WO2013068328A1 - Bicyclo [2.2.2] octan-1-ylcarboxylic acid compounds as dgat-1 inhibitors - Google Patents
Bicyclo [2.2.2] octan-1-ylcarboxylic acid compounds as dgat-1 inhibitors Download PDFInfo
- Publication number
- WO2013068328A1 WO2013068328A1 PCT/EP2012/071894 EP2012071894W WO2013068328A1 WO 2013068328 A1 WO2013068328 A1 WO 2013068328A1 EP 2012071894 W EP2012071894 W EP 2012071894W WO 2013068328 A1 WO2013068328 A1 WO 2013068328A1
- Authority
- WO
- WIPO (PCT)
- Prior art keywords
- compound
- pharmaceutically acceptable
- alkyl
- halogen
- acceptable salt
- Prior art date
- Legal status (The legal status is an assumption and is not a legal conclusion. Google has not performed a legal analysis and makes no representation as to the accuracy of the status listed.)
- Ceased
Links
Classifications
-
- C—CHEMISTRY; METALLURGY
- C07—ORGANIC CHEMISTRY
- C07D—HETEROCYCLIC COMPOUNDS
- C07D498/00—Heterocyclic compounds containing in the condensed system at least one hetero ring having nitrogen and oxygen atoms as the only ring hetero atoms
- C07D498/02—Heterocyclic compounds containing in the condensed system at least one hetero ring having nitrogen and oxygen atoms as the only ring hetero atoms in which the condensed system contains two hetero rings
- C07D498/04—Ortho-condensed systems
-
- A—HUMAN NECESSITIES
- A61—MEDICAL OR VETERINARY SCIENCE; HYGIENE
- A61P—SPECIFIC THERAPEUTIC ACTIVITY OF CHEMICAL COMPOUNDS OR MEDICINAL PREPARATIONS
- A61P3/00—Drugs for disorders of the metabolism
- A61P3/04—Anorexiants; Antiobesity agents
-
- A—HUMAN NECESSITIES
- A61—MEDICAL OR VETERINARY SCIENCE; HYGIENE
- A61P—SPECIFIC THERAPEUTIC ACTIVITY OF CHEMICAL COMPOUNDS OR MEDICINAL PREPARATIONS
- A61P3/00—Drugs for disorders of the metabolism
- A61P3/06—Antihyperlipidemics
-
- A—HUMAN NECESSITIES
- A61—MEDICAL OR VETERINARY SCIENCE; HYGIENE
- A61P—SPECIFIC THERAPEUTIC ACTIVITY OF CHEMICAL COMPOUNDS OR MEDICINAL PREPARATIONS
- A61P3/00—Drugs for disorders of the metabolism
- A61P3/08—Drugs for disorders of the metabolism for glucose homeostasis
- A61P3/10—Drugs for disorders of the metabolism for glucose homeostasis for hyperglycaemia, e.g. antidiabetics
-
- C—CHEMISTRY; METALLURGY
- C07—ORGANIC CHEMISTRY
- C07D—HETEROCYCLIC COMPOUNDS
- C07D403/00—Heterocyclic compounds containing two or more hetero rings, having nitrogen atoms as the only ring hetero atoms, not provided for by group C07D401/00
- C07D403/02—Heterocyclic compounds containing two or more hetero rings, having nitrogen atoms as the only ring hetero atoms, not provided for by group C07D401/00 containing two hetero rings
- C07D403/04—Heterocyclic compounds containing two or more hetero rings, having nitrogen atoms as the only ring hetero atoms, not provided for by group C07D401/00 containing two hetero rings directly linked by a ring-member-to-ring-member bond
-
- C—CHEMISTRY; METALLURGY
- C07—ORGANIC CHEMISTRY
- C07D—HETEROCYCLIC COMPOUNDS
- C07D471/00—Heterocyclic compounds containing nitrogen atoms as the only ring hetero atoms in the condensed system, at least one ring being a six-membered ring with one nitrogen atom, not provided for by groups C07D451/00 - C07D463/00
- C07D471/02—Heterocyclic compounds containing nitrogen atoms as the only ring hetero atoms in the condensed system, at least one ring being a six-membered ring with one nitrogen atom, not provided for by groups C07D451/00 - C07D463/00 in which the condensed system contains two hetero rings
- C07D471/04—Ortho-condensed systems
-
- C—CHEMISTRY; METALLURGY
- C07—ORGANIC CHEMISTRY
- C07D—HETEROCYCLIC COMPOUNDS
- C07D491/00—Heterocyclic compounds containing in the condensed ring system both one or more rings having oxygen atoms as the only ring hetero atoms and one or more rings having nitrogen atoms as the only ring hetero atoms, not provided for by groups C07D451/00 - C07D459/00, C07D463/00, C07D477/00 or C07D489/00
- C07D491/02—Heterocyclic compounds containing in the condensed ring system both one or more rings having oxygen atoms as the only ring hetero atoms and one or more rings having nitrogen atoms as the only ring hetero atoms, not provided for by groups C07D451/00 - C07D459/00, C07D463/00, C07D477/00 or C07D489/00 in which the condensed system contains two hetero rings
- C07D491/04—Ortho-condensed systems
Definitions
- the present invention is directed to novel imidazole derivative compounds.
- the compounds act as diacylglycerol O-acyltransferase type 1 inhibitors (hereinafter also referred to as "DGAT1”), and can be useful in preventing, treating or acting as a remedial agent for hyperlipidemia, diabetes mellitus and obesity.
- DGAT1 diacylglycerol O-acyltransferase type 1 inhibitors
- Obesity is a medical condition in which excess body fat has accumulated to the extent that it may have an adverse effect on health, leading to reduced life expectancy and increased health problems.
- obesity is recognized as an upstream risk factor for many conditions such as diabetes mellitus, lipidosis and hypertension (Journal of Japan Society for the Study of Obesity, Vol. 12, Extra Edition, 2006).
- the need to treat obesity is recognized to be important, there are extremely limited drug therapies for obesity that are currently available, and thus, the advent of novel anti-obesity drugs having more definite action and few side-effects is desired.
- TG triacylglycerol
- adipose tissue which is a result of lack of exercise, intake of excessive calories and aging.
- TG triacylglycerol
- a glycerol phosphate pathway which is present in most organs and causes de novo TG synthesis
- a monoacylglycerol pathway which is involved principally in absorption of aliphatic acid from the small intestine.
- Diacylglycerol acyltransferases DGATs, EC 2.3.1.20
- DGATs EC 2.3.1.20
- the final reaction consists of transferring an acyl group from acyl-coenzyme A to the 3 -position of 1,2- diacylglycerol to generate TG (Prog. Lipid Res., 43, 134-176, 2004 and Ann. Med., 36, 252-261, 2004).
- DGATs There are two subtypes of DGATs, DGAT-1 and DGAT-2. There is no significant homology at the generic or amino acid level between the DGAT-1 and DGAT-2, which are encoded by different genes (Proc. Natl. Acad. Sci. USA., 95, 13018-13023, 1998 and JBC, 276, 38870-38876, 2001).
- DGAT-1 is present in the small intestine, adipose tissue and liver and is believed to be involved in lipid absorption in the small intestine; lipid accumulation in the fat cell; and VLDL secretion and lipid accumulation in the liver (Ann. Med., 36, 252-261, 2004 and JBC, 280, 21506-21514, 2005).
- a DGAT-1 inhibitor is expected to be an effective obesity treatment through inhibition of lipid absorption in the small intestine, lipid accumulation in the adipose tissue and the liver, and lipid secretion from the liver.
- DGAT-1 -knockout mice deficient in DGAT-1 at the genetic level was produced and analyzed.
- the DGAT-1 -knockout mice have been found to have smaller fat masses than those of wild-type mice and became resistant to obesity, abnormal glucose tolerance, insulin resistance and fatty liver due when fed a high-fat diet (Nature Genetics, 25, 87-90, 2000 and JCI, 109, 1049-1055, 2002).
- DGAT-1 inhibitors are likely to be therapeutic drugs with efficacy for obesity, type 2 diabetes mellitus, lipidosis, hypertension, fatty liver, arteriosclerosis,
- the compounds described herein are DGAT-1 inhibitors, which are useful in the treatment of obesity, type 2 diabetes mellitus, lipidosis, hypertension, fatty liver, arteriosclerosis, cerebrovascular disorder, coronary artery disease and metabolic syndrome, particularly, obesity and diabetes.
- X is selected from the group consisting of -N-, - CH- and -CR 4 -;
- R 1 , R 2 and R 3 are independently selected from the group consisting of hydrogen, halogen, Ci-Cealkyl, C 2 -C 6 alkenyl, halogen-substitutedCi-C 6 alkyl, -OH, Ci-C 6 alkylOH, -OCi-C 6 alkyl, - Ohalogen-substitutedCi-C 6 alkyl, -NH 2 , -S0 2 Ci-C 6 alkyl and -CN or when taken together R 2 and form a hetero cycle ring; and
- R 4 is selected from the group consisting of halogen, Ci-C 6 alkyl, C 2 -C 6 alkenyl, halogen- substitutedCi-C 6 alkyl, -OH, Ci-C 6 alkylOH, -OCi-C 6 alkyl, -Ohalogen-substitutedCi-C 6 alkyl, - NH 2 , -S0 2 Ci-C 6 alkyl and -CN.
- X is selected from the group consisting of -N-, -CH- and -CR 4 -. In some embodiments, X is -N-. In other embodiments, X is -CH-. In still other embodiments, X is -CR 4 -.
- R 4 is selected from the group consisting of halogen, Ci-C 6 alkyl, C 2 -C 6 alkenyl, halogen-substitutedCi-C 6 alkyl, -OH, Ci-C 6 alkylOH, -OCi- C 6 alkyl, -Ohalogen-substitutedCi-C 6 alkyl, -NH 2 , -S0 2 Ci-C 6 alkyl and -CN.
- R 4 is halogen. Suitable halogens include chlorine, fluorine and iodine.
- R 4 is Ci-Cealkyl. Suitable alkyls include, but are not limited to, methyl, ethyl, n-propyl, isopropyl, n-butyl, isobutyl, sec-butyl, tert-butyl.
- R 4 is C 2 -C 6 alkenyl. Suitable alkenyls include, but are not limited to, ethenyl, propenyl, n-butenyl, 3- methylbut-2-enyl, n-pentenyl.
- R 4 is halogen-substitutedCi-Cealkyl. Suitable halogen-substituted alkyls include, but are not limited to, mono-, di- and trifluoromethyl. In another embodiment of the compounds described herein, R 4 is selected from -OH and Ci- CealkylOH. In still another embodiment, R 4 is OCi-Cealkyl. Suitable alkoxys include, but are not limited to, methoxy, ethoxy, n-propoxy and isopropoxy. In still another embodiment, R 4 is halogen-substitutedOCi-Cealkyl.
- Suitable halogen-substituted alkoxys include, but are not limited to, mono-, di- and trifluoromethoxy.
- R 4 is -NH 2 .
- R 4 is -S0 2 Ci-C 6 alkyl.
- Suitable -S0 2 Ci-C 6 alkyl include, but are not limited to, - SO 2 CH 3 .
- R 4 is -CN.
- R 1 , R 2 and R 3 are independently selected from the group consisting of hydrogen, halogen, Ci-C 6 alkyl, C 2 -C 6 alkenyl, halogen- substitutedCi- Cealkyl, -OH, Ci-C 6 alkylOH, -OCi-C 6 alkyl, -Ohalogen-substitutedCi-C 6 alkyl, -NH 2 , -S0 2 Ci- Cealkyl and -CN or when taken together R 2 and R 3 form a heterocycle ring.
- R 1 is hydrogen. In certain embodiments, R 1 is halogen. Suitable halogens include chlorine, fluorine, bromine and iodine. In other embodiments, R 1 is selected from the group consisting of hydrogen and halogen. In another embodiment, R 1 is Ci-C 6 alkyl. Suitable alkyls include, but are not limited to, methyl, ethyl, n-propyl, isopropyl, n- butyl, isobutyl, sec-butyl, tert-butyl. In yet another embodiment, R 1 is C 2 -C 6 alkenyl.
- Suitable alkenyls include, but are not limited to, ethenyl, propenyl, n-butenyl, 3-methylbut-2-enyl, n- pentenyl.
- R 1 is halogen-substitutedCi-Cealkyl. Suitable halogen- substituted alkyls include, but are not limited to, mono-, di- and trifluoromethyl.
- R 1 is selected from -OH and Ci-C 6 alkylOH.
- R 1 is OCi-Cealkyl.
- Suitable alkoxys include, but are not limited to, methoxy, ethoxy, n-propoxy and isopropoxy.
- R 1 is halogen- substitutedOCi-Cealkyl. Suitable halogen-substituted alkoxys include, but are not limited to, mono-, di- and trifluoromethoxy. In yet another embodiment, R 1 is -NH 2 . In another
- R 1 is -S0 2 Ci-C 6 alkyl. Suitable -S0 2 Ci-C 6 alkyl include, but are not limited to, - S0 2 CH 3 . In still another embodiment, R 1 is -CN.
- R 2 is hydrogen. In certain embodiments, R 2 is halogen. Suitable halogens include chlorine, fluorine, bromine and iodine. In other embodiments, R 2 is selected from the group consisting of hydrogen and halogen. In another embodiment, R 2 is Ci-C 6 alkyl. Suitable alkyls include, but are not limited to, methyl, ethyl, n-propyl, isopropyl, n- butyl, isobutyl, sec-butyl, tert-butyl. In yet another embodiment, R 2 is C 2 -C 6 alkenyl.
- Suitable alkenyls include, but are not limited to, ethenyl, propenyl, n-butenyl, 3-methylbut-2-enyl, n- pentenyl.
- R 2 is halogen-substitutedCi-Cealkyl. Suitable halogen- substituted alkyls include, but are not limited to, mono-, di- and trifluoromethyl.
- R 2 is selected from -OH and Ci-C 6 alkylOH.
- R 2 is OCi-Cealkyl.
- Suitable alkoxys include, but are not limited to, methoxy, ethoxy, n-propoxy and isopropoxy.
- R 2 is halogen- substitutedOCi-Cealkyl. Suitable halogen-substituted alkoxys include, but are not limited to, mono-, di- and trifluoromethoxy. In yet another embodiment, R 2 is -NH 2 . In another
- R 2 is -S0 2 Ci-C 6 alkyl. Suitable -S0 2 Ci-C 6 alkyl include, but are not limited to, - S0 2 CH 3 . In still another embodiment, R 2 is -CN. In some embodiments described herein, R 3 is hydrogen. In certain embodiments, R 3 is halogen. Suitable halogens include chlorine, fluorine and iodine. In another embodiment, R 3 is Ci-C 6 alkyl. Suitable alkyls include, but are not limited to, methyl, ethyl, n-propyl, isopropyl, n- butyl, isobutyl, sec-butyl, tert-butyl.
- R 3 is C 2 -C 6 alkenyl. Suitable alkenyls include, but are not limited to, ethenyl, propenyl, n-butenyl, 3-methylbut-2-enyl, n- pentenyl. In still another embodiment, R 3 is halogen-substitutedCi-Cealkyl. Suitable halogen- substituted alkyls include, but are not limited to, mono-, di- and trifluoromethyl. In another embodiment of the compounds described herein, R 3 is selected from -OH and Ci-C 6 alkylOH. In still another embodiment, R 3 is OCi-Cealkyl.
- Suitable alkoxys include, but are not limited to, methoxy, ethoxy, n-propoxy and isopropoxy.
- R 3 is halogen- substitutedOCi-Cealkyl. Suitable halogen-substituted alkoxys include, but are not limited to, mono-, di- and trifluoromethoxy.
- R 3 is -NH 2 .
- R 3 is -S0 2 Ci-C 6 alkyl. Suitable -S0 2 Ci-C 6 alkyl include, but are not limited to, - SO 2 CH 3 .
- R 3 is -CN.
- R 2 and R 3 when taken together form a heterocycle ring. In certain embodiments, when taken together R 2 and R 3 form a heterocycle ring, wherein the heterocyle is a 5-6 membered ring. In other embodiments, when taken together, R 2 and R 3 form a heterocyclic ring containing at least one oxygen. In still other embodiments, when taken together, R 2 and R 3 form at heterocyclic ring containing only oxygen.
- Suitable heterocycles include, but are not limited to, 1 , 3-dioxolane or 3-morpholinone.
- halogen examples include a fluorine atom, a chlorine atom, a bromine atom, and an iodine atom.
- Ci-C 6 alkyl encompasses straight alkyl having a carbon number of 1 to 6 and branched alkyl having a carbon number of 3 to 6. Specific examples thereof include methyl, ethyl, n-propyl, isopropyl, n-butyl, isobutyl, sec-butyl, tert-butyl, n-pentyl, isopentyl, neopentyl, tert- pentyl, 1-methylbutyl, 2-methylbutyl, 1 ,2-dimethylpropyl, 1-ethylpropyl, n-hexyl, isohexyl, 1- methylpentyl, 2-methylpentyl, 3-methylpentyl, 1 , 1 -dimethylbutyl, 1 ,2-dimethylbutyl, 2,2- dimethylbutyl, 1-ethylbutyl, 1,1 ,2-trimethylpropyl, 1,2,2-trimethylprop
- alkenyl refers to an aliphatic hydrocarbon group containing at least one carbon-carbon double bond and may be straight or branched and unless otherwise specified, contains from about 2 to about 15 carbon atoms. In one embodiment, an alkenyl group contains from about 2 to about 12 carbon atoms. In another embodiment, an alkenyl group contains from about 2 to about 6 carbon atoms. For example, C2-C 6 alkenyl is an alkenyl containing 2-6 carbon atoms.
- alkenyl groups include ethenyl, propenyl, n-butenyl, 3-methylbut-2-enyl, n-pentenyl, octenyl and decenyl.
- -OCi-C 6 alkyl refers to an alkyl group having 1 to 6 carbons linked to oxygen, also known as an alkoxy group. Examples include methoxy, ethoxy, butoxy and propoxy.
- halogen-substitutedCi-C 6 alkyl encompasses Ci-C 6 alkyl with the hydrogen atoms thereof being partially or completely substituted with halogen, examples thereof including fluoromethyl, difluoromethyl, trifluoromethyl, 2-fluoroethyl, 1 ,2-difluoroethyl, 2,2-difluoroethyl and the like.
- -Ohalogen-substitutedCi-Cealkyl means a -OCi-C 6 alkyl as defined above, which is substituted with 1-3 halogen atoms which are identical or different, and specifically includes, for example, a trifluoromethoxy group.
- Ci-C 6 alkylOH means a Ci-C 6 alkyl substituted with an alcohol (-OH).
- Examples include methanol, propanol, butanol and t-butanol.
