WO2013151863A1 - Catalyst systems containing a bridged metallocene reference to related application - Google Patents
Catalyst systems containing a bridged metallocene reference to related application Download PDFInfo
- Publication number
- WO2013151863A1 WO2013151863A1 PCT/US2013/034373 US2013034373W WO2013151863A1 WO 2013151863 A1 WO2013151863 A1 WO 2013151863A1 US 2013034373 W US2013034373 W US 2013034373W WO 2013151863 A1 WO2013151863 A1 WO 2013151863A1
- Authority
- WO
- WIPO (PCT)
- Prior art keywords
- carbon atoms
- compound
- group
- independently
- alumina
- Prior art date
- Legal status (The legal status is an assumption and is not a legal conclusion. Google has not performed a legal analysis and makes no representation as to the accuracy of the status listed.)
- Ceased
Links
Classifications
-
- C—CHEMISTRY; METALLURGY
- C08—ORGANIC MACROMOLECULAR COMPOUNDS; THEIR PREPARATION OR CHEMICAL WORKING-UP; COMPOSITIONS BASED THEREON
- C08F—MACROMOLECULAR COMPOUNDS OBTAINED BY REACTIONS ONLY INVOLVING CARBON-TO-CARBON UNSATURATED BONDS
- C08F10/00—Homopolymers and copolymers of unsaturated aliphatic hydrocarbons having only one carbon-to-carbon double bond
- C08F10/02—Ethene
Definitions
- the present invention relates generally to the field of olefin polymerization catalysis, metallocene catalyst compositions, methods for the polymerization and copolymerization of olefins, and polyolefins.
- olefin polymers produced from the disclosed polymerization processes demonstrate unexpected properties due to the presence of the bridged metallocene in the catalyst system.
- a catalyst composition comprising an a «sa-metalloeene compound, a second metallocene compound, and an activator (e.g., an activator-support).
- an olefin polymerization process is provided and, in this aspect, the process comprises contacting a catalyst composition with an olefin monomer and optionally an olefin comonomer under polymerization conditions to produce an olefin polymer, wherein the catalyst composition comprises an a/jsa-metallocene compound, a second metallocene compound, and an activator (e.g., an activator-support).
- the ansa- metaliocene compound has formula
- M is Ti, Zr, Hf, Cr, Sc. Y, La, or a lanthanide
- Cp A and Cp B independently are a cyclopentadienyl, indenyl, or f!uoreny! group; each R A and R B independently is H or a hydroearbyi, hydrocarbylsilyl, hydrocarbylamino, or hydrocarbyloxide group having up to 18 carbon atoms; E is a bridging chain of 3 to 8 carbon atoms or 2 to 8 silicon, germanium, or tin atoms, wherein any substituents on atoms of the bridging chain independently are H or a hydrocarbyl group having up to 18 carbon atoms;
- each X independently is F; CI; Br; I; methyl; benzyl; phenyl; H; BH 4 ; OBR 2 or SO R, wherein R is an alkyi or aryl group having up to 18 carbon atoms; or a hydrocarbyloxide group, a hydrocarbyIami.no group, or a ydrocarbylsilyl group, any of which having up to 18 carbon atoms;
- n 0, 1 , 2, 3, or 4;
- n 0, 1, 2, 3, or 4;
- q is 1 when M is Cr, Sc, Y, La, or a ianihanide.
- Polymers produced from the polymerization of olefins using these catalyst systems containing an a «s -metalloceoe compound, resulting in homopolymers, copolymers, and the like, can be used to produce various articles of manufacture,
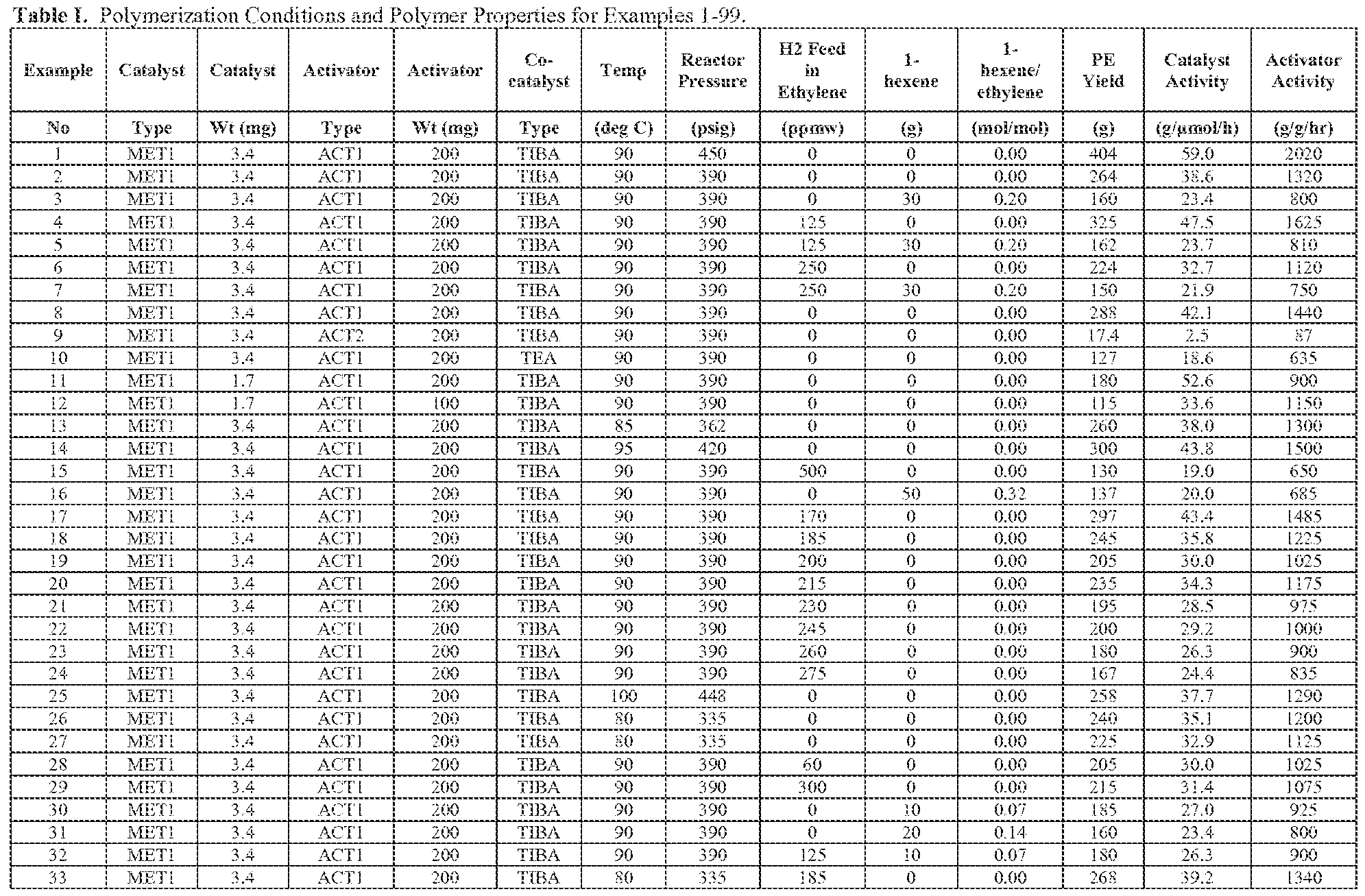
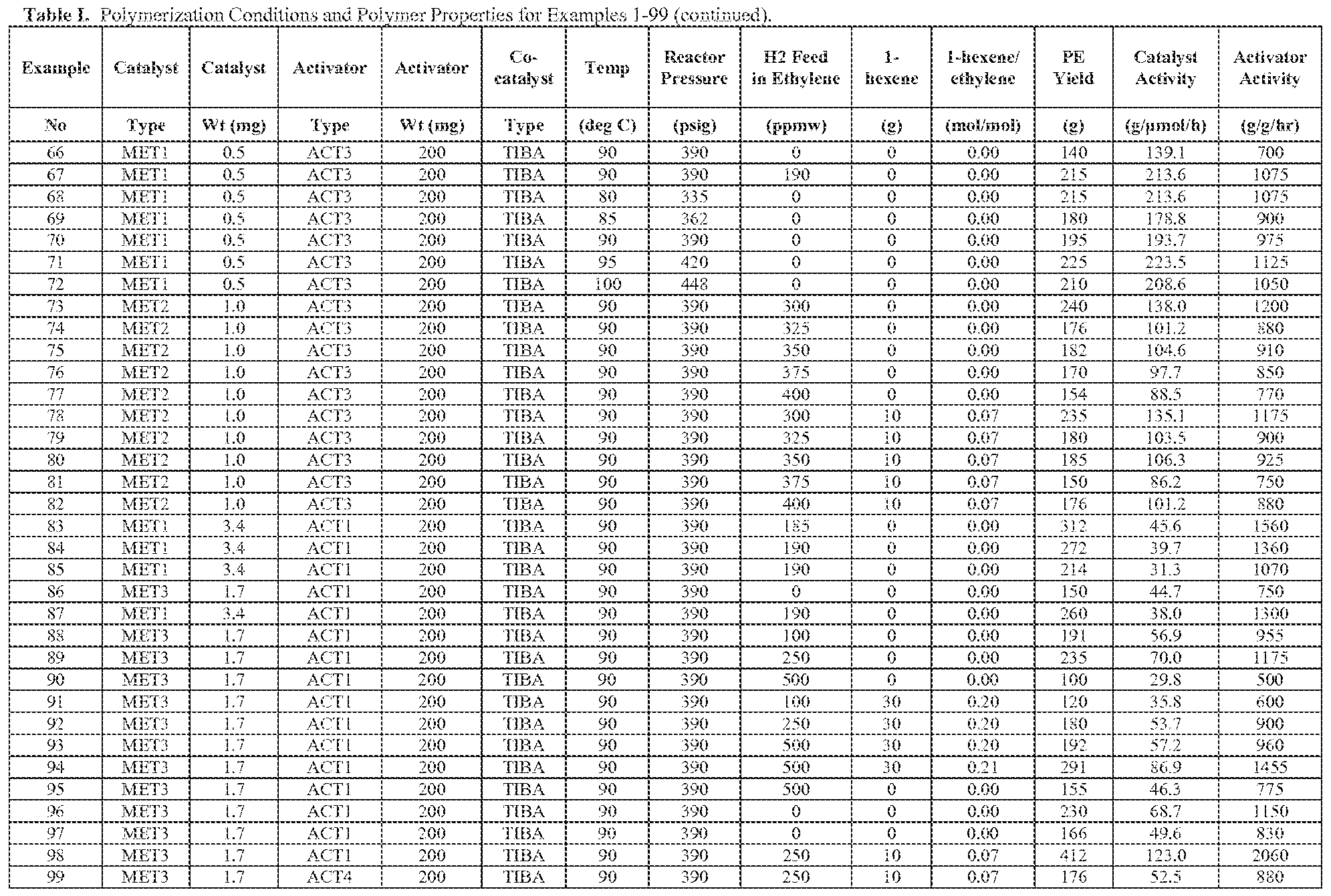
- FIG, 1 illustrates the impact of hydrogen addition on molecular weight in a representative standard dual catalyst system.
- FIG. 2 illustrates the impact of hydrogen addition on molecular weight in a representative dual catalyst system in accordance with an aspect of this invention.
- FIG, 3 illustrates the definitions of D90 and 1310 on a molecular weight distribution curve.
- FIG. 4 presents a plot of the molecular weight distributions of the polymers of Examples 3, 5, and 7.
- FIG. 5 presents a plot of the molecular weight distributions of the polymers of Examples 2, 6, and 15.
- FIG. 6 presents a plot of the molecular weight distributions of the polymers of Examples 2, 3, and 16.
- FIG. 7 presents a plot of the molecular weight distributions of the polymers of Examples 6-7 and 44-45.
- FIG. 8 presents a plot of the radius of gyration versus the logarithm of molecular weight for a linear standard and the polymers of Examples 2-3 and 6-7.
- FIG. 9 presents a plot of Delta versus the log G* (complex modulus) for the polymers of Examples 2-3 and 6-7,
- FiG. 10 presents a plot of catalyst activity versus initial l-hexene comonomer concentration for Examples 2-7 and 40-45.
- FIG. 11 presents a plot of first order models of catalys t activity versus initial I- hexene comonomer concentration for Examples 2-7 and 40-45,
- FIG. 12 presents a plot of the logarithm of melt index versus hydrogen feed concentration for the poly mers of Examples 4-5, 7, and 17-24.
- FIG, 13 presents a plot of the high load melt index versus the melt index for the polymers of Examples 4 and 17-24.
- FIG. 14 presents a plot of zero shear viscosity versus weight-average molecular weight, specifically, log(f/o) versus log(Mw), for the polymers of Examples 2-3, 5-7, 18, 44-45, and 66-67.
- FIG. 15 presents a plot of the molecular weight distributions of the polymers of Examples 100-102.
- polymer is used herein generically to include olefin homopoiymers, copolymers, terpolymers, and so forth.
- a copolymer is derived from an olefin monomer and one olefin comonomer, while a terpolymer is derived from an olefin monomer and two olefin comonomers.
- polymer encompasses copolymers, terpolymers, etc., derived from any olefin monomer and comonomer(s) disclosed herein.
- an ethylene polymer would include ethylene homopoiymers, ethylene copolymers, ethylene terpolymers, and the like.
- an olefin copolymer such as an ethylene copolymer
- an olefin copolymer can be derived from ethylene and a comonomer, such as 1-butene, l-hexene, or 1-octene. If the monomer and comonomer were ethylene and l-hexene, respectively, the resulting polymer would be categorized an as ethylene/ l-hexene copolymer.
- the scope of the term "polymerization” includes homopolymerization, copolymerization, terpolymerization, etc.
- a copolymerization process would involve contacting one olefin monomer (e.g., ethylene) and one olefin comonomer (e.g., 1 -hexene) to produce a copolymer.
- one olefin monomer e.g., ethylene
- one olefin comonomer e.g., 1 -hexene
- Hydrogen in this disclosure can refer to either hydrogen (3 ⁇ 4) which is used in a polymerization process, or a hydrogen atom (H), which can be present, for example, on a metallocene compound.
- hydrogen When used to denote a hydrogen atom, hydrogen will be displayed as “H,” whereas if the intent is to disclose the use of hydrogen in a polymerization process, it will simply be referred to as "hydrogen.”
- co-catalyst is used generally herein to refer to organoaluminum compounds that can constitute one component of a catalyst composition. Additionally, “co-catalyst” can refer to other components of a catalyst composition including, but not limited to, aiuminoxanes, organoboron or organoborate compounds, and ionizing ionic compounds, as disclosed herein, when used in addition to an activator-support.
- co-catalyst is used regardless of the actual function of the compound or any chemical mechanism by which the compound may operate. In one aspect of this invention, the term “co-catalyst” is used to distinguish that component of the catalyst composition from the metallocene compound(s).
- chemically-treated solid oxide is used herein to indicate a solid, inorganic oxide of relatively high porosity, which can exhibit Lewis acidic or Brensted acidic behavior, and which has been treated with an electron-withdrawing component, typically an anion, and which is calcined.
- the electron-withdrawing component is typically an electron-withdrawing anion source compound.
- the chemically-treated solid oxide can comprise a calcined contact product of at least one solid oxide with at least one electron-withdrawing anion source compound.
- the chemically-treated solid oxide comprises at least one acidic solid oxide compound.
- the terms “support” and “activator-support” are not used to imply these components are inert, and such components should not be construed as an inert component of the catalyst composition.
- the activator-support of the present invention can be a chemically-treated solid oxide.
- activator refers generally to a substance that is capable of converting a. metallocene component into a. catalyst that can polymerize olefins, or converting a contact product of a meiallocene component and a component that provides an activatable ligand (e.g., an alky], a hydride) to the metallocene, when the metallocene compound does not already comprise such a ligand, into a.
- activatable ligand e.g., an alky]
- activators include activator-supports, aluminoxanes, organoboron or organoborate compounds, ionizing ionic compounds, and the like.
- Aluminoxanes, organoboron or organoborate compounds, and ionizing ionic compounds generally are referred to as activators if used in a catalyst composition in which an activator-support is not present. If the catalyst composition contains an activator-support, then the aluminoxane, organoboron or organoborate, and ionizing ionic materials are typically referred to as co-catalysts.
- fiuoroorgano boron compound is used herein with its ordinary- meaning to refer to neutral compounds of the form BY 3 .
- fluoroorgano borate compound also has its usual meaning to refer to the monoanionic salts of a fiuoroorgano boron compound of the form j cation] [BY 4 ] " , where Y represents a fiuorinated organic group. Materials of these types are generally and collectively referred to as "organoboron or organoborate compounds.”
- metalocene describes a compound comprising at least one ⁇ ' to r) 5 -cycloalkadienyl-type moiety, wherein ⁇ ' to r) 5 -cycloalkadienyl moieties include cyclopentadienyl ligands, indenyl ligands, fluorenyi ligands, and the like, including partially saturated or substituted derivatives or analogs of any of these.
- this invention comprises partially saturated ligands such as tetrahydroindenyl, tetrahydrofiuorenyi, octahydrofluorenvl, partially saturated indenyl, partially saturated fluorenyi, substituted partially saturated indenyl, substituted partially saturated fluorenyi, and the like.
- the metallocene is referred to simply as the "catalyst,” in much the same way the term "co-catalyst" is used herein to refer to, for example, an organoaluminum compound.
- Metallocene also is used genericaily herein to encompass dinuclear metallocene compounds, i.e., compounds comprising two metallocene moieties linked by a connecting group, such as an alkenyl group resulting from an olefin metathesis reaction or a saturated version resulting from hydrogenation or derivatization.
- a connecting group such as an alkenyl group resulting from an olefin metathesis reaction or a saturated version resulting from hydrogenation or derivatization.
- catalyst composition do not depend upon the actual product or composition resulting from the contact or reaction of the initial components of the claimed catalyst composition/mixture/system, the nature of the active catalytic site, or the fate of the co- catalyst, the metallocene compound(s), any olefin monomer used to prepare a precontacted mixture, or the activator (e.g., activator-support), after combining these components.
- activator e.g., activator-support
- catalyst composition encompass the initial starting components of the composition, as well as whatever product(s) may result from contacting these initial starting components, and this is inclusive of both heterogeneous and homogenous catalyst systems or compositions.
- contact product is used herein to describe compositions wherein the components are contacted together in any order, in any manner, and for any length of time.
- the components can be contacted by blending or mixing.
- contacting of any component can occur in the presence or absence of any other component of the compositions described herein. Combining additional materials or components can be done by any suitable method.
- the term “contact product” includes mixtures, blends, solutions, slurries, reaction products, and the like, or combinations thereof. Although “contact product” can include reaction products, it is not required for the respective components to react with one another.
- the term “contacting” is used herein to refer to materials which may be blended, mixed, slurried, dissolved, reacted, treated, or otherwise contacted in some other manner.
- precontacted mixture is used herein to describe a first mixture of catalyst components that are contacted for a first period of time prior to the first mixture being used to form a "postconiacted" or second mixture of catalyst components that are contacted for a second period of time.
- the precontacted mixture describes a mixture of metallocene compound (one or more than one), olefin monomer (or monomers), and organoaiuminum compound (or compounds), before this mixture is contacted with an activator-support(s) and optional additional organoaiuminum compound.
- precontacted describes components that are used to contact each other, but prior to contacting the components in the second, postcontacted mixture.
- this invention may occasionally distinguish between a component used to prepare the precontacted mixture and that component after the mixture has been prepared.
- a component used to prepare the precontacted mixture may be distinguished from a component used to prepare the precontacted mixture.
- the precontacted organoaluminum compound once it is contacted with the metallocene compound and the olefin monomer, to have reacted to form at least one different chemical compound, formulation, or structure from the distinct organoaluminum compound used to prepare the precontacted mixture.
- the precontacted organoaluminum compound or component is described as comprising an organoaluminum compound that was used to prepare the precontacted mixture.
- the precontacted mixture can describe a mixture of metallocene compound(s) and organoaluminum compound(s), prior to contacting this mixture with an aeiivator-support(s).
- This precontacted mixture also can describe a mixture of metallocene compound(s), olefin monomer(s), and activator-support(s), before this mixture is contacted with an organoaluminum co-catalyst compound or compounds.
- postcontacted mixture is used herein to describe a second mixture of catalyst components that are contacted for a second period of time, and one constituent of which is the "precontacted” or first mixture of catalyst components that were contacted for a first period of time.
- postcontacted mixture is used herein to describe the mixture of metallocene compound(s), olefin monomer(s), organoaluminum compound(s), and activator-support(s) formed from contacting the precontacted mixture of a portion of these components with any additional components added to make up the postcontacted mixture.
- the activator-support comprises a. chemically-treated solid oxide.
- the additional component added to make up the postcontacted mixture can be a chemically-treated solid oxide (one or more than one), and optionally, can include an organoaluminum compound which is the same as or different from the organoaluminum compound used to prepare the precontacted mixture, as described herein. Accordingly, this invention may also occasionally distinguish between a component used to prepare the postcontacted mixture and that component after the mixture has been prepared.
- any general or specific structure presented also encompasses all conformational isomers, regioisomers, and stereoisomers that may arise from a particular set of substituents, unless stated otherwise.
- the general or specific structure also encompasses all enantiomers, diastereomers, and other optical isomers whether in enantiomeric or raeemic forms, as well as mixtures of stereoisomers, as would be recognized by a skilled artisan.
- Applicants disclose or claim a range of any type Applicants' intent is to disclose or claim individually each possible number that such a range could reasonably encompass, including end points of the range as well as any sub-ranges and combinations of subranges encompassed therein.
- a moiety is a Ci to Cis hydrocarbyl group, or in alternative language a hydrocarbyl group having up to 18 carbon atoms, as used herein, refers to a moiety that can be selected independently from a hydrocarbyl group having 1, 2, 3, 4, 5, 6, 7, 8, 9, 10, 11, 12, 13, 14, 15, 16, 17, or 18 carbon atoms, as well as any range between these two numbers (for example, a Ci to Cs hydrocarbyl group), and also including any combination of ranges between these two numbers (for example, a C 2 to C 4 and a C 12 to Cie hydrocarbyl group).
- the olefin comonomer: monomer ratio can be in a range from about 0.01 : 1 to about 0.25: 1 .
- the comonomenmonomer ratio can be within any range from about 0.01 : 1 to about 0.25: 1 (for example, from about 0.01 : 1 to about 0.1 : 1 ), and this also includes any combination of ranges between about 0.01 : 1 and about 0.25: 1 (for example, the comonomenmonomer ratio is in a range from about 0.01 : 1 to about 0.1 : 1, or from about 0.15: 1 to about 0.20: 1 ). Likewise, all other ranges disclosed herein should be interpreted in a manner similar to these two examples.
- an activator- support or “an ansa-metallocene compound” is meant to encompass one, or mixtures or combinations of more than one, activator-support or «sa-metallocene compound, respectively.
- compositions and methods are described in terms of “comprising” various components or steps, the compositions and methods can also "consist essentially of or “consist of the various components or steps.
- a catalyst composition of the present invention can comprise; alternatively, can consist essentially of; or alternatively, can consist of; (i) an msa-metallocene compound; (ii) a second metallocene compound; and (iii) an activator.
- the present invention is directed generally to catalyst compositions, methods for preparing catalyst compositions, methods for using the catalyst compositions to polymerize olefins, the polymer resins produced using such catalyst compositions, and articles produced using these polymer resins.
- the present invention relates to a catalyst composition, said catalyst composition comprising (or consisting essentially of, or consisting of) an ans -metallocene compound, a second metallocene compound, and an activator (e.g., an activator-support).
- an olefin polymerization process comprises (or consists essentially of, or consists of) contacting a catalyst composition with, an olefin monomer and optionally an olefin comonomer under polymerization conditions to produce an olefin polymer, wherein the catalyst composition comprises (or consists essentially of, or consists of) an awsa-metallocene compound, a second metallocene compound, and an activator.
- Olefin homopolymers, copolymers, terpolymers, and the like can be produced using the catalyst compositions and methods for olefin polymerization disclosed herein.
- ANSA -METALLOCENE COMPOUND ANSA -METALLOCENE COMPOUND
- a catalyst composition of the present invention can comprise an ansa- metaliocene compound having formula (I), Formula (I) is:
- M is Ti, Zr, Hf, Cr, Sc, Y, La, or a lanthanide
- Cp A and Cp B independently are a cyclopentadienyl, indenyl, or f!uorenyl group; each R A and R rf independently is H or a hydroearbyi, hydrocarbylsilyl, hydrocarbylamino, or hydrocarbyloxide group having up to 18 carbon atoms;
- E is a bridging chain of 3 to 8 carbon atoms or 2 to 8 silicon, germanium, or tin atoms, wherein any substituents on atoms of the bridging chain independently are H or a hydroearbyi group having up to 18 carbon atoms;
- each X independently is F; CI; Br; I; methyl; benzyl; phenyl; H; BH 4 ; OBR 2 or
- R is an alkyl or aryl group having up to 18 carbon atoms; or a hydrocarbyloxide group, a hydrocarbylamino group, or a hydrocarbylsilyl group, any of which having up to 18 carbon atoms;
- n 0, 1, 2, 3, or 4;
- q is 2 when M is TI, Zr, or Hf;
- q is 1 when M is Cr, Sc, Y, La, or a lanthanide.
- any other structural formulas disclosed herein, and any metallocene species or compound disclosed herein are not designed to show stereochemistry or isomeric positioning of the different moieties (e.g., these formulas are not intended to display cis or trans isomers, or R or S diastereoisomers), although such compounds are contemplated and encompassed by these formulas and/or structures.
- Hydrocarbyl is used herein to specify a hydrocarbon radical group that includes, but is not limited to, aryi, alkyL cyeloaikyi, alkenyi, cycloalkenvl, cycloalkadienyl, alkynyl, aralkyl, aralkenyl, aralkynyl, and the like, and includes all substituted, unsubstituted, linear, and/or branched derivatives thereof.
- the hydrocarbyl groups of this invention typically comprise up to about 18 carbon atoms.
