WO2013150300A2 - Composition - Google Patents
Composition Download PDFInfo
- Publication number
- WO2013150300A2 WO2013150300A2 PCT/GB2013/050875 GB2013050875W WO2013150300A2 WO 2013150300 A2 WO2013150300 A2 WO 2013150300A2 GB 2013050875 W GB2013050875 W GB 2013050875W WO 2013150300 A2 WO2013150300 A2 WO 2013150300A2
- Authority
- WO
- WIPO (PCT)
- Prior art keywords
- group
- composition
- composition according
- component
- amphoteric
- Prior art date
- Legal status (The legal status is an assumption and is not a legal conclusion. Google has not performed a legal analysis and makes no representation as to the accuracy of the status listed.)
- Ceased
Links
Classifications
-
- A—HUMAN NECESSITIES
- A61—MEDICAL OR VETERINARY SCIENCE; HYGIENE
- A61K—PREPARATIONS FOR MEDICAL, DENTAL OR TOILETRY PURPOSES
- A61K8/00—Cosmetics or similar toiletry preparations
- A61K8/18—Cosmetics or similar toiletry preparations characterised by the composition
- A61K8/30—Cosmetics or similar toiletry preparations characterised by the composition containing organic compounds
- A61K8/46—Cosmetics or similar toiletry preparations characterised by the composition containing organic compounds containing sulfur
- A61K8/466—Cosmetics or similar toiletry preparations characterised by the composition containing organic compounds containing sulfur containing sulfonic acid derivatives; Salts
-
- A—HUMAN NECESSITIES
- A61—MEDICAL OR VETERINARY SCIENCE; HYGIENE
- A61K—PREPARATIONS FOR MEDICAL, DENTAL OR TOILETRY PURPOSES
- A61K8/00—Cosmetics or similar toiletry preparations
- A61K8/18—Cosmetics or similar toiletry preparations characterised by the composition
- A61K8/30—Cosmetics or similar toiletry preparations characterised by the composition containing organic compounds
- A61K8/60—Sugars; Derivatives thereof
- A61K8/604—Alkylpolyglycosides; Derivatives thereof, e.g. esters
-
- A—HUMAN NECESSITIES
- A61—MEDICAL OR VETERINARY SCIENCE; HYGIENE
- A61Q—SPECIFIC USE OF COSMETICS OR SIMILAR TOILETRY PREPARATIONS
- A61Q19/00—Preparations for care of the skin
- A61Q19/005—Preparations for sensitive skin
-
- A—HUMAN NECESSITIES
- A61—MEDICAL OR VETERINARY SCIENCE; HYGIENE
- A61Q—SPECIFIC USE OF COSMETICS OR SIMILAR TOILETRY PREPARATIONS
- A61Q19/00—Preparations for care of the skin
- A61Q19/10—Washing or bathing preparations
-
- C—CHEMISTRY; METALLURGY
- C11—ANIMAL OR VEGETABLE OILS, FATS, FATTY SUBSTANCES OR WAXES; FATTY ACIDS THEREFROM; DETERGENTS; CANDLES
- C11D—DETERGENT COMPOSITIONS; USE OF SINGLE SUBSTANCES AS DETERGENTS; SOAP OR SOAP-MAKING; RESIN SOAPS; RECOVERY OF GLYCEROL
- C11D1/00—Detergent compositions based essentially on surface-active compounds; Use of these compounds as a detergent
- C11D1/88—Ampholytes; Electroneutral compounds
- C11D1/94—Mixtures with anionic, cationic or non-ionic compounds
-
- A—HUMAN NECESSITIES
- A61—MEDICAL OR VETERINARY SCIENCE; HYGIENE
- A61K—PREPARATIONS FOR MEDICAL, DENTAL OR TOILETRY PURPOSES
- A61K2800/00—Properties of cosmetic compositions or active ingredients thereof or formulation aids used therein and process related aspects
- A61K2800/74—Biological properties of particular ingredients
- A61K2800/75—Anti-irritant
-
- C—CHEMISTRY; METALLURGY
- C11—ANIMAL OR VEGETABLE OILS, FATS, FATTY SUBSTANCES OR WAXES; FATTY ACIDS THEREFROM; DETERGENTS; CANDLES
- C11D—DETERGENT COMPOSITIONS; USE OF SINGLE SUBSTANCES AS DETERGENTS; SOAP OR SOAP-MAKING; RESIN SOAPS; RECOVERY OF GLYCEROL
- C11D1/00—Detergent compositions based essentially on surface-active compounds; Use of these compounds as a detergent
- C11D1/02—Anionic compounds
- C11D1/12—Sulfonic acids or sulfuric acid esters; Salts thereof
- C11D1/123—Sulfonic acids or sulfuric acid esters; Salts thereof derived from carboxylic acids, e.g. sulfosuccinates
-
- C—CHEMISTRY; METALLURGY
- C11—ANIMAL OR VEGETABLE OILS, FATS, FATTY SUBSTANCES OR WAXES; FATTY ACIDS THEREFROM; DETERGENTS; CANDLES
- C11D—DETERGENT COMPOSITIONS; USE OF SINGLE SUBSTANCES AS DETERGENTS; SOAP OR SOAP-MAKING; RESIN SOAPS; RECOVERY OF GLYCEROL
- C11D1/00—Detergent compositions based essentially on surface-active compounds; Use of these compounds as a detergent
- C11D1/02—Anionic compounds
- C11D1/12—Sulfonic acids or sulfuric acid esters; Salts thereof
- C11D1/126—Acylisethionates
-
- C—CHEMISTRY; METALLURGY
- C11—ANIMAL OR VEGETABLE OILS, FATS, FATTY SUBSTANCES OR WAXES; FATTY ACIDS THEREFROM; DETERGENTS; CANDLES
- C11D—DETERGENT COMPOSITIONS; USE OF SINGLE SUBSTANCES AS DETERGENTS; SOAP OR SOAP-MAKING; RESIN SOAPS; RECOVERY OF GLYCEROL
- C11D1/00—Detergent compositions based essentially on surface-active compounds; Use of these compounds as a detergent
- C11D1/88—Ampholytes; Electroneutral compounds
- C11D1/90—Betaines
Definitions
- the present invention relates to low irritancy cleansing compositions, for example compositions suitable for use as baby shampoos, baby baths, mild skin cleansers, mild facial cleansers, cleansers for sensitive skin and the like. Such compositions must exhibit low skin and eye irritation. Low irritancy cleansing compositions of this type may also be useful in animal applications, for example as pet shampoos.
- compositions In addition to being mild and having low irritancy such compositions must still be efficient cleansing agents. They should be able to effectively remove dirt, grease and other residues from the skin and/or hair. In addition it is desirable to provide high foaming cleansing compositions as these have increased consumer appeal.
- a low irritancy cleansing composition comprising:
- R 1 represents a C 4 . 36 substituted or unsubstituted hydrocarbyl group
- each of R 2 , R 3 , R 4 and R 5 independently represents a hydrogen atom or a C 1-4 alkyl group and
- M + represents a cation; and (b) one or more amphoteric surfactants including a sugar moiety.
- Component (a) comprises one or more compounds of formula (I) and component (b) comprises one or more amphoteric surfactants.
- Component (a) comprises one or more compounds of formula (I):
- R 1 is selected from a substituted or unsubstituted alkyl, alkenyl, aryl or alkylaryl group. More preferably R 1 is selected from a substituted or unsubstituted alkyl or alkenyl group. Most preferably R 1 is an unsubstituted alkyl or alkenyl group, especially an unsubstituted alkyl group.
- R 1 represents a C 5 . 30 alkyl group, preferably a C 7 . 24 alkyl group, more preferably a C7-21 alkyl group, most preferably a C7.17 alkyl group.
- R 2 , R 3 , R 4 and R 5 are all hydrogen. However in preferred embodiments at least one of R 2 , R 3 , R 4 and R 5 is not hydrogen.
- R 2 represents a C 1-4 alkyl group, suitably a C 1 -4 alkyl group in which a propyl or butyl group, when present, is straight-chained.
- R 2 represents an n-propyl, ethyl or, most preferably, a methyl group.
- R 3 represents a hydrogen atom.
- R 4 and R 5 represents a hydrogen atom and the other represents a hydrogen atom or a C 1-4 alkyl group.
- one of R 4 and R 5 represents a hydrogen atom or a C 1 -4 alkyl group in which a propyl or butyl group is straight-chain.
- one of R 4 and R 5 represents an n-propyl, ethyl or methyl group or, most preferably, a hydrogen atom.
- both R 4 and R 5 represent hydrogen atoms.
- the present invention may include a mixture of more than one compound of formula (I).
- a mixture may include, for example a compound in which R 2 is alkyl (suitably methyl) and R 3 , R 4 and R 5 are all hydrogen and a compound in which R 5 is is alkyl (suitably methyl) and R 2 , R 3 and R 4 are all hydrogen.
- component (a) may comprise a mixture of compounds including compounds in which R 2 , R 3 , R 4 and R 5 are all hydrogen and compounds in which one of R 2 , R 3 , R 4 and R 5 is a Ci to C 4 alkyl (especially methyl) and the others are hydrogen.
- M + represents an optionally substituted ammonium cation or, most preferably, a metal cation. Suitable ammonium cations include NH 4 + and the ammonium cation of triethanolamine. Suitable metal cations include zinc, alkali metal cations, for example sodium, lithium and potassium cations, and alkaline earth metal cations, for example calcium and magnesium cations.
- M + represents a potassium cation, or, especially, a sodium cation.
- R 1 may be an alkyl group or an alkenyl group. Preferably R 1 is an alkyl group.
- the component surfactant of the present invention may comprise a mixture of fatty acids to form a mixture of compounds of formula (I) in which R 1 may be different.
- R 1 is preferably the residue of a fatty acid.
- Fatty acids obtained from natural oils often include mixtures of fatty acids.
- the fatty acid obtained from coconut oil contains a mixture of fatty acids including C 12 lauric acid, C 14 myristic acid, C 16 palmitic acid, C 8 caprylic acid, and Ci 8 stearic and oleic.
- R 1 may include the residue of one or more naturally occurring fatty acids and/or of one or more synthetic fatty acids. In some preferred embodiments R 1 consists essentially of the residue of a single fatty acid.
- Examples of carboxylic acids from which R 1 may be derived include coco acid, butyric acid, hexanoic acid, caproic acid, caprylic acid, capric acid, lauric acid, myristic acid, palmitic acid, palmitoleic acid, stearic acid, oleic acid, linoleic acid, arachidic acid, gadoleic acid, arachidonic acid, eicosapentanoic acid, behinic acid, eruic acid, docosahexanoic lignoceric acid, naturally occurring fatty acids such as those obtained from coconut oil, tallow, palm kernel oil, butterfat, palm oil, olive oil, corn oil, linseed oil, peanut oil, fish oil and rapeseed oil; synthetic fatty acids made as chains of a single length or a selected distribution of chain lengths; and mixtures thereof.
- R 1 comprises the residue of lauric acid, that is a saturated fatty acid having 12 carbon atoms or the residue
- the compound of formula (I) may be prepared by any of the methods disclosed in the prior art, for example see the methods described in WO94/09763 and WO2005/075623.
- R 2 , R 3 R 4 and R 5 are all hydrogen.
- Preferred compounds of this type include sodium lauroyl isethionate and sodium cocoyl isethionate.
- R 3 , R 4 and R 5 are all hydrogen and R 2 is ethyl or, most preferably methyl.
- the composition of the present invention preferably comprises the reaction product of sodium methyl isethionate and a fatty acid, that is a compound of formula (MA) or (MB):
- composition of the present invention comprises one or more of sodium lauroyl methyl isethionate, sodium cocoyl methyl isethionate and sodium oleoyl methyl isethionate.
- component (a) of the composition of the present invention comprises sodium lauroyl methyl isethionate and/or sodium cocoyl methyl isethionate.
- Sodium lauroyl methyl isethionate is especially preferred.
- Component (a) of the compositions of the present invention comprises a compound of formula(l). It may include a mixture of two or more such compounds. Preferably at least 30%wt of component (a) is made up of compounds in which at least one of R 2 , R 3 , R 4 and R 5 is not hydrogen, preferably at least 50%wt, suitably at least 70%wt, for example at least 80%wt or at least 90%wt.
- Component (b) comprises one or more amphoteric surfactants including a sugar moiety.
- amphoteric surfactant molecule includes the residue of at least one monosaccharide unit.
- the monosaccharide unit may in some embodiments be part of a oligosaccharide or polysaccharide unit.
- amphoteric surfactant of component (b) includes at least one substituted monosaccharide unit. It may contain one or more substituted monosaccharide units selected from glucose, mannose and galactose. Preferably it includes at least one substituted glucose unit.
- Component (b) is an amphoteric surfactant. By this we mean to include any surfactants having the ability to exhibit both positive and negative sites.
- the amphoteric surfactant may typically include a cationic group and an anionic group.
- Suitable cationic groups include quaternary ammonium groups.
- Suitable anionic groups include the residues of carboxylic acids (carboxylate groups) and sulfonic acids (sulfonate groups).
- amphoteric surfactant may be selected from surfactants referred to as betaines, including sultaines (sulphobetaines), or other zwitterionic or amphoteric surfactants, for example those based on fatty nitrogen derivatives.
- amphoteric group may be used to refer to a moiety including a cationic group and an anionic group.
- amphoteric surfactant component (b) includes at least one quaternary ammonium group and at least one anionic group selected from carboxylate groups and sulfonate groups.
- amphoteric surfactant of component (b) includes at least one quaternary ammonium group and at least one carboxylate group.
- amphoteric surfactant of component (b) includes at least one substituted monosaccharide unit, at least one quaternary ammonium group and at least one carboxylate group.
- the amphoteric surfactant (b) preferably includes at least one monosaccharide unit. It may include a disaccharide, oligosaccharride or polysaccharide unit. Sutable polysaccharides include starches and guar. These may be unsubstituted or substituted with one or more alkyl groups. Preferably they are substituted, preferably with one alkyl group.
- the amphoteric surfactant may include one or more monosaccharide units, dissacharide units, oligosaccharide units or polysaccharide units.
- saccharide unit may be used herein to refer to any of these.
- each saccharide unit may be optionally substituted with one or more hydrocarbyl groups.
- Each saccharide unit may be optionally substituted with one or more alkyl or alkenyl groups.
- the alkyl or alkenyl substituent comprises from 1 to 40 carbon atoms, preferably from 4 to 36 carbon atoms, suitably from 4 to 32 carbon atoms, preferably from 6 to 28 carbon atoms, for example 6 to 24 carbon atoms or 8 to 22 carbon atoms.
- each saccharide unit may be substituted with one or more alkyi groups.
- each saccharide unit is substituted with one alkyi group.
- Component (b) suitably comprises a substituted polyglycoside compound, preferably a substituted polyglucoside.
- component (b) comprises a polyglycoside substituted with a hydrocarbyl group, for example an alkyi, alkenyl or aralkyi group.
- component (b) may be an alkyi polyglycoside compound including at least one amphoteric group.
- component (b) is an alkyi polyglucoside compound including at least one amphoteric group.
- Substituted polyglycosides are compounds having the structure shown in figure (III):
- each R is independently alkyi, alkenyl, aralkyi or hydrogen and R' is alkyi, alkenyl or aralkyi.
- R' is alkyi.
- each R is hydrogen.
- x may be 0 or a positive integer.
- Commerical sources of these compounds typically contain mixtures and on average x is between 0 and 2, usually between 0 and 1 , for example about 0.5.
