WO2012057624A1 - Novel bicyclic peptide mimetics - Google Patents
Novel bicyclic peptide mimetics Download PDFInfo
- Publication number
- WO2012057624A1 WO2012057624A1 PCT/NL2011/050727 NL2011050727W WO2012057624A1 WO 2012057624 A1 WO2012057624 A1 WO 2012057624A1 NL 2011050727 W NL2011050727 W NL 2011050727W WO 2012057624 A1 WO2012057624 A1 WO 2012057624A1
- Authority
- WO
- WIPO (PCT)
- Prior art keywords
- compound
- molecule
- reaction
- hetero
- group
- Prior art date
- Legal status (The legal status is an assumption and is not a legal conclusion. Google has not performed a legal analysis and makes no representation as to the accuracy of the status listed.)
- Ceased
Links
- 0 CC*(Cc1cc(C*)cc(CC(F)(F)F)c1)(CC1)CC*1C(COC)=O Chemical compound CC*(Cc1cc(C*)cc(CC(F)(F)F)c1)(CC1)CC*1C(COC)=O 0.000 description 3
- HPPJNXYOBZDKIV-UHFFFAOYSA-N O=CC[n]1nnc(CCCCC2)c1C2(C=O)F Chemical compound O=CC[n]1nnc(CCCCC2)c1C2(C=O)F HPPJNXYOBZDKIV-UHFFFAOYSA-N 0.000 description 1
- CWVWUYPXEHJOOK-UHFFFAOYSA-N O=[C-]C(CCCCC1)(c2c1[n](CC=O)nn2)F Chemical compound O=[C-]C(CCCCC1)(c2c1[n](CC=O)nn2)F CWVWUYPXEHJOOK-UHFFFAOYSA-N 0.000 description 1
Classifications
-
- C—CHEMISTRY; METALLURGY
- C07—ORGANIC CHEMISTRY
- C07K—PEPTIDES
- C07K19/00—Hybrid peptides, i.e. peptides covalently bound to nucleic acids, or non-covalently bound protein-protein complexes
-
- C—CHEMISTRY; METALLURGY
- C07—ORGANIC CHEMISTRY
- C07D—HETEROCYCLIC COMPOUNDS
- C07D249/00—Heterocyclic compounds containing five-membered rings having three nitrogen atoms as the only ring hetero atoms
- C07D249/16—Heterocyclic compounds containing five-membered rings having three nitrogen atoms as the only ring hetero atoms condensed with carbocyclic rings or ring systems
-
- C—CHEMISTRY; METALLURGY
- C07—ORGANIC CHEMISTRY
- C07D—HETEROCYCLIC COMPOUNDS
- C07D295/00—Heterocyclic compounds containing polymethylene-imine rings with at least five ring members, 3-azabicyclo [3.2.2] nonane, piperazine, morpholine or thiomorpholine rings, having only hydrogen atoms directly attached to the ring carbon atoms
- C07D295/16—Heterocyclic compounds containing polymethylene-imine rings with at least five ring members, 3-azabicyclo [3.2.2] nonane, piperazine, morpholine or thiomorpholine rings, having only hydrogen atoms directly attached to the ring carbon atoms acylated on ring nitrogen atoms
- C07D295/18—Heterocyclic compounds containing polymethylene-imine rings with at least five ring members, 3-azabicyclo [3.2.2] nonane, piperazine, morpholine or thiomorpholine rings, having only hydrogen atoms directly attached to the ring carbon atoms acylated on ring nitrogen atoms by radicals derived from carboxylic acids, or sulfur or nitrogen analogues thereof
- C07D295/182—Radicals derived from carboxylic acids
- C07D295/185—Radicals derived from carboxylic acids from aliphatic carboxylic acids
-
- C—CHEMISTRY; METALLURGY
- C07—ORGANIC CHEMISTRY
- C07D—HETEROCYCLIC COMPOUNDS
- C07D471/00—Heterocyclic compounds containing nitrogen atoms as the only ring hetero atoms in the condensed system, at least one ring being a six-membered ring with one nitrogen atom, not provided for by groups C07D451/00 - C07D463/00
- C07D471/02—Heterocyclic compounds containing nitrogen atoms as the only ring hetero atoms in the condensed system, at least one ring being a six-membered ring with one nitrogen atom, not provided for by groups C07D451/00 - C07D463/00 in which the condensed system contains two hetero rings
- C07D471/10—Spiro-condensed systems
-
- A—HUMAN NECESSITIES
- A61—MEDICAL OR VETERINARY SCIENCE; HYGIENE
- A61K—PREPARATIONS FOR MEDICAL, DENTAL OR TOILETRY PURPOSES
- A61K38/00—Medicinal preparations containing peptides
-
- G—PHYSICS
- G01—MEASURING; TESTING
- G01N—INVESTIGATING OR ANALYSING MATERIALS BY DETERMINING THEIR CHEMICAL OR PHYSICAL PROPERTIES
- G01N2500/00—Screening for compounds of potential therapeutic value
Definitions
- the invention relates to the fields of peptide mimetics and pharmacy.
- biologically active compounds especially biologically active proteins.
- the art has discovered a multitude of different biologically active compounds and (partly) their receptors and pathways.
- biologically active compounds such as for instance antibodies, enzymes, receptors, and receptor ligands were manufactured using recombinant techniques or were isolated from biological specimens, such as blood or tissue. Because little was known about the functional part of a biologically active compound of interest, in general the whole protein was used, for instance for vaccination or hormone therapy. Such an approach, however, has drawbacks.
- ligand-receptor binding properties are important aspects of ligand-receptor binding properties, and thus also of the immunogenic properties of a proteinaceous molecule of interest, is the conformation, i.e. three dimensional structure of the binding domain.
- the three dimensional structure of a protein is very important in ligand-receptor binding, such as for instance in binding of a G- protein coupled receptor (GPCR) ligand to its receptor or in antibody— antigen binding.
- GPCR G- protein coupled receptor
- the three dimensional structure of a catalytic domain is very important for binding and enzymatic conversion of the enzymatic substrate.
- WO 2004/077062 the present inventors have previously described a method for restricting the three dimensional structure of a compound by attaching the compound to a (hetero)aromatic molecule, for instance a halomethylarene.
- Coupling of a compound, for instance a peptide, to a (hetero)aromatic molecule as described in WO 2004/077062, which is incorporated herein by reference, will lead to formation of a peptide loop.
- Such peptide loop resembles for instance a peptide loop in a native protein for which the compound is used as a mimic.
- WO 2008/013454 the conformational restriction of a peptidic compound was further improved by the present inventors by further restricting the conformation of said immunogenic compound. This has for instance been achieved by the introduction of an additional internal bond in said compound.
- An internal bond in addition to the bonding of a compound to a (hetero) aromatic molecule further restricts the three dimensional structure of a peptidic compound. This is described in more detail in WO 2008/013454, which is incorporated herein by reference.
- the conformation of a compound is defined herein as the number of possible spatial arrangements of a compound. In view of rotation about single covalent bonds, free compounds often adopt many different conformations. Restricting the conformation of a peptidic compound involves limiting the number of possible spatial arrangements, thereby forcing the compound to spend more time in a certain conformational state.
- a conformation that more closely resembles that of a native molecule of interest does not necessarily induce a conformation that more closely resembles that of a native molecule of interest. If the conformation is for instance restricted in a non-natural way, i.e. not restricted in the same way as in the native proteinaceous molecule of interest, the peptidic compound resembles the native conformation less closely. In such a case no improvement of ligand-receptor binding is expected to occur. There is thus still need for compounds that preferably more closely resemble the native conformation of (part of) a molecule of interest.
- the invention provides a molecule according to general formula (I)
- X 1 and X 2 are independently a aving group at a benzylic position
- Q is a reactive group capable of participating in an oxime-ligation reaction, a hydrazone-ligation reaction, an alkyne-azide cycloaddition, a Diels-Alder reaction, a conjugate thiol-addition (Michael-type) reaction, or a thiol-ene reaction;
- P is an organic moiety comprising
- At least one neutral nitrogen atom said positively charged nitrogen atom and said neutral nitrogen atom independently from one another being comprised in said aromatic (hetero)cycle and/or said aliphatic (hetero)cycle, and said— CH2— X 1 and— CH2— X 2 are bound to the aromatic (hetero)cycle.
- the aliphatic cycle is an aliphatic heterocycle comprising the positively charged nitrogen atom.
- the invention thus provides a molecule according to general formula (I)
- P is an organic moiety comprising
- an aliphatic heterocycle comprising a positively charged nitrogen atom; and a neutral nitrogen atom being comprised in said aromatic (hetero)cycle and/or said aliphatic heterocycle;
- X 1 and X 2 are independently a leaving group, bound to the aromatic (hetero)cycle at a benzylic position;
- Q is a reactive group capable of participating in an oxime-ligation reaction, a hydrazone-ligation reaction, an alkyne-azide cycloaddition, a Diels-Alder reaction, a conjugate thiol-addition (Michael-type) reaction, or a thiol-ene reaction;
- Such molecule of general formula (I), preferably a molecule of formula (I) wherein the positively charged nitrogen atom is comprised within the alipathic heterocycle, is especially useful for improving the resemblance of a peptidic compound. This can be done either by restriction its conformation or by providing the missing part of a discontinuous binding site such that it more closely mimics the protein surface from which it was derived.
- Compounds of the invention can for instance be used for preparing mimics of the binding site of a receptor, the antigen binding part of an antibody, or any discontinuous epitope on a particular protein.
- the presence of a positively charged nitrogen atom in said (hetero) aromatic molecule allows the peptide loop to adopt a more natural secondary and tertiary structure as compared to a peptide loop bound to a (hetero)aromatic molecule that does not comprise a positively charged nitrogen atom.
- the positively charged nitrogen atom is thus preferably comprised in the aliphatic heterocycle, said aliphatic heterocycle being part of said (hetero) aromatic molecule.
- reactive group Q capable of participating in an oxime-ligation reaction, a hydrazone-ligation reaction, an alkyne-azide cycloaddition, a Diels-Alder reaction, a conjugate thiol-addition (Michael- type) reaction, or a thiol-ene reaction allows a compound according to the invention to be used for the mimicking of a discontinuous binding site as explained in detail further below. It is preferred that reactive group Q is capable of participating in either an oxime-ligation reaction or in an activated alkyne-azide (or thermal CLICK) cycloaddition, .
- conformation of a particular peptide or peptide-based protein mimic of a discontinuous binding site is relevant or crucial.
- the invention thus covers, amongst others, the design of therapeutic discontinuous peptide ligands that are able to trigger (agonist) or block (antagonist) a specific receptor, catalytic domains of enzymes and any discontinuous epitope on a protein.
- a compound which more closely resembles a discontinuous conformation of part of a molecule of interest preferably will lead to antibodies and/or T cells which bind the molecule of interest more strongly and/or more specifically than antibodies and/or T cells obtained with compounds known in the art.
- the term "more closely resembling" means that for instance an antibody specific for the molecule of interest also binds with high affinity to the peptidic compound.
- a ligand mimic more closely resembling the conformation required for receptor binding will bind with higher affinity to that receptor.
- Another example is for instance the mimicking of a catalytic domain. If a mimic of the invention more closely resembles the conformation of the catalytic domain of an enzyme, the mimic preferably has similar enzymatic properties as the native protein. Resemblance in this respect is more than for instance considerable sequence identity.
- Resemblance as defined herein also includes similar secondary and/or tertiary structure between said peptidic compound and said part of said molecule of interest. Preferably said similar secondary and tertiary structure between said peptidic compound and said molecule of interest allows a molecule capable of binding said molecule of interest to also bind said peptidic compound.
- This reaction is meant a chemical reaction between a substituted
- chemoselective and can be performed in the presence of peptides with fully unprotected side chains.
- the reaction can be carried out under fully aqueous conditions at a pH of ⁇ 4-6 (Advanced Organic Chemistry, J. March, 4 th edition, pg 906-907).
- This reaction is chemoselective and can be performed in the presence of peptides with fully unprotected side chains.
- the reaction can be carried out under fully aqueous conditions at a pH of ⁇ 4-6 (Advanced Organic Chemistry, J. March, 4 th edition, pg 904-905).
- the reaction is fully chemo-selective and is usually catalyzed by Cu(I), with the exception of some alkynes that are part of a strained (hetero)cycle and therefore react spontaneously with azides.
- the Cu(I)-catalyzed reaction exclusively forms the 1,4-isomer, while a mixture of the - and 1,5-isomer is being for
- reaction can be carried out under aqueous conditions in the presence of peptides with fully unprotected side chains (Bock V., Hiemstra H., van Maarseveen, JH., Eur. J. Org. Chem. 2006, 51-68).
- a Diels-Alder' reaction is meant a [4+2] cycloaddition reaction between dienophile (any compound containing a double bond) and a conjugated diene, resulting the for
- reaction is fully chemoselective and can be carried out under aqueous conditions in the presence of peptides with fully unprotected side chains (Advanced Organic
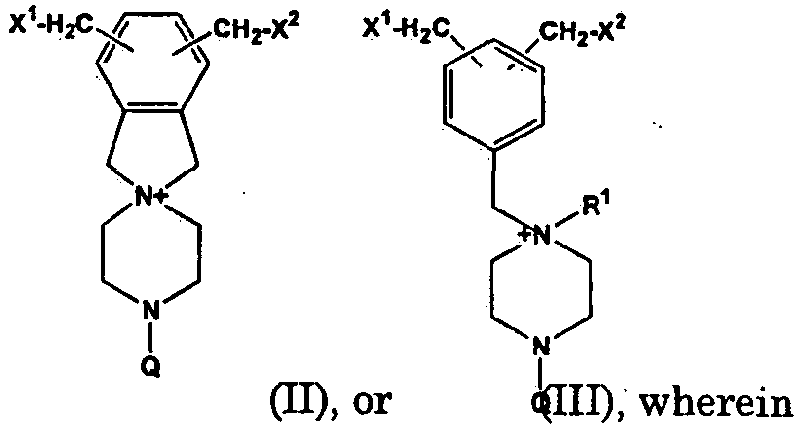
- a molecule according to the invention has the formula:
- X 1 and X 2 are independently a leaving group at a benzylic position
- Q is a reactive group capable or participating in an oxime-ligation reaction, a hydrazone-ligation reaction, an alkyne-azide cycloaddition, a Diels-Alder reaction, a conjugate thiol-addition (Michael-type) reaction, or a thiol-ene reaction;
- R 1 is a linear or branched Cm alkyl group;
- a molecule according to the invention comprises the positively charged nitrogen atom in the aliphatic ring and thus has the formula: (III), wherein
- R 1 is a linear or branched Ce, CB, C4, C3, C2, or Ci alkyl group.
- XI and X2 are, independently from one another a halide, preferably choride or bromide, more preferably, both XI and X2 are bromide.
- reactive group Q is capable of participating in either an oxime-ligation reaction or in an alkyne-azide cycloaddition.
- Q is preferably chosen from the group consisting of
- R 3 C ⁇ CH, R 3 N 3 and , preferably from R 3 N 3 and , wherein R3 is -
- the molecule comprises at least two leaving groups (X 1 and X 2 ), where the molecule of general formula (I), (II), (III), and/or (IV) can be linked to an amino acid residue, for instance to cysteine.
- Suitable reactive moieties are for instance
- leaving groups X 1 and X 2 are, independently from one another, selected from the group consisting of a halide, a sulfonate ester, a tetraalkylammonium salt, and a diazonium salt, preferably
- leaving groups X 1 and X 2 are identical, preferably XI and X2 are bromide.
- the reactive group Q is preferably protected in order not to interfere with previous reactions, e.g. the peptide linkage.
- protected aminoxy groups are: R 3 ONHBoc, R 3 ONHFmoc, R 3 ONHCbz, R 3 ONHTrt, R 3 ONHMmt, or R 3 ONHMtt, wherein Trt is trityl (1,1,1,-triphenylmethyl); Mtt is methoxytrityl ((l-(4-methoxyphenyl)-l,l,-diphenylmethyl); Mmt is methyltrityl
- the invention provides a molecule of formula:
- Rl is preferably methyl
- XI and X2 are preferably bromide
- the molecules of formulas I - IV all have in common that they comprise at least one positively charged nitrogen atom, at least two atoms or molecules that behave as good leaving groups in any nucleophilic displacement reaction (X 1 and X 2 ), and a reactive group capable of participating in an oxime- ligation reaction, a hydrazone-ligation reaction, an alkyne-azide cycloaddition, a Diels-Alder reaction, a conjugate thiol- addition (Michael-type) reaction, or a thiol-ene reaction.
- Leaving groups X 1 and X 2 can be any good leaving group.
- X 1 and X 2 are chosen, independently from one another from any halide, such as chloride, bromide, iodide, or any sulfonate ester, such as mesylate (methanesulfonate group), tosylate
- X 1 and X 2 can be positioned anywhere on a free position of the arene, thus in ortho, meta or para position.
- X 1 and X 2 are positioned at both para positions of the existing alkyl-substituents on that aromatic ring in a compound of formula II and positioned on the meta position to the existing alkyl-substituent on that aromatic ring in a compound of formula III.
- both X 1 and X 2 are halides, preferably bromide or chloride, more preferably, both X 1 and X 2 are bromides.
- Molecules according to general formula III or IV comprise an alkyl group (R 1 or R 2 ), attached to the positively charged nitrogen atom.
- R 1 is a linear or branched Cm alkyl group
- R 1 is chosen from methyl, propyl, isopropyl, , n-butyl, and isobutyl and R 2 is chosen from methyl, ethyl, propyl, isopropyl, n-butyl, and isobutyl.
- a molecule according to general formula I - IV is provided, wherein X 1 and X 2 are, independently from one another, selected from the group consisting of any halide, such as chloride, bromide, or iodide, any sulfonate ester, such as mesylate (methanesulfonate group), tosylate (para-toluenesulfonate group),
- XI and X2 are halides, independently chosen from the group consisting of bromide and chloride. More preferably leaving group X 1 and X 2 are identical, most preferably XI and X2 are bromide.
- the invention provides a molecule according to the invention havin formula:
- R 1 is preferably methyl
- X 1 and X 2 are preferably bromide
- a molecule of general formula (I)— (IV), preferably of general formula (II) or (III) is useful for use in mimicking a discontinuous binding site of a protein, a compound comprising a peptide loop bound to such molecule of general formula (I), preferably wherein the positively charged nitrogen atom is comprised within the aliphatic heterocycle, more preferably to a molecule of general formula (II) or (III), is also provided.
- the invention provides a compound according to the general formula (V):
- Q is a reactive group, capable of participating in an oxime-ligation reaction, a hydrazone-ligation reaction, an alkyne-azide cycloaddition, a Diels-Alder reaction, a conjugate thiol-addition (Michael-type) reaction, or a thiol-ene reaction;
- -pep- is a peptide sequence comprising 2 - 40 amino acids
- P is an organic moiety comprising
- said positively charged nitrogen atom and said neutral nitrogen atom independently from one another being comprised in said aromatic (hetero)cycle and/or said aliphatic
- said positive nitrogen atom is comprised within the aliphatic ring.
- -pep- is a peptide sequence comprising 2 - 40 amino acids
- - P is an organic moiety comprising
- an aliphatic heterocycle comprising a positively charged nitrogen atom; and - a neutral nitrogen atom being comprised in said aromatic (hetero)cycle and/or said aliphatic heterocycle;
- L 1 and L 2 represent independently from one another a linker at a benzylic position on said aromatic cycle between said aromatic (hetero)cycle and said peptide;
- Q is a reactive group, capable of participating in an oxime-ligation reaction, a hydrazone-ligation reaction, an alkyne-azide cycloaddition, a Diels-Alder reaction, a conjugate thiol-addition (Michael-type) reaction, or a thiol-ene reaction.
- reactive group Q is capable of participating in either an oxime-ligaiton reaction or in an alkyne- azyide cycloaddition.
- the reactive group Q is preferably protected as described above in order not to interfere with previous reactions, e.g. the peptide linkage.
- Q is preferably chosen from the group consisting of
- Preferred compounds according to the invention with general formula (V) are compounds comprising a moiety with the formula
- Q is a reactive group, capa e o part c pat ng n an ox me- gat on react on, a hydrazone-ligation reaction, an alkyne-azide cycloaddition, a Diels-Alder reaction, a conjugate thiol-addition (Michael-type) reaction, or a thiol-ene reaction;
- -pep- is a peptide sequence comprising 2 - 40 amino acids
- L 1 and L 2 are, independently from one another, a linker between said aromatic (hetero)cycle and said peptide sequence;
- R 1 is a linear or branched Cm alkyl group
- R 2 is a linear or branched C n alkyl group, any optionally substituted 5- or 6-membered (hetero)cycle, or a linear or branched Cn alkyl group containing any optionally substituted 5- or 6-membered (hetero)cycle,
- n is an integer of from 1 to 12, preferably from 1 to 10, more preferably from 1 to 8, more preferably from 1 to 7, more preferably from 1 to 6, more preferably from 1 to 5, more preferably from 1 to 4, more preferably from 1 to 3, most preferably m is 1 or 2;
- n is an integer of from 1 to 12, preferably from 1 to 10, more preferably from 1 to 8, more preferably from 1 to 7, more preferably from 1 to 6, more preferably from 1 to 5, more preferably from 1 to 4, more preferably from 1 to 3, most preferably n is 1 or 2.
- a molecule according to the invention comprises the positively charged nitrogen atom in the aliphatic ring and thus has the formula
- Q is a reactive group, capable of participating in an oxime-ligation reaction, a hydrazone-ligation reaction, an alkyne-azide cycloaddition, a Diels-Alder reaction, a conjugate thiol-addition (Michael-type) reaction, or a thiol-ene reaction;
- -pep- is a peptide sequence comprising 2 - 40 amino acids
- L 1 and L 2 are, independently from one another, a linker between said aromatic (hetero)cycle and said peptide sequence, preferably LI and L2 are independently from one another, selected from the group consisting of S and CH2S;
- R 1 is a linear or branched Cm alkyl group, wherein m is an integer of from 1 to 6, more preferably from 1 to 5, more preferably from 1 to 4, more preferably from 1 to 3, more preferably m is 1 or 2 most preferably, Rl is methyl.
- a molecule of formula VI or VII of the invention is provided, wherein for compound of formula VI, L 1 and L 2 are positioned at both para positions of the existing alkyl-substituents on that aromatic ring, whereas for compound of formula VII, L 1 and L 2 are positioned on the meta position to the existing alkyl-substituent on that aromatic ring. In a more preferred embodiment, both L 1 and L 2 are S.
- the compounds with formulas VI, VII and VIII correspond to compound of formulas II, III, IV after reaction with a peptide sequence.
- the reactive groups X 1 and X 2 of formulas II - IV have reacted with a suitable group in the peptide sequence, such as for instance a free thiol group to form linkages L 1 and L 2 .
- each of these linkers are, independently from one another, preferably, selected from the group consisting of S and CH2S.
- S and CH2S are designated as linkers, the chemical groups preferably were (and are) part of the peptide structure of— pep 1— or— pep 2— .
- S is the sulfide moiety of cysteine and CH2S is the methylsulfide moiety of homocysteine.
- a linker S is typically obtained by reacting a sulfide moiety, typically of cysteine within peptide— pep 1— and/or — pep 2— preferably with a bromide at a benzylic position on a (hetero) aromatic molecule of the invention.
- a linker CH2S is for instance obtained by reacting a homocysteine with a bromide at a benzylic position on a (hetero)aromatic molecule of the invention.
- Q is thus a reactive group, capable of participating in an oxime-ligation reaction, a hydrazone-ligation reaction, an alkyne-azide cycloaddition, a Diels-Alder reaction, a conjugate thiol-addition (Michael-type) reaction, or a thiol-ene reaction.
- reactive group Q is capable of participating in either an oxime-ligaiton reaction or in an alkyne- azyide cycloaddition.
- the reactive group Q is preferably protected as described above in order not to interfere with previous reactions, e.g. the peptide linkage.
- Q is preferably chose the group consisting of
- the invention also provides a method for producing a compound of formula VI, VII or VIII, the method comprising the steps of
- a molecule according to any one of formulas I— IV of the invention, - providing a peptide sequence capable of reacting with leaving groups X 1 and X 2 present in said molecule, preferably said peptide sequence comprises a cysteine or homocysteine, capable of reacting with leaving groups X 1 and X 2 ;
- a compound of formula VI or VII is produced by providing a molecule of formula II or III. More preferably leaving groups X 1 and X 2 are selected, independently from one another from bromide or chloride. More preferably both X 1 and X 2 are bromide.
- the two linkages between said molecule and said peptide sequence are, independently from one another, S or CH2S, more preferably both linkages are S.
- S and CH2S are the sulfide moieties from for instance a cysteine or homocysteine, present in said peptide sequence and capable of reacting with leaving groups X 1 and X 2 .
- Q comprised within said molecule I— IV, preferably compound II or III, is capable of participating in an oxime-ligation reaction, or an alkyne-azide cycloaddition. .
- the reactive group Q is preferably protected as described above in order not to interfere with previous reactions, e.g. the peptide linkage.
- Q is preferably chos the group consisting of
- -pep- is a peptide sequence comprising 2 - 40 amino acids
- L 1 and L 2 are preferably S or CH2S;
- R 1 is preferably is methyl.
- the invention provides a molecule according to the invention of formula
- -pep- is a peptide sequence comprising 2 - 40 amino acids
- L 1 and L 2 are preferably S or CH 2 S;
- R 1 is a preferably is methyl.
- a "peptide loop” is defined herein as a structure formed after coupling a peptide with two linkages to a molecule of general formula I— IV according to the invention, said peptide loop preferably resembling a secondary structure within a molecule of interest, preferably a proteinaceous molecule of interest.
- said secondary structure within said molecule of interest comprises a loop or turn.
- turns and/or loops known in the art. For instance an a-turn is characterized by (a) hydrogen bond(s) in which the donor and acceptor residues are separated by four residues (i, i+4).
- a 6-turn (the most common form) is characterized by (a) hydrogen bond(s) in which the donor and acceptor residues are separated by three residues (i, i+3).
- a ⁇ -turn is characterized by (a) hydrogen bond(s) in which the donor and acceptor residues are separated by two residues (i, i+2) and a n-turn is characterized by (a) hydrogen bond(s) in which the donor and acceptor residues are separated by five residues (i, i+5; helix-terminating signal).
- an co-loop is a kind of catch-all term for a longer loop with no internal hydrogen bonding.
- Said secondary structure within said molecule of interest preferably comprises at least one co-loop and/or at least one 6-turn.
- a secondary structure within a proteinaceous molecule of interest that is mimicked by a compound according to the invention is for instance a discontinuous epitope, ligand- binding site, receptor-binding site, or catalytic domain of said molecule
- said secondary structure is a discontinuous epitope of said molecule of interest.
- said discontinuous epitope is an
- Immunodominant epitopes are defined as subunits of an antigenic determinant that are easily recognised by the immune system and thus influence the specificity of the induced antibody.
- immunodominant epitopes are, as the name suggests, dominant over most, if not all other epitopes of a given protein or at least part of a given protein. The immune system is thus oblivious for the non-dominant epitopes, also called subdominant epitopes or cryptic epitopes.
- a subdominant epitope of a molecule of interest whenever the immunodominant epitope does not suffice. This is for instance the case when an
- immunodominant epitope is incapable of inducing a desired immune response, such as for instance a neutralizing antibody response.
- a special kind of subdomimant epitopes are so called "cryptic epitopes".
- Cryptic epitopes or cryptic peptides are defined as peptides that are part of a (self-)protein, but under normal conditions are not presented to the immune system. The immune system is therefore "ignorant" of these cryptic peptides. Proteins taken up by antigen presenting cells are processed, i.e. cut in small peptide fragments. Under normal conditions, these small peptide fragments of a given protein are more or less identical after each processing. These are the immunodominant peptides.
- a compound according to the invention comprises a peptide loop which comprises or resembles a cryptic epitope or peptide from a molecule of interest, preferably from a self- protein.
- said secondary structure to be mimicked by a compound according to the invention is a receptor binding site of a ligand, or a ligand binding site of a receptor.
- a compound according to the invention mimicking a receptor binding site of a ligand can for instance be used to activate (agonist) or block (antagonist) said receptor. With such compound according to the invention it is thus possible to modulate receptor action.
- a compound according to the invention that resembles a ligand binding site of a receptor for instance binds to the ligand, thereby preferably decreasing the biological activity of said ligand.
- a secondary structure that may be mimicked by compounds according to the invention are for instance catalytic domains of enzymes for use in, for instance, enzyme replacement therapy.
- small proteinaceous molecules that closely resemble a native conformation are expected to have less undesired effects, such as induction of immune responses.
- a compound of general formula VI, VII and/or VIII according to the invention preferably comprises a peptide loop that closely resembles part of a molecule of interest.
- two of said compounds of general formula VI, VII and/or VIII are coupled to each other such that the resulting compound comprises further peptide loop(s), wherein each of said further loop(s) preferably comprises another (part of) an epitope of a molecule of interest.
- the molecule of interest comprises an epitope, catalytic domain, or ligand-binding domain that consists of more than one region of the molecule of interest, a so called discontinuous domain.
- the invention provides a compound according to the following
- Y— comprises a link formed as a result of an oxime-ligation reaction, a hydrazone- ligation reaction, an alkyne-azide cycloaddition, a Diels-Alder reaction, a conjugate thiol- addition (Michael-type) reaction, or a thiol-ene reaction;
- - pep 1 - and - pep 2— are independently from one another a peptide sequence comprising 2- 40 amino acids;
- P is an organic moiety comprising
- said positively charged nitrogen atom and said neutral nitrogen atom independently from one another being comprised in said aromatic (hetero)cycle and said aliphatic
- Each of the two peptide loops, -pep 1- and -pep 2-, of a compound of general formula IX according to the invention preferably resembles a different part of said discontinuous binding site, the compound in itself thus preferably resembling a bigger part of the discontinuous binding site of the native molecule of interest. It is preferred that the positively charged nitrogen atom is comprised within said aliphatic heterocycle.
- the invention thus provides a compound according to the following general formula (IX):
- - pep 1 - and - pep 2— are independently from one another a peptide sequence comprising 2- 40 amino acids;
- - P is an organic moiety comprising
- an aliphatic heterocycle comprising a positively charged nitrogen atom; and a neutral nitrogen atom being comprised in said aromatic (hetero)cycle and/or said aliphatic heterocycle;
- L 1 , L 2 , L 3 , and L 4 represent independently from one another a linker at a benzylic position on said aromatic cycle between said aromatic cycle and said peptide;
- Y— comprises a link formed as a result of an oxime-ligation reaction, a hydrazone- ligation reaction, an alkyne-azide cycloaddition, a Diels-Alder reaction, a conjugate thiol- addition (Michael-type) reaction, or a thiol-ene reaction.
- Y— comprises a link formed as a result of an oxime-ligation reaction or an alkyne-azide cycloaddition.
- — Y— comprises a link formed as a result of an oxime-ligation reaction
- a compound of the invention according to formula IX is provided, wherein an additional covalent linkage is present between said—pep 1— and said -pep 2- peptide sequence.
- said peptide sequences are covalently linked by a disulphide bond (also called an SS-bridge) because disulphide bonds are selectively formed between free cysteine residues without the need to protect other amino acid side chains. Furthermore, disulphide bonds are easily formed by incubating in a basic environment.
- a disulphide bond is formed between two cysteine residues, since their sulfhydryl groups are readily available for binding.
- the location of an SS-bridge within an amino acid sequence is easily regulated by regulating the location of free cysteine residues.
- Schemes 1 and 3 - 6 show general and very specific examples of a compound according to the invention with or without a disulphide bridge between the two peptides.
- other kinds of internal bonds are also suitable for restricting the conformation of a compound of the invention. For instance, Se-Se (diselenium) bonds are used. An advantage of diselenium bonds is the fact that these bonds are reduction insensitive.
- compounds comprising a diselenium bond are better capable of maintaining their conformation under reducing circumstances, for instance present within an animal body.
- a diselenium bond is preferred when a free SH-group is present within the compound, which SH-group is for instance used for a subsequent coupling reaction to a carrier. Such free SH-group is not capable of reacting with a diselenium bond.
- a metathesis reaction is used in order to form an internal bond. In a metathesis reaction two terminal CC-double bonds or triple bonds are connected by means of a Ru-catalyzed rearrangement reaction.
- Such terminal CC-double or CC-triple bonds are for instance introduced into a peptide either via alkylation of the peptide NH-groups, for instance with allyl bromide or propargyl bromide, or via incorporating a non-natural amino acid with an alkenyl- or alkynyl-containing side chain into the peptide.
- a metathesis reaction does not occur spontaneously, but is performed with a Grubbs-catalyst.
- an internal bond is formed using Br-SH cyclisation.
- an SH moiety of a free cysteine is coupled to a BrAc-moiety which is preferably present at the N-terminus of the peptide or at a lysine (RNH2) side chain.
- a CC H-side chain of an aspartate or glutamate residue is coupled to the Nth-side chain of a lysine residue. This way an amide bond is formed. It is also possible to form an internal bond by coupling the free CCbH-end of a peptide to the free NH2-end of the peptide, thereby forming an amide-bond. Alternative methods for forming an internal bond within an amino acid sequence are available, which methods are known in the art.
- the internal bond formed between two peptides of compounds IX, XI, XIII and XV is a disulfide or a diselenium bond. More preferably the bond is a disulphide bond.
- the linkers L 1 — L 4 can be any suitable linkage between a compound of the invention according to formula I— IV and a peptide sequence.
- the linkers L 1 , L 2 , L 3 , and L 4 are, independently from one another, selected from the group consisting of S and CH2S, which are sulfide moieties of a cysteine or of a homocysteine, present in the peptides.
- the linker— Y— can be any link formed as a result of an oxime-ligation reaction, a hydrazone-ligation reaction, an alkyne-azide cycloaddition, a Diels-Alder reaction, a conjugate thiol-addition (Michael-type) reaction, or a thiol-ene reaction, preferably an oxime-ligation reaction.
- R 7 is any linear or branched Ci-4 alkyl or any 5- or 6-membered (substituted (hetero)aryl group; and wherein R 5 and R 6 together form an optionally substituted (hetero)cycle.
- Y— is a link formed as a result of an oxime-ligation reaction
- Y— is a link formed as a result of an alkyne-azide cycloaddition
- Y— is preferably selected from the group consisting of
- a compound of formula IX formedby an alkyne-azide cycloaddition prefably comprises an linker Y consisting of
- the invention also provides a method for producing a compound of formulas IX according to the invention, the method comprising the steps of
- a second compound according to any one of formulas VI, VII and VIII according to the invention preferably a compound according to formula VI or VII, said second compound capable of reacting with said first compound in an oxime-ligation reaction, a hydrazone-ligation reaction, an alkyne-azide cycloaddition, a Diels-Alder reaction, a conjugate thiol-addition, or a thiol-ene reaction, preferably an oxime-ligation reaction or an alkyne-azide cycloaddition;
- Schemes 8—10 exemplify, without limiting the invention, a method according to the invention.
- a method according to the invention is capable of producing many different types of molecules according to general formula IX.
- Schemes 11 and 12 show examples of possible compounds obtainable by a method according to the invention, which do not limit the scope of the invention in any way.
- Y— comprises a linker formed as a result of an oxime-ligation reaction, a hydrazone-ligation reaction, an alkyne-azide cycloaddition, a Diels-Alder reaction, a conjugate thiol-addition reaction, or a thiol-ene reaction;
- - pep 1 - and - pep 2— are independently from one another a peptide sequence comprising 2- 40 amino acids;
- — Z— comprises a linker between said - pep 1 - and said - pep 2 - peptide sequence;
- L 1 , L 2 , L 3 and L 4 are, independently from one another, a linker between said aromatic (hetero)cycle and said peptide sequence;
- R 1 is a linear or branched Cm alkyl group;
- R 2 is a linear or branched Cn alkyl group, or any optionally substituted 5- or 6-membered (hetero)cycle,
- a compound of general formula IX according to the invention wherein said positive nitrogen atom is comprised within said aliphatic heteroaromatic cycle. Said compound thus selected from a compound with of
- Y— comprises a linker formed as a result of an oxime-ligation reaction, a hydrazone-ligation reaction, an alkyne-azide cycloaddition, a Diels-Alder reaction, a conjugate thiol-addition reaction, or a thiol-ene reaction, preferably an oxime-ligation reaction or an alkyne-azide cycloaddition, more preferably an oxime-ligation reaction;
- - pep 1 - and - pep 2— are independently from one another a peptide sequence comprising 2- 40 amino acids;
- — Z— comprises a linker between said - pep 1 - and said - pep 2 - peptide sequence;
- L 1 , L 2 , L 3 and L 4 are, independently from one another, a linker between said aromatic (hetero)cycle and said peptide sequence, preferably selected from the group consisting of S or SCH2;
- R 1
- Y— is a link formed as a result of an oxime-ligation reaction
- Y— is a link formed as a result of an alkyne-azide cycloaddition
- Y— is preferably selected from the group consisting of
- a compound of formula IX formedby an alkyne-azide cycloaddition prefably comprises an linker Y consisting of
- a compound of formula X— XV according to the invention is provided, wherein— Z— comprises a disulphide, a diselenium, or a double or triple CC-bond formed by a metathesis reaction.
- Z— comprises a disulphide diselenium bond, more preferably a disulphide bond.
- a compound of formula IX— XIII according to the invention is provided, wherein L 1 , L 2 , L 3 , and L 4 , are, independently from one another, selected from the group consisting of S and CH2S,
- — Y— is a link formed as a result of an oxime-ligation reaction
- R 5 and R 6 together form an optionally substituted 5- or 6-membered (substituted (hetero)aryl group.
- Y— is preferably a link formed as a result of an alkyne-azide cycload
- a compound of formula IX formedby an alkyne-azide cycloaddition prefably comprises an linker— Y— consisting of
- pep 1— and—pep 2— are independently from one another a peptide of 2— 40 amino acids
- L 1 , L 2 , L 3 and L 4 are preferably S or SCH2,
- R 1 is preferably methyl
- the invention provides a acompound of formula
- pep 1— and—pep 2— are independently from one another a peptide of 2— 40 amino acids
- L 1 , L 2 , L 3 and L 4 are preferably S or CH2S,
- R 1 is preferably methyl
- the invention further provides a method for producing a compound of formulas X, XII and XIV according to the invention, the method comprising the steps of
- a second compound capable of reacting with said first compound in an oxime- ligation reaction, a hydrazone-ligation reaction, an alkyne-azide cycloaddition, a Diels- Alder reaction, a conjugate thiol-addition (Michael-type) reaction, or a thiol-ene reaction, preferably an oxime-ligation reaction;
- a method for producing a compound of formulas X and XII is provided, the method comprising the steps of
- a second compound capable of reacting with said first compound in an oxime- ligation reaction, a hydrazone-ligation reaction, an alkyne-azide cycloaddition, a Diels- Alder reaction, a conjugate thiol-addition (Michael-type) reaction, or a thiol-ene reaction, preferably an oxime-ligation reaction;
- the conformation of the thus obtained compound can be further restricted by covalently linking the peptide loops to one another.
