WO2013134467A1 - Selective histone deactylase 6 inhibitors - Google Patents
Selective histone deactylase 6 inhibitors Download PDFInfo
- Publication number
- WO2013134467A1 WO2013134467A1 PCT/US2013/029521 US2013029521W WO2013134467A1 WO 2013134467 A1 WO2013134467 A1 WO 2013134467A1 US 2013029521 W US2013029521 W US 2013029521W WO 2013134467 A1 WO2013134467 A1 WO 2013134467A1
- Authority
- WO
- WIPO (PCT)
- Prior art keywords
- alkyl
- compound
- aryl
- previous
- heteroaryl
- Prior art date
- Legal status (The legal status is an assumption and is not a legal conclusion. Google has not performed a legal analysis and makes no representation as to the accuracy of the status listed.)
- Ceased
Links
- 0 *CCc1ccccc1 Chemical compound *CCc1ccccc1 0.000 description 2
Classifications
-
- A—HUMAN NECESSITIES
- A61—MEDICAL OR VETERINARY SCIENCE; HYGIENE
- A61K—PREPARATIONS FOR MEDICAL, DENTAL OR TOILETRY PURPOSES
- A61K45/00—Medicinal preparations containing active ingredients not provided for in groups A61K31/00 - A61K41/00
- A61K45/06—Mixtures of active ingredients without chemical characterisation, e.g. antiphlogistics and cardiaca
-
- A—HUMAN NECESSITIES
- A61—MEDICAL OR VETERINARY SCIENCE; HYGIENE
- A61K—PREPARATIONS FOR MEDICAL, DENTAL OR TOILETRY PURPOSES
- A61K31/00—Medicinal preparations containing organic active ingredients
- A61K31/33—Heterocyclic compounds
- A61K31/395—Heterocyclic compounds having nitrogen as a ring hetero atom, e.g. guanethidine or rifamycins
- A61K31/435—Heterocyclic compounds having nitrogen as a ring hetero atom, e.g. guanethidine or rifamycins having six-membered rings with one nitrogen as the only ring hetero atom
- A61K31/4353—Heterocyclic compounds having nitrogen as a ring hetero atom, e.g. guanethidine or rifamycins having six-membered rings with one nitrogen as the only ring hetero atom ortho- or peri-condensed with heterocyclic ring systems
- A61K31/437—Heterocyclic compounds having nitrogen as a ring hetero atom, e.g. guanethidine or rifamycins having six-membered rings with one nitrogen as the only ring hetero atom ortho- or peri-condensed with heterocyclic ring systems the heterocyclic ring system containing a five-membered ring having nitrogen as a ring hetero atom, e.g. indolizine, beta-carboline
-
- A—HUMAN NECESSITIES
- A61—MEDICAL OR VETERINARY SCIENCE; HYGIENE
- A61P—SPECIFIC THERAPEUTIC ACTIVITY OF CHEMICAL COMPOUNDS OR MEDICINAL PREPARATIONS
- A61P17/00—Drugs for dermatological disorders
-
- A—HUMAN NECESSITIES
- A61—MEDICAL OR VETERINARY SCIENCE; HYGIENE
- A61P—SPECIFIC THERAPEUTIC ACTIVITY OF CHEMICAL COMPOUNDS OR MEDICINAL PREPARATIONS
- A61P35/00—Antineoplastic agents
-
- A—HUMAN NECESSITIES
- A61—MEDICAL OR VETERINARY SCIENCE; HYGIENE
- A61P—SPECIFIC THERAPEUTIC ACTIVITY OF CHEMICAL COMPOUNDS OR MEDICINAL PREPARATIONS
- A61P43/00—Drugs for specific purposes, not provided for in groups A61P1/00-A61P41/00
-
- C—CHEMISTRY; METALLURGY
- C07—ORGANIC CHEMISTRY
- C07C—ACYCLIC OR CARBOCYCLIC COMPOUNDS
- C07C275/00—Derivatives of urea, i.e. compounds containing any of the groups, the nitrogen atoms not being part of nitro or nitroso groups
- C07C275/04—Derivatives of urea, i.e. compounds containing any of the groups, the nitrogen atoms not being part of nitro or nitroso groups having nitrogen atoms of urea groups bound to acyclic carbon atoms
- C07C275/20—Derivatives of urea, i.e. compounds containing any of the groups, the nitrogen atoms not being part of nitro or nitroso groups having nitrogen atoms of urea groups bound to acyclic carbon atoms of an unsaturated carbon skeleton
- C07C275/24—Derivatives of urea, i.e. compounds containing any of the groups, the nitrogen atoms not being part of nitro or nitroso groups having nitrogen atoms of urea groups bound to acyclic carbon atoms of an unsaturated carbon skeleton containing six-membered aromatic rings
-
- C—CHEMISTRY; METALLURGY
- C07—ORGANIC CHEMISTRY
- C07C—ACYCLIC OR CARBOCYCLIC COMPOUNDS
- C07C275/00—Derivatives of urea, i.e. compounds containing any of the groups, the nitrogen atoms not being part of nitro or nitroso groups
- C07C275/28—Derivatives of urea, i.e. compounds containing any of the groups, the nitrogen atoms not being part of nitro or nitroso groups having nitrogen atoms of urea groups bound to carbon atoms of six-membered aromatic rings of a carbon skeleton
-
- C—CHEMISTRY; METALLURGY
- C07—ORGANIC CHEMISTRY
- C07C—ACYCLIC OR CARBOCYCLIC COMPOUNDS
- C07C275/00—Derivatives of urea, i.e. compounds containing any of the groups, the nitrogen atoms not being part of nitro or nitroso groups
- C07C275/28—Derivatives of urea, i.e. compounds containing any of the groups, the nitrogen atoms not being part of nitro or nitroso groups having nitrogen atoms of urea groups bound to carbon atoms of six-membered aromatic rings of a carbon skeleton
- C07C275/30—Derivatives of urea, i.e. compounds containing any of the groups, the nitrogen atoms not being part of nitro or nitroso groups having nitrogen atoms of urea groups bound to carbon atoms of six-membered aromatic rings of a carbon skeleton being further substituted by halogen atoms, or by nitro or nitroso groups
-
- C—CHEMISTRY; METALLURGY
- C07—ORGANIC CHEMISTRY
- C07C—ACYCLIC OR CARBOCYCLIC COMPOUNDS
- C07C275/00—Derivatives of urea, i.e. compounds containing any of the groups, the nitrogen atoms not being part of nitro or nitroso groups
- C07C275/28—Derivatives of urea, i.e. compounds containing any of the groups, the nitrogen atoms not being part of nitro or nitroso groups having nitrogen atoms of urea groups bound to carbon atoms of six-membered aromatic rings of a carbon skeleton
- C07C275/32—Derivatives of urea, i.e. compounds containing any of the groups, the nitrogen atoms not being part of nitro or nitroso groups having nitrogen atoms of urea groups bound to carbon atoms of six-membered aromatic rings of a carbon skeleton being further substituted by singly-bound oxygen atoms
- C07C275/34—Derivatives of urea, i.e. compounds containing any of the groups, the nitrogen atoms not being part of nitro or nitroso groups having nitrogen atoms of urea groups bound to carbon atoms of six-membered aromatic rings of a carbon skeleton being further substituted by singly-bound oxygen atoms having nitrogen atoms of urea groups and singly-bound oxygen atoms bound to carbon atoms of the same non-condensed six-membered aromatic ring
-
- C—CHEMISTRY; METALLURGY
- C07—ORGANIC CHEMISTRY
- C07D—HETEROCYCLIC COMPOUNDS
- C07D209/00—Heterocyclic compounds containing five-membered rings, condensed with other rings, with one nitrogen atom as the only ring hetero atom
- C07D209/02—Heterocyclic compounds containing five-membered rings, condensed with other rings, with one nitrogen atom as the only ring hetero atom condensed with one carbocyclic ring
- C07D209/04—Indoles; Hydrogenated indoles
- C07D209/10—Indoles; Hydrogenated indoles with substituted hydrocarbon radicals attached to carbon atoms of the hetero ring
- C07D209/14—Radicals substituted by nitrogen atoms, not forming part of a nitro radical
-
- C—CHEMISTRY; METALLURGY
- C07—ORGANIC CHEMISTRY
- C07D—HETEROCYCLIC COMPOUNDS
- C07D213/00—Heterocyclic compounds containing six-membered rings, not condensed with other rings, with one nitrogen atom as the only ring hetero atom and three or more double bonds between ring members or between ring members and non-ring members
- C07D213/02—Heterocyclic compounds containing six-membered rings, not condensed with other rings, with one nitrogen atom as the only ring hetero atom and three or more double bonds between ring members or between ring members and non-ring members having three double bonds between ring members or between ring members and non-ring members
- C07D213/04—Heterocyclic compounds containing six-membered rings, not condensed with other rings, with one nitrogen atom as the only ring hetero atom and three or more double bonds between ring members or between ring members and non-ring members having three double bonds between ring members or between ring members and non-ring members having no bond between the ring nitrogen atom and a non-ring member or having only hydrogen or carbon atoms directly attached to the ring nitrogen atom
- C07D213/60—Heterocyclic compounds containing six-membered rings, not condensed with other rings, with one nitrogen atom as the only ring hetero atom and three or more double bonds between ring members or between ring members and non-ring members having three double bonds between ring members or between ring members and non-ring members having no bond between the ring nitrogen atom and a non-ring member or having only hydrogen or carbon atoms directly attached to the ring nitrogen atom with hetero atoms or with carbon atoms having three bonds to hetero atoms with at the most one bond to halogen, e.g. ester or nitrile radicals, directly attached to ring carbon atoms
- C07D213/72—Nitrogen atoms
- C07D213/75—Amino or imino radicals, acylated by carboxylic or carbonic acids, or by sulfur or nitrogen analogues thereof, e.g. carbamates
-
- C—CHEMISTRY; METALLURGY
- C07—ORGANIC CHEMISTRY
- C07D—HETEROCYCLIC COMPOUNDS
- C07D233/00—Heterocyclic compounds containing 1,3-diazole or hydrogenated 1,3-diazole rings, not condensed with other rings
- C07D233/54—Heterocyclic compounds containing 1,3-diazole or hydrogenated 1,3-diazole rings, not condensed with other rings having two double bonds between ring members or between ring members and non-ring members
- C07D233/66—Heterocyclic compounds containing 1,3-diazole or hydrogenated 1,3-diazole rings, not condensed with other rings having two double bonds between ring members or between ring members and non-ring members with hetero atoms or with carbon atoms having three bonds to hetero atoms with at the most one bond to halogen, e.g. ester or nitrile radicals, directly attached to ring carbon atoms
- C07D233/72—Two oxygen atoms, e.g. hydantoin
-
- C—CHEMISTRY; METALLURGY
- C07—ORGANIC CHEMISTRY
- C07D—HETEROCYCLIC COMPOUNDS
- C07D233/00—Heterocyclic compounds containing 1,3-diazole or hydrogenated 1,3-diazole rings, not condensed with other rings
- C07D233/54—Heterocyclic compounds containing 1,3-diazole or hydrogenated 1,3-diazole rings, not condensed with other rings having two double bonds between ring members or between ring members and non-ring members
- C07D233/66—Heterocyclic compounds containing 1,3-diazole or hydrogenated 1,3-diazole rings, not condensed with other rings having two double bonds between ring members or between ring members and non-ring members with hetero atoms or with carbon atoms having three bonds to hetero atoms with at the most one bond to halogen, e.g. ester or nitrile radicals, directly attached to ring carbon atoms
- C07D233/72—Two oxygen atoms, e.g. hydantoin
- C07D233/76—Two oxygen atoms, e.g. hydantoin with substituted hydrocarbon radicals attached to the third ring carbon atom
- C07D233/78—Radicals substituted by oxygen atoms
-
- C—CHEMISTRY; METALLURGY
- C07—ORGANIC CHEMISTRY
- C07D—HETEROCYCLIC COMPOUNDS
- C07D235/00—Heterocyclic compounds containing 1,3-diazole or hydrogenated 1,3-diazole rings, condensed with other rings
- C07D235/02—Heterocyclic compounds containing 1,3-diazole or hydrogenated 1,3-diazole rings, condensed with other rings condensed with carbocyclic rings or ring systems
- C07D235/04—Benzimidazoles; Hydrogenated benzimidazoles
- C07D235/24—Benzimidazoles; Hydrogenated benzimidazoles with hetero atoms or with carbon atoms having three bonds to hetero atoms with at the most one bond to halogen, e.g. ester or nitrile radicals, directly attached in position 2
- C07D235/26—Oxygen atoms
-
- C—CHEMISTRY; METALLURGY
- C07—ORGANIC CHEMISTRY
- C07D—HETEROCYCLIC COMPOUNDS
- C07D239/00—Heterocyclic compounds containing 1,3-diazine or hydrogenated 1,3-diazine rings
- C07D239/02—Heterocyclic compounds containing 1,3-diazine or hydrogenated 1,3-diazine rings not condensed with other rings
- C07D239/24—Heterocyclic compounds containing 1,3-diazine or hydrogenated 1,3-diazine rings not condensed with other rings having three or more double bonds between ring members or between ring members and non-ring members
- C07D239/28—Heterocyclic compounds containing 1,3-diazine or hydrogenated 1,3-diazine rings not condensed with other rings having three or more double bonds between ring members or between ring members and non-ring members with hetero atoms or with carbon atoms having three bonds to hetero atoms with at the most one bond to halogen, directly attached to ring carbon atoms
- C07D239/32—One oxygen, sulfur or nitrogen atom
- C07D239/42—One nitrogen atom
-
- C—CHEMISTRY; METALLURGY
- C07—ORGANIC CHEMISTRY
- C07D—HETEROCYCLIC COMPOUNDS
- C07D261/00—Heterocyclic compounds containing 1,2-oxazole or hydrogenated 1,2-oxazole rings
- C07D261/02—Heterocyclic compounds containing 1,2-oxazole or hydrogenated 1,2-oxazole rings not condensed with other rings
- C07D261/06—Heterocyclic compounds containing 1,2-oxazole or hydrogenated 1,2-oxazole rings not condensed with other rings having two or more double bonds between ring members or between ring members and non-ring members
- C07D261/10—Heterocyclic compounds containing 1,2-oxazole or hydrogenated 1,2-oxazole rings not condensed with other rings having two or more double bonds between ring members or between ring members and non-ring members with hetero atoms or with carbon atoms having three bonds to hetero atoms with at the most one bond to halogen, e.g. ester or nitrile radicals, directly attached to ring carbon atoms
- C07D261/14—Nitrogen atoms
-
- C—CHEMISTRY; METALLURGY
- C07—ORGANIC CHEMISTRY
- C07D—HETEROCYCLIC COMPOUNDS
- C07D295/00—Heterocyclic compounds containing polymethylene-imine rings with at least five ring members, 3-azabicyclo [3.2.2] nonane, piperazine, morpholine or thiomorpholine rings, having only hydrogen atoms directly attached to the ring carbon atoms
- C07D295/04—Heterocyclic compounds containing polymethylene-imine rings with at least five ring members, 3-azabicyclo [3.2.2] nonane, piperazine, morpholine or thiomorpholine rings, having only hydrogen atoms directly attached to the ring carbon atoms with substituted hydrocarbon radicals attached to ring nitrogen atoms
- C07D295/12—Heterocyclic compounds containing polymethylene-imine rings with at least five ring members, 3-azabicyclo [3.2.2] nonane, piperazine, morpholine or thiomorpholine rings, having only hydrogen atoms directly attached to the ring carbon atoms with substituted hydrocarbon radicals attached to ring nitrogen atoms substituted by singly or doubly bound nitrogen atoms
- C07D295/125—Heterocyclic compounds containing polymethylene-imine rings with at least five ring members, 3-azabicyclo [3.2.2] nonane, piperazine, morpholine or thiomorpholine rings, having only hydrogen atoms directly attached to the ring carbon atoms with substituted hydrocarbon radicals attached to ring nitrogen atoms substituted by singly or doubly bound nitrogen atoms with the ring nitrogen atoms and the substituent nitrogen atoms attached to the same carbon chain, which is not interrupted by carbocyclic rings
- C07D295/13—Heterocyclic compounds containing polymethylene-imine rings with at least five ring members, 3-azabicyclo [3.2.2] nonane, piperazine, morpholine or thiomorpholine rings, having only hydrogen atoms directly attached to the ring carbon atoms with substituted hydrocarbon radicals attached to ring nitrogen atoms substituted by singly or doubly bound nitrogen atoms with the ring nitrogen atoms and the substituent nitrogen atoms attached to the same carbon chain, which is not interrupted by carbocyclic rings to an acyclic saturated chain
Definitions
- Epigenetic regulation and subsequent gene expression or silencing represents a tightly orchestrated interplay among enzymes responsible for modifying the tails of histones, around which nuclear DNA is wrapped.
