WO2012154597A1 - Tolerant toric intraocular lens - Google Patents
Tolerant toric intraocular lens Download PDFInfo
- Publication number
- WO2012154597A1 WO2012154597A1 PCT/US2012/036639 US2012036639W WO2012154597A1 WO 2012154597 A1 WO2012154597 A1 WO 2012154597A1 US 2012036639 W US2012036639 W US 2012036639W WO 2012154597 A1 WO2012154597 A1 WO 2012154597A1
- Authority
- WO
- WIPO (PCT)
- Prior art keywords
- power
- lens
- error
- axis
- intraocular lens
- Prior art date
- Legal status (The legal status is an assumption and is not a legal conclusion. Google has not performed a legal analysis and makes no representation as to the accuracy of the status listed.)
- Ceased
Links
Classifications
-
- A—HUMAN NECESSITIES
- A61—MEDICAL OR VETERINARY SCIENCE; HYGIENE
- A61F—FILTERS IMPLANTABLE INTO BLOOD VESSELS; PROSTHESES; DEVICES PROVIDING PATENCY TO, OR PREVENTING COLLAPSING OF, TUBULAR STRUCTURES OF THE BODY, e.g. STENTS; ORTHOPAEDIC, NURSING OR CONTRACEPTIVE DEVICES; FOMENTATION; TREATMENT OR PROTECTION OF EYES OR EARS; BANDAGES, DRESSINGS OR ABSORBENT PADS; FIRST-AID KITS
- A61F2/00—Filters implantable into blood vessels; Prostheses, i.e. artificial substitutes or replacements for parts of the body; Appliances for connecting them with the body; Devices providing patency to, or preventing collapsing of, tubular structures of the body, e.g. stents
- A61F2/02—Prostheses implantable into the body
- A61F2/14—Eye parts, e.g. lenses or corneal implants; Artificial eyes
- A61F2/16—Intraocular lenses
- A61F2/1613—Intraocular lenses having special lens configurations, e.g. multipart lenses; having particular optical properties, e.g. pseudo-accommodative lenses, lenses having aberration corrections, diffractive lenses, lenses for variably absorbing electromagnetic radiation, lenses having variable focus
- A61F2/1637—Correcting aberrations caused by inhomogeneities; correcting intrinsic aberrations, e.g. of the cornea, of the surface of the natural lens, aspheric, cylindrical, toric lenses
- A61F2/1645—Toric lenses
-
- A—HUMAN NECESSITIES
- A61—MEDICAL OR VETERINARY SCIENCE; HYGIENE
- A61F—FILTERS IMPLANTABLE INTO BLOOD VESSELS; PROSTHESES; DEVICES PROVIDING PATENCY TO, OR PREVENTING COLLAPSING OF, TUBULAR STRUCTURES OF THE BODY, e.g. STENTS; ORTHOPAEDIC, NURSING OR CONTRACEPTIVE DEVICES; FOMENTATION; TREATMENT OR PROTECTION OF EYES OR EARS; BANDAGES, DRESSINGS OR ABSORBENT PADS; FIRST-AID KITS
- A61F2/00—Filters implantable into blood vessels; Prostheses, i.e. artificial substitutes or replacements for parts of the body; Appliances for connecting them with the body; Devices providing patency to, or preventing collapsing of, tubular structures of the body, e.g. stents
- A61F2/02—Prostheses implantable into the body
- A61F2/14—Eye parts, e.g. lenses or corneal implants; Artificial eyes
- A61F2/16—Intraocular lenses
- A61F2/1613—Intraocular lenses having special lens configurations, e.g. multipart lenses; having particular optical properties, e.g. pseudo-accommodative lenses, lenses having aberration corrections, diffractive lenses, lenses for variably absorbing electromagnetic radiation, lenses having variable focus
- A61F2/1637—Correcting aberrations caused by inhomogeneities; correcting intrinsic aberrations, e.g. of the cornea, of the surface of the natural lens, aspheric, cylindrical, toric lenses
-
- G—PHYSICS
- G02—OPTICS
- G02C—SPECTACLES; SUNGLASSES OR GOGGLES INSOFAR AS THEY HAVE THE SAME FEATURES AS SPECTACLES; CONTACT LENSES
- G02C7/00—Optical parts
- G02C7/02—Lenses; Lens systems ; Methods of designing lenses
- G02C7/04—Contact lenses for the eyes
-
- A—HUMAN NECESSITIES
- A61—MEDICAL OR VETERINARY SCIENCE; HYGIENE
- A61F—FILTERS IMPLANTABLE INTO BLOOD VESSELS; PROSTHESES; DEVICES PROVIDING PATENCY TO, OR PREVENTING COLLAPSING OF, TUBULAR STRUCTURES OF THE BODY, e.g. STENTS; ORTHOPAEDIC, NURSING OR CONTRACEPTIVE DEVICES; FOMENTATION; TREATMENT OR PROTECTION OF EYES OR EARS; BANDAGES, DRESSINGS OR ABSORBENT PADS; FIRST-AID KITS
- A61F2240/00—Manufacturing or designing of prostheses classified in groups A61F2/00 - A61F2/26 or A61F2/82 or A61F9/00 or A61F11/00 or subgroups thereof
- A61F2240/001—Designing or manufacturing processes
Definitions
- the present invention relates to systems and methods for human vision correction, and to methods of designing a tolerant toric intraocular lens.
- the design of a tolerant toric lens is accomplished by modifying the power profile of the standard toric intraocular lens.
- the eye is a complex optical system that must be well corrected to provide its owner with a high quality of life.
- the crystalline lens can acquire a cataract requiring surgical intervention to maintain good vision. This intervention includes the removal of the crystalline lens and replacing it with an intraocular lens (IOL).
- IOL intraocular lens
- TIOL toric IOL
- the cornea has significant astigmatism
- TIOL toric IOL
- the TIOL is properly aligned with respect to its desired meridian, the patient's vision is usually good.
- the TIOL can be aligned at the wrong meridian either due to an error at the time of surgery or due to a postoperative rotation of the TIOL. If this axis error is large enough, some type of correction must be made to provide the patient with good vision. This intervention could be a prescription for spectacles or contact lenses, or a rotation of the TIOL to the correct axis.
- TIOLs that attempt to correct alignment errors that are caused by surgical axis misplacement or post surgical axial rotation of the TIOL focus on the pupilar area.
- U.S. Patent Application Publication No. 201 1 /0166652 teaches the preparation of a TIOL that has a cylinder power and a depth of focus extender.
- U.S. Patent Application Publication No. 201 1 /0170057 a TIOL is described that spatially divides the pupil into discrete zones, with each zone having a discrete astigmatism magnitude and orientation.
- the designs of the TIOL depend largely on the size of the pupil.
- the present invention seeks to overcome the shortcomings of the prior art TIOL designs by providing for a tolerant TIOL (TTIOL) and methods of designing a TTIOL, by modifying the Attorney Docket No.: 77032.000004 power profi le of the standard TIOL, thereby providing tolerance to axis alignment errors along the meridians, thereby mitigating axis alignment errors.
- TTIOL tolerant TIOL
- the present invention provides for an improved TIOL that corrects for the misalignment of such an implant.
- the TIOL provides for forgiveness of or tolerance to axis alignment errors along the meridians.
- the axis alignment forgiveness mitigates negative visual aspects of an axis alignment error.
- the a TTIOL has aspheric components to reduce the lens' spherical aberrations.
- the design of the TTIOL is applicable to corrective corneal surgical interventions, such as PRK or LASIK.
- the present invention also provides for methods of surgical intervention comprising the i mplantation of the TTIOL.
- the design of the TTIOL can be applied to the manufacture of other corrective ophthalmic devices including external lens, such as but not limited to contact lenses.
- the modified TIOL produced results in a lens leading to a higher myopic power shift than a hyperopic power shift.
- Figure 1 Power profiles for an aligned TIOL, aligned TTIOL, and TTIOL with a 10 degree axis error.
- Figure 3 Image simulations for 10 degree axis error TTIOL (left) and TIOL (right) at object vergence of 0, 0.25, and 0.5 D.
- the design of a TIOL can be improved to provide more forgiveness in axis alignment errors along the meridians. This improvement enhances a patient's quality of vision in the presence of an axis alignment error and reduces the incidence of complications resulting from surgical intervention, during surgery or post surgery, that may rotate a standard TIOL.
- the design of the improved TIOL or TTIOL is also applicable to other ocular devices and interventions that may be subject to axis alignment errors such as, but not limited to, contact lenses or to corneal surgical interventions such as PRK Attorney Docket No.: 77032.000004 or LASIK. Additionally, the TTIOL may have an aspheric components that reduces the lens' spherical aberration.
- the present invention therefore provides for systems and methods for eliminating or mitigating the optical effects of corneal astigmatism due to axis alignment errors by providing for the implantation or application of a TIOL.
- the present invention also helps reduce overall spherical aberrations of the eye by not introducing additional positive spherical aberrations present in spherical refractive surfaces to the positive spherical aberration present in most human corneas.
- the embodiments are illustrated primarily in connection with intraocular lenses. It should, however, be understood that these teachings apply equally to a variety of other ophthalmic lenses, such as contact lenses.
- a lens that mitigates axis alignment errors is designed by modifying the power profile of a standard TIOL.
- the TIOL designed according to one aspect of the invention is accomplished by first determining the standard power profile in each meridian of a standard toric lens according to (I)
- a toric like optical element can be optimized to yield tolerance to axis alignment errors. This allows for the adjustment of the power profile of the meridians around the TTIOL.
- Formula (II), below, provides the combination of a standard toric power profile and a meridian dependent power adjustment term.
- a m represents the adjustable coefficients of the polynomi l.
- the polynomial coefficients a m need to be determined in order to provide the desired axis error tolerance.
