WO2013088274A1 - Anhydrous amorphous azithromycin composition free of azithromycin dihydrate - Google Patents
Anhydrous amorphous azithromycin composition free of azithromycin dihydrate Download PDFInfo
- Publication number
- WO2013088274A1 WO2013088274A1 PCT/IB2012/056106 IB2012056106W WO2013088274A1 WO 2013088274 A1 WO2013088274 A1 WO 2013088274A1 IB 2012056106 W IB2012056106 W IB 2012056106W WO 2013088274 A1 WO2013088274 A1 WO 2013088274A1
- Authority
- WO
- WIPO (PCT)
- Prior art keywords
- azithromycin
- pharmaceutical composition
- composition
- tablet
- anhydrous amorphous
- Prior art date
- Legal status (The legal status is an assumption and is not a legal conclusion. Google has not performed a legal analysis and makes no representation as to the accuracy of the status listed.)
- Ceased
Links
Classifications
-
- A—HUMAN NECESSITIES
- A61—MEDICAL OR VETERINARY SCIENCE; HYGIENE
- A61K—PREPARATIONS FOR MEDICAL, DENTAL OR TOILETRY PURPOSES
- A61K9/00—Medicinal preparations characterised by special physical form
- A61K9/0087—Galenical forms not covered by A61K9/02 - A61K9/7023
- A61K9/0095—Drinks; Beverages; Syrups; Compositions for reconstitution thereof, e.g. powders or tablets to be dispersed in a glass of water; Veterinary drenches
-
- A—HUMAN NECESSITIES
- A61—MEDICAL OR VETERINARY SCIENCE; HYGIENE
- A61K—PREPARATIONS FOR MEDICAL, DENTAL OR TOILETRY PURPOSES
- A61K31/00—Medicinal preparations containing organic active ingredients
- A61K31/70—Carbohydrates; Sugars; Derivatives thereof
- A61K31/7042—Compounds having saccharide radicals and heterocyclic rings
- A61K31/7052—Compounds having saccharide radicals and heterocyclic rings having nitrogen as a ring hetero atom, e.g. nucleosides, nucleotides
-
- A—HUMAN NECESSITIES
- A61—MEDICAL OR VETERINARY SCIENCE; HYGIENE
- A61K—PREPARATIONS FOR MEDICAL, DENTAL OR TOILETRY PURPOSES
- A61K9/00—Medicinal preparations characterised by special physical form
- A61K9/14—Particulate form, e.g. powders, Processes for size reducing of pure drugs or the resulting products, Pure drug nanoparticles
- A61K9/16—Agglomerates; Granulates; Microbeadlets ; Microspheres; Pellets; Solid products obtained by spray drying, spray freeze drying, spray congealing,(multiple) emulsion solvent evaporation or extraction
- A61K9/1605—Excipients; Inactive ingredients
- A61K9/1617—Organic compounds, e.g. phospholipids, fats
- A61K9/1623—Sugars or sugar alcohols, e.g. lactose; Derivatives thereof; Homeopathic globules
-
- A—HUMAN NECESSITIES
- A61—MEDICAL OR VETERINARY SCIENCE; HYGIENE
- A61K—PREPARATIONS FOR MEDICAL, DENTAL OR TOILETRY PURPOSES
- A61K9/00—Medicinal preparations characterised by special physical form
- A61K9/20—Pills, tablets, discs, rods
- A61K9/2004—Excipients; Inactive ingredients
- A61K9/2022—Organic macromolecular compounds
- A61K9/205—Polysaccharides, e.g. alginate, gums; Cyclodextrin
- A61K9/2054—Cellulose; Cellulose derivatives, e.g. hydroxypropyl methylcellulose
Definitions
- the present invention relates to an oral compacted pharmaceutical composition
- an oral compacted pharmaceutical composition comprising anhydrous amorphous azithromycin along with one or more pharmaceutically acceptable excipient, wherein the pharmaceutical composition is essentially free of azithromycin dihydrate.
- Azithromycin is used to treat many different infections including acute otitis media, streptococcal pharyngitis, gastrointestinal infections such as traveler's diarrhea, respiratory tract infections such as pneumonia, cellulitis, babesiosis, bartonella, chancroid, chlamydia, cholera, donovanosis, leptospirosis, lyme disease, malaria, mycobacterium avium complex, neisseria meningitis, pelvic inflammatory disease, pertussis, scrub typhus, syphilis, toxoplasmosis, and salmonella.
- acute otitis media such as traveler's diarrhea
- respiratory tract infections such as pneumonia, cellulitis, babesiosis, bartonella, chancroid, chlamydia, cholera, donovanosis, leptospirosis, lyme disease, malaria, mycobacterium avium complex, neisseria meningit
- Azithromycin is generic name for 9-deoxo-9a-aza-9a-methyl-9a- homoerythromycin A, a broad-spectrum antibacterial compound.
- Azithromycin is an azalide, a subclass of macrolide antibiotics. It is derived from erythromycin; however, it differs chemically from erythromycin in that a methyl-substituted nitrogen atom is incorporated into the lactone ring.
- Azithromycin structure is presented below
- Azithromycin is used to treat many different infections including acute otitis media, streptococcal pharyngitis, gastrointestinal infections such as traveler's diarrhea, respiratory tract infections such as pneumonia, cellulitis, babesiosis, bartonella, chancroid, chlamydia, cholera, donovanosis, leptospirosis, lyme disease, malaria, mycobacterium avium complex, neisseria meningitis, pelvic inflammatory disease, pertussis, scrub typhus, syphilis, toxoplasmosis, and salmonella.
- acute otitis media such as traveler's diarrhea
- respiratory tract infections such as pneumonia, cellulitis, babesiosis, bartonella, chancroid, chlamydia, cholera, donovanosis, leptospirosis, lyme disease, malaria, mycobacterium avium complex, neisseria meningit
- azithromycin contains dehydrate form of azithromycin.
- Azithromycin is available commercially in the form of tablet and oral suspension under the trade name Zithromax® and marketed in US by Pfizer.
- Azithromycin was independently discovered by Bright (U.S. Patent No. 4,474,768) and Kobrehel et al. (U.S. Patent No. 4,517,359). It is known in art that azithromycin monohydrate forms are highly hygroscopic and because of its hygroscopic nature, it is most difficult to handle and maintain its natural form during the formulation. Even in presence of small traces of moisture, the monohydrate or anhydrous form quickly absorbs water and gets converted into dihydrate form or monohydrate form respectively. Azithromycin dihydrate is essentially non-hygroscopic under conditions of relative humidity conducive to formulation of azithromycin. Moreover, the dihydrate form is relatively stable than monohydrate or anhydrous form, and thus provides a comfort in formulating various dosage forms with ease.
- azithromycin is susceptible to degradation if exposed to elevated temperatures and/or air during manufacturing processes, processes that include formulation of the pharmaceutical dosage form.
- the susceptibility of azithromycin to degradation may lead to deviation of the drug product from regulatory purity requirements even prior to the product reaching the patient.
- azithromycin tends to degrade under normal storage conditions, which may result in the presence of unacceptable levels of impurities at the time of administration.
- U.S. Patent No. 4,512,982 discloses a macrolide antibiotic compound.
- U.S. Patent No. 7,282,218 discloses a substantially amorphous pharmaceutical composition comprising a drug that can exist in a variety of polymorphic forms and a pH sensitive polymer, which inhibits the crystallization of the drug during formulation and reconstitution.
- Indian Patent No. 187487 discloses a process for preparing a stable azithromycin dihydrate oral suspension.
- U.S. Patent No. 4,963,531 discloses a method of use of azithromycin or derivatives of azithromycin in the treatment of infection caused by Toxoplasma gondii in mammals.
- U.S. Patent No. 7,438,924 discloses a solid pharmaceutical formulation, comprising dry granulated particles of a non-dihydrate form of azithromycin selected from the group consisting of substantially pure azithromycin monohydrate hemi-ethanol solvate and substantially pure azithromycin sesquihydrate and optionally, one or more pharmaceutically acceptable excipients.
- U.S. Patent Application No. 20070199856 discloses methods of packaging azithromycin to prevent the degradation of azithromycin upon storage.
- Indian Patent Application No. 2/DELNP/2008 discloses a crystalline azithromycin L-malate monohydrate for treating various microbial infections, which has high thermostability, solubility and nonhygroscopicity, a method for preparing same, and a pharmaceutical composition containing same.
- U.S. Patent No. 7,108,865 discloses a solid oral controlled release dosage form comprising azithromycin in an amount that is below that which causes gastrointestinal side effects i.e. 200 mg or less.
- U.S. Patent No. 6,068,859 discloses a controlled-release dosage form of azithromycin having an improved side effect profile.
- U.S. Patent No. RE39149 discloses an oral dosage form of azithromycin, and also to a method of treating a microbial infection which involves administering azithromycin in the fed state to a mammal, including a human patient, in need of such treatment.
- U.S. Patent Application No. 20050101547 and 20080096831 discloses a stabilized azithromycin composition comprising azithromycin monohydrate, and about 5 weight percent (wt %) to about 15 wt %, based on the total weight of the composition, of water.
- the stabilized azithromycin monohydrate compositions do not require an antioxidant.
- PCT Patent Application No. 2006096182 discloses a non-caking azithromycin powder for oral suspension composition comprising azithromycin and a hydrated buffer.
- Indian Patent Application No. 552/MUM/2003 discloses a process of preparation of pharmaceutical formulation containing an ion exchange resin and a macrolide antibiotic where in the bitter taste of the antibiotic is masked by ion exchange drug resinate.
- U.S. Patent Application No. 20050158391 discloses a process for the formation of multiparticulates containing less than about 1 wt % of azithromycin esters.
- U.S. Patent No. 6,984,403 discloses an oral dosage form comprising an effective amount of an alkalizing agent; and multiparticulates wherein said multiparticulates comprise about 20% to about 75% azithromycin, and about 25% to about 80% of a glyceride which comprises glyceryl monobehenate, glyceryl dibehenate, glyceryl tribehenate or a mixture thereof; and a poloxamer.
- PCT Patent Application No. 2006115494 discloses a stable, sterile pharmaceutical formulation comprising lyophilized azithromycin and ethanol, wherein the ethanol is present in an amount from about 0.003% to about 3.0% by weight of the pharmaceutical formulation.
- European Patent No. 1498141 discloses an oral dosage form in the form of a suspension or a powder for oral suspension comprising non-dihydrate azithromycin, an azithromycin form conversion stabilizing excipient, which is a surface tension reducing agent and an azithromycin form conversion enhancer which is a flavouring.
- PCT Patent Application No. 2006067577 discloses an oral dosage form comprising non-dihydrate azithromycin and a cyclodextrin.
- PCT Patent Application No. 2003053416 discloses a dry blend, used for forming azithromycin tablets by direct compression, comprising non-dihydrate azithromycin and at least one pharmaceutically acceptable excipient.
- PCT Patent Application No. 2005053639 discloses a pharmaceutical composition comprising multiparticulates, said multiparticulates comprising azithromycin, a pharmaceutically acceptable carrier having a melting point that is less than a melting point of said azithromycin, and a pharmaceutically acceptable dissolution enhancer, wherein said dissolution enhancer comprises a surfactant and has a concentration of acid and ester substituents of less than or equal to 0.13 meq/g azithromycin, wherein the concentration of azithromycin esters in said composition is less than about 1 wt% and wherein said azithromycin is at least 70% crystalline.
