WO2012065057A2 - Phosphatidylinositol 3-kinase inhibitors and methods of their use - Google Patents
Phosphatidylinositol 3-kinase inhibitors and methods of their use Download PDFInfo
- Publication number
- WO2012065057A2 WO2012065057A2 PCT/US2011/060361 US2011060361W WO2012065057A2 WO 2012065057 A2 WO2012065057 A2 WO 2012065057A2 US 2011060361 W US2011060361 W US 2011060361W WO 2012065057 A2 WO2012065057 A2 WO 2012065057A2
- Authority
- WO
- WIPO (PCT)
- Prior art keywords
- nhc
- quinoxalin
- alkyl
- phenyl
- phenylamino
- Prior art date
- Legal status (The legal status is an assumption and is not a legal conclusion. Google has not performed a legal analysis and makes no representation as to the accuracy of the status listed.)
- Ceased
Links
- 0 *c1nc(cccc2)c2nc1NS(CC1=CC=CC=C/C=C/C1)(=O)=O Chemical compound *c1nc(cccc2)c2nc1NS(CC1=CC=CC=C/C=C/C1)(=O)=O 0.000 description 6
- FFDGPVCHZBVARC-UHFFFAOYSA-N CN(C)CC(O)=O Chemical compound CN(C)CC(O)=O FFDGPVCHZBVARC-UHFFFAOYSA-N 0.000 description 1
Classifications
-
- A—HUMAN NECESSITIES
- A61—MEDICAL OR VETERINARY SCIENCE; HYGIENE
- A61K—PREPARATIONS FOR MEDICAL, DENTAL OR TOILETRY PURPOSES
- A61K45/00—Medicinal preparations containing active ingredients not provided for in groups A61K31/00 - A61K41/00
- A61K45/06—Mixtures of active ingredients without chemical characterisation, e.g. antiphlogistics and cardiaca
-
- A—HUMAN NECESSITIES
- A61—MEDICAL OR VETERINARY SCIENCE; HYGIENE
- A61K—PREPARATIONS FOR MEDICAL, DENTAL OR TOILETRY PURPOSES
- A61K31/00—Medicinal preparations containing organic active ingredients
- A61K31/33—Heterocyclic compounds
- A61K31/395—Heterocyclic compounds having nitrogen as a ring hetero atom, e.g. guanethidine or rifamycins
- A61K31/40—Heterocyclic compounds having nitrogen as a ring hetero atom, e.g. guanethidine or rifamycins having five-membered rings with one nitrogen as the only ring hetero atom, e.g. sulpiride, succinimide, tolmetin, buflomedil
- A61K31/403—Heterocyclic compounds having nitrogen as a ring hetero atom, e.g. guanethidine or rifamycins having five-membered rings with one nitrogen as the only ring hetero atom, e.g. sulpiride, succinimide, tolmetin, buflomedil condensed with carbocyclic rings, e.g. carbazole
- A61K31/404—Indoles, e.g. pindolol
-
- A—HUMAN NECESSITIES
- A61—MEDICAL OR VETERINARY SCIENCE; HYGIENE
- A61K—PREPARATIONS FOR MEDICAL, DENTAL OR TOILETRY PURPOSES
- A61K31/00—Medicinal preparations containing organic active ingredients
- A61K31/33—Heterocyclic compounds
- A61K31/395—Heterocyclic compounds having nitrogen as a ring hetero atom, e.g. guanethidine or rifamycins
- A61K31/495—Heterocyclic compounds having nitrogen as a ring hetero atom, e.g. guanethidine or rifamycins having six-membered rings with two or more nitrogen atoms as the only ring heteroatoms, e.g. piperazine or tetrazines
- A61K31/498—Pyrazines or piperazines ortho- and peri-condensed with carbocyclic ring systems, e.g. quinoxaline, phenazine
-
- A—HUMAN NECESSITIES
- A61—MEDICAL OR VETERINARY SCIENCE; HYGIENE
- A61K—PREPARATIONS FOR MEDICAL, DENTAL OR TOILETRY PURPOSES
- A61K31/00—Medicinal preparations containing organic active ingredients
- A61K31/33—Heterocyclic compounds
- A61K31/395—Heterocyclic compounds having nitrogen as a ring hetero atom, e.g. guanethidine or rifamycins
- A61K31/495—Heterocyclic compounds having nitrogen as a ring hetero atom, e.g. guanethidine or rifamycins having six-membered rings with two or more nitrogen atoms as the only ring heteroatoms, e.g. piperazine or tetrazines
- A61K31/505—Pyrimidines; Hydrogenated pyrimidines, e.g. trimethoprim
- A61K31/517—Pyrimidines; Hydrogenated pyrimidines, e.g. trimethoprim ortho- or peri-condensed with carbocyclic ring systems, e.g. quinazoline, perimidine
-
- A—HUMAN NECESSITIES
- A61—MEDICAL OR VETERINARY SCIENCE; HYGIENE
- A61K—PREPARATIONS FOR MEDICAL, DENTAL OR TOILETRY PURPOSES
- A61K31/00—Medicinal preparations containing organic active ingredients
- A61K31/33—Heterocyclic compounds
- A61K31/395—Heterocyclic compounds having nitrogen as a ring hetero atom, e.g. guanethidine or rifamycins
- A61K31/535—Heterocyclic compounds having nitrogen as a ring hetero atom, e.g. guanethidine or rifamycins having six-membered rings with at least one nitrogen and one oxygen as the ring hetero atoms, e.g. 1,2-oxazines
- A61K31/5375—1,4-Oxazines, e.g. morpholine
- A61K31/5377—1,4-Oxazines, e.g. morpholine not condensed and containing further heterocyclic rings, e.g. timolol
-
- A—HUMAN NECESSITIES
- A61—MEDICAL OR VETERINARY SCIENCE; HYGIENE
- A61P—SPECIFIC THERAPEUTIC ACTIVITY OF CHEMICAL COMPOUNDS OR MEDICINAL PREPARATIONS
- A61P35/00—Antineoplastic agents
-
- A—HUMAN NECESSITIES
- A61—MEDICAL OR VETERINARY SCIENCE; HYGIENE
- A61P—SPECIFIC THERAPEUTIC ACTIVITY OF CHEMICAL COMPOUNDS OR MEDICINAL PREPARATIONS
- A61P35/00—Antineoplastic agents
- A61P35/02—Antineoplastic agents specific for leukemia
-
- C—CHEMISTRY; METALLURGY
- C09—DYES; PAINTS; POLISHES; NATURAL RESINS; ADHESIVES; COMPOSITIONS NOT OTHERWISE PROVIDED FOR; APPLICATIONS OF MATERIALS NOT OTHERWISE PROVIDED FOR
- C09B—ORGANIC DYES OR CLOSELY-RELATED COMPOUNDS FOR PRODUCING DYES, e.g. PIGMENTS; MORDANTS; LAKES
- C09B57/00—Other synthetic dyes of known constitution
-
- A—HUMAN NECESSITIES
- A61—MEDICAL OR VETERINARY SCIENCE; HYGIENE
- A61K—PREPARATIONS FOR MEDICAL, DENTAL OR TOILETRY PURPOSES
- A61K9/00—Medicinal preparations characterised by special physical form
- A61K9/20—Pills, tablets, discs, rods
- A61K9/2004—Excipients; Inactive ingredients
- A61K9/2022—Organic macromolecular compounds
- A61K9/205—Polysaccharides, e.g. alginate, gums; Cyclodextrin
- A61K9/2054—Cellulose; Cellulose derivatives, e.g. hydroxypropyl methylcellulose
Definitions
- This invention relates to the field of protein kinases and inhibitors thereof.
- the invention relates to inhibitors of phosphatidylinositol 3-kinase (PI3K) signaling pathways, and methods of their use.
- PI3K phosphatidylinositol 3-kinase
- the protein kinases are a large and diverse family of enzymes that catalyze protein phosphorylation and play a critical role in cellular signaling. Protein kinases may exert positive or negative regulatory effects, depending upon their target protein. Protein kinases are involved in specific signaling pathways which regulate cell functions such as, but not limited to, metabolism, cell cycle progression, cell adhesion, vascular function, apoptosis, and angiogenesis. Malfunctions of cellular signaling have been associated with many diseases, the most characterized of which include cancer and diabetes. The regulation of signal transduction by cytokines and the association of signal molecules with
- Phosphatidylinositol 3-kinase (PI3K or PIK3CA) is composed of an 85 kDa regulatory subunit and a 1 10 kDa catalytic subunit.
- the protein encoded by this gene represents the catalytic subunit, which uses ATP to phosphorylate Ptdlns, PtdIns4P and PtdIns(4,5)P2.
- PTEN a tumor suppressor which inhibits cell growth through multiple mechanisms, can dephosphorylate PDP3, the major product of PIK3CA.
- PIP3 in turn, is required for translocation of protein kinase B (AKT1, PKB) to the cell membrane, where it is phosphorylated and activated by upstream kinases.
- AKT1 protein kinase B
- PKB protein kinase B
- PI3Ka has been implicated in the control of cytoskeletal reorganization, apoptosis, vesicular trafficking, proliferation and differentiation processes. Increased copy number and expression of PIK3CA is associated with a number of malignancies such as ovarian cancer (Campbell et al., Cancer Res 2004, 64, 7678-7681 ; Levine et al., Clin Cancer Res 2005, 11, 2875-2878; Wang et al., Hum Mutat 2005, 25, 322; Lee et al., Gynecol Oncol 2005, 97, 26-34), cervical cancer, breast cancer (Bachman, et al.
- the invention comprises compounds of Formula I and la that inhibit PI3K and pharmaceutical compositions thereof.
- the invention is also directed to methods of inhibiting PI3K in a cell, and methods for treating a disease, disorder, or syndrome.
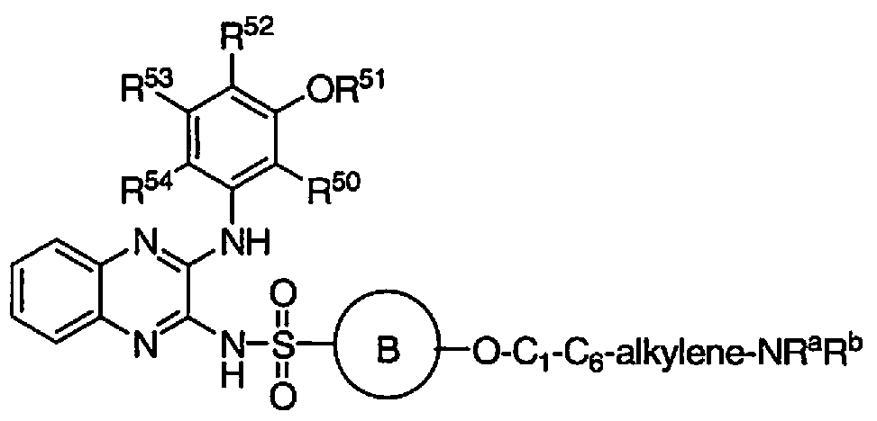
- a first aspect of the invention provides a compound of Formula I:
- R 51 is hydrogen or alkyl
- R 52 is hydrogen or halo
- R 50 , R 53 , and R 54 are independently hydrogen, alkyl, alkenyl, halo, haloalkyl, haloalkenyl, hydroxy, alkoxy, alkenyloxy, haloalkoxy, nitro, amino, alkylamino, dialkylamino, -N(R 55 )C(0)-C
- B is phenyl substituted with R 3a and optionally further substituted with one, two, or three R 3 ; or
- B is heteroaryl optionally substituted with one, two, or three R 3 ;
- R 3a is cyano; hydroxyamino; carboxy; alkoxycarbonyl; alkylamino; dialkylamino;
- alkylcarbonyl haloalkoxy; alkylsulfonyl; aminoalkyloxy; alkylaminoalkyloxy;
- R 7 is hydrogen, alkyl, or alkenyl and R 7a and R 7b are independently hydrogen, alkyl, alkenyl, hydroxyalkyl, haloalkyl, alkoxy, alkoxyalkyl, aminoalkyl, alkylaminoalkyl, dialkylaminoalkyl, cycloalkyl, cycloalkylalkyl, heterocycloalkyl, heterocycloalkylalkyl, heteroaryl, heteroarylalkyi, aryl, arylalkyl, or arylalkyloxy and where the aryl, cycloalkyl, heterocycloalkyl and heteroaryl rings in R 7a and R 7b (either alone or as part of arylalkyl, cycloalkylalkyl, heterocycloalkylalkyl and heteroaryl rings in R 7a and R 7b (either alone or as part of arylalkyl, cycloalkylalkyl, heterocyclo
- R 8 is hydrogen, hydroxy, alkoxy, alky], alkenyl, haloalkyl, or haloalkoxy and R 8a is hydrogen, alkyl, alkenyl, hydroxyalkyl, cyanoalkyl, alkoxyalkyl, alkylthioalkyl, heterocycloalkyl, heterocycloalkylalkyl, cycloalkyl, cycloalkylalkyl, heteroaryl, heteroarylalkyi, aryl, or arylalkyl and where the aryl, cycloalkyl, heteroaryl, and heterocycloalkyl rings in R 8a (either alone or as part of arylalkyl, cycloalkylalkyl, heterocycloalkylalkyl and heteroarylalkyi) are independently optionally substituted with 1, 2, or 3 groups independently selected from alkyl, alkenyl, alkoxy, halo, halo
- R 9 is hydrogen, hydroxy, alkoxy, alkyl, alkenyl, haloalkyl, or haloalkoxy and R 9a is hydrogen, C 2 . 6 -alkyl, alkenyl, hydroxyalkyl, alkoxyalkyl, cycloalkyl, cycloalkylalkyl, heterocycloalkyl, heterocycloalkylalkyl, heteroaryl, heteroarylalkyi, aryl, or arylalkyl; where the aryl, cycloalkyl, heteroaryl, and heterocycloalkyl rings in R 9a (either alone or as part of arylalkyl, cycloalkylalkyl, heterocycloalkylalkyl and heteroarylalkyi) are independently optionally substituted with 1, 2, or 3 groups independently selected from alkyl, alkenyl, alkoxy, hydroxy, hydroxyalkyl, halo, hal
- R 10a is hydrogen, hydroxy, alkoxy, alkyl, alkenyl, haloalkyl, aminoalkyl, alkylaminoalkyl, dialkylaminoalkyl, or hydroxyalkyl and R 10 and R 10b are independently hydrogen, alkyl, alkenyl, haloalkyl, aminoalkyl, alkylaminoalkyl, dialkylaminoalkyl, or hydroxyalkyl;
- R 1 la is hydrogen, alkyl, alkenyl, hydroxy, or alkoxy and R 11 and R l lb are independently hydrogen, alkyl, alkenyl, aminoalkyl,
- alkylaminoalkyl or dialkylaminoalkyl
- R 12 is heterocycloalkyl optionally substituted with 1, 2, or 3 groups selected from alkyl, oxo, amino, alkylamino, and heterocycloalkylalkyl;
- R 13 is hydrogen, alkyl, or alkenyl and R 13a is aminoalkyl, alkylaminoalkyl, dialkylaminoalkyl, aryl, or arylalkyl;
- R 14 , R l4a , and R 1 b are independently hydrogen, alkyl, or alkenyl;
- heteroaryl optionally substituted with one or two aminoalkyl, alkylaminoalkyl, or dialkylaminoalkyl;
- R 18 and R 18b are independently hydrogen, alkyl, or alkenyl; n) -C(0)N(R 19 )-C,-C 6 -alkylene-C(0)R l9a where R 19 is hydrogen, alkyl, or alkenyl and
- R l9a is amino, alkylamino, dialkylamino, or heterocycloalkyl
- R 20 is hydrogen, alkyl, or alkenyl
- R 0a is cycloalkyl or heterocycloalkyl
- R 22 , R 22a and R 22b are independently hydrogen, alkyl, or alkenyl;
- R 23 , R 23a and R 23b are independently hydrogen, alkyl, or alkenyl; or
- R 24 is hydrogen, alkyl, or alkenyl and R 24a is alkoxyalkyl or aryl optionally substituted with one or two halo or alkyl; and where each of the alkylene in R 3a is independently optionally further substituted with 1 , 2, 3, 4, or 5 groups selected from halo, hydroxy, amino, alkylamino, and dialkylamino; and
- each R (when R is present) is independently alkyl; alkenyl; alkynyl; halo; hydroxy; oxo; alkoxy; cyano; hydroxyamino; carboxy; alkoxycarbonyl; amino; alkylamino;
- dialkylamino alkylcarbonyl; haloalkoxy; alkylsulfonyl; aminoalkyloxy;
- R 7 is hydrogen, alkyl, or alkenyl and R 7a and R 7b are independently hydrogen, alkyl, alkenyl, hydroxyalkyl, haloalkyl, alkoxy, alkoxyalkyl, aminoalkyl, alkylaminoalkyl, dialkylaminoalkyl, cycloalkyl, cycloalkylalkyi, heterocycloalkyl, heterocycloalkylalkyl, heteroaryl, heteroarylalkyl, aryl, arylalkyl, or arylalkyloxy and where the aryl, cycloalkyl, heterocycloalkyl and heteroaryl rings in R 7a and R 7b (either alone or as part of arylalkyl, cyclo
- R 8 is hydrogen, hydroxy, alkoxy, alkyl, alkenyl, haloalkyl, or haloalkoxy and R 8a is hydrogen, alkyl, alkenyl, hydroxyalkyl, cyanoalkyl, alkoxyalkyl, alkylthioalkyl, heterocycloalkyl, heterocycloalkylalkyl, cycloalkyl, cycloalkylalkyi, heteroaryl, heteroarylalkyl, aryl, or arylalkyl and where the aryl, cycloalkyl, heteroaryl, and heterocycloalkyl rings in R 8a (either alone or as part of arylalkyl, cycloalkylalkyi, heterocycloalkylalkyl and heteroarylalkyl) are independently optionally substituted with 1, 2, or 3 groups independently selected from alkyl, alkenyl, alkoxy, halo, hal
- R 9 is hydrogen, hydroxy, alkoxy, alkyl, alkenyl, haloalkyl, or haloalkoxy
- R 9a is hydrogen, C 2- 6-alkyl, alkenyl, hydroxyalkyl, alkoxyalkyl, cycloalkyl, cycloalkylalkyi, heterocycloalkyl, heterocycloalkylalkyl, heteroaryl, heteroarylalkyl, aryl, or arylalkyl; where the aryl, cycloalkyl, heteroaryl, and heterocycloalkyl rings in R 9a (either alone or as part of arylalkyl, cycloalkylalkyi, heterocycloalkylalkyl and heteroarylalkyl) are independently optionally substituted with 1, 2, or 3 groups independently selected from alkyl, alkenyl, alkoxy, hydroxy, hydroxyalkyl, halo, haloalkyl,
- R 10a is hydrogen, hydroxy, alkoxy, alkyl, alkenyl, haloalkyl, or hydroxyalkyl and R 10 and R 10b are independently hydrogen, alkyl, alkenyl, haloalkyl, or hydroxyalkyl; e) -NR U C(0)NR' la R' lb where R 1 l is hydrogen, alkyl, alkenyl, hydroxy, or alkoxy and R 11 and R l lb are independently hydrogen, alkyl, alkenyl, aminoalkyl,
- alkylaminooalkyl dialkylaminoalkyl
- R 12 is heterocycloalkyl optionally substituted with 1, 2, or 3 groups selected from alkyl, oxo, amino, alkylamino, and heterocycloalkylalkyl;
- R 13 is hydrogen, alkyl, or alkenyl and R 13a is aminoalkyl, alkylaminoalkyl, dialkylaminoalkyl, aryl, or arylalkyl);
- R 14 , R l4a , and R 14 are independently hydrogen, alkyl, or alkenyl;
- heteroaryl optionally substituted with one or two aminoalkyl, alkylaminoalkyl, or dialkylaminoalkyl;
- R 17 ,7a , R 17b , R 17c , and R 17d are independently hydrogen, alkyl, or alkenyl;
- R 18 and R l8b are independently hydrogen, alkyl, or alkenyl; n) -C(0)N(R 19 )-Ci-C 6 -alkylene-C(0)R 19a where R 19 is hydrogen, alkyl, or alkenyl and
- R l9a is amino, alkylamino, dialkylamino, or heterocycloalkyl
- R 20 is hydrogen, alkyl, or alkenyl
- R 20a is cycloalkyl or heterocycloalkyl
- R 21 is hydrogen, alkyl, or alkenyl and R 21a and R 1b are independently hydrogen, alkyl, or alkenyl;
- R 22 , R 22a and R 22b are independently hydrogen, alkyl, or alkenyl;
- R 23 , R 23a and R 23b are independently hydrogen, alkyl, or alkenyl; or
- R 24 is hydrogen, alkyl, or alkenyl and R 24a is alkoxyalkyl or aryl optionally substituted with one or two halo or alkyl;
- each of the alkylene in R 3 is independently optionally further substituted with 1 , 2, 3, 4, or 5 groups selected from halo, hydroxy, amino, alkylamino, and dialkylamino; provided that when R 50 and R 52 are hydrogen, R 51 is hydrogen or methyl, R 53 is hydrogen or methoxy, and R 54 is hydrogen or methoxy, then B is not 2,3-dihydro-l,4- benzodioxinyl, thien-2-yl, or thien-2-yl substituted with one R 3 where R 3 is halo.
- a second aspect of the invention provides a compound of Formula ⁇ :
- X 1 is -N(R 5a )-;
- A is aryl, -S(0) 2 -aryl, heteroaryl, cycloalkyl, heterocycloalkyi, halo, haloalkyl, haloalkoxy, alkyl, alkoxy, or -alkyl-N(R 7 )R 7a , where each of the aryl, heteroaryl, cycloalkyl, heterocycloalkyi, alkyl and alkoxy groups, each either alone or as part of another group within A, are independently optionally substituted with one, two, three, or four R 2a ; or
- B 1 is aryl, arylalkyl, alkyl, heteroaryl, or heteroaryalkyl, wherein each of the aryl, heteroaryl and alkyl groups are independently optionally substituted with one, two, three, or four R 3d ;
- each R la is independently selected from hydrogen, alkoxy, alkyl, nitro, halo, cyano, and -Co- C 6 -alkyl-N(R 7 )R 7a , wherein each of the alkyl and alkoxy groups is optionally substituted with 1, 2, 3, 4, or 5 groups selected from alkyl, alkoxy, halo, haloalkyl, haloalkoxy, nitro, cyano, hydroxy, -N(R 8 )R 8a , and -C(0)OR 6 ;
- each R 2a (when R 23 is present) is independently selected from alkyl, alkenyl, -alkenyl- C(0)OR 6 , -OR 6 , -N(R 7 )C(0)R 6 , -N(R 7 )C(O)-C 0 -C 6 alkyl-N(R 7b )R 7a , -OC(O)-C 0 -C 6 alkyl-N(R 7 )R 7a , -N(R 7 )C(0)-C r C 6 alkylC(0)OR 6 , C 0 -C 6 -aIkyl-C(O)R 6 oxo, dioxo, -S(0) 2 -N(R 7 )R 7a , -C(0)OR 6 , -CH(R 6 ) 2 -C(0)OR 6 , -S(0) 2 R 6 , cycloalkyl,
- heterocycloalkyi heteroaryl, -C(0)N(R 7 )-alkyl-OR 6 , -C 0 -C 6 alkyl-C(O)N(R 7 )-C 0 -C 6 - alkyl-C(0)OR 6 , -C 0 -C 6 -alkyl-C(O)N(R 7 )R 7a , aryl, arylalkyl, -S-(d-C 6 alkyl), halo, oxo, nitro, -SCN, cyano, and -Co-C 6 alkyl-N(R 7 )R 7a , wherein each of the alkyl
- alkyl (including, for example the alkyl within alkoxy), aryl, cycloalkyl, heterocycloalkyi, and heteroaryl groups, either alone or as part of another group within R , is independently optionally substituted with 1 , 2, 3, 4, or 5 groups selected from alkyl, halo, haloalkyl, haloalkoxy, oxo, nitro, cyano, hydroxy, -N(R 8 )R 8a , alkoxy, and -C(0)OR 9 ;
- each R 3d (when R 3d is present) is independently oxo, nitro, halo, cyano, alkyl, alkenyl,
- heterocycloalkyl, and heteroaryl groups are independently optionally substituted with 1, 2, 3, 4, or 5 groups selected from alkyl, alkenyl, -C 0 -C 6 -alkyl-OR 9 , cycloalkyl, halo, haloalkyl, haloalkoxy, -C(0)R 9 , nitro, cyano, oxo, -Co-C6-alkyl-N(R 8 )R 8a , cycloalkyl, cycloalkylalkyl, heterocycloalkyl, heterocycloalkylalkyl, aryl, arylalkyl, heteroaryl, heteroarylalkyl, -C(0)OR 9 , alkylthio, and hydroxyalkyl;
- R 4 is hydrogen, aryl, -C 0 -C 6 -alkyl-N(R 7 )R 7a , alkoxy, or Ci-C 6 alkyl, wherein each of the alkyl and aryl groups, either alone or as part of another group in R 4 , is independently optionally substituted with 1, 2, 3, 4, or 5 groups selected from alkyl, halo, haloalkyl, haloalkoxy, nitro, cyano, hydroxy, -N(R 8 )R 8a , alkoxy, and -C(0)OR 6 ; or
- R 4 and X 1 together with the atoms to which they are attached form a heterocycloalkyl or heteroaryl group, wherein R 5a is absent when X is -N(R 5a )-, wherein each of the heterocycloalkyl or heteroaryl is optionally substituted with 1, 2, 3, 4, or 5 groups selected from alkyl, halo, haloalkyl, haloalkoxy, nitro, cyano, hydroxy, -N(R 7 )R 7a , alkoxy, and -C(0)OR 6 ;
- R 5a is hydrogen, -C r C 6 alkyl-N(R 7 )R 7a , alkoxy, alkyl, or aryl, wherein each of the alkyl and aryl is optionally substituted with 1, 2, 3, 4, or 5 groups selected from alkyl, halo, haloalkyl, haloalkoxy, nitro, cyano, hydroxy, -N(R 8 )R 8a , C
- R 5a and R 4 together with the atoms to which they are attached form a heterocycloalkyl or heteroaryl group, wherein the heterocycloalkyl and heteroaryl is optionally substituted with 1, 2, 3, 4, or 5 groups selected from alkyl, halo, haloalkyl, haloalkoxy, nitro, cyano, hydroxy, -N(R 7 )R 7a , C,-C 6 alkoxy, and -C(0)OR 6 ;
- R 6 and R 9 are independently hydrogen, hydroxy, alkyl, aryl, arylalkyl, cycloalkyl,
- cycloalkylalkyl is independently optionally substituted with 1 , 2, 3, 4, or 5 groups independently selected from amino, hydroxy, alkoxy, alkyl, and halo;
- R 7 , R 7a R 7 , R 7c , R 7d , R 8 , and R 8 are independently hydrogen, alkyl, alkenyl, hydroxy, alkyloxy, alkenyloxy, -O-C 0 -C 6 alkyl-aryl, -C 0 -C 6 alkyl-C(0)OR 6 , -C 0 -C 6 alkyl- C(0)R 6 , aryl, arylalkyl, heteroaryl, heteroarylalkyl, cycloalkyl, cycloalkylalkyl, heterocycloalkyl, or heterocycloalkylalkyl, wherein each of the alkyl, aryl, heteroaryl, and heterocycloalkyl, either alone or part of another group within R 7 , R 7a R 7 , R 7c , R 7d , R 8 , and R 8a is independently optionally substituted with 1, 2, 3, 4, or 5 groups selected from amino, alkylamino,
- dialkylaminoalkyl dialkylaminoalkyl, -S-Ci-C 6 alkyl, cyano, nitro, hydroxy, C
- the invention is directed to a pharmaceutical composition which comprises a compound of Formula I or a pharmaceutically acceptable salt thereof and a pharmaceutically acceptable carrier, excipient, or diluent.
- the invention comprises a method of inhibiting PI3K in a cell, comprising contacting a cell with a compound of Formula I or ⁇ or a pharmaceutically acceptable salt or solvate thereof, or with a pharmaceutical composition comprising a therapeutically effective amount of a compound of Formula I and a pharmaceutically acceptable carrier, excipient, or diluent.
- the Invention provides a method for treating a disease, disorder, or syndrome which method comprises administering to a patient a pharmaceutical composition comprising a therapeutically effective amount of a compound of Formula I or II or a pharmaceutically acceptable salt or solvate thereof, or a pharmaceutical composition comprising a therapeutically effective amount of a compound of Formula I, la, or II and a pharmaceutically acceptable carrier, excipient, or diluent.
- a sixth aspect of the invention is directed to a process of preparing a compound of Formula I, comprising:
- LG is a leaving group such as chloro, and all other groups, are as defined in the Summary of the Invention, with an intermediate of formula NHR a R b or HO-C
- R a is R 7 , R 9 , R 11 , R 13 , R 17 , R 18 , R 20 , R 21 , R 22 , or R 24 , each as defined in the Summary of the Invention for a Compound of Formula I and all other groups are as defined in the Summary of the Invention;
- R 100 is -C(0)R 9a , -C(0)NR Ua R nb , -C(0)OR 13a , -C(0)-C,-C 6 -alkylene- N(R 18b )C(0)R i8a , -C(O)-C,-C 6 -alkylene-C(O)R 20a , or -S(0) 2 R-C,.C 6 -alkylene-N(R 21b )R a ; or (c) reacting an intermediate of formula 1 1
- Compound A is the Compound of Formula I in each of the above aspects.
- An additional aspect relates to a method for treating a disease, disorder, or syndrome which method comprises administering to a patient a pharmaceutical composition comprising a therapeutically effective amount of a compound of Formula I or II or a pharmaceutically acceptable salt or solvate thereof, or a pharmaceutical composition comprising a therapeutically effective amount of a compound of Formula I, la, or ⁇ and a pharmaceutically acceptable carrier, excipient, or diluent, in combination with one or more agent.
- Compound A is the Compound of Formula I in this aspect.
- the additional agent or agents are listed below:
- FK228 (Depsipeptide; Romidepsin) Celgene Corporation
- MDX-010 MDX-CTLA4; Hybridoma- Medarex Inc
- the additional agent or agents are selected from the following
- FK228 (Depsipeptide; Romidepsin) Celgene Corporation
- MDX-010 MDX-CTLA4; Hybridoma- Medarex Inc
- the additional agent or agents are selected from ABT-888, AZD6244, CCI-779, erlotinib, gefitinib, GW572016, GW786034, pertuzumab, or sunitinib.
- An additional aspect relates to a method for treating a disease selected from anaplastic thyroid cancer, chronic lymphocytic leukemia, mantel cell lymphoma, non- Hodgkins lymphoma, glioblastoma multiforme, pediatric brain tumors, pontine glioma, HPV-related head and neck cancer, Hormone Receptive positve (HR+) breast cancer, and HER-2 overexpressing breast cancer, comprising adminstering a therapeutically effective amount of a compound of Formula I or II or a pharmaceutically acceptable salt or solvate thereof, or a pharmaceutical composition comprising a therapeutically effective amount of a compound of Formula I, la, or lit.
- Compound A is the Compound of Formula I in this aspect.
- An additional aspect relates to a method for treating a disease selected from anaplastic thyroid cancer, chronic lymphocytic leukemia, mantel cell lymphoma, non- Hodgkins lymphoma, glioblastoma multiforme, pediatric brain tumors, pontine glioma, HPV-related head and neck cancer, Hormone Receptive positve (HR+) breast cancer, and HER-2 overexpressing breast cancer, comprising adminstering a therapeutically effective amount of a compound of Formula I or II or a pharmaceutically acceptable salt or solvate thereof, or a pharmaceutical composition comprising a therapeutically effective amount of a compound of Formula I, la, or II and a pharmaceutically acceptable carrier, excipient, or diluent, in combination with another agent.
- a disease selected from anaplastic thyroid cancer, chronic lymphocytic leukemia, mantel cell lymphoma, non- Hodgkins lymphoma, glioblastoma multiforme, pediatric brain tumors, pontine
- Compound A is the Compound of Formula I in this aspect.
- Compound A is the Compound of Formula I and the additional agent or agents is selected from the group consisting of ABT-888, AZD6244, CCI-779, erlotinib, gefitinib, GW572016, GW786034, pertuzumab, and sunitinib.
- An additional aspect relates to a tablet formulation of a compound of formula I.
- the tablet formulation is the following formulations or an equivalent thereof.
- Compound A is the Compound of Formula I in this aspect.
- the pharmaceutical composition is a tablet solid dosage form such as one of the above, as a 100, 150, 200, or 400 mg tablet.
- the Compound A dosage form is a 400 mg tablet qd.
- An additional aspect relates to a capsule formulation as, for instance a powder- in-capsule (PiC) formulation comprising a compound of formula I.
- the tablet formulation can be one of the following formulations or an equivalent thereof.
- Compound A is the Compound of Formula I in this aspect.
- administering and variants thereof (e.g., “administering” a compound) in reference to a compound of the invention means introducing the compound or a prodrug of the compound into the system of the animal in need of treatment.
- a compound of the invention or prodrug thereof is provided in combination with one or more other active agents (e.g., surgery, radiation, and chemotherapy, etc.)
- “administration” and its variants are each understood to include concurrent and sequential introduction of the compound or prodrug thereof and other agents.
- alkenyl or "lower alkenyl” means a straight or branched hydrocarbon radical having from 2 to 6 carbon atoms and at least one double bond and includes ethenyl, propenyl, l-but-3-enyl, l-pent-3-enyl, l-hex-5-enyl and the like.
- Alkenylcarbonyl means a C(0)R group where R is alkenyl, as defined herein.
- alkenyloxy or "lower alkenyloxy” means an -OR group where R is alkenyl, as defined herein. Representative examples include methoxy, ethoxy, 1-methoxyprop-l-en-
- Alkoxy or "lower alkoxy” means an -OR group where R is alkyl, as defined herein. Representative examples include methoxy, ethoxy, l-methoxyprop-l-en-3-yl, propoxy, isopropoxy, cyclopropyloxy, cyclohexyloxy and the like.
- Alkoxyalkyl means an alkyl group, as defined herein, substituted with one, two, or three alkoxy groups, as defined herein.
- Alkoxycarbonyl means a -C(0)OR group where R is alkyl as defined herein.
- Alkoxyycarbonylalkyl means an alkyl group, as defined herein, substituted with one, two, or three alkoxycarbonyl groups, as defined herein.
- Alkyl or "lower alkyl” means a linear or branched hydrocarbon group having one to six carbon atoms. Examples of lower alkyl groups include methyl, ethyl, propyl, isopropyl, butyl, s-butyl, ⁇ -butyl, isobutyl, pentyl, hexyl and the like.
- a "Co” alkyl (as in “Co-Ce-alkyl”) is a covalent bond.
- C 6 alkyl refers to, for example, n-hexyl, wo-hexyl, and the like.
- Alkylamino means a -NHR radical where R is alkyl as defined herein, or an N-oxide derivative thereof, e.g., methylamino, ethylamino, n-, wo-propylamino, n-, iso-, tert-butylamino, or methylamino-N-oxide, and the like.
- Alkylaminoalkyl means an alkyl group substituted with one or two alkylamino groups, as defined herein.
- Alkylaminoalkyloxy means an -OR group where R is alkylaminoalkyl, as defined herein.
- Alkylcarbonyl means a C(0)R group where R is alkyl, as defined herein.
- Alkylcarbonylamino means a -NRC(0)R' group where R is hydrogen or alkyl, as defined herein, and R' is alkyl, as defined herein.
- Alkylene refers to straight or branched divalent hydrocarbon, containing no unsaturation and having from two to eight carbon atoms.
- alkylene include eth- diyl (-CH 2 CH 2 -), prop- l,3-diyI (-CH 2 CH 2 CH 2 -), 2,2-dimethylprop- l,3-diyl (-CH 2 C(CH 3 ) 2 CH 2 -), and the like.
- Alkylsulfonyl means a -S(0) 2 R group where R is lakyl, as defined herien.
- Alkylthio means a -SR group where R is alkyl, as defined herein. Examples of alkylthio include methylthio and ethylthio, and the like.
- Alkylthioalkyl means an alkyl group substituted with one or two alkylthio groups, as defined herein, e.g. 2-(methylthio)-ethyl and 2-(ethylthio)-ethyl.
- Alkynyl or “lower alkynyl” means a straight or branched hydrocarbon radical having from 2 to 6 carbon atoms and at least one triple bond and includes ethynyl, propynyl, butynyl, pentyn-2-yl and the like.
- Amino means a - H 2 .
- aminoalkyl means an alkyl group substituted with at least one, specifically one, two, or three, amino groups.
- Aminoalkyloxy means an -OR group where R is aminoalkyl, as defined herein.
- Aryl means a monovalent six- to fourteen-membered, mono- or bi-carbocyclic ring, wherein the monocyclic ring is aromatic and at least one of the rings in the bicyclic ring is aromatic.
- Representative examples include phenyl, naphthyl, and indanyl, and the like.
- Arylalkyi means an alkyl group, as defined herein, subsituted with one or two aryl groups, as defined herein. Examples include benzyl, phenethyl, phenylvinyl, phenylallyl and the like.
- Aryloxy means a -OR group where R is aryl as defined herein.
- Arylalkyloxy means a -OR group where R is arylalkyi as defined herein.
- Arylsulfonyl means a -S0 2 R group where R is aryl as defined herein.
- Carboxyalkyl means an alkyl group, as defined herein, substituted with one, two, or three -C(0)0H groups.
- Carboxy ester means a -C(0)OR group where R is lower alkyl, lower alkenyl, lower alkynyl, cycloalkyl, aryl or arylalkyi, each of which is defined herein. Representative examples include methoxycarbonyl, ethoxycarbonyl, and benzyloxycarbonyl, and the like.
- Cyanoalkyl means an alkyl, alkenyl, or alkynyl radical, as defined herein, substituted with at least one, specifically one, two, or three, cyano groups.
- Cycloalkyl means a monocyclic or polycyclic hydrocarbon radical having three to thirteen carbon atoms.
- the cycloalkyl can be saturated or partially unsaturated, but cannot contain an aromatic ring. Cycloalkyl includes fused, bridged, and spiro ring systems. Examples of such radicals include cyclopropyl, cyclobutyl, cyclopentyl and cyclohexyl.
- Cycloalkylalkyl means alkyl group substituted with one or two cycloalkyl group(s), as defined herein. Representative examples include cyclopropylmethyl and 2- cyclobutyl-ethyl, and the like.
- Cycloalkylcarbonyl means a -C(0)R group where R is cycloalkyl as defined herein.
- Dialkylamino means a -NRR' radical where R and R' are independently alkyl as defined herein, or an N-oxide derivative, or a protected derivative thereof, e.g., dimethylamino, diethylamino, N,N-methylpropylamino or N,N-methylethylamino, and the like.
- Dialkylaminoalkyl means an alkyl group substituted with one or dialkylamino group(s), as defined herein.
- Dialkylaminoalkyloxy means an -OR group where R is dialkylaminoalkyl, as defined herein.
- fused ring system and "fused ring” refer to a polycyclic ring system that contains bridged or fused rings; that is, where two rings have more than one shared atom in their ring structures.
- fused-polycyclics and fused ring systems are not necessarily all aromatic ring systems.
- fused-polycyclics share a vicinal set of atoms, for example naphthalene or 1,2,3,4-tetrahydro-naphthalene.
- a spiro ring system is not a fused-polycyclic by this definition, but fused polycyclic ring systems of the invention may themselves have spiro rings attached thereto via a single ring atom of the fused-polycyclic.
- two adjacent groups on an aromatic system may be fused together to form a ring structure.
- the fused ring structure may contain heteroatoms and may be optionally substituted with one or more groups. It should additionally be noted that saturated carbons of such fused groups (Le. saturated ring structures) can contain two substitution groups.
- Haloaloxy means an -OR' group where R' is haloalkyl as defined herein, e.g., trifluoromethoxy or 2,2,2-trifluoroethoxy, and the like.
- Haloalkoxyalkyl means an alkyl group, as defined herein, substituted with one, two, or three haloalkoxy, as defined herein.
- Halogen or "halo" means fluoro, chloro, bromo and iodo.
- Haloalkenyl means an alkenyl group, as defined herein, substituted with one or more halogens, specifically one to five halo atoms.
- Haloalkyl means an alkyl group, as defined herein, substituted with one or more halogens, specifically one to five halo atoms. Representative examples includes 2,2- difluoroethyl, trifluoromethyl, and 2-chloro-l-fluoroethyl, and the like.
- Heteroaryl means a monocyclic, fused bicyclic, or fused tricyclic, monovalent radical of 5 to 14 ring atoms containing one or more, specifically one, two, three, or four ring heteroatoms independently selected from -0-, -S(0) consult- (n is 0, 1, or 2), -N-, -N(R X )-, and the remaining ring atoms being carbon, wherein the ring comprising a monocyclic radical is aromatic and wherein at least one of the fused rings comprising a bicyclic or tricyclic radical is aromatic.
- R x is hydrogen, alkyl, hydroxy, alkoxy, acyl, or alkylsulfonyl.
- Fused bicyclic radical includes bridged ring systems.
- the valency may be located on any atom of any ring of the heteroaryl group, valency rules permitting. In particular, when the point of valency is located on the nitrogen, R x is absent.
- heteroaryl includes, but is not limited to, 1 ,2,4-triazolyl, 1,3,5-triazolyl, phthalimidyl, pyridinyl, pyrrolyl, imidazolyl, thienyl, furanyl, indolyl, 2,3-dihydro- lH-indolyl (including, for example, 2,3-dihydro- lH-indol-2-yl or 2,3-dihydro- lH-indol-5-yl, and the like), isoindolyi, indolinyl, isoindolinyl, benzimidazolyl, benzodioxol-4-yl, benzofuranyl, cinnolinyl, indolizinyl, naphthyridin-3-yl, phthalazin-3-yl, phthalazin-4-yl, pteridinyl, purinyl, quin
- tetrahydroisoquinolinyl including, for example, tetrahydroisoquinolin-4-yl or
- pyrrolo[3,2-c]pyridinyl including, for example, pyrrolo[3,2-c]pyridin-2-yl or pyrrolo[3,2-c]pyridin-7-yl, and the like
- benzopyranyl thiazolyl, isothiazolyl, thiadiazolyl, benzothiazolyl, benzothienyl, and the derivatives thereof, or N-oxide or a protected derivative thereof.
- Hetereoarylalkyl means an alkyl group substituted with one or two heteroaryl group(s) as defined herein.
- Fused bicyclic radical includes bridged ring systems. Unless otherwise stated, the valency of the group may be located on any atom of any ring within the radical, valency rules permitting. In particular, when the point of valency is located on a nitrogen atom, R y is absent.
- heterocycloalkyl includes, but is not limited to, azetidinyl, pyrrolidinyl, 2-oxopyrrolidinyl, 2,5-dihydro-lH- pyrrolyl, piperidinyl, 4-piperidonyl, morpholinyl, piperazinyl, 2-oxopiperazinyl, tetrahydropyranyl, 2-oxopiperidinyl, thiomorpholinyl, thiamorpholinyl, perhydroazepinyl, pyrazolidinyl, imidazolinyl, imidazolidinyl, dihydropyridinyl, tetrahydropyridinyl, oxazolinyl, oxazolidinyl, isoxazolidinyl, thiazolinyl, thiazolidinyl, quinuclidinyl, isothiazolidinyl, octahydroin
- Heterocycloalkylalkyl means an alkyl group, as defined herein, substituted with one or two heterocycloalkyl group(s), as defined herein.
- Hydroxyalkyl means an alkyl radical, as defined herein, substituted with at least one, specifically one, two, or three, hydroxy group(s), provided that if two hydroxy groups are present they are not both on the same carbon atom.
- Representative examples include, but are not limited to, hydroxymethyl, 2-hydroxyethyl, 2-hydroxypropyl,
- Haldroxyamino means a -NH(OH) group.
- Optionally substituted alkyl means an alkyl radical, as defined herein, optionally substituted with one or more group(s), specifically one, two, three, four, or five groups, independently selected from alkylcarbonyl, alkenylcarbonyl, cycloalkylcarbonyl, alkylcarbonyloxy, alkenylcarbonyloxy, amino, alkylamino, dialkylamino, aminocarbonyl, alkylaminocarbonyl, dialkylaminocarbonyl, cyano, cyanoalkylaminocarbonyl, alkoxy, alkenyloxy, hydroxy, hydroxyalkoxy, carboxy, alkylcarbonylamino, alkylcarbonyloxy, alkyl-S(0)o-2-, alkenyl-S(0)o-2-, aminosulfonyl, alkylaminosulfonyl, dialkylaminosulfonyl, alkyIsulfonyl-NR c - (
- dialkylaminocarbonylamino, alkoxyalkyloxy, and -C(0)NR a R b (where R a and R b are independently hydrogen, alkyl, optionally substituted alkenyl, optionally substituted alkynyl, hydroxy, alkoxy, alkenyloxy, or cyanoalkyl).
- Optionally substituted alkenyl means an alkenyl radical, as defined herein, optionally substituted with one or more group(s), specifically one, two, or three groups, independently selected from alkylcarbonyl, alkenylcarbonyl, cycloalkylcarbonyl, alkylcarbonyloxy, alkenylcarbonyloxy, amino, alkylamino, dialkylamino, aminocarbonyl, alkylaminocarbonyl, dialkylaminocarbonyl, cyano, cyanoalkylaminocarbonyl, alkoxy, alkenyloxy, hydroxy, hydroxyalkoxy, carboxy, alkylcarbonylamino, alkylcarbonyloxy, alkyl-S(0)o-2-, alkenyl-S(0)o- 2 -, aminosulfonyl, alkylaminosulfonyl, dialkylaminosulfonyl, alkylsulfonyl-NR c - (
- dialkylaminocarbonyloxy alkylaminoalkyloxy, dialkylaminoalkyloxy, alkoxycarbonyl, alkenyloxycarbonyl, alkoxycarbonylamino, alkylaminocarbonylamino,
- dialkylaminocarbonylamino, alkoxyalkyloxy, and -C(0)NR a R b (where R a and R b are independently hydrogen, optionally substituted alkyl, alkenyl, optionally substituted alkynyl, hydroxy, alkoxy, or alkenyloxy).
- Optionally substituted aryl means an aryl group, as defined herein, which is optionally substituted with one, two, three, four, of five groups selected from halo, haloalkyl, haloalkoxy, hydroxy, lower alkyl, lower alkenyl, lower alkynyl, alkoxy, carboxy, carboxy ester, amino, alkylamino, dialkylamino, optionally substituted cycloalkyl, optionally substituted heterocycloalkyl, optionally substituted heteroaryl, -C(0)NR'R" (where R' is hydrogen or alkyl and R" is hydrogen, alkyl, aryl, heteroaryl, or
- heterocycloalkyl -NR'C(0)R” (where R' is hydrogen or alkyl and R" is alkyl, aryl, heteroaryl, or heterocycloalkyl), and -NHS(0) 2 R' (where R' is alkyl, aryl, or heteroaryl).
- Optionally substituted heteroaryl means a heteroaryl group, as defined herein, optionally substituted with one, two, three, four, or five groups selected from halo, haloalkyl, haloalkoxy, lower alkyl, lower alkenyl, lower alkynyl, alkoxy, hydroxy, oxo (valency rules permitting), carboxy, carboxy ester, amino, alkylamino, dialkylamino, optionally substituted cycloalkyl, optionally substituted heterocycloalkyl, heteroaryl, optionally substituted aryl, -C(0)NR'R" (where R' is hydrogen or alkyl and R" is hydrogen, alkyl, aryl, heteroaryl, or heterocycloalkyl), -NR'C(0)R" (where R' is hydrogen or alkyl and R" is alkyl, aryl, heteroaryl, or heterocycloalkyl), and -NHS(0) 2 R' (where R' is alkyl,
- Optionally substituted heterocycloalkyl means a heterocycloalkyl, as defined herein, optionally substituted with one, two, three, four, or five groups selected from halo, haloalkyl, haloalkoxy, hydroxy, oxo, lower alkyl, lower alkenyl, lower alkynyl, alkoxy, optionally substituted cycloalkyl, heterocycloalkyl, optionally substituted aryl, optionally substituted heteroaryl, alkylaminoalkyl, dialkylaminoalkyl, carboxy, carboxy ester, -C(0)NR'R" (where R' is hydrogen or alkyl and R" is hydrogen, alkyl, aryl, heteroaryl, or heterocycloalkyl), -NR'C(0)R" (where R' is hydrogen or alkyl and R" is alkyl, aryl, heteroaryl, or heterocycloalkyl), amino, alkylamino, dialkyla
- saturated bridged ring system refers to a bicyclic or polycyclic ring system that is not aromatic. Such a system may contain isolated or conjugated unsaturation, but not aromatic or heteroaromatic rings in its core structure (but may have aromatic substitution thereon). For example, hexahydro-furo[3,2-b]furan, 2,3,3a,4,7,7a-hexahydro- lH-indene, 7-aza-bicyclo[2.2.1]heptane, and l,2,3,4,4a,5,8,8a-octahydro-naphthalene are all included in the class "saturated bridged ring system.”
- Spirocyclyl or "spirocyclic ring” refers to a ring originating from a particular annular carbon of another ring.
- a ring atom of a saturated bridged ring system (rings C and C), but not a bridgehead atom, can be a shared atom between the saturated bridged ring system and a spirocyclyl (ring D) attached thereto.
- a spirocyclyl can be carbocyclic or
- Patient for the purposes of the present invention includes humans and other animals, particularly mammals, and other organisms. Thus the methods are applicable to both human therapy and veterinary applications. In a specific embodiment the patient is a mammal, and in a more specific embodiment the patient is human.
- Kinase-dependent diseases or conditions refer to pathologic conditions that depend on the activity of one or more protein kinases.
- Kinases either directly or indirectly participate in the signal transduction pathways of a variety of cellular activities including proliferation, adhesion, migration, differentiation and invasion.
- Diseases associated with kinase activities include tumor growth, the pathologic neovascularization that supports solid tumor growth, and associated with other diseases where excessive local vascularization is involved such as ocular diseases (diabetic retinopathy, age-related macular degeneration, and the like) and inflammation (psoriasis, rheumatoid arthritis, and the like).
- phosphatases can also play a role in "kinase-dependent diseases or conditions" as cognates of kinases; that is, kinases phosphorylate and phosphatases dephosphorylate, for example protein substrates. Therefore compounds of the invention, while modulating kinase activity as described herein, may also modulate, either directly or indirectly, phosphatase activity. This additional modulation, if present, may be synergistic (or not) to activity of compounds of the invention toward a related or otherwise interdependent kinase or kinase family. In any case, as stated previously, the compounds of the invention are useful for treating diseases characterized in part by abnormal levels of cell proliferation (i.e. tumor growth), programmed cell death (apoptosis), cell migration and invasion and angiogenesis associated with tumor growth.
- abnormal levels of cell proliferation i.e. tumor growth
- apoptosis programmed cell death
- “Therapeutically effective amount” is an amount of a compound of the invention, that when administered to a patient, ameliorates a symptom of the disease.
- the amount of a compound of the invention which constitutes a “therapeutically effective amount” will vary depending on the compound, the disease state and its severity, the age of the patient to be treated, and the like.
- the therapeutically effective amount can be determined routinely by one of ordinary skill in the art having regard to their knowledge and to this disclosure.
- Cancer refers to cellular-proliferative disease states, such as those disclosed hereinabove and including but not limited to: Cardiac: sarcoma (angiosarcoma,
- fibrosarcoma rhabdomyosarcoma, liposarcoma
- myxoma rhabdomyoma, fibroma, lipoma and teratoma
- Lung bronchogenic carcinoma (squamous cell, undifferentiated small cell, undifferentiated large cell, adenocarcinoma), alveolar (bronchiolar) carcinoma, bronchial adenoma, sarcoma, lymphoma, chondromatous hanlartoma, mesothelioma
- Gastrointestinal esophagus (squamous cell carcinoma, adenocarcinoma, leiomyosarcoma, lymphoma), stomach (carcinoma, lymphoma, leiomyosarcoma), pancreas (ductal adenocarcinoma, insulinoma, glucagonoma, gastrinoma, carcinoid tumors, vipoma), small bowel
- kidney adenocarcinoma, lymphoma, carcinoid tumors, Karposi's sarcoma, leiomyoma, hemangioma, lipoma, neurofibroma, fibroma), large bowel (adenocarcinoma, tubular adenoma, villous adenoma, hamartoma, leiomyoma); Genitourinary tract: kidney
- adenocarcinoma Wilm's tumor [nephroblastoma], lymphoma, leukemia), bladder and urethra
- teratocarcinoma choriocarcinoma, sarcoma, interstitial cell carcinoma, fibroma, fibroadenoma, adenomatoid tumors, lipoma
- Liver hepatoma (hepatocellular carcinoma), cholangiocarcinoma, hepatoblastoma, angiosarcoma, hepatocellular adenoma, hemangioma
- Bone osteogenic sarcoma (osteosarcoma), fibrosarcoma, malignant fibrous histiocytoma, chondrosarcoma, Ewing's sarcoma, malignant lymphoma (reticulum cell sarcoma), multiple myeloma, malignant giant cell tumor chordoma, osteochronfroma (osteocartilaginous exostoses), benign chondroma, chondroblastoma, chondromyxofibroma, osteoid osteoma
- uterus endometrial carcinoma
- cervix cervical carcinoma, pre-tumor cervical dysplasia
- ovaries ovarian carcinoma [serous cystadenocarcinoma, mucinous cystadenocarcinoma, unclassified carcinoma], granulosa-thecal cell tumors, SertoliLeydig cell tumors, dysgerminoma, malignant teratoma), vulva (squamous cell carcinoma, intraepithelial carcinoma, adenocarcinoma, fibrosarcom
- a "pharmaceutically acceptable salt” of a compound means a salt that is pharmaceutically acceptable and that possesses the desired pharmacological activity of the parent compound. It is understood that the pharmaceutically acceptable salts are non-toxic. Additional information on suitable pharmaceutically acceptable salts can be found in Remington's Pharmaceutical Sciences, 17 th ed., Mack Publishing Company, Easton, PA, 1985, which is incorporated herein by reference or S. M. Berge, et al., "Pharmaceutical Salts," J. Pharm. Sci., 1977;66:1-19 both of which are incorporated herein by reference.
- Examples of pharmaceutically acceptable acid addition salts include those formed with inorganic acids such as hydrochloric acid, hydrobromic acid, sulfuric acid, nitric acid, phosphoric acid, and the like; as well as organic acids such as acetic acid, trifluoroacetic acid, propionic acid, hexanoic acid, cyclopentanepropionic acid, glycolic acid, pyruvic acid, lactic acid, oxalic acid, maleic acid, malonic acid, succinic acid, fumaric acid, tartaric acid, citric acid, benzoic acid, cinnamic acid, 3-(4-hydroxybenzoyl)benzoic acid, mandelic acid, methanesulfonic acid, ethanesulfonic acid, 1,2-ethanedisulfonic acid, 2-hydroxyethanesulfonic acid, benzenesulfonic acid, 4-chlorobenzenesulfonic acid, 2-naphthalenesulfonic acid,
- Examples of a pharmaceutically acceptable base addition salts include those formed when an acidic proton present in the parent compound is replaced by a metal ion, such as sodium, potassium, lithium, ammonium, calcium, magnesium, iron, zinc, copper, manganese, aluminum salts and the like. Specific salts are the ammonium, potassium, sodium, calcium, and magnesium salts.
- Salts derived from pharmaceutically acceptable organic non-toxic bases include, but are not limited to, salts of primary, secondary, and ternary amines, substituted amines including naturally occurring substituted amines, cyclic amines and basic ion exchange resins. Examples of organic bases include isopropylamine, trimethylamine, diethylamine, triethylamine, tripropylamine, ethanolamine,
- Exemplary organic bases are isopropylamine, diethylamine, ethanolamine, trimethylamine, dicyclohexylamine, choline, and caffeine.
- Prodrug refers to compounds that are transformed (typically rapidly) in vivo to yield the active ingredient of the above formulae, for example, by hydrolysis in blood.
- a prodrug include, but are not limited to, ester and amide forms of a compound having an active form bearing a carboxylic acid moiety.
- pharmaceutically acceptable esters of the compounds of this invention include, but are not limited to, alkyl esters (for example with between about one and about six carbons) the alkyl group is a straight or branched chain. Acceptable esters also include cycloalkyl esters and arylalkyl esters such as, but not limited to benzyl.
- pharmaceutically acceptable amides of the compounds of this invention include, but are not limited to, primary amides, and secondary and tertiary alkyl amides (for example with between about one and about six carbons).
- Methodabolite refers to the break-down or end product of a compound or its salt produced by metabolism or biotransformation in the animal or human body; for example, biotransformation to a more polar molecule such as by oxidation, reduction, or hydrolysis, or to a conjugate (see Goodman and Gilman, "The Pharmacological Basis of Therapeutics” 8.sup.th Ed., Pergamon Press, Gilman et al. (eds), 1990 for a discussion of
- the metabolite of a compound of the invention or its salt may be the biologically active form of the compound in the body.
- a prodrug may be used such that the biologically active form, a metabolite, is released in vivo.
- a biologically active metabolite is discovered serendipitously, that is, no prodrug design per se was undertaken.
- An assay for activity of a metabolite of a compound of the present invention is known to one of skill in the art in light of the present disclosure.
- 'Treating" or "treatment" of a disease, disorder, or syndrome includes (i) preventing the disease, disorder, or syndrome from occurring in a human, i.e. causing the clinical symptoms of the disease, disorder, or syndrome not to develop in an animal that may be exposed to or predisposed to the disease, disorder, or syndrome but does not yet experience or display symptoms of the disease, disorder, or syndrome; (ii) inhibiting the disease, disorder, or syndrome, i.e., arresting its development; and (iii) relieving the disease, disorder, or syndrome, i.e., causing regression of the disease, disorder, or syndrome.
- R 50 is hydrogen, alkyl, alkenyl, halo, haloalkyl, haloalkenyl, hydroxy, alkoxy, alkenyloxy, haloalkoxy, nitro, amino, alkylamino, dialkylamino, -N(R 55 )C(0)-Ci-C6-alkylene- N(R 55a )R 55b , alkylcarbonyl, alkenylcarbonyl, carboxy, alkoxycarbonyl, cyano, alkylthio, -S(0) 2 NR 55 R 55a , or alkylcarbonylamino; where R 55 and R 55b are indepedently hydrogen, alkyl, or alkenyl and R 55a is hydrogen, alkyl, alkenyl, hydroxy, or alkoxy; and all other groups are as defined in the Summary of the Invention. Specifically, R 50 is hydrogen.
- R 51 is hydrogen or alkyl; and all other groups are as defined in the Summary of the Invention. Specifically, R 51 is alkyl, More specifically, R 51 is methyl.
- R 52 is hydrogen or halo; and all other groups are as defined in the Summary of the Invention. Specifically R 52 is hydrogen or fluoro. More specifically, R 52 is hydrogen.
- R 53 is hydrogen, alkyl, alkenyl, halo, haloalkyl, haloalkenyl, hydroxy, alkoxy, alkenyloxy, haloalkoxy, nitro, amino, alkylamino, dialkylamino, -N(R 55 )C(0)-C
- R 53 is hydrogen, alkoxy, nitro, amino, or -N(R 55 )C(0)-Ci-C 6 -alkylene-N(R 55a )R 55b . More specifically, R 53 is hydrogen, methoxy, nitro, amino, or -NHC(0)CH 2 N(CH3)2. Even more specifically, R 53 is hydrogen or methoxy.
- R 54 is hydrogen, alkyl, alkenyl, halo, haloalkyl, haloalkenyl, hydroxy, alkoxy, alkenyloxy, haloalkoxy, nitro, amino, alkylamino, dialkylamino, -N(R 55 )C(0)-C 1 -C 6 -alkylene-N(R 55a )R 55b , alkylcarbonyl, alkenylcarbonyl, carboxy, alkoxycarbonyl, cyano, alkylthio, -S(0) 2 NR 55 R 55a , or alkylcarbonylamino; where R 55 and R 55b are indepedently hydrogen, alkyl, or alkenyl and R 55a is hydrogen, alkyl, alkenyl, hydroxy, or alkoxy; and all other groups are as defined in the Summary of the Invention. Specifically, R 54 is hydrogen, alkyl, alkenyl, halo, haloalkyl,
- Another embodiment (G) of a compound of Formula I is where R 50 , R 52 , and R 53 are hydrogen and R 54 is halo or alkoxy; R 50 , R 52 , and R 54 are hydrogen and R 53 is alkoxy; or R 50 and R 52 are hydrogen and R 53 and R 54 together with the carbons to which they are attached form a 6-membered heteroaryl; and all other groups are as defined in the Summary of the Invention.
- R 50 , R 52 , and R 53 are hydrogen and R 54 is chloro or methoxy; R 50 , R 52 , and R 54 are hydrogen and R 53 is methoxy; or R 50 and R 52 are hydrogen and R 53 and R 54 together with the carbons to which they are attached form pyridinyl. Even more specifically, R 50 , R 52 , and R 53 are hydrogen and R 54 is chloro or methoxy; or R 50 , R 52 , and R 54 are hydrogen and R 53 is methoxy.
- embodiment G is a compound of Formula I where R 51 is methyl.
- Another embodiment (H) of a Compound of Formula I is where B is phenyl substituted with R 3a and optionally further substituted with one, two, or three R 3 ; and all other groups are as defined in the Summary of the Invention. Specifically, B is phenyl substituted with R 3a . More specifically the Compound is of Formula 1(a):
- B is phenyl substituted with R 3a as depicted in la and is not further substituted with R 3 .
- Another embodiment (J) is directed to a compound of Formula I where B is heteroaryl optionally substituted with one, two, or three R 3 .
- B is thien-3-yl, pyridinyl, pyrimidinyl, pyridazinyl, pyrazinyl, oxazolyl, isoxazolyl, pyrrolyl, imidazolyl, pyrazolyl, or thiazolyl, each of which is optionally substituted with one or two R .
- B is thien-3-yl, pyridin-2-yl, pyridin-3-yl, pyridin-4-yl, oxazol-2-yl, oxazol-4- yl, oxazol-5-yl, isoxazol-3-yl, isoxazol-4-yl, isoxazol-5-yl, imidazol-2-yl, pyrrol-2-yl, pyrrol-3-yl, imidazol-4-yl, imidazol-5-yl, pyrazol-3-yl, pyrazol-4-yl, or pyrazol-5-yl, each of which is optionally substituted with one or two R 3 .
- B is thien-3- yl, pyridin-3-yl, pyridin-4-yl, isoxazol-4-yl, or pyrazol-4-yl, each of which is optionally substituted with one or two R 3 .
- B is pyridin-3-yl, 2-hydroxy- pyridin-5-yl, isoxazol-4-yl, or pyrazol-4-yl, each of which is optionally substituted with one or two R 3 .
- Another embodiment (K) provides a compound of Formula I or la where R 3a is cyano; hydroxyamino; carboxy; alkylsulfonyl, aminoalkyloxy; alkylaminoalkyloxy;
- dialkylaminoalkyloxy -N(R 7 )C(0)-C r C 6 -alkylene-N(R 7a )(R b ); -C(0)NR 8 R 8a ;
- R 3a is -NHC(0)CH 2 NH(CH 3 ), -NHC(0)CH 2 NH(CH 2 CH 3 ), -NHC(0)CH(CH 3 )NH 2 , -NHC(0)C(CH 3 ) 2 NH 2 , -NHC(0)CH 2 N(CH 3 ) 2 ,
- -HC(0)CH 2 NH(4-methylphenyl), -NHC(0)CH 2 NH(phenyl), -NHC(0)CH 2 (4-allyl- piperazin-l-yl), - HC(0)(2-methylphenyl), -NHC(0)CH 2 CH 2 OCH 3 , -NHC(0)(3-methyl- furan-2-yl), -NHC(0)C(CH 3 ) 3 , -NHC(0)CH 2 NHObenzyl,
- NHC(0)CH 2 (2-phenylpyrrolidin- 1 -yl), -NHC(0)CH 2 (morpholin-4-yl),
- -C(0) HC(CH 3 ) 2 C(0)(piperidin- 1 -yl), -C(0)(4-methy Ipiperazin- 1 -yl), -C(0)(2-piperidin- 1-ylmethyl-piperidin-l-yl), cyano, - HCH 3 , -CH(CH 3 )NHCH 2 CH 2 N(CH 3 ) 2 , -C(0)CH 3) -S(0) NHCH 2 CH 2 N(CH 3 ) 2) -S(0) 2 NH(CH 2 ) 3 N(CH 3 ) 2 , 5-(N,N-dimethylaminomethyl)- l,3,4-oxadiazol-2-yl, -NHCH 2 CH 2 N(CH 3 ) 2 , -N(CH 3 ) 2 , -OCH 2 CH 2 N(CH 3 ) 2 ,
- the compound of Formula I or la is that where R 3a is hydroxyamino, -N(R 7 )C(0)-C 1 -C 6 -alkylene-N(R 7a )(R 7b ), -CiOiNR ⁇ 83 ,
- R 3a is independently optionally further substituted with 1, 2, 3, 4, or 5 groups selected from halo, hydroxy, and amino; and all other groups are as defined in the Summary of the Invention. Specifically, R 3a is
- the compound is of Formula I or la and R 3a ⁇ N(R 7 )C(0)-Ci-C 6 -alkylene-N(R 7a )(R 7b ); and R 7 is hydrogen or alkyl and R 7a and R 7b are independently hydrogen, alkyl, aminoalkyl, alkylaminoalkyl, or dialkylaminoalkyl; and all other groups are as defined in the Summary of the Invention. More specifically, R 3 is -NHC(0)CH 2 NH(CH 3 ), -NHC(0)CH(CH 3 )NH 2 , -NHC(0)C(CH 3 ) 2 NH 2 ,
- Embodiment (N) provides a compound of Formula I where each R 3 is independently halo; cyano; alkyl; alkenyl; alkoxy; hydroxyamino; carboxy; alkylsulfonyl, aminoalkyloxy; alkylaminoalkyloxy; dialkylaminoalkyloxy; -N(R 7 )C(0)-Ci-C6-alkylene- N(R 7a )(R 7b ); -C(0)NR 8 R 8a ; -NR 9 C(0)R 9a ; -C(O)N(R l0 )-C 1 -C 6 -alkylene-N(R 10a )R 10b ;
- each R 3 is independently methyl, bromo, chloro, fluoro,
- -C(0)NHC(CH 3 ) 2 C(0)(piperidin- 1 -yl), -C(0)(4-methylpiperazin- 1 -yl), -C(0)(2-piperidin- 1-ylmethyl-piperidin- l-yl), cyano, -NHCH 3 , -CH(CH 3 )NHCH2CH 2 N(CH 3 ) 2 , -C(0)CH 3 , -S(0)2NHCH 2 CH 2 N(CH3) 2 , -S(0) 2 NH(CH 2 ) 3 N(CH 3 ) 2 , 5-(NN-dimethylaminomethyl)- l,3,4-oxadiazol-2-yl, -NHCH 2 CH 2 N(CH 3 ) 2 , -N(CH 3 ) 2 , -OCH 2 CH 2 N(CH 3 ) 2 ,
- the Compound of Formula I is that where each R 3 is independently halo, alky], hydroxyamino, -N(R 7 )C(0)-C
- each R 3 is independently methyl, chloro, -NHC(0)CH 2 NH(CH 3 ), -NHC(0)CH(CH 3 )NH 2 , -NHC(0)C(CH 3 ) 2 NH 2 , -NHC(0)CH 2 N(CH 3 ) 2 ,
- the Compound of Formula I is that where R 3 is alkyl or -N(R 7 )C(0)-C,-C 6 -alkylene-N(R 7a )(R 7b ); and R 7 is hydrogen or alkyl and R 7a and R 7b are independently hydrogen, alkyl, aminoalkyl, alkylaminoalkyl, or
- each R 3 is independently methyl, -NHC(0)CH 2 NH(CH 3 ),
- the Compound of Formula I is that where B is phenyl, R 3 is not present or R 3 is halo, alkyl, or alkoxy; R 3a is -C(0)NR 8 R 8a ,
- each of the alkylene in R 3 is independently optionally further substituted with 1, 2, 3, 4, or 5 groups selected from halo, hydroxy, and amino; and all other groups are as defined in the Summary of the Invention.