- the error function, as determined by formula (III) is employed, to facilitate the determination of these coefficients
- w(n) a positive-valued myopic error weight, wherein a value of > 1 is applied if L(n-k) >
- b is > 0. In another embodiment of the present invention b is 2.
- the discrete probability of an axis error of integer angle k can be described by p ⁇ k).
- the polynomial coefficients a m in formula (II) can be determined.
- the error function in (III) is minimized, thus improving performance of the TTIOL under the assumptions of the given probability of axis error p(k).
- the meridians are given by integer values of degrees, however, by converting the units from angles in degrees to angles in radians the numerical stability of the optimization calculations is improved.
- the present invention employs the premise that it is better to design a lens that leads to a myopic power profile shift as opposed to a hyperopic power profile shift in the presence of an axis alignment error. Patients, especially non-accommodating, will benefit from vision that is more myopic than hyperopic. If a patient requires a TIOL correction but the lens is implanted with an axis error, half the TIOL's meridians will have a power error in the positive direction (compared to the TIOL with no axis error) and the other half will have a power error in the negative direction.
- the patient's meridian will be hyperopic by ⁇ diopters.
- the TIOL provides a power of P + ⁇ diopters (wherein ⁇ > 0)
- the patient's meridian will be myopic by ⁇ diopters.
- the TTIOL is designed using the premise that it is better to decrease hyperopic error at the expense of increased myopic error.
- those of skill in the art may apply a TTIOL with a 1 diopter cylinder power and an axis error of 10 degrees to the Formulas of (I)-(III) recited herein.
- the lens will have a meridional power hyperopic error limited to the range of 0 to 0.09 diopter, while the myopic error is limited to the larger range of 0 to 0.26 diopter.
- the lens will have meridional power hyperopic and myopic errors in the range of 0 to 0. 17 diopter.
- the TTIOL with an axis error reduces the hyperopic error (compared to a standard TIOL with the same axis error) at the expense of increasing the myopic error. This tradeoff is beneficial for the patient as it provides improved vision quality.
- the hyperopic and myopic error ranges for the TTIOL with a 1 0 degree axis error scale with the cylinder power of the TTIOL.
- the TTIOL with a 1 diopter cylinder power and an axis error of 10 degrees is simply an application and example of one embodiment of the present invention, and is not intended to restrict the invention to the specific numerical parameters described. Accordingly, those of skill in the art wil l appreciated that the axis errors application will vary based on the cylinder power and the assignment of an axis error. Therefore, it will be understood by those of skill in the art that if for example there is a 2 diopter cylinder power and an axis error of 10 degrees, the hyperopic error may be in the range of 0 to 0.1 8 diopter, while the myopic error may be limited to the larger range of 0 to 0.52 diopter.
- formulas (I)— (III) described herein will provide various other ranges for both hyperopic error as well as myopic error, with the understanding that the myopic error will always be larger than the hyperopic error. It will also be understood that the application of formulas (I)- (III) to other cylinder powers and axis orientation errors will provide various other hyperopic and myopic error ranges.
- the TTIOL hyperopic error range could be reduced while the myopic error range is increased.
- the TTIOL range of the hyperopic error range could be increased while the myopic error range is reduced.
- axis errors may range from about 0 to about 30 degrees, with the understanding that the TTIOLs of the present invention will have benefits to axis errors that extend well below the 30 degree range, such as but not limited to axis errors ranging from about 30 degrees to about 90 degrees.
- the present invention seeks to correct this issue by providing for a TIOL that compensates for the compression effects associated with implantation of a TIOL. From the above, those of skill in the art will recognize that by accounting for the axis alignment errors, an improved TIOL may be manufactured and used in a subject requiring ophthalmic interventions.
- the TTIOL of the present invention may be designed using various known methods, such as but not limited to, optical computer aided design (CAD) system. These systems will take into account the calculations for determining the axis errors defined above and may be used to design TTIOLs, contact lens, or the like.
- CAD optical computer aided design
- a TTIOL can be produced in a computer-controlled manufacturing system.
- the lens design can be converted into a data file containing control signals that is interpretably by a computer-controlled manufacturing device.
- a computer-controlled manufacturing device is a device that can be controlled by a computer system and that is capable of producing directly an ophthalmic lens or an optical tool, such as a Attorney Docket No.: 77032.000004 mold, for producing an ophthalmic lens.
- the TTIOLs of the present invention may also be manufactured through processes such as heating, physical stacking, and/or chemical bonding.
- the TTIOL of the present invention may be produced by any convenient means, for example, such as lathing and molding. Curing of the TTIOL material may be carried out by any convenient method. For example, the material may be deposited within a mold and cured by thermal, irradiation, chemical, electromagnetic radiation curing and the like and combinations thereof. In another embodiments, molding is carried out using ultraviolet light or using the full spectrum of visible light. More specifically, the precise conditions suitable for curing the TTIOL material wi ll depend on the material selected and the lens to be formed. Suitable processes are disclosed in U.S. Pat. No. 5,540,410 incorporated herein in its entirety by reference.
- the manufacturing process may also be accomplished by utilizing a lathe. Suitable lathe devices will allow free-form surfaces to be cut.
- a typical lathe lens will comprise a header, a front surface, a back surface, and an edge.
- the Header contains comments on the lens design. This may for example include the power profile of the lens, manufacture's identity, or any other appropriate marking.
- the front surface is non-symmetric, and thus its surface points are provided in a dense spiral scan starting at the edge of the lens.
- a scan is accomplished by scanning in a counter-clockwise direction, starting at one of the principal meridians moving from edge of the lens to the center of the lens.
- the scanning may also include blend zone Bezier spline samples.
- the back surface is symmetric, we can define it with a single profile, which i ncludes a back surface blend zone Bezier spline samples. This data starts at the edge and scans toward the center point of the back surface.
- both the front and back surfaces of the TTIOL of the present invention may be toric surfaces.
- only the back surface of the TTIOL is a toric surface.
- the TTIOL may also comprise a multifocal portion that is integrated into the lens.
- the edge section is also defined with a single profile similar to the back surface.
- Custom programs can be developed for this purpose by those Attorney Docket No.: 77032.000004 ski l led in the art.
- Those of skill in the art will appreciate that the haptics involved in the edge of the TT10L will i nclude edge thickness, edge blend zone, and edge design.
- Edge thickness may be determined by numerous methods known to those of skill in the art.
- the edge thickness may be determined by formula (IV).
- Edge thickness (ET) may be computed by taking into consideration the conic shape of each meridian on the front surface, the optical zone diameter, the center thickness, and the back surface, in one embodiment, the £T is found using the smallest E calculated from each meridian. For meridian n, formula (IV) may be used to find the ET.
- haptic designs may be utilized in the preparation of the TTIOL of the present invention. These may include those described in U.S. Patents Nos.: 4,71 8,905, 4,834,749, 5,306,297, 6,517,577, and 6,537,3 16, all of which are incorporated by reference in their entireties.
- the edge blend zone is required to smoothly connect each front surface meridians to the edge of the optic. It is also required so that the back surface is smoothly blended to the edge using continuous derivatives. This is illustrated in Figure 5. Zero- and first- order continuous connections between the optical portion of the meridians and the edge of the lens are made by using Bezier splines. This is implemented using custom software readily available, known, and developed by those in the art.
- the edge of the TTIOL is not perfectly square, instead it is rounded using Bezier splines.
- a rounded edge eliminates bright spots in the periphery of the retina from light derived from off- Attorney Docket No.: 77032.000004 axis source, such as a street lamp at night.
- the rounded edge is illustrated in Figure 5, which depicts a blending of the optical zone to the edge of the lens via Bezier spline.
- a barrier shelf between the haptic and optic can be employed to help inhibit the possibi lity of posterior capsular opacification (PCO). This feature is easily incorporated in the haptic designed by those of skill in the art.
- the materials used to make the TTIOL of the present invention may be standard materials generally known to one of skill in the art. Generally speaking, the materials may be either hard and/or soft materials. In one embodiment, soft TTIOL materials are obtained in dehydrated form to provide for easier processing and cutting on a lathe. Those of skil l in the art will understand that each batch of material should be provided with information pertaining to the hydrated index of refraction, axial swell factor, and transverse swell factor. The swell factors are critical to determine the "preshrink" on the surface points in the lathe files, such that after hydration, the TTIOL produced will achieve the correct shape and dimensions. It is known by one of skilled in the art that the swell factors can be adjusted so that the hydrated surface parameters can be adjusted on the lathe.
- the materials used to manufacture the TIOLs may be pliable materials that allow for foldable insertion into the eye through small incisions. These pliable and softer TTIOLS, allow for compression, folding, rolling or other deformations. The softer TTIOLs may be deformed prior to insertion thereof through an incision in the cornea of an eye. Following insertion of the TTIOL in an eye, the TTIOL returns to its original pre-deformed shape due to the memory characteristics of the soft material. Softer, more flexible TTIOLs as just described may be implanted into an eye through an incision that is much smaller, i.e.
- foldable intraocular TTIOL materials can generally be silicone materials, hydrogel materials, and non- hydrogel acrylic materials. Many materials in each category are known. See, for example, Foldable Intraocular Lenses, Ed. Martin et al., Slack Incorporated, Thorofare, N.J. (1993).
- Suitable material used in the preparation of the TTIOLs may also be chosen from conventionally available materials having adequate elasticity and/or hardness.
- the TTIOLs may be made from any suitable lens forming materials for manufacturing ophthalmic lenses including, without limitation, spectacle, contact, and Attorney Docket No.: 77032.000004 intraocular lenses.
- Illustrative materials for the formation of foldable or compressible TTIOLs include, without limitation silicone elastomers, silicone-containing macromers including, without limitation, those disclosed in U.S. Pat. Nos.