- hydrocarbyl groups can have up to 12 carbon atoms, for instance, up to 10 carbon atoms, up to 8 carbon atoms, or up to 6 carbon atoms
- a hydrocarbyloxide group is used genericalfy to include alkoxide, aryloxide, and --(alkyl or aryl)-0-(alkyl or aryl) groups, and these groups can comprise up to about 18 carbon atoms.
- alkoxide and aryloxide groups i.e., hydrocarbyloxide groups
- alkoxide and aryloxide groups include methoxy, ethoxy, propoxy, butoxy, phenoxy, substituted phenoxy, and the like.
- hydrocarbylamino group is used genericallv to refer collectively to aikyiamino, arylamino, dialkylamino, diarylamino, and -(alkyl or aryl)-N-(alkyl or aryl) groups, and the like.
- the hydrocarbylamino groups of this invention comprise up to about 18 carbon atoms.
- Hydrocarbylsilyl groups include, but are not limited to, alkylsiiyl groups, alkenylsilyl groups, arylsilyl groups, arylalkylsilyl groups, and the like, which have up to about 18 carbon atoms.
- illustrative hydrocarbylsilyl groups can include trimethylsilyl and phenyloetylsilyl. These hydrocarbyloxide, hydrocarbylamino, and hydrocarbylsilyl groups can have up to 12 carbon atoms; alternatively, up to 10 carbon atoms; or alternatively, up to 8 carbon atoms, in other aspects of the present invention.
- alkyl groups and aikenyl groups described herein are intended to include all structural isomers, linear or branched, of a given moiety; for example, all enantiomers and all diastereomers are included within this definition.
- the term propyl is meant to include n-propyl and iso-propyl
- the term butyl is meant to include n-butyl, iso-butyl, t-butyl, see- butyl and so forth.
- octyl isomers include 2- ethyl hexyl and neooctyl.
- alkyl groups which can be employed in the present invention include, but are not limited to, methyl, ethyl, propyl, butyl, pentyf, hexyl, heptyl, octyl, nonyl, decyl, and the like.
- Illustrative examples of aikenyl groups within the scope of the present invention include, but are not limited to, ethenyl, property 1, butenyl, pentenyl, hexenyl, heptenyl, octenyl, nonenyl, decenyl, and the like.
- the aikenyl group can be a terminal aikenyl group, but this is not a requirement.
- specific aikenyl group substituents can include, but are not limited to, 3- butenyl, 4-pentenyl, 5-hexenyl, 6-heptenyl, 7-oetenyl, 3-methyl ⁇ 3-butenyl, 4-methyl ⁇ 3 ⁇ pentenyl, 1,1 -dimethyl -3 -butenyl, l , I-dimemyl-4-pentenyl, and the like.
- aryl is meant to include aryl and arylalkyl groups, and these include, but are not limited to, phenyl, alkyl-substituted phenyl, naphthyl, alkyi- substituted naphthyl, phenyl-substituted alkyl, naphthyl-substituted alkyl, and the like.
- any substituted aryl moiety used herein is meant to include all regioisomers; for example, the term tolyl is meant to include any possible substituent position, that is, ortho, meta, or para.
- M is Ti, Zr, Hf, Cr, Sc. Y, La, or a lanthanide.
- M is Ti, Zr, Hf, or Cr.
- M is Sc, Y, or La.
- M is a lanthanide.
- M is Ti, Zr, Hf, Cr, or a lanthanide; alternatively, M is Ti or Cr; alternatively, M is Ti, Zr, or Hf; alternatively, M is Ti; alternatively, M is Zr; or alternatively, M is Hf.
- M is Ti, Zr, or Hf
- q is 2.
- M is Cr, 8c, Y, La, or a lanthanide
- Cp A and Cp B in formula (I) independently can be a cyclopentadienyl, indenyl, or fluorenyl group.
- at least one of Cp A and Cp B is a cyclopentadienyl group.
- at least one of Cp A and Cp B is an indenyl group.
- at least one of Cp A and Cp B is a fluorenyl group.
- Cp A and Cp B independently are a cyclopentadienyl or indenyl group.
- Cp A can be a cyclopentadienyl group and Cp B can be an indenyl group, or both Cp A and Cp B can be an indenyl group.
- each A and R B independently can be H or a. hydrocarbyi, hydrocarbylsilyl, hydrocarbylamino, or hydrocarbyloxide group having up to 18 carbon atoms or, alternatively, up to 12 carbon atoms.
- each R A and R B independently can be H or an alky! group, an alkenyf group (e.g., a terminal alkenyl group), or an aryi group having up to 12 carbon atoms; alternatively, having up to 10 carbon atoms; or aliernativeiy, having up to 8 carbon atoms.
- each R" and R B independently can be H, methyl, ethyl, propyl, butyl, pentyl, liexyl, heptyl, octyf, nonyl, decyl, ethenyl, propenyl, butenyi, pentenyl, hexenyl, heptenyi, octenyi, nonenyl, decenyl, phenyl, tolyl, or benzyl.
- Each R A and R B substituent can be different.
- Cp A can have both a methyl substituent and a propenyl substituent.
- Cp B can have two t-butyl substituents.
- a Cp A R A 2 group can be an indenyl group with a both a methyl substituent and a propenyl substituent, while a Cp B R B 2 group can be a fluorenyl group with two t-butyl substituents.
- m can be 0, 1, 2, 3, or 4, while independently n can be 0, 1 , 2, 3, or 4.
- the integers m and n reflect the total number of substituents on Cp A and Cp B , respectively (excluding bridging group E, to be discussed further below), irrespective of whether the substituents are the same or different.
- Cp A can be, for example, an unsubstituted cyclopentadienyl group or an unsubstituted indenyl group, i.e., no substitutions other than bridging group E.
- Each X independently can be F; CI; Br; I; methyl; benzyl; phenyl; H; BH 4 ;
- each X independently can be F, CI, Br, I, benzyl, phenyl, or methyl.
- each X independently can be CI, benzyl, phenyl, or methyl in one aspect of this invention.
- each X independently can be benzyl, phenyl, or methyl. Yet, in another aspect, each X can be CI; alternatively, each X can be benzyl; alternatively, each X can be phenyl; or alternatively, each X can be methyl.
- Bridging group E can be a bridging chain of 3 to 8 carbon atoms or 2 to 8 silicon, germanium, or tin atoms.
- E can be a bridging chain of 3 to 8 carbon atoms, of 3 to 6 carbon atoms, of 3 to 4 carbons atoms, of 3 carbon atoms, or of 4 carbons atoms.
- E can be a bridging chain of 2 to 8 silicon, germanium, or tin atoms, of 2 to 6 silicon, germanium, or tin atoms, of 2 to 4 silicon, germanium, or tin atoms, of 2 to 4 silicon atoms, of 2. silicon atoms, of 3 silicon atoms, or of 4 silicon atoms.
- Any substituents on atoms of the bridging chain independently are H or a hydrocarby] group having up to 18 carbon atoms or, alternatively, having up to 12 carbon atoms.
- Suitable substituents can include, but are not limited to, H, methyl, ethyl, propyl, butyl, pentyl, hexyl, heptyl, oetyl, nonyl, decyl, ethenyl, propenyl, butenyi, pentenyl, hexenyl, heptenyl, octenyi, nonenyl, decenyl, phenyl, tolyl, or benzyl.
- the substituents independently can be H, methyl, ethyl, propyl, butyl pentyl, hexyl, aliyl, butenyi, pentenyl, hexenyl, phenyl, or benzyl. In another aspect, the substituents independently can be methyl, ethyl, propyl, butyl, ailyl, butenyi, pentenyl, or phenyl.
- E is a bridging chain having the formula— (CR' oA R 10B ) u , wherein u is an integer from 3 to 8 (e.g., u is 3, 4, 5, or 6), and R RlA and R ⁇ 0 ⁇ are independently IT or a hydrocarby! group having up to 18 carbon atoms; alternatively, up to 12 carbon atoms; or alternatively, up to 8 carbon atoms.
- R 10A and ll h>B independently can be H, methyl, ethyl, propyl, butyl, pentyl, hexyl, heptyl, oetyl, nonyl, decyl, ethenyl, propenyl, butenyi, pentenyl, hexenyl, heptenyl, octenyi, nonenyl, decenyl, phenyl, tolyl, or benzyl; alternatively, H, methyl, ethyl, propyl, butyl, ally!, butenyi, pentenyl, phenyl, or benzyl; or alternatively, H, methyl, ethyl, propyl, or butyl.
- u is 3, 4, 5, or 6, and R 10A and R ! 0B both are H, or methyl, or ethyl, or propyl, or butyl, or ally!, or butenyl, or penienyl, or phenyl, or benzyl.
- E is a bridging chain ha ving the formula (SiR I IA R i i B ) v , wherein v is an integer from 2 to 8 (e.g., v is 2, 3, 4, 5, or 6), and R l lA and R l lB are independently H or a hydrocarbyl group having up to 18 carbon atoms; alternatively, up to 12 carbon atoms; or alternatively, up to 8 carbon atoms.
- R UA and R l i B independently can be H, methyl, ethyl, propyl, butyl, pentyl, hexyl, hepiyl, octyl, nonyl, decyl, ethenyl, propenyi, butenyl, pentenyl, hexenyl, heptenyl, octenyl, nonenyl, decenyl, phenyl, tolyl, or benzyl; alternatively, H, methyl, ethyl, propyl, butyl, ally], butenyl, pentenyl, phenyl, or benzyl; or alternatively, H, methyl, ethyl, propyl, or butyl.
- v is 2, 3, 4, 5, or 6 (e.g., v is 2), and R l lrt and R l lB both are H, or methyl, or ethyl, or propyl, or butyl, or ally!, or butenyl, or pentenyl, or phenyl, or benzyl.
- M in formula (1) can be Ti, Zr, or Hf; q can be 2; each R A and R B independently can be H or a hydrocarbyl group having up to 12 carbon atoms; and E can be a bridging chain of 3 to 6 carbon atoms or 2 to 4 silicon atoms, wherein any substituents on atoms of the bridging chain independently can be H or a hydrocarbyl group having up to 12 carbon atoms.
- each X in formula (I) independently can be F, CI, Br, I, methyl, benzyl, or phenyl; m can be 0, 1, or 2; and n can be 0, 1 , or 2.
- M can be Zr or Hf; each R A and R B independently can be H, methyl, ethyl, propyl, butyl, pentyl, hexyl, heptyl, octyl, nonyl, decyl, ethenyl, propenyi, butenyl, pentenyl, hexenyl, heptenyl, octenyl, nonenyl, decenyl, phenyl, tolyl, or benzyl; E can be a bridging chain of 3 to 4 carbon atoms or 2 to 3 silicon atoms, wherein any substituents on atoms of the bridging chain independently can be H or methyl; m can be 0 or 1 ; and n can be 0 or 1.
- Cp A and Cp B independently can be a cyclopentadienyl group or an indenyl group
- E can be— SiMe 2 — Sifvie?—
- each X can be Ci, in other aspects of this invention.
- Non-limiting examples of aMsa-metallocene compounds having formula (I) that are suitable for use in catalyst compositions and polymerization processes disclosed herein, either singularly or in combination, include, but are not limited to, the following compounds:
- the araa-metallocene compound having formula (I) can comprise (or consist essentially of, or consist of) an awsa-metaliocene compound having formula (II), or formula ( ⁇ ), or formula (IV), or formula (V), or formula (VI), or formula (VII), or combinations thereof:
- each X in formulas (II), (III), (IV), (V), (VI), and (VII) independently can be F, CL Br, I, methyl, benzyl, or phenyl
- each R A and R ta independently can be H, methyl, ethyl, propyl, butyl, pentyl, hexyl, heptyl, octyl, nonyl, decyl, ethenyl, propenyl, butenyl, pentenyl, hexenyl, heptenyl, octenyl, nonenyl, decenyl, phenyl, tolyl, or benzyl.
- the substituents on atoms of the silicon bridging chain, R E , R 1 , R G , and R h independently can be H or a hydrocarbyl group having up to 1 8 carbon atoms or, alternatively, having up to 12 carbon atoms.
- R f ⁇ R r , R°, and R ri independently can be H, methyl, ethyl, propyl, butyl, pentyl, hexyl, heptyl, octyl, nonyl, decyl, ethenyl, propenyl, butenyl, pentenyl, hexenyl, heptenyl, octenyl, nonenyl , decenyl, phenyl, tolyl, or benzyl; alternatively, R f ', R " , R G , and R H independently can be H, methyl, ethyl, propyl, butyl, pentyl, hexyl, allyl, butenyl, pentenyl, hexenyl, phenyl, or benzyl; alternatively, R E , R F , R & , and R H independently can be methyl,
- the a «sa-metallocene compound having formula (I) can comprise (or consist essentially of, or consist of) an a «5'fl-meiallocene compound having formula ( €), formula (D), formula (E), or combinations thereof.
- M 3 is Zr or Hf
- X ' * and X "1 are independently F; CI; Br; T; methyl; benzyl; phenyl; H; BH ; OBR or SO 3 R., wherein R is an alky] or aryl group having up to 1 8 carbon atoms; or a hydrocarbyloxide group, a hydrocarbyiammo group, or a hydrocarbylsilyl group, any of which having up to 18 carbon atoms;
- E 3 is a bridging group having the formula— SiR /i:> R 8D — SiR ' E R 8E — , wherein R l! R SD , R ?rj , and R bE are independently H or a. hydrocarbyl group having up to 10 carbon atoms;
- R 9 and R 10 are independently H or a hydrocarbyl group having up to 18 carbon atoms.
- Cp 1 is a cyciopentadienyl or indenyl group
- any substituent on Cp 3 is H or a hydrocarbyl or hydrocarbylsilyl group having up to 18 carbon atoms.
- M 3 can be Zr or Hf, while X 4 and X s independently can be F; CI; Br; 1; methyl; benzyl; phenyl; H; BH 4 ; OBR 2 or SO3R, wherein R can be an alkyl or aryl group; or a hydrocarbyloxide group, a hydrocarbyiammo group, or a hydrocarbylsilyl group.
- the hydrocarbyloxide group, the hydrocarbyiammo group, the hydrocarbylsilyl group and R can have up to 18 carbon atoms or, alternatively, up to 12 carbon atoms.
- X 4 and X 5 independently can be F, CI, Br, I, benzyl, phenyl, or methyl.
- X * and X 5 independently are CI, benzyl, phenyl, or methyl in one aspect of this invention.
- X 4 and X 5 independently are benzyl, phenyl, or methyl.
- both X 4 and X 5 can be CI; alternatively, both X 4 and X' can be benzyl; alternatively, both X 4 and X "1 can be phenyl; or alternatively, both X * ' and X s can be methyl.
- B * can be a bridging group having the formula.— SiR 7D R °—
- R 7D , R 8D , R 7E , and R 8E are independently H or a hydrocarbyl group having up to 10 carbon atoms or, alternatively, up to 6 carbon atoms.
- R' h , R S , R' £ , and R 8E independently can be H or an alkyl or an alkenyl group having up to 6 carbon atoms; alternatively, K'°, R SD , R /E , and R 8E independently can be H, methyl, ethyl, propyl, butyl, ally], butenyl, or pentenyl; alternatively, R ' D , R 8D , R E , and R E independently can be H, methyl, or ethyl; alternatively, R 7D , R 8D , R 7E , and R 8E can be H: or alternatively, R 7D , R 8D , R 7E , and
- R 9 and R lJ on the fluorenyl group in formula (C) independently can be H or a hydrocarbyl group having up to 18 carbon atoms or, alternatively, having up to 12 carbon atoms. Accordingly, R 9 and R 10 independently can be H or a hydrocarbyl group having up to 8 carbon atoms, such as, for example, alkyl groups: methyl, ethyl, propyl, butyl, pentyl, or hexyl, and the like.
- R 9 and R i0 are independently methyl, ethyl, propyl, n-butyl, t-butyl, or hexyl, while in other aspects, R 9 and R i0 are independently H or t-butyl.
- R 9 and R 10 can be H or, alternatively, both R 9 and R i0 can be t-butyl.
- Cp 1 is a cyclopentadienyl or indenyl group. Often, Cp 1 is a cyclopentadienyl group. Any substituent on Cp ! can be H or a hydrocarbyl or hydrocarbylsilyl group having up to 18 carbon atoms; or alternatively, any substituent can be H or a hydrocarbyl or hydrocarbylsilyl group having up to 12 carbon atoms. Possible substituents on Cp ! may include H, therefore this invention comprises partially saturated ligands such as tetrahydroindenyl, partially saturated indenyl, and the like.
- Cp 1 has no additional substitutions other than those shown in formula (C), e.g., no substituents other than the bridging group E 3 .
- Cp 1 can have one or two substituents, and each substituent independently is H or an alkyl, alkenyl, alkylsilyl, or alkenylsilyl group having up to 8 carbon atoms, or alternatively, up to 6 carbon atoms.
- Cp' can have a single IT, methyl ethyl, propyl, butyl, pentyl, hexyl, heptyl, octyl, ethenyl, propenyl, butenyl, pentenyl, hexenyl, heptenyl, or octenyl substituent.
- X 4 and X "1 independently can be
- E 3 can be a bridging group having the formula— SiR 7D R 8D — SiR 7F 'R 8E — ⁇ , wherein R 7D , R SD , R 7E , and R S£ are independently H or methvL
- Formula (D) is ; wherein;
- M 4 is Zr or M l :
- X° and X' are independently F; CI; Br; I; methyl; benzyl; phenyl; H; B3 ⁇ 4; OBR or SO 3 R, wherein R is an alkyl or aryl group having up to 18 carbon atoms; or a hydrocarbyloxide group, a hydrocarbyiamino group, or a hydrocarbylsilyl group, any of which having up to 18 carbon atoms;
- E “ ' is a bridging group having the formula — SiR R 1" — SiR ' ⁇ R ⁇ — , wherein R !zD , R lJD , R l2E , and R 13E are independently H or a hydrocarbyl group having up to 10 carbon atoms; and
- R l4 , R lS , R !6 , and R 17 are independently H or a hydrocarbyl group having up to 18 carbon atoms.
- M 4 can be Zr or Hf, while X 6 and X' independently can be F; CI; Br; I; methyl; benzyl; phenyl; H; BH 4 ; OBR 2 or SO 3 R, wherein R is an alkyl or aryl group; or a hydrocarbyloxide group, a hydrocarbyiamino group, or a hydrocarbylsilyl group.
- the hydrocarbyloxide group, the hydrocarbyiamino group, the hydrocarbylsilyl group and R can have up to 18 carbon atoms or, alternatively, up to 12 carbon atoms.
- X° and X' independently can be F, CI, Br, I, benzyl, phenyl, or methyl.
- X 6 and X'' independently are CI, benzyl, phenyl, or methyl in one aspect of this invention.
- X 6 and X' independently are benzyl, phenyl, or methyl.
- both X 6 and X' can be CI; alternatively, both X 6 and X 7 can be benzyl; alternatively, both X 6 and X' can be phenyl; or alternatively, both X 6 and X' can be methyl
- E 4 can be a bridging group having the formula— SiR ! ?D R l , °— siR i2E R i3E ⁇ wherein R i2D R i3D r I2E and R i3E ndependently can be H or a hydrocarbyl group having up to 10 carbon atoms or, alternatively, up to 6 carbon atoms.
- R l ' J , R iih , R i E , and R j" ' E independently can be H or an alkyl or an aikenyi group having up to 6 carbon atoms; alternatively, R l D , R 1 D , R >1 , and R !3E independently can be H, methyl, ethyl, propyl, butyl, allyl, butenyl, or pentenyl; alternatively, R' zD , R 13D , R l2E , and R 13 " independently can be H, methyl, ethyl, propyl, or butyl; alternatively, R " R 3 " , R ' j , and R independently can be H, methyl, or ethyl; alternatively, R 12 °, R l3 °, R l E , and R 13E can be H; or alternatively, R i2D , R l L
- R i4 , R i5 , R io , and R 1 ' on the fluorenyl groups in formula. (D) independently can be H or a hydrocarbyl group having up to 18 carbon atoms or, alternativeiy, having up to 12 carbon atoms. Accordingly, R 14 , R 15 , R 16 , and R 1 ' independently can be H or a hydrocarbyl group having up to 8 carbon atoms, such as, for example, alkyl groups: methyl, ethyl, propyl, butyl, pentyl, or hexyl, and the like.
- R 14 , R 5 5 , R lD , and R 17 are independently methyl, ethyl, propyl, n-butyl, t-butyl, or hexyl, while in other aspects, R 14 , R 13 , R ! 6 , and R l 7 are independently H or t-butyl.
- 1 *, R t3 , R 16 , and R 1 ? can be H or, alternatively, R 14 , R ! 3 , R i , and R l / can be t-butyl.
- E 4 can be a bridging group having the formula— siR i 2D R i3D_ siR i2E R i3E__ wherein R i 2D R i 3D R r-i 3 ⁇ 4nd R i 3E ⁇ Q independently H or methyl.
- M 5 is Zr or Hf
- X 8 and X 9 are independently F; CI; Br; T; methyl; benzyl; phenyl; H; BH ; OBR or SO 3 R, wherein R is an alky] or aryl group having up to 18 carbon atoms; or a hydrocarbyloxide group, a hydrocarbyiamino group, or a hydrocarbvlsilyl group, any of which having up to 18 carbon atoms; and
- E ⁇ ' is a bridging group selected from:
- a bridging group having the formula— ⁇ ; ( ' ! I . ⁇ ;> tread— , wherein w is an integer from 3 to 8, inclusive, or
- a bridging group having the formula — SiR i0B R 21B — SiR 2uC R lc — , wherein R iJB , R 2irf , R 20L , and R 2 l L are independently H or a hydrocarbyl group having up to 10 carbon atoms.
- M 5 can be Zr or Hf, while X s and X 9 independently can be F; CI; Br; I; methyl; benzyl; phenyl; H; BH 4 ; OBR 2 or SO 3 R, wherein R is an aikyl or aryl group; or a hydrocarbyloxide group, a hydrocarbyiamino group, or a hydrocarbvlsilyl group.
- the hydrocarbyloxide group, the hydrocarbyiamino group, the hydrocarbyisiiyl group and R can have up to 18 carbon atoms or, alternatively, up to 12 carbon atoms.
- X s and X 9 independently can be F, CI, Br, I, benzyl, phenyl, or methyl.
- X 8 and X 9 independently are CI, benzyl, phenyl, or methyl in one aspect of this invention.
- X s and X 9 independently are benzyl, phenyl, or methyl.
- both X 8 and X 9 can be CI; alternatively, both X 5 and X 9 can be benzyl; alternatively, both X 8 and X 9 can be phenyl; or alternatively, both X 8 and X 9 can be methyl in formula (E), E J is a bridging group.
- E 3 can be a bridging group having the formula— (CH 2 ) w — , wherein w is an integer from 3 to 8, inclusive.
- the integer w can be 3 , 4, 5 , or 6 in some aspects of this invention.
- E ⁇ can be a bridging group having the formula— SiR 20B R 21B — SiR 20C 21c — ⁇ , wherein R 20B , R 21B , R 20C , and R 2 iL independently can be H or a hydrocarbyS group having up to 10 carbon atoms or, alternatively, up to 6 carbon atoms.
- R 0B , R 21B , R 2uC , and R 21c independently can be H or an alkyl or an alkenyl group having up to 6 carbon atoms; alternatively, R 20rf , R 2iB , R z0C , and R ZlC independently can be H, methyl, ethyl, propyl, butyl, allyl, butenyi, or pentenyl; alternatively, R 2 ,B , R " 5 B , R z * ' , and R l C independently can be H, methyl, ethyl, propyl, or butyl; alternatively, R zlJt> , R 21B , R 20C , and R z!C independently can be IT, methyl, or ethyl; alternatively, R 0B , R 2lB , R 20L , and R 2K can be H; or alternatively, R 20B , R 2 I B
- X s and X 9 in formula (E) independently can be F, CI, Br, 1, benzyl, phenyl, or methyl
- E "1 can be a bridging group having the formula— (CH 2 ) w — , wherein w is equal to 3, 4, or 5, or alternatively, E 3 can be a bridging group having the formula— SiR z0B R i rf — SiR 0 R " u' — , wherein R 20B , R 21 B , R 20C , and R 2iC are independently H or methyl.
- Non-limiting examples of a «.sa-metallocene compounds having formula (E) that are suitable for use herein include but are not limited to, the following:
- formulas (C), (D), and (E), or any- other stmctural formulas disclosed herein, and any metailocene species disclosed herein are not designed to show stereochemisiry or isomeric positioning of the different moieties (e.g., these formulas are not intended to display cis or trans isomers, or R or S diastereoisomers), although such compounds are contemplated and encompassed by these formulas and/or structures.
- a catalyst composition of the present invention can comprise an ansa- metallocene compound having formula ( ⁇ ), as described hereinabove, and a second metallocene compound.
- the catalyst composition can contain one or more than one a «s ⁇ z-metaliocene compound having formula (I), and/or one or more than one second metallocene compound.
- the catalyst composition can contain two metallocenes (e.g., a dual catalyst system), three metallocenes, four metallocenes, and so forth.
- the second metallocene compound or compounds, that can be used in combination with the «/tv -met.allocene compound having formula (I) disclosed herein, other than the second metallocene compound being different from the ansa-metallocene compound having formula (1).
- the second metallocene compound can comprise a bridged metallocene compound.
- the second metallocene compound can comprise an unbridged metallocene compound.
- the second metallocene compound can comprise a dinuclear metallocene compound.
- the second metallocene compound can comprise a metallocene compound (or dinuclear compound) containing an aikenyl moiety.
- the second metallocene compound, whether unbridged or bridged can contain an aikenyl substituent on a cyciopentadienyl, indenyl, and/or fluorenyl group.
- the bridged metallocene can contain an aikenyl substituent on the bridging group (or the bridging atom).
- the transition metal can be Ti, Zr,
- the second metallocene can contain a transition metal such as Ti, Zr, or Hf; alternatively, the transition metal is Ti; alternatively, the transition metal is Zr; or alternatively, the transition metal is Hf.