- the compound is that where R 50 , R 52 , and R 53 are hydrogen and R 54 is halo or alkoxy; R 50 , R 52 , and R 54 are hydrogen and R 53 is alkoxy; or R 50 and R 52 are hydrogen and R 53 and R 54 together with the carbons to which they are attached form a 6-membered heteroaryl; and all other groups are as defined in the Summary of the Invention.
- R 50 , R 52 , and R 53 are hydrogen and R 54 is halo or alkoxy; or R 50 , R 52 , and R 54 are hydrogen and R 53 is alkoxy.
- R 3 is that where R 3 is not present or R 3 is alkyl and R 3 is -N(R 7 )C(0)-Ci-C6-alkylene- N(R 7a )(R 7b ), -C(0)NR 8 R 8a , -NR 9 C(0)R 9a , or -C(O)N(R 10 )-C,-C 6 -alkylene-N(R 10a )R 10b ; where each of the alkylene in R 3a is independently optionally further substituted with 1, 2, 3, 4, or 5 groups selected from halo, hydroxy, and amino; and all other groups are as defined in the Summary of the Invention. Specifically, R 3 is not present or is methyl. More specifically, R 3 is not present.
- embodiment S is that where R 7 is hydrogen or alkyl and R 7a , and R 7b are independently hydrogen, alkyl, hydroxyalkyl, aminoalkyl, alkylaminoalkyl, or dialkylaminoalkyl; R s is hydrogen or alkyl and R 8a is heterocycloalkyl or heterocycloalkylalkyl; R 9 is hydrogen or alkyl and R 9a is hydrogen, heterocycloalkyl, or heterocycloalkylalkyl; and R 10 , R 10a , and R 10b are independently hydrogen, alkyl, hydroxyalkyl, aminoalkyl, alkylaminoalkyl, or dialkylaminoalkyl.
- embodiment S2 is that where R 50 , R 52 , and R 53 are hydrogen and R 54 is halo or alkoxy; or R 50 , R 52 , and R 54 are hydrogen and R 53 is alkoxy; or R 50 and R 52 are hydrogen and R 53 and R 54 together with the carbons to which they are attached form a 6-membered heteroaryl.
- R 50 , R 52 , and R 53 are hydrogen and R 54 is halo or alkoxy; or R 50 , R 52 , and R 54 are hydrogen and R 53 is alkoxy.
- the Compound of Formula I is that where B is heteroaryl, one R 3 is halo, alkyl, or alkoxy and a second R 3 is -C(0)NR 8 R 8a , -NR 9 C(0)R a , -N(R 7 )C(0)-C r C 6 -alkylene-N(R 7a )(R 7b ), or -C(O)N(R 10 )-Ci-C 6 -alkyIene- N(R 10a )R 10b where each of the alkylene in R 3 is independently optionally further substituted with 1, 2, 3, 4, or 5 groups selected from halo, hydroxy, and amino; and all other groups are as defined in the Summary of the Invention.
- the compound is that where R 7 is hydrogen or alkyl and R a , and R 7b are independently hydrogen, alkyl, hydroxyalkyl, aminoalkyl, alkylaminoalkyi, or dialkylaminoalkyl; R 8 is hydrogen or alkyl and R 8a is heterocycloalkyl or heterocycloalkylalkyl; R 9 is hydrogen or alkyl and R 9a is hydrogen, heterocycloalkyl, or heterocycloalkylalkyl; R 10 , R 10a , and R l0b are independently hydrogen, alkyl, hydroxyalkyl, aminoalkyl, alkylaminoalkyi, or dialkylaminoalkyl.
- dialkylaminoalkyloxy alkylamino, dialkylamino, -C(0)NR 8 R 8a , -NR 9 C(0)R 9a , -N(R 7 )C(0)- C,-C 6 -alkylene-N(R 7a )(R b ), or -C(O)N(R l0 )-Ci-C 6 -alkylene-N(R 10a )R 10b ; and all other groups are as defined in the Summary of the Invention.
- the compound of Formula I is that where R 50 , R 52 , and R 53 are hydrogen and R 54 is halo or alkoxy; R 50 , R 52 , and R 54 are hydrogen and R 53 is alkoxy; or R 50 and R 52 are hydrogen and R 53 and R 54 together with the carbons to which they are attached form a 6-membered heteroaryl; and all other groups are as defined in the Summary of the Invention.
- R 50 , R 52 , and R 53 are hydrogen and R 54 is halo or alkoxy; or R 50 , R 52 , and R 54 are hydrogen and R 53 is alkoxy.
- the compound of Formula I is that where R 51 is methyl.
- the Compound of Formula I is that where R 7 is hydrogen or alkyl and R 7a , and R 7b are independently hydrogen, alkyl, hydroxyalkyl, aminoalkyl, alkylaminoalkyi, or dialkylaminoalkyl; R 8 is hydrogen or alkyl and R 83 is heterocycloalkyl or heterocycloalkylalkyl; R 9 is hydrogen or alkyl and R 9a is hydrogen, heterocycloalkyl, or heterocycloalkylalkyl; R 10 , R IOa , and R 10b are independently hydrogen, alkyl, hydroxyalkyl, aminoalkyl, alkylaminoalkyi, or
- R 50 is hydrogen; R 51 is hydrogen or alkyl;
- R 52 is hydrogen
- R 53 is hydrogen, alkoxy, nitro, amino, or -N(R 55 )C(0)-Ci-C 6 -alkylene-N(R 55a )R 55b ; and R 54 is hydrogen, alkyl, alkoxy, or halo; or R 53 and R 54 together with the carbons to which they are attached form a 6-membered heteroaryl;
- B is phenyl substituted with R 3a and optionally further substituted with one R 3 ;
- B is heteroaryl optionally substituted with one or two R 3 ;
- R 3a is cyano; hydroxyamino; carboxy; alkylsulfonyl, aminoalkyloxy; alkylaminoalkyloxy; dialkylaminoalkyloxy; -N(R 7 )C(0)-C,-C 6 -alkylene-N(R 7a )(R 7b ); -C(0)NR 8 R 8a ;
- dialkylaminoalkyloxy -N(R 7 )C(0)-Ci-C 6 -alkylene-N(R 7a )(R 7b ); -C(0)NR 8 R 8a ;
- Another embodiment (W) of the invention is a Compound of Formula I where R 50 , R 53 , and R 54 are independently hydrogen, alkyl, alkenyl, halo, haloalkyl, haloalkenyl, hydroxy, alkoxy, alkenyloxy, haloalkoxy, nitro, amino, alkylamino, dialkylamino, -N(R 55 )C(0)-Ci-C 6 -alkylene-N(R 55a )R 55b , alkylcarbonyl, alkenylcarbonyl, carboxy, alkoxycarbonyl, cyano, alkylthio, -S(0) 2 NR 55 R 55a , or alkylcarbonylamino and where R 55 and R 55b are indepedently hydrogen, alkyl, or alkenyl and R 55a is hydrogen, alkyl, alkenyl, hydroxy, or alkoxy; or R 53 and R 54 together with the carbons to which they
- Another embodiment (X) of the invention is a Compound of Formula I where R 53 and R 54 together with the carbons to which they are attached form a 5- or 6-membered heteroaryl or 5- or 6-membered heterocycloalkyl.
- the compound of Formula I or la is a compound of Formula ⁇ :
- R 50 is hydrogen
- R 51 is methyl
- R is hydrogen
- R 53 is hydrogen or alkoxy
- R 54 is hydrogen, alkyl, alkoxy, or halo; or R 53 and R 54 together with the carbons to which they are attached form a 6-membered heteroaryl;
- R 3 is halo or methyl
- R 3a is -N(R 7 )C(0)-C
- R 51 is methyl; and R 50 , R 52 , and R 53 are hydrogen and R 54 is halo or alkoxy or R 50 , R 52 , and R 54 are hydrogen and R 53 is alkoxy; or a single stereoisomer or mixture of stereoisomers thereof.
- R 3a is -NHC(0)CH 2 NH(CH 3 ), -NHC(0)CH(CH 3 )NH 2 , -
- the compound of Formula ⁇ is:
- the compound of Formula la is:
- Another specific embodiment of the invention is a pharmaceutical composition
- a pharmaceutical composition comprising a compound of Formula I, Formula la, or Formula II or a compound according the above Embodiments A-X and a pharmaceutically acceptable carrier, excipient, or diluent.
- Another specific embodiment of the invention is a method of inhibiting PI3K in a cell, comprising contacting a cell in which inhibition of PI3K is desired with a compound of Formula I, la, or II or a compound according to Embodiments A-X.
- the Compound is of Formula II.
- Another specific embodiment of the invention is a method of treating a disease, disorder, or syndrome mediated by PI3K which method comprises administering to a patient a pharmaceutical composition comprising a therapeutically effective amount of a compound of Formula I, la, or ⁇ or a compound according to embodiments A-X.
- the Compound is of Formula I or la. More specifically, the Compound is of Formula II.
- the disease is cancer.
- the cancer is breast cancer, colon cancer, rectal cancer, endometrial cancer, gastric carcinoma, glioblastoma, hepatocellular carcinoma, small cell lung cancer, non-small cell lung cancer, melanoma, ovarian cancer, cervical cancer, pancreatic cancer, prostate carcinoma, acute myelogenous leukemia (AML), chronic myelogenous leukemia (CML), or thyroid carcinoma.
- the cancer is ovarian cancer, cervical cancer, breast cancer, colon cancer, rectal cancer, or glioblastoma.
- Another aspect of the Invention is directed to employing the compounds of the invention in a method of screening for candidate agents that bind to, for example PI3K.
- the protein is bound to a support, and a compound of the invention is added to the assay.
- the compound of the invention is bound to the support and the protein is added.
- Classes of candidate agents among which novel binding agents may be sought include specific antibodies, non-natural binding agents identified in screens of chemical libraries, peptide analogs, etc. Of particular interest are screening assays for candidate agents that have a low toxicity for human cells.
- assays may be used for this purpose, including labeled in vitro protein-protein binding assays, electrophoretic mobility shift assays, immunoassays for protein binding, functional assays (phosphorylation assays, etc.) and the like.
- the determination of the binding of the candidate agent to, for example, PI3K may be done in a number of ways.
- the candidate agent (the compound of the invention) is labeled, for example, with a fluorescent or radioactive moiety and binding determined directly.
- this may be done by attaching all or a portion of the PI3K protein to a solid support, adding a labeled agent (for example a compound of the invention in which at least one atom has been replaced by a detectable isotope), washing off excess reagent, and determining whether the amount of the label is that present on the solid support.
- a labeled agent for example a compound of the invention in which at least one atom has been replaced by a detectable isotope
- washing off excess reagent for example a compound of the invention in which at least one atom has been replaced by a detectable isotope
- Various blocking and washing steps may be utilized as is known in the art.
- label as used herein is meant to include both direct and indirect labeling with a compound that provides a detectable signal, for example, radioisotope, fluorescent tag, enzyme, antibodies, particles such as magnetic particles, chemiluminescent tag, or specific binding molecules, and the like.
- Specific binding molecules include pairs, such as biotin and streptavidin, digoxin and antidigoxin, and the like.
- the complementary member would normally be labeled with a molecule which provides for detection, in accordance with known procedures, as outlined above.
- the label can directly or indirectly provide a detectable signal.
- PI3K protein may be labeled at tyrosine positions using l25 I, or with fluorophores.
- more than one component may be labeled with different labels; using l25 I for the proteins, for example, and a fluorophor for the candidate agents.
- the compounds of the invention may also be used as competitors to screen for additional drug candidates.
- candidate bioactive agent or “drag candidate” or grammatical equivalents as used herein describe any molecule, e.g., protein, oligopeptide, small organic molecule, polysaccharide, polynucleotide, etc., to be tested for bioactivity. They may be capable of directly or indirectly altering the cellular proliferation phenotype or the expression of a cellular proliferation sequence, including both nucleic acid sequences and protein sequences. In other cases, alteration of cellular proliferation protein binding and/or activity is screened. In the case where protein binding or activity is screened, some embodiments exclude molecules already known to bind to that particular protein.
- Exemplary embodiments of assays described herein include candidate agents, which do not bind the target protein in its endogenous native state, termed herein as "exogenous" agents.
- exogenous agents further exclude antibodies to PI3K.
- Candidate agents can encompass numerous chemical classes, though typically they are organic molecules having a molecular weight of more than about 100 and less than about 2,500 daltons.
- Candidate agents comprise functional groups necessary for structural interaction with proteins, particularly hydrogen bonding and lipophilic binding, and typically include at least an amine, carbonyl, hydroxyl, ether, or carboxyl group, for example at least two of the functional chemical groups.
- the candidate agents often comprise cyclical carbon or heterocycloalkyl structures and/or aromatic or heteroaromatic structures substituted with one or more of the above functional groups.
- Candidate agents are also found among biomolecules including peptides, saccharides, fatty acids, steroids, purines, pyrimidines, derivatives, structural analogs, or combinations thereof.
- Candidate agents are obtained from a wide variety of sources including libraries of synthetic or natural compounds. For example, numerous means are available for random and directed synthesis of a wide variety of organic compounds and biomolecules, including expression of randomized oligonucleotides. Alternatively, libraries of natural compounds in the form of bacterial, fungal, plant and animal extracts are available or readily produced. Additionally, natural or synthetically produced libraries and compounds are readily modified through conventional chemical, physical and biochemical means. Known pharmacological agents may be subjected to directed or random chemical modifications, such as acylation, alkylation, esterification, amidification to produce structural analogs.
- the binding of the candidate agent is determined through the use of competitive binding assays.
- the competitor is a binding moiety known to bind to IGF1R, such as an antibody, peptide, binding partner, ligand, etc. Under certain circumstances, there may be competitive binding as between the candidate agent and the binding moiety, with the binding moiety displacing the candidate agent.
- the candidate agent is labeled. Either the candidate agent, or the competitor, or both, is added first to PI3K protein for a time sufficient to allow binding, if present. Incubations may be performed at any temperature that facilitates optimal activity, typically between 4°C and 40°C.
- Incubation periods are selected for optimum activity, but may also be optimized to facilitate rapid high throughput screening. Typically between 0.1 and 1 hour will be sufficient. Excess reagent is generally removed or washed away. The second component is then added, and the presence or absence of the labeled component is followed, to indicate binding.
- the competitor is added first, followed by the candidate agent.
- Displacement of the competitor is an indication the candidate agent is binding to PI3K and thus is capable of binding to, and potentially modulating, the activity of the PI3K.
- either component can be labeled.
- the presence of label in the wash solution indicates displacement by the agent.
- the candidate agent is labeled, the presence of the label on the support indicates displacement.
- the candidate agent is added first, with incubation and washing, followed by the competitor.
- the absence of binding by the competitor may indicate the candidate agent is bound to PI3K with a higher affinity.
- the candidate agent is labeled, the presence of the label on the support, coupled with a lack of competitor binding, may indicate the candidate agent is capable of binding to PI3K.
- PI3K binding site of PI3K. This can be done in a variety of ways. In one embodiment, once PI3K is identified as binding to the candidate agent, the PI3K is fragmented or modified and the assays repeated to identify the necessary components for binding. [00151] Modulation is tested by screening for candidate agents capable of modulating the activity of PI3K comprising the steps of combining a candidate agent with PI3K, as above, and determining an alteration in the biological activity of the PI3K. Thus, in this embodiment, the candidate agent should both bind to (although this may not be necessary), and alter its biological or biochemical activity as defined herein. The methods include both in vitro screening methods and in vivo screening of cells for alterations in cell viability, morphology, and the like.
- differential screening may be used to identify drug candidates that bind to native PI3K, but cannot bind to modified PI3K.
- Positive controls and negative controls can be used in the assays. For example, all control and test samples are performed in at least triplicate to obtain statistically significant results. Incubation of samples is for a time sufficient for the binding of the agent to the protein. Following incubation, samples are washed free of non-specifically bound material and the amount of bound, generally labeled agent determined. For example, where a radiolabel is employed, the samples can be counted in a scintillation counter to determine the amount of bound compound.
- a variety of other reagents can be included in the screening assays. These include reagents like salts, neutral proteins, e.g., albumin, detergents, etc which may be used to facilitate optimal protein-protein binding and/or reduce non-specific or background interactions. Also reagents that otherwise improve the efficiency of the assay, such as protease inhibitors, nuclease inhibitors, anti-microbial agents, etc., may be used. The mixture of components can be added in any order that provides for the requisite binding.
- Another aspect of the invention is directed to suitable x-ray quality crystals, and one of ordinary skill in the art would appreciate that they can be used as part of a method of identifying a candidate agent capable of binding to and modulating the activity of kinases.
- Such methods may be characterized by the following aspects: a) introducing into a suitable computer program, information defining a ligand binding domain of a kinase in a , conformation (e.g.
- aspects a-d are not necessarily carried out in the aforementioned order. Such methods may further entail: performing rational drug design with the model of the three-dimensional structure, and selecting a potential candidate agent in conjunction with computer modeling.
- Such methods may further entail: employing a candidate agent, so-determined to fit spatially into the ligand binding domain, in a biological activity assay for kinase modulation, and determining whether said candidate agent modulates kinase activity in the assay. Such methods may also include administering the candidate agent, determined to modulate kinase activity, to a mammal suffering from a condition treatable by kinase modulation, such as those described above.
- compounds of the invention can be used in a method of evaluating the ability of a test agent to associate with a molecule or molecular complex comprising a ligand binding domain of a kinase.
- a methqd may be characterized by the following aspects: a) creating a computer model of a kinase hinding pocket using structure coordinates obtained from suitable x-ray quality crystals of the kinase, b) employing computational algorithms to perform a fitting operation between the test agent and the computer model of the binding pocket, and c) analyzing the results of the fitting operation to quantify the association between the test agent and the computer model of the binding pocket.
- the invention provides pharmaceutical compositions comprising an inhibitor of PI3K according to the invention and a pharmaceutically acceptable carrier, excipient, or diluent.
- administration may specifically be by the oral route.
- Administration of the compounds of the invention, or their pharmaceutically acceptable salts, in pure form or in an appropriate pharmaceutical composition, can be carried out via any of the accepted modes of administration or agents for serving similar utilities.
- administration can be, for example, orally, nasally, parenterally (intravenous, intramuscular, or subcutaneous), topically, transdermally, intravaginally, intravesically, intracistemally, or rectally, in the form of solid, semi-solid, lyophilized powder, or liquid dosage forms, such as for example, tablets, suppositories, pills, soft elastic and hard gelatin capsules, powders, solutions, suspensions, or aerosols, or the like, specifically in unit dosage forms suitable for simple administration of precise dosages.
- compositions will include a conventional pharmaceutical carrier or excipient and a compound of the invention as the/an active agent, and, in addition, may include carriers and adjuvants, etc.
- Adjuvants include preserving, wetting, suspending, sweetening, flavoring, perfuming, emulsifying, and dispensing agents. Prevention of the action of microorganisms can be ensured by various antibacterial and antifungal agents, for example, parabens, chlorobutanol, phenol, sorbic acid, and the like. It may also be desirable to include isotonic agents, for example sugars, sodium chloride, and the like. Prolonged absorption of the injectable pharmaceutical form can be brought about by the use of agents delaying absorption, for example, aluminum monostearate and gelatin.
- a pharmaceutical composition of the invention may also contain minor amounts of auxiliary substances such as wetting or emulsifying agents, pH buffering agents, antioxidants, and the like, such as, for example, citric acid, sorbitan monolaurate, triethanolamine oleate, butylalted hydroxytoluene, etc.
- auxiliary substances such as wetting or emulsifying agents, pH buffering agents, antioxidants, and the like, such as, for example, citric acid, sorbitan monolaurate, triethanolamine oleate, butylalted hydroxytoluene, etc.
- formulation depends on various factors such as the mode of drug administration (e.g., for oral administration, formulations in the form of tablets, pills or capsules) and the bioavailability of the drug substance.
- pharmaceutical formulations have been developed especially for drugs that show poor bioavailability based upon the principle that bioavailability can be increased by increasing the surface area i.e., decreasing particle size.
- U.S. Pat. No. 4, 107,288 describes a pharmaceutical formulation having particles in the size range from 10 to 1 ,000 nm in which the active material is supported on a crosslinked matrix of macromolecules.
- 5,145,684 describes the production of a pharmaceutical formulation in which the drug substance is pulverized to nanoparticles (average particle size of 400 nm) in the presence of a surface modifier and then dispersed in a liquid medium to give a pharmaceutical formulation that exhibits remarkably high bioavailability.
- compositions suitable for parenteral injection may comprise physiologically acceptable sterile aqueous or nonaqueous solutions, dispersions, suspensions or emulsions, and sterile powders for reconstitution into sterile injectable solutions or dispersions.
- aqueous and nonaqueous carriers, diluents, solvents or vehicles examples include water, ethanol, polyols (propyleneglycol, polyethyleneglycol, glycerol, and the like), suitable mixtures thereof, vegetable oils (such as olive oil) and injectable organic esters such as ethyl oleate.
- a coating such as lecithin
- surfactants for example
- One specific route of administration is oral, using a convenient daily dosage regimen that can be adjusted according to the degree of severity of the disease-state to be treated.
- Solid dosage forms for oral administration include capsules, tablets, pills, powders, and granules.
- the active compound is admixed with at least one inert customary excipient (or carrier) such as sodium citrate or dicalcium phosphate or
- fillers or extenders as for example, starches, lactose, sucrose, glucose, mannitol, and silicic acid
- binders as for example, cellulose derivatives, starch, alignates, gelatin, polyvinylpyrrolidone, sucrose, and gum acacia
- humectants as for example, glycerol
- disintegrating agents as for example, agar-agar, calcium carbonate, potato or tapioca starch, alginic acid, croscarmellose sodium, complex silicates, and sodium carbonate
- solution retarders as for example paraffin
- absorption accelerators as for example,
- the dosage forms may also comprise buffering agents.
- Solid dosage forms as described above can be prepared with coatings and shells, such as enteric coatings and others well known in the art. They may contain pacifying agents, and can also be of such composition that they release the active compound or compounds in a certain part of the intestinal tract in a delayed manner. Examples of embedded compositions that can be used are polymeric substances and waxes. The active compounds can also be in microencapsulated form, if appropriate, with one or more of the above-mentioned excipients.
- Liquid dosage forms for oral administration include pharmaceutically acceptable emulsions, solutions, suspensions, syrups, and elixirs. Such dosage forms are prepared, for example, by dissolving, dispersing, etc., a compound(s) of the invention, or a
- a carrier such as, for example, water, saline, aqueous dextrose, glycerol, ethanol and the like; solubilizing agents and emulsifiers, as for example, ethyl alcohol, isopropyl alcohol, ethyl carbonate, ethyl acetate, benzyl alcohol, benzyl benzoate, propyleneglycol, 1,3- butyleneglycol, dimethylformamide; oils, in particular, cottonseed oil, groundnut oil, corn germ oil, olive oil, castor oil and sesame oil, glycerol, tetrahydrofurfuryl alcohol, polyethyleneglycols and fatty acid esters of sorbitan; or mixtures of these substances, and the like, to thereby form a solution or suspension.
- a carrier such as, for example, water, saline, aqueous dextrose, glycerol, ethanol and the like
- Suspensions in addition to the active compounds, may contain suspending agents, as for example, ethoxylated isostearyl alcohols, polyoxyethylene sorbitol and sorbitan esters, microcrystalline cellulose, aluminum metahydroxide, bentonite, agar-agar and tragacanth, or mixtures of these substances, and the like.
- suspending agents as for example, ethoxylated isostearyl alcohols, polyoxyethylene sorbitol and sorbitan esters, microcrystalline cellulose, aluminum metahydroxide, bentonite, agar-agar and tragacanth, or mixtures of these substances, and the like.
- compositions for rectal administrations are, for example, suppositories that can be prepared by mixing the compounds of the present invention with for example suitable non-irritating excipients or carriers such as cocoa butter, polyethyleneglycol or a suppository wax, which are solid at ordinary temperatures but liquid at body temperature and therefore, melt while in a suitable body cavity and release the active component therein.
- suitable non-irritating excipients or carriers such as cocoa butter, polyethyleneglycol or a suppository wax, which are solid at ordinary temperatures but liquid at body temperature and therefore, melt while in a suitable body cavity and release the active component therein.
- Dosage forms for topical administration of a compound of this invention include ointments, powders, sprays, and inhalants.
- the active component is admixed under sterile conditions with a physiologically acceptable carrier and any preservatives, buffers, or propellants as may be required.
- Ophthalmic formulations, eye ointments, powders, and solutions are also contemplated as being within the scope of this invention.
- Compressed gases may be used to disperse a compound of this invention in aerosol form.
- Inert gases suitable for this purpose are nitrogen, carbon dioxide, etc.
- compositions will contain about 1% to about 99% by weight of a compound(s) of the invention, or a pharmaceutically acceptable salt or solvate thereof, and 99% to 1 % by weight of a suitable pharmaceutical excipient.
- the composition will be between about 5% and about 75% by weight of a compound(s) of the invention, or a pharmaceutically acceptable salt or solvate thereof, with the rest being suitable pharmaceutical excipients.
- composition to be administered will, in any event, contain a therapeutically effective amount of a compound of the invention, or a pharmaceutically acceptable salt or solvate thereof, for treatment of a disease-state in accordance with the teachings of this invention.
- the compounds of the invention are administered in a therapeutically effective amount which will vary depending upon a variety of factors including the activity of the specific compound employed, the metabolic stability and length of action of the compound, the age, body weight, general health, sex, diet, mode and time of administration, rate of excretion, drug combination, the severity of the particular disease-states, and the host undergoing therapy.
- the compounds of the present invention can be administered to a patient at dosage levels in the range of about 0.1 to about 1,000 mg per day. For a normal human adult having a body weight of about 70 kilograms, a dosage in the range of about 0.01 to about 100 mg per kilogram of body weight per day is an example. The specific dosage used, however, can vary.
- the dosage can depend on a number of factors including the requirements of the patient, the severity of the condition being treated, and the pharmacological activity of the compound being used.
- the determination of optimum dosages for a particular patient is well known to one of ordinary skill in the art.
- Certain compounds of this invention have been tested using the assay described in Biological Example 1 and have been determined to be PI3K inhibitors.
- Iaor II are useful for treating diseases, particularly cancer in which PDKactivity contributes to the pathology and/or symptomatology of the disease.
- cancer in which PI3K activity contributes to its pathology and/or symptomatology include breast cancer, colorectal cancer, endometrial cancer, gastric carcinoma,
- glioblastoma hepatocellular carcinoma
- small cell lung cancer non-small cell lung cancer
- melanoma ovarian cancer
- pancreatic cancer prostate carcinoma
- thyroid carcinoma and the like.
- Suitable in vitro assays for measuring PI3K activity and the inhibition thereof by compounds are known. Typically, the assay will measure PI3K-induced ATP consumption. For further details of an in vitro assay for measuring PI3K activity see Biological Examples, Example 1 infra. Cellular activity can be determined using assays as described in
- Compounds of this invention can be made by the synthetic procedures described below.
- the starting materials and reagents used in preparing these compounds are either available from commercial suppliers such as Aldrich Chemical Co. (Milwaukee, Wis.), or Bachem (Torrance, Calif.), or are prepared by methods known to those skilled in the art following procedures set forth in references such as Fieser and Fieser's Reagents for Organic Synthesis, Volumes 1-17 (John Wiley and Sons, 1991); Rodd's Chemistry of Carbon Compounds, Volumes 1-5 and Supplemental (Elsevier Science Publishers, 1989); Organic Reactions, Volumes 1-40 (John Wiley and Sons, 1991), March's Advanced Organic Chemistry, (John Wiley and Sons, 4 th Edition) and Larock's Comprehensive Organic Transformations (VCH Publishers Inc., 1989).
- Prodrugs can be prepared by techniques known to one skilled in the art. These techniques generally modify appropriate functional groups in a given compound. These modified functional groups regenerate original functional groups by routine manipulation or in vivo. Amides and esters of the compounds of the present invention may be prepared according to conventional methods. A thorough discussion of prodrugs is provided in T. Higuchi and V. Stella, "Pro-drugs as Novel Delivery Systems," Vol 14 of the A.C.S.
- the compounds of the invention may have asymmetric carbon atoms or quaternized nitrogen atoms in their structure.
- Compounds of Formula I that may be prepared through the syntheses described herein may exist as single stereoisomers, racemates, and as mixtures of enantiomers and diastereomers.
- the compounds may also exist as geometric isomers. All such single stereoisomers, racemates and mixtures thereof, and geometric isomers are intended to be within the scope of this invention.
- Some of the compounds of the invention may exist as tautomers.
- the molecule may exist in the enol form; where an amide is present, the molecule may exist as the imidic acid; and where an enamine is present, the molecule may exist as an imine. All such tautomers are within the scope of the invention.
- B can be 2-hydroxy-pyridinyl, also described as its structure:
- Both 2-hydroxy-pyridinyl and the above structure 14 include, and are equivalent to, pyridin- 2(lH)-one and its structure 15:
- the present invention also includes N-oxide derivatives and protected derivatives of compounds of Formula I.
- compounds of Formula I when compounds of Formula I contain an oxidizable nitrogen atom, the nitrogen atom can be converted to an N-oxide by methods well known in the art.
- compounds of Formula I When compounds of Formula I contain groups such as hydroxy, carboxy, thiol or any group containing a nitrogen atom(s), these groups can be protected with a suitable "protecting group” or "protective group”.
- a comprehensive list of suitable protective groups can be found in T.W. Greene, Protective Groups in Organic Synthesis, John Wiley & Sons, Inc. 1991, the disclosure of which is incorporated herein by reference in its entirety.
- the protected derivatives of compounds of Formula I can be prepared by methods well known in the art.
- optically active (R)- and (S)- isomers may be prepared using chiral synthons or chiral reagents, or resolved using conventional techniques.
- Enantiomers may be resolved by methods known to one of ordinary skill in the art, for example by: formation of diastereoisomeric salts or complexes which may be separated, for example, by crystallization; via formation of diastereoisomeric derivatives which may be separated, for example, by crystallization, selective reaction of one enantiomer with an enantiomer-specific reagent, for example enzymatic oxidation or reduction, followed by separation of the modified and unmodified enantiomers; or gas-liquid or liquid
- enantiomer may be synthesized by asymmetric synthesis using optically active reagents, substrates, catalysts or solvents or by converting on enantiomer to the other by asymmetric transformation.
- the major component enantiomer may be further enriched (with concomitant loss in yield) by recrystallization.
- the compounds of the present invention can exist in unsolvated as well as solvated forms with pharmaceutically acceptable solvents such as water, ethanol, and the like.
- pharmaceutically acceptable solvents such as water, ethanol, and the like.
- the solvated forms are considered equivalent to the unsolvated forms for the purposes of the present invention.
- Compounds of Formula I can be prepared using methods known to one of ordinary skill in the art. Specifically, fusion of appropriate reagents at 180 °C in the presence of a base such as K 2 C0 3 and metallic copper is known to provide intermediates of formula 1 (see S. H. Dandegaonker and C. K. Mesta, /. Med. Chem. 1965, 8, 884).
- each LG 1 is a leaving group (specifically, halo, more specifically, chloro) and all other groups are as defined in the Detailed Description of the Invention.
- an intermediate of formula 3 can be prepared by briefly heating commercially available 2,3-dichloroquinoxaline and an intermediate of formula 2 (which are commercially available or can be prepared by one of ordinary skill in the art), a base such as K 2 C0 3 , in a solvent, such as DMF or DMSO. Upon completion (about 2 hours), the reaction mixture is then poured into water and followed by 2 N HCI. The product is then extracted into a solvent such as ethyl acetate and washed with water and brine. The organic layers are combined and dried over a drying agent such as sodium sulfate, filtered, and concentrated under vacuum.
- a base such as K 2 C0 3
- a solvent such as DMF or DMSO
- the intermediate of formula 3 is then treated with an intermediate of formula 4 in a solvent such as DMF or p-xylene at reflux temperature. Upon completion of the reaction (about 16 hours or less), the reaction is allowed to cool, extracted into DCM, washed with 2 N HCI and brine, dried over a drying agent such as sodium sulfate or magnesium sulfate, filtered, and concentrated to give a compound of Formula I.
- a solvent such as DMF or p-xylene at reflux temperature.
- quinoxaline derivatives are known to one skilled in the art and include, but are not limited to S. V. Litvinenko, V. I. Savich, D. D. Bobrovnik, Chem. Heterocycl. Compd. (Engl. Transl), 1994, 30, 340 and W. C. Lumma, R. D. Hartman, /. Med. Chem. 1981, 24, 93.
- Example 1 N-(3- ⁇ [2,5-bis(methoxy)phenyl]amino ⁇ quinoxalin-2-yl)-3- nitrobenzenesulfonamide.
- Example 4 4-chloro-N-(3-chloroquinoxalin-2-yl)benzenesulfonamide.
- Example 5 4-chIoro-N-(3-(2,5-dimethoxy-phenylamino)quinoxalin-2- yObenzenesulfonamide.
- ⁇ NMR 400 MHz, DMSO-rf 6 ) ⁇ 9.18 (s, 1H), 8.78 (s, 1H), 8.40- 8.60 (m, 3H), 7.98 (t, 2H), 7.62 (d, I H), 7.41 (m, 2H), 6.98 (d, IH), 6.59 (d, IH), 3.78 (s, 3H), 3.76 (s, 3H); MS (EI) m/z for C ⁇ H ⁇ NsOeS: 482.1 (MH + ).
- Example 6 N-(3-(2,5-dimethoxyphenylamino)quinoxalin-2-yl)-3- nitrobenzenesulfonamide.
- NMR 400 MHz, CDC1 3 ) ⁇ 12.68 ( br s, IH ), 9.18 (s, IH), 8.55 (s, IH), 8.08 (d, 2H), 7.98 (d, IH), 7.78 (d, 2H), 7.62 (dd, IH), 7.40 (m, 2H), 7.00 (d, IH), 6.60 (dd, IH), 3.78 (s, 6H) ;
- Example 7 N-(3-(N-(3-(2-chloro-5-methoxyphenylamino)quinoxalin-2-yl)sulfamoyl)-4- methylphenyl)-2-(dimethyIamino)acetamide.
- LG is a leaving group such as chloro. 5 is reacted with NHR a R b or HO-C
- a base such as KHCO3
- the reaction is carried out in the presence of a base such as NaH in a solvent such as DMF.
- alkylene in R 3 and R 3a are independently optionally substituted as described in the Summary of the Invention can be prepared according to Scheme 4 by reacting with an intermediate of formula 9(a), 9(b), 9(c), 9(d), 9(e), 9(f), or 9(g):
- R 100 in Scheme 4 is -C(0)R 9a , -C(0)NR l la R l lb , -C(0)OR 13a , -C(0)-C,-C 6 -alkylene- N(R 18b )C(0)R 18a , -C(O)-C,-C 6 -alkylene-C(O)R 20a , or -S(0) 2 R-C,.C 6 -alkylene-N(R 21b )R a .
- the reaction is carried out under standard amide coupling conditions known to one of ordinary skill in the art. In particular, the reaction is carried out in the presence of a coupling agent such as HATU, a base such as DIEA, and in a solvent such as DMF. Where applicable, the N-protecting group is then removed using procedures known to one of ordinary skill in the art, such as treating with acid where PG is Boc.
- R 7b are as defined in the Summary of the Invention can be prepared according to Scheme 5.
- LG is a leaving group such as bromo or chloro. 12 is reacted with NH(R 7b )R 7a in the presence of a base, such as DIEA, in a solvent such as ACN.
- a base such as DIEA
- LG in Scheme 6 is a leaving group such as chloro.
- the reaction can be carried out by irradiating in a solvent such as DMA. Alternatively, the reaction can be carried out in the presence of acetic acid in a solvent such as DMA and by heating.
- Example 8
- 6-chloropyridine-3-sulfonaraide 6-chloropyridine-3-sulfonaraide. 6-chloropyridine-3-sulfonyl chloride (4.1 g, 19.3 mmol) was stirred in ammonium hydroxide (30 mL) at room temperature for 2 hr. The reaction mixture was diluted with EtOAc ( 150 mL) and any insoluble material filtered. The filtrate was transferred to a separatory funnel and the phases were separated. The aqueous phase was further extracted with EtOAc (1 x 15 mL).
- 6-chIoro-A f (3-(3,5-dimethoxyphenylamino)quinoxalin-2-yI)pyridine-3- sulfonamide.
- 6 -Chloro-N-(3-chloroquinoxalin-2-yl)pyridine-3-sulfonamide (775 mg, 2.2 mmol), 3,5-dimethoxyaniline (355 mg, 2.3 mmol) and toluene (12 mL) were combined and heated to 125 °C with stirring overnight. The reaction was allowed to cool to room temperature and diluted with Et 2 0 with vigorous stirring.
- Example 10 iV-(3-(3,5-dimethoxyphenylamino)quinoxaIin-2-yl)-6- (dimethylamino)pyridine-3-sulfonamide was prepared using procedures similar to those used in Example 9. ⁇ NMR (400 MHz, DMSO-ii 6 ) ⁇ 12.00 (br s, IH), 8.92 (br s, IH), 8.74 (d, IH), 8.10 (dd, IH), 7.38 (br s, IH), 7.54 (m, IH), 7.33 (m, 4H), 6.70 (d, IH), 6.22 (s, IH), 3.77 (s, 6H), 3.08 (s, 6H). MS (EI) m/z for C 2 3H 2 4N60 4 S: 481.1 (MH + ).
- Example 11 Example 11
- N-(3-(3,5-dimethoxyphenylamino)quinoxalin-2-yl)pyridine-3-sulfonamide (100 mg, 0.21 mmol), prepared using procedures similar to those described above in Example 1 , 2-(dimethylamino)ethanol (50 ⁇ ., 0.50 mmol) and dry DMF were combined and 60% NaH in oil (80 mg, 2.0 mmol) was added. The mixture was stirred at room temperature overnight.
- N-(3-(3,5-dimethoxyphenylamino)quinoxalin-2-yl)pyridine-3-sulfonamide (220 mg, 0.47 mmol), prepared using procedures similar to those described above in Example 8, DMSO (5 mL), and 3 ⁇ NaOH (5 mL) are combined and heated to 100 °C overnight with stirring. Upon cooling to room temperature, the reaction mixture was diluted with H 2 0 and the pH was adjusted to 7.0 with IN HCl. The resulting solid was filtered, washed with H 2 0, and air-dried.
- Example 13 A r -(3-(2-chloro-5-methoxy-phenylamino)quinoxalin-2-yl)-6- oxo-l,6-dihydropyridine-3-sulfonamide.
- the title compound was prepared according to the above Example 12.
- N-(3-(3,5-dimethoxyphenylamino)quinoxalin-2-yl)-3- nitrobenzenesulfonamide A flask was charged with N-(3-chloroquinoxalin-2-yl)-3- nitrobenzenesulfonamide (5 g, 13.7 mmol), prepared using procedures similar to those in Example 1, 3,5-dimethoxyaniline (4.2 g, 27.4 mmol), and 80 mL of xylene. The reaction mixture was stirred under an N 2 atmosphere at 150 °C for 3 hours, after which time, solvent was removed on a rotary evaporator, and 10 mL of Dichloromethane and 50 mL of methanol were added.
- Example 17 Proceeding as above, 3-amino- ⁇ -(3-(2-chloro-5-hydroxy- phenylamino)quinoxalin-2-yl)benzenesulfonamide was prepared. MS (EI) m/z for C 2 oH, 6 ClN 5 03S 1.0 x C 2 H,0 2 F 3 : 442.2, 444.2 (MH + ).
- Example 18 Proceeding as above, 3-amino-N-(3-(6-methoxyquinolin-8- ylamino)quinoxalin-2-yl)benzenesulfonamide was prepared. MS (EI) m/z for
- Example 20 3-amino-iV-(3-(2-chloro-5-methoxy-phenylamino)quinoxaIin-2- yDbenzenesulfonamide.
- Example25 N-(2-chloro-5-(N-(3-(2-chloro-5-methoxy-phenylamino)quinoxalin-2- yl)sulfamoyl)phenyl)-2-(methylamino)acetamide.
- the title compound was prepared according to the Examples above.
- Example 26 (S)-2-amino-A ⁇ -(3-(N-(3-(2-chloro-S-methoxy-phenyIamino)quinoxalin-2- yl)sulfamoyl)phenyl)propanamide hydrochloride.
- Example 28 (5)-N-(3-( V-(3-(2-chloro-5-methoxyphenylamino)quinoxaIin-2- yI)sulfamoyI)phenyl)pyrrolidine-2-carboxamide hydrochloride.
- Example 30 (R)-2-amino- V-(3-( ⁇ V-(3-(3,5-dimethoxy-phenylamino)quinoxalin-2- yl)suIfamoyl)phenyl)-3-hydroxypropanamide hydrochloride.
- Example 31 N-(3-(N-(3-(2-chloro-5-methoxy-phenylamino)quinoxalin-2- yl)sulfamoyl)phenyl)piperidine-3-carboxamide hydrochloride.
- Example 34 ( f)-N-(3-(/V-(3-(2-chloro-5-methoxy-phenylamino)quinoxalin-2- yI)sulfamoyl)phenyl)pyrrolidine-2-carboxamide hydrochloride.
- Example 35 (R)-2-amino-iV-(3-(iV-(3-(3,5-dimethoxyphenylamino)quinoxalin-2- yI)sulfamoyl)phenyl)propanamide.
- ⁇ NMR 400 MHz, DMSO- ⁇ / 6 ) ⁇ 10.2 (br s, 1 H), 8.82 (s, 1 H), 8.27 (m, 1 H), 7.75 (m, 2 H), 7.33 (m, 5 H), 7.13 (m, 2 H), 6.14 (t, 1 H), 3.77 (s, 6 H), 1.39 (d, 3 H); MS (EI) m/z for C 25 H 26 N 6 0 5 S: 523 (MH + ).
- Example 36 Example 36 :.V-(3-(iV-(3-(2-chIoro-5-methoxy-phenyIamino)quinoxalin-2- yl)sulfamoyl)phenyl)-2-(methylamino)acetamide.
- Example 37 (R)-2-amino-N-(3-(.V-(3-(2 hloro-5-methoxy-phenylammo)quinoxalin-2- yl)suIfamoyl)phenyl)propanamide.
- Example 38 2-aimno-N-(3-( V-(3-(2-chloro-5-methoxy-phenylamino)quinoxaIin-2- yl)sulfamoyl)phenyl)-2-methylpropanamide.
- Example 39 2-amino-A " -(3-( ⁇ -(3-(3,5-dimethoxy ⁇ henylainino)quinoxalin-2- yl)sulfamoyl)phenyl)-2-methylpropanamide.
- ⁇ NMR 400 MHz, DMSO-i. 6 ) ⁇ 10.33 (s, 1 H), 8.89 (s, 1 H), 8.32 (br s, 4 H), 7.92 (m, 3 H), 7.59 (m, 2 H), 7.37 (m, 4 H), 6.24 (s, 1 H), 3.76 (s, 6 H), 1.61 (s, 6 H); MS (EI) m/z for C 26 H 28 N 6 0 5 S: 537 (MH + ).
- Example 40 ⁇ -(3 ⁇ A r -(3-(3,5-dimethoxy-phenylamino)quinoxalin-2-yl)sulfamoyl)-4- methylphenyl)-2-(dimethylamino)acetamide.
- Example 41 iV-(3-(N-(3-(2-chloro-5-methoxy-phenylamino)quinoxalin-2- yl)sulfamoyl)phenyl)-2-((2-(dimethylamino)ethyl)(methyl)amino)acetamide. ⁇ NMR
- Example 42 2-amino-A ⁇ -(3 N-(3-(2-chloro-5-methoxy-phenylamino)quinoxalin-2- yl)sulfamoyl)phenyl)acetamide.
- ⁇ NMR 400 MHz, DMSO- ⁇ / 6 ) ⁇ 10.5 (s, 1 H), 9.48 (s, 1 H), 8.94 (s, 1 H), 8.15 (s, 1 H), 8.06 (br s, 3 H), 7.74 (m, 2 H), 7.39 (m, 4 H), 7.18 (m, 2 H), 6.61 (dd, I H), 3.83 (s, 3 H), 3.77 (s, 2 H); MS (EI) m z for C 23 H 2] C1N 6 0 4 S: 513 (MH*).
- Example 43 N-(3-(N-(3-(2-acetyl-5-methoxy-phenylamino)quinoxalin-2- l)sulfamo l)phenvl)-2-( dimethyl a minojacetamide.
- Example 44 ⁇ V-(3-(iV-(3-(2-chloro-5-methoxy-phenylamino)quinoxalin-2- yl)sulfamoyl)phenyl)formamide.
- NMR 400 MHz, DMSO-rf 6 ) ⁇ 12.6 (s, 1 H), 10.5 (s, 1 H), 9.16 (s, 1 H), 8.53 (br s, 1 H), 8.35 (m, 2 H), 8.02 (s, 1 H), 7.56 (m, 7 H), 6.70 (dd, 1 H), 3.83 (s, 3 H); MS (EI) m/z for C 22 H, 8 C1N50 4 S: 484 (MH + ).
- Example 45 2-amino-A * -(5-(N-(3-(3,5-dimethoxy-phenylamino)quinoxalin-2- yl)sulfamoyl)-2-methylphenyl)acetamide.
- Example 46 jV-(3-( V-(3-(2-chloro-5-methoxy-phenylamino)quinoxalin-2- yl)sulfamoyl)phenyl)-2-methyl-2-(methylamino)propanamide.
- Example 47 (5)-iV-(3-(N-(3-(2-chloro-5-methoxy-phenylamino)quinoxaIin-2- yl)sulfamoyl)phenyl)-2-(methylamino)propanamide.
- Example 48 3-amino-A " -(5-(N-(3-(2-chloro-5-methoxyphenyIamino)quinoxaIin-2- yl)suIfamoyl)-2-methylphenyl)propanamide.
- Example 49 l-aimno--V-(3-(N-(3-(2-chloro-5-methoxy-phenylaiiiino)quinoxalin-2- yl)sulfamoyl)phenyl)cyclopropanecarboxamide.
- Example 50 (S)-2-amino-N-(3-( V-(3-(2-chloro-5-methoxy-phenylaimno)quinoxalin-2- yl)sulfamoyl)phenyl)-6-(dimethylamino)hexanamide.
- Example 51 l-aii-mo--V-(3-(N-(3-(2-chloro-5-methoxy-phenyIamino)quinoxalin-2- yl)sulfamoyl)phenyI)cyclopentanecarboxamide.
- Example 52 iV-(5-(iV-(3-(2-chloro-5-methoxyphenylamino)quinoxalin-2-yI)sulfamoyI)- 2-methylphenyl)-2 dimethylamino)acetamide.
- Example 53 l-araino-.V-(3-(iV-(3-(3,5-dirnethoxy-phenylainino)quinoxaliii-2- yI)suIfamoyl)phenyl)cyclobutanecarboxamide.
- Example 54 V-(3-(3,5-diraethoxyphenylamino)quinoxalin-2-yl)-3-(3-(2- (dimethylamino)ethyl)ureido)benzenesulfonamide.
- Example 55 l-amino-iV-(3-(iV-(3-(3,5-dimethoxy-phenylamino)quinoxalin-2- yI)sulfamoyl)phenyl)cyclopentanecarboxamide.
- ⁇ NMR 400 MHz, DMSO-fife
- ⁇ 12.40 12.40 (br s, 1 H), 10.58 (s, 1 H), 8.46 (m, 4 H), 7.80 (m, 3 H), 7.59 (m, 2 H), 7.34 (m, 4 H), 6.25 (m, I H), 3.76 (s, 6 H), 2.35 (m, 2 H), 1.90 (m, 8 H);
- MS (EI) m/z for
- Example 56 l-amino-iV-(3-(iV-(3-(3,5-dimethoxy-phenylamino)quinoxalin-2- yl)sulfamoyl)phenyl)cyclopropanecarboxamide.
- Example 57 2-(dimethylamino)ethyl 3-(/V-(3-(3,5-dimethoxy-phenylamino)quinoxalin- 2-yl)sulfamoyl)phenylcarbamate.
- Example 58 4-amino-N-(3-(N-(3-(3,5-dimethoxy-phen Iamino)quinoxalin-2- yl)sulfamoyl)phenyl)tetrahydro-2H-pyran-4-carboxamide.
- Example 59 V-(3-(2-chloro-5-methoxy-phenylamino)quinoxalin-2-yl)-iV3-(2- dimethvlamino)eth ⁇ I (benzene- 1,3-disiiIfonamide.
- Example 60 A r -(3-(2-chloro-5-methoxy-phenylamino)quinoxalin-2-yl)-iV3-(3- (dimethylamino)propyl)benzene-l,3-disulfonamide.
- Example 61 iV-(3-( ⁇ V-(3-(2-chloro-5-methoxy-pheny lamino)quinoxalin-2-yl)sulfamoyl)- 4-methy!phenyl)-2-(methylamino)acetamide.
- Example 62 (5)-2-aimno- ⁇ -(3-( ⁇ -(3 2-chloro-5-methoxy ⁇ henylaniino)quinoxalin-2- yl)sulfamoyl)-4-methylphenyl)propanamide.
- Example 64 (5)-N-(3-(iV-(3-(3,5-dimethoxy-phenylamino)quinoxalin-2- yl)sulfamoyl)phenyl)-2-(methylamino)propanamide. MS (EI) m/z for C 26 H 2 8 N60 5 S: 537.1 (MH 1" ).
- Example 65 (R)- ⁇ r -(3-(N-(3-(2-chloro-5-metho y hen Iammo)quinoxalin-2- yl)sulfamoyl)phenyl)-2-(methylamino)propanamide.
- Example 68 iV-(3-(N-(3-(3,5-dimethoxy-phenylamino)quinoxalin-2- yl)sulfamoyl)phenyl)-2-(2-(dimethylamino)ethylamino)acetamide.
- Example 69 V-(3-( V-(3-(3,5-dimethoxy-phenylamino)quinoxalin-2- yl)sulfamoyl)phenyl)-2-(4-(methylamino)piperidin-l-yl)acetamide.
- Example 70 iV-(3-(N-(3-(3,5-dimethoxy-phenylamino)quinoxalin-2- yl)sulfamoyl)phenyl)-2-(4-(dimethyIamino)piperidin-l-yl)acetamide.
- Example 71 N-(3-(iV-(3-(3,5-dimethoxyphenylamino)quinoxalin-2- y l)sulfamoyl)phen l)-2-(dimethylamino)acetamide.
- Example 72 N-(3-(iiV-(3-(2-chloro-5-methoxy-phenylamino)quinoxalin-2- yl)sulfamoyl)phenyl)-2-(ethylamino)acetamide.
- Example 73 2-(azetidin-l-yl)- V-(3-(N-(3-(2-chloro-5- methoxyphenylamino)quinoxaIin-2-yl)sulfamoyl)phenyl)acetamide.
- Example 74 -V-(3-(N-(3-(2-bromo-5-methoxy-phenylamino)quinoxalin-2- yl)sulfamoyl)phenyl)-2-(methylamino)acetamide.
- the title compound was prepared according to the Examples above.
- Example 75 2-(dimethylamino)-N-(3-( ⁇ V-(3-(6-methoxy-quinolin-8- ylamino)quinoxalin-2-yl)sulfamoyl)phenyl)acetamide.
- the title compound was prepared according to the Examples above.
- Example 76 -V-(3 N-(3-(2-bromo-5-methoxy-phenylamino)quinoxalin-2- yl)sulfamoyl)phenyl)-2-(dimethylamino)acetamide.
- Example 77 N-(3-(N-(3-(2-chloro-5-methoxy-phenylamino)quinoxalin-2- yl)sulfamoyl)phenyl)-2-(2-fluoroethylamino)acetamide.
- Example 78 jV-(3-(iV-(3-(3,5-dimethoxy-phenylamino)quinoxalin-2- yl)sulfamoyl)phenyl)formamide.
- Example 80 N-(3-(Af-(3-(3,5-dimethoxy-phenylamino)quinoxalin-2- yl)sulfamoyl)phenyl)-2-(pyrrolidin-l-yl)acetamide.
- Example 81 jV-(3-(yV-(3-(2-chloro-5-methoxyphenylamino)quinoxalin-2- yI)sulfamoyl)phenyl)-2-(ethyl(methyl)amino)acetamide.
- Example 82 N-(3-(A r -(3-(2-chloro-5-methoxy-phenyIamino)quinoxalin-2- yl)sulfamoyl)phenyl)-2-(3-(piperidin-l-yl)azetidin-l-yl)acetamide.
- MS (EI) m/z for C 3 iH 34 ClN 7 0 4 S 2.0 x C 2 Hi0 2 F 3 : 636.3, 638.3 (MtT).
- Example 83 N-(3-(N-(3-(3-fluoro-5-methoxy-phenylamino)quinoxalin-2- yl)sulfamoyl)phenyI)-2-(methyIamino)acetamide. MS (EI) m/z for C 2 H 23 FN 6 0 4 S: 51 1.04 (MH*).
- Example 84 N-(3-(N-(3-(3,5-dimethoxy-phenylamino)quinoxalin-2- yl)sulfamoyl)phenyi)-l-methylpiperidine-4-carboxamide. MS (EI) m/z for
- Example 85 A * -(3-( V-(3-(3-methoxyphenylamino)quinoxalin-2-yl)sulfamoyl)phenyl)- 2-(methyIamino)acetamide.
- Example 86 iV-(3-(iV-(3-(2-chloro-5-methoxy-phenylamino)quinoxalin-2- yl)sulfamoyl)phenyl)-2-(2,2,2-trifluoroethylamino)acetamide.
- Example 87 N-(3-(N-(3-(3,5-dimethoxy-phenylamino)quinoxalin-2- yI)sulfamoyl)phenyl)-3-(piperidin-l-yl)propanamide.
- Example 88 iV-(3-(iV-(3-(3,5-dimethoxy-phenylainino)quinoxalin-2- yl)sulfamoyl)phenyl)-4-(dimethylamino)butanamide.
- Example 89 2-(dimethylamino)-N-(3-(N-(3-(3-fluoro-5-methoxy- phenylamino)quinoxalin-2-yl)sulfamoyl)phenyl)acetamide.
- ⁇ NMR (400 MHz, DMSO) ⁇ 10.9 (s, IH), 9.8 (br s, IH), 9.1 (s, IH), 8.34 (s, IH), 7.90 (d, IH), 7.76 (d, IH), 7.52-7.68 (m, 4H), 7.40 (m, 2H), 6.54 (m, IH), 4.16 (s, 2H), 3.82 (s, 3H), 2.86 (s, 6H).
- Example 90 /V-(3-(/V-(3-(3,5-dimethoxy-phenylamino)quinoxalin-2- yl)sulfamoyl)phenyl)-2-(piperidin-l-yl)acetamide.
- Example 91 2-(dimethylamino)-N-(3-(/V-(3-(3-methoxy-phenylamino)quinoxalin-2- yl)suIfamoyl)phenyl)acetamide.
- ⁇ NMR 400 MHz, DMSO
- ⁇ 10.5 s, IH
- 8.8 s, IH
- 8.25 s, IH
- 7.83 t, IH
- 7.64 d, IH
- 7.3-7.48 m, 4H
- Example 94 ⁇ V-(3-(N-(3-(3,5-dimethoxy-phenyIamino)quinoxalin-2- yl)sulfamoyl)phenyl)acetamide. MS (EI) m/z for uH ⁇ NsOsS: 494.0 (MH + ).
- Example 101 Proceeding as above, 3-(N-(3-(3,5-dimethoxyphenylamino)quinoxalin-2- yl)sulfamoyI)benzoic acid was prepared. MS (EI) m/z for C 23 H 20 N 4 0 6 S: 481.0 (MH + ).
- Example 102 3-(N-(3-(2-chloro-5-methoxyphenylamino)quinoxalin-2-yl)sulfamoyl)- N-(2-methyl-l-(piperidin-l-yl)propan-2-yl)benzamide. MS (EI) m/z for C 3 iH 35 CIN 6 0 4 S: 623.06 (MH ⁇ ).
- Example 103 3-(N-(3-(2-chloro-5-methoxy-phenylamino)quinoxalin-2-yl)sulfamoyl)- AH2-methyl-l-oxo-l-(piperidin-l-yl)propan-2-yl)benzamide. MS (EI) m/z for
Landscapes
- Health & Medical Sciences (AREA)
- Chemical & Material Sciences (AREA)
- Veterinary Medicine (AREA)
- Medicinal Chemistry (AREA)
- Pharmacology & Pharmacy (AREA)
- Life Sciences & Earth Sciences (AREA)
- Animal Behavior & Ethology (AREA)
- General Health & Medical Sciences (AREA)
- Public Health (AREA)
- Epidemiology (AREA)
- Organic Chemistry (AREA)
- Chemical Kinetics & Catalysis (AREA)
- General Chemical & Material Sciences (AREA)
- Nuclear Medicine, Radiotherapy & Molecular Imaging (AREA)
- Hematology (AREA)
- Oncology (AREA)
- Pharmaceuticals Containing Other Organic And Inorganic Compounds (AREA)
Abstract
The invention relates to methods, combinations, and formulations of a compound of Formula I, particularly Compound A.
Description
PHOSPHATIDYLINOSITOL 3-KINASE INHIBITORS AND METHODS OF
THEIR USE
CROSS-REFERENCE TO RELATED APPLICATIONS
[0001] This application claims the benefit of priority to U.S. Provisional Application No. 61/413,345, filed November 12, 2010, which is incorporated herein by reference.
FIELD OF THE INVENTION
[0002] This invention relates to the field of protein kinases and inhibitors thereof. In particular, the invention relates to inhibitors of phosphatidylinositol 3-kinase (PI3K) signaling pathways, and methods of their use.
BACKGROUND OF THE INVENTION
[0003] The connection between abnormal protein phosphorylation and the cause or consequence of diseases has been known for over 20 years. Accordingly, protein kinases have become a very important group of drug targets. See Cohen, Nature, 1:309-315 (2002). Various protein kinase inhibitors have been used clinically in the treatment of a wide variety of diseases, such as cancer and chronic inflammatory diseases, including diabetes and stroke. See Cohen, Eur. J. Biochem., 268:5001-5010 (2001).
[0004] The protein kinases are a large and diverse family of enzymes that catalyze protein phosphorylation and play a critical role in cellular signaling. Protein kinases may exert positive or negative regulatory effects, depending upon their target protein. Protein kinases are involved in specific signaling pathways which regulate cell functions such as, but not limited to, metabolism, cell cycle progression, cell adhesion, vascular function, apoptosis, and angiogenesis. Malfunctions of cellular signaling have been associated with many diseases, the most characterized of which include cancer and diabetes. The regulation of signal transduction by cytokines and the association of signal molecules with
protooncogenes and tumor suppressor genes have been well documented. Similarly, the connection between diabetes and related conditions, and deregulated levels of protein kinases, has been demonstrated. See e.g., Sridhar et al. Pharmaceutical Research,
17(1 1):1345-1353 (2000). Viral infections and the conditions related thereto have also been associated with the regulation of protein kinases. Park et al. Cell 101 (7), 777-787 (2000).
[0005] Phosphatidylinositol 3-kinase (PI3K or PIK3CA) is composed of an 85 kDa regulatory subunit and a 1 10 kDa catalytic subunit. The protein encoded by this gene represents the catalytic subunit, which uses ATP to phosphorylate Ptdlns, PtdIns4P and PtdIns(4,5)P2. PTEN, a tumor suppressor which inhibits cell growth through multiple
mechanisms, can dephosphorylate PDP3, the major product of PIK3CA. PIP3, in turn, is required for translocation of protein kinase B (AKT1, PKB) to the cell membrane, where it is phosphorylated and activated by upstream kinases. The effect of PTEN on cell death is mediated through the PIK3CA/AKT1 pathway.
[0006] PI3Ka has been implicated in the control of cytoskeletal reorganization, apoptosis, vesicular trafficking, proliferation and differentiation processes. Increased copy number and expression of PIK3CA is associated with a number of malignancies such as ovarian cancer (Campbell et al., Cancer Res 2004, 64, 7678-7681 ; Levine et al., Clin Cancer Res 2005, 11, 2875-2878; Wang et al., Hum Mutat 2005, 25, 322; Lee et al., Gynecol Oncol 2005, 97, 26-34), cervical cancer, breast cancer (Bachman, et al. Cancer Biol Ther 2004, 3, 772-775; Levine, et al., supra; Li et al., Breast Cancer Res Treat 2006, 96, 91-95; Saal et al., Cancer Res 2005, 65, 2554-2559; Samuels and Velculescu, Cell Cycle 2004, 3, 1221-1224), colorectal cancer (Samuels, et al. Science 2004, 304, 554; Velho et al. Eur J Cancer 2005, 41, 1649-1654), endometrial cancer (Oda et al. Cancer Res. 2005, 65, 10669-10673), gastric carcinomas (Byun et al., Int J Cancer 2003, 104, 318-327; Li et al., supra; Velho et al., supra; Lee et al., Oncogene 2005, 24, 1477-1480), hepatocellular carcinoma (Lee et al., id.), small and non-small cell lung cancer (Tang et al., Lung Cancer 2006, 57, 181-191 ; Massion et al., Am J Respir Crit Care Med 2004, 170, 1088-1094), thyroid carcinoma (Wu et al., J Clin Endocrinol Metab 2005, 90, 4688-4693), acute myelogenous leukemia (AML) (Sujobert et al., Blood 1997, 706", 1063-1066), chronic myelogenous leukemia (CML) (Hickey and Cotter J Biol Chem 2006, 281, 2441-2450), and glioblastomas (Hartmann et al. Acta Neuropathol (Be ) 2005, 109, 639-642; Samuels et al., supra).
[0007] In view of the important role of PBKcc in biological processes and disease states, inhibitors and/or modulators of this protein kinase are desirable.
SUMMARY OF THE INVENTION
[0008] The following only summarizes certain aspects of the invention and is not intended to be limiting in nature. These aspects and other aspects and embodiments are described more fully below. All references cited in this specification are hereby
incorporated by reference in their entirety. In the event of a discrepancy between the express disclosure of this specification and the references incorporated by reference, the express disclosure of this specification shall control.
[0009] The invention comprises compounds of Formula I and la that inhibit PI3K and pharmaceutical compositions thereof. The invention is also directed to methods of inhibiting PI3K in a cell, and methods for treating a disease, disorder, or syndrome.