- hydrogels si licone-containing hydrogels, polymethyl methacrylate (PPM), hydroxymethyl methacrylate (HEMA), 6-hydroxyhexyl methacrylate (HOHEXMA) a polymer of those materials, acrylic polymers, polyesters, , polyamides, polyurethane, hydrocarbon and fluorocarbon polymers, fluori ne-containing polysi loxane elastomers, or the like and/or any combination thereof.
- PPM polymethyl methacrylate
- HEMA hydroxymethyl methacrylate
- HOHEXMA 6-hydroxyhexyl methacrylate
- the surface is a siloxane, or contains a siloxane functionality, including, without limitation, polydimethyl siloxane macromers, methacryloxypropyl polyalkyl siloxanes, and mixtures thereof, silicone hydrogel or a hydrogel.
- the material used to manufacture the TTIOL of the present invention may be optically coated to transmit only a portion of the optical spectrum.
- the TTIOL may have the capability to blocking particular spectrums of UV rays.
- the TTIOL design concept may be applied to rigid ophthalmic devices such as those which sit intraocularly or externally to the eye.
- rigid ophthalmic devices such as those which sit intraocularly or externally to the eye.
- a larger incision is necessary because the TTIOL must be inserted through an incision in the cornea slightly larger than that of the diameter of the inflexible TTIOL optic portion.
- the TTIOLs of the present invention reduce the incidence of axis error alignments normally associated with larger incisions.
- the TTIOL concept may be applied to the manufacture of a contact lens.
- the lens may be molded, for example, in contact lens molds i ncluding molding surfaces that replicate the contact lens surfaces when a lens is cast in the molds.
- the TTIOL of the present invention may also be a hard or soft contact lense.
- Soft contact lenses of the invention are preferably made from a soft contact lens material, such as a silicon hydro-gel or HEMA. It will be understood that any lens described above comprising any soft contact lens material would fall within the scope of the invention such that the power profiles of the toric power profiles of the contact lens will adopt the methodology for compensating for axis alignment errors.
- the TTIOL of the present invention may be manufactured to any appropriate size.
- the TTIOL is of a standard diameter and thickness.
- the optical zone of the TTIOL may range from about 4 mm to about 8 mm in diameter.
- the optical zone diameter of the TTIOL is about 6 mm.
- the thickness of the TTIOL at the center may range from about 0.2 mm to about 1.2 mm in thickness. In one embodiment, the thickness at the center of the TTIOL is 1 mm.
- the TTIOL of the present invention may also be used, following removal of the crystalline lens, for the treatment of any ocular disease or condition requiring a change of focus or lens replacement.
- the TTIOL is particularly useful for treatment of age-related macular degeneration (AMD), cataracts, astigmatism, myopia, hyperopia, presbyopia, or any other refractory error.
- AMD age-related macular degeneration
- cataracts cataracts, astigmatism, myopia, hyperopia, presbyopia, or any other refractory error.
- the TTIOLs are designed to correct, amongst other diseases, preexisti ng corneal astigmatism.
- TTIOLs are commonly implanted in the capsular bag after the cataractous lens is removed. TTIOLs must remain in a specific orientation within the eye in order to achieve the designed correction. Rotation after implantation is a significant concern with TTIOLs. See, for example, Sun et. al ., Ophthalmology, 107(9): 1776- 1782 (2000); Patel et al., Ophthalmology, 106( 1 1 ):2190-2196 ( 1999); Nguyen, et al., J. Cataract Refract.
- the present invention seeks to correct this misalignment issue by designing a TTIOL capable of compensating for the misalignment that can occur after surgery.
- the TTIOLs may be implanted using the convention methodologies employed by ophthalmic surgeons in the replacement of the lens during cataract surgery.
- a small incision is made in the cornea, e.g., by utilizing a diamond blade.
- An instrument is then inserted through the corneal incision to cut a portion of the anterior lens capsule, typically in a circular fashion, to provide access to the opacified natural lens.
- An ultrasound or a laser probe is then employed to break up the lens, and the resulti ng lens fragments are aspirated.
- a TTIOL can then be inserted into the capsular bag, e.g., by employing an injector. Once inside the eye, the TTIOL unfolds to replace Attorney Docket No.: 77032.000004 the natural lens.
- the corneal incision is typically sufficiently small such that it heals without the need for sutures.
- the i ncision caused by the surgical intervention may induce corneal aberrations including astigmatism or modify pre-existing corneal aberrations including astigmatism.
- methods of designing a TTIOL are disclosed that allow the TTIOL to compensate for such surgically-induced corneal astigmatism.
- FIG. 1 A normalized graph of the power profiles for meridians 1 to 180 are shown in Figure I .
- the graph is normalized so that the y-axis has a peak of 1 (meaning full cylinder power of 3 diopters in this example).
- Power profiles for an aligned TIOL, aligned TTIOL of the present invention, and TTIOL of the present invention with a 10 degree axis error are shown in Figure I .
- the graph is normalized so that the y-axis has a peak of 1 (meaning full cylinder power of 3 diopters in this example).
- Power profiles for an aligned TIOL, aligned TTIOL of the present invention, and TTIOL of the present invention with a 10 degree axis error Attorney Docket No.: 77032.000004
- the TTIOL of the present invention profile with a 10 degree error has a small portion of the curve, (i.e., the area is on the left side of the curve) with larger power than the corresponding centered TIOL (i.e., standard TIOL).
- This is achieved by making the TTIOL power profile a little lower and narrower than the TIOL profile.
- a shift in a standard TIOL profile by 1 0 degrees would yield, a symmetric. In other words, half of the curve would be above the centered TIOL profile and the other half would be below, and by the same amounts.
- the difference for the centered standard TIOL and TTIOL of the present invention are clinically the same (only about 0. 1 diopters difference).
- the point spread functions (PSFs) for the TTIOL of the present invention with a 10 degree axis error and standard TIOL are shown in Figure 2 for object vergences of 0, 0.25, and 0.5 diopters. Over this range, the TTIOL of the present invention produced better visual performance since none of its power axes correspond to hyperopia.
- the corresponding image simulations are given in Figure 3, where the superior performance of the TTIOL of the present invention can be seen.
- Figure 2 depicts PSFs of 10 degree axis error TTIOL (left) and standard TIOL (right) at object vergences of 0, 0.25, and 0.5 diopters.
- Figure 3 depicts image simulations for 10 degree axis error TTIOL of the present invention (left) and the standard TIOL (right) at object vergence of 0, 0.25, and 0.5 diopters.
- the power of the back surface of the lens is given by one-half the mean power of the lens, according to formula (V).
- the back surface power P2 is given in (VI).
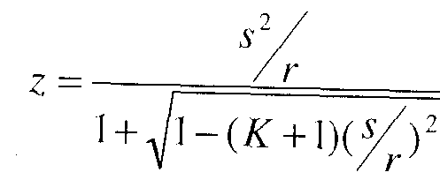
- s is the distance from the optical axis
- r is the apical radius of curvature
- K is the conic constant
- z is the surface sag.
- the radius of curvature r, and conic constant A ' for the back surface of the TTIOL are determined.
- a similar operation for each meridian on the front surface of the TTIOL to find the radius and conic constant for each meridian is performed.
Landscapes
- Health & Medical Sciences (AREA)
- Ophthalmology & Optometry (AREA)
- General Health & Medical Sciences (AREA)
- Vascular Medicine (AREA)
- Biomedical Technology (AREA)
- Veterinary Medicine (AREA)
- Cardiology (AREA)
- Oral & Maxillofacial Surgery (AREA)
- Transplantation (AREA)
- Engineering & Computer Science (AREA)
- Public Health (AREA)
- Heart & Thoracic Surgery (AREA)
- Physics & Mathematics (AREA)
- Life Sciences & Earth Sciences (AREA)
- Animal Behavior & Ethology (AREA)
- General Physics & Mathematics (AREA)
- Optics & Photonics (AREA)
- Prostheses (AREA)
Abstract
The invention is a method of designing a toric intraocular lens that provides a level of tolerance to axis alignment error so that the negative aspects of an axis alignment error are mitigated creating a tolerant toric intraocular lens. Advantages of this invention will become apparent from the following description taken in conjunction with any accompanying drawings wherein are set forth, by way of illustration and example, contain embodiments of this invention.
Description
Attorney Docket No.: 77032.000004
TOLERANT TQR1C INTRAOCULAR LENS
Field of the Invention
[001 ] The present invention relates to systems and methods for human vision correction, and to methods of designing a tolerant toric intraocular lens. The design of a tolerant toric lens is accomplished by modifying the power profile of the standard toric intraocular lens.
Background
[002] The eye is a complex optical system that must be well corrected to provide its owner with a high quality of life. As the eye ages, the crystalline lens can acquire a cataract requiring surgical intervention to maintain good vision. This intervention includes the removal of the crystalline lens and replacing it with an intraocular lens (IOL). If the cornea has significant astigmatism, a toric IOL (TIOL) is often selected to replace the crystalline lens to provide improved vision compared to a spherical IOL. If the TIOL is properly aligned with respect to its desired meridian, the patient's vision is usually good. It can happen, however, that the TIOL can be aligned at the wrong meridian either due to an error at the time of surgery or due to a postoperative rotation of the TIOL. If this axis error is large enough, some type of correction must be made to provide the patient with good vision. This intervention could be a prescription for spectacles or contact lenses, or a rotation of the TIOL to the correct axis.
[003] To date, TIOLs that attempt to correct alignment errors that are caused by surgical axis misplacement or post surgical axial rotation of the TIOL focus on the pupilar area. For example U.S. Patent Application Publication No. 201 1 /0166652 teaches the preparation of a TIOL that has a cylinder power and a depth of focus extender. In U.S. Patent Application Publication No. 201 1 /0170057, a TIOL is described that spatially divides the pupil into discrete zones, with each zone having a discrete astigmatism magnitude and orientation. However, in each of these particular TIOL designs, there are potential shortcomings. For instance, the designs of the TIOL depend largely on the size of the pupil. Moreover, the designs do not attempt to more closely approximation a lens that is properly aligned in all meridians. Thus there is a need to provide a TIOL design that more closely approximates a properly aligned toric lens and that does not depend on pupil diameter.