- the second metallocene can comprise a bridged metallocene compound, and in this aspect, the bridged metallocene compound can comprise a single carbon bridging atom, or alternatively, a single silicon bridging atom. Moreover, the bridged metallocene compound can comprise a substituted fiuorenyl group.
- the second metallocene can comprise a bridged metallocene compound having formula (C2):
- M J is Ti, Zr, or Hf
- X 4 and X 3 are independently F: Ci; Br; I; methyl; benzyl; phenyl; H; BH 4 ;
- E 3 is a bridging group having the formula > ⁇ ⁇ R" R" , wherein E “' " is C or Si, and R /A and R* A are independently H or a hydrocarbyl group having up to 1 8 carbon atoms;
- R 9 and R lb are independently H or a hydrocarbyl group having up to 18 carbon atoms.
- Cp 1 is a cyclopentadienyl or indenyl group, any substituent on Cp 1 is H or a hydrocarbyl or hydrocarbylsilyl group having up to 18 carbon atoms.
- M 3 can be Ti, Zr, or Hf (e.g., Zr or Hi), while X 4 and X 5 independently can be F; Ci; Br; I; methyl; benzyl; phenyl; IT; BH 4 ; OBR 2 or SO 3 R, wherein R can be an alkyl or aryl group; or a hydrocarbyioxide group, a hydrocarbylamino group, or a hydrocarbylsilyl group.
- the hydrocarbyioxide group, the hydrocarbylamino group, the hydrocarbylsilyl group and R can have up to 18 carbon atoms or, alternatively, up to 12 carbon atoms.
- X 4 and X 5 independently can be F, CI, Br, I, benzyl, phenyl, or methyl.
- X * and X 5 independently are Ci, benzyl, phenyl, or methyl in one aspect of this invention.
- X 4 and X s independently are benzyl, phenyl, or methyl.
- both X " and X s can be CI; alternatively, both X 4 and X 5 can be benzyl; alternatively, both X 4 and X 5 can be phenyl; or alternatively, both X 4 and X 5 can be methyl.
- E 3 can be a bridging group having the formula. >E A R 7A R SA , wherein E " ' A is a C or Si bridging atom, and R ' A and R 8A are independently H or a hydrocarbyl group having up to 18 carbon atoms or, alternatively, up to 12 carbon atoms.
- R ?A and R 8A independently can be H or an alkyl, alkenyl (e.g., a terminal alkenyl), or aryi group having up to 12 carbon atoms.
- R 7A and R 8A independently can be H, methyl, ethyl, propyl, butyl, pentyl, hexyl, hepiyl, oetyl, nonyl, decyl, ethenyl, propenyl, butenyl, pentenyl, hexenyl, heptenyl, octenyl, nonenyl, decenyl, phenyl, toiyl, benzyl, dimethylphenyl, trimethylphenyl, phenylethyi, phenylpropyl, phenylbutyl, propyl -2 -phenylethyi, and the like.
- R 7A and R 5A independently can be H, methyl, ethyl, propyl, butyl, pentyl, hexyl, ethenyl, propenyl, butenyl, pentenyl, hexenyl, phenyl, toiyl, or benzyl.
- at least one of R A and R 8A is phenyl.
- at least one of R 7A and R 8"3 ⁇ 4 is a terminal alkenyl group having up to 6 carbon atoms.
- R 9 and R I0 on the fiuorenyl group in formula (C2) independently can be H or a hydrocarbyl group having up to 18 carbon atoms or, alternatively, having up to 12 carbon atoms. Accordingly, R 9 and R 10 independently can be H or a hydrocarbyl group having up to 8 carbon atoms, such as, for example, alkyl groups: methyl, ethyl, propyl, butyl, pentyl, or hexyl, and the like.
- R 9 and R I0 are independently methyl, ethyl, propyl, n-butyl, t-butyl, or hexyl while in other aspects, R 9 and R I0 are independently H or t-butyl.
- R 9 and R 10 can be H or, alternatively, both R 9 and R I0 can be t-butyl.
- Cp 1 is a cycfopentadienyl or indenyl group.
- Cp 3 is a cyclopentadienyl group.
- Any substituent on Cp ! can be H or a hydrocarbyl or hydrocarbylsilyl group having up to 18 carbon atoms; or alternatively, any substituent can be H or a hydrocarbyl or hydrocarbylsilyl group having up to 12 carbon atoms.
- Possible substituents on Cp ! may include H, therefore this invention comprises partially saturated ligands such as tetrahydroindenyl, partially saturated indenyl, and the like.
- Cp 1 has no additional substitutions other than those shown in formula (C2), e.g., no substituents other than the bridging group E 3 .
- Cp 1 can have one or two substituents, and each substituent independently is H or an alkyl, alkenyl, alkylsilyl, or alkenylsilyl group having up to 8 carbon atoms, or alternatively, up to 6 carbon atoms.
- Cp' can have a single IT, methyl ethyl, propyl, butyl, pentyi, hexyl, heptyl, octyl, ethenyl, propenyi, butenyl, pentenyl, hexenyl, heptenyl, or octenyi substituent.
- X 4 and X "1 independently can be
- R 9 and R i0 independently can be H or t- butyL and Cp 1 either has no additional substituents or Cp 1 can have a single substituent selected from H or an alkyl, alkenyl, alkylsilyl, or alkenylsilyl group having up to 8 carbon atoms.
- E 3 can be a bridging group having the formula >E 3A R ?A R &A , wherein E 3A is C or Si, and R' A and R 8A are independently H, methyl, ethyl, propyl, butyl, pentyi, hexyl, heptyl, octyl, nonyl, decyl, ethenyl, property], butenyl, pentenyl, hexenyl, heptenyl, octenyi, nonenyl, decenyl, phenyl, tofyl, or benzyl.
- the second metallocene can comprise a bridged metallocene compound having formula (D2):
- M 4 is Ti, Zr, or I i f:
- X 6 and X'' are independently F; CI; Br; I; methyl; benzyl; phenyl; FT; BH 4 ; OBR.2 or S0 3 R, wherein R is an alkyl or aryl group having up to 18 carbon atoms; or a hydrocarbyloxide group, a hydrocarbylamino group, or a hydrocarbylsilyl group, any of which having up to 18 carbon atoms;
- E 4 is a bridging group having the formula >E 4A R iiA R 1' ' wherein ⁇ 4 ⁇ is C or Si, and R ! ZA and R I A are independently H or a. hydrocarbyl group having up to 18 carbon atoms; and
- R l4 , R 1"' , R lD , and R 1 ' ' are independently FT or a hydrocarbyl group having up to
- M 4 can be Ti, Zr, or Hf (e.g., Zr or Hi), while X 6 and X 7 independently can be F; CI; Br; I; methyl; benzyl; phenyl; IT; BH 4 ; OBR 2 or SO 3 R, wherein R is an aikyl or aiyl group; or a hydrocarbyloxide group, a hydrocarbylamino group, or a hydrocarbyisilyl group.
- the hydrocarbyloxide group, the hydrocarbylamino group, the hydrocarbyisilyl group and R can have up to 18 carbon atoms or, alternatively, up to 12 carbon atoms.
- X 6 and X' independently can be F, CI, Br, I, benzyl, phenyl, or methyl.
- X 6 and X'' independently are CI, benzyl, phenyl, or methyl in one aspect of this invention.
- X 6 and X 7 independently are benzyl, phenyl, or methyl.
- both X 6 and X' can be CI; alternatively, both X 6 and X 7 can be benzyl; aiternatively, both X 6 and X 7 can be phenyl; or alternatively, both X 6 and X' can be methyl
- E 4 can be a bridging group having the formula >E 4A R iiA R 1' ' A , wherein E 4A is a C or Si bridging atom, and R 1/-A and R" A are independently H or a hydrocarbyl group having up to 18 carbon atoms or, alternatively, up to 12 carbon atoms.
- R A and R ljA independently can be H or an alkyl, alkenyl (e.g., a terminal alkenyl), or aryl group having up to 12 carbon atoms.
- R 5 "A and R l ,A independently can be H, methyl, ethyl, propyl, butyl, pentyl, hexyl, heptyi, octyi, nonyl, decyl, ethenyl, propenyl, butenyl, pentenyl, hexenyl, heptenyl, octenyl, nonenyl, decenyl, phenyl, tolyl, benzyl, dimethySphenyS, trimethylphenyl, phenylethyl, phenylpropyl, phenylbutyl, propyl-2 -phenylethyl, and the like.
- R I2A and R ljA independently can be H, methyl, ethyl, propyl, butyl, pentyl, hexyl, ethenyl, propenyl, butenyl, pentenyl, hexenyl, phenyl, tolyl, or benzyl.
- at least one of R 3 "A and R° A is phenyl.
- at least one of R I2A and R ljA is a terminal alkenyl group having up to 6 carbon atoms.
- R l4 , R lS , R 16 , and R 1 ' ' on the fluorenyl groups in formula (D2) independently can be H or a hydrocarbyl group having up to 18 carbon atoms or, alternatively, having up to 12 carbon atoms. Accordingly, R i4 , R 15 , R 56 , and R 1 ' ' independently can be H or a hydrocarbyl group having up to 8 carbon atoms, such as, for example, alkyl groups: methyl, ethyl, propyl, butyl, pentyl, or hexyl, and the like.
- R i4 , R iS , R 16 , and R 1 ' are independently methyl, ethyl, propyl, n -butyl, t-butyl, or hexyl, while in other aspects, R 14 , R 15 , R 16 , and R 1 ' ' are independently H or t-butyl.
- R !4 , R 15 , R i6 , and i? can be H or, alternatively, R 14 , R i S , R 16 , and R i7 can be t-butyl.
- X° and X ' independently can be F, CI, Br, 1, benzyl, phenyl, or methyl in formula (D2), and R' 4 , R ! ⁇ R 16 , and R 3 independently can be H or t-butyl.
- E 4 can be a bridging group having the formula >E 4A R lzA R 13A , wherein E 4a is C or Si, and R 12A and R l3A are independently H, methyl, ethyl, propyl, butyl, pentyi, hexyl, heptyl, octyl, nonyi, decyi, ethenyl, propenyl, butenyl, pentenyl, hexenyl, heptenyl, octenyi, nonenyl, decenyl, phenyl, toiyi, or benzyl.
- the second metallocene can comprise a brid ed metallocene compound having formula (E2):
- X 8 and X 9 are independently F; CI; Br; I; methyl; benzyl; phenyl; H; BH 4 ; OBR 2 or SO 3 R, wherein R is an alk 3 or aryl group having up to 3 8 carbon atoms; or a hydrocarbyloxide group, a hydrocarbylammo group, or a hydrocarbvlsilyl group, any of which having up to 18 carbon atoms;
- E 5 is a bridging group having the formula >E sA R 20A R 21A , wherein E 5A is C or Si, and R 20A and R 2!A are independently H or a hydrocarbyl group having up to 18 carbon atoms; and
- Cp 2 and Cp 5 are independently a cyclopentadienyl or indenyl group, any substituent on Cp 2 and Cp 3 is independently H or a hydrocarbyl or hydrocarbvlsilyl group having up to 1 8 carbon atoms.
- M 5 can be TL Zr, or Hf (e.g., Zr or Hi), while X s and X 9 independently can be F; CI; Br; I; methyl; benzyl; phenyl; H; BH 4 ; OBR 2 or SO 3 R, wherein R is an alkyl or aryl group; or a hydrocarbyloxide group, a hydrocarbylamino group, or a hydrocarbvlsilyl group.
- the hydrocarbyloxide group, the hydrocarbylamino group, the hydrocarbvlsilyl group and R can have up to 18 carbon atoms or, alternatively, up to 32 carbon atoms.
- X 8 and X 9 independently can be F, CI, Br, 1, benzyl, phenyl, or methyl.
- X 8 and X 9 independently are CI, benzyl, phenyl, or methyl in one aspect of this invention.
- X 8 and X 9 independently are benzyl, phenyl, or methyl.
- both X 8 and X 9 can be CI; alternatively, both X s and X 9 can be benzyl; alternatively, both X 8 and X 9 can be phenyl; or alternatively, both X s and X 9 can be methyl.
- E s can be a bridging group having the formula >E iA R MA R 2i A , wherein E 5A is a C or Si bridging atom, and R 20A and R 2 lA are independently H or a hydrocarbyl group having up to 18 carbon atoms or, alternatively, up to 12 carbon atoms.
- R 20A and R 23 A independently can be H or an alkyl, alkenyl (e.g., a terminal alkenyl), or aryl group having up to 12 carbon atoms.
- R 20A and R 21A independently can be H, methyl, ethyl, propyl, butyl, pentyl, hexyl, heptyl, octyl, nonyl, decyl, ethenyl, propenyl, butenyl, pentenyl, hexenyl, heptenyl, octenyl, nonenyl, decenyl, phenyl, tolyl, benzyl, dimefhylphenyl, trimethylphenyl, phenylethyi, phenylpropyl, phenylbutyl, propyl-2-phenyiethyl, and the like.
- R 20A and R 2 iA independently can be H, methyl, ethyl, propyl, butyl, pentyl, hexyl, ethenyl, propenyl, butenyl, pentenyl, hexenyl, phenyl, tolyl, or benzyl.
- at least one of R 20A and R 2lA is phenyl.
- at least one of R 20A and R 21A is a terminal alkenyl group having up to 6 carbon atoms.
- Cp 2 and Cp J are independently a cyclopentadienyl or an indenyi group. Often, Cp 2 and Cp 3 are both a cyclopentadienyl group or both an indenyi group. Any substituent on Cp 2 and Cp 3 independently can be H or a hydrocarbyl or hydrocarbyisilyl group having up to 18 carbon atoms; or alternatively, any substituent can be H or a hydrocarbyl or hydrocarbyisilyl group having up to 12 carbon atoms. Possible substituents on Cp 2 and Cp 3 may include H, therefore this invention comprises partially saturated ligands such as tetrahydroindenyl, partially saturated indenyi, and the like.
- Cp 2 and Cp 3 have no substitutions other than those shown in formula (E2), e.g., no substituents other than the bridging group E 5 .
- Cp 2 and/or Cp J can have one or two substituents, and each substituent independently can be H or an alkyl, alkenyl, alkylsilyi, or alkenylsilyi group having up to 8 carbon atoms, or alternatively, up to 6 carbon atoms.
- Cp 2 and/or Cp' can have a single H, methyl ethyl, propyl, butyl, pentyl, hexyl, heptyl, octyl, ethenyl, propenyl, butenyl, pentenyl, hexenyl, heptenyl, octenyl, phenyl, tolyl, or benzyl substiruent.
- formulas ( €2), (D2), and (E2), or any other structural formulas disclosed herein, and any metallocene species disclosed herein are not designed to show stereochemistry or isomeric positioning of the different moieties (e.g., these formulas are not intended to display cis or trans isomers, or R or S diastereoisomers), although such compounds are contemplated and encompassed by these formulas and/or structures.
- the second metallocene compound can comprise an unbridged metallocene compound.
- the unbridged metallocene compound can comprise a cyclopentadienyl group and an indenyl group, in another aspect, the unbridged metallocene compound can comprise two cyclopentadienyl groups. In yet another aspect, the unbridged metallocene compound can comprise two indenyl groups.
- the second metallocene can comprise an unbridged metallocene compound having formula (F2):
- M 6 is TL /.r. or H f :
- X 10 and X 11 are independently F; CI; Br; I; methyl; benzyl: phenyl: H; BH 4 ; OBR 2 or SO 3 R, wherein R is an alky] or aryl group having up to 18 carbon atoms; or a hydrocarbyloxide group, a hydrocarbyiamino group, or a hydrocarbyisiiyl group, any of which having up to 18 carbon atoms; and
- Cp 4 and Cp 5 are independently a cyclopentadienyl, indenyl or fluorenyl group, any substituent on Cp 4 and Cp 5 is independently H or a hydrocarbyl or hydrocarbvlsilyl group having up to 18 carbon atoms.
- M 6 is Ti, Zr, or Hf (e.g., Zr or Hf), while X 10 and X 11 independently can be F; CI; Br; I; methyl; benzyl; phenyl; IT; BFf 4 ; OBR 2 or SO 3 R, wherein R is an alkyl or aryl group; or a hydrocarbyloxide group, a hydrocarbyiamino group, or a hydrocarbyisiiyl group.
- the hydrocarbyloxide group, the hydrocarbyiamino group, the hydrocarbyisiiyl group and R can have up to 18 carbon atoms or, alternatively, up to 12 carbon atoms.
- X 10 and X u independently can be F, CI, Br, I, benzyl, phenyl, or methyl.
- X llJ and X 11 independently are CI, benzyl, phenyl, or methyl in one aspect of this invention.
- X'° and X n independently are benzyl, phenyl, or methyl.
- both X 50 and X 11 can be CI; alternatively, both X 10 and X n can be benzyl; alternatively, both X 10 and X" can be phenyl; or alternatively, both X 1J and X 11 can be methyl.
- Cp 4 and Cp 3 are independently a cyclopentadienyl, indenyl or fluorenyl group.
- Cp 4 and Cp J are independently a cyclopentadienyl or indenyl group.
- Any substituent on Cp 4 and Cp "1 independently can be H or a hydrocarbyl or hydrocarbylsilyl group having up to 18 carbon atoms; or alternatively, any substituent can be IT or a hydrocarbyl or hydrocarbylsilyl group having up to 12 carbon atoms.
- Possible substituents on Cp 4 and Cp 5 may include H, thereiore this invention comprises partially saturated ligands such as tetrahydroindenyl, tetrahydrofluorenyl, oetahydrofluorenyl, partially saturated indenyl, partially saturated fiuorenyl, and the like.
- Cp 4 and Cp "1 have no substitutions other than those shown in formula (F2), e.g., Cp 4 and Cp "1 independently can be an unsubstituted cyclopentadienyl or un ubstituted indenyl.
- Cp 4 and/or Cp 5 can have one or two substituents, and each substituent independently can be H or a hydrocarbyl group having up to 10 carbon atoms, such as, for example, an alkyl, alkenyl, or aryl group.
- Cp " ' and/or Cp "1 can have one or two substituents, and each substituent independently can be H, methyl, ethyl, propyl, butyl, pentyl, hexyl, heptyi, octyl, ethenyi, propenyl, butenyl, pentenyl, hexenyi, heptenvl, octenyl, phenyl, tolyl, or benzyl, while in other aspects, each substituent independently can be methyl, ethyl, propyl, butyl, ethenyi, propenyl, butenyl, or pentenyl.
- X 10 and X 11 independently can be F, CI, Br, I, benzyl, phenyl, or methyl, while Cp 4 and Cp 5 are independently an unsubstituted cyclopentadienyl or unsubstituted indenyl group.
- Cp 4 and Cp 5 independently may be substituted with one or two substituents, and these substituents independently can be H or a hydrocarbyl group having up to 10 carbon atoms, such as, for example, methyl ethyl, propyl, butyl, pentyl, hexyl, heptyi, octyl, ethenyi, propenyl, butenyl, pentenyl, hexenyi, heptenyl, octenyl, phenyl, tolyl, or benzyl.
- substituents independently can be H or a hydrocarbyl group having up to 10 carbon atoms, such as, for example, methyl ethyl, propyl, butyl, pentyl, hexyl, heptyi, octyl, ethenyi, propenyl, butenyl, pentenyl, hexenyi, hep
- Non-limiting examples of unbridged metallocenes that are suitable for use as the second metallocene compound include, but are not limited to, the following:
- Additional bridged and unbridged metallocene compounds can be employed as the second metallocene compound in catalyst compositions of the present invention. Therefore, the scope of the present invention is not limited to the bridged and unbridged metallocene species provided above.
- Other representative bridged and/or unbridged and/or dinuclear metallocene compounds which may be employed as the second metallocene compound in some aspects of this invention are disclosed in U.S. Patent Mos.
- the present invention encompasses various catalyst compositions containing an activator, which can be an activator-support.
- the activator-support comprises a chemically-treated solid oxide.
- the activator-support can comprise a clay mineral, a pillared clay, an exfoliated clay, an exfoliated clay gelled into another oxide matrix, a layered silicate mineral, a non-layered silicate mineral, a layered aluminosilicate mineral, a non-layered aluminosilicate mineral, or any combination thereof.
- chemically-treated solid oxides exhibit enhanced acidity as compared to the corresponding untreated solid oxide compound.
- the chemically- treated solid oxide also functions as a catalyst activator as compared to the corresponding untreated solid oxide. While the chemically -treated solid oxide activates the metallocene(s) in the absence of co-catalysts, it is not necessary to eliminate co- catalysts from the catalyst composition.
- the activation function of the activator- support is evident in the enhanced activity of catalyst composition as a whole, as compared to a catalyst composition containing the corresponding untreated solid oxide.
- the chemically-treated solid oxide can function as an activator, even irs the absence of an organoaluminum compound, ahiminoxanes, organoboron or organoborate compounds, ionizing ionic compounds, and the like.
- the chemically-treated solid oxide can comprise a solid oxide treated with an electron-withdrawing anion. While not intending to be bound by the following statement, it is believed that treatment of the solid oxide with an electron -withdrawing component augments or enhances the acidity of the oxide. Thus, either the activator- support exhibits Lewis or Bransted acidity that is typically greater than the Lewis or Bransted acid strength of the untreated solid oxide, or the activator-support has a greater number of acid sites than the untreated solid oxide, or both.
- One method to quantify the acidity of the chemically-treated and untreated solid oxide materials is by comparing the polymerization activities of the treated and untreated oxides under acid catalyzed reactions.
- Chemically-treated solid oxides of this invention are formed generally from an inorganic solid oxide that exhibits Lewis acidic or Breasted acidic behavior and has a relatively high porosity.
- the solid oxide is chemically-treated with an electron- withdrawing component, typically an electron-withdrawing anion, to form an activator- support.
- the solid oxide used to prepare the chemically -treated solid oxide has a pore volume greater than about 0.1 cc/g. According to another aspect of the present invention, the solid oxide has a pore volume greater than about 0.5 cc/g. According to yet another aspect of the present invention, the solid oxide has a pore volume greater than about 1 .0 cc/g.
- the solid oxide has a surface area of from about 100 to about 1000 nf ' /'g. In yet another aspect, the solid oxide has a surface area of from about 200 to about 800 m 2 /g. In still another aspect of the present invention, the solid oxide has a surface area of from about 250 to about 600 m 2 /g.
- the chemically-treated solid oxide can comprise a solid inorganic oxide comprising oxygen and one or more elements selected from Group 2, 3, 4, 5, 6, 7, 8, 9, 10, 1 1, 12, 13, 14, or 15 of the periodic table, or comprising oxygen and one or more elements selected from the lanthanide or actinide elements (See: Hawley's Condensed Chemical Dictionary, l l to Ed., John Wiley & Sons, 1995; Cotton, F.A., Wilkinson, G., Murillo, C.
- the inorganic oxide can comprise oxygen and an element, or elements, selected from Al, B, Be, Bi, Cd, Co, Cr, Cu, Fe, Ga, La, Mn, Mo, Ni, Sb, Si, Sn, Sr. Th, Ti, V, W, P, V . Zn, and Zr.
- Suitable examples of solid oxide materials or compounds thai can be used to form the chemically-treated solid oxide include, but are not limited to, A1 2 G 3 , H ⁇ () ;. BeO, Bi 2 G 3 , CdO, Co 3 0 4 , Cr 2 Q , CuO, Fe 2 G 3 , Ga 2 0 3 , La 2 0 3 , Mn 2 0 3 , MoQ 3 , NiO, P 2 0 5 , Sb 2 0 5 , Si0 2 , Sn0 2 , SrO, Th0 2 , Ti0 2 .
- the solid oxide can comprise silica, alumina, silica-alumina, silica-coated alumina, aluminum phosphate, aiuminophosphate, heteropoiytungstate, titania, zirconia, magnesia, boria, zinc oxide, mixed oxides thereof, or any combination thereof.
- the solid oxide of this invention encompasses oxide materials such as alumina, "mixed oxide” compounds thereof such as silica- alumina, and combinations and mixtures thereof.
- the mixed oxide compounds such as silica-alumina can be single or multiple chemical phases with more than one metal combined with oxygen to form a solid oxide compound.
- mixed oxides examples include, but are not limited to, silica- alumina., silica- titania, silica-zirconia, zeolites, various clay minerals, alumina-titania, alumina- zirconia, zinc-aluminate, alumina-boria, silica-boria, al uminophosphate-silica, titania- zirconia, and the like.
- the solid oxide of this invention also encompasses oxide materials such as silica-coated alumina, as described in U.S. Patent Publication No, 2010-0076167, the disclosure of which is incorporated herein by reference in its entirety.
- the electron-withdrawing component used to treat the solid oxide can be any- component that increases the Lewis or Bronsied acidity of the solid oxide upon treatment (as compared to the solid oxide that is not treated with at least one electron- withdrawing anion).
- the electron- withdrawing component is an electron-withdrawing anion derived from a salt, an acid, or other compound, such as a volatile organic compound, thai saves as a source or precursor for that anion.
- electron-withdrawing anions include, but are not limited to, sulfate, bisulfate, fluoride, chloride, bromide, iodide, fluorosulfate, fiuoroborate, phosphate, fluorophosphate, trifluoroacetate, inflate, fluorozirconate, fluorotitanate, phospho-tungstate, and the like, including mixtures and combinations thereof.
- ionic or non-ionic compounds that serve as sources for these electron -withdrawing anions also can be employed in the present invention.
- the electron-withdrawing anion can be, or can comprise, fluoride, chloride, bromide, phosphate, inflate, bisulfate, or sulfate, and the like, or any combination thereof, in some aspects of this invention.
- the electron- withdrawing anion can comprise sulfate, bisulfate, fluoride, chloride, bromide, iodide, fluoros lfate, fluoroborate, phosphate, fluorophosphate, trifluoroacetate, triflate, fluorozirconate, fluorotitanate, and the like, or any combination thereof.
- the activator-support used in the catalyst compositions of the present invention can be, or can comprise, fluorided alumina, chlorided alumina, bromided alumina, sulfated alumina, fluorided silica-alumina, chlorided silica-alumina, bromided silica-alumina, sulfated silica- alumina, fluorided silica-zirconia, chlorided silica-zirconia, bromided silica-zirconia, sulfated silica-zirconia, fluorided silica-titania, fluorided silica-coated alumina, sulfated silica-coated alumina, phosphated silica-coated alumina, and the like, or combinations thereof.
