WO2013071039A1 - Macrocyclic compounds for inhibition of inhibitors of apoptosis - Google Patents
Macrocyclic compounds for inhibition of inhibitors of apoptosis Download PDFInfo
- Publication number
- WO2013071039A1 WO2013071039A1 PCT/US2012/064349 US2012064349W WO2013071039A1 WO 2013071039 A1 WO2013071039 A1 WO 2013071039A1 US 2012064349 W US2012064349 W US 2012064349W WO 2013071039 A1 WO2013071039 A1 WO 2013071039A1
- Authority
- WO
- WIPO (PCT)
- Prior art keywords
- compound
- independently selected
- hydrogen
- methyl
- compounds
- Prior art date
- Legal status (The legal status is an assumption and is not a legal conclusion. Google has not performed a legal analysis and makes no representation as to the accuracy of the status listed.)
- Ceased
Links
- 0 *C(C1OC1NC(*)C(**1)=O)N*1C(C1(CC1)N(*)*)=O Chemical compound *C(C1OC1NC(*)C(**1)=O)N*1C(C1(CC1)N(*)*)=O 0.000 description 6
- MSHWTKGAZGNGGH-UHFFFAOYSA-N CC(C)C(N1)=NOC1=O Chemical compound CC(C)C(N1)=NOC1=O MSHWTKGAZGNGGH-UHFFFAOYSA-N 0.000 description 1
- OFELREQXHIMXKP-UHFFFAOYSA-N CC(C)C(N1)=NOC1=S Chemical compound CC(C)C(N1)=NOC1=S OFELREQXHIMXKP-UHFFFAOYSA-N 0.000 description 1
- DWVZXEUVIIXZBV-UHFFFAOYSA-N CC(C)c(ccc(F)c1O)c1F Chemical compound CC(C)c(ccc(F)c1O)c1F DWVZXEUVIIXZBV-UHFFFAOYSA-N 0.000 description 1
- HQCLEKCRIUAGDK-UHFFFAOYSA-N CC(C)c1n[o]c(O)c1 Chemical compound CC(C)c1n[o]c(O)c1 HQCLEKCRIUAGDK-UHFFFAOYSA-N 0.000 description 1
- RFFXUEDBNNOGDO-UHFFFAOYSA-N CC(C)c1nnn[nH]1 Chemical compound CC(C)c1nnn[nH]1 RFFXUEDBNNOGDO-UHFFFAOYSA-N 0.000 description 1
- NSYKPXCGPMWPGL-UHFFFAOYSA-N CCC(N1)=NNC1=O Chemical compound CCC(N1)=NNC1=O NSYKPXCGPMWPGL-UHFFFAOYSA-N 0.000 description 1
- FOOOCOAXYKESPO-UHFFFAOYSA-N CCC(O1)=NNC1=O Chemical compound CCC(O1)=NNC1=O FOOOCOAXYKESPO-UHFFFAOYSA-N 0.000 description 1
- UWAXDPWQPGZNIO-UHFFFAOYSA-N [SiH3]Cc1ccccc1 Chemical compound [SiH3]Cc1ccccc1 UWAXDPWQPGZNIO-UHFFFAOYSA-N 0.000 description 1
Classifications
-
- C—CHEMISTRY; METALLURGY
- C07—ORGANIC CHEMISTRY
- C07K—PEPTIDES
- C07K7/00—Peptides having 5 to 20 amino acids in a fully defined sequence; Derivatives thereof
- C07K7/50—Cyclic peptides containing at least one abnormal peptide link
- C07K7/54—Cyclic peptides containing at least one abnormal peptide link with at least one abnormal peptide link in the ring
- C07K7/56—Cyclic peptides containing at least one abnormal peptide link with at least one abnormal peptide link in the ring the cyclisation not occurring through 2,4-diamino-butanoic acid
-
- A—HUMAN NECESSITIES
- A61—MEDICAL OR VETERINARY SCIENCE; HYGIENE
- A61K—PREPARATIONS FOR MEDICAL, DENTAL OR TOILETRY PURPOSES
- A61K38/00—Medicinal preparations containing peptides
Definitions
- the invention relates generally to macrocyclic compounds and their therapeutic use. More particularly, the invention relates to macrocyclic compounds that modulate the activity of inhibitors of apoptosis (IAPs) and/or are useful in the treatment of medical conditions, such as cancer.
- IAPs inhibitors of apoptosis
- Apoptosis or programmed cell death is a genetically and biochemically regulated mechanism that plays an important role in development and homeostasis in invertebrates as well as vertebrates.
- Caspases are cysteine-containing aspartate specific proteases that play a key role in effecting apoptosis. Once activated from their inactive zymogen form by proteolytic processing, caspases digest vital cell proteins from within the cell. Since caspases are such strong proteases, tight control of this family of proteins is necessary to prevent premature cell death. In addition to proteolytic processing, caspases are also regulated by a family of molecules known as Inhibitors of Apoptosis (IAP) (Deveraux et al., J Clin Immunol (1999), 19:388-398). IAPs are found in all organisms ranging from Drosophila to human and are known to be overexpressed in many human cancers.
- IAP Inhibitors of Apoptosis
- IAPs always comprise one to three Baculovirus IAP repeat (BIR) domains, and most forms also possess a carboxyl-terminal RING finger motif.
- BIR domain itself is a zinc binding domain of about 70 residues comprising 4 alpha-helices and 3 beta strands, with cysteine and histidine residues that coordinate the zinc ion (Hinds et al., (1999) Nat. Struct. Biol. 6, 648-651).
- the BIR domain is believed to cause the anti-apoptotic effect by inhibiting the caspases.
- XIAP human X-chromosome linked IAP
- XIAP is expressed ubiquitously in most adult and fetal tissues (Liston et al., Nature, 1996, 379(6563):349), and is overexpressed in a number of tumor cell lines of the NCI 60 cell line panel (Fong et al., Genomics, 2000, 70:113; Tamm et al., Clin. Cancer Res. 2000, 6(5): 1796).
- Smac second mitochondrial activator of caspases; also known as DIABLO.
- Smac is synthesized as a precursor molecule of 239 amino acids; the N-terminal 55 residues serve as the mitochondria targeting sequence that is removed after import.
- the mature form of Smac resides in the inter-membrane space of mitochondria.
- Smac is released from mitochondria into the cytosol where, together with cytochrome c, it binds to IAPs, and eliminates the inhibitory effect of IAPs on caspases.
- Smac interacts with essentially all IAPs that have been examined to date and thus appears to be a master regulator of apoptosis in mammals.
- the present invention provides macrocyclic compounds, methods of modulating the activity of IAP, and methods for treating various medical conditions using such compounds.
- the invention provides a compound represented
- the invention provides a method of treating a patient suffering from or susceptible to a medical condition that is sensitive to apoptosis.
- a number of such medical conditions can be treated.
- the method comprises administering to the patient a therapeutically effective amount of a composition comprising a macrocyclic compound described herein.
- the compounds described herein may be used to treat or prevent infections, proliferative diseases (e.g., cancer), and autoimmune diseases.
- the invention provides a method of inhibiting the activity of an IAP in a cell, thus promoting apoptosis.
- the method comprises exposing the cell to a compound described herein.
- the present invention provides macrocyclic compounds, methods of modulating the activity of IAP and in particular XIAP, and methods for treating various medical conditions, especially cancer, using such compounds.
- the practice of the present invention employs, unless otherwise indicated, conventional techniques of organic chemistry, pharmacology, and biochemistry. For example, procedures for synthesizing organic compounds are described in the literature, such as
- the invention provides a compound represented by Formula I:
- each R 1 is independently -(d-C 4 alkylene)-R 9 , wherein each R 9 is
- R 1 independently selected from hydrogen, aryl, heteroaryl and cycloalkyl, wherein any aryl, heteroaryl or cycloalkyl portion of R 1 is optionally substituted with up to two substituents independently selected from halo, CF 3 , OH, C C 4 alkoxy, C C 4 alkenyloxy, phenyl, phenyloxy, and phenylmethyloxy; and wherein one -CH 2 - in the -(C1-C4 alkylene)- portion of R 1 is optionally replaced with -0-; or R 1 is taken together with an adjacent NH group to form a pyrrolidine ring;
- each R 2 is independently selected from hydrogen, cycloalkyl and -(Ci-C4alkylene)-R 4 , wherein each R 4 is independently selected from hydrogen, and cycloalkyl;
- each R 5 is independently selected from hydrogen and methyl
- each R 7 is independently selected from hydrogen and methyl
- each R 8 is independently selected from methyl and ethyl
- ⁇ represents a first point of attachment to Z
- A is selected from -C(0)R 3 or
- R 3 is OH, NHCN, NHS0 2 R 10 , NHOR 11 or N(R 12 )(R 13 );
- R 10 and R 11 are selected from -C1-C4 alkyl, cycloalkyl, aryl, heteroaryl, or heterocycloalkyl, any of which are optionally substituted, and hydrogen;
- each of R 12 and R 13 are independently selected from hydrogen, -C1-C4 alkyl, -(C1-C4 alkylene)-NH-(Ci-C 4 alkyl), benzyl, -(C C 4 alkylene)-C(0)OH,
- R 12 and R 13 are taken together with the nitrogen atom to which they are commonly bound to form a saturated heterocyclyl optionally comprising one additional heteroatom selected from N, O and S, and wherein the saturated heterocycle is optionally substituted with methyl.
- each R 5 is hydrogen, each R 7 is methyl, and each R 8 is methyl.
- each portion of the compound represented by -NH-CH(R 1 )-C(0)- is independently selected from:
- each portion of the compound re resented by -NH-CH(R 2 )-C(0)- is independently selected from:
- the compound is a homodimer (e.g., each R 1 is the same; each R 2 is the same; each R 5 is the same; each R 7 is the same; each R 8 is the same; each X is the same; each Y is the same; and each Z is the same).
- Y is selected from:
- the compound of Formula I is selected from any one of the compounds set forth in Table 1.
- the compound of Formula II is selected from any one of the compounds set forth in Table 2.
- the compounds of the present invention can be prepared using an iterative peptide coupling procedure as illustrated in following synthetic schemes. Exemplary general synthetic protocols are presented in Schemes 1-2. The schemes and accompanying description of synthetic procedures are given for the purpose of illustrating the invention, and should not be construed as limiting the scope or spirit of the invention.
- HATU 0-(7-azabenzotriazol-l-yl)-N,N,N',N - tetramethyluronium hexafluorophosphate
- DIPEA diisopropylethylamine
- DMAP dimethylaminopyridine
- DMF dimethylformamide
- Fmoc 9- fluorenylmethoxycarbonyl
- MeOH methanol
- DCM tert-butoxycarbonyl
- Boc tert-butyl
- tBu tetrahydrofuran
- THF trifluoroacetic acid
- TFA 1,8-diazobicyclo [5.4.0]-undec-7-ene
- DBU 1,8-diazobicyclo [5.4.0]-undec-7-ene
- HO At phenyl
- NMP N-methyl-pyrrolidinone
- Z copper(II) (Z)-2
- each P is an independently selected protecting group, such as Fmoc or Boc.
- Y' is a derivative of any of the Y moieties defined in the specification, wherein the A group has been removed.
- the P group depicted as bonded to Y' in the schemes is bound to the free amino group present at the bond designated as "1" in Y.
- the alkyne depicted as bonded to Y' in the schemes is bound at the bond designated as "4" in Y.
- X is meant to designate any of the X moieties set forth in the specification. Any -OH group depicted as bonded to X in the schemes is bound to the terminal -C(O) of X at the bond designated as "2".
- Any P group depicted as bonded to X in the schemes is bound to the secondary amine residue of X at the bond designated as " 1".
- Z is a bivalent triazole radical.
- Scheme 1 depicts a general synthesis method for compounds of Formulae I and II, wherein the compound of Formula II is a homodimer (e.g., each R 1 is the same; each R 2 is the same; each R 5 is the same; each R 7 is the same; each R 8 is the same; each X is the same; each Y is the same; and each Z is the same).
- each P is an independently selected protecting group, such as Fmoc or Boc
- Y' is a derivative of Y (as defined above), wherein the A group has been removed.
- a chlorinated resin 10 is reacted with the protected, azide derivative of Y' 11 in the presence of DCM and diisopropylethylamine to form resin- linked compound 12.
- the compound 12 is deprotected (e.g., by treatment with DBU and piperidine in DMF) and then reacted with the protected amino acid 13 in the presence of HATU and N-methyl morpholine to produce resin-linked compound 14.
- the protected amino acid 15 is added to produce resin- linked compound 16.
- Protected alkyne amino acid 17 is added after deprotection of 16 to produce 18. Another round of deprotection is followed by the addition of amino acid 19 to produce resin-linked compound 20.
- the azide group and alkyne group are reacted with one another to form triazole Z, using a Cu 2+ reagent in the presence of DIPEA, ascorbic acid, and 2,6-dimethylpyridine to produce the resin-linked cyclic dimer 21, and the cyclic monomer 22, which are separated and each is deprotected and cleaved from the resin with TFA to produce a corresponding compound of Formula I or Formula II.
- Scheme 2 depicts a general synthesis method for compounds of Formula I, wherein the A portion of Y is -C(0)R 3 and R 3 is other than hydrogen.
- Y' is a derivative of Y (as defined above), wherein the A group has been removed, the A group being shown independently of Y' as -C(0)R 3 .
- a chlorinated resin 10 is reacted with the protected amino acid 13 in the presence of DCM and diisopropylethylamine to form resin- linked compound 25.
- the compound 25 is deprotected (e.g., by treatment with DBU and piperidine in DMF) and then reacted with protected amino acid 15 in the presence of HATU and diisopropylethylamine to produce resin-linked compound 26.
- the protected alkyne amino acid 17 is added to produce resin- linked compound 27.
- the compounds and pharmaceutical compositions of the present invention are useful in treating or preventing any disease or conditions that are sensitive to apoptosis. These include infections (e.g. skin infections, GI infection, urinary tract infections, genito-urinary infections, systemic infections), proliferative diseases (e.g., cancer), and autoimmune diseases (e.g., rheumatoid arthritis, lupus).
- infections e.g. skin infections, GI infection, urinary tract infections, genito-urinary infections, systemic infections
- proliferative diseases e.g., cancer
- autoimmune diseases e.g., rheumatoid arthritis, lupus
- the compounds and pharmaceutical compositions may be administered to animals, preferably mammals (e.g., domesticated animals, cats, dogs, mice, rats), and more preferably humans. Any method of administration may be used to deliver the compound or pharmaceutical composition to the animal.
- the compound or pharmaceutical composition is administered orally. In other embodiments, the compound
- the compounds of this invention can be used for the treatment of any cancer type that fails to undergo apoptosis in a patient.
- any cancer type that fails to undergo apoptosis in a patient.
- This includes, but is not limited to: solid tumors, including but not limited to carcinomas; sarcomas including Kaposi's sarcoma; erythroblastoma; glioblastoma; meningioma; astrocytoma; melanoma; and myoblastoma.
- Treatment or prevention of non-solid tumor cancers, such as leukemia is also contemplated by this invention.
- Types of cancers that may be treated with the compounds of this invention include, but are not limited to, brain cancers, skin cancers, bladder cancers, ovarian cancers, breast cancers, gastric cancers, pancreatic cancers, prostate cancers, colon cancers, blood cancers, lung cancers and bone cancers.
- cancer types include neuroblastoma, intestine carcinoma such as rectum carcinoma, colon carcinoma, familiar adenomatous polyposis carcinoma and hereditary non-polyposis colorectal cancer, esophageal carcinoma, labial carcinoma, larynx carcinoma, hypopharynx carcinoma, tong carcinoma, salivary gland carcinoma, gastric carcinoma, adenocarcinoma, medullary thyroid carcinoma, papillary thyroid carcinoma, renal carcinoma, kidney parenchymal carcinoma, ovarian carcinoma, cervix carcinoma, uterine corpus carcinoma, endometrium carcinoma, chorion carcinoma, pancreatic carcinoma, prostate carcinoma, testis carcinoma, breast carcinoma, urinary carcinoma, melanoma, brain tumors such as glioblastoma, astrocytoma, meningioma, medulloblastoma and peripheral neuroectodermal tumors, Hodgkin lymphoma, non-Hodgkin lymphoma, Burkitt lymphoma, acute lymphatic leukemia
- Autoimmune diseases are characterized in that the cells of the immune system produce antibodies against its own organs and molecules or directly attack tissues resulting in the destruction of the latter. A failure of those self-reactive cells to undergo apoptosis leads to the manifestation of the disease. Defects in apoptosis regulation have been identified in autoimmune diseases such as systemic lupus erythematosus or rheumatoid arthritis.
- the invention provides a method of treating an autoimmune disease by providing to a patient in need thereof a compound or composition of the present invention.
- autoimmune diseases include, but are not limited to, collagen diseases such as rheumatoid arthritis, systemic lupus erythematosus.
- Sharp's syndrome CREST syndrome (calcinosis, Raynaud's syndrome, esophageal dysmotility, telangiectasia), dermatomyositis, vasculitis (Morbus Wegener's) and Sjogren's syndrome
- renal diseases such as Goodpasture's syndrome, rapidly-progressing glomerulonephritis and membrano-proliferative glomerulonephritis type II
- endocrine diseases such as type-I diabetes, autoimmune polyendocrinopathy-candidiasis-ectodermal dystrophy (APECED), autoimmune parathyroidism, pernicious anemia, gonad insufficiency, idiopathic Morbus Addison's, hyperthyreosis, Hashimoto's thyroiditis and primary myxedema
- skin diseases such as pemphigus vulgaris, bullous pemphigoid, herpes gestationis, epidermolysis bullo
- cytostatic chemotherapy compounds include, but are not limited to (i) antimetabolites, such as cytarabine, fludarabine, 5- fluoro-2'- deoxyuiridine, gemcitabine, hydroxyurea or methotrexate; (ii) DNA-fragmenting agents, such as bleomycin, (iii) DNA-cros slinking agents, such as chlorambucil, cisplatin, cyclophosphamide or nitrogen mustard; (iv) intercalating agents such as adriamycin (doxorubicin) or mitoxantrone; (v) protein synthesis inhibitors, such as L- asparaginase, cycloheximide, puromycin or diphtheria tox
- antimetabolites such as cytarabine, fludarabine, 5- fluoro-2'- deoxyuiridine, gemcitabine, hydroxyurea or methotrexate
- DNA-fragmenting agents such as bleomycin
- compounds of the present invention are coadministered with a cytostatic compound selected from the group consisting of cisplatin, doxorubicin, taxol, taxotere and mitomycin C.
- a cytostatic compound selected from the group consisting of cisplatin, doxorubicin, taxol, taxotere and mitomycin C.
- the cytostatic compound is doxorubicin.
- the combination therapy is intended to embrace administration of these therapeutic agents in a sequential manner, that is, wherein each therapeutic agent is administered at a different time, as well as administration of these therapeutic agents, or at least two of the therapeutic agents, in a substantially simultaneous manner.
- Substantially simultaneous administration can be accomplished, for example, by administering to the subject a single dosage form having a fixed ratio of each therapeutic agent or in multiple, single dosage forms for each of the therapeutic agents.
- Sequential or substantially simultaneous administration of each therapeutic agent can be effected by any appropriate route including, but not limited to, oral routes, intravenous routes, intramuscular routes, and direct absorption through mucous membrane tissues.
- the therapeutic agents can be administered by the same route or by different routes.
- a first therapeutic agent of the combination selected may be administered by intravenous injection while the other therapeutic agents of the combination may be administered orally.
- all therapeutic agents may be administered orally or all therapeutic agents may be administered by intravenous injection.
- Combination therapy also can embrace the administration of the therapeutic agents as described above in further combination with other biologically active ingredients and non-drug therapies (e.g., surgery or radiation treatment.)
- the combination therapy further comprises a non-drug treatment
- the non-drug treatment may be conducted at any suitable time so long as a beneficial effect from the co-action of the combination of the therapeutic agents and non-drug treatment is achieved. For example, in appropriate cases, the beneficial effect is still achieved when the non-drug treatment is temporally removed from the administration of the therapeutic agents, perhaps by days or even weeks.