[0010] A first aspect of the invention provides a compound of Formula I:
I
or a pharmaceutically acceptable salt or solvate thereof, where
W1, W2, W3, and W4 are -C(R')=; or one or two of W1, W2, W3, and W4 are independently - N= and the remaining are -C(R')=; and where each R1 is independently hydrogen, alkyl, haloalkyl, nitro, alkoxy, haloalkoxy, halo, hydroxy, cyano, amino, alkylamino, or dialkylamino;
R51 is hydrogen or alkyl;
R52 is hydrogen or halo;
R50, R53, and R54 are independently hydrogen, alkyl, alkenyl, halo, haloalkyl, haloalkenyl, hydroxy, alkoxy, alkenyloxy, haloalkoxy, nitro, amino, alkylamino, dialkylamino, -N(R55)C(0)-C|-C6-alkylene-N(R55a)R55b, alkylcarbonyl, alkenylcarbonyl, carboxy, alkoxycarbonyl, cyano, alkylthio, -S(0)2 R55R55a, or alkylcarbonylamino and where R55 and R55b are indepedently hydrogen, alkyl, or alkenyl and R55a is hydrogen, alkyl, alkenyl, hydroxy, or alkoxy; or R53 and R54 together with the carbons to which they are attached form a 5- or 6-membered heteroaryl or 5- or 6-membered heterocycloalkyl;
B is phenyl substituted with R3a and optionally further substituted with one, two, or three R3; or
B is heteroaryl optionally substituted with one, two, or three R3;
R3a is cyano; hydroxyamino; carboxy; alkoxycarbonyl; alkylamino; dialkylamino;
alkylcarbonyl; haloalkoxy; alkylsulfonyl; aminoalkyloxy; alkylaminoalkyloxy;
dialkylaminoalkyloxy; or
a) -N(R7)C(0)-C|-C6-alkylene-N(R7a)(R7b) where R7 is hydrogen, alkyl, or alkenyl and R7a and R7b are independently hydrogen, alkyl, alkenyl, hydroxyalkyl, haloalkyl, alkoxy, alkoxyalkyl, aminoalkyl, alkylaminoalkyl, dialkylaminoalkyl, cycloalkyl,
cycloalkylalkyl, heterocycloalkyl, heterocycloalkylalkyl, heteroaryl, heteroarylalkyi, aryl, arylalkyl, or arylalkyloxy and where the aryl, cycloalkyl, heterocycloalkyl and heteroaryl rings in R7a and R7b (either alone or as part of arylalkyl, cycloalkylalkyl, heterocycloalkylalkyl and heteroarylalkyi) are independently optionally substituted with 1, 2, or 3 groups independently selected from alky I, amino, alkylamino, dialkylamino, hydroxy, halo, alkoxy, alkylthio, and oxo);
b) -C(0)NR8R8a where R8 is hydrogen, hydroxy, alkoxy, alky], alkenyl, haloalkyl, or haloalkoxy and R8a is hydrogen, alkyl, alkenyl, hydroxyalkyl, cyanoalkyl, alkoxyalkyl, alkylthioalkyl, heterocycloalkyl, heterocycloalkylalkyl, cycloalkyl, cycloalkylalkyl, heteroaryl, heteroarylalkyi, aryl, or arylalkyl and where the aryl, cycloalkyl, heteroaryl, and heterocycloalkyl rings in R8a (either alone or as part of arylalkyl, cycloalkylalkyl, heterocycloalkylalkyl and heteroarylalkyi) are independently optionally substituted with 1, 2, or 3 groups independently selected from alkyl, alkenyl, alkoxy, halo, haloalkyl, haloalkoxy, hydroxy, hydroxyalkyl, oxo, amino, alkylamino, dialkylamino, alkylcarbonyl, aminoalkyl, alkylaminoalkyl, dialkylaminoalkyl, alkoxycarbonyl, and -C(0)H;
c) -NR9C(0)R9a where R9 is hydrogen, hydroxy, alkoxy, alkyl, alkenyl, haloalkyl, or haloalkoxy and R9a is hydrogen, C2.6-alkyl, alkenyl, hydroxyalkyl, alkoxyalkyl, cycloalkyl, cycloalkylalkyl, heterocycloalkyl, heterocycloalkylalkyl, heteroaryl, heteroarylalkyi, aryl, or arylalkyl; where the aryl, cycloalkyl, heteroaryl, and heterocycloalkyl rings in R9a (either alone or as part of arylalkyl, cycloalkylalkyl, heterocycloalkylalkyl and heteroarylalkyi) are independently optionally substituted with 1, 2, or 3 groups independently selected from alkyl, alkenyl, alkoxy, hydroxy, hydroxyalkyl, halo, haloalkyl, haloalkoxy, oxo, amino, alkylamino, dialkylamino, alkylcarbonyl, alkoxycarbonyl, -C(0)H, aryl (optionally substituted with one or two halo), arylalkyl, heteroaryl, heteroarylalkyi, heterocycloalkyl, heterocycloalkylalkyl, cyloalkyl, cyloalkylalkyl, and cycloalkylcarbonyl;
d) -C(O)N(R10)-Ci-C6-alkylene-N(R10a)R10b where R10a is hydrogen, hydroxy, alkoxy, alkyl, alkenyl, haloalkyl, aminoalkyl, alkylaminoalkyl, dialkylaminoalkyl, or hydroxyalkyl and R10 and R10b are independently hydrogen, alkyl, alkenyl, haloalkyl, aminoalkyl, alkylaminoalkyl, dialkylaminoalkyl, or hydroxyalkyl;
e) -NR " C(0)NR 11 "R1 lb where R1 la is hydrogen, alkyl, alkenyl, hydroxy, or alkoxy and R11 and Rl lb are independently hydrogen, alkyl, alkenyl, aminoalkyl,
alkylaminoalkyl, or dialkylaminoalkyl;
f) -C(0)R12 where R12 is heterocycloalkyl optionally substituted with 1, 2, or 3 groups selected from alkyl, oxo, amino, alkylamino, and heterocycloalkylalkyl;
g) -NR13C(0)OR,3a where R13 is hydrogen, alkyl, or alkenyl and R13a is aminoalkyl, alkylaminoalkyl, dialkylaminoalkyl, aryl, or arylalkyl;
h) -C(0)N(R14)N(R14a)(R14b) where R14, Rl4a, and R1 b are independently hydrogen, alkyl, or alkenyl;
i) -S(0)2N(R15)-C,.C6-alkylene-N(R15a)R15b where R15, R15a, and R15b are
independently hydrogen, alkyl, or alkenyl;
j) -C(0)N(R16)-C|.C6-alkylene-C(0)OR16a where R16 is hydrogen, alkyl, or alkenyl and Rl6a is alkyl or alkenyl;
k) heteroaryl optionally substituted with one or two aminoalkyl, alkylaminoalkyl, or dialkylaminoalkyl;
1) -N(R17)-C(=N(R17b)(R,7a))(NR17cR17d) where R17, R17a, R17b, R17c, and R17d are
independently hydrogen, alkyl, or alkenyl;
m) -N(R18)C(0)-C,-C6-alkylene-N(R18b)C(0)Rl8a where R18a is hydrogen, alkyl,
alkenyl, or alkoxy and R18 and R18b are independently hydrogen, alkyl, or alkenyl; n) -C(0)N(R19)-C,-C6-alkylene-C(0)Rl9a where R19 is hydrogen, alkyl, or alkenyl and
Rl9a is amino, alkylamino, dialkylamino, or heterocycloalkyl;
o) -N(R20)C(O)-C,-C6-alkylene-C(O)R20a where R20 is hydrogen, alkyl, or alkenyl and
R 0a is cycloalkyl or heterocycloalkyl;
p) -NR21S(0)2R-C|.C6-alkylene-N(R21b)R21a where R21 is hydrogen, alkyl, or alkenyl and R21a and R2lb are independently hydrogen, alkyl, or alkenyl;
q) -N(R22)C(0)-C,.C6-alkylene-N(R 2b)-N(R2 c)(R22a) where R22, R22a and R22b are independently hydrogen, alkyl, or alkenyl;
r) -Co-C6-alkylene-N(R23)-Ci.C6-alkylene-N(R23 )R23a where R23, R23a and R23b are independently hydrogen, alkyl, or alkenyl; or
s) -NR2 C(0)-Ci.C6-alkylene-OR24a where R24 is hydrogen, alkyl, or alkenyl and R24a is alkoxyalkyl or aryl optionally substituted with one or two halo or alkyl; and where each of the alkylene in R3a is independently optionally further substituted with 1 , 2, 3, 4, or 5 groups selected from halo, hydroxy, amino, alkylamino, and dialkylamino; and
3 3
each R (when R is present) is independently alkyl; alkenyl; alkynyl; halo; hydroxy; oxo; alkoxy; cyano; hydroxyamino; carboxy; alkoxycarbonyl; amino; alkylamino;
dialkylamino; alkylcarbonyl; haloalkoxy; alkylsulfonyl; aminoalkyloxy;
alkylaminoalkyloxy; dialkylaminoalkyloxy; or
a) -N(R7)C(0)-C C6-alkylene-N(R7a)(R7b) where R7 is hydrogen, alkyl, or alkenyl and R7a and R7b are independently hydrogen, alkyl, alkenyl, hydroxyalkyl, haloalkyl, alkoxy, alkoxyalkyl, aminoalkyl, alkylaminoalkyl, dialkylaminoalkyl, cycloalkyl, cycloalkylalkyi, heterocycloalkyl, heterocycloalkylalkyl, heteroaryl, heteroarylalkyl, aryl, arylalkyl, or arylalkyloxy and where the aryl, cycloalkyl, heterocycloalkyl and heteroaryl rings in R7a and R7b (either alone or as part of arylalkyl, cycloalkylalkyi, heterocycloalkylalkyl and heteroarylalkyl) are independently optionally substituted with 1, 2, or 3 groups independently selected from alkyl, amino, alkylamino, dialkylamino, hydroxy, halo, alkoxy, alkylthio, and oxo);
b) -C(0)NR8R8a where R8 is hydrogen, hydroxy, alkoxy, alkyl, alkenyl, haloalkyl, or haloalkoxy and R8a is hydrogen, alkyl, alkenyl, hydroxyalkyl, cyanoalkyl, alkoxyalkyl, alkylthioalkyl, heterocycloalkyl, heterocycloalkylalkyl, cycloalkyl, cycloalkylalkyi, heteroaryl, heteroarylalkyl, aryl, or arylalkyl and where the aryl, cycloalkyl, heteroaryl, and heterocycloalkyl rings in R8a (either alone or as part of arylalkyl, cycloalkylalkyi, heterocycloalkylalkyl and heteroarylalkyl) are independently optionally substituted with 1, 2, or 3 groups independently selected from alkyl, alkenyl, alkoxy, halo, haloalkyl, haloalkoxy, hydroxy, hydroxyalkyl, oxo, amino, alkylamino, dialkylamino, alkylcarbonyl, aminoalkyl, alkylaminoalkyl, dialkylaminoalkyl, alkoxycarbonyl, and -C(0)H;
c) -NR9C(0)R9 where R9 is hydrogen, hydroxy, alkoxy, alkyl, alkenyl, haloalkyl, or haloalkoxy and R9a is hydrogen, C2-6-alkyl, alkenyl, hydroxyalkyl, alkoxyalkyl, cycloalkyl, cycloalkylalkyi, heterocycloalkyl, heterocycloalkylalkyl, heteroaryl, heteroarylalkyl, aryl, or arylalkyl; where the aryl, cycloalkyl, heteroaryl, and heterocycloalkyl rings in R9a (either alone or as part of arylalkyl, cycloalkylalkyi, heterocycloalkylalkyl and heteroarylalkyl) are independently optionally substituted with 1, 2, or 3 groups independently selected from alkyl, alkenyl, alkoxy, hydroxy, hydroxyalkyl, halo, haloalkyl, haloalkoxy, oxo, amino, alkylamino, dialkylamino, alkylcarbonyl, alkoxycarbonyl, -C(0)H, aryl (optionally substituted with one or two halo), arylalkyl, heteroaryl, heteroarylalkyl, heterocycloalkyl, heterocycloalkylalkyl, cyloalkyl, cyloalkylalkyl, and cycloalkylcarbonyl;
d) -C(O)N(Rl0)-Ci-C6-alkylene-N(Rl0a)R10b where R10a is hydrogen, hydroxy, alkoxy, alkyl, alkenyl, haloalkyl, or hydroxyalkyl and R10 and R10b are independently hydrogen, alkyl, alkenyl, haloalkyl, or hydroxyalkyl;
e) -NRUC(0)NR' laR' lb where R1 l is hydrogen, alkyl, alkenyl, hydroxy, or alkoxy and R11 and Rl lb are independently hydrogen, alkyl, alkenyl, aminoalkyl,
alkylaminooalkyl, dialkylaminoalkyl;
f) -C(0)R12 where R12 is heterocycloalkyl optionally substituted with 1, 2, or 3 groups selected from alkyl, oxo, amino, alkylamino, and heterocycloalkylalkyl;
g) -NR13C(0)OR13a where R13 is hydrogen, alkyl, or alkenyl and R13a is aminoalkyl, alkylaminoalkyl, dialkylaminoalkyl, aryl, or arylalkyl);
h) -C(0)N(R14)N(R14a)(R14b) where R14, Rl4a, and R14 are independently hydrogen, alkyl, or alkenyl;
i) -S(0)2N(R15)-C1-C6-alkylene-N(R1 a)R15b where R15, Rl5a, and R15b are
independently hydrogen, alkyl, or alkenyl;
j) -C(0)N(R16)-C|.C6-alkylene-C(0)OR16a where R16 is hydrogen, alkyl, or alkenyl and Rl6a is alkyl or alkenyl;
k) heteroaryl optionally substituted with one or two aminoalkyl, alkylaminoalkyl, or dialkylaminoalkyl;
1) -N(R17)-C(=N(R17 )(R17a))( Rl7cR17d) where R17, R,7a, R17b, R17c, and R17d are independently hydrogen, alkyl, or alkenyl;
m) -N(R18)C(0)-C,-C6-alkylene-N(Rl 8b)C(0)R18a where R18a is hydrogen, alkyl,
alkenyl, or alkoxy and R18 and Rl8b are independently hydrogen, alkyl, or alkenyl; n) -C(0)N(R19)-Ci-C6-alkylene-C(0)R19a where R19 is hydrogen, alkyl, or alkenyl and
Rl9a is amino, alkylamino, dialkylamino, or heterocycloalkyl;
o) -N(R20)C(O)-Ci-C6-alkyIene-C(O)R20a where R20 is hydrogen, alkyl, or alkenyl and
R20a is cycloalkyl or heterocycloalkyl;
p) -NR21S(0)2R-C,.C6-alkylene-N(R21b)R21a where R21 is hydrogen, alkyl, or alkenyl and R21a and R 1b are independently hydrogen, alkyl, or alkenyl;
q) -N(R2 )C(0)-C,.C6-alkylene-N(R22b)-N(R22c)(R2 a), where R22, R22a and R22b are independently hydrogen, alkyl, or alkenyl;
r) -Co-C6-alkylene-N(R23)-C,.C6-alkylene-N(R2 b)R 3a where R23, R23a and R23b are independently hydrogen, alkyl, or alkenyl; or
s) -NR24C(0)-C|.C6-alkylene-OR24a where R24 is hydrogen, alkyl, or alkenyl and R24a is alkoxyalkyl or aryl optionally substituted with one or two halo or alkyl;
wherein each of the alkylene in R3 is independently optionally further substituted with 1 , 2, 3, 4, or 5 groups selected from halo, hydroxy, amino, alkylamino, and dialkylamino;
provided that when R50 and R52 are hydrogen, R51 is hydrogen or methyl, R53 is hydrogen or methoxy, and R54 is hydrogen or methoxy, then B is not 2,3-dihydro-l,4- benzodioxinyl, thien-2-yl, or thien-2-yl substituted with one R3 where R3 is halo.
[0011] A second aspect of the invention provides a compound of Formula Π:
II
or a pharmaceutically acceptable salt or solvate thereof, wherein
W1, W2, W3, and W4 are -C(Rla)=; or one or two of W1, W2, W3, and W4 are independently
-N= and the remaining are -C(Rla)=;
X1 is -N(R5a)-;
A is aryl, -S(0)2-aryl, heteroaryl, cycloalkyl, heterocycloalkyi, halo, haloalkyl, haloalkoxy, alkyl, alkoxy, or -alkyl-N(R7)R7a, where each of the aryl, heteroaryl, cycloalkyl, heterocycloalkyi, alkyl and alkoxy groups, each either alone or as part of another group within A, are independently optionally substituted with one, two, three, or four R2a; or
B1 is aryl, arylalkyl, alkyl, heteroaryl, or heteroaryalkyl, wherein each of the aryl, heteroaryl and alkyl groups are independently optionally substituted with one, two, three, or four R3d;
each Rla is independently selected from hydrogen, alkoxy, alkyl, nitro, halo, cyano, and -Co- C6-alkyl-N(R7)R7a, wherein each of the alkyl and alkoxy groups is optionally substituted with 1, 2, 3, 4, or 5 groups selected from alkyl, alkoxy, halo, haloalkyl, haloalkoxy, nitro, cyano, hydroxy, -N(R8)R8a, and -C(0)OR6;
each R2a (when R23 is present) is independently selected from alkyl, alkenyl, -alkenyl- C(0)OR6, -OR6, -N(R7)C(0)R6, -N(R7)C(O)-C0-C6 alkyl-N(R7b)R7a, -OC(O)-C0-C6 alkyl-N(R7)R7a, -N(R7)C(0)-CrC6 alkylC(0)OR6, C0-C6-aIkyl-C(O)R6 oxo, dioxo, -S(0)2-N(R7)R7a, -C(0)OR6, -CH(R6)2-C(0)OR6, -S(0)2R6, cycloalkyl,
heterocycloalkyi, heteroaryl, -C(0)N(R7)-alkyl-OR6, -C0-C6 alkyl-C(O)N(R7)-C0-C6- alkyl-C(0)OR6, -C0-C6-alkyl-C(O)N(R7)R7a, aryl, arylalkyl, -S-(d-C6 alkyl), halo, oxo, nitro, -SCN, cyano, and -Co-C6 alkyl-N(R7)R7a, wherein each of the alkyl
(including, for example the alkyl within alkoxy), aryl, cycloalkyl, heterocycloalkyi, and heteroaryl groups, either alone or as part of another group within R , is independently
optionally substituted with 1 , 2, 3, 4, or 5 groups selected from alkyl, halo, haloalkyl, haloalkoxy, oxo, nitro, cyano, hydroxy, -N(R8)R8a, alkoxy, and -C(0)OR9;
each R3d (when R3d is present) is independently oxo, nitro, halo, cyano, alkyl, alkenyl,
alkynyl, alkoxy, C3-C6-cycloalkyl, -Co-C6-alkyl-heterocycIoalkyl, -Co-C6 alkyl- N(R7)C(O)-C0-C6-alkyl-N(R7b)R7a, -C C6 alkyl-N(R7)C(O)-C0-C6-alkyl- N(R7b)C(0)R7a, -C0.C6 alkyl-C(O)-C0-C6-alkyl-N(R7)R7a, -Co.C6-alkyl-C(0)N(R7)-Co- C6-alkyl-N(R7b)R7a, -C0-C6-alkyl-C(O)N(R7)-C,-C6alkylC(O)OR7a, -C0-C6 alkyl- N(R7)C(O)-C0-C6-alkyl-(R7a), -Co-C6 alkyl-N(R7)-C0-C6-alkyl-N(R7b)R7a, -Co-C6 alkyl- N(R7)C(0)-C0-C6-alkyl-N(R7b)-N(R7c)R7a, -Co.C6 alkyl-N(R7)C(0)0-Co-C6-alkyl-aryl, -Co-C6 alkyl-C(O)N(R7)-C0-C6-alky l-N(R7b)R7a, -Co-C6 alkyl-N(R7)-C0-C6 alkyl- C(=N(R7b)(R7a))(NR7cR7d), -Co.C6-alkyl-aryl, -C0-C6-alkyl-heteroaryl, -C0-C6 alkyl- heterocycloalkyl, -0-Co-C6 alkyl-N(R7)R7 , -C0-C6 alkyl-OR6, -C0-C6 alkyl-C(0)OR6) C0-C6-alkyl-N(R7)R7a, -C0-C6 alkyl-C(0)NR7R7a, -C0-C6 alkyl-C(0)R7, -SR7, -S(0)2R7, -S(0)3R7, -S(0)R7, -S02N(R7)R7a, -S02N(R7)-Co-C6 alkyl-N(R7b)R7a, -C0-C6-alkyl- N(R7)-aryl, -C0-C6-atkyl-N(R7)-heteroaryl, -C0-C6-alkyl-N(R7)-heterocycloalkyl, -Co-C6-alkyl-C(0)N(R7)-Co-C6-alkyl-cycloalkyl, C0-C6-alkyl-C(O)N(R7)-C0-C6-aIkyl- aryl, C0-C6 alkyl-C(O)N(R7)-C0-C6 alkyl-heteroaryl, C0-C6 alkyl-C(O)N(R7)-C0-C6- alkyl-heterocycloalkyl, -C0-C6-alkyl-N(R7)C(O)-C0-C6-alkyl-cycloalkyl, -C0-C6-alkyl- N(R7)C(O)-C0-C6-alkyl-aryl, Co-C6-alkyl-N(R7)C(0)-C0-C6-alkyl-heteroaryl, -Co-Ce- alkyl-N(R7)C(0)-Co-C6-alkyl-heterocycloalkyl, Co-C6-alkyl-N(R7)C(0)-Co-C6-alkyl- heterocycloalkyl-aryl, -N(R7)C(0)OR6, or -NHC(0)H, wherein each of the alkyl, alkenyl, cycloalkyl, aryl, (including, for example the alkyl within alkoxy),
heterocycloalkyl, and heteroaryl groups, either alone or as part of another group within R3d, is independently optionally substituted with 1, 2, 3, 4, or 5 groups selected from alkyl, alkenyl, -C0-C6-alkyl-OR9, cycloalkyl, halo, haloalkyl, haloalkoxy, -C(0)R9, nitro, cyano, oxo, -Co-C6-alkyl-N(R8)R8a, cycloalkyl, cycloalkylalkyl, heterocycloalkyl, heterocycloalkylalkyl, aryl, arylalkyl, heteroaryl, heteroarylalkyl, -C(0)OR9, alkylthio, and hydroxyalkyl;
R4 is hydrogen, aryl, -C0-C6-alkyl-N(R7)R7a, alkoxy, or Ci-C6 alkyl, wherein each of the alkyl and aryl groups, either alone or as part of another group in R4, is independently optionally substituted with 1, 2, 3, 4, or 5 groups selected from alkyl, halo, haloalkyl, haloalkoxy, nitro, cyano, hydroxy, -N(R8)R8a, alkoxy, and -C(0)OR6; or
R4 and X1 together with the atoms to which they are attached form a heterocycloalkyl or heteroaryl group, wherein R5a is absent when X is -N(R5a)-, wherein each of the
heterocycloalkyl or heteroaryl is optionally substituted with 1, 2, 3, 4, or 5 groups selected from alkyl, halo, haloalkyl, haloalkoxy, nitro, cyano, hydroxy, -N(R7)R7a, alkoxy, and -C(0)OR6;
R5a is hydrogen, -CrC6 alkyl-N(R7)R7a, alkoxy, alkyl, or aryl, wherein each of the alkyl and aryl is optionally substituted with 1, 2, 3, 4, or 5 groups selected from alkyl, halo, haloalkyl, haloalkoxy, nitro, cyano, hydroxy, -N(R8)R8a, C|-C6 alkoxy, or -C(0)OR6; or
R5a and R4 together with the atoms to which they are attached form a heterocycloalkyl or heteroaryl group, wherein the heterocycloalkyl and heteroaryl is optionally substituted with 1, 2, 3, 4, or 5 groups selected from alkyl, halo, haloalkyl, haloalkoxy, nitro, cyano, hydroxy, -N(R7)R7a, C,-C6 alkoxy, and -C(0)OR6;
R6 and R9 are independently hydrogen, hydroxy, alkyl, aryl, arylalkyl, cycloalkyl,
cycloalkylalkyl, heterocycloalkyl, heterocycloalkylalkyl, heteroaryl, heteroarylalkyl, or aryl, each alkyl, aryl, cycloalkyl, heterocycloalkyl, and heteroaryl, either alone or as part of another group within R6 and R9, is independently optionally substituted with 1 , 2, 3, 4, or 5 groups independently selected from amino, hydroxy, alkoxy, alkyl, and halo; and
R7, R7a R7 , R7c, R7d, R8, and R8 are independently hydrogen, alkyl, alkenyl, hydroxy, alkyloxy, alkenyloxy, -O-C0-C6 alkyl-aryl, -C0-C6 alkyl-C(0)OR6, -C0-C6 alkyl- C(0)R6, aryl, arylalkyl, heteroaryl, heteroarylalkyl, cycloalkyl, cycloalkylalkyl, heterocycloalkyl, or heterocycloalkylalkyl, wherein each of the alkyl, aryl, heteroaryl, and heterocycloalkyl, either alone or part of another group within R7, R7a R7 , R7c, R7d, R8, and R8a is independently optionally substituted with 1, 2, 3, 4, or 5 groups selected from amino, alkylamino, dialkylamino, aminoalkyl, alkylaminoalkyl,
dialkylaminoalkyl, -S-Ci-C6 alkyl, cyano, nitro, hydroxy, C|-C6 alkoxy, C|-C6 alkyl, halo, aryl, heterocycloalkylalkyl, and heteroaryl optionally substituted with one or two Ci-C6 alkyl.
[0012] The compounds of Formula I, la and II (including Compound A described below) are disclosed in WO 07/044729 and WO 08/127594, the entire contents of each of which are incorporated herein by reference.
[0013] In a third aspect, the invention is directed to a pharmaceutical composition which comprises a compound of Formula I or a pharmaceutically acceptable salt thereof and a pharmaceutically acceptable carrier, excipient, or diluent.
[0014] In a fourth aspect, the invention comprises a method of inhibiting PI3K in a cell, comprising contacting a cell with a compound of Formula I or Π or a pharmaceutically
acceptable salt or solvate thereof, or with a pharmaceutical composition comprising a therapeutically effective amount of a compound of Formula I and a pharmaceutically acceptable carrier, excipient, or diluent.
[0015] In a fifth aspect, the Invention provides a method for treating a disease, disorder, or syndrome which method comprises administering to a patient a pharmaceutical composition comprising a therapeutically effective amount of a compound of Formula I or II or a pharmaceutically acceptable salt or solvate thereof, or a pharmaceutical composition comprising a therapeutically effective amount of a compound of Formula I, la, or II and a pharmaceutically acceptable carrier, excipient, or diluent.
[0016] A sixth aspect of the invention is directed to a process of preparing a compound of Formula I, comprising:
(a) reacting an intermediate of :
5
where LG is a leaving group such as chloro, and all other groups, are as defined in the Summary of the Invention, with an intermediate of formula NHRaRb or HO-C|-C6- alkylene- HRaRb where Ra and Rb are independently hydrogen or alkyl to yield, respectively,
1(d); or
(b) reacting an intermediate of formula 8
8
where Ra is R7, R9, R11, R13, R17, R18, R20, R21, R22, or R24, each as defined in the Summary of the Invention for a Compound of Formula I and all other groups are as defined in the Summary of the Invention;
with an intermediate of formula 9(a), 9(b), 9(c), 9(d), 9(e), 9(f), or 9(g):
9(a) HOC(0)-Ci-C6-alkylene-N(R7a)(R7b) where Ra is R7a or a N-protecting
group, such as Boc or Fmoc;
9(b) HOC(0)R9a;
9(c) HOC(0)NR1 ,aRl lb;
9(d) HOC(0)OR13a;
9(e) HOC(0)-CrC6-aIkylene-N(R18b)C(0)R18a;
9(f) HOC(O)-Ci-C6-alkylene-C(O)R20a;
9(g) LG-S(0)2R-C,.C6-alkylene-N(R21b)Ra where Ra is R21a or a N-protecting group, such as Boc or Fmoc;
to yield
where R100 is -C(0)R9a, -C(0)NRUaRnb, -C(0)OR13a, -C(0)-C,-C6-alkylene- N(R18b)C(0)Ri8a, -C(O)-C,-C6-alkylene-C(O)R20a, or -S(0)2R-C,.C6-alkylene-N(R21b)Ra; or (c) reacting an intermediate of formula 1 1
11
with one of the following intermediates NHR8R8a, NH(R10)-Ci-C6-alkylene-N(R' a cyclic amine, NH(R14)N(R14a)(Rl4b), NH(R16)-Ci-C6-alkylene-C(0)OR16\ and
NH(R19)-Ci-C6-alkylene-C(0)R19a to yield a Compound of Formula I; or
(d) reacting an intermediate of formula 12:
12
12
with an intermediate of formula NH(R )R to yield a Compound of Formula 1(f):
1(f); or
(e) reacting an intermediate of formula 13 where LG is a leaving group, such as chloro, and all other groups are as defined in the Summary of the Invention:
13
with an intermediate of formula:
to yield a Compound of Form
1(h); and
(f) optionally further resolving individual isomers.
[0017] In an embodiment, Compound A is the Compound of Formula I in each of the above aspects.
[0018] An additional aspect relates to a method for treating a disease, disorder, or syndrome which method comprises administering to a patient a pharmaceutical composition comprising a therapeutically effective amount of a compound of Formula I or II or a pharmaceutically acceptable salt or solvate thereof, or a pharmaceutical composition comprising a therapeutically effective amount of a compound of Formula I, la, or Π and a pharmaceutically acceptable carrier, excipient, or diluent, in combination with one or more agent. In an embodiment, Compound A is the Compound of Formula I in this aspect. The additional agent or agents are listed below:
Agent Name Source
(R)-(-)-Gossypol acetic acid (AT- 101) Ascenta Therapeutics
1 -Methyl-[D]-tryptophan NewLinkGenetics
506U78 GlaxoSmithKline
ABT-263 Abbott Laboratories
ABT-888 Abbott Laboratories
AFP464 (aminoflavone prodrug) Tigris Pharmaceuticals Inc
ARQ-197 Arqule
ATI 3387 Astex
Agent Name Source
Azacitidine Celgene Corporation
AZD0530 AstraZeneca Pharmaceuticals
Belinostat (PXD 101) TopoTarget
BMS 247550 (ixabepilone, Ixempra) Bristol-Myers Squibb
Bortezomib (PS-341; Velcade) Millennium, a Takeda Company
CC-5013 (lenalidomide, Revlimid) Celgene Corporation ch 14.18 National Cancer Institute
Decitabine (5-aza-2'-deoxycytidine) Eisai Inc
E7389 (Halichondrin B Analog) Eisai Inc
EMD 121974 (Cilengitide) Merck KgaA
Entinostat (MS-275, SNDX-275) Syndax
FK228 (Depsipeptide; Romidepsin) Celgene Corporation
Flavopiridol (alvocidib) Sanofi Aventis
GDC-0449 *** Genentech Inc
J C-A12 Imclone
MDX-010 (MDX-CTLA4; Hybridoma- Medarex Inc
derived and Transfectoma-derived)
MK-2206 Merck and Company Inc
O-6-Benzylguanine NCI
Obatoclax mesylate (GX15-070MS) GeminX Pharmaceuticals
OSI-906 OSI Pharmaceuticals
Pertuzumab Genentech Inc
Rl 15777 (tipifarnib, Zarnestra) Johnson & Johnson
Reolysin Oncolytics Biotech Inc
RO4929097 Roche
SB-715992 (ispinesib) Cytokinetics
SCH727965 Schering-Plough
SJG-136 Spirogen
Thalidomide (Thalomid) Celgene Corporation
Triapine
UCN-01 Kyowa Hakko Kirin
VEGF-Trap (aflibercept) Sanofi Aventis
Vorinostat (suberoylanilide hydroxamic Merck and Company Inc acid; SAHA)
XK469R National Cancer Institute
17-AAG BMS
17-DMAG BMS
Alemtuzumab (Campath) Genzyme
AZD2171 (cediranib; Recentin™) AstraZeneca Pharmaceuticals
AZD6244 AstraZeneca Pharmaceuticals
BAY 43-9006 tosylate (BAY 54-9085; Bayer Corporation
sorafenib tosylate)
Bevacizumab (rhuMAb VEGF, Avastin) Genentech Inc
BMS-354825 (dasatinib, Sprycel) Bristol-Myers Squibb
CCI-779 (temsirolimus, Torisel) Pfizer, inc
Erlotinib (OSI-774; Tarceva) OSI Pharmaceuticals
Gefitinib (ZD 1839, Iressa) AstraZeneca Pharmaceuticals
GM-CSF (sargramostim, Leukine) Genzyme
Agent Name Source
GW572016 (lapatinib) GlaxoSmithKline
GW786034 (pazopanib) GlaxoSmithKline
MLN 518 Millennium Pharmaceuticals
Oxaliplatin (Eloxatin) Sanofi Aventis
Perifosine Keryx Biopharmaceuticals
Rituximab (MoAb C2B8 anti CD20, Biogen Idee
chimeric)
STI571 (imatinib, Gleevec) Novartis Pharmaceuticals
Corporation
Sunitinib malate (SUOl 1248 L-malate; Pfizer Inc
Sutent)
Trastuzumab (Herceptin) Genentech Inc
More preferably, the additional agent or agents are selected from the following
Agent Name Source
(RM-)-Gossypol acetic acid (AT- 101) Ascenta Therapeutics
1 -Methy l-[D]-tryptophan NewLinkGenetics
506U78 GlaxoSmithKline
ABT-263 Abbott Laboratories
ABT-888 Abbott Laboratories
AFP464 (aminoflavone prodrug) Tigris Pharmaceuticals Inc
ARQ-197 Arqule
AT13387 Astex
Azacitidine Celgene Corporation
AZD0530 AstraZeneca Pharmaceuticals
Belinostat (PXD 101) TopoTarget
BMS 247550 (ixabepilone, Ixempra) Bristol-Myers Squibb
Bortezomib (PS-341; Velcade) Millennium, a Takeda Company
CC-5013 (lenalidomide, Revlimid) Celgene Corporation
ch 14.18 National Cancer Institute
Decitabine (5-aza-2'-deoxycytidine) Eisai Inc
E7389 (Halichondrin B Analog) Eisai Inc
EMD 121974 (Cilengitide) Merck KgaA
Entinostat (MS-275, SNDX-275) Syndax
FK228 (Depsipeptide; Romidepsin) Celgene Corporation
Flavopiridol (alvocidib) Sanofi Aventis
GDC-0449 *** Genentech Inc
IMC-A12 Imclone
MDX-010 (MDX-CTLA4; Hybridoma- Medarex Inc
derived and Transfectoma-derived)
MK-2206 Merck and Company Inc
O-6-Benzylguanine NCI
Obatoclax mesylate (GX1 -070MS) GeminX Pharmaceuticals
OSI-906 OSI Pharmaceuticals
Pertuzumab Genentech Inc
Rl 15777 (tipifarnib, Zarnestra) Johnson & Johnson
Agent Name Source
Reolysin Oncolytics Biotech Inc
RO4929097 Roche
SB-715992 (ispinesib) Cytokinetics
SCH727965 Schering-Plough
SJG-136 Spirogen
Thalidomide (Thalomid) Celgene Corporation
Triapine
UCN-01 Kyowa Hakko Kirin
VEGF-Trap (aflibercept) Sanofi Aventis
Vorinostat (suberoylanilide hydroxamic Merck and Company Inc
acid; SAHA)
XK469R National Cancer Institute
17-AAG BMS
[0020] More preferably, the additional agent or agents are selected from ABT-888, AZD6244, CCI-779, erlotinib, gefitinib, GW572016, GW786034, pertuzumab, or sunitinib.
[0021] An additional aspect relates to a method for treating a disease selected from anaplastic thyroid cancer, chronic lymphocytic leukemia, mantel cell lymphoma, non- Hodgkins lymphoma, glioblastoma multiforme, pediatric brain tumors, pontine glioma, HPV-related head and neck cancer, Hormone Receptive positve (HR+) breast cancer, and HER-2 overexpressing breast cancer, comprising adminstering a therapeutically effective amount of a compound of Formula I or II or a pharmaceutically acceptable salt or solvate thereof, or a pharmaceutical composition comprising a therapeutically effective amount of a compound of Formula I, la, or lit. In an embodiment, Compound A is the Compound of Formula I in this aspect.
[0022] An additional aspect relates to a method for treating a disease selected from anaplastic thyroid cancer, chronic lymphocytic leukemia, mantel cell lymphoma, non- Hodgkins lymphoma, glioblastoma multiforme, pediatric brain tumors, pontine glioma, HPV-related head and neck cancer, Hormone Receptive positve (HR+) breast cancer, and HER-2 overexpressing breast cancer, comprising adminstering a therapeutically effective amount of a compound of Formula I or II or a pharmaceutically acceptable salt or solvate thereof, or a pharmaceutical composition comprising a therapeutically effective amount of a compound of Formula I, la, or II and a pharmaceutically acceptable carrier, excipient, or diluent, in combination with another agent. In an embodiment, Compound A is the Compound of Formula I in this aspect. In another embodiment, Compound A is the Compound of Formula I and the additional agent or agents is selected from the group consisting of ABT-888, AZD6244, CCI-779, erlotinib, gefitinib, GW572016, GW786034, pertuzumab, and sunitinib.
[0023] An additional aspect relates to a tablet formulation of a compound of formula I. The tablet formulation is the following formulations or an equivalent thereof. Compound A is the Compound of Formula I in this aspect.
Ingredient Theoretical Quantity (mg unit dose)
100 mg 150 mg 200 mg
Com ound A 100.0 150.0 200.0
Silicified 29.5 44.3 59.0
miciOcrystalline
cellulose
Partially pregelatmized 40.0 60.0 80.0
maize starch
Sodium starch glycolate 14.0 21.0 28.0
Hypromellose 2910 12.0 18.0 24.0
Colloidal silicon dioxide 2.0 3.0 4.0
Stearic acid 2.0 3.0 4.0
Magnesium stearate 0.5 0.75 1.0
a 3 a
Purified water
a Means essentially removed during manufacture
[0024] In one embodiment, the pharmaceutical composition is a tablet solid dosage form such as one of the above, as a 100, 150, 200, or 400 mg tablet. In one embodiment, the Compound A dosage form is a 400 mg tablet qd.
[0025] An additional aspect relates to a capsule formulation as, for instance a powder- in-capsule (PiC) formulation comprising a compound of formula I. The tablet formulation can be one of the following formulations or an equivalent thereof. Compound A is the Compound of Formula I in this aspect.
Gray Opaque White Opaque Swedish Orange Capsule Capsule Capsule
Component (for 5 mg strength) (far 25 mg strength) (for 100 ing strength)
FDA/El 71 Titanium Dioxide 2.7074% 2.9079% 0.4902%
FDA/ El 72 Black Iron Dioxide 0.3075% — —
FDA/E 172 Red Iron Dioxide — — 1.4706%
Gelatin qsp 100% qsp 100% qsp 100% qsp. quantity sufficient for preparation
DETAILED DESCRIPTION OF THE INVENTION
Abbreviations and Definitions
The following abbreviations and terms have the indicated meanings throughout:
Abbreviation Meaning
br broad
°C degrees Celsius
CBZ CarboBenZoxy = benzyloxycarbonyl
d doublet
dd doublet of doublet
dt doublet of triplet
EI Electron Impact ionization
Et Ethyl
g gram(s)
GC gas chromatography
h or hr hour(s)
HPLC high pressure liquid chromatography
L liter(s)
M molar or molarity
m Multiplet
mg milligram(s)
MHz megahertz (frequency)
Min minute(s)
mL milliliter(s)
mM Millimolar
mmol millimole(s)
mol mole(s)
MS mass spectral analysis
N normal or normality
nM Nanomolar
NMR nuclear magnetic resonance spectroscopy
q Quartet
RT Room temperature
Abbreviation Meaning
[0027] The symbol "-" means a single bond, "=" means a double bond, "≡" means a triple bond, and " means a single bond and optionally a double bond. When chemical structures are depicted or described, unless explicitly stated otherwise, all carbons are assumed to have hydrogen substitution to conform to a valence of four.
[0028] "Administration" and variants thereof (e.g., "administering" a compound) in reference to a compound of the invention means introducing the compound or a prodrug of the compound into the system of the animal in need of treatment. When a compound of the invention or prodrug thereof is provided in combination with one or more other active agents (e.g., surgery, radiation, and chemotherapy, etc.), "administration" and its variants are each understood to include concurrent and sequential introduction of the compound or prodrug thereof and other agents.
[0029] "Alkenyl" or "lower alkenyl" means a straight or branched hydrocarbon radical having from 2 to 6 carbon atoms and at least one double bond and includes ethenyl, propenyl, l-but-3-enyl, l-pent-3-enyl, l-hex-5-enyl and the like.
[0030] "Alkenylcarbonyl" means a C(0)R group where R is alkenyl, as defined herein.
[0031] "Alkenyloxy" or "lower alkenyloxy" means an -OR group where R is alkenyl, as defined herein. Representative examples include methoxy, ethoxy, 1-methoxyprop-l-en-
3-yl, propoxy, isopropoxy, cyclopropyloxy, cyclohexyloxy and the like.
[0032] "Alkoxy" or "lower alkoxy" means an -OR group where R is alkyl, as defined herein. Representative examples include methoxy, ethoxy, l-methoxyprop-l-en-3-yl, propoxy, isopropoxy, cyclopropyloxy, cyclohexyloxy and the like.
[0033] "Alkoxyalkyl" means an alkyl group, as defined herein, substituted with one, two, or three alkoxy groups, as defined herein.
[0034] "Akoxycarbonyl" means a -C(0)OR group where R is alkyl as defined herein.
[0035] "Alkoxyycarbonylalkyl" means an alkyl group, as defined herein, substituted with one, two, or three alkoxycarbonyl groups, as defined herein.
[0036] "Alkyl" or "lower alkyl" means a linear or branched hydrocarbon group having one to six carbon atoms. Examples of lower alkyl groups include methyl, ethyl, propyl, isopropyl, butyl, s-butyl, ί-butyl, isobutyl, pentyl, hexyl and the like. A "Co" alkyl (as in "Co-Ce-alkyl") is a covalent bond. "C6 alkyl" refers to, for example, n-hexyl, wo-hexyl, and the like.
[0037] "Alkylamino" means a -NHR radical where R is alkyl as defined herein, or an N-oxide derivative thereof, e.g., methylamino, ethylamino, n-, wo-propylamino, n-, iso-, tert-butylamino, or methylamino-N-oxide, and the like.
[0038] "Alkylaminoalkyl" means an alkyl group substituted with one or two alkylamino groups, as defined herein.
[0039] "Alkylaminoalkyloxy" means an -OR group where R is alkylaminoalkyl, as defined herein.
[0040] "Alkylcarbonyl" means a C(0)R group where R is alkyl, as defined herein.
[0041] "Alkylcarbonylamino" means a -NRC(0)R' group where R is hydrogen or alkyl, as defined herein, and R' is alkyl, as defined herein.
[0042] "Alkylene" refers to straight or branched divalent hydrocarbon, containing no unsaturation and having from two to eight carbon atoms. Examples of alkylene include eth- diyl (-CH2CH2-), prop- l,3-diyI (-CH2CH2CH2-), 2,2-dimethylprop- l,3-diyl (-CH2C(CH3)2CH2-), and the like.
[0043] "Alkylsulfonyl" means a -S(0)2R group where R is lakyl, as defined herien.
[0044] "Alkylthio" means a -SR group where R is alkyl, as defined herein. Examples of alkylthio include methylthio and ethylthio, and the like.
[0045] "Alkylthioalkyl" means an alkyl group substituted with one or two alkylthio groups, as defined herein, e.g. 2-(methylthio)-ethyl and 2-(ethylthio)-ethyl.
[0046] "Alkynyl" or "lower alkynyl" means a straight or branched hydrocarbon radical having from 2 to 6 carbon atoms and at least one triple bond and includes ethynyl, propynyl, butynyl, pentyn-2-yl and the like.
[0047] "Amino" means a - H2.
[0048] "Aminoalkyl" means an alkyl group substituted with at least one, specifically one, two, or three, amino groups.
[0049] "Aminoalkyloxy" means an -OR group where R is aminoalkyl, as defined herein.
[0050] "Aryl" means a monovalent six- to fourteen-membered, mono- or bi-carbocyclic ring, wherein the monocyclic ring is aromatic and at least one of the rings in the bicyclic ring is aromatic. Representative examples include phenyl, naphthyl, and indanyl, and the like.
[0051] "Arylalkyi" means an alkyl group, as defined herein, subsituted with one or two aryl groups, as defined herein. Examples include benzyl, phenethyl, phenylvinyl, phenylallyl and the like.
[0052] "Aryloxy"means a -OR group where R is aryl as defined herein.
[0053] "Arylalkyloxy" means a -OR group where R is arylalkyi as defined herein.
[0054] "Arylsulfonyl" means a -S02R group where R is aryl as defined herein.
[0055] "Carboxyalkyl" means an alkyl group, as defined herein, substituted with one, two, or three -C(0)0H groups.
[0056] "Carboxy ester" means a -C(0)OR group where R is lower alkyl, lower alkenyl, lower alkynyl, cycloalkyl, aryl or arylalkyi, each of which is defined herein. Representative examples include methoxycarbonyl, ethoxycarbonyl, and benzyloxycarbonyl, and the like.
[0057] "Cyanoalkyl" means an alkyl, alkenyl, or alkynyl radical, as defined herein, substituted with at least one, specifically one, two, or three, cyano groups.
[0058] "Cycloalkyl" means a monocyclic or polycyclic hydrocarbon radical having three to thirteen carbon atoms. The cycloalkyl can be saturated or partially unsaturated, but cannot contain an aromatic ring. Cycloalkyl includes fused, bridged, and spiro ring systems. Examples of such radicals include cyclopropyl, cyclobutyl, cyclopentyl and cyclohexyl.
[0059] "Cycloalkylalkyl" means alkyl group substituted with one or two cycloalkyl group(s), as defined herein. Representative examples include cyclopropylmethyl and 2- cyclobutyl-ethyl, and the like.
[0060] "Cycloalkylcarbonyl" means a -C(0)R group where R is cycloalkyl as defined herein.
[0061] "Dialkylamino" means a -NRR' radical where R and R' are independently alkyl as defined herein, or an N-oxide derivative, or a protected derivative thereof, e.g., dimethylamino, diethylamino, N,N-methylpropylamino or N,N-methylethylamino, and the like.
[0062] "Dialkylaminoalkyl" means an alkyl group substituted with one or dialkylamino group(s), as defined herein.
[0063] "Dialkylaminoalkyloxy" means an -OR group where R is dialkylaminoalkyl, as defined herein.
[0064] "Fused ring system" and "fused ring" refer to a polycyclic ring system that contains bridged or fused rings; that is, where two rings have more than one shared atom in their ring structures. In this application, fused-polycyclics and fused ring systems are not necessarily all aromatic ring systems. Typically, but not necessarily, fused-polycyclics share a vicinal set of atoms, for example naphthalene or 1,2,3,4-tetrahydro-naphthalene. A spiro ring system is not a fused-polycyclic by this definition, but fused polycyclic ring systems of the invention may themselves have spiro rings attached thereto via a single ring atom of the fused-polycyclic. In some examples, as appreciated by one of ordinary skill in the art, two adjacent groups on an aromatic system may be fused together to form a ring structure. The fused ring structure may contain heteroatoms and may be optionally substituted with one or more groups. It should additionally be noted that saturated carbons of such fused groups (Le. saturated ring structures) can contain two substitution groups.
[0065] "Haloaloxy" means an -OR' group where R' is haloalkyl as defined herein, e.g., trifluoromethoxy or 2,2,2-trifluoroethoxy, and the like.
[0066] "Haloalkoxyalkyl" means an alkyl group, as defined herein, substituted with one, two, or three haloalkoxy, as defined herein.
[0067] "Halogen" or "halo" means fluoro, chloro, bromo and iodo.
[0068] "Haloalkenyl means an alkenyl group, as defined herein, substituted with one or more halogens, specifically one to five halo atoms.
[0069] "Haloalkyl" means an alkyl group, as defined herein, substituted with one or more halogens, specifically one to five halo atoms. Representative examples includes 2,2- difluoroethyl, trifluoromethyl, and 2-chloro-l-fluoroethyl, and the like.
[0070] "Heteroaryl" means a monocyclic, fused bicyclic, or fused tricyclic, monovalent radical of 5 to 14 ring atoms containing one or more, specifically one, two, three, or four ring heteroatoms independently selected from -0-, -S(0)„- (n is 0, 1, or 2), -N-, -N(RX)-, and the remaining ring atoms being carbon, wherein the ring comprising a monocyclic radical is aromatic and wherein at least one of the fused rings comprising a bicyclic or tricyclic radical is aromatic. One or two ring carbon atoms of any nonaromatic rings comprising a bicyclic or tricyclic radical may be replaced by a -C(O)-, -C(S)-, or -C(=NH)- group. Rx is hydrogen, alkyl, hydroxy, alkoxy, acyl, or alkylsulfonyl. Fused bicyclic radical includes
bridged ring systems. Unless stated otherwise, the valency may be located on any atom of any ring of the heteroaryl group, valency rules permitting. In particular, when the point of valency is located on the nitrogen, Rx is absent. More specifically, the term heteroaryl includes, but is not limited to, 1 ,2,4-triazolyl, 1,3,5-triazolyl, phthalimidyl, pyridinyl, pyrrolyl, imidazolyl, thienyl, furanyl, indolyl, 2,3-dihydro- lH-indolyl (including, for example, 2,3-dihydro- lH-indol-2-yl or 2,3-dihydro- lH-indol-5-yl, and the like), isoindolyi, indolinyl, isoindolinyl, benzimidazolyl, benzodioxol-4-yl, benzofuranyl, cinnolinyl, indolizinyl, naphthyridin-3-yl, phthalazin-3-yl, phthalazin-4-yl, pteridinyl, purinyl, quinazolinyl, quinoxalinyl, tetrazoyl, pyrazolyl, pyrazinyl, pyrimidinyl, pyridazinyl, oxazolyl, isooxazolyl, oxadiazolyl, benzoxazolyl, quinolinyl, isoquinolinyl,
tetrahydroisoquinolinyl (including, for example, tetrahydroisoquinolin-4-yl or
tetrahydroisoquinolin-6-yl, and the like), pyrrolo[3,2-c]pyridinyl (including, for example, pyrrolo[3,2-c]pyridin-2-yl or pyrrolo[3,2-c]pyridin-7-yl, and the like), benzopyranyl, thiazolyl, isothiazolyl, thiadiazolyl, benzothiazolyl, benzothienyl, and the derivatives thereof, or N-oxide or a protected derivative thereof.
[0071] "Hetereoarylalkyl" means an alkyl group substituted with one or two heteroaryl group(s) as defined herein.
[0072] "Heterocycloalkyl" means a saturated or partially unsaturated monovalent monocyclic group of 3 to 8 ring atoms or a saturated or partially unsaturated monovalent fused bicyclic group of 5 to 12 ring atoms in which one or more, specifically one, two, three, or four ring heteroatoms independently selected from -0-, -S(0)n- (n is 0, 1 , or 2), -N=, -N(Ry)- (where Ry is hydrogen, alkyl, hydroxy, alkoxy, acyl, or alkylsulfonyl), the remaining ring atoms being carbon. One or two ring carbon atoms may be replaced by a -C(O)-, -C(S)-, or -C(=NH)- group. Fused bicyclic radical includes bridged ring systems. Unless otherwise stated, the valency of the group may be located on any atom of any ring within the radical, valency rules permitting. In particular, when the point of valency is located on a nitrogen atom, Ry is absent. More specifically the term heterocycloalkyl includes, but is not limited to, azetidinyl, pyrrolidinyl, 2-oxopyrrolidinyl, 2,5-dihydro-lH- pyrrolyl, piperidinyl, 4-piperidonyl, morpholinyl, piperazinyl, 2-oxopiperazinyl, tetrahydropyranyl, 2-oxopiperidinyl, thiomorpholinyl, thiamorpholinyl, perhydroazepinyl, pyrazolidinyl, imidazolinyl, imidazolidinyl, dihydropyridinyl, tetrahydropyridinyl, oxazolinyl, oxazolidinyl, isoxazolidinyl, thiazolinyl, thiazolidinyl, quinuclidinyl, isothiazolidinyl, octahydroindolyl, octahydroisoindolyl, decahydroisoquinolyl,
tetrahydrofuryl, and tetrahydropyranyl, and the derivatives thereof and N-oxide or a protected derivative thereof.
[0073] "Heterocycloalkylalkyl" means an alkyl group, as defined herein, substituted with one or two heterocycloalkyl group(s), as defined herein.
[0074] "Hydroxyalkyl" means an alkyl radical, as defined herein, substituted with at least one, specifically one, two, or three, hydroxy group(s), provided that if two hydroxy groups are present they are not both on the same carbon atom. Representative examples include, but are not limited to, hydroxymethyl, 2-hydroxyethyl, 2-hydroxypropyl,
3- hydroxypropyl, 1 -(hydroxy methyl)-2-methylpropyl, 2-hydroxybutyl, 3-hydroxybutyl,
4- hydroxybutyl, 2,3-dihydroxypropyl, l-(hydroxymethyl)-2-hydroxyethyl, 2,3- dihydroxybutyl, 3,4-dihydroxybutyl and 2-(hydroxymethyl)-3-hydroxypropyl, specifically 2-hydroxyethyl, 2,3-dihydroxypropyl, or l-(hydroxymethyl)-2-hydroxyethyl, and the like.
[0075] "Hydroxyamino" means a -NH(OH) group.
[0076] "Optional" or "optionally" means that the subsequently described event or circumstance may or may not occur, and that the description includes instances where said event or circumstance occurs and instances in which it does not. One of ordinary skill in the art would understand that with respect to any molecule described as containing one or more optional substituents, only sterically practical and/or synthetically feasible compounds are meant to be included. "Optionally substituted " refers to all subsequent modifiers in a term. So, for example, in the term "optionally substituted arylC j .s alkyl," both the "Ci.g alkyl" portion and the "aryl" portion of the molecule may or may not be substituted. A list of exemplary optional substitutions is presented below in the definition of "substituted."
[0077] "Optionally substituted alkyl" means an alkyl radical, as defined herein, optionally substituted with one or more group(s), specifically one, two, three, four, or five groups, independently selected from alkylcarbonyl, alkenylcarbonyl, cycloalkylcarbonyl, alkylcarbonyloxy, alkenylcarbonyloxy, amino, alkylamino, dialkylamino, aminocarbonyl, alkylaminocarbonyl, dialkylaminocarbonyl, cyano, cyanoalkylaminocarbonyl, alkoxy, alkenyloxy, hydroxy, hydroxyalkoxy, carboxy, alkylcarbonylamino, alkylcarbonyloxy, alkyl-S(0)o-2-, alkenyl-S(0)o-2-, aminosulfonyl, alkylaminosulfonyl, dialkylaminosulfonyl, alkyIsulfonyl-NRc- (where Rc is hydrogen, alkyl, optionally substituted alkenyl, optionally substituted alkynyl, hydroxy, alkoxy, alkenyloxy, or cyanoalkyl), alkylaminocarbonyloxy, dialkylaminocarbonyloxy, alkylaminoalkyloxy, dialkylaminoalkyloxy, alkoxycarbonyl, alkenyloxycarbonyl, alkoxycarbonylamino, alkylaminocarbonylamino,
dialkylaminocarbonylamino, alkoxyalkyloxy, and -C(0)NRaRb (where Ra and Rb are
independently hydrogen, alkyl, optionally substituted alkenyl, optionally substituted alkynyl, hydroxy, alkoxy, alkenyloxy, or cyanoalkyl).
[0078] "Optionally substituted alkenyl" means an alkenyl radical, as defined herein, optionally substituted with one or more group(s), specifically one, two, or three groups, independently selected from alkylcarbonyl, alkenylcarbonyl, cycloalkylcarbonyl, alkylcarbonyloxy, alkenylcarbonyloxy, amino, alkylamino, dialkylamino, aminocarbonyl, alkylaminocarbonyl, dialkylaminocarbonyl, cyano, cyanoalkylaminocarbonyl, alkoxy, alkenyloxy, hydroxy, hydroxyalkoxy, carboxy, alkylcarbonylamino, alkylcarbonyloxy, alkyl-S(0)o-2-, alkenyl-S(0)o-2-, aminosulfonyl, alkylaminosulfonyl, dialkylaminosulfonyl, alkylsulfonyl-NRc- (where Rc is hydrogen, optionally substituted alkyl, optionally substituted alkynyl, hydroxy, alkoxy, or alkenyloxy), alkylaminocarbonyloxy,
dialkylaminocarbonyloxy, alkylaminoalkyloxy, dialkylaminoalkyloxy, alkoxycarbonyl, alkenyloxycarbonyl, alkoxycarbonylamino, alkylaminocarbonylamino,
dialkylaminocarbonylamino, alkoxyalkyloxy, and -C(0)NRaRb (where Ra and Rb are independently hydrogen, optionally substituted alkyl, alkenyl, optionally substituted alkynyl, hydroxy, alkoxy, or alkenyloxy).
[0079] "Optionally substituted aryl" means an aryl group, as defined herein, which is optionally substituted with one, two, three, four, of five groups selected from halo, haloalkyl, haloalkoxy, hydroxy, lower alkyl, lower alkenyl, lower alkynyl, alkoxy, carboxy, carboxy ester, amino, alkylamino, dialkylamino, optionally substituted cycloalkyl, optionally substituted heterocycloalkyl, optionally substituted heteroaryl, -C(0)NR'R" (where R' is hydrogen or alkyl and R" is hydrogen, alkyl, aryl, heteroaryl, or
heterocycloalkyl), -NR'C(0)R" (where R' is hydrogen or alkyl and R" is alkyl, aryl, heteroaryl, or heterocycloalkyl), and -NHS(0)2R' (where R' is alkyl, aryl, or heteroaryl).
[0080] "Optionally substituted heteroaryl" means a heteroaryl group, as defined herein, optionally substituted with one, two, three, four, or five groups selected from halo, haloalkyl, haloalkoxy, lower alkyl, lower alkenyl, lower alkynyl, alkoxy, hydroxy, oxo (valency rules permitting), carboxy, carboxy ester, amino, alkylamino, dialkylamino, optionally substituted cycloalkyl, optionally substituted heterocycloalkyl, heteroaryl, optionally substituted aryl, -C(0)NR'R" (where R' is hydrogen or alkyl and R" is hydrogen, alkyl, aryl, heteroaryl, or heterocycloalkyl), -NR'C(0)R" (where R' is hydrogen or alkyl and R" is alkyl, aryl, heteroaryl, or heterocycloalkyl), and -NHS(0)2R' (where R' is alkyl, aryl, or heteroaryl).
[0081] "Optionally substituted heterocycloalkyl" means a heterocycloalkyl, as defined herein, optionally substituted with one, two, three, four, or five groups selected from halo, haloalkyl, haloalkoxy, hydroxy, oxo, lower alkyl, lower alkenyl, lower alkynyl, alkoxy, optionally substituted cycloalkyl, heterocycloalkyl, optionally substituted aryl, optionally substituted heteroaryl, alkylaminoalkyl, dialkylaminoalkyl, carboxy, carboxy ester, -C(0)NR'R" (where R' is hydrogen or alkyl and R" is hydrogen, alkyl, aryl, heteroaryl, or heterocycloalkyl), -NR'C(0)R" (where R' is hydrogen or alkyl and R" is alkyl, aryl, heteroaryl, or heterocycloalkyl), amino, alkylamino, dialkylamino, and -NHS(0)2R' (where R' is alkyl, aryl, or heteroaryl).
[0082] "Saturated bridged ring system" refers to a bicyclic or polycyclic ring system that is not aromatic. Such a system may contain isolated or conjugated unsaturation, but not aromatic or heteroaromatic rings in its core structure (but may have aromatic substitution thereon). For example, hexahydro-furo[3,2-b]furan, 2,3,3a,4,7,7a-hexahydro- lH-indene, 7-aza-bicyclo[2.2.1]heptane, and l,2,3,4,4a,5,8,8a-octahydro-naphthalene are all included in the class "saturated bridged ring system."
[0083] "Spirocyclyl" or "spirocyclic ring" refers to a ring originating from a particular annular carbon of another ring. For example, as depicted below, a ring atom of a saturated bridged ring system (rings C and C), but not a bridgehead atom, can be a shared atom between the saturated bridged ring system and a spirocyclyl (ring D) attached thereto. A spirocyclyl can be carbocyclic or
[0084] "Patient" for the purposes of the present invention includes humans and other animals, particularly mammals, and other organisms. Thus the methods are applicable to both human therapy and veterinary applications. In a specific embodiment the patient is a mammal, and in a more specific embodiment the patient is human.
[0085] "Kinase-dependent diseases or conditions" refer to pathologic conditions that depend on the activity of one or more protein kinases. Kinases either directly or indirectly participate in the signal transduction pathways of a variety of cellular activities including proliferation, adhesion, migration, differentiation and invasion. Diseases associated with kinase activities include tumor growth, the pathologic neovascularization that supports solid tumor growth, and associated with other diseases where excessive local vascularization is involved such as ocular diseases (diabetic retinopathy, age-related macular degeneration, and the like) and inflammation (psoriasis, rheumatoid arthritis, and the like).
[0086] While not wishing to be bound to theory, phosphatases can also play a role in "kinase-dependent diseases or conditions" as cognates of kinases; that is, kinases phosphorylate and phosphatases dephosphorylate, for example protein substrates. Therefore compounds of the invention, while modulating kinase activity as described herein, may also modulate, either directly or indirectly, phosphatase activity. This additional modulation, if present, may be synergistic (or not) to activity of compounds of the invention toward a related or otherwise interdependent kinase or kinase family. In any case, as stated previously, the compounds of the invention are useful for treating diseases characterized in part by abnormal levels of cell proliferation (i.e. tumor growth), programmed cell death (apoptosis), cell migration and invasion and angiogenesis associated with tumor growth.
"Compound A," which is a compound of Formula I and of Table
07/044729 and WO 08/127594, the entire contents of each of which are incorporated herein by reference.
[0088] "Therapeutically effective amount" is an amount of a compound of the invention, that when administered to a patient, ameliorates a symptom of the disease. The amount of a compound of the invention which constitutes a "therapeutically effective amount" will vary depending on the compound, the disease state and its severity, the age of the patient to be treated, and the like. The therapeutically effective amount can be determined routinely by one of ordinary skill in the art having regard to their knowledge and to this disclosure.
[0089] "Cancer" refers to cellular-proliferative disease states, such as those disclosed hereinabove and including but not limited to: Cardiac: sarcoma (angiosarcoma,
fibrosarcoma, rhabdomyosarcoma, liposarcoma), myxoma, rhabdomyoma, fibroma, lipoma and teratoma; Lung: bronchogenic carcinoma (squamous cell, undifferentiated small cell, undifferentiated large cell, adenocarcinoma), alveolar (bronchiolar) carcinoma, bronchial adenoma, sarcoma, lymphoma, chondromatous hanlartoma, mesothelioma; Gastrointestinal: esophagus (squamous cell carcinoma, adenocarcinoma, leiomyosarcoma, lymphoma), stomach (carcinoma, lymphoma, leiomyosarcoma), pancreas (ductal adenocarcinoma, insulinoma, glucagonoma, gastrinoma, carcinoid tumors, vipoma), small bowel
(adenocarcinoma, lymphoma, carcinoid tumors, Karposi's sarcoma, leiomyoma,
hemangioma, lipoma, neurofibroma, fibroma), large bowel (adenocarcinoma, tubular adenoma, villous adenoma, hamartoma, leiomyoma); Genitourinary tract: kidney
(adenocarcinoma, Wilm's tumor [nephroblastoma], lymphoma, leukemia), bladder and urethra (squamous cell carcinoma, transitional cell carcinoma, adenocarcinoma), prostate (adenocarcinoma, sarcoma), testis (seminoma, teratoma, embryonal carcinoma,
teratocarcinoma, choriocarcinoma, sarcoma, interstitial cell carcinoma, fibroma, fibroadenoma, adenomatoid tumors, lipoma); Liver: hepatoma (hepatocellular carcinoma), cholangiocarcinoma, hepatoblastoma, angiosarcoma, hepatocellular adenoma, hemangioma; Bone: osteogenic sarcoma (osteosarcoma), fibrosarcoma, malignant fibrous histiocytoma, chondrosarcoma, Ewing's sarcoma, malignant lymphoma (reticulum cell sarcoma), multiple myeloma, malignant giant cell tumor chordoma, osteochronfroma (osteocartilaginous exostoses), benign chondroma, chondroblastoma, chondromyxofibroma, osteoid osteoma and giant cell tumors; Nervous system: skull (osteoma, hemangioma, granuloma, xanthoma, osteitis deformans), meninges (meningioma, meningiosarcoma, gliomatosis), brain
(astrocytoma, medulloblastoma, glioma, ependymoma, germinoma [pinealoma], glioblastoma multiform, oligodendroglioma, schwannoma, retinoblastoma, congenital tumors), spinal cord neurofibroma, meningioma, glioma, sarcoma); Gynecological: uterus (endometrial carcinoma), cervix (cervical carcinoma, pre-tumor cervical dysplasia), ovaries (ovarian carcinoma [serous cystadenocarcinoma, mucinous cystadenocarcinoma, unclassified carcinoma], granulosa-thecal cell tumors, SertoliLeydig cell tumors, dysgerminoma, malignant teratoma), vulva (squamous cell carcinoma, intraepithelial carcinoma, adenocarcinoma, fibrosarcoma, melanoma), vagina (clear cell carcinoma, squamous cell carcinoma, botryoid sarcoma (embryonal rhabdomyosarcoma], fallopian tubes (carcinoma); Hematologic: blood (myeloid leukemia [acute and chronic], acute lymphoblastic leukemia, chronic lymphocytic leukemia, myeloproliferative diseases, multiple myeloma, myelodysplastic syndrome), Hodgkin's disease, non-Hodgkin's lymphoma [malignant lymphoma]; Skin: malignant melanoma, basal cell carcinoma, squamous cell carcinoma, Karposi's sarcoma, moles dysplastic nevi, lipoma, angioma, dermatofibroma, keloids, psoriasis; and Adrenal glands: neuroblastoma. Thus, the term "cancerous cell" as provided herein, includes a cell afflicted by any one of the above- identified conditions.
[0090] A "pharmaceutically acceptable salt" of a compound means a salt that is pharmaceutically acceptable and that possesses the desired pharmacological activity of the parent compound. It is understood that the pharmaceutically acceptable salts are non-toxic.
Additional information on suitable pharmaceutically acceptable salts can be found in Remington's Pharmaceutical Sciences, 17th ed., Mack Publishing Company, Easton, PA, 1985, which is incorporated herein by reference or S. M. Berge, et al., "Pharmaceutical Salts," J. Pharm. Sci., 1977;66:1-19 both of which are incorporated herein by reference.
[0091] Examples of pharmaceutically acceptable acid addition salts include those formed with inorganic acids such as hydrochloric acid, hydrobromic acid, sulfuric acid, nitric acid, phosphoric acid, and the like; as well as organic acids such as acetic acid, trifluoroacetic acid, propionic acid, hexanoic acid, cyclopentanepropionic acid, glycolic acid, pyruvic acid, lactic acid, oxalic acid, maleic acid, malonic acid, succinic acid, fumaric acid, tartaric acid, citric acid, benzoic acid, cinnamic acid, 3-(4-hydroxybenzoyl)benzoic acid, mandelic acid, methanesulfonic acid, ethanesulfonic acid, 1,2-ethanedisulfonic acid, 2-hydroxyethanesulfonic acid, benzenesulfonic acid, 4-chlorobenzenesulfonic acid, 2-naphthalenesulfonic acid, 4-toluenesulfonic acid, camphorsulfonic acid, glucoheptonic acid, 4,4'-methylenebis-(3-hydroxy-2-ene-l-carboxylic acid), 3-phenylpropionic acid, trimethylacetic acid, tertiary butylacetic acid, lauryl sulfuric acid, gluconic acid, glutamic acid, hydroxynaphthoic acid, salicylic acid, stearic acid, muconic acid, p-toluenesulfonic acid, and salicylic acid and the like.
[0092] Examples of a pharmaceutically acceptable base addition salts include those formed when an acidic proton present in the parent compound is replaced by a metal ion, such as sodium, potassium, lithium, ammonium, calcium, magnesium, iron, zinc, copper, manganese, aluminum salts and the like. Specific salts are the ammonium, potassium, sodium, calcium, and magnesium salts. Salts derived from pharmaceutically acceptable organic non-toxic bases include, but are not limited to, salts of primary, secondary, and ternary amines, substituted amines including naturally occurring substituted amines, cyclic amines and basic ion exchange resins. Examples of organic bases include isopropylamine, trimethylamine, diethylamine, triethylamine, tripropylamine, ethanolamine,
2-dimethylaminoethanol, 2-diethylaminoethanol, dicyclohexylamine, lysine, arginine, histidine, caffeine, procaine, hydrabamine, choline, betaine, ethylenediamine, glucosamine, methylglucamine, theobromine, purines, piperazine, piperidine, N-ethylpiperidine, tromethamine, N-methylglucamine, polyamine resins, and the like. Exemplary organic bases are isopropylamine, diethylamine, ethanolamine, trimethylamine, dicyclohexylamine, choline, and caffeine.
[0093] "Prodrug" refers to compounds that are transformed (typically rapidly) in vivo to yield the active ingredient of the above formulae, for example, by hydrolysis in blood.
Common examples of a prodrug include, but are not limited to, ester and amide forms of a compound having an active form bearing a carboxylic acid moiety. Examples of pharmaceutically acceptable esters of the compounds of this invention include, but are not limited to, alkyl esters (for example with between about one and about six carbons) the alkyl group is a straight or branched chain. Acceptable esters also include cycloalkyl esters and arylalkyl esters such as, but not limited to benzyl. Examples of pharmaceutically acceptable amides of the compounds of this invention include, but are not limited to, primary amides, and secondary and tertiary alkyl amides (for example with between about one and about six carbons).
[0094] "Metabolite" refers to the break-down or end product of a compound or its salt produced by metabolism or biotransformation in the animal or human body; for example, biotransformation to a more polar molecule such as by oxidation, reduction, or hydrolysis, or to a conjugate (see Goodman and Gilman, "The Pharmacological Basis of Therapeutics" 8.sup.th Ed., Pergamon Press, Gilman et al. (eds), 1990 for a discussion of
biotransformation). As used herein, the metabolite of a compound of the invention or its salt may be the biologically active form of the compound in the body. In one example, a prodrug may be used such that the biologically active form, a metabolite, is released in vivo. In another example, a biologically active metabolite is discovered serendipitously, that is, no prodrug design per se was undertaken. An assay for activity of a metabolite of a compound of the present invention is known to one of skill in the art in light of the present disclosure.
[0095] 'Treating" or "treatment" of a disease, disorder, or syndrome, as used herein, includes (i) preventing the disease, disorder, or syndrome from occurring in a human, i.e. causing the clinical symptoms of the disease, disorder, or syndrome not to develop in an animal that may be exposed to or predisposed to the disease, disorder, or syndrome but does not yet experience or display symptoms of the disease, disorder, or syndrome; (ii) inhibiting the disease, disorder, or syndrome, i.e., arresting its development; and (iii) relieving the disease, disorder, or syndrome, i.e., causing regression of the disease, disorder, or syndrome. As is known in the art, adjustments for systemic versus localized delivery, age, body weight, general health, sex, diet, time of administration, drug interaction and the severity of the condition may be necessary, and will be ascertainable with routine experimentation by one of ordinary skill in the art.
Embodiments
[0096] One embodiment (A) of a compound of Formula I is where W 1 , W2, W3, and W4 are -C(R1)=; or one or two of W1, W2, W3, and W4 are independently -N= and the remaining are -C(Rl)=; where each R1 is independently hydrogen, alkyl, haloalkyl, nitro, alkoxy, haloalkoxy, halo, hydroxy, cyano, amino, alkylamino, or dialkylamino; and all other groups are as defined in the Summary of the Invention. Specifically, W1, W2, W3, and W4 are -QR1^ and each R1 is independently hydrogen or alkyl; or one of W1 and W4 is -N= and the other is -C(H)=. More specifically, W1, W2, W3, and W4 are -C(R')= where each R1 is independently hydrogen or alkyl. Even more specifically, R1 is hydrogen.
[0097] Another embodiment (B) of a Compound of Formula I is where R50 is hydrogen, alkyl, alkenyl, halo, haloalkyl, haloalkenyl, hydroxy, alkoxy, alkenyloxy, haloalkoxy, nitro, amino, alkylamino, dialkylamino, -N(R55)C(0)-Ci-C6-alkylene- N(R55a)R55b, alkylcarbonyl, alkenylcarbonyl, carboxy, alkoxycarbonyl, cyano, alkylthio, -S(0)2NR55R55a, or alkylcarbonylamino; where R55 and R55b are indepedently hydrogen, alkyl, or alkenyl and R55a is hydrogen, alkyl, alkenyl, hydroxy, or alkoxy; and all other groups are as defined in the Summary of the Invention. Specifically, R50 is hydrogen.
[0098] Another embodiment (C) of a Compound of Formula I is where R51 is hydrogen or alkyl; and all other groups are as defined in the Summary of the Invention. Specifically, R51 is alkyl, More specifically, R51 is methyl.
[0099] Another embodiment (D) of a Compound of Formula I is where R52 is hydrogen or halo; and all other groups are as defined in the Summary of the Invention. Specifically R52 is hydrogen or fluoro. More specifically, R52 is hydrogen.