- PCT Patent Application No. 2006067576 discloses a pharmaceutical composition comprising multiparticulates, wherein said multiparticulates comprise an azithromycin core and an enteric coating disposed upon said azithromycin core.
- European Patent No. 0 984 020 discloses a process for preparation of pure azithromycin monohydrate isopropanol clathrate.
- PCT Patent Application No. 2003102009 discloses a process for preparing high purity azithromycin.
- U.S. Patent No. 7,309,782 discloses a crystalline form of azithromycin, wherein said form is substantially pure crystalline azithromycin monohydrate hemi-ethanol solvate.
- U.S. Patent No. 6,365,574 discloses a non-hygroscopic form of azithromycin.
- PCT Patent Application No. 201 1073927 discloses a composition comprising an amorphous non-crystalline glass form (Form-ll) of azithromycin.
- Indian Patent Application No. 1007/MUM/2007 discloses a process for preparation of anhydrous amorphous azithromycin.
- Indian Patent Application No. 809/MUM/2007 discloses a process for converting crystalline azithromycin to anhydrous amorphous azithromycin.
- Indian Patent Application No. 1049/MUM/2005 discloses a process of preparing a stable azithromycin monohydrate.
- PCT Patent Application No. 2007007148 discloses a process for forming amorphous azithromycin.
- Present inventors have developed a stable oral compacted pharmaceutical composition comprising anhydrous amorphous azithromycin, wherein the active pharmaceutical ingredient i.e. anhydrous amorphous azithromycin does not convert into hydrated forms during development and throughout the shelf life of the product.
- the present compositions are essentially free of the hydrated forms of azithromycin.
- the compositions are easy to manufacture and may be prepared using conventional methods such as dry granulation.
- compositions of the present invention not only prevent the physical transformation of anhydrous amorphous azithromycin to hydrated forms of azithromycin but also maintain its stability during storage even under accelerated stability conditions.
- an oral pharmaceutical composition comprising anhydrous amorphous azithromycin or salt thereof along with one or more pharmaceutically acceptable excipients, wherein the pharmaceutical composition is essentially free of azithromycin dihydrate.
- an oral pharmaceutical composition comprising anhydrous amorphous azithromycin or salt thereof along with one or more pharmaceutically acceptable excipients, wherein anhydrous amorphous azithromycin does not contain more than 1.5% w/w of water.
- an oral pharmaceutical composition comprising anhydrous amorphous azithromycin or salt thereof along with one or more pharmaceutically acceptable excipients, wherein the composition comprises about 1 % to about 80% w/w of anhydrous amorphous azithromycin.
- a solid oral pharmaceutical composition comprising anhydrous amorphous azithromycin or salt thereof along with one or more pharmaceutically acceptable excipients, wherein azithromycin dihydrate or salt thereof in the composition essentially does not convert to hydrate form when stored at 40°C and 60% relative humidity for at least 3 months.
- an oral pharmaceutical composition comprising anhydrous amorphous azithromycin or salt thereof along with one or more pharmaceutically acceptable excipients, wherein the composition is in the form of a dosage form selected from tablet, granules, powder for suspension, hard or soft capsules, tablet in tablet, rate controlling-polymer coated tablet, multiparticulates, coated pellets, trilayer tablet, in-lay tablet, multiple unit pellet system and combinations thereof.
- an oral pharmaceutical composition comprising anhydrous amorphous azithromycin or salt thereof along with one or more pharmaceutically acceptable excipients, wherein the composition is in the form of a tablet or powder for suspension.
- an oral pharmaceutical composition comprising anhydrous amorphous azithromycin or salt thereof along with one or more pharmaceutically acceptable excipients, wherein the composition exhibits immediate release, modified release, controlled release, extended release, delayed release or sustained release of anhydrous amorphous azithromycin.
- an oral pharmaceutical composition comprising anhydrous amorphous azithromycin or salt thereof along with one or more pharmaceutically acceptable excipients, wherein the composition exhibits a dissolution profile such that not more than 85% of anhydrous amorphous azithromycin is dissolved in 45 minutes.
- a method of treating a microbial infection comprising administering to a mammal in need of such treatment, a therapeutically effective amount of an oral pharmaceutical composition comprising anhydrous amorphous azithromycin or salt thereof along with one or more pharmaceutically acceptable excipients.
- Figure 1 XRD of placebo of anhydrous amorphous azithromycin composition free of azithromycin dihydrate.
- Figure 2 XRD of anhydrous amorphous azithromycin composition comprising 250 mg of Example 2 free of azithromycin dihydrate.
- Figure 3 XRD of anhydrous amorphous azithromycin composition comprising 500 mg of Example 2 free of azithromycin dihydrate.
- compositions of the invention are easy to manufacture and may be prepared using conventional methods such as dry granulation.
- drug form refers to a pharmaceutical preparation in which dose or doses of one or more therapeutically active ingredients are included. It may be in form of a tablet, tablet in tablet, trilayer tablet, in-lay tablet, coated pellets, multiple unit pellet system, granules, particles or combinations thereof.
- pharmaceutically acceptable means that which is generally safe, non-toxic and neither biologically nor otherwise undesirable and includes that which is acceptable for human pharmaceutical use as well as veterinary use.
- immediate release dosage form means the dosage form containing the therapeutically active agent(s) meets the disintegration and/or dissolution requirements as set forth in the USP.
- Modified release dosage forms as used herein is defined (e.g. as by the United States Pharmacopoeia "USP") as those whose drug release characteristics of time course and/or location are chosen to accomplish therapeutic or convenience objectives not offered by conventional immediate release dosage forms.
- USP considers that the terms controlled release, prolonged release and sustained release are interchangeable.
- delayed release is defined as any formulation, wherein the release of the drug is delayed for certain period of time.
- Conventional art known examples of such delayed release systems may include, but are not limited to timed- release tablets, capsules and enteric-coated tablets and beads.
- essentially free of azithromycin dihydrate refers to pharmaceutical composition containing less than 0.01 % w/w of azithromycin dihydrate.
- microbial infection includes bacterial infections and protozoal infections that occur in mammals, fish and birds as well as disorders related to bacterial infections and protozoal infections that may be treated or prevented by administering antibiotics such as the compound of the present invention.
- bacterial infections and protozoal infections and disorders related to such infections include, but are not limited to, the following: pneumonia, otitis media, sinusitis, bronchitis, tonsillitis, and mastoiditis related to infection by Streptococcus pneumoniae, Haemophilus influenzae, Moraxella catarrhalis, Staphylococcus aureus, or Peptostreptococcus spp.; pharynigitis, rheumatic fever, and glomerulonephritis related to infection by Streptococcus pyogenes, Groups C and G streptococci, Clostridium diptheriae, or Actinobacillus haemolyticum; respiratory tract infections related to infection by Mycoplasm
- aureus food poisoning and Toxic shock syndrome
- Groups A, B, and C streptococci ulcers related to infection by Helicobacter pylori; systemic febrile syndromes related to infection by Borrelia recurrentis; Lyme disease related to infection by Borrelia burgdorferi; conjunctivitis, keratitis, and dacrocystitis related to infection by Chlamydia trachomatis, Neisseria gonorrhoeae, S. aureus, S. pneumoniae, S. pyogenes, H.
- MAC Mycobacterium avium complex
- gastroenteritis related to infection by Campylobacter jejuni
- intestinal protozoa related to infection by Cryptosporidium spp.
- odontogenic infection related to infection by viridans streptococci
- persistent cough related to infection by Bordetella pertussis
- gas gangrene related to infection by Clostridium perfringens or Bacteroides spp.
- atherosclerosis related to infection by Helicobacter pylori or Chlamydia pneumoniae.
- Bacterial infections and protozoal infections and disorders related to such infections that may be treated or prevented in animals include, but are not limited to, the following: bovine respiratory disease related to infection by P. haem., P. multocida, Mycoplasma bovis, or Bordetella spp.; cow enteric disease related to infection by E.
- coli or protozoa i.e., coccidia, Cryptosporidia, etc.
- dairy cow mastitis related to infection by Staph, aureus, Strep, uberis, Strep, agalactiae, Strep, dysgalactiae, Klebsiella spp., Corynebacterium, or Enterococcus spp.
- swine respiratory disease related to infection by A. pleuro., P. multocida, or Mycoplasma spp.
- swine enteric disease related to infection by E.
- coli Lawsonia intracellularis, Salmonella, or Serpulina hyodyisinteriae
- cow footrot related to infection by Fusobacterium spp.
- cow metritis related to infection by E. coli
- cow hairy warts related to infection by Fusobacterium necrophorum or Bacteroides nodosus
- cow pink-eye related to infection by Moraxella bovis
- cow premature abortion related to infection by protozoa (i.e. neosporium); urinary tract infection in dogs and cats related to infection by E. coli
- multocida and dental or mouth infections in dogs and cats related to infection by Alcaligenes spp., Bacteroides spp., Clostridium spp., Enterobacter spp., Eubacterium, Peptostreptococcus, Porphyromonas, or Prevotella.
- the term "mammal” is an individual animal that is a member of the taxonomic class Mammalia.
- the class Mammalia includes, for example, humans, monkeys, chimpanzees, gorillas, cattle, swine, horses, sheep, dogs, cats, mice and rats.
- bioavailable includes, but not limited to the rate and extent to which the drug become bioavailable to the site of action after administration.
- Cmax is the highest plasma concentration of the drug attained within the dosing interval.
- Tmax is the time period, which elapses after administration of the dosage form at which the plasma concentration of the drug attains the highest plasma concentration of drug attained within the dosing interval.
- AUCo-t means area under plasma concentration-time curve from drug administration to last observed concentration at time t.
- AUCo -a means area under the plasma concentration- time curve extrapolated to infinite time.
- mean when preceding a pharmacokinetic value (e.g. mean Tmax) represents the mean value of the pharmacokinetic value taken from a population of patients or healthy volunteers.
- the oral pharmaceutical composition of the present invention comprising anhydrous amorphous azithromycin or salt thereof along with one or more pharmaceutically acceptable excipients, wherein the pharmaceutical composition is essentially free of azithromycin dihydrate.
- the oral pharmaceutical composition of the present invention comprising anhydrous amorphous azithromycin or salt thereof along with one or more pharmaceutically acceptable excipients, wherein the pharmaceutical composition is essentially free of azithromycin monohydrate.
- the amount of anhydrous amorphous azithromycin or salt thereof in the composition may range from about 1 % to about 80% w/w of the composition.
- anhydrous amorphous azithromycin in the oral pharmaceutical composition of the present invention does not contain more than 1.5% w/w of water.
- azithromycin dihydrate in the composition of the present invention essentially does not convert to hydrate form when the composition is stored at 40°C and 60% relative humidity for at least 3 months.
- composition of the present invention may be formulated in the form of a suitable dosage form selected from tablet, granules, powder for suspension, hard or soft capsules, tablet in tablet, rate controlling-polymer coated tablet, multiparticulates, coated pellets, trilayer tablet, in-lay tablet, multiple unit pellet system and combinations thereof.
- composition of the present invention may be devised in the form of a dosage form which exhibits immediate release, modified release, controlled release, extended release, delayed release or sustained release of anhydrous amorphous azithromycin using various methods known in the art.
- the composition exhibits a dissolution profile such that not more than 85% of anhydrous amorphous azithromycin is dissolved in 45 minutes.
