hz, 1H), 7.82 (d, / = 8.1 Hz, 2H), 7.87 (s, 1H), 10.41 (s, 1H); APCI-MS (m/z) 490 (M+H)+.
Example 92
2-[4-(Ethylsulfonyl)phenyl] -N- [3 -(3 -fluorophenoxy)-4-(4-methyl- lH-pyrazol- 1 - yl)phenyl] acetamide
The title compound was prepared by the reaction of Intermediate 1 16 (62 mg, 0.219 mmol) with [4-(ethylsulfonyl)phenyl] acetic acid (50 mg, 0.219 mmol) using EDCI (50 mg, 0.262 mmol), HOBt (39 mg, 0.293 mmol) in dichloromethane (5 ml) as per the process described in Example 1 to yield 45 mg of product as off white solid. 1H NMR (300 MHz, DMSO-J6) δ 1.08 (t, / = 7.2 Hz, 3H), 2.02 (s, 3H), 3.26 (q, / = 7.5 Hz, 2H), 3.78 (s, 2H), 6.85 (d, / = 8.4 Hz, 1H), 6.93-7.01 (m, 2H), 7.36-7.47 (m, 4H), 7.57 (d, / = 8.4 Hz, 2H), 7.66 (d, / = 9.0 Hz, 1H), 7.81 (s, 1H), 7.85 (d, / = 6.9 Hz, 1H), 10.48 (s, 1H); APCI-MS (m/z) 494 (M+H)+.
Example 93
N-[3-(3-Chlorophenoxy)-4-(4-methyl-lH-pyrazol-l-yl)phenyl]-2-[4- (ethylsulfonyl)phenyl] acetamide
The title compound was prepared by the reaction of Intermediate 1 17 (58 mg, 0.219 mmol) with [4-(ethylsulfonyl)phenyl] acetic acid (50 mg, 0.219 mmol) using EDCI (50 mg, 0.262 mmol), HOBt (39 mg, 0.288 mmol) in dichloromethane (5 ml) as per the process described in Example 1 to yield 32 mg of product as white solid. 1H NMR (300 MHz, DMSO-J6) δ 1.06 (t, / = 7.2 Hz, 3H), 2.00 (s, 3H), 3.24 (q, / = 7.5 Hz, 2H), 3.76 (s, 2H), 6.99 (d, / = 7.5 Hz, 1H), 7.13 (s, 1H), 7.19 (d, / = 9.3 Hz, 1H), 7.35-7.40 (m, 2H), 7.46 (d, / = 6.3 Hz, 2H), 7.55 (d, / = 8.1 Hz, 2H), 7.64 (d, / = 8.7 Hz, 1H), 7.81 (d, / = 8.4 Hz, 2H), 7.85 (s, 1H), 10.46 (s, 1H); APCI-MS (m/z) 510 (M)+.
Example 94
2-[4-(Ethylsulfonyl)phenyl] -N- {4-(4-methyl- 1 H-pyrazol- 1 -yl)-3 - [3 - (trifluoromethyl)phenoxy] phenyl} acetamide
The title compound was prepared by the reaction of Intermediate 1 18 (72 mg, 0.219 mmol) with [4-(ethylsulfonyl)phenyl] acetic acid (50 mg, 0.219 mmol) using EDCI (50 mg, 0.262 mmol), HOBt (39 mg, 0.289 mmol) in dichloromethane (5 ml) as per the process described in Example 1 to yield 26 mg of product as white solid. 1H NMR (300 MHz, DMSO-J6) δ 1.08 (t, / = 6.9 Hz, 3H), 2.00 (s, 3H), 3.26 (q, / = 7.2 Hz, 2H), 3.78 (s, 2H), 7.28 (d, / = 8.7 Hz, 1H), 7.39-7.45 (m, 3H), 7.48-7.58 (m, 6H), 7.67 (d, / = 8.7 Hz, 1H), 7.82 (d, / = 8.1 Hz, 1H), 7.89 (s, 1H), 10.49 (s, 1H); APCI- MS (m/z) 544 (M+H)+.
Example 95
N- {3-[3-(Difluoromethoxy)phenoxy]-4-(4-methyl-lH-pyrazol-l-yl)phenyl}-2-[4- (ethylsulfonyl) phenyl] acetamide
The title compound was prepared by the reaction of Intermediate 1 19 (72 mg, 0.219 mmol) with [4-(ethylsulfonyl)phenyl] acetic acid (50 mg, 0.219 mmol) using EDCI
(50 mg, 0.262 mmol), HOBt (39 mg, 0.293 mmol) in dichloromethane (5 ml) as per the process described in Example 1 to yield 19 mg of product as white solid. 1H NMR (300 MHz, DMSO-J6) δ 1.08 (t, / = 6.9 Hz, 3H), 2.02 (s, 3H), 3.26 (q, / = 7.8 Hz, 2H), 3.78 (s, 2H), 6.84-6.91 (m, 2H), 6.93-6.99 (m, 1H), 7.26 (s, 1H), 7.41-7.47 (m, 4H), 7.56 (d, / = 8.7 Hz, 2H), 7.66 (d, / = 8.4 Hz, 1H), 7.81 (s, 1H), 7.85 (d, / = 7.8 Hz, 2H), 10.47 (s, 1H); APCI-MS (m/z) 542 (M+H)+.
Example 96
2-[4-(Ethylsulfonyl)phenyl] -N- {4-(4-methyl- 1 H-pyrazol- 1 -yl)-3 - [3 - (trifluoromethoxy)phenoxy] phenyl} acetamide
The title compound was prepared by the reaction of Intermediate 120 (76 mg, 0.219 mmol) with [4-(ethylsulfonyl)phenyl] acetic acid (50 mg, 0.219 mmol) using EDCI
(50 mg, 0.262 mmol), HOBt (39 mg, 0.293 mmol) in dichloromethane (5 ml) as per the process described in Example 1 to yield 68 mg of product as white solid. 1H NMR (300 MHz, DMSO-J6) δ 1.08 (t, / = 7.5 Hz, 3H), 2.00 (s, 3H), 3.26 (q, / = 7.8 Hz, 2H), 3.78 (s, 2H), 7.03 (d, / = 8.7 Hz, 1H), 7.08-7.15 (m, 2H), 7.45-7.50 (m, 4H), 7.57 (d, / = 7.8 Hz, 2H), 7.66 (d, / = 7.8 Hz, 1H), 7.81 (s, 1H), 7.85 (d, / = 6.3 Hz, 2H), 10.49 (s, 1H); APCI-MS (m/z) 560 (M+H)+.
Example 97
2-[4-(Ethylsulfonyl)phenyl] -N- {4-(4-methyl- 1 H-pyrazol- 1 -yl)-3 - [4- (trifluoromethoxy)phenoxy] phenyl} acetamide
The title compound was prepared by the reaction of Intermediate 121 (50 mg, 0.219 mmol) with [4-(ethylsulfonyl)phenyl] acetic acid (92 mg, 0.262 mmol) using EDCI (57 mg, 0.292 mmol), HOBt (36 mg, 0.262 mmol) in dichloromethane (5 ml) as described in Example 1 to yield 50 mg of product as white solid. 1H NMR (300 MHz, DMSO-J6) δ 1.08 (t, / = 7.2 Hz, 3H), 2.02 (s, 3H), 3.26 (q, / = 7.8 Hz, 2H), 3.78 (s, 2H), 7.14 (d, / = 9.3 Hz, 2H), 7.37-7.42 (m, 3H), 7.45-7.51 (m, 3H), 7.56 (d, / = 8.1 Hz, 1H), 7.66 (d, / = 8.1 Hz, 1H), 7.81-7.86 (m, 3H), 10.43 (s, 1H); APCI-MS (m/z) 560 (M+H)+.
Example 98
N- [3 -(3 -Cyanophenoxy)-4-(4-methyl- 1 H-pyrazol- 1 -yl)phi
The title compound was prepared by the reaction of Intermediate 122 (63 mg, 0.219 mmol) with [4-(ethylsulfonyl)phenyl] acetic acid (50 mg, 0.219 mmol) using EDCI (50 mg, 0.262 mmol), HOBt (39 mg, 0.293 mmol) in dichloromethane (5 ml) as per the process described in Example 1 to yield 45 mg of product as off white solid. 1H NMR (300 MHz, DMSO-J6) δ 1.08 (t, / = 7.2 Hz, 3H), 2.01 (s, 3H), 3.26 (q, / = 7.5 Hz, 2H), 3.78 (s, 2H), 7.35 (d, / = 9.0 Hz, 1H), 7.44-7.50 (m, 3H), 7.56-7.62 (m, 5H), 7.66 (d, / = 8.7 Hz, 1H), 7.81 (s, 1H), 7.85 (d, / = 6.9 Hz, 2H), 10.49 (s, 1H); APCI- MS (m/z) 501 (M+H)+.
Example 99
N-[3-(3,4-Difluorophenoxy)-4-(4-methyl- lH-pyrazol- 1 -yl)phenyl]-2-[4- (ethylsulfonyl)phenyl] acetamide
The title compound was prepared by the reaction of Intermediate 123 (50 mg, 0.219 mmol) with [4-(ethylsulfonyl)phenyl] acetic acid (79 mg, 0.262 mmol) using EDCI (57 mg, 0.297 mmol), HOBt (36 mg, 0.262 mmol) in dichloromethane (5 ml) as per the process described in Example 1 to yield 60 mg of product as white solid. 1H NMR (300 MHz, DMSO-J6) δ 1.08 (t, / = 7.2 Hz, 3H), 2.03 (s, 3H), 3.24 (q, / = 7.8 Hz, 2H), 3.77 (s, 2H), 6.92 (br s, 1H), 7.28 (br s, 1H), 7.40 (br s, 1H), 7.43-7.48 (m, 3H), 7.55-7.58 (m, 2H), 7.63 (br s, 1H), 7.82 (d, / = 8.4 Hz, 2H), 7.88 (s, 1H), 10.45 (s, 1H); APCI-MS (m/z) 512 (M+H)+.
Example 100
N-[3-(3,5-Difluorophenoxy)-4-(4-methyl- lH-pyrazol- 1 -yl)phenyl]-2-[4- (ethylsulfonyl)phenyl] acetamide
The title compound was prepared by the reaction of Intermediate 124 (65 mg, 0.219 mmol) with [4-(ethylsulfonyl)phenyl] acetic acid (50 mg, 0.219 mmol) using EDCI (50 mg, 0.262 mmol), HOBt (39 mg, 0.293 mmol) in dichloromethane (5 ml) as per the process described in Example 1 to yield 43 mg of product as white solid. 1H NMR (300 MHz, DMSO-J6) δ 1.09 (t, / = 7.2 Hz, 3H), 2.02 (s, 3H), 3.26 (q, / = 6.9 Hz, 2H), 3.80 (s, 2H), 6.80 (d, / = 8.4 Hz, 2H), 7.01 (br s, 1H), 7.47-7.52 (m, 3H), 7.58 (d, / = 7.8 Hz, 2H), 7.67 (d, / = 8.7 Hz, 1H), 7.80-7.86 (m, 3H), 10.51 (s, 1H); APCI-MS (m z) 512 (M+H)+.
Example 101
N-[3-(3-Chloro-5-fluorophenoxy)-4-(4-methyl- lH-pyrazol- 1 -yl)phenyl]-2-[4- (ethylsulfonyl) phenyl] acetamide
The title compound was prepared by the reaction of Intermediate 125 (69 mg, 0.219 mmol) with [4-(ethylsulfonyl)phenyl] acetic acid (50 mg, 0.219 mmol) using EDCI (51 mg, 0.260 mmol), HOBt (39 mg, 0.293 mmol) in dichloromethane (5 ml) as per the process described in Example 1 to yield 20 mg of product as white solid. 1H NMR
(300 MHz, DMSO-J6) δ 1.09 (t, / = 7.2 Hz, 3H), 2.02 (s, 3H), 3.27 (q, / = 6.9 Hz, 2H), 3.80 (s, 2H), 6.92-6.98 (m, 2H), 7.22 (d, / = 9.3 Hz, 1H), 7.47-7.57 (m, 3H), 7.58 (d, / = 7.2 Hz, 2H), 7.66 (d, / = 9.3 Hz, 1H), 7.83 (d, / = 8.4 Hz, 3H), 10.51 (s, 1H); APCI-MS (m/z) 528 (M)+.
Example 102
N- [4-(3 ,5-Dimethyl- 1 H-pyrazol- 1 -yl)-3 -(3 -fluorophenoxy)phenyl] -2- [4- (ethylsulfonyl)phenyl] acetamide
The title compound was prepared by the reaction of Intermediate 126 (65 mg, 0.219 mmol) with [4-(ethylsulfonyl)phenyl] acetic acid (50 mg, 0.219 mmol) using EDCI (50 mg, 0.262 mmol), HOBt (39 mg, 0.293 mmol) in dichloromethane (5 ml) as per the process described in Example 1 to yield 20 mg of product as white solid. 1H NMR (300 MHz, DMSO-J6) δ 1.09 (t, / = 7.2 Hz, 3H), 2.08 (s, 6H), 3.27 (q, / = 6.9 Hz, 2H), 3.79 (s, 2H), 5.90 (s, 1H), 6.78 (d, / = 7.5 Hz, 1H), 6.82-6.87 (m, 1H), 6.96 (t, / = 7.5 Hz, 1H), 7.33-7.39 (m, 2H), 7.44-7.49 (m, 2H), 7.57 (d, / = 8.1 Hz, 2H), 7.83 (d, / = 7.8 Hz, 2H), 10.52 (s, 1H); APCI-MS (m/z) 508 (M+H)+.
Example 103
N-[3-(3-Chlorophenoxy)-4-(3,5-dimethyl-lH-pyrazol-l-yl)phenyl]-2-[4- (ethylsulfonyl)phenyl] acetamide
The title compound was prepared by the reaction of Intermediate 127 (68 mg, 0.219 mmol) with [4-(ethylsulfonyl)phenyl] acetic acid (50 mg, 0.219 mmol) using EDCI (50 mg, 0.262 mmol), HOBt (39 mg, 0.293 mmol) in dichloromethane (5 ml) as per the process described in Example 1 to yield 50 mg of product as off white solid. 1H NMR (300 MHz, DMSO-J6) δ 1.09 (t, / = 7.8 Hz, 3H), 2.08 (s, 6H), 3.27 (q, / = 7.2 Hz, 2H), 3.80 (s, 2H), 5.89 (s, 1H), 6.91 (d, / = 8.1 Hz, 1H), 7.01 (s, 1H), 7.17 (d, / = 6.3 Hz, 1H), 7.32-7.39 (m, 2H), 7.44-7.50 (m, 2H), 7.58 (d, / = 7.8 Hz, 2H), 7.83 (d, / = 7.8 Hz, 2H), 10.52 (s, 1H); APCI-MS (m/z) 524 (M+H)+.
Example 104
N- {4-(3,5-Dimethyl- IH-pyrazol- 1 -yl)-3-[3-(trifluoromethoxy)phenoxy]phenyl} -2-[4- (ethylsulfony l)pheny 1] acetamide
The title compound was prepared by the reaction of Intermediate 128 (80 mg, 0.219 mmol) with [4-(ethylsulfonyl)phenyl] acetic acid (50 mg, 0.219 mmol) using EDCI (50 mg, 0.262 mmol), HOBt (39 mg, 0.293 mmol) in dichloromethane (5 ml) as per the process described in Example 1 to yield 65 mg of product as white solid. 1H NMR (300 MHz, DMSO-J6) δ 1.08 (t, / = 7.5 Hz, 3H), 2.06 (br s, 6H), 3.26 (q, / = 7.5 Hz, 2H), 3.80 (s, 2H), 5.87 (s, 1H), 6.91-6.96 (m, 2H), 7.09 (d, / = 8.4 Hz, 1H), 7.38-7.43 (m, 2H), 7.45-7.50 (m, 2H), 7.58 (d, / = 7.8 Hz, 2H), 7.83 (d, / = 7.8 Hz, 2H), 10.54 (s, 1H); APCI-MS (m/z) 574 (M+H)+.
Example 105
2-[4-(Ethylsulfonyl)phenyl] -N- [3 -(3 -fluorophenoxy)-4-(4-methyl- lH-imidazol- 1 - yl)phenyl] acetamide
The title compound was prepared by the reaction of Intermediate 129 (62 mg, 0.219 mmol) with [4-(ethylsulfonyl)phenyl] acetic acid (50 mg, 0.219 mmol) using EDCI (50 mg, 0.262 mmol), HOBt (39 mg, 0.292 mmol) in dichloromethane (5 ml) as per the process described in Example 1 to yield 30 mg of product as off white solid. H
NMR (300 MHz, DMSO-J6) δ 1.08 (t, / = 7.2 Hz, 3H), 2.09 (s, 3H), 3.25-3.30 (m, 2H), 3.78 (s, 2H), 6.87 (br s, 1H), 6.99 (br s, 2H), 7.12 (s, 1H), 7.41-7.48 (m, 4H), 7.57 (d, / = 7.5 Hz, 2H), 7.76 (s, 1H), 7.82 (d, / = 7.8 Hz, 2H), 10.50 (s, 1H); ESI-MS (m/z) 491 (M-H)+.
Example 106
N-[3-(3-Chlorophenoxy)-4-(4-methyl-lH-imidazol-l-yl)phi
The title compound was prepared by the reaction of Intermediate 130 (65 mg, 0.219 mmol) with [4-(ethylsulfonyl)phenyl] acetic acid (50 mg, 0.219 mmol) using EDCI (50 mg, 0.262 mmol), HOBt (44 mg, 0.326 mmol) in dichloromethane (5 ml) as per the process described in Example 1 to yield 20 mg of product as white solid. 1H NMR (300 MHz, DMSO-J6) δ 1.08 (t, / = 7.2 Hz, 3H), 2.09 (s, 3H), 3.26 (q, / = 7.8 Hz, 2H), 3.78 (s, 2H), 6.99 (d, / = 7.8 Hz, 1H), 7.13-7.23 (m, 3H), 7.35-7.41 (m, 2H), 7.49 (s, 2H), 7.56 (d, / = 8.4 Hz, 2H), 7.77 (s, 1H), 7.82 (d, / = 7.8 Hz, 2H), 10.49 (s, 1H); APCI-MS (m/z) 510 (M)+.
Example 107
2-[4-(Ethylsulfonyl)phenyl]-N- {4-(4-methyl-lH-imidazol-l-yl)-3-[3- (trifluoromethyl)phenoxy] phenyl} acetamide
The title compound was prepared by the reaction of Intermediate 131 (73 mg, 0.219 mmol) with [4-(ethylsulfonyl)phenyl] acetic acid (50 mg, 0.219 mmol) using EDCI (50 mg, 0.262 mmol), HOBt (39 mg, 0.293 mmol) in dichloromethane (5 ml) as per the process described in Example 1 to yield 16 mg of product as white solid. 1H NMR
(300 MHz, DMSO-J6) δ 1.08 (t, / = 7.8 Hz, 3H), 2.07 (s, 3H), 3.25 (q, / = 7.2 Hz, 2H), 3.77 (s, 2H), 7.13 (s, 1H), 7.30 (d, / = 9.9 Hz, 1H), 7.40 (br s, 2H), 7.50-7.59 (m, 6H), 7.76 (s, 1H), 7.81 (d, / = 8.4 Hz, 2H), 10.49 (s, 1H); APCI-MS (m/z) 544 (M+H)+.
Example 108
2-[4-(Ethylsulfonyl)phenyl]-N- {4-(4-methyl-lH-imidazol-l-yl)-3-[3- (trifluoromethoxy) phenoxy]phenyl} acetamide
The title compound was prepared by the reaction of Intermediate 132 (76 mg, 0.219 mmol) with [4-(ethylsulfonyl)phenyl] acetic acid (76 mg, 0.219 mmol) using EDCI
(50 mg, 0.262 mmol), HOBt (39 mg, 0.291 mmol) in dichloromethane (5 ml) as per the process described in Example 1 to yield 50 mg of product as white solid. 1H NMR
(300 MHz, DMSO-J6) δ 1.08 (t, / = 7.5 Hz, 3H), 2.08 (s, 3H), 3.26 (q, / = 7.8 Hz,
2H), 3.78 (s, 2H), 7.03 (d, / = 8.4 Hz, 1H), 7.09-7.16 (m, 3H), 7.44-7.50 (m, 4H),
7.56 (d, / = 8.1 Hz, 2H), 7.74 (s, 1H), 7.82 (d, / = 7.8 Hz, 2H), 10.50 (s, 1H); APCI-
MS (m/z) 560 (M+H)+.
Example 109
2-[4-(Ethylsulfonyl)phenyl]-N- {4-(4-methyl-lH-imidazol-l-yl)-3-[4-
(trifluoromethoxy) phenoxy]phenyl} acetamide
The title compound was prepared by the reaction of Intermediate 133 (76 mg, 0.219 mmol) with [4-(ethylsulfonyl)phenyl] acetic acid (50 mg, 0.219 mmol) using EDCI (50 mg, 0.262 mmol), HOBt (39 mg, 0.293 mmol) in dichloromethane (5 ml) as per the process described in Example 1 to yield 21 mg of product as off white solid. H
NMR (300 MHz, DMSO-J6) δ 1.08 (br s, 3H), 2.09 (s, 3H), 3.30 (q, / = 7.8 Hz, 2H), 3.78 (s, 2H), 7.14 (br s, 3H), 7.39 (br s, 3H), 7.50 (s, 3H), 7.57 (br s, 1H), 7.76 (s, 1H), 7.82 (d, / = 8.4 Hz, 2H), 10.48 (s, 1H); APCI-MS (m/z) 560 (M+H)+.
Example 1 10
N-[3-(3-Cyanophenoxy)-4-(4-methyl- lH-imidazol- 1 -yl)phenyl]-2-[4- (ethylsulfonyl)phenyl] acetamide
The title compound was prepared by the reaction of Intermediate 134 (90 mg, 0.310 mmol) with [4-(ethylsulfonyl)phenyl] acetic acid (70 mg, 0.310 mmol) using EDCI (71 mg, 0.372 mmol), HOBt (56 mg, 0.415 mmol) in dichloromethane (10 ml) as per the process described in Example 1 to yield 30 mg of product as white solid. 1H NMR (300 MHz, DMSO-J6) δ 1.08 (t, / = 6.6 Hz, 3H), 2.08 (s, 3H), 3.26 (q, / = 7.8 Hz, 2H), 3.78 (s, 2H), 7.12 (s, 1H), 7.36-7.41 (m, 2H), 7.50 (s, 2H), 7.55-7.63 (m, 5H), 7.75 (s, 2H), 7.82 (d, / = 8.1 Hz, 2H), 10.50 (s, 1H); APCI-MS (m/z) 501 (M+H)+.
Example 1 1 1
2-[4-(Ethylsulfonyl)phenyl] -N- [3 -(3 -fluorophenoxy)-4-(2 -methyl- lH-imidazol- 1 - yl)phenyl] acetamide
The title compound was prepared by the reaction of Intermediate 135 (65 mg, 0.219 mmol) with [4-(ethylsulfonyl)phenyl] acetic acid (50 mg, 0.219 mmol) using EDCI (50 mg, 0.262 mmol), HOBt (40 mg, 0.293 mmol) in dichloromethane (4 ml) as per the process described in Example 1 to yield 56 mg of product as off white solid. 1H NMR (300 MHz, DMSO-J6) δ 1.08 (t, / = 7.8 Hz, 3H), 2.14 (s, 3H), 3.26 (q, / = 7.5 Hz, 2H), 3.79 (s, 2H), 6.80 (br s, 2H), 6.86-6.97 (m, 2H), 7.10 (s, 1H), 7.36-7.41 (m, 1H), 7.44-7.52 (m, 3H), 7.57 (d, / = 8.4 Hz, 2H), 7.83 (d, / = 7.8 Hz, 2H), 10.55 (s, 1H); APCI-MS (m/z) 494 (M+H)+.