- the invention also provides pharmaceutically acceptable compositions which comprise a therapeutic ally-effective amount of one or more of the macrocyclic compounds (such as a macrocyclic compound of Formula I), formulated together with one or more pharmaceutically acceptable carriers (additives) and/or diluents, and optionally, one or more additional therapeutic agents described above.
- the macrocyclic compounds such as a macrocyclic compound of Formula I
- pharmaceutically acceptable carriers additives
- additional therapeutic agents optionally, one or more additional therapeutic agents described above.
- compositions of the present invention may be specially formulated for administration in solid or liquid form, including those adapted for the following: (1) oral administration, for example, drenches (aqueous or non-aqueous solutions or suspensions), tablets, e.g., those targeted for buccal, sublingual, and systemic absorption, boluses, powders, granules, pastes for application to the tongue; (2) parenteral administration, for example, by subcutaneous, intramuscular, intravenous or epidural injection as, for example, a sterile solution or suspension, or sustained-release formulation; (3) topical application, for example, as a cream, ointment, or a controlled-release patch or spray applied to the skin; (4) intravaginally or intrarectally, for example, as a pessary, cream or foam; (5) sublingually; (6) ocularly; (7) transdermally; or (8) nasally.
- oral administration for example, drenches (aqueous or non-aqueous solutions or suspensions), tablets
- phrases "pharmaceutically acceptable” is employed herein to refer to those compounds, materials, compositions, and/or dosage forms which are, within the scope of sound medical judgment, suitable for use in contact with the tissues of human beings and animals without excessive toxicity, irritation, allergic response, or other problem or complication, commensurate with a reasonable benefit/risk ratio.
- pharmaceutically-acceptable carrier means a pharmaceutically-acceptable material, composition or vehicle, such as a liquid or solid filler, diluent, excipient, manufacturing aid (e.g., lubricant, talc magnesium, calcium or zinc stearate, or steric acid), or solvent encapsulating material, involved in carrying or transporting the subject compound from one organ, or portion of the body, to another organ, or portion of the body.
- manufacturing aid e.g., lubricant, talc magnesium, calcium or zinc stearate, or steric acid
- solvent encapsulating material involved in carrying or transporting the subject compound from one organ, or portion of the body, to another organ, or portion of the body.
- Each carrier must be “acceptable” in the sense of being compatible with the other ingredients of the formulation and not injurious to the patient.
- pharmaceutically-acceptable carriers include: (1) sugars, such as lactose, glucose and sucrose; (2) starches, such as corn starch and potato starch; (3) cellulose, and its derivatives, such as sodium carboxymethyl cellulose, ethyl cellulose and cellulose acetate; (4) powdered tragacanth; (5) malt; (6) gelatin; (7) talc; (8) excipients, such as cocoa butter and suppository waxes; (9) oils, such as peanut oil, cottonseed oil, safflower oil, sesame oil, olive oil, corn oil and soybean oil; (10) glycols, such as propylene glycol; (11) polyols, such as glycerin, sorbitol, mannitol and polyethylene glycol; (12) esters, such as ethyl oleate and ethyl laurate; (13) agar; (14) buffering agents, such as magnesium hydroxide and aluminum hydroxide; (15) algin
- wetting agents such as sodium lauryl sulfate and magnesium stearate, as well as coloring agents, release agents, coating agents, sweetening, flavoring and perfuming agents, preservatives and antioxidants can also be present in the compositions.
- antioxidants examples include: (1) water soluble antioxidants, such as ascorbic acid, cysteine hydrochloride, sodium bisulfate, sodium metabisulfite, sodium sulfite and the like; (2) oil-soluble antioxidants, such as ascorbyl palmitate, butylated hydroxyanisole (BHA), butylated hydroxytoluene (BHT), lecithin, propyl gallate, alpha-tocopherol, and the like; and (3) metal chelating agents, such as citric acid, ethylenediamine tetraacetic acid (EDTA), sorbitol, tartaric acid, phosphoric acid, and the like.
- water soluble antioxidants such as ascorbic acid, cysteine hydrochloride, sodium bisulfate, sodium metabisulfite, sodium sulfite and the like
- oil-soluble antioxidants such as ascorbyl palmitate, butylated hydroxyanisole (BHA), butylated hydroxytoluene (BHT), le
- Formulations of the present invention include those suitable for oral, nasal, topical (including buccal and sublingual), rectal, vaginal and/or parenteral administration.
- the formulations may conveniently be presented in unit dosage form and may be prepared by any methods well known in the art of pharmacy.
- the amount of active ingredient which can be combined with a carrier material to produce a single dosage form will vary depending upon the host being treated, the particular mode of administration.
- the amount of active ingredient which can be combined with a carrier material to produce a single dosage form will generally be that amount of the compound which produces a therapeutic effect. Generally, out of one hundred percent, this amount will range from about 0.1 percent to about ninety-nine percent of active ingredient, preferably from about 5 percent to about 70 percent, most preferably from about 10 percent to about 30 percent.
- a formulation of the present invention comprises an excipient selected from the group consisting of cyclodextrins, celluloses, liposomes, micelle forming agents, e.g., bile acids, and polymeric carriers, e.g., polyesters and polyanhydrides; and a compound of the present invention.
- an aforementioned formulation renders orally bioavailable a compound of the present invention.
- Methods of preparing these formulations or compositions include the step of bringing into association a compound of the present invention with the carrier and, optionally, one or more accessory ingredients.
- the formulations are prepared by uniformly and intimately bringing into association a compound of the present invention with liquid carriers, or finely divided solid carriers, or both, and then, if necessary, shaping the product.
- Formulations of the invention suitable for oral administration may be in the form of capsules, cachets, pills, tablets, lozenges (using a flavored basis, usually sucrose and acacia or tragacanth), powders, granules, or as a solution or a suspension in an aqueous or non-aqueous liquid, or as an oil-in-water or water-in-oil liquid emulsion, or as an elixir or syrup, or as pastilles (using an inert base, such as gelatin and glycerin, or sucrose and acacia) and/or as mouth washes and the like, each containing a predetermined amount of a compound of the present invention as an active ingredient.
- a compound of the present invention may also be administered as a bolus, electuary or paste.
- the active ingredient is mixed with one or more pharmaceutically-acceptable carriers, such as sodium citrate or dicalcium phosphate, and/or any of the following: (1) fillers or extenders, such as starches, lactose, sucrose, glucose, mannitol, and/or silicic acid; (2) binders, such as, for example, carboxymethylcellulose, alginates, gelatin, polyvinyl pyrrolidone, sucrose and/or acacia; (3) humectants, such as glycerol; (4) disintegrating agents, such as agar-agar, calcium carbonate, potato or tapioca starch, alginic acid, certain silicates, and sodium carbonate; (5) solution retarding agents, such as paraffin; (6) absorption accelerators, such as quaternary ammonium compounds and surfactants, such
- compositions may also comprise buffering agents.
- Solid compositions of a similar type may also be employed as fillers in soft and hard-shelled gelatin capsules using such excipients as lactose or milk sugars, as well as high molecular weight polyethylene glycols and the like.
- a tablet may be made by compression or molding, optionally with one or more accessory ingredients.
- Compressed tablets may be prepared using binder (for example, gelatin or hydroxypropylmethyl cellulose), lubricant, inert diluent, preservative, disintegrant (for example, sodium starch glycolate or cross-linked sodium carboxymethyl cellulose), surface-active or dispersing agent.
- Molded tablets may be made by molding in a suitable machine a mixture of the powdered compound moistened with an inert liquid diluent.
- compositions of the present invention may optionally be scored or prepared with coatings and shells, such as enteric coatings and other coatings well known in the pharmaceutical-formulating art. They may also be formulated so as to provide slow or controlled release of the active ingredient therein using, for example, hydroxypropylmethyl cellulose in varying proportions to provide the desired release profile, other polymer matrices, liposomes and/or microspheres. They may be formulated for rapid release, e.g., freeze-dried.
- compositions may be sterilized by, for example, filtration through a bacteria-retaining filter, or by incorporating sterilizing agents in the form of sterile solid compositions which can be dissolved in sterile water, or some other sterile injectable medium immediately before use.
- These compositions may also optionally contain opacifying agents and may be of a composition that they release the active ingredient(s) only, or
- compositions which can be used include polymeric substances and waxes.
- the active ingredient can also be in micro-encapsulated form, if appropriate, with one or more of the above-described excipients.
- Liquid dosage forms for oral administration of the compounds of the invention include pharmaceutically acceptable emulsions, microemulsions, solutions, suspensions, syrups and elixirs.
- the liquid dosage forms may contain inert diluents commonly used in the art, such as, for example, water or other solvents, solubilizing agents and emulsifiers, such as ethyl alcohol, isopropyl alcohol, ethyl carbonate, ethyl acetate, benzyl alcohol, benzyl benzoate, propylene glycol, 1,3-butylene glycol, oils (in particular, cottonseed, groundnut, corn, germ, olive, castor and sesame oils), glycerol, tetrahydrofuryl alcohol, polyethylene glycols and fatty acid esters of sorbitan, and mixtures thereof.
- inert diluents commonly used in the art, such as, for example, water or other solvents, solubilizing agents and
- the oral compositions can also include adjuvants such as wetting agents, emulsifying and suspending agents, sweetening, flavoring, coloring, perfuming and preservative agents.
- adjuvants such as wetting agents, emulsifying and suspending agents, sweetening, flavoring, coloring, perfuming and preservative agents.
- Suspensions in addition to the active compounds, may contain suspending agents as, for example, ethoxylated isostearyl alcohols, polyoxyethylene sorbitol and sorbitan esters, microcrystalline cellulose, aluminum metahydroxide, bentonite, agar-agar and tragacanth, and mixtures thereof.
- Formulations of the pharmaceutical compositions of the invention for rectal or vaginal administration may be presented as a suppository, which may be prepared by mixing one or more compounds of the invention with one or more suitable nonirritating excipients or carriers comprising, for example, cocoa butter,
- polyethylene glycol a suppository wax or a salicylate, and which is solid at room temperature, but liquid at body temperature and, therefore, will melt in the rectum or vaginal cavity and release the active compound.
- Formulations of the present invention which are suitable for vaginal administration also include pessaries, tampons, creams, gels, pastes, foams or spray formulations containing such carriers as are known in the art to be appropriate.
- Dosage forms for the topical or transdermal administration of a compound of this invention include powders, sprays, ointments, pastes, creams, lotions, gels, solutions, patches and inhalants.
- the active compound may be mixed under sterile conditions with a pharmaceutically-acceptable carrier, and with any preservatives, buffers, or propellants which may be required.
- the ointments, pastes, creams and gels may contain, in addition to an active compound of this invention, excipients, such as animal and vegetable fats, oils, waxes, paraffins, starch, tragacanth, cellulose derivatives, polyethylene glycols, silicones, bentonites, silicic acid, talc and zinc oxide, or mixtures thereof.
- excipients such as animal and vegetable fats, oils, waxes, paraffins, starch, tragacanth, cellulose derivatives, polyethylene glycols, silicones, bentonites, silicic acid, talc and zinc oxide, or mixtures thereof.
- Powders and sprays can contain, in addition to a compound of this invention, excipients such as lactose, talc, silicic acid, aluminum hydroxide, calcium silicates and polyamide powder, or mixtures of these substances.
- Sprays can additionally contain customary propellants, such as chlorofluorohydrocarbons and volatile unsubstituted hydrocarbons, such as butane and propane.
- Transdermal patches have the added advantage of providing controlled delivery of a compound of the present invention to the body.
- dosage forms can be made by dissolving or dispersing the compound in the proper medium.
- Absorption enhancers can also be used to increase the flux of the compound across the skin. The rate of such flux can be controlled by either providing a rate controlling membrane or dispersing the compound in a polymer matrix or gel.
- Ophthalmic formulations, eye ointments, powders, solutions and the like, are also contemplated as being within the scope of this invention.
- compositions of this invention suitable for parenteral administration comprise one or more compounds of the invention in combination with one or more pharmaceutically-acceptable sterile isotonic aqueous or nonaqueous solutions, dispersions, suspensions or emulsions, or sterile powders which may be reconstituted into sterile injectable solutions or dispersions just prior to use, which may contain sugars, alcohols, antioxidants, buffers, bacteriostats, solutes which render the formulation isotonic with the blood of the intended recipient or suspending or thickening agents.
- aqueous and nonaqueous carriers examples include water, ethanol, polyols (such as glycerol, propylene glycol, polyethylene glycol, and the like), and suitable mixtures thereof, vegetable oils, such as olive oil, and injectable organic esters, such as ethyl oleate.
- polyols such as glycerol, propylene glycol, polyethylene glycol, and the like
- vegetable oils such as olive oil
- injectable organic esters such as ethyl oleate.
- Proper fluidity can be maintained, for example, by the use of coating materials, such as lecithin, by the maintenance of the required particle size in the case of dispersions, and by the use of surfactants.
- compositions may also contain adjuvants such as preservatives, wetting agents, emulsifying agents and dispersing agents. Prevention of the action of microorganisms upon the subject compounds may be ensured by the inclusion of various antibacterial and antifungal agents, for example, paraben, chlorobutanol, phenol sorbic acid, and the like. It may also be desirable to include isotonic agents, such as sugars, sodium chloride, and the like into the compositions. In addition, prolonged absorption of the injectable pharmaceutical form may be brought about by the inclusion of agents which delay absorption such as aluminum monostearate and gelatin.
- adjuvants such as preservatives, wetting agents, emulsifying agents and dispersing agents.
- Injectable depot forms are made by forming microencapsuled matrices of the subject compounds in biodegradable polymers such as polylactide-polyglycolide. Depending on the ratio of drug to polymer, and the nature of the particular polymer employed, the rate of drug release can be controlled. Examples of other
- biodegradable polymers include poly(orthoesters) and poly(anhydrides). Depot injectable formulations are also prepared by entrapping the drug in liposomes or microemulsions which are compatible with body tissue.
- the compounds of the present invention are administered as pharmaceuticals, to humans and animals, they can be given per se or as a
- composition containing, for example, 0.1 to 99% (more preferably, 10 to 30%) of active ingredient in combination with a pharmaceutically acceptable carrier.
- the compounds of the present invention which may be used in a suitable hydrated form, and/or the pharmaceutical compositions of the present invention, are formulated into pharmaceutically-acceptable dosage forms by conventional methods known to those of skill in the art.
- the selected dosage level will depend upon a variety of factors including the activity of the particular compound of the present invention employed, or the ester, salt or amide thereof, the route of administration, the time of administration, the rate of excretion or metabolism of the particular compound being employed, the rate and extent of absorption, the duration of the treatment, other drugs, compounds and/or materials used in combination with the particular compound employed, the age, sex, weight, condition, general health and prior medical history of the patient being treated, and like factors well known in the medical arts.
- a physician or veterinarian having ordinary skill in the art can readily determine and prescribe the effective amount of the pharmaceutical composition required.
- the physician or veterinarian could start doses of the compounds of the invention employed in the pharmaceutical composition at levels lower than that required in order to achieve the desired therapeutic effect and gradually increase the dosage until the desired effect is achieved.
- a suitable daily dose of a compound of the invention will be that amount of the compound which is the lowest dose effective to produce a therapeutic effect. Such an effective dose will generally depend upon the factors described above. Generally, oral, intravenous, intracerebroventricular and subcutaneous doses of the compounds of this invention for a patient will range from about 0.01 to about 50 mg per kilogram of body weight per day.
- the effective daily dose of the active compound may be administered as two, three, four, five, six or more sub-doses administered separately at appropriate intervals throughout the day, optionally, in unit dosage forms. In certain aspects of the invention, dosing is one administration per day.
- composition While it is possible for a compound of the present invention to be administered alone, it is preferable to administer the compound as a pharmaceutical formulation (composition).
- alkyl is art-recognized and refers to a saturated straight or branched hydrocarbon, such as a straight or branched group of 1-12, 1-10, or 1-6 carbon atoms, referred to herein as CrC 12 alkyl, Ci-Cioalkyl, and Ci-Cealkyl, respectively.
- Exemplary alkyl groups include, but are not limited to, methyl, ethyl, propyl, isopropyl, 2-methyl-l -propyl, 2-methyl-2-propyl, 2-methyl-l -butyl, 3-methyl- 1-butyl, 2-methyl-3-butyl, 2,2-dimethyl-l-propyl, 2-methyl-l -pentyl, 3-methyl-l- pentyl, 4-methyl-l-pentyl, 2-methyl-2-pentyl, 3-methyl-2-pentyl, 4-methyl-2-pentyl, 2,2-dimethyl-l-butyl, 3, 3 -dimethyl- 1 -butyl, 2-ethyl-l -butyl, butyl, isobutyl, t-butyl, pentyl, isopentyl, neopentyl, hexyl, heptyl, octyl, etc.
- cycloalkyl is art-recognized and refers to a monovalent saturated cyclic, bicyclic, or bridged cyclic (e.g., adamantyl) hydrocarbon group of 3-10, 3-8, 4- 8, or 4-6 carbons, referred to herein, e.g., as "C4_ 8 cycloalkyl,” derived from a cycloalkane.
- exemplary cycloalkyl groups include, but are not limited to, cyclohexane, cyclopentane, cyclobutane, and cyclopropane.
- substituted refers to the replacement of a hydrogen atom in a moiety with a functional group.
- an "optionally substituted” group may have a suitable substituent at each substitutable position of the group, and when more than one position in any given structure may be substituted with more than one substituent selected from a specified group, the substituent may be either the same or different at each position.
- Combinations of substituents envisioned under this invention are preferably those that result in the formation of stable or chemically feasible compounds.
- stable refers to compounds that are not substantially altered when subjected to conditions to allow for their production, detection, and, in certain embodiments, their recovery, purification, and use for one or more of the purposes disclosed herein.
- Suitable monovalent substituents on a substitutable carbon atom of an "optionally substituted" group are independently halogen; -(CH2)o-4 °; -(CH2)o-40R°;
- -CH CHPh, which may be substituted with R°; -N0 2 ; -CN; -N 3 ; -(CH 2 ) 0 - 4 N(R°) 2 ; -(CH 2 )o ⁇ N(R°)C(0)R°; -N(R°)C(S)R°; -(CH 2 ) 0 ⁇ N(R°)C(O)NR° 2 ; -N(R°)C(S)NR° 2 ; -(CH 2 )o ⁇ N(R°)C(0)OR°; -N(R°)N(R°)C(0)R°; -N(R°)N(R°)C(0)NR° 2 ;
- each R° may be substituted as defined below and is independently hydrogen, Ci_6 aliphatic, -CH 2 Ph, -0(CH 2 )o-iPh, or a 5-6-membered saturated, partially unsaturated, or aryl ring having 0-4 heteroatoms independently selected from nitrogen, oxygen, or sulfur, or,
- R * is selected from hydrogen, Ci_6 aliphatic which may be substituted as defined below, or an unsubstituted 5-6-membered saturated, partially unsaturated, or aryl ring having 0-4 heteroatoms independently selected from nitrogen, oxygen, or sulfur.
- Suitable divalent substituents that are bound to vicinal substitutable carbons of an "optionally substituted” group include: -0(CR * 2 ) 2 _ 3 0-, wherein each independent occurrence of R * is selected from hydrogen, Ci-6 aliphatic which may be substituted as defined below, or an unsubstituted
- Suitable substituents on the aliphatic group of R * include halogen, -R", -(haloR*), -OH, -OR", -O(haloR'), -CN, -C(0)OH, -C(0)OR e , -NH 2 , -NHR", -NR' 2 , or -N0 2 , wherein each R" is unsubstituted or where preceded by "halo” is substituted only with one or more halogens, and is independently Ci ⁇ aliphatic, -CH 2 Ph, -0(CH 2 )o-iPh, or a 5-6-membered saturated, partially unsaturated, or aryl ring having 0-4 heteroatoms independently selected from nitrogen, oxygen, or sulfur.