- the cell is capable of balancing the activity of both histone acetyltransferases (HAT) and histone deacetylases (HDAC) to attach or remove the acetyl group, respectively, from the lysine tails of these histone barrels.
- HAT histone acetyltransferases
- HDAC histone deacetylases
- This particular epigenetic marker masks the positive lysine residues from interacting closely with the DNA phosphate-backbone, resulting in a more "open” chromatin state, whereas the deacetylases remove these acetyl groups, resulting in a more "closed” or compacted DNA- histone state.
- HDAC6i HDAC6 inhibitors
- HDAC6i for certain cancers, specifically in combination with known drugs
- drugs Santo et al., "Preclinical activity, pharmacodynamic, and pharmacokinetic properties of a selective HDAC6i, ACY-1215, in combination with bortezomib in multiple myeloma," Blood 2012, 119(11):2579-2589.
- HDACIs can be useful as possible therapeutics for melanoma; however, studies to date have focused on using pan-HDACIs, such as
- SAHA suberoylanilide hydroxamic acid
- HDAC Histone deacetylase
- HDAC 6 has emerged as a target in the treatment of melanoma and other cancers.
- Such an approach can be devoid of the cytotoxic properties of the pan-HDACi's and thus of value in the context of safer cancer therapeutics (Parmigiani et al., "HDAC6 is a specific deacetylase of peroxiredoxins and is involved in redox regulation,” Proc Nat Acad Sci USA 2008, 705(28):9633-9638).
- HDAC6 is a specific deacetylase of peroxiredoxins and is involved in redox regulation
- Proc Nat Acad Sci USA 2008, 705(28):9633-9638 What are needed then are new and selective HDAC6 inhibitors and methods of making and using them to treat various cancers as well as to augment various tumor immune responses.
- the compositions and methods disclosed herein address these and other needs.
- Figure 1 is an image depicting the grouping ofHDACs.
- FIG 2 is an image depicting HDACs are targets for histone deacetylase inhibitors (HDACi).
- Figure 3 is an image depicting HDAC6 was found to influence the IL-10 gene expression in APCs.
- Figure 4 is an image depicting the genetic or pharmacologic disruption of HDAC6 inhibits IL-IO.
- Figure 5 is an image depicting the genetic disruption of HDAC6 enhances APC function.
- Figure 6 is an image depicting mechanisms as shown by CHIP analysis oflL-10 gene promotor in macrophages include H3 and H4 acetylation; HDAC6 recruitment; and binding of STAT3 and other transcription factors at several timepoints after LPS stimulation.
- Figure 7 is an image depicting that knocking down HDAC6 results in a decreased recruitment of the transcriptional activator STAT3 to the IL-10 gene promotor.
- Figure 8 is an image depicting disruption of STAT3 binding to the gene promoter resulted in decreased recruitment of HDAC6 and diminished IL-10 production.
- Figure 9 is an image depicting disruption of HDAC6 inhibits STAT3 phosphorylation.
- Figure 10 is a series of images depicting that increased expression of HDAC6 and IL- lOmR A in human melanoma.
- Figure 11 is a series of images that illustrate HDAC6 expression in murine and human melanoma cell lines.
- Figure 12 is a series of images depicting HDAC protein expression in melanoma.
- Figure 13 is a series of images depicting decreased proliferation and cell cycle arrest in melanoma cells lacking HDAC6.
- Figure 14 is a series of images depicting melanoma cells lacking in HDAC6 are more Immunogemc.
- Figure 15 is a series of images depicting the pharmacologic inhibition of HDAC6 in melanoma cells resulted in cell cycle arrest and increased expression of MHC molecules.
- Figure 16 is an image depicting tubastatin-A inhibits JAK2/STAT3 phosphorylation in B16 murine melanoma cells in vivo.
- Figure 17 is a series of images depicting tubastatin A augments antigen- specific CD4+T -cell responses to vaccination in melanoma bearing mice.
- Figure 18 is an image depicting tubastatin A, a selective HDAC6 inhibitor decreased STAT3 phosphorylation and recruitment to the IL-10 gene promotor in APCs.
- Figure 19 is an image depicting the phenotypic and functional changes in APCs treated with Tubastatin A.
- Figure 20 is an image depicting tubastatin A-treated APCs are better activators of naive
- T -cells restore the responsiveness of anergic T cells.
- Figure 21 is a graph depicting the antitumor effect of tubastatin A in vivo.
- Figure 22 is a series of images depicting that tubastatin A does not affect PEM.
- Figure 23 is a series of images depicting the immunological effects of Tubastatin A upon macrophages.
- Figure 24 is a series of images depicting Tubastatin A inhibits IL-10 transcription by disrupting the JAKISTAT3 pathway in macrophages.
- Figure 25 is a graph depicting the inhibitory effect of tubastatin A upon IL-10
- Figure 26 is a flow chart depicting the experimental design of the in vitro antigenpresenting studies.
- Figure 27 is a series of images depicting that tubastatin A treated macrophages are better activators of naive T -cells and restore function of anergic T -cells.
- Figure 28 is a series of images depicting in vivo treatment with tubastatin A augment the response of antigen-specific T-cell to vaccination.
- Figure 29 is an image depicting HDAC6 expression in human MCL.
- Figure 30 is a series of images depicting the disruption ofHDAC6 in human MCL cell lines.
- Figure 31 is an image depicting the disruption of HDAC6 in murine FC-muMCLI cells.
- Figure 32 is an image depicting the immunological effects of HDAC6 inhibition in MCL. Changes in MHC, co-stimulatory molecules and/or cytokine production in response to LPS or CpG +/- ST-3-06 or Tubastatin A are show.
- Figure 33 is a series of images depicting the antigen-presenting function of FCmuMCLI cells treated with ST-3-06.
- Figure 34 is a senes of images depicting the antigen-presenting function of FCmuMCLI cells treated with tubastatin A.
- Figure 35 is an image depicting the antitumor effect of tubas tat in A in vivo.
- Figure 36 is a series of images depicting the disruption of HDAC6 inhibits STAT3 phosphorylation in APCs.
- Figure 37 is a series of images depicting ST -3-06 decreased STAT3 phosphorylation and recruitment to the IL-10 gene promotor in APCs.
- Figure 38 is a Western blot sselling substrate specificity of 5g.
- the disclosed subject matter relates to compositions and methods of making and using the compositions.
- the disclosed subject matter relates to compounds having activity as selective HDAC6 inhibitors, methods of making and using the compounds, and compositions comprising the compounds.
- the disclosed subject matter relates to compounds having the chemical structure shown in Formulas I or II, in particular Formula I-A, I-B, and I-C, as defined herein.
- the disclosed subject matter relates to methods for treating oncological disorders in a patient.
- a compound or composition disclosed herein is administered to a patient having an oncological disorder, for example melanoma, and who is in need of treatment thereof.
- an oncological disorder for example melanoma
- Methods of using the disclosed compounds to inhibit or kill tumor cells, to inhibit HDAC6, and to augument tumor inflammatory responses are also disclosed.
- Ranges can be expressed herein as from “about” one particular value, and/or to "about” another particular value. When such a range is expressed, another aspect includes from the one particular value and/or to the other particular value. Similarly, when values are expressed as approximations, by use of the antecedent "about,” it will be understood that the particular value forms another aspect. It will be further understood that the endpoints of each of the ranges are significant both in relation to the other endpoint, and independently of the other endpoint. It is also understood that there are a number of values disclosed herein, and that each value is also herein disclosed as “about” that particular value in addition to the value itself. For example, if the value “10” is disclosed, then “about 10" is also disclosed.
- a “subject” is meant an individual.
- the “subject” can include domesticated animals (e.g., cats, dogs, etc.), livestock (e.g., cattle, horses, pigs, sheep, goats, etc.), laboratory animals (e.g., mouse, rabbit, rat, guinea pig, etc.), and birds.
- “Subject” can also include a mammal, such as a primate or a human.
- reduce or other forms of the word, such as “reducing” or “reduction,” is meant lowering of an event or characteristic (e.g., tumor growth). It is understood that this is typically in relation to some standard or expected value, in other words it is relative, but that it is not always necessary for the standard or relative value to be referred to. For example, “reduces tumor growth” means reducing the rate of growth of a tumor relative to a standard or a control.
- prevent or other forms of the word, such as “preventing” or “prevention,” is meant to stop a particular event or characteristic, to stabilize or delay the development or progression of a particular event or characteristic, or to minimize the chances that a particular event or characteristic will occur. Prevent does not require comparison to a control as it is typically more absolute than, for example, reduce. As used herein, something could be reduced but not prevented, but something that is reduced could also be prevented. Likewise, something could be prevented but not reduced, but something that is prevented could also be reduced. It is understood that where reduce or prevent are used, unless specifically indicated otherwise, the use of the other word is also expressly disclosed.
- treat or other forms of the word, such as “treated” or “treatment,” is meant to administer a composition or to perform a method in order to reduce, prevent, inhibit, or eliminate a particular characteristic or event (e.g., tumor growth or survival).
- control is used synonymously with the term “treat.”
- anticancer refers to the ability to treat or control cellular proliferation and/or tumor growth at any concentration.
- the term "substituted" is contemplated to include all permissible substituents of organic compounds.
- the permissible substituents include acyclic and cyclic, branched and unbranched, carbocyclic and heterocyclic, and aromatic and nonaromatic substituents of organic compounds.
- Illustrative substituents include, for example, those described below.
- the permissible substituents can be one or more and the same or different for appropriate organic compounds.
- the heteroatoms, such as nitrogen can have hydrogen substituents and/or any permissible substituents of organic compounds described herein which satisfy the valences of the heteroatoms.
- substitution or “substituted with” include the implicit proviso that such substitution is in accordance with permitted valence of the substituted atom and the substituent, and that the substitution results in a stable compound, e.g. , a compound that does not
- aliphatic refers to a non-aromatic hydrocarbon group and includes branched and unbranched, alkyl, alkenyl, or alkynyl groups.
- alkyl as used herein is a branched or unbranched saturated hydrocarbon group of 1 to 24 carbon atoms, such as methyl, ethyl, n-propyl, isopropyl, n-butyl, isobutyl, t- butyl, pentyl, hexyl, heptyl, octyl, nonyl, decyl, dodecyl, tetradecyl, hexadecyl, eicosyl, tetracosyl, and the like.
- the alkyl group can also be substituted or unsubstituted.
- the alkyl group can be substituted with one or more groups including, but not limited to, alkyl, halogenated alkyl, alkoxy, alkenyl, alkynyl, aryl, heteroaryl, aldehyde, amino, carboxylic acid, ester, ether, halide, hydroxy, ketone, nitro, silyl, sulfo-oxo, sulfonyl, sulfone, sulfoxide, or thiol, as described below.
- groups including, but not limited to, alkyl, halogenated alkyl, alkoxy, alkenyl, alkynyl, aryl, heteroaryl, aldehyde, amino, carboxylic acid, ester, ether, halide, hydroxy, ketone, nitro, silyl, sulfo-oxo, sulfonyl, sulfone, sulfoxide, or thiol, as described below
- alkyl is generally used to refer to both unsubstituted alkyl groups and substituted alkyl groups; however, substituted alkyl groups are also specifically referred to herein by identifying the specific substituent(s) on the alkyl group.
- halogenated alkyl specifically refers to an alkyl group that is substituted with one or more halide, e.g., fluorine, chlorine, bromine, or iodine.
- alkoxyalkyl specifically refers to an alkyl group that is substituted with one or more alkoxy groups, as described below.
- alkylamino specifically refers to an alkyl group that is substituted with one or more amino groups, as described below, and the like.
- alkyl is used in one instance and a specific term such as “alkylalcohol” is used in another, it is not meant to imply that the term “alkyl” does not also refer to specific terms such as “alkylalcohol” and the like.
- cycloalkyl refers to both unsubstituted and substituted cycloalkyl moieties
- the substituted moieties can, in addition, be specifically identified herein; for example, a particular substituted cycloalkyl can be referred to as, e.g., an "alkylcycloalkyl.”
- a substituted alkoxy can be specifically referred to as, e.g., a "halogenated alkoxy”
- a particular substituted alkenyl can be, e.g., an "alkenylalcohol,” and the like.
- alkoxy as used herein is an alkyl group bound through a single, terminal ether linkage; that is, an “alkoxy” group can be defined as— OZ 1 where Z 1 is alkyl as defined above.
- alkenyl as used herein is a hydrocarbon group of from 2 to 24 carbon atoms with a structural formula containing at least one carbon-carbon double bond.
- the alkenyl group can be substituted with one or more groups including, but not limited to, alkyl, halogenated alkyl, alkoxy, alkenyl, alkynyl, aryl, heteroaryl, aldehyde, amino, carboxylic acid, ester, ether, halide, hydroxy, ketone, nitro, silyl, sulfo-oxo, sulfonyl, sulfone, sulfoxide, or thiol, as described below.
- groups including, but not limited to, alkyl, halogenated alkyl, alkoxy, alkenyl, alkynyl, aryl, heteroaryl, aldehyde, amino, carboxylic acid, ester, ether, halide, hydroxy, ketone, nitro, silyl, sulfo-oxo, sulfonyl, sulfone, sulfoxide, or thiol, as described
- alkynyl is a hydrocarbon group of 2 to 24 carbon atoms with a structural formula containing at least one carbon-carbon triple bond.
- the alkynyl group can be substituted with one or more groups including, but not limited to, alkyl, halogenated alkyl, alkoxy, alkenyl, alkynyl, aryl, heteroaryl, aldehyde, amino, carboxylic acid, ester, ether, halide, hydroxy, ketone, nitro, silyl, sulfo-oxo, sulfonyl, sulfone, sulfoxide, or thiol, as described below.
- aryl as used herein is a group that contains any carbon-based aromatic group including, but not limited to, benzene, naphthalene, phenyl, biphenyl, phenoxybenzene, and the like.
- heteroaryl is defined as a group that contains an aromatic group that has at least one heteroatom incorporated within the ring of the aromatic group. Examples of heteroatoms include, but are not limited to, nitrogen, oxygen, sulfur, and phosphorus.
- non- heteroaryl which is included in the term “aryl,” defines a group that contains an aromatic group that does not contain a heteroatom. The aryl or heteroaryl group can be substituted or unsubstituted.
- the aryl or heteroaryl group can be substituted with one or more groups including, but not limited to, alkyl, halogenated alkyl, alkoxy, alkenyl, alkynyl, aryl, heteroaryl, aldehyde, amino, carboxylic acid, ester, ether, halide, hydroxy, ketone, nitro, silyl, sulfo-oxo, sulfonyl, sulfone, sulfoxide, or thiol as described herein.
- the term "biaryl" is a specific type of aryl group and is included in the definition of aryl. Biaryl refers to two aryl groups that are bound together via a fused ring structure, as in naphthalene, or are attached via one or more carbon-carbon bonds, as in biphenyl.
- cycloalkyl as used herein is a non-aromatic carbon-based ring composed of at least three carbon atoms.
- examples of cycloalkyl groups include, but are not limited to, cyclopropyl, cyclobutyl, cyclopentyl, cyclohexyl, etc.
- heterocycloalkyl is a cycloalkyl group as defined above where at least one of the carbon atoms of the ring is substituted with a heteroatom such as, but not limited to, nitrogen, oxygen, sulfur, or
- cycloalkyl group and heterocycloalkyl group can be substituted or
- the cycloalkyl group and heterocycloalkyl group can be substituted with one or more groups including, but not limited to, alkyl, alkoxy, alkenyl, alkynyl, aryl, heteroaryl, aldehyde, amino, carboxylic acid, ester, ether, halide, hydroxy, ketone, nitro, silyl, sulfo-oxo, sulfonyl, sulfone, sulfoxide, or thiol as described herein.
- Examples of cycloalkenyl groups include, but are not limited to, cyclopropenyl, cyclobutenyl, cyclopentenyl, cyclopentadienyl, cyclohexenyl, cyclohexadienyl, and the like.
- heterocycloalkenyl is a type of cycloalkenyl group as defined above, and is included within the meaning of the term “cycloalkenyl,” where at least one of the carbon atoms of the ring is substituted with a heteroatom such as, but not limited to, nitrogen, oxygen, sulfur, or phosphorus.
- cycloalkenyl group and heterocycloalkenyl group can be substituted or unsubstituted.
- the cycloalkenyl group and heterocycloalkenyl group can be substituted with one or more groups including, but not limited to, alkyl, alkoxy, alkenyl, alkynyl, aryl, heteroaryl, aldehyde, amino, carboxylic acid, ester, ether, halide, hydroxy, ketone, nitro, silyl, sulfo-oxo, sulfonyl, sulfone, sulfoxide, or thiol as described herein.