- the activator- support can be, or can comprise, fluorided alumina, sulfated alumina, fluorided silica-alumina, sulfated silica-alumina, fluorided silica-coated alumina, sulfated silica-coated alumina, phosphated silica-coated alumina, and the like, or any combination thereof.
- the activator-support comprises fluorided alumina; alternatively, comprises chlorided alumina; alternatively, comprises sulfated alumina; alternatively, comprises fluorided silica-alumina; alternatively, comprises sulfated silica-alumina; alternatively, comprises fluorided silica-zirconia; alternatively, comprises chlorided silica-zirconia; or alternatively, comprises fluorided silica-coated alumina.
- the counterion or cation of that salt can be selected from any cation that allows the salt to revert or decompose back to the acid during calcining.
- Factors thai dictate the suitability of the particular salt to serve as a source for the electron- withdrawing anion include, but are not limited to, the solubility of the salt in the desired solvent, the lack of adverse reactivity of the cation, ion-pairing effects between the cation and anion, hygroscopic properties imparted to the salt by the cation, and the like, and thermal stability of the anion.
- Suitable cations in the salt of the electron-withdrawing anion include, but are not limited to, ammonium, trialkyl ammonium, tetraalkyl ammonium, tetraalkyl phosphonium, H + , [HiQEt ? .) ? .] . , and the like.
- combinations of one or more different electro -withdrawing anions in varying proportions, can be used to tail or the specific acidity of the activator-support to the desired level.
- Combinations of electron- withdrawing components can be contacted with the oxide material simultaneously or individually, and in any order that affords the desired chemically-treated solid oxide acidity.
- one aspect of this invention is employing two or more electron-withdrawing anion source compounds in two or more separate contacting steps.
- a chemically-treated solid oxide is prepared is as follows: a selected solid oxide, or combination of solid oxides, is contacted with a first electron-withdrawing anion source compound to form a first mixture; this first mixture is calcined and then contacted with a second electron- withdrawing anion source compound to form a second mixture; the second mixture is then calcined to form a treated solid oxide.
- the first and second electron-withdrawing anion source compounds can be either the same or different compounds.
- the chemically-treated solid oxide comprises a solid inorganic oxide material, a. mixed oxide material, or a combination of inorganic oxide materials, that is chemically-treated with an electron- withdrawing component, and optionally treated with a metal source, including metal salts, metal ions, or other metal-containing compounds.
- a metal source including metal salts, metal ions, or other metal-containing compounds.
- the metal or metal ion include zinc, nickel, vanadium, titanium, silver, copper, gallium, tin, tungsten, molybdenum, zirconium, and the like, or combinations thereof.
- Examples of chemically-treated solid oxides that contain a metal or metal ion include, but are not limited to, chiorided zinc-impregnated alumina, fiuorided titanium-impregnated alumina, fluorided zinc-impregnated alumina, chlorided zinc-impregnated silica- alumina, fluorided zinc-impregnated silica-alumina, sulfated zinc-impregnated alumina, chlorided zinc aiuminate, fluorided zinc aluminate, sulfated zinc aiuminate, silica- coated alumina treated with hexafluorotitanie acid, silica-coated alumina treated with zinc and then fluorided, and the like, or any combination thereof.
- any method of impregnating the solid oxide material with a metal can be used.
- the method by which the oxide is contacted with a metal source can include, but is not limited to, gelling, co-gelling, impregnation of one compound onto another, and the like.
- the metal- containing compound is added to or impregnated into the solid oxide in solution form, and subsequently converted into the supported metal upon calcining.
- the solid inorganic oxide can further comprise a metal selected from zinc, titanium, nickel, vanadium, silver, copper, gallium, tin, tungsten, molybdenum, and the like, or combinations of these metals.
- zinc is often used to impregnate the solid oxide because it can provide improved catalyst activity at a low cost.
- the solid oxide can be treated with metal salts or metal-containing compounds before, after, or at the same time that the solid oxide is treated with the electron- withdrawing anion.
- the contacted mixture of solid compound, electron-withdrawing anion, and the metal ion is typically calcined.
- a solid oxide material, an elect o -withdrawing anion source, and the metal salt or metal-containing compound are contacted and calcined simultaneously.
- the chemically-treated solid oxide can comprise the contact product of one or more solid oxides with one or more electro -withdrawing anion sources. It is not required that the solid oxide be calcined prior to contacting the electron-withdrawing anion source.
- the contact product typically is calcined either during or after the solid oxide is contacted with the electron-withdrawing anion source.
- the solid oxide can be calcined or uncalcined.
- the solid oxide material is chemically-treated by contacting it with an electron-withdrawing component, typically an electro -withdrawing anion source. Further, the solid oxide material optionally is chemically treated with a metal ion, and then calcined to form a metal -containing or metal-impregnated chemically-treated solid oxide. According to another aspect of the present invention, the solid oxide material and electron- withdrawing anion source are contacted and calcined simultaneously.
- an electron-withdrawing component typically an electro -withdrawing anion source.
- the solid oxide material optionally is chemically treated with a metal ion, and then calcined to form a metal -containing or metal-impregnated chemically-treated solid oxide.
- the solid oxide material and electron- withdrawing anion source are contacted and calcined simultaneously.
- the method by which the oxide is contacted with the electro -withdrawing component can include, but is not limited to, gelling, co-gelling, impregnation of one compound onto another, and the like.
- the contacted mixture of the solid oxide, electron -withdrawing anion, and optional metal ion is calcined.
- the solid oxide activator-support i.e., chemically-treated solid oxide
- a process comprising:
- the solid oxide activator-support (chemically-treated solid oxide) is produced by a process comprising:
- the chemically-treated solid oxide is produced or formed by contacting the solid oxide with the eiectron- withdrawing anion source compound, where the solid oxide compound is calcined before, during, or after contacting the electron-withdrawing anion source, and where there is a substantial absence of aluminoxanes, organoboron or organoborate compounds, and ionizing ionic compounds.
- Calcining of the treated solid oxide generally is conducted in an ambient atmosphere, typically in a dry ambient atmosphere, at a temperature from about 200 °C to about 900 °C, and for a time of about 1 minute to about 100 hours. Calcining can be conducted at a temperature of from about 300 °C to about 800 °C, or alternatively, at a temperature of from about 400 °C to about 700 °C. Calcining can be conducted for about 30 minutes to about 50 hours, or for about 1 hour to about 15 hours. Thus, for example, calcining can be carried out for about 1 to about 10 hours at a temperature of from about 350 °C to about 550 °C. Any suitable ambient atmosphere can be employed during calcining. Generally, calcining is conducted in an oxidizing atmosphere, such as air. Alternatively, an inert atmosphere, such as nitrogen or argon, or a reducing atmosphere, such as hydrogen or carbon monoxide, can be used.
- an oxidizing atmosphere such as air.
- the solid oxide material is treated with a source of haiide ion, sulfate ion, or a combination of anions, optionally treated with, a metal ion, and then calcined to provide the chemically-treated solid oxide in the form of a particulate solid.
- the solid oxide material can be treated with a source of sulfate (termed a "sulfating agent"), a source of chloride ion (termed a "chioriding agent”), a source of fluoride ion (termed a "fluoriding agent”), or a combination thereof, and calcined to provide the solid oxide activator.
- Useful acidic activator-supports include, but are not limited to, bromided alumina, chlorided alumina, fluorided alumina, sulfated alumina, bromided silica-alumina, chlorided silica-alumina, fluorided silica-alumina, sulfated silica-alumina, bromided silica-zirconia, chlorided silica-zirconia, fluorided silica-zirconia, sulfated silica-zirconia, fluorided silica-titania, alumina treated with hexafluorotitanic acid, silica-coated alumina treated with hexaffuorotitanic acid, silica-alumina treated with hexafluorozirconic acid, silica- alumina treated with triiluoroacetic acid, fluorided boria- alumina, silica treated with
- the chemically-treated solid oxide can comprise a fluorided solid oxide in the form of a particulate solid.
- the fluorided solid oxide can be formed by contacting a solid oxide with a fluoriding agent.
- the fluoride ion can be added to the oxide by forming a slurry of the oxide in a suitable solvent such as alcohol or water including, but not limited to, the one to three carbon alcohols because of their volatility and low surface tension.
- fluoriding agents include, but are not limited to, hydrofluoric acid (HF), ammonium fluoride (NH F), ammonium bifluoride (NH 4 HF 2 ), ammonium tetrafluoroborate (NH 4 BF 4 ), ammonium silicofluoride (liexafluorosilicate) ( ⁇ 3 ⁇ 4)2SiF6), ammonium hexafluorophosphate (MH 4 PF 6 ), hexafluorotitanic acid (H 2 TiF 6 ), ammonium hexafluorotitanic acid (( Ls ⁇ TiFe), hexafluorozirco ic acid (H 2 ZrFe), AIF 3 , NH 4 .AJF 4 , analogs thereof, and combinations thereof. Trifiic acid and ammonium triflate also can be employed.
- ammonium bifluoride NH 4 HF 2
- ammonium triflate also can be employed.
- the solid oxide is treated with a fluoriding agent during the calcining step.
- a fluoriding agent capable of thoroughly contacting the solid oxide during the calcining step
- volatile organic fluoriding agents can be used.
- volatile organic fluoriding agents useful in this aspect of the invention include, but are not limited to, freons, perfluorohexane, perfluorobenzene, fluoromethane, trifluoroethanol, and the like, and combinations thereof. Calcining temperatures generally must be high enough to decompose the compound and release fluoride.
- Gaseous hydrogen fluoride (HF) or fluorine (F 2 ) itself also can be used with the solid oxide if fluorided while calcining.
- Silicon tetrafluoride (SiF 4 ) and compounds containing tetrafluoroborate (BF 4 " ) also can be employed.
- One convenient method of contacting the solid oxide with the fluoriding agent is to vaporize a fluoriding agent into a gas stream used to fluidize the solid oxide during calcination.
- the chemically-treated solid oxide comprises a chlorided solid oxide in the form of a particulate solid.
- the chlorided solid oxide is formed by contacting a solid oxide with a chloriding agent.
- the chloride ion can be added to the oxide by forming a slurry of the oxide in a suitable solvent.
- the solid oxide can be treated with a chloriding agent during the calcining step.
- Any chloriding agent capable of serving as a source of chloride and thoroughly contacting the oxide during the calcining step can be used, such as S1CI4, SiMe 2 Ci 2 , TiCLt, BCI 3 , and the like, including mixtures thereof.
- Volatile organic chloriding agents can be used.
- suitable volatile organic chloriding agents include, but are not limited to, certain freons, perchlorobenzene, chlorometbane, dichloromethane, chloroform, carbon tetrachloride, trichloroethanoi, and the like, or any combination thereof.
- Gaseous hydrogen chloride or chlorine itself also can be used with the solid oxide during calcining.
- One convenient method of contacting the oxide with the chloriding agent is to vaporize a chloriding agent into a gas stream used to fluidize the solid oxide during calcination.
- the amount of fluoride or chloride ion present before calcining the solid oxide generally is from about 1 to about 50% by weight, where the weight percent is based on the weight of the solid oxide, for example, silica- alumina., before calcining. According to another aspect of this invention, the amount of fluoride or chloride ion present before calcining the solid oxide is from about 1 to about 25% by weight, and according to another aspect of this invention, from about 2 to about 20% by weight. According to yet another aspect of this invention, the amount of fluoride or chloride ion present before calcining the solid oxide is from about 4 to about 10% by weight.
- the alided oxide can be dried by any suitable method including, but not limited to, suction filtration followed by evaporation, drying under vacuum, spray drying, and the like, although it is also possible to initiate the calcining step immediately without drying the impregnated solid oxide.
- the silica-alumina used to prepare the treated silica-alumina typically has a pore volume greater than about 0,5 cc/g. According to one aspect of the present invention, the pore volume is greater than about 0.8 cc/g, and according to another aspect of the present invention, greater than about 1.0 cc/g. Further, the silica-alumina generally has a. surface area greater than about 100 ⁇ ' /'g. According to another aspect of this invention, the surface area is greater than about 250 m 2 /g. Yet, in another aspect, the surface area is greater than about 350 nvVg.
- the silica-alumina utilized in the present invention typically has an alumina content from about 5 to about 95% by weight.
- the alumina content of the silica-alumina is from about 5 to about 50%, or from about 8% to about 30%, alumina by weight.
- high alumina content silica-alumina compounds can employed, in which the alumina content of these silica-alumina compounds typically ranges from about 60% to about 90%, or from about 65% to about 80%, alumina by weight.
- the solid oxide component comprises alumina without silica, and according to another aspect of this invention, the solid oxide component comprises silica without alumina.
- the sulfated solid oxide comprises sulfate and a solid oxide component, such as alumina or silica- alumina, in the form of a particulate solid.
- the sulfated oxide is treated further with a metal ion such that the calcined sulfated oxide comprises a metal.
- the sulfated solid oxide comprises sulfate and alumina.
- the sulfated alumina is formed by a process wherein the alumina is treated with a. sulfate source, for example, sulfuric acid or a sulfate salt such as ammonium sulfate.
- This process is generally performed by forming a slurry of the alumina in a suitable solvent, such as alcohol or water, in which the desired concentration of the sulfating agent has been added.
- suitable solvents include, but are not limited to, the one to three carbon alcohols because of their volatility and low surface tension.
- the amount of sulfate ion present before calcining is from about 0.5 to about 100 parts by weight sulfate ion to about 100 parts by weight solid oxide. According to another aspect of this invention, the amount of sulfate ion present before calcining is from about I to about 50 parts by weight sulfate ion to about 100 parts by weight solid oxide, and according to still another aspect of this invention, from about 5 to about 30 parts by weight sulfate ion to about 100 parts by weight solid oxide. These weight ratios are based on the weight of the solid oxide before calcining.
- the sulfated oxide can be dried by any suitable method including, but not limited to, suction filtration followed by evaporation, drying under vacuum, spray drying, and the like, although it is also possible to initiate the calcining step immediately.
- the activator-support used in preparing the catalyst compositions of this invention comprises an ion-exchangeable activator-support, including but not limited to silicate and aluminosilicate compounds or minerals, either with layered or non-layered structures, and combinations thereof.
- ion-exchangeable, layered aiuminosiiicates such as pillared clays are used as activator-supports.
- the acidic activator-support comprises an ion-exchangeable activator-support, it can optionally be treated with at least one electron-withdrawing anion such as those disclosed herein, though typically the ion-exchangeable activator-support is not treated with an electron-withdrawing anion.
- the activator-support of this invention comprises clay minerals having exchangeable cations and layers capable of expanding.
- Typical clay mineral activator-supports include, but are not limited to, ion-exchangeable, layered aiuminosiiicates such as pillared clays.
- support is used, it is not meant to be construed as an inert component of the catalyst composition, but rather is to be considered an active part of the catalyst composition, because of its intimate association with the metallocene components.
- the clay materials of this invention encompass materials either in their natural state or that have been treated with various ions by wetting, ion exchange, or pillaring.
- the clay material activator-support of this invention comprises clays that have been ion exchanged with large cations, including polynuclear, highly charged metal complex cations.
- the clay material activator-supports of this invention also encompass clays that have been ion exchanged with simple salts, including, but not limited to, salts of Al(lll), Fe(II), Fe(III), and Z (II) with ligands such as halide, acetate, sulfate, nitrate, or nitrite.
- the activator-support comprises a pillared clay.
- pillared clay is used to refer to clay materials that have been ion exchanged with large, typically polynuclear, highly charged metal complex cations. Examples of such ions include, but are not limited to, Keggin ions which can have charges such as 7+, various polyoxometallates, and other large ions.
- pillaring refers to a simple exchange reaction in which the exchangeable cations of a clay material are replaced with large, highly charged ions, such as Keggin ions.
- the pillaring process utilizes clay minerals having exchangeable cations and layers capable of expanding.
- Any pillared clay that can enhance the polymerization of olefins in the catalyst composition of the present invention can be used. Therefore, suitable clay minerals for pillaring include, but are not limited to, allophanes; smectites, both dioetahedral (Al) and tri-octahedral (Mg) and derivatives thereof such as montmorillonites (bentonites), noninjuries, heeiorites, or laponites; hailoysites; vermiculites; micas; fluoromicas; chlorites; mixed-layer clays; the fibrous clays including but not limited to sepiolites, attapuigites, and palygorskit.es; a serpentine clay; illite; laponite; saponite; and any combination thereof.
- the pillared clay activator-support comprises bentonite or montmorillomte
- the pillared clay can be pretreated if desired.
- a pillared bentonite is pretreated by drying at about 300 °C under an inert atmosphere, typically dry nitrogen, for about 3 hours, before being added to the polymerization reactor.
- an exemplary pretreatnient is described herein, it should be understood that the preheating can be carried out at many other temperatures and times, including any combination of temperature and time steps, all of which are encompassed by this invention.
- the activator-support used to prepare the catalyst compositions of the present invention can be combined with other inorganic support materials, including, but not limited to, zeolites, inorganic oxides, phosphated inorganic oxides, and the like.
- typical support materials that are used include, but are not limited to, silica, silica-alumina, alumina, titania, zirconia, magnesia, boria, thoria, aluminopbosphate, aluminum phosphate, silica-titania, coprecipiiated silica/titania, mixtures thereof, or any combination thereof
- one or more of the metallocene compounds can be precontacied with an olefin monomer and an organoalumin m compound for a first period of time prior to contacting this mixture with the activator-support.
- the composition further comprising the activator-support is termed a "postcontacted" mixture.
- the postcontacted mixture can be allowed to remain in further contact for a second period of time prior to being charged into the reactor in which the polymerization process will be carried out.
- one or more of the metallocene compounds can be precontacted with an olefin monomer and an activator- support for a first period of time prior to contacting this mixture with the organoaluminum compound.
- the composition further comprising the organoaluminum is termed a "postcontacted" mixture.
- the postcontacted mixture can be allowed to remain in further contact for a second period of time prior to being introduced into the polymerization reactor.
- catalyst compositions of the present invention can comprise one or more organoal minum compounds.
- organoal minum compounds can include, but are not limited to, compounds having the formula:
- R L is an aliphatic group having from i to 10 carbon atoms.
- R ' ⁇ can be methyl, ethyl, propyl, butyl, exyl, or isobutyl.
- organoaluminum compounds which can be used in catalyst compositions disclosed herein can include, but are not limited to, compounds having the formula:
- X A is a hydrocarbyl
- X 1 * is an alkoxide or an aryloxide, a halide, or a hydride
- p is from 1 to 3, inclusive.
- Hydrocarbyl is used herein to specify a hydrocarbon radical group and includes, but is not limited to, aryl, alkyl, cycloalkyl, alkenyl, cycloalkenyl, eycloalkadienyl, alkynyl, aralkyl, aralkenyl, aralkynyl, and the like, and includes all substituted, unsubstituted, branched, linear, and/or heteroatom substituted derivatives thereof.
- X A is a hydrocarbyl having from 1 to about 18 carbon atoms. In another aspect of the present invention, X A is an alkyl having from 1 to 10 carbon atoms.
- X A can be methyl, ethyl, propyl, n- butyl, sec -butyl, isobutyl, or hexyl, and the like, in yet another aspect of the present invention.
- X B is an alkoxide or an aryloxide, any one of which has from 1 to 18 carbon atoms, a halide, or a hydride.
- X B is selected independently from fluorine and chlorine.
- X B is chlorine.
- ⁇ ⁇ ⁇ ⁇ , ⁇ X" .,. p is a number from 1 to 3, inclusive, and typically, p is 3.
- the value of p is not restricted to be an integer; therefore, this formula. includes sesquihalide compounds or other organoaiuminum cluster compounds.
- organoaiuminum compounds suitable for use in accordance with the present invention include, but are not limited to, trialkylaluminum compounds, dialkylaluminum halide compounds, dialkylaluminum alkoxide compounds, dialkylaluminum hydride compounds, and combinations thereof.
- suitable organoaiuminum compounds include trimethylaluminum (TMA), triethylaiuminum (TEA), tri-n-propylaluminum (T PA), tri-n-butylaluminum (TNBA), triisobutyialuminum (TIBA), tri-n-hexylaluminum, tri-n-octylaluminum, diisobutylaluminum hydride, diethylaluminum ethoxide, diethylaluminum chloride, and the like, or combinations thereof.
- TMA trimethylaluminum
- TEA triethylaiuminum
- T PA tri-n-propylaluminum
- TNBA tri-n-butylaluminum
- TIBA triisobutyialuminum
- tri-n-hexylaluminum tri-n-octylaluminum
- diisobutylaluminum hydride diethylalumin
- the present invention contemplates a method of precontacting a metallocene compound(s) with an organoai minum compound and an olefin monomer to form a precontacted mixture, prior to contacting this precontacted mixture with an activator- support to form a. catalyst composition.
- a metallocene compound(s) with an organoai minum compound and an olefin monomer to form a precontacted mixture, prior to contacting this precontacted mixture with an activator- support to form a. catalyst composition.
- a portion of the organoaiuminum compound is added to the precontacted mixture and another portion of the organoaiuminum compound is added to the postcontacted mixture prepared when the precontacted mixture is contacted with the solid oxide activator- support.
- the entire organoalummum compound can be used to prepare the catalyst composition in either the precontacting or postcontacting step. Alternatively, all the catalyst components are contacted in a single step.
- organoalummum compound can be used in either the precontacting or the postcontacting step.
- the amounts of organoalummum compound disclosed herein include the total amount of organoalummum compound used in both the precontacted and postcontacted mixtures, and any additional organoaluminum compound added to the polymerization reactor. Therefore, total amounts of organoaluminum compounds are disclosed regardless of whether a single organoaluminum compound or more than one organoaluminum compound is used.
- the present invention further provides a catalyst composition which can comprise an aluminoxane compound.
- aluminoxane refers to aluminoxane compounds, compositions, mixtures, or discrete species, regardless of how such aluminoxanes are prepared, formed or otherwise provided.
- a catalyst composition comprising an aluminoxane compound can be prepared in which aluminoxane is provided as the poiy(hydrocarbyl aluminum oxide), or in which aluminoxane is provided as the combination of an aluminum alk l compound and a source of active protons such as water.
- Aluminoxanes are also referred to as poly(hydrocarbyl aluminum oxides) or organoaluminoxanes.
- the other catalyst components typically are contacted with the aluminoxane in a saturated hydrocarbon compound solvent, though any solvent that is substantially inert to the reactants, intermediates, and products of the activation step can be used.
- the catalyst composition formed in this manner is collected by any suitable method, for example, by filtration. Alternatively, the catalyst composition is introduced into the polymerization reactor without being isolated.
- aluminoxane compound of this invention can be an oligomeric aluminum compound comprising linear structures, cyclic structures, or cage structures, or mixtures of all three. Cyclic aluminoxane compounds having the formula:
- R in this formula is a linear or branched alkyi having from 1 to 10 carbon atoms, and p in this formula is an integer from 3 to 20, are encompassed by this invention.
- the A1RO moiety shown here also constitutes the repeating unit in a linear aluminoxane.
- linear aluminoxanes having the formula:
- R in this formula is a linear or branched alkyl having from 1 to 10 carbon atoms, and q in this formula is an integer from 1 to 50, are also encompassed by this invention.
- aluminoxanes can have cage structures of the formula R +aR- ct AL f c-C , wherein R c is a terminal linear or branched alkyl group having from 1 to 10 carbon atoms; R s is a bridging linear or branched alkyl group having from 1 to 10 carbon atoms; r is 3 or 4; and a is equal to KAI(3) - «o(2) + «o(4), wherein « A !(3) is the number of three coordinate aluminum atoms, «o(2) is the number of two coordinate oxygen atoms, and nop ) iS the number of 4 coordinate oxygen atoms.
- aluminoxanes which can be employed in the catalyst compositions of the present invention are represented generally by formulas such as (R-A!-Q) p , R(R-A1- 0) q AlR 2 , and the like.
- the R group is typically a. linear or branched C[-Ce alkyl, such as methyl, ethyl, propyl, butyl, pentyl, or hexyl.
- aluminoxane compounds that can be used in accordance with the present invention include, but are not limited to, methylaluminoxane, ethyl aluminoxane, n- propylaluminoxane, iso-propylaluminoxane, n-butylaluminoxane, t-butylaluminoxane, sec-butylaluminoxane, iso-butylaluminoxane, 1-pentylaluminoxane, 2- pentylaluminoxane, 3-pentylaiuminoxane, isopentylaluminoxane, neopentylaluminoxane, and the like, or any combination thereof.
- Methylaluminoxane, ethylaluminoxane, and iso-butylaluminoxane are prepared from trimethyialuminum, triethylaluminum, or triisobutylaluminum, respectively, and sometimes are referred to as poly(methyl aluminum oxide), poly(ethyl aluminum oxide), and poly(isobutyl aluminum oxide), respectively. It is also within the scope of the invention to use an aluminoxane in combination with a trialkylaluminum, such as that disclosed in U.S. Patent No. 4,794,096, incorporated herein by reference in its entirety.
- the present invention contemplates many values of ⁇ and q in the aluminoxane formulas (R-A1-0) P and R(R-A1-0) ⁇ 1 A1R 2 , respectively.
- p and q are at least 3.
- the value of p and q can vary within a single sample of aluminoxane, and such combinations of organoaluminoxanes are contemplated herein.
- the molar ratio of the total moles of aluminum in the aluminoxane (or aluminoxanes) to the total moles of metallocene compounds in the composition is generally between about 1 : 10 and about 100,000: 1. In another aspect, the molar ratio is in a range from about 5: 1 to about 15,000: 1.
- aluminoxane can be added to a polymerization zone in ranges from about 0.01 mg/L to about 1000 mg L, from about 0.1 mg/L to about 100 mg/L, or from about 1 mg/L to about 50 mg/L.
- Organoaluminoxanes can be prepared by various procedures. Examples of organoaluminoxane preparations are disclosed in U.S. Patent Nos. 3,242,099 and 4,808,561 , the disclosures of which are incorporated herein by reference in their entirety.