[00100] Another embodiment (E) of a Compound of Formula I is where R53 is hydrogen, alkyl, alkenyl, halo, haloalkyl, haloalkenyl, hydroxy, alkoxy, alkenyloxy, haloalkoxy, nitro, amino, alkylamino, dialkylamino, -N(R55)C(0)-C|-C6-alkylene-N(R55a)R55b, alkylcarbonyl, alkenylcarbonyl, carboxy, alkoxycarbonyl, cyano, alkylthio, -S(0)2NR55R55a, or alkylcarbonylamino; where R55 and R55b are indepedently hydrogen, alkyl, or alkenyl and R55a is hydrogen, alkyl, alkenyl, hydroxy, or alkoxy; and all other groups are as defined in the Summary of the Invention. Specifically, R53 is hydrogen, alkoxy, nitro, amino, or -N(R55)C(0)-Ci-C6-alkylene-N(R55a)R55b. More specifically, R53 is hydrogen, methoxy, nitro, amino, or -NHC(0)CH2N(CH3)2. Even more specifically, R53 is hydrogen or methoxy.
[00101] Another embodiment (F) of a Compound of Formula I is where R54 is hydrogen, alkyl, alkenyl, halo, haloalkyl, haloalkenyl, hydroxy, alkoxy, alkenyloxy, haloalkoxy, nitro,
amino, alkylamino, dialkylamino, -N(R55)C(0)-C1-C6-alkylene-N(R55a)R55b, alkylcarbonyl, alkenylcarbonyl, carboxy, alkoxycarbonyl, cyano, alkylthio, -S(0)2NR55R55a, or alkylcarbonylamino; where R55 and R55b are indepedently hydrogen, alkyl, or alkenyl and R55a is hydrogen, alkyl, alkenyl, hydroxy, or alkoxy; and all other groups are as defined in the Summary of the Invention. Specifically, R54 is hydrogen, alkyl, alkoxy, or halo. More specifically, R54 is hydrogen, methyl, methoxy, bromo, or chloro. Even more specifically, R54 is hydrogen, methoxy, or chloro.
[00102] Another embodiment (G) of a compound of Formula I is where R50, R52, and R53 are hydrogen and R54 is halo or alkoxy; R50, R52, and R54 are hydrogen and R53 is alkoxy; or R50 and R52 are hydrogen and R53 and R54 together with the carbons to which they are attached form a 6-membered heteroaryl; and all other groups are as defined in the Summary of the Invention. More specifically, R50, R52, and R53 are hydrogen and R54 is chloro or methoxy; R50, R52, and R54 are hydrogen and R53 is methoxy; or R50 and R52 are hydrogen and R53 and R54 together with the carbons to which they are attached form pyridinyl. Even more specifically, R50, R52, and R53 are hydrogen and R54 is chloro or methoxy; or R50, R52, and R54 are hydrogen and R53 is methoxy.
[00103] In a more specific embodiment (Gl) of embodiment G is a compound of Formula I where R51 is methyl.
[00104] Another embodiment (H) of a Compound of Formula I is where B is phenyl substituted with R3a and optionally further substituted with one, two, or three R3; and all other groups are as defined in the Summary of the Invention. Specifically, B is phenyl substituted with R3a. More specifically the Compound is of Formula 1(a):
1(a).
Even more specifically, B is phenyl substituted with R3a as depicted in la and is not further substituted with R3.
[00105] Another embodiment (J) is directed to a compound of Formula I where B is heteroaryl optionally substituted with one, two, or three R3. Specifically, B is thien-3-yl, pyridinyl, pyrimidinyl, pyridazinyl, pyrazinyl, oxazolyl, isoxazolyl, pyrrolyl, imidazolyl,
pyrazolyl, or thiazolyl, each of which is optionally substituted with one or two R . More specifically, B is thien-3-yl, pyridin-2-yl, pyridin-3-yl, pyridin-4-yl, oxazol-2-yl, oxazol-4- yl, oxazol-5-yl, isoxazol-3-yl, isoxazol-4-yl, isoxazol-5-yl, imidazol-2-yl, pyrrol-2-yl, pyrrol-3-yl, imidazol-4-yl, imidazol-5-yl, pyrazol-3-yl, pyrazol-4-yl, or pyrazol-5-yl, each of which is optionally substituted with one or two R3. Even more specifically, B is thien-3- yl, pyridin-3-yl, pyridin-4-yl, isoxazol-4-yl, or pyrazol-4-yl, each of which is optionally substituted with one or two R3. Yet even more specifically, B is pyridin-3-yl, 2-hydroxy- pyridin-5-yl, isoxazol-4-yl, or pyrazol-4-yl, each of which is optionally substituted with one or two R3.
[00106] Another embodiment (K) provides a compound of Formula I or la where R3a is cyano; hydroxyamino; carboxy; alkylsulfonyl, aminoalkyloxy; alkylaminoalkyloxy;
dialkylaminoalkyloxy; -N(R7)C(0)-CrC6-alkylene-N(R7a)(R b); -C(0)NR8R8a;
-NR9C(0)R9a; -C^NiR'^-d-Ca-alkylene-NiR'^R10"; -NRnC(0)NRl laRl lb where Rl la; -C(0)R12; -NR13C(0)OR13a; -C(0)N(R14)N(R,4a)(Rl4b); -S(0)2N(R15)-C,.C6-alkylene- N(Ri5a)Ri5b. .c(0)N(R16)-Ci.C6-alkylene-C(0)OR16a; heteroaryl optionally substituted with one or two aminoalkyl, alkylaminoalkyl, or dialkylaminoalkyl; -N(R17)- C(=N(R17 )(R,7a))(NRl7cR17d); -N(Rl8)C(0)-C,-C6-alkylene-N(R18b)C(0)R18a; -C(0)N(R19)- C,-C6-alkylene-C(0)R19a; -N(R22)C(0)-C,.C6-alkylene-N(R22b)-N(R22c)(R22a); -Co-C6- alkylene-N(R 3)-C1.C6-alkylene-N(R23b)R23a; or - R24C(0)-C1-C6-alkylene-OR24a; where each of the alkylene in R3a is independently optionally further substituted with 1 , 2, 3, 4, or 5 groups selected from halo, hydroxy, amino, alkylamino, and dialkylamino; and all other groups are as defined in the Summary of the Invention.
[00107] Specifically, R3a is -NHC(0)CH2NH(CH3), -NHC(0)CH2NH(CH2CH3), -NHC(0)CH(CH3)NH2, -NHC(0)C(CH3)2NH2, -NHC(0)CH2N(CH3)2,
-NHC(0)CH2N(CH3)CH2CH2N(CH3)2, -NHC(0)CH(NH2)CH2CH3,
-NHC(0)CH2N(CH3)CH2CH2N(CH3)2, -NHC(0)CH(CH3)NH(CH3), -NHC(0)CH2NH2, -NHC(0)H, -NHC(0)CH2(azetidin-l-yl), -NHC(0)(pyrrolidin-2-yl),
-NHC(0)CH(NH2)CH2OH, -NHC(0)(azetidin-4-yl), -NHC(0)C(CH3)2NH(CH3), -NH2, -NHC(0)CH2NH(CH2CH2CH3), -NHC(0)CH2CH2NH2, -NHOH, -NHC(0)(piperidin-3-yl), -NHC(0)CH2(4-methyl- 1 ,4-diazepan- 1 -yl), - HC(0)CH(NH2)(CH2CH3),
-NHC(0)CH2NH(CH2CH(OH)(CH3)), -NHC(0)CH2NHCH2CH2F,
-NHC(0)CH2NH(OCH2CH(CH3)2), -NHC(0)( 1 -aminocycloprop- 1 -y 1),
-NHC(0)CH2NH(CH2cyclopropyl), -NHC(0)CH2(3-(dimethylamino)-azetidin- 1 -yl), -NHC(0)(piperidin-2-yl), -NHC(0)(mo holin-4-yl), -NHC(0)CH2(pyrrolidin- 1 -yl),
-NHC(0)CH(NH2)CH2CH2CH2CH2N(CH3)2, -NHC(0)CH2N(CH3)(CH2CH3),
-NHC(0)CH2(imidazol-5-yl), -NHC(0)( 1 -aminocyclopent-l-yl),
-NHC(0)CH2NH(CH2CH(CH3)2), -NHC(0)CH2N(CH3)(CH2CH3), -NHC(0)(N-(imidazol- 4-ylmethyl)-azetidin-3-yl), -NHC(0)(N-ethyl-azetidin-3-yl),
-NHCH2N(CH3)CH2CH2N(CH3)2, -NHC(0)CH2N(CH3)(N-methyl-pyrrolidin-3-yl), - HC(0)CH2N(CH3)(CH2CH2N(CH3)2), -NHC(0)CH2(3-hydroxy-pyrrolidin- 1 -yl), -NHC(0)( 1 -amino-cyclobut- 1 -yl), - HC(0)CH2NH(CH2)3CH3, -NHC(0)CH2(3-piperidin- 1 -ylazetidin-lyl), -NHC(0)NH2, -NHC(0)(l-hydroxycyclopropyl),
-NHC(0)CH2NHN(CH3)2, -NHC(0)NH(CH2)2N(CH3)2, -NHC(0)CH2OH,
-NHC(0)(pyridazin-4-yl), -NHC(0)(N-methyl-piperidin-4-yl), -NHC(0)CH2NHCH(CH3)3, -NHC(0)CH2(3-dimethylamino-pyrrolidin- 1 yl), -NHC(0)CH2NH(CH2)2N(CH3)2.
-NHC(0)( 1 -cyclopropylmethyl-azetidin-3-yl), -NHC(0)CH2NH(CH3)3,
-NHC(0)(imidazol-2-yl), -NHC(0)(imidazol-4-yl), -NHC(0)( 1 ,2-oxazol-5-yl),
-NHC(0)CH2NHCH2CF3, -NHC(0)CH2CH2(piperidin- 1 -yl), -NHC(0)(3-oxo-cyclopent- 1 - yl), -NHC(0)(2-hydroxy-pyridin-6-yl), -NHC(0)CH2NH(3-fluoro-4-hydroxyphenyl), -NHC(0)(CH2)3N(CH3)2, -NHC(0)( 1 -(furan-2-ylmethyl)-azetidin-3-yl),
-NHC(0)(pyrimidin-5-yl), -NHC(0)(pyrrol-2-yl), -NHC(0)CH2N(CH3)CH(CH3)2, -NHC(0)CH2N(CH2CH3)2, -NHC(0)CH2(3-methyl- 1 ,2-oxazol-5-yl),
-NHC(0)CH2NHCH2(3-hydroxyphenyl), -NHC(0)(N-methyl-pyrrol-2-yl), -NHC(0)(2- amino-tetrahydropyran-2-yl), -NHC(0)CH2(4-methylamino-piperidin- 1 -yl),
-NHC(0)(piperidin- 1 -yl), -NHC(0)(N-methyl-pyrrolidin-2yl), -NHC(0)(thien-3yl), -NHC(0)(N-(cyclopropy lcarbonyl)azetidin-3-yl), -NHC(0)CH2(4-methylpiperazin- 1 -yl), -NHC(0)(N-benzylazetidin-3-yl), -NHC(0)(2-chloro-pyridin-3-yl), -NHC(0)CH2(pyridin- 4-yl), -NHC(0)CH2N(CH3)(CH2CH=CH2), -NHC(0)CH2NH(benzyl), -NHC(0)CH2OCH3, -NHC(0)[ 1 -(C(0)CH2CH3)-azetidin-3-yl], -NHC(0)(pyridin-3-yl),
-NHC(0)CH2NHCH2CH2OCH3, -NHC(0)( 1 -[C(0)CH3]piperidin-4-yl), -NHC(0)CH2(2- methyl-pyrrolidin- l -yl), -NHC(0)(furan-3-yl), -NHC(0)CH2N(CH3)2, -NHC(0)(2-chloro- pyridin-5-yl), -NHC(0)(2-chlorophenyl), -NHC(0)CH2(pyridin-2-yl), -NHC(0)CH2(3- dimethylamino-azetidin-l-yi), -NHC(0)CH2(pyridin-3-yl), -NHC(0)CH2(2-chlorophenyl), -NHC(0)CH2N(CH3)CH2CH2CH2N(CH3)2, -NHC(0)CH2N(CH2CH3)CH2CH2OH, -NHC(0)CH2(2-benzyl-pyrrolidin- 1 -yl), -NHC(0)(furan-2-yl, -NHC(0)(2-chloro-pyridin- 4-yl), -NHC(0)CH2NHC(0)CH3, -NHC(0)CH2CH2CH3, -NHC(0)(4-chlorophenyl), -NHC(0)(4-methyl-phenyl), -NHC(0)CH2NHC(0)0(CH3)3,
-NHC(0)(benzo[d][l ,3]dioxol-5-yl), -NHC(0)CH2NHOCH2(2-methoxyphenyl),
- HC(0)(pyridin-4-yl), -NHC(0)CH2[4-(3,4-dichlorophenyl)-piperazin- 1 -yl],
-NHC(0)CH2CH2(pyridin-3-yl), - HC(0)(tetrahydrofuran-3-yl), -NHC(0)CH2NHCH2(2- methylphenyl), -NHC(0)CH(CH3)C¾CH3, -NHC(0)CH2(3-fluorophenyl),
-NHC(0)CH2C(CH3)2phenyl, -NHC(0)(2-methy 1-cycloprop- 1 -yl), -NHC(0)(2-methyl- 4-methoxyphenyl), -NHC(0)(2-methylpyridin-3-yl), -NHC(0)(4-methoxyphenyl), -NHC(0)CH2(4-ethylpiperazin-l-yl), -NHC(0)(thien-2-yl), -NHC(0)(3-fiuoro-2- methylphenyl), -NHC(0)(2-bromo-thien-3-yl), -NHC(0)(4-fluorophenyl), -NHC(0)CH2(3- methylpiperidin-l-yl), -NHC(0)CH(CH3)2, -NHC(0)(CH2)3CH3, -NHC(0)CH2OCH2CH3, -NHC(0)CH2NH(2-fluorophenyl), -NHC(0)(3-dimethylaminophenyl), -NHC(0)CH2(4- methylpiperidin- 1-yl), -NHC(0)CH2NH(2-«-propylphenyl), -NHC(0)phenyl,
-NHC(0)(pyrazin2-yl), -NHC(0)(3-fluoro-4-methoxyphenyl), -NHC(0)C(CH3)2CH2CH3, -NHC(0)CH20(4-fluorophenyl), -NHC(0)( 1 -methylcarbonyl-azetidin-3-yl),
- HC(0)CH2NH(4-methylphenyl), -NHC(0)CH2NH(phenyl), -NHC(0)CH2(4-allyl- piperazin-l-yl), - HC(0)(2-methylphenyl), -NHC(0)CH2CH2OCH3, -NHC(0)(3-methyl- furan-2-yl), -NHC(0)C(CH3)3, -NHC(0)CH2NHObenzyl,
-NHC(0)CH2NH(3-chlorophenyl), -NHC(0)cyclobutyl, -NHC(0)CH2(3-methoxyphenyl), -NHC(0)( 1 -methylcycloprop- 1 -yl), -NHC(0)(3-fluropheny 1),
-NHC(0)(4-dimethylaminophenyl), -NHC(0)(3,4-dichlorophenyl),
-NHC(0)CH2NHCH2(2-methylthiophenyl), -NHC(0)CH2(2-fluorophenyl),
-NHC(0)CH2N(CH2CH3)CH(CH3)2, -NHC(0)(thiazol-4-yl), -NHC(0)CH2N(CH3)benzyl, -NHC(0)CH2 HCH2(thien-2-yl), -NHC(0)CH2NHCH2(pyridin-2-yl), -NHC(0)(3- methoxyphenyl), - HC(0)CH2NHCH2(3-chloro-4-methylphenyl),
-NHC(0)CH(CH3)CH2CH2CH3, -NHC(0)CH2(4-chlorophenyl), -NHC(0)(3-fluoro-4- methylphenyl), -NHC(0)CH20(2-methylphenyl), -NHC(0)CH2(cyclohexyl), -NHC(0)(2- phenyl-cycloprop- 1 -yl), -NHC(0)(3-chlorophenyl), -NHC(0)CH2(2-methoxypheny 1), -NHC(0)CH2CH2(3-methoxyphenyl), -NHC(0)CH2NH(2-nuoro-4-methyl-phenyl), -NHC(0)CH2NHCH2(3-fluoro-phenyl), -NHC(0)CH2(4-methoxy-phenyl),
-NHC(0)benzyl, -NHC(0)(2,4-dichloropheny 1), -NHC(0)(3-oxo-cyclohex- 1 -yl),
-NHC(0)CH2NH(3-fluorophenyl), -NHC(0)CH2(3-chlorophenyl),
-NHC(0)CH2NHCH2CH(CH3)phenyl, -NHC(0)CH2NHCH2(2,4-dimethylphenyl), -NHC(0)CH2(2-methyl-piperidin-l-yl), -NHC(0)CH2NH(2-methoxyphenyl),
-NHC(0)CH2( 1 ,2,3,4-tetrahydroisoquinolin-2-yl), - HC(0)CH2CH2CH=CH2,
-NHC(0)CH2NH(2-methylphenyl), -NHC(0)CH2(4-oxo-piperidin- 1-yl), -NHC(0)(2- nuorophenyl), -NHC(0)CH2NHCH(CH3)phenyl, -NHC(0)(2-fluoro-6-methoxyphenyl),
-NHC(0)CH2NH(2-isopropylphenyl), -NHC(0)CH2CH2(2-methoxyphenyl),
-NHC(0)CH2CH2CH(CH3)2, -NHC(0)CH2(2-phenyl-morpholin-4-yl),
-NHC(0)CH2CH2(4-methoxyphenyl), -NHC(0)CH2N(allyl)cyclopentyl,
-NHC(0)CH2N(CH3)CH2CH2OCH3, -NHC(0)CH2CH2C(0)cyclopropyl,
-NHC(0)CH2NH(3-½rf-butylphenyl), -NHC(0)CH2N( i-propyl)(cyclopropylmethyl), -NHC(0)CH2(2-oxo-cyclopentyl), -NHC(0)CH2NH(4-chlorophenyl), -NHC(0)CH2(4- piperidin- 1-ylpiperidin- 1 -yl), -NHC(0)CH2(4-cyclopentylpiperazin- 1 -yl), -NHC(0)CH2(2- methylphenyl), -NHC(0)CH2NHCH2(3-fluoro-6-methylphenyl), -NHC(0)CH2C(CH3)3, -NHC(0)CH2NH(2-chlorophenyl), -NHC(0)(3-nuoro-6-methylphenyl), -NHC(0)(4-fluoro-
3- methylphenyl), -NHC(0)(2,3-dichlorophenyl), -NHC(0)CH2Ophenyl,
-NHC(0)CH2NH(2,3-dimethylphenyl), -NHC(0)(2-fluoro-5-methylphenyl),
-NHC(0)CH2NHOCH2(4-methylphenyl), -NHC(0)CH2(4-isopropylpiperazin- 1 -yl), -NHC(0)CH2(4-fluorophenyl), -NHC(0)CH2CH(CH3)2, -NHC(0)(2-methoxy-
4- methylphenyl), -NHC(0)CH2(4-n-propylpiperidin- 1 -yl), -NHC(0)CH20(3- methylphenyl), -NHC(0)(tetrahydrofuran-2-yl), -NHC(0)CH2(3-hydroxymethylpiperidin- 1-yl), -NHC(0)( l-½rt-butoxycarbonylpiperidin-2-yl), -NHC(0)CH2N(CH3)CH2(pyridin-3- yl), -NHC(0)CH2N(CH2CH3)phenyl, -NHC(0)CH2OCH2CH2OCH3,
■NHC(0)CH2CH2(cyclopentyl), -NHC(0)(2,5-dichlorophenyl), -NHC(0)CH2(4- methy lcarbonylpiperazin- 1 -yl), -NHC(0)(5-fluoro-2-methoxyphenyl),
-NHC(0)CH2N(CH2CH3)cyclohexy 1, -NHC(0)(5-methyl- 1 ,2-oxazol-3-yl), -NHC(0)(3- methy lpyridin-3-y 1), -NHC(0)(2-methoxypyridin-3-yl), -NHC(0)(3 ,5-dichlorophenyl), -NHC(0)CH2(thiazolidin3-yl), -NHC(0)CH2(4-[C(0)H]-piperazin- l-yl), -NHC(0)CH2(2- pyridin-4-ylpiperidin- 1 -yl), -NHC(0)(2-methoxyphenyl),
-NHC(0)CH2N(CH3)CH2CH(CH3)2, -NHC(0)CH2(4-[C(0)H]-homopiperazin- 1 -yl), -NHC(0)( 1 -phenylcycloprop- 1 -yl), -NHC(0)CH2(2,6-dimethylmorpholin-4-yl),
NHC(0)CH2(2-phenylpyrrolidin- 1 -yl), -NHC(0)CH2(morpholin-4-yl),
-C(0)NHCH(CH3)CH2N(CH3)2, -C(0)NHCH2CH2N(CH3)2, -C(0)NH(pyrrolidin-3-yl), -C(0)NHCH2CH2(pyrrolidin- 1 -y 1), -C(0)NHCH2CH2NH2, -C(0)N(CH3)CH2CH2N(CH3)2, -C(0)NHCH2(piperidin-2-yl), -C(0)NH( 1 -methy lazetidin-3-y 1),
-C(0) HCH2CH2(piperidin- 1 -yl), -C(0)NHCH2CH2N(CH2CH3)2, -C(0)NH( 1- methy lpiperidin-3-yl), -C(0)NH(piperidin-3-yl), -C(0)NHCH2( 1 -methylpiperidin-3-yl), -C(0) HCH2CH2N(CH2CH2OH)2, -C(0)NH(l-ethylpiperidin-3-yl), -C(0)NH2, -C(0)(3- aminopyrrolidin- 1 -yl), -C(0)(3-methylaminopyrrolidin- 1 -yl), -C(0)OH,
-C(0)NHCH2CH2(moφholin-4-y 1), -C(0)NHCH2( 1 -ethylpyrrolidin-2-y 1), -C(0)(4-amino-
3-oxo-pyrazolidin- l-yl), -C(0)NHCH3, -C(0)(3-aminocyclobut-l-yl),
-C(0)NHCH2(pyridin-3-yl), -C(0)NHCH2CH2OH, -C(0)NH(3-oxo-pyrazolidin-4-yl), -NHCH2CH2(imidazol-4-yl), -C(0)(3-dimethylaminopyrrolidin- 1-yl),
-C(0)NHCH2(pyridin-4-yl), -C(0)N(CH3)( 1 -methyl-pyrrolidin-3-yl), -C(0)(3- diethy laminopyrrolidin- 1 -yl), -C(0)NH(pyrrol- 1-yl), -C(0)NHCH2CH2CH2(pyrrolidin- 1 - yl), -C(0)N(CH3)CH2CH2CN, -C(0)NHCH2CH2OCH3, -C(0)N(CH2CH3)CH2CH2CN, -C(0)(3-aminopiperidin- l-yl), -C(0)NHCH2CH2CH2N(CH3)2, -C(0)NH(mo holin-4-yl), -C(0)NHN(CH3)2, -C(0)NHCH2CH2CH2(imidazol- 1-yl),
-C(0)NHCH2CH2CH2N(CH2CH3)2, -C(0)NHCH2CH2CN, -C(0) HCH2CH2C(0)OCH3j -C(0)NHCH2CH2SCH3, -C(0)NHCH2CH2SCH2CH3, -C(0)N(CH2CH3)CH2CH2N(CH3)2, -C(0)NHCH2CH2CH2(2-oxo-pyrroIidin- l-yl), -C(0) HCH2CH2(pyridin-4-yl),
-C(0)NHCH2CH2CH2OCH2CH3, -C(0)NHCH2CH2CH2(morpholin-4-yl),
-C(0)NHCH2CH2CH2OCH3, -C(0)N(CH3)CH2CH2CH2N(CH3)2,
-C(0)NHCH2CH2CH2OCH2CH2CH3, -C(0)NHCH2CH2C(0)OCH2CH3,
-C(0)NHCH2CH2CH2OCH(CH3)2, -C(0)NHC(CH3)2CH2(piperidin- 1-yl),
-C(0)N(CH3)CH2CH2CH3, -C(0)NH(piperidin-l-yl), -C(0)NHCH(CH3)CH2OCH3, -C(0)NHC(CH3)2CH2(morpholin-4-yl), -C(0)(2-dimethy laminomethy lpiperidin- 1 -yl), -C(0) H(CH2)30(CH2)3CH3, -C(0)NHCH(CH3)(CH2)3N(CH2CH3)2,
-C(0) HC(CH3)2C(0)(piperidin- 1 -yl), -C(0)(4-methy Ipiperazin- 1 -yl), -C(0)(2-piperidin- 1-ylmethyl-piperidin-l-yl), cyano, - HCH3, -CH(CH3)NHCH2CH2N(CH3)2, -C(0)CH3) -S(0) NHCH2CH2N(CH3)2) -S(0)2NH(CH2)3N(CH3)2, 5-(N,N-dimethylaminomethyl)- l,3,4-oxadiazol-2-yl, -NHCH2CH2N(CH3)2, -N(CH3)2, -OCH2CH2N(CH3)2,
-NHC[N(CH3)2][=N(CH3)2], -OCHF2, -S(0)2CH3, -OCF3, or -NHC(0)CH2(4- dimethylaminopiperidin- 1 -yl).
[00108] In a more specific embodiment (L), the compound of Formula I or la is that where R3a is hydroxyamino, -N(R7)C(0)-C1-C6-alkylene-N(R7a)(R7b), -CiOiNR^83 ,
- iR^JCiOi-C.Ce-alkylene-NiR^ iR^iR^. -NR^CiO R133, -N(Rl8)C(0)-d-C6- alkylene-N(R18 )C(0)R18a , -NR24C(0)-Ci.C6-alkylene-OR24a, or -N(R20)C(O)-CrC6- alkylene-C(O)R20a; where each of the alkylene in R3a is independently optionally further substituted with 1, 2, 3, 4, or 5 groups selected from halo, hydroxy, and amino; and all other groups are as defined in the Summary of the Invention. Specifically, R3a is
-NHC(0)CH2NH(CH3), -NHC(0)CH(CH3)NH2, -NHC(0)C(CH3)2NH2,
-NHC(0)CH2N(CH3)2, -NHC(0)CH2N(CH3)CH2CH2N(CH3)2, -NHC(0)CH(NH2)CH2CH3)
-NHC(0)CH2N(CH3)CH2CH2N(CH3)2, - HC(0)CH(CH3)NH(CH3), -NHC(0)H,
-NHC(0)CH2(azetidin-l-yl), -NHC(0)(pyrrolidin-2-yl), -NHC(0)CH(NH2)CH2OH, -NHC(0)(azetidin-4-yl), -NHC(0)C(CH3)2NH(CH3), -NH2,
-NHC(0)CH2NH(CH2CH2CH3), -NHC(0)CH2CH2NH2, -NHOH, or -NHC(0)(piperidin-3- yi)-
[00109] In a more specific embodiment (M) the compound is of Formula I or la and R3a ■N(R7)C(0)-Ci-C6-alkylene-N(R7a)(R7b); and R7 is hydrogen or alkyl and R7a and R7b are independently hydrogen, alkyl, aminoalkyl, alkylaminoalkyl, or dialkylaminoalkyl; and all other groups are as defined in the Summary of the Invention. More specifically, R3 is -NHC(0)CH2NH(CH3), -NHC(0)CH(CH3)NH2, -NHC(0)C(CH3)2NH2,
-NHC(0)CH2N(CH3)2) -NHC(0)CH2N(CH3)CH2CH2N(CH3)2, -NHC(0)CH(NH2)CH2CH3, -NHC(0)CH2N(CH3)CH2CH2N(CH3)2, or - HC(0)CH(CH3)NH(CH3).
[00110] Embodiment (N) provides a compound of Formula I where each R3 is independently halo; cyano; alkyl; alkenyl; alkoxy; hydroxyamino; carboxy; alkylsulfonyl, aminoalkyloxy; alkylaminoalkyloxy; dialkylaminoalkyloxy; -N(R7)C(0)-Ci-C6-alkylene- N(R7a)(R7b); -C(0)NR8R8a; -NR9C(0)R9a; -C(O)N(Rl0)-C1-C6-alkylene-N(R10a)R10b;
-NRnC(0)NRUaRUb where R1 ,a; -C(0)R12; -NR13C(0)OR13a; -C(0)N(R14)N(R14a)(R14b); -S(0)2N(R15)-C,.C6-alkylene-N(R15a)Rl5b; -C(0)N(Rl6)-Ci-C6-alkylene-C(0)OR16a;
heteroaryl optionally substituted with one or two aminoalkyl, alkylaminoalkyl, or dialkylaminoalkyl; -N(R17)-C(=N(R17b)(R17a))(NRl7cR17d); -N(R18)C(0)-C,-C6-alkylene- N(R18b)C(0)R18a; -C(0)N(R19)-C,-C6-alkylene-C(0)R19a; -N(R22)C(0)-C,.C6-alkylene- N(R22b)-N(R22c)(R22a); -Co-C6-alkylene-N(R23)-C|.C6-aIkylene-N(R23b)R23a; or -NR 4C(0)- Ci.C6-alkylene-OR24 ; where each of the alkylene in R3 is independently optionally further substituted with 1, 2, 3, 4, or 5 groups selected from halo, hydroxy, amino, alkylamino, and dialkylamino; and all other groups are as defined in the Summary of the Invention.
[00111] Specifically, each R3 is independently methyl, bromo, chloro, fluoro,
-NHC(0)CH2NH(CH3), -NHC(0)CH2NH(CH2CH3), -NHC(0)CH(CH3)NH2,
-NHC(0)C(CH3)2NH2j -NHC(0)CH2N(CH3)2) -NHC(0)CH2N(CH3)CH2CH2N(CH3)2, -NHC(0)CH(NH2)CH2CH3, -NHC(0)CH2N(CH3)CH2CH2N(CH3)2,
-NHC(0)CH(CH3)NH(CH3), -NHC(0)CH2NH2, -NHC(0)H, -NHC(0)CH2(azetidin-l-yl), -NHC(0)(pyrrolidin-2-yl), -NHC(O)CH(NH2)CH20H, -NHC(0)(azetidin-4-yl),
-NHC(0)C(CH3)2NH(CH3), -NH2, -NHC(0)CH2NH(CH2CH2CH3), -NHC(0)CH2CH2NH2, -NHOH, -NHC(0)(piperidin-3-yI), -NHC(0)CH2(4-methyl- 1 ,4-diazepan- 1 -y 1),
-NHC(0)CH(NH2)(CH2CH3), -NHC(0)CH2NH(CH2CH(OH)(CH3»,
-NHC(0)CH2NHCH2CH2F, -NHC(0)CH2NH(OCH2CH(CH3)2), -NHC(0)(1- aminocycloprop-l-yl), -NHC(0)CH2NH(CH2cyclopropyl), -NHC(0)CH2(3- (dimethylamino)-azetidin- 1 -yl), -NHC(0)(piperidin-2-yl), -NHC(0)(morpholin-4-yl), -NHC(0)CH2(pyrrolidin- 1-yl), -NHC(0)CH(NH2)CH2CH2CH2CH2N(CH3)2,
-NHC(0)CH2N(CH3)(CH2CH3), -NHC(0)CH2(imidazol-5-yl), -NHC(0)( 1- aminocyclopent-l-yl), -NHC(0)CH2NH(CH2CH(CH3)2), -NHC(0)CH2N(CH3)(CH2CH3), -NHC(0)(N-(imidazol-4-ylmethyl)-azetidin-3-yl), - HC(0)(N-ethyl-azetidin-3-yI), -NHCH2N(CH3)CH2CH2N(CH3)2, -NHC(0)CH2N(CH3)(N-niethyl-pyrrolidin-3-yl), -NHC(0)CH2N(CH3)(CH2CH2N(CH3)2), -NHC(0)CH2(3-hydroxy-pyrrolidin-l-yl), - HC(0)(l-amino-cyclobut-l-yl), -NHC(0)CH2NH(CH2)3CH3, -NHC(0)CH2(3-piperidin- 1-ylazetidin-lyl), -NHC(0)NH2, - HC(0)(l-hydroxycyclopropyl),
-NHC(0)CH2 HN(CH3)2, -NHC(0)NH(CH2)2N(CH3)2, -NHC(0)CH2OH,
-NHC(0)(pyridazin-4-yl), -NHC(0)(N-methyl-piperidin-4-yl), -NHC(0)CH2NHCH(CH3)3, - HC(0)CH2(3-dimethylamino-py-Tolidin-lyl), -NHC(0)CH2NH(CH2)2N(CH3)2,
-NHC(0)( 1 -cyclopropylmethyl-azetidin-3-yl), -NHC(0)CH2NH(CH3)3,
-NHC{0)(imidazol-2-y 1), -NHC(0)(imidazol-4-yl), -NHC(0)( 1 ,2-oxazol-5-y 1),
-NHC(0)CH2NHCH2CF3, -NHC(0)CH2CH2(piperidin- 1 -yl), -NHC(0)(3-oxo-cyclopent- 1 - yl), -NHC(0)(2-hydroxy-pyridin-6-yl), -NHC(0)CH2NH(3-fluoro-4-hydroxyphenyl), -NHC(0)(CH2)3N(CH3)2, -NHC(0)(l-(furan-2-ylmethyl)-azetidin-3-yl),
-NHC(0)(pyrimidin-5-yl), -NHC(0)(pyrrol-2-yl), -NHC(0)CH2N(CH3)CH(CH3)2,
-NHC(0)CH2N(CH2CH3)2, -NHC(0)CH2(3-methyl- 1 ,2-oxazol-5-yl),
-NHC(0)CH2NHCH2(3-hydroxyphenyl), -NHC(0)(N-methyl-pyiTol-2-yl), -NHC(0)(2- amino-tetrahydropyran-2-yl), -NHC(0)CH2(4-methylamino-piperidin- 1-yl),
-NHC(0)(piperidin- 1 -yl), -NHC(0)(N-methyl-pyrrolidin-2y 1), -NHC(0)(thien-3yl), -NHC(0)(N-(cyclopropylcarbonyl)azetidin-3-y I), -NHC(0)CH2(4-methylpiperazin- 1 -yl), -NHC(0)(N-benzylazetidin-3-yl), -NHC(0)(2-chloro-pyridin-3-yl), -NHC(0)CH2(pyridin- 4-yl), -NHC(0)CH2N(CH3)(CH2CH=CH2), -NHC(0)CH2 H(benzyl), -NHC(0)CH2OCH3> -NHC(0)[l-(C(0)CH2CH3)-azetidin-3-yl], -NHC(0)(pyridin-3-yl),
-NHC(0)CH2NHCH2CH2OCH3, -NHC(0)(l-[C(0)CH3]piperidin-4-yl), -NHC(0)CH2(2- methyl-pyrrolidin-l-yl), -NHC(0)(furan-3-yl), -NHC(0)CH2N(CH3)2, -NHC(0)(2-chloro- pyridin-5-yl), -NHC(0)(2-chlorophenyl), -NHC(0)CH2(pyridin-2-yl), -NHC(0)CH2(3- dimethylamino-azetidin-l-yl), - HC(0)CH2(pyridin-3-yl), -NHC(0)CH2(2-chlorophenyl), -NHC(0)CH2N(CH3)CH2CH2CH2N(CH3)2, -NHC(0)CH2N(CH2CH3)CH2CH2OH, -NHC(0)CH2(2-benzyl-pyrroIidin- 1-yl), -NHC(0)(furan-2-y 1, -NHC(0)(2-chloro-pyridin-
4-yl), -NHC(0)CH2NHC(0)CH3, -NHC(0)CH2CH2CH3, -NHC(0)(4-chlorophenyl), -NHC(0)(4-methyl-phenyl), -NHC(0)CH2NHC(0)0(CH3)3,
-NHC(0)(benzo[d][l,3]dioxol-5-yl), -NHC(0)CH2NHOCH2(2-methoxyphenyl),
-NHC(0)(pyridin-4-yl), -NHC(0)CH2[4-(3,4-dichlorophenyl)-piperazin-l-yl],
-NHC(0)CH2CH2(pyridin-3-yl), -NHC(0)(tetrahydrofuran-3-yl), -NHC(0)CH2NHCH2(2- methylphenyl), -NHC(0)CH(CH3)CH2CH3, -NHC(0)CH2(3-fluorophenyl),
-NHC(0)CH2C(CH3)2phenyl, -NHC(0)(2-methyl-cycloprop-l-yl), -NHC(0)(2-methyl- 4-methoxyphenyl), -NHC(0)(2-methylpyridin-3-yl), -NHC(0)(4-methoxyphenyl), -NHC(0)CH2(4-ethylpiperazin- 1 -yl), -NHC(0)(thien-2-yl), -NHC(0)(3-fluoro-2- methylphenyl), -NHC(0)(2-bromo-thien-3-yl), -NHC(0)(4-fluorophenyl), -NHC(0)CH2(3- methylpiperidin-l-yl), -NHC(0)CH(CH3)2, -NHC(0)(CH2)3CH3, -NHC(0)CH2OCH2CH3, -NHC(0)CH2NH(2-fluorophenyl), -NHC(0)(3-dimethylaminophenyl), -NHC(0)CH2(4- methylpiperidin- 1 -yl), -NHC(0)CH2NH(2-«-propy Iphenyl), -NHC(0)phenyl,
-NHC(0)(pyrazin2-yl), -NHC(0)(3-fluoro-4-methoxyphenyl), -NHC(0)C(CH3)2CH2CH3, -NHC(0)CH20(4-fluorophenyl), -NHC(0)(l-methylcarbonyl-azetidin-3-yl),
-NHC(0)CH2NH(4-methylphenyl), -NHC(0)CH2NH(phenyl), -NHC(0)CH2(4-allyl- piperazin-l-yl), -NHC(0)(2-methylphenyl), -NHC(0)CH2CH2OCH3, -NHC(0)(3-methyl- furan-2-yl), -NHC(0)C(CH3)3, -NHC(0)CH2NHObenzyl,
-NHC(0)CH2NH(3-chlorophenyl), -NHC(0)cyclobutyl, -NHC(0)CH2(3-methoxyphenyl), -NHC(0)(l-methylcycloprop- 1-yl), -NHC(0)(3-flurophenyl),
-NHC(0)(4-dimethylaminophenyl), -NHC(0)(3,4-dichlorophenyl),
-NHC(0)CH2NHCH2(2-methylthiophenyl), -NHC(0)CH2(2-fluorophenyl),
-NHC(0)CH2N(CH2CH3)CH(CH3)2, -NHC(0)(thiazol-4-yl), -NHC(0)CH2N(CH3)benzyl, -NHC(0)CH2NHCH2(thien-2-yl), -NHC(0)CH2NHCH2(pyridin-2-yl), -NHC(0)(3- methoxyphenyl), -NHC(0)CH2NHCH2(3-chloro-4-methylphenyl),
-NHC(0)CH(CH3)CH2CH2CH3, -NHC(0)CH2(4-chlorophenyl), -NHC(0)(3-fluoro-4- methylphenyl), -NHC(0)CH20(2-methylphenyl), -NHC(0)CH2(cyclohexyl), -NHC(0)(2- phenyl-cycloprop- 1 -yl), - HC(0)(3-chlorophenyl), -NHC(0)CH2(2-methoxyphenyl), -NHC(0)CH2CH2(3-methoxyphenyl), -NHC(0)CH NH(2-fluoro-4-methyl-phenyl), -NHC(0)CH2NHCH2(3-fluoro-phenyl), -NHC(0)CH2(4-methoxy-phenyl),
-NHC(0)benzyl, -NHC(0)(2,4-dichlorophenyl), -NHC(0)(3-oxo-cyclohex- 1 -yl),
-NHC(0)CH2NH(3-fluorophenyl), - HC(0)CH2(3-chlorophenyl),
-NHC(0)CH2NHCH2CH(CH3)phenyl, -NHC(0)CH2NHCH2(2,4-dimethylphenyl), -NHC(0)CH2(2-methyl-piperidin- 1 -yl), -NHC(0)CH2NH(2-methoxyphenyl),
-NHC(0)CH2( 1 ,2,3,4-tetrahydroisoquinolin-2-yl), -NHC(0)CH2CH2CH=CH2,
-NHC(0)CH2NH(2-methylphenyl), -NHC(0)CH2(4-oxo-piperidin-l-yl), -NHC(0)(2- fluorophenyl), -NHC(0)CH2NHCH(CH3)phenyl, -NHC(0)(2-fluoro-6-methoxyphenyl), - HC(0)CH2NH(2-isopropylphenyl), -NHC(0)CH2CH2(2-methoxyphenyl),
- HC(0)CH2CH2CH(CH3)2, -NHC(0)CH2(2-phenyl-mo holin-4-yl),
-NHC(0)CH2CH2(4-methoxyphenyl), -NHC(0)CH2N(allyl)cyclopentyl,
-NHC(0)CH2N(CH3)CH2CH2OCH3, -NHC(0)CH2CH2C(0)cyclopropyl,
-NHC(0)CH2NH(3-tert-butylphenyl), -NHC(0)CH2N(n-propyl)(cyclopropylmethyl), -NHC(0)CH2(2-oxo-cyclopentyl), -NHC(0)CH2NH(4-chlorophenyl), -NHC(0)CH2(4- piperidin- 1 -ylpiperidin- 1 -y 1), -NHC(0)CH2(4-cyclopenty Ipiperazin- 1 -y I), -NHC(0)CH2(2- methylphenyl), - HC(0)CH2NHCH2(3-fluoro-6-methylphenyl), -NHC(0)CH2C(CH3)3, -NHC(0)CH2NH(2-chlorophenyl), -NHC(0)(3-fluoro-6-methylphenyl), -NHC(0)(4-fluoro-
3- methylphenyl), -NHC(0)(2,3-dichlorophenyl), -NHC(0)CH2Ophenyl,
-NHC(0)CH2NH(2,3-dimethylphenyl), -NHC(0)(2-fluoro-5-methylphenyl),
-NHC(0)CH2 HOCH2(4-methylphenyl), -NHC(0)CH2(4-isopropylpiperazin- 1 -yl), -NHC(0)CH2(4-fluorophenyl), -NHC(0)CH2CH(CH3)2, -NHC(0)(2-methoxy-
4- methylphenyl), -NHC(0)CH2(4-«-propylpiperidin- 1-yl), -NHC(0)CH20(3- methylphenyl), -NHC(0)(tetrahydrofuran-2-yl), -NHC(0)CH2(3-hydroxymethylpiperidin- 1 -yl), -NHC(0)( 1 -tm-butoxycarbonylpiperidin-2-yl), -NHC(0)CH2N(CH3)CH2(pyridin-3- yl), -NHC(0)CH2N(CH2CH3)phenyl, -NHC(0)CH2OCH2CH2OCH3,
- HC(0)CH2CH2(cyclopentyl), -lSfHC(0)(2,5-dichlorophenyl), -NHC(0)CH2(4- methylcarbonylpiperazin- 1 -yl), -NHC(0)(5-fluoro-2-methoxyphenyl),
-NHC(0)CH2N(CH2CH3)cyclohexyl, -NHC(0)(5-methyl-l,2-oxazol-3-yl), -NHC(0)(3- methylpyridin-3-yl), -NHC(0)(2-methoxypyridin-3-yl), -NHC(0)(3,5-dichlorophenyl), -NHC(0)CH2(thiazolidin3-yl), -NHC(0)CH2(4-[C(0)H]-piperazin-l -yl), -NHC(0)CH2(2- pyridin-4-y lpiperidin- 1 -y 1), -NHC(0)(2-methoxyphenyl),
-NHC(0)CH2N(CH3)CH2CH(CH3)2, -NHC(0)CH2(4-[C(0)H]-homopiperazin- 1 -yl), -NHC(0)( 1-phenylcycloprop- 1 -yl), -NHC(0)CH2(2,6-dimethylmorpholin-4-yl),
^ΉC(0)CH2(2-phenylpy-τoIidin-l-yl)> -NHC(0)CH2(rnoφholin-4-yl),
-C(0)NHCH(CH3)CH2N(CH3)2, -C(0)NHCH2CH2N(CH3)2, -C(0)NH(pyrrolidin-3-yl), -C(0) HCH2CH2(pyrrolidin-l-yl), -C(0)NHCH2CH2NH2, -C(0)N(CH3)CH2CH2N(CH3)2, -C(0)NHCH2(piperidin-2-yl), -C(0)NH( l-methylazetidin-3-yl),
-C(0) HCH2CH2(piperidin-l-yl), -C(0)NHCH2CH2N(CH2CH3)2, -C(0)NH(1- methylpiperidin-3-y 1), -C(0)NH(piperidin-3-yl), -C(0)NHCH2( 1 -methy lpiperidin-3-y 1),
-C(0)NHCH2CH2N(CH2CH20H)2> -C(0)NH(l-ethylpiperidin-3-yl), -C(0)NH2, -C(0)(3- aminopyrrolidin- l-yl), -C(0)(3-methylaminopyrrolidin-l-yl), -C(0)OH,
-C(0)raCH2CH2(morpholin-4-y 1), -C(0)NHCH2( 1 -ethy lpyrrolidin-2-y 1), -C(0)(4-amino- 3-oxo-pyrazolidin- 1 -y 1), -C(0)NHC¾, -C(0)(3-aminocyclobut- 1 -yl),
-C(0)NHCH2(pyridin-3-yl), -C(0)NHCH2CH2OH, -C(0)NH(3-oxo-pyrazoIidin-4-yl), -NHCH2CH2(imidazol-4-yl), -C(0)(3-dimethylaminopyrrolidin- l-yl),
-C(0)NHCH2(pyridin-4-y 1), -C(0)N(CH3)( -methy l-pyrrolidin-3-y 1), -C(0)(3- diethy laminopyrrolidin- l-yl), -C(0)NH(pyrrol- l-yl), -C(0)NHCH2CH2CH2(pyrrolidin- 1 - yl), -C(0)N(CH3)CH2CH2CN, -C(0)NHCH2CH2OCH3, -C(0)N(CH2CH3)CH2CH2CN, -C(0)(3-aminopiperidin- 1 -yl), -C(0)NHCH2CH2CH2N(CH3)2, -C(0)NH(mo holin-4-yl), -C(0)NHN(CH3)2, -C(0)NHCH2CH2CH2(imidazol- 1 -yl),
-C(0)NHCH2CH2CH2N(CH2CH3)2, -C(0)NHCH2CH2CN, -C(0)NHCH2CH2C(0)OCH3, -C(0)NHCH2CH2SCH3, -C(0)NHCH2CH2SCH2CH3, -C(0)N(CH2CH3)CH2CH2N(CH3)2, -C(0) HCH2CH2CH2(2-oxo-pyrrolidin- 1 -yl), -C(0)NHCH2CH2(pyridin-4-yl),
-C(0)NHCH2CH2CH2OCH2CH3, -C(0)NHCH2CH2CH2(morpholin-4-yl),
-C(0)NHCH2CH2CH2OCH3, -C(0)N(CH3)CH2CH2CH2N(CH3)2,
-C(0)NHCH2CH2CH2OCH2CH2CH3, -C(0)NHCH2CH2C(0)OCH2CH3,
-C(0)NHCH2CH2CH2OCH(CH3)2, -C(0)NHC(CH3)2CH2(piperidin- l-yl),
-C(0)N(CH3)CH2CH2CH3, -C(0)NH(piperidin- 1 -yl), -C(0)NHCH(CH3)CH2OCH3, -C(0)NHC(CH3)2CH2(mo holίn-4-yl), -C(0)(2-dimethylaminomethylpiperidin-l-yl), -C(0)NH(CH2)30(CH2)3CH3, -C(0)NHCH(CH3)(CH2)3N(CH2CH3)2,
-C(0)NHC(CH3)2C(0)(piperidin- 1 -yl), -C(0)(4-methylpiperazin- 1 -yl), -C(0)(2-piperidin- 1-ylmethyl-piperidin- l-yl), cyano, -NHCH3, -CH(CH3)NHCH2CH2N(CH3)2, -C(0)CH3, -S(0)2NHCH2CH2N(CH3)2, -S(0)2NH(CH2)3N(CH3)2, 5-(NN-dimethylaminomethyl)- l,3,4-oxadiazol-2-yl, -NHCH2CH2N(CH3)2, -N(CH3)2, -OCH2CH2N(CH3)2,
-NHC[N(CH3)2][=N(CH3)2], -OCHF2, -CF3, -S(0)2CH3, -OCF3, -NHC(0)CH2(4- dimethylaminopiperidin-l-yl), or methoxy.
[00112] In a more specific embodiment (P), the Compound of Formula I is that where each R3 is independently halo, alky], hydroxyamino, -N(R7)C(0)-C| -C6-alkylene- N(R7a)(R7b), -C(0)NR8R8a , -NR9C(0)R9a, -QOJNiR'Vd-Ce-alkylene- N(R10a)R10b-NR"C(O)NRl laRl lb, -N(R22)C(0)-C,.C6-alkylene-N(R2Zb)-N(R22c)(R22a), -NR13C(0)ORl3a, -N(R18)C(0)-C,-C6-alkylene-N(Rl 8b)C(0)R,8a , -NR24C(0)-C,.C6- alkylene-OR2 a, or -N(R20)C(O)-C,-C6-alkylene-C(O)R20a; where each of the alkylene in R3 is independently optionally further substituted with 1 , 2, 3, 4, or 5 groups selected from
halo, hydroxy, and amino; and all other groups are as defined in the Summary of the Invention. Specifically, each R3 is independently methyl, chloro, -NHC(0)CH2NH(CH3), -NHC(0)CH(CH3)NH2, -NHC(0)C(CH3)2NH2, -NHC(0)CH2N(CH3)2,
-NHC(0)CH2N(CH3)CH2CH2N(CH3)2, -NHC(0)CH(NH2)CH2CH3,
- HC(0)CH2N(CH3)CH2CH2N(CH3)2, -NHC(0)CH(CH3) H(CH3), -NHC(0)H, -NHC(0)CH2(azetidin-l -yl), - HC(0)(pyrrolidin-2-yl), -NHC(0)CH(NH2)CH2OH, -NHC(0)(azetidin-4-yl), -NHC(0)C(CH3)2NH(CH3), -NH2,
-NHC(0)CH2NH(CH2CH2CH3), -NHC(0)CH2CH2NH2, -NHOH, or -NHC(0)(piperidin-3- yi).
[00113] In a more specific embodiment (Q), the Compound of Formula I is that where R3 is alkyl or -N(R7)C(0)-C,-C6-alkylene-N(R7a)(R7b); and R7 is hydrogen or alkyl and R7a and R7b are independently hydrogen, alkyl, aminoalkyl, alkylaminoalkyl, or
dialkylaminoalkyl; and all other groups are as defined in the Summary of the Invention. More specifically, each R3 is independently methyl, -NHC(0)CH2NH(CH3),
-NHC(0)CH(CH3)NH2, -NHC(0)C(CH3)2NH2, -NHC(0)CH2N(CH3)2,
-NHC(0)CH2N(CH3)CH2CH2N(CH3)2, -NHC(0)CH(NH2)CH2CH3,
-NHC(0)CH2N(CH3)CH2CH2N(CH3)2, or -NHC(0)CH(CH3)NH(CH3).
[00114] In another specific embodiment (R), the Compound of Formula I is that where B is phenyl, R3 is not present or R3 is halo, alkyl, or alkoxy; R3a is -C(0)NR8R8a,
-NR9C(0)R9a, -N(R7)C(0)-C|-C6-alkylene-N(R7a)(R7b), or -C(O)N(R10)-C,-C5-alkylene- N(RIOa)R10b where each of the alkylene in R3 is independently optionally further substituted with 1, 2, 3, 4, or 5 groups selected from halo, hydroxy, and amino; and all other groups are as defined in the Summary of the Invention.
[00115] In a more specific embodiment (Rl) of embodiment R, the compound is that where R50, R52, and R53 are hydrogen and R54 is halo or alkoxy; R50, R52, and R54 are hydrogen and R53 is alkoxy; or R50 and R52 are hydrogen and R53 and R54 together with the carbons to which they are attached form a 6-membered heteroaryl; and all other groups are as defined in the Summary of the Invention. Specifically, R50, R52, and R53 are hydrogen and R54 is halo or alkoxy; or R50, R52, and R54 are hydrogen and R53 is alkoxy.
[00116] In a more specific embodiment of (R2) of embodiment R, the compound is that where R51 is methyl.
[00117] In a more specific embodiment (S), the compound of Formula la:
1(a)
is that where R3 is not present or R3 is alkyl and R3 is -N(R7)C(0)-Ci-C6-alkylene- N(R7a)(R7b), -C(0)NR8R8a , -NR9C(0)R9a, or -C(O)N(R10)-C,-C6-alkylene-N(R10a)R10b; where each of the alkylene in R3a is independently optionally further substituted with 1, 2, 3, 4, or 5 groups selected from halo, hydroxy, and amino; and all other groups are as defined in the Summary of the Invention. Specifically, R3 is not present or is methyl. More specifically, R3 is not present.
[00118] In a more specific embodiment (S 1 ) of embodiment S is that where R7 is hydrogen or alkyl and R7a, and R7b are independently hydrogen, alkyl, hydroxyalkyl, aminoalkyl, alkylaminoalkyl, or dialkylaminoalkyl; Rs is hydrogen or alkyl and R8a is heterocycloalkyl or heterocycloalkylalkyl; R9 is hydrogen or alkyl and R9a is hydrogen, heterocycloalkyl, or heterocycloalkylalkyl; and R10, R10a, and R10b are independently hydrogen, alkyl, hydroxyalkyl, aminoalkyl, alkylaminoalkyl, or dialkylaminoalkyl.
[00119] In a more specific embodiment (S2) of embodiment S is that where R50, R52, and R53 are hydrogen and R54 is halo or alkoxy; or R50, R52, and R54 are hydrogen and R53 is alkoxy; or R50 and R52 are hydrogen and R53 and R54 together with the carbons to which they are attached form a 6-membered heteroaryl. Specifically, R50, R52, and R53 are hydrogen and R54 is halo or alkoxy; or R50, R52, and R54 are hydrogen and R53 is alkoxy.
[00120] In a more specific embodiment of (S3) of embodiment S, the compound is that where R51 is methyl.
[00121] In another specific embodiment (T), the Compound of Formula I is that where B is heteroaryl, one R3 is halo, alkyl, or alkoxy and a second R3 is -C(0)NR8R8a, -NR9C(0)R a, -N(R7)C(0)-CrC6-alkylene-N(R7a)(R7b), or -C(O)N(R10)-Ci-C6-alkyIene- N(R10a)R10b where each of the alkylene in R3 is independently optionally further substituted with 1, 2, 3, 4, or 5 groups selected from halo, hydroxy, and amino; and all other groups are as defined in the Summary of the Invention.
[00122] In another specific embodiment (Tl) of embodiment T, the compound is that where R7 is hydrogen or alkyl and R a, and R7b are independently hydrogen, alkyl, hydroxyalkyl, aminoalkyl, alkylaminoalkyi, or dialkylaminoalkyl; R8 is hydrogen or alkyl and R8a is heterocycloalkyl or heterocycloalkylalkyl; R9 is hydrogen or alkyl and R9a is hydrogen, heterocycloalkyl, or heterocycloalkylalkyl; R10, R10a, and Rl0b are independently hydrogen, alkyl, hydroxyalkyl, aminoalkyl, alkylaminoalkyi, or dialkylaminoalkyl.
[00123] In another specific embodiment U, the compound of Formula I is that where B is
is independently halo, alkyl, alkoxy, aminoalkyloxy, alkylaminoalkyloxy,
dialkylaminoalkyloxy, alkylamino, dialkylamino, -C(0)NR8R8a, -NR9C(0)R9a, -N(R7)C(0)- C,-C6-alkylene-N(R7a)(R b), or -C(O)N(Rl0)-Ci-C6-alkylene-N(R10a)R10b; and all other groups are as defined in the Summary of the Invention.
[00124] In a more specific embodiment (Ul) of embodiment U, the compound of Formula I is that where R50, R52, and R53 are hydrogen and R54 is halo or alkoxy; R50, R52, and R54 are hydrogen and R53 is alkoxy; or R50 and R52 are hydrogen and R53 and R54 together with the carbons to which they are attached form a 6-membered heteroaryl; and all other groups are as defined in the Summary of the Invention. Specifically, R50, R52, and R53 are hydrogen and R54 is halo or alkoxy; or R50, R52, and R54 are hydrogen and R53 is alkoxy.
[00125] In a more specific embodiment (U2) of embodiment Ul, the compound of Formula I is that where R51 is methyl.
[00126] In another specific embodiment (U3) of embodiment U, the Compound of Formula I is that where R7 is hydrogen or alkyl and R7a, and R7b are independently hydrogen, alkyl, hydroxyalkyl, aminoalkyl, alkylaminoalkyi, or dialkylaminoalkyl; R8 is hydrogen or alkyl and R83 is heterocycloalkyl or heterocycloalkylalkyl; R9 is hydrogen or alkyl and R9a is hydrogen, heterocycloalkyl, or heterocycloalkylalkyl; R10, RIOa, and R10b are independently hydrogen, alkyl, hydroxyalkyl, aminoalkyl, alkylaminoalkyi, or
dialkylaminoalkyl
In another embodiment of the Invention (V) the Compound of Formula I is that whereW1, W2, W3, and W4 are -C(H)=; or W2 and W3 are -C(H)= and one of W1 and W4 is -N= and the other is -C(H)=;
R50 is hydrogen;
R51 is hydrogen or alkyl;
R52 is hydrogen;
R53 is hydrogen, alkoxy, nitro, amino, or -N(R55)C(0)-Ci-C6-alkylene-N(R55a)R55b; and R54 is hydrogen, alkyl, alkoxy, or halo; or R53 and R54 together with the carbons to which they are attached form a 6-membered heteroaryl;
B is phenyl substituted with R3a and optionally further substituted with one R3; or
B is heteroaryl optionally substituted with one or two R3;
R3a is cyano; hydroxyamino; carboxy; alkylsulfonyl, aminoalkyloxy; alkylaminoalkyloxy; dialkylaminoalkyloxy; -N(R7)C(0)-C,-C6-alkylene-N(R7a)(R7b); -C(0)NR8R8a;
-NR9C(0)R9a; -C(O)N(R10)-C,-C6-alkylene-N(R,0a)R10b; -NRnC(0)NRl laRl lb where R1 ,a; -C(0)R12; -NR13C(0)OR13a; -C(0)N(R14)N(R14a)(R14b); -S(0)2N(R15)-Ci.C6- alkylene-N(R15a)R,5b; -C(0)N(R16)-Ci.C6-alkylene-C(0)OR16a; heteroaryl optionally substituted with one or two aminoalkyl, alkylaminoalkyl, or dialkylaminoalkyl;
-N(R,7)-C(=N(R17b)(R,7a))(NR17cR17d); -N(R18)C(0)-C,-C6-alkylene-N(R,8b)C(0)R18a; -C(0)N(R19)-Ci-C6-alkylene-C(0)R19a; -NiR^CiC -C -alkylene-NtR22")- N(R22c)(R22a); -Co-C6-alkylene-N(R23)-C,.C6-alkylene-N(R23b)R23a; or -NR24C(0)- Ci.C6-alkylene-OR24a; where each of the alkylene in R3a is independently optionally further substituted with 1, 2, 3, 4, or 5 groups selected from halo, hydroxy, and amino; each R3 (when R3 is present) is independently halo; cyano; alkyl; alkenyl; alkoxy;
hydroxyamino; carboxy; alkylsulfonyl, aminoalkyloxy; alkylaminoalkyloxy;
dialkylaminoalkyloxy; -N(R7)C(0)-Ci-C6-alkylene-N(R7a)(R7b); -C(0)NR8R8a;
-NR9C(0)R9a; -C(O)N(R10)-C|-C6-alkylene-N(Rl0a)R10b; -NRl lC(0)NRl laRl lb where Rl la; -C(0)R12; -NR, C(0)ORl 3a; -C(0)N(R14)N(R14a)(R14b); -S(0)2 (R15)-Ci.C6- alkylene-N(Rl3a)R15b; -C(0)N(Rl6)-C,.C6-alkylene-C(0)OR,6a; heteroaryl optionally substituted with one or two aminoalkyl, alkylaminoalkyl, or dialkylaminoalkyl;
-N(R17)-C(=N(R17b)(Rl7a))(NRl7cR17d); -N(Rl8)C(0)-Ci-C6-alkylene-N(R18b)C(0)R18a; -C(0)N(R19)-CrC6-alkylene-C(0)R19a; -N(R22)C(0)-C,.C6-alkylene-N(R2 b)- N(R22c)(R2 a); -Co-C6-alkylene-N(R23)-C1-C6-alkylene-N(R23 )R23a; or -NR24C(0)- Ci-C6-alkylene-OR24a; where each of the alkylene in R3 is independently optionally further substituted with 1, 2, 3, 4, or 5 groups selected from halo, hydroxy, and amino; provided that when R50 and R52 are hydrogen, R51 is hydrogen or methyl, R53 is hydrogen or methoxy, and R54 is hydrogen or methoxy, then B is not 2,3-dihydro-l,4- benzodioxinyl, thien-2-yl, or thien-2-yl substituted with one R3 where R3 is halo.
[00127] Another embodiment (W) of the invention is a Compound of Formula I where R50, R53, and R54 are independently hydrogen, alkyl, alkenyl, halo, haloalkyl, haloalkenyl, hydroxy, alkoxy, alkenyloxy, haloalkoxy, nitro, amino, alkylamino, dialkylamino, -N(R55)C(0)-Ci-C6-alkylene-N(R55a)R55b, alkylcarbonyl, alkenylcarbonyl, carboxy, alkoxycarbonyl, cyano, alkylthio, -S(0)2NR55R55a, or alkylcarbonylamino and where R55 and R55b are indepedently hydrogen, alkyl, or alkenyl and R55a is hydrogen, alkyl, alkenyl, hydroxy, or alkoxy; or R53 and R54 together with the carbons to which they are attached form a 5- or 6-membered heteroaryl or 5- or 6-membered heterocycloalkyl.
[00128] Another embodiment (X) of the invention is a Compound of Formula I where R53 and R54 together with the carbons to which they are attached form a 5- or 6-membered heteroaryl or 5- or 6-membered heterocycloalkyl.
Compounds of Formula II
[00129] In another embodiment, the compound of Formula I or la is a compound of Formula Π:
II
or a pharmaceutically acceptable salt thereof, wherein:
R50 is hydrogen;
R51is methyl;
R is hydrogen;
R53 is hydrogen or alkoxy; and
R54 is hydrogen, alkyl, alkoxy, or halo; or R53 and R54 together with the carbons to which they are attached form a 6-membered heteroaryl; and
R3 is halo or methyl; and
R3a is -N(R7)C(0)-C|-C6-alkylene-N(R7a)(R7b) where R7 is hydrogen and R7a and R7b are independently hydrogen, alkyl, aminoalkyl, alkylaminoalkyl, or
dialkylaminoalkyl.
[00130] In one embodiment of the compound of Formula II, R51 is methyl; and R50, R52, and R53 are hydrogen and R54 is halo or alkoxy or R50, R52, and R54 are hydrogen and R53 is alkoxy; or a single stereoisomer or mixture of stereoisomers thereof.
[00131] In another embodiment, R3a is -NHC(0)CH2NH(CH3), -NHC(0)CH(CH3)NH2, -
NHC(0)C(CH3)2NH2) -NHC(0)-CH1N(CH3)2, - HC(0)CH2N(CH3)CH2CH2N(CH3)2, -
NHC(0)CH(NH2)CH2CH3( -NHC(0)CH2N(CH3)CH2CH2N(CH3)2, or -
NHC(0)CH(CH3)NH(CH3).
[00132] In another embodiment, the compound of Formula Π is:
[00133] In another embodiment, the compound of Formula la is:
or a pharmaceutically acceptable salt thereof.
[00134] Another specific embodiment of the invention is a pharmaceutical composition comprising a compound of Formula I, Formula la, or Formula II or a compound according the above Embodiments A-X and a pharmaceutically acceptable carrier, excipient, or diluent.
[00135] Another specific embodiment of the invention is a method of inhibiting PI3K in a cell, comprising contacting a cell in which inhibition of PI3K is desired with a compound of Formula I, la, or II or a compound according to Embodiments A-X. Specifically, the Compound is of Formula II.
[00136] Another specific embodiment of the invention is a method of treating a disease, disorder, or syndrome mediated by PI3K which method comprises administering to a patient a pharmaceutical composition comprising a therapeutically effective amount of a compound
of Formula I, la, or Π or a compound according to embodiments A-X. Specifically, the Compound is of Formula I or la. More specifically, the Compound is of Formula II.
[00137] More specifically, the disease is cancer. Even more specifically, the cancer is breast cancer, colon cancer, rectal cancer, endometrial cancer, gastric carcinoma, glioblastoma, hepatocellular carcinoma, small cell lung cancer, non-small cell lung cancer, melanoma, ovarian cancer, cervical cancer, pancreatic cancer, prostate carcinoma, acute myelogenous leukemia (AML), chronic myelogenous leukemia (CML), or thyroid carcinoma. Even more specifically, the cancer is ovarian cancer, cervical cancer, breast cancer, colon cancer, rectal cancer, or glioblastoma.
[00138] Another aspect of the Invention is directed to employing the compounds of the invention in a method of screening for candidate agents that bind to, for example PI3K. In that method, the protein is bound to a support, and a compound of the invention is added to the assay. Alternatively, the compound of the invention is bound to the support and the protein is added. Classes of candidate agents among which novel binding agents may be sought include specific antibodies, non-natural binding agents identified in screens of chemical libraries, peptide analogs, etc. Of particular interest are screening assays for candidate agents that have a low toxicity for human cells. A wide variety of assays may be used for this purpose, including labeled in vitro protein-protein binding assays, electrophoretic mobility shift assays, immunoassays for protein binding, functional assays (phosphorylation assays, etc.) and the like.
[00139] The determination of the binding of the candidate agent to, for example, PI3K may be done in a number of ways. In one example, the candidate agent (the compound of the invention) is labeled, for example, with a fluorescent or radioactive moiety and binding determined directly. For example, this may be done by attaching all or a portion of the PI3K protein to a solid support, adding a labeled agent (for example a compound of the invention in which at least one atom has been replaced by a detectable isotope), washing off excess reagent, and determining whether the amount of the label is that present on the solid support. Various blocking and washing steps may be utilized as is known in the art.
[00140] The term "labeled" as used herein is meant to include both direct and indirect labeling with a compound that provides a detectable signal, for example, radioisotope, fluorescent tag, enzyme, antibodies, particles such as magnetic particles, chemiluminescent tag, or specific binding molecules, and the like. Specific binding molecules include pairs, such as biotin and streptavidin, digoxin and antidigoxin, and the like. For the specific binding members, the complementary member would normally be labeled with a molecule
which provides for detection, in accordance with known procedures, as outlined above. The label can directly or indirectly provide a detectable signal.
[00141] In some embodiments, only one of the components is labeled. For example, PI3K protein may be labeled at tyrosine positions using l25I, or with fluorophores.
Alternatively, more than one component may be labeled with different labels; using l25I for the proteins, for example, and a fluorophor for the candidate agents.
[00142] The compounds of the invention may also be used as competitors to screen for additional drug candidates. The terms "candidate bioactive agent" or "drag candidate" or grammatical equivalents as used herein describe any molecule, e.g., protein, oligopeptide, small organic molecule, polysaccharide, polynucleotide, etc., to be tested for bioactivity. They may be capable of directly or indirectly altering the cellular proliferation phenotype or the expression of a cellular proliferation sequence, including both nucleic acid sequences and protein sequences. In other cases, alteration of cellular proliferation protein binding and/or activity is screened. In the case where protein binding or activity is screened, some embodiments exclude molecules already known to bind to that particular protein.
Exemplary embodiments of assays described herein include candidate agents, which do not bind the target protein in its endogenous native state, termed herein as "exogenous" agents. In one example, exogenous agents further exclude antibodies to PI3K.
[00143] Candidate agents can encompass numerous chemical classes, though typically they are organic molecules having a molecular weight of more than about 100 and less than about 2,500 daltons. Candidate agents comprise functional groups necessary for structural interaction with proteins, particularly hydrogen bonding and lipophilic binding, and typically include at least an amine, carbonyl, hydroxyl, ether, or carboxyl group, for example at least two of the functional chemical groups. The candidate agents often comprise cyclical carbon or heterocycloalkyl structures and/or aromatic or heteroaromatic structures substituted with one or more of the above functional groups. Candidate agents are also found among biomolecules including peptides, saccharides, fatty acids, steroids, purines, pyrimidines, derivatives, structural analogs, or combinations thereof.
