WO2013067306A1 - Phosphatidylinositol 3-kinase inhibitors for the treatment of childhood cancers - Google Patents
Phosphatidylinositol 3-kinase inhibitors for the treatment of childhood cancers Download PDFInfo
- Publication number
- WO2013067306A1 WO2013067306A1 PCT/US2012/063247 US2012063247W WO2013067306A1 WO 2013067306 A1 WO2013067306 A1 WO 2013067306A1 US 2012063247 W US2012063247 W US 2012063247W WO 2013067306 A1 WO2013067306 A1 WO 2013067306A1
- Authority
- WO
- WIPO (PCT)
- Prior art keywords
- nhc
- compound
- alkyl
- nhch
- hydrogen
- Prior art date
- Legal status (The legal status is an assumption and is not a legal conclusion. Google has not performed a legal analysis and makes no representation as to the accuracy of the status listed.)
- Ceased
Links
- 0 CC1(*=C(*)C(*)=C(**)C1*)NC(C(NS(C(/C=C/C=C(\C=C1)/C(O)=O)C1=C)(=O)=O)=N1)=NC2C1=CC=CC2 Chemical compound CC1(*=C(*)C(*)=C(**)C1*)NC(C(NS(C(/C=C/C=C(\C=C1)/C(O)=O)C1=C)(=O)=O)=N1)=NC2C1=CC=CC2 0.000 description 5
- WGVYCXYGPNNUQA-UHFFFAOYSA-N Cc1ccccc1CBr Chemical compound Cc1ccccc1CBr WGVYCXYGPNNUQA-UHFFFAOYSA-N 0.000 description 2
Classifications
-
- A—HUMAN NECESSITIES
- A61—MEDICAL OR VETERINARY SCIENCE; HYGIENE
- A61K—PREPARATIONS FOR MEDICAL, DENTAL OR TOILETRY PURPOSES
- A61K31/00—Medicinal preparations containing organic active ingredients
- A61K31/33—Heterocyclic compounds
- A61K31/395—Heterocyclic compounds having nitrogen as a ring hetero atom, e.g. guanethidine or rifamycins
- A61K31/495—Heterocyclic compounds having nitrogen as a ring hetero atom, e.g. guanethidine or rifamycins having six-membered rings with two or more nitrogen atoms as the only ring heteroatoms, e.g. piperazine or tetrazines
- A61K31/498—Pyrazines or piperazines ortho- and peri-condensed with carbocyclic ring systems, e.g. quinoxaline, phenazine
-
- A—HUMAN NECESSITIES
- A61—MEDICAL OR VETERINARY SCIENCE; HYGIENE
- A61P—SPECIFIC THERAPEUTIC ACTIVITY OF CHEMICAL COMPOUNDS OR MEDICINAL PREPARATIONS
- A61P35/00—Antineoplastic agents
-
- A—HUMAN NECESSITIES
- A61—MEDICAL OR VETERINARY SCIENCE; HYGIENE
- A61P—SPECIFIC THERAPEUTIC ACTIVITY OF CHEMICAL COMPOUNDS OR MEDICINAL PREPARATIONS
- A61P35/00—Antineoplastic agents
- A61P35/02—Antineoplastic agents specific for leukemia
Definitions
- methods for treating childhood cancer comprising administering to a patient in of such treatment a therapeutically effective amount of a Compound
- R 51 is hydrogen or alkyl
- R 52 is hydrogen or halo
- R ⁇ R ⁇ and R 54 are independently hydrogen, alkyl, alkenyl, halo, haloalkyl, haloalkenyl, hydroxy, alkoxy, alkenyloxy, haloalkoxy, nitro, amino, alkylamino, dialkylamino, ⁇ N(R 55 )C(0)-C 1 -C 6 -alkylene-N(R 55a )R 55b , alkylcarbonyl, alkenylcarbonyl, carboxy, alkoxycarbonyl, cyano, alkylthio, -S(0) 2 NR 55 R 55a , or alkylcarbonylamino and where R 55 and R 55b are independently hydrogen, alkyl, or alkenyl and R 55a is hydrogen, alkyl, alkenyl, hydroxy, or alkoxy; or R 53 and R 54 together with the carbons to which they are attached form a 5- or 6-membered heteroaryl or 5- or 6-membered heterocycloalkyl
- B is phenyl substituted with R 3a and optionally further substituted with one, two, or three R 3 ; or
- B is heteroaryl optionally substituted with one, two, or three R ;
- R 3a is cyano; hydroxyamino; carboxy; alkoxycarbonyl; alkylamino; dialkylamino;
- alkylcarbonyl haloalkoxy; alkylsulfonyl; aminoalkyloxy; alkylaminoalkyloxy;
- R 7 is hydrogen, alkyl, or alkenyl and R 7a and R 7b are independently hydrogen, alkyl, alkenyl, hydroxyalkyl, haloalkyl, alkoxy, alkoxyalkyl, aminoalkyl, alkylaminoalkyl, dialkylaminoalkyl, cycloalkyl, cycloalkylalkyl, heterocycloalkyl, heterocycloalkylalkyl, heteroaryl, heteroarylalkyl, aryl, arylalkyl, or arylalkyloxy and where the aryl, cycloalkyl, heterocycloalkyl and heteroaryl rings in R 7a and R 7b (either alone or as part of arylalkyl, cycloalkylalkyl, heterocycloalkylalkyl and heteroaryl;
- R 8 is hydrogen, hydroxy, alkoxy, alkyl, alkenyl, haloalkyl, or haloalkoxy and R 8a is hydrogen, alkyl, alkenyl, hydroxyalkyl, cyanoalkyl,
- R 9 is hydrogen, hydroxy, alkoxy, alkyl, alkenyl, haloalkyl, or haloalkoxy and R 9a is hydrogen, C 2 -C 6 -alkyl, alkenyl, hydroxyalkyl, alkoxyalkyl, cycloalkyl, cycloalkylalkyl, heterocycloalkyl, heterocycloalkylalkyl, heteroaryl, heteroarylalkyl, aryl, or arylalkyl; where the aryl, cycloalkyl, heteroaryl, and heterocycloalkyl rings in R 9a (either alone or as part of arylalkyl, cycloalkylalkyl, heterocycloalkylalkyl and heteroarylalkyl) are independently optionally substituted with 1, 2, or 3 groups independently selected from alkyl, alkenyl, alkoxy, hydroxy, hydroxyalkyl, halo,
- R IOa is hydrogen, hydroxy, alkoxy, alkyl, alkenyl, haloalkyl, aminoalkyl, alkylaminoalkyl, dialkylaminoalkyl, or hydroxyalkyl and R 10 and R 10b are independently hydrogen, alkyl, alkenyl, haloalkyl, aminoalkyl, alkylaminoalkyl, dialkylaminoalkyl, or hydroxyalkyl;
- R 1 la is hydrogen, alkyl, alkenyl, hydroxy, or alkoxy and R n and R Ub are independently hydrogen, alkyl, alkenyl, aminoalkyl, alkylaminoalkyl, or dialkylaminoalkyl;
- R 12 is heterocycloalkyl optionally substituted with 1 , 2, or 3 groups selected from alkyl, oxo, amino, alkylamino, and heterocycloalkylalkyl;
- R 13 is hydrogen, alkyl, or alkenyl and R 13a is aminoalkyl, alkylaminoalkyl, dialkylaminoalkyl, aryl, or arylalkyl;
- R 14 , R 14a , and R 14b are independently hydrogen, alkyl, or alkenyl;
- R 15 , R 15a , and R I b are independently hydrogen, alkyl, or alkenyl;
- R 16a is alkyl or alkenyl
- R 18a is hydrogen, alkyl, alkenyl, or alkoxy and R 18 and R 18b are independently hydrogen, alkyl, or alkenyl;
- R 19a is amino, alkylamino, dialkylamino, or heterocycloalkyl
- R 20 is hydrogen, alkyl, or alkenyl
- R 20a is cycloalkyl or heterocycloalkyl
- R 21a and R 21b are independently hydrogen, alkyl, or alkenyl
- R 22 , R 22a and R 22b are independently hydrogen, alkyl, or alkenyl;
- R 23 , R 23a and R 23b are independently hydrogen, alkyl, or alkenyl; or
- R 24 is hydrogen, alkyl, or alkenyl and R 24a is alkoxyalkyl or aryl optionally substituted with one or two halo or alkyl; and where each of the alkylene in R 3a is independently optionally further substituted with 1, 2, 3,
- each R 3 (when R 3 is present) is independently alkyl; alkenyl; alkynyl; halo; hydroxy; oxo; alkoxy; cyano; hydroxyamino; carboxy; alkoxycarbonyl; amino; alkylamino;
- dialkylamino alkylcarbonyl; haloalkoxy; alkylsulfonyl; aminoalkyloxy;
- alkylaminoalkyloxy dialkylaminoalkyloxy; or
- R 7 is hydrogen, alkyl, or alkenyl and R 7a and R 7b are independently hydrogen, alkyl, alkenyl, hydroxyalkyl, haloalkyl, alkoxy, alkoxyalkyl, aminoalkyl, alkylaminoalkyl, dialkylaminoalkyl, cycloalkyl, cycloalkylalkyl, heterocycloalkyl, heterocycloalkylalkyl, heteroaryl, heteroarylalkyl, aryl, arylalkyl, or arylalkyloxy and where the aryl, cycloalkyl, heterocycloalkyl and heteroaryl rings in R 7a and R 7b (either alone or as part of arylalkyl, cycloalkylalkyl, heterocycloalkylalkyl and heteroaryl;
- R 8 is hydrogen, hydroxy, alkoxy, alkyl, alkenyl, haloalkyl, or haloalkoxy and R 8a is hydrogen, alkyl, alkenyl, hydroxyalkyl, cyanoalkyl, alkoxyalkyl, alkylthioalkyl, heterocycloalkyl, heterocycloalkylalkyl, cycloalkyl, cycloalkylalkyl, heteroaryl, heteroarylalkyl, aryl, or arylalkyl and where the aryl, cycloalkyl, heteroaryl, and heterocycloalkyl rings in R 8a (either alone or as part of arylalkyl, cycloalkylalkyl, heterocycloalkylalkyl and heteroarylalkyl) are
- alkyl independently optionally substituted with 1, 2, or 3 groups independently selected from alkyl, alkenyl, alkoxy, halo, haloalkyl, haloalkoxy, hydroxy, hydroxyalkyl, oxo, amino, alkylamino, dialkylamino, alkylcarbonyl, aminoalkyl, alkylaminoalkyl, dialkylaminoalkyl, alkoxycarbonyl, and -C(0)H;
- R 9 is hydrogen, hydroxy, alkoxy, alkyl, alkenyl, haloalkyl, or haloalkoxy and R 9a is hydrogen, C2-C 6 -alkyl, alkenyl, hydroxyalkyl, alkoxyalkyl, cycloalkyl, cycloalkylalkyl, heterocycloalkyl, heterocycloalkylalkyl, heteroaryl, heteroarylalkyl, aryl, or arylalkyl; where the aryl, cycloalkyl, heteroaryl, and heterocycloalkyl rings in R 9a (either alone or as part of arylalkyl, cycloalkylalkyl, heterocycloalkylalkyl and heteroarylalkyl) are independently optionally substituted with 1, 2, or 3 groups independently selected from alkyl, alkenyl, alkoxy, hydroxy, hydroxyalkyl, halo, halo
- R 10a is hydrogen, hydroxy, alkoxy, alkyl, alkenyl, haloalkyl, or hydroxyalkyl and R 10 and R 10b are independently hydrogen, alkyl, alkenyl, haloalkyl, or hydroxyalkyl;
- R 1 la is hydrogen, alkyl, alkenyl, hydroxy, or alkoxy and R n and R Ub are independently hydrogen, alkyl, alkenyl, aminoalkyl,
- alkylaminooalkyl dialkylaminoalkyl
- R 12 is heterocycloalkyl optionally substituted with 1, 2, or 3 groups selected from alkyl, oxo, amino, alkylamino, and heterocycloalkylalkyl;
- R 13 is hydrogen, alkyl, or alkenyl and R 13a is aminoalkyl, alkylaminoalkyl, dialkylaminoalkyl, aryl, or arylalkyl);
- R 14 , R 14a , and R I4b are independently hydrogen, alkyl, or alkenyl
- R 15 , R 15a , and R 15b are independently hydrogen, alkyl, or alkenyl;
- R 16 is hydrogen, alkyl, or alkenyl and R 16a is alkyl or alkenyl; k) heteroaryl optionally substituted with one or two aminoalkyl, alkylaminoalkyl, or dialkylaminoalkyl;
- R 18a is hydrogen, alkyl, alkenyl, or alkoxy and R 18 and R 18b are independently hydrogen, alkyl, or alkenyl;
- R 19a is amino, alkylamino, dialkylamino, or heterocycloalkyl
- R 20 is hydrogen, alkyl, or alkenyl
- R 20a is cycloalkyl or heterocycloalkyl
- R 21a and R 21b are independently hydrogen, alkyl, or alkenyl
- R 24 is hydrogen, alkyl, or alkenyl and R 24a is alkoxyalkyl or aryl optionally substituted with one or two halo or alkyl;
- each of the alkylene in R 3 is independently optionally further substituted with 1, 2, 3,
- R 50 and R 52 are hydrogen, R 51 is hydrogen or methyl, R 53 is hydrogen or methoxy, and R 54 is hydrogen or methoxy, then B is not 2,3-dihydro-l,4-benzodioxinyl, thien-2-yl, or thien-2-yl substituted with one R 3 where R 3 is halo.
- the com ound of Formula I is a compound of Formula la
- R 50 is hydrogen; R 51 is methyl;
- R 52 is hydrogen
- R 53 is hydrogen or alkoxy
- R 54 is hydrogen, alkyl, alkoxy, or halo; or R 53 and R 54 together with the carbons to which they are attached form a 6-membered heteroaryl;
- R 3 is halo or methyl
- R 3a is -N(R 7 )C(0)-C ! -C 6 -alkylene-N(R 7a )(R 7b ) where R 7 is hydrogen and R 7a and R 7b are independently hydrogen, alkyl, aminoalkyl, alkylaminoalkyl, or
- the compound of Formula I and of Formula la is Compound A:
- the cancer is a leukemia such as acute lymphocytic leukemia.
- the cancer is a solid tumor such as neuroblastoma.
- the cancer is a sarcoma such as rhabdomyosarcoma
- the compound of Formula I or Formula la is administered as a tablet or capsule pharmaceutical composition.
- the compound of Formula I or Formula la is administered as a tablet pharmaceutical composition.
- Figure 1 depicts the activation of the PI3K pathway in vitro by Compound A.
- Figure 2 depicts the in vitro expression of PI3KCA and PI3KCD isoforms at the
- RNA level lymphoma cell lines and xenografts treated with Compound A RNA level lymphoma cell lines and xenografts treated with Compound A.
- Figure 3 depicts the in vivo activity of Compound A in various tumor types.
- Figure 4 depicts the in vitro activity of Compound A.
- Figure 5 depicts the in vivo objective response activity of Compound A.
- the figure on the left is a colored heat map that depicts group response scores.
- the figure on the right is a representation of tumor sensitivity based on the difference of individual tumor lines from the midpoint response (stable disease).
- a substituent "R” may reside on any atom of the ring system, assuming replacement of a depicted, implied, or expressly defined hydrogen from one of the ring atoms, so long as a stable structure is formed.
- the "R” group may reside on either the 5-membered or the 6-membered ring of the fused ring system.
- the two "R's" may reside on any two atoms of the ring system, again assuming each replaces a depicted, implied, or expressly defined hydrogen on the ring.
- Acyl means a -C(0)R radical where R is optionally substituted alkyl, optionally substituted alkenyl, cycloalkyl, cycloalkylalkyl, aryl, aralkyl, heteroaryl, heteroaralkyl, heterocycloalkyl, or heterocycloalkylalkyl, as defined herein, e.g., acetyl,
- Acylamino means a -NRR' radical where R is hydrogen, hydroxy, alkyl, or alkoxy and R' is acyl, as defined herein.
- Acyloxy means an -OR radical where R is acyl, as defined herein, e.g.
- administering in reference to a compound of the invention means introducing the compound or a prodrug of the compound into the system of the animal in need of treatment.
- administration and its variants are each understood to include concurrent and sequential introduction of the compound or prodrug thereof and other agents.
- Alkenyl means a means a linear monovalent hydrocarbon radical of one to six carbon atoms or a branched monovalent hydrocarbon radical of three to 6 carbon atoms which radical contains at least one double bond, e.g., ethenyl, propenyl, l-but-3-enyl, and l-pent-3-enyl, and the like.
- Alkoxy means an -OR group where R is alkyl group as defined herein.
- Examples include methoxy, ethoxy, propoxy, isopropoxy, and the like.
- Alkoxyalkyl means an alkyl group, as defined herein, substituted with at least one, preferably one, two, or three, alkoxy groups as defined herein. Representative examples include methoxymethyl and the like.
- Alkoxyalkylamino means an -NRR' group where R is hydrogen, alkyl, or alkoxyalkyl and R' is alkoxyalkyl, as defined herein.
- Alkoxyalkylaminoalkyl means an alkyl group substituted with at least one, specifically one or two, alkoxyalkylamino group(s), as defined herein.
- Alkoxycarbonyl means a -C(0)R group where R is alkoxy, as defined herein.
- Alkyl means a linear saturated monovalent hydrocarbon radical of one to six carbon atoms or a branched saturated monovalent hydrocarbon radical of three to 6 carbon atoms, e.g., methyl, ethyl, propyl, 2-propyl, butyl (including all isomeric forms), or pentyl (including all isomeric forms), and the like.
- Alkylamino means a -NHR group where R is alkyl, as defined herein.
- Alkylaminoalkyl means an alkyl group substituted with one or two alkylamino groups, as defined herein.
- Alkylaminoalkyloxy means an -OR group where R is alkylaminoalkyl, as defined herein.
- Alkylcarbonyl means a -C(0)R group where R is alkyl, as defined herein.
- Alkynyl means a linear monovalent hydrocarbon radical of one to six carbon atoms or a branched monovalent hydrocarbon radical of three to 6 carbon atoms which radical contains at least one triple bond, e.g., ethynyl, propynyl, butynyl, pentyN-2-yl and the like.
- Amino means -NH 2 .
- aminoalkyl means an alkyl group substituted with at least one, specifically one, two or three, amino groups.
- aminoalkyloxy means an -OR group where R is aminoalkyl, as defined herein.
- Aryl means a monovalent six- to fourteen-membered, mono- or bi-carbocyclic ring, wherein the monocyclic ring is aromatic and at least one of the rings in the bicyclic ring is aromatic. Unless stated otherwise, the valency of the group may be located on any atom of any ring within the radical, valency rules permitting. Representative examples include phenyl, naphthyl, and indanyl, and the like.
- Arylalkyl means an alkyl radical, as defined herein, substituted with one or two aryl groups, as defined herein, e.g., benzyl and phenethyl, and the like.
- Aryloxy means an -OR group where R is aryl, as defined herein.
- Carboxyalkyl means an alkyl group, as defined herein, substituted with at least one, specifically one or two, -C(0)OH group(s).
- Cycloalkyl means a monocyclic or fused bicyclic, saturated or partially unsaturated (but not aromatic), monovalent hydrocarbon radical of three to ten carbon ring atoms.
- Fused bicyclic hydrocarbon radical includes bridged ring systems.
- the valency of the group may be located on any atom of any ring within the radical, valency rules permitting.
- cycloalkyl includes, but is not limited to, cyclopropyl, cyclobutyl, cyclopentyl, cyclohexyl, cyclohexyl, or cyclohex-3 - enyl, and the like.
- Cycloalkylalkyl means an alkyl group substituted with at least one, specifically one or two, cycloalkyl group(s) as defined herein.
- Dialkylamino means a -NRR' radical where R and R' are alkyl as defined herein, or an N-oxide derivative, or a protected derivative thereof, e.g., dimethylamino, diethylamino, N,N-methylpropylamino or N,N-methylethylamino, and the like.
- Dialkylaminoalkyl means an alkyl group substituted with one or two dialkylamino groups, as defined herein.
- Dialkylaminoalkyloxy means an -OR group where R is dialkylaminoalkyl, as defined herein. Representative examples include 2-(N,N-diethylamino)-ethyloxy, and the like.
- fused-polycyclic or "fused ring system” means a polycyclic ring system that contains bridged or fused rings; that is, where two rings have more than one shared atom in their ring structures.
- fused-polycyclics and fused ring systems are not necessarily all aromatic ring systems.
- fused-polycyclics share a vicinal set of atoms, for example naphthalene or 1,2,3,4-tetrahydro-naphthalene.
- a spiro ring system is not a fused-polycyclic by this definition, but fused polycyclic ring systems of the invention may themselves have spiro rings attached thereto via a single ring atom of the fused-polycyclic.
- two adjacent groups on an aromatic system may be fused together to form a ring structure.
- the fused ring structure may contain heteroatoms and may be optionally substituted with one or more groups. It should additionally be noted that saturated carbons of such fused groups (i.e. saturated ring structures) can contain two substitution groups.
- Halogen or "halo” refers to fluorine, chlorine, bromine or iodine.
- Haloalkoxy means an -OR' group where R' is haloalkyl as defined herein, e.g., trifluoromethoxy or 2,2,2 -trifluoroethoxy, and the like.
- Haloalkyl mean an alkyl group substituted with one or more halogens, specifically one to five halo atoms, e.g., trifluoromethyl, 2-chloroethyl, and 2,2-difluoroethyl, and the like.
- Heteroaryl means a monocyclic, fused bicyclic, or fused tricyclic, monovalent radical of 5 to 14 ring atoms containing one or more, specifically one, two, three, or four ring heteroatoms independently selected from -0-, -S(0)N- (n is 0, 1, or 2), -N-, -N(R X )-, and the remaining ring atoms being carbon, wherein the ring comprising a monocyclic radical is aromatic and wherein at least one of the fused rings comprising a bicyclic or tricyclic radical is aromatic.
- R x is hydrogen, alkyl, hydroxy, alkoxy, acyl, or alkylsulfonyl.
- Fused bicyclic radical includes bridged ring systems. Unless stated otherwise, the valency may be located on any atom of any ring of the heteroaryl group, valency rules permitting. When the point of valency is located on the nitrogen, R x is absent.
- heteroaryl includes, but is not limited to, 1,2,4-triazolyl, 1,3,5-triazolyl, phthalimidyl, pyridinyl, pyrrolyl, imidazolyl, thienyl, furanyl, indolyl, 2,3-dihydro-lH-indolyl (including, for example, 2,3-dihydro-lH-indol-2-yl or 2,3-dihydro-lH-indol-5-yl, and the like), isoindolyl, indolinyl, isoindolinyl, benzimidazolyl, benzodioxol-4-yl, benzofuranyl, cinnolinyl, indolizinyl, naphthyridin-3-yl, phthalazin-3-yl, phthalazin-4-yl, pteridinyl, purinyl, quinazolinyl
- benzothienyl and the derivatives thereof, or N-oxide or a protected derivative thereof.
- Heteroarylalkyl means an alkyl group, as defined herein, substituted with at least one, specifically one or two heteroaryl group(s), as defined herein.
- Heteroatom refers to O, S, N, or P.
- Heterocycloalkyl means a saturated or partially unsaturated (but not aromatic) monovalent monocyclic group of 3 to 8 ring atoms or a saturated or partially unsaturated (but not aromatic) monovalent fused bicyclic group of 5 to 12 ring atoms in which one or more, specifically one, two, three, or four ring heteroatoms independently selected from O, S(0) n (n is 0, 1, or 2), N, N(R y ) (where R y is hydrogen, alkyl, hydroxy, alkoxy, acyl, or alkylsulfonyl), the remaining ring atoms being carbon.
- Fused bicyclic radical includes bridged ring systems. Unless otherwise stated, the valency of the group may be located on any atom of any ring within the radical, valency rules permitting. When the point of valency is located on a nitrogen atom, R y is absent.
- heterocycloalkyl includes, but is not limited to, azetidinyl, pyrrolidinyl, 2-oxopyrrolidinyl, 2,5-dihydro-lH-pyrrolyl, piperidinyl, 4-piperidonyl, morpholinyl, piperazinyl, 2-oxopiperazinyl, tetrahydropyranyl,
- Heterocycloalkylalkyl means an alkyl radical, as defined herein, substituted with one or two heterocycloalkyl groups, as defined herein, e.g., mo holinylmethyl,
- N-pyrrolidinylethyl N-pyrrolidinylethyl, and 3-(N-azetidinyl)propyl, and the like.
- Heterocycloalkylalkyloxy means an -OR group where R is heterocycloalkylalkyl, as defined herein.
- saturated bridged ring system refers to a bicyclic or polycyclic ring system that is not aromatic. Such a system may contain isolated or conjugated unsaturation, but not aromatic or heteroaromatic rings in its core structure (but may have aromatic substitution thereon). For example, hexahydro-furo[3,2-b]furan, 2,3,3a,4,7,7a-hexahydro-lH-indene, 7-aza-bicyclo[2.2.1]heptane, and l,2,3,4,4a,5,8,8a-octahydro-naphthalene are all included in the class "saturated bridged ring system.
- Spirocyclyl or "spirocyclic ring” refers to a ring originating from a particular annular carbon of another ring.
- a ring atom of a saturated bridged ring system (rings B and B'), but not a bridgehead atom, can be a shared atom between the saturated bridged ring system and a spirocyclyl (ring A) attached thereto.
- a spirocyclyl can be carbocyclic or heteroalicyclic.
- Optionally substituted alkoxy means an -OR group where R is optionally substituted alkyl, as defined herein.
- Optionally substituted alkyl means an alkyl radical, as defined herein, optionally substituted with one or more group(s), specifically one, two, three, four, or five groups, independently selected from alkylcarbonyl, alkenylcarbonyl, cycloalkylcarbonyl,
- alkylcarbonyloxy alkenylcarbonyloxy, amino, alkylamino, dialkylamino, aminocarbonyl, alkylaminocarbonyl, dialkylaminocarbonyl, cyano, cyanoalkylaminocarbonyl, alkoxy, alkenyloxy, hydroxy, hydroxyalkoxy, halo, carboxy, alkylcarbonylamino, alkylcarbonyloxy, alkyl-S(0)o-2-, alkenyl-S(0)o-2-, aminosulfonyl, alkylaminosulfonyl, dialkylaminosulfonyl, alkylsulfonyl-NR c - (where R° is hydrogen, alkyl, optionally substituted alkenyl, hydroxy, alkoxy, alkenyloxy, or cyanoalkyl), alkylaminocarbonyloxy, dialkylaminocarbonyloxy, alkylaminoalkyloxy, dialkylamino
- Optionally substituted alkenyl means an alkyl radical, as defined herein, optionally substituted with one or more group(s), specifically one, two, three, four, or five groups, independently selected from alkylcarbonyl, alkenylcarbonyl, cycloalkylcarbonyl, alkylcarbonyloxy, alkenylcarbonyloxy, amino, alkylamino, dialkylamino, aminocarbonyl, alkylaminocarbonyl, dialkylaminocarbonyl, cyano, cyanoalkylaminocarbonyl, alkoxy, alkenyloxy, hydroxy, hydroxyalkoxy, halo, carboxy, alkylcarbonylamino, alkylcarbonyloxy, alkyl-S(0)o- 2 -, alkenyl-S(0)o-2-, aminosulfonyl, alkylaminosulfonyl, dialkylaminosulfonyl, alkylsulfonyl
- alkoxycarbonylamino alkylaminocarbonylamino, dialkylaminocarbonylamino,
- alkoxyalkyloxy and -C(0)NR a R b (where R a and R b are independently hydrogen, alkyl, optionally substituted alkenyl, hydroxy, alkoxy, alkenyloxy, or cyanoalkyl).
- Optionally substituted amino refers to the group -N(H)R or -N(R)R where each R is independently selected from the group: optionally substituted alkyl, optionally substituted alkoxy, optionally substituted aryl, optionally substituted heterocycloalkyl, optionally substituted heteroaryl, acyl, carboxy, alkoxycarbonyl, -S(0)2-(optionally substituted alkyl), -S(0)2-optionally substituted aryl), -S(0) 2 -(optionally substituted heterocycloalkyl), -S(0) 2 -(optionally substituted heteroaryl), and -S(0) 2 -(optionally substituted heteroaryl).
- “optionally substituted amino” includes diethylamino, methylsulfonylamino, and furanyl-oxy-sulfonamino.
- Optionally substituted aminoalkyl means an alkyl group, as defined herein, substituted with at least one, specifically one or two, optionally substituted amino group(s), as defined herein.
- Optionally substituted aryl means an aryl group, as defined herein, optionally substituted with one, two, or three substituents independently selected from acyl, acylamino, acyloxy, optionally substituted alkyl, optionally substituted alkenyl, alkoxy, alkenyloxy, halo, hydroxy, alkoxycarbonyl, alkenyloxycarbonyl, amino, alkylamino, dialkylamino, nitro, aminocarbonyl, alkylaminocarbonyl, dialkylaminocarbonyl, carboxy, cyano, alkylthio, alkylsulfinyl, alkylsulfonyl, aminosulfonyl, alkylaminosulfonyl, dialkylaminosulfonyl, alkylsulfonylamino, aminoalkoxy, or aryl is pentafluorophenyl. Within the optional substituents on "aryl", the optional substituents
- alkyl in alkoxycarbonyl are independently optionally substituted with one, two, three, four, or five halo.
- Optionally substituted arylalkyl means an alkyl group, as defined herein, substituted with optionally substituted aryl, as defined herein.
- Optionally substituted cycloalkyl means a cycloalkyl group, as defined herein, substituted with one, two, or three groups independently selected from acyl, acyloxy, acylamino, optionally substituted alkyl, optionally substituted alkenyl, alkoxy, alkenyloxy, alkoxycarbonyl, alkenyloxycarbonyl, alkylthio, alkylsulfinyl, alkylsulfonyl, aminosulfonyl, alkylaminosulfonyl, dialkylaminosulfonyl, alkylsulfonylamino, halo, hydroxy, amino, alkylamino, dialkylamino, aminocarbonyl, alkylaminocarbonyl, dialkylaminocarbonyl, nitro, alkoxyalkyloxy, aminoalkoxy, alkylaminoalkoxy, dialkylaminoalkoxy, carboxy, and
- alkyl and alkenyl are independently optionally substituted with one, two, three, four, or five halo, e.g. haloalkyl, haloalkoxy, haloalkenyloxy, or haloalkylsulfonyl .
- Optionally substituted cycloalkylalkyl means an alkyl group substituted with at least one, specifically one or two, optionally substituted cycloalkyl groups, as defined herein.
- Optionally substituted heteroaryl means a heteroaryl group optionally substituted with one, two, or three substituents independently selected from acyl, acylamino, acyloxy, optionally substituted alkyl, optionally substituted alkenyl, alkoxy, alkenyloxy, halo, hydroxy, alkoxycarbonyl, alkenyloxycarbonyl, amino, alkylamino, dialkylamino, nitro, aminocarbonyl, alkylaminocarbonyl, dialkylaminocarbonyl, carboxy, cyano, alkylthio, alkylsulfinyl, alkylsulfonyl, aminosulfonyl, alkylaminosulfonyl, dialkylaminosulfonyl, alkylsulfonylamino, aminoalkoxy, alkylaminoalkoxy, and dialkylaminoalkoxy.
- alkyl and alkenyl are independently optionally substituted with one, two, three, four, or five halo.
- Optionally substituted heteroarylalkyl means an alkyl group, as defined herein, substituted with at least one, specifically one or two, optionally substituted heteroaryl group(s), as defined herein.
- Optionally substituted heterocycloalkyl means a heterocycloalkyl group, as defined herein, optionally substituted with one, two, or three substituents independently selected from acyl, acylamino, acyloxy, optionally substituted alkyl, optionally substituted alkenyl, alkoxy, alkenyloxy, halo, hydroxy, alkoxycarbonyl, alkenyloxycarbonyl, amino, alkylamino, dialkylamino, nitro, aminocarbonyl, alkylaminocarbonyl, dialkylaminocarbonyl, carboxy, cyano, alkylthio, alkylsulfinyl, alkylsulfonyl, aminosulfonyl, alkylaminosulfonyl, dialkylaminosulfonyl, alkylsulfonylamino, aminoalkoxy, or aryl is pentafluorophenyl.
- heterocycloalkyl the alkyl and alkenyl, either alone or as part of another group (including, for example, the alkyl in alkoxycarbonyl), are optional substituents on “heterocycloalkyl.
- Optionally substituted heterocycloalkylalkyl means an alkyl group, as defined herein, substituted with at least one, specifically one or two, optionally substituted heterocycloalkyl group(s) as defined herein.
- “Pharmaceutical composition” comprises 1) a Compound of Formula I or a single isomer thereof where the compound is optionally as a pharmaceutically acceptable salt and additionally optionally as a hydrate and additionally optionally as a solvate thereof; and 2) a pharmaceutically acceptable carrier, excipient, or diluent.
- Formula la has the following structure .
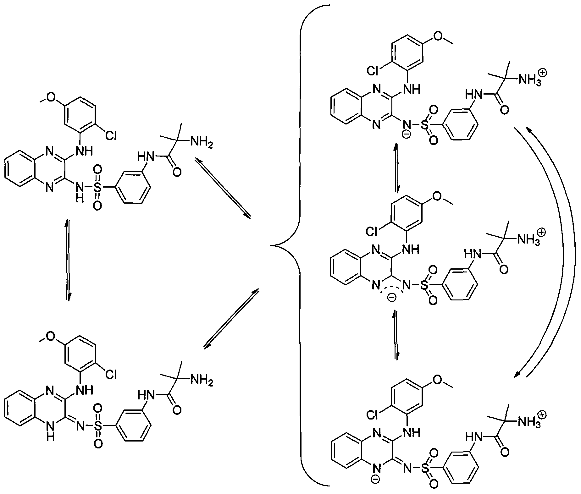
- Compound A is known by its chemical name N-(3- ⁇ [(3- ⁇ [2-chloro-5-(methoxy)phenyl]amino ⁇ quinoxalin-2- yl)amino]sulfonyl ⁇ phenyl)-2-methylalaninamide. As discussed in more detail below, the compound may exist in several tautomeric or zwitterionic forms.
- Yield for each of the reactions described herein is expressed as a percentage of the theoretical yield.
- Patient for the purposes of the present invention includes humans and other animals, particularly mammals, and other organisms. Thus the methods are applicable to both human therapy and veterinary applications. In a preferred embodiment the patient is a mammal, and in a most preferred embodiment the patient is human.
- terapéuticaally effective amount refers to a sufficient amount of an agent to provide the desired biological, therapeutic, and or prophylactic result. That result can be reduction, amelioration, palliation, lessening, delaying, and/or alleviation of one or more of the signs, symptoms, or causes of a disease, or any other desired alteration of a biological system.
- an effective amount comprises an amount sufficient to cause a tumor to shrink and/or to decrease the growth rate of the tumor (such as to suppress tumor growth) or to prevent or delay other unwanted cell proliferation.
- an effective amount is an amount sufficient to delay development.
- an effective amount is an amount sufficient to prevent or delay recurrence.
- An effective amount can be administered in one or more administrations. The effective amount of the drug or
- composition may: (i) reduce the number of cancer cells; (ii) reduce tumor size; (iii) inhibit, retard, slow to some extent, and preferably stop cancer cell infiltration into peripheral organs; (iv) inhibit (i.e., slow to some extent and preferably stop) tumor metastasis; (v) inhibit tumor growth; (vi) prevent or delay occurrence and/or recurrence of tumor; and/or (vii) relieve to some extent one or more of the symptoms associated with the cancer.
- an "effective amount" for therapeutic uses is the amount of Compound A or a metabolite thereof, a pharmaceutically acceptable salt or solvate thereof, or a composition comprising Compound A or a metabolite thereof or a pharmaceutically acceptable salt thereof, required to provide a clinically significant decrease in the progression of EC.
- a "pharmaceutically acceptable salt” of a compound means a salt that is pharmaceutically acceptable and that possesses the desired pharmacological activity of the parent compound. It is understood that the pharmaceutically acceptable salts are non-toxic. Additional information on suitable pharmaceutically acceptable salts can be found in
- Examples of pharmaceutically acceptable acid addition salts include those formed with inorganic acids such as hydrochloric acid, hydrobromic acid, sulfuric acid, nitric acid, phosphoric acid, and the like; as well as organic acids such as acetic acid, trifluoroacetic acid, propionic acid, hexanoic acid, cyclopentanepropionic acid, glycolic acid, pyruvic acid, lactic acid, oxalic acid, maleic acid, malonic acid, succinic acid, fumaric acid, tartaric acid, citric acid, benzoic acid, cinnamic acid, 3-(4-hydroxybenzoyl)benzoic acid, mandelic acid, methanesulfonic acid, ethanesulfonic acid, 1 ,2-ethanedisulfonic acid,
- 2-naphthalenesulfonic acid 4-toluenesulfonic acid, camphorsulfonic acid, glucoheptonic acid, 4,4'-methylenebis-(3-hydroxy-2-ene-l-carboxylic acid), 3-phenylpropionic acid, trimethylacetic acid, tertiary butylacetic acid, lauryl sulfuric acid, gluconic acid, glutamic acid, hydroxynaphthoic acid, salicylic acid, stearic acid, muconic acid, p-toluenesulfonic acid, and salicylic acid and the like.
- Examples of a pharmaceutically acceptable base addition salts include those formed when an acidic proton present in the parent compound is replaced by a metal ion, such as sodium, potassium, lithium, ammonium, calcium, magnesium, iron, zinc, copper, manganese, aluminum salts and the like. Preferable salts are the ammonium, potassium, sodium, calcium, and magnesium salts.
- Salts derived from pharmaceutically acceptable organic non-toxic bases include, but are not limited to, salts of primary, secondary, and tertiary amines, substituted amines including naturally occurring substituted amines, cyclic amines and basic ion exchange resins. Examples of organic bases include isopropylamine, trimethylamine, diethylamine, triethylamine, tripropylamine, ethanolamine,
- Exemplary organic bases are isopropylamine, diethylamine, ethanolamine, trimethylamine, dicyclohexylamine, choline, and caffeine.
- Prodrug refers to compounds that are transformed (typically rapidly) in vivo to yield the parent compound of the above formulae, for example, by hydrolysis in blood.
- esters of the compounds of this invention include, but are not limited to, alkyl esters (for example with between about one and about six carbons) the alkyl group is a straight or branched chain. Acceptable esters also include cycloalkyl esters and arylalkyl esters such as, but not limited to benzyl.
- pharmaceutically acceptable amides of the compounds of this invention include, but are not limited to, primary amides, and secondary and tertiary alkyl amides (for example with between about one and about six carbons).
- Amides and esters of the compounds of the present invention may be prepared according to conventional methods. A thorough discussion of prodrugs is provided in T. Higuchi and V. Stella, "Pro-drugs as Novel Delivery Systems," Vol 14 of the A.C.S.
- Metal refers to the break-down or end product of a compound or its salt produced by metabolism or biotransformation in the animal or human body; for example, biotransformation to a more polar molecule such as by oxidation, reduction, or hydrolysis, or to a conjugate (see Goodman and Gilman, "The Pharmacological Basis of Therapeutics” 8.sup.th Ed., Pergamon Press, Gilman et al. (eds), 1990 for a discussion of
- the metabolite of a compound of the invention or its salt may be the biologically active form of the compound in the body.
- a prodrug may be used such that the biologically active form, a metabolite, is released in vivo.
- a biologically active metabolite is discovered serendipitously, that is, no prodrug design per se was undertaken.
- An assay for activity of a metabolite of a compound of the present invention is known to one of skill in the art in light of the present disclosure.
- treating means inhibiting the disease, disorder, or syndrome, that is, arresting its development; and relieving the disease, disorder, or syndrome, that is, causing regression of the disease, disorder, or syndrome.
- adjustments for systemic versus localized delivery, age, body weight, general health, sex, diet, time of administration, drug interaction and the severity of the condition may be necessary, and will be ascertainable with routine experimentation by one of ordinary skill in the art.
- Prevention means preventing the disease, disorder, or syndrome from occurring in a human, i.e. causing the clinical symptoms of the disease, disorder, or syndrome not to develop in an animal that may be exposed to or predisposed to the disease, disorder, or syndrome but does not yet experience or display symptoms of the disease, disorder, or syndrome.
- Childhood cancer refers to a cancer that commonly affects children from the age of 1 to 15, as provided by National Cancer Institute.
- “Childhood cancers” include leukemia and cancers of the brain and central nervous system, such as acute lymphoblastic leukemia, solid tumors such as brain tumors (e.g., gliomas and medulloblastomas), neuroblastomas, Wilms tumors, and sarcomas such as rhabdomyosarcoma and osteosarcoma.
