WO2013147749A1 - Oral combination therapy for treating hcv infection in specific patient subgenotype populations - Google Patents
Oral combination therapy for treating hcv infection in specific patient subgenotype populations Download PDFInfo
- Publication number
- WO2013147749A1 WO2013147749A1 PCT/US2012/030692 US2012030692W WO2013147749A1 WO 2013147749 A1 WO2013147749 A1 WO 2013147749A1 US 2012030692 W US2012030692 W US 2012030692W WO 2013147749 A1 WO2013147749 A1 WO 2013147749A1
- Authority
- WO
- WIPO (PCT)
- Prior art keywords
- compound
- patient
- genotype
- snp
- pharmaceutically acceptable
- Prior art date
- Legal status (The legal status is an assumption and is not a legal conclusion. Google has not performed a legal analysis and makes no representation as to the accuracy of the status listed.)
- Ceased
Links
- 0 BOC(N[C@@](C(C)(C)C)C(N(C[C@@](C1)Oc2c(ccc(C)c3I)c3nc(-c3c[s]c(*)n3)c2)[C@@]1C(N[C@](C1)([C@]1C=C)C(O)=O)=O)=O)=O Chemical compound BOC(N[C@@](C(C)(C)C)C(N(C[C@@](C1)Oc2c(ccc(C)c3I)c3nc(-c3c[s]c(*)n3)c2)[C@@]1C(N[C@](C1)([C@]1C=C)C(O)=O)=O)=O)=O 0.000 description 2
- BMAIGAHXAJEULY-UKTHLTGXSA-N C[n]1c(cc(/C=C/C(O)=O)cc2)c2nc1C1(CCC1)NC(c1ccc(c(C2CCCC2)c(-c(nc2)ncc2Br)[n]2C)c2c1)=O Chemical compound C[n]1c(cc(/C=C/C(O)=O)cc2)c2nc1C1(CCC1)NC(c1ccc(c(C2CCCC2)c(-c(nc2)ncc2Br)[n]2C)c2c1)=O BMAIGAHXAJEULY-UKTHLTGXSA-N 0.000 description 2
Classifications
-
- A—HUMAN NECESSITIES
- A61—MEDICAL OR VETERINARY SCIENCE; HYGIENE
- A61K—PREPARATIONS FOR MEDICAL, DENTAL OR TOILETRY PURPOSES
- A61K31/00—Medicinal preparations containing organic active ingredients
- A61K31/33—Heterocyclic compounds
- A61K31/395—Heterocyclic compounds having nitrogen as a ring hetero atom, e.g. guanethidine or rifamycins
- A61K31/435—Heterocyclic compounds having nitrogen as a ring hetero atom, e.g. guanethidine or rifamycins having six-membered rings with one nitrogen as the only ring hetero atom
- A61K31/47—Quinolines; Isoquinolines
- A61K31/4709—Non-condensed quinolines and containing further heterocyclic rings
-
- A—HUMAN NECESSITIES
- A61—MEDICAL OR VETERINARY SCIENCE; HYGIENE
- A61K—PREPARATIONS FOR MEDICAL, DENTAL OR TOILETRY PURPOSES
- A61K31/00—Medicinal preparations containing organic active ingredients
- A61K31/33—Heterocyclic compounds
- A61K31/395—Heterocyclic compounds having nitrogen as a ring hetero atom, e.g. guanethidine or rifamycins
- A61K31/495—Heterocyclic compounds having nitrogen as a ring hetero atom, e.g. guanethidine or rifamycins having six-membered rings with two or more nitrogen atoms as the only ring heteroatoms, e.g. piperazine or tetrazines
- A61K31/505—Pyrimidines; Hydrogenated pyrimidines, e.g. trimethoprim
- A61K31/506—Pyrimidines; Hydrogenated pyrimidines, e.g. trimethoprim not condensed and containing further heterocyclic rings
-
- C—CHEMISTRY; METALLURGY
- C12—BIOCHEMISTRY; BEER; SPIRITS; WINE; VINEGAR; MICROBIOLOGY; ENZYMOLOGY; MUTATION OR GENETIC ENGINEERING
- C12Q—MEASURING OR TESTING PROCESSES INVOLVING ENZYMES, NUCLEIC ACIDS OR MICROORGANISMS; COMPOSITIONS OR TEST PAPERS THEREFOR; PROCESSES OF PREPARING SUCH COMPOSITIONS; CONDITION-RESPONSIVE CONTROL IN MICROBIOLOGICAL OR ENZYMOLOGICAL PROCESSES
- C12Q1/00—Measuring or testing processes involving enzymes, nucleic acids or microorganisms; Compositions therefor; Processes of preparing such compositions
- C12Q1/68—Measuring or testing processes involving enzymes, nucleic acids or microorganisms; Compositions therefor; Processes of preparing such compositions involving nucleic acids
- C12Q1/6876—Nucleic acid products used in the analysis of nucleic acids, e.g. primers or probes
- C12Q1/6883—Nucleic acid products used in the analysis of nucleic acids, e.g. primers or probes for diseases caused by alterations of genetic material
-
- C—CHEMISTRY; METALLURGY
- C12—BIOCHEMISTRY; BEER; SPIRITS; WINE; VINEGAR; MICROBIOLOGY; ENZYMOLOGY; MUTATION OR GENETIC ENGINEERING
- C12Q—MEASURING OR TESTING PROCESSES INVOLVING ENZYMES, NUCLEIC ACIDS OR MICROORGANISMS; COMPOSITIONS OR TEST PAPERS THEREFOR; PROCESSES OF PREPARING SUCH COMPOSITIONS; CONDITION-RESPONSIVE CONTROL IN MICROBIOLOGICAL OR ENZYMOLOGICAL PROCESSES
- C12Q1/00—Measuring or testing processes involving enzymes, nucleic acids or microorganisms; Compositions therefor; Processes of preparing such compositions
- C12Q1/70—Measuring or testing processes involving enzymes, nucleic acids or microorganisms; Compositions therefor; Processes of preparing such compositions involving virus or bacteriophage
- C12Q1/701—Specific hybridization probes
- C12Q1/706—Specific hybridization probes for hepatitis
- C12Q1/707—Specific hybridization probes for hepatitis non-A, non-B Hepatitis, excluding hepatitis D
-
- C—CHEMISTRY; METALLURGY
- C12—BIOCHEMISTRY; BEER; SPIRITS; WINE; VINEGAR; MICROBIOLOGY; ENZYMOLOGY; MUTATION OR GENETIC ENGINEERING
- C12Q—MEASURING OR TESTING PROCESSES INVOLVING ENZYMES, NUCLEIC ACIDS OR MICROORGANISMS; COMPOSITIONS OR TEST PAPERS THEREFOR; PROCESSES OF PREPARING SUCH COMPOSITIONS; CONDITION-RESPONSIVE CONTROL IN MICROBIOLOGICAL OR ENZYMOLOGICAL PROCESSES
- C12Q2600/00—Oligonucleotides characterized by their use
- C12Q2600/106—Pharmacogenomics, i.e. genetic variability in individual responses to drugs and drug metabolism
-
- C—CHEMISTRY; METALLURGY
- C12—BIOCHEMISTRY; BEER; SPIRITS; WINE; VINEGAR; MICROBIOLOGY; ENZYMOLOGY; MUTATION OR GENETIC ENGINEERING
- C12Q—MEASURING OR TESTING PROCESSES INVOLVING ENZYMES, NUCLEIC ACIDS OR MICROORGANISMS; COMPOSITIONS OR TEST PAPERS THEREFOR; PROCESSES OF PREPARING SUCH COMPOSITIONS; CONDITION-RESPONSIVE CONTROL IN MICROBIOLOGICAL OR ENZYMOLOGICAL PROCESSES
- C12Q2600/00—Oligonucleotides characterized by their use
- C12Q2600/156—Polymorphic or mutational markers
Definitions
- the present invention relates to therapeutic combinations comprising Compounds (1) and
- the present invention also relates to methods of using such therapeutic combinations for treating HCV infection or alleviating one or more symptoms thereof in a patient that has been identified as having genetic variations located near the IL28B gene, including SNP rs 12979860 with a CC or non-CC genotypes and SNP rs 8099917 with a TT or non-TT genotype.
- Compound (1) falls within the scope of the acyclic peptide series of HCV inhibitors disclosed in U.S. Patents RE 40,525, 7,514,557 and 7,585,845.
- Compound (1) is disclosed specifically as Compound # 1055 in U.S. Patent 7,585,845, and as Compound # 1008 in U.S. Patent 7,514,557.
- Compound (1), and pharmaceutical formulations thereof, can be prepared according to the general procedures found in the above-cited references, all of which are herein incorporated by reference in their entirety.
- Preferred forms of Compound (1) include the crystalline forms, in particular the crystalline sodium salt form as described in U.S. Patent Application Publication No. 2010/0093792, also incorporated herein by reference.
- a combination therapy regimen including administering Compound (1) with an interferon- alpha and ribavirin is described in U.S. Patent Application Publication No. 2010/0068182.
- an interferon administered by injection
- Compound (2) is disclosed specifically as Compound # 3085 in U.S. Patent 7,582,770.
- Compound (2), and pharmaceutical formulations thereof, can be prepared according to the general procedures found in the above-cited references, all of which are herein incorporated by reference in their entirety.
- Preferred forms of Compound (2) include the crystalline forms, in particular the crystalline sodium salt form which is prepared as herein described.
- HCV Genotype la is traditionally more difficult to treat and is less responsive to antiviral therapy than Genotype lb. See, e.g., Ghany, Marc et al. "An Update on Treatment of Genotype 1 Chronic Hepatitis C Virus Infection: 2011 Practice Guideline by the American Association for the Study of Liver Diseases", Hepatology, 54(4): 1433-44 (2011)).
- SNPs single nucleotide polymorphisms located on the long arm of chromosome 19 within the gene cluster of IL-28B (Interleukin (IL) 28B, (also called lambda interferon), of the patient undergoing therapy can directly affect the responsiveness of that patient to the antiviral therapy.
- IL-28B Interleukin (IL) 28B, (also called lambda interferon)
- SNPs single nucleotide polymorphisms located on the long arm of chromosome 19 within the gene cluster of IL-28B (Interleukin (IL) 28B, (also called lambda interferon)
- IL Interleukin
- the SNP that was most strongly associated with SVR in the genome-wide analysis was rs 12979860 followed by rs 8099917. See, e.g., Ge et al., Nature, 461 :399- 401 (2009) and Balagopal, Gastroenterology, 139:1865-1876 (2010). See G. Cairns, "Gene variant that helps hepatitis C treatment may hinder HIV treatment", 2011, at:
- IL28B genotype associations have also been found with early viral kinetics during interferon- free treatment of HCV patients. See Chu et al., "Effect of IL28B Genotype on Early Viral Kinetics During Interferon-Free Treatment of Patients With Chronic Hepatitis C", Gastroenterology (2012), currently in press, available online January 13, 2012.
- this combination therapy has been found to have excellent effectiveness in treating those patients having a CC genotype of SNP rs 12979860 located near IL28B gene, regardless of the HCV Subtype being la or lb. Similar excellent results are to be expected for patients having a TT genotype of SNP rs 8099917, regardless of the HCV Subtype being la or lb.
- the present invention provides a method of treating HCV infection or alleviating one or more symptoms thereof in a patient comprising the step of administering to the patient an effective amount of a therapeutic combination comprising Compounds (1) and (2) as herein described, or a pharmaceutically acceptable salt thereof, and optionally ribavirin and wherein the patient has a CC or non-CC genotype of SNP rs 12979860 or a TT or non-TT genotype of SNP rs 8099917 located near the IL28B gene, and in more specific embodiments:
- the two or three actives of the combination can be administered simultaneously or separately, as part of a regimen.
- the present invention further provides for a packaged pharmaceutical composition comprising a Compound (1), which is accompanied by written instructions indicating administering Compound (1) with Compound (2) and optionally ribavirin for the treatment of HCV infection wherein the patient has a CC or non-CC genotype of SNP rs 12979860 or a TT or non-TT genotype of rs 8099917 located near the IL28B gene.
- the present invention further provides for a packaged pharmaceutical composition
- a packaged pharmaceutical composition comprising a Compound (2), which is accompanied by written instructions indicating administering Compound (1) with Compound (2) and optionally ribavirin for the treatment of HCV infection in a patient that has a CC or non-CC genotype of SNP rsl2979860 or a TT or non-TT genotype of SNP rs 8099917 located near the IL28B gene.
- Figure 1 depicts the proportion of patients with HCV RNA ⁇ LLOD at Week 12 by viral subtype (GT-la vs GT-lb) in the clinical study described herein.
- Figure 2 depicts the proportion of patients with HCV RNA ⁇ LLOD at Week 12 by IL28B GT (CC vs non-CC) in the clinical study described herein.
- Figure 3 depicts the proportion of patients with HCV RNA ⁇ LLOD at Week 12 by IL28B GT and viral subtype in the clinical study described herein..
- HCV infection means infection by any subtype of the Hepatitis C Virus, including subtypes 1-6, and includes both acute and chronic HCV infection.
- Rabavirin refers to l- -D-ribofuranosyl-lH-l,2,4-triazole-3-carboxamide, available from ICN Pharmaceuticals, Inc., Costa Mesa, Calif, and is described in the Merck Index, compound No. 8199, Eleventh Edition. Its manufacture and formulation is described in U.S. Pat. No. 4,211,771. Preferred marketed ribavirin products include REBETOL® and COPEGUS®. The term further includes derivatives or analogs thereof, such as those described in U.S. Pat. Nos. 6,063,772, 6,403,564 and 6,277,830.
- derivatives or analogs include modified ribavirins such as 5'-amino esters, ICN Pharmaceutical's L- enantiomer of ribavirin (ICN 17261), 2'-deoxy derivatives of ribavirin and 3- carboxamidine derivatives of ribavirin, viramidine (previously known as ribamidine) and the like.
- modified ribavirins such as 5'-amino esters, ICN Pharmaceutical's L- enantiomer of ribavirin (ICN 17261), 2'-deoxy derivatives of ribavirin and 3- carboxamidine derivatives of ribavirin, viramidine (previously known as ribamidine) and the like.
- pharmaceutically acceptable salt means a salt of a Compound of formula (1) which is, within the scope of sound medical judgment, suitable for use in contact with the tissues of humans and lower animals without undue toxicity, irritation, allergic response, and the like, commensurate with a reasonable benefit/risk ratio, generally water or oil- soluble or dispersible, and effective for their intended use.
- the term includes pharmaceutically-acceptable acid addition salts and pharmaceutically- acceptable base addition salts. Lists of suitable salts are found in, e.g., S. M. Birge et al., /. Pharm. Set, 1977, 66, pp. 1-19.
- pharmaceutically-acceptable acid addition salt means those salts which retain the biological effectiveness and properties of the free bases and which are not biologically or otherwise undesirable, formed with inorganic acids such as hydrochloric acid, hydrobromic acid, sulfuric acid, sulfamic acid, nitric acid, phosphoric acid, and the like, and organic acids such as acetic acid, trifluoroacetic acid, adipic acid, ascorbic acid, aspartic acid, benzenesulfonic acid, benzoic acid, butyric acid, camphoric acid, camphorsulfonic acid, cinnamic acid, citric acid, digluconic acid, ethanesulfonic acid, glutamic acid, glycolic acid, glycerophosphoric acid, hemisulfic acid, hexanoic acid, formic acid, fumaric acid, 2-hydroxyethane- sulfonic acid (isethionic acid), lactic acid, hydroxymaleic acid, malic acid, mal
- pharmaceutically-acceptable base addition salt means those salts which retain the biological effectiveness and properties of the free acids and which are not biologically or otherwise undesirable, formed with inorganic bases such as ammonia or hydroxide, carbonate, or bicarbonate of ammonium or a metal cation such as sodium, potassium, lithium, calcium, magnesium, iron, zinc, copper, manganese, aluminum, and the like. Particularly preferred are the ammonium, potassium, sodium, calcium, and magnesium salts.
- Salts derived from pharmaceutically-accepta- ble organic nontoxic bases include salts of primary, secondary, and tertiary amines, quaternary amine compounds, substituted amines including naturally occurring substituted amines, cyclic amines and basic ion- exchange resins, such as methylamine, dimethylamine, trimethylamine, ethylamine, diethylamine, triethylamine, isopropylamine, tripropylamine, tributylamine, ethanolamine, diethanolamine, 2-dimethylaminoethanol, 2-diethylaminoethanol, dicyclohexylamine, lysine, arginine, histidine, caffeine, hydrabamine, choline, betaine, ethylenediamine, glucosamine, methylglucamine, theobromine, purines, piperazine, piperidine, N- ethylpiperidine, tetramethylammonium compounds, tetraethyl
- terapéutica combination means a combination of one or more active drug substances, i.e., compounds having a therapeutic utility. Typically, each such compound in the therapeutic combinations of the present invention will be present in a pharmaceutical composition comprising that compound and a pharmaceutically acceptable carrier. The compounds in a therapeutic combination of the present invention may be administered simultaneously or separately, as part of a regimen.
- the present invention provides for a method of treating HCV infection or alleviating one or more symptoms thereof in a patient comprising the step of administering to the patient an effective amount of a therapeutic combination comprising a Compound (1) as defined herein, or a pharmaceutically acceptable salt thereof, Compound (2) as defined herein, or a pharmaceutically acceptable salt thereof, optionally together with ribavirin and wherein the patient has a CC or non-CC genotype of SNP rsl2979860 or a TT or non-TT genotype of SNP rs 8099917 located near the IL28B gene.
- An additional embodiment is directed to the use of Compound (1), or a pharmaceutically acceptable salt thereof, and Compound (2) or a pharmaceutically acceptable salt thereof, for the manufacture of pharmaceutical compositions of each compound, for use together, optionally also with ribavirin, in the treatment of HCV infection in a patient that has a CC or non-CC genotype of SNP rsl2979860 or a TT or non-TT genotype of SNP rs 8099917 located near the IL28B gene.
- Additional general embodiments include a packaged pharmaceutical composition
- a packaged pharmaceutical composition comprising a packaging containing one or more doses of Compound (1) or a
- kits for the treatment of HCV infection in a patient comprising: (a) one or more doses of Compound (1) or a pharmaceutically acceptable salt thereof, and (b) one or more doses of Compound (2) or a pharmaceutically acceptable salt thereof, and (c) optionally ribavirin, together with written instructions directing the co-administration of Compound (1), Compound (2) and optionally ribavirin for the treatment of HCV infection wherein the patient has a CC or non-CC genotype of SNP rsl2979860 or a TT or non-TT genotype of SNP rs 8099917 located near the IL28B gene.