- the composition of the present invention can be prepared by using various methods known in the art, such as wet granulation, direct compression, slugging, dry granulation, melt granulation, hot melt extrusion, and solvent evaporation.
- composition of the present invention may be provided with one or more functional or non-functional coats.
- the coating composition may comprise one or more hydrophilic polymer, hydrophobic polymer or non-polymeric rate controlling excipients.
- Suitable Hydrophillic polymers can be selected from but not limited to the group consisting of one or more of cellulose derivatives; polyhydric alcohols; saccharides, gums and derivatives thereof; vinyl derivatives, polymers, copolymers or mixtures thereof; maleic acid copolymers; polyalkylene oxides or copolymers thereof; acrylic acid polymers and acrylic acid derivatives; or any mixtures thereof.
- Suitable Cellulose derivatives can be selected from but are not limited to, ethyl cellulose, methylcellulose, hydroxypropylmethylcellulose (HPMC), hydroxypropyl cellulose (HPC), hydroxyethyl cellulose, hydroxymethyl cellulose, hydroxypropyl ethylcellulose, carboxymethylethyl cellulose, carboxy- ethylcellulose, carboxymethyl hydroxyethylcellulose, hydroxyethylmethyl carboxymethyl cellulose, hydroxyethyl methyl cellulose, carboxymethyl cellulose (CMC), methylhydroxyethyl cellulose, methylhydroxypropyl cellulose, carboxymethyl sulfoethyl cellulose, sodium carboxymethyl cellulose, or mixtures thereof.
- Polyhydric alcohols include, but are not limited to, polyethylene glycol (PEG) or polypropylene glycol; or any combinations thereof.
- Saccharides, gums and their derivatives include, but are not limited to, dextrin, polydextrin, dextran, pectin and pectin derivatives, alginic acid, sodium alginate, polygalacturonic acid, xylan, arabinoxylan, arabinogalactan, starch, hydroxypropyl starch, amylose and amylopectin, CMC agar; guar gum, locust bean gum, xanthan gum, karaya gum, tragacanth, carrageenan, acacia gum, arabic gum or gellan gum or the like; or any combinations thereof.
- Vinyl derivatives, polymers, copolymers or mixtures thereof include, but are not limited to, polyvinyl acetate, polyvinyl alcohol, mixture of polyvinyl acetate (8 parts w/w) and polyvinylpyrrolidone (2 parts w/w) (Kollidon SR), copolymers of vinyl pyrrolidone, vinyl acetate copolymers, polyvinylpyrrolidone (PVP); or combinations thereof.
- Polyalkylene oxides or copolymers thereof include, but are not limited to, polyethylene oxide, polypropylene oxide, poly (oxyethylene)-poly (oxypropylene) block copolymers (poloxamers) or combinations thereof.
- Maleic acid copolymers include, but are not limited to, vinylacetate maleic acid anhydride copolymer, styrene maleic acid anhydride copolymer, styrene maleic acid monoester copolymer, vinylmethylether maleic acid anhydride copolymer, ethylene maleic acid anhydride copolymer, vinylbutyiether maleic acid anhydride copolymer, acrylonitrile methyl acrylate maleic acid anhydride copolymer, butyl acrylate, styrene maleic acid anhydride copolymer or the like or any combinations thereof.
- Suitable acrylic acid polymers can be selected from, but not limited to any suitable polyacrylic acid polymers or carboxyvinyl polymers such as those available under the brand name carbopol.
- Pharmaceutically acceptable acrylic polymer may be include one or more, but not limited to acrylic acid and methacrylic acid copolymers, methyl methacrylate copolymers, ethoxyethyl methacrylates, cynaoethyl methacrylate, aminoalkyl methacrylate copolymer, poly(acrylic acid), poly(methacrylic acid), methacrylic acid alkylamide copolymer, poly(methyl methacrylate), poly(methacrylic acid) (anhydride), methyl methacrylate, polymethacrylate, poly(methyl methacrylate), poly(methyl methacrylate) copolymer, polyacrylamide, aminoalkyl methacrylate copolymer, poly(methacrylic acid anhydride), and glycidyl methacrylate.
- Hydrophobic polymer can be selected from but not limited to waxes, which are esters of fatty acids with long chain monohydric alcohols natural waxes are often mixtures of such esters, and may also contain hydrocarbons Waxes employed in the present invention include, but are not limited to, natural waxes, such as animal waxes, vegetable waxes, and petroleum waxes, paraffin waxes, microcrystalline waxes, petrolatum waxes, mineral waxes), and synthetic waxes Specific examples include, but are not limited to spermaceti wax, carnauba wax, Japan wax, bayberry wax, flax wax, beeswax, yellow wax, Chinese wax, shellac wax, lanolin wax, sugarcane wax, candelilla wax, castor wax paraffin wax, microcrystalline wax, petrolatum wax, carbowax, and the like, or mixtures thereof.
- waxes which are esters of fatty acids with long chain monohydric alcohols natural waxes are often mixtures of such esters, and
- Waxes are also monoglyceryl esters, diglyceryl esters, or; glyceryl esters (glycerides) and derivatives and mixtures thereof formed from a fatty acid having from about 10 to about 22 carbon atoms and glycerol, wherein one or more of the hydroxyl groups of glycerol are substituted by a fatty acid.
- Glycerides employed in the present invention include, but are not limited to, glyceryl monostearate, glyceryl distearate, glyceryl tristearate, glyceryl dipalmitate, glyceryl tripalmitate, glyceryl monopalmitate, glyceryl palmitostearate, glyceryl dilaurate, glyceryl trilaurate, glyceryl monolaurate, glyceryl didocosanoate, glyceryl tridocosanoate, glyceryl monodocosanoate, glyceryl monocaproate, glyceryl dicaproate, glyceryl tricaproate, glyceryl monomyristate, glyceryl dimyristate, glyceryl trimyhstate, glyceryl monodecenoate, glyceryl didecenoate, glyceryl trideceno
- Fatty acids include, but are not limited to, hydrogenated palm kernel oil, hydrogenated peanut oil, hydrogenated palm oil, hydrogenated rapeseed oil, hydrogenated rice bran oil, hydrogenated soybean oil, hydrogenated sunflower oil, hydrogenated castor oil (Lubritab), hydrogenated cottonseed oil, and mixtures thereof.
- Other fatty acids include, but are not limited to, decenoic acid, docosanoic acid, stearic acid, palmitic acid, lauric acid, myristic acid, or the like, or mixtures thereof.
- Non-polymeric rate controlling excipients can be selected from but not limited to the group consisting of fat, wax, fatty acid, fatty acid ester, long chain monohydric alcohol or their ester or any combinations thereof.
- binders include, cellulose derivatives (such as microcrystalline cellulose, methylcellulose, carboxymethycellulose sodium, hydroxypropyl methylcellulose, hydroxyethyl cellulose, and hydroxypropyl cellulose), polyvidone, polyvinyl pyrrolidone, gelatin, natural gums (such as acacia, tragacanth, guar, and pectin), starch paste, pregelatinized starch, sucrose, corn syrup, polyethylene glycols, and sodium alginate, ammonium calcium alginate, magnesium aluminum silicate, and polyethylene glycols.
- cellulose derivatives such as microcrystalline cellulose, methylcellulose, carboxymethycellulose sodium, hydroxypropyl methylcellulose, hydroxyethyl cellulose, and hydroxypropyl cellulose
- polyvidone polyvinyl pyrrolidone
- gelatin such as acacia, tragacanth, guar, and pectin
- starch paste pregelatinized starch
- fillers or diluents include but not limited to spray-dried or anhydrous lactose, sucrose, dextrose, starch, pregelatinized starch, polyols (such as mannitol, sorbitol, and xylitol), cellulose (such as microcrystalline cellulose), and inorganic salts (such as dibasic calcium phosphate, tribasic calcium phosphate, and calcium sulfate).
- the filler is a combination of pregelatinized starch and microcrystalline cellulose.
- disintegrants include but not limited to starch and starch derivatives, including cross-linked sodium salt of a carboxymethyl ether of starch (such as sodium starch glycolate), pregelatinized starch (such as Starch 1500), sodium starch glycolate, cross-linked sodium carboxymethyl cellulose (such as Croscarmellose Sodium), cross-linked polyvinylpyrrolidone (such as Crospovidone), and microcrystalline cellulose.
- starch and starch derivatives including cross-linked sodium salt of a carboxymethyl ether of starch (such as sodium starch glycolate), pregelatinized starch (such as Starch 1500), sodium starch glycolate, cross-linked sodium carboxymethyl cellulose (such as Croscarmellose Sodium), cross-linked polyvinylpyrrolidone (such as Crospovidone), and microcrystalline cellulose.
- a preferred disintegrant is sodium starch glycolate.
- lubricants include but not limited to vegetable oils (such as corn oil), mineral oils, polyethylene glycols (such as PEG-4000 and PEG-6000), salts of stearic acid (such as calcium stearate, magnesium stearate, and sodium stearyl fumarate), mineral salts (such as talc), inorganic salts (such as sodium chloride), organic salts (such as sodium benzoate, sodium acetate, and sodium oleate), polyvinyl alcohols, sodium lauryl sulfate, and magnesium lauryl sulfate.
- Preferred lubricants are magnesium stearate, and mixtures of magnesium stearate with sodium lauryl sulfate.
- Suitable Flavorings incorporated in the composition may be chosen from synthetic flavor oils and flavoring aromatics and/or natural oils, extracts from plants, leaves, flowers, fruits, and so forth and combinations thereof. These may include but not limited to cinnamon oil, oil of wintergreen, peppermint oils, clove oil, bay oil, anise oil, eucalyptus, thyme oil, cedar leaf oil, oil of nutmeg, oil of sage, oil of bitter almonds, and cassia oil. Also useful as flavors are vanilla, citrus oil, including lemon, orange, grape, lime and grapefruit, and fruit essences, including apple, banana, pear, peach, strawberry, raspberry, cherry, plum, pineapple, apricot, and so forth.
- Suitable surfactants are those known to ordinary skill in the art and include but not limited to one or more of polyoxyethylene glycerol esters of fatty acids, such as Tagats; polooxylated castor oil, ethylene glycol esters, such as glycol stearate and distearate; propylene glycol esters, such as propylene glycol myristate; glyceryl esters of fatty acids, such as glyceryl stearates and monostearates; sorbitan esters, such as spans and tweens; polyglyceryl esters, such as polyglyceryl 4-oleate; fatty alcohol ethoxylates, such as Brij type emulsifiers; ethoxylated propoxylated block copolymers, such as poloxamers; polyethylene glycol esters of fatty acids, such as Labrafils, Labrafacs, and Labrasols; cremophores; glycerol monocapry
- Suitable non-viscosifying sweeteners include, for example, saccharin, aspartame, acesulfame potassium, thaumatin and monelin.
- Suitable thickening agents may include but not limited to sucrose, sorbitol, mannitol, xylitol, maltitol, and polydextrose.
- Other suitable thickening agents which function as suspending agents include, for example, hydrocolloid gums and clays known for such purpose, examples of which include xanthan gum, guar gum, locust bean gum, gum tragacanth, acacia, bentonite, magnesium aluminum silicate and the like.