Example 1 12
2-[4-(Ethylsulfonyl)phenyl]-N- {4-(2-methyl-lH-imidazol-l-yl)-3-[3- (trifluoromethyl)phenoxy] phenyl} acetamide
The title compound was prepared by the reaction of Intermediate 136 (89 mg, 0.262 mmol) with [4-(ethylsulfonyl)phenyl] acetic acid (50 mg, 0.219 mmol) using EDCI (57 mg, 0.297 mmol), HOBt (36 mg, 0.262 mmol) in dichloromethane (5 ml) as described in Example 1 to yield 75 mg of product as off white solid. 1H NMR (300
MHz, DMSO-J6) δ 1.08 (t, / = 7.5 Hz, 3H), 2.13 (s, 3H), 3.27 (q, / = 7.8 Hz, 2H), 3.80 (s, 2H), 6.77 (s, IH), 7.10 (s, IH), 7.27 (s, 2H), 7.48 (br s, 3H), 7.54-7.59 (m, 4H), 7.83 (d, / = 7.8 Hz, 2H), 10.57 (s, IH); APCI-MS (m/z) 543 (M)+.
Example 1 13
2-[4-(Ethylsulfonyl)phenyl]-N- {4-(2-methyl-lH-imidazol-l-yl)-3-[3-
(trifluoromethoxy) phenoxy]phenyl} acetamide
The title compound was prepared by the reaction of Intermediate 137 (76 mg, 0.219 mmol) with [4-(ethylsulfonyl)phenyl] acetic acid (50 mg, 0.219 mmol) using EDCI (50 mg, 0.262 mmol), HOBt (39 mg, 0.293 mmol) in dichloromethane (5 ml) as per the process described in Example 1 to yield 24 mg of product as off white solid. 1H NMR (300 MHz, DMSO-J6) δ 1.08 (t, / = 6.9 Hz, 3H), 2.13 (s, 3H), 3.25 (br s, 2H), 3.79 (s, 2H), 6.78 (s, IH), 6.97 (br s, 2H), 7.08 (br s, 2H), 7.45-7.52 (m, 4H), 7.57 (d, J = 12 Hz, 2H), 7.85 (d, / = 7.4 Hz, 2H), 10.55 (s, IH); APCI-MS (m/z) 560 (M+H)+.
Example 1 14
2-[4-(Ethylsulfonyl)phenyl]-N-[3-(3-fluorophenoxy)-4-(lH- 1 ,2,4-triazol- 1 - yl)phenyl]acetamide
. F
Η
XTVT P
The title compound was prepared by the reaction of Intermediate 138 (59 mg, 0.219 mmol) with [4-(ethylsulfonyl)phenyl] acetic acid (50 mg, 0.219 mmol) using EDCI (50 mg, 0.262 mmol), HOBt (39 mg, 0.293 mmol) in dichloromethane (5 ml) as per the process described in Example 1 to yield 20 mg of product as off white solid. 1H NMR (300 MHz, DMSO-J6) δ 1.08 (t, / = 7.2Hz, 3H), 3.26 (q, / = 6.9 Hz, 2H), 3.80 (s, 2H), 6.90 (d, / = 7.8 Hz, IH), 6.98-7.03 (m, 2H), 7.39-7.44 (m, 2H), 7.49 (s, IH), 7.54-7.59 (m, 3H), 7.69 (d, / = 7.8 Hz, IH), 7.83 (d, / = 6.3 Hz, IH), 8.16 (s, IH), 8.89 (s, IH), 10.56 (s, IH); APCI-MS (m/z) 481 (M+H)+.
Example 1 15
2-[4-(Ethylsulfonyl)phenyl]-N- {4-(lH-l ,2,4-triazol-l-yl)-3-[3-
(trifluoromethoxy)phenoxy] phenyl} acetamide
The title compound was prepared by the reaction of Intermediate 139 (103 mg, 0.306 mmol) with [4-(ethylsulfonyl)phenyl] acetic acid (70 mg, 0.306 mmol) using EDCI (70 mg, 0.367 mmol), HOBt (55 mg, 0.410 mmol) in dichloromethane (5 ml) as per the process described in Example 1 to yield 46 mg of product as off white solid. 1H NMR (300 MHz, DMSO-J6) δ 1.08 (t, / = 7.2 Hz, 3H), 3.27 (q, / = 8.4 Hz, 2H), 3.80 (s, 2H), 7.08 (d, / = 8.4 Hz, 1H), 7.14 (br s, 2H), 7.50-7.58 (m, 5H), 7.70 (d, / = 9.6 Hz, 1H), 7.83 (d, / = 7.8 Hz, 2H), 8.15 (s, 1H), 8.91 (s, 1H), 10.57 (s, 1H); APCI-MS (m/z) 547 (M+H)+.
Example 1 16
2-[4-(Ethylsulfonyl)phenyl]-N- {4-(3 -methyl- 1H- 1 ,2,4-triazol- 1 -yl)-3-[3-
(trifluoromethoxy) phenoxy]phenyl} acetamide
F3COV
r ° CH3
H3C
The title compound was prepared by the reaction of Intermediate 140 (100 mg, 0.285 mmol) with [4-(ethylsulfonyl)phenyl] acetic acid (65 mg, 0.285 mmol) using EDCI (65 mg, 0.342 mmol), HOBt (51 mg, 0.382 mmol) in dichloromethane (10 ml) as per the process described in Example 1 to yield 35 mg of product as off white solid. 1H NMR (300 MHz, DMSO-J6) δ 1.08 (t, / = 8.1 Hz, 3H), 2.28 (s, 3H), 3.26 (q, / = 7.8 Hz, 2H), 3.79 (s, 2H), 7.07 (d, / = 7.2 Hz, 1H), 7.12-7.18 (m, 2H), 7.47-7.58 (m, 5H), 7.65 (d, / = 8.7 Hz, 1H), 7.82 (d, / = 8.7 Hz, 2H), 8.75 (s, 1H), 10.54 (s, 1H); APCI- MS (m/z) 561 (M+H)+.
Example 1 17
2-[4-(Ethylsulfonyl)phenyl]-N- {4-(5-methyl- 1 ,3-oxazol-2-yl)-3-[3- (trifluoromethoxy)phenoxy] phenyl} acetamide
The title compound was prepared by the reaction of Intermediate 141 (65 mg, 0.185 mmol) with [4-(ethylsulfonyl)phenyl] acetic acid (42 mg, 0.185 mmol) using EDCI (43 mg, 0.222 mmol), HOBt (34 mg, 0.248 mmol) in dichloromethane (5 ml) as per the process described in Example 1 to yield 19 mg of product as off white solid. 1H NMR (300 MHz, DMSO-J6) δ 1.08 (t, / = 7.2 Hz, 3H), 2.22 (s, 3H), 3.26 (q, / = 7.2 Hz, 2H), 3.81 (s, 2H), 6.87-6.92 (m, 2H), 6.97 (s, 1H), 7.07 (d, / = 7.8 Hz, 1H), 7.44 (t, / = 7.8 Hz, 1H), 7.53-7.59 (m, 4H), 7.57 (d, / = 8.7 Hz, 2H), 7.95 (d, / = 9.3 Hz, 1H), 10.61 (s, 1H); APCI-MS (m/z) 561 (M+H)+.
Example 1 18
2-[4-(Ethylsulfonyl)phenyl]-N-[3-(3-fluorophenoxy)-4-(5-methyl-l ,2,4-oxadiazol-3- yl)phenyl] acetamide
^ H
O- N 0 CH3
The title compound was prepared by the reaction of Intermediate 143 (62 mg, 0.219 mmol) with [4-(ethylsulfonyl)phenyl] acetic acid (50 mg, 0.219 mmol) using EDCI (50 mg, 0.262 mmol), HOBt (40 mg, 0.293 mmol) in dichloromethane (4 ml) as per the process described in Example 1 to yield 24 mg of product as off white solid. 1H NMR (300 MHz, DMSO-J6) δ 1.08 (t, / = 7.2 Hz, 3H), 2.60 (s, 3H), 3.26 (q, / = 7.5 Hz, 2H), 3.81 (s, 2H), 6.78 (d, / = 8.7 Hz, 1H), 6.84-6.90 (m, 1H), 6.97 (br s, 1H), 7.39 (d, / = 7.2 Hz, 1H), 7.48 (s, 1H), 7.57 (d, / = 7.8 Hz, 3H), 7.83 (d, / = 8.4 Hz, 2H), 7.99 (d, / = 9.3 Hz, 1H), 10.61 (s, 1H); APCI-MS (m/z) 496 (M+H)+.
Example 1 19
2-[4-(Ethylsulfonyl)phenyl]-N- {4-(5-methyl- 1 ,2,4-oxadiazol-3-yl)-3-[3- (trifluoromethyl) phenoxy]phenyl} acetamide
The title compound was prepared by the reaction of Intermediate 142 (73 mg, 0.219 mmol) with [4-(ethylsulfonyl)phenyl] acetic acid (50 mg, 0.213 mmol) using EDCI (50 mg, 0.262 mmol), HOBt (40 mg, 0.293 mmol) in dichloromethane (4 ml) as per the process described in Example 1 to yield 20 mg of product as off white solid. 1H NMR (300 MHz, DMSO-J6) δ 1.08 (t, / = 6.9 Hz, 3H), 2.59 (s, 3H), 3.26 (q, / = 7.2 Hz, 2H), 3.81 (s, 2H), 7.23 (d, / = 7.2 Hz, 1H), 7.31 (s, 1H), 7.49 (br s, 2H), 7.55-7.61 (m, 4H), 7.82 (d, / = 7.8 Hz, 2H), 8.02 (d, / = 8.1 Hz, 1H), 10.63 (s, 1H); APCI-MS (m/z) 545 (M+H)+.
Example 120
2-[4-(Ethylsulfonyl)phenyl]-N- {4-(5-methyl- 1 ,2,4-oxadiazol-3-yl)-3-[3-
(trifluoromethoxy) phenoxy]phenyl} acetamide
The title compound was prepared by the reaction of Intermediate 144 (115 mg, 0.328 mmol) with [4-(ethylsulfonyl)phenyl] acetic acid (75 mg, 0.328 mmol) using EDCI (76 mg, 0.394 mmol), HOBt (60 mg, 0.445 mmol) in dichloromethane (10 ml) as per the process described in Example 1 to yield 20 mg of product as off white solid. 1H NMR (300 MHz, DMSO-J6) δ 1.08 (t, / = 7.5 Hz, 3H), 2.59 (s, 3H), 3.26 (q, / = 7.5 Hz, 2H), 3.81 (s, 2H), 6.94 (d, / = 9.3 Hz, 1H), 7.00 (s, 1H), 7.1 1 (d, / = 7.5 Hz, 1H), 7.44-7.50 (m, 2H), 7.57 (d, / = 8.1 Hz, 3H), 7.82 (d, / = 8.7 Hz, 2H), 8.00 (d, / = 9.0 Hz, 1H), 10.63 (s, 1H); APCI-MS (m/z) 562 (M+H)+.
Example 121
2-[4-(Ethylsulfonyl)phenyl]-N- {3-(3-fluorophenoxy)-4-[5-(trifluoromethyl)-l ,2,4- oxadiazol-3-yl]phenyl} acetamide
The title compound was prepared by the reaction of Intermediate 145 (74 mg, 0.219 mmol) with [4-(ethylsulfonyl)phenyl] acetic acid (50 mg, 0.219 mmol) using EDCI (50 mg, 0.262 mmol), HOBt (40 mg, 0.293 mmol) in dichloromethane (5 ml) as per the process described in Example 1 to yield 20 mg of product as off white solid. 1H NMR (300 MHz, DMSO-J6) δ 1.08 (t, / = 7.2 Hz, 3H), 3.26 (q, / = 7.8 Hz, 2H), 3.81 (s, 2H), 6.89 (d, / = 8.4 Hz, 1H), 6.94-7.02 (m, 2H), 7.43 (d, / = 6.3 Hz, 1H), 7.55 (s, 1H), 7.55-7.61 (m, 3H), 7.83 (d, / = 8.4 Hz, 2H), 8.07 (d, / = 8.4 Hz, 1H), 10.68 (s, 1H); APCI-MS (m/z) 550 (M+H)+.
Example 122
2-[4-(Ethylsulfonyl)phenyl] -N- [3 -(3 -fluorophenoxy)-4-(pyridin-3 - yl)phenyl]acetamide
The title compound was prepared by the reaction of Intermediate 71 (61 mg, 0.219 mmol) with [4-(ethylsulfonyl)phenyl] acetic acid (50 mg, 0.219 mmol) using EDCI (50 mg, 0.262 mmol), HOBt (39 mg, 0.293 mmol) in dichloromethane (5 ml) as per the process described in Example 1 to yield 55 mg of product as white solid. 1H NMR (300 MHz, DMSO-J6) δ 1.08 (t, / = 7.5 Hz, 3H), 3.27 (q, / = 7.2 Hz, 2H), 3.79 (s, 2H), 6.80 (d, / = 7.2 Hz, 1H), 6.86-6.92 (m, 2H), 7.35-7.42 (m, 3H), 7.53 (br s, 2H), 7.57 (d, / = 8.1 Hz, 2H), 7.83 (d, / = 8.1 Hz, 2H), 7.90 (d, / = 7.8 Hz, 1H), 8.47 (br s, 1H), 8.69 (br s, 1H), 10.48 (s, 1H); APCI-MS (m/z) 491 (M+H)+.
Example 123
The title compound was prepared by the reaction of Intermediate 72 (64 mg, 0.219 mmol) with [4-(ethylsulfonyl)phenyl] acetic acid (50 mg, 0.219 mmol) using EDCI (50 mg, 0.262 mmol), HOBt (39 mg, 0.293 mmol) in dichloromethane (5 ml) as per the process described in Example 1 to yield 40 mg of product as white solid. 1H NMR (300 MHz, DMSO-J6) δ 1.08 (t, / = 7.5 Hz, 3H), 3.26 (q, / = 7.8 Hz, 2H), 3.79 (s, 2H), 6.94 (d, / = 8.4 Hz, 1H), 7.08 (s, 1H), 7.16 (d, / = 7.8 Hz, 1H), 7.33-7.39 (m, 3H), 7.53 (s, 2H), 7.57 (d, / = 7.8 Hz, 2H), 7.83 (d, / = 8.1 Hz, 2H), 7.90 (d, / = 7.2 Hz, 1H), 8.48 (s, 1H), 8.69 (s, 1H), 10.48 (s, 1H); APCI-MS (m/z) 507 (M+H)+.
Example 124
2-[4-(Ethylsulfonyl)phenyl]-N- {4-(pyridin-3-yl)-3-[3- (trifluoromethyl)phenoxy]phenyl} acetamide
The title compound was prepared by the reaction of Intermediate 73 (72 mg, 0.219 mmol) with [4-(ethylsulfonyl)phenyl] acetic acid (50 mg, 0.219 mmol) using EDCI (50 mg, 0.262 mmol), HOBt (39 mg, 0.293 mmol) in dichloromethane (5 ml) as per the process described in Example 1 to yield 35 mg of product as white solid. 1H NMR
(300 MHz, DMSO-J6) δ 1.08 (t, / = 7.8 Hz, 3H), 3.26 (q, / = 7.2 Hz, 2H), 3.79 (s, 2H), 7.26 (d, / = 8.1 Hz, 1H), 7.33 (s, 1H), 7.37-7.46 (m, 3H), 7.54-7.59 (m, 5H), 7.83 (d, / = 8.1 Hz, 2H), 7.92 (d, / = 9.0 Hz, 1H), 8.47 (br s, 1H), 8.69 (s, 1H), 10.49 (s, 1H); APCI-MS (m/z) 541 (M+H)+.
Example 125
The title compound was prepared by the reaction of Intermediate 74 (45 mg, 0.129 mmol) with [4-(ethylsulfonyl)phenyl] acetic acid (35 mg, 0.155 mmol) using EDCI (29 mg, 0.155 mmol), HOBt (23 mg, 0.174 mmol) in dichloromethane (5 ml) as per the process described in Example 1 to yield 19 mg of product as white solid. 1H NMR (300 MHz, DMSO-J6) δ 1.08 (t, / = 7.5 Hz, 3H), 3.27 (q, / = 7.8 Hz, 2H), 3.80 (s, 2H), 6.98 (br s, 2H), 7.09 (br s, 1H), 7.38-7.44 (m, 4H), 7.53-7.60 (m, 3H), 7.83 (d, / = 7.8 Hz, 2H), 7.88 (br s, 1H), 8.46 (br s, 1H), 8.68 (br s, 1H), 10.50 (s, 1H); APCI- MS (m/z) 557 (M+H)+.
Example 126
2-[4-(Ethylsulfonyl)phenyl] -N- [3 -(3 -fluorophenoxy)-4-(2-fluoropyridin-3 - yl)phenyl]acetamide
The title compound was prepared by the reaction of Intermediate 75 (50 mg, 0.219 mmol) with [4-(ethylsulfonyl)phenyl] acetic acid (65 mg, 0.219 mmol) using EDCI (50 mg, 0.262 mmol), HOBt (39 mg, 0.293 mmol) in dichloromethane (5 ml) as per the process described in Example 1 to yield 50 mg of product as off white solid. H
NMR (300 MHz, DMSO-J6) δ 1.09 (t, / = 7.5 Hz, 3H), 3.27 (q, / = 7.8 Hz, 2H), 3.84 (s, 2H), 6.92 (d, / = 8.1 Hz, 1H), 6.98-7.05 (m, 2H), 7.25-7.30 (m, 1H), 7.41 (d, / = 8.4 Hz, 1H), 7.51 (t, / = 7.8 Hz, 1H), 7.69 (d, / = 8.4 Hz, 1H), 7.61 (d, / = 8.4 Hz, 2H), 7.66-7.73 (m, 1H), 7.83-7.89 (m, 3H), 8.19 (br s, 1H), 10.59 (s, 1H); APCI-MS (m/z) 509 (M+H)+.
Example 127
The title compound was prepared by the reaction of Intermediate 76 (68 mg, 0.219 mmol) with [4-(ethylsulfonyl)phenyl] acetic acid (50 mg, 0.219 mmol) using EDCI (50 mg, 0.262 mmol), HOBt (39 mg, 0.293 mmol) in dichloromethane (5 ml) as per the process described in Example 1 to yield 45 mg of product as white solid. 1H NMR (300 MHz, DMSO-J6) δ 1.09 (t, / = 7.5 Hz, 3H), 3.27 (q, / = 7.8 Hz, 2H), 3.84 (s, 2H), 7.03 (d, / = 7.8 Hz, 1H), 7.19 (s, 1H), 7.26-7.32 (m, 2H), 7.38-7.44 (m, 2H), 7.48-7.56 (m, 1H), 7.61 (d, / = 8.4 Hz, 2H), 7.68 (d, / = 8.7 Hz, 1H), 7.85 (d, / = 8.7 Hz, 2H), 7.89 (s, 1H), 8.17 (br s, 1H), 10.59 (s, 1H); APCI-MS (m/z) 525 (M)+.
Example 128
2-[4-(Ethylsulfonyl)phenyl]-N- {4-(2-fiuoropyridin-3-yl)-3-[3- (trifluoromethyl)phenoxy]phenyl} acetamide
The title compound was prepared by the reaction of Intermediate 77 (76 mg, 0.219 mmol) with [4-(ethylsulfonyl)phenyl] acetic acid (50 mg, 0.219 mmol) using EDCI (50 mg, 0.262 mmol), HOBt (39 mg, 0.293 mmol) in dichloromethane (5 ml) as per the process described in Example 1 to yield 40 mg of product as off white solid. H
NMR (300 MHz, DMSO-J6) δ 1.09 (t, / = 7.2 Hz, 3H), 3.27 (q, / = 7.5 Hz, 2H), 3.84 (s, 2H), 7.26-7.31 (m, 1H), 7.40-7.46 (m, 3H), 7.52-7.62 (m, 5H), 7.66-7.72 (m, 1H), 7.85 (d, / = 8.4 Hz, 2H), 7.90 (d, / = 6.3 Hz, 1H), 8.17 (br s, 1H), 10.60 (s, 1H); APCI-MS (m/z) 559 (M+H)+.
Example 129
2-[4-(Ethylsulfonyl)phenyl]-N- {4-(2-fiuoropyridin-3-yl)-3-[3- (trifluoromethoxy)phenoxy ]pheny 1 } acetamide
The title compound was prepared by the reaction of Intermediate 78 (50 mg, 0.219 mmol) with [4-(ethylsulfonyl)phenyl] acetic acid (79 mg, 0.219 mmol) using EDCI (50 mg, 0.262 mmol), HOBt (39 mg, 0.293 mmol) in dichloromethane (5 ml) as per the process described in Example 1 to yield 40 mg of product as white solid. 1H NMR (300 MHz, DMSO-J6) δ 1.09 (t, / = 6.9 Hz, 3H), 3.27 (q, / = 7.8 Hz, 2H), 3.84 (s, 2H), 7.13 (d, / = 7.5 Hz, 2H), 7.19 (d, / = 8.4 Hz, 1H), 7.29 (t, / = 7.5 Hz, 1H), 7.41 (d, / = 8.1 Hz, 1H), 7.52 (t, / = 9.0 Hz, 2H), 7.60 (d, / = 8.4 Hz, 2H), 7.69 (d, / = 12.6 Hz, 1H), 7.82-7.87 (m, 3H), 8.17 (br s, 1H), 10.59 (s, 1H); APCI-MS (m/z) 575 (M+H)+.
Example 130
2-[4-(Ethylsulfonyl)phenyl] -N- [3 -(3 -fluorophenoxy)-4-(6-fluoropyridin-3 - yl)phenyl]acetamide
The title compound was prepared by the reaction of Intermediate 79 (65 mg, 0.217 mmol) with [4-(ethylsulfonyl)phenyl] acetic acid (49 mg, 0.217 mmol) using EDCI (49 mg, 0.261 mmol), HOBt (39 mg, 0.288 mmol) in dichloromethane (10 ml) as per the process described in Example 1 to yield 34 mg of product as white solid. 1H NMR (300 MHz, DMSO-J6) δ 1.09 (t, / = 7.5 Hz, 3H), 3.28 (q, / = 7.2 Hz, 2H), 3.84 (s, 2H), 7.03 (d, / = 9.9 Hz, 1H), 7.08-7.18 (m, 3H), 7.41 (d, / = 7.2 Hz, 1H), 7.45-7.54 (m, 2H), 7.61 (d, / = 8.4 Hz, 2H), 7.72 (d, / = 8.4 Hz, 1H), 7.85 (d, / = 8.4 Hz, 2H), 8.03 (d, / = 8.1 Hz, 1H), 8.32 (s, 1H), 10.59 (s, 1H); APCI-MS (m/z) 509 (M+H)+.
Example 131
The title compound was prepared by the reaction of Intermediate 80 (80 mg, 0.254 mmol) with [4-(ethylsulfonyl)phenyl] acetic acid (58 mg, 0.254 mmol) using EDCI (58 mg, 0.305 mmol), HOBt (45 mg, 0.340 mmol) in dichloromethane (10 ml) as per the process described in Example 1 to yield 35 mg of product as off white solid. 1H NMR (300 MHz, DMSO-J6) δ 1.09 (t, / = 6.9 Hz, 3H), 3.28 (q, / = 7.8 Hz, 2H), 3.85 (s, 2H), 7.18 (t, / = 8.4 Hz, 2H), 7.29 (br s, 2H), 7.40-7.46 (m, 2H), 7.51-7.57 (m, 1H), 7.61 (d, / = 8.4 Hz, 2H), 7.69-7.75 (m, 1H), 7.85 (d, / = 8.4 Hz, 2H), 8.03 (d, / = 9.3 Hz, 1H), 8.31 (s, 1H), 10.60 (s, 1H); APCI-MS (m/z) 525 (M+H)+.