- each active agent can be administered together at the same time or separately at different times in separate dosage administrations.
- the present invention contemplates and includes all such dosage regimens when administering the double or triple therapeutic combinations as defined herein.
- This combination therapy has also been demonstrated to be particularly effective in treating HCV genotype 1 infection, specifically subtype la, and also having a CC genotype of SNP rs 12979860 located near the IL28B gene; and it is also expected to effective treating HCV genotype 1 infection, specifically subtype 1 a, in patients having a TT genotype of SNP rs 8099917 located near the IL28B gene.
- Particular embodiments include the following patient sub-populations:
- HCV subtype la and T/T genotype of SNP rs8099917 Another preferred embodiment is directed to the treatment of patients have the HCV Subtype la and either CT or TT (non-CC) genotype of SNP 12979860 or the GT or GG (non-TT) genotype of SNP rs 8099917 located near the IL28B gene, which represent particularly difficult-to-treat HCV-infected patient populations.
- the patient has first been identified as having a CC or non-CC genotype of SNP rsl2979860 or a TT or non-TT genotype of SNP rs 8099917 located near the IL-28B gene prior to the step of administering the therapeutic combination of the present invention.
- Methods for such genotypic identification as are set forth in detail herein.
- the patient population to be treated with the combination therapy of the present invention can be further classified into "treatment-naive" patients, i.e., those patient who have not received any prior treatment for HCV infection and "treatment experienced” patients, i.e, those patients who have undergone prior treatment for HCV. Either of these classes of patients may be treated with the combination therapy of the present invention.
- the clinical data presented hereinafter is directed to treatment naive patients only. Nevertheless, there is an expectation that similar efficacy results will be seen in treatment experienced patients.
- a particular class of patients that are preferably treated are those treatment experienced patients that have undergone prior interferon plus ribavirin therapy but are non-responsive to said therapy (herein "non-responders").
- non-responders include three distinct groups of patients: (1) those who experienced ⁇ 2x logio maximum reduction in HCV RNA levels during the first 12 weeks of treatment with interferon plus ribavirin ("null responders"), (2) those who experienced > 2x logio reduction in HCV RNA levels from baseline at week 12 (EVR) but not achieving HCV RNA undetectable at end of treatment (“partial responders”), and (3) those who achieved undetectable HCV RNA levels with and during interferon plus ribavirin therapy but had a viral load rebound after treatment has completed (“relapser").
- the present invention provides a method of reducing HCV- RNA levels in a patient in need thereof, comprising the step of administering to said patient a therapeutic combination according to the present invention.
- the method of the present invention reduces the HCV-RNA levels in a patient to a level below the lower limit of quantification (or "BLQ").
- a BLQ level of HCV RNA as used in the present invention means a level below 25 International Units (IU) per ml of serum or plasma of a patient as measured by quantitative, multi-cycle reverse transcriptase PCR methodology according to the WHO international standard (Saladanha J, Lelie N and Heath A, Establishment of the first international standard for nucleic acid amplification technology (NAT) assays for HCV RNA. WHO Collaborative Study Group. Vox Sang 76: 149-158, 1999). Such methods are well known in the art.
- the method of the present invention reduces the HCV-RNA levels in a patient to less than 25 IU per ml of serum or plasma.
- the method of the present invention reduces the HCV-RNA levels in a patient to less than a detectible level.
- the method of the present invention reduces the HCV-RNA levels in a patient to less than 25 IU per ml of serum, even more preferably to less than 10 IU per ml of serum.
- the method of the present invention reduces the HCV-RNA levels in a patient to less than a detectable level (below the limit of detection, BLD).
- Treatment decisions for duration of HCV therapy can be made based on the time when HCV RNA level reaches BLD, and combinations of BLQ and BLD HCV RNA at subsequent time- points during initial treatment. Typical time points include HCV RNA measurements at 4, 8, and 12 weeks after initiation of therapy, and results are utilized to guide further treatment duration "response-guided therapy". Cure from HCV infection is typically inferred if HCV RNA remained BLD 12-24 weeks after end of HCV treatment.
- the method of the present invention results in an HCV-RNA level in the patient that is less than a detectible level at 12 weeks, preferably 24 weeks, after the end of all treatment.
- the usual duration of the treatment for standard interferon plus ribavirin therapy is at least 48 weeks, and up to 72 weeks, for chronic infection with HCV genotype 1 or 4; 48 weeks for the majority of patients with chronic HCV genotype 2 or 3 infection.
- a few patients with chronic HCV genotype 2 and 3 infection may be treated with 24 weeks of interferon alpha and ribavirin.
- Compound (1), or a pharmaceutically acceptable salt thereof, in the triple combination therapy of the present invention it may be possible to have a much shorter duration of treatment.
- the contemplated durations of treatment include at least 4 weeks, preferably at least 12 weeks, e.g., from about 12 weeks to about 24 weeks, although treatment up to and even beyond 48 weeks is possible as well.
- further embodiments include treatment for at least 24 weeks and for at least 48 weeks.
- the duration of treatment of chronic HCV infection may vary depending upon the specific HCV genotype. For example, the typical duration of treatment will be longer for genotypes 1 and 4, than for genotypes 2 and 3.
- the treatment duration will be shorter for the treatment of acute infection as compared to chronic infection.
- an initial treatment regimen with the triple combination therapy of the present invention followed by a continuation of only the interferon plus ribavirin double combination therapy.
- possible scenarios for the initial triple and then double combination therapy include, for example: (1) 4 weeks of the triple combination therapy, followed by 8 to 44 weeks of the interferon plus ribavirin only therapy; (2) 12 weeks of the triple combination therapy, followed by 0 to 36 weeks of the interferon plus ribavirin only therapy; and (3) 24 weeks of the triple combination therapy, followed by 0 to 24 weeks of the interferon plus ribavirin only therapy.
- the first component of the therapeutic combination namely, Compound (1) or a pharmaceutically acceptable salt thereof is comprised in a composition.
- a composition Such a
- composition comprises Compound (1), or a pharmaceutically acceptable salt thereof, and a pharmaceutically acceptable adjuvant or carrier.
- Typical pharmaceutical compositions that may be used for Compound (1), or a pharmaceutically acceptable salt thereof, are as described in U.S. Patent 7,514,557. Further specific examples of compositions are as set forth in the examples section below.
- the Compound (1) or a pharmaceutically acceptable salt thereof may be administered at a maintenance dosage of at least 40 mg/day (in single or divided doses). Additional embodiments for dosage amounts and ranges may include (in single or divided doses):
- Compound (1) or a pharmaceutically acceptable salt thereof may be administered in single or divided daily doses, once a day administration (QD) of the daily dose is preferred. As the skilled artisan will appreciate, however, lower or higher doses than those recited above may be required. Specific dosage and treatment regimens for any particular patient will depend upon a variety of factors, including the age, body weight, general health status, sex, diet, time of administration, rate of excretion, drug combinations (co- medications), the severity and course of the infection, the patient's disposition to the infection and the judgment of the treating physician.
- Specific factors affecting dosing may include, for example, individual patient factors which modify the adsorption, distribution, metabolism and excretion of Compound (1); the specific HCV Genotype; the specific IL28B genotype of the patient; the patient's innate/adaptive immune response to HCV; acute vs. chronic HCV infection; and the disposition of ribavirin based on host factors.
- the compound is most desirably administered at a concentration level that will generally afford antivirally effective results without causing any harmful or deleterious side effects.
- a loading dose amount of Compound (1) is administered for the first administration dose of the treatment.
- the loading dose amount is higher than the dose amount administered for subsequent administrations in the treatment, which are referred to as maintenance doses.
- the loading dose amount is about double in quantity, by weight, of the amount in subsequent administrations in the treatment.
- the first dose of Compound (1) administered at a loading dosage of about 240 mg and subsequent maintenance doses of Compound (1) are administered at a dosage of about 120 mg.
- the first dose of Compound (1) administered at a loading dosage of about 480 mg and subsequent maintenance doses of Compound (1) are administered at a dosage of about 240 mg.
- a clear advantage is that it is thereby possible to achieve steady state levels of active drug in the patient' s system earlier than would otherwise be achieved.
- a higher blood level is achieved early by using a loading dose preferably double the maintenance dose at first intake. Reaching the targeted steady state level of active drug earlier in therapy also means that there is less possibility of insufficient drug exposure at the beginning of therapy so that resistant viral strains have a smaller chance of emerging.
- the second component of the therapeutic combination namely, Compound (2) or a pharmaceutically acceptable salt thereof is comprised in a composition.
- composition comprises Compound (2), or a pharmaceutically acceptable salt thereof, and a pharmaceutically acceptable adjuvant or carrier.
- Typical pharmaceutical compositions that may be used for Compound (1), or a pharmaceutically acceptable salt thereof, are as described in U.S. Patent 7,582,770.
- the Compound (2) or a pharmaceutically acceptable salt thereof may be administered at dosage amounts and in dose ranges that may include (in single or divided doses):
- Compound (2) or a pharmaceutically acceptable salt thereof may be administered in single or divided daily doses, thrice a day administration (TID) of the divided daily dose is preferred. As the skilled artisan will appreciate, however, lower or higher doses than those recited above may be required. Specific dosage and treatment regimens for any particular patient will depend upon a variety of factors, including the age, body weight, general health status, sex, diet, time of administration, rate of excretion, drug combination, the severity and course of the infection, the patient's disposition to the infection and the judgment of the treating physician. In general, the compound is most desirably
- Compound (2) is administered for the first administration dose of the treatment.
- the induction dose amount is higher than the dose amount administered for subsequent administrations in the treatment.
- the induction dose amount is about double to triple in quantity, by weight, of the amount in subsequent administrations in the treatment.
- the first dose of Compound (2) administered at dosage of about 1200 mg and subsequent doses of Compound (2) are administered at a dosage of about 600 mg.
- the first dose of Compound (2) administered at a dosage of about 1200 mg and subsequent doses of Compound (2) are administered at a dosage of about 400 mg.
- the optional third component of the therapeutic combination namely ribavirin
- ribavirin is comprised in a pharmaceutical composition.
- compositions comprise ribavirin and a pharmaceutically acceptable adjuvant or carrier and are well known in the art, including in a number of marketed ribavirin formulations.
- Formulations comprising ribavirin are also disclosed, e.g., in US Patent 4,211,771.
- ribavirin The types of ribavirin that may be used in the combination are as outlined hereinabove in the definitions section.
- the ribavirin is either REBETOL® or COPEGUS® and they may be administered at their labeled dosage levels indicated for interferon plus ribavirin combination therapy for the treatment of HCV infection.
- the triple combination therapy of the present invention it may be possible to use a lower dosage of ribavirin, e.g., lower than is used the current standard interferon plus ribavirin therapy, while delivering the same or better efficacy than the current standard therapy with less side-effects usually associated with such therapy.
- the ribavirin may be administered at dosages of (in single or divided doses):
- the ribavirin composition comprises ribavirin in a formulation suitable for dosing once a day or twice daily.
- a therapeutic combination comprises about 1000 mg/day dosage of ribavirin, and a dosing of two times a day is desired, then the therapeutic combination will comprise ribavirin in a formulation, e.g., a tablet, containing, e.g., about 200 mg of ribavirin, with the first dose of 600 mg (or 400 mg), followed by a second dose of 400 mg (or 600 mg) at least 6 hours apart.
- the present invention contemplates a method of treating hepatitis C viral (HCV) infection or alleviating one or more symptoms thereof in a patient that has a CC or non-CC genotype of SNP rs 12979860 or a TT or non-TT genotype of SNP rs 8099917 located near the IL28B gene comprising the step of administering to the patient a therapeutic combination comprising:
- (c) optionally ribavirin at a dosage of between about 200 mg/day to about 1800 mg/day.
- the patient is infected with HCV Subtype lb.
- the patient is infected with HCV Subtype la, and the patient has a CC genotype of SNP rs 12979860 or a TT genotype of SNP rs 8099917 located near the IL28B gene.
- the patient is infected with HCV Subtype la, and the patient has a CT or TT genotype of SNP rs 12979860 or a GT or GG genotype of SNP rs 8099917 located near the IL28B gene.
- the present invention contemplates a method of treating hepatitis C viral (HCV) infection or alleviating one or more symptoms thereof in a patient that has a CC or non-CC genotype of SNP rs 12979860 or a TT or non-TT genotype of SNP rs 8099917 located near the IL28B gene comprising the step of administering to the patient a therapeutic combination comprising:
- (c) optionally ribavirin at a dosage of between about 1000 mg/day to about 1200 mg/day.
- the patient is infected with HCV Subtype lb.
- the patient is infected with HCV Subtype la, and the patient has a CC genotype of SNP rs 12979860 or a TT genotype of SNP rs 8099917 located near the IL28B gene.
- the patient is infected with HCV Subtype la, and the patient has a CT or TT genotype of SNP rs 12979860 or a GT or GG genotype of SNP rs 8099917 located near the IL28B gene.
- the present invention contemplates a method of treating hepatitis C viral (HCV) infection or alleviating one or more symptoms thereof in a patient that has a CC or non-CC genotype of SNP rs 12979860 or a TT or non-TT genotype of SNP rs 8099917 located near the IL28B gene comprising the step of administering to the patient a therapeutic combination comprising:
- (c) optionally ribavirin at a dosage of between about 1000 mg/day to about 1200 mg/day.
- the patient is infected with HCV Subtype lb.
- the patient is infected with HCV Subtype la, and the patient has a CC genotype of SNP rs 12979860 or a TT genotype of SNP rs 8099917 located near the IL28B gene.
- the patient is infected with HCV Subtype la, and the patient has a CT or TT genotype of SNP rs 12979860 or a GT or GG genotype of SNP rs 8099917 located near the IL28B gene.
- the therapy is a triple combination therapy including administration of
- the therapy is a double combination therapy including administration of
- the HCV infection is genotype 1 , preferably genotype 1 a, and the patient is a treatment-naive patient;
- the HCV infection is genotype 1 , preferably genotype 1 a
- the patient is a treatment-experienced patient who is non-responsive to a combination therapy of interferon plus ribavirin.
- the patient has first been identified as having a CC or non-CC genotype of SNP rsl2979860 or a TT or non-TT genotype of SNP rs 8099917 located near the IL-28B gene prior to the step of administering the therapeutic combination of the present invention.
- Further embodiments include any of the above-mentioned embodiments and where the loading dose concept in used for Compound (1), e.g., the first dose of Compound (1) administered is double in quantity to the subsequent doses. Further embodiments include any of the above-mentioned embodiments, and where the therapeutic regimen of the present invention is administered to the patient for at least about 4 weeks, more preferably at least about 12 weeks, at least about 16 weeks, at least about 24 weeks, at least about 28 weeks or at least about 48 weeks. With respect to the double or triple combination therapies of the present invention, the present invention contemplates and includes all combinations of the various preferred embodiments and sub-embodiments as set forth herein.
- An additional embodiment is directed to a packaged pharmaceutical composition
- a packaged pharmaceutical composition comprising a packaging containing one or more doses of Compound (1) or a
- one or more doses of Compound (1), or a pharmaceutically acceptable salt thereof, and one or more doses of Compound (2), or a pharmaceutically acceptable salt thereof, and optionally ribavirin are placed together in a single packaging forming a so-called "kit", which includes written instructions directing the coadministration of Compound (1), Compound (2) and optionally ribavirin for the treatment of HCV infection in a patient that has a CC or non-CC genotype of SNP rsl2979860 or a TT or non-TT genotype of SNP rs 8099917 located near the IL28B gene.
- the individual doses of Compound (1) or a pharmaceutically acceptable salt thereof, or Compound (2) or a pharmaceutically acceptable salt thereof can be in the form of any of the standard pharmaceutical dosage forms, e.g. tablets, capsules, and packaged within any of the standard types of pharmaceutical packaging materials, e.g. bottles, blister-packs, etc., that may themselves be contained within an outer packaging material such as a paper/cardboard box.
- the written instructions will typically be provided either on the packaging material(s) itself or on a separate paper (a so-called "package insert") that is provided together with the dosage forms within the outer packaging material. All such packaging embodiments and variations thereof are embraced by the present invention.
- HCV RNA quantification HCV subtyping
- IL28B genotyping Specific methods that have been used for HCV RNA quantification, HCV subtyping and IL28B genotyping are as detailed below. To the extent that other methods may be known and available in the art, and all are considered embraced within the present invention and can be used in connection therewith.
- a plasma sample of about 6 ml is obtained from the patients and processed by using the Roche COBAS® TaqMan HCV/HPS assay.
- the assay has a linear range from 25 to 2000,000,000 IU/ml (2.0 E8 IU/ml) with a lower limit of quantification of 25 IU/ml and a lower limit of detection of 10 IU/ml.
- the HCV subtype was determined by using the TRUGENE® HCV Genotyping Assay.
- the assay directly amplifies and sequences the virus allowing direct examination of the viral RNA by producing bi-directional sequences using two fluorescently-labeled DNA primers.
- the library includes viral isolates to allow determination of the 6 major hepatitis C genotypes and 41 sub-types.
- Genotype analysis was performed on DNA extracted from blood samples of the patients by using TaqMan PCR based test assays established by Beckman Coulter Genomics
- genotype analysis consisted of the extraction of genomic DNA from blood samples, the application of established molecular genetic techniques to amplify the specific genetic target sites and the detection and analysis of emission data of the fluorescent TaqMan probes employed in the amplification processes.
- Three kinds of controls were used for each product: a) one water control included prior to DNA isolation, b) one water control included after DNA isolation and c) one heterozygous and/or one homozygous (wild-type or variant) genotyping control.
- One example of a pharmaceutical formulation of Compound (1) include an oral solution formulation as disclosed in WO 2010/059667. Additional examples include capsules containing a lipid-based liquid formulation, as disclosed in WO 2011/005646.
