WO2013015780A1 - System for predicting residual tire endurance limit in real-time - Google Patents
System for predicting residual tire endurance limit in real-time Download PDFInfo
- Publication number
- WO2013015780A1 WO2013015780A1 PCT/US2011/045195 US2011045195W WO2013015780A1 WO 2013015780 A1 WO2013015780 A1 WO 2013015780A1 US 2011045195 W US2011045195 W US 2011045195W WO 2013015780 A1 WO2013015780 A1 WO 2013015780A1
- Authority
- WO
- WIPO (PCT)
- Prior art keywords
- tire
- endurance limit
- residual
- predicting
- vehicle
- Prior art date
- Legal status (The legal status is an assumption and is not a legal conclusion. Google has not performed a legal analysis and makes no representation as to the accuracy of the status listed.)
- Ceased
Links
Classifications
-
- B—PERFORMING OPERATIONS; TRANSPORTING
- B60—VEHICLES IN GENERAL
- B60C—VEHICLE TYRES; TYRE INFLATION; TYRE CHANGING; CONNECTING VALVES TO INFLATABLE ELASTIC BODIES IN GENERAL; DEVICES OR ARRANGEMENTS RELATED TO TYRES
- B60C23/00—Devices for measuring, signalling, controlling, or distributing tyre pressure or temperature, specially adapted for mounting on vehicles; Arrangement of tyre inflating devices on vehicles, e.g. of pumps or of tanks; Tyre cooling arrangements
- B60C23/02—Signalling devices actuated by tyre pressure
- B60C23/04—Signalling devices actuated by tyre pressure mounted on the wheel or tyre
Definitions
- the present invention relates to a system for predicting residual tire endurance in real time based on the measurement of tire endurance factors during the use of the tire and to the providing of such information to the operator of the vehicle and/or service personnel.
- the residual endurance limit or remaining useful life of the tire can be limited by factors other than just tread wear, While the replacement of properly maintained passenger car tires is conventionally controlled by the wearing of the tread to a certain depth (absent e.g., a damage event), in some tire applications the residual endurance limit of the tire can be shortened significantly to a time that is less than the tread life.
- the residual endurance limit of the tire can be altered substantially by certain operating conditions that are referred herein as tire endurance factors - such as the tire loading, tire pressure, speed, and ambient temperature.
- the value of these tire endurance factors can cause a shortemng of the tire's endurance limit to a time well before the tire tread is unacceptably worn.
- “endurance limit” means a point during the usage of the tire at which the tire should be replaced and/or no longer used. This may be measured in e.g., units of distance or time.
- On-board systems are available for providing notifications based on
- measurements of the tire's air pressure For example, some vehicles will provide the operator with an audible and/or visual notification if the air pressure in a tire falls below a certain amount. Such notification serves to remind the operator to add air to the tire when a compressor or other air supply becomes available.
- conventional systems do not currently provide for the delivery of tire residual endurance limit information in real time based on current operating conditions much less measurements of tire endurance factors. More specifically, conventional systems do not provide for notification to the operator or service personnel of reductions in the residual endurance limit of a tire based upon either the measurement of tire endurance factors in real time or the history of such factors as created by the previous usage of the tire. For example, conventional systems do not currently provide notification to the driver of the time or distance remaining before a tire should be replaced based on real time measurements of the tire endurance factors or changes in those factors due to changes in operating conditions. Conventional systems also do not allow for tracking the usage of a tire to record reductions in the endurance limit of the tire based upon its use for future reference in determining the residual tire endurance limit.
- the tire endurance limit may primarily be a function of tread life as stated above.
- the operator of a vehicle may elect to intentionally subject a tire to conditions that will lower the tire's endurance limit.
- the operator of a military vehicle may reduce the air pressure to improve traction in sand or mud so as to escape from a hazardous situation.
- Such a reduction will typically reduce the tire's life span (i.e. decrease the residual tire endurance limit) by e.g., increasing the amount of deflection of the tire as it rotates through the contact patch.
- the operator may elect to load the tire (e.g., through the placement of cai'go on the vehicle) over its recommended load, which can also increase the amount of deflection and adversely impact the tire's endurance limit.
- the operator might elect to operate at a proper air pressure but exceed a tire's speed restriction and thereby raise the temperature of the tire to deleterious levels.
- conventional systems do not currently provide the operator with information regarding the extent to which such operating conditions may adversely impact the residual endurance limit of the tire by providing the operator with a prediction as to the amount of time or distance the tire might be able to go under such conditions before needing replacement.
- a system that can predict residual endurance limit information of a tire based on real time measurements i.e. measurements during the use of the tire would be beneficial. More particularly, a system that can use real time measurements of tire endurance factors such as speed, tire load, tire air pressure, and/or ambient temperature to determine the time and/or distance remaining before a tire should be replaced and/or removed from service would be useful. Such a system that can provide notifications to an operator of the vehicle and/or service personnel would also be helpful. A system that can also record or track reductions in the endurance life of a tire for future reference would also be useful.
- the present invention provides a method for predicting the residual endurance limit of a tire that includes the steps of measuring tire endurance factors during use of the tire on a vehicle; determining whether a change in the residual endurance limit of the tire has occurred using the measurements from the step of measuring; and, reporting the current residual endurance limit of the tire if a change in the residual tire endurance limit has occurred.
- the present invention provides a system for predicting the residual endurance limit of a tire in use on a vehicle.
- the system includes a temperature sensor for measuring the ambient air temperature; a pressure sensor for measuring the gas pressure in the tire; a speed sensor for determining the speed of the vehicle; and at least one processing device in communication with the temperature sensor, pressure sensor, and speed sensor.
- the processing device is configured for measuring tire endurance factors during use of the tire on the vehicle; determining whetlier a change in the residual endurance limit of the tire has occurred using the measurements of the tire endurance factors; and, reporting the current residual endurance limit of the tire if a change in the residual tire endurance limit has occurred.
- FIG. 1 provides a schematic illustration of an exemplary embodiment of an apparatus or system of the present invention.
- FIG. 2 illustrates an exemplary method of the present invention using a flow chart.
- FIGS. 3 and 4 provide certain data plots as will be further described below.
- FIG. 5 provides another exemplary method of the present invention in flowchart format.
- the present invention provides a system for predicting tire endurance information in real time based on measurements of tire endurance factors during operation of the vehicle and for providing such information to the operator of the vehicle and/or service personnel.
- a system for predicting tire endurance information in real time based on measurements of tire endurance factors during operation of the vehicle and for providing such information to the operator of the vehicle and/or service personnel.
- Endurance limit of "tire endurance limit” means a point in time or distance of use at which a tire should be replaced or no longer used.
- the "residual tire endurance limit” or “residual endurance limit of the tire” is the amount of life left in the tire, based on current operating conditions, before the tire endurance limit is reached. This limit can be reported in terms of time or distance. For example, the residual tire endurance limit may be reported e.g., as an overall distance limit for the tire based on under current operating conditions such as e.g., "150,000 km of use remaining.” Alternatively, knowing the speed of the vehicle (more importantly, the rpm of the tire) the endurance limit can be represented as the amount of time remaining for the tire under current usage conditions before the tire must be replaced or removed from service such as e.g., "10 hours of use remaining.”
- Tire endurance factors refers to operating conditions that can be measured, directly or indirectly, and which can impact the tire endurance limit. Examples include tire gas pressure, tire deflection, ambient temperature, tire loading, tire temperature, and speed,
- FIG. 1 provides a schematic representation of an exemplary embodiment of a system 00 of the present invention as might be implemented in a vehicle and/or inventory control system.
- System 100 might be used e.g., by a vehicle operator and/or other personnel servicing tires on one or more vehicles.
- all or part of the system could be located on-board the vehicle including one or more of its tires.