- EFS T/C value Event Free Survual (EFS) T/C value.
- An EFS T/C value is defined by the ratio of the median time to event of a treatment group and the median time to event of the respective control group. If the treatment group does not have a median time to event, then EFS T/C is defined as greater than the ratio of the last day of the study for the treatment group divided by the median time to event for the control group.
- agents are considered highly active if they meet three criteria: a) an EFS T/C > 2; b) a significant difference in EFS distributions (p ⁇ 0.050), and c) a net reduction in median tumor volume for subjects in the treated group at the end of treatment as compared to treatment initiation.
- the embodiment includes the pharmaceutically acceptable salts, hydrates, and/or solvates of the recited compounds and any individual isomers or mixture of isomers thereof.
- methods for treating a childhood cancer, which method comprises administering to a patient an effective amount of a Compound of Formula I or la or a pharmaceutical composition comprising a Compound of Formula I or la.
- methods for treating cancer comprises administering to a patient an effective amount of a Compound of Formula I or a pharmaceutical composition comprising a Compound of Formula I where the cancer is acute lymphoblastic leukemia, rhabdosarcoma, or neuroblastom.
- the Compound of Formula I is selected from any of the following embodiments, including from the Representative Compounds in Table 1.
- R 50 is hydrogen, alkyl, alkenyl, halo, haloalkyl, haloalkenyl, hydroxy, alkoxy, alkenyloxy, haloalkoxy, nitro, amino, alkylamino, dialkylamino, -N(R 55 )C(0)-C 1 -C 6 -alkylene-N(R 55a )R S5b , alkylcarbonyl, alkenylcarbonyl, carboxy, alkoxycarbonyl, cyano, alkylthio, -S(0) 2 NR 55 R 55a , or alkylcarbonylamino; where R 55 and R 55b are independently hydrogen, alkyl, or alkenyl and R 55a is hydrogen, alkyl, alkenyl, hydroxy, or alkoxy; and all other groups are as defined in the Summary of the Invention.
- R 50 is hydrogen.
- R 51 is hydrogen or alkyl; and all other groups are as defined in the Summary of the Invention.
- R 51 is alkyl; in another embodiment, R 51 is methyl.
- R 52 is hydrogen or halo; and all other groups are as defined in the Summary of the Invention.
- R is hydrogen or fluoro.
- R is hydrogen.
- R 53 is hydrogen, alkyl, alkenyl, halo, haloalkyl, haloalkenyl, hydroxy, alkoxy, alkenyloxy, haloalkoxy, nitro, amino, alkylamino, dialkylamino, -N(R 55 )C(0)-Ci-C 6 -alkylene-N(R 55a )R 55b , alkylcarbonyl, alkenylcarbonyl, carboxy, alkoxycarbonyl, cyano, alkylthio, -S(0) 2 NR 55 R 55a , or
- R 55 and R 55b are independently hydrogen, alkyl, or alkenyl and R 55a is hydrogen, alkyl, alkenyl, hydroxy, or alkoxy; and all other groups are as defined in the Summary of the Invention.
- R 53 is hydrogen, alkoxy, nitro, amino, or -N(R S5 )C(0)-C 1 -C 6 -alkylene-N(R 55a )R 55b .
- R 53 is hydrogen, methoxy, nitro, amino, or -NHC(0)CH 2 N(CH 3 ) 2 .
- R 53 is hydrogen or methoxy.
- R 54 is hydrogen, alkyl, alkenyl, halo, haloalkyl, haloalkenyl, hydroxy, alkoxy, alkenyloxy, haloalkoxy, nitro, amino, alkylamino, dialkylamino, -NCR ⁇ CCO ⁇ Q-Q-alkylene-NCR 553 ⁇ 5515 , alkylcarbonyl, alkenylcarbonyl, carboxy, alkoxycarbonyl, cyano, alkylthio, -S(0) 2 NR 55 R 55a , or
- R 55 and R 55b are independently hydrogen, alkyl, or alkenyl and R 55a is hydrogen, alkyl, alkenyl, hydroxy, or alkoxy; and all other groups are as defined in the Summary of the Invention.
- R 54 is hydrogen, alkyl, alkoxy, or halo.
- R 54 is hydrogen, methyl, methoxy, bromo, or chloro.
- R 54 is hydrogen, methoxy, or chloro.
- Another embodiment (G) is directed to a compound of Formula I where R 50 , R 52 , and R 53 are hydrogen and R 54 is halo or alkoxy; R 50 , R 52 , and R 54 are hydrogen and R 53 is alkoxy; or R 50 and R 52 are hydrogen and R 53 and R 54 together with the carbons to which they are attached form a 6-membered heteroaryl; and all other groups are as defined in the Summary of the Invention.
- R 50 , R 52 , and R 53 are hydrogen and R 54 is chloro or methoxy; R 50 , R 52 , and R 54 are hydrogen and R 53 is methoxy; or R 50 and R 52 are hydrogen and R 53 and R 54 together with the carbons to which they are attached form pyridinyl. Even more specifically, R 50 , R 52 , and R 53 are hydrogen and R 54 is chloro or methoxy; or R 50 , R 52 , and R 54 are hydrogen and R 53 is methoxy.
- embodiment G is a compound of Formula I where R 51 is methyl.
- B is heteroaryl optionally substituted with one, two, or three R 3 .
- B is thien-3-yl, pyridinyl, pyrimidinyl, pyridazinyl, pyrazinyl, oxazolyl, isoxazolyl, pyrrolyl, imidazolyl, pyrazolyl, or thiazolyl, each of which is optionally substituted with one or two R 3 .
- B is thien-3-yl, pyridin-2- yl, pyridin-3-yl, pyridin-4-yl, oxazol-2-yl, oxazol-4-yl, oxazol-5-yl, isoxazol-3-yl, isoxazol-4- yl, isoxazol-5-yl, imidazol-2-yl, pyrrol-2-yl, pyrrol-3-yl, imidazol-4-yl, imidazol-5-yl, pyrazol-3-yl, pyrazol-4-yl, or pyrazol-5-yl, each of which is optionally substituted with one or two R 3 .
- B is thien-3-yl, pyridin-3-yl, pyridin-4-yl, isoxazol-4-yl, or pyrazol-4-yl, each of which is optionally substituted with one or two R 3 .
- B is pyridin-3-yl, 2-hydroxy-pyridin-5-yl, isoxazol-4-yl, or pyrazol-4-yl, each of which is optionally substituted with one or two R .
- R 3a is cyano; hydroxyamino; carboxy; alkylsulfonyl, aminoalkyloxy; alkylaminoalkyloxy; dialkylaminoalkyloxy; -N(R 7 )C(0)-C 1 -C 6 -alkylene- N(R 7a )(R 7b ); -C(0)NR 8 R 8a ; -NR 9 C(0)R 9a ; -C(O)N(R 10 )-C,-C 6 -alkylene-N(R 10a )R 10b ;
- heteroaryl optionally substituted with one or two aminoalkyl, alkylaminoalkyl, or
- R 3a is:
- -NHC(0)CH 2 (4-methylcarbonylpiperazin- 1 -yl), -NHC(0)(5-fluoro-2-methoxyphenyl), -NHC(0)CH 2 N(CH 2 CH 3 )cyclohexyl, -NHC(0)(5-methyl-l,2-oxazol-3-yl), -NHC(0)(3-methylpyridin-3-yl), -NHC(0)(2-methoxypyridin-3-yl),
- R 3a is hydroxyamino, -N(R 7 )C(0)-C 1 -C 6 -alkylene- N(R 7a )(R 7b ), -C(0)NR 8 R 8a , -NR 9 C(0)R 9a , -C(O)N(R 10 )-Ci-C 6 -alkylene-N(R 10a )R 10b ,
- R 3a is -NHC(0)CH 2 NH(CH 3 ), -NHC(0)CH(CH 3 )NH 2 , -NHC(0)C(CH 3 ) 2 NH 2 , -NHC(0)CH 2 N(CH 3 ) 2 , -NHC(0)CH 2 N(CH 3 )CH 2 CH 2 N(CH 3 ) 25 -NHC(0)CH( H 2 )CH 2 CH 3 , -NHC(0)CH 2 N(CH 3 )CH 2 CH 2 N(CH 3 ) 2 , -NHC(0)CH(CH 3 )NH(CH 3 ), -NHC(0)H,
- -NHC(0)CH 2 (azetidin- 1 -yl), -NHC(0)(pyrrolidin-2-yl), -NHC(0)CH(NH 2 )CH 2 OH, -NHC(0)(azetidin-4-yl), -NHC(0)C(CH 3 ) 2 NH(CH 3 ), -NH 2 , -NHC(0)CH 2 NH(CH 2 CH 2 CH 3 ), -NHC(0)CH 2 CH 2 NH 2 , -NHOH, or -NHC(0)(piperidin-3-yl).
- R 3a is -NHC(0)CH 2 NH(CH 3 )
- Embodiment (N) provides a compound of Formula I where each R 3 is
- heteroaryl optionally substituted with one or two aminoalkyl, alkylaminoalkyl, or
- each R 3 is independently methyl, bromo, chloro, fluoro, -NHC(0)CH 2 NH(CH 3 ), -NHC(0)CH 2 NH(CH 2 CH 3 ), -NHC(0)CH(CH 3 )NH 2 ,
- -NHC(0)CH 2 (4-methyl-l,4-diazepan-l-yl), -NHC(0)CH(NH 2 )(CH 2 CH 3 ), - NHC(0)CH 2 NH(CH 2 CH(OH)(CH 3 )), -NHC(0)CH 2 NHCH 2 CH 2 F, - NHC(0)CH 2 NH(OCH 2 CH(CH 3 ) 2 ), -NHC(0)(1 -aminocycloprop- 1 -yl),
- -NHC(0)CH 2 (4-methylamino-piperidin- 1 -yl), -NHC(0)(piperidin- 1 -yl), -NHC(0)(N-methyl- pyrrolidin-2yl), -NHC(0)(thien-3yl), -NHC(0)(N-(cyclopropylcarbonyl)azetidin-3-yl),
- -NHC(0)CH 2 (2-methyl-pyrrolidin- 1 -yl), -NHC(0)(furan-3-yl), -NHC(0)CH 2 N(CH 3 )2, -NHC(0)(2-chloro-pyridin-5-yl), -NHC(0)(2-chlorophenyl), -NHC(0)CH 2 (pyridin-2-yl), -NHC(0)CH 2 (3-dimethylamino-azetidin- 1 -yl), -NHC(0)CH 2 (pyridin-3-yl),
- -NHC(0)CH 2 0phenyl, -NHC(0)CH 2 NH(2,3-dimethylphenyl), -NHC(0)(2-fluoro-5-methylphenyl), -NHC(0)CH 2 NHOCH 2 (4-methylphenyl), -NHC(0)CH 2 (4-isopropylpiperazin- 1 -yl), -NHC(0)CH 2 (4-fluorophenyl),
- -C(0)NHC(CH 3 ) 2 C(0)(piperidin-l-yl), -C(0)(4-methylpiperazin-l-yl), -C(0)(2-piperidin- 1-ylmethyl-piperidin-l-yl), cyano, -NHCH 3 , -CH(CH 3 )NHCH 2 CH 2 N(CH 3 ) 2 , -C(0)CH 3 , -S(0) 2 NHCH 2 CH 2 N(CH 3 ) 2 , -S(0) 2 NH(CH 2 ) 3 N(CH 3 ) 2 , 5-(N,N-dimethylaminomethyl)- l,3,4-oxadiazol-2-yl, -NHCH 2 CH 2 N(CH 3 ) 2 , -N(CH 3 ) 2 , -OCH 2 CH 2 N(CH 3 ) 2 ,
- R 3 is independently halo, alkyl, hydroxyamino, -N(R 7 )C(0)-Ci-C 6 -alkylene-N(R 7a )(R 7b ), -C(0)NR 8 R 8a , -NR 9 C(0)R 9a , -C(O)N(R 10 )-Ci-C 6 - alkylene-NCR ⁇ R' ⁇ -NR 1 'CCOiNR 1 lb , -N(R 22 )C(0)-Ci-C 6 -alkylene-N(R 22b )- N(R 22c )(R 22a ), -NR 13 C(0)OR 13a , -N(R 18 )C(0)-Ci-C 6 -alkylene-N(R 18 )C(0)R 18a , -NR 2 C(0)- d.Ce-alkylene-OR 243 , or -N(R 20 )C(O)-
- each R 3 is independently methyl, chloro,
- -NHC(0)CH 2 (azetidin- 1 -yl), -NHC(0)(pyrrolidin-2-yl), -NHC(0)CH(NH 2 )CH 2 OH, -NHC(0)(azetidin-4-yl), -NHC(0)C(CH 3 ) 2 NH(CH 3 ), -NH 2 , -NHC(0)CH 2 NH(CH 2 CH 2 CH 3 ), -NHC(0)CH 2 CH 2 NH 2 , -NHOH, or -NHC(0)(piperidin-3-yl).
- R 3 is alkyl or
- each R 3 is independently methyl, -NHC(0)CH 2 NH(CH 3 ), -NHC(0)CH(CH 3 )NH 2 ,
- B is phenyl, R is not present or R is halo, alkyl, or alkoxy;
- R 3a is -C(0)NR 8 R 8a , -NR 9 C(0)R 9a , -N(R 7 )C(0)-Ci-C 6 -alkylene-N(R 7a )(R 7 ), or -C(O)N(R 10 )-Ci-C 6 -alkylene-N(R 10a )R 10b where each of the alkylene in R 3a is independently optionally further substituted with 1, 2, 3, 4, or 5 groups selected from halo, hydroxy, and amino; and all other groups are as defined in the Summary of the Invention.
- R 50 , R 52 , and R 53 are hydrogen and R 54 is halo or alkoxy; R 50 , R 52 , and R 54 are hydrogen and R 53 is alkoxy; or R 50 and R 52 are hydrogen and R 53 and R 54 together with the carbons to which they are attached form a 6-membered heteroaryl; and all other groups are as defined in the Summary of the Invention.
- R so , R 52 , and R 53 are hydrogen and R 54 is halo or alkoxy; or R 50 , R 52 , and R 54 are hydrogen and R 53 is alkoxy.
- R 51 is methyl.
- the compound of Formula I is a compound of Formula la:
- R 50 is hydrogen
- R 51 is methyl
- R 52 is hydrogen
- R 53 is hydrogen or alkoxy; and R 54 is hydrogen, alkyl, alkoxy, or halo; or R 53 and R 54 together with the carbons to which they are attached form a 6-membered heteroaryl; and
- R 3 is halo or methyl
- R 3a is -N(R 7 )C(0)-C 1 -C -alkylene-N(R 7a )(R 7b ) where R 7 is hydrogen and R 7a and R n are independently hydrogen, alkyl, aminoalkyl, alkylaminoalkyl, or
- R 51 is methyl; and R 50 , R 52 , and R 53 are hydrogen and R 54 is halo or alkoxy or R 50 , R 52 , and R 54 are hydrogen and R 53 is alkoxy; or a single stereoisomer or mixture of stereoisomers thereof.
- R 3a is -NHC(0)CH 2 NH(CH 3 ), -NHC(0)CH(CH 3 )NH 2 ,
- the compound of Formula la is:
- the compound of Formula I and of Formula la is Compound
- the invention provides a method of treating a childhood cancer in a patient, comprising administering to the patient an effective amount of Compound A.
- the Compound A as a capsule or tablet pharmaceutical composition.
- Compound A is administered as a capsule consisting of Size 0 capsules filled with drug substance only. There are no additional excipients other than the capsule gelatin and coloring agents.
- the composition of the hard gelatin capsule shell and color demarcation are presented in the table below.
- Compound A is administered as a tablet.
- the tablet strength will be distinguishable by shape and/or size.
- the tablet formulation contains N-(3- ⁇ [(3 - ⁇ [2-chloro-5 -(methoxy)phenyl] amino ⁇ quinoxalin-2-yl)amino] sulfonyl ⁇ phenyl)-2- methylalaninamide, silicified microcrystalline cellulose, partially pregelatinized maize starch, sodium starch glycolate, hypromellose, colloidal silicon dioxide, stearic acid, and magnesium stearate. All three tablet strengths are manufactured from a common blend with the composition listed in the following Table. Composition of the Compound 100-, 150-, and 200-mg Tablets
- the invention provides pharmaceutical compositions comprising an inhibitor of the PBKs of Formula I or la and a pharmaceutically acceptable carrier, excipient, or diluent.
- administration is by the oral route.
- Administration of the compounds of Formula I or la, or their pharmaceutically acceptable salts, in pure form or in an appropriate pharmaceutical composition, can be carried out via any of the accepted modes of administration or agents for serving similar utilities.
- the Compound of Formula I or la can be administered in the same or separate vehicles.
- Administration can be, for example, orally, nasally, parenterally (intravenous, intramuscular, or subcutaneous), topically, transdermally, intravaginally, intravesically, intracistemally, or rectally, in the form of solid, semi-solid, lyophilized powder, or liquid dosage forms, such as for example, tablets, suppositories, pills, soft elastic and hard gelatin capsules, powders, solutions, suspensions, or aerosols, or the like, specifically in unit dosage forms suitable for simple administration of precise dosages.
- compositions will include a conventional pharmaceutical carrier or excipient and a Compound of Formula I or la as the/an active agent.
- Adjuvants include preserving, wetting, suspending, sweetening, flavoring, perfuming, emulsifying, and dispensing agents. Prevention of the action of microorganisms can be ensured by various antibacterial and antifungal agents, for example, parabens, chlorobutanol, phenol, sorbic acid, and the like. It may also be desirable to include isotonic agents, for example sugars, sodium chloride, and the like. Prolonged absorption of the injectable pharmaceutical form can be brought about by the use of agents delaying absorption, for example, aluminum monostearate and gelatin.
- a pharmaceutical composition of the invention may also contain minor amounts of auxiliary substances such as wetting or emulsifying agents, pH buffering agents, antioxidants, and the like, such as, for example, citric acid, sorbitan monolaurate, triethanolamine oleate, butylated hydroxytoluene, etc.
- auxiliary substances such as wetting or emulsifying agents, pH buffering agents, antioxidants, and the like, such as, for example, citric acid, sorbitan monolaurate, triethanolamine oleate, butylated hydroxytoluene, etc.
- formulation depends on various factors such as the mode of drug administration (e.g., for oral administration, formulations in the form of tablets, pills or capsules) and the bioavailability of the drug substance.
- pharmaceutical formulations have been developed especially for drugs that show poor bioavailability based upon the principle that bioavailability can be increased by increasing the surface area i.e., decreasing particle size.
- U.S. Pat. No. 4,107,288 describes a pharmaceutical formulation having particles in the size range from 10 to 1,000 nm in which the active material is supported on a crosslinked matrix of macromolecules.
- 5,145,684 describes the production of a pharmaceutical formulation in which the drug substance is pulverized to nanoparticles (average particle size of 400 nm) in the presence of a surface modifier and then dispersed in a liquid medium to give a pharmaceutical formulation that exhibits remarkably high bioavailability.
- compositions suitable for parenteral injection may comprise physiologically acceptable sterile aqueous or nonaqueous solutions, dispersions, suspensions or emulsions, and sterile powders for reconstitution into sterile injectable solutions or dispersions.
- aqueous and nonaqueous carriers, diluents, solvents or vehicles examples include water, ethanol, polyols (propyleneglycol, polyethyleneglycol, glycerol, and the like), suitable mixtures thereof, vegetable oils (such as olive oil) and injectable organic esters such as ethyl oleate.
- a coating such as lecithin
- surfactants for example
- One specific route of administration is oral, using a convenient daily dosage regimen that can be adjusted according to the degree of severity of the disease-state to be treated.
- Solid dosage forms for oral administration include capsules, tablets, pills, powders, and granules.
- the active compound is admixed with at least one inert customary excipient (or carrier) such as sodium citrate or dicalcium phosphate or
- fillers or extenders as for example, starches, lactose, sucrose, glucose, mannitol, and silicic acid
- binders as for example, cellulose derivatives, starch, alignates, gelatin, polyvinylpyrrolidone, sucrose, and gum acacia
- humectants as for example, glycerol
- disintegrating agents as for example, agar-agar, calcium carbonate, potato or tapioca starch, alginic acid, croscarmellose sodium, complex silicates, and sodium carbonate
- solution retarders as for example paraffin
- absorption accelerators as for example,
- Solid dosage forms as described above can be prepared with coatings and shells, such as enteric coatings and others well known in the art. They may contain pacifying agents, and can also be of such composition that they release the active compound or compounds in a certain part of the intestinal tract in a delayed manner. Examples of embedded compositions that can be used are polymeric substances and waxes. The active compounds can also be in microencapsulated form, if appropriate, with one or more of the above-mentioned excipients.
- Liquid dosage forms for oral administration include pharmaceutically acceptable emulsions, solutions, suspensions, syrups, and elixirs. Such dosage forms are prepared, for example, by dissolving, dispersing, etc., a compound(s) of the invention, or a
- a carrier such as, for example, water, saline, aqueous dextrose, glycerol, ethanol and the like;
- solubilizing agents and emulsifiers as for example, ethyl alcohol, isopropyl alcohol, ethyl carbonate, ethyl acetate, benzyl alcohol, benzyl benzoate, propyleneglycol,
- oils in particular, cottonseed oil, groundnut oil, corn germ oil, olive oil, castor oil and sesame oil, glycerol, tetrahydrofurfuryl alcohol,
- Suspensions in addition to the active compounds, may contain suspending agents, as for example, ethoxylated isostearyl alcohols, polyoxyethylene sorbitol and sorbitan esters, microcrystalline cellulose, aluminum metahydroxide, bentonite, agar-agar and tragacanth, or mixtures of these substances, and the like.
- suspending agents as for example, ethoxylated isostearyl alcohols, polyoxyethylene sorbitol and sorbitan esters, microcrystalline cellulose, aluminum metahydroxide, bentonite, agar-agar and tragacanth, or mixtures of these substances, and the like.
- compositions for rectal administrations are, for example, suppositories that can be prepared by mixing the compounds of the present invention with for example suitable non- irritating excipients or carriers such as cocoa butter, polyethyleneglycol or a suppository wax, which are solid at ordinary temperatures but liquid at body temperature and therefore, melt while in a suitable body cavity and release the active component therein.
- suitable non- irritating excipients or carriers such as cocoa butter, polyethyleneglycol or a suppository wax, which are solid at ordinary temperatures but liquid at body temperature and therefore, melt while in a suitable body cavity and release the active component therein.
- Dosage forms for topical administration of a compound of this invention include ointments, powders, sprays, and inhalants.
- the active component is admixed under sterile conditions with a physiologically acceptable carrier and any preservatives, buffers, or propellants as may be required.
- Ophthalmic formulations, eye ointments, powders, and solutions are also contemplated as being within the scope of this invention.
- Compressed gases may be used to disperse a compound of this invention in aerosol form.
- Inert gases suitable for this purpose are nitrogen, carbon dioxide, etc.
- compositions will contain about 1% to about 99% by weight of a compound(s) of the invention, or a pharmaceutically acceptable salt thereof, and 99% to 1% by weight of a suitable pharmaceutical excipient.
- the composition will be between about 5% and about 75% by weight of a compound(s) of the invention, or a pharmaceutically acceptable salt thereof, with the rest being suitable pharmaceutical excipients.
- composition to be administered will, in any event, contain an effective amount of a compound of the invention, or a pharmaceutically acceptable salt thereof, for treatment of a disease-state in accordance with the teachings of this invention.
- the compounds of Formula I or la, or their pharmaceutically acceptable salts or solvates are administered in an effective amount which will vary depending upon a variety of factors including the activity of the specific compound employed, the metabolic stability and length of action of the compound, the age, body weight, general health, sex, diet, mode and time of administration, rate of excretion, drug combination, the severity of the particular disease-states, and the host undergoing therapy.
- the compounds of Formula I or la can be administered to a patient at dosage levels in the range of about 0.1 to about 1,000 mg per day, or in the range of 50 to 400 mg per day ,100 mg to 800 mg per day, or in the range of 100 mg to 350 mg per day, or in the range of 200 to 700 mg per day, or in the range of 150 mg to 300 mg per day, or in the range of 300 to 600 mg per day.
- a dosage in the range of about 0.01 to about 100 mg per kilogram of body weight per day is an example.
- the specific dosage used can vary.
- the dosage can depend on a number of factors including the requirements of the patient, the severity of the condition being treated, and the pharmacological activity of the compound being used.
- a dosage in the range of about 0.01 to about 100 mg per kilogram of body weight per day is an example.
- the specific dosage used for children will generally be lower due to the smaller size and weight of children, and the doses can be adjusted according to size and weight factors, as well as additional factors.
- the dosage can depend on additional factors including the requirements of the child, the severity of the condition being treated, and the pharmacological activity of the compound being used.
- the determination of optimum dosages for a particular child is well known to one of ordinary skill in the art. If formulated as a fixed dose, such combination products employ the compounds of this invention within the dosage range described above and the other pharmaceutically active agent(s) within approved dosage ranges.
- Compounds of Formula I or la may alternatively be used sequentially with known pharmaceutically acceptable agent(s) when a combination formulation is inappropriate.
- the reactions described herein take place at atmospheric pressure and over a temperature range from about -78 °o to about 150 °o, in another embodiment from about 0 c o. to about 125 c o and most specifically at about room (or ambient) temperature, e.g., about 20 c o. Unless otherwise stated (as in the case of a hydrogenation), all reactions are performed under an atmosphere of nitrogen.
- Prodrugs can be prepared by techniques known to one skilled in the art. These techniques generally modify appropriate functional groups in a given compound. These modified functional groups regenerate original functional groups by routine manipulation or in vivo. Amides and esters of the compounds of the present invention may be prepared according to conventional methods. A thorough discussion of prodrugs is provided in T. Higuchi and V. Stella, "Pro-drugs as Novel Delivery Systems," Vol 14 of the A.C.S.
- the compounds of the invention may have asymmetric carbon atoms or quaternized nitrogen atoms in their structure.
- Compounds of Formula I that may be prepared through the syntheses described herein may exist as single stereoisomers, racemates, and as mixtures of enantiomers and diastereomers.
- the compounds may also exist as geometric isomers. All such single stereoisomers, racemates and mixtures thereof, and geometric isomers are intended to be within the scope of this invention.
- Some of the compounds of the invention may exist as tautomers.
- the molecule may exist in the enol form; where an amide is present, the molecule may exist as the imidic acid; and where an enamine is present, the molecule may exist as an imine. All such tautomers are within the scope of the invention, and to the extent that one structure is used to depict a compound, it includes all such tautomeric forms.
- ring B in the Compound of Formula I or B can be 2- hydroxy-pyridinyl, also described as its structure:
- Both 2-hydroxy-pyridinyl and the above structure 14 include, and are equivalent to, pyridin- 2(lH)-one and its structure 15:
- Compound A-2 is named N-(3- ⁇ [(2Z)-3-[(2-chloro-5-methoxyphenyl)amino]quinoxalin. 2(lH)-ylidene]sulfamoyl ⁇ phenyl)-2-methylalaninamide.
- interconversion can also exist between the uncharged tautomeric forms and the zwitterionic forms.
- the present invention also includes N-oxide derivatives and protected derivatives of compounds of Formula I.
- compounds of Formula I when compounds of Formula I contain an oxidizable nitrogen atom, the nitrogen atom can be converted to an N-oxide by methods well known in the art.
- compounds of Formula I When compounds of Formula I contain groups such as hydroxy, carboxy, thiol or any group containing a nitrogen atom(s), these groups can be protected with a suitable "protecting group” or "protective group.”
- a comprehensive list of suitable protective groups can be found in T.W. Greene, Protective Groups in Organic Synthesis, John Wiley & Sons, Inc. 1991, the disclosure of which is incorporated herein by reference in its entirety.
- the protected derivatives of compounds of Formula I can be prepared by methods well known in the art.
- stereoisomers from racemic mixtures or non-racemic mixtures of stereoisomers are well known in the art.
- optically active (R)- and (S)- isomers may be prepared using chiral synthons or chiral reagents, or resolved using conventional techniques.
- Enantiomers may be resolved by methods known to one of ordinary skill in the art, for example by: formation of diastereoisomeric salts or complexes which may be separated, for example, by crystallization; via formation of diastereoisomeric derivatives which may be separated, for example, by crystallization, selective reaction of one enantiomer with an enantiomer-specific reagent, for example enzymatic oxidation or reduction, followed by separation of the modified and unmodified enantiomers; or gas-liquid or liquid
- enantiomeric form Alternatively, specific enantiomer may be synthesized by asymmetric synthesis using optically active reagents, substrates, catalysts or solvents or by converting on enantiomer to the other by asymmetric transformation.
- enantiomers enriched in a particular enantiomer, the major component enantiomer may be further enriched (with concomitant loss in yield) by recrystallization.
- the compounds of the present invention can exist in unsolvated as well as solvated forms with pharmaceutically acceptable solvents such as water, ethanol, and the like.
- pharmaceutically acceptable solvents such as water, ethanol, and the like.
- the solvated forms are considered equivalent to the unsolvated forms for the purposes of the present invention.
- an intermediate of formula 3 can be prepared by briefly heating an appropriately substituted quinoxaline (for example, commercially available 2,3-dichloroquinoxaline) and an appropriately substituted sulfonamide of formula 2 (which are commercially available or can be prepared by one of ordinary skill in the art), a base such as K2CO3, in a solvent, such as DMF or DMSO. Upon completion (about 2 hours), the reaction mixture is then poured into water and followed by 2 N HCl. The product is then extracted into a solvent such as ethyl acetate and washed with water and brine. The organic layers are combined and dried over a drying agent such as sodium sulfate, filtered, and concentrated under vacuum to provide a compound of formula 3.
- a base such as K2CO3
- a solvent such as DMF or DMSO
- the intermediate of formula 3 is then treated with an intermediate of formula 4 in a solvent such as DMF or p-xylene at reflux temperature. Upon completion of the reaction (about 16 hours or less), the reaction is allowed to cool, extracted into DCM, washed with 2 N HCl and brine, dried over a drying agent such as sodium sulfate or magnesium sulfate, filtered, and concentrated to give a compound of Formula I.
- a solvent such as DMF or p-xylene at reflux temperature.
- quinoxaline derivatives are known to one skilled in the art and include, but are not limited to S. V. Litvinenko, V. I. Savich, D. D. Bobrovnik, Chem. Heterocycl. Compd. (Engl. Transl), 1994, 30, 340 and W. C. Lumma, R. D. Hartman, J. Med. Chem. 1981, 24, 93.
- LG is a leaving group such as chloro.
- the reaction is carried out in the presence of a base, such as KHC0 3 , in a solvent such as DMF.
- reaction is carried out in the presence of a base such as NaH in a solvent such as DMF.
- R 100 in Scheme 4 is -C(0)R 9a , -C(0)NR' lb , -C(0)OR 13a , -C(O)- Ci-C 6 -alkylene-N(R 18b )C(0)R 18a , -C(O)-C 1 -C 6 -alkylene-C(O)R 20a , or -SCOk-C -alkylene- N(R 21b )R a .
- the reaction is carried out under standard amide coupling conditions known to one of ordinary skill in the art.
- reaction is carried out in the presence of a coupling agent such as HATU, a base such as DIEA, and in a solvent such as DMF.
- a coupling agent such as HATU
- a base such as DIEA
- a solvent such as DMF.
- the N-protecting group is then removed using procedures known to one of ordinary skill in the art, such as treating with acid where PG is Boc.
- 12 l(f) LG is a leaving group such as bromo or chloro. 12 is reacted with NH(R 7b )R 7a in the presence of a base, such as DIEA, in a solvent such as ACN.
- a base such as DIEA
- 1(h) LG in Scheme 6 is a leaving group such as chloro.
- the reaction can be carried out by irradiating in a solvent such as DMA. Alternatively, the reaction can be carried out in the presence of acetic acid in a solvent such as DMA and by heating.
- a CEM microwave reaction vessel was charged with N-(3-(N-(3- chloroquinoxalin-2-yl)sulfamoyl)phenyl)-2-(dimethylamino)acetamide (30 mg, 0.071 mmol), prepared using procedures similar to those described in Example 374, the desired aniline (16 mg, 0.14 mmol, 2 eq), and 0.5 mL of dimethylacetamide.
- the vessel was sealed and the reaction mixture was heated under microwave radiation for 70 min at 140 °C in a CEM Discover microwave instrument. The solvent was then removed by rotary-evaporation. Purif i cation of the final product was accomplished by preparatory reverse-phase HPLC with the eluents 25 mM aqueous NH 4 OAc/ACN to the desired product.
- a CEM microwave reaction vessel was charged with N-(3-(N-(3- chloroquinoxalin-2-yl)sulfamoyl)phenyl)-2-(dimethylamino)acetamide (62 mg, 0.147 mmol), prepared using procedures similar to those in Example 374, the desired aniline (0.567 mmol, 4 eq), and 1.0 mL of toluene.
- the vessel was sealed and the reaction mixture was heated under microwave radiation for 60 min at 180 °C in a CEM Discover microwave instrument. The solvent was removed on a rotary-evaporator. Purification of the final product was done by preparatory HPLC with NRjOAc/ACN as eluent to yield the desired product.
- N-(3-(N-(3-(3,5-dimethoxy-phenylamino)quinoxalin-2-yl)- sulfamoyl)phenyl)azetidine-3-carboxamide (125 mg, 0.23 mmol), prepared using procedures similar to those described in Example 372, was dissolved into 5 mL DCE in a 10 mL round- bottom flask. DIEA (1.17 mmol, 5.0 equiv.) was then added with stirring followed by acid chloride (0.47 mmol, 2.0 equiv.). The reaction was then stirred at room temperature for 1 hour or until complete as indicated by LCMS. The solvent was subsequently removed under reduced pressure on a rotary evaporator.
- a solution was prepared with 0.585 kg of 2-chloro-5-methoxyaniline-HCl, 3.5 volumes of acetonitrile and 0.46 kg of DBU (solution A). Separately, 1 kg of N-(3-chloroquinoxalin-2- yl)-3 -mtrobenzenesulfonamide and 5.5 volumes of acetonitrile were combined and heated to reflux. Solution A and 1 volume of acetonitrile were then added to the reaction mixture, and the resulting mixture was heated at reflux. After completion of the reaction, the mixture was cooled down at 20 °C, diluted with 10 volumes of methanol and filtered. The resulting filter cake was washed 3 times with 5 volumes of methanol and then dried under vacuum.
- Compound A was evaluated against the in vitro and in vivo panels of the Pediatric Preclinical testing Program (PPTP). See http://pptp.nchresearch.org/documents.html (last visited October 18, 201 1). Compound A was tested against the PPTP's in vitro cell line panel at concentrations ranging from 10.0 nM to 100 ⁇ using the PPTP's standard 96 hour exposure period. For in vivo testing, a Compound A dose of 100 mg/kg was administered orally daily for 14 days with a total planned observation period of 6 weeks. Background: PPTP In Vitro Cell Lines and In Vivo Xenograft Models and Testing
- the model parameters are the following: a, which denotes the value of response for the minimal curve asymptote (theoretically, the level of response produced by an infinitely high concentration of drug); b, which denotes the value of response for the maximal curve asymptote (theoretically, the level of response, if any, in the absence of drug); c, which denotes the EC50 or the concentration at the half maximal effect; and d, which denotes the slope of the dose-response curve (often used as a measure of the sensitivity of the system to increments in drug concentrations).
- the parameters in the model are estimated using
- IC50 values are determined from the actual curve fit outputs generated by Kaleidagraph. To compare activity between cell lines, the ratio of the median IC50 to individual cell line IC50 values is used (larger values connote greater sensitivity).
- mice CB17SC-M scid-/- female mice (Taconic Farms, Germantown NY), were used to propagate subcutaneously implanted kidney/rhabdoid tumors, sarcomas (Ewing, osteosarcoma, rhabdomyosarcoma), neuroblastoma, and non-glioblastoma brain tumors, while BALB/c nu/nu mice were used for glioma models, as previously described [2- 4]. Mice bearing subcutaneous tumors each received drug when tumors reached between 200 mm3 and 500 mm3.
- mice Human leukemia cells were propagated by intravenous inoculation in female non-obese diabetic ( ⁇ )/ scid-/- mice as described previously [5]. Mice were randomized to groups of 10 for solid tumor-bearing and groups of 8 for ALLbearing animals. All mice were maintained under barrier conditions and experiments were conducted using protocols and conditions approved by the institutional animal care and use committee of the appropriate consortium member. Each agent tested was given a code number, and the identity of each was revealed to testing sites only after complete data sets had been deposited in the database.
- Tumor volumes (cm 3 ) [solid tumor xenografts] or percentages of human CD45- positive [hCD45] cells [ALL xenografts] were measured for each tumor at the initiation of the study and weekly for up to 42 days after study initiation. Assuming tumors to be spherical, tumor volumes were calculated from the formula ( ⁇ /6)- ⁇ 3 , where d represents the mean diameter.
- TGD tumor growth delay
- Event-free survival An event in the solid tumor xenograft models was defined as a quadrupling of tumor volume from the initial tumor volume. Event-free survival was defined as the time interval from initiation of study to the first event or to the end of the study period for tumors that did not quadruple in volume. The time to event was determined using interpolation based on the formula:
- xt is the interpolated day to event
- t ⁇ is the lower observation day bracketing the event
- t ⁇ is the upper observation day bracketing the event
- Vj is the tumor volume (or hCD45 percentage) on day 3 ⁇ 4
- V 2 is the tumor volume (or hCD45 percentage) on day
- V e is the event threshold (4 times initial tumor volume for solid tumor xenografts, 25% for ALL xenografts).
- ALL Acute Lymphoblastic Leukemia
- Individual mice were categorized as PD if their percentage of hCD45 cells never dropped below 1% and they had an event before the end of the study period.
- An event is defined as hCD45 cells above 25% in the peripheral blood with times to event calculated as above.
- Individual mice were classified as SD if their percentage of hCD45 cells never dropped below 1% and no event occurred before the end of the study.
- PR was assigned if the percentage of cells dropped below 1% for any one time point regardless of whether the percentage eventually reached 25%.
- a CR was assigned if the percentage of hCD45 cells dropped below 1% for 2 consecutive weeks of the study and regardless of whether the percentage reached 25% or not.
- a CR was considered maintained if the percentage of hCD45 was less than 1% for the last three measurements of the study.
- PD was further classified into PD1 and PD2 according to the TGD value.
- Tumor Volume T/C value Relative tumor volumes (RTV) for control (C) and treatment (T) mice were calculated at day 21 or when all mice in the control and treated groups still had measurable tumor volumes (if less than 21 days). The mean relative tumor volumes for control and treatment mice for each study were then calculated and the T/C value was the mean RTV for the treatment group divided by the mean RTV for the control group.
- RTV Relative tumor volumes
- T/C response measure agents producing a T/C of ⁇ 15% are considered highly active, those with a mean tumor volume T/C of ⁇ 45% but > 15% are considered to have intermediate activity, and those with mean T/C values > 45% are considered to have low levels of activity [6].
- EFS T/C value An EFS T/C value was defined by the ratio of the median time to event of the treatment group and the median time to event of the respective control group. If the treatment group did not have a median time to event, then EFS T/C was defined as greater than the ratio of the last day of the study for the treatment group divided by the median time to event for the control group.
- agents are considered highly active if they meet three criteria: a) an EFS T/C > 2; b) a significant difference in EFS distributions (p ⁇ 0.050), and c) a net reduction in median tumor volume for animals in the treated group at the end of treatment as compared to at treatment initiation.
- Agents meeting the first two criteria, but not having a net reduction in median tumor volume for treated animals at the end of the study are considered to have intermediate activity.
- Agents with an EFS T/C ⁇ 2 are considered to have low levels of activity.
- Xenografts in which the median EFS for the control line was greater than one-half of the study period or in which the median EFS for the control line did not exist are considered not evaluable for the EFS T/C measure of activity.
- Compound A was tested in vivo using a 100 mg/kg dose administered orally daily for 14 days .
- 10 mice bearing SC tumors initiated treatment when the tumors were between 0.2-0.5 cm3.
- Two perpendicular tumor diameters were measured at either once or twice weekly intervals with digital vernier calipers.
- Acute lymphoblastic leukemia (ALL) testing For each xenograft line, 8 mice were inoculated with 3-5 x 1 6 mononuclear ceils purified from the spleens of secondary recipient mice. Engrafiment was monitored weekly by flow cytometry,, and treatment was initiated when the proportion of human CD45+ cells in the peripheral blood reached 1 %. The proportion of human CD45+ cells in the peripheral blood was monitored weekly throughout the course of treatment
- Compound A was tested in the tumor types listed in Table 3. Red shading in the p-value columns indicates a significant difference in EFS distribution or Tumor Volume T/C between treated and control groups. Shading in the EFS columns indicates xenografts that have either high (dark blue), intermediate (light blue), low (gray), or indeterminant (white) activity.