- Step 1 Synthesis of Isopropyl 3-Cyclopentyl-l-methyl-lH-indole-6-carboxylate Because of the instability of brominated product, methyl 3 -cyclopentyl- 1 -methyl- 1H- indole-6-carboxylate needed to be converted into the more stable isopropyl 3 -cyclopentyl - l-methyl-lH-indole-6-carboxylate via a simple and high yielding operation. The conversion worked the best with stoichiometric amounts of solid lithium isopropoxide. Use of 0.1 eq lithium isopropoxide led to longer reaction times and as a result to more hydrolysis by-product, while lithium isopropoxide solution in THF caused a problematic isolation and required distillation of THF. Procedure:
- the batch was filtered and rinsed with 28 wt% 2-propanol in water (186 g), and water (500 g).
- the wet cake was dried in vacuo ( ⁇ 200 Torr) at 40-45 °C until the water content was ⁇ 0.5% to give isopropyl 3-cyclopentyl-l-methyl-lH-indole-6-carboxylate (52.7 g, 95% yield) in 99.2 A% (240 nm).
- the starting material methyl 3-cyclopentyl-l-methyl-lH-indole-6-carboxylate can be prepared as described in Example 12 of U.S. Patent 7,141,574, and in Example 12 of U.S. Patent 7,642,352, both herein incorporated by reference.
- This process identified the optimal conditions for the synthesis of 2-bromo-3-cyclopentyl- l-methyl-lH-indole-6-carboxylate via bromination of the corresponding 3-cyclopentyl-l- methyl- lH-indole-6-carboxylate with bromine. It's very important to control the reaction temperature and to quench the reaction mixture with a mixture of aqueous sodium thiosulfate and 4-methylmorpholine to minimize the formation of the dibromo- and 2- indolone impurities. Further neutralization of the crude product with NaOH in isopropanol greatly increases the stability of the isolated product.
- the resulting hazy solution was treated with 1.0 M aqueous sodium hydroxide solution (9.1 g) and then with 135.0 g water at a rate to maintain the batch at 75+5°C.
- the suspension was stirred at 75+5°C for at least 30 min, cooled to 15+2 °C over 30-40 min, and held at 15+2 °C for at least 1 h.
- the mixture was heated to 40 - 50 °C and charged with methanol (664 g). After it was stirred at the same temperature for at least 0.5 h, the batch was cooled to 0 - 10 °C and stirred for another 1 hr. The precipitate was filtered, rinsed with 56 wt methanol/ water solution (322 g), and dried in vacuo ( ⁇ 200 Torr) at 50-60 °C until the water content was ⁇ 0.4% to give isopropyl 2-bromo-3- cyclopentyl-l-methyl-lH-indole-6-carboxylate as a beige solid (90-95 g, 80-85 % yield ).
- Step 3a,b Preparation of compound I by one-pot Pd-catalyzed borylation- Suzuki coupling reaction
- the batch was cooled to 20+3 °C over 0.5h and hold at 20+3 °C for at least lh.
- the solid was collected by filtration.
- the wet cake was first rinsed with 62.8 g of 2-propanol, followed by 200 g of H 2 0.
- the solid was dried under vacuum at the temperature below 50 °C.
- the solid product was collected and rinsed with 80 g of NMP/water (1 :3 volume ratio) and then 60 g of water.
- the product was dried under vacuum at the temperature below 50 °C to give II as a pale yellow powder (19 -20 g, purity > 99.0 A% and 88.4 wt , containing 5.4 wt% NMP).
- the yield is about 93-98%.
- the batch was stirred for over 30 min at 70 °C, then cooled to 20 °C over 1 hr and kept for at least 1.0 h.
- the solid product was collected and rinsed with 407 g of isopropanol/water (229 g IPA, 178 g H 2 0).
- the product was dried under vacuum at 80 °C for over 5 hrs to give II as a white powder (61 g, 95% yield).
- intermediate V was developed.
- the first step was the preparation of 4-chloro-2-(methyl)- aminonitrobenzene starting from 2,4-dichloronitrobenzene using aqueous methyl amine in DMSO at 65 °C. Then, a ligandless Heck reaction with n-butyl acrylate in the presence of Pd(OAc) 2 , 'PrzNEt, LiCl, and DMAc at 110 °C was discovered.
- Step 7 Reduction of n-butyl (3-methylamino-4-nitro)-cinnamate
- the filtrate was concentrated under reduced pressure to remove solvents to 50% of the original volume.
- the remained content was heated to 70 °C and charged slowly methyl cyclohexane (335 mL) at the same temperature.
- the mixture was cooled to about 30 - 40 °C and seeded with III seed crystals, then slowly cooled the suspension to— 10 °C.
- the solid was filtered and rinsed with methyl cyclohexane in three portions (3 x 46 mL).
- the wet cake was dried in vacuo at 40 °C to give III (53.3 g, 215 mmol, 86%).
- the mixture was stirred at 25+5 °C for at least 30 min for completion of the amide formation.
- the mixture was distilled at normal pressure to remove ca. 197 mL (171.5 g) of volatiles (Note: the distillation can also be done under reduced pressure).
- the batch was adjusted to 40+5 °C, and MeOH (118.6 g) was added. Water (15.0 g) was added and the mixture was stirred at 40+5 °C until crystallization occurred (typically in 30 min), and held for another 1 h. Water (90 g) was charged at 40+5 °C over 1 h, and the batch was cooled to 25+5 °C in 0.5 h, and held for at least 1 h.
- the resulting solution was cooled to 35 C, and filtered through an in-line filter (0.5 micron), and rinsed with a pre-mixed solution of water (978 g) and MeOH (387 g).
- the solution was heated to 60 ⁇ 4 C, and acetic acid (41.4 g, 689 mmol) was added over 1 h while the mixture was well agitated.
- the resulting suspension was stirred at 60 ⁇ 4 C for 0.5 h.
- Another portion of acetic acid (41.4 g, 689 mmol) was charged in 0.5 h, and batch was stirred at 60 ⁇ 4 C for additional 0.5 h.
- the batch was cooled to 26 ⁇ 4 C over 1 h and held for 1 h.
- the Compound (1) sodium salt (Type A) MEK solvate seeds used in the above process step can be manufactured by the above process except without using seeds and without drying of the solvate. Notes Regarding Crystallization Step 11
- the XRPD pattern on the wet cake confirmed the MEK solvated phase.
- Another experiment was carried out to adapt the process for the slow crystallization kinetics observed in the current crystallization system. A 1/2 hour aging time was included after seeding and the MEK anti-solvent addition time was increased from 2 to 4 hours at 50 °C. All solids were found to have crystallized out of solution within 2 hours of aging.
- Examples of pharmaceutical formulations containing Compound (2) include the tablet formulations described below.
- composition of the solid oral formulation is a composition of the solid oral formulation:
- Two specific solid oral drug product formulations were prepared according to the above general Formulation # 1 , a 50 mg product and a 200 mg product.
- Compound (2) Na salt sodium salt is equivalent to 200 mg and 50 mg of the active moiety, Compound (2) (free acid), respectively.
- Purified water is used as a granulating agent; it does not appear in the final product.
- composition of the solid oral formulation is a composition of the solid oral formulation:
- Two specific solid oral drug product formulations were prepared according to the above general Formulation # 1 , a 200 mg product and a 400 mg product.
- Compound (2) Na salt sodium salt is equivalent to 200 mg and 400 mg of the active moiety, Compound (2) (free acid), respectively.
- Preparation of Formulations 1-2 The drug substance along with the intragranular excipients including the basifier, surfactant, solubilizer/binder, filler are mixed in a dry state in a high shear granulator prior to addition of water.
- the drug substance and the excipients may be screened prior to milling to remove large agglomerates if necessary.
- the mixture is granulated using purified water as a granulating agent in the high shear granulator till a suitable end point is achieved.
- the wet granules are removed and dried at appropriate drying temperatures either in a tray dryer or a fluid bed dryer.
- the dried granules are milled by passing through a high speed mill, such as a Comill. Milled granules are then blended with the extragranular excipients, glidant and lubricant and then table ted in a tablet press.
- the Compound (1) drug product was administered as a softgel capsule filled with a lipid-based formulation containing Compound (1) sodium salt.
- Compound (2) drug product was administered as a tablet formulation containing Compound (2) sodium salt.
- SOUND-C1 Phase lb study
- SOUND-C2 Phase lib study evaluating efficacy and safety of several all-oral combination regimens of these compounds for up to 40 weeks of treatment.
- a loading dose of 240 mg Compound (1) was given on the first day of treatment, followed by 120 mg QD starting on Day 2
- Plasma HCV RNA was measured using the Roche COB AS® TaqMan HCV/HPS assay v2.0, with a lower limit of quantification (LLOQ) of 25 IU/mL, and a lower limit of detection (LLOD) of approximately 15 IU/mL
- IL28B genotype was determined from the SNP rs 12979860 as CC or non-CC
- treatment group D had liver cirrhosis (17%), as compared with treatment groups A-C (9%) and treatment group E
- Antiviral response (HCV RNA ⁇ LLOQ) ranged from 72% to 88% at Week 4 and 57% to 76% at Week 12
- Virologic failure was due to failure to achieve undetectable plasma HCV RNA at Week 6 and Week 8 (3.4%, 1.3% and 4.3% of patients, respectively) or virologic
- the interferon-free oral combination therapy with Compound (1), Compound (2) and RBV provides high virologic response rates in HCV GT-1 TN patients, confirming the potent antiviral activity of this combination.
- the response rate in the RBV-sparing arm was substantial but lower than in other arms at Week 12.
- the safety and tolerability profile was comparable to other direct acting antiviral regimens and more favorable in the Compound (1), + 2BID + RBV arm. Specific results include:
- Compound (2) were the most-difficult-to-treat GT-1 a patients with the unfavorable non-CC IL28B GT
- Host IL28B polymorphism had a major influence on virologic response in GT-1 a patients who, based on earlier clinical studies with Compound (2) plus PeglFN/RBV, have a weaker virologic response to Compound (2)
Landscapes
- Health & Medical Sciences (AREA)
- Chemical & Material Sciences (AREA)
- Life Sciences & Earth Sciences (AREA)
- Organic Chemistry (AREA)
- Proteomics, Peptides & Aminoacids (AREA)
- General Health & Medical Sciences (AREA)
- Zoology (AREA)
- Wood Science & Technology (AREA)
- Engineering & Computer Science (AREA)
- Analytical Chemistry (AREA)
- Immunology (AREA)
- Genetics & Genomics (AREA)
- Animal Behavior & Ethology (AREA)
- Biotechnology (AREA)
- Physics & Mathematics (AREA)
- Veterinary Medicine (AREA)
- Microbiology (AREA)
- Biochemistry (AREA)
- Bioinformatics & Cheminformatics (AREA)
- General Engineering & Computer Science (AREA)
- Communicable Diseases (AREA)
- Molecular Biology (AREA)
- Medicinal Chemistry (AREA)
- Pharmacology & Pharmacy (AREA)
- Epidemiology (AREA)
- Biophysics (AREA)
- Public Health (AREA)
- Virology (AREA)
- Pathology (AREA)
- Pharmaceuticals Containing Other Organic And Inorganic Compounds (AREA)
- Medicines That Contain Protein Lipid Enzymes And Other Medicines (AREA)
Description
ORAL COMBINATION THERAPY FOR TREATING HCV INFECTION IN SPECIFIC PATIENT SUBGENOTYPE POPULATIONS
TECHNICAL FIELD OF THE INVENTION
The present invention relates to therapeutic combinations comprising Compounds (1) and
(2) as herein described and optionally ribavirin. The present invention also relates to methods of using such therapeutic combinations for treating HCV infection or alleviating one or more symptoms thereof in a patient that has been identified as having genetic variations located near the IL28B gene, including SNP rs 12979860 with a CC or non-CC genotypes and SNP rs 8099917 with a TT or non-TT genotype.
BACKGROUND OF THE INVENTION
The following Compound (1):
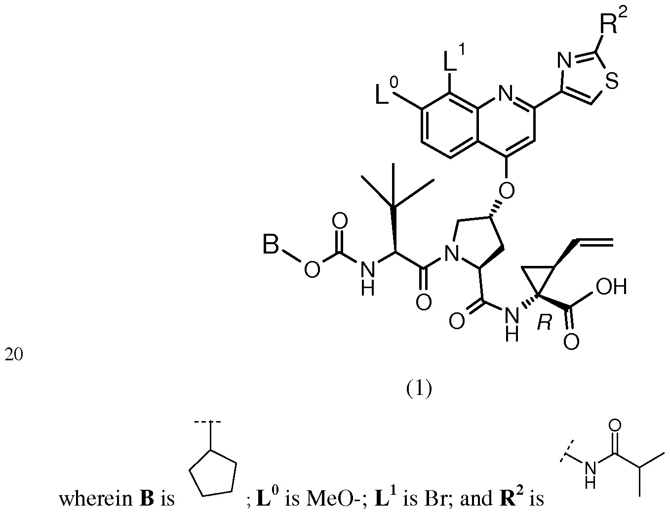
having the chemical name: l-{ [4-[8-Bromo-2-(2-isopropylcarbamoyl-thiazol-4-yl)-7- methoxy-quinolin-4-yloxy]-l-(R)-(2-cyclopentyloxycarbonyl amino-3,3-(S)-dimethyl- butyryl)-pyrrolidine-(S)-2-carbonyl]-amino}-2-(S)-vinyl-cyclopropane-(R)-carboxylic acid, is known as a selective and potent inhibitor of the HCV NS3 serine protease and useful in the treatment of HCV infection. Compound (1) falls within the scope of the acyclic peptide series of HCV inhibitors disclosed in U.S. Patents RE 40,525, 7,514,557 and 7,585,845. Compound (1) is disclosed specifically as Compound # 1055 in U.S. Patent 7,585,845, and as Compound # 1008 in U.S. Patent 7,514,557. Compound (1), and pharmaceutical formulations thereof, can be prepared according to the general procedures found in the above-cited references, all of which are herein incorporated by reference in their entirety. Preferred forms of Compound (1) include the crystalline forms, in particular the crystalline sodium salt form as described in U.S. Patent Application Publication No. 2010/0093792, also incorporated herein by reference. Data demonstrating the activity of Compound (1) as an inhibitor of the HCV NS3 serine protease and its corresponding demonstrated utility in the treatment of HCV infection in patients, can be found in U.S. Patent 7,585,845, as well as in numerous publications presenting the preclinical characterization or clinical trial results with Compound (1). See, e.g., Sulkowski MS, et al, Hepatol (2009), Vol. 50, pg. 2A, Abstract LB3; Sulkowski MS, et al., J Hepatol (2010) Vol. 52, Supp. 1, pgs. S462-S463, Abstract 1190; Berg et al.,
Hepatol (2010), Vol. 52, Supp. SI, Abstract 804; and White PW, et al., Antimicrob Agents Chemother (2010) 54(11):4611-4618.
A combination therapy regimen including administering Compound (1) with an interferon- alpha and ribavirin is described in U.S. Patent Application Publication No. 2010/0068182. However, in view of the potential side-effects and overall inconvenience of treatment with an interferon (administered by injection), there is a continuing need in the field for alternative therapies for the treatment and prevention of HCV infection which do not involve the use of an interferon.
Applicants have discovered that excellent antiviral results can be achieved by combining Compound (1) with an HCV polymerase inhibitor Compound (2), as hereinafter described, and optionally ribavirin, as a combination therapy without the use of an interferon, and particularly in traditionally hard-to-treat patient subpopulations.
The foll
(2) having the chemical name: (E)-3-[2-(l-{ [2-(5-Bromo-pyrimidin-2-yl)-3-cyclopentyl-l- methyl-lH-indole-6-carbonyl]-amino}-cyclobutyl)-3-methyl-3H-benzimidazol-5-yl]- acrylic acid, is known as a selective and potent inhibitor of the HCV NS5B RNA- dependent RNA polymerase and useful in the treatment of HCV infection. Compound (2) falls within the scope of HCV inhibitors disclosed in U.S. Patents 7,141,574 and
7,582,770, and US Application Publication 2009/0087409. Compound (2) is disclosed specifically as Compound # 3085 in U.S. Patent 7,582,770. Compound (2), and pharmaceutical formulations thereof, can be prepared according to the general procedures found in the above-cited references, all of which are herein incorporated by reference in their entirety. Preferred forms of Compound (2) include the crystalline forms, in particular the crystalline sodium salt form which is prepared as herein described.
It is known in the art that particular HCV subtypes and patient subgenotypes may respond differently to HCV therapy. HCV Genotype la is traditionally more difficult to treat and is less responsive to antiviral therapy than Genotype lb. See, e.g., Ghany, Marc et al. "An Update on Treatment of Genotype 1 Chronic Hepatitis C Virus Infection: 2011 Practice Guideline by the American Association for the Study of Liver Diseases", Hepatology,
54(4): 1433-44 (2011)). In addition, and particularly with interferon-based therapy, specific single nucleotide polymorphisms (SNPs) located on the long arm of chromosome 19 within the gene cluster of IL-28B (Interleukin (IL) 28B, (also called lambda interferon), of the patient undergoing therapy can directly affect the responsiveness of that patient to the antiviral therapy. In particular, patients having a non-CC genotype of SNP rs 12979860 or a non-TT genotype of SNP rs 8099917 are more difficult to treat and are less responsive in terms of a sustained virological response (SVR) than patients having the CC or TT genotype. The SNP that was most strongly associated with SVR in the genome-wide analysis was rs 12979860 followed by rs 8099917. See, e.g., Ge et al., Nature, 461 :399- 401 (2009) and Balagopal, Gastroenterology, 139:1865-1876 (2010). See G. Cairns, "Gene variant that helps hepatitis C treatment may hinder HIV treatment", 2011, at:
http://www.bhiva.org/News.aspx?New^
It is further known that this difference in SVR rates and cure of disease did not change when a NS3/4 HCV protease inhibitor (telaprevir) was added to the standard regimen with pegylated interferon alfa and ribavirin (PeglFN/RBV). As shown by Akuta et al.,
Hepatology, 52: 421-429 (2010), patients with a non-CC or non-TT genotypes experienced SVR rates that differed strongly by 51.5 % or 56.2 % compared to CC or TT genotypes according to the genetic variation in SNP rs 12979860 or SNP rs 8099917, respectively. Finally, IL28B genotype associations have also been found with early viral kinetics during interferon- free treatment of HCV patients. See Chu et al., "Effect of IL28B Genotype on Early Viral Kinetics During Interferon-Free Treatment of Patients With Chronic Hepatitis C", Gastroenterology (2012), currently in press, available online January 13, 2012. Thus, there is a need in the art for therapies that are effective against even the more difficult-to-treat patient subpopulations but also to be able to individualize treatment options based on genotype 1 subtypes and host genetic polymorphisms, particularly those exhibiting HCV subtype la and having a non-CC genotype of SNP rsl2979860 or a non- TT genotype of SNP rs 8099917 located near IL28B gene.