Example 132
2-[4-(Ethylsulfonyl)phenyl]-N- {4-(6-fiuoropyridin-3-yl)-3-[3-
(trifluoromethyl)phenoxy]phenyl} acetamide
The title compound was prepared by the reaction of Intermediate 81 (99 mg, 0.258 mmol) with [4-(ethylsulfonyl)phenyl] acetic acid (58 mg, 0.254 mmol) using EDCI (59 mg, 0.310 mmol), HOBt (46 mg, 0.346 mmol) in dichloromethane (10 ml) as per the process described in Example 1 to yield 38 mg of product as white solid. 1H NMR (300 MHz, DMSO-J6) δ 1.09 (t, / = 6.9 Hz, 3H), 3.27 (q, / = 7.2 Hz, 2H), 3.84 (s, 2H), 7.22 (d, / = 8.7 Hz, 1H), 7.41 (d, / = 7.8 Hz, 1H), 7.52 (d, / = 9.3 Hz, 2H), 7.54- 7.65 (m, 4H), 7.68-7.74 (m, 2H), 7.85 (d, / = 8.1 Hz, 2H), 8.05 (d, / = 7.8 Hz, 1H), 8.30 (s, 1H), 10.60 (s, 1H); APCI-MS (m/z) 559 (M+H)+.
Example 133
2-[4-(Ethylsulfonyl)phenyl]-N- {4-(6-fiuoropyridin-3-yl)-3-[3- (trifluoromethoxy)phenoxy] phenyl} acetamide
The title compound was prepared by the reaction of Intermediate 82 (99 mg, 0.247 mmol) with [4-(ethylsulfonyl)phenyl] acetic acid (56 mg, 0.247 mmol) using EDCI (56 mg, 0.294 mmol), HOBt (44 mg, 0.331 mmol) in dichloromethane (10 ml) as per the process described in Example 1 to yield 40 mg of product as white solid. 1H NMR (300 MHz, DMSO-J6) δ 1.09 (t, / = 7.5 Hz, 3H), 3.28 (q, / = 7.8 Hz, 2H), 3.85 (s, 2H), 7.18-7.26 (m, 4H), 7.41 (d, / = 8.1 Hz, 1H), 7.54 (t, / = 8.1 Hz, 2H), 7.61 (d, / = 8.1 Hz, 2H), 7.72 (d, / = 13.2 Hz, 1H), 7.85 (d, / = 7.8 Hz, 2H), 8.05 (d, / = 8.1 Hz, 1H), 8.32 (s, 1H), 10.59 (s, 1H); APCI-MS (m/z) 575 (M+H)+.
Example 134
N- [3 -(3 ,4-Difluorophenoxy)-4-(6-fluoropyridin-3 -yl)phenyl]-2- [4-(ethylsulfonyl) phenyl] acetamide
The title compound was prepared by the reaction of Intermediate 83 (90 mg, 0.284 mmol) with [4-(ethylsulfonyl)phenyl] acetic acid (65 mg, 0.284 mmol) using EDCI (65 mg, 0.341 mmol), HOBt (51 mg, 0.381 mmol) in dichloromethane (10 ml) as per the process described in Example 1 to yield 35 mg of product as white solid. 1H NMR
(300 MHz, DMSO-J6) δ 1.09 (t, / = 7.2 Hz, 3H), 3.27 (q, / = 7.5 Hz, 2H), 3.84 (s, 2H), 7.08 (br s, 1H), 7.17 (d, / = 9.0 Hz, 1H), 7.40-7.48 (m, 2H), 7.49-7.55 (m, 2H), 7.61 (d, / = 8.4 Hz, 2H), 7.69-7.75 (m, 1H), 7.85 (d, / = 8.7 Hz, 2H), 8.03 (d, / = 8.4 Hz, 1H), 8.30 (s, 1H), 10.59 (s, 1H); APCI-MS (m/z) 527 (M+H)+.
Example 135
N- [3 -(3 ,5-Difluorophenoxy)-4-(6-fluoropyridin-3 -yl)phi
The title compound was prepared by the reaction of Intermediate 84 (90 mg, 0.284 mmol) with [4-(ethylsulfonyl)phenyl] acetic acid (64 mg, 0.284 mmol) using EDCI (65 mg, 0.341 mmol), HOBt (51 mg, 0.381 mmol) in dichloromethane (10 ml) as per the process described in Example 1 to yield 32 mg of product as off white solid. 1H NMR (300 MHz, DMSO-J6) δ 1.08 (t, / = 7.2 Hz, 3H), 3.28 (q, / = 6.9 Hz, 2H), 3.85 (s, 2H), 7.03 (d, / = 7.2 Hz, 2H), 7.12 (br s, 1H), 7.21 (d, / = 8.7 Hz, 1H), 7.44 (d, / = 8.4 Hz, 1H), 7.53 (d, / = 8.7 Hz, 1H), 7.61 (d, / = 8.4 Hz, 2H), 7.69-7.75 (m, 1H), 7.85 (d, / = 8.4 Hz, 2H), 8.06 (d, / = 8.4 Hz, 1H), 8.35 (s, 1H), 10.59 (s, 1H); APCI- MS (m/z) 527 (M+H)+.
Example 136
Ar-[4-(5,6-Difluoropyridixi-3-yi)-3-(3-iluorophei'50xy)phenyl]-2-[4- (ethylsulfonyl)phenyl] acetamide
The title compound was prepared by the reaction of Intermediate 85 (70 mg, 0.219 mmol) with [4-(ethylsulfonyl)phenyl] acetic acid (50 mg, 0.219 mmol) using EDCI (50 mg, 0.263 mmol), HOBt (40 mg, 0.293 mmol) in dichloromethane (10 ml) as per the process described in Example 1 to yield 31 mg of product as white solid. 1H NMR (300 MHz, DMSO-J6) δ 1.09 (t, / = 7.2 Hz, 3H), 3.28 (q, / = 5.1 Hz, 2H), 7.08-7.12 (m, 2H), 7.21 (d, / = 9.6 Hz, 1H), 7.12 (br s, 1H), 7.40-7.49 (m, 2H), 7.61 (d, / = 7.8 Hz, 3H), 7.73 (d, / = 13.2 Hz, 1H), 7.85 (d, / = 7.2 Hz, 2H), 8.09 (s, 1H), 8.14 (d, / = 7.5 Hz, 1H), 10.62 (s, 1H); APCI-MS (m/z) 527 (M+H)+.
Example 137
The title compound was prepared by the reaction of Intermediate 86 (100 mg, 0.309 mmol) with [4-(ethylsulfonyl)phenyl] acetic acid (70 mg, 0.309 mmol) using EDCI (72 mg, 0.371 mmol), HOBt (50 mg, 0.414 mmol) in dichloromethane (4 ml) as per the process described in Example 1 to yield 46 mg of product as white solid. 1H NMR (300 MHz, DMSO-J6) δ 1.09 (t, / = 7.2 Hz, 3H), 3.27 (q, / = 7.6 Hz, 2H), 3.85 (s, 2H), 7.42 (d, / = 8.4 Hz, 1H), 7.55-7.64 (m, 5H), 7.66-7.75 (m, 2H), 7.85 (d, / = 6.9 Hz, 3H), 8.14 (s, 2H), 10.62 (s, 1H); APCI-MS (m/z) 534 (M+H)+.
Example 138
2-[4-(Ethylsulfonyl)phenyl] - - [3 -phenoxy-4-(pyridin-4-yl)phenyl] acetamide
The title compound was prepared by the reaction of Intermediate 87 (57 mg, 0.219 mmol) with [4-(ethylsulfonyl)phenyl] acetic acid (50 mg, 0.219 mmol) using EDCI (50 mg, 0.262 mmol), HOBt (39 mg, 0.293 mmol) in dichloromethane (5 ml) as per the process described in Example 1 to yield 30 mg of product as white solid. 1H NMR (300 MHz, DMSO-J6) δ 1.07 (t, / = 5.4 Hz, 3H), 3.25 (q, / = 5.4 Hz, 2H), 3.76 (s, 2H), 6.98 (t, / = 6.0 Hz, 2H), 7.01 (t, / = 5.4 Hz, 1H), 7.30-7.40 (m, 3H), 7.45-7.56 (m, 6H), 7.81 (d, / = 6.0 Hz, 2H), 8.55 (d, / = 6.0 Hz, 2H), 10.45 (s, 1H); APCI-MS (m/z) 473.44 (M+H)+.
Example 139
2-[4-(Ethylsulfonyl)phenyl] -N- [3 -(3 -fluorophenoxy)-4-(pyridin-4- yl)phenyl]acetamide
The title compound was prepared by the reaction of Intermediate 88 (60 mg, 0.219 mmol) with [4-(ethylsulfonyl)phenyl] acetic acid (50 mg, 0.219 mmol) using EDCI (49 mg, 0.256 mmol), HOBt (38 mg, 0.286 mmol) in dichloromethane (5 ml) as per the process described in Example 1 to yield 32 mg of product as white solid. 1H NMR (300 MHz, DMSO-J6) δ 1.08 (t, / = 5.7 Hz, 3H), 3.21-3.30 (m, 2H), 3.80 (s, 2H), 6.78-6.97 (m, 3H), 7.33-7.46 (m, 2H), 7.47-7.60 (m, 6H), 7.83 (d, / = 8.7 Hz, 2H), 8.55 (d, / = 5.1 Hz, 2H), 10.51 (s, 1H); APCI-MS (m/z) 491 (M+H)+.
Example 140
2-[4-(Ethylsulfonyl)phenyl]-N- {4-(pyridin-4-yl)-3-[3-(trifluoromethyl)phenoxy] phenyl } acetamide
The title compound was prepared by the reaction of Intermediate 89 (72 mg, 0.219 mmol) with [4-(ethylsulfonyl)phenyl] acetic acid (50 mg, 0.219 mmol) using EDCI (50 mg, 0.262 mmol), HOBt (39 mg, 0.293 mmol) in dichloromethane (5 ml) as per the process described in Example 1 to yield 55 mg of product as off white solid. 1H NMR (300 MHz, DMSO-J6) δ 1.08 (t, / = 7.2 Hz, 3H), 3.26 (q, / = 6.9 Hz, 2H), 3.79 (s, 2H), 7.27 (d, / = 7.5 Hz, 1H), 7.34-7.40 (m, 2H), 7.48 (s, 2H), 7.52-7.59 (m, 6H), 7.82 (d, / = 7.8 Hz, 2H), 8.54 (br s, 2H), 10.51 (s, 1H); APCI-MS (m/z) 541 (M+H)+.
Example 141
2-[4-(Ethylsulfonyl)phenyl]-N- {4-(pyridin-4-yl)-3-[3-
(trifluoromethoxy)phenoxy]phenyl} acetamide
The title compound was prepared by the reaction of Intermediate 90 (72 mg, 0.219 mmol) with [4-(ethylsulfonyl)phenyl] acetic acid (50 mg, 0.219 mmol) using EDCI (50 mg, 0.262 mmol), HOBt (39 mg, 0.293 mmol) in dichloromethane (5 ml) as per the process described in Example 1 to yield 55 mg of off product as white solid. 1H NMR (300 MHz, DMSO-J6) δ 1.08 (t, / = 6.9 Hz, 3H), 3.26 (q, / = 7.5 Hz, 2H), 3.80
(s, 2H), 6.95-7.01 (m, 2H), 7.09 (d, / = 7.5 Hz, 1H), 7.44 (d, / = 8.4 Hz, 2H), 7.50- 7.58 (m, 6H), 7.82 (d, / = 7.8 Hz, 2H), 8.55 (br s, 2H), 10.52 (s, 1H); APCI-MS (m/z) 557 (M+H)+.
Example 142
2-[4-(Ethylsulfonyl)phenyl] -N- [3 -(3 -fluorophenoxy)-4-(2-fluoropyridin-4- yl)phenyl]acetamide
The title compound was prepared by the reaction of Intermediate 91 (100 mg, 0.335 mmol) with [4-(ethylsulfonyl)phenyl] acetic acid (76 mg, 0.335 mmol) using EDCI (85 mg, 0.449 mmol), HOBt (54 mg, 0.402 mmol) in dichloromethane (10 ml) as per the process described in Example 1 to yield 32 mg of product as white solid. 1H NMR (300 MHz, DMSO-J6) δ 1.08 (t, / = 7.8 Hz, 3H), 3.26 (q, / = 7.2 Hz, 2H), 3.80 (s, 2H), 6.88 (d, / = 8.7 Hz, 1H), 6.99 (d, / = 8.4 Hz, 2H), 7.32 (s, 1H), 7.39 (br s, 2H), 7.55-7.61 (m, 5H), 7.83 (d, / = 8.4 Hz, 2H), 8.22 (br s, 1H), 10.52 (s, 1H); APCI-MS (m/z) 509 (M+H)+.
Example 143
N-[3-(3-Chlorophenoxy)-4-(2-fluoropyridin-4-yl)phenyl]-2-[4- (ethylsulfony l)pheny 1] ac
The title compound was prepared by the reaction of Intermediate 92 (100 mg, 0.317 mmol) with [4-(ethylsulfonyl)phenyl] acetic acid (70 mg, 0.317 mmol) using EDCI (72 mg, 0.381 mmol), HOBt (57 mg, 0.425 mmol) in dichloromethane (10 ml) as per the process described in Example 1 to yield 28 mg of product as off white solid. H
NMR (300 MHz, DMSO-J6) δ 1.09 (t, / = 7.5 Hz, 3H), 3.26 (q, / = 7.2 Hz, 2H), 3.79 (s, 2H), 6.99 (d, / = 8.4 Hz, 1H), 7.16 (s, 1H), 7.21 (d, / = 8.7 Hz, 1H), 7.33-7.42 (m, 3H), 7.53-7.64 (m, 5H), 7.83 (d, / = 7.8 Hz, 2H), 8.23 (br s, 1H), 10.52 (s, 1H); APCI-MS (m/z) 526 (M+H)+.
Example 144
2-[4-(Ethylsulfonyl)phenyl]-N- {4-(2-fluoropyridin-4-yl)-3-[3- (trifluoromethyl)phenoxy]phenyl} acetamide
The title compound was prepared by the reaction of Intermediate 93 (100 mg, 0.287 mmol) with [4-(ethylsulfonyl)phenyl] acetic acid (65 mg, 0.287 mmol) using EDCI (65 mg, 0.344 mmol), HOBt (51 mg, 0.384 mmol) in dichloromethane (10 ml) as per the process described in Example 1 to yield 30 mg of product as white solid. 1H NMR (300 MHz, DMSO-J6) δ 1.08 (t, / = 7.2 Hz, 3H), 3.26 (q, / = 7.2 Hz, 2H), 3.79 (s,
2H), 7.30-7.36 (m, 3H), 7.42 (s, 1H), 7.51-7.63 (m, 7H), 7.82 (t, /
(br s, 1H), 10.52 (s, 1H); APCI-MS (m/z) 559 (M+H)+.
Example 145
N-[3-(3,5-Difluorophenoxy)-4-(2-fluoropyridin-4-yl)phi
(ethylsulfonyl)phenyl] acetamide
The title compound was prepared by the reaction of Intermediate 94 (90 mg, 0.284 mmol) with [4-(ethylsulfonyl)phenyl] acetic acid (64 mg, 0.284 mmol) using EDCI (65 mg, 0.341 mmol), HOBt (51 mg, 0.381 mmol) in dichloromethane (10 ml) as per the process described in Example 1 to yield 33 mg of product as white solid. 1H NMR
(300 MHz, DMSO-J6) δ 1.09 (t, / = 7.2 Hz, 3H), 3.27 (q, / = 7.2 Hz, 2H), 3.81 (s, 2H), 6.82 (d, / = 7.8 Hz, 2H), 7.02 (t, / = 7.4 Hz, 1H), 7.31 (s, 1H), 7.45-7.51 (m, 3H), 7.56-7.65 (m, 3H), 7.83 (d, / = 7.8 Hz, 2H), 8.23 (br s, 1H), 10.56 (s, 1H); APCI-MS (m/z) 527 (M+H)+.
Example 146
The title compound was prepared by the reaction of Intermediate 95 (50 mg, 0.219 mmol) with [4-(ethylsulfonyl)phenyl] acetic acid (61 mg, 0.219 mmol) using EDCI (50 mg, 0.262 mmol), HOBt (39 mg, 0.293 mmol) in dichloromethane (5 ml) as per the process described in Example 1 to yield 45 mg of product as off white solid. 1H NMR (300 MHz, DMSO-J6) δ 1.08 (t, J = 7.8 Hz, 3H), 3.26 (q, / = 7.8 Hz, 2H), 3.80 (s, 2H), 6.86 (d, / = 8.4 Hz, IH), 6.93-6.99 (m, 2H), 7.37-7.42 (m, 2H), 7.55-7.63 (m, 4H), 7.83 (d, / = 8.4 Hz, 2H), 8.96 (s, 2H), 9.10 (s, IH), 10.51 (s, IH); APCI-MS (m/z) 492 (M+H)+.
Example 147
N- [3 -(3 -Chlorophenoxy)-4-(pyrimidin-5-yl)phenyl]
(ethylsulfony l)pheny 1] acetamide
The title compound was prepared by the reaction of Intermediate 96 (50 mg, 0.219 mmol) with [4-(ethylsulfonyl)phenyl] acetic acid (65 mg, 0.219 mmol) using EDCI (50 mg, 0.262 mmol), HOBt (39 mg, 0.293 mmol) in dichloromethane (5 ml) as per the process described in Example 1 to yield 40 mg of product as off white solid. 1H NMR (300 MHz, DMSO-d6) δ 1.08 (t, / = 7.8 Hz, 3H), 3.26 (q, / = 7.5 Hz, 2H), 3.80 (s, 2H), 7.00 (d, / = 8.7 Hz, IH), 7.17-7.23 (m, 2H), 7.35-7.41 (m, 2H), 7.56-7.63 (m, 4H), 7.83 (d, / = 8.1 Hz, 2H), 8.97 (s, 2H), 9.1 1 (s, IH), 10.51 (s, IH); APCI-MS (m/z) 508 (M+H)+.
Example 148
The title compound was prepared by the reaction of Intermediate 97 (72 mg, 0.219 mmol) with [4-(ethylsulfonyl)phenyl] acetic acid (50 mg, 0.219 mmol) using EDCI (50 mg, 0.262 mmol), HOBt (39 mg, 0.293 mmol) in dichloromethane (5 ml) as per the process described in Example 1 to yield 20 mg of product as white solid. 1H NMR (300 MHz, DMSO-J6) δ 1.08 (t, / = 7.2 Hz, 3H), 3.26 (q, / = 6.9 Hz, 2H), 3.79 (s, 2H), 7.31-7.37 (m, 2H), 7.44 (s, 1H), 7.50 (d, / = 7.2 Hz, 1H), 7.55-7.65 (m, 5H), 7.82 (d, / = 8.7 Hz, 2H), 8.98 (s, 2H), 9.10 (s, 1H), 10.51 (s, 1H); APCI-MS (m/z) 542 (M+H)+.
Example 149
2-[4-(Ethylsulfonyl)phenyl]-N- {4-(pyrimidin-5-yl)-3-[3- (trifluoromethoxy)phenoxy]phenyl} acetamide
The title compound was prepared by the reaction of Intermediate 98 (76 mg, 0.219 mmol) with [4-(ethylsulfonyl)phenyl] acetic acid (50 mg, 0.219 mmol) using EDCI (50 mg, 0.262 mmol), HOBt (39 mg, 0.293 mmol) in dichloromethane (5 ml) as per the process described in Example 1 to yield 45 mg of product as white solid. 1H NMR
(300 MHz, DMSO-J6) δ 1.08 (t, / = 7.5 Hz, 3H), 3.27 (q, / = 7.8 Hz, 2H), 3.80 (s, 2H), 7.03-7.14 (m, 3H), 7.43-7.50 (m, 2H), 7.56-7.64 (m, 4H), 7.83 (d, / = 7.8 Hz, 2H), 8.96 (s, 2H), 9.10 (s, 1H), 10.52 (s, 1H); APCI-MS (m/z) 558 (M+H)+.
Example 150
2- [4-(Cyclopropylsulfonyl)phenyl]- V- [2-(3 -fluorophenoxy)biphenyl-4-yl] acetamide
The title compound was prepared by the reaction of Intermediate 7 (58 mg, 0. mmol) with [4-(cyclopropylsulfonyl)phenyl]acetic acid (50 mg, 0.208 mmol) uf
EDCI (47 mg, 0.249 mmol), HOBt (44 mg, 0.326 mmol) in dichloromethane (5 ml) as per the process described in Example 1 to yield 42 mg of product as white solid. 1H NMR (300 MHz, DMSO-J6) δ 1.00-1.10 (m, 4H), 2.81-2.90 (m, 1H), 3.79 (s, 2H), 6.71-6.80 (m, 3H), 7.25-7.40 (m, 6H), 7.48 (d, / = 7.8 Hz, 3H), 7.56 (d, / = 8.4 Hz, 2H), 7.84 (d, / = 8.4 Hz, 2H), 10.45 (s, 1H); APCI-MS (m/z) 500 (M+H)+.
Example 151
N-[2-(3-Fluorophenoxy)biphenyl-4-yl]-2-[4-(methylsulfamoyl)phenyl]acetamide
The title compound was prepared by the reaction of Intermediate 7 (61 mg, 0.218 mmol) with [4-(methylsulfamoyl)phenyl]acetic acid (50 mg, 0.218 mmol) using EDCI (50 mg, 0.261 mmol), HOBt (39 mg, 0.292 mmol) in dichloromethane (5 ml) as per the process described in Example 1 to yield 55 mg of product as white solid. 1H NMR (300 MHz, DMSO-J6) δ 2.39 (d, / = 4.8 Hz, 3H), 3.75 (s, 2H), 6.74-6.79 (m, 2H), 6.83-6.89 (m, 1H), 7.27-7.38 (m, 6H), 7.41-7.53 (m 6H), 7.72 (d, / = 8.4 Hz, 2H), 10.43 (s, 1H); APCI-MS (m/z) 491 (M+H)+.
Example 152
N-[3'-Fluoro-2-(3-fluorophenoxy)biphenyl-4-yl]-2-[4- (methylsulfamoyl)phenyl]acetamide
The title compound was prepared by the reaction of Intermediate 21 (50 mg, 0.168 mmol) with [4-(methylsulfamoyl)phenyl]acetic acid (38 mg, 0.168 mmol) using EDCI (38 mg, 0.202 mmol), HOBt (30 mg, 0.225 mmol) in dichloromethane (5 ml) as per the process described in Example 1 to yield 27 mg of product as white solid. 1H NMR (300 MHz, DMSO-J6) δ 2.39 (d, / = 4.8 Hz, 3H), 3.75 (s, 2H), 6.74-6.95 (m, 3H), 7.09-7.16 (m, 1H), 7.25-7.46 (m, 6H), 7.51 (d, / = 7.8 Hz, 4H), 7.72 (d, / = 8.4 Hz, 2H), 10.45 (s, 1H); APCI-MS (m/z) 509 (M+H)+.
Example 153
N-[2-(3-Chlorophenoxy)-3'-fluorobiphenyl-4-yl]-2-[4- (methylsulfamoyl)phenyl]acetamide
The title compound was prepared by the reaction of Intermediate 23 (30 mg, 0.095 mmol) with [4-(methylsulfamoyl)phenyl]acetic acid (22 mg, 0.095 mmol) using EDCI (22 mg, 0.1 14 mmol), HOBt (17 mg, 0.128 mmol) in dichloromethane (4 ml) as per the process described in Example 1 to yield 24 mg of product as off-white solid. 1H NMR (300 MHz, DMSO-J6) δ 2.39 (d, / = 6.3 Hz, 3H), 3.75 (s, 2H), 6.93 (d, / = 6.6 Hz, 1H), 7.06 (s, 1H), 7.14 (d, / = 8.4 Hz, 2H), 7.29-7.45 (m, 6H), 7.45-7.55 (m, 4H), 7.71 (d, / = 8.4 Hz, 2H), 10.46 (s, 1H); APCI-MS (m/z) 525 (M+H)+.
