WO2012104159A1 - Alkaline liquid detergent compositions - Google Patents
Alkaline liquid detergent compositions Download PDFInfo
- Publication number
- WO2012104159A1 WO2012104159A1 PCT/EP2012/050945 EP2012050945W WO2012104159A1 WO 2012104159 A1 WO2012104159 A1 WO 2012104159A1 EP 2012050945 W EP2012050945 W EP 2012050945W WO 2012104159 A1 WO2012104159 A1 WO 2012104159A1
- Authority
- WO
- WIPO (PCT)
- Prior art keywords
- polymer
- moieties
- block
- hydrogen
- composition according
- Prior art date
- Legal status (The legal status is an assumption and is not a legal conclusion. Google has not performed a legal analysis and makes no representation as to the accuracy of the status listed.)
- Ceased
Links
Classifications
-
- C—CHEMISTRY; METALLURGY
- C11—ANIMAL OR VEGETABLE OILS, FATS, FATTY SUBSTANCES OR WAXES; FATTY ACIDS THEREFROM; DETERGENTS; CANDLES
- C11D—DETERGENT COMPOSITIONS; USE OF SINGLE SUBSTANCES AS DETERGENTS; SOAP OR SOAP-MAKING; RESIN SOAPS; RECOVERY OF GLYCEROL
- C11D3/00—Other compounding ingredients of detergent compositions covered in group C11D1/00
- C11D3/16—Organic compounds
- C11D3/37—Polymers
- C11D3/3703—Macromolecular compounds obtained otherwise than by reactions only involving carbon-to-carbon unsaturated bonds
- C11D3/3723—Polyamines or polyalkyleneimines
-
- C—CHEMISTRY; METALLURGY
- C11—ANIMAL OR VEGETABLE OILS, FATS, FATTY SUBSTANCES OR WAXES; FATTY ACIDS THEREFROM; DETERGENTS; CANDLES
- C11D—DETERGENT COMPOSITIONS; USE OF SINGLE SUBSTANCES AS DETERGENTS; SOAP OR SOAP-MAKING; RESIN SOAPS; RECOVERY OF GLYCEROL
- C11D3/00—Other compounding ingredients of detergent compositions covered in group C11D1/00
- C11D3/0005—Other compounding ingredients characterised by their effect
- C11D3/0036—Soil deposition preventing compositions; Antiredeposition agents
-
- C—CHEMISTRY; METALLURGY
- C11—ANIMAL OR VEGETABLE OILS, FATS, FATTY SUBSTANCES OR WAXES; FATTY ACIDS THEREFROM; DETERGENTS; CANDLES
- C11D—DETERGENT COMPOSITIONS; USE OF SINGLE SUBSTANCES AS DETERGENTS; SOAP OR SOAP-MAKING; RESIN SOAPS; RECOVERY OF GLYCEROL
- C11D3/00—Other compounding ingredients of detergent compositions covered in group C11D1/00
- C11D3/16—Organic compounds
- C11D3/26—Organic compounds containing nitrogen
- C11D3/30—Amines; Substituted amines ; Quaternized amines
-
- C—CHEMISTRY; METALLURGY
- C11—ANIMAL OR VEGETABLE OILS, FATS, FATTY SUBSTANCES OR WAXES; FATTY ACIDS THEREFROM; DETERGENTS; CANDLES
- C11D—DETERGENT COMPOSITIONS; USE OF SINGLE SUBSTANCES AS DETERGENTS; SOAP OR SOAP-MAKING; RESIN SOAPS; RECOVERY OF GLYCEROL
- C11D3/00—Other compounding ingredients of detergent compositions covered in group C11D1/00
- C11D3/16—Organic compounds
- C11D3/37—Polymers
- C11D3/3703—Macromolecular compounds obtained otherwise than by reactions only involving carbon-to-carbon unsaturated bonds
- C11D3/3715—Polyesters or polycarbonates
Definitions
- This invention relates to alkaline liquid detergent compositions comprising soil release polymer (SRP) substantive to polyester fabrics, the soil release polymers assist with cleaning of oily soils from fabrics comprising polyester during a laundry wash process.
- SRP soil release polymer
- TEA triethanoloamine
- polyester SRPs of the type E-M-E M is the fabric substantive mid block and each E is a generally hydrophilic end block, preferably comprising a block of ethylene oxide repeat units such as mPEG (methyl endcapped polyethylene glycol) that acts to modify the normally hydrophobic polyester fabric surface once the fabric substantive mid block has caused the SRP to deposit on the surface.
- mPEG methyl endcapped polyethylene glycol
- WO2009/153184 proposes to dose a main wash surfactant at low levels so that the in wash surfactant level is lower than normal. What would be the consequential unsatisfactory wash performance resulting from the low in wash surfactant levels, is boosted by inclusion of unusually high levels of specific polymers and enzymes in the liquid.
- One of the key polymers that is preferably included at high levels in the composition is a SRP substantive to polyester.
- the one used in the examples of WO2009/153184, and also one of the three preferred on page 39, is of polyester chemistry (terephthalic acid/propandiol condensation polymer with methoxy PEG 750 end cap). It is sold under the trade name Texcare® SRN170 by Clariant. It is now thought that this material is substantially linear.
- solubility of an SRP in a composition is defined as its ability to remain isotropic within the composition and not produce the unwanted hazing effect. Thus solubility may simply be determined for any given SRP in a given composition.
- EP 1 661 933 (Sasol) describe amphiphilic non-ionic oligoesters that have soil release properties after storage in alkaline detergent liquid.
- a PO block of up to 10, but preferably 2 to 4 may be adjacent to the mid block.
- the tested material has 4 PO.
- the mid block is essentially 1 ,4 - phenylene and 1 ,2 propylidene.
- TEA is not used with these polymers.
- SRPs and other SRPs that can be conceived by the skilled worker without the need for further inventive effort once the information concerning the SRPs we have produced is known, when formulated into alkaline liquid detergents, provide a novel group of stable compositions that may be linked together and generalised to form a single inventive concept that is broader than the compositions comprising the individual SRPs.
- the resulting invention therefore encompasses further groups of polymers that the skilled person, aware of the teaching in this patent specification, would expect to have the same or similar properties in the alkaline liquids of the type claimed.
- an aqueous alkaline isotropic concentrated detergent liquid composition with an undiluted pH of at least 7.8 and at most 9 comprising:
- B-Ar-B where B is selected from urethane, amide and ester moieties and Ar is
- midblock M comprises the motif:
- R1 and R2 may be the same or different selected from C1 -C4 alkyl, C1 -C4 alkoxy and Hydrogen, provided that R1 and R2 may not both be hydrogen, n is at least 2, preferably more than 5, the ester bonds may by formed the other way around (not shown), if they are so reversed then all of them will be so reversed, wherein the composition comprising the polymer provides soil release less than a ⁇ of 5 with DMO on woven polyester after storage of the polymer in the detergent composition at 60°C for 8 days at a pH >7.5.
- end blocks E may both be present, alternatively only one of the two possible end blocks needs to be present, throughout this specification and claims references to end blocks include the situation where one or other end block is missing unless the context requires otherwise.
- the polymer has two end blocks E. If one of the end blocks is missing then capping group X will similarly be missing from that end.
- each E comprises C1 -C4 capped chains of polyethylene glycol remote from the midblock, with at least 10 EO repeat units, the end blocks being free from ester bonds, because the substituted ethylene moiety in the mid block motif cannot link directly to an end block E the mid block is connected to that end block E (when it is present) via a linking moiety L, wherein the polymer has a molecular weight Mw of at least 4000 and is provided with sufficient hindering of its ester bonds to provide soil release greater than a ⁇ of 5 with DMO on woven polyester after storage of the polymer at 37°C for 8 weeks, or at 60°C for 8 days, at a pH >7.5 in a composition in the presence of 1 % or more TEA. When the end block that would be attached to linking moiety L is absent the linking moiety may also be absent. The polymer must then take the form E-M.
- each E in polymer (f) comprises alkyl capped oligomers of polyethylene glycol, and the polymer has a molecular weight Mw of at least 4000. More preferably each E comprises C1 -C4 capped oligomers of polyethylene glycol.
- Linking moiety L may itself be of the form ester-Ar-ester, (B is an ester) but some protection of the end block attached via that linking group L may be afforded by replacing one or both ester moieties B with more hydrolysis resistant urethane or amide moieties. It is important to keep the esters in the midblock intact as fabric substantivity and thus soil release properties are otherwise lost and the improved resistance to hydrolysis is of no practical significance.
- the alkaline liquid detergent compositions may comprise the polymer (f) in amounts of from 1 to 15 wt%, preferably from 1 to 10 wt%, most preferably from 1.5 to 7 wt%.
- the alkaline isotropic concentrated detergent liquid composition comprises at least 5 wt% anionic surfactant.
- the liquid may comprise LAS, SLES, Nonionic and optionally betaine, the LAS being neutralised from
- the liquid has an undiluted pH of at least 7.8.
- the alkaline detergent liquid has an undiluted pH of at most 9, preferably at most 8.4, even at most 8.2.
- R1 and R2 in the mid block motif are selected from H and Me.
- Prior art unstable polymers comprise mPEG as E and use esters throughout M and L.
- the more stable of this type of polymer disclosed in the prior art for example Texcare 240 use ethylene substituted by one Me and one H in the midblock M and the Linking group L. This single methyl side group of the otherwise linear motive does not provide sufficient hindering of the adjacent esters.
- a number of strategies can be used to increase the degree of hindering of the ester bonds and thereby to improve the polymer's resistance to alkaline hydrolysis.
- a first strategy is to insert a polypropylene oxide block as part of the endblock E situated between the ester bonds at the end of the mid block M and the polyethylene oxide hydrophilic block forming the part of endblock E furthest from the midblock M.
- Such PO insertions have been mentioned in the prior art but their significance for improved alkaline stability has not been
- a second strategy is to introduce into the midblock M ethylene that is substituted by 2 methyl groups. That is both R1 and R2 are methyl. Not all of the substituted ethylene groups should be replaced in this way.
- a convenient way to achieve this is to use a mixture of a minor part of 2,3 butandiol with a major part of the conventionally used 1 ,2 propandiol to form the mid block M.
- the endblock E may comprise at least 40, preferably at least 45 EO groups and the ratio of the number of EO groups in each of the end blocks E to the number of repeat units in the midblock n is from 4 to 8.
- Each of these strategies may be employed on its own, or even more preferred combinations of 2 or even all three of the strategies may be used.
- compositions in WO09153184 had high levels of soap for antifoam effect when the compositions are used in front loading automatic washing machines. We have now found that this may require too much hydrotrope to stabilise the composition. Thus it is preferred for the amount of fatty acid added to the composition (soap precursor before neutralisation) to be kept to a maximum of 1 .5 wt% to facilitate the hydrotrope levels claimed, especially at the lower levels of hydrotrope. Keeping the soap level low means that the compositions may be formulated with low levels of hydrotrope (less than 15 wt%, even less than 12 wt%. This low hydrotrope level means that only certain SRPs and especially the ones according to the invention can be incorporated in isotropic form (dissolve in the composition). Many known polymers, especially those using groups other then esters as B and those having very high molecular weight mid blocks M will cause undesirable hazing of the composition.
- Suitable polyester soil release polymers (f) are preferably selected from those having the general formula (I):
- G 1 comprises 1 ,4 phenylene; G 2 is ethylene, which may be substituted; It is preferred that moieties G are all ethylene of formula (II)
- G 3 and G 4 are selected from Hydrogen, Ci -4 alkyl and Ci -4 alkoxy, provided that at least one of G 3 and G 4 is not hydrogen and that at least 10% of the groups G 2 have neither G 3 nor G 4 as hydrogen.
- G 3 and G 4 are not hydrogen then they are methyl moieties.
- the non H substituents, more preferably the methyl moieties, are arranged in syn configuration on the ethylene backbone -CH-CH- of moieties G 2 .
- E is X-[(EO) q i-block-(PO)p]- and -[(PO) p -block-(EO) q2 ] -X
- M is -[(A-G 1 -A-G 2 ) n ]-;
- L is -[B-G 1 -B]-
- n is not necessarily a whole number for the polymer in bulk. The same holds true, to a lesser extent, for p, qi and q 2 . Since p and qi and q 2 are made by anionic polymerisation routes (resulting in polymer blocks with very discreet block lengths) as against the midblock made by polycondensation routes (resulting in polymer blocks with more polydisperse block lengths).
- the moiety [(A-G 1 -A-G 2 ) n ]-B-G 1 -B]- forms the polymer mid block or backbone and is described in more detail below.
- the moieties A and B nearest to any PO blocks are esters.
- the defined PO blocks adjacent to those end ester moieties hinder the hydrolysis of those ester moieties.
- the protection of those ester moieties has been found to provide a significant benefit in terms of overall polymer stability.
- moieties B may be different from the moieties A.
- moieties B may be selected from the more hydrolytically stable amide or urethane linking moieties.
- the same freedom does not apply to the moieties A. These must be essentially esters in order to retain the fabric substantivity of the mid block motif.
- n is at least 5 and preferably at least 8 as this seems to confer advantages for sustained soil release after prolonged storage under alkaline conditions.
- the moieties G 1 are 1 ,4 phenylene for maximum fabric substantivity of the mid block motif.
- a preferred diol to form the desired group G 2 may be selected from the group of diols of formula (III): syn n+1 ,n+2 alkylene diol (III) n being an integer from 1 to c-3, where c is the number of carbons in the alkylene chain.