- Suitable substituents on a substitutable nitrogen of an "optionally substituted" group include -R ⁇ , -NR ⁇ 2 , -C(0)R ⁇ , -C(0)OR ⁇ , -C(0)C(0)R ⁇ ,
- each R ⁇ is independently hydrogen, Ci_6 aliphatic which may be substituted as defined below, unsubstituted -OPh, or an unsubstituted
- Suitable substituents on the aliphatic group of R ⁇ are independently halogen, -R", -(haloR*), -OH, -OR", -O(haloR'), -CN, -C(0)OH, -C(0)OR e , -NH 2 , -NHR", -NR* 2 , or -N0 2 , wherein each R" is unsubstituted or where preceded by "halo” is substituted only with one or more halogens, and is independently Ci ⁇ aliphatic, -CH 2 Ph, -0(CH 2 )o-iPh, or a 5-6-membered saturated, partially unsaturated, or aryl ring having 0-4 heteroatoms independently selected from nitrogen, oxygen, or sulfur.
- moiety refers to a portion of a compound of this invention comprising at least one hydrogen atom and at least one carbon atom.
- alkylene refers to the diradical of an alkyl group.
- haloalkyl refers to an alkyl group that is substituted with at least one halogen.
- halogen for example, -CH 2 F, -CHF 2 , -CF 3 , -CH 2 CF 3 , -CF 2 CF 3 , and the like.
- aralkyl refers to an alkyl group substituted with an aryl group.
- heteroarylkyl refers to an alkyl group substituted with a heteroaryl group.
- alkenyl and alkynyl are art-recognized and refer to unsaturated aliphatic groups analogous in length to the alkyls described above, but that contain at least one double or triple bond, respectively.
- aryl is art-recognized and refers to a carbocyclic aromatic group. Representative aryl groups include phenyl, naphthyl, anthracenyl, and the like.
- aryl also includes polycyclic ring systems having two or more carbocyclic rings in which two or more carbons are common to two adjoining rings (the rings are "fused rings") wherein at least one of the rings is aromatic, e.g., the other cyclic rings may be cycloalkyls, cycloalkenyls, and/or aryls.
- arylene refers to the diradical of an aryl group.
- heteroaryl is art-recognized and refers to aromatic groups that include at least one ring heteroatom. In certain instances, a heteroaryl group contains 1, 2, 3, or 4 ring heteroatoms. Representative examples of heteroaryl groups include pyrrolyl, furanyl, thiophenyl, imidazolyl, oxazolyl, thiazolyl, triazolyl, pyrazolyl, pyridinyl, pyrazinyl, pyridazinyl and pyrimidinyl, and the like.
- heteroaryl also includes polycyclic ring systems having two or more rings in which two or more carbons are common to two adjoining rings (the rings are "fused rings") wherein at least one of the rings is heteroaromatic, e.g., the other cyclic rings may be cycloalkyls, cycloalkenyls, and/or aryls.
- saturated heterocyclyl refers to a saturated cyclic group that includes at least one ring heteroatom.
- the heteroatoms can be the same or different from each other.
- heteroatoms include, but are not limited to, nitrogen, oxygen and sulfur.
- oxygen-containing saturated heterocyclic rings include, but are not limited to, tetrahydrofuran and tetrahydro-2H-pyran.
- nitrogen-containing saturated heterocyclic rings include, but are not limited to, pyrrolidine and piperidine.
- amine and “amino” are art-recognized and refer to both unsubstituted and substituted amines, e.g., a moiety that may be represented by the general formula:
- each R independently represent hydrogen or alkyl.
- alkoxyl or "alkoxy” are art-recognized and refer to an alkyl group, as defined above, having an oxygen radical attached thereto.
- Representative alkoxyl groups include methoxy, ethoxy, propyloxy, tert-butoxy and the like.
- An “ether” is two hydrocarbons covalently linked by an oxygen.
- alkenyloxy is art-recognized and refers to an alkenyl group, as defined above, having an oxygen radical attached thereto.
- Certain compounds of the present invention may exist in particular geometric or stereoisomeric forms.
- polymers of the present invention may also be optically active.
- the present invention contemplates all such compounds, including cis- and trans -isomers, R- and S-enantiomers, diastereomers, (D)-isomers, (L)-isomers, the racemic mixtures thereof, and other mixtures thereof, as falling within the scope of the invention.
- Additional asymmetric carbon atoms may be present in a substituent such as an alkyl group. All such isomers, as well as mixtures thereof, are intended to be included in this invention.
- a particular enantiomer of compound of the present invention may be prepared by asymmetric synthesis, or by derivation with a chiral auxiliary, where the resulting diastereomeric mixture is separated and the auxiliary group cleaved to provide the pure desired enantiomers.
- the molecule contains a basic functional group, such as amino, or an acidic functional group, such as carboxyl, diastereomeric salts are formed with an appropriate optically-active acid or base, followed by resolution of the diastereomers thus formed by fractional crystallization or chromatographic means well known in the art, and subsequent recovery of the pure enantiomers.
- the term "patient” refers to organisms to be treated by the methods of the present invention.
- Such organisms preferably include, but are not limited to, mammals (e.g. , murines, simians, equines, bovines, porcines, canines, felines, and the like), and most preferably includes humans.
- the term "effective amount” refers to the amount of a compound (e.g. , a compound of the present invention) sufficient to effect beneficial or desired results.
- An effective amount can be administered in one or more of a compound (e.g. , a compound of the present invention) sufficient to effect beneficial or desired results.
- An effective amount can be administered in one or more of a compound (e.g. , a compound of the present invention) sufficient to effect beneficial or desired results.
- An effective amount can be administered in one or more
- treating includes any effect, e.g., lessening, reducing, modulating, ameliorating or eliminating, that results in the improvement of the condition, disease, disorder, and the like, or ameliorating a symptom thereof.
- composition refers to the combination of an active agent with a carrier, inert or active, making the composition especially suitable for diagnostic or therapeutic use in vivo or ex vivo.
- the term "pharmaceutically acceptable salt” refers to any pharmaceutically acceptable salt (e.g. , acid or base) of a compound of the present invention which, upon administration to a subject, is capable of providing a compound of this invention or an active metabolite or residue thereof.
- salts of the compounds of the present invention may be derived from inorganic or organic acids and bases.
- acids include, but are not limited to, hydrochloric, hydrobromic, sulfuric, nitric, perchloric, fumaric, maleic, phosphoric, glycolic, lactic, salicylic, succinic, toluene -p-sulfonic, tartaric, acetic, citric, methanesulfonic, ethanesulfonic, formic, benzoic, malonic,
- naphthalene-2-sulfonic naphthalene-2-sulfonic, benzenesulfonic acid, and the like.
- Other acids such as oxalic, while not in themselves pharmaceutically acceptable, may be employed in the preparation of salts useful as intermediates in obtaining the compounds of the invention and their pharmaceutically acceptable acid addition salts.
- bases include, but are not limited to, alkali metals (e.g. , sodium) hydroxides, alkaline earth metals (e.g. , magnesium), hydroxides, ammonia, and compounds of formula NW 4 + , wherein W is C 1-4 alkyl, and the like.
- salts include, but are not limited to: acetate, adipate, alginate, aspartate, benzoate, benzenesulfonate, bisulfate, butyrate, citrate, camphorate, camphorsulfonate, cyclopentanepropionate, digluconate, dodecylsulfate,
- salts include anions of the compounds of the present invention compounded with a suitable cation such as Na + , NH 4 + , and NW 4 + (wherein W is a Ci_ 4 alkyl group), and the like.
- salts of the compounds of the present invention are contemplated as being pharmaceutically acceptable.
- salts of acids and bases that are non-pharmaceutically acceptable may also find use, for example, in the preparation or purification of a pharmaceutically acceptable compound.
- the common linear precursor for Compounds 201 and 157 was prepared using standard Fmoc chemistry on the Protein Technologies' Prelude peptide synthesizer (th "Prelude") (Protein Technologies, Inc., Arlington, AZ U.S.A.).
- the resin 52 (0.5 mmol) was swelled with DMF (15 mL x 5 min) and mixed with a gentle stream of nitrogen every 30 seconds. The solvent was drained and the Fmoc group was removed from the resin-supported building block by washing the resin twice with a solution of 2% DBU:2 piperidine in DMF (15 mL and 5 minutes per wash) and mixing with a gentle stream of nitrogen every 30 seconds. The resin was washed six times with DMF (15 mL and 30 seconds per wash).
- the Fmoc group was removed from the resin-supported building block 54 by washing the resin twice with a solution of 2% DBU:2 piperidine in DMF (15 mL and 5 minutes per wash) and mixing with a gentle stream of nitrogen every 30 seconds. The resin was washed six times with DMF (15 mL and 30 seconds per wash).
- the Fmoc group was removed from the resin-supported building block 56 by washing the resin twice with a solution of 2% DBU:2 piperidine in DMF (15 mL and 5 minutes per wash) and mixing with a gentle stream of nitrogen every 30 seconds. The resin was washed six times with DMF (15 mL and 30 seconds per wash).
- the Fmoc group was removed from the resin-supported building block 58 by washing the resin twice with a solution of 2% DBU:2 piperidine in DMF (15 mL and 5 minutes per wash) and mixing with a gentle stream of nitrogen every 30 seconds. The resin was washed six times with DMF (15 mL and 30 seconds per wash).
- the reagents were drained from the reaction vessel, and the resin was washed with DMF (15 mL x 5 min) to produce the protected dimeric macrocycle 61.
- the corresponding monomeric macrocycle 62 (see below) was produced as a by-product of this reaction.
- the Fmoc group was removed from the resin-supported building blocks 61 and 62 by washing the resin twice with a solution of 2% DBU:2 piperidine in DMF (15 mL and 5 minutes per wash) and mixing with a gentle stream of nitrogen every 30 seconds.
- the resins were washed with DMF (15 mL x 6; 30 seconds per wash), and CH2CI2 (15 mL x 6; 30 seconds per wash) and then treated with 5% TFA in CH2CI2 (lOmL x 5 min, 10 mL x 30 sec, 10 mL x 5 min, 10 mL x 30 sec).
- the TFA washing was automated on the Prelude using the cleave and collect method.
- the TFA washings were combined and solvent was removed by evaporation using a Genevac EZ2.2 evaporator with the lamp off on low/medium BP until the crude reaction mixture formed a very thick oil or a dry solid containing both compounds 201 and
- the linear precursor for Compound 100 was prepared using standard Fmoc chemistry.
- the resin 66 (0.11 mmol) was swelled with DMF (15 mL x 5 min) and the mixture was gently agitated on a bench top rocker. The solvent was drained and the Fmoc group was removed from the resin-supported building block by washing the resin twice with a solution of 2% DBU:2 piperidine in DMF (5 mL and 5 minutes per wash). The resin was washed three times with DMF (15 mL and 30 seconds per wash) and NMP (20 ml).
- the resin 67 (1.1 mmol) was swelled with DMF (15 mL x 5 min)and the mixture was gently agitated on a bench top rocker. The solvent was drained and the Fmoc group was removed from the resin-supported building block by washing the resin twice with a solution of 2% DBU:2 piperidine in DMF (5 mL and 5 minutes per wash). The resin was washed three times with DMF (15 mL and 30 seconds per wash) and NMP (20 ml).
- the resin 69 (1.1 mmol) was swelled with DMF (15 mL x 5 min) and the mixture was gently agitated on a bench top rocker. The solvent was drained and the Fmoc group was removed from the resin-supported building block by washing the resin twice with a solution of 2% DBU:2 piperidine in DMF (5 mL and 5 minutes per wash). The resin was washed three times with DMF (15 mL and 30 seconds per wash) and once with NMP (20 ml and 30 seconds).
- the resin 74 (0.25 mmol) was swelled with DMF (15 mL x 5 min) and the mixture was gently agitated on a bench top rocker. The solvent was drained and the Fmoc group was removed from the resin-supported building block by washing the resin twice with a solution of 2% DBU:2 piperidine in DMF (5 mL and 5 minutes per wash). The resin was washed three times with DMF (15 mL and 30 seconds per wash) and three times with CH 2 CI 2 (15 mL and 30 seconds per wash). The resin was then washed four times with 20% HFIP in CH 2 CI 2 (5 mL and 5 min per wash). The HFIP/ CH 2 CI 2 washings were combined and the solvent was removed in vacuo. The
- HATU 57 mg, 0.15 mmol
- linear peptide 75; 38 mg, 0.05 mmol
- DIPEA 0.087 mL, 0.50 mmol
- DMF 20 mL
- Assays were performed in white, flat-bottom, 384-well ProxiPlates (Perkin Elmer).
- the final assay volume was 10 ⁇ prepared from additions of His-BIR2 (124-240/C202A/C213G), Biotinylated SMAC peptide, and test compounds in assay buffer consisting of 25 mM Hepes, 100 mM NaCl, 0.1% BSA, and 5 mM CaCl 2 .
- the reaction was incubated at room temperature for 60 minutes. After 60 minutes, 2.5 ⁇ of Alphascreen detection reagent (Perkin Elmer) was added to the reaction mixture and incubated at room temperature in the dark for 120 minutes. The Alphascreen signal generated by the reaction was detected on the Envision Plate Reader.
- Inhibition data were calculated from an Alphascreen signal generated by the no protein control reactions for 100% inhibition and vehicle-only reactions for 0% inhibition.
- the final concentration of reagents in the assay was 50 nM His-BIR2 (124- 240/C202A/C213G), 50 nM Biotinylated SMAC peptide, 4 ⁇ g/mL Alphascreen detection reagents, and 0.5% DMSO.
- Dose response curves were generated to determine the concentration required for inhibiting 50% of kinase activity (IC 50 ).
- Compounds were dissolved at 10 mM in dimethylsulfoxide (DMSO) and evaluated at eleven concentrations.
- IC 50 values were derived by non-linear regression analysis.
- Assays were performed in black, flat-bottom, 384-well plates.
- the final assay volume was 50 ⁇ L prepared from additions of N-His-Tb-BIR3(241-356, XIAP), fluoresceinated modified SMAC peptide, and test compounds in assay buffer consisting of 20 mM Sodium Phosphate, 1 mM EDTA, 50 mM NaCl, and 0.05% Pluronic F68.
- the reaction was incubated at room temperature for 60 minutes and fluorescence polarization of the reaction was detected on the LJL Plate Reader.
- Inhibition data were calculated from mP values generated by the no protein control reactions for 100% inhibition and vehicle-only reactions for 0% inhibition.
- the final concentration of reagents in the assay was 130 nM N-His-Tb-BIR3(241-356, XIAP), 1.4 nM fluoresceinated modified SMAC peptide, and 1% DMSO.
- Dose response curves were generated to determine the concentration required for inhibiting 50% of polarization activity (IC 50 ). Compounds were dissolved at 10 mM in
- DMSO dimethylsulfoxide
- BIR2 IC 50 values are reported as follows: “A” indicates an IC 50 value of less than 10 ⁇ ; “B” indicates an IC 50 value of 10 ⁇ to 18.75 ⁇ ; and “C” indicates an IC 50 value of greater than 18.75 ⁇ .
- NT means that the compound was not tested in the assay.
- BIR3 IC 50 values are reported as follows: “A” indicates an IC 50 value of less than 1 ⁇ ; “B” indicates an IC 50 value of 1 ⁇ to 10 ⁇ ; and “C” indicates an IC 50 value of greater than 10 ⁇ to less than 30 ⁇ ; and “D” indicates an IC 50 value of 30 ⁇ or greater.
- NT means that the compound was not tested in the assay.
Landscapes
- Chemical & Material Sciences (AREA)
- Organic Chemistry (AREA)
- Health & Medical Sciences (AREA)
- Life Sciences & Earth Sciences (AREA)
- Biochemistry (AREA)
- Biophysics (AREA)
- General Health & Medical Sciences (AREA)
- Genetics & Genomics (AREA)
- Medicinal Chemistry (AREA)
- Molecular Biology (AREA)
- Proteomics, Peptides & Aminoacids (AREA)
- Pharmaceuticals Containing Other Organic And Inorganic Compounds (AREA)
Abstract
The invention relates generally to macrocyclic compounds and their therapeutic use. More particularly, the invention relates to macrocyclic compounds that modulate the activity of inhibitors of apoptosis (IAPs) and/or are useful in the treatment of medical conditions, such as cancer.
Description
MACROCYCLIC COMPOUNDS FOR INHIBITION OF INHIBITORS OF
APOPTOSIS
CROSS-REFERENCE TO RELATED APPLICATION
[0001] This application claims the benefit of priority to U.S. Provisional Patent Application No. 61/557807, filed on November 9, 2011. The content of this application is incorporated herein by reference in its entirety.
FIELD OF THE INVENTION
[0002] The invention relates generally to macrocyclic compounds and their therapeutic use. More particularly, the invention relates to macrocyclic compounds that modulate the activity of inhibitors of apoptosis (IAPs) and/or are useful in the treatment of medical conditions, such as cancer.
BACKGROUND OF THE INVENTION
[0003] Apoptosis or programmed cell death is a genetically and biochemically regulated mechanism that plays an important role in development and homeostasis in invertebrates as well as vertebrates.
[0004] Aberrancies in apoptosis that lead to premature cell death have been linked to a variety of developmental disorders. Deficiencies in apoptosis that result in the lack of cell death have been linked to cancer and chronic viral infections (Thompson et al., (1995) Science 267, 1456-1462).
[0005] Caspases are cysteine-containing aspartate specific proteases that play a key role in effecting apoptosis. Once activated from their inactive zymogen form by proteolytic processing, caspases digest vital cell proteins from within the cell. Since caspases are such strong proteases, tight control of this family of proteins is necessary to prevent premature cell death. In addition to proteolytic processing, caspases are also regulated by a family of molecules known as Inhibitors of Apoptosis (IAP) (Deveraux et al., J Clin Immunol (1999), 19:388-398). IAPs are found in all organisms ranging from Drosophila to human and are known to be overexpressed in many human cancers. IAPs always comprise one to three Baculovirus IAP repeat (BIR) domains, and most forms also possess a carboxyl-terminal RING finger motif. The BIR domain itself is a zinc binding domain of about 70 residues comprising 4 alpha-helices and 3 beta strands, with cysteine and histidine residues that coordinate
the zinc ion (Hinds et al., (1999) Nat. Struct. Biol. 6, 648-651). The BIR domain is believed to cause the anti-apoptotic effect by inhibiting the caspases.
[0006] As an example, human X-chromosome linked IAP (XIAP) inhibits caspase 3, caspase 7 and the Apaf-1 -cytochrome C mediated activation of caspase 9
(Deveraux et al., (1998) EMBO J. 17, 2215-2223). Caspases 3 and 7 are inhibited by the BIR2 domain of XIAP, while the BIR3 domain of XIAP is responsible for the inhibition of caspase 9 activity. XIAP is expressed ubiquitously in most adult and fetal tissues (Liston et al., Nature, 1996, 379(6563):349), and is overexpressed in a number of tumor cell lines of the NCI 60 cell line panel (Fong et al., Genomics, 2000, 70:113; Tamm et al., Clin. Cancer Res. 2000, 6(5): 1796). Overexpression of XIAP in tumor cells has been demonstrated to confer protection of the tumor cells against a variety of pro-apoptotic stimuli and promotes resistance to chemotherapy (LaCasse et al., Oncogene, 1998, 17(25):3247). Consistent with this, a strong correlation between XIAP protein levels and survival has been demonstrated for patients with acute myelogenous leukemia (Tamm et al., supra).
[0007] In normal cells signaled to undergo apoptosis, the IAP-mediated inhibition is removed in part performed by the mitochondrial protein Smac (second mitochondrial activator of caspases; also known as DIABLO). Smac is synthesized as a precursor molecule of 239 amino acids; the N-terminal 55 residues serve as the mitochondria targeting sequence that is removed after import. The mature form of Smac resides in the inter-membrane space of mitochondria. At the time of apoptosis induction, Smac is released from mitochondria into the cytosol where, together with cytochrome c, it binds to IAPs, and eliminates the inhibitory effect of IAPs on caspases. Smac interacts with essentially all IAPs that have been examined to date and thus appears to be a master regulator of apoptosis in mammals.