[00144] Candidate agents are obtained from a wide variety of sources including libraries of synthetic or natural compounds. For example, numerous means are available for random and directed synthesis of a wide variety of organic compounds and biomolecules, including expression of randomized oligonucleotides. Alternatively, libraries of natural compounds in the form of bacterial, fungal, plant and animal extracts are available or readily produced. Additionally, natural or synthetically produced libraries and compounds are readily
modified through conventional chemical, physical and biochemical means. Known pharmacological agents may be subjected to directed or random chemical modifications, such as acylation, alkylation, esterification, amidification to produce structural analogs.
[00145] In one example, the binding of the candidate agent is determined through the use of competitive binding assays. In this example, the competitor is a binding moiety known to bind to IGF1R, such as an antibody, peptide, binding partner, ligand, etc. Under certain circumstances, there may be competitive binding as between the candidate agent and the binding moiety, with the binding moiety displacing the candidate agent.
[00146] In some embodiments, the candidate agent is labeled. Either the candidate agent, or the competitor, or both, is added first to PI3K protein for a time sufficient to allow binding, if present. Incubations may be performed at any temperature that facilitates optimal activity, typically between 4°C and 40°C.
[00147] Incubation periods are selected for optimum activity, but may also be optimized to facilitate rapid high throughput screening. Typically between 0.1 and 1 hour will be sufficient. Excess reagent is generally removed or washed away. The second component is then added, and the presence or absence of the labeled component is followed, to indicate binding.
[00148] In one example, the competitor is added first, followed by the candidate agent. Displacement of the competitor is an indication the candidate agent is binding to PI3K and thus is capable of binding to, and potentially modulating, the activity of the PI3K. In this embodiment, either component can be labeled. Thus, for example, if the competitor is labeled, the presence of label in the wash solution indicates displacement by the agent. Alternatively, if the candidate agent is labeled, the presence of the label on the support indicates displacement.
[00149] In an alternative embodiment, the candidate agent is added first, with incubation and washing, followed by the competitor. The absence of binding by the competitor may indicate the candidate agent is bound to PI3K with a higher affinity. Thus, if the candidate agent is labeled, the presence of the label on the support, coupled with a lack of competitor binding, may indicate the candidate agent is capable of binding to PI3K.
[00150] It may be of value to identify the binding site of PI3K. This can be done in a variety of ways. In one embodiment, once PI3K is identified as binding to the candidate agent, the PI3K is fragmented or modified and the assays repeated to identify the necessary components for binding.
[00151] Modulation is tested by screening for candidate agents capable of modulating the activity of PI3K comprising the steps of combining a candidate agent with PI3K, as above, and determining an alteration in the biological activity of the PI3K. Thus, in this embodiment, the candidate agent should both bind to (although this may not be necessary), and alter its biological or biochemical activity as defined herein. The methods include both in vitro screening methods and in vivo screening of cells for alterations in cell viability, morphology, and the like.
[00152] Alternatively, differential screening may be used to identify drug candidates that bind to native PI3K, but cannot bind to modified PI3K.
[00153] Positive controls and negative controls can be used in the assays. For example, all control and test samples are performed in at least triplicate to obtain statistically significant results. Incubation of samples is for a time sufficient for the binding of the agent to the protein. Following incubation, samples are washed free of non-specifically bound material and the amount of bound, generally labeled agent determined. For example, where a radiolabel is employed, the samples can be counted in a scintillation counter to determine the amount of bound compound.
[00154] A variety of other reagents can be included in the screening assays. These include reagents like salts, neutral proteins, e.g., albumin, detergents, etc which may be used to facilitate optimal protein-protein binding and/or reduce non-specific or background interactions. Also reagents that otherwise improve the efficiency of the assay, such as protease inhibitors, nuclease inhibitors, anti-microbial agents, etc., may be used. The mixture of components can be added in any order that provides for the requisite binding.
[00155] One of ordinary skill in the art would understand that certain crystallized, protein-ligand complexes, in particular PI3 -ligand complexes, and their corresponding x- ray structure coordinates can be used to reveal new structural information useful for understanding the biological activity of kinases as described herein. As well, the key structural features of the aforementioned proteins, particularly, the shape of the ligand binding site, are useful in methods for designing or identifying selective modulators of kinases and in solving the structures of other proteins with similar features. Such protein- ligand complexes, having compounds of the invention as their ligand component, are an aspect of the invention.
[00156] Another aspect of the invention is directed to suitable x-ray quality crystals, and one of ordinary skill in the art would appreciate that they can be used as part of a method of identifying a candidate agent capable of binding to and modulating the activity of kinases.
Such methods may be characterized by the following aspects: a) introducing into a suitable computer program, information defining a ligand binding domain of a kinase in a , conformation (e.g. as defined by x-ray structure coordinates obtained from suitable x-ray quality crystals as described above) wherein the computer program creates a model of the three dimensional structures of the ligand binding domain, b) introducing a model of the three dimensional structure of a candidate agent in the computer program, c) superimposing the model of the candidate agent on the model of the ligand binding domain, and d) assessing whether the candidate agent model fits spatially into the ligand binding domain. Aspects a-d are not necessarily carried out in the aforementioned order. Such methods may further entail: performing rational drug design with the model of the three-dimensional structure, and selecting a potential candidate agent in conjunction with computer modeling.
[00157] Additionally, one skilled in the art would appreciate that such methods may further entail: employing a candidate agent, so-determined to fit spatially into the ligand binding domain, in a biological activity assay for kinase modulation, and determining whether said candidate agent modulates kinase activity in the assay. Such methods may also include administering the candidate agent, determined to modulate kinase activity, to a mammal suffering from a condition treatable by kinase modulation, such as those described above.
[00158] Also, one skilled in the art would appreciate that compounds of the invention can be used in a method of evaluating the ability of a test agent to associate with a molecule or molecular complex comprising a ligand binding domain of a kinase. Such a methqd may be characterized by the following aspects: a) creating a computer model of a kinase hinding pocket using structure coordinates obtained from suitable x-ray quality crystals of the kinase, b) employing computational algorithms to perform a fitting operation between the test agent and the computer model of the binding pocket, and c) analyzing the results of the fitting operation to quantify the association between the test agent and the computer model of the binding pocket.
Representative Compounds
[00159] Representative compounds of Formula I and/or II are depicted below. The examples are merely illustrative and do not limit the scope of the invention in any way. Compounds of the invention are named according to systematic application of the nomenclature rules agreed upon by the International Union of Pure and Applied Chemistry (IUPAC), International Union of Biochemistry and Molecular Biology (IUBMB), and the
Chemical Abstracts Service (CAS). Names in Table 1 were generated using ACD/Labs naming software 8.00 release, product version 8.08 with the exception of Compound 374 which was named using ChemDraw v. 9.0.1.
4-{[3-({ [4-
127 H HV"0 (acetylamino)phenyl]sulfonyl }amino)quinoxali n-2-yl]amino } -2-hydroxybenzoic acid
N-[3-(naphthalen-l-ylamino)quinoxalin-2-yl]-
128
4-nitrobenzetiesulfonamide
4-[(3-{[(4-
129 bromophenyl)sulfonyl]amino}quinoxalin-2- yl)amino] benzoic acid
JV-{4-[({3-[(3-
130 hydroxyphenyl)amino]quinoxalin-2- yl}amino)sulfonyl]phenyl }acetamide
3-[(3-{[(4-
131 bromophenyl)sulfonyl]amino } quinoxalin-2- yl)amino]benzoic acid
4-bromo-W-(3-{ [3-
132 (butyloxy)phenyI]amino } quinoxalin-2- yl)benzenesulfonamide
4-bromo-A/-(3-{[3-
133 (trifluoromethyl)phenyl]amino}quinoxalin-2- yl)benzenesulfonamide
Λ- { 3-[(2-fluorophenyl)amino]quinoxalin-2-yl } -
180
o=s=o 3-nitrobenzenesulfonamide o
/V-[2-(butyloxy)-2-hydroxyethyl]-4-({3-
181 [(phenylsulfonyl)amino]quinoxalin-2- y 1 ) amino)benzamide
3-nitro-A'-(3- {[4-
182 (phenylamino)phenyl]amino } quinoxalin-2- y benzenesulfonamide
4-bromo-/V-{3-[(4-
183 fluorophenyI)amino]quinoxalin-2- yl Jbenzenesulfonamide
4-methyl-/V-[3-({2-
261 Q iV-{3-[(3-fluorophenyl)amino]quinoxalin-2- yl}benzenesulfonamide
F
N-Q- [ [4-(morpholin-4-
262 ylsulfonyl)phenyl]amino}quinoxalin-2- yl)benzenesulfonamide
H S Q H ethyl 2-{[3-({[4-
263 (acetylamino)phenyl]sulfonyl }amino)quinoxali
n-2-y 1] amino } -4,5,6,7-tetrahydro- 1 - benzothiophene-3-carboxylate
ethyl 2-[(3-{[(4-
264 chlorophenyl)sulfonyl]amino}quinoxalin-2- yl)amino]-5-ethylthiophene-3-carboxylate W-diethyl-4-[(3-{[(4-
265 methylphenyl)sulfonyl]amino }quinoxalin-2- yl)amino]benzenesulfonamide
266 (acetylamino)phenyl]sulfonyl } amino)quinoxali
fi V-NH H 0 ° n-2-yl]amino}-5-ethylthiophene-3-carboxylate
ethyl 2-[(3-{ [(4- chlorophenyl)sulfonyl]amino } quinoxalin-2-
267
[00160] In one aspect, the invention provides pharmaceutical compositions comprising an inhibitor of PI3K according to the invention and a pharmaceutically acceptable carrier, excipient, or diluent. In certain other specific embodiments, administration may specifically be by the oral route. Administration of the compounds of the invention, or their pharmaceutically acceptable salts, in pure form or in an appropriate pharmaceutical composition, can be carried out via any of the accepted modes of administration or agents for serving similar utilities. Thus, administration can be, for example, orally, nasally, parenterally (intravenous, intramuscular, or subcutaneous), topically, transdermally, intravaginally, intravesically, intracistemally, or rectally, in the form of solid, semi-solid, lyophilized powder, or liquid dosage forms, such as for example, tablets, suppositories, pills, soft elastic and hard gelatin capsules, powders, solutions, suspensions, or aerosols, or the like, specifically in unit dosage forms suitable for simple administration of precise dosages.
[00161] The compositions will include a conventional pharmaceutical carrier or excipient and a compound of the invention as the/an active agent, and, in addition, may include carriers and adjuvants, etc.
[00162] Adjuvants include preserving, wetting, suspending, sweetening, flavoring, perfuming, emulsifying, and dispensing agents. Prevention of the action of microorganisms can be ensured by various antibacterial and antifungal agents, for example, parabens, chlorobutanol, phenol, sorbic acid, and the like. It may also be desirable to include isotonic agents, for example sugars, sodium chloride, and the like. Prolonged absorption of the injectable pharmaceutical form can be brought about by the use of agents delaying absorption, for example, aluminum monostearate and gelatin.
[00163] If desired, a pharmaceutical composition of the invention may also contain minor amounts of auxiliary substances such as wetting or emulsifying agents, pH buffering agents, antioxidants, and the like, such as, for example, citric acid, sorbitan monolaurate, triethanolamine oleate, butylalted hydroxytoluene, etc.
[00164] The choice of formulation depends on various factors such as the mode of drug administration (e.g., for oral administration, formulations in the form of tablets, pills or capsules) and the bioavailability of the drug substance. Recently, pharmaceutical formulations have been developed especially for drugs that show poor bioavailability based upon the principle that bioavailability can be increased by increasing the surface area i.e., decreasing particle size. For example, U.S. Pat. No. 4, 107,288 describes a pharmaceutical
formulation having particles in the size range from 10 to 1 ,000 nm in which the active material is supported on a crosslinked matrix of macromolecules. U.S. Pat. No. 5,145,684 describes the production of a pharmaceutical formulation in which the drug substance is pulverized to nanoparticles (average particle size of 400 nm) in the presence of a surface modifier and then dispersed in a liquid medium to give a pharmaceutical formulation that exhibits remarkably high bioavailability.
[00165] Compositions suitable for parenteral injection may comprise physiologically acceptable sterile aqueous or nonaqueous solutions, dispersions, suspensions or emulsions, and sterile powders for reconstitution into sterile injectable solutions or dispersions.
Examples of suitable aqueous and nonaqueous carriers, diluents, solvents or vehicles include water, ethanol, polyols (propyleneglycol, polyethyleneglycol, glycerol, and the like), suitable mixtures thereof, vegetable oils (such as olive oil) and injectable organic esters such as ethyl oleate. Proper fluidity can be maintained, for example, by the use of a coating such as lecithin, by the maintenance of the required particle size in the case of dispersions and by the use of surfactants.
[00166] One specific route of administration is oral, using a convenient daily dosage regimen that can be adjusted according to the degree of severity of the disease-state to be treated.
[00167] Solid dosage forms for oral administration include capsules, tablets, pills, powders, and granules. In such solid dosage forms, the active compound is admixed with at least one inert customary excipient (or carrier) such as sodium citrate or dicalcium phosphate or (a) fillers or extenders, as for example, starches, lactose, sucrose, glucose, mannitol, and silicic acid, (b) binders, as for example, cellulose derivatives, starch, alignates, gelatin, polyvinylpyrrolidone, sucrose, and gum acacia, (c) humectants; as for example, glycerol, (d) disintegrating agents, as for example, agar-agar, calcium carbonate, potato or tapioca starch, alginic acid, croscarmellose sodium, complex silicates, and sodium carbonate, (e) solution retarders, as for example paraffin, (f) absorption accelerators, as for example, quaternary ammonium compounds, (g) wetting agents, as for example, cetyl alcohol, and glycerol monostearate, magnesium stearate and the like (h) adsorbents, as for example, kaolin and bentonite, and (i) lubricants, as for example, talc, calcium stearate, magnesium stearate, solid polyethylene glycols, sodium lauryl sulfate, or mixtures thereof. In the case of capsules, tablets, and pills, the dosage forms may also comprise buffering agents.
[00168] Solid dosage forms as described above can be prepared with coatings and shells, such as enteric coatings and others well known in the art. They may contain pacifying agents, and can also be of such composition that they release the active compound or compounds in a certain part of the intestinal tract in a delayed manner. Examples of embedded compositions that can be used are polymeric substances and waxes. The active compounds can also be in microencapsulated form, if appropriate, with one or more of the above-mentioned excipients.
[00169] Liquid dosage forms for oral administration include pharmaceutically acceptable emulsions, solutions, suspensions, syrups, and elixirs. Such dosage forms are prepared, for example, by dissolving, dispersing, etc., a compound(s) of the invention, or a
pharmaceutically acceptable salt or solvate thereof, and optional pharmaceutical adjuvants in a carrier, such as, for example, water, saline, aqueous dextrose, glycerol, ethanol and the like; solubilizing agents and emulsifiers, as for example, ethyl alcohol, isopropyl alcohol, ethyl carbonate, ethyl acetate, benzyl alcohol, benzyl benzoate, propyleneglycol, 1,3- butyleneglycol, dimethylformamide; oils, in particular, cottonseed oil, groundnut oil, corn germ oil, olive oil, castor oil and sesame oil, glycerol, tetrahydrofurfuryl alcohol, polyethyleneglycols and fatty acid esters of sorbitan; or mixtures of these substances, and the like, to thereby form a solution or suspension.
[00170] Suspensions, in addition to the active compounds, may contain suspending agents, as for example, ethoxylated isostearyl alcohols, polyoxyethylene sorbitol and sorbitan esters, microcrystalline cellulose, aluminum metahydroxide, bentonite, agar-agar and tragacanth, or mixtures of these substances, and the like.
[00171] Compositions for rectal administrations are, for example, suppositories that can be prepared by mixing the compounds of the present invention with for example suitable non-irritating excipients or carriers such as cocoa butter, polyethyleneglycol or a suppository wax, which are solid at ordinary temperatures but liquid at body temperature and therefore, melt while in a suitable body cavity and release the active component therein.
[00172] Dosage forms for topical administration of a compound of this invention include ointments, powders, sprays, and inhalants. The active component is admixed under sterile conditions with a physiologically acceptable carrier and any preservatives, buffers, or propellants as may be required. Ophthalmic formulations, eye ointments, powders, and solutions are also contemplated as being within the scope of this invention.
[00173] Compressed gases may be used to disperse a compound of this invention in aerosol form. Inert gases suitable for this purpose are nitrogen, carbon dioxide, etc.
[00174] Generally, depending on the intended mode of administration, the
pharmaceutically acceptable compositions will contain about 1% to about 99% by weight of a compound(s) of the invention, or a pharmaceutically acceptable salt or solvate thereof, and 99% to 1 % by weight of a suitable pharmaceutical excipient. In one example, the composition will be between about 5% and about 75% by weight of a compound(s) of the invention, or a pharmaceutically acceptable salt or solvate thereof, with the rest being suitable pharmaceutical excipients.
[00175] Actual methods of preparing such dosage forms are known, or will be apparent, to those skilled in this art; for example, see Remington's Pharmaceutical Sciences, 18th Ed., (Mack Publishing Company, Easton, Pa., 1 90). The composition to be administered will, in any event, contain a therapeutically effective amount of a compound of the invention, or a pharmaceutically acceptable salt or solvate thereof, for treatment of a disease-state in accordance with the teachings of this invention.
[00176] The compounds of the invention, or their pharmaceutically acceptable salts, are administered in a therapeutically effective amount which will vary depending upon a variety of factors including the activity of the specific compound employed, the metabolic stability and length of action of the compound, the age, body weight, general health, sex, diet, mode and time of administration, rate of excretion, drug combination, the severity of the particular disease-states, and the host undergoing therapy. The compounds of the present invention can be administered to a patient at dosage levels in the range of about 0.1 to about 1,000 mg per day. For a normal human adult having a body weight of about 70 kilograms, a dosage in the range of about 0.01 to about 100 mg per kilogram of body weight per day is an example. The specific dosage used, however, can vary. For example, the dosage can depend on a number of factors including the requirements of the patient, the severity of the condition being treated, and the pharmacological activity of the compound being used. The determination of optimum dosages for a particular patient is well known to one of ordinary skill in the art.
[00177] Representative pharmaceutical formulations containing a compound of Formula I are described below in the Pharmaceutical Composition Examples.
Utility
[00178] Certain compounds of this invention have been tested using the assay described in Biological Example 1 and have been determined to be PI3K inhibitors. As such compounds of Formula I, Iaor II are useful for treating diseases, particularly cancer in which PDKactivity contributes to the pathology and/or symptomatology of the disease. For
example, cancer in which PI3K activity contributes to its pathology and/or symptomatology include breast cancer, colorectal cancer, endometrial cancer, gastric carcinoma,
glioblastoma, hepatocellular carcinoma, small cell lung cancer, non-small cell lung cancer, melanoma, ovarian cancer, pancreatic cancer, prostate carcinoma, and thyroid carcinoma, and the like.
[00179] Suitable in vitro assays for measuring PI3K activity and the inhibition thereof by compounds are known. Typically, the assay will measure PI3K-induced ATP consumption. For further details of an in vitro assay for measuring PI3K activity see Biological Examples, Example 1 infra. Cellular activity can be determined using assays as described in
Biological Examples 2, 3, and 4 infra. Suitable in vivo models of cancer are known to those of ordinary skill in the art. For further details of in vivo assays see Biological Examples 5-10, n/ra.Following the examples disclosed herein, as well as that disclosed in the art, a person of ordinary skill in the art can determine the inhibitory activity of a compound of this invention.
Preparations of the Intermediates and Compounds
[00180] Compounds of this invention can be made by the synthetic procedures described below. The starting materials and reagents used in preparing these compounds are either available from commercial suppliers such as Aldrich Chemical Co. (Milwaukee, Wis.), or Bachem (Torrance, Calif.), or are prepared by methods known to those skilled in the art following procedures set forth in references such as Fieser and Fieser's Reagents for Organic Synthesis, Volumes 1-17 (John Wiley and Sons, 1991); Rodd's Chemistry of Carbon Compounds, Volumes 1-5 and Supplemental (Elsevier Science Publishers, 1989); Organic Reactions, Volumes 1-40 (John Wiley and Sons, 1991), March's Advanced Organic Chemistry, (John Wiley and Sons, 4th Edition) and Larock's Comprehensive Organic Transformations (VCH Publishers Inc., 1989). These schemes are merely illustrative of some methods by which the compounds of this invention can be synthesized, and various modifications to these schemes can be made and will be suggested to one skilled in the art having referred to this disclosure. The starting materials and the intermediates of the reaction may be isolated and purified if desired using conventional techniques, including but not limited to filtration, distillation, crystallization,
chromatography and the like. Such materials may be characterized using conventional means, including physical constants and spectral data.
[00181] Unless specified to the contrary, the reactions described herein take place at atmospheric pressure and over a temperature range from about -78 °C to about 150°C, more specifically from about 0°C. to about 125 °C and most specifically at about room (or ambient) temperature, e.g., about 20 °C. Unless otherwise stated (as in the case of an hydrogenation), all reactions are performed under an atmosphere of nitrogen.
[00182] Prodrugs can be prepared by techniques known to one skilled in the art. These techniques generally modify appropriate functional groups in a given compound. These modified functional groups regenerate original functional groups by routine manipulation or in vivo. Amides and esters of the compounds of the present invention may be prepared according to conventional methods. A thorough discussion of prodrugs is provided in T. Higuchi and V. Stella, "Pro-drugs as Novel Delivery Systems," Vol 14 of the A.C.S.
Symposium Series, and in Bioreversible Carriers in Drug Design, ed. Edward B. Roche, American Pharmaceutical Association and Pergamon Press, 1987, both of which are incorporated herein by reference for all purposes.
[00183] The compounds of the invention, or their pharmaceutically acceptable salts, may have asymmetric carbon atoms or quaternized nitrogen atoms in their structure. Compounds of Formula I that may be prepared through the syntheses described herein may exist as single stereoisomers, racemates, and as mixtures of enantiomers and diastereomers. The compounds may also exist as geometric isomers. All such single stereoisomers, racemates and mixtures thereof, and geometric isomers are intended to be within the scope of this invention. Some of the compounds of the invention may exist as tautomers. For example, where a ketone or aldehyde is present, the molecule may exist in the enol form; where an amide is present, the molecule may exist as the imidic acid; and where an enamine is present, the molecule may exist as an imine. All such tautomers are within the scope of the invention.
[00184] In particular, in this application B can be 2-hydroxy-pyridinyl, also described as its structure:
14.
Both 2-hydroxy-pyridinyl and the above structure 14 include, and are equivalent to, pyridin- 2(lH)-one and its structure 15:
Regardless of which structure or which terminology is used, each tautomer is included within the scope of the Invention.
[00185] The present invention also includes N-oxide derivatives and protected derivatives of compounds of Formula I. For example, when compounds of Formula I contain an oxidizable nitrogen atom, the nitrogen atom can be converted to an N-oxide by methods well known in the art. When compounds of Formula I contain groups such as hydroxy, carboxy, thiol or any group containing a nitrogen atom(s), these groups can be protected with a suitable "protecting group" or "protective group". A comprehensive list of suitable protective groups can be found in T.W. Greene, Protective Groups in Organic Synthesis, John Wiley & Sons, Inc. 1991, the disclosure of which is incorporated herein by reference in its entirety. The protected derivatives of compounds of Formula I can be prepared by methods well known in the art.
[00186] Methods for the preparation and/or separation and isolation of single stereoisomers from racemic mixtures or non-racemic mixtures of stereoisomers are well known in the art. For example, optically active (R)- and (S)- isomers may be prepared using chiral synthons or chiral reagents, or resolved using conventional techniques. Enantiomers (R- and S-isomers) may be resolved by methods known to one of ordinary skill in the art, for example by: formation of diastereoisomeric salts or complexes which may be separated, for example, by crystallization; via formation of diastereoisomeric derivatives which may be separated, for example, by crystallization, selective reaction of one enantiomer with an enantiomer-specific reagent, for example enzymatic oxidation or reduction, followed by separation of the modified and unmodified enantiomers; or gas-liquid or liquid
chromatography in a chiral environment, for example on a chiral support, such as silica with a bound chiral ligand or in the presence of a chiral solvent. It will be appreciated that where a desired enantiomer is converted into another chemical entity by one of the separation procedures described above, a further step may be required to liberate the desired enantiomeric form. Alternatively, specific enantiomer may be synthesized by asymmetric synthesis using optically active reagents, substrates, catalysts or solvents or by converting on enantiomer to the other by asymmetric transformation. For a mixture of enantiomers,
enriched in a particular enantiomer, the major component enantiomer may be further enriched (with concomitant loss in yield) by recrystallization.
[00187] In addition, the compounds of the present invention can exist in unsolvated as well as solvated forms with pharmaceutically acceptable solvents such as water, ethanol, and the like. In general, the solvated forms are considered equivalent to the unsolvated forms for the purposes of the present invention.
[00188] In Compounds of Formula I
the hydrogen on the -NHS(0)2- group is highly acidic. Thus, intermediates leading to Compounds of Formula I, as well as Compounds of Formula I themselves, can be recovered as uncharged or zwitterionic molecules, or cationic salts such a sodium or potassium, depending on the substitutions on the B ring and on reaction conditions. In the examples that follow, unless otherwise specified, the final form of the compound was assumed to be the uncharged molecule in the absence of analytical techniques that would have determined otherwise.
[00189] Compounds of Formula I can be prepared using methods known to one of ordinary skill in the art. Specifically, fusion of appropriate reagents at 180 °C in the presence of a base such as K2C03 and metallic copper is known to provide intermediates of formula 1 (see S. H. Dandegaonker and C. K. Mesta, /. Med. Chem. 1965, 8, 884).
[00190] Alternatively, the intermediate of formula 3 can be prepared according to the scheme below where each LG1 is a leaving group (specifically, halo, more specifically, chloro) and all other groups are as defined in the Detailed Description of the Invention.
1 S 1
cheme 1
[00191] In scheme 1, an intermediate of formula 3 can be prepared by briefly heating commercially available 2,3-dichloroquinoxaline and an intermediate of formula 2 (which are commercially available or can be prepared by one of ordinary skill in the art), a base such as K2C03, in a solvent, such as DMF or DMSO. Upon completion (about 2 hours), the reaction mixture is then poured into water and followed by 2 N HCI. The product is then extracted into a solvent such as ethyl acetate and washed with water and brine. The organic layers are combined and dried over a drying agent such as sodium sulfate, filtered, and concentrated under vacuum.
[00192] The intermediate of formula 3 is then treated with an intermediate of formula 4 in a solvent such as DMF or p-xylene at reflux temperature. Upon completion of the reaction (about 16 hours or less), the reaction is allowed to cool, extracted into DCM, washed with 2 N HCI and brine, dried over a drying agent such as sodium sulfate or magnesium sulfate, filtered, and concentrated to give a compound of Formula I.
[00193] Alternatively, other methods to prepare quinoxaline derivatives are known to one skilled in the art and include, but are not limited to S. V. Litvinenko, V. I. Savich, D. D. Bobrovnik, Chem. Heterocycl. Compd. (Engl. Transl), 1994, 30, 340 and W. C. Lumma, R. D. Hartman, /. Med. Chem. 1981, 24, 93.
[00194] The following compounds were prepared in a manner similar to that described above.
Example 1: N-(3-{ [2,5-bis(methoxy)phenyl]amino }quinoxalin-2-yl)-3- nitrobenzenesulfonamide.
Example 2: N-(3-{[2,5-bis(methoxy)phenyl]amino}quinoxalin-2-yl)-4- chlorobenzenesulfonamide.
Example 3: N-(3-chloroquinoxalin-2-yl)-3-nitrobenzenesulfonamide.
Example 4: 4-chloro-N-(3-chloroquinoxalin-2-yl)benzenesulfonamide.
Example 5: 4-chIoro-N-(3-(2,5-dimethoxy-phenylamino)quinoxalin-2- yObenzenesulfonamide. Ή NMR (400 MHz, DMSO-rf6) δ 9.18 (s, 1H), 8.78 (s, 1H), 8.40-
8.60 (m, 3H), 7.98 (t, 2H), 7.62 (d, I H), 7.41 (m, 2H), 6.98 (d, IH), 6.59 (d, IH), 3.78 (s, 3H), 3.76 (s, 3H); MS (EI) m/z for C^H^NsOeS: 482.1 (MH+).
Example 6: N-(3-(2,5-dimethoxyphenylamino)quinoxalin-2-yl)-3- nitrobenzenesulfonamide. Ή NMR (400 MHz, CDC13) δ 12.68 ( br s, IH ), 9.18 (s, IH), 8.55 (s, IH), 8.08 (d, 2H), 7.98 (d, IH), 7.78 (d, 2H), 7.62 (dd, IH), 7.40 (m, 2H), 7.00 (d, IH), 6.60 (dd, IH), 3.78 (s, 6H) ; MS (EI) m/z for C22H19CW404S: 471.1 (Μ1Γ).
Example 7: N-(3-(N-(3-(2-chloro-5-methoxyphenylamino)quinoxalin-2-yl)sulfamoyl)-4- methylphenyl)-2-(dimethyIamino)acetamide. Ή NMR (400 MHz, DMSO-ii6) δ 12.0 (br s, 1 H), 10.6 (s, 1 H), 10.0 (br s, 1 H), 9.52 (s, 1 H), 8.91 (d, 1 H), 8.25 (d, 1 H), 7.69 (dd, IH), 7.47 (m, 1 H), 7.39 (d, 1 H), 7.16 (m, 3 H), 6.01 (dd, 1 H); MS (EI) m/z for C26H27CW604S: 555 (MH+).
[00195] Compounds of Formula I where B is phenyl substituted with R3a where R3a is alkylamino or dialkylamino or B is heteroaryl substituted with R3 where R3 is amino, alkylamino, or dialkylamino, and all other groups are as defined in the Summary of the Invention can be prepared according to Scheme 2.
Scheme 2
5 1(c)
LG is a leaving group such as chloro. 5 is reacted with NHRaRb or HO-C|-C6-alkylene- NHRaR where Ra and R are independently hydrogen or alkyl. The reaction is carried out in the presence of a base, such as KHCO3, in a solvent such as DMF.
[00196] Compounds of Formula I where B is phenyl substituted with R3a where R3a is aminoalkyloxy, alkylaminoalkyloxy, or dialkylaminoalkyloxy or B is heteroaryl substituted with R3 where R3 is aminoalkyloxy, alkylaminoalkyloxy, or dialkylaminoalkyloxy, and all other groups are as defined in the Summary of the Invention can be prepared according to Scheme 3.
Scheme
1(c)
The reaction is carried out in the presence of a base such as NaH in a solvent such as DMF.
[00197] Compounds of Formula I where B is phenyl substituted with R3a or B is heteroaryl substituted with R3 where R3a and R3 are
i. -N(R7)C(0)-CrC6-alkylene-N(R7a)(R7b) where R7, R7a, and R7b are as defined in the Summary of the Invention;
ii. -NR9C(0)R9a where R9 is as defined in the Summary of the Invention;
iii. -NR1 'C(0)NR' laR* lb where Rl la, R1 la, and R1 lb are as defined in the Summary of the Invention;
iv. -NRl3C(0)OR13a where R13 and R13a are as defined in the Summary of the
Invention;
v. -N(RI8)C(0)-C,-C6-alkylene-N(R18b)C(0)R18a where R18, Rl8a, and Rl8b are as defined in the Summary of the Invention;
vi. -N(R20)C(O)-Ci-C6-alkylene-C(O)R20a where R20 and R20a as defined in the
Summary of the Invention;
vii. -NR21S(0)2R-Ci.C6-alkylene-N(R21b)R2la where R21, R21a, and R21b are as defined in the Summary of the Invention;
viii. -N(R22)C(0)-Co-C6-alkylene-N(R22b)-N(R 2c)(R22a), where R22, R22a and R22b are as defined in the Summary of the Invention;
ix. -NR^CiOJ-d.Ce-alkylene-OR243 where R24 and R24a are as defined in the
Summary of the Invention;
and where the alkylene in R3 and R3a are independently optionally substituted as described in the Summary of the Invention can be prepared according to Scheme 4 by reacting with an intermediate of formula 9(a), 9(b), 9(c), 9(d), 9(e), 9(f), or 9(g):
9(a) HOC(0)-C i -C6-alky lene-N(R7a)(R7b) where Ra is R7a or a N-protecting
group, such as Boc or Fmoc;
9(b) HOC(0)R9a;
9(c) HOC(0)NRl laR, lb;
9(d) HOC(0)OR13a;
9(e) HOC(0)-C,-C5-alkylene-N(Rl8b)C(0)R18a;
9(f) HOC(O)-C,-C6-alkylene-C(O)R20a;
9(g) LG-S(0)2R-C|.C6-alkylene-N(R21b)Ra where Ra is R2la or a N-protecting group, such as Boc or Fmoc.
Scheme 4
8 1(e)
R100 in Scheme 4 is -C(0)R9a, -C(0)NRl laRl lb, -C(0)OR13a, -C(0)-C,-C6-alkylene- N(R18b)C(0)R18a, -C(O)-C,-C6-alkylene-C(O)R20a, or -S(0)2R-C,.C6-alkylene-N(R21b)Ra. The reaction is carried out under standard amide coupling conditions known to one of ordinary skill in the art. In particular, the reaction is carried out in the presence of a coupling agent such as HATU, a base such as DIEA, and in a solvent such as DMF. Where applicable, the N-protecting group is then removed using procedures known to one of ordinary skill in the art, such as treating with acid where PG is Boc.
[00198] Proceeding as described for Scheme 4, compounds of the invention where B is phenyl substituted with R3a or B is heteroaryl substituted with R3 where R3a and R3 are a) -C(0)NR8R8a;
b) -C(O)N(R10)-Ci-C6-alkylene-N(R10a)Rl0b;
c) -C(0)R12 where R12 is an N-substituted heterocycloalkyl;
d) -C(0)N(R14)N(R14a)(R1 b);
e) -C(0)N(R16)-C,.C6-alkylene-C(0)OR,6a; or
f) -C(0)N(R19)-C,-C6-alkylene-C(0)R19a; or
can be prepared by exchanging the starting materials as necessary. In particular, the intermediate of formula 1 1 :
11
is used instead of 8.
[00199] Compounds of Formula I where B is phenyl substituted with R3a or B is heteroaryl substituted with R3 where R3a and R3 are -NHC(0)CH2NR7aR7b where R7a and
R7b are as defined in the Summary of the Invention can be prepared according to Scheme 5. Scheme 5
12 l(f)
LG is a leaving group such as bromo or chloro. 12 is reacted with NH(R7b)R7a in the presence of a base, such as DIEA, in a solvent such as ACN.
[00200] Compounds of Formula I can be prepared according to Scheme 6.
Scheme 6
1(h)
LG in Scheme 6 is a leaving group such as chloro. The reaction can be carried out by irradiating in a solvent such as DMA. Alternatively, the reaction can be carried out in the presence of acetic acid in a solvent such as DMA and by heating.
Example 8
-(3,5-dimethoxyphenylamino)
[00201] 6-chloropyridine-3-sulfonaraide. 6-chloropyridine-3-sulfonyl chloride (4.1 g, 19.3 mmol) was stirred in ammonium hydroxide (30 mL) at room temperature for 2 hr. The reaction mixture was diluted with EtOAc ( 150 mL) and any insoluble material filtered. The filtrate was transferred to a separatory funnel and the phases were separated. The aqueous phase was further extracted with EtOAc (1 x 15 mL). The combined EtOAc extractions were washed with H20 (1 x 50 mL) and saturated NaCl (1 x 50 mL), dried over Na2S04, and concentrated in vacuo to give 6-chloropyridine-3-sulfonamide (2.58 g, 69%). MS (EI) m/z for C5H5Cl2N202S: 190.9 (MH").
[00202] 6-chloro-/V-(3-chloroquinoxalin-2-yl)pyridine-3-sulfonamide.
2,3-dichloroquinoxaline (1.09 g, 5.48 mmol), 6-chloropyridine-3-sulfonamide (1.05 g, 5.45 mmol), K2C03 (753 mg, 5.45 mmol) and dry DMSO (30 mL) were combined and heated to 150 °C with vigorous stirring for 3-4 hr. The reaction mixture was allowed to cool to room temperature, then poured into 1% AcOH in ice water (300 mL) with vigorous stirring. The resulting solids were filtered, washed with H20 and dried under high vacuum to give 6- chloro-N-(3-chloroquinoxalin-2-yl)pyridine-3-sulfonamide (1.87g, 96%). MS (EI) m/z for C,3H8C12N402S: 354.99 (MH+).
[00203] 6-chIoro-Af-(3-(3,5-dimethoxyphenylamino)quinoxalin-2-yI)pyridine-3- sulfonamide. 6 -Chloro-N-(3-chloroquinoxalin-2-yl)pyridine-3-sulfonamide (775 mg, 2.2 mmol), 3,5-dimethoxyaniline (355 mg, 2.3 mmol) and toluene (12 mL) were combined and heated to 125 °C with stirring overnight. The reaction was allowed to cool to room temperature and diluted with Et20 with vigorous stirring. The resulting solids were filtered, washed with Et20 and dried to give 6-chloro-N-(3-(3,5-dimethoxy-
phenylamino)quinoxalin-2-yl)pyridine-3-sulfonamide (920 mg, 89%). Ή NMR (400 MHz, DMSO- ) δ 12.20 (br s, IH), 9.12 (d, IH), 9.01 (br s, IH), 8.53 (dd, IH), 7.91 (br d, IH), 7.77 (d, IH), 7.60 (dd, IH), 7.40 (m, 4H), 6.26 (m, IH), 3.78 (s, 6H). MS (EI) m/z for C2iHi8ClN504S: 472.0 (MH+).
Example 9
V-(3-(3,5-dimethoxyphenylamino)quinoxalin-2-yl)-6-(2-(dimethylamino)- -3-sulfbnamide
[00204] 6-chloro-N-(3-(3,5-dimethoxyphenylamino)quinoxalin-2-yl)-pyridine-3- sulfonamide (100 mg, 0.21 mmol), prepared using procedures similar to those used in Example 8, KHC03 (40 mg, 0.40 mmol), N'^'-dimethylethane-l^-diamine (225 L, 2.0 mmol) and dry DMF (1.0 mL) were combined and heated to 130 °C with stirring overnight. The reaction mixture was concentrated in vacuo and purified by preparative HPLC to give N-(3-(3,5-dimethoxy-phenylamino)-quinoxalin-2-yl)-6-(2-
(dimethylamino)ethylamino)pyridine-3-sulfonamide (21.0 mg, 19%). 1H NMR (400 MHz, DMSO-i/e) δ 8.76 (br s, IH), 8.63 (d, IH), 8.07 (dd, IH), 7.40 (m, IH), 7.34 (m, IH), 7.28 (d, 2H), 7.14 (m, 4H), 6.47 (d, IH), 6.12 (m, IH), 3.75 (s, 6H), 3.35 (m, 2H), 3.14 (m, 2H), 2.74 (s, 6H). MS (EI) m/z for C25H29N7O4S: 524.1 (MH*).
[00205] Example 10: iV-(3-(3,5-dimethoxyphenylamino)quinoxaIin-2-yl)-6- (dimethylamino)pyridine-3-sulfonamide was prepared using procedures similar to those used in Example 9. Ή NMR (400 MHz, DMSO-ii6) δ 12.00 (br s, IH), 8.92 (br s, IH), 8.74 (d, IH), 8.10 (dd, IH), 7.38 (br s, IH), 7.54 (m, IH), 7.33 (m, 4H), 6.70 (d, IH), 6.22 (s, IH), 3.77 (s, 6H), 3.08 (s, 6H). MS (EI) m/z for C23H24N604S: 481.1 (MH+).
Example 11
A^-(3 3,5-dimethoxyphenylamino)quinoxalin-2-yl)-6-(2 diraethylamino)- -3-sulfonanude
[00206] N-(3-(3,5-dimethoxyphenylamino)quinoxalin-2-yl)pyridine-3-sulfonamide (100 mg, 0.21 mmol), prepared using procedures similar to those described above in Example 1 , 2-(dimethylamino)ethanol (50 μΐ., 0.50 mmol) and dry DMF were combined and 60% NaH in oil (80 mg, 2.0 mmol) was added. The mixture was stirred at room temperature overnight. The reaction mixture was concentrated in vacuo and purified by preparative HPLC to give N-(3-(3,5-dimethoxyphenylamino)quinoxalin-2-yl)-6-(2- (dimethylamino)ethoxy)pyridine-3-sulfonamide (23 mg, 21%). Ή NMR (400 MHz, DMSO-rf6) δ 8.78 (d, IH), 8.73 (s, IH), 8.38 (dd, IH), 7.40 (dd, IH), 7.31 (m, 3H), 7.14 (m, 2H), 6.85 (d, IH), 6.12 (m, IH), 4.56 (m, 2H), 3.76 (s, 6H), 3.43 (m, 2H), 2.77 (s, 6H). MS (EI) m/z for CaHaNeOsS: 525.1 (MH*).
Example 12
/V-(3-(3,5-dimethoxyphenylamino)quinoxaIin-2-yl)-6-oxo-l,6-dihydropyridine- -sulfonamide
[00207] N-(3-(3,5-dimethoxyphenylamino)quinoxalin-2-yl)pyridine-3-sulfonamide (220 mg, 0.47 mmol), prepared using procedures similar to those described above in Example 8, DMSO (5 mL), and 3Ν NaOH (5 mL) are combined and heated to 100 °C overnight with stirring. Upon cooling to room temperature, the reaction mixture was diluted with H20 and the pH was adjusted to 7.0 with IN HCl. The resulting solid was filtered, washed with H20,
and air-dried. The solid was then sonicated in EtOAc, filtered, washed with EtOAc, and dried under high vacuum to give N-(3-(3,5-dimethoxyphenylamino)quinoxalin-2-yl)-6-oxo- l,6-dihydropyridine-3-sulfonamide ( 190 mg, 90%). Ή NMR (400 MHz, DMSO-</6) δ 12.23 (br s, IH), 12.10 (br s, IH), 8.97 (s, IH), 8.23 (s, IH), 7.95 (m, 2H), 7.59 (m, IH), 7.37 (m, 4H), 6.43 (d, IH), 6.25 (s, IH), 3.77 (s, 6H). MS (EI) m/z for C2iHi9N505S: 454.0 (MH+).
[00208] Example 13: Ar-(3-(2-chloro-5-methoxy-phenylamino)quinoxalin-2-yl)-6- oxo-l,6-dihydropyridine-3-sulfonamide. The title compound was prepared according to the above Example 12. Ή NMR (400 MHz, DMSO-<¾) δ 12.22 (br s, IH), 12.10 (br s, IH), 9.16 (s, I H), 8.60 (s, IH), 8.14 (d, IH), 7.94 (m, IH), 7.85 (dd, IH), 7.62 (m, IH), 7.40 (m, 3H) 6.69 (dd, IH), 6.43 (d, IH), 3.81 (s, 3H). MS (EI) m/z for C2oH|5ClN504S: 456.0 (ΜΗ').
Example 14
3-amino-i ^( -(3,5-dimethoxyphenylamino)quinoxalin-2<-yI)benzenesuIfonamide.
[00209] N-(3-(3,5-dimethoxyphenylamino)quinoxalin-2-yl)-3- nitrobenzenesulfonamide. A flask was charged with N-(3-chloroquinoxalin-2-yl)-3- nitrobenzenesulfonamide (5 g, 13.7 mmol), prepared using procedures similar to those in Example 1, 3,5-dimethoxyaniline (4.2 g, 27.4 mmol), and 80 mL of xylene. The reaction mixture was stirred under an N2 atmosphere at 150 °C for 3 hours, after which time, solvent was removed on a rotary evaporator, and 10 mL of Dichloromethane and 50 mL of methanol were added. The slurry was heated to reflux and Filtered while hot, resulting in 4.6 g (69.7 %) of N-(3-(3,5-dimethoxyphenylamino)quinoxalin-2-yl)-3- nitrobenzenesulfonamide MS (EI) m/z for C22H19N506S: 482.2 (ΜΗ*).
Example 15
3-aimno- -(3,5-dimethoxyphenyIamino)quino^
[00210] A flask was charged with N-(3-(3,5-dimethoxyphenylamino)quinoxalin-2-yl)-3- nitro-benzenesulfonamide (3.4g, 7.06 mmol), prepared using procedures similar to those in Example 14, tin chloride solvate (6.4 g, 28.2 mmol), and 30 mL of DMA. A few drops of water were added and the reaction mixture was stirred at 80 °C for 3 hours, after which time, solvent was removed on a rotary evaporator, and 50 mL of water and 10 mL of Methanol were added. The slurry was filtered, and the filtrate was washed with MeOH, water, and diethyl ether (20 mL of each), resulting in 3.25 g 3-amino-N-(3-(3,5-dimethoxy- phenylamino)quinoxalin-2-yl)benzenesulfonamide. Ή NMR (400 MHz, DMSO) δ 12.2 (br s, IH), 8.85 (s, IH), 7.90 (br s, IH), 7.50-7.60 (m, IH), 7.3-7.4 (m, 4H), 7.2 (m, 3H), 6.74 (m, IH), 6.24 (m, IH), 5.56 (br s, 2H), 3.76 (s, 6H). MS (EI) m/z for C22H2i 504S: 452.0
(MH+).
[00211] The following compounds were made using procedures similar to those used in Example 15.
Example 16: Proceeding as above, 3-amino-N-(3-(2,5-dimethoxy- phenylamino)quinoxalin-2-yl)benzenesulfonamide was prepared. Ή NMR (400 MHz, DMSO) δ 12.4 (br s, IH), 9.20 (s, IH), 8.56 (d, IH), 7.95 (d, IH), 7.62 (m, IH), 7.38 (m, 2H), 7.24 (q, 2H), 7.14 (d, IH), 6.98 (d, IH), 6.8 (m, IH), 6.60 (m, IH), 5.6 (br s, 2H), 3.78 (d, 6H). MS (EI) m/z for C22H2iN504S: 452.3 (MH+).
Example 17: Proceeding as above, 3-amino-^-(3-(2-chloro-5-hydroxy- phenylamino)quinoxalin-2-yl)benzenesulfonamide was prepared. MS (EI) m/z for C2oH,6ClN503S 1.0 x C2H,02F3: 442.2, 444.2 (MH+).
Example 18: Proceeding as above, 3-amino-N-(3-(6-methoxyquinolin-8- ylamino)quinoxalin-2-yl)benzenesulfonamide was prepared. MS (EI) m/z for
Q4H20N6O3S: 473.0 (MH+).
Example 19: 3-aimno- V-(3-(3-fluoro-5-methoxy-phenylamino)quinoxalin-2- yl)benzenesulfonamide. MS (EI) m/z for C2|Hi8FN503S: 439.99 (MH+).
Example 20: 3-amino-iV-(3-(2-chloro-5-methoxy-phenylamino)quinoxaIin-2- yDbenzenesulfonamide. MS (EI) m/z for C2iH18CIN503S: 457.02 (MH+).
Example 21 : 3-amino-jY-(3-(5-methoxy-2-methyl-phenylamino)quinoxalin-2- yl)benzenesulfonamide. MS (EI) m z for C22H2iN503S: 436.32 (MH+).
Example 22a and Example 22b
3-amino-iV-(3-(3-methoxy-5-nitro-phenylamino)quinoxalin-2-yl)benzenesu]fonamide and 3-amino- V-(3-(3-amino-5-methoxy-phenylamino)quinoxalin-2-
[00212] To a mixture of N-(3-{ [3-(methyloxy)-5-nitrophenyl]amino }quinoxalin-2-yl)-3- nitrobenzenesulfonamide (400 mg), THF (2 mL) and EtOH (2 mL) was added formic acid (938 uL), potassium formate (203 mg). After the mixture was flushed with N2, 10 wt Pd/C (50 mg) was added. The resulting mixture was heated at 60 °C with stirring. LC/MS analysis indicated that the reaction mixture contained the complete reduced di-amino compound as the major product and the partially reduced mono-amino compound as a minor product. A portion of the crude mixture was purified by HPLC to give the two products. Product A: 3-amino-N-(3-(3-methoxy-5-nitro-phenylamino)quinoxaIin-2- yl)benzenesulfonamide. Ή NMR (400 MHz, DMSO) δ 12.2 (br s, IH), 9.51 (s, IH), 8.77 (s, IH), 8.21 (s, IH), 7.92 (s, IH), 7.48 (m, IH), 7.43-7.38 (m, 3H), 7.24-7.16 (m, 3H), 6.75 (d, lH), 5.57 (br s, 2H), 3.90 (s, 3H). MS (EI) for C2iHi8N605S: 467.00 (MH+). Product B: 3-amino-N-(3-(3-amino-5-methoxy-phenylamino)quinoxalin-2-yl)benzenesulfonamide. Ή NMR (400 MHz, DMSO) δ 12.0 (br. s, IH), 8.53 (s, IH), 7.84 (s, IH), 7.56 (d, IH), 7.37-7.30 (m, 2H), 7.21-7.17 (m, 3H), 6.87 (s, IH), 6.81 (s, IH), 6.74 (br s, 2H), 5.91 (s, IH), 5.56 (br s, 3H), 3.69 (s, 3H). MS (EI) for C21H20N6O3S: 437.2 (MH+).
Example 23a and Example 23b
A -(3-(3,5-dimethoxy-phenylamino)quinoxalin-2-yl)-3-(hydroxyainino)- benzenesulfonamide and 3-amino-N-(3-{[3,5-(dimethoxy)phenyl]amino}quinoxalin-2 yl)benzenesulfonamide
[00213] To a solution N-(3-(3,5-dimethoxyphenylamino)quinoxalin-2-yl)- 3-nitrobenzenesulfonamide ( 1.3g) in 20 mL of THF and 10 mL of MeOH was added 10% wt Pd/C (100 mg). The mixture was stirred under a H2 balloon overnight. A portion of the reaction mixture was taken out and filtered, then purified by HPLC to afford two products. Product A: N-(3-{ [3,5-bis(methyloxy)phenyl]amino}quinoxalin-2-yl)-3- (hydroxyamino)benzenesulfonamide. MS (EI) for C22H2iN505S: 468.1 (MH+). Product B: 3-amino-N-(3-(3,5-dimethoxy-phenylamino)quinoxalin-2-yI)benzenesulfonamide. Ή NMR (400 MHz, DMSO) 5 12.2 (br s, IH), 8.85 (s, I H), 7.90 (br s, IH), 7.50-7.60 (m, IH), 7.3- 7.4 (m, 4H), 7.2 (m, 3H), 6.74 (m, IH), 6.24 (m, IH), 5.56 (br s, 2H), 3.76 (s, 6H). MS (EI) for C22H2iN504S: 452.0 (MH+).
Example 24
(S)-2-amino-N-(3-(-V-(3-(3,5-diraethoxyphenylamino)quinoxalin-2- yl)sulfamoyl)phenyl)propanamide hydrochloride.
[00214] (S)-tert-butyl l-(3-(N-(3-(3,5-dimethoxyphenylamino)quinoxalin-2- yl)sulfamoyl)phenylamino)-l-oxopropan-2-ylcarbamate. 3-amino-N-(3-(3,5-dimethoxy- phenylamino)quinoxalin-2-yl)benzenesulfonamide (1.1 mmol, 500 mg), prepared using procedures similar to those described above in Example 15, (L)-Boc-Ala-OH (1.5 mmol, 284 mg), dichloromethane (15 mL), DMF (10 mL), DEA (2 mmol, 330 μί), and HATU (2 mmol, 760 mg) stirred at room temperature over night. The crude mixture was column purified using 1/1 ethyl acetate hexanes on silica to gave 160 mg.
[00215] (S)-2-amino-N-(3-(N-(3-(3,5-dimethoxyphenylamino)quinoxalin-2- yl)sulfamoyl)phenyl)propanamide hydrochloride. 4 N HC1 is dioxane ( 10 mL) was added to a solution of (S)-r<?rr-butyl l-(3-(N-(3-(3,5-dimethoxyphenylamino)quinoxalin- 2-yl)sulfamoyl)phenylamino)-l-oxopropan-2-ylcarbamate ( 160 mg) and DCM (15 mL). The mixture was stirred at room temperature for 3 hours. The solvent decanted and ether added to the solid, ether decanted to gave 80 mg product as HC1 salt. Ή NMR (400 MHz, CD3OD) δ 8.50-8.49 (t, IH), 7.89-7.87 (m, IH), 7.74-7.72 (m, IH), 7.61-7.5 (m, 3H), 7.40- 7.36 (m, 2H), 7.21-7.20 (d, 2H), 6.23-6.21 (t, IH), 4.09-4.03 (q, IH), 3.78 (s, 6H), 1.60-1.58 (d, 3H); MS (EI) m/z for C25H26N605S-HC1: 523.1 (MH+).
[00216] The following compounds were prepared as the free amine and/or HC1 salt using procedures similar to those in Example 24. Where the deprotection step is not necessary, Step B in the above scheme was not preformed.
Example25: N-(2-chloro-5-(N-(3-(2-chloro-5-methoxy-phenylamino)quinoxalin-2- yl)sulfamoyl)phenyl)-2-(methylamino)acetamide. The title compound was prepared according to the Examples above. Ή NMR (400 MHz, DMSO-i/6) δ 10.50 (s, IH), 9.14 (s, IH), 9.03 (m, 2H), 8.63 (d, IH), 8.44 (d, IH), 7.98 (m, IH), 7.91 (dd, IH), 7.80 (d, IH), 7.67 (m, IH), 7.44 (m, 3H), 6.71 (dd, IH), 4.06 (m, 2H), 3.83 (s, 3H), 2.64 (t, 3H). MS (EI) m/z for C24H22CI2N6O4S: 561.0 (MH+).
Example 26: (S)-2-amino-A^-(3-(N-(3-(2-chloro-S-methoxy-phenyIamino)quinoxalin-2- yl)sulfamoyl)phenyl)propanamide hydrochloride. Ή NMR (400 MHz, CD3OD) 5 8.72- 8.71 (d, IH), 8.48-8.46 (t, IH), 7.86-7.84 (m, IH), 7.80-7.78 (m, IH), 7.63-7.59 (m, 2H),
7.58- 7.55 (t, IH), 7.41-7.38 (m, 2H), 7.24-7.22 (d, IH), 6.60-6.58 (dd, IH), 4.10-4.04 (q, IH), 3.83 (s, 3H), 1.61- 1.60 (d, 3H); MS (EI) m/z for C24H23C1N604S HC1: 527.2 (MH*). Example 27 : (S)-2-amino-Ar-(3-(N-(3-(2-chloro-5-methox pheny lamino)quinoxalin-2- y Dsulfamoyl) phenyl )bu tana mide hydrochloride. Ή NMR (400 MHz, CD3OD) δ 8.74- 8.73 (d, IH), 8.80-8.47 (t, IH), 7.87-7.85 (m, IH), 7.80-7.78 (m, IH), 7.67-7.61 (m, 2H),
7.59- 7.55 (t, IH), 7.42-7.39 (m, 2H), 7.26-7.24 (d, I H), 6.62-6.59 (dd, IH), 3.96-3.93 (t, IH), 3.84 (s, 3H), 2.02- 1.94 (m, 2H, 1.09-1.06 (t, 3H); MS (EI) m/z for
C25H25C1N604S-HC1: 541.3 (MH+).
Example 28: (5)-N-(3-( V-(3-(2-chloro-5-methoxyphenylamino)quinoxaIin-2- yI)sulfamoyI)phenyl)pyrrolidine-2-carboxamide hydrochloride. Ή NMR (400 MHz, CD3OD) 5 8.78-8.77 (d, IH), 8.47-8.46 (t, IH), 7.87-7.85 (m, IH), 7.80-7.75 (m, IH), 7.69-7.65 (m, 2H), 7.59-7.55 (t, IH), 7.45-7.41 (m, 2H), 7.31-7.28 (d, IH), 6.65-6.63 (dd, IH), 4.42-4.38 (m, IH), 3.86 (s, 3H), 3.48-3.42 (m, 2H), 2.55-2.49 (m, IH), 2.18-2.08 (m, 3H); MS (EI) m/z for C26H25C1N604S-HC1: 553.3 (MH+).
Exmaple 29: (S)-N-(3-(.V-(3-(3,5-dimethoxy-phenylamino)quinoxalin-2- yI)sulfamoyl)phenyl)pyrrolidine-2-carboxamide hydrochloride. Ή NMR (400 MHz, CD3OD) 5 10.62 (br s, IH), 8.50-8.49 (t, IH), 7.90-7.87 (m, I H), 7.76-7.73 (m, IH), 7.63- 7.58 (m, 3H), 7.43-7.35 (m, 2H), 7.14 (s, 2H), 6.27-6.26 (t, IH), 4.43-4.38 (m, IH), 3.78 (s, 6H), 3.48-3.41 (m, IH), 3.40-3.36 (m, 1 H(, 2.54-2.48 (m, IH), 2.19-2.05 (m, 3H); MS (EI) m/z for C27H28N605S-HC1: 549.3 (MH+).
Example 30: (R)-2-amino- V-(3-(^V-(3-(3,5-dimethoxy-phenylamino)quinoxalin-2- yl)suIfamoyl)phenyl)-3-hydroxypropanamide hydrochloride. Ή NMR (400 MHz,
CD3OD) 5 8.49-8.48 (t, IH), 7.89-7.87 (m, IH), 7.75-7.72 (m, IH), 7.65-7.62 (m, 2H), 7.62-7.55 (t, IH), 7.44-7.38 (m, 2H), 7.23-7.22 (d, 2H), 6.27-6.26 (t, IH), 4.07-4.05 (m, IH), 3.99-3.93 (m, 2H), 3.80 (s, 6H); MS (EI) m/z for C25H26N606S-HC1: 539.1 (Mi?). Example 31: N-(3-(N-(3-(2-chloro-5-methoxy-phenylamino)quinoxalin-2- yl)sulfamoyl)phenyl)piperidine-3-carboxamide hydrochloride. Ή NMR (400 MHz, CD3OD) δ 8.79-8.78 (d, IH), 8.45 (m, IH), 7.83-7.81 (d, IH), 7.76-7.74 (m, IH), 7.636 (m, 2H), 7.54-7.50 (t, IH), 7.41 (m, 2H), 7.30-7.28 (d, IH), 6.65-6.62 (dd, IH), 3.86 (s, 3H), 3.40-3.32 (m, 2H), 3.20-3.13 (m, 3H), 2.93 (m, IH), 2.15-2.1 1 (m, IH), 1.98-1.93 (m, 2H), 1.83 (m, IH); MS (EI) m/z for C27H27C1N604S HC1: 567.3 (MH*).
Example32: (S)-2-amino-N-(3-(jV-(3-(3,5-dimethoxyphenylamino)quinoxaIin-2- yl)sulfamoyl)phenyl)butanamide hydrochloride. MS (EI) m/z for C^H^NeOsS-HCl: 537.1 (MH*).
Example 33: (R)-N-(3-(iV-(3-(3,5-dimethoxy-phenylamino)quinoxalin-2- yl)sulfamoyl)phenyl)pyrrolidine-2-carboxamide hydrochloride. MS (EI) m/z for C27H28N605S-HC1: 549.1 (MlT).
Example 34: ( f)-N-(3-(/V-(3-(2-chloro-5-methoxy-phenylamino)quinoxalin-2- yI)sulfamoyl)phenyl)pyrrolidine-2-carboxamide hydrochloride. MS (EI) m/z for C26H25C1N604S HC1: 553 (MH*).
Example 35: (R)-2-amino-iV-(3-(iV-(3-(3,5-dimethoxyphenylamino)quinoxalin-2- yI)sulfamoyl)phenyl)propanamide. Ή NMR (400 MHz, DMSO-</6) δ 10.2 (br s, 1 H), 8.82 (s, 1 H), 8.27 (m, 1 H), 7.75 (m, 2 H), 7.33 (m, 5 H), 7.13 (m, 2 H), 6.14 (t, 1 H), 3.77 (s, 6 H), 1.39 (d, 3 H); MS (EI) m/z for C25H26N605S: 523 (MH+).
Example 36 :.V-(3-(iV-(3-(2-chIoro-5-methoxy-phenyIamino)quinoxalin-2- yl)sulfamoyl)phenyl)-2-(methylamino)acetamide. Ή NMR (400 MHz, DMSO-</6) δ 10.6 (s, 1 H), 9.48 (s, 1 H), 8.95 (br s, 1 H), 8.75 (br s, 1 H), 8.19 (br s, 1 H), 7.77 (dd, 1 H), 7.69 (dd, 1 H), 7.41 (m, 4 H), 7.17 (m, 2 H), 6.60 (dd, 1 H), 3.91 (s, 2 H), 3.82 (s, 6 H), 2.62 (s, 3 H); MS (EI) m/z for C24H23C1N604S: 527 (MH+).
Example 37: (R)-2-amino-N-(3-(.V-(3-(2 hloro-5-methoxy-phenylammo)quinoxalin-2- yl)suIfamoyl)phenyl)propanamide. Ή NMR (400 MHz, DMSO-i/6) δ 10.5 (s, 1 H), 9.47 (s, 1 H), 8.95 (d, 1 H), 8.22 (d, 2 H), 8.14 (br s, 2 H), 7.76 (m, 2 H), 7.40 (m, 4 H), 7.17 (m, 2 H), 6.60 (m, 1 H), 3.97 (q, 1 H), 3.96 (s, 3 H), 1.45 (d, 3 H); MS (EI) m/z for
C24H23CIN604S: 527 (MH+).
Example 38: 2-aimno-N-(3-( V-(3-(2-chloro-5-methoxy-phenylamino)quinoxaIin-2- yl)sulfamoyl)phenyl)-2-methylpropanamide. Ή NMR (400 MHz, DMSO-cfe) δ 10.1 (s, 1
H), 9.46 (s, 1 H), 8.95 (d, 1 H), 8.50 (br s, 1 H), 8.27 (m, 1 H), 7.81 (m, 2 H), 7.47 (m, 1 H), 7.37 (m, 3 H), 7.17 (m, 2 H), 6.61 (dd, 1 H), 3.83 (s, 3 H), 1.60 (s, 6 H); MS (EI) m/z for C25H25C1N604S: 541 (MH+).
Example 39: 2-amino-A"-(3-(^-(3-(3,5-dimethoxy^henylainino)quinoxalin-2- yl)sulfamoyl)phenyl)-2-methylpropanamide. Ή NMR (400 MHz, DMSO-i.6) δ 10.33 (s, 1 H), 8.89 (s, 1 H), 8.32 (br s, 4 H), 7.92 (m, 3 H), 7.59 (m, 2 H), 7.37 (m, 4 H), 6.24 (s, 1 H), 3.76 (s, 6 H), 1.61 (s, 6 H); MS (EI) m/z for C26H28N605S: 537 (MH+).
Example 40: ^-(3^Ar-(3-(3,5-dimethoxy-phenylamino)quinoxalin-2-yl)sulfamoyl)-4- methylphenyl)-2-(dimethylamino)acetamide. Ή NMR (400 MHz, DMSO-</6) δ 10.58 (s, 1 H), 9.80 (br s, 1 H), 8.85 (s, 1 H), 8.25 (s, 1 H), 7.67 (dd, 1 H), 7.30 (m, 7 H), 6.16 (m, 1 H), 4.02 (br s, 2 H), 3.77 (s, 6 H), 2.81 (s, 6 H), 2.54 (s, 3 H); MS (EI) m/z for
C27H30N6O5S: 551 (MH+).
Example 41: iV-(3-(N-(3-(2-chloro-5-methoxy-phenylamino)quinoxalin-2- yl)sulfamoyl)phenyl)-2-((2-(dimethylamino)ethyl)(methyl)amino)acetamide. Ή NMR
(400 MHz, DMSO-4 δ 10.0 (s, 1 H), 9.48 (s, 1 H), 8.96 (d, 1 H), 8.16 (m, 1 H), 7.76 (m, 2 H), 7.39 (m, 4 H), 7.17 (m, 2 H), 6.61 (dd, 1 H), 3.82 (s, 3 H), 3.40 (br s, 2 H), 2.94 (br s, 2 H), 2.71 (br t, 2 H), 2.60 (s, 6 H), 2.33 (s, 3 H); MS (EI) m/z for C28H32CW704S: 598 (MH+).
Example 42: 2-amino-A^-(3 N-(3-(2-chloro-5-methoxy-phenylamino)quinoxalin-2- yl)sulfamoyl)phenyl)acetamide. Ή NMR (400 MHz, DMSO-</6) δ 10.5 (s, 1 H), 9.48 (s, 1 H), 8.94 (s, 1 H), 8.15 (s, 1 H), 8.06 (br s, 3 H), 7.74 (m, 2 H), 7.39 (m, 4 H), 7.18 (m, 2 H), 6.61 (dd, I H), 3.83 (s, 3 H), 3.77 (s, 2 H); MS (EI) m z for C23H2]C1N604S: 513 (MH*). Example 43: N-(3-(N-(3-(2-acetyl-5-methoxy-phenylamino)quinoxalin-2- l)sulfamo l)phenvl)-2-( dimethyl a minojacetamide. Ή NMR (400 MHz, DMSO-i/6) δ 12.4 (s, 1 H), 10.5 (s, 1 H), 9.27 (s, 1 H), 8.25 (s, 1 H), 8.01 (d, 1 H), 7.82 (d, 1 H), 7.71 (d, 1 H), 7.42 (m, 3 H), 7.21 (m, 2 H), 6.63 (dd, 1 H),3.91 (m, 5 H), 2.75 (s, 6 H), 2.61 (s, 3 H); MS (EI) m/z for C27H28N605S: 549 (MH+).
Example 44: ^V-(3-(iV-(3-(2-chloro-5-methoxy-phenylamino)quinoxalin-2- yl)sulfamoyl)phenyl)formamide. Ή NMR (400 MHz, DMSO-rf6) δ 12.6 (s, 1 H), 10.5 (s, 1 H), 9.16 (s, 1 H), 8.53 (br s, 1 H), 8.35 (m, 2 H), 8.02 (s, 1 H), 7.56 (m, 7 H), 6.70 (dd, 1 H), 3.83 (s, 3 H); MS (EI) m/z for C22H,8C1N504S: 484 (MH+).
Example 45: 2-amino-A*-(5-(N-(3-(3,5-dimethoxy-phenylamino)quinoxalin-2- yl)sulfamoyl)-2-methylphenyl)acetamide. Ή NMR (400 MHz, DMSO-i/6) δ 12.4 (s, 1
H), 10.1 (br s, 1 H), 8.82 (s, 1 H), 8.20 (m, 3 H), 7.82 (m, 1 H), 7.30 (m, 6 H), 6.20 (s, 1 H), 3.85 (s, 2 H), 3.77 (s, 6 H), 2.26 (s, 3 H); MS (EI) m/z for C25H26 605S: 523 (MH*).
Example 46: jV-(3-( V-(3-(2-chloro-5-methoxy-phenylamino)quinoxalin-2- yl)sulfamoyl)phenyl)-2-methyl-2-(methylamino)propanamide. Ή NMR (400 MHz, DMSO- ) δ 10.09 (s, 1 H), 9.46 (s, 1 H), 8.95 (m, 3 H), 8.28 (s, 1 H), 7.81 (m, 2 H), 7.41 (m, 4 H), 7.17 (m, 2 H), 6.60 (dd, 1 H), 3.82 (s, 3 H), 2.53 (s, 3 H), 1.60 (s, 6 H); MS (EI) m/z for C26H27CIN6O40: 555 (MH*).
Example 47: (5)-iV-(3-(N-(3-(2-chloro-5-methoxy-phenylamino)quinoxaIin-2- yl)sulfamoyl)phenyl)-2-(methylamino)propanamide. Ή NMR (400 MHz, DMSO-i/6) δ 10.61 (s, 1 H), 9.47 (s, 1 H), 8.95 (s, 1 H), 8.82 (br s, 2 H), 8.27 (m, 1 H), 7.74 (m, 2 H), 7.42 (m, 4 H), 7.17 (m, 2 H), 6.60 (dd, 1 H), 3.90 (m, 1 H), 3.82 (s, 3 H), 2.59 (s, 3 H), 1.49 (d, 3 H); MS (EI) m z for C25H25C1N604S: 541 (MH+).