- PD1 Progressive Disease 1 means a greater than 25 percent increase in tumor volume with a tumor growth delay (TGD) value of less than or equal to 1.5
- PD2 Progressive Disease 2 means a greater than 25 percent increase in tumor volume with a TGD value of greater than 1.5
- SD Stable Disease
- Figure 3 further summarizes the in vivo results for Rhl 0, Rhl 8, Rh41 , and ALL7 tumor types.
- Compound A demonstrated cytotoxic activity, with Y mm values approaching 0% for all of the cell lines at the highest concentration tested (100 ⁇ ).
- the median relative iC 50 value for the PPTP cell lines was 10.9 ⁇ , with a range from 2.7 ⁇ (CHLA-10) to 24.5 ⁇ (TC-71). There were no significant differences by histotype in median relative IC 50 values. though there was a trend for lower values for the rhabdomyosarcoma panel (median IC 50 5.6 ⁇ ) and higher values for the neuroblastoma panel (median IC50 19.5 ⁇ ).
- Compound A was tested against 31 solid tumor xenografts and 7 acute lymphoblastic leukemia (ALL) xenografts. A dose of 100 mg/kg administered orally daily for 14 days for a total planned observation period of 6 weeks was utilized. Compound A was generally well tolerated, with a ⁇ 1% toxicity rate in the treated groups, similar to that observed for control animals.
- Compound A induced significant differences in EFS distribution compared to control in 26 of 30 (87%) of the evaluable solid tumor xenografts and in 2 of 7 (29%) of the evaluable ALL xenografts.
- Compound A induced tumor growth inhibition meeting criteria for intermediate EFS T/C activity (EFS T/C > 2) in 3 of 29 (10%) evaluable solid tumor xenografts (2 of 6 rhabdomyosarcoma and 1 of 5 neuroblastoma), and intermediate or high EFS T/C activity was observed for 2 of 7 (29%) evaluable ALL xenografts.
- PI3 kinase pathway Activation of the PI3 kinase pathway occurs frequently in many adult cancers and is implicated in tumor cell proliferation, survival, and resistance to chemotherapy and radiotherapy. However, less is known regarding the relevance of this pathway in pediatric cancers. Compound A is evaluated against childhood cancer cell lines and xenografts.
- Phosphatidylinositol 3-kinase plays a key role in signal transduction from viral oncoproteins and in transmitting signals from ligand-activated receptor tyrosine kinases [7-11].
- Class I PDKs catalyze phosphorylation of phosphatidylinositol 4,5-biphosphate to phosphatidylinositol-3,4,5-triphosphate (PIP3), which binds to A T and PDK1 at the plasma membrane.
- AKT is activated by phosphorylation by PDK1 at T308 and by mTOR/Rictor (TORC2) at S473.
- AKT promotes cell survival and proliferation by phosphorylation of GSK3a/p, FoxO, MDM2, BAD, and p27 KIPI [12].
- AKT also activates the mTOR/Raptor (TORC1) complex which regulates protein synthesis and cell growth [13].
- TORC1 mTOR/Raptor
- Mutations in PIK3CA the gene that encodes the p 110a class IA PI3K catalytic subunit are present in a variety of cancers that arise in adults [10,14].
- the PTEN phosphatase modulates PIP3 activity and has been identified as a tumor suppressor that is frequently inactivated in cancer by gene mutation and/or deletion and by promoter methylation [15,16].
- Tyrosine kinase oncogenes e.g., Bcr-Abl, HER2, MET, KIT, and others
- Bcr-Abl e.g., Bcr-Abl
- HER2 e.g., HER2, MET, KIT, and others
- PI3K PI3K pathway
- PI3K antagonists have been developed, all of which are ATP mimetics that act by binding reversibly to the ATP pocket of PI3K pi 10 [11].
- Compound A is one such pan-PI3K inhibitor that has shown activity against breast, lung, and prostate cancer xenografts [11]. It has shown an acceptable toxicity profile as a single agent in an adult phase I study that also demonstrated an objective partial response and evidence of stable disease [19].
- the NCI Pediatric Preclinical Testing Program has previously tested agents acting against other components of the PI3K signaling pathway, including rapamycin [20,21], the mTOR kinase inhibitor AZD8055 [22], and the AKT inhibitors GSK690693 and MK-2206 [23,24], all of which showed modest in vivo activity against the PPTP models.
- rapamycin 20,21
- mTOR kinase inhibitor AZD8055 [22]
- AKT inhibitors GSK690693 and MK-2206 [23,24]
- Compound A was tested against the PPTP in vitro cell line panel at concentrations from 10 nM to 100 ⁇ and against the PPTP in vivo xenograft panels at a dose of 100 mg/kg administered orally daily for 14 days.
- EFS T/C > 2 Compound A induced tumor growth inhibition meeting criteria for intermediate EFS T/C activity (EFS T/C > 2) in 4 of 37 (11%) solid tumor xenografts. Intermediate EFS T/C activity was also observed for 2 of 7 (29%) evaluable ALL xenografts. Objective responses were not observed for solid tumor or for ALL xenografts.
- rICso relative IC 50
- HillSlope describes the steepness of the dose-response curve
- Top and Bottom are the plateaus in the T/C% values at low and high concentrations, respectively.
- Absolute IC 50 values represent the concentration at which the agent reduces cell survival to 50%» of the control value [26].
- the ratio of the median relative IC50 to individual cell line's relative IC50 value is used (larger values connote greater sensitivity).
- the lowest T/C% value is the Y m j n .
- Compound A demonstrated cytotoxic activity, with Y m j n values approaching 0% for all of the cell lines at the highest concentration tested (100 ⁇ ).
- the median relative IC50 (rIC 50 ) value for the PPTP cell lines was 10.9 ⁇ , with a range from 2.7 ⁇ (CHLA-10) to 24.5 ⁇ (TC-71), Table 4. There were no significant differences by histotype in median rIC 50 values, though there was a trend for lower values for the rhabdomyosarcoma panel (median rICso 5.6 ⁇ ) and higher values for the neuroblastoma panel (median rIC 5 o 19.5 ⁇ ).
- Compound A is the ratio of the median rIC 50 of the entire panel to that of each cell line, Figure 4.
- Each bar represents the ratio of the panel rICso to the rIC 50 value of the indicated cell line. Bars to the right represent cell lines with higher sensitivity, while bars to the left indicate cell lines with lesser sensitivity. Higher ratios are indicative of greater sensitivity to Compound A and are shown in the figure by bars to the right of the midpoint line.
- Figure 4 illustrates the higher sensitivity for the rhabdomyosarcoma cell lines and the lower sensitivity for the neuroblastoma cell lines.
- Compound A demonstrated micromoiar level activity against the panel of 23 pediatric cancer cell lines, with a median rICso of 10.9 ⁇ . ⁇ .
- the micromoiar level rJC $ o values for Compound A contrast with its enzymatic activity on PI3 alpha, delta and gamma (ICso in the 20-40 nM range), which may reflect its hig serum protein binding [31 ].
- the pattern of response to Compound A against the PPTP in vitro models showed some similarities to that observed for the A T inhibitors GSK690693 [25] and M -2206 [14].
- the rhabdomyosarcoma cell lines Rh41 and Rhl8 and the Ewing cell line CHLA-10 showed relative sensitivity to all three agents.
- the activity pattern of the AKT inhibitors differed from that of Compound A in the greater relative sensitivity of the ALL cell lines to the AKT inhibitors compared to Compound A.
- Heterogeneity was evident in the in vitro response of the Ewing cell lines to Compound A ( Figure 4), which may be the result of as yet unidentified differences in dependence on the PI3K pathway of various Ewing tumors.
- CB17SC scid-/- female mice (Taconic Farms, Germantown NY), were used to propagate subcutaneously implanted kidney/rhabdoid tumors, sarcomas (Ewing,
- osteosarcoma osteosarcoma, rhabdomyosarcoma), neuroblastoma, and non-glioblastoma brain tumors, while BALB/c nu/nu mice were used for glioma models, as previously described [27].
- mice were maintained under barrier conditions and experiments were conducted using protocols and conditions approved by the institutional animal care and use committee of the appropriate consortium member. Eight to ten mice were used in each control or treatment group. Tumor volumes (cm 3 ) [solid tumor xenografts] or percentages of human CD45-positive [%hCD45+] cells [ALL xenografts] were determined and responses were determined using three activity measures as previously described [27]. An in-depth description of the analysis methods is included in the Response and Events Definitions section.
- Compound A was provided to the Pediatric Preclinical Testing Program by Exelixis Inc., through the Cancer Therapy Evaluation Program (NCI). Powder was stored at room temperature, protected from light. Drug was formulated in 10 mM HC1, in sterile water for injection, sonicated to form a fine suspension, and made fresh prior to administration. Compound A was administered orally (PO) at 100 mg/kg to mice using a daily schedule for 14 days, with a further 4 weeks of observation. Compound A was provided to each consortium investigator in coded vials for blinded testing.
- NCI Cancer Therapy Evaluation Program
- this column is the average relative tumor volume at the day T/C was assessed (day 21 or before); • 11 P value testing the relative tumor volumes between treatment and control groups at the day T/C was assessed (day 21 or before) (the exact Wilcoxon rank_sum test was used).
- CR Complete response: disappearance of measurable tumor mass ( ⁇ 0.10 cm3 ) for at least one time point.
- Tumor Volume T/C value Relative tumor volumes (RTV) for control (C) and treatment (T) mice were calculated at day 21 or when all mice in the control and treated groups still had measurable tumor volumes (if less than 21 days).
- PD2 progressive disease with EFS T/C > 1.5.
- EFS T/C values the ratio of the median time to event of the treatment group and the median time to event of the respective control group.
- High activity requires: a) an EFS T/C > 2; b) a significant difference in EFS distributions, and c) a net reduction in median tumor volume for animals in the treated group at the end of treatment as compared to at treatment initiation.
- Intermediate activity criteria a) and b) above, but not having a net reduction in median tumor volume for treated animals at the end of the study.
- Low activity EFS T/C ⁇ 2.
- the EFS T/C activity measure additionally requires an EFS T/C value of > 2.0 for intermediate activity and indicates a substantial agent effect in slowing tumor growth. High activity further requires a reduction in final tumor volume compared to the starting tumor volume.
- Intermediate activity for the EFS T/C metric was observed in the following panels: rhabdomyosarcoma (2 of 6), neuroblastoma (1 of 5), medulloblastoma (1 of 2) and rhabdoid tumor (1 of 3).
- RhlO rhabdomyosarcoma xenografts were completely inhibited for the duration of Compound A treatment.
- 2 of 7 (29%) xenografts met criteria for intermediate EFS T/C activity.
- Bars to the right of the median represent lines that are more sensitive, and to the left are tumor models that are less sensitive. Red bars indicate lines with a significant difference in EFS distribution between treatment and control groups, while blue bars indicate lines for which the EFS distributions were not significantly different. The latter analysis demonstrates relative tumor sensitivities around the midpoint score of 5 (stable disease). Examples of tumor growth curves meeting criteria for intermediate EFS T/C activity (Rhl8, Rh41, and ALL-7) or showing significant tumor growth delay (RhlO) are presented in Figure 6.
- Rhabdomyosarcomas (RhlO, Rhl8, Rh41): Kaplan-Meier curves for EFS (left), median relative tumor volume graphs (center), and individual tumor volume graphs (right) are shown for selected lines.
- ALL-7 bottom panels: Kaplan-Meier curves showing the EFS (left), median leukemia engraftment (center) as detected in peripheral blood, and individual leukemia engraftment (right).
- Controls gray lines
- Treated black lines
- p values statistical significance
- PIK3CB The gene expression pattern of Class I PI3K isoforms is shown in Figure 7A. There is less variation in expression for PIK3CA than for other isoforms, and its expression is highest for the osteosarcoma and ALL xenografts and is lower for the rhabdomyosarcoma xenografts. PIK3CB is expressed at highest levels in low grade (BT-35 and BT-40) and high- grade glioma xenografts (e.g., GBM2 and BT-39).
- Phospho-AKT and PTEN expression for solid tumor xenografts are shown in Figure 7B.
- Phospho-AKT is detectable for many xenografts in the PPTP solid tumor panels, while PTEN low expression (consistent with PTEN deletion) is uncommon.
- EFS T/C EFS T/C
- PTEN low expression consistent with PTEN deletion
- Phospho-AKT levels are not distinctive for the 4 xenografts with EFS T/C > 2 (KT-16, Rh41, Rhl8, and NB-EBcl) compared to the remaining xenografts.
- TGD tumor growth delay
- Event-free survival An event in the solid tumor xenograft models was defined as a quadrupling of tumor volume from the initial tumor volume. Event-free survival was defined as the time interval from initiation of study to the first event or to the end of the study period for tumors that did not quadruple in volume. The time to event was determined using interpolation based on the formula: where t is the interpolated day to event, t ⁇ is the lower observation day bracketing the event, t 2 is the upper observation day bracketing the event, V ⁇ is the tumor volume on day t ⁇ , 2 is the tumor volume on day t 2 and V e is the event threshold (4 times the initial tumor volume for solid tumor xenografts).
- ALL Acute Lymphoblastic Leukemia
- mice were categorized as PD if their percentage of hCD45 cells never dropped below 1% and they had an event before the end of the study period.
- An event is defined as hCD45 cells above 25% in the peripheral blood with times to event calculated as above.
- Individual mice were classified as SD if their percentage of hCD45 cells never dropped below 1% and no event occurred before the end of the study.
- PR was assigned if the percentage of cells dropped below 1% for any one time point regardless of whether the percentage eventually reached 25%.
- a CR was assigned if the percentage of hCD45 cells dropped below 1% for 2 consecutive weeks of the study and regardless of whether the percentage reached 25% or not.
- a CR was considered maintained if the percentage of hCD45 was less than 1% for the last three measurements of the study.
- PD was further classified into PD1 and PD2 according to the TGD value.
- Tumor Volume T/C value Relative tumor volumes (RTV) for control (C) and treatment (T) mice were calculated at day 21 or when all mice in the control and treated groups still had measurable tumor volumes (if less than 21 days). The mean relative tumor volumes for control and treatment mice for each study were then calculated and the T/C value was the mean RTV for the treatment group divided by the mean RTV for the control group.
- RTV Relative tumor volumes
- T/C response measure agents producing a T/C of ⁇ 15% are considered highly active, those with a mean tumor volume T/C of ⁇ 45% but > 15% are considered to have intermediate activity, and those with mean T/C values > 45% are considered to have low levels of activity [7].
- EFS T/C value An EFS T/C value was defined by the ratio of the median time to event of the treatment group and the median time to event of the respective control group. If the treatment group did not have a median time to event, then EFS T/C was defined as greater than the ratio of the last day of the study for the treatment group divided by the median time to event for the control group.
- agents are considered highly active if they meet three criteria: a) an EFS T/C > 2; b) a significant difference in EFS distributions (p ⁇ 0.050), and c) a net reduction in median tumor volume for animals in the treated group at the end of treatment as compared to at treatment initiation.
- Agents meeting the first two criteria, but not having a net reduction in median tumor volume for treated animals at the end of the study are considered to have intermediate activity.
- Agents with an EFS T/C ⁇ 2 are considered to have low levels of activity.
- Xenografts in which the median EFS for the control line was greater than one-half of the study period or in which the median EFS for the control line did not exist are considered not evaluable for the EFS T/C measure of activity.
- the PIK3CD specific inhibitor GS- 1101 (C AL- 101 ) has shown preclinical and clinical activity against adult lymphoid malignancies such as chronic lymphocytic leukemia (CLL) and non-Hodgkin lymphoma (NHL), but its activity in ALL is not yet defined [32].
- Compound A shows approximately equal enzyme inhibitory activity against PI 3CA and PIK3CD [31,33].
- PI3K pathway genes recurring genomic alterations in PI3K pathway genes appear to be uncommon in high-risk B-precursor ALL cases [44].
- PIK3CA mutations are also uncommon in medulloblastoma tumor specimens [46-48].
- genomic alterations in target genes have been the most reliable predictor of robust antitumor activity for molecularly targeted agents, the paucity of mutations in PI3K family genes reported for pediatric cancers argues against the expectation of single agent in vivo activity for PI3K inhibitors in the pediatric setting, consistent with our findings.
- PI3K/Akt/mTOR signaling on neuroblastoma growth in vitro and in vivo PI3K/Akt/mTOR signaling on neuroblastoma growth in vitro and in vivo.
- neuroblastomas identifies a wide diversity of somatic mutation. Proceedings of the 102nd Annual Meeting of the American Association for Cancer Research 2011 :Abstr 4756.
Landscapes
- Health & Medical Sciences (AREA)
- Pharmacology & Pharmacy (AREA)
- Veterinary Medicine (AREA)
- Public Health (AREA)
- Chemical & Material Sciences (AREA)
- General Health & Medical Sciences (AREA)
- Medicinal Chemistry (AREA)
- Animal Behavior & Ethology (AREA)
- Life Sciences & Earth Sciences (AREA)
- Chemical Kinetics & Catalysis (AREA)
- Organic Chemistry (AREA)
- Nuclear Medicine, Radiotherapy & Molecular Imaging (AREA)
- General Chemical & Material Sciences (AREA)
- Oncology (AREA)
- Hematology (AREA)
- Epidemiology (AREA)
- Pharmaceuticals Containing Other Organic And Inorganic Compounds (AREA)
Abstract
The invention provides a method for treating childhood cancers, including acute lymphocytic leukemia, neuroblastoma, and rhabdomyosarcoma, comprising administering a compound of Formula (I) to a patient in need of such treatment.
Description
PHOSPHATIDYLINOSITOL 3-KINASE INHIBITORS FOR THE TREATMENT OF
CHILDHOOD CANCERS
CROSS-REFERENCE TO RELATED APPLICATIONS
[0001] This application claims the benefit of priority of U.S. Provisional Application No. 61/554,677, filed November 2, 2011, the entire contents of which are incorporated herein by reference.
BACKGROUND
[0002] According to the National Cancer Institute of the United States, twelve major types of cancers affect children, including leukemia, solid tumors, and sarcomas. The most common type of leukemia in children is acute lymphoblastic leukemia. Common solid tumors in children include brain tumors, such as gliomas and medulloblastomas, as well as other solid tumors such as neuroblastomas and Wilms tumors. Common sarcomas in children include rhabdomyosarcoma and osteosarcoma.
[0003] More than 10,000 children under the age of 15 were diagnosed with cancer in 2007, and more than 1,500 U.S. children are projected to die from cancer each year, making cancer the leading cause of death among children between the ages of 1 and 14. The incidence of children diagnosed with all forms of cancer has increased, from 11.5 cases per 100,000 children in 1975, to 14.8 children per 100,000 in 2004. As a result, a need remains for new methods for treating childhood cancers.
SUMMARY
[0004] Accordingly, in one aspect, methods for treating childhood cancer are provided, the methods comprising administering to a patient in of such treatment a therapeutically effective amount of a Compound
or a pharmaceutically acceptable thereof; where the Compound of Formula I is that wherein:
W1, W2, W3, and W4 are -C(R')=; or one or two of W1, W2, W3, and W4 are independently -N= and the remaining are -C(R')=; and where each R1 is independently hydrogen, alkyl, haloalkyl, nitro, alkoxy, haloalkoxy, halo, hydroxy, cyano, amino, alkylamino, or dialkylamino;
R51 is hydrogen or alkyl;
R52 is hydrogen or halo;
R^ R^ and R54 are independently hydrogen, alkyl, alkenyl, halo, haloalkyl, haloalkenyl, hydroxy, alkoxy, alkenyloxy, haloalkoxy, nitro, amino, alkylamino, dialkylamino, ■N(R55)C(0)-C1-C6-alkylene-N(R55a)R55b, alkylcarbonyl, alkenylcarbonyl, carboxy, alkoxycarbonyl, cyano, alkylthio, -S(0)2NR55R55a, or alkylcarbonylamino and where R55 and R55b are independently hydrogen, alkyl, or alkenyl and R55a is hydrogen, alkyl, alkenyl, hydroxy, or alkoxy; or R53 and R54 together with the carbons to which they are attached form a 5- or 6-membered heteroaryl or 5- or 6-membered heterocycloalkyl;
B is phenyl substituted with R3a and optionally further substituted with one, two, or three R3; or
B is heteroaryl optionally substituted with one, two, or three R ;
R3a is cyano; hydroxyamino; carboxy; alkoxycarbonyl; alkylamino; dialkylamino;
alkylcarbonyl; haloalkoxy; alkylsulfonyl; aminoalkyloxy; alkylaminoalkyloxy;
dialkylaminoalkyloxy; or
a) -N(R7)C(0)-C]-C6-alkylene-N(R7a)(R7b) where R7 is hydrogen, alkyl, or alkenyl and R7a and R7b are independently hydrogen, alkyl, alkenyl, hydroxyalkyl, haloalkyl, alkoxy, alkoxyalkyl, aminoalkyl, alkylaminoalkyl, dialkylaminoalkyl, cycloalkyl, cycloalkylalkyl, heterocycloalkyl, heterocycloalkylalkyl, heteroaryl, heteroarylalkyl, aryl, arylalkyl, or arylalkyloxy and where the aryl, cycloalkyl, heterocycloalkyl and heteroaryl rings in R7a and R7b (either alone or as part of arylalkyl, cycloalkylalkyl, heterocycloalkylalkyl and heteroarylalkyl) are independently optionally substituted with 1, 2, or 3 groups independently selected from alkyl, amino, alkylamino, dialkylamino, hydroxy, halo, alkoxy, alkylthio, and oxo);
b) -C(0)NR8R8a where R8 is hydrogen, hydroxy, alkoxy, alkyl, alkenyl, haloalkyl, or haloalkoxy and R8a is hydrogen, alkyl, alkenyl, hydroxyalkyl, cyanoalkyl,
alkoxyalkyl, alkylthioalkyl, heterocycloalkyl, heterocycloalkylalkyl, cycloalkyl, cycloalkylalkyl, heteroaryl, heteroarylalkyl, aryl, or arylalkyl and where the aryl, cycloalkyl, heteroaryl, and heterocycloalkyl rings in R8a (either alone or as part of arylalkyl, cycloalkylalkyl, heterocycloalkylalkyl and heteroarylalkyl) are
independently optionally substituted with 1, 2, or 3 groups independently selected from alkyl, alkenyl, alkoxy, halo, haloalkyl, haloalkoxy, hydroxy, hydroxyalkyl, oxo, amino, alkylamino, dialkylamino, alkylcarbonyl, aminoalkyl, alkylaminoalkyl, dialkylaminoalkyl, alkoxycarbonyl, and -C(0)H;
c) -NR9C(0)R9a where R9 is hydrogen, hydroxy, alkoxy, alkyl, alkenyl, haloalkyl, or haloalkoxy and R9a is hydrogen, C2-C6-alkyl, alkenyl, hydroxyalkyl, alkoxyalkyl, cycloalkyl, cycloalkylalkyl, heterocycloalkyl, heterocycloalkylalkyl, heteroaryl, heteroarylalkyl, aryl, or arylalkyl; where the aryl, cycloalkyl, heteroaryl, and heterocycloalkyl rings in R9a (either alone or as part of arylalkyl, cycloalkylalkyl, heterocycloalkylalkyl and heteroarylalkyl) are independently optionally substituted with 1, 2, or 3 groups independently selected from alkyl, alkenyl, alkoxy, hydroxy, hydroxyalkyl, halo, haloalkyl, haloalkoxy, oxo, amino, alkylamino, dialkylamino, alkylcarbonyl, alkoxycarbonyl, -C(0)H, aryl (optionally substituted with one or two halo), arylalkyl, heteroaryl, heteroarylalkyl, heterocycloalkyl, heterocycloalkylalkyl, cyloalkyl, cyloalkylalkyl, and cycloalkylcarbonyl;
d) -C(O)N(R,0)-Ci-C6-alkylene-N(R10a)R10b where RIOa is hydrogen, hydroxy, alkoxy, alkyl, alkenyl, haloalkyl, aminoalkyl, alkylaminoalkyl, dialkylaminoalkyl, or hydroxyalkyl and R10 and R10b are independently hydrogen, alkyl, alkenyl, haloalkyl, aminoalkyl, alkylaminoalkyl, dialkylaminoalkyl, or hydroxyalkyl;
e) -NR11C(0)NRUaR1 lb where R1 la is hydrogen, alkyl, alkenyl, hydroxy, or alkoxy and Rn and RUb are independently hydrogen, alkyl, alkenyl, aminoalkyl, alkylaminoalkyl, or dialkylaminoalkyl;
f) -C(0)R12 where R12 is heterocycloalkyl optionally substituted with 1 , 2, or 3 groups selected from alkyl, oxo, amino, alkylamino, and heterocycloalkylalkyl;
g) -NR13C(0)OR13a where R13 is hydrogen, alkyl, or alkenyl and R13a is aminoalkyl, alkylaminoalkyl, dialkylaminoalkyl, aryl, or arylalkyl;
h) -C(0)N(R1 )N(R14a)(R14b) where R14, R14a, and R14b are independently hydrogen, alkyl, or alkenyl;
i) -S(0)2N(R15)-Ci-C6-alkylene-N(R15a)R15b where R15, R15a, and RI b are independently hydrogen, alkyl, or alkenyl;
j) -C(0)N(R16)-C]-C6-alkylene-C(0)OR16a where R16 is hydrogen, alkyl, or alkenyl and
R16a is alkyl or alkenyl;
k) heteroaryl optionally substituted with one or two aminoalkyl, alkylaminoalkyl, or dialkylaminoalkyl;
1) -N(R17)-C(=N(R17b)(R17a))(NR17cR17d) where R17, R17a, R17b, R17c, and R17d are independently hydrogen, alkyl, or alkenyl;
m) -N(R18)C(0)-C,-C6-alkylene-N(R18b)C(0)R18a where R18a is hydrogen, alkyl, alkenyl, or alkoxy and R18 and R18b are independently hydrogen, alkyl, or alkenyl;
n) -C(0)N(R19)-CrC6-alkylene-C(0)R19a where R19 is hydrogen, alkyl, or alkenyl and
R19a is amino, alkylamino, dialkylamino, or heterocycloalkyl;
o) -N(R20)C(O)-Ci-C6-alkylene-C(O)R20a where R20 is hydrogen, alkyl, or alkenyl and
R20a is cycloalkyl or heterocycloalkyl;
p) -NR21S(0)2-Ci-C6-alkylene-N(R21b)R21a where R21 is hydrogen, alkyl, or alkenyl and
R21a and R21b are independently hydrogen, alkyl, or alkenyl;
q) -N(R2 )C(0)-CrC6-alkylene-N(R2 b)-N(R22c)(R2 a) where R22, R22a and R22b are independently hydrogen, alkyl, or alkenyl;
r) -C0-C6-alkylene-N(R23)-C1-C6-alkylene-N(R23b)R23a where R23, R23a and R23b are independently hydrogen, alkyl, or alkenyl; or
s) -NR24C(0)-Ci.C6-alkylene-OR24a where R24 is hydrogen, alkyl, or alkenyl and R24a is alkoxyalkyl or aryl optionally substituted with one or two halo or alkyl; and where each of the alkylene in R3a is independently optionally further substituted with 1, 2, 3,
4, or 5 groups selected from halo, hydroxy, amino, alkylamino, and dialkylamino; and each R3 (when R3 is present) is independently alkyl; alkenyl; alkynyl; halo; hydroxy; oxo; alkoxy; cyano; hydroxyamino; carboxy; alkoxycarbonyl; amino; alkylamino;
dialkylamino; alkylcarbonyl; haloalkoxy; alkylsulfonyl; aminoalkyloxy;
alkylaminoalkyloxy; dialkylaminoalkyloxy; or
a) -N(R7)C(0)-Ci-C6-alkylene-N(R7a)(R7b) where R7 is hydrogen, alkyl, or alkenyl and R7a and R7b are independently hydrogen, alkyl, alkenyl, hydroxyalkyl, haloalkyl, alkoxy, alkoxyalkyl, aminoalkyl, alkylaminoalkyl, dialkylaminoalkyl, cycloalkyl, cycloalkylalkyl, heterocycloalkyl, heterocycloalkylalkyl, heteroaryl, heteroarylalkyl, aryl, arylalkyl, or arylalkyloxy and where the aryl, cycloalkyl, heterocycloalkyl and heteroaryl rings in R7a and R7b (either alone or as part of arylalkyl, cycloalkylalkyl, heterocycloalkylalkyl and heteroarylalkyl) are independently optionally substituted with 1, 2, or 3 groups independently selected from alkyl, amino, alkylamino, dialkylamino, hydroxy, halo, alkoxy, alkylthio, and oxo);
b) -C(0)NR8R8a where R8 is hydrogen, hydroxy, alkoxy, alkyl, alkenyl, haloalkyl, or haloalkoxy and R8a is hydrogen, alkyl, alkenyl, hydroxyalkyl, cyanoalkyl, alkoxyalkyl, alkylthioalkyl, heterocycloalkyl, heterocycloalkylalkyl, cycloalkyl,
cycloalkylalkyl, heteroaryl, heteroarylalkyl, aryl, or arylalkyl and where the aryl, cycloalkyl, heteroaryl, and heterocycloalkyl rings in R8a (either alone or as part of arylalkyl, cycloalkylalkyl, heterocycloalkylalkyl and heteroarylalkyl) are
independently optionally substituted with 1, 2, or 3 groups independently selected from alkyl, alkenyl, alkoxy, halo, haloalkyl, haloalkoxy, hydroxy, hydroxyalkyl, oxo, amino, alkylamino, dialkylamino, alkylcarbonyl, aminoalkyl, alkylaminoalkyl, dialkylaminoalkyl, alkoxycarbonyl, and -C(0)H;
c) -NR9C(0)R9a where R9 is hydrogen, hydroxy, alkoxy, alkyl, alkenyl, haloalkyl, or haloalkoxy and R9a is hydrogen, C2-C6-alkyl, alkenyl, hydroxyalkyl, alkoxyalkyl, cycloalkyl, cycloalkylalkyl, heterocycloalkyl, heterocycloalkylalkyl, heteroaryl, heteroarylalkyl, aryl, or arylalkyl; where the aryl, cycloalkyl, heteroaryl, and heterocycloalkyl rings in R9a (either alone or as part of arylalkyl, cycloalkylalkyl, heterocycloalkylalkyl and heteroarylalkyl) are independently optionally substituted with 1, 2, or 3 groups independently selected from alkyl, alkenyl, alkoxy, hydroxy, hydroxyalkyl, halo, haloalkyl, haloalkoxy, oxo, amino, alkylamino, dialkylamino, alkylcarbonyl, alkoxycarbonyl, -C(0)H, aryl (optionally substituted with one or two halo), arylalkyl, heteroaryl, heteroarylalkyl, heterocycloalkyl, heterocycloalkylalkyl, cyloalkyl, cyloalkylalkyl, and cycloalkylcarbonyl;
d) -C(O)N(R10)-Ci-C6-alkylene-N(R10a)R10b where R10a is hydrogen, hydroxy, alkoxy, alkyl, alkenyl, haloalkyl, or hydroxyalkyl and R10 and R10b are independently hydrogen, alkyl, alkenyl, haloalkyl, or hydroxyalkyl;
e) -NR11C(0)NR1 laR* lb where R1 la is hydrogen, alkyl, alkenyl, hydroxy, or alkoxy and Rn and RUb are independently hydrogen, alkyl, alkenyl, aminoalkyl,
alkylaminooalkyl, dialkylaminoalkyl;
f) -C(0)R12 where R12 is heterocycloalkyl optionally substituted with 1, 2, or 3 groups selected from alkyl, oxo, amino, alkylamino, and heterocycloalkylalkyl;
g) -NR13C(0)OR13a where R13 is hydrogen, alkyl, or alkenyl and R13a is aminoalkyl, alkylaminoalkyl, dialkylaminoalkyl, aryl, or arylalkyl);
h) -C(0)N(R14)N(R14a)(R14b) where R14, R14a, and RI4b are independently hydrogen, alkyl, or alkenyl;
i) -S(0)2N(R15)-Ci-C6-alkylene-N(R15a)R15b where R15, R15a, and R15b are independently hydrogen, alkyl, or alkenyl;
j) -C(0)N(R16)-CrC6-alkylene-C(0)OR16a where R16 is hydrogen, alkyl, or alkenyl and R16a is alkyl or alkenyl;
k) heteroaryl optionally substituted with one or two aminoalkyl, alkylaminoalkyl, or dialkylaminoalkyl;
1) -N(R17)-C(=N(R17b)(R17a))(NR17cR17d) where R17, R,7a, R17b, R17c, and R17d are
independently hydrogen, alkyl, or alkenyl;
m) -N(R18)C(0)-CrC6-alkylene-N(R18b)C(0)R18a where R18a is hydrogen, alkyl, alkenyl, or alkoxy and R18 and R18b are independently hydrogen, alkyl, or alkenyl;
n) -C(0)N(R19)-Ci-C6-alkylene-C(0)R19a where R19 is hydrogen, alkyl, or alkenyl and
R19a is amino, alkylamino, dialkylamino, or heterocycloalkyl;
o) -N(R20)C(O)-Ci-C6-alkylene-C(O)R20a where R20 is hydrogen, alkyl, or alkenyl and
R20a is cycloalkyl or heterocycloalkyl;
p) -NR21S(0)2-Ci-C6-alkylene-N(R2Ib)R21a where R21 is hydrogen, alkyl, or alkenyl and
R21a and R21b are independently hydrogen, alkyl, or alkenyl;
q) -N(R22)C(0)-CrC6-alkylene-N(R22b)-N(R22c)(R22a), where R22, R22a and R22b are
independently hydrogen, alkyl, or alkenyl;
r) -C0-C6-alkylene-N(R23)-C,-C6-alkylene-N(R23b)R23a where R23, R23a and R23b are
independently hydrogen, alkyl, or alkenyl; or
s) -NR24C(0)-C1-C6-alkylene-OR24a where R24 is hydrogen, alkyl, or alkenyl and R24a is alkoxyalkyl or aryl optionally substituted with one or two halo or alkyl;
wherein each of the alkylene in R3 is independently optionally further substituted with 1, 2, 3,
4, or 5 groups selected from halo, hydroxy, amino, alkylamino, and dialkylamino; and provided that when R50 and R52 are hydrogen, R51 is hydrogen or methyl, R53 is hydrogen or methoxy, and R54 is hydrogen or methoxy, then B is not 2,3-dihydro-l,4-benzodioxinyl, thien-2-yl, or thien-2-yl substituted with one R3 where R3 is halo.
[0005] In one embodiment the com ound of Formula I is a compound of Formula la
la
or a pharmaceutically acceptable thereof, wherein:
R50 is hydrogen;
R51is methyl;
R52 is hydrogen;
R53 is hydrogen or alkoxy; and
R54 is hydrogen, alkyl, alkoxy, or halo; or R53 and R54 together with the carbons to which they are attached form a 6-membered heteroaryl; and
R3 is halo or methyl; and
R3a is -N(R7)C(0)-C!-C6-alkylene-N(R7a)(R7b) where R7 is hydrogen and R7a and R7b are independently hydrogen, alkyl, aminoalkyl, alkylaminoalkyl, or
dialkylaminoalkyl.
[0006] In one embodiment, the compound of Formula I and of Formula la is Compound A:
Compound A
or a tautomer, zwitterion, or pharmaceutically salt thereof.
[0007] In one embodiment, the cancer is a leukemia such as acute lymphocytic leukemia.
[0008] In another embodiment, the cancer is a solid tumor such as neuroblastoma.
[0009] In another embodiment, the cancer is a sarcoma such as rhabdomyosarcoma
[0010] In another embodiment, the compound of Formula I or Formula la is administered as a tablet or capsule pharmaceutical composition.
[0011] In another embodiment, the compound of Formula I or Formula la is administered as a tablet pharmaceutical composition.
BRIEF DESCRIPTION OF THE FIGURES
[0012] Figure 1 depicts the activation of the PI3K pathway in vitro by Compound A.
[0013] Figure 2 depicts the in vitro expression of PI3KCA and PI3KCD isoforms at the
RNA level lymphoma cell lines and xenografts treated with Compound A.
[0014] Figure 3 depicts the in vivo activity of Compound A in various tumor types.
[0015] Figure 4 depicts the in vitro activity of Compound A.
[0016] Figure 5 depicts the in vivo objective response activity of Compound A. The figure on the left is a colored heat map that depicts group response scores. The figure on the
right is a representation of tumor sensitivity based on the difference of individual tumor lines from the midpoint response (stable disease).
DETAILED DESCRIPTION
Abbreviations and Definitions
[0017] The following abbreviations and terms have the indicated meanings throughout:
Abbreviation Meaning
TFA trifluoroacetic acid
THF tetrahydrofuran
TLC thin layer chromatography
[0018] The symbol "-" means a single bond, "=" means a double bond, "≡" means a triple bond, " " means a single or double bond. The symbol "* vw" refers to a group on a double-bond as occupying either position on the terminus of a double bond to which the symbol is attached; that is, the geometry, E- or Z-, of the double bond is ambiguous. When a group is depicted removed from its parent formula, the "^^" or " ^"symbol will be used at the end of the bond which was theoretically cleaved in order to separate the group from its parent structural formula.
[0019] When chemical structures are depicted or described, unless explicitly stated otherwise, all carbons are assumed to have hydrogen substitution to conform to a valence of four. For example, in the structure on the left-hand side of the schematic below there are nine hydrogens implied. The nine hydrogens are depicted in the right-hand structure. Sometimes a particular atom in a structure is described in textual formula as having a hydrogen or hydrogens as substitution (expressly defined hydrogen), for example, -CH2CH2-. It is understood by one of ordinary skill in the art that the aforementioned descriptive techniques are common in the chemical arts to provide brevity and simplicity to description of otherwise complex structures.
then, unless otherwise defined, a substituent "R" may reside on any atom of the ring system, assuming replacement of a depicted, implied, or expressly defined hydrogen from one of the ring atoms, so long as a stable structure is formed.
[0021] If a group "R" is depicted as floating on a fused ring system, as for example in the formulae:
then, unless otherwise defined, a substituent "R" may reside on any atom of the fused ring system, assuming replacement of a depicted hydrogen (for example the -NH- in the formula above), implied hydrogen (for example as in the formula above, where the hydrogens are not shown but understood to be present), or expressly defined hydrogen (for example where in the formula above, "Z" equals =CH-) from one of the ring atoms, so long as a stable structure is formed. In the example depicted, the "R" group may reside on either the 5-membered or the 6-membered ring of the fused ring system. In the formula depicted above, when y is 2 for example, then the two "R's" may reside on any two atoms of the ring system, again assuming each replaces a depicted, implied, or expressly defined hydrogen on the ring.
[0022] When a group "R" is depicted as existing on a ring system containing saturated carbons, as for example in the formula:
where, in this example, "y" can be more than one, assuming each replaces a currently depicted, implied, or expressly defined hydrogen on the ring; then, unless otherwise defined, where the resulting structure is stable, two "R's" may reside on the same carbon. A simple example is when R is a methyl group; there can exist a geminal dimethyl on a carbon of the depicted ring (an "annular" carbon). In another example, two R's on the same carbon, including that carbon, may form a ring, thus creating a spirocyclic ring (a "spirocyclyl" group) structure with the depicted ring as for example in the formula:
[0023] " Acyl" means a -C(0)R radical where R is optionally substituted alkyl, optionally substituted alkenyl, cycloalkyl, cycloalkylalkyl, aryl, aralkyl, heteroaryl, heteroaralkyl, heterocycloalkyl, or heterocycloalkylalkyl, as defined herein, e.g., acetyl,
trifluoromethylcarbonyl, or 2-methoxyethylcarbonyl, and the like.
[0024] "Acylamino" means a -NRR' radical where R is hydrogen, hydroxy, alkyl, or alkoxy and R' is acyl, as defined herein.
[0025] "Acyloxy" means an -OR radical where R is acyl, as defined herein, e.g.
cyanomethylcarbonyloxy, and the like.
[0026] "Administration" and variants thereof (e.g., "administering" a compound) in reference to a compound of the invention means introducing the compound or a prodrug of the compound into the system of the animal in need of treatment. When a compound of the invention or prodrug thereof is provided in combination with one or more other active agents, "administration" and its variants are each understood to include concurrent and sequential introduction of the compound or prodrug thereof and other agents.