- Such linkage results for instance in a compound of formula XI, XIII or XV.
- second linkage between said first compound and said second compound is a disulfide or a diselenium linkage between the two peptides. More preferably the second linkage is a disulfide linkage, most preferably between two cysteines present in - pep 1 - and - pep 2 -.
- GPCRs comprise a large protein family of transmembrane receptors that sense molecules outside the cell and activate inside signal transduction pathways and, ultimately, cellular responses.
- the ligands that bind and activate these receptors include light-sensitive compounds, odours, pheromones, hormones, and neurotransmitters. These ligands may vary in size from small molecules to peptides to large proteins.
- G protein-coupled receptors are involved in many diseases, and are also the target of approximately 30 % of all modern medicinal drugs.
- Glutamate Most of the human GPCRs are found in five main families, termed Glutamate, Rhodopsin, Adhesion, Frizzled /Taste2 and Secretin. Throughout the application, the family names are written in italics with an initial capital letter to avoid confusion.
- a (hetero)aromatic molecule of the present invention at least to some extent prevents distortion of the secondary structure of a peptide structure. This is especially so, when the peptide structure comprises hydrophobic domains, such as for instance the transmembrane alpha helices of GPCRs. Without being bound to theory, it is thought that the presence of the positively charged nitrogen atom reduces hydrophobicity of the (hetero) aromatic molecule. This results in less hydrophobic interactions between the hydrophobic domain of the peptide structure and the
- a compound according to the invention wherein at least one peptide loop is bound to at least two (hetero) aromatic molecules.
- a non-linear, or conformational part, for instance, an epitope or ligand binding part of a GPCR may comprise parts of any of the three extracellular loops and/or part of the N- terminal part of the GPCR.
- a compound according to the invention comprising at least every part constituting said conformational structure. This may include at least part of each of said three extracellular loops and/or at least part of said N-terminal part of said GPCR. It is also possible to mimic (part) of a conformational structure of interest using two or four
- the invention provides a compound comprising at least two peptide loops from a cystine-knot protein, preferably from FSH, hCG or VEGF, wherein each of the peptide loops is bound to a (hetero)aromatic molecule comprising at least one positively charged nitrogen atom, and wherein the
- (hetero)aromatic molecules are bound to one another as shown above.
- Such molecule thus mimics a discontinuous part of a cystine-knot protein, wherein each of the peptide loops more closely mimics the native conformation of the protein loops because of the presence of the positively charged nitrogen atom in said (hetero)aromatic molecule.
- a compound according to the invention comprises at least two peptide loops, wherein each of said at least two peptide loops is bound via two linkages to a (hetero)aromatic molecule.
- each of said at least two peptide loops is bound to a separate hetero(aromatic) molecule comprising at least a positively charged nitrogen atom.
- the loops are bound to one another to mimic a discontinuous epitope by attaching the two
- heteroaromatic molecules to one another using an oxime-ligation reaction, a hydrazone- ligation reaction, an alkyne-azide cycloaddition, a Diels-Alder reaction, a conjugate thiol- addition (Michael-type) reaction, or a thiol-ene reaction, preferably an oxime-ligation reaction.
- an oxime-ligation reaction a hydrazone- ligation reaction, an alkyne-azide cycloaddition, a Diels-Alder reaction, a conjugate thiol- addition (Michael-type) reaction, or a thiol-ene reaction, preferably an oxime-ligation reaction.
- a compound according to the invention is for instance suitable for inducing and/or enhancing a desired immune response.
- a compound according to the invention is combined with a pharmaceutically acceptable carrier, adjuvant, diluent and/or excipient in order to enhance antibody production or a humoral response.
- suitable carriers for instance comprise keyhole limpet haemocyanin (KLH), serum albumin (e.g. BSA or RSA) and ovalbumin.
- KLH keyhole limpet haemocyanin
- serum albumin e.g. BSA or RSA
- ovalbumin ovalbumin.
- suitable adjuvants oil-based and water-based, are known to a person skilled in the art.
- said adjuvant comprises Specol.
- said diluent comprises a solution like for example saline.
- a pharmaceutical composition comprising a compound according to the invention and a pharmaceutically acceptable excipient, carrier, adjuvant, and/or diluent is therefore also provided.
- Said pharmaceutical composition preferably is an immunogenic composition, even more preferably a vaccine, capable of inducing a protective immune response.
- a compound according to the invention is used for inducing and/or enhancing an immune response in order to treat a patient suffering from a disease.
- a compound according to the invention for use as a medicament, pharmaceutical composition, and/or a prophylactic agent is also herewith provided.
- a medicament, pharmaceutical composition and/or prophylactic agent is a vaccine, capable of inducing a protective immune response.
- Dose ranges of a compound according to the invention to be used in the prophylactic and/or therapeutic applications as described herein are designed on the basis of rising dose studies in clinical trials, for which rigorous protocol requirements exist. Typically, doses vary between 0.01-1000 pg/kg body weight, particularly about 0.1-100 pg/kg body weight.
- a compound according to the invention comprises two peptide loops, each peptide loop with at least 50 % sequence identity with at least an immunogenic part of a proteinaceous molecule of interest.
- sequence identity is at least 60 %, more preferably at least 70 %, more preferably at least 80 %, more preferably at least 85 %, more preferably at least 90 %, more preferably at least 95 %, most preferably 100 %.
- An immunogenic part of a protein is defined herein as a part of a protein which is capable of eliciting an immune response in a human individual and/or a non-human animal.
- said immunogenic part is capable of eliciting the same immune response in kind, albeit not necessarily in amount, as said protein.
- the immune response elicited by said immunogenic part is preferably directed to the native (whole) protein as it is present in vivo.
- An immunogenic part of a protein preferably comprises one or more epitopes of said protein.
- An epitope of a protein is defined as a part of said protein, at least about 5 amino acids in length, preferably at least about 8 amino acids in length, capable of eliciting a specific antibody and/or stimulating an immune cell capable of specifically binding said epitope.
- a linear epitope comprises a stretch of consecutive amino acids.
- a conformational epitope is formed by several stretches of consecutive amino acids that are folded in position and together form an epitope in a properly folded protein.
- the epitope is a discontinuous epitope.
- An immunogenic part of a protein comprises at least 5 amino acid residues.
- said immunogenic part comprises at least 8, more preferably at least 11, more preferably at least 15, more preferably at least 20, most preferably at least 25 amino acids.
- said immunogenic part is a discontinuous epitope, i.e. said at least 5, at least 8, at least 11, at least 15, at least 20, at least 25 amino acids are preferably non-contiguous stretches of amino acids within said protein of interest.
- Said immunogenic part preferably comprises at most about 500 amino acid residues, more preferably at most 250 amino acid residues, more preferably at most 150 amino acid residues, more preferably at most 100 amino acid residues, most preferably at most 50 amino acids, depending on the kind of protein and the kind of epitope from which said immunogenic part is derived.
- a compound according to general formula IX of the invention comprising at least two peptide loops, each peptide loop having at least 50 % sequence identity with at least part of a ligand-binding site or part of a receptor- binding site of a proteinaceous molecule of interest.
- sequence identity is at least 60 %, more preferably at least 70 %, more preferably at least 80 %, more preferably at least 85 %, more preferably at least 90 %, more preferably at least 95 %, most preferably 100 %.
- Such compound can be used to modulate ligand-receptor signalling. For instance by blocking (antagonist) or activating (agonist) the receptor or by decreasing the biological activity of a ligand, for instance by binding to said ligand.
- a compound according to general formula IX of the invention comprising two peptide loops, each peptide loop having at least 50 % sequence identity with at least part of a catalytic domain of a proteinaceous molecule of interest.
- sequence identity is at least 60 %, more preferably at least 70 %, more preferably at least 80 %, more preferably at least 85 %, more preferably at least 90 %, more preferably at least 95 %, most preferably about 100 %.
- Such compound is especially useful for instance in enzyme replacement therapy.
- said proteinaceous molecule of interest is a protein that comprises two peptide loops.
- said proteinaceous molecule of interest is selected from the group consisting of the members of the cystine-knot family, transmembrane proteins, ion channel proteins, TNF-alpha, HGF/SF, FGF-beta, interleukins, IL-5, chemokines, G-protein-coupled receptors, CXCR4, CCR5, CCR7, CXCR7, CCR6, CXCR2, CXCR10, C5a, EDG-4, NMUR, IGF, LMF, endothelin-1, VIP, CGRP, PIF, EGF, TGF-alpha, the ErbB family, HER1/EGF-R, HER2/neu, HER3, HER4, p53, corticotrophin RF, ACTH, parathyroid hormone, CCK, substance P, NPY, GRP, neurotrophine, angiotensin- 2, angiogenin, angio
- the invention thus provides a compound of general formula IX according to the invention for use as a medicament, immunogenic composition, and/or prophylactic agent. Also provided is a use of a compound according to the invention for the preparation of a medicament, pharmaceutical composition and/or prophylactic agent.
- a compound according to the invention for the preparation of a medicament, pharmaceutical composition and/or prophylactic agent.
- a compound according to the invention for use in the treatment of cancer, metastasis, auto-immunity, inflammation, viral diseases, or pain. Also provided is use of a compound according to the invention for the preparation of a medicament for treating cancer, metastasis, auto-immunity, inflammation, viral diseases, or pain.
- a compound according to the invention wherein said two peptide loops each have at least 50 % sequence identity with at least an immunogenic part of a GPCR.
- sequence identity is at least 60 %, more preferably at least 70 %, more preferably at least 80 %, more preferably at least 85 %, more preferably at least 90 %, more preferably at least 95 %, most preferably 100 %.
- members of the GPCR superfamily all have a transmembrane domain consisting of 7 alpha-helices which are connected through 3 extracellular and 3
- a compound of the invention comprises two peptide loops that together resemble a three dimensional epitope.
- a three dimensional epitope may comprise parts of several extracellular loops of said member.
- a three dimensional epitope may, however, also comprise at least part of the N- terminal part of the GPCR. It is thus preferred that a compound of the invention comprises multiple loop structures. Said multiple loop structures preferably closely resemble a three dimensional epitope of a member of the GPCR family.
- the GPCR superfamily is divided into several subfamilies. The most important human subfamilies being the Glutamate, Rhodopsin, Adhesion, Frizzled /Taste2 and Secretin families. GPCRs of the Glutamate, Rhodopsin Adhesion and Secretin families are especially useful in drug targeting. The sensory (vision, taste, smell) GPCRs of the
- a compound according to the invention wherein said two peptide loops each have at least 50 % sequence identity with at least an immunogenic part of a GPCR, wherein said GPCR is a member of the Glutamate, Rhodopsin, Adhesion or Secretin family.
- said sequence identity is at least 60 %, more preferably at least 70 %, more preferably at least 80 %, more preferably at least 85 %, more preferably at least 90 %, more preferably at least 95%, most preferably 100%.
- said GPCR is a GPCR from the Rhodopsin subfamily, wherein said GPCR is not a sensory GPCR. Because of the arrangement of 7 hydrophobic transmembrane alpha-helices and multiple loops forming the extracellular domain (Nterminus, ECL-1, ECL-2 and ECL-3) of GPCRs, GPCRs are preferred molecules of interest to be mimicked by a compound according to the invention. As said before, the use of a (hetero)aromatic molecule comprising a positively charged nitrogen atom allows a peptide loop bound to said
- a compound according to the present invention comprises two peptide loops, capable of inducing and/or enhancing an immune response in an animal against a member of GPCR superfamily, preferably a member of the Glutamate, Rhodopsin, Adhesion or Secretin subfamily. More preferably said member is not a sensory GPCR.
- Each of said two peptide loops preferably comprises a sequence which has at least 50 %, more preferably at least 60 %, more preferably at least 70 %, more preferably at least 80 %, more preferably at least 85 %, more preferably at least 90 %, more preferably at least 95 %, most preferably at least 98 % sequence identity to at least part of said GPCR family member, said part having a length of at least 8 amino acid residues.
- said part has a length between 8 and 500, more preferably between 11 and 250, more preferably between 15 and 150, more preferably between 20 and 100, most preferably between 25 and 50 amino acid residues.
- GPCRs play an important role in inflammation, auto-immunity and tumor growth and metastasis.
- Rhodopsin family are involved in HIV infection (CCR5 and CXCR4).
- % sequence identity is defined herein as the percentage of residues in a candidate amino acid sequence that is identical with the residues in a reference sequence after aligning the two sequences and introducing gaps, if necessary, to achieve the maximum percent identity.
- Methods and computer programs for the alignment are well known in the art.
- One computer program which may be used or adapted for purposes of determining whether a candidate sequence falls within this definition is "Align 2", authored by Genentech, Inc., which was filed with user documentation in the United States
- a compound according to the invention which comprises two peptide loops each having at least 50 % sequence identity with a CCR5 or a CXCR4 sequence.
- said sequence identity is at least 60 %, more preferably at least 70 %, more preferably at least 80 %, more preferably at least 85 %, more preferably at least 90 %, more preferably at least 95 %, most preferably about 100 %.
- GPCRs that are involved in angiogenesis and/or tumor metastasis.
- Tumor growth requires (lymph)angiogenesis, which involves the formation of new blood (or lymphatic) vessels, in order to carry nutrients to the site of the tumor, to transport waste material from the tumor, and to enable metastasis.
- GPCRs can also be overexpressed on tumor cells to promote adhesion to vascular endothelium, thereby facilitating tumor metastasis.
- GPCRs have been identified as being overexpressed on tumor cells that are associated with adhesion and/or angiogenesis.
- Non-limiting examples of such GPCRs that are overexpressed on tumor cells are: CXCRl/2, CXCR3, CXCR4, CXCR5, CXCR6, CXCR7, CX3CR1, CCR1, CCR2 CCR4, CCR5, CCR6, CCR7, CCR9 and CCR10.
- a compound according to the invention comprises two peptide loops each having at least 50 % sequence identity with a GPCR which is overexpressed in a tumor cell.
- GPCR is involved in angiogenesis, tumor growth and/or tumor metastasis.
- said GPCR is selected from the group consisting of CXCRl/2, CXCR3, CXCR4, CXCR5, CXCR6, CXCR7, CX3CR1, CCR1, CCR2 CCR4, CCR5, CCR6, CCR7, CCR9 and CCR10.
- sequence identity is at least 60 %, more preferably at least 70 %, more preferably at least 80 %, more preferably at least 85 %, more preferably at least 90 %, more preferably at least 95 %, most preferably about 100 %
- a compound according to the invention is provided, wherein said compound is capable of binding to a target domain of a GPCR.
- Methods for determining whether a compound is capable of binding a target domain of a GPCR include for instance in silico methods, cell-free ligand binding assays and cell-based functional assays. It is, however, also possible to design a compound according to the invention capable of binding to a target domain of a GPCR, based on known GPCR ligands such as the chemokines IL-8, CCL1-CCL28 and
- a compound of the invention can also be used in mimicking at least part of an ion channel.
- Ion channels have become a favorite target since they provide the ability to regulate many physiological processes and they could potentially be used to treat a wide range of diseases including incontinence, diabetes, epilepsy, migraine, pain, allergy and asthma, glaucoma, stroke, irregular heart beat and cancer.
- Ion channels regulate the flow of ions across the membrane in all cells.
- Ion channels are integral membrane proteins; or, more typically, an assembly of several proteins.
- Ion channels comprise hydrophobic regions, which are located at the outside of the ion channel and come into contact with the cell-membrane, and hydrophilic regions, which are located at the water filled pore of the ion channel.
- the pore- forming subunit(s) are called the a subunit, while the auxiliary subunits are denoted ⁇ , ⁇ , and so on.
- a (hetero) aromatic molecule of the invention is especially useful for use in mimicking at least part of an ion channel, because of the presence of hydrophobic regions.
- the presence of a positively charged nitrogen atom in a compound according to the invention is especially useful for mimicking an epitope comprising, or adjacent to, a hydrophobic region of a protein of interest.
- Ion channels are key components in a wide variety of biological processes that involve rapid changes in cells, such as cardiac, skeletal, and smooth muscle contraction, epithelial transport of nutrients and ions, T-cell activation and pancreatic beta-cell insulin release. In the search for new drugs, ion channels are a frequent target.
- Non limiting examples of potential drug targets are chloride-ion channels, which are for instance upregulated in glioma cells, and the KCNN4 potassium-ion channel.
- the KCNN4 potassium-ion channel has been reported to play an important role in regulating antigen-induced T cell effector functions in vitro.
- a selective KCNN4 blocker, TRAM- 34 confers protection against experimental autoimmune encephalomyelitis (EAE) in a mouse model.
- CLGIC Nematode cys-loop ligand gated ion channels
- GABA ⁇ -amino butyric acid
- 5-HT 5-HT
- flea control makes use of specifically opening ion channels of fleas, whereas pets and humans are not affected by the chemical compound.
- a compound according to the invention wherein said two peptide loops each have at least 50 % sequence identity with at least an immunogenic part of an ion channel.
- sequence identity is at least 60 %, more preferably at least 70 %, more preferably at least 80 %, more preferably at least 85 %, more preferably at least 90 %, more preferably at least 95 %, most preferably about 100 %.
- Ion channel specific toxins such as tetrodotoxin (specific for Sodium channels) or imperatoxin (specific for Calcium channels) are small proteinaceous structures generally comprising multiple disulphide bridges resulting in a knotted structure.
- a compound according to the invention is provided, wherein said two peptide loops each have at least 50 % sequence identity with at least an ion channel-specific toxin.
- sequence identity is at least 60 %, more preferably at least 70 %, more preferably at least 80 %, more preferably at least 85 %, more preferably at least 90 %, more preferably at least 95 %, most preferably about 100 %.
- Ion specific toxins generally are neurotoxic throughout most species. It is therefore often not possible to develop an antibody-based antidote.
- the invention also provides means and methods to improve immunogenic repeatability of a peptidic compound. Improved repeatability means that the results of for instance multiple immunizations in different animals from the same species with the same compound results in less spreading of the observed immune responses in the individual animals. If immunogenic repeatability is improved, a larger percentage of a group of animals will exhibit the same kind of immune response. It can be measured, for instance by antibody serum titers, whether the individual animals mount an immune response with less variation between the individual animals. If antibody titer is measured, an immune response in a first animal is comparable to an immune response in a second animal if the antibody titers of both animal differ less than 150 fold, preferably less than 75 fold, most preferably less than 35 fold. With antibody titer is meant the antibody concentration in serum. Antibody titer is generally given as the value of serum dilution at which the OD in a binding ELISA is >3x the background-OD.
- Immunogenicity of a compound is defined herein as the capability of a compound to elicit an immune response specifically directed against the compound itself and/or against a molecule of interest.
- Said molecule of interest preferably comprises a proteinaceous molecule.
- a proteinaceous molecule is defined as a molecule comprising amino acid residues bound to each other via a peptide bond.
- Said molecule may comprise one or several non- amino acid moieties, such as a linker.
- a compound according to the invention is preferably capable of inducing a cross- reactive immune response.
- a compound according to the invention therefore has preferably at least 50 % sequence identity to at least an immunogenic part of said proteinaceous molecule of interest.
- a compound according to the invention comprising a peptide loop which has at least 50 % sequence identity to at least an immunogenic part of a
- a compound according to the invention thus preferably comprises a peptide loop comprising a sequence which has at least 50 % sequence identity to at least an immunogenic part of the peptide loop of a proteinaceous molecule of interest, said part having a length of at least 8 amino acid residues.
- said peptide loop comprises a sequence which has at least 60 %, preferably at least 70 %, more preferably at least 80 %, more preferably at least 90 %, more preferably at least 95 %, most preferably at least 97 % sequence identity to at least part of a proteinaceous molecule of interest, said part having a length of at least 8 amino acid residues.
- Such immunogenic compound is particularly suitable for eliciting an immune response against a proteinaceous molecule of interest.
- a compound according to the invention is capable of eliciting a stronger immune response against said proteinaceous molecule of interest as compared to a situation wherein an animal is immunized with said proteinaceous molecule itself.
- This is for instance possible by modifying a peptide loop with about 100 % sequence identity with at least part of a self-antigen. Since an individual's immune system is in principle not active towards self-antigens, a modified sequence is often better capable of eliciting an immune response as compared to the native sequence.
- immunogenicity of a peptide loop for instance comprise a TDK-Alascan method and/or replacement net mapping method, which are well known in the art.
- TDK-Alascan involves substitution of an original amino acid residue by alanine.
- a replacement net mapping method an original amino acid residue is replaced by any other amino acid residue.
- a plurality of molecules is generated, wherein different amino acid residues are replaced, either by alanine or by any other amino acid residue. Subsequently, a plurality of molecules is generated, wherein different amino acid residues are replaced, either by alanine or by any other amino acid residue. Subsequently, a plurality of molecules is generated, wherein different amino acid residues are replaced, either by alanine or by any other amino acid residue. Subsequently
- immunogenicity (preferably comprising cross-reactivity) of the resulting molecules is tested, for instance by determining binding affinity to an antibody capable of specifically binding an antigen of interest.
- a molecule with a desired characteristic is subsequently identified and/or isolated. Said molecule is either used for immunization, or further optimized in another round of substitution and selection method. Of course, other optimization procedures are applicable as well.
- a peptide loop is used that has at least 50 %, preferably at least 60 %, more preferably at least 70 %, more preferably at least 80 %, more preferably at least 90 %, more preferably at least 95 %, most preferably about 100 %, sequence identity to a non immunodominant site of a proteinaceous molecule of interest.
- immunodominant sites are sites against which an immune response is primarily directed after immunization with a proteinaceous molecule of interest. Such immunodominant sites are for instance easily accessible. However, it is often desired to elicit antibodies against another specific site which is not easily accessible by the immune system. Such sites are called subdominant, or cryptic.
- a receptor binding site is a typical example of a subdominant epitope.
- a peptide loop that has at least 50 %, preferably at least 60 %, more preferably at least 70 %, more preferably at least 80 %, more preferably at least 90 %, more preferably at least 95 %, most preferably about 100 %, sequence identity to said receptor non-immunodominant site is preferred.
- This embodiment is for instance particularly suitable for inducing and/or enhancing an immune response against a receptor binding site of G Protein -Coupled Receptors (GPCRs), such as for instance the HXV-binding site of chemokine receptors CCR5 and/or CXCR4.
- GPCRs G Protein -Coupled Receptors
- One aspect of the invention thus provides a compound according to the invention capable of inducing and/or enhancing an immune response in an animal against a proteinaceous molecule of interest.
- a protective immune response means that an animal which has been immunized will suffer less - if at all - from a disease related to the presence of said proteinaceous molecule of interest. For instance, if said proteinaceous molecule is present on a pathogen, said animal will suffer less, preferably not suffer at all, from an infection by said pathogen after the animal has been immunized.
- a curative immune response means that an animal which is already suffering from a disease related to the presence of a proteinaceous molecule of interest will be better capable of counteracting (symptoms of) said disease. With curative is not meant that the animal is completely cured, improvement of signs and/or symptoms of the disease is sufficient.
- a compound according to the invention in particular has a three-dimensional structure closely resembling (part of) a proteinaceous molecule of interest.
- the presence of a positively charged nitrogen atom in said compound allows said compound to adapt a three-dimensional structure that more closely resembles the three-dimensional structure of the corresponding part in said molecule of interest than it would without the presence of a positively charged nitrogen atom.
- a compound according to the invention preferably has a conformation that is restricted in order to force the compound to spend more time in a conformational state which more closely resembles the three-dimensional structure of the corresponding part in said proteinaceous molecule than compounds described before.
- a compound according to the invention is therefore particularly suitable for mimicking a part of a protein with a specific three-dimensional structure present in a proteinaceous molecule of interest.
- examples of such parts are for instance epitopes, catalytic domains and ligand-or receptor-binding domains present in a specific three-dimensional structure.
- loop structures examples of such specific three-dimensional structures are for instance loop structures found in many proteins.
- a preferred example of such loop structure is a beta-hairpin which often occurs between two antiparallel beta-strands. Beta-hairpins are often relatively easily accessible to cells of the immune system. As a result, immune responses are often directed against epitopes present in beta-hairpin sequences.
- loop structures are also present in members of the GPCR superfamily, and ligand- or receptor-binding domains of GPCR (ligands) are thus preferred three dimensional structures to be mimicked by a compound according to the invention.
- the conformation of a peptide loop comprising an amino acid sequence with at least 50% sequence identity to the amino acid sequence of a hairpin-loop is preferably restricted via at least two linkages with the (hetero) aromatic molecule such that the conformation of said peptide loop closely resembles the native three- dimensional structure of the hairpin-loop.
- the presence of a positively charged nitrogen atom within said compound allows the peptide loop to adopt a loop-like structure which even more closely resembles that of a hairpin-loop of a molecule of interest.
- a compound according to the invention wherein said compound comprises a peptide loop which has at least 50 %, preferably at least 60 %, more preferably at least 70 %, more preferably at least 80 %, more preferably at least 90 %, more preferably at least 95 %, most preferably about 100 %, sequence identity to a part of a peptide loop of a proteinaceous molecule of interest, said part having a length of at least 8 amino acid residues, wherein said part comprises a non-linear epitope of said proteinaceous molecule and/or wherein said part comprises a sequence of at least 6 amino acid residues, preferably at least 8 amino acid residues, which is present in a loop, preferably a hairpin loop, of said proteinaceous molecule.
- the three-dimensional structure of a native epitope is mimicked in the present invention by attaching a peptide loop to a (hetero)aromatic molecule comprising a positively charged nitrogen atom.
- said peptide loop comprises an amino acid sequence with at least 50 % sequence identity to the amino acid sequence of said epitope and is linked with at least two linkages to said (hetero)aromatic molecule.
- the locations of said at least two linkages are chosen such that the resulting conformation of the peptide loop resembles the native conformation of said epitope in said proteinaceous molecule of interest.
- a linkage is preferably not located within an biologically active part, such as for instance an epitope of interest, because such linkage would disturb the conformation and/or accessibility of said part of said proteinaceous molecule of interest.
- an internal bond such as a disulphide bond, is present in such compound, the position of said internal bond is preferably chosen such that the conformation of the resulting peptide loop closely resembles the native conformation of part of said
- Such internal bond can for instance be a disulphide or a diselenium bond. It is also possible to add another artificial internal bond, for instance in the form of linking the peptide loop to a second (hetero) aromatic molecule.
- preferred compounds can be experimentally assessed. It is for instance possible to produce several compounds with linkages at different locations and to experimentally determine the biological activity such as ligand- receptor binding, catalytic activity, immunogenicity and/or immunogenic repeatability of the resulting compounds, as long as the (hetero)aromatic molecules used within said compounds are of the formula I-IV, preferably of the formula II or III. A compound with optimal biological activity is preferably selected. It is also possible to produce several compounds with different kinds of (hetero)aromatic molecules, either linked at identical or different locations of a peptide loop, and to experimentally determine the biological activity of the compound produced, as long as said compound is of the general formula IX.
- a method according to the invention is provided, the method further comprising producing a library comprising a plurality of compounds of formulas IX according to the invention.
- Such library is especially useful for determining the immunogenicity and/or immunogenic repeatability of the resulting compounds.
- Such library is also especially useful for selecting a target, such as a candidate drug compound.
- a method for selecting a candidate drug compound is provided, the method comprising
- the invention provides a method according to the invention, wherein said binding is determined on a solid phase provided with said library of compounds.
- the conformation of a peptide loop is thus restricted by attaching the peptide loop to a (hetero)aromatic molecule, either directly or indirectly, for instance via a linker.
- the conformation is further restricted by the formation of at least one internal bond within said peptide loop.
- a compound according to the invention, comprising a peptide loop bound to a (hetero) aromatic molecule comprising a positively charged nitrogen atom, wherein said peptide loop comprises at least one additional internal bond is therefore also herewith provided. This way, immunogenicity and/or immunogenic repeatability is particularly enhanced.
- internal bond is herewith defined as a bond within a peptide loop, linking two non-adjacent amino acids in the (linear) amino acid sequence of the peptide loop.
- said internal bond preferably comprises a disulphide bond (also called an SS-bridge) because disulphide bonds are selectively formed between two free cysteine residues without the need to protect other amino acid side chains.
- disulphide bonds are easily formed by incubating a peptidic compound comprising at least two free cysteine residues in a basic environment in the presence of O2.
- a disulphide bond is formed between two cysteine residues, since their sulfhydryl groups are readily available for binding.
- the location of an SS-bridge within a peptide loop is easily regulated by regulating the location of free cysteine residues.
- a diselenium bond is preferred when a free SH-group is present within a peptidic compound, which SH-group is for instance used for a subsequent coupling reaction to a (hetero)aromatic molecule. Such free SH-group is not capable of reacting with a diselenium bond.
- a metathesis reaction is used in order to form an internal bond.
- CC-double bonds or CC-triple bonds are connected by means of a Ru-catalyzed rearrangement reaction.
- Such terminal CC-double or CC-triple bonds are for instance introduced into a peptide either via alkylation of the peptide NH-groups, for instance with allyl bromide or propargyl bromide, or via incorporating a non-natural amino acid with an alkenyl- or alkynyl-containing side chain into the peptide.
- a metathesis reaction does not occur spontaneously, but is performed with a Grubbs-catalyst.
- internal bond is explicitly not meant the peptide bond, between the carboxyl groups and amino groups of the adjacent amino acids that results in the primary structure (sequence) of the peptide.
- an internal bond is formed using Br-SH cyclisation.
- an SH moiety of a free cysteine is coupled to a BrAc-moiety which is preferably present at the N-terminus of the peptide or at a lysine (RNH2) side chain.
- a CC H-side chain of an aspartate or glutamate residue is coupled to the NH2-side chain of a lysine residue. This way an amide bond is formed. It is also possible to form an internal bond by coupling the free CCbH-end of a peptide to the free NH2-end of the peptide, thereby forming an amide-bond. Alternative methods for forming an internal bond within a peptide loop are available, which methods are known in the art.
- the invention provides a compound comprising a peptide loop bound to a molecule with two linkages, wherein said molecule comprises at least one positively charged nitrogen atom, and wherein said molecule comprises an allylic system.
- said molecule comprises at least one positively charged nitrogen atom
- said molecule comprises an allylic system.
- the invention provides a method for the production of a compound comprising a molecule comprising an allylic system according to the invention, the method comprising
- X 1 and X 2 ar Q is a reactive group, capable of participating in an oxime-ligation reaction, a hydrazone-ligation reaction, an alkyne-azide cycloaddition, a Diels-Alder reaction, a conjugate thiol-addition (Michael- type) reaction, or a thiol-ene reaction;
- -pep- is a peptide sequence comprising 2 - 40 amino acids
- L 1 and L 2 are, independently from one another, a linker between said allylic
- a method according to the invention for coupling of a peptide loop to a molecule of formula I— IV, preferably II or III, when the coupling reaction is performed in an aqueous solution allows using an unprotected peptide loop.
- This has the advantage that for instance recombinant peptides can be used that a priori are unprotected.
- the only functionality that cannot be present in unprotected form is a free SH functionality, as a free SH functionality will take part in the coupling reaction.
- a method according to the invention wherein a peptide loop is used which, besides two free cysteine residues for coupling to a (hetero) aromatic molecule, comprises at least two or more additional protected cysteine (Cys)residues.
- Cys additional protected cysteine
- a simple approach is for instance to use Fmoc-Cys(Acm) (Fmoc-acetamidomethyl-L/D-cysteine) and Fmoc-Cys(NC>2Bz)
- Fmoc-2-nitrobenzyl-L/D-cysteine for introduction of a protected Cys residue during the course of peptide synthesis.
- Fmoc-Cys(StBu)-OH is used, and/or the corresponding Boc amino acids.
- the Acm, StBu, or NC Bz group is not removed during the course of the normal TFA deprotection-cleavage reaction but requires oxidative (12/1,4- dithiothreitol) treatment in case of Acm group, or reductive treatment (BME (excess) or 1,4-dithiothreitol (excess)) in case of StBu group, or UV-light + scavengers (a.o.
- TCEP for the NC Bz-group to give the reduced sulfhydryl form of the peptide, which can either be used directly or subsequently oxidized to the corresponding cystinyl peptide.
- a peptide which contains at least one Cys derivative, such as Cys(Acm) or Cys(StBu) or Cys(NC>2Bz), to allow selective unmasking of a Cys-thiol group. Selective unmasking of a Cys-thiol group allows to make the Cys-thiol group available for reacting at a desired moment, such as following completion of the coupling reaction between a
- (hetero)aromatic molecule and a peptide This is for instance very attractive for forming an internal bond within the peptide after the peptide has been bound to a (hetero)aromatic molecule or the attachment of a second (hetero) aromatic molecule.
- two linear peptides are synthesized, represented by— pepl— and—pep 2-, respectively, each comprising two unprotected Cys residues and one protected Cys derivative at another position.
- each di-SH functionalized peptide is coupled to a (hetero)aromatic molecule according to general formula I, resulting in the structural fixation of a loop-like peptide loop of -pepl- and -pep 2-, respectively, on that particular (hetero)aromatic molecule.
- Each of said particular (hetero)aromatic molecules comprises one reactive group Q, the group of one of said particular (hetero)aromatic molecules capable of reacting with the group of the other of said particular (hetero) aromatic molecules in an oxime-ligation reaction, a hydrazone-ligation reaction, an alkyne-azide cycloaddition, a Diels-Alder reaction, a conjugate thiol- addition (Michael-type) reaction, or a thiol-ene reaction.
- Compounds according to the invention or obtained by a method according to the invention are particularly suitable for the production of antibodies, T cells and B cells, using a non-human animal. Further provided, therefore, is a method for producing an antibody, a T cell and/or a B cell, the method comprising:
- the method further comprises producing monoclonal antibodies using said B cell obtained from said animal.
- binding molecules from a non-human animal, but it is also possible to construct and/or select such a binding molecule in vitro. For instance a phage display library, or another library of binding molecules is screened. Also provided, therefore, is the use of a compound or a pharmaceutical composition according to the invention in an ex vivo method for producing an antibody, or a functional equivalent of an antibody, which is capable of specifically binding said compound.
- a compound or a pharmaceutical composition according to the invention in an ex vivo method for producing an antibody, or a functional equivalent of an antibody, which is capable of specifically binding said compound.
- the skilled artisan is aware of the different methods for producing an antibody ex vivo, such as B-cell hybrodima techniques, antibody phage display technologies and the like.
- a functional equivalent of an antibody is defined herein as a part which has at least one same property as said antibody in kind, not necessarily in amount. Said functional equivalent is preferably capable of binding the same antigen as said antibody, albeit not necessarily to the same extent.
- a functional equivalent of an antibody preferably comprises a single domain antibody, a single chain antibody, a Fab fragment or a F(ab')2 fragment.
- a functional equivalent also comprises an antibody which has been altered such that at least one property - preferably an antigen-binding property - of the resulting compound is essentially the same in kind, not necessarily in amount.
- a functional equivalent is provided in many ways, for instance through conservative amino acid substitution, whereby an amino acid residue is substituted by another residue with generally similar properties (size, hydrophobicity, etc), such that the overall functioning is likely not to be seriously affected.
- the invention also provides a method for inducing an immune response to an antigen in an individual in need thereof, comprising administering an effective amount of a compound and/or a pharmaceutical composition according to the invention and/or compound obtainable by a method according to the invention and/or an antibody obtainable by a method according to the invention to said individual.
- the elicited antibodies, T cells and/or B cells are further used for human benefit.
- the genes encoding the Ig heavy and/or light chains are isolated from a harvested B cell and expressed in a second cell, such as for instance cells of a Chinese hamster ovary (CHO) cell line.
- Said second cell also called herein a producer cell, is preferably adapted for commercial antibody production. Proliferation of said producer cell results in a producer cell line capable of producing antibodies of interest.
- said producer cell line is suitable for producing compounds for use in humans.
- said producer cell line is preferably free of pathogenic agents such as pathogenic micro- organis ms .
- a nucleic acid encoding the T cell receptor is isolated from a harvested T cell of interest and incorporated into naive (preferably human) T cells.
- the T cells are preferably cultured in order to obtain a T cell line.
- CLIPS- scaffold or CLIPS-peptide used in the examples refers to the (free) (hetero)aromatic molecule or to a compound comprising a (hetero)aromatic molecule bound to a peptide, respectively.
- CLIPS-peptide used in the examples refers to the (free) (hetero)aromatic molecule or to a compound comprising a (hetero)aromatic molecule bound to a peptide, respectively.
- Scheme 2 General reaction scheme for producing a molecule of the invention. Exemplified is a reaction starting with molecules of formula II of the invention. The scheme shows the sequential steps of the reaction. First, the peptide having two free thiol groups and one protected thiol group is reacted with a molecule of formula II of the invention to form a compound of formula VI of the invention. Then, two compounds of formula VI according to the invention are reacted in a reaction, such as for instance an oxime-ligation reaction to form a molecule of formula X. Thereafter the two protected thiol groups of the respective peptides are deprotected and reacted with each other to form a compound according to formula XI of the invention.
- a reaction such as for instance an oxime-ligation reaction
- Scheme 3 Specific examples of a molecule of formula XI according to the invention mimicking a discontinuous binding site of FSH (left side) and CCR7 (right side).
- Scheme 4 General formula of a molecule of formula XI formed by reacting two molecules of formula VI according to the invention with each other in an oxime ligation reaction (left side) and a thermal CLICK reaction (right side) followed by an additional disulphde bridge between the two peptides.
- Scheme 5 Specific examples of molecule of formula X and XI according to the invention mimicking a discontinuous binding site of VEGF, with (left side) or without (right side) an additional disulphide bridge between the two peptides.
- Scheme 6 General structure of a molecule of formula X formed by reacting two molecules of formula VI according to the invention with each other in an oxime ligation reaction (left side) and a thermal CLICK reaction (right side). In this example, the respective peptides were not additionally linked to each other.
- Scheme 7 General reaction scheme for producing a compound of formula Ila-d according to the invention.
- Scheme 8 Schematic overview of suitable reactive groups for participation in an oxime-ligation and hydrazone-ligation reaction and therefrom resulting linkers.
- Scheme 9 Schematic overview of suitable reactive groups for participation in a Cu(I)-catalyzed and thermal CLICK reaction and therefrom resulting linkers.
- Scheme 10 Schematic overview of suitable reactive groups for participation in a conjugate thiol addition and a thiol-ene reaction and therefrom resulting linkers.
- Figure 1 Results of antibody binding experiments with mAbs 1 and 2 (anti- FSH) for the binding to double-loop molecules Xab and Xlab (standard oxime) in solid- supported peptide microarrays, covering Xab 11-25 and XIabl5-20.
- Figure 2 Results of antibody binding experiment with mAbs 1 and 2 (anti-FSH) for the binding to double-loop molecules Xba and Xlba (reversed oxime) in solid-supported peptide microarrays, covering Xball-25 and XIbal5-20.
- Figure 3 Results of antibody binding experiment with mAbs 1 and 2 (cmii-FSH) for binding to surface-immobilized double-loop molecules Xlabl, Xabl* and single-loop controls- 1 and -2 , as compared to the native protein FSH in ELISA.
