WO2012087372A1 - Fungicidal 2-(bicyclic aryloxy)carboxamides - Google Patents
Fungicidal 2-(bicyclic aryloxy)carboxamides Download PDFInfo
- Publication number
- WO2012087372A1 WO2012087372A1 PCT/US2011/038992 US2011038992W WO2012087372A1 WO 2012087372 A1 WO2012087372 A1 WO 2012087372A1 US 2011038992 W US2011038992 W US 2011038992W WO 2012087372 A1 WO2012087372 A1 WO 2012087372A1
- Authority
- WO
- WIPO (PCT)
- Prior art keywords
- oxy
- naphthalenyl
- compound
- alkyl
- methoxy
- Prior art date
- Legal status (The legal status is an assumption and is not a legal conclusion. Google has not performed a legal analysis and makes no representation as to the accuracy of the status listed.)
- Ceased
Links
- 0 C[N+]1[N-]C(O[Mn]*)=C(*)c2c1c(*)c(*)c(*)c2* Chemical compound C[N+]1[N-]C(O[Mn]*)=C(*)c2c1c(*)c(*)c(*)c2* 0.000 description 4
- DHXVGJBLRPWPCS-UHFFFAOYSA-N C1CCOCC1 Chemical compound C1CCOCC1 DHXVGJBLRPWPCS-UHFFFAOYSA-N 0.000 description 1
- YPWFISCTZQNZAU-UHFFFAOYSA-N C1CCSCC1 Chemical compound C1CCSCC1 YPWFISCTZQNZAU-UHFFFAOYSA-N 0.000 description 1
- CCWWIENVIBQFCV-UHFFFAOYSA-N C1NC[IH]OC1 Chemical compound C1NC[IH]OC1 CCWWIENVIBQFCV-UHFFFAOYSA-N 0.000 description 1
Classifications
-
- C—CHEMISTRY; METALLURGY
- C07—ORGANIC CHEMISTRY
- C07D—HETEROCYCLIC COMPOUNDS
- C07D215/00—Heterocyclic compounds containing quinoline or hydrogenated quinoline ring systems
- C07D215/02—Heterocyclic compounds containing quinoline or hydrogenated quinoline ring systems having no bond between the ring nitrogen atom and a non-ring member or having only hydrogen atoms or carbon atoms directly attached to the ring nitrogen atom
- C07D215/16—Heterocyclic compounds containing quinoline or hydrogenated quinoline ring systems having no bond between the ring nitrogen atom and a non-ring member or having only hydrogen atoms or carbon atoms directly attached to the ring nitrogen atom with hetero atoms or with carbon atoms having three bonds to hetero atoms with at the most one bond to halogen, e.g. ester or nitrile radicals, directly attached to ring carbon atoms
- C07D215/20—Oxygen atoms
-
- A—HUMAN NECESSITIES
- A01—AGRICULTURE; FORESTRY; ANIMAL HUSBANDRY; HUNTING; TRAPPING; FISHING
- A01N—PRESERVATION OF BODIES OF HUMANS OR ANIMALS OR PLANTS OR PARTS THEREOF; BIOCIDES, e.g. AS DISINFECTANTS, AS PESTICIDES OR AS HERBICIDES; PEST REPELLANTS OR ATTRACTANTS; PLANT GROWTH REGULATORS
- A01N39/00—Biocides, pest repellants or attractants, or plant growth regulators containing aryloxy- or arylthio-aliphatic or cycloaliphatic compounds, containing the group or, e.g. phenoxyethylamine, phenylthio-acetonitrile, phenoxyacetone
- A01N39/02—Aryloxy-carboxylic acids; Derivatives thereof
- A01N39/04—Aryloxy-acetic acids; Derivatives thereof
-
- A—HUMAN NECESSITIES
- A01—AGRICULTURE; FORESTRY; ANIMAL HUSBANDRY; HUNTING; TRAPPING; FISHING
- A01N—PRESERVATION OF BODIES OF HUMANS OR ANIMALS OR PLANTS OR PARTS THEREOF; BIOCIDES, e.g. AS DISINFECTANTS, AS PESTICIDES OR AS HERBICIDES; PEST REPELLANTS OR ATTRACTANTS; PLANT GROWTH REGULATORS
- A01N43/00—Biocides, pest repellants or attractants, or plant growth regulators containing heterocyclic compounds
- A01N43/34—Biocides, pest repellants or attractants, or plant growth regulators containing heterocyclic compounds having rings with one nitrogen atom as the only ring hetero atom
- A01N43/40—Biocides, pest repellants or attractants, or plant growth regulators containing heterocyclic compounds having rings with one nitrogen atom as the only ring hetero atom six-membered rings
- A01N43/42—Biocides, pest repellants or attractants, or plant growth regulators containing heterocyclic compounds having rings with one nitrogen atom as the only ring hetero atom six-membered rings condensed with carbocyclic rings
-
- C—CHEMISTRY; METALLURGY
- C07—ORGANIC CHEMISTRY
- C07C—ACYCLIC OR CARBOCYCLIC COMPOUNDS
- C07C235/00—Carboxylic acid amides, the carbon skeleton of the acid part being further substituted by oxygen atoms
- C07C235/02—Carboxylic acid amides, the carbon skeleton of the acid part being further substituted by oxygen atoms having carbon atoms of carboxamide groups bound to acyclic carbon atoms and singly-bound oxygen atoms bound to the same carbon skeleton
- C07C235/04—Carboxylic acid amides, the carbon skeleton of the acid part being further substituted by oxygen atoms having carbon atoms of carboxamide groups bound to acyclic carbon atoms and singly-bound oxygen atoms bound to the same carbon skeleton the carbon skeleton being acyclic and saturated
- C07C235/06—Carboxylic acid amides, the carbon skeleton of the acid part being further substituted by oxygen atoms having carbon atoms of carboxamide groups bound to acyclic carbon atoms and singly-bound oxygen atoms bound to the same carbon skeleton the carbon skeleton being acyclic and saturated having the nitrogen atoms of the carboxamide groups bound to hydrogen atoms or to acyclic carbon atoms
-
- C—CHEMISTRY; METALLURGY
- C07—ORGANIC CHEMISTRY
- C07C—ACYCLIC OR CARBOCYCLIC COMPOUNDS
- C07C235/00—Carboxylic acid amides, the carbon skeleton of the acid part being further substituted by oxygen atoms
- C07C235/02—Carboxylic acid amides, the carbon skeleton of the acid part being further substituted by oxygen atoms having carbon atoms of carboxamide groups bound to acyclic carbon atoms and singly-bound oxygen atoms bound to the same carbon skeleton
- C07C235/04—Carboxylic acid amides, the carbon skeleton of the acid part being further substituted by oxygen atoms having carbon atoms of carboxamide groups bound to acyclic carbon atoms and singly-bound oxygen atoms bound to the same carbon skeleton the carbon skeleton being acyclic and saturated
- C07C235/08—Carboxylic acid amides, the carbon skeleton of the acid part being further substituted by oxygen atoms having carbon atoms of carboxamide groups bound to acyclic carbon atoms and singly-bound oxygen atoms bound to the same carbon skeleton the carbon skeleton being acyclic and saturated having the nitrogen atom of at least one of the carboxamide groups bound to an acyclic carbon atom of a hydrocarbon radical substituted by singly-bound oxygen atoms
-
- C—CHEMISTRY; METALLURGY
- C07—ORGANIC CHEMISTRY
- C07C—ACYCLIC OR CARBOCYCLIC COMPOUNDS
- C07C235/00—Carboxylic acid amides, the carbon skeleton of the acid part being further substituted by oxygen atoms
- C07C235/02—Carboxylic acid amides, the carbon skeleton of the acid part being further substituted by oxygen atoms having carbon atoms of carboxamide groups bound to acyclic carbon atoms and singly-bound oxygen atoms bound to the same carbon skeleton
- C07C235/04—Carboxylic acid amides, the carbon skeleton of the acid part being further substituted by oxygen atoms having carbon atoms of carboxamide groups bound to acyclic carbon atoms and singly-bound oxygen atoms bound to the same carbon skeleton the carbon skeleton being acyclic and saturated
- C07C235/10—Carboxylic acid amides, the carbon skeleton of the acid part being further substituted by oxygen atoms having carbon atoms of carboxamide groups bound to acyclic carbon atoms and singly-bound oxygen atoms bound to the same carbon skeleton the carbon skeleton being acyclic and saturated having the nitrogen atom of at least one of the carboxamide groups bound to an acyclic carbon atom of a hydrocarbon radical substituted by nitrogen atoms not being part of nitro or nitroso groups
-
- C—CHEMISTRY; METALLURGY
- C07—ORGANIC CHEMISTRY
- C07C—ACYCLIC OR CARBOCYCLIC COMPOUNDS
- C07C255/00—Carboxylic acid nitriles
- C07C255/01—Carboxylic acid nitriles having cyano groups bound to acyclic carbon atoms
- C07C255/24—Carboxylic acid nitriles having cyano groups bound to acyclic carbon atoms containing cyano groups and singly-bound nitrogen atoms, not being further bound to other hetero atoms, bound to the same saturated acyclic carbon skeleton
- C07C255/25—Aminoacetonitriles
-
- C—CHEMISTRY; METALLURGY
- C07—ORGANIC CHEMISTRY
- C07C—ACYCLIC OR CARBOCYCLIC COMPOUNDS
- C07C327/00—Thiocarboxylic acids
- C07C327/20—Esters of monothiocarboxylic acids
- C07C327/30—Esters of monothiocarboxylic acids having sulfur atoms of esterified thiocarboxyl groups bound to carbon atoms of hydrocarbon radicals substituted by nitrogen atoms, not being part of nitro or nitroso groups
-
- C—CHEMISTRY; METALLURGY
- C07—ORGANIC CHEMISTRY
- C07C—ACYCLIC OR CARBOCYCLIC COMPOUNDS
- C07C327/00—Thiocarboxylic acids
- C07C327/38—Amides of thiocarboxylic acids
- C07C327/40—Amides of thiocarboxylic acids having carbon atoms of thiocarboxamide groups bound to hydrogen atoms or to acyclic carbon atoms
- C07C327/42—Amides of thiocarboxylic acids having carbon atoms of thiocarboxamide groups bound to hydrogen atoms or to acyclic carbon atoms to hydrogen atoms or to carbon atoms of a saturated carbon skeleton
-
- C—CHEMISTRY; METALLURGY
- C07—ORGANIC CHEMISTRY
- C07D—HETEROCYCLIC COMPOUNDS
- C07D217/00—Heterocyclic compounds containing isoquinoline or hydrogenated isoquinoline ring systems
- C07D217/22—Heterocyclic compounds containing isoquinoline or hydrogenated isoquinoline ring systems with hetero atoms or with carbon atoms having three bonds to hetero atoms with at the most one bond to halogen, e.g. ester or nitrile radicals, directly attached to carbon atoms of the nitrogen-containing ring
- C07D217/24—Oxygen atoms
-
- C—CHEMISTRY; METALLURGY
- C07—ORGANIC CHEMISTRY
- C07F—ACYCLIC, CARBOCYCLIC OR HETEROCYCLIC COMPOUNDS CONTAINING ELEMENTS OTHER THAN CARBON, HYDROGEN, HALOGEN, OXYGEN, NITROGEN, SULFUR, SELENIUM OR TELLURIUM
- C07F9/00—Compounds containing elements of Groups 5 or 15 of the Periodic Table
- C07F9/02—Phosphorus compounds
- C07F9/28—Phosphorus compounds with one or more P—C bonds
- C07F9/30—Phosphinic acids [R2P(=O)(OH)]; Thiophosphinic acids ; [R2P(=X1)(X2H) (X1, X2 are each independently O, S or Se)]
- C07F9/32—Esters thereof
- C07F9/3205—Esters thereof the acid moiety containing a substituent or a structure which is considered as characteristic
- C07F9/3211—Esters of acyclic saturated acids which can have further substituents on alkyl
-
- C—CHEMISTRY; METALLURGY
- C07—ORGANIC CHEMISTRY
- C07F—ACYCLIC, CARBOCYCLIC OR HETEROCYCLIC COMPOUNDS CONTAINING ELEMENTS OTHER THAN CARBON, HYDROGEN, HALOGEN, OXYGEN, NITROGEN, SULFUR, SELENIUM OR TELLURIUM
- C07F9/00—Compounds containing elements of Groups 5 or 15 of the Periodic Table
- C07F9/02—Phosphorus compounds
- C07F9/547—Heterocyclic compounds, e.g. containing phosphorus as a ring hetero atom
- C07F9/553—Heterocyclic compounds, e.g. containing phosphorus as a ring hetero atom having one nitrogen atom as the only ring hetero atom
- C07F9/576—Six-membered rings
- C07F9/60—Quinoline or hydrogenated quinoline ring systems
-
- C—CHEMISTRY; METALLURGY
- C07—ORGANIC CHEMISTRY
- C07F—ACYCLIC, CARBOCYCLIC OR HETEROCYCLIC COMPOUNDS CONTAINING ELEMENTS OTHER THAN CARBON, HYDROGEN, HALOGEN, OXYGEN, NITROGEN, SULFUR, SELENIUM OR TELLURIUM
- C07F9/00—Compounds containing elements of Groups 5 or 15 of the Periodic Table
- C07F9/02—Phosphorus compounds
- C07F9/547—Heterocyclic compounds, e.g. containing phosphorus as a ring hetero atom
- C07F9/553—Heterocyclic compounds, e.g. containing phosphorus as a ring hetero atom having one nitrogen atom as the only ring hetero atom
- C07F9/576—Six-membered rings
- C07F9/62—Isoquinoline or hydrogenated isoquinoline ring systems
-
- C—CHEMISTRY; METALLURGY
- C07—ORGANIC CHEMISTRY
- C07C—ACYCLIC OR CARBOCYCLIC COMPOUNDS
- C07C2601/00—Systems containing only non-condensed rings
- C07C2601/02—Systems containing only non-condensed rings with a three-membered ring
-
- C—CHEMISTRY; METALLURGY
- C07—ORGANIC CHEMISTRY
- C07C—ACYCLIC OR CARBOCYCLIC COMPOUNDS
- C07C2601/00—Systems containing only non-condensed rings
- C07C2601/12—Systems containing only non-condensed rings with a six-membered ring
- C07C2601/14—The ring being saturated
Definitions
- This invention relates to certain bicyclic aryloxy carboxamides, their N-oxides, salts and compositions, and methods of their use as fungicides.
- World Patent Publication WO 2008/1 10355 discloses certain bicyclic aryloxy carboxamides as fungicides.
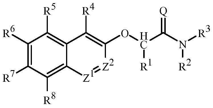
- This invention is directed to compounds of Formula 1 (including all stereoisomers), N-oxides, and salts thereof, agricultural compositions containing them and their use as fungicides:
- Q is O or S
- Z 1 and Z 2 are each independently CR 9 or ⁇ ;
- R 1 is C ⁇ -C 2 alk y! > C 2-C 4 alkenyl, C 2 -C 4 alkynyl, Q-Q haloalkyl, C 2 -C 4
- haloalkenyl C 2 -C 4 haloalkynyl, C3 ⁇ C 4 halocycloalkyl, C 4 -C5 cycloalkylalkyl, C 2 -C 4 alkoxyalkyl, C 2 -C 4 alkylthioalkyl, C 2 -C 4 alkylsulfinylalkyl, C 2 -C 4 alkylsulfonylalkyl, C 2 -C 4 cyanoalkyl, alkylcarbonyl, C 2 -C£
- alkoxycarbonyl C1-C4 alkoxy or C1-C4 haloalkoxy
- R 3 is NR 12 R 13 ;
- R 4 , R 5 , R 7 and R 8 are each independently selected from hydrogen, halogen, cyano, amino, nitro, -CHO, C ⁇ -C ⁇ alkyl, C 2 -C£ alkenyl, C 2 -C£ alkynyl, C ⁇ -C ⁇ haloalkyl, C 2 -C6 haloalkenyl, C 2 -C6 haloalkynyl, C3-C6 cycloalkyl, C3-C6 halocycloalkyl, C 4 -Cg alkylcycloalkyl, C 4 -Cg cycloalkylalkyl, C3-C6 cycloalkenyl, C 2 -C6 alkoxyalkyl, C 2 -C6 alkylthioalkyl, C 2 -C6 alkylcarbonyl, C 2 -C ⁇ haloalkylcarbonyl, C 2 -C ⁇ alkoxycarbonyl, C 2 -
- haloalkylsulfonyl C3-C9 trialkylsilyl, C -C ⁇ alkylamino, C 2 -C6 dialkylamino, C 2 -C ⁇ haloalkylamino, C 2 -C ⁇ halodialkylamino and C 2 -C ⁇ alkylcarbonylamino;
- R 6 is halogen, cyano, amino, nitro, -CHO, C ⁇ C ⁇ alkyl, C 2 -C6 alkenyl, C 2 -C6
- cycloalkylalkyl C ⁇ -C ⁇ cycloalkenyl, C 2 -C ⁇ alkoxyalkyl, C 2 -C ⁇ alkylthioalkyl, C 2 -C6 alkylcarbonyl, 0 2 -(3 ⁇ 4 haloalkylcarbonyl, 0 2 -(3 ⁇ 4 alkoxycarbonyl, C 2 -C£ alkylaminocarbonyl, C3-C8 dialkylaminocarbonyl, C 2 -C ⁇ cyanoalkyl, C ⁇ -C ⁇ alkoxy, C ⁇ -C ⁇ haloalkoxy, 0 2 -(3 ⁇ 4 alkoxyalkoxy, C ⁇ -C ⁇ alkylthio, C ⁇ -C ⁇ haloalkylthio, C ⁇ C ⁇ alkylsulfinyl, Ci ⁇ C ( , haloalkylsulfinyl, Ci ⁇ C ( , alkylsulfonyl, C ⁇ -
- alkylsulfonyl C ⁇ -C ⁇ haloalkylsulfonyl, C3-C9 trialkylsilyl, C ⁇ -C ⁇ alkylamino, C2-C6 dialkylamino, C2-C6 haloalkylamino, C2-C6 halodialkylamino and C2- C ⁇ alkylcarbonylamino;
- each R 10 is independently selected from hydrogen, Ci ⁇ C ( , alkyl, Ci ⁇ C ( , haloalkyl, C3- C ⁇ cycloalkyl and C3-C6 halocycloalkyl;
- each R 1 1 is independently selected from C ⁇ -C ⁇ alkyl, C ⁇ -C ⁇ haloalkyl, C3-C6
- each R 12 is independently selected from hydrogen, CHO, C ⁇ -C ⁇ alkyl, C ⁇ -C ⁇
- each R 13 is independently selected from CHO, C ⁇ -C ⁇ alkyl, C ⁇ -C ⁇ haloalkyl and C2-
- each R 14 is independently C ⁇ -C ⁇ alkyl or C ⁇ -C ⁇ haloalkyl
- each R 15 is independently selected from CHO, C ⁇ C ⁇ alkyl, Ci ⁇ C(, haloalkyl and C2- C ⁇ alkoxyalkyl;
- each R 16 and R 19 is independently hydrogen or -C3 alkyl
- each R 17 is independently C ⁇ -C ⁇ alkyl or C ⁇ -C ⁇ alkoxy
- each R 18 is independently C ⁇ -C ⁇ alkyl
- each R 20 is independently selected from halogen, cyano, C ⁇ C ⁇ alkyl, Ci ⁇ C ( ,
- haloalkyl C2-C6 alkylcarbonyl, C ⁇ -C ⁇ alkoxy, C ⁇ -C ⁇ haloalkoxy and C ⁇ -C ⁇ alkylthio;
- each R 20a is independently selected from cyano, C ⁇ -C ⁇ alkyl, C ⁇ -C ⁇ haloalkyl and
- each R 21 is a 5-membered unsaturated heterocyclic ring containing 2-4 carbon atoms and 1 -3 nitrogen atoms as ring members, wherein the heterocyclic ring is optionally substituted with up to 2 substituents independently selected from R 20 on carbon atom ring members and R 20a on nitrogen atom ring members;
- the compound of Formula 1 is other than 2-[(7-methoxy-2-naphthalenyl)oxy]-N-(2- propen-l-yl)-propanamide.
- this invention pertains to a compound of Formula 1 (including all stereoisomers), an N-oxide or a salt thereof.
- This invention also relates to a fungicidal composition
- a fungicidal composition comprising (a) a compound of the invention (i.e. in a fungicidally effective amount); and (b) at least one additional component selected from the group consisting of surfactants, solid diluents and liquid diluents.
- This invention also relates to a fungicidal composition
- a fungicidal composition comprising (a) a compound of the invention; and (b) at least one other fungicide (e.g., at least one other fungicide having a different site of action).
- This invention further relates to a method for controlling plant diseases caused by fungal plant pathogens comprising applying to the plant or portion thereof, or to the plant seed, a fungicidally effective amount of a compound of the invention (e.g., as a composition described herein).
- compositions, mixture, process or method that comprises a list of elements is not necessarily limited to only those elements but may include other elements not expressly listed or inherent to such composition, mixture, process or method.
- plant includes members of Kingdom Plantae, particularly seed plants (Spermatopsida), at all life stages, including young plants (e.g., germinating seeds developing into seedlings) and mature, reproductive stages (e.g., plants producing flowers and seeds).
- Portions of plants include geotropic members typically growing beneath the surface of the growing medium (e.g., soil), such as roots, tubers, bulbs and corms, and also members growing above the growing medium, such as foliage (including stems and leaves), flowers, fruits and seeds.
- seedling used either alone or in a combination of words means a young plant developing from the embryo of a seed.
- alkyl used either alone or in compound words such as “alkylthio” or “haloalkyl” includes straight-chain or branched alkyl such as methyl, ethyl, M-propyl, -propyl, or the different butyl, pentyl or hexyl isomers.
- alkenyl includes straight-chain or branched alkenes such as ethenyl, 1-propenyl, 2-propenyl, and the different butenyl, pentenyl and hexenyl isomers.
- Alkenyl also includes polyenes such as 1,2-propadienyl and 2,4-hexadienyl.
- Alkynyl includes straight-chain or branched alkynes such as ethynyl, 1-propynyl, 2-propynyl and the different butynyl, pentynyl and hexynyl isomers. "Alkynyl” also includes moieties comprised of multiple triple bonds such as 2,5-hexadiynyl.
- Alkoxy includes, for example, methoxy, ethoxy, w-propyloxy, isopropyloxy and the different butoxy, pentoxy and hexyloxy isomers.
- Alkoxyalkyl denotes alkoxy substitution on alkyl. Examples of “alkoxyalkyl” include CH 3 OCH 2 , CH 3 OCH 2 CH 2 , CH 3 CH 2 OCH 2 , CH 3 CH 2 CH 2 CH 2 OCH 2 and CH 3 CH 2 OCH 2 CH 2 .
- Alkoxyalkoxy denotes alkoxy substitution on alkoxy.
- Alkylthio includes branched or straight-chain alkylthio moieties such as methylthio, ethylthio, and the different propylthio, butylthio, pentylthio and hexylthio isomers.
- Alkylsulfinyl includes both enantiomers of an alkylsulfinyl group. Examples of “alkylsulfinyl” include CH 3 S(0)-, CH 3 CH 2 S(0)-, CH 3 CH 2 CH 2 S(0)-, (CH 3 ) 2 CHS(0)- and the different butylsulfinyl, pentylsulfinyl and hexylsulfinyl isomers.
- alkylsulfonyl examples include CH 3 S(0) 2 -, CH 3 CH 2 S(0) 2 -, CH 3 CH 2 CH 2 S(0) 2 -, (CH 3 ) 2 CHS(0) 2 -, and the different butylsulfonyl, pentylsulfonyl and hexylsulfonyl isomers.
- Alkylthioalkyl denotes alkylthio substitution on alkyl.
- alkylthioalkyl examples include CH 3 SCH 2 , CH 3 SCH 2 CH 2 , CH 3 CH 2 SCH 2 , CH 3 CH 2 CH 2 CH 2 SCH 2 and CH 3 CH 2 SCH 2 CH 2 .
- Cyanoalkyl denotes an alkyl group substituted with one cyano group. Examples of “cyanoalkyl” include NCCH 2 , NCCH 2 CH 2 and CH 3 CH(CN)CH 2 .
- Cycloalkyl includes, for example, cyclopropyl, cyclobutyl, cyclopentyl and cyclohexyl.
- alkylcycloalkyl denotes alkyl substitution on a cycloalkyl moiety and includes, for example, ethylcyclopropyl, z ' -propylcyclobutyl, 3-methylcyclopentyl and 4-methylcyclohexyl.
- cycloalkylalkyl denotes cycloalkyl substitution on an alkyl moiety.
- cycloalkylalkyl examples include cyclopropylmethyl, cyclopentylethyl, and other cycloalkyl moieties bonded to straight-chain or branched alkyl groups.
- Cycloalkenyl includes groups such as cyclopentenyl and cyclohexenyl as well as groups with more than one double bond such as 1,3- and 1,4-cyclohexadienyl.
- halogen either alone or in compound words such as “haloalkyl”, or when used in descriptions such as “alkyl substituted with halogen” includes fluorine, chlorine, bromine or iodine. Further, when used in compound words such as “haloalkyl”, or when used in descriptions such as “alkyl substituted with halogen” said alkyl may be partially or fully substituted with halogen atoms which may be the same or different. Examples of “haloalkyl” or “alkyl substituted with halogen” include F 3 C-, C1CH 2 -, CF 3 CH 2 - and CF 3 CC1 2 -.
- halocycloalkyl haloalkoxy
- haloalkyl haloalkoxy
- haloalkylthio CC1 3 S-, CF 3 S-, CC1 3 CH 2 S- and C1CH 2 CH 2 CH 2 S-.
- haloalkylsulfinyl examples include CF 3 S(0)-, CC1 3 S(0)-, CF 3 CH 2 S(0)- and CF 3 CF 2 S(0)-.
- haloalkylsulfonyl examples include CF 3 S(0) 2 -, CC1 3 S(0) 2 -, CF 3 CH 2 S(0) 2 - and CF 3 CF 2 S(0) 2 -.
- haloalkynyl examples include HOCCHC1-, CF 3 C ⁇ C-, CC1 3 C ⁇ C- and FCH 2 C ⁇ CCH 2 -.
- haloalkoxyalkoxy examples include CF 3 OCH 2 0-, C1CH 2 CH 2 0CH 2 CH 2 0-, Cl 3 CCH 2 OCH 2 0- as well as branched alkyl derivatives.
- alkylcarbonyl include CH 3 C(0), CH 3 CH 2 CH 2 C(0) and (CH 3 ) 2 CHC(0).
- halodialkylamino denotes a dialkylamino group substituted on at least one alkyl moiety with one or more halogenatoms which may be the same or different.
- halodialkylamino include CF 3 (CH 3 )N-, (CF 3 ) 2 N- and CH 2 C1(CH 3 )N-.
- Trialkylsilyl includes 3 branched and/or straight-chain alkyl radicals attached to and linked through a silicon atom, such as trimethylsilyl, triethylsilyl and tert-butyldimethylsilyl.
- Cj-Cj The total number of carbon atoms in a substituent group is indicated by the "Cj-Cj" prefix where i and j are numbers from 1 to 9.
- -C4 alkylsulfonyl designates methylsulfonyl through butylsulfonyl
- C 2 alkoxyalkyl designates CH 3 OCH 2 -
- C 3 alkoxyalkyl designates, for example, CH 3 CH(OCH 3 )-, CH 3 OCH 2 CH 2 - or CH 3 CH 2 OCH 2 -
- C 4 alkoxyalkyl designates the various isomers of an alkyl group substituted with an alkoxy group containing a total of four carbon atoms, examples including CH 3 CH 2 CH 2 OCH 2 - and CH 3 CH 2 OCH 2 CH 2 -.
- a "ring” as a component of Formula 1 is carbocyclic or heterocyclic.
- the term “ring system” denotes two or more fused rings.
- the terms “bicyclic ring system” and “fused bicyclic ring system” denote a ring system consisting of two fused rings, in which either ring can be saturated, partially unsaturated, or fully unsaturated unless otherwise indicated.
- the term “fused heterobicyclic ring system” denotes a fused bicyclic ring system in which at least one ring atom is not carbon.
- carbocyclic ring denotes a ring or ring system wherein the atoms forming the ring backbone are selected only from carbon.
- a carbocyclic ring can be a saturated, partially unsaturated, or fully unsaturated ring.
- saturated carbocyclic refers to a ring having a backbone consisting of carbon atoms linked to one another by single bonds; unless otherwise specified, the remaining carbon valences are occupied by hydrogen atoms.
- heterocyclic ring denotes a ring or ring system in which at least one atom forming the ring backbone is not carbon, e.g., nitrogen, oxygen or sulfur. Typically a heterocyclic ring contains no more than 4 nitrogens, no more than 2 oxygens and no more than 2 sulfurs. Unless otherwise indicated, a heterocyclic ring can be a saturated, partially unsaturated, or fully unsaturated ring. When a fully unsaturated heterocyclic ring satisfies Huckel's rule, then said ring is also called a “heteroaromatic ring” or “aromatic heterocyclic ring”. Unless otherwise indicated, heterocyclic rings and ring systems can be attached through any available carbon or nitrogen by replacement of a hydrogen on said carbon or nitrogen.
- Aromatic indicates that each of the ring atoms is essentially in the same plane and has a -orbital perpendicular to the ring plane, and that (4n + 2) ⁇ electrons, where n is a positive integer, are associated with the ring to comply with Huckel's rule.
- aromatic ring system denotes a carbocyclic or heterocyclic ring system in which at least one ring of the ring system is aromatic.
- an optionally substituted group may have a substituent at each substitutable position of the group, and each substitution is independent of the other.
- R 3 is a 3-, 4-, 5- or 6-membered saturated carbocyclic ring, a cyclopropyl, cyclobutyl, cyclopentyl or cyclohexyl ring is attached to Formula 1 as defined in the Summary of the Invention and the ring may be optionally substituted with up to 5 substituents selected from a group of substituents as defined in the Summary of Invention.
- R 3 When R 3 is a 3-, 4-, 5- or 6-membered heterocyclic ring, the ring may be saturated or unsaturated and optionally substituted with up to 5 substituents selected from a group of substituents as defined in the Summary of Invention.
- R 3 When R 3 is a 3-, 4-, 5- or 6-membered nitrogen-containing heterocyclic ring, it may be attached to the remainder of Formula 1 though any available carbon or nitrogen ring atom, unless otherwise described.
- R 3 can independently be (among others) a 3-, 4-, 5- or
- 6-membered heterocyclic ring which may be saturated, partially unsaturated, or fully unsaturated and optionally substituted with up to 5 substituents selected from a group of substituents as defined in the Summary of Invention for R 3 .
- Examples of a 3-, 4-, 5- or 6-membered fully unsaturated heterocyclic ring include the rings U-l through U-66 illustrated in Exhibit 1 wherein R v is any substituent as defined in the Summary of the Invention for R 3 (i.e. R 20 on carbon ring members and R 20a on nitrogen ring members) and r is an integer from 0 to 5, limited by the number of available positions on each U-ring.
- R v is any substituent as defined in the Summary of the Invention for R 3 (i.e. R 20 on carbon ring members and R 20a on nitrogen ring members) and r is an integer from 0 to 5, limited by the number of available positions on each U-ring.
- R v is any substituent as defined in the Summary of the Invention for R 3 (i.e. R 20 on carbon ring members and R 20a on nitrogen ring members) and r is an integer from 0 to 5, limited by the number of available positions on each U-ring.
- R v groups are shown on rings U-1 through U-66, it is noted that they do not need to be present since they are optional substituents. Note that when r is 0, this means the ring is unsubstituted. The nitrogen atoms that require substitution to fill their valence are substituted with H or R v . Note that when the attachment point between (R v ) r and the U-ring is illustrated as floating, (R v ) r can be attached to any available carbon atom or nitrogen atom of the U-ring.
- Examples of a 3-, 4-, 5- or 6-membered saturated or partially unsaturated heterocyclic ring include the rings G-l through G-45 as illustrated in Exhibit 2 wherein R v is any substituent as defined in the Summary of the Invention R 3 (i.e. R 20 on carbon ring members and R 20a on nitrogen ring members) and r is an integer from 0 to 5, limited by the number of available positions on each G-ring.
- R v is any substituent as defined in the Summary of the Invention R 3 (i.e. R 20 on carbon ring members and R 20a on nitrogen ring members) and r is an integer from 0 to 5, limited by the number of available positions on each G-ring.
- the optional substituents corresponding to (R v ) r can be attached to any available carbon or nitrogen by replacing a hydrogen atom. Note that when the attachment point on the G-ring is illustrated as floating, the G-ring can be attached to the remainder of Formula 1 through any available carbon or nitrogen of the G-ring by replacement of a
- R 3 comprises a ring selected from G-33, G-34, G-35 and G-41 through G-45
- G 2 is O, S or N.
- G 2 is N, the nitrogen atom can complete its valence by substitution with either H or the substituents corresponding to R v as defined in the Summary of Invention for R 3 .
- R 21 is a 5-membered unsaturated heterocyclic ring.
- Examples of a 5-membered unsaturated heterocyclic ring containing 2-4 carbon atoms and 1-3 nitrogen atoms are in Exhibit 1 (U-l l, U-12, U-13, U-20, U-21, U-22, U-23, U-30, U-31, U-32, U-33, U-36, U-37, U-38, U-39, U-40, U-49, U-50, U-51, U-52 and U-53) and Exhibit 2 (G-18, G-23 and G-24).
- the ring may be optionally substituted with up to 2 substituents independently selected from R 20 on carbon atoms and R 20a on nitrogen atom ring members.
- Compounds of this invention can exist as one or more stereoisomers.
- the various stereoisomers include enantiomers, diastereomers, atropisomers and geometric isomers.
- one stereoisomer may be more active and/or may exhibit beneficial effects when enriched relative to the other stereoisomer(s) or when separated from the other stereoisomer(s). Additionally, the skilled artisan knows how to separate, enrich, and/or to selectively prepare said stereoisomers.
- the compounds of the invention may be present as a mixture of stereoisomers, individual stereoisomers or as an optically active form.
- nitrogen-containing heterocycles can form N-oxides since the nitrogen requires an available lone pair for oxidation to the oxide; one skilled in the art will recognize those nitrogen-containing heterocycles which can form N-oxides.
- nitrogen-containing heterocycles which can form N-oxides.
- tertiary amines can form N-oxides.
- N-oxides of heterocycles and tertiary amines are very well known by one skilled in the art including the oxidation of heterocycles and tertiary amines with peroxy acids such as peracetic and m-chloroperbenzoic acid (MCPBA), hydrogen peroxide, alkyl hydroperoxides such as ?-butyl hydroperoxide, sodium perborate, and dioxiranes such as dimethyldioxirane.
- MCPBA peroxy acids
- alkyl hydroperoxides such as ?-butyl hydroperoxide
- sodium perborate sodium perborate
- dioxiranes such as dimethyldioxirane
- salts of chemical compounds are in equilibrium with their corresponding nonsalt forms, salts share the biological utility of the nonsalt forms.
- the salts of the compounds of Formula 1 include acid-addition salts with inorganic or organic acids such as hydrobromic, hydrochloric, nitric, phosphoric, sulfuric, acetic, butyric, fumaric, lactic, maleic, malonic, oxalic, propionic, salicylic, tartaric, 4-toluenesulfonic or valeric acids.
- salts also include those formed with organic or inorganic bases such as pyridine, triethylamine or ammonia, or amides, hydrides, hydroxides or carbonates of sodium, potassium, lithium, calcium, magnesium or barium.
- the present invention comprises compounds selected from Formula 1, N-oxides and agriculturally suitable salts thereof.
- Compounds selected from Formula 1, stereoisomers, N-oxides, and salts thereof, typically exist in more than one form, and Formula 1 thus includes all crystalline and noncrystalline forms of the compounds that Formula 1 represents.
- Non-crystalline forms include embodiments which are solids such as waxes and gums as well as embodiments which are liquids such as solutions and melts.
- Crystalline forms include embodiments which represent essentially a single crystal type and embodiments which represent a mixture of polymorphs (i.e. different crystalline types).
- polymorph refers to a particular crystalline form of a chemical compound that can crystallize in different crystalline forms, these forms having different arrangements and/or conformations of the molecules in the crystal lattice. Although polymorphs can have the same chemical composition, they can also differ in composition due the presence or absence of co-crystallized water or other molecules, which can be weakly or strongly bound in the lattice.
- Polymorphs can differ in such chemical, physical and biological properties as crystal shape, density, hardness, color, chemical stability, melting point, hygroscopicity, suspensibility, dissolution rate and biological availability.
- a polymorph of a compound represented by Formula 1 can exhibit beneficial effects (e.g., suitability for preparation of useful formulations, improved biological performance) relative to another polymorph or a mixture of polymorphs of the same compound represented by Formula 1.
- Preparation and isolation of a particular polymorph of a compound represented by Formula 1 can be achieved by methods known to those skilled in the art including, for example, crystallization using selected solvents and temperatures.
- Embodiments of the present invention as described in the Summary of the Invention include (where Formula 1 as used in the following Embodiments includes N-oxides and salts thereof ):
- Embodiment 1 A compound of Formula 1 wherein Q is O.
- Embodiment 2 A compound of Formula 1 or Embodiment 1 wherein Z 2 is CR 9 .
- Embodiment 3 A compound of Formula 1 or Embodiment 1 or 2 wherein Z 1 is CR 9 .
- Embodiment 4. A compound of Formula 1 or any one of Embodiments 1 through 3 wherein R 1 is C j -C2 alkyl or C j -C 4 alkoxy.
- Embodiment 5 A compound of Embodiment 4 wherein R 1 is methyl, ethyl or methoxy.
- Embodiment 5a A compound of Embodiment 5 wherein R 1 is methyl or ethyl.
- Embodiment 5b A compound of Embodiment 5 wherein R 1 is methoxy.
- Embodiment 6 A compound of Formula 1 or any one of Embodiments 1 through 5 wherein R 2 is hydrogen.
- Embodiment 7a A compound of Formula 1 or any one of Embodiments 1 through 6 wherein R 3 is C j -Cg alkyl or C3-C8 alkynyl, each optionally substituted with up to 3 substituents independently selected from cyano, hydroxy, fluoro, OR 15 and CHO.
- Embodiment 7b A compound of Formula 1 or any one of Embodiments 1 through 6 wherein R 3 is C j -Cg alkyl or C3-C8 alkynyl, each optionally substituted with up to 3 substituents independently selected from hydroxy, fluoro, OR 15 and CHO.
- Embodiment 7b A compound of Formula 1 or any one of Embodiments 1 through 6 wherein R 3 is C j -Cg alkyl or C3-C8 alkynyl, each optionally substituted with up to 3 substituents independently selected from hydroxy, fluoro, OR 15 and CHO.
- Embodiment 8a A compound of Embodiment 7a wherein R 3 is C j -Cg alkyl optionally substituted with cyano or OR 15 .
- Embodiment 8b A compound of Embodiment 7a wherein R 3 is C3 ⁇ Cg alkynyl.
- Embodiment 8 A compound of Embodiment 7 wherein R 3 is C j -Cg alkyl optionally substituted with OR 15 or fluoro.
- Embodiment 9a A compound of Embodiment 8a wherein R 3 is C(CH3)2C ,
- Embodiment 9 A compound of Embodiment 8 wherein R 3 is C(CH3) 2 CH 2 OCH3, C(CH 3 ) 2 CH 2 OCH 2 OCH 3 , C(CH 3 ) 3 or C(CH 3 ) 2 (CH 2 F).
- Embodiment 9b A compound of Embodiment 8 wherein R 3 is C(CH3) 2 CH 2 OCH3,
- Embodiment 9c A compound of Embodiment 9 wherein R 3 is C(CH3) 2 CH 2 OCH3.
- Embodiment 9d A compound of Embodiment 9 wherein R 3 is C(CH3)3.
- Embodiment 9e A compound of Embodiment 8b wherein R 3 is C(CH3) 2 C ⁇ CH or
- Embodiment 10 A compound of Formula 1 or any one of Embodiments 1 through 9 wherein R 3 includes a tertiary carbon atom, and R 3 is bonded to the remainder of Formula 1 through the tertiary carbon atom.
- Embodiment 1 A compound of Formula 1 or any one of Embodiments 1 through 10 wherein R 4 , R 5 , R 7 , R 8 and R 9 are each independently selected from hydrogen and C j -C ⁇ alkyl.
- Embodiment 12 A compound of Embodiment 1 1 wherein R 4 , R 5 , R 7 , R 8 and R 9 are each independently selected from hydrogen, methyl and ethyl.
- Embodiment 13a A compound of Formula 1 or any one of Embodiments 1 through 12 wherein R 6 is halogen, C j -C 2 alkoxy, C j -C 2 haloalkoxy or C 2 -C3 alkynyl.
- Embodiment 13 A compound of Formula 1 or any one of Embodiments 1 through 12 wherein R 6 is halogen, C j -C 2 alkoxy, C j -C 2 haloalkoxy or C 2 alkynyl.
- Embodiment 14 A compound of Embodiment 13 wherein R 6 is halogen, C j -C 2 alkoxy or C j -C 2 haloalkoxy.
- Embodiment 14a A compound of Embodiment 13a wherein R 6 is halogen, C j -C 2 alkoxy or C 2 -C3 alkynyl.
- Embodiment 15 A compound of Embodiment 14 wherein R 6 is bromo, iodo, methoxy or difluoromethoxy.
- Embodiment 15a A compound of Embodiment 14a wherein R 6 is bromo, methoxy, ethoxy, C ⁇ CH or C ⁇ CCH 3 .
- Embodiment 16 A compound of Formula 1 or any one of Embodiments 1 through 15 wherein R 10 is hydrogen or C j -C ⁇ alkyl.
- Embodiment 17 A compound of Embodiment 16 wherein R 10 is hydrogen.
- Embodiment 18 A compound of Formula 1 or any one of Embodiments 1 through 17 wherein R 12 is hydrogen or C j -C ⁇ alkyl.
- Embodiment 19 A compound of Formula 1 or any one of Embodiments 1 through 18 wherein R 13 is CHO or Ci ⁇ C 6 alkyl.
- Embodiment 20 A compound of Formula 1 or any one of Embodiments 1 through 19 wherein R 15 is CHO, Ci ⁇ C 6 alkyl or C 2 -C 6 alkoxyalkyl.
- Embodiment 21 A compound of Embodiment 20 wherein R 15 is CHO, methyl or
- Embodiment 21a A compound of Embodiment 20 wherein R 15 is methyl or
- Embodiments of this invention can be combined in any manner, and the descriptions of variables in the embodiments pertain not only to the compounds of Formula 1 but also to the starting compounds and intermediate compounds useful for preparing the compounds of Formula 1.
- embodiments of this invention including Embodiments 1-21 above as well as any other embodiments described herein, and any combination thereof, pertain to the compositions and methods of the present invention.