- Suspending agents such as sodium carboxymethylcellulose, polyvinylpyrrolidone, hydroxypropyl cellulose, hydroxypropyl methylcellulose, methylcellulose, hydroxyethyl cellulose, carbomer, microcrystalline cellulose, sodium carboxymethylcellulose sodium or mixture thereof.
- Cyclic oligosaccharides such as cyclodextrins and their derivatives, for example a-cyclodextrin, ⁇ -cyclodextrin, ⁇ -cyclodextrin, hydroxypropyl, hydroxyethyl, sulfobutylether cyclodextrin derivatives or mixture thereof.
- Suitable preservatives are well known, for example sodium benzoate, methylparaben, propylparaben and the like.
- Coloring agents include titanium dioxide and/or dyes suitable for food such as those known as F. D. & C, dyes, aluminum lakes and natural coloring agents such as grape skin extract, beet red powder, beta carotene, annato, carmine, turmeric, paprika, and so forth.
- composition of the invention optionally include usual auxiliaries known in the art such as saliva stimulating agents like citric acid, lactic acid, malic acid, succinic acid, ascorbic acid, adipic acid, fumaric acid, tartaric acids; cooling sensation agents like maltitol, monomenthyl succinate, ultracool; stabilizers like gums, agar; taste masking agents like acrylic polymers, copolymers of acrylates, celluloses, resins; coloring agents like titanium dioxide, natural food colors, dyes suitable for food, drug and cosmetic applications; preservatives like alpha-tocopherol, citric acid, butylated hydroxytoluene, butylated hydroxyanisole, ascorbic acid, fumaric acid, malic acid, sodium ascorbate or ascorbic acid palmitate or effervescing agents like citric acid, tartaric acid, sodium bicarbonate, sodium carbonate and the like.
- auxiliaries known in the art such as saliva stimulating agents like citric acid, lactic acid,
- the invention further provides a method of treating a microbial infection comprising administering to a mammal in need of such treatment, a therapeutically effective amount of an oral pharmaceutical composition comprising anhydrous amorphous azithromycin or salt thereof along with one or more pharmaceutically acceptable excipients.
- Example 1 Azithromycin anhydrous oral suspension
Landscapes
- Health & Medical Sciences (AREA)
- Life Sciences & Earth Sciences (AREA)
- General Health & Medical Sciences (AREA)
- Public Health (AREA)
- Medicinal Chemistry (AREA)
- Pharmacology & Pharmacy (AREA)
- Epidemiology (AREA)
- Animal Behavior & Ethology (AREA)
- Veterinary Medicine (AREA)
- Chemical & Material Sciences (AREA)
- Molecular Biology (AREA)
- Engineering & Computer Science (AREA)
- Bioinformatics & Cheminformatics (AREA)
- Biophysics (AREA)
- Medicinal Preparation (AREA)
- Pharmaceuticals Containing Other Organic And Inorganic Compounds (AREA)
Abstract
The present invention relates to an oral compacted pharmaceutical composition comprising anhydrous amorphous azithromycin along with one or more pharmaceutically acceptable excipient, wherein the pharmaceutical composition is essentially free of azithromycin dihydrate.
Description
ANHYDROUS AMORPHOUS AZITHROMYCIN COMPOSITION FREE OF
AZITHROMYCIN DIHYDRATE
Field of the Invention
The present invention relates to an oral compacted pharmaceutical composition comprising anhydrous amorphous azithromycin along with one or more pharmaceutically acceptable excipient, wherein the pharmaceutical composition is essentially free of azithromycin dihydrate.
Background of the Invention
Azithromycin is used to treat many different infections including acute otitis media, streptococcal pharyngitis, gastrointestinal infections such as traveler's diarrhea, respiratory tract infections such as pneumonia, cellulitis, babesiosis, bartonella, chancroid, chlamydia, cholera, donovanosis, leptospirosis, lyme disease, malaria, mycobacterium avium complex, neisseria meningitis, pelvic inflammatory disease, pertussis, scrub typhus, syphilis, toxoplasmosis, and salmonella.
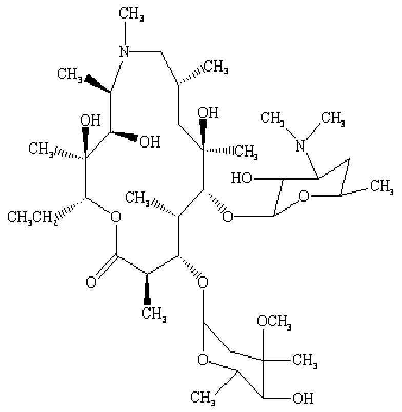
Azithromycin is generic name for 9-deoxo-9a-aza-9a-methyl-9a- homoerythromycin A, a broad-spectrum antibacterial compound. Azithromycin is an azalide, a subclass of macrolide antibiotics. It is derived from erythromycin; however, it differs chemically from erythromycin in that a methyl-substituted nitrogen atom is incorporated into the lactone ring. Azithromycin structure is presented below
Azithromycin is used to treat many different infections including acute otitis media, streptococcal pharyngitis, gastrointestinal infections such as traveler's diarrhea, respiratory tract infections such as pneumonia, cellulitis, babesiosis, bartonella, chancroid, chlamydia, cholera, donovanosis, leptospirosis, lyme disease, malaria, mycobacterium avium complex, neisseria meningitis, pelvic inflammatory disease, pertussis, scrub typhus, syphilis, toxoplasmosis, and salmonella.
Commercialized products of azithromycin contains dehydrate form of azithromycin. Azithromycin is available commercially in the form of tablet and oral suspension under the trade name Zithromax® and marketed in US by Pfizer.
Azithromycin was independently discovered by Bright (U.S. Patent No. 4,474,768) and Kobrehel et al. (U.S. Patent No. 4,517,359). It is known in art that azithromycin monohydrate forms are highly hygroscopic and because of its hygroscopic nature, it is most difficult to handle and maintain its natural form during the formulation. Even in presence of small traces of moisture, the monohydrate or anhydrous form quickly absorbs water and gets converted into dihydrate form or monohydrate form respectively.
Azithromycin dihydrate is essentially non-hygroscopic under conditions of relative humidity conducive to formulation of azithromycin. Moreover, the dihydrate form is relatively stable than monohydrate or anhydrous form, and thus provides a comfort in formulating various dosage forms with ease.
To overcome the aforementioned limitation of azithromycin a stable azithromycin dihydrate form was developed by Pfizer (U.S. Patent No. 6,268,489).
Conversion from one form of azithromycin to another is undesirable as the subsequent azithromycin forms may not be bioequivalent to the initial azithromycin form. This potential change in bioequivalence, due to azithromycin form conversion, could result in administering an underdose or overdose of azithromycin to a patient, which is particularly significant for pediatric patients who require tighter dosing regimens.
Further, it is also known in the art that azithromycin is susceptible to degradation if exposed to elevated temperatures and/or air during manufacturing processes, processes that include formulation of the pharmaceutical dosage form. The susceptibility of azithromycin to degradation may lead to deviation of the drug product from regulatory purity requirements even prior to the product reaching the patient. In addition, once formulated, azithromycin tends to degrade under normal storage conditions, which may result in the presence of unacceptable levels of impurities at the time of administration.
Therefore, a continuing need exists to provide consistent dosages of azithromycin free of the dihydrate form of azithromycin. Likewise, a continuing need exists to provide azithromycin compositions having a reduced tendency to convert in dihydrate form of azithromycin.
U.S. Patent No. 4,512,982 discloses a macrolide antibiotic compound.
U.S. Patent No. 7,282,218 discloses a substantially amorphous pharmaceutical composition comprising a drug that can exist in a variety of polymorphic forms and a pH sensitive polymer, which inhibits the crystallization of the drug during formulation and reconstitution.
Indian Patent No. 187487 discloses a process for preparing a stable azithromycin dihydrate oral suspension.
U.S. Patent No. 4,963,531 discloses a method of use of azithromycin or derivatives of azithromycin in the treatment of infection caused by Toxoplasma gondii in mammals.
U.S. Patent No. 7,438,924 discloses a solid pharmaceutical formulation, comprising dry granulated particles of a non-dihydrate form of azithromycin selected from the group consisting of substantially pure azithromycin monohydrate hemi-ethanol solvate and substantially pure azithromycin sesquihydrate and optionally, one or more pharmaceutically acceptable excipients.
U.S. Patent Application No. 20070199856 discloses methods of packaging azithromycin to prevent the degradation of azithromycin upon storage.
Indian Patent Application No. 2/DELNP/2008 discloses a crystalline azithromycin L-malate monohydrate for treating various microbial infections, which has high thermostability, solubility and nonhygroscopicity, a method for preparing same, and a pharmaceutical composition containing same.
U.S. Patent No. 7,108,865 discloses a solid oral controlled release dosage form comprising azithromycin in an amount that is below that which causes gastrointestinal side effects i.e. 200 mg or less.
U.S. Patent No. 6,068,859 discloses a controlled-release dosage form of azithromycin having an improved side effect profile.
U.S. Patent No. RE39149 discloses an oral dosage form of azithromycin, and also to a method of treating a microbial infection which involves administering azithromycin in the fed state to a mammal, including a human patient, in need of such treatment.
U.S. Patent Application No. 20050101547 and 20080096831 discloses a stabilized azithromycin composition comprising azithromycin monohydrate, and about 5 weight percent (wt %) to about 15 wt %, based on the total weight of the composition, of water. In addition, the stabilized azithromycin monohydrate compositions do not require an antioxidant.
PCT Patent Application No. 2006096182 discloses a non-caking azithromycin powder for oral suspension composition comprising azithromycin and a hydrated buffer.
Indian Patent Application No. 552/MUM/2003 discloses a process of preparation of pharmaceutical formulation containing an ion exchange resin and a macrolide antibiotic where in the bitter taste of the antibiotic is masked by ion exchange drug resinate.
U.S. Patent Application No. 20050158391 discloses a process for the formation of multiparticulates containing less than about 1 wt % of azithromycin esters.
U.S. Patent No. 6,984,403 discloses an oral dosage form comprising an effective amount of an alkalizing agent; and multiparticulates wherein said multiparticulates comprise about 20% to about 75% azithromycin, and about 25% to about 80% of a glyceride which comprises glyceryl monobehenate, glyceryl dibehenate, glyceryl tribehenate or a mixture thereof; and a poloxamer.
PCT Patent Application No. 2006115494 discloses a stable, sterile pharmaceutical formulation comprising lyophilized azithromycin and ethanol, wherein the ethanol is present in an amount from about 0.003% to about 3.0% by weight of the pharmaceutical formulation.
European Patent No. 1498141 discloses an oral dosage form in the form of a suspension or a powder for oral suspension comprising non-dihydrate azithromycin, an azithromycin form conversion stabilizing excipient, which is a surface tension reducing agent and an azithromycin form conversion enhancer which is a flavouring.
PCT Patent Application No. 2006067577 discloses an oral dosage form comprising non-dihydrate azithromycin and a cyclodextrin.
PCT Patent Application No. 2003053416 discloses a dry blend, used for forming azithromycin tablets by direct compression, comprising non-dihydrate azithromycin and at least one pharmaceutically acceptable excipient.
PCT Patent Application No. 2005053639 discloses a pharmaceutical composition comprising multiparticulates, said multiparticulates comprising azithromycin, a pharmaceutically acceptable carrier having a melting point that is less than a melting point of said azithromycin, and a pharmaceutically acceptable dissolution enhancer, wherein said dissolution enhancer comprises a surfactant and has a concentration of acid and ester substituents of less than or equal to 0.13 meq/g azithromycin, wherein the concentration of azithromycin esters in said composition is less than about 1 wt% and wherein said azithromycin is at least 70% crystalline.