- Figure 4 Results of antibody binding experiment with mAbs 1 and 2 (cmii-FSH) for binding to surface-immobilized double-loop molecules Xlabl and Xlbal, as compared to the native protein FSH in ELISA.
- Figure 5 Results of antibody binding experiment with mAbs 1 and 2 (cmii-FSH) for binding to surface-immobilized double-loop molecules Xlabl, Xabl* ,and negative controls-3 and -4 in ELISA.
- Figure 7 Results of binding competition experiment in ELISA with mAb 2D7 (cmii- CCR5) for binding to double-loop molecule XIba2 and single-loop controls VIa4 and VIb4 in solution.
- Amino acids are indicated by the single-letter codes; peptides are acetylated at the N-terminus and amidated at the C-terminus; Cysteines printed in boldface (C and C) indicate cysteines involved in linkages to the CLIPS-scaffolds.
- Acetylation (Ac) of the peptide was performed by reacting the resin with NMP/AC2O/DIEA (10:1:0.1, v/v/v) for 30 min at room temperature.
- the acylated peptide was cleaved from the resin by reaction with TFA (40 mL/mmol resin) containing 13.3% (w) phenol, 5% (v) thioanisole, 2.5% (v) 1,2-ethanedithiol, and 5% (v) milliQ-HaO for 2 hrs at room temperature, unless indicated otherwise.
- TFA 40 mL/mmol resin
- PrOH)/ethyl acetate (EtOAc) 50 mL
- palladium on active charcoal Pd/C; 0.5 wt%, 330 mg
- the mixture was stirred overnight at room temperature under a H2 atmosphere, and subsequently filtered over a pad of 2 cm of Celite (diatomaceous earth or kieselgur) and washed with i-PrOH/EtOAc (250 mL, 1:1, v/v).
- the solvent was evaporated in vacuo, affording a yellow oil. Yield 438 mg (>99%).
- this compound (70 mg, 0.287 mmol) was dissolved in dry ACN (10 mL) and added dropwise to a solution of l,2,4,5-tetrakis(bromomethyl)benzene (3 equiv., 387 mg, 0.860 mmol) and DIPEA (2 equiv., 94.8 L, 0.58 mmol) in dry ACN (50 mL) and this mixture was stirred for 45 min. at room temperature. The solvent was then evaporated in vacuo and the residue washed with Et20/pentane 1:1 (3x) to give molecule lib as a white solid in 61% yield (94 mg).
- NHBoc iV-(2-(iV-Boc-aminoxy)acetyl)- l,4-piperazine (1.0 equiv. 0.1 mmol) was dissolved in ACN (5 mL), ethyl iodide (Etl, 1.0 equiv. 0.1 mmol) was added and the mixture was stirred for 2 days at 50 °C. Then, the mixture was cooled to room temperature and added to a solution of 1,3,5-tribromobenzene (176 mg, 0.494 mmol, 5.0 equiv.) in Et20 (5 mL). After 24 hours stirring at room temperature, the formed product was extracted with 2x5mL of H2O. The aqueous solution was freeze-dried and the resulting product Ilia was purified by preparative HPLC.
- the crude diethanol ester was subsequently dissolved in dry THF (5 mL) and treated with a suspension of L1AIH4 (76 mg, 2.0 mmol in 5 mL of THF) for 1 hour at 0 °C. Then, another 10 mL of THF was added followed by 100 uL of 15% of NaOH and 350 uL of H2O, whereafter the formed white aluminum salts were filtered off and washed extensively with THF. After evaporating the solvent, the product was dried in vacuo to yield crude
- Bromoacetic acid (4.0 mmol) was dissolved in THF (50 mL), iV-(Boc-aminoxy acetyl) - 1,4-piperazine (4.0 mmol), HBTU (1.5 equiv., 2.2 g, 6.0 mmol), and DIPEA (2.5 equiv., 1.9 mL, 10.0 mmol) were added, and the mixture was stirred overnight at room temperature. The solvent was evaporated in vacuo and the residue dissolved in EtOAc, washed with 1 M KHSO4 (aqueous), sat. NaHCOe (aqueous) and brine. The organic layer was dried over Na2SC"4 and concentrated in vacuo.
- CLIPSed peptides Via (+/- 2.8 mg) and VIb (+/- 2.6 mg) were dissolved in a citric acid buffer (1 mL, pH 4.5) containing 100 mM of aniline. The mixture was stirred for 30 min. at room temperature and directly purified by preparitve HPLC to afford 1.5 mg (27%) of compound of general formula X.
- Amino acids are indicated by the single-letter codes; peptides are acetylated at the N-terminus (*) and amidated at the C-terminus (#); Cysteines printed in boldface indicate cysteines involved in linkages to the CLIPS-scaffolds II - III.
- NMP/AC2O/DIEA (10:1:0.1, v/v/v) for 30 min at room temperature.
- the acylated peptide was cleaved from the resin by reaction with TFA (40 mL/mmol resin) containing 13.3% (w) phenol, 5% (v) thioanisole, 2.5% (v) 1,2-ethanedithiol, and 5% (v) milliQ-H20 for 2 hrs at room temperature, unless indicated otherwise.
- Precipitation with ice-cold Et20 + lyophilization of the precipitated material afforded the crude peptide.
- hydroxybenzotriazol uronium salt (HBTU; 797 mg, 2.1 mmol, 1.2 equiv) and di- isopropylethylamine (DIEA; 0.71 mL, 4.3 mmol, 2.5 equiv) in THF (30 mL) was added N- (benzyloxycarbonyl)- l,4-piperazine (327 pL, 1.7 mmol, 1.0 equiv.) and the suspension was stirred overnight after which the suspension became a clear solution. The solvent was evaporated in vacuo.
- N- (benzyloxycarbonyl) -N'- (2- (iV-iBoc-aminoxy)acetyl)- 1,4-piperazine (668 mg, 1.7 mmol) was then dissolved in a 1: 1 (v:v) mixture of EtOAc and i-PrOH (250 mL). Pd/C (50% w/w, 300 mg) was added and the mixture was flushed several times with H 2 gas and stirred overnight under a continuous flow of H 2 .
- Periodinane (950 mg, 2.24 mmol, 1.2 equiv.) in dry DCM (70 mL). The reaction was stirred for 2 hours at 0 °C, quenched by adding Et 2 0 (60 mL) and a saturated 1:1 Na 2 S 2 0s/NaHC03 solution (60 mL) and stirred for another 1 hour. Then, the two layers were separated and the organic layer was washed with 1 M KHSO4 (50 mL), saturated NaHCOe (50 mL) and brine (50 mL), and dried on Na 2 SC>4.
- 1 M KHSO4 50 mL
- saturated NaHCOe 50 mL
- brine 50 mL
- iV-benzyloxycarbonyl-iV'-(4-oxobutanoyl)-l,4-piperazine 553 mg, 1.82 mmol was dissolved in EtOH (150 mL), p-toluenesulfonic acid (p-TsOH, 34.6 mg, 0.18 mmol, 0.1 equiv.) was added and the mixture was refluxed for 1.5 hours, cooled to room temperature and
- reaction mixture was maintained for 30 min. and then iV-phenylbis(trifluoromethanesulfonamide) (Tf 2 NPh; 7.6 g, 21.2 mmol, 1.1 equiv.) in THF (50 mL) was added slowly. After stirring for 1 hour, the reaction mixture was allowed to warm to room temperature and stirred overnight. EtOH (100 mL) was then added and the reaction mixture was concentrated in vacuo. The crude residue was purified by flash column chromatography (50:1 PE:EtOAc) to give 3.3 g (88%) of the ethyl ester of 1- fluorocyclooct-2-yne- l-carboxylic acid as a yellow oil.
- Molecule lid A solution of N-((l- fluorocyclooct-2-ynyl)carbonyl)- l,4-piperazine
- iV- ⁇ Boc-iV'-(allyloxycarbonyl)- 1,4-piperazine N-tBoc- 1,4-piperazine (153 mg, 0.82 mmol), allyl chloroformate (0.13 ml, 1.23 mmol, 1.5 equiv.) and triethylamine (TEA; 0.17 mL, 1.23 mmol, 1.5 equiv.) were dissolved in DCM (20 mL) and stirred overnight at room temperature. The solvent was evaporated in vacuo and the crude mixture was dissolved in
- iV-iBoc-iV'-(allyloxycarbonyl)- l,4-piperazine (206 mg, 0.76 mmol) was dissolved in DCM/TFA (1: 1, v/v, 20 mL) and the mixture was stirred for 1 hour. The solvent was evaporated in vacuo to give 254 mg (>99%) of iV-(allyloxycarbonyl)- l,4-piperazine as a brown oil.
- iV-Fmoc- l,4-piperazine (156 mg, 0.40 mmol), 2-(tritylmercapto)acetic acid (161 mg, 0.48 mmol, 1.2 equiv.), HBTU (228 mg, 0.6 mmol, 1.5 equiv.) and DIEA (174 L, 1.0 mmol, 2.5 equiv.) were dissolved in THF (20 mL) and stirred overnight at room temperature. The solvent was evaporated in vacuo and the crude mixture was dissolved in EtOAc (20 mL), washed with 1 M KHS0 4 (20 mL), a saturated solution of NaHCOs (20 mL) and brine (20 mL). The organic layer was dried over Na2S04 and
- Molecule Ilf A solution of iV-(2-(tritylmercapto)acetyl)- l, 4-piperazine (70 mg, 0.17 mmol) in dry ACN (5 mL) was added dropwise to a solution of l,2,4,5-tetrakis(bromomethyl)- benzene (235 mg, 0.52 mmol, 3.0 equiv.) and
- peptide *C(SH)-XXXX-C(SAcm)-XXXXXX-C(SH)# was dissolved in H2O/ACN (3:1 v/v mixture) to a concentration of 0.1-0.5 ⁇ .
- 1.2 equiv. of molecule II-III (10 mM in ACN) was added to the peptide solution, and the CLIPS-reaction was started by adding ⁇ 10% (v/v) of a 100 mM NaaCOe buffer. The reaction was stirred for 1 hour at room temperature.
- Example 3 Antibody binding studies with molecules X/XII and XI/XIII.
- double-loop molecules X/XII and XI XIII are much better mimics of the native protein (from which they were derived of) than the corresponding single-loop molecules VI/VII (63- or 6l-loop alone), we studied their binding to a series of monoclonal antibodies (mAbs) that were specifically raised against the native protein. Often, those mAbs bind to a discontinuous binding site on the protein surface.
- CiibTVRVPGCs(Acm)AHHADSLYTCiib were synthesized by reacting peptide CTVRVPGCs(Acm)AHHADSLYTC (63-loop; 60-75 sequence) with either molecule Ila or lib, following the general procedure described for CLIPS-peptides VI.
- Peptide arrays with surface-immobilized peptides were prepared following published procedures (Timmerman et al., J. Mol. Recogn. 2007, 20, 283-299). Overlapping 6-mer sequences, flanked two cysteine residues on either side, derived from the 6l-loop of FSH, were synthesized in an
- FSH Stimulating Hormone
- mAb-binding to double-loop molecules X and XI occurs at a much lower antibody concentrations (10- 100 ng/mL) than observed for the corresponding single-loop molecules VI (63- or 6l-loop alone).
- mAb-binding is strongly dependent on the selected sequence of the 6l-loop in molecules X and XI. Only those molecules that expose the 6-turn (13-18) of the 61- loop show strong binding, while for other molecules X and XI is comparable in strength to the single-loop molecules VI (63- or 6l-loop alone). Binding of molecules XI (with native C17- C66 disulfide bond) is significantly stronger than for molecules X in case of the strongest binding molecules (XIabl6 and XIbal6).
- Antibody binding studies in ELISA were performed as follows: molecules X, XI, and neg. control peptides (1-4) were immobilized to the ELISA-plate surface using GDA-coating. Subsequently, the binding of two croit-FSHB mAb's (1 and 2) to these surface-bound molecules was studied as a function of the mAb-concentration (following described procedures: Timmerman et al., J. Mol. Recogn. 2007, 20, 283-299). When binding of the mAbs to the X/XI-immobilized surface is stronger that for the (single-loop) control molecules, the molecules have shown to be better protein mimics of FSH.
- mAb-binding of molecule Xabl* is significantly reduced as compared to molecule Xlabl, i.e. for mAbl binding is ⁇ 100-fold weaker, and for mAb2 is ⁇ 10-fold weaker.
- mAb-binding to molecule Xlabl is much stronger as that of the single-loop controls 1 and 2, i.e. for mAbl binding is ⁇ 100-fold (control- 2) and >1000-fold (control- 1) stronger, while mAb2 binding is ⁇ 30-50-fold (control-2) and >1000-fold (control- 1) stronger.
- VIa4 inhibition of 2D7-binding to surface-immobilized VIa4 is >100-fold stronger for the double-loop molecule XIba2 (ECBO ⁇ 500 nM) as compared to the single ECLl and ECL2-loop controls VIa4 (ECBO >100 ⁇ ) and VIb4 (ECBO >1 mM).
- hFSH human Fo] licle Stimulating Hormone, beta-subunit
- hCCR5 human C-C chemokine receptor type-5
- hVEGF human Vascular Endothelial Growth Factor
- hCGp human Choriogonadotrophin, beta-subunit
- mSCLER mouse Sclerostin
- FMDV- Ol Foot-and-Mouth-Disease Virus, strain-Ol
- hSCLER human Sclerostin.
- b ECL Extracellular Loop.
- Table 2 Peptide sequences of molecules X and XII according to the invention.
- hFSH human Follicle Stimulating Hormone, beta-subunit
- hCCR5 human C-C chemokine receptor type-5
- hVEGF human Vascular Endothelial Growth Factor
- hCGp human Choriogonadotrophin, beta-subunit
- mSCLER mouse Sclerostin
- FMDV-strainOl Foot-and-Mouth-Disease-Virus, strain-Ol
- hSCLER human Sclerostin.
- ECL Extracellular Loop.
- hFSH human Follicle Stimulating Hormone, beta-subunit
- hCCR5 human C-C chemokine receptor type-5
- hVEGF human Vascular Endothelial Growth Factor
- hCG human Choriogonadotrophin, beta-subunit
- mSCLER mouse-sclerostin
- hSCLER human Sclerostin.
- ECL Extracellular Loop.
- CLIPS-peptides (of molecule Vl-type) did not show measurable binding of both mAbs 1 and 2 at this (low) concentrations.
- a T2 l,2-bis(bromomethyl)benzene
- b Xabl* Xabl with C(SAcm)/A- mutations at C17 ( ⁇ - ⁇ ) and Cm ( ⁇ 3-1 ⁇ ).
- hFSH human Follicle Stimulating Hormone, beta-subunit.
- R 5 and R 6 can be part of a substituted (hetero)cycle (as already mentioned in text) thiol-ene reaction (radical initiation)
Landscapes
- Chemical & Material Sciences (AREA)
- Organic Chemistry (AREA)
- Life Sciences & Earth Sciences (AREA)
- Biochemistry (AREA)
- Health & Medical Sciences (AREA)
- Biophysics (AREA)
- General Health & Medical Sciences (AREA)
- Genetics & Genomics (AREA)
- Medicinal Chemistry (AREA)
- Molecular Biology (AREA)
- Proteomics, Peptides & Aminoacids (AREA)
- Peptides Or Proteins (AREA)
Abstract
The invention relates to the fields of peptide mimetics and pharmacy. The invention provides novel cycle forming linkers and bicyclic peptide mimetics prepared therefrom. The linkers comprise an organic moiety P, leaving groups X1 and X2 at benzylic positions, and a reactive group Q capable of participating in a linking reaction. The organic moiety P contains an aromatic (hetero) cycle, an aliphatic heterocycle comprising a positively charged nitrogen atom, and a neutral nitrogen atom.
Description
Title: Novel bicyclic peptide mimetics
The invention relates to the fields of peptide mimetics and pharmacy. There is an ever expanding interest in the art in detection, identification, isolation and generation of biologically active compounds, especially biologically active proteins. In the last few decades, the art has discovered a multitude of different biologically active compounds and (partly) their receptors and pathways. Until recently, biologically active compounds, such as for instance antibodies, enzymes, receptors, and receptor ligands were manufactured using recombinant techniques or were isolated from biological specimens, such as blood or tissue. Because little was known about the functional part of a biologically active compound of interest, in general the whole protein was used, for instance for vaccination or hormone therapy. Such an approach, however, has drawbacks. For instance, incorrect folding of the whole (recombinant) protein can lead to reduced bioactivity or to unwanted immunogenicity of the protein. To reduce the risk of unwanted immunogenicity the art has found ways of reducing the size of the protein, for instance by selecting only a functional part, such as the receptor binding part of a ligand or the catalytic domain of an enzyme. Examples of such approaches are the use of so called "minimal enzymes", the use of Fab fragments instead of the whole antibody or the use of for instance a parathyroid hormone fragment for its hypotensive effect. Increased knowledge about the molecular interactions between receptors and ligands has made it possible to reduce proteins to their actual interacting part.
It is however not only advantageous to reduce the size of biologically active molecules, such as receptors, receptor ligands, and enzymes, that posses a risk of inducing an unwanted immune response. It is also advantageous to reduce the size of a compound that is intended for inducing an immune response, such as a proteinaceous molecule present in a vaccine. It may for instance be advantageous to use only one particular epitope instead of the whole protein. This has a particular advantage that the immune system is directed to this one epitope only and does not get to chose from a multitude of epitopes present in said whole protein. Other parts of the protein may for instance lead to unwanted effects, such as cross-reactivity of another epitope with other (self) -proteins, or unwanted biological effect of the protein.
As far as binding is concerned, there is not much difference between the binding of a GCPR ligand to a GCPR and the binding of an epitope to a T cell receptor or to an antibody. Both interactions largely depend on the three dimensional structure of the receptor and the three dimensional structure of the ligand or epitope. The smaller the molecule and the more specific the binding of said molecule to its target, the less unwanted effects are expected.
An important aspect of ligand-receptor binding properties, and thus also of the immunogenic properties of a proteinaceous molecule of interest, is the conformation, i.e. three dimensional structure of the binding domain. The three dimensional structure of a protein is very important in ligand-receptor binding, such as for instance in binding of a G- protein coupled receptor (GPCR) ligand to its receptor or in antibody— antigen binding.
The same holds true for the catalytic domain of an enzyme. The three dimensional structure of a catalytic domain is very important for binding and enzymatic conversion of the enzymatic substrate.
In WO 2004/077062 the present inventors have previously described a method for restricting the three dimensional structure of a compound by attaching the compound to a (hetero)aromatic molecule, for instance a halomethylarene. Coupling of a compound, for instance a peptide, to a (hetero)aromatic molecule as described in WO 2004/077062, which is incorporated herein by reference, will lead to formation of a peptide loop. Such peptide loop resembles for instance a peptide loop in a native protein for which the compound is used as a mimic.
In WO 2008/013454, the conformational restriction of a peptidic compound was further improved by the present inventors by further restricting the conformation of said immunogenic compound. This has for instance been achieved by the introduction of an additional internal bond in said compound. An internal bond in addition to the bonding of a compound to a (hetero) aromatic molecule further restricts the three dimensional structure of a peptidic compound. This is described in more detail in WO 2008/013454, which is incorporated herein by reference.
The conformation of a compound is defined herein as the number of possible spatial arrangements of a compound. In view of rotation about single covalent bonds, free compounds often adopt many different conformations. Restricting the conformation of a
peptidic compound involves limiting the number of possible spatial arrangements, thereby forcing the compound to spend more time in a certain conformational state.
However, further restricting the conformation of a peptidic compound does not necessarily induce a conformation that more closely resembles that of a native molecule of interest. If the conformation is for instance restricted in a non-natural way, i.e. not restricted in the same way as in the native proteinaceous molecule of interest, the peptidic compound resembles the native conformation less closely. In such a case no improvement of ligand-receptor binding is expected to occur. There is thus still need for compounds that preferably more closely resemble the native conformation of (part of) a molecule of interest.
It is an object of the present invention to improve the resemblance of a peptidic compound, either by restriction its conformation or by providing the missing part of a discontinuous binding site such that it more closely mimics the protein surface from which it was derived, such as for instance the binding site of a receptor, the antigen binding part of an antibody or any discontinuous epitope on a particular protein.
In a first embodiment, the invention provides a molecule according to general formula (I)
X1 and X2 are independently a aving group at a benzylic position;
Q is a reactive group capable of participating in an oxime-ligation reaction, a hydrazone-ligation reaction, an alkyne-azide cycloaddition, a Diels-Alder reaction, a conjugate thiol-addition (Michael-type) reaction, or a thiol-ene reaction;
and
P is an organic moiety comprising
- an aromatic (hetero)cycle;
at least one aliphatic (hetero)cycle;
at least one positively charged nitrogen atom; and
at least one neutral nitrogen atom,
said positively charged nitrogen atom and said neutral nitrogen atom independently from one another being comprised in said aromatic (hetero)cycle and/or said aliphatic (hetero)cycle, and said— CH2— X1 and— CH2— X2 are bound to the aromatic (hetero)cycle.
In a preferred embodiment, the aliphatic cycle is an aliphatic heterocycle comprising the positively charged nitrogen atom. The invention thus provides a molecule according to general formula (I)
wherein
P is an organic moiety comprising
an aromatic (hetero)cycle;
an aliphatic heterocycle comprising a positively charged nitrogen atom; and a neutral nitrogen atom being comprised in said aromatic (hetero)cycle and/or said aliphatic heterocycle;
X1 and X2 are independently a leaving group, bound to the aromatic (hetero)cycle at a benzylic position; and
Q is a reactive group capable of participating in an oxime-ligation reaction, a hydrazone-ligation reaction, an alkyne-azide cycloaddition, a Diels-Alder reaction, a conjugate thiol-addition (Michael-type) reaction, or a thiol-ene reaction;
Such molecule of general formula (I), preferably a molecule of formula (I) wherein the positively charged nitrogen atom is comprised within the alipathic heterocycle, is especially useful for improving the resemblance of a peptidic compound. This can be done either by restriction its conformation or by providing the missing part of a discontinuous binding site such that it more closely mimics the protein surface from which it was derived. Compounds of the invention can for instance be used for preparing mimics of the binding
site of a receptor, the antigen binding part of an antibody, or any discontinuous epitope on a particular protein.
The presence of a positively charged nitrogen atom in said (hetero) aromatic molecule allows the peptide loop to adopt a more natural secondary and tertiary structure as compared to a peptide loop bound to a (hetero)aromatic molecule that does not comprise a positively charged nitrogen atom. Within said (hetero)aromatic molecule according to the invention, the positively charged nitrogen atom is thus preferably comprised in the aliphatic heterocycle, said aliphatic heterocycle being part of said (hetero) aromatic molecule.
The presence of a reactive group Q capable of participating in an oxime-ligation reaction, a hydrazone-ligation reaction, an alkyne-azide cycloaddition, a Diels-Alder reaction, a conjugate thiol-addition (Michael- type) reaction, or a thiol-ene reaction allows a compound according to the invention to be used for the mimicking of a discontinuous binding site as explained in detail further below. It is preferred that reactive group Q is capable of participating in either an oxime-ligation reaction or in an activated alkyne-azide (or thermal CLICK) cycloaddition, .
A molecule according to the invention can be used in all fields where the
conformation of a particular peptide or peptide-based protein mimic of a discontinuous binding site is relevant or crucial. The invention thus covers, amongst others, the design of therapeutic discontinuous peptide ligands that are able to trigger (agonist) or block (antagonist) a specific receptor, catalytic domains of enzymes and any discontinuous epitope on a protein. After immunization, for instance, a compound which more closely resembles a discontinuous conformation of part of a molecule of interest preferably will lead to antibodies and/or T cells which bind the molecule of interest more strongly and/or more specifically than antibodies and/or T cells obtained with compounds known in the art.
The term "more closely resembling" means that for instance an antibody specific for the molecule of interest also binds with high affinity to the peptidic compound. As another example, a ligand mimic more closely resembling the conformation required for receptor binding will bind with higher affinity to that receptor. Another example is for instance the mimicking of a catalytic domain. If a mimic of the invention more closely resembles the conformation of the catalytic domain of an enzyme, the mimic preferably has similar enzymatic properties as the native protein. Resemblance in this respect is more than for
instance considerable sequence identity. Resemblance as defined herein also includes similar secondary and/or tertiary structure between said peptidic compound and said part of said molecule of interest. Preferably said similar secondary and tertiary structure between said peptidic compound and said molecule of interest allows a molecule capable of binding said molecule of interest to also bind said peptidic compound.
With an Oxime-ligation' reaction (Scheme 8) is meant a chemical reaction between a substituted aminoxy group (R3-0-NH2) and an aldehyde group [R4-(C=0)H] or ketone [R4-C(=0)R7] group, resulting in the formation of an oxime conjugate (R3-0-N=CH- R4 or R3-0-N=C-R4R7), wherein R3 and/or R4 is -(C=0)-alkyl- or -(C=0)-aryl-, wherein 'alkyl' refers to any linear or branched Ci-4 carbon fragment and 'aryl' refers to any 5- or 6- membered (substituted) (hetero)aryl linking unit, and R7 is any linear or branched Ci-4 alkyl or any 5- or 6-membered (substituted) (hetero)aryl group. This reaction is
chemoselective and can be performed in the presence of peptides with fully unprotected side chains. The reaction can be carried out under fully aqueous conditions at a pH of ~4-6 (Advanced Organic Chemistry, J. March, 4th edition, pg 906-907).
By convention, the formulas of the R-groups are depicted such, that left part is connected to the heteroaromatic compound of the invention and the right part to functional group of the linking reaction.
With an 'hydrazone-ligation' reaction (Scheme 8) is meant a chemical reaction between a substituted hydrazine (R3-NH-NH2) and an aldehyde group [R4-(C=0)H] or ketone [R4-C(=0)-R7] group, resulting in the formation of a hydrazone conjugate (R3-NH- N=CH-R4 or R3-NH-N=C(-R4)-R7), wherein R3 and/or R4 is -(C=0)-alkyl- or -(C=0)-aryl-, wherein 'alkyl' refers to any linear or branched Ci-4 carbon fragment and 'aryl' refers to any 5- or 6-membered (substituted) (hetero)aryl linking unit, and R7 is any linear or branched Ci-4 alkyl or any 5- or 6-membered (substituted) (hetero)aryl group. This reaction is chemoselective and can be performed in the presence of peptides with fully unprotected side chains. The reaction can be carried out under fully aqueous conditions at a pH of ~4-6 (Advanced Organic Chemistry, J. March, 4th edition, pg 904-905).
With an 'alkyne-azide cycloaddition' or 'CLICK' reaction (Scheme 9) is meant a chemical reaction between a substituted alkyne (R4-C≡CH) and an azide (R3-N=N+=N-, or
simply R3-Ns), resulting in the formation of a 1,2,3-triazole, wherein R3 and/or R4 is -(C=0)-alkyl- or -(C=0)-aryl-, wherein 'alkyl' refers to any linear or branched Ci-4 carbon fragment , and 'aryl' refers to any 5- or 6-membered (substituted) (hetero)aryl linking unit. The reaction is fully chemo-selective and is usually catalyzed by Cu(I), with the exception of some alkynes that are part of a strained (hetero)cycle and therefore react spontaneously with azides. The Cu(I)-catalyzed reaction exclusively forms the 1,4-isomer, while a mixture of the - and 1,5-isomer is being for
The reaction can be carried out under aqueous conditions in the presence of peptides with fully unprotected side chains (Bock V., Hiemstra H., van Maarseveen, JH., Eur. J. Org. Chem. 2006, 51-68).
With a 'Diels-Alder' reaction is meant a [4+2] cycloaddition reaction between dienophile (any compound containing a double bond) and a conjugated diene, resulting the for
, wherein R3 is -(C=0)-alkyl- or -(C=0)-aryl- and R9 is -(C=0)-alkyl-C(=0)-, -C(=0)- alkyl-0-C(=0)-, -C(=0)-alkyl-NH-C(=0)-, -C(=0)-alkyl-S(=0)-, -C(=0)-alkyl-0-S(=0)-, - (C=0)-aryl-C(=0)-, -C(=0)-aryl-0-C(=0)-, -C(=0)-aryl-NH-C(=0)-, -C(=0)-aryl-S(=0)-, or - C(=0)-aryl-0-S(=0)-, wherein 'alkyl' refers to any linear or branched Ci-4 carbon fragment , and 'aryl' refers to any 5- or 6-membered (substituted) (hetero)aryl linking unit. Normal alkenes react slowly, but alkenes substituted with electron-withdrawing groups rapidly react with dienes in a Diels-Alder type reaction. The reaction is fully chemoselective and can be carried out under aqueous conditions in the presence of peptides with fully unprotected side chains (Advanced Organic Chemistry, J. March, 4th edition, pg 839-852).
With a 'conjugate (1,4) thiol-addition' reaction (Scheme 10) is meant a reaction involving the addition of a thiol (R3SH) to an α,β-unsaturated carbonyl compound, resulting in the
, wherein R3 and/or R4 is -(C=0)-alkyl- or -(C=0)-aryl-, wherein 'alkyl' refers to any linear or branched Ci-4 carbon fragment , and 'aryl' refers to any 5- or 6-membered (substituted) (hetero)aryl linking unit, and R7 is any linear or branched Ci-4 alkyl, or any 5- or 6-membered
(substituted) (hetero)aryl group or hydrogen.
The reaction is fully chemoselective and can be carried out under aqueous conditions in the presence of peptides with fully unprotected side chains (Advanced Organic
Chemistry, J. March, 4th edition, pg 766-767).
With a 'thiol-ene' reaction (Scheme 10) is meant a reaction involving the (radical) addition of a thiol (R3SH) to an unsaturated or double bond (R10CH=CHR7), resulting in the form
, wherein R3 is -(C=0)-alkyl- or -(C=0)-aryl-, and R10 is C(=0) -alkyl- 0-, C(=0)-alkyl-NH-, C(=0)-alkyl-0-C(=0)-, C(=0)-alkyl-NH-C(=0)-, C(=0)-aryl-0-, C(=0)-aryl-NH-, C(=0)-aryl- 0-C(=0)-, C(=0)-aryl-NH-C(=0)-, wherein 'alkyl' refers to any linear or branched Ci-4 carbon fragment and 'aryl' refers to any 5- or 6-membered (substituted) (hetero)aryl linking unit, and R7 is any linear or branched Ci-4 alkyl, or any 5- or 6-membered (substituted) (hetero)aryl group or hydrogen.
The great potential of this high-yielding reaction is that it is not metal-catalyst dependent and that it is compatible with O2 and water (Advanced Organic Chemistry, J. March, 4th edition, pg 766-767; Dondoni et al. Chem. Eur. J. 2009, 15, 14444-9).
In a preferred embodiment, a molecule according to the invention has the formula:
(IV), wherein
X1 and X2 are independently a leaving group at a benzylic position;
Q is a reactive group capable or participating in an oxime-ligation reaction, a hydrazone-ligation reaction, an alkyne-azide cycloaddition, a Diels-Alder reaction, a conjugate thiol-addition (Michael-type) reaction, or a thiol-ene reaction; R1 is a linear or branched Cm alkyl group; R2 is a linear or branched Cn alkyl group, or any optionally substituted 5- or 6-membered (hetero)cycle or a linear or branched Cn alkyl group containing any optionally substituted 5- or 6-membered (hetero)cycle,— (CH2CH20)n— , — (CH2)nC(=0)— , or— 0(CH2)nC(=0)— , in which m is an integer of from 1 to 18, preferably from 1 to 16, more preferably from 1 to 14, more preferably from 1 to 12, preferably from 1 to 10, more preferably from 1 to 8, more preferably from 1 to 7, more preferably from 1 to 6, more preferably from 1 to 5, more preferably from 1 to 4, more preferably from 1 to 3, most preferably m is 1 or 2;and n is an integer of from 1 to 12, preferably from 1 to 10, more preferably from 1 to 8, more preferably from 1 to 7, more preferably from 1 to 6, more preferably from 1 to 5, more preferably from 1 to 4, more preferably from 1 to 3, most preferably n is 1 or 2.
More preferred, a molecule according to the invention comprises the positively charged nitrogen atom in the aliphatic ring and thus has the formula:
(III), wherein
XI, X2, and Q are as defined above, and R1 is a linear or branched Ce, CB, C4, C3, C2, or Ci alkyl group.
More preferred, XI and X2 are, independently from one another a halide, preferably choride or bromide, more preferably, both XI and X2 are bromide.
Preferably, reactive group Q is capable of participating in either an oxime-ligation reaction or in an alkyne-azide cycloaddition. For an oxime ligation reaction, Q is preferably chosen from the group consisting of a substituted aminoxy group (R3-0-NH2), an aldehyde group (R4-(C=0)H) or a ketone (R4-C(=0)R7) group, wherein R3 and/or R4 is -(C=0)-alkyl- or -(C=0)-aryl-, wherein 'alkyl' refers to any linear or branched C1-4 carbon fragment and 'aryl' refers to any 5- or 6-membered (substituted) (hetero)aryl linking unit, and R7 is any linear or branched alkyl or any 5- or 6-membered (substituted) (hetero)aryl group. More preferably R3 = -C(=0)-CH2-ONH2 and R4 = -C(=0)-CH2CH2-(C=0)H.
For an alkyne-azide reaction, Q is preferably chosen from the group consisting of
(C=0)-alkyl- or -(C=0)-aryl-, and R8 is -C=0, wherein 'alkyl' refers to any linear or branched C1-4 carbon fragment , and 'aryl' refers to any 5- or 6-membered (substituted) (hetero)aryl linking unit. In a more preferred embodiment, Q is either C(=0)-CH2-N3 or
In order for the molecule of general formulas (I), (II), (III), and/or (IV) to be able to bind a peptide sequence, the molecule comprises at least two leaving groups (X1 and X2), where the molecule of general formula (I), (II), (III), and/or (IV) can be linked to an amino acid residue, for instance to cysteine. Suitable reactive moieties are for instance
(hetero)aromatic moieties with reactive halogenated benzylic groups that are reactive in any nucleophilic displacement reaction. In a preferred embodiment, leaving groups X1 and X2 are, independently from one another, selected from the group consisting of a halide, a sulfonate ester, a tetraalkylammonium salt, and a diazonium salt, preferably
independently from one another, selected from the group consisting of the halides bromide and chloride. In a further preferred embodiment, leaving groups X1 and X2 are identical, preferably XI and X2 are bromide.
Examples of reactive groups capable of participating in an oxime-ligation reaction, hydrazone-ligation reaction, an alkyne-azide cycloaddition, a Diels-Alder reaction, a conjugate thiol-addition reaction, or a thiol-ene reaction, and the therefrom resulting linkers are listed in Scheme 8 10.
In a preferred embodiment, the reactive group Q is capable of participating in an oxime-ligation reaction, more preferably the reactive group Q is selected from the group consisting of a substituted aminoxy group (R3-0-NH2), an aldehyde group (R4-(C=0)H) or a ketone (R4-C(=0)R7) group, wherein R3 and/or R4 is -(C=0)-alkyl- or -(C=0)-aryl-, wherein 'alkyl' refers to any linear or branched Ci-4 carbon fragment and 'aryl' refers to any 5- or 6- membered (substituted) (hetero)aryl linking unit, and R7 is any linear or branched Ci-4 alkyl or any 5- or 6-membered (substituted (hetero)aryl group. Q is preferably selected from the group consisting of R3-0-NH2 and R4(C=0)H, wherein R3 and R4 are as defined before. More preferably, Q is either -C(=0)-CH2-ONH2 or -C(=0)-CH2CH2-(C=0)H.
Before the oxime-ligation is started, the reactive group Q is preferably protected in order not to interfere with previous reactions, e.g. the peptide linkage. Examples of protected aminoxy groups are: R3ONHBoc, R3ONHFmoc, R3ONHCbz, R3ONHTrt, R3ONHMmt, or R3ONHMtt, wherein Trt is trityl (1,1,1,-triphenylmethyl); Mtt is methoxytrityl ((l-(4-methoxyphenyl)-l,l,-diphenylmethyl); Mmt is methyltrityl
((l-(4-methylphenyl)-l,l,-diphenylmethyl); Boc is tert-butoxycarbonyl; Fmoc is 9H-fluoren-
9-ylmethoxycarbonyl; and Cbz is carbobenzyloxy. Examples of protected aldehyd groups are R4C(Oalkyl)2, wherein R4 is -(C=0)-alkyl- or -(C=0)-aryl-, wherein 'alkyl' refers to any linear or branched Ci-4 carbon fragment and 'aryl' refers to any 5- or 6-membered
(substituted) (hetero)aryl linking unit. Examples of protected ketone groups are
R4C(Oalkyl)2alkyl, R C(Oalkyl)2aryl, wherein R4 is -(C=0)-alkyl- or -(C=0)-aryl-, wherein 'alkyl' refers to any linear or branched Ci-4 carbon fragment and 'aryl' refers to any 5- or 6- membered (substituted) (hetero)aryl linking unit.
In one referred embodiment, the invention provides a molecule of formula:
(II), or (III), wherein
Rl is preferably methyl,
XI and X2 are preferably bromide, and
Q is preferably either -C(=0)-CH2-ONH2 or -C(=0)-CH2CH2-(C=0)H. The molecules of formulas I - IV all have in common that they comprise at least one positively charged nitrogen atom, at least two atoms or molecules that behave as good leaving groups in any nucleophilic displacement reaction (X1 and X2), and a reactive group capable of participating in an oxime- ligation reaction, a hydrazone-ligation reaction, an alkyne-azide cycloaddition, a Diels-Alder reaction, a conjugate thiol- addition (Michael-type) reaction, or a thiol-ene reaction. Preferably, a molecule having formula II or III is used, wherein XI and X2 are halides, more preferably bromides, and Q is is selected from the group consisting of a substituted aminoxy group (R3-0-NH2), an aldehyde group (R4- (C=0)H) or a ketone (R -C(=0)R7) group, wherein R3 and/or R4 is -(C=0)-alkyl- or -(C=0)- aryl-, wherein 'alkyl' refers to any linear or branched Ci-4 carbon fragment and 'aryl' refers to any 5- or 6-membered (substituted) (hetero)aryl linking unit, and R7 is any linear or branched Ci-4 alkyl or any 5- or 6-membered (substituted (hetero)aryl group. Preferably Q is selected from the group consisting of R3-0-NH2 and R4(C=0)H, wherein R3 and R4 are as defined before. More preferably, Q is either -C(=0)-CH2-ONH2 or -C(=0)-CH2CH2-(C=0)H.
Leaving groups X1 and X2 can be any good leaving group. Preferably X1 and X2 are chosen, independently from one another from any halide, such as chloride, bromide, iodide, or any sulfonate ester, such as mesylate (methanesulfonate group), tosylate
(para-toluenesulfonate group), fluorosulfonates, triflates (trifluoromethanesulfonate group), nonaflates (nonafluorobutylsulfonate group), brosylates (para-bromobenzenesulfonate group), nosylate (para-nitrobenzenesulfonate group), and diazonium salts. In molecules of formula II-IV, X1 and X2 can be positioned anywhere on a free position of the arene, thus in ortho, meta or para position. In a preferred embodiment, X1 and X2 are positioned at both para positions of the existing alkyl-substituents on that aromatic ring in a compound of formula II and positioned on the meta position to the existing alkyl-substituent on that aromatic ring in a compound of formula III. In a more preferred embodiment, both X1 and X2 are halides, preferably bromide or chloride, more preferably, both X1 and X2 are bromides.