- Embodiment AA A compound of Formula 1 wherein
- Q is O or S
- Z 1 and Z 2 are each independently CR 9 or N;
- R 1 is C j -Q alkyl, C 2 -C 4 alkenyl, C 2 -C 4 alkynyl, C j -Q haloalkyl, C 2 -C 4 haloalkenyl, C 2 -C 4 haloalkynyl, C3-C 4 cycloalkyl, 0 3 -0 4
- halocycloalkyl C 4 -C 5 cycloalkylalkyl, C 2 -C 4 alkoxyalkyl, C 2 -C 4 alkylthioalkyl, C 2 -C 4 alkylsulfinylalkyl, C 2 -C 4 alkylsulfonylalkyl, C 2 - C 4 cyanoalkyl, alkylcarbonyl, alkoxycarbonyl, C j -C 4 alkoxy or C j -C 4 haloalkoxy;
- R 2 is hydrogen, C -C 6 alkyl, C 2 -C 6 alkenyl, C 2 -C 6 alkynyl, C -C 6
- haloalkyl haloalkenyl, haloalkynyl, C3-C6 cycloalkyl,
- N(R 12 )C( 0)NR 12 R 13 , OS0 2 R 14 , OS0 2 NR 12 R 13 , NR 12 S0 2 R 14 , NR 12 S0 2 NR 12 R 13 , OR 15 , NR 12 R 13 , S(0) n R 14 , S0 2 NR 12 R 13 ,
- R 3 is NR 12 R 13 ;
- R 3 is a 3-, 4-, 5- or 6-membered saturated carbocyclic ring optionally
- R 4 , R 5 , R 7 and R 8 are each independently selected from hydrogen, halogen, cyano, amino, nitro, -CHO, C j -C ⁇ alkyl, C 2 -C£ alkenyl, C 2 -C£ alkynyl, C j -C ⁇ haloalkyl, C 2 -C6 haloalkenyl, 0 2 -0 ⁇ haloalkynyl, C3- cycloalkyl, C ⁇ -C ⁇ halocycloalkyl, C 4 -Cg alkylcycloalkyl, C 4 -Cg cycloalkylalkyl, C ⁇ -C ⁇ cycloalkenyl, 0 2 -0 ⁇ alkoxyalkyl,
- alkylthioalkyl C 2 -C ⁇ alkylcarbonyl, C 2 -C ⁇ haloalkylcarbonyl, C 2 -C ⁇ alkoxycarbonyl, C 2 -C ⁇ alkylaminocarbonyl, C3-C8
- dialkylaminocarbonyl C 2 -C6 cyanoalkyl, C j -C ⁇ alkoxy, C j -C ⁇ haloalkoxy, 0 2 -0 ⁇ alkoxyalkoxy, C j -C ⁇ alkylthio, C j -C ⁇
- haloalkylthio C j -C ⁇ alkylsulfinyl, C j -C ⁇ haloalkylsulfinyl, C j -C ⁇ alkylsulfonyl, C j -C ⁇ haloalkylsulfonyl, C3-C9 trialkylsilyl, C j -C ⁇ alkylamino, C 2 -C ⁇ dialkylamino, C 2 -C ⁇ haloalkylamino, C 2 -C ⁇ halodialkylamino and C 2 -C ⁇ alkylcarbonylamino;
- R 6 is halogen, cyano, amino, nitro, -CHO, C j -C ⁇ alkyl, alkenyl, C 2 - alkynyl, C j -C ⁇ haloalkyl, 0 2 -0 ⁇ haloalkenyl, 0 2 -0 ⁇ haloalkynyl, C3-C6 cycloalkyl, C3-C6 halocycloalkyl, C 4 -Cg alkylcycloalkyl, C 4 - Cg cycloalkylalkyl, C3-C6 cycloalkenyl, 0 2 -0 ⁇ alkoxyalkyl, 0 2 -0 ⁇ alkylthioalkyl, C 2 -C ⁇ alkylcarbonyl, C 2 -C ⁇ haloalkylcarbonyl, C 2 -C ⁇ alkoxycarbonyl, C2-C ⁇ alkylaminocarbonyl, C3-C8
- dialkylaminocarbonyl C2 ⁇ C ⁇ cyanoalkyl, C j -C ⁇ alkoxy, C j -C ⁇ haloalkoxy, C2-C6 alkoxyalkoxy, C j -C ⁇ alkylthio, C j -C ⁇
- haloalkylthio C j -C ⁇ alkylsulfinyl, C j -C ⁇ haloalkylsulfinyl, C j -C ⁇ alkylsulfonyl, haloalkylsulfonyl, alkylamino, C2-C6 dialkylamino, C2-C ⁇ haloalkylamino, C2-C ⁇ halodialkylamino or C2- alkylcarbonylamino;
- each R 9 is independently selected from hydrogen, halogen, cyano, amino, nitro, -CHO, C j -C 6 alkyl, C 2 -C 6 alkenyl, C 2 -C 6 alkynyl, C j -C 6 haloalkyl, C2-C6 haloalkenyl, C2-C6 haloalkynyl, C ⁇ -C ⁇ cycloalkyl, C3-C6 halocycloalkyl, C ⁇ -Cg alkylcycloalkyl, C ⁇ -Cg cycloalkylalkyl, C3-C6 cycloalkenyl, C2-C6 alkoxyalkyl, C2-C6 alkylthioalkyl, C2-C6 alkylcarbonyl, C2-C ⁇ alkoxycarbonyl, C2-C ⁇ alkylaminocarbonyl, C3- Cg dialkylaminocarbonyl, C2-C6 cyanoalkyl,
- haloalkylthio C j -C ⁇ alkylsulfinyl, C j -C ⁇ haloalkylsulfinyl, C j -C ⁇ alkylsulfonyl, C j -C ⁇ haloalkylsulfonyl, C3-C9 trialkylsilyl, C j -C ⁇ alkylamino, C2-C ⁇ dialkylamino, C2-C ⁇ haloalkylamino, C2-C ⁇ halodialkylamino and C2-C ⁇ alkylcarbonylamino;
- each R 10 is independently selected from hydrogen, C j -C ⁇ alkyl, C j -C ⁇
- each R 1 1 is independently selected from C j -C ⁇ alkyl, C j -C ⁇ haloalkyl, C3- cycloalkyl and C3-C6 halocycloalkyl;
- each R 12 is independently selected from hydrogen, CHO, C j -C ⁇ alkyl, C j -C ⁇ haloalkyl and C2-C ⁇ alkylcarbonyl;
- each R 13 is independently selected from CHO, C j -C ⁇ alkyl, C j -C ⁇ haloalkyl and C2-C6 alkylcarbonyl;
- each R 14 is independently C j -C ⁇ alkyl or C j -C ⁇ haloalkyl
- each R 15 is independently selected from CHO, C j -C ⁇ alkyl, C j -C ⁇ haloalkyl and C2-C6 alkoxyalkyl;
- each R 16 and R 19 is independently hydrogen or C1-C3 alkyl
- each R 17 is independently C j -C ⁇ alkyl or C j -C ⁇ alkoxy;
- each R 18 is independently C j -C ⁇ alkyl
- each R 20 is independently selected from halogen, cyano, C j -C ⁇ alkyl, C j -C ⁇ haloalkyl, C2-C ⁇ alkylcarbonyl, C j -C ⁇ alkoxy, C j -C ⁇ haloalkoxy and C!-C 6 alkylthio;
- each R 20a is independently selected from cyano
- each I? 2 ! is a 5-membered unsaturated heterocyclic ring containing 2-4 carbon atoms and 1-3 nitrogen atoms as ring members, wherein the heterocyclic ring is optionally substituted with up to 2 substituents independently selected from R 20 on carbon atom ring members and R 20a on nitrogen atom ring members;
- each n is independently 0, 1 or 2;
- the compound of Formula 1 is other than 2-[(7-methoxy-2-naphthalenyl)oxy]- N-(2-propen- 1 -yl)-propanamide.
- Embodiment A A compound of Formula 1 as described in the Summary of the
- Z 2 is CR9
- R 1 is C j -C 4 alkyl or C j -C 4 alkoxy
- R 2 is hydrogen
- R 3 is C j -Cg alkyl or C2 ⁇ Cg alkynyl, each optionally substituted with up to 3 substituents independently selected from hydroxy, OR 15 and CHO;
- R 4 , R 5 , R 7 , R 8 and R 9 are each independently selected from hydrogen and alkyl;
- R 6 is halogen, C1-C2 alkoxy, Cj-C2 haloalkoxy or C2 alkynyl.
- Embodiment A A compound of Formula 1 as described in the Summary of the
- Z2 is CR9
- R 1 is C1-C2 alkyl or C j -C 4 alkoxy
- R 2 is hydrogen
- R 3 is C j -Cg alkyl or C2 ⁇ Cg alkynyl, each optionally substituted with up to 3 substituents independently selected from cyano, hydroxy, OR 15 and CHO;
- R 4 , R 5 , R 7 , R 8 and R 9 are each independently selected from hydrogen and
- R 6 is halogen, C1-C2 alkoxy, C1-C2 haloalkoxy or C2-C3 alkynyl.
- Embodiment B A compound of Embodiment A wherein
- Z 1 is CR 9 ;
- R 1 is methyl, ethyl or methoxy
- R 3 is C j -Cg alkyl optionally substituted with OR 15 or fluoro;
- R 4 , R 5 , R 7 , R 8 and R 9 are each independently selected from hydrogen, and ethyl; and
- R 6 is halogen, C1-C2 alkoxy or C1-C2 haloalkoxy.
- Embodiment Bl A compound of Embodiment Al wherein
- Z 1 is CR 9 ;
- R 1 is methyl, ethyl or methoxy
- R 3 is Cj-Cg alkyl optionally substituted with cyano or OR 15 ;
- R 4 , R 5 , R 7 , R 8 and R 9 are each independently selected from hydrogen, and ethyl;
- R 6 is halogen, C1-C2 alkoxy or C2-C3 alkynyl.
- Embodiment B A compound of Embodiment Al wherein
- Z 1 is CR 9 ;
- R 1 is methyl, ethyl or methoxy
- R 3 is C 3 -C 8 alkynyl
- R 4 , R 5 , R 7 , R 8 and R 9 are each independently selected from hydrogen, and ethyl;
- R 6 is halogen, C1-C2 alkoxy or C2-C3 alkynyl.
- Embodiment C A compound of Embodiment B wherein
- R 3 is C(CH3) 2 CH 2 OCH3, ⁇ 3 ⁇ 2 0 ⁇ 2 0 ⁇ 3 , C(CH 3 ) 3 or
- R 6 is bromo, iodo, methoxy or difluoromethoxy.
- Embodiment CI A compound of Embodiment B 1 wherein
- R 3 is C(CH 3 ) 2 CN, C(CH 3 ) 2 CH 2 OCH 3 , C(CH 3 ) 2 CH 2 OCH 2 OCH 3 or
- R 6 is bromo, methoxy, ethoxy, C ⁇ CH or C ⁇ CCH 3 ..
- Embodiment C2 A compound of Embodiment B2 wherein
- R 3 is C(CH 3 ) 2 C ⁇ CH or C(CH 3 ) 2 C ⁇ CCH 3 ;
- R 6 is bromo, methoxy, ethoxy, C ⁇ CH or C ⁇ CCH 3 ..
- Specific embodiments include compounds of Formula 1 selected from the consisting of:
- This invention provides a fungicidal composition
- a fungicidal composition comprising a compound of Formula 1 (including all stereoisomers, N-oxides, and salts thereof), and at least one other fungicide.
- a compound of Formula 1 including all stereoisomers, N-oxides, and salts thereof
- at least one other fungicide are compositions comprising a compound corresponding to any of the compound embodiments described above.
- This invention provides a fungicidal composition
- a fungicidal composition comprising a compound of Formula 1 (including all stereoisomers, N-oxides, and salts thereof) (i.e. in a fungicidally effective amount), and at least one additional component selected from the group consisting of surfactants, solid diluents and liquid diluents.
- a compound of Formula 1 including all stereoisomers, N-oxides, and salts thereof
- additional component selected from the group consisting of surfactants, solid diluents and liquid diluents.
- This invention provides a method for controlling plant diseases caused by fungal plant pathogens comprising applying to the plant or portion thereof, or to the plant seed, a fungicidally effective amount of a compound of Formula 1 (including all stereoisomers, N-oxides, and salts thereof).
- a compound of Formula 1 including all stereoisomers, N-oxides, and salts thereof.
- embodiment of such methods are methods comprising applying a fungicidally effective amount of a compound corresponding to any of the compound embodiments describe above.
- the compounds are applied as compositions of this invention.
- Compounds of Formula la can be prepared by the reaction of 1 molar equivalent of a compound of Formula 2 with 1-1.5 molar equivalents of an activating reagent such as 2-chloro-l-methylpyridinium iodide and 1-5 molar equivalents of a compound of Formula 3 in the presence of 1-10 molar equivalents of a base such as N,N-diisopropylethylamine as shown in Scheme 1.
- an activating reagent such as 2-chloro-l-methylpyridinium iodide
- a base such as N,N-diisopropylethylamine as shown in Scheme 1.
- the reaction can be carried out in an inert solvent such as diethyl ether, tetrahydrofuran, methylene chloride, toluene or xylene at temperatures, between -20 to 60 °C, and preferably from -10 °C to ambient temperatures for a period of time ranging from 1 hour to 4 days.
- the reaction mixture is then concentrated and the residue is column chromatographed (over silica gel with eluents such as solutions of ethyl acetate or dichloromethane in hexanes) to give the desired compound of Formula la.
- compounds of Formula la i.e. Formula 1 wherein Q is O
- compounds of Formula 5 can also be prepared by the reaction of compounds of Formula 4 with compounds of Formula 5 in the presence of a base such as CS2CO3, K2CO3 or ⁇ ( ⁇ 3 ) 3 as shown in Scheme 2.
- the reaction can be carried out by adding 0.7 to 3 molar equivalent of a compound of Formula 5 to a suspension or solution prepared by adding 1-20 molar equivalents of a base such as CS2CO3, K2CO3, or KOC(CH3)3 to a solution of 1 molar equivalent of a compound of Formula 4 in an solvent such as acetone, diethyl ether, tetrahydrofuran, methylene chloride, N,N-dimethylformamide, ?-butanol or toluene under 2 at temperatures between -20 to 30 °C.
- a base such as CS2CO3, K2CO3, or KOC(CH3)3
- reaction mixture can be stirred at temperatures between -20 to 1 10 °C, preferably from 10°C to 90 °C, for a period of time ranging from 1 hour to 4 days.
- the reaction mixture is then brought to room temperature and filtered.
- the filtrate is dried over a drying agent such as MgS04 or a 2 S04 and then concentrated.
- the residue is column chromatographed (over silica gel with eluents such as solutions of ethyl acetate or dichloromethane in hexanes) to give the desired compounds of Formula la.
- LG is CI, Br, I, OS0 2 CH 3 , OS0 2 CF 3 or OS0 2 (4-CH 3 -Ph)
- Compounds of Formula lb can be prepared by treating compounds of Formula la with Lawesson's reagent or P 2 S 5 as shown in Scheme 3 using methods taught in: Heterocycles 1995, 40, 271-8; J. Med. Chem.2008, 51, 8124-8134; J. Med. Chem.1990, 33, 2697-706; Synthesis 1989, 396-7; J. Chem. Soc., Perkin Trans. 1, 1988, 1663-8; Tetrahedron 198844, 3025-36; J. Org. Chem. 198853, 1323-6 or slight modification thereof.
- Compounds of Formula 2 can be prepared by the reaction of 1 molar equivalent of a compound of Formula 6 with 1-35 molar equivalents of a hydroxide base (e.g. NaOH, LiOH or KOH) as shown in Scheme 4.
- a hydroxide base e.g. NaOH, LiOH or KOH
- the reaction can be carried out in a solvent mixture containing water and an organic solvent such as tetrahydrofuran, or methanol at temperatures between 0 to 70 °C, and preferably from 0 to 35 °C for a period of time ranging from 1 hour to 4 days.
- the reaction mixture is then acidified by addition of an acid such as hydrochloric acid and extracted with an organic solvent such as ethyl acetate.
- the organic layer is dried over a drying agent such as sodium sulfate or magnesium sulfate and is then concentrated to give the desired compound of Formula 2.
- Compounds of Formula 6 can be prepared by the reaction of compounds of Formula 4 with compounds of Formula 7 in the presence of a base such as CS2CO3, K2CO3 or KOC(CH3)3 as shown in Scheme 5.
- the reaction can be carried out by adding 0.7 to 3 molar equivalent of a compound of Formula 7 to a suspension or solution prepared by adding 1-20 molar equivalents of a base such as CS2CO3, K2CO3 or ⁇ ( ⁇ 3 ) 3 to a solution of 1 molar equivalents of a compound of Formula 4 in an solvent such as acetone, diethyl ether, tetrahydrofuran, methylene chloride, N,N-dimethylformamide, ?-butanol or toluene under 2 at temperatures between -20 to 30 °C.
- reaction mixture can be stirred at temperatures between -20 to 110 °C, preferably from 10 to 90 °C, for a period of time ranging from 1 hour to 4 days.
- the reaction mixture is then brought to room temperature and filtered.
- the filtrate is dried over a drying agent such as MgS04 or a2S0 4 and then concentrated.
- the residue is column chromatographed (over silica gel with eluents such as solutions of ethyl acetate or dichloromethane in hexanes) to give the desired compounds of Formula 6.
- LG is CI, Br, I, OS0 2 CH 3 , OS0 2 CF 3 or OS0 2 (4-CH 3 -Ph) and R JU is C r C 5 alkyl
- Compounds of Formula 4a can be prepared according to the method of Scheme 6 by the refluxing of compounds of Formula 4b (i.e. Formula 4 wherein Z 1 is N, Z 2 is CH and R 4 is CO2H) in high-boiling aromatic or nonaromatic solvents such as toluene, benzene or nitrobenzene, N-methyl-2- pyrrolidone or N,N-dimethylformamide in a temperature range between 50 to 300 °C, and preferably from 180 to 250 °C.
- aromatic or nonaromatic solvents such as toluene, benzene or nitrobenzene, N-methyl-2- pyrrolidone or N,N-dimethylformamide
- the reaction is carried out by adding a compound of Formula 4b to a reaction vessel containing pre-heated solvent and stirring for a time period between 10 min and 6 h or until the evolution of carbon dioxide has ceased.
- the reaction product is isolated as a solid from filtering the hot reaction mixture and then further purified via crystallization from various mixtures of water and polar solvents such as alcohols or N, N-dimethylformamide to afford compounds of Formula 4a.
- Compounds of Formula 4b (i.e. Formula 4 wherein Z 1 is N, Z 2 is CH and R 4 is 0(3 ⁇ 4 ⁇ ) can be prepared by the reaction of compounds of Formula 8 with bromo-pyruvic acid or ethyl bromopyruvate in the presence of bases such as KOH, NaOH or LiOH in aqueous reaction mixtuures as shown in Scheme 7.
- bases such as KOH, NaOH or LiOH in aqueous reaction mixtuures as shown in Scheme 7.
- the reaction is carried out by adding the compound of Formula 8 to a solution of 5 to 20 molar equivalents of the hydroxide base in water which is warmed by dissolution of the base.
- the reaction mixture is stirred until it reaches ambient conditions and is then treated with 1 to 20 molar equivalents of pyruvic acid in one portion with stirring at 25 °C for a period of 2 to 30 days.
- the compound of Formula 8 is precipitated from the reaction mixture by acidification to pH 1 to 5 with concentrated acids such as HC1 or HBr.
- the solids are collected and washed with various mixtures of ethanol and water and air dried to afford compounds of Formula 4b.
- Step A Preparation of methyl 2-[(7-bromo-2-naphthalenyl)oxy]butanoate
- Step C Preparation of 2-[(7-bromo-2-naphthalenyl)oxy]-N-(2-methoxy-l, l- dimethylethyl)butanamide
- the reaction mixture was diluted with 10 mL of dichloromethane. The reaction mixture was washed with water (2 x 15 mL). The organic phase was dried (MgS0 4 ) and concentrated under reduced pressure. The residue was purified by column chromatography (with solutions of ethyl acetate in hexanes in volume ratios from 10 to 53 % as eluents) to give the title compound (0.35 g), a compound of the present invention, as an oil.
- the reaction mixture was diluted with dichloromethane (30 mL). The reaction mixture was washed with water twice (2 x 45 mL). The organic phase was dried (MgS0 4 ) and concentrated under reduced pressure. The residue was purified by column chromatography (with solutions of ethyl acetate in hexanes in volume ratios from 10 to 53 % as eluents) to give the title compound (0.94 g), a compound of the present invention, as a solid (m.p. 1 15-1 16 °C).
- Step A Preparation of 2-bromo-N-(2 -hydroxy- 1 , 1 -dimethylethyl)butanamide
- Step C Preparation of 2-[(7-cyano-2-naphthalenyl)oxy]-N-[2-(methoxymethoxy)-l, l- dimethylethyljbutanamide
- a solution of potassium hydroxide (39.60 g, 707.0 mmol) in water (200 mL) at 50 °C was treated with 5-bromoisatin (10.00 g, 44.2 mmol) in one portion. After 1.5 h the reaction temperature had decreased to 20 °C.
- the resulting mixture was treated with bromopyruvic acid (20.69 g, 123.9 mmol) and stirred at 20 °C for 6 days.
- the mixture was treated with concentrated aqueous hydrochloric acid to decrease the pH to 4.
- the resulting precipitate was collected on a coarse frit glass funnel and washed with ethanol then water.
- the resultant oil was purified by column chromatographed on silica gel (with ethyl acetate/hexanes as the eluent). The desired fractions were combined and concentrated to give the title compound as an orange solid (5.0 g).
- Step D Preparation of 2-[(6-bromo-3-quinolinyl)oxy]-N-(l, l-dimethylethyl)- butanamide
- Step A Preparation of l, l-dimethylethyl-N-(2-methoxy-l, l-dimethylethyl)carbamate
- N-Boc-2-amino-2-methyl-l-propanol 15 g, 79 mmoles
- tetra-N- butylammonium bisulfate 2.68 g, 7.9 mmol
- toluene 150 mL
- 50% aqueous sodium hydroxide (30 mL) and iodomethane (16.8 g, 118.3 mmol)
- the mixture was treated with additional iodomethane (16.8 g, 1 18 mmol) and stirred for 48 h at 25 °C.
- the reaction mixture was treated with a third portion of iodomethane (16.8 g, 1 18 mmol) and stirred for 24 h at 25 °C.
- the reaction mixture was then poured into water and extracted with diethyl ether. The organic phase was washed with brine, dried (MgSC ⁇ ) and concentrated under reduced pressure to give the title compound as a colorless oil (12.2 g).
- Step B Preparation of l-methoxy-2-methyl-2-propanamine hydrochloride
- Step C Preparation of 2-bromo-N-(2-methoxy-l, l-dimethylethyl)propanamide
- Step B Preparation of methyl 2-[(6-iodo-3-quinolinyl)oxy]-2-methoxyacetate
- Step D Preparation of N-(l, l-dimethyl-2-propyn-l-yl)-2-[(6-iodo-3-quinolinyl)oxy]- 2-methoxyacetamide
- Step 4 the subject compound, a compound of the present invention was prepared from 2-[(6-iodo-3-quinolinyl)oxy]-2- methoxyacetic acid (i.e. the product of Step C) as a white solid.
- the reaction mixture was poured into water and extracted with ethyl acetate.
- the organic phase was separated, dried over magnesium sulfate, filtered and concentrated under reduced pressure.
- the residue was dissolved in dichloromethane, treated with silica gel (5 g) and concentrated to a dry powder.
- the powder was chromatographed on a silica gel column employing a gradient elution from 20% ethyl acetate/hexanes to 100% ethyl acetate over 15.0 min. The desired fractions were combined and concentrated to give the title compound, a compound of the present invention, as an oil (71.0 mg).
- the reaction mixture was treated with methanol (5.0 mL) and stirred for 10 minutes. The mixture was then poured into water and extracted with ethyl acetate. The organic phase was separated, dried over magnesium sulfate, filtered and concentrated under reduced pressure. The residue was dissolved in dichloromethane (50.0 mL), treated with silica gel (15 g) and concentrated to a dry powder. The powder was chromatographed on a silica gel column employing a gradient elution from 10% ethyl acetate/hexanes to 90% ethyl acetate/hexanes over 15.0 min. The desired fractions were combined and concentrated to give the title compound, a compound of the present invention, as an oil (0.35 g).
- Step A Preparation of 7-methoxy-2-naphthalenyl 1, 1, 1-trifluoromethanesulfonate
- the ether solution was washed with saturated aqueous NaCl solution, dried over magnesium sulfate, filtered and concentrated under reduced pressure.
- the residue was dissolved in dichloromethane (50 mL), treated with silica gel (15 g) and concentrated to a dry powder.
- the powder was chromatographed on a silica gel column employing an isocratic elution of 5.0 % ethyl acetate/hexanes. The desired fractions were combined and concentrated to give the title compound (1.35 g) as a solid.
- Step D Preparation of methyl 2-[(7-ethyl-2-naphthalenyl)oxy]butanoate
- Step F Preparation of 2-[(7-ethyl-2-naphthalenyl)oxy]-N-(2-methoxy-l, l- dimethylethyl)butanamide
- Step A Preparation of 7-methoxy-2-naphthalenyl 1, 1,2,2,3, 3,4,4,4-nonafluoro-l- butanesulfonate
- the organic phase was dried over magnesium sulfate and filtered.
- the dried dichloromethane solution was treated with silica gel (50 g) and concentrated to a dry powder.
- the powder was chromatographed on a silica gel column employing an isocratic elution of 10.0 % ethyl acetate/hexanes. The desired fractions were combined and concentrated to give the title compound (28.0 g) as a solid.
- Step C Preparation of 7-[l-[[(2-methoxy-l, l-dimethylethyl)amino]carbonyl]- propoxy] -2-naphthalenyl 1,1,2,2,3,3 ,4,4,4-nonafluoro- 1 -butanesulfonate A mixture of 7-hydroxy-2-naphthalenyl 1, 1, 2,2,3, 3, 4,4,4-nonafluoro-l -butanesulfonate
- Step D Preparation of 2-[(7-ethenyl-2-naphthalenyl)oxy]-N-(2-methoxy-l, l- dimethylethyl)butanamide
- Step C the product of Step C) (1.0 g, 1.63 mmoles), bis-diphenylphosphinepalladium(II) dichloride (0.057 g, .082 mmoles), lithium chloride (0.55 g, 13.0 mmoles) and tributyl(vinyl)tin (0.65 g, 2.04 mmoles) in dimethylformamide (75 mL) was stirred at 100 °C for 18 h. The mixture was cooled to 25 °C, poured into saturated aqueous NaCl solution and extracted with ethyl acetate. The organic phase was washed with saturated aqueous NaCl solution, dried over magnesium sulfate, filtered and concentrated under reduced pressure.
- Step A Preparation of 1 , 1 '-(2,7-naphthalenediyl) bis(l , 1 , 1 -trifluoromethanesulfonate)
- 2,7-dihydroxynaphthalene 5.4 g, 34 mmol
- pyridine 9.06 mL, 112 mmole
- the mixture was cooled to 0 °C under a nitrogen atomosphere with stirring using an ice/acetone bath.
- To this mixture at 0 °C was then added trifluoromethanesulfonic anhydride (13.24 mL, 78.6 mmole) portionwise.
- Step B Preparation of 7-hydroxy-2-naphthalenyl 1, 1,1 -trifluoromethanesulfonate
- Step C Preparation of methyl 2-[[7-[[(trifluoromethyl)sulfonyl]oxy]-2-naphthalenyl]- oxy]butanoate
- Step D Preparation of methyl 2-[[7-[2-(trimethylsilyl)ethynyl]-2-naphthalenyl]- oxy]butanoate
- reaction mixture was purged with nitrogen for 10 minutes treated sequentially with triethylamine (7.5 mL) and ethynyltrimethylsilane (787 mg, 8 mmole).
- triethylamine 7.5 mL
- ethynyltrimethylsilane 787 mg, 8 mmole
- the mixture was stirred at room temperature under nitrogen atomosphere overnight and was then concentrated under reduced pressure.
- the residue was purified by column chromatography (over silica gel with ethyl acetate and hexanes in volume ratios from 5 to 40 % as eluents) to give the title compound (730 mg) as an oil.
- Step F Preparation of 2-[(7-ethynyl-2-naphthalenyl)oxy]-N-(2-methoxy-l, l- dimethylethyl)-butanamide
- the reaction mixture was stirred at room temperature for 4 hours and then diluted with 50 mL of dichloromethane.
- the reaction mixture was washed with water twice (60 mL each) and the organic phase was separated, dried over MgS04 and concentrated under reduced pressure.
- the residue was purified by column chromatography (over silica gel with ethyl acetate and hexanes in volume ratios from 5 to 53 % as eluents) to give the title compound, a compound of the present invention, as an oil (564 mg).
- Step A Preparation of methyl 2-methoxy-2-[[7-[[(trifluoromethyl)sulfonyl]oxy]-2- naphthalenyl] oxy ] acetate
- Step B Preparation of methyl 2-methoxy-2-[[7-[2-(trimethylsilyl)ethynyl]-2- naphthalenyl]oxy]acetate
- Methyl 2-methoxy-2-[ [7- [ [(trifluoromethyl)sulfonyl] oxy]-2-naphthalenyl] oxy] acetate i.e. the product of Step A
- (1.35 g, 3.42 mmol) tetrahydrofuran (35 mL)
- bis(triphenylphosphine)palladium(II) dichloride 0.33 g, 0.47 mmole
- copper (I) iodide 178 mg, 0.94 mmole
- the reation mixture was purged with nitrogen for another 10 minutes and then treated sequentially with triethylamine (15 mL) and ethynyltrimethylsilane (1.23 g, 12.50 mmole).
- Step C Preparation of 2-[(7-ethynyl-2-naphthalenyl)oxy]-2-methoxyacetic acid
- Step D Preparation of 2-[(7-ethynyl-2-naphthalenyl)oxy]-2-methoxy-N-(2-methoxy- l, l-dimethylethyl)acetamide
- Step A Preparation of methyl 2-[(7-bromo-2-naphthalenyl)-oxy]-2-methoxyacetate
- Step B Preparation of 2-[(7-bromo-2-naphthalenyl)-oxy]-2-methoxyacetic acid
- Step C Preparation of 2-[(7-bromo-2-naphthalenyl)oxy]-2-methoxy-N-(2-methoxy-
- the reaction mixture was stirred at room temperature for 4 and then diluted with 35 mL of dichloromethane.
- the reaction mixture was washed with water twice (50 mL each).
- the organic phase was dried over magnesium sulfate and was concentrated under reduced pressure.
- the residue was purified by column chromatography (over silica gel with ethyl acetate and hexanes in volume ratios from 10 to 65 % as eluents) to give the title compound, a compound of the present invention, as a solid, (375 mg), mp 81-82 °C.
- reaction mixture stirred at 0 °C for 21 minutes and then at ambient temperature for 1 hour.
- the reaction mixture was then diluted with ethyl acetate (60 mL) and saturated aqueous ammonium chloride solution (40 mL).
- the organic phase was separated and the aqueous phase was extracted with ethyl acetate (50 niL).
- the organic phases were combined, washed with saturated aqueous NaCl solution (80 mL), dried over magnesium sulfate and concentrated under reduced pressure.
- Step A Preparation of 2-bromo-7-[[(l, l-dimethylethyl)dimethylsilyl]oxy]naphthalene
- Step B Preparation of 2-[[(l,l-dimethylethyl)dimethylsilyl]oxy]-7-iodonaphthalene
- Step D Preparation of methyl 2-[(7-iodo-2-naphthalenyl)oxy]-2-methoxyacetate
- Step F Preparation of 2-[(7-iodo-2-naphthalenylyl)oxy]-2-methoxy-N-(2-methoxy- l, l-dimethylethyl)acetamide
- the reaction mixture was diluted with 30 mL of dichloromethane and washed with water twice (35 mL each). The organic phase was dried over magnesium sulfate and concentrated under reduced pressure. The residue was purified by column chromatography (over silica gel with ethyl acetate and hexanes in volume ratios from 10 to 53 % as eluents) to give the title compound, a compound of the present invention, as an oil (135 mg).
- Step B Preparation of methyl 2-[(7-ethoxy-2-naphthalenyl)oxy]butanoate
- Step D Preparation of N-(l-cyano-l-methylethyl)-2-[(7-ethoxy-2-naphthalenyl)oxy]- butanamide
- the reaction mixture was diluted with 10 mL of dichloromethane, and then washed with H 2 O (2 x 15 mL).
- the organic phase was dried (MgS0 4 ) and concentrated under reduced pressure.
- the resultant residue was purified by column chromatography (over silica gel with ethyl acetate and hexanes in volume ratios from 10 to 90 % as eluents) to give the title compound, a compound of the present invention, as a solid (70 mg).
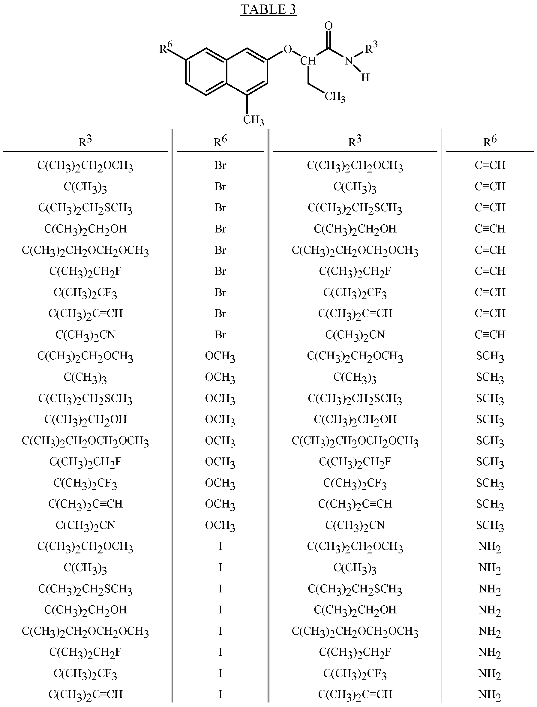
- Table IB is constructed the same as Table 1A, except that Z 1 is N.
- Table 1C is constructed the same as Table 1A, except that Z 2 is N. TABLE ID
- Table ID is constructed the same as Table 1A, except that Z 1 is N and R 8 is CI.
- Table 2B is constructed the same as Table 2A, except that R 1 is OCH3.
- Table 2C is constructed the same as Table 2A, except that R 1 is w-Pr.
- Table 2D is constructed the same as Table 2A, except that Z 1 is N.
- Table 2E is constructed the same as Table 2 A, except that R 1 is OCH3 and Z 1 is N.
- Table 2F is constructed the same as Table 2A, except that R 1 is w-Pr and Z 1 is N.
- Table 2G is constructed the same as Table 2A, except that Z 2 is N.
- Table 2H is constructed the same as Table 2A, except that R 1 is OCH3 and Z 2 is N.
- Table 21 is constructed the same as Table 2A, except that R 1 is w-Pr and Z 2 is N.
- Table 2 J is constructed the same as Table 2 A, except that Z 1 is N and R 8 is CI. TABLE 2K
- Table 2K is constructed the same as Table 2A, except that R 1 is OCH3, Z 1 is N and R 8 is CI
- Table 2L is constructed the same as Table 2 A, except that R 1 is w-Pr, Z 1 is N and R 8 is CI.
- a compound of Formula 1 of this invention (including N-oxides and salts thereof) will generally be used as a fungicidal active ingredient in a composition, i.e. formulation, with at least one additional component selected from the group consisting of surfactants, solid diluents and liquid diluents, which serve as a carrier.
- a composition i.e. formulation
- additional component selected from the group consisting of surfactants, solid diluents and liquid diluents, which serve as a carrier.
- the formulation or composition ingredients are selected to be consistent with the physical properties of the active ingredient, mode of application and environmental factors such as soil type, moisture and temperature.
- Liquid compositions include solutions (including emulsifiable concentrates), suspensions, emulsions (including microemulsions and/or suspoemulsions) and the like, which optionally can be thickened into gels.
- aqueous liquid compositions are soluble concentrate, suspension concentrate, capsule suspension, concentrated emulsion, microemulsion and suspo-emulsion.
- nonaqueous liquid compositions are emulsifiable concentrate, microemulsifiable concentrate, dispersible concentrate and oil dispersion.
- compositions are dusts, powders, granules, pellets, prills, pastilles, tablets, filled films (including seed coatings) and the like, which can be water-dispersible ("wettable") or water-soluble. Films and coatings formed from film- forming solutions or flowable suspensions are particularly useful for seed treatment.
- Active ingredient can be (micro)encapsulated and further formed into a suspension or solid formulation; alternatively the entire formulation of active ingredient can be encapsulated (or "overcoated”). Encapsulation can control or delay release of the active ingredient.
- An emulsifiable granule combines the advantages of both an emulsifiable concentrate formulation and a dry granular formulation. High-strength compositions are primarily used as intermediates for further formulation.
- Sprayable formulations are typically extended in a suitable medium before spraying. Such liquid and solid formulations are formulated to be readily diluted in the spray medium, usually water. Spray volumes can range from about one to several thousand liters per hectare, but more typically are in the range from about ten to several hundred liters per hectare. Sprayable formulations can be tank mixed with water or another suitable medium for foliar treatment by aerial or ground application, or for application to the growing medium of the plant. Liquid and dry formulations can be metered directly into drip irrigation systems or metered into the furrow during planting. Liquid and solid formulations can be applied onto seeds of crops and other desirable vegetation as seed treatments before planting to protect developing roots and other subterranean plant parts and/or foliage through systemic uptake.
- the formulations will typically contain effective amounts of active ingredient, diluent and surfactant within the following approximate ranges which add up to 100 percent by weight.
- Solid diluents include, for example, clays such as bentonite, montmorillonite, attapulgite and kaolin, gypsum, cellulose, titanium dioxide, zinc oxide, starch, dextrin, sugars (e.g., lactose, sucrose), silica, talc, mica, diatomaceous earth, urea, calcium carbonate, sodium carbonate and bicarbonate, and sodium sulfate.
- Typical solid diluents are described in Watkins et al, Handbook of Insecticide Dust Diluents and Carriers, 2nd Ed., Dorland Books, Caldwell, New Jersey.
- Liquid diluents include, for example, water, N,N-dimethylalkanamides (e.g., N,N-dimethylformamide), limonene, dimethyl sulfoxide, N-alkylpyrrolidones (e.g., N-methylpyrrolidinone), ethylene glycol, triethylene glycol, propylene glycol, dipropylene glycol, polypropylene glycol, propylene carbonate, butylene carbonate, paraffins (e.g., white mineral oils, normal paraffins, isoparaffins), alkylbenzenes, alkylnaphthalenes, glycerine, glycerol triacetate, sorbitol, aromatic hydrocarbons, dearomatized aliphatics, alkylbenzenes, alkylnaphthalenes, ketones such as cyclohexanone, 2-heptanone, isophorone and 4-hydroxy- 4-methyl-2-pentan
- Liquid diluents also include glycerol esters of saturated and unsaturated fatty acids (typically C6-C22), such as plant seed and fruit oils (e.g., oils of olive, castor, linseed, sesame, corn (maize), peanut, sunflower, grapeseed, safflower, cottonseed, soybean, rapeseed, coconut and palm kernel), animal-sourced fats (e.g., beef tallow, pork tallow, lard, cod liver oil, fish oil), and mixtures thereof.
- plant seed and fruit oils e.g., oils of olive, castor, linseed, sesame, corn (maize), peanut, sunflower, grapeseed, safflower, cottonseed, soybean, rapeseed, coconut and palm kernel
- animal-sourced fats e.g., beef tallow, pork tallow, lard, cod liver oil, fish oil
- Liquid diluents also include alkylated fatty acids (e.g., methylated, ethylated, butylated) wherein the fatty acids may be obtained by hydrolysis of glycerol esters from plant and animal sources, and can be purified by distillation.
- alkylated fatty acids e.g., methylated, ethylated, butylated
- Typical liquid diluents are described in Marsden, Solvents Guide, 2nd Ed., Interscience, New York, 1950.
- the solid and liquid compositions of the present invention often include one or more surfactants.
- surfactants also known as “surface-active agents”
- surface-active agents generally modify, most often reduce, the surface tension of the liquid.
- surfactants can be useful as wetting agents, dispersants, emulsifiers or defoaming agents.
- Nonionic surfactants useful for the present compositions include, but are not limited to: alcohol alkoxylates such as alcohol alkoxylates based on natural and synthetic alcohols (which may be branched or linear) and prepared from the alcohols and ethylene oxide, propylene oxide, butylene oxide or mixtures thereof; amine ethoxylates, alkanolamides and ethoxylated alkanolamides; alkoxylated triglycerides such as ethoxylated soybean, castor and rapeseed oils; alkylphenol alkoxylates such as octylphenol ethoxylates, nonylphenol ethoxylates, dinonyl phenol ethoxylates and dodecyl phenol ethoxylates (prepared from the phenols and ethylene oxide, propylene oxide, butylene oxide or mixtures thereof); block polymers prepared from ethylene oxide or propylene
- Useful anionic surfactants include, but are not limited to: alkylaryl sulfonic acids and their salts; carboxylated alcohol or alkylphenol ethoxylates; diphenyl sulfonate derivatives; lignin and lignin derivatives such as lignosulfonates; maleic or succinic acids or their anhydrides; olefin sulfonates; phosphate esters such as phosphate esters of alcohol alkoxylates, phosphate esters of alkylphenol alkoxylates and phosphate esters of styryl phenol ethoxylates; protein-based surfactants; sarcosine derivatives; styryl phenol ether sulfate; sulfates and sulfonates of oils and fatty acids; sulfates and sulfonates of ethoxylated alkylphenols; sulfates of alcohols; sulfates of e
- Useful cationic surfactants include, but are not limited to: amides and ethoxylated amides; amines such as N-alkyl propanediamines, tripropylenetriamines and dipropylenetetramines, and ethoxylated amines, ethoxylated diamines and propoxylated amines (prepared from the amines and ethylene oxide, propylene oxide, butylene oxide or mixtures thereof); amine salts such as amine acetates and diamine salts; quaternary ammonium salts such as quaternary salts, ethoxylated quaternary salts and diquaternary salts; and amine oxides such as alkyldimethylamine oxides and bis-(2-hydroxyethyl)-alkylamine oxides.
- amines such as N-alkyl propanediamines, tripropylenetriamines and dipropylenetetramines, and ethoxylated amine
- Nonionic, anionic and cationic surfactants and their recommended uses are disclosed in a variety of published references including McCutcheon 's Emulsifiers and Detergents, annual American and International Editions published by McCutcheon's Division, The Manufacturing Confectioner Publishing Co.; Sisely and Wood, Encyclopedia of Surface Active Agents, Chemical Publ. Co., Inc., New York, 1964; and A. S. Davidson and B. Milwidsky, Synthetic Detergents, Seventh Edition, John Wiley and Sons, New York, 1987.
- compositions of this invention may also contain formulation auxiliaries and additives, known to those skilled in the art as formulation aids (some of which may be considered to also function as solid diluents, liquid diluents or surfactants).
- formulation auxiliaries and additives may control: pH (buffers), foaming during processing (antifoams such polyorganosiloxanes), sedimentation of active ingredients (suspending agents), viscosity (thixotropic thickeners), in-container microbial growth (antimicrobials), product freezing (antifreezes), color (dyes/pigment dispersions), wash-off (film formers or stickers), evaporation (evaporation retardants), and other formulation attributes.
- Film formers include, for example, polyvinyl acetates, polyvinyl acetate copolymers, polyvinylpyrrolidone-vinyl acetate copolymer, polyvinyl alcohols, polyvinyl alcohol copolymers and waxes.
- formulation auxiliaries and additives include those listed in McCutcheon 's Volume 2: Functional Materials, annual International and North American editions published by McCutcheon' s Division, The Manufacturing Confectioner Publishing Co.; and PCT Publication WO 03/024222.
- the compound of Formula 1 and any other active ingredients are typically incorporated into the present compositions by dissolving the active ingredient in a solvent or by grinding in a liquid or dry diluent.
- Solutions, including emulsifiable concentrates can be prepared by simply mixing the ingredients. If the solvent of a liquid composition intended for use as an emulsifiable concentrate is water-immiscible, an emulsifier is typically added to emulsify the active-containing solvent upon dilution with water.
- Active ingredient slurries, with particle diameters of up to 2,000 ⁇ can be wet milled using media mills to obtain particles with average diameters below 3 ⁇ .
- Aqueous slurries can be made into finished suspension concentrates (see, for example, U.S. 3,060,084) or further processed by spray drying to form water-dispersible granules. Dry formulations usually require dry milling processes, which produce average particle diameters in the 2 to 10 ⁇ range. Dusts and powders can be prepared by blending and usually grinding (such as with a hammer mill or fluid-energy mill). Granules and pellets can be prepared by spraying the active material upon preformed granular carriers or by agglomeration techniques.
- Pellets can be prepared as described in U.S. 4, 172,714.
- Water-dispersible and water-soluble granules can be prepared as taught in U.S. 4, 144,050, U.S. 3,920,442 and DE 3,246,493.
- Tablets can be prepared as taught in U.S. 5, 180,587, U.S. 5,232,701 and U.S. 5,208,030.
- Films can be prepared as taught in GB 2,095,558 and U.S. 3,299,566.
- Compound 51 65.0% dodecylphenol polyethylene glycol ether 2.0% sodium ligninsulfonate 4.0% sodium silicoaluminate 6.0% montmorillonite (calcined) 23.0%
- Compound 7 25.0% anhydrous sodium sulfate 10.0% crude calcium ligninsulfonate 5.0% sodium alkylnaphthalenesulfonate 1.0% calcium/magnesium bentonite 59.0%
- Compound 20 20.00% polyvinylpyrrolidone-vinyl acetate copolymer 5.00% montan acid wax 5.00% calcium ligninsulfonate 1.00% polyoxyethylene/polyoxypropylene block copolymers 1.00% stearyl alcohol (POE 20) 2.00% polyorganosilane 0.20% colorant red dye 0.05% water 65.75%
- Water-soluble and water-dispersible formulations are typically diluted with water to form aqueous compositions before application.
- Aqueous compositions for direct applications to the plant or portion thereof typically at least about 1 ppm or more (e.g., from 1 ppm to 100 ppm) of the compound(s) of this invention.
- the compounds of this invention are useful as plant disease control agents.
- the present invention therefore further comprises a method for controlling plant diseases caused by fungal plant pathogens comprising applying to the plant or portion thereof to be protected, or to the plant seed to be protected, an effective amount of a compound of the invention or a fungicidal composition containing said compound.
- the compounds and/or compositions of this invention provide control of diseases caused by a broad spectrum of fungal plant pathogens in the Basidiomycete, Ascomycete, Oomycete and Deuteromycete classes. They are effective in controlling a broad spectrum of plant diseases, particularly foliar pathogens of ornamental, turf, vegetable, field, cereal, and fruit crops.
- pathogens include: Oomycetes, including Phytophthora diseases such as Phytophthora infestans, Phytophthora megasperma, Phytophthora parasitica, Phytophthora cinnamomi and Phytophthora capsici, Pythium diseases such as Pythium aphanidermatum, and diseases in the Peronosporaceae family such as Plasmopara viticola, Peronospora spp. (including Peronospora tabacina and Peronospora parasitica), Pseudoperonospora spp.
- Phytophthora diseases such as Phytophthora infestans, Phytophthora megasperma, Phytophthora parasitica, Phytophthora cinnamomi and Phytophthora capsici
- Pythium diseases such as Pythium aphanidermatum
- diseases in the Peronosporaceae family such as
- Botrytis diseases such as Botrytis cinerea, Monilinia fructicoia, Sclerotinia diseases such as Sclerotinia scierotiorum, Magnaporthe grisea, Phomopsis viticoia, Helminthosporium diseases such as Helminthosporium tritici repentis, Pyrenophora teres, anthracnose diseases such as Glomerella or Colletotrichum spp.
- Puccinia spp. such as Puccinia recondita, Puccinia striiformis, Puccinia hordei, Puccinia graminis and Puccinia arachidis
- Rutstroemia floccosum also known as Scierontina homoeocarpa
- compositions or combinations also have activity against bacteria such as Erwinia amyiovora, Xanthomonas campestris, Pseudomonas syringae, and other related species.
- Plant disease control is ordinarily accomplished by applying an effective amount of a compound of this invention either pre- or post-infection, to the portion of the plant to be protected such as the roots, stems, foliage, fruit, seeds, tubers or bulbs, or to the media (soil or sand) in which the plants to be protected are growing.
- the compounds can also be applied to seeds to protect the seeds and seedlings developing from the seeds.
- the compounds can also be applied through irrigation water to treat plants.
- this aspect of the present invention can also be described as a method for protecting a plant or plant seed from diseases caused by fungal pathogens comprising applying a fungicidally effective amount of a compound of Formula 1, an N-oxide, or salt thereof to the plant (or portion thereof) or plant seed (directly or through the environment (e.g., growing medium) of the plant or plant seed).
- Rates of application for these compounds can be influenced by factors such as the plant diseases to be controlled, the plant species to be protected, ambient moisture and temperature and should be determined under actual use conditions.
- a fungicidally effective amount can be influenced by factors such as the plant diseases to be controlled, the plant species to be protected, ambient moisture and temperature and should be determined under actual use conditions.
- One skilled in the art can easily determine through simple experimentation the fungicidally effective amount necessary for the desired level of plant disease control.
- Foliage can normally be protected when treated at a rate of from less than about 1 g/ha to about 5,000 g/ha of active ingredient.
- Seed and seedlings can normally be protected when seed is treated at a rate of from about 0.1 to about 10 g per kilogram of seed.
- Compounds of this invention can also be mixed with one or more other biologically active compounds or agents including fungicides, insecticides, nematocides, bactericides, acaricides, herbicides, herbicide safeners, growth regulators such as insect molting inhibitors and rooting stimulants, chemosterilants, semiochemicals, repellents, attractants, pheromones, feeding stimulants, plant nutrients, other biologically active compounds or entomopathogenic bacteria, virus or fungi to form a multi-component pesticide giving an even broader spectrum of agricultural protection.