- the description that follows will refer in certain places to a single tire.
- One of skill in the art will understand, using the teachings disclosed herein, that the invention could be used on one, some, or all of the tires on the vehicle at any given time.
- an air pressure sensor 10 measures the gas (e.g., air) pressure in the tire during operation.
- the tire's gas pressure can be increased by temperature increases during operation and can also be manipulated by an operator of the vehicle. For certain applications such as mud or sand, for example, the operator may elect to reduce the gas pressure 10 in the tire to improve traction. However, this manipulation of the tire gas pressure can result in a decrease in the endurance limit of the tire.
- An ambient temperature sensor 20 records the temperature of the atmosphere during vehicle use.
- a speed sensor 30 provides the speed of the vehicle's movement over ground, which can be used to determine the frequency of the rotation of the tire (which could also be measured directly by speed sensor 30).
- the vehicle may be equipped with a tire load sensor 40 for determining the loading or weight on the tire.
- Tire load could also be provided by indirect measurements such as weighing the entire vehicle and determining the load per tire or calculated by knowing the vehicle and cargo weights. As such, tire load measurements could be provided into system 100 automatically or manually by the operator of the vehicle. Of course, additional sensors could be used if multiple tires are monitored at the same time.
- the measurements of these tire endurance factors can then be communicated to a
- receiver/processing device 50 Such communication may be through a wired or wireless connection.
- the gas pressure of the tire may be transmitted by a sensor 10 located in the tire to receiver/processing device 50 while vehicle speed may be transmitted over the vehicle's electrical system.
- Receiver/processing device 50 may include e.g., a microprocessor or other microcontroller for receiving data from one or more of sensors 10, 20, 30, and 40 and performing certain functions therewith as will be further described.
- a signal/notification device 60 such as a graphical user display and/or others may be used to display real time measurements provided by sensors 10, 20, 30, and 40 and to alert the operator to events that have changed the residual endurance limit of one or more tires on the vehicle and/or to inform the operator of the amount of change in the residual endurance limit of one or more tires. For example, upon determining that a change in tire gas pressure and tire load will reduce the endurance limit of a tire on the vehicle, processing device 50 may provide a warning message to the driver through signal/notification device 60.
- a the has an expected endurance life of 150,000 km provided the tire gas pressure is maintained in a certain range, tire load remains below a certain maximum amount, and the vehicle is operated below a certain maximum speed limitation.
- the operator elects to improve traction by deflating the tires on the loaded vehicle to an air pressure that is below the recommended tire air pressure in order to travel through a sand bed or muddy road.
- measurements of the tire endurance factors are provided and processing device 50 determines whether a reduction in the residual endurance limit of one or more tires on the vehicle has occurred. If so, a message is provided to the driver using signal/notification device 60.
- device 60 may inform the driver that the endurance limit of the tire has been reduced to 1500 km based on the current measurements of the tire endurance factors. Continuing with this example, perhaps the operator travels passes through the obstacle such as sand or mud after only 10 km and then re-inflates the tires to their recommended air pressure. Processing device 50 and signal/notification device 60 can now inform the driver of the remaining (and now reduced) endurance life of the tire based upon the 10 km of use in the underinflated condition. Processing device 50 can account for this reduction when reporting the residual endurance limit of the tire(s) to the operator,
- a recording device 80 can be provided so that information regarding the prior usage of one or more tires on the vehicle is stored for future reference.
- Such recording device 50 may consist, e.g., of a memory chip or other storage device configured with processing device 50.
- the recording device 50 may be configured to retain usage information even when the vehicle loses electrical power. Provision may be made to access the information in recording device 80 when the vehicle is serviced.
- the vehicle may contain one or more electrical connections for connecting recording device 80 and other electronics with a diagnostic system.
- system 100 may include a transmitter 70 whereby processing device 50 can transmit information regarding measurements of the tire endurance factors, information stored in recording device 80, and changes in the residual endurance limit of one or more tires. Such information could be transmitted, e.g., to an RFID 90 or other memory storage device that is in the tire or otherwise uniquely associated with the tire. In this way, if the tire is removed from the vehicle, information regarding the use of the tire and particularly reductions in the residual endurance limit of the tire based on its use can be associated with the tire. Such can be taken into consideration by service personnel in deciding whether to place the tire on another vehicle or remove it from service.
- the operator of another vehicle (having a system similar to system 100) to which the tire might be transferred can be provided with a notification of the current residual endurance limit of die tire based on changes that have occurred from previous use.
- the receiver/processing device 50 can be configured to read an RFID located on a tire after it is placed on a vehicle to determine the residual endurance limit of the tire based on its history of usage.
- System 100 is provided by way of example only. Various other embodiments of a system as may be used on a vehicle to receive measurements of tire endurance factors in real time, perform analysis of such data, notify the operator of the vehicle of changes in the residual endurance limit of one or more tires, and/or store such information on the vehicle, the tire, or both for future reference.
- FIG. 2 provides a flow chart illustrating an exemplary method of the present invention.
- system 100 and particularly receiver/processing device 50, may be programmed to operate according to the steps of method 200.
- Other systems may be used with the exemplary method of FIG. 2 as well.
- step 400 a determination is made as to whether the residual endurance limit of the tire has changed (e.g., has been reduced) by the current operating conditions, Step 400 is executed using the measurements of the tire endurance factors provided in step 300. For example, suppose again that the endurance limit of the tire in new condition is 150,000 km when the tire is operated at recommended conditions such that the endurance limit is controlled principally by tread wear absent a damage event. In step 400, a determination as to whether current measurements of the tire endurance factors indicate a change in this endurance limit has occurred.
- step 500 the change in the endurance limit is reported in step 500.
- system 100 may report (using e.g., signal/notification device 60) that based on the current operating conditions, the tire now has a new endurance limit of only 1500 km. More particularly, device 60 might, for example, provide a message display to the driver stating that 1500 km of use left in the tire under the current operating conditions. Additionally, after providing such notification, system 100 returns to step 300 and continues measuring the tire endurance factors during use of the vehicle to determine whether additional changes in the operating conditions have occurred that might affect the tire endurance limit.
- system 100 could be programmed to display 150,000 km (or 150,000 km less any distance by which the residual endurance limit was already reduced by previous use). Again, system 100 would return to step 300 and continue measuring the tire endurance factors to determine whether changes that might affect the residual endurance limit of the tire have occurred. The cycles in FIG. 2 are repeated while e.g., the vehicle is in operation and the tire is being used.
- the endurance limits of a tire are dependent upon, and can be substantially changed by, the temperature of the tire in different areas of its structure and/or the amount of deflection of tire during operation.
- instrumentation for measuring the actual temperature of the tire particularly at locations within the tread, crown, and other internal regions, is typically too complex, fragile, and expensive for practical use in a system that provides information in real time regarding tire endurance limits.
- Instrumentation for providing measurements of the deflection of the tire in real time during use of the vehicle are also unavailable and/or impractical.
- measurements of the tire endurance factors can be used to detemiine the temperature of the tire and its deflection indirectly, which in turn can be used to determine changes in the residual tire endurance limit. Additionally, such measurements and the detemiination of tire temperature and/or deflection can be performed in real time such that the operator of a vehicle can receive valuable information while operating the vehicle.
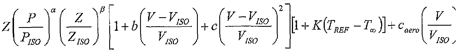
- equation (1) can be used to calculate the rolling resistance force FR (also referred to as RRSTA B ), which can then be used to calculate the internal temperature of the tire, T(t), at any future time t while operating at a new load, Z, pressure, P and speed, V, using equation (2): )
- FIG. 3 provides plots of temperature versus time for a passenger car tire provided by applicant's assignee. The tire was operated at various speeds over the zero to 90 minute time period. As a result, the temperature of the tire changed over this same time period.
