WO2012110190A1 - Novel p2x7r antagonists and their use - Google Patents
Novel p2x7r antagonists and their use Download PDFInfo
- Publication number
- WO2012110190A1 WO2012110190A1 PCT/EP2012/000260 EP2012000260W WO2012110190A1 WO 2012110190 A1 WO2012110190 A1 WO 2012110190A1 EP 2012000260 W EP2012000260 W EP 2012000260W WO 2012110190 A1 WO2012110190 A1 WO 2012110190A1
- Authority
- WO
- WIPO (PCT)
- Prior art keywords
- indol
- carboxamide
- chloro
- bromo
- acetamide
- Prior art date
- Legal status (The legal status is an assumption and is not a legal conclusion. Google has not performed a legal analysis and makes no representation as to the accuracy of the status listed.)
- Ceased
Links
- UROLEKFNTFHYNW-UHFFFAOYSA-N CC(CN(C(CC=C1)C2=C1Cl)C=C2NC(CC1(COC1)C1CCCCCC1)=O)O Chemical compound CC(CN(C(CC=C1)C2=C1Cl)C=C2NC(CC1(COC1)C1CCCCCC1)=O)O UROLEKFNTFHYNW-UHFFFAOYSA-N 0.000 description 1
- QJYAYEACCIGQSN-UHFFFAOYSA-N CC(C[n]1c2cccc(Cl)c2c(NC(C2(COC2)C2CCCCC2)=O)c1)O Chemical compound CC(C[n]1c2cccc(Cl)c2c(NC(C2(COC2)C2CCCCC2)=O)c1)O QJYAYEACCIGQSN-UHFFFAOYSA-N 0.000 description 1
- ZIRUOACVCGKPAE-UHFFFAOYSA-N O=C(C1(COC1)C1CCCCCC1)Nc1c[n](CCc2n[nH]nn2)c2cccc(Cl)c12 Chemical compound O=C(C1(COC1)C1CCCCCC1)Nc1c[n](CCc2n[nH]nn2)c2cccc(Cl)c12 ZIRUOACVCGKPAE-UHFFFAOYSA-N 0.000 description 1
- YTJDKYUGDKWBJP-UHFFFAOYSA-N OCC(CO)[n]1c2cccc(Cl)c2c(NC(C2(COC2)C2CCCCCC2)=O)c1 Chemical compound OCC(CO)[n]1c2cccc(Cl)c2c(NC(C2(COC2)C2CCCCCC2)=O)c1 YTJDKYUGDKWBJP-UHFFFAOYSA-N 0.000 description 1
- KBUHCQYGNXNGTI-UHFFFAOYSA-N OCC[n]1c2cccc(Cl)c2c(NC(C2(COC2)C(CC2)CCC2(F)F)=O)c1 Chemical compound OCC[n]1c2cccc(Cl)c2c(NC(C2(COC2)C(CC2)CCC2(F)F)=O)c1 KBUHCQYGNXNGTI-UHFFFAOYSA-N 0.000 description 1
- WOQYPHCFYWSGOH-UHFFFAOYSA-N OCC[n]1c2cccc(Cl)c2c(NC(CC2(COC2)C2CCCCCC2)=O)c1 Chemical compound OCC[n]1c2cccc(Cl)c2c(NC(CC2(COC2)C2CCCCCC2)=O)c1 WOQYPHCFYWSGOH-UHFFFAOYSA-N 0.000 description 1
- UKRHHOVIWJAFHC-UHFFFAOYSA-N OCC[n]1c2nccc(Br)c2c(NC(C2(COC2)C2CCCCCC2)=O)c1 Chemical compound OCC[n]1c2nccc(Br)c2c(NC(C2(COC2)C2CCCCCC2)=O)c1 UKRHHOVIWJAFHC-UHFFFAOYSA-N 0.000 description 1
Classifications
-
- C—CHEMISTRY; METALLURGY
- C07—ORGANIC CHEMISTRY
- C07D—HETEROCYCLIC COMPOUNDS
- C07D405/00—Heterocyclic compounds containing both one or more hetero rings having oxygen atoms as the only ring hetero atoms, and one or more rings having nitrogen as the only ring hetero atom
- C07D405/02—Heterocyclic compounds containing both one or more hetero rings having oxygen atoms as the only ring hetero atoms, and one or more rings having nitrogen as the only ring hetero atom containing two hetero rings
- C07D405/12—Heterocyclic compounds containing both one or more hetero rings having oxygen atoms as the only ring hetero atoms, and one or more rings having nitrogen as the only ring hetero atom containing two hetero rings linked by a chain containing hetero atoms as chain links
-
- A—HUMAN NECESSITIES
- A61—MEDICAL OR VETERINARY SCIENCE; HYGIENE
- A61P—SPECIFIC THERAPEUTIC ACTIVITY OF CHEMICAL COMPOUNDS OR MEDICINAL PREPARATIONS
- A61P25/00—Drugs for disorders of the nervous system
Definitions
- the present application relates to novel P2X7R antagonists that are N-indol-3- yl-acetamide and N-azaindol-3-yl-acetamide compounds, pharmaceutical compositions comprising these compounds and to their use in the prophylactic and therapeutic treatment of diseases and disorders mediated by P2X7R.
- P2X7R is an ATP-gated ion channel belonging to the P2X ionotropic channel family.
- the gene was first isolated from rat brain (Surprenant et al. (1996) 272:735-738) and subsequently from a human monocyte library (Rassendren et al. (1997) J. Biol. Chem. 272:5482-5486; Genbank accession numbers NM_002562, Y09561) by virtue of its sequence homology with the other members of the P2X family. It was later found that P2X7R corresponded to the unidentified P2Z receptor which mediates the permeabilising action of ATP on mast cells and macrophages (Dahlqvist and Diamant (1974) Acta Physiol.
- the P2X7R has two hydrophobic membrane-spanning domains, an extracellular loop, and forms transmembrane ion channels. P2X7R bears a pharmacological profile markedly different from other P2X homo- or heteromers (North and Surprenant (2000) Annual Rev. Pharmacology Toxicology 40:563-580). P2X7R requires levels of ATP in excess of 1 mM to achieve activation, whereas other P2X receptors activate at ATP concentrations of 100 ⁇ (Steinberg et al. (1987) J. Biol.
- P2X7R is expressed in haematopoietic cells, mast cells, lymphocytes, erythrocytes, fibroblast, Langerhans cells, and macrophages (Surprenant et al., 1996, Science 272:3118-3122).
- P2X7R is involved in the regulation of the immune function and inflammatory response. Activation of P2X7R by ATP in macrophages is associated with mitogenic stimulation of T cells (Baricordi et al. (1996) Blood 87:682-690), the release of cytokines (Griffiths et al. (1995) J. Immol. 154:2821-2828), and formation of macrophage polykarions (Falzoni et al. (1995) J. Clin. Invest. 95:1207-1216).
- P2X7R is involved in the processing and release of active interleukin-1beta (iL-1 ⁇ ) from proinflammatory cells (Perregaux and Gabel (1998) J Biol Chem 269:15195-15203; Ferrari et al., (2006) J Immunol 176: 3877-3883). Stimulation of the P2X7R by ATP can also result in apoptosis and cell death by triggering the formation of non-selective plasma membrane pores (Di Virgilio et al. (1998) Cell Death Differ. 5:191-199). Upregulation of P2X7R has been observed during ischemic damage and necrosis induced by occlusion of middle cerebral artery in rat brain (Collo et al.
- mice lacking P2X7R resulted in absence of inflammatory and neuropathic hypersensitivity to mechanical and thermal stimuli, indicating a link between P2X7R and inflammatory and neuropathic pain (Chessell et al. (2005) Pain 114:386-396).
- Antagonists of P2X7R significantly improved functional recovery and decreased cell death in spinal cord injury in animal models (Wang et al. (2004) Nature Med 10:B21-B27).
- P2X7 has also been shown to be involved in depression and anxiety (Basso et al. (2009) Behav Brain Res 198:83-90; WO 2009/019503); bipolar affective disorders (Barden et al.
- adamantane derivatives WO 99/29660, WO 99/29661, WO 00/61569, WO 01/42194, WO 01/44170, WO 01/44213, WO 01/94338, WO 03/041707, WO 03/042190, WO 03/080579, WO 04/074224, WO 05/014529, WO 06/025783, WO 06/059945), piperidine and piperazine compounds (WO 01/44213, WO 01/46200, WO 08/005368; WO 2010/125103), benzamide and heteroarylamide compounds (WO 03/042191 , WO 04/058731, WO 04/058270, WO 04/099146, WO 05/019182, WO 06/003500, WO 06/003513, WO 06/067444), substituted tyrosine derivatives (WO 00/71529, WO
- the object on the present invention is to provide a novel series of compound which can inhibit P2X7R activity and can be used in the treatment of the above-mentioned diseases.
- the present invention relates to novel P2X7R antagonists that are N-indol-3- yl-acetamide and N-azaindol-3-yl-acetamide compounds represented by the general formula (I):
- R 2 is a mono- or bicycloalkyl group
- R 3 is selected from straight or branched C1-C5 alkyl which may optionally substituted with -OH, -CH 2 -OH, C C 5 alkoxy, CN-, CF3, halogen (i.e. CI, F, Br or I), piperidino, morpholino, pyrrolidino, 5H- tetrazolylpropyl, methylcarbamoyl, dimethylcarbamoyl, or ethylmethylcarbamoyl, wherein R a is C1-C5 alkyl; R 4> R5, R6, 7 are at each occurrence independently selected from hydrogen, halogen (i.e.
- ⁇ CI, F, Br or I
- - a, b, c, d, x are at each occurrence independently selected from carbon, or nitrogen; or a pharmaceutically acceptable salt or solvate thereof (whereby x must have a hydrogen substituent if it is carbon).
- R 3 is substituted with one or two substituents selected from -OH, -CH 2 -OH, C ⁇ Cs alkoxy, -CN, -CF 3 , halogen, piperidino, morpholino, pyrrolidino or 5H-tetrazolylethyl.
- substituents selected from -OH, -CH 2 -OH, C ⁇ Cs alkoxy, -CN, -CF 3 , halogen, piperidino, morpholino, pyrrolidino or 5H-tetrazolylethyl.
- R , R 5 , R 6 and R 7 are hydrogen. If necessitated by valency, R4-R 7 may also be absent.
- a, b, c, and d are CH or one of a, b, c and d is N.
- the invention further relates to a compound of Formula (I) or a pharmaceutically acceptable salt or solvate thereof, being: - N-(4-chloro-1 -(2-hydroxyethyl)-1 H-indol-3-yl)-3-cycloheptyloxetane-3- carboxamide - N-(4-bromo-1-(2-hydroxyethyl)-1 H-indol-3-yl)-3-cycloheptyloxetane-3- carboxamide
- the present invention also includes isotopically-labelled compounds, which are identical to those recited in Formula (I), but for the fact that one or more atoms are replaced by an atom having an atomic mass or mass number different from the atomic mass or mass 25 number usually found in nature.
- isotopes that can be incorporated into compounds of the invention include isotopes of hydrogen, carbon, nitrogen, oxygen, phosphorous, fluorine and chlorine, such as 2 H, 3 H, 13 C, 14 C, 5 N, 8 0, 17 0, 31 P, 32p 35g i8p anc j 35Q ( > respec ⁇ j ve
- isotopically-labelled compounds of the present invention for example those into which radioactive isotopes such as 3 H and 14 C are incorporated, are useful in drug and/or substrate tissue distribution assays.
- Tritiated, i.e., 3 H, and carbon-14, i.e., 14 C, isotopes are particularly preferred for their ease of preparation and detectability.
- substitution with heavier isotopes such as deuterium, i.e., 2 H can afford certain therapeutic advantages resulting from greater metabolic stability, for example increased in vivo half-life or reduced dosage requirements and, hence, may be preferred in some circumstances.
- Isotopically-labelled compounds of Formula (I) of this invention and prodrugs thereof can generally be prepared by carrying out the procedures disclosed in the Examples below, by substituting a readily available isotopically-labelled reagent for a non-isotopically-labelled reagent.
- Pharmaceutically acceptable salts include those formed with anions such as those derived from hydrochloric, phosphoric, acetic, oxalic, tartaric acids, etc., and those formed with cations such as those derived from sodium, potassium, ammonium, calcium, ferric hydroxides, isopropylamine, triethylamine, 2- ethylamino ethanol, histidine and procaine. Further pharmaceutically acceptable salts
- the present application is directed to a pharmaceutical composition comprising a compound of Formula (I) of the present invention.
- the pharmaceutical composition according to the present invention may further comprise an additional active compound in separate or unit dosage form for simultaneous or sequential administration.
- the compounds of Formula (I) or a pharmaceutically acceptable salt thereof can be used in the manufacture of a medicament for the prophylactic or therapeutic treatment of any disease state in a human, or other mammal, which is exacerbated or caused by excessive or unregulated cytokine production by such mammal's cells, such as but not limited to monocytes and/or macrophages.
- the present invention also relates to the treatment of an IL-1 or cytokine mediated condition.
- an "IL-1 mediated condition” and “cytokine mediated condition” includes, but is not limited to, a disease or disorder selected from the group consisting of arthritis (including psoriatic arthritis, Reiter's syndrome, rheumatoid arthritis, gout, traumatic arthritis, rubella arthritis, rheumatoid spondylitis, osteoarthritis, gouty arthritis and acute synovitis), inflammatory bowel disease, Crohn's disease, emphysema, acute respiratory distress syndrome, adult respiratory distress syndrome, asthma, bronchitis, chronic obstructive pulmonary disease, chronic pulmonary inflammatory disease, silicosis, pulmonary sarcoidosis, allergic reactions, allergic contact hypersensitivity, eczema, contact dermatitis, psoriasis, sunburn, cancer, tissue ulceration, restenosis, periodontal disease, epidermolysis bullosa, osteoporosis, bone resorption disease, loosening
- arthritis including
- a host reaction comprising administering to said mammal an amount of a compound to Formula (I), effective in treating such a condition.
- the present invention relates to a pharmaceutical composition for the treatment of an IL-1 mediated condition in a mammal, including a human, comprising an amount of a compound of Formula (I), effective in treating such a condition and a pharmaceutically acceptable carrier.
- the compounds of the invention are useful for the treatment of rheumatoid arthritis, osteoarthritis, psoriasis, allergic dermatitis, asthma, chronic obstructive pulmonary disease (COPD), hyperresponsiveness of the airway, septic shock, glomerulonephritis, irritable bowel disease, Crohn's disease, ulcerative colitis, atherosclerosis, growth and metastases of malignant cells, myoblastic leukemia, diabetes, Alzheimer's disease, meningitis, osteoporosis, burn injury, ischemic heart disease, stroke and varicose veins.
- COPD chronic obstructive pulmonary disease
- the invention further provides a pharmaceutical composition for treating osteoarthritis which comprises a therapeutically effective amount of a compound of Formula (I), or a pharmaceutically acceptable salt or solvate thereof, as hereinbefore defined.
- the invention further provides a pharmaceutical composition for effecting immunosuppression (e.g., in the treatment of rheumatoid arthritis, irritable bowel disease, atherosclerosis or psoriasis) which comprises a therapeutically effective amount of a compound of Formula (I), or a pharmaceutically acceptable salt or solvate thereof, as hereinbefore defined.
- a pharmaceutical composition for effecting immunosuppression e.g., in the treatment of rheumatoid arthritis, irritable bowel disease, atherosclerosis or psoriasis
- a pharmaceutical composition for effecting immunosuppression e.g., in the treatment of rheumatoid arthritis, irritable bowel disease, atherosclerosis or psoriasis
- a pharmaceutical composition for effecting immunosuppression e.g., in the treatment of rheumatoid arthritis, irritable bowel disease, atherosclerosis or psoriasis
- the invention also provides a pharmaceutical composition for treating an obstructive airways disease (e.g. asthma or COPD) which comprises a therapeutically effective amount of a compound of Formula (I), or a pharmaceutically acceptable salt or solvate thereof, as hereinbefore defined.
- an obstructive airways disease e.g. asthma or COPD
- a pharmaceutical composition for treating an obstructive airways disease which comprises a therapeutically effective amount of a compound of Formula (I), or a pharmaceutically acceptable salt or solvate thereof, as hereinbefore defined.
- the present invention yet further provides a pharmaceutical composition for treating a mammal susceptible to or afflicted with conditions that are causally related to abnormal activity of the P2X7 receptor, such as neurodegenerative diseases and disorders including, for example, Parkinson's disease, multiple sclerosis, glaucoma, age-related macular degeneration, uveitis, neuropathic pain, diseases and disorders which are mediated by or result in neuromfiammation such as, for example traumatic brain injury and encephalitis; centrally-mediated neuropsychiatric diseases and disorders such as, for example depression mania, bipolar disease, anxiety, schizophrenia, eating disorders, sleep disorders and cognition disorders, epilepsy and seizure disorders comprising a therapeutically effective amount of a compound of Formula (I), or a pharmaceutically acceptable salt or solvate thereof, as hereinbefore defined.
- neurodegenerative diseases and disorders including, for example, Parkinson's disease, multiple sclerosis, glaucoma, age-related macular degeneration, uveitis, neuropathic
- the pharmaceutical composition according to the present invention may be used for the treatment of affective disorders.
- the affective disorder is selected from depression, anxiety, bipolar disorder and schizophrenia.
- the pharmaceutical composition according to the present invention is useful for the treatment of neurodegenerative diseases and disorders, diseases and disorders which are mediated by or result in neuroinflammation and centrally-mediated neuropsychiatric diseases and disorders.
- the pharmaceutical composition according to the present invention may particuiary be useful for the treatment of pain, inflammatory processes, and degenerative conditions.
- the inflammatory process is selected from rheumatoid arthritis, osteoporosis and chronic obstructive pulmonary disease.
- composition according to the present invention may be used for the treatment of neuropathic pain.
- Dosage, pharmaceutical preparation and delivery of a compound of Formula (I) for use in accordance with the present invention can be formulated in conventional manner according to methods found in the art, using one or more physiological carriers or excipient, see, for example Ansel et al., "Pharmaceutical Dosage Forms and Drug Delivery Systems", 7th edition, Lippincott Williams & Wilkins Publishers, 1999.
- the P2X7R modulating agent and its physiologically acceptable salts and solvates can be formulated for administration by inhalation, insufflation (either through the mouth, or nose), oral, buccal, parenteral, or rectal administration.
- the pharmaceutical composition of a compound of Formula (I) can take the form of, for example, tablets or capsules prepared by conventional means with pharmaceutical acceptable excipients such as binding agents (e.g., pregelatinised maize starch, polyvinylpyrrolidone, hydroxypropyl methylcellulose), fillers (e.g., lactose, microcrystal!ine cellulose, calcium hydrogen phosphate), lubricants (e.g., magnesium stearate, talc, silica), disintegrants (e.g., potato starch, sodium starch glycolate), or wetting agents (e.g., sodium lauryl sulphate).
- binding agents e.g., pregelatinised maize starch, polyvinylpyrrolidone, hydroxypropyl methylcellulose
- fillers e.g., lactose, microcrystal!ine cellulose, calcium hydrogen phosphate
- lubricants e.g., magnesium stearate, talc, silic
- the term "pharmaceutically acceptable” means approved by a regulatory agency or other generally recognized pharmacopoeia for use in animals, and more particularly in humans.
- carrier refers to a diluent, adjuvant, excipient, or vehicle with which the therapeutic is administered.
- Such pharmaceutical carriers can be sterile liquids, such as water and oils, including those of petroleum, animal, vegetable or synthetic origin, such as peanut oil, soybean oil, mineral oil, sesame oil and the like. Water is a preferred carrier when the pharmaceutical composition is administered intravenously. Saline solutions and aqueous dextrose and glycerol solutions can also be employed as liquid carriers, particularly for injectable solutions.
- Suitable pharmaceutical excipients include starch, glucose, lactose, sucrose, gelatin, malt, rice, flour, chalk, silica gel, sodium stearate, glycerol monostearate, talc, sodium ion, dried skim milk, glycerol, propylene, glycol, water, ethanol and the like.
- the composition if desired, can also contain minor amounts of wetting or emulsifying agents, or pH buffering agents. These compositions can be in the form of solutions, suspensions, emulsion, tablets, pills, capsules, powders, sustained-release formulations and the like.
- the composition can be formulated as a suppository, with traditional binders and carriers such as triglycerides.
- Oral formulation can include standard carriers such as pharmaceutical grades of mannitol, lactose, starch, magnesium stearate, sodium saccharine, cellulose, magnesium carbonate, etc. Examples of suitable pharmaceutical carriers are described in "Remington's Pharmaceutical Sciences” by E.W. Martin. Such compositions will contain a therapeutically effective amount of the aforementioned compounds, preferably in purified form, together with a suitable amount of carrier so as to provide the form for proper administration to the patient. The formulation should suit the mode of administration.
- Liquid preparations for oral administration can be in the form of, for example, solutions, syrups, or suspensions, or can be presented as a dry product for constitution with water or other suitable vehicle before use.
- Such liquid preparation can be prepared by conventional means with pharmaceutically acceptable additives such as suspending agents (e.g., sorbitol, syrup, cellulose derivatives, hydrogenated edible fats), emulsifying agents (e.g., lecithin, acacia), non-aqueous vehicles (e.g., almond oil, oily esters, ethyl alcohol, fractionated vegetable oils), preservatives (e.g., methyl or propyl-p- hydroxycarbonates, soric acids).
- the preparations can also contain buffer salts, flavouring, coloring and sweetening agents as deemed appropriate.
- Preparations for oral administration can be suitably formulated to give controlled release of a compound of Formula (I).
- a compound of Formula (I) of the present invention is conveniently delivered in the form of an aerosol spray presentation from a pressurised pack or a nebulizer, with the use of a suitable propellant (e.g., dichlorodifluoromethane, trichlorofluoromethane, dichlorotetrafluoroethane, carbon dioxide or other suitable gas).
- a suitable propellant e.g., dichlorodifluoromethane, trichlorofluoromethane, dichlorotetrafluoroethane, carbon dioxide or other suitable gas.
- the dosage unit can be determined by providing a valve to deliver a metered amount.
- Capsules and cartridges of, for example, gelatine, for use in an inhaler or insufflator can be formulated containing a powder mix of a compound of Formula (I) and a suitable powder base such as lactose or starch.
- a compound of Formula (I) of the present invention can be formulated for parenteral administration by injection, for example, by bolus injection or continuous infusion.
- Site of injections include intra-venous, intra-peritoneal or sub-cutaneous.
- Formulations for injection can be presented in units dosage form (e.g., in phial, in multi-dose container), and with an added preservative.
- a compound of Formula (I) of the present invention can take such forms as suspensions, solutions or emulsions in oily or aqueous vehicles, and can contain formulatory agents such as suspending, stabilizing, or dispersing agents.
- the agent can be in powder form for constitution with a suitable vehicle (e.g., sterile pyrogen-free water) before use.
- compositions for intravenous administration are solutions in sterile isotonic aqueous buffer.
- the composition can also include a solubilizing agent and a local anesthetic such as lignocaine to ease pain at the site of the injection.
- the ingredients are supplied either separately or mixed together in unit dosage form, for example, as a dry lyophilised powder or water free concentrate in a hermetically sealed container such as an ampoule or sachette indicating the quantity of active agent.
- the composition is to be administered by infusion, it can be dispensed with an infusion bottle containing sterile pharmaceutical grade water or saline.
- an ampoule of sterile water for injection or saline can be provided so that the ingredients can be mixed prior to administration.
- a compound of Formula (I) of the present invention can be formulated for transdermal administration.
- Transdermal compositions are typically formulated as a topical ointment or cream containing the active ingredient(s), generally in an amount ranging from about 0.01 to about 20% by weight, preferably from about 0.1 to about 20% by weight, preferably from about 0.1 to about 10% by weight, and more preferably from about 0.5 to about 15% by weight.
- the active ingredients When formulated as a ointment, the active ingredients will typically be combined with either a paraffinic or a water-miscible ointment base. Alternatively, the active ingredients may be formulated in a cream with, for example an oil-in-water cream base.
- transdermal formulations are well-known in the art and generally include additional ingredients to enhance the dermal penetration of stability of the active ingredients or the formulation. All such known transdermal formulations and ingredients are included within the scope of this invention.
- the compounds of this invention can also be administered by a transdermal device. Accordingly, transdermal administration can be accomplished using a patch either of the reservoir or porous membrane type, or of a solid matrix variety.
- the pharmaceutical composition of the invention can be formulated as neutral or salt forms.
- Pharmaceutically acceptable salts include those formed with anions such as those derived from hydrochloric, phosphoric, acetic, oxalic, tartaric acids, etc., and those formed with cations such as those derived from sodium, potassium, ammonium, calcium, ferric hydroxides, isopropylamine, triethylamine, 2-ethylamino ethanol, histidine, procaine, etc.
- a compound of Formula (I) of the present invention can also, if desired, be presented in a pack, or dispenser device which cancontain one or more unit dosage forms containing the said agent.
- the pack can for example comprise metal or plastic foil, such as blister pack.
- the pack or dispenser device can be accompanied with instruction for administration.
- a compound of Formula (I) of the present invention can be administered as sole active agent or can be adminstered in combination with other agents.
- agents include non-steroidal anti-inflammatory drug (NSAIDS) such as celecoxib, rofecoxib, cimicoxib, etoricoxib, lumiracoxib, valdecoxib, deracoxib, N-(2-cyclohexyloxynitrophenyl)methane sulphonamide, COX189, ABT963, JTE-522, GW-406381, LAS-34475, CS-706, PAC-10649, SVT-2016, GW- 644784, tenidap, acetylsalicylic acid (aspirin), amoxiprin, benorilate, choline magnesium salicylate, diflunisal, urgencylamine, methyl salicylate, magnesium salicylate, salicyl salicylate (salsalatee), diclofenac, aceclofenac, ace
- a compound of Formula (I) of the present invention can be combined with agents such as TNF-a inhibitors such as anti-TNF monoclonal antibodies (such as Remicade, CDP-870 and D2E7) and TNF receptor immunoglobulin molecules (such as Enbrel), low dose methotrexate, lefunomide; ciclesonide; hydroxychloroquine, d-penicillamine, auranofin or parenteral or oral gold.
- TNF-a inhibitors such as anti-TNF monoclonal antibodies (such as Remicade, CDP-870 and D2E7) and TNF receptor immunoglobulin molecules (such as Enbrel), low dose methotrexate, lefunomide; ciclesonide; hydroxychloroquine, d-penicillamine, auranofin or parenteral or oral gold.
- a compound of Formula (I) of the present invention can also be administered in combination with an inhibitor of proTNFalpha convertase enzyme (TACE) such as 3-Amino-N-hydroxy-a-(2-methylpropyl)-3-[4-[(2-methyl-4- quinolinyl)methoxy]phenyl]-2-oxo-1-pyrrolidineacetamide, 2(S),3(S)- Piperidinedicarboxamide, N3-hydroxy-1-methyl-N-2-[4-[(2-methyl-4- quinolinyl)methoxy]phenyl], 3-Thiomorpholinecarboxamide, 4-[[4-(2- butynyloxy)phenyl]sulfonyl]-N-hydroxy-2,2-dimethyl, 5-Hexenoic acid, 3- [(hydroxyamino)carbonyl]-2-(2-methylpropyl)-6-phenyl-, 2-(2-methylpropyl)-2- (methylsulfonyl)hydrazide, (2R,
- TACE inhibitors are described in WO 99/18074, WO 99/65867, U.S. Pat. No. 6,225,311 , WO 00/00465, WO 00/09485, WO 98/38179, WO 02/18326, WO 02/096426, WO 03/079986, WO 03/055856, WO 03/053941 , WO 03/040103, WO 03/031431, WO 03/024899, WO 03/016248, WO 04/096206, WO 04/033632, WO 04/108086, WO 04/043349, WO 04/032846, WO 04/012663, WO 04/006925, WO 07/016597.