- fungicides insecticides, nematocides, bactericides, acaricides, herbicides, herbicide safeners
- growth regulators such as insect molting inhibitors and rooting stimulants, chemosterilants, semiochemicals, repellents, attractants, pheromones, feeding stimulants, plant nutrients, other biologically active compounds or entomopathogenic bacteria, virus
- the present invention also pertains to a composition
- a composition comprising a compound of Formula 1 (in a fungicidally effective amount) and at least one additional biologically active compound or agent (in a biologically effective amount) and can further comprise at least one of a surfactant, a solid diluent or a liquid diluent.
- the other biologically active compounds or agents can be formulated in compositions comprising at least one of a surfactant, solid or liquid diluent.
- one or more other biologically active compounds or agents can be formulated together with a compound of Formula 1, to form a premix, or one or more other biologically active compounds or agents can be formulated separately from the compound of Formula 1, and the formulations combined together before application (e.g., in a spray tank) or, alternatively, applied in succession.
- composition which in addition to the compound of Formula 1 includes at least one fungicidal compound selected from the group consisting of the classes (1) methyl benzimidazole carbamate (MBC) fungicides; (2) dicarboximide fungicides; (3) demethylation inhibitor (DMI) fungicides; (4) phenylamide fungicides; (5) amine/morpholine fungicides; (6) phospholipid biosynthesis inhibitor fungicides; (7) carboxamide fungicides; (8) hydroxy(2-amino-)pyrimidine fungicides; (9) anilinopyrimidine fungicides; (10) N-phenyl carbamate fungicides; (1 1) quinone outside inhibitor (Qol) fungicides; (12) phenylpyrrole fungicides; (13) quinoline fungicides; (14) lipid peroxidation inhibitor fungicides; (15) melanin biosynthesis inhibitors-reductase (MBI-R) fungicides
- Methyl benzimidazole carbamate fungicides include benzimidazole and thiophanate fungicides.
- the benzimidazoles include benomyl, carbendazim, fuberidazole and thiabendazole.
- the thiophanates include thiophanate and thiophanate-methyl.
- DMI Demethylation inhibitor
- the triazoles include azaconazole, bitertanol, bromuconazole, cyproconazole, difenoconazole, diniconazole (including diniconazole-M), epoxiconazole, fenbuconazole, fluquinconazole, flusilazole, flutriafol, hexaconazole, imibenconazole, ipconazole, metconazole, myclobutanil, penconazole, propiconazole, prothioconazole, simeconazole, tebuconazole, tetraconazole, triadimefon, triadimenol, triticonazole and uniconazole.
- the imidazoles include clotrimazole, imazalil, oxpoconazole, prochloraz, pefurazoate and triflumizole.
- the pyrimidines include fenarimol and nuarimol.
- the piperazines include triforine.
- the pyridines include pyrifenox. Biochemical investigations have shown that all of the above mentioned fungicides are DMI fungicides as described by K. H. Kuck et al. in Modern Selective Fungicides - Properties, Applications and Mechanisms of Action, H. Lyr (Ed.), Gustav Fischer Verlag: New York, 1995, 205-258.
- Phenylamide fungicides include acylalanine, oxazolidinone and butyrolactone fungicides.
- the acylalanines include benalaxyl, benalaxyl-M, furalaxyl, metalaxyl and metalaxyl- M/mefenoxam.
- the oxazolidinones include oxadixyl.
- the butyrolactones include ofurace.
- Amine/morpholine fungicides include morpholine, piperidine and spiroketal-amine fungicides.
- the morpholines include aldimorph, dodemorph, fenpropimorph, tridemorph and trimorphamide.
- the piperidines include fenpropidin and piperalin.
- the spiroketal-amines include spiroxamine.
- Phospholipid biosynthesis inhibitor fungicides include phophorothiolate and dithiolane fungicides.
- the phosphorothiolates include edifenphos, iprobenfos and pyrazophos.
- the dithiolanes include isoprothiolane.
- Carboxamide fungicides (Fungicide Resistance Action Committee (FRAC) code 7) inhibit Complex II (succinate dehydrogenase) fungal respiration by disrupting a key enzyme in the Krebs Cycle (TCA cycle) named succinate dehydrogenase. Inhibiting respiration prevents the fungus from making ATP, and thus inhibits growth and reproduction.
- Carboxamide fungicides include benzamides, furan carboxamides, oxathiin carboxamides, thiazole carboxamides, pyrazole carboxamides and pyridine carboxamides.
- the benzamides include benodanil, flutolanil and mepronil.
- the furan carboxamides include fenfuram.
- the oxathiin carboxamides include carboxin and oxycarboxin.
- the thiazole carboxamides include thifluzamide.
- the pyrazole carboxamides include furametpyr, penthiopyrad, bixafen, isopyrazam, N-[2-(15 , ,2R)-[l, l'-bicyclopropyl]-2-ylphenyl]-3- (difluoromethyl)- 1 -methyl- lH-pyrazole-4-carboxamide and penflufen (N-[2-(l,3-dimethyl- butyl)phenyl]-5-fluoro-l,3-dimethyl-lH-pyrazole-4-carboxamide).
- the pyridine carboxamides include boscalid.
- FRAC Federal Communications Commission
- N-Phenyl carbamate fungicides (Fungicide Resistance Action Committee (FRAC) code 10) inhibit mitosis by binding to ⁇ -tubulin and disrupting microtubule assembly. Inhibition of microtubule assembly can disrupt cell division, transport within the cell and cell structure. Examples include diethofencarb.
- Qol Quality of disease 2019
- FRAC Federal Action Committee
- Quinone outside inhibitor fungicides include methoxyacrylate, methoxycarbamate, oximinoacetate, oximinoacetamide, oxazolidinedione, dihydrodioxazine, imidazolinone and benzylcarbamate fungicides.
- the methoxyacrylates include azoxystrobin, enestroburin (SYP-Z071), picoxystrobin and pyraoxystrobin (SYP-3343).
- the methoxycarbamates include pyraclostrobin and pyrametostrobin (SYP-4155).
- the oximinoacetates include kresoxim-methyl and trifloxystrobin.
- the oximinoacetamides include dimoxystrobin, metominostrobin, orysastrobin, a-[methoxyimino]-N-methyl-2-[[[l-[3-(trifluoromethyl)phenyl]ethoxy]imino]- methyljbenzeneacetamide and 2-[[[3-(2,6-dichlorophenyl)-l-methyl-2-propen-l-ylidene]- amino]oxy]methyl]-a-(methoxyimino)-N-methylbenzeneacetamide.
- the oxazolidinediones include famoxadone.
- the dihydrodioxazines include fluoxastrobin.
- the imidazolinones include fenamidone.
- the benzylcarbamates include pyribencarb.
- Quinoline fungicides (Fungicide Resistance Action Committee (FRAC) code 13) are proposed to inhibit signal transduction by affecting G-proteins in early cell signaling. They have been shown to interfere with germination and/or appressorium formation in fungi that cause powder mildew diseases. Quinoxyfen and tebufloquin are examples of this class of fungicide.
- Lipid peroxidation inhibitor fungicides are proposed to inhibit lipid peroxidation which affects membrane synthesis in fungi. Members of this class, such as etridiazole, may also affect other biological processes such as respiration and melanin biosynthesis.
- Lipid peroxidation fungicides include aromatic carbon and 1,2,4-thiadiazole fungicides.
- the aromatic carbon fungicides include biphenyl, chloroneb, dicloran, quintozene, tecnazene and tolclofos- methyl.
- the 1,2,4-thiadiazole fungicides include etridiazole.
- MMI-R Mellanin biosynthesis inhibitors-reductase
- Melanin biosynthesis inhibitors-reductase fungicides include isobenzofuranone, pyrroloquinolinone and triazolobenzothiazole fungicides.
- the isobenzofuranones include fthalide.
- the pyrroloquinolinones include pyroquilon.
- the triazolobenzothiazoles include tricyclazole.
- MBI-D Melanin biosynthesis inhibitors-dehydratase fungicides
- FRAC Field Action Committee
- scytalone dehydratase in melanin biosynthesis Melanin in required for host plant infection by some fungi.
- Melanin biosynthesis inhibitors-dehydratase fungicides include cyclopropanecarboxamide, carboxamide and propionamide fungicides.
- the cyclopropanecarboxamides include carpropamid.
- the carboxamides include diclocymet.
- the propionamides include fenoxanil.
- Squalene-epoxidase inhibitor fungicides include thiocarbamate and allylamine fungicides.
- the thiocarbamates include pyributicarb.
- the allylamines include naftifine and terbinafine.
- Polyoxin fungicides (Fungicide Resistance Action Committee (FRAC) code 19) inhibit chitin synthase. Examples include polyoxin.
- Quinone inside inhibitor (Qil) fungicides (Fungicide Resistance Action Committee (FRAC) code 21) inhibit Complex III mitochondrial respiration in fungi by affecting ubiquinol reductase. Reduction of ubiquinol is blocked at the "quinone inside" (Q j ) site of the cytochrome bc ⁇ complex, which is located in the inner mitochondrial membrane of fungi. Inhibiting mitochondrial respiration prevents normal fungal growth and development.
- Quinone inside inhibitor fungicides include cyanoimidazole and sulfamoyltriazole fungicides.
- the cyanoimidazoles include cyazofamid.
- the sulfamoyltriazoles include amisulbrom.
- Benzamide fungicides (Fungicide Resistance Action Committee (FRAC) code 22) inhibit mitosis by binding to ⁇ -tubulin and disrupting microtubule assembly. Inhibition of microtubule assembly can disrupt cell division, transport within the cell and cell structure. Examples include zoxamide.
- Glucopyranosyl antibiotic protein synthesis fungicides
- FRAC Field Resistance Action Committee
- “Carbamate fungicides” (Fungicide Resistance Action Committee (FRAC) code 28) are considered multi-site inhibitors of fungal growth. They are proposed to interfere with the synthesis of fatty acids in cell membranes, which then disrupts cell membrane permeability. Propamacarb, propamacarb-hydrochloride, iodocarb, and prothiocarb are examples of this fungicide class.
- Oxidative phosphorylation uncoupling fungicides inhibit fungal respiration by uncoupling oxidative phosphorylation. Inhibiting respiration prevents normal fungal growth and development.
- This class includes 2,6-dinitroanilines such as fluazinam, pyrimidonehydrazones such as ferimzone and dinitrophenyl crotonates such as dinocap, meptyldinocap and binapacryl.
- Carboxylic acid fungicides (Fungicide Resistance Action Committee (FRAC) code 31) inhibit growth of fungi by affecting deoxyribonucleic acid (DNA) topoisomerase type II (gyrase). Examples include oxolinic acid.
- Heteroaromatic fungicides include isoxazole and isothiazolone fungicides.
- the isoxazoles include hymexazole and the isothiazolones include octhilinone.
- Phosphonate fungicides include phosphorous acid and its various salts, including fosetyl-aluminum.
- Phthalamic acid fungicides include teclofthalam.
- CAA Carboxylic acid amide
- Carboxylic acid amide fungicides include cinnamic acid amide, valinamide carbamate and mandelic acid amide fungicides.
- the cinnamic acid amides include dimethomorph and flumorph.
- the valinamide carbamates include benthiavalicarb, benthiavalicarb-isopropyl, iprovalicarb, valifenalate and valiphenal.
- the mandelic acid amides include mandipropamid, N-[2-[4-[[3-(4-chlorophenyl)-2-propyn-l-yl]oxy]-3- methoxyphenyl] ethyl] -3 -methyl-2- [(methylsulfonyl)amino]butanamide and N- [2- [4- [ [3 -(4- chlorophenyl)-2-propyn-l-yl]oxy]-3-methoxyphenyl]ethyl]-3-methyl-2- [(ethylsulfonyl)amino]butanamide.
- Tetracycline antibiotic fungicides (Fungicide Resistance Action Committee (FRAC) code 41) inhibit growth of fungi by affecting complex 1 nicotinamide adenine dinucleotide (NADH) oxidoreductase. Examples include oxytetracycline.
- Benzamide fungicides (Fungicide Resistance Action Committee (FRAC) code 43) inhibit growth of fungi by derealization of spectrin-like proteins.
- Examples include acylpicolide fungicides such as fluopicolide and fluopyram.
- Host plant defense induction fungicides include benzo-thiadiazole, benzisothiazole and thiadiazole-carboxamide fungicides.
- the benzo-thiadiazoles include acibenzolar-S-methyl.
- the benzisothiazoles include probenazole.
- the thiadiazole-carboxamides include tiadinil and isotianil.
- Multi-site contact fungicides inhibit fungal growth through multiple sites of action and have contact/preventive activity.
- This class of fungicides includes: (45.1)
- Copper fungicides are inorganic compounds containing copper, typically in the copper(II) oxidation state; examples include copper oxychloride, copper sulfate and copper hydroxide, including compositions such as Bordeaux mixture (tribasic copper sulfate).
- Sulfur fungicides are inorganic chemicals containing rings or chains of sulfur atoms; examples include elemental sulfur.
- Dithiocarbamate fungicides contain a dithiocarbamate molecular moiety; examples include mancozeb, metiram, propineb, ferbam, maneb, thiram, zineb and ziram.
- Phthalimide fungicides contain a phthalimide molecular moiety; examples include folpet, captan and captafol.
- Chloronitrile fungicides contain an aromatic ring substituted with chloro and cyano; examples include chlorothalonil.
- Sulfamide fungicides include dichlofluanid and tolyfluanid.
- Guanidine fungicides include dodine, guazatine, iminoctadine albesilate and iminoctadine triacetate.
- Triazine fungicides include anilazine.
- Quinone fungicides include dithianon.
- Fungicides other than fungicides of classes (1) through (45) include certain fungicides whose mode of action may be unknown. These include: (46.1) “thiazole carboxamide fungicides” (Fungicide Resistance Action Committee (FRAC) code U5), (46.2) “phenyl-acetamide fungicides” (Fungicide Resistance Action Committee (FRAC) code U6), (46.3) “quinazolinone fungicides” (Fungicide Resistance Action Committee (FRAC) code U7), (46.4) "benzophenone fungicides” (Fungicide Resistance Action Committee (FRAC) code U8) and (46.5) "triazolopyrimidine fungicides”.
- the thiazole carboxamides include ethaboxam.
- the phenyl-acetamides include cyflufenamid and N-
- the quinazolinones include proquinazid and 2-butoxy-6- iodo-3-propyl-4H-l-benzopyran-4-one.
- the benzophenones include metrafenone.
- the (b46) class also includes bethoxazin, neo-asozin (ferric methanearsonate), pyrrolnitrin, quinomethionate, N-[2-[4-[[3-(4-chlorophenyl)-2-propyn-l-yl]oxy]-3-methoxyphenyl]ethyl]- 3-methyl-2-[(methylsulfonyl)amino]butanamide, N-[2-[4-[[3-(4-chlorophenyl)-2-propyn-l- yl]oxy]-3-methoxyphenyl]ethyl]-3-methyl-2-[(ethylsulfonyl)amino]butanamide, 2-[[2- fluoro-5-(trifluoromethyl)phenyl]thio]-2-[3-(2-methoxyphenyl)-2-thiazolidinyl- idene]acetonitrile, 3-[5
- the triazolopyrimi dines include ametoctradin.
- Other fungicides whose mode of action may be unknown include pentyl N-[4-[[[[(l-methyl-lH-tetrazol-5- yl)phenylmethylene]amino]oxy]methyl]-2-thiazolyl]carbamate, pentyl N-[6-[[[[(l-methyl- lH-tetrazol-5-yl)phenylmethylene]amino]oxy]methyl]-2-pyridinyl]carbamate and Hambra®.
- a mixture comprising a compound of Formula 1 and at least one fungicidal compound selected from the group consisting of the aforedescribed classes (1) through (46).
- a composition comprising said mixture (in fungicidally effective amount) and further comprising at least one additional component selected from the group consisting of surfactants, solid diluents and liquid diluents.
- a mixture comprising a compound of Formula 1 and at least one fungicidal compound selected from the group of specific compounds listed above in connection with classes (1) through (46).
- a composition comprising said mixture (in fungicidally effective amount) and further comprising at least one additional surfactant selected from the group consisting of surfactants, solid diluents and liquid diluents.
- insecticides such as abamectin, acephate, acetamiprid, acrinathrin, amidoflumet (S-1955), avermectin, azadirachtin, azinphos -methyl, bifenthrin, bifenazate, buprofezin, carbofuran, cartap, chlorantraniliprole, chlorfenapyr, chlorfluazuron, chlorpyrifos, chlorpyrifos-methyl, chromafenozide, clothianidin, cyantraniliprole (3-bromo- l-(3-chloro-2-pyridinyl)-N-[4-cyano-2-methyl-6-[(methylamino)carbonyl]phenyl]-lH- pyrazole-5-carboxamide), cyflumetofen, cyfluthrin
- Bacillus thuringiensis subsp. kurstaki and the encapsulated delta-endotoxins of Bacillus thuringiensis (e.g., Cellcap, MPV, MPVII); entomopathogenic fungi, such as green muscardine fungus; and entomopathogenic virus including baculovirus, nucleopolyhedro virus (NPV) such as HzNPV, AfNPV; and granulosis virus (GV) such as CpGV.
- NPV nucleopolyhedro virus
- GV granulosis virus
- Compounds of this invention and compositions thereof can be applied to plants genetically transformed to express proteins toxic to invertebrate pests (such as Bacillus thuringiensis delta-endotoxins).
- proteins toxic to invertebrate pests such as Bacillus thuringiensis delta-endotoxins.
- the effect of the exogenously applied fungicidal compounds of this invention may be synergistic with the expressed toxin proteins.
- the weight ratio of these various mixing partners (in total) to the compound of Formula 1 is typically between about 1 :3000 and about 3000: 1. Of note are weight ratios between about 1 :300 and about 300: 1 (for example ratios between about 1 :30 and about 30: 1).
- weight ratios between about 1 :300 and about 300: 1 for example ratios between about 1 :30 and about 30: 1).
- One skilled in the art can easily determine through simple experimentation the biologically effective amounts of active ingredients necessary for the desired spectrum of biological activity. It will be evident that including these additional components may expand the spectrum of diseases controlled beyond the spectrum controlled by the compound of Formula 1 alone.
- combinations of a compound of this invention with other biologically active (particularly fungicidal) compounds or agents can result in a greater-than-additive (i.e. synergistic) effect. Reducing the quantity of active ingredients released in the environment while ensuring effective pest control is always desirable.
- synergism of fungicidal active ingredients occurs at application rates giving agronomically satisfactory levels of fungal control, such combinations can be advantageous for reducing crop production cost and decreasing environmental load.
- a combination of a compound of Formula 1 with at least one other fungicidal active ingredient is such a combination where the other fungicidal active ingredient has different site of action from the compound of Formula 1.
- a combination with at least one other fungicidal active ingredient having a similar spectrum of control but a different site of action will be particularly advantageous for resistance management.
- a composition of the present invention can further comprise a biologically effective amount of at least one additional fungicidal active ingredient having a similar spectrum of control but a different site of action.
- compositions which in addition to compound of Formula 1 include at least one compound selected from the group consisting of (1) alkylenebis(dithiocarbamate) fungicides; (2) cymoxanil; (3) phenylamide fungicides; (4) proquinazid (6-iodo-3-propyl-2-propyloxy-4(3H)-quinazolinone); (5) chlorothalonil; (6) carboxamides acting at complex II of the fungal mitochondrial respiratory electron transfer site; (7) quinoxyfen; (8) metrafenone; (9) cyflufenamid; (10) cyprodinil; (11) copper compounds; (12) phthalimide fungicides; (13) fosetyl-aluminum; (14) benzimidazole fungicides; (15) cyazofamid; (16) fluazinam; (17) iprovalicarb; (18) propamocarb; (19) validomycin; (20) dichloroph
- Sterol biosynthesis inhibitors control fungi by inhibiting enzymes in the sterol biosynthesis pathway.
- Demethylase-inhibiting fungicides have a common site of action within the fungal sterol biosynthesis pathway, involving inhibition of demethylation at position 14 of lanosterol or 24-methylene dihydrolanosterol, which are precursors to sterols in fungi. Compounds acting at this site are often referred to as demethylase inhibitors, DMI fungicides, or DMIs.
- the demethylase enzyme is sometimes referred to by other names in the biochemical literature, including cytochrome P-450 (14DM). The demethylase enzyme is described in, for example, J. Biol. Chem.
- DMI fungicides are divided between several chemical classes: azoles (including triazoles and imidazoles), pyrimidines, piperazines and pyridines.
- the triazoles include azaconazole, bromuconazole, cyproconazole, difenoconazole, diniconazole (including diniconazole-M), epoxiconazole, etaconazole, fenbuconazole, fluquinconazole, flusilazole, flutriafol, hexaconazole, imibenconazole, ipconazole, metconazole, myclobutanil, penconazole, propiconazole, prothioconazole, quinconazole, simeconazole, tebuconazole, tetraconazole, triadimefon, triadimenol, triticonazole and unicon
- the imidazoles include clotrimazole, econazole, imazalil, isoconazole, miconazole, oxpoconazole, prochloraz and triflumizole.
- the pyrimidines include fenarimol, nuarimol and triarimol.
- the piperazines include triforine.
- the pyridines include buthiobate and pyrifenox. Biochemical investigations have shown that all of the above mentioned fungicides are DMI fungicides as described by K. ⁇ . Kuck et al. in Modern Selective Fungicides - Properties, Applications and Mechanisms of Action, ⁇ . Lyr (Ed.), Gustav Fischer Verlag: New York, 1995, 205-258.
- bc ⁇ complex Fungicides (group 28) have a fungicidal mode of action which inhibits the be i complex in the mitochondrial respiration chain.
- the bc ⁇ complex is sometimes referred to by other names in the biochemical literature, including complex III of the electron transfer chain, and ubihydroquinone: cytochrome c oxidoreductase. This complex is uniquely identified by Enzyme Commission number ECl .10.2.2.
- the bc ⁇ complex is described in, for example, J. Biol. Chem. 1989, 264, 14543-48; Methods Enz mol. 1986, 126, 253-71 ; and references cited therein.
- Strobilurin fungicides such as azoxystrobin, dimoxystrobin, enestroburin (SYP-Z071), fluoxastrobin, kresoxim-methyl, metominostrobin, orysastrobin, picoxystrobin, pyraclostrobin, pyrametostrobin, pyraoxystrobin and trifloxystrobin are known to have this mode of action (H. Sauter et al, Angew. Chem. Int. Ed. 1999, 38, 1328-1349).
- Other fungicidal compounds that inhibit the bc ⁇ complex in the mitochondrial respiration chain include famoxadone and fenamidone.
- Alkylenebis(dithiocarbamate)s include compounds such as mancozeb, maneb, propineb and zineb.
- Phenylamides (group (3)) include compounds such as metalaxyl, benalaxyl, furalaxyl and oxadixyl.
- Carboxamides include compounds such as boscalid, carboxin, fenfuram, flutolanil, furametpyr, mepronil, oxycarboxin, thifluzamide, penthiopyrad and N-[2-(l,3-dimethylbutyl)phenyl]-5-fluoro-l,3-dimethyl-lH- pyrazole-4-carboxamide (PCT Patent Publication WO 2003/010149), and are known to inhibit mitochondrial function by disrupting complex II (succinate dehydrogenase) in the respiratory electron transport chain.
- complex II succinate dehydrogenase
- Copper compounds include compounds such as copper oxychloride, copper sulfate and copper hydroxide, including compositions such as Bordeaux mixture (tribasic copper sulfate).
- Phthalimides include compounds such as folpet and captan.
- Benzimidazole fungicides include benomyl and carbendazim.
- Dichlorophenyl dicarboximide fungicides include chlozolinate, dichlozoline, iprodione, isovaledione, myclozolin, procymidone and vinclozolin.
- ⁇ -DMI sterol biosynthesis inhibitors include morpholine and piperidine fungicides.
- the morpholines and piperidines are sterol biosynthesis inhibitors that have been shown to inhibit steps in the sterol biosynthesis pathway at a point later than the inhibitions achieved by the DMI sterol biosynthesis (group (27)).
- the morpholines include aldimorph, dodemorph, fenpropimorph, tridemorph and trimorphamide.
- the piperidines include fenpropidin.
- a NMR data are in ppm downfield from tetramethylsilane. Couplings are designated by (s)-singlet, (d)-doublet, (t)-triplet, (m)-multiplet and (brs)-broad singlet.
- test suspensions for Tests A-C were first dissolved in acetone in an amount equal to 11 % of the final volume and then suspended at the desired concentration (in ppm) in acetone and purified water (50/50 mix by volume) containing 250 ppm of the surfactant Trem® 014 (polyhydric alcohol esters). The resulting test suspensions were then used in Tests A-C. Spraying a 40 ppm test suspension to the point of run-off on the test plants was the equivalent of a rate of 800 g/ha.
- test suspension was sprayed to the point of run-off on wheat seedlings. The following day the seedlings were inoculated with a spore dust of Blumeria graminis f. sp. tritici, (the causal agent of wheat powdery mildew) and incubated in a growth chamber at 20 °C for 8 days, after which time disease ratings were visually made.
- test suspension was sprayed to the point of run-off on wheat seedlings.
- seedlings were inoculated with a spore suspension of Septoria tritici (the causal agent of wheat leaf blotch) and incubated in a saturated atmosphere at 20 °C for 48 h, and then moved to a growth chamber at 20 °C for 19 days, after which time disease ratings were visually made.
- test suspension was sprayed to the point of run-off on tomato seedlings.
- seedlings were inoculated with a spore suspension of Botrytis cinerea (the causal agent of tomato botrytis) and incubated in saturated atmosphere at 20 °C for 48 h, and then moved to a growth chamber at 27 °C for 3 additional days, after which time disease ratings were visually made.
- Botrytis cinerea the causal agent of tomato botrytis
- Results for Tests A-C are given in Table A. In the Table, a rating of 100 indicates 100% disease control and a rating of 0 indicates no disease control (relative to the controls). A dash (-) indicates no test results. All results are from applications of 40 ppm.
Landscapes
- Chemical & Material Sciences (AREA)
- Organic Chemistry (AREA)
- Life Sciences & Earth Sciences (AREA)
- Health & Medical Sciences (AREA)
- General Health & Medical Sciences (AREA)
- Biochemistry (AREA)
- Molecular Biology (AREA)
- Pest Control & Pesticides (AREA)
- Agronomy & Crop Science (AREA)
- Plant Pathology (AREA)
- Engineering & Computer Science (AREA)
- Dentistry (AREA)
- Wood Science & Technology (AREA)
- Zoology (AREA)
- Environmental Sciences (AREA)
- Agricultural Chemicals And Associated Chemicals (AREA)
Abstract
Disclosed are compounds of Formula 1, N-oxides, and salts thereof, (Formula 1 should be inserted here) wherein Q is O or S; Z1 and Z2 are each independently CR9 or N; and R1, R2, R3, R4, R5, R6, R7, R8 and R9 are as defined in the disclosure. Also disclosed are compositions containing the compounds of Formula 1 and methods for controlling plant disease caused by a fungal pathogen comprising applying an effective amount of a compound or a composition of the invention.
Description
TITLE
FUNGICIDAL 2-(BICYCLIC ARYLOXY)CARBOXAMIDES
FIELD OF THE INVENTION
This invention relates to certain bicyclic aryloxy carboxamides, their N-oxides, salts and compositions, and methods of their use as fungicides.
BACKGROUND OF THE INVENTION
The control of plant diseases caused by fungal plant pathogens is extremely important in achieving high crop efficiency. Plant disease damage to ornamental, vegetable, field, cereal, and fruit crops can cause significant reduction in productivity and thereby result in increased costs to the consumer. Many products are commercially available for these purposes, but the need continues for new compounds which are more effective, less costly, less toxic, environmentally safer or have different sites of action.
World Patent Publication WO 2008/1 10355 discloses certain bicyclic aryloxy carboxamides as fungicides.
SUMMARY OF THE INVENTION
This invention is directed to compounds of Formula 1 (including all stereoisomers), N-oxides, and salts thereof, agricultural compositions containing them and their use as fungicides:
1
wherein
Q is O or S;
Z1 and Z2 are each independently CR9 or Ν;
R1 is C{-C2 alky!> C2-C4 alkenyl, C2-C4 alkynyl, Q-Q haloalkyl, C2-C4
haloalkenyl, C2-C4 haloalkynyl, C3~C4 halocycloalkyl, C4-C5 cycloalkylalkyl, C2-C4 alkoxyalkyl, C2-C4 alkylthioalkyl, C2-C4 alkylsulfinylalkyl, C2-C4 alkylsulfonylalkyl, C2-C4 cyanoalkyl, alkylcarbonyl, C2-C£
alkoxycarbonyl, C1-C4 alkoxy or C1-C4 haloalkoxy;
is hydrogen, C^-C^ alkyl, alkenyl, alkynyl, C^-C^ haloalkyl, haloalkenyl, C2-C6 haloalkynyl, C3-C6 cycloalkyl, C3-C6 halocycloalkyl, C2- cyanoalkyl, C2-C^ alkoxyalkyl, C3-C8 alkoxyalkoxyalkyl or benzyloxy(C2- C3 alkyl);
R3 is C^-Cg alkyl, C2-Cg alkenyl or C2-Cg alkynyl, each optionally substituted with substituents independently selected from halogen, hydroxy, cyano, nitro, amino, C(=0)OH, C(=0)NH2, C(=0)R10, C(=0)OR1 1, C(=0)NR12R13, OC(=0)R10, SC(=0)R10, OC^O R1 1, OC(=0)NR12R13, N(R12)C(=0)R10,
N(R12)C(=0)OR , N(R12)C(=0)NR12R13, OS02R14, OS02NR12R13,
NR12S02R14, NR12S02NR12R13, OR15, NR12R13, S(0)nR14, S02NR12R13, P(=0)(R17)2, OP(=0)(R17)2, Si(R18)3, C(= R12R13)R19, N=CR19NR12R13, CH=NR21 and -CH{0(CH2)¾ or
R3 is NR12R13; or
R3 is a 3-, 4-, 5- or 6-membered saturated carbocyclic ring optionally substituted with up to 5 substituents independently selected from R20; or a 3-, 4-, 5- or 6- membered heterocyclic ring containing ring members selected from carbon atoms and up to 4 heteroatoms selected from up to 2 oxygen, up to 2 sulfur and up to 3 nitrogen atoms, wherein up to 3 carbon atom ring members are independently selected from C(=0) and C(=S), and the sulfur atom ring members are independently selected from S(=0)p(=NR16)q, the heterocyclic ring optionally substituted with up to 5 substituents independently selected from R20 on carbon atom ring members and R20a on nitrogen atom ring members;
R4, R5, R7 and R8 are each independently selected from hydrogen, halogen, cyano, amino, nitro, -CHO, C^-C^ alkyl, C2-C£ alkenyl, C2-C£ alkynyl, C^-C^ haloalkyl, C2-C6 haloalkenyl, C2-C6 haloalkynyl, C3-C6 cycloalkyl, C3-C6 halocycloalkyl, C4-Cg alkylcycloalkyl, C4-Cg cycloalkylalkyl, C3-C6 cycloalkenyl, C2-C6 alkoxyalkyl, C2-C6 alkylthioalkyl, C2-C6 alkylcarbonyl, C2-C^ haloalkylcarbonyl, C2-C^ alkoxycarbonyl, C2-C^ alkylaminocarbonyl, C3-C8 dialkylaminocarbonyl, 02-(¾ cyanoalkyl, C^-C^ alkoxy, C^-C^ haloalkoxy, 02-(¾ alkoxyalkoxy, C^-C^ alkylthio, C^-C^ haloalkylthio, C^-C^ alkylsulfinyl, C^-C^ haloalkylsulfinyl, C^-C^ alkylsulfonyl, C^-C^
haloalkylsulfonyl, C3-C9 trialkylsilyl, C -C^ alkylamino, C2-C6 dialkylamino, C2-C^ haloalkylamino, C2-C^ halodialkylamino and C2-C^ alkylcarbonylamino;
R6 is halogen, cyano, amino, nitro, -CHO, C^C^ alkyl, C2-C6 alkenyl, C2-C6
alkynyl, C^-C^ haloalkyl, 02-(¾ haloalkenyl, 02-(¾ haloalkynyl, C3-C6 cycloalkyl, C3-C6 halocycloalkyl, C4-Cg alkylcycloalkyl, C4-Cg
cycloalkylalkyl, C^-C^ cycloalkenyl, C2-C^ alkoxyalkyl, C2-C^ alkylthioalkyl, C2-C6 alkylcarbonyl, 02-(¾ haloalkylcarbonyl, 02-(¾ alkoxycarbonyl, C2-C£ alkylaminocarbonyl, C3-C8 dialkylaminocarbonyl, C2-C^ cyanoalkyl, C^-C^ alkoxy, C^-C^ haloalkoxy, 02-(¾ alkoxyalkoxy, C^-C^ alkylthio, C^-C^ haloalkylthio, C^C^ alkylsulfinyl, Ci~C(, haloalkylsulfinyl, Ci~C(,
alkylsulfonyl, C^-C^ haloalkylsulfonyl, C^-C^ alkylamino, C2-C6 dialkylamino, C2-C6 haloalkylamino, C2-C^ halodialkylamino or C2-C^ alkylcarbonylamino; each R9 is independently selected from hydrogen, halogen, cyano, amino, nitro, -CHO, C{-C6 alkyl, C2-C6 alkenyl, C2-C6 alkynyl, C{-C6 haloalkyl, C2-C6 haloalkenyl, C2-C6 haloalkynyl, C3-C6 cycloalkyl, C3-C6 halocycloalkyl, C4-C8 alkylcycloalkyl, C^-Cg cycloalkylalkyl, C^-C^ cycloalkenyl, C2-C6 alkoxyalkyl, C2-C6 alkylthioalkyl, C2-C6 alkylcarbonyl, C2-C6 alkoxycarbonyl, C2-C6 alkylaminocarbonyl, C3-C8 dialkylaminocarbonyl, C2-C^ cyanoalkyl, C^-C^ alkoxy, C^-C^ haloalkoxy, C2-C6 alkoxyalkoxy, C^-C^ alkylthio, C^-C^ haloalkylthio, C^-C^ alkylsulfinyl, C^-C^ haloalkylsulfinyl, C^-C^
alkylsulfonyl, C^-C^ haloalkylsulfonyl, C3-C9 trialkylsilyl, C^-C^ alkylamino, C2-C6 dialkylamino, C2-C6 haloalkylamino, C2-C6 halodialkylamino and C2- C^ alkylcarbonylamino;
each R10 is independently selected from hydrogen, Ci~C(, alkyl, Ci~C(, haloalkyl, C3- C^ cycloalkyl and C3-C6 halocycloalkyl;
each R1 1 is independently selected from C^-C^ alkyl, C^-C^ haloalkyl, C3-C6
cycloalkyl and C3-C6 halocycloalkyl;
each R12 is independently selected from hydrogen, CHO, C^-C^ alkyl, C^-C^
haloalkyl and C2-C^ alkylcarbonyl;
each R13 is independently selected from CHO, C^-C^ alkyl, C^-C^ haloalkyl and C2-
C^ alkylcarbonyl;
each R14 is independently C^-C^ alkyl or C^-C^ haloalkyl;
each R15 is independently selected from CHO, C^C^ alkyl, Ci~C(, haloalkyl and C2- C^ alkoxyalkyl;
each R16 and R19 is independently hydrogen or -C3 alkyl;
each R17 is independently C^-C^ alkyl or C^-C^ alkoxy;
each R18 is independently C^-C^ alkyl;
each R20 is independently selected from halogen, cyano, C^C^ alkyl, Ci~C(,
haloalkyl, C2-C6 alkylcarbonyl, C^-C^ alkoxy, C^-C^ haloalkoxy and C^-C^ alkylthio;
each R20a is independently selected from cyano, C^-C^ alkyl, C^-C^ haloalkyl and
C2-C6 alkylcarbonyl;
each R21 is a 5-membered unsaturated heterocyclic ring containing 2-4 carbon atoms and 1 -3 nitrogen atoms as ring members, wherein the heterocyclic ring is optionally substituted with up to 2 substituents independently selected from R20 on carbon atom ring members and R20a on nitrogen atom ring members;
each n is independently 0, 1 or 2; and
p and q are independently 0, 1 or 2 in each instance of S(=0)p(=NR16)q, provided that the sum of p and q is 0, 1 or 2;
provided that
the compound of Formula 1 is other than 2-[(7-methoxy-2-naphthalenyl)oxy]-N-(2- propen-l-yl)-propanamide.
More particularly, this invention pertains to a compound of Formula 1 (including all stereoisomers), an N-oxide or a salt thereof.
This invention also relates to a fungicidal composition comprising (a) a compound of the invention (i.e. in a fungicidally effective amount); and (b) at least one additional component selected from the group consisting of surfactants, solid diluents and liquid diluents.
This invention also relates to a fungicidal composition comprising (a) a compound of the invention; and (b) at least one other fungicide (e.g., at least one other fungicide having a different site of action).
This invention further relates to a method for controlling plant diseases caused by fungal plant pathogens comprising applying to the plant or portion thereof, or to the plant seed, a fungicidally effective amount of a compound of the invention (e.g., as a composition described herein).
DETAILS OF THE INVENTION
As used herein, the terms "comprises," "comprising," "includes," "including," "has,"
"having," "contains", "containing," "characterized by" or any other variation thereof, are intended to cover a non-exclusive inclusion, subject to any limitation explicitly indicated. For example, a composition, mixture, process or method that comprises a list of elements is not necessarily limited to only those elements but may include other elements not expressly listed or inherent to such composition, mixture, process or method.
The transitional phrase "consisting of excludes any element, step, or ingredient not specified. If in the claim, such would close the claim to the inclusion of materials other than those recited except for impurities ordinarily associated therewith. When the phrase "consisting of appears in a clause of the body of a claim, rather than immediately following the preamble, it limits only the element set forth in that clause; other elements are not excluded from the claim as a whole.
The transitional phrase "consisting essentially of is used to define a composition or method that includes materials, steps, features, components, or elements, in addition to those literally disclosed, provided that these additional materials, steps, features, components, or elements do not materially affect the basic and novel characteristic(s) of the claimed invention. The term "consisting essentially of occupies a middle ground between "comprising" and "consisting of.
Where applicants have defined an invention or a portion thereof with an open-ended term such as "comprising," it should be readily understood that (unless otherwise stated) the description should be interpreted to also describe such an invention using the terms "consisting essentially of or "consisting of."
Further, unless expressly stated to the contrary, "or" refers to an inclusive or and not to an exclusive or. For example, a condition A or B is satisfied by any one of the following: A is true (or present) and B is false (or not present), A is false (or not present) and B is true (or present), and both A and B are true (or present).
Also, the indefinite articles "a" and "an" preceding an element or component of the invention are intended to be nonrestrictive regarding the number of instances (i.e. occurrences) of the element or component. Therefore "a" or "an" should be read to include one or at least one, and the singular word form of the element or component also includes the plural unless the number is obviously meant to be singular.
As referred to in the present disclosure and claims, "plant" includes members of Kingdom Plantae, particularly seed plants (Spermatopsida), at all life stages, including young plants (e.g., germinating seeds developing into seedlings) and mature, reproductive stages (e.g., plants producing flowers and seeds). Portions of plants include geotropic members typically growing beneath the surface of the growing medium (e.g., soil), such as roots, tubers, bulbs and corms, and also members growing above the growing medium, such as foliage (including stems and leaves), flowers, fruits and seeds.
As referred to herein, the term "seedling", used either alone or in a combination of words means a young plant developing from the embryo of a seed.
In the above recitations, the term "alkyl", used either alone or in compound words such as "alkylthio" or "haloalkyl" includes straight-chain or branched alkyl such as methyl, ethyl, M-propyl, -propyl, or the different butyl, pentyl or hexyl isomers. "Alkenyl" includes straight-chain or branched alkenes such as ethenyl, 1-propenyl, 2-propenyl, and the different butenyl, pentenyl and hexenyl isomers. "Alkenyl" also includes polyenes such as 1,2-propadienyl and 2,4-hexadienyl. "Alkynyl" includes straight-chain or branched alkynes such as ethynyl, 1-propynyl, 2-propynyl and the different butynyl, pentynyl and hexynyl isomers. "Alkynyl" also includes moieties comprised of multiple triple bonds such as 2,5-hexadiynyl.
"Alkoxy" includes, for example, methoxy, ethoxy, w-propyloxy, isopropyloxy and the different butoxy, pentoxy and hexyloxy isomers. "Alkoxyalkyl" denotes alkoxy substitution on alkyl. Examples of "alkoxyalkyl" include CH3OCH2, CH3OCH2CH2, CH3CH2OCH2, CH3CH2CH2CH2OCH2 and CH3CH2OCH2CH2. "Alkoxyalkoxy" denotes alkoxy substitution on alkoxy. "Alkylthio" includes branched or straight-chain alkylthio moieties such as methylthio, ethylthio, and the different propylthio, butylthio, pentylthio and hexylthio isomers. "Alkylsulfinyl" includes both enantiomers of an alkylsulfinyl group.
Examples of "alkylsulfinyl" include CH3S(0)-, CH3CH2S(0)-, CH3CH2CH2S(0)-, (CH3)2CHS(0)- and the different butylsulfinyl, pentylsulfinyl and hexylsulfinyl isomers. Examples of "alkylsulfonyl" include CH3S(0)2-, CH3CH2S(0)2-, CH3CH2CH2S(0)2-, (CH3)2CHS(0)2-, and the different butylsulfonyl, pentylsulfonyl and hexylsulfonyl isomers. "Alkylthioalkyl" denotes alkylthio substitution on alkyl. Examples of "alkylthioalkyl" include CH3SCH2, CH3SCH2CH2, CH3CH2SCH2, CH3CH2CH2CH2SCH2 and CH3CH2SCH2CH2. "Cyanoalkyl" denotes an alkyl group substituted with one cyano group. Examples of "cyanoalkyl" include NCCH2, NCCH2CH2 and CH3CH(CN)CH2.
"Cycloalkyl" includes, for example, cyclopropyl, cyclobutyl, cyclopentyl and cyclohexyl. The term "alkylcycloalkyl" denotes alkyl substitution on a cycloalkyl moiety and includes, for example, ethylcyclopropyl, z'-propylcyclobutyl, 3-methylcyclopentyl and 4-methylcyclohexyl. The term "cycloalkylalkyl" denotes cycloalkyl substitution on an alkyl moiety. Examples of "cycloalkylalkyl" include cyclopropylmethyl, cyclopentylethyl, and other cycloalkyl moieties bonded to straight-chain or branched alkyl groups. "Cycloalkenyl" includes groups such as cyclopentenyl and cyclohexenyl as well as groups with more than one double bond such as 1,3- and 1,4-cyclohexadienyl.
The term "halogen", either alone or in compound words such as "haloalkyl", or when used in descriptions such as "alkyl substituted with halogen" includes fluorine, chlorine, bromine or iodine. Further, when used in compound words such as "haloalkyl", or when used in descriptions such as "alkyl substituted with halogen" said alkyl may be partially or fully substituted with halogen atoms which may be the same or different. Examples of "haloalkyl" or "alkyl substituted with halogen" include F3C-, C1CH2-, CF3CH2- and CF3CC12-. The terms "halocycloalkyl", "haloalkoxy", "haloalkylthio", "haloalkenyl", "haloalkynyl", and the like, are defined analogously to the term "haloalkyl". Examples of "haloalkoxy" include CF30-, CC13CH20-, HCF2CH2CH20- and CF3CH20-. Examples of "haloalkylthio" include CC13S-, CF3S-, CC13CH2S- and C1CH2CH2CH2S-. Examples of "haloalkylsulfinyl" include CF3S(0)-, CC13S(0)-, CF3CH2S(0)- and CF3CF2S(0)-. Examples of "haloalkylsulfonyl" include CF3S(0)2-, CC13S(0)2-, CF3CH2S(0)2- and CF3CF2S(0)2-. Examples of "haloalkenyl" include (C1)2C=CHCH2- and CF3CH2CH=CHCH2-. Examples of "haloalkynyl" include HOCCHC1-, CF3C≡C-, CC13C≡C- and FCH2C≡CCH2-. Examples of "haloalkoxyalkoxy" include CF3OCH20-, C1CH2CH20CH2CH20-, Cl3CCH2OCH20- as well as branched alkyl derivatives.
"Alkylcarbonyl" denotes a straight-chain or branched alkyl moieties bonded to a C(=0) moiety. Examples of "alkylcarbonyl" include CH3C(0), CH3CH2CH2C(0) and (CH3)2CHC(0). Examples of "alkoxycarbonyl" include CH3OC(=0), CH3CH2OC(=0), CH3CH2CH2OC(=0), (CH3)2CHOC(=0) and the different butoxy- or pentoxycarbonyl isomers. Examples of "alkylaminocarbonyl" include CH3NHC(=0)-, CH3CH2NHC(=0)-, CH3CH2CH2NHC(=0)-, (CH3)2CHNHC(=0)- and the different butylamino- or
pentylaminocarbonyl isomers. Examples of "dialkylaminocarbonyl" include (CH3)2NC(=0)-, (CH3CH2)2NC(=0)-, CH3CH2(CH3)NC(=0)-, (CH3)2CHN(CH3)C(=0)- and CH3CH2CH2(CH3)NC(=0)-.
"Alkylamino", "dialkylamino" and the like, are defined analogously to the above examples. The term "halodialkylamino" denotes a dialkylamino group substituted on at least one alkyl moiety with one or more halogenatoms which may be the same or different. Examples of "halodialkylamino" include CF3(CH3)N-, (CF3)2N- and CH2C1(CH3)N-.
"Trialkylsilyl" includes 3 branched and/or straight-chain alkyl radicals attached to and linked through a silicon atom, such as trimethylsilyl, triethylsilyl and tert-butyldimethylsilyl.
"-CHfO(CH2)}" means
The total number of carbon atoms in a substituent group is indicated by the "Cj-Cj" prefix where i and j are numbers from 1 to 9. For example, -C4 alkylsulfonyl designates methylsulfonyl through butylsulfonyl; C2 alkoxyalkyl designates CH3OCH2-; C3 alkoxyalkyl designates, for example, CH3CH(OCH3)-, CH3OCH2CH2- or CH3CH2OCH2-; and C4 alkoxyalkyl designates the various isomers of an alkyl group substituted with an alkoxy group containing a total of four carbon atoms, examples including CH3CH2CH2OCH2- and CH3CH2OCH2CH2-.
Unless otherwise indicated, a "ring" as a component of Formula 1 (e.g., substituent R3) is carbocyclic or heterocyclic. The term "ring system" denotes two or more fused rings. The terms "bicyclic ring system" and "fused bicyclic ring system" denote a ring system consisting of two fused rings, in which either ring can be saturated, partially unsaturated, or fully unsaturated unless otherwise indicated. The term "fused heterobicyclic ring system" denotes a fused bicyclic ring system in which at least one ring atom is not carbon. The term "ring member" refers to an atom or other moiety (e.g., C(=0), C(=S), S(O) or S(0)2) forming the backbone of a ring or ring system.