[0027] "Alkenyl" means a means a linear monovalent hydrocarbon radical of one to six carbon atoms or a branched monovalent hydrocarbon radical of three to 6 carbon atoms which radical contains at least one double bond, e.g., ethenyl, propenyl, l-but-3-enyl, and l-pent-3-enyl, and the like.
[0028] "Alkoxy" means an -OR group where R is alkyl group as defined herein.
Examples include methoxy, ethoxy, propoxy, isopropoxy, and the like.
[0029] " Alkoxyalkyl" means an alkyl group, as defined herein, substituted with at least one, preferably one, two, or three, alkoxy groups as defined herein. Representative examples include methoxymethyl and the like.
[0030] "Alkoxyalkylamino" means an -NRR' group where R is hydrogen, alkyl, or alkoxyalkyl and R' is alkoxyalkyl, as defined herein.
[0031] "Alkoxyalkylaminoalkyl" means an alkyl group substituted with at least one, specifically one or two, alkoxyalkylamino group(s), as defined herein.
[0032] "Alkoxycarbonyl" means a -C(0)R group where R is alkoxy, as defined herein.
[0033] "Alkyl" means a linear saturated monovalent hydrocarbon radical of one to six carbon atoms or a branched saturated monovalent hydrocarbon radical of three to 6 carbon atoms, e.g., methyl, ethyl, propyl, 2-propyl, butyl (including all isomeric forms), or pentyl (including all isomeric forms), and the like.
[0034] "Alkylamino" means a -NHR group where R is alkyl, as defined herein.
[0035] " Alkylaminoalkyl" means an alkyl group substituted with one or two alkylamino groups, as defined herein.
[0036] "Alkylaminoalkyloxy" means an -OR group where R is alkylaminoalkyl, as defined herein.
[0037] "Alkylcarbonyl" means a -C(0)R group where R is alkyl, as defined herein.
[0038] "Alkynyl" means a linear monovalent hydrocarbon radical of one to six carbon atoms or a branched monovalent hydrocarbon radical of three to 6 carbon atoms which radical contains at least one triple bond, e.g., ethynyl, propynyl, butynyl, pentyN-2-yl and the like.
[0039] "Amino" means -NH2.
[0040] "Aminoalkyl" means an alkyl group substituted with at least one, specifically one, two or three, amino groups.
[0041] "Aminoalkyloxy" means an -OR group where R is aminoalkyl, as defined herein.
[0042] "Aryl" means a monovalent six- to fourteen-membered, mono- or bi-carbocyclic ring, wherein the monocyclic ring is aromatic and at least one of the rings in the bicyclic ring is aromatic. Unless stated otherwise, the valency of the group may be located on any atom of any ring within the radical, valency rules permitting. Representative examples include phenyl, naphthyl, and indanyl, and the like.
[0043] "Arylalkyl" means an alkyl radical, as defined herein, substituted with one or two aryl groups, as defined herein, e.g., benzyl and phenethyl, and the like.
[0044] "Aryloxy" means an -OR group where R is aryl, as defined herein.
[0045] "Carboxyalkyl" means an alkyl group, as defined herein, substituted with at least one, specifically one or two, -C(0)OH group(s).
[0046] "Cycloalkyl" means a monocyclic or fused bicyclic, saturated or partially unsaturated (but not aromatic), monovalent hydrocarbon radical of three to ten carbon ring atoms. Fused bicyclic hydrocarbon radical includes bridged ring systems. Unless stated otherwise, the valency of the group may be located on any atom of any ring within the radical, valency rules permitting. One or two ring carbon atoms may be replaced by a -C(O)-, -C(S)-, or -C(=NH)- group. More specifically, the term cycloalkyl includes, but is not limited to, cyclopropyl, cyclobutyl, cyclopentyl, cyclohexyl, cyclohexyl, or cyclohex-3 - enyl, and the like.
[0047] "Cycloalkylalkyl" means an alkyl group substituted with at least one, specifically one or two, cycloalkyl group(s) as defined herein.
[0048] "Dialkylamino" means a -NRR' radical where R and R' are alkyl as defined herein, or an N-oxide derivative, or a protected derivative thereof, e.g., dimethylamino, diethylamino, N,N-methylpropylamino or N,N-methylethylamino, and the like.
[0049] "Dialkylaminoalkyl" means an alkyl group substituted with one or two dialkylamino groups, as defined herein.
[0050] "Dialkylaminoalkyloxy" means an -OR group where R is dialkylaminoalkyl, as defined herein. Representative examples include 2-(N,N-diethylamino)-ethyloxy, and the like.
[0051] "Fused-polycyclic" or "fused ring system" means a polycyclic ring system that contains bridged or fused rings; that is, where two rings have more than one shared atom in
their ring structures. In this application, fused-polycyclics and fused ring systems are not necessarily all aromatic ring systems. Typically, but not necessarily, fused-polycyclics share a vicinal set of atoms, for example naphthalene or 1,2,3,4-tetrahydro-naphthalene. A spiro ring system is not a fused-polycyclic by this definition, but fused polycyclic ring systems of the invention may themselves have spiro rings attached thereto via a single ring atom of the fused-polycyclic. In some examples, as appreciated by one of ordinary skill in the art, two adjacent groups on an aromatic system may be fused together to form a ring structure. The fused ring structure may contain heteroatoms and may be optionally substituted with one or more groups. It should additionally be noted that saturated carbons of such fused groups (i.e. saturated ring structures) can contain two substitution groups.
[0052] "Halogen" or "halo" refers to fluorine, chlorine, bromine or iodine.
[0053] "Haloalkoxy" means an -OR' group where R' is haloalkyl as defined herein, e.g., trifluoromethoxy or 2,2,2 -trifluoroethoxy, and the like.
[0054] "Haloalkyl" mean an alkyl group substituted with one or more halogens, specifically one to five halo atoms, e.g., trifluoromethyl, 2-chloroethyl, and 2,2-difluoroethyl, and the like.
[0055] "Heteroaryl" means a monocyclic, fused bicyclic, or fused tricyclic, monovalent radical of 5 to 14 ring atoms containing one or more, specifically one, two, three, or four ring heteroatoms independently selected from -0-, -S(0)N- (n is 0, 1, or 2), -N-, -N(RX)-, and the remaining ring atoms being carbon, wherein the ring comprising a monocyclic radical is aromatic and wherein at least one of the fused rings comprising a bicyclic or tricyclic radical is aromatic. One or two ring carbon atoms of any nonaromatic rings comprising a bicyclic or tricyclic radical may be replaced by a -C(O)-, -C(S)-, or -C(=NH)- group. Rx is hydrogen, alkyl, hydroxy, alkoxy, acyl, or alkylsulfonyl. Fused bicyclic radical includes bridged ring systems. Unless stated otherwise, the valency may be located on any atom of any ring of the heteroaryl group, valency rules permitting. When the point of valency is located on the nitrogen, Rx is absent. More specifically, the term heteroaryl includes, but is not limited to, 1,2,4-triazolyl, 1,3,5-triazolyl, phthalimidyl, pyridinyl, pyrrolyl, imidazolyl, thienyl, furanyl, indolyl, 2,3-dihydro-lH-indolyl (including, for example, 2,3-dihydro-lH-indol-2-yl or 2,3-dihydro-lH-indol-5-yl, and the like), isoindolyl, indolinyl, isoindolinyl, benzimidazolyl, benzodioxol-4-yl, benzofuranyl, cinnolinyl, indolizinyl, naphthyridin-3-yl, phthalazin-3-yl, phthalazin-4-yl, pteridinyl, purinyl, quinazolinyl, quinoxalinyl, tetrazoyl, pyrazolyl, pyrazinyl, pyrimidinyl, pyridazinyl, oxazolyl, isooxazolyl, oxadiazolyl, benzoxazolyl, quinolinyl, isoquinolinyl, tetrahydroisoquinolinyl (including, for example,
tetrahydroisoquinolin-4-yl or tetrahydroisoquinolin-6-yl, and the like), pyrrolo[3,2- c]pyridinyl (including, for example, pyrrolo[3,2-c]pyridin-2-yl or pyrrolo[3,2-c]pyridin-7-yl, and the like), benzopyranyl, thiazolyl, isothiazolyl, thiadiazolyl, benzothiazolyl,
benzothienyl, and the derivatives thereof, or N-oxide or a protected derivative thereof.
[0056] "Heteroarylalkyl" means an alkyl group, as defined herein, substituted with at least one, specifically one or two heteroaryl group(s), as defined herein.
[0057] "Heteroatom" refers to O, S, N, or P.
[0058] "Heterocycloalkyl" means a saturated or partially unsaturated (but not aromatic) monovalent monocyclic group of 3 to 8 ring atoms or a saturated or partially unsaturated (but not aromatic) monovalent fused bicyclic group of 5 to 12 ring atoms in which one or more, specifically one, two, three, or four ring heteroatoms independently selected from O, S(0)n (n is 0, 1, or 2), N, N(Ry) (where Ry is hydrogen, alkyl, hydroxy, alkoxy, acyl, or alkylsulfonyl), the remaining ring atoms being carbon. One or two ring carbon atoms may be replaced by a -C(O)-, -C(S)-, or -C(=NH)- group. Fused bicyclic radical includes bridged ring systems. Unless otherwise stated, the valency of the group may be located on any atom of any ring within the radical, valency rules permitting. When the point of valency is located on a nitrogen atom, Ry is absent. More specifically the term heterocycloalkyl includes, but is not limited to, azetidinyl, pyrrolidinyl, 2-oxopyrrolidinyl, 2,5-dihydro-lH-pyrrolyl, piperidinyl, 4-piperidonyl, morpholinyl, piperazinyl, 2-oxopiperazinyl, tetrahydropyranyl,
2-oxopiperidinyl, thiomorpholinyl, thiamorpholinyl, perhydroazepinyl, pyrazolidinyl, imidazolinyl, imidazolidinyl, dihydropyridinyl, tetrahydropyridinyi, oxazolinyl, oxazolidinyl, isoxazolidinyl, thiazolinyl, thiazolidinyl, quinuclidinyl, isothiazolidinyl, octahydroindolyl, octahydroisoindolyl, decahydroisoquinolyl, tetrahydrofuryl, and tetrahydropyranyl, and the derivatives thereof and N-oxide or a protected derivative thereof.
[0059] "Heterocycloalkylalkyl" means an alkyl radical, as defined herein, substituted with one or two heterocycloalkyl groups, as defined herein, e.g., mo holinylmethyl,
N-pyrrolidinylethyl, and 3-(N-azetidinyl)propyl, and the like.
[0060] "Heterocycloalkylalkyloxy means an -OR group where R is heterocycloalkylalkyl, as defined herein.
[0061] "Saturated bridged ring system" refers to a bicyclic or polycyclic ring system that is not aromatic. Such a system may contain isolated or conjugated unsaturation, but not aromatic or heteroaromatic rings in its core structure (but may have aromatic substitution thereon). For example, hexahydro-furo[3,2-b]furan, 2,3,3a,4,7,7a-hexahydro-lH-indene,
7-aza-bicyclo[2.2.1]heptane, and l,2,3,4,4a,5,8,8a-octahydro-naphthalene are all included in the class "saturated bridged ring system.
[0062] "Spirocyclyl" or "spirocyclic ring" refers to a ring originating from a particular annular carbon of another ring. For example, as depicted below, a ring atom of a saturated bridged ring system (rings B and B'), but not a bridgehead atom, can be a shared atom between the saturated bridged ring system and a spirocyclyl (ring A) attached thereto. A spirocyclyl can be carbocyclic or heteroalicyclic.
[0063] "Optional" or "optionally" means that the subsequently described event or circumstance may or may not occur, and that the description includes instances where said event or circumstance occurs and instances in which it does not. One of ordinary skill in the art would understand that with respect to any molecule described as containing one or more optional substituents, only sterically practical and/or synthetically feasible compounds are meant to be included. "Optionally substituted" refers to all subsequent modifiers in a term. So, for example, in the term "optionally substituted arylC1-8 alkyl," optional substitution may occur on both the "Cj.8 alkyl" portion and the "aryl" portion of the molecule may or may not be substituted. A list of exemplary optional substitutions is presented below in the definition of "substituted."
[0064] "Optionally substituted alkoxy" means an -OR group where R is optionally substituted alkyl, as defined herein.
[0065] "Optionally substituted alkyl" means an alkyl radical, as defined herein, optionally substituted with one or more group(s), specifically one, two, three, four, or five groups, independently selected from alkylcarbonyl, alkenylcarbonyl, cycloalkylcarbonyl,
alkylcarbonyloxy, alkenylcarbonyloxy, amino, alkylamino, dialkylamino, aminocarbonyl, alkylaminocarbonyl, dialkylaminocarbonyl, cyano, cyanoalkylaminocarbonyl, alkoxy, alkenyloxy, hydroxy, hydroxyalkoxy, halo, carboxy, alkylcarbonylamino, alkylcarbonyloxy, alkyl-S(0)o-2-, alkenyl-S(0)o-2-, aminosulfonyl, alkylaminosulfonyl, dialkylaminosulfonyl, alkylsulfonyl-NRc- (where R° is hydrogen, alkyl, optionally substituted alkenyl, hydroxy, alkoxy, alkenyloxy, or cyanoalkyl), alkylaminocarbonyloxy, dialkylaminocarbonyloxy, alkylaminoalkyloxy, dialkylaminoalkyloxy, alkoxycarbonyl, alkenyloxycarbonyl,
alkoxycarbonylamino, alkylaminocarbonylamino, dialkylaminocarbonylamino, alkoxyalkyloxy, and -C(0)NRaRb (where Ra and Rb are independently hydrogen, alkyl, optionally substituted alkenyl, hydroxy, alkoxy, alkenyloxy, or cyanoalkyl).
[0066] "Optionally substituted alkenyl" means an alkyl radical, as defined herein, optionally substituted with one or more group(s), specifically one, two, three, four, or five groups, independently selected from alkylcarbonyl, alkenylcarbonyl, cycloalkylcarbonyl, alkylcarbonyloxy, alkenylcarbonyloxy, amino, alkylamino, dialkylamino, aminocarbonyl, alkylaminocarbonyl, dialkylaminocarbonyl, cyano, cyanoalkylaminocarbonyl, alkoxy, alkenyloxy, hydroxy, hydroxyalkoxy, halo, carboxy, alkylcarbonylamino, alkylcarbonyloxy, alkyl-S(0)o-2-, alkenyl-S(0)o-2-, aminosulfonyl, alkylaminosulfonyl, dialkylaminosulfonyl, alkylsulfonyl-NR°- (where Rc is hydrogen, alkyl, optionally substituted alkenyl, hydroxy, alkoxy, alkenyloxy, or cyanoalkyl), alkylaminocarbonyloxy, dialkylaminocarbonyloxy, alkylaminoalkyloxy, dialkylaminoalkyloxy, alkoxycarbonyl, alkenyloxycarbonyl,
alkoxycarbonylamino, alkylaminocarbonylamino, dialkylaminocarbonylamino,
alkoxyalkyloxy, and -C(0)NRaRb (where Ra and Rb are independently hydrogen, alkyl, optionally substituted alkenyl, hydroxy, alkoxy, alkenyloxy, or cyanoalkyl).
[0067] "Optionally substituted amino" refers to the group -N(H)R or -N(R)R where each R is independently selected from the group: optionally substituted alkyl, optionally substituted alkoxy, optionally substituted aryl, optionally substituted heterocycloalkyl, optionally substituted heteroaryl, acyl, carboxy, alkoxycarbonyl, -S(0)2-(optionally substituted alkyl), -S(0)2-optionally substituted aryl), -S(0)2-(optionally substituted heterocycloalkyl), -S(0)2-(optionally substituted heteroaryl), and -S(0)2-(optionally substituted heteroaryl). For example, "optionally substituted amino" includes diethylamino, methylsulfonylamino, and furanyl-oxy-sulfonamino.
[0068] "Optionally substituted aminoalkyl" means an alkyl group, as defined herein, substituted with at least one, specifically one or two, optionally substituted amino group(s), as defined herein.
[0069] "Optionally substituted aryl" means an aryl group, as defined herein, optionally substituted with one, two, or three substituents independently selected from acyl, acylamino, acyloxy, optionally substituted alkyl, optionally substituted alkenyl, alkoxy, alkenyloxy, halo, hydroxy, alkoxycarbonyl, alkenyloxycarbonyl, amino, alkylamino, dialkylamino, nitro, aminocarbonyl, alkylaminocarbonyl, dialkylaminocarbonyl, carboxy, cyano, alkylthio, alkylsulfinyl, alkylsulfonyl, aminosulfonyl, alkylaminosulfonyl, dialkylaminosulfonyl, alkylsulfonylamino, aminoalkoxy, or aryl is pentafluorophenyl. Within the optional
substituents on "aryl", the alkyl and alkenyl, either alone or as part of another group
(including, for example, the alkyl in alkoxycarbonyl), are independently optionally substituted with one, two, three, four, or five halo.
[0070] "Optionally substituted arylalkyl" means an alkyl group, as defined herein, substituted with optionally substituted aryl, as defined herein.
[0071] "Optionally substituted cycloalkyl" means a cycloalkyl group, as defined herein, substituted with one, two, or three groups independently selected from acyl, acyloxy, acylamino, optionally substituted alkyl, optionally substituted alkenyl, alkoxy, alkenyloxy, alkoxycarbonyl, alkenyloxycarbonyl, alkylthio, alkylsulfinyl, alkylsulfonyl, aminosulfonyl, alkylaminosulfonyl, dialkylaminosulfonyl, alkylsulfonylamino, halo, hydroxy, amino, alkylamino, dialkylamino, aminocarbonyl, alkylaminocarbonyl, dialkylaminocarbonyl, nitro, alkoxyalkyloxy, aminoalkoxy, alkylaminoalkoxy, dialkylaminoalkoxy, carboxy, and cyano. Within the above optional substituents on "cycloalkyl", the alkyl and alkenyl, either alone or as part of another substituent on the cycloalkyl ring, are independently optionally substituted with one, two, three, four, or five halo, e.g. haloalkyl, haloalkoxy, haloalkenyloxy, or haloalkylsulfonyl .
[0072] "Optionally substituted cycloalkylalkyl" means an alkyl group substituted with at least one, specifically one or two, optionally substituted cycloalkyl groups, as defined herein.
[0073] "Optionally substituted heteroaryl" means a heteroaryl group optionally substituted with one, two, or three substituents independently selected from acyl, acylamino, acyloxy, optionally substituted alkyl, optionally substituted alkenyl, alkoxy, alkenyloxy, halo, hydroxy, alkoxycarbonyl, alkenyloxycarbonyl, amino, alkylamino, dialkylamino, nitro, aminocarbonyl, alkylaminocarbonyl, dialkylaminocarbonyl, carboxy, cyano, alkylthio, alkylsulfinyl, alkylsulfonyl, aminosulfonyl, alkylaminosulfonyl, dialkylaminosulfonyl, alkylsulfonylamino, aminoalkoxy, alkylaminoalkoxy, and dialkylaminoalkoxy. Within the optional substituents on "heteroaryl", the alkyl and alkenyl, either alone or as part of another group (including, for example, the alkyl in alkoxycarbonyl), are independently optionally substituted with one, two, three, four, or five halo.
[0074] "Optionally substituted heteroarylalkyl" means an alkyl group, as defined herein, substituted with at least one, specifically one or two, optionally substituted heteroaryl group(s), as defined herein.
[0075] "Optionally substituted heterocycloalkyl" means a heterocycloalkyl group, as defined herein, optionally substituted with one, two, or three substituents independently selected from acyl, acylamino, acyloxy, optionally substituted alkyl, optionally substituted
alkenyl, alkoxy, alkenyloxy, halo, hydroxy, alkoxycarbonyl, alkenyloxycarbonyl, amino, alkylamino, dialkylamino, nitro, aminocarbonyl, alkylaminocarbonyl, dialkylaminocarbonyl, carboxy, cyano, alkylthio, alkylsulfinyl, alkylsulfonyl, aminosulfonyl, alkylaminosulfonyl, dialkylaminosulfonyl, alkylsulfonylamino, aminoalkoxy, or aryl is pentafluorophenyl.
Within the optional substituents on "heterocycloalkyl", the alkyl and alkenyl, either alone or as part of another group (including, for example, the alkyl in alkoxycarbonyl), are
independently optionally substituted with one, two, three, four, or five halo.
[0076] "Optionally substituted heterocycloalkylalkyl" means an alkyl group, as defined herein, substituted with at least one, specifically one or two, optionally substituted heterocycloalkyl group(s) as defined herein.
[0077] "Pharmaceutical composition" comprises 1) a Compound of Formula I or a single isomer thereof where the compound is optionally as a pharmaceutically acceptable salt and additionally optionally as a hydrate and additionally optionally as a solvate thereof; and 2) a pharmaceutically acceptable carrier, excipient, or diluent.
[0078] As used herein, "Compound A," which is a compound of Formula I and of
Formula la, has the following structure
. Compound A is known by its chemical name N-(3-{[(3-{[2-chloro-5-(methoxy)phenyl]amino}quinoxalin-2- yl)amino]sulfonyl}phenyl)-2-methylalaninamide. As discussed in more detail below, the compound may exist in several tautomeric or zwitterionic forms. Accordingly, as used herein the terms "Compound A" and "N-(3-{[(3-{[2-chloro-5-(methoxy)phenyl]amino}quinoxalin- 2-yl)amino]sulfonyl}phenyl)-2-methylalaninamide" encompass all possible tautomeric and zwitterionic forms of the compound.
[0079] "Yield" for each of the reactions described herein is expressed as a percentage of the theoretical yield.
[0080] "Patient" for the purposes of the present invention includes humans and other animals, particularly mammals, and other organisms. Thus the methods are applicable to both human therapy and veterinary applications. In a preferred embodiment the patient is a mammal, and in a most preferred embodiment the patient is human.
[0081] The terms "effective amount" or "pharmaceutically effective amount" or
"therapeutically effective amount" refer to a sufficient amount of an agent to provide the desired biological, therapeutic, and or prophylactic result. That result can be reduction,
amelioration, palliation, lessening, delaying, and/or alleviation of one or more of the signs, symptoms, or causes of a disease, or any other desired alteration of a biological system. In reference to cancer, an effective amount comprises an amount sufficient to cause a tumor to shrink and/or to decrease the growth rate of the tumor (such as to suppress tumor growth) or to prevent or delay other unwanted cell proliferation. In some embodiments, an effective amount is an amount sufficient to delay development. In some embodiments, an effective amount is an amount sufficient to prevent or delay recurrence. An effective amount can be administered in one or more administrations. The effective amount of the drug or
composition may: (i) reduce the number of cancer cells; (ii) reduce tumor size; (iii) inhibit, retard, slow to some extent, and preferably stop cancer cell infiltration into peripheral organs; (iv) inhibit (i.e., slow to some extent and preferably stop) tumor metastasis; (v) inhibit tumor growth; (vi) prevent or delay occurrence and/or recurrence of tumor; and/or (vii) relieve to some extent one or more of the symptoms associated with the cancer. For example, an "effective amount" for therapeutic uses is the amount of Compound A or a metabolite thereof, a pharmaceutically acceptable salt or solvate thereof, or a composition comprising Compound A or a metabolite thereof or a pharmaceutically acceptable salt thereof, required to provide a clinically significant decrease in the progression of EC.
[0082] A "pharmaceutically acceptable salt" of a compound means a salt that is pharmaceutically acceptable and that possesses the desired pharmacological activity of the parent compound. It is understood that the pharmaceutically acceptable salts are non-toxic. Additional information on suitable pharmaceutically acceptable salts can be found in
Remington 's Pharmaceutical Sciences, 17th ed., Mack Publishing Company, Easton, PA, 1985, which is incorporated herein by reference or S. M. Berge, et al., "Pharmaceutical Salts," J. Pharm. Sci., 1977; 66:1-19 both of which are incorporated herein by reference.
[0083] Examples of pharmaceutically acceptable acid addition salts include those formed with inorganic acids such as hydrochloric acid, hydrobromic acid, sulfuric acid, nitric acid, phosphoric acid, and the like; as well as organic acids such as acetic acid, trifluoroacetic acid, propionic acid, hexanoic acid, cyclopentanepropionic acid, glycolic acid, pyruvic acid, lactic acid, oxalic acid, maleic acid, malonic acid, succinic acid, fumaric acid, tartaric acid, citric acid, benzoic acid, cinnamic acid, 3-(4-hydroxybenzoyl)benzoic acid, mandelic acid, methanesulfonic acid, ethanesulfonic acid, 1 ,2-ethanedisulfonic acid,
2-hydroxyethanesulfonic acid, benzenesulfonic acid, 4-chlorobenzenesulfonic acid,
2-naphthalenesulfonic acid, 4-toluenesulfonic acid, camphorsulfonic acid, glucoheptonic acid, 4,4'-methylenebis-(3-hydroxy-2-ene-l-carboxylic acid), 3-phenylpropionic acid,
trimethylacetic acid, tertiary butylacetic acid, lauryl sulfuric acid, gluconic acid, glutamic acid, hydroxynaphthoic acid, salicylic acid, stearic acid, muconic acid, p-toluenesulfonic acid, and salicylic acid and the like.
[0084] Examples of a pharmaceutically acceptable base addition salts include those formed when an acidic proton present in the parent compound is replaced by a metal ion, such as sodium, potassium, lithium, ammonium, calcium, magnesium, iron, zinc, copper, manganese, aluminum salts and the like. Preferable salts are the ammonium, potassium, sodium, calcium, and magnesium salts. Salts derived from pharmaceutically acceptable organic non-toxic bases include, but are not limited to, salts of primary, secondary, and tertiary amines, substituted amines including naturally occurring substituted amines, cyclic amines and basic ion exchange resins. Examples of organic bases include isopropylamine, trimethylamine, diethylamine, triethylamine, tripropylamine, ethanolamine,
2-dimethylaminoethanol, 2-diethylaminoethanol, dicyclohexylamine, lysine, arginine, histidine, caffeine, procaine, hydrabamine, choline, betaine, ethylenediamine, glucosamine, methylglucamine, theobromine, purines, piperazine, piperidine, N-ethylpiperidine, tromethamine, N-methylglucamine, polyamine resins, and the like. Exemplary organic bases are isopropylamine, diethylamine, ethanolamine, trimethylamine, dicyclohexylamine, choline, and caffeine.
[0085] "Prodrug" refers to compounds that are transformed (typically rapidly) in vivo to yield the parent compound of the above formulae, for example, by hydrolysis in blood.
Common examples include, but are not limited to, ester and amide forms of a compound having an active form bearing a carboxylic acid moiety. Examples of pharmaceutically acceptable esters of the compounds of this invention include, but are not limited to, alkyl esters (for example with between about one and about six carbons) the alkyl group is a straight or branched chain. Acceptable esters also include cycloalkyl esters and arylalkyl esters such as, but not limited to benzyl. Examples of pharmaceutically acceptable amides of the compounds of this invention include, but are not limited to, primary amides, and secondary and tertiary alkyl amides (for example with between about one and about six carbons). Amides and esters of the compounds of the present invention may be prepared according to conventional methods. A thorough discussion of prodrugs is provided in T. Higuchi and V. Stella, "Pro-drugs as Novel Delivery Systems," Vol 14 of the A.C.S.
Symposium Series, and in Bioreversible Carriers in Drug Design, ed. Edward B. Roche, American Pharmaceutical Association and Pergamon Press, 1987, both of which are incorporated herein by reference for all purposes.
[0086] "Metabolite" refers to the break-down or end product of a compound or its salt produced by metabolism or biotransformation in the animal or human body; for example, biotransformation to a more polar molecule such as by oxidation, reduction, or hydrolysis, or to a conjugate (see Goodman and Gilman, "The Pharmacological Basis of Therapeutics" 8.sup.th Ed., Pergamon Press, Gilman et al. (eds), 1990 for a discussion of
biotransformation). As used herein, the metabolite of a compound of the invention or its salt may be the biologically active form of the compound in the body. In one example, a prodrug may be used such that the biologically active form, a metabolite, is released in vivo. In another example, a biologically active metabolite is discovered serendipitously, that is, no prodrug design per se was undertaken. An assay for activity of a metabolite of a compound of the present invention is known to one of skill in the art in light of the present disclosure.
[0087] Unless otherwise indicated, "treating" or "treatment" of a disease, disorder, or syndrome, as used herein, means inhibiting the disease, disorder, or syndrome, that is, arresting its development; and relieving the disease, disorder, or syndrome, that is, causing regression of the disease, disorder, or syndrome. As is known in the art, in the context of treatment, adjustments for systemic versus localized delivery, age, body weight, general health, sex, diet, time of administration, drug interaction and the severity of the condition may be necessary, and will be ascertainable with routine experimentation by one of ordinary skill in the art.
[0088] "Prevention" means preventing the disease, disorder, or syndrome from occurring in a human, i.e. causing the clinical symptoms of the disease, disorder, or syndrome not to develop in an animal that may be exposed to or predisposed to the disease, disorder, or syndrome but does not yet experience or display symptoms of the disease, disorder, or syndrome.
[0089] "Childhood cancer" refers to a cancer that commonly affects children from the age of 1 to 15, as provided by National Cancer Institute. "Childhood cancers" include leukemia and cancers of the brain and central nervous system, such as acute lymphoblastic leukemia, solid tumors such as brain tumors (e.g., gliomas and medulloblastomas), neuroblastomas, Wilms tumors, and sarcomas such as rhabdomyosarcoma and osteosarcoma.
[0090] Event Free Survual (EFS) T/C value. An EFS T/C value is defined by the ratio of the median time to event of a treatment group and the median time to event of the respective control group. If the treatment group does not have a median time to event, then EFS T/C is defined as greater than the ratio of the last day of the study for the treatment group divided by the median time to event for the control group. For the EFS T/C measure, agents are
considered highly active if they meet three criteria: a) an EFS T/C > 2; b) a significant difference in EFS distributions (p< 0.050), and c) a net reduction in median tumor volume for subjects in the treated group at the end of treatment as compared to treatment initiation.
Embodiments
[0091] The following paragraphs present a number of embodiments that can be used to practice the invention. In each instance, the embodiment includes both the recited
compounds as well as individual isomers and mixtures of isomers. In addition, in each instance, the embodiment includes the pharmaceutically acceptable salts, hydrates, and/or solvates of the recited compounds and any individual isomers or mixture of isomers thereof.
[0092] In one embodiment, methods are provided for treating a childhood cancer, which method comprises administering to a patient an effective amount of a Compound of Formula I or la or a pharmaceutical composition comprising a Compound of Formula I or la.
[0093] In another embodiment, methods are provided for treating cancer which method comprises administering to a patient an effective amount of a Compound of Formula I or a pharmaceutical composition comprising a Compound of Formula I where the cancer is acute lymphoblastic leukemia, rhabdosarcoma, or neuroblastom.
[0094] Any of the following embodiments, including the representative compounds described below, may be used to practice any of the methods disclosed herein.
Compounds of Formula I
[0095] The Compound of Formula I is selected from any of the following embodiments, including from the Representative Compounds in Table 1.
[0096] One embodiment (A) of the compound of Formula I is where W1, W2, W3, and W4 are - R1)^ or one or two of W1, W2, W3, and W4 are independently -N= and the remaining are -C(R1)=; where each R1 is independently hydrogen, alkyl, haloalkyl, nitro, alkoxy, haloalkoxy, halo, hydroxy, cyano, amino, alkylamino, or dialkylamino; and all other groups are as defined in the Summary of the Invention. In another embodiment, W1, W2, W3, and W4 are -C(R')= and each R1 is independently hydrogen or alkyl; or one of W' and W4 is— N= and the other is -C(H)=. In another embodiment, W1, W2, W3, and W4 are -C Rl = where each R1 is independently hydrogen or alkyl. In another embodiment, R1 is hydrogen.
[0097] Another embodiment (B) of a Compound of Formula I is where R50 is hydrogen, alkyl, alkenyl, halo, haloalkyl, haloalkenyl, hydroxy, alkoxy, alkenyloxy, haloalkoxy, nitro, amino, alkylamino, dialkylamino, -N(R55)C(0)-C1-C6-alkylene-N(R55a)RS5b, alkylcarbonyl,
alkenylcarbonyl, carboxy, alkoxycarbonyl, cyano, alkylthio, -S(0)2NR55R55a, or alkylcarbonylamino; where R55 and R55b are independently hydrogen, alkyl, or alkenyl and R55a is hydrogen, alkyl, alkenyl, hydroxy, or alkoxy; and all other groups are as defined in the Summary of the Invention. In another embodiment, R50 is hydrogen.
[0098] Another embodiment (C) of a Compound of Formula I is where R51 is hydrogen or alkyl; and all other groups are as defined in the Summary of the Invention. In another embodiment, R51 is alkyl; in another embodiment, R51 is methyl.
[0099] Another embodiment (D) of a Compound of Formula I is where R52 is hydrogen or halo; and all other groups are as defined in the Summary of the Invention. In another embodiment R is hydrogen or fluoro. In another embodiment, R is hydrogen.
[00100] Another embodiment (E) of a Compound of Formula I is where R53 is hydrogen, alkyl, alkenyl, halo, haloalkyl, haloalkenyl, hydroxy, alkoxy, alkenyloxy, haloalkoxy, nitro, amino, alkylamino, dialkylamino, -N(R55)C(0)-Ci-C6-alkylene-N(R55a)R55b, alkylcarbonyl, alkenylcarbonyl, carboxy, alkoxycarbonyl, cyano, alkylthio, -S(0)2NR55R55a, or
alkylcarbonylamino; where R55 and R55b are independently hydrogen, alkyl, or alkenyl and R55a is hydrogen, alkyl, alkenyl, hydroxy, or alkoxy; and all other groups are as defined in the Summary of the Invention. In another embodiment, R53 is hydrogen, alkoxy, nitro, amino, or -N(RS5)C(0)-C1-C6-alkylene-N(R55a)R55b. In another embodiment, R53 is hydrogen, methoxy, nitro, amino, or -NHC(0)CH2N(CH3)2. In another embodiment, R53 is hydrogen or methoxy.
[00101] Another embodiment (F) of a Compound of Formula I is where R54 is hydrogen, alkyl, alkenyl, halo, haloalkyl, haloalkenyl, hydroxy, alkoxy, alkenyloxy, haloalkoxy, nitro, amino, alkylamino, dialkylamino, -NCR^CCO^Q-Q-alkylene-NCR553^5515, alkylcarbonyl, alkenylcarbonyl, carboxy, alkoxycarbonyl, cyano, alkylthio, -S(0)2NR55R55a, or
alkylcarbonylamino; where R55 and R55b are independently hydrogen, alkyl, or alkenyl and R55a is hydrogen, alkyl, alkenyl, hydroxy, or alkoxy; and all other groups are as defined in the Summary of the Invention. In another embodiment, R54 is hydrogen, alkyl, alkoxy, or halo. In another embodiment, R54 is hydrogen, methyl, methoxy, bromo, or chloro. In another embodiment, R54 is hydrogen, methoxy, or chloro.
[00102] Another embodiment (G) is directed to a compound of Formula I where R50, R52, and R53 are hydrogen and R54 is halo or alkoxy; R50, R52, and R54 are hydrogen and R53 is alkoxy; or R50 and R52 are hydrogen and R53 and R54 together with the carbons to which they are attached form a 6-membered heteroaryl; and all other groups are as defined in the Summary of the Invention. In another embodiment, R50, R52, and R53 are hydrogen and R54 is chloro or methoxy; R50, R52, and R54 are hydrogen and R53 is methoxy; or R50 and R52 are
hydrogen and R53 and R54 together with the carbons to which they are attached form pyridinyl. Even more specifically, R50, R52, and R53 are hydrogen and R54 is chloro or methoxy; or R50, R52, and R54 are hydrogen and R53 is methoxy.
[00103] In another embodiment (Gl ) of embodiment G is a compound of Formula I where R51 is methyl.
[00104] Another embodiment (J), B is heteroaryl optionally substituted with one, two, or three R3. In another embodiment, B is thien-3-yl, pyridinyl, pyrimidinyl, pyridazinyl, pyrazinyl, oxazolyl, isoxazolyl, pyrrolyl, imidazolyl, pyrazolyl, or thiazolyl, each of which is optionally substituted with one or two R3. In another embodiment, B is thien-3-yl, pyridin-2- yl, pyridin-3-yl, pyridin-4-yl, oxazol-2-yl, oxazol-4-yl, oxazol-5-yl, isoxazol-3-yl, isoxazol-4- yl, isoxazol-5-yl, imidazol-2-yl, pyrrol-2-yl, pyrrol-3-yl, imidazol-4-yl, imidazol-5-yl, pyrazol-3-yl, pyrazol-4-yl, or pyrazol-5-yl, each of which is optionally substituted with one or two R3. In another embodiment, B is thien-3-yl, pyridin-3-yl, pyridin-4-yl, isoxazol-4-yl, or pyrazol-4-yl, each of which is optionally substituted with one or two R3. In another embodiment, B is pyridin-3-yl, 2-hydroxy-pyridin-5-yl, isoxazol-4-yl, or pyrazol-4-yl, each of which is optionally substituted with one or two R .
[00105] Another embodiment (K), R3a is cyano; hydroxyamino; carboxy; alkylsulfonyl, aminoalkyloxy; alkylaminoalkyloxy; dialkylaminoalkyloxy; -N(R7)C(0)-C1-C6-alkylene- N(R7a)(R7b); -C(0)NR8R8a; -NR9C(0)R9a; -C(O)N(R10)-C,-C6-alkylene-N(R10a)R10b;
heteroaryl optionally substituted with one or two aminoalkyl, alkylaminoalkyl, or
dialkylaminoalkyl; -N(^
N(R18b)C(0)R18a; -C(0)N(R19)-C1-C6-alkylene-C(0)R19a; -N(R22)C(0)-C1-C6-alkylene- N(R22b)-N(R22c)(R22a); -C0-C6-alkylene-N(R23)-Ci-C6-alkylene-N(R23b)R23a; or -NR24C(0)- C1.C6-alkylene-OR24a; where each of the alkylene in R3a is independently optionally further substituted with 1, 2, 3, 4, or 5 groups selected from halo, hydroxy, amino, alkylamino, and dialkylamino; and all other groups are as defined in the Summary of the Invention.