[0008] Down-regulation of XIAP expression by antisense oligonucleotides has been shown to sensitize tumor cells to death induced by a wide range of pro-apoptotic agents, both in vitro and in vivo. Smac/DIABLO-derived peptides have also been demonstrated to sensitize a number of different tumor cell lines to apoptosis induced by a variety of pro-apoptotic drugs. Because IAP inhibition appears to be a viable mechanism for promoting apoptosis and treating diseases and conditions that are sensitive to apoptosis, there is a continuing need to develop compounds that can inhibit IAP.
SUMMARY
[0009] The present invention provides macrocyclic compounds, methods of modulating the activity of IAP, and methods for treating various medical conditions using such compounds. In one aspect, the invention provides a compound represented
including pharmaceutically acceptable salts thereof, wherein the variables are as defined in the detailed description.
[0010] In another aspect, the invention provides a method of treating a patient suffering from or susceptible to a medical condition that is sensitive to apoptosis. A number of such medical conditions can be treated. The method comprises administering to the patient a therapeutically effective amount of a composition comprising a macrocyclic compound described herein. For example, the compounds described herein may be used to treat or prevent infections, proliferative diseases (e.g., cancer), and autoimmune diseases.
[0011] In another aspect, the invention provides a method of inhibiting the activity of an IAP in a cell, thus promoting apoptosis. The method comprises exposing the cell to a compound described herein.
[0012] The foregoing and other aspects and embodiments of the invention may be more fully understood by reference to the following detailed description and claims.
DETAILED DESCRIPTION OF THE INVENTION
[0013] The present invention provides macrocyclic compounds, methods of modulating the activity of IAP and in particular XIAP, and methods for treating various medical conditions, especially cancer, using such compounds. The practice of the present invention employs, unless otherwise indicated, conventional techniques of organic chemistry, pharmacology, and biochemistry. For example, procedures for synthesizing organic compounds are described in the literature, such as
"Comprehensive Organic Synthesis" (B.M. Trost & I. Fleming, eds., 1991-1992). Various aspects of the invention are set forth below in sections; however, aspects of the invention described in one particular section are not to be limited to any particular section. Further, when a variable is not accompanied by a definition, the previous definition of the variable controls.
I. Macrocyclic Compounds
[0014] In one aspect, the invention provides a compound represented by Formula I:
or a pharmaceutically acceptable salt of either of the foregoing, wherein:
each R1 is independently -(d-C4 alkylene)-R9, wherein each R9 is
independently selected from hydrogen, aryl, heteroaryl and cycloalkyl, wherein any aryl, heteroaryl or cycloalkyl portion of R1 is optionally substituted with up to two substituents independently selected from halo, CF3, OH, C C4 alkoxy, C C4 alkenyloxy, phenyl, phenyloxy, and phenylmethyloxy; and wherein one -CH2- in the
-(C1-C4 alkylene)- portion of R1 is optionally replaced with -0-; or R1 is taken together with an adjacent NH group to form a pyrrolidine ring;
each R2 is independently selected from hydrogen, cycloalkyl and -(Ci-C4alkylene)-R4, wherein each R4 is independently selected from hydrogen, and cycloalkyl;
each R5 is independently selected from hydrogen and methyl;
each R7 is independently selected from hydrogen and methyl;
each R8 is independently selected from methyl and ethyl;
compound; and
« represents a point of attachment to a -C=0 portion of the compound;
— 1 « 2 represents a point of attachment to an amino portion of the compound;
^ represents a first point of attachment to Z;
— I « 4 represents a second point of attachment to Z; and
or a tautomeric form of any of the foregoing, wherein:
R3 is OH, NHCN, NHS02R10, NHOR11 or N(R12)(R13);
R10 and R11 are selected from -C1-C4 alkyl, cycloalkyl, aryl, heteroaryl, or heterocycloalkyl, any of which are optionally substituted, and hydrogen;
each of R12 and R13 are independently selected from hydrogen, -C1-C4 alkyl, -(C1-C4 alkylene)-NH-(Ci-C4 alkyl), benzyl, -(C C4 alkylene)-C(0)OH,
-(Ci-C4alkylene)-C(0)CH3, -CH(benzyl)-COOH, -C C4 alkoxy, and
-(Ci-C4alkylene)-0-(Ci-C4 hydroxy alkyl); or R12 and R13 are taken together with the nitrogen atom to which they are commonly bound to form a saturated heterocyclyl optionally comprising one additional heteroatom selected from N, O and S, and wherein the saturated heterocycle is optionally substituted with methyl.
[0015] In certain embodiments of Formula I or II, each R5 is hydrogen, each R7 is methyl, and each R8 is methyl.
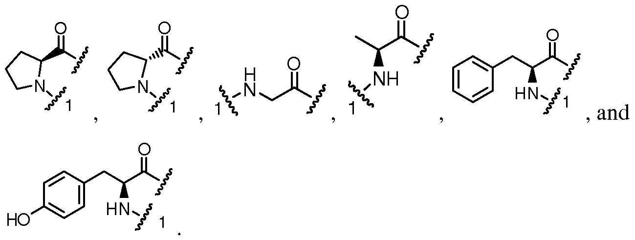
[0016] In certain embodiments of Formula I or II, each portion of the compound represented by -NH-CH(R1)-C(0)- is independently selected from:
[0017] In certain embodiments of Formula I or II, each portion of the compound re resented by -NH-CH(R2)-C(0)- is independently selected from:
attachment to the amino portion of Y.
[0018] In certain embodiments of Formula II, the compound is a homodimer (e.g., each R1 is the same; each R2 is the same; each R5 is the same; each R7 is the same; each R8 is the same; each X is the same; each Y is the same; and each Z is the same).
[0021] Exemplary compounds of Formula I and II are set forth in the tables, e.g., Table 1 and Table 2, below.
TABLE 1 -- Exemplary Compounds of Formula I
TABLE 2 -- Exemplary Compounds of Formula II
[0022] In one embodiment, the compound of Formula I is selected from any one of the compounds set forth in Table 1.
[0023] In one embodiment, the compound of Formula II is selected from any one of the compounds set forth in Table 2.
[0024] The compounds of the present invention can be prepared using an iterative peptide coupling procedure as illustrated in following synthetic schemes. Exemplary general synthetic protocols are presented in Schemes 1-2. The schemes and accompanying description of synthetic procedures are given for the purpose of illustrating the invention, and should not be construed as limiting the scope or spirit of the invention.
[0025] Abbreviations as used herein include 0-(7-azabenzotriazol-l-yl)-N,N,N',N - tetramethyluronium hexafluorophosphate (HATU); diisopropylethylamine (DIPEA); dimethylaminopyridine (DMAP); dimethylformamide (DMF); 9- fluorenylmethoxycarbonyl (Fmoc); methanol (MeOH); methylene chloride (DCM); tert-butoxycarbonyl (Boc); tert-butyl (tBu); tetrahydrofuran (THF); trifluoroacetic acid (TFA); 1,8-diazobicyclo [5.4.0]-undec-7-ene (DBU); l-hydroxy-7- azabenzotriazole (HO At); phenyl (Ph); N-methyl-pyrrolidinone (NMP); and copper(II) (Z)-2,2,6,6-tetramethyl-5-oxohept-3-en-3-olate (Cu(thd)2).
[0026] In each of Schemes 1 and 2, each P is an independently selected protecting group, such as Fmoc or Boc. Y' is a derivative of any of the Y moieties defined in the specification, wherein the A group has been removed. The P group depicted as bonded to Y' in the schemes is bound to the free amino group present at the bond designated as "1" in Y. The alkyne depicted as bonded to Y' in the schemes is bound at the bond designated as "4" in Y. X is meant to designate any of the X moieties set forth in the specification. Any -OH group depicted as bonded to X in the schemes is bound to the terminal -C(O) of X at the bond designated as "2". Any P group depicted as bonded to X in the schemes is bound to the secondary amine residue of X at the bond designated as " 1". In Schemes 1 and 2, Z is a bivalent triazole radical.
[0027] Scheme 1 depicts a general synthesis method for compounds of Formulae I and II, wherein the compound of Formula II is a homodimer (e.g., each R1 is the same; each R2 is the same; each R5 is the same; each R7 is the same; each R8 is the same; each X is the same; each Y is the same; and each Z is the same). In Scheme 1, each P is an independently selected protecting group, such as Fmoc or Boc; and Y' is a derivative of Y (as defined above), wherein the A group has been removed.
SCHEME 1.
deprotect deprotect TFA TFA
Formula I Formula II
[0028] In Scheme 1 , a chlorinated resin 10 is reacted with the protected, azide derivative of Y' 11 in the presence of DCM and diisopropylethylamine to form resin- linked compound 12. The compound 12 is deprotected (e.g., by treatment with DBU and piperidine in DMF) and then reacted with the protected amino acid 13 in the presence of HATU and N-methyl morpholine to produce resin-linked compound 14. After deprotection, the protected amino acid 15 is added to produce resin- linked compound 16. Protected alkyne amino acid 17 is added after deprotection of 16 to produce 18. Another round of deprotection is followed by the addition of amino acid
19 to produce resin-linked compound 20. The azide group and alkyne group are reacted with one another to form triazole Z, using a Cu2+ reagent in the presence of DIPEA, ascorbic acid, and 2,6-dimethylpyridine to produce the resin-linked cyclic dimer 21, and the cyclic monomer 22, which are separated and each is deprotected and cleaved from the resin with TFA to produce a corresponding compound of Formula I or Formula II.
SCHEME 2.
Formula I
[0029] Scheme 2 depicts a general synthesis method for compounds of Formula I, wherein the A portion of Y is -C(0)R3 and R3 is other than hydrogen. In this scheme Y' is a derivative of Y (as defined above), wherein the A group has been removed, the A group being shown independently of Y' as -C(0)R3.
[0030] In Scheme 2, a chlorinated resin 10 is reacted with the protected amino acid 13 in the presence of DCM and diisopropylethylamine to form resin- linked compound 25. The compound 25 is deprotected (e.g., by treatment with DBU and piperidine in DMF) and then reacted with protected amino acid 15 in the presence of HATU and diisopropylethylamine to produce resin-linked compound 26. After deprotection, the
protected alkyne amino acid 17 is added to produce resin- linked compound 27.
Another round of deprotection is followed by the addition of amino acid 19 to produce resin-linked compound 28. The protected azide derivative of Y' 11 is then added and the azide group and alkyne group are reacted with one another to form triazole Z, using a Cu2+ reagent in the presence of DIPEA, ascorbic acid, and 2,6- dimethylpyridine to produce the resin-linked compound 29. An appropriate R3 group is then added by reacting 29 with R3-H in the presence of HATU and DIPEA to produce resin-linked compound 31. The compound is cleaved from the resin and the P3 protecting group is removed to produce compound 32, which is then cyclized in the presence of HATU and DIPEA and deprotected to produce a compound of Formula I.
II. Therapeutic Applications
[0031] The compounds and pharmaceutical compositions of the present invention are useful in treating or preventing any disease or conditions that are sensitive to apoptosis. These include infections (e.g. skin infections, GI infection, urinary tract infections, genito-urinary infections, systemic infections), proliferative diseases (e.g., cancer), and autoimmune diseases (e.g., rheumatoid arthritis, lupus). The compounds and pharmaceutical compositions may be administered to animals, preferably mammals (e.g., domesticated animals, cats, dogs, mice, rats), and more preferably humans. Any method of administration may be used to deliver the compound or pharmaceutical composition to the animal. In certain embodiments, the compound or pharmaceutical composition is administered orally. In other embodiments, the compound or pharmaceutical composition is administered parenterally.
[0032] In one embodiment, the compounds of this invention can be used for the treatment of any cancer type that fails to undergo apoptosis in a patient. This includes, but is not limited to: solid tumors, including but not limited to carcinomas; sarcomas including Kaposi's sarcoma; erythroblastoma; glioblastoma; meningioma; astrocytoma; melanoma; and myoblastoma. Treatment or prevention of non-solid tumor cancers, such as leukemia, is also contemplated by this invention.
[0033] Types of cancers that may be treated with the compounds of this invention include, but are not limited to, brain cancers, skin cancers, bladder cancers, ovarian cancers, breast cancers, gastric cancers, pancreatic cancers, prostate cancers, colon cancers, blood cancers, lung cancers and bone cancers. Examples of such cancer types include neuroblastoma, intestine carcinoma such as rectum carcinoma, colon
carcinoma, familiar adenomatous polyposis carcinoma and hereditary non-polyposis colorectal cancer, esophageal carcinoma, labial carcinoma, larynx carcinoma, hypopharynx carcinoma, tong carcinoma, salivary gland carcinoma, gastric carcinoma, adenocarcinoma, medullary thyroid carcinoma, papillary thyroid carcinoma, renal carcinoma, kidney parenchymal carcinoma, ovarian carcinoma, cervix carcinoma, uterine corpus carcinoma, endometrium carcinoma, chorion carcinoma, pancreatic carcinoma, prostate carcinoma, testis carcinoma, breast carcinoma, urinary carcinoma, melanoma, brain tumors such as glioblastoma, astrocytoma, meningioma, medulloblastoma and peripheral neuroectodermal tumors, Hodgkin lymphoma, non-Hodgkin lymphoma, Burkitt lymphoma, acute lymphatic leukemia (ALL), chronic lymphatic leukemia (CLL), acute myeloid leukemia (AML), chronic myeloid leukemia (CML), adult T-cell leukemia lymphoma, diffuse large B- cell lymphoma (DLBCL), hepatocellular carcinoma, gall bladder carcinoma, bronchial carcinoma, small cell lung carcinoma, non-small cell lung carcinoma, multiple myeloma, basalioma, teratoma, retinoblastoma, choroid melanoma, seminoma, rhabdomyosarcoma, craniopharyngioma, osteosarcoma, chondrosarcoma, myosarcoma, liposarcoma, fibrosarcoma, Ewing sarcoma and plasmocytoma.
[0034] In addition to apoptosis defects found in tumors, defects in the ability to eliminate self- reactive cells of the immune system due to apoptosis resistance are considered to play a key role in the pathogenesis of autoimmune diseases.
Autoimmune diseases are characterized in that the cells of the immune system produce antibodies against its own organs and molecules or directly attack tissues resulting in the destruction of the latter. A failure of those self-reactive cells to undergo apoptosis leads to the manifestation of the disease. Defects in apoptosis regulation have been identified in autoimmune diseases such as systemic lupus erythematosus or rheumatoid arthritis.
[0035] Thus, according to another embodiment, the invention provides a method of treating an autoimmune disease by providing to a patient in need thereof a compound or composition of the present invention. Examples of such autoimmune diseases include, but are not limited to, collagen diseases such as rheumatoid arthritis, systemic lupus erythematosus. Sharp's syndrome, CREST syndrome (calcinosis, Raynaud's syndrome, esophageal dysmotility, telangiectasia), dermatomyositis, vasculitis (Morbus Wegener's) and Sjogren's syndrome, renal diseases such as Goodpasture's syndrome, rapidly-progressing glomerulonephritis and membrano-proliferative
glomerulonephritis type II, endocrine diseases such as type-I diabetes, autoimmune polyendocrinopathy-candidiasis-ectodermal dystrophy (APECED), autoimmune parathyroidism, pernicious anemia, gonad insufficiency, idiopathic Morbus Addison's, hyperthyreosis, Hashimoto's thyroiditis and primary myxedema, skin diseases such as pemphigus vulgaris, bullous pemphigoid, herpes gestationis, epidermolysis bullosa and erythema multiforme major, liver diseases such as primary biliary cirrhosis, autoimmune cholangitis, autoimmune hepatitis type-1, autoimmune hepatitis type-2, primary sclerosing cholangitis, neuronal diseases such as multiple sclerosis, myasthenia gravis, myasthenic Lambert-Eaton syndrome, acquired neuromyotomy, Guillain-Barre syndrome (Muller-Fischer syndrome), stiff-man syndrome, cerebellar degeneration, ataxia, opsoclonus, sensoric neuropathy and achalasia, blood diseases such as autoimmune hemolytic anemia, idiopathic thrombocytopenic purpura
(Morbus Werlhof), infectious diseases with associated autoimmune reactions such as AIDS, Malaria and Chagas disease.
[0036] Compounds of the invention are useful for sensitizing cells to apoptotic signals. Thus, in one embodiment, the compounds of the invention are coadministered with radiation therapy or a second therapeutic agent with cytostatic or antineoplastic activity. Suitable cytostatic chemotherapy compounds include, but are not limited to (i) antimetabolites, such as cytarabine, fludarabine, 5- fluoro-2'- deoxyuiridine, gemcitabine, hydroxyurea or methotrexate; (ii) DNA-fragmenting agents, such as bleomycin, (iii) DNA-cros slinking agents, such as chlorambucil, cisplatin, cyclophosphamide or nitrogen mustard; (iv) intercalating agents such as adriamycin (doxorubicin) or mitoxantrone; (v) protein synthesis inhibitors, such as L- asparaginase, cycloheximide, puromycin or diphtheria toxin; (vi) topoisomerase I poisons, such as camptothecin or topotecan; (vii) topoisomerase II poisons, such as etoposide (VP- 16) or teniposide; (viii) microtubule-directed agents, such as colcemid, colchicine, paclitaxel, vinblastine or vincristine; (ix) kinase inhibitors such as flavopiridol, staurosporin, STI571 (CPG 57148B) or UCN-Ol (7- hydroxystaurosporine); (x) miscellaneous investigational agents such as thioplatin, PS-341, phenylbutyrate, ET-18- OCH3, or farnesyl transferase inhibitors (L-739749, L-744832); polyphenols such as quercetin, resveratrol, piceatannol, epigallocatechin gallate, theaflavins, flavanols, procyanidins, betulinic acid and derivatives thereof; (xi) hormones such as glucocorticoids or fenretinide; and (xii) hormone antagonists, such as tamoxifen, finasteride or LHRH antagonists. In one aspect of this
embodiment, compounds of the present invention are coadministered with a cytostatic compound selected from the group consisting of cisplatin, doxorubicin, taxol, taxotere and mitomycin C. In a more specific aspect, the cytostatic compound is doxorubicin.
[0037] The combination therapy is intended to embrace administration of these therapeutic agents in a sequential manner, that is, wherein each therapeutic agent is administered at a different time, as well as administration of these therapeutic agents, or at least two of the therapeutic agents, in a substantially simultaneous manner. Substantially simultaneous administration can be accomplished, for example, by administering to the subject a single dosage form having a fixed ratio of each therapeutic agent or in multiple, single dosage forms for each of the therapeutic agents. Sequential or substantially simultaneous administration of each therapeutic agent can be effected by any appropriate route including, but not limited to, oral routes, intravenous routes, intramuscular routes, and direct absorption through mucous membrane tissues. The therapeutic agents can be administered by the same route or by different routes. For example, a first therapeutic agent of the combination selected may be administered by intravenous injection while the other therapeutic agents of the combination may be administered orally. Alternatively, for example, all therapeutic agents may be administered orally or all therapeutic agents may be administered by intravenous injection. Combination therapy also can embrace the administration of the therapeutic agents as described above in further combination with other biologically active ingredients and non-drug therapies (e.g., surgery or radiation treatment.) Where the combination therapy further comprises a non-drug treatment, the non-drug treatment may be conducted at any suitable time so long as a beneficial effect from the co-action of the combination of the therapeutic agents and non-drug treatment is achieved. For example, in appropriate cases, the beneficial effect is still achieved when the non-drug treatment is temporally removed from the administration of the therapeutic agents, perhaps by days or even weeks.
III. Pharmaceutical Compositions and Dosing
[0038] The invention also provides pharmaceutically acceptable compositions which comprise a therapeutic ally-effective amount of one or more of the macrocyclic compounds (such as a macrocyclic compound of Formula I), formulated together with one or more pharmaceutically acceptable carriers (additives) and/or diluents, and optionally, one or more additional therapeutic agents described above. As described in detail below, the pharmaceutical compositions of the present invention may be
specially formulated for administration in solid or liquid form, including those adapted for the following: (1) oral administration, for example, drenches (aqueous or non-aqueous solutions or suspensions), tablets, e.g., those targeted for buccal, sublingual, and systemic absorption, boluses, powders, granules, pastes for application to the tongue; (2) parenteral administration, for example, by subcutaneous, intramuscular, intravenous or epidural injection as, for example, a sterile solution or suspension, or sustained-release formulation; (3) topical application, for example, as a cream, ointment, or a controlled-release patch or spray applied to the skin; (4) intravaginally or intrarectally, for example, as a pessary, cream or foam; (5) sublingually; (6) ocularly; (7) transdermally; or (8) nasally.