- the most preferred diols are syn 2,3 butane diol and 1 ,2 propane diol. when q1 is 0, or from 40 to 120, and q2 is from 40 to 120, n is preferably a number from 5 to 26 and the ratio of (q1 +q2):n is from 4 to at most 10, preferably from 5 to 8;
- Formula (IV) shows a suitable polymer where the mid block is formed entirely from oxypropylene moieties and terephthaloyl moieties (1 ,4-dicarboxy- phenylene and 1 ,2 propylene), linked via ester groups to one or more capped polyethylene glycol end blocks, one of which is depicted as having p units of ethylene oxide (q2).
- the polyester substantive motif in the mid block is repeated n times.
- the invention is a combination of a selected group of polyester soil release polymers with high performance and stability and a liquid detergent base that holds the polymer stably in solution or dissolution and yet does not cause unwanted destruction of the polymer structure and performance via hydrolysis as we have found to be the case with prior art preferred polymers when incorporated into such isotropic alkaline detergent liquids.
- the invention requires the selection of a stable high performance soil release polymer and its incorporation into an alkaline concentrated detergent liquid, comprising surfactant and triethanolamine that is known to catalyse the polymer hydrolysis.
- a preferred family of suitable SRPs have the formula (I): X-[(EO) q i-block-(PO)p]-[(A-G 1 -A-G 2 ) n -B-G 1 -B-[(PO)p-block-(EO) q2 ] -X (I)
- X-[(EO) q i-block-(PO)p]- and -[(PO) p -block-(EO) q2 ] -X are generally connected at the ends of the polymer backbone or mid block.
- the mid block is responsible for making the polymer fabric substantive, particularly towards polyester fabrics.
- the endcaps of large blocks of EO groups are highly hydrophilic and can be considered to swing away from the fabric to provide the surface modification that promotes soil release.
- the mid block [(A-G 1 -A-G 2 ) r ]-B-G 1 -B (-M-L-) is responsible for making the polymer fabric substantive, particularly towards polyester fabrics.
- the linking moieties A are essentially esters. It is preferred that moieties B in linking group L are also esters. In the polymer structure such an ester may be formed either way around and it may thus take the form of the moiety:
- a moieties preferably consist entirely of such ester moieties.
- the G 1 moieties comprise 1 ,4-phenylene moieties. It is possible, as taught by the prior art, to partially substitute some of these 1 , 4 phenylene moieties with other arylene or alkarylene moieties, for example 1 ,3-phenylene, 1 ,2-phenylene, 1 ,8-naphthylene, 1 ,4-naphthylene, 2,2'- biphenylene, 4,4'-biphenylene and mixtures thereof. However, such substitution is undesirable as it adversely affects the ability of the mid block to deposit onto polyester fabric. A minor amount, less than 10 mol%, of such substitution is permissible, but not preferred.
- the G 2 moieties are ethylene moieties, or more preferably substituted ethylene moieties having Ci -4 alkyl or alkoxy substituents.
- the G 2 moieties may consist entirely of ethylene, or substituted ethylene moieties, or these moieties may be partially replaced with a minor part of other compatible moieties.
- a preferred substituted ethylene moiety is 1 ,2 propylene which is derived from the condensation of 1 ,2 propane diol. It is preferred to fully avoid the use of unsubstituted ethylene. It is also desirable to minimize partial replacement with oxyalkylene moieties, for best soil release activity.
- G 2 may comprise from 80 to 100 mol% mono and di substituted ethylene moieties, and from 0 to 20 mol% other compatible moieties.
- suitable substituted ethylene moieties are the
- the different forms behave in similar ways so far as the hindering of hydrolysis is concerned.
- the optically active RR or SS diastereoisomers are preferred over the RS (meso) diastereoisomer.
- the preferred form of the 2,3 butylene glycol used is the RR or SS optically active forms either isolated, or as a racemic mixture. In practice a mixture of the meso and racemic forms has been found to give satisfactory results.
- the degree of partial replacement of G 1 or G 2 which can be tolerated will depend upon the number of repeat units n in the mid block, i.e. longer mid blocks can have greater partial replacement. So for a polymer where n is at least 5 the degree of replacement of the preferred G 1 and G 2 in the fabric substantive motif may be as high as 20 mol%. However, it is desirable to minimize such partial replacement, for best soil release activity it is preferably absent.
- G 2 comprises from 80 to 100 mol% substituted ethylene moieties and from 0 to 20 mol% other compatible moieties which give a carbon chain length of 2 in the backbone.
- Such moieties include 2,3 butane diol derivatives, i.e. an ethylene moiety with a methyl group substituted on each carbon in the backbone.
- linear polymer backbones are preferred some degree of branching can be introduced by using triols or 1 ,3,5 phenylene moieties and these too may be used as substituent G 1 and or G 2 groups provided that at least 80 mol% of those groups are the preferred moieties described above.
- the polymer should preferably be nonionic as ionic polymers are generally not phase stable in concentrated alkaline detergent liquids. It has been found that the value of n needs to be at least 2 in order for the stable polymers used in the invention to have sufficient polyester substantivity. The maximum value for n can range up to 26. By comparison, polyesters used in fibre making typically have a much higher molecular weight with n from 50 to 250. Typically, n ranges from 2 to 16, preferably 4 to 9. Generally, the larger the n value, the less soluble is the polymer.
- G 2 moieties are essentially substituted ethylene moieties, selected from substituted ethylene of formula (II) G 3 G 4
- G 3 and G 4 are selected from Hydrogen, C1 -4 alkyl and C1 -C4 alkoxy provided that at least one of G 3 and G 4 is not hydrogen and that at least 10 mol%, preferably at least 20 mol% of the groups G 2 have neither G 3 nor G 4 as hydrogen.
- G 3 and G 4 are not hydrogen then they are methyl moieties.
- the non Hydrogen substituents, more preferably the methyl moieties, are arranged in syn configuration on the ethylene backbone.
- the preferred diol to form the desired group is selected from the group of diols of formula (III): syn n+1 ,n+2 alkylene diol (III) n being an integer from 1 to c-3, where c is the number of carbons in the alkylene chain.
- the most preferred diols are syn 2, 3 butane diol and 1 ,2 propane diol.
- each X is Ci -4 alkyl, preferably methyl or n-butyl; each q is from 12 to 80; each p is from 0 to 50; n is from 3 to 10;
- the polymeric soil release agents according to the present invention have the formula (V): X-[(EO) q (PO)p]-[(OC(0)-G 1 -C(0)0-G 2 ) n ]-OC(0)-G 1 -C(0)0-[(PO)p(EO) q ]-X (V) wherein :
- each of the G 1 moieties is a 1 ,4-phenylene moiety
- the G 2 moieties are each selected from the group consisting of monomethyl ethylene and dimethyl ethylene, provided that the dimethyl ethylene has the two methyl groups on separate carbons and that this moiety forms at least 20 mol% of the moieties G 2
- each X is Ci-C 4 alkyl; each q is from 40 to 70; n is from 3 to 10.
- G 2 moieties comprise a mixture of from 40 to 90 mol% monomethyl substituted ethylene moieties, and from 10 to 60 mol% 1 ,2 dimethyl ethylene moieties.
- the polymeric soil release agents have the formula (VI) or (VII):
- n has the value from 2 to 20.
- the soil release polymer may comprise statistical mixtures of material with two end blocks E and material with one or other option for a single end block E.
- the linking moiety L may be replaced by an alcohol termination on the polymer.
- the end blocks X-[EOq1 ] and [EOq2]-X may be the conventional capped PEG groups of various molecular weight or alternatively, in the case where p is not zero, they may be blocked mPEG/PPG groups i.e. X-[(EO) q -block-(PO) p ]- and -[(PO)p-block-(EO) q ] -X.
- the end blocks are preferably connected to the polymer mid block M or linking block L by ester moieties, A and B.
- an alkaline liquid optional end block PO groups may be arranged in blocks adjacent the end ester moieties of the mid block M and the linking part L and the end block EO groups are similarly arranged in blocks more remote from the mid block. Pure, i.e. 100%, EO and PO blocks are preferred.
- a preferred EO block is made using a capped PEG such as methyl capped PEG, or mPEG.
- the molecular weight Mw of the mPEG may be in the range 700 to 3000 Da.
- the PO block should comprise at least 80% by number PO units.
- a stat block PO/EO block confers some improvement of resistance to hydrolysis of the end ester moieties A and B.
- it comprises as much as possible of the ester bond hindering PO units.
- it consists of at least 90% and most preferably 100%, by number, PO units.
- the number, p, of units in the PO block is from 2 to 50, more preferably from 5 to 45, even more preferably from 6 to 40, yet more preferably from 7 to 40 and most preferably from 8 to 40, even from 1 1 to 35;
- Preferred polymers have an EO block that has more units than the PO block, when present, preferably the EO block has at least 1 .5 times the number of moles or units (q2) as the PO block (p).
- the terminal end cap X on the EO block is preferably as small as possible, for example C1 -C4 alkyl.
- X is preferably methyl, ethyl, or n-butyl and most preferably methyl or n-butyl.
- q is at least 6, and is preferably at least 10.
- the value for q usually ranges from 18 to 80.
- the value for q is in the range of from 30 to 70, preferably 40 to 70.
- the value for n should be increased so that the polymer will deposit well on the fabric during laundering.
- Preferred compounds of formula (I) are polymers having formula (VIII):
- the block polyesters of formula VIII are linear block polyesters.
- n preferably ranges from 3 to 9, especially for those made from dimethyl terephthalate, and 1 ,2-propylene glycol.
- the most preferred of these linear block polyesters are those where n is from 3 to 5.
- p is from 1 1 to 50 and q is from 18 to 60.
- a particularly preferred embodiment of this type of soil release polymer of formula (I) has the formula (IX), where n is at most 15, preferably at most 12 and more preferably at most 9 and n is at least 2, preferably at least 3 and more preferably at least 4, for example n is from 2 to 15, preferably 3 to 12 more preferably 4 to 9.
- q1 is either zero, or is at least 40, preferably about 45 and q2 is at least 40, preferably about 45.
- q1 is either zero, or is at least 40, preferably about 45 and q2 is at least 40, preferably about 45.
- the prior art polymer Texcare® SRN 240 appears to have almost the same end block (a methyl capped PEG of a molecular weight of approximately 2000), yet it proved to be unsuitable for use in alkaline liquid compositions, particularly those comprising triethanolamine (TEA).
- TAA triethanolamine
- the value for n should be increased to keep the ratio within the defined limits and to ensure that the compound will deposit well on the fabric during laundering.
- Preferred compounds of the present invention are polyesters having the formula (X):
- Preferred polymers for use in liquid detergent compositions have molecular weights Mw within the range of from 1000 to 20 000, preferably from 1500 to 10 000.
- the polydispersity of the polymers is preferred to be less than 3.
- the soil release polymers of the present invention can be prepared by methods known to the person skilled in the art.
- US 4,702, 857 and US 4,71 1 ,730 describe a method of synthesis that may be adapted to produce the block polyesters of the present invention.
- end blocks are made in a separate process and then added to the mid block.
- a suitable process to manufacture the block copolymers used for the end blocks is described below.
- the optional PO/EO end blocks are preformed by anionic polymerisation of propylene oxide using a preformed mono-functional PEG as the initiator.
- a preformed mono-functional PEG as the initiator.
- Reaction A Sodium hydride reacts with PEG to yield activated chain ends.
- Reaction B The addition of PO proceeds at the ends of the PEG chains to form a block of PO.
- the reaction is suitably carried out in the presence of a base catalyst, at an elevated temperature, for example, 120 to 180 °C, and, if desired, under reduced pressure.
- a base catalyst normally methanol
- the lower alcohol, normally methanol, generated during the reaction is distilled off.
- Suitable catalysts include alkyl and alkaline earth metals, for example, lithium, sodium, calcium and magnesium, as well as transition and Group MB metals, for example, antimony, manganese, cobalt and zinc.
- the catalysts are usually used as oxides, carbonates or acetates.
- a preferred catalyst comprises antimony trioxide and calcium acetate.
- esters and oligomers produced in the condensation (ester interchange) reaction may then be polymerised to the desired molecular weight, by raising the temperature further, typically to 180 to 250 °C.
- the degree of polymerisation may be monitored by gel permeation
- polyester recognition motif with the ester moieties reversed if the starting materials are aliphatic biscarboxylic acids and aromatic bisalcohol.
- the amount of detersive surfactant makes up at least 10 wt% of the total liquid composition, preferably it makes up from 12 to 60 wt%.
- compositions according to the invention most preferably have total active detersive surfactant levels of at least 15 wt%.
- compositions may be concentrated compositions designed to be added to a 10 litre wash in small doses that require them to be diluted in at least 500 times their own volume of water to form a main wash liquor comprising at most 0.5 g/l surfactant. They may also be concentrated compositions designed for hand wash or top loading automatic washing machines. In hand wash less water may be used and in top loading automatic washing machines a higher amount of water would normally be used. The dose of detergent liquid is adjusted accordingly to give similar wash liquor concentrations.
- Surfactants assist in removing soil from the textile materials and also assist in maintaining removed soil in solution or suspension in the wash liquor.
- Anionic or blends of anionic and nonionic surfactants are a preferred feature of the present invention.
- the amount of anionic surfactant is preferably at least 5 wt%.
- the anionic surfactant forms the majority of the non soap surfactant (a).
- alkyl sulphonates are alkylbenzene sulphonates, particularly linear alkylbenzene sulphonates having an alkyl chain length of Cs-C-is.
- the counter ion for anionic surfactants is generally an alkali metal, typically sodium, although other counter-ions such as MEA, TEA or ammonium can be used.