- cyclic group is used herein to refer to either aryl groups, non-aryl groups (i.e. , cycloalkyl, heterocycloalkyl, cycloalkenyl, and heterocycloalkenyl groups), or both. Cyclic groups have one or more ring systems that can be substituted or unsubstituted. A cyclic group can contain one or more aryl groups, one or more non-aryl groups, or one or more aryl groups and one or more non-aryl groups.
- amine or “amino” as used herein are represented by the formula— NZ Z 2 , where Z 1 and Z 2 can each be substitution group as described herein, such as hydrogen, an alkyl, halogenated alkyl, alkenyl, alkynyl, aryl, heteroaryl, cycloalkyl, cycloalkenyl, heterocycloalkyl, or heterocycloalkenyl group described above.
- substitution group such as hydrogen, an alkyl, halogenated alkyl, alkenyl, alkynyl, aryl, heteroaryl, cycloalkyl, cycloalkenyl, heterocycloalkyl, or heterocycloalkenyl group described above.
- substitution group such as hydrogen, an alkyl, halogenated alkyl, alkenyl, alkynyl, aryl, heteroaryl, cycloalkyl, cycloalkenyl, heterocycloalkyl, or heterocycloalkenyl
- esters as used herein is represented by the formula— OC(0)Z 1 or
- Z 1 can be an alkyl, halogenated alkyl, alkenyl, alkynyl, aryl, heteroaryl, cycloalkyl, cycloalkenyl, heterocycloalkyl, or heterocycloalkenyl group described above.
- ether as used herein is represented by the formula Z 1 OZ 2 , where Z 1 and Z 2 can be, independently, an alkyl, halogenated alkyl, alkenyl, alkynyl, aryl, heteroaryl, cycloalkyl, cycloalkenyl, heterocycloalkyl, or heterocycloalkenyl group described above.
- ketone as used herein is represented by the formula ⁇ (0) ⁇ 2 , where Z 1 and Z 2 can be, independently, an alkyl, halogenated alkyl, alkenyl, alkynyl, aryl, heteroaryl, cycloalkyl, cycloalkenyl, heterocycloalkyl, or heterocycloalkenyl group described above.
- halide or “halogen” as used herein refers to the fluorine, chlorine, bromine, and iodine.
- hydroxyl as used herein is represented by the formula— OH.
- nitro as used herein is represented by the formula— N0 2 .
- sil as used herein is represented by the formula— SiZ 1 Z 2 Z 3 , where Z 1 , Z 2 , and Z 3 can be, independently, hydrogen, alkyl, halogenated alkyl, alkoxy, alkenyl, alkynyl, aryl, heteroaryl, cycloalkyl, cycloalkenyl, heterocycloalkyl, or heterocycloalkenyl group described above.
- sulfonyl is used herein to refer to the sulfo-oxo group represented by the formula where Z 1 can be hydrogen, an alkyl, halogenated alkyl, alkenyl, alkynyl, aryl, heteroaryl, cycloalkyl, cycloalkenyl, heterocycloalkyl, or heterocycloalkenyl group described above.
- sulfonylamino or "sulfonamide” as used herein is represented by the formula — S(0) 2 NH— .
- R 1 ,” “R 2 ,” “R 3 ,” “R n ,” etc., where n is some integer, as used herein can, independently, possess one or more of the groups listed above.
- R 1 is a straight chain alkyl group
- one of the hydrogen atoms of the alkyl group can optionally be substituted with a hydroxyl group, an alkoxy group, an amine group, an alkyl group, a halide, and the like.
- a first group can be incorporated within second group or, alternatively, the first group can be pendant (i.e., attached) to the second group.
- the amino group can be incorporated within the backbone of the alkyl group.
- the amino group can be attached to the backbone of the alkyl group. The nature of the group(s) that is (are) selected will determine if the first group is embedded or attached to the second group.
- a formula with chemical bonds shown only as solid lines and not as wedges or dashed lines contemplates each possible isomer, e.g. , each enantiomer, diastereomer, and meso compound, and a mixture of isomers, such as a racemic or scalemic mixture.
- HDAC6 inhibitors have been investigated (Butler et al., "Rational Design and Simple Chemistry Yield a Superior, Neuroprotective HDAC6 Inhibitor, Tubastatin A,” J Am Chem Soc 2010, 7J2(31): 10842-10846; Kalin et al., “Second-Generation Histone Deacetylase 6 Inhibitors Enhance the Immunosuppressive Effects of Foxp3+ T-Regulatory Cells,” J Med Chem 2012, 55(2):639-651).
- a feature of these agents is the presence of a benzylic linker that is built into a canonical inhibitor, which comprises a "cap-linker-zinc binding group” system.
- the compounds disclosed herein maintain a ZBG, most prefereably a hydroxamic acid group. Futher, the disclosed compounds contain certain urea-based cap groups that are incorporated into a benzyl hydroxamic acid scaffold, leading to potent and selective HDAC6 inhibitors with in vitro anti-melanoma activity. As such, disclosed herein are compounds having Formula I:
- A is aryl, heteroaryl, or Ci-Cg alkyl, any of which is optionally substituted with one or more groups chosen from acetyl, C1-C5 alkyl, amino, -NR 6 R 7 , -C(0)NR 6 R 7 , Ci-C 4 alkoxy, Ci-
- R 1 and R 2 are independently chosen from hydrogen, Ci-Cs alkyl, Ci-Cs alkenyl, Ci-Cs alkynyl,
- R 6 and R 7 are independently H, C 1 -C 4 alkyl, or are joined such that together they form an
- alkylene bridge comprising 4 or 5 atoms so that a 5 or 6-membered ring is formed with the nitrogen;
- R 1 and R 2 are both hydrogen, A is not hydroxyphenyl.
- A can be a phenyl, pyridyl, oxazolidyl, or pyrimidyl optionally substituted with C 1 -C 5 alkyl, amino, alkoxy, alkylhydroxy, halo, hydroxy, or thiol.
- A can be phenyl or phenyl substituted with C 1 -C 5 alkyl, C 1 -C4 alkoxyl, or halo.
- A can be pyridyl or pyridyl substituted with C 1 -C5 alkyl, C 1 -C4 alkoxyl, or halo.
- A is phenyl, or methoxyl substituted phenyl, or halo substituted phenyl.
- A can be a phenyl.
- A can be a phenyl substituted with one or more methoxyl, ethoxyl, or propoxyl groups, for example, A can be a phenyl substituted with one methoxyl group at the ortho-, para-, or meta-position. In a most preferred example, A can be a phenyl substituted with a methoxyl group at the ortho-position.
- A can be a phenyl substituted with one or more halo groups, for example, A can be a phenyl with one halo (e.g., CI, Br, or F) group at the ortho-, para-, or meta-position.
- A can be a phenyl group with one or more carboxylic acids group or an alkyl ester group (e.g., an acetyl group).
- A can be a Ci-C 8 alkyl group.
- A can be a phenyl substituted with one or more C 1 -C4 alkyl groups.
- A can be a phenyl substituted with one methyl, ethyl, n-propyl, i-propyl, n-butyl, t-butyl, s-butyl, i-butyl group at the ortho-, para-, or meta-position.
- A can be a phenyl substituted with one or more NH 2 or N(C 1 ⁇ 4)2 groups.
- A can be a n-propyl, i-propyl, n-butyl, t-butyl, s-butyl, i-butyl, n- pentyl, i-pentyl, or s-pentyl group.
- R 1 can be hydrogen, Ci-Cg alkyl, C 5 -C 6 cycloalkyl, C 5 -C 6 heterocycloalkyl, aryl, or heteroaryl, any of which is optionally substituted with C 1 -C3 alkyl, amino, -NR 6 R 7 , C 1 -C 4 alkoxy, C 1 -C 4 alkylhydroxy, carbonyl, hydroxy, thiol, or cyano.
- R 1 can be Ci-Cg alkyl, for example a C 1 -C 4 alkyl.
- R 1 can be a Ci-Cg alkyl which is optionally substituted with acetyl, NH 2 , N(Ci-C4) 2 C1-C4 alkoxy, C1-C4 C5-C6 heterocycloalkyl, carbonyl, halo, or hydroxy.
- R 1 is hydrogen.
- R 2 can be hydrogen, Ci-Cg alkyl, C 5 -C 6 cycloalkyl, C 5 -C 6 heterocycloalkyl, aryl, or heteroaryl, any of which is optionally substituted with C 1 -C 5 alkyl, amino, -NR 6 R 7 , C 1 -C 4 alkoxy, C 1 -C 4 alkylhydroxy, carbonyl, hydroxy, thiol, or cyano.
- R 2 can be C 1 -C5 alkyl, or C 1 -C5 alkyl substituted with a methoxy, amino, - NR 6 R 7 , alkylhydroxy, carbonyl, hydroxy, cyano.
- R 2 can be a C 1 -C 4 alkyl substituted with a heteroaryl, such as imidazole or indole. In other examples R 2 can be a C 1 -C 4 alkyl substituted with a phenyl, hydroxy substituted phenyl, methoxy substited phenyl, halo substituted phenyl, or amino substituted phenyl.
- the disclosed compounds can have Formula I-A
- R 2 is as noted herein; each W is independent of the others CH or N; and R 5 is hydrogen, Ci-Cg alkyl, Ci-Cg alkenyl, Ci-Cg alkynyl, Ci-Cg haloalkyl, C 5 -C 6 cycloalkyl, C 5 -C 6 heterocycloalkyl, aryl, or heteroaryl, any of which is optionally substituted with acetyl, C 1 -C5 alkyl, amino, -NR 6 R 7 , -C(0)NR 6 R 7 , C 1 -C 4 alkoxy, C 1 -C 4 alkylhydroxy, C 5 -C 6 cycloalkyl, C 5 -C heterocycloalkyl, aryl, heteroaryl, carbonyl, halo, hydroxy, thiol, cyano, or nitro, or a pharmaceutically acceptable salt or hydrate thereof.
- the disclosed compounds can have Formula I-B
- R 1 is as noted herein; each W is independent of the others CH or N; and R 5 is hydrogen, Ci-Cg alkyl, Ci-Cg alkenyl, Ci-Cg alkynyl, Ci-Cg haloalkyl, C 5 -C 6 cycloalkyl, C 5 -C 6 heterocycloalkyl, aryl, or heteroaryl, any of which is optionally substituted with acetyl, C 1 -C 5 alkyl, amino, -NR 6 R 7 , -C(0)NR 6 R 7 , C 1 -C4 alkoxy, C 1 -C4 alkylhydroxy, C 5 -C 6 cycloalkyl, C 5 -C heterocycloalkyl, aryl, heteroaryl, carbonyl, halo, hydroxy, thiol, cyano, or nitro, or a
- the disclosed compounds can be selective HDAC6i's.
- a homology model (Butler et al, J Am Chem Soc 2010, 132(31): 10842-10846) shows the entrance to the binding site is wider and shallower for HDAC6 than that of HDAC1. This model also shows a lipophillic cavity.
- the disclosed compounds can contain cetain branched-elements incorporated into the aryl urea cap group, primarily at A, R 1 and/or R 2 , to enhance both the potency and selectivity by accessing this side cavity and leading to better interactions with the surface of HDAC6.
- Accessing this side cavity can be, in one aspect, accomplished through substituting the proximal nitrogen atom of the urea linker relative to the benzyl linker, i.e., R 2 in Formula I.
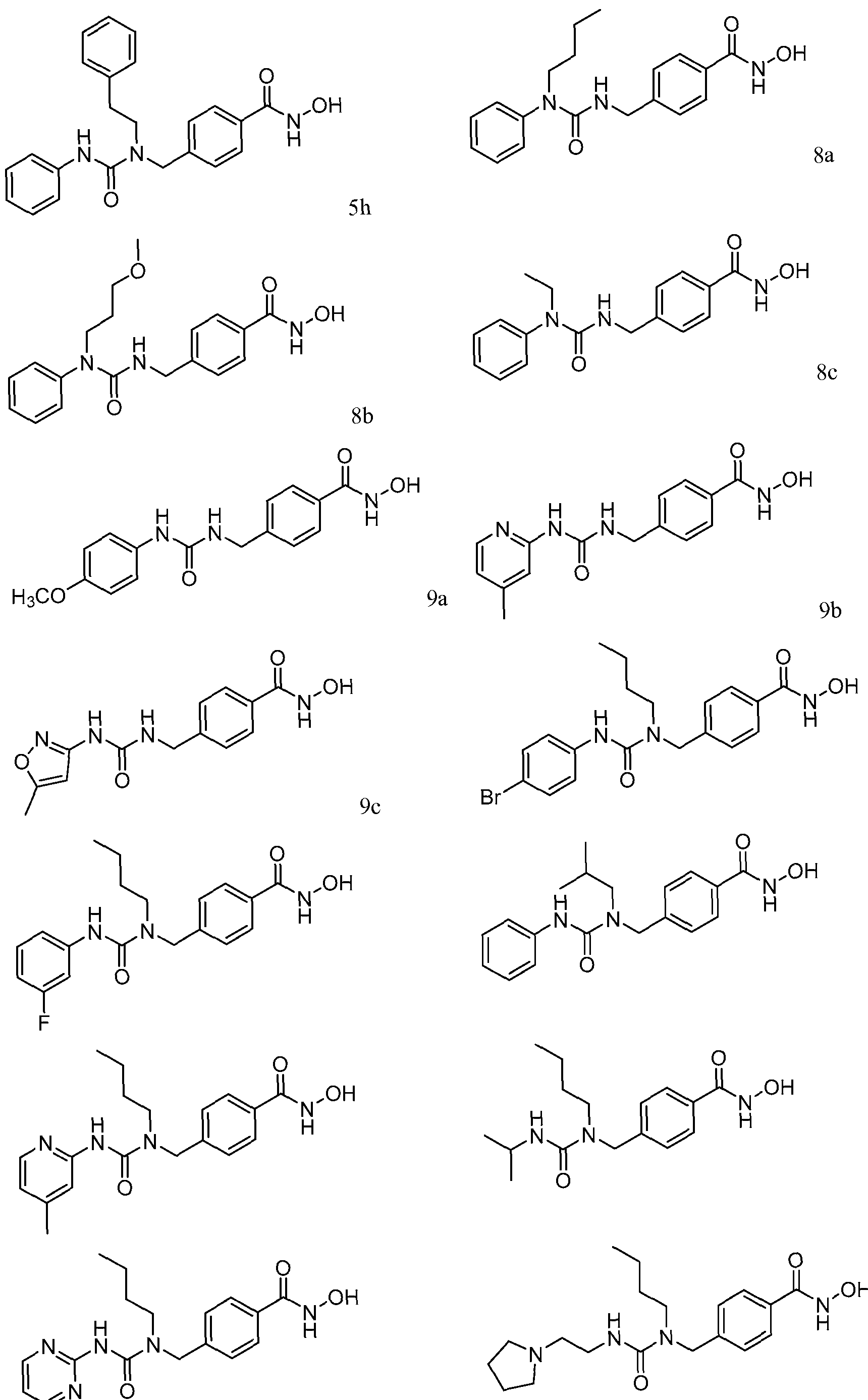
- the synthesis of these branched acyclic ureas is accomplished as outlined in Scheme 1.
- a variety of amines undergo reductive amination with methyl 4-formylbenzoate 2 to form the desired secondary amines 3a-h.
- Subsequent reaction of 3a-h with the approprate isocyanates affords the branched urea esters 4a-h.
- Aryl isocyanates are shown in Scheme 1; however, other isocyanates can be used to vary the "A" group in Formula I (e.g., heteroaryl, or alkyl).
- This chemistry generates a series of ureas displaying branched substitutions on the nitrogen proximal to the benzylic linker (R 2 ).
- the hydroxamic acid group is installed using hydroxylamine under basic conditions to provide the hydroxamic acids 5a-h.
- Accessing this side cavity can be, in another aspect, accomplished through substituting the distal nitrogen atom of the urea linker relative to the benzyl linker, i.e., R 1 in Formula I.
- the synthesis of these branched acyclic ureas is accomplished as outlined in Scheme 2.
- a copper-mediated Buchwald coupling reaction is used in order to assemble anilines 6a-b from iodobenzene, as these intermediates are not commercially available (Kwong et al., "Copper-catalyzed coupling of alkylamines and aryl iodides: An efficient system even in an air atmosphere" Org Lett 2002, 4(4):581-584).
- Triphosgene chemistry is implemented to convert methyl 4-(aminomethyl)benzoate into the corresponding isocyanate, which undergoes reaction with seconday amines 6a-c to afford the penultimate esters 7a-c.
- Final conversion to the hydroxamic acids is accomplished as in Scheme 1 to complete the synthesis of 8a-c.
- Scheme 2 Synthesis of distal N-substituted hydroxamic acids
- Reagents and conditions (a) R 1 -NH 2 , Cul, K 3 P0 4 , ethylene glycol, iPrOH, 80 °C, 18 h; (b) i. triphosgene, sat. aq bicarbonate/DCM (1 : 1), 0 °C, 30 min; ii. methyl 4-(aminomethyl)benzoate- HCl, Et 3 N, DCM, rt, 16 h; (c) 50% wt NH 2 OH, NaOH, THF/MeOH (1 : 1), 0 °C to rt, 30 min.