- S0 2 Ci-C 6 alkyl means a group having Ci-C 6 alkyl bonded to sulfonyl (-S0 2 -). Specific examples thereof include methanesulfonyl, ethanesulfonyl, n-propanesulfonyl,
- heterocycle means mono- or bicyclic or bridged unsaturated, partially unsaturated and saturated rings containing at least one heteroatom selected from N, S and O, each of said ring having from 3 to 10 atoms in which the point of attachment may be carbon or nitrogen.
- Examples thereof include pyrrolyl, furyl, thienyl, imidazolyl, pyrazolyl, thiazolyl, isothiazolyl, oxazolyl, isoxazolyl, triazolyl, tetrazolyl, oxadiazolyl, 1 ,2,3-thiadiazolyl, 1,2,4- thiadiazolyl, 1 ,3,4-thiadiazolyl, pyridyl, pyrazinyl, pyrimidinyl, pyridazinyl, 1,2,4-triazinyl, 1,3,5- triazinyl, indolyl, benzofuranyl, benzothienyl, benzimidazolyl, benzopyrazolyl, benzoxazolyl, benzisoxazolyl, benzothiazolyl, benzisothiazolyl, indazolyl, purinyl, quinolyl, isoquinolyl, phthala
- Examples also include tetrahydropyranyl, tetrahydrofuranyl, pyrrolidinyl, piperidinyl, piperazinyl, dioxanyl, imidazolidinyl, 2,3-dihydrofuro(2,3-£)pyridyl, benzoxazinyl, benzoxazolinyl, 2-H-phthalazinyl, isoindolinyl, benzoxazepinyl, 5,6-dihydroimidazo[2,l-3 ⁇ 4]thiazolyl,
- tetrahydroquinolinyl morpholinyl, tetrahydroisoquinolinyl, dihydroindolyl, tetrahydropyran, and the like.
- the term also includes partially unsaturated monocyclic rings that are not aromatic, such as 2- or 4-pyridones attached through the nitrogen or N-substituted-(lH, 3H)-pyrimidine-2,4- diones (TV-substituted uracils).
- the term also includes bridged rings such as 5- azabicyclo[2.2.1]heptyl, 2,5-diazabicyclo[2.2.1]heptyl, 2-azabicyclo[2.2.1]heptyl, 7- azabicyclo[2.2.1]heptyl, 2,5-diazabicyclo[2.2.2]octyl, 2-azabicyclo[2.2.2]octyl, and 3- azabicyclo[3.2.2]nonyl, and azabicyclo[2.2.1]heptanyl.
- pharmaceutically acceptable salt refers to salts prepared from pharmaceutically acceptable non-toxic bases or acids including inorganic or organic bases and inorganic or organic acids. Salts of basic compounds encompassed within the term “pharmaceutically acceptable salt” refer to non-toxic salts of the compounds of this invention which are generally prepared by reacting the free base with a suitable organic or inorganic acid.
- Representative salts of basic compounds of the present invention include, but are not limited to, the following: acetate, benzenesulfonate, benzoate, bicarbonate, bisulfate, bitartrate, borate, bromide, camsylate, carbonate, chloride, clavulanate, citrate, dihydrochloride, edetate, edisylate, estolate, esylate, fumarate, gluceptate, gluconate, glutamate, glycollylarsanilate, hexylresorcinate, hydrabamine, hydrobromide, hydrochloride, hydroxynaphthoate, iodide, isothionate, lactate, lactobionate, laurate, malate, maleate, mandelate, mesylate, methylbromide, methylnitrate, methylsulfate, mucate, napsylate, nitrate, N-methylglucamine ammonium salt,
- suitable pharmaceutically acceptable salts thereof include, but are not limited to, salts derived from inorganic bases including aluminum, ammonium, calcium, copper, ferric, ferrous, lithium, magnesium, manganic, mangamous, potassium, sodium, zinc, and the like. Particularly preferred are the ammonium, calcium, magnesium, potassium, and sodium salts.
- Salts derived from pharmaceutically acceptable organic non-toxic bases include salts of primary, secondary, and tertiary amines, cyclic amines, and basic ion-exchange resins, such as arginine, betaine, caffeine, choline, ⁇ , ⁇ -dibenzylethylenediamine, diethylamine, 2-diethylaminoethanol, 2- dimethylaminoethanol, ethanolamine, ethylenediamine, N-ethylmorpholine, N-ethylpiperidine, glucamine, glucosamine, histidine, hydrabamine, isopropylamine, lysine, methylglucamine, morpholine, piperazine, piperidine, polyamine resins, procaine, purines, theobromine,
- a “subject” is a human or non-human mammal. In one embodiment, a subject is a human.
- a subject is a non-human mammal, including, but not limited to, a monkey, dog, baboon, rhesus, mouse, rat, horse, cat or rabbit.
- a subject is a companion animal, including but not limited to a dog, cat, rabbit, horse or ferret.
- a subject is a dog.
- a subject is a cat.
- racemic mixtures of the compounds may be separated so that the individual enantiomers are isolated.
- the separation can be carried out by methods well known in the art, such as the coupling of a racemic mixture of compounds to an enantiomerically pure compound to form a diastereomeric mixture, followed by separation of the individual diastereomers by standard methods, such as fractional crystallization or chromatography.
- the coupling reaction is often the formation of salts using an enantiomerically pure acid or base.
- the diasteromeric derivatives may then be converted to the pure enantiomers by cleavage of the added chiral residue.
- the racemic mixture of the compounds can also be separated directly by chromatographic methods utilizing chiral stationary phases, which methods are well known in the art.
- any enantiomer of a compound may be obtained by stereoselective synthesis using optically pure starting materials or reagents of known configuration by methods well known in the art. It will be understood that, as used herein, references to the compounds of the structural formulas described herein are meant to also include the pharmaceutically acceptable salts, and also salts that are not pharmaceutically acceptable when they are used as precursors to the free compounds or their pharmaceutically acceptable salts or in other synthetic manipulations.
- Some of the compounds described herein may exist as tautomers, which have different points of attachment of hydrogen accompanied by one or more double bond shifts.
- a ketone and its enol form are keto-enol tautomers.
- the individual tautomers as well as mixtures thereof are encompassed with compounds of the present invention.
- the atoms may exhibit their natural isotopic abundances, or one or more of the atoms may be artificially enriched in a particular isotope having the same atomic number, but an atomic mass or mass number different from the atomic mass or mass number predominantly found in nature.
- the present invention is meant to include all suitable isotopic variations of the compounds of the formulas described herein.
- different isotopic forms of hydrogen (H) include protium (iH) and deuterium (3 ⁇ 4).
- Protium is the predominant hydrogen isotope found in nature. Enriching for deuterium may afford certain therapeutic advantages, such as increasing in vivo half-life or reducing dosage requirements, or may provide a compound useful as a standard for characterization of biological samples.
- Also encompassed by the present invention are methods of treating DGATl -related diseases.
- the compounds described herein are effective in preventing or treating various diseases.
- DGATl -related diseases such as metabolic diseases such as obesity, diabetes, hormone secretion disorder, hyperlipemia, gout, fatty liver, and the like; circulatory diseases such as angina pectoris, acute/congestive cardiac insufficiency, myocardial infarction, coronary arteriosclerosis, hypertension, nephropathy, electrolyte abnormality, and the like; central and peripheral nervous system diseases such as bulimia, affective disorder, depression, anxiety, epilepsy, delirium, dementia, schizophrenia, attention deficit/hyperactivity disorder, dysmnesia, somnipathy, cognitive impairment, dyskinesia, dysesthesia, dysosmia, morphine resistance, drug dependence, alcohol dependence, and the like; reproductive system diseases such as infertility, premature delivery, sexual dysfunction, and the like; and other conditions including digestive diseases, respiratory diseases, cancer, and chromatosis.
- the compound of the invention is especially useful as a preventive or a remedy for obesity, diabetes, fatty liver, bulimia
- One aspect of the invention described herein provides a method for the treatment and control of obesity or metabolic syndrome, which comprises administering to a subject in need of such treatment a therapeutically effective amount of a compound having the formulas described herein or a pharmaceutically acceptable salt thereof.
- the compounds described herein are useful for treating or preventing obesity by administering to a subject in need thereof a composition comprising a compound of any of the formulas described herein.
- Methods of treating or preventing obesity and conditions associated with obesity refer to the administration of the pharmaceutical formulations described herein to reduce or maintain the body weight of an obese subject or to reduce or maintain the body weight of an individual at risk of becoming obese.
- One outcome of treatment may be reducing the body weight of an obese subject relative to that subject's body weight immediately before the administration of the compounds or combinations of the present invention.
- Another outcome of treatment may be preventing body weight, regain of body weight previously lost as a result of diet, exercise, or pharmacotherapy and preventing weight gain from cessation of smoking.
- Another outcome of treatment may be decreasing the occurrence of and/or the severity of obesity-related diseases.
- Yet another outcome of treatment may be decreasing the risk of developing diabetes in an overweight or obese subject.
- the treatment may suitably result in a reduction in food or calorie intake by the subject, including a reduction in total food intake, or a reduction of intake of specific components of the diet such as carbohydrates or fats; and/or the inhibition of nutrient absorption; and/or the inhibition of the reduction of metabolic rate; and in weight reduction in subjects in need thereof.
- the treatment may also result in an alteration of metabolic rate, such as an increase in metabolic rate, rather than or in addition to an inhibition of the reduction of metabolic rate; and/or in minimization of the metabolic resistance that normally results from weight loss.
- Prevention of obesity and obesity-related disorders refers to the administration of the pharmaceutical formulations described herein to reduce or maintain the body weight of a subject at risk of obesity.
- One outcome of prevention may be reducing the body weight of a subject at risk of obesity relative to that subject's body weight immediately before the administration of the compounds or combinations of the present invention.
- Another outcome of prevention may be preventing body weight regain of body weight previously lost as a result of diet, exercise, or pharmacotherapy.
- Another outcome of prevention may be preventing obesity from occurring if the treatment is administered prior to the onset of obesity in a subject at risk of obesity.
- Another outcome of prevention may be decreasing the occurrence and/or severity of obesity-related disorders if the treatment is administered prior to the onset of obesity in a subject at risk of obesity.
- such treatment may prevent the occurrence, progression or severity of obesity-related disorders, such as, but not limited to, arteriosclerosis, type 2 diabetes, polycystic ovary disease, cardiovascular diseases, osteoarthritis, dermatological disorders, hypertension, insulin resistance, hypercholesterolemia, hypertriglyceridemia, and cholelithiasis.
- arteriosclerosis such as, but not limited to, arteriosclerosis, type 2 diabetes, polycystic ovary disease, cardiovascular diseases, osteoarthritis, dermatological disorders, hypertension, insulin resistance, hypercholesterolemia, hypertriglyceridemia, and cholelithiasis.
- the following diseases, disorders and conditions are related to Type 2 diabetes, and therefore may be treated, controlled or in some cases prevented, by treatment with the compounds described herein: (1) hyperglycemia, (2) low glucose tolerance, (3) insulin resistance, (4) obesity, (5) lipid disorders, (6) dyslipidemia, (7) hyperlipidemia, (8) hypertriglyceridemia, (9) hypercholesterolemia, (10) low HDL levels, (11) high LDL levels, (12) atherosclerosis and its sequelae, (13) vascular restenosis, (14) irritable bowel syndrome, (15) inflammatory bowel disease, including Crohn's disease and ulcerative colitis, (16) other inflammatory conditions, (17) pancreatitis, (18) abdominal obesity, (19) neurodegenerative disease, (20) retinopathy, (21) nephropathy, (22) neuropathy, (23) Syndrome X, (24) ovarian hyperandrogenism (polycystic ovarian syndrome), and other disorders where insulin resistance is a component.
- Syndrome X also known as Metabolic Syndrome
- Another aspect of the invention that is of interest relates to a method of treating hyperglycemia, hypertriglyceridemia, diabetes or insulin resistance in a mammalian subject in need of such treatment which comprises administering to said subject a compound in accordance with the formulas described herein or a pharmaceutically acceptable salt thereof in an amount that is effective to treat hyperglycemia, diabetes or insulin resistance.
- Another aspect of the invention that is of interest relates to a method of treating type 2 diabetes in a mammalian subject in need of such treatment comprising
- Yet another aspect of the invention that is of interest relates to a method of treating non- insulin dependent diabetes mellitus in a mammalian subject in need of such treatment comprising administering to the subject a compound in accordance with the formulas described herein or a pharmaceutically acceptable salt thereof in an amount that is effective to treat non-insulin dependent diabetes mellitus.
- the present invention is also directed to the use of a compound of any of the formulas described herein in the manufacture of a medicament for use in treating various DGATl -related diseases, such as metabolic diseases such as obesity, diabetes, hormone secretion disorder, hyperlipemia, gout, fatty liver, and the like; circulatory diseases such as angina pectoris, acute/congestive cardiac insufficiency, myocardial infarction, coronary arteriosclerosis, hypertension, nephropathy, electrolyte abnormality, and the like; central and peripheral nervous system diseases such as bulimia, affective disorder, depression, anxiety, epilepsy, delirium, dementia, schizophrenia, attention deficit/hyperactivity disorder, dysmnesia, somnipathy, cognitive impairment, dyskinesia, dysesthesia, dysosmia, morphine resistance, drug dependence, alcohol dependence, and the like; reproductive system diseases such as infertility, premature delivery, sexual dysfunction, and the like; and other conditions including digestive diseases, respiratory diseases, cancer, and chromato
- the present invention is directed to the use of a compound of any of the formulas described herein in the manufacture of a medicament for use in treating obesity, diabetes, hormone secretion disorder, hyperlipemia, gout and fatty liver.
- the present invention is directed to the use of a compound of any of the formulas described herein in the manufacture of a medicament for use in treating obesity.
- DGAT-1 inhibitors may also serve as antiviral therapeutics that selectively suppresses HCV's (Hepatitis C virus) interation with lipid droplets without compromising the overall formation of lipid droplets in liver cells Nature Medicine, vol. 16, no. 11 pages 1295-1298, November 2010.
- HCV's Hepatitis C virus
- Compounds of the invention may be administered orally or parenterally.
- the compound of the invention can be used as a pharmaceutical composition for the prevention, treatment, or remedy of the above diseases.
- the compound of the invention In clinical use of the compound of the invention, usually, the compound is formulated into various preparations together with pharmaceutically acceptable additives according to the dosage form, and may then be administered.
- pharmaceutically acceptable it is meant the additive, carrier, diluent or excipient must be compatible with the other ingredients of the formulation and not deleterious to the recipient thereof.
- additives various additives ordinarily used in the field of pharmaceutical preparations are usable. Specific examples thereof include gelatin, lactose, sucrose, titanium oxide, starch, crystalline cellulose, hydroxypropyl methylcellulose,
- carboxymethylcellulose corn starch, microcrystalline wax, white petrolatum, magnesium metasilicate aluminate, anhydrous calcium phosphate, citric acid, trisodium citrate,
- Preparations to be formed with those additives include, for example, solid preparations such as tablets, capsules, granules, powders, suppositories; and liquid preparations such as syrups, elixirs, injections. These may be formulated according to conventional methods known in the field of pharmaceutical preparations.
- the liquid preparations may also be in such a form that may be dissolved or suspended in water or in any other suitable medium in their use.
- the preparations may be dissolved or suspended in physiological saline or glucose liquid, and a buffer or a preservative may be optionally added thereto.
- compositions may contain the compound of the invention in an
- compositions may further contain any other therapeutically-effective compounds.
- the dose and the dosing frequency may be varied, depending on the sex, the age, the body weight and the disease condition of the subject and on the type and the range of the intended remedial effect.
- the dose when orally administered, may be from 0.001 to 50 mg/kg of body weight/day, and it may be administered at a time or in several times.
- the dose is preferably from about 0.01 to about 25 mg/kg/day, more preferably from about 0.05 to about 10 mg/kg/day.
- the compositions are preferably provided in the form of tablets or capsules containing from 0.01 mg to 1,000 mg, preferably 0.01 , 0.05, 0.1, 0.2, 0.5, 1.0, 2.5, 5, 10, 15, 20, 25, 30, 40, 50, 75, 100, 125, 150, 175, 200, 225, 250, 500, 750, 850 and 1,000 milligrams of a compound described herein. This dosage regimen may be adjusted to provide the optimal therapeutic response.
- the compounds of the present invention are further useful in methods for the prevention or treatment of the aforementioned diseases, disorders and conditions in combination with other therapeutic agents.
- the compounds of the present invention may be used in combination with one or more other drugs in the treatment, prevention, suppression or amelioration of diseases or conditions for which compounds of any of the formulas described herein or the other drugs may have utility, where the combination of the drugs together are safer or more effective than either drug alone.
- Such other drug(s) may be administered, by a route and in an amount commonly used therefore, contemporaneously or sequentially with a compound of any of the formulas described herein.
- a pharmaceutical composition in unit dosage form containing such other drugs and the compound of any of the formulas described herein is preferred.
- the combination therapy may also include therapies in which the compound of any of the formulas described herein and one or more other drugs are administered on different overlapping schedules. It is also contemplated that when used in combination with one or more other active ingredients, the compounds of the present invention and the other active ingredients may be used in lower doses than when each is used singly. Accordingly, the pharmaceutical compositions of the present invention include those that contain one or more other active ingredients, in addition to a compound of any of the formulas described herein.