[00106] In another embodiment, R3a is:
-NHC(0)CH2NH(CH3), -NHC(0)CH2NH(CH2CH3), -NHC(0)CH(CH3)NH2,
-NHC(0)C(CH3)2NH2, -NHC(0)CH2N(CH3)2, -NHC(0)CH2N(CH3)CH2CH2N(CH3)2,
-NHC(0)CH(NH2)CH2CH3, -NHC(0)CH2N(CH3)CH2CH2N(CH3)2,
-NHC(0)CH(CH3)NH(CH3), -NHC(0)CH2NH2, -NHC(0)H, -NHC(0)CH2(azetidin-l-yl), -NHC(0)(pyrrolidin-2-yl), -NHC(0)CH(NH2)CH20H, -NHC(0)(azetidin-4-yl),
-NHC(0)C(CH3)2NH(CH3), -NH2, -NHC(0)CH2NH(CH2CH2CH3), -NHC(0)CH2CH2NH2,
-NHOH, -NHC(0)(piperidin-3-yl), -NHC(0)CH2(4-methyl-l,4-diazepan-l-yl)
-NHC(0)CH(NH2)(CH2CH3), -NHC(0)CH2NH(CH2CH(OH)(CH3)),
-NHC(0)CH2NHCH2CH2F, -NHC(0)CH2NH(OCH2CH(CH3)2),
-NHC(0)(l-aminocycloprop-l-yl), -NHC(0)CH2NH(CH2cyclopropyl),
-NHC(0)CH2(3-(dimethylamino)-azetidin- 1 -yl), -NHC(0)(piperidin-2-yl),
-NHC(0)(morpholin-4-yl), -NHC(0)CH2(pyrrolidin- 1 -yl),
-NHC(0)CH(NH2)CH2CH2CH2CH2N(CH3)2, -NHC(0)CH2N(CH3)(CH2CH3),
-NHC(0)CH2(imidazol-5-yl), -NHC(0)( 1 -aminocyclopent- 1 -yl),
-NHC(0)CH2NH(CH2CH(CH3)2), -NHC(0)CH2N(CH3)(CH2CH3),
-NHC(0)(N-(imidazol-4-ylmethyl)-azetidin-3-yl), -NHC(0)(N-ethyl-azetidin-3-yl),
-NHCH2N(CH3)CH2CH2N(CH3)2, -NHC(0)CH2N(CH3)(N-methyl-pyrrolidin-3-yl),
-NHC(0)CH2N(CH3)(CH2CH2N(CH3)2), -NHC(0)CH2(3-hydroxy-pyrrolidin-l-yl),
-NHC(0)(l-amino-cyclobut-l-yl), -NHC(0)CH2NH(CH2)3CH3,
-NHC(0)CH2(3-piperidin- 1 -ylazetidin- 1 yl), -NHC(0)NH2,
-NHC(0)(1 -hydroxycyclopropyl), -NHC(0)CH2NHN(CH3)2, -NHC(0)NH(CH2)2N(CH3)2, -NHC(0)CH2OH, -NHC(0)(pyridazin-4-yl), -NHC(0)(N-methyl-piperidin-4-yl),
-NHC(0)CH2NHCH(CH3)3, -NHC(0)CH2(3-dimethylamino-pyrrolidin- 1 yl),
-NHC(0)CH2NH(CH2)2N(CH3)2, -NHC(0)(l-cyclopropylmethyl-azetidin-3-yl),
-NHC(0)CH2NH(CH3)3, -NHC(0)(imidazol-2-yl), -NHC(0)(imidazol-4-yl),
-NHC(0)(1 ,2-oxazol-5-yl), -NHC(0)CH2NHCH2CF3, -NHC(0)CH2CH2(piperidin- 1 -yl), -NHC(0)(3-oxo-cyclopent- 1 -yl), -NHC(0)(2-hydroxy-pyridin-6-yl),
-NHC(0)CH2NH(3-fluoro-4-hydroxyphenyl), -NHC(0)(CH2)3N(CH3)2,
-NHC(0)(l-(furan-2-ylmethyl)-azetidin-3-yl), -NHC(0)(pyrimidin-5-yl),
-NHC(0)(pyrrol-2-yl), -NHC(0)CH2N(CH3)CH(CH3)2, -NHC(0)CH2N(CH2CH3)2, -NHC(0)CH2(3-methyl- 1 ,2-oxazol-5-yl), -NHC(0)CH2NHCH2(3-hydroxyphenyl), -NHC(0)(N-methyl-pyrrol-2-yl), -NHC(0)(2-amino-tetrahydropyran-2-yl),
-NHC(0)CH2(4-methylamino-piperidin-l -yl), -NHC(0)(piperidin-l -yl),
-NHC(0)(N-methyl-pyrrolidin-2yl), -NHC(0)(thien-3yl),
-NHC(0)(N-(cyclopropylcarbonyl)azetidin-3-yl), -NHC(0)CH2(4-methylpiperazin- 1 -yl), -NHC(0)(N-benzylazetidin-3-yl), -NHC(0)(2-chloro-pyridin-3-yl),
-NHC(0)CH2(pyridin-4-yl), -NHC(0)CH2N(CH3)(CH2CH=CH2),
-NHC(0)CH2NH(benzyl), -NHC(0)CH2OCH3, -NHC(0)[1 -(C(0)CH2CH3)-azetidin-3-yl], -NHC(0)(pyridin-3-yl), -NHC(0)CH2NHCH2CH2OCH3,
-NHC(0)(l-[C(0)CH3]piperidin-4-yl), -NHC(0)CH2(2-methyl-pyrrolidin-l-yl), -NHC(0)(furan-3-yl), -NHC(0)CH2N(CH3)2, -NHC(0)(2-chloro-pyridin-5-yl),
-NHC(0)(2-chlorophenyl), -NHC(0)CH2(pyridin-2-yl),
-NHC(0)CH2(3-dimethylamino-azetidin- 1 -yl), -NHC(0)CH2(pyridin-3-yl),
-NHC(0)CH2(2-chlorophenyl), -NHC(0)CH2N(CH3)CH2CH2CH2N(CH3)2,
-NHC(0)CH2N(CH2CH3)CH2CH20H, -NHC(0)CH2(2-benzyl-pyrrolidin- 1 -yl),
-NHC(0)(furan-2-yl, -NHC(0)(2-chloro-pyridin-4-yl), -NHC(0)CH2NHC(0)CH3,
-NHC(0)CH2CH2CH3, -NHC(0)(4-chlorophenyl), -NHC(0)(4-methyl-phenyl),
-NHC(0)CH2NHC(0)0(CH3)3, -NHC(0)(benzo[d][l ,3]dioxol-5-yl),
-NHC(0)CH2NHOCH2(2-methoxyphenyl), -NHC(0)(pyridin-4-yl),
-NHC(0)CH2[4-(3,4-dichlorophenyl)-piperazin-l-yl], -NHC(0)CH2CH2(pyridin-3-yl), -NHC(0)(tetrahydrofuran-3-yl), -NHC(0)CH2NHCH2(2-methylphenyl),
-NHC(0)CH(CH3)CH2CH3, -NHC(0)CH2(3-fluorophenyl), -NHC(0)CH2C(CH3)2phenyl, -NHC(0)(2-methyl-cycloprop- 1 -yl), -NHC(0)(2-methyl-4-methoxyphenyl),
-NHC(0)(2-methylpyridin-3-yl), -NHC(0)(4-methoxyphenyl),
-NHC(0)CH2(4-ethylpiperazin- 1 -yl), -NHC(0)(thien-2-yl),
-NHC(0)(3-fluoro-2-methylphenyl), -NHC(0)(2-bromo-thien-3-yl),
-NHC(0)(4-fluorophenyl), -NHC(0)CH2(3-methylpiperidin- 1 -yl),
-NHC(0)CH(CH3)2, -NHC(0)(CH2)3CH3, -NHC(0)CH2OCH2CH3,
-NHC(0)CH2NH(2-fluorophenyl), -NHC(0)(3-dimethylaminophenyl),
-NHC(0)CH2(4-methylpiperidin- 1 -yl), -NHC(0)CH2NH(2-«-propylphenyl),
-NHC(0)phenyl, -NHC(0)(pyrazin2-yl), -NHC(0)(3-fluoro-4-methoxyphenyl),
-NHC(0)C(CH3)2CH2CH3, -NHC(0)CH20(4-fluorophenyl),
-NHC(0)(l-methylcarbonyl-azetidin-3-yl), -NHC(0)CH2NH(4-methylphenyl),
-NHC(0)CH2NH(phenyl), -NHC(0)CH2(4-allyl-piperazin- 1 -yl), -NHC(0)(2-methylphenyl), -NHC(0)CH2CH2OCH3, -NHC(0)(3-methyl-furan-2-yl), -NHC(0)C(C¾)3,
-NHC(0)CH2NHObenzyl, -NHC(0)CH2NH(3-chlorophenyl), -NHC(0)cyclobutyl,
-NHC(0)CH2(3-methoxyphenyl), -NHC(0)(l-methylcycloprop-l-yl),
-NHC(0)(3-flurophenyl), -NHC(0)(4-dimethylaminophenyl), -NHC(0)(3,4-dichlorophenyl), -NHC(0)CH2NHCH2(2-methylthiophenyl), -NHC(0)CH2(2-fluorophenyl),
-NHC(0)CH2N(CH2CH3)CH(CH3)2, -NHC(0)(thiazol-4-yl), -NHC(0)CH2N(CH3)benzyl, -NHC(0)CH2NHCH2(thien-2-yl), -NHC(0)CH2NHCH2(pyridin-2-yl),
-NHC(0)(3-methoxyphenyl), -NHC(0)CH2NHCH2(3-chloro-4-methylphenyl),
-NHC(0)CH(CH3)CH2CH2CH3, -NHC(0)CH2(4-chlorophenyl),
-NHC(0)(3-fluoro-4-methylphenyl), -NHC(0)CH20(2-methylphenyl),
-NHC(0)CH2(cyclohexyl), -NHC(0)(2-phenyl-cycloprop- 1 -yl), -NHC(0)(3-chlorophenyl),
-NHC(0)CH2(2-methoxyphenyl), -NHC(0)CH2CH2(3-methoxyphenyl),
-NHC(0)CH2NH(2-fluoro-4-methyl-phenyl), -NHC(0)CH2NHCH2(3-fluoro-phenyl),
-NHC(0)CH2(4-methoxy-phenyl), -NHC(0)benzyl, -NHC(0)(2,4-dichlorophenyl),
-NHC(0)(3-oxo-cyclohex-l-yl), -NHC(0)CH2NH(3-fluorophenyl),
-NHC(0)CH2(3-chlorophenyl), -NHC(0)CH2NHCH2CH(CH3)phenyl,
-NHC(0)CH2NHCH2(2,4-dimethylphenyl), -NHC(0)CH2(2-methyl-piperidin- 1 -yl),
-NHC(0)CH2NH(2-methoxyphenyl), -NHC(0)CH2(l,2,3,4-tetrahydroisoquinolin-2-yl),
-NHC(0)CH2CH2CH=CH2, -NHC(0)CH2NH(2-methylphenyl),
-NHC(0)CH2(4-oxo-piperidin- 1 -yl), -NHC(0)(2-fluorophenyl),
-NHC(0)CH2NHCH(CH3)phenyl, -NHC(0)(2-fluoro-6-methoxyphenyl),
-NHC(0)CH2NH(2-isopropylphenyl), -NHC(0)CH2CH2(2-methoxyphenyl),
-NHC(0)CH2CH2CH(CH3)2, -NHC(0)CH2(2-phenyl-morpholin-4-yl),
-NHC(0)CH2CH2(4-methoxyphenyl), -NHC(0)CH2N(allyl)cyclopentyl,
-NHC(0)CH2N(CH3)CH2CH2OCH3, -NHC(0)CH2CH2C(0)cyclopropyl,
-NHC(0)CH2NH(3-teri-butylphenyl), -NHC(0)CH2N(n-propyl)(cyclopropylmethyl),
-NHC(0)CH2(2-oxo-cyclopentyl), -NHC(0)CH2NH(4-chlorophenyl),
-NHC(0)CH2(4-piperidin- 1 -ylpiperidin- 1 -yl), -NHC(0)CH2(4-cyclopentylpiperazin- 1 -yl),
-NHC(0)CH2(2-methylphenyl), -NHC(0)CH2NHCH2(3-fluoro-6-methylphenyl),
-NHC(0)CH2C(CH3)3, -NHC(0)CH2NH(2-chlorophenyl),
-NHC(0)(3-fluoro-6-methylphenyl), -NHC(0)(4-fluoro-3-methylphenyl),
-NHC(0)(2,3-dichlorophenyl), -NHC(0)CH2Ophenyl,
-NHC(0)CH2NH(2,3-dimethylphenyl), -NHC(0)(2-fluoro-5-methylphenyl),
-NHC(0)CH2NHOCH2(4-methylphenyl), -NHC(0)CH2(4-isopropylpiperazin-l-yl),
-NHC(0)CH2(4-fluorophenyl), -NHC(0)CH2CH(CH3)2,
-NHC(0)(2-methoxy-4-methylphenyl), -NHC(0)CH2(4-«-propylpiperidin-l-yl),
-NHC(0)CH20(3-methylphenyl), -NHC(0)(tetrahydrofuran-2-yl),
-NHC(0)CH2(3 -hydroxymethylpiperidin- 1 -yl),
-NHC(0)(l-tert-butoxycarbonylpiperidin-2-yl), -NHC(0)CH2N(CH3)CH2(pyridin-3-yl), -NHC(0)CH2N(CH2CH3)phenyl, -NHC(0)CH2OCH2CH2OCH3,
-NHC(0)CH2CH2(cyclopentyl), -NHC(0)(2,5-dichlorophenyl),
-NHC(0)CH2(4-methylcarbonylpiperazin- 1 -yl), -NHC(0)(5-fluoro-2-methoxyphenyl), -NHC(0)CH2N(CH2CH3)cyclohexyl, -NHC(0)(5-methyl-l,2-oxazol-3-yl),
-NHC(0)(3-methylpyridin-3-yl), -NHC(0)(2-methoxypyridin-3-yl),
-NHC(0)(3,5-dichlorophenyl), -NHC(0)CH2(thiazolidin3-yl),
-NHC(0)CH2(4-[C(0)H]-piperazin-l-yl), -NHC(0)CH2(2-pyridin-4-ylpiperidin-l-yl),
-NHC(0)(2-methoxyphenyl), -NHC(0)CH2N(CH3)CH2CH(CH3)2,
-NHC(0)CH2(4-[C(0)H]-homopiperazin-l-yl), -NHC(0)(l-phenylcycloprop-l-yl),
-NHC(0)CH2(2,6-dimethylmorpholin-4-yl), NHC(0)CH2(2-phenylpyrrolidin- 1 -yl),
-NHC(0)CH2(morpholin-4-yl), -C(0)NHCH(CH3)CH2N(CH3)2, -C(0)NHCH2CH2N(CH3)2,
-C(0)NH(pyrrolidin-3-yl), -C(0)NHCH2CH2(pyrrolidin- 1 -yl), -C(0)NHCH2CH2NH2,
-C(0)N(CH3)CH2CH2N(CH3)2, -C(0)NHCH2(piperidin-2-yl),
-C(0)NH( 1 -methylazetidin-3-yl), -C(0)NHCH2CH2(piperidin- 1 -y 1),
-C(0)NHCH2CH2N(CH2CH3)2,
-C(0)NH(1 -methylpiperidin-3-yl), -C(0)NH(piperidin-3-yl),
-C(0)NHCH2(1 -methylpiperidin-3-yl), -C(0)NHCH2CH2N(CH2CH2OH)2,
-C(0)NH(1 -ethylpiperidin-3-yl), -C(0)NH2, -C(0)(3-aminopyrrolidin- 1 -yl),
-C(0)(3-methylaminopyrrolidin-l-yl), -C(0)OH, -C(0)NHCH2CH2(morpholin-4-yl), -C(0)NHCH2(l-ethylpyrrolidin-2-yl), -C(0)(4-amino-3-oxo-pyrazolidin-l-yl),
-C(0)NHCH3, -C(0)(3-aminocyclobut-l-yl), -C(0)NHCH2(pyridin-3-yl),
-C(0)NHCH2CH2OH, -C(0)NH(3-oxo-pyrazolidin-4-yl), -NHCH2CH2(imidazol-4-yl), -C(0)(3-dimethylaminopyrrolidin-l-yl), -C(0)NHCH2(pyridin-4-yl),
-C(0)N(CH3)( 1 -methyl-pyrrolidin-3-yl), -C(0)(3 -diethylaminopyrrolidin- 1 -yl),
-C(0)NH(pyrrol- 1 -yl), -C(0)NHCH2CH2CH2(pyrrolidin- 1 -yl), -C(0)N(CH3)CH2CH2CN, -C(0)NHCH2CH2OCH3, -C(0)N(CH2CH3)CH2CH2CN, -C(0)(3-aminopiperidin-l-yl), -C(0)NHCH2CH2CH2N(CH3)2, -C(0)NH(morpholin-4-yl), -C(0)NHN(CH3)2,
-C(0)NHCH2CH2CH2(imidazol- 1 -yl), -C(0)NHCH2CH2CH2N(CH2CH3)2,
-C(0)NHCH2CH2CN, -C(0)NHCH2CH2C(0)OCH3, -C(0)NHCH2CH2SCH3,
-(0)NHCH2CH2SCH2CH3, -C(0)N(CH2CH3)CH2CH2N(CH3)2,
-C(0)NHCH2CH2CH2(2-oxo-pyrrolidin- 1 -yl), -C(0)NHCH2CH2(pyridin-4-yl),
-C(0)NHCH2CH2CH2OCH2CH3, -C(0)NHCH2CH2CH2(morpholin-4-yl),
-C(0)NHCH2CH2CH2OCH3, -C(0)N(CH3)CH2CH2CH2N(CH3)2,
-C(0)NHCH2CH2CH2OCH2CH2CH3, -C(0)NHCH2CH2C(0)OCH2CH3,
-C(0)NHCH2CH2CH2OCH(CH3)2, -C(0)NHC(CH3)2CH2(piperidin- 1 -yl),
-C(0)N(CH3)CH2CH2CH3, -C(0)NH(piperidin- 1 -yl), -C(0)NHCH(CH3)CH2OCH3, -C(0)NHC(CH3)2CH2(mo holin-4-yl), -C(0)(2-dimethylaminomethylpiperidin- 1 -yl), -C(0)NH(CH2)30(CH2)3CH3, -C(0)NHCH(CH3)(CH2)3N(CH2CH3)2,
-C(0)NHC(CH3)2C(0)(piperidin- 1 -yl), -C(0)(4-methylpiperazin- 1 -yl),
-C(0)(2-piperidin-l-ylmethyl-piperidin-l-yl), cyano, -NHCH3,
-CH(CH3)NHCH2CH2N(CH3)2, -C(0)CH3, -S(0)2NHCH2CH2N(CH3)2,
-S(0)2NH(CH2)3N(CH3)2, 5-(N,N-dimethylaminomethyl)-l,3,4-oxadiazol-2-yl,
-NHCH2CH2N(CH3)2, -N(CH3)2, -OCH2CH2N(CH3)2, -NHCtNCCHsklH^CHsk], -OCHF2, -S(0)2CH3, -OCF3, or -NHC(0)CH2(4-dimethylaminopiperidin-l-yl).
[00107] In another embodiment (L), R3a is hydroxyamino, -N(R7)C(0)-C1-C6-alkylene- N(R7a)(R7b), -C(0)NR8R8a, -NR9C(0)R9a, -C(O)N(R10)-Ci-C6-alkylene-N(R10a)R10b,
-NR11C(0)NR1 laR* lb, -N(R22)C(0)-C1-C6-alkylene-N(R22b)-N(R22c)(R22a), -NR13C(0)OR13a, -N(R18)C(0)-C1-C6-alkylene-N(R18b)C(0)R18a , -NR24C(0)-C1-C6-alkylene-OR24a, or - N(R20)C(O)-C1-C6-alkylene-C(O)R 0a; where each of the alkylene in R3a is independently optionally further substituted with 1, 2, 3, 4, or 5 groups selected from halo, hydroxy, and amino; and all other groups are as defined in the Summary of the Invention. In another embodiment, R3a is -NHC(0)CH2NH(CH3), -NHC(0)CH(CH3)NH2, -NHC(0)C(CH3)2NH2, -NHC(0)CH2N(CH3)2, -NHC(0)CH2N(CH3)CH2CH2N(CH3)25 -NHC(0)CH( H2)CH2CH3, -NHC(0)CH2N(CH3)CH2CH2N(CH3)2, -NHC(0)CH(CH3)NH(CH3), -NHC(0)H,
-NHC(0)CH2(azetidin- 1 -yl), -NHC(0)(pyrrolidin-2-yl), -NHC(0)CH(NH2)CH2OH, -NHC(0)(azetidin-4-yl), -NHC(0)C(CH3)2NH(CH3), -NH2, -NHC(0)CH2NH(CH2CH2CH3), -NHC(0)CH2CH2NH2, -NHOH, or -NHC(0)(piperidin-3-yl).
[00108] In another embodiment (M), R3a -N(R7)C(0)-Ci-C6-alkylene-N(R7a)(R7b); and R7 is hydrogen r alkyl and R7a and R7b are independently hydrogen, alkyl, aminoalkyl, alkylaminoalkyl, or dialkylaminoalkyl; and all other groups are as defined in the Summary of the Invention. In another embodiment, R3a is -NHC(0)CH2NH(CH3),
-NHC(0)CH(CH3)NH2, -NHC(0)C(CH3)2NH2, -NHC(0)CH2N(CH3)2,
-NHC(0)CH2N(CH3)CH2CH2N(CH3)2, -NHC(0)CH(NH2)CH2CH3,
-NHC(0)CH2N(CH3)CH2CH2N(CH3)2, or -NHC(0)CH(CH3)NH(CH3).
[00109] Embodiment (N) provides a compound of Formula I where each R3 is
independently halo; cyano; alkyl; alkenyl; alkoxy; hydroxyamino; carboxy; alkylsulfonyl, aminoalkyloxy; alkylaminoalkyloxy; dialkylaminoalkyloxy; -N(R )C(0)-Ci-C6-alkylene- N(R7a)(R7b); -C(0)NR8R8a; -NR9C(0)R9a; -C(O)N(R10)-Ci-C6-alkylene-N(R10a)R10b;
-NRnC(0)NRl laRl lb where Rl la; -C(0)R12; -NRI3C(0)OR13a; -C(0)N(R14)N(R14a)(R14b); -S(0)2N(R15)-C C6-alkylene-N(R15a)R15b; -C(0)N(R16)-Ci-C6-alkylene-C(0)OR16a;
heteroaryl optionally substituted with one or two aminoalkyl, alkylaminoalkyl, or
dialkylaminoalkyl; -N(R17)-C(=N(R17b)(R17a))(NR17cR17d); -N(Rl8)C(0)-Ci-C6-alkylene-
N(R18b)C(0)R18a; -C(0)N(R19)-C,-C6-alkylene-C(0)R19a; -N(R22)C(0)-C,-C6-alkylene- N(R22b)-N(R22c)(R22a); -C0-C6-alkylene-N(R 3)-C1-C6-alkylene-N(R23b)R23a; or -NR24C(0)- Ci.C6-alkylene-OR24a; where each of the alkylene in R3 is independently optionally further substituted with 1, 2, 3, 4, or 5 groups selected from halo, hydroxy, amino, alkylamino, and dialkylamino; and all other groups are as defined in the Summary of the Invention.
[00110] In another embodiment, each R3 is independently methyl, bromo, chloro, fluoro, -NHC(0)CH2NH(CH3), -NHC(0)CH2NH(CH2CH3), -NHC(0)CH(CH3)NH2,
-NHC(0)C(CH3)2NH2, -NHC(0)CH2N(CH3)2, -NHC(0)CH2N(CH3)CH2CH2N(CH3)2, -NHC(0)CH(NH2)CH2CH3, -NHC(0)CH2N(CH3)CH2CH2N(CH3)2,
-NHC(0)CH(CH3)NH(CH3), -NHC(0)CH2NH2, -NHC(0)H,
-NHC(0)CH2(azetidin- 1 -yl), -NHC(0)(pyrrolidin-2-yl), -NHC(0)CH(NH2)CH2OH, -NHC(0)(azetidin-4-yl), -NHC(0)C(CH3)2NH(CH3), -NH2, -NHC(0)CH2NH(CH2CH2CH3), -NHC(0)CH2CH2NH2, -NHOH, -NHC(0)(piperidin-3-yl),
-NHC(0)CH2(4-methyl-l,4-diazepan-l-yl), -NHC(0)CH(NH2)(CH2CH3), - NHC(0)CH2NH(CH2CH(OH)(CH3)), -NHC(0)CH2NHCH2CH2F, - NHC(0)CH2NH(OCH2CH(CH3)2), -NHC(0)(1 -aminocycloprop- 1 -yl),
-NHC(0)CH2NH(CH2cyclopropyl), -NHC(0)CH2(3-(dimethylamino)-azetidin-l-yl), -NHC(0)(piperidin-2-yl), -NHC(0)(morpholin-4-yl), -NHC(0)CH2(pyrrolidin-l -yl), -NHC(0)CH(NH2)CH2CH2CH2CH2N(CH3)2, -NHC(0)CH2N(CH3)(CH2CH3),
-NHC(0)CH2(imidazol-5-yl), -NHC(0)(l-aminocyclopent-l-yl),
-NHC(0)CH2NH(CH2CH(CH3)2), -NHC(0)CH2N(CH3)(CH2CH3),
-NHC(0)(N-(imidazol-4-ylmethyl)-azetidin-3-yl), -NHC(0)(N-ethyl-azetidin-3-yl),
-NHCH2N(CH3)CH2CH2N(CH3)2, -NHC(0)CH2N(CH3)(N-methyl-pyrrolidin-3-yl),
-NHC(0)CH2N(CH3)(CH2CH2N(CH3)2), -NHC(0)CH2(3-hydroxy-pyrrolidin-l-yl),
-NHC(0)(l-amino-cyclobut-l-yl), -NHC(0)CH2NH(CH2)3CH3,
-NHC(0)CH2(3-piperidin- 1 -ylazetidin- 1 yl), -NHC(0)NH2,
-NHC(0)(1 -hydroxycyclopropyl), -NHC(0)CH2NHN(CH3)2, -NHC(0)NH(CH2)2N(CH3)2, -NHC(0)CH2OH, -NHC(0)(pyridazin-4-yl), -NHC(0)(N-methyl-piperidin-4-yl),
-NHC(0)CH2NHCH(CH3)3, -NHC(0)CH2(3-dimethylamino-pyrrolidin- 1 yl),
-NHC(0)CH2NH(CH2)2N(CH3)2, -NHC(0)(l-cyclopropylmethyl-azetidin-3-yl),
-NHC(0)CH2NH(CH3)3, -NHC(0)(imidazol-2-yl), -NHC(0)(imidazol-4-yl),
-NHC(0)(1 ,2-oxazol-5-yl), -NHC(0)CH2NHCH2CF3, -NHC(0)CH2CH2(piperidin- 1 -yl), -NHC(0)(3-oxo-cyclopent- 1 -yl), -NHC(0)(2-hydroxy-pyridin-6-yl),
-NHC(0)CH2NH(3-fluoro-4-hydroxyphenyl), -NHC(0)(CH2)3N(CH3)2,
-NHC(0)(1 -(furan-2-ylmethyl)-azetidin-3-yl), -NHC(0)(pyrimidin-5-yl),
-NHC(0)(pyrrol-2-yl), -NHC(0)CH2N(CH3)CH(CH3)2, -NHC(0)CH2N(CH2CH3)2,
-NHC(0)CH2(3-methyl- 1 ,2-oxazol-5-yl), -NHC(0)CH2NHCH2(3-hydroxyphenyl),
-NHC(0)(N-methyl-pyrrol-2-yl), -NHC(0)(2-amino-tetrahydropyran-2-yl),
-NHC(0)CH2(4-methylamino-piperidin- 1 -yl), -NHC(0)(piperidin- 1 -yl), -NHC(0)(N-methyl- pyrrolidin-2yl), -NHC(0)(thien-3yl), -NHC(0)(N-(cyclopropylcarbonyl)azetidin-3-yl),
-NHC(0)CH2(4-methylpiperazin- 1 -yl), -NHC(0)(N-benzylazetidin-3-yl),
-NHC(0)(2-chloro-pyridin-3-yl), -NHC(0)CH2(pyridin-4-yl),
-NHC(0)CH2N(CH3)(CH2CH=CH2), -NHC(0)CH2NH(benzyl), -NHC(0)CH20CH3, -NHC(0)[1 -(C(0)CH2CH3)-azetidin-3-yl], -NHC(0)(pyridin-3-yl),
-NHC(0)CH2NHCH2CH2OCH3, -NHC(0)(1 -[C(0)CH3]piperidin-4-yl),
-NHC(0)CH2(2-methyl-pyrrolidin- 1 -yl), -NHC(0)(furan-3-yl), -NHC(0)CH2N(CH3)2, -NHC(0)(2-chloro-pyridin-5-yl), -NHC(0)(2-chlorophenyl), -NHC(0)CH2(pyridin-2-yl), -NHC(0)CH2(3-dimethylamino-azetidin- 1 -yl), -NHC(0)CH2(pyridin-3-yl),
-NHC(0)CH2(2-chlorophenyl), -NHC(0)CH2N(CH3)CH2CH2CH2N(CH3)2,
-NHC(0)CH2N(CH2CH3)CH2CH20H, -NHC(0)CH2(2-benzyl-pyrrolidin- 1 -yl),
-NHC(0)(furan-2-yl, -NHC(0)(2-chloro-pyridin-4-yl), -NHC(0)CH2NHC(0)CH3,
-NHC(0)CH2CH2CH3, -NHC(0)(4-chlorophenyl), -NHC(0)(4-methyl-phenyl),
-NHC(0)CH2NHC(0)0(CH3)3, -NHC(0)(benzo[d][l,3]dioxol-5-yl),
-NHC(0)CH2NHOCH2(2-methoxyphenyl), -NHC(0)(pyridin-4-yl),
-NHC(0)CH2[4-(3 ,4-dichlorophenyl)-piperazin- 1 -yl], -NHC(0)CH2CH2(pyridin-3-yl), -NHC(0)(tetrahydrofuran-3-yl), -NHC(0)CH2NHCH2(2-niethylphenyl),
-NHC(0)CH(CH3)CH2CH3, -NHC(0)CH2(3-fluorophenyl), -NHC(0)CH2C(CH3)2phenyl, -NHC(0)(2-methyl-cycloprop- 1 -yl), -NHC(0)(2-methyl-4-methoxyphenyl),
-NHC(0)(2-methylpyridin-3-yl), -NHC(0)(4-methoxyphenyl), -NHC(0)CH2(4- ethylpiperazin-l-yl), -NHC(0)(thien-2-yl), -NHC(0)(3-fluoro-2-methylphenyl),
-NHC(0)(2-bromo-thien-3-yl), -NHC(0)(4-fluorophenyl),
-NHC(0)CH2(3-methylpiperidin-l -yl), -NHC(0)CH(CH3)2, -NHC(0)(CH2)3CH3,
-NHC(0)CH2OCH2CH3, -NHC(0)CH2NH(2-fluorophenyl),
-NHC(0)(3-dimethylaminophenyl), -NHC(0)CH2(4-methylpiperidin- 1 -yl),
-NHC(0)CH2NH(2-n-propylphenyl), -NHC(0)phenyl, -NHC(0)(pyrazin2-yl),
-NHC(0)(3-fluoro-4-methoxyphenyl), -NHC(0)C(CH3)2CH2CH3,
-NHC(0)CH20(4-fluorophenyl), -NHC(0)(l-methylcarbonyl-azetidin-3-yl),
-NHC(0)CH2NH(4-methylphenyl), -NHC(0)CH2NH(phenyl),
-NHC(0)CH2(4-allyl-piperazin- 1 -yl), -NHC(0)(2-methylphenyl), -NHC(0)CH2CH2OCH3, -NHC(0)(3-methyl-furan-2-yl), -NHC(0)C(CH3)3, -NHC(0)CH2NHObenzyl,
-NHC(0)CH2NH(3-chlorophenyl), -NHC(0)cyclobutyl, -NHC(0)CH2(3-methoxyphenyl), -NHC(0)(l-methylcycloprop-l-yl), -NHC(0)(3-flurophenyl),
-NHC(0)(4-dimethylaminophenyl), -NHC(0)(3 ,4-dichlorophenyl),
-NHC(0)CH2NHCH2(2-methylthiophenyl), -NHC(0)CH2(2-fluorophenyl),
-NHC(0)CH2N(CH2CH3)CH(CH3)2, -NHC(0)(thiazol-4-yl), -NHC(0)CH2N(CH3)benzyl, -NHC(0)CH2NHCH2(thien-2-yl), -NHC(0)CH2NHCH2(pyridin-2-yl),
-NHC(0)(3-methoxyphenyl), -NHC(0)CH2NHCH2(3-chloro-4-methylphenyl),
-NHC(0)CH(CH3)CH2CH2CH3, -NHC(0)CH2(4-chlorophenyl),
-NHC(0)(3-fluoro-4-methylphenyl), -NHC(0)CH20(2-methylphenyl),
-NHC(0)CH2(cyclohexyl), -NHC(0)(2-phenyl-cycloprop-l -yl),
-NHC(0)(3-chlorophenyl), -NHC(0)CH2(2-methoxyphenyl),
-NHC(0)CH2CH2(3-methoxyphenyl), -NHC(0)CH2NH(2-fluoro-4-methyl-phenyl), -NHC(0)CH2NHCH2(3-fluoro-phenyl), -NHC(0)CH2(4-methoxy-phenyl),
-NHC(0)benzyl, -NHC(0)(2,4-dichlorophenyl), -NHC(0)(3-oxo-cyclohex-l-yl),
-NHC(0)CH2NH(3-fluorophenyl), -NHC(0)CH2(3-chlorophenyl),
-NHC(0)CH2NHCH2CH(CH3)phenyl, -NHC(0)CH2NHCH2(2,4-dimethylphenyl), -NHC(0)CH2(2-methyl-piperidin- 1 -yl), -NHC(0)CH2NH(2-methoxyphenyl),
-NHC(0)CH2(l,2,3,4-tetrahydroisoquinolin-2-yl), -NHC(0)CH2CH2CH=CH2,
-NHC(0)CH2NH(2-methylphenyl), -NHC(0)CH2(4-oxo-piperidin- 1 -yl),
-NHC(0)(2-fluorophenyl), -NHC(0)CH2NHCH(CH3)phenyl,
-NHC(0)(2-fluoro-6-methoxyphenyl), -NHC(0)CH2NH(2-isopropylphenyl),
-NHC(0)CH2CH2(2-methoxyphenyl), -NHC(0)CH2CH2CH(CH3)2,
-NHC(0)CH2(2-phenyl-morpholin-4-yl), -NHC(0)CH2CH2(4-methoxyphenyl),
-NHC(0)CH2N(allyl)cyclopentyl, -NHC(0)CH2N(CH3)CH2CH2OCH3,
-NHC(0)CH2CH2C(0)cyclopropyl, -NHC(0)CH2NH(3-tert-butylphenyl),
-NHC(0)CH2N(n-propyl)(cyclopropylmethyl), -NHC(0)CH2(2-oxo-cyclopentyl), -NHC(0)CH2NH(4-chlorophenyl), -NHC(0)CH2(4-piperidin- 1 -ylpiperidin- 1 -yl),
-NHC(0)CH2(4-cyclopentylpiperazin- 1 -yl), -NHC(0)CH2(2-methylphenyl),
-NHC(0)CH2NHCH2(3-fluoro-6-methylphenyl), -NHC(0)CH2C(CH3)3,
-NHC(0)CH2NH(2-chlorophenyl), -NHC(0)(3-fluoro-6-methylphenyl),
-NHC(0)(4-fluoro-3-methylphenyl), -NHC(0)(2,3-dichlorophenyl),
-NHC(0)CH20phenyl, -NHC(0)CH2NH(2,3-dimethylphenyl),
-NHC(0)(2-fluoro-5-methylphenyl), -NHC(0)CH2NHOCH2(4-methylphenyl), -NHC(0)CH2(4-isopropylpiperazin- 1 -yl), -NHC(0)CH2(4-fluorophenyl),
-NHC(0)CH2CH(CH3)2, -NHC(0)(2-methoxy-4-inethylphenyl),
-NHC(0)CH2(4-w-propylpiperidin- 1 -yl), -NHC(0)CH20(3-methylphenyl),
-NHC(0)(tetrahydrofuran-2-yl), -NHC(0)CH2(3-hydroxymethylpiperidin- 1 -yl),
-NHC(0)(1 -tert-butoxycarbonylpiperidin-2-yl), -NHC(0)CH2N(CH3)CH2(pyridin-3-yl), - NHC(0)CH2N(CH2CH3)phenyl, -NHC(0)CH2OCH2CH2OCH3,
-NHC(0)CH2CH2(cyclopentyl), -NHC(0)(2,5-dichlorophenyl),
-NHC(0)CH2(4-methylcarbonylpiperazin- 1 -yl), -NHC(0)(5-fluoro-2-methoxyphenyl), -NHC(0)CH2N(CH2CH3)cyclohexyl, -NHC(0)(5 -methyl- 1 ,2-oxazol-3-yl),
-NHC(0)(3-methylpyridin-3-yl), -NHC(0)(2-methoxypyridin-3-yl),
-NHC(0)(3,5-dichlorophenyl), -NHC(0)CH2(thiazolidin3-yl),
-NHC(0)CH2(4-[C(0)H]-piperazin-l-yl), -NHC(0)CH2(2-pyridin-4-ylpiperidin-l-yl), -NHC(0)(2-methoxyphenyl), -NHC(0)CH2N(CH3)CH2CH(CH3)2,
-NHC(0)CH2(4- [C(0)H] -homopiperazin- 1 -yl), -NHC(0)( 1 -phenylcycloprop- 1 -yl),
-NHC(0)CH2(2,6-dimethylmorpholin-4-yl), NHC(0)CH2(2-phenylpyrrolidin- 1 -yl),
-NHC(0)CH2(morpholin-4-yl), -C(0)NHCH(CH3)CH2N(CH3)2, -C(0)NHCH2CH2N(CH3)2, -C(0)NH(pyrrolidin-3-yl), -C(0)NHCH2CH2(pyrrolidin- 1 -yl), -C(0)NHCH2CH2NH2, -C(0)N(CH3)CH2CH2N(CH3)2, -C(0)NHCH2(piperidin-2-yl),
-C(0)NH(l-methylazetidin-3-yl), -C(0)NHCH2CH2(piperidin-l-yl),
-C(0)NHCH2CH2N(CH2CH3)2, -C(0)NH( 1 -methylpiperidin-3-yl), -C(0)NH(piperidin-3-yl), -C(0)NHCH2( 1 -methylpiperidin-3-yl), -C(0)NHCH2CH2N(CH2CH2OH)2,
-C(0)NH(l-ethylpiperidin-3-yl), -C(0)NH2, -C(0)(3-aminopyrrolidin-l-yl),
-C(0)(3-methylaminopyrrolidin- 1 -yl), -C(0)OH, -C(0)NHCH2CH2(morpholin-4-yl), -C(0)NHCH2(l-ethylpyrrolidin-2-yl), -C(0)(4-amino-3-oxo-pyrazolidin-l-yl),
-C(0)NHCH3, -C(0)(3-aminocyclobut-l-yl), -C(0)NHCH2(pyridin-3-yl),
-C(0)NHCH2CH2OH, -C(0)NH(3-oxo-pyrazolidin-4-yl), -NHCH2CH2(imidazol-4-yl), -C(0)(3-dimethylaminopyrrolidin- 1 -yl), -C(0)NHCH2(pyridin-4-yl),
-C(0)N(CH3)(1 -methyl-pyrrolidin-3-yl), -C(0)(3-diethylaminopyrrolidin-l -yl),
-C(0)NH(pyrrol-l -yl), -C(0)NHCH2CH2CH2(pyrrolidin-l-yl), -C(0)N(CH3)CH2CH2CN, -C(0)NHCH2CH2OCH3, -C(0)N(CH2CH3)CH2CH2CN, -C(0)(3-aminopiperidin-l-yl), -C(0)NHCH2CH2CH2N(CH3)2, -C(0)NH(morpholin-4-yl), -C(0)NHN(CH3)2,
-C(0)NHCH2CH2CH2(imidazol- 1 -yl), -C(0)NHCH2CH2CH2N(CH2CH3)2,
-C(0)NHCH2CH2CN, -C(0)NHCH2CH2C(0)OCH3, -C(0)NHCH2CH2SCH3,
-C(0)NHCH2CH2SCH2CH3, -C(0)N(CH2CH3)CH2CH2N(CH3)2,
-C(0)NHCH2CH2CH2(2-oxo-pyrrolidin- 1 -yl), -C(0)NHCH2CH2(pyridin-4-yl),
-C(0)NHCH2CH2CH2OCH2CH3, -C(0)NHCH2CH2CH2(morpholin-4-yl),
-C(0)NHCH2CH2CH2OCH3, -C(0)N(CH3)CH2CH2CH2N(CH3)2,
-C(0)NHCH2CH2CH2OCH2CH2CH3, -C(0)NHCH2CH2C(0)OCH2CH3,
-C(0)NHCH2CH2CH2OCH(CH3)2, -C(0)NHC(CH3)2CH2(piperidin- 1 -yl),
-C(0)N(CH3)CH2CH2CH3, -C(0)NH(piperidin- 1 -yl), -C(0)NHCH(CH3)CH2OCH3,
-C(0)NHC(CH3)2CH2(morpholin-4-y 1), -C(0)(2-dimethylaminomethylpiperidin- 1 -yl), -C(0)NH(CH2)30(CH2)3CH3, -C(0)NHCH(CH3)(CH2)3N(CH2CH3)2,
-C(0)NHC(CH3)2C(0)(piperidin-l-yl), -C(0)(4-methylpiperazin-l-yl), -C(0)(2-piperidin- 1-ylmethyl-piperidin-l-yl), cyano, -NHCH3, -CH(CH3)NHCH2CH2N(CH3)2, -C(0)CH3, -S(0)2NHCH2CH2N(CH3)2, -S(0)2NH(CH2)3N(CH3)2, 5-(N,N-dimethylaminomethyl)- l,3,4-oxadiazol-2-yl, -NHCH2CH2N(CH3)2, -N(CH3)2, -OCH2CH2N(CH3)2,
-NHC[N(CH3)2][=N(CH3)2], -OCHF2, -CF3, -S(0)2CH3, -OCF3, -NHC(0)CH2(4- dimethylaminopiperidin-l-yl), or methoxy.