[0039] The phrase "pharmaceutically acceptable" is employed herein to refer to those compounds, materials, compositions, and/or dosage forms which are, within the scope of sound medical judgment, suitable for use in contact with the tissues of human beings and animals without excessive toxicity, irritation, allergic response, or other problem or complication, commensurate with a reasonable benefit/risk ratio.
[0040] The phrase "pharmaceutically-acceptable carrier" as used herein means a pharmaceutically-acceptable material, composition or vehicle, such as a liquid or solid filler, diluent, excipient, manufacturing aid (e.g., lubricant, talc magnesium, calcium or zinc stearate, or steric acid), or solvent encapsulating material, involved in carrying or transporting the subject compound from one organ, or portion of the body, to another organ, or portion of the body. Each carrier must be "acceptable" in the sense of being compatible with the other ingredients of the formulation and not injurious to the patient. Some examples of materials which can serve as
pharmaceutically-acceptable carriers include: (1) sugars, such as lactose, glucose and sucrose; (2) starches, such as corn starch and potato starch; (3) cellulose, and its derivatives, such as sodium carboxymethyl cellulose, ethyl cellulose and cellulose acetate; (4) powdered tragacanth; (5) malt; (6) gelatin; (7) talc; (8) excipients, such as cocoa butter and suppository waxes; (9) oils, such as peanut oil, cottonseed oil, safflower oil, sesame oil, olive oil, corn oil and soybean oil; (10) glycols, such as propylene glycol; (11) polyols, such as glycerin, sorbitol, mannitol and polyethylene glycol; (12) esters, such as ethyl oleate and ethyl laurate; (13) agar; (14) buffering agents, such as magnesium hydroxide and aluminum hydroxide; (15) alginic acid; (16) pyrogen-free water; (17) isotonic saline; (18) Ringer's solution; (19) ethyl alcohol; (20) pH buffered solutions; (21) polyesters, polycarbonates and/or
polyanhydrides; and (22) other non-toxic compatible substances employed in pharmaceutical formulations.
[0041] Wetting agents, emulsifiers and lubricants, such as sodium lauryl sulfate and magnesium stearate, as well as coloring agents, release agents, coating agents, sweetening, flavoring and perfuming agents, preservatives and antioxidants can also be present in the compositions.
[0042] Examples of pharmaceutically-acceptable antioxidants include: (1) water soluble antioxidants, such as ascorbic acid, cysteine hydrochloride, sodium bisulfate, sodium metabisulfite, sodium sulfite and the like; (2) oil-soluble antioxidants, such as ascorbyl palmitate, butylated hydroxyanisole (BHA), butylated hydroxytoluene (BHT), lecithin, propyl gallate, alpha-tocopherol, and the like; and (3) metal chelating agents, such as citric acid, ethylenediamine tetraacetic acid (EDTA), sorbitol, tartaric acid, phosphoric acid, and the like.
[0043] Formulations of the present invention include those suitable for oral, nasal, topical (including buccal and sublingual), rectal, vaginal and/or parenteral administration. The formulations may conveniently be presented in unit dosage form and may be prepared by any methods well known in the art of pharmacy. The amount of active ingredient which can be combined with a carrier material to produce a single dosage form will vary depending upon the host being treated, the particular mode of administration. The amount of active ingredient which can be combined with a carrier material to produce a single dosage form will generally be that amount of the compound which produces a therapeutic effect. Generally, out of one hundred percent, this amount will range from about 0.1 percent to about ninety-nine percent of active ingredient, preferably from about 5 percent to about 70 percent, most preferably from about 10 percent to about 30 percent.
[0044] In certain embodiments, a formulation of the present invention comprises an excipient selected from the group consisting of cyclodextrins, celluloses, liposomes, micelle forming agents, e.g., bile acids, and polymeric carriers, e.g., polyesters and polyanhydrides; and a compound of the present invention. In certain embodiments, an aforementioned formulation renders orally bioavailable a compound of the present invention.
[0045] Methods of preparing these formulations or compositions include the step of bringing into association a compound of the present invention with the carrier and, optionally, one or more accessory ingredients. In general, the formulations are
prepared by uniformly and intimately bringing into association a compound of the present invention with liquid carriers, or finely divided solid carriers, or both, and then, if necessary, shaping the product.
[0046] Formulations of the invention suitable for oral administration may be in the form of capsules, cachets, pills, tablets, lozenges (using a flavored basis, usually sucrose and acacia or tragacanth), powders, granules, or as a solution or a suspension in an aqueous or non-aqueous liquid, or as an oil-in-water or water-in-oil liquid emulsion, or as an elixir or syrup, or as pastilles (using an inert base, such as gelatin and glycerin, or sucrose and acacia) and/or as mouth washes and the like, each containing a predetermined amount of a compound of the present invention as an active ingredient. A compound of the present invention may also be administered as a bolus, electuary or paste.
[0047] In solid dosage forms of the invention for oral administration (capsules, tablets, pills, dragees, powders, granules, trouches and the like), the active ingredient is mixed with one or more pharmaceutically-acceptable carriers, such as sodium citrate or dicalcium phosphate, and/or any of the following: (1) fillers or extenders, such as starches, lactose, sucrose, glucose, mannitol, and/or silicic acid; (2) binders, such as, for example, carboxymethylcellulose, alginates, gelatin, polyvinyl pyrrolidone, sucrose and/or acacia; (3) humectants, such as glycerol; (4) disintegrating agents, such as agar-agar, calcium carbonate, potato or tapioca starch, alginic acid, certain silicates, and sodium carbonate; (5) solution retarding agents, such as paraffin; (6) absorption accelerators, such as quaternary ammonium compounds and surfactants, such as poloxamer and sodium lauryl sulfate; (7) wetting agents, such as, for example, cetyl alcohol, glycerol monostearate, and non-ionic surfactants; (8) absorbents, such as kaolin and bentonite clay; (9) lubricants, such as talc, calcium stearate, magnesium stearate, solid polyethylene glycols, sodium lauryl sulfate, zinc stearate, sodium stearate, stearic acid, and mixtures thereof; (10) coloring agents; and (11) controlled release agents such as crospovidone or ethyl cellulose. In the case of capsules, tablets and pills, the pharmaceutical compositions may also comprise buffering agents. Solid compositions of a similar type may also be employed as fillers in soft and hard-shelled gelatin capsules using such excipients as lactose or milk sugars, as well as high molecular weight polyethylene glycols and the like.
[0048] A tablet may be made by compression or molding, optionally with one or more accessory ingredients. Compressed tablets may be prepared using binder (for
example, gelatin or hydroxypropylmethyl cellulose), lubricant, inert diluent, preservative, disintegrant (for example, sodium starch glycolate or cross-linked sodium carboxymethyl cellulose), surface-active or dispersing agent. Molded tablets may be made by molding in a suitable machine a mixture of the powdered compound moistened with an inert liquid diluent.
[0049] The tablets, and other solid dosage forms of the pharmaceutical
compositions of the present invention, such as dragees, capsules, pills and granules, may optionally be scored or prepared with coatings and shells, such as enteric coatings and other coatings well known in the pharmaceutical-formulating art. They may also be formulated so as to provide slow or controlled release of the active ingredient therein using, for example, hydroxypropylmethyl cellulose in varying proportions to provide the desired release profile, other polymer matrices, liposomes and/or microspheres. They may be formulated for rapid release, e.g., freeze-dried. They may be sterilized by, for example, filtration through a bacteria-retaining filter, or by incorporating sterilizing agents in the form of sterile solid compositions which can be dissolved in sterile water, or some other sterile injectable medium immediately before use. These compositions may also optionally contain opacifying agents and may be of a composition that they release the active ingredient(s) only, or
preferentially, in a certain portion of the gastrointestinal tract, optionally, in a delayed manner. Examples of embedding compositions which can be used include polymeric substances and waxes. The active ingredient can also be in micro-encapsulated form, if appropriate, with one or more of the above-described excipients.
[0050] Liquid dosage forms for oral administration of the compounds of the invention include pharmaceutically acceptable emulsions, microemulsions, solutions, suspensions, syrups and elixirs. In addition to the active ingredient, the liquid dosage forms may contain inert diluents commonly used in the art, such as, for example, water or other solvents, solubilizing agents and emulsifiers, such as ethyl alcohol, isopropyl alcohol, ethyl carbonate, ethyl acetate, benzyl alcohol, benzyl benzoate, propylene glycol, 1,3-butylene glycol, oils (in particular, cottonseed, groundnut, corn, germ, olive, castor and sesame oils), glycerol, tetrahydrofuryl alcohol, polyethylene glycols and fatty acid esters of sorbitan, and mixtures thereof.
[0051] Besides inert diluents, the oral compositions can also include adjuvants such as wetting agents, emulsifying and suspending agents, sweetening, flavoring, coloring, perfuming and preservative agents.
[0052] Suspensions, in addition to the active compounds, may contain suspending agents as, for example, ethoxylated isostearyl alcohols, polyoxyethylene sorbitol and sorbitan esters, microcrystalline cellulose, aluminum metahydroxide, bentonite, agar-agar and tragacanth, and mixtures thereof.
[0053] Formulations of the pharmaceutical compositions of the invention for rectal or vaginal administration may be presented as a suppository, which may be prepared by mixing one or more compounds of the invention with one or more suitable nonirritating excipients or carriers comprising, for example, cocoa butter,
polyethylene glycol, a suppository wax or a salicylate, and which is solid at room temperature, but liquid at body temperature and, therefore, will melt in the rectum or vaginal cavity and release the active compound.
[0054] Formulations of the present invention which are suitable for vaginal administration also include pessaries, tampons, creams, gels, pastes, foams or spray formulations containing such carriers as are known in the art to be appropriate.
[0055] Dosage forms for the topical or transdermal administration of a compound of this invention include powders, sprays, ointments, pastes, creams, lotions, gels, solutions, patches and inhalants. The active compound may be mixed under sterile conditions with a pharmaceutically-acceptable carrier, and with any preservatives, buffers, or propellants which may be required.
[0056] The ointments, pastes, creams and gels may contain, in addition to an active compound of this invention, excipients, such as animal and vegetable fats, oils, waxes, paraffins, starch, tragacanth, cellulose derivatives, polyethylene glycols, silicones, bentonites, silicic acid, talc and zinc oxide, or mixtures thereof.
[0057] Powders and sprays can contain, in addition to a compound of this invention, excipients such as lactose, talc, silicic acid, aluminum hydroxide, calcium silicates and polyamide powder, or mixtures of these substances. Sprays can additionally contain customary propellants, such as chlorofluorohydrocarbons and volatile unsubstituted hydrocarbons, such as butane and propane.
[0058] Transdermal patches have the added advantage of providing controlled delivery of a compound of the present invention to the body. Such dosage forms can be made by dissolving or dispersing the compound in the proper medium. Absorption enhancers can also be used to increase the flux of the compound across the skin. The rate of such flux can be controlled by either providing a rate controlling membrane or dispersing the compound in a polymer matrix or gel.
[0059] Ophthalmic formulations, eye ointments, powders, solutions and the like, are also contemplated as being within the scope of this invention.
[0060] Pharmaceutical compositions of this invention suitable for parenteral administration comprise one or more compounds of the invention in combination with one or more pharmaceutically-acceptable sterile isotonic aqueous or nonaqueous solutions, dispersions, suspensions or emulsions, or sterile powders which may be reconstituted into sterile injectable solutions or dispersions just prior to use, which may contain sugars, alcohols, antioxidants, buffers, bacteriostats, solutes which render the formulation isotonic with the blood of the intended recipient or suspending or thickening agents.
[0061] Examples of suitable aqueous and nonaqueous carriers which may be employed in the pharmaceutical compositions of the invention include water, ethanol, polyols (such as glycerol, propylene glycol, polyethylene glycol, and the like), and suitable mixtures thereof, vegetable oils, such as olive oil, and injectable organic esters, such as ethyl oleate. Proper fluidity can be maintained, for example, by the use of coating materials, such as lecithin, by the maintenance of the required particle size in the case of dispersions, and by the use of surfactants.
[0062] These compositions may also contain adjuvants such as preservatives, wetting agents, emulsifying agents and dispersing agents. Prevention of the action of microorganisms upon the subject compounds may be ensured by the inclusion of various antibacterial and antifungal agents, for example, paraben, chlorobutanol, phenol sorbic acid, and the like. It may also be desirable to include isotonic agents, such as sugars, sodium chloride, and the like into the compositions. In addition, prolonged absorption of the injectable pharmaceutical form may be brought about by the inclusion of agents which delay absorption such as aluminum monostearate and gelatin.
[0063] In some cases, in order to prolong the effect of a drug, it is desirable to slow the absorption of the drug from subcutaneous or intramuscular injection. This may be accomplished by the use of a liquid suspension of crystalline or amorphous material having poor water solubility. The rate of absorption of the drug then depends upon its rate of dissolution which, in turn, may depend upon crystal size and crystalline form. Alternatively, delayed absorption of a parenterally-administered drug form is accomplished by dissolving or suspending the drug in an oil vehicle.
[0064] Injectable depot forms are made by forming microencapsuled matrices of the subject compounds in biodegradable polymers such as polylactide-polyglycolide. Depending on the ratio of drug to polymer, and the nature of the particular polymer employed, the rate of drug release can be controlled. Examples of other
biodegradable polymers include poly(orthoesters) and poly(anhydrides). Depot injectable formulations are also prepared by entrapping the drug in liposomes or microemulsions which are compatible with body tissue.
[0065] When the compounds of the present invention are administered as pharmaceuticals, to humans and animals, they can be given per se or as a
pharmaceutical composition containing, for example, 0.1 to 99% (more preferably, 10 to 30%) of active ingredient in combination with a pharmaceutically acceptable carrier.
[0066] Regardless of the route of administration selected, the compounds of the present invention, which may be used in a suitable hydrated form, and/or the pharmaceutical compositions of the present invention, are formulated into pharmaceutically-acceptable dosage forms by conventional methods known to those of skill in the art.
[0067] Actual dosage levels of the active ingredients in the pharmaceutical compositions of this invention may be varied so as to obtain an amount of the active ingredient which is effective to achieve the desired therapeutic response for a particular patient, composition, and mode of administration, without being toxic to the patient.
[0068] The selected dosage level will depend upon a variety of factors including the activity of the particular compound of the present invention employed, or the ester, salt or amide thereof, the route of administration, the time of administration, the rate of excretion or metabolism of the particular compound being employed, the rate and extent of absorption, the duration of the treatment, other drugs, compounds and/or materials used in combination with the particular compound employed, the age, sex, weight, condition, general health and prior medical history of the patient being treated, and like factors well known in the medical arts.
[0069] A physician or veterinarian having ordinary skill in the art can readily determine and prescribe the effective amount of the pharmaceutical composition required. For example, the physician or veterinarian could start doses of the compounds of the invention employed in the pharmaceutical composition at levels
lower than that required in order to achieve the desired therapeutic effect and gradually increase the dosage until the desired effect is achieved.
[0070] In general, a suitable daily dose of a compound of the invention will be that amount of the compound which is the lowest dose effective to produce a therapeutic effect. Such an effective dose will generally depend upon the factors described above. Generally, oral, intravenous, intracerebroventricular and subcutaneous doses of the compounds of this invention for a patient will range from about 0.01 to about 50 mg per kilogram of body weight per day.
[0071] If desired, the effective daily dose of the active compound may be administered as two, three, four, five, six or more sub-doses administered separately at appropriate intervals throughout the day, optionally, in unit dosage forms. In certain aspects of the invention, dosing is one administration per day.
[0072] While it is possible for a compound of the present invention to be administered alone, it is preferable to administer the compound as a pharmaceutical formulation (composition).
IV. Definitions
[0073] To facilitate an understanding of the present invention, a number of terms and phrases are defined below.
[0074] The term "alkyl" is art-recognized and refers to a saturated straight or branched hydrocarbon, such as a straight or branched group of 1-12, 1-10, or 1-6 carbon atoms, referred to herein as CrC12alkyl, Ci-Cioalkyl, and Ci-Cealkyl, respectively. Exemplary alkyl groups include, but are not limited to, methyl, ethyl, propyl, isopropyl, 2-methyl-l -propyl, 2-methyl-2-propyl, 2-methyl-l -butyl, 3-methyl- 1-butyl, 2-methyl-3-butyl, 2,2-dimethyl-l-propyl, 2-methyl-l -pentyl, 3-methyl-l- pentyl, 4-methyl-l-pentyl, 2-methyl-2-pentyl, 3-methyl-2-pentyl, 4-methyl-2-pentyl, 2,2-dimethyl-l-butyl, 3, 3 -dimethyl- 1 -butyl, 2-ethyl-l -butyl, butyl, isobutyl, t-butyl, pentyl, isopentyl, neopentyl, hexyl, heptyl, octyl, etc.
[0075] The term "cycloalkyl" is art-recognized and refers to a monovalent saturated cyclic, bicyclic, or bridged cyclic (e.g., adamantyl) hydrocarbon group of 3-10, 3-8, 4- 8, or 4-6 carbons, referred to herein, e.g., as "C4_8cycloalkyl," derived from a cycloalkane. Exemplary cycloalkyl groups include, but are not limited to, cyclohexane, cyclopentane, cyclobutane, and cyclopropane.
[0076] The term "substituted" refers to the replacement of a hydrogen atom in a moiety with a functional group. Unless otherwise indicated, an "optionally
substituted" group may have a suitable substituent at each substitutable position of the group, and when more than one position in any given structure may be substituted with more than one substituent selected from a specified group, the substituent may be either the same or different at each position. Combinations of substituents envisioned under this invention are preferably those that result in the formation of stable or chemically feasible compounds. The term "stable", as used herein, refers to compounds that are not substantially altered when subjected to conditions to allow for their production, detection, and, in certain embodiments, their recovery, purification, and use for one or more of the purposes disclosed herein.
[0077] Suitable monovalent substituents on a substitutable carbon atom of an "optionally substituted" group (such as an alkyl, alkenyl, alkynyl, alkylene, alkenylene, alkynylene or the carbon atom of a carbocyclyl, aryl, heterocyclyl or heteroaryl) are independently halogen; -(CH2)o-4 °; -(CH2)o-40R°;
-0-(CH2)o-4C(0)OR0; -(CH2)0^CH(ORo)2; -(CH2)0^SR°; -(CH2)0^Ph, which may be substituted with R°; -(CH2)0^O(CH2)0-iPh which may be substituted with R°;
-CH=CHPh, which may be substituted with R°; -N02; -CN; -N3; -(CH2)0-4N(R°)2; -(CH2)o^N(R°)C(0)R°; -N(R°)C(S)R°; -(CH2)0^N(R°)C(O)NR°2; -N(R°)C(S)NR°2; -(CH2)o^N(R°)C(0)OR°; -N(R°)N(R°)C(0)R°; -N(R°)N(R°)C(0)NR°2;
-N(R°)N(R°)C(0)OR°; -(CH2)0^C(O)R°; -C(S)R°; -(CH2)0^C(O)OR°;
-(CH2)o^C(0)SR°; -(CH2)0-4C(O)OSiR°3; -(CH2)0-4OC(O)R°; -OC(O)(CH2)0^SR-, SC(S)SR°; -(CH2)o^SC(0)R°; -(CH2)0-4C(O)NR°2; -C(S)NR°2; -C(S)SR°;
-(CH2)o^OC(0)NR°2; -C(0)N(OR°)R°; -C(0)C(0)R°; -C(0)CH2C(0)R°;
-C(NOR°)R°; -(CH2)o^SSR°; -(CH2)0-4S(O)2R°; -(CH2)0^S(O)2OR°;
-(CH2)o^OS(0)2R°; -S(0)2NR°2; -(CH2)0_4S(O)R°; -N(R°)S(0)2NR°2;
-N(R°)S(0)2R°; -N(OR°)R°; -C(NH)NR°2; -P(0)2R°; -P(0)R°2; -OP(0)R°2;
-OP(0)(OR°)2; -SiR°3; -(C1-4 straight or branched alkylene)0-N(R°)2; or -(C1-4 straight or branched alkylene)C(0)0-N(R°)2, wherein each R° may be substituted as defined below and is independently hydrogen, Ci_6 aliphatic, -CH2Ph, -0(CH2)o-iPh, or a 5-6-membered saturated, partially unsaturated, or aryl ring having 0-4 heteroatoms independently selected from nitrogen, oxygen, or sulfur, or,
notwithstanding the definition above, two independent occurrences of R°, taken together with their intervening atom(s), form a 3-12-membered saturated, partially
unsaturated, or aryl mono- or bicyclic ring having 0-4 heteroatoms independently selected from nitrogen, oxygen, or sulfur, which may be substituted as defined below.