[004] The present invention seeks to overcome the shortcomings of the prior art TIOL designs by providing for a tolerant TIOL (TTIOL) and methods of designing a TTIOL, by modifying the
Attorney Docket No.: 77032.000004 power profi le of the standard TIOL, thereby providing tolerance to axis alignment errors along the meridians, thereby mitigating axis alignment errors.
Summary of the Invention
[005] The present invention provides for an improved TIOL that corrects for the misalignment of such an implant.
[006] It is an object of this invention that the TIOL provides for forgiveness of or tolerance to axis alignment errors along the meridians.
[007] It is another object of the present invention that the axis alignment forgiveness mitigates negative visual aspects of an axis alignment error.
[008] It is yet another object of the present invention that the a TTIOL has aspheric components to reduce the lens' spherical aberrations.
[009] It is still another object of the invention that the design of the TTIOL is applicable to corrective corneal surgical interventions, such as PRK or LASIK.
[00 10] The present invention also provides for methods of surgical intervention comprising the i mplantation of the TTIOL.
[001 1 ] It is yet another object of the present invention that the design of the TTIOL can be applied to the manufacture of other corrective ophthalmic devices including external lens, such as but not limited to contact lenses.
[00 12] It is still a further object of the present invention to have an TIOL that accounts for the probability of an axis misalignment error by modifying the standard power profile of a standard TIOL. In another embodiment, the modified TIOL produced results in a lens leading to a higher myopic power shift than a hyperopic power shift.
[0013] These and other objectives and advantages of this invention will become apparent from the followi ng description taken in conjunction with any accompanying drawings wherein are set forth, by way of illustration and example, contain embodiments of this invention. Any drawings contained herein constitute a part of this specification and include exemplary embodiments of the present invention and illustrate various objects and features thereof.
Brief Description of the Drawings
[0014] Figure 1 . Power profiles for an aligned TIOL, aligned TTIOL, and TTIOL with a 10 degree axis error.
Attorney Docket No.: 77032.000004
[0015] Figure 2. PSF of 10 degree axis error TTIOL (left) and TIOL (right) at object vergence of 0, 0.25, and 0.5 D.
[0016] Figure 3. Image simulations for 10 degree axis error TTIOL (left) and TIOL (right) at object vergence of 0, 0.25, and 0.5 D.
[001 7] Figure 4. Optical ray tracing setup to optimize conic constant K.
[001 8] Figure 5. Blending the optical zone to the edge of the lens via Bezier spline.
Detailed Description of the Invention
[0019] Reference now will be made in detail to the embodiments of the invention. It wi ll be apparent to those skilled in the art that various modifications and variations can be made in the present invention without departing from the scope or spirit of the invention. For instance, features illustrated or described as part of one embodiment, can be used on another embodiment to yield a still further embodiment. Thus, it is intended that the present invention cover such modifications and variations as its comes within the scope of the appended claims and their equivalents. Other objects, features and aspects of the present invention are disclosed in or are obvious from the following detailed description. It is to be understood by one of ordinary ski ll in the art that the present discussion is a description of exemplary embodiments only, and is not intended as limiting the broader aspects of the present invention.
[0020] Unless defined otherwise, all technical and scientific terms used herein have the same meaning as commonly understood by one of ordinary skill in the art to which this invention belongs. Generally, the nomenclature used herein and the manufacturing procedures are well known and commonly employed in the art. Conventional methods are used for these procedures, such as those provided in the art and various general references. Where a term is provided in the singular, the inventors also contemplate the plural of that term.
[002 1 ] It has been found in accordance to the present invention that the design of a TIOL can be improved to provide more forgiveness in axis alignment errors along the meridians. This improvement enhances a patient's quality of vision in the presence of an axis alignment error and reduces the incidence of complications resulting from surgical intervention, during surgery or post surgery, that may rotate a standard TIOL. The design of the improved TIOL or TTIOL is also applicable to other ocular devices and interventions that may be subject to axis alignment errors such as, but not limited to, contact lenses or to corneal surgical interventions such as PRK
Attorney Docket No.: 77032.000004 or LASIK. Additionally, the TTIOL may have an aspheric components that reduces the lens' spherical aberration.
[0022] The present invention therefore provides for systems and methods for eliminating or mitigating the optical effects of corneal astigmatism due to axis alignment errors by providing for the implantation or application of a TIOL. In another embodiment, the present invention also helps reduce overall spherical aberrations of the eye by not introducing additional positive spherical aberrations present in spherical refractive surfaces to the positive spherical aberration present in most human corneas. In the embodiments below, the embodiments are illustrated primarily in connection with intraocular lenses. It should, however, be understood that these teachings apply equally to a variety of other ophthalmic lenses, such as contact lenses.
A. Optical TIOL design
[0023] A lens that mitigates axis alignment errors is designed by modifying the power profile of a standard TIOL. The TIOL designed according to one aspect of the invention is accomplished by first determining the standard power profile in each meridian of a standard toric lens according to (I)
F(n) - S + C sin 2 (n - axis)
(I)
where
n - meridian in degrees
axis = cylinder axis in degrees (power of cylinder is orthogonal to this meridian)
S = spherical power in diopters
C = cylinder power in diopters
[0024] The standard power profile in units of diopters in (I), provides the power, S, at meridian n = axis, while the power at meridian n = axis + 90 is S + C. By adding an Mlh order polynomial to the standard power profile, a toric like optical element can be optimized to yield tolerance to axis alignment errors. This allows for the adjustment of the power profile of the meridians around the TTIOL. Formula (II), below, provides the combination of a standard toric power profile and a meridian dependent power adjustment term.
M
L(n) = S + C sin 2 (n - axis) + ^ am (n - axis)'"
=0
Attorney Docket No.: 77032.000004
(II)
where
"am" represents the adjustable coefficients of the polynomi l.
The polynomial coefficients am need to be determined in order to provide the desired axis error tolerance. The error function, as determined by formula (III) is employed, to facilitate the determination of these coefficients
(III)
where
b = an integer > 0,
p(k) = probability of an axis error of k
w(n) = a positive-valued myopic error weight, wherein a value of > 1 is applied if L(n-k) >
F(n).
[0025] In one embodiment of the present invention, b is > 0. In another embodiment of the present invention b is 2.
[0026] The discrete probability of an axis error of integer angle k can be described by p{k). By combining formulas (I)— (III), p(k), and the myopic error weight, w(n), the polynomial coefficients am in formula (II) can be determined. By solving for the am the error function in (III) is minimized, thus improving performance of the TTIOL under the assumptions of the given probability of axis error p(k). As indicated above, usually the meridians are given by integer values of degrees, however, by converting the units from angles in degrees to angles in radians the numerical stability of the optimization calculations is improved.
[0027] The present invention employs the premise that it is better to design a lens that leads to a myopic power profile shift as opposed to a hyperopic power profile shift in the presence of an axis alignment error. Patients, especially non-accommodating, will benefit from vision that is more myopic than hyperopic. If a patient requires a TIOL correction but the lens is implanted with an axis error, half the TIOL's meridians will have a power error in the positive direction (compared to the TIOL with no axis error) and the other half will have a power error in the negative direction. For a given meridian, if the patient needs the TIOL to provide a power of P diopters but, due to an axis error, the TIOL only provides a power of P - Δ diopters (wherein Δ >
Attorney Docket No.: 77032.000004
0), then the patient's meridian will be hyperopic by Δ diopters. Likewise, for a given meridian, if the patient needs the TIOL to provide a power of P diopters but, due to an axis error, the TIOL provides a power of P + Δ diopters (wherein Δ > 0), then the patient's meridian will be myopic by Δ diopters.
[0028] The TTIOL is designed using the premise that it is better to decrease hyperopic error at the expense of increased myopic error. As an example of the application of this heuristic, those of skill in the art may apply a TTIOL with a 1 diopter cylinder power and an axis error of 10 degrees to the Formulas of (I)-(III) recited herein. In this example, the lens will have a meridional power hyperopic error limited to the range of 0 to 0.09 diopter, while the myopic error is limited to the larger range of 0 to 0.26 diopter. In comparison, if a standard TIOL with a 1 diopter cylinder power has an axis error of 10 degrees, the lens will have meridional power hyperopic and myopic errors in the range of 0 to 0. 17 diopter. Thus, the TTIOL with an axis error reduces the hyperopic error (compared to a standard TIOL with the same axis error) at the expense of increasing the myopic error. This tradeoff is beneficial for the patient as it provides improved vision quality. The hyperopic and myopic error ranges for the TTIOL with a 1 0 degree axis error scale with the cylinder power of the TTIOL.
[0029] Those of skill in the art will understand that the TTIOL with a 1 diopter cylinder power and an axis error of 10 degrees, described above, is simply an application and example of one embodiment of the present invention, and is not intended to restrict the invention to the specific numerical parameters described. Accordingly, those of skill in the art wil l appreciated that the axis errors application will vary based on the cylinder power and the assignment of an axis error. Therefore, it will be understood by those of skill in the art that if for example there is a 2 diopter cylinder power and an axis error of 10 degrees, the hyperopic error may be in the range of 0 to 0.1 8 diopter, while the myopic error may be limited to the larger range of 0 to 0.52 diopter. Application of the formulas (I)— (III) described herein will provide various other ranges for both hyperopic error as well as myopic error, with the understanding that the myopic error will always be larger than the hyperopic error. It will also be understood that the application of formulas (I)- (III) to other cylinder powers and axis orientation errors will provide various other hyperopic and myopic error ranges. In another embodiment, the TTIOL hyperopic error range could be reduced while the myopic error range is increased. In yet another embodiment, the TTIOL range of the hyperopic error range could be increased while the myopic error range is reduced. Those of
Attorney Docket No.: 77032.000004 skil l in the art will also generally understand that the practical li mits of the axis errors may range from about 0 to about 30 degrees, with the understanding that the TTIOLs of the present invention will have benefits to axis errors that extend well below the 30 degree range, such as but not limited to axis errors ranging from about 30 degrees to about 90 degrees.