Example 154
N- {3'-Fluoro-2-[3-(trifluoromethyl)phenoxy]biphenyl-4-yl}-2-[4- (methylsulfamoyl)phenyl] acetamide
The title compound was prepared by the reaction of Intermediate 26 (76 mg, 0.218 mmol) with [4-(methylsulfamoyl)phenyl]acetic acid (50 mg, 0.218 mmol) using EDCI (50 mg, 0.261 mmol), HOBt (40 mg, 0.294 mmol) in dichloromethane (5 ml) as per the process described in Example 1 to yield 32 mg of product as white solid. 1H NMR (300 MHz, DMSO-J6) δ 2.39 (d, / = 4.8 Hz, 3H), 3.75 (s, 2H), 7.1 1 (br s, 1H), 7.23 (d, / = 7.8 Hz, 1H), 7.29-7.34 (m, 3H), 7.39-7.42 (m, 4H), 7.44-7.56 (m, 5H), 7.71 (d, / = 8.4 Hz, 2H), 10.45 (s, 1H); APCI-MS (m/z) 559 (M+H)+.
Example 155
N- {3'-Fluoro-2-[3-(trifluoromethoxy)phenoxy]biphenyl-4-yl}-2-[4- (methylsulfamoyl)phenyl] acetamide
The title compound was prepared by the reaction of Intermediate 27 (79 mg, 0.218 mmol) with [4-(methylsulfamoyl)phenyl]acetic acid (50 mg, 0.218 mmol) using EDCI (50 mg, 0.261 mmol), HOBt (40 mg, 0.293 mmol) in dichloromethane (4 ml) as per the process described in Example 1 to yield 56 mg of product as white solid. 1H NMR (300 MHz, DMSO-J6) δ 2.37 (d, / = 4.8 Hz, 3H), 3.74 (s, 2H), 6.92 (br s, 2H), 7.02-7.09 (m, 2H), 7.25-7.34 (m, 3H), 7.37-7.44 (m, 3H), 7.50 (br s, 4H), 7.70 (d, / = 8.4 Hz, 2H), 10.44 (s, 1H); APCI-MS (m/z) 575 (M+H)+.
Example 156
N-[2-(3-Cyanophenoxy)-3'-fluorobiphenyl-4-yl]-2-[4- (methylsulfamoyl)phenyl]acetamide
The title compound was prepared by the reaction of Intermediate 28 (66 mg, 0.218 mmol) with [4-(methylsulfamoyl)phenyl]acetic acid (50 mg, 0.218 mmol) using EDCI (50 mg, 0.261 mmol), HOBt (39 mg, 0.292 mmol) in dichloromethane (5 ml) as per the process described in Example 1 to yield 15 mg of product as off-white solid.
1H NMR (300 MHz, DMSO-J6) δ 2.39 (d, / = 6.3 Hz, 3H), 3.76 (s, 2H), 7.12 (t, / =
6.0 Hz, 1H), 7.25-7.44 (m, 7H), 7.47-7.57 (m, 6H), 7.72 (d, / = 8.4 Hz, 2H), 10.47 (s,
1H); APCI-MS (m/z) 516.1 1 (M+H)+.
Example 157
N-[2-(3,4-Difiuorophenoxy)-3'-fluorobiphenyl-4-yl]-2-[4-
(methylsulfamoyl)phenyl]acetamide
The title compound was prepared by the reaction of Intermediate 58 (69 mg, 0.218 mmol) with [4-(methylsulfamoyl)phenyl]acetic acid (50 mg, 0.218 mmol) using EDCI (50 mg, 0.261 mmol), HOBt (40 mg, 0.294 mmol) in dichloromethane (4 ml) as per the process described in Example 1 to yield 42 mg of product as white solid. 1H NMR (300 MHz, DMSO-J6) δ 2.39 (d, / = 4.8 Hz, 3H), 3.75 (s, 2H), 6.84 (br s, 1H), 7.1 1-7.17 (m, 2H), 7.34 (br s, 3H), 7.39-7.44 (m, 3H), 7.48-7.53 (m, 4H), 7.72 (d, / = 7.8 Hz, 2H), 10.42 (s, 1H); APCI-MS (m/z) 527 (M+H)+.
Example 158
N-[2-(3,5-Difluorophenoxy)-3'-fluorobiphenyl-4-yl]-2-[4- (methy lsulfamoy l)pheny 1] acetamide
The title compound was prepared by the reaction of Intermediate 59 (69 mg, 0.218 mmol) with [4-(methylsulfamoyl)phenyl]acetic acid (50 mg, 0.218 mmol) using EDCI (50 mg, 0.261 mmol), HOBt (40 mg, 0.294 mmol) in dichloromethane (4 ml) as per the process described in Example 1 to yield 51 mg of product as white solid. 1H NMR (300 MHz, DMSO-J6) δ 2.39 (d, / = 5.1 Hz, 3H), 3.77 (s, 2H), 6.71 (d, / = 7.8 Hz, 2H), 6.92-6.99 (m, 1H), 7.14-7.20 (m, 1H), 7.29-7.34 (m, 2H), 7.38-7.46 (m, 3H), 7.49-7.55 (m, 4H), 7.72 (d, / = 7.8 Hz, 2H), 10.49 (s, 1H); APCI-MS (m/z) 527 (M+H)+.
Example 159
N-[3-(3-Fluorophenoxy)-4-(3-methyl- lH-pyrazol- 1 -yl)phenyl]-2-[4- (methylsulfamoyl)phenyl] acetamide
The title compound was prepared by the reaction of Intermediate 101 (61 mg, 0.218 mmol) with [4-(methylsulfamoyl)phenyl]acetic acid (50 mg, 0.218 mmol) using EDCI (50 mg, 0.261 mmol), HOBt (39 mg, 0.292 mmol) in dichloromethane (5 ml) as per the process described in Example 1 to yield 30 mg of product as white solid. 1H
NMR (300 MHz, DMSO-J6) δ 2.20 (s, 3H), 3.38 (s, 3H), 3.75 (s, 2H), 6.21 (s, 1H), 6.83 (d, / = 7.2 Hz, 1H), 6.95 (br s, 2H), 7.41 (br s, 2H), 7.47-7.52 (m, 4H), 7.70 (br s, 3H), 7.95 (s, 1H), 10.46 (s, 1H); APCI-MS (m/z) 495 (M+H)+.
Example 160
N-[3-(3-Fluorophenoxy)-4-(4-methyl- lH-imidazol- 1 -yl)phenyl]-2-[4- (methylsulfamoyl)phenyl] acetamide
The title compound was prepared by the reaction of Intermediate 129 (61 mg, 0.218 mmol) with [4-(methylsulfamoyl)phenyl]acetic acid (50 mg, 0.218 mmol) using EDCI (49 mg, 0.258 mmol), HOBt (38 mg, 0.288 mmol) in dichloromethane (5 ml) as per the process described in Example 1 to yield 30 mg of product as white solid. 1H NMR (300 MHz, DMSO-J6) δ 2.09 (s, 3H), 2.39 (d, / = 4.8 Hz, 3H), 3.75 (s, 2H), 6.86 (d, / = 8.4 Hz, 1H), 6.94-6.99 (m, 2H), 7.12 (s, 1H), 7.37-7.43 (m, 3H), 7.48- 7.53 (m, 4H), 7.70 (br s, 1H), 7.74 (d, / = 8.4 Hz, 2H), 10.48 (s, 1H); APCI-MS (m/z) 495 (M+H)+.
Example 161
2- [4-(Ethylsulfamoyl)phenyl] -N- [2-(3 -fluorophenoxy)biphenyl-4-yl] acetamide
The title compound was prepared by the reaction of Intermediate 7 (57 mg, 0.205 mmol) with [4-(ethylsulfamoyl)phenyl]acetic acid (50 mg, 0.205 mmol) using EDCI (47 mg, 0.246 mmol), HOBt (33 mg, 0.275 mmol) in dichloromethane (5 ml) as per the process described in Example 1 to yield 50 mg of product as white solid. 1H NMR (300 MHz, DMSO-J6) δ 0.96 (t, / = 5.7 Hz, 3H), 2.70-2.79 (m, 2H), 3.75 (s, 2H), 6.71-6.93 (m, 3H), 7.24-7.55 (m, 12H), 7.73 (d, / = 8.7 Hz, 2H), 10.42 (s, 1H); APCI- MS (m/z) 505 (M+H)+.
Example 162
2- [4-(Ethylsulfamoyl)phenyl] -N- [3 '-fluoro-2-(3 -fluorophenoxy)biphenyl-4- yljacetamide
The title compound was prepared by the reaction of Intermediate 21 (61 mg, 0.205 mmol) with [4-(ethylsulfamoyl)phenyl]acetic acid (50 mg, 0.205 mmol) using EDCI (47 mg, 0.246 mmol), HOBt (37 mg, 0.275 mmol) in dichloromethane (5 ml) as per the process described in Example 1 to yield 44 mg of product as white solid. 1H NMR
(300 MHz, DMSO-J6) δ 0.96 (t, / = 7.5 Hz, 3H), 2.69-2.79 (m, 2H), 3.75 (s, 2H), 6.73-6.96 (m, 3H), 7.09-7.16 (m, 1H), 7.24-7.45 (m, 5H), 7.49-7.56 (m, 5H), 7.73 (d, / = 8.4 Hz, 2H), 10.44 (s, 1H); APCI-MS (m/z) 523 (M+H)+.
Example 163
N-[2-(3-Fluorophenoxy)biphenyl-4-yl]-2-{4-[(2,2,2- trifluoroethyl)sulfonyl]phenyl}acetamide
The title compound was prepared by the reaction of Intermediate 7 (60 mg, 0.228 mmol) with {4-[(2,2,2-trifluoroethyl)sulfonyl]phenyl} acetic acid (50 mg, 0.228 mmol) using EDCI (50 mg, 0.262 mmol), HOBt (40 mg, 0.297 mmol) in dichloromethane (5 ml) as per the process described in Example 1 to yield 29 mg of product as off-white solid. 1H NMR (300 MHz, DMSO-J6) δ 3.81 (s, 2H), 4.94 (q, / = 9.6 Hz, 2H), 6.70-6.90 (m, 3H), 7.25-7.47 (m, 5H), 7.49 (d, / = 7.5 Hz, 4H), 7.61 (d, / = 8.4 Hz, 2H), 7.90 (d, / = 8.4 Hz, 2H), 10.46 (s, 1H); ESI-MS (m/z) 544 (M+H)+.
Example 164
N-[3*-Fluoro-2-(3-fluorophenoxy)biphenyl-4-yl]-2- {4-[(2,2,2- trifluoroethyl)sulfonyl]phenyl} acetamide
The title compound was prepared by the reaction of Intermediate 21 (52 mg, 0.177 mmol) with {4-[(2,2,2-trifluoroethyl)sulfonyl]phenyl} acetic acid (50 mg, 0.177 mmol) using EDCI (40 mg, 0.210 mmol), HOBt (31 mg, 0.234 mmol) in dichloromethane (5 ml) as per the process described in Example 1 to yield 24 mg of product as white solid. 1H NMR (300 MHz, DMSO-J6) δ 3.81 (s, 2H), 4.93 (q, / = 6.3 Hz, 2H), 6.73-6.96 (m, 3H), 7.09-7.15 (m, 1H), 7.25-7.32 (m, 5H), 7.50 (s, 2H), 7.60 (d, / = 6.0 Hz, 2H), 7.90 (d, / = 6.0 Hz, 2H), 10.47 (s, 1H); ESI-MS (m/z) 562.31 (M+H)+.
Example 165
N-[3'-Fluoro-2-(3-fluorophenoxy)biphenyl-4-yl]-2- {4- [(methylsulfonyl)amino]phenyl} acetamide
The title compound was prepared by the reaction of Intermediate 21 (50 mg, 0.168 mmol) with {4-[(methylsulfonyl)amino]phenyl}acetic acid (38 mg, 0.168 mmol) using EDCI (38 mg, 0.202 mmol), HOBt (30 mg, 0.225 mmol) in dichloromethane (5 ml) as per the process described in Example 1 to yield 29 mg of product as off-white solid. 1H NMR (300 MHz, DMSO-J6) δ 2.95 (s, 3H), 3.57 (s, 2H), 6.78 (d, / = 8.4 Hz, 1H), 6.81-6.95 (m, 2H), 7.14 (d, / = 8.1 Hz, 3H), 7.19-7.25 (m, 2H), 7.28 (d, / = 12.0 Hz, 2H), 7.32-7.40 (m, 3H), 7.49 (s, 2H), 9.67 (s, 1H), 10.36 (s, 1H); APCI-MS (m/z) 509 (M+H)+.
Example 166
The title compound was prepared by the reaction of Intermediate 23 (40 mg, 0.127 mmol) with {4-[(methylsulfonyl)amino]phenyl}acetic acid (29 mg, 0.127 mmol) using EDCI (29 mg, 0.153 mmol), HOBt (23 mg, 0.171 mmol) in dichloromethane (4 ml) as per the process described in Example 1 to yield 18 mg of product as off-white solid. 1H NMR (300 MHz, DMSO-J6) δ 2.95 (s, 3H), 3.58 (s, 2H), 6.93 (d, / = 5.7 Hz, 1H), 7.06 (s, 1H), 7.14 (d, / = 5.7 Hz, 4H), 7.19-7.40 (m, 7H), 7.50 (s, 2H), 9.68 (s, 1H), 10.36 (s, 1H); APCI-MS (m/z) 525 (M+H)+.
Example 167
N-[2-(3-Cyanophenoxy)-3'-fluorobiphenyl-4-yl]-2- {4- [(methylsulfonyl)amino]phenyl}acetamide
The title compound was prepared by the reaction of Intermediate 28 (66 mg, 0.218 mmol) with {4-[(methylsulfonyl)amino]phenyl}acetic acid (50 mg, 0.218 mmol) using EDCI (50 mg, 0.261 mmol), HOBt (20 mg, 0.153 mmol) in dichloromethane (5 ml) as per the process described in Example 1 to yield 15 mg of product as off-white solid. 1H NMR (300 MHz, DMSO-J6) δ 2.95 (s, 3H), 3.58 (s, 2H), 7.14 (d, / = 7.2 Hz, 3H), 7.16-7.43 (m, 7H), 7.45-7.59 (m, 5H), 9.68 (s, 1H), 10.37 (s, 1H); APCI-MS (m z) 516 (M+H)+.
Example 168
2-[4-(Ethylsulfonyl)phenyl]- -(5-phenoxy-6-phenylpyridin-3-yl)acetamide
The title compound was prepared by the reaction of Intermediate 146 (44 mg, 0.169 mmol) with [4-(ethylsulfonyl)phenyl] acetic acid (50 mg, 0.169 mmol) using EDCI (39 mg, 0.202 mmol), HOBt (32 mg, 0.236 mmol) in dichloromethane (4 ml) as per the process described in Example 1 to yield 36 mg of product as off-white solid. 1H NMR (300 MHz, DMSO-J6) δ 1.08 (t, / = 7.5 Hz, 3H), 3.27 (q, / = 6.9 Hz, 2H), 3.82 (s, 2H), 7.07 (d, / = 8.1 Hz, 2H), 7.19 (t, / = 6.9 Hz, 1H), 7.31 -7.45 (m, 5H), 7.57 (d, / = 8.1 Hz, 2H), 7.75 (s, 1H), 7.83 (d, / = 8.4 Hz, 2H), 7.90 (d, / = 8.4 Hz, 2H), 8.65 (s, 1H), 10.66 (s, 1H); APCI-MS (m/z) 473 (M+H)+.
Example 169
2-[4-(Ethylsulfonyl)phenyl] -N- [5-(3 -fluorophenoxy)-6-(3 -fluorophenyl)pyridin-3 - yljacetamide
The title compound was prepared by the reaction of Intermediate 147 (100 mg, 0.3352 mmol) with [4-(ethylsulfonyl)phenyl] acetic acid (76 mg, 0.335 mmol) using EDCI (77 mg, 0.402 mmol), HOBt (60 mg, 0.449 mmol) in dichloromethane (4 ml) as per the process described in Example 1 to yield 42 mg of product as off-white solid. 1H NMR (300 MHz, DMSO-J6) δ 1.08 (t, / = 6.3 Hz, 3H), 3.27 (q, / = 6.3 Hz, 2H), 3.83 (s, 2H), 6.93 (d, / = 6.6 Hz, 1H), 7.00-7.09 (m, 2H), 7.20 d, / = 6.6 Hz, 1H), 7.39- 7.49 (m, 4H), 7.57 (d, / = 6.6 Hz, 1H), 7.63 (d, / = 6.6 Hz, 1H), 7.74 (d, / = 6.9 Hz, 1H), 7.79-7.86 (m, 2H), 8.68 (s, 1H), 10.72 (s, 1H); APCI-MS (m/z) 509.29 (M+H)+.
Example 170
N-[5-(3-Cyanophenoxy)-6-(3-fluorophenyl)pyridin-3-yl]-2-[4- (ethylsulfony l)pheny 1] ac
The title compound was prepared by the reaction of Intermediate 148 (100 mg, 0.327 mmol) with [4-(ethylsulfonyl)phenyl] acetic acid (75 mg, 0.327 mmol) using EDCI
(75 mg, 0.393 mmol), HOBt (59 mg, 0.438 mmol) in dichloromethane (4 ml) as per the process described in Example 1 to yield 27 mg of product as off-white solid. H
NMR (300 MHz, DMSO-J6) δ 1.08 (t, / = 6.6 Hz, 3H), 3.27 (q, / = 7.2 Hz, 2H), 3.84 (s, 2H), 7.21 (br s, 1H), 7.46 (br s, 2H), 7.56-7.66 (m, 4H), 7.68-7.74 (m, 4H), 7.79- 7.85 (m, 2H), 8.70 (s, 1H), 10.73 (s, 1H); APCI-MS (m/z) 516 (M+H)+.
Example 171
N-[6-(3,5-Difluorophenyl)-5-(3-fluorophenoxy)pyridin-3-yl]-2-[4- (ethylsulfonyl)phenyl] acetamide
The title compound was prepared by the reaction of Intermediate 149 (75 mg, 0.237 mmol) with [4-(ethylsulfonyl)phenyl] acetic acid (54 mg, 0.237 mmol) using EDCI (54 mg, 0.284 mmol), HOBt (43 mg, 0.317 mmol) in dichloromethane (4 ml) as per the process described in Example 1 to yield 25 mg of product as white solid. 1H NMR (300 MHz, DMSO-J6) δ 1.08 (t, / = 6.9 Hz, 3H), 3.26 (q, / = 7.5 Hz, 2H), 3.83 (s, 2H), 6.96 (d, / = 8.1 Hz, 1H), 7.06-7.12 (m, 2H), 7.27 (t, / = 8.4 Hz, 1H), 7.41-7.47 (m, 1H), 7.55-7.60 (m, 4H), 7.83 (d, / = 8.4 Hz, 3H), 8.68 (s, 1H), 10.74 (s, 1H); APCI-MS (m/z) 527 (M+H)+.
Example 172
N-[6-(3,4-Difluorophenyl)-5-(3-fluorophenoxy)pyridin-;
(ethylsulfonyl)phenyl] acetamide
The title compound was prepared by the reaction of Intermediate 150 (50 mg, 0.158 mmol) with [4-(ethylsulfonyl)phenyl] acetic acid (36 mg, 0.158 mmol) using EDCI (36 mg, 0.189 mmol), HOBt (28 mg, 0.212 mmol) in dichloromethane (4 ml) as per the process described in Example 1 to yield 19 mg of product as white solid. 1H NMR (300 MHz, DMSO-J6) δ 1.08 (t, / = 6.9 Hz, 3H), 3.26 (q, / = 7.2 Hz, 2H), 3.83 (s, 2H), 6.87 (d, / = 7.8 Hz, 1H), 6.93 (d, / = 8.1 Hz, 1H), 7.01-7.09 (m, 2H), 7.31 (t, / =
8.4 Hz, 1H), 7.40-7.48 (m, 1H), 7.51-7.63 (m, 3H), 7.72-7.84 (m, 3H), 8.67 (s, 1H), 10.71 (s, 1H); APCI-MS (m/z) 527 (M+H)+.
Example 173
N- [5-(3 -Fluorophenoxy)-6-(3 -fluorophenyl)pyridin-3 -yl] -2-[4- (methylsulfamoyl)phenyl] acetamide
The title compound was prepared by the reaction of Intermediate 147 (69 mg, 0.218 mmol) with [4-(methylsulfamoyl)phenyl]acetic acid (50 mg, 0.218 mmol) using EDCI (50 mg, 0.261 mmol), HOBt (40 mg, 0.292 mmol) in dichloromethane (4 ml) as per the process described in Example 1 to yield 24 mg of product as off-white solid. 1H NMR (300 MHz, DMSO-J6) δ 2.39 (d, / = 5.1 Hz, 3H), 3.80 (s, 2H), 6.91 (d, / = 7.5 Hz, 1H), 7.01-7.07 (m, 2H), 7.21 (br s, 1H), 7.40-7.45 (m, 3H), 7.51 (d, / = 7.8 Hz, 2H), 7.64-7.73 (m, 4H), 7.82 (s, 1H), 8.68 (s, 1H), 10.71 (s, 1H); APCI-MS (m/z) 510 (M+H)+.
Example 174
N-[5-(3-Fluorophenoxy)-6-(3-fluorophenyl)pyridin-3-yl]-2-{4- [(methylsulfonyl)amino]phenyl} acetamide
The title compound was prepared by the reaction of Intermediate 147 (61 mg, 0.205 mmol) with {4-[(methylsulfonyl)amino]phenyl} acetic acid (50 mg, 0.205 mmol) using EDCI (48 mg, 0.245 mmol), HOBt (37 mg, 0.275 mmol) in dichloromethane (4 ml) as per the process described in Example 1 to yield 54 mg of product as off-white solid. 1H NMR (300 MHz, DMSO-J6) δ 2.95 (s, 3H), 3.62 (s, 2H), 6.91 (d, / = 8.4 Hz, 1H), 7.01-7.07 (m, 2H), 7.14 (d, / = 8.1 Hz, 2H), 7.21 (br s, 1H), 7.25 (d, J = 8.1 Hz, 2H), 7.39-7.50 (m, 2H), 7.65 (d, / = 8.4 Hz, 1H), 7.74 (d, / = 7.2 Hz, 1H), 7.82 (br s, 1H), 8.68 (s, 1H), 9.68 (s, 1H), 10.61 (s, 1H); APCI-MS (m/z) 510 (M+H)+.
Example 175
2-[4-(Ethylsulfonyl)phenyl]-N- {4-(pyridin-3-yl)-3-[3- (trifluoromethyl)phenoxy]phen l} acetamide hydrochloride
Step 1 : 2- [4-(Ethylsulfonyl)phenyl] -N- {4-(pyridin-3 -yl)-3 - [3 -(trifluoromethyl) phenoxy]phenyl} acetamide
The title compound was prepared by the reaction of Intermediate 73 (130 mg, 0.392 mmol) with [4-(ethylsulfonyl)phenyl] acetic acid (89 mg, 0.393 mmol) using EDCI (90 mg, 0.472 mmol), HOBt (71 mg, 0.527 mmol) in dichloromethane (5 ml) as per the process described in Example 1 to yield 150 mg of free base as a white solid. 1H NMR (300 MHz, DMSO-J6) δ 1.08 (t, / = 7.8 Hz, 3H), 3.26 (q, / = 7.2 Hz, 2H), 3.79 (s, 2H), 7.26 (d, / = 8.1 Hz, 1H), 7.33 (s, 1H), 7.37-7.46 (m, 3H), 7.54-7.59 (m, 5H), 7.83 (d, / = 8.1 Hz, 2H), 7.92 (d, / = 9.0 Hz, 1H), 8.47 (br s, 1H), 8.69 (s, 1H), 10.49 (s, 1H); APCI-MS (m/z) 541 (M+H)+.