- water in an inert organic solvent can be reacted with an aluminum alkyl compound, such as (R ⁇ Al, to form the desired organoaluminoxane compound. While not intending to be bound by this statement, it is believed that this synthetic method can afford a mixture of both linear and cyclic R-Al-0 aluminoxane species, both of which are encompassed by this invention.
- organoaluminoxanes are prepared by reacting an aluminum alkyl compound, such as (R ⁇ sAl, with a hydrated salt, such as hydrated copper sulfate, in an inert organic solvent,
- the catalyst composition can comprise an organoboron or organoborate compound.
- organoboron or organoborate compound include neutral boron compounds, borate salts, and the like, or combinations thereof.
- fhioroorgano boron compounds and fiuoroorgano borate compounds are contemplated. Any fluoroorgano boron or fluoroorgano borate compound can be utilized with the present invention.
- fluorinated aryl borates such as N,N-dimethylanilinium tetrakis( eniafluorophenyl)boraie, triphenvlcarbenium tetra
- fluoroorgano boron compounds thai can be used as co-catalysts in the present invention include, but are not limited to, tris(pentafluoropheny3)boron, tris[3,5- bis(trifiuoromethyl)phenyl]boron, and the like, or mixtures thereof.
- these examples of fluoroorgano borate and fluoroorgano boron compounds, and related compounds are thought to form "weakly-coordinating" anions when combined with organometal or metallocene compounds, as disclosed in U.S. Patent 5,919,983, the disclosure of which is incorporated herein by reference in its entirety.
- Applicants also contemplate the use of diboron, or bis-boron, compounds or other bifunctional compounds containing two or more boron atoms in the chemical structure, such as disclosed in J. Am. Chem. Soc, 2005, 127, pp. 14756-14768, the content of which is incorporated herein by reference in its entirety.
- any amount of organoboron compound can be used.
- the molar ratio of the total moles of organoboron or organoborate compound (or compounds) to the total moles of metallocene compounds in the catalyst composition is in a range from about 0.1 : 1 to about 15: 1.
- the amount of the fluoroorgano boron or fluoroorgano borate compound used is from about 0.5 moles to about 10 moles of boroa-'borate compound per mole of metallocene compounds.
- the amount of fluoroorgano boron or fluoroorgano borate compound is from about 0.8 moles to about 5 moles of boron/borate compound per mole of metallocene compounds.
- the present invention further provides a catalyst composition which can comprise an ionizing ionic compound.
- An ionizing ionic compound is an ionic compound that can function as a co-catalyst to enhance the activity of the catalyst composition. While not intending to be bound by theory, it is believed that the ionizing ionic compound is capable of reacting with a metallocene compound and converting the metallocene into one or more cationic metallocene compounds, or incipient cationic metallocene compounds.
- the ionizing ionic compound can function as an ionizing compound by completely or partially extracting an anionic ligand, possibly a non-alkadienyl ligand, from the metallocene.
- the ionizing ionic compound is an activator or eo- caialyst regardless of whether it is ionizes the metallocene, abstracts a ligand in a fashion as to form an ion pair, weakens the metal-ligand bond in the metallocene, simply coordinates to a ligand, or activates the metallocene by some other mechanism.
- the ionizing ionic compound activate the metallocene compounds only.
- the activation function of the ionizing ionic compound can foe evident in the enhanced activity of catalyst composition as a whole, as compared to a catalyst composition that does not contain an ionizing ionic compound.
- ionizing ionic compounds include, but are not limited to, the following compounds: tri(n-butyl)ammomum tetrakis(p-tolyl)borate, tri(n-tmtyi) ammonium tetrakis(m-to3yl)borate, tri(n-butyl)ammonium tetrakis(2,4- dimethylphenyl)borate, iri(n-butyi)ammonium tetrakis(3,5-dimethylphenyl)borate, tri(n-butyl)ammonmm tetrakis[3,5-bis(tri ⁇ " luoromethyl)phenyl]borate, tri(n- butyl)ammonium tetrakis(pentafluorophenyl)borate, ⁇ , ⁇ -dimethylanilinium tetraki.s(p- toiyl)borate, >J ,N -dimethyl
- Ionizing ionic compounds useful in this invention are not limited to these; other examples of ionizing ionic compounds are disclosed in U.S. Patent os. 5,576,259 and 5,807,938, the disclosures of which are incorporated herein by reference in their entirety.
- Unsaturated reactants that can be employed with catalyst compositions and polymerization processes of this invention typically include olefin compounds having from 2 to 30 carbon atoms per molecule and having at least one olefinic double bond.
- This invention encompasses homopoiymerization processes using a single olefin such as ethylene or propy lene, as well as copolymerization, terpolymerization, etc., reactions using an olefin monomer with at least one different olefinic compound.
- the resultant ethylene copolymers, terpolymers, etc. generally contain a major amount of ethylene (>50 mole percent) and a minor amount of comonomer ( ⁇ 50 mole percent), though this is not a requirement.
- Comonomers that can be copolymerized with ethylene often have from 3 to 20 carbon atoms in their molecular chain.
- Acyclic, cyclic, polyeyclic, terminal (a), internal, linear, branched, substituted, unsubstituted, functionalized, and non-functionaiized olefins can be employed in this invention.
- typical unsaturated compounds that can be polymerized with the catalyst compositions of this invention include, but are not limited to, ethylene, propylene, 1-butene, 2-butene, 3 -methyl- 1-butene, isobutylene, l -pentene, 2-pentene, 3-methyI-l-pentene, 4-methyl- l-pentene, 1-hexene, 2-hexene, 3-hexene, 3 -ethyl- 1 - hexene, 1-heptene, 2-heptene, 3-heptene, the four normal octenes (e.g., 1 -octene), the four normal nonenes, the five normal decenes, and the like, or mixtures of two
- Cyclic and bicyclic olefins including but not limited to, cyclopentene, cyclohexene, norbornylene, norbomadiene, and the like, also can be polymerized as described above. Styrene can also be employed as a monomer in the present invention.
- the olefin monomer is a C Cio olefin; alternatively, the olefin monomer is ethylene; or alternatively, the olefin monomer is propylene.
- the olefin monomer can comprise, for example, ethylene or propylene, which is copolymerized with at least one comonomer.
- the olefin monomer in the polymerization process comprises ethylene.
- Suitable olefin comonomers include, but are not limited to, propylene, 1-butene, 2- butene, 3 -methyl- 1-butene, isobutylene, l-pentene, 2-pentene, 3 -methyl- -pentene, 4- meihyl- l-pentene, 1-hexene, 2-hexene, 3 -ethyl- 1-hexene, 1-heptene, 2-heptene, 3- heptene, i-octene, 1 -decene, styrene, and the like, or combinations thereof.
- the comonomer can comprise 1 -butene, 1 - pentene, 1-hexene, 1 -octene, 1-decene, styrene, or any combination thereof.
- the amount of comonomer introduced into a reactor zone to produce the copolymer is from about 0.01 to about 50 weight percent of the comonomer based on the total weight of the monomer and comonomer.
- the amount of comonomer introduced into a reactor zone is from about 0.0.1 to about 40 weight percent comonomer based on the total weight of the monomer and comonomer.
- the amount of comonomer introduced into a reactor zone is from about 0.1 to about 35 weight percent comonomer based on the total weight of the monomer and comonomer.
- the amount of comonomer introduced into a reactor zone is from about 0.5 to about 20 weight percent comonomer based on the total weight of the monomer and comonomer.
- At least one monomer/reactant is ethylene, so the polymerizations are either a homopolymerizaiion involving only ethylene, or copolymerizations with a different acyclic, cyclic, terminal, internal, linear, branched, substituted, or unsubstituted olefin.
- the catalyst compositions of this invention can be used in the polymerization of diolefm compounds including, but not limited to, 1,3 -butadiene, isoprene, 1,4-pentadiene, and 1,5-hexadiene.
- the present invention employs catalyst compositions containing an imv -metallocene compound having formula (I), a second metallocene compound, and an activator (one or more than one).
- These catalyst compositions can be utilized to produce poly olefins - homopolymers, copolymers, and the like - for a variety of end- use applications.
- the a «s «-metallocene compound having formula (1) and the second metallocene compound are discussed hereinabove, in aspects of the present invention, it is contemplated that the catalyst composition can contain more than one ansa- metallocene compound having formula (I) and/or more than one second metallocene compound.
- additional catalytic compounds - other than those specified as an «/tv -met.allocene compound having formula (I) or a second metallocene compound - can be employed in the catalyst compositions and/or the polymerization processes, provided that the additional catalytic compound(s) does not detract from the advantages disclosed herein. Additionally, more than one activator also may be utilized.
- the /jsa-metallocene compound having formula. (I) can comprise (or consist essentially of, or consist of) an a «sa-metallocene compound having formula (II), formula (III), formula (IV), formula (V), formula (VI), formula (VII), or combinations thereof.
- the a «sa-metallocene compound having formula (1) can comprise (or consist essentially of, or consist of) an a «s -metalloeene compound having formula (C), formula (D), formula (E), or combinations thereof.
- the second metallocene compound can comprise (or consist essentially of, or consist of) an unbridged metallocene compound and/or a bridged metallocene compound.
- the second metallocene compound can comprise (or consist essentially of, or consist of) a metallocene compound having formula (C2), formula (D2), formula (E2), formula. (F2), or combinations thereof.
- catalyst compositions of the present invention comprise an ansa- metallocene compound having formula (I), a second metallocene compound, and an activator.
- the activator can comprise an activator-support.
- Activator-supports useful in the present invention are disclosed above.
- Such catalyst compositions can further comprise one or more than one organoaluminum compound or compounds (suitable organoaluminum compounds also are discussed above).
- a catalyst composition of this invention can comprise an a/iva-metalloeene compound having formula (I), a second metallocene compound, an activator-support, and an organoaluminum compound.
- the activator-support can comprise (or consist essentially of, or consist of) fluorided alumma, chlorided alumina, bromided alumina., sulfated alumina, fluorided silica-alumina, chlorided silica-alumina, bromided silica-alumina, sulfated silica-alumina, fluorided silica-zirconia, chlorided silica- zirconia, bromided silica-zirconia, sulfated silica-zirconia, fluorided silica-titania, fluorided silica-coated alumina, sulfated silica-coated alumina, phosphated silica- coated alumina, and the like, or combinations thereof.
- the organoaluminum compound can comprise (or consist essentially of, or consist of) trimethylaluminum, triethyS aluminum, tri-n-propylaluminum., tri-n-butylaluminum, triisobutyialuminum, tri-n-hexyialuminum, tri-n-octylaluminum, diisobutvlalummum hydride, diethylaiuminum ethoxide, diethylaluminum chloride, and the like, or combinations thereof.
- a catalyst, composition which comprises an imv -metalloeene compound having formula (I), a second meiallocene compound, an activator-support, and an organoaluminum compound, wherein this catalyst composition is substantially free of aluminoxanes, organoboron or organoborate compounds, ionizing ionic compounds, and/or other similar materials; alternatively, substantially free of aluminoxanes; alternatively, substantially free or organoboron or organoborate compounds; or alternati ely, substantially free of ionizing ionic compounds.
- the catalyst composition lias catalyst activity, to be discussed below, in the absence of these additional materials.
- a catalyst composition of the present invention can consist essentially of an awsa-metallocene compound having formula (I), a second metallocene compound, an activator-support, and an organoaluminum compound, wherein no other materials are present in the catalyst composition which would increase/decrease the activity of the catalyst composition by more than about 10% from the catalyst activity of the catalyst composition in the absence of said materials.
- a catalyst composition comprising an awsa-metallocene compound having formula (I), a second metallocene compound, and an activator- support can further comprise an optional co-catalyst.
- Suitable co-catalysts in this aspect include, but are not limited to, aluminoxane compounds, organoboron or organoborate compounds, ionizing ionic compounds, and the like, or any combination thereof. More than one co-catalyst can be present in the catalyst composition.
- a catalyst composition which does not require an activator-support.
- a catalyst composition can comprise an a «sa-metallocene compound having formula (I), a second metallocene compound, and an activator, wherein the activator comprises an aluminoxane compound, an organoboron or organoborate compound, an ionizing ionic compound, or combinations thereof.
- the catalyst composition is a dual catalyst composition comprising an activator (one or more than one), only one ansa- metaliocene compound having formula. (I), and only one second metallocene compound.
- the catalyst composition can comprise an activator (e.g., an activator-support comprising a solid oxide treated with an electron- withdrawing anion); only one awsa-metallocene compound having formula (II), formula (III), formula (IV), formula (V), formula (VI), or formula (VII); and only second meiallocene compound having formula (C2), formula (D2), formula ( ⁇ 2), or formula (F2).
- the catalyst composition can comprise an activator (e.g., an activator- support comprising a solid oxide treated with an electron- withdrawing anion); only one a «sa-metaliocene compound having formula (C), formula (D), or formula (E); and only second meiallocene compound having formula (C2), formula (D2), formula ⁇ 2), or formula (F2).
- an activator e.g., an activator- support comprising a solid oxide treated with an electron- withdrawing anion
- second meiallocene compound having formula (C2), formula (D2), formula ⁇ 2), or formula (F2).
- a catalyst composition comprising an activator (e.g., an activator- support comprising a solid oxide treated with an electron-withdrawing anion), an ansa- metaliocene compound having formula (II), and a second meiallocene compound comprising an unbridged metaliocene compound; alternatively, a catalyst composition comprising an activator, an ans -metallocene compound having formula (II), and a second metaliocene compound comprising a bridged metaliocene compound; alternatively, a catalyst composition comprising an activator, an »sa-metallocene compound having formula (II), and a second meiallocene compound comprising a compound having formula (C2); alternatively, a catalyst composition comprising an activator, an a «s -metallocene compound having formula (II), and a second metaliocene compound comprising a compound having formula (C2); alternatively, a catalyst composition comprising an activator,
- catalyst composition comprising an activator, an ⁇ mv -meiailoeene compound having formula (III), and a second metaliocene compound comprising a bridged metaliocene compound; alternatively, a catalyst composition comprising an activator, an a «sa-metalloeene compound having formula (III), and a second metaliocene compound comprising a compound having formula (C2); alternatively, a catalyst composition comprising an activator, an ansa- metallocene compound having formula (III), and a second metaliocene compound comprising a. compound having formula.
- second metaliocene compound comprising a compound having formula (F2); alternatively, a catalyst composition comprising an activator, an a «s -metallocene compound having formula (VI), and a second metaliocene compound comprising an unbridged metaliocene compound; alternatively, a catalyst composition comprising an activator, an 3 ⁇ 4 «j-metallocene compound having formula (VI), and a second metaliocene compound comprising a bridged metaliocene compound; alternatively, a catalyst composition comprising an activator, an a «s «-metallocene compound having formula (VI), and a second metaliocene compound comprising a compound having formula (C2); alternatively, a catalyst composition comprising an activator, an ansa- metalfocene compound having formula (VI), and a second metaliocene compound comprising a compound having formula (F2); alternatively, a catalyst composition comprising an activator, an a/t
- second metaliocene compound comprising a compound having formula (C2); alternatively, a catalyst composition comprising an activator, an a «sa-metallocene compound having formula (VII), and a second metallocene compound comprising a compound having formula (F2); and the like.
- This invention further encompasses methods of making these catalyst compositions, such as, for example, contacting the respective catalyst components in any order or sequence.
- the a/isa-metalloeene compound having formula (1), the second metallocene compound, or both can be precontacted with an olefinic monomer if desired, not necessarily the olefin monomer to be polymerized, and an organoaluminum compound for a first period of time prior to contacting this precontacted mixture with an activator- support.
- the first period of time for contact, the precontact time, between the metallocene compound(s), the olefinic monomer, and the organoaluminum compound typically ranges from a time period of about 1 minute to about 24 hours, for example, from about 3 minutes to about 1 hour, Precontact times from about 10 minutes to about 30 minutes are also employed.
- the precontactmg process is carried out in multiple steps, rather than a single step, in which multiple mixtures are prepared, each comprising a different set of catalyst components. For example, at least two catalyst components are contacted forming a first mixture, followed by contacting the first mixture with at least one other catalyst component forming a second mixture, and so forth.
- precontactmg steps can be carried out in a single vessel or in multiple vessels. Further, multiple precontacting steps can be carried out in series (sequentially), in parallel, or a combination thereof.
- a first mixture of two catalyst components can be formed in a first vessel
- a second mixture comprising the first mixture plus one additional catalyst component can be formed in the first vessel or in a second vessel, which is typically placed downstream of the first vessel.
- one or more of the catalyst components can be split and used in different precontacting treatments. For example, part of a catalyst component is fed into a first precontacting vessel for precontacting with at least one other catalyst component, while the remainder of that same catalyst component is fed into a second precontacting vessel for precontacting with at least one other catalyst component, or is fed directly into the reactor, or a combination thereof.
- the precontacting can be carried out in any suitable equipment, such as tanks, stirred mix tanks, various static mixing devices, a flask, a vessel of any type, or combinations of these apparatus.
- the various catalyst components are contacted in the polymerization reactor simultaneously while the polymerization reaction is proceeding.
- any two or more of these catalyst components can be precontacted in a vessel prior to entering the reaction zone.
- This precontacting step can be continuous, in which the precontacted product is fed continuously to the reactor, or it can be a stepwise or batchwise process in which a batch of precontacted product is added to make a catalyst composition.
- This precontacting step can be carried out over a time period that can range from a few- seconds to as much as several days, or longer.
- the continuous precontacting step generally lasts from about 1 second to about 1 hour.
- the continuous precontacting step lasts from about 10 seconds to about 45 minutes, or from about 1 minute to about 30 minutes.
- this composition (with the addition of the activator-support) is termed the "postcontacted mixture.”
- the postcontacted mixture optionally remains in contact for a second period of time, the posieontaei time, prior to initiating the polymerization process.
- Postcontact times between the precontacted mixture and the activator-support generally range from about 1 minute to about 24 hours. In a further aspect, the postcontact time is in a range from about 3 minutes to about 1 hour.
- the precontacting step, the postcontacting step, or both can increase the productivity of the polymer as compared to the same catalyst composition that is prepared without precontacting or postcontacting. However, neither a precontacting step nor a postcontacting step is required.
- the postcontacted mixture can be heated at a temperature and for a time period sufficient to allow adsorption, impregnation, or interaction of precontacted mixture and the activator-support, s uch that a portion of the components of the precontacted mixture is immobilized, adsorbed, or deposited thereon.
- the postcontacted mixture generally is heated to a temperature of from between about 0 °F to about 150 °F, or from about 40 °F to about 95 °F.
- the weight ratio of the a a- metallocene compound having formula ( ⁇ ) to the second metallocene compound in the catalyst composition generally is in a range from about 100:1 to about 1:100. In another aspect, the weight ratio is in a range from about 75:1 to about 1:75, from about 50:1 to about 1:50, or from about 30:1 to about 1:30. Yet, in another aspect, the weight ratio of the a «sa- metallocene compound having formula (I) to the second metallocene compound in the catalyst composition is in a range from about 25:1 to about 1:25.
- the weight ratio can be in a range from about 20:1 to about 1:20, from about 15:1 to about 1:15, from about 10:1 to about 1:10, from about 5:1 to about 1:5; from about 4:1 to about 1:4, or from about 3:1 to about 1:3.
- the molar ratio of the total moles of olefin monomer to total moles of metallocene(s) in the precontacted mixture is typically in a range from about 1:10 to about 100,000:1. Total moles of each component are used in this ratio to account for aspects of this invention where more than one olefin monomer and/or more than one metallocene compound is employed in a precontaciing step. Further, this molar ratio can be in a range from about 10:1 to about 1,000:1 in another aspect of the invention.
- the weight ratio of organoaluminum compound to activator-support is in a range from about 10:1 to about 1:1000. If more than one organoaluminum compound and/or more than one activator-support is employed, this ratio is based on the total weight of each respective component, in another aspect, the weight ratio of the organoaluminum compound to the activator-support is in a range from about 3:1 to about 1 : 100, or from about 1:1 to about 1:50.
- the weight ratio of metallocene compounds (total of the a/is -rnetailocene compound having formula (I) and the second metallocene compound) to activator-support is in a range from about 1:1 to about 1:1,000,000. If more than one activator-support is employed, this ratio is based on the total weight of the activator-support. In another aspect, this weight ratio is in a range from about 1:5 to about 1:100,000, or from about 1:10 to about 1:10,000. Yet, in another aspect, the weight ratio of the metallocene compounds to the activator-support is in a range from about 1 :20 to about 1 : 1000.
- Catalyst compositions of the present invention generally have a catalyst activity greater than about 100 grams of polyethylene (homopolymer, copolymer, etc., as the context requires) per gram of activator-support per hour (abbreviated g g/hr). In another aspect, the catalyst activity is greater than about 150, greater than about 250, or greater than about 500 g/g/hr. In still another aspect, catalyst compositions of this invention can be characterized by having a catalyst activity greater than about 550, greater than about 650, or greater than about 750 g/g/hr. Yet, in another aspect, the catalyst activity can be greater than about 1000 g/g/hr. This activity is measured under slurry polymerization conditions using isobutane as the diluent, at a polymerization temperature of about 90°C and a reactor pressure of about 390 psig.
- catalyst compositions disclosed herein can have a. catalyst activity greater than about 10 grams of polyethylene (homopolymer, copolymer, etc., as the context requires) per ⁇ of total metallocenes per hour (abbreviated g/ mol/hr).
- An activity of 10 g-' rnol/hr equates to an activity of 10,000 kg/mol/hr.
- the catalyst activity of the catalyst composition can be greater than about 15, greater than about 20, or greater than about 25 g/umoi/hr.
- catalyst compositions of this invention can be characterized by having a catalyst activity greater than about 30, greater than about 40, or greater than about 50 g ⁇ mol/hr.
- the catalyst activity can be greater than about 100 g/ ⁇ mol/hr. This activity is measured under slurry polymerization conditions using isobutane as the diluent, at a polymerization temperature of about 90°C and a reactor pressure of about 390 psig.
- any combination of the awsa-metallocene compound having formula (I) and/or the second metallocene, the activator-support, the organoaluminum compound, and the olefin monomer can be precontacted in some aspects of this invention.
- any precontacting occurs with an olefinic monomer, it is not necessary that the olefin monomer used in the precontacting step be the same as the olefin to be polymerized.
- this precontacted mixture can be used in a subsequent postcontacting step between any other combination of catalyst components for a second period of time.
- one or more metallocene compounds, the organoaluminum compound, and 1-hexene can be used in a precontacting step for a first period of time, and this precontacted mixture then can be contacted with the aciivator-support to form a postcontacted mixture that is contacted for a second period of time prior to initiating the polymerization reaction.
- the first period of time for contact, the precontact time, between any combination of the metallocene compound(s), the oiefmic monomer, the aciivator-support, and the organoaluminum compound can be from about 1 minute to about 24 hours, from about 3 minutes to about 1 hour, or from about 10 minutes to about 30 minutes.
- postcontacted mixture optionally is allowed to remain in contact for a second period of time, the postcontact time, prior to initiating the polymerization process.
- postcontact times between the precontacted mixture and any remaining catalyst components is from about 1 minute to about 24 hours, or from about 5 minutes to about 1 hour.
- Catalyst compositions of the present invention can be used to polymerize olefins to form homopolymers, copolymers, terpolymers, and the like.
- One such process for polymerizing olefins in the presence of a catalyst composition of the present invention comprises contacting the catalyst composition with an olefin monomer and optionally an olefin comonomer (one or more) under polymerization conditions to produce an olefin polymer, wherein the catalyst composition comprises an ansa- metallocene compound having formula (I), a second metallocene, and an activator (e.g., an activator-support comprising a solid oxide treated with an electron- withdrawing anion).
- the ansa- metallocene compound having formula (I) can comprise (or consist essentially of, or consist of) an a/jsa-metallocene compound having formula (II), formula (Hi), formula (IV), formula. (V), formula (VI), formula (VII), or combinations thereof.
- the a «sa-metallocene compound having formula (I) can comprise (or consist essentially of, or consist of) an a/jsa-metallocene compound having formula (C), formula. (D), formula (E), or combinations thereof.
- the second metallocene compound can comprise (or consist essentially of, or consist of) an unbridged metallocene compound and/or a bridged metallocene compound.
- the second metallocene compound can comprise (or consist essentially of, or consist of) a metallocene compound having formula (C2), formula (D2), formula (E2), formula (F2), or combinations thereof.
- the polymerization process employs a catalyst composition comprising an a «sa-metallocene compound having formula (I), a second metallocene compound, and an activator, wherein the activator comprises an activator-support.
- Activator-supports useful in the polymerization processes of the present invention are disclosed above.
- the catalyst composition can further comprise one or more than one organoaluminum compound or compounds (suitable organoaluminum compounds also are discussed above).
- a process for polymerizing olefins in the presence of a catalyst composition can employ a catalyst composition comprising an aasa-metallocene compound having formula (I), a second metallocene compound, an activator-support, and an organoaluminum compound.
- the activator-support can comprise (or consist essentially of, or consist of) fluorided alumina, chlorided alumina, bromided alumina, sulfated alumina, fluorided silica-alumina, chlorided silica-alumina, bromided silica-alumina, sulfated silica-alumina, fluorided silica-zirconia, chlorided silica-zirconia, bromided silica- zirconia, sulfated silica-zirconia, fluorided silica-titania, fluorided silica-coated alumina., sulfated silica-coated alumina, phosphated silica-coated alumina, and the like, or combinations thereof.
- the organoaluminum compound can comprise (or consist essentially of, or consist of) trimethylaluminum, triethylalumi um, tri-n-propyl aluminum, tri-n-butyS luminum, triisobutyfaluminum, tri-n-hexylaluminum, tri-n-octylaluminum, diisobutylaluminum hydride, diethylaluminum ethoxide, diethylaluminum chloride, and the like, or combinations thereof.
- the polymerization process employs a catalyst composition comprising only one aasa-metallocene compound having formula (I) (e.g., an ansa -metallocene compound having formula (II), formula (III), formula (IV), formula (V), formula (VI), or formula (VII)); only one second metallocene compound (e.g., a. metallocene compound having formula (C2), formula (D2), formula (E2), formula (F2)); at least one activator-support; and at least one organoalumi im compound.