- a compound of Formula (I) of the present invention can also be administered in combination with a corticosteroid such as budesonide, corticosterone, Cortisol, cortisone acetate, prednisone, prednisolone, methylprednisolone, dexamethasone, betamethasone, triamcinolone, beclometasone, fludrocortisone acetate, deoxycorticosterone acetate (doca), aldosterone.
- a corticosteroid such as budesonide, corticosterone, Cortisol, cortisone acetate, prednisone, prednisolone, methylprednisolone, dexamethasone, betamethasone, triamcinolone, beclometasone, fludrocortisone acetate, deoxycorticosterone acetate (doca), aldosterone.
- a compound of Formula (I) of the present invention can further be administered in combination with a 2-adrenergic receptor agonist such as formoterol, salbutamol (albuterol), levalbuterol, terbutaline, pirbuterol, procaterol, metaproterenol, fenoterol, bitolterol mesylate, salmeterol, bambuterol, clenbuterol.
- a 2-adrenergic receptor agonist such as formoterol, salbutamol (albuterol), levalbuterol, terbutaline, pirbuterol, procaterol, metaproterenol, fenoterol, bitolterol mesylate, salmeterol, bambuterol, clenbuterol.
- a compound of Formula (I) of the present invention can further be administered in combination with an antidepressant drug such as sertraline, escitalopram, fluoxetine, bupropion, paroxetine, venlafaxine, trazodone, amitriptyline, citalopram, duloxetine, mirtazapine, nortriptyline, imipramine, lithium.
- an antidepressant drug such as sertraline, escitalopram, fluoxetine, bupropion, paroxetine, venlafaxine, trazodone, amitriptyline, citalopram, duloxetine, mirtazapine, nortriptyline, imipramine, lithium.
- a compound of Formula (I) of the present invention can further be administered in combination with an antipsychotic drug such as chlorpromazine, fluphenazine, perphenazine, prochlorperazine, thioridazine, trifluoperazine, mesoridazine, promazine, triflupromazine, levomepromazine, promethazine, chlorprothixene, flupenthixol, thiothixene, zuclopenthixol, haloperidol, droperidol, pimozide, melperone, benperidol, triperidol, clozapine , olanzapine, risperidone, quetiapine, ziprasidone, amisulpride, paliperidone , bifeprunox, aripiprazole.
- an antipsychotic drug such as chlorpromazine, fluphenazine, perphenazine, prochlorperazine,
- a compound of Formula (I) of the present invention can also be administered in combination with a leukotriene biosynthesis inhibitor, 5-lipoxygenase (5-LO) inhibitor or 5-lipoxygenase activating protein (FI_AP) antagonist, for example, zileuton; ABT-761; fenleuton; tepoxalin; nicaraven; VIA-229 ; etalocib; ketoprofen, Abt-79175; Abt-85761 ; N-(5-substituted) thiophene-2- alkylsulfonamides; TDT-070; licofelone; PEP-03; tenoxicam; 2,6-di-tert- butylphenol hydrazones; methoxytetrahydropyrans such as Zeneca ZD-2138; the compound SB- 210661; pyridinyl-substituted 2-cyanonaphthalene compounds such as L-739-010; 2-cyano
- a compound of Formula (I) of the present invention can be administered in combination with a receptor antagonists for leukotrienes LTB4, LTC4, LTD4, and LTE, for example, phenothiazin-3-ones such as L-651 ,392; amidino compounds such as CGS-25019c; benzoxalamines such as ontezolast; benzenecarboximidamides such as BIIL 284/260; and compounds such as zafirlukast, ablukast, montelukast, praniukast, verlukast ( K-679), RG-12525, Ro-245913, iralukast (CGP 45715A), and BAY x 7195; masilukast.
- a receptor antagonists for leukotrienes LTB4, LTC4, LTD4, and LTE for example, phenothiazin-3-ones such as L-651 ,392; amidino compounds such as CGS
- a compound of Formula (I) of the present invention can also be administered in combination with a PDE4 inhibitor including inhibitors of the isoform PDE4D.
- a compound of Formula (I) of the present invention can also be administered in combination with a antihistaminic Hi receptor antagonists including cetirizine, loratadine, desloratadine, fexofenadine, astemizole, azelastine, and chlorpheniramine.
- a antihistaminic Hi receptor antagonists including cetirizine, loratadine, desloratadine, fexofenadine, astemizole, azelastine, and chlorpheniramine.
- a compound of Formula (I) of the present invention can further be administered in combination with with a gastroprotective H 2 receptor antagonist.
- a compound of Formula (I) of the present invention can yet further be administered in combination with an a1- and a2-adrenoceptor agonist vasoconstrictor sympathomimetic agent, including propylhexedrine, phenylephrine, phenylpropanolamine, pseudoephedrine, naphazoline hydrochloride, oxymetazoline hydrochloride, tetrahydrozoline hydrochloride, xylometazoline hydrochloride, and ethylnorepinephrine hydrochloride.
- an a1- and a2-adrenoceptor agonist vasoconstrictor sympathomimetic agent including propylhexedrine, phenylephrine, phenylpropanolamine, pseudoephedrine, naphazoline hydrochloride, oxymetazoline hydrochloride, tetrahydrozoline hydrochloride, xylometazoline hydrochloride
- a compound of Formula (I) of the present invention can be administered in combination with anticholinergic agents including ipratropium bromide; tiotropium bromide; oxitropium bromide; pirenzepine; and telenzepine
- anticholinergic agents including ipratropium bromide; tiotropium bromide; oxitropium bromide; pirenzepine; and telenzepine
- the present invention still further relates to the combination of a compound of the invention together with a to p 4 -adrenoceptor agonists including metaproterenol, isoproterenol, isoprenaline, albuterol, salbutamol, formoterol, salmeterol, terbutaline, orciprenaline, bitolterol mesylate, and pirbuterol; or methylxanthanines including theophylline and aminophylline; sodium cromoglycate; or muscarin
- a compound of Formula (I) of the present invention can be administered in combination with an insulin-like growth factor type I (IGF-1) mimetic.
- IGF-1 insulin-like growth factor type 1
- a compound of Formula (I) of the present invention can be administered in combination with an inhaled glucocorticoid with reduced systemic side effects, including, prednisone, prednisolone, flunisolide, triamcinolone acetonide, beclomethasone dipropionate, budesonide, fluticasone propionate, and mometasone furoate.
- a compound of Formula (I) of the present invention can be administered in combination with (a) tryptase inhibitors; (b) platelet activating factor (PAF) antagonists; (c) interleukin converting enzyme (ICE) inhibitors; (d) IMPDH inhibitors; (e) adhesion molecule inhibitors including VLA-4 antagonists; (f) cathepsins; (g) MAP kinase inhibitors; (h) glucose-6 phosphate dehydrogenase inhibitors; (i) kinin-Bi- and B 2 -receptor antagonists; j) anti-gout agents, e.g., colchicine; (k) xanthine oxidase inhibitors, e.g., allopurinol; (I) uricosuric agents, e.
- fibroblast growth factor e.g., basic fibroblast growth factor (bFGF);
- bFGF basic fibroblast growth factor
- GM-CSF granulocyte macrophage colony stimulating factor
- capsaicin cream e.g., capsaicin cream;
- Tachykinin Nf i and NK 3 receptor antagonists such as NKP-608C; SB-233412 (talnetant); and D-4418; and (t) elastase inhibitors such as UT-77 and ZD-0892.
- a compound of Formula (I) of the present invention can be administered in combination with an inhibitor of matrix metalloproteases (MMPs), i.e., the stromelysins, the collagenases, and the gelatinases, as well as aggrecanase; especially collagenase-1 (MMP-1), collagenase-2 (MMP-8), collagenase-3 (MMP-13), stromelysin-1 (MMP-3), stromelysin-2 (MMP-10), and stromelysin-3 (MMP-11).
- MMPs matrix metalloproteases
- a compound of Formula (I) of the present invention can be administered in combination with anticancer agents such as endostatin and angiostatin or cytotoxic drugs such as adriamycin, daunomycin, cis-platinum, etoposide, taxol, taxotere and farnesyl transferase inhibitors, VEGF inhibitors, COX-2 inhibitors and antimetabolites such as methotrexate antineoplastic agents, especially antimitotic drugs including the vinca alkaloids such as vinblastine and vincristine.
- anticancer agents such as endostatin and angiostatin or cytotoxic drugs such as adriamycin, daunomycin, cis-platinum, etoposide, taxol, taxotere and farnesyl transferase inhibitors, VEGF inhibitors, COX-2 inhibitors and antimetabolites such as methotrexate antineoplastic agents, especially antimitotic drugs including the vinca alkaloids such as vinblastine and
- a compound of Formula (I) of the present invention can be administered in combination with antiviral agents such as Viracept, AZT, aciclovir and famciclovir, and antisepsis compounds such as Valant.
- antiviral agents such as Viracept, AZT, aciclovir and famciclovir
- antisepsis compounds such as Valant.
- a compound of Formula (I) of the present invention can be administered in combination with cardiovascular agents such as calcium channel blockers, lipid lowering agents such as stating, fibrates, beta-blockers, ACE inhibitors, Angiotensin-2 receptor antagonists and platelet aggregation inhibitors.
- cardiovascular agents such as calcium channel blockers, lipid lowering agents such as stating, fibrates, beta-blockers, ACE inhibitors, Angiotensin-2 receptor antagonists and platelet aggregation inhibitors.
- a compound of Formula (I) of the present invention can be administered in combination with CNS agents such as antidepressants (such as sertraline), anti-Parkinsonian drugs (such as deprenyl, L-dopa, Requip, Mirapex, MAOB inhibitors such as selegine and rasagiline, comP inhibitors such as Tasmar, A- 2 inhibitors, dopamine reuptake inhibitors, NMDA antagonists, Nicotine agonists, Dopamine agonists and inhibitors of neuronal nitric oxide synthase), and anti-Alzheimer's drugs such as donepezil, tacrine, COX-2 inhibitors, propentofylline or metryfonate.
- CNS agents such as antidepressants (such as sertraline), anti-Parkinsonian drugs (such as deprenyl, L-dopa, Requip, Mirapex, MAOB inhibitors such as selegine and rasagiline, comP inhibitors such as Tasmar,
- a compound of Formula (I) of the present invention can be administered in combination with osteoporosis agents such as roloxifene, droloxifene, lasofoxifene or fosomax and immunosuppressant agents such as FK-506, rapamycin, cyclosporine, azathioprine, and methotrexate.
- osteoporosis agents such as roloxifene, droloxifene, lasofoxifene or fosomax
- immunosuppressant agents such as FK-506, rapamycin, cyclosporine, azathioprine, and methotrexate.
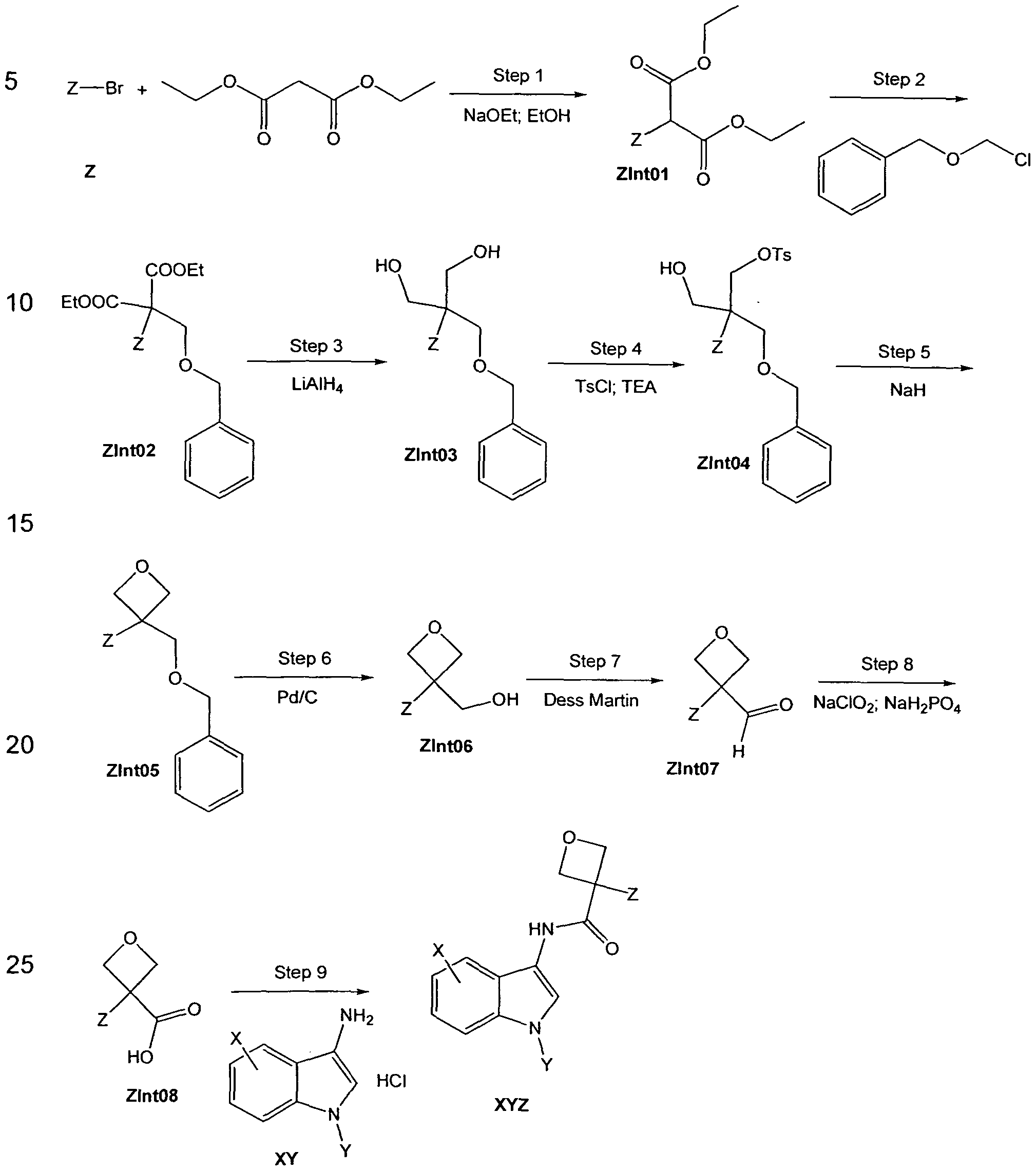
- an indole or azaindole derivative X for example, 4-chloro indole, 4-bromo indole, 4-chloro-7-azaindole, 4-bromo-7-azaindole
- acetyl chloride in benzene was added slowly at 0°C.
- SnCI 4 dissolved in benzene was added slowly at 0°C.
- the reaction mixture was stirred for 1 hour at 10-15°C.
- the reaction mixture was quenched with ice-cold HCI (3N).
- the product was extracted with ethyl acetate.
- the organic layer was washed with brine and dried over anhydrous sodium sulfate to obtain the crude product.
- the crude product was triturated with n-Pentane to obtain XlntOlb.
- Compound XYZ can be prepared by using either oxalyl chloride, N-ethyl-N'-(3- dimethylaminopropyhcarbodiimide HCI (EDC*HCI) or O-(7-Azabenzotriazol-1- yl)-N,N,N',N'-tetramethyluronium hexafluorophosphate (HATU).
- EDC*HCI N-ethyl-N'-(3- dimethylaminopropyhcarbodiimide HCI
- HATU O-(7-Azabenzotriazol-1- yl)-N,N,N',N'-tetramethyluronium hexafluorophosphate
- EDC'HCI method To the solution of Zlnt08 in DMF, EDC'HCI, 1-hydroxy- benzotriazole (HOBt), intermediate XY (as disclosed in Example 1) and triethylamine were added and the reaction mixture was stirred for 4 hours at room temperature. TLC was performed by diluting the reaction mixture with ethyl acetate. The mobile phase consisted of 40% ethyl acetate/hexane (Rf: 0.5). The mixture was diluted with ethyl acetate, washed with brine and dried over anhydrous sodium sulfate. The organic layer was removed and the crude material was purified by prep HPLC to give the desired product XYZ.
- HATU method To a solution of Zlnt08 in dry DMF was added HATU and ⁇ , ⁇ -Diisopropylethylamine (DIPEA) and stirred at room temperature for 5 minutes. Intermediate XY (as disclosed in Example 1) was added and the mixture was stirred at room temperature for 15 minutes, poured into water and extracted with ethyl acetate. The combined organic layer was washed with water and dried over anhydrous sodium sulfate and concentrated to yield XYZ.
- DIPEA ⁇ , ⁇ -Diisopropylethylamine
- TLC TLC was performed by diluting the reaction mixture with ethyl acetate.
- the mobile phase consisted of 15% ethylacetate/hexane (Rf: 0.5).
- the reaction was quenched with brine solution and extracted with ethyl acetate.
- the combined organic layer was dried over anhydrous sodium sulfate and concentrated in vacuo.
- the crude was purified by silica gel column chromatography to yield Zlnt02 as liquids.
- Zlnt02 where Z is for example, cycloheptenyl, cyclohexenyl, or 4,4-difluorocyclohexenyl
- methanol aqueous ethanol
- Pd/C aqueous ethanol
- TLC TLC was performed by diluting the reaction mixture with ethyl acetate.
- the mobile phase consisted of 15% ethyl acetate/hexane (Rf. 0.5).
- the reaction mixture was filtered through celite and concentrated under reduced pressure to give Zlnt03 where Z is now for example, cycloheptyl, cyclohexyl or 4,4- difluorocyclohexyl.
- General procedure for preparation of Zlnt04 General procedure for preparation of Zlnt04:
- Compound XYZ can be prepared by using either oxalyl chloride, N-ethyl-N'-(3- dimethylaminopropyl)carbodiimide HCI (EDC'HCI) or 0-(7-Azabenzotriazol-1 - yl)-N,N,N',N'-tetramethyluronium hexafluorophosphate (HATU).
- EDC'HCI N-ethyl-N'-(3- dimethylaminopropyl)carbodiimide HCI
- HATU 0-(7-Azabenzotriazol-1 - yl)-N,N,N',N'-tetramethyluronium hexafluorophosphate
- EDC'HCI method To the solution of Zlnt04 in DMF, EDC » HCI, -hydroxy- benzotriazole (HOBt), intermediate XY (as disclosed in Example 1) and triethylamine were added and the reaction mixture was stirred for 4 hours at room temperature. TLC was performed by diluting the reaction mixture with ethyl acetate. The mobile phase consisted of 40% ethyl acetate/hexane (Rf: 0.5). The mixture was diluted with ethyl acetate, washed with brine and dried over anhydrous sodium sulfate. The organic layer was removed and the crude material was purified by prep HPLC to give the desired product XY2.
- HATU method To a solution of Zlnt04 in dry DMF was added HATU and DIPEA and stirred at room temperature for 5 minutes. Intermediate XY (as disclosed in Example 1) was added and the mixture was stirred at room temperature for 15 minutes, poured into water and extracted with ethyl acetate. The combined organic layer was washed with water and dried over anhydrous sodium sulfate and concentrated to yield XYZ.
- N-indol-3-yl-acetamide and N-azaindol-3-yl-acetamide compounds antagonise P2X7R activity Inhibition of P2X7R activity by the compounds of the present invention is assessed by measuring calcium influx in Hek293 cells (ECACC No. 85120602) which have been stably transfected with a cDNA for the human P2X7R.
- the Hek293 cells are human embryo kidney cells that do not express endogenous P2X7R (Surprenant et al. (1996) Science 272:735-738).
- Hek293 cells expressing P2X7R were generated by lipofectamine transfection of the human P2X7R cDNA (Genbank accession number BC011913) under the control of the human cytomegalovirus immediate-early (CMV) promoter and inserted into the pcDNA3.1 vector (Invitrogen).
- CMV human cytomegalovirus immediate-early
- DMEM Dulbecco's modified eagles medium
- FEM heat-inactivated foetal calf serum (10% v/v)
- 2 mM L-glutamine heat-inactivated foetal calf serum (10% v/v)
- penicillin 100 units/ml
- streptomycin 100 units/ml
- Geneticin G418 750 pg/ml Geneticin G418 (GibcoBRL/lnvitrogen).
- the cells were incubated in 50 ⁇ of assay buffer containing 100 ⁇ Fluo-4 AM fluorescent dye per well for 1 hour at room temperature.
- the assay buffer containing the Fluo-4 AM fluorescent dye was then removed, the cells were washed once with assay buffer (without Fluo-4 AM), 100 ⁇ of assay buffer (without Fluo-4 AM) containing the test compounds was then added per well.
- IC50 half-maximal inhibitory concentration
- the first group was treated with the vehicle (PEG400 5% Tw80 0.4% NaCI) intraperitoneally at 10 ml/kg.
- the second group was treated orally with Dexamethasone (Memphamoson-4) at 1mg/kg.
- animals were treated with N-(4-chIoro-1-(2-hydroxyethyl)-1 H-indol-3-yl)-3- cycloheptyloxetane-3-carboxamide.
- the compound was dissolved in the vehicle at a final concentration of 15 mg/ml.
- N-(4-chloro-1-(2-hydroxyethyl)- 1 H-indol-3-yl)-3-cycloheptyloxetane-3-carboxamide is a potent inhibitor of LPS/ATP induced-IL- ⁇ release.
- IL- 1 ⁇ is a very potent pro-inflammatory cytokine in chronic inflammatory conditions and is involved in pathological conditions such as neuropathic pain, rheumatoid arthritis, multiple sclerosis and other neurodegenerative diseases.
Landscapes
- Chemical & Material Sciences (AREA)
- Organic Chemistry (AREA)
- Health & Medical Sciences (AREA)
- Nuclear Medicine, Radiotherapy & Molecular Imaging (AREA)
- Pharmacology & Pharmacy (AREA)
- Neurosurgery (AREA)
- Biomedical Technology (AREA)
- Chemical Kinetics & Catalysis (AREA)
- General Chemical & Material Sciences (AREA)
- Medicinal Chemistry (AREA)
- Bioinformatics & Cheminformatics (AREA)
- Engineering & Computer Science (AREA)
- Neurology (AREA)
- Life Sciences & Earth Sciences (AREA)
- Animal Behavior & Ethology (AREA)
- General Health & Medical Sciences (AREA)
- Public Health (AREA)
- Veterinary Medicine (AREA)
- Nitrogen Condensed Heterocyclic Rings (AREA)
- Pharmaceuticals Containing Other Organic And Inorganic Compounds (AREA)
Abstract
The present application is directed to novel P2X7R antagonists that are N-indol-3-yl-acetamide and N-azaindol-3-yl-acetamide compounds, pharmaceutical compositions comprising the same and their use for the prophylactic or therapeutic treatment of diseases mediated by P2X7R activity.
Description
NOVEL P2X7R ANTAGONISTS AND THEIR USE
The present application relates to novel P2X7R antagonists that are N-indol-3- yl-acetamide and N-azaindol-3-yl-acetamide compounds, pharmaceutical compositions comprising these compounds and to their use in the prophylactic and therapeutic treatment of diseases and disorders mediated by P2X7R.
BACKGROUND
P2X7R is an ATP-gated ion channel belonging to the P2X ionotropic channel family. The gene was first isolated from rat brain (Surprenant et al. (1996) 272:735-738) and subsequently from a human monocyte library (Rassendren et al. (1997) J. Biol. Chem. 272:5482-5486; Genbank accession numbers NM_002562, Y09561) by virtue of its sequence homology with the other members of the P2X family. It was later found that P2X7R corresponded to the unidentified P2Z receptor which mediates the permeabilising action of ATP on mast cells and macrophages (Dahlqvist and Diamant (1974) Acta Physiol. Scand. 34:368-384; Steinberg and Silverstein (1987) J. Biol. Chem. 262:3118- 3122; Gordon (1986) Biochem. J. 233:309-319). The P2X7R has two hydrophobic membrane-spanning domains, an extracellular loop, and forms transmembrane ion channels. P2X7R bears a pharmacological profile markedly different from other P2X homo- or heteromers (North and Surprenant (2000) Annual Rev. Pharmacology Toxicology 40:563-580). P2X7R requires levels of ATP in excess of 1 mM to achieve activation, whereas other P2X receptors activate at ATP concentrations of 100 μΜ (Steinberg et al. (1987) J. Biol. Chem. 262:8884-8888; Greenberg et al. (1988) J. Biol. Chem. 263:10337-10343). While all P2X receptors demonstrate non-selective
channel-like properties following ligation, the channels formed by the P2X7R can rapidly transform into pores that can allow the passage of molecules of up to 900 Dalton (Virginio et al. (1999) J. Physiol. 519:335-346). P2X7R is expressed in haematopoietic cells, mast cells, lymphocytes, erythrocytes, fibroblast, Langerhans cells, and macrophages (Surprenant et al., 1996, Science 272:3118-3122). In the central nervous system, P2X7R expression has been reported in glial cells, Schwann cells, astrocytes, as well as in neurons (Ferrari et al. (1996) J. Immunol 156:1531-1539; Collo et al. (1997) Neuropharmacology 36: 1277-1283; Anderson and Nedergaard (2006) Trends Neuroscien 29: 257-262).
P2X7R is involved in the regulation of the immune function and inflammatory response. Activation of P2X7R by ATP in macrophages is associated with mitogenic stimulation of T cells (Baricordi et al. (1996) Blood 87:682-690), the release of cytokines (Griffiths et al. (1995) J. Immol. 154:2821-2828), and formation of macrophage polykarions (Falzoni et al. (1995) J. Clin. Invest. 95:1207-1216). P2X7R is involved in the processing and release of active interleukin-1beta (iL-1 β) from proinflammatory cells (Perregaux and Gabel (1998) J Biol Chem 269:15195-15203; Ferrari et al., (2006) J Immunol 176: 3877-3883). Stimulation of the P2X7R by ATP can also result in apoptosis and cell death by triggering the formation of non-selective plasma membrane pores (Di Virgilio et al. (1998) Cell Death Differ. 5:191-199). Upregulation of P2X7R has been observed during ischemic damage and necrosis induced by occlusion of middle cerebral artery in rat brain (Collo et al. (1997) Neuropharmacol 36:1277-1283). Recent studies indicate a role of P2X7R in the generation of superoxide in microglia, and upregulation of P2X7R has been detected around amyloid plaques in a transgenic mouse models for Alzheimer's disease (Parvathenani et al. (2003) J Biol Chem 278:13300-13317) and in multiple sclerosis lesions from autopsy brain sections (Narcisse et al. (2005) Glia, 49:245-258). Inhibition of P2X7 can
improve symptoms in a model of multiple sclerosis (Matute et al. (2007) J Neurosci 27:9525-9533).