- Examples of other active ingredients that may be administered in combination with a compound of any of the formulas described herein, and either administered separately or in the same pharmaceutical composition include, but are not limited to:
- DPP-4 dipeptidyl peptidase-IV
- (2) insulin sensitizers including (i) PPARy agonists, such as the glitazones (e.g. pioglitazone, rosiglitazone, netoglitazone, rivoglitazone, and balaglitazone) and other PPAR ligands, including (1) PPARa/ ⁇ dual agonists, such as muraglitazar, aleglitazar, sodelglitazar, and naveglitazar, (2) PPARa agonists, such as fenofibric acid derivatives (gemfibrozil, clofibrate, ciprofibrate, fenofibrate and bezafibrate), (3) selective PPARy modulators (SPPARyM's), such as those disclosed in WO 02/060388, WO 02/08188, WO 2004/019869, WO 2004/020409, WO 2004/020408, and WO 2004/066963, and (4)
- insulin or insulin analogs such as insulin lispro, insulin detemir, insulin glargine, insulin glulisine, and inhalable formulations of each thereof;
- amylin and amylin analogs such as pramlintide
- sulfonylurea and non-sulfonylurea insulin secretagogues such as tolbutamide, glyburide, glipizide, glimepiride, mitiglinide, and meglitinides, such as nateglinide and repaglinide;
- -glucosidase inhibitors such as acarbose, voglibose and miglitol
- glucagon receptor antagonists such as those disclosed in WO 98/04528, WO 99/01423, WO 00/39088, and WO 00/69810;
- incretin mimetics such as GLP-1, GLP-1 analogs, derivatives, and mimetics
- GLP-1 receptor agonists such as exenatide, liraglutide, taspoglutide, AVE0010, CJC-1131, and BIM-51077, including intranasal, transdermal, and once- weekly formulations thereof;
- LDL cholesterol lowering agents such as (i) HMG-CoA reductase inhibitors (lovastatin, simvastatin, pravastatin, cerivastatin, fiuvastatin, atorvastatin, pitavastatin, and rosuvastatin), (ii) bile acid sequestering agents (such as cholestyramine, colestimide, colesevelam hydrochloride, colestipol, and dialkylaminoalkyl derivatives of a cross-linked dextran, (iii) inhibitors of cholesterol absorption, such as ezetimibe, and (iv) acyl CoA: cholesterol acyltransferase inhibitors, such as avasimibe;
- HMG-CoA reductase inhibitors lovastatin, simvastatin, pravastatin, cerivastatin, fiuvastatin, atorvastatin, pitavastatin, and rosuvastatin
- HDL-raising drugs such as niacin or a salt thereof and extended-release versions thereof; MK-524A, which is a combination of niacin extended-release and the DP-1 antagonist MK-524; and nicotinic acid receptor agonists;
- agents intended for use in inflammatory conditions such as aspirin, non-steroidal antiinflammatory drugs ( SAIDs), glucocorticoids, and selective cyclooxygenase-2 (COX-2) inhibitors;
- antihypertensive agents such as ACE inhibitors (such as enalapril, lisinopril, ramipril, captopril, quinapril, and tandolapril), A-II receptor blockers (such as losartan, candesartan, irbesartan, olmesartan medoxomil, valsartan, telmisartan, and eprosartan), renin inhibitors (such as aliskiren), beta blockers (such as and calcium channel blockers (such as;
- ACE inhibitors such as enalapril, lisinopril, ramipril, captopril, quinapril, and tandolapril
- A-II receptor blockers such as losartan, candesartan, irbesartan, olmesartan medoxomil, valsartan, telmisartan, and eprosartan
- GKAs glucokinase activators
- inhibitors of 11 ⁇ -hydroxysteroid dehydrogenase type 1 such as those disclosed in U.S. Patent No. 6,730,690; WO 03/104207; and WO 04/058741;
- CETP cholesteryl ester transfer protein
- inhibitors of acetyl CoA carboxylase- 1 or 2 (ACC1 or ACC2);
- AMPK AMP-activated Protein Kinase
- neuromedin U receptor agonists such as those disclosed in WO2009/042053, including, but not limited to, neuromedin S (NMS);
- GPR-105 antagonists such as those disclosed in WO 2009/000087;
- inhibitors of glucose uptake such as sodium-glucose transporter (SGLT) inhibitors and its various iso forms, such as SGLT-1; SGLT-2, such as PF-04971729, dapagliflozin and remogliflozin; and SGLT-3;
- SGLT sodium-glucose transporter
- MGAT-2 (31) agonists of the TG 5 receptor (also known as GPBAR1, BG37, GPCR19, GPR131, and M- BAR); and
- Dipeptidyl peptidase-IV (DPP-4) inhibitors that can be used in combination with compounds of any of the formulas described herein include, but are not limited to, sitagliptin (disclosed in US Patent No. 6,699,871), vildagliptin, saxagliptin, alogliptin, denagliptin, carmegliptin, dutogliptin, melogliptin, linagliptin, and pharmaceutically acceptable salts thereof, and fixed-dose combinations of these compounds with metformin hydrochloride, pioglitazone, rosiglitazone, simvastatin, atorvastatin, or a sulfonylurea.
- DPP-4 dipeptidyl peptidase-IV
- DPP-4 dipeptidyl peptidase-IV
- Antiobesity compounds that can be combined with compounds of any of the formulas described herein include topiramate; zonisamide; naltrexone; phentermine; bupropion; the combination of bupropion and naltrexone; the combination of bupropion and zonisamide; the combination of topiramate and phentermine; fenfluramine; dexfenfiuramine; sibutramine; lipase inhibitors, such as orlistat and cetilistat; melanocortin receptor agonists, in particular, melanocortin-4 receptor agonists; CCK-1 agonists; melanin- concentrating hormone (MCH) receptor antagonists; neuropeptide Yl or Y5 antagonists (such as MK- 0557); CBl receptor inverse agonists and antagonists (such as rimonabant and taranabant); ⁇ adrenergic receptor agonists; ghrelin antagonists; bombesin receptor agonists (
- Glucagon receptor antagonists that can be used in combination with the compounds of any of the formulas described herein include, but are not limited to:
- SCD stearoyl-coenzyme A delta-9 desaturase
- Glucokinase activators that can be used in combination with the compounds of any of the formulas described herein include, but are not limited to:
- Agonists of the GPR-119 receptor that can be used in combination with the compounds of any of the formulas described herein include, but are not limited to:
- Selective PPARy modulators that can be used in combination with the compounds of any of the formulas described herein include, but are not limited to: (2S)-2-( ⁇ 6-chloro-3-[6-(4-chlorophenoxy)-2-propylpyridin-3-yl]- 1 ,2-benzisoxazol-5- yl ⁇ oxy)propanoic acid;
- Inhibitors of 1 1 ⁇ -hydroxysteroid dehydrogenase type 1 that can be used in combination with the compounds of any of the formulas described herein include, but are not limited to:
- Somatostatin subtype receptor 3 (SSTR3) antagonists that can be used in combination with the compounds of any of the formulas described herein include, but are not limited to:
- AMP-activated Protein Kinase (AMPK) activators that can be used in combination with the compounds of any of the formulas described herein include, but are not limited to:
- Inhibitors of acetyl-CoA carboxylase- 1 and 2 that can be used in combination with the compounds of any of the formulas described herein include, but are not limited to: 3- ⁇ 1 '-[(1 -cyclopropyl-4-methoxy- lH-indol-6-yl)carbonyl]-4-oxospiro[chroman- 2,4'-piperidin]-6- yl ⁇ benzoic acid;
- composition which comprises one or more of the following agents:
- DPP-4 dipeptidyl peptidase-IV
- insulin sensitizers including (i) PPARy agonists, such as the glitazones (e.g.
- PPARa/ ⁇ Ddual agonists such as muraglitazar, aleglitazar, sodelglitazar, and naveglitazar
- PPARa agonists such as fenofibric acid derivatives (gemfibrozil, clofibrate, ciprofibrate, fenofibrate and bezafibrate)
- SPPARyM's selective PPARy modulators
- PPARy partial agonists include (ii) biguanides, such as metformin and its pharmaceutically acceptable salts, in particular, metformin hydrochloride, and extended-release formulations thereof, such as Glumetza®, Fortamet®, and
- GlucophageXR® (iii) protein tyrosine phosphatase- IB (PTP-1B) inhibitors;
- sulfonylurea and non-sulfonylurea insulin secretagogues such as tolbutamide, glyburide, glipizide, glimepiride, mitiglinide, and meglitinides, such as nateglinide and repaglinide;
- a-glucosidase inhibitors such as acarbose, voglibose and miglitol
- LDL cholesterol lowering agents such as (i) HMG-CoA reductase inhibitors
- lovastatin simvastatin, pravastatin, cerivastatin, fluvastatin, atorvastatin, pitavastatin, and rosuvastatin
- bile acid sequestering agents such as cholestyramine, colestimide, colesevelam hydrochloride, colestipol, and dialkylaminoalkyl derivatives of a cross-linked dextran
- inhibitors of cholesterol absorption such as ezetimibe
- acyl CoA cholesterol acyltransferase inhibitors, such as avasimibe
- HDL-raising drugs such as niacin or a salt thereof and extended-release versions thereof; MK-524A, which is a combination of niacin extended-release and the DP-1 antagonist MK-524; and nicotinic acid receptor agonists;
- agents intended for use in inflammatory conditions such as aspirin, non-steroidal antiinflammatory drugs ( SAIDs), glucocorticoids, and selective cyclooxygenase-2 (COX-2) inhibitors;
- antihypertensive agents such as ACE inhibitors (such as enalapril, lisinopril, ramipril, captopril, quinapril, and tandolapril), A-II receptor blockers (such as losartan, candesartan, irbesartan, olmesartan medoxomil, valsartan, telmisartan, and eprosartan), renin inhibitors (such as aliskiren), beta blockers (such as and calcium channel blockers (such as;
- ACE inhibitors such as enalapril, lisinopril, ramipril, captopril, quinapril, and tandolapril
- A-II receptor blockers such as losartan, candesartan, irbesartan, olmesartan medoxomil, valsartan, telmisartan, and eprosartan
- GKAs glucokinase activators
- CETP cholesteryl ester transfer protein
- inhibitors of acetyl CoA carboxylase- 1 or 2 (ACC1 or ACC2);
- AMPK AMP-activated Protein Kinase
- neuromedin U receptor agonists including, but not limited to, neuromedin S (NMS);
- (22) inhibitors of glucose uptake such as sodium-glucose transporter (SGLT) inhibitors and its various isoforms, such as SGLT-1; SGLT-2, such as dapagliflozin and remoglifiozin; and SGLT-
- SGLT sodium-glucose transporter
- TGR5 receptor also known as GPBAR1, BG37, GPCR19, GPR131, and M-BAR.
- the compounds described herein can be combined with a DPP-IV inhibitor, such as sitagliptin.
- DPP 4 is responsible on the inactivation of incretin hormones GLP- 1 (glucagon- like peptide- 1) and GIP (glucose-dependent insulinotropic polypeptide).
- GLP- 1 glucagon- like peptide- 1
- GIP glycose-dependent insulinotropic polypeptide
- compositions of the present invention include those that also contain one or more other active ingredients, in addition to a compound of the present invention.
- the weight ratio of the compound of the present invention to the second active ingredient may be varied and will depend upon the effective dose of each ingredient. Generally, an effective dose of each will be used. Thus, for example, when a compound of the present invention is combined with another agent, the weight ratio of the compound of the present invention to the other agent will generally range from about 1000:1 to about 1 :1000, preferably about 200: 1 to about 1 :200. Combinations of a compound of the present invention and other active ingredients will generally also be within the aforementioned range, but in each case, an effective dose of each active ingredient should be used.
- the compound of the present invention and other active agents may be administered separately or in conjunction.
- the administration of one element may be prior to, concurrent to, or subsequent to the administration of other agent(s).
- Examples were assayed as follows: 20uL substrate mixture of 300uM diolein, 40uM oleoyl-CoA, 10% ethanol and luL of the compound with different concentrations were delivered to a 384 well assay plate (Corning 3573) using a Tecan with TeMO module. Later 19uL of enzyme mixture of 1.05ug/ml human DGAT1 in buffer (200mM Tris, pH7, 200mM sucrose, 200mM MgC12 + 20ug/ml NEM-treated BSA) was added via a Multidrop Combi using a microcassette. 20uL of 90uM CPM reagent in 90% ethanol was added after 1 hour incubation at room temperature. After 30 minutes at room temperature in dark, fluorescence measurement on Envision was carried out and IC50s were calculated.
- Step 1 Methyl 4-(hydroxymethyl)bicyclo[2.2.2]octane-l-carboxylate (10 g, 50.4 mmol, 1 equiv) from the previous step was dissolved in THF (100 mL) and triethylamine (7.73 mL, 55.5 mmol, 1.1 equiv) and chilled to 0 °C in an ice bath. Trimethylchlorosilane (6.77 mL, 53.0 mmol, 1.05 equiv) was then added dropwise during which time copious white solid formed.
- triethylsilane (8.06 mL, 50.4 mmol, 1 equiv) and fitted with a pressure equalized dropping funnel, a mechanical stirrer and a Claisen adaptor fitted with a nitrogen inlet and an internal temperature probe and cooled to -78 °C in an ice bath.
- Trimethylsilyl trifluoromethanesulfonate (4.56 mL, 25.2 mmol, 0.5 equiv) was added dropwise from the dropping funnel over ⁇ 3 minutes ensuring that the internal temperature did not rise above -60 °C. After 5 minutes, the reaction was warmed to 0 °C and held there with stirring for 1 hour then warmed to room temperature.
- the reaction mixture was partitioned between ethyl acetate and water and the organic layer was washed with brine, then dried on anhydrous sodium sulfate, filtered and concentrated in vacuo and left on a high- vacuum pump overnight.
- the resulting orange oil contained -30% triethylsilyl-containing impurities as indicated by 1H NMR which were removed by trituration with hexanes (3 x 10 mL) to give an orange oil which was carried forward without further purification.
- Step 3 A 500 mL thick- walled glass Parr Shaker flask was charged with 30 % (w/w) palladium on carbon (2.1 g, 5.92 mmol, 16 mol%) and a solution of the orange oil from Step 2 (17.4 g, 37.7 mmol, 1 equiv) in methanol (100 mL) and pressurized to 48 psi with hydrogen. Agitation on a Parr shaker for 90 minutes at room temperature led to complete removal of the carbamate as indicated by LCMS analysis of an aliquot. Solids were removed by filtration through a pad of Celite and the filtrate was concentrated in vacuo.
- Step 1 Methyl 4-((piperidin-4-yloxy)methyl)bicyclo[2.2.2]octane-l-carboxylate (2 g, 7.11 mmol, 1 equiv) was dissolved in methanol (14 mL) and THF (14 mL) and a 2.5 M aqueous solution of lithium hydroxide (15 mL, 37.5 mmol, 5.3 equiv) was added and the mixture stirred under an atmosphere of nitrogen at 65 °C for 1 hour at which point LCMS analysis of an aliquot indicated complete saponification had occurred. The mixture was acidified with glacial acetic acid (2 mL, 34.9 mmol, 4.9 equiv) and concentrated in vacuo. Residual water was removed by addition of toluene (40 mL) to the residue and concentration first by rotary evaporation and then by evacuation on a high- vacuum pump for 15 minutes. The resulting white solid was carried forward crude.
- Step 2 To the white solid from Step 1 was added solid sodium bicarbonate (2.99 g, 35.5 mmol, 5 equiv) and 2-fluoronicotinaldehyde (0.889 g, 7.11 mmol, 1 equiv) and N-methyl pyrrolidinone (12 mL) and the mixture stirred vigorously with heating at 90 °C for 3 hours at which point LCMS analysis of an aliquot indicated complete conversion to the desired product. The mixture was poured into water and carefully brought to pH 7 with 1 M hydrochloric acid ( ⁇ 50 mL) and then to pH 4 with concentrated hydrochloric acid.
Landscapes
- Chemical & Material Sciences (AREA)
- Organic Chemistry (AREA)
- Health & Medical Sciences (AREA)
- Diabetes (AREA)
- Nuclear Medicine, Radiotherapy & Molecular Imaging (AREA)
- Life Sciences & Earth Sciences (AREA)
- Hematology (AREA)
- Chemical Kinetics & Catalysis (AREA)
- General Chemical & Material Sciences (AREA)
- Medicinal Chemistry (AREA)
- Bioinformatics & Cheminformatics (AREA)
- Engineering & Computer Science (AREA)
- Pharmacology & Pharmacy (AREA)
- Obesity (AREA)
- Animal Behavior & Ethology (AREA)
- General Health & Medical Sciences (AREA)
- Public Health (AREA)
- Veterinary Medicine (AREA)
- Emergency Medicine (AREA)
- Endocrinology (AREA)
- Child & Adolescent Psychology (AREA)
- Pharmaceuticals Containing Other Organic And Inorganic Compounds (AREA)
Abstract
Described herein are compounds of formula (I). The compounds of formula (I) act as DGAT1 inhibitors and can be useful in preventing, treating or acting as a remedial agent for hyperlipidemia, diabetes mellitus and obesity.
Description
BICYCLO [2.2.2] OCTAN- 1 - YLCARBOXYLIC ACID COMPOUNDS
AS DGAT - 1 INHIBITORS
CROSS-REFERENCE TO RELATED APPLICATIONS
This application claims benefit of U.S. Provisional Application Serial No. 61/556,474, filed on November 7, 2011 , the contents of which are herein incoporated by reference in their entirety.
TECHNICAL FIELD
The present invention is directed to novel imidazole derivative compounds. Specifically, the compounds act as diacylglycerol O-acyltransferase type 1 inhibitors (hereinafter also referred to as "DGAT1"), and can be useful in preventing, treating or acting as a remedial agent for hyperlipidemia, diabetes mellitus and obesity.
BACKGROUND
Obesity is a medical condition in which excess body fat has accumulated to the extent that it may have an adverse effect on health, leading to reduced life expectancy and increased health problems. As such, obesity is recognized as an upstream risk factor for many conditions such as diabetes mellitus, lipidosis and hypertension (Journal of Japan Society for the Study of Obesity, Vol. 12, Extra Edition, 2006). Although the need to treat obesity is recognized to be important, there are extremely limited drug therapies for obesity that are currently available, and thus, the advent of novel anti-obesity drugs having more definite action and few side-effects is desired.
In general, obesity is caused by the accumulation of triacylglycerol (TG) in adipose tissue which is a result of lack of exercise, intake of excessive calories and aging. In the body there are two TG synthesis pathways, a glycerol phosphate pathway, which is present in most organs and causes de novo TG synthesis, and a monoacylglycerol pathway, which is involved principally in absorption of aliphatic acid from the small intestine. Diacylglycerol acyltransferases (DGATs, EC 2.3.1.20), which are membrane-bound enzymes present in the endoplasmic reticulum, catalyze the final step of the TG synthesis common to the two TG synthesis pathways. The final reaction consists of transferring an acyl group from acyl-coenzyme A to the 3 -position of 1,2- diacylglycerol to generate TG (Prog. Lipid Res., 43, 134-176, 2004 and Ann. Med., 36, 252-261, 2004). There are two subtypes of DGATs, DGAT-1 and DGAT-2. There is no significant homology at the generic or amino acid level between the DGAT-1 and DGAT-2, which are encoded by different genes (Proc. Natl. Acad. Sci. USA., 95, 13018-13023, 1998 and JBC, 276, 38870-38876, 2001). DGAT-1 is present in the small intestine, adipose tissue and liver and is believed to be involved in lipid absorption in the small intestine; lipid accumulation in the fat cell; and VLDL secretion and lipid accumulation in the liver (Ann. Med., 36, 252-261, 2004 and JBC,
280, 21506-21514, 2005). In consideration of these functions, a DGAT-1 inhibitor is expected to be an effective obesity treatment through inhibition of lipid absorption in the small intestine, lipid accumulation in the adipose tissue and the liver, and lipid secretion from the liver. In order to carry out in vivo examination of the physiological function(s) of DGAT-1 and inhibitory activity against DGAT-1, DGAT-1 -knockout mice deficient in DGAT-1 at the genetic level was produced and analyzed. As a result, the DGAT-1 -knockout mice have been found to have smaller fat masses than those of wild-type mice and became resistant to obesity, abnormal glucose tolerance, insulin resistance and fatty liver due when fed a high-fat diet (Nature Genetics, 25, 87-90, 2000 and JCI, 109, 1049-1055, 2002). In addition, energy expense has been reported to be accelerated in the DGAT-1 -knockout mice; and transplantation of the adipose tissues of DGAT-1 -knockout mice into wild-type mice has been reported to make the wild-type mice resistant to obesity and abnormal glucose tolerance, induced by a high- fat diet (JCI, 1 11, 1715- 1722, 2003 and Diabetes, 53, 1445-1451 , 2004). In contrast, obesity and diabetes mellitus due to a high- fat diet have been reported to worsen in mice with overexpression of DGAT-1 in adipose tissue (Diabetes, 51, 3189-3195, 2002 and Diabetes, 54, 3379-3386, 2005).