BRIEF SUMMARY OF THE INVENTION
It has now been discovered that the combination of Compounds (1) and (2) as herein described, or the pharmaceutically acceptable salts thereof, and optionally ribavirin, have good effectiveness in treating the traditionally difficult-to-treat HCV patient
subpopulations, particularly those patients having a non-CC genotype of SNP rs 12979860 or a non-TT genotype of SNP rs 8099917 located near IL28B gene, particularly for HCV Subtype lb. In addition, this combination therapy has been found to have excellent effectiveness in treating those patients having a CC genotype of SNP rs 12979860 located near IL28B gene, regardless of the HCV Subtype being la or lb. Similar excellent results are to be expected for patients having a TT genotype of SNP rs 8099917, regardless of the HCV Subtype being la or lb.
The present invention provides a method of treating HCV infection or alleviating one or more symptoms thereof in a patient comprising the step of administering to the patient an effective amount of a therapeutic combination comprising Compounds (1) and (2) as herein described, or a pharmaceutically acceptable salt thereof, and optionally ribavirin and wherein the patient has a CC or non-CC genotype of SNP rs 12979860 or a TT or non-TT genotype of SNP rs 8099917 located near the IL28B gene, and in more specific embodiments:
(1) having CC genotype of SNP rsl2979860 or a TT genotype of SNP rs 8099917 located near IL28B gene wherein the patient is infected with HCV Subtype la or lb; or
(2) having non-CC genotype of SNP rs 12979860 or a non-TT genotype of SNP rs 8099917 located near the IL28B gene, wherein the patient is infected with HCV Subtype la.
The two or three actives of the combination can be administered simultaneously or separately, as part of a regimen. The present invention further provides for a packaged pharmaceutical composition comprising a Compound (1), which is accompanied by written instructions indicating
administering Compound (1) with Compound (2) and optionally ribavirin for the treatment of HCV infection wherein the patient has a CC or non-CC genotype of SNP rs 12979860 or a TT or non-TT genotype of rs 8099917 located near the IL28B gene. The present invention further provides for a packaged pharmaceutical composition comprising a Compound (2), which is accompanied by written instructions indicating administering Compound (1) with Compound (2) and optionally ribavirin for the treatment of HCV infection in a patient that has a CC or non-CC genotype of SNP rsl2979860 or a TT or non-TT genotype of SNP rs 8099917 located near the IL28B gene.
BRIEF DESCRIPTION OF THE DRAWINGS
Figure 1 depicts the proportion of patients with HCV RNA <LLOD at Week 12 by viral subtype (GT-la vs GT-lb) in the clinical study described herein.
Figure 2 depicts the proportion of patients with HCV RNA <LLOD at Week 12 by IL28B GT (CC vs non-CC) in the clinical study described herein.. Figure 3 depicts the proportion of patients with HCV RNA <LLOD at Week 12 by IL28B GT and viral subtype in the clinical study described herein..
DETAILED DESCRIPTION OF THE INVENTION Definitions
"Compound (1)" and "Compound (2)" are as defined above.
"HCV infection" as used herein means infection by any subtype of the Hepatitis C Virus, including subtypes 1-6, and includes both acute and chronic HCV infection.
"Ribavirin" refers to l- -D-ribofuranosyl-lH-l,2,4-triazole-3-carboxamide, available from ICN Pharmaceuticals, Inc., Costa Mesa, Calif, and is described in the Merck Index, compound No. 8199, Eleventh Edition. Its manufacture and formulation is described in
U.S. Pat. No. 4,211,771. Preferred marketed ribavirin products include REBETOL® and COPEGUS®. The term further includes derivatives or analogs thereof, such as those described in U.S. Pat. Nos. 6,063,772, 6,403,564 and 6,277,830. For example, derivatives or analogs include modified ribavirins such as 5'-amino esters, ICN Pharmaceutical's L- enantiomer of ribavirin (ICN 17261), 2'-deoxy derivatives of ribavirin and 3- carboxamidine derivatives of ribavirin, viramidine (previously known as ribamidine) and the like.
The term "pharmaceutically acceptable salt" means a salt of a Compound of formula (1) which is, within the scope of sound medical judgment, suitable for use in contact with the tissues of humans and lower animals without undue toxicity, irritation, allergic response, and the like, commensurate with a reasonable benefit/risk ratio, generally water or oil- soluble or dispersible, and effective for their intended use.
The term includes pharmaceutically-acceptable acid addition salts and pharmaceutically- acceptable base addition salts. Lists of suitable salts are found in, e.g., S. M. Birge et al., /. Pharm. Set, 1977, 66, pp. 1-19. The term "pharmaceutically-acceptable acid addition salt" means those salts which retain the biological effectiveness and properties of the free bases and which are not biologically or otherwise undesirable, formed with inorganic acids such as hydrochloric acid, hydrobromic acid, sulfuric acid, sulfamic acid, nitric acid, phosphoric acid, and the like, and organic acids such as acetic acid, trifluoroacetic acid, adipic acid, ascorbic acid, aspartic acid, benzenesulfonic acid, benzoic acid, butyric acid, camphoric acid, camphorsulfonic acid, cinnamic acid, citric acid, digluconic acid, ethanesulfonic acid, glutamic acid, glycolic acid, glycerophosphoric acid, hemisulfic acid, hexanoic acid, formic acid, fumaric acid, 2-hydroxyethane- sulfonic acid (isethionic acid), lactic acid, hydroxymaleic acid, malic acid, malonic acid, mandelic acid, mesitylenesulfonic acid, methanesulfonic acid, naphthalenesulfonic acid, nicotinic acid, 2-naphthalenesulfonic acid, oxalic acid, pamoic acid, pectinic acid, phenylacetic acid, 3-phenylpropionic acid, pivalic
acid, propionic acid, pyruvic acid, salicylic acid, stearic acid, succinic acid, sulfanilic acid, tartaric acid, p-toluenesulfonic acid, undecanoic acid, and the like.
The term "pharmaceutically-acceptable base addition salt" means those salts which retain the biological effectiveness and properties of the free acids and which are not biologically or otherwise undesirable, formed with inorganic bases such as ammonia or hydroxide, carbonate, or bicarbonate of ammonium or a metal cation such as sodium, potassium, lithium, calcium, magnesium, iron, zinc, copper, manganese, aluminum, and the like. Particularly preferred are the ammonium, potassium, sodium, calcium, and magnesium salts. Salts derived from pharmaceutically-accepta- ble organic nontoxic bases include salts of primary, secondary, and tertiary amines, quaternary amine compounds, substituted amines including naturally occurring substituted amines, cyclic amines and basic ion- exchange resins, such as methylamine, dimethylamine, trimethylamine, ethylamine, diethylamine, triethylamine, isopropylamine, tripropylamine, tributylamine, ethanolamine, diethanolamine, 2-dimethylaminoethanol, 2-diethylaminoethanol, dicyclohexylamine, lysine, arginine, histidine, caffeine, hydrabamine, choline, betaine, ethylenediamine, glucosamine, methylglucamine, theobromine, purines, piperazine, piperidine, N- ethylpiperidine, tetramethylammonium compounds, tetraethylammonium compounds, pyridine, Ν,Ν-dimethylaniline, N-methylpiperidine, N-methylmorpholine,
dicyclohexylamine, dibenzylamine, Ν,Ν-dibenzylphenethylamine, 1 -ephenamine, Ν,Ν'- dibenzylethylenediamine, polyamine resins, and the like. Particularly preferred organic nontoxic bases are isopropylamine, diethylamine, ethanolamine, trimethylamine, dicyclohexylamine, choline, and caffeine. The term "therapeutic combination" as used herein means a combination of one or more active drug substances, i.e., compounds having a therapeutic utility. Typically, each such compound in the therapeutic combinations of the present invention will be present in a pharmaceutical composition comprising that compound and a pharmaceutically acceptable carrier. The compounds in a therapeutic combination of the present invention may be administered simultaneously or separately, as part of a regimen.
Embodiments of the Invention
According to a general embodiment, the present invention provides for a method of treating HCV infection or alleviating one or more symptoms thereof in a patient comprising the step of administering to the patient an effective amount of a therapeutic combination comprising a Compound (1) as defined herein, or a pharmaceutically acceptable salt thereof, Compound (2) as defined herein, or a pharmaceutically acceptable salt thereof, optionally together with ribavirin and wherein the patient has a CC or non-CC genotype of SNP rsl2979860 or a TT or non-TT genotype of SNP rs 8099917 located near the IL28B gene. An additional embodiment is directed to the use of Compound (1), or a pharmaceutically acceptable salt thereof, and Compound (2) or a pharmaceutically acceptable salt thereof, for the manufacture of pharmaceutical compositions of each compound, for use together, optionally also with ribavirin, in the treatment of HCV infection in a patient that has a CC or non-CC genotype of SNP rsl2979860 or a TT or non-TT genotype of SNP rs 8099917 located near the IL28B gene.
Additional general embodiments include a packaged pharmaceutical composition comprising a packaging containing one or more doses of Compound (1) or a
pharmaceutically acceptable salt thereof, or containing one or more doses of Compound (2) or a pharmaceutically acceptable salt thereof, together with written instructions directing the co-administration of Compound (1), Compound (2) and optionally ribavirin for the treatment of HCV infection wherein the patient has a CC or non-CC genotype of SNP rsl2979860 or a TT or non-TT genotype of SNP rs 8099917 located near the IL28B gene. Another embodiment is directed to a kit for the treatment of HCV infection in a patient comprising: (a) one or more doses of Compound (1) or a pharmaceutically acceptable salt thereof, and (b) one or more doses of Compound (2) or a pharmaceutically acceptable salt thereof, and (c) optionally ribavirin, together with written instructions directing the co-administration of Compound (1), Compound (2) and optionally ribavirin for the treatment of HCV infection wherein the patient has a CC or non-CC genotype of
SNP rsl2979860 or a TT or non-TT genotype of SNP rs 8099917 located near the IL28B gene.
In administering the therapeutic combinations of the present invention, each active agent can be administered together at the same time or separately at different times in separate dosage administrations. The present invention contemplates and includes all such dosage regimens when administering the double or triple therapeutic combinations as defined herein.
Although this combination therapy is expected to be effective against all HCV genotypes, it has been demonstrated to be particularly effective in treating HCV genotype 1 infection, specifically subtype lb, and also having a CC or non-CC genotype of SNP rsl2979860 or a TT or non-TT genotype of SNP rs 8099917 located near the IL28B gene. Particular embodiments include the following patient sub-populations:
(1) HCV subtype lb and C/C genotype of SNP rsl2979860
(2) HCV subtype lb and C/T genotype of SNP rs 12979860
(3) HCV subtype lb and T/T genotype of SNP rs 12979860
(4) HCV subtype lb and T/T genotype of SNP rs8099917
(5) HCV subtype lb and G/T genotype of SNP rs8099917
(6) HCV subtype lb and G/G genotype of SNP rs8099917
This combination therapy has also been demonstrated to be particularly effective in treating HCV genotype 1 infection, specifically subtype la, and also having a CC genotype of SNP rs 12979860 located near the IL28B gene; and it is also expected to effective treating HCV genotype 1 infection, specifically subtype 1 a, in patients having a TT genotype of SNP rs 8099917 located near the IL28B gene. Particular embodiments include the following patient sub-populations:
(1) HCV subtype la and C/C genotype of SNP rsl2979860
(2) HCV subtype la and T/T genotype of SNP rs8099917
Another preferred embodiment is directed to the treatment of patients have the HCV Subtype la and either CT or TT (non-CC) genotype of SNP 12979860 or the GT or GG (non-TT) genotype of SNP rs 8099917 located near the IL28B gene, which represent particularly difficult-to-treat HCV-infected patient populations.
In a specific preferred sub-embodiment, the patient has first been identified as having a CC or non-CC genotype of SNP rsl2979860 or a TT or non-TT genotype of SNP rs 8099917 located near the IL-28B gene prior to the step of administering the therapeutic combination of the present invention. Methods for such genotypic identification as are set forth in detail herein.
The patient population to be treated with the combination therapy of the present invention can be further classified into "treatment-naive" patients, i.e., those patient who have not received any prior treatment for HCV infection and "treatment experienced" patients, i.e, those patients who have undergone prior treatment for HCV. Either of these classes of patients may be treated with the combination therapy of the present invention. The clinical data presented hereinafter is directed to treatment naive patients only. Nevertheless, there is an expectation that similar efficacy results will be seen in treatment experienced patients. A particular class of patients that are preferably treated are those treatment experienced patients that have undergone prior interferon plus ribavirin therapy but are non-responsive to said therapy (herein "non-responders"). Such non-responders include three distinct groups of patients: (1) those who experienced < 2x logio maximum reduction in HCV RNA levels during the first 12 weeks of treatment with interferon plus ribavirin ("null responders"), (2) those who experienced > 2x logio reduction in HCV RNA levels from baseline at week 12 (EVR) but not achieving HCV RNA undetectable at end of treatment ("partial responders"), and (3) those who achieved undetectable HCV RNA levels with and during interferon plus ribavirin therapy but had a viral load rebound after treatment has completed ("relapser").
According to an alternative embodiment, the present invention provides a method of reducing HCV- RNA levels in a patient in need thereof, comprising the step of
administering to said patient a therapeutic combination according to the present invention. Preferably, the method of the present invention reduces the HCV-RNA levels in a patient to a level below the lower limit of quantification (or "BLQ"). A BLQ level of HCV RNA as used in the present invention means a level below 25 International Units (IU) per ml of serum or plasma of a patient as measured by quantitative, multi-cycle reverse transcriptase PCR methodology according to the WHO international standard (Saladanha J, Lelie N and Heath A, Establishment of the first international standard for nucleic acid amplification technology (NAT) assays for HCV RNA. WHO Collaborative Study Group. Vox Sang 76: 149-158, 1999). Such methods are well known in the art. In a preferred embodiment, the method of the present invention reduces the HCV-RNA levels in a patient to less than 25 IU per ml of serum or plasma. In another embodiment the method of the present invention reduces the HCV-RNA levels in a patient to less than a detectible level.
In a preferred embodiment, the method of the present invention reduces the HCV-RNA levels in a patient to less than 25 IU per ml of serum, even more preferably to less than 10 IU per ml of serum.
In another embodiment the method of the present invention reduces the HCV-RNA levels in a patient to less than a detectable level (below the limit of detection, BLD). Treatment decisions for duration of HCV therapy can be made based on the time when HCV RNA level reaches BLD, and combinations of BLQ and BLD HCV RNA at subsequent time- points during initial treatment. Typical time points include HCV RNA measurements at 4, 8, and 12 weeks after initiation of therapy, and results are utilized to guide further treatment duration "response-guided therapy". Cure from HCV infection is typically inferred if HCV RNA remained BLD 12-24 weeks after end of HCV treatment. Thus, in additional embodiments, the method of the present invention results in an HCV-RNA level in the patient that is less than a detectible level at 12 weeks, preferably 24 weeks, after the end of all treatment. The usual duration of the treatment for standard interferon plus ribavirin therapy is at least 48 weeks, and up to 72 weeks, for chronic infection with HCV genotype 1 or 4; 48 weeks for the majority of patients with chronic HCV genotype 2 or 3 infection. A few patients
with chronic HCV genotype 2 and 3 infection may be treated with 24 weeks of interferon alpha and ribavirin. However, with the addition of Compound (1), or a pharmaceutically acceptable salt thereof, in the triple combination therapy of the present invention, it may be possible to have a much shorter duration of treatment. With the triple combination therapy of the present invention the contemplated durations of treatment include at least 4 weeks, preferably at least 12 weeks, e.g., from about 12 weeks to about 24 weeks, although treatment up to and even beyond 48 weeks is possible as well. Thus, further embodiments include treatment for at least 24 weeks and for at least 48 weeks. The duration of treatment of chronic HCV infection may vary depending upon the specific HCV genotype. For example, the typical duration of treatment will be longer for genotypes 1 and 4, than for genotypes 2 and 3. In addition, the treatment duration will be shorter for the treatment of acute infection as compared to chronic infection. Also contemplated is an initial treatment regimen with the triple combination therapy of the present invention, followed by a continuation of only the interferon plus ribavirin double combination therapy. Thus, possible scenarios for the initial triple and then double combination therapy include, for example: (1) 4 weeks of the triple combination therapy, followed by 8 to 44 weeks of the interferon plus ribavirin only therapy; (2) 12 weeks of the triple combination therapy, followed by 0 to 36 weeks of the interferon plus ribavirin only therapy; and (3) 24 weeks of the triple combination therapy, followed by 0 to 24 weeks of the interferon plus ribavirin only therapy.
The first component of the therapeutic combination, namely, Compound (1) or a pharmaceutically acceptable salt thereof is comprised in a composition. Such a
composition comprises Compound (1), or a pharmaceutically acceptable salt thereof, and a pharmaceutically acceptable adjuvant or carrier. Typical pharmaceutical compositions that may be used for Compound (1), or a pharmaceutically acceptable salt thereof, are as described in U.S. Patent 7,514,557. Further specific examples of compositions are as set forth in the examples section below. In general, the Compound (1) or a pharmaceutically acceptable salt thereof may be administered at a maintenance dosage of at least 40 mg/day (in single or divided doses).
Additional embodiments for dosage amounts and ranges may include (in single or divided doses):
(a) at least 100 mg/day
(b) at least 120 mg/day
(c) at least 200 mg/day
(d) at least 240 mg/day
(e) at least 360 mg/day
(f) at least 480 mg/day
(g) from about 40 mg/day to about 480 mg/day
(h) from about 120 mg/day to about 240 mg/day
(i) from about 240 mg/day to about 480 mg/day
(j) about 120 mg/day
(k) about 240 mg/day
(1) about 360 mg/day
(m) about 480 mg/day
Although Compound (1) or a pharmaceutically acceptable salt thereof may be administered in single or divided daily doses, once a day administration (QD) of the daily dose is preferred. As the skilled artisan will appreciate, however, lower or higher doses than those recited above may be required. Specific dosage and treatment regimens for any particular patient will depend upon a variety of factors, including the age, body weight, general health status, sex, diet, time of administration, rate of excretion, drug combinations (co- medications), the severity and course of the infection, the patient's disposition to the infection and the judgment of the treating physician. Specific factors affecting dosing may include, for example, individual patient factors which modify the adsorption, distribution, metabolism and excretion of Compound (1); the specific HCV Genotype; the specific IL28B genotype of the patient; the patient's innate/adaptive immune response to HCV; acute vs. chronic HCV infection; and the disposition of ribavirin based on host factors. In general, the compound is most desirably administered at a concentration level that will generally afford antivirally effective results without causing any harmful or deleterious side effects.