Studies from mice lacking P2X7R resulted in absence of inflammatory and neuropathic hypersensitivity to mechanical and thermal stimuli, indicating a link between P2X7R and inflammatory and neuropathic pain (Chessell et al. (2005) Pain 114:386-396). Antagonists of P2X7R significantly improved functional recovery and decreased cell death in spinal cord injury in animal models (Wang et al. (2004) Nature Med 10:B21-B27). P2X7 has also been shown to be involved in depression and anxiety (Basso et al. (2009) Behav Brain Res 198:83-90; WO 2009/019503); bipolar affective disorders (Barden et al. (2006) Am J Med Genet B 141 B:374-382); glaucoma (Resta et al. (2007) Eur J Neurosci 25:2741-2754); inflammatory bowel diseases (Cesaro et al. (2010) Am J Physiol-Gastr L 299:G32-42); cancer (Sun (2010) Mol Neurobiol 41 :351-355; Di Virgilio et al. (2009) Purinergic Signal 5:251-256); and graft- versus-host disease (Wilhelm et al. (2010) Nat Med 16:1434-1438).
Compounds which modulate P2X7R have been reported. For example, Brilliant Blue (Jiang et al., Mol. Phamacol. 58 (2000), 82-88), the isoquinolines 1-[N,O-Bis(5-isoquinolinesulfonyl)-N-methyl-L-tyrosyl]-4- phenylpiperazine and N-[1 -[N-methyl-p-(5 isoquinolinesulfonyl) benzyl]-2-(4-phenylpiperazine)ethyl]- 5-isoquinolinesulfonamide (Humphreys et al., Mol. Pharmacol., 54 (1998), 22- 32), adamantane derivatives (WO 99/29660, WO 99/29661, WO 00/61569, WO 01/42194, WO 01/44170, WO 01/44213, WO 01/94338, WO 03/041707, WO 03/042190, WO 03/080579, WO 04/074224, WO 05/014529, WO 06/025783, WO 06/059945), piperidine and piperazine compounds (WO 01/44213, WO 01/46200, WO 08/005368; WO 2010/125103), benzamide and heteroarylamide compounds (WO 03/042191 , WO 04/058731, WO 04/058270, WO 04/099146, WO 05/019182, WO 06/003500, WO 06/003513, WO 06/067444), substituted tyrosine derivatives (WO 00/71529, WO 03/047515, WO 03/059353), imidazole compounds (WO 05/014555), amino-tetrazoles compounds (WO 05/111003), cyanoamidine (WO 06/017406),
bicycloheteroaryl derivatives (WO 05/009968, WO 06/102588, WO 06/102610, WO 07/028022, WO 07/109154, WO 07/109160, WO 07/109172, WO 07/109182, WO 07/109192, WO 07/109201), acylhydrazide (WO 06/110516), and other examples (WO 99/29686, WO 04/106305, WO 05/039590, WO 06/080884, WO 06/086229, WO 06/136004, WO 07/025366, WO 07/056046, WO 07/056091, WO 07/141267, WO 07/141269, WO 08/003697; WO 2008/138876; WO 2008/125600; WO 2008/124153; WO 2008/119825; WO 2008/013494; WO 2009/070116; WO 2009/053459 WO 2009/077559; WO 2009/132000; WO 2009/118175; WO 2010/118921) are antagonists of P2X7R while Oxidized ATP (oATP) acts as an irreversible inhibitor of the receptor (Chen et al., J. Biol. Chem., 268 (1993), 8199-8203). Methods for synthesising oxetanes are disclosed in Wuitschik et al., J. Med. Chem., 53 (2010) 3227- 3246. Consequently, there is strong evidence that compounds acting on P2X7R can be used in the treatment of pain, inflammatory processes, and degenerative conditions associated with disease states such as rheumatoid arthritis, osteoarthritis, psoriasis, allergic dermatitis, asthma, chronic obstructive pulmonary disease, airways hyper-responsiveness, septic shock, glomerulonephritis, irritable bowel disease, inflammatory bowel disease, Crohn's disease, ulcerative colitis, atherosclerosis, growth and metastases of malignant cells, myoblastic leukaemia, diabetes, Alzheimer's disease, Parkinson's disease, multiple sclerosis, glaucoma, age-related macular degeneration, uveitis, neuropathic pain, depression, bipolar affective disorders, anxiety, meningitis, traumatic brain injury, acute spinal cord injury, neuropathic pain, osteoporosis, burn injury, ischemic heart disease, myocardial infarction, stroke, and varicose veins.
Thus, the object on the present invention is to provide a novel series of compound which can inhibit P2X7R activity and can be used in the treatment of the above-mentioned diseases.
DETAILED DESCRIPTION OF THE INVENTION
The present invention relates to novel P2X7R antagonists that are N-indol-3- yl-acetamide and N-azaindol-3-yl-acetamide compounds represented by the general formula (I):
R2 is a mono- or bicycloalkyl group;
R3 is selected from straight or branched C1-C5 alkyl which may optionally substituted with -OH, -CH2-OH, C C5 alkoxy, CN-, CF3, halogen (i.e. CI, F, Br or I), piperidino, morpholino, pyrrolidino, 5H- tetrazolylpropyl, methylcarbamoyl, dimethylcarbamoyl, or ethylmethylcarbamoyl, wherein Ra is C1-C5 alkyl;
R4> R5, R6, 7 are at each occurrence independently selected from hydrogen, halogen (i.e. CI, F, Br or I), methyl, methoxy, cyano, or trifluoromethyl; - a, b, c, d, x are at each occurrence independently selected from carbon, or nitrogen; or a pharmaceutically acceptable salt or solvate thereof (whereby x must have a hydrogen substituent if it is carbon).
Compounds of Formula (I), wherein R2 is a group selected from cyclopentyl, cyclohexyl, cycloheptyl, and fluorinated derivatives thereof are preferred.
Preferred are also compounds, wherein R3 is substituted with one or two substituents selected from -OH, -CH2-OH, C^Cs alkoxy, -CN, -CF3, halogen, piperidino, morpholino, pyrrolidino or 5H-tetrazolylethyl. Compounds as disclosed above, wherein R3 is C1-C5 alkyl or C2-C5 hydroxyalkyl are also preferred.
Furthermore, it is preferred that at least two of R , R5, R6 and R7 are hydrogen. If necessitated by valency, R4-R7 may also be absent.
Additionally, it is preferred that a, b, c, and d are CH or one of a, b, c and d is N.
Examples of novel N-indol-3-yl-acetamide and N-azaindol-3-yl-acetamide compounds are disclosed in examples 1-64.
The invention further relates to a compound of Formula (I) or a pharmaceutically acceptable salt or solvate thereof, being: - N-(4-chloro-1 -(2-hydroxyethyl)-1 H-indol-3-yl)-3-cycloheptyloxetane-3- carboxamide
- N-(4-bromo-1-(2-hydroxyethyl)-1 H-indol-3-yl)-3-cycloheptyloxetane-3- carboxamide
- N-(4-chloro-1 -(2-hydroxyethyl)-1 H-indol-3-yl)-3-cyclohexyloxetane-3- carboxamide
- N-(4-bromo-1 -(2-hydroxyethyl)-1 H-indol-3-yl)-3-cyclohexyloxetane-3- carboxamide
- N-(4-chloro-1-(2-hydroxypropyl)-1 H-indol-3-yl)-3-cycloheptyloxetane-3- carboxamide
- N-(4-bromo-1 -(2- ydroxypropyl)-1 H-indol-3-yl)-3-cycloheptyloxetane-3- carboxamide
- N-(4-chloro-1 -(2-hydroxyethyl)-1 H-indol-3-yl)-2-(3-cyclohexyloxetan-3- yl)acetamide
- N-(4-bromo-1 -(2-hydroxyethyl)-1 H-indol-3-yl)-2-(3-cyclohexyloxetan-3- yl)acetamide
- N-(4-chloro-1 -(2-hydroxyethyl)-1 H-indol-3-yl)-2-(3-cycloheptyloxetan-3- yl)acetamide
- N-(4-bromo-1-(2-hydroxyethyl)-1 H-indol-3-yl)-2-(3-cycloheptyloxetan-3- yl)acetamide
- N-(4-chloro-1-(2-hydroxyethyl)-1H-pyrrolo[2,3-b]pyridin-3-yl)-3- cyclohexyloxetane-3-carboxamide
- N-(4-bromo-1 -(2-hydroxyethyl)-1 H-pyrrolo[2,3-b]pyridin-3-yl)-3- cyclohexyloxetane-3-carboxamide
- N-(4-chloro-1-(2-hydroxyethyl)-1H-pyrrolo[2,3-b]pyridin-3-yl)-3- cycloheptyloxetane-3-carboxamide
- N-(4-bromo-1-(2-hydroxyethyl)-1 H-pyrrolo[2,3-b]pyridin-3-yl)-3- cycloheptyloxetane-3-carboxamide
- N-(4-chloro-1-(2-hydroxypropyl)-1H-pyrrolo[2,3-b]pyridin-3-yl)-3- cycloheptyloxetane-3-carboxamide
- N-(4-bromo-1-(2-hydroxypropyl)-1H-pyrrolo[2,3-b]pyridin-3-yl)-3- cycloheptyloxetane-3-carboxamide
- N^-chloro-l^-hydroxyethy -IH-pyrrolo^^-b pyridin-S-y ^-iS- cyclohexyloxetan-3-yl)acetamide
- N-(4-bromo-1 -(2-hydroxyethyl)-1 H-pyrrolo[2,3-b]pyridin-3-yl)-2-(3- cyclohexyloxetan-3-yl)acetamide
- N-(4-chloro-1 -(2-hydroxypropyl)-1 H-indol-3-yl)-3-cyclohexyloxetane-3- carboxamide
- N-(4-bromo-1 -(2-hydroxypropyl)-1 H-indol-3-yl)-3-cyclohexyloxetane-3- carboxamide
- N-(4-chloro-1-(2-hydroxypropyl)-1H-indol-3-yl)-2-(3-cyclohexyloxetan-3- yl)acetamide
- N-(4-bromo-1 -(2-hydroxypropyl)-1 H-indol-3-yl)-2-(3-cyclohexyloxetan-3- yl)acetamide
- N-(4-chloro-1-(2-hydroxypropyl)-1 H-indol-3-yl)-2-(3-cycloheptyloxetan-3- yl)acetamide
- N-(4-bromo-1 -(2-hydroxypropyl)-1 H-indol-3-yl)-2-(3-cycloheptyloxetan-3- yl)acetamide
- N-(4-chloro-1-(1 ,3-dihydroxypropan-2-yl)-1 H-indol-3-yl)-3-cyclohexyloxetane- 3-carboxamide
- N-(4-bromo-1-(1 ,3-dihydroxypropan-2-yl)-1H-indol-3-yl)-3-cyclohexyloxetane- 3-carboxamide
- N-(4-chloro-1-(1 ,3-dihydroxypropan-2-yl)-1H-indol-3-yl)-3- cycloheptyloxetane-3-carboxamide
- N-(4-bromo-1-(1 ,3-dihydroxypropan-2-yl)-1H-indol-3-yl)-3- cycloheptyloxetane-3-carboxamide
- N-(4-chloro-1-(1,3-dihydroxypropan-2-yl)-1H-indol-3-yl)-2-(3- cyclohexyloxetan-3-yl)acetamide
- N-(4-bromo-1-(1 ,3-dihydroxypropan-2-yl)-1 H-indol-3-yl)-2-(3- cycIohexyloxetan-3-yl)acetamide
- N-(4-chloro-1-(1 ,3-dihydroxypropan-2-yl)-1 H-indol-3-yl)-2-(3- cycloheptyloxetan-3-yl)acetamide
- N-(4-bromo-1-(1 ,3-dihydroxypropan-2-yl)-1 H-indol-3-yl)-2-(3- cycloheptyIoxetan-3-yl)acetamide
- N-(4-chloro-1-(1 ,3-dihydroxypropan-2-yl)-1H-indol-3-yl)-2-(3- cycloheptyloxetan-3-yl)acetamide
- N-(4-bromo-1-(1 ,3-dihydroxypropan-2-yl)-1H-indol-3-yl)-2-(3- cycloheptyloxetan-3-yl)acetamide
- N-(4-chloro-1 -methyl-1 H-indoi-3-yl)-3-cyclohexyloxetane-3-carboxamide
- N-(4-bromo-1 -methyl-1 H-indol-3-yl)-3-cyclohexyloxetane-3-carboxamide - N-(4-chloro-1 -methyl-1 H-indol-3-yl)-3-cycloheptyloxetane-3-carboxamide
- N-(4-bromo-1 -methyl-1 H-indol-3-yl)-3-cycloheptyloxetane-3-carboxamide
- N-(4-chloro- 1 -methyl-1 H-indol-3-yl)-2-(3-cyclohexyloxetan-3-yl)acetamide
- N-(4-bromo-1-methyl-1H-indol-3-yl)-2-(3-cyclohexyloxetan-3-yl)acetamide
- N-(4-chloro-1-(2-hydroxyethyl)-1 H-indol-3-yl)-3-(4,4- difluorocyclohexyl)oxetane-3-carboxamide
- N-(4-bromo-1-(2-hydroxyethyl)-1 H-indol-3-yl)-3-(4,4- difluorocyclohexyl)oxetane-3-carboxamide
- N-(4-chloro-1-(2-hydroxyethyl)-1 H-indol-3-yl)-2-(3-(4,4- difluorocyclohexyl)oxetan-3-yl)acetamide
- N-(4-bromo-1 -(2-hydroxyethyl)-1 H-indol-3-yl)-2-(3-(4,4- difluorocyclohexyl)oxetan-3-yl)acetamide
- 4-chloro-3-(3-cyclohexyloxetane-3-carboxamido)-N,N-dimethyl-1 H-indole-1- carboxamide
- 4-bromo-3-(3-cyclohexyloxetane-3-carboxamido)-N,N-dimethyl-1 H-indole-1- carboxamide
- 4-chloro-3-(3-cycloheptyloxetane-3-carboxamido)-N,N-dimethyl-1H-indole-1- carboxamide
- 4-bromo-3-(3-cycloheptyloxetane-3-carboxamido)-N,N-dimethyl-1H-indole-1- carboxamide
- 4-chloro-3-(2-(3-cyclohexyloxetan-3-yl)acetamido)-N,N-dimethyl-1 H-indole-1- carboxamide
- 4-bromo-3-(2-(3-cyclohexyloxetan-3-yl)acetamido)-N,N-dimethyl-1H-indole-1- carboxamide
- 4-chloro-3-(2-(3-cycloheptyloxetan-3-yl)acetamido)-N,N-dimethyl-1 H-indole- 1 -carboxamide
- 4-bromo-3-(2-(3-cycloheptyloxetan-3-yl)acetamido)-N,N-dimethyl-1 H-indole- -carboxamide
- 4-chloro-3-(3-cyclohexyloxetane-3-carboxamido))-N-ethyl-N-methyl-1 H- indole-1 -carboxamide
- 4-bromo-3-(3-cyclohexyloxetane-3-carboxamido)-N-ethyl-N-methyl-1H- indole-1 -carboxamide
- 4-chloro-3-(3-cycloheptyloxetane-3-carboxamido)-N-ethyl-N-methyl-1 H- indole-1 -carboxamide
- 4-bromo-3-(3-cycloheptyloxetane-3-carboxamido)-N-ethyl-N-methyl-1H- indole-1 -carboxamide
- 4-chloro-3-(2-(3-cyclohexyloxetan-3-yl)acetamido)-N-ethyl-N-methyl-1H- indole-1 -carboxamide
- 4-bromo-3-(2-(3-cyclohexyloxetan-3-yl)acetamido)-N-ethyl-N-methyl-1 H- indole-1 -carboxamide
- 4-chloro-3-(2-(3-cycloheptyloxetan-3-yl)acetamido)-N-ethyl-N-methyl-1 H- indole-1 -carboxamide
- 4-bromo-3-(2-(3-cycloheptyloxetan-3-yl)acetamido)-N-ethyl-N-methyl-1 H- indole-1 -carboxamide
- N-(4-chloro-1 -(2-cyanoethyl)-1 H-indol-3-yl)-3-cycloheptyloxetane-3- carboxamide
- N-(4-chloro-1 -(2-cyanoethyl)-1 H-indol-3-yl)-2-(3-cycloheptyloxetan-3- yl)acetamide
- N-(1 -(2-(2H-tetrazol-5-yl)ethyl)-4-chloro-1 H-indol-3-yl)-3-cycloheptyloxetane- 3-carboxamide
- N-(1-(2-(2H-tetrazol-5-yl)ethyl)-4-chloro-1H-indol-3-yl)-2-(3- cycloheptyloxetan-3-yl)acetamide
The present invention also includes isotopically-labelled compounds, which are identical to those recited in Formula (I), but for the fact that one or more atoms are replaced by an atom having an atomic mass or mass number different from the atomic mass or mass 25 number usually found in nature. Examples of isotopes that can be incorporated into compounds of the invention include isotopes of hydrogen, carbon, nitrogen, oxygen, phosphorous, fluorine and chlorine, such as 2H, 3H, 13C, 14C, 5N, 80, 170, 31P,
32p 35g i8p ancj 35Q( > respec†jve|y Compounds of the present invention, prodrugs thereof, and pharmaceutically acceptable salts of said compounds or of said prodrugs which contain the aforementioned isotopes and/or other isotopes of other atoms are within the scope of this invention. Certain isotopically-labelled compounds of the present invention, for example those into which radioactive isotopes such as 3H and 14C are incorporated, are useful in drug and/or substrate tissue distribution assays. Tritiated, i.e., 3H, and carbon-14, i.e., 14C, isotopes are particularly preferred for their ease of preparation and detectability. Further, substitution with heavier isotopes such as deuterium, i.e., 2H, can afford certain therapeutic advantages resulting from greater metabolic stability, for example increased in vivo half-life or reduced dosage requirements and, hence, may be preferred in some circumstances.
Isotopically-labelled compounds of Formula (I) of this invention and prodrugs thereof can generally be prepared by carrying out the procedures disclosed in the Examples below, by substituting a readily available isotopically-labelled reagent for a non-isotopically-labelled reagent.
Pharmaceutically acceptable salts include those formed with anions such as those derived from hydrochloric, phosphoric, acetic, oxalic, tartaric acids, etc., and those formed with cations such as those derived from sodium, potassium, ammonium, calcium, ferric hydroxides, isopropylamine, triethylamine, 2- ethylamino ethanol, histidine and procaine. Further pharmaceutically acceptable salts
In an further embodiment the present application is directed to a pharmaceutical composition comprising a compound of Formula (I) of the present invention.
The pharmaceutical composition according to the present invention may further comprise an additional active compound in separate or unit dosage form for simultaneous or sequential administration.
The compounds of Formula (I) or a pharmaceutically acceptable salt thereof can be used in the manufacture of a medicament for the prophylactic or therapeutic treatment of any disease state in a human, or other mammal, which is exacerbated or caused by excessive or unregulated cytokine production by such mammal's cells, such as but not limited to monocytes and/or macrophages.
The present invention also relates to the treatment of an IL-1 or cytokine mediated condition.
As defined herein, an "IL-1 mediated condition" and "cytokine mediated condition" includes, but is not limited to, a disease or disorder selected from the group consisting of arthritis (including psoriatic arthritis, Reiter's syndrome, rheumatoid arthritis, gout, traumatic arthritis, rubella arthritis, rheumatoid spondylitis, osteoarthritis, gouty arthritis and acute synovitis), inflammatory bowel disease, Crohn's disease, emphysema, acute respiratory distress syndrome, adult respiratory distress syndrome, asthma, bronchitis, chronic obstructive pulmonary disease, chronic pulmonary inflammatory disease, silicosis, pulmonary sarcoidosis, allergic reactions, allergic contact hypersensitivity, eczema, contact dermatitis, psoriasis, sunburn, cancer, tissue ulceration, restenosis, periodontal disease, epidermolysis bullosa, osteoporosis, bone resorption disease, loosening of artificial joint implants, atherosclerosis, aortic aneurysm, congestive heart failure, myocardial infarction, stroke, cerebral ischemia, head trauma, neurotrauma, spinal cord injury, neuro- degenerative disorders, Alzheimer's disease, Parkinson's disease, glaucoma, age-related macular degeneration, uveitis, neuropathic pain, migraine, depression, peripheral neuropathy, pain, cerebral amyloid angiopathy, nootropic or cognition enhancement, amyotrophic lateral sclerosis,
multiple sclerosis, ocular angiogenesis, corneal injury, macular degeneration, corneal scarring, scleritis, abnormal wound healing, burns, autoimmune disorders, Huntington's disease, diabetes, AIDS, cachexia, sepsis, septic shock, endotoxic shock, conjunctivitis shock, gram negative sepsis, toxic shock syndrome, cerebral malaria, cardiac and renal reperfusion injury, thrombosis, glomerularonephritis, graft vs. host reaction, allograft rejection, organ transplant toxicity, ulcerative colitis, or muscle degeneration, in a mammal, including a human, comprising administering to said mammal an amount of a compound to Formula (I), effective in treating such a condition.
The present invention relates to a pharmaceutical composition for the treatment of an IL-1 mediated condition in a mammal, including a human, comprising an amount of a compound of Formula (I), effective in treating such a condition and a pharmaceutically acceptable carrier.
The compounds of the invention are useful for the treatment of rheumatoid arthritis, osteoarthritis, psoriasis, allergic dermatitis, asthma, chronic obstructive pulmonary disease (COPD), hyperresponsiveness of the airway, septic shock, glomerulonephritis, irritable bowel disease, Crohn's disease, ulcerative colitis, atherosclerosis, growth and metastases of malignant cells, myoblastic leukemia, diabetes, Alzheimer's disease, meningitis, osteoporosis, burn injury, ischemic heart disease, stroke and varicose veins.
In another aspect, the invention further provides a pharmaceutical composition for treating osteoarthritis which comprises a therapeutically effective amount of a compound of Formula (I), or a pharmaceutically acceptable salt or solvate thereof, as hereinbefore defined.
The invention further provides a pharmaceutical composition for effecting immunosuppression (e.g., in the treatment of rheumatoid arthritis, irritable bowel disease, atherosclerosis or psoriasis) which comprises a therapeutically
effective amount of a compound of Formula (I), or a pharmaceutically acceptable salt or solvate thereof, as hereinbefore defined.
The invention also provides a pharmaceutical composition for treating an obstructive airways disease (e.g. asthma or COPD) which comprises a therapeutically effective amount of a compound of Formula (I), or a pharmaceutically acceptable salt or solvate thereof, as hereinbefore defined.
The present invention yet further provides a pharmaceutical composition for treating a mammal susceptible to or afflicted with conditions that are causally related to abnormal activity of the P2X7 receptor, such as neurodegenerative diseases and disorders including, for example, Parkinson's disease, multiple sclerosis, glaucoma, age-related macular degeneration, uveitis, neuropathic pain, diseases and disorders which are mediated by or result in neuromfiammation such as, for example traumatic brain injury and encephalitis; centrally-mediated neuropsychiatric diseases and disorders such as, for example depression mania, bipolar disease, anxiety, schizophrenia, eating disorders, sleep disorders and cognition disorders, epilepsy and seizure disorders comprising a therapeutically effective amount of a compound of Formula (I), or a pharmaceutically acceptable salt or solvate thereof, as hereinbefore defined.
In particular embodiment the pharmaceutical composition according to the present invention may be used for the treatment of affective disorders. In a preferred embodiment the affective disorder is selected from depression, anxiety, bipolar disorder and schizophrenia.
In an alternative embodiment the pharmaceutical composition according to the present invention is useful for the treatment of neurodegenerative diseases and disorders, diseases and disorders which are mediated by or result in neuroinflammation and centrally-mediated neuropsychiatric diseases and disorders.
Furthermore, the pharmaceutical composition according to the present invention may particuiary be useful for the treatment of pain, inflammatory processes, and degenerative conditions. In a more preferred embodiment the inflammatory process is selected from rheumatoid arthritis, osteoporosis and chronic obstructive pulmonary disease.
Moreover, the pharmaceutical composition according to the present invention may be used for the treatment of neuropathic pain.
Dosage, pharmaceutical preparation and delivery of a compound of Formula (I) for use in accordance with the present invention can be formulated in conventional manner according to methods found in the art, using one or more physiological carriers or excipient, see, for example Ansel et al., "Pharmaceutical Dosage Forms and Drug Delivery Systems", 7th edition, Lippincott Williams & Wilkins Publishers, 1999. Thus, the P2X7R modulating agent and its physiologically acceptable salts and solvates can be formulated for administration by inhalation, insufflation (either through the mouth, or nose), oral, buccal, parenteral, or rectal administration.
For oral administration, the pharmaceutical composition of a compound of Formula (I) can take the form of, for example, tablets or capsules prepared by conventional means with pharmaceutical acceptable excipients such as binding agents (e.g., pregelatinised maize starch, polyvinylpyrrolidone, hydroxypropyl methylcellulose), fillers (e.g., lactose, microcrystal!ine cellulose, calcium hydrogen phosphate), lubricants (e.g., magnesium stearate, talc, silica), disintegrants (e.g., potato starch, sodium starch glycolate), or wetting agents (e.g., sodium lauryl sulphate). The pharmaceutical composition can be administered with a physiologically acceptable carrier to a patient, as described herein. In a specific embodiment, the term "pharmaceutically acceptable" means approved by a regulatory agency or other generally recognized pharmacopoeia for use in animals, and more particularly in
humans. The term "carrier" refers to a diluent, adjuvant, excipient, or vehicle with which the therapeutic is administered. Such pharmaceutical carriers can be sterile liquids, such as water and oils, including those of petroleum, animal, vegetable or synthetic origin, such as peanut oil, soybean oil, mineral oil, sesame oil and the like. Water is a preferred carrier when the pharmaceutical composition is administered intravenously. Saline solutions and aqueous dextrose and glycerol solutions can also be employed as liquid carriers, particularly for injectable solutions. Suitable pharmaceutical excipients include starch, glucose, lactose, sucrose, gelatin, malt, rice, flour, chalk, silica gel, sodium stearate, glycerol monostearate, talc, sodium ion, dried skim milk, glycerol, propylene, glycol, water, ethanol and the like. The composition, if desired, can also contain minor amounts of wetting or emulsifying agents, or pH buffering agents. These compositions can be in the form of solutions, suspensions, emulsion, tablets, pills, capsules, powders, sustained-release formulations and the like. The composition can be formulated as a suppository, with traditional binders and carriers such as triglycerides. Oral formulation can include standard carriers such as pharmaceutical grades of mannitol, lactose, starch, magnesium stearate, sodium saccharine, cellulose, magnesium carbonate, etc. Examples of suitable pharmaceutical carriers are described in "Remington's Pharmaceutical Sciences" by E.W. Martin. Such compositions will contain a therapeutically effective amount of the aforementioned compounds, preferably in purified form, together with a suitable amount of carrier so as to provide the form for proper administration to the patient. The formulation should suit the mode of administration.