From the results, DGAT-1 inhibitors are likely to be therapeutic drugs with efficacy for obesity, type 2 diabetes mellitus, lipidosis, hypertension, fatty liver, arteriosclerosis,
cerebrovascular disorder, coronary artery disease and metabolic syndrome.
SUMMARY OF THE INVENTION
The compounds described herein are DGAT-1 inhibitors, which are useful in the treatment of obesity, type 2 diabetes mellitus, lipidosis, hypertension, fatty liver, arteriosclerosis, cerebrovascular disorder, coronary artery disease and metabolic syndrome, particularly, obesity and diabetes.
Described herein are compounds of formula I
or pharmaceutically acceptable salts thereof, wherein R1, R2, R3 and X are further defined herein.
DETAILED DESCRIPTION OF THE INVENTION
Compounds
Described herein are compounds of formula (I):
or pharmaceutical salt thereof, wherein X is selected from the group consisting of -N-, - CH- and -CR4-;
R1, R2 and R3 are independently selected from the group consisting of hydrogen, halogen, Ci-Cealkyl, C2-C6alkenyl, halogen-substitutedCi-C6alkyl, -OH, Ci-C6alkylOH, -OCi-C6alkyl, - Ohalogen-substitutedCi-C6alkyl, -NH2, -S02Ci-C6alkyl and -CN or when taken together R2 and form a hetero cycle ring; and
R4 is selected from the group consisting of halogen, Ci-C6alkyl, C2-C6alkenyl, halogen- substitutedCi-C6alkyl, -OH, Ci-C6alkylOH, -OCi-C6alkyl, -Ohalogen-substitutedCi-C6alkyl, - NH2, -S02Ci-C6alkyl and -CN.
In certain embodiments of the compounds described herein, X is selected from the group consisting of -N-, -CH- and -CR4-. In some embodiments, X is -N-. In other embodiments, X is -CH-. In still other embodiments, X is -CR4-.
With regard to the compounds described herein, R4 is selected from the group consisting of halogen, Ci-C6alkyl, C2-C6alkenyl, halogen-substitutedCi-C6alkyl, -OH, Ci-C6alkylOH, -OCi- C6alkyl, -Ohalogen-substitutedCi-C6alkyl, -NH2, -S02Ci-C6alkyl and -CN.
In one embodiment, R4 is halogen. Suitable halogens include chlorine, fluorine and iodine. In another embodiment, R4 is Ci-Cealkyl. Suitable alkyls include, but are not limited to, methyl, ethyl, n-propyl, isopropyl, n-butyl, isobutyl, sec-butyl, tert-butyl. In yet another embodiment, R4 is C2-C6alkenyl. Suitable alkenyls include, but are not limited to, ethenyl, propenyl, n-butenyl, 3- methylbut-2-enyl, n-pentenyl. In still another embodiment, R4 is halogen-substitutedCi-Cealkyl. Suitable halogen-substituted alkyls include, but are not limited to, mono-, di- and trifluoromethyl. In another embodiment of the compounds described herein, R4 is selected from -OH and Ci- CealkylOH. In still another embodiment, R4 is OCi-Cealkyl. Suitable alkoxys include, but are not limited to, methoxy, ethoxy, n-propoxy and isopropoxy. In still another embodiment, R4 is halogen-substitutedOCi-Cealkyl. Suitable halogen-substituted alkoxys include, but are not limited to, mono-, di- and trifluoromethoxy. In yet another embodiment, R4 is -NH2. In another
embodiment, R4 is -S02Ci-C6alkyl. Suitable -S02Ci-C6alkyl include, but are not limited to, - SO2CH3. In still another embodiment, R4 is -CN.
With regard to the compounds described herein, R1, R2 and R3 are independently selected from the group consisting of hydrogen, halogen, Ci-C6alkyl, C2-C6alkenyl, halogen- substitutedCi- Cealkyl, -OH, Ci-C6alkylOH, -OCi-C6alkyl, -Ohalogen-substitutedCi-C6alkyl, -NH2, -S02Ci- Cealkyl and -CN or when taken together R2 and R3 form a heterocycle ring.
In some embodiments described herein, R1 is hydrogen. In certain embodiments, R1 is halogen. Suitable halogens include chlorine, fluorine, bromine and iodine. In other embodiments, R1 is selected from the group consisting of hydrogen and halogen. In another embodiment, R1 is Ci-C6alkyl. Suitable alkyls include, but are not limited to, methyl, ethyl, n-propyl, isopropyl, n- butyl, isobutyl, sec-butyl, tert-butyl. In yet another embodiment, R1 is C2-C6alkenyl. Suitable alkenyls include, but are not limited to, ethenyl, propenyl, n-butenyl, 3-methylbut-2-enyl, n- pentenyl. In still another embodiment, R1 is halogen-substitutedCi-Cealkyl. Suitable halogen- substituted alkyls include, but are not limited to, mono-, di- and trifluoromethyl. In another embodiment of the compounds described herein, R1 is selected from -OH and Ci-C6alkylOH. In still another embodiment, R1 is OCi-Cealkyl. Suitable alkoxys include, but are not limited to, methoxy, ethoxy, n-propoxy and isopropoxy. In still another embodiment, R1 is halogen- substitutedOCi-Cealkyl. Suitable halogen-substituted alkoxys include, but are not limited to, mono-, di- and trifluoromethoxy. In yet another embodiment, R1 is -NH2. In another
embodiment, R1 is -S02Ci-C6alkyl. Suitable -S02Ci-C6alkyl include, but are not limited to, - S02CH3. In still another embodiment, R1 is -CN.
In some embodiments described herein, R2 is hydrogen. In certain embodiments, R2 is halogen. Suitable halogens include chlorine, fluorine, bromine and iodine. In other embodiments, R2 is selected from the group consisting of hydrogen and halogen. In another embodiment, R2 is Ci-C6alkyl. Suitable alkyls include, but are not limited to, methyl, ethyl, n-propyl, isopropyl, n- butyl, isobutyl, sec-butyl, tert-butyl. In yet another embodiment, R2 is C2-C6alkenyl. Suitable alkenyls include, but are not limited to, ethenyl, propenyl, n-butenyl, 3-methylbut-2-enyl, n- pentenyl. In still another embodiment, R2 is halogen-substitutedCi-Cealkyl. Suitable halogen- substituted alkyls include, but are not limited to, mono-, di- and trifluoromethyl. In another embodiment of the compounds described herein, R2 is selected from -OH and Ci-C6alkylOH. In still another embodiment, R2 is OCi-Cealkyl. Suitable alkoxys include, but are not limited to, methoxy, ethoxy, n-propoxy and isopropoxy. In still another embodiment, R2 is halogen- substitutedOCi-Cealkyl. Suitable halogen-substituted alkoxys include, but are not limited to, mono-, di- and trifluoromethoxy. In yet another embodiment, R2 is -NH2. In another
embodiment, R2 is -S02Ci-C6alkyl. Suitable -S02Ci-C6alkyl include, but are not limited to, - S02CH3. In still another embodiment, R2 is -CN.
In some embodiments described herein, R3 is hydrogen. In certain embodiments, R3 is halogen. Suitable halogens include chlorine, fluorine and iodine. In another embodiment, R3 is Ci-C6alkyl. Suitable alkyls include, but are not limited to, methyl, ethyl, n-propyl, isopropyl, n- butyl, isobutyl, sec-butyl, tert-butyl. In yet another embodiment, R3 is C2-C6alkenyl. Suitable alkenyls include, but are not limited to, ethenyl, propenyl, n-butenyl, 3-methylbut-2-enyl, n- pentenyl. In still another embodiment, R3 is halogen-substitutedCi-Cealkyl. Suitable halogen- substituted alkyls include, but are not limited to, mono-, di- and trifluoromethyl. In another embodiment of the compounds described herein, R3 is selected from -OH and Ci-C6alkylOH. In still another embodiment, R3 is OCi-Cealkyl. Suitable alkoxys include, but are not limited to, methoxy, ethoxy, n-propoxy and isopropoxy. In still another embodiment, R3 is halogen- substitutedOCi-Cealkyl. Suitable halogen-substituted alkoxys include, but are not limited to, mono-, di- and trifluoromethoxy. In yet another embodiment, R3 is -NH2. In another embodiment, R3 is -S02Ci-C6alkyl. Suitable -S02Ci-C6alkyl include, but are not limited to, - SO2CH3. In still another embodiment, R3 is -CN.
In yet other embodiments of the compounds described herein, when taken together R2 and R3 form a heterocycle ring. In certain embodiments, when taken together R2 and R3 form a heterocycle ring, wherein the heterocyle is a 5-6 membered ring. In other embodiments, when taken together, R2 and R3 form a heterocyclic ring containing at least one oxygen. In still other embodiments, when taken together, R2 and R3 form at heterocyclic ring containing only oxygen. Suitable heterocycles, include, but are not limited to, 1 , 3-dioxolane or 3-morpholinone.
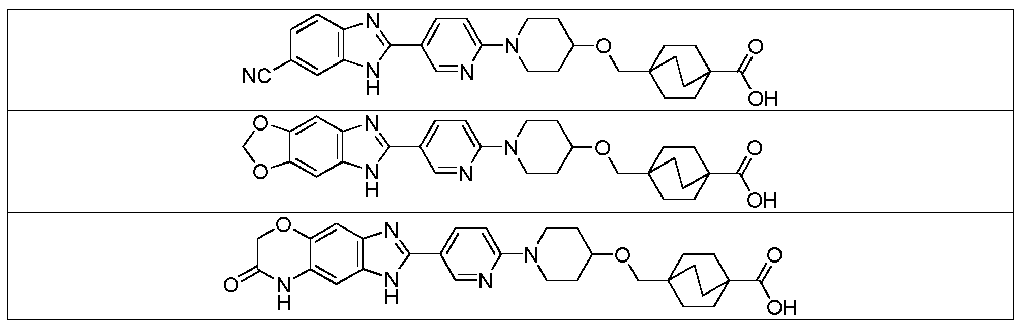
Examples of compounds described herein include:
Definitions
Examples of "halogen" include a fluorine atom, a chlorine atom, a bromine atom, and an iodine atom.
The term "Ci-C 6alkyl" encompasses straight alkyl having a carbon number of 1 to 6 and branched alkyl having a carbon number of 3 to 6. Specific examples thereof include methyl, ethyl, n-propyl, isopropyl, n-butyl, isobutyl, sec-butyl, tert-butyl, n-pentyl, isopentyl, neopentyl, tert- pentyl, 1-methylbutyl, 2-methylbutyl, 1 ,2-dimethylpropyl, 1-ethylpropyl, n-hexyl, isohexyl, 1- methylpentyl, 2-methylpentyl, 3-methylpentyl, 1 , 1 -dimethylbutyl, 1 ,2-dimethylbutyl, 2,2- dimethylbutyl, 1-ethylbutyl, 1,1 ,2-trimethylpropyl, 1,2,2-trimethylpropyl, l-ethyl-2-methylpropyl, 1 -ethyl- 1-methylpropyl, and the like.
The term "alkenyl," as used herein, refers to an aliphatic hydrocarbon group containing at least one carbon-carbon double bond and may be straight or branched and unless otherwise specified, contains from about 2 to about 15 carbon atoms. In one embodiment, an alkenyl group contains from about 2 to about 12 carbon atoms. In another embodiment, an alkenyl group contains from about 2 to about 6 carbon atoms. For example, C2-C6alkenyl is an alkenyl containing 2-6 carbon atoms. Non-limiting examples of alkenyl groups include ethenyl, propenyl, n-butenyl, 3-methylbut-2-enyl, n-pentenyl, octenyl and decenyl.
The term "-OCi-C 6alkyl " refers to an alkyl group having 1 to 6 carbons linked to oxygen, also known as an alkoxy group. Examples include methoxy, ethoxy, butoxy and propoxy.
The term "halogen-substitutedCi-C6 alkyl" encompasses Ci-C6 alkyl with the hydrogen atoms thereof being partially or completely substituted with halogen, examples thereof including fluoromethyl, difluoromethyl, trifluoromethyl, 2-fluoroethyl, 1 ,2-difluoroethyl, 2,2-difluoroethyl and the like.
The term "-Ohalogen-substitutedCi-Cealkyl" means a -OCi-C6alkyl as defined above, which is substituted with 1-3 halogen atoms which are identical or different, and specifically includes, for example, a trifluoromethoxy group.
The term "Ci-C6alkylOH" means a Ci-C6alkyl substituted with an alcohol (-OH).
Examples include methanol, propanol, butanol and t-butanol.
The term "S02Ci-C6alkyl" means a group having Ci-C6alkyl bonded to sulfonyl (-S02-). Specific examples thereof include methanesulfonyl, ethanesulfonyl, n-propanesulfonyl,
isopropanesulfonyl, n-butanesulfonyl, sec-butanesulfonyl, tert-butanesulfonyl, and the like.
The term "heterocycle" means mono- or bicyclic or bridged unsaturated, partially unsaturated and saturated rings containing at least one heteroatom selected from N, S and O, each of said ring having from 3 to 10 atoms in which the point of attachment may be carbon or nitrogen. Examples thereof include pyrrolyl, furyl, thienyl, imidazolyl, pyrazolyl, thiazolyl, isothiazolyl, oxazolyl, isoxazolyl, triazolyl, tetrazolyl, oxadiazolyl, 1 ,2,3-thiadiazolyl, 1,2,4- thiadiazolyl, 1 ,3,4-thiadiazolyl, pyridyl, pyrazinyl, pyrimidinyl, pyridazinyl, 1,2,4-triazinyl, 1,3,5- triazinyl, indolyl, benzofuranyl, benzothienyl, benzimidazolyl, benzopyrazolyl, benzoxazolyl, benzisoxazolyl, benzothiazolyl, benzisothiazolyl, indazolyl, purinyl, quinolyl, isoquinolyl, phthalazinyl, naphthyridinyl, quinoxalinyl, quinazolinyl, cinnolinyl, pteridinyl, pyrido[3,2-b]pyridyl, and the like. Examples also include tetrahydropyranyl, tetrahydrofuranyl, pyrrolidinyl, piperidinyl, piperazinyl, dioxanyl, imidazolidinyl, 2,3-dihydrofuro(2,3-£)pyridyl, benzoxazinyl, benzoxazolinyl, 2-H-phthalazinyl, isoindolinyl, benzoxazepinyl, 5,6-dihydroimidazo[2,l-¾]thiazolyl,
tetrahydroquinolinyl, morpholinyl, tetrahydroisoquinolinyl, dihydroindolyl, tetrahydropyran, and the like. The term also includes partially unsaturated monocyclic rings that are not aromatic, such as 2- or 4-pyridones attached through the nitrogen or N-substituted-(lH, 3H)-pyrimidine-2,4- diones (TV-substituted uracils). The term also includes bridged rings such as 5- azabicyclo[2.2.1]heptyl, 2,5-diazabicyclo[2.2.1]heptyl, 2-azabicyclo[2.2.1]heptyl, 7- azabicyclo[2.2.1]heptyl, 2,5-diazabicyclo[2.2.2]octyl, 2-azabicyclo[2.2.2]octyl, and 3- azabicyclo[3.2.2]nonyl, and azabicyclo[2.2.1]heptanyl.
The term "pharmaceutically acceptable salt" refers to salts prepared from pharmaceutically acceptable non-toxic bases or acids including inorganic or organic bases and inorganic or organic acids. Salts of basic compounds encompassed within the term "pharmaceutically acceptable salt" refer to non-toxic salts of the compounds of this invention which are generally prepared by reacting the free base with a suitable organic or inorganic acid. Representative salts of basic compounds of the present invention include, but are not limited to, the following: acetate, benzenesulfonate, benzoate, bicarbonate, bisulfate, bitartrate, borate, bromide, camsylate, carbonate, chloride, clavulanate, citrate, dihydrochloride, edetate, edisylate, estolate, esylate, fumarate, gluceptate, gluconate, glutamate, glycollylarsanilate, hexylresorcinate, hydrabamine, hydrobromide, hydrochloride, hydroxynaphthoate, iodide, isothionate, lactate, lactobionate, laurate, malate, maleate, mandelate, mesylate, methylbromide, methylnitrate, methylsulfate, mucate, napsylate, nitrate, N-methylglucamine ammonium salt, oleate, oxalate, pamoate
(embonate), palmitate, pantothenate, phosphate/diphosphate, polygalacturonate, salicylate, stearate, sulfate, subacetate, succinate, tannate, tartrate, teoclate, tosylate, triethiodide and valerate. Furthermore, where the compounds of the invention carry an acidic moiety, suitable pharmaceutically acceptable salts thereof include, but are not limited to, salts derived from inorganic bases including aluminum, ammonium, calcium, copper, ferric, ferrous, lithium, magnesium, manganic, mangamous, potassium, sodium, zinc, and the like. Particularly preferred are the ammonium, calcium, magnesium, potassium, and sodium salts. Salts derived from pharmaceutically acceptable organic non-toxic bases include salts of primary, secondary, and tertiary amines, cyclic amines, and basic ion-exchange resins, such as arginine, betaine, caffeine, choline, Ν,Ν-dibenzylethylenediamine, diethylamine, 2-diethylaminoethanol, 2- dimethylaminoethanol, ethanolamine, ethylenediamine, N-ethylmorpholine, N-ethylpiperidine, glucamine, glucosamine, histidine, hydrabamine, isopropylamine, lysine, methylglucamine, morpholine, piperazine, piperidine, polyamine resins, procaine, purines, theobromine,
triethylamine, trimethylamine, tripropylamine, tromethamine, and the like.
A "subject" is a human or non-human mammal. In one embodiment, a subject is a human.