- Accessing the side cavity of HDAC6 can also be, in still another aspect, accomplished through linking the distal and proximal nitrogen atoms of the urea linker via an alkylene bridge, i.e., joining R 1 and R 2 together to form a 5-membered ring with the
- A is hydrogen, or A is aryl, heteroaryl, or Ci-Cg alkyl, any of which is optionally substituted with one or more groups chosen from acetyl, C 1 -C 5 alkyl, amino, -NR 6 R 7 , -C(0)NR 6 R 7 ,
- R 2 ' and R 2 " are both methyl.
- R 2 ' is hydrogen and R 2 " is methyl, ethyl, propyl, i-propyl, n-butyl, i-butyl, benzyl, tosyl, hydroxyphenyl, C 1 -C 4 alkoxyphenyl, or aminophenyl.
- R 1 ' and R 1 " are both methyl.
- R 1 ' is hydrogen and R 1 " is methyl, ethyl, propyl, i-propyl, n-butyl, i-butyl, benzyl, tosyl, hydroxyphenyl, C 1 -C 4 alkoxyphenyl, or aminophenyl.
- the disclosed compounds comprise, in one aspect, branched aryl or alkyl urea cap groups, or cyclic urea cap groups, introduced into the canonical HDACi platform.
- Introduction of branching elements, particularly to the proximal nitrogen atom of the urea motif, has led to the discovery of potent inhibitors that show excellent selectivity for HDAC6 versus the full panel of HDACs and are capable of inducing selective hyperacetylation of a-tubulin compared to histone protein.
- the SAR developed to this point indicates the branched urea scaffold imparts substantial gains in the desired biochemical activity.
- These compounds were also screened in cell systems, and both 5g and 5h were found to be capable of inhibiting the growth of B16 melanoma cell line.
- hydroxamate compounds that are devoid of the urea motif. Such compounds have Formula II.
- R 2 is as defined above and R 8 is acetyl, C 1 -C 5 alkyloxycarbonyl, carbobenzyloxy, methoxybenzyl carbonyl, benzoyl, benzyl, methoxybenzyl, dimethoxybenzyl, methoxyphenyl, C 1 -C 5 alkylcarbamate, or aryl sulfonyl, i.e., R 9 (S0 2 ), where R 9 is aryl optionally substituted with C 1 -C5 alkyl, amino, methoxyl, halo, or hydroxy, or a pharmaceutically acceptable salt or hydrate thereof.
- R 8 can be C 1 -C 5 alkyloxycarbonyl or arylsulfonyl. Specific examples of compounds of Formula II are as follows.
- compositions include pharmaceutically-acceptable salts and hydrates of the disclosed compounds.
- Pharmaceutically-acceptable salts include salts of the disclosed compounds that are prepared with acids or bases, depending on the particular substituents found on the compounds. Under conditions where the compounds disclosed herein are sufficiently basic or acidic to form stable nontoxic acid or base salts, administration of the compounds as salts can be appropriate.
- Examples of pharmaceutically-acceptable base addition salts include sodium, potassium, calcium, ammonium, or magnesium salt.
- physiologically-acceptable acid addition salts include hydrochloric, hydrobromic, nitric, phosphoric, carbonic, sulphuric, and organic acids like acetic, propionic, benzoic, succinic, fumaric, mandelic, oxalic, citric, tartaric, malonic, ascorbic, alpha-ketoglutaric, alpha-glycophosphoric, maleic, tosyl acid, methanesulfonic, and the like.
- Pharmaceutically acceptable salts of a compound can be obtained using standard procedures well known in the art, for example, by reacting a sufficiently basic compound such as an amine with a suitable acid affording a physiologically acceptable anion.
- Alkali metal (for example, sodium, potassium or lithium) or alkaline earth metal (for example calcium) salts of carboxylic acids can also be made.
- methods of treating or preventing cancer in a subject comprising administering to the subject an effective amount of a compound or composition as disclosed herein. Additionally, the method can further comprise administering an effective amount of ionizing radiation to the subject.
- Methods of killing a tumor cell comprise contacting a tumor cell with an effective amount of a compound or composition as disclosed herein.
- the methods can further include administering a second compound or composition (e.g. , an anticancer agent) or administering an effective amount of ionizing radiation to the subject.
- a second compound or composition e.g. , an anticancer agent
- Methods of treating inflammation in a subject are further provided herein, the methods comprising administering to the subject an effective amount of a compound or composition as described herein.
- the methods can further include administering a second compound or composition (e.g., an antiinflammatory agent).
- a second compound or composition e.g., an antiinflammatory agent.
- the disclosed subject matter also concerns methods for treating a subject having an oncological disorder or condition.
- an effective amount of one or more compounds or compositions disclosed herein is administered to a subject having an oncological disorder and who is in need of treatment thereof.
- the disclosed methods can optionally include identifying a subject who is or can be in need of treatment of an oncological disorder.
- the subject can be a human or other mammal, such as a primate (monkey, chimpanzee, ape, etc.), dog, cat, cow, pig, or horse, or other animals having an oncological disorder.
- Means for administering and formulating compounds for administration to a subject are known in the art, examples of which are described herein.
- Oncological disorders include, but are not limited to, cancer and/or tumors of the anus, bile duct, bladder, bone, bone marrow, bowel (including colon and rectum), breast, eye, gall bladder, kidney, mouth, larynx, esophagus, stomach, testis, cervix, head, neck, ovary, lung, mesothelioma, neuroendocrine, penis, skin, spinal cord, thyroid, vagina, vulva, uterus, liver, muscle, pancreas, prostate, blood cells (including lymphocytes and other immune system cells), and brain.
- cancer and/or tumors of the anus include, but are not limited to, cancer and/or tumors of the anus, bile duct, bladder, bone, bone marrow, bowel (including colon and rectum), breast, eye, gall bladder, kidney, mouth, larynx, esophagus, stomach, testis, cervix, head, neck, ovary, lung, mes
- Specific cancers contemplated for treatment include carcinomas, Karposi's sarcoma, melanoma, mesothelioma, soft tissue sarcoma, pancreatic cancer, lung cancer, leukemia (acute lymphoblastic, acute myeloid, chronic lymphocytic, chronic myeloid, and other), and lymphoma (Hodgkin's and non-Hodgkin's), and multiple myeloma.
- cancers that can be treated according to the methods disclosed herein are adrenocortical carcinoma, adrenocortical carcinoma, cerebellar astrocytoma, basal cell carcinoma, bile duct cancer, bladder cancer, bone cancer, brain tumor, breast cancer, Burkitt's lymphoma, carcinoid tumor, central nervous system lymphoma, cervical cancer, chronic myeloproliferative disorders, colon cancer, cutaneous T-cell lymphoma, endometrial cancer, ependymoma, esophageal cancer, gallbladder cancer, gastric (stomach) cancer, gastrointestinal carcinoid tumor, germ cell tumor, glioma,, hairy cell leukemia, head and neck cancer, hepatocellular (liver) cancer, hypopharyngeal cancer, hypothalamic and visual pathway glioma, intraocular melanoma, retinoblastoma, islet cell carcinoma (endocrine pancreas), la
- a method of treating a subject with melanoma by administering an effective amount of a compound of Formula 1 or II is disclosed herein.
- Melanoma is currently the fastest growing cancer in incidence according to the World Health Organization.
- Immunotherapy is an attractive modality with potentially few side effects due to the antigen specificity of adaptive immunity.
- the latest therapy approved by the FDA for the treatment of melanoma was ipilimumab, an antibody against CTLA-4, a key regulator of T-cell activity; however, this therapy offers modest improvements in overall survival.
- HDACi histone deacetylase inhibitors
- HDAC6 is a molecular target in at least melanoma. Both pharmacologic and genetic disruption of HDAC6 in B16 murine melanoma cells' using
- HDAC6-selective inhibitors HDAC6i
- HDAC6KD targeted shR A
- HDAC6i HDAC6-selective inhibitors
- HDAC6KD targeted shR A
- treatment with the HDAC6i led to enhanced expression of immunologically relevant receptors including MHC-I and MHC-II.
- subcutaneous injection in wild type mice of HDAC6KD B16 cells led to delayed tumor growth as compared with control cells.
- SCID mice which lack T- and B-cells, suggesting a critical immune component for tumor control in vivo.
- HDAC6 regulates tumor immunogenicity.
- One possible mechanism arises from protein immunoprecipitation studies which demonstrate that HDAC6 interacts with, and potentially regulates of STAT3, an important survival and pathogenic factor in melanoma, which also has implications for immune tolerance.
- the expression HDAC6 was found to be upregulated in a majority of melanoma patient tumor biopsies by gene microarray analysis, as compared with normal skin. This observation was supported by immunohistochemically-stained patient melanoma tissue microarray.
- HDAC6 inhibition is an attractive therapeutic target in melanoma and mantle cell lymphoma by both delaying tumor growth and conferring a more attractive immune target, providing rationale for the development and use of selective HDAC6L
- CD8+ T cells are unresponsive in patients with melanoma (Lee et al., Nat. Med. 1999, 5:677-85). T cells infiltrating the bone marrow of patients with multiple myeloma are also unresponsive (Noonan et al. Cancer Res. 65:2026-34, 2005).
- CD4+ T cells are rendered tolerant to tumor antigens early in tumor
- HDACs histone deacetylases
- HDACs are targets for histone deacetylase inhibitors (HDACi) as depicted in Figure 2.
- HDACi's are structurally diverse compounds that are capable of targeting several HDACs. HDACi 's induce differentiation, cell cycle and growth arrest in cancer cells. There is an emerging role for HDACi's as modulators of inflammation and antitumor responses.
- Pan-HDACi LAQ824 augments inflammatory responses in macrophages through transcriptional regulation of IL-10.
- Pan-HDACI LAQ824 was also found to restore the responsiveness of tolerant T cells (Wang et al. J Immunol 2011, 186:3986-96).
- the mechanisms and relevant targets of Pan-HDACIs are difficult to elucidate given their multiple effects. Understanding the expression and function of specific HDACs in APCs may unveil novel targets to influence immune activation versus immune tolerance. The identified target(s) may then be subject to pharmacologic inhibition with isotype-selective HDACi's.
- HDAC6 was found to influence the IL-10 gene expression in APCs as shown in Figure 3.
- HDAC6 is a 131kDa protein encoded on the X chromosome that is mainly cytoplasmic;
- HDAC6 has tubulin deacetylase activity related to cell motility and T cell/APC synapse.
- Figure 4 illustrates the genetic or pharmacologic disruption of HDAC6 inhibits IL-10.
- Figure 5 illustrates the genetic disruption of HDAC6 enhances APC function. Mechanisms as shown by CHIP analysis of IL-IO gene promotor in macrophages include H3 and H4 acetylation; HDAC6 recruitment; and binding of STAT3 and other transcription factors at several timepoints after LPS stimulation as shown in Figure 6.
- FIG 7 illustrates that knocking down HDAC6 results in a decreased recruitment of the transcriptional activator STAT3 to the IL-10 gene promotor.
- the C-terminus of HDAC6 is required for interaction with HDAC11.
- Figure 8 illustrates that disruption of STAT3 binding to the gene promotor resulted in decreased recruitment of HDAC6 and diminished IL-10 production.
- Figure 9 illustrates that the disruption of HDAC6 inhibits STAT3 phosphorylation.
- Figure 10 illustrates that there is increased expression of HDAC6 and IL-lOm NA in human melanoma.
- Figure 11 is a series of images that illustrate HDAC6 expression in murine and human melanoma cell lines.
- Figure 12 is a series of images depicting HDAC protein expression in melanoma.
- Figure 13 is a series of images depicting decreased proliferation and cell cycle arrest in melanoma cells lacking HDAC6.
- Figure 14 is a series of images depicting melanoma cells lacking in HDAC6 are more immunogenic.
- B 16 cells treated with the HDAC6i ST-2-92 displayed an elevated expression of MHC-I and -II molecules relative to untreated B16 cells. Similar changes in MHC expression were observed in B16 cells in which HDAC6 was knocked down.
- a delay in tumor growth was observed in C57BL16 mice challenged in vivo with B 16- KDHDAC6 cells ( Figure 14C). This delay in tumor growth in KDHDAC6 melanoma cells could be a reflection of their diminished proliferation ( FigureS 12-13) and/or an increase in their immunogenicity leading to improved immune recognition and clearance.
- C57BL16 SCID mice were challenged with either KDHDAC6 or WTB16 melanoma cells.
- Figure 15 is a series of images depicting the pharmacologic inhibition of HDAC6 in melanoma cells resulted in cell cycle arrest and increased expression of MHC molecules. It was also found that melanoma cells treated with HDAC6 specific inhibitors are better activators of T- cells (CD4 and/or CD8). The procedures for this finding include loading OVA-peptide into melanoma cells (treated or not with Tubastatin A) and adding OT -lor OT -II transgenic T -cells (naive or tolerized) and determining their production of IL-2 and IFN-gamma.
- Figure 16 is an image depicting Tubastatin-A inhibits JAK2/STAT3 phosphorylation in B16 murine melanoma cells in vivo.
- Figure 17 is a series of images depicting Tubastatin A augments antigen-specific CD4+ T-cell responses to vaccination in melanoma bearing mice. There is an anti-melanoma effect after administration of tubastatin A in vivo (alone or in combination with anti-CLTA4).
- Figure 18 illustrates the Tubastatin A, a selective HDAC6 inhibitor decreased STAT3 phosphorylation and recruitment to the lL-10 gene promotor in APCs.
- Figure 19 illustrates the phenotypic and functional changes in APCs treated with Tubastatin A.
- Figure 20 illustrates that tubastatin A-treated APCs are better activators of naive T cells and restore the responsiveness of anergic T cells.
- Figure 21 is a graph depicting the antitumor effect of Tubastatin A in vivo.
- Figure 22 depicts that Tubastatin A does not affect PEM.
- Figure 23 is a series of images depicting the immunological effects of Tubastatin A upon macrophages.
- Figure 24 is a series of images depicting Tubastatin A inhibits IL-10 transcription by disrupting the JAKISTAT3 pathway in macrophages.
- Figure 25 is a graph depicting the inhibitory effect of Tubastatin A upon IL-10 production is lost in the absence of HDAC6.
- Figure 26 is a flow chart depicting the experimental design of the in vitro antigen-presenting studies.
- Figure 27 is a series of images depicting that Tubastatin A treated macrophages are better activators of naive Tcells and restore function of anergic T-cells.
- Figure 28 is a series of images depicting in vivo treatment with tubastatin A augment the response of antigen-specific T-cell to vaccination.
- tubastatin-A increased the expression of co-stimulatory molecules and inhibits IL-10 production by these cells.
- Tubastatin A-treated macrophages are better activators of naive T-cells and restore the responsiveness of anergic T -cells in vitro.
- In vivo treatment with Tubastatin-A enhances antigen-specific T-cell responses to vaccination.
- Tubastatin-A disrupt JAKISTAT3/IL-iO pathway and tip the balance towards immunogenic rather than tolerogenic macrophages.
- Figure 29 is an image depicting HDAC6 expression in human MCL.
- Figure 30 is a series of images depicting the disruption of HDAC6 in human MCL cell lines.
- Figure 31 is an image depicting the disruption of HDAC6 in murine FC-muMCLI cells.
- Figure 32 is an image depicting the immunological effects of HDAC6 inhibition in MCL. Changes in MHC, costimulatory molecules and/or cytokine production in response to LPS or CpG +/- ST-3- 06 or Tubastatin A are show.
- Figure 33 is a series of images depicting the antigenpresenting function of FC-muMCLI cells treated with ST-3-06.
- Figure 34 is a series of images depicting the antigen-presenting function of FC-muMCLI cells treated with Tubastatin A.
- Figure 35 is an image depicting the antitumor effect of tubastatin A in vivo. The data showed that HDAC6 inhibition augments the immunogenicity of MCL cells. HDAC6 is required for STAT3 activation in APCs and STAT3 diminishes the immunogenicity of tumor cells.
- Figure 36 is a series of images depicting the disruption of HDAC6 inhibits STAT3 phosphorylation in APCs. The C-terminus of HDAC6 is required for interaction with HDAC 11.
- A Constructs of HDAC6 coding for different lengths of the proteins and carrying the FLAG epitope.
- B HDAC6 constructs were over-expressed in HeLa cells and their expression was evaluated by western blot using an anti-FLAG antibody or
- C immunoprecipatated to evaluate their interaction with HDAC 11.
- Figure 37 is a series of images depicting ST-3-06 decreased STAT3 phosphorylation and recruitment to the IL-10 gene promotor in APCs.