- Preferred linear alkyl benzene sulphonate surfactants are Detal LAS with an alkyl chain length of from 8 to 15, more preferably 12 to 14.
- composition comprises an alkyl polyethoxylate sulphate anionic surfactant of the formula (I): where R is an alkyl chain having from 10 to 22 carbon atoms, saturated or unsaturated, M is a cation which makes the compound water-soluble, especially an alkali metal, ammonium or substituted ammonium cation, and x averages from 1 to 15.
- R is an alkyl chain having from 10 to 22 carbon atoms, saturated or unsaturated
- M is a cation which makes the compound water-soluble, especially an alkali metal, ammonium or substituted ammonium cation, and x averages from 1 to 15.
- R is an alkyl chain having from 12 to 16 carbon atoms
- M is Sodium and x averages from 1 to 3, preferably x is 3;
- SLES sodium lauryl ether sulphate
- It is the sodium salt of lauryl ether sulphonic acid in which the predominantly C12 lauryl alkyl group has been ethoxylated with an average of 3 moles of ethylene oxide per mole.
- Nonionic surfactants include primary and secondary alcohol ethoxylates, especially C8-C20 aliphatic alcohol ethoxylated with an average of from 1 to 20 moles of ethylene oxide per mole of alcohol, and more especially the C10-C15 primary and secondary aliphatic alcohols ethoxylated with an average of from 1 to 10 moles of ethylene oxide per mole of alcohol.
- Non-ethoxylated nonionic surfactants include alkyl polyglycosides, glycerol monoethers and polyhydroxy amides (glucamide). Mixtures of nonionic surfactant may be used.
- the composition contains from 0.2 wt% to 40 wt%, preferably 1 wt% to 20 wt%, more preferably 5 to 15 wt% of a non-ionic surfactant, such as alcohol ethoxylate, nonylphenol ethoxylate,
- alkylpolyglycoside alkylpolyglycoside, alkyldimethylamineoxide, ethoxylated fatty acid
- glucamides N-acyl N-alkyl derivatives of glucosamine
- Nonionic surfactants that may be used include the primary and secondary alcohol ethoxylates, especially the C8-C20 aliphatic alcohols ethoxylated with an average of from 1 to 35 moles of ethylene oxide per mole of alcohol, and more especially the C10-C15 primary and secondary aliphatic alcohols ethoxylated with an average of from 1 to 10 moles of ethylene oxide per mole of alcohol.
- composition may comprise up to 10 wt% of an amine oxide of the formula (2):
- R 1 is a long chain moiety each CH 2 R 2 are short chain moieties.
- R 2 is preferably selected from hydrogen, methyl and -CH 2 OH.
- R 1 is a primary or branched hydrocarbyl moiety which can be saturated or unsaturated, preferably, R 1 is a primary alkyl moiety.
- R 1 is a hydrocarbyl moiety having chain length of from about 8 to about 18.
- Preferred amine oxides have R 1 is Cs-C-i s alkyl, and R 2 is H. These amine oxides are illustrated by Ci2-u alkyldimethyl amine oxide, hexadecyl dimethylamine oxide, octadecylamine oxide.
- a preferred amine oxide material is Lauryl dimethylamine oxide, also known as dodecyldimethylamine oxide or DDAO. Such an amine oxide material is commercially available from Hunstman under the trade name Empigen® OB.
- Amine oxides suitable for use herein are also available from Akzo Chemie and Ethyl Corp. See McCutcheon's compilation and Kirk-Othmer review article for alternate amine oxide manufacturers.
- R 2 is H
- R 2 may be CH 2 OH, such as:
- Preferred amine oxides have the formula: O " - N + (Me) 2 R 1 (3) where R 1 is C12-16 alkyl, preferably C-12-u alkyl; Me is a methyl group. Zwitterionic
- Nonionic-free systems with up to 95 %wt LAS can be used provided that some zwitterionic surfactant, such as sulphobetaine, is present.
- a preferred zwitterionic material is a betaine available from Huntsman under the name Empigen® BB. Betaines, improve particulate soil detergency in the
- compositions of the invention are provided.
- surfactants than the preferred LAS, SLES, nonionic and zwitterionic (betaine) may be added to the mixture of detersive surfactants.
- cationic surfactants are preferably substantially absent.
- alkyl sulphate surfactant may be used, especially the non-ethoxylated C12-15 primary and secondary alkyl sulphates.
- PAS alkyl sulphate surfactant
- a particularly preferred class of polymer for use in combination with the soil release polymers of the present invention is polyethylene imine, preferably modified polyethylene imine.
- Polyethylene imines are materials composed of ethylene imine units -CH2CH2NH- and, where branched, the hydrogen on the nitrogen is replaced by another chain of ethylene imine units. These polyethyleneimines can be prepared, for example, by polymerizing
- the EPEI comprises a polyethyleneimine backbone of about 300 to about 10000 weight average molecular weight; wherein the modification of the polyethyleneimine backbone is intended to leave the polymer without quaternisation.
- Such nonionic EPEI may be represented as PEI(X)YEO where X represents the molecular weight of the unmodified PEI and Y represents the average moles of ethoxylation per nitrogen atom in the polyethyleneimine backbone.
- the ethoxylation may range from 9 to 40 ethoxy moieties per modification, preferably it is in the range of 16 to 26, most preferably 18 to 22.
- the polyethyleneimine polymer is present in the composition preferably at a level of between 0.01 and 25 wt%, but more preferably at a level of at least 2 wt% and/or less than 9.5 wt%, most preferably from 3 to 9 wt% and with a ratio of non-soap surfactant to EPEI of from 2: 1 to 7: 1 , preferably from 3: 1 to 6: 1 , or even to 5: 1 .
- dye transfer inhibition polymers In addition to a soil release polymer there may be used dye transfer inhibition polymers, anti redeposition polymers and cotton soil release polymers, especially those based on modified cellulosic materials.
- a hydrotrope is a solvent that is neither water nor conventional surfactant that aids the solubilisation of the surfactants and other components in the aqueous liquid to render it isotropic.
- suitable hydrotropes there may be mentioned as preferred: MPG (monopropylene glycol), glycerol, sodium cumene sulphonate, ethanol, other glycols, e.g. di propylene glycol, diethers and urea.
- At least one or more enzymes may be present in the compositions. Lipase
- Lipase is a particularly preferred enzyme.
- the composition preferably contains from about 5 to about 20000 LU/g of a lipase.
- Preferred lipase enzymes include those of bacterial or fungal origin. Chemically modified or protein engineered mutants are included.
- useful lipases include lipases from Humicoia, more preferably ones which comprise a polypeptide having an amino acid sequence which has at least 90% sequence identity with the wild- type lipase derived from Humicoia lanuginose, most preferably strain DSM 4109.
- the amount in the composition is higher than typically found in liquid detergents. This can be seen by the ratio of non-soap surfactant to lipase enzyme, in particular.
- a particularly preferred lipase enzyme is available under the trademark LipocleanTM from Novozymes.
- suitable lipases include those of bacterial or fungal origin. Chemically modified or protein engineered mutants are included.
- useful lipases include lipases from Humicoia (synonym Thermomyces), e.g. from H. lanuginosa (7. lanuginosus) as described in EP 258 068 and EP 305 216 or from H. insolens as described in WO 96/13580, a Pseudomonas lipase, e.g. from P. alcaligenes or P. pseudoalcaligenes (EP 218 272), P. cepacia (EP 331 376), P. stutzeri (GB 1 ,372,034), P. fluorescens,
- wisconsinensis (WO 96/12012), a Bacillus lipase, e.g. from B. subtilis (Dartois et al. (1993), Biochemica et Biophysica Acta, 1 131 , 253-360), B.
- stearothermophilus JP 64/744992
- B. pumilus WO 91/16422
- the preferred ones have a high degree of homology with the wild-type lipase derived from Humicoia lanuginose.
- Other examples are lipase variants such as those described in WO 92/05249, WO 94/01541 , EP 407 225, EP 260 105, WO 95/35381 , WO 96/00292, WO 95/30744, WO 94/25578, WO 95/14783, WO 95/22615, WO 97/04079 and WO 97/07202.
- LipolaseTM and Lipolase UltraTM LipexTM and LipocleanTM (Novozymes A/S).
- lipase In addition to or as an alternative to lipase one or more other enzymes may be present. However lipase is particularly preferred.
- the presence of relatively high levels of calcium in the poorly built or unbuilt compositions of the invention has a beneficial effect on the turnover of certain enzymes, particularly lipase enzymes and preferably lipases from Humicola.
- the preferred lipases include first wash lipases which comprise a polypeptide having an amino acid sequence which has at least 90% sequence identity with the wild-type lipase derived from Humicola lanuginosa strain DSM 4109 and compared to said wild-type lipase, comprises a substitution of an electrically neutral or negatively charged amino acid within 15 A of E1 or Q249 with a positively charged amino acid; and may further comprise:
- (III) meets the following limitations: I. comprises a negatively charged amino acid in position E210 of said wild-type lipase;
- III comprises a neutral or negatively charged amino acid at a
- the method of the invention may be carried out in the presence of
- phospholipase classified as EC 3.1 .1 .4 and/or EC 3.1 .1 .32.
- the term phospholipase is an enzyme which has activity towards
- Phospholipids such as lecithin or phosphatidylcholine, consist of glycerol esterified with two fatty acids in an outer (sn-1 ) and the middle (sn- 2) positions and esterified with phosphoric acid in the third position; the phosphoric acid, in turn, may be esterified to an amino-alcohol.
- Phospholipases are enzymes which participate in the hydrolysis of
- phospholipids Several types of phospholipase activity can be distinguished, including phospholipases Ai and A 2 which hydrolyze one fatty acyl group (in the sn-1 and sn-2 position, respectively) to form lysophospholipid; and lysophospholipase (or phospholipase B) which can hydrolyze the remaining fatty acyl group in lysophospholipid.
- Phospholipase C and phospholipase D release diacyl glycerol or phosphatidic acid
- proteases include those of animal, vegetable or microbial origin. Microbial origin is preferred. Chemically modified or protein engineered mutants are included.
- the protease may be a serine protease or a metallo protease, preferably an alkaline microbial protease or a trypsin-like protease.
- Preferred commercially available protease enzymes include AlcalaseTM, SavinaseTM, PrimaseTM, DuralaseTM, DyrazymTM, EsperaseTM, EverlaseTM, PolarzymeTM, and KannaseTM, (Novozymes A/S), MaxataseTM, MaxacalTM, MaxapemTM, ProperaseTM, PurafectTM, Purafect OxPTM, FN2TM, and FN3TM (Genencor International Inc.). Cutinase:
- the method of the invention may be carried out in the presence of cutinase. classified in EC 3.1 .1 .74.
- the cutinase used according to the invention may be of any origin.
- Preferably cutinases are of microbial origin, in particular of bacterial, of fungal or of yeast origin.
- Suitable amylases include those of bacterial or fungal origin. Chemically modified or protein engineered mutants are included.
- Amylases include, for example, alpha-amylases obtained from Bacillus, e.g. a special strain of B. licheniformis, described in more detail in GB 1 ,296,839, or the Bacillus sp. strains disclosed in WO 95/026397 or WO 00/060060.
- amylases are DuramylTM, TermamylTM, Termamyl UltraTM, NatalaseTM, StainzymeTM, FungamylTM and BANTM (Novozymes A/S), RapidaseTM and PurastarTM (from Genencor International Inc.).
- Cellulase are DuramylTM, TermamylTM, Termamyl UltraTM, NatalaseTM, StainzymeTM, FungamylTM and BANTM (Novozymes A/S), RapidaseTM and PurastarTM (from Genencor International Inc.).
- Suitable cellulases include those of bacterial or fungal origin. Chemically modified or protein engineered mutants are included. Suitable cellulases include cellulases from the genera Bacillus, Pseudomonas, Humicola, Fusarium, Thielavia, Acremonium, e.g. the fungal cellulases produced from Humicola insolens, Thielavia terrestris, Myceliophthora thermophila, and Fusarium oxysporum disclosed in US 4,435,307, US 5,648,263, US
- cellulases include CelluzymeTM,
- Suitable peroxidases/oxidases include those of plant, bacterial or fungal origin. Chemically modified or protein engineered mutants are included.
- peroxidases examples include peroxidases from Coprinus, e.g. from C. cinereus, and variants thereof as those described in WO 93/24618, WO 95/10602, and WO 98/15257.
- Commercially available peroxidases include GuardzymeTM and NovozymTM 51004 (Novozymes A/S).
- Pectate lyases also called polygalacturonate lyases
- pectate lyases include pectate lyases that have been cloned from different bacterial genera such as Erwinia, Pseudomonas, Klebsiella and Xanthomonas, as well as from Bacillus subtilis (Nasser et al. (1993) FEBS Letts. 335:319-326) and Bacillus sp. YA-14 (Kim et al. (1994) Biosci. Biotech. Biochem. 58:947-949).
- the pectate lyase comprises the pectate lyase disclosed in Heffron et al., (1995) Mol. Plant- Microbe Interact. 8: 331 -334 and Henrissat et al., (1995) Plant Physiol. 107: 963-976.
- pectatel lyases are disclosed in WO 99/27083 and WO 99/27084.
- pectate lyases derived from Bacillus licheniformis
- US patent no. 6,284,524 which document is hereby incorporated by reference.
- pectate lyase variants are disclosed in WO 02/006442, especially the variants disclosed in the Examples in WO 02/006442 (which document is hereby incorporated by reference).