Liquid preparations for oral administration can be in the form of, for example, solutions, syrups, or suspensions, or can be presented as a dry product for constitution with water or other suitable vehicle before use. Such liquid preparation can be prepared by conventional means with pharmaceutically acceptable additives such as suspending agents (e.g., sorbitol, syrup, cellulose derivatives, hydrogenated edible fats), emulsifying agents (e.g., lecithin, acacia), non-aqueous vehicles (e.g., almond oil, oily esters, ethyl
alcohol, fractionated vegetable oils), preservatives (e.g., methyl or propyl-p- hydroxycarbonates, soric acids). The preparations can also contain buffer salts, flavouring, coloring and sweetening agents as deemed appropriate. Preparations for oral administration can be suitably formulated to give controlled release of a compound of Formula (I).
For administration by inhalation, a compound of Formula (I) of the present invention is conveniently delivered in the form of an aerosol spray presentation from a pressurised pack or a nebulizer, with the use of a suitable propellant (e.g., dichlorodifluoromethane, trichlorofluoromethane, dichlorotetrafluoroethane, carbon dioxide or other suitable gas). In the case of a pressurised aerosol, the dosage unit can be determined by providing a valve to deliver a metered amount. Capsules and cartridges of, for example, gelatine, for use in an inhaler or insufflator can be formulated containing a powder mix of a compound of Formula (I) and a suitable powder base such as lactose or starch.
A compound of Formula (I) of the present invention can be formulated for parenteral administration by injection, for example, by bolus injection or continuous infusion. Site of injections include intra-venous, intra-peritoneal or sub-cutaneous. Formulations for injection can be presented in units dosage form (e.g., in phial, in multi-dose container), and with an added preservative. A compound of Formula (I) of the present invention can take such forms as suspensions, solutions or emulsions in oily or aqueous vehicles, and can contain formulatory agents such as suspending, stabilizing, or dispersing agents. Alternatively, the agent can be in powder form for constitution with a suitable vehicle (e.g., sterile pyrogen-free water) before use. Typically, compositions for intravenous administration are solutions in sterile isotonic aqueous buffer. Where necessary, the composition can also include a solubilizing agent and a local anesthetic such as lignocaine to ease pain at the site of the injection. Generally, the ingredients are supplied either separately or mixed together in unit dosage form, for example, as a dry lyophilised powder
or water free concentrate in a hermetically sealed container such as an ampoule or sachette indicating the quantity of active agent. Where the composition is to be administered by infusion, it can be dispensed with an infusion bottle containing sterile pharmaceutical grade water or saline. Where the composition is administered by injection, an ampoule of sterile water for injection or saline can be provided so that the ingredients can be mixed prior to administration.
A compound of Formula (I) of the present invention can be formulated for transdermal administration. Transdermal compositions are typically formulated as a topical ointment or cream containing the active ingredient(s), generally in an amount ranging from about 0.01 to about 20% by weight, preferably from about 0.1 to about 20% by weight, preferably from about 0.1 to about 10% by weight, and more preferably from about 0.5 to about 15% by weight. When formulated as a ointment, the active ingredients will typically be combined with either a paraffinic or a water-miscible ointment base. Alternatively, the active ingredients may be formulated in a cream with, for example an oil-in-water cream base. Such transdermal formulations are well-known in the art and generally include additional ingredients to enhance the dermal penetration of stability of the active ingredients or the formulation. All such known transdermal formulations and ingredients are included within the scope of this invention. The compounds of this invention can also be administered by a transdermal device. Accordingly, transdermal administration can be accomplished using a patch either of the reservoir or porous membrane type, or of a solid matrix variety.
The pharmaceutical composition of the invention can be formulated as neutral or salt forms. Pharmaceutically acceptable salts include those formed with anions such as those derived from hydrochloric, phosphoric, acetic, oxalic, tartaric acids, etc., and those formed with cations such as those derived from sodium, potassium, ammonium, calcium, ferric hydroxides, isopropylamine, triethylamine, 2-ethylamino ethanol, histidine, procaine, etc.
A compound of Formula (I) of the present invention can also, if desired, be presented in a pack, or dispenser device which cancontain one or more unit dosage forms containing the said agent. The pack can for example comprise metal or plastic foil, such as blister pack. The pack or dispenser device can be accompanied with instruction for administration.
A compound of Formula (I) of the present invention can be administered as sole active agent or can be adminstered in combination with other agents. These agents include non-steroidal anti-inflammatory drug (NSAIDS) such as celecoxib, rofecoxib, cimicoxib, etoricoxib, lumiracoxib, valdecoxib, deracoxib, N-(2-cyclohexyloxynitrophenyl)methane sulphonamide, COX189, ABT963, JTE-522, GW-406381, LAS-34475, CS-706, PAC-10649, SVT-2016, GW- 644784, tenidap, acetylsalicylic acid (aspirin), amoxiprin, benorilate, choline magnesium salicylate, diflunisal, faislamine, methyl salicylate, magnesium salicylate, salicyl salicylate (salsalatee), diclofenac, aceclofenac, acemetacin, bromfenac, etodolac, indometacin, nabumetone, sulindac, tolmetin, ibuprofen, carprofen, fenbufen, fenoprofen, flurbiprofen, ketoprofen, ketorolac, loxoprofen, naproxen, oxaprozin, tiaprofenic acid, suprofen, mefenamic acid, meclofenamic acid, phenylbutazone, azapropazone, metamizole, oxyphenbutazone, sulfinpyrazone, piroxicam, lornoxicam, meloxicam, tenoxicam, nimesulide, licofelone, paracetamol.
A compound of Formula (I) of the present invention can be combined with agents such as TNF-a inhibitors such as anti-TNF monoclonal antibodies (such as Remicade, CDP-870 and D2E7) and TNF receptor immunoglobulin molecules (such as Enbrel), low dose methotrexate, lefunomide; ciclesonide; hydroxychloroquine, d-penicillamine, auranofin or parenteral or oral gold.
A compound of Formula (I) of the present invention can also be administered in combination with an inhibitor of proTNFalpha convertase enzyme (TACE) such as 3-Amino-N-hydroxy-a-(2-methylpropyl)-3-[4-[(2-methyl-4-
quinolinyl)methoxy]phenyl]-2-oxo-1-pyrrolidineacetamide, 2(S),3(S)- Piperidinedicarboxamide, N3-hydroxy-1-methyl-N-2-[4-[(2-methyl-4- quinolinyl)methoxy]phenyl], 3-Thiomorpholinecarboxamide, 4-[[4-(2- butynyloxy)phenyl]sulfonyl]-N-hydroxy-2,2-dimethyl, 5-Hexenoic acid, 3- [(hydroxyamino)carbonyl]-2-(2-methylpropyl)-6-phenyl-, 2-(2-methylpropyl)-2- (methylsulfonyl)hydrazide, (2R,3S,5E), 2-Piperidinecarboxamide, N,5- dihydroxy-1-[[4-(1-naphthalenylmethoxy)phenyl]suifonyl]-, (2R.5R), Pentanamide, 3-(formylhydroxyamino)-4-methyl-2-(2-methylpropyl)-N- [(1 S,2S)-2-methyl-1 -[(2-pyridinylamino)carbonyl]butyl]-, (2R,3S), 2- Propenamide, N-hydroxy-3-[3-[[(4-methoxyphenyl)sulfonyl](1- methylethyl)amino]phenyl]-3-(3-pyridinyl)-, (2E), Benzamide, N-(2,4-dioxo- 1 ,3,7-triazaspiro[4.4]non-9-yl)-4-[(2-methyl-4-quinolinyl)methoxy], Benzamide, N-[(1-acetyl-4-piperidinyl)(2,5-dioxo-4-imidazolidinyl)methyl]-4-[(2-meth- yl-4- quinolinyl)methoxy], or 2,4-lmidazolidinedione, 5-methyl-5-[[[4-[(2-methyl-4- quinolinyl)methoxy]phenyl]sulfonyl]methyl]. Other examples of TACE inhibitors are described in WO 99/18074, WO 99/65867, U.S. Pat. No. 6,225,311 , WO 00/00465, WO 00/09485, WO 98/38179, WO 02/18326, WO 02/096426, WO 03/079986, WO 03/055856, WO 03/053941 , WO 03/040103, WO 03/031431, WO 03/024899, WO 03/016248, WO 04/096206, WO 04/033632, WO 04/108086, WO 04/043349, WO 04/032846, WO 04/012663, WO 04/006925, WO 07/016597.
A compound of Formula (I) of the present invention can also be administered in combination with a corticosteroid such as budesonide, corticosterone, Cortisol, cortisone acetate, prednisone, prednisolone, methylprednisolone, dexamethasone, betamethasone, triamcinolone, beclometasone, fludrocortisone acetate, deoxycorticosterone acetate (doca), aldosterone.
A compound of Formula (I) of the present invention can further be administered in combination with a 2-adrenergic receptor agonist such as formoterol, salbutamol (albuterol), levalbuterol, terbutaline, pirbuterol,
procaterol, metaproterenol, fenoterol, bitolterol mesylate, salmeterol, bambuterol, clenbuterol.
A compound of Formula (I) of the present invention can further be administered in combination with an antidepressant drug such as sertraline, escitalopram, fluoxetine, bupropion, paroxetine, venlafaxine, trazodone, amitriptyline, citalopram, duloxetine, mirtazapine, nortriptyline, imipramine, lithium.
A compound of Formula (I) of the present invention can further be administered in combination with an antipsychotic drug such as chlorpromazine, fluphenazine, perphenazine, prochlorperazine, thioridazine, trifluoperazine, mesoridazine, promazine, triflupromazine, levomepromazine, promethazine, chlorprothixene, flupenthixol, thiothixene, zuclopenthixol, haloperidol, droperidol, pimozide, melperone, benperidol, triperidol, clozapine , olanzapine, risperidone, quetiapine, ziprasidone, amisulpride, paliperidone , bifeprunox, aripiprazole.
A compound of Formula (I) of the present invention can also be administered in combination with a leukotriene biosynthesis inhibitor, 5-lipoxygenase (5-LO) inhibitor or 5-lipoxygenase activating protein (FI_AP) antagonist, for example, zileuton; ABT-761; fenleuton; tepoxalin; nicaraven; VIA-229 ; etalocib; ketoprofen, Abt-79175; Abt-85761 ; N-(5-substituted) thiophene-2- alkylsulfonamides; TDT-070; licofelone; PEP-03; tenoxicam; 2,6-di-tert- butylphenol hydrazones; methoxytetrahydropyrans such as Zeneca ZD-2138; the compound SB- 210661; pyridinyl-substituted 2-cyanonaphthalene compounds such as L-739-010; 2-cyanoquinoline compounds such as L-746- 530; indole and quinoline compounds such as MK-591, MK-886, and BAY x 1005.
A compound of Formula (I) of the present invention can be administered in combination with a receptor antagonists for leukotrienes LTB4, LTC4, LTD4,
and LTE, for example, phenothiazin-3-ones such as L-651 ,392; amidino compounds such as CGS-25019c; benzoxalamines such as ontezolast; benzenecarboximidamides such as BIIL 284/260; and compounds such as zafirlukast, ablukast, montelukast, praniukast, verlukast ( K-679), RG-12525, Ro-245913, iralukast (CGP 45715A), and BAY x 7195; masilukast.
A compound of Formula (I) of the present invention can also be administered in combination with a PDE4 inhibitor including inhibitors of the isoform PDE4D.
A compound of Formula (I) of the present invention can also be administered in combination with a antihistaminic Hi receptor antagonists including cetirizine, loratadine, desloratadine, fexofenadine, astemizole, azelastine, and chlorpheniramine.
A compound of Formula (I) of the present invention can further be administered in combination with with a gastroprotective H2 receptor antagonist.
A compound of Formula (I) of the present invention can yet further be administered in combination with an a1- and a2-adrenoceptor agonist vasoconstrictor sympathomimetic agent, including propylhexedrine, phenylephrine, phenylpropanolamine, pseudoephedrine, naphazoline hydrochloride, oxymetazoline hydrochloride, tetrahydrozoline hydrochloride, xylometazoline hydrochloride, and ethylnorepinephrine hydrochloride.
A compound of Formula (I) of the present invention can be administered in combination with anticholinergic agents including ipratropium bromide; tiotropium bromide; oxitropium bromide; pirenzepine; and telenzepine The present invention still further relates to the combination of a compound of the invention together with a to p4-adrenoceptor agonists including metaproterenol, isoproterenol, isoprenaline, albuterol, salbutamol, formoterol, salmeterol, terbutaline, orciprenaline, bitolterol mesylate, and pirbuterol; or
methylxanthanines including theophylline and aminophylline; sodium cromoglycate; or muscarinic receptor (M1 , M2, and M3) antagonist.
A compound of Formula (I) of the present invention can be administered in combination with an insulin-like growth factor type I (IGF-1) mimetic.
A compound of Formula (I) of the present invention can be administered in combination with an inhaled glucocorticoid with reduced systemic side effects, including, prednisone, prednisolone, flunisolide, triamcinolone acetonide, beclomethasone dipropionate, budesonide, fluticasone propionate, and mometasone furoate.
A compound of Formula (I) of the present invention can be administered in combination with (a) tryptase inhibitors; (b) platelet activating factor (PAF) antagonists; (c) interleukin converting enzyme (ICE) inhibitors; (d) IMPDH inhibitors; (e) adhesion molecule inhibitors including VLA-4 antagonists; (f) cathepsins; (g) MAP kinase inhibitors; (h) glucose-6 phosphate dehydrogenase inhibitors; (i) kinin-Bi- and B2-receptor antagonists; j) anti-gout agents, e.g., colchicine; (k) xanthine oxidase inhibitors, e.g., allopurinol; (I) uricosuric agents, e. g., probenecid, sulfinpyrazone, and benzbromarone; (m) growth hormone secretagogues; (n) transforming growth factor (TGF ); (o) platelet- derived growth factor (PDGF); (p) fibroblast growth factor, e.g., basic fibroblast growth factor (bFGF); (q) granulocyte macrophage colony stimulating factor (GM-CSF); (r) capsaicin cream; (s) Tachykinin Nf i and NK3 receptor antagonists such as NKP-608C; SB-233412 (talnetant); and D-4418; and (t) elastase inhibitors such as UT-77 and ZD-0892.
A compound of Formula (I) of the present invention can be administered in combination with an inhibitor of matrix metalloproteases (MMPs), i.e., the stromelysins, the collagenases, and the gelatinases, as well as aggrecanase; especially collagenase-1 (MMP-1), collagenase-2 (MMP-8), collagenase-3
(MMP-13), stromelysin-1 (MMP-3), stromelysin-2 (MMP-10), and stromelysin-3 (MMP-11).
A compound of Formula (I) of the present invention can be administered in combination with anticancer agents such as endostatin and angiostatin or cytotoxic drugs such as adriamycin, daunomycin, cis-platinum, etoposide, taxol, taxotere and farnesyl transferase inhibitors, VEGF inhibitors, COX-2 inhibitors and antimetabolites such as methotrexate antineoplastic agents, especially antimitotic drugs including the vinca alkaloids such as vinblastine and vincristine.
A compound of Formula (I) of the present invention can be administered in combination with antiviral agents such as Viracept, AZT, aciclovir and famciclovir, and antisepsis compounds such as Valant.
A compound of Formula (I) of the present invention can be administered in combination with cardiovascular agents such as calcium channel blockers, lipid lowering agents such as stating, fibrates, beta-blockers, ACE inhibitors, Angiotensin-2 receptor antagonists and platelet aggregation inhibitors.
A compound of Formula (I) of the present invention can be administered in combination with CNS agents such as antidepressants (such as sertraline), anti-Parkinsonian drugs (such as deprenyl, L-dopa, Requip, Mirapex, MAOB inhibitors such as selegine and rasagiline, comP inhibitors such as Tasmar, A- 2 inhibitors, dopamine reuptake inhibitors, NMDA antagonists, Nicotine agonists, Dopamine agonists and inhibitors of neuronal nitric oxide synthase), and anti-Alzheimer's drugs such as donepezil, tacrine, COX-2 inhibitors, propentofylline or metryfonate.
A compound of Formula (I) of the present invention can be administered in combination with osteoporosis agents such as roloxifene, droloxifene,
lasofoxifene or fosomax and immunosuppressant agents such as FK-506, rapamycin, cyclosporine, azathioprine, and methotrexate.
EXAMPLES
Example 1
Xlnt03a XYInt04a XY
Intermediate XY can be synthetise according to the following procedure. General procedure for preparation ofXIntOla:
To a solution of the indole or azaindol derivative X (for example, 4-chloro indole, 4-bromo indole, 4-chloro-7-azaindole, 4-bromo-7-azaindole) in tetraethylammonium bromide (TEA) and 4-(N,N-dimethylamino)pyridine (DMAP) in dichloromethane (DCM) at room temperature was added di-tert- butyldicarbonate ((Boc)20) and the resultant reaction mixture was stirred at room temperature. After 1 hour, the reaction mixture was diluted with water and extracted 3 times with DCM. The combined DCM layers were washed with 1 N HCI solution, dried over Na2S04, and concentrated under reduced pressure to afford XlntOla as a liquid.
General procedure for preparation ofXlnt02a:
To a solution of XIntOla in acetic anhydride (Ac20) at -78°C was added an ice-cold solution of fuming HNO3 in AC2O over a period of 15 minutes. The reaction mixture was slowly warmed to room temperature and stirred further. After 16 hours, it was diluted with ice water and extracted 3 times with ethyl acetate (EtOAc). The combined EtOAc layers were washed with brine, dried over Na2SO4 and concentrated under reduced pressure. Purification by flash chromatography (Si02, 100-200 mesh, 1% EtOAc in Petrolium ether) afforded Xlnt02a as a liquid.
General procedure for preparation ofXlnt03a:
To a solution of Xlnt02a in DCM was added trifluoroacetic acid (TFA) at 0°C and the resultant reaction mixture was slowly warmed to room temperature. After 2 hours, the reaction mixture was concentrated under reduced pressure to afford Xlnt03a.
General procedure for preparation of XYInt04a:
To the solution of Xlnt03a in dry DMF was added Cs2CO3 and stirred at room temperature for 10 minutes. An alkylating Y agent (for example, an alkyl halide or a substituted alkyl halide or an epoxide) or acylating agent (for example, phenylchloroformate followed by a primary or secondary amine) in DMF was added slowly at room temperature and stirred for 3 hours. Then the reaction mixture was poured into water and extracted with ethyl acetate. The organic layer was washed with water, brine and dried over sodium sulfate and concentrated to yield XYInt04a.
General procedure for preparation ofXY:
To a solution of XYInt04a in methanol (MeOH) were added indium, (Boc)2O and NH4CI. The reaction mixture was heated to reflux. After 30 minutes, it was filtered and the filtrate was concentrated under reduced pressure. The obtained residue was diluted with water and extracted 3 times with EtOAc. The
combined EtOAc layers were washed with brine, dried over Na2S04 and concentrated under reduced pressure. The resulting XY was purified by chromatography.
To the solution of an indole or azaindole derivative X (for example, 4-chloro indole, 4-bromo indole, 4-chloro-7-azaindole, 4-bromo-7-azaindole) in benzene, acetyl chloride in benzene was added slowly at 0°C. Then, SnCI4 dissolved in benzene was added slowly at 0°C. The reaction mixture was stirred for 1 hour at 10-15°C. The reaction mixture was quenched with ice-cold HCI (3N). Then the product was extracted with ethyl acetate. The organic layer was washed with brine and dried over anhydrous sodium sulfate to obtain the crude product. The crude product was triturated with n-Pentane to obtain XlntOlb.
General procedure for preparation of XYInt02b:
To the solution of XIntOl b in dry DMF was added Cs2C03 and stirred at room temperature for 10 minutes. An alkylating Y agent (for example, an alkyl halide, a substituted alkyl halide or an epoxide) or acylating agent (phenylchloroformate) in DMF was added slowly at room temperature and stirred for 3 hours. Then the reaction mixture was poured into water and extracted with ethyl acetate. The organic layer was washed with water, brine and dried over sodium sulfate and concentrated to yield XYInt02b.
General procedure for preparation ofXYlnt03b:
To a solution of XYInt02b in methanol were added hydroxylamine»HCI and pyridine at room temperature and stirred for 10 minutes. Then the mixture was heated to reflux and maintained for 4 hours. The reaction mixture was concentrated and the residue was diluted with water and extracted with ethyl acetate. The combined organic layer was washed with water, brine, dried over sodium sulfate and concentrated to obtain the crude product. This crude material was triturated with hexane to obtain the desired product XYInt03b as solids in quantitative yields.
General procedure for preparation ofXYInt04b:
XYlnt03b was placed in a 50mL single neck round bottom flask, to this trifluoroaceticacid was added at room temperature. This mixture was heated to reflux over a period of 2 hours. The solvent was removed. The residue was diluted with water and treated with saturated sodium bicarbonate solution to pH=7-8, then extracted with chloroform. The combined organic layer was washed with water, brine, dried over anhydrous sodium sulfate and concentrated to obtain XYInt04b which was then purified by column chromatography
General procedure for preparation ofXY:
A solution of XYInt04b in concentrated HCI was refluxed for 24 hours. The reaction mixture was distilled off azeotropically using benzene. The crude product was triturated with di-ethyl ether to yield XY.
Example 2
To the solution of sodium metal in ethanol at 0°C, diethyl malonate was added followed by Z alkyl bromide (for example, cycloheptyl bromide, cyclohexyl bromide, 4,4-difluocyclohexyl bromide). The reaction mixture was allowed to stir at room temperature overnight followed by reflux for 12 hours. Thin layer chromatography (TLC) was performed by diluting the reaction mixture with ethyl acetate. The mobile phase consisted of 10% ethyl acetate / hexane (Rf: 0.4). The reaction mixture was diluted with cold water and extracted with ethyl acetate. The solvent was removed in vacuo to give the desired product ZlntOL
General procedure for preparation ofZlnt02 :
A solution of Zlnt01 in tetrahydrofuran (THF) was added to lithium diisopropylamide (LDA) generated in situ at -78°C. The reaction mixture was stirred for 20 minutes and benzylchloromethylether was added at -78°C. The reaction mixture was stirred at room temperature overnight. TLC was performed by diluting the reaction mixture with ethyl acetate. The mobile phase consisted of 10% ethyl acetate/hexane (Rf: 0.4). The reaction mixture was quenched with saturated NH4CI solution at 0°C and extracted with ethyl acetate. The organic layer was dried over anhydrous sodium sulfate and concentrated in vacuo. The crude was purified by silica gel column chromatography to give the product Zlnt02
General procedure for preparation ofZlnt03:
To the solution of lithium aluminum hydride (LAH) in THF, Zlnt02 dissolved in THF was added drop wise over a period of 20 minutes. The reaction mixture was stirred at room temeperature for 3 hours. TLC was performed by diluting the reaction mixture with ethyl acetate. The mobile phase consisted of 35% ethyl acetate/hexane (Rf: 0.4). The reaction mixture was cooled to 0°C. Saturated sodium sulphate solution was added to quench the reaction and the resulting solution was filtered through celite, dried over anhydrous sodium sulfate and concentrated in vacuo to give Zlnt03.
General procedure for preparation of Zlnt04:
To the solution of Zlnt03 in pyridine, p-TsCI was added at room temperature. The reaction mixture was stirred for 4 hour. TLC was performed by diluting the reaction mixture with ethyl acetate. The mobile phase consisted of 30% ethyl acetate/hexane (Rf: 0.4). The reaction mixture was diluted with water and extracted with ethyl acetate. The organic layer was washed twice with water and dried over anhydrous sodium sulfate. The organic layer was then removed in vacuo. The product Zlnt04 was purified on silica gel. General procedure for preparation of Zlnt05 :
To NaH in THF was added a solution of Zlnt04 in THF at 0°C. The reaction mixture was heated to 70°C for 2 hours. TLC was performed by diluting the reaction mixture with water and extracted with ethyl acetate. The mobile phase consisted of 30% ethyl acetate/hexane (Rf: 0.4) quenched with methanol followed by the addition of cold water. The aqueous layer was extracted with ethyl acetate. The organic layer was washed with brine, dried and concentrated in vacuo to give Zlnt05.
General procedure for preparation ofZlnt06:
To the solution of Zlnt05 in methanol, palladium on carbon (Pd/C) was added and the reaction mixture was hydrogenated at 50 psi for 3 hours. TLC was performed by diluting the reaction mixture with ethyl acetate. The mobile phase consisted of 30% ethylacetate/hexane, (Rf: 0.2). The reaction mixture was filtered through celite and concentrated in vacuo to give the product Zlnt06.
General procedure for preparation ofZlnt07:
To the solution of Zlnt06 in dichloromethane at 0°C, Dess-Martin periodinane was added. The reaction mixture was stirred for 2 hours at 0°C. TLC was performed by diluting the reaction mixture with ethyl acetate The mobile phase consisted of 20% ethyl acetate/hexane (Rf: 0.7) filtered through celite and the filtrate was washed with sodium bicarbonate solution and dried over
anhydrous sodium sulfate. The organic layer was concentrated in vacuo to give the product Zlnt07.
General procedure for preparation ofZlnt08:
To the solution of Zlnt07 in acetonitrile, water (1.0 ml_), NaCI02 and NaH2PO were added followed by the addition of hydrogen peroxide. The reaction mixture was stirred for 2 hours at room temperature. TLC was performed by diluting the reaction mixture diluted with ethyl acetate. The mobile phase consisted of 45% ethyl acetate/hexane (Rf: 0.4). Acetonitrile was removed and the reaction mixture was diluted with water and extracted with ethyl acetate. The organic layer was dried over anhydrous sodium sulfate and concentrated in vacuo to give the desired product Zlnt08.
General procedure for preparation ofXYZ:
Compound XYZ can be prepared by using either oxalyl chloride, N-ethyl-N'-(3- dimethylaminopropyhcarbodiimide HCI (EDC*HCI) or O-(7-Azabenzotriazol-1- yl)-N,N,N',N'-tetramethyluronium hexafluorophosphate (HATU).
1) Oxalyl chloride method: To the solution of Zlnt08 in dichloromethane, oxalyl chloride and DMF were added at 0°C. The reaction mixture was stirred for 1 hour and dichloromethane was removed. A solution of intermediate XY (as disclosed in Example 1) in dichloromethane at -40°C and triethylamine were added and the reaction mixture was stirred for 1 hour at -40°C. TLC was performed by diluting the reaction mixture with ethyl acetate. The mobile phase consisted of 10% methanol/chloroform (Rf: 0.3) diluted with water and extracted with ethyl acetate. The organic layer was concentrated in vacuo and the crude material was purified by preparative high-performance liquid chromatography (prep HPLC) to give the desired product XYZ.
2) EDC'HCI method: To the solution of Zlnt08 in DMF, EDC'HCI, 1-hydroxy- benzotriazole (HOBt), intermediate XY (as disclosed in Example 1) and triethylamine were added and the reaction mixture was stirred for 4 hours at room temperature. TLC was performed by diluting the reaction mixture with
ethyl acetate. The mobile phase consisted of 40% ethyl acetate/hexane (Rf: 0.5). The mixture was diluted with ethyl acetate, washed with brine and dried over anhydrous sodium sulfate. The organic layer was removed and the crude material was purified by prep HPLC to give the desired product XYZ.