- Human MCL cells display an enhanced expression of HDAC6. Disruption of HDAC6 in malignant B-cells inhibits their proliferation and is associated with induction of apoptosis. Pharmacologic or genetic disruption of HDAC6 in MCL cells augment their antigen-presenting capabilities leading to better T-cell activation and restoration of function of anergic Tcells in vitro. In vivo treatment of MCL-bearing mice with Tubastatin-A is associated with a strong antitumor effect. Mechanistically, is has been have found that HDAC6 interacts with STAT3 in APCs. Disclosed herein is the rationale to use HDAC6 specific inhibitor(s) alone or in combination with STAT3 inhibitors in MCL.
- the disclosed compounds can be formulated in a physiologically- or pharmaceutically-acceptable form and administered by any suitable route known in the art including, for example, oral, nasal, rectal, topical, and parenteral routes of administration.
- parenteral includes subcutaneous, intradermal, intravenous, intramuscular, intraperitoneal, and intrasternal administration, such as by injection.
- Administration of the disclosed compounds or compositions can be a single administration, or at continuous or distinct intervals as can be readily determined by a person skilled in the art.
- the compounds disclosed herein, and compositions comprising them can also be administered utilizing liposome technology, slow release capsules, implantable pumps, and biodegradable containers. These delivery methods can, advantageously, provide a uniform dosage over an extended period of time.
- the compounds can also be administered in their salt derivative forms or crystalline forms.
- the compounds disclosed herein can be formulated according to known methods for preparing pharmaceutically acceptable compositions. Formulations are described in detail in a number of sources which are well known and readily available to those skilled in the art. For example, Remington 's Pharmaceutical Science by E.W. Martin (1995) describes formulations that can be used in connection with the disclosed methods. In general, the compounds disclosed herein can be formulated such that an effective amount of the compound is combined with a suitable carrier in order to facilitate effective administration of the compound.
- the compositions used can also be in a variety of forms. These include, for example, solid, semi-solid, and liquid dosage forms, such as tablets, pills, powders, liquid solutions or suspension, suppositories, injectable and infusible solutions, and sprays.
- compositions also preferably include conventional pharmaceutically-acceptable carriers and diluents which are known to those skilled in the art.
- carriers or diluents for use with the compounds include ethanol, dimethyl sulfoxide, glycerol, alumina, starch, saline, and equivalent carriers and diluents.
- compositions disclosed herein can advantageously comprise between about 0.1% and 99%, and especially, 1 and 15% by weight of the total of one or more of the subject compounds based on the weight of the total composition including carrier or diluent.
- Formulations suitable for administration include, for example, aqueous sterile injection solutions, which can contain antioxidants, buffers, bacteriostats, and solutes that render the formulation isotonic with the blood of the intended recipient; and aqueous and nonaqueous sterile suspensions, which can include suspending agents and thickening agents.
- aqueous sterile injection solutions which can contain antioxidants, buffers, bacteriostats, and solutes that render the formulation isotonic with the blood of the intended recipient
- aqueous and nonaqueous sterile suspensions which can include suspending agents and thickening agents.
- formulations can be presented in unit-dose or multi-dose containers, for example sealed ampoules and vials, and can be stored in a freeze dried (lyophilized) condition requiring only the condition of the sterile liquid carrier, for example, water for injections, prior to use.
- sterile liquid carrier for example, water for injections
- compositions disclosed herein can include other agents conventional in the art having regard to the type of formulation in question.
- Compounds disclosed herein, and compositions comprising them can be delivered to a cell either through direct contact with the cell or via a carrier means.
- Carrier means for delivering compounds and compositions to cells are known in the art and include, for example, encapsulating the composition in a liposome moiety.
- Another means for delivery of compounds and compositions disclosed herein to a cell comprises attaching the compounds to a protein or nucleic acid that is targeted for delivery to the target cell.
- U.S. Patent No. 6,960,648 and U.S. Application Publication Nos. 20030032594 and 20020120100 disclose amino acid sequences that can be coupled to another composition and that allows the composition to be translocated across biological membranes.
- compositions for transporting biological moieties across cell membranes for intracellular delivery can also be incorporated into polymers, examples of which include poly (D-L lactide-co-glycolide) polymer for intracranial tumors; poly[bis(p-carboxyphenoxy) propane :sebacic acid] in a 20:80 molar ratio (as used in GLIADEL); chondroitin; chitin; and chitosan.
- the compounds disclosed herein can be administered to a patient in need of treatment in combination with other antitumor or anticancer substances and/or with radiation and/or photodynamic therapy and/or with surgical treatment to remove a tumor.
- these other substances or treatments can be given at the same as or at different times from the compounds disclosed herein.
- the compounds disclosed herein can be used in combination with mitotic inhibitors such as taxol or vinblastine, alkylating agents such as cyclophosamide or ifosfamide, antimetabolites such as 5-fluorouracil or hydroxyurea, DNA intercalators such as adriamycin or bleomycin, topoisomerase inhibitors such as etoposide or camptothecin, antiangiogenic agents such as angiostatin, antiestrogens such as tamoxifen, and/or other anti-cancer drugs or antibodies, such as, for example, GLEEVEC (Novartis
- the disclosed compounds are coadministered with other HDAC inhibitors like ACY-1215, Tubacin, Tubastatin A, ST-3-06, OR ST-2-92.
- compounds and compositions disclosed herein can be locally administered at one or more anatomical sites, such as sites of unwanted cell growth (such as a tumor site or benign skin growth, e.g., injected or topically applied to the tumor or skin growth), optionally in combination with a pharmaceutically acceptable carrier such as an inert diluent.
- a pharmaceutically acceptable carrier such as an inert diluent
- Compounds and compositions disclosed herein can be systemically administered, such as intravenously or orally, optionally in combination with a pharmaceutically acceptable carrier such as an inert diluent, or an assimilable edible carrier for oral delivery. They can be enclosed in hard or soft shell gelatin capsules, can be compressed into tablets, or can be incorporated directly with the food of the patient's diet.
- the active compound can be combined with one or more excipients and used in the form of ingestible tablets, buccal tablets, troches, capsules, elixirs, suspensions, syrups, wafers, aerosol sprays, and the like.
- the tablets, troches, pills, capsules, and the like can also contain the following: binders such as gum tragacanth, acacia, corn starch or gelatin; excipients such as dicalcium phosphate; a disintegrating agent such as corn starch, potato starch, alginic acid and the like; a lubricant such as magnesium stearate; and a sweetening agent such as sucrose, fructose, lactose or aspartame or a flavoring agent such as peppermint, oil of wintergreen, or cherry flavoring can be added.
- binders such as gum tragacanth, acacia, corn starch or gelatin
- excipients such as dicalcium phosphate
- a disintegrating agent such as corn starch, potato starch, alginic acid and the like
- a lubricant such as magnesium stearate
- a sweetening agent such as sucrose, fructose, lactose or aspartame or
- the unit dosage form When the unit dosage form is a capsule, it can contain, in addition to materials of the above type, a liquid carrier, such as a vegetable oil or a polyethylene glycol. Various other materials can be present as coatings or to otherwise modify the physical form of the solid unit dosage form. For instance, tablets, pills, or capsules can be coated with gelatin, wax, shellac, or sugar and the like.
- a syrup or elixir can contain the active compound, sucrose or fructose as a sweetening agent, methyl and propylparabens as preservatives, a dye and flavoring such as cherry or orange flavor.
- any material used in preparing any unit dosage form should be pharmaceutically acceptable and substantially non-toxic in the amounts employed.
- the active compound can be incorporated into sustained-release preparations and devices.
- compositions disclosed herein including pharmaceutically acceptable salts, or hydrates thereof, can be administered intravenously, intramuscularly, or
- Solutions of the active agent or its salts can be prepared in water, optionally mixed with a nontoxic surfactant.
- Dispersions can also be prepared in glycerol, liquid polyethylene glycols, triacetin, and mixtures thereof and in oils. Under ordinary conditions of storage and use, these preparations can contain a preservative to prevent the growth of microorganisms.
- the pharmaceutical dosage forms suitable for injection or infusion can include sterile aqueous solutions or dispersions or sterile powders comprising the active ingredient, which are adapted for the extemporaneous preparation of sterile injectable or infusible solutions or dispersions, optionally encapsulated in liposomes.
- the ultimate dosage form should be sterile, fluid and stable under the conditions of manufacture and storage.
- the liquid carrier or vehicle can be a solvent or liquid dispersion medium comprising, for example, water, ethanol, a polyol (for example, glycerol, propylene glycol, liquid polyethylene glycols, and the like), vegetable oils, nontoxic glyceryl esters, and suitable mixtures thereof.
- the proper fluidity can be maintained, for example, by the formation of liposomes, by the maintenance of the required particle size in the case of dispersions or by the use of surfactants.
- the prevention of the action of microorganisms can be brought about by various other antibacterial and antifungal agents, for example, parabens, chlorobutanol, phenol, sorbic acid, thimerosal, and the like.
- isotonic agents for example, sugars, buffers or sodium chloride.
- Prolonged absorption of the injectable compositions can be brought about by the inclusion of agents that delay absorption, for example, aluminum monostearate and gelatin.
- Sterile injectable solutions are prepared by incorporating a compound and/or agent disclosed herein in the required amount in the appropriate solvent with various other ingredients enumerated above, as required, followed by filter sterilization.
- the preferred methods of preparation are vacuum drying and the freeze drying techniques, which yield a powder of the active ingredient plus any additional desired ingredient present in the previously sterile-filtered solutions.
- compounds and agents disclosed herein can be applied in as a liquid or solid. However, it will generally be desirable to administer them topically to the skin as compositions, in combination with a dermatologically acceptable carrier, which can be a solid or a liquid.
- a dermatologically acceptable carrier which can be a solid or a liquid.
- Compounds and agents and compositions disclosed herein can be applied topically to a subject's skin to reduce the size (and can include complete removal) of malignant or benign growths, or to treat an infection site.
- Compounds and agents disclosed herein can be applied directly to the growth or infection site.
- the compounds and agents are applied to the growth or infection site in a formulation such as an ointment, cream, lotion, solution, tincture, or the like.
- Useful solid carriers include finely divided solids such as talc, clay, microcrystalline cellulose, silica, alumina and the like.
- Useful liquid carriers include water, alcohols or glycols or water-alcohol/glycol blends, in which the compounds can be dissolved or dispersed at effective levels, optionally with the aid of non-toxic surfactants.
- Adjuvants such as fragrances and additional antimicrobial agents can be added to optimize the properties for a given use.
- the resultant liquid compositions can be applied from absorbent pads, used to impregnate bandages and other dressings, or sprayed onto the affected area using pump-type or aerosol sprayers, for example.
- Thickeners such as synthetic polymers, fatty acids, fatty acid salts and esters, fatty alcohols, modified celluloses or modified mineral materials can also be employed with liquid carriers to form spreadable pastes, gels, ointments, soaps, and the like, for application directly to the skin of the user.
- Useful dosages of the compounds and agents and pharmaceutical compositions disclosed herein can be determined by comparing their in vitro activity, and in vivo activity in animal models. Methods for the extrapolation of effective dosages in mice, and other animals, to humans are known to the art.
- compositions that comprise a compound disclosed herein in combination with a pharmaceutically acceptable carrier.
- Pharmaceutical compositions adapted for oral, topical or parenteral administration, comprising an amount of a compound constitute a preferred aspect.
- the dose administered to a patient, particularly a human should be sufficient to achieve a therapeutic response in the patient over a reasonable time frame, without lethal toxicity, and preferably causing no more than an acceptable level of side effects or morbidity.
- dosage will depend upon a variety of factors including the condition (health) of the subject, the body weight of the subject, kind of concurrent treatment, if any, frequency of treatment, therapeutic ratio, as well as the severity and stage of the pathological condition.
- the disclosed subject matter also concerns a packaged dosage formulation comprising in one or more containers at least one inhibitor compound or composition disclosed herein, e.g., any compound of Formulas I through II.
- a packaged dosage formulation can optionally comprise in one or more containers a pharmaceutically acceptable carrier or diluent.
- a packaged dosage formulation can also optionally comprise, in addition to an inhibitor compound or composition disclosed herein, other HDAC inhibitors, or an immunotherapeutic such as ipilimumab.
- a suitable dose(s) can be that amount that will reduce proliferation or growth of the target cell(s).
- a suitable dose(s) is that which will result in a concentration of the active agent in cancer tissue, such as a malignant tumor, which is known to achieve the desired response.
- the preferred dosage is the amount which results in maximum inhibition of cancer cell growth, without unmanageable side effects.
- Administration of a compound and/or agent can be continuous or at distinct intervals, as can be determined by a person of ordinary skill in the art.
- compositions disclosed herein can comprise between about 0.1% and 45%, and especially, 1 and 15%, by weight of the total of one or more of the compounds based on the weight of the total composition including carrier or diluents.
- dosage levels of the administered active ingredients can be: intravenous, 0.01 to about 20 mg/kg; intraperitoneal, 0.01 to about 100 mg/kg; subcutaneous, 0.01 to about 100 mg/kg; intramuscular, 0.01 to about 100 mg/kg; orally 0.01 to about 200 mg/kg, and preferably about 1 to 100 mg/kg; intranasal instillation, 0.01 to about 20 mg/kg; and aerosol, 0.01 to about 20 mg/kg of animal (body) weight.
- kits that comprise a composition comprising a compound disclosed herein in one or more containers.
- the disclosed kits can optionally include pharmaceutically acceptable carriers and/or diluents.
- a kit includes one or more other components, adjuncts, or adjuvants as described herein.
- a kit includes one or more anti-cancer agents, such as those agents described herein.
- a kit includes instructions or packaging materials that describe how to administer a compound or composition of the kit.
- Containers of the kit can be of any suitable material, e.g., glass, plastic, metal, etc., and of any suitable size, shape, or configuration.
- a compound and/or agent disclosed herein is provided in the kit as a solid, such as a tablet, pill, or powder form.
- a compound and/or agent disclosed herein is provided in the kit as a liquid or solution.
- the kit comprises an ampoule or syringe containing a compound and/or agent disclosed herein in liquid or solution form.
- V-butylaniline (6a) was synthesized in an analogous manner previously reported (Org).
- Methyl 4- (aminomethyl)benzoate hydrochloride (101 mg, 0.5 mmol) was taken up in a biphasic solution of DCM:sat. bicarbonate (1 : 1, 4 mL) and added triphosgene (49 mg, 0.17 mmol) at 0 °C. After 30 min, the aqueous layer was extracted with DCM (3x 5mL), washed with brine (15 mL) and concentrated in vacuo.
- the crude isocyante was taken up in DCM (2 mL) and added 6a (75 mg, 0.5 mmol) and Et 3 N (0.209 mL, 1.5 mmol) and resulting solution allowed to stir overnight at room temperature. The reaction was quenched with with sat. bicarbonate (5 mL) and extracted with DCM (3x 5mL). The combined organics were washed with brine (15 mL), dried over sodium sulfate, concentrated in vacuo. The crude material was purified via flash
- HDAC inhibition assays were performed by Reaction Biology Corp. (Malvern, PA) using isolated human, recombinant full-length HDACl and -6 from a baculovirus expression system in Sf9 cells.
- the reaction buffer was made up of 50 mM Tris-HCl pH 8.0, 127 mM NaCl, 2.7 mM KC1, 1 mM MgCl 2 , 1 mg/mL BSA, and a final concentration of 1% DMSO.
- Compound 1 was identified to possess submicromolar HDAC inhibitory activity
- HDACl and HDAC6 were not selective against representative members of the Zn 2+ -dependant Classes 1 and 2 (HDACl and HDAC6, respectively). It was discovered that activity and selectivity could be improved for HDAC6 by accessing a unique cavity on the surface of HDAC6. This was accomplished substitutions on the urea nitrogens. There is a shorter substrate channel on HDAC6 relative to HDACl and this feature represented an excellent strategy to impart critical isoform selectivity (Butler et al, J Am Chem Soc 2010, 752(31): 10842-10846; Kalin et al., J Med Chem 2012, 55(2):639-651).
- 50 sp aye are t e mean o two exper ments ⁇ stan ar ev at on o ta ne rom curve of 10-point enzyme assay starting from 30 ⁇ analog with 3 -fold serial dilution. Values are extracted from fitting dose-response curves to the data points, b Butler et al., J Am Chem Soc 2010, 7J2(31): 10842-10846; c Trichostatin A; d Fournel et al., "MGCD0103, a novel isotype- selective histone deacetylase inhibitor, has broad spectrum antitumor activity in vitro and in vivo," Mol Cancer Ther 2008, 7(4):759-768.
- the analogs based on 1 maintained the same 2-methoxyphenyl cap group but contained varied substitutions on the proximal linking nitrogen of the urea (5a-d). Introducing the branching element at this position had a dramatic impact on decreasing activity at HDACl . Interestingly, inhibition at HDAC6 was found to be dependent upon the nature of this substitution. The dimethylamino substitution as in 5a, and the 3-indoyl substitution as in 5c, both proved detrimental to HDAC6 inhibition as they were over three times less potent compared to compound 1. They did however, maintain low micromolar inhibitory activity at HDACl; but the activity against HDAC6 was only in the submicromolar range.