- alkaline pectate lyases examples include
- BIOPREPTM and SCOURZYMETM L from Novozymes A/S, Denmark.
- Mannanase examples include mannanases of bacterial and fungal origin.
- the mannanase is derived from a strain of the filamentous fungus genus Aspergillus, preferably Aspergillus niger or Aspergillus aculeatus (WO 94/25576).
- WO 93/24622 discloses a mannanase isolated from Trichoderma reseei. Mannanases have also been isolated from several bacteria, including Bacillus organisms. For example, Talbot et al., Appl. Environ. Microbiol., Vol.56, No. 1 1 , pp. 3505- 3510 (1990) describes a beta-mannanase derived from Bacillus
- JP-A-63056289 describes the production of an alkaline, thermostable beta- mannanase.
- JP-A-63036775 relates to the Bacillus microorganism FERM P- 8856 which produces beta-mannanase and beta-mannosidase.
- JP-A- 08051975 discloses alkaline beta-mannanases from alkalophilic Bacillus sp. AM-001.
- a purified mannanase from Bacillus amyloliquefaciens is disclosed in WO 97/1 1 164.
- WO 91/18974 describes a hemicellulase such as a glucanase, xylanase or mannanase active.
- mannanases examples include MannawayTM available from Novozymes A/S Denmark.
- the enzyme and any perfume/fragrance or pro-fragrance present may show some interaction and should be chosen such that this interaction is not negative. Some negative interactions may be avoided by encapsulation of one or other of enzyme and pro-fragrance and/or other segregation within the product.
- Any enzyme present in the composition may be stabilized using conventional stabilizing agents, e.g., a polyol such as propylene glycol or glycerol, a sugar or sugar alcohol, lactic acid, boric acid, or a boric acid derivative, e.g., an aromatic borate ester, or a phenyl boronic acid derivative such as 4- formylphenyl boronic acid, and the composition may be formulated as described in e.g. WO 92/19709 and WO 92/19708.
- stabilizing agents e.g., a polyol such as propylene glycol or glycerol, a sugar or sugar alcohol, lactic acid, boric acid, or a boric acid derivative, e.g., an aromatic borate ester, or a phenyl boronic acid derivative such as 4- formylphenyl boronic acid, and the composition may be formulated as described in e.g. WO 92/19709 and WO 92/197
- fluorescer in the compositions.
- these fluorescent agents are supplied and used in the form of their alkali metal salts, for example, the sodium salts.
- the total amount of the fluorescent agent or agents used in the composition is generally from 0.005 to 2 wt %, more preferably 0.01 to 0.5 wt %.
- Preferred classes of fluorescer are: Di-styryl biphenyl compounds, e.g.
- Tinopal (Trade Mark) CBS-X
- Di-amine stilbene di-sulphonic acid compounds e.g. Tinopal DMS pure Xtra and Blankophor (Trade Mark) HRH
- Tinopal DMS pure Xtra and Blankophor (Trade Mark) HRH
- Pyrazoline compounds e.g. Blankophor SN.
- Preferred fluorescers are: sodium 2 (4-styryl-3-sulfophenyl)-2H-napthol[1 ,2- d]triazole, disodium 4,4'-bis ⁇ [(4-anilino-6-(N methyl-N-2 hydroxyethyl) amino 1 ,3,5-triazin-2-yl)]amino ⁇ stilbene-2-2' disulfonate, disodium 4,4'-bis ⁇ [(4-anilino- 6-morpholino-1 ,3, 5-triazin-2-yl)]amino ⁇ stilbene-2-2' disulfonate, and disodium 4,4'-bis(2-sulfoslyryl)biphenyl.
- Detergent compositions according to the invention may comprise a weight efficient bleach system. Such systems typically do not utilise the conventional percarbonate and bleach activator approach.
- the present invention may be used in a formulation that is used to bleach via air, or an air bleach catalyst system.
- Suitable complexes and organic molecule (ligand) precursors for forming complexes are available to the skilled worker, for example, from: WO 98/39098; WO 98/39406, WO 97/48787, WO 00/29537; WO 00/52124, and WO00/60045, incorporated by reference.
- An example of a preferred catalyst is a transition metal complex of MeN4Py ligand (N, N-bis(pyridin-2-yl-methyl)-1 -, 1 -bis(pyridin-2-yl)-1 -aminoethane).
- MeN4Py ligand N, N-bis(pyridin-2-yl-methyl)-1 -, 1 -bis(pyridin-2-yl)-1 -aminoethane.
- Photobleaches may also be employed.
- a "photobleach” is any chemical species that forms a reactive bleaching species on exposure to sunlight, and preferably is not permanently consumed in the reaction.
- Preferred photo-bleaches include singlet oxygen photo- bleaches and radical photo-bleaches.
- Suitable singlet oxygen photo-bleaches may be selected from, water soluble phthalocyanine compounds, particularly metallated phthalocyanine compounds where the metal is Zn or AI-Z1 where Z1 is a halide, sulphate, nitrate, carboxylate, alkanolate or hydroxyl ion.
- the phthalocyanin has 1 -4 SO3X groups covalently bonded to it where X is an alkali metal or ammonium ion.
- X is an alkali metal or ammonium ion.
- Such compounds are described in WO2005/014769 (Ciba).
- the bleach catalyst is typically incorporated at a level of about 0.0001 to about 10wt%, preferably about 0.001 to about 5wt%.
- composition of the present invention is designed to be used at very low levels of product dosage, it is advantageous to ensure that perfume is employed efficiently.
- a particularly preferred way of ensuring that perfume is employed efficiently is to use an encapsulated perfume.
- Use of a perfume that is encapsulated reduces the amount of perfume vapour that is produced by the composition before it is diluted. This is important when the perfume concentration is increased to allow the amount of perfume per wash to be kept at a reasonably high level.
- the perfume is not only encapsulated but also that the encapsulated perfume is provided with a deposition aid to increase the efficiency of perfume deposition and retention on fabrics.
- the deposition aid is preferably attached to the encapsulate by means of a covalent bond, entanglement or strong adsorption, preferably by a covalent bond or entanglement.
- compositions of the invention may contain one or more other ingredients.
- Such ingredients include viscosity modifiers, foam boosting agents, preservatives (e.g. bactericides), pH buffering agents, polyelectrolytes, anti- shrinking agents, anti-wrinkle agents, anti-oxidants, sunscreens, anti- corrosion agents, drape imparting agents, anti-static agents and ironing aids.
- the compositions may further comprise, colorants, pearlisers and/or opacifiers, and shading dye.
- Shading dye can be used to improve the performance of the compositions used in the method of the present invention.
- the deposition of shading dye onto fabric is improved when they are used in compositions of the invention and according to the process of the invention.
- Preferred dyes are violet or blue. It is believed that the deposition on fabrics of a low level of a dye of these shades, masks yellowing of fabrics.
- a further advantage of shading dyes is that they can be used to mask any yellow tint in the composition itself.
- Direct dyes are the class of water soluble dyes which have an affinity for fibres and are taken up directly. Direct violet and direct blue dyes are preferred. Preferably bis-azo or tris-azo dyes are used.
- the direct dye is a direct violet of the following structures:
- ring D and E may be independently naphthyl or phenyl as shown;
- Ri is selected from: hydrogen and Ci-C 4 -alkyl, preferably hydrogen;
- R 2 is selected from: hydrogen, Ci-C 4 -alkyl, substituted or unsubstituted phenyl and substituted or unsubstituted naphthyl, preferably phenyl;
- R 3 and R 4 are independently selected from: hydrogen and Ci-C 4 -alkyl, preferably hydrogen or methyl;
- Preferred dyes are direct violet 7, direct violet 9, direct violet 1 1 , direct violet 26, direct violet 31 , direct violet 35, direct violet 40, direct violet 41 , direct violet 51 , and direct violet 99.
- Bis-azo copper containing dyes such as direct violet 66 may be used. The benzidene based dyes are less preferred.
- the direct dye is present at 0.000001 to 1 wt% more preferably 0.00001 wt% to 0.0010 wt% of the composition.
- the direct dye may be covalently linked to the photo- bleach, for example as described in WO2006/024612.
- Cotton substantive acid dyes give benefits to cotton containing garments.
- Preferred dyes and mixes of dyes are blue or violet.
- Preferred acid dyes are: (i) azine dyes, wherein the dye is of the following core structure:
- R a , R b , R c and R d are selected from: H, a branched or linear C1 to C7-alkyl chain, benzyl a phenyl, and a naphthyl; the dye is substituted with at least one SO3 " or -COO " group;
- the B ring does not carry a negatively charged group or salt thereof; and the A ring may further substituted to form a naphthyl;
- the dye is optionally substituted by groups selected from: amine, methyl, ethyl, hydroxyl, methoxy, ethoxy, phenoxy, CI, Br, I, F, and NO2.
- Preferred azine dyes are: acid blue 98, acid violet 50, and acid blue 59, more preferably acid violet 50 and acid blue 98.
- non-azine acid dyes are acid violet 17, acid black 1 and acid blue 29.
- the acid dye is present at 0.0005 wt% to 0.01 wt% of the formulation.
- Hydrophobic dyes :
- the composition may comprise one or more hydrophobic dyes selected from benzodifuranes, methine, triphenylmethanes, napthalimides, pyrazole, napthoquinone, anthraquinone and mono-azo or di-azo dye chromophores.
- Hydrophobic dyes are dyes which do not contain any charged water solubilising group. Hydrophobic dyes may be selected from the groups of disperse and solvent dyes. Blue and violet anthraquinone and mono-azo dye are preferred.
- Preferred dyes include solvent violet 13, disperse violet 27 disperse violet 26, disperse violet 28, disperse violet 63 and disperse violet 77.
- hydrophobic dye is present at 0.0001 wt% to 0.005 wt% of the formulation.
- Basic dyes :
- Basic dyes are organic dyes which carry a net positive charge. They deposit onto cotton. They are of particular utility for used in composition that contain predominantly cationic surfactants. Dyes may be selected from the basic violet and basic blue dyes listed in the Colour Index International.
- Preferred examples include triarylmethane basic dyes, methane basic dye, anthraquinone basic dyes, basic blue 16, basic blue 65, basic blue 66, basic blue 67, basic blue 71 , basic blue 159, basic violet 19, basic violet 35, basic violet 38, basic violet 48; basic blue 3, basic blue 75, basic blue 95, basic blue 122, basic blue 124, basic blue 141 .
- Reactive dyes :
- Reactive dyes are dyes which contain an organic group capable of reacting with cellulose and linking the dye to cellulose with a covalent bond. They deposit onto cotton.
- the reactive group is hydrolysed or reactive group of the dyes has been reacted with an organic species such as a polymer, so as to the link the dye to this species.
- Dyes may be selected from the reactive violet and reactive blue dyes listed in the Colour Index International. Preferred examples include reactive blue 19, reactive blue 163, reactive blue 182 and reactive blue, reactive blue 96.
- Dye conjugates are formed by binding direct, acid or basic dyes to polymers or particles via physical forces. Dependent on the choice of polymer or particle they deposit on cotton or synthetics. A description is given in
- Particularly preferred dyes are: direct violet 7, direct violet 9, direct violet 1 1 , direct violet 26, direct violet 31 , direct violet 35, direct violet 40, direct violet 41 , direct violet 51 , direct violet 99, acid blue 98, acid violet 50, acid blue 59, acid violet 17, acid black 1 , acid blue 29, solvent violet 13, disperse violet 27 disperse violet 26, disperse violet 28, disperse violet 63, disperse violet 77 and mixtures thereof.
- Shading dye can be used in the absence of fluoresces but it is especially preferred to use a shading dye in combination with a fluorescer, for example in order to reduce yellowing due to chemical changes in adsorbed fluorescer. Builders and sequestrants
- the detergent compositions may also optionally contain relatively low levels of organic detergent builder or sequestrant material.
- organic detergent builder or sequestrant material examples include the alkali metal, citrates, succinates, malonates, carboxymethyl succinates,
- carboxylates polycarboxylates and polyacetyl carboxylates.
- Specific examples include sodium, potassium and lithium salts of oxydisuccinic acid, mellitic acid, benzene polycarboxylic acids, and citric acid.
- Other examples are DEQUESTTM, organic phosphonate type sequestering agents sold by Thermphos and alkanehydroxy phosphonates.
- suitable organic builders include the higher molecular weight polymers and copolymers known to have builder properties. For example, such materials include appropriate polyacrylic acid, polymaleic acid, and
- polyacrylic/polymaleic acid copolymers and their salts such as those sold by BASF under the name SOKALANTM.
- the organic builder materials may comprise from about 0.5% to 20 wt%, preferably from 1 wt% to 10 wt%, of the composition.
- the preferred builder level is less than 10 wt% and preferably less than 5 wt% of the composition.
- a preferred sequestrant is HEDP (1 -Hydroxyethylidene -1 , 1 ,- diphosphonic acid), for example sold as Dequest 2010. Also suitable but less preferred as it gives inferior cleaning results is Dequest® 2066
- buffer is preferred for pH control; preferred buffers are MEA, and TEA. They are preferably used in the composition at levels of from 5 to 15 wt%, including the 1 % TEA.
- compositions may have their rheology modified by use of a material or materials that form a structuring network within the composition.
- Suitable structurants include hydrogenated castor oil, microfibrous cellulose and natural based structurants such as citrus pulp fibre. Citrus pulp fibre is particularly preferred especially if lipase enzyme is included in the composition.
- compositions may, and preferably do, comprise visual cues of solid material that is not dissolved in the composition. Preferably they are used in combination with an external structurant to ensure that they remain in suspension.