PCT Patent Application No. 2006067576 discloses a pharmaceutical composition comprising multiparticulates, wherein said multiparticulates comprise an azithromycin core and an enteric coating disposed upon said azithromycin core.
European Patent No. 0 984 020 discloses a process for preparation of pure azithromycin monohydrate isopropanol clathrate.
PCT Patent Application No. 2003102009 discloses a process for preparing high purity azithromycin.
U.S. Patent No. 7,309,782 discloses a crystalline form of azithromycin, wherein said form is substantially pure crystalline azithromycin monohydrate hemi-ethanol solvate.
U.S. Patent No. 6,365,574 discloses a non-hygroscopic form of azithromycin.
PCT Patent Application No. 201 1073927 discloses a composition comprising an amorphous non-crystalline glass form (Form-ll) of azithromycin.
Indian Patent Application No. 1007/MUM/2007 discloses a process for preparation of anhydrous amorphous azithromycin.
Indian Patent Application No. 809/MUM/2007 discloses a process for converting crystalline azithromycin to anhydrous amorphous azithromycin.
Indian Patent Application No. 1049/MUM/2005 discloses a process of preparing a stable azithromycin monohydrate.
PCT Patent Application No. 2007007148 discloses a process for forming amorphous azithromycin.
Present inventors have developed a stable oral compacted pharmaceutical composition comprising anhydrous amorphous azithromycin, wherein the active pharmaceutical ingredient i.e. anhydrous amorphous azithromycin does not convert into hydrated forms during development and throughout the shelf life of the product. The present compositions are essentially free of the hydrated forms of azithromycin. The compositions are easy to manufacture and may be prepared using conventional methods such as dry granulation.
The compositions of the present invention not only prevent the physical transformation of anhydrous amorphous azithromycin to hydrated forms of azithromycin but also maintain its stability during storage even under accelerated stability conditions.
Summary of the Invention
In one general aspect of the invention, there is provided an oral pharmaceutical composition comprising anhydrous amorphous azithromycin or salt thereof along with one or more pharmaceutically acceptable excipients, wherein the pharmaceutical composition is essentially free of azithromycin dihydrate.
In another general aspect of the invention, there is provided an oral pharmaceutical composition comprising anhydrous amorphous azithromycin or salt thereof along with one or more pharmaceutically acceptable excipients, wherein anhydrous amorphous azithromycin does not contain more than 1.5% w/w of water.
In another general aspect of the invention, there is provided an oral pharmaceutical composition comprising anhydrous amorphous azithromycin or salt thereof along with one or more pharmaceutically acceptable excipients, wherein the composition comprises about 1 % to about 80% w/w of anhydrous amorphous azithromycin.
In another general aspect of the invention, there is provided a solid oral pharmaceutical composition comprising anhydrous amorphous azithromycin or salt thereof along with one or more pharmaceutically acceptable excipients, wherein azithromycin dihydrate or salt thereof in the composition essentially does not convert to hydrate form when stored at 40°C and 60% relative humidity for at least 3 months.
In another general aspect of the invention, there is provided an oral pharmaceutical composition comprising anhydrous amorphous azithromycin or salt thereof along with one or more pharmaceutically acceptable excipients, wherein the composition is in the form of a dosage form selected from tablet, granules, powder for suspension, hard or soft capsules, tablet in tablet, rate controlling-polymer coated tablet, multiparticulates, coated pellets, trilayer tablet, in-lay tablet, multiple unit pellet system and combinations thereof.
In another general aspect of the invention, there is provided an oral pharmaceutical composition comprising anhydrous amorphous azithromycin or salt thereof along with one or more pharmaceutically acceptable excipients, wherein the composition is in the form of a tablet or powder for suspension.
In another general aspect of the invention, there is provided an oral pharmaceutical composition comprising anhydrous amorphous azithromycin or salt thereof along with one or more pharmaceutically acceptable excipients, wherein the composition exhibits immediate release, modified release, controlled release, extended release, delayed release or sustained release of anhydrous amorphous azithromycin.
In another general aspect of the invention, there is provided an oral pharmaceutical composition comprising anhydrous amorphous azithromycin or salt thereof along with one or more pharmaceutically acceptable excipients,
wherein the composition exhibits a dissolution profile such that not more than 85% of anhydrous amorphous azithromycin is dissolved in 45 minutes.
In another general aspect of the invention, there is provided a method of treating a microbial infection comprising administering to a mammal in need of such treatment, a therapeutically effective amount of an oral pharmaceutical composition comprising anhydrous amorphous azithromycin or salt thereof along with one or more pharmaceutically acceptable excipients.
Brief Description of the Drawings
Figure 1 : XRD of placebo of anhydrous amorphous azithromycin composition free of azithromycin dihydrate.
Figure 2: XRD of anhydrous amorphous azithromycin composition comprising 250 mg of Example 2 free of azithromycin dihydrate.
Figure 3: XRD of anhydrous amorphous azithromycin composition comprising 500 mg of Example 2 free of azithromycin dihydrate.
Detailed Description of the Invention
Present inventors of the present invention have surprisingly found that it is possible to develop a stable oral compacted pharmaceutical composition of anhydrous amorphous azithromycin, where anhydrous amorphous azithromycin does not convert into hydrated forms during development and throughout the shelf life of the product. The composition of the present invention is essentially free of the hydrated forms of azithromycin. Further, the compositions of the invention are easy to manufacture and may be prepared using conventional methods such as dry granulation.
The term "dosage form" as used herein refers to a pharmaceutical preparation in which dose or doses of one or more therapeutically active ingredients are
included. It may be in form of a tablet, tablet in tablet, trilayer tablet, in-lay tablet, coated pellets, multiple unit pellet system, granules, particles or combinations thereof.
The term "pharmaceutically acceptable", as used herein, means that which is generally safe, non-toxic and neither biologically nor otherwise undesirable and includes that which is acceptable for human pharmaceutical use as well as veterinary use.
The term "Immediate release dosage form" as used herein, means the dosage form containing the therapeutically active agent(s) meets the disintegration and/or dissolution requirements as set forth in the USP.
"Modified release dosage forms" as used herein is defined (e.g. as by the United States Pharmacopoeia "USP") as those whose drug release characteristics of time course and/or location are chosen to accomplish therapeutic or convenience objectives not offered by conventional immediate release dosage forms. The USP considers that the terms controlled release, prolonged release and sustained release are interchangeable. Accordingly, the terms "modified- release", "controlled-release", "control-releasing", "rate-controlled release", "extended release", "prolonged-release", and "sustained-release" are used interchangeably herein, For the discussion herein, the definition of the term "modified-release" encompasses the scope of the definitions for the terms "extended release", "enhanced-absorption", "controlled release", "sustained release" and "delayed release".
The term "delayed release" is defined as any formulation, wherein the release of the drug is delayed for certain period of time. Conventional art known examples of such delayed release systems may include, but are not limited to timed- release tablets, capsules and enteric-coated tablets and beads.
The term "essentially free of azithromycin dihydrate" as used herein, refers to pharmaceutical composition containing less than 0.01 % w/w of azithromycin dihydrate.
The term "microbial infection" includes bacterial infections and protozoal infections that occur in mammals, fish and birds as well as disorders related to bacterial infections and protozoal infections that may be treated or prevented by administering antibiotics such as the compound of the present invention. Such bacterial infections and protozoal infections and disorders related to such infections include, but are not limited to, the following: pneumonia, otitis media, sinusitis, bronchitis, tonsillitis, and mastoiditis related to infection by Streptococcus pneumoniae, Haemophilus influenzae, Moraxella catarrhalis, Staphylococcus aureus, or Peptostreptococcus spp.; pharynigitis, rheumatic fever, and glomerulonephritis related to infection by Streptococcus pyogenes, Groups C and G streptococci, Clostridium diptheriae, or Actinobacillus haemolyticum; respiratory tract infections related to infection by Mycoplasma pneumoniae, Legionella pneumophila, Streptococcus pneumoniae, Haemophilus influenzae, or Chlamydia pneumoniae; uncomplicated skin and soft tissue infections, abscesses and osteomyelitis, and puerperal fever related to infection by Staphylococcus aureus, coagulase-positive staphylococci (i.e., S. epidermidis, S. hemolyticus, etc.), Streptococcus pyogenes, Streptococcus agalactiae, Streptococcal Groups C-F (minute-colony streptococci), viridans streptococci, Corynebacterium minutissimum, Clostridium spp., or Bartonella henselae; uncomplicated acute urinary tract infections related to infection by Staphylococcus saprophyticus or Enterococcus spp.; urethritis and cervicitis; and sexually transmitted diseases related to infection by Chlamydia trachomatis, Haemophilus ducreyi, Treponema pallidum, Ureaplasma urealyticum, or Neisseria gonorroeae; toxin diseases related to infection by S. aureus (food poisoning and Toxic shock syndrome), or Groups A, B, and C streptococci; ulcers related to infection by Helicobacter pylori; systemic febrile syndromes related to infection by Borrelia recurrentis; Lyme disease related to infection by
Borrelia burgdorferi; conjunctivitis, keratitis, and dacrocystitis related to infection by Chlamydia trachomatis, Neisseria gonorrhoeae, S. aureus, S. pneumoniae, S. pyogenes, H. influenzae, or Listeria spp.; disseminated Mycobacterium avium complex (MAC) disease related to infection by Mycobacterium avium, or Mycobacterium intracellular; gastroenteritis related to infection by Campylobacter jejuni; intestinal protozoa related to infection by Cryptosporidium spp.; odontogenic infection related to infection by viridans streptococci; persistent cough related to infection by Bordetella pertussis; gas gangrene related to infection by Clostridium perfringens or Bacteroides spp.; and atherosclerosis related to infection by Helicobacter pylori or Chlamydia pneumoniae. Bacterial infections and protozoal infections and disorders related to such infections that may be treated or prevented in animals include, but are not limited to, the following: bovine respiratory disease related to infection by P. haem., P. multocida, Mycoplasma bovis, or Bordetella spp.; cow enteric disease related to infection by E. coli or protozoa (i.e., coccidia, Cryptosporidia, etc.); dairy cow mastitis related to infection by Staph, aureus, Strep, uberis, Strep, agalactiae, Strep, dysgalactiae, Klebsiella spp., Corynebacterium, or Enterococcus spp.; swine respiratory disease related to infection by A. pleuro., P. multocida, or Mycoplasma spp.; swine enteric disease related to infection by E. coli, Lawsonia intracellularis, Salmonella, or Serpulina hyodyisinteriae; cow footrot related to infection by Fusobacterium spp.; cow metritis related to infection by E. coli; cow hairy warts related to infection by Fusobacterium necrophorum or Bacteroides nodosus; cow pink-eye related to infection by Moraxella bovis; cow premature abortion related to infection by protozoa (i.e. neosporium); urinary tract infection in dogs and cats related to infection by E. coli; skin and soft tissue infections in dogs and cats related to infection by Staph, epidermidis, Staph, intermedius, coagulase neg. Staph, or P. multocida; and dental or mouth infections in dogs and cats related to infection by Alcaligenes spp., Bacteroides spp., Clostridium spp., Enterobacter spp., Eubacterium, Peptostreptococcus, Porphyromonas, or Prevotella.