- a common term used with respect to these type of compounds is the degree of polymerisation. When x is 0, the degree of polymerisation is 1 . When x is 1 the degree of polymerisation is 2.
- the degree of polymerisation of the alkyi polyglycosides used in the present invention is from 1 to 2, for example about 1 .4. AlkyI polyglycosides are available commercially.
- lauryl glucoside, coco glucoside and decyl glucoside are available from Cognis as Plantaren (RTM) 1200 N UP, Plantacare (RTM) 818 UP and Plantaren (RTM) 2000 N UP.
- AlkyI polyglycosides may be functionalised by linking a functional group to one or more of the residual hydroxy groups of the sugar moiety.
- Component (b) of the composition of the present invention preferably comprises an alkyl polyglycoside compound in which an amphoteric group is linked to one or more of the hydroxy groups of the sugar moiety.
- the amphoteric group may be joined to the sugar residue via a suitably linking group.
- the same or a different linking group may also link sugar residues to each other, and thus the compounds may be regarded as cross-linked functionalised polyglycosides.
- linking groups will be known to the person skilled in the art and include optionally substituted alkylene groups, for example -CH 2 CH(OH)CH 2 -. These linking groups may be provided by reaction of alkyl polyglycosides and amphoteric group precursor compounds with a difunctionalised alkyl group, for example 1 ,3-dichloropropan-2-ol. Other suitable compounds will be known to the person skilled in the art.
- component (b) comprises an alkyl polyglycoside including a quaternary ammonium group and either a sulfonate group or a carboxylate group.
- component (b) may comprise a sultaine functionality and/or a betaine functionality.
- component (b) may comprise an alkylpolyglycoside including a sultaine functionality.
- component (b) comprises an alkypolyglycoside including a betaine functionality.
- US5124445 describes the preparation of polysaccharides containing betaine groups particularly those based on hydroxyethyl cellulose.
- the synthesis involves reacting the polysaccharide with an intermediate compound which is the reaction product of epichlorohydrin with a tertiary amino acid and has the formula:
- US8124575 teaches a series of polyglycoside derivatives that are copolymerised/crosslinked with hydroxypropyl linkages and contain additional functionalised groups. US8124575 also teaches the crosslinking of mixtures of alkyi polyglycosides and non alkyi substituted saccharides such as sugars with hydroxpropyl linkages.
- the crosslinking/polymerising agent is 1 ,3-dichloropropan-2-ol, CICH 2 CH(OH)CH 2 CI.
- US7375064 teaches a series of polyglycoside derivatives that are copolymerised/crosslinked with CICH 2 CH(OH)CH 2 0(CH 2 CH 2 0) a (CH 2 CH(CH 3 )0) b CH 2 CH(OH)CH 2 CI where a is an integer ranging from 1 to 20 and b is an integer ranging from 1 to 20.
- component (b) comprises a compound represented by formula (IV):
- R 1 is a C 4 to C 36 substituted or unsubstituted hydrocarbyl group; each R 2 is a moiety including an amphoteric group; each S is a saccharide unit; n is an integer from 0 to 3; each L is a linking group; m is at least 1 ; each T is a terminal group, and each p may be 0 or a positive integer, provided at least one p is a positive integer.
- R 1 is a substituted or unsubstituted alkyi or alkenyl group.
- R 1 is an unsubstiututed alkyi or alkenyl group, especially an unsubstituted alkyi group.
- R 1 is a C 4 to C 36 alkyl group, preferably a C 6 to C 32 alkyl group, preferably a C 6 to C 28 alkyl group, more preferably a C 8 to C 24 alkyl group, most preferably a C 8 to Ci 8 alkyl group.
- R 1 is a lauryl group or a mixture of alkyl groups derived from coconut oil.
- Each S is a saccharide unit.
- Each S may independently be a monosaccharide unit, a dissacharide unit, an oligosaccharide unit or a polysaccharide unit.
- S is selected from monosaccharides, dissacharides and mixtures thereof.
- each S includes a glucose unit.
- n is preferably 1 or 2, most preferably n is 1 .
- Each L is a linking group.
- L may be a bond.
- L may be a bond to a hydrogen atom.
- L may be an optionally substituted alkylene or alkenylene group.
- L is an optionally substituted alkylene group.
- L is a hydroxy substituted alkylene group.
- L is -CH 2 CH(OH)CH 2 -.
- T is a terminal group.
- T may be an alkyl group.
- Preferably T is hydrogen.
- p is at least 1 .
- S is a monosaccharide p is preferably 1 or 2. If S includes more than one monosaccharide group, for example if S is a disaccharide or an oligosaccharide p may be more than 2, for example more than 5.
- m is at least 1 . In some embodiments m is from 1 to 4, for example from 1 to 2. In some embodiments m is much larger and the compound of formula (IV) includes many cross-linked units.
- the compounds of formula (IV) may have an average molecular weight of from 200 to 500,000, for example from 500 to 200,000 suitably from 500 to 100,000, suitably from 1 ,000 to 60,000, preferably from 5,000 to 50,000, more preferably from 8,000 to 25,000, suitably from 10,000 to 20,000.
- the compounds of formula (IV) may have an average molecular weight of from 200 to 10,000, preferably 500 to 5,000 for example 500 to 2,000. In some preferred embodiments, the compounds of formula (IV) may have an average molecular weight of from 50,000 to 300,000, preferably 100,000 to 200,000.
- the compound of formula (IV) may have a much higher molecular weight, for example in excess of 1 ,000,000.
- the compounds of formula (IV) may be mixtures having bi- or multimodal molecular weight distributions comprising one or more of the above preferred molecular weight ranges.
- R 2 is a moiety including an amphoteric group.
- R 2 may be represented by the group:
- R 3 and R 4 is each independently a to C 36 substituted or unsubstituted alkyl, alkenyl or aryl group;
- X is an optionally substituted alkylene, alkenylene or arylene group;
- Y is an optionally substituted alkylene, alkenylene or arylene group; and
- Z is COO " or S0 3 ⁇
- each of R 3 and R 4 is independently a Ci to C 36 substituted or unsubstituted alkyl or alkenyl group.
- R 3 and R 4 is each independently a substituted or unsubstituted alkyl group, preferably having from 1 to 30 carbon atoms, preferably 1 to 24 carbon atoms, preferably 1 to 18 carbon atoms, more preferably 1 to 12 carbon atoms, suitably 1 to 8 carbon atoms, preferably 1 to 4 carbon atoms.
- R 3 and R 4 is each independently an unsubstituted alkyl group or a hydroxy substituted alkyl group.
- R 3 and R 4 may each independently be selected from methyl, ethyl, propyl, butyl, hydroxymethyl, hydroxyethyl, hydroxypropyl and hydroxybutyl.
- R 3 is hydroxyethyl and R 4 is hydroxyethyl.
- X is an optionally substituted alkylene, alkenylene or arylene group.
- X is an optionally substituted alkylene or alkenylene group.
- X is an optionally substituted alkylene group.
- X is a hydroxy substituted alkylene group.
- X is -CH 2 CH(OH)CH 2 -.
- X is the same as L.
- Y is an optionally substituted alkylene, alkenylene or arylene group.
- Y is an optionally substituted alkylene or alkenylene group.
- Y is an optionally substituted alkylene group.
- Y is preferably an unsubstituted alkylene group, most preferably CH 2 .
- Z is S0 3 "
- Y is preferably a substituted alkylene group, most preferably
- R 2 may be the group: where R 3 , X, Y and Z are as defined above. In some embodiments R 2 may be the group:
- component (b) of the composition of the present invention may include compounds of formula (V):
- each of R 1 , R 2 , R 3 , R 4 , R 5 , R 6 , R 7 and R 8 is independently selected from hydrogen, a hydrocarbyl group, a moiety including an amphoteric group or a cross-link to another saccharide unit, and n is 0 or a positive integer, provided that the molecule includes at least one hydrocarbyl group and at least one amphoteric group.
- Preferred hydrocarbyl groups are alkyl groups, especially unsubstituted alkyl groups.
- the alkyl groups preferably have from 1 to 36 carbon atoms, preferably from 6 to 30, more preferably from 8 to 24 carbon atoms.
- Especially preferred are a lauryl group or a mixture of alkyl groups derived from coconut oil.
- R is an alkyl group.
- R 1 , R 2 , R 3 , R 4 , R 5 , R 6 , R 7 and R 8 may include an amphoteric group.
- Suitable amphoteric groups include those of the formula XN + R 3 R 4 YZ where X, R 3 , R 4 and Y and Z are as defined in relation to compound of formula (IV).
- amphoteric groups may be incorporated into the structure by reacting a saccharide compound with a suitably functionalised amphoteric moiety.
- the suitably functionalised amphoteric moiety may include a sultaine or preferably a betaine.
- suitably functionalised betaines include compounds formed by the reaction of epichlorohydrin and a tertiary amino acid. Some compounds of this type are the reaction product of epichlorohydrin with dimethyl glycine, dimethyl amino undecanoic acid, 3-dimethyl amino-2,2-dimethylpropionic acid or N-butyl-N-methyl amino acetic acid. These compounds are shown in figure (VI):
- one or more R 1 , R 2 , R 3 , R 4 , R 5 , R 6 , R 7 and R 8 may be a cross-link to another saccharide unit.
- the cross-link may be a bond.
- preferred cross-linking groups are optionally substituted alkylene, alkenylene and arylene groups.
- Especially preferred embodiments are substituted alkyl groups.
- Suitable cross- linking agents are difunctionalised alkyl groups which are able to react with the hydroxyl groups on two different saccharide units. It would be possible to use trifunctionalised cross- linking groups able to react with hydroxyl groups on three saccharide units. However this is not preferred.
- Suitable difunctionalised cross-linking agents include epichlorohydrin, 1 ,3- dichloropropan-2-ol and CICH 2 CH(OH)CH 2 0(CH 2 CH 2 0) a (CH 2 CH(CH 3 )0) b CH 2 CH(OH)CH 2 CI wherein each of a and b is an integer from 1 to 20. 1 ,3-dichloropropanol is especially preferred.
- R 1 , R 2 , R 3 , R 4 , R 5 , R 6 , R 7 and R 8 may be hydrogen. As the skilled person will appreciate R 1 is unlikely to be hydrogen.
- R 1 may suitably include a betaine moiety.
- at least one of R 2 , R 3 and R 4 is hydrogen.
- at least one of R 5 , R 6 and R 7 is hydrogen.
- the hexose residues shown in formula (V) may suitably be selected from glucose, mannose and galactose residues. Glucose residues are especially preferred.
- the compound of formula (V) is preferably an alkyl polyglycoside functionalised with betaine groups and cross-linked with linking groups.
- the alkyl polyglycoside is preferably lauryl or coco polyglycoside, preferably lauryl.
- the betaine group is a bishydroxyethylglycinate.
- the linking group is -CH 2 CH(OH)CH 2 -.
- component (b) includes a compound of formula (VII):
- the irritancy of the compositions of the present invention may be reduced by the inclusion of one or more further surfactants in addition to components (a) and (b).
- the low irritancy cleansing composition of the present invention preferably comprises at least one further surfactant component in addition to component (a) and component (b).
- the low irritancy cleansing composition of the present invention comprises at least three different surfactant components.
- the low irritancy cleansing composition of the present invention comprises at least four different surfactant components. In some embodiments the low irritancy cleansing composition of the present invention comprises at least five different surfactant components.
- composition of the first aspect further comprises an amphoteric surfactant component (c), in addition to the betaine component (b).
- the cleansing composition of the present invention comprises:
- R 1 represents a C 4 . 36 substituted or unsubstituted hydrocarbyl group
- each of R 2 , R 3 , R 4 and R 5 independently represents a hydrogen atom or a C 1-4 alkyl group and M + represents a cation;
- component (c) a further amphoteric surfactant in addition to component (b).
- amphoteric surfactant we mean to include any surfactants having the ability to exhibit both positive and negative sites.
- the surfactant component (c) may be selected from surfactants referred to as betaines, including sultaines (sulphobetaines), or other zwitterionic or amphoteric surfactants, for example those based on fatty nitrogen derivates.
- Suitable surfactants for use as component (c) may be selected from betaines, for example alkyl betaines, alkylamidopropyl betaines, alkylamidopropyl hydroxy sultaines, alkylampho acetates, alkylamphodiacetates, alkylamphopropionates, alkylamphodipropionates, alkyliminodipropionates and alkyliminodiacetates.
- betaines for example alkyl betaines, alkylamidopropyl betaines, alkylamidopropyl hydroxy sultaines, alkylampho acetates, alkylamphodiacetates, alkylamphopropionates, alkylamphodipropionates, alkyliminodipropionates and alkyliminodiacetates.
- Amphoteric surfactants suitable for use as component (c) in the compositions of the present invention may include those which have an alkyl or alkenyl group of 7 to 22 carbon atoms and comply with an overall structural formula: where R 1 is alkyl or alkenyl of 7 to 22 carbon atoms; R 2 and R 3 are each independently alkyl, hydroxyalkyl or carboxyalkyl of 1 to 6 carbon atoms; m is 2 to 4; n is 0 or 1 ; X is alkylene of 1 to 6 carbon atoms optionally substituted with hydroxyl; and Y is -C0 2 or -S0 3 .
- Surfactant component (c) may include simple betaines of formula:
- R 1 , R 2 and R 3 are as defined previously.
- R 1 may, in particular, be a mixture of C 12 and C 14 alkyl groups derived from coconut so that at least half, preferably at least three quarters, of the groups R 1 has 10 to 14 carbon atoms.
- R 2 and R 3 are preferably methyl.
- Amphoteric surfactant component (c) may include sultaines (or sulphobetaines) of formula:
- Amphoteric or zwitterionic surfactants may include amphoacetates and diamphoacetates.
- Amphoacetates generally conform to the following formula:
- Diamphoacetates generally conform to the following formula:
- R is an aliphatic group of 8 to 22 carbon atoms and M is a cation such as sodium, potassium, ammonium, or substituted ammonium.
- Suitable acetate-based amphoteric surfactants include lauroamphoacetate; alkyl amphoacetate; cocoampho(di)acetate; cocoamphoacetate; disodium cocoamphodiacetate; sodium cocoamphoacetate; disodium cocoamphodiacetate; disodium capryloamphodiacete; disodium lauroamphoacetate; sodium lauroamphoacetate and disodium wheatgermamphodiacetate.
- Suitable betaine surfactants include alkylamido betaine; alkyl betaine, C alkyldimethyl betaine; cocoamidopropylbetaine; tallow bis(hydroxyethyl) betaine; hexadecyldimethylbetaine; cocodimethylbetaine; alkyl amido propyl sulfo betaine; alkyl dimethyl amine betaine; coco amido propyl dimethyl betaine; alkyl amido propyl dimethyl amine betaine; cocamidopropyl betaine; lauryl betaine; laurylamidopropi betaine, coco amido betaine, lauryl amido betaine, alkyl amino betaine; alkyl amido betaine; coco betaine; lauryl betaine; diemethicone propyl PG-betaine; oleyl betaine; N-alkyldimethyl betaine; coco biguamide derivative, C 8 amido betaine; Ci 2 amido betaine; lauryl dimethyl betaine
- Suitable glycinate-based amphoteric surfactants include cocoamphocarboxyglycinate; tallowamphocarboxygycinate; capryloamphocarboxyglycinate, oleoamphocarboxyglycinate, bis-2-hydroxyethyl tallow glycinate; lauryl amphoglycinate; tallow polyamphoglycinate; coco amphoglycinate; oleic polyamphoglycinate; N-C wn 2 fatty acid amidoethyl-A/-(2-hydroxyethyl)- glycinate; A/-C 12/ is-fatty acid amidoethyl-N-(2-hydroxyethyl)-glycinate; dihydroxyethyl tallow glycinate.