The terms "carbocyclic ring", "carbocycle" or "carbocyclic ring system" denote a ring or ring system wherein the atoms forming the ring backbone are selected only from carbon. Unless otherwise indicated, a carbocyclic ring can be a saturated, partially unsaturated, or fully unsaturated ring. When a fully unsaturated carbocyclic ring satisfies Huckel's rule, then said ring is also called an "aromatic ring". "Saturated carbocyclic" refers to a ring having a backbone consisting of carbon atoms linked to one another by single bonds; unless otherwise specified, the remaining carbon valences are occupied by hydrogen atoms.
The terms "heterocyclic ring", "heterocycle" or "heterocyclic ring system" denote a ring or ring system in which at least one atom forming the ring backbone is not carbon, e.g., nitrogen, oxygen or sulfur. Typically a heterocyclic ring contains no more than 4 nitrogens, no more than 2 oxygens and no more than 2 sulfurs. Unless otherwise indicated, a
heterocyclic ring can be a saturated, partially unsaturated, or fully unsaturated ring. When a fully unsaturated heterocyclic ring satisfies Huckel's rule, then said ring is also called a "heteroaromatic ring" or "aromatic heterocyclic ring". Unless otherwise indicated, heterocyclic rings and ring systems can be attached through any available carbon or nitrogen by replacement of a hydrogen on said carbon or nitrogen.
"Aromatic" indicates that each of the ring atoms is essentially in the same plane and has a -orbital perpendicular to the ring plane, and that (4n + 2) π electrons, where n is a positive integer, are associated with the ring to comply with Huckel's rule. The term "aromatic ring system" denotes a carbocyclic or heterocyclic ring system in which at least one ring of the ring system is aromatic.
As used herein, the following definitions shall apply unless otherwise indicated. The term "optionally substituted" is used interchangeably with the phrase "substituted or unsubstituted" or with the term "(un)substituted." Unless otherwise indicated, an optionally substituted group may have a substituent at each substitutable position of the group, and each substitution is independent of the other.
When R3 is a 3-, 4-, 5- or 6-membered saturated carbocyclic ring, a cyclopropyl, cyclobutyl, cyclopentyl or cyclohexyl ring is attached to Formula 1 as defined in the Summary of the Invention and the ring may be optionally substituted with up to 5 substituents selected from a group of substituents as defined in the Summary of Invention.
When R3 is a 3-, 4-, 5- or 6-membered heterocyclic ring, the ring may be saturated or unsaturated and optionally substituted with up to 5 substituents selected from a group of substituents as defined in the Summary of Invention. When R3 is a 3-, 4-, 5- or 6-membered nitrogen-containing heterocyclic ring, it may be attached to the remainder of Formula 1 though any available carbon or nitrogen ring atom, unless otherwise described.
Also, as noted above, R3 can independently be (among others) a 3-, 4-, 5- or
6-membered heterocyclic ring, which may be saturated, partially unsaturated, or fully unsaturated and optionally substituted with up to 5 substituents selected from a group of substituents as defined in the Summary of Invention for R3. Optionally up to 3 carbon atom ring members of the heterocyclic ring are independently selected from C(=0), C(=S) and S(=0)p(=NR8)q. The definition of S(=0)p(=NR8)q includes the possibility of unoxidized sulfur atoms as ring members, because p and q can both be zero.
Examples of a 3-, 4-, 5- or 6-membered fully unsaturated heterocyclic ring include the rings U-l through U-66 illustrated in Exhibit 1 wherein Rv is any substituent as defined in the Summary of the Invention for R3 (i.e. R20 on carbon ring members and R20a on nitrogen ring members) and r is an integer from 0 to 5, limited by the number of available positions on each U-ring. As U-34, U-35, U-41, U-42, U-43, U-44, U-45, U-46, U-47 and U-48 have only one available position, for these U-rings r is limited to the integers 0 or 1, and r being 0
U-66
Although Rv groups are shown on rings U-1 through U-66, it is noted that they do not need to be present since they are optional substituents. Note that when r is 0, this means the ring is unsubstituted. The nitrogen atoms that require substitution to fill their valence are substituted with H or Rv. Note that when the attachment point between (Rv)r and the U-ring
is illustrated as floating, (Rv)r can be attached to any available carbon atom or nitrogen atom of the U-ring.
Examples of a 3-, 4-, 5- or 6-membered saturated or partially unsaturated heterocyclic ring include the rings G-l through G-45 as illustrated in Exhibit 2 wherein Rv is any substituent as defined in the Summary of the Invention R3 (i.e. R20 on carbon ring members and R20a on nitrogen ring members) and r is an integer from 0 to 5, limited by the number of available positions on each G-ring. The optional substituents corresponding to (Rv)r, can be attached to any available carbon or nitrogen by replacing a hydrogen atom. Note that when the attachment point on the G-ring is illustrated as floating, the G-ring can be attached to the remainder of Formula 1 through any available carbon or nitrogen of the G-ring by replacement of a hydrogen atom.
Note that when R3 comprises a ring selected from G-33, G-34, G-35 and G-41 through G-45, G2 is O, S or N. Note that when G2 is N, the nitrogen atom can complete its valence by substitution with either H or the substituents corresponding to Rv as defined in the Summary of Invention for R3.
G-l G-2 G-3 G-4 G-5
G-26 G-27 G-28 G-29 G-30
G-41 G-42 G-43 G-44 G-45
R21 is a 5-membered unsaturated heterocyclic ring. Examples of a 5-membered unsaturated heterocyclic ring containing 2-4 carbon atoms and 1-3 nitrogen atoms are in Exhibit 1 (U-l l, U-12, U-13, U-20, U-21, U-22, U-23, U-30, U-31, U-32, U-33, U-36, U-37, U-38, U-39, U-40, U-49, U-50, U-51, U-52 and U-53) and Exhibit 2 (G-18, G-23 and G-24). The ring may be optionally substituted with up to 2 substituents independently selected from R20 on carbon atoms and R20a on nitrogen atom ring members.
A wide variety of synthetic methods are known in the art to enable preparation of aromatic and nonaromatic heterocyclic rings and ring systems; for extensive reviews see the eight volume set of Comprehensive Heterocyclic Chemistry, A. R. Katritzky and C. W. Rees editors-in-chief, Pergamon Press, Oxford, 1984 and the twelve volume set of Comprehensive Heterocyclic Chemistry II, A. R. Katritzky, C. W. Rees and E. F. V. Scriven editors-in-chief, Pergamon Press, Oxford, 1996.
Compounds of this invention can exist as one or more stereoisomers. The various stereoisomers include enantiomers, diastereomers, atropisomers and geometric isomers. One skilled in the art will appreciate that one stereoisomer may be more active and/or may
exhibit beneficial effects when enriched relative to the other stereoisomer(s) or when separated from the other stereoisomer(s). Additionally, the skilled artisan knows how to separate, enrich, and/or to selectively prepare said stereoisomers. The compounds of the invention may be present as a mixture of stereoisomers, individual stereoisomers or as an optically active form.
One skilled in the art will appreciate that not all nitrogen-containing heterocycles can form N-oxides since the nitrogen requires an available lone pair for oxidation to the oxide; one skilled in the art will recognize those nitrogen-containing heterocycles which can form N-oxides. One skilled in the art will also recognize that tertiary amines can form N-oxides. Synthetic methods for the preparation of N-oxides of heterocycles and tertiary amines are very well known by one skilled in the art including the oxidation of heterocycles and tertiary amines with peroxy acids such as peracetic and m-chloroperbenzoic acid (MCPBA), hydrogen peroxide, alkyl hydroperoxides such as ?-butyl hydroperoxide, sodium perborate, and dioxiranes such as dimethyldioxirane. These methods for the preparation of N-oxides have been extensively described and reviewed in the literature, see for example: T. L. Gilchrist in Comprehensive Organic Synthesis, vol. 7, pp 748-750, S. V. Ley, Ed., Pergamon Press; M. Tisler and B. Stanovnik in Comprehensive Heterocyclic Chemistry, vol. 3, pp 18-20, A. J. Boulton and A. McKillop, Eds., Pergamon Press; M. R. Grimmett and B. R. T. Keene in Advances in Heterocyclic Chemistry, vol. 43, pp 149-161, A. R. Katritzky, Ed., Academic Press; M. Tisler and B. Stanovnik in Advances in Heterocyclic Chemistry, vol. 9, pp 285-291, A. R. Katritzky and A. J. Boulton, Eds., Academic Press; and G. W. H. Cheeseman and E. S. G. Werstiuk in Advances in Heterocyclic Chemistry, vol. 22, pp 390-392, A. R. Katritzky and A. J. Boulton, Eds., Academic Press.
One skilled in the art recognizes that because in the environment and under physiological conditions salts of chemical compounds are in equilibrium with their corresponding nonsalt forms, salts share the biological utility of the nonsalt forms. Thus a wide variety of salts of the compounds of Formula 1 are useful for control of plant diseases caused by fungal plant pathogens (i.e. are agriculturally suitable). The salts of the compounds of Formula 1 include acid-addition salts with inorganic or organic acids such as hydrobromic, hydrochloric, nitric, phosphoric, sulfuric, acetic, butyric, fumaric, lactic, maleic, malonic, oxalic, propionic, salicylic, tartaric, 4-toluenesulfonic or valeric acids. When a compound of Formula 1 contains an acidic moiety such as a carboxylic acid or phenol, salts also include those formed with organic or inorganic bases such as pyridine, triethylamine or ammonia, or amides, hydrides, hydroxides or carbonates of sodium, potassium, lithium, calcium, magnesium or barium. Accordingly, the present invention comprises compounds selected from Formula 1, N-oxides and agriculturally suitable salts thereof.
Compounds selected from Formula 1, stereoisomers, N-oxides, and salts thereof, typically exist in more than one form, and Formula 1 thus includes all crystalline and noncrystalline forms of the compounds that Formula 1 represents. Non-crystalline forms include embodiments which are solids such as waxes and gums as well as embodiments which are liquids such as solutions and melts. Crystalline forms include embodiments which represent essentially a single crystal type and embodiments which represent a mixture of polymorphs (i.e. different crystalline types). The term "polymorph" refers to a particular crystalline form of a chemical compound that can crystallize in different crystalline forms, these forms having different arrangements and/or conformations of the molecules in the crystal lattice. Although polymorphs can have the same chemical composition, they can also differ in composition due the presence or absence of co-crystallized water or other molecules, which can be weakly or strongly bound in the lattice. Polymorphs can differ in such chemical, physical and biological properties as crystal shape, density, hardness, color, chemical stability, melting point, hygroscopicity, suspensibility, dissolution rate and biological availability. One skilled in the art will appreciate that a polymorph of a compound represented by Formula 1 can exhibit beneficial effects (e.g., suitability for preparation of useful formulations, improved biological performance) relative to another polymorph or a mixture of polymorphs of the same compound represented by Formula 1. Preparation and isolation of a particular polymorph of a compound represented by Formula 1 can be achieved by methods known to those skilled in the art including, for example, crystallization using selected solvents and temperatures.
Embodiments of the present invention as described in the Summary of the Invention include (where Formula 1 as used in the following Embodiments includes N-oxides and salts thereof ):
Embodiment 1. A compound of Formula 1 wherein Q is O.
Embodiment 2. A compound of Formula 1 or Embodiment 1 wherein Z2 is CR9.
Embodiment 3. A compound of Formula 1 or Embodiment 1 or 2 wherein Z1 is CR9. Embodiment 4. A compound of Formula 1 or any one of Embodiments 1 through 3 wherein R1 is Cj-C2 alkyl or Cj-C4 alkoxy.
Embodiment 5. A compound of Embodiment 4 wherein R1 is methyl, ethyl or methoxy.
Embodiment 5a. A compound of Embodiment 5 wherein R1 is methyl or ethyl.
Embodiment 5b. A compound of Embodiment 5 wherein R1 is methoxy.
Embodiment 6. A compound of Formula 1 or any one of Embodiments 1 through 5 wherein R2 is hydrogen.
Embodiment 7a. A compound of Formula 1 or any one of Embodiments 1 through 6 wherein R3 is Cj-Cg alkyl or C3-C8 alkynyl, each optionally substituted with up to 3 substituents independently selected from cyano, hydroxy, fluoro, OR15 and CHO.
Embodiment 7. A compound of Formula 1 or any one of Embodiments 1 through 6 wherein R3 is Cj-Cg alkyl or C3-C8 alkynyl, each optionally substituted with up to 3 substituents independently selected from hydroxy, fluoro, OR15 and CHO. Embodiment 7b. A compound of Formula 1 or any one of Embodiments 1 through 6 wherein R3 is Cj-Cg alkyl or C3-C8 alkynyl, each optionally substituted with up to 1 substituent independently selected from cyano or OR15.
Embodiment 8a. A compound of Embodiment 7a wherein R3 is Cj-Cg alkyl optionally substituted with cyano or OR15.
Embodiment 8b. A compound of Embodiment 7a wherein R3 is C3~Cg alkynyl.
Embodiment 8. A compound of Embodiment 7 wherein R3 is Cj-Cg alkyl optionally substituted with OR15 or fluoro.
Embodiment 9a. A compound of Embodiment 8a wherein R3 is C(CH3)2C ,
C(CH3)2CH2OCH3, C(CH3)2CH2OCH2OCH3 or C(CH3)3.
Embodiment 9. A compound of Embodiment 8 wherein R3 is C(CH3)2CH2OCH3, C(CH3)2CH2OCH2OCH3, C(CH3)3 or C(CH3)2(CH2F).
Embodiment 9b. A compound of Embodiment 8 wherein R3 is C(CH3)2CH2OCH3,
C(CH3)2CH2OCH2OCH3 or C(CH3)3.
Embodiment 9c. A compound of Embodiment 9 wherein R3 is C(CH3)2CH2OCH3. Embodiment 9d. A compound of Embodiment 9 wherein R3 is C(CH3)3.
Embodiment 9e. A compound of Embodiment 8b wherein R3 is C(CH3)2C≡CH or
C(CH3)2C≡CCH3.
Embodiment 10. A compound of Formula 1 or any one of Embodiments 1 through 9 wherein R3 includes a tertiary carbon atom, and R3 is bonded to the remainder of Formula 1 through the tertiary carbon atom.
Embodiment 1 1. A compound of Formula 1 or any one of Embodiments 1 through 10 wherein R4, R5, R7, R8 and R9 are each independently selected from hydrogen and Cj-C^ alkyl.
Embodiment 12. A compound of Embodiment 1 1 wherein R4, R5, R7, R8 and R9 are each independently selected from hydrogen, methyl and ethyl.
Embodiment 13a. A compound of Formula 1 or any one of Embodiments 1 through 12 wherein R6 is halogen, Cj-C2 alkoxy, Cj-C2 haloalkoxy or C2-C3 alkynyl. Embodiment 13. A compound of Formula 1 or any one of Embodiments 1 through 12 wherein R6 is halogen, Cj-C2 alkoxy, Cj-C2 haloalkoxy or C2 alkynyl.
Embodiment 14. A compound of Embodiment 13 wherein R6 is halogen, Cj-C2 alkoxy or Cj-C2 haloalkoxy.
Embodiment 14a. A compound of Embodiment 13a wherein R6 is halogen, Cj-C2 alkoxy or C2-C3 alkynyl.
Embodiment 15. A compound of Embodiment 14 wherein R6 is bromo, iodo, methoxy or difluoromethoxy.
Embodiment 15a. A compound of Embodiment 14a wherein R6 is bromo, methoxy, ethoxy, C≡CH or C≡CCH3.
Embodiment 16. A compound of Formula 1 or any one of Embodiments 1 through 15 wherein R10 is hydrogen or Cj-C^ alkyl.
Embodiment 17. A compound of Embodiment 16 wherein R10 is hydrogen.
Embodiment 18. A compound of Formula 1 or any one of Embodiments 1 through 17 wherein R12 is hydrogen or Cj-C^ alkyl.
Embodiment 19. A compound of Formula 1 or any one of Embodiments 1 through 18 wherein R13 is CHO or Ci~C6 alkyl.
Embodiment 20. A compound of Formula 1 or any one of Embodiments 1 through 19 wherein R15 is CHO, Ci~C6 alkyl or C2-C6 alkoxyalkyl.
Embodiment 21. A compound of Embodiment 20 wherein R15 is CHO, methyl or
methoxymethyl.
Embodiment 21a. A compound of Embodiment 20 wherein R15 is methyl or
methoxymethyl.
Embodiments of this invention, including Embodiments 1-21 above as well as any other embodiments described herein, can be combined in any manner, and the descriptions of variables in the embodiments pertain not only to the compounds of Formula 1 but also to the starting compounds and intermediate compounds useful for preparing the compounds of Formula 1. In addition, embodiments of this invention, including Embodiments 1-21 above as well as any other embodiments described herein, and any combination thereof, pertain to the compositions and methods of the present invention.
Combinations of Embodiments 1-22 are illustrated by:
Embodiment AA. A compound of Formula 1 wherein
Q is O or S;
Z1 and Z2 are each independently CR9 or N;
R1 is Cj-Q alkyl, C2-C4 alkenyl, C2-C4 alkynyl, Cj-Q haloalkyl, C2-C4 haloalkenyl, C2-C4 haloalkynyl, C3-C4 cycloalkyl, 03-04
halocycloalkyl, C4-C5 cycloalkylalkyl, C2-C4 alkoxyalkyl, C2-C4 alkylthioalkyl, C2-C4 alkylsulfinylalkyl, C2-C4 alkylsulfonylalkyl, C2- C4 cyanoalkyl, alkylcarbonyl, alkoxycarbonyl, Cj-C4 alkoxy or Cj-C4 haloalkoxy;
R2 is hydrogen, C -C6 alkyl, C2-C6 alkenyl, C2-C6 alkynyl, C -C6
haloalkyl, haloalkenyl, haloalkynyl, C3-C6 cycloalkyl,
C3-C6 halocycloalkyl, C2-C6 cyanoalkyl, C2-C6 alkoxyalkyl, C3-C8 alkoxyalkoxyalkyl or benzyloxy(C2-C3 alkyl);
R3 is Cj-Cg alkyl, C2-Cg alkenyl or C2-Cg alkynyl, each optionally substituted with substituents independently selected from halogen, hydroxy, cyano, nitro, amino, C(=0)OH, C(=0)NH2, C(=0)R10, C(=0)ORn, C(=0)NR12R13, OC(=0)R10, SC(=0)R10, OC(=0)ORn, OC(=0)NR12R13, N(R12)C(=0)R10, N(R12)C(=0)ORn,
N(R12)C(=0)NR12R13, OS02R14, OS02NR12R13, NR12S02R14, NR12S02NR12R13, OR15, NR12R13, S(0)nR14, S02NR12R13,
P(=0)(Rl7)2, OP(=0)(Rl¾, Si(Rl8)3, C(= R1 R13)R19,
N=CR19NR12R13, CH=NR21 and -CHfO(CH2)}; or
R3 is NR12R13; or
R3 is a 3-, 4-, 5- or 6-membered saturated carbocyclic ring optionally
substituted with up to 5 substituents independently selected from R20; or a 3-, 4-, 5- or 6-membered heterocyclic ring containing ring members selected from carbon atoms and up to 4 heteroatoms selected from up to 2 oxygen, up to 2 sulfur and up to 3 nitrogen atoms, wherein up to 3 carbon atom ring members are independently selected from C(=0) and C(=S), and the sulfur atom ring members are independently selected from S(=0)p(=NR16)q, the heterocyclic ring optionally substituted with up to 5 substituents independently selected from R20 on carbon atom ring members and R20a on nitrogen atom ring members;
R4, R5, R7 and R8 are each independently selected from hydrogen, halogen, cyano, amino, nitro, -CHO, Cj-C^ alkyl, C2-C£ alkenyl, C2-C£ alkynyl, Cj-C^ haloalkyl, C2-C6 haloalkenyl, 02-0^ haloalkynyl, C3- cycloalkyl, C^-C^ halocycloalkyl, C4-Cg alkylcycloalkyl, C4-Cg cycloalkylalkyl, C^-C^ cycloalkenyl, 02-0^ alkoxyalkyl,
alkylthioalkyl, C2-C^ alkylcarbonyl, C2-C^ haloalkylcarbonyl, C2-C^ alkoxycarbonyl, C2-C^ alkylaminocarbonyl, C3-C8
dialkylaminocarbonyl, C2-C6 cyanoalkyl, Cj-C^ alkoxy, Cj-C^ haloalkoxy, 02-0^ alkoxyalkoxy, Cj-C^ alkylthio, Cj-C^
haloalkylthio, Cj-C^ alkylsulfinyl, Cj-C^ haloalkylsulfinyl, Cj-C^ alkylsulfonyl, Cj-C^ haloalkylsulfonyl, C3-C9 trialkylsilyl, Cj-C^ alkylamino, C2-C^ dialkylamino, C2-C^ haloalkylamino, C2-C^ halodialkylamino and C2-C^ alkylcarbonylamino;
R6 is halogen, cyano, amino, nitro, -CHO, Cj-C^ alkyl, alkenyl, C2- alkynyl, Cj-C^ haloalkyl, 02-0^ haloalkenyl, 02-0^ haloalkynyl, C3-C6 cycloalkyl, C3-C6 halocycloalkyl, C4-Cg alkylcycloalkyl, C4- Cg cycloalkylalkyl, C3-C6 cycloalkenyl, 02-0^ alkoxyalkyl, 02-0^ alkylthioalkyl, C2-C^ alkylcarbonyl, C2-C^ haloalkylcarbonyl, C2-C^
alkoxycarbonyl, C2-C^ alkylaminocarbonyl, C3-C8
dialkylaminocarbonyl, C2~C^ cyanoalkyl, Cj-C^ alkoxy, Cj-C^ haloalkoxy, C2-C6 alkoxyalkoxy, Cj-C^ alkylthio, Cj-C^
haloalkylthio, Cj-C^ alkylsulfinyl, Cj-C^ haloalkylsulfinyl, Cj-C^ alkylsulfonyl,
haloalkylsulfonyl, alkylamino, C2-C6 dialkylamino, C2-C^ haloalkylamino, C2-C^ halodialkylamino or C2- alkylcarbonylamino;
each R9 is independently selected from hydrogen, halogen, cyano, amino, nitro, -CHO, Cj-C6 alkyl, C2-C6 alkenyl, C2-C6 alkynyl, Cj-C6 haloalkyl, C2-C6 haloalkenyl, C2-C6 haloalkynyl, C^-C^ cycloalkyl, C3-C6 halocycloalkyl, C^-Cg alkylcycloalkyl, C^-Cg cycloalkylalkyl, C3-C6 cycloalkenyl, C2-C6 alkoxyalkyl, C2-C6 alkylthioalkyl, C2-C6 alkylcarbonyl, C2-C^ alkoxycarbonyl, C2-C^ alkylaminocarbonyl, C3- Cg dialkylaminocarbonyl, C2-C6 cyanoalkyl,
haloalkoxy, C2-C6 alkoxyalkoxy, Cj-C^ alkylthio, Cj-C^
haloalkylthio, Cj-C^ alkylsulfinyl, Cj-C^ haloalkylsulfinyl, Cj-C^ alkylsulfonyl, Cj-C^ haloalkylsulfonyl, C3-C9 trialkylsilyl, Cj-C^ alkylamino, C2-C^ dialkylamino, C2-C^ haloalkylamino, C2-C^ halodialkylamino and C2-C^ alkylcarbonylamino;
each R10 is independently selected from hydrogen, Cj-C^ alkyl, Cj-C^
haloalkyl, C3-C6 cycloalkyl and C3-C6 halocycloalkyl;
each R1 1 is independently selected from Cj-C^ alkyl, Cj-C^ haloalkyl, C3- cycloalkyl and C3-C6 halocycloalkyl;
each R12 is independently selected from hydrogen, CHO, Cj-C^ alkyl, Cj-C^ haloalkyl and C2-C^ alkylcarbonyl;
each R13 is independently selected from CHO, Cj-C^ alkyl, Cj-C^ haloalkyl and C2-C6 alkylcarbonyl;
each R14 is independently Cj-C^ alkyl or Cj-C^ haloalkyl;
each R15 is independently selected from CHO, Cj-C^ alkyl, Cj-C^ haloalkyl and C2-C6 alkoxyalkyl;
each R16 and R19 is independently hydrogen or C1-C3 alkyl;
each R17 is independently Cj-C^ alkyl or Cj-C^ alkoxy;
each R18 is independently Cj-C^ alkyl;
each R20 is independently selected from halogen, cyano, Cj-C^ alkyl, Cj-C^ haloalkyl, C2-C^ alkylcarbonyl, Cj-C^ alkoxy, Cj-C^ haloalkoxy and C!-C6 alkylthio;
haloalkyl and C2-C^ alkylcarbonyl;
each I?2! is a 5-membered unsaturated heterocyclic ring containing 2-4 carbon atoms and 1-3 nitrogen atoms as ring members, wherein the heterocyclic ring is optionally substituted with up to 2 substituents independently selected from R20 on carbon atom ring members and R20a on nitrogen atom ring members;
each n is independently 0, 1 or 2; and
p and q are independently 0, 1 or 2 in each instance of S(=0)p(=NR16)q, provided that the sum of p and q is 0, 1 or 2;
provided that
the compound of Formula 1 is other than 2-[(7-methoxy-2-naphthalenyl)oxy]- N-(2-propen- 1 -yl)-propanamide.
Embodiment A. A compound of Formula 1 as described in the Summary of the
Invention or Embodiment AA wherein
Q is O;
Z2 is CR9;
R1 is Cj-C4 alkyl or Cj-C4 alkoxy;
R2 is hydrogen;
R3 is Cj-Cg alkyl or C2~Cg alkynyl, each optionally substituted with up to 3 substituents independently selected from hydroxy, OR15 and CHO; R4, R5, R7, R8 and R9 are each independently selected from hydrogen and
alkyl; and
R6 is halogen, C1-C2 alkoxy, Cj-C2 haloalkoxy or C2 alkynyl.
Embodiment A 1. A compound of Formula 1 as described in the Summary of the
Invention or Embodiment AA wherein
Q is O;
Z2 is CR9;
R1 is C1-C2 alkyl or Cj-C4 alkoxy;
R2 is hydrogen;
R3 is Cj-Cg alkyl or C2~Cg alkynyl, each optionally substituted with up to 3 substituents independently selected from cyano, hydroxy, OR15 and CHO;
R4, R5, R7, R8 and R9 are each independently selected from hydrogen and
Cj-C^ alkyl; and
R6 is halogen, C1-C2 alkoxy, C1-C2 haloalkoxy or C2-C3 alkynyl. Embodiment B. A compound of Embodiment A wherein
Z1 is CR9;
R1 is methyl, ethyl or methoxy;
R3 is Cj-Cg alkyl optionally substituted with OR15 or fluoro;
R4, R5, R7, R8 and R9 are each independently selected from hydrogen, and ethyl; and
R6 is halogen, C1-C2 alkoxy or C1-C2 haloalkoxy.
Embodiment Bl. A compound of Embodiment Al wherein
Z1 is CR9;
R1 is methyl, ethyl or methoxy;
R3 is Cj-Cg alkyl optionally substituted with cyano or OR15;
R4, R5, R7, R8 and R9 are each independently selected from hydrogen, and ethyl; and
R6 is halogen, C1-C2 alkoxy or C2-C3 alkynyl.
Embodiment B2. A compound of Embodiment Al wherein
Z1 is CR9;
R1 is methyl, ethyl or methoxy;
R3 is C3-C8 alkynyl;
R4, R5, R7, R8 and R9 are each independently selected from hydrogen, and ethyl; and
R6 is halogen, C1-C2 alkoxy or C2-C3 alkynyl.
Embodiment C. A compound of Embodiment B wherein
R3 is C(CH3)2CH2OCH3, ^Η3^Η20ϋΗ20ϋΗ3, C(CH3)3 or
C(CH3)2(CH2F); and
R6 is bromo, iodo, methoxy or difluoromethoxy.
Embodiment CI. A compound of Embodiment B 1 wherein
R3 is C(CH3)2CN, C(CH3)2CH2OCH3, C(CH3)2CH2OCH2OCH3 or
C(CH3)3.; and
R6 is bromo, methoxy, ethoxy, C≡CH or C≡CCH3..
Embodiment C2. A compound of Embodiment B2 wherein
R3 is C(CH3)2C≡CH or C(CH3)2C≡CCH3; and
R6 is bromo, methoxy, ethoxy, C≡CH or C≡CCH3..
Specific embodiments include compounds of Formula 1 selected from the consisting of:
2-[(7-bromo-2-naphthalenyl)oxy]-N-(2-methoxy-l, l-dimethylethyl)butanamide; 2-[(7-bromo-2-naphthalenyl)oxy]-N-[2-(methoxymethoxy)-l, l- dimethylethyljbutanamide;
2-[(6-iodo-3 -quinolinyl)oxy]-N-(2-methoxy- 1 , 1 -dimethylethyl)butanamide; N-(l, l-dimethylethyl)-2-[(6-iodo-3-quinolinyl)oxy]butanamide;
N-(l, l-dimethylethyl)-2-[(7-methoxy-2-naphthalenyl)oxy]butanamide;
2-[(7-bromo-2-naphthalenyl)oxy]-N-( 1 , 1 -dimethylethyl)butanamide;
2-[(7-bromo-2-naphthalenyl)oxy]-N-[2-[[(dimethylamino)methylene]amino]- 1,1- dimethylethyljbutanamide;
2-[(7-bromo-2-naphthalenyl)oxy]-N-(2-methoxy-l, l-dimethylethyl)propanamide and 2-[(7-bromo-2-naphthalenyl)oxy]-N-(2-fluoro- 1 , 1 -dimethylethyl)butanamide.
Further specific embodiments include compounds of Formula 1 selected from the group consisting of:
2-[(7-ethynyl-2-naphthalenyl)oxy]-N-(2-methoxy-l, l-dimethylethyl)butanamide; 2-[(7-ethynyl-2-naphthalenyl)oxy]-2-methoxy-N-(2-methoxy-l, l- dimethylethyl)acetamide;
2-[(7-ethynyl-2-naphthalenyl)oxy]-N-[2-(methoxymethoxy)-l, l- dimethylethyljbutanamide;
N-(l-cyano-l-methylethyl)-2-[(7-ethynyl-2-naphthalenyl)oxy]butanamide;
N-(l, l-dimethyl-2-butyn-l-yl)-2-[(7-ethynyl-2-naphthalenyl)oxy]butanamide;
N-(l, l-dimethylethyl)-2-[(7-ethynyl-2-naphthalenyl)oxy]butanamide;
2-[(7-bromo-2-naphthalenyl)oxy]-2-methoxy-N-(2-methoxy- 1,1- dimethylethyl)acetamide;
N-(2-methoxy- 1 , 1 -dimethylethyl)-2-[[7-( 1 -propyn- 1 -yl)-2- naphthalenyl] oxy]butanamide;
2-methoxy-N-(2-methoxy- 1 , 1 -dimethylethyl)-2-[[7-( 1 -propyn- 1 -yl)-2- naphthalenyl] oxy] acetamide;
N-(l, l-dimethylethyl)-2-[(7-ethoxy-2-naphthalenyl)oxy]butanamide;
N-(l, l-dimethyl-2-propyn-l-yl)-2-[(7-ethoxy-2-naphthalenyl)oxy]butanamide; and N-(l, l-dimethyl-2-propyn-l-yl)-2-[(7-ethoxy-2-naphthalenyl)oxy]-2- methoxyacetamide.
This invention provides a fungicidal composition comprising a compound of Formula 1 (including all stereoisomers, N-oxides, and salts thereof), and at least one other fungicide. Of note as embodiments of such compositions are compositions comprising a compound corresponding to any of the compound embodiments described above.
This invention provides a fungicidal composition comprising a compound of Formula 1 (including all stereoisomers, N-oxides, and salts thereof) (i.e. in a fungicidally effective amount), and at least one additional component selected from the group consisting of surfactants, solid diluents and liquid diluents. Of note as embodiments of such compositions are compositions comprising a compound corresponding to any of the compound embodiments described above.
This invention provides a method for controlling plant diseases caused by fungal plant pathogens comprising applying to the plant or portion thereof, or to the plant seed, a fungicidally effective amount of a compound of Formula 1 (including all stereoisomers, N-oxides, and salts thereof). Of note as embodiment of such methods are methods
comprising applying a fungicidally effective amount of a compound corresponding to any of the compound embodiments describe above. Of particular notes are embodiment where the compounds are applied as compositions of this invention.
One or more of the following methods and variations as described in Schemes 1-7 can be used to prepare the compounds of Formula 1. The definitions of R1, R2, R3, R4, R5, R6, R7, R8, Z1, Z2 and Q in the compounds of Formulae 1-8 below are as defined above in the Summary of the Invention unless otherwise noted. Formulae la-lb are various subsets of Formula 1, and all substituents for Formulae la-lb are as defined above for Formula 1 unless otherwise noted.
Compounds of Formula la (i.e. Formula 1 where Q is O) can be prepared by the reaction of 1 molar equivalent of a compound of Formula 2 with 1-1.5 molar equivalents of an activating reagent such as 2-chloro-l-methylpyridinium iodide and 1-5 molar equivalents of a compound of Formula 3 in the presence of 1-10 molar equivalents of a base such as N,N-diisopropylethylamine as shown in Scheme 1. The reaction can be carried out in an inert solvent such as diethyl ether, tetrahydrofuran, methylene chloride, toluene or xylene at temperatures, between -20 to 60 °C, and preferably from -10 °C to ambient temperatures for a period of time ranging from 1 hour to 4 days. The reaction mixture is then concentrated and the residue is column chromatographed (over silica gel with eluents such as solutions of ethyl acetate or dichloromethane in hexanes) to give the desired compound of Formula la.
Scheme 1
Alternatively, compounds of Formula la (i.e. Formula 1 wherein Q is O) can also be prepared by the reaction of compounds of Formula 4 with compounds of Formula 5 in the presence of a base such as CS2CO3, K2CO3 or ΚΟΟ(ΟΗ3)3 as shown in Scheme 2. The reaction can be carried out by adding 0.7 to 3 molar equivalent of a compound of Formula 5 to a suspension or solution prepared by adding 1-20 molar equivalents of a base such as CS2CO3, K2CO3, or KOC(CH3)3 to a solution of 1 molar equivalent of a compound of Formula 4 in an solvent such as acetone, diethyl ether, tetrahydrofuran, methylene chloride, N,N-dimethylformamide, ?-butanol or toluene under 2 at temperatures between -20 to 30 °C. After the addition, the reaction mixture can be stirred at temperatures between -20 to 1 10 °C, preferably from 10°C to 90 °C, for a period of time ranging from 1 hour to 4 days.
The reaction mixture is then brought to room temperature and filtered. The filtrate is dried over a drying agent such as MgS04 or a2S04 and then concentrated. The residue is column chromatographed (over silica gel with eluents such as solutions of ethyl acetate or dichloromethane in hexanes) to give the desired compounds of Formula la.
Scheme 2
wherein LG is CI, Br, I, OS02CH3, OS02CF3 or OS02(4-CH3-Ph)
Compounds of Formula lb (i.e. Formula 1 wherein Q is S) can be prepared by treating compounds of Formula la with Lawesson's reagent or P2S5 as shown in Scheme 3 using methods taught in: Heterocycles 1995, 40, 271-8; J. Med. Chem.2008, 51, 8124-8134; J. Med. Chem.1990, 33, 2697-706; Synthesis 1989, 396-7; J. Chem. Soc., Perkin Trans. 1, 1988, 1663-8; Tetrahedron 198844, 3025-36; J. Org. Chem. 198853, 1323-6 or slight modification thereof.
Scheme 3
la lb
Compounds of Formula 2 can be prepared by the reaction of 1 molar equivalent of a compound of Formula 6 with 1-35 molar equivalents of a hydroxide base (e.g. NaOH, LiOH or KOH) as shown in Scheme 4. The reaction can be carried out in a solvent mixture containing water and an organic solvent such as tetrahydrofuran, or methanol at temperatures between 0 to 70 °C, and preferably from 0 to 35 °C for a period of time ranging from 1 hour to 4 days. The reaction mixture is then acidified by addition of an acid such as hydrochloric acid and extracted with an organic solvent such as ethyl acetate. The organic layer is dried over a drying agent such as sodium sulfate or magnesium sulfate and is then concentrated to give the desired compound of Formula 2.
Scheme 4
Compounds of Formula 6 can be prepared by the reaction of compounds of Formula 4 with compounds of Formula 7 in the presence of a base such as CS2CO3, K2CO3 or KOC(CH3)3 as shown in Scheme 5. The reaction can be carried out by adding 0.7 to 3 molar equivalent of a compound of Formula 7 to a suspension or solution prepared by adding 1-20 molar equivalents of a base such as CS2CO3, K2CO3 or ΚΟΟ(ΟΗ3)3 to a solution of 1 molar equivalents of a compound of Formula 4 in an solvent such as acetone, diethyl ether, tetrahydrofuran, methylene chloride, N,N-dimethylformamide, ?-butanol or toluene under 2 at temperatures between -20 to 30 °C. After the addition, the reaction mixture can be stirred at temperatures between -20 to 110 °C, preferably from 10 to 90 °C, for a period of time ranging from 1 hour to 4 days. The reaction mixture is then brought to room temperature and filtered. The filtrate is dried over a drying agent such as MgS04 or a2S04 and then concentrated. The residue is column chromatographed (over silica gel with eluents such as solutions of ethyl acetate or dichloromethane in hexanes) to give the desired compounds of Formula 6.
Scheme 5
wherein LG is CI, Br, I, OS02CH3, OS02CF3 or OS02(4-CH3-Ph) and RJU is CrC5 alkyl
Compounds of Formula 3 are either commercially available or can be prepared by one skilled in the art using methods taught in the following references or slight modifications thereof: Tetrahedron 2009, 65, 638-643; J. Med. Chem. 2008, 51, 7380-7395; J. Am. Chem. Soc. 2008, 130, 8923-8930; Angew. Chem. Int. Ed. Eng. 2007, 46, 7259-7261 ; Synthesis 2006, 4143-4150; Bioorg. Med. Chem. 2005, 13, 5463-5474; Tetrahedron 1994, 50, 5335- 44; World Patent Publication WO 2006/058700; and World Patent Publication WO 2007/022900.
Compounds of Formula 4 are either commercially available or can be prepared by one skilled in the art using methods taught in the following references or slight modifications thereof: Chemistry Letters 1994, 597-600; Organic Letters 2007, 9, 5259-5262; J. Med. Chem. 2005, 48, 3953-3979; Tetrahedron 2004, 60, 4019-4029; J. Am. Chem. Soc. 2002, 124, 5380-5401 ; Synlett 1997, 1 187-1 189; Synthesis 1998, 729-734; J. Med. Chem. 1999, 42, 3557-3571 ; J. Med. Chem. 2007, 50, 6554-6569; World Patent Publication WO 2008/008539; World Patent Publication WO 2008/103277; and World Patent Publication WO 2005/082880.
Compounds of Formula 4a (i.e. Formula 4 wherein Z1 is N, Z2 is CH and R4 is H) can be prepared according to the method of Scheme 6 by the refluxing of compounds of Formula 4b (i.e. Formula 4 wherein Z1 is N, Z2 is CH and R4 is CO2H) in high-boiling aromatic or nonaromatic solvents such as toluene, benzene or nitrobenzene, N-methyl-2- pyrrolidone or N,N-dimethylformamide in a temperature range between 50 to 300 °C, and preferably from 180 to 250 °C. The reaction is carried out by adding a compound of Formula 4b to a reaction vessel containing pre-heated solvent and stirring for a time period between 10 min and 6 h or until the evolution of carbon dioxide has ceased. The reaction product is isolated as a solid from filtering the hot reaction mixture and then further purified via crystallization from various mixtures of water and polar solvents such as alcohols or N, N-dimethylformamide to afford compounds of Formula 4a.
Scheme 6
4b 4a
Compounds of Formula 5 are either commercially available or can be prepared by one skilled in the art using methods taught in the following references or slight modifications thereof: World Patent Publication WO 2006/113552; J. Am. Chem. Soc. 2006, 128, 4976- 4985; J. Org. Chem. 2006, 71, 1471-1479; U.S. Patent Publication US 2005/143381 ; J. Chem. Res., Synop. 1995, 166-7; Tetrahedron, Asymmetry 1993, 4, 1 105-12; World Patent Publication WO 2008/110355; Tetrahedron 2008, 64, 3197-3203; Organic Letters 2006, 8, 2843-2846; and J. Med. Chem. 2003, 46, 691-701.
Compounds of Formula 7 are either commercially available or can be prepared by one skilled in the art using methods taught in the following references or slight modifications thereof: World Patent Publication WO 2007/136571 ; Tetrahedron 2008, 64, 8155-8158; J. Org. Chem. 2008, 73, 4721-4724; J. Fluor. Chem. 2007, 128, 1271-1279; European Patent
Publication EP 1806339; Angew. Chem. Int. Ed. Eng. 2008, 47, 751 1-7514; Tetrahedron 2008, 64, 5085-5090; and Bioorg. Med. Chem. 2007, 15, 2827-2836.
Compounds of Formula 4b (i.e. Formula 4 wherein Z1 is N, Z2 is CH and R4 is 0(¾Η) can be prepared by the reaction of compounds of Formula 8 with bromo-pyruvic acid or ethyl bromopyruvate in the presence of bases such as KOH, NaOH or LiOH in aqueous reaction mixtuures as shown in Scheme 7. The reaction is carried out by adding the compound of Formula 8 to a solution of 5 to 20 molar equivalents of the hydroxide base in water which is warmed by dissolution of the base. The reaction mixture is stirred until it reaches ambient conditions and is then treated with 1 to 20 molar equivalents of pyruvic acid in one portion with stirring at 25 °C for a period of 2 to 30 days. The compound of Formula 8 is precipitated from the reaction mixture by acidification to pH 1 to 5 with concentrated acids such as HC1 or HBr. The solids are collected and washed with various mixtures of ethanol and water and air dried to afford compounds of Formula 4b.
Scheme 7
Compounds of Formula 8 are either commercially available or can be prepared by one skilled in the art using methods taught in the following references or slight modifications thereof: Synlett 2008, 2023-2027; J. Med. Chem. 2007, 50, 21-39; J. Org. Chem. 2006, 71, 5921-5929; Synthesis 2003, 2047-2052.
It is recognized that some reagents and reaction conditions described above for preparing compounds of Formula 1 may not be compatible with certain functionalities present in the intermediates. In these instances, the incorporation of protection/deprotection sequences or functional group interconversions into the synthesis will aid in obtaining the desired products. The use and choice of the protecting groups will be apparent to one skilled in chemical synthesis (see, for example, Greene, T. W.; Wuts, P. G. M. Protective Groups in Organic Synthesis, 2nd ed.; Wiley: New York, 1991). One skilled in the art will recognize that, in some cases, after the introduction of a given reagent as it is depicted in any individual scheme, it may be necessary to perform additional routine synthetic steps not described in detail to complete the synthesis of compounds of Formula 1. One skilled in the art will also recognize that it may be necessary to perform a combination of the steps illustrated in the above schemes in an order other than that implied by the particular sequence presented to prepare the compounds of Formula 1.
One skilled in the art will also recognize that compounds of Formula 1 and the intermediates described herein can be subjected to various electrophilic, nucleophilic, radical, organometallic, oxidation, and reduction reactions to add substituents or modify existing substituents.
Without further elaboration, it is believed that one skilled in the art using the preceding description can utilize the present invention to its fullest extent. The following Examples are, therefore, to be construed as merely illustrative, and not limiting of the disclosure in any way whatsoever. Steps in the following Examples illustrate a procedure for each step in an overall synthetic transformation, and the starting material for each step may not have necessarily been prepared by a particular preparative run whose procedure is described in other Examples or Steps. Percentages are by weight except for chromatographic solvent mixtures or where otherwise indicated. Parts and percentages for chromatographic solvent mixtures are by volume unless otherwise indicated. ¾ NMR spectra are reported in ppm downfield from tetramethylsilane; "s" means singlet, "d" means doublet, "t" means triplet, "q" means quartet, "m" means multiplet, "dd" means doublet of doublets, "dt" means doublet of triplets, "br s" means broad singlet.
EXAMPLE 1
Preparation of 2-[(7-bromo-2-naphthalenyl)oxy]-N-(2-methoxy- 1,1- dimethylethyl)butanamide (Compound 7)
Step A: Preparation of methyl 2-[(7-bromo-2-naphthalenyl)oxy]butanoate
To a solution of 7-bromo-2-naphthol (4.5 g, 20 mmol) in acetone (200 mL) was added cesium carbonate (16.4 g, 50 mmol) at room temperature under nitrogen atmosphere with stirring. After the addition, the mixture was stirred at the room temperature for 3 minutes and then methyl-2-bromobutyrate (5.4 g, 30 mmol) was added. The mixture was stirred under nitrogen atmosphere at reflux overnight. The reaction mixture was then cooled to room temperature and filtered. The filtrate was concentrated under reduced pressure and the resultant residue was purified by column chromatography (ethyl acetate in hexanes in volume ratios from 10 to 40 % as eluents) to give the title compound (6.08 g) as a solid. 1H MR (CDC13) δ 1.1 1 (t, 3H), 2.05 (m, 2H), 3.75 (s, 3H), 4.71 (t, 1H), 6.95 (s, 1H), 7.2 (d, 1H), 7.39 (d, 1H), 7.59 (d, 1H), 7.7 (d, 1H), 7.84 (s, 1H).
Step B: Preparation of 2-[(7-bromo-2-naphthalenyl)oxy]butanoic acid
To a solution of methyl 2-[(7-bromo-2-naphthalenyl)oxy]butanoate (i.e. the product of Step A) (6.08 g, 18.8 mmol) in tetrahydrofuran (27 mL) was added aqueous sodium hydroxide solution (35 mL of 1 N, 35 mmol) at room temperature with stirring. The mixture was stirred at room temperature for 3 hours, acidified with 37 % hydrochloric acid (3.6 mL) and then extracted with ethyl acetate (3 x 60 mL). The organic phases were combined, washed with brine (60 mL), dried (MgSC^) and concentrated under reduced pressure to give the title compound (4.45 g) as a solid.
!H NMR (CDCI3) δ 1.14 (t, 3H), 2.1 (m, 2H), 4.78 (t, 1H), 7.0 (s, 1H), 7.2 (d, 1H), 7.41 (d, 1H), 7.63 (d, 1H), 7.74 (d, 1H), 7.89 (s, 1H).