In another embodiment according to the invention, a loading dose amount of Compound (1) is administered for the first administration dose of the treatment. The loading dose amount is higher than the dose amount administered for subsequent administrations in the treatment, which are referred to as maintenance doses. Preferably, the loading dose amount is about double in quantity, by weight, of the amount in subsequent administrations in the treatment. For example, in one embodiment, the first dose of Compound (1) administered at a loading dosage of about 240 mg and subsequent maintenance doses of Compound (1) are administered at a dosage of about 120 mg. In another embodiment, the first dose of Compound (1) administered at a loading dosage of about 480 mg and subsequent maintenance doses of Compound (1) are administered at a dosage of about 240 mg.
By using this loading dose concept, a clear advantage is that it is thereby possible to achieve steady state levels of active drug in the patient' s system earlier than would otherwise be achieved. A higher blood level is achieved early by using a loading dose preferably double the maintenance dose at first intake. Reaching the targeted steady state level of active drug earlier in therapy also means that there is less possibility of insufficient drug exposure at the beginning of therapy so that resistant viral strains have a smaller chance of emerging. The second component of the therapeutic combination, namely, Compound (2) or a pharmaceutically acceptable salt thereof is comprised in a composition. Such a
composition comprises Compound (2), or a pharmaceutically acceptable salt thereof, and a pharmaceutically acceptable adjuvant or carrier. Typical pharmaceutical compositions that may be used for Compound (1), or a pharmaceutically acceptable salt thereof, are as described in U.S. Patent 7,582,770.
In general, the Compound (2) or a pharmaceutically acceptable salt thereof may be administered at dosage amounts and in dose ranges that may include (in single or divided doses):
(a) at least 800 mg/day
(b) at least 1200 mg/day
(c) at least 1800 mg/day
(d) at least 2400 mg/day
(e) from about 800 mg/day to about 2400 mg/day
(f) from about 1200 mg/day to about 1800 mg/day
(g) from about 1800 mg/day to about 2400 mg/day
(h) from about 1200 mg/day to about 2400 mg/day
(i) about 1200 mg/day
j) about 1800 mg/day
(k) about 2400 mg/day
Although Compound (2) or a pharmaceutically acceptable salt thereof may be administered in single or divided daily doses, thrice a day administration (TID) of the divided daily dose is preferred. As the skilled artisan will appreciate, however, lower or higher doses than those recited above may be required. Specific dosage and treatment regimens for any particular patient will depend upon a variety of factors, including the age, body weight, general health status, sex, diet, time of administration, rate of excretion, drug combination, the severity and course of the infection, the patient's disposition to the infection and the judgment of the treating physician. In general, the compound is most desirably
administered at a concentration level that will generally afford antivirally effective results without causing any harmful or deleterious side effects.
In another embodiment according to the invention, an induction dose amount of
Compound (2) is administered for the first administration dose of the treatment. The induction dose amount is higher than the dose amount administered for subsequent administrations in the treatment. Preferably, the induction dose amount is about double to triple in quantity, by weight, of the amount in subsequent administrations in the treatment. For example, in one embodiment, the first dose of Compound (2) administered at dosage of about 1200 mg and subsequent doses of Compound (2) are administered at a dosage of about 600 mg. In another embodiment, the first dose of Compound (2) administered at a dosage of about 1200 mg and subsequent doses of Compound (2) are administered at a dosage of about 400 mg.
By using this induction dose concept, a clear advantage is that it is thereby possible to achieve a greater drop in initial viral load. Maximizing initial viral response with the first dose and then sustaining the drop with a subsequent lower dose also restricts the selection of potential resistant variants.
The optional third component of the therapeutic combination, namely ribavirin, is comprised in a pharmaceutical composition. Typically, such compositions comprise ribavirin and a pharmaceutically acceptable adjuvant or carrier and are well known in the art, including in a number of marketed ribavirin formulations. Formulations comprising ribavirin are also disclosed, e.g., in US Patent 4,211,771.
The types of ribavirin that may be used in the combination are as outlined hereinabove in the definitions section. In one preferred embodiment, the ribavirin is either REBETOL® or COPEGUS® and they may be administered at their labeled dosage levels indicated for interferon plus ribavirin combination therapy for the treatment of HCV infection. Of course, with the triple combination therapy of the present invention it may be possible to use a lower dosage of ribavirin, e.g., lower than is used the current standard interferon plus ribavirin therapy, while delivering the same or better efficacy than the current standard therapy with less side-effects usually associated with such therapy.
According to various embodiments, the ribavirin may be administered at dosages of (in single or divided doses):
(a) between 200 mg/day to about 1800 mg/day;
(b) between about 800 mg/day to about 1200 mg/day;
(c) between about 1000 mg/day to about 1200 mg/day;
(d) about 1000 mg/day
(e) about 1200 mg/day
(f) between about 300 mg/day to about 800 mg/day
(g) between about 300 mg/day to about 700 mg/day
(h) between 500 mg/day to about 700 mg/day
(i) between 400 mg/day to about 600 mg/day
j) about 400 mg/day
(k) about 600 mg/day
(1) about 800 mg/day
According to one embodiment, the ribavirin composition comprises ribavirin in a formulation suitable for dosing once a day or twice daily. For example, if a therapeutic combination comprises about 1000 mg/day dosage of ribavirin, and a dosing of two times a day is desired, then the therapeutic combination will comprise ribavirin in a formulation, e.g., a tablet, containing, e.g., about 200 mg of ribavirin, with the first dose of 600 mg (or 400 mg), followed by a second dose of 400 mg (or 600 mg) at least 6 hours apart.
For example, in one embodiment the present invention contemplates a method of treating hepatitis C viral (HCV) infection or alleviating one or more symptoms thereof in a patient that has a CC or non-CC genotype of SNP rs 12979860 or a TT or non-TT genotype of SNP rs 8099917 located near the IL28B gene comprising the step of administering to the patient a therapeutic combination comprising:
(a) Compound (1) or a pharmaceutically acceptable salt thereof at a dosage
between about 40 mg per day and about 480 mg per day;
(b) Compound (2) or a pharmaceutically acceptable salt thereof at a dosage
between about 800 mg/day to about 2400 mg/day; and
(c) optionally ribavirin at a dosage of between about 200 mg/day to about 1800 mg/day.
In a particular sub-embodiment of the above embodiment, the patient is infected with HCV Subtype lb. In another particular sub-embodiment of the above embodiment, the patient is infected with HCV Subtype la, and the patient has a CC genotype of SNP rs 12979860 or a TT genotype of SNP rs 8099917 located near the IL28B gene. In another particular sub- embodiment of the above embodiment, the patient is infected with HCV Subtype la, and
the patient has a CT or TT genotype of SNP rs 12979860 or a GT or GG genotype of SNP rs 8099917 located near the IL28B gene.
In another embodiment the present invention contemplates a method of treating hepatitis C viral (HCV) infection or alleviating one or more symptoms thereof in a patient that has a CC or non-CC genotype of SNP rs 12979860 or a TT or non-TT genotype of SNP rs 8099917 located near the IL28B gene comprising the step of administering to the patient a therapeutic combination comprising:
(a) Compound (1) or a pharmaceutically acceptable salt thereof at a dosage
between about 120 mg/day to about 240 mg/day;
(b) Compound (2) or a pharmaceutically acceptable salt thereof at a dosage
between about 1200 mg/day to about 1800 mg/day; and
(c) optionally ribavirin at a dosage of between about 1000 mg/day to about 1200 mg/day.
In a particular sub-embodiment of the above embodiment, the patient is infected with HCV Subtype lb. In another particular sub-embodiment of the above embodiment, the patient is infected with HCV Subtype la, and the patient has a CC genotype of SNP rs 12979860 or a TT genotype of SNP rs 8099917 located near the IL28B gene. In another particular sub- embodiment of the above embodiment, the patient is infected with HCV Subtype la, and the patient has a CT or TT genotype of SNP rs 12979860 or a GT or GG genotype of SNP rs 8099917 located near the IL28B gene. In another embodiment the present invention contemplates a method of treating hepatitis C viral (HCV) infection or alleviating one or more symptoms thereof in a patient that has a CC or non-CC genotype of SNP rs 12979860 or a TT or non-TT genotype of SNP rs 8099917 located near the IL28B gene comprising the step of administering to the patient a therapeutic combination comprising:
(a) Compound (1) or a pharmaceutically acceptable salt thereof at a dosage of about 120 mg/day or about 240 mg/day;
(b) Compound (2) or a pharmaceutically acceptable salt thereof at a dosage of about 1200 mg/day or about 1800 mg/day; and
(c) optionally ribavirin at a dosage of between about 1000 mg/day to about 1200 mg/day.
In a particular sub-embodiment of the above embodiment, the patient is infected with HCV Subtype lb. In another particular sub-embodiment of the above embodiment, the patient is infected with HCV Subtype la, and the patient has a CC genotype of SNP rs 12979860 or a TT genotype of SNP rs 8099917 located near the IL28B gene. In another particular sub- embodiment of the above embodiment, the patient is infected with HCV Subtype la, and the patient has a CT or TT genotype of SNP rs 12979860 or a GT or GG genotype of SNP rs 8099917 located near the IL28B gene.
Further embodiments include any of the above-mentioned embodiments, and where:
(a) the therapy is a triple combination therapy including administration of
Compound (1) or a pharmaceutically acceptable salt thereof, Compound (2) or a pharmaceutically acceptable salt thereof and ribavirin; or
(b) the therapy is a double combination therapy including administration of
Compound (1) or a pharmaceutically acceptable salt thereof and Compound (2) or a pharmaceutically acceptable salt thereof, i.e., without any additional anti- HCV agents.
Further embodiments include any of the above-mentioned embodiments, and where:
(a) the HCV infection is genotype 1 , preferably genotype 1 a, and the patient is a treatment-naive patient; or
(b) the HCV infection is genotype 1 , preferably genotype 1 a, and the patient is a treatment-experienced patient who is non-responsive to a combination therapy of interferon plus ribavirin.
In further embodiments, the patient has first been identified as having a CC or non-CC genotype of SNP rsl2979860 or a TT or non-TT genotype of SNP rs 8099917 located near the IL-28B gene prior to the step of administering the therapeutic combination of the present invention.
Further embodiments include any of the above-mentioned embodiments, and where the Compound (1) or a pharmaceutically acceptable salt thereof is administered once a day, the Compound (2) or a pharmaceutically acceptable salt thereof is administered three times a day and the ribavirin, if included in the therapy, is administered twice a day.
Further embodiments include any of the above-mentioned embodiments and where the loading dose concept in used for Compound (1), e.g., the first dose of Compound (1) administered is double in quantity to the subsequent doses. Further embodiments include any of the above-mentioned embodiments, and where the therapeutic regimen of the present invention is administered to the patient for at least about 4 weeks, more preferably at least about 12 weeks, at least about 16 weeks, at least about 24 weeks, at least about 28 weeks or at least about 48 weeks. With respect to the double or triple combination therapies of the present invention, the present invention contemplates and includes all combinations of the various preferred embodiments and sub-embodiments as set forth herein.
An additional embodiment is directed to a packaged pharmaceutical composition comprising a packaging containing one or more doses of Compound (1) or a
pharmaceutically acceptable salt thereof, or containing one or more doses of Compound (2) or a pharmaceutically acceptable salt thereof, each together with written instructions directing the co-administration of Compound (1), Compound (2) and optionally ribavirin for the treatment of HCV infection in a patient that has a CC or non-CC genotype of SNP rs 12979860 or a TT or non-TT genotype of SNP rs 8099917 located near the IL28B gene. In another embodiment, one or more doses of Compound (1), or a pharmaceutically acceptable salt thereof, and one or more doses of Compound (2), or a pharmaceutically
acceptable salt thereof, and optionally ribavirin, are placed together in a single packaging forming a so-called "kit", which includes written instructions directing the coadministration of Compound (1), Compound (2) and optionally ribavirin for the treatment of HCV infection in a patient that has a CC or non-CC genotype of SNP rsl2979860 or a TT or non-TT genotype of SNP rs 8099917 located near the IL28B gene. In either case, the individual doses of Compound (1) or a pharmaceutically acceptable salt thereof, or Compound (2) or a pharmaceutically acceptable salt thereof, can be in the form of any of the standard pharmaceutical dosage forms, e.g. tablets, capsules, and packaged within any of the standard types of pharmaceutical packaging materials, e.g. bottles, blister-packs, etc., that may themselves be contained within an outer packaging material such as a paper/cardboard box. The written instructions will typically be provided either on the packaging material(s) itself or on a separate paper (a so-called "package insert") that is provided together with the dosage forms within the outer packaging material. All such packaging embodiments and variations thereof are embraced by the present invention.
Methods for determining HCV subtype and sub2enotypes
Specific methods that have been used for HCV RNA quantification, HCV subtyping and IL28B genotyping are as detailed below. To the extent that other methods may be known and available in the art, and all are considered embraced within the present invention and can be used in connection therewith.
HCV RNA Quantification
A plasma sample of about 6 ml is obtained from the patients and processed by using the Roche COBAS® TaqMan HCV/HPS assay. The assay has a linear range from 25 to 2000,000,000 IU/ml (2.0 E8 IU/ml) with a lower limit of quantification of 25 IU/ml and a lower limit of detection of 10 IU/ml.
HCV Subtvping
The HCV subtype was determined by using the TRUGENE® HCV Genotyping Assay. The assay directly amplifies and sequences the virus allowing direct examination of the viral RNA by producing bi-directional sequences using two fluorescently-labeled DNA primers. The library includes viral isolates to allow determination of the 6 major hepatitis C genotypes and 41 sub-types.
Genotyping of IL28B
Genotype analysis was performed on DNA extracted from blood samples of the patients by using TaqMan PCR based test assays established by Beckman Coulter Genomics
(Bernried, Germany) for the analysis of genetic variants.. The process flow of the genotype analysis consisted of the extraction of genomic DNA from blood samples, the application of established molecular genetic techniques to amplify the specific genetic target sites and the detection and analysis of emission data of the fluorescent TaqMan probes employed in the amplification processes. Three kinds of controls were used for each product: a) one water control included prior to DNA isolation, b) one water control included after DNA isolation and c) one heterozygous and/or one homozygous (wild-type or variant) genotyping control.
The rocess flow for TaqMan based products for allelic discrimination applied in this
study is given in the figure above. The final genotype results for all samples and all products of each processing batch were combined using the Beckman Coulter Genomics software SNPsuite. The results include information regarding the genotype of each subject.
Examples
I. Methods for Preparin2 Compound (1) Methods for preparing amorphous Compound (1) and a general description of pharmaceutically acceptable salt forms can be found in US Patents 6,323,180, 7,514,557 and 7,585,845. Methods for preparing additional forms of Compound (1), in particular the crystalline sodium salt form, can be found in U.S. Patent Application Publication No. 2010/0093792.
II. Formulations of Compound (1)
One example of a pharmaceutical formulation of Compound (1) include an oral solution formulation as disclosed in WO 2010/059667. Additional examples include capsules containing a lipid-based liquid formulation, as disclosed in WO 2011/005646.
III. Methods for Preparin2 Compound (2)
Methods for preparing amorphous Compound (2) can be found in U.S. Patents 7,141,574 and 7,582,770, and US Application Publication 2009/0087409. The following Example provides the method for preparing an additional form of Compound (2), the sodium salt form, that may be used in the present invention.
IV. Preparation of Compound (2) Sodium Salt
Step 1. Synthesis of Isopropyl 3-Cyclopentyl-l-methyl-lH-indole-6-carboxylate
Because of the instability of brominated product, methyl 3 -cyclopentyl- 1 -methyl- 1H- indole-6-carboxylate needed to be converted into the more stable isopropyl 3 -cyclopentyl - l-methyl-lH-indole-6-carboxylate via a simple and high yielding operation. The conversion worked the best with stoichiometric amounts of solid lithium isopropoxide. Use of 0.1 eq lithium isopropoxide led to longer reaction times and as a result to more hydrolysis by-product, while lithium isopropoxide solution in THF caused a problematic isolation and required distillation of THF. Procedure:
The mixture of methyl 3 -cyclopentyl- 1 -methyl- lH-indole-6-carboxylate (50.0 g, 0.194 mol) and lithium isopropoxide (16.2 g, 95%, 0.233 mol) in 2-propanol was stirred at 65+5 °C for at least 30 min for complete trans-esterification. The batch was cooled to 40+5 °C and water (600 g) was added at a rate to maintain the batch temperature at 40+5°C. After addition, the mixture was cooled to 20-25 °C over 2+0.5 h and held at 20-25 °C for at least 1 h. The batch was filtered and rinsed with 28 wt% 2-propanol in water (186 g), and water (500 g). The wet cake was dried in vacuo (< 200 Torr) at 40-45 °C until the water content was < 0.5% to give isopropyl 3-cyclopentyl-l-methyl-lH-indole-6-carboxylate (52.7 g, 95% yield) in 99.2 A% (240 nm).
The starting material methyl 3-cyclopentyl-l-methyl-lH-indole-6-carboxylate can be prepared as described in Example 12 of U.S. Patent 7,141,574, and in Example 12 of U.S. Patent 7,642,352, both herein incorporated by reference.
This process identified the optimal conditions for the synthesis of 2-bromo-3-cyclopentyl- l-methyl-lH-indole-6-carboxylate via bromination of the corresponding 3-cyclopentyl-l- methyl- lH-indole-6-carboxylate with bromine. It's very important to control the reaction temperature and to quench the reaction mixture with a mixture of aqueous sodium thiosulfate and 4-methylmorpholine to minimize the formation of the dibromo- and 2- indolone impurities. Further neutralization of the crude product with NaOH in isopropanol greatly increases the stability of the isolated product.