- component (c) comprises a betaine.
- An especially preferred betaine surfactants for use as component (c) is cocoamidopropyl betaine.
- the cleansing composition of the present invention comprises: an anionic surfactant selected from sodium lauryl methyl isethionate, sodium cocoyl methyl isethionate, sodium oleoyl methyl isethionate and mixtures thereof;
- composition of the present invention may comprise further surfactant components in addition to components (a), (b) and (c).
- Such surfactants may be selected from anionic surfactants, cationic surfactants, amphoteric surfactants, non-ionic surfactants and mixtures thereof.
- the composition of the present invention comprises a further anionic surfactant (d).
- the additional anionic surfactant (d) is preferably selected from one or more of salts of fatty acids; mono- or dialkyi sulfates; mono- or dialkyi ether sulfates; lauryl ether sulfates; alkyi sulfonates; alkyi aryl sulfonates; primary alkane disulfonates; alkene sulfonates; hydroxyalkane sulfonates; alkyi glyceryl ether sulfonates; alpha-olefinsulfonates; alkyi phosphates; sulfonates of alkylphenolpolyglycol ethers; alkyi sulfopolycarboxylic acid esters; alkyi sulfosuccinates, alkyi ether sulfosuccinates, non-acylated alkyi isethionates; fatty acid taurates; acyl taurates; products of condensation of
- Particularly exemplary salts of the above are the sodium, potassium, ammonium, magnesium and triethylamine salts.
- Preferred additional anionic surfactants (d) are selected from salts of fatty acids; mono- or dialkyi sulfates; alkyi sulfonates; alkyi aryl sulfonates; primary alkane disulfonates; alkene sulfonates; hydroxyalkane sulfonates; alkyi glyceryl ether sulfonates; alpha-olefinsulfonates; alkyi phosphates; alkyi sulfopolycarboxylic acid esters; alkyi sulfosuccinates; non-acylated alkyi isethionates; fatty acid taurates; acyl taurates; products of condensation of fatty acids with oxy- and aminoalkanesulfonic acids; sulfated derivatives of fatty acids and polyglycol
- Particularly preferred anionic surfactants for use herein include sodium methyl cocoyl taurate, sodium oleoyl methyl taurate, sodium lauroyl methyl taurate, sodium lauryl sarcosinate, disodium oleamido mipa sulfosuccinate.
- Component (d) is preferably selected from alkyi ether sulfates, alkyi sulfates and taurate surfactants.
- Preferred anionic surfactants (d) are taurate surfactants.
- the additional anionic surfactant is selected from sodium methyl lauryl taurate, sodium methyl cocoyl taurate and sodium oleoyl methyl taurate.
- Sodium oleoyl methyl taurate is especially preferred Component (a) is preferably present in the cleansing composition of the present invention in an amount of at least 0.1 wt%, preferably at least 0.5 wt%, for example at least 0.75 wt%, suitably at least 1 wt%, preferably at least 1 .5 wt%, for example at least 2 wt%, at least 2.25 wt% or at least 2.5 wt%.
- Component (a) may be present in an amount of up to 70 wt%, suitably up to 50 wt%, preferably up to 40 wt%, suitably up to 30 wt%, preferably up to 20 wt%, more preferably up to 10 wt%, suitably up to 7.5 wt%, preferably up to 5 wt%, more preferably up to 4.5 wt%, for example or up to 4 wt%, up to 3.75 wt% or up to 3.5 wt%.
- Component (b) is preferably present in the cleansing composition of the present invention in an amount of at least 0.1 wt%, preferably at least 0.5 wt%, for example at least 0.75 wt%, suitably at least 1 wt%, preferably at least 1 .5 wt%, more preferably at least 1 .75 wt%, for example at least 2 wt%.
- Component (b) may be present in an amount of up to 70 wt%, suitably up to 50 wt%, preferably up to 40 wt%, suitably up to 30 wt%, preferably up to 20 wt%, more preferably up to 10 wt%, suitably up to 7.5 wt%, preferably up to 5 wt%, suitably up to 4 wt%, suitably preferably up to 3.75 wt%, for example up to 3.5 wt% or up to 3 wt%. .
- Component (c) is preferably present in the cleansing composition of the present invention in an amount of at least 0.1 wt%, preferably at least 0.5 wt%, for example at least 0.75 wt%, suitably at least 1 wt%, preferably at least 1 .5 wt%, more preferably at least 1 .75 wt%, for example at least 2 wt%.
- Component (c) may be present in an amount of up to 70 wt%, suitably up to 50 wt%, preferably up to 40 wt%, suitably up to 30 wt%, preferably up to 20 wt%, more preferably up to 10 wt%, for example up to 7.5 wt% or up to 5 wt%, suitably up to 4 wt%, preferably up to 3.75 wt%, for example up to 3.5 wt% or up to 3 wt%.
- Component (d) is preferably present in an amount of at least 0.1 wt%, suitably at least 0.5 wt%, preferably at least 0.75 wt%, more preferably at least 1 wt%, for example at least 1 .25 wt% or at least 1 .5 wt%.
- Component (d) may be present in an amount of up to 70 wt%, preferably up to 50 wt%, suitably up to 30 wt%, preferably up to 20 wt%, more preferably up to 15 wt%, suitably up to 10 wt%, preferably up to 7.5 wt%, suitably up to 5 wt%, more preferably up to 3 wt%, for example up to 2.75 wt% or up to 2.5 wt%.
- component (a), component (b), component (c) and component (d) may be present as a mixture of compounds. In such embodiments the above amounts refer to the total of all such compounds present in the composition.
- any definitions of amounts of surfactant stated herein and molar and weight ratios thereof refer to the actual amount of active surfactant compound present in the composition.
- each of components (a), (b), (c) and (d) may comprise a mixture of the specified surfactants and any amount mentioned in this specification refers to the total amount of each such surfactant type present in the composition.
- commercial sources of surfactant often comprise mixtures of active surfactant compounds (as well as impurities), for example different isomers, especially if they have been prepared from natural sources, for example fatty acid mixtures found in nature.
- the composition of the present invention comprises a first anionic surfactant (a) and optionally a further anionic surfactant (d).
- the composition may include one or more further anionic surfactants, in addition to component (a) and component (d).
- component (a) comprises at least 10 wt% of all anionic surfactants present in the composition, more preferably at least 20 wt%, preferably at least 30 wt%, for example at least 40 wt%.
- At least 10 wt% of all anionic surfactants present in the composition comprise at compound of formula (I) in which one of R 2 , R 3 , R 4 and R 5 is to C 4 alkyl, especially methyl and the others are hydrogen, preferably at least 20 wt%, more preferably at least 30 wt%, suitably at least 40 wt%.
- compositions of the present invention comprise an amphoteric surfactant including a sugar moiety (b) and may optionally contain another amphoteric surfactant (c).
- Component (c) is preferably a betaine.
- component (b) comprises at least 10 wt% of all amphoteric surfactants present in the composition, preferably at least 20 wt%, suitably at least 25 wt%, for example at least 30 wt%. In some embodiments it comprises at least 35 wt% or at least 40 wt%.
- the ratio of the total weight of all anionic surfactants present in the composition to all amphoteric surfactants present in the composition is suitably from 10:1 to 1 :10, preferably from 5:1 to 1 :5, suitably from 3:1 to 1 :3, preferably from 2:1 to 1 :2, more preferably from 1 .5:1 to 1 :1 .5, for example from 1 .25:1 to 1 :1 .25.
- the cleansing composition of the present invention comprises less than 3 wt% ethoxylated non-ionic species comprising one or more ethylene oxide residues, preferably less than 1 wt%, more preferably less than 0.5 wt%, preferably less than 0.1 wt%, more preferably less than 0.05 wt%, preferably less 0.01 wt%, preferably less than 0.005 wt% and most preferably less than 0.001 wt%.
- the composition of the present invention is substantially free of alkoxylated non-ionic surfactant compounds.
- the composition comprises less than 1 wt% ethoxylated compounds of any type, preferably less than 0.1 wt%, more preferably less than 0.001 wt%.
- Cationic, anionic and amphoteric surfactants including ethylene oxide residues are known.
- the composition of the present invention does not include any of these types of compound.
- a taurate surfactant preferably sodium methyl oleoyl taurate
- e less than 0.1 wt% alkoxylated non-ionic surfactant compounds.
- composition of the present invention may comprise one or more further components selected from antibacterial agents, foam boosters, pearlescers, perfumes, dyes, colouring agents, preservatives, thickeners, proteins, polymers such as silicone polymers, phosphate esters, sunscreens, antidandruff agents, buffering agents, moisturisers such as fatty acid alkanolamides, silicone derivatives, cationic polymers, propylene glycol, glycerine, viscosity controlling agents such as methyl cellulose, and other additives which are usually used for cleansers.
- Suitable conditioning agents include quaternary ammonium compounds of formula
- R 4 wherein each of R 1 , R 2 , R 3 and R 4 is an alkyl or alkenyl group and X is chloride, bromide or methyl sulfate. At least one of R 1 , R 2 , R 3 and R 4 is a C 6 to C 2 4 alkyl or alkenyl group and the others are Ci to C 4 alkyl, for example methyl. In some embodiments two, three or four of the groups R 1 , R 2 , R 3 and R 4 may be C 6 to C 2 4 alkyl or alkenyl.
- Suitable conditioning agents for use herein include those designated as polyquaterniums on the INCI list, for example polyquaternium-10 and polyquaternuim-7; as well as guar hydroxypropyl ammonium chloride and similar cationic polymers.
- Suitable preservatives include dimethyl dimethylolhydantoin (DMDMH), DMDMH/iodopropynyl-butyl carbamate (Glydant Plus, a registered trademark of Lonza Inc.), benzyl alcohol, methyl paraben, propyl paraben and imidazolidinyl urea.
- DDMH dimethyl dimethylolhydantoin
- Glydant Plus a registered trademark of Lonza Inc.
- benzyl alcohol methyl paraben
- propyl paraben propyl paraben
- imidazolidinyl urea imidazolidinyl urea
- composition of the present invention may comprise a chelating agent. This may be present in an amount of from 0.0001 to 1 wt%, preferably 0.01 to 0.2 wt%.
- Preferred chelating agents are biodegradable chelating agents.
- One especially preferred chelating agent is ethylene diaminedisuccinic acid or a salt thereof.
- the cleansing composition of the present invention has a pH of from 4 to 8, preferably from 5 to 7, for example from 5.5 to 6.5.
- the pH can be adjusted, as needed, with either a base, for example sodium hydroxide or sodium carbonate, or an acid for example citric acid, succinic acid, or phosphoric acid.
- Citric acid is an especially preferred pH adjusting agent.
- the viscosity of the composition of the present invention may be pH dependent.
- the viscosity of the composition may increase as the pH decreases.
- compositions of the invention may have a viscosity at 25 °C in the region of 1 00 to 400 mPas at pH 7 and a viscosity in the region of 6000 to 8000 mPas at pH 5.
- the desired viscosity of the composition of the present invention may depend on the desired end use of the composition. For example it has been noted that consumers often prefer baby shampoos to be of lower viscosity but for adult shampoos to be of higher viscosity; and a mild facial wash may suitably have a lower viscosity than an intensive conditioning composition.
- Compositions of the present invention may have any viscosity suitable for the intended purpose. Typically a viscosity at 25°C in the range 50 to 20000 mPas is used.
- the viscosity of the composition of the first aspect at 25 °C varies by more than 1000 mPas over the pH range 5 to 7, preferably by more than 2000 mPas, more preferably by more than 4000 mPas.
- the viscosity of the composition of the first aspect at 25 °C varies by more than 1000 mPas over the pH range 5.5 to 6.5, preferably by more than 2000 mPas, more preferably by more than 3000 mPas.
- the composition of the present invention is preferably an aqueous composition.
- the composition may comprise one or more further solvents in addition to water.
- suitable co-solvents may include polar compounds for example alcohols, glycols and the like.
- water is the major solvent present in the composition of the present invention and suitably comprises at least 80 wt% of all solvents present, preferably at least 90 wt%, more preferably at 95 wt%.
- the present invention provides a low irritancy cleansing composition.
- the composition of the present invention is very low irritating to both the skin and the eyes.
- the cleansing composition may be used for any purpose in which low irritancy to the skin and/or eyes is desirable.
- the composition may be used as a facial wash or a product for people with sensitive skin.
- the composition of the present invention is a baby care product, for example a baby bath product or a baby shampoo.
- the cleansing composition of the present invention is sufficiently non-irritating to enable it to be used as a baby shampoo.
- composition of the present invention exhibits very low ocular irritation.
- Ocular irritation can be measured by any suitable method and such methods will be known to the person skilled in the art.
- a standard method known since 1944 is the Draize Eye Irritancy Test. This is a long established test which involves delivery of a material into the conjunctival sac of one eye of a rabbit. However this test is now used less often as it is often considered wasted and alternative in vitro tests have been developed.
- One suitable method is the "EpiOcular" (RTM) of MatTek.
- This corneal model consists of normal, human-derived epidermal keatinocytes which have been cultured to form a stratified, squamous epithelium similar to that found in the cornea.
- the epidermal cells which are cultured on specially prepared cell culture inserts using serum free medium, differentiate to form a multilayered structure which closely parallels the corneal epithelium.
- the system is said to provide a predictive, morphologically relevant in vitro means to assess ocular irritancy.
- the results from the EpiOcular (RTM) test allow a composition to be classified as highly irritating, irritating, mildly irritating, or minimally or non-irritating, using the following categories.
- the low irritancy cleansing formulation of the present invention would be classified as mildly irritating or minimally or non-irritating. Preferably it would be classified as non-irritating or minimally irritating.
- the composition of the present invention would preferably be such that when testing using in vitro tests of this type it would provide a score equivalent to mild or non-irritating or minimally irritating on the Draize Test, preferably as non-irritating or minimally irritating.
- the cleansing composition of the present invention has low skin irritancy.
- Skin irritancy may be measured by any suitable means.
- a composition is applied to the skin for 14 consecutive days and the irritation evaluated in what is referred to as a 14-Day Cumulative Irritation Test.
- compositions of the present invention have also been found to be highly effective at cleansing the hair and/or skin and have been found to have good foaming properties.
- compositions of the present invention may thus be regarded as high-foaming compositions.
- High foaming compositions may be advantageous as they have improved consumer appeal.
- One such method is detailed in example 2.
- the low irritancy cleansing composition of the present invention is very mild and can thus be used as a baby shampoo, baby bath, mild skin cleanser, facial skin cleanser, sensitive skin cleanser and the like.
- the low irritancy cleansing composition of the present invention could also be used in animal care applications, for example as a pet shampoo.
- a concentrated surfactant composition which upon dilution forms a low irritancy cleansing composition of the first aspect of the present invention.
- Suitable concentrated surfactant compositions of the second aspect may have a concentration of from 1 .1 to 20 times the concentration of the composition of the first aspect, suitably from 1 .25 to 15 times, preferably from 1 .5 to 10 times, more preferably from 1 .75 to 5 times, for example from 2 to 3 times the concentration of the composition of the first aspect.
- compositions of the first and second aspects of the present invention have been found to have good storage stability. By this we mean that the compositions do not significantly separate or lose activity on storage.
- compositions of the first and second aspects of the present invention are stable on storing at temperatures of up to 45 °C, for example between 25 °C and 45 °C for periods of up to 1 week, suitably at least 1 month, for example at least 1 year.
- compositions of the first and second aspects of the present invention are stable during freeze thaw cycles.