Molecules according to general formula III or IV comprise an alkyl group (R1 or R2), attached to the positively charged nitrogen atom. R1 is a linear or branched Cm alkyl group; R2 is a linear or branched Cn alkyl group, any optionally substituted 5- or 6-membered (hetero)cycle, or a linear or branched Cn alkyl group containing any optionally substituted 5- or 6-membered (hetero)cycle, -(CH2CH20)n-, -(CH2)nC(=0)-, or -0(CH2)nC(=0)-, wherein m is an integer of from 1 to 18, preferably from 1 to 16, more preferably from 1 to 14, more preferably from 1 to 12, more preferably from 1 to 10, more preferably from 1 to 8, more preferably from 1 to 7, more preferably from 1 to 6, more preferably from 1 to 5, more preferably from 1 to 4, more preferably from 1 to 3, most preferably m is 1 or 2; n is an integer of from 1 to 12, preferably from 1 to 10, more preferably from 1 to 8, more preferably from 1 to 7, more preferably from 1 to 6, more preferably from 1 to 5, more preferably from 1 to 4, more preferably from 1 to 3, most preferably n is 1 or 2. Preferably, R1 is chosen from methyl, propyl, isopropyl, , n-butyl, and isobutyl and R2 is chosen from methyl, ethyl, propyl, isopropyl, n-butyl, and isobutyl.
In a more preferred embodiment, a molecule according to general formula I - IV is provided, wherein X1 and X2 are, independently from one another, selected from the group consisting of any halide, such as chloride, bromide, or iodide, any sulfonate ester, such as mesylate (methanesulfonate group), tosylate (para-toluenesulfonate group),
fluorosulfonates, triflates (trifluoromethanesulfonate group), nonaflates
(nonafluorobutylsulfonate group), brosylates (para-bromobenzenesulfonate group), nosylate (para-nitrobenzenesulfonate group), a tetralkylammonium salt, and a diazonium salt. Preferably, XI and X2 are halides, independently chosen from the group consisting of bromide and chloride. More preferably leaving group X1 and X2 are identical, most preferably XI and X2 are bromide.
In a preferred embodiment, the invention provides a molecule according to the invention havin formula:
R1 is preferably methyl;
X1 and X2 are preferably bromide, and
Q is preferably either -C(=0)-CH2-ONH2 or -C(=0)-CH2CH2-(C=0)H.
Now that the invention provides the insight that a molecule of general formula (I)— (IV), preferably of general formula (II) or (III) is useful for use in mimicking a discontinuous binding site of a protein, a compound comprising a peptide loop bound to such molecule of general formula (I), preferably wherein the positively charged nitrogen atom is comprised within the aliphatic heterocycle, more preferably to a molecule of general formula (II) or (III), is also provided.
In one embodiment, therefore, the invention provides a compound according to the general formula (V):
I (V), wherein
Q
Q is a reactive group, capable of participating in an oxime-ligation reaction, a hydrazone-ligation reaction, an alkyne-azide cycloaddition, a Diels-Alder reaction, a conjugate thiol-addition (Michael-type) reaction, or a thiol-ene reaction;
-pep- is a peptide sequence comprising 2 - 40 amino acids; and
P is an organic moiety comprising
- an aromatic (hetero)cycle;
at least one aliphatic (hetero)cycle;
at least one positively charged nitrogen atom; and
at least one neutral nitrogen atom,
said positively charged nitrogen atom and said neutral nitrogen atom independently from one another being comprised in said aromatic (hetero)cycle and/or said aliphatic
(hetero)cycle, said— CH2— L1— and— CH2— L2— are bound to the aromatic (hetero)cycle, and L1 and L2 represent independently from one another a linker between said aromatic (hetero)cycle and said peptide sequence.
Preferably said positive nitrogen atom is comprised within the aliphatic ring.
Therefore the invention further provides a compound according to the general formula (V):
- P is an organic moiety comprising
an aromatic (hetero)cycle;
an aliphatic heterocycle comprising a positively charged nitrogen atom; and - a neutral nitrogen atom being comprised in said aromatic (hetero)cycle and/or said aliphatic heterocycle;
L1 and L2 represent independently from one another a linker at a benzylic position on said aromatic cycle between said aromatic (hetero)cycle and said peptide; and
Q is a reactive group, capable of participating in an oxime-ligation reaction, a hydrazone-ligation reaction, an alkyne-azide cycloaddition, a Diels-Alder reaction, a conjugate thiol-addition (Michael-type) reaction, or a thiol-ene reaction. Preferably, reactive group Q is capable of participating in either an oxime-ligaiton reaction or in an alkyne- azyide cycloaddition. For an oxime ligation reaction, Q is preferably chosen from the group consisting of a substituted aminoxy group (R3-0-NH2), an aldehyde group (R4-(C=0)H) or a ketone (R4-C(=0)R7) group, wherein R3 and/or R4 is -(C=0)-alkyl- or -(C=0)-aryl-, wherein
'alkyl' refers to any linear or branched Ci-4 carbon fragment and 'aryl' refers to any 5- or 6- membered (substituted) (hetero)aryl linking unit, and R7 is any linear or branched alkylor any 5- or 6-membered (substituted (hetero)aryl group. More preferably, Q is either -C(=0)-
Until the oxime-ligation is started, the reactive group Q is preferably protected as described above in order not to interfere with previous reactions, e.g. the peptide linkage.
For an alkyne-azide reaction, Q is preferably chosen from the group consisting of
R C≡CH, R3N3 and
, wherein R3 and/or R4 is -(C=0)-alkyl- or -(C=0)-aryl-, and R8 is -C=0, wherein 'alkyl' refers to any linear or branched C1-4 carbon fragment , and 'aryl' refers to any 5- or 6-membered (substituted) (hetero)aryl linking unit.
Preferred compounds according to the invention with general formula (V), are compounds comprising a moiety with the formula
Q is a reactive group, capa e o part c pat ng n an ox me- gat on react on, a hydrazone-ligation reaction, an alkyne-azide cycloaddition, a Diels-Alder reaction, a conjugate thiol-addition (Michael-type) reaction, or a thiol-ene reaction;
-pep- is a peptide sequence comprising 2 - 40 amino acids
L1 and L2 are, independently from one another, a linker between said aromatic (hetero)cycle and said peptide sequence;
R1 is a linear or branched Cm alkyl group; R2 is a linear or branched Cn alkyl group, any optionally substituted 5- or 6-membered (hetero)cycle, or a linear or branched Cn alkyl group containing any optionally substituted 5- or 6-membered (hetero)cycle,
-(CH2CH20)n-
wherein m is an integer of from 1 to 18, preferably from 1 to 16, more preferably from 1 to 14, more preferably from 1 to 12, more preferably from from 1 to 10, more preferably from 1 to 8, more preferably from 1 to 7, more preferably from 1 to 6, more preferably from 1 to 5, more preferably from 1 to 4, more preferably from 1 to 3, most preferably m is 1 or 2; n is an integer of from 1 to 12, preferably from 1 to 10, more preferably from 1 to 8, more preferably from 1 to 7, more preferably from 1 to 6, more preferably from 1 to 5, more preferably from 1 to 4, more preferably from 1 to 3, most preferably n is 1 or 2.
Preferably, a molecule according to the invention comprises the positively charged nitrogen atom in the aliphatic ring and thus has the formula
Q is a reactive group, capable of participating in an oxime-ligation reaction, a hydrazone-ligation reaction, an alkyne-azide cycloaddition, a Diels-Alder reaction, a conjugate thiol-addition (Michael-type) reaction, or a thiol-ene reaction;
-pep- is a peptide sequence comprising 2 - 40 amino acids;
L1 and L2 are, independently from one another, a linker between said aromatic (hetero)cycle and said peptide sequence, preferably LI and L2 are independently from one another, selected from the group consisting of S and CH2S;
R1 is a linear or branched Cm alkyl group, wherein m is an integer of from 1 to 6, more preferably from 1 to 5, more preferably from 1 to 4, more preferably from 1 to 3, more preferably m is 1 or 2 most preferably, Rl is methyl.
Preferably Q is a reactive group, capable of participating in an oxime-ligation reaction, preferably selected from the group consisting of a substituted aminoxy group (R3- O-NH2), an aldehyde group (R4-(C=0)H) or a ketone (R4-C(=0)R7) group, wherein R3 and/or R4 is -(C=0)-alkyl- or -(C=0)-aryl-, wherein 'alkyl' refers to any linear or branched C1-4 carbon fragment and 'aryl' refers to any 5- or 6-membered (substituted) (hetero)aryl linking unit, and R7 is any linear or branched C1-4 alkyl or any 5- or 6-membered (substituted (hetero)aryl group. More preferably Q is selected from the group consisting of R3-0-NH2 and R4(C=0)H, wherein R3 and R4 are as defined before. More preferably, Q is either -C(=0)- CH2-ONH2 or -C(=0)-CH2CH2-(C=0)H.
In a preferred embodiment, a molecule of formula VI or VII of the invention is provided, wherein for compound of formula VI, L1 and L2 are positioned at both para positions of the existing alkyl-substituents on that aromatic ring, whereas for compound of
formula VII, L1 and L2 are positioned on the meta position to the existing alkyl-substituent on that aromatic ring. In a more preferred embodiment, both L1 and L2 are S.
The compounds with formulas VI, VII and VIII correspond to compound of formulas II, III, IV after reaction with a peptide sequence. The reactive groups X1 and X2 of formulas II - IV have reacted with a suitable group in the peptide sequence, such as for instance a free thiol group to form linkages L1 and L2. In a preferred embodiment, a compound according to the invention of general formula V— VIII is provided, wherein L1 and L2 are, independently from one another, selected from the group consisting of S, CH2S, S=0, S(=0)2, alkylS, alkylS=0, alkylS(=0)2, arylS, arylS=0, arylS(=0)2, wherein alkyl is a linear or branched Cm alkyl group and aryl is a CB or Ce (hetero)aryl group, wherein m is an integer of from 1 to 18, preferably from 1 to 16, more preferably from 1 to 14, more preferably from 1 to 12, more preferably from from 1 to 10, more preferably from 1 to 8, more preferably from 1 to 7, more preferably from 1 to 6, more preferably from 1 to 5, more preferably from 1 to 4, more preferably from 1 to 3, most preferably m is 1 or 2. With regard to LI and L2, as said above, each of these linkers are, independently from one another, preferably, selected from the group consisting of S and CH2S. It is to be noted that although S and CH2S are designated as linkers, the chemical groups preferably were (and are) part of the peptide structure of— pep 1— or— pep 2— .. Preferably, S is the sulfide moiety of cysteine and CH2S is the methylsulfide moiety of homocysteine. A linker S is typically obtained by reacting a sulfide moiety, typically of cysteine within peptide— pep 1— and/or — pep 2— preferably with a bromide at a benzylic position on a (hetero) aromatic molecule of the invention. A linker CH2S is for instance obtained by reacting a homocysteine with a bromide at a benzylic position on a (hetero)aromatic molecule of the invention.
Q is thus a reactive group, capable of participating in an oxime-ligation reaction, a hydrazone-ligation reaction, an alkyne-azide cycloaddition, a Diels-Alder reaction, a conjugate thiol-addition (Michael-type) reaction, or a thiol-ene reaction. Preferably, reactive group Q is capable of participating in either an oxime-ligaiton reaction or in an alkyne- azyide cycloaddition. For an oxime ligation reaction, Q is preferably chosen from the group consisting of a substituted aminoxy group (R3-0-NH2), an aldehyde group (R4-(C=0)H) or a ketone (R4-C(=0)R7) group, wherein R3 and/or R4 is -(C=0)-alkyl- or -(C=0)-aryl-, wherein 'alkyl' refers to any linear or branched C1-4 carbon fragment and 'aryl' refers to any 5- or 6- membered (substituted) (hetero)aryl linking unit, and R7 is any linear or branched alkylor
any 5- or 6-membered (substituted (hetero)aryl group. More preferably, Q is either -C(=0) CH2-ONH2 or -C(=0)-CH2CH2-(C=0)H.
Until the oxime-ligation is started, the reactive group Q is preferably protected as described above in order not to interfere with previous reactions, e.g. the peptide linkage.
For an tion, Q is preferably chose the group consisting of
R4C≡CH, R3N
preferably from R3N3 and , wherein R3 an/or R4 is -(C=0)-alkyl- or -(C=0)-aryl-, and R8 is -C=0, wherein 'alkyl' refers to any linear or branched C1-4 carbon fragment , and 'aryl' refers to any 5- or 6-membered (substituted) linking unit. In a more preferred embodiment, Q is either C(=0)-CH2-N3 or
The invention also provides a method for producing a compound of formula VI, VII or VIII, the method comprising the steps of
providing a molecule according to any one of formulas I— IV of the invention, - providing a peptide sequence capable of reacting with leaving groups X1 and X2 present in said molecule, preferably said peptide sequence comprises a cysteine or homocysteine, capable of reacting with leaving groups X1 and X2;
reacting said molecule with said peptide sequence to form two linkages between said molecule and said peptide sequence.
Preferably, a compound of formula VI or VII is produced by providing a molecule of formula II or III. More preferably leaving groups X1 and X2 are selected, independently from one another from bromide or chloride. More preferably both X1 and X2 are bromide.
Preferably the two linkages between said molecule and said peptide sequence are, independently from one another, S or CH2S, more preferably both linkages are S. As said above, S and CH2S are the sulfide moieties from for instance a cysteine or homocysteine, present in said peptide sequence and capable of reacting with leaving groups X1 and X2.
In a preferred embodiment, a method according to the invention is provided, wherein Q, comprised within said molecule I— IV, preferably compound II or III, is capable of participating in an oxime-ligation reaction, or an alkyne-azide cycloaddition. . For an oxime ligation reaction, Q is preferably chosen from the group consisting of a substituted aminoxy group (R3-0-NH2), an aldehyde group (R4-(C=0)H) or a ketone (R4-C(=0)R7) group, wherein R3 and/or R4 is -(C=0)-alkyl- or -(C=0)-aryl-, wherein 'alkyl' refers to any linear or branched Ci-4 carbon fragment and 'aryl' refers to any 5- or 6-membered (substituted) (hetero)aryl linking unit, and R7 is any linear or branched alkylor any 5- or 6-membered (substituted (hetero)aryl group. More preferably, Q is either -C(=0)-CH2-ONH2 or -C(=0)-CH2CH2- (C=0)H.
Until the oxime-ligation is started, the reactive group Q is preferably protected as described above in order not to interfere with previous reactions, e.g. the peptide linkage.
For an tion, Q is preferably chos the group consisting of
R C≡CH, R3N
preferably from R3N3 and , wherein R3 an/or R4 is -(C=0)-alkyl- or -(C=0)-aryl-, and R8 is -C=0, wherein 'alkyl' refers to any linear or branched Ci-4 carbon fragment , and 'aryl' refers to any 5- or 6-membered (substituted) linking unit. In a more preferred embodiment, Q is either C(=0)-CH2-N3 or
In on referred embodiment the invention provides a molecule of formula
(VII), wherein
L1 and L2 are preferably S or CH2S;
R1 is preferably is methyl.
Q is preferably either -C(=0)-CH2-ONH2 or -C(=0)-CH2CH2-(C=0)H.
In a more preferred embodiment, the invention provides a molecule according to the invention of formula
-pep- is a peptide sequence comprising 2 - 40 amino acids;
L1 and L2 are preferably S or CH2S;
R1 is a preferably is methyl.
Q is preferably either -C(=0)-CH2-ONH2 or -C(=0)-CH2CH2-(C=0)H.
A "peptide loop" is defined herein as a structure formed after coupling a peptide with two linkages to a molecule of general formula I— IV according to the invention, said peptide loop preferably resembling a secondary structure within a molecule of interest, preferably a proteinaceous molecule of interest. Preferably said secondary structure within said molecule of interest comprises a loop or turn. There are different kinds of turns and/or loops known in the art. For instance an a-turn is characterized by (a) hydrogen bond(s) in which the donor and acceptor residues are separated by four residues (i, i+4). A 6-turn (the most common form) is characterized by (a) hydrogen bond(s) in which the donor and acceptor residues are separated by three residues (i, i+3). A γ-turn is characterized by (a) hydrogen bond(s) in which the donor and acceptor residues are separated by two residues (i, i+2) and a n-turn is characterized by (a) hydrogen bond(s) in which the donor and acceptor residues are separated by five residues (i, i+5; helix-terminating signal). Finally, an co-loop is a kind
of catch-all term for a longer loop with no internal hydrogen bonding. Said secondary structure within said molecule of interest preferably comprises at least one co-loop and/or at least one 6-turn. A secondary structure within a proteinaceous molecule of interest that is mimicked by a compound according to the invention is for instance a discontinuous epitope, ligand- binding site, receptor-binding site, or catalytic domain of said molecule of interest.
In one particular aspect of the invention, said secondary structure is a discontinuous epitope of said molecule of interest. Preferably said discontinuous epitope is an
immunodominant epitope. Immunodominant epitopes are defined as subunits of an antigenic determinant that are easily recognised by the immune system and thus influence the specificity of the induced antibody. A secondary structure within a proteinaceous molecule of interest that is mimicked by (a) peptide loop(s) of the invention, however, may also comprise a subdominant epitope. Generally, immunodominant epitopes are, as the name suggests, dominant over most, if not all other epitopes of a given protein or at least part of a given protein. The immune system is thus oblivious for the non-dominant epitopes, also called subdominant epitopes or cryptic epitopes.
It is preferred to use a subdominant epitope of a molecule of interest whenever the immunodominant epitope does not suffice. This is for instance the case when an
immunodominant epitope is incapable of inducing a desired immune response, such as for instance a neutralizing antibody response. A special kind of subdomimant epitopes are so called "cryptic epitopes". Cryptic epitopes or cryptic peptides are defined as peptides that are part of a (self-)protein, but under normal conditions are not presented to the immune system. The immune system is therefore "ignorant" of these cryptic peptides. Proteins taken up by antigen presenting cells are processed, i.e. cut in small peptide fragments. Under normal conditions, these small peptide fragments of a given protein are more or less identical after each processing. These are the immunodominant peptides. Each time a given protein is processed it produces for instance peptides x, y and z in sufficient amounts to be effectively presented to the immune system. The immune system, constantly being exposed to peptides x, y and z, for instance of a self protein, ignores these immunodominant peptides. If, however, peptides that are not normally presented are being generated and presented to the immune system in sufficient amounts, the immune system will react to
them, irrespective of whether the peptides are self or non-self. It is therefore that, in one preferred embodiment, a compound according to the invention comprises a peptide loop which comprises or resembles a cryptic epitope or peptide from a molecule of interest, preferably from a self- protein.
In another aspect of the invention, said secondary structure to be mimicked by a compound according to the invention is a receptor binding site of a ligand, or a ligand binding site of a receptor. A compound according to the invention mimicking a receptor binding site of a ligand can for instance be used to activate (agonist) or block (antagonist) said receptor. With such compound according to the invention it is thus possible to modulate receptor action.
A compound according to the invention that resembles a ligand binding site of a receptor for instance binds to the ligand, thereby preferably decreasing the biological activity of said ligand.
In yet another aspect, a secondary structure that may be mimicked by compounds according to the invention are for instance catalytic domains of enzymes for use in, for instance, enzyme replacement therapy. As said before, small proteinaceous molecules that closely resemble a native conformation are expected to have less undesired effects, such as induction of immune responses.
As said before, a compound of general formula VI, VII and/or VIII according to the invention preferably comprises a peptide loop that closely resembles part of a molecule of interest. In order to be able to mimic a discontinuous binding site, however, two of said compounds of general formula VI, VII and/or VIII are coupled to each other such that the resulting compound comprises further peptide loop(s), wherein each of said further loop(s) preferably comprises another (part of) an epitope of a molecule of interest. This is particularly useful when the molecule of interest comprises an epitope, catalytic domain, or ligand-binding domain that consists of more than one region of the molecule of interest, a so called discontinuous domain.
In one embodiment therefore, the invention provides a compound according to the following
wherein
— Y— comprises a link formed as a result of an oxime-ligation reaction, a hydrazone- ligation reaction, an alkyne-azide cycloaddition, a Diels-Alder reaction, a conjugate thiol- addition (Michael-type) reaction, or a thiol-ene reaction;
- pep 1 - and - pep 2— are independently from one another a peptide sequence comprising 2- 40 amino acids; and
P is an organic moiety comprising
an aromatic (hetero) cycle;
at least one aliphatic (hetero)cycle;
at least one positively charged nitrogen atom; and
at least one neutral nitrogen atom,
said positively charged nitrogen atom and said neutral nitrogen atom independently from one another being comprised in said aromatic (hetero)cycle and said aliphatic
(hetero)cycle, -CH2-L1-, -CH2-L2-, -CH2-L3-, and -CH2-L4- being bound to the aromatic (hetero)cycle, and L1, L2, L3, and L4, are independently from one another a linker between said aromatic (hetero)cycle and said peptide sequence.
Each of the two peptide loops, -pep 1- and -pep 2-, of a compound of general formula IX according to the invention preferably resembles a different part of said discontinuous binding site, the compound in itself thus preferably resembling a bigger part of the discontinuous binding site of the native molecule of interest.
It is preferred that the positively charged nitrogen atom is comprised within said aliphatic heterocycle. The invention thus provides a compound according to the following general formula (IX):
wherein
- pep 1 - and - pep 2— are independently from one another a peptide sequence comprising 2- 40 amino acids;
- P is an organic moiety comprising
an aromatic (hetero)cycle;
an aliphatic heterocycle comprising a positively charged nitrogen atom; and a neutral nitrogen atom being comprised in said aromatic (hetero)cycle and/or said aliphatic heterocycle;
L1, L2, L3, and L4, represent independently from one another a linker at a benzylic position on said aromatic cycle between said aromatic cycle and said peptide; and
— Y— comprises a link formed as a result of an oxime-ligation reaction, a hydrazone- ligation reaction, an alkyne-azide cycloaddition, a Diels-Alder reaction, a conjugate thiol- addition (Michael-type) reaction, or a thiol-ene reaction. Preferably— Y— comprises a link formed as a result of an oxime-ligation reaction or an alkyne-azide cycloaddition. If— Y— comprises a link formed as a result of an oxime-ligation reaction,— Y— is preferably selected from the group consisting of R30-N=CHR4 and R30-N=C(-R5)R6, wherein R3 and/or R4 is - (C=0)-alkyl- or -(C=0)-aryl-, wherein 'alkyl' refers to any linear or branched Ci-4 carbon fragment and 'aryl' refers to any 5- or 6-membered (substituted) (hetero)aryl linking unit, and R5 and R6 together form an optionally substituted 5- or 6-membered (substituted (hetero)aryl group.
It is also possible to restrict the conformation of a compound of general formula IX according to the invention, by covalently linking the peptide loops to one another. In a preferred embodiment, therefore a compound of the invention according to formula IX is provided, wherein an additional covalent linkage is present between said—pep 1— and said -pep 2- peptide sequence. Preferably said peptide sequences are covalently linked by a disulphide bond (also called an SS-bridge) because disulphide bonds are selectively formed between free cysteine residues without the need to protect other amino acid side chains. Furthermore, disulphide bonds are easily formed by incubating in a basic environment. Preferably a disulphide bond is formed between two cysteine residues, since their sulfhydryl groups are readily available for binding. The location of an SS-bridge within an amino acid sequence is easily regulated by regulating the location of free cysteine residues. Schemes 1 and 3 - 6 show general and very specific examples of a compound according to the invention with or without a disulphide bridge between the two peptides. Of course, other kinds of internal bonds are also suitable for restricting the conformation of a compound of the invention. For instance, Se-Se (diselenium) bonds are used. An advantage of diselenium bonds is the fact that these bonds are reduction insensitive. Hence, compounds comprising a diselenium bond are better capable of maintaining their conformation under reducing circumstances, for instance present within an animal body. Furthermore, a diselenium bond is preferred when a free SH-group is present within the compound, which SH-group is for instance used for a subsequent coupling reaction to a carrier. Such free SH-group is not capable of reacting with a diselenium bond. Alternatively, or additionally, a metathesis reaction is used in order to form an internal bond. In a metathesis reaction two terminal CC-double bonds or triple bonds are connected by means of a Ru-catalyzed rearrangement reaction. Such terminal CC-double or CC-triple bonds are for instance introduced into a peptide either via alkylation of the peptide NH-groups, for instance with allyl bromide or propargyl bromide, or via incorporating a non-natural amino acid with an alkenyl- or alkynyl-containing side chain into the peptide. A metathesis reaction does not occur spontaneously, but is performed with a Grubbs-catalyst.
In one embodiment an internal bond is formed using Br-SH cyclisation. For instance, an SH moiety of a free cysteine is coupled to a BrAc-moiety which is preferably present at the N-terminus of the peptide or at a lysine (RNH2) side chain. In a further embodiment, a CC H-side chain of an aspartate or glutamate residue is coupled to the Nth-side chain of a lysine residue. This way an amide bond is formed. It is also possible to form an internal bond by coupling the free CCbH-end of a peptide to the free NH2-end of the peptide, thereby forming an amide-bond. Alternative methods for forming an internal bond within an amino acid sequence are available, which methods are known in the art.
Preferably the internal bond formed between two peptides of compounds IX, XI, XIII and XV is a disulfide or a diselenium bond. More preferably the bond is a disulphide bond.
The linkers L1— L4 can be any suitable linkage between a compound of the invention according to formula I— IV and a peptide sequence. Preferably, L1, L2, L3, and L4, are, independently from one another, selected from the group consisting of S, CH2S, S=0, S(=0)2, alkylS, alkylS=0, alkylS(=0)2, arylS, arylS=0, arylS(=0)2, wherein alkyl is a linear or branched Cn alkyl group and aryl is a CB or Ce (hetero)aryl group, wherein n is an integer of from 1 to 12, preferably from 1 to 10, more preferably from 1 to 8, more preferably from 1 to 7, more preferably from 1 to 6, more preferably from 1 to 5, more preferably from 1 to 4, more preferably from 1 to 3, most preferably n is 1 or 2. Preferably, the linkers L1, L2, L3, and L4, are, independently from one another, selected from the group consisting of S and CH2S, which are sulfide moieties of a cysteine or of a homocysteine, present in the peptides.
The linker— Y— can be any link formed as a result of an oxime-ligation reaction, a hydrazone-ligation reaction, an alkyne-azide cycloaddition, a Diels-Alder reaction, a conjugate thiol-addition (Michael-type) reaction, or a thiol-ene reaction, preferably an oxime-ligation reaction. Preferably,— Y— comprises a linker selected from the group consisting of R30-N=CHR4, R30-N=C(-R5)Rs,
R3 and/or R4 is -(C=0)-alkyl- or -(C=0)-aryl-, and R8 is— C=0, wherein 'alkyl' refers to any linear or branched Ci-4 carbon fragment and 'aryl' refers to any 5- or 6-membered
(substituted) (hetero)aryl linking unit, and R7 is any linear or branched Ci-4 alkyl or any 5- or 6-membered (substituted (hetero)aryl group; and wherein R5 and R6 together form an optionally substituted (hetero)cycle.
If Y— is a link formed as a result of an oxime-ligation reaction, Y— is preferably selected from the group consisting of R30-N=CHR4 and R30-N=C(-R5)R6, wherein R3 and/or R4 is -(C=0)-alkyl- or -(C=0)-aryl-, wherein 'alkyl' refers to any linear or branched Ci-4 carbon fragment and 'aryl' refers to any 5- or 6-membered (substituted) (hetero)aryl linking unit, and R5 and R6 together form an optionally substituted 5- or 6-membered (substituted (hetero)aryl group.
If Y— is a link formed as a result of an alkyne-azide cycloaddition, Y— is preferably selected from the group consisting of
(C=0)-aryl-, wherein 'alkyl' refers to any linear or branched Ci-4 carbon fragment and 'aryl' refers to any 5- or 6-membered (substituted) (hetero)aryl linking unit, and R8 is— C=0.
A compound of formula IX formed by an oxime-ligation reaction preferably comprises an linker - Y - consisting of -C(=0)CH2-0-N=CH-(CH3)2-C(=0)- .
A compound of formula IX formedby an alkyne-azide cycloaddition prefably comprises an linker Y consisting of
The invention also provides a method for producing a compound of formulas IX according to the invention, the method comprising the steps of
providing a first compound according to any one formulas VI, VII and VIII according to the invention, preferably a compound according to formula VI or VII;
providing a second compound according to any one of formulas VI, VII and VIII according to the invention, preferably a compound according to formula VI or VII, said second compound capable of reacting with said first compound in an oxime-ligation reaction, a hydrazone-ligation reaction, an alkyne-azide cycloaddition, a Diels-Alder reaction, a conjugate thiol-addition, or a thiol-ene reaction, preferably an oxime-ligation reaction or an alkyne-azide cycloaddition;
reacting said first compound with said second compound to form at least one linkage between said first and said second compound.
Schemes 8—10 exemplify, without limiting the invention, a method according to the invention. A method according to the invention is capable of producing many different types of molecules according to general formula IX. Schemes 11 and 12 show examples of possible compounds obtainable by a method according to the invention, which do not limit the scope of the invention in any way.
In a preferred embodiment, a compound of general formula IX according to the invention is provided, wherein said com la
wherein— Y— comprises a linker formed as a result of an oxime-ligation reaction, a hydrazone-ligation reaction, an alkyne-azide cycloaddition, a Diels-Alder reaction, a conjugate thiol-addition reaction, or a thiol-ene reaction; - pep 1 - and - pep 2— are independently from one another a peptide sequence comprising 2- 40 amino acids; — Z— comprises a linker between said - pep 1 - and said - pep 2 - peptide sequence; L1, L2, L3 and L4 are, independently from one another, a linker between said aromatic (hetero)cycle and said peptide sequence; R1 is a linear or branched Cm alkyl group; R2 is a linear or branched Cn alkyl group, or any optionally substituted 5- or 6-membered (hetero)cycle, or a linear or branched Cn alkyl group containing any optionally substituted 5- or 6-membered (hetero)cycle, -(CH2CH20)n-, -(CH2)nC(=0)- , or -0(CH2)nC(=0)-, wherein m is an integer of from 1 to 18, preferably from 1 to 16, more preferably from 1 to 14, more preferably from 1 to 12, more preferably from from 1 to 10, more preferably from 1 to 8, more preferably from 1 to 7, more preferably from 1 to 6, more preferably from 1 to 5, more preferably from 1 to 4, more preferably from 1 to 3, most preferably m is 1 or 2; n is an
integer of from 1 to 12, preferably from 1 to 10, more preferably from 1 to 8, more preferably from 1 to 7, more preferably from 1 to 6, more preferably from 1 to 5, more preferably from 1 to 4, more preferably from 1 to 3, most preferably n is 1 or 2.
In a more preferred embodiment, a compound of general formula IX according to the invention is provided, wherein said positive nitrogen atom is comprised within said aliphatic heteroaromatic cycle. Said compound thus selected from a compound with of
wherein— Y— comprises a linker formed as a result of an oxime-ligation reaction, a hydrazone-ligation reaction, an alkyne-azide cycloaddition, a Diels-Alder reaction, a conjugate thiol-addition reaction, or a thiol-ene reaction, preferably an oxime-ligation reaction or an alkyne-azide cycloaddition, more preferably an oxime-ligation reaction; - pep 1 - and - pep 2— are independently from one another a peptide sequence comprising 2- 40 amino acids;— Z— comprises a linker between said - pep 1 - and said - pep 2 - peptide sequence; L1, L2, L3 and L4 are, independently from one another, a linker between said aromatic (hetero)cycle and said peptide sequence, preferably selected from the group
consisting of S or SCH2; R1 is a linear Cm alkyl group, wherein m is an integer of from 1 to 6, more preferably from 1 to 5, more preferably from 1 to 4, more preferably from 1 to 3, most preferably m is 1 or 2.
If Y— is a link formed as a result of an oxime-ligation reaction, Y— is preferably selected from the group consisting of R30-N=CHR4 and R30-N=C(-R5)R6, wherein R3 and/or R4 is -(C=0)-alkyl- or -(C=0)-aryl-, wherein 'alkyl' refers to any linear or branched C1-4 carbon fragment and 'aryl' refers to any 5- or 6-membered (substituted) (hetero)aryl linking unit, and R5 and R6 together form an optionally substituted 5- or 6-membered (substituted (hetero)aryl group.
If Y— is a link formed as a result of an alkyne-azide cycloaddition, Y— is preferably selected from the group consisting of
, and , wherein wherein 'alkyl' refers to any linear or branched C1-4 carbon fragment and 'aryl' refers to any 5- or 6-membered
(substituted) (hetero)aryl group.
A compound of formula IX formed by an oxime-ligation reaction preferably comprises an linker - Y - consisting of -C(=0)CH2-0-N=CH-(CH3)2-C(=0)- .
A compound of formula IX formedby an alkyne-azide cycloaddition prefably comprises an linker Y consisting of
In a preferred embodiment 4 are positioned are positioned at the para positions of the existing alkyl-substituents on the aromatic ring for compounds X and XI, whereas for compound of formula XII and XIII, L1 and L2, and L3 and L4 are positioned on the meta position to the existing alkyl-substituent on that aromatic ring. In a more preferred embodiment, L1 and L2, and L3 and L4 are all S.
In a preferred embodiment, a compound of formula X— XV according to the invention is provided, wherein— Z— comprises a disulphide, a diselenium, or a double or triple CC-bond formed by a metathesis reaction. Preferably— Z— comprises a disulphide diselenium bond, more preferably a disulphide bond.
In another preferred embodiment, a compound of formula IX— XIII according to the invention is provided, wherein L1, L2, L3, and L4, are, independently from one another, selected from the group consisting of S and CH2S,
In yet another preferred embodiment, a compound of formula IX— XV, preferably of formula X— XIII, according to the invention is provided , wherein— Y— comprises a linker selected from the group consisting of R30-N=CHR4, R30-N=C(-R5)Rs, R3HN-N=CHR4, R3HN-N=C(-R5)RS, R3S-CH2CH2-R4, R3S-CH(-R5)CH2-R6, R3-S-CHR -CH2-C(=0)H, R3-S-
(C=0)-alkyl- or -(C=0)-aryl-, and R8 is -C(=0)-, wherein 'alkyl' refers to any linear or branched C1-4 carbon fragment and 'aryl' refers to any 5- or 6-membered (substituted) (hetero)aryl linking unit, and R5 and R6 together form an optionally substituted 5- or 6- membered (substituted (hetero)aryl groupwherein 'alkyl' refers to any linear or branched Ci-4 carbon fragment and 'aryl' refers to any 5- or 6-membered (substituted) (hetero)aryl group, and R5 and R6 together form an optionally substituted 5- or 6-membered (substituted (hetero)aryl group.
If— Y— is a link formed as a result of an oxime-ligation reaction,— Y— is preferably selected from the group consisting of R30-N=CHR4 and R30-N=C(-R5)R6, wherein R3 and/or R4 is -(C=0)-alkyl- or -(C=0)-aryl-, wherein 'alkyl' refers to any linear or branched C1-4 carbon fragment and 'aryl' refers to any 5- or 6-membered (substituted) (hetero)aryl linking unit, and R5 and R6 together form an optionally substituted 5- or 6-membered (substituted (hetero)aryl group.
If— Y— is a link formed as a result of an alkyne-azide cycloaddition,— Y— is preferably
, wherein R3 is -(C=0)-alkyl- or -(C=0)- aryl-, wherein 'alkyl' refers to any linear or branched Ci-4 carbon fragment and 'aryl' refers to any 5- or 6-membered (substituted) (hetero)aryl linking unit, and R8 is— C=0.
A compound of formula IX formed by an oxime-ligation reaction preferably comprises an linker - Y - consisting of -C(=0)CH2-0-N=CH-(CH3)2-C(=0)-.
A compound of formula IX formedby an alkyne-azide cycloaddition prefably comprises an linker— Y— consisting of
provided, wherein
— pep 1— and—pep 2— are independently from one another a peptide of 2— 40 amino acids,
L1, L2, L3 and L4 are preferably S or SCH2,
R1 is preferably methyl,
and-Y- is preferably - C(=0)-(CH3)2CH2=N-0-CH3-C(=0)- .
In a more preferred embodiment, the invention provides a acompound of formula
wherein
— pep 1— and—pep 2— are independently from one another a peptide of 2— 40 amino acids,
L1, L2, L3 and L4 are preferably S or CH2S,
R1 is preferably methyl,
and-Y- is preferably - C(=0)-(CH3)2CH2=N-0-CH3-C(=0)- .
The invention further provides a method for producing a compound of formulas X, XII and XIV according to the invention, the method comprising the steps of
- providing a first compound according to any one of formulas VI, VII and VIII according to the invention;
providing a second compound according to any one of formulas VI, VII and VIII according to the invention, capable of reacting with said first compound in an oxime- ligation reaction, a hydrazone-ligation reaction, an alkyne-azide cycloaddition, a Diels- Alder reaction, a conjugate thiol-addition (Michael-type) reaction, or a thiol-ene reaction, preferably an oxime-ligation reaction;
reacting said first compound with said second compound to form at least one linkage between said first and said second compound, wherein said linkage is formed as a result of said oxime-ligation reaction, a hydrazone-ligation reaction, an alkyne-azide cycloaddition, a Diels-Alder reaction, a conjugate thiol-addition (Michael-type) reaction, or a thiol-ene reaction, preferably an oxime-ligation reaction.
In a preferred embodiment, a method for producing a compound of formulas X and XII is provided, the method comprising the steps of
providing a first compound according to any one of formulas VI, VII and VIII according to the invention;
providing a second compound according to any one of formulas VI, VII and VIII according to the invention, capable of reacting with said first compound in an oxime- ligation reaction, a hydrazone-ligation reaction, an alkyne-azide cycloaddition, a Diels- Alder reaction, a conjugate thiol-addition (Michael-type) reaction, or a thiol-ene reaction, preferably an oxime-ligation reaction;
reacting said first compound with said second compound to form at least one linkage between said first and said second compound, wherein said linkage is formed as a result of said oxime-ligation reaction, a hydrazone-ligation reaction, an alkyne-azide cycloaddition, a Diels-Alder reaction, a conjugate thiol-addition (Michael-type) reaction, or a thiol-ene reaction, preferably an oxime-ligation reaction.
Optionally, the conformation of the thus obtained compound can be further restricted by covalently linking the peptide loops to one another. Such linkage results for instance in a compound of formula XI, XIII or XV. Preferably such second linkage between said first compound and said second compound is a disulfide or a diselenium linkage between the two peptides. More preferably the second linkage is a disulfide linkage, most preferably between two cysteines present in - pep 1 - and - pep 2 -.