The term "mammal" is an individual animal that is a member of the taxonomic class Mammalia. The class Mammalia includes, for example, humans, monkeys, chimpanzees, gorillas, cattle, swine, horses, sheep, dogs, cats, mice and rats.
The term "bioavailable" as used herein, includes, but not limited to the rate and extent to which the drug become bioavailable to the site of action after administration.
The term "Cmax" is the highest plasma concentration of the drug attained within the dosing interval.
The term "Tmax" is the time period, which elapses after administration of the dosage form at which the plasma concentration of the drug attains the highest plasma concentration of drug attained within the dosing interval.
The term "AUCo-t" as used herein, means area under plasma concentration-time curve from drug administration to last observed concentration at time t.
The term "AUCo-a" as used herein, means area under the plasma concentration- time curve extrapolated to infinite time.
The term "mean", when preceding a pharmacokinetic value (e.g. mean Tmax) represents the mean value of the pharmacokinetic value taken from a population of patients or healthy volunteers.
In an embodiment, the oral pharmaceutical composition of the present invention comprising anhydrous amorphous azithromycin or salt thereof along with one or more pharmaceutically acceptable excipients, wherein the pharmaceutical composition is essentially free of azithromycin dihydrate.
In an embodiment, the oral pharmaceutical composition of the present invention comprising anhydrous amorphous azithromycin or salt thereof along with one or more pharmaceutically acceptable excipients, wherein the pharmaceutical composition is essentially free of azithromycin monohydrate.
The amount of anhydrous amorphous azithromycin or salt thereof in the composition may range from about 1 % to about 80% w/w of the composition.
In a further embodiment, anhydrous amorphous azithromycin in the oral pharmaceutical composition of the present invention does not contain more than 1.5% w/w of water.
In a further embodiment, azithromycin dihydrate in the composition of the present invention essentially does not convert to hydrate form when the composition is stored at 40°C and 60% relative humidity for at least 3 months.
The composition of the present invention may be formulated in the form of a suitable dosage form selected from tablet, granules, powder for suspension, hard or soft capsules, tablet in tablet, rate controlling-polymer coated tablet, multiparticulates, coated pellets, trilayer tablet, in-lay tablet, multiple unit pellet system and combinations thereof.
Alternatively, the composition of the present invention may be devised in the form of a dosage form which exhibits immediate release, modified release, controlled release, extended release, delayed release or sustained release of anhydrous amorphous azithromycin using various methods known in the art.
In an embodiment, the composition exhibits a dissolution profile such that not more than 85% of anhydrous amorphous azithromycin is dissolved in 45 minutes.
The composition of the present invention can be prepared by using various methods known in the art, such as wet granulation, direct compression, slugging, dry granulation, melt granulation, hot melt extrusion, and solvent evaporation.
The composition of the present invention may be provided with one or more functional or non-functional coats.
The coating composition may comprise one or more hydrophilic polymer, hydrophobic polymer or non-polymeric rate controlling excipients.
Suitable Hydrophillic polymers can be selected from but not limited to the group consisting of one or more of cellulose derivatives; polyhydric alcohols; saccharides, gums and derivatives thereof; vinyl derivatives, polymers, copolymers or mixtures thereof; maleic acid copolymers; polyalkylene oxides or copolymers thereof; acrylic acid polymers and acrylic acid derivatives; or any mixtures thereof.
Suitable Cellulose derivatives can be selected from but are not limited to, ethyl cellulose, methylcellulose, hydroxypropylmethylcellulose (HPMC), hydroxypropyl cellulose (HPC), hydroxyethyl cellulose, hydroxymethyl cellulose, hydroxypropyl ethylcellulose, carboxymethylethyl cellulose, carboxy- ethylcellulose, carboxymethyl hydroxyethylcellulose, hydroxyethylmethyl carboxymethyl cellulose, hydroxyethyl methyl cellulose, carboxymethyl cellulose (CMC), methylhydroxyethyl cellulose, methylhydroxypropyl cellulose, carboxymethyl sulfoethyl cellulose, sodium carboxymethyl cellulose, or mixtures thereof.
Polyhydric alcohols include, but are not limited to, polyethylene glycol (PEG) or polypropylene glycol; or any combinations thereof.
Saccharides, gums and their derivatives include, but are not limited to, dextrin, polydextrin, dextran, pectin and pectin derivatives, alginic acid, sodium alginate,
polygalacturonic acid, xylan, arabinoxylan, arabinogalactan, starch, hydroxypropyl starch, amylose and amylopectin, CMC agar; guar gum, locust bean gum, xanthan gum, karaya gum, tragacanth, carrageenan, acacia gum, arabic gum or gellan gum or the like; or any combinations thereof.
Vinyl derivatives, polymers, copolymers or mixtures thereof include, but are not limited to, polyvinyl acetate, polyvinyl alcohol, mixture of polyvinyl acetate (8 parts w/w) and polyvinylpyrrolidone (2 parts w/w) (Kollidon SR), copolymers of vinyl pyrrolidone, vinyl acetate copolymers, polyvinylpyrrolidone (PVP); or combinations thereof.
Polyalkylene oxides or copolymers thereof include, but are not limited to, polyethylene oxide, polypropylene oxide, poly (oxyethylene)-poly (oxypropylene) block copolymers (poloxamers) or combinations thereof.
Maleic acid copolymers include, but are not limited to, vinylacetate maleic acid anhydride copolymer, styrene maleic acid anhydride copolymer, styrene maleic acid monoester copolymer, vinylmethylether maleic acid anhydride copolymer, ethylene maleic acid anhydride copolymer, vinylbutyiether maleic acid anhydride copolymer, acrylonitrile methyl acrylate maleic acid anhydride copolymer, butyl acrylate, styrene maleic acid anhydride copolymer or the like or any combinations thereof.
Suitable acrylic acid polymers can be selected from, but not limited to any suitable polyacrylic acid polymers or carboxyvinyl polymers such as those available under the brand name carbopol. Pharmaceutically acceptable acrylic polymer may be include one or more, but not limited to acrylic acid and methacrylic acid copolymers, methyl methacrylate copolymers, ethoxyethyl methacrylates, cynaoethyl methacrylate, aminoalkyl methacrylate copolymer, poly(acrylic acid), poly(methacrylic acid), methacrylic acid alkylamide copolymer, poly(methyl methacrylate), poly(methacrylic acid) (anhydride), methyl
methacrylate, polymethacrylate, poly(methyl methacrylate), poly(methyl methacrylate) copolymer, polyacrylamide, aminoalkyl methacrylate copolymer, poly(methacrylic acid anhydride), and glycidyl methacrylate.
Hydrophobic polymer can be selected from but not limited to waxes, which are esters of fatty acids with long chain monohydric alcohols natural waxes are often mixtures of such esters, and may also contain hydrocarbons Waxes employed in the present invention include, but are not limited to, natural waxes, such as animal waxes, vegetable waxes, and petroleum waxes, paraffin waxes, microcrystalline waxes, petrolatum waxes, mineral waxes), and synthetic waxes Specific examples include, but are not limited to spermaceti wax, carnauba wax, Japan wax, bayberry wax, flax wax, beeswax, yellow wax, Chinese wax, shellac wax, lanolin wax, sugarcane wax, candelilla wax, castor wax paraffin wax, microcrystalline wax, petrolatum wax, carbowax, and the like, or mixtures thereof.
Waxes are also monoglyceryl esters, diglyceryl esters, or; glyceryl esters (glycerides) and derivatives and mixtures thereof formed from a fatty acid having from about 10 to about 22 carbon atoms and glycerol, wherein one or more of the hydroxyl groups of glycerol are substituted by a fatty acid. Glycerides employed in the present invention include, but are not limited to, glyceryl monostearate, glyceryl distearate, glyceryl tristearate, glyceryl dipalmitate, glyceryl tripalmitate, glyceryl monopalmitate, glyceryl palmitostearate, glyceryl dilaurate, glyceryl trilaurate, glyceryl monolaurate, glyceryl didocosanoate, glyceryl tridocosanoate, glyceryl monodocosanoate, glyceryl monocaproate, glyceryl dicaproate, glyceryl tricaproate, glyceryl monomyristate, glyceryl dimyristate, glyceryl trimyhstate, glyceryl monodecenoate, glyceryl didecenoate, glyceryl tridecenoate, glyceryl behenate (compritol), polyglyceryl diisostearate, lauroyl macrogolglycerides (Gelucire), oleoyi macrogolglycerides, stearoyi macrogolglycerides, mixtures of monoglycerides and diglycerides of oleic acid (Peceol), or combinations thereof.
Fatty acids include, but are not limited to, hydrogenated palm kernel oil, hydrogenated peanut oil, hydrogenated palm oil, hydrogenated rapeseed oil, hydrogenated rice bran oil, hydrogenated soybean oil, hydrogenated sunflower oil, hydrogenated castor oil (Lubritab), hydrogenated cottonseed oil, and mixtures thereof. Other fatty acids include, but are not limited to, decenoic acid, docosanoic acid, stearic acid, palmitic acid, lauric acid, myristic acid, or the like, or mixtures thereof.
Suitable Non-polymeric rate controlling excipients can be selected from but not limited to the group consisting of fat, wax, fatty acid, fatty acid ester, long chain monohydric alcohol or their ester or any combinations thereof.
Suitable Examples of binders include, cellulose derivatives (such as microcrystalline cellulose, methylcellulose, carboxymethycellulose sodium, hydroxypropyl methylcellulose, hydroxyethyl cellulose, and hydroxypropyl cellulose), polyvidone, polyvinyl pyrrolidone, gelatin, natural gums (such as acacia, tragacanth, guar, and pectin), starch paste, pregelatinized starch, sucrose, corn syrup, polyethylene glycols, and sodium alginate, ammonium calcium alginate, magnesium aluminum silicate, and polyethylene glycols.
Suitable Examples of fillers or diluents include but not limited to spray-dried or anhydrous lactose, sucrose, dextrose, starch, pregelatinized starch, polyols (such as mannitol, sorbitol, and xylitol), cellulose (such as microcrystalline cellulose), and inorganic salts (such as dibasic calcium phosphate, tribasic calcium phosphate, and calcium sulfate). Preferably the filler is a combination of pregelatinized starch and microcrystalline cellulose.
Suitable Examples of disintegrants include but not limited to starch and starch derivatives, including cross-linked sodium salt of a carboxymethyl ether of starch (such as sodium starch glycolate), pregelatinized starch (such as Starch 1500), sodium starch glycolate, cross-linked sodium carboxymethyl cellulose (such as
Croscarmellose Sodium), cross-linked polyvinylpyrrolidone (such as Crospovidone), and microcrystalline cellulose. A preferred disintegrant is sodium starch glycolate.
Suitable Examples of lubricants include but not limited to vegetable oils (such as corn oil), mineral oils, polyethylene glycols (such as PEG-4000 and PEG-6000), salts of stearic acid (such as calcium stearate, magnesium stearate, and sodium stearyl fumarate), mineral salts (such as talc), inorganic salts (such as sodium chloride), organic salts (such as sodium benzoate, sodium acetate, and sodium oleate), polyvinyl alcohols, sodium lauryl sulfate, and magnesium lauryl sulfate. Preferred lubricants are magnesium stearate, and mixtures of magnesium stearate with sodium lauryl sulfate.