In another embodiment, a subject is a non-human mammal, including, but not limited to, a monkey, dog, baboon, rhesus, mouse, rat, horse, cat or rabbit. In another embodiment, a subject is a companion animal, including but not limited to a dog, cat, rabbit, horse or ferret. In one embodiment, a subject is a dog. In another embodiment, a subject is a cat.
The independent syntheses of these diastereomers or their chromatographic separations may be achieved as known in the art by appropriate modification of the methodology disclosed herein. Their absolute stereochemistry may be determined by the X-ray crystallography of crystalline products or crystalline Intermediates which are derivatized, if necessary, with a reagent containing an asymmetric center of known absolute configuration.
If desired, racemic mixtures of the compounds may be separated so that the individual enantiomers are isolated. The separation can be carried out by methods well known in the art, such as the coupling of a racemic mixture of compounds to an enantiomerically pure compound to form a diastereomeric mixture, followed by separation of the individual diastereomers by standard methods, such as fractional crystallization or chromatography. The coupling reaction is often the formation of salts using an enantiomerically pure acid or base. The diasteromeric derivatives may then be converted to the pure enantiomers by cleavage of the added chiral residue. The racemic mixture of the compounds can also be separated directly by chromatographic methods utilizing chiral stationary phases, which methods are well known in the art.
Alternatively, any enantiomer of a compound may be obtained by stereoselective synthesis using optically pure starting materials or reagents of known configuration by methods well known in the art.
It will be understood that, as used herein, references to the compounds of the structural formulas described herein are meant to also include the pharmaceutically acceptable salts, and also salts that are not pharmaceutically acceptable when they are used as precursors to the free compounds or their pharmaceutically acceptable salts or in other synthetic manipulations.
Solvates, and in particular, the hydrates of the compounds of the structural formulas described herein are included in the present invention as well.
Some of the compounds described herein may exist as tautomers, which have different points of attachment of hydrogen accompanied by one or more double bond shifts. For example, a ketone and its enol form are keto-enol tautomers. The individual tautomers as well as mixtures thereof are encompassed with compounds of the present invention.
In the compounds of the formulas described herein, the atoms may exhibit their natural isotopic abundances, or one or more of the atoms may be artificially enriched in a particular isotope having the same atomic number, but an atomic mass or mass number different from the atomic mass or mass number predominantly found in nature. The present invention is meant to include all suitable isotopic variations of the compounds of the formulas described herein. For example, different isotopic forms of hydrogen (H) include protium (iH) and deuterium (¾). Protium is the predominant hydrogen isotope found in nature. Enriching for deuterium may afford certain therapeutic advantages, such as increasing in vivo half-life or reducing dosage requirements, or may provide a compound useful as a standard for characterization of biological samples. Isotopically-enriched compounds within generic formula can be prepared without undue experimentation by conventional techniques well known to those skilled in the art or by processes analogous to those described in the Schemes and Examples herein using appropriate isotopically- enriched reagents and/or Intermediates. Methods of Treatment
Also encompassed by the present invention are methods of treating DGATl -related diseases. The compounds described herein are effective in preventing or treating various
DGATl -related diseases, such as metabolic diseases such as obesity, diabetes, hormone secretion disorder, hyperlipemia, gout, fatty liver, and the like; circulatory diseases such as angina pectoris, acute/congestive cardiac insufficiency, myocardial infarction, coronary arteriosclerosis, hypertension, nephropathy, electrolyte abnormality, and the like; central and peripheral nervous system diseases such as bulimia, affective disorder, depression, anxiety, epilepsy, delirium, dementia, schizophrenia, attention deficit/hyperactivity disorder, dysmnesia, somnipathy, cognitive impairment, dyskinesia, dysesthesia, dysosmia, morphine resistance, drug dependence, alcohol dependence, and the like; reproductive system diseases such as infertility, premature delivery, sexual dysfunction, and the like; and other conditions including digestive diseases, respiratory
diseases, cancer, and chromatosis. The compound of the invention is especially useful as a preventive or a remedy for obesity, diabetes, fatty liver, bulimia, depression, or anxiety.
Accumulation of triglycerides leads to the obesity and associated with insulin-resistance, so inhibition of triglycerides synthesis represents a potential therapeutic strategy for human obesity and type 2 diabetes. One aspect of the invention described herein provides a method for the treatment and control of obesity or metabolic syndrome, which comprises administering to a subject in need of such treatment a therapeutically effective amount of a compound having the formulas described herein or a pharmaceutically acceptable salt thereof. For example, the compounds described herein are useful for treating or preventing obesity by administering to a subject in need thereof a composition comprising a compound of any of the formulas described herein.
Methods of treating or preventing obesity and conditions associated with obesity refer to the administration of the pharmaceutical formulations described herein to reduce or maintain the body weight of an obese subject or to reduce or maintain the body weight of an individual at risk of becoming obese. One outcome of treatment may be reducing the body weight of an obese subject relative to that subject's body weight immediately before the administration of the compounds or combinations of the present invention. Another outcome of treatment may be preventing body weight, regain of body weight previously lost as a result of diet, exercise, or pharmacotherapy and preventing weight gain from cessation of smoking. Another outcome of treatment may be decreasing the occurrence of and/or the severity of obesity-related diseases. Yet another outcome of treatment may be decreasing the risk of developing diabetes in an overweight or obese subject. The treatment may suitably result in a reduction in food or calorie intake by the subject, including a reduction in total food intake, or a reduction of intake of specific components of the diet such as carbohydrates or fats; and/or the inhibition of nutrient absorption; and/or the inhibition of the reduction of metabolic rate; and in weight reduction in subjects in need thereof. The treatment may also result in an alteration of metabolic rate, such as an increase in metabolic rate, rather than or in addition to an inhibition of the reduction of metabolic rate; and/or in minimization of the metabolic resistance that normally results from weight loss.
Prevention of obesity and obesity-related disorders refers to the administration of the pharmaceutical formulations described herein to reduce or maintain the body weight of a subject at risk of obesity. One outcome of prevention may be reducing the body weight of a subject at risk of obesity relative to that subject's body weight immediately before the administration of the compounds or combinations of the present invention. Another outcome of prevention may be preventing body weight regain of body weight previously lost as a result of diet, exercise, or pharmacotherapy. Another outcome of prevention may be preventing obesity from occurring if the treatment is administered prior to the onset of obesity in a subject at risk of obesity. Another
outcome of prevention may be decreasing the occurrence and/or severity of obesity-related disorders if the treatment is administered prior to the onset of obesity in a subject at risk of obesity. Moreover, if treatment is commenced in already obese subjects, such treatment may prevent the occurrence, progression or severity of obesity-related disorders, such as, but not limited to, arteriosclerosis, type 2 diabetes, polycystic ovary disease, cardiovascular diseases, osteoarthritis, dermatological disorders, hypertension, insulin resistance, hypercholesterolemia, hypertriglyceridemia, and cholelithiasis.
The following diseases, disorders and conditions are related to Type 2 diabetes, and therefore may be treated, controlled or in some cases prevented, by treatment with the compounds described herein: (1) hyperglycemia, (2) low glucose tolerance, (3) insulin resistance, (4) obesity, (5) lipid disorders, (6) dyslipidemia, (7) hyperlipidemia, (8) hypertriglyceridemia, (9) hypercholesterolemia, (10) low HDL levels, (11) high LDL levels, (12) atherosclerosis and its sequelae, (13) vascular restenosis, (14) irritable bowel syndrome, (15) inflammatory bowel disease, including Crohn's disease and ulcerative colitis, (16) other inflammatory conditions, (17) pancreatitis, (18) abdominal obesity, (19) neurodegenerative disease, (20) retinopathy, (21) nephropathy, (22) neuropathy, (23) Syndrome X, (24) ovarian hyperandrogenism (polycystic ovarian syndrome), and other disorders where insulin resistance is a component. In Syndrome X, also known as Metabolic Syndrome, obesity is thought to promote insulin resistance, diabetes, dyslipidemia, hypertension, and increased cardiovascular risk. Therefore, DGAT-1 inhibitors may also be useful to treat hypertension associated with this condition.
Another aspect of the invention that is of interest relates to a method of treating hyperglycemia, hypertriglyceridemia, diabetes or insulin resistance in a mammalian subject in need of such treatment which comprises administering to said subject a compound in accordance with the formulas described herein or a pharmaceutically acceptable salt thereof in an amount that is effective to treat hyperglycemia, diabetes or insulin resistance.
More particularly, another aspect of the invention that is of interest relates to a method of treating type 2 diabetes in a mammalian subject in need of such treatment comprising
administering to the subject a compound in accordance with the formulas described herein or a pharmaceutically acceptable salt thereof in an amount that is effective to treat type 2 diabetes.
Yet another aspect of the invention that is of interest relates to a method of treating non- insulin dependent diabetes mellitus in a mammalian subject in need of such treatment comprising administering to the subject a compound in accordance with the formulas described herein or a pharmaceutically acceptable salt thereof in an amount that is effective to treat non-insulin dependent diabetes mellitus.
The present invention is also directed to the use of a compound of any of the formulas described herein in the manufacture of a medicament for use in treating various DGATl -related
diseases, such as metabolic diseases such as obesity, diabetes, hormone secretion disorder, hyperlipemia, gout, fatty liver, and the like; circulatory diseases such as angina pectoris, acute/congestive cardiac insufficiency, myocardial infarction, coronary arteriosclerosis, hypertension, nephropathy, electrolyte abnormality, and the like; central and peripheral nervous system diseases such as bulimia, affective disorder, depression, anxiety, epilepsy, delirium, dementia, schizophrenia, attention deficit/hyperactivity disorder, dysmnesia, somnipathy, cognitive impairment, dyskinesia, dysesthesia, dysosmia, morphine resistance, drug dependence, alcohol dependence, and the like; reproductive system diseases such as infertility, premature delivery, sexual dysfunction, and the like; and other conditions including digestive diseases, respiratory diseases, cancer, and chromatosis. The compounds described herein are especially useful as a preventive or a remedy for obesity, diabetes, fatty liver, bulimia, depression, or anxiety.
For example, the present invention is directed to the use of a compound of any of the formulas described herein in the manufacture of a medicament for use in treating obesity, diabetes, hormone secretion disorder, hyperlipemia, gout and fatty liver.
Additionally, the present invention is directed to the use of a compound of any of the formulas described herein in the manufacture of a medicament for use in treating obesity.
DGAT-1 inhibitors may also serve as antiviral therapeutics that selectively suppresses HCV's (Hepatitis C virus) interation with lipid droplets without compromising the overall formation of lipid droplets in liver cells Nature Medicine, vol. 16, no. 11 pages 1295-1298, November 2010. Thus the compounds described herein can be useful as a treatment for HCV.
Pharmaceutical Compositions
Compounds of the invention may be administered orally or parenterally. As formulated into a dosage form suitable for the administration route, the compound of the invention can be used as a pharmaceutical composition for the prevention, treatment, or remedy of the above diseases.
In clinical use of the compound of the invention, usually, the compound is formulated into various preparations together with pharmaceutically acceptable additives according to the dosage form, and may then be administered. By "pharmaceutically acceptable" it is meant the additive, carrier, diluent or excipient must be compatible with the other ingredients of the formulation and not deleterious to the recipient thereof. As such additives, various additives ordinarily used in the field of pharmaceutical preparations are usable. Specific examples thereof include gelatin, lactose, sucrose, titanium oxide, starch, crystalline cellulose, hydroxypropyl methylcellulose,
carboxymethylcellulose, corn starch, microcrystalline wax, white petrolatum, magnesium metasilicate aluminate, anhydrous calcium phosphate, citric acid, trisodium citrate,
hydroxypropylcellulose, sorbitol, sorbitan fatty acid ester, polysorbate, sucrose fatty acid ester,
polyoxyethylene, hardened castor oil, polyvinylpyrrolidone, magnesium stearate, light silicic acid anhydride, talc, vegetable oil, benzyl alcohol, gum arabic, propylene glycol, polyalkylene glycol, cyclodextrin, hydroxypropyl cyclodextrin, and the like.
Preparations to be formed with those additives include, for example, solid preparations such as tablets, capsules, granules, powders, suppositories; and liquid preparations such as syrups, elixirs, injections. These may be formulated according to conventional methods known in the field of pharmaceutical preparations. The liquid preparations may also be in such a form that may be dissolved or suspended in water or in any other suitable medium in their use. Especially for injections, if desired, the preparations may be dissolved or suspended in physiological saline or glucose liquid, and a buffer or a preservative may be optionally added thereto.
The pharmaceutical compositions may contain the compound of the invention in an
amount of from 1 to 99.9 % by weight, preferably from 1 to 60 % by weight of the composition.
The compositions may further contain any other therapeutically-effective compounds.
In case where the compounds of the invention are used for prevention or treatment for the above-mentioned diseases, the dose and the dosing frequency may be varied, depending on the sex, the age, the body weight and the disease condition of the subject and on the type and the range of the intended remedial effect. In general, when orally administered, the dose may be from 0.001 to 50 mg/kg of body weight/day, and it may be administered at a time or in several times.
The dose is preferably from about 0.01 to about 25 mg/kg/day, more preferably from about 0.05 to about 10 mg/kg/day. For oral administration, the compositions are preferably provided in the form of tablets or capsules containing from 0.01 mg to 1,000 mg, preferably 0.01 , 0.05, 0.1, 0.2, 0.5, 1.0, 2.5, 5, 10, 15, 20, 25, 30, 40, 50, 75, 100, 125, 150, 175, 200, 225, 250, 500, 750, 850 and 1,000 milligrams of a compound described herein. This dosage regimen may be adjusted to provide the optimal therapeutic response.
Combination Therapy
The compounds of the present invention are further useful in methods for the prevention or treatment of the aforementioned diseases, disorders and conditions in combination with other therapeutic agents.
The compounds of the present invention may be used in combination with one or more other drugs in the treatment, prevention, suppression or amelioration of diseases or conditions for which compounds of any of the formulas described herein or the other drugs may have utility, where the combination of the drugs together are safer or more effective than either drug alone. Such other drug(s) may be administered, by a route and in an amount commonly used therefore, contemporaneously or sequentially with a compound of any of the formulas described herein. When a compound of any of the formulas described herein is used contemporaneously with one or more other drugs, a pharmaceutical
composition in unit dosage form containing such other drugs and the compound of any of the formulas described herein is preferred. However, the combination therapy may also include therapies in which the compound of any of the formulas described herein and one or more other drugs are administered on different overlapping schedules. It is also contemplated that when used in combination with one or more other active ingredients, the compounds of the present invention and the other active ingredients may be used in lower doses than when each is used singly. Accordingly, the pharmaceutical compositions of the present invention include those that contain one or more other active ingredients, in addition to a compound of any of the formulas described herein.
Examples of other active ingredients that may be administered in combination with a compound of any of the formulas described herein, and either administered separately or in the same pharmaceutical composition, include, but are not limited to:
(1) dipeptidyl peptidase-IV (DPP-4) inhibitors;
(2) insulin sensitizers, including (i) PPARy agonists, such as the glitazones (e.g. pioglitazone, rosiglitazone, netoglitazone, rivoglitazone, and balaglitazone) and other PPAR ligands, including (1) PPARa/γ□ dual agonists, such as muraglitazar, aleglitazar, sodelglitazar, and naveglitazar, (2) PPARa agonists, such as fenofibric acid derivatives (gemfibrozil, clofibrate, ciprofibrate, fenofibrate and bezafibrate), (3) selective PPARy modulators (SPPARyM's), such as those disclosed in WO 02/060388, WO 02/08188, WO 2004/019869, WO 2004/020409, WO 2004/020408, and WO 2004/066963, and (4) PPARy□ partial agonists; (ii) biguanides, such as metformin and its pharmaceutically acceptable salts, in particular, metformin hydrochloride, and extended-release formulations thereof, such as Glumetza®, Fortamet®, and GlucophageXR®; (iii) protein tyrosine phosphatase- IB (PTP-1B) inhibitors;
(3) insulin or insulin analogs, such as insulin lispro, insulin detemir, insulin glargine, insulin glulisine, and inhalable formulations of each thereof;
(4) leptin and leptin derivatives and agonists;
(5) amylin and amylin analogs, such as pramlintide;
(6) sulfonylurea and non-sulfonylurea insulin secretagogues, such as tolbutamide, glyburide, glipizide, glimepiride, mitiglinide, and meglitinides, such as nateglinide and repaglinide;
(7) -glucosidase inhibitors (such as acarbose, voglibose and miglitol);
(8) glucagon receptor antagonists, such as those disclosed in WO 98/04528, WO 99/01423, WO 00/39088, and WO 00/69810;
(9) incretin mimetics, such as GLP-1, GLP-1 analogs, derivatives, and mimetics; and GLP-1 receptor agonists, such as exenatide, liraglutide, taspoglutide, AVE0010, CJC-1131, and BIM-51077, including intranasal, transdermal, and once- weekly formulations thereof;
(10) LDL cholesterol lowering agents such as (i) HMG-CoA reductase inhibitors (lovastatin, simvastatin, pravastatin, cerivastatin, fiuvastatin, atorvastatin, pitavastatin, and rosuvastatin), (ii) bile acid sequestering agents (such as cholestyramine, colestimide, colesevelam hydrochloride, colestipol, and
dialkylaminoalkyl derivatives of a cross-linked dextran, (iii) inhibitors of cholesterol absorption, such as ezetimibe, and (iv) acyl CoA: cholesterol acyltransferase inhibitors, such as avasimibe;
(11) HDL-raising drugs, such as niacin or a salt thereof and extended-release versions thereof; MK-524A, which is a combination of niacin extended-release and the DP-1 antagonist MK-524; and nicotinic acid receptor agonists;
(12) antiobesity compounds;
(13) agents intended for use in inflammatory conditions, such as aspirin, non-steroidal antiinflammatory drugs ( SAIDs), glucocorticoids, and selective cyclooxygenase-2 (COX-2) inhibitors;
(14) antihypertensive agents, such as ACE inhibitors (such as enalapril, lisinopril, ramipril, captopril, quinapril, and tandolapril), A-II receptor blockers (such as losartan, candesartan, irbesartan, olmesartan medoxomil, valsartan, telmisartan, and eprosartan), renin inhibitors (such as aliskiren), beta blockers (such as and calcium channel blockers (such as;
(15) glucokinase activators (GKAs), such as LY2599506;
(16) inhibitors of 11 β-hydroxysteroid dehydrogenase type 1, such as those disclosed in U.S. Patent No. 6,730,690; WO 03/104207; and WO 04/058741;
(17) inhibitors of cholesteryl ester transfer protein (CETP), such as torcetrapib and MK-0859;
(18) inhibitors of fructose 1,6-bisphosphatase, such as those disclosed in U.S. Patent Nos.