[00111] In another embodiment (P), R3 is independently halo, alkyl, hydroxyamino, -N(R7)C(0)-Ci-C6-alkylene-N(R7a)(R7b), -C(0)NR8R8a , -NR9C(0)R9a, -C(O)N(R10)-Ci-C6- alkylene-NCR^^R'^-NR1 'CCOiNR1 lb, -N(R22)C(0)-Ci-C6-alkylene-N(R22b)- N(R22c)(R22a), -NR13C(0)OR13a, -N(R18)C(0)-Ci-C6-alkylene-N(R18 )C(0)R18a , -NR2 C(0)- d.Ce-alkylene-OR243, or -N(R20)C(O)-Ci-C6-alkylene-C(O)R20a; where each of the alkylene in R3 is independently optionally further substituted with 1, 2, 3, 4, or 5 groups selected from halo, hydroxy, and amino; and all other groups are as defined in the Summary of the
Invention. In another embodiment, each R3 is independently methyl, chloro,
-NHC(0)CH2NH(CH3), -NHC(0)CH(CH3)NH2, -NHC(0)C(CH3)2NH2,
-NHC(0)CH2N(CH3)2, -NHC(0)CH2N(CH3)CH2CH2N(CH3)2, -NHC(0)CH(NH2)CH2CH3, -NHC(0)CH2N(CH3)CH2CH2N(CH3)2, -NHC(0)CH(CH3)NH(CH3), -NHC(0)H,
-NHC(0)CH2(azetidin- 1 -yl), -NHC(0)(pyrrolidin-2-yl), -NHC(0)CH(NH2)CH2OH, -NHC(0)(azetidin-4-yl), -NHC(0)C(CH3)2NH(CH3), -NH2, -NHC(0)CH2NH(CH2CH2CH3), -NHC(0)CH2CH2NH2, -NHOH, or -NHC(0)(piperidin-3-yl).
[00112] In another embodiment (Q), R3 is alkyl or
-N(R7)C(0)-Ci-C6-alkylene-N(R7a)(R7b); and R7 is hydrogen or alkyl and R7a and R7b are independently hydrogen, alkyl, aminoalkyl, alkylaminoalkyl, or dialkylaminoalkyl; and all
other groups are as defined in the Summary of the Invention. In another embodiment, each R3 is independently methyl, -NHC(0)CH2NH(CH3), -NHC(0)CH(CH3)NH2,
-NHC(0)C(CH3)2NH2, -NHC(0)-CH2N(CH3)2, -NHC(0)CH2N(CH3)CH2CH2N(CH3)2,
-NHC(0)CH(NH2)CH2CH3, -NHC(0)CH2N(CH3)CH2CH2N(CH3)2, or
-NHC(0)CH(CH3)NH(CHj).
[00113] In another embodiment (R), B is phenyl, R is not present or R is halo, alkyl, or alkoxy; R3a is -C(0)NR8R8a, -NR9C(0)R9a, -N(R7)C(0)-Ci-C6-alkylene-N(R7a)(R7 ), or -C(O)N(R10)-Ci-C6-alkylene-N(R10a)R10b where each of the alkylene in R3a is independently optionally further substituted with 1, 2, 3, 4, or 5 groups selected from halo, hydroxy, and amino; and all other groups are as defined in the Summary of the Invention.
[00114] In another embodiment (Rl) of embodiment R, R50, R52, and R53 are hydrogen and R54 is halo or alkoxy; R50, R52, and R54 are hydrogen and R53 is alkoxy; or R50 and R52 are hydrogen and R53 and R54 together with the carbons to which they are attached form a 6-membered heteroaryl; and all other groups are as defined in the Summary of the Invention. In another embodiment, Rso, R52, and R53 are hydrogen and R54 is halo or alkoxy; or R50, R52, and R54 are hydrogen and R53 is alkoxy.
[00115] In another embodiment of (R2) of embodiment R, R51 is methyl. Compounds of Formula la
[001 6] In another embodiment, the compound of Formula I is a compound of Formula la:
la
or a pharmaceutically acceptable salt thereof, wherein:
R50 is hydrogen;
R51is methyl;
R52 is hydrogen;
R53 is hydrogen or alkoxy; and
R54 is hydrogen, alkyl, alkoxy, or halo; or R53 and R54 together with the carbons to which they are attached form a 6-membered heteroaryl; and
R3 is halo or methyl; and
R3a is -N(R7)C(0)-C1-C -alkylene-N(R7a)(R7b) where R7 is hydrogen and R7a and Rn are independently hydrogen, alkyl, aminoalkyl, alkylaminoalkyl, or
dialkylaminoalkyl.
[00117] In one embodiment of the compound of Formula la, R51 is methyl; and R50, R52, and R53 are hydrogen and R54 is halo or alkoxy or R50, R52, and R54 are hydrogen and R53 is alkoxy; or a single stereoisomer or mixture of stereoisomers thereof.
[00118] In another embodiment, R3a is -NHC(0)CH2NH(CH3), -NHC(0)CH(CH3)NH2,
-NHC(0)C(CH3)2NH2, -NHC(0)-CH1N(CH3)2, -NHC(0)CH2N(CH3)CH2CH2N(CH3)2,
-NHC(0)CH(NH2)CH2CH3, -NHC(0)CH2N(CH3)CH2CH2N(CH3)2, or
-NHC(0)CH(CH3)NH(CH3).
[00119] In another embodiment, the compound of Formula la is:
Compound A
or a tautomer, zwitterion, or pharmaceutically salt thereof.
Additional Embodiments
[00121] In one embodiment, the invention provides a method of treating a childhood cancer in a patient, comprising administering to the patient an effective amount of Compound A.
[00122] In another embodiment, the Compound A as a capsule or tablet pharmaceutical composition.
[00123] In another embodiment, Compound A is administered as a capsule consisting of Size 0 capsules filled with drug substance only. There are no additional excipients other than the capsule gelatin and coloring agents. The composition of the hard gelatin capsule shell and color demarcation are presented in the table below.
Gelatin Capsule Composition
Swedish Orange Opaque Capsule
Component (for 100-mg strength)
FDA/El 71 titanium dioxide 0.4902%
FDA/El 72 red iron dioxide 1.4706%
Gelatin qsp 100%
FDA, Food and Drug Administration; qsp, quantity sufficient for 100%.
[00124] In another embodiment, Compound A is administered as a tablet. The tablet strength will be distinguishable by shape and/or size. The tablet formulation contains N-(3- { [(3 - { [2-chloro-5 -(methoxy)phenyl] amino } quinoxalin-2-yl)amino] sulfonyl } phenyl)-2- methylalaninamide, silicified microcrystalline cellulose, partially pregelatinized maize starch, sodium starch glycolate, hypromellose, colloidal silicon dioxide, stearic acid, and magnesium stearate. All three tablet strengths are manufactured from a common blend with the composition listed in the following Table.
Composition of the Compound 100-, 150-, and 200-mg Tablets
Ingredient Batch Formula (% w/w)
Compound A 50.00
Silicified Microcrystalline Cellulose 14.75
Partially Pregelatinized Maize Starch 20.00
Sodium Starch Glycolate 7.00
Hypromellose 2910 6.00
Colloidal Silicon Dioxide 1.00
Stearic Acid 1.00
Magnesium Stearate 0.25
Purified Water a
ίΓ Essentially removed during manufacture.
General Administration
[00125] In one aspect, the invention provides pharmaceutical compositions comprising an inhibitor of the PBKs of Formula I or la and a pharmaceutically acceptable carrier, excipient, or diluent. In certain other specific embodiments, administration is by the oral route.
Administration of the compounds of Formula I or la, or their pharmaceutically acceptable salts, in pure form or in an appropriate pharmaceutical composition, can be carried out via any of the accepted modes of administration or agents for serving similar utilities. Thus, the Compound of Formula I or la can be administered in the same or separate vehicles.
Administration can be, for example, orally, nasally, parenterally (intravenous, intramuscular, or subcutaneous), topically, transdermally, intravaginally, intravesically, intracistemally, or rectally, in the form of solid, semi-solid, lyophilized powder, or liquid dosage forms, such as for example, tablets, suppositories, pills, soft elastic and hard gelatin capsules, powders, solutions, suspensions, or aerosols, or the like, specifically in unit dosage forms suitable for simple administration of precise dosages.
[00126] The compositions will include a conventional pharmaceutical carrier or excipient and a Compound of Formula I or la as the/an active agent.
[00127] Adjuvants include preserving, wetting, suspending, sweetening, flavoring, perfuming, emulsifying, and dispensing agents. Prevention of the action of microorganisms can be ensured by various antibacterial and antifungal agents, for example, parabens, chlorobutanol, phenol, sorbic acid, and the like. It may also be desirable to include isotonic agents, for example sugars, sodium chloride, and the like. Prolonged absorption of the injectable pharmaceutical form can be brought about by the use of agents delaying absorption, for example, aluminum monostearate and gelatin.
[00128] If desired, a pharmaceutical composition of the invention may also contain minor amounts of auxiliary substances such as wetting or emulsifying agents, pH buffering agents, antioxidants, and the like, such as, for example, citric acid, sorbitan monolaurate, triethanolamine oleate, butylated hydroxytoluene, etc.
[00129] The choice of formulation depends on various factors such as the mode of drug administration (e.g., for oral administration, formulations in the form of tablets, pills or capsules) and the bioavailability of the drug substance. Recently, pharmaceutical formulations have been developed especially for drugs that show poor bioavailability based upon the principle that bioavailability can be increased by increasing the surface area i.e., decreasing particle size. For example, U.S. Pat. No. 4,107,288 describes a pharmaceutical formulation having particles in the size range from 10 to 1,000 nm in which the active material is supported on a crosslinked matrix of macromolecules. U.S. Pat. No. 5,145,684 describes the production of a pharmaceutical formulation in which the drug substance is pulverized to nanoparticles (average particle size of 400 nm) in the presence of a surface modifier and then dispersed in a liquid medium to give a pharmaceutical formulation that exhibits remarkably high bioavailability.
[00130] Compositions suitable for parenteral injection may comprise physiologically acceptable sterile aqueous or nonaqueous solutions, dispersions, suspensions or emulsions, and sterile powders for reconstitution into sterile injectable solutions or dispersions.
Examples of suitable aqueous and nonaqueous carriers, diluents, solvents or vehicles include water, ethanol, polyols (propyleneglycol, polyethyleneglycol, glycerol, and the like), suitable mixtures thereof, vegetable oils (such as olive oil) and injectable organic esters such as ethyl oleate. Proper fluidity can be maintained, for example, by the use of a coating such as lecithin, by the maintenance of the required particle size in the case of dispersions and by the use of surfactants.
[00131] One specific route of administration is oral, using a convenient daily dosage regimen that can be adjusted according to the degree of severity of the disease-state to be treated.
[00132] Solid dosage forms for oral administration include capsules, tablets, pills, powders, and granules. In such solid dosage forms, the active compound is admixed with at least one inert customary excipient (or carrier) such as sodium citrate or dicalcium phosphate or (a) fillers or extenders, as for example, starches, lactose, sucrose, glucose, mannitol, and silicic acid, (b) binders, as for example, cellulose derivatives, starch, alignates, gelatin, polyvinylpyrrolidone, sucrose, and gum acacia, (c) humectants, as for example, glycerol, (d)
disintegrating agents, as for example, agar-agar, calcium carbonate, potato or tapioca starch, alginic acid, croscarmellose sodium, complex silicates, and sodium carbonate, (e) solution retarders, as for example paraffin, (f) absorption accelerators, as for example, quaternary ammonium compounds, (g) wetting agents, as for example, cetyl alcohol, and glycerol monostearate, magnesium stearate and the like (h) adsorbents, as for example, kaolin and bentonite, and (i) lubricants, as for example, talc, calcium stearate, magnesium stearate, solid polyethylene glycols, sodium lauryl sulfate, or mixtures thereof. In the case of capsules, tablets, and pills, the dosage forms may also comprise buffering agents.
[00133] Solid dosage forms as described above can be prepared with coatings and shells, such as enteric coatings and others well known in the art. They may contain pacifying agents, and can also be of such composition that they release the active compound or compounds in a certain part of the intestinal tract in a delayed manner. Examples of embedded compositions that can be used are polymeric substances and waxes. The active compounds can also be in microencapsulated form, if appropriate, with one or more of the above-mentioned excipients.
[00134] Liquid dosage forms for oral administration include pharmaceutically acceptable emulsions, solutions, suspensions, syrups, and elixirs. Such dosage forms are prepared, for example, by dissolving, dispersing, etc., a compound(s) of the invention, or a
pharmaceutically acceptable salt thereof, and optional pharmaceutical adjuvants in a carrier, such as, for example, water, saline, aqueous dextrose, glycerol, ethanol and the like;
solubilizing agents and emulsifiers, as for example, ethyl alcohol, isopropyl alcohol, ethyl carbonate, ethyl acetate, benzyl alcohol, benzyl benzoate, propyleneglycol,
1,3-butyleneglycol, dimethylformamide; oils, in particular, cottonseed oil, groundnut oil, corn germ oil, olive oil, castor oil and sesame oil, glycerol, tetrahydrofurfuryl alcohol,
polyethyleneglycols and fatty acid esters of sorbitan; or mixtures of these substances, and the like, to thereby form a solution or suspension.
[00135] Suspensions, in addition to the active compounds, may contain suspending agents, as for example, ethoxylated isostearyl alcohols, polyoxyethylene sorbitol and sorbitan esters, microcrystalline cellulose, aluminum metahydroxide, bentonite, agar-agar and tragacanth, or mixtures of these substances, and the like.
[00136] Compositions for rectal administrations are, for example, suppositories that can be prepared by mixing the compounds of the present invention with for example suitable non- irritating excipients or carriers such as cocoa butter, polyethyleneglycol or a suppository wax,
which are solid at ordinary temperatures but liquid at body temperature and therefore, melt while in a suitable body cavity and release the active component therein.
[00137] Dosage forms for topical administration of a compound of this invention include ointments, powders, sprays, and inhalants. The active component is admixed under sterile conditions with a physiologically acceptable carrier and any preservatives, buffers, or propellants as may be required. Ophthalmic formulations, eye ointments, powders, and solutions are also contemplated as being within the scope of this invention.
[00138] Compressed gases may be used to disperse a compound of this invention in aerosol form. Inert gases suitable for this purpose are nitrogen, carbon dioxide, etc.
[00139] Generally, depending on the intended mode of administration, the
pharmaceutically acceptable compositions will contain about 1% to about 99% by weight of a compound(s) of the invention, or a pharmaceutically acceptable salt thereof, and 99% to 1% by weight of a suitable pharmaceutical excipient. In one example, the composition will be between about 5% and about 75% by weight of a compound(s) of the invention, or a pharmaceutically acceptable salt thereof, with the rest being suitable pharmaceutical excipients.
[00140] Actual methods of preparing such dosage forms are known, or will be apparent, to those skilled in this art; for example, see Remington's Pharmaceutical Sciences, 18th Ed., (Mack Publishing Company, Easton, Pa., 1990). The composition to be administered will, in any event, contain an effective amount of a compound of the invention, or a pharmaceutically acceptable salt thereof, for treatment of a disease-state in accordance with the teachings of this invention.
[00141] In the pharmaceutical compositions disclosed herein, the compounds of Formula I or la, or their pharmaceutically acceptable salts or solvates, are administered in an effective amount which will vary depending upon a variety of factors including the activity of the specific compound employed, the metabolic stability and length of action of the compound, the age, body weight, general health, sex, diet, mode and time of administration, rate of excretion, drug combination, the severity of the particular disease-states, and the host undergoing therapy. The compounds of Formula I or la can be administered to a patient at dosage levels in the range of about 0.1 to about 1,000 mg per day, or in the range of 50 to 400 mg per day ,100 mg to 800 mg per day, or in the range of 100 mg to 350 mg per day, or in the range of 200 to 700 mg per day, or in the range of 150 mg to 300 mg per day, or in the range of 300 to 600 mg per day.
[00142] For a normal human adult having a body weight of about 70 kilograms, a dosage in the range of about 0.01 to about 100 mg per kilogram of body weight per day is an example. The specific dosage used, however, can vary. For example, the dosage can depend on a number of factors including the requirements of the patient, the severity of the condition being treated, and the pharmacological activity of the compound being used. The
determination of optimum dosages for a particular patient is well known to one of ordinary skill in the art. If formulated as a fixed dose, such combination products employ the compounds of this invention within the dosage range described above and the other pharmaceutically active agent(s) within approved dosage ranges. Compounds of Formula I or la may alternatively be used sequentially with known pharmaceutically acceptable agent(s) when a combination formulation is inappropriate.
[00143] For a normal human adult having a body weight of about 70 kilograms, a dosage in the range of about 0.01 to about 100 mg per kilogram of body weight per day is an example. The specific dosage used for children will generally be lower due to the smaller size and weight of children, and the doses can be adjusted according to size and weight factors, as well as additional factors. For example, the dosage can depend on additional factors including the requirements of the child, the severity of the condition being treated, and the pharmacological activity of the compound being used. The determination of optimum dosages for a particular child is well known to one of ordinary skill in the art. If formulated as a fixed dose, such combination products employ the compounds of this invention within the dosage range described above and the other pharmaceutically active agent(s) within approved dosage ranges. Compounds of Formula I or la may alternatively be used sequentially with known pharmaceutically acceptable agent(s) when a combination formulation is inappropriate.
General Synthesis
Synthesis of Compounds of Formula I
[00144] The starting materials and reagents used in preparing these compounds are either available from commercial suppliers such as Aldrich Chemical Co. (Milwaukee, Wis.), or Bache (Torrance, Calif.), or are prepared by methods known to those skilled in the art following procedures set forth in references such as Fisher and Fisher's Reagents for Organic Synthesis, Volumes 1-17 (John Wiley and Sons, 1991); Rod's Chemistry of Carbon
Compounds, Volumes 1-5 and Supplemental (Elsevier Science Publishers, 1989); Organic Reactions, Volumes 1-40 (John Wiley and Sons, 1991), March's Advanced Organic
Chemistry, (John Wiley and Sons, 4th Edition) and Larch's Comprehensive Organic
Transformations (VICHY Publishers Inc., 1989). These schemes are merely illustrative of some methods by which the compounds of this invention can be synthesized, and various modifications to these schemes can be made and will be suggested to one skilled in the art having referred to this disclosure. The starting materials and the intermediates of the reaction may be isolated and purified if desired using conventional techniques, including but not limited to filtration, distillation, crystallization, chromatography and the like. Such materials may be characterized using conventional means, including physical constants and spectral data.
[00145] Unless specified to the contrary, the reactions described herein take place at atmospheric pressure and over a temperature range from about -78 °o to about 150 °o, in another embodiment from about 0 co. to about 125 co and most specifically at about room (or ambient) temperature, e.g., about 20 co. Unless otherwise stated (as in the case of a hydrogenation), all reactions are performed under an atmosphere of nitrogen.
[00146] Prodrugs can be prepared by techniques known to one skilled in the art. These techniques generally modify appropriate functional groups in a given compound. These modified functional groups regenerate original functional groups by routine manipulation or in vivo. Amides and esters of the compounds of the present invention may be prepared according to conventional methods. A thorough discussion of prodrugs is provided in T. Higuchi and V. Stella, "Pro-drugs as Novel Delivery Systems," Vol 14 of the A.C.S.
Symposium Series, and in Bioreversible Carriers in Drug Design, ed. Edward B. Roche, American Pharmaceutical Association and Pergamon Press, 1987, both of which are incorporated herein by reference for all purposes.
[00147] The compounds of the invention, or their pharmaceutically acceptable salts, may have asymmetric carbon atoms or quaternized nitrogen atoms in their structure. Compounds of Formula I that may be prepared through the syntheses described herein may exist as single stereoisomers, racemates, and as mixtures of enantiomers and diastereomers. The compounds may also exist as geometric isomers. All such single stereoisomers, racemates and mixtures thereof, and geometric isomers are intended to be within the scope of this invention.
[00148] Some of the compounds of the invention may exist as tautomers. For example, where a ketone or aldehyde is present, the molecule may exist in the enol form; where an amide is present, the molecule may exist as the imidic acid; and where an enamine is present, the molecule may exist as an imine. All such tautomers are within the scope of the invention, and to the extent that one structure is used to depict a compound, it includes all such tautomeric forms.
[00149] Thus, compounds of Formula I
can exist as tautomers. In particular, ring B in the Compound of Formula I or B can be 2- hydroxy-pyridinyl, also described as its structure:
14.
Both 2-hydroxy-pyridinyl and the above structure 14 include, and are equivalent to, pyridin- 2(lH)-one and its structure 15:
15.
Regardless of which structure or which terminology is used, each tautomer is included within the scope of the Invention.
[00150] For example, one tautomer of Compound A is Compound A-l :
Compound A-l
Compound A-2
Compound A-2 is named N-(3-{[(2Z)-3-[(2-chloro-5-methoxyphenyl)amino]quinoxalin. 2(lH)-ylidene]sulfamoyl}phenyl)-2-methylalaninamide.
[00152] As would be understood by a skilled practitioner, tautomeric forms can
interconv t.
[00153] Moreover, intermediates leading to Compounds of Formula I, as well as
Compounds of Formula I themselves, can be recovered as uncharged or zwitterionic molecules, or cationic salts such a sodium or potassium, depending on the substitutions on the B ring and on reaction conditions. All such zwitterionic forms are within the scope of the invention, and to the extent that one structure is used to depict a zwitterionic compound, it includes all such zwitterionic forms.
[00154] For example, one zwitterionic form of Com ound A is Compound A-3
Compound A-3
Compound A-4
[00156] Another zwitterionic depiction of Compound A is Compound A-5.
Compound A-5
[00157] As would be understood by a skilled practitioner, tautomeric forms can interconvert.
[00158] Moreover, interconversion can also exist between the uncharged tautomeric forms and the zwitterionic forms.
and the associated terms "Compound A" and "N-(3-{[(3-{[2-chloro-5- (methoxy)phenyl]amino}quinoxalin-2-yl)amino]sulfonyl}phenyl)-2-methylalaninamide" encompass all possible tautomeric and zwitterionic forms of the compound.
[00160] The present invention also includes N-oxide derivatives and protected derivatives of compounds of Formula I. For example, when compounds of Formula I contain an oxidizable nitrogen atom, the nitrogen atom can be converted to an N-oxide by methods well known in the art. When compounds of Formula I contain groups such as hydroxy, carboxy, thiol or any group containing a nitrogen atom(s), these groups can be protected with a suitable "protecting group" or "protective group." A comprehensive list of suitable protective
groups can be found in T.W. Greene, Protective Groups in Organic Synthesis, John Wiley & Sons, Inc. 1991, the disclosure of which is incorporated herein by reference in its entirety. The protected derivatives of compounds of Formula I can be prepared by methods well known in the art.
[00161] Methods for the preparation and/or separation and isolation of single
stereoisomers from racemic mixtures or non-racemic mixtures of stereoisomers are well known in the art. For example, optically active (R)- and (S)- isomers may be prepared using chiral synthons or chiral reagents, or resolved using conventional techniques. Enantiomers (R- and S-isomers) may be resolved by methods known to one of ordinary skill in the art, for example by: formation of diastereoisomeric salts or complexes which may be separated, for example, by crystallization; via formation of diastereoisomeric derivatives which may be separated, for example, by crystallization, selective reaction of one enantiomer with an enantiomer-specific reagent, for example enzymatic oxidation or reduction, followed by separation of the modified and unmodified enantiomers; or gas-liquid or liquid
chromatography in a chiral environment, for example on a chiral support, such as silica with a bound chiral ligand or in the presence of a chiral solvent. It will be appreciated that where a desired enantiomer is converted into another chemical entity by one of the separation procedures described above, a further step may be required to liberate the desired
enantiomeric form. Alternatively, specific enantiomer may be synthesized by asymmetric synthesis using optically active reagents, substrates, catalysts or solvents or by converting on enantiomer to the other by asymmetric transformation. For a mixture of enantiomers, enriched in a particular enantiomer, the major component enantiomer may be further enriched (with concomitant loss in yield) by recrystallization.
[00162] In addition, the compounds of the present invention can exist in unsolvated as well as solvated forms with pharmaceutically acceptable solvents such as water, ethanol, and the like. In general, the solvated forms are considered equivalent to the unsolvated forms for the purposes of the present invention.
[00163] In the examples that follow, unless otherwise specified, the final form of the compound was assumed to be the uncharged molecule in the absence of analytical techniques that would have determined otherwise. Compounds of Formula I can be prepared using methods known to one of ordinary skill in the art or starting from the Compound of formula 1 as depicted in Scheme 1 below. Compounds of formula I can be prepared starting from compound 1 by fusion of appropriate reagents at 180 °C in the presence of a base such as
K2C03 and metallic copper is known to provide intermediates of formula 1 (see S. H.
Dandegaonker and C. K. Mesta, J Med. Chem. 1965, 8, 884).
Scheme 1
[00164] Referring again to Scheme 1 , an intermediate of formula 3 can be prepared by briefly heating an appropriately substituted quinoxaline (for example, commercially available 2,3-dichloroquinoxaline) and an appropriately substituted sulfonamide of formula 2
(which are commercially available or can be prepared by one of ordinary skill in the art), a base such as K2CO3, in a solvent, such as DMF or DMSO. Upon completion (about 2 hours), the reaction mixture is then poured into water and followed by 2 N HCl. The product is then extracted into a solvent such as ethyl acetate and washed with water and brine. The organic layers are combined and dried over a drying agent such as sodium sulfate, filtered, and concentrated under vacuum to provide a compound of formula 3.
[00165] The intermediate of formula 3 is then treated with an intermediate of formula 4 in a solvent such as DMF or p-xylene at reflux temperature. Upon completion of the reaction (about 16 hours or less), the reaction is allowed to cool, extracted into DCM, washed with 2 N HCl and brine, dried over a drying agent such as sodium sulfate or magnesium sulfate, filtered, and concentrated to give a compound of Formula I.
[00166] Alternatively, other methods to prepare quinoxaline derivatives are known to one skilled in the art and include, but are not limited to S. V. Litvinenko, V. I. Savich, D. D. Bobrovnik, Chem. Heterocycl. Compd. (Engl. Transl), 1994, 30, 340 and W. C. Lumma, R. D. Hartman, J. Med. Chem. 1981, 24, 93.
[00167] Compounds of Formula I where B is phenyl substituted with R3a where R3a is alkylamino or dialkylamino or B is heteroaryl substituted with R where R is amino, alkylamino, or dialkylamino, and all other groups are as defined in the Summary of the Invention can be prepared according to Scheme 2.
5 1(C)
In Scheme 2, LG is a leaving group such as chloro. Compound 5 is reacted with
NHRaRb or HO-Ci-C6-alkylene-NHRaRb where Ra and Rb are independently hydrogen or alkyl. The reaction is carried out in the presence of a base, such as KHC03, in a solvent such as DMF.
[00168] Compounds of Formula I where B is phenyl substituted with R3a where R3a is aminoalkyloxy, alkylaminoalkyloxy, or dialkylaminoalkyloxy or B is heteroaryl substituted with R3 where R3 is aminoalkyloxy, alkylaminoalkyloxy, or dialkylaminoalkyloxy, and all other groups are as defined in the Summary of the Invention can be prepared according to Scheme 3.
Scheme 3
2. '<C)
[00169] The reaction is carried out in the presence of a base such as NaH in a solvent such as DMF.
[00170] Compounds of Formula I where B is phenyl substituted with R3a or B is heteroaryl substituted with R3 where R3a and R3 are
i. -N(R7)C(0)-C1-C6-alkylene-N(R7a)(R7b) where R7, R7a, and R7b are as defined in the Summary of the Invention;
ii. -NR9C(0)R9a where R9 is as defined in the Summary of the Invention;
iii. -NRnC(0)NR' laR1 tb where Rl la, R1 la, and Rl lb are as defined in the Summary of the Invention;
iv. -NR13C(0)OR13a where R13 and R13a are as defined in the Summary of the
Invention;
v. -N(R18)C(0)-C1-C6-alkylene-N(R18b)C(0)R18a where R18, R18a, and R18b are as
defined in the Summary of the Invention;
vi. -N(R20)C(O)-Ci-C6-alkylene-C(O)R20a where R20 and R 0a as defined in the
Summary of the Invention;
vii. -NR 1S(0)2-C1-C6-alkylene-N(R21b)R 1a where R21, R21a, and R21b are as defined in the Summary of the Invention;
viii. -N(R22)C(O)-C0-C6-alkylene-N(R22b)-N(R22c)(R 2a), where R22, R22a and R22b are as defined in the Summary of the Invention;
ix. -NR24C(0)-C 1-C6-alkylene-OR24a where R24 and R24a are as defined in the Summary of the Invention; and where the alkylene in R3 and R3a are independently optionally substituted as described in the Summary of the Invention can be prepared according to Scheme 4 by reacting with an intermediate of formula 9(a), 9(b), 9(c), 9(d), 9(e), 9(f), or 9(g):
4. 9(a) HOC(0)-Ci-C6-alkylene-N(R7a)(R7b) where Ra is R7a or a N-protecting group, such as Boc or Fmoc;
5. 9(b) HOC(0)R9a;
6. 9(c) HOC(0)NRl laRl lb;
7. 9(d) HOC(0)ORI3a;
8. 9(e) HOC(0)-C1-C6-alkylene-N(R18b)C(0)R18a;
9. 9(f) HOC(O)-Ci-C6-alkylene-C(O)R20a;
10. 9(g) LG-S(0)2-Ci.C6-alkylene-N(R21b)Ra where Ra is R21a or a N-protecting group, such as Boc or Fmoc.
Scheme 4
1(e)
. 8
[00171] In Scheme 4, R100 in Scheme 4 is -C(0)R9a, -C(0)NR' lb, -C(0)OR13a, -C(O)- Ci-C6-alkylene-N(R18b)C(0)R18a, -C(O)-C1-C6-alkylene-C(O)R20a, or -SCOk-C -alkylene- N(R21b)Ra. The reaction is carried out under standard amide coupling conditions known to one of ordinary skill in the art. In particular, the reaction is carried out in the presence of a coupling agent such as HATU, a base such as DIEA, and in a solvent such as DMF. Where applicable, the N-protecting group is then removed using procedures known to one of ordinary skill in the art, such as treating with acid where PG is Boc.
[00172] Proceeding as described for Scheme 4, compounds of the invention where B is phenyl substituted with R3 or B is heteroaryl substituted with R3 where R3a and R3 are
i. -C(0)NR8R8a;
ii. -C(O)N(R10)-C1-C6-alkylene-N(R10a)R10b;
111. -C(0)R12 where R12 is an N-substituted heterocycloalkyl;
iv. -C(0)N(R14)N(R,4a)(R14b);
v. -C(0)N(R16)-Ci-C6-alkylene-C(0)OR16a; or
vi. -C(0)N(R19)-Ci-C6-alkylene-C(0)R19a; or
can be prepared by exchanging the starting materials as necessary. In particular, the intermediate of formula 11 :
11
is used instead of 8.
[00173] Compounds of Formula I where B is phenyl substituted with R a or B is heteroaryl substituted with R3 where R3a and R3 are -NHC(0)CH2NR7aR7b where R7a and R7b are as defined in the Summary of the Invention can be prepared according to Scheme 5.
Scheme 5
12 l(f) LG is a leaving group such as bromo or chloro. 12 is reacted with NH(R7b)R7a in the presence of a base, such as DIEA, in a solvent such as ACN.
[00174] Compounds of Formula I can be prepared according to Scheme 6.
Scheme 6
1(h) LG in Scheme 6 is a leaving group such as chloro. The reaction can be carried out by irradiating in a solvent such as DMA. Alternatively, the reaction can be carried out in the presence of acetic acid in a solvent such as DMA and by heating.
General Alkylation Procedure 1
[00175] Into a 2-dram vial was placed 2-bromo-N-(3-(N-(3-(3,5-dimethoxy- phenylamino)quinoxalin-2-yl) sulfamoyl) phenyl) acetamide (86 mg, 0.15 mmol), prepared using procedures similar to those in Example 171, along with 2 mL of acetonitrile. Eight equivalents (1.2 mmol) of the desired amine, aniline, hydrazine or alkoxyamine were added
followed by the addition of Hunig's Base (41 μΐ, 0.25 mmol). The reaction then was stirred at 50 °C for one hour (overnight for aniline reagents). Preparative reverse-phase HPLC was used to isolate the desired product directly from the crude reaction mixture. A Waters
Fractionlynx preparative reverse-phase HPLC - equipped with a Waters SunFire Prep CI 8, OCD 5 μΜ, 30 X 70 mm column and running a 5-100 % gradient with a binary solvent system of 25 mM ammonium acetate in water/acetonitrile - was used to carry out the purification.
[00176] Into a 2-dram vial were added 3-amino-N-(3-(3,5-dimethoxy- phenylamino)quinoxalin-2-yl)benzenesulfonamide (54 mg, 0.12 mmol), prepared using procedures similar to those described in Example 15, DMA (2 mL) and the desired
carboxylic acid (0.17 mmol). DIEA (70 a 0.4 mmol) followed by HATU (53 mg,0.14 mmol) were added to the vial and the reaction mixture stirred at 50 °C overnight. Preparative reverse-phase HPLC was used to isolate the desired product directly from the crude reaction mixture. A Waters Fractionlynx preparative reverse-phase HPLC; equipped with a Waters SunFire Prep CI 8, OCD 5 μΜ, 30 X 70 mm column and running a 5-100 % gradient with a binary solvent system of 25 mM ammonium acetate in water/acetonitrile; was used to carry out the purification.
General Amination Procedure la
[00177] A CEM microwave reaction vessel was charged with N-(3-(N-(3- chloroquinoxalin-2-yl)sulfamoyl)phenyl)-2-(dimethylamino)acetamide (30 mg, 0.071 mmol), prepared using procedures similar to those described in Example 374, the desired aniline (16 mg, 0.14 mmol, 2 eq), and 0.5 mL of dimethylacetamide. The vessel was sealed and the
reaction mixture was heated under microwave radiation for 70 min at 140 °C in a CEM Discover microwave instrument. The solvent was then removed by rotary-evaporation. Purification of the final product was accomplished by preparatory reverse-phase HPLC with the eluents 25 mM aqueous NH4OAc/ACN to the desired product.
dure lb
[00178] A CEM microwave reaction vessel was charged with N-(3-(N-(3- chloroquinoxalin-2-yl)sulfamoyl)phenyl)-2-(dimethylamino)acetamide (62 mg, 0.147 mmol), prepared using procedures similar to those in Example 374, the desired aniline (0.567 mmol, 4 eq), and 1.0 mL of toluene. The vessel was sealed and the reaction mixture was heated under microwave radiation for 60 min at 180 °C in a CEM Discover microwave instrument. The solvent was removed on a rotary-evaporator. Purification of the final product was done by preparatory HPLC with NRjOAc/ACN as eluent to yield the desired product.
ral Acylation Pro edure 2
[00179] N-(3-(N-(3-(3,5-dimethoxy-phenylamino)quinoxalin-2-yl)- sulfamoyl)phenyl)azetidine-3-carboxamide (125 mg, 0.23 mmol), prepared using procedures similar to those described in Example 372, was dissolved into 5 mL DCE in a 10 mL round- bottom flask. DIEA (1.17 mmol, 5.0 equiv.) was then added with stirring followed by acid chloride (0.47 mmol, 2.0 equiv.). The reaction was then stirred at room temperature for 1 hour or until complete as indicated by LCMS. The solvent was subsequently removed under reduced pressure on a rotary evaporator. The crude material was then re-dissolved in methanol. Purification of the final product was accomplished by preparatory reverse-phase HPLC with the eluents 25 mM aqueous NH4OAc/CAN. A Waters Fractionlynx preparative reverse-phase HPLC; equipped with a Waters SunFire Prep CI 8, OCD 5 μΜ, 30 X 70 mm
column and running a 5-100 % gradient with a binary solvent system of 25 mM ammonium acetate in water/acetonitrile; was used to carry out the purification.
General Reductive Animation Procedure 1
[00180] To a solution of N-(3-(N-(3-(3,5-dimethoxy-phenylamino)quinoxalin-2- yl)sulfamoyl)phenyl)azetidine-3-carboxamide (110 mg, 0.19 mmol), prepared using procedures similar to those described in Example 372, in 3 mL of DCE and 200 μΐ, of DMF, aldehyde (0.77 mmol, 4.0 eq.) was added slowly followed by tetramethylammonium triacetoxyborohydride (1.16 mmol, 6.0 eq). The reaction was stirred at room temperature overnight. LC/MS indicated the reaction was completed. The solvent was subsequently removed under reduced pressure on a rotary evaporator. The crude material was then re- dissolved in methanol. Purification of the final product was accomplished by preparatory reverse-phase HPLC with the eluents 25 mM aqueous NH4OAc/CAN. A Waters
Fractionlynx preparative reverse-phase HPLC; equipped with a Waters SunFire Prep CI 8, OCD 5 μΜ, 30 X 70 mm column and running a 5-100 % gradient with a binary solvent system of 25 mM ammonium acetate in water/acetonitrile; was used to carry out the purification.
[00181] Into a small 1 dram vial was added 3-(N-(3-(2-chloro-5-methoxy-phenylamino)- quinoxalin-2-yl)sulfamoyl)benzoic acid (61 mg, 0.13 mmol, 1.1 equiv), prepared using procedures described for Example 100. The acid was dissolved in DMA (1 mL) and DIEA (42 μί, 0.24 mmol, 2 equiv) was added then added to the solution. The amine reagent (1 mL of 0.12 M solution in DMA) was added to solution with stirring followed by HATU (64 mg, 0.17 mMol, 1.4 equiv). The reaction was stirred overnight at room temperature. Upon
completion as indicated by LCMS analysis, 2 mL of methanol was added to the solution. Preparative reverse-phase HPLC was used to isolate the desired product. A Waters
Fractionlynx preparative reverse-phase HPLC - equipped with a Waters SunFire Prep CI 8, OCD 5 μΜ, 30 X 70 mm column and running a 5-100 % gradient with a binary solvent system of 25 mM ammonium acetate in water/acetonitrile - was used to carry out the purification.
General Amide Formation Procedure lb
[00182] The procedure outlined in General Amide Formation Procedure la was used to incorporate a number of amines that contained a second amine group protected as the tert- butylcarbamate (i.e. where R', within NHR'R," contained a Boc-protected amine group). The deprotection was carried out after HPLC purification of the Boc-protected precursor.
[00183] Into a small 1 dram vial was added 3-(N-(3-(2-chloro-5-methoxy- phenylamino)quinoxalin-2-yl)sulfamoyl)benzoic acid (61 mg, 0.13 mmol, 1.1 equiv). The acid was dissolved in 1 mL of DMA and DIEA (42 μί, 0.24 mmol, 2 equiv) was added then added to the solution. The mono-Boc-protected diamine reagent (1 mL of 0.12 M solution in DMA, 1 equiv) was added to solution with stirring followed by HATU (64 mg, 0.17 mmol, 1.4 equiv). The reaction was stirred overnight at room temperature. Upon completion as indicated by LCMS analysis, 2 mL of methanol was added to the solution. Preparative reverse-phase HPLC was used to isolate the desired product directly from this crude reaction solution. A Waters Fractionlynx preparative reverse-phase HPLC; equipped with a Waters SunFire Prep CI 8, OCD 5 μΜ, 30 X 70 mm column and running a 5-100 % gradient with a binary solvent system of 25 mM ammonium acetate in water/acetonitrile; was used to carry out the purification. The product fractions were combined and concentrated to dryness under reduced pressure by rotary evaporation. A solution of 4 N HCl in dioxane (2 mL) was added. The solution was then stirred at room temperature until no starting material was detected. The deprotected product precipitated out of solution as an HCl salt and was collected by filtration, washed with ether and dried under vacuum.
Synthesis of Compound A
[00184] Crude Compound A can be prepared as described below and depicted below in Scheme 7.
Synthesis of (N-(3-chloroquinoxalin-2-yl)-3-nitrobenzenesulfonamide):
[00185] One kg of 2,3 dichloroquinoxaline and one kg of 3-nitrobenzenesulfonamide were mixed in 5 volumes of acetonitrile. The reaction mixture was heated to reflux. 2.3 kg of DBU and 1 volume of acetonitrile were added. After completion of the reaction, the mixture was cooled down at 5 °C. Twelve volumes of methanol and 1.53 kg of HC1 were added, and the reaction mixture was filtered. The filter cake was washed with 6 volumes of methanol and dry under vacuum.
Synthesis of (N-(3-((2-chloro-5-methoxyphenyl)amino)quinoxalin-2-yl)-3- nitrobenzenesulfonamide):
[00186] A solution was prepared with 0.585 kg of 2-chloro-5-methoxyaniline-HCl, 3.5 volumes of acetonitrile and 0.46 kg of DBU (solution A). Separately, 1 kg of N-(3-chloroquinoxalin-2- yl)-3 -mtrobenzenesulfonamide and 5.5 volumes of acetonitrile were combined and heated to reflux. Solution A and 1 volume of acetonitrile were then added to the reaction mixture, and the resulting mixture was heated at reflux. After completion of the reaction, the mixture was cooled down at 20 °C, diluted with 10 volumes of methanol and filtered. The resulting filter cake was washed 3 times with 5 volumes of methanol and then dried under vacuum.