Step C: Preparation of 2-[(7-bromo-2-naphthalenyl)oxy]-N-(2-methoxy-l, l- dimethylethyl)butanamide
To a mixture of 2-[(7-bromo-2-naphthalenyl)oxy]butanoic acid (i.e. the product of Step B) (309 mg, 1 mmol) and 2-chloro-l-methylpyridinium iodide (281 mg, 1.1 mmol) in dichloromethane (6 mL) at 0 °C was added N,N-diisopropylethylamine (0.7 ml, 4 mmol). The reaction mixture was stirred at ambient temperature for 15 minutes. A solution of l-methoxy-2-methyl-2-propanamine (1 14 mg, 1.1 mmol) in dichloromethane (1 mL) was added. The mixture was stirred at room temperature for 18 hours. The reaction mixture was diluted with 10 mL of dichloromethane. The reaction mixture was washed with water (2 x 15 mL). The organic phase was dried (MgS04) and concentrated under reduced pressure. The residue was purified by column chromatography (with solutions of ethyl acetate in hexanes in volume ratios from 10 to 53 % as eluents) to give the title compound (0.35 g), a compound of the present invention, as an oil.
IH MR (CDCI3) δ 1.06 (t, 3H), 1.28 (s, 3H), 1.32 (s, 3H), 2.0 (m, 2H), 3.2-3.4 (m, 5 H), 4.53 (t, 1H), 6.45 (s, 1H), 7.03 (s, 1H), 7.19 (d, 1H), 7.43 (d, 1H), 7.63 (d, 1H), 7.74 (d, 1H), 7.89 (s, 1H).
EXAMPLE 2
Preparation of 2-[(7 -bromo-2-naphthalenyl)oxy]-N-(2 -hydroxy- 1, 1-dimethylethyl)- butanamide (Compound 16)
To a mixture of 2-[(7-bromo-2-naphthalenyl)oxy]butanoic acid (i.e. the product of Step B in Example 1) (927 mg, 3 mmol) and 2-chloro-l-methylpyridinium iodide (843 mg, 3.3 mmol) in dichloromethane (21 mL) at 0 °C was added N,N-diisopropylethylamine (2.1 mL, 12 mmol). The reaction mixture was stirred at ambient temperature for 15 minutes. A solution of 2-amino-2-methyl-l-propanol (294 mg, 3.3 mmol) in dichloromethane (3 mL) was added. The mixture was stirred at room temperature for 3 days. The reaction mixture was diluted with dichloromethane (30 mL). The reaction mixture was washed with water twice (2 x 45 mL). The organic phase was dried (MgS04) and concentrated under reduced pressure. The residue was purified by column chromatography (with solutions of ethyl acetate in hexanes in volume ratios from 10 to 53 % as eluents) to give the title compound (0.94 g), a compound of the present invention, as a solid (m.p. 1 15-1 16 °C).
IH MR (CDCI3) δ 1.07 (t, 3H), 1.21 (s, 3H), 1.26 (s, 3H), 2.04 (m, 2H), 3.55-3.6 (m, 2 H), 4.53 (brs, 1H), 4.6 (t, 1H), 6.42 (s, 1H), 7.04 (s, 1H), 7.19 (d, 1H), 7.43 (d, 1H), 7.63 (d, 1H), 7.74 (d, 1H), 7.89 (s, 1H).
EXAMPLE 3
Preparation of 2-[(7-bromo-2-naphthalenyl)oxy]-N-[2-(methoxymethoxy)- 1, 1 - dimethylethyljbutanamide (Compound 20)
To a solution of 2-[(7-bromo-2-naphthalenyl)oxy]-N-(2-hydroxy-l, l-dimethylethyl)- butanamide (i.e. the product of Example 2) (190 mg, 0.5 mmol) in dichloromethane (3 mL) at 0 °C was added a solution of N,N-diisopropylethylamine (84 mg, 0.65 mmol) in dichloromethane (1 mL) and then a solution of bromomethyl methyl ether (81 mg, 0.65 mmole) in dichloromethane (1 mL). The reaction mixture stirred at 0 °C for 21 minutes and then at ambient temperature for 1 hour. Additional N,N-diisopropylethylamine (121 mg, 0.94 mmol) and bromomethyl methyl ether (121 mg, 0.97 mmol) were added. The mixture was stirred at room temperature for 18 hours. To the reaction mixture was then added ethyl acetate (30 mL) and saturated aqueous ammonium chloride solution (20 mL). The organic phase was separated and the aqueous phase was extracted with ethyl acetate (30 mL). The organic phases were combined, washed with brine (40 mL), dried (MgS04) and concentrated under reduced pressure. The residue was purified by column chromatography (with solutions of ethyl acetate in hexanes in volume ratios from 4 to 53 % as eluents) to give the title compound (197 mg), a compound of the present invention, as an oil.
!H MR (CDCI3) δ 1.04 (t, 3H), 1.29 (s, 3H), 1.33 (s, 3H), 2.0 (m, 2H), 3.24 (s, 3H), 3.39 (d, 1 H), 3.48 (d, 1 H), 4.49 (m, 3H), 6.5 (s, 1H), 7.03 (s, 1H), 7.17 (d, 1H), 7.4 (d, 1H), 7.6 (d, 1H), 7.7 (d, 1H), 7.84 (s, 1H).
EXAMPLE 4
Preparation of 2-[(7-cyano-2-naphthalenyl)oxy]-N-[2-(methoxymethoxy)- 1, 1 - dimethylethyljbutanamide (Compound 22)
Step A: Preparation of 2-bromo-N-(2 -hydroxy- 1 , 1 -dimethylethyl)butanamide
To a mixture of 2-amino-2-methyl-l-propanol (2.67 g, 30 mmol) and triethylamine
(5.6 mL, 40 mmol) in tetrahydrofuran (50 mL) at 0 °C was added 2-bromobutyryl bromide (3 mL, 25 mmol) portionwise under nitrogen atomosphere with stirring. The reaction mixture was stirred at ambient temperature for 3 days. The reaction mixture was filtered and the solid was washed with tetrahydrofuran (20 mL). The filtrates were combined and concentrated under reduced pressure. The residue was purified by column chromatography (with solutions of ethyl acetate in hexanes in volume ratios from 1 1 to 72 % as eluents) to give the title compound (4.21 g) as a gummy solid.
!H MR (CDCI3) δ 1.04 (t, 3H), 1.33 (s, 6H), 2.0-2.2 (m, 2H), 3.61 (m, 2 H), 4.03 (t, 1H), 4.24 (t, 1H), 6.42 (s, 1H).
Step B : Preparation of 2-bromo-N-[2-(methoxymethoxy)- 1 , 1 -dimethylethyl]- butanamide
To a solution of 2-bromo-N-(2 -hydroxy- 1, 1 -dimethylethyl)butanamide (i.e. the product of Step A) (1.19 g, 5 mmol) in dichloromethane (21 mL) at 0 °C was added a solution of bromomethyl methyl ether (2.0 g, 16 mmol) in dichloromethane (7 mL) and then a solution of N,N-diisopropylethylamine (2.78 ml, 16 mmol) in dichloromethane (7 mL) portionwise. The reaction mixture was stirred at 0 °C for 21 minutes and then at room temperature for 18 hours. The reaction mixture was then concentrated under reduced pressure. The resultant residue was purified by column chromatography (with solutions of ethyl acetate in hexanes in volume ratios from 10 to 53 % as eluents) to give the title compound (978 mg) as an oil. !H MR (CDCI3) δ 1.01 (t, 3H), 1.35 (s, 6H), 2.0-2.2 (m, 2H), 3.35 (s, 3H), 3.5 (s, 2 H), 4.19 (t, 1H), 4.62 (s, 2H), 6.5 (s, 1H).
Step C: Preparation of 2-[(7-cyano-2-naphthalenyl)oxy]-N-[2-(methoxymethoxy)-l, l- dimethylethyljbutanamide
To a solution of 7-hydroxy-2-naphthonitrile (169 mg, 1 mmol) in acetone (8 mL) was added cesium carbonate (586 mg, 1.8 mmol) at room temperature under nitrogen atmosphere with stirring. After the addition, the mixture was stirred at room temperature for 15 minutes and 2-bromo-N-[2-(methoxymethoxy)-l, l-dimethylethyl]butanamide (i.e. the product of Step B) (310 mg, 1.1 mmol) was then added. The mixture was stirred under nitrogen atmosphere at reflux for 5 hours. The reaction mixture was then cooled to room temperature and filtered. The solid was washed with acetone (100 mL). The filtrates were combined and concentrated under reduced pressure. The residue was purified by column chromatography (with solutions of ethyl acetate in hexanes in volume ratios from 10 to 53 % as eluents) to give the title compound (0.31 g), a compound of the present invention, as a gummy solid. !H NMR (CDCI3) δ 1.04 (t, 3H), 1.27 (s, 3H), 1.33 (s, 3H), 2.0 (m, 2H), 3.23 (s, 3H), 3.39 (d, 1 H), 3.48 (d, 1 H), 4.49 (m, 3H), 6.47 (s, 1H), 7.17 (s, 1H), 7.3 (d, 1H), 7.45 (d, 1H), 7.8 (m, 2H), 8.04 (s, 1H).
EXAMPLE 5
Preparation of 2-[(6-bromo-3 -quinolinyl)oxy]-N-( 1 , 1 -dimethylethyl)butanamide
(Compound 37)
Step A: Preparation of 6-bromo-3-quinolinol
A solution of potassium hydroxide (39.60 g, 707.0 mmol) in water (200 mL) at 50 °C was treated with 5-bromoisatin (10.00 g, 44.2 mmol) in one portion. After 1.5 h the reaction temperature had decreased to 20 °C. The resulting mixture was treated with bromopyruvic acid (20.69 g, 123.9 mmol) and stirred at 20 °C for 6 days. The mixture was treated with concentrated aqueous hydrochloric acid to decrease the pH to 4. The resulting precipitate was collected on a coarse frit glass funnel and washed with ethanol then water. The
remaining solid was air dried over 18 h affording 13.0 g of a yellow solid, which was suspended in nitrobenzene (200 mL) and heated to 200 °C. The mixture was stirred for ten minutes as rapid evolution of carbon dioxide was observed. The solution was filtered hot to remove a tan solid which was discarded. As the filtrate cooled to 20 °C a solid precipitated. The solid was collected, washed with hexanes and allowed to air dry, affording the title compound as a light brown solid (5.30 g).
!H MR (DMSO-d6) δ 8.57 (s, 1H), 8.04 (s, 1H), 7.80 (d, 1H), 7.55 (d, 1H), 7.43 (s, 1H). Step B: Preparation of methyl 2-[(6-bromo-3-quinolinyl)oxy]butanoate
A solution of 6-bromo-3-quinolinol (i.e. the product of Step A) (5.0 g, 22.2 mmol) in N,N-dimethylformamide (50 mL) at 25 °C was treated with potassium carbonate (6.13 g, 44.4 mmol) and methyl bromobutyrate (8.04 g, 44.4 mmol). The resulting mixture was stirred for 18 h at 25 °C. The reaction mixture was partitioned between ethyl acetate and brine. The combined organic extracts were washed with brine and dried (MgSC^). The organic phase was concentrated under reduced pressure to leave an orange oil. The resultant oil was purified by column chromatographed on silica gel (with ethyl acetate/hexanes as the eluent). The desired fractions were combined and concentrated to give the title compound as an orange solid (5.0 g).
!H MR (CDC13) δ 8.73 (m, 1H), 7.90 (d, 1H), 7.86 (d, 1H), 7.63 (d, 1H), 7.17 (d, 1H), 4.71 (t, 1H), 3.78 (s, 3H), 2.09 (m, 2H), 1.13 (t, 3H).
Step C: Preparation of 2-[(6-bromo-3-quinolinyl)oxy]butanoic acid
A solution of methyl 2-[(6-bromo-3-quinolinyl)oxy]butanoate (i.e. the product of Step
B) (2.8 g, 8.64 mmol) in tetrahydrofuran (50 mL) at 25 °C was treated with 50% sodium hydroxide (0.83 g, 10.4 mmol). The resulting mixture was stirred for 18 h at 25 °C. The reaction mixture was brought to neutral pH by treatment with 1.25 M hydrochloric acid in methanol to neutral pH. The reaction mixture was concentrated under reduced pressure to leave a solid which was dissolved in dichloromethane (300 mL), filtered and dried (MgSC^).
The dried organic phase was filtered and concentrated to give the title compound as an white solid (2.0 g).
!H NMR (CDCI3) δ 8.81 (s, 1H), 8.07 (d, 1H), 7.86 (d, 1H), 7.93 (s, 1H), 7.67 (d, 1H), 7.53(s, 1H), 2.14 (m, 2H), 1.15 (t, 3H).
Step D: Preparation of 2-[(6-bromo-3-quinolinyl)oxy]-N-(l, l-dimethylethyl)- butanamide
A solution of 2-[(6-bromo-3-quinolinyl)oxy]butanoic acid (i.e. the product of Step C) (0.5 g, 1.61 mmol) in dichloromethane (50 mL) at 0 °C was treated with 2-chloro-N-methyl- pyridinium iodide (0.41 g, 1.61 mmol) and N,N-diisopropylethylamine (0.83 g, 6.44 mmol). The resulting reaction mixture was stirred at 0 °C for 15 min. The ice bath was then removed and the reaction temperature was allowed to warm to 25 °C. Tert-butylamine (0.1 18 g, 1.61 mmol) was added to the reaction mixture, which was allowed to stir at
ambient temperature for 18 h. The crude reaction mixture concentrated and chromatographed (using 10 to 100% ethyl acetate in hexanes as an eluent) to give the title compound, a compound of this invention, as a white solid (0.43 g).
!H MR (CDCI3) δ 8.71 (d, 1H), 7.92 (d, 1H), 7.88 (d, 1H), 7.66 (d, 1H), 7.30 (d, 1H), 4.49 (m, 1H), 2.03 (m, 2H), 1.32 (s, 9H), 1.07 (t, 3H).
EXAMPLE 6
Preparation of 2-[(6-iodo-3-quinolinyl)oxy]-N-(2-methoxy- 1 , 1 -dimethylethyl)propanamide
(Compound 59)
Step A: Preparation of l, l-dimethylethyl-N-(2-methoxy-l, l-dimethylethyl)carbamate A suspension of N-Boc-2-amino-2-methyl-l-propanol (15 g, 79 mmoles) and tetra-N- butylammonium bisulfate (2.68 g, 7.9 mmol) in toluene (150 mL) was treated with 50% aqueous sodium hydroxide (30 mL) and iodomethane (16.8 g, 118.3 mmol) and stirred at 25 °C for 72 h. The mixture was treated with additional iodomethane (16.8 g, 1 18 mmol) and stirred for 48 h at 25 °C. The reaction mixture was treated with a third portion of iodomethane (16.8 g, 1 18 mmol) and stirred for 24 h at 25 °C. The reaction mixture was then poured into water and extracted with diethyl ether. The organic phase was washed with brine, dried (MgSC^) and concentrated under reduced pressure to give the title compound as a colorless oil (12.2 g).
!H NMR (CDC13) δ 3.37 (s, 3H), 3.31 (s, 2H), 1.43 (s, 9H), 1.29 (s, 6H).
Step B: Preparation of l-methoxy-2-methyl-2-propanamine hydrochloride
A solution of l, l-dimethylethyl-N-(2-methoxy-l, l-dimethylethyl)carbamate (i.e. the product of Step A) (12.2 g, 60.0 mmol) in ethanol (100 mL) was treated with 6 Ν aqueous hydrochloric acid (30 mL) and stirred at 50 °C for 48 h. The mixture was cooled to 25 °C and concentrated under reduced pressure to leave a viscous oil. The oil was re-dissolved in ethanol and concentrated once again to an oil. The oil was dissolved a third time in ethanol and concentrated to a constant weight. The resulting oil crystallized upon cooling to afford the title compound as white crystals (8.1 g), which were carried on without further purification.
IH MR (CDCI3) δ 8.35 (s, 3H), 3.42 (s, 5H), 1.45 (s, 6H).
Step C: Preparation of 2-bromo-N-(2-methoxy-l, l-dimethylethyl)propanamide
A solution of l-methoxy-2-methyl-2-propanamine hydrochloride (i.e. the product of Step B) (3.0 g, 21.6 mmol) in acetone (25 mL) at 0 °C was treated with triethylamine (6.56 g, 64.8 mmol). The resulting mixture was treated with a solution of 2-bromopropionyl bromide (6.99 g, 32.4 mmol) in acetone (25 mL) while maintaining the reaction temperature below 5 °C. When the addition was complete, the ice bath was removed and the reaction mixture was allowed to slowly warm to 25 °C and stir for 18 h. The reaction mixture was concentrated under reduced pressure to leave a white solid. The solid was partitioned
between dichloromethane and water, and the organic phase was dried (MgSC^) and concentrated to give the title compound as an amber oil (4.75 g).
1H MR (CDC13) 8 4.31 (q, 1H), 3.39 (s, 3H), 3.36 (s, 2H), 1.84 (d, 3H), 1.36 (s, 6H). Step D: Preparation of 2-[(6-iodo-3-quinolinyl)oxy]-N-(2-methoxy-l, l- dimethylethyl)propanamide
A suspension of 6-iodo-3-quinolinol (prepared similar to Step A of Example 5) (0.756 g, 2.8 mmol) in acetonitrile (2.0 mL) was treated with 2-bromo-N-(2-methoxy-l,l- dimethylethyl)propanamide (i.e. the product of Step C) (0.740 g, 3.1 mmol) and cesium carbonate (1.36 g, 4.2 mmol). The resulting mixture was subjected to microwave irradiation for a period of 1 h at 125 °C. Upon cooling, the mixture was partitioned between dichloromethane and water. The organic phase was dried (MgSC^), filtered and concentrated. The resultant residue was chromatographed (using 10 to 100% ethyl acetate in hexanes as an eluent), and the appropriate fractions were combined and concentrated to give the title compound, a compound of this invention, as a beige solid (0.235 g).
!H NMR (CDCI3) δ 8.69 (d, 1H), 8.1 1 (d, 1H), 7.83 (d, 1H), 7.77 (d, 1H), 7.27 (d, 1H), 4.64 (q, 1H), 3.29 (q, 2H), 3.27 (s, 3H), 1.64 (s, 3H), 1.34 (s, 3H), 1.34 (s, 3H), 1.30 (s, 3H).
EXAMPLE 7
Preparation of N-(l, l-dimethyl-2-propyn-l-yl)-2-[(6-iodo-3-quinolinyl)oxy]-2-methoxy- acetamide (Compound 63)
Step A: Preparation of methyl 2-bromo-2-methoxyacetate
A solution of methyl 2-methoxyacetate (20.0 g, 190 mmol) in carbon tetrachloride (200 mL) was treated with N-bromosuccinamide (34.6 g, 200 mmol) and 2-2'- azodiisobutyronitrile (0.10 g, 0.61 mmol). The reaction mixture was stirred at reflux for 1.5 h. The mixture was cooled to 25 °C, filtered and dried (MgSC^). The filtrate was concentrated under reduced pressure to to give the title compound (25.6 g), which was carried on without further purification.
!H MR (CDCI3) δ 6.03 (q, 1H), 3.87 (s, 3H), 3.59 (s, 3H).
Step B: Preparation of methyl 2-[(6-iodo-3-quinolinyl)oxy]-2-methoxyacetate
A solution of 95% potassium /-butoxide (2.07 g, 184 mmol) in /-butanol (50 mL) was stirred at 25 °C for 0.5 h and then treated with 6-iodo-3-quinolinol (prepared similar to Step A of Example 5) (5.0 g, 184 mmol). The reaction mixture was treated with methyl 2-bromo- 2-methoxyacetate (i.e. the product of Step A) (3.37 g, 184 mmol) added dropwise over 0.25 h. After stirring for 18 h at 25 °C, the mixture was partitioned between chloroform and brine. The organic phase was washed with water and then dried (MgSC^). The solution was filtered and concentrated under reduced pressure. The resultant residue was chromatographed (with varying concentrations of ethyl acetate/ hexanes as an eluent) to give the title compound as an orange oil (2.33 g).
!H MR (CDCI3) δ 8.78 (d, 1H), 8.15 (d, 1H), 7.85 (d, 1H), 7.78 (d, 1H), 7.60 (d, 1H), 5.63
(s, 1H), 3.87 (s, 3H), 3.56 (s, 3H).
Step C: Preparation of 2-[(6-iodo-3-quinolinyl)oxy]-2-methoxyacetic acid
A suspension of methyl 2-[(6-iodo-3-quinolinyl)oxy]-2-methoxyacetate (i.e. the product of Step B) (2.3 g, 6.2 mmol) in 1 : 1 tetrahydrofuran/water (1000 mL) at 0 °C was treated with lithium hydroxide monohydrate (0.284 g, 6.78 mmol). The reaction mixture was stirred at 0 °C for 2.5 h, then allowed to warm to 25 °C and stir for 18 h. The mixture was partitioned between ethyl acetate and brine. The aqueous phase was acidified to pH 3 with 1 N hydrochloric acid and extracted with ethyl acetate. The combined organic extracts were washed with brine, dried (MgSC^) and concentrated under reduced pressure to give the title compound as a beige powder (1.95 g).
!H NMR (DMSO d6) δ 8.76 (d, 1H), 8.39 (d, 1H), 7.89 (d, 1H), 7.86 (d, 1H), 7.77 (d, 1H),
5.84 (s, 1H), 3.46 (s, 3H).
Step D: Preparation of N-(l, l-dimethyl-2-propyn-l-yl)-2-[(6-iodo-3-quinolinyl)oxy]- 2-methoxyacetamide
In a manner similar to that employed in Example 5, Step 4, the subject compound, a compound of the present invention was prepared from 2-[(6-iodo-3-quinolinyl)oxy]-2- methoxyacetic acid (i.e. the product of Step C) as a white solid.
!H NMR (CDCI3) δ 8.77 (s, 1H), 8.14 (d, 1H), 7.84 (d, 1H), 7.77 (d, 1H), 7.71 (d, 1H), 6.73 (s, 1H), 5.38 (s, 1H), 3.56 (s, 3H), 2.36 (s, 1H), 1.68 (s, 6H).
EXAMPLE 8
Preparation of N-(l, l-dimethylethyl)-2-methoxy-2-[[6-(l-propyn-l-yl)-3-quinolinyl]oxy]- acetamide (Compound 156)
A solution of 2-[(6-bromo-3-quinolinyl)oxy]-N-(l, l-dimethylethyl)-2-methoxy- acetamide (0.55 g, 1.50 mmoles), (prepared in a similar manner to that described in Example 7, Steps A-D) in toluene (75 mL) at 25 °C was treated with tributyl(l-propynyl)tin (0.59 g, 1.8 mmoles) and tetrakistriphenylphosphine palladium(O) (0.23 g, 0.20 mmoles). The resulting mixture was stirred for 10 h at 100 °C. The reaction mixture was poured into water and extracted with ethyl acetate. The organic phase was separated, dried over magnesium sulfate, filtered and concentrated under reduced pressure. The residue was dissolved in dichloromethane, treated with silica gel (5 g) and concentrated to a dry powder. The powder was chromatographed on a silica gel column employing a gradient elution from 20% ethyl acetate/hexanes to 100% ethyl acetate over 15.0 min. The desired fractions were combined and concentrated to give the title compound, a compound of the present invention, as an oil (71.0 mg).
!H NMR (CDCI3) δ 8.73 (s, 1H), 7.95 (d, 1H), 7.77 (s, 1H), 7.71 (d, 1H), 7.56 (d, 1H), 6.49 (s, 1H), 5.35 (s, 1H), 3.54 (s, 3H), 2.10 (s, 3H), 1.38 (s, 9H).
EXAMPLE 9
Preparation of N-(2-methoxy-l, l-dimethylethyl)-2-[(7-methyl-2-naphthalenyl)oxy]- butanamide (Compound 159)
A solution of 2-[(7-bromo-2-naphthalenyl)oxy]-N-(2-methoxy-l,l-dimethylethyl)- butanamide (0.59 g, 1.50 mmoles) (prepared as described in Example 1 Steps A-C) in dioxane (5 mL) at 25 °C was treated with a 2 M solution of dimethylzinc in toluene(0.28 g, 3.0 mmoles, 1.5 mL) and bisdiphenylphosphine palladium(II) dichloride (0.031 g, 0.045 mmoles). The resulting mixture was stirred for 10 h at 100 °C. The reaction mixture was treated with methanol (5.0 mL) and stirred for 10 minutes. The mixture was then poured into water and extracted with ethyl acetate. The organic phase was separated, dried over magnesium sulfate, filtered and concentrated under reduced pressure. The residue was dissolved in dichloromethane (50.0 mL), treated with silica gel (15 g) and concentrated to a dry powder. The powder was chromatographed on a silica gel column employing a gradient elution from 10% ethyl acetate/hexanes to 90% ethyl acetate/hexanes over 15.0 min. The desired fractions were combined and concentrated to give the title compound, a compound of the present invention, as an oil (0.35 g).
!H MR (CDC13) δ 7.71 (d, 1H), 7.67 (d, 1H), 7.48 (s, 1H), 7.19 (d, 1H), 7.10 (d, 1H), 7.08 (m, 1H), 6.53 (s, 1H), 4.53 (m, 1H), 3.36 (d, 1H), 3.27 (s, 3H), 3.25 (d, 1H), 2.63 (s, 3H), 1.99 (m, 2H), 1.33 (s, 3H), 1.28 (s, 3H), 1.05 (t, 3H).
EXAMPLE 10
Preparation of 2-[(7-ethyl-2-naphthalenyl)oxy]-N-(2-methoxy-l, l-dimethylethyl)- butanamide (Compound 138)
Step A: Preparation of 7-methoxy-2-naphthalenyl 1, 1, 1-trifluoromethanesulfonate
A solution of 7-methoxy-2-naphthol (6.50 g, 37.4 mmoles) in dichloromethane (200 mL) at 0 °C was treated triethylamine(7.56 g, 74.8 mmoles, 10.41 mL). Trifluoromethane- sulfonic anhydride(12.66 g, 40.0 mmoles) was added in a dropwise manner over 30 minutes. The resulting mixture was stirred for 2 h at 0 °C, allowed to warm to 25 °C and stirred for 1 h. The reaction mixture was poured into water and extracted with dichloromethane. The organic phase was separated, dried over magnesium sulfate, filtered and concentrated under reduced pressure to give the title compound (10.5 g) as an oil which was carried on without further purification.
!H MR (CDCI3) δ 7.83 (d, 1H), 7.77 (d, 1H), 7.64 (d, 1H), 7.21 (d, 2H), 7.14 (d, 1H), 3.94 (s, 3H).
Step B: Preparation of 2-ethyl-7-methoxynaphthalene
7-Methoxy-2-naphthalenyl 1, 1,1-trifluoromethanesulfonate (i.e. the product of Step A)
(5.0 g, 19.0 mmoles) in a 10% solution of N-methyl-2-pyrrolidone(100 mL) at 25 °C was treated with iron acetylacetonate (0.31 g, 0.8 mmoles). Ethyl magnesium bromide solution
(1M in THF) (2.53 g, 19.0 niL, 19 mmoles) was added in one portion. The resulting exotherm to 55 °C began to subside within 10 minutes. The reaction was then cooled to 25 °C and diluted with diethyl ether(100 mL). The reaction mixture was treated with IN HC1 (50 mL) and stirred for 10 minutes. The ether solution was washed with saturated aqueous NaCl solution, dried over magnesium sulfate, filtered and concentrated under reduced pressure. The residue was dissolved in dichloromethane (50 mL), treated with silica gel (15 g) and concentrated to a dry powder. The powder was chromatographed on a silica gel column employing an isocratic elution of 5.0 % ethyl acetate/hexanes. The desired fractions were combined and concentrated to give the title compound (1.35 g) as a solid.
!H NMR (CDCI3) δ 7.68 (m, 2H), 7.53 (s, 1H), 7.20 (d, 1H), 7.08 (m, 2H), 3.91 (s, 3H), 2.79 (q, 2H), 1.32 (t, 3H).
Step C: Preparation of 7-ethyl-2-naphthalenol
A solution of 2-ethyl-7-methoxynaphthalene (i.e. the product of Step B) (1.35 g, 7.26 mmoles) in dichloromethane (50 mL) was cooled to 0 °C and treated with borontribromide (1M in dichloromethane) (2.73 g, 10.89 mmoles, 10.89 mL) in one portion. The mixture was allowed to warm to 25 °C and stir for 18 h. The reaction mixture was cooled to 10 °C and treated with a 2.0% aqueous sodium carbonate solurion (25 mL). The phases were separated and the organic phase was washed with saturated aqueous NaCl solution. The organic phase was dried over magnesium sulfate, filtered and concentrated under reduced pressure to give the title compound (1.2 g) as a solid.
lH NMR (CDCI3) δ 7.68 (m, 2H), 7.46 (s, 1H), 7.20 (d, 1H), 7.08 (d, 1H), 7.02 (d, 1H), 4.93
(s, 1H), 2.79 (q, 2H), 1.32 (t, 3H).
Step D: Preparation of methyl 2-[(7-ethyl-2-naphthalenyl)oxy]butanoate
A 25 °C solution of 7-ethyl-2-naphthalenol (i.e. the product of Step C) (5.65 g, 32.8 mmoles) in dioxane (200 mL) was treated with 2-bromobutyrate-methyl ester (11.95 g, 66.0 mmoles) and cesium carbonate (21.5 g, 66.0 mmoles). The resulting mixture was stirred at 100 °C for 18 h. The mixture was cooled to 25 °C, poured into a saturated aqueous NaCl solution and extracted with ethyl acetate. The organic phase was dried over magnesium sulfate, filtered and concentrated under reduced pressure. The residue was dissolved in dichloromethane (200 mL), treated with silica gel (40 g) and concentrated to a dry powder. The powder was chromatographed on a silica gel column employing an isocratic elution of 5.0 % ethyl acetate/hexanes. The desired fractions were combined and concentrated to give the title compound (5.30 g) as an oil.
!H NMR (CDCI3) δ 7.71 (d, 1H), 7.68 (d, 1H), 7.49 (s, 1H), 7.21 (d, 1H), 7.14 (d, 1H), 7.00 (d, 1H), 4.72 (t, 1H), 3.76 (s, 3H), 2.78 (q, 2H), 2.05 (m, 2H), 1.31 (t, 3H), l. l l(t, 3H).
Step E: Preparation of 2-[(7-ethyl-2-naphthalenyl)oxy]butanoic acid
Methyl 2-[(7-ethyl-2-naphthalenyl)oxy]butanoate (i. e. the product of Step D) (5.3 g, 19.4 mmole) was converted in a manner similar to that employed in Example 1, Step B to the title compound, a compound of the present invention, as a solid (5.1 g).
!H NMR (DMSO d6) δ 7.76 (m, 2H), 7.54 (s, 1H), 7.23 (d, 1H), 7.1 1 (m, 2H), 4.80 (m, 1H), 2.73 (q, 2H), 1.94 (m, 2H), 1.25 (t, 3H), 1.04 (t, 3H).
Step F: Preparation of 2-[(7-ethyl-2-naphthalenyl)oxy]-N-(2-methoxy-l, l- dimethylethyl)butanamide
2-[(7-Ethyl-2-naphthalenyl)oxy]butanoic acid (i. e. the product of Step E) (413 mg, 1.6 mmole) was converted in a manner similar to that employed in Example 1, Step C to the title compound, a compound of the present invention, as a solid (0.29 g).
lH NMR (CDC13) δ 7.71 (m, 2H), 7.50 (s, 1H), 7.11 (m, 2H), 4.53 (m, 1H), 3.36 (d, 1H), 3.27(s, 3H), 3.26 (d, 1H), 2.79 (q, 2H), 2.00 (m, 2H), 1.33 (s, 3H), 1.31 (t, 3H), 1.28(s, 3H), 1.06 (t, 3H).
EXAMPLE 1 1
Preparation of 2-[(7-ethenyl-2-naphthalenyl)oxy]-N-(2-methoxy-l, l-dimethylethyl)- butanamide (Compound 145)
Step A: Preparation of 7-methoxy-2-naphthalenyl 1, 1,2,2,3, 3,4,4,4-nonafluoro-l- butanesulfonate
A 0 °C solution of 7-methoxy-2-naphthol (15.0 g, 86.0 mmoles), diisopropyl ethylamine (13.92 g, 108.0 mmoles) and 4-dimethylaminopyridine (1.0 g, 8.6 mmoles) in dichloromethane (250 mL) was treated dropwise with perfluoro-l-butanesulfonylfluoride (32.53 g, 108 mmoles). Upon complete addition, the reaction was allowed to warm to 25 °C and stir for 18 h. The reaction mixture was partitioned between dichloromethane and saturated aqueous NaCl solution. The organic phase was dried over magnesium sulfate and filtered. The dried dichloromethane solution was treated with silica gel (50 g) and concentrated to a dry powder. The powder was chromatographed on a silica gel column employing an isocratic elution of 10.0 % ethyl acetate/hexanes. The desired fractions were combined and concentrated to give the title compound (28.0 g) as a solid.
!H MR (CDCI3) δ 7.83 (d, 1H), 7.77 (d, 1H), 7.65 (d, 1H), 7.21 (m, 2H), 3.94 (s, 3H). Step B: Preparation of 7-hydroxy-2-naphthalenyl 1, 1,2,2,3, 3,4,4,4-nonafluoro-l- butanesulfonate
7-Methoxy-2-naphthalenyl 1,1,2,2,3,3,4,4,4-nonafluoro-l-butanesulfonate (i. e. the product of Step A) (10.0 g, 25.5 mmole) was converted in a manner similar to that employed in Example 10, Step C to the title compound, a compound of the present invention, as a solid (8.0 g).
!H MR (CDC13) δ 7.84 (d, 1H), 7.80 (d, 1H), 7.59 (d, 1H), 7.22 (d, 1H), 7.17 (m, 2H), 5.10 (s, 1H).
Step C: Preparation of 7-[l-[[(2-methoxy-l, l-dimethylethyl)amino]carbonyl]- propoxy] -2-naphthalenyl 1,1,2,2,3,3 ,4,4,4-nonafluoro- 1 -butanesulfonate A mixture of 7-hydroxy-2-naphthalenyl 1, 1, 2,2,3, 3, 4,4,4-nonafluoro-l -butanesulfonate
(i. e. the product of Step B) (1.89 g, 5.0 mmoles), 2-bromo-N-(2-methoxy-l, l- dimethylethyl)butanamide (1.50 g, 5.94 mmoles) and cesium carbonate (3.87 g, 12.0 mmoles) in dioxane (100 mL) was stirred at 100 °C for 18 h. The mixture was cooled to 25 °C, poured into saturated aqueous NaCl solution and extracted with ethyl acetate. The organic phase was dried over magnesium sulfate, filtered and concentrated under reduced pressure. The residue was dissolved in dichloromethane (200 mL), treated with silica gel (25 g) and concentrated to a dry powder. The powder was chromatographed on a silica gel column employing a gradient elution from 10.0 % to 50% ethyl acetate/hexanes. The desired fractions were combined and concentrated to give the title compound (1.40 g) as an oil.
IH MR (CDC13) δ 7.85 (d, 1H), 7.82 (d, 1H), 7.62 (d, 1H), 7.26 (d, 2H), 7.18 (d, 1H), 6.43 (s, 1H), 4.53 (m, 1H), 3.30 (q, 2H), 3.25 (s, 3H), 2.02 (m, 2H), 1.32 (s,3H), 1.28 (s, 3H), 1.07 (t, 3H).
Step D: Preparation of 2-[(7-ethenyl-2-naphthalenyl)oxy]-N-(2-methoxy-l, l- dimethylethyl)butanamide
A mixture of 7-[l-[[(2-methoxy-l, l-dimethylethyl)amino]carbonyl]propoxy]-2- naphthalenyl 1, 1, 2,2,3, 3, 4,4,4-nonafluoro-l -butanesulfonate (i. e. the product of Step C) (1.0 g, 1.63 mmoles), bis-diphenylphosphinepalladium(II) dichloride (0.057 g, .082 mmoles), lithium chloride (0.55 g, 13.0 mmoles) and tributyl(vinyl)tin (0.65 g, 2.04 mmoles) in dimethylformamide (75 mL) was stirred at 100 °C for 18 h. The mixture was cooled to 25 °C, poured into saturated aqueous NaCl solution and extracted with ethyl acetate. The organic phase was washed with saturated aqueous NaCl solution, dried over magnesium sulfate, filtered and concentrated under reduced pressure. The residue was dissolved in dichloromethane (200 mL), treated with silica gel (15 g) and concentrated to a dry powder. The powder was chromatographed on a silica gel column employing a gradient elution from 100 % hexanes to 50% ethyl acetate/hexanes over 15 minutes. The desired fractions were combined and concentrated to give the title compound, a compound of the present invention, as an oil (0.220 g).
lH NMR (CDCI3) δ 7.72 (m, 2H), 7.63 (s, 1H), 7.51 (d, 1H), 7.14 (m, 2H), 6.85 (m, 1H), 6.51 (s, 1H), 5.86 (d, 1H), 5.33 (d, 1H), 4.53 (m, 1H), 3.35 (d, 1H), 3.26 (s, 3H), 3.25 (d, 1H), 2.01 (m, 2H), 1.33 (s, 3H), 1.28 (s, 3H), 1.06 (t, 3H).
EXAMPLE 12
Preparation of 2-[(7-ethynyl-2-naphthalenyl)oxy]-N-(2-methoxy-l, l-dimethylethyl)- butanamide (Compound 97)
Step A: Preparation of 1 , 1 '-(2,7-naphthalenediyl) bis(l , 1 , 1 -trifluoromethanesulfonate) To 200 mL of dichloromethane was added 2,7-dihydroxynaphthalene (5.4 g, 34 mmol) and pyridine (9.06 mL, 112 mmole) at room temperature. The mixture was cooled to 0 °C under a nitrogen atomosphere with stirring using an ice/acetone bath. To this mixture at 0 °C was then added trifluoromethanesulfonic anhydride (13.24 mL, 78.6 mmole) portionwise. After the addition, the mixture was stirred at ambient temperature for 2.5 hours. Dichloromethane (200 mL) and water (400 mL) were then added. The mixture was acicified with IN hydrochloric acid aqueous solution to pH 3 with stirring. The organic phase was separated, dried over MgSC^ and concentrated under reduced pressure. The residue was purified by column chromatography (over silica gel with ethyl acetate and hexanes in volume ratios from 5 to 40 % as eluents) to give 14 g of the crude product. The crude product was then trituated with hexane (350 mL) and the solid was collected by filtration to give the title compound (3.5 g) as a solid. The solid which precipitated from the mother liquor was also collected by filtration to give another 424 mg of the title compound. The filtrate was the concentrated to about 100 mL in volume and the precipitate was collected by filtration to give another 8.1 g of the title compound.
!H MR (CDCI3) δ 7.49 (d, 2H), 7.81 (s, 2H), 8.01 (d, 2H).
Step B : Preparation of 7-hydroxy-2-naphthalenyl 1, 1,1 -trifluoromethanesulfonate
To a solution of l, l'-(2,7-naphthalenediyl) bis( 1,1, 1 -trifluoromethanesulfonate) (i.e. the product of Step A) (3.88 g, 9.2 mmol) in tetrahydrofuran (50 mL) at 0 °C was added potassium ?-butoxide (1.35 g, 12 mmol) with stirring and ice/acetone bath cooling. The mixture was stirred at 0 °C for 1 h and then allowed to warm to room temperature and stir at room temperature overnight. The reaction mixture was then cooled to 0 °C and additional potassium ?-butoxide (0.9 g, 8 mmol) was added with stirring and ice/acetone bath cooling. The reaction mixture was stirred at ambient temperature for 2 hours. Ethyl acetate (350 mL), saturated aqueous NaCl solution (350 mL) and IN hydrochloric acid aqueous solution (20 mL) were added to the reaction mixture and the organic phase was separated, dried over MgS04 and concentrated. The residue was purified by column chromatography (over silica gel with ethyl acetate and hexanes in volume ratios from 5 to 53 % as eluents) to give the title compound (2 g) as an oil.
!H MR (CDCI3) δ 5.43 (s, 1H), 7.18 (m, 3H), 7.57 (s, 1H), 7.82 (m, 2H).
Step C: Preparation of methyl 2-[[7-[[(trifluoromethyl)sulfonyl]oxy]-2-naphthalenyl]- oxy]butanoate
7-Hydroxy-2-naphthalenyl 1, 1,1 -trifluoromethanesulfonate (i.e. the product of Step B) (642 mg, 2.2 mmol) was dissolved in acetone (21 mL) and treated with cesium carbonate
(1.81 g, 5.5 mmole) at room temperature under a nitrogen atomosphere with stirring. After the addition, the mixture was stirred at room temperature for 5 min and then treated with methyl-2-bromobutyrate (5.4 g, 30 mmol). The mixture was refluxed for 2 hours and then cooled to room temperature and filtered. The solid was washed with acetone (7 mL) and the filtrates were combined and concentrated under reduced pressure. The residue was purified by column chromatography (over silica gel with ethyl acetate and hexanes in volume ratios from 10 to 40 % as eluents) to give the title compound (0.86 g) as a solid.
IH MR (CDC13) δ 1.12 (t, 3H), 2.05 (m, 2H), 3.78 (s, 3H), 4.75 (t, 1H), 7.03 (s, 1H), 7.2- 7.3 (m, 2H), 7.6 (s, 1H), 7.79-7.84 (m, 2H).
Step D: Preparation of methyl 2-[[7-[2-(trimethylsilyl)ethynyl]-2-naphthalenyl]- oxy]butanoate
Methyl 2-[[7-[[(trifluoromethyl)sulfonyl]oxy]-2-naphthalenyl]-oxy]butanoate (i.e. the product of Step C) (0.86 g, 2.19 mmol) was dissolved in tetrahydrofuran (21 mL) and treated with bis(triphenylphosphine)palladium(II) dichloride (212 mg, 0.3 mmole) and copper (I) iodide (1 14 mg, 0.6 mmole) under nitrogen atomosphere with stirring. After the addition, the reaction mixture was purged with nitrogen for 10 minutes treated sequentially with triethylamine (7.5 mL) and ethynyltrimethylsilane (787 mg, 8 mmole). The mixture was stirred at room temperature under nitrogen atomosphere overnight and was then concentrated under reduced pressure. The residue was purified by column chromatography (over silica gel with ethyl acetate and hexanes in volume ratios from 5 to 40 % as eluents) to give the title compound (730 mg) as an oil.
!H NMR (CDCI3) δ 0.28 (s, 9H), 1.12 (t, 3H), 2.05 (m, 2H), 3.76 (s, 3H), 4.72 (t, 1H), 6.96
(s, 1H), 7.19 (d, 1H), 7.37 (d, lH), 7.67-7.72 (m, 2H), 7.84 (s, 1H).
Step E: Preparation of 2-[(7-ethynyl-2-naphthalenyl)oxy]butanoic acid
To a solution of methyl 2-[[7-[2-(trimethylsilyl)ethynyl]-2-naphthalenyl]- oxy]butanoate (i.e. the product of Step D) (730 mg, 2.15 mmol) in tetrahydrofuran (5 mL) was added 1 N sodium hydroxide aqueous solution (6 mL, 6 mmol) under nitrogen atomosphere at room temperature with stirring. The mixture was stirred at room temperature for 3 h and then ethyl acetate (35 mL) and IN hydrochloric acid aqueous solution (6.5 mL) were added. The organic phase was separated, washed with saturated aqueous NaCl solution (30 mL), dried over MgS04 and concentrated under reduced pressure to give the title compound (0.5 g) as a solid.
!H MR (CDCI3) δ 1.13 (t, 3H), 2.1 (m, 2H), 3.13 (s, 1H), 4.78 (t, 1H), 7.03 (s, 1H), 7.22 (d, 1H), 7.4 (d, 1H), 7.7- 7.78 (m, 2H), 7.9 (s, 1H).
Step F: Preparation of 2-[(7-ethynyl-2-naphthalenyl)oxy]-N-(2-methoxy-l, l- dimethylethyl)-butanamide
To a mixture of 2-[(7-ethynyl-2-naphthalenyl)oxy]butanoic acid (i.e. the product of Step E) (500 mg, 1.97 mmol) and 2-chloro-l-methylpyridium iodide (553 mg, 2.17 mmol) in
dichloromethane (21 mL) at 0 °C under nitrogen atomosphere was added N, N- diisopropylethylamine (1.72 mL, 9.9 mmole). The reaction mixture was stirred at ambient temperature for 15 minutes and then treated with l-methoxy-2-methyl-2-propanamine hydrochloride (i.e. the product of Example 6, Step B) (304 mg, 2.18 mmol). The reaction mixture was stirred at room temperature for 4 hours and then diluted with 50 mL of dichloromethane. The reaction mixture was washed with water twice (60 mL each) and the organic phase was separated, dried over MgS04 and concentrated under reduced pressure. The residue was purified by column chromatography (over silica gel with ethyl acetate and hexanes in volume ratios from 5 to 53 % as eluents) to give the title compound, a compound of the present invention, as an oil (564 mg).
!H NMR (CDC13) δ 1.06 (t, 3H), 1.28 (s, 3H), 1.32 (s, 3H), 2.0 (m, 2H), 3.14 (s, 1H), 3.2-3.4 (m, 5 H), 4.53 (t, 1H), 6.47 (s, 1H), 7.12 (s, 1H), 7.19 (d, 1H), 7.41 (d, 1H), 7.7 -7.78 (m, 2H), 7.89 (s, 1H).
EXAMPLE 13
Preparation of 2-[(7-ethynyl-2-naphthalenyl)oxy]-2-methoxy-N-(2-methoxy- 1,1- dimethylethyl)acetamide (Compound 106)
Step A: Preparation of methyl 2-methoxy-2-[[7-[[(trifluoromethyl)sulfonyl]oxy]-2- naphthalenyl] oxy ] acetate
To a solution of l, l'-(2,7-naphthalenediyl) bis(l,l, l-trifluoromethanesulfonate) (i.e. the product of Example 12, Step A) (2.12 g, 5 mmol) in tetrahydrofuran (21 mL) at 0 °C under nitrogen atomosphere was added potassium ?-butoxide (1.18 g, 10.5 mmol) with stirring and ice/acetone bath cooling. The mixture was stirred at 0 °C for 30 min and at ambient temperature for 1 hour. Methyl bromomethoxyacetate (i.e. the product of Example 7, Step A) (1.3 g, 7.1 mmole) was added with stirring. The reaction mixture was stirred at room temperature for another hour. Ethyl acetate (152 mL) and saturated aqueous NaCl solution (152 mL) were added. The organic phase was separated, washed with water (180 mL), dried over MgS04 and concentrated. The residue was purified by column chromatography (over silica gel with ethyl acetate and hexanes in volume ratios from 10 to 53 % as eluents) to give 1.65 g of a crude product which was further purified by column chromatography (over silica gel with dichloromethane and hexanes in volume ratios from 35 to 65 % as eluents) to give the title compound (1.53 g) as a solid.