[0078] Suitable monovalent substituents on R° (or the ring formed by taking two independent occurrences of R° together with their intervening atoms), are
independently halogen, -(CH2)0-2Re, -(haloR*), -(CH2)0-2OH, -(CH2)0-2ORe,
-(CH2)o-2CH(OR')2; -O(haloR'), -CN, -N3, -(CH2)0-2C(O)Re, -(CH2)0-2C(O)OH, -(CH2)o-2C(0)ORe, -(CH2)0-2SRe, -(CH2)0-2SH, -(CH2)0-2NH2, -(CH2)0-2NHRe, -(CH2)o-2NR'2, -N02, -SiR*3, -OSiR'3, -C(0)SRe -(Ci_4 straight or branched alkylene)C(0)OR*, or -SSR* wherein each R" is unsubstituted or where preceded by "halo" is substituted only with one or more halogens, and is independently selected from Ci^ aliphatic, -CH2Ph, -0(CH2)o-iPh, or a 5-6-membered saturated, partially unsaturated, or aryl ring having 0-4 heteroatoms independently selected from nitrogen, oxygen, or sulfur. Suitable divalent substituents on a saturated carbon atom of R° include =0 and =S.
[0079] Suitable divalent substituents on a saturated carbon atom of an "optionally substituted" group include the following: =0, =S, =NNR* 2, =NNHC(0)R*,
=NNHC(0)OR*, =NNHS(0)2R*, =NR*, =NOR*, -0(C(R* 2))2_30-, or -S(C(R* 2))2_3S-, wherein each independent occurrence of R* is selected from hydrogen, Ci_6 aliphatic which may be substituted as defined below, or an unsubstituted 5-6-membered saturated, partially unsaturated, or aryl ring having 0-4 heteroatoms independently selected from nitrogen, oxygen, or sulfur. Suitable divalent substituents that are bound to vicinal substitutable carbons of an "optionally substituted" group include: -0(CR* 2)2_30-, wherein each independent occurrence of R* is selected from hydrogen, Ci-6 aliphatic which may be substituted as defined below, or an unsubstituted
5-6-membered saturated, partially unsaturated, or aryl ring having 0-4 heteroatoms independently selected from nitrogen, oxygen, or sulfur.
[0080] Suitable substituents on the aliphatic group of R* include halogen, -R", -(haloR*), -OH, -OR", -O(haloR'), -CN, -C(0)OH, -C(0)ORe, -NH2, -NHR", -NR'2, or -N02, wherein each R" is unsubstituted or where preceded by "halo" is substituted only with one or more halogens, and is independently Ci^ aliphatic, -CH2Ph, -0(CH2)o-iPh, or a 5-6-membered saturated, partially unsaturated, or aryl ring having 0-4 heteroatoms independently selected from nitrogen, oxygen, or sulfur.
[0081] Suitable substituents on a substitutable nitrogen of an "optionally substituted" group include -R†, -NR† 2, -C(0)R†, -C(0)OR†, -C(0)C(0)R†,
-C(0)CH2C(0)R†, -S(0)2R†, -S(0)2NR† 2, -C(S)NR† 2, -C(NH)NR† 2, or
-N(R†)S(0)2R†; wherein each R† is independently hydrogen, Ci_6 aliphatic which may be substituted as defined below, unsubstituted -OPh, or an unsubstituted
5-6-membered saturated, partially unsaturated, or aryl ring having 0-4 heteroatoms independently selected from nitrogen, oxygen, or sulfur, or, notwithstanding the definition above, two independent occurrences of R†, taken together with their intervening atom(s) form an unsubstituted 3-12-membered saturated, partially unsaturated, or aryl mono- or bicyclic ring having 0-4 heteroatoms independently selected from nitrogen, oxygen, or sulfur.
[0082] Suitable substituents on the aliphatic group of R† are independently halogen, -R", -(haloR*), -OH, -OR", -O(haloR'), -CN, -C(0)OH, -C(0)ORe, -NH2, -NHR", -NR*2, or -N02, wherein each R" is unsubstituted or where preceded by "halo" is substituted only with one or more halogens, and is independently Ci^aliphatic, -CH2Ph, -0(CH2)o-iPh, or a 5-6-membered saturated, partially unsaturated, or aryl ring having 0-4 heteroatoms independently selected from nitrogen, oxygen, or sulfur.
[0083] The term "moiety" refers to a portion of a compound of this invention comprising at least one hydrogen atom and at least one carbon atom.
[0084] The term "alkylene" refers to the diradical of an alkyl group.
[0085] The term "haloalkyl" refers to an alkyl group that is substituted with at least one halogen. For example, -CH2F, -CHF2, -CF3, -CH2CF3, -CF2CF3, and the like.
[0086] The term "aralkyl" refers to an alkyl group substituted with an aryl group.
[0087] The term "heteroaralkyl" refers to an alkyl group substituted with a heteroaryl group.
[0088] The terms "alkenyl" and "alkynyl" are art-recognized and refer to unsaturated aliphatic groups analogous in length to the alkyls described above, but that contain at least one double or triple bond, respectively.
[0089] The term "aryl" is art-recognized and refers to a carbocyclic aromatic group. Representative aryl groups include phenyl, naphthyl, anthracenyl, and the like. The term "aryl" also includes polycyclic ring systems having two or more carbocyclic rings in which two or more carbons are common to two adjoining rings (the rings are "fused rings") wherein at least one of the rings is aromatic, e.g., the other cyclic rings may be cycloalkyls, cycloalkenyls, and/or aryls.
[0090] The term "arylene" refers to the diradical of an aryl group.
[0091] The term "heteroaryl" is art-recognized and refers to aromatic groups that include at least one ring heteroatom. In certain instances, a heteroaryl group contains 1, 2, 3, or 4 ring heteroatoms. Representative examples of heteroaryl groups include pyrrolyl, furanyl, thiophenyl, imidazolyl, oxazolyl, thiazolyl, triazolyl, pyrazolyl, pyridinyl, pyrazinyl, pyridazinyl and pyrimidinyl, and the like. The term "heteroaryl" also includes polycyclic ring systems having two or more rings in which two or more carbons are common to two adjoining rings (the rings are "fused rings") wherein at least one of the rings is heteroaromatic, e.g., the other cyclic rings may be cycloalkyls, cycloalkenyls, and/or aryls.
[0092] The term "saturated heterocyclyl" refers to a saturated cyclic group that includes at least one ring heteroatom. The heteroatoms can be the same or different from each other. Examples of heteroatoms include, but are not limited to, nitrogen, oxygen and sulfur. Examples of oxygen-containing saturated heterocyclic rings include, but are not limited to, tetrahydrofuran and tetrahydro-2H-pyran. Examples of nitrogen-containing saturated heterocyclic rings include, but are not limited to, pyrrolidine and piperidine.
[0093] The terms "amine" and "amino" are art-recognized and refer to both unsubstituted and substituted amines, e.g., a moiety that may be represented by the general formula:
/
ί
\
R 6< 0
wherein each R independently represent hydrogen or alkyl.
[0094] The terms "alkoxyl" or "alkoxy" are art-recognized and refer to an alkyl group, as defined above, having an oxygen radical attached thereto. Representative alkoxyl groups include methoxy, ethoxy, propyloxy, tert-butoxy and the like. An "ether" is two hydrocarbons covalently linked by an oxygen. Term "alkenyloxy" is art-recognized and refers to an alkenyl group, as defined above, having an oxygen radical attached thereto.
[0095] Certain compounds of the present invention may exist in particular geometric or stereoisomeric forms. In addition, polymers of the present invention may also be optically active. The present invention contemplates all such compounds, including cis- and trans -isomers, R- and S-enantiomers, diastereomers, (D)-isomers,
(L)-isomers, the racemic mixtures thereof, and other mixtures thereof, as falling within the scope of the invention. Additional asymmetric carbon atoms may be present in a substituent such as an alkyl group. All such isomers, as well as mixtures thereof, are intended to be included in this invention.
[0096] If, for instance, a particular enantiomer of compound of the present invention is desired, it may be prepared by asymmetric synthesis, or by derivation with a chiral auxiliary, where the resulting diastereomeric mixture is separated and the auxiliary group cleaved to provide the pure desired enantiomers. Alternatively, where the molecule contains a basic functional group, such as amino, or an acidic functional group, such as carboxyl, diastereomeric salts are formed with an appropriate optically-active acid or base, followed by resolution of the diastereomers thus formed by fractional crystallization or chromatographic means well known in the art, and subsequent recovery of the pure enantiomers.
[0097] Unless otherwise indicated, when a disclosed compound is named or depicted by a structure without specifying the stereochemistry and has one or more chiral centers, it is understood to represent all possible stereoisomers of the compound, as well as enantiomeric mixtures thereof.
[0098] As used herein, the term "patient" refers to organisms to be treated by the methods of the present invention. Such organisms preferably include, but are not limited to, mammals (e.g. , murines, simians, equines, bovines, porcines, canines, felines, and the like), and most preferably includes humans.
[0099] As used herein, the term "effective amount" refers to the amount of a compound (e.g. , a compound of the present invention) sufficient to effect beneficial or desired results. An effective amount can be administered in one or more
administrations, applications or dosages and is not intended to be limited to a particular formulation or administration route. As used herein, the term "treating" includes any effect, e.g., lessening, reducing, modulating, ameliorating or eliminating, that results in the improvement of the condition, disease, disorder, and the like, or ameliorating a symptom thereof.
[00100] As used herein, the term "pharmaceutical composition" refers to the combination of an active agent with a carrier, inert or active, making the composition especially suitable for diagnostic or therapeutic use in vivo or ex vivo.
[00101] As used herein, the term "pharmaceutically acceptable salt" refers to any pharmaceutically acceptable salt (e.g. , acid or base) of a compound of the present
invention which, upon administration to a subject, is capable of providing a compound of this invention or an active metabolite or residue thereof. As is known to those of skill in the art, "salts" of the compounds of the present invention may be derived from inorganic or organic acids and bases. Examples of acids include, but are not limited to, hydrochloric, hydrobromic, sulfuric, nitric, perchloric, fumaric, maleic, phosphoric, glycolic, lactic, salicylic, succinic, toluene -p-sulfonic, tartaric, acetic, citric, methanesulfonic, ethanesulfonic, formic, benzoic, malonic,
naphthalene-2-sulfonic, benzenesulfonic acid, and the like. Other acids, such as oxalic, while not in themselves pharmaceutically acceptable, may be employed in the preparation of salts useful as intermediates in obtaining the compounds of the invention and their pharmaceutically acceptable acid addition salts.
[00102] Examples of bases include, but are not limited to, alkali metals (e.g. , sodium) hydroxides, alkaline earth metals (e.g. , magnesium), hydroxides, ammonia, and compounds of formula NW4 +, wherein W is C1-4 alkyl, and the like.
[00103] Examples of salts include, but are not limited to: acetate, adipate, alginate, aspartate, benzoate, benzenesulfonate, bisulfate, butyrate, citrate, camphorate, camphorsulfonate, cyclopentanepropionate, digluconate, dodecylsulfate,
ethanesulfonate, fumarate, flucoheptanoate, glycerophosphate, hemisulfate, heptanoate, hexanoate, hydrochloride, hydrobromide, hydroiodide,
2-hydroxyethanesulfonate, lactate, maleate, methanesulfonate,
2-naphthalenesulfonate, nicotinate, oxalate, palmoate, pectinate, persulfate, phenylpropionate, picrate, pivalate, propionate, succinate, tartrate, thiocyanate, tosylate, undecanoate, and the like. Other examples of salts include anions of the compounds of the present invention compounded with a suitable cation such as Na+, NH4 +, and NW4 + (wherein W is a Ci_4 alkyl group), and the like.
[00104] For therapeutic use, salts of the compounds of the present invention are contemplated as being pharmaceutically acceptable. However, salts of acids and bases that are non-pharmaceutically acceptable may also find use, for example, in the preparation or purification of a pharmaceutically acceptable compound.
EXAMPLES
[00105] The invention now being generally described, will be more readily understood by reference to the following examples, which are included merely for
purposes of illustration of certain aspects and embodiments of the present invention, and are not intended to limit the invention.
[00106] EXAMPLE!. SYNTHESIS OF COMPOUND 201 AND 157.
[00107] The common linear precursor for Compounds 201 and 157 was prepared using standard Fmoc chemistry on the Protein Technologies' Prelude peptide synthesizer (th "Prelude") (Protein Technologies, Inc., Tucson, AZ U.S.A.).
[00108] (S)-2-((((9H-fluoren-9-yl)methoxy)carbonyl)amino)-3-(4-(3- azidopropoxy)phenyl)propanoic acid (51; 0.5 mmol, 220 mg) and DIPEA (10 equiv., 5 mmol, 646 mg, 0.873 mL) in DCM (8 mL) was added to 2-chlorotrityl resin (10; Chemical and Biopharmaceutical Laboratories, 1.58 mmol/g, 3 equiv, 1.5 mmol, 0.95 g) in a Biorad (Bio-Rad Laboratories Hercules, CA, USA) prep column. The resin was rocked for 2 h and MeOH (2 mL) was added followed by rocking for an additional 30 minutes. The solvent was removed by filtration, and the solid resin 52 was transferred to a Prelude reaction vessel.
[00109] The resin 52 (0.5 mmol) was swelled with DMF (15 mL x 5 min) and mixed with a gentle stream of nitrogen every 30 seconds. The solvent was drained and the Fmoc group was removed from the resin-supported building block by washing the resin twice with a solution of 2% DBU:2 piperidine in DMF (15 mL and 5 minutes per wash) and mixing with a gentle stream of nitrogen every 30 seconds. The resin was washed six times with DMF (15 mL and 30 seconds per wash). (S)-2-((((9H- fluoren-9-yl)methoxy)carbonyl)amino)-3-phenylpropanoic acid (53; 0.1 M solution in DMF, 15 mL, 3 equiv, 1.5 mmol) was then added, followed by HATU (0.2M solution in DMF, 7.5 mL, 3 equiv, 1.5 mmol) and N-methyl morpholine (1.0 M in DMF, 2.5 mL, 5 equiv, 2.5 mmol). The reaction mixture was agitated by a gentle stream of nitrogen for 30 min. The reagents were drained from the reaction vessel, and the resin 54 was washed with DMF (15 mL x 5 min).
54 55
[00110] The Fmoc group was removed from the resin-supported building block 54 by washing the resin twice with a solution of 2% DBU:2 piperidine in DMF (15 mL and 5 minutes per wash) and mixing with a gentle stream of nitrogen every 30 seconds. The resin was washed six times with DMF (15 mL and 30 seconds per wash). (S)-l-(((9H-fluoren-9-yl)methoxy)carbonyl)pyrrolidine-2-carboxylic acid (55; 0.1 M solution in DMF, 15 mL, 3 equiv, 1.5 mmol) was added, followed by HATU
(0.2M solution in DMF, 7.5 mL, 3 equiv, 1.5 mmol) and N-methyl morpholine (1.0 M in DMF, 2.5 mL, 5 equiv, 2.5 mmol). The reaction mixture was agitated by a gentle stream of nitrogen for 30 min. The reagents were drained from the reaction vessel,
[00111] The Fmoc group was removed from the resin-supported building block 56 by washing the resin twice with a solution of 2% DBU:2 piperidine in DMF (15 mL and 5 minutes per wash) and mixing with a gentle stream of nitrogen every 30 seconds. The resin was washed six times with DMF (15 mL and 30 seconds per wash). (S)-2-((((9H-fluoren-9-yl)methoxy)carbonyl)amino)-6-(pent-4- ynamido)hexanoic acid (57; 0.1 M solution in DMF, 15 mL, 3 equiv, 1.5 mmol) was added, followed by HATU (0.2M solution in DMF, 7.5 mL, 3 equiv, 1.5 mmol) and N-methyl morpholine (1.0 M in DMF, 2.5 mL, 5 equiv, 2.5 mmol). The reaction mixture was agitated by a gentle stream of nitrogen for 5 nr. The reagents were drained from the reaction vessel, and the resin 58 was washed with DMF (15 mL x 5 min).
[00112] The Fmoc group was removed from the resin-supported building block 58 by washing the resin twice with a solution of 2% DBU:2 piperidine in DMF (15 mL and 5 minutes per wash) and mixing with a gentle stream of nitrogen every 30 seconds. The resin was washed six times with DMF (15 mL and 30 seconds per wash). (S)-2-((((9H-fluoren-9-yl)methoxy)carbonyl)(methyl)amino)propanoic acid (59; 0.1 M solution in DMF, 15 mL, 3 equiv, 1.5 mmol) was added, followed by HATU (0.2M solution in DMF, 7.5 mL, 3 equiv, 1.5 mmol) and N-methyl morpholine (1.0 M in DMF, 2.5 mL, 5 equiv, 2.5 mmol). The reaction mixture was agitated by a gentle stream of nitrogen for 30 min. The reagents were drained from the reaction
[00113] A freshly made solution of copper(II) (Z)-2,2,6,6-tetramethyl-5-oxohept-3- en-3-olate (0.5 equiv, 0.25 mmol, 108 mg), ascorbic acid (3 equiv, 1.5 mmol, 264 mg), DIPEA (10 equiv, 5 mmol, 0.9 mL), 2,6-dimethylpyridine (10 equiv, 5 mmol, 0.6 mL) in DMF (7 mL) and THF (7 mL) was added to the linear peptide on resin 60. The reaction mixture was agitated by a gentle stream of nitrogen for 30 min. The reagents were drained from the reaction vessel, and the resin was washed with DMF (15 mL x 5 min) to produce the protected dimeric macrocycle 61. The corresponding monomeric macrocycle 62 (see below) was produced as a by-product of this reaction.
62
[00114] The Fmoc group was removed from the resin-supported building blocks 61 and 62 by washing the resin twice with a solution of 2% DBU:2 piperidine in DMF (15 mL and 5 minutes per wash) and mixing with a gentle stream of nitrogen every 30 seconds. The resins were washed with DMF (15 mL x 6; 30 seconds per wash), and CH2CI2 (15 mL x 6; 30 seconds per wash) and then treated with 5% TFA in CH2CI2 (lOmL x 5 min, 10 mL x 30 sec, 10 mL x 5 min, 10 mL x 30 sec). The TFA washing was automated on the Prelude using the cleave and collect method. The TFA washings were combined and solvent was removed by evaporation using a Genevac EZ2.2 evaporator with the lamp off on low/medium BP until the crude reaction mixture formed a very thick oil or a dry solid containing both compounds 201 and
157.
[00115] Purification and separation of Compounds 201 and 157 was achieved on a Gilson HPLC containing a GX 281 liquid handler, UV/VIS 155 detector at 220 nm and 254 nm. The 321 pump was running at 20 mL/min with an Waters Xterra Prep MS C8, 5 um, 19 x 100 mm column PN 186001935, using a solvent gradient from 5% acetonitrile/water with 0.1% TFA increasing to 35% acetonitrile/ water with 0.1% TFA, followed by a rapid column flush with 100% acetonitrile/water with 0.1% TFA.