- aasa-metallocene compound having formula (I) e.g., an ansa -metallocene compound having formula (II), formula (III), formula (IV), formula (V), formula (VI), or formula (VII)
- second metallocene compound e.g., a. metallocene compound having formula (C2), formula (D2), formula (E2), formula (F2)
- the polymerization process can employ a catalyst composition comprising an araa-metallocene compound having formula (I), a second metallocene compound, and an activator, wherein the activator comprises an alummoxane compound, an organoboron or organoborate compound, an ionizing ionic compound, or combinations thereof.
- a catalyst composition comprising an araa-metallocene compound having formula (I), a second metallocene compound, and an activator, wherein the activator comprises an alummoxane compound, an organoboron or organoborate compound, an ionizing ionic compound, or combinations thereof.
- the catalyst compositions of the present invention are intended for any olefin polymerization method using various types of polymerization reactors.
- polymerization reactor includes any polymerization reactor capable of polymerizing olefin monomers and comonomers (one or more than one comonomer) to produce homopolymers, copolymers, terpolymers, and the like.
- the various types of reactors include those that may be referred to as a batch reactor, slurry reactor, gas-phase reactor, solution reactor, high pressure reactor, tubular reactor, autoclave reactor, and the like, or combinations thereof.
- the polymerization conditions for the various reactor types are well known to those of skill in the art.
- Gas phase reactors may comprise fluidized bed reactors or staged horizontal reactors.
- Slurry reactors may comprise vertical or horizontal loops.
- High pressure reactors may comprise autoclave or tubular reactors.
- Reactor types can include batch or continuous processes. Continuous processes could use intermittent or continuous product discharge. Processes may also include partial or full direct recycle of unreacted monomer, unreacted comonomer, and/or diluent.
- Polymerization reactor systems of the present invention may comprise one type of reactor in a system or multiple reactors of the same or different type.
- Production of polymers in multiple reactors may include several stages in at least two separate polymerization reactors interconnected by a transfer device making it possible to transfer the polymers resulting from the first polymerization reactor into the second reactor.
- the desired polymerization conditions in one of the reactors may be different from the operating conditions of the other reactors.
- polymerization in multiple reactors may include the manual transfer of polymer from one reactor to subsequent reactors for continued polymerization.
- Multiple reactor systems may include any combination including, but not limited to, multiple loop reactors, multiple gas phase reactors, a combination of loop and gas phase reactors, multiple high pressure reactors, or a combination of high pressure with loop and/or gas phase reactors.
- the multiple reactors may be operated in series, in parallel, or both.
- the polymerization reactor system may comprise at least one loop slurry reactor comprising vertical or horizontal loops.
- Monomer, diluent, catalyst, and comonomer may be continuously fed to a loop reactor where polymerization occurs.
- continuous processes may comprise the continuous introduction of monomer/comonomer, a catalyst, and a diluent into a polymerization reactor and the continuous removal from this reactor of a suspension comprising polymer particles and the diluent.
- Reactor effluent may be flashed to remove the solid polymer from the liquids that comprise the diluent, monomer and/or comonomer.
- Various technologies may be used for this separation step including but not limited to, flashing that may include any combination of heat addition and pressure reduction; separation by cyclonic action in either a. cyclone or hydrocyclone; or separation by cemrifugation.
- a typical slurry polymerization process (also known as the particle form process) is disclosed, for example, in U.S. Patent os. 3,248,179, 4,501 ,885, 5,565, 175, 5,575,979, 6,239,235, 6,262, 191, and 6,833,415, each of which is incorporated herein by reference in its entirety.
- Suitable diluents used in slurry polymerization include, but are not limited to, the monomer being polymerized and hydrocarbons that are liquids under reaction conditions.
- suitable diluents include, but are not limited to, hydrocarbons such as propane, cyclohexane, isobutane, n-butane, n-pentane, isopentane, neopentane, and n-hexanc.
- Some loop polymerization reactions can occur under bulk conditions where no diluent is used.
- An example is polymerization of propylene monomer as disclosed in U.S. Patent Nos. 5,455,314, which is incorporated by reference herein in its entirety.
- the polymerization reactor may comprise at least one gas phase reactor.
- Such systems may employ a continuous recycle stream containing one or more monomers continuously cycled through a fluidized bed in the presence of the catalyst under polymerization conditions.
- a recycle stream may be withdrawn from the fluidized bed and recycled back into the reactor.
- polymer product may be withdrawn from the reactor and ne or fresh monomer may be added to replace the polymerized monomer.
- Such gas phase reactors may comprise a process for multi-step gas-phase polymerization of olefins, in which olefins are polymerized in the gaseous phase in at least two independent gas- phase polymerization zones while feeding a catalyst-containing polymer formed in a first polymerization zone to a second polymerization zone.
- One type of gas phase reactor is disclosed in U.S. Patent Nos. 5,352,749, 4,588,790, and 5,436,304, each of which is incorporated by reference in its entirety herein.
- a high pressure polymerization reactor may comprise a tubular reactor or an autoclave reactor.
- Tubular reactors may have several zones where fresh monomer, initiators, or catalysts are added.
- Monomer may be entrained in an inert gaseous stream and introduced at one zone of the reactor.
- Initiators, catalysts, and/or catalyst components may be entrained in a gaseous stream and introduced at another zone of the reactor.
- the gas streams may be intermixed for polymerization. Heat and pressure may be employed appropriately to obtain optimal polymerization reaction conditions.
- the polymerization reactor may comprise a solution polymerization reactor wherein the monomer/comonomer are contacted with the catalyst composition by suitable stirring or other means.
- a carrier comprising an inert organic diluent or excess monomer may be employed.
- the monomer/comonomer may be brought in the vapor phase into contact with the catalytic reaction product, in the presence or absence of liquid material.
- the polymerization zone is maintained at temperatures and pressures that will result in the formation of a solution of the polymer in a reaction medium. Agitation may be employed to obtain better temperature control and to maintain uniform polymerization mixtures throughout the polymerization zone. Adequate means are utilized for dissipating the exothermic heat of polymerization.
- Polymerization reactors suitable for the present invention may further comprise any combination of at least one raw material feed system, at least one feed system for catalyst or catalyst components, and/or at least one polymer recover)' system.
- Suitable reactor systems for the present invention may further comprise systems for feedstock purification, catalyst storage and preparation, extrusion, reactor cooling, polymer recovery, fractionation, recycle, storage, loadout, laboratory analysis, and process control.
- Polymerization conditions that are controlled for efficiency and to provide desired polymer properties can include temperature, pressure, and the concentrations of various reactants.
- Polymerization temperature can affect catalyst productivity, polymer molecular weight, and molecular weight distribution.
- a suitable polymerization temperature may be any temperature below the de-polymerization temperature according to the Gibbs Free energy equation. Typically, this includes from about 60 °C to about 280 °C, for example, or from about 60 °C to about 1 10 °C, depending upon the type of polymerization reactor. In some reactor systems, the polymerization temperature generally is within a range from about 70 °C to about 90 °C, or from about 75 °C to about 85 °C.
- Suitable pressures will also vary according to the reactor and polymerization type.
- the pressure for liquid phase polymerizations in a loop reactor is typically less than 1000 psig.
- Pressure for gas phase polymerization is usually at about 200 to 500 psig.
- High pressure polymerization in tubular or autoclave reactors is generally run at about 20,000 to 75,000 psig.
- Polymerization reactors can also be operated in a supercritical region occurring at generally higher temperatures and pressures. Operation above the critical point of a pressure/temperature diagram (supercritical phase) may offer advantages.
- aspects of this invention are directed to olefin polymerization processes comprising contacting a catalyst composition with an olefin monomer and optionally an olefin comonomer under polymerization conditions to produce an olefin polymer.
- the olefin polymer produced by the process can have a density greater than about 0.90 g/em 3 , or greater than about 0.91 g/cm J , for instance, in a range from about 0.91 to about 0.96 g cm 3 .
- the olefin polymer can have an average of less than about 10 short chain branches (SCB's) per 1000 total carbon atoms, or less than about 5 SCB's per 1000 total carbon atoms, for instance, from 0 to about 4 SCB's per 1000 total carbon atoms.
- SCB's short chain branches
- the olefin polymer can have less than about 0.005 long chain branches (LCB's) per 1000 total carbon atoms, for instance, less than about 0.002, or less than about 0.001, LCB's per 1000 total carbon atoms.
- the olefin polymer (e.g., copolymer) produced by the process can have a density greater than about 0.90 g/cm 3 , or greater than about 0.91 g cm 3 , for instance, in a. range from about 0.91 to about 0.95 g/cm 3 .
- the olefin polymer can have an average of from about 0.5 to about 10 short chain branches (SCB's) per 1000 total carbon atoms, for instance, from about 0.5 to about 4 SCB's per 1000 total carbon atoms.
- SCB's short chain branches
- the olefin polymer can have less than about 0.005 long chain branches (LCB's) per 1000 total carbon atoms, for instance, less than about 0.002, or less than about 0.001 , LCB's per 1000 total carbon atoms.
- the olefin polymer can have a bimodal molecular weight distribution.
- the olefin comonomer can have a conventional comonomer distribution.
- An olefin polymerization process of this invention can comprise contacting a catalyst composition with an olefin monomer and optionally an olefin comonomer under polymerization conditions to produce an olefin polymer, wherein the catalyst composition comprises an a «sa-metallocene compound having formula (I), a second metallocene compound, and an activator, wherein the polymerization process is conducted in the absence of added hydrogen.
- the a3 ⁇ 4sa-metallocene compound having formula. (I) can comprise an ansa- meialioeene compound having formula (II), formula (III), formula (IV), formula (V), formula (VI), formula (VII), formula (C), formula (D), formula (E), or combinations thereof; and the second metallocene compound can comprise a metallocene compound having formula (C2), formula (D2), formula (E2), formula (F2), or combinations thereof.
- hydrogen can be generated in-situ by metallocene catalyst compositions in various olefin polymerization processes, and the amount generated may vary depending upon the specific catalyst composition and metallocene compound(s) employed, the type of polymerization process used, the polymerization reaction conditions utilized, and so forth.
- an olefin polymerization process of this invention can comprise contacting a catalyst composition with an olefin monomer and optionally an olefin comonomer under polymerization conditions to produce an olefin polymer, wherein the catalyst composition comprises an a «.s'a-meiallocene compound having formula (I), a second metallocene compound, and an activator, and wherein the polymerization process is conducted in the presence of added hydrogen.
- the ratio of hydrogen to the olefin monomer in the polymerization process can be controlled, often by the feed ratio of hydrogen to the olefin monomer entering the reactor.
- the added hydrogen to olefin monomer ratio in the process can be controlled at a weight ratio which often falls within a range from about 10 to about 2,000 ppm, from about 25 ppm to about 1500 ppm, from about 50 to about 1000 ppm, from about 75 ppm to about 750 ppm, or from about 100 to about 500 ppm (by weight),
- FIG, 1 depicts graphically the impact of hydrogen addition on molecular weight in a. representative standard dual catalyst system, for molecular weight distribution curves as a function of increasing logarithm of the molecular weight.
- this conventional dual catalyst system the addition of hydrogen broadens the overall polymer molecular weight distribution.
- FiG. 2 depicts graphically the impact of hydrogen addition on molecular weight in a representative dual catalyst system in accordance with aspects of the present invention, for molecular weight distribution curves as a function of increasing logarithm of the molecular weight.
- the addition of hydrogen unexpectedly narrows the overall polymer molecular weight distribution.
- the a «sa-metallocene compound having formula ( ⁇ ) with an activator e.g., a chemically treated solid oxide
- an activator e.g., a chemically treated solid oxide
- a higher molecular weight component of the polymer produced via the second metallocene can be independently controlled with hydrogen addition.
- the polymerization process is conducted in the presence of added hydrogen, and the Mw/Mii ratio of the olefin polymer produced by the process can decrease as the amount of added hydrogen increases from about 100 to about 1000 ppm, for instance, from about 100 to about 500 ppm, or from about 100 to about 400 ppm.
- the decrease in the Mw/Mn ratio can be up to 10%, up to 15%, or up to 20%, or more; non-limiting examples of ranges of the percentage decrease in the Mw/Mn ratio include from about 0.1% to about 20%, from about 0.5% to about 15%, from about 0.5% to about 10%, from about 1% to about 10%, or from about 1% to about 8%, and the like.
- the molecular weight distribution of the olefin polymer can be narrowed as hydrogen addition increases.
- the Mw/Mn ratio of the polymer produced by the process in the presence of about 350 ppm added hydrogen (or about 300 ppm, or about 400 ppm) can be less than the Mw/Mn of a polymer produced by the process in the presence of about 150 ppm added hydrogen (or about 100 ppm, or about 200 ppm), when produced under the same polymerization conditions.
- the Mw/Mn ratio can be up to 10% less, up to 15% less, or up to 20% less, etc., while in another aspect, the Mw/Mn can be less by a percentage in a range from about 0.1 % to about 20%, from about 0.5% to about 15%, from about 0.5% to about 10%, from about 1% to about 10%, or from about 1% to about 8%.
- the Mw/Mn ratio of a polymer produced by the process in the presence of added hydrogen can be reduced from a Mw/Mn of greater than 6 to a Mw/Mn of less than 5.5, reduced from a Mw/Mn of greater than 5.5 to a Mw/Mn of less than 5, reduced from a Mw/Mn of greater than 5 to a Mw/Mn of less than 5, or reduced from a Mw/Mn of greater than 4.5 to a Mw/Mn of less than 4.5.
- these processes can be conducted in the presence of a comonomer (one or more), such as, for instance, at a comonomenmonomer molar ratio in a range from about 0.01 to about 0.25: 1, about 0.02: 1 to about 0.2.0: 1, or about 0.01 to about 0.10: 1.
- a comonomer one or more
- these processes can be conducted in the presence of a comonomer (one or more), such as, for instance, at a comonomenmonomer molar ratio in a range from about 0.01 to about 0.25: 1, about 0.02: 1 to about 0.2.0: 1, or about 0.01 to about 0.10: 1.
- Applicants also contemplate a method of decreasing a Mw/Mn ratio of an olefin polymer, and this method comprises contacting a catalyst composition with an olefin monomer and an optional olefin comonomer under polymerization conditions to produce the olefin polymer; contacting the catalyst composition with the olefin monomer and the optional olefin comonomer in the presence of added hydrogen; and increasing the amount of added hydrogen within the range of from about 100 to about 1000 ppm, or from about 100 to about 500 ppm, or from about 100 to about 400 ppm; wherein the catalyst composition comprises an a «s -metallocene compound having formula (I), a second metaliocene compound, and an activator (e.g., an activator- support).
- an activator e.g., an activator- support
- the amount of added hydrogen can be increased from about 150 ppm to about 350 ppm, unexpectedly resulting in a decrease in the Mw/Mn of the polymer.
- the Mw/Mn ratio can be decreased up to 10%, up to 15%, or up to 20%, etc., for instance, the Mw/Mn can be decreased by a percentage in a range from about 0.1% to about 20%, from about 0.5% to about 15%, from about 0.5% to about 10%, from about 1% to about 10%, or from about 1% to about 8%, Further, in some aspects, the Mw/Mn ratio can be decreased from a Mw/Mn of greater than 6 to a Mw Mn of less than 5.5, decreased from a Mw/Mn of greater than 5,5 to a Mw/Mn of less than 5, decreased from a Mw/Mn of greater than 5 to a Mw/Mn of less than 5, or decreased from a Mw/Mn of greater than 4.5 to a Mw/Mn of less than
- an olefin polymerization process of this invention can comprise contacting a catalysi composition with an olefin monomer and optionally an olefin comonomer under polymerization conditions to produce an olefin polymer, wherein the catalyst composition comprises an a/jsa-metallocene compound having formula (I), a second metaliocene compound, and an activator, and wherein the polymerization process is conducted in the presence of added hydrogen.
- the Mw of the high molecular weight component of the olefin polymer can be independently controlled.
- the Mw of the high molecular weight component of the olefin polymer can be reduced by the addition of hydrogen, while the Mw of the low molecular weight component of the olefin polymer is not reduced by the addition of hydrogen.
- Such can be the case over a range of added hydrogen failing generally between about 100 and about 1000 ppm, between about 100 and about 500 ppm, or between about 100 and about 400 ppm.
- an olefin polymerization process can comprise contacting a catalyst composition with an olefin monomer and an olefin comonomer under polymerization conditions to produce an olefin polymer, and in this aspect, the olefin polymer (e.g., an olefin copolymer) has a conventional comonomer distribution.
- the olefin polymer e.g., an olefin copolymer
- the catalyst composition employed can comprise an oKs -metallocene compound having formula (I), a second metaliocene compound (e.g., a metaliocene containing hafnium or, alternatively, zirconium), and an activator (e.g., an activator-support comprising a solid oxide treated with an electron- withdrawing anion). Often, this polymerization process can be conducted in the presence of added hydrogen.
- an oKs -metallocene compound having formula (I) e.g., a metaliocene containing hafnium or, alternatively, zirconium
- an activator e.g., an activator-support comprising a solid oxide treated with an electron- withdrawing anion
- Typical levels of added hydrogen can include, but are not limited to, from about 50 ppm to about 2.000 ppm, from about 75 ppm to about 1500 ppm, from about 75 ppm to about 1250 ppm, from about 100 ppm to about 1000 ppm, or from about 100 ppm to about 750 ppm, and the like.
- Applicants also contemplate a method of producing an olefin polymer (e.g., an olefin copolymer) having a conventional comonomer distribution, and this method comprises contacting a catalyst composition with an olefin monomer and an olefin comonomer under polymerization conditions to produce the olefin polymer; contacting the catalyst composition with the olefin monomer and the olefin comonomer in the presence of added hydrogen; wherein the catalyst composition comprises an ansa- metallocene compound having formula (I), a second metallocene compound, and an activator (e.g., an activator-support).
- an activator e.g., an activator-support
- the aRs -metallocene compound having formula (I) and the second metallocene in the catalyst composition can be selected such that the ansa-metallocene compound having formula (I) can produce the higher molecular weight component of the polymer, and the second metallocene can favor comonomer incorporation and produce the lower molecular weight component of the polymer.
- the feed or reactant ratio of hydrogen to olefin monomer can be maintained substantially constant during the polymerization run for a particular polymer grade. That is, the hydrogen:oiefin monomer ratio can be selected at a particular ratio within a range from about 5 ppm up to about 1500 ppm or so, and maintained at the ratio to within about +/- 25% during the polymerization run. For instance, if the target ratio is 100 ppm, then maintaining the hydrogen: olefin monomer ratio substantially constant would entail maintaining the feed ratio between about 75 ppm and about 125 ppm. Further, the addition of comonomer (or comonomers) can be, and generally is, substantially constant throughout the polymerization run for a particular polymer grade.
- monomer, comonomer (or comonomers), and/or hydrogen can be periodically pulsed to the reactor, for instance, in a manner similar to that employed in U.S. Patent No. 5,739,220 and U.S. Patent Publication No. 2004/0059070, the disclosures of which are incorporated herein by reference in their entirety.
- the concentration of the reactants entering the polymerization reactor can be controlled to produce resins with certain physical and mechanical properties.
- the proposed end-use product that will be formed by the polymer resin and the method of forming that product ultimately can determine the desired polymer properties and attributes.
- Mechanical properties include tensile, fiexural, impact, creep, stress relaxation, and hardness tests.
- Physical properties include density, molecular weight, molecular weight distribution, melting temperature, glass transition temperature, temperature melt of crystallization, density, stereoregularity, crack growth, long chain branching, and rheological measurements.
- This invention is also directed to, and encompasses, the polymers produced by any of the polymerization processes disclosed herein.
- Articles of manufacture can be formed from, and/or can comprise, the polymers produced in accordance with this invention.
- the resultant polymer produced in accordance with the present invention is, for example, a. polymer or copolymer of ethylene
- its properties can be characterized by various analytical techniques known and used in the polyolefin industry.
- Articles of manufacture can be formed from, and/or can comprise, the ethylene polymers of this invention, whose typical properties are provided below.
- Polymers of ethylene (copolymers, terpolymers, etc.) produced in accordance with this invention generally have a melt index from 0 to about 100 g/IO min. Melt indices in the range from 0 to about 75 g 10 min, from 0 to about 50 g/10 min, or from 0 to about 25 g/10 min, are contemplated in some aspects of this invention.
- a polymer of the present invention can have a melt index (MI) in a range from 0 to about 5 g ' l 0 min, from 0 to about I g/10 min, or from 0 to about 0.5 g/10 min.
- MI melt index
- Ethylene polymers produced in accordance with this invention can have a ratio of HLMI/MI of greater than about 5, such as, for example, greater than about 10, greater than about 15, or greater than about 20.
- Contemplated ranges for HLMT/MI include, but are not limited to, from about 5 to about 150, from about 10 to about 12.5, from about 10 to about 100, from about 15 to about 90, from about 15 to about 80, from about 15 to about 70, or from about 15 to about 65.
- the densities of ethylene-based polymers produced using the catalyst systems and processes disclosed herein often are greater than about 0.90 g/cm 3 .
- the density of an ethylene polymer can be greater than about 0.91 , greater than about 0.92, or greater than about 0.93 g/cm 3 .
- the density can be in a range from about 0.90 to about 0.97 g/cm 3 , such as, for example, from about 0.91 to about 0.96 g/cm 3 , from about 0.92 to about 0.96 g/cm 3 , or from about 0.91 to about 0.95 g/cm 3 .
- Ethylene polymers of this invention generally can have an average of from 0 to about 10 short chain branches (SCB's) per 1000 total carbon atoms.
- SCB's short chain branches
- average SCB contents in a range from 0.5 to about 10, from 0 to about 8, from 0 to about 5, or from about 0.5 to about 5, SCB's per 1000 total carbon atoms are contemplated herein.
- Ethylene polymers such as copolymers and terpolymers, within the scope of the present invention generally have a polydispersity index - a ratio of the weight-average molecular weight (Mw) to the number-average molecular weight (Mn) - in a range from 2 to about 10.
- the ratio of Mw/Mn is in a range from about 3 to about 9, from about 3 to about 8, or from about 4 to about 7.
- the ratio of Mz/Mw for the polymers of this invention often is in a range from about 1.6 to about 12.
- Mz is the z-average molecular weight.
- the Mz/Mw of the ethylene polymers of this invention can be in a range from about 1 .6 to about 10, from about 1.7 to about 5, from about 1.7 to about 3, or from about 1.7 to about 2.5.
- olefin polymers of the present invention have low levels of long chain branching, with typically less than 0.05 long chain branches (LCB's) per 1000 total carbon atoms. In some aspects, the number of LCB's per 1000 total carbon atoms is less than about 0.02, less than about 0.01, or less than about 0.008. Furthermore, olefin polymers of the present invention (e.g., ethylene polymers) can have less than about 0.005, less than about 0.004, less than about 0.003, less than about 0.002, or less than about 0.001 LCB's per 1000 total carbon atoms, in other aspects of this invention.
- LCB's long chain branching
- Certain ethylene polymers (e.g., certain copolymers) produced using the polymerization processes and catalyst systems described above can have a conventional comonomer distribution, i.e., a short chain branch content that decreases as molecular weight increases, for example, the higher molecular weight components of the poly mer generally have lower comonomer incorporation than the lower molecular weight components.
- the amount of comonomer incorporation at higher molecular weights can be about 20% lower, or about 30% lower, or about 50% lower, or about 70% lower, or about 90% lower, than at lower molecular weights.
- Ethylene polymers of this invention may have a SCBD (short chain branching distribution) that is similar to the SCBD found in ethylene polymers produced using traditional Ziegler-Natta catalyst systems (i.e., a conventional comonomer distribution).
- SCBD short chain branching distribution
- the SCBD of certain polymers of the present invention can be characterized by the ratio of the number of SCB's per 1000 total carbon atoms of the polymer at DIO to the number of SCB's per 1000 total carbon atoms of the polymer at D90, i.e., (SCB's at D10) / (SCB's at D90).
- D90 is the molecular weight at which 90% of the polymer by weight has higher molecular weight
- D10 is the molecular weight at which 10% of the polymer by weight has higher molecular weight.
- D90 and D10 are depicted graphically in FIG. 3 for a molecular weight distribution curve as a function of increasing logarithm of the molecular weight.
- a ratio of the number of SCB's per 1000 total carbon atoms of the polymer at DIO to the number of SCB's per 1000 total carbon atoms of the polymer at D90 is less than about 0.9.
- the ratio of (SCB's at D10) / (SCB's at D90) can be in a range from about 0.1 to about 0.9.
- the ratio is less than about 0.8, or less than about 0.7
- the ratio of the number of SCB's per 1000 total carbon atoms of the polymer at D10 to the number of SCB's per 1000 total carbon atoms of the polymer at D90 is in a range from about 0.2 to about 0.8, such as, for example, from about 0.3 to about 0.7.
- An illustrative and non-limiting example of an ethylene polymer of the present invention can be characterized by a density greater than about 0.90 g/cm', or greater than about 0.91 g/cm 3 (e.g., in a range from about 0.91 to about 0.96 g/cm 3 ); and/or an average of less than about 10 short chain branches (SCB's) per 1000 total carbon atoms, or less than about 5 SCB's per 1000 total carbon atoms (e.g., in a range from 0 to about 4 SCB's per 1000 total carbon atoms); and/or less than about 0.005 long chain branches (LCB's) per 1000 total carbon atoms (e.g., less than about 0.002, or less than about 0.001 , LCB's per 1000 total carbon atoms); and/or a melt index in a range from 0 to about 5 g/10 min (e.g., from 0 to about 0.5 g/10 min); and/or a ratio
- an ethylene polymer (e.g., copolymer) of the present invention can be characterized by a density greater than about 0.90 g ' cm 3 , or greater than about 0.91 g/cm 3 (e.g., in a range from about 0.91 to about 0.95 g cm 3 ); and/or an average of from about 0.5 to about 10 short chain branches (SCB's) per 1000 total carbon atoms (e.g., in a range from about 0.5 to about 4 SCB's per 1000 total carbon atoms); and/or less than about 0.005 long chain branches (LCB's) per 1000 total carbon atoms (e.g., less than about 0.002, or less than about 0.001, LCB's per 1000 total carbon atoms; and/or a bimodal molecular weight distribution; and/or a conventional comonomer distribution (e.g., a number of SCB's per 1000 total carbon atoms being greater at Mn
- Polymers of ethylene can be formed into various articles of manufacture.