- visual cues are lamellar cues formed from polymer film and possibly comprising functional ingredients that may not be as stable if exposed to the alkaline liquid. Enzymes and bleach catalysts are examples of such ingredients. Also perfume, particularly microencapsulated perfume.
- the liquids may be packaged as unit doses in polymeric film adapted to be insoluble until added to the wash water. More preferred the liquids are supplied in multiuse plastics packs with a top or bottom closure. A dosing measure may be supplied with the pack either as a past of the cap or as an integrated system.
- liquids according to the invention are intended to be formulated to allow them to be dosed to a typical front loading automatic washing machine at a dosage level of 20ml.
- the low in wash surfactant level being compensated by the presence of enzymes, the stable soil release polymer and optional additional high efficacy cleaning ingredients, such as EPEI.
- the invention is also suitable for the more conventional dosage levels of about 35 ml. the obtain suitable liquids of this type all that is necessary is to add further water and possibly perfume to the 20ml type of liquid.
- the soil release polymers claimed are also stable in these more dilute compositions.
- DMO dirty motor oil.
- Soil release polymer was dissolved or dispersed in concentrated alkaline liquid detergent bases to make the concentrated alkaline liquid detergent compositions given in Table 1.
- MPG is mono propylene glycol.
- TEA is triethanolamine
- Nl 7EO is C12-15 alcohol ethoxylate 7EO
- Neodol® 25-7 (ex Shell Chemicals).
- LAS acid is C12-14 linear alkylbenzene sulphonic acid.
- Prifac® 5908 is saturated lauric fatty acid ex Croda.
- SLES 3EO is sodium lauryl ether sulphate with 3 moles EO.
- Empigen® BB is an alkyl betaine ex Huntsman (Coco dimethyl
- EPEI Sokalan HP20 - ethoxylated polyethylene imine
- Perfume is free oil perfume
- SRP soil release polymer
- PCF is Herbacel AQ plus citrus fibre, a powdered citrus peel fruit material ex Herba foods.
- SLES 1 E0 is Sodium Lauryi Ether Sulphate with average of 1 EO.
- Prifac® 5908 is saturated lauric fatty acid ex Croda.
- ME A is Monoethanolamine.
- NaOH is 47% sodium hydroxide solution.
- Dequest® 2066 is Diethylenetriamine penta(methylene phosphonic acid
- Dequest® 2010 is HEDP (1 -Hydroxyethylidene -1 , 1 ,-diphosphonic acid).
- Lipex® is Lipex 100L ex Novozymes.
- Carezyme® is a cellulase ex Novozymes.
- Stainzyme 12L is an amylase formulated for liquids ex Novozymes. Mannaway is a mannanase ex Novozymes.
- the 3x Composition B is a dilution of the 5x Composition A (i.e. the 5x ingredient percentage concentration x 20/35.
- a 5x composition is one designed to have a recommended dose per wash of 20ml;
- a 3x composition is one that has a recommended dose per wash of about 35ml.
- the exceptions to the scaling between Compositions A and B are the water level and the MPG hydrotrope level which was kept at 20% for both compositions.
- compositions comprising the polymer
- the theoretical level of polymer dosed to the wash is stated to be 50ppm the actual level used after storage would have been lower due to polymer degradation during storage.
- ⁇ of the dried residual stain was measured (relative to clean unstained substrate, i.e. knitted polyester) using a Hunterlab Ultrascan XE reflectance spectrophotometer equipped with a UV filter at 420nm. Specular reflectance was included. Polymer stability screening
- composition B To test for the resistance of a polymer to hydrolysis the sample was included in composition B and then stored at 60°C in sealed glass containers for up to 8 days. Periodically the sample was subjected to 1 H NMR. Time to failure is defined as significant loss of polymer peaks as determined by examination of 1 H-NMR aromatic signals in the region of 7.9 - 8.1 ppm, corresponding to the aromatic proton signals. We use the term 'significant' when the appearing (new, as they are the breakdown product) signals due to the small molecule aromatic signals are greater than the remaining (original polymer aromatic proton signals), which, we have defined as the failure point for a polymer.
- compositions contained an amount of polymer sufficient to deliver to the wash when freshly prepared 50 ppm polymer and were buffered with TEA to pH 8.
- TEA TEA to pH 8.
- the amount of polymer in 3 x (composition B) is 2.14% and in 5 x (composition A) is 3.75% wt.
- compositions comprising up to 40% surfactant and EPEI so it is difficult to
- Antarox B500 is a block copolymer with an n- butyl capped block of 50 ethylene oxide units polymerised with a block of 30 propylene oxide units. The propylene oxide end of the polymer is
- the 2,3-butandiol used was a mixture of the racemic and meso forms from Aldrich: B84904, 2,3-Butanediol, 98%, CAS no. 513-89-5.
- Example 3 The polymer of Example 3 was shown to be hydrolytically stable in concentrated Laundry liquid Composition B buffered with TEA to pH 8 at 60°C for 8 days (using 1 H-NMR (D 2 0) as the polymer stability tracking tool).
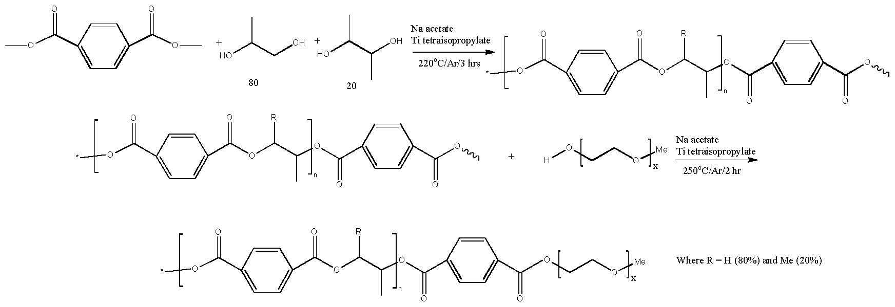
- Example 4 Synthesis of Polyfethylene glycol) methyl ether 2000 end-capped terephthalate/1 ,2 propandiol (80 mol.%) / 2,3-butandiol (20 mol.%) polyester using a 2-stage reaction process Using a 3-necked 100ml round bottom flask fitted with a digital thermometer, argon inlet and bubbler connected to an air condenser, dimethylterephthalate (10.0g, 51 .50 mmol) and 1 ,2 propandiol (6.27g, 82.40 mmol) and 2,3- butandiol (1.86g, 20.60 mmol) were weighed into the flask, which also contained a magnetic stirrer bar.
- the polymer of Example 4 was shown to be hydrolytically stable in
- Example 5 Synthesis of Polyfethylene glycol) methyl ether 2000 end-capped terephthalate/1 ,2 propandiol (60 mol.%) / 2,3-butandiol (40 mol.%) polyester using a 2-stage reaction process Using a 3-necked 100ml round bottom flask fitted with a digital thermometer, argon inlet and bubbler connected to an air condenser, dimethylterephthalate (10.0g, 51 .50 mmol) and 1 ,2 propandiol (4.70g, 61.80 mmol) and 2,3- butandiol (3.71 g, 41.20 mmol) were weighed into the flask, which also contained a magnetic stirrer bar.
- the condensation catalyst titanium tetraisopropylate (3 drops) and sodium acetate (1 small spatula).
- the contents of the flask were heated under a constant stream of Argon and constant stirring. When the temperature of the molten mixture in the flask reached 160 °C, methanol was distilled off, indicating that polycondensation was occurring. Heating continued until the temperature of the mixture reached 200 °C, which was held for 2 hours. The contents of the flask was then allowed to cool to about 140 °C, at which point Poly(ethylene glycol) methyl ether 2000 (10.30g, 5.15 mmol) was added to the flask and a further 3 drops of titanium tetraisopropylate. The mixture was then heated to 250°C and held at this temperature for 2 hours. The product was purified by sublimation to remove any residual dimethylterephthalate.
- the polymer of example 6 was shown to be hydrolytically stable in
- Example 1 a concentrated Laundry liquid composition B buffered with TEA to pH 8 (using 1 H-NMR as the polymer stability tracking tool).
- Example 1 a
- composition A such that the wash liquor concentration of soil release polymer was 100ppm.
- Comparative example C used half that level of Texcare® SRN170.
- the effectiveness of the SRP is indicated by a low ⁇ in Table 3.
- Example 1 polymer with polydispersity less than 3 has excellent soil release properties.
- Example 1 The polymer of Example 1 was tested for soil release properties after storage in (8 days at 60°C) and delivery from detergent compositions A (Example 1 b) and B (Example 1 c) over a range of pH.
- Control compositions using Texcare SRN®170 were made up as comparative examples D and E. Samples were stored in closed screw-top glass jars in oven at either 60°C for 8 days, or 37°C for 8 weeks.
- Comparative example D was repeated using Texcare®SRN300 in place of Texcare® SRN 170.
- the performance after storage under acidic conditions gave an excellent ⁇ of 0.5. However, after storage at pH 8.5 this dropped to 32.8. A ⁇ value greater than 5 is unacceptable.
- Example 4 The polymer of Example 4 was pre-dissolved/dispersed in Composition A (5x base). Two pre-washes were carried out prior to staining with DMO and subsequent washing for 30 mins in a tergotometer at 25°C. The experimental polymer was included such that wash liquor cone, was 10Oppm.
- Examples 4a, 5a and Comparative Example F showing Soil release performance after accelerated aging Polymers from examples 4 and 5 and a comparative polymer, Texcare ⁇ SRN170, were stored in concentrated detergent liquid composition A containing 1 % TEA in closed screw-top glass jars in an oven at 60°C for 8 days. Then they were tested for soil release performance in tergotometers using an in wash polymer concentration of 50 ppm. The ⁇ results are given in Table 6 below.
- a washed stain without SRP in the prewash has a ⁇ value of 42.
- Complete removal of the stain gives a ⁇ of zero.
- the polymers according to the invention maintain good performance under alkaline conditions, particularly at a pH below 8.5, even after storage under those alkaline conditions in the presence of TEA.
- the tested variation in the concentration of TEA does not appear to affect the result significantly.
- Example 6a - Soil Release (DMO) evaluation The polymer of example 6 was included in composition A such that the wash liquor concentration of soil release polymer was 100ppm.
- Example 6 polymer using PEG 2K as the endcap looks to be very similar to Texcare® SRN 240 apart from the ratio of the end block(s) to the polymer mid block.
- Evidence suggests that the Polymer of example 1 has a longer mid block.
- the nmr analysed difference in mid blocks between Texcare®SRN240 and the polymer of Example 1 is that the ratio of the end block units to the mid block repeat n for Texcare®SRN 240 is 15 to 22, whereas the ratio for the polymer of example 6 is about half this at 7 to 9.
- the value of n may be calculated assuming one or two end blocks per polymer chain.
- Texcare® SRN 240 does not appear to have any EO in the polymer mid block, but we do see higher intensity signals due to PEO end block(s), which, when, when ratioed with the methoxy end cap, come to about 42 repeat units, which appears to indicate that the manufacturer (Clariant) used a MeO-PEG 2K as the end cap.
- Texcare® SRN170 has been identified as mPEG750 end blocks and PO in mid block.
- Texcare® SRN 300 contains EO and PO in the polymer mid block. Also see higher intensity signals for PEO, which could be from a long PEO incorporated in the mid block and/or from the end block.
- Texcare® SRN 240 shows slightly better hydrolytic stability than Texcare® SRN 300 with TEA at pH 7 in Composition B, but both fail dramatically at pH 8. The same is true for Texcare® SRN 170.
- Example 6b This contrasts with the improved stability at pH 8 using TEA that we have seen with the Example 6 polymer.
- Example 6b is a composition, comprising polymer 6 in base composition A and comparative composition F is a composition comprising the Texcare SRN®170 polymer used in WO2009/153184 also in base composition A.
- These compositions were stored for 8 days in sealed glass containers in an oven at 60°C to allow the polymer to be exposed to accelerated conditions where it may undergo hydrolysis, with consequent reduction of the soil release performance. Then the potentially decomposed compositions were wash tested. The results are given in table 8. The method used was the same as for Example 6a except that the polymer concentration was reduced to 50ppm in the wash.
- Examples 7 to 17 are alkaline isotropic detergent liquid compositions comprising the stable soil release polymers described above.
- SRP 1 is the polymer of Example 1
- SRP 2 is the polymer of Example 2
- SRP 3 is the polymer of Example 3
- SRP 4 is the polymer of Example 4.