[0030] The overall concept of compensating for axis alignments along each meridian should not be so limited by the calculations set forth above in formulas (I)— (III). Those of skill in the art will readily appreciate that determining the polynomial coefficient am may be accomplished by a variety of other methods. Thus, those of skill in the art will appreciate that other optimization algorithms may be used to compute the polynomial coefficient am. In another embodiment, those of skill in the art will also appreciate that other strategies for applying the probably of axis error could be employed.
B. Methods of manufacturing and materials for TTIOL.
[003 1 ] In the case of TIOL implantation, typical TIOLs are subject to compressive forces, which may occur when an individual squints or rubs the eye. This is particularly true of TIOLs implanted in the anterior chamber of an eye. Such compressive forces on an TIOL may result in tissue damage, misalignment of the TIOL and/or distortion of the visual image. Compressive forces exerted on a TIOL also tend to cause movement of the TIOL resulting in axial displacement of the TIOL along the optical axis of an eye. Currently designed TIOLs, whether formed of either softer or more rigid materials, tend to deflect along the optical axis of an eye. However, the present invention seeks to correct this issue by providing for a TIOL that compensates for the compression effects associated with implantation of a TIOL. From the above, those of skill in the art will recognize that by accounting for the axis alignment errors, an improved TIOL may be manufactured and used in a subject requiring ophthalmic interventions.
[0032] The TTIOL of the present invention may be designed using various known methods, such as but not limited to, optical computer aided design (CAD) system. These systems will take into account the calculations for determining the axis errors defined above and may be used to design TTIOLs, contact lens, or the like. After completing a desired design, a TTIOL can be produced in a computer-controlled manufacturing system. The lens design can be converted into a data file containing control signals that is interpretably by a computer-controlled manufacturing device. A computer-controlled manufacturing device is a device that can be controlled by a computer system and that is capable of producing directly an ophthalmic lens or an optical tool, such as a
Attorney Docket No.: 77032.000004 mold, for producing an ophthalmic lens. These are standard and well know methodologies taught for example in U.S. Patent 6,122,999, herein incorporated by reference in its entirety.
[0033] The TTIOLs of the present invention may also be manufactured through processes such as heating, physical stacking, and/or chemical bonding. The TTIOL of the present invention may be produced by any convenient means, for example, such as lathing and molding. Curing of the TTIOL material may be carried out by any convenient method. For example, the material may be deposited within a mold and cured by thermal, irradiation, chemical, electromagnetic radiation curing and the like and combinations thereof. In another embodiments, molding is carried out using ultraviolet light or using the full spectrum of visible light. More specifically, the precise conditions suitable for curing the TTIOL material wi ll depend on the material selected and the lens to be formed. Suitable processes are disclosed in U.S. Pat. No. 5,540,410 incorporated herein in its entirety by reference.
[0034] The manufacturing process may also be accomplished by utilizing a lathe. Suitable lathe devices will allow free-form surfaces to be cut. In one embodiment, a typical lathe lens will comprise a header, a front surface, a back surface, and an edge. The Header contains comments on the lens design. This may for example include the power profile of the lens, manufacture's identity, or any other appropriate marking.
[0035] The front surface is non-symmetric, and thus its surface points are provided in a dense spiral scan starting at the edge of the lens. Thus in one embodiment, a scan is accomplished by scanning in a counter-clockwise direction, starting at one of the principal meridians moving from edge of the lens to the center of the lens. In one embodiment, the scanning may also include blend zone Bezier spline samples.
[0036] The back surface is symmetric, we can define it with a single profile, which i ncludes a back surface blend zone Bezier spline samples. This data starts at the edge and scans toward the center point of the back surface.
[0037] In another embodiment, both the front and back surfaces of the TTIOL of the present invention may be toric surfaces. In another embodiment, only the back surface of the TTIOL is a toric surface. In yet another embodiment of the present invention, the TTIOL may also comprise a multifocal portion that is integrated into the lens.
[0038] In another embodiment of the invention, the edge section is also defined with a single profile similar to the back surface. Custom programs can be developed for this purpose by those
Attorney Docket No.: 77032.000004 ski l led in the art. Those of skill in the art will appreciate that the haptics involved in the edge of the TT10L will i nclude edge thickness, edge blend zone, and edge design.
[0039] Edge thickness may be determined by numerous methods known to those of skill in the art. In one embodiment, the edge thickness may be determined by formula (IV). Edge thickness (ET) may be computed by taking into consideration the conic shape of each meridian on the front surface, the optical zone diameter, the center thickness, and the back surface, in one embodiment, the £T is found using the smallest E calculated from each meridian. For meridian n, formula (IV) may be used to find the ET.
ETU = CT + ze - ze„
(IV)
where
ETn, = edge thickness at meridian n
CT = center thickness
ze = sag value at edge of back surface (z.e is negative for the back surface)
ze,„ = sag value at edge of front surface for meridian n
[0040] By taking the smallest ET value, a "gap" between the flattest front surface meridian edges and the constant edge profile will form. This gap is filled in using a blend region on the front surface.
[0041 ] Those of skill in the art will also generally recognize that various haptic designs may be utilized in the preparation of the TTIOL of the present invention. These may include those described in U.S. Patents Nos.: 4,71 8,905, 4,834,749, 5,306,297, 6,517,577, and 6,537,3 16, all of which are incorporated by reference in their entireties.
[0042] As described above, the edge blend zone is required to smoothly connect each front surface meridians to the edge of the optic. It is also required so that the back surface is smoothly blended to the edge using continuous derivatives. This is illustrated in Figure 5. Zero- and first- order continuous connections between the optical portion of the meridians and the edge of the lens are made by using Bezier splines. This is implemented using custom software readily available, known, and developed by those in the art.
[0043] The edge of the TTIOL is not perfectly square, instead it is rounded using Bezier splines. A rounded edge eliminates bright spots in the periphery of the retina from light derived from off-
Attorney Docket No.: 77032.000004 axis source, such as a street lamp at night. As an example, the rounded edge is illustrated in Figure 5, which depicts a blending of the optical zone to the edge of the lens via Bezier spline.
[0044] In another embodiment of the present invention, a barrier shelf between the haptic and optic can be employed to help inhibit the possibi lity of posterior capsular opacification (PCO). This feature is easily incorporated in the haptic designed by those of skill in the art.
[0045] The materials used to make the TTIOL of the present invention may be standard materials generally known to one of skill in the art. Generally speaking, the materials may be either hard and/or soft materials. In one embodiment, soft TTIOL materials are obtained in dehydrated form to provide for easier processing and cutting on a lathe. Those of skil l in the art will understand that each batch of material should be provided with information pertaining to the hydrated index of refraction, axial swell factor, and transverse swell factor. The swell factors are critical to determine the "preshrink" on the surface points in the lathe files, such that after hydration, the TTIOL produced will achieve the correct shape and dimensions. It is known by one of skilled in the art that the swell factors can be adjusted so that the hydrated surface parameters can be adjusted on the lathe.
[0046] In another embodiment, the materials used to manufacture the TIOLs may be pliable materials that allow for foldable insertion into the eye through small incisions. These pliable and softer TTIOLS, allow for compression, folding, rolling or other deformations. The softer TTIOLs may be deformed prior to insertion thereof through an incision in the cornea of an eye. Following insertion of the TTIOL in an eye, the TTIOL returns to its original pre-deformed shape due to the memory characteristics of the soft material. Softer, more flexible TTIOLs as just described may be implanted into an eye through an incision that is much smaller, i.e. , 2.8 to 3.2 mm, than that necessary for more rigid TTIOLs, i.e., 4.8 to 6.0 mm. For example, foldable intraocular TTIOL materials can generally be silicone materials, hydrogel materials, and non- hydrogel acrylic materials. Many materials in each category are known. See, for example, Foldable Intraocular Lenses, Ed. Martin et al., Slack Incorporated, Thorofare, N.J. (1993).
[0047] Suitable material used in the preparation of the TTIOLs may also be chosen from conventionally available materials having adequate elasticity and/or hardness. In another embodiment, the TTIOLs, may be made from any suitable lens forming materials for manufacturing ophthalmic lenses including, without limitation, spectacle, contact, and
Attorney Docket No.: 77032.000004 intraocular lenses. Illustrative materials for the formation of foldable or compressible TTIOLs include, without limitation silicone elastomers, silicone-containing macromers including, without limitation, those disclosed in U.S. Pat. Nos. 5,37 1 , 147, 5,314,960, and 5,057,578 incorporated in their entireties herein by reference, hydrogels, si licone-containing hydrogels, polymethyl methacrylate (PPM), hydroxymethyl methacrylate (HEMA), 6-hydroxyhexyl methacrylate (HOHEXMA) a polymer of those materials, acrylic polymers, polyesters, , polyamides, polyurethane, hydrocarbon and fluorocarbon polymers, fluori ne-containing polysi loxane elastomers, or the like and/or any combination thereof. More preferably, the surface is a siloxane, or contains a siloxane functionality, including, without limitation, polydimethyl siloxane macromers, methacryloxypropyl polyalkyl siloxanes, and mixtures thereof, silicone hydrogel or a hydrogel.