Procedure:
The mixture of isopropyl 3-cyclopentyl-l-methyl-lH-indole-6-carboxylate (50.0 g, 0.175 mol) and acetonitrile (393 g) was cooled to -6+3 °C. Bromine (33.6 g, 0.210 mol) was added while the batch was maintained at -6+3°C. The resulting slurry was stirred at - 6+3°C for at least 30 min. When HPLC showed > 94 % conversion (the HPLC sample must be quenched immediately with aqueous 4-methylmorpholine/sodium thiosulfate solution), the mixture was quenched with a solution of sodium thiosulfate (15.3 g) and 28.4 g 4-methylmorpholine in water (440 g) while the temperature was maintained at -5+5 °C. After it was stirred at 0+5 °C for at least 2 h, the batch was filtered and rinsed with 85 wt methanol/water solution (415 g), followed by water (500 g), and dried until water content is < 30%. The wet cake was suspended in 2-propanol (675 g), and heated to 75+5 °C. The resulting hazy solution was treated with 1.0 M aqueous sodium hydroxide solution (9.1 g) and then with 135.0 g water at a rate to maintain the batch at 75+5°C. The suspension was stirred at 75+5°C for at least 30 min, cooled to 15+2 °C over 30-40 min, and held at 15+2 °C for at least 1 h. The batch was filtered, rinsed with 75 wt% 2-propanol/water solution (161 g), and dried in vacuo (<200 Torr) at 50-60 °C until the water content was < 0.4% to give isopropyl 2-bromo-3-cyclopentyl-l -methyl- lH-indole-6-carboxylate as a solid (55.6 g, 87 % yield ) in 99.5 A% (240 nm) and 97.9 Wt%.
Alternative Procedure:
The mixture of isopropyl 3-cyclopentyl-l-methyl-lH-indole-6-carboxylate (84 g, 0.294 mol) and isopropyl acetate (1074 g) was cooled to between -10-0 °C. Bromine (50 g, 0.312 mol) was added while the batch was maintained at -10 - 0 °C. The resulting slurry was stirred at the same temperature for additional 30 min and quenched with a pre-cooled solution of sodium thiosulfate pentahydrate (13 g) and triethylamine (64.5 g) in water (240 g) while the temperature was maintained at 0-10 °C. The mixture was heated to 40 - 50 °C and charged with methanol (664 g). After it was stirred at the same temperature for at least 0.5 h, the batch was cooled to 0 - 10 °C and stirred for another 1 hr. The precipitate was filtered, rinsed with 56 wt methanol/ water solution (322 g), and dried in vacuo (<200 Torr) at 50-60 °C until the water content was < 0.4% to give isopropyl 2-bromo-3- cyclopentyl-l-methyl-lH-indole-6-carboxylate as a beige solid (90-95 g, 80-85 % yield ).
Step 3a,b. Preparation of compound I by one-pot Pd-catalyzed borylation- Suzuki coupling reaction
To a clean and dry reactor containing 20.04 g of isopropyl 2-bromo-3-cyclopentyl- l- methyl- lH-indole-6-carboxylate, 1.06 g of Pd(TFP)2Cl2(3 mol%) and 0.76 g of tri(2- furyl)phosphine (6 mol ) was charged 8.35 g of triethylamine (1.5 equivalent), 39.38 g of CH3CN at 23+10 °C under nitrogen or argon and started agitation for 10 min. 9.24 g of 4,4,5, 5-tetramethyl-l ,3,2-dioxaborolane was charged into the reactor. The mixture was heated to reflux (ca. 81 -83 °C) and stirred for 6h until the reaction completed. The batch was cooled to 30+5 °C and quenched with a mixture of 0.99 g of water in 7.86 g of CH3CN. 17.24 g of 5-bromo-2-iodopyrimidine and 166.7 g of degassed aqueous potassium phosphate solution (pre-prepared from 46.70 g of K3PO4 and 120 g of H20) was charged subsquently under argon or nitrogen. The content was heated to reflux (ca. 76-77 °C) for 2 h until the reaction completed. 4.5 g of 1-methylimidazole was charged into the reactor at 70 °C. The batch was cooled to 20+3 °C over 0.5h and hold at 20+3 °C for at least lh. The solid was collected by filtration. The wet cake was first rinsed with 62.8 g of 2-propanol, followed by 200 g of H20. The solid was dried under vacuum at the temperature below 50 °C.
Into a dry and clean reactor was charged dried I, 10 wt Norit SX Ultra and 5 V of THF. The content was heated at 60+5 °C for at least 1 h. After the content was cooled to 35+5 °C, the carbon was filtered off and rinsed with 3 V of THF. The filtrate was charged into a clean reactor containing 1-methylimidazole (10 wt % relative to I). After removal of 5 V of THF by distillation, the content was then cooled to 31+2 °C. After the agitation rate was adjusted to over 120 rpm, 2.5 V of water was charged over a period of at least 40 minutes while maintaining the content temperature at 31 + 2 °C. After the content was agitated at 31 + 2 °C for additional 20 min, 9.5 V of water was charged into the reactor over a period of at least 30 minutes at 31 + 2 °C. The batch was then cooled to about 25 + 3 °C and stirred for additional 30 minutes. The solid was collected and rinsed with 3 V of water. The wet product I was dried under vacuum at the temperature below 50 °C (19.5 g, 95 wt , 76% yield).
Alternative Procedure:
To a clean and dry reactor containing 40 g of isopropyl 2-bromo-3-cyclopentyl- l-methyl- lH-indole-6-carboxylate (0.1 10 mol), 0.74 g of Pd(OAc)2 (3.30 mmol, 3 mol% equiv.) and
3.2 g of tri(2-furyl)phosphine (13.78 mmol, 12.5 mol% equiv.) was charged 16.8 g of triethylamine (1.5 equivalent), 100 mL of acetonitrile at 25 °C under nitrogen or argon. 20.8 g of 4,4,5, 5-tetramethyl-l,3,2-dioxaborolane was charged into the reactor within 30 min. The mixture was heated to reflux (ca. 81-83 °C) and stirred for over 5 hrs until the reaction completed. The batch was cooled to 20 °C and quenched with a mixture of 2.7 g of water in 50 mL of CH3CN. The batch was warmed to 30 °C, stirred for 1 hr and transferred to a second reactor containing 34.4 g of 5-bromo-2-iodopyrimidine in 100 mL of acetonitrile. The reactor was rinsed with 90 mL of acetonitrile. To the second reactor was charged with degassed aqueous potassium phosphate solution (pre-prepared from 93.2 g of K3PO4 and 100 g of H20) under argon or nitrogen. The content was heated to reflux (ca. 80 °C) for over 3 h until the reaction completed. 9.2 g of 1 -methylimidazole was charged into the reactor at 70 °C and the mixture was stirred for at least 10 min. The aqueous phase was removed after phase separation. 257 g of isopropanol was charged at 70 °C. The batch was cooled slowly to 0 °C and hold for at least 1 h. The solid was collected by filtration. The wet cake was rinsed twice with 2-propanol (2 x 164 g) and dried under vacuum at the temperature below 50 °C to give I as a yellow to brown solid (26 g, 75% yield).
Step 4. Hydrolysis of I to II
I (20 g) and l-methyl-2-pyrrolidinone (NMP) (113 g) were charged into a clean reactor under nitrogen. After the batch was heated to 50-53 °C with agitation, premixed aq. NaOH (5.4 g of 50% aq. NaOH and 14.3 g of water) was introduced into the reactor. The resulting mixture was stirred at 50-53 °C for about 10 hrs until the reaction completed. A premixed
aq. HO Ac (60 g of water and 9.0 g of HO Ac) was added over 0.5 h at 45 ±5 °C to reach pH 5.5- 7.5. The batch was cooled to 20+5 °C and then kept for at least 1.0 h. The solid product was collected and rinsed with 80 g of NMP/water (1 :3 volume ratio) and then 60 g of water. The product was dried under vacuum at the temperature below 50 °C to give II as a pale yellow powder (19 -20 g, purity > 99.0 A% and 88.4 wt , containing 5.4 wt% NMP). The yield is about 93-98%.
Notes: The original procedure used for the hydrolysis of I was carried out with aq. NaOH (2.5 eq) in MeOH/THF at 60 °C. Although it has been applied to the preparation of II on several hundred grams scale, one disadvantage of this method is the formation of 5-MeO pyrimidine during hydrolysis (ca. 0.4 A%), which is extremely difficult to remove in the subsequent steps. In addition, careful control has to be exerted during crystallization. Otherwise, a thick slurry might form during acidification with HO Ac. The use of NMP as solvent could overcome all aforementioned issues and give the product with desired purity.
Alternative Process
To a reactor was charged I (71 g), isopropanol (332 g), aqueous NaOH (22 g, 45 wt%) and water (140 g) at ambient temperature. The mixture was heated to reflux (80 °C) and stirred for at least 3 hrs until the reaction completed. The batch was cooled to 70 °C and charged a suspension of charcoal (3.7 g) in isopropanol (31 g). The mixture was stirred at the same temperature for over 10 min and filtered. The residue was rinsed with isopropanol (154 g). Water (40 g) was charged to the filtrate at 70 - 80 °C, followed by slow addition of 36% HC1 solution (20 g) to reach pH 5- 6. The batch was stirred for over 30 min at 70 °C, then cooled to 20 °C over 1 hr and kept for at least 1.0 h. The solid product was collected and rinsed with 407 g of isopropanol/water (229 g IPA, 178 g H20). The product was dried under vacuum at 80 °C for over 5 hrs to give II as a white powder (61 g, 95% yield).
Notes on Steps 5 to 8 below:
A concise and scalable 4-step process for the preparation of the benzimidazole
intermediate V was developed. The first step was the preparation of 4-chloro-2-(methyl)- aminonitrobenzene starting from 2,4-dichloronitrobenzene using aqueous methyl amine in
DMSO at 65 °C. Then, a ligandless Heck reaction with n-butyl acrylate in the presence of Pd(OAc)2, 'PrzNEt, LiCl, and DMAc at 110 °C was discovered.
Step 5: SNAr reaction of (5-chloro-2-nitrophenyl)-methylamine
To a solution of (5-chloro-2-nitrophenyl)-methylamine (40 g, 208.3 mmol, 1 equiv) in DMSO (160 mL) was added 40% MeNH2 solution in water (100 mL, 1145. 6 mmol, 5.5 eq) slowly keeping the temperature below 35 °C. The reaction was stirred at r.t. until the complete consumption of the starting material (>10 h). Water (400 mL) was added to the resulting orange slurry and stirred at r.t. for additional 2 h. The solid was filtered, rinsed with water (200 mL) and dried under reduced pressure at 40 °C. (5-chloro-2-nitrophenyl)- methylamine (36.2 g, 93% yield, 94 A% purity) was isolated as a solid. Step 6: Heck Reaction of (5-chloro-2-nitrophenyl)-methylamine
DMAc (5 vol), 1 10 °C, 7-22 h
To a mixture of 4-chloro-2-methylaminonitrobenzene (50.0 g, 268.0 mmol, 1.0 eq), Pd(OAc)2 (0.30 g, 1.3 mmol, 0.005 eq) and LiCl (11.4 g 268.0 mmol, 1.0 eq) in DMAc
(250 mL) was added 'Pr2NEt (56 mL, 321.5 mmol, 1.2 eq) followed by n-butyl acrylate (40 mL, 281.4 mmol, 1.05 eq) under nitrogen. The reaction mixture was stirred at 110 °C for 12 h, then cooled to 50 °C. 1 -methylimidazole (10.6 mL, 134.0 mmol, 0.5 eq) was added and the mixture was stirred for 30 min before filtering and adding water (250 mL). The
resulting mixture was cooled to r.t. over 1 h. The resulting solid was filtered and washed with water and dried to yield n-butyl 3-methylamino-4-nitrocinnamate (71.8 g, 96 %, 99.2 A% purity).
Step 7: Reduction of n-butyl (3-methylamino-4-nitro)-cinnamate
To a reactor was charged n-butyl 3-methylamino-4-nitrocinnamate (70.0 g, mmol, 1.0 eq) , Raney Ni (4.9 g, ~20wt% H20), charcoal "Norit SX Ultra" (3.5 g), toluene (476 mL) and MeOH (224 mL). The reactor was charged with hydrogen (4 bar) and the mixture was stirred at 20- 25 °C for about 2 hrs until the reaction was completed. The reaction mixture was filtered and rinsed the filter residue with toluene (70 mL). To the combined filtrates were added "Norit SX Ultra" charcoal (3.5 g). The mixture was stirred at 50 °C for 1.0 hr and filtered. The filtrate was concentrated under reduced pressure to remove solvents to 50% of the original volume. The remained content was heated to 70 °C and charged slowly methyl cyclohexane (335 mL) at the same temperature. The mixture was cooled to about 30 - 40 °C and seeded with III seed crystals, then slowly cooled the suspension to— 10 °C. The solid was filtered and rinsed with methyl cyclohexane in three portions (3 x 46 mL). The wet cake was dried in vacuo at 40 °C to give III (53.3 g, 215 mmol, 86%).
Step 8: Preparation of benzimidazole V
V
To reactor-1 was charged III (35 g, 140.95 mmol) in toluene (140 g). The mixture was heated to 50 °C to obtain a clear solution. To a second reactor was charged IV (36.4 g, 169.10 mmol) and toluene (300 g), followed by addition of a solution of dicyclohexyl carbodimide (11.6 g, in 50% toluene, 28.11 mmol) at 0 - 10 °C. The mixture was stirred at the same temperature for 15 min, then charged parallelly with the content of reactor-1 and the solution of dicyclohexyl carbodimide (52.4 g, in 50% toluene, 126.98 mmol) within 1 hr while maintaining the batch temperature at 0 - 10 °C. The mixture was agitated at the same temperature for 3 hrs, and warmed to 25 °C for another 1 hr. Once III was consumed, toluene (-300 mL) was distilled off under reduced pressure at 70 - 80 °C. n-Butanol (200 g) was added, followed by 3 M HCI solution in n-butanol (188 g) while maintaining the temperature at 70 - 80 °C (Gas evolution, product precipitates). After stirring for over 30 min. at 70 - 80 °C, the mixture was cooled to 20 - 30 °C over 1 hr. The precipitate was filtered and washed with acetone (172 g) and toluene (88 g). The wet cake was dried in vacuo at -60 °C to give V toluene solvate as off white solid (60 - 72 g, 85 - 95% yield). Compound V could be used directly for the next step or basified prior to next step to obtain the free base compound VI used in the next step.
Step 9. Synthesis of (E)-Butyl 3-(2-(l-(2-(5-Bromopyrimidin-2-yl)-3-cyclopentyl-l- hydroxy-lH-indole-6-carboxamido)cyclobutyl)-l-methyl-lH-benzo[d]imidazol-6- yl)acrylate VII
5) MeOH/H20
Notes:
The conversion of the acid into acid chloride was achieved using inexpensive thionyl chloride in the presence of catalytic amount of NMP or DMF. An efficient crystallization was developed for the isolation of the desired product in high yield and purity.
Procedure (using free base VI):
To the suspension of 2-(5-bromopyrimidin-2-yl)-3-cyclopentyl-l-methyl-lH-indole-6- carboxylic acid II (see Step 4) (33.36 g, 90.0 wt %, containing -0.2 equiv of NMP from previous step,75.00 mmol) in THF (133.4 g) was added thionyl chloride (10.71 g). The mixture was stirred at 25+5 °C for at least 1 h. After the conversion was completed as determined by HPLC (as derivative of diethylamine), the mixture was cooled to 10+5 °C and N,N-diisopropylethylamine (378.77 g, 300 mmol) below 25 °C. A solution of (E)-butyl 3-(2-(l-aminocyclobutyl)-l-methyl-lH-benzo[(i]imidazol-6-yl)acrylate VI (25.86 g, 97.8 Wt , 77.25 mmol) dissolved in THF (106.7 g) was added at a rate to maintain the temperature of the content < 25 °C. The mixture was stirred at 25+5 °C for at least 30 min for completion of the amide formation. The mixture was distilled at normal pressure to remove ca. 197 mL (171.5 g) of volatiles (Note: the distillation can also be done under reduced pressure). The batch was adjusted to 40+5 °C, and MeOH (118.6 g) was added. Water (15.0 g) was added and the mixture was stirred at 40+5 °C until crystallization occurred (typically in 30 min), and held for another 1 h. Water (90 g) was charged at 40+5 °C over 1 h, and the batch was cooled to 25+5 °C in 0.5 h, and held for at least 1 h. The solid was filtered, rinsed with a mixture of MeOH (39.5 g), water (100 g), and dried in vacuo (< 200 Torr) at 50+5 °C to give (E)-butyl 3-(2-(l-(2-(5-bromopyrimidin-2-yl)-3- cyclopentyl- 1 -methyl- lH-indole-6-carboxamido)cyclobutyl)- 1 -methyl- 1H-
benzo[if|imidazol-6-yl)acrylate VII (51.82 g, 96.6 % yield) with a HPLC purity of 98.0 A% (240 nm) and 99.0 Wt%.
Alternative Process (using compound V from Step 8)
To reactor 1 was charged 2-(5-bromopyrimidin-2-yl)-3-cyclopentyl-l-methyl-lH-indole-6- carboxylic acid II (33.6 g), toluene (214 g) and N-methylpyrrolidone (1.37 g). The mixture was heated to 40 °C, then added a solution of thionyl chloride (13 g) in toluene (17 g). The mixture was stirred at 40 °C for at least 0.5 h and cooled to 30 °C. To a second reactor was charged with compound V (the bis-HCl salt toluene solvate from Step 8) (39.4 g), toluene (206 g) and N,N-diisopropylethylamine (70.8 g) at 25 °C. The content of reactor 1 was transferred to reactor 2 at 30 °C and rinsed with toluene (50 g). The mixture was stirred at 30 °C for another 0.5 h, then charged with isopropanol (84 g) and water (108 g) while maintained the temperature at 25 °C. After stirring for 10 min, remove the aqueous phase after phase cutting. To the organic phase was charged isopropanol (43 g), water (54 g) and stirred for 10 min. The aqueous phase was removed after phase cutting. The mixture was distilled under reduced pressure to remove ca.250 mL of volatiles, followed by addition of methyl tert-butyl ether (MTBE, 238 g). The batch was stirred at 65 °C for over 1 hr, then cooled to 20 C over 1 hr and held for another 1 hr at the same temperature. The solid was filtered, rinsed with MTBE (95 g), and dried in vacuo at 80 °C to give (E)-butyl 3-(2-(l-(2- (5-bromopyrimidin-2-yl)-3-cyclopentyl-l-methyl-lH-indole-6-carboxamido)cyclobutyl)-l- methyl-lH-benzo[if|imidazol-6-yl)acrylate VII as a beige solid (50 g, 90 % yield).