- Plot line 700 represents the change in temperature as actually measured during this zero to 90 minute time period while plot line 705 represents the temperature as predicted using mathematical models of the tire. As demonstrated by FIG.
- the models can be used to provide reasonably accurate predictions of the tire temperature using mathematical models and real time measurements of tire endurance factors as previously discussed. Accordingly, through e.g., programming of receiver/processing device 50, system 100 of FIG. 1 can readily calculate the temperature of the tire based on measurements of the tire endurance factors provided by sensors 10, 20, 30, and 40.
- the deflection of a particular tire construction depends on the air pressure in the tire and the load on the tire - both of which are tire endurance factors that can be measured as previously described.
- the deflection of a particular tire as a function of tire pressure and tire load can be determined e.g., experimentally by applying various loads to the tire over a range of air pressures and measuring the corresponding deflection of the tire.
- the distance over which the tire can travel before reaching an endurance limit can be determined experimentally for a particular deflection.
- a model can be provided (e.g., a chart or curve fit of the information) such that system 100 can readily calculate the amount of deflection of the tire at a given tire load and tire gas pressure as measured during tire operation.
- FIG. 4 provides a logarithmic plot of the endurance limit of a tire provided by applicants' assignee versus the deflection of the tire, A similar plot could be developed for tires of other constructions as will be understood by those of skill in the art using the teachings disclosed herein.
- a maximum endurance limit of 150,000 km for this particular tire is obtained at a deflection of about 14 percent - assuming the tire is operated within recommended speed and temperature restrictions for the tire. Therefore, as with temperature, through e.g., programming of receiver/processing device 50, system 100 of FIG. 1 can readily calculate the tire endurance limit based on deflection of the tire as determined indirectly through real time measurements of the tire load and tire air pressure,
- FIG. 5 provides another flow chart illustrating an exemplary method of the present invention.
- Steps 200 and 300 are executed as previously described with the exemplary method of FIG. 2.
- the temperature of the tire, T TIRB is predicted using mathematical models and measurements of tire endurance factors as previously discussed. After the tire has been at rest at ambient conditions, even normal usage of the tire will cause ⁇ to increase. However, if T T1R E (particularly at certain locations in the tire) exceeds a certain critical temperature, ⁇ ⁇ ⁇ , use of the tire ordinarily must be stopped and the tire replaced. If the tire is operated under extreme conditions, then TTIRE may begin to rise rapidly such that TMAX, and therefore an endurance limit of the tire, is approached rapidly.
- a temperature threshold, T T HR is arbitrarily selected for triggering when notification will be given to the operator.
- T T HR a temperature threshold
- TTH might be 20 degrees Celsius less than TMAX- If so, then a calculation is made in step 430 to estimate the change in the residual endurance limit of the tire, which is reported to the operator in step 510.
- system 100 could report the remaining distance (in miles or kilometers) over which the tire can be operated before the tire should be replaced.
- the residual endurance limit could also be reported as time remaining before the tire should be replaced if the current operating conditions continue. For example, rearranging equation 2 above results in an equation that provides the time t until a maximum or critical temperature is reached:
- step 205 if the vehicle is still operating, then the system (such as e.g., system 100) continues to measure the tire endurance factors and repeats the process as shown.
- the system such as e.g., system 100
- step 420 if the temperature as predicted in step 410 has not reached TJHR, then the deflection of the tire is calculated in step 440 using measurements of the tire endurance factors - specifically the tire load and tire air pressure. As previously described, the deflection is then used in step 450 to predict the distance and/or time remaining for usage of the tire under the current operating conditions. This residual tire endurance limit based on the current operating conditions is reported to the operator in step 520. If the vehicle continues in operation as determined in step 205, the system continues to measure the tire endurance factors because changes in operating conditions could change the residual tire endurance limit again.
- the present invention also provides for adjusting the endurance limit of the tire based on prior usage of the tire. This could be useful where e.g., the endurance limit of the tire was reduced on a previous trip with the same vehicle or the tire was transferred from another vehicle. Accordingly, the present invention provides for predicting the residual tire endurance limit not only based on the current operating conditions and associated measurements of the tire endurance factors but adjustment for previous usage and operating conditions as well.
- the residual tire endurance limit can be predicted not only based on current operating conditions but with adjustment for prior usage as well.
- Such recording and associating with an individual tire can be accomplished e.g., using the recording device 80 and/or RFID as previously described with regard to FIG. 1 ,
- recording device 80 can store such usage history on the vehicle for future reference during operation of the tire.
- the RFID can store the usage history for reference by the on-board system of another vehicle or such can be referenced by service personnel when the tire is inventoried.
Landscapes
- Engineering & Computer Science (AREA)
- Mechanical Engineering (AREA)
- Measuring Fluid Pressure (AREA)
Abstract
A system for predicting residual tire endurance in real time based on the measurement of tire endurance factors during the use of the tire is provided. Measurements of, for example, tire pressure, ambient temperature, tire load, and vehicle speed can be used while the tire is in operation to predict the tire's endurance limit. Adjustments to the tire endurance limit based on based on prior use of the tire are also provided. The system can provide residual tire endurance information to the operator while the tire is in use on the vehicle and/or provide such information to service personnel when the vehicle is serviced.
Description
SYSTEM FOR PREDICTING
RESIDUAL TIRE ENDURANCE LIMIT IN REAL-TIME
FIELD OF THE INVENTION
[0001] The present invention relates to a system for predicting residual tire endurance in real time based on the measurement of tire endurance factors during the use of the tire and to the providing of such information to the operator of the vehicle and/or service personnel.
BACKGROUND OF THE INVENTION
[0002] With certain tire applications, the residual endurance limit or remaining useful life of the tire can be limited by factors other than just tread wear, While the replacement of properly maintained passenger car tires is conventionally controlled by the wearing of the tread to a certain depth (absent e.g., a damage event), in some tire applications the residual endurance limit of the tire can be shortened significantly to a time that is less than the tread life. For example, in military, heavy industrial, and certain off-road applications, the residual endurance limit of the tire can be altered substantially by certain operating conditions that are referred herein as tire endurance factors - such as the tire loading, tire pressure, speed, and ambient temperature. During tire use, the value of these tire endurance factors can cause a shortemng of the tire's endurance limit to a time well before the tire tread is unacceptably worn. As used herein, "endurance limit" means a point during the usage of the tire at which the tire should be replaced and/or no longer used. This may be measured in e.g., units of distance or time.
[0003] Techniques are available for measuring in real time the tire endurance factors. For example, most vehicles are already equipped with a speedometer or other device for measuring speed as well as a temperature sensor for reporting the ambient temperature e.g., the air temperature outside of the vehicle. Tire pressure monitoring systems are also available for providing measurements of the gas pressure of each tire to the driver during vehicle use. The load earned by each tire can be measured directly or indirectly by
calculation knowing the vehicle weight and cargo weight. Weight measurements can be obtained, for example, by weighing the vehicle and cargo or the using measurement devices in the vehicle's suspension system - such as an air suspension system sensor. Each of these tire endurance factors can each contribute to a reduction in the endurance limit of the tire with some factors dominating more than others under certain conditions.
[0004] On-board systems are available for providing notifications based on
measurements of the tire's air pressure. For example, some vehicles will provide the operator with an audible and/or visual notification if the air pressure in a tire falls below a certain amount. Such notification serves to remind the operator to add air to the tire when a compressor or other air supply becomes available.