[0048] In another embodiment, the material used to manufacture the TTIOL of the present invention may be optically coated to transmit only a portion of the optical spectrum. Thus, it is desired that the TTIOL may have the capability to blocking particular spectrums of UV rays.
[0049] In another embodiment, the TTIOL design concept may be applied to rigid ophthalmic devices such as those which sit intraocularly or externally to the eye. In instances wherein the more rigid material is inserted into the eye, a larger incision is necessary because the TTIOL must be inserted through an incision in the cornea slightly larger than that of the diameter of the inflexible TTIOL optic portion. While more rigid TTIOLs have become less popular in the market due to the complications associated with implantation, such as increased incidence of postoperative complications, the TTIOLs of the present invention reduce the incidence of axis error alignments normally associated with larger incisions.
[0050] In one embodiment, the TTIOL concept may be applied to the manufacture of a contact lens. In these instances, the lens may be molded, for example, in contact lens molds i ncluding molding surfaces that replicate the contact lens surfaces when a lens is cast in the molds. In another embodiment, the TTIOL of the present invention may also be a hard or soft contact lense. Soft contact lenses of the invention are preferably made from a soft contact lens material, such as a silicon hydro-gel or HEMA. It will be understood that any lens described above comprising any soft contact lens material would fall within the scope of the invention such that the power profiles of the toric power profiles of the contact lens will adopt the methodology for compensating for axis alignment errors.
Attorney Docket No.: 77032.000004
[005 1 ] The TTIOL of the present invention may be manufactured to any appropriate size. In one embodi ment, the TTIOL is of a standard diameter and thickness. Thus, in one embodiment, the optical zone of the TTIOL may range from about 4 mm to about 8 mm in diameter. In one embodiment, the optical zone diameter of the TTIOL is about 6 mm. The thickness of the TTIOL at the center may range from about 0.2 mm to about 1.2 mm in thickness. In one embodiment, the thickness at the center of the TTIOL is 1 mm.
C. Method of using the TTIOL
[0052] The TTIOL of the present invention may also be used, following removal of the crystalline lens, for the treatment of any ocular disease or condition requiring a change of focus or lens replacement. The TTIOL is particularly useful for treatment of age-related macular degeneration (AMD), cataracts, astigmatism, myopia, hyperopia, presbyopia, or any other refractory error.
[0053] In one embodiment, the TTIOLs are designed to correct, amongst other diseases, preexisti ng corneal astigmatism, Typically in patients undergoing cataract surgery, TTIOLs are commonly implanted in the capsular bag after the cataractous lens is removed. TTIOLs must remain in a specific orientation within the eye in order to achieve the designed correction. Rotation after implantation is a significant concern with TTIOLs. See, for example, Sun et. al ., Ophthalmology, 107(9): 1776- 1782 (2000); Patel et al., Ophthalmology, 106( 1 1 ):2190-2196 ( 1999); Nguyen, et al., J. Cataract Refract. Surg., 26: 1496- 1504 (2000); and Ruhswurm, et al., J. Cataract Refract. Surg., 26: 1 022-1027 (2000). Thus the present invention seeks to correct this misalignment issue by designing a TTIOL capable of compensating for the misalignment that can occur after surgery.
[0054] Thus, in another embodiment of the present invention, the TTIOLs may be implanted using the convention methodologies employed by ophthalmic surgeons in the replacement of the lens during cataract surgery. For example, during a cataract surgery, a small incision is made in the cornea, e.g., by utilizing a diamond blade. An instrument is then inserted through the corneal incision to cut a portion of the anterior lens capsule, typically in a circular fashion, to provide access to the opacified natural lens. An ultrasound or a laser probe is then employed to break up the lens, and the resulti ng lens fragments are aspirated. A TTIOL can then be inserted into the capsular bag, e.g., by employing an injector. Once inside the eye, the TTIOL unfolds to replace
Attorney Docket No.: 77032.000004 the natural lens. The corneal incision is typically sufficiently small such that it heals without the need for sutures.
[0055] In many cases, the i ncision caused by the surgical intervention may induce corneal aberrations including astigmatism or modify pre-existing corneal aberrations including astigmatism. In one embodiment of the present invention, methods of designing a TTIOL are disclosed that allow the TTIOL to compensate for such surgically-induced corneal astigmatism. By uti lizing the TTIOL described in the present invention, compensati ng for the axis alignment errors that are caused post surgically may be effectively eliminated.
Examples
[0056] Specific numbers and ranges provided are meant to be illustrative of the present invention and are not meant to represent the only embodiments of the present invention.
[0057] Using a custom program developed to perform the calculations set forth above in formulas (I)-(III) above, optical surface parameters, point spread functions, and image simulations to provide an initial assessment of the TIOL are generated. Starting with a standard power profile of a TIOL of formula (I), with a power 0 + 3 x 180, the TTIOL was designed with uniform axis error probabi lity in the range of - 10 to 10 degrees (p(n) = I for n=- 10, -9, ... JO), the error weight, w(n), was 5 and the order of the polynomial was set to 6 as set forth in formula (II).
[0058] The resulting polynomial coefficients (a,,,) were as follows:
[0059] A normalized graph of the power profiles for meridians 1 to 180 are shown in Figure I . The graph is normalized so that the y-axis has a peak of 1 (meaning full cylinder power of 3 diopters in this example). Power profiles for an aligned TIOL, aligned TTIOL of the present invention, and TTIOL of the present invention with a 10 degree axis error.
Attorney Docket No.: 77032.000004
[0060] Note, that the TTIOL of the present invention profile with a 10 degree error has a small portion of the curve, (i.e., the area is on the left side of the curve) with larger power than the corresponding centered TIOL (i.e., standard TIOL). This is achieved by making the TTIOL power profile a little lower and narrower than the TIOL profile. A shift in a standard TIOL profile by 1 0 degrees would yield, a symmetric. In other words, half of the curve would be above the centered TIOL profile and the other half would be below, and by the same amounts. The difference for the centered standard TIOL and TTIOL of the present invention are clinically the same (only about 0. 1 diopters difference). The point spread functions (PSFs) for the TTIOL of the present invention with a 10 degree axis error and standard TIOL are shown in Figure 2 for object vergences of 0, 0.25, and 0.5 diopters. Over this range, the TTIOL of the present invention produced better visual performance since none of its power axes correspond to hyperopia. The corresponding image simulations are given in Figure 3, where the superior performance of the TTIOL of the present invention can be seen. Figure 2 depicts PSFs of 10 degree axis error TTIOL (left) and standard TIOL (right) at object vergences of 0, 0.25, and 0.5 diopters. Figure 3 depicts image simulations for 10 degree axis error TTIOL of the present invention (left) and the standard TIOL (right) at object vergence of 0, 0.25, and 0.5 diopters.
[0061 ] The following procedures are conventional and generally known by those of skill in the art. For example, once the power profi le of the TTIOL of the present invention are determined from equation (II), the surface powers for the back surface (axially symmetric asphere) and the toric front surface can be determined.
[0062] For instance, the power of the back surface of the lens is given by one-half the mean power of the lens, according to formula (V).
(V)
The back surface power P2 is given in (VI).
, _ MP
2
(V I)
Attorney Docket No.: 77032.000004
The aspheric shape of the axial ly symmetric back surface and each meridian of the front surface is given by a conic equation shown in (VII).
(VII)
In this equation, s is the distance from the optical axis, r is the apical radius of curvature, K is the conic constant, and z is the surface sag. Given the power P and the index of refraction Nl in front and N2 in back of the surface, the apical radius of curvature r is found from (VIII).
N2 - NX
r = 1000
P
(VIII)
[0063] Several methods can be used to solve for the conic constant K for the back surface. In this example, ray tracing and binary search was utilized. The basic optical setup is shown in Figure 4 with optical ray tracing setup to optimize conic constant K. In this figure an equal convex lens with apical radius r given by (VIII) for power P2 computed from (VI). The (hydrated) center thickness and (hydrated) i ndex of refraction is used in the ray tracing calculations. The goal is to find conic constant K so that a dense set of rays have the smallest RMS error at the paraxial focal point. This is performed using custom ray tracing and binary search software known to those skilled in the art. Thus, the radius of curvature r, and conic constant A' for the back surface of the TTIOL are determined. A similar operation for each meridian on the front surface of the TTIOL to find the radius and conic constant for each meridian is performed.
It is to be understood that while a certain form of the invention is i llustrated, it is not to be limited to the specific form or arrangement herein described and shown. It will be apparent to those skilled in the art that various changes may be made without departing from the scope of the inventions and the invention is not to be considered limited to what is shown and described in the specification and any drawings/figures included herein.
[0064] One skilled in the art will readily appreciate that the present invention is well adapted to carry out the objectives and obtain the ends and advantages mentioned, as well as those inherent therein. The embodiments, methods, procedures and techniques described herein are presently
Attorney Docket No.: 77032.000004 representative of the preferred embodiments, are intended to be exemplary and are not intended as limitations on the scope. Changes therein and other uses will occur to those skilled in the art which are encompassed within the spirit of the invention and are defined by the scope of the appended clai ms. Although the invention has been described in connection with specific preferred embodiments, it should be understood that the invention as claimed should not be unduly limited to such specific embodiments. Indeed, various modifications of the described modes for carrying out the invention which are obvious to those ski lled in the art are intended to be within the scope of the following claims.
Claims
1 . A method of producing a toric intraocular lens that accounts for the probability of an axis alignment error, comprising forming an i ntraocular lens with a deviation to the standard power profi le of a standard toric intraocular lens.
2. A method of producing a toric intraocular lens that accounts for the probabi lity of an axis alignment error comprising forming an intraocular lens with a deviation to the standard power profile of a standard toric intraocular lens that results in a small hyperopic and larger myopic power shift in the presence of an axis orientation error.