- a method of cleansing the skin and/or hair comprising contacting the skin and/or hair with a composition of the first aspect; and rinsing with water.
- Preferred features of the third aspect are as defined in relation to the first and second aspects.
- Cleansing compositions were prepared comprising the following components:
- Sodium lauroyl methyl isethionate was supplied as Iselux (RTM) flake, a commercially available material comprising 83wt% active ingredient.
- Cocamidopropyl betaine was provided in a composition comprising 30wt% active ingredient.
- the sugar containing betaine used was a commercially available material sold under the trade mark SugaBetaine L and comprising 31 .5wt% active material. This is available from Colonial Chemical and is believed to have the structure shown in figure (VII). Sodium methyl oleoyi taurate was provided as pureact MS, a commercially available material comprising 32.8wt% active ingredient.
- Na 3 EDDS was provided as Natrlquest E30 (RTM), a composition comprising 30wt% of the trisodium salt of ethylene diamine disuccinic acid.
- compositions A and B were each tested in a Human Occular Irritation Trial.
- compositions A and B were the test materials.
- test and standard control materials were prepared as ten percent (10%) dilutions, using USP sterile distilled water as the diluent.
- test material and the control product dilutions were placed in a water bath and brought to a temperature of 35 - 36°C before instillation. The diluted test material and diluted standard control were maintained at this temperature during all phases of the trial.
- test material was instilled into the inferior fornix of the appropriate eye by a registered nurse, using a sterile, 1 cc tuberculin syringe.
- One drop of the diluted standard control was instilled into the contralateral eye in the same manner. Instillation of test material and control product was randomized for the right and left eye.
- Stinging was scored based upon verbal responses from the subjects. Lacrimation and irritation was scored by a Board-Certified Ophthalmologist based upon visual observations using the following scale:
- Table 1 summarises the bulbar conjunctiva irritation scores assessed by the Board Certified Ophthalmologist.
- Table 2 summarises the palpebral conjunctiva irritation scores assessed by the Board Certified Ophthalmologist.
- Table 3 summarises the scleral vessel scores assessed by the Board Certified Ophthalmologist.
- Table 4 summarises the lacrimation scores assessed by the Board Certified Ophthalmologist.
- Table 5 summarises the perceived eye discomfort scores (sting/burn/pain) at each post- instillation scoring interval.
- composition A composition A
- composition B control composition
- each composition 2.0g ( ⁇ 0.01 g) of each composition was added to a clean 600 ml beaker. 400g ( ⁇ 0.1 Og) deionised water was added into the beaker. A magnetic stir bar was added and the mixture stirred on a magnetic stirring plate until completely homogeneous. The temperature of the composition was adjusted to 25 °C ( ⁇ 0.2 ⁇ €).
- Composition A Composition B Control
- a concentrated composition comprising the following components:
- Sodium lauroyl methyl isethionate was supplied as Iselux (RTM) flake, a commercially available material comprising 82.6wt% active ingredient.
- Cocamidopropyl betaine was provided in a composition comprising 30wt% active ingredient.
- the sugar containing betaine used was a commercially available material sold under the trade mark SugaBetaine L and comprising 31 .5wt% active material. This is available from Colonial Chemical and is believed to have the structure shown in figure (VII). Sodium methyl oleoyi taurate was provided as pureact MS, a commercially available material comprising 32.8wt% active ingredient.
- Na 3 EDDS was provided as Natrlquest E30 (RTM), a composition comprising 30wt% of the trisodium salt of ethylene diamine disuccinic acid.
- JR-125 is a commercially available conditioning polymer (polyquaternium-10) available from Dow Chemicals.
- compositions C, D1 , D2 and D3 were evaluated for stability by storing separate samples at room temperature and 49 °C (120°F) for 1 month. All samples were observed to be stable. Viscosity at the start and end of test are shown below.
- compositions C and D1 were evaluated for stability by submitting to 3 freeze thaw cycles. Both samples were found to be stable.
- compositions D1 and D4 were determined over a range of pH's.
- Composition D1 was compared to seven commercially available baby shampoo products using the foam test of example 2. In this series of tests, both the flash foam and the foam (immediate foam level observed) after 5 minutes was recorded.
- compositions were prepared comprising the following components:
- Disodium oleamido MIPA sulfosuccinate was provided as Pureact MD-318 a commercially available material comprising approximately 30% active material.
- compositions were tested using the EpiOcular in vitro Draize test described above. The results obtained were as shown below.
- Example 9 Composition B fell in the most favourable Draize category, non-irritating or minimally irritating.
Landscapes
- Health & Medical Sciences (AREA)
- Life Sciences & Earth Sciences (AREA)
- Public Health (AREA)
- Animal Behavior & Ethology (AREA)
- Veterinary Medicine (AREA)
- General Health & Medical Sciences (AREA)
- Chemical & Material Sciences (AREA)
- Birds (AREA)
- Epidemiology (AREA)
- Dermatology (AREA)
- Cosmetics (AREA)
- Engineering & Computer Science (AREA)
- Organic Chemistry (AREA)
- Wood Science & Technology (AREA)
- Chemical Kinetics & Catalysis (AREA)
- Oil, Petroleum & Natural Gas (AREA)
- Detergent Compositions (AREA)
Description
Composition
The present invention relates to low irritancy cleansing compositions, for example compositions suitable for use as baby shampoos, baby baths, mild skin cleansers, mild facial cleansers, cleansers for sensitive skin and the like. Such compositions must exhibit low skin and eye irritation. Low irritancy cleansing compositions of this type may also be useful in animal applications, for example as pet shampoos.
In addition to being mild and having low irritancy such compositions must still be efficient cleansing agents. They should be able to effectively remove dirt, grease and other residues from the skin and/or hair. In addition it is desirable to provide high foaming cleansing compositions as these have increased consumer appeal.
According to a first aspect of the present invention there is provided a low irritancy cleansing composition comprising:
(a) one or more anionic surfactants of formula (I):
(I)
wherein R1 represents a C4.36 substituted or unsubstituted hydrocarbyl group;
each of R2, R3, R4 and R5 independently represents a hydrogen atom or a C1-4 alkyl group and
M+ represents a cation; and (b) one or more amphoteric surfactants including a sugar moiety.
Preferred features of the invention will now be described. Component (a) comprises one or more compounds of formula (I) and component (b) comprises one or more amphoteric surfactants.
For the avoidance of doubt, in this specification if reference is made to "the" or "a" compound of formula (I) or "the" or "a" amphoteric surfactant including a sugar moiety, such reference includes all such compounds present in the composition. Component (a) comprises one or more compounds of formula (I):
(I)
Preferably R1 is selected from a substituted or unsubstituted alkyl, alkenyl, aryl or alkylaryl group. More preferably R1 is selected from a substituted or unsubstituted alkyl or alkenyl group. Most preferably R1 is an unsubstituted alkyl or alkenyl group, especially an unsubstituted alkyl group.
Preferably R1 represents a C5.30 alkyl group, preferably a C7.24 alkyl group, more preferably a C7-21 alkyl group, most preferably a C7.17 alkyl group.
In some embodiments R2, R3, R4 and R5 are all hydrogen. However in preferred embodiments at least one of R2, R3, R4 and R5 is not hydrogen. Preferably R2 represents a C1-4 alkyl group, suitably a C1 -4 alkyl group in which a propyl or butyl group, when present, is straight-chained. Preferably R2 represents an n-propyl, ethyl or, most preferably, a methyl group.
Preferably R3 represents a hydrogen atom.
Preferably one of R4 and R5 represents a hydrogen atom and the other represents a hydrogen atom or a C1-4 alkyl group. Preferably one of R4 and R5 represents a hydrogen atom or a C1 -4 alkyl group in which a propyl or butyl group is straight-chain. Preferably one of R4 and R5 represents an n-propyl, ethyl or methyl group or, most preferably, a hydrogen atom. Most preferably both R4 and R5 represent hydrogen atoms.
In some embodiments the present invention may include a mixture of more than one compound of formula (I). For example an isomeric mixture of compounds of formula (I) may be present. Such a mixture may include, for example a compound in which R2 is alkyl (suitably methyl) and R3, R4 and R5 are all hydrogen and a compound in which R5 is is alkyl (suitably methyl) and R2, R3 and R4 are all hydrogen.
In some embodiments component (a) may comprise a mixture of compounds including compounds in which R2, R3, R4 and R5 are all hydrogen and compounds in which one of R2, R3, R4 and R5 is a Ci to C4 alkyl (especially methyl) and the others are hydrogen.
Preferably M+ represents an optionally substituted ammonium cation or, most preferably, a metal cation. Suitable ammonium cations include NH4 + and the ammonium cation of triethanolamine. Suitable metal cations include zinc, alkali metal cations, for example sodium, lithium and potassium cations, and alkaline earth metal cations, for example calcium and magnesium cations. Preferably M+ represents a potassium cation, or, especially, a sodium cation.
R1 may be an alkyl group or an alkenyl group. Preferably R1 is an alkyl group. In some embodiments the component surfactant of the present invention may comprise a mixture of fatty acids to form a mixture of compounds of formula (I) in which R1 may be different.
R1 is preferably the residue of a fatty acid. Fatty acids obtained from natural oils often include mixtures of fatty acids. For example the fatty acid obtained from coconut oil contains a mixture of fatty acids including C12 lauric acid, C14 myristic acid, C16 palmitic acid, C8 caprylic acid, and Ci8 stearic and oleic.
R1 may include the residue of one or more naturally occurring fatty acids and/or of one or more synthetic fatty acids. In some preferred embodiments R1 consists essentially of the residue of a single fatty acid.
Examples of carboxylic acids from which R1 may be derived include coco acid, butyric acid, hexanoic acid, caproic acid, caprylic acid, capric acid, lauric acid, myristic acid, palmitic acid, palmitoleic acid, stearic acid, oleic acid, linoleic acid, arachidic acid, gadoleic acid, arachidonic acid, eicosapentanoic acid, behinic acid, eruic acid, docosahexanoic lignoceric acid, naturally occurring fatty acids such as those obtained from coconut oil, tallow, palm kernel oil, butterfat, palm oil, olive oil, corn oil, linseed oil, peanut oil, fish oil and rapeseed oil; synthetic fatty acids made as chains of a single length or a selected distribution of chain lengths; and mixtures thereof. Most preferably R1 comprises the residue of lauric acid, that is a saturated fatty acid having 12 carbon atoms or the residue of mixed fatty acids derived from coconut oil.
The compound of formula (I) may be prepared by any of the methods disclosed in the prior art, for example see the methods described in WO94/09763 and WO2005/075623. As mentioned above in some embodiments R2, R3 R4 and R5 are all hydrogen. Preferred compounds of this type include sodium lauroyl isethionate and sodium cocoyl isethionate.
In especially preferred embodiments, R3, R4 and R5 are all hydrogen and R2 is ethyl or, most preferably methyl.
In such preferred embodiments the composition of the present invention preferably comprises the reaction product of sodium methyl isethionate and a fatty acid, that is a compound of formula (MA) or (MB):
R1COOCH(CH3)CH2S03 ~M+
(MA)
R1COOCH2CH(CH3)S03 ~M+
(MB)
Mixtures of these isomers may be present.
In some embodiments the composition of the present invention comprises one or more of sodium lauroyl methyl isethionate, sodium cocoyl methyl isethionate and sodium oleoyl methyl isethionate.
Most preferably component (a) of the composition of the present invention comprises sodium lauroyl methyl isethionate and/or sodium cocoyl methyl isethionate. Sodium lauroyl methyl isethionate is especially preferred.
Component (a) of the compositions of the present invention comprises a compound of formula(l). It may include a mixture of two or more such compounds. Preferably at least 30%wt of component (a) is made up of compounds in which at least one of R2, R3, R4 and R5 is not hydrogen, preferably at least 50%wt, suitably at least 70%wt, for example at least 80%wt or at least 90%wt.
Component (b) comprises one or more amphoteric surfactants including a sugar moiety. By "including a sugar moiety" we mean that the amphoteric surfactant molecule includes the residue of at least one monosaccharide unit. For the avoidance of doubt the monosaccharide unit may in some embodiments be part of a oligosaccharide or polysaccharide unit.
Suitably the amphoteric surfactant of component (b) includes at least one substituted monosaccharide unit. It may contain one or more substituted monosaccharide units selected from glucose, mannose and galactose. Preferably it includes at least one substituted glucose unit.
Component (b) is an amphoteric surfactant. By this we mean to include any surfactants having the ability to exhibit both positive and negative sites.
The amphoteric surfactant may typically include a cationic group and an anionic group. Suitable cationic groups include quaternary ammonium groups. Suitable anionic groups include the residues of carboxylic acids (carboxylate groups) and sulfonic acids (sulfonate groups).
The amphoteric surfactant may be selected from surfactants referred to as betaines, including sultaines (sulphobetaines), or other zwitterionic or amphoteric surfactants, for example those based on fatty nitrogen derivatives.
In this specification the term "amphoteric group" may be used to refer to a moiety including a cationic group and an anionic group.
Preferably the amphoteric surfactant component (b) includes at least one quaternary ammonium group and at least one anionic group selected from carboxylate groups and sulfonate groups. Preferably the amphoteric surfactant of component (b) includes at least one quaternary ammonium group and at least one carboxylate group.
Suitably the amphoteric surfactant of component (b) includes at least one substituted monosaccharide unit, at least one quaternary ammonium group and at least one carboxylate group.
The amphoteric surfactant (b) preferably includes at least one monosaccharide unit. It may include a disaccharide, oligosaccharride or polysaccharide unit. Sutable polysaccharides include starches and guar. These may be unsubstituted or substituted with one or more alkyl groups. Preferably they are substituted, preferably with one alkyl group.
The amphoteric surfactant may include one or more monosaccharide units, dissacharide units, oligosaccharide units or polysaccharide units. The term saccharide unit may be used herein to refer to any of these.
The or each saccharide unit may be optionally substituted with one or more hydrocarbyl groups. Each saccharide unit may be optionally substituted with one or more alkyl or alkenyl groups. Suitably the alkyl or alkenyl substituent comprises from 1 to 40 carbon atoms,
preferably from 4 to 36 carbon atoms, suitably from 4 to 32 carbon atoms, preferably from 6 to 28 carbon atoms, for example 6 to 24 carbon atoms or 8 to 22 carbon atoms.
Preferably the or each saccharide unit may be substituted with one or more alkyi groups. Preferably each saccharide unit is substituted with one alkyi group.
Component (b) suitably comprises a substituted polyglycoside compound, preferably a substituted polyglucoside. Preferably component (b) comprises a polyglycoside substituted with a hydrocarbyl group, for example an alkyi, alkenyl or aralkyi group.
Suitably component (b) may be an alkyi polyglycoside compound including at least one amphoteric group.
In some especially preferred embodiments component (b) is an alkyi polyglucoside compound including at least one amphoteric group.
Substituted polyglycosides are compounds having the structure shown in figure (III):
(III) in which each R is independently alkyi, alkenyl, aralkyi or hydrogen and R' is alkyi, alkenyl or aralkyi. Preferably R' is alkyi. Preferably each R is hydrogen.
Such compounds and the synthesis thereof will be known to the person skilled in the art. In the structure shown in figure (III), x may be 0 or a positive integer. Commerical sources of these compounds typically contain mixtures and on average x is between 0 and 2, usually between 0 and 1 , for example about 0.5. A common term used with respect to these type of compounds is the degree of polymerisation. When x is 0, the degree of polymerisation is 1 . When x is 1 the degree of polymerisation is 2. Suitably the degree of polymerisation of the alkyi polyglycosides used in the present invention is from 1 to 2, for example about 1 .4.