[0005] However, conventional systems do not currently provide for the delivery of tire residual endurance limit information in real time based on current operating conditions much less measurements of tire endurance factors. More specifically, conventional systems do not provide for notification to the operator or service personnel of reductions in the residual endurance limit of a tire based upon either the measurement of tire endurance factors in real time or the history of such factors as created by the previous usage of the tire. For example, conventional systems do not currently provide notification to the driver of the time or distance remaining before a tire should be replaced based on real time measurements of the tire endurance factors or changes in those factors due to changes in operating conditions. Conventional systems also do not allow for tracking the usage of a tire to record reductions in the endurance limit of the tire based upon its use for future reference in determining the residual tire endurance limit.
[0006] For tires that are maintained and operated with certain limits of the tire endurance factors (e.g., below a certain speed, temperature, load, and/or consistently near- a certain air pressure), the tire endurance limit may primarily be a function of tread life as stated above. However, for some applications such as military or industrial, the operator of a vehicle may elect to intentionally subject a tire to conditions that will lower the tire's endurance limit. By way of example, the operator of a military vehicle may reduce the air pressure to improve traction in sand or mud so as to escape from a hazardous situation. Such a reduction will typically reduce the tire's life span (i.e. decrease the residual tire endurance limit) by e.g., increasing the amount of deflection of the tire as it rotates through the contact patch. Similarly, the operator may elect to load the tire (e.g., through the placement of cai'go on the vehicle) over its recommended load, which can also increase the
amount of deflection and adversely impact the tire's endurance limit. The operator might elect to operate at a proper air pressure but exceed a tire's speed restriction and thereby raise the temperature of the tire to deleterious levels. Again, however, conventional systems do not currently provide the operator with information regarding the extent to which such operating conditions may adversely impact the residual endurance limit of the tire by providing the operator with a prediction as to the amount of time or distance the tire might be able to go under such conditions before needing replacement.
[0007] Accordingly, a system that can predict residual endurance limit information of a tire based on real time measurements i.e. measurements during the use of the tire would be beneficial. More particularly, a system that can use real time measurements of tire endurance factors such as speed, tire load, tire air pressure, and/or ambient temperature to determine the time and/or distance remaining before a tire should be replaced and/or removed from service would be useful. Such a system that can provide notifications to an operator of the vehicle and/or service personnel would also be helpful. A system that can also record or track reductions in the endurance life of a tire for future reference would also be useful.
SUMMARY OF THE INVENTION
[0008] Aspects and advantages of the invention will be set forth in part in the following description, or may be obvious from the description, or may be learned through practice of the invention.
[0009] In one exemplary aspect, the present invention provides a method for predicting the residual endurance limit of a tire that includes the steps of measuring tire endurance factors during use of the tire on a vehicle; determining whether a change in the residual endurance limit of the tire has occurred using the measurements from the step of measuring; and, reporting the current residual endurance limit of the tire if a change in the residual tire endurance limit has occurred.
[0010] In another exemplary embodiment, the present invention provides a system for predicting the residual endurance limit of a tire in use on a vehicle. The system includes a temperature sensor for measuring the ambient air temperature; a pressure sensor for measuring the gas pressure in the tire; a speed sensor for determining the speed of the vehicle; and at least one processing device in communication with the temperature sensor, pressure sensor, and speed sensor. The processing device is configured for measuring tire
endurance factors during use of the tire on the vehicle; determining whetlier a change in the residual endurance limit of the tire has occurred using the measurements of the tire endurance factors; and, reporting the current residual endurance limit of the tire if a change in the residual tire endurance limit has occurred.
[0011] These and other features, aspects and advantages of the present invention will become better understood with reference to the following description and appended claims. The accompanying drawings, which are incorporated in and constitute a part of this specification, illustrate embodiments of the invention and, together with the description, serve to explain the principles of the invention.
BRIEF DESCRIPTION OF THE DRAWINGS
[0012] A full and enabling disclosure of the present invention, including the best mode thereof, directed to one of ordinary skill in the art, is set forth in the specification, which makes reference to the appended figures, in which:
[0013] FIG. 1 provides a schematic illustration of an exemplary embodiment of an apparatus or system of the present invention.
[0014] FIG. 2 illustrates an exemplary method of the present invention using a flow chart.
[0015] FIGS. 3 and 4 provide certain data plots as will be further described below.
[0016] FIG. 5 provides another exemplary method of the present invention in flowchart format.
[0017] The use of identical reference numerals in different figures denotes identical or similar features.
DETAILED DESCRIPTION OF THE INVENTION
[0018] The present invention provides a system for predicting tire endurance information in real time based on measurements of tire endurance factors during operation of the vehicle and for providing such information to the operator of the vehicle and/or service personnel. For purposes of describing the invention, reference now will be made in detail to embodiments and/or methods of the invention, one or more examples of which are illustrated in or with the drawings. Each example is provided by way of explanation of the invention, not limitation of the invention. In fact, it will be apparent to those skilled in the art that various modifications and variations can be made in the present invention without
departing from the scope or spirit of the invention. For instance, features or steps illustrated or described as part of one embodiment, can be used with another embodiment or steps to yield a still further embodiments or methods. Thus, it is intended that the present invention covers such modifications and variations as come within the scope of the appended claims and their equivalents.
[0019] The following terms are defined as follows for this disclosure:
[00201 "Endurance limit" of "tire endurance limit" means a point in time or distance of use at which a tire should be replaced or no longer used.
[0021] The "residual tire endurance limit" or "residual endurance limit of the tire" is the amount of life left in the tire, based on current operating conditions, before the tire endurance limit is reached. This limit can be reported in terms of time or distance. For example, the residual tire endurance limit may be reported e.g., as an overall distance limit for the tire based on under current operating conditions such as e.g., "150,000 km of use remaining." Alternatively, knowing the speed of the vehicle (more importantly, the rpm of the tire) the endurance limit can be represented as the amount of time remaining for the tire under current usage conditions before the tire must be replaced or removed from service such as e.g., "10 hours of use remaining."
[0022] "Tire endurance factors" refers to operating conditions that can be measured, directly or indirectly, and which can impact the tire endurance limit. Examples include tire gas pressure, tire deflection, ambient temperature, tire loading, tire temperature, and speed,
[0023] FIG. 1 provides a schematic representation of an exemplary embodiment of a system 00 of the present invention as might be implemented in a vehicle and/or inventory control system. System 100 might be used e.g., by a vehicle operator and/or other personnel servicing tires on one or more vehicles. By way of example, all or part of the system could be located on-board the vehicle including one or more of its tires. The description that follows will refer in certain places to a single tire. One of skill in the art will understand, using the teachings disclosed herein, that the invention could be used on one, some, or all of the tires on the vehicle at any given time.
[00241 During operation of a tire, on-board sensors gather information regarding current operating conditions - particularly tire endurance factors - that can affect the endurance limit of any given tire in use on the vehicle. More specifically, an air pressure sensor 10 measures the gas (e.g., air) pressure in the tire during operation. The tire's gas pressure can be increased by temperature increases during operation and can also be
manipulated by an operator of the vehicle. For certain applications such as mud or sand, for example, the operator may elect to reduce the gas pressure 10 in the tire to improve traction. However, this manipulation of the tire gas pressure can result in a decrease in the endurance limit of the tire. An ambient temperature sensor 20 records the temperature of the atmosphere during vehicle use. A speed sensor 30 provides the speed of the vehicle's movement over ground, which can be used to determine the frequency of the rotation of the tire (which could also be measured directly by speed sensor 30). The vehicle may be equipped with a tire load sensor 40 for determining the loading or weight on the tire. Tire load could also be provided by indirect measurements such as weighing the entire vehicle and determining the load per tire or calculated by knowing the vehicle and cargo weights. As such, tire load measurements could be provided into system 100 automatically or manually by the operator of the vehicle. Of course, additional sensors could be used if multiple tires are monitored at the same time.