3. The method according to claim 1 or 2, wherein the power profile of a standard toric i ntraocular lens is determined according to (1)
F(n) = S + C sin 2 (n - axis)
(I),
wherein
n - meridian in degrees,
axis = cylinder axis in degrees,
S = spherical power in diopters, and
C = cylinder power in diopters.
4. The method according to claim 1 or 2, wherein deviation of the power profile from the standard toric lens occurs at each meridian of said lens.
5. The method according to claim 4, wherein the power profile deviation at each meridian is modified according to (II)
M
L(n) = S + C sin 2 - axis) + am (n - axis)'" (Π)
wherein Attorney Docket No.: 77032.000004 n = meridian in degrees,
S = spherical power in diopters,
C = cylinder power in diopters,
a,„ = the coefficients of polynomials.
6. The method according to claim 1 or 2, wherein the lens results in a power profile error that comprises a larger myopic power profile than a hyperopic power profi le in the presence of an axis orientation error.
7. The method according to claim 1 or 2, wherein the probability in the axis error alignment, that takes into consideration the error optimization function is determined according to (III)
(HI)
wherein
b = an integer >0, and
w(n) is an integer > 1 when the L(n-k) > F(n).
8. The method according to claim 7, wherein b is 2.
9. The method according to claim 6, wherein the axis orientation error is in the range of about 0 degrees to about 30 degrees.
10. The method according to claim 9, wherein lens comprises a myopic power error profile that results in a myopic power shift in the range of 0 to about 0.26 diopters, when the toric intraocular lens has a cylinder power of 1 diopter and an axis orientation error of 1 0 degrees, where there is also a proportional myopic power shift for the toric intraocular lens having a higher cylinder power greater than 1 diopter. Attorney Docket No.: 77032.000004
1 1 . The method according to claim 6, wherein the lens comprises a hyperopic power error profile that results in a hyperopic power shift in the range of 0 to about 0.09 diopters, when the toric intraocular lens has a cylinder power of 1 diopter and an axis orientation error of 1 0 degrees, wherei n there is also a proportional hyperopic power shift for the toric intraocular lens having a higher cylinder power greater than 1 diopter, and wherein the hyperopic power shift does not exceed its corresponding myopic power shift.
12. The method according to claim 1 or 2, wherein the lens further comprises a haptic region with an edge thickness, edge blend, and edge design.
13. The method according to claim 12, wherein the edge thickness is determined according to (IV)
Er„ = CT + ze - zen
(IV)
where
ET„ = edge thickness at meridian n;
CT = center thickness;
ze = sag value at edge of back surface, wherein z,e is negative for the back surface; and ze„ = sag value at edge of front surface for meridian n.
14. The method according to claim 12, wherein the edge design is rounded using Bezier splines.
1 5. A toric intraocular lens produced using the method according to claim 1 .
1 6. The lens according to claim 15, wherein the lens comprises a myopic power error profile that results in a myopic power shift in the range of 0 to about 0.26 diopters, when the toric introcular lens has a cylinder power of 1 diopter and an axis orientation error of 10 degrees, where there is also a proportional myopic power shift for the toric intraocular lens having a higher cylinder power greater than 1 diopter. Attorney Docket No.: 77032.000004
17. A method of reducing or correcting astigmatism of a subject comprising implanting a toric intraocular lens according to claim 15.
1 8. The method according to clai m 16, wherein the lens further comprises a haptic region with an edge thickness, edge blend, and edge design.
19. A method of mitigating axis misalignment errors of an implanted intraocular lens comprising implanting a toric intraocular lens according to claim 1 5 into the eye of the subject.
Applications Claiming Priority (2)
| Application Number | Priority Date | Filing Date | Title |
|---|---|---|---|
| US201161483333P | 2011-05-06 | 2011-05-06 | |
| US61/483,333 | 2011-05-06 |
Publications (1)
| Publication Number | Publication Date |
|---|---|
| WO2012154597A1 true WO2012154597A1 (en) | 2012-11-15 |
Family
ID=47139554
Family Applications (1)
| Application Number | Title | Priority Date | Filing Date |
|---|---|---|---|
| PCT/US2012/036639 Ceased WO2012154597A1 (en) | 2011-05-06 | 2012-05-04 | Tolerant toric intraocular lens |
Country Status (1)
| Country | Link |
|---|---|
| WO (1) | WO2012154597A1 (en) |
Cited By (15)
| Publication number | Priority date | Publication date | Assignee | Title |
|---|---|---|---|---|
| US9195074B2 (en) | 2012-04-05 | 2015-11-24 | Brien Holden Vision Institute | Lenses, devices and methods for ocular refractive error |
| US9201250B2 (en) | 2012-10-17 | 2015-12-01 | Brien Holden Vision Institute | Lenses, devices, methods and systems for refractive error |
| US9541773B2 (en) | 2012-10-17 | 2017-01-10 | Brien Holden Vision Institute | Lenses, devices, methods and systems for refractive error |
| IT201600097763A1 (en) * | 2016-09-29 | 2018-03-29 | Sifi Medtech Srl | LENS FOR ASTIGMATISM |
| CN108294725A (en) * | 2018-03-14 | 2018-07-20 | 苏州兆乘四海通科技有限公司 | A refractometer capable of measuring the accommodative power of the lens |
| CN110123488A (en) * | 2019-05-27 | 2019-08-16 | 中国计量科学研究院 | Intraocular lens' diopter Test lenses and valued methods |
| US10646329B2 (en) | 2016-03-23 | 2020-05-12 | Johnson & Johnson Surgical Vision, Inc. | Ophthalmic apparatus with corrective meridians having extended tolerance band |
| US10649234B2 (en) | 2016-03-23 | 2020-05-12 | Johnson & Johnson Surgical Vision, Inc. | Ophthalmic apparatus with corrective meridians having extended tolerance band |
| US10739227B2 (en) | 2017-03-23 | 2020-08-11 | Johnson & Johnson Surgical Vision, Inc. | Methods and systems for measuring image quality |
| US10842673B2 (en) | 2016-07-06 | 2020-11-24 | Amo Development, Llc | Retinal imaging for reference during laser eye surgery |
| US11013594B2 (en) | 2016-10-25 | 2021-05-25 | Amo Groningen B.V. | Realistic eye models to design and evaluate intraocular lenses for a large field of view |
| CN113164249A (en) * | 2018-11-23 | 2021-07-23 | 赛诺斯健康国际有限公司 | Novel monofocal intraocular lens for extended macular vision in patients with macular degeneration |
| CN114127619A (en) * | 2019-06-28 | 2022-03-01 | 斯皮拉尔公司 | Spiral refractive interface with meridians of different optical power |
| US11282605B2 (en) | 2017-11-30 | 2022-03-22 | Amo Groningen B.V. | Intraocular lenses that improve post-surgical spectacle independent and methods of manufacturing thereof |
| US12478248B2 (en) | 2021-05-05 | 2025-11-25 | Amo Groningen B.V. | Ring halometer system and method for quantifying dysphotopsias |
Citations (6)
| Publication number | Priority date | Publication date | Assignee | Title |
|---|---|---|---|---|
| US5570143A (en) * | 1991-08-09 | 1996-10-29 | Capricornia Contact Lens Pty. Ltd. | Toric lens with axis mislocation latitude |
| US6533416B1 (en) * | 2001-07-20 | 2003-03-18 | Ocular Sciences, Inc. | Contact or intraocular lens and method for its preparation |
| US20030060880A1 (en) * | 1994-04-08 | 2003-03-27 | Vladimir Feingold | Toric intraocular lens |
| US20040237971A1 (en) * | 2003-06-02 | 2004-12-02 | Hema Radhakrishnan | Methods and apparatuses for controlling optical aberrations to alter modulation transfer functions |
| US20090122264A1 (en) * | 2007-10-26 | 2009-05-14 | Institute For Eye Research Limited | Methods and Apparatuses for Enhancing Peripheral Vision |
| US20090323020A1 (en) * | 2008-02-21 | 2009-12-31 | Abbott Medical Optics Inc. | Toric intraocular lens with modified power characteristics |
-
2012
- 2012-05-04 WO PCT/US2012/036639 patent/WO2012154597A1/en not_active Ceased
Patent Citations (6)
| Publication number | Priority date | Publication date | Assignee | Title |
|---|---|---|---|---|
| US5570143A (en) * | 1991-08-09 | 1996-10-29 | Capricornia Contact Lens Pty. Ltd. | Toric lens with axis mislocation latitude |
| US20030060880A1 (en) * | 1994-04-08 | 2003-03-27 | Vladimir Feingold | Toric intraocular lens |
| US6533416B1 (en) * | 2001-07-20 | 2003-03-18 | Ocular Sciences, Inc. | Contact or intraocular lens and method for its preparation |
| US20040237971A1 (en) * | 2003-06-02 | 2004-12-02 | Hema Radhakrishnan | Methods and apparatuses for controlling optical aberrations to alter modulation transfer functions |
| US20090122264A1 (en) * | 2007-10-26 | 2009-05-14 | Institute For Eye Research Limited | Methods and Apparatuses for Enhancing Peripheral Vision |
| US20090323020A1 (en) * | 2008-02-21 | 2009-12-31 | Abbott Medical Optics Inc. | Toric intraocular lens with modified power characteristics |
Non-Patent Citations (1)
| Title |
|---|