Example 48: 3-amino-A"-(5-(N-(3-(2-chloro-5-methoxyphenyIamino)quinoxaIin-2- yl)suIfamoyl)-2-methylphenyl)propanamide. Ή NMR (400 MHz, DMSO-cfe) 5 12.25 (s, 1 H), 9.77 (s, 1 H), 8.82 (s, 1 H), 7.84 (m, 5 H), 7.50 (d, 1 H), 7.37 (m, 5 H), 6.22 (m, 1 H), 3.74 (s, 6 H), 3.08 (m, 2 H), 2.77 (m, 2 H), 2.27 (s, 3 H); MS (EI) m/z for C26H28N605S: 537 (MH+).
Example 49: l-aimno--V-(3-(N-(3-(2-chloro-5-methoxy-phenylaiiiino)quinoxalin-2- yl)sulfamoyl)phenyl)cyclopropanecarboxamide. Ή NMR (400 MHz, DMSO-i 6) δ 9.54 (br s, 1 H), 9.42 (s, 1 H), 8.91 (s, 1 H), 8.21 (s, 1 H), 8.20 (br s, 2 H), 7.81 (m, 2 H), 7.48 (m, 4 H), 7.22 (m, 2 H), 6.61 (dd, 1 H), 3.82 (s, 3 H), 1.63 (m, 2 H), 1.26 (m, 2 H); MS (EI) m z for C25H23C1N604S: 539 (MH+).
Example 50: (S)-2-amino-N-(3-( V-(3-(2-chloro-5-methoxy-phenylaimno)quinoxalin-2- yl)sulfamoyl)phenyl)-6-(dimethylamino)hexanamide. Ή NMR (400 MHz, DMSO-c¾) δ 9.47 (br s, 1 H), 8.95 (d, 1 H), 8.26 (m, 1 H), 7.73 (m, 2 H), 7.30 (m, 4 H), 7.26 (m, 4 H), 7.16 (m, 2 H), 6.59 (dd, I H), 3.82 (s, 3 H), 3.34 (m, 1 H), 2.20 (m, 2 H), 2.09 (s, 6 H), 1.50 (m, 6 H); MS (EI) m/z for C29H34C 704S: 610 (MH1").
Example 51 : l-aii-mo--V-(3-(N-(3-(2-chloro-5-methoxy-phenyIamino)quinoxalin-2- yl)sulfamoyl)phenyI)cyclopentanecarboxamide. Ή NMR (400 MHz, DMSO-cfe) δ 10.12 (br s, 1 H), 9.46 (s, I H), 8.95 (d, 1 H), 8.26 (m, 1 H), 8.16 (m, 3 H), 7.84 (m, 2 H), 7.35 (m, 6 H), 6.60 (dd, 1 H), 3.82 (s, 3 H), 2.34 (m, 2 H), 1.91 (m, 6 H); MS (EI) m z for
C27H27C1N604S: 567 (MH+).
Example 52: iV-(5-(iV-(3-(2-chloro-5-methoxyphenylamino)quinoxalin-2-yI)sulfamoyI)- 2-methylphenyl)-2 dimethylamino)acetamide. 1 H NMR (400 MHz, DMSO-cfe) δ 12.0
(br s, 1 H), 9.98 (s, 1 H), 9.43 (s, I H), 8.91 (m, 1 H), 8.08 (s, 1 H), 7.84 (dd, 1 H), 7.32 (m, 6 H), 6.61 (dd, 1 H), 4.07 (s, 2 H), 3.82 (s, 3 H), 2.82 (s, 6 H), 2.21 (s, 3 H); MS (EI) m/z for C26H27C1N604S: 555 (MlF).
Example 53: l-araino-.V-(3-(iV-(3-(3,5-dirnethoxy-phenylainino)quinoxaliii-2- yI)suIfamoyl)phenyl)cyclobutanecarboxamide. Ή NMR (400 MHz, DMSO-i/6) δ 10.34 (br s, 1 H), 8.81 (s, 1 H), 8.49 (br s, 3 H), 8.34 (s, 1 H), 7.83 (m, 2 H), 7.43 (m, 3 H), 7.31 (m, 2 H), 7.16 (m, 2 H), 6.16 (s, 1 H), 3.77 (s, 6 H), 2.83 (m, 2 H), 2.25 (m, 3 H), 2.05 (m, 1 H); MS (EI) m/z for C27H28N605S: 549 (MH+).
Example 54: V-(3-(3,5-diraethoxyphenylamino)quinoxalin-2-yl)-3-(3-(2- (dimethylamino)ethyl)ureido)benzenesulfonamide. Ή NMR (400 MHz, DMSO-</6) δ 8.91 (br s, 1 H), 8.81 (s, 1 H), 8.08 (s, 1 H), 7.60 (s, 1 H), 7.38 (m, 9 H), 6.28 (m, 1 H), 6.15 (s, 1 H), 3.78 (s, 6 H), 3.40 (m, 2 H), 3.08 (m, 2 H), 2.74 (s, 6 H); MS (EI) m/z for C27H3iN705S: 566 (MH+).
Example 55: l-amino-iV-(3-(iV-(3-(3,5-dimethoxy-phenylamino)quinoxalin-2- yI)sulfamoyl)phenyl)cyclopentanecarboxamide. Ή NMR (400 MHz, DMSO-fife) δ 12.40 (br s, 1 H), 10.58 (s, 1 H), 8.46 (m, 4 H), 7.80 (m, 3 H), 7.59 (m, 2 H), 7.34 (m, 4 H), 6.25 (m, I H), 3.76 (s, 6 H), 2.35 (m, 2 H), 1.90 (m, 8 H); MS (EI) m/z for
C28H3oN605S: 563 (MH+).
Example 56: l-amino-iV-(3-(iV-(3-(3,5-dimethoxy-phenylamino)quinoxalin-2- yl)sulfamoyl)phenyl)cyclopropanecarboxamide. *H NMR (400 MHz, DMSO-fifc) δ 9.54 (br s, 1 H), 8.84 (s, 1 H), 8.29 (s, 1 H), 7.75 (m, 2 H), 7.39 (m, 6 H), 7.17 (m, 2 H), 6.16 (m, I H), 3.78 (s, 6 H), 1.52 (m, 2 H), 1.17 (m, 2 H); MS (EI) m/z for C26H26N605S: 535 (MH+). Example 57: 2-(dimethylamino)ethyl 3-(/V-(3-(3,5-dimethoxy-phenylamino)quinoxalin- 2-yl)sulfamoyl)phenylcarbamate. Ή NMR (400 MHz, DMSO-rf6) δ 9.78 (br s, 1 H), 8.79 (s, 1 H), 8.19 (s, 1 H), 7.66 (d, 1 H), 7.31 (m, 9 H), 6.14 (m, 1 H), 4.17 (t, 2 H), 3.78 (s, 6 H), 2.54 (t, 2 H), 2.21 (s, 6 H): MS (EI) m/z for C27H3oN606S: 567 (MlF).
Example 58 : 4-amino-N-(3-(N-(3-(3,5-dimethoxy-phen Iamino)quinoxalin-2- yl)sulfamoyl)phenyl)tetrahydro-2H-pyran-4-carboxamide. Ή NMR (400 MHz,
DMSO-4 δ 12.2 (br s, 1 H), 10.6 (s, 1 H), 8.74 (m, 5 H), 7.93 (m, 2 H), 7.47 (m, 6 H), 6.24 (m, 1 H), 3.77 (m, 10 H), 2.45 (m, 2 H), 1.81 (m, 2 H); MS (EI) m/z for C28H3oN606S: 579 (MH+).
Example 59: V-(3-(2-chloro-5-methoxy-phenylamino)quinoxalin-2-yl)-iV3-(2- dimethvlamino)eth} I (benzene- 1,3-disiiIfonamide. Ή NMR (400 MHz, DMSO-ii6) δ 9.35 (m, 2 H), 8.92 (m, 1 H), 8.64 (s, 1 H), 8.30 (m, 1 H), 8.1 1 (s, 1 H), 7.86 (m, 1 H),
7.68 (m, 1 H), 7.49 (s, 1 H), 7.42 (m, 2 H), 7.21 (m, 2 H), 6.61 (m, 1 H), 3.82 (s, 3 H), 3.05 (m, 4 H), 2.74 (s, 6 H); MS (EI) m/z for C25H27C1N605S2: 591 (MH+).
Example 60: Ar-(3-(2-chloro-5-methoxy-phenylamino)quinoxalin-2-yl)-iV3-(3- (dimethylamino)propyl)benzene-l,3-disulfonamide. Ή NMR (400 MHz, DMSO-rf6) δ 9.38 (m, 2 H), 8.90 (m, 1 H), 8.60 (s, 1 H), 8.32 (m, 1 H), 8.12 (s, 1 H), 7.88 (m, 1 H), 7.72 (m, 1 H), 7.59 (s, 1 H), 7.40 (m, 2 H), 7.20 (m, 2 H), 6.67 (m, 1 H), 3.82 (s, 3 H), 2.97 (m, 2 H), 2.78 (m, 2 H), 2.71 (s, 6 H), 1.70 (m, 2 H); MS (EI) m/z for C26H29C1N605S2: 605 (MFF).
Example 61 : iV-(3-(^V-(3-(2-chloro-5-methoxy-pheny lamino)quinoxalin-2-yl)sulfamoyl)- 4-methy!phenyl)-2-(methylamino)acetamide. MS (EI) m/z for C25H25 C1N604S: 541.0 (MH+).
Example 62: (5)-2-aimno-^-(3-(^-(3 2-chloro-5-methoxy^henylaniino)quinoxalin-2- yl)sulfamoyl)-4-methylphenyl)propanamide. MS (EI) m/z for C25H25 C1N604S: 541.2 (MH+).
Example 63: (R)-2-amino -(3-(N-(3-(2-cWoro-5-methoxy-phenylammo)quinoxalin-2- yI)sulfamoyl)-4-methylphenyl)propanamide. MS (EI) m/z for C^H^ C1N604S: 541.0 (MH*).
Example 64: (5)-N-(3-(iV-(3-(3,5-dimethoxy-phenylamino)quinoxalin-2- yl)sulfamoyl)phenyl)-2-(methylamino)propanamide. MS (EI) m/z for C26H28 N605S: 537.1 (MH1").
Example 65: (R)-Λr-(3-(N-(3-(2-chloro-5-metho y hen Iammo)quinoxalin-2- yl)sulfamoyl)phenyl)-2-(methylamino)propanamide. MS (EI) m/z for C25H25 C1N604S: 541.1(MH+).
Example 66: (R)-N-(3-(iV-(3-(3,5-dimethoxy-phenylamino)quinoxalin-2- yl)sulfamoyl)phenyl)-2-(methylamino)propanamide. MS (EI) m/z for
537.3 (MH+).
Example 67: N-(3-(N-(3-(3^-dimethoxy-phenylamino)quinoxalin-2- yl)suIfamoyl)phenyI)piperidine-2-carboxamide. MS (EI) m/z for
563.1 (MH*).
Example 68: iV-(3-(N-(3-(3,5-dimethoxy-phenylamino)quinoxalin-2- yl)sulfamoyl)phenyl)-2-(2-(dimethylamino)ethylamino)acetamide. MS (EI) m z for C28H33N7O5S: 580.1 (MH+).
Example 69: V-(3-( V-(3-(3,5-dimethoxy-phenylamino)quinoxalin-2- yl)sulfamoyl)phenyl)-2-(4-(methylamino)piperidin-l-yl)acetamide. MS (EI) m/z for C30H35N7O6S: 606.1 (MH+).
Example 70: iV-(3-(N-(3-(3,5-dimethoxy-phenylamino)quinoxalin-2- yl)sulfamoyl)phenyl)-2-(4-(dimethyIamino)piperidin-l-yl)acetamide. MS (EI) m z for C3|H37 N705S: 620.1 (MH+).
Example 71: N-(3-(iV-(3-(3,5-dimethoxyphenylamino)quinoxalin-2- y l)sulfamoyl)phen l)-2-(dimethylamino)acetamide. 1 H MR (400 MHz, DMSO) δ 12.4
(br s, IH), 10.9 (s, IH), 9.8 (s, IH), 8.9 (s, IH), 8.3 (br s, I H), 7.9 (d, 2H), 7.8 (d, IH), 7.6
(t, 2H), 7.4 (q, 2H), 7.3 (s, IH), 6.25 (s, IH), 4.15 (s, 2H), 3.8 (s, 6H), 2.9 (s, 6H). MS (EI) m/z for C26H28N605S 2.0 x C2H,02F3: 537.1 (MH4).
Example 72: N-(3-(iiV-(3-(2-chloro-5-methoxy-phenylamino)quinoxalin-2- yl)sulfamoyl)phenyl)-2-(ethylamino)acetamide. 1H NMR (400 MHz, DMSO) δ 10.8 (s,
IH), 9.20 (s, IH), 8.84 (br s, 2H), 8.64 (br s, IH), 8.30 (s, IH), 7.9-8.0 (br s, IH), 7.80 (t,
2H), 7.55-7.68 (m, 2H), 7.4 (d, 3H), 6.70 (m, IH), 3.97 (br s, 2H), 3.83 (s, 3H), 3.04 (br s,
2H), 1.3 (t, 3H). MS (EI) m/z for C25H25C1N604S 2.0 x C2H,02F3: 541.3, 543.2 (MH*).
Example 73: 2-(azetidin-l-yl)- V-(3-(N-(3-(2-chloro-5- methoxyphenylamino)quinoxaIin-2-yl)sulfamoyl)phenyl)acetamide. Ή NMR (400 MHz, DMSO) δ 10.8 (s, IH), 10.2 (s, IH), 9.2 (s, IH), 8.7 (s, IH), 8.3 (s, IH), 7.9-8.0 (br s, IH), 7.80 (d, IH), 7.72 (d, IH), 7.65 (br s, IH), 7.56 (t, IH), 7.40 (d, 3H), 6.70 (m, IH), 4.28 (s, 2H), 4.15 (m, 4H), 3.82 (s, 3H), 2.32 (br s, IH). MS (EI) m/z for C26H25C1N604S 2.0 x C2Hi02F3: 553.3, 555.2 (MH+).
Example 74: -V-(3-(N-(3-(2-bromo-5-methoxy-phenylamino)quinoxalin-2- yl)sulfamoyl)phenyl)-2-(methylamino)acetamide. The title compound was prepared according to the Examples above. Ή NMR (400 MHz, DMSO) δ 10.6 (s, IH), 9.5 (s, IH), 8.95 (d, IH), 8.18 (t, IH), 7.78 (m, IH), 7.70 (m, IH), 7.54 (d, IH), 7.46 (m, IH), 7.38 (t, IH), 7.32 (d, IH), 7.12-7.22 (m, 2H), 6.56 (m, IH), 3.90 (s, 2H), 3.82 (s, 3H), 2.62 (s, 3H). MS (EI) m z for C24H23BrN604S: 572.77, 570.90 (MH+).
Example 75: 2-(dimethylamino)-N-(3-(^V-(3-(6-methoxy-quinolin-8- ylamino)quinoxalin-2-yl)sulfamoyl)phenyl)acetamide. The title compound was prepared according to the Examples above. Ή NMR (400 MHz, DMSO) δ 10.9 (s, IH), 10.6 (s, I H), 9.13 (s, IH), 8.80 (d, IH), 8.26-8.30 (m, 2H), 7.85 (d, IH), 7.70 (d, IH), 7.60 (q, IH), 7.54 (m, IH), 7.44 (t, 2H), 7.20 (t, 2H), 6.80 (d, IH), 4.00 (s, 2H), 3.94 (s, 3H), 2.78 (s, 6H). MS (EI) m z for C28H27N704S: 558.3 (MH+).
Example 76: -V-(3 N-(3-(2-bromo-5-methoxy-phenylamino)quinoxalin-2- yl)sulfamoyl)phenyl)-2-(dimethylamino)acetamide. Ή NMR (400 MHz, DMSO) δ 10.6 (s, IH), 9.4 (s, IH), 8.9 (s, IH), 8.25 (s, IH), 7.78 (d, IH), 7.70 (d, IH), 7.54 (d, IH), 7.48 (d, IH), 7.40 (t, 2H), 6.56 (d, IH), 4.02 (s, 2H), 3.82 (s, 3H), 2.80 (s, 6H). MS (EI) m/z for C25H25BrN604S: 586.79, 584.91 (MH*).
Example 77: N-(3-(N-(3-(2-chloro-5-methoxy-phenylamino)quinoxalin-2- yl)sulfamoyl)phenyl)-2-(2-fluoroethylamino)acetamide. Ή NMR (400 MHz, DMSO) δ 10.6 (s, IH), 9.4 (s, IH), 8.9 (d, IH), 8.20 (s, IH), 7.78 (d, IH), 7.70 (d, IH), 7.48 (m, IH), 7.36-7.44 (m, 3H), 7.20 (q, 3H), 6.6 (m, IH), 4.78 (t, IH), 4.66 (t, IH), 3.94 (s, 2H), 3.82 (s, 3H), 3.4 (t, IH), 3.3 (t, IH). MS (EI) m/z for Czs^ClIW^S: 559.2, 561.2 (MlT).
Example 78: jV-(3-(iV-(3-(3,5-dimethoxy-phenylamino)quinoxalin-2- yl)sulfamoyl)phenyl)formamide. Ή NMR (400 MHz, DMSO) δ 12.4 (br s, IH), 10.5 (s, IH), 8.90 (s, IH), 8.3 (s, IH), 7.9 (br s, IH), 7.85 (d, IH), 7.75 (d, IH), 7.5-7.6 (m, 2H), 7.3-7.4 (m, 4H), 6.2 (s, IH), 3.8 (s, 3H). MS (EI) m/z for C23H21N5O5S: 480.1 (MKT). Example 79: N-(3-(iV-(3-(2-chloro-5-methoxy-phenylamino)quinoxaliii-2- yl)sulfamoyl)phenyl)-2-(3-(dimethylamino)azetidin-l-yl)acetamide. Ή NMR (400 MHz, DMSO) δ 10.2 (br s, IH), 9.5 (s, IH), 8.95 (d, IH), 8.2 (s, IH), 7.75 (d, IH), 7.65 (d, I H), 7.45 (d, IH), 7.40 (d, IH), 7.30-7.35 (t, IH), 7.1-7.2 (q, 2H), 6.60 (m, IH), 3.82 (s, 3H). MS (EI) m/z for C28H3oClN704S: 480.1 (MH+).
Example 80: N-(3-(Af-(3-(3,5-dimethoxy-phenylamino)quinoxalin-2- yl)sulfamoyl)phenyl)-2-(pyrrolidin-l-yl)acetamide. MS (EI) m/z for 8H30N6O5S: 563.18 (MH*).
Example 81: jV-(3-(yV-(3-(2-chloro-5-methoxyphenylamino)quinoxalin-2- yI)sulfamoyl)phenyl)-2-(ethyl(methyl)amino)acetamide. 1 H NMR (400 MHz, DMSO) δ 12.0 (s, IH), 10.6 (s, IH), 9.65 (s, IH), 9.5 (s, IH), 8.95 (s, IH), 8.25 (s, IH), 7.8 (d, IH), 7.70 (d, IH), 7.45-7.50 (d, IH), 7.3-7.4 (m, 3H), 7.2 (t, 2H), 6.60 (d, IH), 4.02 (br s, 2H), 3.82 (s, 3H), 3.14 (br s, 2H), 2.80 (s, 3H) 1.2 (t, 3H). MS (EI) m/z for C26H27C1N604S: 555.2, 557.3 (MlF).
Example 82: N-(3-(Ar-(3-(2-chloro-5-methoxy-phenyIamino)quinoxalin-2- yl)sulfamoyl)phenyl)-2-(3-(piperidin-l-yl)azetidin-l-yl)acetamide. MS (EI) m/z for C3iH34ClN704S 2.0 x C2Hi02F3: 636.3, 638.3 (MtT).
Example 83: N-(3-(N-(3-(3-fluoro-5-methoxy-phenylamino)quinoxalin-2- yl)sulfamoyl)phenyI)-2-(methyIamino)acetamide. MS (EI) m/z for C2 H23FN604S: 51 1.04 (MH*).
Example 84: N-(3-(N-(3-(3,5-dimethoxy-phenylamino)quinoxalin-2- yl)sulfamoyl)phenyi)-l-methylpiperidine-4-carboxamide. MS (EI) m/z for
C29H32N605S 1.0 x C2H402: 577.2 (MH+).
Example 85: A*-(3-( V-(3-(3-methoxyphenylamino)quinoxalin-2-yl)sulfamoyl)phenyl)- 2-(methyIamino)acetamide. Ή NMR (400 MHz, DMSO) δ 10.6 (s, IH), 8.82 (s, IH), 8.22 (t, IH), 7.86 (t, IH), 7.76 (m, IH), 7.66 (m, IH), 7.46 (m, IH), 7.41 (m, IH), 7.38 (t, IH), 7.28 (m IH), 7.24 (t, I H), 7.12 (m, 2H), 6.56 (d, IH), 3.88 (s, 2H), 3.80 (s, 3H), 2.60 (s, 3H). MS (EI) m/z for C24H24N604S: 492.99 (MH+).
Example 86: iV-(3-(iV-(3-(2-chloro-5-methoxy-phenylamino)quinoxalin-2- yl)sulfamoyl)phenyl)-2-(2,2,2-trifluoroethylamino)acetamide. Ή NMR (400 MHz, DMSO) δ 10.4 (s, IH), 9.2 (s, IH), 8.65 (s, IH), 8.4 (s, IH), 8.00 (m, IH), 7.80 (d, I H), 7.75 (d, IH), 7.65 (q, IH), 7.55 (t, IH), 7.40-7.5 (m, 3H), 6.7 (m, IH), 3.82 (s, 3H), 3.62 (br s, 2H), 3.55 (br d, 2H). MS (EI) m/z for C25H22C1F3N604S 1.0 x C2H,02F3: 595.0, 597.0 (MH+).
Example 87: N-(3-(N-(3-(3,5-dimethoxy-phenylamino)quinoxalin-2- yI)sulfamoyl)phenyl)-3-(piperidin-l-yl)propanamide. MS (EI) m z for C3oH34N605S: 591.2 (MH+).
Example 88: iV-(3-(iV-(3-(3,5-dimethoxy-phenylainino)quinoxalin-2- yl)sulfamoyl)phenyl)-4-(dimethylamino)butanamide. MS (EI) m/z for C2sH32N605S 1.0 x C2H4O2: 565.2 (MH+).
Example 89: 2-(dimethylamino)-N-(3-(N-(3-(3-fluoro-5-methoxy- phenylamino)quinoxalin-2-yl)sulfamoyl)phenyl)acetamide. Ή NMR (400 MHz, DMSO) δ 10.9 (s, IH), 9.8 (br s, IH), 9.1 (s, IH), 8.34 (s, IH), 7.90 (d, IH), 7.76 (d, IH), 7.52-7.68 (m, 4H), 7.40 (m, 2H), 6.54 (m, IH), 4.16 (s, 2H), 3.82 (s, 3H), 2.86 (s, 6H). MS (EI) m/z for C25H25FN604S: 525.05 (MH+).
Example 90: /V-(3-(/V-(3-(3,5-dimethoxy-phenylamino)quinoxalin-2- yl)sulfamoyl)phenyl)-2-(piperidin-l-yl)acetamide. MS (EI) m/z for C29H32N605S:
577.37 (MKT).
Example 91: 2-(dimethylamino)-N-(3-(/V-(3-(3-methoxy-phenylamino)quinoxalin-2- yl)suIfamoyl)phenyl)acetamide. Ή NMR (400 MHz, DMSO) δ 10.5 (s, IH), 8.8 (s, IH), 8.25 (s, IH), 7.83 (t, IH), 7.76 (d, IH), 7.64 (d, IH), 7.3-7.48 (m, 4H), 7.22 (t, IH), 7.12 (t, 2H), 6.56 (m, IH), 3.96 (s, 2H), 3.78 (s, 3H), 2.76 (s, 6H). MS (EI) m/z for C25H26N604S: 507.1 (MH+).
Example 92: N-(3-(N-(3-(2-chloro-5-hydroxy-phenyIamino)quinoxaIin-2- yl)suIfamoyl)phenyl)-2-(dimethylamino)acetamide. Ή NMR (400 MHz, DMSO) δ 10.8 (s, IH), 9.9 (s, IH), 9.8 (s, IH), 9.1 (s, IH), 8.55 (s, IH), 8.34 (s, IH), 7.9-8.0 (br s, IH), 7.82 (d, IH), 7.76 (d, IH), 7.52-7.66 (m, 2H), 7.42 (t, IH), 7.26 (d, IH), 6.50 (m, IH), 4.16 (s, 2H), 2.86 (s, 6H). MS (EI) m/z for C24H23C1N604S: 527.1, 529.0 (MH+).
Example 93: N-(3-(N-(3-(3,5-dimethoxy-phenylamino)quinoxaIin-2- yl)sulfamoyl)phenyl)-2-morpholinoacetamide. MS (EI) m z for C28H3oN606S: 579.1 (MH+).
Example 94: ^V-(3-(N-(3-(3,5-dimethoxy-phenyIamino)quinoxalin-2- yl)sulfamoyl)phenyl)acetamide. MS (EI) m/z for uH^NsOsS: 494.0 (MH+).
Example 97: 2-amino-N-(3 Ar-(3-(2 hIoro-5-methoxy-phenylarriino)quinoxalin-2- yl)sulfamoyl)-4-methylphenyl)-2-methylpropanamide. MS (EI) m z for
C26H27C1N604S: 556.12 (MH1).
Example 98: N-(3-(N-(3-(2-chloro-5-methoxy-phenylamino)quinoxalin-2- yI)sulfamoyl)phenyl)-2-(dimethylamino)acetamide. MS (EI) m/z for C25H25C1 604S: 542.05 (MH+).
Example 99 : 2-amino-N-(3-(iV-(3-(3,5-dimethoxy-phen lamino)quinoxalin-2- yl)sulfamoyl)phenyl)acetamide. MS (EI) m/z for C24H24N605S: 509.59 (MH+).
Example 100
3-(-V-(3-(2-chloro-5-methoxy-phenylamino)quinoxalin-2-yl)sulfamoyl)benzoic acid
[00217] To a solution of N-(3-{ [2-chloro-5-(methoxy)-phenyl]amino}quinoxalin-2-yl)-3- cyanobenzenesulfonamide (6.02 g, 12.95 mmol), prepared using procedures similar to those in Example 1 15 or Example 423, in methanol (20 mL) and 1 ,4-dioxane (20 mL) was added 6.0 N aqueous sodium hydroxide (40 mL) at room temperature. The solution was stirred at 90 °C for 3.5 h. The reaction was cooled to room temperature and neutralized slowly by adding 2.0 N hydrochloric acid until the pH of the solution became in the 2-3 range at 0° C. The solution was diluted with ethyl acetate (300 mL). The organic layer was washed with
saturated aqueous sodium chloride (50 mL) and dried over magnesium sulfate. Filtration and concentration at reduced pressure afforded 3-{ [(3-{ [2-chloro-5-(methoxy)- phenyl]amino }quinoxalin-2-yl)amino]sulfonyl}benzoic acid (5.921 g, 94%). MS (EI) m/z for C22H17 C1N405S: 485.0 (MH+).
[00218] The following compounds were preapred using procedures ismilar to those used in Example 100.
Example 101: Proceeding as above, 3-(N-(3-(3,5-dimethoxyphenylamino)quinoxalin-2- yl)sulfamoyI)benzoic acid was prepared. MS (EI) m/z for C23H20 N406S: 481.0 (MH+). Example 102: 3-(N-(3-(2-chloro-5-methoxyphenylamino)quinoxalin-2-yl)sulfamoyl)- N-(2-methyl-l-(piperidin-l-yl)propan-2-yl)benzamide. MS (EI) m/z for C3iH35CIN604S: 623.06 (MH÷).
Example 103: 3-(N-(3-(2-chloro-5-methoxy-phenylamino)quinoxalin-2-yl)sulfamoyl)- AH2-methyl-l-oxo-l-(piperidin-l-yl)propan-2-yl)benzamide. MS (EI) m/z for
C3iH33ClN605S: 637.65 (MKT).
Example 104
3-{[(3-{[2-chloro-5-(methoxy)phenyl]amino}quinoxalin-2-yl)amino]sulfonyl}-Ar-[2-
(dimethylamino)ethyl]benzamide
[00219] To a solution of 3-{ [(3-{ [2-chloro-5-(methoxy)phenyl]amino}quinoxalin-2- yl)amino]sulfonyl } benzoic acid (0.20 g, 0.42 mmol), prepared using procedures similar to Example 100, in dimethylformamide (4 mL) were added 2-(7-aza- lH-benzotriazole-l-yl)- 1, 1,3,3-tetramethyluronium hexafluorophosphate ( HATU, 0.32 g, 0.83 mmol) and
N-ethyldiisopropylamine (DIEA, 0.13 g, 1.04 mmol) at room temperature. The reaction was stirred for 15 min before N, N-dimethylethane-l,2-diamine (73 mg, 0.83 mmol) was added. The reaction mixture was allowed to stir overnight. The reaction was diluted with ethyl acetate (200 mL) and washed with water (50 mL), saturated aqueous sodium bicarbonate (40 mL), 1.0 N aqueous hydrochloric acid (30 mL), and saturated aqueous sodium chloride (25 mL). The organic layer was dried over magnesium sulfate, filtered and
concentrated at reduced pressure to afford 3-{ [(3-{ [2-chloro-5- (methoxy)phenyl]amino }quinoxalin-2-yl)amino]sulfonyl }-N-[2- (dimethylamino)ethyl]benzamide (0.20 g, 87%) as yellow solid. MS (EI) m/z for C26H27 C1N604S: 555.1 (MET).
[00220] The following compounds were prepared using procedures similar to those in Example 104.
Example 105: 5-( V-(3-(2-chloro-5-methoxy-phenylamino)quinoxalin-2-yl)sulfamoyl)- N-(2-(dimethylamino)ethyl)-2-methoxybenzamide. Ή NMR (400 MHz, DMSO-i/6) δ 9.45 (s, IH), 8.95 (d, IH), 8.57 (d, IH), 8.28 (t, IH), 8.14 (dd, IH), 7.46 (dd, IH), 7.39 (m, 2H), 7.17 (m, 4H), 6.60 (dd, IH), 3.89 (s, 3H), 3.82 (s, 3H), 3.38 (m, 2H), 2.43 (m, 2H), 2.21 (s, 6H). MS (EI) m/z for C27H29C1N605S: 585.3 (MH+).
Example 106: 5-(A^-(3-(2-chloro-5-methoxy-phenylamino)quinoxalin-2-yl)sulfamoyl)- ^-(2-(dimethylamino)ethyl)-2-fluorobenzamide. Ή NMR (400 MHz, DMSO-ii6) δ 9.40 (br s, IH), 9.16 (s, IH), 8.73 (m, IH), 8.67 (d, IH), 8.36 (dd, IH), 8.26 (m, IH), 7.94 (br s, IH), 7.66 (m, IH), 7.59 (t, IH), 7.43 (m, 3H), 6.71 (dd, IH), 3.83 (s, 3H), 3.62 (m, 2H), 3.27 (m, 2H), 2.85 (d, 6H). MS (EI) m z for C26H26C1FN604S: 573.1 (MH+).
Example 107: 3-(N-(3-(3,5-dimethoxyphenylamino)quinoxalin-2-yI)sulfamoyI)-iV-(2- (dimethylamino)ethyl)benzamide. MS (EI) m z for C27H30 N605S: 551.1 (MH+).
Example 108: 3-(N-(3-(2-chloro-5-methoxy-phenylamino)quinoxaIin-2-yl)sulfamoyl)- iV-(2-(dimeth laniino)eth D- V-methylbenzamide. MS (EI) m/z for C27H29 C1N604S: 569.1 (MH+).
Example 109: 3-( -(3-(3,5-dimethoxyphenylainino)quinoxalin-2-yl)sulfamoyl)-N-(2- (dimethylamino)ethyl)-vV-methylbenzamide. MS (EI) m/z for C28H32N605S: 565.1 (MET).
Example 110: 3-(N-(3-(2-chloro-5-methoxy-phenylamino)quinoxalin-2- yl)sulfamoyl)benzamide. MS (EI) m/z for C22H,8C1N504S: 484.0 (NOT).
Example 111: 3-(-V-(3-(2-chloro-5-methoxy-phenylamino)quinoxalin-2- l)sulf amoyl)-
^-(2-morpholinoethyl)benzamide. MS (EI) m/z for C28H29 C1N605S: 597.0 (MH+).
Example 112: 3-(N-(3-(2-chloro-5-methoxy -phen lamino)quinoxalin-2- l)sulf amoyl)-
N-methylbenzamide. MS (EI) m/z for C23H2oClN504S: 498.0 (ΜΗΓ).
Example 113: 3-(/V-(3-(2-cUoro-5-methoxy-phenylamino)quinoxalin-2-yl)sulfamoyl)-
Ar-morpholinobenzamide. MS (EI) m/z for C^H^ C1N605S: 569.0 (MH+).
Example 114
iV-(3-{[2-chloro-5-(methoxy)phenyl]amino}quinoxalin-2-yl)-3-{5- dimeth lamino meth l -l 3 4-oxadiazol-2- l}benzenesulfonamide
[00221] To a solution of 3-{ [(3-{ [2-chloro-5-(methoxy)phenyl]amino}quinoxalin- 2-yl)amino]sulfonyl } benzoic acid (0.25 g, 0.52 mmol), prepared as described above in Example 100, in dimethylformamide (2.6 mL) were added 2-(7-aza-lH-benzotriazole-l-yl)- 1,1,3,3-tetramethyluronium hexafluorophosphate (HATU, 0.25 g, 0.67 mmol) and N- ethyldiisopropylamine (DIEA, 0.1 1 g, 0.88 mmol) at room temperature. The reaction was stirred for 15 min before 2-(dimethylamino)acetohydrazide (78 mg, 0.67 mmol) was added. The reaction mixture was allowed to stir overnight. The reaction was diluted with ethyl acetate (200 mL) and washed with water (30 mL), saturated aqueous sodium bicarbonate (30 mL), 1.0 N aqueous hydrochloric acid (20 mL), and saturated aqueous sodium chloride (25 mL). The organic layer was dried over magnesium sulfate, filtered and concentrated at reduced pressure to afford 180 mg of a coupled intermediate which was then heated in phosphorus oxychloride (5 mL) at 100 0C for 4h. The reaction was cooled to room temperature and treated with ice water (50 mL) and extracted with dichloromethane (3 X 50 mL). The organic layer was dried over magnesium sulfate, filtered and concentrated at reduced pressure to afford a crude product which was subjected to reverse phase HPLC to afford N-(3- { [2-chloro-5-(methoxy)-pheny l]amino } quinoxalin-2-y l)-3- { 5- [(dimethylamino)methyl]-l,3,4-oxadiazol-2-yl}-benzenesulfonamide (16 mg, 5 ) as yellow solid. MS (EI) m/z for C26H24C1N704S: 566.0 (MH+).
Example 115
A^-(3-(3-methox -5-nitro^henylamino)-quinoxaIin-2-yl)-3-nitrobenzenesulfonamide
[00222] iV-(3-chloroquinoxalin-2-yl)-3-nitrobenzenesulfonamide.
2,3-Dichloroquinoxaline (26.1 g, 131.1 mmol), m-Nitrobenzene sulfonamide (26.5 g, 131.1 mmol) and potassium carbonate (18.1 g, 131.1) were dissolved in anhydrous DMSO (500 mL). The reaction was heated to 150 °C for 2 h. The reaction mixture was poured into water (400 mL), followed by addition of 2M HC1 (60 mL). The product was extracted with EtOAc (3 x 500 mL). The organic layers were combined and washed water (2 x 500 mL) and brine (2 x 500 mL). The product was then dried with sodium sulfate to give N-(3- chloroquinoxalin-2-yl)-3-nitrobenzenesulfonamide. MS (EI) m z for C14H9CIN4O4S:
364.94, 366.97 (MH*)
[00223] iV-(3-(3-methoxy-5-nitrophenylamino)quinoxalin-2-yl)-3-nitro- benzenesulfonamide. N-(3-chloroquinoxalin-2-yl)-3-nitrobenzenesulfonamide (700 mg, 1.92 mmol), 3-methoxy-5-nitroaniline (645 mg, 3.84 mmol) and p-xylene (7 mL) were combined and heated to 140°C, then stirred for 16 hours at 130 °C. The reaction was allowed to cool, placed in a sep. funnel, diluted with DCM, and washed with 2M HC1 and brine and concentrated in vacuo. The resulting solid was washed with Et20 to give N-(3-(3- methoxy-5-nitro-phenylamino)quinoxalin-2-yl)-3-nitrobenzenesulfonamide (400 mg, 42%). MS (EI) m/z for C21H,6N607S: 496.94 (ΜΗΓ).
[00224] The following compounds were prepared using procedures similar to those in Example 115.
Example 116: jV-(3-(2-chloro-5-methoxyphenylamino)quinoxalin-2-yl)-3- cyanobenzenesulfonamide. MS (EI) m/z for C22H|6C1N503S: 465.9 (ΜΗ*).
Example 117: 3-cyano-N-(3-(3,5-dimethoxy-phenylamino)quinoxalin-2- yDbenzenesulfonamide. MS (EI) m/z for C23Hi9N504S: 462.3 (MH+).
Example 118: N-(3-(2^-dimethoxy-phenylamino)quinoxalin-2-yI)-3- fluorobenzenesulfonam.de. MS (EI) m/z for C22H19FN404S: 456.0 (MH+).
Example 119: 3-bromo-.V-(3-(3,5-dimethoxy-plienylamino)quinoxalin-2- yDbenzenesulfonamide. MS (EI) m/z for C22Hi9 BrN404S: 516.9 (MH+).
Example 120: 3-bromo- V-(3-(2,5-dimethoxy-phenylamino)quinoxalin-2- yDbenzenesulfonamide. MS (EI) m z for C22H,9 BrN404S: 516.9 (MH+).
Example 121: N-(3-(3-methoxyphenylamino)quinoxalin-2-yl)benzenesulfonamide. MS
(EI) m/z for C2,Hi8 N403S: 407.0 (MH+).
Example 122: N-(3-(4-fluoro-3-methoxyphenylamino)quinoxalin-2- yl)benzenesulfonamide. MS (EI) m/z for C21H17FN4O3S: 425.0 (MIT).
Example 123: N-(3-(2,5-dimethoxy-phenylamino)quinoxalin-2-yl)-4- methoxybenzenesulfonamide. MS (EI) m/z for C23H22N405S: 467.0 (MH+).
Example 124: N-(3-(3,5-dimethoxy-phenylamino)quinoxalin-2-yl)-4- methoxybenzenesulfonamide. MS (EI) m/z for C23H22N405S: 467.0 (MH+).
Example 125: N-(3-(4-chloro-3-methoxy-phenylamino)quinoxalin-2- yl)benzenesulfonamide. MS (EI) m z for C2iHi7ClN403S: 440.9 (MH+).
Example 126: N-(3-(3,5-dimethoxy-phenylamino)quinoxalin-2-yl)thiophene-2- sulfonamide. MS (EI) m z for C2oHi8N404S2: 443.0 (MH+).
Example 127: N-(3-(6-methoxyquinolin-8-ylamino)quinoxalin-2-yl)-3- nitrobenzenesulfonamide. MS (EI) m/z for C24Hi8N605S: 502.95 (MH+).
Example 128: 3-nitro-N-(3-(pyridin-4-ylamino)quinoxalin-2-yl)benzenesulfonamide.
MS (EI) m/z for C,9H,4N604S: 423.2 (MH+).
Example 129: N-(3-(2-cUoropyridin-4-ylamino)quinoxalin-2-yl)-3- nitrobenzenesulfonamide. MS (EI) m/z for Ci9H,3ClN604S: 456.93, 458.90 (MH+). Example 130: V-(3-(4,6-dimethoxypyrimidin-2-ylamino)quinoxalin-2-yl)-3- nitrobenzenesulfonamide. MS (EI) m/z for C2oHi7N706S: 484.03 (MIT).
Example 131: N-(3>(4-hydroxy-6-methoxypyrimidin-2-ylamino)quinoxalin-2-yl)-3- nitrobenzenesulfonamide. MS (EI) m/z for Ci9Hi5N706S: 469.97 (MH+).
Example 132: V-(3-(3,5-dimethoxy-phenylamino)quinoxalin-2-yl)-2- fluorobenzenesulfonamide. MS (EI) m z for C22H19FN404S: 455.3 (MH+).
Example 133: N-(3-(2-bromo-5-methoxy-phenylamino)quinoxalin-2-yl)-3- nitrobenzenesulfonamide. MS (EI) m/z for C2iH|6BrN505S: 531.82, 532.84 (MH*). Example 134: -V-(3-(3,5-dimethoxy-phenylamino)quinoxalin-2-yl)-4- methylbenzenesulfonamide. MS (EI) m/z for C23H22N404S: 451.0 (MIT).
Example 136: N-(3-(2,5-dimethoxy-phenylamino)quinoxalin-2-yl)-4- methylbenzenesulfonamide. MS (EI) m/z for C23H22N 04S: 451.0 (MH+).
Example 137: A^-(3-(3-fluoro-5-methoxy-phenylamino)quinoxalin-2-yl)-3- nitrobenzenesulfonamide. MS (EI) m/z for C2iHi6F 505S: 470.0 (Mlf").
Example 138: 4-bromo-vV-(3-(3,5-dimethoxy-phenylamino)quinoxalin-2- yI)benzenesulfonamide. MS (EI) m/z for C22H19BrN404S: 516.9, 514.9 (MET).
Example 139: iV-(3-(3-methoxyphenylamino)quinoxalin-2-yl)-3-nitro- benzenesulfonamide. MS (EI) m/z for C21H]7N505S: 451.93 (MH+).
Example 140: N-(3-(2-chloro-5-hydroxy-phenyIamino)quinoxalin-2-yl)-3- nitrobenzenesulfonainide. MS (EI) m z for C2oH|4ClN505S: 472.15, 474.13 (MET).
Example 141 : 3-acetyl-N-(3-(2-chloro-5-methoxy-phenylamino)quinoxalin-2- y benzenesulfonamide. MS (EI) m/z for C23Hi9ClN404S: 483.08 (MH+).
Example 142: iV-(3-(3,5-dimethoxy-phenylamino)quinoxalin-2-yl)benzenesulfonamide. MS (EI) m/z for C22H2oN404S: 437.49 (ΜΗ*).
Example 143: jV-(3-(5-methoxy-2-methyl-phenylamino)quinoxalin-2- y benzenesulfonamide. MS (EI) m/z for C22H2oN403S: 421.46 (MH+).
Example 144: N-(3-(2-chloro-5-methoxy-phenylamino)quinoxalin-2- yl)benzenesulfonamide. MS (EI) m/z for C2iHi7ClN403S: 440.59 (MtT).
Example 145: V-(3-(2,5-dimethoxy-phenylamino)quinoxalm-2-yl)benzenesulfonamide.
MS (EI) m/z for C22H20N4O4S: 437.53 (MH+).
Example 146: 4-chloro-jV-(3-(3^-dimethoxy-phenylamino)quinoxalin-2- yl)benzenesulfonamide. MS (EI) m/z for C22Hi9ClN404S: 470.54 (MH+).
Example 147: N-(3-(5-methoxy-2-methyl-phenylamino)quinoxalin-2-yl)-3- nitrobenzenesulfonamide. MS (EI) m/z for C22Hi9N505S: 466.32 (MH+).
Example 148: N-(3-(2-chloro-5-methoxy-phenylamino)quinoxalin-2-yl)-3- nitrobenzenesulfonamide. MS (EI) m/z for C2|Hi6ClN505S: 485.86 (MH+).
Example 149: yV-(3-(4-chloro-2,5-dimethoxy-phenylamino)quinoxalin-2- yl)benzenesulfonamide. MS (EI) m/z for C22H,9C1N404S: 470.99 (MH+).
Example 150
N-(3-{[3,5-bis(methoxy)phenyl]amino}quinoxalin-2-yl)-3-(2H-tetrazol-5- yl)benzenesulfonamide
[00225] To a stirred solution of 3-cyano-N-(3-(3,5-dimethoxyphenylamino)quinoxalin- 2-yl)benzenesulfonamide (0.20 g, 0.44 mmol), prepared using procedures similar to those described in Example 1 15, in dimethylformamide ( 1.2 mL) at 50 °C were added sodium azide (0.1 1 g, 1.76 mmol) and ammonium chloride (94 mg, 1.76 mmol). The crude mixture was heated at 1 0 °C overnight. The reaction was cooled to room temperature treated with ice water (20 mL) followed by concentrated hydrochloric acid ( 10 mL). The solid obtained was filtered under reduced pressure and washed with hexane (20 mL), diethyl ether (20 mL), and ethyl acetate (5 mL) to afford N-(3-{ [3,5-bis(methoxy)phenyl]amino}quinoxalin-
2- yl)-3-(2H-tetrazol-5-yl)benzenesulfonamide (55 mg, 25%) as light yellow solid. MS (EI) m/z for C23H2oN804S: 505.0 (MET).
Example 151
A'-(3-(2,6-dichloropyridin-4-ylamino)quinoxalin-2-yl)-3-nitrobenzenesulfonamide.
[00226] A mixture of N-(3-chloroquinoxalin-2-yl)-3-nitrobenzenesulfonamide ( 1 g), 2,6- dichloropyridin-4-amine (760 mg) and p-xylene ( 10 mL) was heated at 135 °C with stirring overnight. Upon cooling to room temperature, the mixture was dissolved in
dichloromethane, washed with 2 N HCI (2 x) and brine, concentrated in vacuo to give a crude product of N-{3-[(2,6-dichloropyridin-4-yl)amino]quinoxaIin-2-yl }-3- nitrobenzenesulfonamide. A small portion of this crude product was purified by HPLC to give N-{ 3-[(2,6-dichIoropyridin-4-yl)amino]quinoxalin-2-yl }-3-nitro-benzenesulfonamide. Ή NMR (400 MHz, DMSO) δ 9.71 (s, 1H), 8.90 (s, 1H), 8.50 (d, 2H), 8.8.41 (d, 1H), 8.30 (s, 2H), 7.88-7.78 (m, 27.65 (d, 1H), 7.47-7.37 (m, 2H); MS (EI) m/z for C19H12CI2N6O4S: 491.1, 493.1 (MH+).
Example 152
jV-(3-(2-chloro-6-methoxypyridin-4-ylamino)quinoxalin-2-yl)-3- nitrobenzenesulfonamide
[00227] To a crude product of N-{3-[(2,6-dichloropyridin-4-yl)amino]quinoxalin-2-yl }-
3- nitrobenzenesulfonamide ( 1.24 g) prepared using procedures similar to those for Example 151 , was added anhydrous DMSO ( 10 mL), followed by sodium methoxide (273 mg). The resulting mixture was heated at 100 °C for 3 days. The mixture was diluted with EtOAc and water, and the pH was adjusted to about 4 by adding acetic acid. The product was extracted with EtOAc (3 x). The combined extracts were washed with brine to give the crude
product. A portion of the crude product was purified by prep HPLC to give N-(3-{ [2- chloro-6-(methyloxy)pyridin-4-yl]amino}quinoxalin-2-yl)-3-nitrobenzenesulfonarnide. 1H NMR (400 MHz, DMSO) δ 9.44 (s, 1H), 8.90 (s, 1H), 8.50 (d, 1H), 8.42 (d, IH), 7.88-7.84 (m, 2H), 7.77 (s, IH), 7.74 (s, IH), 7.64 (d, IH), 7.45-7.38 (m, 2H), 3.82 (s, 3H); MS (EI) m/z for C2oH15ClN605S: 496.94 (MH*).
Example 153
2-(dimethylamino)-vV-(3-(N-(3-(3-(2-(dimethylarnino)acetamido)-5-rnethoxy- phenylamino)quinoxalin-2-yl)sulfamoyl)phenyl)acetamide
I
[00228] 3-amino-/V-(3-(3-amino-5-methoxyphenylamino)quinoxalin- 2-yl)benzenesulfonamide. N-(3-(3-Methoxy-5-nitrophenylamino)quinoxalin-2-yl)-3- nitrobenzenesulfonamide (400 mg, 0.81 mmol), prepared as described above in Example 1 15, was dissolved in 1: 1 THF:EtOH (4 mL), to which was added formic acid (938 μΐ, 2.42 mmol) and potassium formate (203 mg, 2.42 mmol). The system was flushed with nitrogen, and then 10% wt Pd/C (50 mg) was added. The reaction was then heated to 60°C. Once the reaction was determined complete by LC-MS, it was allowed to cool, and DMF was added for solubility. The solution was then filtered through a nylon frit to remove the catalyst. The filtrate was diluted water and the pH adjusted to 7 and extracted with DCM (2x) and EtOAc (2x). All organic layers were combined and evaporated to dryness to give 3-amino-N-(3-(3- amino-5-methoxyphenylamino)quinoxalin-2-yl)benzenesulfonamide (330 mg, 93%). MS (EI) m/z for C2iH20N6O3S: 437.06 (MH*)
[00229] 2-(dimethyIamino)--V-(3-(A?-(3^3 2 dimethylaiirino)-acetaraido)-5- methoxyphenyIamino)quinoxalin-2-yl)-sulfamoyI)phenyl)acetamide. 3-Amino-N-(3-(3- amino-5-methoxyphenylamino)quinoxalin-2-yl)benzenesulfonamide (330 mg, 0.76 mmol), DMF (4 mL), N,N,-Dimethylglycine (312 mg, 3.02 mmol), HATU (1.15 g, 3.02 mmol), and 1.29(mL) (7.56 mmol) DIEA ( 1.29 mL, 7,56 mmol) were combined and heated to 90°C, followed by heating at 50°C for over 16 hours. The reaction was allowed to cool, placed into a sep. funnel diluted with water and aqueous LiCl and extracted with EtOAc. The final
compound was then purified by prep. HPLC to give 2-(dimethylamino)-N-(3-(N-(3-(3-(2- (dimethylamino)acetamido)-5-methoxy-phenylamino)-quinoxalin-2- yl)sulfamoyl)phenyl)acetamide. Ή NMR (400 MHz, CD3OD) δ 8.45 (t, 1H), 7.93 (t, 1H), 7.85-7.88 (m, 1H), 7.70-7.74 (m, 1H), 7.65-7.68 (m, 1H), 7.58-7.62 (m, 1H), 7.58 (t, 1H), 7.34-7.42 (m, 3H), 7.0 (t, 1 H), 4.05 (d, 2H), 3.8 (s, 3H), 2.9-3.0 (d, 12H). MS (EI) m/z for C29H34Ng05S: 607.2 (MH+).
[00230] The following title compounds were prepared using procedures similar to those in Example 153.
Example 154: Af-(3-(2,5-dimethoxyphenylamino)-7-methylquinoxalin-2- yl)benzenesulfonamide. MS (EI) m/z for C23H22N404S: 451.0 (MPT*").
Example 155a and Example 155b
V-(3-(3,5-dimethoxy-phenylamino)quinoxalin-2-yl)-3- (methylamino)benzenesulfonamide and iV-(3-(3,5-dimethoxy-phenylamino)quinoxaIin- -yl)-3-(dimethylamino)benzenesulfonamide.
[00231] To a solution of 3-amino-N-(3-(3,5-dimethoxy-phenylamino)quinoxalin-2- yl)benzenesulfonamide (414 mg) in DMF (4.5 mL) was added iodomethane ( 1 14 uL). The reaction mixture was heated at 35-50 °C until the formation of both mono-methylated and di-methylated products was detected by LC MS. The mixture was diluted with EtOAc, washed with water, 10% LiCI (2 x) and brine. After removal of solvent in vacuo, the crude mixture was purified by flash silica column chromatography eluting with 15% EtOAc in hexanes, affording the mono-methylated and di-methylated products. Product A: N-(3-(3,5- dimethoxyphenylamino)quinoxalin-2-yl)-3-(methylamino)-benzenesulfonamide (35 mg). Ή NMR (400 MHz, DMSO) δ 12.2 (s, 1H), 8.93 (s, 1H), 7.85 (d, 1H), 7.58 (d, 1H), 7.40- 7.20 (m, 7H), 6.76 (m, 1H), 6.24 (m, 1H), 6.16 (br s, 1H), 3.77 (s, 6H), 2.71 (s, 3H). MS (EI) for C23H23N50 S: 466.05 (MH+). Product B: N-(3-(3,5- dimethoxyphenylamino)quinoxalin-2-yl)-3-(dimethylamino)benzenesulfonamide (33 mg). Ή NMR (400 MHz, DMSO) δ 1220 (s, 1H), 8.98 (s, 1H), 7.98 (d, 1H), 7.56 (d, 1H), 7.42- 7.32 (m, 7H), 6.74 (m, 1H), 6.24 (m, 1H), 3.77 (s, 6H), 2.97 (s, 6H). MS (EI) for
C24H25N504S: 480.04 (MH+).
Example 156
N-(3-{[(2-{[3,5-bis(methoxy)phenyl]amino}pyrido[2,3-b]pyrazin-
[00232] To a THF suspension ( 1.3 mL) of 3-amino-N-(3- { [3,5-(dimethoxy)- phenyl]amino}-quinoxalin-2-yl)benzenesulfonamide (126 mg, 0.28 mmol), prepared using procedures similar to those described for Example 15, was added 0.143 mL of 2M aqeuos Na2C03. To this yellow suspension is added dropwise 33 pL (0.42 mmol) of chlororacetyl chloride. The reaction mixture turns clear after a few minutes and is allowed to stir at 23°C for lh. To the reaction is added a DMSO (1 mL) solution containing 180 pL ( 1.4 mmol) of /ν,Λ ,ΛΓ trimethylethelyenediamine. The reaction is then warmed to 60°C and stirred for 18h. The product is isolated by preparative RP-HPLC (NH4OAC/ACN) gradient, the appropriate fractions were pooled and lyophilize to give a solid yellow as the acetic acid salt: 59 mg (51 %). Ή-NMR (400 MHz, CDCL3): 5 10.1 (br s, 1H), 8.37 (br s, 2H), 8.18 (d, 1H), 7.97 (d, 1H), 7.60 (br d, 1H), 7.27 (s, 2H), 7.20 (br s, 3H), 6.15 (s, 1H), 3.82 (m, 2H), 3.65 (s, 6H), 3.20 (br m, 2H), 2.82 (br s, 8H), 2.42 (s, 3H), 2.02 (s, 3H). MS (EI) m/z for C^HMNSOSS: 595.84 (MH+).
[00233] The following title compounds were prepared using similar procedures to those in Example 156.
Example 157: iV-(3-(N-(3-(3,5-dimethoxy-phenylamino)quinoxalin-2- yl)sulfamoyl)phenyI)-2-((3-(dimethylamino)propyl)(methyl)amino)acetamide. MS
(EI) m/z for C30H37N7O5S: 608.1 (MH+).
Example 158: 2-(l,4'-bipiperidin-l'-yl)-N-(3-(iV-(3-(3,5-dimethoxy- phenylamino)quinoxalin-2-yl)sulfamoyl)phenyl)acetamide. MS (EI) m/z for C34H4iN705S: 660.1 (MH+).
Example 159: tert-butyl 2-(3-( V-(3-(3,5-dimethoxy-phenylamino)quinoxalin-2- yl)sulfamoyl)phenylcarbamoyl)piperidine-l-carboxylate. MS (EI) m/z for C33H38N607S: 663.1 (MH+).
Example 160: 3-( -(3-(2-chloro-5-methoxy-phenylamino)quinoxalin-2-yl)sulfamoyl)- iV-(l-(dimethylamino)propan-2-yl)benzamide. MS (EI) m z for C27H29 C1N604S: 569.0 (MH+).
Example 161: -(3-(3,5-dimethoxy-phenylamino)quinoxalin-2-yl)-3- ureidobenzenesulfonamide. MS (EI) m/z for C23H22 6O5S: 495.40 (MET).
Example 162: 2-(dimethylamino)-AK3-(-V-(3-(5-methoxy-
2-methylphenylamino)quinoxalin-2-yl)sulfamoyl)phenyl)acetamide. MS (EI) m/z for C26H28N604S: 521.69 (MIT).
Example 163: N-(3-(N-(3-(3,5-dimethoxy-phenylamino)quinoxalin-2- yI)sulfamoyl)phenyl)-2-(4-methylpiperazin-l-yl)acetamide. MS (EI) m z for
C2<,H33N705S: 592.61 (MtF).
Example 164: 2-acetarnido-N-(3-(N-(3-(3,5-dimethoxyphenylamino)quinoxalin-2- yl)sulfamoyl)phenyl)acetamide. MS (EI) m/z for C26H26N606S: 550.59 (MH1").
Example 165: terf-butyl 2-(3-(N-(3-(3,5-dimethoxy-phenylamino)quinoxaIin-2- yl)sulfamoyl)phenylamino)-2-oxoethylcarbamate. MS (EI) m/z for C29H32Ne07S:
609.32 (Mif).
Example 166
Ar-(2-(3,5-dimethoxy-phenylamino)pyrido[2,3-b]pyrazin-3-yl)-3- nitrobenzenesulfonamide
[00234] To a xylene suspension (15 mL) of N-(2-chloropyrido[2,3-b]pyrazin-3-yl)-
3-nitrobenzenesulfonamide (1 g, 2.7 mmol) (prepared using procedures similar to those in
Asier, et al /. Org Chem 2005, 70(7), 2878 and Leeson, et al J. Med.Chem 1991, 34, 1243) was added 420 mg (2.7 mmol) of 3,5 dimethoxyaniline. After refluxing the reaction for lh, the reaction is cooled , the precipitate is collected by filtration and dried under vacumn to give 830 mg of the product as a ~6: 1 mixture of isomers with the major being N-(2-(3,5- dimethoxy-phenylamino)pyrido[2,3-b] pyrazin-3-y l)-3-nitrobenzenesulfonamide which was assigned by known chemical reactivity. Analytical HPLC, ret. time = 3.3 min (14%), 3.05 min (86%), (conditions: Phenomenex Gemini C18 50x4.6 column, gradient 5% to 95%
MeCN/H20, in the presence of 0.1% TFA, 5 min run at 3.5 ml/min flow rate, λ =254 nm). Ή-NM (400 MHz, DMSO-d6): major isomer 8 9.14 (br s, 1H), 8.69 (dd, 1H), 8.60 (dd, 1H), 8.33 (dt, 2H), 7.77 (t, 1H), 7.49 (dd, 1H), 7.37 d, 2H), 7.05 (s, 1H), 6.26 (t, IH), 3.77 (s, 6H); MS (EI) m/z for C2iHi8N606S: 483.08 (MH*).
Example 167
3-amino-jV-(2-(3,5-dimethoxy-phenylamino)pyrido[2,3-b]pyrazin-3- y benzenesulfonamide.
[00235] To a 1 : 1 THF/EtOH suspension (1 mL) of N-(3-(3,5-dimethoxyphenylamino)- pyrido[3,2-b]pyrazin-2-yl)-3-nitrobenzenesulfonamide (190 mg, 0.21 mmol) (prepared using procedures similar to those in Examples 166) was added 47 μ]_. (1.26 mmol) of formic acid plus 99 mg (1.17 mmol) of potassium formate and 50 mg of 10% palladium on charcoal. After refluxing the reaction for lh, hot filtration through celite (washing with a small portion of DMF), dilution with 30 mL of water, the pH was adjusted to 5.5 with 5% NaHC03, the product is isolated as a precipitate 140 mg (80%) of white powder. Analytical HPLC, ret. time = 2.6 min (90%), 3.05 min (10%), 100% pure (conditions: YMC C18 5x4.6 column, gradient 10% to 90% MeCN/H20, in the presence of 0.1 % TFA, 9 min run at 1 ml/min flow rate, λ =254 nm). Ή-NMR (400 MHz, CDCL3): 5 8.48 (br s, 1H), 8.34 (dd, 1H), 7.92 (dd, 1H), 7.41 (dd, 1H), 7.15 (m, 3H), 7.13 (d, 2H), 6.86 (dd, 1H), 6. 28 (t, 1 H), 3.83 (s, 6H); MS (EI) m/z for C2,H20N6O4S: 453.03 (MH+).
Example 168
3-ainino- -(3-{[3,5-bis(niethoxy)phenyl]amino}pyrido[2,3-b]pyrazin- -yl)benzenesulfonamide
[00236] To a 1 : 1 THF/EtOH suspension (1 mL) of 3-nitro-N-(3-{ [3,5-bis(methoxy)- phenyl]amino}pyrido[2,3-b]pyrazin-2-yl)benzenesulfonamide (100 mg, 0.21 mmol)
(prepared using procedures similar to those used in Example 166) was added 46 μL· (0.63 mmol) of formic acid plus lOOmg (0.63 mmol) of potassium formate and 100 mg of 10%
palladium on charcoal. After refluxing the reaction for Ih, hot filtration through celite, and concentration, the product is isolated by preparative RP-HPLC (AffiUOAc/ACN) gradient. The appropriate fractions were pooled and lyophilize to give solid yellow product: 3.2 mg (4%). Ή-NMR (400 MHz, CDC13): 58.62 (d, IH), 8.52 (s, IH), 7.62 (d, IH), 7.3 (m, 4H), 7.18 (d, 2H), 6.88 (d, I H), 6.27 (t, IH), 3.96 (br s, 2H), 3.83 (s, 6H). MS (EI) m/z for
C2iH2oN604S: 453.22 (MlT).
Example 169
iV-(3-{[2-chloro-5-(methoxy)phenyl]amino}quinoxalin-2-yl)-3-(l-{[2-(dimethylamino)- ethyl]amino}ethyl)benzenesulfonamide trifluoracetic acid salt
[00237] To a dichloroethane solution (0.6 mL) of 3-acetyl-N-(3- { [2-chloro-5-(methoxy)- phenyl]amino }quinoxalin-2-yl)benzenesulfonamide (150 mg, 0.3 1 mmol), prepared using procedures similar to those in Example 1 15, and 51 (0.37 mmol) of
N,N-dimethylethyIenediamine was added 19 μί. of acetic acid followed by 132 mg (0.62 mmol) of sodium cyanoborohydride. The reaction mixture was refluxed for 18h under a nitrogen atmosphere. After concentration (in vacuo), the product is isolated by preparative RP-HPLC (0.1 % TFA/ACN) gradient, followed by lyophilization of appropriate fractions to give solid yellow solid: 189 mg (90%). Ή-NMR (400 MHz, i/3-MeOD): δ 8.74 (s, IH), 8.18 (s, IH), 8.12 (d, I H), 7.71 (m, 3H), 7.48 (m, 4H), 7.28 (d, IH), 6.63 (d, IH), 4.38 (q, IH), 3.80 (s, 3H), 3.30 (m, 3H), 3.12 (m, IH), 2.84 (s, 3H), 1.60 (d, 3H). MS (EI) m/z for C27H3iClN603S: 555.56 (MH+).
Example 170
N^-{[(3-{[(3-{[2-cUoro-5-(methoxy)phe^
nieth lphen l)amiiio](diineth lamiiio)methvlidene}-V-methylmethananiinium
[00238] To a dimethylformamide solution ( 1 mL) of 3-amino-N-(3- { [2-chloro-5- (methoxy)-phenyl]amino}quinoxalin-2-yl)2-methylbenzenesulfonamide (200 mg, 0.40 mmol), prepared using procedures similar to those described in Example 1 15, is added 312 pL ( 1.8 mmol) of D1EA and 122 mg (0.6 mmol) of HATU. After stirring for 18h at 60 °C, the product was precipitated from a 1 : 1 mixture of hexane/ethyl acetate, filtered and dried to afford 60 mg (26%). Ή NMR (400 MHz, DMSO- ): δ 9.26 (b rs, 1H), 8.96 (br s, 1H), 7.80 (s, 1H), 7.51 (br s, IH), 7.45 (d, 1H), 7.18 (brm, 4H), 6.91 (br s, 1H), 6.60 (br d, 1H), 3.82 (s, 3H), 3.36 (s, 3H), 2.85 (s, 6H), 2.58 (s, 3H). MS (EI) m/z for C27H3,CIN703S+: 569.32 (MH+).
Example 171
2-Bromo-N-(3-(N-(3-(3,5-dimethoxyphenylamino)quinoxalin-2- yl)sulfamoyl)phenyl)acetamide
[00239] In a 50 mL round-bottom flask was added 2-bromoacetic acid ( 1.87 g, 13.5 mmol), N,N-diisopropylcarbodiimide (860 mg, 6.8 mmol) and 10 mL DCM. To this mixture was added 3-amino-N-(3-(3,5-dimethoxyphenylamino) quinoxalin-2-yl)
benzenesulfonamide (2.03 g, 4.5 mmol), prepared using procedures similar to those in Example 168. The reaction was stirred overnight at room temperature. Complete consumption of the starting aniline was confirmed by LCMS. The solvent was evaporated off to yield the crude product (2-bromo-N-(3-(N-(3-(3,5-dimethoxyphenylamino)
quinoxalin-2-yl)sulfamoyl) phenyl) acetamide). This was used directly in the next step without purther purification.
General Alkylation Procedure 1
[00240] Into a 2-dram vial was placed 2-bromo-N-(3-(N-(3-(3,5-dimethoxy- phenylamino)quinoxalin-2-yl) sulfamoyl) phenyl) acetamide (86 mg, 0.15 mmol), prepared using procedures similar to those in Example 171.along with 2 mL of acetonitrile. Eight equivalents (1.2 mmol) of the desired amine, aniline, hydrazine or alkoxyamine were added followed by the addition of Hunig's Base (41 uL, 0.25 mmol). The reaction then was stirred at 50 °C for one hour (overnight for aniline reagents). Preparative reverse-phase HPLC was used to isolate the desired product directly from the crude reaction mixture. A Waters Fractionlynx preparative reverse-phase HPLC - equipped with a Waters SunFire Prep CI 8, OCD 5 μΜ, 30 X 70 mm column and running a 5-100 % gradient with a binary solvent system of 25 mM ammonium acetate in water/acetonitrile - was used to carry out the purification.
[00241] The following title compounds were prepared according to General Library Alkylation Procedure 1.
Example 172: V-(3-(N-(3-(3,5-dimethoxy-phenylamino)quinoxaIin-2- yl)sulfamoyl)phenyl)-2-(methylamino)acetamide. Ή-NMR (400MHz, de-DMSO): 8.81 (s, 1H), 8.23 (t, 1H), 7.75 (d, 1 H), 7.66 (d, 1H), 7.41-7.38 (m, 1H), 7.35 (m, 1H), 7.32 (d, 2H), 7.29-7.27 (m, 1H), 7.14-7.1 1 (m, 2H), 6.14 (t, 1H), 3.80 (s, 1H), 3.78 (s, 6H), 2.58 (s, 3H), 1.91 (s, 2H); MS (EI) m z C25H26N605S: 523.6 (MH+).
Example 173: 2-(cyclopropylmethylamino)-Ar-(3-(-V-(3-(3,5- dimethoxyphenylamino)quinoxalin-2-yl)sulfamoyl)phenyl)acetamide. Ή-NMR (400MHz, d6-DMSO): 10.58 (s, 1H), 8.81 (s, 1H), 8.20 (t, 1H), 7.76 (d, 1H), 7.67 (d, 1H), 7.42-7.36 (m, 2H), 7.32 (d, 2H), 7.27 (s, 1H), 7.14-7.12 (m, 2H), 6.15 (t, 1H), 3.93 (s, 2H), 3.78 (s, 6H), 2.89 (s, 1H), 2.88 (s, 1H), 1.05-1.00 (m, 1H), 0.59 (d, 1H), 0.57 (d, 1 H), 0.35 (d, 1H), 0.34 (d, 1H); MS (EI) m/z C28H3oN605S: 563.6 (MH+).