Step 2: 2- [4-(Ethylsulfonyl)phenyl]-N- {4-(pyridin-3-yl)-3- [3 -(trifluoromethyl) phenoxy]phenyl} acetamide hydrochloride: The free base 145 mg (0.268 mmol) was dissolved in EtOAc (2.0 mL), cooled to 0 °C and 12 % HCI in EtOAc (2.0 mL) was added. The mixture was stirred at room temperature under nitrogen atmosphere for 1 h. The solvent was evaporated under reduced pressure and the residue was dried under vacuum to give 148 mg of title compound as an off-white solid. 1H NMR (300 MHz, DMSO-J6) δ 1.08 (t, / = 6.9 Hz, 3H), 3.27 (q, / = 7.2 Hz, 2H), 3.81 (s, 2H), 7.34 (m, 2H), 7.47 (s, 1H), 7.51-7.67 (m, 7H), 7.82 (d, / = 2.6 Hz, 2H), 7.91 (br s, 1H, D20 exchangeable), 8.55 (br s, 1H), 8.75 (br s, 1H), 9.02 (s, 1H), 10.72 (br s, 1H, D20 exchangeable ); APCI-MS (m/z) 541 (M+H)+.
Pharmacological Activity
Biological Assay
The illustrative examples of the present patent application were screened for ROR gamma modulator activity using the TR-FRET assay by Lantha Screen as described in JBC 2011, 286, 26: 22707-10; Drug Metabolism and Disposition 2009, 37, 10: 2069- 78.
TR-FRET assay for ROR gamma:
The assay is based on the principle that binding of the agonist to the ROR gamma causes a conformational change around helix 12 in the ligand binding domain, resulting in higher affinity for the co-activator peptide. ROR gamma being constitutively active, the Fluorescein-D22 co-activator peptide used in the assay is recruited in the absence of a ligand. Binding of the co-activator peptide, causes an increase in the TR-FRET signal while binding of an antagonist decreases the recruitment of the co-activator peptide, causing a decrease in the TR-FRET signal compared to control with no compound. The assay was performed using a two step procedure, pre-incubation step with the compound followed by the detection step on addition of the anti-GST tagged terbium (Tb) and fluorescein tagged fluorophores as the acceptor.
Test compounds or reference compounds such as T0901317 (Calbiochem) were dissolved in dimethylsulfoxide (DMSO) to prepare 10.0 mM stock solution and diluted suitably to get the desired concentration. Final concentration of DMSO in the reaction was 4% (v/v). Assay mixture was prepared by mixing ΙΟηΜ of the GST- tagged ROR gamma ligand binding domain (LBD) in the assay buffer containing 25 mM HEPES, 100 mM NaCl, 5mM DTT and 0.01% BSA with or without the desired concentration of the compound. The reaction was incubated at 22°C for lhr. The preincubation step was terminated by addition of the detection mixture containing 300nM Fluorescein-D22 co-activator peptide and ΙΟηΜ lantha screen Tb-anti GST antibody into the reaction mixture. After shaking for 5 minutes the reaction was further incubated for 2 hr at room temperature and read at 4°C on an Infinite F500 reader as per the kit instructions (Invitrogen). The inhibition of test compound is calculated based on the TR-FRET ratio of 520/495. The activity was calculated as a percent of control reaction. IC50 values were calculated from dose response curve by nonlinear regression analysis using GraphPad Prism software.
The compounds prepared were tested using the above assay procedure and the results obtained are given in Table 6. Percentage inhibition at concentrations of 1.0 μΜ and 10.0 μΜ are given in the table along with IC50 (nM) details for selected examples. The compounds prepared were tested using the above assay procedure and were found to have IC50 less than ΙΟΟΟηΜ, preferably less than 500nM, more preferably less than ΙΟΟηΜ or most preferably less than 50nM.
The IC50 (nM) values of the compounds are set forth in Table 6 wherein "A" refers to an IC50 value of less than 50 nM, "B" refers to IC50 value in range of 50.01 to 100.0 nM. "C" refers to IC50 value in range of 100.01 to 500.0 nM and "D" refers to IC50 values more than 500 nM.
Table 6: In-vitro screening results of compounds of present invention
1 iiM 10 μΜ
20. Example 20 45.49 67.06 -
21. Example 21 54.65 72.61 -
22. Example 22 68.12 68.35 -
23. Example 23 70.81 88.35 C
24. Example 24 71.17 83.47 B
25. Example 25 87.38 94.35 A
26. Example 26 83.73 90.81 A
27. Example 27 82.12 83.04 A
28. Example 28 76.83 87.74 A
29. Example 29 71.55 84.20 B
30. Example 30 86.68 83.67 B
31. Example 31 74.78 86.03 C
32. Example 32 59.56 87.20 D
33. Example 33 88.86 97.00 A
34. Example 34 75.64 92.88 A
35. Example 35 76.58 79.20 B
36. Example 36 75.30 90.40 B
37. Example 37 66.35 82.14 C
38. Example 38 68.76 82.35 B
39. Example 39 41.90 54.87 -
40. Example 40 76.15 86.64 B
41. Example 41 61.69 64.87 -
42. Example 42 41.25 54.74 -
43. Example 43 77.22 87.05 B
44. Example 44 65.14 79.08 C
45. Example 45 43.12 72.61 -
46. Example 46 81.05 70.43 B
47. Example 47 76.23 87.86 B
48. Example 48 73.95 79.66 B
49. Example 49 71.89 73.38 B
Sr. no. Example No. % inhibition at ICso (nM)
1 iiM 10 μΜ
50. Example 50 61.18 72.59 -
51. Example 51 63.01 72.26 -
52. Example 52 68.07 82.52 B
53. Example 53 54.64 66.81 -
54. Example 54 62.34 73.54 -
55. Example 55 61.01 79.67 C
56. Example 56 39.13 73.65 -
57. Example 57 59.49 69.62 C
58. Example 58 83.68 65.11 A
59. Example 59 81.25 71.53 A
60. Example 60 85.52 65.32 A
61. Example 61 69.79 74.69 B
62. Example 62 76.93 85.16 B
63. Example 63 74.57 89.39 A
64. Example 64 75.65 81.20 B
65. Example 65 62.94 76.40 -
66. Example 66 59.27 85.84 -
67. Example 67 82.02 85.50 A
68. Example 68 84.78 91.43 A
69. Example 69 75.12 83.08 A
70. Example 70 82.92 94.13 B
71. Example 71 55.59 84.32 -
72. Example 72 84.57 81.37 A
73. Example 73 86.31 80.95 A
74. Example 74 70.56 84.24 -
75. Example 75 76.21 95.83 B
76. Example 76 57.75 88.04 -
77. Example 77 83.21 89.70 A
78. Example 78 73.98 90.47 B
79. Example 79 60.59 83.46 -
Sr. no. Example No. % inhibition at ICso (nM)
1 iiM 10 μΜ
80. Example 80 76.99 92.66 A
81. Example 81 55.76 76.29 -
82. Example 82 81.45 94.80 A
83. Example 83 38.55 81.94 -
84. Example 84 60.54 78.61 C
85. Example 85 28.85 71.59 -
86. Example 86 56.15 80.59 -
87. Example 87 64.97 86.90 C
88. Example 88 66.90 94.25 -
89. Example 89 60.79 88.19 -
90. Example 90 81.95 91.26 B
91. Example 91 69.43 93.21 C
92. Example 92 75.77 90.31 C
93. Example 93 78.23 95.98 B
94. Example 94 85.66 95.97 B
95. Example 95 72.53 92.46 C
96. Example 96 82.34 96.19 A
97. Example 97 50.94 84.35 -
98. Example 98 64.32 87.89 -
99. Example 99 62.26 87.34 -
100. Example 100 71.06 93.67 C
101. Example 101 69.46 92.97 C
102. Example 102 19.89 40.53 -
103. Example 103 28.89 53.11 -
104. Example 104 43.68 85.83 -
105. Example 105 53.34 89.47 C
106. Example 106 63.99 88.87 -
107. Example 107 62.45 87.10 C
108. Example 108 80.18 92.92 A
109. Example 109 24.79 72.83 -
Sr. no. Example No. % inhibition at ICso (nM)
1 iiM 10 μΜ
110. Example 110 47.25 73.86 -
111. Example 111 55.32 83.38 -
112. Example 112 30.22 80.83 -
113. Example 113 42.37 80.81 -
114. Example 114 32.48 72.30 -
115. Example 115 44.82 80.38
116. Example 116 50.02 78.05 -
117. Example 117 51.37 87.88 -
118. Example 118 37.12 65.89 -
119. Example 119 42.48 71.93 -
120. Example 120 52.09 82.80 -
121. Example 121 30.23 69.52 -
122. Example 122 81.77 96.15 C
123. Example 123 73.14 94.24 C
124. Example 124 80.09 94.95 A
125. Example 125 65.40 92.97 -
126. Example 126 73.32 86.05 C
127. Example 127 68.33 89.64 -
128. Example 128 66.79 93.42 -
129. Example 129 58.64 82.57 -
130. Example 130 87.78 85.83 A
131. Example 131 84.30 89.47 A
132. Example 132 87.73 95.07 A
133. Example 133 88.15 93.09 B
134. Example 134 87.84 92.15 B
135. Example 135 84.66 88.40 B
136. Example 136 89.52 70.67 A
137. Example 137 91.79 71.88 A
138. Example 138 58.75 79.77 -
139. Example 139 68.66 90.02 D
Sr. no. Example No. % inhibition at ICso (nM)
1 iiM 10 μΜ
140. Example 140 44.82 71.97 -
141. Example 141 53.64 72.20 -
142. Example 142 64.22 83.45 C
143. Example 143 65.69 79.61 C
144. Example 144 65.65 74.19 C
145. Example 145 70.41 83.00 C
146. Example 146 41.24 81.24 D
147. Example 147 52.98 82.50 -
148. Example 148 64.16 90.63 -
149. Example 149 56.91 86.74 -
150. Example 150 35.89 67.59 -
151. Example 151 86.02 94.84 B
152. Example 152 90.40 93.79 B
153. Example 153 86.31 95.53 B
154. Example 154 76.94 93.68 B
155. Example 155 83.16 95.60 A
156. Example 156 80.31 82.20 C
157. Example 157 80.84 92.35 C
158. Example 158 80.09 93.69 A
159. Example 159 68.87 82.99 C
160. Example 160 63.59 87.22 D
161. Example 161 80.07 97.70 C
162. Example 162 76.63 91.81 D
163. Example 163 88.00 89.76 C
164. Example 164 76.21 88.42 C
165. Example 165 71.27 96.26 D
166. Example 166 30.13 85.93 -
167. Example 167 22.05 63.93 -
168. Example 168 77.63 94.38 C
169. Example 169 86.27 87.04 B
Sr. no. Example No. % inhibition at ICso (nM)
1 iiM 10 μΜ
170. Example 170 79.63 73.28 C
171. Example 171 69.85 88.91 C
172. Example 172 84.42 75.94 B
173. Example 173 63.69 94.59 D
174. Example 174 10.97 67.07 -
Claims
1. A compound of formula (II)
or a pharmaceutically acceptable salt thereof,
wherein,
Ring B is selected from C6-i4aryl, 5-14 membered heteroaryl and 3-15 membered heterocyclyl;
W is selected from CR5 and N;
R is selected from -S(0)2-R7, -S-R7, -S(0)-R7, -S(0)2NRaRb and -NRdS(0)2-
R8;
each occurrence of R1 is independently selected from halogen, cyano, hydroxyl, Ci_8alkyl, Ci_8alkoxy, haloCi_galkyl, haloCi_galkoxy, hydroxyCi_galkyl and NRxRy;
each occurrence of R2 is independently selected from halogen, cyano, hydroxyl, Ci_8alkyl, Ci_8alkoxy, haloCi_8alkyl, haloCi_8alkoxy, hydroxyCi_8alkyl and NRxRy;
each occurrence of R5 is independently selected from hydrogen, halogen, cyano, hydroxyl, Ci_8alkyl, Ci_8alkoxy and haloCi_8alkyl;
each occurrence of R6 is independently selected from halogen, cyano, hydroxyl, Ci_8alkyl, Ci_8alkoxy and haloCi_8alkyl;
each occurrence of R7 is independently selected from Ci_8alkyl, C3_ i2cycloalkyl and haloCi_8alkyl;
each occurrence of R8 is independently selected from Ci_8alkyl and C3_ i2cycloalkyl;
each occurrence of Ra and Rb, which may be the same or different, are independently selected from hydrogen and Ci_8alkyl;
each occurrence of Rd is independently selected from hydrogen and Ci_8alkyl; each occurrence of Rx and Ry, which may be the same or different, are independently selected from hydrogen and Ci_8alkyl;
'm' is an integer ranging from 0 to 4, both inclusive;
'p' is an integer ranging from 0 to 5, both inclusive; and
'r' is an integer ranging from 0 to 5, both inclusive.
2. The compound according to claim 1 , wherein W is CH or N.
3. The compound according to claim 1 or 2, wherein ring B is phenyl, pyridin-3- yl, pyridin-4-yl, pyrimidin-5-yl, IH-pyrazol-l-yl, IH-imidazol-l-yl, 1H-1 ,2,4- triazol-l-yl, l ,3-oxazol-2-yl or l ,2,4-oxadiazol-3-yl.
4. The compound according to any one of claims 1 to 3, wherein R1 is independently CN, F, CI, CH3, CF3, OCH3, OCHF2, OCF3 or N(CH3)2.
5. The compound according to any one of claims 1 to 4, wherein R2 is independently CN, F, CI, CH3, CF3, OCH3, OCHF2 or OCF3.
6. The compound according to any one of claims 1 to 5, wherein R is - S(0)2CH3, -S(0)2CH2CH3, -S(0)2-cyclopropyl, -S(0)2CH2CF3, -S(0)2NHCH3, - S(0)2NHCH2CH3 or -NHS(0)2CH3.
7. The compound according to claim 1 , wherein
W is N or CH;
ring B is phenyl, pyridin-3-yl, pyridin-4-yl, pyrimidin-5-yl, IH-pyrazol-l-yl, IH-imidazol-l-yl, lH-l ,2,4-triazol-l-yl, l ,3-oxazol-2-yl or l ,2,4-oxadiazol-3-yl;
R1 is independently CN, F, CI, CH3, CF3, OCH3, OCHF2, OCF3 or N(CH3)2;
R2 is independently CN, F, CI, CH3, CF3, OCH3, OCHF2 or OCF3;
R is -S(0)2CH3, -S(0)2CH2CH3, -S(0)2-cyclopropyl, -S(0)2CH2CF3, - S(0)2NHCH3, -S(0)2NHCH2CH3 or -NHS(0)2CH3;
'r' is 0, 1 or 2;
'p' is 0, 1 , 2 or 3;
R6 is methyl and 'm' is 0.
8. A compound of the formula (III)
or a pharmaceutically acceptable salt thereof,
wherein,
G1, G2 and G3, which may be same or different, are each independently selected from CH and N; with a proviso that G1, G2 and G3 are not N simultaneously;
R is selected from -S(0)2-R7, -S(0)2NRaRb and -NRdS(0)2-R8;
each occurrence of R1 is independently selected from halogen, cyano, hydroxyl, Ci_galkyl, Ci_galkoxy, haloCi_galkyl, haloCi_galkoxy, hydroxyCi_galkyl and NRxRy;
each occurrence of R2 is independently selected from halogen, cyano, hydroxyl, Ci_galkyl, Ci_galkoxy, haloCi_galkyl, haloCi_galkoxy, hydroxyCi_galkyl and NRxRy;
each occurrence of R6 is independently selected from halogen, cyano, hydroxyl, Ci_galkyl, Ci_galkoxy and haloCi_galkyl;
each occurrence of R7 is independently Ci_8alkyl, C3_i2cycloalkyl and haloCi_
8alkyl;
each occurrence of R8 is independently selected from Ci_galkyl and C3_ i2cycloalkyl;
each occurrence of Ra and Rb, which may be the same or different, are independently selected from hydrogen and Ci_galkyl;
each occurrence of Rd is independently selected from hydrogen and Ci_galkyl; each occurrence of Rx and Ry, which may be the same or different, are independently selected from hydrogen and Ci_galkyl;
'm' is an integer ranging from 0 to 3, both inclusive;
'p' is an integer ranging from 0 to 3, both inclusive; and
'r' is an integer ranging from 0 to 3, both inclusive.
9. The compound according to claim 8, wherein G1 is N or CH, G2 is CH and G3 is N or CH.
10. The compound according to claim 8, wherein G1 is CH, G2 is N and G3 is CH.
11. The compound according to any one of claims 8 to 10, wherein each occurrence of R1 is independently CN, F, CI, CH3, CF3, OCH3, OCHF2, OCF3 or N(CH3)2.
12. The compound according to any one of claims 8 to 11, wherein 'r' is 1 or 2.
13. The compound according to any one of claims 8 to 12, wherein each occurrence of R2 is independently CN, F, CI, CH3, CF3, OCH3, OCHF2 or OCF3.
14. The compound according to any one of claims 8 to 13, wherein 'p' is 1, 2 or 3.
15. The compound according to any one of claims 8 to 14, wherein R is - S(0)2CH3, -S(0)2CH2CH3, -S(0)2-cyclopropyl, -S(0)2CH2CF3, -S(0)2NHCH3, - S(0)2NHCH2CH3 or -NHS(0)2CH3.
16. The compound according to claim 8, wherein
G1 is N or CH;
G2 is CH;
G3 is N or CH;
R1 is independently CN, F, CI, CH3, CF3, OCH3, OCHF2, OCF3 or N(CH3)2; R2 is independently CN, F, CI, CH3, CF3, OCH3, OCHF2 or OCF3;
R is -S(0)2CH3, -S(0)2CH2CH3, -S(0)2-cyclopropyl, -S(0)2CH2CF3, - S(0)2NHCH3, -S(0)2NHCH2CH3 or -NHS(0)2CH3;
'r' is 0, 1 or 2;
'p' is 0, 1, 2 or 3;
R6 is methyl and 'm' is 0.
17. The compound according to claim 8, wherein
G1 is CH;
G2 is CH or N;
G3 is CH;
R1 is independently CN, F, CI, CH3, CF3, OCH3, OCHF2, OCF3 or N(CH3)2; R2 is independently CN, F, CI, CH3, CF3, OCH3, OCHF2 or OCF3;
R is -S(0)2CH3, -S(0)2CH2CH3, -S(0)2-cyclopropyl, -S(0)2CH2CF3, - S(0)2NHCH3, -S(0)2NHCH2CH3 or -NHS(0)2CH3;
'r' is 0, 1 or 2;
'p' is 0, 1, 2 or 3;
R6 is methyl and 'm' is 0.
18. A compound of the formula (IV)
or a pharmaceutically acceptable salt thereof,
wherein,
each occurrence of R1 is independently selected from CN, F, CI, CH3, CF3, OCH3, OCHF2, OCF3 and N(CH3)2;
each occurrence of R2 is independently selected from CN, F, CI, CH3, CF3, OCH3, OCHF2 and OCF3;
R is -S(0)2CH3, -S(0)2CH2CH3, -S(0)2-cyclopropyl, -S(0)2CH2CF3, - S(0)2NHCH3, -S(0)2NHCH2CH3 or -NHS(0)2CH3;
'r' is 0, 1 or 2; and
'p' is O, 1 , 2 or 3.