3) HATU method: To a solution of Zlnt08 in dry DMF was added HATU and Ν,Ν-Diisopropylethylamine (DIPEA) and stirred at room temperature for 5 minutes. Intermediate XY (as disclosed in Example 1) was added and the mixture was stirred at room temperature for 15 minutes, poured into water and extracted with ethyl acetate. The combined organic layer was washed with water and dried over anhydrous sodium sulfate and concentrated to yield XYZ.
Example 3
General Synthetic Procedure III
Int01 aq dioxane; RT
Zlnt02
To the solution of Oxetane-3-one in dichloromethane, triphenylcarbethoxymethyl phosphorane was added at 0°C ad the reaction mixture was stirred overnight at room temperature. TLC was performed by diluting the reaction mixture diluted with ethyl acetate. The mobile phase consisted of 10% ethyl acetate/hexane (Rf: 0.5). Dichloromethane was removed in vacuo and the crude compound was purified by silica gel column chromatography to yield Int01. General procedure for preparation ofZlnt02:
To a solution of Int01 and a Z boronic acid pinacol ester (for example, cycloheptenyl boronic acid pinacol ester, cyclohexenyl boronic acid pinacol ester, 4,4-diflurocyclohexenyl boronic acid pinacol ester) in 1 ,4-dioxane was added a mixture of di-p-chlorobis(n4-cycloocta-1 ,5-diene)dirhodium(l) ([Rh(cod)CI]2) and aqueous KOH in 1,4-dioxane and was stirred at room temperature for 4 hour. TLC was performed by diluting the reaction mixture with ethyl acetate. The mobile phase consisted of 15% ethylacetate/hexane (Rf: 0.5). The reaction was quenched with brine solution and extracted with ethyl acetate. The combined organic layer was dried over anhydrous sodium sulfate and concentrated in vacuo. The crude was purified by silica gel column chromatography to yield Zlnt02 as liquids.
General procedure for preparation ofllnt03 :
To the solution of Zlnt02 (where Z is for example, cycloheptenyl, cyclohexenyl, or 4,4-difluorocyclohexenyl) in methanol was added 10% Pd/C. The reaction mixture was hydrogenated at 50 psi for 3 hours at room temeprature. TLC was performed by diluting the reaction mixture with ethyl acetate. The mobile phase consisted of 15% ethyl acetate/hexane (Rf. 0.5). The reaction mixture was filtered through celite and concentrated under reduced pressure to give Zlnt03 where Z is now for example, cycloheptyl, cyclohexyl or 4,4- difluorocyclohexyl.
General procedure for preparation of Zlnt04:
To a solution of Zlnt03 in methanol/water 7:3, sodium hydroxide was added. The reaction mixture was stirred at room temperature overnight. TLC was performed by diluting the reaction mixture with water and acidified with HCI (2N) and extracted with ethyl acetate. The mobile phase consisted of 30% ethyl acetate/hexane (Rf: 0.1). Methanol was removed on rotary evaporator. The solution obtained was diluted with water and the pH of the solution was adjusted to 2 with HCI. The product was extracted with ethyl acetate and the combined organic layer was dried over sodium sulfate and concentrated to yield the desired product Zlnt04 as a solid.
General procedure for preparation ofXYZ:
Compound XYZ can be prepared by using either oxalyl chloride, N-ethyl-N'-(3- dimethylaminopropyl)carbodiimide HCI (EDC'HCI) or 0-(7-Azabenzotriazol-1 - yl)-N,N,N',N'-tetramethyluronium hexafluorophosphate (HATU).
1) Oxalyl chloride method: To the solution of Zlnt04 in dichloromethane, oxalyl chloride and DMF were added at 0°C. The reaction mixture was stirred for 1 hour and dichloromethane was removed. A solution of intermediate XY (as disclosed in Example 1) in dichloromethane at -40°C and triethylamine were added and the reaction mixture was stirred for 1 hour at -40°C. TLC was performed by diluting the reaction mixture with ethyl acetate. The mobile phase consisted of 10% methanol/ch!oroform (Rf: 0.3) diluted with water and extracted with ethyl acetate. The organic layer was concentrated in vacuo and the crude material was purified by preparative high-performance liquid chromatography (prep HPLC) to give the desired product XYZ.
2) EDC'HCI method: To the solution of Zlnt04 in DMF, EDC»HCI, -hydroxy- benzotriazole (HOBt), intermediate XY (as disclosed in Example 1) and triethylamine were added and the reaction mixture was stirred for 4 hours at room temperature. TLC was performed by diluting the reaction mixture with ethyl acetate. The mobile phase consisted of 40% ethyl acetate/hexane (Rf:
0.5). The mixture was diluted with ethyl acetate, washed with brine and dried over anhydrous sodium sulfate. The organic layer was removed and the crude material was purified by prep HPLC to give the desired product XY2. 3) HATU method: To a solution of Zlnt04 in dry DMF was added HATU and DIPEA and stirred at room temperature for 5 minutes. Intermediate XY (as disclosed in Example 1) was added and the mixture was stirred at room temperature for 15 minutes, poured into water and extracted with ethyl acetate. The combined organic layer was washed with water and dried over anhydrous sodium sulfate and concentrated to yield XYZ.
Example 4
N-(4-chloro-1-(2-hydroxyethyl)-1H-indol-3-yl)-3-cycloheptyloxetane-3- carboxamide
Synthesised according to the procedure disclosed in Example 2 where X is 4- chloro indole, Z is cycloheptyl bromide. Formula: C21H27CIN2O3; Molecular Weight: 390,9; Mass/charge ratio: 390,2 (100,0%), 392,2 (35,3%), 391,2 (23,9%), 393,2 (8,0%), 394,2 (1 ,1%); Elemental analysis: C, 64.52; H, 6.96; CI, 9.07; N, 7.17; O, 12.28.
Example 5
N-(4-bromo-1-(2-hydroxyethyl)-1H-indo!-3-yl)-3-cycloheptyloxetane-3- carboxamide
Synthesised according to the procedure disclosed in Example 2 where X is 4- bromo indole, Z is cycloheptyl bromide. Formula: C2iH27BrN203; Molecular Weight: 435,4; Mass/charge ratio: 436,1 (100,0%), 434,1 (99,4%), 435,1 (23,7%), 437,1 (23,4%), 438,1 (3,3%); Elemental analysis: C, 57.94; H, 6.25; Br, 18.35; N, 6.43; O, 11.03.
Example 6
N-(4-chloro-1-(2-hydroxyethyl)-1H-indol-3-yl)-3-cyclohexyloxetane-3- carboxamide
Synthesised according to the procedure disclosed in Example 2 where X is 4- chloro indole, Z is cyclohexyl bromide. Formula: C20H25CIN2O3; Molecular Weight: 376,9; Mass/charge ratio: 376,2 (100,0%), 378,2 (35, 1%), 377,2
(22,8%), 379,2 (7,4%), 380,2 (1,0%); Elemental analysis: C, 63.74; H, 6.69; CI, 9.41; N, 7.43; 0, 12.74.
Example 7
N-(4-bromo-1-(2-hydroxyethyl)-1H-indol-3-yl)-3-cyclohexyloxetane-3- carboxamide
Synthesised according to the procedure disclosed in Example 2 where X is 4- bromo indole, Z is cyclohexyl bromide. Formula: C2oH25BrN2O3; Molecular Weight: 421,3; Mass/charge ratio: 422,1 (100,0%), 420,1 (99,6%), 421 ,1 (22,7%), 423,1 (22,4%), 424,1 (3,0%); Elemental analysis: C, 57.01 ; H, 5.98; Br, 18.96; N, 6.65; O, 11.39.
Example 8
N-(4-chloro-1-(2-hydroxypropyl)-1H-indol-3-yl)-3-cycloheptyloxetane-3- carboxamide
Synthesised according to the procedure disclosed in Example 2 where X is 4- chloro indole, Z is cycloheptyl bromide. Formula: C22H29CIN2O3; Molecular Weight: 404,9; Mass/charge ratio: 404,2 (100,0%), 406,2 (35,6%), 405,2 (25,0%), 407,2 (8,4%), 408,2 (1,2%); Elemental analysis: C, 65.25; H, 7.22; CI, 8.76; N, 6.92; O, 11.85.
Example 9
N-(4-bromo-1-(2-hydroxypropyl)-1H-indol-3-yl)-3-cycloheptyloxetane-3- carboxamide
Synthesised according to the procedure disclosed in Example 2 where X is 4- bromo indole, Z is cycloheptyl bromide. Formula: C22H29BrN203; Molecular Weight: 449,4; Mass/charge ratio: 450,1 (100,0%), 448,1 (99,1%), 449,1 (24,8%), 451 ,1 (24,5%), 452,1 (3,5%); Elemental analysis: C, 58.80; H, 6.50; Br, 17.78; N, 6.23; O, 10.68.
Example 10
N-(4-chloro-1-(2-hydroxyethyl)-1H-indol-3-yl)-2-(3-cyclohexyloxetan-3- yl)acetamide
Synthesised according to the procedure disclosed in Example 3 where X is 4- chloro indole, Z is cyclohexenyl boronic acid pinacol ester. Formula: C21H27CIN2O3; Molecular Weight: 390,9; Mass/charge ratio: 390,2 (100,0%), 392,2 (35,3%), 391,2 (23,9%), 393,2 (8,0%), 394,2 (1,1%); Elemental analysis: C, 64.52; H, 6.96; CI, 9.07; N, 7.17; O, 12.28.
Example 11
N-(4-bromo-1-(2-hydroxyethyl)-1H-indol-3-yl)-2-(3-cyclohexyloxetan-3- yl)acetamide
Synthesised according to the procedure disclosed in Example 3 where X is 4- bromo indole, Z is cyclohexenyl boronic acid pinacol ester. Formula: C2iH27BrN203; Molecular Weight: 435,4; Mass/charge ratio: 436,1 (100,0%), 434,1 (99,4%), 435,1 (23,7%), 437,1 (23,4%), 438,1 (3,3%); Elemental analysis: C, 57.94; H, 6.25; Br, 18.35; N, 6.43; O, 11.03.
Example 12
N-(4-chloro-1-(2-hydroxyethyl)-1H-indo)-3-yl)-2-(3-cycloheptyloxetan-3- yl)acetamide
Synthesised according to the procedure disclosed in Example 3 where X is 4- chloro indole, Z is cycloheptenyl boronic acid pinacol ester. Formula: C22H29CIN2O3; Molecular Weight: 404,9; Mass/charge ratio: 404,2 (100,0%), 406,2 (35,6%), 405,2 (25,0%), 407,2 (8,4%), 408,2 (1 ,2%); Elemental analysis: C, 65.25; H, 7.22; CI, 8.76; N, 6.92; O, 11.85.
Example 13
N-(4-bromo-1-(2-hydroxyethyl)-1H-indol-3-yl)-2-(3-cycloheptyloxetan-3- yl)acetamide
Synthesised according to the procedure disclosed in Example 3 where X is 4- bromo indole, Z is cycloheptenyl boronic acid pinacol ester. Formula: C22H29BrN2O3; Molecular Weight: 449,4; Mass/charge ratio: 450,1 (100,0%), 448,1 (99,1%), 449,1 (24,8%), 451,1 (24,5%), 452,1 (3,5%); Elemental analysis: C, 58.80; H, 6.50; Br, 17.78; N, 6.23; O, 10.68.
Example 14
N-(4-chloro-1-(2-hydroxyethyl)-1H-pyrrolo[2,3-b]pyridin-3-yl)-3- cyclohexyloxetane-3-carboxamide
Synthesised according to the procedure disclosed in Example 2 where X is 4- chloro azaindole, Z is cyclohexyl bromide. Formula: C19H24CIN303; Molecular Weight: 377,9; Mass/charge ratio: 377,2 (100,0%), 379,1 (32,0%), 378,2 (20,9%), 380,2 (7,0%), 379,2 (2,9%), 378,1 (1 ,1%); Elemental analysis: C, 60.39; H, 6.40; CI, 9.38; N, 11.12; O, 12.70.
Example 15
N-(4-bromo-1-(2-hydroxyethyl)-1H-pyrrolo[2,3-b]pyr'idin-3-yl)-3- cyclohexyloxetane-3-carboxamide
Synthesised according to the procedure disclosed in Example 2 where X is 4- bromo azaindole, Z is cyclohexyl bromide. Formula: C19H24BrN303; Molecular Weight: 422,3; Mass/charge ratio: 423,1 (100,0%), 421,1 (99,8%), 422,1 (22,0%), 424,1 (21 ,7%), 425,1 (2,9%); Elemental analysis: C, 54.04; H, 5.73; Br, 18.92; N, 9.95; O, 11.37.
Example 16
N-(4-chloro-1-(2-hydroxyethyl)-1H-pyrrolo[2,3-b]pyridin-3-yl)-3- cycloheptyloxetane-3-carboxamide
Synthesised according to the procedure disclosed in Example 2 where X is 4- chloro azaindole, Z is cycloheptyl bromide. Formula: C20H26CIN3O3; Molecular Weight: 391 ,9; Mass/charge ratio: 391,2 (100,0%), 393,2 (35,1%), 392,2 (23,2%), 394,2 (7,7%), 395,2 (1,0%); Elemental analysis: C, 61.30; H, 6.69; CI, 9.05; N, 10.72; O, 12.25.
Example 17
N-(4-bromo-1-(2-hydroxyethyl)-1H-pyrrolo[2,3-b]pyridin-3-yl)-3- cycloheptyloxetane-3-carboxamide
Synthesised according to the procedure disclosed in Example 2 where X is 4- bromo azaindole, Z is cycloheptyl bromide. Formula: C2oH26BrN303; Molecular Weight: 436,3; Mass/charge ratio: 437,1 (100,0%), 435,1 (99,5%), 436,1 (23,0%), 438,1 (22,7%), 439,1 (3,1%); Elemental analysis: C, 55.05; H, 6.01 ; Br, 18.31 ; N, 9.63; O, 11.00.
Example 18
N-(4-chloro-1-(2-hydroxypropyl)-1H-pyrrolo[2,3-b]pyrid
cycloheptyloxetane-3-carboxamide
Synthesised according to the procedure disclosed in Example 2 where X is 4- chloro azaindole, Z is cycloheptyl bromide. Formula: C21H28CIN3O3; Molecular Weight: 405,9; Mass/charge ratio: 405,2 (100,0%), 407,2 (35,4%), 406,2
(24,3%), 408,2 (8,1 %), 409,2 (1 ,1 %); Elemental analysis: C, 62.14; H, 6.95; CI, 8.73; N, 10.35; O, 1 1.82.
Example 19
N-(4-bromo-1-(2-hydroxypropyl)-1 H-pyrrolo[2,3-b]pyridin-3-yl)-3-
Synthesised according to the procedure disclosed in Example 2 where X is 4- bromo azaindole, Z is cycloheptenyl bromide. Formula: C2iH28BrN3O3; Molecular Weight: 450,4; Mass/charge ratio: 451 ,1 (100,0%), 449,1 (99,3%), 450,1 (24,1 %), 452,1 (23,8%), 453,1 (3,3%); Elemental analysis: C, 56.00; H, 6.27; Br, 17.74; N, 9.33; O, 10.66.
Example 20
N-(4-chloro-1-(2-hydroxyethyl)-1 H-pyrrolo[2,3-b]pyridin-3-yl)-2-(3- cyclohexyloxetan-3-yl)acetamide
Synthesised according to the procedure disclosed in Example 3 where X is 4- chloro azaindole, Z is cyclohexenyl boronic acid pinacol ester. Formula: C-20H26CIN3O3; Molecular Weight: 391,9; Mass/charge ratio: 391,2 (100,0%), 393,2 (35,1%), 392,2 (23,2%), 394,2 (7,7%), 395,2 (1,0%); Elemental analysis: C, 61.30; H, 6.69; CI, 9.05; N, 10.72; O, 12.25.
Example 21
N-(4-bromo-1-(2-hydroxyethyl)-1H-pyrrolo[2,3-b]pyridin-3-yl)-2-(3- cyclohexyloxetan-3-yl)acetamide
Synthesised according to the procedure disclosed in Example 3 where X is 4- bromo azaindole, Z is cyclohexenyl boronic acid pinacol ester. Formula: C2oH26BrN303; Molecular Weight: 436,3; Mass/charge ratio: 437,1 (100,0%), 435,1 (99,5%), 436,1 (23,0%), 438,1 (22,7%), 439,1 (3,1%); Elemental analysis: C, 55.05; H, 6.01; Br, 18.31 ; N, 9.63; O, 11.00.
Example 22
N-(4-chloro-1-(2-hydroxypropyl)-1H-indol-3-yl)-3-cyclohexyloxetane-3- carboxamide
Synthesised according to the procedure disclosed in Example 3 where X is 4- chloro indole, Z is cyclohexyl bromide. Formula: C21H27CIN2O3; Molecular Weight: 390,9; Mass/charge ratio: 390,2 (100,0%), 392,2 (35,3%), 391,2 (23,9%), 393,2 (8,0%), 394,2 (1 ,1%); Elemental analysis: C, 64.52; H, 6.96; CI, 9.07; N, 7.17; O, 12.28.
Example 23
N-(4-bromo-1-(2-hydroxypropyl)-1H-indol-3-yl)-3-cyclohexyloxetane-3- carboxamide
Synthesised according to the procedure disclosed in Example 3 where X is 4- bromo indole, Z is cyclohexyl bromide. Formula: C2i H27BrN203; Molecular Weight: 435,4; Mass/charge ratio: 436,1 (100,0%), 434,1 (99,4%), 435,1 (23,7%), 437,1 (23,4%), 438,1 (3,3%); Elemental analysis: C, 57.94; H, 6.25; Br, 18.35; N, 6.43; O, 11.03.
Example 24
N-(4-chloro-1-(2-hydroxypropyl)-1H-indol-3-yl)-2-(3-cyclohexyloxetan-3- yl)acetamide
Synthesised according to the procedure disclosed in Example 3 where X is 4- chloro indole, Z is cyclohexenyl boronic acid pinacol ester. Formula: C22H29CIN2O3; Molecular Weight: 404,9; Mass/charge ratio: 404,2 (100,0%), 406,2 (35,6%), 405,2 (25,0%), 407,2 (8,4%), 408,2 (1,2%); Elemental analysis: C, 65.25; H, 7.22; CI, 8.76; N, 6.92; O, 11.85.
Example 25
N-(4-bromo-1-(2-hydroxypropyl)-1H-lndol-3-yl)-2-(3-cyclohexyloxetan-3- yl)acetamide
Synthesised according to the procedure disclosed in Example 3 where X is 4- bromo indole, Z is cyclohexenyl boronic acid pinacol ester. Formula: C22H29BrN203; Molecular Weight: 449,4; Mass/charge ratio: 450,1 (100,0%), 448,1 (99,1%), 449,1 (24,8%), 451 ,1 (24,5%), 452,1 (3,5%); Elemental analysis: C, 58.80; H, 6.50; Br, 17.78; N, 6.23; O, 10.68.
Example 26
N-(4-chloro-1-(2-hydroxypropyl)-1H-indol-3-yl)-2-(3-cycloheptyloxetan-3- yl)acetamide
Synthesised according to the procedure disclosed in Example 3 where X is 4- chloro indole, Z is cycloheptenyl ' boronic acid pinacol ester. Formula: C23H31CIN2O3; Molecular Weight: 419; Mass/charge ratio: 418,2 (100,0%), 420,2 (35,8%), 419,2 (26,1%), 421 ,2 (8,8%), 422,2 (1 ,3%); Elemental analysis: C, 65.94; H, 7.46; CI, 8.46; N, 6.69; O, 11.46.
Example 27
N-(4-bromo-1-(2-hydroxypropyl)-1H-indol-3-yl)-2-(3-cycloheptyloxetan-3- yl)acetamide
Synthesised according to the procedure disclosed in Example 3 where X is 4- bromo indole, Z is cycloheptenyl boronic acid pinacol ester. Formula: C23H3iBrN203; Molecular Weight: 463,4; Mass/charge ratio: 462,2 (100,0%), 464,1 (97,3%), 463,2 (25,3%), 465,2 (25,1%), 464,2 (3,9%), 466,2 (3,8%); Elemental analysis: C, 59.61 ; H, 6.74; Br, 17.24; N, 6.05; O, 10.36.
Example 28
N-(4-chloro-1-(1,3-dihydroxypropan-2-yl)-1H-indol-3-yl)-3- cyclohexyloxetane-3-carboxamide
Synthesised according to the procedure disclosed in Example 2 where X is 4- chloro indole, Z is cyclohexyl bromide. Formula: C2iH27CIN2O ; Molecular Weight: 406,9; Mass/charge ratio: 406,2 (100,0%), 408,2 (35,5%), 407,2 (23,9%), 409,2 (8,0%), 410,2 (1 ,2%); Elemental analysis: C, 61.99; H, 6.69; CI, 8.71 ; N, 6.88; O, 15.73.
Example 29
N-(4-bromo-1 -(1 ,3-dihydroxypropan-2-yl)-1 H-indol-3-yl)-3- cyclohexyloxetane-3-carboxamide
Synthesised according to the procedure disclosed in Example 2 where X is 4- bromo indole, Z is cyclohexyl bromide. Formula: C2iH27BrN204; Molecular Weight: 451 ,4; Mass/charge ratio: 452,1 (100,0%), 450,1 (99,2%), 451 ,1 (23,7%), 453,1 (23,5%), 454,1 (3,5%); Elemental analysis: C, 55.88; H, 6.03; Br, 17.70; N, 6.21 ; O, 14.18.
Example 30
N-(4-chloro-1 -(1 ,3-dihydroxypropan-2-yl)-1 H-indol-3-yl)-3- cycloheptyloxetane-3-carboxamide
Synthesised according to the procedure disclosed in Example 2 where X is 4- chloro indole, Z is cycloheptyl bromide. Formula: C22H29CIN204; Molecular Weight: 420,9; Mass/charge ratio: 420,2 (100,0%), 422,2 (35,8%), 421,2
(25,0%), 423,2 (8,4%), 424,2 (1,3%); Elemental analysis: C, 62.77; H, 6.94; CI, 8.42; N, 6.66; O, 15.20.
Example 31
N-(4-bromo-1 -(1 ,3-dihydroxypropan-2-yl)-1 H-indol-3-yl)-3- cycloheptyloxetane-3-carboxamide
Synthesised according to the procedure disclosed in Example 2 where X is 4- bromo indole, Z is cycloheptyl bromide. Formula: C22H29BrN204; Molecular Weight: 465,4; Mass/charge ratio: 466,1 (100,0%), 464,1 (98,9%), 465,1 (24,7%), 467,1 (24,5%), 468,1 (3,7%); Elemental analysis: C, 56.78; H, 6.28; Br, 17.17; N, 6.02; O, 13.75.
Example 32
N-(4-chloro-1-(1,3-dihydroxypropan-2-yl)-1H-indol-3-yl)-2-(3- cyclohexyloxetan-3-yl)acetamide
Synthesised according to the procedure disclosed in Example 3 where X is 4- chloro indole, Z is cyclohexenyl boronic acid pinacol ester. Formula: C22H29CIN2O4; Molecular Weight: 420,9; Mass/charge ratio: 420,2 (100,0%), 422,2 (35,8%), 421 ,2 (25,0%), 423,2 (8,4%), 424,2 (1,3%); Elemental analysis: C, 62.77; H, 6.94; CI, 8.42; N, 6.66; O, 15.20.
Example 33
N-(4-bromo-1 -(1 ,3-dihydroxypropan-2-yl)-1 H-indol-3-yl)-2-(3- cyclo exyloxetan-3-y!)acetamide
Synthesised according to the procedure disclosed in Example 3 where X is 4- bromo indole, Z is cyclohexenyl boronic acid pinacol ester. Formula: C22H29BrN204; Molecular Weight: 465,4; Mass/charge ratio: 466,1 (100,0%), 464,1 (98,9%), 465,1 (24,7%), 467,1 (24,5%), 468,1 (3,7%); Elemental analysis: C, 56.78; H, 6.28; Br, 17.17; N, 6.02; O, 13.75.
Example 34
N-(4-chloro-1 -(1 ,3-dihydroxypropan-2-yl)-1 H-indol-3-yl)-2-(3- cycloheptyloxetan-3-yl)acetamide
Synthesised according to the procedure disclosed in Example 3 where X is 4- chloro indole, Z is cycloheptenyl boronic acid pinacol ester. Formula: C23H31CIN2O4; Molecular Weight: 435; Mass/charge ratio: 434,2 (100,0%), 436,2 (36,1 %), 435,2 (26,1%), 437,2 (8,8%), 438,2 (1 ,4%); Elemental analysis: C, 63.51 ; H, 7.18; CI, 8.15; N, 6.44; O, 14.71.
Example 35
N-(4-bromo-1-(1 ,3-dihydroxypropan-2-yl)-1 H-indol-3-yl)-2-(3- cetamide
Synthesised according to the procedure disclosed in Example 3 where X is 4- bromo indole, Z is cycloheptenyl boronic acid pinacol ester. Formula: C23H31BrN204; Molecular Weight: 479,4; Mass/charge ratio: 478,1 (100,0%), 480,1 (97,5%), 479,2 (25,4%), 481 ,1 (25,1%), 480,2 (3,9%), 482,2 (3,0%); Elemental analysis: C, 57.62; H, 6.52; Br, 16.67; N, 5.84; O, 13.35.
Example 36
N-(4-chloro-1-methyl-1H-indol-3-yl)-3-cyclohexyIoxetane-3-carboxamide
Synthesised according to the procedure disclosed in Example 2 where X is 4- chloro indole, Z is cyclohexyl bromide. Formula: C19H23CIN2O2; Molecular Weight: 346,9; Mass/charge ratio: 346,1 (100,0%), 348,1 (32,5%), 347,1 (21 ,4%), 349,1 (6,9%), 348,2 (2,1%); Elemental analysis: C, 65.79; H, 6.68; CI, 10.22; N, 8.08; O, 9.23.
Example 37
N-(4-bromo-1-methyl-1H-indol-3-yl)-3-cyclohexyloxetane-3-carboxamlde
Synthesised according to the procedure disclosed in Example 2 where X is 4- bromo indole, Z is cyclohexyl bromide. Formula: C19H23BrN2O2; Molecular Weight: 391 ,3; Mass/charge ratio: 390,1 (100,0%), 392,1 (99,9%), 391 ,1 (21 ,6%), 393,1 (21 ,3%), 394,1 (2,6%); Elemental analysis: C, 58.32; H, 5.92; Br, 20.42; N, 7.16; O, 8.18.
Example 38
N-(4-chloro-1-methyI-1H-indol-3-yl)-3-cycloheptyloxetane-3-carboxamide
Synthesised according to the procedure disclosed in Example 2 where X is 4- chloro indole, Z is cycloheptyl bromide. Formula: C20H25CIN2O2; Molecular Weight: 360,9; Mass/charge ratio: 360,2 (100,0%), 362,2 (34,8%), 361 ,2 (22,7%), 363,2 (7,5%); Elemental analysis: C, 66.56; H, 6.98; CI, 9.82; N, 7.76; O, 8.87.