- the tertiary amine in 5a would be protonated at physiological pH, it is possible that a positive charge is unfavorable for proper target binding.
- the larger indole group of 5c may simply present too much steric bulk to be properly accommodated by the active site.
- the 3- hydroxypropyl derivative, 5b, and the 4-hydroxyphenylethyl derivative, 5d resulted in a significant increase in the inhibition of HDAC6. These substitutions had only a marginal effect on HDACl activity. It is possible the hydroxyl groups of 5b and 5d are able to serve as H-bond acceptors or donors and possess favorable interactions with key amino acid residues on the HDAC6 surface, thus improving binding affinity.
- the first series of compounds based on 1 maintained the 2-methoxy group in the aryl urea cap.
- the oxidative potential of phenols presents a substantial hurdle for in vivo efficacy thus the structure activity relationship (SAR) investigation was furthered by synthesizing a series with a phenyl cap using the same chemistry.
- SAR structure activity relationship
- nexturastat A is in fact a potent and selective HDAC6L Comparing for example, 5g to Tubastatin A, another HDAC6i (Butler et al, J Am Chem Soc 2010, 732(31): 10842- 10846), reveals that the inhibition of HDAC6 has been improved while maintaining excellent selectivity relative to HDACl . 5g also demonstrates comparable HDAC6 potency to
- Trichostatin A (TSA) (see Table 1). Additionally, the amino-benzamide ZBG has been incorporated into the HDACi's, and its introduction reduces Class 2 inhibition resulting in Class 1 selectivity; this is typified by MGCD0103, an HDACl that possesses antiproliferative activity and that has recently entered clinical trials (Zhou et al., "Discovery of N-(2-aminophenyl)4- 4- pyridin-3-ylpyrimidin-2-ylamino)methyl benzamide (MGCD0103), an orally active histone deacetylase inhibitor," J Med Chem 2008, 51(14):4072-4075). Compared to MGCD0103, 5g leads to a 30-fold reduction in activity at HDACI .
- HDAC6i's Since the HDAC isoforms are highly homologous obtaining selectivity is critical for avoiding off-target effects and is paramount for the development of the disclosed HDAC6i's. It is well known that Class 1 inhibition is responsible for the cytotoxicity associated with pan- selective HDACi; thus, 5g was screened against all 11 isoforms (Table 3). In the similar Class 1 and Class 4 isoforms, 5g displayed low micromolar activity compared to the low nanomolar activity of HDAC6. Moreover, 5g demonstrated high levels of selective inhibition against members of the related Class 2 HDAC isforms reaching > 1000-fold selective in some cases. These data establish 5g, and similar analogs, to be potent and isoform selective HDAC6i's.
- IC 50 displayed are the mean of two experiments ⁇ standard deviation obtained from curve fitting of 10-point enzyme assay starting from 30 ⁇ analog with 3 -fold serial dilution. Values are extracted from fitting dose-response curves to the data points.
- Membranes were blocked with 5% milk in PBS-T and detection of specific antigens using antibodies against acetyl-H3 and H3 (Cell Signaling), and acetyl- a-tubulin and a-tubulin (Sigma). Bands were detected by scanning blots with LI-COR Odyssey imaging system using both 700 and 800 channels.
- HDAC6 contains two catalytic domains. Its C -terminus domain is the functional domain for both synthetic and physiological substrates, whereas the N-terminal domain is devoid of enzymatic activity (Zou et al., "Characterization of the two catalytic domains in histone deacetylase 6," Biochem Biophys Res Commun 2006, 341(l):45-50). Low nanomolar treatement of 5g on B16 murinemelanoma cells led to a dose-dependant increase of acetyl ⁇ -tubulin levels without a concamanent elevation of histone H3 acetylation ( Figure 39) indicating binding to the second, enzymatically-active catalytic domain.
- B16 murine melanoma cells were plated at 5xl0 3 /well in 96 well flat bottom plates. The following day, media was changed to that containing various concentrations of HDACi or matched DMSO vehicle concentrations diluted in complete medium done in triplicate. Cells were incubated for 48 hours at 37°C and 5% C0 2 . Density of viable, metabolically active cells was quantified using a standard MTS assay (CellTiter 96TM AQ ue0 us One, Promega, Madison, WI) as per
Landscapes
- Chemical & Material Sciences (AREA)
- Organic Chemistry (AREA)
- Health & Medical Sciences (AREA)
- Life Sciences & Earth Sciences (AREA)
- Veterinary Medicine (AREA)
- Public Health (AREA)
- General Health & Medical Sciences (AREA)
- Medicinal Chemistry (AREA)
- Animal Behavior & Ethology (AREA)
- Pharmacology & Pharmacy (AREA)
- General Chemical & Material Sciences (AREA)
- Nuclear Medicine, Radiotherapy & Molecular Imaging (AREA)
- Chemical Kinetics & Catalysis (AREA)
- Engineering & Computer Science (AREA)
- Bioinformatics & Cheminformatics (AREA)
- Epidemiology (AREA)
- Dermatology (AREA)
- Pharmaceuticals Containing Other Organic And Inorganic Compounds (AREA)
- Medicines That Contain Protein Lipid Enzymes And Other Medicines (AREA)
- Medicines Containing Antibodies Or Antigens For Use As Internal Diagnostic Agents (AREA)
- Acyclic And Carbocyclic Compounds In Medicinal Compositions (AREA)
- Organic Low-Molecular-Weight Compounds And Preparation Thereof (AREA)
Description
Claims
Priority Applications (6)
| Application Number | Priority Date | Filing Date | Title |
|---|---|---|---|
| CA2866707A CA2866707A1 (en) | 2012-03-07 | 2013-03-07 | Selective histone deactylase 6 inhibitors |
| US14/383,418 US9409858B2 (en) | 2012-03-07 | 2013-03-07 | Selective histone deactylase 6 inhibitors |
| JP2014561101A JP6233812B2 (en) | 2012-03-07 | 2013-03-07 | Selective histone deacetylase 6 inhibitor |
| EP13758416.5A EP2822926A4 (en) | 2012-03-07 | 2013-03-07 | SELECTIVE INHIBITORS OF HISTONE DEACETYLASE 6 |
| AU2013230881A AU2013230881A1 (en) | 2012-03-07 | 2013-03-07 | Selective histone deactylase 6 inhibitors |
| US15/231,187 US9956192B2 (en) | 2012-03-07 | 2016-08-08 | Selective histone deactylase 6 inhibitors |
Applications Claiming Priority (14)
| Application Number | Priority Date | Filing Date | Title |
|---|---|---|---|
| US201261607803P | 2012-03-07 | 2012-03-07 | |
| US61/607,803 | 2012-03-07 | ||
| US201261618150P | 2012-03-30 | 2012-03-30 | |
| US61/618,150 | 2012-03-30 | ||
| US201261648946P | 2012-05-18 | 2012-05-18 | |
| US61/648,946 | 2012-05-18 | ||
| US201261651896P | 2012-05-25 | 2012-05-25 | |
| US201261651595P | 2012-05-25 | 2012-05-25 | |
| US61/651,896 | 2012-05-25 | ||
| US61/651,595 | 2012-05-25 | ||
| US201261674942P | 2012-07-24 | 2012-07-24 | |
| US61/674,942 | 2012-07-24 | ||
| US201261715379P | 2012-10-18 | 2012-10-18 | |
| US61/715,379 | 2012-10-18 |
Related Child Applications (2)
| Application Number | Title | Priority Date | Filing Date |
|---|---|---|---|
| US14/383,418 A-371-Of-International US9409858B2 (en) | 2012-03-07 | 2013-03-07 | Selective histone deactylase 6 inhibitors |
| US15/231,187 Continuation US9956192B2 (en) | 2012-03-07 | 2016-08-08 | Selective histone deactylase 6 inhibitors |
Publications (1)
| Publication Number | Publication Date |
|---|---|
| WO2013134467A1 true WO2013134467A1 (en) | 2013-09-12 |
Family
ID=49117326
Family Applications (1)
| Application Number | Title | Priority Date | Filing Date |
|---|---|---|---|
| PCT/US2013/029521 Ceased WO2013134467A1 (en) | 2012-03-07 | 2013-03-07 | Selective histone deactylase 6 inhibitors |
Country Status (5)
| Country | Link |
|---|---|
| EP (1) | EP2822926A4 (en) |
| JP (1) | JP6233812B2 (en) |
| AU (1) | AU2013230881A1 (en) |
| CA (1) | CA2866707A1 (en) |
| WO (1) | WO2013134467A1 (en) |
Cited By (37)
| Publication number | Priority date | Publication date | Assignee | Title |
|---|---|---|---|---|
| KR20150106857A (en) | 2014-03-12 | 2015-09-22 | 주식회사 종근당 | Novel compounds for HDAC6 inhibitor, and the pharmaceutical composition comprising thereof |
| WO2015154065A1 (en) * | 2014-04-05 | 2015-10-08 | H. Lee Moffitt Cancer Center And Research Institute, Inc. | Histone deacetylase 6 inhibition for enhancing t-cell function during anti-tumor response and tumor-peptide vaccination |
| WO2016062722A1 (en) * | 2014-10-24 | 2016-04-28 | Astrazeneca Ab | Combination |
| KR20170013186A (en) | 2015-07-27 | 2017-02-06 | 주식회사 종근당 | 1,3,4-Oxadiazole Sulfamide Derivative Compounds as Histone Deacetylase 6 Inhibitor, and the Pharmaceutical Composition Comprising the same |
| KR20170013187A (en) | 2015-07-27 | 2017-02-06 | 주식회사 종근당 | 1,3,4-Oxadiazole Amide Derivative Compounds as Histone Deacetylase 6 Inhibitor, and the Pharmaceutical Composition Comprising the same |
| KR20170013836A (en) | 2015-07-27 | 2017-02-07 | 주식회사 종근당 | 1,3,4-Oxadiazole Sulfonamide Derivative Compounds as Histone Deacetylase 6 Inhibitor, and the Pharmaceutical Composition Comprising the same |
| KR20170017792A (en) | 2015-08-04 | 2017-02-15 | 주식회사 종근당 | 1,3,4-Oxadiazole Derivative Compounds as Histone Deacetylase 6 Inhibitor, and the Pharmaceutical Composition Comprising the same |
| CN107072984A (en) * | 2014-07-15 | 2017-08-18 | 约翰·霍普金斯大学 | Suppression of myeloid-derived suppressor cells and immune checkpoint blockade |
| US9993459B2 (en) | 2015-01-08 | 2018-06-12 | Universiteit Gent | Selective HDAC6 inhibitors and uses thereof |
| CN108191748A (en) * | 2018-01-24 | 2018-06-22 | 齐鲁师范学院 | A kind of oxime compound of amino containing heteroaromatic, preparation method and its usage |
| US10112915B2 (en) | 2015-02-02 | 2018-10-30 | Forma Therapeutics, Inc. | 3-aryl bicyclic [4,5,0] hydroxamic acids as HDAC inhibitors |
| WO2018200608A1 (en) * | 2017-04-26 | 2018-11-01 | The Board Of Trustees Of The University Of Illinois | Nrf and hif activators/hdac inhibitors and therapeutic methods using the same |
| US10183934B2 (en) | 2015-02-02 | 2019-01-22 | Forma Therapeutics, Inc. | Bicyclic [4,6,0] hydroxamic acids as HDAC inhibitors |
| WO2019054865A1 (en) * | 2017-09-14 | 2019-03-21 | ACADEMISCH ZIEKENHUIS LEIDEN (h.o.d.n. LUMC) | IMMUNOTHERAPY BASED ON T-LYMPHOCYTES |
| NL2019548B1 (en) * | 2017-09-14 | 2019-03-27 | Academisch Ziekenhuis Leiden | T-cell based immunotherapy |
| KR20200012316A (en) | 2018-07-26 | 2020-02-05 | 주식회사 종근당 | 1,3,4-Oxadiazole Derivative Compounds as Histone Deacetylase 6 Inhibitor, and the Pharmaceutical Composition Comprising the same |
| US10555935B2 (en) | 2016-06-17 | 2020-02-11 | Forma Therapeutics, Inc. | 2-spiro-5- and 6-hydroxamic acid indanes as HDAC inhibitors |
| US10683293B2 (en) | 2014-08-04 | 2020-06-16 | Nuevolution A/S | Optionally fused heterocyclyl-substituted derivatives of pyrimidine useful for the treatment of inflammatory, metabolic, oncologic and autoimmune diseases |
| WO2020240493A1 (en) | 2019-05-31 | 2020-12-03 | Chong Kun Dang Pharmaceutical Corp. | 1,3,4-oxadiazole homophthalimide derivative compounds as histone deacetylase 6 inhibitor, and the pharmaceutical composition comprising the same |
| KR20200138086A (en) | 2019-05-31 | 2020-12-09 | 주식회사 종근당 | 1,3,4-Oxadiazole Derivative Compounds as Histone Deacetylase 6 Inhibitor, and the Pharmaceutical Composition Comprising the same |
| KR20210072361A (en) * | 2019-12-09 | 2021-06-17 | 계명대학교 산학협력단 | New compounds having histone deacetylases inhibitory activity and medical use thereof |
| US11040027B2 (en) | 2017-01-17 | 2021-06-22 | Heparegenix Gmbh | Protein kinase inhibitors for promoting liver regeneration or reducing or preventing hepatocyte death |
| KR20210108274A (en) | 2020-02-25 | 2021-09-02 | 주식회사 종근당 | 1,3,4-Oxadiazole Derivative Compounds as Histone Deacetylase 6 Inhibitor, and the Pharmaceutical Composition Comprising the same |
| KR20210108555A (en) | 2020-02-25 | 2021-09-03 | 주식회사 종근당 | 1,3,4-Oxadiazol Derivative Compounds as Histone Deacetylase 6 Inhibitor, and the Pharmaceutical Composition Comprising the same |
| KR20210126970A (en) | 2020-04-13 | 2021-10-21 | 주식회사 종근당 | 1,3,4-Oxadiazole Derivative Compounds as Histone Deacetylase 6 Inhibitor, and the Pharmaceutical Composition Comprising the same |
| KR20220008787A (en) | 2020-07-14 | 2022-01-21 | 주식회사 종근당 | Novel Compounds as Histone Deacetylase 6 Inhibitor, and Pharmaceutical Composition Comprising the same |
| KR20220030134A (en) | 2020-09-02 | 2022-03-10 | 주식회사 종근당 | Novel Compounds as Histone Deacetylase 6 Inhibitor, and the Pharmaceutical Composition Comprising the same |
| US11447479B2 (en) | 2019-12-20 | 2022-09-20 | Nuevolution A/S | Compounds active towards nuclear receptors |
| KR20220139752A (en) | 2021-04-08 | 2022-10-17 | 주식회사 종근당 | 1,3,4-Oxadiazole Thiocarbonyl Compounds as Histone Deacetylase 6 Inhibitor, and the Pharmaceutical Composition Comprising the same |
| US11613532B2 (en) | 2020-03-31 | 2023-03-28 | Nuevolution A/S | Compounds active towards nuclear receptors |
| US11780843B2 (en) | 2020-03-31 | 2023-10-10 | Nuevolution A/S | Compounds active towards nuclear receptors |
| KR20230144686A (en) | 2022-04-07 | 2023-10-17 | 주식회사 종근당 | 1,3,4-Oxadiazole Derivative Compounds as Histone Deacetylase 6 Inhibitor, and Uses thereof |
| KR20240035172A (en) | 2022-09-08 | 2024-03-15 | 주식회사 종근당 | 1,3,4-Oxadiazole Derivative Compounds as Histone Deacetylase 6 Inhibitor, and Uses thereof |
| KR20240052687A (en) | 2022-10-14 | 2024-04-23 | 주식회사 종근당 | Sulfoximine Compounds as Histone Deacetylase 6 Inhibitor, and Pharmaceutical Composition Comprising the same |