A particular example for a double-loop approach, which by no means limits the scope of the invention, is for instance the mimicking of an epitope of a GPCR. GPCRs comprise a large protein family of transmembrane receptors that sense molecules outside the cell and activate inside signal transduction pathways and, ultimately, cellular responses. The ligands that bind and activate these receptors include light-sensitive compounds, odours, pheromones, hormones, and neurotransmitters. These ligands may vary in size from small molecules to peptides to large proteins. G protein-coupled receptors are involved in many diseases, and are also the target of approximately 30 % of all modern medicinal drugs.
Most of the human GPCRs are found in five main families, termed Glutamate, Rhodopsin, Adhesion, Frizzled /Taste2 and Secretin. Throughout the application, the family names are written in italics with an initial capital letter to avoid confusion.
As already said before, it is believed that a (hetero)aromatic molecule of the present invention at least to some extent prevents distortion of the secondary structure of a peptide structure. This is especially so, when the peptide structure comprises hydrophobic domains, such as for instance the transmembrane alpha helices of GPCRs. Without being bound to theory, it is thought that the presence of the positively charged nitrogen atom reduces hydrophobicity of the (hetero) aromatic molecule. This results in less hydrophobic interactions between the hydrophobic domain of the peptide structure and the
(hetero)aromatic molecule. As a consequence, hydrophobic interactions within the peptide structure more closely resemble those of the native protein. This will lead to an increase in resemblance between the tertiary structure of a part of interest of a proteinaceous molecule of interest and a compound of the invention.
The inventors have shown that restricting the conformation of the peptide loop even further, for instance by attaching another (hetero)aromatic molecule to said peptide loop, leads to further improvement of the conformation of the peptide loop. Therefore, a compound according to the invention is provided, wherein at least one peptide loop is bound to at least two (hetero) aromatic molecules.
A non-linear, or conformational part, for instance, an epitope or ligand binding part of a GPCR may comprise parts of any of the three extracellular loops and/or part of the N- terminal part of the GPCR. In order to closely mimic said three dimensional structure, it is preferred to use a compound according to the invention comprising at least every part constituting said conformational structure. This may include at least part of each of said three extracellular loops and/or at least part of said N-terminal part of said GPCR. It is also possible to mimic (part) of a conformational structure of interest using two or four
(extracellular) peptide loops. Other typical examples of three dimensional structures with multiple loops are the family of cystine-knot proteins. These proteins have a knotted structure with multiple loops protruding therefrom. In one aspect the invention provides a compound comprising at least two peptide loops from a cystine-knot protein, preferably from FSH, hCG or VEGF, wherein each of the peptide loops is bound to a (hetero)aromatic molecule comprising at least one positively charged nitrogen atom, and wherein the
(hetero)aromatic molecules are bound to one another as shown above. Such molecule thus mimics a discontinuous part of a cystine-knot protein, wherein each of the peptide loops
more closely mimics the native conformation of the protein loops because of the presence of the positively charged nitrogen atom in said (hetero)aromatic molecule.
In a preferred embodiment, therefore, a compound according to the invention is provided, wherein said compound comprises at least two peptide loops, wherein each of said at least two peptide loops is bound via two linkages to a (hetero)aromatic molecule. In a more preferred embodiment, each of said at least two peptide loops is bound to a separate hetero(aromatic) molecule comprising at least a positively charged nitrogen atom. The loops are bound to one another to mimic a discontinuous epitope by attaching the two
heteroaromatic molecules to one another using an oxime-ligation reaction, a hydrazone- ligation reaction, an alkyne-azide cycloaddition, a Diels-Alder reaction, a conjugate thiol- addition (Michael-type) reaction, or a thiol-ene reaction, preferably an oxime-ligation reaction.
A compound according to the invention is for instance suitable for inducing and/or enhancing a desired immune response. In one embodiment a compound according to the invention is combined with a pharmaceutically acceptable carrier, adjuvant, diluent and/or excipient in order to enhance antibody production or a humoral response. Examples of suitable carriers for instance comprise keyhole limpet haemocyanin (KLH), serum albumin (e.g. BSA or RSA) and ovalbumin. Many suitable adjuvants, oil-based and water-based, are known to a person skilled in the art. In one embodiment said adjuvant comprises Specol. In an embodiment, said diluent comprises a solution like for example saline.
A pharmaceutical composition comprising a compound according to the invention and a pharmaceutically acceptable excipient, carrier, adjuvant, and/or diluent is therefore also provided. Said pharmaceutical composition preferably is an immunogenic composition, even more preferably a vaccine, capable of inducing a protective immune response.
Alternatively, or additionally, a compound according to the invention is used for inducing and/or enhancing an immune response in order to treat a patient suffering from a disease. A compound according to the invention for use as a medicament, pharmaceutical composition, and/or a prophylactic agent is also herewith provided. Preferably, such a medicament, pharmaceutical composition and/or prophylactic agent is a vaccine, capable of inducing a protective immune response. Dose ranges of a compound according to the invention to be used in the prophylactic and/or therapeutic applications as described herein are designed on the basis of rising dose studies in clinical trials, for which rigorous protocol
requirements exist. Typically, doses vary between 0.01-1000 pg/kg body weight, particularly about 0.1-100 pg/kg body weight.
In a preferred embodiment, a compound according to the invention comprises two peptide loops, each peptide loop with at least 50 % sequence identity with at least an immunogenic part of a proteinaceous molecule of interest. Preferably said sequence identity is at least 60 %, more preferably at least 70 %, more preferably at least 80 %, more preferably at least 85 %, more preferably at least 90 %, more preferably at least 95 %, most preferably 100 %.
An immunogenic part of a protein is defined herein as a part of a protein which is capable of eliciting an immune response in a human individual and/or a non-human animal. Preferably said immunogenic part is capable of eliciting the same immune response in kind, albeit not necessarily in amount, as said protein. The immune response elicited by said immunogenic part is preferably directed to the native (whole) protein as it is present in vivo. An immunogenic part of a protein preferably comprises one or more epitopes of said protein. An epitope of a protein is defined as a part of said protein, at least about 5 amino acids in length, preferably at least about 8 amino acids in length, capable of eliciting a specific antibody and/or stimulating an immune cell capable of specifically binding said epitope. Two different kinds of epitopes exist: linear epitopes and non-linear, also called discontinuous or conformational epitopes. A linear epitope comprises a stretch of consecutive amino acids. A conformational epitope is formed by several stretches of consecutive amino acids that are folded in position and together form an epitope in a properly folded protein. In a preferred embodiment, the epitope is a discontinuous epitope. An immunogenic part of a protein comprises at least 5 amino acid residues. Preferably said immunogenic part comprises at least 8, more preferably at least 11, more preferably at least 15, more preferably at least 20, most preferably at least 25 amino acids. Preferably said immunogenic part is a discontinuous epitope, i.e. said at least 5, at least 8, at least 11, at least 15, at least 20, at least 25 amino acids are preferably non-contiguous stretches of amino acids within said protein of interest. Said immunogenic part preferably comprises at most about 500 amino acid residues, more preferably at most 250 amino acid residues, more preferably at most 150 amino acid residues, more preferably at most 100 amino acid
residues, most preferably at most 50 amino acids, depending on the kind of protein and the kind of epitope from which said immunogenic part is derived.
In another preferred embodiment, a compound according to general formula IX of the invention is provided, comprising at least two peptide loops, each peptide loop having at least 50 % sequence identity with at least part of a ligand-binding site or part of a receptor- binding site of a proteinaceous molecule of interest. Preferably said sequence identity is at least 60 %, more preferably at least 70 %, more preferably at least 80 %, more preferably at least 85 %, more preferably at least 90 %, more preferably at least 95 %, most preferably 100 %.
Such compound can be used to modulate ligand-receptor signalling. For instance by blocking (antagonist) or activating (agonist) the receptor or by decreasing the biological activity of a ligand, for instance by binding to said ligand.
Also provided is a compound according to general formula IX of the invention, comprising two peptide loops, each peptide loop having at least 50 % sequence identity with at least part of a catalytic domain of a proteinaceous molecule of interest. Preferably said sequence identity is at least 60 %, more preferably at least 70 %, more preferably at least 80 %, more preferably at least 85 %, more preferably at least 90 %, more preferably at least 95 %, most preferably about 100 %. Such compound is especially useful for instance in enzyme replacement therapy.
In one embodiment said proteinaceous molecule of interest is a protein that comprises two peptide loops. Preferably said proteinaceous molecule of interest is selected from the group consisting of the members of the cystine-knot family, transmembrane proteins, ion channel proteins, TNF-alpha, HGF/SF, FGF-beta, interleukins, IL-5, chemokines, G-protein-coupled receptors, CXCR4, CCR5, CCR7, CXCR7, CCR6, CXCR2, CXCR10, C5a, EDG-4, NMUR, IGF, LMF, endothelin-1, VIP, CGRP, PIF, EGF, TGF-alpha, the ErbB family, HER1/EGF-R, HER2/neu, HER3, HER4, p53, corticotrophin RF, ACTH, parathyroid hormone, CCK, substance P, NPY, GRP, neurotrophine, angiotensin- 2, angiogenin, angiopoietin, neurotensine, SLCLC, SARS-derived proteins, HIV-derived proteins, papillomavirus-derived proteins and FMDV. An immune response against any of these proteinaceous molecules of interest is preferably elicited and/or enhanced in order to
prevent and/or counteract a disorder related to the presence of said proteinaceous molecule of interest.
The invention thus provides a compound of general formula IX according to the invention for use as a medicament, immunogenic composition, and/or prophylactic agent. Also provided is a use of a compound according to the invention for the preparation of a medicament, pharmaceutical composition and/or prophylactic agent. In another
embodiment, a compound according to the invention is provided for use in the treatment of cancer, metastasis, auto-immunity, inflammation, viral diseases, or pain. Also provided is use of a compound according to the invention for the preparation of a medicament for treating cancer, metastasis, auto-immunity, inflammation, viral diseases, or pain.
In a particularly preferred embodiment, a compound according to the invention is provided, wherein said two peptide loops each have at least 50 % sequence identity with at least an immunogenic part of a GPCR. Preferably said sequence identity is at least 60 %, more preferably at least 70 %, more preferably at least 80 %, more preferably at least 85 %, more preferably at least 90 %, more preferably at least 95 %, most preferably 100 %. As said before, members of the GPCR superfamily all have a transmembrane domain consisting of 7 alpha-helices which are connected through 3 extracellular and 3
intracellular loops. As already said before, it is preferred that a compound of the invention comprises two peptide loops that together resemble a three dimensional epitope. In case of a member of the GPCR family, a three dimensional epitope may comprise parts of several extracellular loops of said member. A three dimensional epitope may, however, also comprise at least part of the N- terminal part of the GPCR. It is thus preferred that a compound of the invention comprises multiple loop structures. Said multiple loop structures preferably closely resemble a three dimensional epitope of a member of the GPCR family.
The GPCR superfamily is divided into several subfamilies. The most important human subfamilies being the Glutamate, Rhodopsin, Adhesion, Frizzled /Taste2 and Secretin families. GPCRs of the Glutamate, Rhodopsin Adhesion and Secretin families are especially useful in drug targeting. The sensory (vision, taste, smell) GPCRs of the
Rhodopsin family being less favoured as drug targets.
In a preferred embodiment, therefore, a compound according to the invention is provided, wherein said two peptide loops each have at least 50 % sequence identity with at least an immunogenic part of a GPCR, wherein said GPCR is a member of the Glutamate, Rhodopsin, Adhesion or Secretin family. Even more preferred, said sequence identity is at least 60 %, more preferably at least 70 %, more preferably at least 80 %, more preferably at least 85 %, more preferably at least 90 %, more preferably at least 95%, most preferably 100%. In another more preferred embodiment, said GPCR is a GPCR from the Rhodopsin subfamily, wherein said GPCR is not a sensory GPCR. Because of the arrangement of 7 hydrophobic transmembrane alpha-helices and multiple loops forming the extracellular domain (Nterminus, ECL-1, ECL-2 and ECL-3) of GPCRs, GPCRs are preferred molecules of interest to be mimicked by a compound according to the invention. As said before, the use of a (hetero)aromatic molecule comprising a positively charged nitrogen atom allows a peptide loop bound to said
(hetero)aromatic molecule to adopt a conformation that more closely resembles a loop of the native (proteinaceous) molecule of interest.
In a particularly preferred embodiment a compound according to the present invention comprises two peptide loops, capable of inducing and/or enhancing an immune response in an animal against a member of GPCR superfamily, preferably a member of the Glutamate, Rhodopsin, Adhesion or Secretin subfamily. More preferably said member is not a sensory GPCR. Each of said two peptide loops preferably comprises a sequence which has at least 50 %, more preferably at least 60 %, more preferably at least 70 %, more preferably at least 80 %, more preferably at least 85 %, more preferably at least 90 %, more preferably at least 95 %, most preferably at least 98 % sequence identity to at least part of said GPCR family member, said part having a length of at least 8 amino acid residues. Preferably said part has a length between 8 and 500, more preferably between 11 and 250, more preferably between 15 and 150, more preferably between 20 and 100, most preferably between 25 and 50 amino acid residues. The higher the sequence identity, the more specifically an elicited immune response will be directed against said GPCR family member. GPCRs play an important role in inflammation, auto-immunity and tumor growth and metastasis.
Therefore, eliciting an immune response specifically directed against at least one member of these subfamilies is useful for preventing and/or counteracting these kind of conditions.
Moreover, some members of the Rhodopsin family are involved in HIV infection (CCR5 and CXCR4).
The term "% sequence identity" is defined herein as the percentage of residues in a candidate amino acid sequence that is identical with the residues in a reference sequence after aligning the two sequences and introducing gaps, if necessary, to achieve the maximum percent identity. Methods and computer programs for the alignment are well known in the art. One computer program which may be used or adapted for purposes of determining whether a candidate sequence falls within this definition is "Align 2", authored by Genentech, Inc., which was filed with user documentation in the United States
Copyright Office, Washington, D.C. 20559, on Dec. 10, 1991.
In a particularly preferred embodiment a compound according to the invention is provided, which comprises two peptide loops each having at least 50 % sequence identity with a CCR5 or a CXCR4 sequence. In a preferred embodiment, said sequence identity is at least 60 %, more preferably at least 70 %, more preferably at least 80 %, more preferably at least 85 %, more preferably at least 90 %, more preferably at least 95 %, most preferably about 100 %. Eliciting and/or enhancing an immune response against CCR5 and/or CXCR4 prevents HIV entry into T cells. This is for instance desired when an individual is suffering from, or at risk of suffering from, a HIV infection.
Other therapeutical targets are GPCRs that are involved in angiogenesis and/or tumor metastasis. Tumor growth requires (lymph)angiogenesis, which involves the formation of new blood (or lymphatic) vessels, in order to carry nutrients to the site of the tumor, to transport waste material from the tumor, and to enable metastasis.
Counteracting (lymph)angiogenesis therefore hampers tumor growth and tumor metastasis. GPCRs can also be overexpressed on tumor cells to promote adhesion to vascular endothelium, thereby facilitating tumor metastasis. Several GPCRs have been identified as being overexpressed on tumor cells that are associated with adhesion and/or angiogenesis. Non-limiting examples of such GPCRs that are overexpressed on tumor cells are: CXCRl/2, CXCR3, CXCR4, CXCR5, CXCR6, CXCR7, CX3CR1, CCR1, CCR2 CCR4, CCR5, CCR6, CCR7, CCR9 and CCR10.
In one preferred embodiment, therefore, a compound according to the invention comprises two peptide loops each having at least 50 % sequence identity with a GPCR
which is overexpressed in a tumor cell. Preferably said GPCR is involved in angiogenesis, tumor growth and/or tumor metastasis. In a more preferred embodiment, said GPCR is selected from the group consisting of CXCRl/2, CXCR3, CXCR4, CXCR5, CXCR6, CXCR7, CX3CR1, CCR1, CCR2 CCR4, CCR5, CCR6, CCR7, CCR9 and CCR10. Even more preferred, said sequence identity is at least 60 %, more preferably at least 70 %, more preferably at least 80 %, more preferably at least 85 %, more preferably at least 90 %, more preferably at least 95 %, most preferably about 100 %
It may also be very useful to mimic a ligand of a GPCR in order to activate (agonist) or block (antagonist) said GPCR. In another preferred embodiment, therefore, a compound according to the invention is provided, wherein said compound is capable of binding to a target domain of a GPCR.
Methods for determining whether a compound is capable of binding a target domain of a GPCR are know in the art and include for instance in silico methods, cell-free ligand binding assays and cell-based functional assays. It is, however, also possible to design a compound according to the invention capable of binding to a target domain of a GPCR, based on known GPCR ligands such as the chemokines IL-8, CCL1-CCL28 and
CXCL1-CXCL17.
A compound of the invention can also be used in mimicking at least part of an ion channel. Ion channels have become a favorite target since they provide the ability to regulate many physiological processes and they could potentially be used to treat a wide range of diseases including incontinence, diabetes, epilepsy, migraine, pain, allergy and asthma, glaucoma, stroke, irregular heart beat and cancer.
Ion channels regulate the flow of ions across the membrane in all cells. Ion channels are integral membrane proteins; or, more typically, an assembly of several proteins. Ion channels comprise hydrophobic regions, which are located at the outside of the ion channel and come into contact with the cell-membrane, and hydrophilic regions, which are located at the water filled pore of the ion channel. For most voltage-gated ion channels, the pore- forming subunit(s) are called the a subunit, while the auxiliary subunits are denoted β, γ, and so on.
A (hetero) aromatic molecule of the invention is especially useful for use in mimicking at least part of an ion channel, because of the presence of hydrophobic regions. As said before, the presence of a positively charged nitrogen atom in a compound according
to the invention is especially useful for mimicking an epitope comprising, or adjacent to, a hydrophobic region of a protein of interest.
Ion channels are key components in a wide variety of biological processes that involve rapid changes in cells, such as cardiac, skeletal, and smooth muscle contraction, epithelial transport of nutrients and ions, T-cell activation and pancreatic beta-cell insulin release. In the search for new drugs, ion channels are a frequent target.
Non limiting examples of potential drug targets are chloride-ion channels, which are for instance upregulated in glioma cells, and the KCNN4 potassium-ion channel. The KCNN4 potassium-ion channel has been reported to play an important role in regulating antigen-induced T cell effector functions in vitro. In a recent study it has been shown that a selective KCNN4 blocker, TRAM- 34, confers protection against experimental autoimmune encephalomyelitis (EAE) in a mouse model.
Other applications for a protein mimic of an ion channel are for instance vaccines against ion channels in parasites. It is for instance known that Nematode cys-loop ligand gated ion channels (CLGIC) mediate neurotransmission and are important targets for anthelmintics in parasitic nematodes. The CLGIC superfamily in nematodes includes ion channels gated by acetylcholine, γ-amino butyric acid (GABA), glutamate, glycine and 5-HT. Also for instance flea control makes use of specifically opening ion channels of fleas, whereas pets and humans are not affected by the chemical compound.
In a particularly preferred embodiment, therefore, a compound according to the invention is provided, wherein said two peptide loops each have at least 50 % sequence identity with at least an immunogenic part of an ion channel. Preferably said sequence identity is at least 60 %, more preferably at least 70 %, more preferably at least 80 %, more preferably at least 85 %, more preferably at least 90 %, more preferably at least 95 %, most preferably about 100 %.
It is also possible to specifically block an ion-channel by designing a compound according to the invention such that it resembles a ion-channel specific toxin. Ion channel specific toxins, such as tetrodotoxin (specific for Sodium channels) or imperatoxin (specific for Calcium channels) are small proteinaceous structures generally comprising multiple disulphide bridges resulting in a knotted structure. In one aspect, a compound according to
the invention is provided, wherein said two peptide loops each have at least 50 % sequence identity with at least an ion channel-specific toxin. Preferably said sequence identity is at least 60 %, more preferably at least 70 %, more preferably at least 80 %, more preferably at least 85 %, more preferably at least 90 %, more preferably at least 95 %, most preferably about 100 %. Such compounds are not only useful for modulating ion-channel action, but also for developing an antidote for such toxins. Ion specific toxins generally are neurotoxic throughout most species. It is therefore often not possible to develop an antibody-based antidote. With a compound according to the invention, it is possible to mimick a specific epitope of an ion channel- specific toxin without mimicking its neurotoxic properties. This enables production of antibody based antidote in for instance mice or rabbits.
The invention also provides means and methods to improve immunogenic repeatability of a peptidic compound. Improved repeatability means that the results of for instance multiple immunizations in different animals from the same species with the same compound results in less spreading of the observed immune responses in the individual animals. If immunogenic repeatability is improved, a larger percentage of a group of animals will exhibit the same kind of immune response. It can be measured, for instance by antibody serum titers, whether the individual animals mount an immune response with less variation between the individual animals. If antibody titer is measured, an immune response in a first animal is comparable to an immune response in a second animal if the antibody titers of both animal differ less than 150 fold, preferably less than 75 fold, most preferably less than 35 fold. With antibody titer is meant the antibody concentration in serum. Antibody titer is generally given as the value of serum dilution at which the OD in a binding ELISA is >3x the background-OD.
Immunogenicity of a compound is defined herein as the capability of a compound to elicit an immune response specifically directed against the compound itself and/or against a molecule of interest. Said molecule of interest preferably comprises a proteinaceous molecule. A proteinaceous molecule is defined as a molecule comprising amino acid residues bound to each other via a peptide bond. Said molecule may comprise one or several non- amino acid moieties, such as a linker.
The capability of a compound according to the invention of eliciting an immune response specifically directed against a (proteinaceous) molecule of interest is called cross-
reactivity. A compound according to the invention is preferably capable of inducing a cross- reactive immune response. A compound according to the invention therefore has preferably at least 50 % sequence identity to at least an immunogenic part of said proteinaceous molecule of interest. A compound according to the invention comprising a peptide loop which has at least 50 % sequence identity to at least an immunogenic part of a
proteinaceous molecule of interest is preferably capable of inducing an immune response which is specific for said proteinaceous molecule of interest. A compound according to the invention thus preferably comprises a peptide loop comprising a sequence which has at least 50 % sequence identity to at least an immunogenic part of the peptide loop of a proteinaceous molecule of interest, said part having a length of at least 8 amino acid residues. In a preferred embodiment said peptide loop comprises a sequence which has at least 60 %, preferably at least 70 %, more preferably at least 80 %, more preferably at least 90 %, more preferably at least 95 %, most preferably at least 97 % sequence identity to at least part of a proteinaceous molecule of interest, said part having a length of at least 8 amino acid residues. Such immunogenic compound is particularly suitable for eliciting an immune response against a proteinaceous molecule of interest. In one preferred
embodiment a compound according to the invention is capable of eliciting a stronger immune response against said proteinaceous molecule of interest as compared to a situation wherein an animal is immunized with said proteinaceous molecule itself. This is for instance possible by modifying a peptide loop with about 100 % sequence identity with at least part of a self-antigen. Since an individual's immune system is in principle not active towards self-antigens, a modified sequence is often better capable of eliciting an immune response as compared to the native sequence. Methods for improving
immunogenicity of a peptide loop for instance comprise a TDK-Alascan method and/or replacement net mapping method, which are well known in the art. TDK-Alascan involves substitution of an original amino acid residue by alanine. In a replacement net mapping method an original amino acid residue is replaced by any other amino acid residue.
Preferably, a plurality of molecules is generated, wherein different amino acid residues are replaced, either by alanine or by any other amino acid residue. Subsequently
immunogenicity (preferably comprising cross-reactivity) of the resulting molecules is tested, for instance by determining binding affinity to an antibody capable of specifically binding an antigen of interest. A molecule with a desired characteristic is subsequently identified and/or isolated. Said molecule is either used for immunization, or further optimized in
another round of substitution and selection method. Of course, other optimization procedures are applicable as well.
In one embodiment a peptide loop is used that has at least 50 %, preferably at least 60 %, more preferably at least 70 %, more preferably at least 80 %, more preferably at least 90 %, more preferably at least 95 %, most preferably about 100 %, sequence identity to a non immunodominant site of a proteinaceous molecule of interest. As said before, immunodominant sites are sites against which an immune response is primarily directed after immunization with a proteinaceous molecule of interest. Such immunodominant sites are for instance easily accessible. However, it is often desired to elicit antibodies against another specific site which is not easily accessible by the immune system. Such sites are called subdominant, or cryptic. The terms "subdommant" and "cryptic" have been described above. A receptor binding site is a typical example of a subdominant epitope. Thus for mounting an immune response to for instance a receptor binding site, the use of a peptide loop that has at least 50 %, preferably at least 60 %, more preferably at least 70 %, more preferably at least 80 %, more preferably at least 90 %, more preferably at least 95 %, most preferably about 100 %, sequence identity to said receptor non-immunodominant site is preferred. This embodiment is for instance particularly suitable for inducing and/or enhancing an immune response against a receptor binding site of G Protein -Coupled Receptors (GPCRs), such as for instance the HXV-binding site of chemokine receptors CCR5 and/or CXCR4.
One aspect of the invention thus provides a compound according to the invention capable of inducing and/or enhancing an immune response in an animal against a proteinaceous molecule of interest. Preferably an at least partial protective and/or curative immune response is elicited. A protective immune response means that an animal which has been immunized will suffer less - if at all - from a disease related to the presence of said proteinaceous molecule of interest. For instance, if said proteinaceous molecule is present on a pathogen, said animal will suffer less, preferably not suffer at all, from an infection by said pathogen after the animal has been immunized. As another example, if said proteinaceous molecule is present on a tumor, or involved with tumor growth, said immunized animal will be better capable of preventing and/or counteracting (growth of) said tumor. As a result the animal will suffer less, or not at all, from a tumor-related disease.
A curative immune response means that an animal which is already suffering from a disease related to the presence of a proteinaceous molecule of interest will be better capable of counteracting (symptoms of) said disease. With curative is not meant that the animal is completely cured, improvement of signs and/or symptoms of the disease is sufficient.
A compound according to the invention in particular has a three-dimensional structure closely resembling (part of) a proteinaceous molecule of interest. The presence of a positively charged nitrogen atom in said compound allows said compound to adapt a three-dimensional structure that more closely resembles the three-dimensional structure of the corresponding part in said molecule of interest than it would without the presence of a positively charged nitrogen atom. A compound according to the invention preferably has a conformation that is restricted in order to force the compound to spend more time in a conformational state which more closely resembles the three-dimensional structure of the corresponding part in said proteinaceous molecule than compounds described before. A compound according to the invention is therefore particularly suitable for mimicking a part of a protein with a specific three-dimensional structure present in a proteinaceous molecule of interest. Examples of such parts are for instance epitopes, catalytic domains and ligand-or receptor-binding domains present in a specific three-dimensional structure.
Examples of such specific three-dimensional structures are for instance loop structures found in many proteins. A preferred example of such loop structure is a beta-hairpin which often occurs between two antiparallel beta-strands. Beta-hairpins are often relatively easily accessible to cells of the immune system. As a result, immune responses are often directed against epitopes present in beta-hairpin sequences. As already said above, loop structures are also present in members of the GPCR superfamily, and ligand- or receptor-binding domains of GPCR (ligands) are thus preferred three dimensional structures to be mimicked by a compound according to the invention. The conformation of a peptide loop comprising an amino acid sequence with at least 50% sequence identity to the amino acid sequence of a hairpin-loop is preferably restricted via at least two linkages with the (hetero) aromatic molecule such that the conformation of said peptide loop closely resembles the native three- dimensional structure of the hairpin-loop. The presence of a positively charged nitrogen atom within said compound allows the peptide loop to adopt a loop-like structure which even more closely resembles that of a hairpin-loop of a molecule of interest. Further provided is therefore a compound according to the invention, wherein said compound
comprises a peptide loop which has at least 50 %, preferably at least 60 %, more preferably at least 70 %, more preferably at least 80 %, more preferably at least 90 %, more preferably at least 95 %, most preferably about 100 %, sequence identity to a part of a peptide loop of a proteinaceous molecule of interest, said part having a length of at least 8 amino acid residues, wherein said part comprises a non-linear epitope of said proteinaceous molecule and/or wherein said part comprises a sequence of at least 6 amino acid residues, preferably at least 8 amino acid residues, which is present in a loop, preferably a hairpin loop, of said proteinaceous molecule.
The three-dimensional structure of a native epitope is mimicked in the present invention by attaching a peptide loop to a (hetero)aromatic molecule comprising a positively charged nitrogen atom. Preferably said peptide loop comprises an amino acid sequence with at least 50 % sequence identity to the amino acid sequence of said epitope and is linked with at least two linkages to said (hetero)aromatic molecule. Preferably the locations of said at least two linkages are chosen such that the resulting conformation of the peptide loop resembles the native conformation of said epitope in said proteinaceous molecule of interest. Of course, a linkage is preferably not located within an biologically active part, such as for instance an epitope of interest, because such linkage would disturb the conformation and/or accessibility of said part of said proteinaceous molecule of interest. Moreover, if an internal bond, such as a disulphide bond, is present in such compound, the position of said internal bond is preferably chosen such that the conformation of the resulting peptide loop closely resembles the native conformation of part of said
proteinaceous molecule of interest. Such internal bond can for instance be a disulphide or a diselenium bond. It is also possible to add another artificial internal bond, for instance in the form of linking the peptide loop to a second (hetero) aromatic molecule.
In each particular case, preferred compounds can be experimentally assessed. It is for instance possible to produce several compounds with linkages at different locations and to experimentally determine the biological activity such as ligand- receptor binding, catalytic activity, immunogenicity and/or immunogenic repeatability of the resulting compounds, as long as the (hetero)aromatic molecules used within said compounds are of the formula I-IV, preferably of the formula II or III. A compound with optimal biological activity is preferably selected. It is also possible to produce several compounds with different kinds of (hetero)aromatic molecules, either linked at identical or different
locations of a peptide loop, and to experimentally determine the biological activity of the compound produced, as long as said compound is of the general formula IX.
In a preferred embodiment, a method according to the invention is provided, the method further comprising producing a library comprising a plurality of compounds of formulas IX according to the invention. Such library is especially useful for determining the immunogenicity and/or immunogenic repeatability of the resulting compounds. Such library is also especially useful for selecting a target, such as a candidate drug compound. In another preferred embodiment, therefore, a method for selecting a candidate drug compound is provided, the method comprising
- providing a library of compounds according to the invention,
- contacting said compounds with a target molecule,
- determining the binding of said target molecule to said compounds, and
- selecting at least one compound that shows binding to said target molecule.
In a preferred embodiment, the invention provides a method according to the invention, wherein said binding is determined on a solid phase provided with said library of compounds.
In a compound of the invention, the conformation of a peptide loop is thus restricted by attaching the peptide loop to a (hetero)aromatic molecule, either directly or indirectly, for instance via a linker. In one preferred embodiment, the conformation is further restricted by the formation of at least one internal bond within said peptide loop. A compound according to the invention, comprising a peptide loop bound to a (hetero) aromatic molecule comprising a positively charged nitrogen atom, wherein said peptide loop comprises at least one additional internal bond is therefore also herewith provided. This way, immunogenicity and/or immunogenic repeatability is particularly enhanced.
The term "internal bond' is herewith defined as a bond within a peptide loop, linking two non-adjacent amino acids in the (linear) amino acid sequence of the peptide loop. In a compound according to the invention, said internal bond preferably comprises a disulphide bond (also called an SS-bridge) because disulphide bonds are selectively formed between two free cysteine residues without the need to protect other amino acid side chains.
Furthermore, disulphide bonds are easily formed by incubating a peptidic compound comprising at least two free cysteine residues in a basic environment in the presence of O2.
Preferably a disulphide bond is formed between two cysteine residues, since their sulfhydryl groups are readily available for binding. The location of an SS-bridge within a peptide loop is easily regulated by regulating the location of free cysteine residues.
Of course, other kinds of internal bonds are also suitable for further restricting the conformation of a compound of the invention. For instance, Se-Se bonds are used. An advantage of a diselenium bond is the fact that such a bond is reduction insensitive. Hence, compounds comprising a diselenium bond are better capable of maintaining their conformation under reducing circumstances, for instance present within an animal body. Furthermore, a diselenium bond is preferred when a free SH-group is present within a peptidic compound, which SH-group is for instance used for a subsequent coupling reaction to a (hetero)aromatic molecule. Such free SH-group is not capable of reacting with a diselenium bond. Alternatively, or additionally, a metathesis reaction is used in order to form an internal bond. In a metathesis reaction two terminal CC-double bonds or CC-triple bonds are connected by means of a Ru-catalyzed rearrangement reaction. Such terminal CC-double or CC-triple bonds are for instance introduced into a peptide either via alkylation of the peptide NH-groups, for instance with allyl bromide or propargyl bromide, or via incorporating a non-natural amino acid with an alkenyl- or alkynyl-containing side chain into the peptide. A metathesis reaction does not occur spontaneously, but is performed with a Grubbs-catalyst. With the term "internal bond" is explicitly not meant the peptide bond, between the carboxyl groups and amino groups of the adjacent amino acids that results in the primary structure (sequence) of the peptide.
In one embodiment an internal bond is formed using Br-SH cyclisation. For instance, an SH moiety of a free cysteine is coupled to a BrAc-moiety which is preferably present at the N-terminus of the peptide or at a lysine (RNH2) side chain.
In a further embodiment a CC H-side chain of an aspartate or glutamate residue is coupled to the NH2-side chain of a lysine residue. This way an amide bond is formed. It is also possible to form an internal bond by coupling the free CCbH-end of a peptide to the free NH2-end of the peptide, thereby forming an amide-bond. Alternative methods for forming an internal bond within a peptide loop are available, which methods are known in the art.
In a one aspect, the invention provides a compound comprising a peptide loop bound to a molecule with two linkages, wherein said molecule comprises at least one positively charged nitrogen atom, and wherein said molecule comprises an allylic system. In an allylic
system, there are at least three carbon atoms, two of which are connected through a carbon- carbon double bond. In another aspect, the invention provides a method for the production of a compound comprising a molecule comprising an allylic system according to the invention, the method comprising
- providing a molecule comprising an allylic system, at least one positively charged nitrogen atom and at least three reactive groups;
- providing a peptide structure capable of reacting with two of said reactive groups;
- contacting said at least one molecule with said peptide structure to form two linkages between said molecule and said peptide structure in a coupling reaction.
The following formulas exemplify a molecule comprising an allylic system useful in the invention and a compound comprising such allylic system bound to a peptide, respectively:
wherein
X1 and X2 ar
Q is a reactive group, capable of participating in an oxime-ligation reaction, a hydrazone-ligation reaction, an alkyne-azide cycloaddition, a Diels-Alder reaction, a conjugate thiol-addition (Michael- type) reaction, or a thiol-ene reaction;
-pep- is a peptide sequence comprising 2 - 40 amino acids
L1 and L2 are, independently from one another, a linker between said allylic
(hetero)cycle and said peptide sequence.
A method according to the invention for coupling of a peptide loop to a molecule of formula I— IV, preferably II or III, when the coupling reaction is performed in an aqueous solution allows using an unprotected peptide loop. This has the advantage that for instance recombinant peptides can be used that a priori are unprotected. The only functionality that cannot be present in unprotected form is a free SH functionality, as a free SH functionality will take part in the coupling reaction. In one embodiment, a method according to the invention is provided, wherein a peptide loop is used which, besides two free cysteine
residues for coupling to a (hetero) aromatic molecule, comprises at least two or more additional protected cysteine (Cys)residues. To prevent unwanted participation of these additional Cys thiol groups in the coupling reaction, a simple approach is for instance to use Fmoc-Cys(Acm) (Fmoc-acetamidomethyl-L/D-cysteine) and Fmoc-Cys(NC>2Bz)
(Fmoc-2-nitrobenzyl-L/D-cysteine) for introduction of a protected Cys residue during the course of peptide synthesis. Alternatively, Fmoc-Cys(StBu)-OH is used, and/or the corresponding Boc amino acids. The Acm, StBu, or NC Bz group is not removed during the course of the normal TFA deprotection-cleavage reaction but requires oxidative (12/1,4- dithiothreitol) treatment in case of Acm group, or reductive treatment (BME (excess) or 1,4-dithiothreitol (excess)) in case of StBu group, or UV-light + scavengers (a.o. TCEP) for the NC Bz-group to give the reduced sulfhydryl form of the peptide, which can either be used directly or subsequently oxidized to the corresponding cystinyl peptide. In one embodiment, a peptide is used which contains at least one Cys derivative, such as Cys(Acm) or Cys(StBu) or Cys(NC>2Bz), to allow selective unmasking of a Cys-thiol group. Selective unmasking of a Cys-thiol group allows to make the Cys-thiol group available for reacting at a desired moment, such as following completion of the coupling reaction between a
(hetero)aromatic molecule and a peptide. This is for instance very attractive for forming an internal bond within the peptide after the peptide has been bound to a (hetero)aromatic molecule or the attachment of a second (hetero) aromatic molecule. For example, in a preferred embodiment two linear peptides are synthesized, represented by— pepl— and—pep 2-, respectively, each comprising two unprotected Cys residues and one protected Cys derivative at another position. Thereafter, each di-SH functionalized peptide is coupled to a (hetero)aromatic molecule according to general formula I, resulting in the structural fixation of a loop-like peptide loop of -pepl- and -pep 2-, respectively, on that particular (hetero)aromatic molecule. Each of said particular (hetero)aromatic molecules comprises one reactive group Q, the group of one of said particular (hetero)aromatic molecules capable of reacting with the group of the other of said particular (hetero) aromatic molecules in an oxime-ligation reaction, a hydrazone-ligation reaction, an alkyne-azide cycloaddition, a Diels-Alder reaction, a conjugate thiol- addition (Michael-type) reaction, or a thiol-ene reaction. The two resulting compounds, of general formula V are then reacted with each other to form a linker— Y— , between said two particular (hetero)aromatic molecules bearing —pepl— and—pep 2—, respectively. Such dimeric molecule is represented by general formula IX. Subsequently, the two protected Cys -derivatives (preferably with a Cys (Acm) -group) in
each peptide loop,— pepl— and—pep 2—, are unmasked and used for forming an internal bridge between -pepl- and -pep 2-.
With the term "functionalized" is meant that the thiol groups of the cysteine are free to react in a reaction with the (hetero)aromatic molecule of general formula (I).
Compounds according to the invention or obtained by a method according to the invention are particularly suitable for the production of antibodies, T cells and B cells, using a non-human animal. Further provided, therefore, is a method for producing an antibody, a T cell and/or a B cell, the method comprising:
- providing a non-human animal with a compound according to the invention and/or compound obtainable by a method according to the invention and/or a pharmaceutical composition according to the invention, and
- harvesting from said animal an antibody, a T cell and/or a B cell capable of specifically binding said compound. In a preferred embodiment, said antibody, T cell and/or B cell is (also) capable of specifically binding a proteinaceous molecule of interest. In another preferred embodiment, the method further comprises producing monoclonal antibodies using said B cell obtained from said animal. Methods and protocols for providing a non- human animal with a compound and harvesting antibodies, T cells and/or B cells, as well as isolating antibodies of interest and producing monoclonal antibodies, are well known in the art and need no further explanation here.