AlkyI polyglycosides are available commercially. For example lauryl glucoside, coco glucoside and decyl glucoside are available from Cognis as Plantaren (RTM) 1200 N UP, Plantacare (RTM) 818 UP and Plantaren (RTM) 2000 N UP.
AlkyI polyglycosides may be functionalised by linking a functional group to one or more of the residual hydroxy groups of the sugar moiety. Component (b) of the composition of the present invention preferably comprises an alkyl polyglycoside compound in which an amphoteric group is linked to one or more of the hydroxy groups of the sugar moiety.
The amphoteric group may be joined to the sugar residue via a suitably linking group. In some embodiments the same or a different linking group may also link sugar residues to each other, and thus the compounds may be regarded as cross-linked functionalised polyglycosides.
Suitable linking groups will be known to the person skilled in the art and include optionally substituted alkylene groups, for example -CH2CH(OH)CH2-. These linking groups may be provided by reaction of alkyl polyglycosides and amphoteric group precursor compounds with a difunctionalised alkyl group, for example 1 ,3-dichloropropan-2-ol. Other suitable compounds will be known to the person skilled in the art.
In preferred embodiments component (b) comprises an alkyl polyglycoside including a quaternary ammonium group and either a sulfonate group or a carboxylate group. Thus component (b) may comprise a sultaine functionality and/or a betaine functionality.
In some embodiments component (b) may comprise an alkylpolyglycoside including a sultaine functionality. Preferably component (b) comprises an alkypolyglycoside including a betaine functionality.
The synthesis of the functionalised cross-linked alkyl polyglycosides including an amphoteric group may be achieved by methods known from the prior art. The synthesis of betaine functionalised saccharides is described for example in US5124446, the entire teaching of which is incorporated herein by reference.
US5124445 describes the preparation of polysaccharides containing betaine groups particularly those based on hydroxyethyl cellulose. The synthesis involves reacting the
polysaccharide with an intermediate compound which is the reaction product of epichlorohydrin with a tertiary amino acid and has the formula:
The synthesis of crosslinked functionalised alkyi polyglycosides is described for example in US8124575, the entire teaching of which is incorporated herein by reference.
US8124575 teaches a series of polyglycoside derivatives that are copolymerised/crosslinked with hydroxypropyl linkages and contain additional functionalised groups. US8124575 also teaches the crosslinking of mixtures of alkyi polyglycosides and non alkyi substituted saccharides such as sugars with hydroxpropyl linkages. The crosslinking/polymerising agent is 1 ,3-dichloropropan-2-ol, CICH2CH(OH)CH2CI.
US7375064 teaches a series of polyglycoside derivatives that are copolymerised/crosslinked with CICH2CH(OH)CH20(CH2CH20)a(CH2CH(CH3)0)bCH2CH(OH)CH2CI where a is an integer ranging from 1 to 20 and b is an integer ranging from 1 to 20.
In some preferred embodiments component (b) comprises a compound represented by formula (IV):
(IV) wherein R1 is a C4 to C36 substituted or unsubstituted hydrocarbyl group; each R2 is a moiety including an amphoteric group; each S is a saccharide unit; n is an integer from 0 to 3; each L is a linking group; m is at least 1 ; each T is a terminal group, and each p may be 0 or a positive integer, provided at least one p is a positive integer.
Preferably R1 is a substituted or unsubstituted alkyi or alkenyl group. Preferably R1 is an unsubstiututed alkyi or alkenyl group, especially an unsubstituted alkyi group.
Preferably R1 is a C4 to C36 alkyl group, preferably a C6 to C32 alkyl group, preferably a C6 to C28 alkyl group, more preferably a C8 to C24 alkyl group, most preferably a C8 to Ci8 alkyl group. Preferably R1 is a lauryl group or a mixture of alkyl groups derived from coconut oil.
Each S is a saccharide unit. Each S may independently be a monosaccharide unit, a dissacharide unit, an oligosaccharide unit or a polysaccharide unit. Preferably S is selected from monosaccharides, dissacharides and mixtures thereof. Preferably each S includes a glucose unit. n is preferably 1 or 2, most preferably n is 1 .
Each L is a linking group. L may be a bond. For example at a terminal group L may be a bond to a hydrogen atom.
In some embodiments L may be an optionally substituted alkylene or alkenylene group. Suitably L is an optionally substituted alkylene group. In some preferred embodiments L is a hydroxy substituted alkylene group. In an especially preferred embodiment L is -CH2CH(OH)CH2-.
T is a terminal group. T may be an alkyl group. Preferably T is hydrogen. p is at least 1 . When S is a monosaccharide p is preferably 1 or 2. If S includes more than one monosaccharide group, for example if S is a disaccharide or an oligosaccharide p may be more than 2, for example more than 5. m is at least 1 . In some embodiments m is from 1 to 4, for example from 1 to 2. In some embodiments m is much larger and the compound of formula (IV) includes many cross-linked units. For example the compounds of formula (IV) may have an average molecular weight of from 200 to 500,000, for example from 500 to 200,000 suitably from 500 to 100,000, suitably from 1 ,000 to 60,000, preferably from 5,000 to 50,000, more preferably from 8,000 to 25,000, suitably from 10,000 to 20,000.
In some preferred embodiments, the compounds of formula (IV) may have an average molecular weight of from 200 to 10,000, preferably 500 to 5,000 for example 500 to 2,000.
In some preferred embodiments, the compounds of formula (IV) may have an average molecular weight of from 50,000 to 300,000, preferably 100,000 to 200,000.
In some alternative embodiments, for example when the compound is based on high molecular weight polysaccharides for example guars, the compound of formula (IV) may have a much higher molecular weight, for example in excess of 1 ,000,000.
In other preferred embodiments, the compounds of formula (IV) may be mixtures having bi- or multimodal molecular weight distributions comprising one or more of the above preferred molecular weight ranges.
R2 is a moiety including an amphoteric group. In some preferred embodiments R2 may be represented by the group:
+
-X- -N- -Y-
wherein R3 and R4 is each independently a to C36 substituted or unsubstituted alkyl, alkenyl or aryl group; X is an optionally substituted alkylene, alkenylene or arylene group; Y is an optionally substituted alkylene, alkenylene or arylene group; and Z is COO" or S03 ~
Preferably each of R3 and R4 is independently a Ci to C36 substituted or unsubstituted alkyl or alkenyl group. Preferably R3 and R4 is each independently a substituted or unsubstituted alkyl group, preferably having from 1 to 30 carbon atoms, preferably 1 to 24 carbon atoms, preferably 1 to 18 carbon atoms, more preferably 1 to 12 carbon atoms, suitably 1 to 8 carbon atoms, preferably 1 to 4 carbon atoms.
Suitably R3 and R4 is each independently an unsubstituted alkyl group or a hydroxy substituted alkyl group. For example R3 and R4 may each independently be selected from methyl, ethyl, propyl, butyl, hydroxymethyl, hydroxyethyl, hydroxypropyl and hydroxybutyl.
In some especially preferred embodiments R3 is hydroxyethyl and R4 is hydroxyethyl.
X is an optionally substituted alkylene, alkenylene or arylene group. Preferably X is an optionally substituted alkylene or alkenylene group. Preferably X is an optionally substituted alkylene group. In some preferred embodiments X is a hydroxy substituted alkylene group. In an especially preferred embodiment X is -CH2CH(OH)CH2-.
In some preferred embodiments X is the same as L.
Y is an optionally substituted alkylene, alkenylene or arylene group. Preferably Y is an optionally substituted alkylene or alkenylene group. Preferably Y is an optionally substituted alkylene group.
When Z is COO", Y is preferably an unsubstituted alkylene group, most preferably CH2. When Z is S03 ", Y is preferably a substituted alkylene group, most preferably
-CH2CH(OH)CH2-.
In some embodiments R2 may be the group:
where R3, X, Y and Z are as defined above. In some embodiments R2 may be the group:
R3 X N- Y Z
X S where R3, X, Y, Z and S are as defined above.
The skilled person will appreciate that under some conditions of pH one or both of the groups Z may be protonated.
The structure shown in figure (IV) is a simple representation of some of the compounds, used in the present invention. The skilled person would appreciate commercial sources of these compounds typically contain complex mixtures. Compounds falling inside and outside the definitions of this structure may be present in component (b) of the composition of the present invention.
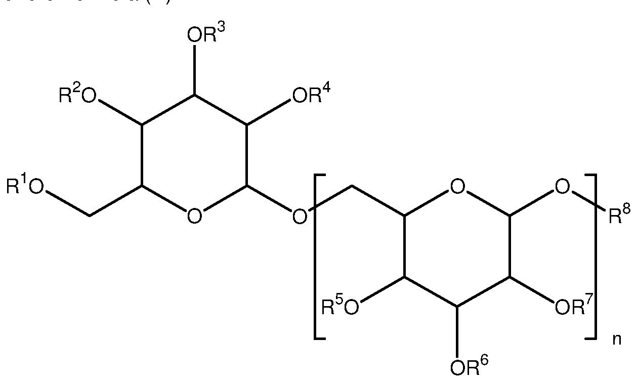
In some embodiments component (b) used in the composition of the present invention may include compounds of formula (V):
wherein each of R1 , R2, R3, R4, R5, R6, R7 and R8 is independently selected from hydrogen, a hydrocarbyl group, a moiety including an amphoteric group or a cross-link to another saccharide unit, and n is 0 or a positive integer, provided that the molecule includes at least one hydrocarbyl group and at least one amphoteric group.
Preferred hydrocarbyl groups are alkyl groups, especially unsubstituted alkyl groups. The alkyl groups preferably have from 1 to 36 carbon atoms, preferably from 6 to 30, more preferably from 8 to 24 carbon atoms. Especially preferred are a lauryl group or a mixture of alkyl groups derived from coconut oil.
In some preferred embodiments R is an alkyl group.
Each of R1 , R2, R3, R4, R5, R6, R7 and R8 may include an amphoteric group. Suitable amphoteric groups include those of the formula XN+R3R4YZ where X, R3, R4 and Y and Z are as defined in relation to compound of formula (IV).
The amphoteric groups may be incorporated into the structure by reacting a saccharide compound with a suitably functionalised amphoteric moiety.
The suitably functionalised amphoteric moiety may include a sultaine or preferably a betaine.
Examples of suitably functionalised betaines include compounds formed by the reaction of epichlorohydrin and a tertiary amino acid. Some compounds of this type are the reaction product of epichlorohydrin with dimethyl glycine, dimethyl amino undecanoic acid, 3-dimethyl
amino-2,2-dimethylpropionic acid or N-butyl-N-methyl amino acetic acid. These compounds are shown in figure (VI):
Figure (VI)
In some embodiments one or more R1 , R2, R3, R4, R5, R6, R7 and R8 may be a cross-link to another saccharide unit. In some embodiments the cross-link may be a bond. However preferred cross-linking groups are optionally substituted alkylene, alkenylene and arylene groups. Especially preferred embodiments are substituted alkyl groups. Suitable cross- linking agents are difunctionalised alkyl groups which are able to react with the hydroxyl groups on two different saccharide units. It would be possible to use trifunctionalised cross- linking groups able to react with hydroxyl groups on three saccharide units. However this is not preferred. Suitable difunctionalised cross-linking agents include epichlorohydrin, 1 ,3- dichloropropan-2-ol and CICH2CH(OH)CH20(CH2CH20)a(CH2CH(CH3)0)bCH2CH(OH)CH2CI wherein each of a and b is an integer from 1 to 20. 1 ,3-dichloropropanol is especially preferred.
Each of R1 , R2, R3, R4, R5, R6, R7 and R8 may be hydrogen. As the skilled person will appreciate R1 is unlikely to be hydrogen. R1 may suitably include a betaine moiety. Preferably at least one of R2, R3 and R4 is hydrogen. Preferably at least one of R5, R6 and R7 is hydrogen.
The hexose residues shown in formula (V) may suitably be selected from glucose, mannose and galactose residues. Glucose residues are especially preferred.
The compound of formula (V) is preferably an alkyl polyglycoside functionalised with betaine groups and cross-linked with linking groups. In preferred compounds of formula (V) the alkyl polyglycoside is preferably lauryl or coco polyglycoside, preferably lauryl.
In preferred compounds of formula (V) the betaine group is a bishydroxyethylglycinate. In preferred compounds of formula (V) the linking group is -CH2CH(OH)CH2-.
Especially preferred compounds of formula (V) include the moiety CH2CH(OH)CH2N+(CH2CH2OH)2CH2COO". In some preferred embodiments component (b) includes a compound of formula (VII):
(VII)
Compounds having this structure are commercially available under the trade mark Poly SugaBetaine L from Colonial Chemicals.
The inventors have surprisingly found that the irritancy of the compositions of the present invention may be reduced by the inclusion of one or more further surfactants in addition to components (a) and (b). Thus in some embodiments the low irritancy cleansing composition of the present invention preferably comprises at least one further surfactant component in addition to component (a) and component (b).
In some embodiments the low irritancy cleansing composition of the present invention comprises at least three different surfactant components.
In some preferred embodiments the low irritancy cleansing composition of the present invention comprises at least four different surfactant components. In some embodiments the low irritancy cleansing composition of the present invention comprises at least five different surfactant components.
In some especially preferred embodiments, the composition of the first aspect further comprises an amphoteric surfactant component (c), in addition to the betaine component (b).
Thus, in preferred embodiment the cleansing composition of the present invention comprises:
(a) an anionic surfactant comprising: a compound of formula (I):
(I)
wherein R1 represents a C4.36 substituted or unsubstituted hydrocarbyl group;
each of R2, R3, R4 and R5 independently represents a hydrogen atom or a C1-4 alkyl group and M+ represents a cation;
(b) an amphoteric surfactant including sugar moiety; and
(c) a further amphoteric surfactant in addition to component (b).
By amphoteric surfactant we mean to include any surfactants having the ability to exhibit both positive and negative sites. The surfactant component (c) may be selected from surfactants
referred to as betaines, including sultaines (sulphobetaines), or other zwitterionic or amphoteric surfactants, for example those based on fatty nitrogen derivates.
Suitable surfactants for use as component (c) may be selected from betaines, for example alkyl betaines, alkylamidopropyl betaines, alkylamidopropyl hydroxy sultaines, alkylampho acetates, alkylamphodiacetates, alkylamphopropionates, alkylamphodipropionates, alkyliminodipropionates and alkyliminodiacetates.
Amphoteric surfactants suitable for use as component (c) in the compositions of the present invention may include those which have an alkyl or alkenyl group of 7 to 22 carbon atoms and comply with an overall structural formula:
where R1 is alkyl or alkenyl of 7 to 22 carbon atoms; R2 and R3 are each independently alkyl, hydroxyalkyl or carboxyalkyl of 1 to 6 carbon atoms; m is 2 to 4; n is 0 or 1 ; X is alkylene of 1 to 6 carbon atoms optionally substituted with hydroxyl; and Y is -C02 or -S03.
Surfactant component (c) may include simple betaines of formula:
In both formulae R1 , R2 and R3 are as defined previously. R1 may, in particular, be a mixture of C12 and C14 alkyl groups derived from coconut so that at least half, preferably at least three quarters, of the groups R1 has 10 to 14 carbon atoms. R2 and R3 are preferably methyl.
O R2
1 M
R1— C— NH(CH2)n — N— (CH2)3S03- R3
where m is 2 or 3, or variants of these in which
-(CH2)3S03 " is replaced by
OH
I
-CH2-CH-CH2S03 where R1 , R2 and R3 in these formulae are as defined previously.