[0025] Continuing with the exemplary embodiment of system 100 in FIG. 1 , the measurements of these tire endurance factors can then be communicated to a
receiver/processing device 50. Such communication may be through a wired or wireless connection. For example, the gas pressure of the tire may be transmitted by a sensor 10 located in the tire to receiver/processing device 50 while vehicle speed may be transmitted over the vehicle's electrical system. Receiver/processing device 50 may include e.g., a microprocessor or other microcontroller for receiving data from one or more of sensors 10, 20, 30, and 40 and performing certain functions therewith as will be further described.
[0026] A variety of other devices may be configured to operate with
receiver/processing device 50. A signal/notification device 60 such as a graphical user display and/or others may be used to display real time measurements provided by sensors 10, 20, 30, and 40 and to alert the operator to events that have changed the residual endurance limit of one or more tires on the vehicle and/or to inform the operator of the amount of change in the residual endurance limit of one or more tires. For example, upon determining that a change in tire gas pressure and tire load will reduce the endurance limit of a tire on the vehicle, processing device 50 may provide a warning message to the driver through signal/notification device 60.
[0027] Suppose, for example, a the has an expected endurance life of 150,000 km provided the tire gas pressure is maintained in a certain range, tire load remains below a certain maximum amount, and the vehicle is operated below a certain maximum speed
limitation. However, the operator elects to improve traction by deflating the tires on the loaded vehicle to an air pressure that is below the recommended tire air pressure in order to travel through a sand bed or muddy road. In such case, measurements of the tire endurance factors are provided and processing device 50 determines whether a reduction in the residual endurance limit of one or more tires on the vehicle has occurred. If so, a message is provided to the driver using signal/notification device 60. For example, device 60 may inform the driver that the endurance limit of the tire has been reduced to 1500 km based on the current measurements of the tire endurance factors. Continuing with this example, perhaps the operator travels passes through the obstacle such as sand or mud after only 10 km and then re-inflates the tires to their recommended air pressure. Processing device 50 and signal/notification device 60 can now inform the driver of the remaining (and now reduced) endurance life of the tire based upon the 10 km of use in the underinflated condition. Processing device 50 can account for this reduction when reporting the residual endurance limit of the tire(s) to the operator,
[0028] A recording device 80 can be provided so that information regarding the prior usage of one or more tires on the vehicle is stored for future reference. Such recording device 50 may consist, e.g., of a memory chip or other storage device configured with processing device 50. The recording device 50 may be configured to retain usage information even when the vehicle loses electrical power. Provision may be made to access the information in recording device 80 when the vehicle is serviced. For example, the vehicle may contain one or more electrical connections for connecting recording device 80 and other electronics with a diagnostic system.
[0029] Alternatively, or in addition thereto, system 100 may include a transmitter 70 whereby processing device 50 can transmit information regarding measurements of the tire endurance factors, information stored in recording device 80, and changes in the residual endurance limit of one or more tires. Such information could be transmitted, e.g., to an RFID 90 or other memory storage device that is in the tire or otherwise uniquely associated with the tire. In this way, if the tire is removed from the vehicle, information regarding the use of the tire and particularly reductions in the residual endurance limit of the tire based on its use can be associated with the tire. Such can be taken into consideration by service personnel in deciding whether to place the tire on another vehicle or remove it from service. Similarly, the operator of another vehicle (having a system similar to system 100) to which the tire might be transferred can be provided with a notification of the current
residual endurance limit of die tire based on changes that have occurred from previous use. For example, the receiver/processing device 50 can be configured to read an RFID located on a tire after it is placed on a vehicle to determine the residual endurance limit of the tire based on its history of usage.
[0030] System 100 is provided by way of example only. Various other embodiments of a system as may be used on a vehicle to receive measurements of tire endurance factors in real time, perform analysis of such data, notify the operator of the vehicle of changes in the residual endurance limit of one or more tires, and/or store such information on the vehicle, the tire, or both for future reference.
[0031] FIG. 2 provides a flow chart illustrating an exemplary method of the present invention. For example, system 100, and particularly receiver/processing device 50, may be programmed to operate according to the steps of method 200. Other systems may be used with the exemplary method of FIG. 2 as well.
[0032] Beginning in step 200 with e.g., start-up of the vehicle, the exemplary method of FIG. 2 provides in step 300 for the measurement of tire endurance factors such as tire air pressure, ambient temperature, speed, and/or tire load as previously described. Next, in step 400, a determination is made as to whether the residual endurance limit of the tire has changed (e.g., has been reduced) by the current operating conditions, Step 400 is executed using the measurements of the tire endurance factors provided in step 300. For example, suppose again that the endurance limit of the tire in new condition is 150,000 km when the tire is operated at recommended conditions such that the endurance limit is controlled principally by tread wear absent a damage event. In step 400, a determination as to whether current measurements of the tire endurance factors indicate a change in this endurance limit has occurred. In the event the endurance limit has been affected, the change in the endurance limit is reported in step 500. For example, if the driver has deflated the tires to improve traction, system 100 may report (using e.g., signal/notification device 60) that based on the current operating conditions, the tire now has a new endurance limit of only 1500 km. More particularly, device 60 might, for example, provide a message display to the driver stating that 1500 km of use left in the tire under the current operating conditions. Additionally, after providing such notification, system 100 returns to step 300 and continues measuring the tire endurance factors during use of the vehicle to determine whether additional changes in the operating conditions have occurred that might affect the tire endurance limit.
[0033] Alternatively, in the event in step 400 no change in the endurance limit is determined, system 100 could be programmed to display 150,000 km (or 150,000 km less any distance by which the residual endurance limit was already reduced by previous use). Again, system 100 would return to step 300 and continue measuring the tire endurance factors to determine whether changes that might affect the residual endurance limit of the tire have occurred. The cycles in FIG. 2 are repeated while e.g., the vehicle is in operation and the tire is being used.
[0034] Referring again to step 400, the endurance limits of a tire are dependent upon, and can be substantially changed by, the temperature of the tire in different areas of its structure and/or the amount of deflection of tire during operation. Unfortunately, instrumentation for measuring the actual temperature of the tire, particularly at locations within the tread, crown, and other internal regions, is typically too complex, fragile, and expensive for practical use in a system that provides information in real time regarding tire endurance limits. Instrumentation for providing measurements of the deflection of the tire in real time during use of the vehicle are also unavailable and/or impractical. However, as will now be further described, measurements of the tire endurance factors can be used to detemiine the temperature of the tire and its deflection indirectly, which in turn can be used to determine changes in the residual tire endurance limit. Additionally, such measurements and the detemiination of tire temperature and/or deflection can be performed in real time such that the operator of a vehicle can receive valuable information while operating the vehicle.