- SRP 5 is the polymer of Example 5
- SRP 6 is the polymer of Example 6
Landscapes
- Chemical & Material Sciences (AREA)
- Life Sciences & Earth Sciences (AREA)
- Engineering & Computer Science (AREA)
- Chemical Kinetics & Catalysis (AREA)
- Oil, Petroleum & Natural Gas (AREA)
- Wood Science & Technology (AREA)
- Organic Chemistry (AREA)
- Detergent Compositions (AREA)
- Polyesters Or Polycarbonates (AREA)
Abstract
Description
Claims
Priority Applications (8)
| Application Number | Priority Date | Filing Date | Title |
|---|---|---|---|
| EP12700850.6A EP2670788B1 (en) | 2011-01-31 | 2012-01-23 | Alkaline liquid detergent compositions |
| BR112013019386-7A BR112013019386B1 (en) | 2011-01-31 | 2012-01-23 | COMPOSITION AQUEOUS LIQUID ISOTROPIC ALKALINE CONCENTRATED DETERGENT |
| PH1/2013/501439A PH12013501439A1 (en) | 2011-01-31 | 2012-01-23 | Alkaline liquid detergent compositions |
| ES12700850.6T ES2538997T3 (en) | 2011-01-31 | 2012-01-23 | Alkaline liquid detergent compositions |
| AU2012213597A AU2012213597B2 (en) | 2011-01-31 | 2012-01-23 | Alkaline liquid detergent compositions |
| CN201280007646.1A CN103347928B (en) | 2011-01-31 | 2012-01-23 | Akaline liquid composition of detergent |
| PL12700850T PL2670788T3 (en) | 2011-01-31 | 2012-01-23 | Alkaline liquid detergent compositions |
| ZA2013/05194A ZA201305194B (en) | 2011-01-31 | 2013-07-10 | Alkaline liquid detergent compositions |
Applications Claiming Priority (2)
| Application Number | Priority Date | Filing Date | Title |
|---|---|---|---|
| EP11152787.5 | 2011-01-31 | ||
| EP11152787 | 2011-01-31 |
Publications (1)
| Publication Number | Publication Date |
|---|---|
| WO2012104159A1 true WO2012104159A1 (en) | 2012-08-09 |
Family
ID=44168218
Family Applications (1)
| Application Number | Title | Priority Date | Filing Date |
|---|---|---|---|
| PCT/EP2012/050945 Ceased WO2012104159A1 (en) | 2011-01-31 | 2012-01-23 | Alkaline liquid detergent compositions |
Country Status (11)
| Country | Link |
|---|---|
| EP (1) | EP2670788B1 (en) |
| CN (1) | CN103347928B (en) |
| AU (1) | AU2012213597B2 (en) |
| BR (1) | BR112013019386B1 (en) |
| CL (1) | CL2013002181A1 (en) |
| ES (1) | ES2538997T3 (en) |
| MY (1) | MY163351A (en) |
| PH (1) | PH12013501439A1 (en) |
| PL (1) | PL2670788T3 (en) |
| WO (1) | WO2012104159A1 (en) |
| ZA (1) | ZA201305194B (en) |
Cited By (24)
| Publication number | Priority date | Publication date | Assignee | Title |
|---|---|---|---|---|
| EP2692842A1 (en) * | 2012-07-31 | 2014-02-05 | Unilever PLC | Concentrated liquid detergent compositions |
| US20150166938A1 (en) * | 2012-07-31 | 2015-06-18 | Clariant Fiance (Bvi) Limited | Polyesters |
| US20150210961A1 (en) * | 2012-07-31 | 2015-07-30 | Conopco Inc., D/B/A Unilever | Alkaline liquid laundry detergent compositions comprising polyesters |
| JP2015527446A (en) * | 2012-07-31 | 2015-09-17 | クラリアント・ファイナンス・(ビーブイアイ)・リミテッド | polyester |
| JP2017066341A (en) * | 2015-10-02 | 2017-04-06 | ライオン株式会社 | Liquid detergent for clothes |
| WO2017133879A1 (en) | 2016-02-04 | 2017-08-10 | Unilever Plc | Detergent liquid |
| WO2017202923A1 (en) * | 2016-05-27 | 2017-11-30 | Unilever Plc | Laundry composition |
| WO2017214240A2 (en) | 2016-06-09 | 2017-12-14 | The Procter & Gamble Company | Cleaning compositions having an enzyme system |
| WO2017211697A1 (en) | 2016-06-09 | 2017-12-14 | Unilever Plc | Laundry products |
| WO2017211700A1 (en) | 2016-06-09 | 2017-12-14 | Unilever Plc | Laundry products |
| WO2018028935A1 (en) * | 2016-08-08 | 2018-02-15 | Henkel Ag & Co. Kgaa | Stable liquid detergent comprising soil release polymer |
| WO2018028934A1 (en) * | 2016-08-08 | 2018-02-15 | Henkel Ag & Co. Kgaa | Stable liquid detergent comprising soil release polymer |
| WO2018028933A1 (en) * | 2016-08-08 | 2018-02-15 | Henkel Ag & Co. Kgaa | Stable liquid detergent comprising soil release polymer |
| WO2018028936A1 (en) * | 2016-08-08 | 2018-02-15 | Henkel Ag & Co. Kgaa | Stable liquid detergent comprising soil release polymer |
| CN107849499A (en) * | 2015-07-30 | 2018-03-27 | 宝洁公司 | Water soluble unit dose product |
| WO2019063402A1 (en) | 2017-09-29 | 2019-04-04 | Unilever Plc | Laundry products |
| WO2019068473A1 (en) | 2017-10-05 | 2019-04-11 | Unilever Plc | Laundry products |
| US10336968B2 (en) | 2014-07-09 | 2019-07-02 | Conopco, Inc. | Laundry liquid composition comprising a polyester/butyl glycol/water active blend |
| EP3218465B1 (en) * | 2014-11-11 | 2019-07-31 | Clariant International Ltd | Laundry detergents containing soil release polymers |
| US10370621B2 (en) | 2013-08-16 | 2019-08-06 | Chemsenti Limited | Bleaching formulations comprising particles and transition metal ion-containing bleaching catalysts |
| US10808206B2 (en) | 2017-11-14 | 2020-10-20 | Henkel IP & Holding GmbH | Detergent boosters, detergent systems that include a detergent booster, and methods of laundering fabric |
| US12030984B2 (en) | 2018-05-24 | 2024-07-09 | Clariant International Ltd | Soil release polyesters for use in detergent compositions |
| US12084633B2 (en) | 2020-12-15 | 2024-09-10 | Henkel Ag & Co. Kgaa | Unit dose laundry detergent compositions containing soil release polymers |
| US12545856B2 (en) | 2020-08-28 | 2026-02-10 | Conopco, Inc. | Detergent compositions comprising secondary alkane sultanate, a second anionic surfactant, and alkyl hydroxysultaine cosurfactant |
Families Citing this family (4)
| Publication number | Priority date | Publication date | Assignee | Title |
|---|---|---|---|---|
| CN106833932A (en) * | 2016-12-28 | 2017-06-13 | 于文 | Gym suit cleaning agent and preparation method thereof |
| EP3710571B1 (en) * | 2017-11-17 | 2021-10-13 | Unilever IP Holdings B.V. | Soil release polymers and laundry detergent compositions containing them |
| WO2021233987A1 (en) * | 2020-05-20 | 2021-11-25 | Clariant International Ltd | Soil release polyesters for use in detergent compositions |
| BR112023001773A2 (en) * | 2020-08-28 | 2023-03-28 | Unilever Ip Holdings B V | DETERGENT COMPOSITION AND METHOD |
Citations (73)
| Publication number | Priority date | Publication date | Assignee | Title |
|---|---|---|---|---|
| US857A (en) | 1838-07-26 | of greene | ||
| US4702A (en) | 1846-08-20 | Comte de fontainemoeeatt | ||
| US2182306A (en) | 1935-05-10 | 1939-12-05 | Ig Farbenindustrie Ag | Polymerization of ethylene imines |
| US2208095A (en) | 1937-01-05 | 1940-07-16 | Ig Farbenindustrie Ag | Process of producing insoluble condensation products containing sulphur and nitrogen |
| US2553696A (en) | 1944-01-12 | 1951-05-22 | Union Carbide & Carbon Corp | Method for making water-soluble polymers of lower alkylene imines |
| US2806839A (en) | 1953-02-24 | 1957-09-17 | Arnold Hoffman & Co Inc | Preparation of polyimines from 2-oxazolidone |
| US3033746A (en) | 1958-06-19 | 1962-05-08 | Dow Chemical Co | Polyalkyleneimine, phenol germicides |
| GB1296839A (en) | 1969-05-29 | 1972-11-22 | ||
| GB1372034A (en) | 1970-12-31 | 1974-10-30 | Unilever Ltd | Detergent compositions |
| US4435307A (en) | 1980-04-30 | 1984-03-06 | Novo Industri A/S | Detergent cellulase |
| EP0185427A2 (en) * | 1984-12-21 | 1986-06-25 | The Procter & Gamble Company | Block polyesters and like compounds useful as soil release agents in detergent compositions |
| EP0218272A1 (en) | 1985-08-09 | 1987-04-15 | Gist-Brocades N.V. | Novel lipolytic enzymes and their use in detergent compositions |
| US4711730A (en) | 1986-04-15 | 1987-12-08 | The Procter & Gamble Company | Capped 1,2-propylene terephthalate-polyoxyethylene terephthalate polyesters useful as soil release agents |
| JPS6336775A (en) | 1986-07-31 | 1988-02-17 | Res Dev Corp Of Japan | Novel alkalophilic strain of bacillus genus capable of producing beta-mannanase and beta-mannosidase and use thereof |
| EP0258068A2 (en) | 1986-08-29 | 1988-03-02 | Novo Nordisk A/S | Enzymatic detergent additive |
| JPS6356289A (en) | 1986-07-30 | 1988-03-10 | Res Dev Corp Of Japan | Beta-mannanase and production thereof |
| EP0260105A2 (en) | 1986-09-09 | 1988-03-16 | Genencor, Inc. | Preparation of enzymes having altered activity |
| EP0305216A1 (en) | 1987-08-28 | 1989-03-01 | Novo Nordisk A/S | Recombinant Humicola lipase and process for the production of recombinant humicola lipases |
| JPS6474992A (en) | 1987-09-16 | 1989-03-20 | Fuji Oil Co Ltd | Dna sequence, plasmid and production of lipase |
| EP0331376A2 (en) | 1988-02-28 | 1989-09-06 | Amano Pharmaceutical Co., Ltd. | Recombinant DNA, bacterium of the genus pseudomonas containing it, and process for preparing lipase by using it |
| WO1989009259A1 (en) | 1988-03-24 | 1989-10-05 | Novo-Nordisk A/S | A cellulase preparation |
| EP0407225A1 (en) | 1989-07-07 | 1991-01-09 | Unilever Plc | Enzymes and enzymatic detergent compositions |
| JPH0347076A (en) | 1989-08-25 | 1991-02-28 | Res Dev Corp Of Japan | Beta-mannase and production thereof |
| WO1991016422A1 (en) | 1990-04-14 | 1991-10-31 | Kali-Chemie Aktiengesellschaft | Alkaline bacillus lipases, coding dna sequences therefor and bacilli which produce these lipases |
| WO1991018974A1 (en) | 1990-05-29 | 1991-12-12 | Chemgen Corporation | HEMICELLULASE ACTIVE AT EXTREMES OF pH AND TEMPERATURE AND THE MEANS FOR THE PRODUCTION THEREOF |
| WO1992005249A1 (en) | 1990-09-13 | 1992-04-02 | Novo Nordisk A/S | Lipase variants |
| WO1992019709A1 (en) | 1991-04-30 | 1992-11-12 | The Procter & Gamble Company | Built liquid detergents with boric-polyol complex to inhibit proteolytic enzyme |
| WO1992019708A1 (en) | 1991-04-30 | 1992-11-12 | The Procter & Gamble Company | Liquid detergents with aromatic borate ester to inhibit proteolytic enzyme |
| EP0518401A1 (en) * | 1991-06-14 | 1992-12-16 | The Procter & Gamble Company | Self-thickened cleaning compositions |
| US5256168A (en) * | 1989-10-31 | 1993-10-26 | The Procter & Gamble Company | Sulfobenzoyl end-capped ester oligomers useful as soil release agents in granular detergent compositions |
| WO1993024622A1 (en) | 1992-05-22 | 1993-12-09 | Alko Ltd. | Mannanase enzymes, genes coding for them, methods for isolating the genes, and methods for bleaching lignocellulosic pulps |
| WO1993024618A1 (en) | 1992-06-01 | 1993-12-09 | Novo Nordisk A/S | Peroxidase variants with improved hydrogen peroxide stability |
| WO1994001541A1 (en) | 1992-07-06 | 1994-01-20 | Novo Nordisk A/S | C. antarctica lipase and lipase variants |
| WO1994025578A1 (en) | 1993-04-27 | 1994-11-10 | Gist-Brocades N.V. | New lipase variants for use in detergent applications |
| WO1994025576A1 (en) | 1993-04-30 | 1994-11-10 | Novo Nordisk A/S | An enzyme exhibiting mannanase activity |
| WO1995006720A1 (en) | 1993-08-30 | 1995-03-09 | Showa Denko K.K. | Novel lipase, microorganism producing the lipase, process for producing the lipase, and use of the lipase |
| WO1995010602A1 (en) | 1993-10-13 | 1995-04-20 | Novo Nordisk A/S | H2o2-stable peroxidase variants |
| WO1995014783A1 (en) | 1993-11-24 | 1995-06-01 | Showa Denko K.K. | Lipase gene and variant lipase |
| WO1995022615A1 (en) | 1994-02-22 | 1995-08-24 | Novo Nordisk A/S | A method of preparing a variant of a lipolytic enzyme |