- Articles which can comprise polymers of this invention include, but are not limited to, an agricultural film, an automobile part, a bottle, a drum, a fiber or fabric, a food packaging film or container, a food sendee article, a fuel tank, a geomembrane, a household container, a liner, a. molded product, a medical device or material, a pipe, a sheet or tape, a toy, and the like.
- Various processes can be employed to form these articles.
- Non-limiting examples of these processes include injection molding, blow molding, rotational molding, film extrusion, sheet extrusion, profile extrusion, thermoforming, and the like. Additionally, additives and modifiers are often added to these polymers in order to provide beneficial polymer processing or end-use product attributes. Such processes and materials are described in Modern Plastics Encyclopedia, Mid-November 1995 Issue, Vol. 72, No. 12; and Film Extrusion Manual - Process, Materials, Properties, TAPPi Press, 1992; the disclosures of which are incorporated herein by reference in their entirety.
- a method can comprise (i) contacting a catalyst composition with an olefin monomer and optionally an olefin comonomer (one or more) under polymerization conditions to produce an olefin polymer, wherein the catalyst composition can comprise an a «sa-metallocene compound having formula (I), a second metallocene compound, an activator (e.g., an activator-support), and an optional co-catalyst (e.g., an organoaluminum compound); and (is) forming an article of manufacture comprising the olefin polymer.
- the forming step can comprise blending, melt processing, extruding, molding, or ihermoforming, and the like, including combinations thereof.
- MI Melt index
- High load melt index (HLMI, g/ 10 min) was determined in accordance with ASTM D1238 at 190 °C with a 21 ,600 gram weight.
- Polymer density was determined in grams per cubic centimeter (g/cm 3 ) on a compression molded sample, cooled at about 15 °C per hour, and conditioned for about 40 hours at room temperature in accordance with ASTM D1505 and ASTM D1928, procedure C.
- SEC-MALS combines the methods of size exclusion chromatography (SEC) with multi-angle light scattering (MALS) detection.
- a DAWN EOS 18-angle light scattering photometer (Wyatt Technology, Santa Barbara, CA) was attached to a PL- 210 SEC system (Polymer Labs, UK.) or a Waters 150 CV Plus system (Mifford, MA) through a hot transfer line, thermally controlled at the same temperature as the SEC columns and its differential refractive index (DRI) detector (145 °C).
- DRI differential refractive index
- the mobile phase 1,2,4-trichlorobenzene (TCB)
- TBC 1,2,4-trichlorobenzene
- Polyethylene (PE) solutions with concentrations of -1 .2 mg mL, depending on samples, were prepared at 150 °C for 4 h before being transferred to the SEC injection vials sitting in a carousel heated at 145 °C. For polymers of higher molecular weight, longer heating times were necessary in order to obtain true homogeneous solutions.
- the Zimm-Stockmayer approach was used to determine the amount of LCB. Since SEC-MALS measures M and Rg at each slice of a chromatogram simultaneously, the branching indices, g , as a function of M could be determined at each slice directly by determining the ratio of the mean square Rg of branched molecules to that of linear ones, at the same M, as shown in following equation (subscripts br and tin represent branched and linear polymers, respectively).
- the weight-averaged number of LCB per molecule (B $w ) was computed using Zimm-Stockmayer' s equation, shown in the equation below, where the branches were assumed to be trifunctional, or Y-sha ed.
- LCBD LCB distribution across the molecular weight distribution
- Short chairs branching distribution (SCBD) data was obtained using a SEC- FTIR high temperature heated flow cell (Polymer Laboratories) as described by P.J. DesLauriers, D.C. Rohifing, and E.T. Hsieh, Polymer, 43, 159 (2002).
- T, ; viscous relaxation time
- n fixes the final power law slope, fixed at 2/1 1;
- Nuclear Magnetic Resonance (NMR) spectra were obtained on a Varian Mercury Plus 300 NMR spectrometer. CDC1 3 and (D were purchased from Cambridge Isotope Laboratories, degassed and stored over activated 13X molecular sieves under nitrogen. NMR spectra were recorded using capped or J. Young NMR tubes at ambient probe conditions. ⁇ chemical shifts are reported versus SiMe 4 and were determined by reference to the residual ! H and solvent peaks. Coupling constants are reported in Hz.
- the sulfated alumina activator-support (abbreviated ACT”) employed in some of the examples was prepared in accordance with the following procedure.
- Bohemite was obtained from W.R, Grace Company under the designation "Alumina. A” and having a surface area of about 300 m 2 /g and a pore volume of about 1.3 mL/g.
- This material was obtained as a powder having an average particle size of about 100 microns.
- This material was impregnated to incipient wetness with an aqueous solution of ammonium sulfate to equal about 15% sulfate. This mixture was then placed in a flat pan and allowed to dry under vacuum at approximately 110 °C for about 16 hours.
- the fluorided silica-alumina activator-support (abbreviated ACT2) employed in some of the examples was prepared in accordance with the following procedure.
- a silica-alumina was obtained from W.R. Grace Company containing about 13% alumina, by weight and having a surface area of about 400 m 2 /g and a pore volume of about 1.2 mL/g. This material was obtained as a powder having an average particle size of about 70 microns. Approximately 100 grams of this material were impregnated with a solution containing about 200 mL of water and about 10 grams of ammonium hy drogen fluoride, resulting in a damp powder having the consistency of wet sand. This mixture was then placed in a flat pan and allowed to dry under vacuum at approximately 1 10 °C for about 16 hours.
- the fluorided silica-alumina activator-support (abbreviated ACT 4) employed in some of the examples was prepared in accordance with the following procedure.
- a silica-coated alumina was obtained from Sasol Company under the designation "Siraf 28M" containing about 72% alumina by weight, and having a. surface area of about 340 mVg, a pore volume of about 1.6 mL/g, and an average particle size of about 90 microns.
- About 20 g of the Siral 28M was first calcined at about 600 °C for approximately 8 hours, then impregnated to incipient wetness with 60 mL of a methanol solution containing 2 g of ammonium bifluoride. This mixture was then placed in a flat pan and allowed to dry under vacuum at approximately 110 °C for about 12 hours.
- the powdered mixture was placed in a 2 -inch bed fluidized by dry nitrogen. The temperature was ramped up to 600 °C over a period of 1,5 hours, and then held at 600 °C for three hours. Afterward, the fluorided silica- coated alumina (ACT4) was collected and stored under dry nitrogen, and was used without exposure to the atmosphere.
- ACT4 fluorided silica- coated alumina
- the tiianated fluorided silica-alumina activator-support (abbreviated ACT3) employed in some of the examples was prepared in accordance with the following procedure, A silica-coated alumina was obtained from Sasol Company under the designation "Siral 28M” containing about 72% alumina by weight, and having a surface area of about 340 m 2 /g, a pore volume of about 1 ,6 mL/g, and an average particle size of about 90 microns.
- silica-coated alumina was obtained from Sasol Company under the designation "Siral 28M" containing about 72% alumina by weight, and having a surface area of about 340 m 2 /g, a pore volume of about 1 ,6 mL/g, and an average particle size of about 90 microns.
- This mixture was then placed in a flat pan and allowed to dry under vacuum at approximately 110 °C for about 12 hours.
- the powdered mixture was placed in a 2 -inch bed fluidized by dry nitrogen. The temperature was ramped up to 600 °C over a period of 1,5 hours, and then held at 600 °C for three hours. Afterward, the titan ated fluorided silica-coated alumina (ACTS) was collected and stored under dry nitrogen, and was used without exposure to the atmosphere.
- ACTS titan ated fluorided silica-coated alumina
- the polymerization runs were conducted in a one-gallon (3.8-liter) stainless steel reactor as follows. First, the reactor was purged with nitrogen and then with isobutane vapor. Approximately 0.5 mL of a 1M solution in heptane of either triisobutylalumi um (TIBA) or triethyialuminum (TEA), the activator-support. (ACT1 , ACT2, ACT3, or ACT4), and the metallocene(s) (MET! , MET2, MET3, MET A; structures provided below) were added through a charge port while venting isobutane vapor. The charge port was closed and about 2 L of isobutane were added.
- TIBA triisobutylalumi um
- TAA triethyialuminum
- the resulting mixture was stirred for 5 min, and then heated to the desired polymerization temperature.
- ethylene was charged to the reactor to achieve the desired total reactor pressure, along with a desired amount of 1-hexene comonomer (if used).
- Ethylene was fed on demand as the polymerization reaction proceeded to maintain constant reactor pressure. If used, hydrogen was added at a fixed mass ratio with respect to the ethylene flow.
- the reactor was maintained and controlled at the desired temperature and reactor pressure throughout the 60 min run time of the polymerization.
- the isobutane and ethylene were vented from the reactor, the reactor was opened and cooled, and the polymer product was collected and dried.
- Metallocene compounds used in these examples had the following structures and abbreviations:
- the supernatant solution was removed by cannula, and this toluene extraction procedure was repeated to produce two toluene extracts.
- the two extracts were combined and evaporated to a volume of approximately 75 mL.
- the resulting suspension was warmed to 40 °C in a hot water bath, and stirred to dissolve the precipitated solid. The stirring was halted upon complete dissolution of the solid, and then the solution was allowed to cool slowly to approximately 22 °C for about 16 hours.
- the supernatant solution was decanted by cannula and the resulting precipitate was dried under vacuum to obtain rac/meso- ⁇ ,2- bis(inden- l-yl)-l,l,2,2-tetra.methyidisila.ne as an amber, crystalline solid (5.55 g).
- the supernatant solution was concentrated and a recrystallization procedure analogous to the aforementioned was repeated twice to obtain two additional amounts of the rac/meso-bridged ligand (2.83 g and 1.52 g, respectively) exhibiting comparable NMR purity to that of the first.
- a suspension of ZrCl 4 (1.90 g, 8.14 mmol) in toluene (50 mL) was prepared and cooled to -5 °C.
- the lithiated bis(indenide) solution obtained from the rac/meso-bddg d ligand was added to the stirred zirconium suspension by cannula, over 30 sec.
- the cooling bath was removed and the resulting yellow-orange suspension was stirred and warmed to approximately 22 °C over 16 hr.
- the yellow suspension was evaporated under vacuum and toluene (50 mL) was added by cannula.
- FIG. 4 illustrates the molecular weight distributions of the polymers of Examples 3, 5, and 7.
- FIG. 4 demonstrates that Mw was substantially constant over a range of amounts of added hydrogen.
- FIG. 5 illustrates the molecular weight distributions of the polymers of
- FIG. 5 demonstrates that Mw decreased as the amount of added hydrogen increased.
- FIG. 6 illustrates the molecular weight distributions of the polymers of Examples 2-3 and 16.
- FIG. 6 demonstrates that Mw/Mn increased as comonorner content increased, in the absence of added hydrogen.
- FIG. 7 illustrates the molecular weight distributions of the polymers of Examples 6-7 and 44-45 at 250 ppm added hydrogen.
- FIG. 7 demonstrates that the Mw and the Mw/Mn of the copolymers were significantly greater than that of the homopolymer.
- FIG. 8 illustrates the radius of gyration versus the logarithm of the molecular weight for a linear standard and the polymers of Examples 2-3 and 6-7, with data from SEC-MALS.
- FIG. 8 demonstrates these polymers were substantially linear polymers with minimal amounts of LCB's (long chain branches).
- FIG. 9 illustrates the Delta versus the log G* (complex modulus) for the polymers of Examples 2-3 and 6-7. Similar to FIG. 8, the rheology data in FIG. 9 demonstrates that these polymers were substantially linear.
- FIG. 10 illustrates the catalyst activity versus initial l-hexene comonomer concentration for Examples 2-7 and 40-45 at varying amounts of added hydrogen.
- FIG. 10 demonstrates that the catalyst activities for these examples were substantially constant at a given comonomer concentration, even when hydrogen was added. Additionally, FIG. 10 demonstrates that the catalyst activity generally decreased as comonomer content increased.
- FIG. 11 illustrates plots of first order models of catalyst activity versus initial 1 - hexene comonomer concentration for Examples 2-7 and 40-45
- FIG. 11 demonstrates that the catalyst activities (abbreviated A) of these examples varied uniformly with comonomer concentration ( ⁇ -hexene) at a given hydrogen content, following the first order exponential profile of (eq.l) below, where k is the slope.
- FIG. 12 illustrates plots of the logarithm of melt index versus the logarithm of the hydrogen feed concentration (hydrogen/eihyiene) for the polymers of Examples 4- 5, 7, and 17-24.
- FIG. 12 demonstrates the difference in hydrogen response when a copolymer was being produced as compared to when a homopolymer was being produced.
- FIG. 13 illustrates a plot of the high load melt index versus the melt index for the polymers of Examples 4 and 17-24.
- FIG. 13 demonstrates that the shear rate ratio (HLMI/ ⁇ ) was substantially constant across a range of hydrogen concentrations under homopolymer conditions.
- FIG. 14 illustrates a plot of zero shear viscosity versus weight- average molecular weight, specifically, log( ⁇ o) versus iog(fviw), for the polymers of Examples 2-3, 5-7, 18, 44-45, and 66-67.
- FIG. 14 demonstrates the low levels of long chain branches (LCB's) attainable with this invention. Linear polyethylene polymers are observed to follow a power law relationship between their zero shear viscosity, ?/ 0 , and their weight- average molecular weight, Mw, with a power very close to 3.4.
- LLB's long chain branches
- the ansa-metallocene having formula (I) used in these examples was METl, and the second metallocene was MET A; following are their respective structures and abbreviations:
- the polymerization conditions and the resultant polymer properties for Examples 100-102 are summarized in Table II.
- the H 2 feed in ethylene is listed in ppm on a weight basis (ppmw).
- the catalyst components were precoiitacted for 5 min prior to polymerization.
- the catalyst activity listed in Table II is based on either the weight of ACT 1 or on the total moles of METl and MET A .
- FIG. 15 illustrates the molecular weight distributions of the polymers of Examples 100-102.
- Table ⁇ and FIG, 15 demonstrate, unexpectedly, that the molecular weight distribution narrowed (e.g., the Mw/Mn ratio decreased) as the amount of added hydrogen increased.
- Constructive Example 103 uses the following metallocene compounds in a dual catalyst system:
- Constructive Example 104 uses the following metallocene compounds in a dual catalyst system:
- Constructive Example 105 uses the following metallocene compounds in a dual catalyst system:
- a stirred one-gallon stainless steel polymerization reactor can be used for the Constructive Examples 103-105.
- the catalyst composition can contain approximately 3 mg of the disilyl metallocene (MET1, MET2, or MET3); approximately 1 mg of the second metallocene (MET A, MET B, or MET C) that can incorporate comonomer more effectively than the disilyl metallocene; approximately 150 mg of an activator- support such as ACT! (alternatively, can be ACT2 or ACTS); and approximately 0,5 mL of a 1 M heptane solution of a irialkylaluminum, e.g., TIBA.
- the catalyst components are fed into the reactor via a charge port against a slow flow of isobutane vapor.
- the reactor is sealed, followed by the addition of 2 L of liquid isobutane.
- the reactor contents are stirred and heated to a polymerization temperature of about 90 °C.
- ethylene is charged to the reactor to achieve the desired reactor pressure of 390 psig, along with 30 g of l-hexene comonomer.
- Ethylene can be fed on demand as the polymerization reaction proceeds in order to maintain constant reactor pressure.
- Hydrogen is introduced to the reactor by dilution in the ethylene feed stream at a feed concentration of about 1000 ppmw (alternatively, can be at another addition level in the 750 ppmw to 1250 ppmw range).
- the polymerization reaction can be conducted for 60 min. Upon completion of the polymerization experiment, the reactor is vented, then the reactor is opened and cooled, and the polymer product is collected and dried.
Landscapes
- Chemical & Material Sciences (AREA)
- Health & Medical Sciences (AREA)
- Chemical Kinetics & Catalysis (AREA)
- Medicinal Chemistry (AREA)
- Polymers & Plastics (AREA)
- Organic Chemistry (AREA)
- Transition And Organic Metals Composition Catalysts For Addition Polymerization (AREA)
Description
Claims
Priority Applications (4)
| Application Number | Priority Date | Filing Date | Title |
|---|---|---|---|
| SG11201406154VA SG11201406154VA (en) | 2012-04-02 | 2013-03-28 | Catalyst systems containing a bridged metallocene reference to related application |
| MX2014011850A MX2014011850A (en) | 2012-04-02 | 2013-03-28 | Catalyst systems containing a bridged metallocene reference to related application. |
| BR112014024572A BR112014024572A2 (en) | 2012-04-02 | 2013-03-28 | catalyst systems containing a bridged metallocene |
| EP13716647.6A EP2834281A1 (en) | 2012-04-02 | 2013-03-28 | Catalyst systems containing a bridged metallocene reference to related application |
Applications Claiming Priority (2)
| Application Number | Priority Date | Filing Date | Title |
|---|---|---|---|
| US13/437,277 | 2012-04-02 | ||
| US13/437,277 US8609793B2 (en) | 2010-10-07 | 2012-04-02 | Catalyst systems containing a bridged metallocene |
Publications (1)
| Publication Number | Publication Date |
|---|---|
| WO2013151863A1 true WO2013151863A1 (en) | 2013-10-10 |
Family
ID=48096306
Family Applications (1)
| Application Number | Title | Priority Date | Filing Date |
|---|---|---|---|
| PCT/US2013/034373 Ceased WO2013151863A1 (en) | 2012-04-02 | 2013-03-28 | Catalyst systems containing a bridged metallocene reference to related application |
Country Status (6)
| Country | Link |
|---|---|
| EP (1) | EP2834281A1 (en) |
| CN (1) | CN103360518B (en) |
| BR (1) | BR112014024572A2 (en) |
| MX (1) | MX2014011850A (en) |
| SG (1) | SG11201406154VA (en) |
| WO (1) | WO2013151863A1 (en) |
Cited By (13)
| Publication number | Priority date | Publication date | Assignee | Title |
|---|---|---|---|---|
| WO2014088938A1 (en) * | 2012-12-06 | 2014-06-12 | Chevron Phillips Chemical Company Lp | Catalyst system with three metallocenes for producing broad molecular weight distribution polymers |
| US9988410B2 (en) | 2015-07-15 | 2018-06-05 | Exxonmobil Chemical Patents Inc. | Substituted bis indenyl metallocene catalyst compounds comprising-Si—Si-bridge |
| WO2019025530A1 (en) * | 2017-08-02 | 2019-02-07 | Total Research & Technology Feluy | Dual catalyst composition |
| WO2019099250A1 (en) | 2017-11-14 | 2019-05-23 | Exxonmobil Chemical Patents Inc. | (di)silicon bridged metallocenes that produce polyethylene broad molecular weight distribution and molecular weight |
| WO2019236351A1 (en) * | 2018-06-04 | 2019-12-12 | Exxonmobil Chemical Patents Inc. | Metallocenes with si-si bridges |
| WO2020096645A1 (en) * | 2017-11-14 | 2020-05-14 | Exxonmobil Chemical Patents Inc. | Polyethylene compositions and articles made therefrom |
| WO2020214466A1 (en) * | 2019-04-17 | 2020-10-22 | Exxonmobil Chemical Patents Inc. | Metallocenes with two -si-si-bridges |
| US10882925B2 (en) | 2017-11-29 | 2021-01-05 | Exxonmobil Chemical Patents Inc. | Catalysts that produce polyethylene with broad, bimodal molecular weight distribution |
| US10889663B2 (en) | 2017-11-29 | 2021-01-12 | Exxonmobil Chemical Patents Inc. | Asymmetric ANSA-metallocene catalyst compounds for producing polyolefins having a broad molecular weight distribution |
| US11091571B2 (en) | 2016-12-05 | 2021-08-17 | Lg Chem, Ltd. | Hybrid supported catalyst |
| US11130827B2 (en) | 2017-11-14 | 2021-09-28 | Exxonmobil Chemical Patents Inc. | Polyethylene compositions and articles made therefrom |
| CN113549260A (en) * | 2020-04-24 | 2021-10-26 | 中国石油化工股份有限公司 | Composition containing polypropylene homopolymer, polypropylene material, preparation method and application thereof |
| US11306162B2 (en) | 2019-04-17 | 2022-04-19 | Exxonmobil Chemical Patents Inc. | Metallocenes with two -Si-Si- bridges |
Families Citing this family (2)
| Publication number | Priority date | Publication date | Assignee | Title |
|---|---|---|---|---|
| BR112018000843A2 (en) * | 2015-07-15 | 2018-09-11 | Exxonmobil Chemical Patents Inc | substituted bis indenyl metallocene catalyst compounds which comprise -si-silica bridge |
| WO2019108315A1 (en) * | 2017-11-28 | 2019-06-06 | Exxonmobil Chemical Patents Inc. | Catalyst systems and polymerization processes for using the same |
Citations (60)
| Publication number | Priority date | Publication date | Assignee | Title |
|---|---|---|---|---|
| US3242099A (en) | 1964-03-27 | 1966-03-22 | Union Carbide Corp | Olefin polymerization catalysts |
| US3248179A (en) | 1962-02-26 | 1966-04-26 | Phillips Petroleum Co | Method and apparatus for the production of solid polymers of olefins |
| US4060480A (en) | 1971-09-03 | 1977-11-29 | Chevron Research Company | Hydrocarbon hydroconversion process employing hydroxy-aluminum stabilized catalysts supports |
| US4452910A (en) | 1982-06-15 | 1984-06-05 | Standard Oil Company (Indiana) | Chromium expanded smectite clay |
| US4501885A (en) | 1981-10-14 | 1985-02-26 | Phillips Petroleum Company | Diluent and inert gas recovery from a polymerization process |
| US4588790A (en) | 1982-03-24 | 1986-05-13 | Union Carbide Corporation | Method for fluidized bed polymerization |
| US4794096A (en) | 1987-04-03 | 1988-12-27 | Fina Technology, Inc. | Hafnium metallocene catalyst for the polymerization of olefins |
| US4808561A (en) | 1985-06-21 | 1989-02-28 | Exxon Chemical Patents Inc. | Supported polymerization catalyst |
| US5352749A (en) | 1992-03-19 | 1994-10-04 | Exxon Chemical Patents, Inc. | Process for polymerizing monomers in fluidized beds |
| US5376611A (en) | 1991-12-09 | 1994-12-27 | Phillips Petroleum Company | Chromium ribbon-like silicate clay A-olefin catalysts |
| US5436304A (en) | 1992-03-19 | 1995-07-25 | Exxon Chemical Patents Inc. | Process for polymerizing monomers in fluidized beds |
| US5455314A (en) | 1994-07-27 | 1995-10-03 | Phillips Petroleum Company | Method for controlling removal of polymerization reaction effluent |
| US5565175A (en) | 1990-10-01 | 1996-10-15 | Phillips Petroleum Company | Apparatus and method for producing ethylene polymer |
| US5576259A (en) | 1993-10-14 | 1996-11-19 | Tosoh Corporation | Process for producing α-olefin polymer |
| US5575979A (en) | 1991-03-04 | 1996-11-19 | Phillips Petroleum Company | Process and apparatus for separating diluents from solid polymers utilizing a two-stage flash and a cyclone separator |
| US5739220A (en) | 1997-02-06 | 1998-04-14 | Fina Technology, Inc. | Method of olefin polymerization utilizing hydrogen pulsing, products made therefrom, and method of hydrogenation |
| EP0849273A1 (en) * | 1996-12-19 | 1998-06-24 | ENICHEM S.p.A. | Metallocenes, their preparation and use in the polymerization of alpha-olefins |
| US5807938A (en) | 1995-02-20 | 1998-09-15 | Tosoh Corporation | Catalyst for olefin polymerization and process for producing olefin polymers |
| US5919983A (en) | 1996-03-27 | 1999-07-06 | The Dow Chemical Company | Highly soluble olefin polymerization catalyst activator |