!H NMR (CDCI3) δ 3.56 (s, 3H), 3.87 (s, 3H), 5.66 (s, 1H), 7.28 (d, 1H), 7.37 (d, 1H), 7.44
(s, 1H), 7.65 (s, 1H), 7.8-7.9 (m, 2H).
Step B: Preparation of methyl 2-methoxy-2-[[7-[2-(trimethylsilyl)ethynyl]-2- naphthalenyl]oxy]acetate
Methyl 2-methoxy-2-[ [7- [ [(trifluoromethyl)sulfonyl] oxy]-2-naphthalenyl] oxy] acetate (i.e. the product of Step A) (1.35 g, 3.42 mmol), tetrahydrofuran (35 mL), bis(triphenylphosphine)palladium(II) dichloride (0.33 g, 0.47 mmole) and copper (I) iodide
(178 mg, 0.94 mmole) were combined at room temperature under a nitrogen atomosphere.
The reation mixture was purged with nitrogen for another 10 minutes and then treated sequentially with triethylamine (15 mL) and ethynyltrimethylsilane (1.23 g, 12.50 mmole).
The mixture was stirred at room temperature under a nitrogen atomosphere for 7 hours and then concentrated under reduced pressure. The residue was purified by column chromatography (over silica gel with ethyl acetate and hexanes in volume ratios from 10 to
40 % as eluents) to give a crude product (1.27 g) which was further purified (over silica gel with dichloromethane and hexanes in volume ratios from 35 to 65 % as eluents) to give the title compound (1.15 g) as a gummy oil.
!H NMR (CDCI3) δ 0.28 (s, 9H), 3.55 (s, 3H), 3.86 (s, 3H), 5.62 (s, 1H), 7.28 (d, 1H), 7.35 (s, 1H), 7.41 (d, 1H), 7.69-7.78 (m, 2H), 7.91 (s, 1H).
Step C: Preparation of 2-[(7-ethynyl-2-naphthalenyl)oxy]-2-methoxyacetic acid
To a solution of methyl 2-methoxy-2-[[7-[2-(trimethylsilyl)ethynyl]-2- naphthalenyl]oxy]acetate (i.e. the product of Step B) (1.15 g, 3.4 mmol) in a mixture of tetrahydrofuran (50 mL)and water (50 mL) at 0 °C under nitrogen atomosphere was added lithium hydroxide monohydrate (0.34 g, 8 mmole) with stirring. The mixture was stirred under a nitrogen atomosphere at 0 °C for 1 hour and then at ambient temperature for 3 h.
Ethyl acetate (105 mL) and IN hydrochloric acid aqueous solution (10 mL) were added.
The organic phase was separated, washed with saturated aqueous NaCl solution (100 mL), dried over MgS04 and concentrated under reduced pressure to give the title compound
(0.85 g) as a gummy solid.
!H MR (CDCI3) δ 3.15 (s, 1H), 3.57 (s, 3H), 5.68 (s, 1H), 7.3 (d, 1H), 7.39-7.45 (m, 2H),
7.7- 7.8 (m, 2H), 7.92 (s, 1H), 10.7 (brs 1H).
Step D: Preparation of 2-[(7-ethynyl-2-naphthalenyl)oxy]-2-methoxy-N-(2-methoxy- l, l-dimethylethyl)acetamide
To a mixture of 2-[(7-ethynyl-2-naphthalenyl)oxy]-2-methoxyacetic acid (i.e. the product of Step C) (0.85 g, 3.3 mmol) and 2-chloro-l-methylpyridium iodide (935 mg, 3.65 mmol) in dichloromethane (35 mL) at 0 °C under nitrogen atomosphere was added N, N- diisopropylethylamine (2.9 mL, 16.5 mmole) with stirring and ice-bath cooling. The reaction mixture was stirred at ambient temperature for 15 minutes and then treated with 1- methoxy-2-methyl-2-propanamine hydrochloride (i.e. the product of Example 6, Step B) (510 mg, 3.65 mmol). The mixture was stirred at room temperature for 3 hours and then diluted with 91 mL of dichloromethane. The reaction mixture was washed with water twice (91 mL each) and the organic phase was separated, dried over MgS04 and concentrated under reduced pressure. The residue was purified by column chromatography (over silica gel with ethyl acetate and hexanes in volume ratios from 10 to 53 % as eluents) to give the title compound, a compound of the present invention, as an oil which later solidified (848 mg), mp 91-92 °C.
!H MR (CDCI3) δ 1.38 (s, 3H), 1.4 (s, 3H), 3.14 (s, 1H), 3.35-3.43 (m, 5 H), 3.51 (s, 3H), 5.4 (s, 1H), 6.8 (s, 1H), 7.3 (d, 1H), 7.43 (m, 2H), 7.7 -7.78 (m, 2H), 7.92 (s, 1H).
EXAMPLE 14
Preparation of 2-[(7-bromo-2-naphthalenyl)oxy]-2-methoxy-N-(2-methoxy- 1, 1- dimethylethyl)acetamide (Compound 90)
Step A: Preparation of methyl 2-[(7-bromo-2-naphthalenyl)-oxy]-2-methoxyacetate
To a solution of potassium ?-butoxide (2.07 g, 18.4 mmol) in ?-butanol (50 mL) at room tempeture was added 7-bromo-2-naphthol (4.1 g, 18.4 mmol) with stirring. The mixture was stirred at room tempeture for 5 min and then methyl bromomethoxyacetate (i.e. the product of Example 7, Step A) (3.37 g, 18.4 mmole) was added portionwise while keeping the temperature below 30 °C. The reaction mixture was stirred at ambient temperature overnight and then treated with ethyl acetate (350 mL) and saturated aqueous NaCl solution (350 mL). The organic phase was separated, washed with water (150 mL), dried over MgSC^ and concentrated. The residue was purified by column chromatography (over silica gel with dicholormethane and hexanes in volume ratio of 50 % as eluent) to give the title compound (4.5 g) as an oil.
IH MR (CDCI3) δ 3.55 (s, 3H), 3.86 (s, 3H), 5.63 (s, 1H), 7.28-7.35 (m, 2H), 7.45 (d, 1H),
7.65 (d, 1H), 7.77 (d, 1H), 7.92 (s, 1H).
Step B: Preparation of 2-[(7-bromo-2-naphthalenyl)-oxy]-2-methoxyacetic acid
To a solution of methyl 2-[(7-bromo-2-naphthalenyl)-oxy]-2-methoxyacetate (i.e. the product of Step A) (4.5 g, 13.8 mmol) in a mixture of tetrahydrofuran (450 mL)and water (450 mL) at 0 °C was added lithium hydroxide monohydrate (672 mg, 16 mmole) with stirring. The mixture was stirred at 0 °C for 2.5 hours and then at ambient temperature overnight. Ethyl acetate (500 mL) was added and the two phases were separated. The aqueous phase was acidified with IN hydrochloric acid (10 mL) and extracted with ethyl acetate (500 mL). The ethyl acetate extract was dried over MgSC^ and concentrated under reduced pressure to give the title compound (3.9 g).
!H NMR (CDCI3) δ 3.58 (s, 3H), 5.67 (s, 1H), 7.29 (d, 1H), 7.36 (s, 1H), 7.47 (d, 1H), 7.65
(d, 1H), 7.77 (d, 1H), 7.92 (s, 1H).
Step C: Preparation of 2-[(7-bromo-2-naphthalenyl)oxy]-2-methoxy-N-(2-methoxy-
1 , 1 -dimethylethyl)acetamide
To a mixture of 2-[(7-bromo-2-naphthalenyl)-oxy]-2-methoxyacetic acid (i.e. the product of Step B) (3.9 g, 12.54 mmol) and 2-chloro- 1 -methylpyridium ioide (3.52 g, 13.74 mmol) in dichloromethane (75 mL) at 0 °C was added N, N-diisopropylethylamine (11.2 mL, 64.2 mmole) with stirring and ice-bath cooling. The reaction mixture was allowed to warm and stir at ambient temperature for 15 minutes. l-Methoxy-2-methyl-2-propanamine hydrochloride (i.e. the product of Example 6, Step B) (1.94 g, 13.8 mmol) was added and the
mixture was stirred at room temperature for 3 days. The reaction mixture was then diluted with 150 mL of dichloromethane and washed with water twice (175 mL each). The organic phase was dried over magnesium sulfate and was concentrated under reduced pressure. The residue was purified by column chromatography (over silica gel with ethyl acetate and hexanes in volume ratios from 5 to 53 % as eluents) to give the title compound, a compound of the present invention, as a solid (4.4 g), mp 65-67 °C.
!H NMR (CDCI3) δ 1.38 (s, 3H), 1.4 (s, 3H), 3.35-3.43 (m, 5 H), 3.5 (s, 3H), 5.39 (s, 1H), 6.8 (s, 1H), 7.3 (d, 1H), 7.39 (s, 1H), 7.43 (d, 1H), 7.65 (d, 1H), 7.74 (d, 1H), 7.92 (s, 1H).
EXAMPLE 15
Preparation of 2-[(7-ethynyl-2-naphthalenyl)oxy]-N-(2 -hydroxy- 1 , 1 -dimethylethyl)- butanamide (Compound 169)
To a mixture of 2-[(7-ethynyl-2-naphthalenyl)oxy]butanoic acid (i.e. the product of Example 12, Step E) (0.76 g, 3 mmol) and 2-chloro-l-methylpyridium ioide (843 mg, 3.3 mmol) in dichloromethane (21 mL) at 0 °C under nitrogen atomosphere was added N, N- diisopropylethylamine (2.1 mL, 12 mmole). The reaction mixture was stirred at ambient temperature for 15 min and then a solution of 2-amino-2-methyl-l-propanol (294 mg, 3.3 mmol) in dichloromethane (3 mL) was added. The reaction mixture was stirred at room temperature for 4 and then diluted with 35 mL of dichloromethane. The reaction mixture was washed with water twice (50 mL each). The organic phase was dried over magnesium sulfate and was concentrated under reduced pressure. The residue was purified by column chromatography (over silica gel with ethyl acetate and hexanes in volume ratios from 10 to 65 % as eluents) to give the title compound, a compound of the present invention, as a solid, (375 mg), mp 81-82 °C.
!H NMR (CDCI3) δ 1.07 (t, 3H), 1.20 (s, 3H), 1.26 (s, 3H), 2.03 (m, 2H), 3.16 (s, 1H), 3.58 (m, 2 H), 4.53 (t, 1H), 4.6 (t, 1H), 6.42 (s, 1H), 7.09 (s, 1H), 7.19 (d, 1H), 7.43 (d, 1H), 7.7- 7.8 (m, 2H), 7.9 (s, 1H).
EXAMPLE 16
Preparation of 2- [(7-ethynyl-2-naphthalenyl)oxy] -N- [2-(methoxymethoxy)- 1,1- dimethylethyljbutanamide (Compound 1 12)
To a solution of 2-[(7-ethynyl-2-naphthalenyl)oxy]-N-(2-hydroxy-l, l-dimethylethyl)- butanamide (i.e. the product of Example 15) (325 mg, 1.0 mmol) in dichloromethane (10 mL) at 0 °C under nitrogen atomosphere was added a solution of N, N-diisopropylethylamine (645 mg, 5 mmole) in dichloromethane (5 mL) and then a solution of bromomethyl methyl ether (625 mg, 5 mmole) in dichloromethane (5 mL). The reaction mixture stirred at 0 °C for 21 minutes and then at ambient temperature for 1 hour. The reaction mixture was then diluted with ethyl acetate (60 mL) and saturated aqueous ammonium chloride solution (40 mL). The organic phase was separated and the aqueous phase was extracted with ethyl
acetate (50 niL). The organic phases were combined, washed with saturated aqueous NaCl solution (80 mL), dried over magnesium sulfate and concentrated under reduced pressure. The residue was purified by column chromatography (over silica gel with ethyl acetate and hexanes in volume ratios from 4 to 53 % as eluents) to give the title compound, a compound of the present invention, as an oil (0.23 g).
!H NMR (CDCI3) δ 1.06 (t, 3H), 1.31 (s, 3H), 1.36 (s, 3H), 2.0 (m, 2H), 3.15 (s, 1H), 3.26
(s, 3H), 3.42 (d, 1 H), 3.45 (d, 1 H), 4.51 (m, 3H), 6.55 (s, 1H), 7.1 (s, 1H), 7.19 (d, 1H),
7.41 (d, 1H), 7.7-7.78 (m, 2H), 7.89 (s, 1H).
EXAMPLE 17
Preparation of 2-methoxy-N-(2-methoxy-l, l-dimethylethyl)-2-[[7-(l-propyn-l-yl)-2- naphthalenyl]oxy]acetamide (Compound 108)
To a solution of 2-[(7-bromo-2-naphthalenyl)oxy]-2-methoxy-N-(2-methoxy-l,l- dimethylethyl)acetamide (i.e. the product of Example 14, Step C) (0.6 g, 1.5 mmol) in toluene (15 mL) at room temperature under nitrogen atomosphere was added tributyl(l- propynyl)tin (593 mg, 1.8 mmole) and tetrakis(triphenylphosphine)palladium (235 mg, 0.2 mmole). The reaction mixture was stirred at reflux under nitrogen atomosphere overnight. The reaction mixture was cooled to room temperature and filtered through Celite® filter aid. The Celite® pad was washed with toluene and the filtrates were combined and concentrated under reduced pressure. The residue was purified by column chromatography (over silica gel with solutions of ethyl acetate and hexanes in volume ratios from 10 to 53 % as eluents) to give the title compound, a compound of the present invention, as an oil (182 mg).
!H NMR (CDCI3) δ 1.38 (s, 3H), 1.4 (s, 3H), 2.1 (s, 1H), 3.35-3.45 (m, 5 H), 3.5 (s, 3H), 5.39 (s, 1H), 6.81 (s, 1H), 7.21-7.4 (m, 3H), 7.65-7.78 (m, 2H), 7.8 (s, 1H).
EXAMPLE 18
Preparation of 2-[(7-iodo-2-naphthalenylyl)oxy]-2-methoxy-N-(2-methoxy-l, l- dimethylethyl)acetamide (Compound 103)
Step A: Preparation of 2-bromo-7-[[(l, l-dimethylethyl)dimethylsilyl]oxy]naphthalene
To a solution of 7-bromo-2-naphthol (2.23 g, 10 mmol) in dichloromethane (21 mL) at 0 °C was added imidazole (1.5 g, 22 mmole) and ?-butyldimethylsilylchloride (1.66 g, 1 1 mmole). The reaction mixture was stirred at room temperature overnight. The reaction mixture was diluted with dichloromethane (70 mL) and the resulting mixture was washed with saturated aqueous NaHCC^ solution twice (100 mL each). The organic phase was separated, dried over magnesium sulfate and concentrated under reduced pressure. The residue was purified by column chromatography (over silica gel with ethyl acetate and hexanes in volume ratios from 10 to 40 % as eluents) to give the title compound (3.3 g) as an oil.
!H MR (CDCI3) δ 0.25 (s, 6H), 1.02 (s, 9H), 7.08 (m, 2H), 7.4 (d, 1H), 7.6 (d, 1H), 7.7 (d, 1H), 7.85 (s, 1H).
Step B: Preparation of 2-[[(l,l-dimethylethyl)dimethylsilyl]oxy]-7-iodonaphthalene
To a solution of 2-bromo-7-[[(l, l-dimethylethyl)dimethylsilyl]oxy]naphthalene (i.e. the product of Step A) (1.35 g, 4.0 mmol) in tetrahydrofuran (21 mL) at -78 °C under nitrogen atomosphere was added w-butyllithium solution in hexanes (2.0 ml of 2.5 M, 5.0 mmole) dropwise with dry ice/acetone bath cooling while keeping the temperature below -65 °C. The reaction mixture was stirred at -78 °C for 0.5 hour. Iodine (1.27 g, 5.0 mmole) was added to the reaction mixture portionwise and then the reaction mixture was stirred at room temperature overnight. The reaction mixture was poured into a mixture of ethyl acetate (70 mL) and water (70 mL). The organic phase was separated, dried over magnesium sulfate and concentrated under reduced pressure. The residue was purified by column chromatography (over silica gel with ethyl acetate and hexanes in volume ratios from 0.5-10 % as eluents) to give the title compound (1.13 g) as an oil.
!H NMR (CDCI3) δ 0.24 (s, 6H), 1.01 (s, 9H), 7.06 (m, 2H), 7.49 (d, 1H), 7.58 (d, 1H), 7.67 (d, 1H), 8.09 (s, 1H).
Step C: Preparation of 7-iodo-2-naphthalenol
To a solution of 2-[[(l,l-dimethylethyl)dimethylsilyl]oxy]-7-iodonaphthalene (i.e. the product of Step B) (1.08 g, 2.81 mmol) in tetrahydrofuran (21 mL) at room temperature was added 1.0 M tetrabutylammonium fluoride solution in tetrahydrofuran (3.1 ml, 3.1 mmole) portionwise. The reaction mixture was stirred at room temperature for 2 hours and then diluted with ethyl acetate (210 mL) and water (210 mL). The organic phase was separated, washed with saturated aqueous NH4C1 solution twice (110 mL each), water (1 10 mL) and then dried over magnesium sulfate and concentrated under reduced pressure to give the title compound (743 mg) as a solid.
!H MR (CDC13) δ 5.02 (brs, 1H), 7.03 (s, 1H), 7.1 (d, 1H), 7.49 (d, 1H), 7.56 (d, 1H), 7.72 (d, 1H), 8.09 (s, 1H).
Step D: Preparation of methyl 2-[(7-iodo-2-naphthalenyl)oxy]-2-methoxyacetate
To a solution of potassium ?-butoxide (622 mg, 5.56 mmol) in ?-butanol (18 mL) at room tempeture was added 7-iodo-2-naphthalenol (i.e. the product of Step C) (1.5 g, 5.56 mmol)) with stirring. The mixture was stirred at room tempeture for 5 min and then methyl bromomethoxyacetate (i.e. the product of Example 7, Step A) (1.02 g, 5.56 mmole) was added portionwise with stirring while keeping the temperature below 30 °C. The reaction mixture was stirred at room temperature overnight. Chloroform (112 mL) and saturated aqueous NaCl solution (1 12 mL) were added. The organic phase was separated, washed with water (50 mL), dried over MgSC^ and concentrated. The residue was purified by column chromatography (over silica gel with ethyl acetate and hexanes in volume ratios from 5 to 10 % as eluents) to give the title compound (1.44 mg) as an oil.
!H MR (CDCI3) δ 3.54 (s, 3H), 3.85 (s, 3H), 5.63 (s, 1H), 7.22-7.30 (m, 2H), 7.48 (d, 1H),
7.6 (d, 1H), 7.72 (d, 1H), 8.14 (s, 1H).
Step E: Preparation of 2-[(7-iodo-2-naphthalenyl)oxy]-2-methoxyacetic acid
To a solution of methyl 2-[(7-iodo-2-naphthalenyl)oxy]-2-methoxyacetate (i.e. the product of Step D) (1.436 g, 3.86 mmol) in a mixture of tetrahydrofuran (150 mL)and water (150 mL) at 0 °C was added lithium hydroxide monohydrate (190 mg, 4.53 mmole) with stirring. The mixture was stirred at 0 °C for 2.5 hours and then at ambient temperature overnight. The reaction mixture was treated with ethyl acetate (197 mL) and IN hydrochloric acid solution (5 mL). The aqueous phase was extracted with ethyl acetate (500 mL). The combined organic phases were dried over MgS04 and concentrated under reduced pressure to give the title compound (1.4 g).
!H NMR (CDCI3) δ 3.56 (s, 3H), 5.66 (s, 1H), 7.22-7.37 (m, 2H), 7.48 (d, 1H), 7.61 (d, 1H),
7.72 (d, 1H), 8.13 (s, 1H).
Step F: Preparation of 2-[(7-iodo-2-naphthalenylyl)oxy]-2-methoxy-N-(2-methoxy- l, l-dimethylethyl)acetamide
To a mixture of 2-[(7-iodo-2-naphthalenyl)oxy]-2-methoxyacetic acid (i.e. the product of Step E) (320 mg, 0.89 mmol) and 2-chloro-l-methylpyridium iodide (256 mg, 1.0 mmol) in dichloromethane (6 mL) at 0 °C was added N, N-diisopropylethylamine (0.61 mL, 3.5 mmole) with stirring and ice-bath cooling. The reaction mixture was then stirred at ambient temperature for 15 min and then a solution of l-methoxy-2-methyl-2-propanamine (114 mg, 1.1 mmol) in dichloromethane (1 mL) was added. The mixture was stirred at ambient temperature for 18 hours and then diluted with 10 mL of dichloromethane. The organic phase was washed with water twice (15 mL each), dried over magnesium sulfate and concentrated under reduced pressure. The residue was purified by column chromatography (over silica gel with ethyl acetate and hexanes in volume ratios from 10 to 53 % as eluents) to give the title compound, a compound of the present invention, as an oil (320 mg).
lH NMR (CDCI3) δ 1.38 (s, 3H), 1.4 (s, 3H), 3.35-3.43 (m, 5 H), 3.5 (s, 3H), 5.38 (s, 1H), 6.8 (s, 1H), 7.29 (d, 1H), 7.37 (s, 1H), 7.5 (d, 1H), 7.6 (d, 1H), 7.72 (d, 1H), 8.15 (s, 1H).
EXAMPLE 19
Preparation of N-(l-cyano-l-methylethyl)-2-[(7-ethynyl-2-naphthalenyl)oxy]butanamide
(Compound 110)
To a mixture of 2-[(7-ethynyl-2-naphthalenyl)oxy]butanoic acid (i.e. the product of Example 12, Step E) (508 mg, 2 mmol) and 2-chloro-l-methylpyridium iodide (562 mg, 2.2 mmol) in dichloromethane (12 mL) at 0 °C under nitrogen atomosphere was added N, N- diisopropylethylamine (1.4 mL, 8 mmole). The reaction mixture was stirred at ambient temperature for 15 min and then a solution of 2-aminoisobutylnitrile (217 mg, 2.7 mmol) in dichloromethane (1 mL) was added. The mixture was stirred at room temperature overnight
and then diluted with 30 mL of dichloromethane. The organic phase was washed with water twice (35 mL each), dried over magnesium sulfate and concentrated under reduced pressure. The residue was purified by column chromatography (over silica gel with ethyl acetate and hexanes in volume ratios from 10 to 53 % as eluents) to give the title compound, a compound of the present invention, as an oil (340 mg).
!H MR (CDCI3) δ 1.06 (t, 3H), 1.66 (s, 3H), 1.69 (s, 3H), 2.05 (m, 2H), 3.16 (s, 1H), 4.7 (t, 1H), 6.52 (s, 1H), 7.1 1 (s, 1H), 7.2 (d, 1H), 7.43 (d, 1H), 7.7-7.8 (m, 2H), 7.9 (s, 1H).
EXAMPLE 20
Preparation of N-(l, l-dimethyl-2-butyn-l-yl)-2-[(7-ethynyl-2-naphthalenyl)oxy]butanamide
(Compound 11 1)
To a mixture of 2-[(7-ethynyl-2-naphthalenyl)oxy]butanoic acid (i.e. the product of Example 12, Step E) (380 mg, 1.5 mmol) and 2-chloro-l-methylpyridium iodide (421 mg, 1.65 mmol) in dichloromethane (9 mL) at 0 °C under nitrogen atomosphere was added N, N- diisopropylethylamine (1.3 mL, 7.5 mmole). The reaction mixture was stirred at ambient temperature for 15 min and then intermediate 2-methyl-3-pentyn-2-amine hydrochloride (265 mg, 2 mmole) was added. The mixture was stirred at ambient temperature overnight. The reaction mixture was diluted with 30 mL of dichloromethane and washed with water twice (35 mL each). The organic phase was dried over magnesium sulfate and concentrated under reduced pressure. The residue was purified by column chromatography (over silica gel with ethyl acetate and hexanes in volume ratios from 10 to 53 % as eluents) to give the title compound, a compound of the present invention, as an oil (135 mg).
!H MR (CDC13) δ 1.06 (t, 3H), 1.57 (s, 3H), 1.59 (s, 3H), 1.77 (s, 3H), 2.05 (m, 2H), 3.15
(s, 1H), 4.56 (t, 1H), 6.43 (s, 1H), 7.1 1 (s, 1H), 7.2 (d, 1H), 7.43 (d, 1H), 7.7-7.8 (m, 2H),
7.9 (s, 1H).
EXAMPLE 21
Preparation of N-(l-cyano-l-methylethyl)-2-[(7-ethoxy-2-naphthalenyl)oxy]butanamide
(Compound 75)
Step A: Preparation of methyl 2-[(7-hydroxy-2-naphthalenyl)oxy]butanoate
To a solution of naphthalene-2,7-diol (5.0 g, 31 mmol) in acetone (200 mL) was added cesium carbonate (10.1 g, 31 mmol) at room temperature under a nitrogen atmosphere with stirring. After the addition, the mixture was stirred at room temperature for 3 min and then methyl-2-bromobutyrate (5.6 g, 31 mmol) was added. The mixture was stirred at room temperature overnight and then filtered to remove solids. The filtrate was concentrated under reduced pressure and the residue was purified by column chromatography (over silica gel with ethyl acetate and hexanes in volume ratios from 10 to 80 % as eluents) to give the title compound (3.9 g) as a solid.
in NMR (CDCI3) δ 7.62-7.70 (m, 2H), 6.85-7.05 (m, 4H), 5.85 (s, 1H), 4.68-4.78 (m, 1H),
3.75 (s, 3H), 2.00-2.10 (m, 2H), 1.08-1.15 (t, 3H).
Step B: Preparation of methyl 2-[(7-ethoxy-2-naphthalenyl)oxy]butanoate
A mixture of methyl 2-[(7-hydroxy-2-naphthalenyl)oxy]butanoate (i.e. the product of Step A) (0.52 g, 2 mmol), iodoethane (0.2 mL, 2.4 mmol), and potassium carbonate (0.28 g, 2 mmol) in acetone (20 mL) under a nitrogen atmosphere was stirred at room temperature overnight. The solids were removed by filtration. The filtrate was concentrated under reduced pressure and the residue was purified by column chromatography (over silica gel with ethyl acetate and hexanes in volume ratios from 10 to 60 % as eluents) to give the title compound (0.4 g) as a solid.
!H NMR (CDCI3) δ 7.60-7.68 (m, 2H), 6.90-7.05 (m, 4H), 4.66-4.72 (t, 1H), 4.06-4.15 (m,
2H), 3.73 (s, 3H), 2.00-2.10 (m, 2H), 1.40-1.48 (t, 3H), 1.08-1.15 (t, 3H).
Step C: Preparation of 2-[(7-ethoxy-2-naphthalenyl)oxy]butanoic acid
To a solution of methyl 2-[(7-ethoxy-2-naphthalenyl)oxy]butanoate (i.e. the product of Step B) (0.4 g, 1.38 mmol) in tetrahydrofuran (10 mL) was added a sodium hydroxide solution (0.23 mL of 50% NaOH sol. in 10 mL H2O) at 0 °C with stirring. The mixture was stirred at room temperature for 3 hours. The reaction mixture was acidified with concentrated hydrochloric acid to a pH of 3 and then extracted with ethyl acetate three times. The organic phases were combined and washed with saturated aqueous NaCl solution. After drying (MgS04) and concentrating under reduced pressure, the resultant crude residue was purified by column chromatography (over silica gel with ethyl acetate and hexanes in volume ratios from 10 to 90 % as eluents) to give the title compound as a solid (0.36 g). !H NMR (CDCI3) δ 7.60-7.68 (m, 2H), 6.98-7.05 (m, 4H), 4.72-4.78 (t, 1H), 4.10-4.15 (m, 2H), 2.04-2.12 (m, 2H), 1.40-1.48 (t, 3H), 1.08-1.15 (t, 3H).
Step D: Preparation of N-(l-cyano-l-methylethyl)-2-[(7-ethoxy-2-naphthalenyl)oxy]- butanamide
To a mixture of 2-[(7-ethoxy-2-naphthalenyl)oxy]butanoic acid (i.e. the product of Step C) (120 mg, 0.44 mmol) and 2-chloro-l-methylpyridinium iodide (130 mg, 0.51 mmol) in dichloromethane (2 mL) at 0 °C was added N,N-diisopropylethylamine (0.3 mL, 1.7 mmol). The reaction mixture was stirred at ambient temperature for 10 min and then a solution of 2-amino-2-methyl-propionitrile (43 mg, 0.51 mmol) in dichloromethane (1 mL) was added. The mixture was stirred at room temperature for 18 hours. The reaction mixture was diluted with 10 mL of dichloromethane, and then washed with H2O (2 x 15 mL). The organic phase was dried (MgS04) and concentrated under reduced pressure. The resultant residue was purified by column chromatography (over silica gel with ethyl acetate and hexanes in volume ratios from 10 to 90 % as eluents) to give the title compound, a compound of the present invention, as a solid (70 mg).
in NMR (CDCI3) δ 7.61-7.68 (m, 2H), 6.95-7.05 (m, 4H), 6.48 (br, 1H), 4.62-4.68 (m, 1H), 4.08-4.15 (m, 2H), 1.95-2.10 (m, 2H), 1.60-1.72 (m, 6H), 1.41-1.48 (t, 3H), 1.02-1.10 (t, 3H).
By the procedures described herein together with methods known in the art, the following compounds of Tables 1A to 3 can be prepared. The following abbreviations are used in the Tables which follow: n means normal, c means cyclo, Pr means propyl and CN means cyano.
TABLE IB
Table IB is constructed the same as Table 1A, except that Z1 is N.
TABLE 1C
Table 1C is constructed the same as Table 1A, except that Z2 is N.
TABLE ID
TABLE 2B
Table 2B is constructed the same as Table 2A, except that R1 is OCH3.
TABLE 2C
Table 2C is constructed the same as Table 2A, except that R1 is w-Pr.
TABLE 2D
Table 2D is constructed the same as Table 2A, except that Z1 is N.
TABLE 2E
Table 2E is constructed the same as Table 2 A, except that R1 is OCH3 and Z1 is N.
TABLE 2F
Table 2F is constructed the same as Table 2A, except that R1 is w-Pr and Z1 is N.
TABLE 2G
Table 2G is constructed the same as Table 2A, except that Z2 is N.
TABLE 2H
Table 2H is constructed the same as Table 2A, except that R1 is OCH3 and Z2 is N.
TABLE 21
Table 21 is constructed the same as Table 2A, except that R1 is w-Pr and Z2 is N.
TABLE 2J
Table 2 J is constructed the same as Table 2 A, except that Z1 is N and R8 is CI.
TABLE 2K
Table 2K is constructed the same as Table 2A, except that R1 is OCH3, Z1 is N and R8 is CI
TABLE 2L
Table 2L is constructed the same as Table 2 A, except that R1 is w-Pr, Z1 is N and R8 is CI.
Formulation/Utility
A compound of Formula 1 of this invention (including N-oxides and salts thereof) will generally be used as a fungicidal active ingredient in a composition, i.e. formulation, with at least one additional component selected from the group consisting of surfactants, solid diluents and liquid diluents, which serve as a carrier. The formulation or composition ingredients are selected to be consistent with the physical properties of the active ingredient, mode of application and environmental factors such as soil type, moisture and temperature.
Useful formulations include both liquid and solid compositions. Liquid compositions include solutions (including emulsifiable concentrates), suspensions, emulsions (including microemulsions and/or suspoemulsions) and the like, which optionally can be thickened into gels. The general types of aqueous liquid compositions are soluble concentrate, suspension concentrate, capsule suspension, concentrated emulsion, microemulsion and suspo-emulsion. The general types of nonaqueous liquid compositions are emulsifiable concentrate, microemulsifiable concentrate, dispersible concentrate and oil dispersion.
The general types of solid compositions are dusts, powders, granules, pellets, prills, pastilles, tablets, filled films (including seed coatings) and the like, which can be water-dispersible ("wettable") or water-soluble. Films and coatings formed from film- forming solutions or flowable suspensions are particularly useful for seed treatment. Active ingredient can be (micro)encapsulated and further formed into a suspension or solid formulation; alternatively the entire formulation of active ingredient can be encapsulated (or "overcoated"). Encapsulation can control or delay release of the active ingredient. An emulsifiable granule combines the advantages of both an emulsifiable concentrate formulation and a dry granular formulation. High-strength compositions are primarily used as intermediates for further formulation.
Sprayable formulations are typically extended in a suitable medium before spraying. Such liquid and solid formulations are formulated to be readily diluted in the spray medium,
usually water. Spray volumes can range from about one to several thousand liters per hectare, but more typically are in the range from about ten to several hundred liters per hectare. Sprayable formulations can be tank mixed with water or another suitable medium for foliar treatment by aerial or ground application, or for application to the growing medium of the plant. Liquid and dry formulations can be metered directly into drip irrigation systems or metered into the furrow during planting. Liquid and solid formulations can be applied onto seeds of crops and other desirable vegetation as seed treatments before planting to protect developing roots and other subterranean plant parts and/or foliage through systemic uptake.
The formulations will typically contain effective amounts of active ingredient, diluent and surfactant within the following approximate ranges which add up to 100 percent by weight.
Weight Percent
Active
Ingredient Diluent Surfactant
Water-Dispersible and Water- 0.001-90 0-99.999 0-15
soluble Granules, Tablets and
Powders
Oil Dispersions, Suspensions, 1-50 40-99 0-50
Emulsions, Solutions
(including Emulsifiable
Concentrates)
Dusts 1-25 70-99 0-5
Granules and Pellets 0.001-95 5-99.999 0-15
High Strength Compositions 90-99 0-10 0-2
Solid diluents include, for example, clays such as bentonite, montmorillonite, attapulgite and kaolin, gypsum, cellulose, titanium dioxide, zinc oxide, starch, dextrin, sugars (e.g., lactose, sucrose), silica, talc, mica, diatomaceous earth, urea, calcium carbonate, sodium carbonate and bicarbonate, and sodium sulfate. Typical solid diluents are described in Watkins et al, Handbook of Insecticide Dust Diluents and Carriers, 2nd Ed., Dorland Books, Caldwell, New Jersey.
Liquid diluents include, for example, water, N,N-dimethylalkanamides (e.g., N,N-dimethylformamide), limonene, dimethyl sulfoxide, N-alkylpyrrolidones (e.g., N-methylpyrrolidinone), ethylene glycol, triethylene glycol, propylene glycol, dipropylene glycol, polypropylene glycol, propylene carbonate, butylene carbonate, paraffins (e.g., white mineral oils, normal paraffins, isoparaffins), alkylbenzenes, alkylnaphthalenes, glycerine, glycerol triacetate, sorbitol, aromatic hydrocarbons, dearomatized aliphatics, alkylbenzenes, alkylnaphthalenes, ketones such as cyclohexanone, 2-heptanone, isophorone and 4-hydroxy-
4-methyl-2-pentanone, acetates such as isoamyl acetate, hexyl acetate, heptyl acetate, octyl acetate, nonyl acetate, tridecyl acetate and isobornyl acetate, other esters such as alkylated lactate esters, dibasic esters and γ-butyrolactone, and alcohols, which can be linear, branched, saturated or unsaturated, such as methanol, ethanol, w-propanol, isopropyl alcohol, M-butanol, isobutyl alcohol, w-hexanol, 2-ethylhexanol, w-octanol, decanol, isodecyl alcohol, isooctadecanol, cetyl alcohol, lauryl alcohol, tridecyl alcohol, oleyl alcohol, cyclohexanol, tetrahydrofurfuryl alcohol, diacetone alcohol and benzyl alcohol. Liquid diluents also include glycerol esters of saturated and unsaturated fatty acids (typically C6-C22), such as plant seed and fruit oils (e.g., oils of olive, castor, linseed, sesame, corn (maize), peanut, sunflower, grapeseed, safflower, cottonseed, soybean, rapeseed, coconut and palm kernel), animal-sourced fats (e.g., beef tallow, pork tallow, lard, cod liver oil, fish oil), and mixtures thereof. Liquid diluents also include alkylated fatty acids (e.g., methylated, ethylated, butylated) wherein the fatty acids may be obtained by hydrolysis of glycerol esters from plant and animal sources, and can be purified by distillation. Typical liquid diluents are described in Marsden, Solvents Guide, 2nd Ed., Interscience, New York, 1950.
The solid and liquid compositions of the present invention often include one or more surfactants. When added to a liquid, surfactants (also known as "surface-active agents") generally modify, most often reduce, the surface tension of the liquid. Depending on the nature of the hydrophilic and lipophilic groups in a surfactant molecule, surfactants can be useful as wetting agents, dispersants, emulsifiers or defoaming agents.
Surfactants can be classified as nonionic, anionic or cationic. Nonionic surfactants useful for the present compositions include, but are not limited to: alcohol alkoxylates such as alcohol alkoxylates based on natural and synthetic alcohols (which may be branched or linear) and prepared from the alcohols and ethylene oxide, propylene oxide, butylene oxide or mixtures thereof; amine ethoxylates, alkanolamides and ethoxylated alkanolamides; alkoxylated triglycerides such as ethoxylated soybean, castor and rapeseed oils; alkylphenol alkoxylates such as octylphenol ethoxylates, nonylphenol ethoxylates, dinonyl phenol ethoxylates and dodecyl phenol ethoxylates (prepared from the phenols and ethylene oxide, propylene oxide, butylene oxide or mixtures thereof); block polymers prepared from ethylene oxide or propylene oxide and reverse block polymers where the terminal blocks are prepared from propylene oxide; ethoxylated fatty acids; ethoxylated fatty esters and oils; ethoxylated methyl esters; ethoxylated tristyrylphenol (including those prepared from ethylene oxide, propylene oxide, butylene oxide or mixtures thereof); fatty acid esters, glycerol esters, lanolin-based derivatives, polyethoxylate esters such as polyethoxylated sorbitan fatty acid esters, polyethoxylated sorbitol fatty acid esters and polyethoxylated glycerol fatty acid esters; other sorbitan derivatives such as sorbitan esters; polymeric surfactants such as random copolymers, block copolymers, alkyd peg (polyethylene glycol)
resins, graft or comb polymers and star polymers; polyethylene glycols (pegs); polyethylene glycol fatty acid esters; silicone-based surfactants; and sugar-derivatives such as sucrose esters, alkyl polyglycosides and alkyl polysaccharides.
Useful anionic surfactants include, but are not limited to: alkylaryl sulfonic acids and their salts; carboxylated alcohol or alkylphenol ethoxylates; diphenyl sulfonate derivatives; lignin and lignin derivatives such as lignosulfonates; maleic or succinic acids or their anhydrides; olefin sulfonates; phosphate esters such as phosphate esters of alcohol alkoxylates, phosphate esters of alkylphenol alkoxylates and phosphate esters of styryl phenol ethoxylates; protein-based surfactants; sarcosine derivatives; styryl phenol ether sulfate; sulfates and sulfonates of oils and fatty acids; sulfates and sulfonates of ethoxylated alkylphenols; sulfates of alcohols; sulfates of ethoxylated alcohols; sulfonates of amines and amides such as N,N-alkyltaurates; sulfonates of benzene, cumene, toluene, xylene, and dodecyl and tridecylbenzenes; sulfonates of condensed naphthalenes; sulfonates of naphthalene and alkyl naphthalene; sulfonates of fractionated petroleum; sulfosuccinamates; and sulfosuccinates and their derivatives such as dialkyl sulfosuccinate salts.
Useful cationic surfactants include, but are not limited to: amides and ethoxylated amides; amines such as N-alkyl propanediamines, tripropylenetriamines and dipropylenetetramines, and ethoxylated amines, ethoxylated diamines and propoxylated amines (prepared from the amines and ethylene oxide, propylene oxide, butylene oxide or mixtures thereof); amine salts such as amine acetates and diamine salts; quaternary ammonium salts such as quaternary salts, ethoxylated quaternary salts and diquaternary salts; and amine oxides such as alkyldimethylamine oxides and bis-(2-hydroxyethyl)-alkylamine oxides.
Also useful for the present compositions are mixtures of nonionic and anionic surfactants or mixtures of nonionic and cationic surfactants. Nonionic, anionic and cationic surfactants and their recommended uses are disclosed in a variety of published references including McCutcheon 's Emulsifiers and Detergents, annual American and International Editions published by McCutcheon's Division, The Manufacturing Confectioner Publishing Co.; Sisely and Wood, Encyclopedia of Surface Active Agents, Chemical Publ. Co., Inc., New York, 1964; and A. S. Davidson and B. Milwidsky, Synthetic Detergents, Seventh Edition, John Wiley and Sons, New York, 1987.
Compositions of this invention may also contain formulation auxiliaries and additives, known to those skilled in the art as formulation aids (some of which may be considered to also function as solid diluents, liquid diluents or surfactants). Such formulation auxiliaries and additives may control: pH (buffers), foaming during processing (antifoams such polyorganosiloxanes), sedimentation of active ingredients (suspending agents), viscosity (thixotropic thickeners), in-container microbial growth (antimicrobials), product freezing (antifreezes), color (dyes/pigment dispersions), wash-off (film formers or stickers),
evaporation (evaporation retardants), and other formulation attributes. Film formers include, for example, polyvinyl acetates, polyvinyl acetate copolymers, polyvinylpyrrolidone-vinyl acetate copolymer, polyvinyl alcohols, polyvinyl alcohol copolymers and waxes. Examples of formulation auxiliaries and additives include those listed in McCutcheon 's Volume 2: Functional Materials, annual International and North American editions published by McCutcheon' s Division, The Manufacturing Confectioner Publishing Co.; and PCT Publication WO 03/024222.
The compound of Formula 1 and any other active ingredients are typically incorporated into the present compositions by dissolving the active ingredient in a solvent or by grinding in a liquid or dry diluent. Solutions, including emulsifiable concentrates, can be prepared by simply mixing the ingredients. If the solvent of a liquid composition intended for use as an emulsifiable concentrate is water-immiscible, an emulsifier is typically added to emulsify the active-containing solvent upon dilution with water. Active ingredient slurries, with particle diameters of up to 2,000 μιη can be wet milled using media mills to obtain particles with average diameters below 3 μιη. Aqueous slurries can be made into finished suspension concentrates (see, for example, U.S. 3,060,084) or further processed by spray drying to form water-dispersible granules. Dry formulations usually require dry milling processes, which produce average particle diameters in the 2 to 10 μιη range. Dusts and powders can be prepared by blending and usually grinding (such as with a hammer mill or fluid-energy mill). Granules and pellets can be prepared by spraying the active material upon preformed granular carriers or by agglomeration techniques. See Browning, "Agglomeration", Chemical Engineering, December 4, 1967, pp 147^18, Perry 's Chemical Engineer's Handbook, 4th Ed., McGraw-Hill, New York, 1963, pages 8-57 and following, and WO 91/13546. Pellets can be prepared as described in U.S. 4, 172,714. Water-dispersible and water-soluble granules can be prepared as taught in U.S. 4, 144,050, U.S. 3,920,442 and DE 3,246,493. Tablets can be prepared as taught in U.S. 5, 180,587, U.S. 5,232,701 and U.S. 5,208,030. Films can be prepared as taught in GB 2,095,558 and U.S. 3,299,566.
For further information regarding the art of formulation, see T. S. Woods, "The Formulator's Toolbox - Product Forms for Modern Agriculture" in Pesticide Chemistry and Bioscience, The Food-Environment Challenge, T. Brooks and T. R. Roberts, Eds., Proceedings of the 9th International Congress on Pesticide Chemistry, The Royal Society of Chemistry, Cambridge, 1999, pp. 120-133. See also U.S. 3,235,361, Col. 6, line 16 through Col. 7, line 19 and Examples 10-41; U.S. 3,309, 192, Col. 5, line 43 through Col. 7, line 62 and Examples 8, 12, 15, 39, 41, 52, 53, 58, 132, 138-140, 162-164, 166, 167 and 169-182; U.S. 2,891,855, Col. 3, line 66 through Col. 5, line 17 and Examples 1-4; Klingman, Weed Control as a Science, John Wiley and Sons, Inc., New York, 1961, pp 81-96; Hance et al,
Weed Control Handbook, 8th Ed., Blackwell Scientific Publications, Oxford, 1989; and Developments in formulation technology, PJB Publications, Richmond, UK, 2000.
In the following Examples, all percentages are by weight and all formulations are prepared in conventional ways. Compound numbers refer to compounds in Index Tables A- C. Without further elaboration, it is believed that one skilled in the art using the preceding description can utilize the present invention to its fullest extent. The following Examples are, therefore, to be constructed as merely illustrative, and not limiting of the disclosure in any way whatsoever. Percentages are by weight except where otherwise indicated.
Example A
High Strength Concentrate
Compound 61 98.5% silica aerogel 0.5% synthetic amorphous fine silica 1.0%
Example B
Wettable Powder
Compound 51 65.0% dodecylphenol polyethylene glycol ether 2.0% sodium ligninsulfonate 4.0% sodium silicoaluminate 6.0% montmorillonite (calcined) 23.0%
Example C
Granule
Compound 3 10.0% attapulgite granules (low volatile matter, 0.71/0.30 mm; 90.0% U.S.S. No. 25-50 sieves)
Example D
Extruded Pellet
Compound 7 25.0% anhydrous sodium sulfate 10.0% crude calcium ligninsulfonate 5.0% sodium alkylnaphthalenesulfonate 1.0% calcium/magnesium bentonite 59.0%
Example E
Emulsifiable Concentrate
Compound 8 10.0% polyoxyethylene sorbitol hexoleate 20.0%
C6-C10 fatty acid methyl ester 70.0%
Example F
Microemulsion
Compound 15 5.0% polyvinylpyrrolidone-vinyl acetate copolymer 30.0% alkylpolyglycoside 30.0% glyceryl monooleate 15.0% water 20.0%
Example G
Seed Treatment
Compound 20 20.00% polyvinylpyrrolidone-vinyl acetate copolymer 5.00% montan acid wax 5.00% calcium ligninsulfonate 1.00% polyoxyethylene/polyoxypropylene block copolymers 1.00% stearyl alcohol (POE 20) 2.00% polyorganosilane 0.20% colorant red dye 0.05% water 65.75%
Water-soluble and water-dispersible formulations are typically diluted with water to form aqueous compositions before application. Aqueous compositions for direct applications to the plant or portion thereof (e.g., spray tank compositions) typically at least about 1 ppm or more (e.g., from 1 ppm to 100 ppm) of the compound(s) of this invention.