| WO1995026397A1 (en) | 1994-03-29 | 1995-10-05 | Novo Nordisk A/S | Alkaline bacillus amylase |
| WO1995030744A2 (en) | 1994-05-04 | 1995-11-16 | Genencor International Inc. | Lipases with improved surfactant resistance |
| WO1995035381A1 (en) | 1994-06-20 | 1995-12-28 | Unilever N.V. | Modified pseudomonas lipases and their use |
| WO1996000292A1 (en) | 1994-06-23 | 1996-01-04 | Unilever N.V. | Modified pseudomonas lipases and their use |
| JPH0851975A (en) | 1991-10-09 | 1996-02-27 | Res Dev Corp Of Japan | Novel β-mannanase and method for producing the same |
| WO1996012012A1 (en) | 1994-10-14 | 1996-04-25 | Solvay S.A. | Lipase, microorganism producing same, method for preparing said lipase and uses thereof |
| WO1996013580A1 (en) | 1994-10-26 | 1996-05-09 | Novo Nordisk A/S | An enzyme with lipolytic activity |
| WO1996027002A1 (en) | 1995-02-27 | 1996-09-06 | Novo Nordisk A/S | Novel lipase gene and process for the production of lipase with the use of the same |
| WO1996029397A1 (en) | 1995-03-17 | 1996-09-26 | Novo Nordisk A/S | Novel endoglucanases |
| WO1997004079A1 (en) | 1995-07-14 | 1997-02-06 | Novo Nordisk A/S | A modified enzyme with lipolytic activity |
| WO1997007202A1 (en) | 1995-08-11 | 1997-02-27 | Novo Nordisk A/S | Novel lipolytic enzymes |
| WO1997011164A1 (en) | 1995-09-20 | 1997-03-27 | Genencor International, Inc. | Purified mannanase from bacillus amyloliquefaciens and method of preparation |
| US5648263A (en) | 1988-03-24 | 1997-07-15 | Novo Nordisk A/S | Methods for reducing the harshness of a cotton-containing fabric |
| WO1997048787A1 (en) | 1996-06-19 | 1997-12-24 | Unilever N.V. | Bleach activation |
| WO1998012307A1 (en) | 1996-09-17 | 1998-03-26 | Novo Nordisk A/S | Cellulase variants |
| WO1998015257A1 (en) | 1996-10-08 | 1998-04-16 | Novo Nordisk A/S | Diaminobenzoic acid derivatives as dye precursors |
| WO1998039406A1 (en) | 1997-03-07 | 1998-09-11 | The Procter & Gamble Company | Bleach compositions |
| WO1998039098A1 (en) | 1997-03-07 | 1998-09-11 | The University Of Kansas | Catalysts and methods for catalytic oxidation |
| WO1999027083A1 (en) | 1997-11-24 | 1999-06-03 | Novo Nordisk A/S | PECTIN DEGRADING ENZYMES FROM $i(BACILLUS LICHENIFORMIS) |
| WO1999027084A1 (en) | 1997-11-24 | 1999-06-03 | Novo Nordisk A/S | Novel pectate lyases |
| WO1999064619A2 (en) | 1998-06-10 | 1999-12-16 | Novozymes A/S | Novel mannanases |
| WO2000029537A1 (en) | 1998-11-13 | 2000-05-25 | The Procter & Gamble Company | Bleach compositions |
| WO2000052124A1 (en) | 1999-03-02 | 2000-09-08 | The Procter & Gamble Company | Stabilized bleach compositions |
| WO2000060060A2 (en) | 1999-03-31 | 2000-10-12 | Novozymes A/S | Polypeptides having alkaline alpha-amylase activity and nucleic acids encoding same |
| WO2000060045A1 (en) | 1999-04-01 | 2000-10-12 | The Procter & Gamble Company | Transition metal bleaching agents |
| US6284524B1 (en) | 1997-11-24 | 2001-09-04 | Novozymes A/S | Pectate lyases |
| WO2002006442A2 (en) | 2000-07-19 | 2002-01-24 | Novozymes A/S | Cell-wall degrading enzyme variants |
| WO2002048301A1 (en) | 2000-12-15 | 2002-06-20 | Unilever Plc | Ligand and complex for catalytically bleaching a substrate |
| WO2005014769A1 (en) | 2003-08-06 | 2005-02-17 | Ciba Specialty Chemicals Holding Inc. | Shading composition |
| WO2006024612A1 (en) | 2004-08-30 | 2006-03-09 | Ciba Specialty Chemicals Holding Inc. | Shading process |
| WO2006055787A1 (en) | 2004-11-19 | 2006-05-26 | The Procter & Gamble Company | Whiteness perception compositions |
| EP1661933A1 (en) | 2004-11-24 | 2006-05-31 | SASOL Germany GmbH | Liquid, amphiphilic and nonionic oligoesters |
| EP2135931A1 (en) * | 2008-06-16 | 2009-12-23 | The Procter and Gamble Company | Use of soil release polymer in fabric treatment compositions |
| WO2009153184A1 (en) | 2008-06-16 | 2009-12-23 | Unilever Plc | Improvements relating to fabric cleaning |
Family Cites Families (2)
| Publication number | Priority date | Publication date | Assignee | Title |
|---|---|---|---|---|
| US6897188B2 (en) * | 2001-07-17 | 2005-05-24 | Ecolab, Inc. | Liquid conditioner and method for washing textiles |
| US7597766B2 (en) * | 2007-08-03 | 2009-10-06 | American Sterilizer Company | Biodegradable detergent concentrate for medical instruments and equipment |
-
2012
- 2012-01-23 BR BR112013019386-7A patent/BR112013019386B1/en active IP Right Grant
- 2012-01-23 ES ES12700850.6T patent/ES2538997T3/en active Active
- 2012-01-23 MY MYPI2013701328A patent/MY163351A/en unknown
- 2012-01-23 EP EP12700850.6A patent/EP2670788B1/en active Active
- 2012-01-23 PL PL12700850T patent/PL2670788T3/en unknown
- 2012-01-23 CN CN201280007646.1A patent/CN103347928B/en active Active
- 2012-01-23 WO PCT/EP2012/050945 patent/WO2012104159A1/en not_active Ceased
- 2012-01-23 AU AU2012213597A patent/AU2012213597B2/en not_active Ceased
- 2012-01-23 PH PH1/2013/501439A patent/PH12013501439A1/en unknown
-
2013
- 2013-07-10 ZA ZA2013/05194A patent/ZA201305194B/en unknown
- 2013-07-30 CL CL2013002181A patent/CL2013002181A1/en unknown
Patent Citations (75)
| Publication number | Priority date | Publication date | Assignee | Title |
|---|---|---|---|---|
| US857A (en) | 1838-07-26 | of greene | ||
| US4702A (en) | 1846-08-20 | Comte de fontainemoeeatt | ||
| US2182306A (en) | 1935-05-10 | 1939-12-05 | Ig Farbenindustrie Ag | Polymerization of ethylene imines |
| US2208095A (en) | 1937-01-05 | 1940-07-16 | Ig Farbenindustrie Ag | Process of producing insoluble condensation products containing sulphur and nitrogen |
| US2553696A (en) | 1944-01-12 | 1951-05-22 | Union Carbide & Carbon Corp | Method for making water-soluble polymers of lower alkylene imines |
| US2806839A (en) | 1953-02-24 | 1957-09-17 | Arnold Hoffman & Co Inc | Preparation of polyimines from 2-oxazolidone |
| US3033746A (en) | 1958-06-19 | 1962-05-08 | Dow Chemical Co | Polyalkyleneimine, phenol germicides |
| GB1296839A (en) | 1969-05-29 | 1972-11-22 | ||
| GB1372034A (en) | 1970-12-31 | 1974-10-30 | Unilever Ltd | Detergent compositions |
| US4435307A (en) | 1980-04-30 | 1984-03-06 | Novo Industri A/S | Detergent cellulase |
| EP0185427A2 (en) * | 1984-12-21 | 1986-06-25 | The Procter & Gamble Company | Block polyesters and like compounds useful as soil release agents in detergent compositions |
| EP0218272A1 (en) | 1985-08-09 | 1987-04-15 | Gist-Brocades N.V. | Novel lipolytic enzymes and their use in detergent compositions |
| US4711730A (en) | 1986-04-15 | 1987-12-08 | The Procter & Gamble Company | Capped 1,2-propylene terephthalate-polyoxyethylene terephthalate polyesters useful as soil release agents |
| JPS6356289A (en) | 1986-07-30 | 1988-03-10 | Res Dev Corp Of Japan | Beta-mannanase and production thereof |
| JPS6336775A (en) | 1986-07-31 | 1988-02-17 | Res Dev Corp Of Japan | Novel alkalophilic strain of bacillus genus capable of producing beta-mannanase and beta-mannosidase and use thereof |
| EP0258068A2 (en) | 1986-08-29 | 1988-03-02 | Novo Nordisk A/S | Enzymatic detergent additive |
| EP0260105A2 (en) | 1986-09-09 | 1988-03-16 | Genencor, Inc. | Preparation of enzymes having altered activity |
| EP0305216A1 (en) | 1987-08-28 | 1989-03-01 | Novo Nordisk A/S | Recombinant Humicola lipase and process for the production of recombinant humicola lipases |
| JPS6474992A (en) | 1987-09-16 | 1989-03-20 | Fuji Oil Co Ltd | Dna sequence, plasmid and production of lipase |
| EP0331376A2 (en) | 1988-02-28 | 1989-09-06 | Amano Pharmaceutical Co., Ltd. | Recombinant DNA, bacterium of the genus pseudomonas containing it, and process for preparing lipase by using it |
| US5691178A (en) | 1988-03-22 | 1997-11-25 | Novo Nordisk A/S | Fungal cellulase composition containing alkaline CMC-endoglucanase and essentially no cellobiohydrolase |
| US5776757A (en) | 1988-03-24 | 1998-07-07 | Novo Nordisk A/S | Fungal cellulase composition containing alkaline CMC-endoglucanase and essentially no cellobiohydrolase and method of making thereof |
| WO1989009259A1 (en) | 1988-03-24 | 1989-10-05 | Novo-Nordisk A/S | A cellulase preparation |
| US5648263A (en) | 1988-03-24 | 1997-07-15 | Novo Nordisk A/S | Methods for reducing the harshness of a cotton-containing fabric |
| EP0407225A1 (en) | 1989-07-07 | 1991-01-09 | Unilever Plc | Enzymes and enzymatic detergent compositions |
| JPH0347076A (en) | 1989-08-25 | 1991-02-28 | Res Dev Corp Of Japan | Beta-mannase and production thereof |
| US5256168A (en) * | 1989-10-31 | 1993-10-26 | The Procter & Gamble Company | Sulfobenzoyl end-capped ester oligomers useful as soil release agents in granular detergent compositions |
| WO1991016422A1 (en) | 1990-04-14 | 1991-10-31 | Kali-Chemie Aktiengesellschaft | Alkaline bacillus lipases, coding dna sequences therefor and bacilli which produce these lipases |
| WO1991018974A1 (en) | 1990-05-29 | 1991-12-12 | Chemgen Corporation | HEMICELLULASE ACTIVE AT EXTREMES OF pH AND TEMPERATURE AND THE MEANS FOR THE PRODUCTION THEREOF |
| WO1992005249A1 (en) | 1990-09-13 | 1992-04-02 | Novo Nordisk A/S | Lipase variants |
| WO1992019709A1 (en) | 1991-04-30 | 1992-11-12 | The Procter & Gamble Company | Built liquid detergents with boric-polyol complex to inhibit proteolytic enzyme |
| WO1992019708A1 (en) | 1991-04-30 | 1992-11-12 | The Procter & Gamble Company | Liquid detergents with aromatic borate ester to inhibit proteolytic enzyme |
| EP0518401A1 (en) * | 1991-06-14 | 1992-12-16 | The Procter & Gamble Company | Self-thickened cleaning compositions |
| JPH0851975A (en) | 1991-10-09 | 1996-02-27 | Res Dev Corp Of Japan | Novel β-mannanase and method for producing the same |
| WO1993024622A1 (en) | 1992-05-22 | 1993-12-09 | Alko Ltd. | Mannanase enzymes, genes coding for them, methods for isolating the genes, and methods for bleaching lignocellulosic pulps |
| WO1993024618A1 (en) | 1992-06-01 | 1993-12-09 | Novo Nordisk A/S | Peroxidase variants with improved hydrogen peroxide stability |
| WO1994001541A1 (en) | 1992-07-06 | 1994-01-20 | Novo Nordisk A/S | C. antarctica lipase and lipase variants |
| WO1994025578A1 (en) | 1993-04-27 | 1994-11-10 | Gist-Brocades N.V. | New lipase variants for use in detergent applications |
| WO1994025576A1 (en) | 1993-04-30 | 1994-11-10 | Novo Nordisk A/S | An enzyme exhibiting mannanase activity |
| WO1995006720A1 (en) | 1993-08-30 | 1995-03-09 | Showa Denko K.K. | Novel lipase, microorganism producing the lipase, process for producing the lipase, and use of the lipase |
| WO1995010602A1 (en) | 1993-10-13 | 1995-04-20 | Novo Nordisk A/S | H2o2-stable peroxidase variants |
| WO1995014783A1 (en) | 1993-11-24 | 1995-06-01 | Showa Denko K.K. | Lipase gene and variant lipase |
| WO1995022615A1 (en) | 1994-02-22 | 1995-08-24 | Novo Nordisk A/S | A method of preparing a variant of a lipolytic enzyme |
| WO1995026397A1 (en) | 1994-03-29 | 1995-10-05 | Novo Nordisk A/S | Alkaline bacillus amylase |
| WO1995030744A2 (en) | 1994-05-04 | 1995-11-16 | Genencor International Inc. | Lipases with improved surfactant resistance |