Step 10. Synthesis of (E)-3-(2-(l-(2-(5-Bromopyrimidin-2-yl)-3-cyclopentyl-l-methyl- lH-indole-6-carboxamido)cyclobutyl)-l-methyl-lH-benzo[</]imidazol-6-yl)acrylic acid (Compound (1))
VII (1)
Notes:
In this process, hydrolysis of (E)-butyl 3-(2-(l-(2-(5-bromopyrimidin-2-yl)-3-cyclopentyl- l-methyl-lH-indole-6-carboxamido)cyclobutyl)-l-methyl-lH-benzo[d]imidazol-6- yl)acrylate was carried out in mixture of THF/MeOH and aq NaOH. Controlled acidification of the corresponding sodium salt with acetic acid is very critical to obtain easy-filtering crystalline product in high yield and purity.
Procedure:
To the suspension of (E)-butyl 3-(2-(l-(2-(5-bromopyrimidin-2-yl)-3-cyclopentyl-l- methyl-lH-indole-6-carboxamido)cyclobutyl)-l-methyl-lH-benzo[(i]imidazol-6- yl)acrylate VII (489.0 g, 91.9 Wt%, 633.3 mmol) in THF (1298 g) and MeOH (387 g) was added 50% NaOH (82.7 g, 949.9 mmol), followed by rinse with water (978 g). The mixture was stirred between 65-68 C for about 1 h for complete hydrolysis. The resulting solution was cooled to 35 C, and filtered through an in-line filter (0.5 micron), and rinsed with a pre-mixed solution of water (978 g) and MeOH (387 g). The solution was heated to 60 ±4 C, and acetic acid (41.4 g, 689 mmol) was added over 1 h while the mixture was well agitated. The resulting suspension was stirred at 60 ±4 C for 0.5 h. Another portion of acetic acid (41.4 g, 689 mmol) was charged in 0.5 h, and batch was stirred at 60 ±4 C for additional 0.5 h. The batch was cooled to 26 ±4 C over 1 h and held for 1 h. The batch was filtered, rinsed with a premixed solution of water (1956 g) and MeOH (773.6 g), dried at 50 C under vacuum to give (E)-3-(2-(l-(2-(5-bromopyrimidin-2-yl)-3-cyclopentyl-l- methyl- lH-indole-6-carboxamido)cyclobutyl)-l-methyl-lH-benzo[(i]imidazol-6-yl)acrylic acid (1) (419.0 g, 95 % yield) with > 99.0 A% (240 nm) and 94.1 Wt% by HPLC.
(1 )
To a reactor were charged Compound (1) (150 g, mmol), THF (492 mL), H20 (51 mL) and 45% aqueous NaOH solution (20.4 g, mmol). The mixture was stirred for >1 hr at -25 °C to form a clear solution (pH = 9 -11). To the solution was charged a suspension of Charcoal (1.5 g) and H20 (27 mL). The mixture was stirred at -35 °C for >30 min and filtered. The filter was rinsed with THF (108 mL) and H20 (21 mL). The filtrate was heated to 50 °C and charged with methyl ethylketone (MEK) (300 mL). The mixture was seeded with Compound (1) sodium salt MEK solvate (Type A) seeds (0.5 g) and stirred for another 1 hr at 50 °C. To the mixture was charged additional MEK (600 mL). The resultant mixture was stirred for another 1 hr at 50 °C and then cooled to 25 °C. The precipitate was filtered and rinsed with MEK twice (2 x 300 mL). The wet cake was dried in vacuum at 80 °C to give Compound (1) sodium salt (Type A) (145.6 g, 94%).
The Compound (1) sodium salt (Type A) MEK solvate seeds used in the above process step can be manufactured by the above process except without using seeds and without drying of the solvate. Notes Regarding Crystallization Step 11
Process Optimization for Producing Higher Bulk Density Material
Observation of lab experiments showed that the seeding temperature should be reduced from 60 °C to 50 °C to prevent the dissolution of seed crystals. The crystallization kinetics in the THF/MEK/H20 system was found to be slow, and oil / emulsion could be observed when anti-solvent MEK was added too fast after seeding. Thus experiments were
performed to optimize the MEK addition time and aging time to minimize oiling. This improved process produced agglomerated granular crystals consistently that resulted in the desired high bulk density. Optimization of anti- solvent addition and aging time
An experiment was designed to optimize the aging time following the MEK anti-solvent addition at 50 °C. The data indicated that all solids crystallized out of solution within 3 hours of aging. Following aging, the slurry was cooled linearly over 2 hours to 20 °C. The extended aging time did not significantly improve yield losses in the mother liquor. The crystallization resulted in a 92.4% yield.
Immediately after the completion of the MEK addition, a milky oily solution was observed along with a large amount of crystals. The oily solution dissipated within one hour. A separate experiment determined that a slower addition rate of MEK can avoid the formation of oil.
The XRPD pattern on the wet cake confirmed the MEK solvated phase. Another experiment was carried out to adapt the process for the slow crystallization kinetics observed in the current crystallization system. A 1/2 hour aging time was included after seeding and the MEK anti-solvent addition time was increased from 2 to 4 hours at 50 °C. All solids were found to have crystallized out of solution within 2 hours of aging.
Following aging, the slurry was cooled linearly over 2 hours to 20 °C and held overnight. This did not improve on the mother liquor losses significantly.
In conclusion, the slurry at the end of the MEK addition was found to produce clear mother liquors without an oil phase; whereas previously in the 2-hour MEK addition, a milky oily
mother liquor was observed. The recommendation is for a 4-hour anti-solvent addition to prevent the oiling.
Drying Time Study
A study was conducted to determine the required drying time at 80 °C to meet the ICH limits of residual solvents of MEK and THF. The results showed that drying for a minimum of 5 hours is required to meet the ICH limit on THF. Effects of Water Content on Yield and Crystallization
The effect of water content on crystallization was evaluated. The water content was varied from the 5.6% (w/w) level specified in the existing procedure. The study was done using 50% more and 50% less water in the crystallization. The data indicated that 5.6% water content is near optimum for good yield and operability.
V. Formulations of Compound (2)
Examples of pharmaceutical formulations containing Compound (2) include the tablet formulations described below.
Solid Oral Formulation # 1
The composition of the solid oral formulation:
Two specific solid oral drug product formulations were prepared according to the above general Formulation # 1 , a 50 mg product and a 200 mg product.
L 206.7 mg and 51.7 mg Compound (2) Na salt (sodium salt) is equivalent to 200 mg and 50 mg of the active moiety, Compound (2) (free acid), respectively.
2' Purified water is used as a granulating agent; it does not appear in the final product.
3' Vegetable origin
Solid Oral Formulation # 2
The composition of the solid oral formulation:
Two specific solid oral drug product formulations were prepared according to the above general Formulation # 1 , a 200 mg product and a 400 mg product.
Polyethylene Glycol 8000 Solubilizer/ Binder 62.0 124.0
Mannitol (powdered) Filler 180.9 361.8
Purified Water2 Granulating agent q.s. q.s.
Colloidal Silicon Dioxide Glidant 2.6 5.2
Magnesium Stearate3 Lubricant 2.6 5.2
Total 516.8 1033.6
206.7 mg and 413.4 mg Compound (2) Na salt (sodium salt) is equivalent to 200 mg and 400 mg of the active moiety, Compound (2) (free acid), respectively.
2' Purified water is used as a granulating agent; it does not appear in the final product. 3' Vegetable origin
Preparation of Formulations 1-2 The drug substance along with the intragranular excipients including the basifier, surfactant, solubilizer/binder, filler are mixed in a dry state in a high shear granulator prior to addition of water. The drug substance and the excipients may be screened prior to milling to remove large agglomerates if necessary. After mixing is complete, the mixture is granulated using purified water as a granulating agent in the high shear granulator till a suitable end point is achieved. The wet granules are removed and dried at appropriate drying temperatures either in a tray dryer or a fluid bed dryer. The dried granules are milled by passing through a high speed mill, such as a Comill. Milled granules are then blended with the extragranular excipients, glidant and lubricant and then table ted in a tablet press.
VI. Clinical Results
For the clinical trials described below, the Compound (1) drug product was administered as a softgel capsule filled with a lipid-based formulation containing Compound (1) sodium salt. Compound (2) drug product was administered as a tablet formulation containing Compound (2) sodium salt.
Clinical Study with Treatment-Naive Patients
Virologic response to an interferon-free regimen of Compound (1) and Compound (2), with and without ribavirin, in treatment- naive patients with chronic genotype- 1 HCV infection: Week 12 interim results of the SOUND-C2 study.
Background: In a previous Phase lb study (SOUND-C1) that evaluated interferon-free combination treatment of the NS3/4A protease inhibitor, Compound (1), and the non- nucleoside NS5B RNA polymerase inhibitor, Compound (2), along with ribavirin (RBV), in treatment-naive patients (TN) with chronic genotype (GT)-l hepatitis C virus (HCV) infection, rapid virologic response rates were up to 100%. SOUND-C2 is a 5-arm, open- label, randomized, phase lib study evaluating efficacy and safety of several all-oral combination regimens of these compounds for up to 40 weeks of treatment. Methods: A total of 362 TN HCV GT-1 patients were treated and randomized into 5 treatment arms: (A) 120 mg QD Compound (1) combined with 600 mg TID Compound (2) (2TID) and RBV for 16 weeks; (B) Compound (1)+ 2ΉΟ + RBV for 28 weeks; (C)
Compound (1)+ 2TID + RBV for 40 weeks; (D) Compound (1)+ 600 mg BID Compound (2) (2BID) + RBV for 28 weeks; (E) Compound (1) + 2TID for 28 weeks. This was a planned interim analysis performed after all patients completed 12 weeks of treatment.
Randomization was stratified by HCV subtype (la vs. lb) and IL28B genotype
(rs 12979860 CC vs. non-CC).
Study Design:
· Multicenter, open-label, randomized (1 :1 :1:1: 1), phase lib trial
• Randomization in treatment group E was prematurely stopped at 46 patients due to Health Authority feedback
• Randomization was stratified by IL28B genotype (CC versus non-CC at SNP
rsl2979860) and HCV GT-1 subtype (GT-1 a versus GT-lb by TRUGENE® and if ambiguous, Inno-LiPA2.0)
An induction dose of 1 ,200 mg Compound (2) was given as the first dose of treatment, followed by the assigned dose schedule
A loading dose of 240 mg Compound (1) was given on the first day of treatment, followed by 120 mg QD starting on Day 2
Futility rules: patients who did not achieve undetectable plasma HCV RNA at Week 6, (confirmed by a second consecutive plasma HCV RNA measurement within two weeks), and patients with virologic breakthrough (HCV RNA increase >1 log 10 from nadir, or, HCV RNA >25 IU/mL after previous plasma HCV RNA <25 IU/mL;
confirmed by a second consecutive HCV RNA measurement within two weeks) were immediately switched to treatment with PeglFN/RBV alone for 48 weeks
Plasma HCV RNA was measured using the Roche COB AS® TaqMan HCV/HPS assay v2.0, with a lower limit of quantification (LLOQ) of 25 IU/mL, and a lower limit of detection (LLOD) of approximately 15 IU/mL
IL28B genotype was determined from the SNP rs 12979860 as CC or non-CC
Patient disposition and baseline characteristics
• Of 469 patients enrolled, 368 were randomized and 362 were treated
o 238 patients in treatment groups A, B and C were pooled for this interim
analysis since they received the same regimen up to Week 12 (2TID + RBV) · Patients were evenly distributed across all treatment groups with regards to gender, race, age, body mass index (BMI), HCV GT-1 subtype, IL28B GT and baseline HCV RNA
o A slightly higher proportion of patients in treatment group D had liver cirrhosis (17%), as compared with treatment groups A-C (9%) and treatment group E
(7%)
TABLE 1. Summary of baseline characteristics
A - C D E Total
2TiD + RBV 2 BID + RBV
n=238 n=78 no RBV n=362
n=46
Male, n (%) 122 (51 ) 41 (53) 24 (52) 187 (52)
White, n (%) 233 (98) 77 (99) 46 (1 00) 356 (98)
Age, mean years (SD) 48.2 ( 1 1 ) 47.9 ( 1 1 ) 45.3 ( 1 3) 47.8 (1 1 )
BMI, mean (SD) 25.2 (4) 25.0 (4) 25.5 (4) 25.2 (4) Liver Cirrhosis, n (%) 21 (9) 13 (1 7) 3 (7) 37 (1 0) HCV GT-1 subtype, n (%)
1a 93 1111: ii fill t:i 1111 139 1111:
Baseline HCV RNA, n (%)
>800,000 lU/mL 204 (86) 66 (85) 36 (78) 306 (85)
Antiviral Activity Early antiviral response assessment
• Mean HCV RNA decay from baseline to Day 4 was -3.98, -3.95 and -4.02
log io IU/mL in treatment groups A-C, D and E, respectively
• No difference in HCV RNA decay was observed between treatment groups up to Week 2
• There were no early viral load breakthroughs until day 4 in any of the dose groups Antiviral response assessment up to Week 12
• Antiviral response (HCV RNA < LLOQ) ranged from 72% to 88% at Week 4 and 57% to 76% at Week 12
• 70%, 74% and 54% of patients had undetectable HCV RNA at Week 12, in treatment groups A-C, D and E, respectively
• Early treatment discontinuation due to reasons other than virologic failure (i.e. adverse events (AEs), refusal to continue with trial medication, lost to follow-up) at Week 12 was 17% in treatment groups A-C, 6% in treatment group D, and 13% in treatment group E
· Virologic failure was due to failure to achieve undetectable plasma HCV RNA at Week 6 and Week 8 (3.4%, 1.3% and 4.3% of patients, respectively) or virologic
breakthrough (13.4%, 20.5% and 32.6% of patients, respectively)
• Patients infected with HCV GT-la had a lower antiviral response rate (Figure 1), particularly in treatment group E (2TE>, no RBV)
· Analysis by IL28B genotype revealed that patients exhibiting the favorable CC
polymorphism (at SNP rs 12979860) achieved a similar rate of antiviral response in all treatment groups, as compared with non-CC patients homo- or heterozygous for the T allele (Figure 2)
• Non-CC patients in treatment group E (2TID, no RBV), demonstrated the lowest rate of antiviral response compared with CC patients (52% versus 100%, respectively)
• Analysis by viral subtype and host IL28B polymorphism demonstrated that GT-la patients with the favorable CC polymorphism had high response rates in all treatment groups, while the unfavorable CT and TT genotypes showed clear dose differences with the highest response rates at 2TID + RBV, followed by 2BID + RBV, and 2TID, no RBV treatment (Figure 3)
• In contrast, GT-lb patients showed very strong on-treatment responses across both RBV-containing treatment groups, irrespective of host IL28B polymorphism
• Below is a tabular representation of the data in Figure 3:
The interferon-free oral combination therapy with Compound (1), Compound (2) and RBV provides high virologic response rates in HCV GT-1 TN patients, confirming the potent antiviral activity of this combination. The response rate in the RBV-sparing arm was substantial but lower than in other arms at Week 12. The safety and tolerability profile was comparable to other direct acting antiviral regimens and more favorable in the Compound (1), + 2BID + RBV arm. Specific results include:
• The 2BID + RBV treatment group demonstrated a very favorable efficacy/safety balance o Antiviral response rate at Week 12 (76%) was comparable to cEVR rates
achieved with first-generation protease inhibitors plus PeglFN/RBV
• GT-lb patients and GT-1 a patients with the CC IL28B polymorphism (at SNP
rs 12979860) showed very strong responses on 2BID + RBV treatment
• While the 2TID + RBV treatment groups demonstrated the lowest rate of breakthrough, the antiviral response rate was limited by a relatively high rate of early treatment discontinuation due to AEs (adverse events)
• The only patients that seemed to benefit from the higher 600 mg TID dose of
Compound (2) were the most-difficult-to-treat GT-1 a patients with the unfavorable non-CC IL28B GT
• A lower rate of response was observed in the RBV-sparing treatment group (2TID, no RBV)
o This was primarily due to a high rate of breakthrough in IL28B non-CC
patients, rather than primary treatment failure
• Host IL28B polymorphism had a major influence on virologic response in GT-1 a patients who, based on earlier clinical studies with Compound (2) plus PeglFN/RBV, have a weaker virologic response to Compound (2)
o If confirmed by SVR results, this indicates that the influence of the host innate immune response on treatment outcome may largely be overcome by combination treatment with potent DAAs
• The differential effectiveness seen herein due to host IL28B polymorphism, particularly in GT- la patients, represents a significant and unexpected finding given the state of the art. While it is generally known that IL28B polymorphism of the patient undergoing therapy can directly affect the responsiveness of that patient to interferon-based antiviral therapy, little is known about the effect of IL28B
polymorphism on the responsiveness of patients to interferon-free regimens such as described herein, especially for longer treatment durations. · Although the affect of host IL28B polymorphism tested here was specifically at SNP rs 12979860 (CC vs. non-CC), similar results are to be expected with respect to host IL28B polymorphism at SNP rs 8099917 (TT vs. non-TT) using the combination therapy of the present invention. The safety and tolerability profile of this PeglFN-free combination was favorable at all dose regimens tested
Claims
1. A method of treating hepatitis C viral (HCV) infection or alleviating one or more symptoms thereof in a patient comprising the step of administering to the patient a therapeutic combination comprising:
(a) a compound of the following formula (1) or a pharmaceutically acceptable salt thereof:
(1)
(b) a compound of the following formula (2) or a pharmaceutically acceptable salt thereof:
and optionally (c) ribavirin;
and wherein the patient has a CC or non-CC genotype of SNP rs 12979860 or a TT or non-TT genotype of SNP rs 8099917 located near the IL28B gene.
2. The method according to claim 1, wherein the patient has HCV subtype 1.
3. The method according to claim 1, wherein the patient has HCV subtype la.
4. The method according to any of the preceding claims, wherein the patient has HCV subtype la and the C/C genotype of SNP rsl2979860 located near the IL-28B gene.