19. A compound selected from
N-[2-(3-Fluorophenoxy)biphenyl-4-yl]-2-[4- (methylsulfonyl)phenyl]acetamide;
N-[3'-Fluoro-2-(3-fluorophenoxy)biphenyl-4-yl]-2-[4- (methylsulfonyl)phenyl]acetamide;
N-[2-(3-Chlorophenoxy)-3'-fluorobiphenyl-4-yl]-2-[4- (methylsulfonyl)phenyl]acetamide;
N-[2-(3-Cyanophenoxy)-3'-fluorobiphenyl-4-yl]-2-[4- (methylsulfonyl)phenyl]acetamide;
2-[4-(Ethylsulfonyl)phenyl]-N-(2-phenoxybiphenyl-4-yl)acetamide;
2-[4-(Ethylsulfonyl)phenyl]-N-(3'-fluoro-2-phenoxybiphenyl-4-yl)acetamide;
2-[4-(Ethylsulfonyl)phenyl]-N-(4'-fluoro-2-phenoxybiphenyl-4-yl)acetamide;
N-(3'-Chloro-2-phenoxybiphenyl-4-yl)-2-[4-(ethylsulfonyl)phenyl] acetamide;
N-(4'-Chloro-2-phenoxybiphenyl-4-yl)-2-[4-(ethylsulfonyl)phenyl]acetamide;
2-[4-(Ethylsulfonyl)phenyl]-N-[2-(2-fluorophenoxy)biphenyl-4-yl]acetamide;
2-[4-(Ethylsulfonyl)phenyl]-N-[2-(3-fluorophenoxy)biphenyl-4-yl]acetamide;
2-[4-(Ethylsulfonyl)phenyl]-N-[2-(4-fluorophenoxy)biphenyl-4-yl]acetamide;
N- [2-(3 -Chlorophenoxy)biphenyl-4-yl] -2- [4-(ethylsulfonyl)phenyl] acetamide;
N- [2-(4-Chlorophenoxy)biphenyl-4-yl] -2- [4-(ethylsulfonyl)phenyl] acetamide;
2-[4-(Ethylsulfonyl)phenyl]-N-{2-[3-(trifluoromethyl)phenoxy]biphenyl-4- yl} acetamide;
2-[4-(Ethylsulfonyl)phenyl]-N-{2-[3-(trifluoromethoxy)phenoxy]biphenyl-4- yl} acetamide;
N-[2-(3-Cyanophenoxy)biphenyl-4-yl]-2-[4-(ethylsulfonyl)phenyl]acetamide;
N-[2-(3,4-Difluorophenoxy)biphenyl-4-yl]-2-[4- (ethylsulfonyl)phenyl]acetamide;
2-[4-(Ethylsulfonyl)phenyl]-N-[2-(3-fluorophenoxy)-3'-methylbiphenyl-4- yl] acetamide;
N-[2-(3-Chlorophenoxy)-3'-methylbiphenyl-4-yl]-2-[4- (ethylsulfonyl)phenyl]acetamide;
2-[4-(Ethylsulfonyl)phenyl]-N- {3*-methyl-2-[3- (trifluoromethyl)phenoxy]biphenyl-4-yl}acetamide;
2-[4-(Ethylsulfonyl)phenyl]-N- {3*-methyl-2-[3- (trifluoromethoxy)phenoxy]biphenyl-4-yl}acetamide;
2-[4-(Ethylsulfonyl)phenyl]-N-[2'-fluoro-2-(3-fluorophenoxy)biphenyl-4- yl] acetamide;
2-[4-(Ethylsulfonyl)phenyl]-N-[3'-fluoro-2-(3-methylphenoxy)biphenyl-4- yl] acetamide;
2-[4-(Ethylsulfonyl)phenyl]-N-[3'-fluoro-2-(3-fluorophenoxy)biphenyl-4- yljacetamide;
N-[2-(3-Chlorophenoxy)-3'-fluorobiphenyl-4-yl]-2-[4- (ethylsulfonyl)phenyl]acetamide;
2-[4-(Ethylsulfonyl)phenyl]-N-[3'-fluoro-2-(3-methoxyphenoxy)biphenyl-4- yl] acetamide;
2-[4-(Ethylsulfonyl)phenyl]-N-{3*-fluoro-2-[3- (trifluoromethyl)phenoxy]biphenyl-4-yl} acetamide;
2-[4-(Ethylsulfonyl)phenyl]-N-{3*-fluoro-2-[3- (trifluoromethoxy)phenoxy]biphenyl-4-yl} acetamide;
N-[2-(3-Cyanophenoxy)-3'-fluorobiphenyl-4-yl]-2-[4- (ethylsulfonyl)phenyl]acetamide;
2-[4-(Ethylsulfonyl)phenyl]-N-[3'-fluoro-2-(4-fluorophenoxy)biphenyl-4- yl] acetamide;
N-[2-(4-Chlorophenoxy)-3'-fluorobiphenyl-4-yl]-2-[4- (ethylsulfonyl)phenyl]acetamide;
2-[4-(Ethylsulfonyl)phenyl]-N-[4'-fluoro-2-(3-fluorophenoxy)biphenyl-4- yl] acetamide;
N-[2-(3-Chlorophenoxy)-4'-fluorobiphenyl-4-yl]-2-[4- (ethylsulfonyl)phenyl]acetamide;
N-[2-(3-Cyanophenoxy)-4'-fluorobiphenyl-4-yl]-2-[4- (ethylsulfonyl)phenyl]acetamide;
2-[4-(Ethylsulfonyl)phenyl]-N-[4'-fluoro-2-(4-fluorophenoxy)biphenyl-4- yljacetamide;
N-[2-(4-Chlorophenoxy)-4'-fluorobiphenyl-4-yl]-2-[4- (ethylsulfonyl)phenyl]acetamide;
N-[2'-Chloro-2-(3-fluorophenoxy)biphenyl-4-yl]-2-[4- (ethylsulfonyl)phenyl]acetamide;
N-[3'-Chloro-2-(2-fluorophenoxy)biphenyl-4-yl]-2-[4- (ethylsulfonyl)phenyl]acetamide;
N-[3'-Chloro-2-(3-fluorophenoxy)biphenyl-4-yl]-2-[4- (ethylsulfonyl)phenyl]acetamide;
N-[3'-Chloro-2-(4-fluorophenoxy)biphenyl-4-yl]-2-[4- (ethylsulfonyl)phenyl]acetamide;
N-[3'-Chloro-2-(2-chlorophenoxy)biphenyl-4-yl]-2-[4- (ethylsulfonyl)phenyl]acetamide;
N-[3'-Chloro-2-(3-chlorophenoxy)biphenyl-4-yl]-2-[4- (ethylsulfonyl)phenyl]acetamide;
N-[3'-Chloro-2-(4-chlorophenoxy)biphenyl-4-yl]-2-[4- (ethylsulfonyl)phenyl]acetamide;
N-[3'-Chloro-2-(2-cyanophenoxy)biphenyl-4-yl]-2-[4- (ethylsulfonyl)phenyl]acetamide;
N-[3'-Chloro-2-(3-cyanophenoxy)biphenyl-4-yl]-2-[4- (ethylsulfonyl)phenyl]acetamide;
N-[4'-Chloro-2-(3-fluorophenoxy)biphenyl-4-yl]-2-[4- (ethylsulfonyl)phenyl]acetamide;
N-[4'-Chloro-2-(3-chlorophenoxy)biphenyl-4-yl]-2-[4- (ethylsulfonyl)phenyl]acetamide;
N-[4'-Chloro-2-(3-cyanophenoxy)biphenyl-4-yl]-2-[4- (ethylsulfonyl)phenyl]acetamide;
N-[4'-Chloro-2-(4-fluorophenoxy)biphenyl-4-yl]-2-[4- (ethylsulfonyl)phenyl]acetamide;
N-[4'-Chloro-2-(4-chlorophenoxy)biphenyl-4-yl]-2-[4- (ethylsulfonyl)phenyl]acetamide;
2-[4-(Ethylsulfonyl)phenyl]-N-[2-(3-fluorophenoxy)-2'-methoxybiphi yl] acetamide;
2-[4-(Ethylsulfonyl)phenyl]-N-[2-(3-fluorophenoxy)-3'- (trifluoromethyl)biphenyl-4-yl] acetamide;
N-[3'-(Difluoromethoxy)-2-(3-fluorophenoxy)biphenyl-4-yl]-2-[4- (ethylsulfonyl)pheny 1] acetamide ;
2-[4-(Ethylsulfonyl)phenyl]-N-[2-(3-fluorophenoxy)-2'- (trifluoromethoxy)biphenyl-4-yl] acetamide;
2-[4-(Ethylsulfonyl)phenyl]-N-[2-(3-fluorophenoxy)-3'- (trifluoromethoxy)biphenyl-4-yl] acetamide;
N-[2'-Cyano-2-(3-fluorophenoxy)biphenyl-4-yl]-2-[4- (ethylsulfonyl)phenyl]acetamide;
N- [3 '-Cyano-2-(3 -fluorophenoxy)biphenyl-4-yl] -2- [4- (ethylsulfonyl)phenyl]acetamide;
N- [2-(3 -Chlorophenoxy)-3 '-cyanobiphenyl-4-yl] -2-[4- (ethylsulfonyl)phenyl]acetamide;
N-[4'-Cyano-2-(3-fluorophenoxy)biphenyl-4-yl]-2-[4- (ethylsulfonyl)phenyl]acetamide;
N-[2-(3-Chlorophenoxy)-4'-cyanobiphenyl-4-yl]-2-[4- (ethylsulfony l)pheny 1] acetamide ;
N-[2-(3,4-Difluorophenoxy)-3'-fluorobiphenyl-4-yl]-2-[4- (ethylsulfonyl)phenyl]acetamide;
N-[2-(3,5-Difluorophenoxy)-3'-fluorobiphenyl-4-yl]-2-[4- (ethylsulfonyl)phenyl]acetamide;
N-[2-(3-Chloro-4-fluorophenoxy)-3'-fluorobiphenyl-4-yl]-2-[4- (ethylsulfonyl)phenyl]acetamide;
N-[2',3'-Difluoro-2-(3-fluorophenoxy)biphenyl-4-yl]-2-[4- (ethylsulfonyl)phenyl]acetamide;
N-[2',5'-Difluoro-2-(3-fluorophenoxy)biphenyl-4-yl]-2-[4- (ethylsulfonyl)phenyl]acetamide;
N-[3',4'-Difluoro-2-(3-fluorophenoxy)biphenyl-4-yl]-2-[4- (ethylsulfonyl)phenyl]acetamide;
N-[3',5'-Difluoro-2-(3-fluorophenoxy)biphenyl-4-yl]-2-[4- (ethylsulfony l)pheny 1] acetamide ;
N-[2-(3-Chlorophenoxy)-3*,4*-difluorobiphenyl-4-yl]-2-[4- (ethylsulfonyl)phenyl]acetamide;
N-[2-(3-Chlorophenoxy)-3*,5*-difluorobiphenyl-4-yl]-2-[4- (ethylsulfonyl)phenyl]acetamide;
N-[2-(3-Chlorophenoxy)-2',5'-difluorobiphenyl-4-yl]-2-[4- (ethylsulfonyl)phenyl]acetamide;
N-[2-(3-Cyanophenoxy)-3',4'-difluorobiphenyl-4-yl]-2-[4- (ethylsulfonyl)phenyl]acetamide;
N-[2-(3-Cyanophenoxy)-3',5'-difluorobiphenyl-4-yl]-2-[4- (ethylsulfonyl)phenyl]acetamide;
2-[4-(Ethylsulfonyl)phenyl]-N-[3',4',5'-trifluoro-2-(3-fluorophenoxy)biphenyl- 4-yl]acetamide;
2-[4-(Cyclopropylsulfonyl)phenyl]-N-[2-(3-fluorophenoxy)biphenyl-4- yl] acetamide;
N-[2-(3-Fluorophenoxy)biphenyl-4-yl]-2-[4- (methylsulfamoyl)phenyl]acetamide;
N-[3'-Fluoro-2-(3-fluorophenoxy)biphenyl-4-yl]-2-[4- (methylsulfamoyl)phenyl]acetamide;
N-[2-(3-Chlorophenoxy)-3'-fluorobiphenyl-4-yl]-2-[4- (methylsulfamoyl)phenyl]acetamide;
N- {3'-Fluoro-2-[3-(trifluoromethyl)phenoxy]biphenyl-4-yl}-2-[4- (methylsulfamoyl)phenyl] acetamide;
N- {3 '-Fluoro-2- [3 -(trifluoromethoxy)phenoxy]biphenyl-4-yl} -2- [4- (methylsulfamoyl)phenyl] acetamide;
N-[2-(3-Cyanophenoxy)-3'-fluorobiphenyl-4-yl]-2-[4- (methylsulfamoyl)phenyl]acetamide;
N-[2-(3,4-Difluorophenoxy)-3'-fluorobiphenyl-4-yl]-2-[4- (methylsulfamoyl)phenyl]acetamide;
N-[2-(3,5-Difluorophenoxy)-3'-fluorobiphenyl-4-yl]-2-[4- (methylsulfamoyl)phenyl]acetamide;
2-[4-(Ethylsulfamoyl)phenyl] -N- [2-(3 -fluorophenoxy)biphenyl-4- yl] acetamide;
2-[4-(Ethylsulfamoyl)phenyl] -N- [3 '-fluoro-2-(3 -fluorophenoxy)biphenyl-4- yl] acetamide;
N-[2-(3-Fluorophenoxy)biphenyl-4-yl]-2-{4-[(2,2,2- trifluoroethyl)sulfonyl]phenyl}acetamide;
N-[3*-Fluoro-2-(3-fluorophenoxy)biphenyl-4-yl]-2-{4-[(2,2,2- trifluoroethyl)sulfonyl]phenyl} acetamide;
N-[3'-Fluoro-2-(3-fluorophenoxy)biphenyl-4-yl]-2-{4- [(methylsulfonyl)amino]phenyl} acetamide;
N-[2-(3-Chlorophenoxy)-3'-fluorobiphenyl-4-yl]-2-{4- [(methylsulfonyl)amino]phenyl} acetamide;
N-[2-(3-Cyanophenoxy)-3'-fluorobiphenyl-4-yl]-2-{4- [(methylsulfonyl)amino]phenyl} acetamide;
and pharmaceutically acceptable salts thereof.
20. A compound selected from
2-[4-(Ethylsulfonyl)phenyl] -N-[3 -(3 -fluorophenoxy)-4-(pyridin-3 - yl)phenyl]acetamide;
N- [3 -(3 -Chlorophenoxy)-4-(pyridin-3 -yl)phenyl] -2- [4- (ethylsulfonyl)phenyl]acetamide;
2-[4-(Ethylsulfonyl)phenyl]-N-{4-(pyridin-3-yl)-3-[3- (trifluoromethyl)phenoxy]phenyl} acetamide;
2-[4-(Ethylsulfonyl)phenyl]-N-{4-(pyridin-3-yl)-3-[3- (trifluoromethoxy)phenoxy]phenyl} acetamide;
2-[4-(Ethylsulfonyl)phenyl] -N-[3 -(3 -fluorophenoxy)-4-(2-fluoropyridin-3 - yl)phenyl]acetamide;
N-[3-(3-Chlorophenoxy)-4-(2-fluoropyridin-3-yl)phenyl]-2-[4- (ethylsulfonyl)phenyl]acetamide;
2-[4-(Ethylsulfonyl)phenyl]-N-{4-(2-fiuoropyridin-3-yl)-3-[3- (trifluoromethyl)phenoxy]phenyl} acetamide;
2-[4-(Ethylsulfonyl)phenyl]-N-{4-(2-fiuoropyridin-3-yl)-3-[3- (trifluoromethoxy)phenoxy]phenyl} acetamide;
2-[4-(Ethylsulfonyl)phenyl] -N-[3 -(3 -fluorophenoxy)-4-(6-fluoropyridin-3 - yl)phenyl]acetamide;
N-[3-(3-Chlorophenoxy)-4-(6-fluoropyridin-3-yl)phenyl]-2-[4- (ethylsulfonyl)phenyl]acetamide;
2-[4-(Ethylsulfonyl)phenyl]-N-{4-(6-fluoropyridin-3-yl)-3-[3- (trifluoromethyl)phenoxy]phenyl} acetamide;
2-[4-(Ethylsulfonyl)phenyl]-N-{4-(6-fluoropyridin-3-yl)-3-[3- (trifluoromethoxy)phenoxy] phenyl} acetamide;
N-[3-(3,4-Difluorophenoxy)-4-(6-fluoropyridin-3-yl)phenyl]-2-[4- (ethylsulfonyl) phenyljacetamide;
N-[3-(3,5-Difluorophenoxy)-4-(6-fluoropyridin-3-yl)phenyl]-2-[4- (ethylsulfonyl)phenyl] acetamide;
N- [4-(5 ,6"Diflnoropyridin-3 -y l)-3 "(3~fluorophenoxy)phenyl]~2~[4- (ethylsulfonyl)phenyl] acetamide;
N-[3-(3-Cyanophenoxy)-4-(5,6-difluoropyridin-3-yl)phenyl]-2-[4- (ethylsulfonyl)phenyl] acetamide;
2-[4-(Ethylsulfonyl)phenyl] -N- [3 -phenoxy-4-(pyridin-4-yl)phenyl] acetamide;
2-[4-(Ethylsulfonyl)phenyl]-N-[3-(3-fluorophenoxy)-4-(pyridin-4- yl)phenyl]acetamide;
2-[4-(Ethylsulfonyl)phenyl]-N- {4-(pyridin-4-yl)-3-[3- (trifluoromethyl)phenoxy] phenyl} acetamide;
2-[4-(Ethylsulfonyl)phenyl]-N- {4-(pyridin-4-yl)-3-[3- (trifluoromethoxy)phenoxy]phenyl} acetamide;
2-[4-(Ethylsulfonyl)phenyl]-N-[3-(3-fluorophenoxy)-4-(2-fluoropyridin-4- yl)phenyl]acetamide;
N-[3-(3-Chlorophenoxy)-4-(2-fluoropyridin-4-yl)phenyl]-2-[4- (ethylsulfonyl)phenyl]acetamide;
2-[4-(Ethylsulfonyl)phenyl]-N-{4-(2-fluoropyridin-4-yl)-3-[3- (trifluoromethyl)phenoxy]phenyl} acetamide;
N-[3-(3,5-Difluorophenoxy)-4-(2-fluoropyridin-4-yl)phenyl]-2-[4- (ethylsulfonyl)phenyl] acetamide;
2-[4-(Ethylsulfonyl)phenyl]-N-[3-(3-fluorophenoxy)-4-(pyrimidin-5- yl)phenyl]acetamide;
N- [3 -(3 -Chlorophenoxy)-4-(pyrimidin-5-yl)phenyl] -2- [4- (ethylsulfonyl)phenyl]acetamide;
2-[4-(Ethylsulfonyl)phenyl]-N- {4-(pyrimidin-5-yl)-3-[3- (trifluoromethyl)phenoxy]phenyl} acetamide;
2-[4-(Ethylsulfonyl)phenyl]-N- {4-(pyrimidin-5-yl)-3-[3- (trifluoromethoxy)phenoxy]phenyl} acetamide;
and pharmaceutically acceptable salts thereof.
21. A compound selected from
2-[4-(Ethylsulfonyl)phenyl]-N- {4-(lH-pyrazol-l-yl)-3-[3- (trifluoromethoxy)phenoxy]phenyl} acetamide;
2-[4-(Ethylsulfonyl)phenyl] -N-[3 -(3 -methylphenoxy)-4-(3 -methyl- 1 H- pyrazol-l-yl)phenyl] acetamide;
2-[4-(Ethylsulfonyl)phenyl]-N-[3-(3-fluorophenoxy)-4-(3-methyl-lH-pyrazol- l-yl)phenyl] acetamide;
N- [3 -(3 -Chlorophenoxy)-4-(3 -methyl- 1 H-pyrazol- 1 -yl)phenyl] -2-[4- (ethylsulfonyl)phenyl] acetamide;
2-[4-(Ethylsulfonyl)phenyl] -N-[3 -(3 -methoxyphenoxy)-4-(3 -methyl- 1 H- pyrazol-l-yl)phenyl] acetamide;
2-[4-(Ethylsulfonyl)phenyl] -N- {4-(3 -methyl- 1 H-pyrazol- 1 -yl)-3 - [3 - (trifluoromethyl)phenoxy] phenyl} acetamide;
N- {3-[3-(Difluoromethoxy)phenoxy]-4-(3-methyl- lH-pyrazol- 1 -yl)phenyl} -2- [4-(ethylsulfonyl) phenyl] acetamide;
2-[4-(Ethylsulfonyl)phenyl] -N- {4-(3 -methyl- 1 H-pyrazol- 1 -yl)-3 - [3 - (trifluoromethoxy)phenoxy] phenyl} acetamide;
2-[4-(Ethylsulfonyl)phenyl] -N- {4-(3 -methyl- 1 H-pyrazol- 1 -yl)-3 - [4- (trifluoromethoxy)phenoxy] phenyl} acetamide;
N- [3 -(3 -Cyanophenoxy)-4-(3 -methyl- 1 H-pyrazol- 1 -yl)phenyl] -2- [4- (ethylsulfonyl)phenyl acetamide;
N- {3-[3-(Dimethylamino)phenoxy]-4-(3-methyl-lH-pyrazol- 1 -yl)phenyl} -2- [4-(ethylsulfonyl) phenyl] acetamide;
N- [3 -(3 ,4-Difluorophenoxy)-4-(3 -methyl- 1 H-pyrazol- 1 -yl)phenyl]-2-[4- (ethylsulfonyl)phenyl] acetamide;
N- [3 -(3, 5-Difluorophenoxy)-4-(3 -methyl- 1 H-pyrazol- 1 -yl)phenyl]-2-[4- (ethylsulfonyl) phenyl]acetamide;
N-[3-(3-Chloro-4-fluorophenoxy)-4-(3-methyl- lH-pyrazol- 1 -yl)phenyl]-2-[4- (ethylsulfonyl) phenyl]acetamide;
N-[3-(3-Chloro-5-fluorophenoxy)-4-(3-methyl- lH-pyrazol- 1 -yl)phenyl]-2-[4- (ethylsulfonyl) phenyljacetamide;
2-[4-(Ethylsulfonyl)phenyl] -N- {3 -(3 -fluorophenoxy)-4- [3 -(trifluoromethyl)- 1 H-pyrazol- 1 -yl] phenyl} acetamide;
2-[4-(Ethylsulfonyl)phenyl] -N-[3 -(3 -methylphenoxy)-4-(4-methyl- 1 H- pyrazol-l-yl)phenyl] acetamide;
2-[4-(Ethylsulfonyl)phenyl]-N-[3-(3-fluorophenoxy)-4-(4-methyl-lH-pyrazol- l-yl)phenyl] acetamide;
N-[3-(3-Chlorophenoxy)-4-(4-methyl-lH-pyrazol-l-yl)phenyl]-2-[4- (ethylsulfonyl)phenyl] acetamide;
2-[4-(Ethylsulfonyl)phenyl] -N- {4-(4-methyl- 1 H-pyrazol- 1 -yl)-3 - [3 - (trifluoromethyl)phenoxy] phenyl} acetamide;
N- {3-[3-(Difluoromethoxy)phenoxy]-4-(4-methyl- lH-pyrazol- 1 -yl)phenyl} -2- [4-(ethylsulfonyl) phenyl] acetamide;
2-[4-(Ethylsulfonyl)phenyl] -N- {4-(4-methyl- 1 H-pyrazol- 1 -yl)-3 - [3 - (trifluoromethoxy)phenoxy] phenyl} acetamide;
2-[4-(Ethylsulfonyl)phenyl] -N- {4-(4-methyl- 1 H-pyrazol- 1 -yl)-3 - [4- (trifluoromethoxy)phenoxy] phenyl} acetamide;
N- [3 -(3 -Cyanophenoxy)-4-(4-methyl- 1 H-pyrazol- 1 -yl)phenyl] -2- [4- (ethylsulfonyl)phenyl] acetamide;
N- [3 -(3 ,4-Difluorophenoxy)-4-(4-methyl- 1 H-pyrazol- 1 -yl)phenyl]-2-[4- (ethylsulfonyl)phenyl] acetamide;
N- [3 -(3, 5-Difluorophenoxy)-4-(4-methyl- 1 H-pyrazol- 1 -yl)phenyl]-2-[4- (ethylsulfonyl)phenyl] acetamide;
N-[3-(3-Chloro-5-fluorophenoxy)-4-(4-methyl- lH-pyrazol- 1 -yl)phenyl]-2-[4- (ethylsulfonyl) phenyljacetamide;
N- [4-(3 ,5-Dimethyl- 1 H-pyrazol- 1 -yl)-3 -(3 -fluorophenoxy)phenyl] -2- [4- (ethylsulfonyl)phenyl] acetamide;
N-[3-(3-Chlorophenoxy)-4-(3,5-dimethyl- lH-pyrazol- 1 -yl)phenyl]-2-[4- (ethylsulfonyl)phenyl] acetamide;
N- {4-(3,5-Dimethyl- lH-pyrazol- 1 -yl)-3-[3- (trifluoromethoxy)phenoxy]phenyl}-2-[4-(ethylsulfonyl)phenyl]acetamide;
2-[4-(Ethylsulfonyl)phenyl]-N-[3-(3-fluorophenoxy)-4-(4-methyl-lH- imidazol-l-yl)phenyl] acetamide;
N-[3-(3-Chlorophenoxy)-4-(4-methyl-lH-imidazol-l-yl)phenyl]-2-[4- (ethylsulfonyl)phenyl] acetamide;
2-[4-(Ethylsulfonyl)phenyl]-N- {4-(4-methyl- lH-imidazol- 1 -yl)-3-[3- (trifiuoromethyl)phenoxy] phenyl} acetamide;
2-[4-(Ethylsulfonyl)phenyl]-N- {4-(4-methyl- lH-imidazol- 1 -yl)-3-[3- (trifiuoromethoxy) phenoxy]phenyl} acetamide;
2-[4-(Ethylsulfonyl)phenyl]-N- {4-(4-methyl- lH-imidazol- 1 -yl)-3-[4- (trifiuoromethoxy) phenoxy]phenyl} acetamide;
N-[3-(3-Cyanophenoxy)-4-(4-methyl- lH-imidazol- 1 -yl)phenyl]-2-[4- (ethylsulfonyl)phenyl] acetamide;
2-[4-(Ethylsulfonyl)phenyl]-N-[3-(3-fiuorophenoxy)-4-(2-methyl-lH- imidazol-l-yl)phenyl] acetamide;
2-[4-(Ethylsulfonyl)phenyl]-N- {4-(2-methyl- lH-imidazol- 1 -yl)-3-[3- (trifiuoromethyl)phenoxy] phenyl} acetamide;
2-[4-(Ethylsulfonyl)phenyl]-N- {4-(2-methyl- lH-imidazol- 1 -yl)-3-[3- (trifiuoromethoxy) phenoxy]phenyl} acetamide;
2-[4-(Ethylsulfonyl)phenyl]-N-[3-(3-fiuorophenoxy)-4-(lH- 1 ,2,4-triazol- 1 - yl)phenyl]acetamide;
2-[4-(Ethylsulfonyl)phenyl]-N-{4-(lH-l,2,4-triazol-l-yl)-3-[3- (trifiuoromethoxy)phenoxy] phenyl} acetamide;
2-[4-(Ethylsulfonyl)phenyl]-N- {4-(3 -methyl- 1H- 1 ,2,4-triazol- 1 -yl)-3-[3- (trifiuoromethoxy) phenoxy]phenyl} acetamide;
2-[4-(Ethylsulfonyl)phenyl]-N- {4-(5-methyl- 1 ,3-oxazol-2-yl)-3-[3- (trifiuoromethoxy)phenoxy] phenyl} acetamide;
2-[4-(Ethylsulfonyl)phenyl]-N-[3-(3-fiuorophenoxy)-4-(5-methyl-l,2,4- oxadiazol-3 -yl)phenyl] acetamide;
2-[4-(Ethylsulfonyl)phenyl]-N- {4-(5-methyl- 1 ,2,4-oxadiazol-3-yl)-3-[3- (trifiuoromethyl) phenoxy]phenyl} acetamide;
2-[4-(Ethylsulfonyl)phenyl]-N- {4-(5-methyl- 1 ,2,4-oxadiazol-3-yl)-3-[3- (trifiuoromethoxy) phenoxy]phenyl} acetamide;
2-[4-(Ethylsulfonyl)phenyl] -N- { 3 -(3 -fiuorophenoxy)-4- [5-(trifiuoromethyl)- 1 ,2,4-oxadiazol-3-yl]phenyl} acetamide;
N-[3-(3-Fluorophenoxy)-4-(3-methyl- lH-pyrazol- 1 -yl)phenyl]-2-[4- (methylsulfamoyl)phenyl] acetamide;
N-[3-(3-Fluorophenoxy)-4-(4-methyl- lH-imidazol- 1 -yl)phenyl]-2-[4- (methylsulfamoyl)phenyl] acetamide;
2-[4-(Ethylsulfonyl)phenyl]-N-(5-phenoxy-6-phenylpyridin-3-yl)acetamide;
2-[4-(Ethylsulfonyl)phenyl]-N-[5-(3-fluorophenoxy)-6-(3- fluorophenyl)pyridin-3-yl]acetamide;
N- [5-(3 -Cyanophenoxy)-6-(3 -fluorophenyl)pyridin-3 -yl] -2- [4- (ethylsulfonyl)phenyl]acetamide;
N-[6-(3,5-Difluorophenyl)-5-(3-fluorophenoxy)pyridin-3-yl]-2-[4- (ethylsulfonyl)phenyl] acetamide;
N-[6-(3,4-Difluorophenyl)-5-(3-fluorophenoxy)pyridin-3-yl]-2-[4- (ethylsulfonyl)phenyl] acetamide;
N- [5-(3 -Fluorophenoxy)-6-(3 -fluorophenyl)pyridin-3 -yl] -2-[4- (methylsulfamoyl)phenyl] acetamide;
N- [5-(3 -Fluorophenoxy)-6-(3 -fluorophenyl)pyridin-3 -yl] -2- {4- [(methylsulfonyl)amino]phenyl} acetamide;
and pharmaceutically acceptable salts thereof.