Suitable Flavorings incorporated in the composition may be chosen from synthetic flavor oils and flavoring aromatics and/or natural oils, extracts from plants, leaves, flowers, fruits, and so forth and combinations thereof. These may include but not limited to cinnamon oil, oil of wintergreen, peppermint oils, clove oil, bay oil, anise oil, eucalyptus, thyme oil, cedar leaf oil, oil of nutmeg, oil of sage, oil of bitter almonds, and cassia oil. Also useful as flavors are vanilla, citrus oil, including lemon, orange, grape, lime and grapefruit, and fruit essences, including apple, banana, pear, peach, strawberry, raspberry, cherry, plum, pineapple, apricot, and so forth.
Suitable surfactants are those known to ordinary skill in the art and include but not limited to one or more of polyoxyethylene glycerol esters of fatty acids, such as Tagats; polooxylated castor oil, ethylene glycol esters, such as glycol stearate and distearate; propylene glycol esters, such as propylene glycol myristate; glyceryl esters of fatty acids, such as glyceryl stearates and monostearates; sorbitan esters, such as spans and tweens; polyglyceryl esters, such as polyglyceryl 4-oleate; fatty alcohol ethoxylates, such as Brij type emulsifiers; ethoxylated propoxylated block copolymers, such as poloxamers; polyethylene
glycol esters of fatty acids, such as Labrafils, Labrafacs, and Labrasols; cremophores; glycerol monocaprylate/ caprate, such as Campmul CM 10; Gelucire, Capryol, Captex, Acconon, transcutol, triacetin, TPGS (d-alpha tocopheryl polyethylene glycol succinate) and the like.
Suitable non-viscosifying sweeteners include, for example, saccharin, aspartame, acesulfame potassium, thaumatin and monelin.
Suitable thickening agents may include but not limited to sucrose, sorbitol, mannitol, xylitol, maltitol, and polydextrose. Other suitable thickening agents which function as suspending agents include, for example, hydrocolloid gums and clays known for such purpose, examples of which include xanthan gum, guar gum, locust bean gum, gum tragacanth, acacia, bentonite, magnesium aluminum silicate and the like.
Suspending agents such as sodium carboxymethylcellulose, polyvinylpyrrolidone, hydroxypropyl cellulose, hydroxypropyl methylcellulose, methylcellulose, hydroxyethyl cellulose, carbomer, microcrystalline cellulose, sodium carboxymethylcellulose sodium or mixture thereof.
Cyclic oligosaccharides such as cyclodextrins and their derivatives, for example a-cyclodextrin, β-cyclodextrin, γ-cyclodextrin, hydroxypropyl, hydroxyethyl, sulfobutylether cyclodextrin derivatives or mixture thereof.
Suitable preservatives are well known, for example sodium benzoate, methylparaben, propylparaben and the like.
Coloring agents include titanium dioxide and/or dyes suitable for food such as those known as F. D. & C, dyes, aluminum lakes and natural coloring agents such as grape skin extract, beet red powder, beta carotene, annato, carmine, turmeric, paprika, and so forth.
Moreover, the composition of the invention optionally include usual auxiliaries known in the art such as saliva stimulating agents like citric acid, lactic acid, malic acid, succinic acid, ascorbic acid, adipic acid, fumaric acid, tartaric acids; cooling sensation agents like maltitol, monomenthyl succinate, ultracool; stabilizers like gums, agar; taste masking agents like acrylic polymers, copolymers of acrylates, celluloses, resins; coloring agents like titanium dioxide, natural food colors, dyes suitable for food, drug and cosmetic applications; preservatives like alpha-tocopherol, citric acid, butylated hydroxytoluene, butylated hydroxyanisole, ascorbic acid, fumaric acid, malic acid, sodium ascorbate or ascorbic acid palmitate or effervescing agents like citric acid, tartaric acid, sodium bicarbonate, sodium carbonate and the like.
The invention further provides a method of treating a microbial infection comprising administering to a mammal in need of such treatment, a therapeutically effective amount of an oral pharmaceutical composition comprising anhydrous amorphous azithromycin or salt thereof along with one or more pharmaceutically acceptable excipients.
The present invention is further illustrated by the following examples which are provided merely to be exemplary of the invention and do not limit the scope of the invention. Certain modifications and equivalents will be apparent to those skilled in the art and are intended to be included within the scope of the present invention.
Example 1 : Azithromycin anhydrous oral suspension
Table 1
Procedure:
Roll compaction ingredients, as mentioned in above table, were accurately weighed and sifted. The blend was mixed in double cone blender. The blend obtained was compacted and milled on roll compactor, which was further sieved to obtain compacted granules. Extragranular ingredients, as mentioned in above table, were accurately weighed and sifted. Compacted granules from above step and extragranular blend were mixed in double cone blender. The blend, i.e. powder for suspension was then filled at desired fill weight in 60cc translucent HDPE bottle and dispensed.
Example 2: Azithromycin anhydrous tablet
Tablet 2
Procedure:
All ingredients were sifted. All ingredients except colloidal silicon dioxide and magnesium stearate were transferred to the blender. The blend was lubricated with colloidal silicon dioxide and magnesium stearate. The lubricated blend was then roll compacted. The resulting flakes were then milled and sifted to obtain granules. All the ingredients of lubrication stage were sifted. All the ingredients except and magnesium stearate were transferred to the blender. The blend was then lubricated with magnesium stearate. Lubricated blend was then compressed. Tablets were then coated with Opadry White Y-1 -7000.
Claims
1. An oral pharmaceutical composition comprising anhydrous amorphous azithromycin along with one or more pharmaceutically acceptable excipients, wherein the composition is essentially free of azithromycin di hydrate.
2. The oral pharmaceutical composition of claim 1 , wherein anhydrous amorphous azithromycin in the composition does not contain more than 1.5% w/w of water.
3. The oral pharmaceutical composition of claim 1 , wherein the composition comprises from about 1 % to about 80% w/w of anhydrous amorphous azithromycin or salt thereof.
4. The oral pharmaceutical composition of claim 1 , wherein the composition is in the form of a solid dosage form.
5. The oral pharmaceutical composition of claim 4, wherein the solid dosage form comprises a tablet, granule, powder for suspension, hard or soft capsule, a tablet in tablet, a rate controlling-polymer coated tablet, multiparticulates, coated pellets, a trilayer tablet, an in-lay tablet, and combination thereof.
6. The oral compacted pharmaceutical composition of claim 1 , wherein the composition exhibits immediate release, modified release, controlled release, extended release, delayed release or sustained release of anhydrous amorphous azithromycin or salt thereof.
7. The oral pharmaceutical composition of claim 1 , wherein the composition exhibits a dissolution profile such that not more than 85% of anhydrous amorphous azithromycin is dissolved in 45 minutes.
8. An oral pharmaceutical composition comprising anhydrous amorphous azithromycin along with one or more pharmaceutically acceptable excipients, wherein azithromycin dihydrate or salt thereof in the composition essentially does not convert to hydrate form when stored at 40°C and 60% relative humidity for at least 3 months.
9. A tablet comprising anhydrous amorphous azithromycin along with one or more pharmaceutically acceptable excipients, wherein the tablet is essentially free of azithromycin dihydrate.
10. A method of treating a microbial infection comprising administering to a mammal in need of such treatment, a therapeutically effective amount of an oral pharmaceutical composition of claim 1.
Applications Claiming Priority (2)
| Application Number | Priority Date | Filing Date | Title |
|---|---|---|---|
| IN3509MU2011 | 2011-12-14 | ||
| IN3509/MUM/2011 | 2011-12-14 |
Publications (1)
| Publication Number | Publication Date |
|---|---|
| WO2013088274A1 true WO2013088274A1 (en) | 2013-06-20 |
Family
ID=47429979
Family Applications (1)
| Application Number | Title | Priority Date | Filing Date |
|---|---|---|---|
| PCT/IB2012/056106 Ceased WO2013088274A1 (en) | 2011-12-14 | 2012-11-02 | Anhydrous amorphous azithromycin composition free of azithromycin dihydrate |
Country Status (1)
| Country | Link |
|---|---|
| WO (1) | WO2013088274A1 (en) |
Cited By (2)
| Publication number | Priority date | Publication date | Assignee | Title |
|---|---|---|---|---|
| CN105078920A (en) * | 2014-05-16 | 2015-11-25 | 山东司邦得制药有限公司 | Azithromycin capsule and preparation method thereof |
| CN117398347A (en) * | 2023-12-15 | 2024-01-16 | 山东国邦药业有限公司 | Tilmicosin dry suspension and preparation method thereof |
Citations (29)
| Publication number | Priority date | Publication date | Assignee | Title |
|---|---|---|---|---|
| US4474768A (en) | 1982-07-19 | 1984-10-02 | Pfizer Inc. | N-Methyl 11-aza-10-deoxo-10-dihydro-erytromycin A, intermediates therefor |
| US4512982A (en) | 1984-04-13 | 1985-04-23 | Pfizer Inc. | 9α-Aza-9α-homoerythromycin compounds, pharmaceutical composition and therapeutic method |
| US4517359A (en) | 1981-03-06 | 1985-05-14 | Sour Pliva Farmaceutska, Kemijska Prehrambena I Kozmeticka Industrija, N.Sol.O. | 11-Methyl-11-aza-4-0-cladinosyl-6-0-desosaminyl-15-ethyl-7,13,14-trihydroxy-3,5,7,9,12,14-hexamethyl-oxacyclopentadecane-2-one and derivatives thereof |
| EP0307128A2 (en) * | 1987-09-10 | 1989-03-15 | Pfizer Inc. | Azithromycin and derivatives as antiprotozoal agents |
| EP0984020A2 (en) | 1998-08-21 | 2000-03-08 | Apotex Inc. | Azithromycin monohydrate isopropanol clathrate and methods for the manufacture thereof. |
| US6068859A (en) | 1994-05-06 | 2000-05-30 | Pfizer Inc. | Controlled-release dosage forms of Azithromycin |
| EP1103558A2 (en) * | 1999-11-26 | 2001-05-30 | Astur-Pharma, S.A. | Preparation of non-crystalline and crystalline dihydrate forms of azithromycin |
| US6268489B1 (en) | 1987-07-09 | 2001-07-31 | Pfizer Inc. | Azithromycin dihydrate |