5. The method according to any of the preceding claims, wherein the patient has HCV subtype la and the T/T genotype of SNP rs 8099917 located near the IL-28B gene.
6. The method according to claim 1, wherein the patient has HCV subtype lb.
7. The method according to claim 6, wherein the patient has HCV subtype lb and a non-CC genotype of SNP rsl2979860 or a non-TT genotype of SNP rs 8099917 located near the IL28B gene.
8. The method according to any of the preceding claims, wherein said patient is a treatment-naive patient.
9. The method according to any of claims 1-7, wherein said patient is a treatment experienced patient.
10. The method according to according to any of the preceding claims, wherein the HCV-RNA levels of said patient are reduced to less than detectable level as a result of the treatment.
11. The method according to any of the preceding claims, wherein compound (1) or a pharmaceutically acceptable salt thereof is administered at a maintenance dosage between about 40 mg per day and about 480 mg per day.
12. The method according to any of the preceding claims, wherein compound (1) or a pharmaceutically acceptable salt thereof is administered at a maintenance dosage between about 120 mg per day and about 240 mg per day.
13. The method according to any of the preceding claims, wherein compound (1) is administered in the form of its sodium salt.
14. The method according to any of the preceding claims, wherein compound (2) or a pharmaceutically acceptable salt thereof is administered at a maintenance dosage between about 800 mg per day and about 2400 mg per day.
15. The method according to any of the preceding claims, wherein compound (2) or a pharmaceutically acceptable salt thereof is administered at a maintenance dosage between about 1200 mg per day and about 1800 mg per day.
16. The method according to any of the preceding claims, wherein compound (2) is administered in the form of its sodium salt.
17. The method according to any of the preceding claims, wherein said ribavirin is administered at a dosage between about 200 mg/day and about 1800 mg/day.
18. The method according to any of the preceding claims, wherein said ribavirin is administered at a dosage between about 1000 mg/day and about 1200 mg/day.
19. The method according to any of the preceding claims, wherein the therapeutic combination administered is a triple combination therapy including administration of Compound (1) or a pharmaceutically acceptable salt thereof, Compound (2) or a pharmaceutically acceptable salt thereof and ribavirin.
20. The method according to any of the preceding claims, wherein the therapeutic combination administered is a double combination therapy including administration of Compound (1) or a pharmaceutically acceptable salt thereof and Compound (2) or a pharmaceutically acceptable salt thereof without the administration of ribavirin.
21. The method according to any of the preceding claims, wherein the therapeutic combination administered comprises:
(a) Compound (1) or a pharmaceutically acceptable salt thereof at a maintenance dosage between about 120 mg/day to about 240 mg/day;
(b) Compound (2) or a pharmaceutically acceptable salt thereof at a maintenance dosage between about 1200 mg/day to about 1800 mg/day; and
(c) optionally ribavirin at a dosage of between about 1000 mg/day to about 1200 mg/day.
22. The method according to claim 21, wherein the patient has HCV subtype la and the C/C genotype of SNP rsl2979860 located near the IL-28B gene.
23. The method according to claim 21, wherein the patient has HCV subtype la and the T/T genotype of SNP rs 8099917 located near the IL-28B gene.
24. The method according to any of the preceding claims, wherein the patient has first been identified as having a CC or non-CC genotype of SNP rs 12979860 or a TT or non- TT genotype of SNP rs 8099917 located near the IL-28B gene prior to the administration step.
25. A packaged pharmaceutical composition comprising a packaging containing: (a) one or more doses of the following Compound (1) or a pharmaceutically acceptable salt thereof:
wherein B is or (b) one or more doses of the following Compound (2) or a pharmaceutically acceptable salt thereof:
and written instructions directing the co-administration of Compound (1), or a
pharmaceutically acceptable salt thereof, and Compound (2), or a pharmaceutically acceptable salt thereof, and optionally ribavirin for the treatment of HCV infection in a patient that has a CC or non-CC genotype of SNP rs 12979860 or a TT or non-TT genotype of SNP rs 8099917 located near the IL-28B gene.
26. A kit for the treatment of HCV infection comprising:
(a) one or more doses of the following Compound (1) or a pharmaceutically acceptable salt thereof:
(2) and written instructions directing the co-administration of Compound (1), or a pharmaceutically acceptable salt thereof, and Compound (2), or a pharmaceutically acceptable salt thereof, and optionally ribavirin for the treatment of HCV infection in a patient that has a CC or non-CC genotype of SNP rs 12979860 or a TT or non-TT genotype of SNP rs 8099917 located near the IL-28B gene.
27. A compound of the following formula (1) or a pharmaceutically acceptable salt thereof:
wherein B is for use together with a compound of the following formula (2) or a pharmaceutically acceptable salt thereof:
and optionally ribavirin, in a method for the treatment of HCV infection in a patient that has a CC or non-CC genotype of SNP rs 12979860 or a TT or non-TT genotype of SNP rs 8099917 located near the IL-28B gene.
28. A compound of the following formula (2) or a pharmaceutically acceptable salt thereof:
(2),
for use together with a compound of the following formula (1) or a pharmaceutically acceptable salt thereof:
Priority Applications (1)
| Application Number | Priority Date | Filing Date | Title |
|---|---|---|---|
| PCT/US2012/030692 WO2013147749A1 (en) | 2012-03-27 | 2012-03-27 | Oral combination therapy for treating hcv infection in specific patient subgenotype populations |
Applications Claiming Priority (1)
| Application Number | Priority Date | Filing Date | Title |
|---|---|---|---|
| PCT/US2012/030692 WO2013147749A1 (en) | 2012-03-27 | 2012-03-27 | Oral combination therapy for treating hcv infection in specific patient subgenotype populations |
Publications (1)
| Publication Number | Publication Date |
|---|---|
| WO2013147749A1 true WO2013147749A1 (en) | 2013-10-03 |
Family
ID=45922861
Family Applications (1)
| Application Number | Title | Priority Date | Filing Date |
|---|---|---|---|
| PCT/US2012/030692 Ceased WO2013147749A1 (en) | 2012-03-27 | 2012-03-27 | Oral combination therapy for treating hcv infection in specific patient subgenotype populations |
Country Status (1)
| Country | Link |
|---|---|
| WO (1) | WO2013147749A1 (en) |
Citations (12)
| Publication number | Priority date | Publication date | Assignee | Title |
|---|---|---|---|---|
| US4211771A (en) | 1971-06-01 | 1980-07-08 | Robins Ronald K | Treatment of human viral diseases with 1-B-D-ribofuranosyl-1,2,4-triazole-3-carboxamide |
| US6323180B1 (en) | 1998-08-10 | 2001-11-27 | Boehringer Ingelheim (Canada) Ltd | Hepatitis C inhibitor tri-peptides |
| US7141574B2 (en) | 2001-07-25 | 2006-11-28 | Boehringer Ingelheim (Canada) Ltd. | Viral polymerase inhibitors |
| US7514557B2 (en) | 2004-05-25 | 2009-04-07 | Boehringer Ingelheim International Gmbh | Process for preparing acyclic HCV protease inhibitors |
| US7582770B2 (en) | 2004-02-20 | 2009-09-01 | Boehringer Ingelheim International Gmbh | Viral polymerase inhibitors |
| US7585845B2 (en) | 2003-05-21 | 2009-09-08 | Boehringer Ingelheim International Gmbh | Hepatitis C inhibitor compounds |
| US7642352B2 (en) | 2005-02-11 | 2010-01-05 | Boehringer Ingelheim International Gmbh | Process for preparing 2,3-disubstituted indoles |
| US20100068182A1 (en) | 2008-09-17 | 2010-03-18 | Boehringer Ingelheim International Gmbh | Combination therapy for treating hcv infection |
| US20100093792A1 (en) | 2008-09-16 | 2010-04-15 | Boehringer Ingelheim International Gmbh | Crystalline forms of a potent hcv inhibitor |
| WO2010059667A1 (en) | 2008-11-21 | 2010-05-27 | Boehringer Ingelheim International Gmbh | Pharmaceutical composition of a potent hcv inhibitor for oral administration |
| WO2011005646A2 (en) | 2009-07-07 | 2011-01-13 | Boehringer Ingelheim International Gmbh | Pharmaceutical composition for a hepatitis c viral protease inhibitor |
| WO2012041771A1 (en) * | 2010-09-30 | 2012-04-05 | Boehringer Ingelheim International Gmbh | Combination therapy for treating hcv infection |
-
2012
- 2012-03-27 WO PCT/US2012/030692 patent/WO2013147749A1/en not_active Ceased
Patent Citations (14)
| Publication number | Priority date | Publication date | Assignee | Title |
|---|---|---|---|---|
| US4211771A (en) | 1971-06-01 | 1980-07-08 | Robins Ronald K | Treatment of human viral diseases with 1-B-D-ribofuranosyl-1,2,4-triazole-3-carboxamide |
| US6323180B1 (en) | 1998-08-10 | 2001-11-27 | Boehringer Ingelheim (Canada) Ltd | Hepatitis C inhibitor tri-peptides |
| USRE40525E1 (en) | 1998-08-10 | 2008-09-30 | Boehringer Ingelheim (Canada) Ltd. | Hepatitis C inhibitor tri-peptides |
| US7141574B2 (en) | 2001-07-25 | 2006-11-28 | Boehringer Ingelheim (Canada) Ltd. | Viral polymerase inhibitors |
| US20090087409A1 (en) | 2001-07-25 | 2009-04-02 | Boehringer Ingelheim (Canada) Ltd. | Viral Polymerase Inhibitors |
| US7585845B2 (en) | 2003-05-21 | 2009-09-08 | Boehringer Ingelheim International Gmbh | Hepatitis C inhibitor compounds |
| US7582770B2 (en) | 2004-02-20 | 2009-09-01 | Boehringer Ingelheim International Gmbh | Viral polymerase inhibitors |
| US7514557B2 (en) | 2004-05-25 | 2009-04-07 | Boehringer Ingelheim International Gmbh | Process for preparing acyclic HCV protease inhibitors |
| US7642352B2 (en) | 2005-02-11 | 2010-01-05 | Boehringer Ingelheim International Gmbh | Process for preparing 2,3-disubstituted indoles |
| US20100093792A1 (en) | 2008-09-16 | 2010-04-15 | Boehringer Ingelheim International Gmbh | Crystalline forms of a potent hcv inhibitor |
| US20100068182A1 (en) | 2008-09-17 | 2010-03-18 | Boehringer Ingelheim International Gmbh | Combination therapy for treating hcv infection |
| WO2010059667A1 (en) | 2008-11-21 | 2010-05-27 | Boehringer Ingelheim International Gmbh | Pharmaceutical composition of a potent hcv inhibitor for oral administration |
| WO2011005646A2 (en) | 2009-07-07 | 2011-01-13 | Boehringer Ingelheim International Gmbh | Pharmaceutical composition for a hepatitis c viral protease inhibitor |
| WO2012041771A1 (en) * | 2010-09-30 | 2012-04-05 | Boehringer Ingelheim International Gmbh | Combination therapy for treating hcv infection |
Non-Patent Citations (18)
| Title |
|---|
| AKUTA ET AL., HEPATOLOGY, vol. 52, 2010, pages 421 - 429 |
| BALAGOPAL, GASTROENTEROLOGY, vol. 139, 2010, pages 1865 - 1876 |
| BERG ET AL., HEPATOL, vol. 52, no. SL, 2010 |
| CHRONIC HEPATITIS C, GASTROENTEROLOGY, 2012 |
| G. CAIRNS, GENE VARIANT THAT HELPS HEPATITIS C TREATMENT MAY HINDER HIV TREATMENT, 2011 |
| GE ET AL., NATURE, vol. 461, 2009, pages 399 - 401 |
| GHANY, MARC ET AL.: "An Update on Treatment of Genotype 1 Chronic Hepatitis C Virus Infection: 2011 Practice Guideline by the American Association for the Study of Liver Diseases", HEPATOLOGY, vol. 54, no. 4, 2011, pages 1433 - 44, XP055039092, DOI: doi:10.1002/hep.24641 |
| LIU SHAN ET AL: "New protease inhibitors for the treatment of chronic hepatitis C: a cost-effectiveness analysis", ANNALS OF INTERNAL MEDICINE,, vol. 156, no. 4, 21 February 2012 (2012-02-21), pages 279 - 290, XP009163082, ISSN: 1539-3704 * |
| LIZ HIGHLEYMAN: "AASLD: All-Oral Combination of BI 201335, BI 207127 and Ribavirin Shows Good Efficacy at 12 Weeks", 1 December 2011 (2011-12-01), pages 1 - 3, XP002684260, Retrieved from the Internet <URL:www.hivandhepatitis.com/hepatitis-c/hepatitis-c-topics/hcv-treatment/3371-aasld-all-oral-combination-of-bi-201335-bi-207127-and-ribavirin-shows-good-efficacy-at-12-weeks> [retrieved on 20120927] * |
| S. M. BIRGE ET AL., J. PHARM. SCI., vol. 66, 1977, pages 1 - 19 |
| SALADANHA J; LELIE N; HEATH A: "Vox Sang", vol. 76, 1999, article "Establishment of the first international standard for nucleic acid amplification technology (NAT) assays for HCV RNA", pages: 149 - 158 |
| STEFAN ZEUZEM ET AL: "Efficacy of the Protease Inhibitor BI 201335, Polymerase Inhibitor BI 207127, and Ribavirin in Patients With Chronic HCV Infection", GASTROENTEROLOGY, ELSEVIER, PHILADELPHIA, PA, vol. 141, no. 6, 1 December 2011 (2011-12-01), pages 2047 - 2055, XP002664706, ISSN: 0016-5085, DOI: 10.1053/J.GASTRO.2011.08.051 * |
| SULKOWSKI MS ET AL., HEPATOL, vol. 50, 2009, pages 2A |
| SULKOWSKI MS ET AL., J HEPATOL, vol. 52, no. 1, 2010, pages S462 - S463 |
| WHITE PW ET AL., ANTIMICROB AGENTS CHEMOTHER, vol. 54, no. 11, 2010, pages 4611 - 4618 |
| ZEUZEM STEFAN ET AL: "HIGH SUSTAINED VIROLOGIC RESPONSE FOLLOWING INTERFERON-FREE TREATMENT OF CHRONIC HCV GT1 INFECTION FOR 4 WEEKS WITH HCV PROTEASE INHIBITOR BI201335, POLYMERASE INHIBITOR BI207127 AND RIBAVIRIN, FOLLOWED BY BI201335 AND PEGIFN/RIBAVIRIN - THE SOUND-C1 STUDY", HEPATOLOGY, WILLIAMS AND WILKINS, BALTIMORE, MD, US, vol. 54, no. Suppl. 1, 1 November 2011 (2011-11-01), pages 486A - 487A, XP009163084, ISSN: 0270-9139, [retrieved on 20110930], DOI: 10.1002/HEP.24666 * |
| ZEUZEM STEFAN ET AL: "STRONG ANTIVIRAL ACTIVITY AND SAFETY OF IFN-SPARING TREATMENT WITH THE PROTEASE INHIBITOR BI 201335, THE HCV POLYMERASE INHIBITOR BI 207127 AND RIBAVIRIN IN PATIENTS WITH CHRONIC HEPATITIS C", HEPATOLOGY, WILLIAMS AND WILKINS, BALTIMORE, MD, US, vol. 52, no. Suppl, 1 October 2010 (2010-10-01), pages 876A - 877A, XP009154421, ISSN: 0270-9139 * |
| ZEUZEM STEFAN ET AL: "VIROLOGIC RESPONSE TO AN INTERFERON-FREE REGIMEN OF BI201335 AND BI207127, WITH AND WITHOUT RIBAVIRIN, IN TREATMENT-NAIVE PATIENTS WITH CHRONIC GENOTYPE-1 HCV INFECTION: WEEK 12 INTERIM RESULTS OF THE SOUND-C2 STUDY", HEPATOLOGY, WILLIAMS AND WILKINS, BALTIMORE, MD, US, vol. 54, no. Suppl. 1, 1 November 2011 (2011-11-01), pages 1436A, XP009163087, ISSN: 0270-9139, [retrieved on 20110930], DOI: 10.1002/HEP.24666 * |
Similar Documents
| Publication | Publication Date | Title |
|---|---|---|
| JP6140815B2 (en) | Uracil Spirooxetane Nucleoside | |
| KR20130116245A (en) | Combination therapy for treating hcv infection | |
| WO2020257621A1 (en) | Methods of treating cancer | |
| JP6170944B2 (en) | Hetero-bicyclic derivatives as HCV inhibitors | |
| JP2013535458A (en) | Hetero-bicyclic derivatives as HCV inhibitors | |
| EP4267128A1 (en) | Methods of treating cancer | |
| WO2022140403A1 (en) | Methods of treating cancer | |
| JP2024504002A (en) | how to treat cancer | |
| JP2024500874A (en) | how to treat cancer | |
| JP2018012699A (en) | Quinazolinone derivatives as HCV inhibitors | |
| US20180263979A1 (en) | Combination of raf inhibitors and aurora kinase inhibitors | |
| WO2013147750A1 (en) | Oral combination therapy for treating hcv infection in specific patient sub-population | |
| WO2013147749A1 (en) | Oral combination therapy for treating hcv infection in specific patient subgenotype populations | |
| US20130288957A1 (en) | Oral combination therapy for treating hcv infection in specific patient subgenotype populations | |
| WO2001035959A1 (en) | Use of thiazole derivatives for treatment/prevention of p38 kinase mediated disorders | |
| US20130261050A1 (en) | Oral combination therapy for treating hcv infection in specific patient sub-population | |
| US20200316067A1 (en) | Combination of raf inhibitors and taxanes | |
| HK1182627A (en) | Combination therapy for treating hcv infection | |
| WO2014138374A1 (en) | Oral combination therapy for treating hcv infection in specific patient sub-population | |
| OA16325A (en) | Combination therapy for treating HCV infection. |
Legal Events
| Date | Code | Title | Description |
|---|---|---|---|
| 121 | Ep: the epo has been informed by wipo that ep was designated in this application |
Ref document number: 12711552 Country of ref document: EP Kind code of ref document: A1 |
|
| NENP | Non-entry into the national phase |
Ref country code: DE |
|
| 122 | Ep: pct application non-entry in european phase |
Ref document number: 12711552 Country of ref document: EP Kind code of ref document: A1 |






