| US6107230A (en) | 1998-05-18 | 2000-08-22 | Phillips Petroleum Company | Compositions that can produce polymers |
| US6165929A (en) | 1998-05-18 | 2000-12-26 | Phillips Petroleum Company | Compositions that can produce polymers |
| US6239235B1 (en) | 1997-07-15 | 2001-05-29 | Phillips Petroleum Company | High solids slurry polymerization |
| US6262191B1 (en) | 1999-03-09 | 2001-07-17 | Phillips Petroleum Company | Diluent slip stream to give catalyst wetting agent |
| US6294494B1 (en) | 1998-12-18 | 2001-09-25 | Phillips Petroleum Company | Olefin polymerization processes and products thereof |
| US6300271B1 (en) | 1998-05-18 | 2001-10-09 | Phillips Petroleum Company | Compositions that can produce polymers |
| US6355594B1 (en) | 1999-09-27 | 2002-03-12 | Phillips Petroleum Company | Organometal catalyst compositions |
| US6376415B1 (en) | 1999-09-28 | 2002-04-23 | Phillips Petroleum Company | Organometal catalyst compositions |
| US6388017B1 (en) | 2000-05-24 | 2002-05-14 | Phillips Petroleum Company | Process for producing a polymer composition |
| US6391816B1 (en) | 1999-10-27 | 2002-05-21 | Phillips Petroleum | Organometal compound catalyst |
| US6395666B1 (en) | 1999-09-29 | 2002-05-28 | Phillips Petroleum Company | Organometal catalyst compositions |
| US6524987B1 (en) | 1999-12-22 | 2003-02-25 | Phillips Petroleum Company | Organometal catalyst compositions |
| US6548441B1 (en) | 1999-10-27 | 2003-04-15 | Phillips Petroleum Company | Organometal catalyst compositions |
| US6548442B1 (en) | 1999-12-03 | 2003-04-15 | Phillips Petroleum Company | Organometal compound catalyst |
| US6576583B1 (en) | 2000-02-11 | 2003-06-10 | Phillips Petroleum Company | Organometal catalyst composition |
| US6613712B1 (en) | 1999-11-24 | 2003-09-02 | Phillips Petroleum Company | Organometal catalyst compositions with solid oxide supports treated with fluorine and boron |
| US6632894B1 (en) | 1999-12-30 | 2003-10-14 | Phillips Petroleum Company | Organometal catalyst compositions |
| US6667274B1 (en) | 1999-12-30 | 2003-12-23 | Phillips Petroleum Company | Polymerization catalysts |
| US20040059070A1 (en) | 2002-09-19 | 2004-03-25 | Whitte William M. | Process and apparatus for controlling molecular weight distribution and short chain branching for olefin polymers |
| US6750302B1 (en) | 1999-12-16 | 2004-06-15 | Phillips Petroleum Company | Organometal catalyst compositions |
| US6833415B2 (en) | 1998-03-20 | 2004-12-21 | Exxonmobil Chemical Patents, Inc. | Continuous slurry polymerization process and appparatus |
| US20050159300A1 (en) * | 2004-01-21 | 2005-07-21 | Jensen Michael D. | Dual metallocene catalyst for producing film resins with good machine direction (MD) elmendorf tear strength |
| US7026494B1 (en) | 2005-01-10 | 2006-04-11 | Chevron Phillips Chemical Company, Lp | Polymerization catalysts for producing high melt index polymers without the use of hydrogen |
| US7041617B2 (en) | 2004-01-09 | 2006-05-09 | Chevron Phillips Chemical Company, L.P. | Catalyst compositions and polyolefins for extrusion coating applications |
| US7148298B2 (en) | 2004-06-25 | 2006-12-12 | Chevron Phillips Chemical Company, L.P. | Polymerization catalysts for producing polymers with low levels of long chain branching |
| US7226886B2 (en) | 2005-09-15 | 2007-06-05 | Chevron Phillips Chemical Company, L.P. | Polymerization catalysts and process for producing bimodal polymers in a single reactor |
| US7294599B2 (en) | 2004-06-25 | 2007-11-13 | Chevron Phillips Chemical Co. | Acidic activator-supports and catalysts for olefin polymerization |
| US7312283B2 (en) | 2005-08-22 | 2007-12-25 | Chevron Phillips Chemical Company Lp | Polymerization catalysts and process for producing bimodal polymers in a single reactor |
| US7468452B1 (en) | 2007-12-12 | 2008-12-23 | Chevron Phillips Chemical Company Lp | Process for one-pot synthesis of 1,1-diphenyl-1-(3-substituted-cyclopentadienyl)-1-(2,7-di-t-butyl-fluoren-9-yl)methane type ligands |
| US7517939B2 (en) | 2006-02-02 | 2009-04-14 | Chevron Phillips Chemical Company, Lp | Polymerization catalysts for producing high molecular weight polymers with low levels of long chain branching |
| US7619047B2 (en) | 2006-02-22 | 2009-11-17 | Chevron Phillips Chemical Company, Lp | Dual metallocene catalysts for polymerization of bimodal polymers |
| US20100076167A1 (en) | 2008-03-20 | 2010-03-25 | Chevron Phillips Chemical Company Lp | Silica-coated alumina activator-supports for metallocene catalyst compositions |
| US20100331501A1 (en) * | 2009-06-29 | 2010-12-30 | Chevron Phillips Chemical Company Lp | Use of hydrogen scavenging catalysts to control polymer molecular weight and hydrogen levels in a polymerization reactor |
| US20100331505A1 (en) | 2009-06-29 | 2010-12-30 | Chevron Phillips Chemical Company Lp | Dual metallocene catalyst systems for decreasing melt index and increasing polymer production rates |
| US7863210B2 (en) | 2007-12-28 | 2011-01-04 | Chevron Phillips Chemical Company Lp | Nano-linked metallocene catalyst compositions and their polymer products |
| US7919639B2 (en) | 2009-06-23 | 2011-04-05 | Chevron Phillips Chemical Company Lp | Nano-linked heteronuclear metallocene catalyst compositions and their polymer products |
| US8012900B2 (en) | 2007-12-28 | 2011-09-06 | Chevron Phillips Chemical Company, L.P. | Nano-linked metallocene catalyst compositions and their polymer products |
| US20110257348A1 (en) | 2010-04-19 | 2011-10-20 | Chevron Phillips Chemical Company Lp | CATALYST COMPOSITIONS FOR PRODUCING HIGH Mz/Mw POLYOLEFINS |
| US8080681B2 (en) | 2007-12-28 | 2011-12-20 | Chevron Phillips Chemical Company Lp | Nano-linked metallocene catalyst compositions and their polymer products |
| US20120010375A1 (en) | 2010-07-06 | 2012-01-12 | Chervon Phillips Chemical Company Lp | Catalysts for producing broad molecular weight distribution polyolefins in the absence of added hydrogen |
| US8114946B2 (en) | 2008-12-18 | 2012-02-14 | Chevron Phillips Chemical Company Lp | Process for producing broader molecular weight distribution polymers with a reverse comonomer distribution and low levels of long chain branches |
Family Cites Families (1)
| Publication number | Priority date | Publication date | Assignee | Title |
|---|---|---|---|---|
| JPH09216913A (en) * | 1995-12-04 | 1997-08-19 | Mitsubishi Chem Corp | Method for producing olefin polymer |
-
2013
- 2013-03-28 EP EP13716647.6A patent/EP2834281A1/en not_active Withdrawn
- 2013-03-28 MX MX2014011850A patent/MX2014011850A/en unknown
- 2013-03-28 SG SG11201406154VA patent/SG11201406154VA/en unknown
- 2013-03-28 WO PCT/US2013/034373 patent/WO2013151863A1/en not_active Ceased
- 2013-03-28 BR BR112014024572A patent/BR112014024572A2/en not_active IP Right Cessation
- 2013-04-01 CN CN201310110455.4A patent/CN103360518B/en not_active Expired - Fee Related
Patent Citations (64)
| Publication number | Priority date | Publication date | Assignee | Title |
|---|---|---|---|---|
| US3248179A (en) | 1962-02-26 | 1966-04-26 | Phillips Petroleum Co | Method and apparatus for the production of solid polymers of olefins |
| US3242099A (en) | 1964-03-27 | 1966-03-22 | Union Carbide Corp | Olefin polymerization catalysts |
| US4060480A (en) | 1971-09-03 | 1977-11-29 | Chevron Research Company | Hydrocarbon hydroconversion process employing hydroxy-aluminum stabilized catalysts supports |
| US4501885A (en) | 1981-10-14 | 1985-02-26 | Phillips Petroleum Company | Diluent and inert gas recovery from a polymerization process |
| US4588790A (en) | 1982-03-24 | 1986-05-13 | Union Carbide Corporation | Method for fluidized bed polymerization |
| US4452910A (en) | 1982-06-15 | 1984-06-05 | Standard Oil Company (Indiana) | Chromium expanded smectite clay |
| US4808561A (en) | 1985-06-21 | 1989-02-28 | Exxon Chemical Patents Inc. | Supported polymerization catalyst |
| US4794096A (en) | 1987-04-03 | 1988-12-27 | Fina Technology, Inc. | Hafnium metallocene catalyst for the polymerization of olefins |
| US5565175A (en) | 1990-10-01 | 1996-10-15 | Phillips Petroleum Company | Apparatus and method for producing ethylene polymer |
| US5575979A (en) | 1991-03-04 | 1996-11-19 | Phillips Petroleum Company | Process and apparatus for separating diluents from solid polymers utilizing a two-stage flash and a cyclone separator |
| US5376611A (en) | 1991-12-09 | 1994-12-27 | Phillips Petroleum Company | Chromium ribbon-like silicate clay A-olefin catalysts |
| US5436304A (en) | 1992-03-19 | 1995-07-25 | Exxon Chemical Patents Inc. | Process for polymerizing monomers in fluidized beds |
| US5352749A (en) | 1992-03-19 | 1994-10-04 | Exxon Chemical Patents, Inc. | Process for polymerizing monomers in fluidized beds |
| US5576259A (en) | 1993-10-14 | 1996-11-19 | Tosoh Corporation | Process for producing α-olefin polymer |
| US5455314A (en) | 1994-07-27 | 1995-10-03 | Phillips Petroleum Company | Method for controlling removal of polymerization reaction effluent |
| US5807938A (en) | 1995-02-20 | 1998-09-15 | Tosoh Corporation | Catalyst for olefin polymerization and process for producing olefin polymers |
| US5919983A (en) | 1996-03-27 | 1999-07-06 | The Dow Chemical Company | Highly soluble olefin polymerization catalyst activator |
| EP0849273A1 (en) * | 1996-12-19 | 1998-06-24 | ENICHEM S.p.A. | Metallocenes, their preparation and use in the polymerization of alpha-olefins |
| US5739220A (en) | 1997-02-06 | 1998-04-14 | Fina Technology, Inc. | Method of olefin polymerization utilizing hydrogen pulsing, products made therefrom, and method of hydrogenation |
| US6239235B1 (en) | 1997-07-15 | 2001-05-29 | Phillips Petroleum Company | High solids slurry polymerization |
| US6833415B2 (en) | 1998-03-20 | 2004-12-21 | Exxonmobil Chemical Patents, Inc. | Continuous slurry polymerization process and appparatus |
| US6300271B1 (en) | 1998-05-18 | 2001-10-09 | Phillips Petroleum Company | Compositions that can produce polymers |
| US6165929A (en) | 1998-05-18 | 2000-12-26 | Phillips Petroleum Company | Compositions that can produce polymers |
| US6316553B1 (en) | 1998-05-18 | 2001-11-13 | Phillips Petroleum Company | Process for producing polymers using a composition comprising an organometal compound, a treated solid oxide compound, and an organoaluminum compound |
| US6107230A (en) | 1998-05-18 | 2000-08-22 | Phillips Petroleum Company | Compositions that can produce polymers |
| US6294494B1 (en) | 1998-12-18 | 2001-09-25 | Phillips Petroleum Company | Olefin polymerization processes and products thereof |
| US6262191B1 (en) | 1999-03-09 | 2001-07-17 | Phillips Petroleum Company | Diluent slip stream to give catalyst wetting agent |
| US6355594B1 (en) | 1999-09-27 | 2002-03-12 | Phillips Petroleum Company | Organometal catalyst compositions |
| US6376415B1 (en) | 1999-09-28 | 2002-04-23 | Phillips Petroleum Company | Organometal catalyst compositions |
| US6395666B1 (en) | 1999-09-29 | 2002-05-28 | Phillips Petroleum Company | Organometal catalyst compositions |
| US6391816B1 (en) | 1999-10-27 | 2002-05-21 | Phillips Petroleum | Organometal compound catalyst |
| US6548441B1 (en) | 1999-10-27 | 2003-04-15 | Phillips Petroleum Company | Organometal catalyst compositions |
| US6613712B1 (en) | 1999-11-24 | 2003-09-02 | Phillips Petroleum Company | Organometal catalyst compositions with solid oxide supports treated with fluorine and boron |
| US6548442B1 (en) | 1999-12-03 | 2003-04-15 | Phillips Petroleum Company | Organometal compound catalyst |
| US6750302B1 (en) | 1999-12-16 | 2004-06-15 | Phillips Petroleum Company | Organometal catalyst compositions |
| US6524987B1 (en) | 1999-12-22 | 2003-02-25 | Phillips Petroleum Company | Organometal catalyst compositions |
| US6632894B1 (en) | 1999-12-30 | 2003-10-14 | Phillips Petroleum Company | Organometal catalyst compositions |
| US6667274B1 (en) | 1999-12-30 | 2003-12-23 | Phillips Petroleum Company | Polymerization catalysts |
| US6576583B1 (en) | 2000-02-11 | 2003-06-10 | Phillips Petroleum Company | Organometal catalyst composition |
| US6388017B1 (en) | 2000-05-24 | 2002-05-14 | Phillips Petroleum Company | Process for producing a polymer composition |
| US20040059070A1 (en) | 2002-09-19 | 2004-03-25 | Whitte William M. | Process and apparatus for controlling molecular weight distribution and short chain branching for olefin polymers |
| US7041617B2 (en) | 2004-01-09 | 2006-05-09 | Chevron Phillips Chemical Company, L.P. | Catalyst compositions and polyolefins for extrusion coating applications |
| US20050159300A1 (en) * | 2004-01-21 | 2005-07-21 | Jensen Michael D. | Dual metallocene catalyst for producing film resins with good machine direction (MD) elmendorf tear strength |
| US7119153B2 (en) | 2004-01-21 | 2006-10-10 | Jensen Michael D | Dual metallocene catalyst for producing film resins with good machine direction (MD) elmendorf tear strength |
| US7294599B2 (en) | 2004-06-25 | 2007-11-13 | Chevron Phillips Chemical Co. | Acidic activator-supports and catalysts for olefin polymerization |
| US7148298B2 (en) | 2004-06-25 | 2006-12-12 | Chevron Phillips Chemical Company, L.P. | Polymerization catalysts for producing polymers with low levels of long chain branching |
| US7026494B1 (en) | 2005-01-10 | 2006-04-11 | Chevron Phillips Chemical Company, Lp | Polymerization catalysts for producing high melt index polymers without the use of hydrogen |
| US7312283B2 (en) | 2005-08-22 | 2007-12-25 | Chevron Phillips Chemical Company Lp | Polymerization catalysts and process for producing bimodal polymers in a single reactor |
| US7226886B2 (en) | 2005-09-15 | 2007-06-05 | Chevron Phillips Chemical Company, L.P. | Polymerization catalysts and process for producing bimodal polymers in a single reactor |
| US7521572B2 (en) | 2005-09-15 | 2009-04-21 | Chevron Phillips Chemical Company, Lp | Polymerization catalysts and process for producing bimodal polymers in a single reactor |
| US7517939B2 (en) | 2006-02-02 | 2009-04-14 | Chevron Phillips Chemical Company, Lp | Polymerization catalysts for producing high molecular weight polymers with low levels of long chain branching |
| US7619047B2 (en) | 2006-02-22 | 2009-11-17 | Chevron Phillips Chemical Company, Lp | Dual metallocene catalysts for polymerization of bimodal polymers |
| US7468452B1 (en) | 2007-12-12 | 2008-12-23 | Chevron Phillips Chemical Company Lp | Process for one-pot synthesis of 1,1-diphenyl-1-(3-substituted-cyclopentadienyl)-1-(2,7-di-t-butyl-fluoren-9-yl)methane type ligands |
| US7863210B2 (en) | 2007-12-28 | 2011-01-04 | Chevron Phillips Chemical Company Lp | Nano-linked metallocene catalyst compositions and their polymer products |
| US8012900B2 (en) | 2007-12-28 | 2011-09-06 | Chevron Phillips Chemical Company, L.P. | Nano-linked metallocene catalyst compositions and their polymer products |
| US8080681B2 (en) | 2007-12-28 | 2011-12-20 | Chevron Phillips Chemical Company Lp | Nano-linked metallocene catalyst compositions and their polymer products |
| US20100076167A1 (en) | 2008-03-20 | 2010-03-25 | Chevron Phillips Chemical Company Lp | Silica-coated alumina activator-supports for metallocene catalyst compositions |
| US7884163B2 (en) | 2008-03-20 | 2011-02-08 | Chevron Phillips Chemical Company Lp | Silica-coated alumina activator-supports for metallocene catalyst compositions |
| US8114946B2 (en) | 2008-12-18 | 2012-02-14 | Chevron Phillips Chemical Company Lp | Process for producing broader molecular weight distribution polymers with a reverse comonomer distribution and low levels of long chain branches |
| US7919639B2 (en) | 2009-06-23 | 2011-04-05 | Chevron Phillips Chemical Company Lp | Nano-linked heteronuclear metallocene catalyst compositions and their polymer products |
| US20100331501A1 (en) * | 2009-06-29 | 2010-12-30 | Chevron Phillips Chemical Company Lp | Use of hydrogen scavenging catalysts to control polymer molecular weight and hydrogen levels in a polymerization reactor |
| US20100331505A1 (en) | 2009-06-29 | 2010-12-30 | Chevron Phillips Chemical Company Lp | Dual metallocene catalyst systems for decreasing melt index and increasing polymer production rates |
| US20110257348A1 (en) | 2010-04-19 | 2011-10-20 | Chevron Phillips Chemical Company Lp | CATALYST COMPOSITIONS FOR PRODUCING HIGH Mz/Mw POLYOLEFINS |
| US20120010375A1 (en) | 2010-07-06 | 2012-01-12 | Chervon Phillips Chemical Company Lp | Catalysts for producing broad molecular weight distribution polyolefins in the absence of added hydrogen |
Non-Patent Citations (14)
| Title |
|---|
| "Film Extrusion Manual - Process, Materials, Properties", 1992, TAPPI PRESS |
| "Hawley's Condensed Chemical Dictionary, 11th Ed.,", 1995, JOHN WILEY & SONS |
| "Modern Plastics Encyclopedia", vol. 72, November 1995 |
| C. A. HIEBER; H. H. CHIANG, RHEOL. ACTA, vol. 28, 1989, pages 321 |
| C.A. HIEBER; H.H. CHIANG, POLYM. ENG. SCI., vol. 32, 1992, pages 931 |
| COTTON, F.A.; WILKINSON, G.; MURILLO, C. A.; BOCHMANN, M.: "Advanced Inorganic Chemistry, 6th Ed.,", 1999, WILEY-TNTERSCIENCE |
| J. AM. CHEM. SOC., vol. 127, 2005, pages 14756 - 14768 |
| J. PHYS. CHEM., vol. 84, 1980, pages 649 |
| J.M. THOMAS: "Intercalation Chemistry", 1972, ACADEMIC PRESS, INC., pages: 55 - 99 |
| JOURNAL OF ORGANOMETALLIC CHEMISTRY, vol. 585, 1999, pages 18 - 25 |
| P.J. DESLAURIERS; D.C. ROHLFING; E.T. HSIEH, POLYMER, vol. 43, 2002, pages 159 |
| R. B. BIRD; R. C. ARMSTRONG; O. HASSEGER: "Dynamics of Polymeric Liquids 2nd Edition,", vol. 1, 1987, JOHN WILEY & SONS |
| T.J. PINNAVAIA, SCIENCE, vol. 220, no. 4595, 1983, pages 365 - 371 |
| WYATT, P.J., ANAL. CHIM. ACTA, vol. 1, 1993, pages 272 |
Cited By (30)
| Publication number | Priority date | Publication date | Assignee | Title |
|---|---|---|---|---|
| US8912285B2 (en) | 2012-12-06 | 2014-12-16 | Chevron Phillips Chemical Company Lp | Catalyst system with three metallocenes for producing broad molecular weight distribution polymers |
| US9181372B2 (en) | 2012-12-06 | 2015-11-10 | Chevron Phillips Chemical Company Lp | Catalyst system with three metallocenes for producing broad molecular weight distribution polymers |
| US9371407B2 (en) | 2012-12-06 | 2016-06-21 | Chevron Phillips Chemical Company Lp | Catalyst system with three metallocenes for producing broad molecular weight distribution polymers |
| WO2014088938A1 (en) * | 2012-12-06 | 2014-06-12 | Chevron Phillips Chemical Company Lp | Catalyst system with three metallocenes for producing broad molecular weight distribution polymers |
| US9988410B2 (en) | 2015-07-15 | 2018-06-05 | Exxonmobil Chemical Patents Inc. | Substituted bis indenyl metallocene catalyst compounds comprising-Si—Si-bridge |
| US11091571B2 (en) | 2016-12-05 | 2021-08-17 | Lg Chem, Ltd. | Hybrid supported catalyst |
| WO2019025528A1 (en) * | 2017-08-02 | 2019-02-07 | Total Research & Technology Feluy | Dual catalyst composition |
| US11919980B2 (en) | 2017-08-02 | 2024-03-05 | Total Research & Technology Feluy | Dual catalyst composition |
| KR102603362B1 (en) | 2017-08-02 | 2023-11-16 | 토탈에너지스 원테크 벨지움 | dual catalyst composition |
| KR20200037808A (en) * | 2017-08-02 | 2020-04-09 | 토탈 리서치 앤드 테크놀로지 펠루이 | Double catalyst composition |
| KR20200037807A (en) * | 2017-08-02 | 2020-04-09 | 토탈 리서치 앤드 테크놀로지 펠루이 | Double catalyst composition |
| KR102572923B1 (en) | 2017-08-02 | 2023-08-30 | 토탈에너지스 원테크 벨지움 | dual catalyst composition |
| US11274171B2 (en) | 2017-08-02 | 2022-03-15 | Total Research & Technology Feluy | Dual catalyst composition |
| WO2019025530A1 (en) * | 2017-08-02 | 2019-02-07 | Total Research & Technology Feluy | Dual catalyst composition |
| US11214631B2 (en) | 2017-11-14 | 2022-01-04 | Exxonmobil Chemical Patents Inc. | (Di)silicon bridged metallocenes that produce polyethylene with broad molecular weight distribution and high molecular weight |
| CN111372954B (en) * | 2017-11-14 | 2022-06-28 | 埃克森美孚化学专利公司 | Preparation of (di)silicon-bridged metallocenes with broad molecular weight distribution and molecular weight in polyethylene |
| WO2019099250A1 (en) | 2017-11-14 | 2019-05-23 | Exxonmobil Chemical Patents Inc. | (di)silicon bridged metallocenes that produce polyethylene broad molecular weight distribution and molecular weight |
| WO2020096645A1 (en) * | 2017-11-14 | 2020-05-14 | Exxonmobil Chemical Patents Inc. | Polyethylene compositions and articles made therefrom |
| US11130827B2 (en) | 2017-11-14 | 2021-09-28 | Exxonmobil Chemical Patents Inc. | Polyethylene compositions and articles made therefrom |
| CN111372954A (en) * | 2017-11-14 | 2020-07-03 | 埃克森美孚化学专利公司 | Preparation of polyethylene (bis) silicon-bridged metallocenes with broad molecular weight distribution and molecular weight |
| US10889663B2 (en) | 2017-11-29 | 2021-01-12 | Exxonmobil Chemical Patents Inc. | Asymmetric ANSA-metallocene catalyst compounds for producing polyolefins having a broad molecular weight distribution |
| US10882925B2 (en) | 2017-11-29 | 2021-01-05 | Exxonmobil Chemical Patents Inc. | Catalysts that produce polyethylene with broad, bimodal molecular weight distribution |
| US11369949B2 (en) | 2018-06-04 | 2022-06-28 | Exxonmobil Chemical Patents Inc. | Metallocenes with Si—Si bridges |
| EP3802644A4 (en) * | 2018-06-04 | 2021-08-18 | ExxonMobil Chemical Patents Inc. | METALLOCENE INCLUDING SI-SI BRIDGES |
| WO2019236351A1 (en) * | 2018-06-04 | 2019-12-12 | Exxonmobil Chemical Patents Inc. | Metallocenes with si-si bridges |
| CN113874401A (en) * | 2019-04-17 | 2021-12-31 | 埃克森美孚化学专利公司 | Metallocenes containing two-SI-SI-bridges |
| WO2020214466A1 (en) * | 2019-04-17 | 2020-10-22 | Exxonmobil Chemical Patents Inc. | Metallocenes with two -si-si-bridges |
| US11306162B2 (en) | 2019-04-17 | 2022-04-19 | Exxonmobil Chemical Patents Inc. | Metallocenes with two -Si-Si- bridges |
| CN113874401B (en) * | 2019-04-17 | 2023-04-21 | 埃克森美孚化学专利公司 | Metallocenes containing two-SI-SI-bridges |
| CN113549260A (en) * | 2020-04-24 | 2021-10-26 | 中国石油化工股份有限公司 | Composition containing polypropylene homopolymer, polypropylene material, preparation method and application thereof |
Also Published As
| Publication number | Publication date |
|---|---|
| MX2014011850A (en) | 2014-11-21 |
| CN103360518B (en) | 2016-12-28 |
| EP2834281A1 (en) | 2015-02-11 |
| SG11201406154VA (en) | 2014-10-30 |
| BR112014024572A2 (en) | 2017-08-08 |
| CN103360518A (en) | 2013-10-23 |
Similar Documents
| Publication | Publication Date | Title |
|---|---|---|
| US8609793B2 (en) | Catalyst systems containing a bridged metallocene | |
| US8637616B2 (en) | Bridged metallocene catalyst systems with switchable hydrogen and comonomer effects | |
| EP2591012B2 (en) | Catalysts for producing broad molecular weight distribution polyolefins in the absence of added hydrogen | |
| WO2013151863A1 (en) | Catalyst systems containing a bridged metallocene reference to related application | |
| EP2560999B1 (en) | CATALYST COMPOSITION FOR PRODUCING HIGH Mz/Mw POLYOLEFINS | |
| EP2448978B1 (en) | Dual metallocene catalyst systems for decreasing melt index and increasing polymer production rates | |
| EP3239190B1 (en) | Polymerization catalysts for producing polymers with low levels of long chain branching | |
| CA2893650C (en) | Catalyst system with three metallocenes for producing broad molecular weight distribution polymers | |
| US8475899B2 (en) | Process for producing broader molecular weight distribution polymers with a reverse comonomer distribution and low levels of long chain branches | |
| WO2012103057A1 (en) | Half-metallocene compounds and catalyst compositions |
Legal Events
| Date | Code | Title | Description |
|---|---|---|---|
| 121 | Ep: the epo has been informed by wipo that ep was designated in this application |
Ref document number: 13716647 Country of ref document: EP Kind code of ref document: A1 |
|
| WWE | Wipo information: entry into national phase |
Ref document number: MX/A/2014/011850 Country of ref document: MX Ref document number: 2013716647 Country of ref document: EP |
|
| NENP | Non-entry into the national phase |
Ref country code: DE |
|
| REG | Reference to national code |
Ref country code: BR Ref legal event code: B01A Ref document number: 112014024572 Country of ref document: BR |
|
| ENP | Entry into the national phase |
Ref document number: 112014024572 Country of ref document: BR Kind code of ref document: A2 Effective date: 20141001 |











