Synthesis of 3-amino-N-{3-[(2-chloro-5-methoxyphenyl)amino]quinoxalin-2- yl}benzenesuIfonamide hydrochloride:
[00187] To 1 kg of N-{3-[(2-chloro-5-methoxyphenyl)amino]quinoxalin-2-yl}-3- nitrobenzenesulfonamide was added a catalytic amount of platinum sulfide on carbon (Pt(S)C), 6 volumes of THF, 0.16 volume of water, and 2 volumes of ethanol. The resulting reaction mixture was stirred and heated to reflux. An aqueous potassium formate solution (1.4 volume of water + 0.69 kg of potassium formate) was added. The reaction mixture was stirred at reflux until completion of the reaction and then cooled down at 50°C. After the addition of 10 volumes of methanol and one hour of stirring, the catalyst was filtered off and washed with 3.4 volumes of methanol. The filtered solution was cooled down at 20 °C and 0.62 kg of HC1 was added. The
reaction mixture was stirred at 20 °C, cooled down to 5 °C and filtered. The filter cake was washed with methanol (6 volumes) and dried under vacuum.
Synthesis of N-[3-({3-[(2-chloro-5-methoxyphenyl)amino]quinoxalin-2- yl}sulfamoyl)phenyl]-2-methylaIaninamide (crude):
[00188] Synthesis of 2-methylalanyl chloride hydrochloride. To 0.42 kg of 2-amino-2- methylpropanoic acid, was added 3.7 volumes of acetonitrile, 0.04 volume of
dimethylformamide, and 0.62 kg of oxalyl chloride. The reaction mixture was stirred at 20 °C until completion of the reaction. The mixture was then filtered, and the filter cake was washed twice with 1 volume of acetonitrile and dried under vacuum.
[00189] To 1 kg of 3-amino-N-{3-[(2-chloro-5-methoxyphenyl)amino]quinoxalin-2- yl}benzenesulfonamide hydrochloride was added 8 volumes of dimethylformamide and 0.385 kg of 2-methylalanyl chloride hydrochloride at 5°C. After completion of the reaction, the mixture was heated to 50 °C and a solution of K2HP04 (1.4 kg), water (16.5 volumes) and ethanol (7.1 volumes) was added. The mixture was cooled down to 10 °C, stirred 2 hours at 10 °C, and then filtered. The cake was washed 3 times with 10 volumes of water and dried under vacuum.
[00190]
Example 1
Treatment of Childhood Cancer with Compound A
[00191] Compound A was evaluated against the in vitro and in vivo panels of the Pediatric Preclinical testing Program (PPTP). See http://pptp.nchresearch.org/documents.html (last visited October 18, 201 1). Compound A was tested against the PPTP's in vitro cell line panel at concentrations ranging from 10.0 nM to 100 μΜ using the PPTP's standard 96 hour exposure period. For in vivo testing, a Compound A dose of 100 mg/kg was administered orally daily for 14 days with a total planned observation period of 6 weeks.
Background: PPTP In Vitro Cell Lines and In Vivo Xenograft Models and Testing
Methods
PPTP In Vitro Cell Lines and In Vivo Xenograft Models
Information about PPTP in vivo cell lines and xenograft models is available at
http://pptp.nchresearch.org/documents/demographics.pdf (last visited October 18, 201 1), as summarized in the following table.
[00192] In vitro testing was performed as provided at
http://pptp.nchresearch.org/documents/detailedAnalysisMethods.pdf (last visited October 18, 2011) using DIMSCAN, a semiautomatic fluorescence based digital image microscopy system that quantifies viable (using fluorescein diacetate [FDA]) cell numbers in tissue culture multiwell plates [1]. Cells were incubated in the presence of drug for 96 hours at concentrations from 0.1 nM to 1.0 μπιοΐβτ with replicates of 6-12 for each concentration evaluated. Mean fluorescence values were determined for each concentration tested and then normalized to the mean control fluorescence for the line to determine relative mean fluorescence values.
[00193] For analysis of in vitro testing results, a non-linear regression, sigmoidal dose- response model
was fitted to the relative mean fluorescence ( y ) values s. the concentration (x) for the in vitro PPTP study data.
[00194] The model parameters are the following: a, which denotes the value of response for the minimal curve asymptote (theoretically, the level of response produced by an infinitely high concentration of drug); b, which denotes the value of response for the maximal curve asymptote (theoretically, the level of response, if any, in the absence of drug); c, which denotes the EC50 or the concentration at the half maximal effect; and d, which denotes the slope of the dose-response curve (often used as a measure of the sensitivity of the system to increments in drug concentrations). The parameters in the model are estimated using
Kaleidagraph 4.02 with a 0.01% allowable error. IC50 values are determined from the actual curve fit outputs generated by Kaleidagraph. To compare activity between cell lines, the ratio of the median IC50 to individual cell line IC50 values is used (larger values connote greater sensitivity).
[00195] In vivo testing: CB17SC-M scid-/- female mice (Taconic Farms, Germantown NY), were used to propagate subcutaneously implanted kidney/rhabdoid tumors, sarcomas (Ewing, osteosarcoma, rhabdomyosarcoma), neuroblastoma, and non-glioblastoma brain tumors, while BALB/c nu/nu mice were used for glioma models, as previously described [2-
4]. Mice bearing subcutaneous tumors each received drug when tumors reached between 200 mm3 and 500 mm3. Human leukemia cells were propagated by intravenous inoculation in female non-obese diabetic (ΝΟΌ)/ scid-/- mice as described previously [5]. Mice were randomized to groups of 10 for solid tumor-bearing and groups of 8 for ALLbearing animals. All mice were maintained under barrier conditions and experiments were conducted using protocols and conditions approved by the institutional animal care and use committee of the appropriate consortium member. Each agent tested was given a code number, and the identity of each was revealed to testing sites only after complete data sets had been deposited in the database.
[00196] Tumor volumes (cm3) [solid tumor xenografts] or percentages of human CD45- positive [hCD45] cells [ALL xenografts] were measured for each tumor at the initiation of the study and weekly for up to 42 days after study initiation. Assuming tumors to be spherical, tumor volumes were calculated from the formula (π/6)-ά3, where d represents the mean diameter.
[00197] Response and Event Definitions for Solid Tumor Xenograft Models. For individual mice, progressive disease (PD) was defined as < 50% regression from initial volume during the study period and > 25% increase in initial volume at the end of study period. Stable disease (SD) was defined as < 50% regression from initial volume during the study period and < 25% increase in initial volume at the end of the study. Partial response (PR) was defined as a tumor volume regression >50% for at least one time point but with measurable tumor (≥0.10 cm3). Complete response (CR) was defined as a disappearance of measurable tumor mass (< 0.10 cm3) for at least one time point. A complete response was considered maintained (MCR) if the tumor volume was <0.10 cm3 at the end of the study period. For treatment groups only, if the tumor response was PD, then PD was further classified into PD1 or PD2 based on the tumor growth delay (TGD) value. TGD values were calculated based on the numbers of days to event. For each individual mouse that had PD and had an event in the treatment groups, a TGD value was calculated by dividing the time to event for that mouse by the median time to event in the respective control group. Median times to event were estimated based on the Kaplan-Meier event-free survival distribution. If a mouse had a TGD value < 1.5, that mouse was considered PD1. If the TGD value was > 1.5, the mouse was considered PD2. Mice that had PD but did not have an event at the end of the study were coded as PD2.
[00198] Event-free survival (EFS): An event in the solid tumor xenograft models was defined as a quadrupling of tumor volume from the initial tumor volume. Event-free survival was defined as the time interval from initiation of study to the first event or to the end of the study period for tumors that did not quadruple in volume. The time to event was determined using interpolation based on the formula:
'» - Ί + ('2 - ', )1η( ^,)/1η(^ ^ι) . where xt is the interpolated day to event, t\ is the lower observation day bracketing the event, t^ is the upper observation day bracketing the event, Vj is the tumor volume (or hCD45 percentage) on day ¾ V2 is the tumor volume (or hCD45 percentage) on day and Ve is the event threshold (4 times initial tumor volume for solid tumor xenografts, 25% for ALL xenografts).
[00199] Response and Event Definitions for Acute Lymphoblastic Leukemia (ALL) Xenograft Models. Individual mice were categorized as PD if their percentage of hCD45 cells never dropped below 1% and they had an event before the end of the study period. An event is defined as hCD45 cells above 25% in the peripheral blood with times to event calculated as above. Individual mice were classified as SD if their percentage of hCD45 cells never dropped below 1% and no event occurred before the end of the study. PR was assigned if the percentage of cells dropped below 1% for any one time point regardless of whether the percentage eventually reached 25%. A CR was assigned if the percentage of hCD45 cells dropped below 1% for 2 consecutive weeks of the study and regardless of whether the percentage reached 25% or not. A CR was considered maintained if the percentage of hCD45 was less than 1% for the last three measurements of the study. For treatment groups, PD was further classified into PD1 and PD2 according to the TGD value.
[00200] Summary statistics and analysis methods. Overall Group Response: Each individual mouse was assigned a score from 0 to 10 based on their response: PD1=0, PD2=2, SD=4, PR=6, CR=8, and MCR=10, and the median for the group determined the overall response. Studies in which toxicity was greater than 25% or in which the control group was not at least SD, were considered inevaluable and were excluded from analysis. Treatment groups with PR, CR, or MCR are considered to have had an objective response. Agents inducing objective responses are considered highly active against the tested line, while agents inducing stable disease or PD2 are considered to have intermediate activity, and agents producing PD1 are considered to have a low level of activity against the tested line.
[00201] Tumor Volume T/C value: Relative tumor volumes (RTV) for control (C) and treatment (T) mice were calculated at day 21 or when all mice in the control and treated groups still had measurable tumor volumes (if less than 21 days). The mean relative tumor volumes for control and treatment mice for each study were then calculated and the T/C value was the mean RTV for the treatment group divided by the mean RTV for the control group. For the tumor volume T/C response measure, agents producing a T/C of < 15% are considered highly active, those with a mean tumor volume T/C of < 45% but > 15% are considered to have intermediate activity, and those with mean T/C values > 45% are considered to have low levels of activity [6].
[00202] EFS T/C value : An EFS T/C value was defined by the ratio of the median time to event of the treatment group and the median time to event of the respective control group. If the treatment group did not have a median time to event, then EFS T/C was defined as greater than the ratio of the last day of the study for the treatment group divided by the median time to event for the control group. For the EFS T/C measure, agents are considered highly active if they meet three criteria: a) an EFS T/C > 2; b) a significant difference in EFS distributions (p< 0.050), and c) a net reduction in median tumor volume for animals in the treated group at the end of treatment as compared to at treatment initiation.
[00203] Agents meeting the first two criteria, but not having a net reduction in median tumor volume for treated animals at the end of the study are considered to have intermediate activity. Agents with an EFS T/C < 2 are considered to have low levels of activity.
Xenografts in which the median EFS for the control line was greater than one-half of the study period or in which the median EFS for the control line did not exist are considered not evaluable for the EFS T/C measure of activity.
[00204] Statistical Methods: The exact log-rank test, as implemented using Proc StatXact for SAS®, was used to compare event-free survival distributions between treatment and control groups. P-values were two-sided and were not adjusted for multiple comparisons given the exploratory nature of the studies. The exact Wilcoxon rank-sum test was used to test the difference of medians of EC50 values between the groups of lines with similar tumor types to the remaining lines of the panel. Fisher's exact test and the two-sample t-test, respectively, were used to compare mortality rates and average lowest weights between treated and control groups.
1. Keshelava N, Frgala T, Krejsa J, et al. DIMSCAN: a microcomputer fluorescence- based cytotoxicity assay for preclinical testing of combination chemotherapy. Methods Mol Med. 2005:110: 139-153.
2. Friedman HS. Colvin OM. Skapek SX, et a!. Experimental chemotherapy of human
medulloblastoma cell lines and transplantable xenografts with Afunctional alkylating agents. Cancer Res 1988:48(1 5):4189-4195.
3. Graham C, Tucker C, Creech J, et al. Evaluation of the antitumor efficacy, pharmacokinetics, and pharmacodynamics of the bistone aeacetylase inhibitor depstpeptide in childhood cancer models in vivo. Clin Cancer Res 2006: 12(l):223-234.
4. Peterson JK, "fucker C, Favours E, et al. In vivo evaluation of ixabepilone (BMS247550), a novel epothilone B derivative, against pediatric cancer models. Clin Cancer Res 2005:11(19 Pt l):6950-6958.
5. Liem NL, Papa RA, Milross CG, et al. Characterization of childhood acute lymphoblastic leukemia xenograft models for the preclinical evaluation of new therapies. Blood 2004: ] 03(i0):3905-3914.
6. Plowman J CR, Alley M, Sausviile E, Schepartz S. US-NCI testing procedures. In: Feibig HH BA, editor. Relevance of tumor models for anticancer drug development. Basel: Karger.; 1999. p 121-135.
Data
in Vitro Results
[00205] The median relative IC50 (riC50) for Compound A against the PPTP cell lines was 10.9 uM, (range 2.7 μΜ - 24.5 μ ) as summarized in Table 2. There was a trend for lower values for the rhabdomyosarcoma panel (median riC50 5.6 μ.Μ) and higher values for the neuroblastoma panel (media rICSO 19.5 μΜ). Compound A induced Ymin values approaching 0% for PPTP ceil lines at the highest concentration tested (100 μΜ }.
Table 2
PPTP InVitro and in Vivo Testing Methods
(00206] In vitro testing was performed using DIMSCAN, a semiautomatic fluorescence- based digital image microscopy system (Kang MH, et al. Pediatr Blood Cancer 56:239-249, 201 1). Testing was for 96 hours at concentrations from 1.0 nM to 10.0 mM with replicates of 6-12 per data point. Standard PPTP methods for in vivo testing were employed (see
¾itip;//pptp,nc¾rescaTOL
[00207] Compound A was tested in vivo using a 100 mg/kg dose administered orally daily for 14 days . For each xenograft line, 10 mice bearing SC tumors initiated treatment when the tumors were between 0.2-0.5 cm3. Two perpendicular tumor diameters were measured at either once or twice weekly intervals with digital vernier calipers.
[002Θ8] Acute lymphoblastic leukemia (ALL) testing: For each xenograft line, 8 mice were inoculated with 3-5 x 1 6 mononuclear ceils purified from the spleens of secondary recipient mice. Engrafiment was monitored weekly by flow cytometry,, and treatment was initiated when the proportion of human CD45+ cells in the peripheral blood reached 1 %. The
proportion of human CD45+ cells in the peripheral blood was monitored weekly throughout the course of treatment
[00209] The results are summarized in Figures 1 and 2. Figure 1 indicates that PI3K pathway activation was relatively uncommon among PPTP xenografts treated with
Compound A as assessed by phospho-AKT and by PTEN expression. Figure 2 indicates that expression of PI3K isoforms at the RNA level was notable for the pattern of expression of PIK3CD, which was virtually restricted to the ALL and lymphoma cell lines and xenografts treated with Compound A.
In Vivo Results
[00210] Compound A was tested in the tumor types listed in Table 3. Red shading in the p-value columns indicates a significant difference in EFS distribution or Tumor Volume T/C between treated and control groups. Shading in the EFS columns indicates xenografts that have either high (dark blue), intermediate (light blue), low (gray), or indeterminant (white) activity. In the Response column, PD1 (Progressive Disease 1) means a greater than 25 percent increase in tumor volume with a tumor growth delay (TGD) value of less than or equal to 1.5; PD2 (Progressive Disease 2) means a greater than 25 percent increase in tumor volume with a TGD value of greater than 1.5. SD (Stable Disease) means a less than 25 percent increase in tumor volume with 50 percent regression.
[00211] Figure 3 further summarizes the in vivo results for Rhl 0, Rhl 8, Rh41 , and ALL7 tumor types.
[00212] According to the data provided by Table 3 and Figure 3, Compound A was well tolerated at 100 mg/kg administered orally for 14 consecutive days and inhibited tumor growth in most PPTP solid tumor xenografts as shown by significant differences in EFS distribution compared to control in 26 of 30 (87%) evaluable solid tumor xenografts. Two of 7 (29%) evaluable ALL xenografts showed significant differences in EFS distribution. 3 of 29 (10%) evaluable solid tumor xenografts met criteria for intermediate EFS T/C activity (EFS T/C> 2) in 2 of 6 rhabdomyosarcoma and 1 of 5 neuroblastoma tumors. Objective responses (PR CR) were not observed.
[00213] Baseline levels of PI3K activation, as assessed by phospho-AKT levels, did not appear related to in vivo response to XL 147.
[00214] Compound A demonstrated cytotoxic activity, with Ymm values approaching 0% for all of the cell lines at the highest concentration tested (100 μΜ). The median relative iC50 value for the PPTP cell lines was 10.9 μΜ, with a range from 2.7 μΜ (CHLA-10) to 24.5 μ (TC-71). There were no significant differences by histotype in median relative IC50 values.
though there was a trend for lower values for the rhabdomyosarcoma panel (median IC50 5.6 μΜ) and higher values for the neuroblastoma panel (median IC50 19.5 μΜ). Compound A was tested against 31 solid tumor xenografts and 7 acute lymphoblastic leukemia (ALL) xenografts. A dose of 100 mg/kg administered orally daily for 14 days for a total planned observation period of 6 weeks was utilized. Compound A was generally well tolerated, with a <1% toxicity rate in the treated groups, similar to that observed for control animals.
Compound A induced significant differences in EFS distribution compared to control in 26 of 30 (87%) of the evaluable solid tumor xenografts and in 2 of 7 (29%) of the evaluable ALL xenografts. Compound A induced tumor growth inhibition meeting criteria for intermediate EFS T/C activity (EFS T/C > 2) in 3 of 29 (10%) evaluable solid tumor xenografts (2 of 6 rhabdomyosarcoma and 1 of 5 neuroblastoma), and intermediate or high EFS T/C activity was observed for 2 of 7 (29%) evaluable ALL xenografts.
[00215] Basal levels of activation of PI3K signaling, as assessed by phospho-AKT, levels did not correlate with in vivo response to Compound A. Expression of PI3K isoforms at the RNA level was evaluated using Affymetrix U133 Plus 2.0® arrays, with the most striking observation being the pattern of expression of PIK3CD, which was virtually restricted to the ALL and lymphoma cell lines and xenografts.
Example 2
Treatment of Childhood Cancers
Background
[00216] Activation of the PI3 kinase pathway occurs frequently in many adult cancers and is implicated in tumor cell proliferation, survival, and resistance to chemotherapy and radiotherapy. However, less is known regarding the relevance of this pathway in pediatric cancers. Compound A is evaluated against childhood cancer cell lines and xenografts.
[00217] Phosphatidylinositol 3-kinase (PI3K) plays a key role in signal transduction from viral oncoproteins and in transmitting signals from ligand-activated receptor tyrosine kinases [7-11]. Class I PDKs catalyze phosphorylation of phosphatidylinositol 4,5-biphosphate to phosphatidylinositol-3,4,5-triphosphate (PIP3), which binds to A T and PDK1 at the plasma membrane. AKT is activated by phosphorylation by PDK1 at T308 and by mTOR/Rictor (TORC2) at S473. AKT promotes cell survival and proliferation by phosphorylation of GSK3a/p, FoxO, MDM2, BAD, and p27KIPI [12]. AKT also activates the mTOR/Raptor (TORC1) complex which regulates protein synthesis and cell growth [13].
[00218] Mutations in PIK3CA, the gene that encodes the p 110a class IA PI3K catalytic subunit are present in a variety of cancers that arise in adults [10,14]. The PTEN phosphatase modulates PIP3 activity and has been identified as a tumor suppressor that is frequently inactivated in cancer by gene mutation and/or deletion and by promoter methylation [15,16]. Tyrosine kinase oncogenes (e.g., Bcr-Abl, HER2, MET, KIT, and others) are strong activators of the PI3K pathway [17]. Thus, inhibition of PI3K offers an attractive molecular target for cancer therapy with the potential for being synergistic with drugs targeting RTK's [18].
[00219] A number of PI3K antagonists have been developed, all of which are ATP mimetics that act by binding reversibly to the ATP pocket of PI3K pi 10 [11]. Compound A is one such pan-PI3K inhibitor that has shown activity against breast, lung, and prostate cancer xenografts [11]. It has shown an acceptable toxicity profile as a single agent in an adult phase I study that also demonstrated an objective partial response and evidence of stable disease [19]. The NCI Pediatric Preclinical Testing Program (PPTP) has previously tested agents acting against other components of the PI3K signaling pathway, including rapamycin [20,21], the mTOR kinase inhibitor AZD8055 [22], and the AKT inhibitors GSK690693 and MK-2206 [23,24], all of which showed modest in vivo activity against the PPTP models. Here we report the evaluation of Compound A against the PPTP in vitro and in vivo (xenograft) models of childhood cancers.
Procedures
[00220] Compound A was tested against the PPTP in vitro cell line panel at concentrations from 10 nM to 100 μΜ and against the PPTP in vivo xenograft panels at a dose of 100 mg/kg administered orally daily for 14 days.
Results
[00221] In vitro Compound A demonstrated cytotoxic activity, with a median relative IC50 value of 10.9 μΜ (range 2.7 μΜ to 24.5 μΜ). Compound A was well tolerated in vivo, and all 44 tested xenograft models were evaluable for efficacy. Compound A induced significant differences in EFS distribution compared to control in 29 of 37 (79%) of solid tumor xenografts and in 2 of 7 (29%) ALL xenografts.
[00222] Compound A induced tumor growth inhibition meeting criteria for intermediate EFS T/C activity (EFS T/C > 2) in 4 of 37 (11%) solid tumor xenografts. Intermediate EFS
T/C activity was also observed for 2 of 7 (29%) evaluable ALL xenografts. Objective responses were not observed for solid tumor or for ALL xenografts.
Conclusions
[00223] Under the conditions evaluated in this study, Compound A achieved modest single-agent activity against most PPTP preclinical models. Further exploration of
Compound A in combination with standard agents or with other signaling inhibitors could be considered.
In Vitro Testing
Materials and Methods:
[00224] In vitro testing was performed using DIMSCAN, a semiautomatic fluorescence- based digital image microscopy system that quantifies viable (using fluorescein diacetate [FDA]) cell numbers in tissue culture multiwell plates [25]. Cells were incubated in the presence of agent for 96 hours at concentrations from 10 nM to 100 μΜ with replicates of 6- 12 for each concentration evaluated. Mean fluorescence values were determined for each concentration tested and then normalized to the mean control fluorescence for the line to determine relative mean fluorescence values. For analysis of in vitro testing results, a nonlinear regression, sigmoidal dose-response model was fitted using GraphPad Prism 5.03 to the relative mean fluorescence values vs. the log-transformed concentration (X) for the in vitro PPTP study data:
Y = Bottom + (Top-Bottom)/(l+10A((LogrIC50-X)*HillSlope))
[00225] The terms are defined as follows: rICso (relative IC50) is the concentration of agent that gives a response half way between Bottom and Top; HillSlope describes the steepness of the dose-response curve; and Top and Bottom are the plateaus in the T/C% values at low and high concentrations, respectively. Absolute IC50 values represent the concentration at which the agent reduces cell survival to 50%» of the control value [26]. To compare activity between cell lines, the ratio of the median relative IC50 to individual cell line's relative IC50 value is used (larger values connote greater sensitivity). The lowest T/C% value is the Ymjn.
Results:
[00226] Compound A demonstrated cytotoxic activity, with Ymjn values approaching 0% for all of the cell lines at the highest concentration tested (100 μΜ). The median relative IC50 (rIC50) value for the PPTP cell lines was 10.9 μΜ, with a range from 2.7 μΜ (CHLA-10) to 24.5 μΜ (TC-71), Table 4. There were no significant differences by histotype in median rIC50 values, though there was a trend for lower values for the rhabdomyosarcoma panel (median rICso 5.6 μΜ) and higher values for the neuroblastoma panel (median rIC5o 19.5 μΜ). A metric used to compare the relative responsiveness of the PPTP cell lines to
Compound A is the ratio of the median rIC50 of the entire panel to that of each cell line, Figure 4. Each bar represents the ratio of the panel rICso to the rIC50 value of the indicated cell line. Bars to the right represent cell lines with higher sensitivity, while bars to the left indicate cell lines with lesser sensitivity. Higher ratios are indicative of greater sensitivity to Compound A and are shown in the figure by bars to the right of the midpoint line. Figure 4 illustrates the higher sensitivity for the rhabdomyosarcoma cell lines and the lower sensitivity for the neuroblastoma cell lines.
Table 4: In Vitro activity of Compoun A Against Representative Panel of PPTP Cell Lines
Discussion:
[0Θ227] Compound A demonstrated micromoiar level activity against the panel of 23 pediatric cancer cell lines, with a median rICso of 10.9 μ.Μ. The micromoiar level rJC$o values for Compound A contrast with its enzymatic activity on PI3 alpha, delta and gamma (ICso in the 20-40 nM range), which may reflect its hig serum protein binding [31 ]. The pattern of response to Compound A against the PPTP in vitro models showed some similarities to that observed for the A T inhibitors GSK690693 [25] and M -2206 [14]. For
example, the rhabdomyosarcoma cell lines Rh41 and Rhl8 and the Ewing cell line CHLA-10 showed relative sensitivity to all three agents. However, the activity pattern of the AKT inhibitors differed from that of Compound A in the greater relative sensitivity of the ALL cell lines to the AKT inhibitors compared to Compound A. Heterogeneity was evident in the in vitro response of the Ewing cell lines to Compound A (Figure 4), which may be the result of as yet unidentified differences in dependence on the PI3K pathway of various Ewing tumors.
In Vivo Growth Inhibition Studies
Materials and Methods:
[00228] CB17SC scid-/- female mice (Taconic Farms, Germantown NY), were used to propagate subcutaneously implanted kidney/rhabdoid tumors, sarcomas (Ewing,
osteosarcoma, rhabdomyosarcoma), neuroblastoma, and non-glioblastoma brain tumors, while BALB/c nu/nu mice were used for glioma models, as previously described [27].
Human leukemia cells were propagated by intravenous inoculation in female non-obese diabetic (NOD)/scid-/- mice as described previously [28]. Female mice were used
irrespective of the patient gender from which the original tumor was derived. All mice were maintained under barrier conditions and experiments were conducted using protocols and conditions approved by the institutional animal care and use committee of the appropriate consortium member. Eight to ten mice were used in each control or treatment group. Tumor volumes (cm3) [solid tumor xenografts] or percentages of human CD45-positive [%hCD45+] cells [ALL xenografts] were determined and responses were determined using three activity measures as previously described [27]. An in-depth description of the analysis methods is included in the Response and Events Definitions section.
[00229] Western immunoblotting: Levels of Akt, phospho-Akt, and PTEN were determined by western immunoblot analysis as previously described [29]. Primary antibodies used were against GAPDH, PTEN, Akt, phospho-Akt(T308), and phospho-Akt(S473) (Cell Signaling Technologies, Beverley, MA). Immunoreactive bands were visualized using SuperSignal Chemiluminescence substrate (Pierce) and Biomax MR and XAR film (Eastman Kodak Co.).
[00230] Statistical Methods: The exact log-rank test, as implemented using Proc StatXact for SAS®, was used to compare event-free survival distributions between treatment and control groups. P-values were two-sided and were not adjusted for multiple comparisons given the exploratory nature of the studies.
W
[00231] Drugs and Formulation: Compound A was provided to the Pediatric Preclinical Testing Program by Exelixis Inc., through the Cancer Therapy Evaluation Program (NCI). Powder was stored at room temperature, protected from light. Drug was formulated in 10 mM HC1, in sterile water for injection, sonicated to form a fine suspension, and made fresh prior to administration. Compound A was administered orally (PO) at 100 mg/kg to mice using a daily schedule for 14 days, with a further 4 weeks of observation. Compound A was provided to each consortium investigator in coded vials for blinded testing.
Results:
[00232] Compound A was tested against the PPTP xenografts using a dose of 100 mg/kg administered orally daily for 14 days. The total planned observation period was 6 weeks. Compound A was well tolerated, with only 0.7% toxicity rate in the treated groups, similar to that observed for control animals. All 44 tested xenograft models were considered evaluable for efficacy. A complete summary of results is provided in Table 5, including total numbers of mice, number of mice that died (or were otherwise excluded), numbers of mice with events and average times to event, tumor growth delay, as well as numbers of responses and T/C values. In Table 5, the following notes and meaings apply:
• 1 A: Control;
• 2 B: Treated;
• Nl - number of mice in group;
• 4 Nd - number of mice that experienced toxic deaths;
• 5 No - number of additional mice excluded;
• 6 Na - number of mice analyzed;
• Number of events. An event was defined as a quadrupling of tumor volume from the initial volume for solid tumor cell lines and reaching =25% hCD45 cells for ALL cell lines;
• 8 Kaplan Meier estimate of median days to event. Time to event was estimated using interpolation;
• 9 For solid tumor cell lines, this column is the median relative tumor volume at the end of the study; for ALL cell lines, this is the median hCD45% at the end of the study;
• 10 For solid tumor cell lines, this column is the average relative tumor volume at the day T/C was assessed (day 21 or before);
• 11 P value testing the relative tumor volumes between treatment and control groups at the day T/C was assessed (day 21 or before) (the exact Wilcoxon rank_sum test was used).
• PDl (Progressive Disease 1): >25%† in tumor volume, TGD value =1.5;
• PD2 (Progressive Disease 2): >25%† in tumor volume, TGD value >1.5;
• SD (Stable Disease): <25%† in tumor volume, <50% regression
• PR (Partial response): a tumor volume regression =50% for at least one time point but with measurable tumor ( = 0.10 cm3 ).
• CR (Complete response): disappearance of measurable tumor mass (< 0.10 cm3 ) for at least one time point.
• MCR (Maintained complete response): the tumor volume <0.10 cm3 at the end of the study period.
• PDl (ALL): hCD45 cells never < 1% and >25% by end of the study period, and TGD value =1.5;
• PD2 (ALL): hCD45 cells never < 1% and >25% by end of the study period, and TGD value >1.5;
• SD (ALL): hCD45 cells never < 1 % and < 25% at end of the study period;
• PR (ALL): hCD45 cells < 1 % for any one time point;
• CR (ALL): hCD45 cells < 1% for two consecutive time points;
• MCR (ALL): hCD45 < 1% for the last three measurements of the study.
Table 5,
J
[00233] Compound A induced significant differences in EFS distribution compared to control in 30 of 37 (81%) of the evaluable solid tumor xenografts and in 2 of 7 (29%) of the evaluable ALL xenografts, Table 6. In Table 6, the following notes and meanings apply:
• 1 Tumor Volume T/C value: Relative tumor volumes (RTV) for control (C) and treatment (T) mice were calculated at day 21 or when all mice in the control and treated groups still had measurable tumor volumes (if less than 21 days). The T/C value is the mean RTV for the treatment group divided by the mean RTV for the control group. High activity = T/C < 0.15; Intermediate activity = T/C < 0.45 but > 0.15; and Low activity = T/C > 0.45.
• Objective response measures are described in detail in the Response and Events Definitions. PD1 = progressive disease with EFS T/C = 1.5, and PD2 = progressive disease with EFS T/C > 1.5.
• EFS T/C values = the ratio of the median time to event of the treatment group and the median time to event of the respective control group. High activity requires: a) an EFS T/C > 2; b) a significant difference in EFS distributions, and c) a net reduction in median tumor volume for animals in the treated group at the end of treatment as compared to at treatment initiation. Intermediate activity = criteria a) and b) above, but not having a net reduction in median tumor volume for treated animals at the end of the study. Low activity = EFS T/C < 2.
Table 6.
[00234] For those xenografts in Table 6 with a significant difference in EFS distribution between treated and control groups, the EFS T/C activity measure additionally requires an EFS T/C value of > 2.0 for intermediate activity and indicates a substantial agent effect in slowing tumor growth. High activity further requires a reduction in final tumor volume
compared to the starting tumor volume. Compound A induced tumor growth inhibition meeting criteria for intermediate EFS T/C activity in 4 of 37 (11%) evaluable solid tumor xenografts, Table 6. Intermediate activity for the EFS T/C metric was observed in the following panels: rhabdomyosarcoma (2 of 6), neuroblastoma (1 of 5), medulloblastoma (1 of 2) and rhabdoid tumor (1 of 3). Of note, growth of RhlO rhabdomyosarcoma xenografts was completely inhibited for the duration of Compound A treatment. For the ALL panel, 2 of 7 (29%) xenografts met criteria for intermediate EFS T/C activity.
[00235] Objective responses were not observed in either solid tumor or ALL xenograft panels. The in vivo testing results for the objective response measure of activity are presented in Figure 5 in a 'heat-map' format as well as a 'COMPARE '-like format, based on the scoring criteria described in the Response and Events Definitions section. The figure on the left is a colored heat map that depicts group response scores. A high level of activity is indicated by a score of 6 or more, intermediate activity by a score of >2 but <6, and low activity by a score of <2. The figure on the right is a representation of tumor sensitivity based on the difference of individual tumor lines from the midpoint response (stable disease). Bars to the right of the median represent lines that are more sensitive, and to the left are tumor models that are less sensitive. Red bars indicate lines with a significant difference in EFS distribution between treatment and control groups, while blue bars indicate lines for which the EFS distributions were not significantly different. The latter analysis demonstrates relative tumor sensitivities around the midpoint score of 5 (stable disease). Examples of tumor growth curves meeting criteria for intermediate EFS T/C activity (Rhl8, Rh41, and ALL-7) or showing significant tumor growth delay (RhlO) are presented in Figure 6.
Rhabdomyosarcomas (RhlO, Rhl8, Rh41): Kaplan-Meier curves for EFS (left), median relative tumor volume graphs (center), and individual tumor volume graphs (right) are shown for selected lines. ALL-7 (bottom panels): Kaplan-Meier curves showing the EFS (left), median leukemia engraftment (center) as detected in peripheral blood, and individual leukemia engraftment (right). Controls (gray lines); Treated (black lines), statistical significance (p values) of the difference between treated and control groups are included.
[00236] The gene expression pattern of Class I PI3K isoforms is shown in Figure 7A. There is less variation in expression for PIK3CA than for other isoforms, and its expression is highest for the osteosarcoma and ALL xenografts and is lower for the rhabdomyosarcoma xenografts. PIK3CB is expressed at highest levels in low grade (BT-35 and BT-40) and high- grade glioma xenografts (e.g., GBM2 and BT-39). The most striking observation is the
pattern of expression of PIK3CD, which is virtually restricted to the ALL and lymphoma cell lines and xenografts, as would be expected from the hematopoietic cell specificity of this isoform in normal tissues [30]. Phospho-AKT and PTEN expression for solid tumor xenografts are shown in Figure 7B. Phospho-AKT is detectable for many xenografts in the PPTP solid tumor panels, while PTEN low expression (consistent with PTEN deletion) is uncommon. Given the small number of solid tumor xenografts with EFS T/C values > 2 and the lack of objective responses, it is not possible to relate phospho-AKT levels to Compound A activity. Phospho-AKT levels are not distinctive for the 4 xenografts with EFS T/C > 2 (KT-16, Rh41, Rhl8, and NB-EBcl) compared to the remaining xenografts.
Response and Event Definitions for Solid Tumor Xenograft Models:
[00237] Response: For individual mice, progressive disease (PD) was defined as < 50% regression from initial volume during the study period and > 25% increase in initial volume at the end of study period. Stable disease (SD) was defined as < 50% regression from initial volume during the study period and < 25% increase in initial volume at the end of the study. Partial response (PR) was defined as a tumor volume regression > 50% for at least one time point but with measurable tumor (> 0.10 cm ). Complete response (CR) was defined as a disappearance of measurable tumor mass (< 0.10 cm3) for at least one time point. A complete response was considered maintained (MCR) if the tumor volume was < 0.10 cm3 at the end of the study period. For treatment groups only, if the tumor response was PD, then PD was further classified into PD1 or PD2 based on the tumor growth delay (TGD) value. TGD values were calculated based on the numbers of days to event. For each individual mouse that had PD and had an event in the treatment groups, a TGD value was calculated by dividing the time to event for that mouse by the median time to event in the respective control group. Median times to event were estimated based on the Kaplan-Meier event-free survival distribution. If a mouse had a TGD value < 1.5, that mouse was considered PD1. If the TGD value was > 1.5, the mouse was considered PD2. Mice that had PD but did not have an event at the end of the study were coded as PD2.
[00238] Event-free survival: An event in the solid tumor xenograft models was defined as a quadrupling of tumor volume from the initial tumor volume. Event-free survival was defined as the time interval from initiation of study to the first event or to the end of the study period for tumors that did not quadruple in volume. The time to event was determined using interpolation based on the formula:
where t is the interpolated day to event, t\ is the lower observation day bracketing the event, t2 is the upper observation day bracketing the event, V\ is the tumor volume on day t\, 2 is the tumor volume on day t2 and Ve is the event threshold (4 times the initial tumor volume for solid tumor xenografts).
Response and Event Definitions for Acute Lymphoblastic Leukemia (ALL) Xenograft Models:
[00239] Individual mice were categorized as PD if their percentage of hCD45 cells never dropped below 1% and they had an event before the end of the study period. An event is defined as hCD45 cells above 25% in the peripheral blood with times to event calculated as above. Individual mice were classified as SD if their percentage of hCD45 cells never dropped below 1% and no event occurred before the end of the study. PR was assigned if the percentage of cells dropped below 1% for any one time point regardless of whether the percentage eventually reached 25%. A CR was assigned if the percentage of hCD45 cells dropped below 1% for 2 consecutive weeks of the study and regardless of whether the percentage reached 25% or not. A CR was considered maintained if the percentage of hCD45 was less than 1% for the last three measurements of the study. For treatment groups, PD was further classified into PD1 and PD2 according to the TGD value.
[00240] The time to event was determined using interpolation based on the formula: h = + ( - tx)\n(y Vx) I HV2 I Vx) where tx is the interpolated day to event, t\ is the lower observation day bracketing the event, is the upper observation day bracketing the event, V\ is the hCD45 volume on day t\, F2 is the tumor volume on day and Ve is the event threshold (25% for ALL xenografts).
Summary Statistics and Analysis Methods:
[00241] Overall Group Response: Each individual mouse was assigned a score from 0 to 10 based on their response: PD1=0, PD2=2, SD=4, PR=6, CR=8, and MCR=10, and the median for the group determined the overall response. Studies in which toxicity was greater than 25% or in which the control group was not at least SD, were considered inevaluable and were excluded from analysis. Treatment groups with PR, CR, or MCR are considered to
have had an objective response. Agents inducing objective responses are considered highly active against the tested line, while agents inducing stable disease or PD2 are considered to have intermediate activity, and agents producing PD1 are considered to have a low level of activity against the tested line.
[00242] Tumor Volume T/C value: Relative tumor volumes (RTV) for control (C) and treatment (T) mice were calculated at day 21 or when all mice in the control and treated groups still had measurable tumor volumes (if less than 21 days). The mean relative tumor volumes for control and treatment mice for each study were then calculated and the T/C value was the mean RTV for the treatment group divided by the mean RTV for the control group. For the tumor volume T/C response measure, agents producing a T/C of < 15% are considered highly active, those with a mean tumor volume T/C of < 45% but > 15% are considered to have intermediate activity, and those with mean T/C values > 45% are considered to have low levels of activity [7].
[00243] EFS T/C value: An EFS T/C value was defined by the ratio of the median time to event of the treatment group and the median time to event of the respective control group. If the treatment group did not have a median time to event, then EFS T/C was defined as greater than the ratio of the last day of the study for the treatment group divided by the median time to event for the control group. For the EFS T/C measure, agents are considered highly active if they meet three criteria: a) an EFS T/C > 2; b) a significant difference in EFS distributions (p< 0.050), and c) a net reduction in median tumor volume for animals in the treated group at the end of treatment as compared to at treatment initiation. Agents meeting the first two criteria, but not having a net reduction in median tumor volume for treated animals at the end of the study are considered to have intermediate activity. Agents with an EFS T/C < 2 are considered to have low levels of activity. Xenografts in which the median EFS for the control line was greater than one-half of the study period or in which the median EFS for the control line did not exist are considered not evaluable for the EFS T/C measure of activity.