Example 39
N-(4-bromo-1-methyl-1H-indol-3-yl)-3-cycloheptyloxetane-3-carboxamide
Synthesised according to the procedure disclosed in Example 2 where X is 4- bromo indole, Z is cycloheptyl bromide. Formula: C2oH25BrN202; Molecular Weight: 405,3; Mass/charge ratio: 406,1 (100,0%), 404,1 (99,8%), 405,1 (22,7%), 407,1 (22,3%), 408,1 (2,8%); Elemental analysis: C, 59.26; H, 6.22; Br, 19.71 ; N, 6.91; O, 7.89.
Example 40
N-(4-chloro-1 -methyl-1H-i clohexyloxetan-3-yl)acetamide
Synthesised according to the procedure disclosed in Example 3 where X is 4- chloro indole, Z is cyclohexenyl boronic acid pinacol ester. Formula: C20H25CIN2O2; Molecular Weight: 360,9; Mass/charge ratio: 360,2 (100,0%), 362,2 (34,8%), 361 ,2 (22,7%), 363,2 (7,5%); Elemental analysis: C, 66.56; H, 6.98; CI, 9.82; N, 7.76; O, 8.87.
Example 41
N-(4-bromo-1-methyl-1H-indol-3-yl)-2-(3-cyclohexyloxetan-3-yl)acetamide
Synthesised according to the procedure disclosed in Example 3 where X is 4- bromo indole, Z is cyclohexenyl boronic acid pinacol ester. Formula: C2oH25BrN2O2; Molecular Weight: 405,3; Mass/charge ratio: 406,1 (100,0%),
404,1 (99,8%), 405,1 (22,7%), 407,1 (22,3%), 408,1 (2,8%); Elemental analysis: C, 59.26; H, 6.22; Br, 19.71; N, 6.91 ; O, 7.89.
Example 42
N-(4-chloro-1 -(2-hydroxyethyl)-1 H-indol-3-yl)-3-(4,4-
Synthesised according to the procedure disclosed in Example 2 where X is 4- chloro indole, Z is 4,4-difluorocyclohexyl bromide. Formula: C20H23CIF2N2O3; Molecular Weight: 412,9; Mass/charge ratio: 412,1 (100,0%), 414,1 (35,0%), 413,1 (22,7%), 415,1 (7,6%), 416,1 (1 ,0%); Elemental analysis: C, 58.18; H, 5.62; CI, 8.59; F, 9.20; N, 6.79; O, 11.63.
Example 43
N-(4-bromo-1 -(2-hydroxyethyl)-1 H-indol-3-yl)-3-(4,4- difluorocyclohexyl)oxetane-3-carboxamide
Synthesised according to the procedure disclosed in Example 2 where X is 4- bromo indole, Z is 4,4-difluorocyclohexyl bromide. Formula: C2oH23BrF2N203; Molecular Weight: 457,3; Mass/charge ratio: 458,1 (100,0%), 456,1 (99,6%), 457,1 (22,7%), 459,1 (22,4%), 460,1 (3,0%); Elemental analysis: C, 52.53; H, 5.07; Br, 17.47; F, 8.31 ; N, 6.13; O, 10.50.
Example 44
N-(4-chloro-1 -(2-hydroxyethy H-indol-3-y l)-2-(3-(4,4- difluorocyclohexyl)oxetan-3-yl)acetamide
Synthesised according to the procedure disclosed in Example 3 where X is 4- chloro indole, Z is 4,4-difluorocyclohexenyl boronic acid pinacol ester.
Formula: C21 H25CIF2N2O3; Molecular Weight: 426,9; Mass/charge ratio: 426,2 (100,0%), 428,1 (32,0%), 427,2 (23,1%), 429,2 (7,7%), 428,2 (3,3%), 430,2 (1,0%); Elemental analysis: C, 59.08; H, 5.90; CI, 8.31 ; F, 8.90; N, 6.56; O, 11.24.
Example 45
N-(4-bromo-1 -(2-hydroxyethyl)-1 H-indol-3-yl)-2-(3-(4,4-
Synthesised according to the procedure disclosed in Example 3 where X is 4- bromo indole, Z is 4,4-difluorocyclohexenyl boronic acid pinacol ester. Formula: C2iH25BrF2N203; Molecular Weight: 471,3; Mass/charge ratio: 472,1 (100,0%), 470,1 (99,4%), 471,1 (23,7%), 473,1 (23,4%), 474,1 (3,3%); Elemental analysis: C, 53.51 ; H, 5.35; Br, 16.95; F, 8.06; N, 5.94; O, 10.18.
Example 46
4-chloro-3-(3-cyclohexyloxetane-3-carboxamido)-N,N-dimethyl-1H-indole- 1-carboxamide
Synthesised according to the procedure disclosed in Example 2 where X is 4- chloro indole, Z is cyclohexyl bromide. Formula: C21H26CIN3O3; Molecular Weight: 403,9; Mass/charge ratio: 403,2 (100,0%), 405,2 (35,4%), 404,2 (24,2%), 406,2 (8,1%), 407,2 (1 ,1%); Elemental analysis: C, 62.45; H, 6.49; CI, 8.78; N, 10.40; O, 11.88.
Example 47
4-bromo-3-(3-cyclohexyloxetane-3-carboxamido)-N,N-dimethyl-1H-indole- 1-carboxamide
Synthesised according to the procedure disclosed in Example 2 where X is 4- bromo indole, Z is cyclohexyl bromide. Formula: C2iH26BrN3O3; Molecular Weight: 448,4; Mass/charge ratio: 449,1 (100,0%), 447,1 (99,3%), 448,1 (24,1%), 450,1 (23,8%), 451 ,1 (3,3%); Elemental analysis: C, 56.26; H, 5.85; Br, 17.82; N, 9.37; O, 10.71.
Example 48
4-chloro-3-(3-cycloheptyloxetane-3-carboxamido)-N,N-dimethyl-1H- indole-1 -carboxamide)
Synthesised according to the procedure disclosed in Example 2 where X is 4- chloro indole, Z is cycloheptyl bromide. Formula: C22H28CIN3O3; Molecular Weight: 417,9; Mass/charge ratio: 417,2 (100,0%), 419,2 (35,7%), 418,2 (25,3%), 420,2 (8,5%), 421 ,2 (1 ,2%); Elemental analysis: C, 63.22; H, 6.75; CI, 8.48; N, 10.05; O, 11.48.
Example 49
4-bromo-3-(3-cycloheptyloxetane-3-carboxamido)-N,N-dimethyl-1H- indole-1 -carboxamide
Synthesised according to the procedure disclosed in Example 2 where X is 4- bromo indole, Z is cycloheptyl bromide. Formula: C22H28BrN303; Molecular Weight: 462,4; Mass/charge ratio: 463,1 (100,0%), 461 ,1 (99,0%), 462,1
(25,1%), 464,1 (24,8%), 465,1 (3,6%); Elemental analysis: C, 57.15; H, 6.10; Br, 17.28; N, 9.09; O, 10.38.
Example 50
4-chloro-3-(2-(3-cyclohexyloxetan-3-yl)acetamido)-N,N-dimethyl-1H- indole-1 -carboxamide
Synthesised according to the procedure disclosed in Example 3 where X is 4- chloro indole, Z is cyclohexenyl boronic acid pinacol ester. Formula: C22H28CIN3O3; Molecular Weight: 417,9; Mass/charge ratio: 417,2 (100,0%), 419,2 (35,7%), 418,2 (25,3%), 420,2 (8,5%), 421 ,2 (1 ,2%); Elemental analysis: C, 63.22; H, 6.75; CI, 8.48; N, 10.05; O, 11.48.
Example 51
4-bromo-3-(2-(3-cyclohexyloxetan-3-yl)acetamido)-N,N-dimethyl-1H- indole-1 -carboxamide
Synthesised according to the procedure disclosed in Example 3 where X is 4- bromo indole, Z is cyclohexenyl boronic acid pinacol ester. Formula: C22H28BrN303; Molecular Weight: 462,4; Mass/charge ratio: 463,1 (100,0%), 461 ,1 (99,0%), 462,1 (25,1%), 464,1 (24,8%), 465,1 (3,6%); Elemental analysis: C, 57.15; H, 6.10; Br, 17.28; N, 9.09; O, 10.38.
Example 52
4-chloro-3-(2-(3-cycloheptyloxetan-3-yl)acetamido)-N,N-dimethyl-1H- indole-1-carboxamide
Synthesised according to the procedure disclosed in Example 3 where X is 4- chloro indole, Z is cycloheptenyl boronic acid pinacol ester. Formula: C23H30CIN3O3; Molecular Weight: 432; Mass/charge ratio: 431 ,2 (100,0%), 433,2 (35,9%), 432,2 (26,4%), 434,2 (8,9%), 435,2 (1,3%); Elemental analysis: C, 63.95; H, 7.00; CI, 8.21 ; N, 9.73; O, 11.11.
Example 53
4-bromo-3-(2-(3-cycloheptyloxetan-3-yl)acetamido)-N,N-dimethyl-1H- indole-1-carboxamide
Synthesised according to the procedure disclosed in Example 3 where X is 4- bromo indole, Z is cycloheptenyl boronic acid pinacol ester. Formula: C23H3oBrN303; Molecular Weight: 476,4; Mass/charge ratio: 475,1 (100,0%), 477,1 (97,6%), 478,1 (25,4%), 476,2 (25,3%), 477,2 (3,7%), 479,2 (3,0%), 476,1 (1 ,1%); Elemental analysis: C, 57.99; H, 6.35; Br, 16.77; N, 8.82; O, 10.08.
Example 54
4-chloro-3-(3-cyclohexyloxetane-3-carboxamido))-N-ethyl-N-methyl-1H- indole-1-carboxamide
Synthesised according to the procedure disclosed in Example 2 where X is 4- chloro indole, Z is cyclohexyl bromide. Formula: C22H28CIN3O3; Molecular Weight: 417,9; Mass/charge ratio: 417,2 (100,0%), 419,2 (35,7%), 418,2
(25,3%), 420,2 (8,5%), 421 ,2 (1 ,2%); Elemental analysis: C, 63.22; H, 6.75; CI, 8.48; N, 10.05; O, 11.48.
Example 55
4-bromo-3-(3-cyclohexyloxetane-3-carboxamido)-N-ethyl-N-methyl-1H- indole-1 -carboxamide
Synthesised according to the procedure disclosed in Example 2 where X is 4- bromo indole, Z is cyclohexyl bromide. Formula: C22H28BrN303; Molecular Weight: 462,4; Mass/charge ratio: 463,1 (100,0%), 461 ,1 (99,0%), 462,1 (25,1%), 464,1 (24,8%), 465,1 (3,6%); Elemental analysis: C, 57.15; H, 6.10; Br, 17.28; N, 9.09; O, 10.38.
Example 56
4-chloro-3-(3-cycloheptyloxetane-3-carboxamido)-N-ethyl-N-methyl-1H- indole-1 -carboxamide
Synthesised according to the procedure disclosed in Example 2 where X is 4- chloro indole, Z is cycloheptyl bromide. Formula: C23H30CIN3O3; Molecular Weight: 432; Mass/charge ratio: 431 ,2 (100,0%), 433,2 (35,9%), 432,2 (26,4%), 434,2 (8,9%), 435,2 (1 ,3%); Elemental analysis: C, 63.95; H, 7.00; CI, 8.21; N, 9.73; O, 11.11.
Example 57
4-bromo-3-(3-cycloheptyloxetane-3-carboxamido)-N-ethyl-N-methyl-1H- indole-1-carboxamide
Synthesised according to the procedure disclosed in Example 2 where X is 4- bromo indole, Z is cycloheptyl bromide. Formula: C23H30BrN3O3; Molecular Weight: 476,4; Mass/charge ratio: 475,1 (100,0%), 477,1 (97,6%), 478,1 (25,4%), 476,2 (25,3%), 477,2 (3,7%), 479,2 (3,0%), 476,1 (1 ,1%); Elemental analysis: C, 57.99; H, 6.35; Br, 16.77; N, 8.82; O, 10.08.
Example 58
4-chloro-3-(2-(3-cyclohexyloxetan-3-yl)acetamido)-N-ethyl-N-methyl-1H- indole-1 -carboxamide
Synthesised according to the procedure disclosed in Example 3 where X is 4- chloro indole, Z is cyclohexenyl boronic acid pinacol ester. Formula: C23H30CIN3O3; Molecular Weight: 432; Mass/charge ratio: 431 ,2 (100,0%), 433,2 (35,9%), 432,2 (26,4%), 434,2 (8,9%), 435,2 (1 ,3%); Elemental analysis: C, 63.95; H, 7.00; CI, 8.21 ; N, 9.73; O, 11.11.
Example 59
4-bromo-3-(2-(3-cyclohexyloxetan-3-yl)acetamido)-N-ethyl-N-methyl-1H- indole-1 -carboxamide
Synthesised according to the procedure disclosed in Example 3 where X is 4- bromo indole, Z is cyclohexenyl boronic acid pinacol ester. Formula: C23H3oBrN3O3; Molecular Weight: 476,4; Mass/charge ratio: 475,1 (100,0%), 477,1 (97,6%), 478,1 (25,4%), 476,2 (25,3%), 477,2 (3,7%), 479,2 (3,0%),
476,1 (1 ,1%); Elemental analysis: C, 57.99; H, 6.35; Br, 16.77; N, 8.82; O, 10.08.
Example 60
4-chloro-3-(2-(3-cycloheptyloxetan-3-yl)acetamido)-N-ethyl-N-methyl-1H- indole-1 -carboxamide
Synthesised according to the procedure disclosed in Example 3 where X is 4- chloro indole, Z is cycloheptenyl boronic acid pinacol ester. Formula: C24H32CIN3O3; Molecular Weight: 446; Mass/charge ratio: 445,2 (100,0%), 447,2 (36,2%), 446,2 (27,5%), 448,2 (9,3%), 449,2 (1 ,4%); Elemental analysis: C, 64.63; H, 7.23; CI, 7.95; N, 9.42; O, 10.76.
Example 61
4-bromo-3-(2-(3-cycloheptyloxetan-3-yl)acetamido)-N-ethyl-N-methyl-1H- indole-1 -carboxamide /^^~\
Synthesised according to the procedure disclosed in Example 3 where X is 4- bromo indole, Z is cycloheptenyl boronic acid pinacol ester. Formula: C24H32BrN3O3; Molecular Weight: 490,4; Mass/charge ratio: 491,2 (100,0%), 489,2 (98,5%), 490,2 (27,1%), 492,2 (26,9%), 493,2 (4,1%); Elemental analysis: C, 58.78; H, 6.58; Br, 16.29; N, 8.57; O, 9.79.
Example 62
N-(4-chloro-1-(2-cyanoethyl)-1H-indol-3-yl)-3-cycloheptyloxetane-3- carboxamide
Synthesised according to the procedure disclosed in Example 2 where X is 4- chloro indole, Z is cycloheptyl bromide. Formula: C22H26CIN3O2; Molecular Weight: 399,9; Mass/charge ratio: 399,2 (100,0%), 401 ,2 (35,4%), 400,2 (25,3%), 402,2 (8,4%), 403,2 (1 ,1%); Elemental analysis: C, 66.07; H, 6.55; CI, 8.87; N, 10.51 ; O, 8.00.
Example 63
N-(4-chloro-1-(2-cyanoethyl)-1H-indol-3-yl)-2-(3-cycloheptyloxetan-3- yl)acetamide
Synthesised according to the procedure disclosed in Example 3 where X is 4- chloro indole, Z is cycloheptenyl boronic acid pinacol ester. Formula: C23H28CIN3O2; Molecular Weight: 413,9; Mass/charge ratio: 413,2 (100,0%), 415,2 (35,7%), 414,2 (26,4%), 416,2 (8,8%), 417,2 (1,2%); Elemental analysis: C, 66.74; H, 6.82; CI, 8.56; N, 10.15; O, 7.73.
Example 64
N-(1 -(2-(2H-tetrazol-5-yl)ethy l)-4-chloro-1 H-indol-3-y l)-3- cycloheptyloxetane-3-carboxamide
Synthesised by using a solution of the compound disclosed in Example 62 in dimethylformamide were added NH4CI and NaN3 and the resultant reaction mixture was heated to 125°C. After 8 hours, the reaction mixture was diluted
with ice water and extracted 3 times with EtOAc. The combined EtOAc layers were washed with brine, dried over anhydrous Na2SO4 and concentrated under reduced pressure. Purification by flash chromatography (SiO2, 100-200 mesh, 4% MeOH in DCM) afforded the compound as a solid. Formula: C22H27CIN6O2; Molecular Weight: 442,9; Mass/charge ratio: 442,2 (100,0%), 444,2 (35,7%), 443,2 (26,4%), 445,2 (8,8%), 446,2 (1 ,2%); Elemental analysis: C, 59.65; H, 6.14; CI, 8.00; N, 18.97; O, 7.22.
Example 65
N-(1-(2-(2H-tetrazol-5-yl)ethyl)-4-chloro-1H-indol-3-yl)-2-(3- cycloheptyloxetan-3-yl)acetamide
Synthesised by using a solution of the compound disclosed in Example 63 in dimethylformamide were added NH4CI and NaN3 and the resultant reaction mixture was heated to 125°C. After 8 hours, the reaction mixture was diluted with ice water and extracted 3 times with EtOAc. The combined EtOAc layers were washed with brine, dried over anhydrous Na2SO4 and concentrated under reduced pressure. Purification by flash chromatography (SiO2, 100-200 mesh, 4% MeOH in DCM) afforded the compound as a solid.. Formula: C23H29CIN6O2; Molecular Weight: 457; Mass/charge ratio: 456,2 (100,0%), 458,2 (36,0%), 457,2 (27,5%), 459,2 (9,2%), 460,2 (1 ,3%); Elemental analysis: C, 60.45; H, 6.40; CI, 7.76; N, 18.39; O, 7.00.
Example 64
N-indol-3-yl-acetamide and N-azaindol-3-yl-acetamide compounds antagonise P2X7R activity Inhibition of P2X7R activity by the compounds of the present invention is assessed by measuring calcium influx in Hek293 cells (ECACC No. 85120602) which have been stably transfected with a cDNA for the human P2X7R. The Hek293 cells are human embryo kidney cells that do not express endogenous P2X7R (Surprenant et al. (1996) Science 272:735-738). Hek293 cells expressing P2X7R were generated by lipofectamine transfection of the human P2X7R cDNA (Genbank accession number BC011913) under the control of the human cytomegalovirus immediate-early (CMV) promoter and inserted into the pcDNA3.1 vector (Invitrogen). Cells were cultivated at 37°C with 8.5% CO2 in Dulbecco's modified eagles medium (DMEM; GibcoBRL/lnvitrogen) supplemented with heat-inactivated foetal calf serum (10% v/v), 2 mM L-glutamine, 100 units/ml penicillin, 0.1 mg/ml streptomycin, and 750 pg/ml Geneticin G418 (GibcoBRL/lnvitrogen).
Inhibition of Bz-ATP-stimulated P2X7R by test compounds was monitored by measuring changes in calcium influx using the Fluo-4-AM fluorescent dye according to the manufacturer's recommendations (Molecular Devices Corporation, U.S.A.). Briefly, Hek293 cells expressing P2X7R were cultured in 96-well plates at a final density of approximately 10,000 cells per well. On the day of the experiment, the culture medium was completely removed from the wells and cells were washed one time in assay buffer (1X Hank's Balanced Salt (HBSS) solution containing 20 mM Hepes buffer pH 7.4 and 250 mM Probenecid; GibcoBRL/lnvitrogen). The cells were incubated in 50 μΙ of assay buffer containing 100 μΜ Fluo-4 AM fluorescent dye per well for 1 hour at room temperature. The assay buffer containing the Fluo-4 AM fluorescent dye was then removed, the cells were washed once with assay buffer (without
Fluo-4 AM), 100 μΙ of assay buffer (without Fluo-4 AM) containing the test compounds was then added per well. After a 15 minute incubation, 100 μΜ Bz-ATP was added and fluorescence was measured in a FlexStation II (Molecular Devices, U.S.A.) according to the following parameters: 485 nm Excitation Wavelength; 525 nm Emission Wavelength; 515 nm Emission Cutoff; 100 μΙ Pipette Height; 25 μΙ Transfer Volume; 5 fold Compound Concentration; 3 rate Addition Speed. Test compounds were added at concentrations of 0.001 μΜ up to 60 μΜ. The fluorescence data were processed using a lag time of 15 seconds, recording 45 seconds, zero baseline calibrated using 2 points, and % baseline multiplier set at 3. Then, the area of the resulting curve was calculated and the half-maximal inhibitory concentration (IC50) for each test compound was determined using SoftMax Pro software (Molecular Devices, U.S.A.). Compounds of the present invention can inhibit P2X7R activity with an IC50 between 1 μΜ and 0.001 μΜ. For example, the IC50 of compound described in Example 4 is approximately 0.0038 μΜ.
Example 65
In vivo efficacy of N-(4-chloro-1-(2-hydroxyethyl)-1 H-indol-3-yl)-3- cycloheptyloxetane-3-carboxamide to reduce LPS/ ATP induced-IL-Ιβ release in the mouse peritoneal cavity
Protocol:
Three groups of 8 female CH3 mice (Janvier) were enrolled in the study. The first group (control group) was treated with the vehicle (PEG400 5% Tw80 0.4% NaCI) intraperitoneally at 10 ml/kg. The second group was treated orally with Dexamethasone (Memphamoson-4) at 1mg/kg. In the third group, animals were treated with N-(4-chIoro-1-(2-hydroxyethyl)-1 H-indol-3-yl)-3- cycloheptyloxetane-3-carboxamide. For this group, the compound was dissolved in the vehicle at a final concentration of 15 mg/ml. Because the low solubility of the compound, the exact quantity of the compound dissolved in the injected solution was subsequently measured by Ultra Performance Liquid
Chromatography (UPLC). The concentration of the compound measured was in fact 1.07 mg/ml (instead of the theoretical 15 mg/ml). The solution was injected intraperitoneally in the animals at a volume of 10 ml/kg which represents a 10.7 mg/kg dose. Ten minutes after the different treatments, animals in the three groups were injected with Lipopolysaccharide (LPS, Sigma) intraperitoneally at 50 pg/ml. Two hours after LPS injection, animals were subsequently injected with 10 mM ATP (Sigma). Fifteen minutes later, animals were sacrificed and 3 ml of PBS containing protease inhibitors (Roche) and Heparin (Liquemin) were injected into the peritoneal cavity. Peritoneal lavages were collected, centrifuged at 6000 rpm for 10 min at 4°C. Supernatants were diluted 4 times in PBS and IL-1 β was measured using an ELISA kit (R&D quantikine) following the manufacturer instructions. ELISA plates were analyzed by spectrophotometry (BMG labtech).
Results and conclusion:
Figure 1 shows that the treatment with 10.7 mg/kg of N-(4-chloro-1-(2- hydroxyethyl)-1 H-indol-3-yl)-3-cycloheptyloxetane-3-carboxamide reduced the peritoneal IL-1 β release following in vivo LPS/ATP stimulation by 68% (p value=0.01) whereas a 95% reduction is observed upon treatment with dexamethasone. This result demonstrates that N-(4-chloro-1-(2-hydroxyethyl)- 1 H-indol-3-yl)-3-cycloheptyloxetane-3-carboxamide, through the blocking of the P2X7 receptor, is a potent inhibitor of LPS/ATP induced-IL-Ιβ release. IL- 1 β is a very potent pro-inflammatory cytokine in chronic inflammatory conditions and is involved in pathological conditions such as neuropathic pain, rheumatoid arthritis, multiple sclerosis and other neurodegenerative diseases.
Legend of Figure 1 :
Animals (N=8/group) pre-treated with vehicle (control group) or dexamathasone at 1 mg/kg (dexamethasone group) or N-(4-chloro-1-(2- hydroxyethyl)-1 H-indol-3-yl)-3-cycloheptyloxetane-3-carboxamide at 10.7 mg/kg were injected 10 minutes later with LPS (50 pg/ml). Two hours later, animal were injected with ATP (10 mM) and peritoneal lavages were collected
15 minutes later. IL-1 β release in the peritoneal lavages was measured by ELISA. **: P value = 0.01. ***: P value = 0.005.
Claims
1. An N-indol-3-yl-acetamide or N-azaindol-3-yl-acetamide compound represented by the general formula (I):
wherein, O
R2 is a mono- or bicycloalkyl group;
R3 is selected from straight or branched C^Cs alkyl which may optionally substituted with -OH, -CH2-OH, C1-C5 alkoxy, CN-, CF3, halogen (i.e. CI, F, Br or I), piperidino, morpholino, pyrrolidino, 5H-tetrazolylpropyl, methylcarbamoyl, dimethylcarbamoyi, or ethylmethylcarbamoyi, wherein Ra is C-|- C5 alkyl; R4, R5. R6, R7 are at each occurrence independently selected from hydrogen, halogen (i.e. CI, F, Br or I), methyl, methoxy, cyano, or trifluoromethyl, or, if necessitated by valency, may be absent; a, b, c, d, x are at each occurrence independently selected from carbon, or nitrogen; or a pharmaceutically acceptable salt or solvate thereof (whereby x must have a hydrogen substituent if it is carbon).
2. A compound of Formula (I) as defined in claim 1 , wherein R2 is a group selected from cyclopentyl, cyclohexyl, cycloheptyl, and fluorinated derivatives.
A compound of Formula (I) as defined in claim 1 or 2, wherein R3 is substituted with one or two substituents selected from -OH, -CH2-OH, C1-C5 alkoxy, -CN, -CF3, halogen, piperidino, morpholino, pyrrolidino or 5H-tetrazolylethyl.
A compound of Formula (I) as defined in claims 1 to 3, wherein R3 is C1-C5 alkyl or C2-C5 hydroxyalkyl.
A compound of Formula (I) as defined in claims 1 to 4, wherein at least two of R4l R5, R6 and R7 are hydrogen, and, if necessitated by valency, R4-R7 may also be absent.