EXAMPLE 2 - SY
66
10 65
[00117] (2S,3S)-2-(((9H-fluoren-9-yl)methoxy)carbonylamino)-3-methylpentanoic acid (65; 6.11 mmol, 2.1 g) and DIPEA (30.6 mmol, 3.95 mg, 0.5.49 mL) in DCM (20 mL) was added to 2-chlorotrityl resin (10; Chemical and Biopharmaceutical Laboratories, 1.58 mmol/g, 3.16 mmol, 2.0 g) in a Biorad (Bio-Rad Laboratories Hercules, CA, USA) prep column. The resin was rocked for 2 h and MeOH (4 mL) was added followed by rocking for an additional 30 minutes. The solvent was removed
[00118] The resin 66 (0.11 mmol) was swelled with DMF (15 mL x 5 min) and the mixture was gently agitated on a bench top rocker. The solvent was drained and the Fmoc group was removed from the resin-supported building block by washing the resin twice with a solution of 2% DBU:2 piperidine in DMF (5 mL and 5 minutes per wash). The resin was washed three times with DMF (15 mL and 30 seconds per wash) and NMP (20 ml). A solution of (S)-l-(((9H-fluoren-9- yl)methoxy)carbonyl)pyrrolidine-2-carboxylic acid (55; 1.11 g, 3.30 mmol), HATU (1.25 g, 3.30 mmol) and DIPEA (0.961 mL, 5.50 mmol) in NMP (10 mL) was added and the reaction mixture was gently agitated on a bench top rocker until complete consumption of starting material was observed by LCMS. The reagents were drained from the reaction vessel, and the resin 67 was washed with DMF (15 mL x 5 min).
[00119] The resin 67 (1.1 mmol) was swelled with DMF (15 mL x 5 min)and the mixture was gently agitated on a bench top rocker. The solvent was drained and the Fmoc group was removed from the resin-supported building block by washing the resin twice with a solution of 2% DBU:2 piperidine in DMF (5 mL and 5 minutes per wash). The resin was washed three times with DMF (15 mL and 30 seconds per wash) and NMP (20 ml). A mixture of (S)-2-(((9H-fluoren-9- yl)methoxy)carbonylamino)pent-4-ynoic acid (681.107 g, 3.30 mmol), HATU (1.25 g, 3.30 mmol) and DIPEA (0.961 mL, 5.50 mmol) in NMP (10 mL) was added and the reaction mixture was gently agitated on a bench top rocker until complete consumption of starting material was observed by LCMS. The reagents were drained from the reaction vessel, and the resin 69 was washed with DMF (15 mL x 5 min).
[00120] The resin 69 (1.1 mmol) was swelled with DMF (15 mL x 5 min) and the mixture was gently agitated on a bench top rocker. The solvent was drained and the Fmoc group was removed from the resin-supported building block by washing the resin twice with a solution of 2% DBU:2 piperidine in DMF (5 mL and 5 minutes per wash). The resin was washed three times with DMF (15 mL and 30 seconds per wash) and once with NMP (20 ml and 30 seconds). A mixture of (S)-2-(tert- butoxycarbonyl(methyl)-amino)propanoic acid (70; 0.920 g, 3.30 mmol), HATU (1.25 g, 3.30 mmol) and DIPEA (0.961 mL, 5.50 mmol) in NMP (10 mL) was added and the reaction mixture was gently agitated on a bench top rocker until complete consumption of starting material was observed by LCMS. The reagents were drained from the reaction vessel, and the resin 71 was washed with DMF (15 mL x 5 min).
[00121] A freshly made solution of copper (I) iodide (0.25 mmol, 48 mg), sodium ascorbate (0.75 mmol, 1.49 mg), DIPEA (2.5 mmol, 0.437 mL), 2,6- dimethylpyridine (2.5 mmol, 0.30 mL) in DMF (2.2 mL) was added to (S)-2-(((9H- fluoren-9-yl)methoxy)carbonylamino)-6-azidohexanoic acid (72; 0.375 mmol, 0.148 g) and resin bound linear peptide 71 (0.25 mmol). The reaction mixture was agitated on a benchtop rocker until the reaction was judged complete by LCMS. The reagents were drained from the reaction vessel, and the resin 73 was washed with DMF (15 mL x 5 min).
[00122] The resin 73 (0.25 mmol) was washed three times with DMF (15 mL and 30 seconds per wash) and NMP (20 ml and 30 seconds). Phenylmethanamine (0.8 g, 0.082 mL, 0.75 mmol), HATU (0.285 g, 0.750 mmol) and DIPEA (0.218 mL, 1.25 mmol) in NMP (5 mL) were added to the resin and the reaction mixture was gently agitated on a bench top rocker until complete consumption of starting material was observed by LCMS. The reagents were drained from the reaction vessel, and the resin 74 was washed with DMF (15 mL x 5 min).
[00123] The resin 74 (0.25 mmol) was swelled with DMF (15 mL x 5 min) and the mixture was gently agitated on a bench top rocker. The solvent was drained and the Fmoc group was removed from the resin-supported building block by washing the resin twice with a solution of 2% DBU:2 piperidine in DMF (5 mL and 5 minutes per wash). The resin was washed three times with DMF (15 mL and 30 seconds per wash) and three times with CH2CI2 (15 mL and 30 seconds per wash). The resin was then washed four times with 20% HFIP in CH2CI2 (5 mL and 5 min per wash). The HFIP/ CH2CI2 washings were combined and the solvent was removed in vacuo. The
[00124] HATU (57 mg, 0.15 mmol) was added to a stirred solution of linear peptide (75; 38 mg, 0.05 mmol) and DIPEA (0.087 mL, 0.50 mmol) in DMF (20 mL). The reaction progress was monitored by LCMS. Upon complete consumption of starting material the solvent was removed in vacuo. The crude oil 76 was taken onto the next step without further modification.
[00125] Intermediate 76 was dissolved in 1:1 TFA:CH2Ci2 (2 mL). The reaction progress was monitored by LCMS. Upon complete consumption of starting material the solvent was removed in vacuo. The crude product was purified on a Biotage Isolera 1 with fraction collection @ 254 nm, 25 mL/min, 30 g CI 8 column with Water/ACN/0.1 TFA.
[00126] Other macrocycles of Formula I and Formula II were similarly prepared substituting the appropriate protected building block at each step. Selected compounds were subjected to NMR analysis.
[00127] Compound 152 (major confirmer). 1H NMR (C2D6SO, 400 MHz) δ 12.75 (1H, bs s), 8.88 (1H, d, 7 = 7.6 Hz), 8.8 (2H, br s), 8.12 (1H, d, 7 = 7.6 Hz), 8.04 (1H, s), 7.84 (1H, d, 7 = 7.6 Hz), 728-7.00 (9H, m), 6.83 (2H, d, 7 = 8.8 Hz), 6.63 (2H, d, 7 = 8.4 Hz), 5.13 (1H, d, 7 = 4 Hz), 4.62-4.23 (6H, m), 3.92-3.57 (5H, m), 3.42-3.35 (1H, m), 3.2-2.5 (6H, m), 2.39 (3H, t, 7 = 4.8 Hz), 2.33-2.13 (2H, m), 1.93-1.56 (3H, m), 1.3 (3H, dd, 7 = 6.8 Hz).
[00128] Compound 152 (minor confirmer). *H NMR (C2D6SO, 400 MHz) δ 12.75 (1H, bs s), 8.8 (2H, br s), 8.74 (1H, d, 7 = 6.8 Hz), 8.28 (1H, d, 7 = 8.4 Hz), 8.2 (1H, s), 8.02 (1H, d, 7 = 8.4 Hz), 7.30-6.98 (11H, m), 6.66 (2H, d, 7 = 8.8 Hz), 5.13 (1H, d, 7 = 4 Hz), 4.62-4.23 (6H, m), 3.92-3.57 (5H, m), 3.42-3.35 (1H, m), 3.2-2.5 (6H, m), 2.44 (3H, t, 7 = 5.2 Hz), 2.33-2.13 (2H, m), 1.93-1.56 (3H, m), 1.3 (3H, dd, 7 = 6.8 Hz).
[00129] Compound 171. 1H NMR (C2D6SO, 400 MHz) δ 12.92-12.66 (br s), 8.91 (d, 7 = 7.2 Hz), 8.82 (d, 7 = 7.2 Hz), 8.74-8.63 (m), 8.61 (d, 7 = 6.8 Hz), 8.50 (d, 7 = 8.4 Hz), 8.40 (d, 7 = 7.6 Hz), 8.35 (d, 7 = 8 Hz), 8.27 (d, 7 = 6.8 Hz), 8.25 (s), 8.21 (d, 7 = 7.6 Hz), 7.95 (s), 7.47 (d, 7 = 7.2 Hz), 7.36-7.18 (m), 7.12 (d, 7 = 4.8 Hz), 7.07- 7.01 (m), 6.9 (d, 7 = 8.4 Hz), 6.78 (m, 7 = 8.4 Hz), 7.69 (d, 7 = 8.4 Hz), 6.63 (d, 7 = 8.4 Hz), 6.52 (s), 6.49 (d, 7 = 8.4 Hz), 5.59 (dd, 7 = 6.4, 2.4 Hz), 5.55 (dd, 7 = 6.0, 2.0 Hz), 5.49 (d, 7 = 7.2 Hz), 5.40-5.19 (m), 4.84-4.62 (m), 4.56-4.40 (m), 4.31-4.26 (m),
4.22-4.19 (m), 4.14-4.11 (m), 3.13-2.96 (m), 2.86-2.75 (m), 2.66-2.55 (m), 2.06-1.95 (m), 1.85-1.61 (m), 1.32 (d, / = 6.4 Hz), 1.31 (d, / = 6.8 Hz), 1.19 (d, / = 6.8 Hz).
[00130] Compound 172. 1H NMR (C2D6SO, 400 MHz) δ 12.83 (1H, br s), 8.85 (1H, d, / = 7.6 Hz), 8.77 (3H, m), 8.33 (1H, d, / = 8.0 Hz), 7.91 (1H, d, / = 7.6 Hz), 7.61 (2H, d, J = 8.4 Hz), 7.44 (1H, d, J = 8.0 Hz), 7.37 (2H, d, J = 8.4 Hz), 7.26-7.2 (3H, m), 7.22 (2H, d, / = 7.2 Hz), 7.18-7.15 (2H, m), 6.52 (1H, s), 4.77 (1H, dd, / = 12.4, 6.4 Hz), 4.62 (3H, s), 4.53-4.44 (3H, m), 4.25-4.23 (1H, m), 3.84-3.74 (2H, m), 3.67 (1H, dd, J = 15.8, 8.8 Hz), 3.59 (1H, dd, J = 10.0, 6.8 Hz), 3.52-3.45 (1H, m), 3.38-3.35 (4H, m), 3.14 (1H, dd, / = 14.0, 3.6 Hz), 3.02 (1H, dd, / = 14.0, 4.0 Hz), 2.91 (1H, dd, J = 15.4, 10.0 Hz), 2.78 (1H, dd, J = 12.0, 10.0 Hz), 1.84 (1H, dd, J = 12.4, 6.0. Hz), 1.71-1.55 (5H, m), 1.32 (3H, d, / = 6.8 Hz).
[00131] Compound 203. *H NMR (C2D6SO, 400 MHz) δ 12.72 (2H, bs s), 8.87 (2H, d, / = 7.2 Hz), 8.72 (4H, br s), 8.63 (2H, d, / = 7.2 Hz), 8.22 (2H, s), 8.13-7.99 (4H, m), 7.31-7.02 (8H, m), 6.86 (2H, d, / = 8.4 Hz), 6.68 (4H, t, / = 8.4 Hz), 6.52 (2H, s), 5.57-5.51 (2H, m), 5.29-5.15 (4H, m), 4.80-4.60 (6H, m), 4.44-4.09 (8H, m), 4.12 (2H, dd, / = 16.0, 8.4 Hz), 3.85-3.70 (4H, m), 3.43 (2H, dd, / = 16.4, 7.2 Hz), 3.06-2.57 (6H, m), 2.02-1.95 (2H, m), 1.86-1.84 (2H, m), 1.75-1.61 (4H, m), 1.31 (3H, dd, / = 7.2 Hz), 1.1 (3H, dd, / = 6.8 Hz).
[00132] Other compounds of the invention may be similarly prepared.
EXAMPLE 3- EVALUATION OF BIOLOGICAL ACTIVITY
[00133] Exemplary compounds were tested for inhibition of XIAP BIR2 and BIR3 and cIAP BIR3 activity. Experimental procedures and results are provided below. Experimental Procedures:
A. XIAP-BIR2 / SMAC Peptide AlphaScreen Assay
[00134] Assays were performed in white, flat-bottom, 384-well ProxiPlates (Perkin Elmer). The final assay volume was 10 μΕ prepared from additions of His-BIR2 (124-240/C202A/C213G), Biotinylated SMAC peptide, and test compounds in assay buffer consisting of 25 mM Hepes, 100 mM NaCl, 0.1% BSA, and 5 mM CaCl2. The reaction was incubated at room temperature for 60 minutes. After 60 minutes, 2.5 μΕ of Alphascreen detection reagent (Perkin Elmer) was added to the reaction mixture and incubated at room temperature in the dark for 120 minutes. The Alphascreen
signal generated by the reaction was detected on the Envision Plate Reader.
Inhibition data were calculated from an Alphascreen signal generated by the no protein control reactions for 100% inhibition and vehicle-only reactions for 0% inhibition. The final concentration of reagents in the assay was 50 nM His-BIR2 (124- 240/C202A/C213G), 50 nM Biotinylated SMAC peptide, 4 μg/mL Alphascreen detection reagents, and 0.5% DMSO. Dose response curves were generated to determine the concentration required for inhibiting 50% of kinase activity (IC50). Compounds were dissolved at 10 mM in dimethylsulfoxide (DMSO) and evaluated at eleven concentrations. IC50 values were derived by non-linear regression analysis.
B. XIAP-BIR3 SMAC Peptide Fluorescence Polarization Assay (FPA)
[00135] Assays were performed in black, flat-bottom, 384-well plates. The final assay volume was 50 μL prepared from additions of N-His-Tb-BIR3(241-356, XIAP), fluoresceinated modified SMAC peptide, and test compounds in assay buffer consisting of 20 mM Sodium Phosphate, 1 mM EDTA, 50 mM NaCl, and 0.05% Pluronic F68. The reaction was incubated at room temperature for 60 minutes and fluorescence polarization of the reaction was detected on the LJL Plate Reader.
Inhibition data were calculated from mP values generated by the no protein control reactions for 100% inhibition and vehicle-only reactions for 0% inhibition. The final concentration of reagents in the assay was 130 nM N-His-Tb-BIR3(241-356, XIAP), 1.4 nM fluoresceinated modified SMAC peptide, and 1% DMSO. Dose response curves were generated to determine the concentration required for inhibiting 50% of polarization activity (IC50). Compounds were dissolved at 10 mM in
dimethylsulfoxide (DMSO) and evaluated at eleven concentrations. IC50 values were derived by non-linear regression analysis.
Results:
[00136] Results of the BIR2 and BIR3 assays are shown in Table 3 below. BIR2 IC50 values are reported as follows: "A" indicates an IC50 value of less than 10 μΜ; "B" indicates an IC50 value of 10 μΜ to 18.75 μΜ; and "C" indicates an IC50 value of greater than 18.75 μΜ. "NT" means that the compound was not tested in the assay. BIR3 IC50 values are reported as follows: "A" indicates an IC50 value of less than 1 μΜ; "B" indicates an IC50 value of 1 μΜ to 10 μΜ; and "C" indicates an IC50 value of greater than 10 μΜ to less than 30 μΜ; and "D" indicates an IC50 value of 30 μΜ or greater. "NT" means that the compound was not tested in the assay.
BIR2 and BIR3 Inhibitory Activity of Select Compounds of Formula
[00137] The entire disclosure of each of the patent documents and scientific articles referred to herein is incorporated by reference for all purposes.
EQUIVALENTS
[00138] The invention may be embodied in other specific forms without departing from the spirit or essential characteristics thereof. The foregoing embodiments are therefore to be considered in all respects illustrative rather than limiting the invention described herein. Scope of the invention is thus indicated by the appended claims rather than by the foregoing description, and all changes that come within the meaning and range of equivalency of the claims are intended to be embraced therein.
Claims
1. A compound represented by Formula I:
each R1 is independently -(C1-C4 alkylene)-R9, wherein each R9 is independently selected from hydrogen, aryl, heteroaryl and cycloalkyl, wherein any aryl, heteroaryl or cycloalkyl portion of R1 is optionally substituted with up to two substituents independently selected from halo, CF3, OH, C1-C4 alkoxy, C1-C4 alkenyloxy, phenyl, phenyloxy, and phenylmethyloxy; and wherein one -CH2- in the -(C1-C4 alkylene)- portion of R1 is optionally replaced with -0-; or R1 is taken together with an adjacent NH group to form a pyrrolidine ring;
each R2 is independently selected from hydrogen, cycloalkyl and
-(Ci-C4alkylene)-R4, wherein each R4 is independently selected from hydrogen, aryl, and cycloalkyl;
each R5 is independently selected from hydrogen and methyl;
each R7 is independently selected from hydrogen and methyl;
each R8 is independently selected from methyl and ethyl;
^ represents a point of attachment to a -C=0 portion of the compound;
— 1 ' 2 represents a point of attachment to an amino portion of the compound;
— 1 « 3 represents a first point of attachment to Z;
— 1 « 4 represents a second point of attachment to Z; and
or a tautomeric form of any of the foregoing, wherein:
R3 is OH, NHCN, NHS02R10, NHOR11 or N(R12)(R13);
R10 and R11 are selected from -C1-C4 alkyl, cycloalkyl, aryl, heteroaryl, or heterocycloalkyl, any of which are optionally substituted, and hydrogen;
each of R12 and R13 are independently selected from hydrogen, -C1-C4 alkyl, -(C1-C4 alkylene)-NH-(Ci-C4 alkyl), benzyl, -(C C4 alkylene)-C(0)OH,
-(Ci-C4alkylene)-C(0)CH3, -CH(benzyl)-COOH, -C C4 alkoxy, and
-(Ci-C4alkylene)-0-(Ci-C4 hydroxy alkyl); or R12 and R13 are taken together with the nitrogen atom to which they are commonly bound to form a saturated heterocyclyl optionally comprising one additional heteroatom selected from N, O and S, and wherein the saturated heterocycle is optionally substituted with methyl.
2. The compound of claim 1, wherein each R5 is hydrogen, each R7 is methyl, and each R8 is methyl.
3. The compound of claim 1 , wherein each portion of the compound represented
4. The compound of claim 1 , wherein each portion of the compound represented
; wherein
— I 6
represents a point of attachment to the amino portion of Y.
5. The compound of claim 1, wherein:
each R1 is the same;
each R2 is the same;
each R5 is the same;
each R7 is the same;
each R8 is the same;
each X is the same;
each Y is the same; and
each Z is the same.
8. The compound of claim 1, wherein the compound is selected from any one of the compounds set forth in Table 1 and Table 2 herein.
9. A pharmaceutically acceptable composition comprising a compound of claim 1 and a pharmaceutically acceptable carrier.
10. A method of treating cancer in a patient comprising the step of administering to the patient in need thereof a composition of claim 9 in an effective amount to treat the cancer.