It is not only possible to obtain binding molecules from a non-human animal, but it is also possible to construct and/or select such a binding molecule in vitro. For instance a phage display library, or another library of binding molecules is screened. Also provided, therefore, is the use of a compound or a pharmaceutical composition according to the invention in an ex vivo method for producing an antibody, or a functional equivalent of an antibody, which is capable of specifically binding said compound. The skilled artisan is aware of the different methods for producing an antibody ex vivo, such as B-cell hybrodima techniques, antibody phage display technologies and the like.
A functional equivalent of an antibody is defined herein as a part which has at least one same property as said antibody in kind, not necessarily in amount. Said functional equivalent is preferably capable of binding the same antigen as said antibody, albeit not necessarily to the same extent. A functional equivalent of an antibody preferably
comprises a single domain antibody, a single chain antibody, a Fab fragment or a F(ab')2 fragment. A functional equivalent also comprises an antibody which has been altered such that at least one property - preferably an antigen-binding property - of the resulting compound is essentially the same in kind, not necessarily in amount. A functional equivalent is provided in many ways, for instance through conservative amino acid substitution, whereby an amino acid residue is substituted by another residue with generally similar properties (size, hydrophobicity, etc), such that the overall functioning is likely not to be seriously affected.
The invention also provides a method for inducing an immune response to an antigen in an individual in need thereof, comprising administering an effective amount of a compound and/or a pharmaceutical composition according to the invention and/or compound obtainable by a method according to the invention and/or an antibody obtainable by a method according to the invention to said individual. In a preferred embodiment the elicited antibodies, T cells and/or B cells are further used for human benefit. For instance, the genes encoding the Ig heavy and/or light chains are isolated from a harvested B cell and expressed in a second cell, such as for instance cells of a Chinese hamster ovary (CHO) cell line. Said second cell, also called herein a producer cell, is preferably adapted for commercial antibody production. Proliferation of said producer cell results in a producer cell line capable of producing antibodies of interest.
Preferably, said producer cell line is suitable for producing compounds for use in humans. Hence, said producer cell line is preferably free of pathogenic agents such as pathogenic micro- organis ms .
Alternatively, or additionally, a nucleic acid encoding the T cell receptor is isolated from a harvested T cell of interest and incorporated into naive (preferably human) T cells. The T cells are preferably cultured in order to obtain a T cell line.
The invention is further explained in the following examples. These examples do not limit the scope of the invention, but merely serve to clarify the invention. The term "CLIPS- scaffold" or "CLIPS-peptide" used in the examples refers to the (free) (hetero)aromatic molecule or to a compound comprising a (hetero)aromatic molecule bound to a peptide, respectively.
Brief description of the drawings
Scheme 1 General (molecular) structure of a compound formed by reacting two molecules of formula VI with each other, with (left side) and without (right side) an additional disulfide bridge between the two peptides.
Scheme 2 General reaction scheme for producing a molecule of the invention. Exemplified is a reaction starting with molecules of formula II of the invention. The scheme shows the sequential steps of the reaction. First, the peptide having two free thiol groups and one protected thiol group is reacted with a molecule of formula II of the invention to form a compound of formula VI of the invention. Then, two compounds of formula VI according to the invention are reacted in a reaction, such as for instance an oxime-ligation reaction to form a molecule of formula X. Thereafter the two protected thiol groups of the respective peptides are deprotected and reacted with each other to form a compound according to formula XI of the invention.
Scheme 3 Specific examples of a molecule of formula XI according to the invention mimicking a discontinuous binding site of FSH (left side) and CCR7 (right side). Scheme 4 General formula of a molecule of formula XI formed by reacting two molecules of formula VI according to the invention with each other in an oxime ligation reaction (left side) and a thermal CLICK reaction (right side) followed by an additional disulphde bridge between the two peptides. Scheme 5 Specific examples of molecule of formula X and XI according to the invention mimicking a discontinuous binding site of VEGF, with (left side) or without (right side) an additional disulphide bridge between the two peptides.
Scheme 6 General structure of a molecule of formula X formed by reacting two molecules of formula VI according to the invention with each other in an oxime ligation reaction (left side) and a thermal CLICK reaction (right side). In this example, the respective peptides were not additionally linked to each other.
Scheme 7 General reaction scheme for producing a compound of formula Ila-d according to the invention.
Scheme 8 Schematic overview of suitable reactive groups for participation in an oxime-ligation and hydrazone-ligation reaction and therefrom resulting linkers.
Scheme 9 Schematic overview of suitable reactive groups for participation in a Cu(I)-catalyzed and thermal CLICK reaction and therefrom resulting linkers. Scheme 10 Schematic overview of suitable reactive groups for participation in a conjugate thiol addition and a thiol-ene reaction and therefrom resulting linkers.
Scheme 11 Examples of molecules of formula XI according to the invention, obtained after reacting a compound of formula VI according to the invention in an oxime ligation, hydrazone ligation, and Cu(I) catalyzed and thermal CLICK reaction, followed by formation of an additional disulphide bridge between the two peptides.
Scheme 12 Examples of molecules of formula XI according to the invention, obtained after reacting a compound of formula VI according to the invention in a conjuage thiol- addition (Michael-type) reaction and a thiol-ene reaction, followed by formation of an additional disulphide bridge between the two peptides.
Scheme 13 Molecular Structure of double-loop molecules Xlab (standard oxime) and XIba (reversed oxime) as synthesized in solid-supported peptide microarrays.
Figure 1 Results of antibody binding experiments with mAbs 1 and 2 (anti- FSH) for the binding to double-loop molecules Xab and Xlab (standard oxime) in solid- supported peptide microarrays, covering Xab 11-25 and XIabl5-20. Figure 2 Results of antibody binding experiment with mAbs 1 and 2 (anti-FSH) for the binding to double-loop molecules Xba and Xlba (reversed oxime) in solid-supported peptide microarrays, covering Xball-25 and XIbal5-20.
Figure 3 Results of antibody binding experiment with mAbs 1 and 2 (cmii-FSH) for binding to surface-immobilized double-loop molecules Xlabl, Xabl* and single-loop controls- 1 and -2 , as compared to the native protein FSH in ELISA.
Figure 4 Results of antibody binding experiment with mAbs 1 and 2 (cmii-FSH) for binding to surface-immobilized double-loop molecules Xlabl and Xlbal, as compared to the native protein FSH in ELISA.
Figure 5 Results of antibody binding experiment with mAbs 1 and 2 (cmii-FSH) for binding to surface-immobilized double-loop molecules Xlabl, Xabl* ,and negative controls-3 and -4 in ELISA.
Figure 6 Results of binding competition experiment in ELISA with mAbs 1 and 2 (cmii-FSH) for binding to double-loop molecules XIabl-3 in solution.
Figure 7 Results of binding competition experiment in ELISA with mAb 2D7 (cmii- CCR5) for binding to double-loop molecule XIba2 and single-loop controls VIa4 and VIb4 in solution.
Examples
Example I
General Section:
Amino acids are indicated by the single-letter codes; peptides are acetylated at the N-terminus and amidated at the C-terminus; Cysteines printed in boldface (C and C) indicate cysteines involved in linkages to the CLIPS-scaffolds.
General procedure (A) for Fmoc- synthesis of peptides: Peptides were synthesized on solid-phase using a 4-(2',4'-dimethoxyphenyl-Fmoc-aminomethyl)-phenoxy (RinkAmide) resin (BACHEM, Germany) on a Symphony (Protein Technologies Inc., USA), CEM 0, or SyroII (MultiSyntech, Germany) synthesizer. All Fmoc-amino acids were purchased from Biosolve (Netherlands) or Bachem GmbH (Germany) with side-chain functionalities protected as N-i-Boc (KW), O-f-Bu (DESTY), N-Trt (HNQ), S-Trt (C), or N-Pbf (R) groups. A coupling protocol using a 5-fold excess of HBTU/HOBt/amino acid/DIPEA (1:1:1:2) in NMP with a 20 minute activation time using double couplings was employed for every amino acid coupling step. Acetylation (Ac) of the peptide was performed by reacting the resin with NMP/AC2O/DIEA (10:1:0.1, v/v/v) for 30 min at room temperature. The acylated peptide was cleaved from the resin by reaction with TFA (40 mL/mmol resin) containing 13.3% (w) phenol, 5% (v) thioanisole, 2.5% (v) 1,2-ethanedithiol, and 5% (v) milliQ-HaO for 2 hrs at room temperature, unless indicated otherwise. Precipitation with ice-cold Et20 + lyophilization of the precipitated material afforded the crude peptide. Synthesis of molecules of formulas II— IV
The synthesis of the molecules is exemplified in Scheme 7 for molecule of formula II according to the invention. The detailed description below enables the skilled person to prepare the molecules of general formula II— IV of the invention.
Synthetic Procedure for Molecule Ila:
To a solution of carbobenzyloxy- l,4-piperazine (327 pL, 1.7 mmol) in THF (30 mL) was added 2-(Boc-aminoxy)acetic acid (1.2 equiv., 400 mg, 2.1 mmol), 1-hydroxybenzotriazol uronium salt (HBTU, 1.2 equiv., 796 mg, 2.1 mmol), and di-isopropylethylamine (DIPEA, 2.5 equiv., 709 L, 4.3 mmol) and the mixture was stirred overnight at room temperature. Subsequently, the solvent was evaporated in vacuo and the residue was dissolved in EtOAc, washed with 1 M KHSO4 (aqueous), sat. NaHCOe (aqueous) and brine. The organic layer was dried over MgSC and concentrated in vacuo affording 668 mg of a colorless oil (>99 %).
NMR (400 MHz, CDC ) δ 7.39-7.35 (m, 5H), 5.17 (s, 2H), 4.57 (s, 2H), 3.62- 3.40 (m, 8H), 1.49 (s, 9H)
The oil (668 mg, 1.7 mmol) was then dissolved in a 1:1 mixture of t-propanol (t-
PrOH)/ethyl acetate (EtOAc) (50 mL) and palladium on active charcoal (Pd/C; 0.5 wt%, 330 mg) was added. The mixture was stirred overnight at room temperature under a H2 atmosphere, and subsequently filtered over a pad of 2 cm of Celite (diatomaceous earth or kieselgur) and washed with i-PrOH/EtOAc (250 mL, 1:1, v/v). The solvent was evaporated in vacuo, affording a yellow oil. Yield 438 mg (>99%). Ή NMR (400 MHz, CDCb) δ 4.54 (s, 2H), 3.66 (t, J = 5.2 Hz, 4H), 3.02-2.97 (m, 4H), 1.49 (s, 9H).
Finally, this yellow oil (46.6 mg, 0.18 mmol) was dissolved in dry acetonitrile (ACN, 5 mL) and added dropwise to a solution of l,2,4,5-tetrakis(bromomethyl)-benzene (243 mg, 0.54 mmol) and DIPEA (2 equiv., 60 L, 0.36 mmol) in dry ACN (40 mL). Then, the mixture was stirred for 1 hour at room temperature, the solvent removed in vacuo and the remaining residue was washed 3x with a 1: 1 mixture of diethyl ether (Et20)/pentane, giving a white solid in 54% overall yield. Molecule Ila was used in the coupling reactions to diSH- containing peptides without further purification. Ή NMR (400 MHz, D2O/CD3CN 9:1) δ 7.61 (s, 2H), 5.07 (s, 4H), 4.83 (s, 4H), 4.71 (s, 2H), 4.05-3.98 (m, 4H), 3.81- 3.78 (m, 4H), 1.50 (s, 9H).
To a solution of butyrolactone (1 g, 11.6 mmol) in ethanol (EtOH, 3 mL) was added a solution of NaOH (1 equiv., 464 mg, 11.6 mmol) in water (H2O, 2 mL). The mixture was
refluxed for 5 hours and the solvents were evaporated in vacuo to yield 1.2 g of the sodium- salt of 4-hydroxybutyric acid as a white solid (9.4 mmol, 81%). XH NMR (400 MHz, MeOD) δ 3.59 (t, J=6A, 2H), 2.26 (t, J=7.6, 2H), 1.83 (q, J=6.8, 2H).
The white solid (605 mg, 4.8 mmol) was then dissolved in THF (50 mL),
carbobenzyloxy- l,4-piperazine (710 L, 4.0 mmol), HBTU (1.5 equiv., 2.2 g, 6.0 mmol), and DIPEA (2.5 equiv., 1.9 mL, 10.0 mmol) were added, and the mixture was stirred overnight at room temperature. The solvent was evaporated in vacuo and the residue dissolved in EtOAc, washed with 1 M KHSCU (aqueous), sat. NaHCOe (aqueous) and brine. The organic layer was dried over Na2SC>4 and concentrated in vacuo. The crude product was purified by flash column chromatography (SiC /mobile phase: 2% MeOH in CH2CI2 (DCM)) affording 4- hydroxy- l-(4-carbobenzyloxy-l,4-piperazin- l-yl)butan-l-one in 74% yield. Ή NMR (400 MHz, CDC ) δ 7.42-7.33 (m, 5H), 5.74 (s, 2H), 3.59-3.51 (m, 10H), 2.53 (t, J=6.8, 2H), 1.94 (q, J=6.4, 2H).
This product was then dissolved in dry DCM (10 mL) and added dropwise to an icecold solution of Dess Martin Periodinane (950 mg, 2.24 mmol) in dry DCM (70 mL). The mixture was then stirred at 0 °C for 2 hours followed by quenching the reaction with a mixture of sat. NaSaOe (aqueous) and sat. NaHCOe (aqueous) (60 mL, 1: 1 v/v) After stirring for 45 min the organic layer was dried over NaaSCU and concentrated in vacuo in order to yield 553 mg (98%) of 4-oxo-4-(4-carbobenzyloxy-l,4-piperazin-l-yl)butanal. Ή-ΝΜϋ (400 MHz, CDCb) δ 9.85 (s, 1H), 7.39-7.31 (m, 5H), 5.15 (s, 2H), 3.60-3.50 (m, 8H), 2.84 (t, J=6.8, 2H), 2.64 (t, J=6.4, 2H), 1.27-1.24 (m, 2H).
This compound (553 mg, 1.82 mmol) was then dissolved in EtOH (150 mL), p- toluenesulfonic acid (p-TsOH, 0.1 equiv., 34.6 mg, 0.18 mmol,) was added and the mixture was refluxed for 1.5 hours. The mixture was then allowed to come to room temperature and triethylamine (NEt3, 0.5 equiv., 126 L, 0.91 mmol,) was added. The solvent was evaporated in vacuo to give 4,4-diethoxy- l-(4-carbobenzyloxy-l,4-piperazin -l-yl)butan- l- one in a yield of 658 mg (96%). W NMR (400 MHz, CDCb) δ 7.32-7.27 (m, 5H), 5.11, (s, 2H), 4.51 (t, J=5.2 Hz, 1H), 3.65-3.42 (m, 12H), 2.38 (t, J=7.2, 2H), 1.94-1.89 (m, 2H), 1.19- 1.17 (m, 6H).
The carbobenzyloxy protecting group was then removed by treatment of this compound (200 mg, 0.529 mmol) with Pd C (110 mg) in j-PrOH/EtOAc (50 mL, 1:1, v/v). The mixture was stirred overnight at room temperature under a H2-atmosphere and
subsequently filtered over a pad of 2 cm of Celite (diatomaceous earth or kieselgur) and
washed with j-PrOH/EtOAc (250 mL, 1:1, v/v). The solvent was then evaporated in vacuo and the product was purified by flash column chromatography (S1O2: mobile phase 5% MeOH in DCM) to afforded 4,4-diethoxy-l-(l,4-piperazin- l-yl)butan- l-one as a yellow liquid in 70% yield (90 mg). Ή NMR (400 MHz, MeOD) 8 5.58 (t, J = 5.3 Hz, 1H), 3.73-3.64 (m, 6H), 3.57-3.50 (m, 2H), 3.11-3.05 (m, 4H), 2.50 (t, J = 7.3 Hz, 2H), 1.94-1.88 (m, 2H), 1.20 (t, J = 7.0 Hz, 6H).
Finally, this compound (70 mg, 0.287 mmol) was dissolved in dry ACN (10 mL) and added dropwise to a solution of l,2,4,5-tetrakis(bromomethyl)benzene (3 equiv., 387 mg, 0.860 mmol) and DIPEA (2 equiv., 94.8 L, 0.58 mmol) in dry ACN (50 mL) and this mixture was stirred for 45 min. at room temperature. The solvent was then evaporated in vacuo and the residue washed with Et20/pentane 1:1 (3x) to give molecule lib as a white solid in 61% yield (94 mg). Ή NMR (400 MHz, D2O/CD3CN 9:1) δ 7.62 (s, 2H), 5.07 (s, 4H), 4.83 (s, 4H), 4.04 (t, J = 4.8 Hz, 4H), 3.79-3.71 (m, 8H), 2.60 (t, J = 7.4 Hz, 2H), 2.00 (t, J = 6.7 Hz, 2H), 1.23 (t, J = 7.1 Hz, 6H).
To a solution of N-Boc-l,4-piperazine (1.7 mmol) in THF (30 mL) was added 2- azidoacetic acid (1.2 equiv., 2.1 mmol), 1-hydroxybenzotriazol uronium salt (HBTU, 1.2 equiv., 796 mg, 2.1 mol), and di-isopropylethylamine (DIPEA, 2.5 equiv., 709 L, 4.3 mmol) and the mixture was stirred overnight at room temperature. Subsequently, the solvent was evaporated in vacuo and the residue was dissolved in EtOAc, washed with 1 M KHSO4 (aqueous), sat. NaHCOs (aqueous) and brine. The organic layer was dried over MgS04 and concentrated in vacuo affording iV-Boc-iV'-(2-azidoacetyl)- l,4-piperazine as a colorless oil (>99 %).The Boc-protecting group was then removed by dissolving this compound in a 1:1- mixture of TFA/DCM (10 mL). The mixture was stirred for 1 hour at room temperature. The solvents were then evaporated in vacuo and the product was purifed by flash column chromatography to afford iV-(2-azidoacetyl)-l,4-piperazine as a yellow liquid in 70% yield.
Finally, this compound (0.287 mmol) was dissolved in dry ACN (10 mL) and added dropwise to a solution of l,2,4,5-tetrakis(bromomethyl)benzene (3 equiv., 387 mg, 0.860
mmol) and DIPEA (2 equiv., 94.8 pL, 0.58 mmol) in dry ACN (50 mL) and this mixture was stirred for 45 min. at room temperature. The solvent was then evaporated in vacuo and the residue washed with Et20/pentane 1:1 (3x) to give molecule lie as a white solid in ~80% yield.
Synthetic Procedure for Molecule lid:
To a solution of iV-Fmoc-l,4-piperazine (1.7 mmol) in THF (30 mL) was added 1- fluoro-2-cyclooctynoic acid (1.2 equiv., 2.1 mmol), HBTU(1.2 equiv., 796 mg, 2.1 mol), and DIPEA(2.5 equiv., 709 L, 4.3 mmol) and the mixture was stirred overnight at room temperature. Subsequently, the solvent was evaporated in vacuo and the residue was dissolved in EtOAc, washed with 1 M KHSO4 (aqueous), sat. NaHCOe (aqueous) and brine. The organic layer was dried over MgSCU and concentrated in vacuo affording
iV-Fmoc-iV'-(l-fluorocyclooct-2-yn- l-yl)-l,4-piperazine in ~50% yield.
The Fmoc-protecting group was then removed by dissolving this compound in a Immixture of diethylamine/DMF (2 mL). The mixture was stirred for 20 min. at room temperature. The solvents was then evaporated in vacuo and the product was purifed by flash column chromatography to afford iV-(l-fluorocyclooct-2-yn-l-yl)- l,4-piperazine in -50% yield.
Finally, this compound (0.287 mmol) was dissolved in dry ACN (10 mL) and added dropwise to a solution of l,2,4,5-tetrakis(bromomethyl)benzene (3 equiv., 387 mg, 0.860 mmol) and DIPEA (2 equiv., 94.8 L, 0.58 mmol) in dry ACN (50 mL) and this mixture was stirred for 45 min. at room temperature. The solvent was then evaporated in vacuo and the residue washed with Et20/pentane 1:1 (3x) to give molecule lid as a white solid in ~50% yield.
Synthetic Procedure for Molecule Ilia:
NHBoc
iV-(2-(iV-Boc-aminoxy)acetyl)- l,4-piperazine (1.0 equiv. 0.1 mmol) was dissolved in ACN (5 mL), ethyl iodide (Etl, 1.0 equiv. 0.1 mmol) was added and the mixture was stirred for 2 days at 50 °C. Then, the mixture was cooled to room temperature and added to a solution of 1,3,5-tribromobenzene (176 mg, 0.494 mmol, 5.0 equiv.) in Et20 (5 mL). After 24 hours stirring at room temperature, the formed product was extracted with 2x5mL of H2O. The aqueous solution was freeze-dried and the resulting product Ilia was purified by preparative HPLC.
Synthetic Procedure for Molecule Illb:
4,4-diethoxy- l-(l,4-piperazin- l-yl)butan-2-one (1.0 equiv. 0.1 mmol) was dissolved in ACN (5 mL), Etl (1.0 equiv. 0.1 mmol) was added and the mixture was stirred for 2 days at 50 °C. Then, the mixture was cooled to room temperature and added to a solution of 1,3,5- tribromobenzene (176 mg, 0.494 mmol, 5.0 equiv.) in Et20 (5 mL). After 24 hours stirring at room temperature, the formed product was extracted with 2x5mL of H2O. The aqueous solution was freeze-dried and the resulting product Illb was purified by preparative HPLC.
Synthetic Procedure for Molecule IVa:
Synthesis of 3,5-bis(bromomethyl)pyridine: To a solution of dinicotinic acid or 3,5- pyridine dicarboxylic acid (167 mg, 1.0 mmol) in EtOH (5 mL) was added NaaCOe (212 mg, 2.0 mmol) and SOCI2 (238 mg, 2.0 mmol) and the mixture was heated to reflux 6 hours, followed by stirring at room temperature for another 18 hours. Then, the pH of the solution was increased to 9 with NaHCOe (1M) and the mixture was poured into H2O and the product extracted with DCM (3x). Finally, the solvent was evaporated to dryness to give the crude diethanolic ester of 3,5-pyridine dicarboxylic acid. Mass analysis: [M+H]+ = 224.1. The crude diethanol ester was subsequently dissolved in dry THF (5 mL) and treated with a suspension of L1AIH4 (76 mg, 2.0 mmol in 5 mL of THF) for 1 hour at 0 °C. Then, another 10 mL of THF was added followed by 100 uL of 15% of NaOH and 350 uL of H2O, whereafter the formed white aluminum salts were filtered off and washed extensively with THF. After evaporating the solvent, the product was dried in vacuo to yield crude
3,5-bis(hydroxymethyl)pyridine in ~75% yield. Mass analysis: [M+H]+ = 140.0. The resulting product was dissolved in DCM (5 mL), PBr3 (248 mg, 0. 92 mmol) was added and the mixture was stirred for 1.5 hours at room temperature. The solvent was evaporated and the residue redissolved in ACN. The formed precipitate was removed by centrifugation, the supernatant was then evaporated to dryness to give crude 3,5-bis(bromomethyl)pyridine in 69% yield. Mass analysis: [M+H]+ = 266.0. Synthesis of jV-(bromoacetyl)-iV-(Boc-aminoxyacetyl)-l,4-piperazine:
Bromoacetic acid (4.0 mmol) was dissolved in THF (50 mL), iV-(Boc-aminoxy acetyl) - 1,4-piperazine (4.0 mmol), HBTU (1.5 equiv., 2.2 g, 6.0 mmol), and DIPEA (2.5 equiv., 1.9 mL, 10.0 mmol) were added, and the mixture was stirred overnight at room temperature. The solvent was evaporated in vacuo and the residue dissolved in EtOAc, washed with 1 M KHSO4 (aqueous), sat. NaHCOe (aqueous) and brine. The organic layer was dried over Na2SC"4 and concentrated in vacuo. The crude product was purified by flash column chromatography (SiC /mobile phase: 2% MeOH in CH2CI2 (DCM)) affording the final product in ~70% yield. 3,5-bis(bromomethyl)pyridine was dissolved in ACN (20 mL), iV-(bromoacetyl)-iV-
(Boc-aminoxyacetyl)- 1,4-piperazine was added (~1 equiv.) and the reaction was stirred for 2 days at 50 °C. Evaporation of the solvent finally gave molecule IVa in an overall yield of 20- 30%.
Synthesis of molecules of formulas VI— VIII
Synthetic Procedure for molecule Via:
Peptide Ac-C(SH)RVPGC(Acm)AHHADSLC(SH)-NH2 (5 mg, 3.1 μπιοΐ) was dissolved in H2O/ACN (6.7 mL, 3: 1 v/v mixture). Next, molecule Ila (1.25 equiv., 2 mg, 3.9 μπιοΐ) dissolved in dry ACN (10 mM solution) was added to the solution. After addition of a 100 mM Na2CC>3 buffer (0.8 mL), the reaction was stirred for 30 min. at room temperature. The reaction was then quenched with a 10% TFA solution in water until pH<5. The mixture was stirred for another 30 minutes. The ACN was evaporated in vacuo and HPLC purification afforded molecule Via in 60% yield (2.8 mg).
Synthetic Procedure for molecule VIb:
Peptide Ac-C(SH)EKEEC(Acm)RFC(SH)-NH2 (4.2 mg, 3.1 μπιοΐ) was dissolved in H2O/ACN (6.7 mL, 3:1 v/v mixture). Next, molecule lib (1.25 equiv., 2 mg, 3.9 μπιοΐ) dissolved in dry ACN (10 mM solution) was added to the solution. After addition of a 100 mM Na2CC"3 buffer (0.8 mL), the mixture was stirred for 30 min. at room temperature. Next, the solvent was evaporated in vacuo, after which the remaining substance was dissolved in 95% TFA in H2O. The mixture was stirred for 1 hour, then the TFA was evaporated in vacuo and HPLC purification afforded the CLIPSed peptide VIb in 61% yield (2.6 mg).
Synthesis of molecules of formulas X— XII
The synthesis of molecules comprising two compounds of VI (Via + VIb) is exemplified in Schemes 8— 10, describing the different reactions that are used to couple the two compounds of formula VI to one another. The detailed description below enables the skilled person to couple any of the compounds of general formula VI— VIII to one another in order to obtain a bicylic compound according to the invention.
General Procedure for the synthesis of compound of formula X (Via + VIb):
CLIPSed peptides Via (+/- 2.8 mg) and VIb (+/- 2.6 mg) were dissolved in a citric acid buffer (1 mL, pH 4.5) containing 100 mM of aniline. The mixture was stirred for 30
min. at room temperature and directly purified by preparitve HPLC to afford 1.5 mg (27%) of compound of general formula X.
General Procedure for the synthesis of compound of formula XI (VIa+ VIb + SS-bridge):
Compound Xa (1.5 mg), obtainable by the above procedure was dissolved in DMSO (23 ]xL, 10 mM solution), a solution of in MeOH (3.4 mg/mL) was added (207 L) and the mixture was stirred for 30 min. at room temperature. The reaction was quenched by titration with a solution of 1,4-dithiothreitol (1,4-DTT) in H20 (7.72 mg/mL) until the brown/reddish l2-color had completely disappeared. Purification by preparative HPLC afforded 1 mg of the final double-loop construct of general formula XI (65%).
In Scheme 3 and 5, examples of peptide mimetics for part of a FSH, part of a CCR7 protein (Scheme 3), and part of a VEGF protein (Scheme 5) are depicted. These examples do not limit the scope of the invention in any way.
Example 2: Synthesis of molecules of formulas II, III, VI, VII, and X-XIII
General Section:
Amino acids are indicated by the single-letter codes; peptides are acetylated at the N-terminus (*) and amidated at the C-terminus (#); Cysteines printed in boldface indicate cysteines involved in linkages to the CLIPS-scaffolds II - III.
General procedure (A) for Fmoc- synthesis of peptides: Peptides were synthesized on solid-phase using a 4-(2',4'-dimethoxyphenyl-Fmoc-aminomethyl)-phenoxy (RinkAmide) resin (BACHEM, Germany) on a Symphony (Protein Technologies Inc., USA) or SyroII (MultiSyntech, Germany) synthesizer. All Fmoc-amino acids were purchased from Biosolve (Netherlands) or Bachem GmbH (Germany) with side-chain functionalities protected as N- ί-Boc (KW), O-f-Bu (DESTY), N-Trt (HNQ), S-Trt (C), or N-Pbf (R) groups. A coupling protocol using a 5-fold excess of HBTU/HOBt/amino acid/DIPEA (1:1:1:2) in NMP with a 20 minute activation time using double couplings was employed for every amino acid coupling step. Acetylation (Ac) of the peptide was performed by reacting the resin with
NMP/AC2O/DIEA (10:1:0.1, v/v/v) for 30 min at room temperature. The acylated peptide was cleaved from the resin by reaction with TFA (40 mL/mmol resin) containing 13.3% (w) phenol, 5% (v) thioanisole, 2.5% (v) 1,2-ethanedithiol, and 5% (v) milliQ-H20 for 2 hrs at room temperature, unless indicated otherwise. Precipitation with ice-cold Et20 + lyophilization of the precipitated material afforded the crude peptide.
Synthesis of the molecules II - III
The synthesis of the molecules II - III is exemplified in Scheme 7 for molecule of formula II according to the invention. The detailed description below enables the skilled person to prepare the molecules of general formula II - III of the invention.
1,4-piperazine: To a solution of 2-(iV-iBoc- aminoxy) acetic acid (400 mg, 2.1 mmol, 1.2 equiv.), 1-
hydroxybenzotriazol uronium salt (HBTU; 797 mg, 2.1 mmol, 1.2 equiv) and di- isopropylethylamine (DIEA; 0.71 mL, 4.3 mmol, 2.5 equiv) in THF (30 mL) was added N- (benzyloxycarbonyl)- l,4-piperazine (327 pL, 1.7 mmol, 1.0 equiv.) and the suspension was stirred overnight after which the suspension became a clear solution. The solvent was evaporated in vacuo. The residue was redissolved in EtOAc (30 mL) and extracted with 1 M KHSC-4 (30 mL), a saturated solution of NaHCOs (30 mL) and brine (30 mL). Drying the solution on MgSC and evaporating it to dryness in vacuo resulted in 751 mg (>99%) of N- (benzyloxycarbonyl)-iV'-(2-(iV-iBoc-aminoxy)acetyl)- 1,4-piperazine as a yellow oil. XH NMR (400 MHz, CDC ) δ 8.19 (s, 1H), 7.33 (m, 5H), 5.13 (s, 2H), 4.52 (s, 2H), 3.57 (s, 2H), 3.51 (s, 4H), 3.38 (s, 2H), 1.44 (s, 9H). 13C NMR (100 MHz, CDCb) δ 166.9 (Cq), 156.2 (Cq), 155.1 (Cq), 136.3 (Cq), 128.6 (CH), 128.3 (CH), 128.1 (CH), 73.4 (CH2), 67.6 (CH2), 44.4 (CH2), 43.5 (CH2), 41.5 (CH2), 28.2 (CH3). IR v 3175; 2938; 1690; 1629; 1427; 1228; cm 1. HRMS (FAB+) m/z calculated for Ci9H28N306 (MH+) 394.1978, found 394.1976.
N- (2 - (N- Boc- aminoxy) acetyl) - 1 , 4- piper azine :
N- (benzyloxycarbonyl) -N'- (2- (iV-iBoc-aminoxy)acetyl)- 1,4-piperazine (668 mg, 1.7 mmol) was then dissolved in a 1: 1 (v:v) mixture of EtOAc and i-PrOH (250 mL). Pd/C (50% w/w, 300 mg) was added and the mixture
was flushed several times with H2 gas and stirred overnight under a continuous flow of H2. After filtration over celite and washing with EtOAc (3x 150 ml), the solvents were evaporated in vacuo and the product was purified by flash chromatography (8% MeOH and 2% 7M ammonia in MeOH in 90% DCM) to give 275 mg (63%) of iV-(2-(iV-iBoc-aminoxy)acetyl)- l,4-piperazine as a colorless oil. Ή NMR (400 MHz, MeOD) δ 4.85 (bs, 2H), 4.49 (s, 2H), 3.51 (m, 4H), 2.80 (m, 4H), 1.43 (s, 9H). 13C NMR (100 MHz, MeOD) 8 168.5 (Cq), 158.6 (Cq), 82.4 (CH2), 75.0 (2x CH2), 46.8 (CH2), 46.4 (CH2), 46.0 (CH2), 43.3 (CH2), 28.5 (CH3). IR v 3369; 2928; 1718; 1633; 1447; 1249; 1163; 837 cm 1. HRMS (FAB+) m/z calculated for CiiH22N304 (MH+) 260.1610, found 260.1610
Molecule Ila: Finally, iV-(2-(iV-iBoc-aminoxy)acetyl)- l,4-piperazine (273 mg, 1.1 mmol) was
NH Boc
dissolved in dry ACN (30 mL) and added dropwise to a solution of 1,2,4,5- tetrakis(bromomethyl)benzene (1.48 g, 3.3 mmol, 3.0 equiv) and DIEA (363 L, 2.2 mmol, 2.0 equiv) in dry ACN (170 mL) and the mixture was stirred for 1 hour at room
temperature. The solvent was evaporated in vacuo. The mixture was redissolved in ACN (10 mL) and Et20 was added until a white precipitate separated from the solution, which was isolated. The supernatant was evaporated to dryness and the procedure was repeated 3x. This resulted in 710 mg (97%) of molecule Ila as a 1:0.17 mixture of product and DIEA*HBr-salt. The scaffold was used as such. Ή NMR (400 MHz, D2O/CD3CN 9:1) δ 7.81 (s, 2H), 5.25 (s, 4H), 5.05 (s, 4H), 4.90 (s, 2H), 4.17 - 4.23 (m, 4H), 3.96 (m, 4H), 1.73 (s, 9H). 13C NMR (100 MHz, D2O/CD3CN 9:1) 8 167.7 (Cq), 157.2 (Cq), 137.6 (Cq), 132.5 (Cq), 125.6 (CH), 82.5 (CH2), 72.6 (CH2), 66.3 (CH2), 65.1 (CH2), 59.5 (CH2) 58.4 (CH2) 39.3 (CH2) 36.3 (CH2), 28.9 (CH2), 26.7 (CH3). IR v 2971; 1633; 1452; 1132; 1059; 999; 937; 615 cm 1. HRMS (FAB+) m/z calculated for C2iH3oBr2N304 + (M+) 394.1978, found 394.1976
Sodium 4-hydroxybutyrate: To a solution of butyrolactone (1.00 g, 11.6 mmol) in EtOH (3 mL) a solution of NaOH (464 mg, 11.6 mmol, 1.0 equiv) in H2O (2 mL) was added. The mixture was refluxed for 5 hours and the
solvents were evaporated in vacuo to yield 1.2 g (81%) of the sodium-salt of 4-hydroxybutyric acid as a white solid. Ή NMR (400 MHz, MeOD) δ 3.57 (t, J = 6.8, 2H), 2.24 (t, J = 7.2, 2H), 1.81 (p, J = 6.8, 2H). 13C NMR (100 MHz, MeOD): δ 182.7 (Cq), 63.2 (CH2), 35.9 (CH2), 30.4 (CH2). IR v 3333; 1549; 1403; 1054 cm 1.
N- (benz yloxycarbonyl) -N'- (4- hydroxybutanoyl) - 1 , 4- piper azine : Sodium 4-hydroxybutyrate
(580 mg, 4.6 mmol, 1.2 equiv) was dissolved in THF (50 mL), iV-(benzyloxycarbonyl)-l,4-piperazine (710 L, 4.0
mmol, 1.0 equiv.), HBTU (2.1 g, 5.7 mmol, 1.5 equiv.), and DIEA (1.5 mL, 9.5 mmol, 2.5 equiv.) were added, and the mixture was stirred overnight at
room temperature. The solvent was evaporated in vacuo and the crude mixture was dissolved in EtOAc (50 mL), washed with 1 M KHS04 (50 mL), saturated NaHCOs (50 mL) and brine (50 mL). The organic layer was dried over Na2SC>4 and concentrated in vacuo to afford 0.9 g (74%) of iV-(benzyloxycarbonyl)-iV'-(4-hydroxybutanoyl)- l,4-piperazine as a colorless oil after column chromatography (2% MeOH in DCM). Ή NMR (400 MHz, CDC ) 8 7.31 (m, 5H), 5.10 (s, 2H), 3.60 (t, J = 5.9 Hz, 2H), 3.54 (s, 2H), 3.45 (m, 6H), 2.43 (t, J = 7.1 Hz, 1H), 1.82 (p, J = 6.7 Hz, 1H). 13C NMR (100 MHz, CDC ) 8 172.2 (Cq), 155.1 (Cq), 136.2 (Cq), 128.5 (CH), 128.1 (CH), 127.9 (CH), 67.4 (CH2), 61.7 (CH2), 45.2 (CH2), 41.3 (CH2), 30.1 (CH2), 27.6 (CH2). IR v 3439; 1700; 1627; 1428; 1231 cm 1. HRMS (FAB+) m/z calculated for Ci6H23N204 (MH+) 307.1656, found 307.1658
N- (benz yloxycarbonyl) -N'- (4- oxobutano yl) - 1 , 4- piper azine :
iV-(benzyloxycarbonyl)-iV'-(4-hydroxybutanoyl)-l,4-piperazine (570 mg, 1.86 mmol) was then dissolved in dry DCM (10 mL) and added dropwise to an icecold solution of Dess Martin
Periodinane (950 mg, 2.24 mmol, 1.2 equiv.) in dry DCM (70 mL). The reaction was stirred for 2 hours at 0 °C, quenched by
adding Et20 (60 mL) and a saturated 1:1 Na2S20s/NaHC03 solution (60 mL) and stirred for another 1 hour. Then, the two layers were separated and the organic layer was washed with 1 M KHSO4 (50 mL), saturated NaHCOe (50 mL) and brine (50 mL), and dried on Na2SC>4. iV-(benzyloxycarbonyl)-iV'-(4-oxobutanoyl)- l,4- piperazine was obtained as a yellow solid (553 mg, 98%). Ή NMR (400 MHz, CDC ) δ 9.82 (s, 1H), 7.33 (m, 5H), 5.13 (s, 2H), 3.53 - 3.47 (m, 8H), 2.81 (t, J = 6.3 Hz, 2H), 2.62 (t, J = 6.3 Hz, 2H). 13C NMR (100 MHz, CDCb) 8 200.9 (CH), 169.7 (Cq), 155.1 (Cq), 136.4 (Cq), 128.6 (CH), 128.2 (CH), 128.0 (CH), 67.5 (CH2), 45.1 (CH2), 43.7 (CH2), 41.5 (CH2), 38.5 (CH2), 25.7 (CH2). IR v 1700; 1645; 1426; 1230 cm 1. HRMS (FAB+) m/z calculated for Ci6H2iN204 (MH+) 305.1656, found 305.1659
N- (benzyloxycarbonyl) -N'- (4, 4- diethoxybutanoyl)- 1, 4-piperazine:
iV-benzyloxycarbonyl-iV'-(4-oxobutanoyl)-l,4-piperazine (553 mg, 1.82 mmol) was dissolved in EtOH (150 mL), p-toluenesulfonic acid (p-TsOH, 34.6 mg, 0.18 mmol, 0.1 equiv.) was added and the mixture was refluxed for 1.5 hours, cooled to room temperature and
triethylamine (NEte; 126 L, 0.91 mmol, 0.5 equiv.) was added. The solvent was evaporated
in vacuo to give iV-(benzyloxycarbonyl)-iV'-(4,4-diethoxybutanoyl)- l,4-piperazine in a yield of 658 mg (96%). Ή NMR (400 MHz, CDC13) δ 7.33 (m, 5H), 5.12 (s, 2H), 4.52 (t, J = 5.2 Hz, 1H), ), 3.63 (m, 4H), 3.47 (m, 8H), 2.39 (t, J = 7.5 Hz, 2H), 1.93 (td, J = 7.5, 5.2 Hz, 2H), 1.17 (t, J = 7.5 Hz, 6H). 13C NMR (100 MHz, CDC ) 8 171.2 (Cq), 155.0 (Cq), 136.3 (Cq), 128.4 (CH), 128.1 (CH), 127.9 (CH), 102.0 (CH), 67.3 (CH2), 61.7 (CH2), 45.1 (CH2), 41.5 (CH2), 41.2 (CH2), 29.0 (CH2), 27.7 (CH2), 15.2 (CH3). IR v 1701; 1646; 1426; 1230 cm 1. HRMS (FAB+) m /z calculated for C20H3IN2OB (MH+) 379.2233, found 379.2227 iV-(4.4-diethoxybutanoyl)- 1.4-piperazine: The benzyloxycarbonyl (Cbz) protecting group was then removed by treatment of this
compound (200 mg, 0.529 mmol) with Pd/C (110 mg) in i- PrOH/EtOAc (50 mL, 1: 1, v/v). The mixture was stirred overnight at room temperature under a H2-atmosphere and subsequently filtered over a pad of 2 cm of Celite
(diatomaceous earth or kieselgur) and washed with j-PrOH/EtOAc (250 mL, 1: 1, v/v). The solvent was then evaporated in vacuo and the product was purified by flash column chromatography (Si02: mobile phase 5% MeOH in DCM) to afford 90 mg (70% yield) of N- (4,4-diethoxybutanoyl)- l,4-piperazine as a yellow liquid. Ή NMR (400 MHz, MeOD) δ 4.54 (t, J = 5.2 Hz, 1H), 3.66 (m, 4H), 3.50 (m, 4H), 2.92 (m, 4H), 2.40 (t, J = 7.4 Hz, 2H), 1.95 (m, 2H), 1.20 (t, J = 7.0 Hz, 1H). 13C NMR (100 MHz, MeOD) 8 170.8 (Cq), 101.8 (CH), 61.5 (CH2), 45.0 (CH2), 44.9 (CH2), 44.7 (CH2), 40.9 (CH2), 28.9 (CH2), 27.4 (CH2), 15.0 (CH3). IR v 2973; 1640; 1440; 1123; 1033 cm 1. HRMS (FAB+) m/z calculated for Ci2H25N203 (MH+) 245.1865, found 245.1865
Molecule lib: iV-(4,4-diethoxvbutanoyl)- l,4-piperazine (192 mg, 0.74 mmol) was dissolved in dry ACN (10 mL) and added dropwise to a
O
solution of l,2,4,5-tetrakis(bromomethyl)-
N N — T benzene (1.0 g, 2.2 mmol, 3.0 equiv) and DIEA
OEt
(244 μΐ, 1.5 mmol, 2.0 equiv) in dry ACN (140 mL). The mixture was then stirred for 1 hour at room temperature. The volume of the mixture was reduced by evaporating the solvent in vacuo until 1 mL, after which Et20 was added until a white powder precipitated from the solution. The precipitate was filtered off and the supernatant was evaporated to 1 mL volume, and the procedure was repeated 3x. This resulted in 354 mg (71%) of molecule lib isolated as a 1:0.3 mixture of product and DIEA*HBr-salt. The scaffold was used as such.