Amphoteric or zwitterionic surfactants may include amphoacetates and diamphoacetates. Amphoacetates generally conform to the following formula:
Diamphoacetates generally conform to the following formula:
where R is an aliphatic group of 8 to 22 carbon atoms and M is a cation such as sodium, potassium, ammonium, or substituted ammonium.
Suitable acetate-based amphoteric surfactants include lauroamphoacetate; alkyl amphoacetate; cocoampho(di)acetate; cocoamphoacetate; disodium cocoamphodiacetate; sodium cocoamphoacetate; disodium cocoamphodiacetate; disodium capryloamphodiacete; disodium lauroamphoacetate; sodium lauroamphoacetate and disodium wheatgermamphodiacetate.
Suitable betaine surfactants include alkylamido betaine; alkyl betaine, C alkyldimethyl betaine; cocoamidopropylbetaine; tallow bis(hydroxyethyl) betaine; hexadecyldimethylbetaine; cocodimethylbetaine; alkyl amido propyl sulfo betaine; alkyl dimethyl amine betaine; coco amido propyl dimethyl betaine; alkyl amido propyl dimethyl amine betaine; cocamidopropyl betaine; lauryl betaine; laurylamidopropi betaine, coco amido betaine, lauryl amido betaine, alkyl amino betaine; alkyl amido betaine; coco betaine; lauryl betaine; diemethicone propyl PG-betaine; oleyl betaine; N-alkyldimethyl betaine; coco biguamide derivative, C8 amido betaine; Ci2 amido betaine; lauryl dimethyl betaine; alkylamide propyl betaine; amido betaine; alkyl betaine; cetyl betaine; oleamidopropyl betaine; isostearamidopropyl betaine; lauramidopropyl betaine; 2-alkyl-A/-carboxymethyl-/V- hydroxyethyl imidazolinium betaine; 2-alkyl-A/-carboxyethyl-A/-hydroxyethyl imidazolinium betaine; 2-alkyl-A/-sodium carboxymethyl-A/-carboxymethyl oxyethyl imidazolinium betaine; N- alkyl acid amidopropyl-A/,A/-dimethyl-A/-(3-sulfopropyl)-ammonium-betaine; A/-alkyl-A/,/V- dimethyl-A/-(3-sulfopropyl)-ammonium-betaine; cocodimethyl betaine; apricotamidopropyl betaine; isostearamidopropyl betaine; myristamidopropyl betaine; palmitamidopropyl betaine; cocamidopropyl hydroxy sultaine; undecylenamidopropyl betaine; cocoamidosulfobetaine; alkyl amido betaine; Ci2/is alkyl amido propyl dimethyl amine betaine; lauryldimethyl betaine; ricinol amidobetaine; tallow aminobetaine. Suitable glycinate-based amphoteric surfactants include cocoamphocarboxyglycinate; tallowamphocarboxygycinate; capryloamphocarboxyglycinate, oleoamphocarboxyglycinate, bis-2-hydroxyethyl tallow glycinate; lauryl amphoglycinate; tallow polyamphoglycinate; coco amphoglycinate; oleic polyamphoglycinate; N-Cwn 2 fatty acid amidoethyl-A/-(2-hydroxyethyl)- glycinate; A/-C12/is-fatty acid amidoethyl-N-(2-hydroxyethyl)-glycinate; dihydroxyethyl tallow glycinate.
In preferred embodiments component (c) comprises a betaine.
An especially preferred betaine surfactants for use as component (c) is cocoamidopropyl betaine.
In preferred embodiments the cleansing composition of the present invention comprises: an anionic surfactant selected from sodium lauryl methyl isethionate, sodium cocoyl methyl isethionate, sodium oleoyl methyl isethionate and mixtures thereof;
- an alkyl polyglycoside including at least one betaine moiety; and
a further betaine surfactant.
The composition of the present invention may comprise further surfactant components in addition to components (a), (b) and (c).
Such surfactants may be selected from anionic surfactants, cationic surfactants, amphoteric surfactants, non-ionic surfactants and mixtures thereof. In some preferred embodiments the composition of the present invention comprises a further anionic surfactant (d).
The additional anionic surfactant (d) is preferably selected from one or more of salts of fatty acids; mono- or dialkyi sulfates; mono- or dialkyi ether sulfates; lauryl ether sulfates; alkyi sulfonates; alkyi aryl sulfonates; primary alkane disulfonates; alkene sulfonates; hydroxyalkane sulfonates; alkyi glyceryl ether sulfonates; alpha-olefinsulfonates; alkyi phosphates; sulfonates of alkylphenolpolyglycol ethers; alkyi sulfopolycarboxylic acid esters; alkyi sulfosuccinates, alkyi ether sulfosuccinates, non-acylated alkyi isethionates; fatty acid taurates; acyl taurates; products of condensation of fatty acids with oxy- and aminoalkanesulfonic acids; sulfated derivatives of fatty acids and polyglycols; alkyi and acyl sarcosinates; sulfoacetates; alkyi phosphates; alkyi phosphate esters; acyl lactates; alkanolamides of sulfated fatty acids and lipoamino acids. Particularly exemplary salts of the above, are the sodium, potassium, ammonium, magnesium and triethylamine salts. Preferred additional anionic surfactants (d) are selected from salts of fatty acids; mono- or dialkyi sulfates; alkyi sulfonates; alkyi aryl sulfonates; primary alkane disulfonates; alkene sulfonates; hydroxyalkane sulfonates; alkyi glyceryl ether sulfonates; alpha-olefinsulfonates; alkyi phosphates; alkyi sulfopolycarboxylic acid esters; alkyi sulfosuccinates; non-acylated alkyi isethionates; fatty acid taurates; acyl taurates; products of condensation of fatty acids with oxy- and aminoalkanesulfonic acids; sulfated derivatives of fatty acids and polyglycols; alkyi and acyl sarcosinates; sulfoacetates; alkyi phosphates; alkyi phosphate esters; acyl lactates; lipoamino acids.
Particularly preferred anionic surfactants for use herein include sodium methyl cocoyl taurate, sodium oleoyl methyl taurate, sodium lauroyl methyl taurate, sodium lauryl sarcosinate, disodium oleamido mipa sulfosuccinate.
Component (d) is preferably selected from alkyi ether sulfates, alkyi sulfates and taurate surfactants.
Preferred anionic surfactants (d) are taurate surfactants. Suitably the additional anionic surfactant is selected from sodium methyl lauryl taurate, sodium methyl cocoyl taurate and sodium oleoyl methyl taurate. Sodium oleoyl methyl taurate is especially preferred
Component (a) is preferably present in the cleansing composition of the present invention in an amount of at least 0.1 wt%, preferably at least 0.5 wt%, for example at least 0.75 wt%, suitably at least 1 wt%, preferably at least 1 .5 wt%, for example at least 2 wt%, at least 2.25 wt% or at least 2.5 wt%. Component (a) may be present in an amount of up to 70 wt%, suitably up to 50 wt%, preferably up to 40 wt%, suitably up to 30 wt%, preferably up to 20 wt%, more preferably up to 10 wt%, suitably up to 7.5 wt%, preferably up to 5 wt%, more preferably up to 4.5 wt%, for example or up to 4 wt%, up to 3.75 wt% or up to 3.5 wt%.
Component (b) is preferably present in the cleansing composition of the present invention in an amount of at least 0.1 wt%, preferably at least 0.5 wt%, for example at least 0.75 wt%, suitably at least 1 wt%, preferably at least 1 .5 wt%, more preferably at least 1 .75 wt%, for example at least 2 wt%. Component (b) may be present in an amount of up to 70 wt%, suitably up to 50 wt%, preferably up to 40 wt%, suitably up to 30 wt%, preferably up to 20 wt%, more preferably up to 10 wt%, suitably up to 7.5 wt%, preferably up to 5 wt%, suitably up to 4 wt%, suitably preferably up to 3.75 wt%, for example up to 3.5 wt% or up to 3 wt%. .
Component (c) is preferably present in the cleansing composition of the present invention in an amount of at least 0.1 wt%, preferably at least 0.5 wt%, for example at least 0.75 wt%, suitably at least 1 wt%, preferably at least 1 .5 wt%, more preferably at least 1 .75 wt%, for example at least 2 wt%. Component (c) may be present in an amount of up to 70 wt%, suitably up to 50 wt%, preferably up to 40 wt%, suitably up to 30 wt%, preferably up to 20 wt%, more preferably up to 10 wt%, for example up to 7.5 wt% or up to 5 wt%, suitably up to 4 wt%, preferably up to 3.75 wt%, for example up to 3.5 wt% or up to 3 wt%. Component (d) is preferably present in an amount of at least 0.1 wt%, suitably at least 0.5 wt%, preferably at least 0.75 wt%, more preferably at least 1 wt%, for example at least 1 .25 wt% or at least 1 .5 wt%. Component (d) may be present in an amount of up to 70 wt%, preferably up to 50 wt%, suitably up to 30 wt%, preferably up to 20 wt%, more preferably up to 15 wt%, suitably up to 10 wt%, preferably up to 7.5 wt%, suitably up to 5 wt%, more preferably up to 3 wt%, for example up to 2.75 wt% or up to 2.5 wt%.
Each of component (a), component (b), component (c) and component (d) may be present as a mixture of compounds. In such embodiments the above amounts refer to the total of all such compounds present in the composition.
The skilled person will appreciate that commercially available sources of surfactants often include significant levels of impurities. The levels of impurity present in commercial surfactants may be up to 25% or even 30% by weight and these impurities usually contain
unreacted starting materials and/or byproducts. In addition commercial sources may include diluents or carriers.
For the avoidance of doubt, unless otherwise stated, any definitions of amounts of surfactant stated herein and molar and weight ratios thereof refer to the actual amount of active surfactant compound present in the composition.
Each of components (a), (b), (c) and (d) may comprise a mixture of the specified surfactants and any amount mentioned in this specification refers to the total amount of each such surfactant type present in the composition. As will be readily understood by the skilled person, commercial sources of surfactant often comprise mixtures of active surfactant compounds (as well as impurities), for example different isomers, especially if they have been prepared from natural sources, for example fatty acid mixtures found in nature. The composition of the present invention comprises a first anionic surfactant (a) and optionally a further anionic surfactant (d). The composition may include one or more further anionic surfactants, in addition to component (a) and component (d). Preferably component (a) comprises at least 10 wt% of all anionic surfactants present in the composition, more preferably at least 20 wt%, preferably at least 30 wt%, for example at least 40 wt%.
In especially preferred embodiments at least 10 wt% of all anionic surfactants present in the composition comprise at compound of formula (I) in which one of R2, R3, R4 and R5 is to C4 alkyl, especially methyl and the others are hydrogen, preferably at least 20 wt%, more preferably at least 30 wt%, suitably at least 40 wt%.
The compositions of the present invention comprise an amphoteric surfactant including a sugar moiety (b) and may optionally contain another amphoteric surfactant (c). Component (c) is preferably a betaine. Preferably component (b) comprises at least 10 wt% of all amphoteric surfactants present in the composition, preferably at least 20 wt%, suitably at least 25 wt%, for example at least 30 wt%. In some embodiments it comprises at least 35 wt% or at least 40 wt%.
The ratio of the total weight of all anionic surfactants present in the composition to all amphoteric surfactants present in the composition is suitably from 10:1 to 1 :10, preferably from 5:1 to 1 :5, suitably from 3:1 to 1 :3, preferably from 2:1 to 1 :2, more preferably from 1 .5:1 to 1 :1 .5, for example from 1 .25:1 to 1 :1 .25.
Preferably the cleansing composition of the present invention comprises less than 3 wt% ethoxylated non-ionic species comprising one or more ethylene oxide residues, preferably less than 1 wt%, more preferably less than 0.5 wt%, preferably less than 0.1 wt%, more preferably less than 0.05 wt%, preferably less 0.01 wt%, preferably less than 0.005 wt% and most preferably less than 0.001 wt%.
In some preferred embodiments the composition of the present invention is substantially free of alkoxylated non-ionic surfactant compounds. In some preferred embodiments the composition comprises less than 1 wt% ethoxylated compounds of any type, preferably less than 0.1 wt%, more preferably less than 0.001 wt%. Cationic, anionic and amphoteric surfactants including ethylene oxide residues are known. In preferred embodiments the composition of the present invention does not include any of these types of compound.
The use of the term "less than" in this specification includes the possibility that there may be none of the stated component.
In one especially preferred embodiment the cleansing composition of the present invention comprises:
(a) from 0.1 to 10wt% of a compound of formula (I);
(b) from 0.1 to 10wt% of an alkyl polyglycoside including at least one betaine moiety;
(c) from 0.1 to 10wt% of an additional betaine surfactant;
(d) from 0.1 to 10wt% of an additional anionic surfactant; and (e) less than 0.1 wt% alkoxylated non-ionic surfactant compounds.
In one especially preferred embodiment the cleansing composition of the present invention comprises:
(a) from 1 to 4wt% of sodium lauroyl methyl isethionate, sodium cocoyl methyl isethionate or a mixture thereof;
(b) from 0.5 to 5wt% of an alkyl polyglycoside including at least one betaine moiety;
(c) from 0.5 to 5wt% of an additional betaine surfactant;
(d) from 0.5 to 5wt% of a taurate surfactant, preferably sodium methyl oleoyl taurate; and (e) less than 0.1 wt% alkoxylated non-ionic surfactant compounds.
The composition of the present invention may comprise one or more further components selected from antibacterial agents, foam boosters, pearlescers, perfumes, dyes, colouring agents, preservatives, thickeners, proteins, polymers such as silicone polymers, phosphate esters, sunscreens, antidandruff agents, buffering agents, moisturisers such as fatty acid alkanolamides, silicone derivatives, cationic polymers, propylene glycol, glycerine, viscosity controlling agents such as methyl cellulose, and other additives which are usually used for cleansers. Suitable conditioning agents include quaternary ammonium compounds of formula
R1
I
R2— N+— R3 X"
I
R4 wherein each of R1 , R2, R3 and R4 is an alkyl or alkenyl group and X is chloride, bromide or methyl sulfate. At least one of R1 , R2, R3 and R4 is a C6 to C24 alkyl or alkenyl group and the others are Ci to C4 alkyl, for example methyl. In some embodiments two, three or four of the groups R1 , R2, R3 and R4 may be C6 to C24 alkyl or alkenyl.
Suitable conditioning agents for use herein include those designated as polyquaterniums on the INCI list, for example polyquaternium-10 and polyquaternuim-7; as well as guar hydroxypropyl ammonium chloride and similar cationic polymers.
Suitable preservatives include dimethyl dimethylolhydantoin (DMDMH), DMDMH/iodopropynyl-butyl carbamate (Glydant Plus, a registered trademark of Lonza Inc.), benzyl alcohol, methyl paraben, propyl paraben and imidazolidinyl urea. Of course there are many additional preservatives that will function effectively in cleansing compositions, as will be known to the person skilled in the art.
The composition of the present invention may comprise a chelating agent. This may be present in an amount of from 0.0001 to 1 wt%, preferably 0.01 to 0.2 wt%. Preferred
chelating agents are biodegradable chelating agents. One especially preferred chelating agent is ethylene diaminedisuccinic acid or a salt thereof.
Suitably the cleansing composition of the present invention has a pH of from 4 to 8, preferably from 5 to 7, for example from 5.5 to 6.5. The pH can be adjusted, as needed, with either a base, for example sodium hydroxide or sodium carbonate, or an acid for example citric acid, succinic acid, or phosphoric acid. Citric acid is an especially preferred pH adjusting agent.