A compound of Formula (I) as defined in claims 1 to 5, wherein a, b, c, and d are CH or one of a, b, c and d is N. 7. A compound of Formula (I) selected from N-(4-chloro-1-(2-hydroxyethyl)-1H-indol-3-yl)-3-cycloheptyloxetane-3- carboxamide
N-(4-bromo-1-(2-hydroxyethyl)-1 H-indol-3-yl)-3-cyclohepty)oxetane-3- carboxamide
N-(4-chloro-1-(2-hydroxyethyl)-1H-indol-3-yl)-3-cyclohexyloxetane-3- carboxamide
N-(4-bromo-1-(2-hydroxyethyl)-1H-indol-3-yl)-3-cyclohexyloxetane-3- carboxamide
N-(4-chloro-1-(2-hydroxypropyl)-1H-indol-3-yl)-3-cycloheptyloxetane-3 carboxamide
N-(4-bromo-1-(2-hydroxypropyl)-1H-indol-3-yl)-3-cycloheptyloxetane- 3-carboxamide
N-(4-chloro-1-(2-hydroxyethyl)-1H-indol-3-yl)-2-(3-cyclohexyloxetan-3- yl)acetamide
N-(4-bromo-1-(2-hydroxyethyl)-1H-indol-3-yl)-2-(3-cyclohexyloxetan-3- yl)acetamide
- N-(4-chloro-1 -(2-hydroxyethyl)-1 H-indol-3-yl)-2-(3-cycloheptyloxetan- 3-yl)acetamide
- N-(4-bromo-1 -(2-hydroxyethyl)-1 H-indol-3-yl)-2-(3-cycloheptyloxetan- 3-yl)acetamide
- N-(4-chloro-1-(2-hydroxyethyl)-1 H-pyrrolo[2,3-b]pyridin-3-yl)-3- cyclohexyloxetane-3-carboxamide
- N-(4-bromo-1-(2-hydroxyethyl)-1H-pyrrolo[2,3-b3pyridin-3-yl)-3- cyclohexyloxetane-3-carboxamide
- N-(4-chloro-1-(2-hydroxyethyl)-1H-pyrrolo[2,3-b]pyridin-3-yl)-3- cycloheptyloxetane-3-carboxamide
- N-(4-bromo-1-(2-hydroxyethyl)-1H-pyrrolo[2,3-b]pyridin-3-yl)-3- cycloheptyloxetane-3-carboxamide
- N-(4-chloro-1-(2-hydroxypropyl)-1H-pyrrolo[2,3-b]pyridin-3-yl)-3- cycloheptyloxetane-3-carboxamide
- N-(4-bromo-1-(2-hydroxypropyl)-1 H-pyrrolo[2,3-b]pyridin-3-yl)-3- cycloheptyloxetane-3-carboxamide N-(4-chloro-1-(2-hydroxyethyl)-1H-pyrrolo[2,3-b]pyridin-3-yl)-2-(3- cyclohexyloxetan-3-yl)acetamide
N-(4-bromo-1-(2-hydroxyethyl)-1 H-pyrrolo[2,3-b]pyridin-3-yl)-2-(3- cyclo exyloxetan-3-yl)acetamide
N-(4-chloro-1-(2-hydroxypropy!)-1 H-indol-3-yl)-3-cyclohexyloxetane-3- carboxamide
N-(4-bromo-1-(2-hydroxypropyl)-1 H-indol-3-yl)-3-cyclohexyloxetane-3- carboxamide
N-(4-chloro-1-(2-hydroxypropyl)-1H-indol-3-yl)-2-(3-cyclohexyloxetan- 3-yl)acetamide
N-(4-bromo-1-(2-hydroxypropyl)-1 H-indol-3-yl)-2-(3-cyclohexyloxetan- 3-yl)acetamide
N-(4-chloro-1-(2-hydroxypropyl)-1 H-indol-3-yl)-2-(3-cycloheptyloxetan- 3-yl)acetamide
N-(4-bromo-1-(2-hydroxypropyl)-1H-indol-3-yl)-2-(3-cycloheptyloxetan- 3-yl)acetamide
N-(4-chloro-1-(1 ,3-dihydroxypropan-2-yl)-1 H-indol-3-yl)-3- cyclohexyloxetane-3-carboxamide
N-(4-bromo-1 -(1 ,3-dihydroxypropan-2-yl)-1 H-indol-3-yl)-3- cyclohexyloxetane-3-carboxamide
N-(4-chloro-1-(1 ,3-dihydroxypropan-2-yl)-1H-indol-3-yl)-3- cycloheptyloxetane-3-carboxamide
N-(4-bromo-1-(1 ,3-dihydroxypropan-2-yl)-1H-indol-3-yl)-3- cycloheptyloxetane-3-carboxamide
N-(4-chloro-1-(1 ,3-dihydroxypropan-2-yl)-1 H-indol-3-yl)-2-(3- cyclohexyloxetan-3-yl)acetamide
N-(4-bromo-1-(1 ,3-dihydroxypropan-2-yl)-1 H-indol-3-yl)-2-(3- cyclohexyloxetan-3-yl)acetamide
N-(4-chIoro-1-(1 ,3-dihydroxypropan-2-yl)-1 H-indol-3-yl)-2-(3- cycloheptyloxetan-3-yl)acetamide
N-(4-bromo-1-(1 ,3-dihydroxypropan-2-yl)-1H-indol-3-yl)-2-(3- cycloheptyloxetan-3-yl)acetamide N-(4-chloro-1-(1 ,3-dihydroxypropan-2-yl)-1H-indol-3-yl)-2-(3- cycloheptyloxetan-3-yl)acetamide
N-(4-bromo-1 -(1 ,3-dihydroxypropan-2-yl)-1 H-indol-3-yl)-2-(3- cycloheptyloxetan-3-yl)acetamide
N-(4-chloro-1 -methyl- 1 H-indol-3-yl)-3-cyclohexyloxetane-3- carboxamide
N-(4-bromo- 1 -methyl- H-indol-3-yl)-3-cyclohexyloxetane-3- carboxamide
N-(4-chloro-1 -methyl-1 H-indol-3-yl)-3-cycloheptyloxetane-3- carboxamide
N-(4-bromo-1 -methyl-1 H-indol-3-yl)-3-cycloheptyloxetane-3- carboxamide
N-(4-chloro-1 -methyl-1 H-indol-3-yl)-2-(3-cyclohexyloxetan-3- yl)acetamide
N-(4-bromo-1 -methyl-1 H-indol-3-yl)-2-(3-cyclohexyloxetan-3- yl)acetamide
N-(4-chloro-1-(2-hydroxyethyl)-1H-indol-3-yl)-3-(4,4- difluorocyclohexyl)oxetane-3-carboxamide
N-(4-bromo-1 -(2-hydroxyethyl)-1 H-indol-3-yl)-3-(4,4- difluorocyclohexyl)oxetane-3-carboxamide
N-(4-chloro-1 -(2-hydroxyethyl)-1 H-indol-3-yl)-2-(3-(4,4- difluorocyclohexyl)oxetan-3-yl)acetam'ide
N-(4-bromo-1 -(2-hydroxyethyl)-1 H-indol-3-yl)-2-(3-(4,4- difluorocyclohexyl)oxetan-3-yl)acetamide
4-chloro-3-(3-cyclohexyloxetane-3-carboxamido)-N,N-dimethyl-1 H- indole-1-carboxamide
4-bromo-3-(3-cyclohexyloxetane-3-carboxamido)-N,N-dimethyl-1 H- indole-1-carboxamide
4-chloro-3-(3-cycloheptyloxetane-3-carboxamido)-N,N-dimethyl-1 H- indole-1 -carboxamide
4-bromo-3-(3-cycloheptyloxetane-3-carboxamido)-N,N-dimethyl-1 H- indole-1 -carboxamide 4-chloro-3-(2-(3-cyclohexyloxetan-3-yl)acetamido)-N,N-dimethyl-1 H- indole-1 -carboxamide
4-bromo-3-(2-(3-cyclohexyloxetan-3-yl)acetamido)-N,N-dimethyl-1H- indole-1 -carboxamide
4-chloro-3-(2-(3-cycloheptyloxetan-3-yl)acetamido)-N,N-dimethyl-1H- indole-1 -carboxamide
4-bromo-3-(2-(3-cycloheptyloxetan-3-yl)acetamido)-N,N-dimethyl-1H indole-1 -carboxamide
4-chloro-3-(3-cyclohexyloxetane-3-carboxamido))-N-ethyl-N-methyl- 1 H-indole-1 -carboxamide
4-bromo-3-(3-cyclohexyloxetane-3-carboxamido)-N-ethyl-N-methyl- 1 H-indole-1 -carboxamide
4-chloro-3-(3-cycloheptyloxetane-3-carboxamido)-N-ethyl-N-methyl- 1 H-indole-1 -carboxamide
4-bromo-3-(3-cycloheptyloxetane-3-carboxamido)-N-ethyl-N-methyl- 1 H-indole-1 -carboxamide
4-chloro-3-(2-(3-cyclohexyloxetan-3-yl)acetamido)-N-ethyl-N-methyl- 1 H-indole-1 -carboxamide
4-bromo-3-(2-(3-cyclohexyloxetan-3-yl)acetamido)-N-ethyl-N-methyl- 1 H-indole-1 -carboxamide
4-chloro-3-(2-(3-cycloheptyloxetan-3-yl)acetamido)-N-ethyl-N-methyl 1 H-indole-1 -carboxamide
4-bromo-3-(2-(3-cycloheptyloxetan-3-yl)acetamido)-N-ethy!-N-methyl 1 H-indole-1 -carboxamide
N-(4-chloro-1 -(2-cyanoethyl)-1 H-indol-3-yl)-3-cycloheptyloxetane-3- carboxamide
N-(4-chloro-1-(2-cyanoethyl)-1H-indol-3-yl)-2-(3-cycloheptyloxetan-3- yl)acetamide
• N-(1-(2-(2H-tetrazol-5-yl)ethyl)-4-chloro-1 H-indol-3-yl)-3- cycloheptyloxetane-3-carboxamide
- N-(1 -(2-(2H-tetrazol-5-yl)ethyl)-4-chloro-1 H-indol-3-yl)-2-(3- cycloheptyloxetan-3-yl)acetamide or a pharmaceutically acceptable salt or solvate thereof.
A pharmaceutical composition comprising a compound according to any one of claims 1 to 7.
The pharmaceutical composition according to claim 8 further comprising an additional active compound in separate or unit dosage form for simultaneous or sequential administration.
The pharmaceutical composition according to claim 8 or 9 for use in the prophylactic or therapeutic treatment of any disease state in a human, or other mammal, which is exacerbated or caused by excessive or unregulated cytokine production by such mammal's cells, such as but not limited to monocytes and/or macrophages.
The pharmaceutical composition according to claims 8 to 10 for use in the prophylactic or therapeutic treatment of an IL-1 or cytokine mediated condition.
The pharmaceutical composition according to claims 8 to 11 for use in the prophylactic or therapeutic treatment of a disease or disorder selected from the group consisting of arthritis (including psoriatic arthritis, Reiter's syndrome, rheumatoid arthritis, gout, traumatic arthritis, rubella arthritis, rheumatoid spondylitis, osteoarthritis, gouty arthritis and acute synovitis), inflammatory bowel disease, Crohn's disease, emphysema, acute respiratory distress syndrome, adult respiratory distress syndrome, asthma, bronchitis, chronic obstructive pulmonary disease, chronic pulmonary inflammatory disease, hyperresponsiveness of the airway, silicosis, pulmonary sarcoidosis, allergic reactions, allergic contact hypersensitivity, eczema, contact dermatitis, allergic dermatitis psoriasis, sunburn, cancer, myoblastic leukemia, diabetes, tissue ulceration, restenosis, periodontal disease, epidermolysis bullosa, osteoporosis, bone resorption disease, loosening of artificial joint implants, atherosclerosis, aortic aneurysm, congestive heart failure, myocardial infarction, stroke, cerebral ischemia, ischemic heart disease, head trauma, neurotrauma, spinal cord injury, neurodegenerative disorders, Alzheimer's disease, Parkinson's disease, glaucoma, age-related macular degeneration, uveitis, neuropathic pain, migraine, depression, peripheral neuropathy, pain, cerebral amyloid angiopathy, nootropic or cognition enhancement, amyotrophic lateral sclerosis, multiple sclerosis, ocular angiogenesis, corneal injury, macular degeneration, corneal scarring, scleritis, abnormal wound healing, burns, autoimmune disorders, Huntington's disease, diabetes, AIDS, cachexia, sepsis, septic shock, endotoxic shock, conjunctivitis shock, gram negative sepsis, toxic shock syndrome, cerebral malaria, cardiac and renal reperfusion injury, thrombosis, glomerulonephritis, graft vs. host reaction, allograft rejection, organ transplant toxicity, ulcerative colitis, or muscle degeneration, in a mammal, including a human.
Applications Claiming Priority (4)
| Application Number | Priority Date | Filing Date | Title |
|---|---|---|---|
| EP11154877 | 2011-02-17 | ||
| EP11154877.2 | 2011-02-17 | ||
| US201161444479P | 2011-02-18 | 2011-02-18 | |
| US61/444,479 | 2011-02-18 |
Publications (1)
| Publication Number | Publication Date |
|---|---|
| WO2012110190A1 true WO2012110190A1 (en) | 2012-08-23 |
Family
ID=45558013
Family Applications (1)
| Application Number | Title | Priority Date | Filing Date |
|---|---|---|---|
| PCT/EP2012/000260 Ceased WO2012110190A1 (en) | 2011-02-17 | 2012-01-20 | Novel p2x7r antagonists and their use |
Country Status (2)
| Country | Link |
|---|---|
| AR (1) | AR085276A1 (en) |
| WO (1) | WO2012110190A1 (en) |
Cited By (4)
| Publication number | Priority date | Publication date | Assignee | Title |
|---|---|---|---|---|
| CN103819479A (en) * | 2014-03-10 | 2014-05-28 | 东华大学 | Pyrimidine group contained rigid conjugated macrocyclic compound as well as preparation method and application thereof |
| WO2020150417A3 (en) * | 2019-01-17 | 2020-08-27 | Ifm Due, Inc. | Compounds and compositions for treating conditions associated with sting activity |
| CN113233958A (en) * | 2021-01-18 | 2021-08-10 | 阜阳欣奕华材料科技有限公司 | Preparation method of 2- (trans-4-n-propylcyclohexyl) propane-1, 3-diol |
| US12503436B2 (en) | 2021-08-10 | 2025-12-23 | Novartis Pharma Ag | Compounds and compositions for treating conditions associated with STING activity |
Citations (89)
| Publication number | Priority date | Publication date | Assignee | Title |
|---|---|---|---|---|
| WO1998038179A1 (en) | 1997-02-26 | 1998-09-03 | Glaxo Group Limited | Reverse hydroxamate derivatives as metalloprotease inhibitors |
| WO1999018074A1 (en) | 1997-10-03 | 1999-04-15 | Britol-Myers Squibb Pharma Company | Novel lactam metalloprotease inhibitors |
| WO1999029660A1 (en) | 1997-12-05 | 1999-06-17 | Astrazeneca Uk Limited | Adamantane derivatives |
| WO1999029661A1 (en) | 1997-12-05 | 1999-06-17 | Astrazeneca Uk Limited | Adamantane derivatives |
| WO1999029686A1 (en) | 1997-12-05 | 1999-06-17 | Astrazeneca Uk Limited | Novel compounds |
| WO1999065867A1 (en) | 1998-06-17 | 1999-12-23 | Du Pont Pharmaceuticals Company | Cyclic hydroxamic acids as metalloproteinase inhibitors |
| WO2000000465A1 (en) | 1998-06-26 | 2000-01-06 | F. Hoffmann-La Roche Ag | Hydrazine derivatives |
| WO2000009485A1 (en) | 1998-08-12 | 2000-02-24 | Pfizer Products Inc. | Hydroxy pipecolate hydroxamic acid derivatives as mmp inhibitors |
| WO2000061569A1 (en) | 1999-04-09 | 2000-10-19 | Astrazeneca Ab | Adamantane derivatives |
| WO2000071529A1 (en) | 1999-05-25 | 2000-11-30 | Astrazeneca Ab | Substituted phenyl compounds with immunosuppressing activity and pharmaceutical compositions |
| US6225311B1 (en) | 1999-01-27 | 2001-05-01 | American Cyanamid Company | Acetylenic α-amino acid-based sulfonamide hydroxamic acid tace inhibitors |
| WO2001042194A1 (en) | 1999-12-09 | 2001-06-14 | Astrazeneca Ab | Adamantane derivatives |
| WO2001044170A1 (en) | 1999-12-17 | 2001-06-21 | Astrazeneca Ab | Adamantane derivatives |
| WO2001044213A1 (en) | 1999-12-17 | 2001-06-21 | Astrazeneca Ab | New p2x7 receptor antagonists for use in the treatment of inflammatory, immune or cardiovascular diseases |
| WO2001046200A1 (en) | 1999-12-22 | 2001-06-28 | Astrazeneca Ab | Novel piperidine and piperazine derivatives |
| WO2001094338A1 (en) | 2000-06-07 | 2001-12-13 | Astrazeneca Ab | Admantane derivatives |
| WO2002018326A1 (en) | 2000-08-31 | 2002-03-07 | Wakunaga Pharmaceutical Co., Ltd. | Novel propenohydroxamic acid derivatives |
| WO2002096426A1 (en) | 2001-05-25 | 2002-12-05 | Bristol-Myers Squibb Company | Hydantion derivatives as inhibitors of matrix metalloproteinases |
| WO2003016248A2 (en) | 2001-08-17 | 2003-02-27 | Bristol-Myers Squibb Company Patent Department | Bicyclic hydroxamates as inhibitors of matrix metalloproteinases and/or tnf-$g(a) converting enzyme (tace) |
| WO2003024899A2 (en) | 2001-09-17 | 2003-03-27 | Bristol-Myers Squibb Company | CYCLIC HYDROXAMIC ACIDS AS INHIBITORS OF MATRIX METALLOPROTEINASES AND/OR TNF-α CONVERTING ENZYME (TACE) |
| WO2003031431A1 (en) | 2001-10-09 | 2003-04-17 | Bristol-Myers Squibb Company | Cyclic sulfone derivatives as inhibitors of matrix metalloproteinases and/or tnf-$g(a) converting enzyme (tace) |
| WO2003040103A1 (en) | 2001-11-02 | 2003-05-15 | Bristol-Myers Squibb Company | β-SULFONE DERIVATIVES AS INHIBITORS OF MATRIX METALLOPROTEINASES AND/OR TNF-α CONVERTING ENZYME (TACE) |
| WO2003042190A1 (en) | 2001-11-12 | 2003-05-22 | Pfizer Products Inc. | N-alkyl-adamantyl derivatives as p2x7-receptor antagonists |
| WO2003041707A1 (en) | 2001-11-16 | 2003-05-22 | Astrazeneca Ab | N-adamantylmethyl derivates and intermediates as pharmaceutical compositions and processes for their preparation |
| WO2003042191A1 (en) | 2001-11-12 | 2003-05-22 | Pfizer Products Inc. | Benzamide and heteroarylamide as p2x7 receptor antagonists |
| WO2003047515A2 (en) | 2001-11-30 | 2003-06-12 | The Government Of The United States Of America, Represented By The Secretary, Department Of Health And Human Services | P2x7 receptor antagonists |
| WO2003053941A2 (en) | 2001-12-20 | 2003-07-03 | Bristol-Myers Squibb Company | Barbituric acid derivatives as inhibitors of tnf-alpha converting enzyme (tace) and/or matrix metalloproteinases |
| WO2003055856A2 (en) | 2001-10-17 | 2003-07-10 | Bristol-Myers Squibb Company | BICYCLIC LACTAM DERIVATIVES AS INHIBITORS OF MATRIX METALLOPROTEINASES AND/OR TNF-α CONVERTING ENZYME (TACE) |
| WO2003059353A1 (en) | 2001-12-21 | 2003-07-24 | King Pharmaceuticals Research And Development, Inc. | Tyrosyl derivatives and their use as p2x7 receptor modulators |
| WO2003080579A1 (en) | 2002-03-25 | 2003-10-02 | Astrazeneca Ab | Novel adamantane derivatives |
| WO2003079986A2 (en) | 2002-03-18 | 2003-10-02 | Bristol-Myers Squibb Company | Uracil derivatives as inhibitors of tnf-alpha converting enzyme (tace) and matrix metalloproteinases |
| WO2004006925A1 (en) | 2002-07-13 | 2004-01-22 | Astrazeneca Ab | N-sulfonylpiperidines as metalloproteinase inhibitors (tace) |
| WO2004012663A2 (en) | 2002-08-01 | 2004-02-12 | Bristol-Myers Squibb Company | Hydantoin derivatives as inhibitors of matrix metalloproteinases and/or tnf-alpha converting enzyme |
| WO2004033632A2 (en) | 2002-10-04 | 2004-04-22 | Bristol-Myers Squibb Company | Hydantoin derivatives as inhibitors of matrix metalloproteinases and/or tnf-alpha converting enzyme (tace) |
| WO2004032846A2 (en) | 2002-10-07 | 2004-04-22 | Bristol-Myers Squibb Company | Triazolone and triazolethione derivatives |
| WO2004043349A2 (en) | 2002-11-06 | 2004-05-27 | Bristol-Myers Squibb Company | Isoxazoline derivatives as inhibitors of matrix metalloproteinases and/or tnf-alpha converting enzyme |
| WO2004058731A1 (en) | 2002-12-31 | 2004-07-15 | Pfizer Products Inc. | Benzamide inhibitors of the p2x7 receptor |
| WO2004058270A1 (en) | 2002-12-31 | 2004-07-15 | Pfizer Products Inc. | 3-(3,5-dioxo-4,5-dihydro-3h-(1,2,4)triazin-2-yl)-benzamide derivatives as p2x7-inhibitors for the treatment of inflammatory diseases |
| WO2004074224A1 (en) | 2003-02-21 | 2004-09-02 | Astrazeneca Ab | Adamantane derivatives, processes for their preparation and pharmaceutical composition containing them |
| WO2004096206A2 (en) | 2003-04-25 | 2004-11-11 | Pharmacia Corporation | Therapeutic combination of a cox-2 inhibitor and a tace inhibitor |
| WO2004099146A1 (en) | 2003-05-12 | 2004-11-18 | Pfizer Products Inc. | Benzamide inhibitors of the p2x7 receptor |
| WO2004106305A1 (en) | 2003-06-02 | 2004-12-09 | Astrazeneca Ab | New p2x7 receptor antagonists and their use |
| WO2004108086A2 (en) | 2003-06-05 | 2004-12-16 | Bristol-Myers Squibb Company | HYDANTOIN DERIVATIVES AS INHIBITORS OF TUMOR NECROSIS FACTOR-α CONVERTING ENZYME (TACE) |
| WO2005009968A1 (en) | 2003-07-28 | 2005-02-03 | Astrazeneca Ab | Quinoline derivates and their use in therapy |
| WO2005014555A1 (en) | 2003-07-21 | 2005-02-17 | Aventis Pharmaceuticals Inc. | 4,5-dihydro-imidazole as p2x7 ion channel blockers |
| WO2005014529A1 (en) | 2003-08-08 | 2005-02-17 | Astrazeneca Ab | 2- adamantyl derivatives as p2x7 receptor antagonists. |
| WO2005019182A1 (en) | 2003-08-20 | 2005-03-03 | Bayer Healthcare Ag | Pyrazolylmethylbenzamide derivatives as p2xt-receptor antagonists |
| WO2005039590A1 (en) | 2003-10-21 | 2005-05-06 | Inspire Pharmaceuticals, Inc. | Non-nucleotide compositions and method for treating pain |
| WO2005111003A1 (en) | 2004-04-29 | 2005-11-24 | Abbott Laboratories | Amino-tetrazoles analogues and methods of use |
| WO2006003513A1 (en) | 2004-06-29 | 2006-01-12 | Pfizer Products Inc. | Method for preparing 5-`4-(2-hydroxy-ethyl)-3,5-dioxo-4,5-dihydro-3h-`1,2,4!-triazin-2-yl!benzamide derivatives with p2x7 inhibiting activity by reaction of the derivative unsubstituted in 4-position of the triazine with an oxiran in the presence of a lewis acid |
| WO2006003500A1 (en) | 2004-06-29 | 2006-01-12 | Pfizer Products Inc. | Method for preparing 5-`4-(2-hydroxy-propyl)-3,5-dioxo-4,5-dihydro-3h`1,2,4!triazin-2-yl!-benzamide derivatives by deprotecting the hydroxyl-protected precursers |
| WO2006017406A1 (en) | 2004-08-02 | 2006-02-16 | Abbott Laboratories | Cyanoamidine p2x7 antagonists for the treatment of pain |
| WO2006025783A1 (en) | 2004-08-30 | 2006-03-09 | Astrazeneca Ab | Adamantyl derivates as p2x7 receptor antagonists |
| WO2006059945A1 (en) | 2004-11-30 | 2006-06-08 | Astrazeneca Ab | Novel compounds |
| WO2006067444A1 (en) | 2004-12-24 | 2006-06-29 | Astrazeneca Ab | Amide derivatives |
| WO2006080884A1 (en) | 2005-01-27 | 2006-08-03 | Astrazeneca Ab | Novel biaromatic compounds, inhibitors of the p2x7-receptor |
| WO2006086229A1 (en) | 2005-02-08 | 2006-08-17 | Abbott Laboratories | The use of selective p2x7 receptor antagonists |
| WO2006102610A2 (en) | 2005-03-24 | 2006-09-28 | Renovis, Inc. | Bicycloheteroaryl compounds as p2x7 modulators and uses thereof |
| WO2006110516A1 (en) | 2005-04-11 | 2006-10-19 | Abbott Laboratories | Acylhydrazide p2x7 antagonists and uses thereof |
| WO2006136004A1 (en) | 2005-05-05 | 2006-12-28 | Medicure International Inc. | Inhibition of atp-mediated, p2x7 dependent pathways by pyridoxal-5-phosphaste and vitamin b6 related compounds |
| WO2007016597A2 (en) | 2005-07-29 | 2007-02-08 | The Regents Of The University Of California | Targeting tnf-alpha converting enzyme (tace)-dependent growth factor shedding in cancer therapy |
| WO2007028022A2 (en) | 2005-09-01 | 2007-03-08 | Renovis, Inc. | Novel compounds as p2x7 modulators and uses thereof |
| WO2007025366A1 (en) | 2005-08-29 | 2007-03-08 | Irma Bernatchez-Lemaire | Use of histogranin and histogranin-like compounds as inhibitors of p2x7 receptor function and as anti-arthritic agents |
| WO2007056046A1 (en) | 2005-11-07 | 2007-05-18 | Abbott Laboratories | P2x7 receptor antagonists and methods of use |
| WO2007056091A2 (en) | 2005-11-09 | 2007-05-18 | Abbott Laboratories | 2-phenyl-2h-pyraz0le derivatives as p2x7 receptor antagonists and uses thereof |
| WO2007109182A2 (en) | 2006-03-16 | 2007-09-27 | Renovis, Inc. | Bicycloheteroaryl compounds as p2x7 modulators and uses thereof |
| WO2007109172A2 (en) | 2006-03-16 | 2007-09-27 | Renovis, Inc. | Bicycloheteroaryl compounds as p2x7 modulators and uses thereof |
| WO2007109192A2 (en) | 2006-03-16 | 2007-09-27 | Renovis, Inc. | Bicycloheteroaryl compounds as p2x7 modulators and uses thereof |
| WO2007109154A2 (en) | 2006-03-16 | 2007-09-27 | Renovis, Inc. | Bicycloheteroaryl compounds as p2x7 modulators and uses thereof |
| WO2007109201A2 (en) | 2006-03-16 | 2007-09-27 | Renovis, Inc. | Bicycloheteroaryl compounds as p2x7 modulators and uses thereof |
| WO2007109160A2 (en) | 2006-03-16 | 2007-09-27 | Renovis, Inc. | Bicycloheteroaryl compounds as p2x7 modulators and uses thereof |
| WO2007141267A1 (en) | 2006-06-06 | 2007-12-13 | Glaxo Group Limited | N- (phenylmethyl) -2- (1h-pyraz0l-4-yl) acetamide derivatives as p2x7 antagonists for the treatment of pain, inflammation and neurodegeneration |