Discussion:
[00244] The majority of the solid tumor xenografts (81%) treated with Compound A showed a statistically significant improvement in EFS compared to control, and values of EFS T/C > 2 indicative of an intermediate level of activity were noted for 14% of models tested. The rhabdomyosarcoma panel was the only solid tumor panel to have more than one model with an EFS T/C value > 2. The mTOR kinase inhibitor AZD8055 also showed
greater tumor growth inhibition for the rhabdomyosarcoma panel compared to other tumor panels [24], but this was not observed for the two AKT inhibitors (GSK690693 and MK- 2206) evaluated by the PPTP [14][25]. The lack of objective responses is consistent with a cytostatic effect of Compound A. However, it is also possible that some effects observed in vivo were due to Compound A acting on the tumor microenvironment.
[00245] The PIK3CD specific inhibitor GS- 1101 (C AL- 101 ) has shown preclinical and clinical activity against adult lymphoid malignancies such as chronic lymphocytic leukemia (CLL) and non-Hodgkin lymphoma (NHL), but its activity in ALL is not yet defined [32]. Compound A shows approximately equal enzyme inhibitory activity against PI 3CA and PIK3CD [31,33]. Future research will be required to determine whether a lack of remission- inducing in vivo activity against PIK3 CD-expressing ALL xenografts in this study is the result of failure to achieve sufficiently high and prolonged levels of PIK3CD inhibition or is the result of intrinsic resistance of the ALL xenografts to PIK3CD inhibition.
[00246] The role of PI3K/AKT in childhood cancers is not well defined, though there is evidence that the pathway is activated in some pediatric malignancies [24,34]. For example, high phosphorylation levels of Akt(S473) were associated with poor overall and poor disease- free survival for rhabdomyosarcoma patients [35], and activation of PI3K signaling has been reported for neuroblastoma [36-38] and medulloblastoma [39-41]. However, whole exome and/or whole genome sequencing applied to approximately 100 high-risk neuroblastoma tumor specimens did not identify recurring mutations in PI3K pathway genes [42,43].
Likewise, recurring genomic alterations in PI3K pathway genes appear to be uncommon in high-risk B-precursor ALL cases [44]. A targeted mutation screen identified PIK3CA mutations in 5% (3/60) of embryonal rhabdomyosarcoma cases, but mutations were not seen in the neuroblastoma (n=192), Ewing sarcoma (n=75), or alveolar rhabdomyosarcoma (n=29) specimens evaluated [45], Additionally, mutations in PIK3R1 were not observed [45].
PIK3CA mutations are also uncommon in medulloblastoma tumor specimens [46-48]. As genomic alterations in target genes have been the most reliable predictor of robust antitumor activity for molecularly targeted agents, the paucity of mutations in PI3K family genes reported for pediatric cancers argues against the expectation of single agent in vivo activity for PI3K inhibitors in the pediatric setting, consistent with our findings.
[00247] The current study suggests that a development plan for Compound A as a single agent for pedatric cancers should employ a focused approach. As more is learned about the role of the PI3K pathway in pediatric cancers, it may become possible to identify selected
subsets of childhood cancers that may be highly responsive to PI3K inhibitors as single agents, including subsets not represented in the current PPTP in vitro and in vivo models. Additional research opportunities for future pediatric preclinical evaluations of Compound A include evaluating it in combination with other therapies [49].
References
7. Courtney KD, Corcoran RB, Engelman JA. The PI3K pathway as drug target in human cancer. Journal of clinical oncology : official journal of the American Society of Clinical Oncology 2010:28(6):1075-1083.
8. Hennessy BT, Smith DL, Ram PT, et al. Exploiting the PI3K/AKT pathway for cancer drug discovery. Nature reviews Drug discovery 2005:4(12):988-1004.
9. Luo J, Manning BD, Cantley LC. Targeting the PI3K-Akt pathway in human cancer: rationale and promise. Cancer Cell 2003:4(4):257-262.
10. Vivanco I, Sawyers CL. The phosphatidylinositol 3-Kinase AKT pathway in human cancer. Nat Rev Cancer 2002:2(7):489-501.
11. Markman B, Dienstmann R, Tabernero J. Targeting the PI3K/Akt/mTOR pathway-beyond rapalogs. Oncotarget 2010: 1 (7):530-543.
12. Manning BD, Cantley LC. AKT/PKB signaling: navigating downstream. Cell 2007:129(7):1261-1274.
13. Shor B, Gibbons JJ, Abraham RT, et al. Targeting mTOR globally in cancer: thinking beyond rapamycin. Cell Cycle 2009:8(23):3831-3837.
14. Samuels Y, Wang Z, Bardelli A, et al. High frequency of mutations of the PIK3CA gene in human cancers. Science 2004:304(5670):554.
15. Georgescu MM. PTEN Tumor Suppressor Network in PI3K-Akt Pathway Control. Genes Cancer 2010: 1 ( 12): 1170- 1177.
16. eniry M, Parsons R. The role of PTEN signaling perturbations in cancer and in targeted therapy. Oncogene 2008:27(41):5477-5485.
17. Engelman JA, Luo J, Cantley LC. The evolution of phosphatidylinositol 3- kinases as regulators of growth and metabolism. Nat Rev Genet 2006:7(8):606-619.
18. Chakrabarty A, Sanchez V, Kuba MG, et al. Feedback upregulation of HER3 (ErbB3) expression and activity attenuates antitumor effect of PI3K inhibitors. Proc Natl Acad Sci U S A 2011.
19. Edelman G, Bedell C, Shapiro Gea. A phase I dose-escalation study of XL 147 (SAR245408), a P13K inhibitor administred orally to patients (pts) with advanced
malignancies. J Clinical Oncology 2010:28:3003.
20. Houghton PJ, Morton CL, Kolb EA, et al. Initial testing (stage 1) of the mTOR inhibitor rapamycin by the pediatric preclinical testing program. Pediatric blood & cancer 2008:50(4):799-805.
21. Houghton P J, Morton CL, Gorlick R, et al. Stage 2 combination testing of rapamycin with cytotoxic agents by the Pediatric Preclinical Testing Program. Molecular cancer therapeutics 2010:9(1):101-112.
22. Houghton PJ, Gorlick R, Kolb EA, et al. Initial testing (stage 1) of the mTOR kinase inhibitor AZD8055 by the pediatric preclinical testing program. Pediatric blood & cancer 2012:58(2):191-199.
23. Carol H, Morton CL, Gorlick R, et al. Initial testing (stage 1) of the Akt inhibitor GSK690693 by the pediatric preclinical testing program. Pediatric blood & cancer
2010:55(7):1329-1337.
24. Gorlick R, Maris JM, Houghton PJ, et al. Testing of the Akt/PKB inhibitor MK- 2206 by the pediatric preclinical testing program. Pediatric blood & cancer 2011.
25. Keshelava N, Frgala T, Krejsa J, et al. DIMSCAN: a microcomputer
fluorescence-based cytotoxicity assay for preclinical testing of combination chemotherapy. Methods in molecular medicine 2005:110:139-153.
26. Sebaugh JL. Guidelines for accurate EC50/IC50 estimation. Pharmaceut Statist 2011:10 128-134.
27. Houghton PJ, Morton CL, Tucker C, et al. The pediatric preclinical testing program: Description of models and early testing results. Pediatr Blood Cancer 2006.
28. Liem NL, Papa RA, Milross CG, et al. Characterization of childhood acute lymphoblastic leukemia xenograft models for the preclinical evaluation of new therapies. Blood 2004:103(10):3905-3914.
29. Kurmasheva RT, Harwood FC, Houghton PJ. Differential regulation of vascular endothelial growth factor by Akt and mammalian target of rapamycin inhibitors in cell lines derived from childhood solid tumors. Molecular cancer therapeutics 2007:6(5): 1620- 1628.
30. Vanhaesebroeck B, Welham MJ, Kotani K, et al. Pl lOdelta, a novel
phosphoinositide 3-kinase in leukocytes. Proceedings of the National Academy of Sciences of the United States of America 1997 : 94(9) :4330-4335.
31. Shapiro GI, Edelman G, Calvo E, et al. Targeting aberrant PI3K pathway signaling with XL 147, a potent, selective and orally bioavailable PI3K inhibitor. AACR- NCI-EORTC International Conference 2007:Abstr C205.
32. Lannutti BJ, Meadows SA, Herman SE, et al. CAL- 101, a pi lOdelta selective phosphatidylinositol-3-kinase inhibitor for the treatment of B-cell malignancies, inhibits PI3K signaling and cellular viability. Blood 2011 :117(2):591-594.
33. Coutre SE, Byrd JC, Furman RR, et al. Phase I study of CAL-101, an isoform- selective inhibitor of phosphatidylinositol 3 -kinase PI lOd, in patients with previously treated chronic lymphocytic leukemia. J Clin Oncol 2011 :29:(suppl; abstr 6631).
34. Osaki M, Oshimura M, Ito H. PI3K-Akt pathway: its functions and alterations in human cancer. Apoptosis : an international journal on programmed cell death 2004:9(6):667- 676.
35. Petricoin EF, 3rd, Espina V, Araujo RP, et al. Phosphoprotein pathway mapping: Akt/mammalian target of rapamycin activation is negatively associated with childhood rhabdomyosarcoma survival. Cancer research 2007:67(7):3431 -3440.
36. Opel D, Poremba C, Simon T, et al. Activation of Akt predicts poor outcome in neuroblastoma. Cancer research 2007:67(2):735-745.
37. Boiler D, Schramm A, Doepf er KT, et al. Targeting the phosphoinositide 3- kinase isoform pi lOdelta impairs growth and survival in neuroblastoma cells. Clin Cancer Res 2008:14(4):1172-1181.
38. Segerstrom L, Baryawno N, Sveinbjornsson B, et al. Effects of small molecule inhibitors of
PI3K/Akt/mTOR signaling on neuroblastoma growth in vitro and in vivo.
International journal of cancer 2011 : 129( 12):2958-2965.
39. Guerreiro AS, Fattet S, Fischer B, et al. Targeting the PI3K pi lOalpha isoform inhibits medulloblastoma proliferation, chemoresistance, and migration. Clin Cancer Res 2008:14(21):6761-6769.
40. Buonamici S, Williams J, Morrissey M, et al. Interfering with resistance to smoothened antagonists by inhibition of the PI3K pathway in medulloblastoma. Sci Transl Med 2010:2(51):51ra70.
41. Guerreiro AS, Fattet S, Kulesza DW, et al. A sensitized RNA interference screen identifies a novel role for the PI3K pi lOgamma isoform in medulloblastoma cell proliferation and chemoresistance. Mol Cancer Res 2011 :9(7):925-935.
42. Morozova O, Birol I, Corbett R, et al. Whole genome and transcriptome sequencing defines the spectrum of somatic changes in high-risk neuroblastoma. Proceedings of the 102nd Annual Meeting of the American Association for Cancer Research 2011 :Abstr 926.
43. Pugh TJ, Lawrence M, Sougnez C, et al. Exome sequencing of 81
neuroblastomas identifies a wide diversity of somatic mutation. Proceedings of the 102nd Annual Meeting of the American Association for Cancer Research 2011 :Abstr 4756.
44. Zhang J, Mullighan CG, Harvey RC, et al. Key pathways are frequently mutated in high risk childhood acute lymphoblastic leukemia: a report from the Children's Oncology Group. Blood 2011.
45. Shukla N, Ameur N, Yilmaz I, et al. Oncogene Mutation Profiling of Pediatric Solid Tumors Reveals Significant Subsets of Embryonal Rhabdomyosarcoma and
Neuroblastoma with Mutated Genes in Growth Signaling Pathways. Clin Cancer Res 2012.
46. Broderick DK, Di C, Parrett TJ, et al. Mutations of PIK3C A in anaplastic oligodendrogliomas, high-grade astrocytomas, and medulloblastomas. Cancer research 2004:64(15):5048-5050.
47. Pugh TJ, Cho YJ, Archer T, et al. MeduUoblastoma exome sequencing uncovers subtype-specific somatic mutations within a wide spectrum of genetic heterogeneity.
Proceedings of the 103rd Annual Meeting of the American Association for Cancer Research 2012.
48. Jones DT, Jaeger N, Cho YJ, et al. ICGC PedBrain Tumor - Next-generation sequencing identifies novel subgroup-specific mutations and copy number aberrations in meduUoblastoma. Proceedings of the 103rd Annual Meeting of the American Association for Cancer Research 2012:Abstr #4872.
49. Bender A, Opel D, Naumann I, et al. PI3K inhibitors prime neuroblastoma cells for chemotherapy by shifting the balance towards pro-apoptotic Bcl-2 proteins and enhanced mitochondrial apoptosis. Oncogene 2011 :30(4):494-503.
[00248] The foregoing invention has been described in some detail by way of illustration and example, for purposes of clarity and understanding. The invention has been described with reference to various specific embodiments and techniques. However, it should be understood that many variations and modifications may be made while remaining within the spirit and scope of the invention. It will be obvious to one of skill in the art that changes and
modifications may be practiced within the scope of the appended claims. Therefore, it is to be understood that the above description is intended to be illustrative and not restrictive. The scope of the invention should, therefore, be determined not with reference to the above description, but should instead be determined with reference to the following appended claims, along with the full scope of equivalents to which such claims are entitled. All patents, patent applications and publications cited in this application are hereby incorporated by reference in their entirety for all purposes to the same extent as if each individual patent, patent application or publication were so individually denoted.
Claims
1. A method of treating a childhood cancer in a patient in need of such treatment, comprising administering to the patient an effective amount of
2. The method of claim 1 , wherein the childhood cancer is a leukemia, solid tumor, or sarcoma.
3. The method of claim 2, wherein the leukemia is acute lymphocytic leukemia.
4. The method of claim 2, wherein the solid tumor is a neuroblastoma.
5. The method of claim 2, wherein the sarcoma is rhabdomyosarcoma.
Applications Claiming Priority (2)
| Application Number | Priority Date | Filing Date | Title |
|---|---|---|---|
| US201161554677P | 2011-11-02 | 2011-11-02 | |
| US61/554,677 | 2011-11-02 |
Publications (1)
| Publication Number | Publication Date |
|---|---|
| WO2013067306A1 true WO2013067306A1 (en) | 2013-05-10 |
Family
ID=47278506
Family Applications (1)
| Application Number | Title | Priority Date | Filing Date |
|---|---|---|---|
| PCT/US2012/063247 Ceased WO2013067306A1 (en) | 2011-11-02 | 2012-11-02 | Phosphatidylinositol 3-kinase inhibitors for the treatment of childhood cancers |
Country Status (1)
| Country | Link |
|---|---|
| WO (1) | WO2013067306A1 (en) |
Cited By (1)
| Publication number | Priority date | Publication date | Assignee | Title |
|---|---|---|---|---|
| WO2014072937A1 (en) | 2012-11-08 | 2014-05-15 | Rhizen Pharmaceuticals Sa | Pharmaceutical compositions containing a pde4 inhibitor and a pi3 delta or dual pi3 delta-gamma kinase inhibitor |
Citations (4)
| Publication number | Priority date | Publication date | Assignee | Title |
|---|---|---|---|---|
| US4107288A (en) | 1974-09-18 | 1978-08-15 | Pharmaceutical Society Of Victoria | Injectable compositions, nanoparticles useful therein, and process of manufacturing same |
| US5145684A (en) | 1991-01-25 | 1992-09-08 | Sterling Drug Inc. | Surface modified drug nanoparticles |
| WO2008021389A2 (en) * | 2006-08-16 | 2008-02-21 | Exelixis, Inc. | Using pi3k and mek modulators in treatments of cancer |
| WO2008127594A2 (en) * | 2007-04-11 | 2008-10-23 | Exelixis, Inc. | Combination therapies comprising quinoxaline inhibitors of pi3k-alpha for use in the treatment of cancer |
-
2012
- 2012-11-02 WO PCT/US2012/063247 patent/WO2013067306A1/en not_active Ceased
Patent Citations (4)
| Publication number | Priority date | Publication date | Assignee | Title |
|---|---|---|---|---|
| US4107288A (en) | 1974-09-18 | 1978-08-15 | Pharmaceutical Society Of Victoria | Injectable compositions, nanoparticles useful therein, and process of manufacturing same |
| US5145684A (en) | 1991-01-25 | 1992-09-08 | Sterling Drug Inc. | Surface modified drug nanoparticles |
| WO2008021389A2 (en) * | 2006-08-16 | 2008-02-21 | Exelixis, Inc. | Using pi3k and mek modulators in treatments of cancer |
| WO2008127594A2 (en) * | 2007-04-11 | 2008-10-23 | Exelixis, Inc. | Combination therapies comprising quinoxaline inhibitors of pi3k-alpha for use in the treatment of cancer |
Non-Patent Citations (74)
| Title |
|---|
| "Bioreversible Carriers in Drug Design", 1987, AMERICAN PHARMACEUTICAL ASSOCIATION AND PERGAMON PRESS |
| "Larch's Comprehensive Organic Transformations", 1989, VICHY PUBLISHERS INC. |
| "March's Advanced Organic Chemistry", JOHN WILEY AND SONS |
| "Organic Reactions", vol. 1-40, 1991, JOHN WILEY AND SONS |
| "Remington's Pharmaceutical Sciences", 1985, MACK PUBLISHING COMPANY |
| "Remington's Pharmaceutical Sciences", 1990, MACK PUBLISHING COMPANY |
| "Rod's Chemistry of Carbon Compounds", vol. 1-5, 1989, ELSEVIER SCIENCE PUBLISHERS |
| 7. COURTNEY KD; CORCORAN RB; ENGELMAN JA: "The PI3K pathway as drug target in human cancer", JOURNAL OF CLINICAL ONCOLOGY : OFFICIAL JOURNAL OF THE AMERICAN SOCIETY OF CLINICAL ONCOLOGY, vol. 28, no. 6, 2010, pages 1075 - 1083, XP002669065, DOI: doi:10.1200/jco.2009.25.3641 |
| BENDER A; OPEL D; NAUMANN I ET AL.: "PI3K inhibitors prime neuroblastoma cells for chemotherapy by shifting the balance towards pro-apoptotic Bcl-2 proteins and enhanced mitochondrial apoptosis.", ONCOGENE, vol. 30, no. 4, 2011, pages 494 - 503, XP055114025, DOI: doi:10.1038/onc.2010.429 |
| BOLLER D; SCHRAMM A; DOEPFNER KT ET AL.: "Targeting the phosphoinositide 3- kinase isoform pl 10delta impairs growth and survival in neuroblastoma cells.", CLIN CANCER RES, vol. 14, no. 4, 2008, pages 1172 - 1181 |
| BRODERICK DK; DI C; PARRETT TJ ET AL.: "Mutations of PIK3 CA in anaplastic oligodendrogliomas, high-grade astrocytomas, and medulloblastomas", CANCER RESEARCH, vol. 64, no. 15, 2004, pages 5048 - 5050, XP002517093, DOI: doi:10.1158/0008-5472.CAN-04-1170 |
| BUONAMICI S; WILLIAMS J; MORRISSEY M ET AL.: "Interfering with resistance to smoothened antagonists by inhibition of the PI3K pathway in medulloblastoma", SCI TRANSL MED, vol. 2, no. 51, 2010, pages 51RA70, XP009143036, DOI: doi:10.1126/scitranslmed.3001599 |
| CALVO E ET AL: "218 POSTER A phase I dose-escalation study of the safety, pharmacokinetics and pharmacodynamics of XL147, a novel PI3K inhibitor administered orally to patients with advanced solid tumors", EUROPEAN JOURNAL OF CANCER. SUPPLEMENT, PERGAMON, OXFORD, GB, vol. 6, no. 12, 1 October 2008 (2008-10-01), pages 69, XP025534280, ISSN: 1359-6349, [retrieved on 20081001], DOI: 10.1016/S1359-6349(08)72150-5 * |
| CAROL H; MORTON CL; GORLICK R ET AL.: "Initial testing (stage 1) of the Akt inhibitor GSK690693 by the pediatric preclinical testing program", PEDIATRIC BLOOD & CANCER, vol. 55, no. 7, 2010, pages 1329 - 1337 |
| CHAKRABARTY A; SANCHEZ V; KUBA MG ET AL.: "Feedback upregulation of HER3 (ErbB3) expression and activity attenuates antitumor effect of PI3K inhibitors", PROC NATL ACAD SCI USA, 2011 |
| COUTRE SE; BYRD JC; FURMAN RR ET AL.: "Phase I study of CAL-101, an isoform- selective inhibitor of phosphatidylinositol 3-kinase P 1 l0d, in patients with previously treated chronic lymphocytic leukemia", J CLIN ONCOL, vol. 29, 2011 |
| EDELMAN G; BEDELL C; SHAPIRO GEA: "A phase I dose-escalation study of XL 147 (SAR245408), a P13K inhibitor administred orally to patients (pts) with advanced malignancies", J CLINICAL ONCOLOGY, vol. 28, 2010, pages 3003 |
| ELISABETTA CALZAVARA ET AL: "Reciprocal regulation of Notch and PI3K/Akt signalling in T-ALL cells In Vitro", JOURNAL OF CELLULAR BIOCHEMISTRY, vol. 103, no. 5, 1 April 2008 (2008-04-01), pages 1405 - 1412, XP055048396, ISSN: 0730-2312, DOI: 10.1002/jcb.21527 * |
| ENGELMAN JA; LUO J; CANTLEY LC.: "The evolution of phosphatidylinositol 3- kinases as regulators of growth and metabolism", NAT REV GENET, vol. 7, no. 8, 2006, pages 606 - 619 |
| FISHER; FISHER'S: "Reagents for Organic Synthesis", vol. 1-17, 1991, JOHN WILEY AND SONS |
| FRIEDMAN HS; COLVIN OM; SKAPEK SX ET AL.: "Experimental chemotherapy of human medulloblastoma cell lines and transplantable xenografts with bifunctional alkylating agents", CANCER RES, vol. 48, no. 15, 1988, pages 4189 - 4195 |
| GEORGESCU MM.: "PTEN Tumor Suppressor Network in PI3K-Akt Pathway Control", GENES CANCER, vol. 1, no. 12, 2010, pages 1170 - 1177 |
| GOODMAN; GILMAN ET AL.: "The Pharmacological Basis of Therapeutics", 1990, PERGAMON PRESS |
| GORLICK R; MARIS JM; HOUGHTON PJ ET AL.: "Testing of the Akt/PKB inhibitor MK-2206 by the pediatric preclinical testing program.", PEDIATRIC BLOOD & CANCER, 2011 |
| GRAHAM C; TUCKER C; CREECH J ET AL.: "Evaluation of the antitumor efficacy, pharmacokinetics, and pharmacodynamics of the histone deacetylase inhibitor depsipeptide in childhood cancer models in vivo", CLIN CANCER RES, vol. 12, no. 1, 2006, pages 223 - 234 |
| GUERREIRO AS; FATTET S; FISCHER B ET AL.: "Targeting the Pl3K p110alpha isoform inhibits medulloblastoma proliferation, chemoresistance, and migration", CLIN CANCER RES, vol. 14, no. 21, 2008, pages 6761 - 6769 |
| GUERREIRO AS; FATTET S; KULESZA DW ET AL.: "A sensitized RNA interference screen identifies a novel role for the PI3K p110gamma isoform in medulloblastoma cell proliferation and chemoresistance", MOL CANCER RES, vol. 9, no. 7, 2011, pages 925 - 935 |
| HENNESSY BT; SMITH DL; RAM PT ET AL.: "Exploiting the PI3K/AKT pathway for cancer drug discovery", NATURE REVIEWS DRUG DISCOVERY, vol. 4, no. 12, 2005, pages 988 - 1004 |
| HOUGHTON PJ; GORLICK R; KOLB EA ET AL.: "Initial testing (stage 1) of the mTOR kinase inhibitor AZD8055 by the pediatric preclinical testing program", PEDIATRIC BLOOD & CANCER, vol. 58, no. 2, 2012, pages 191 - 199 |
| HOUGHTON PJ; MORTON CL; GORLICK R ET AL.: "Stage 2 combination testing of rapamycin with cytotoxic agents by the Pediatric Preclinical Testing Program", MOLECULAR CANCER THERAPEUTICS, vol. 9, no. L, 2010, pages 101 - 112, XP055245760, DOI: doi:10.1158/1535-7163.MCT-09-0952 |
| HOUGHTON PJ; MORTON CL; KOLB EA ET AL.: "Initial testing (stage 1) of the mTOR inhibitor rapamycin by the pediatric preclinical testing program", PEDIATRIC BLOOD & CANCER, vol. 50, no. 4, 2008, pages 799 - 805 |
| HOUGHTON PJ; MORTON CL; TUCKER C ET AL.: "The pediatric preclinical testing program: Description of models and early testing results", PEDIATR BLOOD CANCER, 2006 |
| JAMES M. CLEARY ET AL: "Development of Phosphoinositide-3 Kinase Pathway Inhibitors for Advanced Cancer", CURRENT ONCOLOGY REPORTS, vol. 12, no. 2, 1 March 2010 (2010-03-01), pages 87 - 94, XP055004477, ISSN: 1523-3790, DOI: 10.1007/s11912-010-0091-6 * |
| JONES DT; JAEGER N; CHO YJ ET AL.: "ICGC PedBrain Tumor - Next-generation sequencing identifies novel subgroup-specific mutations and copy number aberrations in medulloblastoma", PROCEEDINGS OF THE 103RD ANNUAL MEETING OF THE AMERICAN ASSOCIATION FOR CANCER RESEARCH, 2012 |
| KANG MH ET AL., PEDIATR BLOOD CANCER, vol. 56, 2011, pages 239 - 249 |
| KENIRY M; PARSONS R.: "The role of PTEN signaling perturbations in cancer and in targeted therapy", ONCOGENE, vol. 27, no. 41, 2008, pages 5477 - 5485 |
| KESHELAVA N; FRGALA T; KREJSA J ET AL.: "DIMSCAN: a microcomputer fluorescence-based cytotoxicity assay for preclinical testing of combination chemotherapy", METHODS IN MOLECULAR MEDICINE, vol. 110, 2005, pages 139 - 153, XP008137430, DOI: doi:10.1385/1-59259-869-2:139 |
| KESHELAVA N; FRGALA T; KREJSA J ET AL.: "DIMSCAN: a microcomputer fluorescence-based cytotoxicity assay for preclinical testing of combination chemotherapy", METHODS MOL MED., vol. 110, 2005, pages 139 - 153, XP008137430, DOI: doi:10.1385/1-59259-869-2:139 |
| KURMASHEVA RT; HARWOOD FC; HOUGHTON PJ.: "Differential regulation of vascular endothelial growth factor by Akt and mammalian target of rapamycin inhibitors in cell lines derived from childhood solid tumors", MOLECULAR CANCER THERAPEUTICS, vol. 6, no. 5, 2007, pages 1620 - 1628 |
| L. CHESLER: "Inhibition of Phosphatidylinositol 3-Kinase Destabilizes Mycn Protein and Blocks Malignant Progression in Neuroblastoma", CANCER RESEARCH, vol. 66, no. 16, 15 August 2006 (2006-08-15), pages 8139 - 8146, XP055048158, ISSN: 0008-5472, DOI: 10.1158/0008-5472.CAN-05-2769 * |
| LANNUTTI BJ; MEADOWS SA; HERMAN SE ET AL.: "CAL-101, a p110delta selective phosphatidylinositol-3-kinase inhibitor for the treatment of B-cell malignancies, inhibits PI3K signaling and cellular viability", BLOOD, vol. 117, no. 2, 2011, pages 591 - 594, XP008152256, DOI: doi:10.1182/blood-2010-03-275305 |
| LANNUTTI BRIAN J ET AL: "CAL-101, a p110delta selective phosphatidylinositol-3-kinase inhibitor for the treatment of B-cell malignancies, inhibits PI3K signaling and cellular viability", vol. 117, no. 2, 13 January 2011 (2011-01-13), pages 591 - 594, XP008152256, ISSN: 1528-0020, Retrieved from the Internet <URL:http://www.bloodjournal.org/> DOI: 10.1182/BLOOD-2010-03-275305 * |
| LIEM NL; PAPA RA; MILROSS CG ET AL.: "Characterization of childhood acute lymphoblastic leukemia xenograft models for the preclinical evaluation of new therapies", BLOOD, vol. 103, no. 10, 2004, pages 3905 - 3914 |
| LOVA SEGERSTRÖM ET AL: "Effects of small molecule inhibitors of PI3K/Akt/mTOR signaling on neuroblastoma growth in vitro and in vivo", INTERNATIONAL JOURNAL OF CANCER, vol. 129, no. 12, August 2011 (2011-08-01), pages 2958 - 2965, XP055018320, ISSN: 0020-7136, DOI: 10.1002/ijc.26268 * |
| LUO J; MANNING BD; CANTLEY LC.: "Targeting the PI3K-Akt pathway in human cancer: rationale and promise.", CANCER CELL, vol. 4, no. 4, 2003, pages 257 - 262, XP008041402, DOI: doi:10.1016/S1535-6108(03)00248-4 |
| MANNING BD; CANTLEY LC.: "AKT/PKB signaling: navigating downstream", CELL, vol. 129, no. 7, 2007, pages 1261 - 1274 |
| MARKMAN B; DIENSTMANN R; TABEMERO J.: "Targeting the PI3K/Akt/mTOR pathway--beyond rapalogs", ONCOTARGET, vol. 1, no. 7, 2010, pages 530 - 543 |
| MOROZOVA 0; BIROL I; CORBETT R ET AL.: "Whole genome and transcriptome sequencing defines the spectrum of somatic changes in high-risk neuroblastoma", PROCEEDINGS OF THE 102ND ANNUAL MEETING OF THE AMERICAN ASSOCIATION FOR CANCER RESEARCH, 2011 |
| OPEL D; POREMBA C; SIMON T ET AL.: "Activation of Akt predicts poor outcome in neuroblastoma", CANCER RESEARCH, vol. 67, no. 2, 2007, pages 735 - 745 |
| OSAKI M; OSHIMURA M; ITO H.: "PI3K-Akt pathway: its functions and alterations in human cancer", APOPTOSIS : AN INTERNATIONAL JOURNAL ON PROGRAMMED CELL DEATH, vol. 9, no. 6, 2004, pages 667 - 676, XP019204869, DOI: doi:10.1023/B:APPT.0000045801.15585.dd |
| PETERSON JK; TUCKER C; FAVOURS E ET AL.: "In vivo evaluation of ixabepilone (BMS247550), a novel epothilone B derivative, against pediatric cancer models", CLIN CANCER RES, vol. 11, 2005, pages 6950 - 6958 |
| PETRICOIN EF, 3RD; ESPINA V; ARAUJO RP ET AL.: "Phosphoprotein pathway mapping: Akt/mammalian target of rapamycin activation is negatively associated with childhood rhabdomyosarcoma survival", CANCER RESEARCH, vol. 67, no. 7, 2007, pages 3431 - 3440 |
| PLOWMAN J CR; ALLEY M; SAUSVILLE E; SCHEPARTZ S.: "Relevance of tumor models for auticancer drug development", 1999, KARGER, article "US-NCI testing procedures", pages: 121 - 135 |
| PUGH TJ; CHO YJ; ARCHER T ET AL.: "Medulloblastoma exome sequencing uncovers subtype-specific somatic mutations within a wide spectrum of genetic heterogeneity", PROCEEDINGS OF THE 103RD ANNUAL MEETING OF THE AMERICAN ASSOCIATION FOR CANCER RESEARCH, 2012 |
| PUGH TJ; LAWRENCE M; SOUGNEZ C ET AL.: "Exome sequencing of 81 neuroblastomas identifies a wide diversity of somatic mutation", PROCEEDINGS OF THE 102ND ANNUAL MEETING OF THE AMERICAN ASSOCIATION FOR CANCER RESEARCH, 2011 |
| REYNOLDS ET AL.: "PediatricPreclinical Testing Program (PPTP) Stage 1 evaluation of the PI3K inhibitor XL147 (SAR245408)", 17 November 2011 (2011-11-17), XP002689567, Retrieved from the Internet <URL:http://pptp.nchresearch.org/documents/meetingPresentations/XL147%20EORTC%202011.pdf> [retrieved on 20121219] * |
| S. H. DANDEGAONKER; C. K. MESTA, J MED. CHEM., vol. 8, 1965, pages 884 |
| S. M. BERGE ET AL.: "Pharmaceutical Salts", J. PHARM. SCI., vol. 66, 1977, pages 1 - 19, XP002675560, DOI: doi:10.1002/jps.2600660104 |
| S. V. LITVINENKO; V. I. SAVICH; D. D. BOBROVNIK, CHEM. HETEROCYCL. COMPD., vol. 30, 1994, pages 340 |
| SAMUELS Y; WANG Z; BARDELLI A ET AL.: "High frequency of mutations of the PIK3CA gene in human cancers", SCIENCE, vol. 304, no. 5670, 2004, pages 554, XP002729909, DOI: doi:10.1126/science.1096502 |
| SEBAUGH JL: "Guidelines for accurate EC50/IC50 estimation", PHARMACEUT STATIST, vol. 10, 2011, pages 128 - 134, XP055254257, DOI: doi:10.1002/pst.426 |
| SEGERSTROM L; BARYAWNO N; SVEINBJORNSSON B ET AL.: "Effects of small molecule inhibitors ofPI3K/Akt/mTOR signaling on neuroblastoma growth in vitro and in vivo", INTERNATIONAL JOURNAL OF CANCER, vol. 129, no. 12, 2011, pages 2958 - 2965, XP055018320, DOI: doi:10.1002/ijc.26268 |
| SHAPIRO GI; EDELMAN G; CALVO E ET AL.: "Targeting aberrant PI3K pathway signaling with XL147, a potent, selective and orally bioavailable PI3K inhibitor", AACR-NCI-EORTC INTERNATIONAL CONFERENCE, 2007 |
| SHOR B; GIBBONS JJ; ABRAHAM R ET AL.: "Targeting mTOR globally in cancer: thinking beyond rapamycin", CELL CYCLE, vol. 8, no. 23, 2009, pages 3831 - 3837 |
| SHUKLA N; AMEUR N; YILMAZ I ET AL.: "Oncogene Mutation Profiling of Pediatric Solid Tumors Reveals Significant Subsets of Embryonal Rhabdomyosarcoma and Neuroblastoma with Mutated Genes in Growth Signaling Pathways", CLIN CANCER RES, 2012 |
| SUSAN K PEIRCE ET AL: "The PI-3 kinase-Akt-MDM2-survivin signaling axis in high-risk neuroblastoma: a target for PI-3 kinase inhibitor intervention", CANCER CHEMOTHERAPY AND PHARMACOLOGY, SPRINGER, BERLIN, DE, vol. 68, no. 2, 24 October 2010 (2010-10-24), pages 325 - 335, XP019930115, ISSN: 1432-0843, DOI: 10.1007/S00280-010-1486-7 * |
| T. HIGUCHI; V. STELLA: "A.C.S. Symposium Series", vol. 14, article "Pro-drugs as Novel Delivery Systems" |
| T. HIGUCHI; V. STELLA: "A.C.S. Symposium Series, and in Bioreversible Carriers in Drug Design", vol. 14, 1987, AMERICAN PHARMACEUTICAL ASSOCIATION AND PERGAMON PRESS, article "Pro-drugs as Novel Delivery Systems" |
| T. LI ET AL: "WJD008, a Dual Phosphatidylinositol 3-Kinase (PI3K)/Mammalian Target of Rapamycin Inhibitor, Prevents PI3K Signaling and Inhibits the Proliferation of Transformed Cells with Oncogenic PI3K Mutant", JOURNAL OF PHARMACOLOGY AND EXPERIMENTAL THERAPEUTICS, vol. 334, no. 3, 1 September 2010 (2010-09-01), pages 830 - 838, XP055048385, ISSN: 0022-3565, DOI: 10.1124/jpet.110.167940 * |
| T.W. GREENE: "Protective Groups in Organic Synthesis", 1991, JOHN WILEY & SONS, INC. |
| VANHAESEBROECK B; WELHAM MJ; KOTANI K ET AL.: "PI 10delta, a novel phosphoinositide 3-kinase in leukocytes", PROCEEDINGS OF THE NATIONAL ACADEMY OF SCIENCES OF THE UNITED STATES OF AMERICA, vol. 94, no. 9, 1997, pages 4330 - 4335, XP002044005, DOI: doi:10.1073/pnas.94.9.4330 |
| VIVANCO I; SAWYERS CL.: "The phosphatidylinositol 3-Kinase AKT pathway in human cancer", NAT REV CANCER, vol. 2, no. 7, 2002, pages 489 - 501, XP009035869, DOI: doi:10.1038/nrc839 |
| W. C. LUMMA; R. D. HARTMAN, J MED. CHEM., vol. 24, 1981, pages 93 |
| ZHANG J; MULLIGHAN CG; HARVEY RC ET AL.: "Key pathways are frequently mutated in high risk childhood acute lymphoblastic leukemia: a report from the Children's Oncology Group", BLOOD, 2011 |
Cited By (1)
| Publication number | Priority date | Publication date | Assignee | Title |
|---|---|---|---|---|
| WO2014072937A1 (en) | 2012-11-08 | 2014-05-15 | Rhizen Pharmaceuticals Sa | Pharmaceutical compositions containing a pde4 inhibitor and a pi3 delta or dual pi3 delta-gamma kinase inhibitor |
Similar Documents
| Publication | Publication Date | Title |
|---|---|---|
| CN107286077B (en) | A selective C-KIT kinase inhibitor | |
| CN1976906B (en) | Substituted 2-alkylquinazolinone derivatives useful as PARP inhibitors | |
| TW202007396A (en) | Bcl-2 inhibitor or combination product of Bcl-2/Bcl-xL inhibitor and BTK inhibitor and its use in preventing and/or treating diseases | |
| CN104098551B (en) | Substituted Quinazoline Derivatives as Aurora Kinase Inhibitors | |
| CN103874494A (en) | Combination therapy using a pyridopyrimidinone inhibitor of PI3K/MTOR with bendamustine and/or rituximab for the treatment of hematological malignancies | |
| JPWO2008001886A1 (en) | Aurora inhibitor | |
| AU2017220738A1 (en) | Carboxamide derivatives useful as RSK inhibitors | |
| EA032693B1 (en) | 2h-indazole derivatives as cyclin-dependent kinase (cdk) inhibitors and therapeutic uses thereof | |
| JP5901634B2 (en) | Quinazoline compounds and methods of use thereof | |
| CN103202842A (en) | Methods Of Treating By Inhibiting With Quinaxoline Inhibitors Of P13k-alpha | |
| CN114728945B (en) | 3,5-Disubstituted pyrazole compounds as kinase inhibitors and their applications | |
| TW202019409A (en) | Synergistic antitumor effect of BCL-2 inhibitor combined with rituximab and/or bendamustine or BCL-2 inhibitor combined with CHOP | |
| US20220202814A1 (en) | Treatment of cancer | |
| CA3240011A1 (en) | Fused thiazolopyrimidine derivatives as mnks inhibitors | |
| JP2022539208A (en) | Tyrosine kinase non-receptor 1 (TNK1) inhibitors and uses thereof | |
| US20220041588A1 (en) | Substituted imidazo[1,2-a]pyridine and [1,2,4]triazolo[1,5-a]pyridine compounds as ret kinase inhibitors | |
| JPWO2008001885A1 (en) | AbI kinase inhibitor | |
| US12115152B2 (en) | Pan-RAF kinase inhibitor and use thereof | |
| CN105050602A (en) | Pyridine compounds used as pi3 kinase inhibitors | |
| WO2012149308A1 (en) | Method of treating lymphoma using pyridopyrimidinone inhibitors of pi3k/mtor | |
| WO2013067306A1 (en) | Phosphatidylinositol 3-kinase inhibitors for the treatment of childhood cancers | |
| CN113840823B (en) | Novel heterocyclic substituted pyrimidine derivatives showing cancer cell growth inhibitory effects, and pharmaceutical compositions containing the same | |
| CN111138426B (en) | Indazole kinase inhibitor and application thereof | |
| CN111303024A (en) | Quinoline-structured pan-KIT kinase inhibitor and application thereof | |
| CN118666846A (en) | Benzylcarbonyl indole derivatives and uses thereof |
Legal Events
| Date | Code | Title | Description |
|---|---|---|---|
| 121 | Ep: the epo has been informed by wipo that ep was designated in this application |
Ref document number: 12794802 Country of ref document: EP Kind code of ref document: A1 |
|
| NENP | Non-entry into the national phase |
Ref country code: DE |
|
| 122 | Ep: pct application non-entry in european phase |
Ref document number: 12794802 Country of ref document: EP Kind code of ref document: A1 |























