The compounds of this invention are useful as plant disease control agents. The present invention therefore further comprises a method for controlling plant diseases caused by fungal plant pathogens comprising applying to the plant or portion thereof to be protected, or to the plant seed to be protected, an effective amount of a compound of the invention or a fungicidal composition containing said compound. The compounds and/or compositions of this invention provide control of diseases caused by a broad spectrum of fungal plant pathogens in the Basidiomycete, Ascomycete, Oomycete and Deuteromycete classes. They are effective in controlling a broad spectrum of plant diseases, particularly foliar pathogens of ornamental, turf, vegetable, field, cereal, and fruit crops. These pathogens include: Oomycetes, including Phytophthora diseases such as Phytophthora infestans, Phytophthora megasperma, Phytophthora parasitica, Phytophthora cinnamomi and Phytophthora capsici, Pythium diseases such as Pythium aphanidermatum, and diseases in the Peronosporaceae family such as Plasmopara viticola, Peronospora spp. (including Peronospora tabacina and Peronospora parasitica), Pseudoperonospora spp. (including Pseudoperonospora cubensis) and Bremia lactucae; Ascomycetes, including Alternaria diseases such as Alternaria solani and Alternaria brassicae, Guignardia diseases such as
Guignardia bidwell, Venturia diseases such as Venturia inaequalis, Septoria diseases such as Septoria nodorum and Septoria tritici, powdery mildew diseases such as Erysiphe spp. (including Erysiphe graminis and Erysiphe polygoni), Uncinula necatur, Sphaerotheca fuligena and Podosphaera leucotricha, Pseudocercosporella herpotrichoides , Botrytis diseases such as Botrytis cinerea, Monilinia fructicoia, Sclerotinia diseases such as Sclerotinia scierotiorum, Magnaporthe grisea, Phomopsis viticoia, Helminthosporium diseases such as Helminthosporium tritici repentis, Pyrenophora teres, anthracnose diseases such as Glomerella or Colletotrichum spp. (such as Colletotrichum graminicola and Colletotrichum orbiculare), and Gaeumannomyces graminis; Basidiomycetes, including rust diseases caused by Puccinia spp. (such as Puccinia recondita, Puccinia striiformis, Puccinia hordei, Puccinia graminis and Puccinia arachidis), Hemiieia vastatrix and Phakopsora pachyrhizi; other pathogens including Rutstroemia floccosum (also known as Scierontina homoeocarpa); Rhizoctonia spp. (such as Rhizoctonia soiani); Fusarium diseases such as Fusarium roseum, Fusarium graminearum and Fusarium oxysporum; Verticillium dahiiae; Scierotium roifsii; Rynchosporium secaiis; Cercosporidium personatum, Cercospora arachidicola and Cercospora beticola; and other genera and species closely related to these pathogens. In addition to their fungicidal activity, the compositions or combinations also have activity against bacteria such as Erwinia amyiovora, Xanthomonas campestris, Pseudomonas syringae, and other related species.
Plant disease control is ordinarily accomplished by applying an effective amount of a compound of this invention either pre- or post-infection, to the portion of the plant to be protected such as the roots, stems, foliage, fruit, seeds, tubers or bulbs, or to the media (soil or sand) in which the plants to be protected are growing. The compounds can also be applied to seeds to protect the seeds and seedlings developing from the seeds. The compounds can also be applied through irrigation water to treat plants.
Accordingly, this aspect of the present invention can also be described as a method for protecting a plant or plant seed from diseases caused by fungal pathogens comprising applying a fungicidally effective amount of a compound of Formula 1, an N-oxide, or salt thereof to the plant (or portion thereof) or plant seed (directly or through the environment (e.g., growing medium) of the plant or plant seed).
Rates of application for these compounds (i.e. a fungicidally effective amount) can be influenced by factors such as the plant diseases to be controlled, the plant species to be protected, ambient moisture and temperature and should be determined under actual use conditions. One skilled in the art can easily determine through simple experimentation the fungicidally effective amount necessary for the desired level of plant disease control. Foliage can normally be protected when treated at a rate of from less than about 1 g/ha to about 5,000 g/ha of active ingredient. Seed and seedlings can normally be protected when seed is treated at a rate of from about 0.1 to about 10 g per kilogram of seed.
Compounds of this invention can also be mixed with one or more other biologically active compounds or agents including fungicides, insecticides, nematocides, bactericides, acaricides, herbicides, herbicide safeners, growth regulators such as insect molting inhibitors and rooting stimulants, chemosterilants, semiochemicals, repellents, attractants, pheromones, feeding stimulants, plant nutrients, other biologically active compounds or entomopathogenic bacteria, virus or fungi to form a multi-component pesticide giving an even broader spectrum of agricultural protection. Thus the present invention also pertains to a composition comprising a compound of Formula 1 (in a fungicidally effective amount) and at least one additional biologically active compound or agent (in a biologically effective amount) and can further comprise at least one of a surfactant, a solid diluent or a liquid diluent. The other biologically active compounds or agents can be formulated in compositions comprising at least one of a surfactant, solid or liquid diluent. For mixtures of the present invention, one or more other biologically active compounds or agents can be formulated together with a compound of Formula 1, to form a premix, or one or more other biologically active compounds or agents can be formulated separately from the compound of Formula 1, and the formulations combined together before application (e.g., in a spray tank) or, alternatively, applied in succession.
Of note is a composition which in addition to the compound of Formula 1 includes at least one fungicidal compound selected from the group consisting of the classes (1) methyl benzimidazole carbamate (MBC) fungicides; (2) dicarboximide fungicides; (3) demethylation inhibitor (DMI) fungicides; (4) phenylamide fungicides; (5) amine/morpholine fungicides; (6) phospholipid biosynthesis inhibitor fungicides; (7) carboxamide fungicides; (8) hydroxy(2-amino-)pyrimidine fungicides; (9) anilinopyrimidine fungicides; (10) N-phenyl carbamate fungicides; (1 1) quinone outside inhibitor (Qol) fungicides; (12) phenylpyrrole fungicides; (13) quinoline fungicides; (14) lipid peroxidation inhibitor fungicides; (15) melanin biosynthesis inhibitors-reductase (MBI-R) fungicides; (16) melanin biosynthesis inhibitors-dehydratase (MBI-D) fungicides; (17) hydroxyanilide fungicides; (18) squalene-epoxidase inhibitor fungicides; (19) polyoxin fungicides; (20) phenylurea fungicides; (21) quinone inside inhibitor (Qil) fungicides; (22) benzamide fungicides; (23) enopyranuronic acid antibiotic fungicides; (24) hexopyranosyl antibiotic fungicides; (25) glucopyranosyl antibiotic: protein synthesis fungicides; (26) glucopyranosyl antibiotic: trehalase and inositol biosynthesis fungicides; (27) cyanoacetamideoxime fungicides; (28) carbamate fungicides; (29) oxidative phosphorylation uncoupling fungicides; (30) organo tin fungicides; (31) carboxylic acid fungicides; (32) heteroaromatic fungicides; (33) phosphonate fungicides; (34) phthalamic acid fungicides; (35) benzotriazine fungicides; (36) benzene-sulfonamide fungicides; (37) pyridazinone fungicides; (38) thiophene-carboxamide fungicides; (39) pyrimidinamide fungicides; (40) carboxylic acid amide (CAA) fungicides; (41) tetracycline antibiotic fungicides; (42) thiocarbamate
fungicides; (43) benzamide fungicides; (44) host plant defense induction fungicides; (45) multi-site contact activity fungicides; (46) fungicides other than classes (1) through (45); and salts of compounds of classes (1) through (46).
Further descriptions of these classes of fungicidal compounds are provided below. (1) "Methyl benzimidazole carbamate (MBC) fungicides" (Fungicide Resistance
Action Committee (FRAC) code 1) inhibit mitosis by binding to β-tubulin during microtubule assembly. Inhibition of microtubule assembly can disrupt cell division, transport within the cell and cell structure. Methyl benzimidazole carbamate fungicides include benzimidazole and thiophanate fungicides. The benzimidazoles include benomyl, carbendazim, fuberidazole and thiabendazole. The thiophanates include thiophanate and thiophanate-methyl.
(2) "Dicarboximide fungicides" (Fungicide Resistance Action Committee (FRAC) code 2) are proposed to inhibit a lipid peroxidation in fungi through interference with NADH cytochrome c reductase. Examples include chlozolinate, iprodione, procymidone and vinclozolin.
(3) "Demethylation inhibitor (DMI) fungicides" (Fungicide Resistance Action Committee (FRAC) code 3) inhibit C14-demethylase, which plays a role in sterol production. Sterols, such as ergosterol, are needed for membrane structure and function, making them essential for the development of functional cell walls. Therefore, exposure to these fungicides results in abnormal growth and eventually death of sensitive fungi. DMI fungicides are divided between several chemical classes: azoles (including triazoles and imidazoles), pyrimidines, piperazines and pyridines. The triazoles include azaconazole, bitertanol, bromuconazole, cyproconazole, difenoconazole, diniconazole (including diniconazole-M), epoxiconazole, fenbuconazole, fluquinconazole, flusilazole, flutriafol, hexaconazole, imibenconazole, ipconazole, metconazole, myclobutanil, penconazole, propiconazole, prothioconazole, simeconazole, tebuconazole, tetraconazole, triadimefon, triadimenol, triticonazole and uniconazole. The imidazoles include clotrimazole, imazalil, oxpoconazole, prochloraz, pefurazoate and triflumizole. The pyrimidines include fenarimol and nuarimol. The piperazines include triforine. The pyridines include pyrifenox. Biochemical investigations have shown that all of the above mentioned fungicides are DMI fungicides as described by K. H. Kuck et al. in Modern Selective Fungicides - Properties, Applications and Mechanisms of Action, H. Lyr (Ed.), Gustav Fischer Verlag: New York, 1995, 205-258.
(4) "Phenylamide fungicides" (Fungicide Resistance Action Committee (FRAC) code 4) are specific inhibitors of RNA polymerase in Oomycete fungi. Sensitive fungi exposed to these fungicides show a reduced capacity to incorporate uridine into rRNA. Growth and development in sensitive fungi is prevented by exposure to this class of fungicide. Phenylamide fungicides include acylalanine, oxazolidinone and butyrolactone fungicides.
The acylalanines include benalaxyl, benalaxyl-M, furalaxyl, metalaxyl and metalaxyl- M/mefenoxam. The oxazolidinones include oxadixyl. The butyrolactones include ofurace.
(5) "Amine/morpholine fungicides" (Fungicide Resistance Action Committee (FRAC) code 5) inhibit two target sites within the sterol biosynthetic pathway, Δ8→ Δ7 isomerase and Δ14 reductase. Sterols, such as ergosterol, are needed for membrane structure and function, making them essential for the development of functional cell walls. Therefore, exposure to these fungicides results in abnormal growth and eventually death of sensitive fungi. Amine/morpholine fungicides (also known as non-DMI sterol biosynthesis inhibitors) include morpholine, piperidine and spiroketal-amine fungicides. The morpholines include aldimorph, dodemorph, fenpropimorph, tridemorph and trimorphamide. The piperidines include fenpropidin and piperalin. The spiroketal-amines include spiroxamine.
(6) "Phospholipid biosynthesis inhibitor fungicides" (Fungicide Resistance Action Committee (FRAC) code 6) inhibit growth of fungi by affecting phospholipid biosynthesis. Phospholipid biosynthesis fungicides include phophorothiolate and dithiolane fungicides. The phosphorothiolates include edifenphos, iprobenfos and pyrazophos. The dithiolanes include isoprothiolane.
(7) "Carboxamide fungicides" (Fungicide Resistance Action Committee (FRAC) code 7) inhibit Complex II (succinate dehydrogenase) fungal respiration by disrupting a key enzyme in the Krebs Cycle (TCA cycle) named succinate dehydrogenase. Inhibiting respiration prevents the fungus from making ATP, and thus inhibits growth and reproduction. Carboxamide fungicides include benzamides, furan carboxamides, oxathiin carboxamides, thiazole carboxamides, pyrazole carboxamides and pyridine carboxamides. The benzamides include benodanil, flutolanil and mepronil. The furan carboxamides include fenfuram. The oxathiin carboxamides include carboxin and oxycarboxin. The thiazole carboxamides include thifluzamide. The pyrazole carboxamides include furametpyr, penthiopyrad, bixafen, isopyrazam, N-[2-(15,,2R)-[l, l'-bicyclopropyl]-2-ylphenyl]-3- (difluoromethyl)- 1 -methyl- lH-pyrazole-4-carboxamide and penflufen (N-[2-(l,3-dimethyl- butyl)phenyl]-5-fluoro-l,3-dimethyl-lH-pyrazole-4-carboxamide). The pyridine carboxamides include boscalid.
(8) "Hydroxy(2-amino-)pyrimidine fungicides" (Fungicide Resistance Action
Committee (FRAC) code 8) inhibit nucleic acid synthesis by interfering with adenosine deaminase. Examples include bupirimate, dimethirimol and ethirimol.
(9) "Anilinopyrimidine fungicides" (Fungicide Resistance Action Committee (FRAC) code 9) are proposed to inhibit biosynthesis of the amino acid methionine and to disrupt the secretion of hydro lytic enzymes that lyse plant cells during infection. Examples include cyprodinil, mepanipyrim and pyrimethanil.
(10) "N-Phenyl carbamate fungicides" (Fungicide Resistance Action Committee (FRAC) code 10) inhibit mitosis by binding to β-tubulin and disrupting microtubule
assembly. Inhibition of microtubule assembly can disrupt cell division, transport within the cell and cell structure. Examples include diethofencarb.
(11) "Quinone outside inhibitor (Qol) fungicides" (Fungicide Resistance Action Committee (FRAC) code 1 1) inhibit Complex III mitochondrial respiration in fungi by affecting ubiquinol oxidase. Oxidation of ubiquinol is blocked at the "quinone outside" (Q0) site of the cytochrome bc\ complex, which is located in the inner mitochondrial membrane of fungi. Inhibiting mitochondrial respiration prevents normal fungal growth and development. Quinone outside inhibitor fungicides (also known as strobilurin fungicides) include methoxyacrylate, methoxycarbamate, oximinoacetate, oximinoacetamide, oxazolidinedione, dihydrodioxazine, imidazolinone and benzylcarbamate fungicides. The methoxyacrylates include azoxystrobin, enestroburin (SYP-Z071), picoxystrobin and pyraoxystrobin (SYP-3343). The methoxycarbamates include pyraclostrobin and pyrametostrobin (SYP-4155). The oximinoacetates include kresoxim-methyl and trifloxystrobin. The oximinoacetamides include dimoxystrobin, metominostrobin, orysastrobin, a-[methoxyimino]-N-methyl-2-[[[l-[3-(trifluoromethyl)phenyl]ethoxy]imino]- methyljbenzeneacetamide and 2-[[[3-(2,6-dichlorophenyl)-l-methyl-2-propen-l-ylidene]- amino]oxy]methyl]-a-(methoxyimino)-N-methylbenzeneacetamide. The oxazolidinediones include famoxadone. The dihydrodioxazines include fluoxastrobin. The imidazolinones include fenamidone. The benzylcarbamates include pyribencarb.
(12) "Phenylpyrrole fungicides" (Fungicide Resistance Action Committee (FRAC) code 12) inhibit a MAP protein kinase associated with osmotic signal transduction in fungi. Fenpiclonil and fludioxonil are examples of this fungicide class.
(13) "Quinoline fungicides" (Fungicide Resistance Action Committee (FRAC) code 13) are proposed to inhibit signal transduction by affecting G-proteins in early cell signaling. They have been shown to interfere with germination and/or appressorium formation in fungi that cause powder mildew diseases. Quinoxyfen and tebufloquin are examples of this class of fungicide.
(14) "Lipid peroxidation inhibitor fungicides" (Fungicide Resistance Action Committee (FRAC) code 14) are proposed to inhibit lipid peroxidation which affects membrane synthesis in fungi. Members of this class, such as etridiazole, may also affect other biological processes such as respiration and melanin biosynthesis. Lipid peroxidation fungicides include aromatic carbon and 1,2,4-thiadiazole fungicides. The aromatic carbon fungicides include biphenyl, chloroneb, dicloran, quintozene, tecnazene and tolclofos- methyl. The 1,2,4-thiadiazole fungicides include etridiazole.
(15) "Melanin biosynthesis inhibitors-reductase (MBI-R) fungicides" (Fungicide
Resistance Action Committee (FRAC) code 16.1) inhibit the naphthal reduction step in melanin biosynthesis. Melanin is required for host plant infection by some fungi. Melanin biosynthesis inhibitors-reductase fungicides include isobenzofuranone, pyrroloquinolinone
and triazolobenzothiazole fungicides. The isobenzofuranones include fthalide. The pyrroloquinolinones include pyroquilon. The triazolobenzothiazoles include tricyclazole.
(16) "Melanin biosynthesis inhibitors-dehydratase (MBI-D) fungicides" (Fungicide Resistance Action Committee (FRAC) code 16.2) inhibit scytalone dehydratase in melanin biosynthesis. Melanin in required for host plant infection by some fungi. Melanin biosynthesis inhibitors-dehydratase fungicides include cyclopropanecarboxamide, carboxamide and propionamide fungicides. The cyclopropanecarboxamides include carpropamid. The carboxamides include diclocymet. The propionamides include fenoxanil.
(17) "Hydroxyanilide fungicides (Fungicide Resistance Action Committee (FRAC) code 17) inhibit C4-demethylase which plays a role in sterol production. Examples include fenhexamid.
(18) "Squalene-epoxidase inhibitor fungicides" (Fungicide Resistance Action Committee (FRAC) code 18) inhibit squalene-epoxidase in ergosterol biosynthesis pathway. Sterols such as ergosterol are needed for membrane structure and function, making them essential for the development of functional cell walls. Therefore exposure to these fungicides results in abnormal growth and eventually death of sensitive fungi. Squalene- epoxidase inhibitor fungicides include thiocarbamate and allylamine fungicides. The thiocarbamates include pyributicarb. The allylamines include naftifine and terbinafine.
(19) "Polyoxin fungicides" (Fungicide Resistance Action Committee (FRAC) code 19) inhibit chitin synthase. Examples include polyoxin.
(20) "Phenylurea fungicides" (Fungicide Resistance Action Committee (FRAC) code 20) are proposed to affect cell division. Examples include pencycuron.
(21) "Quinone inside inhibitor (Qil) fungicides" (Fungicide Resistance Action Committee (FRAC) code 21) inhibit Complex III mitochondrial respiration in fungi by affecting ubiquinol reductase. Reduction of ubiquinol is blocked at the "quinone inside" (Qj) site of the cytochrome bc\ complex, which is located in the inner mitochondrial membrane of fungi. Inhibiting mitochondrial respiration prevents normal fungal growth and development. Quinone inside inhibitor fungicides include cyanoimidazole and sulfamoyltriazole fungicides. The cyanoimidazoles include cyazofamid. The sulfamoyltriazoles include amisulbrom.
(22) "Benzamide fungicides" (Fungicide Resistance Action Committee (FRAC) code 22) inhibit mitosis by binding to β-tubulin and disrupting microtubule assembly. Inhibition of microtubule assembly can disrupt cell division, transport within the cell and cell structure. Examples include zoxamide.
(23) "Enopyranuronic acid antibiotic fungicides" (Fungicide Resistance Action
Committee (FRAC) code 23) inhibit growth of fungi by affecting protein biosynthesis. Examples include blasticidin-S.
(24) "Hexopyranosyl antibiotic fungicides" (Fungicide Resistance Action Committee (FRAC) code 24) inhibit growth of fungi by affecting protein biosynthesis. Examples include kasugamycin.
(25) "Glucopyranosyl antibiotic: protein synthesis fungicides" (Fungicide Resistance Action Committee (FRAC) code 25) inhibit growth of fungi by affecting protein biosynthesis. Examples include streptomycin.
(26) "Glucopyranosyl antibiotic: trehalase and inositol biosynthesis fungicides" (Fungicide Resistance Action Committee (FRAC) code 26) inhibit trehalase in inositol biosynthesis pathway. Examples include validamycin.
(27) "Cyanoacetamideoxime fungicides (Fungicide Resistance Action Committee
(FRAC) code 27) include cymoxanil.
(28) "Carbamate fungicides" (Fungicide Resistance Action Committee (FRAC) code 28) are considered multi-site inhibitors of fungal growth. They are proposed to interfere with the synthesis of fatty acids in cell membranes, which then disrupts cell membrane permeability. Propamacarb, propamacarb-hydrochloride, iodocarb, and prothiocarb are examples of this fungicide class.
(29) "Oxidative phosphorylation uncoupling fungicides" (Fungicide Resistance Action Committee (FRAC) code 29) inhibit fungal respiration by uncoupling oxidative phosphorylation. Inhibiting respiration prevents normal fungal growth and development. This class includes 2,6-dinitroanilines such as fluazinam, pyrimidonehydrazones such as ferimzone and dinitrophenyl crotonates such as dinocap, meptyldinocap and binapacryl.
(30) "Organo tin fungicides" (Fungicide Resistance Action Committee (FRAC) code 30) inhibit adenosine triphosphate (ATP) synthase in oxidative phosphorylation pathway. Examples include fentin acetate, fentin chloride and fentin hydroxide.
(31) "Carboxylic acid fungicides" (Fungicide Resistance Action Committee (FRAC) code 31) inhibit growth of fungi by affecting deoxyribonucleic acid (DNA) topoisomerase type II (gyrase). Examples include oxolinic acid.
(32) "Heteroaromatic fungicides" (Fungicide Resistance Action Committee (FRAC) code 32) are proposed to affect DNA/ribonucleic acid (RNA) synthesis. Heteroaromatic fungicides include isoxazole and isothiazolone fungicides. The isoxazoles include hymexazole and the isothiazolones include octhilinone.
(33) "Phosphonate fungicides" (Fungicide Resistance Action Committee (FRAC) code 33) include phosphorous acid and its various salts, including fosetyl-aluminum.
(34) "Phthalamic acid fungicides" (Fungicide Resistance Action Committee (FRAC) code 34) include teclofthalam.
(35) "Benzotriazine fungicides" (Fungicide Resistance Action Committee (FRAC) code 35) include triazoxide.
(36) "Benzene-sulfonamide fungicides" (Fungicide Resistance Action Committee (FRAC) code 36) include flusulfamide.
(37) "Pyridazinone fungicides" (Fungicide Resistance Action Committee (FRAC) code 37) include diclomezine.
(38) "Thiophene-carboxamide fungicides" (Fungicide Resistance Action Committee
(FRAC) code 38) are proposed to affect ATP production. Examples include silthiofam.
(39) "Pyrimidinamide fungicides" (Fungicide Resistance Action Committee (FRAC) code 39) inhibit growth of fungi by affecting phospholipid biosynthesis and include diflumetorim.
(40) "Carboxylic acid amide (CAA) fungicides" (Fungicide Resistance Action
Committee (FRAC) code 40) are proposed to inhibit phospholipid biosynthesis and cell wall deposition. Inhibition of these processes prevents growth and leads to death of the target fungus. Carboxylic acid amide fungicides include cinnamic acid amide, valinamide carbamate and mandelic acid amide fungicides. The cinnamic acid amides include dimethomorph and flumorph. The valinamide carbamates include benthiavalicarb, benthiavalicarb-isopropyl, iprovalicarb, valifenalate and valiphenal. The mandelic acid amides include mandipropamid, N-[2-[4-[[3-(4-chlorophenyl)-2-propyn-l-yl]oxy]-3- methoxyphenyl] ethyl] -3 -methyl-2- [(methylsulfonyl)amino]butanamide and N- [2- [4- [ [3 -(4- chlorophenyl)-2-propyn-l-yl]oxy]-3-methoxyphenyl]ethyl]-3-methyl-2- [(ethylsulfonyl)amino]butanamide.
(41) "Tetracycline antibiotic fungicides" (Fungicide Resistance Action Committee (FRAC) code 41) inhibit growth of fungi by affecting complex 1 nicotinamide adenine dinucleotide (NADH) oxidoreductase. Examples include oxytetracycline.
(42) "Thiocarbamate fungicides (b42)" (Fungicide Resistance Action Committee (FRAC) code 42) include methasulfocarb.
(43) "Benzamide fungicides" (Fungicide Resistance Action Committee (FRAC) code 43) inhibit growth of fungi by derealization of spectrin-like proteins. Examples include acylpicolide fungicides such as fluopicolide and fluopyram.
(44) "Host plant defense induction fungicides" (Fungicide Resistance Action Committee (FRAC) code P) induce host plant defense mechanisms. Host plant defense induction fungicides include benzo-thiadiazole, benzisothiazole and thiadiazole-carboxamide fungicides. The benzo-thiadiazoles include acibenzolar-S-methyl. The benzisothiazoles include probenazole. The thiadiazole-carboxamides include tiadinil and isotianil.
(45) "Multi-site contact fungicides" inhibit fungal growth through multiple sites of action and have contact/preventive activity. This class of fungicides includes: (45.1)
"copper fungicides" (Fungicide Resistance Action Committee (FRAC) code Ml)", (45.2) "sulfur fungicides" (Fungicide Resistance Action Committee (FRAC) code M2), (45.3) "dithiocarbamate fungicides" (Fungicide Resistance Action Committee (FRAC) code M3),
(45.4) "phthalimide fungicides" (Fungicide Resistance Action Committee (FRAC) code M4), (45.5) "chloronitrile fungicides" (Fungicide Resistance Action Committee (FRAC) code M5), (45.6) "sulfamide fungicides" (Fungicide Resistance Action Committee (FRAC) code M6), (45.7) "guanidine fungicides" (Fungicide Resistance Action Committee (FRAC) code M7), (45.8) "triazine fungicides" (Fungicide Resistance Action Committee (FRAC) code M8) and (45.9) "quinone fungicides" (Fungicide Resistance Action Committee (FRAC) code M9). "Copper fungicides" are inorganic compounds containing copper, typically in the copper(II) oxidation state; examples include copper oxychloride, copper sulfate and copper hydroxide, including compositions such as Bordeaux mixture (tribasic copper sulfate). "Sulfur fungicides" are inorganic chemicals containing rings or chains of sulfur atoms; examples include elemental sulfur. "Dithiocarbamate fungicides" contain a dithiocarbamate molecular moiety; examples include mancozeb, metiram, propineb, ferbam, maneb, thiram, zineb and ziram. "Phthalimide fungicides" contain a phthalimide molecular moiety; examples include folpet, captan and captafol. "Chloronitrile fungicides" contain an aromatic ring substituted with chloro and cyano; examples include chlorothalonil. "Sulfamide fungicides" include dichlofluanid and tolyfluanid. "Guanidine fungicides" include dodine, guazatine, iminoctadine albesilate and iminoctadine triacetate. "Triazine fungicides" include anilazine. "Quinone fungicides" include dithianon.
(46) "Fungicides other than fungicides of classes (1) through (45)" include certain fungicides whose mode of action may be unknown. These include: (46.1) "thiazole carboxamide fungicides" (Fungicide Resistance Action Committee (FRAC) code U5), (46.2) "phenyl-acetamide fungicides" (Fungicide Resistance Action Committee (FRAC) code U6), (46.3) "quinazolinone fungicides" (Fungicide Resistance Action Committee (FRAC) code U7), (46.4) "benzophenone fungicides" (Fungicide Resistance Action Committee (FRAC) code U8) and (46.5) "triazolopyrimidine fungicides". The thiazole carboxamides include ethaboxam. The phenyl-acetamides include cyflufenamid and N-
[[(cyclopropylmethoxy)amino][6-(difluoromethoxy)-2,3-difluorophenyl]- methylene]benzeneacetamide. The quinazolinones include proquinazid and 2-butoxy-6- iodo-3-propyl-4H-l-benzopyran-4-one. The benzophenones include metrafenone. The (b46) class also includes bethoxazin, neo-asozin (ferric methanearsonate), pyrrolnitrin, quinomethionate, N-[2-[4-[[3-(4-chlorophenyl)-2-propyn-l-yl]oxy]-3-methoxyphenyl]ethyl]- 3-methyl-2-[(methylsulfonyl)amino]butanamide, N-[2-[4-[[3-(4-chlorophenyl)-2-propyn-l- yl]oxy]-3-methoxyphenyl]ethyl]-3-methyl-2-[(ethylsulfonyl)amino]butanamide, 2-[[2- fluoro-5-(trifluoromethyl)phenyl]thio]-2-[3-(2-methoxyphenyl)-2-thiazolidinyl- idene]acetonitrile, 3-[5-(4-chlorophenyl)-2,3-dimethyl-3-isoxazolidinyl]pyridine, 4-fluoro- phenyl N-[l-[[[l-(4-cyanophenyl)ethyl]sulfonyl]methyl]propyl]carbamate, 5-chloro-6- (2,4,6-trifluorophenyl)-7-(4-methylpiperidin-l-yl)[l,2,4]triazolo[l,5-a]pyrimidine, N-(4- chloro-2-nitrophenyl)-N-ethyl-4-methylbenzenesulfonamide, N-[[(cyclopropylmethoxy)-
amino] [6-(difluoromethoxy)-2,3-difluorophenyl]methylene]benzeneacetamide, N"-[4-[4- chloro-3-(trifluoromethyl)phenoxy]-2,5-dimethylphenyl]-N-ethyl-N-methylmethanimid- amide and l-[(2-propenylthio)carbonyl]-2-(l-methylethyl)-4-(2-methylphenyl)-5-amino-lH- pyrazol-3-one. The triazolopyrimi dines include ametoctradin. (46.6) Other fungicides whose mode of action may be unknown include pentyl N-[4-[[[[(l-methyl-lH-tetrazol-5- yl)phenylmethylene]amino]oxy]methyl]-2-thiazolyl]carbamate, pentyl N-[6-[[[[(l-methyl- lH-tetrazol-5-yl)phenylmethylene]amino]oxy]methyl]-2-pyridinyl]carbamate and Hambra®.
Therefore of note is a mixture (i.e. composition) comprising a compound of Formula 1 and at least one fungicidal compound selected from the group consisting of the aforedescribed classes (1) through (46). Also of note is a composition comprising said mixture (in fungicidally effective amount) and further comprising at least one additional component selected from the group consisting of surfactants, solid diluents and liquid diluents. Of particular note is a mixture (i.e. composition) comprising a compound of Formula 1 and at least one fungicidal compound selected from the group of specific compounds listed above in connection with classes (1) through (46). Also of particular note is a composition comprising said mixture (in fungicidally effective amount) and further comprising at least one additional surfactant selected from the group consisting of surfactants, solid diluents and liquid diluents.
Examples of other biologically active compounds or agents with which compounds of this invention can be formulated are: insecticides such as abamectin, acephate, acetamiprid, acrinathrin, amidoflumet (S-1955), avermectin, azadirachtin, azinphos -methyl, bifenthrin, bifenazate, buprofezin, carbofuran, cartap, chlorantraniliprole, chlorfenapyr, chlorfluazuron, chlorpyrifos, chlorpyrifos-methyl, chromafenozide, clothianidin, cyantraniliprole (3-bromo- l-(3-chloro-2-pyridinyl)-N-[4-cyano-2-methyl-6-[(methylamino)carbonyl]phenyl]-lH- pyrazole-5-carboxamide), cyflumetofen, cyfluthrin, beta-cyfluthrin, cyhalothrin, lambda- cyhalothrin, cypermethrin, cyromazine, deltamethrin, diafenthiuron, diazinon, dieldrin, diflubenzuron, dimefluthrin, dimethoate, dinotefuran, diofenolan, emamectin, endosulfan, esfenvalerate, ethiprole, fenothiocarb, fenoxycarb, fenpropathrin, fenvalerate, fipronil, flonicamid, flubendiamide, flucythrinate, tau-fluvalinate, flufenerim (UR-50701), flufenoxuron, fonophos, halofenozide, hexaflumuron, hydramethylnon, imidacloprid, indoxacarb, isofenphos, lufenuron, malathion, metaflumizone, metaldehyde, methamidophos, methidathion, methomyl, methoprene, methoxychlor, metofluthrin, milbemycin oxime, monocrotophos, methoxyfenozide, nicotine, nitenpyram, nithiazine, novaluron, noviflumuron (XDE-007), oxamyl, parathion, parathion-methyl, permethrin, phorate, phosalone, phosmet, phosphamidon, pirimicarb, profenofos, profluthrin, pymetrozine, pyrafluprole, pyrethrin, pyridalyl, pyrifluquinazon, pyriprole, pyriproxyfen, rotenone, ryanodine, spinetoram, spinosad, spirodiclofen, spiromesifen (BSN 2060), spirotetramat, sulprofos, tebufenozide, teflubenzuron, tefluthrin, terbufos, tetrachlorvinphos,
thiacloprid, thiamethoxam, thiodicarb, thiosultap-sodium, tolfenpyrad, tralomethrin, triazamate, trichlorfon and triflumuron; and biological agents including entomopathogenic bacteria, such as Bacillus thuringiensis subsp. aizawai, Bacillus thuringiensis subsp. kurstaki, and the encapsulated delta-endotoxins of Bacillus thuringiensis (e.g., Cellcap, MPV, MPVII); entomopathogenic fungi, such as green muscardine fungus; and entomopathogenic virus including baculovirus, nucleopolyhedro virus (NPV) such as HzNPV, AfNPV; and granulosis virus (GV) such as CpGV.
Compounds of this invention and compositions thereof can be applied to plants genetically transformed to express proteins toxic to invertebrate pests (such as Bacillus thuringiensis delta-endotoxins). The effect of the exogenously applied fungicidal compounds of this invention may be synergistic with the expressed toxin proteins.
General references for agricultural protectants (i.e. insecticides, fungicides, nematocides, acaricides, herbicides and biological agents) include The Pesticide Manual, 13th Edition, C. D. S. Tomlin, Ed., British Crop Protection Council, Farnham, Surrey, U.K., 2003 and The BioPesticide Manual, 2nd Edition, L. G. Copping, Ed., British Crop Protection Council, Farnham, Surrey, U.K., 2001.
For embodiments where one or more of these various mixing partners are used, the weight ratio of these various mixing partners (in total) to the compound of Formula 1 is typically between about 1 :3000 and about 3000: 1. Of note are weight ratios between about 1 :300 and about 300: 1 (for example ratios between about 1 :30 and about 30: 1). One skilled in the art can easily determine through simple experimentation the biologically effective amounts of active ingredients necessary for the desired spectrum of biological activity. It will be evident that including these additional components may expand the spectrum of diseases controlled beyond the spectrum controlled by the compound of Formula 1 alone.
In certain instances, combinations of a compound of this invention with other biologically active (particularly fungicidal) compounds or agents (i.e. active ingredients) can result in a greater-than-additive (i.e. synergistic) effect. Reducing the quantity of active ingredients released in the environment while ensuring effective pest control is always desirable. When synergism of fungicidal active ingredients occurs at application rates giving agronomically satisfactory levels of fungal control, such combinations can be advantageous for reducing crop production cost and decreasing environmental load.
Of note is a combination of a compound of Formula 1 with at least one other fungicidal active ingredient. Of particular note is such a combination where the other fungicidal active ingredient has different site of action from the compound of Formula 1. In certain instances, a combination with at least one other fungicidal active ingredient having a similar spectrum of control but a different site of action will be particularly advantageous for resistance management. Thus, a composition of the present invention can further comprise a
biologically effective amount of at least one additional fungicidal active ingredient having a similar spectrum of control but a different site of action.
Of particular note are compositions which in addition to compound of Formula 1 include at least one compound selected from the group consisting of (1) alkylenebis(dithiocarbamate) fungicides; (2) cymoxanil; (3) phenylamide fungicides; (4) proquinazid (6-iodo-3-propyl-2-propyloxy-4(3H)-quinazolinone); (5) chlorothalonil; (6) carboxamides acting at complex II of the fungal mitochondrial respiratory electron transfer site; (7) quinoxyfen; (8) metrafenone; (9) cyflufenamid; (10) cyprodinil; (11) copper compounds; (12) phthalimide fungicides; (13) fosetyl-aluminum; (14) benzimidazole fungicides; (15) cyazofamid; (16) fluazinam; (17) iprovalicarb; (18) propamocarb; (19) validomycin; (20) dichlorophenyl dicarboximide fungicides; (21) zoxamide; (22) fluopicolide; (23) mandipropamid; (24) carboxylic acid amides acting on phospholipid biosynthesis and cell wall deposition; (25) dimethomorph; (26) non-DMI sterol biosynthesis inhibitors; (27) inhibitors of demethylase in sterol biosynthesis; (28) bc\ complex fungicides; and salts of compounds of (1) through (28).
Further descriptions of classes of fungicidal compounds are provided below.
Sterol biosynthesis inhibitors (group (27)) control fungi by inhibiting enzymes in the sterol biosynthesis pathway. Demethylase-inhibiting fungicides have a common site of action within the fungal sterol biosynthesis pathway, involving inhibition of demethylation at position 14 of lanosterol or 24-methylene dihydrolanosterol, which are precursors to sterols in fungi. Compounds acting at this site are often referred to as demethylase inhibitors, DMI fungicides, or DMIs. The demethylase enzyme is sometimes referred to by other names in the biochemical literature, including cytochrome P-450 (14DM). The demethylase enzyme is described in, for example, J. Biol. Chem. 1992, 267, 13175-79 and references cited therein. DMI fungicides are divided between several chemical classes: azoles (including triazoles and imidazoles), pyrimidines, piperazines and pyridines. The triazoles include azaconazole, bromuconazole, cyproconazole, difenoconazole, diniconazole (including diniconazole-M), epoxiconazole, etaconazole, fenbuconazole, fluquinconazole, flusilazole, flutriafol, hexaconazole, imibenconazole, ipconazole, metconazole, myclobutanil, penconazole, propiconazole, prothioconazole, quinconazole, simeconazole, tebuconazole, tetraconazole, triadimefon, triadimenol, triticonazole and uniconazole. The imidazoles include clotrimazole, econazole, imazalil, isoconazole, miconazole, oxpoconazole, prochloraz and triflumizole. The pyrimidines include fenarimol, nuarimol and triarimol. The piperazines include triforine. The pyridines include buthiobate and pyrifenox. Biochemical investigations have shown that all of the above mentioned fungicides are DMI fungicides as described by K. Η. Kuck et al. in Modern Selective Fungicides - Properties, Applications and Mechanisms of Action, Η. Lyr (Ed.), Gustav Fischer Verlag: New York, 1995, 205-258.
be ι Complex Fungicides (group 28) have a fungicidal mode of action which inhibits the be i complex in the mitochondrial respiration chain. The bc\ complex is sometimes referred to by other names in the biochemical literature, including complex III of the electron transfer chain, and ubihydroquinone: cytochrome c oxidoreductase. This complex is uniquely identified by Enzyme Commission number ECl .10.2.2. The bc\ complex is described in, for example, J. Biol. Chem. 1989, 264, 14543-48; Methods Enz mol. 1986, 126, 253-71 ; and references cited therein. Strobilurin fungicides such as azoxystrobin, dimoxystrobin, enestroburin (SYP-Z071), fluoxastrobin, kresoxim-methyl, metominostrobin, orysastrobin, picoxystrobin, pyraclostrobin, pyrametostrobin, pyraoxystrobin and trifloxystrobin are known to have this mode of action (H. Sauter et al, Angew. Chem. Int. Ed. 1999, 38, 1328-1349). Other fungicidal compounds that inhibit the bc\ complex in the mitochondrial respiration chain include famoxadone and fenamidone.
Alkylenebis(dithiocarbamate)s (group (1)) include compounds such as mancozeb, maneb, propineb and zineb. Phenylamides (group (3)) include compounds such as metalaxyl, benalaxyl, furalaxyl and oxadixyl. Carboxamides (group (6)) include compounds such as boscalid, carboxin, fenfuram, flutolanil, furametpyr, mepronil, oxycarboxin, thifluzamide, penthiopyrad and N-[2-(l,3-dimethylbutyl)phenyl]-5-fluoro-l,3-dimethyl-lH- pyrazole-4-carboxamide (PCT Patent Publication WO 2003/010149), and are known to inhibit mitochondrial function by disrupting complex II (succinate dehydrogenase) in the respiratory electron transport chain. Copper compounds (group (11)) include compounds such as copper oxychloride, copper sulfate and copper hydroxide, including compositions such as Bordeaux mixture (tribasic copper sulfate). Phthalimides (group (12)) include compounds such as folpet and captan. Benzimidazole fungicides (group (14)) include benomyl and carbendazim. Dichlorophenyl dicarboximide fungicides (group (20)) include chlozolinate, dichlozoline, iprodione, isovaledione, myclozolin, procymidone and vinclozolin.
Νοη-DMI sterol biosynthesis inhibitors (group (26)) include morpholine and piperidine fungicides. The morpholines and piperidines are sterol biosynthesis inhibitors that have been shown to inhibit steps in the sterol biosynthesis pathway at a point later than the inhibitions achieved by the DMI sterol biosynthesis (group (27)). The morpholines include aldimorph, dodemorph, fenpropimorph, tridemorph and trimorphamide. The piperidines include fenpropidin.
Of further note are combinations of compounds of Formula 1 with azoxystrobin, kresoxim-methyl, trifloxystrobin, pyraclostrobin, picoxystrobin, dimoxystrobin, metominostrobin/fenominostrobin, carbendazim, chlorothalonil, quinoxyfen, metrafenone, cyflufenamid, fenpropidine, fenpropimorph, bromuconazole, cyproconazole, difenoconazole, epoxiconazole, fenbuconazole, flusilazole, hexaconazole, ipconazole, metconazole,
penconazole, propiconazole, proquinazid, prothioconazole, tebuconazole, triticonazole, famoxadone, prochloraz, penthiopyrad and boscalid (nicobifen).
The following Tests demonstrate the control efficacy of compounds of this invention on specific pathogens. The pathogen control protection afforded by the compounds is not limited, however, to these species. See Index Tables A-E for compound descriptions. The following abbreviations are used in the Index Tables which follow: Me is methyl and CN is cyano.
The compounds of this invention prepared by the methods described herein are shown in Index Tables A-E. For mass spectral data (MS+(M+1)), the numerical value reported is the molecular weight of the parent molecular ion (M) formed by addition of H+ (molecular weight of 1) to the molecule to give a M+1 peak observed by mass spectrometry using atmospheric pressure chemical ionization (AP+) or electrospray ionization (ESI). The alternate molecular ion peaks (e.g., M+2 or M+4) that occur with compounds containing multiple halogens are not reported.
Cmpd. R6 R1 R3 MS (M+1)
1 Br CH2CH3 C(CH3)2CN 376
3 OCH3 CH2CH3 C(CH3)3 316
4 OCH3 CH2CH3 C(CH3)2C≡CH 326
5 OCHF2 CH2CH3 C(CH3)3 352
6 OCHF2 CH2CH3 C(CH3)2C≡CH 362
7 Br CH2CH3 C(CH3)2CH2OCH3 394
8 Br CH2CH3 C(CH3)3 364
9 Br CH2CH3 N(CH3)2 351
10 Br CH2CH3 C(CH3)2CH2OP(0)(CH3)2 456
11 Br CH2CH3 C(CH3)2CH2NHCHO 407
12 Br CH2CH3 C(CH3)2CH2NHC(0)OC(CH3)3 *
13 Br CH2CH3 1 -methyl- 1 -cyclopropyl 362
14 Br CH2CH3 C(CH3)2CH2NH2 379
15 Br CH2CH3 C(CH3)2CH2NHCHN(CH3)2 434
16 Br CH2CH3 C(CH3)2CH2OH 380
Cmpd. R6 R1 R3 MS (M+1)
17 Br CH2CH3 C(CH3)2CHO 378
18 Br CH2CH3 C(CH3)2CH2OCHO 408
19 Br CH2CH3 C(CH3)2(CHfO(CH2)¾ 392
20 Br CH2CH3 C(CH3)2CH2OCH2OCH3 424
21 CN CH2CH3 C(CH3)2CH2OCH3 341
22 CN CH2CH3 C(CH3)2CH2OCH2OCH3 371
24 Br CH3 C(CH3)2CH2OCH3 380
25 CN CH3 C(CH3)2CH2OCH3 327
26 Br CH2CH3 C(CH3)2CH2F 382
27 Br CH2CH3 C(CH3)2CF3 418
28 Br CH2CH3 C(CH3)2CH2SC(0)CH3 438
29 NH2 CH2CH3 C(CH3)3 301
31 Br CH2CH3 C(CH3)2C≡CH 374
32 Br COCH3 C(CH3)3 378
33 CN CH2CH3 C(CH3)3 311
68 OCH2CH3 OCH3 C(CH3)2CN 341#
69 OCH2CH3 OCH3 C(CH3)2C≡CH *
70 OCH2CH3 OCH3 C(CH3)2CH2OCH3 362
71 OCH2OCH3 CH2CH3 C(CH3)3 346
72 OCH2OCH3 CH2CH3 C(CH3)2CN 355#
73 OCH2OCH3 CH2CH3 C(CH3)2C≡CH 356
74 OCH2CH3 CH2CH3 C(CH3)3 330
75 OCH2CH3 CH2CH3 C(CH3)2CN 341
76 OCH2CH3 CH2CH3 C(CH3)2C≡CH 340
77 CHF2 CH2CH3 C(CH3)2CN 347
78 CHF2 CH2CH3 C(CH3)2C≡CH 346
79 CHF2 OCH3 C(CH3)2CN 347#
80 CHF2 OCH3 C(CH3)2C≡CH 348
81 OCH3 OCH3 C(CH3)2CN 329
82 OCH3 OCH3 C(CH3)2C≡CH 328
83 OCH3 OCH3 C(CH3)2CH2OCH3 348
84 OCH3 CH2CH3 C(CH3)2COOCH3 360
85 OCH3 CH2CH3 1 -ethynylcyclohexyl 366
Cmpd. R6 Rl R3 MS (M+l)
86 OCH3 CH2CH3 C(CH2CH3)2C≡CH 354
87 OCH3 CH2CH3 C(CH3)2CN 327
88 OCH3 CH2CH3 C(CH3)2CH2OCH3 346
89 OH CH2CH3 C(CH3)3 302
90 Br OCH3 C(CH3)2CH20CH3 396
91 SCH3 CH2CH3 C(CH3)2CH2OCH3 362
92 I CH2CH3 C(CH3)2CH2OCH3 442
93 Br OCH3 C(CH3)2CN 377
94 Br OCH3 C(CH3)2C≡CH 376
95 Br CH2CH3 C(CH3)2CN(0)CH3 407
96 C≡CSi(CH3)3 CH2CH3 C(CH3)2CH2OCH3 412
97 C≡CH CH2CH3 C(CH3)2CH2OCH3 340
98 Br OCH3 C(CH3)2CH2OH 382
99 Br OCH3 C(CH3)2CH2OCH2OCH3 426
100 Br OCH3 C(CH3)3 366
101 Br OCH3 C(CH3)2CH2CH3 380
102 Br CH2CH3 C(CH3)2CH2CH3 378
103 I OCH3 C(CH3)2CH2OCH3 444
104 I OCH3 C(CH3)2CN 425
105 C≡CSi(CH3)3 OCH3 C(CH3)2CH2OCH3 414
106 C≡CH OCH3 C(CH3)2CH2OCH3 342
107 OCCH3 CH2CH3 C(CH3)2CH20CH3 354
108 OCCH3 OCH3 C(CH3)2CH2OCH3 356
109 C≡CH CH CH3 C(CH3)3 310
110 C≡CH CH2CH3 C(CH3)2CN 321
111 C≡CH CH2CH3 C(CH3)2C≡CCH3 334
112 C≡CH CH2CH3 C(CH3)2CH20CH2OCH3 370
113 OCH3 OCH2CH3 C(CH3)2CH2OCH3 362
114 OCH3 OCH2CH3 C(CH3)3 332
115 OCH3 OCH2CH3 C(CH3)2C≡CH 342
116 OCH3 OCH2CH3 C(CH3)2CN 343
117 OCH3 OCH2CH3 C(CH3)2CH2CH3 346
118 Br OCH2CH3 C(CH3)2CH20CH3 411
119 Br OCH2CH3 C(CH3)3 381
120 OCH2CH3 OCH2CH3 C(CH3)2CH2OCH3 376
121 OCH2CH3 OCH2CH3 C(CH3)3 346
Cmpd. R" R1 R3 MS (M+1)
122 OCH2CH3 OCH2CH3 C(CH3)2C≡CH 356
123 OCH2CH3 OCH2CH3 C(CH3)2CN 357
124 OCH2CH2CH3 OCH3 C(CH3)2CH2OCH3 376
125 OCH2CH2CH3 OCH3 C(CH3)3 346
126 OCH2CH2CH3 OCH3 C(CH3)2C≡CH 357
127 OCH2CH2CH3 CH2CH3 C(CH3)2CH2OCH3 374
128 OCH2CH2CH3 CH2CH3 C(CH3)3 344
129 OCH2CH2CH3 CH2CH3 C(CH3)2C≡CH 354
130 OCH2C≡CH OCH3 C(CH3)2CH2OCH3 372
131 OCH2C≡CH OCH3 C(CH3)3 342
132 OCH2C≡CH OCH3 C(CH3)2C≡CH 352
133 OCH2C≡CH CH2CH3 C(CH3)2CH2OCH3 370
134 OCH2C≡CH CH2CH3 C(CH3)3 340
135 OCH2C≡CH CH2CH3 C(CH3)2C≡CH 350
136 OCH2CH2CH3 OCH3 C(CH3)2CH2CH3 360
137 OCH2C≡CH OCH3 C(CH3)2CH2CH3 356
138 CH2CH3 CH2CH3 C(CH3)2CH2OCH3 344
139 CH2CH3 CH2CH3 C(CH3)2CH2OCH2CH3 358
140 CH2CH3 CH2CH3 C(CH3)2CN 314
141 CH2CH3 CH2CH3 C(CH3)2C≡CH 324
142 CH2CH3 CH2CH3 C(CH3)2C≡CCH3 338
143 CH2CH2CH3 CH2CH3 C(CH3)2CH2OCH3 358
144 CH2CH2CH3 CH2CH3 C(CH3)2C≡CH 338
145 CH=CH2 CH2CH3 C(CH3)2CH2OCH3 342
159 CH3 CH2CH3 C(CH3)2CH2OCH3 330
169 C≡CH CH2CH3 C(CH3)2CH2OH 326
174 C≡CH OCH3 C(CH3)2CN 323
175 C≡CH OCH3 C(CH3)2C≡CH 322
176 C≡CH OCH3 C(CH3)3 312
* See Index Table E for 1 H NMR data.