The inventors have surprisingly found that the viscosity of the composition of the present invention may be pH dependent. The viscosity of the composition may increase as the pH decreases. As illustrated in the examples compositions of the invention may have a viscosity at 25 °C in the region of 1 00 to 400 mPas at pH 7 and a viscosity in the region of 6000 to 8000 mPas at pH 5. The desired viscosity of the composition of the present invention may depend on the desired end use of the composition. For example it has been noted that consumers often prefer baby shampoos to be of lower viscosity but for adult shampoos to be of higher viscosity; and a mild facial wash may suitably have a lower viscosity than an intensive conditioning composition. Compositions of the present invention may have any viscosity suitable for the intended purpose. Typically a viscosity at 25°C in the range 50 to 20000 mPas is used.
In some preferred embodiments the viscosity of the composition of the first aspect at 25 °C varies by more than 1000 mPas over the pH range 5 to 7, preferably by more than 2000 mPas, more preferably by more than 4000 mPas.
In some preferred embodiments the viscosity of the composition of the first aspect at 25 °C varies by more than 1000 mPas over the pH range 5.5 to 6.5, preferably by more than 2000 mPas, more preferably by more than 3000 mPas.
It is highly advantageous that small changes in pH can provide a significant change in viscosity and this feature can be used to modify the viscosity of the composition. However traditional viscosity modifying agents may also be included. The composition of the present invention is preferably an aqueous composition. In some embodiments the composition may comprise one or more further solvents in addition to water. Such suitable co-solvents may include polar compounds for example alcohols, glycols and the like.
However in preferred embodiments water is the major solvent present in the composition of the present invention and suitably comprises at least 80 wt% of all solvents present, preferably at least 90 wt%, more preferably at 95 wt%. The present invention provides a low irritancy cleansing composition. Preferably the composition of the present invention is very low irritating to both the skin and the eyes.
The cleansing composition may be used for any purpose in which low irritancy to the skin and/or eyes is desirable. For example the composition may be used as a facial wash or a product for people with sensitive skin. Most preferably the composition of the present invention is a baby care product, for example a baby bath product or a baby shampoo.
Suitably the cleansing composition of the present invention is sufficiently non-irritating to enable it to be used as a baby shampoo.
In particular it is desired that the composition of the present invention exhibits very low ocular irritation.
Ocular irritation can be measured by any suitable method and such methods will be known to the person skilled in the art. A standard method known since 1944 is the Draize Eye Irritancy Test. This is a long established test which involves delivery of a material into the conjunctival sac of one eye of a rabbit. However this test is now used less often as it is often considered cruel and alternative in vitro tests have been developed. One suitable method is the "EpiOcular" (RTM) of MatTek. This corneal model consists of normal, human-derived epidermal keatinocytes which have been cultured to form a stratified, squamous epithelium similar to that found in the cornea. The epidermal cells, which are cultured on specially prepared cell culture inserts using serum free medium, differentiate to form a multilayered structure which closely parallels the corneal epithelium. The system is said to provide a predictive, morphologically relevant in vitro means to assess ocular irritancy. The results from the EpiOcular (RTM) test allow a composition to be classified as highly irritating, irritating, mildly irritating, or minimally or non-irritating, using the following categories.
Calculated Draize Score Irritation Category
0-15 Non Irritating (0 score) / Minimal
15.1 -25 Mild
25.1 -50 Moderate
50.1 -1 10 Severe / Extreme
Suitably the low irritancy cleansing formulation of the present invention would be classified as mildly irritating or minimally or non-irritating. Preferably it would be classified as non-irritating or minimally irritating.
Details of the EpiOcular (RTM) test can be found in the paper entitled "Evaluation of the EpiOcular™ Tissue Model as an Alternative to the Draize Eye Irritation Test"; M. Stern, M. Klausner, R. Alvarado, K. Renskers, M. Dickens; Toxicology in Vitro, Volume 12, Issue 4, August 1998, Pages 455-461.
As mentioned above there are a number of eye irritancy tests available. Many of these tests allow the results to be correlated to provide an equivalent score on the Draize test. In order to allow a correlation to be made it is often necessary to carefully select appropriate conditions, especially concentration. However the performance of such a test would be well with the competence of the skilled person. The composition of the present invention would preferably be such that when testing using in vitro tests of this type it would provide a score equivalent to mild or non-irritating or minimally irritating on the Draize Test, preferably as non-irritating or minimally irritating.
Preferably the cleansing composition of the present invention has low skin irritancy. Skin irritancy may be measured by any suitable means. In one common method a composition is applied to the skin for 14 consecutive days and the irritation evaluated in what is referred to as a 14-Day Cumulative Irritation Test.
There are a number of other ways in which the irritancy of a composition to the skin and/or eyes may be assessed. Some of these are described in the examples.
In addition to providing low irritancy to the eyes and the skin the compositions of the present invention have also been found to be highly effective at cleansing the hair and/or skin and have been found to have good foaming properties.
The compositions of the present invention may thus be regarded as high-foaming compositions. High foaming compositions may be advantageous as they have improved consumer appeal. There are a number of methods by which the foaming properties of a composition may be measured. One such method is detailed in example 2.
The low irritancy cleansing composition of the present invention is very mild and can thus be used as a baby shampoo, baby bath, mild skin cleanser, facial skin cleanser, sensitive skin cleanser and the like. The low irritancy cleansing composition of the present invention could also be used in animal care applications, for example as a pet shampoo.
According to a second aspect of the present invention there is provided a concentrated surfactant composition which upon dilution forms a low irritancy cleansing composition of the first aspect of the present invention.
Suitable concentrated surfactant compositions of the second aspect may have a concentration of from 1 .1 to 20 times the concentration of the composition of the first aspect, suitably from 1 .25 to 15 times, preferably from 1 .5 to 10 times, more preferably from 1 .75 to 5 times, for example from 2 to 3 times the concentration of the composition of the first aspect.
Other preferred features of the second aspect are as defined in relation to the first aspect.
The compositions of the first and second aspects of the present invention have been found to have good storage stability. By this we mean that the compositions do not significantly separate or lose activity on storage.
Suitably the compositions of the first and second aspects of the present invention are stable on storing at temperatures of up to 45 °C, for example between 25 °C and 45 °C for periods of up to 1 week, suitably at least 1 month, for example at least 1 year.
Suitably the compositions of the first and second aspects of the present invention are stable during freeze thaw cycles. According to a third aspect of the present invention there is provided a method of cleansing the skin and/or hair, the method comprising contacting the skin and/or hair with a composition of the first aspect; and rinsing with water.
Preferred features of the third aspect are as defined in relation to the first and second aspects.
The invention will now be further described by reference to the following non-limiting examples.
Example 1
Cleansing compositions were prepared comprising the following components:
Sodium lauroyl methyl isethionate was supplied as Iselux (RTM) flake, a commercially available material comprising 83wt% active ingredient.
Cocamidopropyl betaine was provided in a composition comprising 30wt% active ingredient.
The sugar containing betaine used was a commercially available material sold under the trade mark SugaBetaine L and comprising 31 .5wt% active material. This is available from Colonial Chemical and is believed to have the structure shown in figure (VII). Sodium methyl oleoyi taurate was provided as pureact MS, a commercially available material comprising 32.8wt% active ingredient.
Na3EDDS was provided as Natrlquest E30 (RTM), a composition comprising 30wt% of the trisodium salt of ethylene diamine disuccinic acid.
Compositions A and B were each tested in a Human Occular Irritation Trial.
The purpose of the trial was to evaluate and compare the potential of the compositions A and B to produce discomfort (stinging, lacrimation and/or irritation) compared to a standard 'no- tear' shampoo, when instilled into the human eye. The standard 'no-tear' shampoo selected was Johnson's ® Baby Shampoo Lot# 0078T. This may be referred to as the control material. Compositions A and B were the test materials.
Twelve subjects completed the trial.
The subjects had a cleansed face free of any type of eye care/eye cosmetic product. False eyelashes and/or contact lenses were not worn.
Aseptic technique was observed in the preparation and the handling of the test and stardard control methods. Dilutions of the test and standard control materials were prepared as ten percent (10%) dilutions, using USP sterile distilled water as the diluent. Just prior to the start of the test, the test material and the control product dilutions were placed in a water bath and brought to a temperature of 35 - 36°C before instillation. The diluted test material and diluted standard control were maintained at this temperature during all phases of the trial.
One drop of the diluted test material was instilled into the inferior fornix of the appropriate eye by a registered nurse, using a sterile, 1 cc tuberculin syringe. One drop of the diluted standard control was instilled into the contralateral eye in the same manner. Instillation of test material and control product was randomized for the right and left eye.
Each subject kept their eyes closed for 30 seconds.
Occular evaluations for stinging, lacrimation, bulbar and palpebral conjunctival irritation and dilation of scleral vessels were conducted at the following intervals post-instillation:
30 seconds
5 minutes
15 minutes
30 minutes (subject dismissed, if all symptoms considered normal) 1 hour (optional, if symptoms present at 30 minutes)
Stinging was scored based upon verbal responses from the subjects. Lacrimation and irritation was scored by a Board-Certified Ophthalmologist based upon visual observations using the following scale:
Bulbar Conjunctiva
0 = None
1 = Mildly pink
2 = Moderately pink, some dilation
3 = Intense red vessels, dilated
Palpebral Conjunctiva
0 = None
1 = Mildly pink
2 = Moderately pink
3 = Cherry to deep red
Scleral Vessels
0 = None
1 = Slight dilation
2 = Moderate dilation
3 = Intense dilation Lacrimation
0 = None
1 = Excessive wetness (no distinct tears)
2 = A few formed tears (contained in orbit)
3 = Intense tearing (leaving orbit)
Eye sting
0 = None
1 = Mild
2 = Moderate
3 = Severe
Table 1 summarises the bulbar conjunctiva irritation scores assessed by the Board Certified Ophthalmologist. Table 2 summarises the palpebral conjunctiva irritation scores assessed by the Board Certified Ophthalmologist.
Table 3 summarises the scleral vessel scores assessed by the Board Certified Ophthalmologist.
Table 4 summarises the lacrimation scores assessed by the Board Certified Ophthalmologist.
Table 5 summarises the perceived eye discomfort scores (sting/burn/pain) at each post- instillation scoring interval.
Table 1
Period after Composition A Composition B instillation Test Control Test Control
30 sec 2.8 2.3 2.5 2.6
5 min 2.9 2.3 2.4 2.5
15 min 3.0 2.2 2.3 2.2
30 min 2.8 2.1 1.9 2.1
1 hour 2.2 1.4 0.5 0.8
Table 2
Period after Composition A Composition B instillation Test Control Test Control
30 sec 2.9 2.8 2.5 2.6
5 min 2.9 2.3 2.6 2.8
15 min 3.0 2.3 2.3 2.3
30 min 2.8 2.1 2.3 2.3
1 hour 2.0 1.6 0.4 0.8
Table 3
Period after Composition A Composition B instillation Test Control Test Control
30 sec 2.8 2.3 1.9 1.9
5 min 2.8 2.3 1.8 1.8
15 min 2.8 1.9 1.2 1.6
30 min 2.6 1.8 1.3 1.3
1 hour 1.3 0.8 0.3 0.2
Table 4
Period after Composition A Composition B instillation Test Control Test Control
30 sec 2.8 2.8 2.8 2.8
5 min 2.3 2.3 1.9 1.9
15 min 2.0 2.0 1.1 1.1
30 min 1.5 1.6 1.0 1.0
1 hour 1.1 1.1 0.1 0.1
Table 5
The results in Tables 1 to 5 clearly illustrate that for composition A (comparative) observations were unacceptable for nearly every parameter when compared with the control. For composition B (inventive) no statistical difference was observed for any parameter compared with the control.
Example 2
The foaming properties of composition A, composition B and the control composition were tested according to the following procedure.
2.0g (± 0.01 g) of each composition was added to a clean 600 ml beaker. 400g (± 0.1 Og) deionised water was added into the beaker. A magnetic stir bar was added and the mixture stirred on a magnetic stirring plate until completely homogeneous. The temperature of the composition was adjusted to 25 °C (± 0.2 <€).
100g (± 0.1 Og) of the solution was poured slowly into a 500 ml graduated cylinder, pouring onto the sides of graduated cylinder so as to minimize any foam. The cylinder was stoppered. The cylinder was held at the waist and then slowly inverted ten times over the shoulder and then back down to the waist with a slow swinging motion. Each cycle represents one inversion. Two samples can be tested at one time (left and right arms). The average maximum foam height in ml for each of the samples is recorded in table 6. Table 6
Composition A Composition B Control
Maximum foam height in ml 450 500 350
Example 3
A concentrated composition was prepared comprising the following components:
Sodium lauroyl methyl isethionate was supplied as Iselux (RTM) flake, a commercially available material comprising 82.6wt% active ingredient.
Cocamidopropyl betaine was provided in a composition comprising 30wt% active ingredient.
The sugar containing betaine used was a commercially available material sold under the trade mark SugaBetaine L and comprising 31 .5wt% active material. This is available from Colonial Chemical and is believed to have the structure shown in figure (VII). Sodium methyl oleoyi taurate was provided as pureact MS, a commercially available material comprising 32.8wt% active ingredient.
Na3EDDS was provided as Natrlquest E30 (RTM), a composition comprising 30wt% of the trisodium salt of ethylene diamine disuccinic acid.
Example 4
A series of additional formulations were prepared by diluting Concentrated Composition C with water and additional components
JR-125 is a commercially available conditioning polymer (polyquaternium-10) available from Dow Chemicals.
Example 5
Compositions C, D1 , D2 and D3 were evaluated for stability by storing separate samples at room temperature and 49 °C (120°F) for 1 month. All samples were observed to be stable. Viscosity at the start and end of test are shown below.
Example 6
Compositions C and D1 were evaluated for stability by submitting to 3 freeze thaw cycles. Both samples were found to be stable.
Example 7
The viscosity of compositions D1 and D4 was determined over a range of pH's.
Example 8
Composition D1 was compared to seven commercially available baby shampoo products using the foam test of example 2. In this series of tests, both the flash foam and the foam (immediate foam level observed) after 5 minutes was recorded.
Maximum foam height in ml
Flash Foam After 5
Minutes
Composition D1 450 425
Comparative 1 350 350
Comparative 2 350 350
Comparative 3 375 350
Comparative 4 300 275
Comparative 5 300 275
Comparative 6 275 250
Comparative 7 300 275
Example 9
Compositions were prepared comprising the following components:
Disodium oleamido MIPA sulfosuccinate was provided as Pureact MD-318 a commercially available material comprising approximately 30% active material.
Other components were provided in forms described in Example 1 .
The compositions were tested using the EpiOcular in vitro Draize test described above. The results obtained were as shown below
It will see seen that in Example 9 Composition B fell in the most favourable Draize category, non-irritating or minimally irritating. The comparative composition, Composition E, having cocamidopropyl betaine but no sugar-containing betaine, had an inferior Draize result and did not fall in the most favourable Draize category.
Claims
A low irritancy cleansing composition comprising : one or more anionic surfactants of formula (I):
(I)
wherein R1 represents a C4.36 substituted or unsubstituted hydrocarbyl group;
each of R2, R3, R4 and R5 independently represents a hydrogen atom or a Ci_4
group; and one or more amphoteric surfactants including a sugar moiety.
A composition according to claim 1 wherein component (a) comprises a compound of formula (I) in which at least one of R2, R3, R4 and R5 is not hydrogen.
A composition according to claim 2 wherein component (a) comprises a compound of formula (I) wherein R1 is the residue of a fatty acid, R2 is a methyl group, R3, R4 and R5 are hydrogen and M+ is a sodium cation.