[0035] As will be understood by one of skill in the art using the teaching disclosed herein, mathematical models are available for predicting the temperature of a tire using e.g., measurements of the tire endurance factors. For example, W. V. MARS and J. R. LUCHINI, An Analytical Model for the Transient Rolling Resistance Behavior of Tires, Tire Science and Technology, V 27, N 3(1999), provides a discussion from which thermal models of the tire may be derived. Such models can be used to predict the temperature of the tire during both transient and steady state conditions of use. By way of example, the following equation (1) can be used to calculate the rolling resistance force FR (also referred to as RRSTAB), which can then be used to calculate the internal temperature of the tire, T(t), at any future time t while operating at a new load, Z, pressure, P and speed, V, using equation (2):
)
_ CRR
F : [N] - Rolling resistance force = RRSTAB
CRR.* [kg/T] = [kilograms/metric tonne] = Coefficient of RR@ ISO Conditions without aerodynamic drag effects
Z: [kg] = Actual load
¾so'- [ g] = Nominal load
P: [bar] = Actual pressure
Piso: [bar] = Nominal pressure
a: [-] No units = Pressure exponent
β: [-] = Load exponent
b: [-] = Linear speed sensitivity
c [-] = Parabolic speed sensitivity
V: [km/h] = Actual velocity
Vis( [km h] = Nominal velocity
KAMB: [°C_i] or [K"1] = Sensitivity coefficient, ambient temperature
TREF: [°C] or [K] = Reference ambient temperature test condition
Tco:[0C] or [ ] = Actual operating ambient temperature
Cae«>: [N] = Aerodynamic coefficient
T(t) :[°C] = Instantaneous internal tire temperature
Ti : [°C] = Initial tire temperature
V : [m/s] = Speed
H: [w/(m2*K)] = Thermal exchange coefficient
A: [m ] = Equivalent surface area
T∞; [°C] = Ambient temperature
RR-STAB- [N] = FR = Stabilized rolling resistance force at current load, speed, pressure, and ambient temperature
[ΝΤ·' [°C_1] or [I 1] = Sensitivity coefficient, internal tire temperature
TSTAB: [°C] = Stabilized internal tire temperature at current load, speed, pressure, and ambient temperature
m: [kg] = Tire mass
CP: [J/(kg*K)] = Equivalent specific heat capacity of the tire
t: [s] = time
[0036] The coefficients used in these models can be developed for each type (e.g., model) of tire that might be used on the vehicle. These equations provide a reasonably accurate method of predicting the internal tire temperature from the more readily ascertained measurements of the tire endurance factors. For example, FIG. 3 provides plots of temperature versus time for a passenger car tire provided by applicant's assignee. The tire was operated at various speeds over the zero to 90 minute time period. As a result, the temperature of the tire changed over this same time period. Plot line 700 represents the change in temperature as actually measured during this zero to 90 minute time period while plot line 705 represents the temperature as predicted using mathematical models of the tire. As demonstrated by FIG. 3, the models can be used to provide reasonably accurate predictions of the tire temperature using mathematical models and real time measurements of tire endurance factors as previously discussed. Accordingly, through e.g., programming of receiver/processing device 50, system 100 of FIG. 1 can readily calculate the temperature of the tire based on measurements of the tire endurance factors provided by sensors 10, 20, 30, and 40.
[0037] The deflection of a particular tire construction depends on the air pressure in the tire and the load on the tire - both of which are tire endurance factors that can be measured as previously described. As will be understood by one of skill in the art, the deflection of a particular tire as a function of tire pressure and tire load can be determined e.g., experimentally by applying various loads to the tire over a range of air pressures and measuring the corresponding deflection of the tire. Similarly, the distance over which the
tire can travel before reaching an endurance limit can be determined experimentally for a particular deflection. Using this information, a model can be provided (e.g., a chart or curve fit of the information) such that system 100 can readily calculate the amount of deflection of the tire at a given tire load and tire gas pressure as measured during tire operation.
[0038] For example, FIG. 4 provides a logarithmic plot of the endurance limit of a tire provided by applicants' assignee versus the deflection of the tire, A similar plot could be developed for tires of other constructions as will be understood by those of skill in the art using the teachings disclosed herein. As shown in FIG. 4, a maximum endurance limit of 150,000 km for this particular tire is obtained at a deflection of about 14 percent - assuming the tire is operated within recommended speed and temperature restrictions for the tire. Therefore, as with temperature, through e.g., programming of receiver/processing device 50, system 100 of FIG. 1 can readily calculate the tire endurance limit based on deflection of the tire as determined indirectly through real time measurements of the tire load and tire air pressure,
[0039] Accordingly, FIG. 5 provides another flow chart illustrating an exemplary method of the present invention. Steps 200 and 300 are executed as previously described with the exemplary method of FIG. 2. In step 10, the temperature of the tire, TTIRB, is predicted using mathematical models and measurements of tire endurance factors as previously discussed. After the tire has been at rest at ambient conditions, even normal usage of the tire will cause Ύτικε to increase. However, if TT1RE (particularly at certain locations in the tire) exceeds a certain critical temperature, ΤΜΑχ, use of the tire ordinarily must be stopped and the tire replaced. If the tire is operated under extreme conditions, then TTIRE may begin to rise rapidly such that TMAX, and therefore an endurance limit of the tire, is approached rapidly.
[0040] In order to provide the operator with notification of such a condition, a temperature threshold, TTHR, is arbitrarily selected for triggering when notification will be given to the operator. Thus, after TTI E is predicted in step 410, a determination is made in step 420 as to whether the temperature of the tire is at or greater than TTHR- For example, TTH might be 20 degrees Celsius less than TMAX- If so, then a calculation is made in step 430 to estimate the change in the residual endurance limit of the tire, which is reported to the operator in step 510. For example, system 100 could report the remaining distance (in miles or kilometers) over which the tire can be operated before the tire should be replaced.
Using the speed of the vehicle, the residual endurance limit could also be reported as time remaining before the tire should be replaced if the current operating conditions continue. For example, rearranging equation 2 above results in an equation that provides the time t until a maximum or critical temperature is reached:
[0041] As determined in step 205, if the vehicle is still operating, then the system (such as e.g., system 100) continues to measure the tire endurance factors and repeats the process as shown.
[0042] Returning to step 420, if the temperature as predicted in step 410 has not reached TJHR, then the deflection of the tire is calculated in step 440 using measurements of the tire endurance factors - specifically the tire load and tire air pressure. As previously described, the deflection is then used in step 450 to predict the distance and/or time remaining for usage of the tire under the current operating conditions. This residual tire endurance limit based on the current operating conditions is reported to the operator in step 520. If the vehicle continues in operation as determined in step 205, the system continues to measure the tire endurance factors because changes in operating conditions could change the residual tire endurance limit again.
[0043] As previously indicated, the present invention also provides for adjusting the endurance limit of the tire based on prior usage of the tire. This could be useful where e.g., the endurance limit of the tire was reduced on a previous trip with the same vehicle or the tire was transferred from another vehicle. Accordingly, the present invention provides for predicting the residual tire endurance limit not only based on the current operating conditions and associated measurements of the tire endurance factors but adjustment for previous usage and operating conditions as well.
[0044] Returning to FIG. 4, if the tire represented in the plot is operated at 14 percent deflection (and below TMAX and/or maximum speed restrictions), then the tire endurance life is predicted at 150,000 kilometers using the process previously described. However, if the tire is operated at e.g., 30 percent deflection, then tire endurance limit of only 1500 kilometers is predicted with the model as shown in FIG. 4. Suppose, however, that the tire is operated at 14 percent deflection for 50,000 kilometers, then operates at 30 percent
deflection for 100 kilometers before returning to 14 percent deflection. The residual endurance limit of the tire upon returning to 14 percent deflection can still he predicted using multipliers that are shown in FIG. 4. For example, at 30 percent deflection, a multiplier of "50" is shown. In effect, this means that each kilometer at 30 percent deflection is equivalent to 50 kilometers at 14 percent deflection assuming the tire has otherwise remained below TMAX and/or maximum speed restrictions. Multipliers for other deflections are also shown in FIG. 4. Thus, upon returning to the 14 percent deflection, the tire has a predicted residual endurance limit of 95,000 kilometers (150000 - 50000 - (100 x 50)) based on its usage history.
[0045] Of course, the result would be the same if the tire were switched to a new vehicle after such use at 14 percent and then 30 percent deflection. Similarly, the tire might be used on vehicle A for 50,000 kilometers at 14 percent deflection and then switch to vehicle B where it is used at 30 percent deflection for 100 kilometers, which would still result the tire having a residual endurance limit of 95,000 kilometers if the deflection is restored to 14 percent by e.g., removing load and/or increasing the tire air pressure. After being restored to 14 percent, additional usage of the tire and its effect on the residual tire limit can be accounted for in a similar manner. For the particular tire represented by FIG. 4, no multiplier is provided for the deflection of 14 percent. Accordingly, at this deflection (which would represent the recommended conditions of use for this tire), the residual tire endurance limit is simply reduced on a 1 to 1 basis - i.e. each kilometer of travel would reduce the residual tire endurance limit by one mile.