Example 174: N-(3-(N-(3-(3,5-dimethoxy-phenylamino)quinoxalin-2- yl)sulfamoyl)phenyl)-2-(2-hydroxy-propylamino)acetamide. Ή-NMR (400MHz, <¼- DMSO): 10.49 ppm (s, I H), 8.81 ppm (s, IH), 8.23 ppm (t, IH), 8.13 ppm (s, IH), 7.76 ppm (d, IH), 7.765-7.763 (dd, IH), 7.41-7.37 ppm (m, 2H), 7.33-7.32 ppm (d, IH), 7.30- 7.28 ppm (m, IH), 7.16-7.09 ppm (m, 2H), 6.55 ppm (s, IH), 6.14 ppm (t, IH), 5.49 ppm (d, 2H), 5.25 ppm (s, IH), 3.85 ppm (s, IH), 3.78 ppm (s, 6H) 3.67-3.59 ppm (m, IH), 3.00- 2.89 ppm (dd, IH), 2.79-2.76 ppm ( m, IH), 1.10 ppm (d, IH), 1.01-0.99 ppm (d, IH); MS (EI) m z C27H3oN606S: 566.6 (MH+).
Example 175: iV-(3-(N-(3-(3^-dimethoxy-phenylamino)quinoxalin-2- yl)sulfamoyl)phenyl)-2-(3-fluorobenzylamino)acetamide. Ή-NMR (400MHz, d6- DMSO): 10.42 ppm (s, IH), 8.82 ppm (s, IH), 8.23 ppm (s, IH), 8.14 ppm (s, IH), 7.75 ppm (d, IH), 7.65 ppm (d, IH), 7.49-7.32 ppm (m, 6H), 7.25-7.20 ppm (m, IH), 7.14-7.12 ppm (m, 2H), 6.55 ppm (s, IH), 6.15 ppm (t, IH), 4.14 ppm (s, 2H), 3.78 ppm (s, 6H), 3.74 ppm (s, 2H); MS (EI) m/z C3|H29FN605S: 616.7 (MH+).
Example 176: 2-(benzylamino)-iV-(3-(JV-(3-(3^-dimethoxy-phenylamino)quinoxalin-2- yl)sulfamoyl)phenyl)acetamide. MS (EI) m/z C3iH3oN605S: 599 (MH+).
Example 177: 2-(diethylamino)-N-(3-(N-(3-(3,5-dimethoxy-phenylamino)quinoxalin-2- yl)sulfamoyl)phenyl)acetamide. MS (EI) m/z C28H32N605S: 565 (ΜΗ*).
Example 178: 2-(4-(3,4-dichlorophenyl)piperazin-l-yl)-iV-(3-( V-(3-(3,5- dimethoxyphenylaimno)quinoxalin-2-yl)sulfamoyl)phenyl)acetamide. MS (EI) m/z
C34H33C12N705S: 722 (MH+).
Example 179: N-(3-(N-(3-(3,5-dimethoxy-phenylamino)quinoxalin-2- yl)sulfamoyI)phenyl)-2-(2,2-dimethylhydrazinyl)acetamide. MS (EI) m/z C26H2 705S: 552 (MH+).
Example 180: V-(3-(iV-(3-(3,5-dimethoxy-phenylamino)qumoxalin-2- yl)sulfamoyl)phenyI)-2-(p-tolylamino)acetamide. MS (EI) m/z C3iH3o 605S: 599 (MtT).
Example 181: 2-(benzyloxyamino)--V-(3-(-V-(3-(3,5-dimethoxy- phenyiamino)quinoxalin-2-yl)sulfamoyl)phenyl)acetamide. MS (EI) m/z C3iH3oN606S: 615 (MH+).
Example 182: 2-(2-chlorophenylamino)--V-(3-(-V-(3-(3,5- dimethoxyphenylamino)quinoxalin-2-yl)sulfamoyl)phenyl)acetamide. MS (EI) m/z C3oH27ClN605S: 619 (MH+).
Example 183: N-(3-(N-(3-(3,5-diraethoxyphenylamino)quinoxaIin-2- yl)suIfamoyl)phenyl)-2-(isopropylamino)acetamide. MS (EI) m/z C^HoNeOsS: 551 (MH+).
Example 184: 2-(4-cyclopentylpiperazin-l-yl)- V-(3-(/V-(3-(3,5- dimethoxyphenylamino)quinoxalin-2-yl)sidfamoyl)phenyI)acetamide. MS (EI) m z C33H39 705S: 646 (MH+).
Example 185: /V-(3-(/V-(3-(3,5-dimethoxy-p enylamino)quinoxalin-2- yl)sulfamoyl)phenyl)-2-(4-propylpiperidin-l-yl)acetamide. MS (EI) m/z C32H38N6O5S: 619 (MIT).
Example 186: N-(3-(iV-(3-(3,5-dimethoxy-phenylamino)quinoxalin-2- yl)sulfamoyl)phenyl)-2-(isobutoxyamino)acetamide. MS (EI) m/z C28H32N6O6S: 581 (MH+).
Example 187: 2-(3-tert-butylphenylamino)-A-(3-(.V-(3-(3^- dimethoxyphenylamino)quinoxalin-2-yl)sulfamoyl)phenyl)acetamide. MS (EI) m/z C34H36 605S: 641 (MH+).
Example 188: V-(3-(N-(3-(3,5-dimethoxy-phenylamino)quinoxalin-2- yl)sulfamoyl)phenyl)-2-(2-phenylpropan-2-ylamino)acetamide. MS (EI) m/z
C33H34N605S: 627 (MH+).
Example 189: N-(3-(iV-(3-(3,5-dimethoxy-phenylamino)quinoxalin-2- yI)sulfamoyl)phenyl)-2-(3-fluoro-4-hydroxyphenylamino)acetamide. MS (EI) m/z C3oH27FN606S: 619 (MH+).
Example 190: N-(3-(iV-(3-(3,5-dimethoxy-phenylamino)quinoxaIin-2- yl)sulfamoyl)phenyl)-2-(2-(methylthio)benzylamino)acetamide. MS (EI) m z
C32H32N605S2: 645 (MH+).
Example 191: ^-(3 /V-(3-(3,5-dimethoxy-phenylamino)quinoxalin-2- yl)sulfamoyl)phenyl)-2-(5-fluoro-2-methylbenzylamino)acetamide. MS (EI) m/z
C32H3,FN605S: 631 (MH+).
Examplel92: -(3-(iV-(3-(3,5-dimethoxy-phenylamino)quinoxalin-2- yl)sulfamoyl)phenyl)-2-(2-phenylpyrrolidin-l-yl)acetamide. MS (EI) m/z C34H34N6O5S: 639 (MIT).
Example 193: 2-(2-benzylpyrrolidin-l-yl)-i/V-(3-(/V-(3-(3,5-dimethoxy- phenylamino)quinoxaIin-2-yl)sulfamoyl)phenyl)acetamide. MS (EI) m/z C35H36N605S: 653 (MH+).
Example 194: Ar-(3-(N-(3-(3,5-dimethoxy-phenylamino)quinoxalin-2- yl)suIfamoyl)phenyl)-2-(2-phenylmorpholino)acetamide. MS (EI) m/z C34H34N606S: 655 (MH+).
Example 195: ^-(3^N-(3 3,5-dimethoxy-phenylamino)quinoxalin-2- yl)suIfamoyl)phenyl)-2-(2-(pyridm-4-yl)piperidin-l-yl)acetamide. MS (EI) m/z
C^sN-^OsS: 654 (MH+).
Example 196: V-(3-(iV-(3-(3,5-dimethoxy-phenylamino)quinoxalin-2- yl)sulfaraoyl)phenyl)-2-(o-tolyIamino)acetamide. MS (EI) m/z C31H30N6O5S: 599 (MH+). Example 197: iV-(3-(iV-(3-(3,5-dimethoxy-phenylamino)quinoxalin-2- yI)sulfamoyl)phenyl)-2-(2,4-dimethylbenzylamino)acetamide. MS (EI) m z
C33H34 605S: 627 (MH*).
Example 198: A^-(3-(iV-(3-(3,5-dimethoxy-phenylamino)quinoxalin-2- yl)sulfamoyl)phenyl)-2-(methyl(pyridin-3-ylmethyl)amino)acetamide. MS (EI) m/z C3iH3|N705S: 614 (MH+).
Example 199: 2-(3-chloro-4-methylbenzylamino)-iV-(3-(N-(3-(3,5- dimethoxyphenylamino)quinoxalin-2-yl)sulfamoyl)phenyl)acetamide. MS (EI) m/z C32H3,CIN605S: 647 (MH+).
Example 200: iV-(3-(iV-(3-(3,5-dimethoxy-phenylamino)quinoxalin-2- yl)sulfamoyl)phenyl)-2-((2-(dimethylamino)-ethyl)(methyl)amino)acetamide. MS (EI) m/z C29H35N705S: 594 (MH+).
Example 201: 2-(4-acetylpiperazin-l-yl)-.V-(3-( V-(3-(3,5- dimethoxyphenylamino)quinoxalin-2-yl)sulfamoyl)phenyl)acetamide. MS (EI) m/z C3oH33N706S: 620 (MH+).
Example 202: iV-(3-(N-(3 3,5-dimethoxyphenylamino)quinoxalin-2- yl)sulf amoyl)pheny l)-2-(methy 1( 1-methylpy rrolidin-3-yl)amino)acetamide. MS (EI) m z C3oH35N705S: 606 (NUT).
Example 203: N-(3-(iV-(3-(3,5-dimethoxyphenylamino)quinoxalin-2- yl)sulfamoyl)phenyl)-2-(4-methyl-l,4-diazepan-l-yl)acetamide. MS (EI) m/z
C3oH35N705S: 606 (MH+).
Example 204: 2-(4-allylpiperazin-l-yl)-N-(3-( V-(3-(3,5- dimethoxyphenylamino)qumoxalin-2-yl)sulfamoyl)phenyl)acetamide. MS (EI) m/z C3iH35N705S: 618 (MH+).
Example 205: V-(3-(N-(3-(3,5-dimethoxyphenylamino)quinoxalin-2- yl)sulfamoyl)phenyl)-2-(4-isopropylpiperazin-l-yl)acetamide MS (EI) m/z
C31H37N705S: 620 (MH+).
Example 206: V-(3-(iV-(3-(3,5-dimethoxy-phenylamino)quinoxalin-2- yl)sulfamoyl)phenyl)-2-(3-(dimethyIamino)pyrrolidin-l-yl)acetamide. MS (EI) m/z C30H35N7O5S: 606 (MH+).
Example 207: iV-(3-(N-(3-(3,5-dimethoxy-phenylamino)quinoxalin-2- yl)suIfamoyl)phenyI)-2-(3-(dimethylamino)azetidin-l-yl)acetamide. MS (EI) m z C29H33N705S: 592 (MH+).
Example 208: N-(3-( -(3-(3,5-dimethoxy-phenylamino)quinoxalin-2- yl)sulfamoyl)phenyI)-2-(4-oxopiperidin-l-yl)acetamide. MS (EI) m/z C29H3oN606S: 591 (MIT).
Example 209 : N-(3-(N-(3-(3,5-dimethoxy-phen lamino)quinoxalin-2- yl)sulfamoyI)phenyl)-2-((2-methoxyethyl)(methyl)amino)acetamide. MS (EI) m/z C28H32N606S: 581 (MH+).
Example 210: ^V-(3-(N-(3-(3,5-dimethoxy-phenylamino)quinoxalin-2- yl)sulfamoyl)phenyl)-2-(4-methylbenzyloxyamino)acetamide. MS (EI) m z
C32H32N606S: 629 (MH+).
Example 211: V-(3-(N-(3-(3,5-dimethoxy-phenylamino)quinoxalin-2- yl)sulfamoyl)phenyl)-2-(2-methoxybenzyloxyamino)acetamide. MS (EI) m/z
C32H32N607S: 645 (MH+).
Example 212: N-(3-(Af-(3-(3,5-dimethoxy-phenylamino)quinoxalin-2- yI)sulfamoyl)phenyl)-2-(propylamino)acetamide. MS (EI) m/z C27H3oN605S: 551 (MHT).
Example 213: N-(3-(N-(3-(3,5-dimethoxy-phenyIamino)quinoxalin-2- yl)sulfamoyI)phenyl)-2-(ethyl(methyl)amino)acetamide. MS (EI) m/z C27H30N6O5S: 551 (MIT).
Example 214: 2-(allyI(methyl)amino)- V-(3-( V.(3-(3,5-dimethoxy- phenylamino)quinoxalin-2-yl)sulfamoyl)phenyl)acetamide. MS (EI) m/z C28H30N6O5S: 563 (MH+).
Example 215: 2-(fert-butylamino)- V-(3-(Af-(3-(3,5-dimethoxy- phenylamino)quinoxalin-2-yI)sulfamoyl)phenyl)acetamide. MS (EI) m/z C28H32N605S: 565 (MH+).
Example 216: N-(3-(iV-(3-(3,5-dimethoxy-phenylamino)quinoxaIin-2- yl)sulfamoyl)phen l)-2-(isobut lamino)acetamide. MS (EI) m/z C28H32N6O5S: 565
(Ma ).
Example 217: 2 butylamino)-A^-(3-(.V-(3-(3,5-dimethoxy^henylaniino)qumoxalin-2- yl)sulfamoyl)phenyl)acetamide. MS (EI) m/z C28H32N605S: 565 (MH+).
Example 218: V-(3-(N-(3-(3,5-dimethoxy-phenylamino)quinoxalin-2- yl)sulfamoyl)phenyl)-2-(isopropyl(methyl)amino)acetamide. MS (EI) m/z C28H32N605S: 565 (MH1").
Example 219: Ar-(3-(/V-(3-(3,5-dimethoxy-phenylamino)quinoxalin-2- yl)suIfamoyl)phenyl)-2-(4-formyIpiperazin-l-yI)acetamide. MS (EI) m/z C29H3iN706S: 606 (MH+).
Example 220: V-(3-(/V-(3-(3,5-dimethoxy-phenylamino)quinoxalin-2- yl)sulfamoyl)phenyl)-2-(4-ethylpiperazin-l-yI)acetamide. MS (EI) m/z C30H35N7O5S: 606 (MH1").
Example 221: /V-(3-(/V-(3-(3,5-dimethoxy-phenylamino)quinoxalin-2- yI)sulfamoyl)phenyl)-2-(4-formyl-l,4-diazepan-l-yl)acetamide. MS (EI) m/z
C3oH33N706S: 620 (MH*).
Example 222: N-(3-(-V-(3-(3,5-dimethoxy-phenylamino)quinoxalin-2- yl)sidfamoyl)phenyl)-2-(ethyl(2-hydroxyethyl)amino)acetamide. MS (EI) m/z
C28H32N606S: 581 (MH+).
Example 223: (S)-A^-(3-( V-(3-(3,5-dimethoxy-phenylamino)quinoxalin-2- yl)sulfamoyl)phenyl)-2-(3-hydroxypyrrolidin-l-yl)acetamide. MS (EI) m/z
C28H3oN606S: 579 (MH*).
Example 224: /V-(3-(N-(3-(3,5-dimethoxy-phenylamino)quinoxaIin-2- yl)sulfamoyl)phenyl)-2-(2,6-dimethylmorpholino)acetamide. MS (EI) m z
C30H34 6O6S: 607 (MH+).
Example 225: N-(3-(N-(3-(3,5-dimethoxy-phenylamino)quinoxalin-2- yl)suIfamoyl)phenyl)-2-(2-methylbenzylamino)acetamide. MS (EI) m/z C32H32N605S: 613 (MH*).
Example 226: N-(3-(N-(3-(3,5-dimethoxy-phenylamino)quinoxalin-2- yl)sulfamoyl)phenyl)-2-(2-methoxy-ethylainino)acetamide. MS (EI) m/z C27H3oN606S: 567 (MH+).
Example 227: N-(3-(iV-(3-(3,5-dimethoxyphenylamino)quinoxalin-2- yl)sulfamoyl)phenyl)-2-(thiazolidin-3-yl)acetamide. MS (EI) m/z C27H28 605S2: 581 (MH+).
Example 228: ^V-(3-(^V-(3-(3,5-dimethoxy-phenylamino)quinoxalin-2- yl)sulfamoyl)phenyl)-2-(3-(hydroxymethyl)piperidin-l-yl)acetamide. MS (EI) m/z C3oH34N606S: 607 (MH+).
Example 229: iV-(3-( V-(3-(3,5-dimethoxy-phenylamino)quinoxalin-2- yl)sulfamoyl)phenyl)-2-(2-phenylpropylamino)acetamide. MS (EI) m/z C33H34 6O5S: 627 (MH+).
Example 230: -(3-( -(3-(3,5-dimethoxy-phenylamino)quinoxalin-2- yl)sulfamoyl)phenyl)-2-(isobutyl(methyl)amino)acetamide. MS (EI) m/z C2 H34N6O5S: 579 (MH+).
Example 231: N-(3-(N-(3-(3,5-dimethoxy-phenylamino)quinoxalin-2- yl)sulfamoyl)phenyl)-2-(phenylamino)acetamide. MS (EI) m/z CSOH^NGOSS: 585 (MH+).
Example 232: N-(3-(jV-(3-(3,5-dimethoxy-phenylamino)quinoxalin-2- yl)sulfamoyl)phenyl)-2-(2-propylphenylamino)acetamide. MS (EI) m/z C33H34N6O5S: 627 (MH+).
Example 233: N-(3-(jV-(3-(3,5-dimethoxy-phenyIamino)quinoxalin-2- yl)sulfamoyl)phenyl)-2-(2-isopropylphenylamino)acetamide. MS (EI) m/z
C33H34N605S: 627 (MH+).
Example 234: V-(3-(Ar-(3-(3,5-dimethoxy-phenylamino)quinoxalin-2- yl)sulfamoyl)phenyl)-2-(2-fluoro-4-methylphenylamino)acetamide. MS (EI) m/z C3iH29FN605S: 617 (MH+).
Example 235: 2-(4-chlorophenylamino)- V-(3-(N-(3-(3,5-dimethoxy- phenylamino)quinoxalin-2-yl)sulfamoyl)phenyl)acetamide. MS (EI) m z
Example 236: N-(3-(yV-(3-(3,5-dimethoxy-phenylamino)quinoxalin-2- yI)suIfamoyl)phenyI)-2-(2-methoxyphenylamino)acetamide. MS (EI) m/z C3iH3o 606S: 615 (MH+).
Example 237: 2-(3-chlorophenylamino)--V-(3-(N-(3-(3,5-dimethoxy- phenyIamino)quinoxalin-2-yl)sulfamoyl)phenyl)acetamide. MS (EI) m z
C3oH27ClN605S: 619 (MH+).
Example 238: N-(3-(N-(3-(3,5-dimethoxy-phenylamino)quinoxalin-2- yl)sulfamoyl)phenyl)-2-(2,3-dimethylphenylamino)acetamide. MS (EI) m/z
C32H32N605S: 613 (MH+).
Example 239: N-(3-(iV-(3-(3,5-dimethox -phenylamino)quinoxalin-2- yl)sulfamoyI)phenyl)-2-(2-fluorophenylamino)acetamide. MS (EI) m/z C3oH27FN605S: 603 (MH+).
Example 240: N-(3-(-V-(3-(3,5-dimethoxy-phenyIamino)quinoxalin-2- yl)sulfamoyl)phenyI)-2-(3-fluorophenylamino)acetamide. MS (EI) m/z C30H27FN6O5S: 603 (MH+).
Example 241: Ar-(3-(N-(3-(3,5-dimethoxy-phenylamino)quinoxalin-2- yl)sulfamoyl)phenyl)-2-(thiophen-2-ylmethylamino)acetamide. MS (EI) m z
C29H28N605S2: 605 (MH+).
Example 242: 2-(cyclohexyl(ethyl)amino)-.V-(3-( V-(3-(3,5- dimethoxyphenylamino)quinoxalin-2-yl)sulfamoyl)phenyl)acetamide. MS (EI) m/z C32H38N605S: 6 I9 (MH+).
Example 243: 2-((cyclopropylmethyl)(propyl)amino)-iV-(3-(-V-(3-(3,5- dimethoxyphenylamino)quinoxalin-2-yl)sulfamoyl)phenyl)acetamide. MS (EI) m/z C31H36N605S: 605 (MH+).
Example 244: 2-(aUyl(cyclopentyI)amino)-N-(3-(iV-(3-(3,5- dimethoxyphenylaimno)quinoxalin-2-yl)sulfamoyl)phenyl)acetamide. MS (EI) m/z C32H36N605S: 617 (MH+).
Example 245: N-(3-(N-(3-(3,5-dimethoxy-phenylamino)quinoxaIin-2- yI)sulfamoyl)phenyl)-2-(ethyl(isopropyl)amino)acetamide. MS (EI) m/z C^H^eOsS: 579 (MH*).
Example 246: V-(3-(-V-(3-(3,5-dimethoxy-phenylamino)quinoxalin-2- yl)sulfamoyl)phenyl)-2-(ethyl(phenyl)amino)acetamide. MS (EI) m/z C32H32N605S: 613 (NOT).
Example 247: Af-(3-(N-(3 3,5-dimethoxy-phenylaniino)quinoxalin-2- yl)sulfamoyl)phenyl)-2-(2-methylpyrrolidin-l-yI)acetamide. MS (EI) m/z C29H32N605S: 577 (MET).
Example 248: V-(3-(/V-(3-(3,5-dimethoxy-phenyIamino)quinoxalin-2- yl)sulfamoyl)phenyl)-2-(2-methylpiperidin-l-yI)acetamide. MS (EI) m/z C3oH34N605S: 591 (MH+).
Example 249: N-(3-(N-(3-(3,5-dimethoxy-phenylamino)quinoxalin-2- yl)sulfamoyI)phenyl)-2-(pyridin-2-yImethylainino)acetamide. MS (EI) m/z
C3oH29 705S: 600 (MH+).
Example 250: 2-(benzyl(methyl)amino)-iV-(3-(N-(3-(3,5-dimethoxy- phenylamino)quinoxalin-2-yl)sulfamoyl)phenyl)acetamide. MS (EI) m/z C32H32N6O5S: 613 (MH+).
Example 251: Ar-(3-(A^-(3-(3,5-dimethoxy-phenylamino)quinoxalin-2- yl)sulfamoyl)phenyl)-2-(l-phenylethyIamino)acetamide. MS (EI) m/z C32H32N6O5S: 613 (MIT).
Example 252: iV-(3-(N-(3-(3,5-dimethoxy-phenylamino)quinoxalin-2- yl)sulfamoyI)phenyl)-2-(3-methylpiperidin-l-yl)acetamide. MS (EI) m/z C30H34N6O5S: 591 (MH ").
Example 253: iV-(3-(iV-(3-(3,5-dimethoxy-phenylamino)quinoxalin-2- yl)sulfamoyl)phenyl)-2-(4-methylpiperidin-l-yl)acetamide. MS (EI) m/z Csoth+NeOsS: 591 (MH+).
Example 254: 2-(3,4-dihydroisoquinolin-2(lH)-yl)-iV-(3-(N-(3-(3,5- dimethoxyphenylamino)quinoxalin-2-yl)sulfamoyl)phenyl)acetamide. MS (EI) m/z C33H32N605S: 625 (MH+).
Example 255: N-(3-(jV-(3-(3,5-dimethoxy-phenylamino)quinoxalin-2- yl)sulfamoyl)phenyl)-2-(2,6-dimethylpiperidin-l-yl)acetamide. MS (EI) m/z
C IH36N605S: 605 (MH+).
Example 256: N-(3-(N-(3-(3,5-dimethoxy-phenyIamino)quinoxalin-2- yl)sulfamoyl)phenyl)-2-(3-hydroxybenzylamino)acetamide. MS (EI) m/z C31H30N6O6S: 615 (MH+).
General Library Acylation Procedure 1
[00242] Into a 2-dram vial were added 3-amino-N-(3-(3,5-dimethoxy- phenylamino)quinoxalin-2-yl)benzenesulfonamide (54 mg, 0.12 mmol), prepared using procedures similar to those described in Example 15, DMA (2 mL) and the desired
carboxylic acid (0.17 mmol). DIEA (70 μΐ., 0.4 mmol) followed by HATU (53 mg,0.14 mmol) were added to the vial and the reaction mixture stirred at 50 °C overnight.
Preparative reverse-phase HPLC was used to isolate the desired product directly from the crude reaction mixture. A Waters Fractionlynx preparative reverse-phase HPLC; equipped with a Waters SunFire Prep CI 8, OCD 5 μΜ, 30 X 70 mm column and running a 5-100 % gradient with a binary solvent system of 25 mM ammonium acetate in water/acetonitrile; was used to carry out the purification.
[00243] The following title compounds were prepared according to General Library Acylation Procedure 1.
Example 257: N-(3-(N-(3-(2-chIoro-5-methoxy-phenylamino)quinoxalin-2- yl)suIfamoyl)phenyl)morpholine-4-carboxamide: MS (EI) m/z for C^H^ClNeOsS: 567 (MH ).
Example 258: iV-(3-(^V-(3-(3^-dimethoxy-phenylamino)quinoxalin-2- yl)sulfamoyl)phenyl)-2-(dimethylamino)acetamide. MS (EI) m/z for C26H28 605S: 535.1 (MH").
Example 259: N-(3-(N-(3-(3,5-dimethoxy-phenylamino)quinoxalin-2- yl)sulfamoyl)phenyI)propionamide. Ή-NMR (400MHz, de-DMSO): 12.37 (s, lH), 10.20 (s, IH), 8.88 (s, IH), 8.37 (s, IH), 7.93 (s, IH), 7.77 (t, 2H), 7.59 (t, IH), 7.51 (t, IH), 7.41- 7.34 (m, 4H), 6.24 (t, IH), 3.76 (s, 6H), 2.36-2.31 (dd, 2H), 1.10 (s, IH), 1.08 (s, IH), 1.06 (s, IH); MS (EI) m/z C^sNsOsS: 508.6 (MH1").
Example 260: Ar-(3-(N-(3-(3,5-dimethoxy-phenylamino)quinoxalin-2- yl)sulfamoyl)phenyl)pyridazine-4-carboxamide. Ή-NMR (400MHz, d6-DMSO): 1 1.01 (s, IH), 9.66 (dd, IH), 9.52 (dd, IH), 8.90 (s, IH), 8.55 (s, IH), 8.13 (dd, IH), 7.99 (d, IH), 7.93 (d, IH), 7.65-7.58 (m, 2H), 7.42-7.35 (m, 4H), 6.24 (t, IH), 3.75 (s, 6H); MS (EI) m/z C27H23N705S: 558.6 (MH+).
Example 261: N-(3-(^V-(3-(3,5-dimethoxy-phenylamino)quinoxaliii-2- yl)sulfamoyl)phenyl)-2-methyImcotinamide. Ή-NMR (400MHz, d6-DMSO): 10.78 ppm (s, IH), 8.90 ppm (s, IH), 8.58-8.57 ppm (dd, 2H), 7.90-7.86 (m, 4H), 7.60-7.56 ppm (m, 2H), 7.42-7.34 (m, 5H), 6.23 ppm (t, IH), 3.74 ppm (s, 6H), 2.57 ppm (s, 3H); MS (EI) m/z CaHjeNjOsS: 570.60^).
Example 262: N-(3-(-V-(3-(3,5-dimethoxy-phenylamino)quinoxalin-2- yl)sulfamoyl)phenyl)-2-(o-tolyloxy)acetamide. 'H-NMR (400MHZ, d6-DMSO): 12.37 ppm (s, IH), 10.41 ppm (s, IH), 8.90 ppm (s, IH), 8.41 ppm (s, IH), 7.93 ppm (s, IH), 7.90-7.8 (m, 2H), 7.59-7.53 ppm (m, 2H), 7.42-7.33 ppm (m, 4H), 7.17-7.12 ppm (m, 2H),
6.89-6.85 ppm (m, 2H), 6.24 ppm (t, IH), 4.74 ppm (s, 2H), 3.76 ppm (s, 6H), 2.33 ppm (s, 2H); MS (EI) m/z C3IH29N506S: 599.7 (MH+).
Example 263: Af-(3-( -(3-(3,5-dimethoxy-phenylamino)quinoxalin-2- yl)sulfamoyl)phenyl)-3-methoxy-4-methyIbenzamide. MS (EI) m/z C3iH29N506S: 600 (MIT).
Example 264: N-(3-(iV-(3-(3,5-dimethoxy-phenylamino)quinoxalin-2- yl)sulfamoyl)phenyl)-3-methoxy-4-methylbenzamide. MS (EI) m/z C28H24N6O5S: 557 (MH+).
Example 265: N-(3-(N-(3-(3,5-dimethoxy-phenylamino)quinoxalin-2- yl)suIfamoyl)phenyl)thiazole-4-carboxamide. MS (EI) m/z C26H22N6O5S2: 563 (MH+). Example 266: 2-bromo-N-(3-(/V-(3-(3,5-dimethoxy-phenylamino)quinoxalin-2- yI)sulfamoyI)phenyl)thiophene-3-carboxamide. MS (EI) m/z C27H22BrN505S2 640 (MH+).
Example 267: V-(3-(iV-(3-(3,5-dimethoxy-phenylamino)quinoxalin-2- yl)sulfamoyl)phenyl)pivalamide. MS (EI) m/z C27H29N5O5S: 536 (MH+).
Example 268: /V-(3-(A^-(3-(3,5-dimethoxy-phenyIamino)quinoxalin-2- yl)sulfamoyl)phenyl)pent-4-enamide. MS (EI) m/z C27H27N5O5S: 534 (MHT).
Example 269: .V-(3-( V-(3-(3,5-dimethoxy-phenylamino)quinoxalin-2- yl)sulfamoyl)phenyl)benzamide. MS (EI) m/z C29H25N505S: 556 (MH+).
Example 270: N-(3-(iV-(3-(3,5-dimethoxy-phenyIamino)quinoxalin-2- yl)sulfamoyl)phenyl)butyramide. MS (EI) m/z C26H27N5O5S: 522 (MH+).
Example 271: N-(3-(N-(3-(3,5-dimethoxy-phenylamino)quinoxalin-2- yl)sulfamoyl)phenyl)-2-methoxyacetamide. MS (EI) m/z C^H^NsOeS: 524 (MH+). Example 272: N-(3-(N-(3-(3,5-dimethoxy-phenylamino)quinoxalin-2- yl)suIfamoyl)phenyl)cyclobutanecarboxamide. MS (EI) m/z C27H27N5O5S: 534 (MH+). Example 273: iV-(3-(iV-(3-(3,5-dimethoxy-phenylamino)quinoxalin-2- yl)sulfamoyl)phenyl)-2-methylcyclopropanecarboxamide. MS (EI) m/z
534 (MH+).
Example 274: N-(3-(N-(3-(3,5-dimethoxy-phenylamino)quinoxalin-2- yl)sulfamoyl)phenyi)-l-methylcyclopropanecarboxamide. MS (EI) m/z C27H27N5O5S: 534 (MH+).
Example 275: N-(3-(N-(3-(3,5-dimethoxy-phenylamino)quinoxalin-2- yl)suIfamoyI)phenyl)-3-methylbutanamide. MS (EI) m z C27H29N5O5S: 536 (MH*).
Example 276: N-(3-(N-(3-(3,5-dimethoxy-phenylamino)quinoxalin-2- yl)sulfamoyl)phenyl)-2-ethoxyacetamide. MS (EI) m/z
538 (MH+).
Example 277: N-(3-(N-(3-(3,5-dimethoxy-phenylamino)quinoxalin-2- yl)sulfamoyl)phenyl)-3-methoxypropanamide. MS (EI) m/z C26H27N506S: 538 (MH+). Example 278: N-(3-(N-(3-(3,5-dimethoxy-phenylamino)quinoxalin-2- yl)sulfamoyl)phenyI)-2-hydroxyacetamide. MS (EI) m/z C24H23N506S: 510 (MH+). Example279: .V-(3-(A^-(3-(3,5-dimethoxy-plienylamino)quinoxalin-2- yl)sulfamoyl)phenyl)isobutyramide. MS (EI) m/z C26H27N505S: 522 (MH+).
Example 280: iV-(3-(N-(3-(3,5-dimethoxy-phenylamino)quinoxalin-2- yl)suIfamoyl)phenyl)-l-hydroxycyclopropanecarboxamide. MS (EI) m/z C26H25N506S: 536 (MH+).
Example 281: .V-(3-(N-(3-(3,5-dimethoxy-phenylamino)quinoxalin-2- yl)sulfamoyl)phenyl)furan-3-carboxamide. MS (EI) m/z C27H23N506S: 546 (MH*). Example 282: N-(3-(N-(3-(3,5-dimethoxy-phenylamino)quinoxalin-2- yl)suIfamoyl)phenyl)tetrahydrofuran-3-carboxamide. MS (EI) m/z C27H27N506S: 550 (MH+).
Example 283: iV-(3-(iV-(3-(3,5-dimethoxy-phenylamino)quinoxalin-2- yl)sulfamoyl)phenyl)tetrahydrofuran-2-carboxamide. MS (EI) m/z C2 H27N506S: 550 (MH+).
Example 284: Ar-(3-(N-(3-(3,5-dimethoxy-phenylamino)quinoxalin-2- yl)sulfamoyl)phenyl)furan-2-carboxamide. MS (EI) m/z C27H23N5O6S: 546 (ΜΗ ). Example 285: N-(3-(N-(3-(3,5-dimethoxy-phenylamino)quinoxalin-2- yl)sulfamoyl)phenyl)isonicotinamide. MS (EI) m/z C28H24N6O5S: 557 (MPT).
Example 286: V-(3-(-V-(3-(3,5-dimethoxy-phenylamino)quinoxalin-2- yl)sulfamoyl)phenyl)-lH-pyrrole-2-carboxamide. MS (EI) m/z C27H24N6O5S: 545 (ΜΗ*).
Example 287: iV-(3-( V-(3-(3,5-dimethoxy-phenylamino)quinoxalin-2- yl)sulfamoyl)phenyl)pyrazine-2-carboxamide. MS (EI) m/z C27H23 705S: 558 (MH1"). Example 288: N-(3-(N-(3-(3,5-dimethoxy-phenylamino)quinoxalin-2- yl)sulfamoyl)phenyl)-l-methyl-lH-pyrrole-2-carboxamide. MS (EI) m/z C28H26N6O5S: 559 (MH+).
Example 289: N-(3-( V-(3-(3,5-dimethoxy-phenylamino)quinoxalin-2- yl)sulfamoyl)phenyl)-5-methyIisoxazole-3-carboxamide. MS (EI) m/z C27H24 6O6S: 561 (MPT).
Example 290: -(3-( V-(3-(3,5-dimethoxy-phenylaiiiino)quinoxalin-2- yl)sulfamoyl)phenyl)thiophene-2-carboxaraide. MS (EI) m/z C27H23N505S2: 562 (MtT). Example 291: (S)-AT-(3-(Ar-(3-(3,5-dimethoxy-phenyIamino)quinoxalin-2- yl)sulfamoyl)phenyl)-l-methylpyrrolidine-2-carboxamide. MS (EI) m/z C28H30N6O5S: 563 (MH+).
Example 292: /V-(3-(iV-(3-(3,5-dimethoxy-phenylamino)quinoxalin-2- yl)sulfamoyl)phenyl)-2-methyIbenzamide. MS (EI) m/z C3oH27 505S: 570 (MIT).
Example 293: AH3-(^3-(3,5-dimethoxy-phenylamino)quinoxalin-2- yl)sulfamoyl)phenyl)-2-phenylacetamide. MS (EI) m/z C3oH27N505S: 570 (MH*).
Example 294: A^-(3-( V-(3-(3,5-dimethoxy-phenylamino)quinoxaIin-2- yl)sulfamoyl)phenyI)-3-methylpicoIinamide. MS (EI) m/z C29H26Ne05S: 571 (MH1"). Example 295: AI'-(3-(Af-(3-(3,5-dimethoxy-phenylamino)quinoxalin-2- yl)sulfamoyl)phenyl)-2-(pyridin-3-yI)acetamide. MS (EI) m/z C29H26N605S: 571 (MH*). Example 296: iV-(3-(iV-(3-(3,5-dimethoxy-phenylamino)quinoxalin-2- yl)sulfamoyl)phenyl)-6-hydroxypicolinamide. MS (EI) m/z C28H24N606S: 573 (MH+). Example 297: /V-(3-(/V-(3-(3,5-dimethoxy-phenylamino)quinoxalin-2- yl)sulfamoyl)phenyl)-2-fluorobenzamide MS (EI) m/z C29H24FN505S: 574 (MH+).
Example 298: -(3-(iV-(3-(3,5-dimethoxy-phenylamino)quinoxalin-2- yl)sulfamoyl)phenyl)-4-fluorobenzamide. MS (EI) m/z C29H24FN505S: 574 (MH+). Example 299: jV-(3-(N-(3-(3,5-dimethoxy-phenyIamino)quinoxalin-2- yl)sulfamoyl)phenyl)-3-fluorobenzamide. MS (EI) m/z C29H24FN505S: 574 (MH+). Example 300: 2-cyclohexyl-N-(3-(N-(3-(3,5-dimethoxy-phenylamino)quinoxalin-2- yI)sulfamoyl)phenyl)acetamide. MS (EI) m/z C30H33N5O5S: 576 (MH+).
Example 301 : iV-(3-(N-(3-(3,5-dimethoxy-phen lamino)quinoxaIin-2- yl)sulfamoyl)phenyi)-2-(2-oxocyclopentyl)acetamide. MS (EI) m/z C29H29 506S: 576 (MH+).
Example 302: 4-cyclopropyl-^V-(3-(^-(3-(3,S-dimethoxy-phenylamino)quinoxalin-2- yl)sulfamoyl)phenyl)-4-oxobutanamide. MS (EI) m/z C29H29N506S: 576 (MH+).
Example 303: Ar-(3-(Af-(3-(3,5-dimethoxy-phenylamino)quinoxalin-2- yl)sulfamoyl)phenyl)-3-oxocycIohexanecarboxamide. MS (EI) m/z C29H29N506S: 576 (MH+).
Example 304: iV-(3-(/V-(3-(3,5-dimethoxy-phenylamino)quinoxalin-2- yI)sulfamoyl)phenyl)-3-(pyridin-3-yI)propanamide. MS (EI) m/z C30H28N6O5S: 585 (MH+).
Example 305: -V-(3-(N-(3 3,5-dimethoxy-phenylamino)quinoxalin-2- yl)sulfamoyl)phenyl)-2-methoxybenzamide. MS (EI) m/z C3oH27N506S: 586 (MH+). Example 306: N-(3-(.V-(3-(3,5-dimethoxy-phenylamino)quinoxalin-2- yl)sulfamoyl)phenyl)-3-methoxybenzamide. MS (EI) m/z C3oH27N506S: 586 (MH*). Example 307: N-(3-(N-(3-(3,5-dimethoxy-phenylamino)quinoxalin-2- yl)sulfamoyl)phenyl)-2-phenoxyacetamide. MS (EI) m/z C3oH27N506S: 586 (MH+). Example 308: N-(3-(N-(3-(3,5-dimethoxy-phenylamino)quinoxaIin-2- yl)sulfamoyl)phenyl)-4-methoxybenzamide. MS (EI) m/z C30H27 5O6S: 586 (MH+). Example 309: N-(3-(N-(3-(3,5-dimethoxy-phenylamino)quinoxalin-2- yI)sulfamoyl)phenyl)-2-(4-fluorophenyI)acetamide. MS (EI) m/z C30H26FN5O5S: 588 (MH+).
Example 310: N-(3-(N-(3-(3,5-dimethoxy-phenylamino)quinoxalin-2- yl)sulfamoyl)phenyl)-2-(2-fluorophenyl)acetamide. MS (EI) m/z C30H26FN5O5S: 588 (MET1").
Example 311: iV-(3-(-V-(3-(3,5-dimethoxy-phenyIamino)quinoxaIin-2- yl)sulfamoyl)phenyI)-2-(3-fluorophenyl)acetamide. MS (EI) m/z C30H26FN5O5S: 588 (MIT).
Example 312: 2-chIoro-A?-(3-(Ar-(3-(3,5-dimethoxy-phenylamino)quinoxalin-2- yl)sulfamoyl)phenyI)benzamide. MS (EI) m/z C29H24C1N505S: 590 (MHP).
Example 313: 4-chloro- V-(3-( V-(3-(3,5-dimethoxy-phenylamino)quinoxalin-2- yI)sulfamoyl)phenyl)benzamide. MS (EI) m/z C29H24CIN5O5S: 590 (MKT).
Example 314: 3-chloro-iV-(3-(Ar-(3-(3,5-dimethoxy-phenylamino)quinoxalin-2- yl)sulfamoyl)phenyl)benzamide. MS (EI) m/z C29H24C1N505S: 590 (MH+).
Example 315: (lR,2R)-N-(3-(N-(3-(3,5-dimethoxy-phenylamino)quinoxalin-2- yl)sulfamoyl)phenyl)-2-phen lcyclopropanecarboxamide. MS (EI) m/z C32H29 50sS: 596 (MH+).
Example 316: iV-(3-(N-(3-(3,5-dimethoxy-phenylamino)quinoxalin-2- yl)sulfamoyl)phenyl)-l-phenylcyclopropanecarboxamide. MS (EI) m/z C32H29N5O5S: 596 (MH+).
Example 317: N-(3-(iV-(3-(3,5-dimethoxy-phenylamino)qumoxalin-2- yl)sulfamoyI)phenyl)-2-(lH-imidazol-4-yl)acetamide. MS (EI) m/z C27H25N705S: 560 (MtT).
Example 318: V-iS-iV-tS-iS^-dimethox -phen laminoJquinoxalin-l- yl)sulfamoyl)phenyl)-4-methoxy-2-methylbenzamide. MS (EI) m/z C31H29 5O6S: 600 (MH+).
Example 319: iV-(3-(iV-(3-(3,5-dimethoxy-phenylamino)quinoxalin-2- yl)sulfamoyl)phenyl)-2-(4-fluorophenoxy)acetamide. MS (EI) m/z C3oH26FN506S: 604 (MH+).
Example 320: iV-(3-(iV-(3-(3,5-dimethoxy-phenylamino)quinoxalin-2- yl)sulfamoyl)phenyl)-5-fluoro-2-methoxybenzamide. MS (EI) m/z C30H26FN5O6S: 604 (MH+).
Example 321 : 2-(4-chlorophenyl)-iV-(3-( V-(3-(3,5-dimethoxy-phenylamino)quinoxaIin- 2-yl)sulfamoyl)phenyl)acetamlde. MS (EI) m/z C30H26CIN5O5S: 604 (MH+).
Example 322: 2-(2-chlorophenyl)-N-(3-(N-(3-(3,5-dimethoxy-phenylamino)quinoxalin- 2-yl)sulfamoyl)phenyl)acetamide. MS (EI) m/z C3oH26ClN505S: 604 (MH+).
Example 323: 2-(3-chlorophenyI)-Ar-(3-(Ar-(3-(3,5-dimethoxy-phenylamino)quinoxalin- 2-yI)sulfamoyl)phenyl)acetamide. MS (EI) m/z C30H26CIN5O5S: 604 (MH+).
Example 324: l-acetyl-Ar-(3-(Ar-(3-(3,5-dimethoxy-phenylamino)quinoxalin-2- yl)sulfamoyl)phenyl)piperidine-4-carboxamide. MS (EI) m/z C30H32N6O6S: 605 (MH+). Example 325: N-(3-(N-(3-(3,5-dimethoxy-phenylamino)quinoxalin-2- yl)sulfamoyl)phenyl)-2-(pyridin-4-yl)acetamide. MS (EI) m/z C29H26N605S: 571 (MH+). Example 326: N-(3-(iV-(3-(3,5-dimethoxy-phenylamino)quinoxalin-2- yl)sulfamoyl)phenyl)-2-(pyridin-2-yl)acetamide. MS (EI) m/z C29H26N605S: 571 (MIT). Example 327: 2,4-dichloro-/V-(3-(N-(3-(3,5-dimethoxy-phenylamino)quinoxalin-2- yl)sulfamoyI)phenyl)benzamide. MS (EI) m/z C29H23C12N505S: 624 (MH+).
Example 328: 3,4-dichloro-N-(3-(N-(3-(3,5-dimethoxy-phenylainino)quinoxalin-2- yl)sulfamoyl)phenyl)benzamide. MS (EI) m/z C29H23CI2N5O5S: 624 (MH+).
Example 329: 2,5-dichIoro-Ar-(3-(iV-(3-(3,5-dimethoxy-phenylamino)quinoxalin-2- yl)sulfamoyl)phenyl)benzamide. MS (EI) m/z C29H23C12N505S: 624 (MH+).
Example 330: 3,5-dichloro-N-(3-(N-(3-(3,5-dimethoxy-phenylamino)quinoxalin-2- yl)sulfamoyl)phenyl)benzamide. MS (EI) m/z
624 (MH1").
Example 331: 2,3-dichloro- V-(3-(N-(3-(3,5-dimethoxy-phenylamino)quinoxalin-2- yl)suIfamoyl)phenyl)benzamide. MS (EI) m/z C29H23CI2N5O5S: 624 (MH+).
Example 332: A7-(3-(Ar-(3-(3,5-dimethoxy-phenylamino)quinoxalin-2- yl)sulfamoyl)phenyl)pentanamide. MS (EI) m/z C27H29N505S: 536 (MH+).
Example 333: N-(3-(N-(3-(3,5-dimethoxy-phenylamino)quinoxalin-2- yl)sulfamoyl)phenyI)-2-methylbutanainide. MS (EI) m/z C27H29 505S: 536 (MIT). Example 334: .V-(3-(N-(3-(3,5-dimethoxy-plienylamino)quinoxalm-2- yl)sulfamoyl)phenyl)-lH-imidazole-2-carboxamide. MS (EI) m/z C26H23N705S: 546 (MH+).
Example 335: AT-(3-(-V-(3-(3,5-dimethoxy-phenylamino)quinoxalin-2- yl)sulfamoyl)phenyl)-lH-imidazoIe-4-carboxamide. MS (EI) m/z C26H23N7O5S: 546 (MH*).
Example 336: N-(3-(iV-(3-(3,5-dimethoxy-phenylamino)quinoxalin-2- yI)sulfamoyl)phenyl)isoxazole-5-carboxamide. MS (EI) m/z C26H22N606S: 547 (MH*). Example 337: iV-(3-(N-(3-(3,S-dimethoxy-phenylamino)quinoxalin-2- yl)sulfamoyl)phenyl)-3,3-dimethylbutanamide. MS (EI) m/z C28H3|N505S: 550 (MH+). Example 338: N-(3-(N-(3-(3,5-dimethoxy-phenylamino)quinoxalin-2- yl)sulfamoyl)phenyl)-2-methylpentanamide. MS (EI) m/z C28H31N5O5S: 550 (MKT). Example 339: V-(3-(.V-(3-(3,5-dimethoxy-phenylamino)quinoxalin-2- yl)sulfamoyl)phenyl)-2,2-dimethylbutanamide. MS (EI) m/z C28H31 5O5S: 550 (MH+). Example 340: N-(3-(Ar-(3-(3,5-dimethoxy-phenylamino)quinoxalin-2- yl)sulfamoyl)phenyl)-4-methylpentanamide. MS (EI) m/z C28H3iN505S: 550 (MH+). Example 341: V-(3-(N-(3-(3,5-dimethoxy-phenylamino)quinoxalin-2- yI)sulfamoyl)phenyI)pyrimidine-5-carboxamide. MS (EI) m/z C27H23N7O5S: 558 (ΜΗ*). Example 342: iV-(3-(Af-(3-(3,5-dimethoxy-phenylamino)quinoxalin-2- yl)sulfamoyl)phenyl)-3-methylfuraii-2-carboxamide. MS (EI) m/z C2gH25N506S: 560 (MH+).
Example 343: N-(3-(N-(3-(3,5-dimethoxy-phenylamino)quinoxalin-2- yl)sulfamoyl)phenyl)thiophene-3-carboxamide. MS (EI) m/z C27H23N505S2: 562 (MH+). Example 344: N-(3-(iV-(3-(3,5-dimethoxy-phenyIamino)quinoxalm-2- yl)sulfamoyI)phenyl)-3-oxocyclopentanecarboxamide. MS (EI) m/z C28H27N5O6S: 562 (Mtf).
Example 345: N-(3-(N-(3-(3,5-dimethoxy-phenylamino)quinoxalin-2- yl)sulfamoyl)phenyl)-2-(2-methoxyethoxy)acetamide. MS (EI) m/z C27H29N507S: 568 (MPT).
Example 346: N-(3-(N-(3-(3,5-dimethoxy-phenylamino)quinoxalin-2- yl)sulfamoyI)phenyl)-4-methylbenzamide. MS (EI) m/z CsoH^NsOsS: 570 (MH+).
Example 347 : iV-(3-(N-(3-(3,5-dimethoxy-phenylamino)quinoxalin-2- yl)sulfamoyl)phenyl)-2-(3-methylisoxazol-4-yl)acetamide. MS (EI) m/z C28H26N606S: 575 (MH+).
Example 348: 3-cyclopentyl-/V-(3-(Ar-(3-(3,5-dimethoxy-phenylamino)quinoxalin-2- yl)sulfamoyl)phenyl)propanamide. MS (EI) m/z C30H33N5O5S: 576 (MH+).
Example 349: N-(3-(N-(3-(3,5-dimethoxy-phenylamino)quinoxalin-2- yl)sulfamoyl)phenyl)-2-o-tolylacetamide. MS (EI) m/z C3iH29N505S: 584 (MH+). Example 350: N-(3-(N-(3-(3,5-dimethoxy-phenylamino)quinoxalin-2- yl)sulfamoyl)phenyl)-2-methoxynicotinamide. MS (EI) m/z C^eNeOeS: 587 (MH1"). Example 351 : ^V-(3-(iV-(3-(3,5-dimethoxy-pheny lamino)quinoxalin-2- yl)sulfamoyl)phenyl)-4-fluoro-3-methylbenzamide. MS (EI) m/z C30H26FN5O5S: 588 (MH+).
Example 352: iV-(3-(N-(3-(3,5-dimethoxy-phenylamino)quinoxalin-2- yl)sulfamoyI)phenyl)-3-fluoro-2-methylbenzamide. MS (EI) m z C30H26FN5O5S: 588 (MH+).
Example 353: N-(3-(N-(3-(3,5-dimethoxy-phenylamino)quinoxalin-2- yl)sulfamoyl)phenyl)-3-fluoro-4-methylbenzamide. MS (EI) m/z C30H26FN5O5S: 588 (MH+).
Example 354: /V-(3-(/V-(3-(3,5-dimethoxy-phenylamino)quinoxalin-2- yI)sulfamoyl)phenyl)-2-fluoro-5-methylbenzamide. MS (EI) m/z C30H26FN5O5S: 588 (MIT).
Example 355 : N-(3-(N-(3-(3,5-dimethoxy-pheny Iamino)quinoxalin-2- yl)sulfamoyl)phenyl)-5-fluoro-2-methylbenzamide. MS (EI) m/z C3oH26FN505S: 588 (MH+).
Example 356: 6-chloro-jY-(3-(N-(3-(3,5-dimethoxy-phenylamino)quinoxalin-2- yl)sulfamoyl)phenyl)nicotinamide. MS (EI) m/z C28H23C1N605S: 591 (MH+).
Example 357: 2-chloro-N-(3-(N-(3-(3,5-dimethoxy-phenylamino)quinoxalin-2- yl)sulfamoyl)phenyl)nicotinamide. MS (EI) m/z C28H23CIN6O5S: 591 (MH+).
Example 358: 2-chloro-iV-(3-(iV-(3-(3,5-dimethoxy-phenylamino)quinoxalin-2- yl)sulfamoyI)phenyl)isonicotinamide. MS (EI) m/z C28H23CIN6O5S: 591 (MH+).
Example 359: N-(3-(iV-(3-(3,5-dimethoxy-phenylamino)quinoxalin-2- yI)sulfamoyl)phenyl)-4-(dimethylamino)benzamide. MS (EI) m/z C3|H3oN605S: 599 (MH+).
Example 360: N-(3-( -(3-(3,5-dimethoxy^henylamino)quinoxalin-2- l)sulfamoyl)phen l)-3-(dimeth laniino)benzamide. MS (EI) m/z C31H3oN605S: 599 (MH+).
Example 361: -V-(3-(-V-(3-(3,5-dimethoxy-phenylamino)quinoxaIin-2- yl)sulfamoyl)phenyl)benzo[d][l,3]dioxole-5-carboxamide. MS (EI) m/z C3oH25N507S: 600 (MH+).
Example 362: N-(3-(N-(3-(3,5-dimethoxy-phenylamino)quinoxalin-2- yl)sulfamoyl)phenyl)-2-(m-tolyloxy)acetamide. MS (EI) m/z C3iH29N506S: 600 (MH"). Example 363: N-(3-(iV-(3-(3,5-dimethoxy-phenylamino)quinoxalin-2- yl)sulfamoyl)phenyl)-2-(4-methoxyphenyl)acetamide. MS (EI) m/z C31H2 N5O6S: 600 (MIT).
Example 364: N-(3-(iV-(3-(3,5-dimethoxy-phenyIamino)quinoxalin-2- yl)sulfamoyl)phenyl)-2-(2-methoxyphenyl)acetamide. MS (EI) m z CsiH^NsOeS: 600 (MKT).
Example 365: V-(3-(iV-(3-(3,5-dimethoxy-phenylamino)quinoxalin-2- yl)sulfamoyl)phenyl)-2-(3-methoxyphenyl)acetamide. MS (EI) m/z C31H29N5O6S: 600 (MH+).
Example 366: iV-(3-(N-(3-(3,5-dimethoxy-phenylamino)quinoxalin-2- yl)sulfamoyl)phenyl)-2-methoxy-4-methylbenzamide. MS (EI) m/z CsiH^NsOeS: 600 (MIT).
Example 367: N-(3-(N-(3-(3,5-dimethoxy-phenylamino)quinoxalin-2- yl)sulfamoyl)phenyl)-3-fluoro-4-methoxybenzamide. MS (EI) m/z C30H26FN5O6S: 604 (MIT).
Example 368: N-(3-(N-(3-(3,5-dimethoxy-phenyIamino)quinoxalin-2- yl)sulfamoyl)phenyl)-2-fluoro-6-methoxybenzamide. MS (EI) m/z C30H26F 5O6S: 604 (MH+).
Example 369: /V-(3-(iV-(3-(3,5-dimethoxy-phenylamino)quinoxalin-2- yl)suIfamoyl)phenyl)-3-(4-methoxyphenyl)propanamide. MS (EI) m/z C32H31N5O6S: 614 (MIT).
Example 370: V-(3-(N-(3-(3,5-dimethoxy-phenylamino)quinoxalin-2- yI)sulfamoyl)phenyl)-3-(2-methoxyphenyI)propanamide. MS (EI) m/z C32H31N5O6S: 614 (MH+).
Example 371: N-(3-(A^-(3-(3,5-dimethoxy-phenylamino)quinoxalin-2- yl)sulfamoyl)phenyl)-3-(3-methoxyphenyl)propanamide. MS (EI) m/z C32H3iN506S: 614 (MH+).
Example 372
.V-(3 ^-(3-(3,5-dimethoxy^henylainino)quinoxalm-2-yl)sulfamoyl)phenyl)azetidine-3- carboxamide.
[00244] Into a 20 mL vial was added 3-amino-N-(3-(3,5-dimethoxy- phenylamino)quinoxalin-2-yl)benzenesulfonamide (0.24 mmol, 1 equiv), prepared using procedures similar to those described in Example 15, DMA ( 5 mL) and \ -{tert- butoxycarbonyl)azetidine-3-carboxylic acid (0.336 mmol, 1.4 equiv). Hunig's Base (0.792 mmol, 3.3 equiv) and HATU (0.288 mmol, 1.2 equiv) were added to the vial and the reaction mixture was then stirred at room temperature overnight. Completion of the reaction was indicated by LCMS. The solvent was removed by rotary evaporation. The crude mixture was carried forward without further purification. The residue was suspended in 5 mL ethyl acetate and chilled in an ice bath. A solution of 4 N HCI in dioxane ( 3 mL, 5 equiv) was added with stirring. The reaction mixture was then stirred at room temperature overnight. The solid materials were collected by filtration, washed with ethylacetate then purified further by preparative reverse-phase HPLC (ammonium acetate/ACN). A Waters Fractionlynx preparative reverse-phase HPLC; equipped with a Waters SunFire Prep CI 8, OCD 5 μΜ, 30 X 70 mm column and running a 5-100 % gradient with a binary solvent system of 25 raM ammonium acetate in water/acetonitrile; was used to carry out the purification. N-(3-(N-(3-(3,5-dimethoxy-phenylamino)quinoxalin-2- yl)sulfamoyl)phenyl)azetidine-3-carboxamide was obtained (26 mg, 20%). Ή-NMR
(400MHz, d6-DMSO): 10.26 (s, 1H), 8.81 (s, 1H), 8.25 (t, 1H), 8.14 (s, 1H), 7.74 (d, 1H), 7.69 (d, 1H), 7.41-7.39 (m, 1H), 7.36 (d, 1H), 7.32 (d, 2H), 7.30-7.28 (dd, 1H), 7.14-7.1 1 (m, 2H), 6.14 (t, 1H), 4.09 (d, 4H), 3.78 (s, 6H); MS (EI) m/z
535.6 (MH+).
Example 373
N-(3-(4-fluorophenylamino)quinoxalm-2-yl)beiizenesulfonamide
[00245] A flask was charged with 2,3-dichloroquinoxaline (3.5 g, 18 mmol), 85 mL of dimethylsulfoxide, benzene sulfonamide (2.8 g, 18 mmol), and cesium carbonate (5.8 g, 18 mmol). The reaction mixture was stirred under an N2 atmosphere for 15 h at 150 °C, after which time, it was transferred to a separatory funnel and 100 mL of water were added. Concentrated HC1 was then added in order to acidify the reaction mixture to pH<2. The aqueous layer was subsequently washed three times with 90 mL ethyl acetate. The ethyl acetate layers were then washed two times with 150 mL water, three times with 100 mL brine and then dried over sodium sulfate. The ethyl acetate was removed on a rotary- evaporator. A slurry was formed by adding ethyl acetate and dichloromethane to the dried crude product, filtration yielded N-(3-chloroquinoxalin-2-yl)-benzenesulfonamide which was used without further purification. MS (EI) m/z
319.9 (MET).
[00246] A CEM microwave reaction vessel was charged with N-(3-chloroquinoxaIin-2- y benzenesulfonamide (52 mg, 0.16 mmol), prepared using procedures similar to those described in the above step, 4-fluoroaniline (36 mg, 0.32 mmol), and 0.8 mL of
dimethylacetamide. The vessel was sealed and the reaction mixture was heated under microwave radiation for 25 m at 120 °C in a CEM Discover microwave instrument.
Methanol (1 mL) was added to the reaction mixture and after 20 minutes the product precipitated out of the solution. Filtration yielded N-(3-(4-fluorophenylamino)quinoxalin-2- yl)benzenesuIfonamide (39 mg, 62 %). Ή-NMR (400MHz, de-DMSO): δ 12.30 (s, 1H), 9.11 (s, 1H), 8.16-8.10 (d, 2H), 8.02-7.90 (m, 3H), 7.68-7.58 (m, 3H), 7.55-7.51 (m, 1H), 7.41-7.32 (m, 2H), 7.25-7.16 (m, 2H); MS (EI) m/z C2oH,5FN402S: 395.0 (MlT).
Example 374
AK3-(AK3-chloroquinoxalin-2-yl)sulfam
Scheme A
[00247] A flask was charged with 3-aminobenzene sulfonamide (3.3 g, 19 mmol), and 20 mL of 1 : 1 acetone :H20. The solution was stirred at room temperature until the
aminobenzene sulfonamide had dissolved. The flask was then cooled in an ice bath and dimethylamino-acetyl chloride HCl (4.6 g, 29 mmol) was added. To the resulting slurry sodium bicarbonate (4.8 g, 57 mmol) was added over a 15 m period. After 30 min the reaction was removed from the ice bath and allowed to stir at room temperature for 15 h. The reaction mixture was then filtered and washed with methanol and acetonitrile. The filtrate was dried on a rotary evaporator to yield 2-(dimethylamino)-N-(3-sulfamoyl- pheny acetamide, which was submitted to the next step without further purification. MS (EI) m/z C,oH,5N303S: 258.0 (MH+).
Scheme B
[00248] A flask was charged with dichloroquinozaline ( 1.0 g, 5.8 mmol), 10 mL of dimethylacetamide, 2-(dimetyhlamino)-N-(3-sulfamoylphenyI)acetamide (0.70 g, 2.7 mmol), and cesium carbonate ( 1.8 g, 5.5 mmol). The reaction mixture was stirred for 3 h at 140 °C and then filtered. The solvent was evaporated from the filtrate on a rotary- evaporator to yield (N-(3-(N-(3-chloroquinoxalin-2-yl)sulfamoyl)phenyI)- 2-(dimethylamino)acetamide) which was submitted to the next step without further purification. MS (EI) m/z C|8Hi8ClN503S: 420.0 (MH+).
[00249] A CEM microwave reaction vessel was charged with N-(3-(N-(3- chloroquinoxalin-2-yl)sulfamoyl)phenyl)-2-(dimethylamino)acetamide (30 mg, 0.071 mmol), prepared using procedures similar to those described in Example 374, the desired aniline ( 16 mg, 0.14 mmol, 2 eq), and 0.5 mL of dimethylacetamide. The vessel was sealed and the reaction mixture was heated under microwave radiation for 70 min at 140 °C in a CEM Discover microwave instrument. The solvent was then removed by rotary- evaporation. Purification of the final product was accomplished by preparatory reverse- phase HPLC with the eluents 25 mM aqueous NI^OAc/ACN to the desired product.
[00250] The following compounds were prepared according to the above General Amination Procedure la.
Example 375: 2-(dimethylamino)-N-(3-(iV-(3-(3-fluorophenylaniino)quinoxalin-2- yl)suIfamoyl)phenyl)acetamide. Ή-NMR (400MHz, CDC13): 9.40 ppm (s, 1H), 8.43 ppm (s, 1H), 8.22 ppm (s, 1H), 8.07-8.02 ppm (d, 1H), 7.97-7.93 ppm (d, 1H), 7.76-7.71 (m, 2H), 7.53-7.48 ppm (t, 1H), 7.45-7.36 ppm (m, 4H), 7.35-7.28 ppm (m, 2H), 6.84-6.77 ppm (t, 1H), 3.10 ppm (s, 2H), 2.38 ppm (s, 6H); MS (EI) m/z C24H23FN603S: 495 (MH+). Example 376: 2-(dimethyIamino)--V-(3-(-V-(3-(4-fluorophenylamino)quinoxalin-2- yl)sulfamoyl)phenyl)acetamide. MS (EI) m/z C24H23FN603S: 495 (MH+).
Example 377: N-(3-(iV-(3-(4-chloro-phenylamino)quinoxalin-2-yl)sulfamoyl)phenyl)-2- (diniethylamino)acetamide. MS (EI) m/z C24H23C1N603S: 51 1 (MrT).
General Amination Procedure lb
[00251] A CEM microwave reaction vessel was charged with N-(3-(N-(3- chloroquinoxalin-2-yl)sulfamoyl)phenyl)-2-(dimethylamino)acetamide (62 mg, 0.147 mmol), prepared using procedures similar to those in Example 374, the desired aniline (0.567 mmol, 4 eq), and 1.0 mL of toluene. The vessel was sealed and the reaction mixture was heated under microwave radiation for 60 min at 180 °C in a CEM Discover microwave instrument. The solvent was removed on a rotary-evaporator. Purification of the final product was done by preparatory HPLC with NH4OAC/ACN as eluent to yield the desired product.
[00252] The following compounds were prepared according to the above General Amination Procedure lb.
Example 378 : N-(3-(V-(3-(3-chloro-pheny lamino)quinoxalin-2-yl)sul amoyl)phenyl)-2- (dimethylamino)acetamide. MS (EI) m/z C24H23C1N603S: 51 1 (MET1").
Example 379: 2-(dimethylamino)- V-(3-(-V-(3-(4-fluoro-3- methoxyphenylamino)quinoxalin-2-yl)sulfamoyl)phenyl)acetamide. 2-
(dimethylamino)-N-(3-(N-(3-(4-fluoro-3-methoxyphenylamino)quinoxalin-2- yl)sulfamoyl)phenyl). !H-NMR (400MHz, CDC13): δ 9.47 (s, I H), 8.36 (s, IH), 8.29 (s, IH), 7.91-7.87 (d, IH), 7.80-7.73 (m, 2H), 7.66-7.63 (d, IH), 7.53-7.47 (t, IH), 7.43-7.30 (m, 4H), 7.10-7.04 (t, IH), 6.55-5.95 (br s, IH), 3.96 (s, 3H), 3.12 (s, 2H), 2.39 (s, 6H), 2.08 (s,3H(Ac0H); MS (EI) m/z C25H25FN604S: 525 (MH+).
Example 380
N-(3-(3,5-dimethoxy-phenylamino)quinoxalin-2-yl)-4-isopropoxybenzenesulfonamide
[00253] / -(3-(3,5-dimethoxy-phenylamino)quinoxalin-2-yl)-4-isopropoxy- benzenesulfonamide. A solution of 2,3-dichloroquinoxaline (2.0 mL, 0.38 M) was combined with K2C03 (105 mg, 0.76 mmol) in a glass vial. A solution of
4-isopropoxybenzene sulfonamide ( 1.75 mL, 0.43 M) was added and the solution was stirred overnight at 125 °C. After cooling, acetic acid (45 mL, 0.79 mmol) and
3,5-dimethoxyaniline (230 mg, 1.5 mmol) were added. The reaction mixture was stirred again at 125 °C overnight. Upon cooling, the reaction mixture was diluted with 8 mL of methanol and then 8 mL of water. The precipitate was collected by filtration and
recrystallized from N,N-dimethylacetamide/water to give N-(3-(3,5-dimethoxy- phenylamino)quinoxalin-2-yl)-4-isopropoxy-benzenesulfonamide (45 mg, 12%). lH-NMR (400MHz, d6-DMSO): 12.16 (bs, IH), 8.93 (s, IH), 8.03 (d, 2H), 7.92 (bs, IH), 7.56 (d, IH), 7.36 (m, 4H), 7.07 (d, 2H), 6.24 (s, IH), 4.72 (m, IH), 3.76 (s, 6H), 1.27 (d, 6H); MS (EI) m/z C25H26N405S: 495 (MIT).
[00254] Examples 381-41 1 were synthesized proceeding as above in Example 423. In the cases where the product did not precipitate, the mixture was purified by reverse phase HPLC.
Example 381 : 3-chloro-Af-(3-(3^-dimethoxy-phenyIamino)quinoxalin-2- l)-4- methyIbeiKenesulfonam.de. Ή-NMR (400MHz, d6-DMSO): 12.31 (bs, lH), 8.96 (s, IH), 8.18 (s, IH), 7.98 (d, IH), 7.92 (bs, IH), 7.58 (d, 2H), 7.43-7.33 (m, 4H), 6.24 (t, IH), 3.76 (s, 6H), 2.39 (s, 3H); MS (EI) m/z C23H21C1N404S: 485 (MIT).
Example 382: V-(3-(3,5-dimethoxy-phenyIamino)quinoxalin-2-yl)naphthalene-l- sulfonamide. MS (EI) m/z C26H22N404S: 487 (ΜΗΓ).
Example 383: V-(3-(3,5-dimethoxy-phenylamino)quinoxalin-2-yl)-4- fluorobenzenesulfonam.de. MS (EI) m/z C22Hi9FN404S: 455 (MH+).
Example 384: A^-(3-(3,5-dimethoxy-phenylaniino)quinoxalm-2-yl)-3- fluorobenzenesulfonamide. MS (EI) m/z C22H19FN404S: 455 (MH+).
Example 385: N-(3-(3,5-dimethoxy-phenylamino)quinoxalin-2-yl)-3- (trifluoromethyl)benzenesulfonamide. MS (EI) m/z C23Hi9F3N404S: 505 (MH+).
Example 386: N-(3-(3,5-dimethoxy-phenylamino)quinoxalin-2-yl)-4- (trffluoromethyl)benzenesulfonamide. MS (EI) m/z C23H19F3N404S: 505 (MH+).