4. A composition according to any preceding claim wherein component (a) comprises sodium lauroyl methyl isethionate. 5. A composition according to any preceding claim wherein component (b) is an alkyl polyglycoside compound including at least one amphoteric group.
6. A composition according to any preceding claim wherein component (b) comprises a compound of formula (IV):
(IV)
wherein R1 is a C4 to C36 substituted or unsubstituted hydrocarbyl group; R2 is a moiety including an amphoteric group; each S is a saccharide unit; n is an integer from 0 to 3; each L is a linking group; m is at least 1 ; each T is a terminal group; and each p is 0 or a positive integer, provided at least one p is a positive integer.
A composition according to claim 5 wherein R2 is a moiety of formula
RJ
-X- -Y-
R wherein R3 and R4 is each independently a Ci to C36 substituted or unsubstituted alkyl or alkynyl group; x is an optionally substituted alkylene or arylene group; Y is an optionally substituted alkylene, alkenylene or arylene group; and Z is COO" or S03 ~
A composition according to any preceding claim wherein component (b) includes a compound of formula (V):
(V) wherein each of R1 , R2, R3, R4, R5, R6, R7 and R8 is independently selected from hydrogen, a hydrocarbyl group, a moiety including an amphoteric group or a cross-link to another saccharide unit, and n is 0 or a positive integer, provided that the molecule includes at least one hydrocarbyl group and at least amphoteric group.
9. A composition according to any preceding claim wherein component (b) comprises a betaine surfactant.
10. A composition according to claim 9 wherein component (b) comprises an alkyl polyglycoside functionalised with bis hydroxyethylglycinate and cross-linked with
-CH2CH(OH)CH2-.
1 1 . A composition according to any preceding claim which comprises (c) a further amphoteric surfactant.
12. A composition according to claim 9 wherein component (b) comprises at least 25 wt% of all amphoteric surfactants present in the composition.
13. A composition according to any preceding claim which comprises a further anionic surfactant (d).
14. A composition according to claim 13 wherein the further anionic surfactant (d) is selected from sodium methyl lauryl taurate, sodium methyl cocoyl taurate and sodium oleoyl methyl taurate.
15. A composition according to any preceding claim which comprises:
(a) from 0.1 to 10wt% of a compound of formula (I); (b) from 0.1 to 10wt% of an alkyl polyglycoside including at least one amphoteric group;
(c) from 0.1 to 10wt% of an additional amphoteric surfactant; (d) from 0.1 to 10wt% of an additional anionic surfactant; and
(e) less than 0.1 wt% alkoxylated non-ionic surfactant compounds.
16. A composition according to claim 1 1 wherein at least 20 wt% of all anionic surfactants present in the composition comprise a compound of formula (I) in which one of R2, R3,
R4 and R5 is a to C4 alkyl group and the others are hydrogen.
17. A composition according to any preceding claim having a viscosity which is pH dependent.
18. A composition according to any preceding claim which is a high-foaming composition.
19. A concentrated surfactant composition which upon dilution forms a low irritancy cleansing composition of any preceding claim.
20. A composition according to any preceding claim which is stable on storing at temperatures of up to 45 °C for at least 1 month. 21 . A method of cleansing the skin and/or hair, the method comprising contacting the skin and/or hair with a composition as claimed in any of claims 1 to 19; and rinsing with water.
Applications Claiming Priority (4)
| Application Number | Priority Date | Filing Date | Title |
|---|---|---|---|
| US201261620141P | 2012-04-04 | 2012-04-04 | |
| US61/620,141 | 2012-04-04 | ||
| GB201215159A GB201215159D0 (en) | 2012-08-24 | 2012-08-24 | Composition |
| GB1215159.3 | 2012-08-24 |
Publications (2)
| Publication Number | Publication Date |
|---|---|
| WO2013150300A2 true WO2013150300A2 (en) | 2013-10-10 |
| WO2013150300A3 WO2013150300A3 (en) | 2014-10-16 |
Family
ID=47045390
Family Applications (2)
| Application Number | Title | Priority Date | Filing Date |
|---|---|---|---|
| PCT/GB2013/050875 Ceased WO2013150300A2 (en) | 2012-04-04 | 2013-04-03 | Composition |
| PCT/GB2013/050876 Ceased WO2013150301A2 (en) | 2012-04-04 | 2013-04-03 | Composition |
Family Applications After (1)
| Application Number | Title | Priority Date | Filing Date |
|---|---|---|---|
| PCT/GB2013/050876 Ceased WO2013150301A2 (en) | 2012-04-04 | 2013-04-03 | Composition |
Country Status (2)
| Country | Link |
|---|---|
| GB (1) | GB201215159D0 (en) |
| WO (2) | WO2013150300A2 (en) |
Cited By (11)
| Publication number | Priority date | Publication date | Assignee | Title |
|---|---|---|---|---|
| WO2014180640A1 (en) * | 2013-05-09 | 2014-11-13 | Unilever N.V. | Hair treatment composition |
| WO2015079026A1 (en) * | 2013-11-29 | 2015-06-04 | L'oreal | Foaming composition comprising an acyl alkyl isethionate and an alkyl sulfoacetate, and cosmetic treatment process |
| WO2017140798A1 (en) * | 2016-02-16 | 2017-08-24 | Rhodia Operations | Sulfate-free personal care compositions and methods for using such compositions |
| WO2017140799A1 (en) * | 2016-02-16 | 2017-08-24 | Rhodia Operations | Personal care compositions and methods for using such compositions |
| CN108697608A (en) * | 2016-02-16 | 2018-10-23 | 罗地亚经营管理公司 | Personal care compositions and methods of using such compositions |
| JP2019504863A (en) * | 2016-02-16 | 2019-02-21 | ローディア オペレーションズ | Sulfate-free personal care compositions and methods of using the compositions |
| JP2019514891A (en) * | 2016-04-25 | 2019-06-06 | ロレアル | Hypoallergenic cleaning composition with makeup removal properties |
| WO2021148427A1 (en) * | 2020-01-21 | 2021-07-29 | Unilever Ip Holdings B.V. | Hydratable concentrated surfactant composition |
| US11857508B2 (en) | 2020-01-21 | 2024-01-02 | Conopco, Inc. | Isotropic concentrate and wash compositions |
| WO2024184277A1 (en) * | 2023-03-03 | 2024-09-12 | Innospec Active Chemicals Llc | Compositions and methods and uses relating thereto |
| EP4435079A1 (en) * | 2023-03-20 | 2024-09-25 | Innospec Active Chemicals LLC | Compositions and methods and uses relating thereto |
Families Citing this family (3)
| Publication number | Priority date | Publication date | Assignee | Title |
|---|---|---|---|---|
| EA202090328A1 (en) * | 2017-08-25 | 2020-07-13 | Юнилевер Н.В. | WASHING COMPOSITION FOR PERSONAL HYGIENE |
| MX2020002112A (en) | 2017-08-25 | 2020-07-20 | Unilever Ip Holdings B V | Personal cleansing composition. |
| WO2025003808A1 (en) * | 2023-06-30 | 2025-01-02 | L'oreal | Foaming cleansing composition |
Family Cites Families (7)
| Publication number | Priority date | Publication date | Assignee | Title |
|---|---|---|---|---|
| DE3820030C1 (en) * | 1988-06-13 | 1989-07-27 | Th. Goldschmidt Ag, 4300 Essen, De | |
| AU5420294A (en) * | 1992-11-04 | 1994-05-24 | Unilever Plc | Improvements relating to substituted isethionate surfactants and personal care compositions comprising said surfactants |
| US6210689B1 (en) * | 1998-03-18 | 2001-04-03 | National Starch & Chemical Co. Investment Holding Corporation | Keratin treating cosmetic compositions containing amphoteric polysaccharide derivatives |
| US6184196B1 (en) * | 1998-05-27 | 2001-02-06 | University Of Iowa Research Foundation | Sucrose based surfactants and methods thereof |
| FR2811895B1 (en) * | 2000-07-21 | 2003-01-31 | Oreal | COSMETIC TREATMENT COMPOSITION COMPRISING AT LEAST ONE SPECIFIC STARCH BETAINATE AND AT LEAST ONE DETERGENT SURFACTANT, METHOD FOR COSMETIC TREATMENT OF KERATINIC MATERIALS AND USE OF THE COMPOSITION |
| CA2769555A1 (en) * | 2009-08-03 | 2011-02-10 | Innospec Limited | Composition |
| US20110312867A1 (en) * | 2010-06-21 | 2011-12-22 | Ecolab Usa Inc. | Betaine functionalized alkyl polyglucosides for enhanced food soil removal |
-
2012
- 2012-08-24 GB GB201215159A patent/GB201215159D0/en not_active Ceased
-
2013
- 2013-04-03 WO PCT/GB2013/050875 patent/WO2013150300A2/en not_active Ceased
- 2013-04-03 WO PCT/GB2013/050876 patent/WO2013150301A2/en not_active Ceased
Cited By (25)
| Publication number | Priority date | Publication date | Assignee | Title |
|---|---|---|---|---|
| WO2014180640A1 (en) * | 2013-05-09 | 2014-11-13 | Unilever N.V. | Hair treatment composition |
| EA033691B1 (en) * | 2013-05-09 | 2019-11-18 | Unilever Nv | Hair treatment composition |
| WO2015079026A1 (en) * | 2013-11-29 | 2015-06-04 | L'oreal | Foaming composition comprising an acyl alkyl isethionate and an alkyl sulfoacetate, and cosmetic treatment process |
| FR3013967A1 (en) * | 2013-11-29 | 2015-06-05 | Oreal | AQUEOUS FOAMING GEL COMPRISING AN ACYL ALKYLEISETHIONATE, AN ALKYL SULFOACETATE, AND IF NECESSARILY SULFOSUCCINATE AND / OR SALT OF SULFONATE FATTY ACIDS |
| KR20180110121A (en) * | 2016-02-16 | 2018-10-08 | 로디아 오퍼레이션스 | Sulfate-free personal hygiene compositions and methods of using such compositions |
| US11129786B2 (en) | 2016-02-16 | 2021-09-28 | Rhodia Operations | Sulfate-free personal care compositions and methods for using such compositions |
| WO2017140799A1 (en) * | 2016-02-16 | 2017-08-24 | Rhodia Operations | Personal care compositions and methods for using such compositions |
| CN108697607A (en) * | 2016-02-16 | 2018-10-23 | 罗地亚经营管理公司 | The not personal care composition of containing sulfate and the method using such composition |
| CN108697608A (en) * | 2016-02-16 | 2018-10-23 | 罗地亚经营管理公司 | Personal care compositions and methods of using such compositions |
| JP2019504862A (en) * | 2016-02-16 | 2019-02-21 | ローディア オペレーションズ | Personal care composition and method of using the composition |
| JP2019504863A (en) * | 2016-02-16 | 2019-02-21 | ローディア オペレーションズ | Sulfate-free personal care compositions and methods of using the compositions |
| KR102761383B1 (en) * | 2016-02-16 | 2025-02-05 | 스페셜티 오퍼레이션스 프랑스 | Personal hygiene compositions and methods of using such compositions |
| WO2017140798A1 (en) * | 2016-02-16 | 2017-08-24 | Rhodia Operations | Sulfate-free personal care compositions and methods for using such compositions |
| US12023401B2 (en) | 2016-02-16 | 2024-07-02 | Rhodia Operations | Sulfate-free personal care compositions and methods for using such compositions |
| US11090245B2 (en) | 2016-02-16 | 2021-08-17 | Rhodia Operations | Personal care compositions and methods for using such compositions |
| KR20180108833A (en) * | 2016-02-16 | 2018-10-04 | 로디아 오퍼레이션스 | Personal hygiene compositions and methods of using such compositions |
| CN108697607B (en) * | 2016-02-16 | 2021-10-15 | 罗地亚经营管理公司 | Sulfate-free personal care compositions and methods of using such compositions |
| US11951201B2 (en) | 2016-02-16 | 2024-04-09 | Rhodia Operations | Personal care compositions and methods for using such compositions |
| EP3452175B1 (en) | 2016-04-25 | 2023-06-07 | L'oreal | Gentle cleansing compositions with makeup removal properties |
| JP2019514891A (en) * | 2016-04-25 | 2019-06-06 | ロレアル | Hypoallergenic cleaning composition with makeup removal properties |
| US11857508B2 (en) | 2020-01-21 | 2024-01-02 | Conopco, Inc. | Isotropic concentrate and wash compositions |
| CN114980978A (en) * | 2020-01-21 | 2022-08-30 | 联合利华知识产权控股有限公司 | Hydratable concentrated surfactant compositions |
| WO2021148427A1 (en) * | 2020-01-21 | 2021-07-29 | Unilever Ip Holdings B.V. | Hydratable concentrated surfactant composition |
| WO2024184277A1 (en) * | 2023-03-03 | 2024-09-12 | Innospec Active Chemicals Llc | Compositions and methods and uses relating thereto |
| EP4435079A1 (en) * | 2023-03-20 | 2024-09-25 | Innospec Active Chemicals LLC | Compositions and methods and uses relating thereto |
Also Published As
| Publication number | Publication date |
|---|---|
| WO2013150301A3 (en) | 2014-10-16 |
| WO2013150301A2 (en) | 2013-10-10 |
| GB201215159D0 (en) | 2012-10-10 |
| WO2013150300A3 (en) | 2014-10-16 |
Similar Documents
| Publication | Publication Date | Title |
|---|---|---|
| WO2013150300A2 (en) | Composition | |
| US9216147B2 (en) | Mild cosmetic cleansing composition | |
| US9877904B2 (en) | Compositions comprising zwitterionic ester ammonioalkanoates containing a heterocyclic group | |
| CN108024935A (en) | Compositions comprising zwitterionic alkyl-alkanoylamides and/or alkylalkanoates | |
| KR20180108833A (en) | Personal hygiene compositions and methods of using such compositions | |
| JP7126945B2 (en) | Personal Care Compositions and Methods of Using the Compositions | |
| WO2000061099A1 (en) | Aqueous cosmetic product which contains tartaric or citric acid esters of the alkyl polyglucose and an acidic active substance with preservative properties | |
| US8673833B2 (en) | Low irritancy cleansing compositions | |
| US8685906B2 (en) | Low irritancy cleansing compositions | |
| CN112891252A (en) | Mild itching-relieving bath composition and preparation method thereof | |
| KR20190082735A (en) | Low irritant personal cleansing composition having improved capacity for forming foam and stability | |
| WO2000061101A1 (en) | Aqueous cosmetic preparations containing tartaric-acid or citric-acid esters of alkyl polyglucose and cationic or amphoteric polymers | |
| KR101999121B1 (en) | Low irritant personal cleansing composition having improved capacity for forming foam and stability | |
| WO2000061100A1 (en) | Aqueous cosmetic preparation containing tartaric acid esters or citric acid esters of alkyl polyglucose, and vitamins | |
| JPH08231341A (en) | Cosmetic formulation | |
| WO1997025965A1 (en) | Mild shampoo composition | |
| FR2860158A1 (en) | Foaming, cleaning composition containing a polyguanidine derivative, useful as cosmetic cleanser and for treating greasy skin, also contains at least one lathering surfactant | |
| WO2019115156A1 (en) | A hair cleansing composition |
Legal Events
| Date | Code | Title | Description |
|---|---|---|---|
| 122 | Ep: pct application non-entry in european phase |
Ref document number: 13715430 Country of ref document: EP Kind code of ref document: A2 |





