| WO1995035381A1 (en) | 1994-06-20 | 1995-12-28 | Unilever N.V. | Modified pseudomonas lipases and their use |
| WO1996000292A1 (en) | 1994-06-23 | 1996-01-04 | Unilever N.V. | Modified pseudomonas lipases and their use |
| WO1996012012A1 (en) | 1994-10-14 | 1996-04-25 | Solvay S.A. | Lipase, microorganism producing same, method for preparing said lipase and uses thereof |
| WO1996013580A1 (en) | 1994-10-26 | 1996-05-09 | Novo Nordisk A/S | An enzyme with lipolytic activity |
| WO1996027002A1 (en) | 1995-02-27 | 1996-09-06 | Novo Nordisk A/S | Novel lipase gene and process for the production of lipase with the use of the same |
| WO1996029397A1 (en) | 1995-03-17 | 1996-09-26 | Novo Nordisk A/S | Novel endoglucanases |
| WO1997004079A1 (en) | 1995-07-14 | 1997-02-06 | Novo Nordisk A/S | A modified enzyme with lipolytic activity |
| WO1997007202A1 (en) | 1995-08-11 | 1997-02-27 | Novo Nordisk A/S | Novel lipolytic enzymes |
| WO1997011164A1 (en) | 1995-09-20 | 1997-03-27 | Genencor International, Inc. | Purified mannanase from bacillus amyloliquefaciens and method of preparation |
| WO1997048787A1 (en) | 1996-06-19 | 1997-12-24 | Unilever N.V. | Bleach activation |
| WO1998012307A1 (en) | 1996-09-17 | 1998-03-26 | Novo Nordisk A/S | Cellulase variants |
| WO1998015257A1 (en) | 1996-10-08 | 1998-04-16 | Novo Nordisk A/S | Diaminobenzoic acid derivatives as dye precursors |
| WO1998039406A1 (en) | 1997-03-07 | 1998-09-11 | The Procter & Gamble Company | Bleach compositions |
| WO1998039098A1 (en) | 1997-03-07 | 1998-09-11 | The University Of Kansas | Catalysts and methods for catalytic oxidation |
| WO1999027083A1 (en) | 1997-11-24 | 1999-06-03 | Novo Nordisk A/S | PECTIN DEGRADING ENZYMES FROM $i(BACILLUS LICHENIFORMIS) |
| WO1999027084A1 (en) | 1997-11-24 | 1999-06-03 | Novo Nordisk A/S | Novel pectate lyases |
| US6284524B1 (en) | 1997-11-24 | 2001-09-04 | Novozymes A/S | Pectate lyases |
| WO1999064619A2 (en) | 1998-06-10 | 1999-12-16 | Novozymes A/S | Novel mannanases |
| WO2000029537A1 (en) | 1998-11-13 | 2000-05-25 | The Procter & Gamble Company | Bleach compositions |
| WO2000052124A1 (en) | 1999-03-02 | 2000-09-08 | The Procter & Gamble Company | Stabilized bleach compositions |
| WO2000060060A2 (en) | 1999-03-31 | 2000-10-12 | Novozymes A/S | Polypeptides having alkaline alpha-amylase activity and nucleic acids encoding same |
| WO2000060045A1 (en) | 1999-04-01 | 2000-10-12 | The Procter & Gamble Company | Transition metal bleaching agents |
| WO2002006442A2 (en) | 2000-07-19 | 2002-01-24 | Novozymes A/S | Cell-wall degrading enzyme variants |
| WO2002048301A1 (en) | 2000-12-15 | 2002-06-20 | Unilever Plc | Ligand and complex for catalytically bleaching a substrate |
| WO2005014769A1 (en) | 2003-08-06 | 2005-02-17 | Ciba Specialty Chemicals Holding Inc. | Shading composition |
| WO2006024612A1 (en) | 2004-08-30 | 2006-03-09 | Ciba Specialty Chemicals Holding Inc. | Shading process |
| WO2006055787A1 (en) | 2004-11-19 | 2006-05-26 | The Procter & Gamble Company | Whiteness perception compositions |
| EP1661933A1 (en) | 2004-11-24 | 2006-05-31 | SASOL Germany GmbH | Liquid, amphiphilic and nonionic oligoesters |
| EP2135931A1 (en) * | 2008-06-16 | 2009-12-23 | The Procter and Gamble Company | Use of soil release polymer in fabric treatment compositions |
| WO2009153184A1 (en) | 2008-06-16 | 2009-12-23 | Unilever Plc | Improvements relating to fabric cleaning |
Non-Patent Citations (12)
| Title |
|---|
| DARTOIS ET AL., BIOCHEMICA ET BIOPHYSICA ACTA, vol. 1131, 1993, pages 253 - 360 |
| DAVE; VAUGHN, J. BACTERIOL., vol. 108, 1971, pages 166 - 174 |
| HASEGAWA; NAGEL, J. FOOD SCI., vol. 31, 1966, pages 838 - 845 |
| HEFFRON ET AL., MOL. PLANT-MICROBE INTERACT., vol. 8, 1995, pages 331 - 334 |
| HENRISSAT ET AL., PLANT PHYSIOL., vol. 107, 1995, pages 963 - 976 |
| KELLY; FOGARTY, CAN. J. MICROBIOL., vol. 24, 1978, pages 1164 - 1172 |
| KIM ET AL., BIOSCI. BIOTECH. BIOCHEM., vol. 58, 1994, pages 947 - 949 |
| M. . MALIK; B. TRATHNIGG; C.O. KAPPE, MACROMOL. CHEM. PHYS., vol. 208, 2007, pages 2510 - 2524 |
| MENDOZA ET AL., WORLD J. MICROBIOL. BIOTECH., vol. 10, no. 5, 1994, pages 551 - 555 |
| NAGEL; VAUGHN, ARCH. BIOCHEM. BIOPHYS., vol. 93, 1961, pages 344 - 352 |
| NASSER ET AL., FEBS LETTS., vol. 335, 1993, pages 319 - 326 |
| TALBOT ET AL., APPL. ENVIRON. MICROBIOL., vol. 56, no. 11, 1990, pages 3505 - 3510 |
Cited By (30)
| Publication number | Priority date | Publication date | Assignee | Title |
|---|---|---|---|---|
| US9365806B2 (en) | 2012-07-31 | 2016-06-14 | Conopco Inc. | Alkaline liquid laundry detergent compositions comprising polyesters |
| AU2013298898B2 (en) * | 2012-07-31 | 2015-05-14 | Unilever Plc | Concentrated liquid detergent compositions |
| US20150166938A1 (en) * | 2012-07-31 | 2015-06-18 | Clariant Fiance (Bvi) Limited | Polyesters |
| US20150210961A1 (en) * | 2012-07-31 | 2015-07-30 | Conopco Inc., D/B/A Unilever | Alkaline liquid laundry detergent compositions comprising polyesters |
| JP2015527446A (en) * | 2012-07-31 | 2015-09-17 | クラリアント・ファイナンス・(ビーブイアイ)・リミテッド | polyester |
| EP2692842A1 (en) * | 2012-07-31 | 2014-02-05 | Unilever PLC | Concentrated liquid detergent compositions |
| WO2014019792A1 (en) * | 2012-07-31 | 2014-02-06 | Unilever Plc | Concentrated liquid detergent compositions |
| US9732308B2 (en) * | 2012-07-31 | 2017-08-15 | Clariant International Ltd. | Polyesters |
| US10370621B2 (en) | 2013-08-16 | 2019-08-06 | Chemsenti Limited | Bleaching formulations comprising particles and transition metal ion-containing bleaching catalysts |
| US10336968B2 (en) | 2014-07-09 | 2019-07-02 | Conopco, Inc. | Laundry liquid composition comprising a polyester/butyl glycol/water active blend |
| EP3218465B1 (en) * | 2014-11-11 | 2019-07-31 | Clariant International Ltd | Laundry detergents containing soil release polymers |
| CN107849499A (en) * | 2015-07-30 | 2018-03-27 | 宝洁公司 | Water soluble unit dose product |
| EP3124585B1 (en) | 2015-07-30 | 2018-08-22 | The Procter and Gamble Company | Water-soluble unit dose article |
| JP2017066341A (en) * | 2015-10-02 | 2017-04-06 | ライオン株式会社 | Liquid detergent for clothes |
| WO2017133879A1 (en) | 2016-02-04 | 2017-08-10 | Unilever Plc | Detergent liquid |
| WO2017202923A1 (en) * | 2016-05-27 | 2017-11-30 | Unilever Plc | Laundry composition |
| WO2017211700A1 (en) | 2016-06-09 | 2017-12-14 | Unilever Plc | Laundry products |
| WO2017211697A1 (en) | 2016-06-09 | 2017-12-14 | Unilever Plc | Laundry products |
| WO2017214240A2 (en) | 2016-06-09 | 2017-12-14 | The Procter & Gamble Company | Cleaning compositions having an enzyme system |
| WO2018028935A1 (en) * | 2016-08-08 | 2018-02-15 | Henkel Ag & Co. Kgaa | Stable liquid detergent comprising soil release polymer |
| WO2018028936A1 (en) * | 2016-08-08 | 2018-02-15 | Henkel Ag & Co. Kgaa | Stable liquid detergent comprising soil release polymer |
| WO2018028933A1 (en) * | 2016-08-08 | 2018-02-15 | Henkel Ag & Co. Kgaa | Stable liquid detergent comprising soil release polymer |
| WO2018028934A1 (en) * | 2016-08-08 | 2018-02-15 | Henkel Ag & Co. Kgaa | Stable liquid detergent comprising soil release polymer |
| WO2019063402A1 (en) | 2017-09-29 | 2019-04-04 | Unilever Plc | Laundry products |
| WO2019068473A1 (en) | 2017-10-05 | 2019-04-11 | Unilever Plc | Laundry products |
| DE212018000292U1 (en) | 2017-10-05 | 2020-04-15 | Unilever N.V. | Detergent products |
| US10808206B2 (en) | 2017-11-14 | 2020-10-20 | Henkel IP & Holding GmbH | Detergent boosters, detergent systems that include a detergent booster, and methods of laundering fabric |
| US12030984B2 (en) | 2018-05-24 | 2024-07-09 | Clariant International Ltd | Soil release polyesters for use in detergent compositions |
| US12545856B2 (en) | 2020-08-28 | 2026-02-10 | Conopco, Inc. | Detergent compositions comprising secondary alkane sultanate, a second anionic surfactant, and alkyl hydroxysultaine cosurfactant |
| US12084633B2 (en) | 2020-12-15 | 2024-09-10 | Henkel Ag & Co. Kgaa | Unit dose laundry detergent compositions containing soil release polymers |
Also Published As
| Publication number | Publication date |
|---|---|
| CN103347928B (en) | 2016-10-12 |
| ES2538997T3 (en) | 2015-06-25 |
| AU2012213597A1 (en) | 2013-07-25 |
| ZA201305194B (en) | 2014-09-25 |
| PH12013501439A1 (en) | 2019-09-02 |
| AU2012213597A8 (en) | 2014-08-14 |
| BR112013019386B1 (en) | 2021-04-06 |
| CL2013002181A1 (en) | 2014-06-27 |
| EP2670788A1 (en) | 2013-12-11 |
| EP2670788B1 (en) | 2015-03-11 |
| AU2012213597B2 (en) | 2014-08-28 |
| BR112013019386A2 (en) | 2020-10-27 |
| CN103347928A (en) | 2013-10-09 |
| PL2670788T3 (en) | 2015-08-31 |
| MY163351A (en) | 2017-09-15 |
Similar Documents
| Publication | Publication Date | Title |
|---|---|---|
| EP2670788B1 (en) | Alkaline liquid detergent compositions | |
| EP2476743B1 (en) | Method of laundering fabric | |
| EP2300586B1 (en) | Improvements relating to fabric cleaning | |
| CN102171323B (en) | Improvements relating to fabric cleaning | |
| EP2522714A1 (en) | Aqueous concentrated laundry detergent compositions | |
| EP2707472B1 (en) | Aqueous concentrated laundry detergent compositions | |
| EP2522715A1 (en) | Aqueous concentrated laundry detergent compositions | |
| AU2012358647B2 (en) | Isotropic liquid detergents comprising soil release polymer | |
| WO2016155993A1 (en) | Composition | |
| WO2013171210A1 (en) | Laundry detergent compositions comprising polyalkoxylated polyethyleneimine | |
| WO2017133879A1 (en) | Detergent liquid | |
| US20220372399A1 (en) | Detergent compositions | |
| EP3046972A1 (en) | Dye polymer | |
| WO2019038187A1 (en) | Improvements relating to fabric cleaning |
Legal Events
| Date | Code | Title | Description |
|---|---|---|---|
| 121 | Ep: the epo has been informed by wipo that ep was designated in this application |
Ref document number: 12700850 Country of ref document: EP Kind code of ref document: A1 |
|
| DPE1 | Request for preliminary examination filed after expiration of 19th month from priority date (pct application filed from 20040101) | ||
| WWE | Wipo information: entry into national phase |
Ref document number: 12013501439 Country of ref document: PH |
|
| WWE | Wipo information: entry into national phase |
Ref document number: 2012700850 Country of ref document: EP |
|
| ENP | Entry into the national phase |
Ref document number: 2012213597 Country of ref document: AU Date of ref document: 20120123 Kind code of ref document: A |
|
| WWE | Wipo information: entry into national phase |
Ref document number: 2013002181 Country of ref document: CL |
|
| NENP | Non-entry into the national phase |
Ref country code: DE |
|
| WWE | Wipo information: entry into national phase |
Ref document number: 1301004277 Country of ref document: TH |
|
| REG | Reference to national code |
Ref country code: BR Ref legal event code: B01A Ref document number: 112013019386 Country of ref document: BR |
|
| ENP | Entry into the national phase |
Ref document number: 112013019386 Country of ref document: BR Kind code of ref document: A2 Effective date: 20130730 |




