[0046] Accordingly, by recording the usage history of the tire and associating such history with the tire, the residual tire endurance limit can be predicted not only based on current operating conditions but with adjustment for prior usage as well. Such recording and associating with an individual tire can be accomplished e.g., using the recording device 80 and/or RFID as previously described with regard to FIG. 1 , For example, recording device 80 can store such usage history on the vehicle for future reference during operation of the tire. If the tire is transferred between vehicles, the RFID can store the usage history for reference by the on-board system of another vehicle or such can be referenced by service personnel when the tire is inventoried.
[0047] While the present subject matter has been described in detail with respect to specific exemplary embodiments and methods thereof, it will be appreciated that those skilled in the art, upon attaining an understanding of the foregoing may readily produce
alterations to, variations of, and equivalents to such embodiments. Accordingly, the scope of the present disclosure is by way of example rather than by way of limitation, and the subject disclosure does not preclude inclusion of such modifications, variations and/or additions to the present subject matter as would be readily apparent to one of ordinary skill in the ait.
Claims
1. A method for predicting the residual endurance limit of a tire, comprising the steps of:
measuring tire endurance factors during use of the tire on a vehicle;
determining whether a change in the residual endurance limit of the tire has occurred using the measurements from said step of measuring; and,
reporting the current residual endurance limit of the tire if a change in the residual tire endurance limit has occurred.
2. A method for predicting the residual endurance limit of a tire as in claim 1 , wherein said step of reporting comprises providing a notification of the remaining distance over which the tire can be used before reaching the endurance limit.
3. A method for predicting the residual endurance limit of a tire as in claim 1 , wherein said step of reporting comprises providing a notification of the remaining time during which the tire can be used before reaching the endurance limit.
4. A method for predicting the residual endurance limit of a tire as in claim 1 , wherein said step of determining further comprises:
predicting the temperature of the tire, TTIRE, using one or measurements from said step of measuring; and,
ascertaining whether the temperature of the tire, Τ·ΠΒ.ε. is less than a predetermined threshold temperature, TTHR.
5. A method for predicting the residual endurance limit of a tire as in claim 4, further comprising:
calculating the remaining time, distance, or both, for which the tire may be used before the temperature of the tire reaches a maximum temperature, T AX, if said step of ascertaining indicates that the temperature of the tire, TTIRE, is equal to or greater than a predetermined threshold temperature, ΤΤΊ¾; and wherein said step of reporting comprises providing a notification of the remaining amount of time, distance, or both, for which the tire may be used before the temperature of the tire reaches a maximum temperature, TMAX as determined by said step of calculating.
6. A method for predicting the residual endurance limit of a tire as in claim 4. further comprising:
calculating the deflection of the tire if said step of ascertaining indicates that the temperature of the tire, TTIRE5 is less than a predetermined threshold temperature, TTHR;
predicting the time, distance, or both for which the tire may be used based on the deflection of the tire provided by said step of calculating; and
wherein said step of reporting comprises providing a notification of the remaining amount of time, distance, or both, for which the tire may' be used as provided by said step of predicting.
7. A method for predicting the residual endurance limit of a tire as in claim 1 , wherein said step of measuring comprises measuring one of more of the following tire endurance factors during use of the tire: gas pressure in the tire, ambient temperature, tire load, and speed of the vehicle.
8. A method for predicting the residual endurance limit of a tire as in claim 1 , wherein said step of measuring further comprises calculating the load on the tire using information regarding the vehicle weight and any cargo weight.
9. A method for predicting the residual endurance limit of a tire as in claim 1 , wherein said step of reporting comprises providing a visible signal, audible signal, or both to the operator of the vehicle.
10. A method for predicting the residual endurance limit of a tire as in claim 1 , wherein said step of reporting comprises providing a visible signal, audible signal, or both to a person servicing the tire.
11. A method for predicting the residual endurance limit of a tire as in claim 1 , further comprising the step of transmitting a signal to an RFID associated with the tire, the signal communicating the residual endurance limit of the tire.
12. A method for predicting the residual endurance limit of a tire as in claim 11 , further comprising the step of retrieving the residual endurance limit from the RFID associated with the tire.
13. A method for predicting the residual endurance limit of a tire as in claim 1 , further comprising the step of recording the residual endurance limit of the tire.
14. A method for predicting the residual endurance limit of a tire as in claim 13, furtlier comprising the step of adjusting the residual endurance limit based on prior usage of the tire as provided by said step of recording,
15. A method for predicting the residual endurance limit of a tire as in claim 1 , wherein said step of determining further comprises adjusting the residual endurance limit of the tire based on usage of the tire that occurred before said step of measuring for a current operation of the vehicle.
16. A system for predicting the residual endurance limit of a tire in use on a vehicle, comprising:
a temperature sensor for measuring the ambient air temperature;
a pressure sensor for measuring the gas pressure in the tire;
a speed sensor for determining the speed of the vehicle;
at least one processing device in communication with said temperature sensor, said pressure sensor, and said speed sensor, said processing device configured for
measuring tire endurance factors during use of the tire on the vehicle;
detemiining whether a change in the residual endurance limit of the tire has occurred using the measurements of the tire endurance factors; and,
reporting the current residual endurance limit of the tire if a change in the residual tire endurance limit has occurred.
17. A system for predicting the residual endurance limit of a tire in use on a vehicle as in claim 16, further comprising a recording device for recording the prior use of the tire, said recording device connected with said processing device and configured for receiving information from said processing device.
18. A system for predicting the residual endurance limit of a tire in use on a vehicle as in claim 16, further comprising:
a transmitter connected with said processing device and configured for transmitting infomiation regarding the endurance limit of the tire received from said processing device; and,
an RFID attached to the tire, said RFID configured for receiving and storing the infomiation from said transmitter regarding the endurance limit of the tire,
19. A system for predicting the residual endurance limit of a tire in use on a vehicle as in claim 16, further comprising a load sensor carried by the vehicle and configured for measuring a load carried by the tire.