| MEISTER ET AL.: "Introduction to Ophthalmic Optics.", CARL ZEISS VISION., May 2008 (2008-05-01), pages 47 - 48, Retrieved from the Internet <URL:http://www.opticampus.com/files/introductiontoophthalmiçoptics.pdf> [retrieved on 20120731] * |
Cited By (47)
| Publication number | Priority date | Publication date | Assignee | Title |
|---|---|---|---|---|
| US11644688B2 (en) | 2012-04-05 | 2023-05-09 | Brien Holden Vision Institute Limited | Lenses, devices and methods for ocular refractive error |
| US10948743B2 (en) | 2012-04-05 | 2021-03-16 | Brien Holden Vision Institute Limited | Lenses, devices, methods and systems for refractive error |
| US9535263B2 (en) | 2012-04-05 | 2017-01-03 | Brien Holden Vision Institute | Lenses, devices, methods and systems for refractive error |
| US9195074B2 (en) | 2012-04-05 | 2015-11-24 | Brien Holden Vision Institute | Lenses, devices and methods for ocular refractive error |
| US9575334B2 (en) | 2012-04-05 | 2017-02-21 | Brien Holden Vision Institute | Lenses, devices and methods of ocular refractive error |
| US10838235B2 (en) | 2012-04-05 | 2020-11-17 | Brien Holden Vision Institute Limited | Lenses, devices, and methods for ocular refractive error |
| US12298605B2 (en) | 2012-04-05 | 2025-05-13 | Brien Holden Vision Institute Limited | Lenses, devices, methods and systems for refractive error |
| US10466507B2 (en) | 2012-04-05 | 2019-11-05 | Brien Holden Vision Institute Limited | Lenses, devices and methods for ocular refractive error |
| US10203522B2 (en) | 2012-04-05 | 2019-02-12 | Brien Holden Vision Institute | Lenses, devices, methods and systems for refractive error |
| US10209535B2 (en) | 2012-04-05 | 2019-02-19 | Brien Holden Vision Institute | Lenses, devices and methods for ocular refractive error |
| US11809024B2 (en) | 2012-04-05 | 2023-11-07 | Brien Holden Vision Institute Limited | Lenses, devices, methods and systems for refractive error |
| US11320672B2 (en) | 2012-10-07 | 2022-05-03 | Brien Holden Vision Institute Limited | Lenses, devices, systems and methods for refractive error |
| US9759930B2 (en) | 2012-10-17 | 2017-09-12 | Brien Holden Vision Institute | Lenses, devices, systems and methods for refractive error |
| US11333903B2 (en) | 2012-10-17 | 2022-05-17 | Brien Holden Vision Institute Limited | Lenses, devices, methods and systems for refractive error |
| US12298604B2 (en) | 2012-10-17 | 2025-05-13 | Brien Holden Vision Institute Limited | Lenses, devices, methods and systems for refractive error |
| US10520754B2 (en) | 2012-10-17 | 2019-12-31 | Brien Holden Vision Institute Limited | Lenses, devices, systems and methods for refractive error |
| US10534198B2 (en) | 2012-10-17 | 2020-01-14 | Brien Holden Vision Institute Limited | Lenses, devices, methods and systems for refractive error |
| US12360398B2 (en) | 2012-10-17 | 2025-07-15 | Brien Holden Vision Institute Limited | Lenses, devices, systems and methods for refractive error |
| US9541773B2 (en) | 2012-10-17 | 2017-01-10 | Brien Holden Vision Institute | Lenses, devices, methods and systems for refractive error |
| US9201250B2 (en) | 2012-10-17 | 2015-12-01 | Brien Holden Vision Institute | Lenses, devices, methods and systems for refractive error |
| US11281025B2 (en) | 2016-03-23 | 2022-03-22 | Johnson & Johnson Surgical Vision, Inc. | Ophthalmic apparatus with corrective meridians having extended tolerance band by modifying refractive powers in uniform meridian distribution |
| US10649234B2 (en) | 2016-03-23 | 2020-05-12 | Johnson & Johnson Surgical Vision, Inc. | Ophthalmic apparatus with corrective meridians having extended tolerance band |
| US10712589B2 (en) | 2016-03-23 | 2020-07-14 | Johnson & Johnson Surgical Vision, Inc. | Ophthalmic apparatus with corrective meridians having extended tolerance band by modifying refractive powers in uniform meridian distribution |
| US10646329B2 (en) | 2016-03-23 | 2020-05-12 | Johnson & Johnson Surgical Vision, Inc. | Ophthalmic apparatus with corrective meridians having extended tolerance band |
| US10670885B2 (en) | 2016-03-23 | 2020-06-02 | Johnson & Johnson Surgical Vision, Inc. | Ophthalmic apparatus with corrective meridians having extended tolerance band with freeform refractive surfaces |
| US11291538B2 (en) | 2016-03-23 | 2022-04-05 | Johnson & Johnson Surgical Vision, Inc. | Ophthalmic apparatus with corrective meridians having extended tolerance band |
| US11249326B2 (en) | 2016-03-23 | 2022-02-15 | Johnson & Johnson Surgical Vision, Inc. | Ophthalmic apparatus with corrective meridians having extended tolerance band |
| US11123178B2 (en) * | 2016-03-23 | 2021-09-21 | Johnson & Johnson Surgical Vision, Inc. | Power calculator for an ophthalmic apparatus with corrective meridians having extended tolerance or operation band |
| US11231600B2 (en) | 2016-03-23 | 2022-01-25 | Johnson & Johnson Surgical Vision, Inc. | Ophthalmic apparatus with corrective meridians having extended tolerance band with freeform refractive surfaces |
| US10842673B2 (en) | 2016-07-06 | 2020-11-24 | Amo Development, Llc | Retinal imaging for reference during laser eye surgery |
| US11181752B2 (en) | 2016-09-29 | 2021-11-23 | Sifi Medtech S. P. A. | Lens for astigmatism |
| IT201600097763A1 (en) * | 2016-09-29 | 2018-03-29 | Sifi Medtech Srl | LENS FOR ASTIGMATISM |
| WO2018060940A1 (en) * | 2016-09-29 | 2018-04-05 | Sifi Medtech S.R.L. | Lens for astigmatism |
| CN110087585A (en) * | 2016-09-29 | 2019-08-02 | 司斐股份有限公司 | Lens for astigmatism |
| JP7110184B2 (en) | 2016-09-29 | 2022-08-01 | サイファイ エス.ピー.エー. | astigmatism lens |
| JP2019530902A (en) * | 2016-09-29 | 2019-10-24 | サイファイ エス.ピー.エー. | Astigmatic lens |
| US11013594B2 (en) | 2016-10-25 | 2021-05-25 | Amo Groningen B.V. | Realistic eye models to design and evaluate intraocular lenses for a large field of view |
| US11385126B2 (en) | 2017-03-23 | 2022-07-12 | Johnson & Johnson Surgical Vision, Inc. | Methods and systems for measuring image quality |
| US10739227B2 (en) | 2017-03-23 | 2020-08-11 | Johnson & Johnson Surgical Vision, Inc. | Methods and systems for measuring image quality |
| US11282605B2 (en) | 2017-11-30 | 2022-03-22 | Amo Groningen B.V. | Intraocular lenses that improve post-surgical spectacle independent and methods of manufacturing thereof |
| US11881310B2 (en) | 2017-11-30 | 2024-01-23 | Amo Groningen B.V. | Intraocular lenses that improve post-surgical spectacle independent and methods of manufacturing thereof |
| CN108294725A (en) * | 2018-03-14 | 2018-07-20 | 苏州兆乘四海通科技有限公司 | A refractometer capable of measuring the accommodative power of the lens |
| CN113164249A (en) * | 2018-11-23 | 2021-07-23 | 赛诺斯健康国际有限公司 | Novel monofocal intraocular lens for extended macular vision in patients with macular degeneration |
| CN110123488A (en) * | 2019-05-27 | 2019-08-16 | 中国计量科学研究院 | Intraocular lens' diopter Test lenses and valued methods |
| CN110123488B (en) * | 2019-05-27 | 2023-12-29 | 中国计量科学研究院 | Intraocular lens diopter calibration lens and value setting method |
| CN114127619A (en) * | 2019-06-28 | 2022-03-01 | 斯皮拉尔公司 | Spiral refractive interface with meridians of different optical power |
| US12478248B2 (en) | 2021-05-05 | 2025-11-25 | Amo Groningen B.V. | Ring halometer system and method for quantifying dysphotopsias |
Similar Documents
| Publication | Publication Date | Title |
|---|---|---|
| WO2012154597A1 (en) | Tolerant toric intraocular lens | |
| US9987127B2 (en) | Toric lens with decreased sensitivity to cylinder power and rotation and method of using the same | |
| AU2011343581B2 (en) | Ophthalmic lens, systems and methods having at least one rotationally asymmetric diffractive structure | |
| US8894204B2 (en) | Ophthalmic lens, systems and methods having at least one rotationally asymmetric diffractive structure | |
| CA2784794C (en) | Ophthalmic lens, systems and methods with angular varying phase delay | |
| EP1381908B1 (en) | Multifocal ophthalmic lens with induced aperture | |
| EP2255752B1 (en) | Multi-zonal monofocal intraocular lens for correcting optical aberrations | |
| US20070255401A1 (en) | Design of Inlays With Intrinsic Diopter Power | |
| US20080262610A1 (en) | Biomechanical design of intracorneal inlays | |
| US20150080865A1 (en) | Corneal inlay design and methods of correcting vision | |
| EP1917932A1 (en) | Piggyback lenses | |
| EP4157146A1 (en) | Double-sided aspheric diffractive multifocal lens, manufacture, and uses thereof | |
| JP2007152093A (en) | Inlay in cornea | |
| US20250085569A1 (en) | Aspheric phase-ring structured lens designs, manufacture, and uses thereof |
Legal Events
| Date | Code | Title | Description |
|---|---|---|---|
| 121 | Ep: the epo has been informed by wipo that ep was designated in this application |
Ref document number: 12782914 Country of ref document: EP Kind code of ref document: A1 |
|
| NENP | Non-entry into the national phase |
Ref country code: DE |
|
| 122 | Ep: pct application non-entry in european phase |
Ref document number: 12782914 Country of ref document: EP Kind code of ref document: A1 |