| US6365574B2 (en) | 1998-11-30 | 2002-04-02 | Teva Pharmaceutical Industries Ltd. | Ethanolate of azithromycin, process for manufacture, and pharmaceutical compositions thereof |
| WO2003053416A1 (en) | 2001-12-21 | 2003-07-03 | Pfizer Products Inc. | Directly compressible formulations of azithromycin |
| WO2003102009A1 (en) | 2002-06-04 | 2003-12-11 | Chemi S.P.A. | Process for preparing high purity azithromycin |
| WO2004009608A2 (en) * | 2002-07-22 | 2004-01-29 | Pliva - Istrazivacki Institut D.O.O. | Novel amorphous 9-deoxo-9a-aza-9a-methyl-9a-homoerythromycin a, process for preparing the same, and use thereof |
| EP1498141A1 (en) | 2003-07-15 | 2005-01-19 | Pfizer Products Inc. | Stable non-dihydrate azithromycin oral suspensions |
| US20050101547A1 (en) | 2003-11-06 | 2005-05-12 | Sadatrezaei Mohsen | Stabilized azithromycin composition |
| WO2005053639A2 (en) | 2003-12-04 | 2005-06-16 | Pfizer Products Inc. | Controlled release multiparticulates formed with dissolution enhancers |
| US20050158391A1 (en) | 2003-12-04 | 2005-07-21 | Pfizer Inc | Azithromycin multiparticulate dosage forms by melt-congeal processes |
| US6984403B2 (en) | 2003-12-04 | 2006-01-10 | Pfizer Inc. | Azithromycin dosage forms with reduced side effects |
| USRE39149E1 (en) | 1994-04-29 | 2006-06-27 | Pfizer Inc. | Method of administering azithromycin |
| WO2006067577A2 (en) | 2004-12-21 | 2006-06-29 | Pfizer Products Inc. | Stable non-dihydrate azithromycin oral suspensions |
| WO2006067576A1 (en) | 2004-12-21 | 2006-06-29 | Pfizer Products Inc. | Enteric coated azithromycin multiparticulates |
| WO2006096182A1 (en) | 2005-03-07 | 2006-09-14 | Teva Pharmaceutical Industries Ltd. | Azithromycin powder for oral suspension compositions |
| WO2006115494A1 (en) | 2005-04-26 | 2006-11-02 | American Pharmaceutical Partners, Inc. | Lyophilized azithromycin formulation |
| WO2007007148A1 (en) | 2005-07-14 | 2007-01-18 | Pfizer Products Inc. | Process for forming amorphous azithromycin particles |
| US20070199856A1 (en) | 2001-10-18 | 2007-08-30 | Michael Pesachovich | Methods of stabilizing azithromycin |
| US7282218B2 (en) | 2003-12-15 | 2007-10-16 | Council Of Scientific And Industrial Research | pH sensitive polymer for inhibiting transformation in drugs |
| US7309782B2 (en) | 2001-05-22 | 2007-12-18 | Pfizer Inc. | Crystal forms of azithromycin |
| WO2008088776A2 (en) * | 2007-01-15 | 2008-07-24 | Capricorn Pharma Inc. | Amorphous drug beads |
| US7438924B2 (en) | 2002-02-01 | 2008-10-21 | Pfizer Inc | Dry granulated formulations of azithromycin |
| WO2011073927A1 (en) | 2009-12-18 | 2011-06-23 | North-West University | Composition comprising an amorphous non- crystalline glass form of azithromycin |
-
2012
- 2012-11-02 WO PCT/IB2012/056106 patent/WO2013088274A1/en not_active Ceased
Patent Citations (32)
| Publication number | Priority date | Publication date | Assignee | Title |
|---|---|---|---|---|
| US4517359A (en) | 1981-03-06 | 1985-05-14 | Sour Pliva Farmaceutska, Kemijska Prehrambena I Kozmeticka Industrija, N.Sol.O. | 11-Methyl-11-aza-4-0-cladinosyl-6-0-desosaminyl-15-ethyl-7,13,14-trihydroxy-3,5,7,9,12,14-hexamethyl-oxacyclopentadecane-2-one and derivatives thereof |
| US4474768A (en) | 1982-07-19 | 1984-10-02 | Pfizer Inc. | N-Methyl 11-aza-10-deoxo-10-dihydro-erytromycin A, intermediates therefor |
| US4512982A (en) | 1984-04-13 | 1985-04-23 | Pfizer Inc. | 9α-Aza-9α-homoerythromycin compounds, pharmaceutical composition and therapeutic method |
| US6268489B1 (en) | 1987-07-09 | 2001-07-31 | Pfizer Inc. | Azithromycin dihydrate |
| EP0307128A2 (en) * | 1987-09-10 | 1989-03-15 | Pfizer Inc. | Azithromycin and derivatives as antiprotozoal agents |
| US4963531A (en) | 1987-09-10 | 1990-10-16 | Pfizer Inc. | Azithromycin and derivatives as antiprotozoal agents |
| USRE39149E1 (en) | 1994-04-29 | 2006-06-27 | Pfizer Inc. | Method of administering azithromycin |
| US6068859A (en) | 1994-05-06 | 2000-05-30 | Pfizer Inc. | Controlled-release dosage forms of Azithromycin |
| US7108865B2 (en) | 1994-05-06 | 2006-09-19 | Pfizer Inc | Controlled-release dosage forms of azithromycin |
| EP0984020A2 (en) | 1998-08-21 | 2000-03-08 | Apotex Inc. | Azithromycin monohydrate isopropanol clathrate and methods for the manufacture thereof. |
| US6365574B2 (en) | 1998-11-30 | 2002-04-02 | Teva Pharmaceutical Industries Ltd. | Ethanolate of azithromycin, process for manufacture, and pharmaceutical compositions thereof |
| EP1103558A2 (en) * | 1999-11-26 | 2001-05-30 | Astur-Pharma, S.A. | Preparation of non-crystalline and crystalline dihydrate forms of azithromycin |
| US7309782B2 (en) | 2001-05-22 | 2007-12-18 | Pfizer Inc. | Crystal forms of azithromycin |
| US20070199856A1 (en) | 2001-10-18 | 2007-08-30 | Michael Pesachovich | Methods of stabilizing azithromycin |
| WO2003053416A1 (en) | 2001-12-21 | 2003-07-03 | Pfizer Products Inc. | Directly compressible formulations of azithromycin |
| US7438924B2 (en) | 2002-02-01 | 2008-10-21 | Pfizer Inc | Dry granulated formulations of azithromycin |
| WO2003102009A1 (en) | 2002-06-04 | 2003-12-11 | Chemi S.P.A. | Process for preparing high purity azithromycin |
| WO2004009608A2 (en) * | 2002-07-22 | 2004-01-29 | Pliva - Istrazivacki Institut D.O.O. | Novel amorphous 9-deoxo-9a-aza-9a-methyl-9a-homoerythromycin a, process for preparing the same, and use thereof |
| EP1498141A1 (en) | 2003-07-15 | 2005-01-19 | Pfizer Products Inc. | Stable non-dihydrate azithromycin oral suspensions |
| US20050101547A1 (en) | 2003-11-06 | 2005-05-12 | Sadatrezaei Mohsen | Stabilized azithromycin composition |
| US20080096831A1 (en) | 2003-11-06 | 2008-04-24 | Sadatrezaei Mohsen | Stabilized azithromycin composition |
| US20050158391A1 (en) | 2003-12-04 | 2005-07-21 | Pfizer Inc | Azithromycin multiparticulate dosage forms by melt-congeal processes |
| US6984403B2 (en) | 2003-12-04 | 2006-01-10 | Pfizer Inc. | Azithromycin dosage forms with reduced side effects |
| WO2005053639A2 (en) | 2003-12-04 | 2005-06-16 | Pfizer Products Inc. | Controlled release multiparticulates formed with dissolution enhancers |
| US7282218B2 (en) | 2003-12-15 | 2007-10-16 | Council Of Scientific And Industrial Research | pH sensitive polymer for inhibiting transformation in drugs |
| WO2006067576A1 (en) | 2004-12-21 | 2006-06-29 | Pfizer Products Inc. | Enteric coated azithromycin multiparticulates |
| WO2006067577A2 (en) | 2004-12-21 | 2006-06-29 | Pfizer Products Inc. | Stable non-dihydrate azithromycin oral suspensions |
| WO2006096182A1 (en) | 2005-03-07 | 2006-09-14 | Teva Pharmaceutical Industries Ltd. | Azithromycin powder for oral suspension compositions |
| WO2006115494A1 (en) | 2005-04-26 | 2006-11-02 | American Pharmaceutical Partners, Inc. | Lyophilized azithromycin formulation |
| WO2007007148A1 (en) | 2005-07-14 | 2007-01-18 | Pfizer Products Inc. | Process for forming amorphous azithromycin particles |
| WO2008088776A2 (en) * | 2007-01-15 | 2008-07-24 | Capricorn Pharma Inc. | Amorphous drug beads |
| WO2011073927A1 (en) | 2009-12-18 | 2011-06-23 | North-West University | Composition comprising an amorphous non- crystalline glass form of azithromycin |
Non-Patent Citations (2)
| Title |
|---|
| BLANCO M ET AL: "Characterization and analysis of polymorphs by near-infrared spectrometry", ANALYTICA CHIMICA ACTA, ELSEVIER, AMSTERDAM, NL, vol. 502, no. 2, 30 January 2004 (2004-01-30), pages 221 - 227, XP002510965, ISSN: 0003-2670, DOI: 10.1016/J.ACA.2003.10.016 * |
| MOHAMMADI G ET AL: "Development of azithromycin-PLGA nanoparticles: Physicochemical characterization and antibacterial effect against Salmonella typhi", COLLOIDS AND SURFACES. B, BIOINTERFACES, ELSEVIER, AMSTERDAM, NL, vol. 80, no. 1, 1 October 2010 (2010-10-01), pages 34 - 39, XP027110221, ISSN: 0927-7765, [retrieved on 20100524] * |
Cited By (3)
| Publication number | Priority date | Publication date | Assignee | Title |
|---|---|---|---|---|
| CN105078920A (en) * | 2014-05-16 | 2015-11-25 | 山东司邦得制药有限公司 | Azithromycin capsule and preparation method thereof |
| CN117398347A (en) * | 2023-12-15 | 2024-01-16 | 山东国邦药业有限公司 | Tilmicosin dry suspension and preparation method thereof |
| CN117398347B (en) * | 2023-12-15 | 2024-03-19 | 山东国邦药业有限公司 | Tilmicosin dry suspension and preparation method thereof |
Similar Documents
| Publication | Publication Date | Title |
|---|---|---|
| US6984403B2 (en) | Azithromycin dosage forms with reduced side effects | |
| US20070231368A1 (en) | Pharmaceutical formulations of 6-11 bicyclic macrolide derivative known as edp-182 and methods for preparation thereof | |
| US10285944B2 (en) | Gastroresistant pharmaceutical formulations containing rifaximin | |
| US8628797B2 (en) | Oral extended-release composition | |
| EP1318792B1 (en) | Sustained release composition containing clarithromycin | |
| AU731693B2 (en) | Drug formulation having controlled release of active compound | |
| GB2414668A (en) | Sustained release delivery system for tetracycline compounds | |
| WO2013088274A1 (en) | Anhydrous amorphous azithromycin composition free of azithromycin dihydrate | |
| EP3331502B1 (en) | Controlled release propiverine formulations | |
| EP1443910A1 (en) | Controlled release compositions for macrolide antimicrobial agents | |
| AU2004216676B2 (en) | Azithromycin dosage forms with reduced side effects | |
| US20060264386A1 (en) | Pharmaceutical formulations of 6-11 bicyclic ketolide derivatives and related macrolides and methods for preparation thereof | |
| KR20210111389A (en) | Sustained-release formulation of macrolide antibiotics with improved stability in the gastrointestinal tract | |
| WO2008114143A1 (en) | Extended release formulations of macrolide antibiotic |
Legal Events
| Date | Code | Title | Description |
|---|---|---|---|
| 121 | Ep: the epo has been informed by wipo that ep was designated in this application |
Ref document number: 12806148 Country of ref document: EP Kind code of ref document: A1 |
|
| NENP | Non-entry into the national phase |
Ref country code: DE |
|
| 122 | Ep: pct application non-entry in european phase |
Ref document number: 12806148 Country of ref document: EP Kind code of ref document: A1 |