Example 387: iV-(3-(3,5-dimethoxy-phenylamino)quinoxalin-2-yl)-4- (trifluoromethoxy)benzenesulfonamide. MS (EI) m/z C23Hi9F3N40sS: 521 (MtT). Example 388: .V-(4-(/V-(3-(3,5-dimethoxy-phenylamino)quinoxalin-2- yl)suIfamoyl)phenyl)acetamide. MS (EI) m/z C24H23N505S: 494 (MH+).
Example 389: AT-(3-(3,5-dimethoxy^henylamino)quinoxalin-2-yl)-4-fluoro-2- methylbenzenesulfonamide. MS (EI) m/z C23H2iFN404S: 469 (MH*).
Example 390: V-(3-(3,5-dimethoxy-phenylamino)quinoxalin-2-yl)-2- methylbenzenesulfonamide. MS (EI) m/z C23H22N404S: 451 (MH+).
Example 391 : 2-chloro-.V-(3-(3,5-dimethoxy-plienylamino)quinoxalin-2- yl)benzenesulfonamide. MS (EI) m/z C22Hi9ClN404S: 471 (MH+).
Example 392: Af-(3^3,5-dimethoxy-phenylamino)quinoxalin-2-yl)-3,5- difluorobenzenesulfonamide. MS (EI) m/z C22H18F2N404S: 473 (MH*).
Example 393: 3,5-dichloro-iV-(3-(3,5-dimethoxy-phenylamino)quinoxalin-2- yl)benzenesulfonamide. MS (EI) m/z C22H18C12N404S: 505 (MH+).
Example 394: iV-(3-(3,5-dimethoxy-phenylamino)quinoxalin-2-yl)-3-fluoro-4- methylbenzenesulfonamide. MS (EI) m/z C23H2iFN404S: 469 (MH+).
Example 395: ^-(3-(3,5-dimethoxy-phenylamino)quinoxaIin-2-yI)-2- (trifluoromethyl)benzenesulfonamide. MS (EI) m/z C23H|9F3N404S: 505 (MH+). Example 396: 4-cyano-N-(3-(3,5-dimethoxy-phenylamino)quinoxalin-2- yl)benzenesulfonamide. MS (EI) m/z C23H!9N50 S: 462 (MIT1").
Example 397: iV-(3-(3,5-dimethoxy-phenyIamino)quinoxalin-2-yl)-l- phenylmethanesulfonamide. MS (EI) m/z C23H22N404S: 451 (MH+).
Example 398: 4,5-dichIoro-A'-(3-(3,5-dimethoxy-phenylamino)quinoxalin-2- yl)thiophene-2-sulfonamide. MS (EI) m/z C20H,6Cl2N4O4S2: 5 1 1 (MH*).
Example 399: l-(3-chlorophenyl)-iV-(3-(3,5-dimethoxy-phenylamino)quinoxalin-2- y methanesulfonamide. MS (EI) m/z C23H21C1N404S: 485 (MH+).
Example 400: N-(3-(3,S-dimethoxy-phenylamino)quinoxalin-2-yl)-2,5- dimethylthiophene-3-sulfonamide. MS (EI) m/z C22H22N404S2: 471 (MH+).
Example 401: -V-(3-(3,5-dimethoxy-phenylamino)quinoxalin-2-yI)-3,5- bis(trifluoromethyl)benzenesulfonamide. MS (EI) m/z C24Hi8F6N404S: 573 (MH+). Example 402: ^V-(3-(3,5-dimethoxy-phenylamino)quinoxalin-2-yl)-4-fluoro-3- (trifluoromethyl)benzenesulfonamide. MS (EI) m/z C23Hi8F4N404S: 523 (MH+). Example 403: 5-chloro-iV-(3-(3,5-dimethoxy-phenylamino)quinoxalin-2-yl)-l,3- dimethyl-lH-pyrazoIe-4-sulfonamide. MS (EI) m/z C2,H2,C1N604S: 489 (MH+). Example 404: 5-cldoro-N-(3-(3,5-dimethoxy-phenylamino)quinoxalin-2-yl)-2- methoxybenzenesulfonamide. MS (EI) m/z C23H2|C1N405S: 501 (MH+).
Example 405: 5-bromo-A,-(3-(3,5-dimethoxy-phenylamino)quinoxalin-2-yl)-2- methoxybenzenesulfonamide. MS (EI) m/z C23H2iBrN405S: 545 (MH+).
Example 406: 2,5-dichloro-/V-(3-(3,5-dimethoxy-phenylamino)quinoxalin-2- yI)thiophene-3-suIfonamide. MS (EI) m/z C2oH16Cl2N40 S2: 51 1 (MH+).
Example 407: N-(3-(3,5-dimethoxy-phenylamino)quinoxalin-2-yl)-3,5- dimethylisoxazole-4-sulfonamide. MS (EI) m/z C2iH21N505S: 456 (MH+).
Example 408: iV-(3-(3,5-dimethoxy-phenylamino)quinoxalin-2-yl)-2,5- dimethoxybenzenesuIfonam.de. MS (EI) m/z C24H24N406S: 497 (MH+).
Example 409: 3-chloro--V-(3-(3,5-dimethoxy-phenylamino)quinoxalin-2-yl)-4- fluorobenzenesulfonamide. MS (EI) m/z C22Hi8ClFN 04S: 489 (MH+).
Example 410: 4-(difluoromethoxy)-/V-(3-(3,5-dimethoxy-phenylamino)quinoxalin-2- yI)benzenesulfonamide MS (EI) m/z C23H2oF2N405S: 503 (MlF).
Example 411: N-(3-(3,5-dimethoxy-phenylamino)qumoxalin-2-yl)-3- (methylsulfonyl)benzenesulfonamide. MS (EI) m/z C23H22N406S2: 515 (MH").
General Acylation Procedure 2
[00255] N-(3-(N-(3-(3,5-dimethoxy-phenylamino)quinoxalin-2-yl)- sulfamoyl)phenyl)azetidine-3-carboxamide (125 mg, 0.23 mmol), prepared using procedures similar to those described in Example 372, was dissolved into 5 mL DCE in a 10 mL round-bottom flask. DIEA (1.17 mmol, 5.0 equiv.) was then added with stirring followed by acid chloride (0.47 mmol, 2.0 equiv.). The reaction was then stirred at room temperature for 1 hour or until complete as indicated by LCMS. The solvent was subsequently removed under reduced pressure on a rotary evaporator. The crude material was then redissolved in methanol. Purification of the final product was accomplished by preparatory reverse-phase HPLC with the eluents 25 mM aqueous NH4OAC/CAN. A Waters Fractionlynx preparative reverse-phase HPLC; equipped with a Waters SunFire Prep CI 8, OCD 5 μΜ, 30 X 70 mm column and running a 5-100 % gradient with a binary solvent system of 25 mM ammonium acetate in water/acetonitrile; was used to carry out the purification.
[00256] The following compounds were prepared according to General Acylation Procedure 2.
Example 412: N-(3-(N-(3-(3,5-dimethoxy-phenylamino)quinoxalin-2- yl)sulfamoyl)phenyl)-l-propionylazetidine-3-carboxamide. 'H-NMR (400MHz, <¼-
DMSO): 12.40 (s, IH), 10.45 (s, IH), 8.88 (s, IH), 8.40 (s, IH), 7.93 (s, IH), 7.82 (d, IH), 7.77 (d, IH), 7.60-7.45 (m, 2H), 7.41-7.30 (m, 4H), 6.24 (s, I H), 4.26 (t, IH), 4.22-4.17 (m, IH), 3.99 (t, IH), 3.95-3.89 (m, IH), 3.76 (s, 6H), 3.59-3.45 (m, IH), 2.05 (dd, 2H), 0.95 (t, 3H); MS (EI) m/z C29H30N6O6S: 591 (MH+).
Example 413: l-acetyl-N-(3-{[(3-{[3,5-bis(methoxy)-phenyl]amino}quinoxalin-2- yI)amino]sulfonyl}phenyl)azetidine-3-carboxamide. MS (EI) m/z C28H28N606S: 577 (MIT).
Example 414: l-(cyclopropanecarbonyl)-^V-(3-(N-(3-(3,5-dimethoxy- phenylamino)quinoxaIin-2-yl)sulfamoyl)phenyl)azetidine-3-carboxamide. MS (EI) m/z CsoHsoNeOeS: 603 (MH+).
General Reductive Amination Procedure 1
[00257] To a solution of N-(3-(N-(3-(3,5-dimethoxy-phenylamino)quinoxalin-2- yl)sulfamoyl)phenyl)azetidine-3-carboxamide ( 1 10 mg, 0.19 mmol), prepared using procedures similar to those described in Example 372, in 3 mL of DCE and 200 μΐ- of DMF, aldehyde (0.77 mmol, 4.0 eq.)was added slowly followed by tetramethylammonium triacetoxyborohydride ( 1. 16 mmol, 6.0 eq). The reaction was stirred at room temperature overnight. LC/MS indicated the reaction was completed. The solvent was subsequently removed under reduced pressure on a rotary evaporator. The crude material was then redissolved in methanol. Purification of the final product was accomplished by preparatory reverse-phase HPLC with the eluents 25 mM aqueous NFLjOAc/CAN. A Waters
Fractionlynx preparative reverse-phase HPLC; equipped with a Waters SunFire Prep CI 8, OCD 5 μΜ, 30 X 70 mm column and running a 5- 100 % gradient with a binary solvent system of 25 mM ammonium acetate in water/acetonitrile; was used to carry out the purification.
[00258] The following title compounds were prepared according to General Reductive Amination Procedure 1.
Example 415: N-(3-(AH3-(3,5-dimethoxy-phenylamino)quinoxalin-2- yl)sulfamoyI)phenyl)-l-ethylazetidine-3-carboxamide. Ή-NMR (400MHz, de-DMSO): 10.29 (s, IH), 8.82 (s, IH), 8.25 (t, IH), 7.75-7.68 (m, 2H), 7.43-7.38 (m, IH), 7.375-7.340 (m, IH), 7.338-7.310 (d, 2H), 7.305-7.262 (m, IH), 7.15-7.08 (m, 2H), 6.56 (s, I H), 6.15 (t,
1H), 4.15-4.08 (m, 2H), 4.06-3.95 (m, 2H), 3.78 (s, 6H), 3.65-3.56 (m, 1H), 3.12-3.04 (m, 2H), 1.03 (t, 3H); MS (EI) m/z C28H3oN605S: 563 (MH+).
Example 416: l-(cyclopropylmethyl)-AK3-(N-(3-(3,5-dimethoxy- phenylamino)quinoxalin-2-yl)sulfamoyl)phenyl)azetidine-3-carboxamide. MS (EI) m/z C3oH32N605S: 589 (MH4).
Example 417: l-benzyl^-(3 N-(3-(3,5-dimethoxy-phenylamino)quinoxaIin-2- yl)sulfamoyl)phenyl)azetidine-3-carboxamide. MS (EI) m z C33H32N605S: 625 (MH+). Example 418: Ar-(3-(N-(3-(3,5-dimethoxy-phenylamino)quinoxalin-2- yl)sulfamoyl)phenyl)-l-(furan-2-ylmethyl)azetidine-3-carboxamide. MS (EI) m/z C31H30N6O6S: 615 (MH+).
Example 419: l-((lH-imidazol-5-yl)methyl)-iV-(3-(^-(3-(3,5-dimethoxy- phenylamino)quinoxalin-2-yl)sulfamoyl)phenyl)azetidine-3-carboxamide. MS (EI) m/z C30H3oN805S: 615 (MH+).
General Amide Formation Procedure la
[00259] Into a small 1 dram vial was added 3-(N-(3-(2-chloro-5-methoxy-phenylamino)- quinoxalin-2-yl)sulfamoyl)benzoic acid (61 mg, 0.13 mmol, 1.1 equiv), prepared using procedures described for Example 100. The acid was dissolved in DMA (1 mL) and DIEA (42 pL, 0.24 mmol, 2 equiv) was added then added to the solution. The amine reagent ( 1 mL of 0.12 M solution in DMA) was added to solution with stirring followed by HATU (64 mg, 0.17 mMol, 1.4 equiv). The reaction was stirred overnight at room temperature. Upon completion as indicated by LCMS analysis, 2 mL of methanol was added to the solution. Preparative reverse-phase HPLC was used to isolate the desired product. A Waters
Fractionlynx preparative reverse-phase HPLC - equipped with a Waters SunFire Prep C I 8, OCD 5 uM, 30 X 70 mm column and running a 5-100 % gradient with a binary solvent system of 25 mM ammonium acetate in water/acetonitrile - was used to carry out the purification.
[00260] The following compounds were prepared according to General Amide Formation Procedure 1.
Example 420: 3-(N-(3-(2-chIoro-5-methoxy-phenylamino)quinoxalin-2-yl)sulfaraoyl)- iV-(3-(dimethylamino)propyl)benzamide. 3-(N-(3-(2-chloro-5- memoxyphenylamino)quinoxalin-2-yl)sulfamoyl)-N 3^
Ή NMR (400 MHz, de-DMSO): 9.44 (s, I H), 8.94 (s, IH), 8.79 (t, IH), 8.54 (s, IH), 8.24 (d, IH), 7.87 (d, IH), 7.48 (m, 3H), 7.33 (d, IH), 7.18 (m, 2H), 6.60 (dd, IH), 3.82 (IH), 3.04 (m, 3H), 2.51 (m, 5H), 1.91 (s, IH), 1.86 (m, 3H); MS (EI) m/z for C27H2c>ClN604S: 569 (MH*).
Example 421 : 3-(N-(3-(2-chloro-5-methoxy-phenylamino)quinoxalin-2-yl)sulfamoyl)- iV-(l-methylazetidin-3-yl)benzamide. 3-(N-(3-(2-chloro-5- methoxyphenylamino)quinoxalin-2-yl)sulfamoyl)-N-(l -memylazetidin-3-yl)benzamide: Ή NMR (400 MHz, de-DMSO): 9.43 (s, IH), 9.23 (d, IH), 8.94 (d, IH), 8.58 (s, IH), 8.29 (d, IH), 7.89 (d, IH), 7.56 (t, I H), 7.47 (d, IH), 7.44 (d, IH), 7.33 (d, IH), 7.18 (m, 2H), 6.60 (dd, IH), 4.81 (m, IH), 4.33 (m, 2H), 4.19 (m, 2H), 3.82 (s, IH), 2.51 (s, 3H); MS (EI) m/z for C26H25C1N604S: 553 (MH*).
Example 422: 3-(N-(3-(2-chloro-5-methoxy-phenylamino)quinoxalin-2-yl)sulfamoyl)- N-(pyridin-4-ylmethyl)benzamide. MS (EI) m/z C28H23C1N504S: 575 (MH+).
Example 423: 3-(/V-(3-(2-chloro-5-methoxy-phenylamino)quinoxalin-2-yl)sulfamoyI)- W-(3-(dimethylamino)propyl)benzamide. MS (EI) m/z C28H26C1N704S: 592 (MH*). Example 424: iV-(3-(2-chloro-5-methoxy-phenylamino)quinoxalin-2-yl)-3-(2,2- dimethylhydrazinecarbonyl)benzenesulfonamide. MS (EI) m/z C24H23CIN604S: 527 (MH*).
Example 425: 3-(N-(3-(2-chloro-5-methoxy-phenylamino)quinoxalin-2-yI)sulfamoyl)- W-(2-methoxyetbyl)benzamide. MS (EI) m/z C25H2 C1N505S: 542 (MH+).
Example 426: Ar-(3-(2-chloro-5-methoxy-phenylamino)quinoxalin-2-yl)-3-(4- methyipiperazine-l-carbonyI)benzenesulfonamide. MS (EI) m/z C27H27C1N60 S: 567 (MH+).
Example 427: 3-(A?-(3-(2-chloro-5-methoxy-phenylamino)quinoxalin-2-yl)sulfamoyl)- V-(2-(pyrrolidin-l-yl)ethyl)benzamide. MS (EI) m/z C28H29C1N604S: 581 (MH*).
Example 428: 3-(/V-(3-(2-chloro-5-methoxy-phenylamino)quinoxalin-2-yl)sulfamoyl)- N-(2-(pyridin-4-yl)ethyl)benzamide. MS (EI) m/z C29H25C1N604S: 589 (MH*).
Example 429: N-(2-(lH-imidazol-4-yl)ethyl)-3-( V-(3-(2-chloro-5- methoxyphenylamino)quinoxalin-2-yl)sulfamoyl)benzamide. MS (EI) m z
C27H24C1N704S: 578 (MH*).
Example 430: 3-(N-(3^2 Woro-5-methoxy-phenylamino)quinoxalin-2-yl)sulfamoyI)- N-(piperidin-l-yl)benzamide. MS (EI) m/z C27H27C1N604S: 567 (MH+).
Example 431 : 3-(N-(3-(2-chloro-5-methoxy-phenylamino)quinoxalin-2-yI)sulfamoyl)- N-(2-hydroxyethyl)benzamide. MS (EI) m z C24H22C1N505S: 528 (MH+).
Example 432: 3-(iV-(3-(2-chloro-5-methoxy-phenylamino)quinoxalin-2-yl)sulfamoyl)- N-(3-ethoxypropyl)beiizamide. MS (EI) m z
570 (MH+).
Example 433: 3-(-V-(3-(2-chloro-5-methoxy-phenyIamino)quinoxaIin-2-yl)sulfamoyI)- N-(3-(pyrrolidin-l-yl)propyl)benzamide. MS (EI) m/z C29H3IC1N604S: 595 (MH*). Example 434: 3-(N-(3-(2-chloro-5-methoxy-phenylamino)quinoxalin-2-yl)sulfamoyl)- iV-(3-(diethylamino)propyl)benzamide. MS (EI) m/z C29H33C1N604S: 597 (MH+).
Example 435: 3-(N-(3-(2-chloro-5-methoxy-phenylamino)quinoxalin-2-yl)sulfamoyl)- /V-(3-(2-oxopyrrolidin-l-yl)propyI)benzamide. MS (EI) m/z C29H29C1N605S: 609 (MH+) Example 436: 3-(N-(3-(2-cMoro-5-methoxy-phenylamino)quinoxalin-2-yI)suIfamoyl)- W-(pyridin-2-ylmethyl)benzamide. MS (EI) m/z C28H23C1N604S: 575 (MH+).
Example 437: 3-(iV-(3-(2-chloro-5-methoxy-phenylamino)quinoxalin-2-yl)sulfamoyl)- N-(2-cyanoethyl)-W-methylbenzamide. MS (EI) m/z C26H23C1N604S: 551 (MET).
Example 438: 3-(N-(3-(2-chloro-5-methoxyphenylamino)quinoxalin-2-yl)siilfamoyl)- N.(2-cyanoethyl)-/V-ethylbeiizamide. MS (EI) m/z C27H25C1N604S: 565 (MH+).
Example 439: 3-(iV-(3-(2-chloro-5-methoxy-phenylamino)quinoxalin-2-yl)sulfamoyl)- N-(2-(ethylthio)ethyl)benzamide. MS (EI) m z C26H26C1N504S2: 572 (MH+).
Example 440: 3-( V-(3-(2-chloro-5-methoxy-phenylamino)quinoxalin-2-yl)sulfamoyl)-V-(3-propoxypropyl)benzamide. MS (EI) m/z C28H3oClN505S: 584 (MH+).
Example 441: 3-(N-(3-(2-chloro-5-methoxy-phenylamino)quinoxalin-2-yl)sulfamoyl)- N-(5-(diethylamino)pentan-2-yl)benzamide. MS (EI) m/z C31H37CIN6O4S: 625 (MH+). Example 442: 3-(iV-(3-(2-chIoro-5-methoxy-phenylamino)quinoxalin-2-yl)sulfamoyl)-V-(3-methoxypropyl)benzamide. MS (EI) m/z C26H26CIN5O5S: 556 (MH").
Example 443: 3-(-V-(3-(2-chloro-5-methoxy-phenyIamino)quinoxalin-2-yl)sulfamoyl)- N-(3-morpholinopropyl)benzamide MS (EI) m/z C29H3iClN605S: 61 1 (MH+).
Example 444: 3-(/V-(3-(2-chloro-5-methoxy-phenylamino)quinoxalin-2-yl)sulfamoyl)- N-(pyridin-3-ylmethyl)benzamide MS (EI) m/z C28H23C1N604S: 575 (MH+).
Example 445: 3-(/V-(3-(2-chloro-5-methoxyphenylamino)quinoxalin-2-yl)sulfamoyl)- W-(2-cyanoethyl)benzamide. MS (EI) m/z C25H21C1N604S: 537 (MH+).
Example 446: 3-(iV-(3-(2-chloro-5-methoxy-phenylamino)quinoxalin-2-yl)sulfamoyl)- N-(l-methoxypropan-2-yl)benzamide. MS (EI) m/z C26H26C1N505S: 556 (MH+).
Example 447: 3 N-(3-(2-cWoro-5-methoxy-phenylamino)quinoxalin-2-yl)sulfamoyl)- iV-(2-(methylthio)ethyl)benzamide. MS (EI) m/z C25H24C1N504S2: 558 (MH+).
Example 448: 3-(^-(3-(2-chloro-5-methoxy-phenylamino)quinoxalin-2-yl)sulfamoyl)- -V-(3-(dimethylamino)propyl)-Af-methylbenzamide. MS (EI) m z C28H3iClN604S: 583 (MH+).
Example 449: 3-(iV-(3-(2-chloro-5-methoxy-phenylamino)quinoxalin-2-yl)sulfamoyl)- iV-(3-isopropoxypropyl)benzamide. MS (EI) m z C^HboClNsOsS: 584 (MH^).
Example 450: 3-(iV-(3-(2-chloro-5-methoxy-phenylamino)quinoxalin-2-yl)sulfamoyl)- N-(2-(dimethyIamino)ethyl)-iV-ethylbenzamide. MS (EI) m/z C28H3iClN604S: 583 (MIT).
Example 451: V-(3-butoxypropyl)-3-(A^-(3-(2-chloro-5-methoxy- phenylamino)quinoxalin-2-yl)sulfamoyl)benzamide. MS (EI) m/z C^E^ClNsOgS: 598 (MH+).
Example 452: 3-(jV-(3-(2-chIoro-5-methoxy-phenylamino)quinoxalin-2-yl)sulfamoyl)- V-(2-(diethylamino)ethyl)benzamide. MS (EI) m/z C28H3iClN604S: 583 (MH+).
Example 453: methyl 3-(3-( V-(3-(2-chloro-5-methoxy-phenylamino)quinoxalin-2- yl)sulfamoyl)betizamido)propanoate. MS (EI) m/z C26H24C1N506S: 570 (MH+).
Example 454: 3-(iV-(3-(2-chloro-5-methoxy-phenylamino)quinoxalin-2-yl)sulfamoyl)- /V-methyl-/V-propylbenzamide. MS (EI) m/z C26H26C1N504S: 540 (MH+).
Example 455: ethyl 3-(3-(N-(3-(2-chloro-5-methoxy-phenylamino)quinoxalin-2- yl)sulfamoyl)benzamido)propanoate. MS (EI) m/z C27H26C1N506S: 584 (MH+).
Example 456: 3-(Ar-(3-(2-chloro-5-methoxy-phenylamino)quinoxalin-2-yl)sulfamoyl)- ^V-(2-(piperidin-l-yl)ethyl)benzamide. MS (EI) m/z C29H3iClN604S: 595 (MH+).
Example 457: 3-(iV-(3-(2-chIoro-5-methoxy-phenylamino)quinoxalin-2-yl)sulfamoyl)- /V-((l-ethylpyrrolidin-2-yl)methyl)benzamide. MS (EI) m/z C29H3iClN604S: 595 (MH+). Example 458: V-(2-(bis(2-hydroxyethyl)amino)ethyl)-3-(N-(3-(2-chloro-5- methoxyphenyIamino)quinoxaIin-2-yl)sulfamoyI)benzamide. MS (EI) m/z
C28H3iClN606S: 615 (MET).
Example 459: N-(3-(2-chloro-5-methoxy-phenylamino)quinoxalin-2-yl)-3-(3- (diethylamino)pyrrolidine-l-carbonyl)benzenesulfonamide. MS (EI) m/z
C3oH33ClN604S: 609 (MH+).
Example 460: 3-(/V-(3-(2-chloro-5-methoxy-phenylamino)quinoxalin-2-yl)sulfamoyl)- V-methyI-/V-(l-methylpyrrolidin-3-yl)benzamide. MS (EI) m/z C28H29C1N604S: 581 (MH+).
Example 461 : N-(3-(2-chloro-5-metho -phen lamino )quinoxalin-2- l)-3-(3- (dimethylamino)pyrrolidine-l-carbonyl)benzenesulfonamide. MS (EI) m/z
C28H29CIN6O4S: 581 (MH+).
Example 462: 3-(.V-(3-(2-chloro-5-methoxy-phenylamino)quinoxalin-2-yl)siilfamoyl)- .V-(2-methyl-l-morpholinopropan-2-yl)benzamide. MS (EI) m/z C3oH33ClN605S: 625 (MKT).
Example 463: 3-(A^-(3-(2-chloro-5-methoxy^henylainino)quinoxalin-2-yl)sulfamoyl)- N-(lH-pyrrol-l-yl)benzamide. MS (EI) m/z C26H2IC1N604S: 549 (MH+).
Example 464: 3-( V-(3-(2-chloro-5-methoxy-phenylamino)quinoxalin-2-yl)sulfamoyl)- N-(3-oxopyrazolidin-4-yl)benzamide. MS (EI) m z C25H22C1N705S: 568 (MH+).
Example 465: N-(3-(2-chloro-5-methoxy-phenylamino)quinoxalin-2-yl)-3-(2- ((dimethylamino)methyl)piperidine-l-carbonyl)benzenesulfonamide. MS (EI) m/z C3oH33ClN604S: 609 (MH*).
Example 466: /V-(3-(2-chloro-5-methoxy-phenylamino)quinoxalin-2-yl)-3-(2- (piperidin-l-ylmethyl)piperidine-l-carbonyl)benzenesulfonamide. MS (EI) m/z C33H37C1N604S: 649 (MH+).
Example 467: 3-(N-(3-(2-cMoro-5-methoxy-phenylamino)quinoxalin-2-yl)sulfamoyl)- iV-(l-ethylpiperidin-3-yl)benzamide MS (EI) m/z C29H31C1N604S: 595 (MH*).
General Amide Formation Procedure lb
[00261] The procedure outlined in General Amide Formation Procedure la was used to incorporate a number of amines that contained a second amine group protected as the tert-butylcarbamate (i.e. where R', within NHR'R", contained a Boc-protected amine group). The deprotection was carried out after HPLC purification of the Boc-protected precursor.
[00262] Into a small 1 dram vial was added 3-(N-(3-(2-chloro-5-methoxy- phenylamino)quinoxalin-2-yl)sulfamoyl)benzoic acid (61 mg, 0.13 mmol, 1 . 1 equiv). The acid was dissolved in 1 mL of DMA and DEEA (42 L, 0.24 mmol, 2 equiv) was added then added to the solution. The mono-Boc-protected diamine reagent ( 1 mL of 0.12 M solution in DMA, 1 equiv) was added to solution with stirring followed by HATU (64 mg, 0.17 mmol, 1.4 equiv). The reaction was stirred overnight at room temperature. Upon completion as indicated by LCMS analysis, 2 mL of methanol was added to the solution. Preparative reverse-phase HPLC was used to isolate the desired product directly from this crude reaction solution. A Waters Fractionlynx preparative reverse-phase HPLC; equipped
with a Waters SunFire Prep C18, OCD 5 μΜ, 30 X 70 mm column and running a 5-100 % gradient with a binary solvent system of 25 mM ammonium acetate in water/acetonitrile; was used to carry out the purification. The product fractions were combined and concentrated to dryness under reduced pressure by rotary evaporation. A solution of 4 N HCl in dioxane (2 mL) was added. The solution was then stirred at room temperature until no starting material was detected. The deprotected product precipitated out of solution as an HCL salt and was collected by filtration, washed with ether and dried under vacuum.
[00263] The following compounds were prepared according to the above General Amide Formation Procedure lb.
Example 468: 3-(N-(3-(2-chloro-5-methoxy-phenylamino)quinoxalin-2-yl)suIfamoyl)- N-(piperidin-3-yI)benzamide. 3-(N-(3-(2-chloro-5-methoxyphenylamino)quinoxalin-2- yl)sulfamoyl)-N-(piperidin-3-yl)benzamide: Ή NMR (400 MHz, d6-DMSO): 12.82 (s, IH), 9.12 (s, I H), 9.04 (s, IH), 8.85 (d, IH), 8.65 (s, IH), 8.55 (s, IH), 8.18 (m, IH), 7.98 (s, IH), 7.69 (m, 2H), 7.43 (m, 2H), 6.69 (dd, IH), 4.21 (s, IH), 3.83 (s, 3H), 3.69 (m, IH), 3.48 (m, I H), 3.18 (s, IH), 2.84 (q, 2H), 1.91 (s, 2H); MS (EI) m/z for C27H27CIN604S: 567 (MH+).
Example 469: 3-(N-(3-(2-chloro-5-methoxy-phenylamino)quinoxalin-2-yl)sulfamoyl)- V-(piperidin-2-ylmethyl)benzamide. 3-(N-(3 -(2-chloro-5- methoxyphenylamino)quinoxalin-2-yl)sulfamoyl)-N-(piperidin-2-ylmethyl)benzamide: NMR (400 MHz, de-DMSO): 12.78 (s, IH), 9.16 (s, IH), 9.09 (s, IH), 8.79 (s, IH), 8.59 (d, 2H), 8.22 (t, 2H), 7.99 (s, IH), 7.74 (t, IH), 7.66 (s, IH), 7.42 (m, 2H), 6.69 (dd, IH), 3.82 (s, 3H), 3.69 (dd, IH), 3.57 (m, I H), 3.50 (m, 3H), 3.22 (s, 2H), 2.82 (d, IH), 1.68 (m, 5H); MS (EI) m/z for C28H2<,C1N604S: 581 (MH+).
Example 470: 3-(3-aminopyrrolidine-l-carbonyl)-N-(3-(2-chloro-5-methoxy- phenylamino)quinoxalin-2-yl)benzenesulfonamide. MS (EI) m/z C26H25CIN604S: 553 (MH+).
Example 471: 3-(3-aminoazetidine-l-carbonyl)-/V-(3-(2-chloro-5-methoxy- phenylamino)quinoxalin-2-yl)benzenesulfonamide. MS (EI) m/z C25H23C1N60 S: 539 (MH+).
Example 472: 3-(3-aminopiperidine- 1 -car bonyl)-N-(3-(2-chloro-5-methoxy- phenylamino)quinoxalin-2-yl)benzenesulfonamide. MS (EI) m/z C27H27C1N604S: 567 (MH+).
Example 473: 3-(N-(3-(2-chIoro-5-methoxy-phenylamino)quinoxalin-2-yl)sulfamoyl)- W-(pyrrolidin-3-yl)benzamide. MS (EI) m/z C26H2sClN604S: 553 (MtT).
Example 474: N-(3-(2-chloro-5-methoxy-phenylamino)quinoxalin-2-yl)-3-(3- (methylamino)pyrrolidine-l-carbonyl)beiizenesulfonaniide. MS (EI) m/z
C27H27C1N604S: 567 (MH+).
Example 475: N-(2-aminoethyl)-3-(N-(3-(2-chloro-5-methoxy- phenyIamino)qidnoxalin-2-yl)sulfamoyl)benzamide. MS (EI) m z C24H23C1N604S: 527 (MIT).
Example 476: 3-(4-amino-3-oxopyrazolidine-l-carbonyl)-N-(3-(2-chloro-5- methoxyphenylamino)quinoxalin-2-yl)benzenesulfonamide. MS (EI) m z
C25H22C1N705S: 568 (MH+).
Example 477
3-(jV-(3-(2-chloro-5-methoxyphenylamino)quinoxalin-2-yl)sulfamoyl)- N-((l-methylpiperidin-2-yl)methyl)benzamide
[00264] 3-(N-(3-(2-chloro-5-methoxyphenylamino)quinoxalin-2-yI)sulfamoyl)-N- (piperidin-2-ylmethyl)benzamide (299 mg, 0.51 mmol, 1 equiv), prepared using procedures similar to those described for Example 514, was dissolved in 2.3 mL of DMA. Formic acid (388 μΙ_, 10.28 mmol, 20 equiv) was added to solution with stirring followed by the addition of formaldehyde (508 μL· of 37% aq. solution). The reaction was then stirred at room temperature overnight. Analysis of an aliquot of the reaction mixture by LCMS indicated the complete consumption of starting material. The reaction was diluted with methanol (2 mL). Preparative reverse-phase HPLC was used to isolate the desired product directly from the crude reaction mixture. A Waters Fractionlynx preparative reverse-phase HPLC; equipped with a Waters SunFire Prep CI 8, OCD 5 μΜ, 30 X 70 mm column and running a 5-100 % gradient with a binary solvent system of 25 mM ammonium acetate in water/acetonitrile; was used to carry out the purification.Ή NMR (400 MHz, d6-DMSO): 9.44 (s, IH), 8.94 (s, IH), 8.79 (t, IH), 8.57 (s, IH), 8.27 (d, IH), 7.90 (d, IH) 7.54 (t, IH), 7.46 (d, IH), 7.39 (d, IH), 7.33 (d, IH), 7.18 (m, 2H), 6.60 (dd, IH), 3.82 (s, 3H), 3.59 (m, 2H), 3.00 (s, IH), 2.90 (s, 3H), 1.62 (m, 7H); MS (EI) m/z for C29H3iClN604S: 595 (MH*).
Example 478
3-(iV-(3-(2-chloro-5-methoxyphenylamino)quinoxalin-2-yl)sulfamoyl)- AHl-methylpiperidin-3-yl)benzamide
[00265] The title compound was prepared using similar procedures to those used in Example 522. Ή NMR (400 MHz, de-DMSO): 9.43 (s, IH), 8.93 (s, IH), 8.59 (s, IH), 8.24 (d, IH), 7.87 (d, IH), 7.47 (m, 2H), 7.40 (d, IH), 7.33 (d, IH), 7.19 (m, 2H), 6.60 (dd,
1H), 4.21 (s, 1H), 3.82 (s, 1H), 2.76 (s, 1H), 2.50 (m, 7H), 1.91 (m, 2H), 1.63 (m, 2H); MS (EI) m/z for C^CIN^S: 581 (MH+).
Biological Examples
Biological Example 1
PDKalpha Luciferase-Coupled Chemiluminescence Assay Protocol
[00266] PI3Ka activity is measured as the percent of ATP consumed following the kinase reaction using luciferase-luciferin-coupled chemiluminescence. Reactions were conducted in 384-well white, medium binding microtiter plates (Greiner). Kinase reactions were initiated by combining test compounds, ATP, substrate (P1P2), and kinase in a 20 pL volume in a buffer solution. The standard PDKalpha assay buffer is composed 50 mM Tris, pH 7.5, 1 mM EGTA, 10 mM MgCl2, 1 mM DTT and 0.03% CHAPS. The standard assay concentrations for enzyme, ATP, and substrate are 0.5-1.1 nM, ΙμΜ, and 7.5 μΜ, respectively. The reaction mixture was incubated at ambient temperature for approximately 2 h. Following the kinase reaction, a 10 pL aliquot of luciferase-luciferin mix (Promega Kinase-Glo) was added and the chemiluminescence signal measured using a Victor2 plate reader (Perkin Elmer). Total ATP consumption was limited to 40-60% and IC50 values of control compounds correlate well with literature references.
[00267] Certain compounds of the invention demonstrated the ability to bind to PI3K when tested in this assay. The following embodiments are directed to the compounds themselves as well as their use in a method of treating. For example, in one embodiment of the invention, the PI3K inhibitor is selected from the compounds in Table 1 having a PI3K- binding affinity of about 8 μΜ or less. In another embodiment, the PI3K inhibitor is selected from the compounds in Table 1 having a PI3K-binding affinity of about 4 μΜ or less. In another embodiment, the PI3K inhibitor is selected from the compounds in Table 1 having a PI3K-binding affinity of about 3 μΜ or less. In another embodiment, the PI3K inhibitor is selected from the compounds in Table 1 having a PI3K-binding affinity of about 2 μΜ or less. In another embodiment, the PI3K inhibitor is selected from the compounds in Table 1 having a PI3K-binding affinity of about 1.5 μΜ or less. In another embodiment, the PI3K inhibitor is selected from the compounds in Table 1 having a PI3K-binding affinity of about 1 μΜ or less. In another embodiment, the PI3K inhibitor is selected from the compounds in Table 1 having a PI3K-binding affinity of about 0.750 μΜ or less. In another embodiment, the PI3K inhibitor is selected from the compounds in Table 1 having a PI3K-binding affinity of about 0.5 μΜ or less. In another embodiment, the PI3K inhibitor
is selected from the compounds in Table 1 having a PI3K-binding affinity of about 0.3 μΜ or less. In another embodiment, the PI3K inhibitor is selected from the compounds in Table 1 having a PI3K-binding affinity of about 0.2 uM or less. In another embodiment, the PI3K inhibitor is selected from the compounds in Table 1 having a PI3K-binding affinity of about 0.1 uM or less. In another embodiment, the PI3K inhibitor is selected from the compounds in Table 1 having a PI3K-binding affinity of about 0.075 jiM or less. In another embodiment, the PI3K inhibitor is selected from the compounds in Table 1 having a PI3K-binding affinity of about 0.050 μΜ or less.
Biological Example 2
Phospho AKT assay
[00268] PC3 cells were seeded on 6- well plates at 150,000 cells/well. Cells were cultured for 3 days, then treated with compounds in serum-free medium for 3 hr. EGF (100 ng/ml) was added for the last 10 min. Cells were lysed in TENN buffer. Phospho T308 Akt and total Akt were quantified by ELISA performed according to the Biosource assay protocol. The readings of phospho Akt were normalized to total Akt readings.
Biological Example 3
Phospho S6 assay
[00269] PC3 cells were seeded on 96-well plates at 8,000 cells/well. For each experiment, cells were seeded and treated in duplicated plates: one plate for phospho S6 CellELISA, and one plate for total S6 CellELISA. Cells were cultured on the plates for 3 days, then treated with compounds in serum-free medium for 3 hr in triplicate. Cells were fixed with 4% formaldehyde, quenched with 0.6% H202, blocked with 5% BSA, incubated with either phospho S6 antibody or total S6 antibody overnight, incubated with goat-anti- rabbit-IgG-HRP for 1 hr, and developed in chemiluminescent substrate.
Biological Example 4
PIP3 assay
[00270] MCF-7 cells grown in 10-cm dishes were starved for 3 hours in DMEM, and then treated with compounds for 20 minutes. In the last 2 minutes of the incubation with the compounds, EGF (100 ng ml) was added to stimulate the production of PIP3. The medium was aspirated and the cells were scraped with 10% trichloroacetic acid. The lipids were extracted from the pellet after the cell lysates were centrifuged. PIP3 in the cellular lipid extraction was quantified with the AlphaScreen [Registered TM of PerkinElmer] assay in which Grpl-PH is used as the ΡΓΡ3 specific probe. The amount of cellular ΡΓΡ3 was calculated from the standard curve of diC¾ PI (3,4,5) P3.
Biological Example 5-10
In vivo models
[00271] Female and male athymic nude mice (NCr) 5-8 weeks of age and weighing approximately 20 g were used in the following model. Prior to initiation of a study, the animals were allowed to acclimate for a minimum of 48 h. During these studies, animals were provided food and water ad libitum and housed in a room conditioned at 70-75°F and 60% relative humidity. A 12 h light and 12 h dark cycle was maintained with automatic timers. All animals were examined daily for compound-induced or tumor-related deaths.
[00272] PC-3 human prostate adenocarcinoma cells were cultured in vitro in DMEM (Mediatech) supplemented with 20% Fetal Bovine Serum (Hyclone),
Penicillin-Streptomycin and non-essential amino acids at 37°C in a humidified 5% C02 atmosphere. On day 0, cells were harvested by trypsinization and 3xl06 cells (passage 13, 99% viability) in 0.1 mL of ice-cold Hank's balanced salt solution were implanted subcutaneously into the hindflank of 5-8 week old male nude mice. A transponder was implanted in each mouse for identification, and animals were monitored daily for clinical symptoms and survival. Body weights were recorded daily.
[00273] U-87 MG human glioblastoma cells were cultured in vitro in DMEM
(Mediatech) supplemented with 10% Fetal Bovine Serum (Hyclone),
Penicillin-Streptomycin and non-essential amino acids at 37°C in a humidified 5% C02 atmosphere. On day 0, cells were harvested by trypsinization and 2xl06 cells (passage 5, 96% viability) in 0.1 mL of ice-cold Hank's balanced salt solution were implanted intradermally into the hindflank of 5-8 week old female nude mice. A transponder was implanted in each mouse for identification, and animals were monitored daily for clinical symptoms and survival. Body weights were recorded daily.
[00274] A549 human lung carcinoma cells were cultured in vitro in DMEM (Mediatech) supplemented with 10% Fetal Bovine Serum (Hyclone), Penicillin-Streptomycin and non-essential amino acids at 37°C in a humidified 5% C02 atmosphere. On day 0, cells were harvested by trypsinization and lOxlO6 cells (passage 12, 99% viability) in 0.1 mL of ice-cold Hank's balanced salt solution were implanted intradermally into the hindflank of 5-8 week old female nude mice. A transponder was implanted in each mouse for identification, and animals were monitored daily for clinical symptoms and survival. Body weights were recorded daily.
[00275] A2058 human melanoma cells were cultured in vitro in DMEM (Mediatech) supplemented with 10% Fetal Bovine Serum (Hyclone), Penicillin-Streptomycin and
non-essential amino acids at 37°C in a humidified, 5% C02 atmosphere. On day 0, cells were harvested by trypsinization and 3xl06 cells (passage 3, 95% viability) in 0.1 ml ice-cold Hank's balanced salt solution were implanted intradermally in the hind-flank of 5-8 week old female athymic nude mice. A transponder was implanted in each mouse for identification, and animals were monitored daily for clinical symptoms and survival. Body weights were recorded daily.
[00276] WM-266-4 human melanoma cells were cultured in vitro in DMEM (Mediatech) supplemented with 10% Fetal Bovine Serum (Hyclone), Penicillin-Streptomycin and non-essential amino acids at 37°C in a humidified, 5% C02 atmosphere. On day 0, cells were harvested by trypsinization and 3xl06 cells (passage 5, 99% viability) in 0.1 ml ice-cold Hank's balanced salt solution were implanted intradermally in the hind-flank of 5-8 week old female athymic nude mice. A transponder was implanted in each mouse for identification, and animals were monitored daily for clinical symptoms and survival. Body weights were recorded daily.
[00277] For subcutaneous or intradermal tumors, the mean tumor weight of each animal in the respective control and treatment groups was determined twice weekly during the study. Tumor weight (TW) was determined by measuring perpendicular diameters with a caliper, using the following formula:
tumor weight (mg) = [tumor volume = length (mm) x width2 (mm2)]/2
[00278] These data were recorded and plotted on a tumor weight vs. days
post-implantation line graph and presented graphically as an indication of tumor growth rates. Percent inhibition of tumor growth (TGI) is determined with the following formula:
where Xo = average TW of all tumors on group day Xf = TW of treated group on Day f
Yf = TW of vehicle control group on Day f
If tumors regress below their starting sizes, then the percent tumor regression is determined with the following formula:
( Xo - Xf ) 100
Xo
Tumor size is calculated individually for each tumor to obtain a mean ± SEM value for each experimental group. Statistical significance is determined using the 2-tailed Student's t-test (significance defined as P<0.05).
Pharmaceutical Composition Examples
[00279] The following are representative pharmaceutical formulations containing a compound of Formula I.
Tablet Formulation
[00280] The following ingredients are mixed intimately and pressed into single scored tablets.
Ingredient Quantity per tablet, mg
compound of this invention 400
Cornstarch 50
croscarmellose sodium 25
Lactose 120
magnesium stearate 5
Capsule Formulation
[00281] The following ingredients are mixed intimately and loaded into a hard-shell gelatin capsule.
Ingredient Quantity per tablet, mg
compound of this invention 200
lactose, spray-dried 148
magnesium stearate 2
Suspension Formulation
[00282] The following ingredients are mixed to form a suspension for oral administration.
Ingredient Amount
compound of this invention 1.0 g
fumaric acid 0.5 g
sodium chloride 2.0 g
methyl paraben 0.15 g
propyl paraben 0.05 g
granulated sugar 25.5 g
sorbitol (70% solution) 12.85 g
Veegum K (Vanderbilt Co.) 1.0 g
Flavoring 0.035 mL
Colorings 0.5 mg
distilled water q.s. to lOO mL
Injectable Formulation
The following ingredients are mixed to form an injectable formulation.
Ingredient Amount
compound of this invention 1-2 g
sodium acetate buffer solution 0.4 M 2.0 mL
HC1 (1 N) or NaOH (l M) q.s. to suitable pH
water (distilled, sterile) q.s.to 20 mL
[00284] All of the above ingredients, except water, are combined and heated to 60- 70.degree. C. with stirring. A sufficient quantity of water at 60.degree. C. is then added with vigorous stirring to emulsify the ingredients, and water then added q.s. to 100 g.
Suppository Formulation
[00285] A suppository of total weight 2.5 g is prepared by mixing the compound of the invention with Witepsol.RTM. H-15 (triglycerides of saturated vegetable fatty acid; Riches- Nelson, Inc., New York), and has the following composition:
Ingredient Quantity per tablet, mg
compound of this invention 500
Witepsol®H-15 balance
[00286] The foregoing invention has been described in some detail by way of illustration and example, for purposes of clarity and understanding. It will be obvious to one of skill in the art that changes and modifications may be practiced within the scope of the appended claims. Therefore, it is to be understood that the above description is intended to be illustrative and not restrictive. The scope of the invention should, therefore, be determined not with reference to the above description, but should instead be determined with reference to the following appended claims, along with the full scope of equivalents to which such claims are entitled. All patents, patent applications and publications cited in this application are hereby incorporated by reference in their entirety for all purposes to the same extent as if each individual patent, patent application or publication were so individually denoted.
Claims
What is claimed is:
1. A method for treating a disease, disorder, or syndrome which method comprises administering to a patient a pharmaceutical composition comprising a therapeutically effective amount of Compound A
or a pharmaceutically acceptable salt or solvate thereof, or a pharmaceutical composition comprising a therapeutically effective amount of a Compound A and a pharmaceutically acceptable carrier, excipient, or diluent, in combination with another agent.
2. The method of claim 1 , wherein the disease is selected from anaplastic thyroid cancer, chronic lymphocytic leukemia, mantel cell lymphoma, non-Hodgkins lymphoma, glioblastoma multiforme, pediatric brain tumors, pontine glioma, HPV-related head and neck cancer, Hormone Receptive positve (HR+) breast cancer, and HER-2 overexpressing breast cancer.
The method of claim 1, wherein Compound A is adminstered in combination with more agents selected from:
ch 14.18
Decitabine (5-aza-2'-deoxycytidine)
E7389 (Halichondrin B Analog)
EMD 121974 (Cilengitide)
Entinostat (MS-275, SNDX-275)
FK228 (Depsipeptide; Romidepsin)
Flavopiridol (alvocidib)
GDC-0449 ***
IMC-A12
MDX-010 (MDX-CTLA4; Hybridoma- derived and Transfectoma-derived)
K-2206
O-6-Benzylguanine
Obatoclax mesylate (GX15-070MS)
OSI-906
Pertuzumab
Rl 15777 (tipifarnib, Zarnestra)
Reolysin
RO4929097
SB-715992 (ispinesib)
SCH727965
SJG-136
Thalidomide (Thalomid)
Triapine
UCN-01
VEGF-Trap (aflibercept)
Vorinostat (suberoylanilide hydroxamic acid; SAHA)
XK469R
17-AAG
17-DMAG
Alemtuzumab (Campath)
AZD2171 (cediranib; Recentin™)
AZD6244
BAY 43-9006 tosylate (BAY 54-9085; sorafenib tosylate)
Bevacizumab (rhuMAb VEGF, Avastin)
BMS-354825 (dasatinib, Sprycel)
CCI-779 (temsirolimus, Torisel)
Erlotinib (OSI-774; Tarceva)
Gefitinib (ZD 1839, Iressa)
GM-CSF (sargramostim, Leukine)
GW572016 (lapatinib)
GW786034 (pazopanib)
MLN 518
Oxalip atin (Eloxatin)
Perifosine
Rituximab (MoAb C2B8 anti CD20,
Agent Name
chimeric)
STI571 (imatinib, Gleevec)
Sunitinib malate (SU01 1248 L-malate;
Sutent)
Trastuzumab (Herceptin)
4. The method of claim 3, wherein wherein Compound A is adminstered in combination with one or more agents selected from:
Triapine
UCN-01
VEGF-Trap (aflibercept)
Vorinostat (suberoylanilide hydroxamic
acid; SAHA)
XK469R
17-AAG
5. The method of claim 3, wherein wherein Compound A is adminstered in combination with one or more agents selected from ABT-888, AZD6244, CCI-779, erlotinib, gefitinib, GW572016, GW786034, pertuzumab, and sunitinib.
6. A tablet formulation of Compound A.
7. A capsule formulation of Compound A.
Applications Claiming Priority (2)
| Application Number | Priority Date | Filing Date | Title |
|---|---|---|---|
| US41334510P | 2010-11-12 | 2010-11-12 | |
| US61/413,345 | 2010-11-12 |
Publications (2)
| Publication Number | Publication Date |
|---|---|
| WO2012065057A2 true WO2012065057A2 (en) | 2012-05-18 |
| WO2012065057A3 WO2012065057A3 (en) | 2012-11-22 |
Family
ID=45044732
Family Applications (1)
| Application Number | Title | Priority Date | Filing Date |
|---|---|---|---|
| PCT/US2011/060361 Ceased WO2012065057A2 (en) | 2010-11-12 | 2011-11-11 | Phosphatidylinositol 3-kinase inhibitors and methods of their use |
Country Status (1)
| Country | Link |
|---|---|
| WO (1) | WO2012065057A2 (en) |
Cited By (17)
| Publication number | Priority date | Publication date | Assignee | Title |
|---|---|---|---|---|
| WO2013040337A1 (en) * | 2011-09-14 | 2013-03-21 | Exelixis, Inc. | Phosphatidylinositol 3-kinase inhibitors for the treatment of cancer |
| WO2013067141A1 (en) * | 2011-11-01 | 2013-05-10 | Exelixis, Inc. | N- (3- { [ (3- { [2-chloro-5- (methoxy) phenyl] amino} quinoxalin- 2 -yl) amino] sulfonyl} phe nyl) - 2 -methylalaninamide as phosphatidylinositol 3 - kinase inhibitor for the treatment of lymphoproliferative malignancies |
| WO2014041142A1 (en) * | 2012-09-14 | 2014-03-20 | Sanofi | Tablet formulation of a phosphatidylinositol 3-kinase inhibitor |
| US8940742B2 (en) | 2012-04-10 | 2015-01-27 | Infinity Pharmaceuticals, Inc. | Heterocyclic compounds and uses thereof |
| JP2015528482A (en) * | 2012-09-13 | 2015-09-28 | サノフイ | Crystalline compound |
| US9359365B2 (en) | 2013-10-04 | 2016-06-07 | Infinity Pharmaceuticals, Inc. | Heterocyclic compounds and uses thereof |
| US9708348B2 (en) | 2014-10-03 | 2017-07-18 | Infinity Pharmaceuticals, Inc. | Trisubstituted bicyclic heterocyclic compounds with kinase activities and uses thereof |
| US9751888B2 (en) | 2013-10-04 | 2017-09-05 | Infinity Pharmaceuticals, Inc. | Heterocyclic compounds and uses thereof |
| US9775844B2 (en) | 2014-03-19 | 2017-10-03 | Infinity Pharmaceuticals, Inc. | Heterocyclic compounds and uses thereof |
| US10160761B2 (en) | 2015-09-14 | 2018-12-25 | Infinity Pharmaceuticals, Inc. | Solid forms of isoquinolinones, and process of making, composition comprising, and methods of using the same |
| US10322192B2 (en) | 2016-03-02 | 2019-06-18 | Eisai R&D Management Co., Ltd. | Eribulin-based antibody-drug conjugates and methods of use |
| CN110958877A (en) * | 2017-07-09 | 2020-04-03 | 江苏英科贝塔医药科技有限公司 | Fluorine-containing compound, use thereof and method for producing same |
| US10759806B2 (en) | 2016-03-17 | 2020-09-01 | Infinity Pharmaceuticals, Inc. | Isotopologues of isoquinolinone and quinazolinone compounds and uses thereof as PI3K kinase inhibitors |
| US10919914B2 (en) | 2016-06-08 | 2021-02-16 | Infinity Pharmaceuticals, Inc. | Heterocyclic compounds and uses thereof |
| US10933052B2 (en) | 2017-11-17 | 2021-03-02 | Cellix Bio Private Limited | Compositions and methods for the treatment of eye disorders |
| WO2021041749A1 (en) * | 2019-08-27 | 2021-03-04 | The Regents Of The University Of California | Brown Adipose Tissue Myosin II Activators for Metabolic Therapy |
| EP4157277A4 (en) * | 2020-05-29 | 2024-05-22 | University of Connecticut | Inhibitors of porcine reproductive and respiratory syndrome virus |
Citations (4)
| Publication number | Priority date | Publication date | Assignee | Title |
|---|---|---|---|---|
| US4107288A (en) | 1974-09-18 | 1978-08-15 | Pharmaceutical Society Of Victoria | Injectable compositions, nanoparticles useful therein, and process of manufacturing same |
| US5145684A (en) | 1991-01-25 | 1992-09-08 | Sterling Drug Inc. | Surface modified drug nanoparticles |
| WO2007044729A2 (en) | 2005-10-07 | 2007-04-19 | Exelixis, Inc. | N- (3-amino-quinoxalin-2-yl) -sulfonamide derivatives and their use as phosphatidylinositol 3-kinase inhibitors |
| WO2008127594A2 (en) | 2007-04-11 | 2008-10-23 | Exelixis, Inc. | Combination therapies comprising quinoxaline inhibitors of pi3k-alpha for use in the treatment of cancer |
Family Cites Families (2)
| Publication number | Priority date | Publication date | Assignee | Title |
|---|---|---|---|---|
| CA2658725A1 (en) * | 2006-08-16 | 2008-02-21 | Exelixis, Inc. | Using pi3k and mek modulators in treatments of cancer |
| WO2009017838A2 (en) * | 2007-08-01 | 2009-02-05 | Exelixis, Inc. | Combinations of jak-2 inhibitors and other agents |
-
2011
- 2011-11-11 WO PCT/US2011/060361 patent/WO2012065057A2/en not_active Ceased
Patent Citations (4)
| Publication number | Priority date | Publication date | Assignee | Title |
|---|---|---|---|---|
| US4107288A (en) | 1974-09-18 | 1978-08-15 | Pharmaceutical Society Of Victoria | Injectable compositions, nanoparticles useful therein, and process of manufacturing same |
| US5145684A (en) | 1991-01-25 | 1992-09-08 | Sterling Drug Inc. | Surface modified drug nanoparticles |
| WO2007044729A2 (en) | 2005-10-07 | 2007-04-19 | Exelixis, Inc. | N- (3-amino-quinoxalin-2-yl) -sulfonamide derivatives and their use as phosphatidylinositol 3-kinase inhibitors |
| WO2008127594A2 (en) | 2007-04-11 | 2008-10-23 | Exelixis, Inc. | Combination therapies comprising quinoxaline inhibitors of pi3k-alpha for use in the treatment of cancer |
Non-Patent Citations (40)
| Title |
|---|
| "Bioreversible Carriers in Drug Design", 1987, AMERICAN PHARMACEUTICAL ASSOCIATION AND PERGAMON PRESS |
| "Fieser and Fieser's Reagents for Organic Synthesis", vol. 1-17, 1991, JOHN WILEY AND SONS |
| "Larock's Comprehensive Organic Transformations", 1989, VCH PUBLISHERS INC. |
| "March's Advanced Organic Chemistry", JOHN WILEY AND SONS |
| "Organic Reactions", vol. 1-40, 1991, JOHN WILEY AND SONS |
| "Remington's Pharmaceutical Sciences", 1990, MACK PUBLISHING COMPANY |
| "Remington's Pharniaceutical Sciences", 1985, MACK PUBLISHING COMPANY |
| "Rodd's Chemistry of Carbon Compounds", vol. 1-5, 1989, ELSEVIER SCIENCE PUBLISHERS |
| ASIER ET AL., J. ORG CHEM, vol. 70, no. 7, 2005, pages 2878 |
| BACHMAN ET AL., CANCER BIOL THER, vol. 3, 2004, pages 772 - 775 |
| BYUN ET AL., INT J CANCER, vol. 104, 2003, pages 318 - 327 |
| CAMPBELL ET AL., CANCER RES, vol. 64, 2004, pages 7678 - 768 |
| COHEN, EUR. J. BIOCHEM., vol. 268, 2001, pages 5001 - 5010 |
| COHEN, NATURE, vol. 1, 2002, pages 309 - 315 |
| GOODMAN; GILMAN ET AL.: "The Pharmacological Basis of Therapeutics", 1990, PERGAMON PRESS |
| HARTMANN ET AL., ACTA NEUROPATHOL (BERL, vol. 109, 2005, pages 639 - 642 |
| HICKEY; COTTER, J BIOL CHEM, vol. 281, 2006, pages 2441 - 2450 |
| LEE ET AL., GYNECOL ONCOL, vol. 97, 2005, pages 26 - 34 |
| LEE ET AL., ONCOGENE, vol. 24, 2005, pages 1477 - 1480 |
| LEESON ET AL., J. MEDCHEM, vol. 34, 1991, pages 1243 |
| LEVINE ET AL., CLIN CANCER RES, vol. 11, 2005, pages 2875 - 2878 |
| LI ET AL., BREAST CANCER RES TREAT, vol. 96, 2006, pages 91 - 95 |
| MASSION ET AL., AM J RESPIR CRIT CARE MED, vol. 170, 2004, pages 1088 - 1094 |
| ODA ET AL., CANCER RES., vol. 65, 2005, pages 10669 - 10673 |
| PARK ET AL., CELL, vol. 101, no. 7, 2000, pages 777 - 787 |
| S. H. DANDEGAONKER; C. K. MESTA, J. MED CHEM., vol. 8, 1965, pages 8 84 |
| S. M. BERGE ET AL.: "Pharmaceutical Salts", J. PHARM. SCI., vol. 66, 1977, pages 1 - 19, XP002675560, DOI: doi:10.1002/jps.2600660104 |
| S. V. LITVINENKO; V. I. SAVICH; D. D. BOBROVNIK, CHEM. HETEROCYCL. COMPD. (ENGL. TRANSL, vol. 30, 1994, pages 340 |
| SAAL ET AL., CANCERRES, vol. 65, 2005, pages 2554 - 2559 |
| SAMUELS ET AL., SCIENCE, vol. 304, 2004, pages 554 |
| SAMUELS; VELCULESCU, CELL CYCLE, vol. 3, 2004, pages 1221 - 1224 |
| SRIDHAR ET AL., PHARMACEUTICAL RESEARCH, vol. 17, no. 11, 2000, pages 1345 - 1353 |
| SUJOBERT ET AL., BLOOD, vol. 106, 1997, pages 1063 - 1066 |
| T. HIGUCHI; V. STELLA: "Pro-drugs as Novel Delivery Systems", vol. 14, A.C.S. SYMPOSIUM SERIES |
| T.W. GREENE: "Protective Groups in Organic Synthesis", 1991, JOHN WILEY ZIT SONS, INC. |
| TANG ET AL., LUNG CANCER, vol. 51, 2006, pages 181 - 191 |
| VELHO ET AL., EUR J CANCER, vol. 41, 2005, pages 1649 - 1654 |
| W. C. LUMMA; R. D. HARTMAN, J. MED. CHEM., vol. 24, 1981, pages 93 |
| WANG ET AL., HUM MUTAT, vol. 25, 2005, pages 322 |
| WU ET AL., J CLIN ENDOCRINOL METAB, vol. 90, 2005, pages 4688 - 4693 |
Cited By (33)
| Publication number | Priority date | Publication date | Assignee | Title |
|---|---|---|---|---|
| WO2013040337A1 (en) * | 2011-09-14 | 2013-03-21 | Exelixis, Inc. | Phosphatidylinositol 3-kinase inhibitors for the treatment of cancer |
| WO2013067141A1 (en) * | 2011-11-01 | 2013-05-10 | Exelixis, Inc. | N- (3- { [ (3- { [2-chloro-5- (methoxy) phenyl] amino} quinoxalin- 2 -yl) amino] sulfonyl} phe nyl) - 2 -methylalaninamide as phosphatidylinositol 3 - kinase inhibitor for the treatment of lymphoproliferative malignancies |
| US10328069B2 (en) | 2011-11-01 | 2019-06-25 | Exelixis, Inc. | Phosphatidylinositol 3-kinase inhibitors for the treatment of lymphoproliferative malignancies |
| US8940742B2 (en) | 2012-04-10 | 2015-01-27 | Infinity Pharmaceuticals, Inc. | Heterocyclic compounds and uses thereof |
| US9255108B2 (en) | 2012-04-10 | 2016-02-09 | Infinity Pharmaceuticals, Inc. | Heterocyclic compounds and uses thereof |
| JP2015528482A (en) * | 2012-09-13 | 2015-09-28 | サノフイ | Crystalline compound |
| WO2014041142A1 (en) * | 2012-09-14 | 2014-03-20 | Sanofi | Tablet formulation of a phosphatidylinositol 3-kinase inhibitor |
| CN104780913A (en) * | 2012-09-14 | 2015-07-15 | 赛诺菲 | Tablet formulation of a phosphatidylinositol 3-kinase inhibitor |
| JP2015528481A (en) * | 2012-09-14 | 2015-09-28 | サノフイ | Tablet formulation of phosphatidylinositol 3-kinase inhibitor |
| US9364475B2 (en) | 2012-09-14 | 2016-06-14 | Sanofi | Tablet formulation of a phosphatidylinositol 3-kinase inhibitor |
| US10329299B2 (en) | 2013-10-04 | 2019-06-25 | Infinity Pharmaceuticals, Inc. | Heterocyclic compounds and uses thereof |
| US12152032B2 (en) | 2013-10-04 | 2024-11-26 | Infinity Pharmaceuticals, Inc. | Heterocyclic compounds and uses thereof |
| US9751888B2 (en) | 2013-10-04 | 2017-09-05 | Infinity Pharmaceuticals, Inc. | Heterocyclic compounds and uses thereof |
| US9828377B2 (en) | 2013-10-04 | 2017-11-28 | Infinity Pharmaceuticals, Inc. | Heterocyclic compounds and uses thereof |
| US9359365B2 (en) | 2013-10-04 | 2016-06-07 | Infinity Pharmaceuticals, Inc. | Heterocyclic compounds and uses thereof |
| US9775844B2 (en) | 2014-03-19 | 2017-10-03 | Infinity Pharmaceuticals, Inc. | Heterocyclic compounds and uses thereof |
| US10675286B2 (en) | 2014-03-19 | 2020-06-09 | Infinity Pharmaceuticals, Inc. | Heterocyclic compounds and uses thereof |
| US11541059B2 (en) | 2014-03-19 | 2023-01-03 | Infinity Pharmaceuticals, Inc. | Heterocyclic compounds and uses thereof |
| US10253047B2 (en) | 2014-10-03 | 2019-04-09 | Infinity Pharmaceuticals, Inc. | Heterocyclic compounds and uses thereof |
| US9708348B2 (en) | 2014-10-03 | 2017-07-18 | Infinity Pharmaceuticals, Inc. | Trisubstituted bicyclic heterocyclic compounds with kinase activities and uses thereof |
| US10941162B2 (en) | 2014-10-03 | 2021-03-09 | Infinity Pharmaceuticals, Inc. | Heterocyclic compounds and uses thereof |
| US10160761B2 (en) | 2015-09-14 | 2018-12-25 | Infinity Pharmaceuticals, Inc. | Solid forms of isoquinolinones, and process of making, composition comprising, and methods of using the same |
| US12384792B2 (en) | 2015-09-14 | 2025-08-12 | Twelve Therapeutics, Inc. | Solid forms of isoquinolinones, and process of making, composition comprising, and methods of using the same |
| US11939333B2 (en) | 2015-09-14 | 2024-03-26 | Infinity Pharmaceuticals, Inc. | Solid forms of isoquinolinones, and process of making, composition comprising, and methods of using the same |
| US11247995B2 (en) | 2015-09-14 | 2022-02-15 | Infinity Pharmaceuticals, Inc. | Solid forms of isoquinolinones, and process of making, composition comprising, and methods of using the same |
| US10322192B2 (en) | 2016-03-02 | 2019-06-18 | Eisai R&D Management Co., Ltd. | Eribulin-based antibody-drug conjugates and methods of use |
| US10548986B2 (en) | 2016-03-02 | 2020-02-04 | Eisai R&D Management Co., Ltd. | Eribulin-based antibody-drug conjugates and methods of use |
| US10759806B2 (en) | 2016-03-17 | 2020-09-01 | Infinity Pharmaceuticals, Inc. | Isotopologues of isoquinolinone and quinazolinone compounds and uses thereof as PI3K kinase inhibitors |
| US10919914B2 (en) | 2016-06-08 | 2021-02-16 | Infinity Pharmaceuticals, Inc. | Heterocyclic compounds and uses thereof |
| CN110958877A (en) * | 2017-07-09 | 2020-04-03 | 江苏英科贝塔医药科技有限公司 | Fluorine-containing compound, use thereof and method for producing same |
| US10933052B2 (en) | 2017-11-17 | 2021-03-02 | Cellix Bio Private Limited | Compositions and methods for the treatment of eye disorders |
| WO2021041749A1 (en) * | 2019-08-27 | 2021-03-04 | The Regents Of The University Of California | Brown Adipose Tissue Myosin II Activators for Metabolic Therapy |
| EP4157277A4 (en) * | 2020-05-29 | 2024-05-22 | University of Connecticut | Inhibitors of porcine reproductive and respiratory syndrome virus |
Also Published As
| Publication number | Publication date |
|---|---|
| WO2012065057A3 (en) | 2012-11-22 |
Similar Documents
| Publication | Publication Date | Title |
|---|---|---|
| EP1931645B1 (en) | N- (3-amino-quinoxalin-2-yl) -sulfonamide derivatives and their use as phosphatidylinositol 3-kinase inhibitors | |
| WO2012065057A2 (en) | Phosphatidylinositol 3-kinase inhibitors and methods of their use | |
| KR101586774B1 (en) | Combination therapies comprising quinoxaline inhibitors of PI3K-alpha for use in the treatment of cancer | |
| US8642584B2 (en) | Method of using PI3K and MEK modulators | |
| AU2013201011B2 (en) | N- (3-amino-quinoxalin-2-yl) -sulfonamide derivatives and their use as phosphatidylinositol 3-kinase inhibitors | |
| HK1162170A (en) | N-(3-phenylamino-quinoxalin-2-yl)-benzenesulfonamide derivatives as phosphatidylinositol 3-kinase inhibitors | |
| HK1119697B (en) | N- (3-amino-quinoxalin-2-yl) -sulfonamide derivatives and their use as phosphatidylinositol 3-kinase inhibitors | |
| HK1140141B (en) | Combination therapies comprising a quinoxaline inhibitors of pi3k-alpha for use in the treatment of cancer |
Legal Events
| Date | Code | Title | Description |
|---|---|---|---|
| 121 | Ep: the epo has been informed by wipo that ep was designated in this application |
Ref document number: 11788289 Country of ref document: EP Kind code of ref document: A2 |
|
| NENP | Non-entry into the national phase |
Ref country code: DE |
|
| 122 | Ep: pct application non-entry in european phase |
Ref document number: 11788289 Country of ref document: EP Kind code of ref document: A2 |


























































































































































