6,054,587; 6,110,903; 6,284,748; 6,399,782; and 6,489,476;
(19) inhibitors of acetyl CoA carboxylase- 1 or 2 (ACC1 or ACC2);
(20) AMP-activated Protein Kinase (AMPK) activators;
(21) agonists of the G-protein-coupled receptors: GPR-109, GPR-119, and GPR-40;
(22) SSTR3 antagonists, such as those disclosed in WO 2009/011836;
(23) neuromedin U receptor agonists, such as those disclosed in WO2009/042053, including, but not limited to, neuromedin S (NMS);
(24) inhibitors of stearoyl-coenzyme A delta-9 desaturase (SCD);
(25) GPR-105 antagonists, such as those disclosed in WO 2009/000087;
(26) inhibitors of glucose uptake, such as sodium-glucose transporter (SGLT) inhibitors and its various iso forms, such as SGLT-1; SGLT-2, such as PF-04971729, dapagliflozin and remogliflozin; and SGLT-3;
(27) inhibitors of acyl coenzyme A:diacylglycerol acyltransferase 1 and 2 (DGAT-1 and DGAT-
2);
(28) inhibitors of fatty acid synthase;
(29) inhibitors of acetyl-CoA carboxylase- 1 and 2 (ACC-1 and
ACC-2);
(30) inhibitors of acyl coenzyme A:monoacylglycerol acyltransferase 1 and 2 (MGAT-1 and
MGAT-2);
(31) agonists of the TG 5 receptor (also known as GPBAR1, BG37, GPCR19, GPR131, and M- BAR); and
(32) bromocriptine mesylate and rapid-release formulations thereof.
Dipeptidyl peptidase-IV (DPP-4) inhibitors that can be used in combination with compounds of any of the formulas described herein include, but are not limited to, sitagliptin (disclosed in US Patent No. 6,699,871), vildagliptin, saxagliptin, alogliptin, denagliptin, carmegliptin, dutogliptin, melogliptin, linagliptin, and pharmaceutically acceptable salts thereof, and fixed-dose combinations of these compounds with metformin hydrochloride, pioglitazone, rosiglitazone, simvastatin, atorvastatin, or a sulfonylurea.
Other dipeptidyl peptidase-IV (DPP-4) inhibitors that can be used in combination with compounds of any of the formulas described herein include, but are not limited to:
(2R,31S",5R)-5-(l-methyl-4,6-dihydropyrrolo[3,4-c]pyrazol-5(lH)-yl)-2-(2,4,5- trifluorophenyl)tetrahydro-2H-pyran-3-amine;
(2R,3lS',5R)-5-(l-methyl-4,6-dihydropyrrolo[3,4-c]pyrazol-5(lH)-yl)-2-(2,4,5- trifiuorophenyl)tetrahydro-2H-pyran-3-amine;
(2R,35',5R)-2-(2,5-difiuorophenyl)tetrahydro)-5-(4,6-dihydropyrrolo[3,4-c]pyrazol-5(lH)-yl) tetrahydro-2H-pyran-3 -amine;
(3R)-4-[(3R)-3-amino-4-(2,4,5-trifiuorophenyl)butanoyl]-hexahydro-3-methyl-2H-l,4-diazepin-2- one;
4-[(3R)-3-amino-4-(2,5-difiuorophenyl)butanoyl]hexahydro-l-methyl-2H-l,4-diazepin-2-one
hydrochloride; and
(3i?)-4-[(3i?)-3-amino-4-(2,4,5-trifluorophenyl)butanoyl]-hexahydro-3-(2,2,2-trifluoroethyl)- diazepin-2-one; and
pharmaceutically acceptable salts thereof.
Antiobesity compounds that can be combined with compounds of any of the formulas described herein include topiramate; zonisamide; naltrexone; phentermine; bupropion; the combination of bupropion and naltrexone; the combination of bupropion and zonisamide; the combination of topiramate and phentermine; fenfluramine; dexfenfiuramine; sibutramine; lipase inhibitors, such as orlistat and cetilistat; melanocortin receptor agonists, in particular, melanocortin-4 receptor agonists; CCK-1 agonists; melanin- concentrating hormone (MCH) receptor antagonists; neuropeptide Yl or Y5 antagonists (such as MK- 0557); CBl receptor inverse agonists and antagonists (such as rimonabant and taranabant); ββ adrenergic receptor agonists; ghrelin antagonists; bombesin receptor agonists (such as bombesin receptor subtype-3 agonists); and 5-hydroxytryptamine-2c (5-HT2c) agonists, such as lorcaserin. For a review of anti- obesity compounds that can be combined with compounds of the present invention, see S. Chaki et al., "Recent advances in feeding suppressing agents: potential therapeutic strategy for the treatment of obesity," Expert Opin. Ther. Patents, 1 1 : 1677-1692 (2001); D. Spanswick and K. Lee, "Emerging
antiobesity drugs," Expert Opin. Emerging Drugs, 8 : 217-237 (2003); J.A. Fernandez-Lopez, et al., "Pharmacological Approaches for the Treatment of Obesity," Drugs, 62: 915-944 (2002); and K.M. Gadde, et al., "Combination pharmaceutical therapies for obesity," Exp. Opin. Pharmacother., 10: 921- 925 (2009).
Glucagon receptor antagonists that can be used in combination with the compounds of any of the formulas described herein include, but are not limited to:
N-[4-((\S)- 1 - {3-(3,5-dichlorophenyl)-5-[6-(trifiuoromethoxy)-2-naphthyl]- lH-pyrazol- 1 - yl}ethyl)benzoyl]-P-alanine;
N- [4-(( IR)- 1 - {3-(3 ,5 -dichlorophenyl)-5 - [6-(trifluoromethoxy)-2-naphthyl] - lH-pyrazol- 1 - yl}ethyl)benzoyl]- -alanine;
N-(4- { 1 -[3-(2,5-dichlorophenyl)-5-(6-methoxy-2-naphthyl)- lH-pyrazol- 1 -yl]ethyl}benzoyl)-P- alanine;
N-(4- {(liS)- 1 -[3-(3,5-dichlorophenyl)-5-(6-methoxy-2-naphthyl)- lH-pyrazol- 1 -yl]ethyl}benzoyl)- β-alanine;
N-(4- {(l S)-l-[(R)-(4-chlorophenyl)(7-fluoro-5-methyl-lH-indol-3-yl)methyl]butyl}benzoyl)-P- alanine; and
N-(4- {(I S)- 1 -[(4-cUorophenyl)(6-chloro-8-methylquinolin-4-yl)methyl]butyl}benzoyl)- -alanine;
and
pharmaceutically acceptable salts thereof.
Inhibitors of stearoyl-coenzyme A delta-9 desaturase (SCD) that can be used in
combination with the compounds of any of the formulas described herein include, but are not limited to:
[5 -(5 - {4-[2-(trifluoromethyl)phenoxy]piperidin- 1 -yl} -1 ,3 ,4-thiadiazol-2 -yl)-2H-tetrazol-2- yl] acetic acid;
(2'- {4-[2-(trifluoromethyl)phenoxy]piperidin-l-yl}-2,5'-bi-l,3-thiazol-4-yl)acetic acid;
(5-{3-[4-(2-bromo-5-fluorophenoxy)piperidin-l-yl]isoxazol-5-yl}-2H-tetrazol-2-yl)acetic acid;
(3-{3-[4-(2-bromo-5-fluorophenoxy)piperidin-l-yl]-l,2,4-oxadiazol-5-yl}-lH-pyrrol-l-yl)acetic acid;
(5-{5-[4-(2-bromo-5-fluorophenoxy)piperidin-l-yl]pyrazin-2-yl}-2H-tetrazol-2-yl)acetic acid; and (5- {2-[4-(5-bromo-2-chlorophenoxy)piperidin- 1 -yl]pyrimidin-5-yl} -2H-tetrazol-2-yl)acetic acid;
and pharmaceutically acceptable salts thereof.
Glucokinase activators that can be used in combination with the compounds of any of the formulas described herein include, but are not limited to:
3-(6-ethanesulfonylpyridin-3-yloxy)-5-(2-hydroxy-l-methyl-ethoxy)-N-(l -methyl- lH-pyrazol-3- yl)benzamide;
5-(2-hydroxy-l-methyl-ethoxy)-3-(6-methanesulfonylpyridin-3-yloxy)-N-(l-methyl-lH-pyrazol-3^ yl)benzamide;
5-( 1 -hydroxymethyl-propoxy)-3 -(6-methanesulfonylpyridin-3 -yloxy)-N-( 1 -methyl- 1 H-pyrazol-3- yl)benzamide;
3-(6-methanesulfonylpyridin-3-yloxy)-5-(l-methoxymethyl-propoxy)-N-(l-methyl-lH-pyrazol-3- yl)benzamide;
5-isopropoxy-3-(6-methanesulfonylpyridin-3-yloxy)-N-(l-methyl-lH-pyrazol-3-yl)benzamide;
5-(2-fluoro- 1 -fluoromethyl-ethoxy)-3-(6-methanesulfonylpyridin-3-yloxy)-N-( 1 -methyl- 1H- pyrazol-3 -yl)benzamide;
3-({4-[2-(dimethylamino)ethoxy]phenyl}thio)-N-(3-methyl-l,2,4-thiadiazol-5-yl)-6-[(4-methyl- 4H- 1 ,2,4-triazol-3-yl)thio]pyridine-2-carboxamide;
3-({4-[(l-methylazetidin-3-yl)oxy]phenyl}thio)-N-(3-methyl-l,2,4-thiadiazol-5-yl)-6-[(4-methyl- 4H- 1 ,2,4-triazol-3-yl)thio]pyridine-2-carboxamide;
N-(3 -methyl- 1 ,2,4-thiadiazol-5 -yl)-6-[(4-methyl-4H- 1 ,2,4-triazol-3 -yl)thio] -3 - { [4-(2-pyrrolidin- 1 - ylethoxy)phenyl]thio }pyridine-2-carboxamide; and
3-[(4- {2-[(2R)-2-methylpyrrolidin- 1 -yl]ethoxy}phenyl)thio-N-(3-methyl- 1 ,2,4-thiadiazol-5-yl)-6-[(4- methyl-4H-l,2,4-triazol-3-yl)thio]pyridine-2-carboxamide; and pharmaceutically acceptable salts thereof.
Agonists of the GPR-119 receptor that can be used in combination with the compounds of any of the formulas described herein include, but are not limited to:
rac-cis 5-chloro-2-{4-[2-(2-{[5-(methylsulfonyl)pyridin-2-yl]oxy}ethyl)cyclopropyl] piperidin-1- yl}pyrimidine;
5-chloro-2-{4-[(lR,2S)-2-(2-{[5-(methylsulfonyl)pyridin-2-yl]oxy}ethyl)cyclopropyl]piperidin-l- yl}pyrimidine;
rac cw-5-chloro-2-[4-(2- {2-[4-(methylsulfonyl)phenoxy]ethyl} cyclopropyl)piperidin- 1 - yl]pyrimidine;
5-chloro-2-[4-((l S,2R)-2- {2-[4-(methylsulfonyl)phenoxy]ethyl} cyclopropyl) piperidin- 1 - yljpyrimidine;
5-chloro-2-[4-((lR,2S)-2-{2-[4-(methylsulfonyl)phenoxy]ethyl} cyclopropyl) piperidin-1- yljpyrimidine;
rac cw-5-chloro-2-[4-(2- {2-[3-(methylsulfonyl)phenoxy]ethyl} cyclopropyl)piperidin- 1 - yl]pyrimidine; and
rac cis -5 -chloro-2- [4-(2- {2- [3 -(5 -methyl- 1 ,3 ,4-oxadiazol-2-yl)phenoxy]ethyl} cyclopropyl)
piperidin- 1 -yljpyrimidine; and pharmaceutically acceptable salts thereof.
Selective PPARy modulators (SPPARyM's) that can be used in combination with the compounds of any of the formulas described herein include, but are not limited to:
(2S)-2-( {6-chloro-3-[6-(4-chlorophenoxy)-2-propylpyridin-3-yl]- 1 ,2-benzisoxazol-5- yl}oxy)propanoic acid;
(2S)-2-( {6-chloro-3-[6-(4-fluorophenoxy)-2-propylpyridin-3-yl]- 1 ,2-benzisoxazol-5- yl}oxy)propanoic acid;
(25)-2- {[6-chloro-3-(6-phenoxy-2-propylpyridin-3-yl)-l ,2-benzisoxazol-5-yl]oxy}propanoic acid; (2R)-2-( {6-chloro-3-[6-(4-chlorophenoxy)-2-propylpyridin-3-yl]- 1 ,2-benzisoxazol-5- yl}oxy)propanoic acid;
(2R)-2- {3-[3-(4-methoxy)benzoyl-2-methyl-6-(trifluoromethoxy)- lH-indol- 1 - yl]phenoxy}butanoic acid;
(2S)-2- {3-[3-(4-methoxy)benzoyl-2-methyl-6-(trifluoromethoxy)- lH-indol- 1 - yl]phenoxy}butanoic acid;
2- {3-[3-(4-methoxy)benzoyl-2-methyl-6-(trifluoromethoxy)- lH-indol- 1 -yl]phenoxy} -2- methylpropanoic acid; and
(2R)-2- {3-[3-(4-chloro)benzoyl-2-methyl-6-(trifluoromethoxy)- lH-indol- 1 -yl]phenoxy} propanoic acid; and pharmaceutically acceptable salts thereof.
Inhibitors of 1 1 β-hydroxysteroid dehydrogenase type 1 that can be used in combination with the compounds of any of the formulas described herein include, but are not limited to:
3- [ 1 -(4-chlorophenyl)-tra/75-3-fluorocyclobutyl]-4,5-dicyclopropyl-r-4H- 1 ,2,4-triazole;3-[ 1 -(4- chloropfienyl)-tra/?s-3 -fluorocyclobutyl] -4-cyclopropyl-5 -( 1 -methylcyclopropyl)-r-4H- 1 ,2,4- triazole;
3 - [ 1 -(4-chloropfienyl)-tra/?s-3 -fluorocyclobutyl] -4-methyl-5 - [2-(trifluoromethoxy)phenyl] -r-4H- 1 ,2,4-triazole;
3-[ 1 -(4-chlorophenyl)cyclobutyl]-4-methyl-5-[2-(trifluoromethyl)phenyl]-4H- 1 ,2,4-triazole;
3- {4-[3-(ethylsulfonyl)propyl]bicyclo[2.2.2]oct- 1 -yl} -4-methyl-5-[2-(trifluoromethyl)phenyl]-4H -1 ,2,4-triazole;
4- methyl-3- {4-[4-(methylsulfonyl)phenyl]bicyclo[2.2.2]oct- 1 -yl} -5-[2-(trifluoromethyl)phenyl]- 4H- 1 ,2,4-triazole;
3-(4- {4-methyl-5-[2-(trifluoromethyl)phenyl]-4H- 1 ,2,4-triazol-3-yl}bicyclo[2.2.2]oct- 1 -yl)-5- (3 ,3 ,3-trifluoropropyl)- 1 ,2,4-oxadiazole;
3-(4- {4-methyl-5-[2-(trifluoromethyl)phenyl]-4H- 1 ,2,4-triazol-3-yl}bicyclo[2.2.2]oct- 1 -yl)-5- (3 ,3 ,3-trifluoroethyl)- 1 ,2,4-oxadiazole;
5 -(3 ,3 -difluorocyclobutyl)-3 -(4- {4-methyl-5 - [2-(trifluoromethyl)phenyl] -4Η- 1 ,2,4-triazol-3 - yl}bicyclo [2.2.2]oct- 1 -yl)- 1 ,2,4-oxadiazole;
5- (l -fluoro- 1 -methylethyl)-3-(4- {4-methyl-5-[2-(trifluoromethyl)phenyl]-4H- 1 ,2,4-triazol-3- yl}bicyclo [2.2.2]oct- 1 -yl)- 1 ,2,4-oxadiazole;
2-(l , 1 -difluoroethyl)-5-(4- {4-methyl-5-[2-(trifluoromethyl)phenyl]-4H- 1 ,2,4-triazol-3- yl}bicyclo [2.2.2]oct- 1 -yl)- 1 ,3 ,4-oxadiazole;
2-(3 ,3 -difluorocyclobutyl)-5 -(4- {4-methyl-5 - [2-(trifluoromethyl)phenyl] -4H- 1 ,2,4-triazol-3 - yl}bicyclo [2.2.2]oct- 1 -yl)- 1 ,3 ,4-oxadiazole; and
5-(l , 1 -difluoroethyl)-3-(4- {4-methyl-5-[2-(trifluoromethyl)phenyl]-4H- 1 ,2,4-triazol-3- yl}bicyclo[2.2.2]oct-l-yl)-l,2,4-oxadiazole; and pharmaceutically acceptable salts thereof.
Somatostatin subtype receptor 3 (SSTR3) antagonists that can be used in combination with the compounds of any of the formulas described herein include, but are not limited to:
and pharmaceutically acceptable salts thereof.
AMP-activated Protein Kinase (AMPK) activators that can be used in combination with the compounds of any of the formulas described herein include, but are not limited to:
Inhibitors of acetyl-CoA carboxylase- 1 and 2 (ACC-1 and ACC-2) that can be used in combination with the compounds of any of the formulas described herein include, but are not limited to: 3- { 1 '-[(1 -cyclopropyl-4-methoxy- lH-indol-6-yl)carbonyl]-4-oxospiro[chroman- 2,4'-piperidin]-6- yl}benzoic acid;
5- { 1 '-[( 1 -cyclopropyl-4-methoxy- 1 H-indol-6-yl)carbonyl]-4-oxospiro[chroman-2,4'-piperidin]-6- yl} nicotinic acid;
1 '- [( 1 -cyclopropyl-4-methoxy- 1 H-indol-6-yl)carbonyl] -6-( 1 H-tetrazol-5-yl)spiro [chroman-2,4'- piperidin]-4-one;
Γ- [( 1 -cyclopropyl-4-ethoxy-3 -methyl- 1 H-indol-6-yl)carbonyl] -6-( 1 H-tetrazol-5- yl)spiro [chroman-2,4'-piperidin] -4-one; and
5- { 1 '- [( 1 -cyclopropyl-4-methoxy-3 -methyl- 1 H-indol-6-yl)carbonyl] -4-oxo-spiro [chroman-2,4 - piperidin]-6-yl}nicotinic acid; and
pharmaceutically acceptable salts thereof.