22. A compound 2-[4-(Ethylsulfonyl)phenyl]-N-{4-(pyridin-3-yl)-3-[3- (trifluoromethyl)phenoxy]phenyl} acetamide hydrochloride.
23. A compound of the formula
or a pharmaceutically acceptable salt thereof.
24. A pharmaceutical composition comprising a compound according to any one of claims 1 to 23 and a pharmaceutically acceptable excipient.
25. The pharmaceutical composition according to claim 24, wherein the pharmaceutically acceptable excipient is a carrier or diluent.
26. A method of treating a RORyt mediated disease, disorder or syndrome in a subject comprising administering an effective amount of a compound according to any one of claims 1 to 23.
27. The method according to claim 26, wherein the disease is an inflammatory or autoimmune disease.
28. The method according to claim 27, wherein said inflammatory or autoimmune disease is selected from the group consisting of rheumatoid arthritis, psoriasis, chronic obstructive pulmonary disease (COPD), asthma, multiple sclerosis, colitis, ulcerative colitis and inflammatory bowel disease.
29. The method according to claim 26, wherein the disease, disorder, syndrome or condition is pain, chronic pain, acute pain, inflammatory pain, arthritic pain, neuropathic pain, post-operative pain, surgical pain, visceral pain, dental pain, premenstrual pain, central pain, cancer pain, pain due to burns, migraine or cluster headaches, nerve injury, neuritis, neuralgias, poisoning, ischemic injury, interstitial cystitis, viral, parasitic or bacterial infection, post-traumatic injury, or pain associated with irritable bowel syndrome.
30. The method according to claim 26, wherein the disease, disorder, syndrome or condition is chronic obstructive pulmonary disease (COPD), asthma, bronchospasm, or cough.
31. A method of treatment of disease, disorder, syndrome or condition selected from the group consisting of chronic obstructive pulmonary disease (COPD), asthma, cough, pain, inflammatory pain, chronic pain, acute pain, arthritis, osteoarthritis, multiple sclerosis, rheumatoid arthritis, colitis, ulcerative colitis and inflammatory bowel disease comprising administering a compound according to any one of claims 1 to 23.
32. A process for preparing a compound of formula (II)
or a pharmaceutically acceptable salt thereof, which comprises: reacting a compound of formula (2) with a compound of formula (10) to form a compound of formula (II)
wherein,
Ring B is selected from C6-i4aryl, 5-14 membered heteroaryl and 3-15 membered heterocyclyl;
W is selected from CR5 and N;
R is selected from -S(0)2-R7, -S-R7, -S(0)-R7, -S(0)2NRaRb and -NRdS(0)2-
R8;
each occurrence of R1 is independently selected from halogen, cyano, hydroxyl, Ci.galkyl, Ci.galkoxy, haloCi_galkyl, haloCi_galkoxy, hydroxyCi_galkyl and NRxRy;
each occurrence of R2 is independently selected from halogen, cyano, hydroxyl, Ci_galkyl, Ci_galkoxy, haloCi_galkyl, haloCi_galkoxy, hydroxyCi_galkyl and NRxRy;
each occurrence of R5 is independently selected from hydrogen, halogen, cyano, hydroxyl, Ci_galkyl, Ci_galkoxy and haloCi_galkyl;
each occurrence of R6 is independently selected from halogen, cyano, hydroxyl, Ci_galkyl, Ci_galkoxy and haloCi_galkyl;
each occurrence of R7 is independently selected from Ci_galkyl, C3_ i2cycloalkyl and haloCi_galkyl;
each occurrence of R8 is independently selected from Ci_8alkyl and C3_ i2cycloalkyl;
each occurrence of Ra and Rb, which may be the same or different, are independently selected from hydrogen and Ci.galkyl;
each occurrence of Rd is independently selected from hydrogen and Ci_galkyl; each occurrence of Rx and Ry, which may be the same or different, are independently selected from hydrogen and Ci_8alkyl;
'm' is an integer ranging from 0 to 4, both inclusive;
'p' is an integer ranging from 0 to 5, both inclusive; and
'r' is an integer ranging from 0 to 5, both inclusive.
33. The process according to claim 32, wherein a compound of formula (2) is converted to a compound of formula (II) in the presence of a solvent selected from DCM, THF and DMF.
34. The process according to claim 32 or 33, wherein a compound of formula (2) is converted to compound of formula (II) using a coupling agent.
35. The process according to claim 34, wherein the said coupling agent is 1-ethyl- 3-(3-dimethylaminopropyl)carbodiimide (EDCI) and 1-hydroxybenzotriazole (HOBt).
Applications Claiming Priority (6)
| Application Number | Priority Date | Filing Date | Title |
|---|---|---|---|
| IN55/MUM/2013 | 2013-01-08 | ||
| IN55MU2013 | 2013-01-08 | ||
| US201361760301P | 2013-02-04 | 2013-02-04 | |
| US61/760,301 | 2013-02-04 | ||
| IN811MU2013 | 2013-03-19 | ||
| IN811/MUM/2013 | 2013-03-19 |
Publications (2)
| Publication Number | Publication Date |
|---|---|
| WO2013171729A2 true WO2013171729A2 (en) | 2013-11-21 |
| WO2013171729A3 WO2013171729A3 (en) | 2014-02-06 |
Family
ID=49584403
Family Applications (1)
| Application Number | Title | Priority Date | Filing Date |
|---|---|---|---|
| PCT/IB2013/058108 Ceased WO2013171729A2 (en) | 2013-01-08 | 2013-08-29 | Aryl and heteroaryl amide compounds as rorgamat modulator |
Country Status (1)
| Country | Link |
|---|---|
| WO (1) | WO2013171729A2 (en) |
Cited By (56)
| Publication number | Priority date | Publication date | Assignee | Title |
|---|---|---|---|---|
| WO2015052675A1 (en) * | 2013-10-10 | 2015-04-16 | Glenmark Pharmaceuticals S.A. | Substituted dihydro-benzimidazole compounds as ror gamma modulators |
| WO2015015378A3 (en) * | 2013-08-02 | 2015-05-14 | Pfizer Inc. | Heterobicycloaryl rorc2 inhibitors and methods of use thereof |
| WO2015087234A1 (en) | 2013-12-10 | 2015-06-18 | Glenmark Pharmaceuticals S.A. | Bicyclic heteroaryl indole analogues useful as ror gamma modulators |
| CN104926733A (en) * | 2014-03-18 | 2015-09-23 | 北京韩美药品有限公司 | Compound used as RORgamma conditioning agent |
| WO2015145371A1 (en) * | 2014-03-27 | 2015-10-01 | Piramal Enterprises Limited | Ror-gamma modulators and uses thereof |
| WO2015159233A1 (en) | 2014-04-16 | 2015-10-22 | Glenmark Pharmaceuticals S.A. | Aryl and heteroaryl ether compounds as ror gamma modulators |
| US9266886B2 (en) | 2014-02-03 | 2016-02-23 | Vitae Pharmaceuticals, Inc. | Dihydropyrrolopyridine inhibitors of ROR-gamma |
| WO2016072402A1 (en) * | 2014-11-05 | 2016-05-12 | 第一三共株式会社 | Cyclic amine derivative |
| WO2016145298A1 (en) | 2015-03-12 | 2016-09-15 | The Regents Of The University Of California | METHODS FOR TREATING CANCER WITH RORgamma INHIBITORS |
| US9481674B1 (en) | 2016-06-10 | 2016-11-01 | Vitae Pharmaceuticals, Inc. | Dihydropyrrolopyridine inhibitors of ROR-gamma |
| EP3101008A1 (en) * | 2015-06-05 | 2016-12-07 | Lead Pharma Cel Models IP B.V. | Ror gamma (rory) modulators |
| EP3101006A1 (en) * | 2015-06-05 | 2016-12-07 | Lead Pharma Cel Models IP B.V. | Ror gamma (rory) modulators |
| EP3101007A1 (en) * | 2015-06-05 | 2016-12-07 | Lead Pharma Cel Models IP B.V. | Ror gamma (rory) modulators |
| WO2016193894A1 (en) | 2015-05-29 | 2016-12-08 | Glenmark Pharmaceuticals S.A. | Treatment of respiratory disorders using ror- gamma inhibitors |
| WO2017021879A1 (en) | 2015-08-03 | 2017-02-09 | Glenmark Pharmaceuticals S.A. | Novel compounds as ror gamma modulators |
| WO2017037595A1 (en) * | 2015-08-28 | 2017-03-09 | Glenmark Pharmaceuticals S.A. | Novel carbocyclic compounds as ror gamma modulators |
| WO2017051319A1 (en) * | 2015-09-21 | 2017-03-30 | Glenmark Pharmaceuticals S.A. | Aryl and heteroaryl ether compounds as ror gamma modulators |
| US9663515B2 (en) | 2014-11-05 | 2017-05-30 | Vitae Pharmaceuticals, Inc. | Dihydropyrrolopyridine inhibitors of ROR-gamma |
| US9670201B2 (en) | 2014-09-26 | 2017-06-06 | Pfizer Inc. | Methyl- and trifluoromethyl-substituted pyrrolopyridine modulators of RORC2 and methods of use thereof |
| US9738600B2 (en) | 2013-12-05 | 2017-08-22 | Lead Pharma Cel Models Ip B.V. | ROR gamma (RORγ) modulators |
| US9796710B2 (en) | 2014-10-14 | 2017-10-24 | Vitae Pharmaceuticals, Inc. | Dihydropyrrolopyridine inhibitors of ROR-gamma |
| WO2017199103A1 (en) * | 2016-05-18 | 2017-11-23 | Glenmark Pharmaceuticals S.A. | Benzamide compounds as ror gamma modulators |
| US9845308B2 (en) | 2014-11-05 | 2017-12-19 | Vitae Pharmaceuticals, Inc. | Isoindoline inhibitors of ROR-gamma |
| US9868724B2 (en) | 2014-05-28 | 2018-01-16 | Glaxosmithkline Intellectual Property Development Limited | Compounds |
| WO2018011747A1 (en) | 2016-07-14 | 2018-01-18 | Cadila Healthcare Limited | Polycyclic compounds as ror-gamma modulators |
| WO2018011746A1 (en) | 2016-07-14 | 2018-01-18 | Cadila Healthcare Limited | Cyclopropyl derivatives as ror-gamma modulators |
| US9902735B2 (en) | 2014-05-28 | 2018-02-27 | Glaxosmithkline Intellectual Property Development Limited | Heteroaryl substituted compounds as RORγ inhibitors |
| US9902715B2 (en) | 2014-05-28 | 2018-02-27 | Glaxosmithkline Intellectual Property Development Limited | Compounds |
| KR20180040559A (en) * | 2015-06-05 | 2018-04-20 | 리드 파마 홀딩 비.브이. | ROR gamma (ROR gamma) modifier |
| WO2018111803A1 (en) * | 2016-12-13 | 2018-06-21 | Boehringer Ingelheim International Gmbh | Compounds as modulators of ror gamma |
| US10005731B2 (en) | 2012-12-06 | 2018-06-26 | Glaxo Group Limited | Modulators of the retinoid-related orphan receptor gamma (ROR-gamma) for use in the treatment of autoimmune and inflammatory diseases |
| WO2018116285A1 (en) | 2016-12-23 | 2018-06-28 | Glenmark Pharmaceuticals S.A. | Substituted morpholine derivatives as ror gamma modulators |
| US10011566B2 (en) | 2015-12-15 | 2018-07-03 | Astrazeneca Ab | Compounds |
| WO2018145653A1 (en) * | 2017-02-09 | 2018-08-16 | 复旦大学 | Biaryl compound, preparation method and use therefor |
| WO2018185675A1 (en) | 2017-04-04 | 2018-10-11 | Glenmark Pharmaceuticals S.A. | Substituted oxoazetidine analogues as ror gamma modulators |
| CN108863850A (en) * | 2017-02-09 | 2018-11-23 | 复旦大学 | Biaryl base class compound and its preparation method and application |
| US10301261B2 (en) | 2015-08-05 | 2019-05-28 | Vitae Pharmaceuticals, Llc | Substituted indoles as modulators of ROR-gamma |
| US20190382350A1 (en) * | 2018-06-18 | 2019-12-19 | Janssen Pharmaceutica Nv | PYRIDINYL PYRAZOLES AS MODULATORS OF RORyT |
| US10647675B2 (en) | 2015-09-18 | 2020-05-12 | Kaken Pharmaceutical Co., Ltd. | Biaryl derivative and medicine containing same |
| US10829481B2 (en) | 2016-01-29 | 2020-11-10 | Vitae Pharmaceuticals, Llc | Benzimidazole derivatives as modulators of ROR-gamma |
| CN112292183A (en) * | 2018-06-18 | 2021-01-29 | 詹森药业有限公司 | 6-aminopyridin-3-yl-pyrazoles as modulators of ROR γ t |
| US10913739B2 (en) | 2017-07-24 | 2021-02-09 | Vitae Pharmaceuticals, LLC (121374) | Inhibitors of RORγ |
| US10975068B2 (en) | 2016-04-27 | 2021-04-13 | Janssen Pharmaceutica Nv | 6-aminopyridin-3-yl thiazoles as modulators of RORγT |
| US10975037B2 (en) | 2018-06-18 | 2021-04-13 | Janssen Pharmaceutica Nv | Phenyl substituted pyrazoles as modulators of RORγt |
| US11008340B2 (en) | 2015-11-20 | 2021-05-18 | Vitae Pharmaceuticals, Llc | Modulators of ROR-gamma |
| US11034654B2 (en) | 2017-06-14 | 2021-06-15 | Astrazeneca Ab | 2,3-dihydroisoindole-1-carboxamides useful as ROR-gamma modulators |
| US11046658B2 (en) | 2018-07-02 | 2021-06-29 | Incyte Corporation | Aminopyrazine derivatives as PI3K-γ inhibitors |
| CN113666853A (en) * | 2020-05-15 | 2021-11-19 | 上海辉启生物医药科技有限公司 | Biaryl compounds useful as ROR gamma modulators |
| US11186573B2 (en) | 2017-07-24 | 2021-11-30 | Vitae Pharmaceuticals, Llc | Inhibitors of ROR gamma |
| US11229636B2 (en) | 2015-05-15 | 2022-01-25 | Aurigene Discovery Technologies Limited | Substituted tetrahydroquinolinone compounds as ROR gamma modulators |
| US11299456B2 (en) * | 2016-12-05 | 2022-04-12 | Lead Pharma Holding B.V. | ROR gamma (RORγ) modulators |
| US11345666B2 (en) | 2018-06-18 | 2022-05-31 | Janssen Pharmaceutica Nv | Phenyl and pyridinyl substituted imidazoles as modulators of RORγT |
| WO2023146513A1 (en) * | 2022-01-25 | 2023-08-03 | Vivace Therapeutics, Inc. | Compounds and methods of use thereof |
| CN116715613A (en) * | 2023-05-09 | 2023-09-08 | 中山大学 | A RORγ covalent inhibitory compound and its preparation method and application |
| US11926616B2 (en) | 2018-03-08 | 2024-03-12 | Incyte Corporation | Aminopyrazine diol compounds as PI3K-γ inhibitors |
| WO2025141891A1 (en) * | 2023-12-29 | 2025-07-03 | キッセイ薬品工業株式会社 | Biaryl compound |
Citations (6)
| Publication number | Priority date | Publication date | Assignee | Title |
|---|---|---|---|---|
| WO2012027965A1 (en) | 2010-09-01 | 2012-03-08 | Glaxo Group Limited | Novel compounds |
| WO2012028100A1 (en) | 2010-09-01 | 2012-03-08 | Glaxo Group Limited | Novel compounds |
| WO2012064744A2 (en) | 2010-11-08 | 2012-05-18 | Lycera Corporation | Tetrahydroquinoline and related bicyclic compounds for inhibition of rorϒ activity and the treatment of disease |
| WO2012100732A1 (en) | 2011-01-24 | 2012-08-02 | Glaxo Group Limited | Retinoid-related orphan receptor gamma modulators, composition containing them and uses thereof |
| WO2012100734A1 (en) | 2011-01-24 | 2012-08-02 | Glaxo Group Limited | Compounds useful as retinoid-related orphan receptor gamma modulators |
| WO2012139775A1 (en) | 2011-04-14 | 2012-10-18 | Phenex Pharmaceuticals Ag | Pyrrolo sulfonamide compounds for modulation of orphan nuclear receptor rar-related orphan receptor-gamma (rorgamma, nr1f3) activity and for the treatment of chronic inflammatory and autoimmune diseases |
-
2013
- 2013-08-29 WO PCT/IB2013/058108 patent/WO2013171729A2/en not_active Ceased
Patent Citations (6)
| Publication number | Priority date | Publication date | Assignee | Title |
|---|---|---|---|---|
| WO2012027965A1 (en) | 2010-09-01 | 2012-03-08 | Glaxo Group Limited | Novel compounds |
| WO2012028100A1 (en) | 2010-09-01 | 2012-03-08 | Glaxo Group Limited | Novel compounds |
| WO2012064744A2 (en) | 2010-11-08 | 2012-05-18 | Lycera Corporation | Tetrahydroquinoline and related bicyclic compounds for inhibition of rorϒ activity and the treatment of disease |
| WO2012100732A1 (en) | 2011-01-24 | 2012-08-02 | Glaxo Group Limited | Retinoid-related orphan receptor gamma modulators, composition containing them and uses thereof |
| WO2012100734A1 (en) | 2011-01-24 | 2012-08-02 | Glaxo Group Limited | Compounds useful as retinoid-related orphan receptor gamma modulators |
| WO2012139775A1 (en) | 2011-04-14 | 2012-10-18 | Phenex Pharmaceuticals Ag | Pyrrolo sulfonamide compounds for modulation of orphan nuclear receptor rar-related orphan receptor-gamma (rorgamma, nr1f3) activity and for the treatment of chronic inflammatory and autoimmune diseases |
Non-Patent Citations (23)
| Title |
|---|
| "Remington: The Science and Practice of Pharmacy", 2003, LIPPINCOTT WILLIAMS & WILKINS |
| ALOISI ET AL., NAT. REV. IMMUNOL., vol. 6, 2006, pages 205 - 217 |
| BARNES ET AL., NAT. REV. IMMUNOL., vol. 8, 2008, pages 183 - 192 |
| BUONOCORE ET AL., NATURE, vol. 464, 2010, pages 1371 - 1375 |
| DRUG METABOLISM AND DISPOSITION, vol. 37, no. 10, 2009, pages 2069 - 78 |
| EBERL ET AL., NAT IMMUNOL., vol. 5, 2004, pages 64 - 73 |
| EBERL ET AL., NAT. IMMUNOL., vol. 5, 2004, pages 64 - 73 |
| HUEBER ET AL., J IMMUNOL., vol. 184, 2010, pages 3336 - 3340 |
| IVANOV ET AL., CELL, vol. 126, 2006, pages 1121 - 1133 |
| JAGER ET AL., J. IMMUNOL., vol. 183, 2009, pages 7169 - 7177 |
| JBC, vol. 286, no. 26, 2011, pages 22707 - 10 |
| JETTEN ET AL., ADV. DEV. BIOL., vol. 16, 2006, pages 313 - 355 |
| JETTEN ET AL., NUCL. RECEPT. SIGNAL, vol. 7, 2009, pages E003 |
| KORN ET AL., ANNU. REV. IMMUNOL., vol. 27, 2009, pages 485 - 517 |
| LEUNG ET AL., CELL. MOL. IMMUNOL., vol. 7, 2010, pages 182 - 189 |
| LOUTEN ET AL., J ALLERGY CLIN. IMMUNOL., vol. 123, 2009, pages 1004 - 1011 |
| MAGLIOZZI ET AL., BRAIN, vol. 130, 2007, pages 1089 - 1104 |
| MANEL ET AL., NAT. IMMUNOL., vol. 9, 2008, pages 641 - 649 |
| MEIER ET AL., IMMUNITY, vol. 26, 2007, pages 643 - 654 |
| SERAFMI ET AL., BRAIN PATHOL., vol. 14, 2004, pages 164 - 174 |
| STEINMAN ET AL., J. EXP. MED., vol. 205, 2008, pages 1517 - 1522 |
| SUN ET AL., SCIENCE, vol. 288, 2000, pages 2369 - 2372 |
| SUTTON ET AL., NAT. IMMUNOL., vol. 31, 2009, pages 331 - 341 |
Cited By (130)
| Publication number | Priority date | Publication date | Assignee | Title |
|---|---|---|---|---|
| US10005731B2 (en) | 2012-12-06 | 2018-06-26 | Glaxo Group Limited | Modulators of the retinoid-related orphan receptor gamma (ROR-gamma) for use in the treatment of autoimmune and inflammatory diseases |
| EA029499B1 (en) * | 2013-08-02 | 2018-04-30 | Пфайзер Инк | RORC2 INHIBITORS AND METHODS OF THEIR APPLICATION |
| WO2015015378A3 (en) * | 2013-08-02 | 2015-05-14 | Pfizer Inc. | Heterobicycloaryl rorc2 inhibitors and methods of use thereof |
| EP3428160A1 (en) * | 2013-08-02 | 2019-01-16 | Pfizer Inc | Heterobicycloaryl rorc2 inhibitors and methods of use thereof |
| WO2015052675A1 (en) * | 2013-10-10 | 2015-04-16 | Glenmark Pharmaceuticals S.A. | Substituted dihydro-benzimidazole compounds as ror gamma modulators |
| US9738600B2 (en) | 2013-12-05 | 2017-08-22 | Lead Pharma Cel Models Ip B.V. | ROR gamma (RORγ) modulators |