1H NMR (400 MHz, CDCb) δ 7.71 (s, 2H), 5.15 (s, 4H), 4.94 (s, 4H), 4.12 (m, 4H), 3.95 - 3.45 (m, 10H), 2.69 (t, J = 7.4 Hz, 2H), 2.05 (q, J = 7.4 Hz, 2H), 1.33 (t, J = 7.8 Hz, 6H). 13C NMR (100 MHz, D2O/CD3CN 9: 1) 8 172.7 (Cq), 137.6 (Cq), 132.4 (Cq), 125.5 (CH), 101.4 (CH), 66.1 (CH2), 61.9 (CH2), 58.6 (CH2), 39.9 (CH2), 36.2 (CH2), 28.9 (CH2), 27.9 (CH2), 26.6 (CH2). IR v 2976; 1652; 1443; 1366; 1249; 1161; 1110; 843 cm 1. HRMS (FAB+) m/z calculated for C22H33Br2N203+ (M+) 533.0839, found 533.0840.
Synthetic Procedure for Molecule lie:
stirred for 1 hour. The reaction was warmed to room temperature and stirred overnight. Then, the solution was acidified with 1 M KHSO4 until pH 4, extracted 3x with Et20 and dried on MgSC . After careful evaporation in vacuo, 1.45 g of 2-azidoacetic acid (73%) was obtained as a colorless oil. Ή NMR (400 MHz, CDCI3): δ 7.90 (s, 1H), 3.96 (s, 2H). 13C NMR (100 MHz, CDC ): δ 173.5 (Cq), 50.2 (CH2). IR v 2111; 1726; 1220 cm 1 of 2-azido4.0 mmol,
HF (30 mL) was added iV-iBoc-l,4-piperazine (0.50 g, 2.68 mmol, 1.0 equiv). The suspension was stirred for 2 hours after which the suspension became a clear solution. The solvent was evaporated in vacuo. The residue was redissolved in EtOAc (30 mL) and extracted with 1 M KHSO4 (30 mL), saturated NaHCO-3 (30 mL) and brine (30 mL). Then, the solution was dried on MgSC , evaporated in vacuo to dryness, followed by flash chromatography (1% MeOH), resulting in 728 mg (>99%) of iV-iBoc-iV'-(2-azidoacetyl)-l,4-piperazine as a yellow oil. Ή NMR (400 MHz, CDCb): δ 3.92 (s, 2H), 3.57 (m, 2H), 3.40 (m, 4H), 3.33 (m, 2H), 1.43 (s, 9H). 13C NMR (100 MHz, CDCb): δ 165.9 (Cq), 154.5 (Cq), 80.6 (Cq), 50.8 (CH2), 45.0 (CH2),
41.9 (CH2), 28.4 (CH3). IR v 2103; 1657; 1417; 1235; 1166 cm 1. HRMS (FAB+) m/z calculated for C11H20N5O3 (MH+) 270.1566, found 270.1561
O N- (2- azidoacetyl) - 1 ,4-piperazine: iBoc-deprotection was then carried
H N N out by dissolving iV-iBoc-iV'-(2-azidoacetyl)- l,4-piperazine (2.7 mmol,
728 mg) in 40 mL of a 1: 1 mixture of TFA and DCM. The mixture was stirred for 1 hour, followed by evaporation of the solvents in vacuo. The residue was purified by flash chromatography (8% MeOH and 2% NH3 in 90% DCM) to afford iV-(2-azidoacetyl)- l,4-piperazine in 439 mg (97%) as a yellow oil. Ή NMR (400 MHz, MeOD): δ 4.01 (s, 2H), 3.53 (m, 2H), 3.38 (m, 2H), 2.85 (m, 4H). 13C NMR (100 MHz, MeOD): δ 168.3 (Cq), 51.5 (CH2), 45.6 (CH2), 45.4 (CH2), 45.3 (CH2), 42.3 (CH2). IR v 2107; 1652; 1456; 1236; 1200 cm 1. HRMS (FAB+) m/z calculated for CeH^NeO (MH+) 170.1042, found 170.1040
Molecule lie: Finally, a solution of iV-(2-azidoacetyl)- l,4- piperazine (67.5 mg, 0.40 mmol) in dry ACN (2 mL) was
added dropwise to a solution of 1,2,4,5- tetrakis(bromomethyl)benzene (540 mg, 1.2 mmol, 3.0 equiv.) and DIEA (132 L, 0.80 mmol, 2.0 equiv.) in dry ACN (40 mL) and this mixture was stirred for 1 hour at room temperature. The solvent was then evaporated in vacuo and the mixture was redissolved in ACN (10 mL) and Et20 was added until a white powder precipitated from the solution. The solvent was removed and this was repeated 3x, resulting in 228 mg (93%) of the final product lie as a 1:0.37 (w/w) mixture of product and DIEA*HBr-salt. The scaffold was used as such. Ή NMR (400 MHz, D2O/CD3CN 9: 1) 8 7.73 (s, 2H), 5.18 (s, 4H), 4.96 (s, 4H), 4.43 (s, 2H), 4.17 (m, 2H), 4.04 (m, 2H), 3.87 (m, 4H). 13C NMR (100 MHz, D2O/CD3CN 9: 1): δ 167.6 (Cq), 137.6 (Cq), 132.4 (Cq), 125.5 (CH), 66.2 (CH2), 58.4 (CH2), 58.2 (CH2) 49.6 (CH2), 41.8 (CH2), 39.2 (CH2) 36.4 (CH2), 28.8 (CH2). IR v 2978; 2104; 1643; 1424; 1182; 1133; 932; 552 cm 1. HRMS (FAB+) m/z calculated for
(M+) 458.0015, found 458.0021
Synthetic Procedure for Molecule lid:
anone : NaH (2.4 g, 61.6 mmol, 2.8 equiv.) 30 mL). Diethyl carbonate (5.2 g, 44 mmol, e mixture was heated to reflux temperature.
Cyclooctanone (2.8 g, 22 mmol, 1.0 equiv) was dissolved in toluene (20 mL) and this solution was added dropwise over 1 hour to the refluxing solution. After stirring for another hour, the mixture was cooled to room temperature and carefully quenched glacial acetic acid (6- 10 mL), followed by icecold H2O (20-30 mL). The acidic water layer was extracted 3x with toluene (50 mL) and the combined toluene layers were washed with ice cold H2O (100 mL). The solvent was evaporated in vacuo and the product was purified by flash chromatography (20:1 PE:EtOAc) to afford 4.2 g (96%) of 2- (ethoxycarbonyl)- cyclooctanone as a colorless oil, which existed as a mixture of ketone and enol in a ratio of 0.5:1. Ή NMR (400 MHz, CDC ) δ 12.55 (s, 1H) 4.16 (q, J = 7.1 Hz, 2H), 4.09 (q, J = 7.1 Hz, 1H), 3.52 (dd, J = 10.7, 4.5 Hz, 0.5H), 2.57 (ddd, J = 13.9, 11.0, 4.5 Hz, 0.5H), 2.44 (ddd, J = 13.9, 5.9, 4.5 Hz, 0.5H), 2.35 (m, 2H) 2.30 (m, 2H), 2.04 (m, 1H), 1.86 (m, 1H), 1.67 (m, 3H), 1.54-1.32 (m, 8H), 1.25 (t, J = 7.1 Hz, 3H), 1.19 (t, J = 7.1 Hz, 1.5H). 13C NMR (100 MHz, CDCb) 8 212.2 (Cq), 176.0 (Cq), 172.9 (Cq), 170.1 (Cq), 99.2 (Cq), 61.1 (CH2), 60.1 (CH2), 57.1 (CH), 41.7 (CH2), 32.3 (CH2), 29.9 (CH2), 29.0 (CH2), 28.7 (CH2), 27.0 (CH2), 26.6 (CH2), 26.1 (CH2), 25.5 (CH2), 25.3 (CH2), 24.6 (CH2), 23.9 (CH2), 14.3 (CH3), 14.1 (CH3). IR v 2923; 1641; 1224; 850 cm 1. HRMS (FAB+) m/z calculated for C11H19O3 (MH+) 199.1334, found 199.1330
2 - (Ethoxycarbonyl) - 2 - fluoro- octanone : To a stirred solution of 2- (ethoxycarbonyl)- cyclooctanone (3.8 g, 19.4 mmol) in dry ACN (100 mL) cooled to 0 °C was added Selectfluor (8.2 g, 23.2 mmol, 1.2 equiv) and
the resulting mixture was heated to 55 °C and stirred overnight. After cooling the reaction mixture to room temperature, it was quenched with H2O (50 mL) and extracted with EtOAc (4x50 mL). The combined organic layers were dried on Na2SC>4,
filtered and concentrated in vacuo to give 4.2 gram (98%) of 2-(ethoxycarbonyl)-2-fluoro- cyclooctanone as a white solid. Ή NMR (400 MHz, CDC ) δ 4.20 (q, J = 7.2 Hz, 2H), 2.70 - 2.66 (m, 1H), 2.60 - 2.55 (m, 2H), 2.21 - 2.17 (m, 1H), 1.91 - 1.83 (m, 2H), 1.68 - 1.54 (m, 3H), 1.49-1.32 (m, 3H) 1.35 (t, J = 7.2 Hz, 3H). 13C NMR (100 MHz, CDC ) δ 208.42 (d, J = 21.4 Hz, Cq), 166.8 (d, J = 24.7 Hz, Cq), 98.8 (d, J = 198.8 Hz, Cq), 62.3 (CH2), 38.6 (CH2), 32.9 (d, J = 22.0 Hz, CH2), 27.4 (CH2), 26.2 (CH2), 24.1 (CH2), 21.1 (d, J = 2.5 Hz, CH2), 13.7 (CH3). IR v 2933; 1720; 1259; 1222; 1056; 1022 cm 1. HRMS (FAB+) m/z calculated for CnHisFOs (MH+) 217.1240, found 217.1237 l-Fluorocvclooct-2-vne- l-carboxylic acid ethyl ester: A solution of potassium hexamethyldisilazide (KHMDS; 0.5 M in toluene; 87.1 mL, 43.5 mmol, 2.25 equiv.) was added drop wise to a stirred solution of 2-
(ethoxycarbonyl)-2-fluoro-cyclooctanone (4.2 g, 19.3 mmol) in THF (250 mL) at -78 °C. After the addition was complete the reaction mixture was maintained for 30 min. and then iV-phenylbis(trifluoromethanesulfonamide) (Tf2NPh; 7.6 g, 21.2 mmol, 1.1 equiv.) in THF (50 mL) was added slowly. After stirring for 1 hour, the reaction mixture was allowed to warm to room temperature and stirred overnight. EtOH (100 mL) was then added and the reaction mixture was concentrated in vacuo. The crude residue was purified by flash column chromatography (50:1 PE:EtOAc) to give 3.3 g (88%) of the ethyl ester of 1- fluorocyclooct-2-yne- l-carboxylic acid as a yellow oil. Ή NMR (400 MHz, CDC ) δ 4.25 (qd, J = 7.1, 1.4 Hz, 2H), 2.40 - 2.18 (m, 4H), 2.06 - 1.80 (m, 4H), 1.75 - 1.63 (m, 1H), 1.47 - 1.35 (m, 1H), 1.31 (t, J = 7.1 Hz, 2H). 13C NMR (100 MHz, CDC ) δ 168.4 (d, J = 28.4 Hz, Cq), 108.5 (d, J = 10.2 Hz, Cq), 91.9 (d, J = 186.2 Hz, Cq), 87.1 (d, J = 31.8 Hz, Cq), 62.4 (CH2), 46.3 (d, J = 24.9 Hz, CH2), 33.9 (CH2), 29.1 (CH2), 25.5 (d, J = 1.4 Hz, CH2), 20.6 (d, J = 2.6 Hz, CH2), 14.1 (CH3). IR v 2935; 1748; 1209; 1145; 1086; 1026 cm 1. HRMS (FAB+) m/z calculated for CnHi6F02 (MH+) 199.1056, not found. l-Fluorocvclooct-2-yne- 1-carboxylic acid: l-fluorocyclooct-2-yne- l- carboxylic acid ethyl ester (743 mg, 3.73 mmol) and LiOH (180 mg, 7.46 mmol, 2.0 equiv) were dissolved in 50% aqueous MeOH (20 mL) and this
mixture was heated to 50 °C for 10 minutes. Then, the reaction was cooled to room temperature and stirred for an additional 2 hours. Then, the mixture was cooled to 0 °C, diluted with H20 (10 mL) and acidified to pH~2 with 0.1 M HC1. The mixture
was extracted with EtOAc (3x50 mL) and the combined organic layers were dried on Na2SC>4, filtered and concentrated in vacuo. The crude product was purified by flash chromatography (1: 1 PE:EtOAc) to afford 264 mg (91%) of l-fluoro-cyclooct-2-yne- l- carboxylic acid as a yellow oil. Ή NMR (400 MHz, CDCb) δ 10.12 (bs, 1H), 2.70 - 2.61 (m, 1H), 2.41 - 2.23 (m, 3H), 2.10 - 1.80 (m, 3H), 1.80 - 1.58 (m, 2H), 1.57 - 1.41 (m, 1H). 13C NMR (100 MHz, CDCb) 8 173.7 (d, J = 28.9 Hz, Cq), 109.1 (d, J = 9.9 Hz, Cq), 91.2 (d, J = 185.6 Hz, Cq), 86.0 (d, J = 31.7 Hz, Cq), 46.0 (d, J = 24.7, CH2), 33.6 (CH2), 28.8 (CH2), 25.2 (d, J = 1.2 Hz, CH2), 20.3 (CH2). IR v 2931; 2360; 1731; 1205; 1143 cm 1. HRMS (FAB+) m/z calculated for C9Hi2F02 (MH+) 171.0821, found 171.0818 iV-^Boc-iV'-((l-fluorocvclooct-2-vnyl)carbonyl)- l,4-piperazine: To a
solution of l-fluorocyclooct-2-yne- l-carboxylic acid (250 mg, 1.47
mmol), HATU (669 mg, 1.76 mmol, 1.2 equiv), HOAt (239 mg,
THF (30 mL) was added iV-iBoc- 1,4-piperazine (328 mg, 1.76 mmol, 1.2 equiv) and the mixture was stirred overnight. The solvent was evaporated in vacuo and the residue was purified by flash chromatography (10: 1 PE:EtOAc) to give 325 mg (65%) of iV-iBoc-iV'-((l- fluorocyclooct-2-ynyl)carbonyl)- l,4-piperazine as a yellow oil. Ή NMR (400 MHz, CDC ) δ 3.70 (m, 2H), 3.60-3.42 (m, 6H), 2.71-2.58 (m, 1H), 2.38 - 2.15 (m, 3H), 1.93 (m, 2H), 1.84 - 1.73 (m, 3H), 1.68 - 1.61 (m, 1H), 1.45 (s, 9H). 13C NMR (100 MHz, CDCb) 8 154.7 (Cq), 108.8 (d, J = 28.7 Hz, Cq), 91.7 (d, J = 182.5 Hz, Cq), 87.9 (d, J = 25.4 Hz, Cq) 80.3 (Cq), 46.3 (CH2), 45.4 (d, J = 24.1 Hz, CH2) 42.8 (CH2) 34.0 (CH2), 29.4 (CH2), 28.5 (CH3) 26.2 (d, J = 1.2 Hz, CH2), 20.7 (CH2). IR v 2931; 1699; 1664; 1417; 1243; 1170 cm 1. HRMS (FAB+) m/z calculated for Ci8H28FN203 (MH+) 339.2084, found 339.2089
Af-((l-fluorocyclooct-2-vnyl)carbonyl)- 1,4-piperazine: iV-iBoc- iV'-((l-fluorocyclooct-2-ynyl)carbonyl)- 1,4-piperazine (300
mg, 0.89 mmol) was dissolved in a l: l-mixture of TFA/DCM
toluene (50 mL) and evaporated in vacuo. Flash column chromatography (1- 10% MeOH in DCM) yielded 321 mg (>99%) of iV-((l-fluorocyclooct-2-ynyl)carbonyl)- 1,4-piperazine as a white powder. Mp 40-42 °C. Ή NMR (400 MHz, CDCb) δ 9.73 (bs, 1H), 4.05 (m, 4H), 3.19 (m, 4H), 2.66 (m, 1H), 2.39 - 2.18 (m, 3H), 1.95 (bs, 2H), 1.85 - 1.56 (m, 4H). 13C NMR (100
MHz, CDC ) δ 165.3 (d, J = 26.1 Hz, Cq), 110.2 (d, J = 10.4 Hz, Cq) 91.6 (d, J = 181.9 Hz, Cq) 86.9 (d, J = 30.6 Hz, Cq) 45.1 (d, J = 23.9 Hz, CH2), 43.5 (CH2), 39.7 (CH2) 34.0 (CH2), 29.3 (CH2), 26.2 (CH2), 20.7 (CH2). IR v 2934; 2359; 1667; 1438 cm 1. HRMS (FAB+) m/z calculated for Ci3H20FN2O (MH+) 239.1560, found 239.1555
Molecule lid: A solution of N-((l- fluorocyclooct-2-ynyl)carbonyl)- l,4-piperazine
(88.3 mg, 0.37 mmol) in dry ACN (10 mL) was
tetrakis(bromomethyl)-benzene (500 mg, 1.11 mmol, 3.0 equiv.) and DIEA (122 L, 0.74 mmol, 2.0 equiv.) in dry ACN (70 ml) and the mixture was stirred for 1 hour at room temperature. The solvent was evaporated in vacuo to 1 mL and Et20 was added until a white precipitate was formed that was filtered from the solution. The filtrate was evaporated in vacuo to 1 mL and the procedure was repeated 3x to afford 156 mg (67%) of product lid as a 1:0.12 mixture of product and DIEA*HBr-salt. The scaffold was used as such. Ή NMR (400 MHz, D20/CD3CN 9: 1) 8 7.88 (s, 2H), 5.32 (s, 4H), 5.12 (s, 4H), 4.53 (s, 2H), 4.33 (m, 2H), 4.02 (m, 4H), 2.87, (m, 1H), 2.66 (m, 3H), 2.27 (m, 2H), 2.11- 1.98 (m, 3H), 1.88- 1.80 (m, 1H). 13C NMR (100 MHz, D20/CD3CN 9: 1) 8 165.3 (Cq), 137.7 (Cq), 132.6 (Cq), 125.7 (CH), 111.1 (d, J = 10.6 Hz, Cq), 91.9 (d, J = 180.6 Hz, Cq), 85.3 (d, J = 31.7 Hz, Cq), 66.5 (CH2), 59.6 (CH2), 58.7 (CH2) 44.3 (d, J = 24 Hz, CH2), 41.0 (CH2) 37.6 (CH2), 32.9
(CH2), 28.9 (CH2), 28.1 (CH2), 25.0 (CH2), 19.4 (CH2). 19F NMR (282 MHz, D20/CD3CN 9: 1) 8 -75.3. IR v 2930; 1649; 1440; 1219; 950; 606 cm 1. HRMS (FAB+) m/z calculated for
C23H28Br2FN20 (M+) 527.0533, found 527.0535
iV-^Boc-iV'-(allyloxycarbonyl)- 1,4-piperazine: N-tBoc- 1,4-piperazine (153 mg, 0.82 mmol), allyl chloroformate (0.13 ml, 1.23 mmol, 1.5 equiv.) and triethylamine (TEA; 0.17 mL, 1.23 mmol, 1.5 equiv.) were dissolved in DCM (20 mL) and stirred overnight at room
temperature. The solvent was evaporated in vacuo and the crude mixture was dissolved in
EtOAc (20 ml), washed with 1 M KHS04 (20 ml), a saturated solution of NaHCOe (20 mL) and brine (20 mL). The organic layer was dried over NaaSCU and concentrated in vacuo. This
afforded 206 mg (93%) of iV-iBoc-iV'-(allyloxycarbonyl)- l,4-piperazine of a yellow oil. Ή- NMR (400 MHz, CDCLs): δ 5.91 - 5.85 (m, 1H), 5.24 (ddd, J = 17.2, 3.1, 1.5 Hz, 1H), 5.16 (ddd, J = 10.5, 2.6, 1.2 Hz, 1H), 4.55 (dt, J = 5.6, 1.4 Hz, 2H), 3.41 - 3.35 (m, 8H), 1.41 (s, 9H). 13C-NMR (100 MHz, CDCh): 154.9 (Cq), 154.5 (Cq), 132.8 (CH), 117.5 (CH2), 80.0 (Cq), 66.1 (CH2) 43.5 (CH2), 28.3 (CH3). IR v 1698; 1416; 1231 cm 1. HRMS (FAB+) m/z calculated for C13H23N2O4 (MH+) 271.1655, found 271.1658 iV-(allyloxycarbonyl)- l,4-piperazine:
iV-iBoc-iV'-(allyloxycarbonyl)- l,4-piperazine (206 mg, 0.76 mmol) was dissolved in DCM/TFA (1: 1, v/v, 20 mL) and the mixture was stirred
for 1 hour. The solvent was evaporated in vacuo to give 254 mg (>99%) of iV-(allyloxycarbonyl)- l,4-piperazine as a brown oil. Ή-NMR (400 MHz, MeOD): δ 9.51 (bs, 1H), 5.91 - 5.84 (m, 1H), 5.24 (dd, J = 17.2, 1.4 Hz, 1H), 5.20 (dd, J = 10.5, 1.1 Hz, 1H), 4.57 (d, J = 5.6 Hz, 2 H), 3.74 (s, 4H), 3.15 (s, 4H). 13C-NMR (100 MHz, MeOD): 154.6 (Cq), 132.2 (CH), 118.5 (Cq), 67.0 (CH2), 43.4 (CH2), 40.6 (CH2). IR v 1672; 1438; 1257; 1171; cm 1. HRMS (FAB+) m/z calculated for C8H15N2O2 (MH+) 171.1136, found 171.1134
Molecule lie: iV-(allvloxvcarbonvl)- 1.4-piperazine (0.37 mmol, 63 mg, 1 equiv) dissolved in dry ACN (10 mL) was added dropwise to a solution of l,2,4,5-tetrakis(bromomethyl)- benzene (500 mg, 1.11 mmol, 3.0 equiv) and DIEA (122 L, 0.74 mmol, 2.0 equiv) in dry ACN (70 mL) and the mixture was stirred for 1 hour at room temperature. The solvent was evaporated in vacuo and the residue redissolved in ACN (10 mL). Et20 was added until a white precipitate was formed, which was filtered from the solution. The filtrate was evaporated to dryness and this procedure was repeated 3x to afford molecule lie in 140 mg (68%) as a 1:0.07 mixture of product and DIEA*HBr-salt. Molecule lie was used as such. XH NMR (400 MHz, D2O/CD3CN 9: 1) δ 7.61 (s, 2H), 6.07 (m, 1H), 5.44 (dd, J = 10.4, 1.2 Hz, 1H), 5.34 (dd, J = 10.4, 1.2 Hz, 1H), 5.03 (s, 4H), 4.86 (s, 4H), 4.72 (m, 2H), 3.94 (bs, 4H), 3.71 (t, J = 5.2 Hz, 4H). 13C NMR (100 MHz, D2O/CD3CN 9: 1) δ 155.2 (Cq), 139.0 (Cq), 134.3 (Cq), 133.7 (CH), 127.1 (CH), 117.8 (CH2), 67.7 (CH2), 67.1 (CH2), 60.2 (CH2), 39.7 (CH2),
30.2 (CH2) IR v 2977; 2250; 1678; 1445; 1248; 1149; 933; 733; 616 cm 1. HRMS (FAB+) m/z calculated for CisHasBraNaC (M+) 459.0107, found 459.0107
2-(Tritylmerca to)acetic acid: Bromoacetic acid (1.0 g, 7.48 mmol) and triphenylmethane thiol (2.3 g, 8.22 mmol, 1.1 equiv.) were dissolved in DMF (8 mL). DIEA (9.27 mmol, 1.61 ml, 1.24 equiv) was added. The mixture was stirred at room temperature for 4 hours, after which the solvents were evaporated in vacuo. The residue was redissolved in DCM and purified by flash chromatography (9: 1 PE:EtOAc - 1: 1 PE:EtOAc).
To give 1.3 g (>99%) of 2-(tritylmercapto)acetic acid as a light yellow solid. XH-NMR (400 MHz, MeOD): 8 7.38 (m, 6H), 7.27 (m, 6H), 7.22 (m, 3H), 2.91 (s, 2H). 13C-NMR (100 MHz, MeOD): 173.1 (Cq), 145.6 (Cq), 130.7 (CH), 129.0 (CH), 128.0 (CH), 35.7 (CH2). IR v: 3055; 1708, 743, 700 cm 1. HRMS (FAB+) m/z calculated for C21H19O2S (MH+)335.1108 , found 335.1106
N- Fmoc- N'- (2 - (tritylmercapto) acetyl) - 1 , 4- piper azine :
iV-Fmoc- l,4-piperazine (156 mg, 0.40 mmol), 2-(tritylmercapto)acetic acid (161 mg, 0.48 mmol, 1.2 equiv.), HBTU (228 mg, 0.6 mmol, 1.5 equiv.) and DIEA (174 L, 1.0 mmol, 2.5 equiv.) were dissolved in THF (20 mL) and stirred overnight at room temperature. The solvent was evaporated in vacuo and the crude mixture was dissolved in EtOAc (20 mL), washed with 1 M KHS04 (20 mL), a saturated solution of NaHCOs (20 mL) and brine (20
mL). The organic layer was dried over Na2S04 and
concentrated in vacuo to afford 270 mg (>99%) of iV-Fmoc-N'-(2-(tritylmercapto)acetyl)- l,4- piperazine as a orange oil. Ή NMR (400 MHz, CDC ) δ 7.78 (d, J = 7.5 Hz, 2H), 7.57 (t, J = 6.7 Hz, 2H), 7.49 (t, J = 8.5 Hz, 6H), 7.43 (t, J = 7.4 Hz, 2H), 7.39 - 7.23 (m, 11H), 4.52 (s, 2H), 4.24 (t, J = 6.3 Hz, 1H), 3.59 - 3.06 (m, 8H), 2.96 (s, 2H). 13C NMR (100 MHz, CDCb) δ
167.0 (Cq), 154.9 (Cq), 143.8 (Cq), 143.7 (Cq), 141.3 (Cq), 129.4 (CH), 128.0 (CH), 127.7 (CH), 127.0 (CH), 126.9 (CH), 124.7 (CH), 119.9 (CH), 67.2 (Cq), 60.3 (CH2), 47.3 (CH), 45.5 (CH2), 43.8 (CH2), 43.3 (CH2), 41.4 (CH2), 34.4 (CH2). IR v: 1736, 1372, 1233, 1043 cm 1. HRMS (FAB+) m/z calculated for C4oH37N203S (MH+) 625.2523, found 625.2525
N- (2- (tritylmercapto)acetyl) - 1.4-piperazine:
iV-Fmoc-iV-(2-(tritylmercapto)acetyl)- l,4-piperazine (250 mg, 0.40 mmol) was dissolved in
THF/DEA (1: 1, v/v, 30 mL) and the solution was stirred for 1 hour at room temperature. The solvent was evaporated in vacuo and the residue was purified by flash chromatography (5% MeOH and 2% NH3 in 93% DCM), yielding 124 mg (77%) of N-(2- (tritylmercapto)acetyl)- l, 4-piperazine as a brown oil. Ή NMR (400 MHz, CDC ) 8 7.46 (d, J = 7.2 Hz, 6H), 7.29 (t, J = 7.2 Hz, 6H),
7.21 (t, J = 8.0 Hz, 3H), 3.51 (t, J = 4.8 Hz, 2H), 3.01 (t, J = 4.8 Hz, 2H), 2.93 (s, 2H), 2.77 (t, J = 4.8 Hz, 2H), 2.70 (t, J = 4.8 Hz, 2H), 2.59 (bs, 1H). 13C NMR (100 MHz, CDCb) 8 167.0 (Cq), 144.0 (Cq), 129.5 (CH), 128.1 (CH), 126.9 (CH), 67.2 (Cq), 47.0 (CH2), 46.3 (CH2), 45.6 (CH2), 42.7 (CH2), 34.7 (CH2). IR: 1637, 1444, 841, 701 cm 1. HRMS (FAB+) m/z calculated for C2BH27N2OS (MH+) 403.1843, found 403.1844
Molecule Ilf: A solution of iV-(2-(tritylmercapto)acetyl)- l, 4-piperazine (70 mg, 0.17 mmol) in dry ACN (5 mL) was added dropwise to a solution of l,2,4,5-tetrakis(bromomethyl)- benzene (235 mg, 0.52 mmol, 3.0 equiv.) and
DIEA (56 L, 0.34 mmol, 2.0 equiv.) in dry ACN (35 mL) and the mixture was stirred for 1 hour at room temperature. After evaporating the solvent in vacuo the mixture was redissolved in ACN (5 mL), Et20 was added until a white precipitate separated from the solution. After filtering off the solid, the filtrate was evaporated to dryness and this procedure was repeated 3x to afford 146 mg (92%) of molecule Ilf as a 1:0.77 mixture of product and DIEA*HBr-salt. Molecule Ilf was used as such. Ή NMR (400 MHz, D20/CD3CN 9: 1) 8 7.75 (s, 2H), 7.71-7.69 (m, 6H), 7.63 - 7.54 (m, 9H), 5.12 (s, 4H), 5.01 (s, 4H), 4.04 (br s, 2H), 3.80 (br s, 4H), 3.64 (s, 4H). 13C NMR (100 MHz D20/CD3CN 9: 1) 8 168.1 (Cq), 143.0 (Cq), 137.7 (Cq), 132.4 (Cq), 128.6 (CH), 127.7 (CH), 126.7 (CH), 125.6 (CH), 66.2 (Cq), 58.6 (CH2), 58.3 (CH2), 41.8 (CH2), 40.3 (CH2), 36.4
(CH2), 32.9 (CH2), 28.8 (CH2). IR: 1629; 1441, 744, 700 cm 1. HRMS (FAB+) m/z calculated for C35H35Br2N2OS+ (M+) 691.0891, found 691.0822
Synthetic Procedure for Molecule Ilia:
To a solution of 2-(iV-iBoc-aminoxy)acetic acid (0.11 mmol, 21.1 mg, 1.1 equiv.) in DMF (1 mL) at 0°C was added iV-methylmorpholine (0.20 mmol, 22 μΐ^, 2.0 equiv.) and isobutylchloroiormate (0.11 mmol, 14.3 iL, 1.1 equiv.) and the reaction was stirred for 2 minutes. Then, N- methyl- 1,4-piperazine (0.1 mmol, 10 mg, 1.0 equiv.) was added and the reaction was stirred at room temperature for 1 hour. Subsequently, 0.2 M ammonium bicarbonate was added (1 mL), the solvent was evaporated in vacuo and the residue was dissolved in EtOAc, washed with 1 M KHSCU (aqueous), sat. NaHCOe (aqueous) and brine. The organic layer was dried over MgSCU and concentrated in vacuo affording 17.8 mg of N- (2-(iV-iBoc-aminoxy)acetyl-iV'-methyl-l,4-piperazine as a colorless oil (65% yield). The oil
(0.065 mmol, 17.8 mg) was dissolved in dry ACN (1 mL) and added dropwise to a solution of l,3,5-tris(bromomethyl)benzene (0.195 mmol, 69.6 mg, 3.0 equiv.) in dry ACN/EtaO 2:3 (5 mL) and this mixture was stirred overnight at room temperature. Subsequently, Et20 (6 mL) was added to the reaction mixture, the formed precipitate was collected, washed with Et20 (lx) and air-dried to give molecule Ilia in an overall yield of 25.3 mg (46% yield). Detailed characterization studies of molecule Ilia are in progress.
Synthetic Procedure for Molecule Illb:
4-hydroxybutyric acid was obtained as described for molecule lib.
To a solution of 4-hydroxybutyric acid (1.1 mmol, 114.5 mg, 1.1 equiv.) in DMF (1 mL) at 0°C was added iV-methylmorpholine (2.0 mmol, 220 iL, 2 equiv.) and
isobutylchloroiormate (1.1 mmol, 143 iL, 1.1 equiv.) and the reaction stirred for 2 minutes. Then, iV-methyl-l,4-piperazine (1.0 mmol, 100.2 mg, 1.0 equiv.) was added, and the reaction was stirred at room temperature for 1 hour. Subsequently, 0.2 M ammonium bicarbonate (1 mL) was added, the solvent was evaporated in vacuo and the residue was dissolved in
EtOAc, washed with 1 M KHSCU (aqueous), sat. NaHCOe (aqueous) and brine. The organic layer was dried over MgSCU and concentrated in vacuo affording 137.8 mg of N- methyl- N'- (4-hydroxybutanoyl)-l,4-piperazine as a colorless oil (74% yield). This product was then dissolved in an ice-cold solution of Dess Martin Periodinane (0.9 mmol, 380 mg, 1.2 equiv.) in dry DCM (28 mL). The mixture was then stirred at 0°C for 2 hours, followed by quenching the reaction mixture with a mixture of sat. Na2S2C>3 (aqueous) and sat. NaHCOe (aqueous) (25 mL, ~1:1 v/v). After stirring for 45 min the organic layer was separated, washed with sat. NaHCOe (aqueous) and brine, and finally dried over Na2SC>4 and concentrated in vacuo to yield 129.5 mg (95%) of iV-methyl-iV'-(4-oxobutanoyl)-l,4- piperazine. This compound was then dissolved in EtOH (60 mL), p-toluenesulfonic acid (p- TsOH, 0.07 mmol, 13.3 mg, 0.1 equiv.) was added and the mixture was refluxed for 1.5 hours. Then, the mixture was allowed to cool down to room temperature, triethylamine (NEt3, 0.35 mmol, 48.5 iL, 0.5 equiv.) was added, and the solvent was evaporated in vacuo to give iV-methyl-iV'-(4,4-diethoxybutanoyl)-l,4-piperazine in a yield of 174.4 mg (96%) as an oil. The oil (17.4 mg, 67 μπιοΐ, 1.0 equiv.) was dissolved in dry ACN (1 mL) and added dropwise to a solution of l,3,5-tris(bromomethyl)benzene (72.0 mg, 0.20 mmol, 3.0 equiv.) in dry ACN/EtaO (5 mL, 2:3 v/v) and this mixture was stirred overnight at room temperature. Subsequently, Et20 (6 mL) was added to the reaction mixture, and the formed precipitate
was collected, washed with Et20 (lx) and air-dried to give molecule Illb in an overall yield of 25.1 mg (47% yield).
Detailed characterization studies of molecule Illb are in progress. Synthesis of molecules of formulas VI - VII (see table 1) General Procedure for the synthesis of CLIPS-peptides VI-VII:
Typically, peptide *C(SH)-XXXX-C(SAcm)-XXXXXXX-C(SH)# was dissolved in H2O/ACN (3:1 v/v mixture) to a concentration of 0.1-0.5 μΜ. Next, 1.2 equiv. of molecule II-III (10 mM in ACN) was added to the peptide solution, and the CLIPS-reaction was started by adding ~10% (v/v) of a 100 mM NaaCOe buffer. The reaction was stirred for 1 hour at room temperature.