In another aspect of the invention, a pharmaceutical composition is disclosed which comprises one or more of the following agents:
(a) a compound of any of the formulas described herein;
(b) one or more compounds selected from the group consisting of:
(1) dipeptidyl peptidase-IV (DPP-4) inhibitors;
(2) insulin sensitizers, including (i) PPARy agonists, such as the glitazones (e.g.
pioglitazone, rosiglitazone, netoglitazone, rivoglitazone, and balaglitazone) and other PPAR ligands, including (1) PPARa/γ Ddual agonists, such as muraglitazar, aleglitazar, sodelglitazar, and naveglitazar, (2) PPARa agonists, such as fenofibric acid derivatives (gemfibrozil, clofibrate, ciprofibrate, fenofibrate and bezafibrate), (3) selective PPARy modulators (SPPARyM's), and (4) PPARy partial agonists; (ii) biguanides, such as metformin and its pharmaceutically acceptable salts, in particular, metformin
hydrochloride, and extended-release formulations thereof, such as Glumetza®, Fortamet®, and
GlucophageXR®; (iii) protein tyrosine phosphatase- IB (PTP-1B) inhibitors;
(3) sulfonylurea and non-sulfonylurea insulin secretagogues, such as tolbutamide, glyburide, glipizide, glimepiride, mitiglinide, and meglitinides, such as nateglinide and repaglinide;
(4) a-glucosidase inhibitors (such as acarbose, voglibose and miglitol);
(5) glucagon receptor antagonists;
(6) LDL cholesterol lowering agents such as (i) HMG-CoA reductase inhibitors
(lovastatin, simvastatin, pravastatin, cerivastatin, fluvastatin, atorvastatin, pitavastatin, and rosuvastatin), (ii) bile acid sequestering agents (such as cholestyramine, colestimide, colesevelam hydrochloride, colestipol, and dialkylaminoalkyl derivatives of a cross-linked dextran, (iii) inhibitors of cholesterol absorption, such as ezetimibe, and (iv) acyl CoA: cholesterol acyltransferase inhibitors, such as avasimibe;
(7) HDL-raising drugs, such as niacin or a salt thereof and extended-release versions thereof; MK-524A, which is a combination of niacin extended-release and the DP-1 antagonist MK-524; and nicotinic acid receptor agonists;
(8) antiobesity compounds;
(9) agents intended for use in inflammatory conditions, such as aspirin, non-steroidal antiinflammatory drugs ( SAIDs), glucocorticoids, and selective cyclooxygenase-2 (COX-2) inhibitors;
(10) antihypertensive agents, such as ACE inhibitors (such as enalapril, lisinopril, ramipril, captopril, quinapril, and tandolapril), A-II receptor blockers (such as losartan, candesartan, irbesartan, olmesartan medoxomil, valsartan, telmisartan, and eprosartan), renin inhibitors (such as aliskiren), beta blockers (such as and calcium channel blockers (such as;
(11) glucokinase activators (GKAs), such as LY2599506;
(12) inhibitors of 11 β-hydroxysteroid dehydrogenase type 1;
(13) inhibitors of cholesteryl ester transfer protein (CETP), such as torcetrapib and MK- 0859;
(14) inhibitors of fructose 1,6-bisphosphatase;
(15) inhibitors of acetyl CoA carboxylase- 1 or 2 (ACC1 or ACC2);
(16) AMP-activated Protein Kinase (AMPK) activators;
(17) agonists of the G-protein-coupled receptors: GPR-109, GPR-119, and GPR-40; (18) SSTR3 antagonists;
(19) neuromedin U receptor agonists, including, but not limited to, neuromedin S (NMS);
(20) inhibitors of stearoyl-coenzyme A delta-9 desaturase (SCD);
(21) GPR-105 antagonists;
(22) inhibitors of glucose uptake, such as sodium-glucose transporter (SGLT) inhibitors and its various isoforms, such as SGLT-1; SGLT-2, such as dapagliflozin and remoglifiozin; and SGLT-
3;
(23) inhibitors of acyl coenzyme A:diacylglycerol acyltransferase 1 and 2 (DGAT-1 and
DGAT-2);
(24) inhibitors of fatty acid synthase;
(25) inhibitors of acetyl-CoA carboxylase- 1 and 2 (ACC-1 and
ACC-2);
(26) inhibitors of acyl coenzyme A:monoacylglycerol acyltransferase 1 and 2 (MGAT-1 and MGAT-2);
(27) agonists of the TGR5 receptor (also known as GPBAR1, BG37, GPCR19, GPR131, and M-BAR); and
(28) bromocriptine mesylate and rapid-release formulations thereof; and
(c) a pharmaceutically acceptable carrier.
In certain embodiments, the compounds described herein can be combined with a DPP-IV inhibitor, such as sitagliptin. DPP 4 is responsible on the inactivation of incretin hormones GLP- 1 (glucagon- like peptide- 1) and GIP (glucose-dependent insulinotropic polypeptide). Thus sitagliptin would inhitbit the inactivation of incretin hormones while DGAT-1 would inhibit tryglicride synthesis.
When a compound of the present invention is used contemporaneously with one or more other drugs, a pharmaceutical composition containing such other drugs in addition to the compound of the present invention is preferred. Accordingly, the pharmaceutical compositions of the present invention include those that also contain one or more other active ingredients, in addition to a compound of the present invention.
The weight ratio of the compound of the present invention to the second active ingredient may be varied and will depend upon the effective dose of each ingredient. Generally, an effective dose of each will be used. Thus, for example, when a compound of the present invention is combined with another agent, the weight ratio of the compound of the present invention to the other agent will generally range from about 1000:1 to about 1 :1000, preferably about 200: 1 to about 1 :200. Combinations of a compound of the present invention and other active ingredients will generally also be within the aforementioned range, but in each case, an effective dose of each active ingredient should be used.
In such combinations the compound of the present invention and other active agents may be administered separately or in conjunction. In addition, the administration of one element may be prior to, concurrent to, or subsequent to the administration of other agent(s).
Examples
To a solution of 4-((l-(5-formylpyridin-2-yl)piperidin-4-yloxy)methyl)bicyclo[2.2.2] octane- 1-carboxylic acid (35 mg, 0.094 mmol, 1 equiv) and diamine (20 - 35 mg, 0.188 mmol, 2 equiv) in 2% HOAc/DMF (1.5 mL) was added Oxone (20 mg, 0.056 mmol, 0.6 equiv) and the mixture agitated at 80 °C for 16 hours at which point LCMS analysis of an aliquot indicated complete conversion to product. The reaction mixture was filtered and the filtrate was concentrated in vacuo. The residue was suspended in water (2 mL) and extracted into ethyl acetate (2 x 4 mL) then the combined organic layers were concentrated in vacuo and reconstituted in DMSO, filtered and purified by preparative HPLC on a CI 8 reverse-phase column eluting with 10% to 90% acetonitrile in water containing 0.1% TFA to give the desired product, typically as a yellow solid.
DGAT1 CPM Assay
Examples were assayed as follows: 20uL substrate mixture of 300uM diolein, 40uM oleoyl-CoA, 10% ethanol and luL of the compound with different concentrations were delivered to a 384 well assay plate (Corning 3573) using a Tecan with TeMO module. Later 19uL of enzyme mixture of 1.05ug/ml human DGAT1 in buffer (200mM Tris, pH7, 200mM sucrose, 200mM MgC12 + 20ug/ml NEM-treated BSA) was added via a Multidrop Combi using a microcassette. 20uL of 90uM CPM reagent in 90% ethanol was added after 1 hour incubation at room temperature. After 30 minutes at room temperature in dark, fluorescence measurement on Envision was carried out and IC50s were calculated.
eneral Scheme
methyl 4-(hydroxymethyl)bicyclo[2.2.2]octane- 1 -carboxylate
4-(methoxycarbonyl)bicyclo[2.2.2]octane-l-carboxylic acid (25 g, 118 mmol, 1 equiv) was dissolved in THF (200 mL) in a 1 liter 3 -neck round bottom flask fitted with a rubber septum, a mechanical stirrer and a Claisen adaptor fitted with a nitrogen inlet and an internal temperature probe and cooled to 0 °C in an ice bath. A gas bubbler outlet fitted with a needle was attached through the septum and the reaction was performed under a gentle stream of nitrogen. A 2.0 M solution of borane dimethylsulfide complex in THF (70.7 mL, 141 mmol, 1.2 equiv) was added drop wise through the septum ensuring the internal temperature did not rise above 4 °C. The reaction vessel was allowed to warm slowly to room temperature and stirred overnight. Methanol (150 mL) was carefully added through the septum and the septum was quickly replaced with a reflux condenser fitted with a gas bubbler outlet. The solution was heated at reflux for 6 hours then cooled to room temperature, transferred to a 2 liter round bottom flask and concentrated by rotary evaporation to a clear colorless oil which was carried forward without further purification.
methyl 4-((piperidin-4-yloxy)methyl)bicyclo[2.2.2]octane-l-carboxylate
Step 1. Methyl 4-(hydroxymethyl)bicyclo[2.2.2]octane-l-carboxylate (10 g, 50.4 mmol, 1 equiv) from the previous step was dissolved in THF (100 mL) and triethylamine (7.73 mL, 55.5 mmol, 1.1 equiv) and chilled to 0 °C in an ice bath. Trimethylchlorosilane (6.77 mL, 53.0 mmol, 1.05 equiv) was then added dropwise during which time copious white solid formed. The reaction was stirred at this temperature for 2 hours at which point 1H NMR analysis of an aliquot indicated incomplete conversion to product so additional triethylamine (7.73 mL, 55.5 mmol, 1.1 equiv) and trimethylchlorosilane (6.77 mL, 53.0 mmol, 1.05 equiv) were added and the reaction warmed to room temperature and stirred for 16 hours. Hexanes (200 mL) were added and solids removed by filtration through a pad of Celite. Removal of volatiles in vacuo gave a clear yellow oil which was carried to the next step without further purification. Step 2. The yellow oil from the first step was transferred to a 500 mL 3 -neck round bottom flask charged with N-Cbz-4-piperidone (11.29 g, 48.4 mmol, 0.96 equiv) and
triethylsilane (8.06 mL, 50.4 mmol, 1 equiv) and fitted with a pressure equalized dropping funnel, a mechanical stirrer and a Claisen adaptor fitted with a nitrogen inlet and an internal temperature probe and cooled to -78 °C in an ice bath. Trimethylsilyl trifluoromethanesulfonate (4.56 mL, 25.2 mmol, 0.5 equiv) was added dropwise from the dropping funnel over ~3 minutes ensuring that the internal temperature did not rise above -60 °C. After 5 minutes, the reaction was warmed to 0 °C and held there with stirring for 1 hour then warmed to room temperature. The reaction mixture was partitioned between ethyl acetate and water and the organic layer was washed with brine, then dried on anhydrous sodium sulfate, filtered and concentrated in vacuo and left on a high- vacuum pump overnight. The resulting orange oil contained -30% triethylsilyl-containing impurities as indicated by 1H NMR which were removed by trituration with hexanes (3 x 10 mL) to give an orange oil which was carried forward without further purification.
Step 3. A 500 mL thick- walled glass Parr Shaker flask was charged with 30 % (w/w) palladium on carbon (2.1 g, 5.92 mmol, 16 mol%) and a solution of the orange oil from Step 2 (17.4 g, 37.7 mmol, 1 equiv) in methanol (100 mL) and pressurized to 48 psi with hydrogen. Agitation on a Parr shaker for 90 minutes at room temperature led to complete removal of the carbamate as indicated by LCMS analysis of an aliquot. Solids were removed by filtration
through a pad of Celite and the filtrate was concentrated in vacuo. The residue was reconstituted in 0.5 M hydrochloric acid (100 mL) and water (100 mL) to give a cloudy suspension of pH < 1 that was washed with toluene (50 mL). The aqueous layer was brought to pH 10.5 with 1 M sodium hydroxide to give a milky white suspension. The amine was then extracted into dichloromethane (3 x 100 mL) and the combined organic layers washed with brine (50 mL), dried on anhydrous sodium sulfate, filtered and concentrated in vacuo to give the amine as a white powder: [MH]+ calc'd m/z 282.2; found m/z 282.0.
4-((l-(5-formylpyridin-2-yl)piperidin-4-yloxy)methyl)bicyclo[2.2.2]octane-l-carboxylic acid
Step 1. Methyl 4-((piperidin-4-yloxy)methyl)bicyclo[2.2.2]octane-l-carboxylate (2 g, 7.11 mmol, 1 equiv) was dissolved in methanol (14 mL) and THF (14 mL) and a 2.5 M aqueous solution of lithium hydroxide (15 mL, 37.5 mmol, 5.3 equiv) was added and the mixture stirred under an atmosphere of nitrogen at 65 °C for 1 hour at which point LCMS analysis of an aliquot indicated complete saponification had occurred. The mixture was acidified with glacial acetic acid (2 mL, 34.9 mmol, 4.9 equiv) and concentrated in vacuo. Residual water was removed by addition of toluene (40 mL) to the residue and concentration first by rotary evaporation and then by evacuation on a high- vacuum pump for 15 minutes. The resulting white solid was carried forward crude.
Step 2. To the white solid from Step 1 was added solid sodium bicarbonate (2.99 g, 35.5 mmol, 5 equiv) and 2-fluoronicotinaldehyde (0.889 g, 7.11 mmol, 1 equiv) and N-methyl pyrrolidinone (12 mL) and the mixture stirred vigorously with heating at 90 °C for 3 hours at which point LCMS analysis of an aliquot indicated complete conversion to the desired product. The mixture was poured into water and carefully brought to pH 7 with 1 M hydrochloric acid (~50 mL) and then to pH 4 with concentrated hydrochloric acid. A pale yellow precipitate formed and was collected by filtration, washed sparingly with water, and dried under vacuum to give the desired product which contained a small amount of residual N-methylpyrrolidinone but was otherwise clean: [MH]+ calc'd m/z 373.2; found m/z 373.0.
Example 1
4-(( 1 -(5 -(4-fluoro- 1 H-benzo [d]imidazol-2-yl)pyridin-2-yl)piperidin-4- yloxy)methyl)bicyclo [2.2.2]octane- 1 -carboxylic acid
4-((l-(5-formylpyridin-2-yl)piperidin-4-yloxy)methyl)bicyclo[2.2.2]octane-l-carboxylic acid (50 mg, 0.134 mmol, 1 equiv) and powdered sodium bisfulite (4.6 mg, 0.044 mmol, 0.33 equiv) were taken up in DMF (0.20 mL) under air and stirred at room temp for 15 minutes at which point 1,2- diamino-3-fluorobenzene (16.9 mg, 0.134 mmol, 1 equiv) was added. The mixture was heated at 85 °C for 1.5 hours at which point LCMS analysis of an aliquot indicated complete conversion to the desired product. The reaction mixture was diluted with DMSO, filtered and purified by preparative HPLC on a CI 8 reverse-phase column eluting with 20% to 80% acetonitrile in water containing 0.05% TFA. The title compound was obtained as a pale yellow solid: [MH]+ calc'd m/z 479.2; found m/z 479.0.
Compounds in Table 1 were prepared according to the method of Example 1.
Table 1
[MH] [MH]
hDGATl
+ +
Example Structure ic50 calc'd found
(nM) m/z m/z
2 462 462 20
3 479 479 7
F
4 497 497 2
5 497 497 3
Claims
1. A compound of formula (I):
or pharmaceutical salt thereof, wherein X is selected from the group consisting of -N-, -CH- and -CR4-;
R1, R2 and R3 are independently selected from the group consisting of hydrogen, halogen, Ci-C6alkyl, C2-C6alkenyl, halogen-substitutedCi-Cealkyl, -OH, Ci-C6alkylOH, -OCi-
C6alkyl, -Ohalogen-substitutedC i-C6alkyl, -NH2, -S02Ci-C6alkyl and -CN or when taken together R2 and R3 form a heterocycle ring; and
R4 is selected from the group consisting of halogen, Ci-C6alkyl, C2-C6alkenyl, halogen-substitutedCi-Cealkyl, -OH, Ci-C6alkylOH, -OCi-C6alkyl, -Ohalogen-substitutedC i- C6alkyl, -NH2, -S02Ci-C6alkyl and -CN.
2. A compound of claim 1 or pharmaceutically acceptable salt thereof, wherein X is -
N-.
3. A compound of claim 1 or pharmaceutically acceptable salt thereof, wherein X is -
CH-.
4. A compound of claim 1 or pharmaceutically acceptable salt thereof, wherein X is
-CR4-.
5. A compound of any one of claims 1-4 or pharmaceutically acceptable salt thereof wherein R1 is selected from the group consisting of hydrogen and halogen.
6. A compound of any one of claims 1-5 or pharmaceutically acceptable salt thereof wherein R2 is selected from the group consisting of hydrogen and halogen.
7. A compound of any one of claims 1-6 or pharmaceutically acceptable salt thereof wherein R4 is halogen.
8. A compound of any one of claims 1-7 or pharmaceutically acceptable salt thereof wherein R^s selected from the group consisting of hydrogen, halogen, Ci-C6alkyl, C2-C6alkenyl, halogen-substitutedCi-Cealkyl, -OH, Ci-C6alkylOH, -OCi-C6alkyl, -Ohalogen-substitutedC i- C6alkyl, -NH2, -S02Ci-C6alkyl and -CN.
9. A compound of any one of claims 1-2 or pharmaceutically acceptable salt thereof wherein R2 and R3 taken together form at heterocyclic ring containing at least one oxygen.
10. A compound of any one of claims 1-2 or pharmaceutically acceptable salt thereof wherein R2 and R3 taken together form 1, 3-dioxolane or 3-morpholinone.
11. A compound of any one of claims 1-10 or pharmaceutically acceptable salt thereof wherein R3 is hydrogen, methyl or halogen.
12. A compound of any one of claims 1-10 or pharmaceutically acceptable salt thereof wherein R3 is CN.
13. A compound of any one of claims 1-10 or pharmaceutically acceptable salt thereof wherein R3 is -OCi-C6alkyl.
14. A compound of any one of claims 1-10 or pharmaceutically acceptable salt thereof wherein R3 is -Ci-Cealkyl or -C2-C6alkenyl.
15. A compound of any one of claims 1 - 10 or pharmaceutically acceptable salt thereof wherein R3 is -NH2.
18. A pharmaceutical composition comprising a compound of any one of claims 1-17, or a pharmaceutically acceptable salt thereof, and a pharmaceutically acceptable carrier.
19. Use of a compound of any one of claims 1-17, or a pharmaceutically acceptable salt thereof, in the manufacture of a medicament for use in treating a condition selected from the group consisting of obesity and diabetes.
20. A method for the treatment of a condition selected from the group consisting of obesity and diabetes comprising administering to an individual a pharmaceutical composition comprising the compound of any one of claims 1-17.