| WO2015087234A1 (en) | 2013-12-10 | 2015-06-18 | Glenmark Pharmaceuticals S.A. | Bicyclic heteroaryl indole analogues useful as ror gamma modulators |
| US9682977B2 (en) | 2013-12-10 | 2017-06-20 | Glenmark Pharmaceuticals S.A. | Bicyclic heteroaryl indole analogues useful as ROR gamma modulators |
| US10807980B2 (en) | 2014-02-03 | 2020-10-20 | Vitae Pharmaceuticals, Llc | Dihydropyrrolopyridine inhibitors of ROR-gamma |
| US11535614B2 (en) | 2014-02-03 | 2022-12-27 | Vitae Pharmaceuticals, Llc | Dihydropyrrolopyridine inhibitors of ROR-gamma |
| US10399976B2 (en) | 2014-02-03 | 2019-09-03 | Vitae Pharmaceuticals, Llc | Dihydropyrrolopyridine inhibitors of ROR-gamma |
| US9624217B2 (en) | 2014-02-03 | 2017-04-18 | Vitae Pharmaceuticals, Inc. | Dihydropyrrolopyridine inhibitors of ROR-gamma |
| US10047085B2 (en) | 2014-02-03 | 2018-08-14 | Vitae Pharmaceuticals, Inc. | Dihydropyrrolopyridine inhibitors of ROR-gamma |
| US9266886B2 (en) | 2014-02-03 | 2016-02-23 | Vitae Pharmaceuticals, Inc. | Dihydropyrrolopyridine inhibitors of ROR-gamma |
| CN104926733A (en) * | 2014-03-18 | 2015-09-23 | 北京韩美药品有限公司 | Compound used as RORgamma conditioning agent |
| CN104926733B (en) * | 2014-03-18 | 2019-05-10 | 北京韩美药品有限公司 | Compound as ROR gamma modulators |
| WO2015139619A1 (en) * | 2014-03-18 | 2015-09-24 | 北京韩美药品有限公司 | Compound serving as rorγ modulator |
| AU2015237788B2 (en) * | 2014-03-27 | 2021-03-11 | Piramal Enterprises Limited | ROR-gamma modulators and uses thereof |
| US11084784B2 (en) | 2014-03-27 | 2021-08-10 | Piramal Enterprises Limited | ROR-gamma modulators and uses thereof |
| WO2015145371A1 (en) * | 2014-03-27 | 2015-10-01 | Piramal Enterprises Limited | Ror-gamma modulators and uses thereof |
| US9718817B2 (en) | 2014-04-16 | 2017-08-01 | Glenmark Pharmaceuticals S.A. | Aryl and heteroaryl ether compounds as ROR gamma modulators |
| WO2015159233A1 (en) | 2014-04-16 | 2015-10-22 | Glenmark Pharmaceuticals S.A. | Aryl and heteroaryl ether compounds as ror gamma modulators |
| US9902735B2 (en) | 2014-05-28 | 2018-02-27 | Glaxosmithkline Intellectual Property Development Limited | Heteroaryl substituted compounds as RORγ inhibitors |
| US9902715B2 (en) | 2014-05-28 | 2018-02-27 | Glaxosmithkline Intellectual Property Development Limited | Compounds |
| US9868724B2 (en) | 2014-05-28 | 2018-01-16 | Glaxosmithkline Intellectual Property Development Limited | Compounds |
| US10227346B2 (en) | 2014-09-26 | 2019-03-12 | Pfizer Inc. | Methyl- and trifluoromethyl-substituted pyrrolopyridine modulators of RORC2 and methods of use therof |
| US9670201B2 (en) | 2014-09-26 | 2017-06-06 | Pfizer Inc. | Methyl- and trifluoromethyl-substituted pyrrolopyridine modulators of RORC2 and methods of use thereof |
| US9920054B2 (en) | 2014-09-26 | 2018-03-20 | Pfizer Inc. | Methyl- and trifluoromethyl-substituted pyrrolopyridine modulators of RORC2 and methods of use thereof |
| US10426135B2 (en) | 2014-09-26 | 2019-10-01 | Pfizer Inc. | Methyl- and trifluromethyl-substituted pyrrolopyridine modulators of RORC2 and methods of use thereof |
| US9796710B2 (en) | 2014-10-14 | 2017-10-24 | Vitae Pharmaceuticals, Inc. | Dihydropyrrolopyridine inhibitors of ROR-gamma |
| US10087184B2 (en) | 2014-10-14 | 2018-10-02 | Vitae Pharmaceuticals, Inc. | Dihydropyrrolopyridine inhibitors of RORγ |
| US9845308B2 (en) | 2014-11-05 | 2017-12-19 | Vitae Pharmaceuticals, Inc. | Isoindoline inhibitors of ROR-gamma |
| US9663515B2 (en) | 2014-11-05 | 2017-05-30 | Vitae Pharmaceuticals, Inc. | Dihydropyrrolopyridine inhibitors of ROR-gamma |
| WO2016072402A1 (en) * | 2014-11-05 | 2016-05-12 | 第一三共株式会社 | Cyclic amine derivative |
| US11001583B2 (en) | 2014-11-05 | 2021-05-11 | Vitae Pharmaceuticals, Llc | Dihydropyrrolopyridine inhibitors of ROR-gamma |
| US10959984B2 (en) | 2015-03-12 | 2021-03-30 | The Regents Of The University Of California | Methods for treating cancer with RORγ inhibitors |
| WO2016145298A1 (en) | 2015-03-12 | 2016-09-15 | The Regents Of The University Of California | METHODS FOR TREATING CANCER WITH RORgamma INHIBITORS |
| US12377088B2 (en) | 2015-05-15 | 2025-08-05 | Aurigene Oncology Limited | Substituted tetrahydroquinolinone compounds as ROR gamma modulators |
| US11229636B2 (en) | 2015-05-15 | 2022-01-25 | Aurigene Discovery Technologies Limited | Substituted tetrahydroquinolinone compounds as ROR gamma modulators |
| US9855229B2 (en) | 2015-05-29 | 2018-01-02 | Glenmark Pharmaceuticals S.A. | Treatment of respiratory disorders using ROR-gamma inhibitors |
| WO2016193894A1 (en) | 2015-05-29 | 2016-12-08 | Glenmark Pharmaceuticals S.A. | Treatment of respiratory disorders using ror- gamma inhibitors |
| JP2018518480A (en) * | 2015-06-05 | 2018-07-12 | リード ファーマ ホールディング ビー.ブイ. | ROR gamma (RORγ) modulator |
| CN108430973A (en) * | 2015-06-05 | 2018-08-21 | 领先制药控股公司 | ROR gamma modulators |
| RU2727698C2 (en) * | 2015-06-05 | 2020-07-23 | Лид Фарма Холдинг Б.В. | ROR GAMMA (RORγ) MODULATORS |
| RU2730454C2 (en) * | 2015-06-05 | 2020-08-24 | Лид Фарма Холдинг Б.В. | ROR GAMMA (RORγ) MODULATORS |
| EP3101008A1 (en) * | 2015-06-05 | 2016-12-07 | Lead Pharma Cel Models IP B.V. | Ror gamma (rory) modulators |
| KR20180042213A (en) * | 2015-06-05 | 2018-04-25 | 리드 파마 홀딩 비.브이. | ROR gamma (ROR gamma) modifier |
| KR20180040559A (en) * | 2015-06-05 | 2018-04-20 | 리드 파마 홀딩 비.브이. | ROR gamma (ROR gamma) modifier |
| CN108473430B (en) * | 2015-06-05 | 2021-05-25 | 领先制药控股公司 | RORγ modulators |
| KR20180038439A (en) * | 2015-06-05 | 2018-04-16 | 리드 파마 홀딩 비.브이. | ROR Gamma (RORY) Regulator |
| JP2018518481A (en) * | 2015-06-05 | 2018-07-12 | リード ファーマ ホールディング ビー.ブイ. | ROR gamma (RORγ) modulator |
| WO2016193452A1 (en) * | 2015-06-05 | 2016-12-08 | Lead Pharma Cel Models Ip B.V. | ROR GAMMA (RORγ) MODULATORS |
| RU2727191C2 (en) * | 2015-06-05 | 2020-07-21 | Лид Фарма Холдинг Б.В. | ROR GAMMA (RORγ) MODULATORS |
| JP2018522837A (en) * | 2015-06-05 | 2018-08-16 | リード ファーマ ホールディング ビー.ブイ. | ROR gamma (RORγ) modulator |
| CN108430973B (en) * | 2015-06-05 | 2021-09-21 | 领先制药控股公司 | ROR gamma modulators |
| CN108430974A (en) * | 2015-06-05 | 2018-08-21 | 领先制药控股公司 | RORγ modulator |
| WO2016193459A1 (en) * | 2015-06-05 | 2016-12-08 | Lead Pharma Cel Models Ip B.V. | Ror gamma (rory) modulators |
| JP2018524293A (en) * | 2015-06-05 | 2018-08-30 | リード ファーマ ホールディング ビー.ブイ. | ROR gamma (RORγ) modulator |
| CN108473429A (en) * | 2015-06-05 | 2018-08-31 | 领先制药控股公司 | ROR gamma modulators |
| CN108473430A (en) * | 2015-06-05 | 2018-08-31 | 领先制药控股公司 | ROR gamma modulators |
| KR102575608B1 (en) | 2015-06-05 | 2023-09-05 | 리드 파마 홀딩 비.브이. | ROR gamma (RORγ) modulator |
| CN108430974B (en) * | 2015-06-05 | 2021-09-17 | 领先制药控股公司 | ROR gamma modulators |
| CN108473429B (en) * | 2015-06-05 | 2021-09-10 | 领先制药控股公司 | ROR gamma modulators |
| KR102576004B1 (en) | 2015-06-05 | 2023-09-06 | 리드 파마 홀딩 비.브이. | ROR gamma (RORγ) modulator |
| US10428018B2 (en) | 2015-06-05 | 2019-10-01 | Lead Pharma Holding B.V. | ROR gamma (RORy) modulators |
| EP3101006A1 (en) * | 2015-06-05 | 2016-12-07 | Lead Pharma Cel Models IP B.V. | Ror gamma (rory) modulators |
| US10259782B2 (en) | 2015-06-05 | 2019-04-16 | Lead Pharma Holding B.V. | ROR gamma (RORγ) modulators |
| WO2016193470A1 (en) * | 2015-06-05 | 2016-12-08 | Lead Pharma Cel Models Ip B.V. | Ror gamma (rory) modulators |
| EP3101007A1 (en) * | 2015-06-05 | 2016-12-07 | Lead Pharma Cel Models IP B.V. | Ror gamma (rory) modulators |
| US10315996B2 (en) | 2015-06-05 | 2019-06-11 | Lead Pharma Holding B.V. | ROR gamma (RORγ) modulators |
| KR20180032645A (en) * | 2015-08-03 | 2018-03-30 | 그렌마크 파머수티칼스 에스. 아. | Novel compounds as ROR gamma modifiers |
| US10344024B2 (en) | 2015-08-03 | 2019-07-09 | Glenmark Pharmaceuticals S.A. | Compounds as ROR gamma modulators |
| AU2016303540B2 (en) * | 2015-08-03 | 2019-07-11 | Glenmark Pharmaceuticals S.A. | Novel compounds as ROR gamma modulators |
| WO2017021879A1 (en) | 2015-08-03 | 2017-02-09 | Glenmark Pharmaceuticals S.A. | Novel compounds as ror gamma modulators |
| CN108026050B (en) * | 2015-08-03 | 2021-04-30 | 格兰马克药品股份有限公司 | Novel compounds as ROR gamma modulators |
| KR102229608B1 (en) | 2015-08-03 | 2021-03-19 | 아이크노스 사이언스 에스. 아. | Novel compounds as ROR gamma modulators |
| JP2018522047A (en) * | 2015-08-03 | 2018-08-09 | グレンマーク・ファーマシューティカルズ・エスエー | Novel compounds as ROR gamma modulators |
| US10988467B2 (en) | 2015-08-03 | 2021-04-27 | Glenmark Pharmaceuticals S.A. | Compounds as ROR gamma modulators |
| US9975887B2 (en) | 2015-08-03 | 2018-05-22 | Glenmark Pharmaceuticals S.A. | Compounds as ROR gamma modulators |
| EA034201B1 (en) * | 2015-08-03 | 2020-01-16 | Гленмарк Фармасьютикалс С.А. | Compounds as ror gamma modulators |
| EP3686187A1 (en) | 2015-08-03 | 2020-07-29 | Glenmark Pharmaceuticals S.A. | Process for the preparation of ror gamma modulators |
| CN108026050A (en) * | 2015-08-03 | 2018-05-11 | 格兰马克药品股份有限公司 | Novel compounds as RORγ modulators |
| US10301261B2 (en) | 2015-08-05 | 2019-05-28 | Vitae Pharmaceuticals, Llc | Substituted indoles as modulators of ROR-gamma |
| US10829448B2 (en) | 2015-08-05 | 2020-11-10 | Vitae Pharmaceuticals, Llc | Substituted benzoimidazoles as modulators of ROR-γ |
| CN108026039A (en) * | 2015-08-28 | 2018-05-11 | 格兰马克药品股份有限公司 | New carbocyclic compound as ROR gamma modulators |
| US10336688B2 (en) | 2015-08-28 | 2019-07-02 | Glenmark Pharmaceuticals S.A. | Carbocyclic compounds as ROR gamma modulators |
| WO2017037595A1 (en) * | 2015-08-28 | 2017-03-09 | Glenmark Pharmaceuticals S.A. | Novel carbocyclic compounds as ror gamma modulators |
| US10189775B2 (en) | 2015-08-28 | 2019-01-29 | Glenmark Pharmaceuticals S.A. | Carbocyclic compounds as ROR gamma modulators |
| US10647675B2 (en) | 2015-09-18 | 2020-05-12 | Kaken Pharmaceutical Co., Ltd. | Biaryl derivative and medicine containing same |
| WO2017051319A1 (en) * | 2015-09-21 | 2017-03-30 | Glenmark Pharmaceuticals S.A. | Aryl and heteroaryl ether compounds as ror gamma modulators |
| US11008340B2 (en) | 2015-11-20 | 2021-05-18 | Vitae Pharmaceuticals, Llc | Modulators of ROR-gamma |
| US10526286B2 (en) | 2015-12-15 | 2020-01-07 | Astrazeneca Ab | Compounds |
| US10988445B2 (en) | 2015-12-15 | 2021-04-27 | Astrazeneca Ab | Compounds |
| US10011566B2 (en) | 2015-12-15 | 2018-07-03 | Astrazeneca Ab | Compounds |
| US11453644B1 (en) | 2015-12-15 | 2022-09-27 | Astrazeneca, Ab | Compounds |
| US10829481B2 (en) | 2016-01-29 | 2020-11-10 | Vitae Pharmaceuticals, Llc | Benzimidazole derivatives as modulators of ROR-gamma |
| US10975068B2 (en) | 2016-04-27 | 2021-04-13 | Janssen Pharmaceutica Nv | 6-aminopyridin-3-yl thiazoles as modulators of RORγT |
| WO2017199103A1 (en) * | 2016-05-18 | 2017-11-23 | Glenmark Pharmaceuticals S.A. | Benzamide compounds as ror gamma modulators |
| US9481674B1 (en) | 2016-06-10 | 2016-11-01 | Vitae Pharmaceuticals, Inc. | Dihydropyrrolopyridine inhibitors of ROR-gamma |
| WO2018011747A1 (en) | 2016-07-14 | 2018-01-18 | Cadila Healthcare Limited | Polycyclic compounds as ror-gamma modulators |
| WO2018011746A1 (en) | 2016-07-14 | 2018-01-18 | Cadila Healthcare Limited | Cyclopropyl derivatives as ror-gamma modulators |
| US11299456B2 (en) * | 2016-12-05 | 2022-04-12 | Lead Pharma Holding B.V. | ROR gamma (RORγ) modulators |
| US10954215B2 (en) | 2016-12-13 | 2021-03-23 | Boehringer Ingelheim International Gmbh | Compounds as modulators of ROR gamma |
| JP7014795B2 (en) | 2016-12-13 | 2022-02-01 | ベーリンガー インゲルハイム インターナショナル ゲゼルシャフト ミット ベシュレンクテル ハフツング | Compound as a modulator of ROR gamma |
| JP2020502098A (en) * | 2016-12-13 | 2020-01-23 | ベーリンガー インゲルハイム インターナショナル ゲゼルシャフト ミット ベシュレンクテル ハフツング | Compounds as modulators of ROR gamma |
| CN110072859B (en) * | 2016-12-13 | 2022-10-11 | 勃林格殷格翰国际有限公司 | Compounds as ROR gamma modulators |
| WO2018111803A1 (en) * | 2016-12-13 | 2018-06-21 | Boehringer Ingelheim International Gmbh | Compounds as modulators of ror gamma |
| CN110072859A (en) * | 2016-12-13 | 2019-07-30 | 勃林格殷格翰国际有限公司 | Compound as ROR gamma modulators |
| WO2018116285A1 (en) | 2016-12-23 | 2018-06-28 | Glenmark Pharmaceuticals S.A. | Substituted morpholine derivatives as ror gamma modulators |
| CN108863850A (en) * | 2017-02-09 | 2018-11-23 | 复旦大学 | Biaryl base class compound and its preparation method and application |
| WO2018145653A1 (en) * | 2017-02-09 | 2018-08-16 | 复旦大学 | Biaryl compound, preparation method and use therefor |
| US10844017B2 (en) | 2017-02-09 | 2020-11-24 | Fudan University | Biaryl compound, preparation method and use thereof |
| WO2018185675A1 (en) | 2017-04-04 | 2018-10-11 | Glenmark Pharmaceuticals S.A. | Substituted oxoazetidine analogues as ror gamma modulators |
| US11034654B2 (en) | 2017-06-14 | 2021-06-15 | Astrazeneca Ab | 2,3-dihydroisoindole-1-carboxamides useful as ROR-gamma modulators |
| US11186573B2 (en) | 2017-07-24 | 2021-11-30 | Vitae Pharmaceuticals, Llc | Inhibitors of ROR gamma |
| US10913739B2 (en) | 2017-07-24 | 2021-02-09 | Vitae Pharmaceuticals, LLC (121374) | Inhibitors of RORγ |
| US12365668B2 (en) | 2018-03-08 | 2025-07-22 | Incyte Corporation | Aminopyrazine diol compounds as PI3K-y inhibitors |
| US11926616B2 (en) | 2018-03-08 | 2024-03-12 | Incyte Corporation | Aminopyrazine diol compounds as PI3K-γ inhibitors |
| US11345666B2 (en) | 2018-06-18 | 2022-05-31 | Janssen Pharmaceutica Nv | Phenyl and pyridinyl substituted imidazoles as modulators of RORγT |
| US11034658B2 (en) * | 2018-06-18 | 2021-06-15 | Janssen Pharmaceutica Nv | Pyridinyl pyrazoles as modulators of RORγT |
| US20190382350A1 (en) * | 2018-06-18 | 2019-12-19 | Janssen Pharmaceutica Nv | PYRIDINYL PYRAZOLES AS MODULATORS OF RORyT |
| US10975037B2 (en) | 2018-06-18 | 2021-04-13 | Janssen Pharmaceutica Nv | Phenyl substituted pyrazoles as modulators of RORγt |
| CN112292183A (en) * | 2018-06-18 | 2021-01-29 | 詹森药业有限公司 | 6-aminopyridin-3-yl-pyrazoles as modulators of ROR γ t |
| US10975057B2 (en) | 2018-06-18 | 2021-04-13 | Janssen Pharmaceutica Nv | 6-aminopyridin-3-yl pyrazoles as modulators of RORgT |
| US11046658B2 (en) | 2018-07-02 | 2021-06-29 | Incyte Corporation | Aminopyrazine derivatives as PI3K-γ inhibitors |
| US12421197B2 (en) | 2018-07-02 | 2025-09-23 | Incyte Corporation | Aminopyrazine derivatives as PI3K-γ inhibitors |
| CN113666853A (en) * | 2020-05-15 | 2021-11-19 | 上海辉启生物医药科技有限公司 | Biaryl compounds useful as ROR gamma modulators |
| WO2023146513A1 (en) * | 2022-01-25 | 2023-08-03 | Vivace Therapeutics, Inc. | Compounds and methods of use thereof |
| CN116715613A (en) * | 2023-05-09 | 2023-09-08 | 中山大学 | A RORγ covalent inhibitory compound and its preparation method and application |
| WO2025141891A1 (en) * | 2023-12-29 | 2025-07-03 | キッセイ薬品工業株式会社 | Biaryl compound |
Also Published As
| Publication number | Publication date |
|---|---|
| WO2013171729A3 (en) | 2014-02-06 |
Similar Documents
| Publication | Publication Date | Title |
|---|---|---|
| WO2013171729A2 (en) | Aryl and heteroaryl amide compounds as rorgamat modulator | |
| AU2008247102B2 (en) | 2 -pyridine carboxamide derivatives as sodium channel modulators | |
| DE69728673T2 (en) | SUBSTITUTED BIPHENYL ISOXAZOLE SULFONAMIDE | |
| KR20160146701A (en) | Aryl and heteroaryl ether compounds as ror gamma modulators | |
| AU2009279089B2 (en) | Cyclohexyl amide derivatives and their use as CRF-1 receptor antagonists | |
| CA2993304C (en) | Novel compounds as ror gamma modulators | |
| CZ2004627A3 (en) | Dibenzylamine compounds and their pharmaceutical application | |
| KR20120088738A (en) | Pyrazole derivatives as modulators of calcium release -activated calcium channel | |
| RS20060143A (en) | Phenyl or pyridil amide compounds as prostaglandin e2 antagonists | |
| WO2001002349A1 (en) | Phenyl sulfamate derivatives | |
| US20050085512A1 (en) | Amides that inhibit vanilloid receptor subtype 1 (VR1) receptor | |
| WO2018140338A1 (en) | Amide compounds and use thereof | |
| US9624174B2 (en) | Compounds as diacylglycerol acyltransferase inhibitors | |
| JP2002212179A (en) | New anilide derivative or salt thereof and medicine containing the same | |
| TW201245187A (en) | Pyrazole derivatives | |
| KR20060067738A (en) | Novel N-arylamide derivatives exhibiting potent analgesic effects as antagonists of vanilloid receptors and pharmaceutical compositions containing them | |
| CA3090445A1 (en) | Substituted pyrazoles ffa4/gpr120 receptor agonists | |
| WO2018163077A1 (en) | Indanyl compounds as voltage gated sodium channel modulators | |
| TW202440081A (en) | Sigma-1 receptor antagonists and their applications | |
| CA2997689A1 (en) | Aminoazole derivative | |
| EP3131880A1 (en) | Aryl and heteroaryl ether compounds as ror gamma modulators | |
| KR20160095139A (en) | Bicyclic heteroaryl indole analogues useful as ror gamma modulators | |
| WO2010113952A1 (en) | Muscarinic receptor antagonist |
Legal Events
| Date | Code | Title | Description |
|---|---|---|---|
| 122 | Ep: pct application non-entry in european phase |
Ref document number: 13767121 Country of ref document: EP Kind code of ref document: A2 |


































































































































































































