Priority Applications (1)
| Application Number | Priority Date | Filing Date | Title |
|---|---|---|---|
| PCT/US2011/045195 WO2013015780A1 (en) | 2011-07-25 | 2011-07-25 | System for predicting residual tire endurance limit in real-time |
Applications Claiming Priority (1)
| Application Number | Priority Date | Filing Date | Title |
|---|---|---|---|
| PCT/US2011/045195 WO2013015780A1 (en) | 2011-07-25 | 2011-07-25 | System for predicting residual tire endurance limit in real-time |
Publications (1)
| Publication Number | Publication Date |
|---|---|
| WO2013015780A1 true WO2013015780A1 (en) | 2013-01-31 |
Family
ID=47601397
Family Applications (1)
| Application Number | Title | Priority Date | Filing Date |
|---|---|---|---|
| PCT/US2011/045195 Ceased WO2013015780A1 (en) | 2011-07-25 | 2011-07-25 | System for predicting residual tire endurance limit in real-time |
Country Status (1)
| Country | Link |
|---|---|
| WO (1) | WO2013015780A1 (en) |
Cited By (8)
| Publication number | Priority date | Publication date | Assignee | Title |
|---|---|---|---|---|
| CN106560552A (en) * | 2016-03-02 | 2017-04-12 | 徐工集团工程机械有限公司 | Walking control method, controller and control system in limit load mode |
| CN107190622A (en) * | 2017-04-21 | 2017-09-22 | 重庆交通大学 | Permanent deformation for asphalt pavement method for quick predicting based on full temperature range Temperature Distribution |
| EP3243673A1 (en) * | 2016-05-11 | 2017-11-15 | Airbus Operations Limited | Tyre deflection monitoring |
| WO2019016471A1 (en) * | 2017-07-19 | 2019-01-24 | Compagnie Generale Des Etablissements Michelin | Method for managing a traction chain of a motor vehicle |
| US11415485B2 (en) * | 2018-04-27 | 2022-08-16 | Bridgestone Corporation | Tire state detection device for detecting a state of a tire of a mine transportation vehicle |
| US11644386B2 (en) | 2018-12-11 | 2023-05-09 | The Goodyear Tire & Rubber Company | Tire wear state estimation system and method |
| US11865875B2 (en) | 2020-08-18 | 2024-01-09 | The Goodyear Tire & Rubber Company | Tire high temperature forecasting system |
| EP4556261A1 (en) * | 2023-11-17 | 2025-05-21 | ALSTOM Holdings | Forecasting a lifespan of a tire installed on a vehicle, in particular on a track-bound vehicle, such as a monorail vehicle |
Citations (4)
| Publication number | Priority date | Publication date | Assignee | Title |
|---|---|---|---|---|
| US20060244581A1 (en) * | 2000-09-08 | 2006-11-02 | Automotive Technologies International, Inc. | Tire Monitoring with Passive and Active Modes |
| US7320246B2 (en) * | 2002-04-26 | 2008-01-22 | TÜV Automotive GmbH | Vehicle tire diagnosis method and apparatus |
| US20090102638A1 (en) * | 2004-01-09 | 2009-04-23 | United Parcel Service Of America, Inc. | System, Method, and Apparatus For Capturing Telematics Data With An Active RFID Tag |
| US20100207754A1 (en) * | 2000-09-08 | 2010-08-19 | Automotive Technologies International, Inc. | Vehicular rfid and sensor assemblies |
-
2011
- 2011-07-25 WO PCT/US2011/045195 patent/WO2013015780A1/en not_active Ceased
Patent Citations (4)
| Publication number | Priority date | Publication date | Assignee | Title |
|---|---|---|---|---|
| US20060244581A1 (en) * | 2000-09-08 | 2006-11-02 | Automotive Technologies International, Inc. | Tire Monitoring with Passive and Active Modes |
| US20100207754A1 (en) * | 2000-09-08 | 2010-08-19 | Automotive Technologies International, Inc. | Vehicular rfid and sensor assemblies |
| US7320246B2 (en) * | 2002-04-26 | 2008-01-22 | TÜV Automotive GmbH | Vehicle tire diagnosis method and apparatus |
| US20090102638A1 (en) * | 2004-01-09 | 2009-04-23 | United Parcel Service Of America, Inc. | System, Method, and Apparatus For Capturing Telematics Data With An Active RFID Tag |
Cited By (14)
| Publication number | Priority date | Publication date | Assignee | Title |
|---|---|---|---|---|
| CN106560552A (en) * | 2016-03-02 | 2017-04-12 | 徐工集团工程机械有限公司 | Walking control method, controller and control system in limit load mode |
| CN106560552B (en) * | 2016-03-02 | 2019-06-21 | 徐工集团工程机械有限公司 | Ambulation control method, controller and control system under ultimate load mode |
| US10336143B2 (en) | 2016-05-11 | 2019-07-02 | Airbus Operations Limited | Tyre deflection monitoring |
| EP3243673A1 (en) * | 2016-05-11 | 2017-11-15 | Airbus Operations Limited | Tyre deflection monitoring |
| US20170326927A1 (en) * | 2016-05-11 | 2017-11-16 | Airbus Operations Limited | Tyre deflection monitoring |
| CN107190622B (en) * | 2017-04-21 | 2019-06-14 | 重庆交通大学 | Rapid prediction method for permanent deformation of asphalt pavement based on temperature distribution in the whole temperature domain |
| CN107190622A (en) * | 2017-04-21 | 2017-09-22 | 重庆交通大学 | Permanent deformation for asphalt pavement method for quick predicting based on full temperature range Temperature Distribution |
| FR3069223A1 (en) * | 2017-07-19 | 2019-01-25 | Compagnie Generale Des Etablissements Michelin | METHOD FOR MANAGING A TRACTION CHAIN OF A MOTOR VEHICLE |
| WO2019016471A1 (en) * | 2017-07-19 | 2019-01-24 | Compagnie Generale Des Etablissements Michelin | Method for managing a traction chain of a motor vehicle |
| US11400946B2 (en) | 2017-07-19 | 2022-08-02 | Compagnie Generale Des Etablissements Michelin | Method for managing a powertrain of a motor vehicle |
| US11415485B2 (en) * | 2018-04-27 | 2022-08-16 | Bridgestone Corporation | Tire state detection device for detecting a state of a tire of a mine transportation vehicle |
| US11644386B2 (en) | 2018-12-11 | 2023-05-09 | The Goodyear Tire & Rubber Company | Tire wear state estimation system and method |
| US11865875B2 (en) | 2020-08-18 | 2024-01-09 | The Goodyear Tire & Rubber Company | Tire high temperature forecasting system |
| EP4556261A1 (en) * | 2023-11-17 | 2025-05-21 | ALSTOM Holdings | Forecasting a lifespan of a tire installed on a vehicle, in particular on a track-bound vehicle, such as a monorail vehicle |
Similar Documents
| Publication | Publication Date | Title |
|---|---|---|
| WO2013015780A1 (en) | System for predicting residual tire endurance limit in real-time | |
| CN112440628B (en) | Tire wear estimation system and method using footprint length | |
| EP3168064B1 (en) | Tire sensor-based robust mileage tracking system and method | |
| US6741169B2 (en) | Tire tread integrity monitoring system and method | |
| US7320246B2 (en) | Vehicle tire diagnosis method and apparatus | |
| US6868358B2 (en) | Method for processing information in a tire pressure monitoring system | |
| EP2703194B1 (en) | System for predicting tire casing life | |
| KR102866939B1 (en) | A model for predicting tire wear and end of life | |
| EP3605023B1 (en) | Method for determining a vehicle route based on an estimation of the weight of the vehicle | |
| CA2520557C (en) | Integrated sensor system and method for a farm tire | |
| US11498371B2 (en) | Tire data information system | |
| CN113453919A (en) | Efficient tire pressure sensing system and method | |
| CN108712972A (en) | Vehicle Integrated Expected Tread Life Indication System | |
| EP4304876B1 (en) | System and method for estimation of tread depth from tire pressure and/or temperature measurements | |
| WO2021201256A1 (en) | Tire casing life management system and tire casing life management method | |
| EP3785944B1 (en) | Tire wear state estimation system and method employing footprint shape factor | |
| EP4060307A1 (en) | Enhanced method and system to estimate the tire operating efficiency and range of an electric vehicle | |
| AU2016238669A1 (en) | Method for determining the temperature of an internal part of the materials of a tyre | |
| CN110072712B (en) | Method and system for estimating severity of tire usage | |
| JP7306815B2 (en) | Tire deterioration estimation system and tire deterioration estimation method | |
| EP4101659B1 (en) | Tire replacement forecasting system and method | |
| CN119704948A (en) | Tire pressure abnormality determination method, device and computer equipment | |
| WO2022060623A1 (en) | System and method for estimating tire fill percentage |
Legal Events
| Date | Code | Title | Description |
|---|---|---|---|
| 121 | Ep: the epo has been informed by wipo that ep was designated in this application |
Ref document number: 11869921 Country of ref document: EP Kind code of ref document: A1 |
|
| NENP | Non-entry into the national phase |
Ref country code: DE |
|
| 122 | Ep: pct application non-entry in european phase |
Ref document number: 11869921 Country of ref document: EP Kind code of ref document: A1 |