21. A compound according to claim 1 for use in therapy.
Applications Claiming Priority (2)
| Application Number | Priority Date | Filing Date | Title |
|---|---|---|---|
| US201161556474P | 2011-11-07 | 2011-11-07 | |
| US61/556,474 | 2011-11-07 |
Publications (1)
| Publication Number | Publication Date |
|---|---|
| WO2013068328A1 true WO2013068328A1 (en) | 2013-05-16 |
Family
ID=47172609
Family Applications (1)
| Application Number | Title | Priority Date | Filing Date |
|---|---|---|---|
| PCT/EP2012/071894 Ceased WO2013068328A1 (en) | 2011-11-07 | 2012-11-06 | Bicyclo [2.2.2] octan-1-ylcarboxylic acid compounds as dgat-1 inhibitors |
Country Status (1)
| Country | Link |
|---|---|
| WO (1) | WO2013068328A1 (en) |
Cited By (4)
| Publication number | Priority date | Publication date | Assignee | Title |
|---|---|---|---|---|
| WO2014159802A1 (en) * | 2013-03-14 | 2014-10-02 | Bristol-Myers Squibb Company | Bicyclo [2.2.2] acid gpr120 modulators |
| WO2015140658A1 (en) * | 2014-03-17 | 2015-09-24 | Pfizer Inc. | Diacylglycerol acyltransferase 2 inhibitors for use in the treatment of metabolic and related disorders |
| WO2021133035A1 (en) * | 2019-12-23 | 2021-07-01 | 주식회사 엘지화학 | Novel amino aryl derivative useful as diacylglycerol acyltransferase 2 inhibitor and use thereof |
| RU2799819C1 (en) * | 2019-12-23 | 2023-07-12 | ЭлДжи КЕМ, ЛТД. | New aminoaryl derivative suitable as a diacylglycerolacyl transferase 2 inhibitor and its application |
Citations (22)
| Publication number | Priority date | Publication date | Assignee | Title |
|---|---|---|---|---|
| WO1998004528A2 (en) | 1996-07-31 | 1998-02-05 | Bayer Corporation | Substituted pyridines and biphenyls as anti-hypercholesterinemic, anti-hyperlipoproteinemic and anti-hyperglycemic agents |
| WO1999001423A1 (en) | 1997-07-01 | 1999-01-14 | Novo Nordisk A/S | Glucagon antagonists/inverse agonists |
| US6054587A (en) | 1997-03-07 | 2000-04-25 | Metabasis Therapeutics, Inc. | Indole and azaindole inhibitors of fructose-1,6-bisphosphatase |
| WO2000039088A1 (en) | 1998-12-23 | 2000-07-06 | Novo Nordisk A/S | Glucagon antagonists/inverse agonists |
| US6110903A (en) | 1997-03-07 | 2000-08-29 | Sankyo Company Ltd. | Benzimidazole inhibitors of fructose 1,6-bisphosphatase |
| WO2000069810A1 (en) | 1999-05-17 | 2000-11-23 | Novo Nordisk A/S | Glucagon antagonists/inverse agonists |
| US6284748B1 (en) | 1997-03-07 | 2001-09-04 | Metabasis Therapeutics, Inc. | Purine inhibitors of fructose 1,6-bisphosphatase |
| WO2002008188A1 (en) | 2000-07-25 | 2002-01-31 | Merck & Co., Inc. | N-substituted indoles useful in the treatment of diabetes |
| WO2002060388A2 (en) | 2001-01-30 | 2002-08-08 | Merck & Co., Inc. | Acyl sulfamides for treatment of obesity, diabetes and lipid disorders |
| US6489476B1 (en) | 1998-09-09 | 2002-12-03 | Metabasis Therapeutics, Inc. | Heteroaromatic compounds containing a phosphonate group that are inhibitors of fructose-1,6-bisphosphatase |
| WO2003104207A2 (en) | 2002-06-10 | 2003-12-18 | Merck & Co., Inc. | 11-beta-hydroxysteroid dehydrogenase 1 inhibitors useful for the treatment of diabetes, obesity and dyslipidemia |
| US6699871B2 (en) | 2001-07-06 | 2004-03-02 | Merck & Co., Inc. | Beta-amino heterocyclic dipeptidyl peptidase inhibitors for the treatment or prevention of diabetes |
| WO2004020408A1 (en) | 2002-08-29 | 2004-03-11 | Merck & Co., Inc. | Indoles having anti-diabetic activity |
| WO2004019869A2 (en) | 2002-08-29 | 2004-03-11 | Merck & Co., Inc. | Indoles having anti-diabetic activity |
| WO2004058741A1 (en) | 2002-12-20 | 2004-07-15 | Merck & Co., Inc. | Triazole derivatives as inhibitors of 11-beta-hydroxysteroid dehydrogenase-1 |
| WO2004066963A2 (en) | 2003-01-17 | 2004-08-12 | Merck & Co., Inc. | N-cyclohexylaminocarbonyl benzenesulfonamide derivatives |
| WO2007071966A1 (en) * | 2005-12-22 | 2007-06-28 | Astrazeneca Ab | Pyrimido- [4, 5-b] -oxazines for use as dgat inhibitors |
| WO2009000087A1 (en) | 2007-06-28 | 2008-12-31 | Merck Frosst Canada Ltd. | Substituted fused pyrimidines as antagonists of gpr105 activity |
| WO2009011836A1 (en) | 2007-07-19 | 2009-01-22 | Merck & Co., Inc. | Beta carboline derivatives as antidiabetic compounds |
| WO2009042053A2 (en) | 2007-09-21 | 2009-04-02 | Merck & Co., Inc. | Neuromedin u receptor agonists and uses thereof |
| WO2009081195A1 (en) * | 2007-12-20 | 2009-07-02 | Astrazeneca Ab | Carbamoyl compounds as dgat1 inhibitors 190 |
| WO2012009217A1 (en) * | 2010-07-13 | 2012-01-19 | Merck Sharp & Dohme Corp. | Spirocyclic compounds |
-
2012
- 2012-11-06 WO PCT/EP2012/071894 patent/WO2013068328A1/en not_active Ceased
Patent Citations (25)
| Publication number | Priority date | Publication date | Assignee | Title |
|---|---|---|---|---|
| WO1998004528A2 (en) | 1996-07-31 | 1998-02-05 | Bayer Corporation | Substituted pyridines and biphenyls as anti-hypercholesterinemic, anti-hyperlipoproteinemic and anti-hyperglycemic agents |
| US6054587A (en) | 1997-03-07 | 2000-04-25 | Metabasis Therapeutics, Inc. | Indole and azaindole inhibitors of fructose-1,6-bisphosphatase |
| US6110903A (en) | 1997-03-07 | 2000-08-29 | Sankyo Company Ltd. | Benzimidazole inhibitors of fructose 1,6-bisphosphatase |
| US6284748B1 (en) | 1997-03-07 | 2001-09-04 | Metabasis Therapeutics, Inc. | Purine inhibitors of fructose 1,6-bisphosphatase |
| US6399782B1 (en) | 1997-03-07 | 2002-06-04 | Metabasis Therapeutics, Inc. | Benzimidazole inhibitors of fructose 1,6-bisphosphatase |
| WO1999001423A1 (en) | 1997-07-01 | 1999-01-14 | Novo Nordisk A/S | Glucagon antagonists/inverse agonists |
| US6489476B1 (en) | 1998-09-09 | 2002-12-03 | Metabasis Therapeutics, Inc. | Heteroaromatic compounds containing a phosphonate group that are inhibitors of fructose-1,6-bisphosphatase |
| WO2000039088A1 (en) | 1998-12-23 | 2000-07-06 | Novo Nordisk A/S | Glucagon antagonists/inverse agonists |
| WO2000069810A1 (en) | 1999-05-17 | 2000-11-23 | Novo Nordisk A/S | Glucagon antagonists/inverse agonists |
| WO2002008188A1 (en) | 2000-07-25 | 2002-01-31 | Merck & Co., Inc. | N-substituted indoles useful in the treatment of diabetes |
| WO2002060388A2 (en) | 2001-01-30 | 2002-08-08 | Merck & Co., Inc. | Acyl sulfamides for treatment of obesity, diabetes and lipid disorders |
| US6699871B2 (en) | 2001-07-06 | 2004-03-02 | Merck & Co., Inc. | Beta-amino heterocyclic dipeptidyl peptidase inhibitors for the treatment or prevention of diabetes |
| WO2003104207A2 (en) | 2002-06-10 | 2003-12-18 | Merck & Co., Inc. | 11-beta-hydroxysteroid dehydrogenase 1 inhibitors useful for the treatment of diabetes, obesity and dyslipidemia |
| US6730690B2 (en) | 2002-06-10 | 2004-05-04 | Merck & Co., Inc. | 11-β-hydroxysteroid dehydrogenase 1 inhibitors useful for the treatment of diabetes, obesity and dyslipidemia |
| WO2004020408A1 (en) | 2002-08-29 | 2004-03-11 | Merck & Co., Inc. | Indoles having anti-diabetic activity |
| WO2004020409A1 (en) | 2002-08-29 | 2004-03-11 | Merck & Co., Inc. | Indoles having anti-diabetic activity |
| WO2004019869A2 (en) | 2002-08-29 | 2004-03-11 | Merck & Co., Inc. | Indoles having anti-diabetic activity |
| WO2004058741A1 (en) | 2002-12-20 | 2004-07-15 | Merck & Co., Inc. | Triazole derivatives as inhibitors of 11-beta-hydroxysteroid dehydrogenase-1 |
| WO2004066963A2 (en) | 2003-01-17 | 2004-08-12 | Merck & Co., Inc. | N-cyclohexylaminocarbonyl benzenesulfonamide derivatives |
| WO2007071966A1 (en) * | 2005-12-22 | 2007-06-28 | Astrazeneca Ab | Pyrimido- [4, 5-b] -oxazines for use as dgat inhibitors |
| WO2009000087A1 (en) | 2007-06-28 | 2008-12-31 | Merck Frosst Canada Ltd. | Substituted fused pyrimidines as antagonists of gpr105 activity |
| WO2009011836A1 (en) | 2007-07-19 | 2009-01-22 | Merck & Co., Inc. | Beta carboline derivatives as antidiabetic compounds |
| WO2009042053A2 (en) | 2007-09-21 | 2009-04-02 | Merck & Co., Inc. | Neuromedin u receptor agonists and uses thereof |
| WO2009081195A1 (en) * | 2007-12-20 | 2009-07-02 | Astrazeneca Ab | Carbamoyl compounds as dgat1 inhibitors 190 |
| WO2012009217A1 (en) * | 2010-07-13 | 2012-01-19 | Merck Sharp & Dohme Corp. | Spirocyclic compounds |
Non-Patent Citations (17)
| Title |
|---|
| "Journal of Japan Society for the Study of Obesity", vol. 12, 2006 |
| ANN. MED., vol. 36, 2004, pages 252 - 261 |
| D. SPANSWICK; K. LEE: "Emerging antiobesity drugs", EXPERT OPIN. EMERGING DRUGS, vol. 8, 2003, pages 217 - 237, XP008028338, DOI: doi:10.1517/eoed.8.1.217.21037 |
| DIABETES, vol. 51, 2002, pages 3189 - 3195 |
| DIABETES, vol. 53, 2004, pages 1445 - 1451 |
| DIABETES, vol. 54, 2005, pages 3379 - 3386 |
| J.A. FERNANDEZ-LOPEZ ET AL.: "Pharmacological Approaches for the Treatment of Obesity", DRUGS, vol. 62, 2002, pages 915 - 944, XP009001892, DOI: doi:10.2165/00003495-200262060-00005 |
| JBC, vol. 276, 2001, pages 38870 - 38876 |
| JBC, vol. 280, 2005, pages 21506 - 21514 |
| JCI, vol. 109, 2002, pages 1049 - 1055 |
| JCI, vol. 111, 2003, pages 1715 - 1722 |
| K.M. GADDE ET AL.: "Combination pharmaceutical therapies for obesity", EXP. OPIN. PHARMACOTHER., vol. 10, 2009, pages 921 - 925 |
| NATURE GENETICS, vol. 25, 2000, pages 87 - 90 |
| NATURE MEDICINE, vol. 16, no. 11, November 2010 (2010-11-01), pages 1295 - 1298 |
| PROC. NATL. ACAD. SCI. USA., vol. 95, 1998, pages 13018 - 13023 |
| PROG. LIPID RES., vol. 43, 2004, pages 134 - 176 |
| S. CHAKI ET AL.: "Recent advances in feeding suppressing agents: potential therapeutic strategy for the treatment of obesity", EXPERT OPIN. THER. PATENTS, vol. 11, 2001, pages 1677 - 1692, XP002438303, DOI: doi:10.1517/13543776.11.11.1677 |
Cited By (15)
| Publication number | Priority date | Publication date | Assignee | Title |
|---|---|---|---|---|
| WO2014159802A1 (en) * | 2013-03-14 | 2014-10-02 | Bristol-Myers Squibb Company | Bicyclo [2.2.2] acid gpr120 modulators |
| US9598390B2 (en) | 2013-03-14 | 2017-03-21 | Bristol-Myers Squibb Company | Bicyclo[2.2.2]acid GPR120 modulators |
| US20160039780A1 (en) * | 2013-03-14 | 2016-02-11 | Bristol-Myers Squibb Company | Bicyclo [2.2.2] acid gpr120 modulators |
| US9440949B2 (en) | 2014-03-17 | 2016-09-13 | Pfizer Inc. | Diacylglycerol acyltransferase 2 inhibitors |
| TWI551596B (en) * | 2014-03-17 | 2016-10-01 | 輝瑞大藥廠 | Diterpene glycerol thiol transferase 2 inhibitor |
| CN106103425A (en) * | 2014-03-17 | 2016-11-09 | 辉瑞公司 | Diacylglycerol acyltransferase 2 inhibitors for use in the treatment of metabolic and related disorders |
| WO2015140658A1 (en) * | 2014-03-17 | 2015-09-24 | Pfizer Inc. | Diacylglycerol acyltransferase 2 inhibitors for use in the treatment of metabolic and related disorders |
| JP2017507979A (en) * | 2014-03-17 | 2017-03-23 | ファイザー・インク | Diacylglycerol acyltransferase 2 inhibitors for use in the treatment of metabolic and related disorders |
| KR101772836B1 (en) | 2014-03-17 | 2017-08-29 | 화이자 인코포레이티드 | Diacylglycerol acyltransferase 2 inhibitors for use in the treatment of metabolic and related disorders |
| US9789110B2 (en) | 2014-03-17 | 2017-10-17 | Pfizer Inc. | Diacylglycerol acyltransferase 2 inhibitors |
| US10188653B2 (en) | 2014-03-17 | 2019-01-29 | Pfizer Inc. | Diacylglycerol acyltransferase 2 inhibitors |
| EA032356B1 (en) * | 2014-03-17 | 2019-05-31 | Пфайзер Инк. | DIACYlGLYCERINACYLTRANSFERASE 2 INHIBITORS FOR USE IN THE TREATMENT OF METABOLIC AND METABOLISM-CONNECTED DISORDERS |
| WO2021133035A1 (en) * | 2019-12-23 | 2021-07-01 | 주식회사 엘지화학 | Novel amino aryl derivative useful as diacylglycerol acyltransferase 2 inhibitor and use thereof |
| RU2799819C1 (en) * | 2019-12-23 | 2023-07-12 | ЭлДжи КЕМ, ЛТД. | New aminoaryl derivative suitable as a diacylglycerolacyl transferase 2 inhibitor and its application |
| AU2020414202B2 (en) * | 2019-12-23 | 2024-01-04 | Lg Chem, Ltd. | Novel amino aryl derivative useful as diacylglycerol acyltransferase 2 inhibitor and use thereof |
Similar Documents
| Publication | Publication Date | Title |
|---|---|---|
| WO2013096093A1 (en) | Compounds as dgat-1 inhibitors | |
| US20120010186A1 (en) | Heterocyclic compounds as inhibitors of stearoyl-coenzyme a delta-9 desaturase | |
| US20130040978A1 (en) | Spiro isoxazoline compounds as sstr5 antagonists | |
| US20110301143A1 (en) | Heterocyclic derivatives as inhibitors of stearoyl-coenzyme a delta-9 desaturase | |
| AU2009304508A1 (en) | Azetidine derivatives as inhibitors of stearoyl-coenzyme a delta-9 desaturase | |
| JP2013531037A (en) | Spirocyclic compounds | |
| US20120142706A1 (en) | Substituted cyclopropyl compounds, compositions containing such compounds and methods of treatment | |
| AU2009299091A1 (en) | Heteroaromatic compounds as inhibitors of stearoyl-coenzyme A delta-9 desaturase | |
| WO2010025553A1 (en) | Heteroaromatic compounds as inhibitors of stearoyl-coenzyme a delta-9 desaturase | |
| WO2012044567A2 (en) | Imidazole derivatives | |
| WO2012024179A1 (en) | Substituted amide derivatives as dgat-1 inhibitors | |
| EP2760855B1 (en) | Substituted cyclopropyl compounds, compositions containing such compounds as well as their use in treating type-2 diabetes | |
| WO2013074387A1 (en) | Imidazole derivatives | |
| AU2011282989A1 (en) | Imidazole derivatives | |
| WO2012064569A1 (en) | Imidazole derivatives | |
| WO2013068328A1 (en) | Bicyclo [2.2.2] octan-1-ylcarboxylic acid compounds as dgat-1 inhibitors | |
| US20140088124A1 (en) | Imidazole derivatives | |
| WO2012096813A1 (en) | Imidazole derivatives | |
| WO2011037771A1 (en) | Diarylmethylamide derivative having melanin-concentrating hormone receptor antagonism | |
| WO2012047772A2 (en) | Imidazole derivatives | |
| WO2012112364A1 (en) | Lactam derivatives as dgat-1 inhibitors | |
| US20150274664A1 (en) | Substituted cyclopropyl compounds, compositions containing such compounds and methods of treatment | |
| WO2014099584A1 (en) | Novel 2-pyridinecarboxamide derivatives, compositions containing such compounds, and methods of treatment | |
| WO2013130370A2 (en) | Compounds as dgat-1 inhibitors | |
| WO2012122075A1 (en) | Lactam derivatives as dgat-1 inhibitors |
Legal Events
| Date | Code | Title | Description |
|---|---|---|---|
| 121 | Ep: the epo has been informed by wipo that ep was designated in this application |
Ref document number: 12784236 Country of ref document: EP Kind code of ref document: A1 |
|
| NENP | Non-entry into the national phase |
Ref country code: DE |
|
| 122 | Ep: pct application non-entry in european phase |
Ref document number: 12784236 Country of ref document: EP Kind code of ref document: A1 |


