| KR20240133645A (en) | 2023-02-28 | 2024-09-04 | 주식회사 종근당 | Oxadiazole Derivative Compounds, and the Pharmaceutical Composition Comprising the same |
| KR20250033306A (en) | 2022-07-15 | 2025-03-07 | 주식회사 종근당 | 1,3,4-Oxadiazole triazole compound as histone deacetylase 6 inhibitor and pharmaceutical composition comprising same |
| US12441704B2 (en) | 2019-12-20 | 2025-10-14 | Nuevolution A/S | Compounds active towards nuclear receptors |
Families Citing this family (2)
| Publication number | Priority date | Publication date | Assignee | Title |
|---|---|---|---|---|
| JP2023530788A (en) * | 2020-06-08 | 2023-07-19 | アンジー ファーマシューティカル カンパニー リミテッド | Quinazoline derivatives useful as selective HDAC6 inhibitors |
| CN116437948A (en) * | 2020-06-26 | 2023-07-14 | 伊利诺伊大学董事会 | Selective histone deacetylase 6 inhibitors |
Citations (6)
| Publication number | Priority date | Publication date | Assignee | Title |
|---|---|---|---|---|
| US20020035243A1 (en) | 1998-11-26 | 2002-03-21 | Dominik Imfeld | Transport system conjugates |
| US20020120100A1 (en) | 2000-10-13 | 2002-08-29 | Christophe Bonny | Intracellular delivery of biological effectors |
| US20030032594A1 (en) | 2000-10-13 | 2003-02-13 | Christophe Bonny | Intracellular delivery of biological effectors |
| US20030070691A1 (en) * | 2000-08-03 | 2003-04-17 | Anthony Giletto | Biocide formation via ozonation |
| US20110212969A1 (en) | 2010-02-26 | 2011-09-01 | Millennium Pharmaceuticals, Inc. | Substituted hydroxamic acids and uses thereof |
| EP2723338A2 (en) | 2011-06-24 | 2014-04-30 | The Trustees of Stevens Institute of Technology | Selective inhibitors of histone deacetylase isoform 6 and methods thereof |
Family Cites Families (5)
| Publication number | Priority date | Publication date | Assignee | Title |
|---|---|---|---|---|
| WO2003070691A1 (en) * | 2002-02-21 | 2003-08-28 | Osaka Industrial Promotion Organization | N-hydroxycarboxamide derivative |
| AU2004284030A1 (en) * | 2003-10-27 | 2005-05-06 | S*Bio Pte Ltd | Acylurea connected and sulfonylurea connected hydroxamates |
| WO2006017216A1 (en) * | 2004-07-12 | 2006-02-16 | Merck & Co., Inc. | Histone deacetylase inhibitors |
| AU2005268781A1 (en) * | 2004-08-02 | 2006-02-09 | Genmedica Therapeutics Sl | Compounds for inhibiting copper-containing amine oxidases and uses thereof |
| US20070066646A1 (en) * | 2005-08-02 | 2007-03-22 | Genmedica Therapeutics Sl | Compounds for Inhibiting Copper-Containing Amine Oxidases and Uses Thereof |
-
2013
- 2013-03-07 WO PCT/US2013/029521 patent/WO2013134467A1/en not_active Ceased
- 2013-03-07 JP JP2014561101A patent/JP6233812B2/en not_active Expired - Fee Related
- 2013-03-07 EP EP13758416.5A patent/EP2822926A4/en not_active Withdrawn
- 2013-03-07 CA CA2866707A patent/CA2866707A1/en not_active Abandoned
- 2013-03-07 AU AU2013230881A patent/AU2013230881A1/en not_active Abandoned
Patent Citations (7)
| Publication number | Priority date | Publication date | Assignee | Title |
|---|---|---|---|---|
| US20020035243A1 (en) | 1998-11-26 | 2002-03-21 | Dominik Imfeld | Transport system conjugates |
| US20030070691A1 (en) * | 2000-08-03 | 2003-04-17 | Anthony Giletto | Biocide formation via ozonation |
| US20020120100A1 (en) | 2000-10-13 | 2002-08-29 | Christophe Bonny | Intracellular delivery of biological effectors |
| US20030032594A1 (en) | 2000-10-13 | 2003-02-13 | Christophe Bonny | Intracellular delivery of biological effectors |
| US6960648B2 (en) | 2000-10-13 | 2005-11-01 | Universite De Lausanne | Intracellular delivery of biological effectors |
| US20110212969A1 (en) | 2010-02-26 | 2011-09-01 | Millennium Pharmaceuticals, Inc. | Substituted hydroxamic acids and uses thereof |
| EP2723338A2 (en) | 2011-06-24 | 2014-04-30 | The Trustees of Stevens Institute of Technology | Selective inhibitors of histone deacetylase isoform 6 and methods thereof |
Non-Patent Citations (25)
| Title |
|---|
| BUTLER ET AL., JAM CHEM SOC, vol. 132, no. 31, 2010, pages 10842 - 10846 |
| BUTLER ET AL.: "Rational Design and Simple Chemistry Yield a Superior, Neuroprotective HDAC6 Inhibitor, Tubastatin A", JAM CHEM SOC, vol. 132, no. 31, 2010, pages 10842 - 10846, XP055013253, DOI: doi:10.1021/ja102758v |
| E.W. MARTIN, REMINGTON'S PHARMACEUTICAL SCIENCE, 1995 |
| FACCHETTI ET AL.: "Modulation of pro- and anti-apoptotic factors in human melanoma cells exposed to histone deacetylase inhibitors", APOPTOSIS, vol. 9, no. 5, 2004, pages 573 - 582, XP002490327, DOI: doi:10.1023/B:APPT.0000038036.31271.50 |
| GAO ET AL.: "Cloning and functional characterization of HDAC 11, a novel member of the human histone deacetylase family", J BIOL CHEM, vol. 277, no. 28, 2002, pages 25748 - 25755, XP002324623, DOI: doi:10.1074/jbc.M111871200 |
| GUO ET AL.: "Efficient Iron-Catalyzed N-Arylation of Aryl Halides with Amines", ORG LETT, vol. 10, no. 20, 2008, pages 4513 - 4516 |
| KALIN ET AL., J MED CHEM, vol. 55, no. 2, 2012, pages 639 - 651 |
| KALIN ET AL.: "Second-Generation Histone Deacetylase 6 Inhibitors Enhance the Immunosuppressive Effects of Foxp3+ T-Regulatory Cells", J MED CHEM, vol. 55, no. 2, 2012, pages 639 - 651, XP055044179, DOI: doi:10.1021/jm200773h |
| KWONG ET AL.: "Copper-catalyzed coupling of alkylamines and aryl iodides: An efficient system even in an air atmosphere", ORG LETT, vol. 4, no. 4, 2002, pages 581 - 584, XP002310188, DOI: doi:10.1021/ol0171867 |
| LEE ET AL., NAT. MED., vol. 5, 1999, pages 677 - 685 |
| NOONAN ET AL., CANCER RES., vol. 65, 2005, pages 2026 - 2034 |
| OKANO ET AL.: "Synthesis of secondary arylamines through copper-mediated intermolecular aryl amination", ORG LETT, vol. 5, no. 26, 2003, pages 4987 - 4990, XP002683550, DOI: doi:10.1021/OL035942Y |
| PARMIGIANI ET AL.: "HDAC6 is a specific deacetylase of peroxiredoxins and is involved in redox regulation", PROC NAT ACAD SCI USA, vol. 105, no. 28, 2008, pages 9633 - 9638 |
| PELTONEN ET AL.: "Melanoma cell lines are susceptible to histone deacetylase inhibitor TSA provoked cell cycle arrest and apoptosis", PIGMENT CELL RES, vol. 18, no. 3, 2005, pages 196 - 202, XP002490329, DOI: doi:10.1111/j.1600-0749.2005.00225.x |
| SANTO ET AL.: "Preclinical activity, pharmacodynamic, and pharmacokinetic properties of a selective HDAC6i, ACY-1215, in combination with bortezomib in multiple myeloma", BLOOD, vol. 119, no. 11, 2012, pages 2579 - 2589, XP055171308, DOI: doi:10.1182/blood-2011-10-387365 |
| See also references of EP2822926A4 * |
| UESATO, SHINICHI ET AL.: "Novel Histone Deacetylase Inhibitors: N-Hydroxycarboxamides Possessing a Terminal Bicyclic Aryl Group", BIOORGANIC & MEDICINAL CHEMISTRY LETTERS, vol. 12, 2002, pages 1347 - 1349, XP002276408 * |
| VICKERS ET AL.: "Discovery of HDAC Inhibitors That Lack an Active Site Zn2+-Binding Functional Group", ACS MED CHEM LETT, vol. 3, no. 6, 2012, pages 505 - 508 |
| VILLAGRA ET AL.: "The histone deacetylase HDAC1 1 regulates the expression of interleukin 10 and immune tolerance", NAT IMMUNOL, vol. 10, no. 1, 2009, pages 92 - 100 |
| WAGNER ET AL.: "Histone deacetylase (HDAC) inhibitors in recent clinical trials for cancer therapy", CLINICAL EPIGENETICS, vol. 1, no. 3-4, 2010, pages 117 - 136 |
| WANG ET AL., J IMMUNOL, vol. 186, 2011, pages 3986 - 3996 |
| WANG ET AL.: "Histone Deacetylase Inhibitor LAQ824 Augments Inflammatory Responses in Macrophages through Transcriptional Regulation of IL-10", J IMMUNOL, vol. 186, no. 7, 2011, pages 3986 - 3996 |
| ZHANG ET AL.: "Mice lacking histone deacetylase 6 have hyperacetylated tubulin but are viable and develop normally", MOL CELL BIOL, vol. 25, no. 5, 2008, pages 1688 - 1701 |
| ZHOU ET AL.: "Discovery of N-(2-aminophenyl)4- 4-pyridin-3-ylpyrimidin-2-ylamino)methyl benzamide (MGCD0103), an orally active histone deacetylase inhibitor", J MED CHERN, vol. 51, no. 14, 2008, pages 4072 - 4075, XP055035995, DOI: doi:10.1021/jm800251w |
| ZOU ET AL.: "Characterization of the two catalytic domains in histone deacetylase 6", BIOCHEM BIOPHYS RES COMMUN, vol. 341, no. 1, 2006, pages 45 - 50, XP026234684, DOI: doi:10.1016/j.bbrc.2005.12.144 |
Cited By (97)
| Publication number | Priority date | Publication date | Assignee | Title |
|---|---|---|---|---|
| KR20150106857A (en) | 2014-03-12 | 2015-09-22 | 주식회사 종근당 | Novel compounds for HDAC6 inhibitor, and the pharmaceutical composition comprising thereof |
| US10287255B2 (en) | 2014-03-12 | 2019-05-14 | Chong Kun Dang Pharmaceutical Corp. | Compounds as histone deacetylase 6 inhibitors and pharmaceutical compositions comprising the same |
| US10918638B2 (en) | 2014-04-05 | 2021-02-16 | H. Lee Moffitt Cancer Center And Research Institute, Inc. | Histone deacetylase 6 inhibition for enhancing T-cell function during anti-tumor response and tumor-peptide vaccination |
| WO2015154065A1 (en) * | 2014-04-05 | 2015-10-08 | H. Lee Moffitt Cancer Center And Research Institute, Inc. | Histone deacetylase 6 inhibition for enhancing t-cell function during anti-tumor response and tumor-peptide vaccination |
| US10016421B2 (en) | 2014-04-05 | 2018-07-10 | H. Lee Moffitt Cancer Center And Research Institute, Inc. | Histone deacetylase 6 inhibition for enhancing T-cell function during anti-tumor response and tumor-peptide vaccination |
| AU2019201127B2 (en) * | 2014-07-15 | 2020-08-13 | The Johns Hopkins University | Suppression of myeloid derived suppressor cells and immune checkpoint blockade |
| CN107072984B (en) * | 2014-07-15 | 2021-10-01 | 约翰·霍普金斯大学 | Suppression of myeloid-derived suppressor cells and immune checkpoint blockade |
| CN107072984A (en) * | 2014-07-15 | 2017-08-18 | 约翰·霍普金斯大学 | Suppression of myeloid-derived suppressor cells and immune checkpoint blockade |
| EP3169326A4 (en) * | 2014-07-15 | 2018-04-04 | The Johns Hopkins University | Suppression of myeloid derived suppressor cells and immune checkpoint blockade |
| US10869926B2 (en) | 2014-07-15 | 2020-12-22 | The Johns Hopkins University | Suppression of myeloid derived suppressor cells and immune checkpoint blockade |
| US10683293B2 (en) | 2014-08-04 | 2020-06-16 | Nuevolution A/S | Optionally fused heterocyclyl-substituted derivatives of pyrimidine useful for the treatment of inflammatory, metabolic, oncologic and autoimmune diseases |
| US10689383B2 (en) | 2014-08-04 | 2020-06-23 | Nuevolution A/S | Optionally fused heterocyclyl-substituted derivatives of pyrimidine useful for the treatment of inflammatory, metabolic, oncologic and autoimmune diseases |
| US11254681B2 (en) | 2014-08-04 | 2022-02-22 | Nuevolution A/S | Optionally fused heterocyclyl-substituted derivatives of pyrimidine useful for the treatment of inflammatory, metabolic, oncologic and autoimmune diseases |
| JP2017537070A (en) * | 2014-10-24 | 2017-12-14 | アストラゼネカ アクチボラグ | combination |
| AU2015335029B2 (en) * | 2014-10-24 | 2021-09-23 | Astrazeneca Ab | Combination |
| RU2744841C2 (en) * | 2014-10-24 | 2021-03-16 | Астразенека Аб | Combination |
| CN107106590A (en) * | 2014-10-24 | 2017-08-29 | 阿斯利康(瑞典)有限公司 | combination |
| EP3550019A1 (en) * | 2014-10-24 | 2019-10-09 | Astrazeneca AB | Combination |
| WO2016062722A1 (en) * | 2014-10-24 | 2016-04-28 | Astrazeneca Ab | Combination |
| US9993459B2 (en) | 2015-01-08 | 2018-06-12 | Universiteit Gent | Selective HDAC6 inhibitors and uses thereof |
| US10407418B2 (en) | 2015-02-02 | 2019-09-10 | Forma Therapeutics, Inc. | Bicyclic [4,6,0] hydroxamic acids as HDAC inhibitors |
| US10513501B2 (en) | 2015-02-02 | 2019-12-24 | Forma Therapeutics, Inc. | 3-alkyl bicyclic [4,5,0] hydroxamic acids as HDAC inhibitors |
| US10239845B2 (en) | 2015-02-02 | 2019-03-26 | Forma Therapeutics, Inc. | 3-aryl-4-amido-bicyclic [4,5,0] hydroxamic acids as HDAC inhibitors |
| US10377726B2 (en) | 2015-02-02 | 2019-08-13 | Forma Therapeutics, Inc. | 3-aryl-4-amido-bicyclic [4,5,0] hydroxamic acids as HDAC inhibitors |
| US12304904B2 (en) | 2015-02-02 | 2025-05-20 | Valo Health, Inc. | Bicyclic [4,6,0] hydroxamic acids as HDAC inhibitors |
| US10414738B2 (en) | 2015-02-02 | 2019-09-17 | Forma Therapeutics, Inc. | 3-alkyl bicyclic [4,5,0] hydroxamic acids as HDAC inhibitors |
| US10421732B2 (en) | 2015-02-02 | 2019-09-24 | Forma Therapeutics, Inc. | 3-alkyl-4-amido-bicyclic [4,5,0] hydroxamic acids as HDAC inhibitors |
| US10421731B2 (en) | 2015-02-02 | 2019-09-24 | Forma Therapeutics, Inc. | 3-alkyl bicyclic [4,5,0] hydroxamic acids as HDAC inhibitors |
| US10428031B2 (en) | 2015-02-02 | 2019-10-01 | Forma Therapeutics, Inc. | 3-alkyl bicyclic [4,5,0] hydroxamic acids as HDAC inhibitors |
| US10214500B2 (en) | 2015-02-02 | 2019-02-26 | Forma Therapeutics, Inc. | 3-alkyl-4-amido-bicyclic [4,5,0] hydroxamic acids as HDAC inhibitors |
| US10442776B2 (en) | 2015-02-02 | 2019-10-15 | Forma Therapeutics, Inc. | 3-alkyl-4-amido-bicyclic [4,5,0] hydroxamic acids as HDAC inhibitors |
| US10450283B2 (en) | 2015-02-02 | 2019-10-22 | Forma Therapeutics, Inc. | 3-alkyl bicyclic [4,5,0] hydroxamic acids as HDAC inhibitors |
| US10450284B2 (en) | 2015-02-02 | 2019-10-22 | Forma Therapeutics, Inc. | 3-aryl-4-amido-bicyclic [4,5,0] hydroxamic acids as HDAC inhibitors |
| US10457652B2 (en) | 2015-02-02 | 2019-10-29 | Forma Therapeutics, Inc. | 3-alkyl-4-amido-bicyclic [4,5,0] hydroxamic acids as HDAC inhibitors |
| US10464909B2 (en) | 2015-02-02 | 2019-11-05 | Forma Therapeutics, Inc. | 3-alkyl-4-amido-bicyclic [4,5,0] hydroxamic acids as HDAC inhibitors |