Cmpd. R6 R8 R1 R3 MS (M+l)
34 Br H CH2OCH3 C(CH3)3 382
35 Br H CH2OCH3 C(CH3)2CH2OCH3 398
36 Br H CH2OCH3 C(CH3)2C≡CH 392
37 Br H CH2CH3 C(CH3)3 366
38 Br H CH2CH3 C(CH3)2C≡CH 376
39 Br H CH2CH3 C(CH3)2CH2OH 382
40 CI H CH2CH3 C(CH3)3 321
41 CI H CH2CH3 C(CH3)2C≡CH 331
42 CI H CH2CH3 C(CH3)2CH2OH 337
43 Br H SCH3 C(CH3)3 384
44 Br H CH2CH3 C(CH2)2C02CH3 408
45 F H CH2CH3 C(CH3)3 305
46 F H CH2CH3 C(CH2)2CN 314
47 F H CH2CH3 C(CH3)2C≡CH 315
48 Br H CH2CH3 C(CH3)2CH2OCH3 396
49 CI H CH2CH3 C(CH3)2CH2OCH3 351
50 CI H CH2CH3 C(CH3)2CH2OCH2CH3 365
51 I H CH2CH3 C(CH3)3 413
52 I H CH2CH3 C(CH3)2CH2OH 429
53 I H CH2CH3 C(CH3)2CH2OCH3 443
54 F H CH2CH3 C(CH3)2CH2OCH3 335
55 I H CH2CH3 C(CH3)2CH2OCH2CH3 457
56 CI CI CH2CH3 C(CH3)2CH2OCH3 385
57 CI CI CH2CH3 C(CH3)3 355
58 Br H CH2CH3 C(CH3)2CH2OCH2OCH3 426
59 I H CH3 C(CH3)2CH2OCH3 429
60 Br H CH3 C(CH3)2CH2OCH3 382
61 I H CH2CH3 C(CH3)2CH2OCH3 443
62 I H CH2CH3 C(CH3)2CH2OCH3 443**
63 I H OCH3 C(CH3)2C≡CH 425
Cmpd. R6 R8 R1 R3 MS (M+l)
64 I H OCH3 C(CH2)2CH3 413
65 I H OCH3 C(CH3)2CH2OCH3 445
146 OCH3 H CH2CH3 C(CH3)2CH2OCH3 347
147 OCH3 H CH2CH3 C(CH3)2C≡CH 327
148 C≡CH H CH2CH3 C(CH3)2CH2OCH3 341
149 C≡CH H CH2CH3 C(CH3)3 311
150 C≡CH H CH2CH3 C(CH3)2CH2CH3 325
151 C≡CH H CH2CH3 C(CH3)2C≡CH 321
152 C≡CH H CH2CH3 C(CH3)2CN 322
153 C≡CH H CH2CH3 CH2C(CH3)3 325
154 Br H OCH3 C(CH3)2CH2OCH3 398
155 Br H OCH3 C(CH3)3 368
156 C≡CCH3 H OCH3 C(CH3)3 327
157 C≡CH H CH2CH3 C(CH3)2CH2OCH2CH3 355
158 C≡CCH3 H OCH3 C(CH3)2CH2OCH3 357
160 C≡CSi(CH3)3 H OCH3 C(CH3)2CH2OCH3 415
161 C≡CSi(CH3)3 H OCH3 C(CH3)3 385
162 C≡CH H OCH3 C(CH3)2CH2OCH3 343
163 C≡CH H OCH3 C(CH3)3 313
* * Enantiomer of Compound 61.
Cmpd. R6 R1 R3 MS (M+l)
66 F CH2CH3 C(CH3)3 305
67 Br CH2CH3 C(CH3)3 365
INDEX TABLE D
INDEX TABLE E
Compd. No. 1H NMR Data (CDCI3 solution unless indicated otherwise)a
12 δ 1.03 (t, 3H), 1.27 (s, 3H), 1.28 (s, 3H), 1.36 (s, 9H), 2.0 (m, 2H), 3.10-3.34 (m, 2H), 4.53
(t, 1H), 5.06 (brs, 1H), 6.95 (brs, 1H), 7.03 (s, 1H), 7.21 (d, 1H), 7.40 (d, 1H), 7.60 (d, 1H), 7.71 (d, 1H), 7.85 (s, 1H).
69 δ 7.62-7.72 (m, 2H), 7.38 (m, 1H), 7.1-7.16 (m, 1H), 7.02-7.08 (m, 2H), 6.79 (br, 1H), 5.41
(s, 1H), 4.08-4.18 (m, 2H), 3.51 (s, 3H), 2.38 (s, 1H), 1.70 (s, 6H), 1.42-1.51 (t, 3H).
a NMR data are in ppm downfield from tetramethylsilane. Couplings are designated by (s)-singlet, (d)-doublet, (t)-triplet, (m)-multiplet and (brs)-broad singlet.
BIOLOGICAL EXAMPLES OF THE INVENTION
General protocol for preparing test suspensions for Tests A-C: the test compounds were first dissolved in acetone in an amount equal to 11 % of the final volume and then suspended at the desired concentration (in ppm) in acetone and purified water (50/50 mix by volume) containing 250 ppm of the surfactant Trem® 014 (polyhydric alcohol esters). The resulting test suspensions were then used in Tests A-C. Spraying a 40 ppm test suspension to the point of run-off on the test plants was the equivalent of a rate of 800 g/ha.
TEST A
The test suspension was sprayed to the point of run-off on wheat seedlings. The following day the seedlings were inoculated with a spore dust of Blumeria graminis f. sp. tritici, (the causal agent of wheat powdery mildew) and incubated in a growth chamber at 20 °C for 8 days, after which time disease ratings were visually made.
TEST B
The test suspension was sprayed to the point of run-off on wheat seedlings. The following day the seedlings were inoculated with a spore suspension of Septoria tritici (the causal agent of wheat leaf blotch) and incubated in a saturated atmosphere at 20 °C for 48 h, and then moved to a growth chamber at 20 °C for 19 days, after which time disease ratings were visually made.
TEST C
The test suspension was sprayed to the point of run-off on tomato seedlings. The following day the seedlings were inoculated with a spore suspension of Botrytis cinerea (the causal agent of tomato botrytis) and incubated in saturated atmosphere at 20 °C for 48 h, and then moved to a growth chamber at 27 °C for 3 additional days, after which time disease ratings were visually made.
Results for Tests A-C are given in Table A. In the Table, a rating of 100 indicates 100% disease control and a rating of 0 indicates no disease control (relative to the controls). A dash (-) indicates no test results. All results are from applications of 40 ppm.
Table A
Compound Test A Test B Test C
1 91 100 100
3 100 99 99
4 97 100 100
5 99 99 100
6 98 100 100
7 100 99 99
8 100 99 99
9 69 99 99
10 21 99 98
11 21 99 100
12 0 93 0
13 50 98 99
14 90 99 99
15 43 100 100
16 92 99 100
17 89 100 99
18 99 99 100
Compound Test A Test B Test C
19 0 60 98
20 98 99 98
21 91 99 99
22 93 100 100
24 100 100 98
25 47 96 99
26 100 100 99
27 99 86 98
28 91 99 99
29 0 76 95
31 100 — - 100
32 0 0 26
33 62 99 95
34 0 92 94
35 0 0 0
36 0 89 36
37 89 100 99
38 21 100 99
39 21 0 33
40 92 100 99
41 0 96 96
42 0 0 0
43 0 99 99
44 0 0 0
45 84 42 98
46 0 0 0
47 0 20 70
48 96 99 99
49 96 99 98
50 84 98 90
51 93 100 99
52 0 45 82
53 99 100 99
Compound Test A Test B Test C
54 0 71 0
55 96 99 86
56 0 99 99
57 0 99 99
58 99 100 99
59 0 95 99
60 0 74 95
61 98 100 99
62 0 0 7
63 93 99 99
64 84 99 100
65 81 99 100
66 79 0 88
67 92 77 100
68 100 100 100
69 100 100 100
70 100 100 98
71 81 99 99
72 0 99 100
73 0 100 99
74 100 100 100
75 100 100 100
76 100 100 100
77 0 99 67
78 81 88 99
79 72 98 99
80 0 93 100
81 0 99 100
82 96 99 100
83 96 99 100
84 0 84 100
85 0 84 99
86 0 19 19
87 0 100 100
88 99 100 100
Compound Test A Test B Test C
89 0 63 86
90 100 100 100
91 97 100 100
92 100 100 100
93 95 100 100
94 99 100 100
95 92 100 100
96 0 100 99
97 100 100 99
98 64 - 99
99 96 - 100
100 100 - 99
101 92 100 100
102 0 96 61
103 100 100 100
104 94 100 99
105 79 100 90
106 100 100 99
107 100 100 99
108 100 100 48
109 100 100 99
110 100 100 100
111 100 100 100
113 97 100 99
114 90 99 99
115 79 99 97
116 13 99 99
117 0 93 98
118 0 97 97
119 89 93 99
120 90 99 98
121 29 100 99
122 0 100 98
123 82 100 98
124 98 100 99
125 92 100 98
126 72 99 99
Compound Test A Test B Test C
127 94 99 99
128 98 100 99
129 96 99 99
130 21 98 100
131 68 100 100
132 13 99 100
133 74 99 100
134 43 100 100
135 0 98 99
136 79 98 97
137 87 94 99
138 99 83 100
139 97 47 96
140 0 100 100
141 97 80 100
142 96 77 93
143 98 100 99
144 99 93 98
146 0 100 99
147 0 99 99
148 100 - 100
149 100 100 98
150 96 100 97
151 99 100 96
152 88 100 94
153 0 92 93
154 91 99 94
155 99 100 99
156 98 96 99
157 99 100 99
158 98 38 99
159 99 13 99
160 69 99 97
161 0 100 99
162 100 100 100
163 99 100 100
164 0 97 99
Compound Test A Test B Test C
165 0 0 33
166 0 46 99
167 0 64 68
Claims
is claimed is:
A compound selected from Formula 1, N-oxides and salts thereof,
Q is O or S;
Z1 and Z2 are each independently CR9 or Ν;
R1 is C!-C2 alky!> C2-C4 alkenyl, C2-C4 alkynyl, Cj-Q haloalkyl, C2-C4
haloalkenyl, C2-C4 haloalkynyl, halocycloalkyl, C4-C5 cycloalkylalkyl,
C2-C4 alkoxyalkyl, C2-C4 alkylthioalkyl, C2-C4 alkylsulfinylalkyl, C2-C4 alkylsulfonylalkyl, C2-C4 cyanoalkyl, alkylcarbonyl,
alkoxycarbonyl, Cj-C4 alkoxy or Cj-C4 haloalkoxy;
R2 is hydrogen, alkyl, C2-C6 alkenyl, C2-C6 alkynyl, haloalkyl, C2-C6 haloalkenyl, 02-(¾ haloalkynyl, C^-C^ cycloalkyl, C^-C^ halocycloalkyl, C2- cyanoalkyl, C2-C^ alkoxyalkyl, C3-C8 alkoxyalkoxyalkyl or benzyloxy(C2- C3 alkyl);
R3 is Cj-Cg alkyl, C2-Cg alkenyl or C2-Cg alkynyl, each optionally substituted with substituents independently selected from halogen, hydroxy, cyano, nitro, amino, C(=0)OH, C(=0)NH2, C(=0)R10, C(=0)ORn, C(=0)NR12R13, OC(=0)R10, SC(=0)R10, OC(=0)ORn, OC(=0)NR12R13, N(R12)C(=0)R10,
N(R12)C(=0)ORn, N(R12)C(=0)NR12R13, OS02R14, OS02NR12R13, NR12S02R14, NR12S02NR12R13, OR15, NR12R13, S(0)nR14, S02NR12R13, P(=0)(R17)2, OP(=0)(R17)2, Si(R18)3, C(= R12R13)R19, N=CR19NR12R13, CH=NR21 and -CH{0(CH2)}; or
R3 is NR12R13; or
R3 is a 3-, 4-, 5- or 6-membered saturated carbocyclic ring optionally substituted with up to 5 substituents independently selected from R20; or a 3-, 4-, 5- or 6- membered heterocyclic ring containing ring members selected from carbon atoms and up to 4 heteroatoms selected from up to 2 oxygen, up to 2 sulfur and up to 3 nitrogen atoms, wherein up to 3 carbon atom ring members are independently selected from C(=0) and C(=S), and the sulfur atom ring members are independently selected from S(=0)p(=NR16)q, the heterocyclic ring optionally substituted with up to 5 substituents independently selected from R20 on carbon atom ring members and R20a on nitrogen atom ring members;
R4, R5, R7 and R8 are each independently selected from hydrogen, halogen, cyano, amino, nitro, -CHO, alkyl, C2-C6 alkenyl, C2-C6 alkynyl,
haloalkyl, C2-C6 haloalkenyl, C2~C^ haloalkynyl, C^-C^ cycloalkyl, C^-C^ halocycloalkyl, 04-¾ alkylcycloalkyl, C4-Cg cycloalkylalkyl, C3-C6 cycloalkenyl, C2~C^ alkoxyalkyl, C2~C^ alkylthioalkyl, C2~C^ alkylcarbonyl, C2-C6 haloalkylcarbonyl, C2-C^ alkoxycarbonyl, C2-C^ alkylaminocarbonyl, C3-C8 dialkylaminocarbonyl, C2-C6 cyanoalkyl, Cj-C^ alkoxy, Cj-C^ haloalkoxy, C2-C6 alkoxyalkoxy, Cj-C^ alkylthio, Cj-C^ haloalkylthio, Cj-C^ alkylsulfinyl, Cj-C^ haloalkylsulfinyl, Cj-C^ alkylsulfonyl, Cj-C^
haloalkylsulfonyl, C3-C9 trialkylsilyl, Cj-C^ alkylamino, C2-C^ dialkylamino, C2-C6 haloalkylamino, C2-C6 halodialkylamino and C2-C6
alkylcarbonylamino;
R6 is halogen, cyano, amino, nitro, -CHO, Cj-C^ alkyl, C2-C6 alkenyl, C2-C6
alkynyl, Cj-C^ haloalkyl, C2-C6 haloalkenyl, C2-C6 haloalkynyl, C3-C6 cycloalkyl, C3-C6 halocycloalkyl, C4-Cg alkylcycloalkyl, C4-Cg
cycloalkylalkyl, C^-C^ cycloalkenyl, C2-C^ alkoxyalkyl, C2-C^ alkylthioalkyl, C2-C6 alkylcarbonyl, C2-C6 haloalkylcarbonyl, C2-C6 alkoxycarbonyl, C2-C6 alkylaminocarbonyl, C3-C8 dialkylaminocarbonyl, C2-C6 cyanoalkyl, Cj-Cg alkoxy, Cj-C^ haloalkoxy, C2-C6 alkoxyalkoxy, Cj-C^ alkylthio, Cj-C^ haloalkylthio, alkylsulfinyl, haloalkylsulfinyl,
alkylsulfonyl, Cj-C^ haloalkylsulfonyl, Cj-C^ alkylamino, C2-C6 dialkylamino, C2-C6 haloalkylamino, C2-C^ halodialkylamino or C2-C^ alkylcarbonylamino; each R9 is independently selected from hydrogen, halogen, cyano, amino, nitro, -CHO, Cj-C6 alkyl, C2-C6 alkenyl, C2-C6 alkynyl, Cj-C6 haloalkyl, C2-C6 haloalkenyl, C2-C6 haloalkynyl, C3-C6 cycloalkyl, C3-C6 halocycloalkyl, C4- Cg alkylcycloalkyl, C4-Cg cycloalkylalkyl, C3-C6 cycloalkenyl, C2-C6 alkoxyalkyl, C2-C6 alkylthioalkyl, C2-C6 alkylcarbonyl, C2-C6 alkoxycarbonyl, C2-C6 alkylaminocarbonyl, C3-C8 dialkylaminocarbonyl, C2-C^ cyanoalkyl, Cj-C^ alkoxy, Cj-C^ haloalkoxy, C2-C6 alkoxyalkoxy, Cj-C^ alkylthio, Cj-C^ haloalkylthio, Cj-C^ alkylsulfinyl, Cj-C^ haloalkylsulfinyl, Cj-C^
alkylsulfonyl, Cj-C^ haloalkylsulfonyl, C3-C9 trialkylsilyl, Cj-C^ alkylamino, C2-C6 dialkylamino, C2-C^ haloalkylamino, C2-C^ halodialkylamino and C2- C^ alkylcarbonylamino;
each R10 is independently selected from hydrogen, Cj-C^ alkyl, Cj-C^ haloalkyl, C3- C^ cycloalkyl and C3-C6 halocycloalkyl; each R1 1 is independently selected from Cj-C^ alkyl, Cj-C^ haloalkyl, C^-C^ cycloalkyl and C^-C^ halocycloalkyl;
each R12 is independently selected from hydrogen, CHO, Cj-C^ alkyl, Cj-C^
haloalkyl and C2-C^ alkylcarbonyl;
C^ alkylcarbonyl;
each R14 is independently Cj-C^ alkyl or Cj-C^ haloalkyl;
each R15 is independently selected from CHO, Cj-C^ alkyl, Cj-C^ haloalkyl and C2- C^ alkoxyalkyl;
each R16 and R19 is independently hydrogen or C1-C3 alkyl;
each R17 is independently Cj-C^ alkyl or Cj-C^ alkoxy;
each R18 is independently Cj-C^ alkyl;
each R20 is independently selected from halogen, cyano, Cj-C^ alkyl, Cj-C^
each R20a is independently selected from cyano, Cj-C^ alkyl, Cj-C^ haloalkyl and
C2-C6 alkylcarbonyl;
each R21 is a 5-membered unsaturated heterocyclic ring containing 2-4 carbon atoms and 1 -3 nitrogen atoms as ring members, wherein the heterocyclic ring is optionally substituted with up to 2 substituents independently selected from R20 on carbon atom ring members and R20a on nitrogen atom ring members;
each n is independently 0, 1 or 2; and
p and q are independently 0, 1 or 2 in each instance of S(=0)p(=NR16)q, provided that the sum of p and q is 0, 1 or 2;
provided that
the compound of Formula 1 is other than 2-[(7-methoxy-2-naphthalenyl)oxy]-N-(2- propen- 1 -yl)-propanamide.
2. A compound of Claim 1 wherein:
Q is O;
Z2 is CR9;
R1 is C1-C2 alkyl or C1-C4 alkoxy;
R2 is hydrogen;
R3 is Cj-Cg alkyl or C2-Cg alkynyl, each optionally substituted with up to 3
substituents independently selected from cyano, hydroxy, OR15 and CHO; R4, R5, R7, R8 and R9 are each independently selected from hydrogen and Cj-C^ alkyl; and
R6 is halogen, C1 -C2 alkoxy, C1 -C2 haloalkoxy or C2-C3 alkynyl.
3. A compound of Claim 2 wherein:
Z1 is CR9;
Rl is methyl, ethyl or methoxy;
R3 is Cj-Cg alkyl optionally substituted with cyano or OR15;
R4, R5, R7, R8 and R9 are each independently selected from hydrogen, methyl and ethyl; and
R6 is halogen, C1-C2 alkoxy or C2-C3 alkynyl.
4. A compound of Claim 2 wherein:
Zl is CR9;
R1 is methyl, ethyl or methoxy;
R3 is C3-C8 alkynyl;
R4, R5, R7, R8 and R9 are each independently selected from hydrogen, methyl and ethyl; and
R6 is halogen, C1-C2 alkoxy or C2-C3 alkynyl.
5. A compound of Claim 3 wherein:
R3 is C(CH3)2CN, C(CH3)2CH2OCH3, C(CH3)2CH20CH2OCH3 or C(CH3)3.; and R6 is bromo, methoxy, ethoxy, C≡CH or C≡CCH3..
6. A compound of Claim 4 wherein:
R3 is C(CH3)2C≡CH or C(CH3)2C≡CCH3; and
R6 is bromo, methoxy, ethoxy, C≡CH or C≡CCH3..
7. The compound of Claim 1 which is selected from the group:
2-[(7-bromo-2-naphthalenyl)oxy]-N-(2-methoxy-l, l-dimethylethyl)butanamide; 2-[(7-bromo-2-naphthalenyl)oxy]-N-[2-(methoxymethoxy)-l, l- dimethylethyljbutanamide;
2-[(6-iodo-3-quinolinyl)oxy]-N-(2-methoxy-l, l-dimethylethyl)butanamide;
N-(l, l-dimethylethyl)-2-[(6-iodo-3-quinolinyl)oxy]butanamide;
N-(l, l-dimethylethyl)-2-[(7-methoxy-2-naphthalenyl)oxy]butanamide;
2-[(7-bromo-2-naphthalenyl)oxy]-N-( 1 , 1 -dimethylethyl)butanamide;
2-[(7-bromo-2-naphthalenyl)oxy]-N-[2-[[(dimethylamino)methylene]amino]- 1,1- dimethylethyljbutanamide;
2-[(7-bromo-2-naphthalenyl)oxy]-N-(2-methoxy-l, l-dimethylethyl)propanamide; 2-[(7-bromo-2-naphthalenyl)oxy]-N-(2-fluoro- 1 , 1 -dimethylethyl)butanamide; 2-[(7-ethynyl-2-naphthalenyl)oxy]-N-(2-methoxy-l, l-dimethylethyl)butanamide; 2-[(7-ethynyl-2-naphthalenyl)oxy]-2-methoxy-N-(2-methoxy-l, l- dimethylethyl)acetamide;
2-[(7-ethynyl-2-naphthalenyl)oxy]-N-[2-(methoxymethoxy)-l, l- dimethylethyljbutanamide; N-( 1 -cyano- 1 -methylethyl)-2- [(7-ethynyl-2-naphthalenyl)oxy]butanamide;
N-( 1 , 1 -dimethyl-2-butyn- 1 -yl)-2- [(7-ethynyl-2-naphthalenyl)oxy]butanamide;
N-( 1 , 1 -dimethylethyl)-2-[(7-ethynyl-2-naphthalenyl)oxy]butanamide;
2-[(7-bromo-2-naphthalenyl)oxy]-2-methoxy-N-(2-methoxy- 1,1- dimethylethyl)acetamide;
N-(2-methoxy- 1 , 1 -dimethylethyl)-2-[[7-( 1 -propyn- 1 -yl)-2- naphthalenyl] oxy]butanamide;
2-methoxy-N-(2-methoxy- 1 , 1 -dimethylethyl)-2-[[7-( 1 -propyn- 1 -yl)-2- naphthalenyl] oxy] acetamide;
N-( 1 , 1 -dimethylethyl)-2-[(7-ethoxy-2-naphthalenyl)oxy]butanamide;
N-( 1 , 1 -dimethyl-2-propyn- 1 -yl)-2- [(7-ethoxy-2-naphthalenyl)oxy]butanamide; and N-( 1 , 1 -dimethyl-2-propyn- 1 -yl)-2-[(7-ethoxy-2-naphthalenyl)oxy]-2- methoxyacetamide.
8. A fungicidal composition comprising (a) a compound of Claim 1; and (b) at least one other fungicide.
9. A fungicidal composition comprising (a) a compound of Claim 1; and (b) at least one additional component selected from the group consisting of surfactants, solid diluents and liquid diluents.
10. A method for controlling plant diseases caused by fungal plant pathogens comprising applying to the plant or portion thereof, or to the plant seed, a fungicidally effective amount of a compound of Claim 1.
Applications Claiming Priority (2)
| Application Number | Priority Date | Filing Date | Title |
|---|---|---|---|
| USPCT/US2010/061765 | 2010-12-22 | ||
| PCT/US2010/061765 WO2011087837A2 (en) | 2009-12-22 | 2010-12-22 | Fungicidal 2-(bicyclic aryloxy)carboxamides |
Publications (1)
| Publication Number | Publication Date |
|---|---|
| WO2012087372A1 true WO2012087372A1 (en) | 2012-06-28 |
Family
ID=44211994
Family Applications (1)
| Application Number | Title | Priority Date | Filing Date |
|---|---|---|---|
| PCT/US2011/038992 Ceased WO2012087372A1 (en) | 2010-12-22 | 2011-06-03 | Fungicidal 2-(bicyclic aryloxy)carboxamides |
Country Status (1)
| Country | Link |
|---|---|
| WO (1) | WO2012087372A1 (en) |
Cited By (1)
| Publication number | Priority date | Publication date | Assignee | Title |
|---|---|---|---|---|
| US11351149B2 (en) | 2020-09-03 | 2022-06-07 | Pfizer Inc. | Nitrile-containing antiviral compounds |
Citations (27)
| Publication number | Priority date | Publication date | Assignee | Title |
|---|---|---|---|---|
| US2891855A (en) | 1954-08-16 | 1959-06-23 | Geigy Ag J R | Compositions and methods for influencing the growth of plants |
| US3060084A (en) | 1961-06-09 | 1962-10-23 | Du Pont | Improved homogeneous, readily dispersed, pesticidal concentrate |
| US3235361A (en) | 1962-10-29 | 1966-02-15 | Du Pont | Method for the control of undesirable vegetation |
| US3299566A (en) | 1964-06-01 | 1967-01-24 | Olin Mathieson | Water soluble film containing agricultural chemicals |
| US3309192A (en) | 1964-12-02 | 1967-03-14 | Du Pont | Method of controlling seedling weed grasses |
| US3920442A (en) | 1972-09-18 | 1975-11-18 | Du Pont | Water-dispersible pesticide aggregates |
| US4144050A (en) | 1969-02-05 | 1979-03-13 | Hoechst Aktiengesellschaft | Micro granules for pesticides and process for their manufacture |
| US4172714A (en) | 1976-12-20 | 1979-10-30 | E. I. Du Pont De Nemours And Company | Dry compactible, swellable herbicidal compositions and pellets produced therefrom |
| GB2095558A (en) | 1981-03-30 | 1982-10-06 | Avon Packers Ltd | Formulation of agricultural chemicals |
| DE3246493A1 (en) | 1982-12-16 | 1984-06-20 | Bayer Ag, 5090 Leverkusen | METHOD FOR PRODUCING WATER-DISPERSIBLE GRANULES |
| DE3702964A1 (en) * | 1987-01-30 | 1988-08-11 | Shell Agrar Gmbh & Co Kg | Aryloxy carboxylic acid derivatives, their preparation and their use |
| WO1991013546A1 (en) | 1990-03-12 | 1991-09-19 | E.I. Du Pont De Nemours And Company | Water-dispersible or water-soluble pesticide granules from heat-activated binders |
| US5180587A (en) | 1988-06-28 | 1993-01-19 | E. I. Du Pont De Nemours And Company | Tablet formulations of pesticides |
| US5208030A (en) | 1989-08-30 | 1993-05-04 | Imperial Chemical Industries Plc | Active ingredient dosage device |
| US5232701A (en) | 1990-10-11 | 1993-08-03 | Sumitomo Chemical Company, Limited | Boron carbonate and solid acid pesticidal composition |
| WO2003010149A1 (en) | 2001-07-25 | 2003-02-06 | Bayer Cropscience Ag | Pyrazolylcarboxanilides as fungicides |
| WO2003024222A1 (en) | 2001-09-21 | 2003-03-27 | E. I. Du Pont De Nemours And Company | Anthranilamide arthropodicide treatment |
| US20050143381A1 (en) | 2003-12-19 | 2005-06-30 | Guixue Yu | Azabicyclic heterocycles as cannabinoid receptor modulators |
| WO2005082880A1 (en) | 2004-02-26 | 2005-09-09 | Wyeth | DIBENZO CHROMENE DERIVATIVES AND THEIR USE AS ERβ SELECTIVE LIGANDS |
| WO2006058700A1 (en) | 2004-12-01 | 2006-06-08 | Syngenta Participations Ag | Acetamide compounds as fungicides |
| WO2006113552A2 (en) | 2005-04-15 | 2006-10-26 | Smithkline Beecham Corporation | Cyanoarylamines |
| WO2007022900A1 (en) | 2005-08-24 | 2007-03-01 | Bayer Cropscience Ag | Preparation of thioalkylamines with high yields |
| EP1806339A1 (en) | 2005-12-21 | 2007-07-11 | Ucb, S.A. | Process for the preparation of 2-oxo-1-pyrrolidine derivatives |
| WO2007136571A1 (en) | 2006-05-15 | 2007-11-29 | Merck & Co., Inc. | Pro-drugs of tertiary alcohols |
| WO2008008539A2 (en) | 2006-07-14 | 2008-01-17 | Amgen Inc. | Fused heterocyclic derivatives useful as inhibitors of the hepatocyte growth factor receptor |
| WO2008103277A2 (en) | 2007-02-16 | 2008-08-28 | Amgen Inc. | Nitrogen-containing heterocyclyl ketones and their use as c-met inhibitors |
| WO2008110355A1 (en) | 2007-03-14 | 2008-09-18 | Syngenta Participations Ag | Quinoline derivatives as fungicides |
-
2011
- 2011-06-03 WO PCT/US2011/038992 patent/WO2012087372A1/en not_active Ceased
Patent Citations (27)
| Publication number | Priority date | Publication date | Assignee | Title |
|---|---|---|---|---|
| US2891855A (en) | 1954-08-16 | 1959-06-23 | Geigy Ag J R | Compositions and methods for influencing the growth of plants |
| US3060084A (en) | 1961-06-09 | 1962-10-23 | Du Pont | Improved homogeneous, readily dispersed, pesticidal concentrate |
| US3235361A (en) | 1962-10-29 | 1966-02-15 | Du Pont | Method for the control of undesirable vegetation |
| US3299566A (en) | 1964-06-01 | 1967-01-24 | Olin Mathieson | Water soluble film containing agricultural chemicals |
| US3309192A (en) | 1964-12-02 | 1967-03-14 | Du Pont | Method of controlling seedling weed grasses |
| US4144050A (en) | 1969-02-05 | 1979-03-13 | Hoechst Aktiengesellschaft | Micro granules for pesticides and process for their manufacture |
| US3920442A (en) | 1972-09-18 | 1975-11-18 | Du Pont | Water-dispersible pesticide aggregates |
| US4172714A (en) | 1976-12-20 | 1979-10-30 | E. I. Du Pont De Nemours And Company | Dry compactible, swellable herbicidal compositions and pellets produced therefrom |
| GB2095558A (en) | 1981-03-30 | 1982-10-06 | Avon Packers Ltd | Formulation of agricultural chemicals |
| DE3246493A1 (en) | 1982-12-16 | 1984-06-20 | Bayer Ag, 5090 Leverkusen | METHOD FOR PRODUCING WATER-DISPERSIBLE GRANULES |
| DE3702964A1 (en) * | 1987-01-30 | 1988-08-11 | Shell Agrar Gmbh & Co Kg | Aryloxy carboxylic acid derivatives, their preparation and their use |
| US5180587A (en) | 1988-06-28 | 1993-01-19 | E. I. Du Pont De Nemours And Company | Tablet formulations of pesticides |
| US5208030A (en) | 1989-08-30 | 1993-05-04 | Imperial Chemical Industries Plc | Active ingredient dosage device |
| WO1991013546A1 (en) | 1990-03-12 | 1991-09-19 | E.I. Du Pont De Nemours And Company | Water-dispersible or water-soluble pesticide granules from heat-activated binders |
| US5232701A (en) | 1990-10-11 | 1993-08-03 | Sumitomo Chemical Company, Limited | Boron carbonate and solid acid pesticidal composition |
| WO2003010149A1 (en) | 2001-07-25 | 2003-02-06 | Bayer Cropscience Ag | Pyrazolylcarboxanilides as fungicides |
| WO2003024222A1 (en) | 2001-09-21 | 2003-03-27 | E. I. Du Pont De Nemours And Company | Anthranilamide arthropodicide treatment |
| US20050143381A1 (en) | 2003-12-19 | 2005-06-30 | Guixue Yu | Azabicyclic heterocycles as cannabinoid receptor modulators |
| WO2005082880A1 (en) | 2004-02-26 | 2005-09-09 | Wyeth | DIBENZO CHROMENE DERIVATIVES AND THEIR USE AS ERβ SELECTIVE LIGANDS |
| WO2006058700A1 (en) | 2004-12-01 | 2006-06-08 | Syngenta Participations Ag | Acetamide compounds as fungicides |
| WO2006113552A2 (en) | 2005-04-15 | 2006-10-26 | Smithkline Beecham Corporation | Cyanoarylamines |
| WO2007022900A1 (en) | 2005-08-24 | 2007-03-01 | Bayer Cropscience Ag | Preparation of thioalkylamines with high yields |
| EP1806339A1 (en) | 2005-12-21 | 2007-07-11 | Ucb, S.A. | Process for the preparation of 2-oxo-1-pyrrolidine derivatives |
| WO2007136571A1 (en) | 2006-05-15 | 2007-11-29 | Merck & Co., Inc. | Pro-drugs of tertiary alcohols |
| WO2008008539A2 (en) | 2006-07-14 | 2008-01-17 | Amgen Inc. | Fused heterocyclic derivatives useful as inhibitors of the hepatocyte growth factor receptor |
| WO2008103277A2 (en) | 2007-02-16 | 2008-08-28 | Amgen Inc. | Nitrogen-containing heterocyclyl ketones and their use as c-met inhibitors |
| WO2008110355A1 (en) | 2007-03-14 | 2008-09-18 | Syngenta Participations Ag | Quinoline derivatives as fungicides |
Non-Patent Citations (67)
| Title |
|---|
| "Comprehensive Heterocyclic Chemistry II", 1996, PERGAMON PRESS |
| "Comprehensive Heterocyclic Chemistry", 1984, PERGAMON PRESS |
| "Developments in formulation technology", 2000, PJB PUBLICATIONS |
| "McCutcheon's Emulsifiers and Detergents", MCCUTCHEON'S DIVISION, THE MANUFACTURING CONFECTIONER PUBLISHING CO. |
| "Perry's Chemical Engineer's Handbook", 1963, MCGRAW-HILL, pages: 8 - 57 |
| "The BioPesticide Manual", 2001, BRITISH CROP PROTECTION COUNCIL |
| "The Pesticide Manual", 2003, BRITISH CROP PROTECTION COUNCIL |
| A. S. DAVIDSON, B. MILWIDSKY: "Synthetic Detergents", 1987, JOHN WILEY AND SONS |
| ANGEW. CHEM. INT. ED. ENG., vol. 46, 2007, pages 7259 - 7261 |
| ANGEW. CHEM. INT. ED. ENG., vol. 47, 2008, pages 7511 - 7514 |
| BIOORG. MED. CHEM., vol. 13, 2005, pages 5463 - 5474 |
| BIOORG. MED. CHEM., vol. 15, 2007, pages 2827 - 2836 |
| BROWNING: "Agglomeration", CHEMICAL ENGINEERING, 4 December 1967 (1967-12-04), pages 147 - 48 |
| CHEMISTRY LETTERS, 1994, pages 597 - 600 |
| G. W. H. CHEESEMAN, E. S. G. WERSTIUK: "Advances in Heterocyclic Chemistry", vol. 22, ACADEMIC PRESS, pages: 390 - 392 |
| GREENE, T. W., WUTS, P. G. M.: "Protective Groups in Organic Synthesis", 1991, WILEY |
| H. SAUTER ET AL., ANGEW. CHEM. INT. ED., vol. 38, 1999, pages 1328 - 1349 |
| HANCE ET AL.: "Weed Control Handbook", 1989, BLACKWELL SCIENTIFIC PUBLICATIONS |
| HETEROCYCLES, vol. 40, 1995, pages 271 - 8 |
| J MED. CHEM., vol. 46, 2003, pages 691 - 701 |
| J. AM. CHEM. SOC., vol. 124, 2002, pages 5380 - 5401 |
| J. AM. CHEM. SOC., vol. 128, 2006, pages 4976 - 4985 |
| J. AM. CHEM. SOC., vol. 130, 2008, pages 8923 - 8930 |
| J. BIOL. CHEM., vol. 264, 1989, pages 14543 - 48 |
| J. BIOL. CHEM., vol. 267, 1992, pages 13175 - 79 |
| J. CHEM. RES., SYNOP., 1995, pages 166 - 7 |
| J. CHEM. SOC., PERKIN TRANS., vol. 1, 1988, pages 1663 - 8 |
| J. FLUOR. CHEM., vol. 128, 2007, pages 1271 - 1279 |
| J. MED. CHEM., vol. 33, 1990, pages 2697 - 706 |
| J. MED. CHEM., vol. 42, 1999, pages 3557 - 3571 |
| J. MED. CHEM., vol. 48, 2005, pages 3953 - 3979 |
| J. MED. CHEM., vol. 50, 2007, pages 21 - 39 |
| J. MED. CHEM., vol. 50, 2007, pages 6554 - 6569 |
| J. MED. CHEM., vol. 51, 2008, pages 7380 - 7395 |
| J. MED. CHEM., vol. 51, 2008, pages 8124 - 8134 |
| J. ORG. CHEM., vol. 53, 1988, pages 1323 - 6 |
| J. ORG. CHEM., vol. 71, 2006, pages 1471 - 1479 |
| J. ORG. CHEM., vol. 71, 2006, pages 5921 - 5929 |
| J. ORG. CHEM., vol. 73, 2008, pages 4721 - 4724 |
| K. H. KUCK ET AL.: "Modern Selective Fungicides - Properties, Applications and Mechanisms of Action", 1995, GUSTAV FISCHER VERLAG, pages: 205 - 258 |
| KIINGMAN: "Weed Control as a Science", 1961, JOHN WILEY AND SONS, INC., pages: 81 - 96 |
| M. R. GRIMMETT, B. R. T. KEENE: "Advances in Heterocyclic Chemistry", vol. 43, ACADEMIC PRESS, pages: 149 - 161 |
| M. TISLER, B. STANOVNIK: "Advances in Heterocyclic Chemistry", vol. 9, ACADEMIC PRESS, pages: 285 - 291 |
| M. TISLER, B. STANOVNIK: "Comprehensive Heterocyclic Chemistry", vol. 3, PERGAMON PRESS, pages: 18 - 20 |
| MARSDEN: "Solvents Guide", 1950, INTERSCIENCE |
| MCCUTCHEON S: "Functional Materials, annual International and North American editions", vol. 2, MCCUTCHEON'S DIVISION, THE MANUFACTURING CONFECTIONER PUBLISHING CO. |
| METHODS ENZYMOL., vol. 126, 1986, pages 253 - 71 |
| ORGANIC LETTERS, vol. 8, 2006, pages 2843 - 2846 |
| ORGANIC LETTERS, vol. 9, 2007, pages 5259 - 5262 |
| SISELY, WOOD: "Encyclopedia of Surface Active Agents", 1964, CHEMICAL PUBL. CO., INC. |
| SYNLETT, 1997, pages 1187 - 1189 |
| SYNLETT, 2008, pages 2023 - 2027 |
| SYNTHESIS, 1989, pages 396 - 7 |
| SYNTHESIS, 1998, pages 729 - 734 |
| SYNTHESIS, 2003, pages 2047 - 2052 |
| SYNTHESIS, 2006, pages 4143 - 4150 |
| T. L. GILCHRIST: "Comprehensive Organic Synthesis", vol. 7, PERGAMON PRESS, pages: 748 - 750 |
| T. S. WOODS: "Pesticide Chemistry and Bioscience, The Food-Environment Challenge", 1999, THE ROYAL SOCIETY OF CHEMISTRY, article "The Formulator's Toolbox - Product Forms for Modem Agriculture", pages: 120 - 133 |
| TETRAHEDRON, ASYMMETRY, vol. 4, 1993, pages 1105 - 12 |
| TETRAHEDRON, vol. 44, 1988, pages 3025 - 36 |
| TETRAHEDRON, vol. 50, 1994, pages 5335 - 44 |
| TETRAHEDRON, vol. 60, 2004, pages 4019 - 4029 |
| TETRAHEDRON, vol. 64, 2008, pages 3197 - 3203 |
| TETRAHEDRON, vol. 64, 2008, pages 5085 - 5090 |
| TETRAHEDRON, vol. 64, 2008, pages 8155 - 8158 |
| TETRAHEDRON, vol. 65, 2009, pages 638 - 643 |
| WATKINS ET AL.: "Handbook of Insecticide Dust Diluents and Carriers", DORLAND BOOKS, CALDWELL |
Cited By (3)
| Publication number | Priority date | Publication date | Assignee | Title |
|---|---|---|---|---|
| US11351149B2 (en) | 2020-09-03 | 2022-06-07 | Pfizer Inc. | Nitrile-containing antiviral compounds |
| US11452711B2 (en) | 2020-09-03 | 2022-09-27 | Pfizer Inc. | Nitrile-containing antiviral compounds |
| US11541034B2 (en) | 2020-09-03 | 2023-01-03 | Pfizer Inc. | Nitrile-containing antiviral compounds |
Similar Documents
| Publication | Publication Date | Title |
|---|---|---|
| EP2129225B1 (en) | Substituted benzene fungicides | |
| AU2013215296B2 (en) | Fungicidal pyrazole mixtures | |
| AU2013280990B2 (en) | Fungicidal heterocyclic carboxamides | |
| US8815772B2 (en) | Fungicidal heterocyclic carboxamides | |
| WO2010093595A1 (en) | Fungicidal 2-pyridones | |
| EP3529246A1 (en) | Fungicidal oxadiazoles | |
| EP2966063A1 (en) | Fungicidal pyrazoles | |
| JP2014501246A (en) | Bactericidal and fungicidal azo cyclic amide | |
| US20120283216A1 (en) | Fungicidal 2-(bicyclic aryloxy)carboxamides | |
| US20130123323A1 (en) | Fungicidal pyrazoles | |
| MX2011003131A (en) | Fungicidal pyridazines. | |
| US20110092544A1 (en) | Fungicidal pyridines | |
| WO2009061761A2 (en) | Fungicidal heterocyclic amines | |
| US20090270407A1 (en) | Fungicidal isoxazolidines | |
| US20120329787A1 (en) | Fungicidal pyranones and oxazinones | |
| WO2018052838A1 (en) | Fungicidal pyrazoles | |
| WO2012087372A1 (en) | Fungicidal 2-(bicyclic aryloxy)carboxamides | |
| US20100160385A1 (en) | Fungicidal triphenyl-substituted pyridones | |
| US20140194473A1 (en) | Imidazole fungicides | |
| US20140235689A1 (en) | Fungicidal pyrazoles |
Legal Events
| Date | Code | Title | Description |
|---|---|---|---|
| 121 | Ep: the epo has been informed by wipo that ep was designated in this application |
Ref document number: 11727035 Country of ref document: EP Kind code of ref document: A1 |
|
| NENP | Non-entry into the national phase |
Ref country code: DE |
|
| 122 | Ep: pct application non-entry in european phase |
Ref document number: 11727035 Country of ref document: EP Kind code of ref document: A1 |






