General Procedure for iV-^Boc-deprotection of CLIPS-peptides VI-VII containing scaffolds Ila or Ilia:
Following the general protocol (CLIPS reaction), the reaction was quenched with a 1% TFA solution in H2O until pH 3 and the solvents were evaporated in vacuo. The residue was dissolved in a 1: 1 mixture of TFA H2O and stirred for 1 hour. Direct preparative HPLC purification followed by lyophilization resulted in the final product VI-VII in 50-80% yield.
General Procedure for acetal-deprotection of CLIPS-peptides VI-VII containing scaffolds lib or Illb:
Following the general protocol (CLIPS reaction), the reaction was quenched with a 1% TFA solution in H2O until pH 3 and the ACN was evaporated in vacuo. Preparative HPLC purification followed by lyophilization resulted in the final product VI-VII in 50-80% yield.
Synthesis of molecules of formulas X and XII (see table 2)
The synthesis of molecules comprising two compounds of VI - VII (e.g. Via + VIb, or Vila + Vllb, or mixed version thereof) is exemplified in Schemes 10- 12, describing the different reactions that are used to couple the two compounds of general formula VI - VII to one another. The detailed descriptions below enable the skilled person i) to couple any of the compounds with general formula VI— VII to one another in order to obtain a bicylic compound X and XII according to the invention, and ii) to transform any of the compounds with general formula X and XII into the corresponding SS-oxidized compounds with general formula XI and XIII according to the invention.
General procedure for the synthesis of compounds Xa-b or Xlla-b via an oxime-ligation between compounds Vla+VIb (containing scaffold Ila and lib) and Vlla+VIIb (containing scaffold Ilia and Illb):
Equimolar amounts of CLIPS peptides Via/Vila (2.3 μπιοΐ) and VIb/VIIb (2.3 μπιοΐ) were dissolved in 2.3 mL of an aniline (PhNH2)/citrate buffer (0.1 M, pH 4.5) to obtain final CLIPS-peptide concentrations of 1.0 mM. The mixture was stirred for 1 hour at room temperature and subsequently purified by preparitve HPLC followed by lyophilisation to afford compounds of general formula Xa-b and XIIa-b in 50-80% yield.
General Procedure for the synthesis of molecules Xc-d or Xllc-d (Vic + VId or Vllc-d + Vlld) using a thermal CLICK-reaction:
Equimolar amounts of CLIPS-peptides VIc/VIIc (2.3 μπιοΐ) and VId/VIId (2.3 μπιοΐ) were dissolved in sodium phosphate buffer (2.3 mL, 0.2 M, pH 6.8) to obtain final CLIPS-peptide concentrations of 1.0 mM. The mixture was stirred at room temperature for 48 hours. The product was purified by preparative HPLC followed by lyophilisation to afford compounds of general formula Xc-d and Xllc-d in 50-80% yield.
General procedure for the conversion of compounds with general formula X and XII into the corresponding SS-bridged molecules XI and XIII (see table 3):
Compound X or XII (1.5 mg), obtainable by the above procedure, was dissolved in DMSO (25 L) to give a -10 mM (-50 mg/mL) solution. To this, a solution of in MeOH (3.4 mg/mL) was added (-200 L) and the mixture was stirred for 15-20 min. at room
temperature. The reaction was then quenched with a solution of 1,4-dithiothreitol (1,4- DTT) in H2O (7.72 mg/mL) until the brown/reddish l2-color completely has disappeared. Purification of the product by preparative RPLC followed by lyophilisation affords compounds XI and XIII in typical yields from 50-80%. (In case that treatment with 1,4-DTT has lead to a reduction of the SS-bond in XI and XIII, the resulting product requires an additional oxidation by air under high dilution conditions (-0.1 mM) at pH 7-8)
Example 3: Antibody binding studies with molecules X/XII and XI/XIII.
In order to show that double-loop molecules X/XII and XI XIII are much better mimics of the native protein (from which they were derived of) than the corresponding single-loop molecules VI/VII (63- or 6l-loop alone), we studied their binding to a series of monoclonal antibodies (mAbs) that were specifically raised against the native protein. Often, those mAbs bind to a discontinuous binding site on the protein surface. We describe here a number of cases where double-loop molecules of general formula X/XII and XI XIII bind much stronger to those antibodies than either one of the corresponding single-loop molecules VI/VII (63- or 6l-loop alone), indicating that molecules X/XII and XI/XIII mimic much better the discontinuous binding surface of those proteins.
We describe three different types of experiments:
a. mAb-binding to surface-immobilized molecules X and XI (+ controls) in solid- supported peptide arrays
b. mAb-binding to surface-immobilized molecules X and XI (+ controls) in
ELISA
c. mAb-binding to molecules XI (+ single-loop controls) in competition ELISA.
Binding studies with anti-FSHQ mAb's in solid-supported peptide arrays.
CLIPSed peptides CiiaTVRVPGCs(Acm)AHHADSLYTCiia and
CiibTVRVPGCs(Acm)AHHADSLYTCiib were synthesized by reacting peptide
CTVRVPGCs(Acm)AHHADSLYTC (63-loop; 60-75 sequence) with either molecule Ila or lib, following the general procedure described for CLIPS-peptides VI. Peptide arrays with surface-immobilized peptides were prepared following published procedures (Timmerman et al., J. Mol. Recogn. 2007, 20, 283-299). Overlapping 6-mer sequences, flanked two cysteine residues on either side, derived from the 6l-loop of FSH, were synthesized in an
overlapping fashion (*CITIAIEC- solid-phase, 8- 13; *CTIAIEKC-solid-phase, 9- 14; etc.). Subsequently, these peptides were reacted with compounds Ila (1st experiment, standard oxime) or lib (2nd experiment, reversed oxime), following the general procedure described for CLIPS-peptides VI. Then, all CLIPSed 6l-loop peptides were reacted with the CLIPSed 63-loop peptides following the general procedure described for molecules X. Compounds Xabl5 - Xab20 (1st experiment, standard oxime) and Xbal5 - Xba20 (2nd experiment, reversed oxime) were subsequently Acm-deprotected and oxidized (SS-bonds formed) to give XIabl5 - XIab20 (1st experiment, standard oxime) and XIbal5 - XIba20 following the general procedure described for molecules XI.
Antibody binding studies were performed (following described procedures: Timmerman et al, J. Mol. Recogn. 2007, 20, 283-299). For binding, we used two croii-FSHB monoclonal antibodies (mAbl and mAb2), that were raised against the native protein Follicle
Stimulating Hormone (FSH). Detailed mapping studies in our laboratories had shown that these antibodies bind the conformational 63-loop of that same protein (Timmerman et al., J. Mol. Recogn. 2007, 20, 283-299). Within this protein, the 63-loop is covalently linked to the 6l-loop via a disulfide bond between C17 and Cm (which is in the middle of the 63-loop binding site of these mAbs).
The binding studies performed (see Figures 1+2 + Tables 4 and 5) clearly show the following features:
mAb-binding to double-loop molecules X and XI occurs at a much lower antibody concentrations (10- 100 ng/mL) than observed for the corresponding single-loop molecules VI (63- or 6l-loop alone).
mAb-binding is strongly dependent on the selected sequence of the 6l-loop in molecules X and XI. Only those molecules that expose the 6-turn (13-18) of the 61- loop show strong binding, while for other molecules X and XI is comparable in strength to the single-loop molecules VI (63- or 6l-loop alone).
Binding of molecules XI (with native C17- C66 disulfide bond) is significantly stronger than for molecules X in case of the strongest binding molecules (XIabl6 and XIbal6).
The mAb-binding results for the standard oxime-ligation (molecules Xlab; Figure 1) and reversed oxime-ligation (molecules Xlba; Figure 2) are not much different, indicating that the exact nature of the covalent linkage between the CLIPS-scaffolds Ila and lib is of minor importance.
Altogether, these data provide strong evidence that for mAbs 1 and 2 the double-loop molecules X and XI are much better binding mimics of Follicle Stimulating Hormone (FSH) than the corresponding single-loop mimics VI (63-loop and 6l-loop).
ELISA binding studies with surface-immobilized double-loop molecules Xlabl and XIbal (+controls) and anti-FSHQ mAb's 1 and 2.
Antibody binding studies in ELISA were performed as follows: molecules X, XI, and neg. control peptides (1-4) were immobilized to the ELISA-plate surface using GDA-coating. Subsequently, the binding of two croit-FSHB mAb's (1 and 2) to these surface-bound molecules was studied as a function of the mAb-concentration (following described procedures: Timmerman et al., J. Mol. Recogn. 2007, 20, 283-299). When binding of the mAbs to the X/XI-immobilized surface is stronger that for the (single-loop) control molecules, the molecules have shown to be better protein mimics of FSH.
In these studies, the molecules listed in Table 6 were used:
In the first study, we investigated the binding of mAbs 1 and 2 to the double-loop molecules Xlabl, and compared that with mAb-binding to t) the native protein FSH, ii) the single 61- (neg. contr- 1) and 63-loop (neg. contr-2) CLIPS-peptides, and Hi) molecules Xabl* that lacks the SS-bond between C17 and Cm (both C's substituted for A).
These experiments (data see Figure 3) show that:
molecule Xlabl binds almost as good as the native protein FSH to mAbs 1 and
2.
mAb-binding of molecule Xabl* (no SS) is significantly reduced as compared to molecule Xlabl, i.e. for mAbl binding is ~100-fold weaker, and for mAb2 is ~10-fold weaker.
mAb-binding to molecule Xlabl is much stronger as that of the single-loop controls 1 and 2, i.e. for mAbl binding is ~100-fold (control- 2) and >1000-fold (control- 1) stronger, while mAb2 binding is ~30-50-fold (control-2) and >1000-fold (control- 1) stronger.
The mAb-binding studies also showed that the covalent linkage between the two CLIPS- peptides in double-loop molecules XI is of minor importance to the binding properties of that molecule. For example, binding of molecules Xlabl (standard oxime) and Xlbal
(reversed oxime) to both mAb 1 and 2 is <5-fold different in binding strength (see Figure 4). Finally, the mAb-binding studies revealed the crucial importance of all trhee structural constraints in molecule Xlabl, i.e. i) the CLIPS-scaffolds Ila and lib, H) the oxime-linkage between these two scaffolds, and Hi) the SS-bond between C 17 and Cee. The data in Figure 5 clearly show that binding of i) neg. contr-4 (Xlabl, without CLIPS-scaffolds Ila/IIb and oxime-linkage), ii) neg. contr-3 (Xlabl, without oxime-linkage), and Hi) molecule Xabl* (no SS-bond), all bind >50x weaker to either mAbl or mAb2.
Altogether, these data strongly support our invention that double-loop molecules XI are much better mimics of the native protein FSH. Competition studies in ELISA with double-loop molecules XIabl-3 and anti-FSHQ mAb's 1 and 2.
Competition studies in ELISA were performed in order to show that double-loop molecules XIabl-3 also show binding to croit-FSHB mAb's 1 and 2 in solution (see Table 7). The experiments (following described procedures: Timmerman et al., J. Mol. Recogn. 2007, 20, 283-299) were carried out as follows: double-loop molecules Xlabl was immobilized to the surface of the ELISA-plate using GDA-coating. Subsequently, molecules Xlab 1-3 (which differ mainly in the length of both the 61- and 63-loop sequence incorporated) were studied for their ability to inhibit binding of the cmit-FSHB mAb's 1 and 2 to the surface- immobilized Xlabl molecule.
The data shown in Figure 6 clearly show that:
all molecules XIabl-3 clearly inhibit binding of mAbs 1 and 2 to surface- immobilized Xlabl.
inhibition of mAbl-binding by double-loop molecule XIab3 is only ~100-fold less potent than for the complete native FSH-protein.
the potential for inhibition of double-loop molecules XIabl-3 for mAbl is significantly better with the longer 61- and 63-loop sequences.
Altogether, these data further support our invention that double-loop molecules XI are very good mimics of the native protein FSH.
Competition studies in ELISA with double-loop molecule XIba2 and anti-CCRb mAb 2D7. Competition studies in ELISA were performed in order to show that double-loop molecule XIba2 (derived from the ECLl and ECL2-loop of the C-C chemokine receptor type-5; see Table 8) binds much stronger to anti-CCRb mAb 2D7 in solution than the corresponding single ECLl and ECL2-loop controls VIa4 and VIb4. The experiments (following described procedures: Timmerman et al., J. Mol. Recogn. 2007, 20, 283-299) were carried out as follows: molecule VIa4 was immobilized to the surface of the ELISA-plate using GDA- coating. Subsequently, molecules XIba2, VIa4 and VIb4 were studied for their ability to inhibit binding of mAb 2D7 to the surface-immobilized XIba2 molecule.
The binding data (shown in Figure 7) clearly show that:
inhibition of 2D7-binding to surface-immobilized VIa4 is >100-fold stronger for the double-loop molecule XIba2 (ECBO ~500 nM) as compared to the single ECLl and ECL2-loop controls VIa4 (ECBO >100 μΜ) and VIb4 (ECBO >1 mM).
This experiment further supports our invention that double-loop molecules XI are better mimics of their native protein than the corresponding single-loop control molecules VI.
a hFSH = human Fo] licle Stimulating Hormone, beta-subunit; hCCR5 = human C-C chemokine receptor type-5; hVEGF = human Vascular Endothelial Growth Factor; hCGp = human Choriogonadotrophin, beta-subunit; mSCLER = mouse Sclerostin; FMDV- Ol=Foot-and-Mouth-Disease Virus, strain-Ol; hSCLER = human Sclerostin. b ECL = Extracellular Loop.
Table 2: Peptide sequences of molecules X and XII according to the invention.
a hFSH = human Follicle Stimulating Hormone, beta-subunit; hCCR5 = human C-C chemokine receptor type-5; hVEGF = human Vascular Endothelial Growth Factor; hCGp = human Choriogonadotrophin, beta-subunit; mSCLER = mouse Sclerostin; FMDV-strainOl = Foot-and-Mouth-Disease-Virus, strain-Ol; hSCLER = human Sclerostin. b ECL = Extracellular Loop.
a hFSH = human Follicle Stimulating Hormone, beta-subunit; hCCR5 = human C-C chemokine receptor type-5; hVEGF = human Vascular Endothelial Growth Factor; hCG = human Choriogonadotrophin, beta-subunit; mSCLER = mouse-sclerostin; hSCLER = human Sclerostin. b ECL = Extracellular Loop.
Table 4 mAb-binding studies with surface-immobilized molecules Xab and XIab (standard oxime bond; for molecular structure see Figure
1), using the strongly neutralizing anti-FSH mAbs 1 and 2.
a Numbers in brackets refer to binding levels of corresponding SS-bridged compounds XIab. bThe corresponding single βΐ- and β3-1οορ 5 CLIPS-peptides (molecule Vl-type) did not show measurable binding of both mAbs 1 and 2 at this (low) concentrations.
Table 5 mAb-binding studies with surface-immobilized molecules Xba and Xlba (reversed oxime bond; for molecular structure see
Scheme 13), using the strongly neutralizing anti-FSH mAbs 1 and 2.
Numbers in brackets refer to binding levels of corresponding SS-bridged mo ecules Xlba. bThe corresponding single βΐ- and β3-1οορ
CLIPS-peptides (of molecule Vl-type) did not show measurable binding of both mAbs 1 and 2 at this (low) concentrations.
Table 6: Molecules + peptide sequences used in ELISA binding studies with anti-FSKfi mAb's 1 and 2.
a T2 = l,2-bis(bromomethyl)benzene; b Xabl* = Xabl with C(SAcm)/A- mutations at C17 (βΐ-ΐοορ) and Cm (β3-1οορ).
Table 7 Double-loop molecules Xlab used for competition studies in ELISA with mAbl
hFSH = human Follicle Stimulating Hormone, beta-subunit.
Table 8 Peptide sequences for double-loop molecules XIba2 and single-loop controls VIa4 and VIb4.
a hCCR5 = human C-C chemokine receptor type-5; ECL = Extracellular Loop.
103
Scheme
106
Oxime ligation thermal CLICK
Scheme 6
108
110
Q1 Q2
Conjugate (1,4) thiol-addition reaction (Michael-type)
R3Si + R5- H-E G-R6 -> R3-S- CHR5-ChL --EWG- R6
R3,R5= alkyl, aryl, etc. (as specified in the text already); R6 = H or any group as mentioned for R3/Rs EWG: C(=0), C(=0)0, C(=0)NH, S(=0), S(=0)2, NO∑ (in this case R6 should be absent) Independently from this, R5 and R6 can be part of a substituted (hetero)cycle (as already mentioned in text) thiol-ene reaction (radical initiation)
R3SH R4-CH===CH, R3 -R4
Scheme 1 0
c eme 11
Scheme 12
"standard" oxime (molecules Xlab)
Scheme 13
Claims
Claims
1. A molecule accordin to general formula (Γ)
P is an organic moiety comprising
an aromatic (hetero)cycle;
an aliphatic heterocycle comprising a positively charged nitrogen atom; and a neutral nitrogen atom being comprised in said aromatic (hetero)cycle and/or said aliphatic heterocycle;
X1 and X2 are independently a leaving group bound to the aromatic (hetero)cycle at a benzylic position; and
Q is a reactive group capable of participating in an oxime-ligation reaction, a hydrazone-ligation reaction, an alkyne-azide cycloaddition, a Diels-Alder reaction, a conjugate thiol-addition (Michael-type) reaction, or a thiol-ene reaction.
2. A molecule according to claim 1, wherein said molecule has the formula
XI, X2, and Q are as defined in claim 1; and
R1 is a linear or branched Cm altyl group, wherein m is an integer of from 1 to 6.
3. A molecule according to claim 1 or 2, wherein leaving groups X1 and X2 are, independently from one another, selected from the group consisting of a halide, a sulfonate ester, a tetraalkylammonium salt, and a diazonium salt, preferably X1 and X2 are a halide.
4. A molecule according to any one of claims 1 - 3, wherein leaving groups X1 and X2 are identical, preferably X1 and X2 are bromide or chloride, more preferably X1 and X2 are bromide.
5. A molecule according to any one of claims 1-4, wherein Q is a reactive group capable of participating in an oxime- ligation reaction or an alkyne-azide cycloaddition, more preferably wherein Q i
wherein R3 and/or R4 is -(C=0)-alkyl- or -(C=0)-aryl-, and R8 = C(=0)-, wherein 'alkyl' refers to any linear or branched Ci-4 carbon fragment and 'aryl' refers to any 5- or membered (substituted) (hetero)aryl linking unit, and R7 is any linear or branched Ci-4 alkyl or any 5- or 6-membered (substituted) (hetero)aryl linking unit .
6. A compound according to the general formula (V):
υ (V), wherein
-pep- is a peptide sequence comprising 2 - 40 amino acids; and
P is an organic moiety comprising
an aromatic (hetero)cycle;
an aliphatic heterocycle comprising a positively charged nitrogen atom; and a neutral nitrogen atom being comprised in said aromatic (hetero)cycle and/or said aliphatic heterocycle; and
L1 and L2 represent independently from one another a linker at a benzylic position on said aromatic cycle between said aromatic cycle and said peptide; and
Q is a reactive group, capable of participating in an oxime-ligation reaction, a hydrazone-ligation reaction, an alkyne-azide cycloaddition, a Diels-Alder reaction, a conjugate thiol- addition (Michael-type) reaction, or a thiol-ene reaction.
7. A compound according to claim 6, wherein said compound has the formula
wherein
-pep-, LI, L2 and Q are as defined in claim 6, and
R1 is a linear or branched Cm alkyl group, wherein m is an integer of from 1 to 4.
8. A compound according to claim 6 or 7, wherein L1 and L2 are, independently one another, selected from the group consisting of S and CH2S.
9. A molecule according to any one of claims 6 - 8, wherein Q is a reactive group capable of participating in an oxime-ligation reaction or an alkyne-azide cycloaddition, selected from the group consisting of R3ONH2, R4C(=0)H, R3N3, and
R3 and/or R4 is -(C=0)-alkyl- or -(C=0)-aryl-, and R8 is -C(=0)-, wherein 'alkyl' refers to any linear or branched Ci-4 carbon fragment , and 'aryl' refers to any 5- or 6- membered (substituted) (hetero)aryl linking unit.
10. Method for producing a compound according to any one of claims 6-9, the method comprising the steps of
providing a molecule according to any one of claims 1-5 preferably wherein XI and X2 are halides;
- providing a peptide sequence capable of reacting with leaving groups X1 and X2 present in said molecule to form two linkages, preferably selected from the group consisting of S and CH2S;
reacting said molecule with said peptide sequence to form said two linkages. mula (IX)
wherein
- pep 1 - and - pep 2— are independently from one another a peptide sequence comprising 2- 40 amino acids; and
P is an organic moiety comprising
an aromatic (hetero)cycle;
an aliphatic heterocycle comprising a positively charged nitrogen atom; and a neutral nitrogen atom being comprised in said aromatic (hetero)cycle and/or said aliphatic heterocycle; and
L1, L2, L3, and L4, represent independently from one another a linker at a benzylic position on said aromatic cycle between said aromatic cycle and said peptide; and
— Y— comprises a link formed as a result of an oxime-ligation reaction, a hydrazone- ligation reaction, an alkyne-azide cycloaddition, a Diels-Alder reaction, a conjugate thiol- addition (Michael-type) reaction, or a thiol-ene reaction, preferably— Y— comprises a link formed as a result of an oxime-ligation reaction or a alkyne-azide cycloaddition.
12. A compound according to claim 11, wherein an additional covalent linkage is present between said - pep 1 - and said - pep 2 - peptide sequence.
13. A compound according to claim 12, wherein the peptides are covalently linked by a disulphide or a diselenium, preferably a disulphide.
14. A compound according to any one of claims 11-13, wherein said compound has the formula:
wherein—pep 1—,—pep 2—, LI, L2, L3, L4 and— Y— are as defined in claim 11, and — Z— comprises a linker between said - pep 1 - and said - pep 2 - peptide sequence; a linear or branched Cm alkyl group, wherein m is an integer of from 1 to 4. 15. A compound according to claim 14, wherein Z— comprises a disulphide or a diselenium, preferably a disulphide.
16. A compound according to any one of claims 11-15, wherein L1, L2, L3, and L4, are, independently from one another, selected from the group consisting of S and CH2S.
17. A compound according to any one of claims 11-16, wherein— Y— comprises a linker formed by an oxime-ligation reaction or a alkyne-azide cycloaddition reaction,
(C=0)-aryl-, wherein 'alkyl' refers to any linear or branched C1-4 carbon fragment and 'aryl' refers to any 5- or 6-membered (substituted) (hetero)aryl linking unit, and R5 and R6 together form an optionally substituted 5- or 6-membered (substituted (hetero)aryl linking unit, and R8 is -C(=0)-.
18. Method for producing a compound according to any one of claims 11-17, the method comprising the steps of
providing a first compound according to any one of claims 6-9;
- providing a second compound according to any one of claims 6-9, capable of reacting with said first compound in an oxime-ligation reaction, a hydrazone-ligation reaction, an alkyne-azide cycloaddition, a Diels-Alder reaction, a conjugate thiol- addition (Michael-type), or a thiol-ene reaction;
reacting said first compound with said second compound to form at least one linkage between said first and said second compound, preferably wherein said first and second compound are both either capable of reacting in an oxime-ligation reaction or in a alkyne-azide cycloaddition, and wherein said at least one linkage is selected from the group
refers to any 5- or 6-membered (substituted) (hetero)aryl linking unit, and R5 and R6 together form an optionally substituted 5- or 6-membered (substituted (hetero)aryl linking unit, and R8 is -C(=0)-. 19. A pharmaceutical composition comprising a compound according to any one of claims 11-17 and/or a compound obtainable by a method according to claim 18 and a pharmaceutically acceptable excipient, carrier, adjuvant, and/or diluent.
20. A compound according to any one of claims 11-17 and/or obtainable by a method according to claim 18 for use as a medicament and/or a prophylactic agent.
21. A vaccine comprising a compound according to any one of claims 11-17 and/or obtainable by a method according to claim 18..
22. Method for producing an antibody, a T-cell and/or a B-cell, the method comprising:
- providing a non-human animal with a compound according to any one of claims 11— 17 and/or a compound obtainable by a method according to claim 18 and/or a pharmaceutical composition according to claim 19 or 21, and
- harvesting from said animal an antibody, a T-cell and/or a B-cell capable of specifically binding said compound.
23. Method for selecting a candidate drug compound, the method comprising
- providing a library of compounds according to any one of claims 11— 17 and/or compounds obtainable by a method according to claim 18,
- contacting said compounds with a target molecule,
- determining the binding of said target molecule to said compounds, and
- selecting a compound that shows binding to said target molecule.
24. Method according to claim 23, wherein said binding is determined on a solid phase provided with said library of compounds.
25. Use of a molecule according to any one of claims 1-5 or a compound according to any one of claims 6-9 or 11-17 in a method for detecting a discontinuous binding site in a protein.
26. Use of a molecule according to any one of claims 1-5 or a compound according to any one of claims 6-9 or 11-17 in a method for mimicking a discontinuous binding site of a protein.
Applications Claiming Priority (4)
| Application Number | Priority Date | Filing Date | Title |
|---|---|---|---|
| US40620010P | 2010-10-25 | 2010-10-25 | |
| EP10188743 | 2010-10-25 | ||
| EP10188743.8 | 2010-10-25 | ||
| US61/406,200 | 2010-10-25 |
Publications (1)
| Publication Number | Publication Date |
|---|---|
| WO2012057624A1 true WO2012057624A1 (en) | 2012-05-03 |
Family
ID=43726102
Family Applications (1)
| Application Number | Title | Priority Date | Filing Date |
|---|---|---|---|
| PCT/NL2011/050727 Ceased WO2012057624A1 (en) | 2010-10-25 | 2011-10-25 | Novel bicyclic peptide mimetics |
Country Status (1)
| Country | Link |
|---|---|
| WO (1) | WO2012057624A1 (en) |
Cited By (23)
| Publication number | Priority date | Publication date | Assignee | Title |
|---|---|---|---|---|
| WO2015011467A1 (en) | 2013-07-26 | 2015-01-29 | Isis Innovation Limited | Identification and display of peptide ligands |
| WO2018083124A1 (en) * | 2016-11-01 | 2018-05-11 | Matn Scientific Limited | Detection and treatment of demyelinating diseases |
| US10087221B2 (en) | 2013-03-21 | 2018-10-02 | Sanofi-Aventis Deutschland Gmbh | Synthesis of hydantoin containing peptide products |
| WO2019162682A1 (en) * | 2018-02-23 | 2019-08-29 | Bicycletx Limited | Multimeric bicyclic peptide ligands |
| US10450343B2 (en) | 2013-03-21 | 2019-10-22 | Sanofi-Aventis Deutschland Gmbh | Synthesis of cyclic imide containing peptide products |
| WO2021162070A1 (en) * | 2020-02-14 | 2021-08-19 | 東レ株式会社 | Method for producing monomer for nucleic acid production |
| WO2021176034A1 (en) | 2020-03-05 | 2021-09-10 | Umc Utrecht Holding B.V. | Membrane ubiquitin ligases to target protein degradation |
| WO2021255280A1 (en) | 2020-06-18 | 2021-12-23 | Umc Utrecht Holding B.V. | Screening method for effective target - e3 ligase combinations |
| US11261214B2 (en) | 2017-08-04 | 2022-03-01 | Bicycletx Limited | Bicyclic peptide ligand specific for CD137 |
| US11306123B2 (en) | 2019-07-30 | 2022-04-19 | Bicycletx Limited | Heterotandem bicyclic peptide complex |
| US11332500B2 (en) | 2019-10-03 | 2022-05-17 | Bicycletx Limited | Heterotandem bicyclic peptide complexes |
| US11578110B2 (en) | 2015-08-25 | 2023-02-14 | Histide Ag | Compounds for inducing tissue formation and uses thereof |
| US11613560B2 (en) | 2019-05-09 | 2023-03-28 | Bicycletx Limited | Bicyclic peptide ligands specific for OX40 |
| US11814447B2 (en) | 2018-06-22 | 2023-11-14 | Bicyclerd Limited | Peptide ligands for binding to EphA2 |
| US11833211B2 (en) | 2017-12-19 | 2023-12-05 | Bicycletx Limited | Methods of suppression and treatment of disease comprising administering bicycle peptide ligands specific for EphA2 |
| US11912792B2 (en) | 2018-06-22 | 2024-02-27 | Bicycletx Limited | Bicyclic peptide ligands specific for nectin-4 |
| US12318454B2 (en) | 2014-10-29 | 2025-06-03 | Bicyclerd Limited | Bicyclic peptide ligands specific for MT1-MMP |
| US12350343B2 (en) | 2018-12-13 | 2025-07-08 | Bicycletx Limited | Bicyclic peptide ligands specific for MT1-MMP |
| US12377155B2 (en) | 2018-12-13 | 2025-08-05 | Bicyclerd Limited | Bicyclic peptide ligands specific for PSMA |
| US12492224B2 (en) | 2018-12-21 | 2025-12-09 | Bicycletx Limited | Bicyclic peptide ligands specific for PD-L1 |
| US12491253B2 (en) | 2018-12-13 | 2025-12-09 | Bicyclerd Limited | Bicyclic peptide ligands specific for MT1-MMP |
| US12516084B2 (en) | 2019-01-15 | 2026-01-06 | Bicycletx Limited | Bicyclic peptide ligands specific for CD38 |
| US12540161B2 (en) | 2020-08-03 | 2026-02-03 | Bicycletx Limited | Linkers |
Citations (2)
| Publication number | Priority date | Publication date | Assignee | Title |
|---|---|---|---|---|
| WO2004077062A2 (en) | 2003-02-27 | 2004-09-10 | Pepscan Systems B.V. | Method for selecting a candidate drug compound |
| WO2008013454A2 (en) | 2006-07-26 | 2008-01-31 | Pepscan Systems B.V. | Immunogenic compounds and protein mimics |
-
2011
- 2011-10-25 WO PCT/NL2011/050727 patent/WO2012057624A1/en not_active Ceased
Patent Citations (2)
| Publication number | Priority date | Publication date | Assignee | Title |
|---|---|---|---|---|
| WO2004077062A2 (en) | 2003-02-27 | 2004-09-10 | Pepscan Systems B.V. | Method for selecting a candidate drug compound |
| WO2008013454A2 (en) | 2006-07-26 | 2008-01-31 | Pepscan Systems B.V. | Immunogenic compounds and protein mimics |
Non-Patent Citations (7)
| Title |
|---|
| BOCK V., HIEMSTRA H., VAN MAARSEVEEN, JH., EUR. J. ORG. CHEM., 2006, pages 51 - 68 |
| DONDONI ET AL., CHEM. EUR. J., vol. 15, 2009, pages 14444 - 9 |
| J. MARCH: "Advanced Organic Chemistry", pages: 766 - 767 |
| J. MARCH: "Advanced Organic Chemistry", pages: 839 - 852 |
| J. MARCH: "Advanced Organic Chemistry", pages: 904 - 905 |
| J. MARCH: "Advanced Organic Chemistry", pages: 906 - 907 |
| TIMMERMAN ET AL., J. MOL. RECOGN., vol. 20, 2007, pages 283 - 299 |
Cited By (36)
| Publication number | Priority date | Publication date | Assignee | Title |
|---|---|---|---|---|
| US10087221B2 (en) | 2013-03-21 | 2018-10-02 | Sanofi-Aventis Deutschland Gmbh | Synthesis of hydantoin containing peptide products |
| US10450343B2 (en) | 2013-03-21 | 2019-10-22 | Sanofi-Aventis Deutschland Gmbh | Synthesis of cyclic imide containing peptide products |
| EP3483268A1 (en) | 2013-07-26 | 2019-05-15 | Oxford University Innovation Limited | Identification and display of peptide ligands |
| US10351847B2 (en) | 2013-07-26 | 2019-07-16 | Oxford University Innovation Limited | Identification and display of peptide ligands |
| WO2015011467A1 (en) | 2013-07-26 | 2015-01-29 | Isis Innovation Limited | Identification and display of peptide ligands |
| US12318454B2 (en) | 2014-10-29 | 2025-06-03 | Bicyclerd Limited | Bicyclic peptide ligands specific for MT1-MMP |
| US11578110B2 (en) | 2015-08-25 | 2023-02-14 | Histide Ag | Compounds for inducing tissue formation and uses thereof |
| WO2018083124A1 (en) * | 2016-11-01 | 2018-05-11 | Matn Scientific Limited | Detection and treatment of demyelinating diseases |
| US11435345B2 (en) | 2016-11-01 | 2022-09-06 | Matn Scientific Limited | Detection and treatment of demyelinating diseases |
| AU2017353336B2 (en) * | 2016-11-01 | 2022-06-30 | Matn Scientific Limited | Detection and treatment of demyelinating diseases |
| US12049520B2 (en) | 2017-08-04 | 2024-07-30 | Bicycletx Limited | Bicyclic peptide ligands specific for CD137 |
| US11261214B2 (en) | 2017-08-04 | 2022-03-01 | Bicycletx Limited | Bicyclic peptide ligand specific for CD137 |
| US11833211B2 (en) | 2017-12-19 | 2023-12-05 | Bicycletx Limited | Methods of suppression and treatment of disease comprising administering bicycle peptide ligands specific for EphA2 |
| US12378288B2 (en) | 2018-02-23 | 2025-08-05 | Bicycletx Limited | Multimeric bicyclic peptide ligands |
| JP2021514953A (en) * | 2018-02-23 | 2021-06-17 | バイスクルテクス・リミテッド | Multicyclic bicyclic peptide ligand |
| US11542304B2 (en) | 2018-02-23 | 2023-01-03 | Bicycletx Limited | Multimeric bicyclic peptide ligands |
| US10875894B2 (en) | 2018-02-23 | 2020-12-29 | Bicycletx Limited | Multimeric bicyclic peptide ligands |
| WO2019162682A1 (en) * | 2018-02-23 | 2019-08-29 | Bicycletx Limited | Multimeric bicyclic peptide ligands |
| US11814447B2 (en) | 2018-06-22 | 2023-11-14 | Bicyclerd Limited | Peptide ligands for binding to EphA2 |
| US11912792B2 (en) | 2018-06-22 | 2024-02-27 | Bicycletx Limited | Bicyclic peptide ligands specific for nectin-4 |
| US12459974B2 (en) | 2018-06-22 | 2025-11-04 | Bicycletx Limited | Bicyclic peptide ligands specific for Nectin-4 |
| US12350343B2 (en) | 2018-12-13 | 2025-07-08 | Bicycletx Limited | Bicyclic peptide ligands specific for MT1-MMP |
| US12491253B2 (en) | 2018-12-13 | 2025-12-09 | Bicyclerd Limited | Bicyclic peptide ligands specific for MT1-MMP |
| US12377155B2 (en) | 2018-12-13 | 2025-08-05 | Bicyclerd Limited | Bicyclic peptide ligands specific for PSMA |
| US12492224B2 (en) | 2018-12-21 | 2025-12-09 | Bicycletx Limited | Bicyclic peptide ligands specific for PD-L1 |
| US12516084B2 (en) | 2019-01-15 | 2026-01-06 | Bicycletx Limited | Bicyclic peptide ligands specific for CD38 |
| US11613560B2 (en) | 2019-05-09 | 2023-03-28 | Bicycletx Limited | Bicyclic peptide ligands specific for OX40 |
| US11970553B2 (en) | 2019-07-30 | 2024-04-30 | Bicycletx Limited | Heterotandem bicyclic peptide complex |
| US11312749B2 (en) | 2019-07-30 | 2022-04-26 | Bicycletx Limited | Heterotandem bicyclic peptide complex |
| US11306123B2 (en) | 2019-07-30 | 2022-04-19 | Bicycletx Limited | Heterotandem bicyclic peptide complex |
| US12435107B2 (en) | 2019-07-30 | 2025-10-07 | Bicycletx Limited | Heterotandem bicyclic peptide complex |
| US11332500B2 (en) | 2019-10-03 | 2022-05-17 | Bicycletx Limited | Heterotandem bicyclic peptide complexes |
| WO2021162070A1 (en) * | 2020-02-14 | 2021-08-19 | 東レ株式会社 | Method for producing monomer for nucleic acid production |
| WO2021176034A1 (en) | 2020-03-05 | 2021-09-10 | Umc Utrecht Holding B.V. | Membrane ubiquitin ligases to target protein degradation |
| WO2021255280A1 (en) | 2020-06-18 | 2021-12-23 | Umc Utrecht Holding B.V. | Screening method for effective target - e3 ligase combinations |
| US12540161B2 (en) | 2020-08-03 | 2026-02-03 | Bicycletx Limited | Linkers |
Similar Documents
| Publication | Publication Date | Title |
|---|---|---|
| WO2012057624A1 (en) | Novel bicyclic peptide mimetics | |
| AU2007277556B2 (en) | Immunogenic compounds and protein mimics | |
| ES2430067T3 (en) | Sewn polypeptides | |
| JP5372380B2 (en) | Binding compounds, immunogenic compounds and peptidomimetics | |
| TWI353848B (en) | Mimotope peptide,composition,and immunogenic compo | |
| US11780893B2 (en) | Kv1.3 blockers | |
| JP2002517464A (en) | Muscarinic receptor antagonist | |
| JP6583411B2 (en) | Drug complex | |
| JP2024170574A (en) | Hemagglutinin-binding peptides | |
| JP2008540402A (en) | Novel compounds as GLP-1 agonists | |
| JP2002539092A (en) | Low molecular weight peptide derivatives as inhibitors of laminin / nidogen interaction | |
| RU2825633C1 (en) | Kv1_3 blockers | |
| US10167326B2 (en) | Alpha-fetoprotein “ring and tail” peptides | |
| US20260041753A1 (en) | Respiratory syncytial virus surface glycoprotein peptides, conjugates, and uses thereof | |
| US20240158448A1 (en) | Multivalent nano-'self' peptides and uses thereof | |
| WO2024168055A1 (en) | Tnf-alpha binding agents and methods of using the same | |
| WO2024043250A1 (en) | Cyclic peptide or salt thereof, and mdmx inhibitor | |
| JP2026505364A (en) | TNF-alpha binding agents and methods of using same | |
| KR20250162589A (en) | Respiratory syncytial virus surface glycoprotein peptide, conjugates and uses thereof | |
| EP4153177A1 (en) | Antifibrotic compounds and related methods | |
| Mulder | Design and synthesis of discontinuous protein binding site mimics of HIV gp120 | |
| JPH06239887A (en) | New ige production suppressing substance |
Legal Events
| Date | Code | Title | Description |
|---|---|---|---|
| 121 | Ep: the epo has been informed by wipo that ep was designated in this application |
Ref document number: 11779875 Country of ref document: EP Kind code of ref document: A1 |
|
| NENP | Non-entry into the national phase |
Ref country code: DE |
|
| 122 | Ep: pct application non-entry in european phase |
Ref document number: 11779875 Country of ref document: EP Kind code of ref document: A1 |









































































