| US10464910B2 (en) | 2015-02-02 | 2019-11-05 | Forma Therapeutics, Inc. | 3-alkyl-4-amido-bicyclic [4,5,0] hydroxamic acids as HDAC inhibitors |
| US10472337B2 (en) | 2015-02-02 | 2019-11-12 | Forma Therapeutics, Inc. | 3-aryl-4-amido-bicyclic [4,5,0] hydroxamic acids as HDAC inhibitors |
| US10479772B2 (en) | 2015-02-02 | 2019-11-19 | Forma Therapeutics, Inc. | 3-aryl-4-amido-bicyclic [4,5,0] hydroxamic acids as HDAC inhibitors |
| US10494352B2 (en) | 2015-02-02 | 2019-12-03 | Forma Therapeutics, Inc. | 3-aryl-bicyclic [4,5,0] hydroxamic acids as HDAC inhibitors |
| US10494354B2 (en) | 2015-02-02 | 2019-12-03 | Forma Therapeutics, Inc. | 3-aryl-bicyclic [4,5,0] hydroxamic acids as HDAC inhibitors |
| US10494353B2 (en) | 2015-02-02 | 2019-12-03 | Forma Therapeutics, Inc. | 3-aryl-4-amido-bicyclic [4,5,0] hydroxamic acids as HDAC inhibitors |
| US10494351B2 (en) | 2015-02-02 | 2019-12-03 | Forma Therapeutics, Inc. | 3-aryl-bicyclic [4,5,0] hydroxamic acids as HDAC inhibitors |
| US10501424B2 (en) | 2015-02-02 | 2019-12-10 | Forma Therapeutics, Inc. | 3-aryl-bicyclic [4,5,0] hydroxamic acids as HDAC inhibitors |
| US10988450B2 (en) | 2015-02-02 | 2021-04-27 | Valo Early Discovery, Inc. | 3-alkyl-4-amido-bicyclic [4,5,0] hydroxamic acids as HDAC inhibitors |
| US12264137B2 (en) | 2015-02-02 | 2025-04-01 | Valo Health, Inc. | 3-aryl-4-amido-bicyclic [4,5,0] hydroxamic acids as HDAC inhibitors |
| US11274084B2 (en) | 2015-02-02 | 2022-03-15 | Valo Health, Inc. | 3-aryl-4-amido-bicyclic [4,5,0] hydroxamic acids as HDAC inhibitors |
| US11274085B2 (en) | 2015-02-02 | 2022-03-15 | Valo Health, Inc. | 3-aryl-bicyclic [4,5,0] hydroxamic acids as HDAC inhibitors |
| US10214501B2 (en) | 2015-02-02 | 2019-02-26 | Forma Therapeutics, Inc. | 3-alkyl bicyclic [4,5,0] hydroxamic acids as HDAC inhibitors |
| US10183934B2 (en) | 2015-02-02 | 2019-01-22 | Forma Therapeutics, Inc. | Bicyclic [4,6,0] hydroxamic acids as HDAC inhibitors |
| US11891365B2 (en) | 2015-02-02 | 2024-02-06 | Valo Health, Inc. | 3-alkyl-4-amido-bicyclic [4,5,0] hydroxamic acids as HDAC inhibitors |
| US10822316B2 (en) | 2015-02-02 | 2020-11-03 | Valo Early Discovery, Inc. | 3-aryl-bicyclic [4,5,0] hydroxamic acids as HDAC inhibitors |
| US10829461B2 (en) | 2015-02-02 | 2020-11-10 | Valo Early Discovery, Inc. | 3-aryl-4-amido-bicyclic [4,5,0] hydroxamic acids as HDAC inhibitors |
| US10829462B2 (en) | 2015-02-02 | 2020-11-10 | Valo Early Discovery, Inc. | 3-alkyl bicyclic [4,5,0] hydroxamic acids as HDAC inhibitors |
| US10870645B2 (en) | 2015-02-02 | 2020-12-22 | Valo Early Discovery, Inc. | Bicyclic [4,6,0] hydroxamic acids as HDAC inhibitors |
| US11702412B2 (en) | 2015-02-02 | 2023-07-18 | Valo Health, Inc. | Bicyclic [4,6,0] hydroxamic acids as HDAC inhibitors |
| US11279681B2 (en) | 2015-02-02 | 2022-03-22 | Valo Health, Inc. | 3-alkyl bicyclic [4,5,0] hydroxamic acids as HDAC inhibitors |
| US10112915B2 (en) | 2015-02-02 | 2018-10-30 | Forma Therapeutics, Inc. | 3-aryl bicyclic [4,5,0] hydroxamic acids as HDAC inhibitors |
| KR20170013836A (en) | 2015-07-27 | 2017-02-07 | 주식회사 종근당 | 1,3,4-Oxadiazole Sulfonamide Derivative Compounds as Histone Deacetylase 6 Inhibitor, and the Pharmaceutical Composition Comprising the same |
| KR20170013186A (en) | 2015-07-27 | 2017-02-06 | 주식회사 종근당 | 1,3,4-Oxadiazole Sulfamide Derivative Compounds as Histone Deacetylase 6 Inhibitor, and the Pharmaceutical Composition Comprising the same |
| KR20170013187A (en) | 2015-07-27 | 2017-02-06 | 주식회사 종근당 | 1,3,4-Oxadiazole Amide Derivative Compounds as Histone Deacetylase 6 Inhibitor, and the Pharmaceutical Composition Comprising the same |
| KR20170017792A (en) | 2015-08-04 | 2017-02-15 | 주식회사 종근당 | 1,3,4-Oxadiazole Derivative Compounds as Histone Deacetylase 6 Inhibitor, and the Pharmaceutical Composition Comprising the same |
| US11730721B2 (en) | 2016-06-17 | 2023-08-22 | Valo Health, Inc. | 2-spiro-5- and 6-hydroxamic acid indanes as HDAC inhibitors |
| US10874649B2 (en) | 2016-06-17 | 2020-12-29 | Valo Early Discovery, Inc. | 2-spiro-5- and 6-hydroxamic acid indanes as HDAC inhibitors |
| US10555935B2 (en) | 2016-06-17 | 2020-02-11 | Forma Therapeutics, Inc. | 2-spiro-5- and 6-hydroxamic acid indanes as HDAC inhibitors |
| US12213969B2 (en) | 2016-06-17 | 2025-02-04 | Valo Health, Inc. | 2-spiro-5- and 6-hydroxamic acid indanes as HDAC inhibitors |
| US11040027B2 (en) | 2017-01-17 | 2021-06-22 | Heparegenix Gmbh | Protein kinase inhibitors for promoting liver regeneration or reducing or preventing hepatocyte death |
| US10934255B2 (en) | 2017-04-26 | 2021-03-02 | The Board Of Trustees Of The University Of Illinois | Nrf and HIF activators/HDAC inhibitors and therapeutic methods using the same |
| CN110730660A (en) * | 2017-04-26 | 2020-01-24 | 伊利诺伊大学评议会 | Nrf and HIF activators/HDAC inhibitors and methods of treatment using the same |
| WO2018200608A1 (en) * | 2017-04-26 | 2018-11-01 | The Board Of Trustees Of The University Of Illinois | Nrf and hif activators/hdac inhibitors and therapeutic methods using the same |
| NL2019548B1 (en) * | 2017-09-14 | 2019-03-27 | Academisch Ziekenhuis Leiden | T-cell based immunotherapy |
| WO2019054865A1 (en) * | 2017-09-14 | 2019-03-21 | ACADEMISCH ZIEKENHUIS LEIDEN (h.o.d.n. LUMC) | IMMUNOTHERAPY BASED ON T-LYMPHOCYTES |
| CN108191748A (en) * | 2018-01-24 | 2018-06-22 | 齐鲁师范学院 | A kind of oxime compound of amino containing heteroaromatic, preparation method and its usage |
| KR20200012316A (en) | 2018-07-26 | 2020-02-05 | 주식회사 종근당 | 1,3,4-Oxadiazole Derivative Compounds as Histone Deacetylase 6 Inhibitor, and the Pharmaceutical Composition Comprising the same |
| US11958844B2 (en) | 2018-07-26 | 2024-04-16 | Chong Kun Dang Pharmaceutical Corp. | 1,3,4-oxadiazole derivative compounds as histone deacetylase 6 inhibitor, and pharmaceutical composition comprising the same |
| WO2020240493A1 (en) | 2019-05-31 | 2020-12-03 | Chong Kun Dang Pharmaceutical Corp. | 1,3,4-oxadiazole homophthalimide derivative compounds as histone deacetylase 6 inhibitor, and the pharmaceutical composition comprising the same |
| KR20200138086A (en) | 2019-05-31 | 2020-12-09 | 주식회사 종근당 | 1,3,4-Oxadiazole Derivative Compounds as Histone Deacetylase 6 Inhibitor, and the Pharmaceutical Composition Comprising the same |
| KR20200138087A (en) | 2019-05-31 | 2020-12-09 | 주식회사 종근당 | 1,3,4-Oxadiazole homophthalimide Derivative Compounds as Histone Deacetylase 6 Inhibitor, and the Pharmaceutical Composition Comprising the same |
| US12440484B2 (en) | 2019-05-31 | 2025-10-14 | Chong Kun Dang Pharmaceutical Corporation | 1,3,4-oxadiazole homophthalimide derivative compounds as histone deacetylase 6 inhibitor, and the pharmaceutical composition comprising the same |
| KR102331206B1 (en) | 2019-12-09 | 2021-11-25 | 계명대학교 산학협력단 | New compounds having histone deacetylases inhibitory activity and medical use thereof |
| KR20210072361A (en) * | 2019-12-09 | 2021-06-17 | 계명대학교 산학협력단 | New compounds having histone deacetylases inhibitory activity and medical use thereof |
| US11447479B2 (en) | 2019-12-20 | 2022-09-20 | Nuevolution A/S | Compounds active towards nuclear receptors |
| US12441704B2 (en) | 2019-12-20 | 2025-10-14 | Nuevolution A/S | Compounds active towards nuclear receptors |
| US12466827B2 (en) | 2020-02-25 | 2025-11-11 | Chong Kun Dang Pharmaceutical Corp. | 1,3,4-oxadiazole derivative compounds as histone deacetylase 6 inhibitor, and the pharmaceutical composition comprising the same |
| KR20210108274A (en) | 2020-02-25 | 2021-09-02 | 주식회사 종근당 | 1,3,4-Oxadiazole Derivative Compounds as Histone Deacetylase 6 Inhibitor, and the Pharmaceutical Composition Comprising the same |
| KR20210108555A (en) | 2020-02-25 | 2021-09-03 | 주식회사 종근당 | 1,3,4-Oxadiazol Derivative Compounds as Histone Deacetylase 6 Inhibitor, and the Pharmaceutical Composition Comprising the same |
| US12522601B2 (en) | 2020-02-25 | 2026-01-13 | Chong Kun Dang Pharmaceutical Corp. | 1,3,4-oxadiazole derivative compounds as histone deacetylase 6 inhibitor, and the pharmaceutical composition comprising the same |
| US11613532B2 (en) | 2020-03-31 | 2023-03-28 | Nuevolution A/S | Compounds active towards nuclear receptors |
| US11780843B2 (en) | 2020-03-31 | 2023-10-10 | Nuevolution A/S | Compounds active towards nuclear receptors |
| KR20210126970A (en) | 2020-04-13 | 2021-10-21 | 주식회사 종근당 | 1,3,4-Oxadiazole Derivative Compounds as Histone Deacetylase 6 Inhibitor, and the Pharmaceutical Composition Comprising the same |
| KR20220008787A (en) | 2020-07-14 | 2022-01-21 | 주식회사 종근당 | Novel Compounds as Histone Deacetylase 6 Inhibitor, and Pharmaceutical Composition Comprising the same |
| KR20220030134A (en) | 2020-09-02 | 2022-03-10 | 주식회사 종근당 | Novel Compounds as Histone Deacetylase 6 Inhibitor, and the Pharmaceutical Composition Comprising the same |
| KR20220139752A (en) | 2021-04-08 | 2022-10-17 | 주식회사 종근당 | 1,3,4-Oxadiazole Thiocarbonyl Compounds as Histone Deacetylase 6 Inhibitor, and the Pharmaceutical Composition Comprising the same |
| KR20230144686A (en) | 2022-04-07 | 2023-10-17 | 주식회사 종근당 | 1,3,4-Oxadiazole Derivative Compounds as Histone Deacetylase 6 Inhibitor, and Uses thereof |
| KR20250033306A (en) | 2022-07-15 | 2025-03-07 | 주식회사 종근당 | 1,3,4-Oxadiazole triazole compound as histone deacetylase 6 inhibitor and pharmaceutical composition comprising same |
| KR20240035172A (en) | 2022-09-08 | 2024-03-15 | 주식회사 종근당 | 1,3,4-Oxadiazole Derivative Compounds as Histone Deacetylase 6 Inhibitor, and Uses thereof |
| KR20240052687A (en) | 2022-10-14 | 2024-04-23 | 주식회사 종근당 | Sulfoximine Compounds as Histone Deacetylase 6 Inhibitor, and Pharmaceutical Composition Comprising the same |
| KR20240133645A (en) | 2023-02-28 | 2024-09-04 | 주식회사 종근당 | Oxadiazole Derivative Compounds, and the Pharmaceutical Composition Comprising the same |
Also Published As
| Publication number | Publication date |
|---|---|
| JP2015510886A (en) | 2015-04-13 |
| CA2866707A1 (en) | 2013-09-12 |
| AU2013230881A1 (en) | 2014-10-30 |
| EP2822926A1 (en) | 2015-01-14 |
| EP2822926A4 (en) | 2015-11-04 |
| JP6233812B2 (en) | 2017-11-22 |
Similar Documents
| Publication | Publication Date | Title |
|---|---|---|
| JP6233812B2 (en) | Selective histone deacetylase 6 inhibitor | |
| US10227295B2 (en) | Selective histone deactylase 6 inhibitors | |
| US9956192B2 (en) | Selective histone deactylase 6 inhibitors | |
| JP5934184B2 (en) | Tranylcypromine derivatives as inhibitors of histone demethylase LSD1 and / or LSD2 | |
| JP5699152B2 (en) | Lysine-specific demethylase-1 inhibitors and uses thereof | |
| US20230348389A1 (en) | Piperidine derivatives as hdac1/2 inhibitors | |
| US20100292229A1 (en) | Tryphostin-analogs for the treatment of cell proliferative diseases | |
| US20110112282A1 (en) | Ido inhibitors and therapeutic uses thereof | |
| CN111253336B (en) | cancer treatment compounds | |
| US10870618B2 (en) | Histone deacetylase inhibitors and uses thereof | |
| KR102157912B1 (en) | Enzyme-activating compounds and compositions | |
| EP2571352A1 (en) | Selective hdac inhibitors | |
| TW201625620A (en) | Heterocyclic hydroxamic acids as protein deacetylase inhibitors and dual protein deacetylase-protein kinase inhibitors and methods of use thereof | |
| JP2020527173A (en) | A novel heteroarylamide derivative as a selective inhibitor of histone deacetylases 1 and / or 2 (HDAC1-2) | |
| NZ524404A (en) | Indole derivatives and their use as medicaments | |
| CN107922345A (en) | Arylsulfonamide compounds and its therapeutical uses as carbonic anhydrase inhibitor | |
| US11591301B2 (en) | Indoleamine-2,3-dioxygenase inhibitor, preparation method therefor and use thereof | |
| US8053460B2 (en) | Indole derivatives having antitumor activity | |
| EP3628664A1 (en) | Irreversible inhibitors of kras g12c mutant | |
| KR101624344B1 (en) | Novel 3-Substituted-2-Oxoindoline-Based N-hydroxypropenamides Having Activity of Inhibiting Histone Deacetylase and Antitumor Composition Comprising the Same | |
| KR102023845B1 (en) | Histone deacetylases inhibitor and use thereof | |
| CN108473449B (en) | Sulfonamidine as indoleamine-2, 3-dioxygenase inhibitor and preparation method and application thereof | |
| US10954197B2 (en) | Cathepsin-D and angiogenesis inhibitors and compositions thereof for treating breast cancer | |
| KR101900574B1 (en) | Novel N-hydroxybenzamide and Use Thereof | |
| US20250162994A1 (en) | Dual lsd1/hdac inhibitors |
Legal Events
| Date | Code | Title | Description |
|---|---|---|---|
| 121 | Ep: the epo has been informed by wipo that ep was designated in this application |
Ref document number: 13758416 Country of ref document: EP Kind code of ref document: A1 |
|
| WWE | Wipo information: entry into national phase |
Ref document number: 14383418 Country of ref document: US |
|
| ENP | Entry into the national phase |
Ref document number: 2014561101 Country of ref document: JP Kind code of ref document: A Ref document number: 2866707 Country of ref document: CA |
|
| NENP | Non-entry into the national phase |
Ref country code: DE |
|
| WWE | Wipo information: entry into national phase |
Ref document number: 2013758416 Country of ref document: EP |
|
| ENP | Entry into the national phase |
Ref document number: 2013230881 Country of ref document: AU Date of ref document: 20130307 Kind code of ref document: A |



