Applications Claiming Priority (2)
| Application Number | Priority Date | Filing Date | Title |
|---|---|---|---|
| US201161557807P | 2011-11-09 | 2011-11-09 | |
| US61/557,807 | 2011-11-09 |
Publications (1)
| Publication Number | Publication Date |
|---|---|
| WO2013071039A1 true WO2013071039A1 (en) | 2013-05-16 |
Family
ID=47258108
Family Applications (1)
| Application Number | Title | Priority Date | Filing Date |
|---|---|---|---|
| PCT/US2012/064349 Ceased WO2013071039A1 (en) | 2011-11-09 | 2012-11-09 | Macrocyclic compounds for inhibition of inhibitors of apoptosis |
Country Status (1)
| Country | Link |
|---|---|
| WO (1) | WO2013071039A1 (en) |
Cited By (30)
| Publication number | Priority date | Publication date | Assignee | Title |
|---|---|---|---|---|
| WO2014074665A1 (en) * | 2012-11-09 | 2014-05-15 | Bristol-Myers Squibb Company | Macrocyclic compounds for inhibition of inhibitors of apoptosis |
| US8889712B2 (en) | 2012-06-19 | 2014-11-18 | Bristol-Myers Squibb Company | IAP antagonists |
| US9284283B2 (en) | 2012-02-02 | 2016-03-15 | Ensemble Therapeutics Corporation | Macrocyclic compounds for modulating IL-17 |
| US9988376B2 (en) | 2013-07-03 | 2018-06-05 | Glaxosmithkline Intellectual Property Development Limited | Benzothiophene derivatives as estrogen receptor inhibitors |
| US9993514B2 (en) | 2013-07-03 | 2018-06-12 | Glaxosmithkline Intellectual Property Development Limited | Compounds |
| WO2018119357A1 (en) | 2016-12-24 | 2018-06-28 | Arvinas, Inc. | Compounds and methods for the targeted degradation of enhancer of zeste homolog 2 polypeptide |
| WO2019099926A1 (en) | 2017-11-17 | 2019-05-23 | Arvinas, Inc. | Compounds and methods for the targeted degradation of interleukin-1 receptor-associated kinase 4 polypeptides |
| WO2019195609A2 (en) | 2018-04-04 | 2019-10-10 | Arvinas Operations, Inc. | Modulators of proteolysis and associated methods of use |
| WO2020023851A1 (en) | 2018-07-26 | 2020-01-30 | Yale University | Bifunctional substitued pyrimidines as modulators of fak proteolyse |
| WO2020041331A1 (en) | 2018-08-20 | 2020-02-27 | Arvinas Operations, Inc. | Proteolysis targeting chimeric (protac) compound with e3 ubiquitin ligase binding activity and targeting alpha-synuclein protein for treating neurodegenerative diseases |
| WO2020051564A1 (en) | 2018-09-07 | 2020-03-12 | Arvinas Operations, Inc. | Polycyclic compounds and methods for the targeted degradation of rapidly accelerated fibrosarcoma polypeptides |
| US10604506B2 (en) | 2017-01-26 | 2020-03-31 | Arvinas Operations, Inc. | Modulators of estrogen receptor proteolysis and associated methods of use |
| US10647698B2 (en) | 2016-12-01 | 2020-05-12 | Arvinas Operations, Inc. | Tetrahydronaphthalene and tetrahydroisoquinoline derivatives as estrogen receptor degraders |
| US10723717B2 (en) | 2016-12-23 | 2020-07-28 | Arvinas Operations, Inc. | Compounds and methods for the targeted degradation of rapidly accelerated fibrosarcoma polypeptides |
| US10772962B2 (en) | 2015-08-19 | 2020-09-15 | Arvinas Operations, Inc. | Compounds and methods for the targeted degradation of bromodomain-containing proteins |
| US10806737B2 (en) | 2016-12-23 | 2020-10-20 | Arvinas Operations, Inc. | Compounds and methods for the targeted degradation of fetal liver kinase polypeptides |
| US10946017B2 (en) | 2015-06-05 | 2021-03-16 | Arvinas Operations, Inc. | Tank-binding kinase-1 PROTACs and associated methods of use |
| US10994015B2 (en) | 2016-12-23 | 2021-05-04 | Arvinas Operations, Inc. | EGFR proteolysis targeting chimeric molecules and associated methods of use |
| US11028088B2 (en) | 2018-03-10 | 2021-06-08 | Yale University | Modulators of BTK proteolysis and methods of use |
| US11173211B2 (en) | 2016-12-23 | 2021-11-16 | Arvinas Operations, Inc. | Compounds and methods for the targeted degradation of rapidly accelerated Fibrosarcoma polypeptides |
| US11352351B2 (en) | 2015-01-20 | 2022-06-07 | Arvinas Operations, Inc. | Compounds and methods for the targeted degradation of androgen receptor |
| US11427548B2 (en) | 2015-01-20 | 2022-08-30 | Arvinas Operations, Inc. | Compounds and methods for the targeted degradation of androgen receptor |
| US11458123B2 (en) | 2016-11-01 | 2022-10-04 | Arvinas Operations, Inc. | Tau-protein targeting PROTACs and associated methods of use |
| US11912699B2 (en) | 2019-07-17 | 2024-02-27 | Arvinas Operations, Inc. | Tau-protein targeting compounds and associated |
| US11957759B1 (en) | 2022-09-07 | 2024-04-16 | Arvinas Operations, Inc. | Rapidly accelerated fibrosarcoma (RAF) degrading compounds and associated methods of use |
| US12162859B2 (en) | 2020-09-14 | 2024-12-10 | Arvinas Operations, Inc. | Crystalline and amorphous forms of a compound for the targeted degradation of estrogen receptor |
| US12180193B2 (en) | 2020-08-28 | 2024-12-31 | Arvinas Operations, Inc. | Accelerating fibrosarcoma protein degrading compounds and associated methods of use |
| US12208095B2 (en) | 2019-08-26 | 2025-01-28 | Arvinas Operations, Inc. | Methods of treating breast cancer with tetrahydronaphthalene derivatives as estrogen receptor degraders |
| US12239711B2 (en) | 2014-04-14 | 2025-03-04 | Arvinas Operations, Inc. | Cereblon ligands and bifunctional compounds comprising the same |
| US12448399B2 (en) | 2023-01-26 | 2025-10-21 | Arvinas Operations, Inc. | Cereblon-based KRAS degrading PROTACs and uses related thereto |
Citations (1)
| Publication number | Priority date | Publication date | Assignee | Title |
|---|---|---|---|---|
| WO2008104000A2 (en) * | 2007-02-23 | 2008-08-28 | Aileron Therapeutics, Inc. | Triazole macrocycle systems |
-
2012
- 2012-11-09 WO PCT/US2012/064349 patent/WO2013071039A1/en not_active Ceased
Patent Citations (1)
| Publication number | Priority date | Publication date | Assignee | Title |
|---|---|---|---|---|
| WO2008104000A2 (en) * | 2007-02-23 | 2008-08-28 | Aileron Therapeutics, Inc. | Triazole macrocycle systems |
Non-Patent Citations (13)
| Title |
|---|
| "Comprehensive Organic Synthesis", 1991 |
| DEVERAUX ET AL., EMBO J., vol. 17, 1998, pages 2215 - 2223 |
| DEVERAUX ET AL., J CLIN IMMUNOL, vol. 19, 1999, pages 388 - 398 |
| FLYGARE JOHN A ET AL: "Small-molecule pan-IAP antagonists: a patent review", EXPERT OPINION ON THERAPEUTIC PATENTS, INFORMA HEALTHCARE, GB, vol. 20, no. 2, 1 February 2010 (2010-02-01), pages 251 - 267, XP009140763, ISSN: 1354-3776 * |
| FONG ET AL., GENOMICS, vol. 70, 2000, pages 113 |
| HINDS ET AL., NAT. STRUCT. BIOL., vol. 6, 1999, pages 648 - 651 |
| LACASSE ET AL., ONCOGENE, vol. 17, no. 25, 1998, pages 3247 |
| LISTON ET AL., NATURE, vol. 379, no. 6563, 1996, pages 349 |
| PEDERSEN D S ET AL: "1,2,3-Triazoles in Peptidomimetic Chemistry", vol. 2011, no. 13, 1 May 2011 (2011-05-01), pages 2399 - 2411, XP002680623, ISSN: 1434-193X, Retrieved from the Internet <URL:http://onlinelibrary.wiley.com/doi/10.1002/ejoc.201100157/abstract> [retrieved on 20110328], DOI: 10.1002/EJOC.201100157 * |
| SUN H ET AL: "Cyclopeptide Smac mimetics as antagonists of IAP proteins", BIOORGANIC & MEDICINAL CHEMISTRY LETTERS, PERGAMON, ELSEVIER SCIENCE, GB, vol. 20, no. 10, 15 May 2010 (2010-05-15), pages 3043 - 3046, XP027036786, ISSN: 0960-894X, [retrieved on 20100430] * |
| TAMM ET AL., CLIN. CANCER RES., vol. 6, no. 5, 2000, pages 1796 |
| THOMPSON ET AL., SCIENCE, vol. 267, 1995, pages 1456 - 1462 |
| ZANETA NIKOLOVSKA-COLESKA ET AL: "Interaction of a Cyclic, Bivalent Smac Mimetic with the X-Linked Inhibitor of Apoptosis Protein + +", BIOCHEMISTRY, vol. 47, no. 37, 16 September 2008 (2008-09-16), pages 9811 - 9824, XP055049703, ISSN: 0006-2960, DOI: 10.1021/bi800785y * |
Cited By (48)
| Publication number | Priority date | Publication date | Assignee | Title |
|---|---|---|---|---|
| US9284283B2 (en) | 2012-02-02 | 2016-03-15 | Ensemble Therapeutics Corporation | Macrocyclic compounds for modulating IL-17 |
| US8889712B2 (en) | 2012-06-19 | 2014-11-18 | Bristol-Myers Squibb Company | IAP antagonists |
| WO2014074665A1 (en) * | 2012-11-09 | 2014-05-15 | Bristol-Myers Squibb Company | Macrocyclic compounds for inhibition of inhibitors of apoptosis |
| US9988376B2 (en) | 2013-07-03 | 2018-06-05 | Glaxosmithkline Intellectual Property Development Limited | Benzothiophene derivatives as estrogen receptor inhibitors |
| US9993514B2 (en) | 2013-07-03 | 2018-06-12 | Glaxosmithkline Intellectual Property Development Limited | Compounds |
| US12239711B2 (en) | 2014-04-14 | 2025-03-04 | Arvinas Operations, Inc. | Cereblon ligands and bifunctional compounds comprising the same |
| US11427548B2 (en) | 2015-01-20 | 2022-08-30 | Arvinas Operations, Inc. | Compounds and methods for the targeted degradation of androgen receptor |
| US12312316B2 (en) | 2015-01-20 | 2025-05-27 | Arvinas Operations, Inc. | Compounds and methods for the targeted degradation of androgen receptor |
| US11352351B2 (en) | 2015-01-20 | 2022-06-07 | Arvinas Operations, Inc. | Compounds and methods for the targeted degradation of androgen receptor |
| US10946017B2 (en) | 2015-06-05 | 2021-03-16 | Arvinas Operations, Inc. | Tank-binding kinase-1 PROTACs and associated methods of use |
| US11554171B2 (en) | 2015-08-19 | 2023-01-17 | Arvinas Operations, Inc. | Compounds and methods for the targeted degradation of bromodomain-containing proteins |
| US10772962B2 (en) | 2015-08-19 | 2020-09-15 | Arvinas Operations, Inc. | Compounds and methods for the targeted degradation of bromodomain-containing proteins |
| US12171831B2 (en) | 2015-08-19 | 2024-12-24 | Arvinas Operations, Inc. | Compounds and methods for the targeted degradation of bromodomain- containing proteins |
| US11458123B2 (en) | 2016-11-01 | 2022-10-04 | Arvinas Operations, Inc. | Tau-protein targeting PROTACs and associated methods of use |
| US10647698B2 (en) | 2016-12-01 | 2020-05-12 | Arvinas Operations, Inc. | Tetrahydronaphthalene and tetrahydroisoquinoline derivatives as estrogen receptor degraders |
| US11104666B2 (en) | 2016-12-01 | 2021-08-31 | Arvinas Operations, Inc. | Tetrahydronaphthalene and tetrahydroisoquinoline derivatives as estrogen receptor degraders |
| EP3689868A1 (en) | 2016-12-01 | 2020-08-05 | Arvinas Operations, Inc. | Tetrahydronaphthalene and tetrahydroisoquinoline derivatives as estrogen receptor degraders |
| US11597720B2 (en) | 2016-12-01 | 2023-03-07 | Arvinas Operations, Inc. | Tetrahydronaphthalene and tetrahydroisoquinoline derivatives as estrogen receptor degraders |
| US10899742B1 (en) | 2016-12-01 | 2021-01-26 | Arvinas Operations, Inc. | Tetrahydronaphthalene and tetrahydroisoquinoline derivatives as estrogen receptor degraders |
| US12172981B2 (en) | 2016-12-01 | 2024-12-24 | Arvinas Operations, Inc. | Tetrahydronaphthalene and tetrahydroisoquinoline derivatives as estrogen receptor degraders |
| US11173211B2 (en) | 2016-12-23 | 2021-11-16 | Arvinas Operations, Inc. | Compounds and methods for the targeted degradation of rapidly accelerated Fibrosarcoma polypeptides |
| US10723717B2 (en) | 2016-12-23 | 2020-07-28 | Arvinas Operations, Inc. | Compounds and methods for the targeted degradation of rapidly accelerated fibrosarcoma polypeptides |
| US11986531B2 (en) | 2016-12-23 | 2024-05-21 | Arvinas Operations, Inc. | Compounds and methods for the targeted degradation of rapidly accelerated fibrosarcoma polypeptides |
| US10994015B2 (en) | 2016-12-23 | 2021-05-04 | Arvinas Operations, Inc. | EGFR proteolysis targeting chimeric molecules and associated methods of use |
| US10806737B2 (en) | 2016-12-23 | 2020-10-20 | Arvinas Operations, Inc. | Compounds and methods for the targeted degradation of fetal liver kinase polypeptides |
| WO2018119357A1 (en) | 2016-12-24 | 2018-06-28 | Arvinas, Inc. | Compounds and methods for the targeted degradation of enhancer of zeste homolog 2 polypeptide |
| US11191741B2 (en) | 2016-12-24 | 2021-12-07 | Arvinas Operations, Inc. | Compounds and methods for the targeted degradation of enhancer of zeste homolog 2 polypeptide |
| US11857519B2 (en) | 2016-12-24 | 2024-01-02 | Arvinas Operations, Inc. | Compounds and methods for the targeted degradation of enhancer of zeste homolog 2 polypeptide |
| US11384063B2 (en) | 2017-01-26 | 2022-07-12 | Arvinas Operations, Inc. | Modulators of estrogen receptor proteolysis and associated methods of use |
| US10604506B2 (en) | 2017-01-26 | 2020-03-31 | Arvinas Operations, Inc. | Modulators of estrogen receptor proteolysis and associated methods of use |
| US12275716B2 (en) | 2017-01-26 | 2025-04-15 | Arvinas Operations, Inc. | Modulators of estrogen receptor proteolysis and associated methods of use |
| US12036209B2 (en) | 2017-11-17 | 2024-07-16 | Arvinas Operations, Inc. | Compounds and methods for the targeted degradation of Interleukin-1 receptor-associated kinase 4 polypeptides |
| WO2019099926A1 (en) | 2017-11-17 | 2019-05-23 | Arvinas, Inc. | Compounds and methods for the targeted degradation of interleukin-1 receptor-associated kinase 4 polypeptides |
| US11065231B2 (en) | 2017-11-17 | 2021-07-20 | Arvinas Operations, Inc. | Compounds and methods for the targeted degradation of interleukin-1 receptor- associated kinase 4 polypeptides |
| US11028088B2 (en) | 2018-03-10 | 2021-06-08 | Yale University | Modulators of BTK proteolysis and methods of use |
| US11161841B2 (en) | 2018-04-04 | 2021-11-02 | Arvinas Operations, Inc. | Modulators of proteolysis and associated methods of use |
| WO2019195609A2 (en) | 2018-04-04 | 2019-10-10 | Arvinas Operations, Inc. | Modulators of proteolysis and associated methods of use |
| WO2020023851A1 (en) | 2018-07-26 | 2020-01-30 | Yale University | Bifunctional substitued pyrimidines as modulators of fak proteolyse |
| US11707452B2 (en) | 2018-08-20 | 2023-07-25 | Arvinas Operations, Inc. | Modulators of alpha-synuclein proteolysis and associated methods of use |
| WO2020041331A1 (en) | 2018-08-20 | 2020-02-27 | Arvinas Operations, Inc. | Proteolysis targeting chimeric (protac) compound with e3 ubiquitin ligase binding activity and targeting alpha-synuclein protein for treating neurodegenerative diseases |
| WO2020051564A1 (en) | 2018-09-07 | 2020-03-12 | Arvinas Operations, Inc. | Polycyclic compounds and methods for the targeted degradation of rapidly accelerated fibrosarcoma polypeptides |
| US11912699B2 (en) | 2019-07-17 | 2024-02-27 | Arvinas Operations, Inc. | Tau-protein targeting compounds and associated |
| US12208095B2 (en) | 2019-08-26 | 2025-01-28 | Arvinas Operations, Inc. | Methods of treating breast cancer with tetrahydronaphthalene derivatives as estrogen receptor degraders |
| US12180193B2 (en) | 2020-08-28 | 2024-12-31 | Arvinas Operations, Inc. | Accelerating fibrosarcoma protein degrading compounds and associated methods of use |
| US12162859B2 (en) | 2020-09-14 | 2024-12-10 | Arvinas Operations, Inc. | Crystalline and amorphous forms of a compound for the targeted degradation of estrogen receptor |
| US12156916B2 (en) | 2022-09-07 | 2024-12-03 | Arvinas Operations, Inc. | Rapid accelerated fibrosarcoma (RAF) degrading compounds and associated methods of use |
| US11957759B1 (en) | 2022-09-07 | 2024-04-16 | Arvinas Operations, Inc. | Rapidly accelerated fibrosarcoma (RAF) degrading compounds and associated methods of use |
| US12448399B2 (en) | 2023-01-26 | 2025-10-21 | Arvinas Operations, Inc. | Cereblon-based KRAS degrading PROTACs and uses related thereto |
Similar Documents
| Publication | Publication Date | Title |
|---|---|---|
| WO2013071039A1 (en) | Macrocyclic compounds for inhibition of inhibitors of apoptosis | |
| EP2776409B1 (en) | Macrocyclic compounds for inhibition of inhibitors of apoptosis | |
| EP2917218B1 (en) | Macrocyclic compounds for inhibition of inhibitors of apoptosis | |
| EP2903998B1 (en) | Iap antagonists | |
| EP2882740B1 (en) | Iap antagonists | |
| EP2897949B1 (en) | Iap antagonists | |
| EP2872521B1 (en) | Iap antagonists | |
| US9637518B2 (en) | IAP antagonists | |
| Socha et al. | Diversity-oriented synthesis of cyclic acyldepsipeptides leads to the discovery of a potent antibacterial agent | |
| EP2861581B9 (en) | 1,2,3,4-Tetrahydroisoquinoline-pyrrolidine derivatives as antagonists of apoptosis (IAPs) for the treatment of cancer. | |
| WO2015077193A1 (en) | Inhibitors of lysine methyl transferase | |
| WO2016100578A2 (en) | Antimicrobial polymyxins for treatment of bacterial infections | |
| WO2013071027A1 (en) | Macrocyclic compounds for inhibition of inhibitors of apoptosis | |
| US9605022B2 (en) | Macrocyclic compounds for inhibition of inhibitors of apoptosis | |
| CN110028508B (en) | Antitumor diazo bicyclic apoptosis protein inhibitor | |
| CA3174831A1 (en) | Pyrido[2,3-b][1,4]oxazines or tetrahydropyrido[2,3-b][1,4]oxazepines as iap antagonists | |
| CN108484640B (en) | Anti-tumor apoptosis protein inhibitor | |
| KR20010022295A (en) | Streptogramines, their preparation and compositions containing them |
Legal Events
| Date | Code | Title | Description |
|---|---|---|---|
| 121 | Ep: the epo has been informed by wipo that ep was designated in this application |
Ref document number: 12791921 Country of ref document: EP Kind code of ref document: A1 |
|
| NENP | Non-entry into the national phase |
Ref country code: DE |
|
| 122 | Ep: pct application non-entry in european phase |
Ref document number: 12791921 Country of ref document: EP Kind code of ref document: A1 |


































