| WO2007141269A1 (en) | 2006-06-06 | 2007-12-13 | Glaxo Group Limited | Novel receptor antagonists and their methods of use |
| WO2008003697A1 (en) | 2006-07-06 | 2008-01-10 | Glaxo Group Limited | Substituted n-phenylmethyl -5-oxo-proline-2-amides as p2x7-receptor antagonists and their methods of use |
| WO2008005368A2 (en) | 2006-06-30 | 2008-01-10 | Abbott Laboratories | Piperazines as p2x7 antagonists |
| WO2008013494A1 (en) | 2006-07-27 | 2008-01-31 | Astrazeneca Ab | Quinoline derivatives as p2x7 receptor antagonist and their use in the treatment of rheumatoid arthritis, osteoarthritis, copd and ibd |
| WO2008119825A2 (en) | 2007-04-03 | 2008-10-09 | Glaxo Group Limited | Imidazolidine carboxamide derivatives as p2x7 modulators |
| WO2008124153A1 (en) | 2007-04-10 | 2008-10-16 | H. Lundbeck A/S | Heteroaryl amide analogues as p2x7 antagonists |
| WO2008125600A2 (en) | 2007-04-11 | 2008-10-23 | Glaxo Group Limited | Pyrazole derivatives as p2x7 modulators |
| WO2008138876A1 (en) | 2007-05-10 | 2008-11-20 | Glaxo Group Limited | Pyrazole derivatives as p2x7 modulators |
| WO2009019503A2 (en) | 2007-08-03 | 2009-02-12 | Astrazeneca Ab | P2x7 antagonists for use in the treatment of mood disorders |
| WO2009023623A1 (en) * | 2007-08-10 | 2009-02-19 | H, Lundbeck A/S | Heteroaryl amide analogues |
| WO2009053459A1 (en) | 2007-10-26 | 2009-04-30 | Glaxo Group Limited | 4-benz0yl-1-substituted-piperazin-2-0ne derivatives as p2x7 modulators |
| WO2009070116A1 (en) | 2007-11-30 | 2009-06-04 | Astrazeneca Ab | A quinoline derivative acting as a p2x7-receptor antagonist |
| WO2009077559A2 (en) | 2007-12-18 | 2009-06-25 | Glaxo Group Limited | 5-oxo-3-pyrrolidinecarboxamide derivatives as p2x7 modulators |
| WO2009118175A1 (en) | 2008-03-25 | 2009-10-01 | Affectis Pharmaceuticals Ag | Novel p2x7r antagonists and their use |
| WO2009132000A1 (en) | 2008-04-22 | 2009-10-29 | Janssen Pharmaceutica Nv | Quinoline or isoquinoline substituted p2x7 antagonists |
| WO2010118921A1 (en) | 2009-04-14 | 2010-10-21 | Affectis Pharmaceuticals Ag | Novel p2x7r antagonists and their use |
| WO2010125103A1 (en) | 2009-04-29 | 2010-11-04 | Glaxo Group Limited | Diketopiperazine derivatives as p2x7 modulators |
-
2012
- 2012-01-20 WO PCT/EP2012/000260 patent/WO2012110190A1/en not_active Ceased
- 2012-02-17 AR ARP120100542A patent/AR085276A1/en not_active Application Discontinuation
Patent Citations (90)
| Publication number | Priority date | Publication date | Assignee | Title |
|---|---|---|---|---|
| WO1998038179A1 (en) | 1997-02-26 | 1998-09-03 | Glaxo Group Limited | Reverse hydroxamate derivatives as metalloprotease inhibitors |
| WO1999018074A1 (en) | 1997-10-03 | 1999-04-15 | Britol-Myers Squibb Pharma Company | Novel lactam metalloprotease inhibitors |
| WO1999029660A1 (en) | 1997-12-05 | 1999-06-17 | Astrazeneca Uk Limited | Adamantane derivatives |
| WO1999029661A1 (en) | 1997-12-05 | 1999-06-17 | Astrazeneca Uk Limited | Adamantane derivatives |
| WO1999029686A1 (en) | 1997-12-05 | 1999-06-17 | Astrazeneca Uk Limited | Novel compounds |
| WO1999065867A1 (en) | 1998-06-17 | 1999-12-23 | Du Pont Pharmaceuticals Company | Cyclic hydroxamic acids as metalloproteinase inhibitors |
| WO2000000465A1 (en) | 1998-06-26 | 2000-01-06 | F. Hoffmann-La Roche Ag | Hydrazine derivatives |
| WO2000009485A1 (en) | 1998-08-12 | 2000-02-24 | Pfizer Products Inc. | Hydroxy pipecolate hydroxamic acid derivatives as mmp inhibitors |
| US6225311B1 (en) | 1999-01-27 | 2001-05-01 | American Cyanamid Company | Acetylenic α-amino acid-based sulfonamide hydroxamic acid tace inhibitors |
| WO2000061569A1 (en) | 1999-04-09 | 2000-10-19 | Astrazeneca Ab | Adamantane derivatives |
| WO2000071529A1 (en) | 1999-05-25 | 2000-11-30 | Astrazeneca Ab | Substituted phenyl compounds with immunosuppressing activity and pharmaceutical compositions |
| WO2001042194A1 (en) | 1999-12-09 | 2001-06-14 | Astrazeneca Ab | Adamantane derivatives |
| WO2001044170A1 (en) | 1999-12-17 | 2001-06-21 | Astrazeneca Ab | Adamantane derivatives |
| WO2001044213A1 (en) | 1999-12-17 | 2001-06-21 | Astrazeneca Ab | New p2x7 receptor antagonists for use in the treatment of inflammatory, immune or cardiovascular diseases |
| WO2001046200A1 (en) | 1999-12-22 | 2001-06-28 | Astrazeneca Ab | Novel piperidine and piperazine derivatives |
| WO2001094338A1 (en) | 2000-06-07 | 2001-12-13 | Astrazeneca Ab | Admantane derivatives |
| WO2002018326A1 (en) | 2000-08-31 | 2002-03-07 | Wakunaga Pharmaceutical Co., Ltd. | Novel propenohydroxamic acid derivatives |
| WO2002096426A1 (en) | 2001-05-25 | 2002-12-05 | Bristol-Myers Squibb Company | Hydantion derivatives as inhibitors of matrix metalloproteinases |
| WO2003016248A2 (en) | 2001-08-17 | 2003-02-27 | Bristol-Myers Squibb Company Patent Department | Bicyclic hydroxamates as inhibitors of matrix metalloproteinases and/or tnf-$g(a) converting enzyme (tace) |
| WO2003024899A2 (en) | 2001-09-17 | 2003-03-27 | Bristol-Myers Squibb Company | CYCLIC HYDROXAMIC ACIDS AS INHIBITORS OF MATRIX METALLOPROTEINASES AND/OR TNF-α CONVERTING ENZYME (TACE) |
| WO2003031431A1 (en) | 2001-10-09 | 2003-04-17 | Bristol-Myers Squibb Company | Cyclic sulfone derivatives as inhibitors of matrix metalloproteinases and/or tnf-$g(a) converting enzyme (tace) |
| WO2003055856A2 (en) | 2001-10-17 | 2003-07-10 | Bristol-Myers Squibb Company | BICYCLIC LACTAM DERIVATIVES AS INHIBITORS OF MATRIX METALLOPROTEINASES AND/OR TNF-α CONVERTING ENZYME (TACE) |
| WO2003040103A1 (en) | 2001-11-02 | 2003-05-15 | Bristol-Myers Squibb Company | β-SULFONE DERIVATIVES AS INHIBITORS OF MATRIX METALLOPROTEINASES AND/OR TNF-α CONVERTING ENZYME (TACE) |
| WO2003042190A1 (en) | 2001-11-12 | 2003-05-22 | Pfizer Products Inc. | N-alkyl-adamantyl derivatives as p2x7-receptor antagonists |
| WO2003042191A1 (en) | 2001-11-12 | 2003-05-22 | Pfizer Products Inc. | Benzamide and heteroarylamide as p2x7 receptor antagonists |
| WO2003041707A1 (en) | 2001-11-16 | 2003-05-22 | Astrazeneca Ab | N-adamantylmethyl derivates and intermediates as pharmaceutical compositions and processes for their preparation |
| WO2003047515A2 (en) | 2001-11-30 | 2003-06-12 | The Government Of The United States Of America, Represented By The Secretary, Department Of Health And Human Services | P2x7 receptor antagonists |
| WO2003053941A2 (en) | 2001-12-20 | 2003-07-03 | Bristol-Myers Squibb Company | Barbituric acid derivatives as inhibitors of tnf-alpha converting enzyme (tace) and/or matrix metalloproteinases |
| WO2003059353A1 (en) | 2001-12-21 | 2003-07-24 | King Pharmaceuticals Research And Development, Inc. | Tyrosyl derivatives and their use as p2x7 receptor modulators |
| WO2003079986A2 (en) | 2002-03-18 | 2003-10-02 | Bristol-Myers Squibb Company | Uracil derivatives as inhibitors of tnf-alpha converting enzyme (tace) and matrix metalloproteinases |
| WO2003080579A1 (en) | 2002-03-25 | 2003-10-02 | Astrazeneca Ab | Novel adamantane derivatives |
| WO2004006925A1 (en) | 2002-07-13 | 2004-01-22 | Astrazeneca Ab | N-sulfonylpiperidines as metalloproteinase inhibitors (tace) |
| WO2004012663A2 (en) | 2002-08-01 | 2004-02-12 | Bristol-Myers Squibb Company | Hydantoin derivatives as inhibitors of matrix metalloproteinases and/or tnf-alpha converting enzyme |
| WO2004033632A2 (en) | 2002-10-04 | 2004-04-22 | Bristol-Myers Squibb Company | Hydantoin derivatives as inhibitors of matrix metalloproteinases and/or tnf-alpha converting enzyme (tace) |
| WO2004032846A2 (en) | 2002-10-07 | 2004-04-22 | Bristol-Myers Squibb Company | Triazolone and triazolethione derivatives |
| WO2004043349A2 (en) | 2002-11-06 | 2004-05-27 | Bristol-Myers Squibb Company | Isoxazoline derivatives as inhibitors of matrix metalloproteinases and/or tnf-alpha converting enzyme |
| WO2004058731A1 (en) | 2002-12-31 | 2004-07-15 | Pfizer Products Inc. | Benzamide inhibitors of the p2x7 receptor |
| WO2004058270A1 (en) | 2002-12-31 | 2004-07-15 | Pfizer Products Inc. | 3-(3,5-dioxo-4,5-dihydro-3h-(1,2,4)triazin-2-yl)-benzamide derivatives as p2x7-inhibitors for the treatment of inflammatory diseases |
| WO2004074224A1 (en) | 2003-02-21 | 2004-09-02 | Astrazeneca Ab | Adamantane derivatives, processes for their preparation and pharmaceutical composition containing them |
| WO2004096206A2 (en) | 2003-04-25 | 2004-11-11 | Pharmacia Corporation | Therapeutic combination of a cox-2 inhibitor and a tace inhibitor |
| WO2004099146A1 (en) | 2003-05-12 | 2004-11-18 | Pfizer Products Inc. | Benzamide inhibitors of the p2x7 receptor |
| WO2004106305A1 (en) | 2003-06-02 | 2004-12-09 | Astrazeneca Ab | New p2x7 receptor antagonists and their use |
| WO2004108086A2 (en) | 2003-06-05 | 2004-12-16 | Bristol-Myers Squibb Company | HYDANTOIN DERIVATIVES AS INHIBITORS OF TUMOR NECROSIS FACTOR-α CONVERTING ENZYME (TACE) |
| WO2005014555A1 (en) | 2003-07-21 | 2005-02-17 | Aventis Pharmaceuticals Inc. | 4,5-dihydro-imidazole as p2x7 ion channel blockers |
| WO2005009968A1 (en) | 2003-07-28 | 2005-02-03 | Astrazeneca Ab | Quinoline derivates and their use in therapy |
| WO2005014529A1 (en) | 2003-08-08 | 2005-02-17 | Astrazeneca Ab | 2- adamantyl derivatives as p2x7 receptor antagonists. |
| WO2005019182A1 (en) | 2003-08-20 | 2005-03-03 | Bayer Healthcare Ag | Pyrazolylmethylbenzamide derivatives as p2xt-receptor antagonists |
| WO2005039590A1 (en) | 2003-10-21 | 2005-05-06 | Inspire Pharmaceuticals, Inc. | Non-nucleotide compositions and method for treating pain |
| WO2005111003A1 (en) | 2004-04-29 | 2005-11-24 | Abbott Laboratories | Amino-tetrazoles analogues and methods of use |
| WO2006003513A1 (en) | 2004-06-29 | 2006-01-12 | Pfizer Products Inc. | Method for preparing 5-`4-(2-hydroxy-ethyl)-3,5-dioxo-4,5-dihydro-3h-`1,2,4!-triazin-2-yl!benzamide derivatives with p2x7 inhibiting activity by reaction of the derivative unsubstituted in 4-position of the triazine with an oxiran in the presence of a lewis acid |
| WO2006003500A1 (en) | 2004-06-29 | 2006-01-12 | Pfizer Products Inc. | Method for preparing 5-`4-(2-hydroxy-propyl)-3,5-dioxo-4,5-dihydro-3h`1,2,4!triazin-2-yl!-benzamide derivatives by deprotecting the hydroxyl-protected precursers |
| WO2006017406A1 (en) | 2004-08-02 | 2006-02-16 | Abbott Laboratories | Cyanoamidine p2x7 antagonists for the treatment of pain |
| WO2006025783A1 (en) | 2004-08-30 | 2006-03-09 | Astrazeneca Ab | Adamantyl derivates as p2x7 receptor antagonists |
| WO2006059945A1 (en) | 2004-11-30 | 2006-06-08 | Astrazeneca Ab | Novel compounds |
| WO2006067444A1 (en) | 2004-12-24 | 2006-06-29 | Astrazeneca Ab | Amide derivatives |
| WO2006080884A1 (en) | 2005-01-27 | 2006-08-03 | Astrazeneca Ab | Novel biaromatic compounds, inhibitors of the p2x7-receptor |
| WO2006086229A1 (en) | 2005-02-08 | 2006-08-17 | Abbott Laboratories | The use of selective p2x7 receptor antagonists |
| WO2006102610A2 (en) | 2005-03-24 | 2006-09-28 | Renovis, Inc. | Bicycloheteroaryl compounds as p2x7 modulators and uses thereof |
| WO2006102588A1 (en) | 2005-03-24 | 2006-09-28 | Renovis, Inc. | Bicycloheteroaryl compounds as p2x7 modulators and uses thereof |
| WO2006110516A1 (en) | 2005-04-11 | 2006-10-19 | Abbott Laboratories | Acylhydrazide p2x7 antagonists and uses thereof |
| WO2006136004A1 (en) | 2005-05-05 | 2006-12-28 | Medicure International Inc. | Inhibition of atp-mediated, p2x7 dependent pathways by pyridoxal-5-phosphaste and vitamin b6 related compounds |
| WO2007016597A2 (en) | 2005-07-29 | 2007-02-08 | The Regents Of The University Of California | Targeting tnf-alpha converting enzyme (tace)-dependent growth factor shedding in cancer therapy |
| WO2007025366A1 (en) | 2005-08-29 | 2007-03-08 | Irma Bernatchez-Lemaire | Use of histogranin and histogranin-like compounds as inhibitors of p2x7 receptor function and as anti-arthritic agents |
| WO2007028022A2 (en) | 2005-09-01 | 2007-03-08 | Renovis, Inc. | Novel compounds as p2x7 modulators and uses thereof |
| WO2007056046A1 (en) | 2005-11-07 | 2007-05-18 | Abbott Laboratories | P2x7 receptor antagonists and methods of use |
| WO2007056091A2 (en) | 2005-11-09 | 2007-05-18 | Abbott Laboratories | 2-phenyl-2h-pyraz0le derivatives as p2x7 receptor antagonists and uses thereof |
| WO2007109172A2 (en) | 2006-03-16 | 2007-09-27 | Renovis, Inc. | Bicycloheteroaryl compounds as p2x7 modulators and uses thereof |
| WO2007109182A2 (en) | 2006-03-16 | 2007-09-27 | Renovis, Inc. | Bicycloheteroaryl compounds as p2x7 modulators and uses thereof |
| WO2007109192A2 (en) | 2006-03-16 | 2007-09-27 | Renovis, Inc. | Bicycloheteroaryl compounds as p2x7 modulators and uses thereof |
| WO2007109154A2 (en) | 2006-03-16 | 2007-09-27 | Renovis, Inc. | Bicycloheteroaryl compounds as p2x7 modulators and uses thereof |
| WO2007109201A2 (en) | 2006-03-16 | 2007-09-27 | Renovis, Inc. | Bicycloheteroaryl compounds as p2x7 modulators and uses thereof |
| WO2007109160A2 (en) | 2006-03-16 | 2007-09-27 | Renovis, Inc. | Bicycloheteroaryl compounds as p2x7 modulators and uses thereof |
| WO2007141267A1 (en) | 2006-06-06 | 2007-12-13 | Glaxo Group Limited | N- (phenylmethyl) -2- (1h-pyraz0l-4-yl) acetamide derivatives as p2x7 antagonists for the treatment of pain, inflammation and neurodegeneration |
| WO2007141269A1 (en) | 2006-06-06 | 2007-12-13 | Glaxo Group Limited | Novel receptor antagonists and their methods of use |
| WO2008005368A2 (en) | 2006-06-30 | 2008-01-10 | Abbott Laboratories | Piperazines as p2x7 antagonists |
| WO2008003697A1 (en) | 2006-07-06 | 2008-01-10 | Glaxo Group Limited | Substituted n-phenylmethyl -5-oxo-proline-2-amides as p2x7-receptor antagonists and their methods of use |
| WO2008013494A1 (en) | 2006-07-27 | 2008-01-31 | Astrazeneca Ab | Quinoline derivatives as p2x7 receptor antagonist and their use in the treatment of rheumatoid arthritis, osteoarthritis, copd and ibd |
| WO2008119825A2 (en) | 2007-04-03 | 2008-10-09 | Glaxo Group Limited | Imidazolidine carboxamide derivatives as p2x7 modulators |
| WO2008124153A1 (en) | 2007-04-10 | 2008-10-16 | H. Lundbeck A/S | Heteroaryl amide analogues as p2x7 antagonists |
| WO2008125600A2 (en) | 2007-04-11 | 2008-10-23 | Glaxo Group Limited | Pyrazole derivatives as p2x7 modulators |
| WO2008138876A1 (en) | 2007-05-10 | 2008-11-20 | Glaxo Group Limited | Pyrazole derivatives as p2x7 modulators |
| WO2009019503A2 (en) | 2007-08-03 | 2009-02-12 | Astrazeneca Ab | P2x7 antagonists for use in the treatment of mood disorders |
| WO2009023623A1 (en) * | 2007-08-10 | 2009-02-19 | H, Lundbeck A/S | Heteroaryl amide analogues |
| WO2009053459A1 (en) | 2007-10-26 | 2009-04-30 | Glaxo Group Limited | 4-benz0yl-1-substituted-piperazin-2-0ne derivatives as p2x7 modulators |
| WO2009070116A1 (en) | 2007-11-30 | 2009-06-04 | Astrazeneca Ab | A quinoline derivative acting as a p2x7-receptor antagonist |
| WO2009077559A2 (en) | 2007-12-18 | 2009-06-25 | Glaxo Group Limited | 5-oxo-3-pyrrolidinecarboxamide derivatives as p2x7 modulators |
| WO2009118175A1 (en) | 2008-03-25 | 2009-10-01 | Affectis Pharmaceuticals Ag | Novel p2x7r antagonists and their use |
| WO2009132000A1 (en) | 2008-04-22 | 2009-10-29 | Janssen Pharmaceutica Nv | Quinoline or isoquinoline substituted p2x7 antagonists |
| WO2010118921A1 (en) | 2009-04-14 | 2010-10-21 | Affectis Pharmaceuticals Ag | Novel p2x7r antagonists and their use |
| WO2010125103A1 (en) | 2009-04-29 | 2010-11-04 | Glaxo Group Limited | Diketopiperazine derivatives as p2x7 modulators |
Non-Patent Citations (37)
| Title |
|---|
| ANDERSON; NEDERGAARD, TRENDS NEUROSCIEN, vol. 29, 2006, pages 257 - 262 |
| ANSEL ET AL.: "Pharmaceutical Dosage Forms and Drug Delivery Systems", 1999, LIPPINCOTT WILLIAMS & WILKINS PUBLISHERS |
| BARDEN ET AL., AM J MED GENET B, vol. 141B, 2006, pages 374 - 382 |
| BARICORDI ET AL., BLOOD, vol. 87, 1996, pages 682 - 690 |
| BASSO ET AL., BEHAV BRAIN RES, vol. 198, 2009, pages 83 - 90 |
| CESARO ET AL., AM J PHYSIOL-GASTR L, vol. 299, 2010, pages G32 - 42 |
| CHEN ET AL., J. BIOL. CHEM., vol. 268, 1993, pages 8199 - 8203 |
| CHESSELL ET AL., PAIN, vol. 114, 2005, pages 386 - 396 |
| COLLO ET AL., NEUROPHARMACOL, vol. 36, 1997, pages 1277 - 1283 |
| COLLO ET AL., NEUROPHARMACOLOGY, vol. 36, 1997, pages 1277 - 1283 |
| DAHLQVIST; DIAMANT, ACTA PHYSIOL. SCAND., vol. 34, 1974, pages 368 - 384 |
| DI VIRGILIO ET AL., CELL DEATH DIFFER., vol. 5, 1998, pages 191 - 199 |
| DI VIRGILIO ET AL., PURINERGIC SIGNAL, vol. 5, 2009, pages 251 - 256 |
| FALZONI ET AL., J. CLIN. INVEST., vol. 95, 1995, pages 1207 - 1216 |
| FERRARI ET AL., J IMMUNOL, vol. 176, 2006, pages 3877 - 3883 |
| FERRARI ET AL., J. IMMUNOL, vol. 156, 1996, pages 1531 - 1539 |
| GORDON, BIOCHEM. J., vol. 233, 1986, pages 309 - 319 |
| GREENBERG ET AL., J. BIOL. CHEM., vol. 263, 1988, pages 10337 - 10343 |
| GRIFFITHS ET AL., J. IMMOL., vol. 154, 1995, pages 2821 - 2828 |
| HUMPHREYS ET AL., MOL. PHARMACOL., vol. 54, 1998, pages 22 - 32 |
| JIANG ET AL., MOL. PHAMACOL., vol. 58, 2000, pages 82 - 88 |
| MATUTE ET AL., J NEUROSCI, vol. 27, 2007, pages 9525 - 9533 |
| NARCISSE ET AL., GLIA, vol. 49, 2005, pages 245 - 258 |
| NORTH; SURPRENANT, ANNUAL REV. PHARMACOLOGY TOXICOLOGY, vol. 40, 2000, pages 563 - 580 |
| PARVATHENANI ET AL., J BIOL CHEM, vol. 278, 2003, pages 13300 - 13317 |
| PERREGAUX; GABEL, J BIOL CHEM, vol. 269, 1998, pages 15195 - 15203 |
| RASSENDREN ET AL., J. BIOL. CHEM., vol. 272, 1997, pages 5482 - 5486 |
| RESTA ET AL., EUR J NEUROSCI, vol. 25, 2007, pages 2741 - 2754 |
| STEINBERG ET AL., J. BIOL. CHEM., vol. 262, 1987, pages 8884 - 8888 |
| STEINBERG; SILVERSTEIN, J. BIOL. CHEM., vol. 262, 1987, pages 3118 - 3122 |
| SUN, MOL NEUROBIOL, vol. 41, 2010, pages 351 - 355 |
| SURPRENANT ET AL., SCIENCE, vol. 272, 1996, pages 3118 - 3122 |
| SURPRENANT ET AL., SCIENCE, vol. 272, 1996, pages 735 - 738 |
| VIRGINIO ET AL., J. PHYSIOL., vol. 519, 1999, pages 335 - 346 |
| WANG ET AL., NATURE MED, vol. 10, 2004, pages B21 - B27 |
| WILHELM ET AL., NAT MED, vol. 16, 2010, pages 1434 - 1438 |
| WUITSCHIK ET AL., J. MED. CHEM., vol. 53, 2010, pages 3227 - 3246 |
Cited By (6)
| Publication number | Priority date | Publication date | Assignee | Title |
|---|---|---|---|---|
| CN103819479A (en) * | 2014-03-10 | 2014-05-28 | 东华大学 | Pyrimidine group contained rigid conjugated macrocyclic compound as well as preparation method and application thereof |
| CN103819479B (en) * | 2014-03-10 | 2017-01-04 | 东华大学 | A kind of containing pyrimidine group rigidity Conjugate macrocycle compound and its preparation method and application |
| WO2020150417A3 (en) * | 2019-01-17 | 2020-08-27 | Ifm Due, Inc. | Compounds and compositions for treating conditions associated with sting activity |
| CN113233958A (en) * | 2021-01-18 | 2021-08-10 | 阜阳欣奕华材料科技有限公司 | Preparation method of 2- (trans-4-n-propylcyclohexyl) propane-1, 3-diol |
| CN113233958B (en) * | 2021-01-18 | 2023-09-19 | 阜阳欣奕华材料科技有限公司 | Preparation method of 2- (trans-4-n-propylcyclohexyl) propane-1, 3-diol |
| US12503436B2 (en) | 2021-08-10 | 2025-12-23 | Novartis Pharma Ag | Compounds and compositions for treating conditions associated with STING activity |
Also Published As
| Publication number | Publication date |
|---|---|
| AR085276A1 (en) | 2013-09-18 |
Similar Documents
| Publication | Publication Date | Title |
|---|---|---|
| CA2719745C (en) | Novel p2x7r antagonists and their use | |
| US7919503B2 (en) | P2X7R antagonists and their use | |
| ES2349164T3 (en) | DERIVATIVES OF 3- (SULFONAMIDOETIL) -INDOL FOR USE AS MIMETIC COMPOUNDS OF GLUCOCORTICOIDS IN THE TREATMENT OF INFLAMMATORY, ALLERGIC AND PROLIFERATIVE DISEASES. | |
| WO2016041489A1 (en) | Indoleamine-2,3-dioxygenase inhibitor and preparation method therefor | |
| BRPI0714840A2 (en) | compound, process for the preparation and use thereof, pharmaceutical composition, process for the preparation thereof, and, product | |
| WO2012163792A1 (en) | Novel p2x7r antagonists and their use | |
| WO2012110190A1 (en) | Novel p2x7r antagonists and their use | |
| EP3555068A1 (en) | 3-oxo-1,4-diazepinyle compounds as nrf2 activators | |
| WO2012163456A1 (en) | Novel p2x7r antagonists and their use | |
| US8815892B2 (en) | P2X7R antagonists and their use | |
| HK1168600A (en) | Novel p2x7r antagonists and their use | |
| HK1145320A (en) | Novel p2x7r antagonists and their use |
Legal Events
| Date | Code | Title | Description |
|---|---|---|---|
| 121 | Ep: the epo has been informed by wipo that ep was designated in this application |
Ref document number: 12701675 Country of ref document: EP Kind code of ref document: A1 |
|
| NENP | Non-entry into the national phase |
Ref country code: DE |
|
| 122 | Ep: pct application non-entry in european phase |
Ref document number: 12701675 Country of ref document: EP Kind code of ref document: A1 |




































































