WO2012037108A1 - Aminoquinoline derivatives as antiviral agents - Google Patents
Aminoquinoline derivatives as antiviral agents Download PDFInfo
- Publication number
- WO2012037108A1 WO2012037108A1 PCT/US2011/051372 US2011051372W WO2012037108A1 WO 2012037108 A1 WO2012037108 A1 WO 2012037108A1 US 2011051372 W US2011051372 W US 2011051372W WO 2012037108 A1 WO2012037108 A1 WO 2012037108A1
- Authority
- WO
- WIPO (PCT)
- Prior art keywords
- group
- phenyl
- methyloxy
- amino
- compound according
- Prior art date
- Legal status (The legal status is an assumption and is not a legal conclusion. Google has not performed a legal analysis and makes no representation as to the accuracy of the status listed.)
- Ceased
Links
- 0 CC1(C)C(C2=C*=CC(NS(*)(=O)=O)=CC2(C)*)=Cc2c(*)c(**)c(N**)nc2C=C1 Chemical compound CC1(C)C(C2=C*=CC(NS(*)(=O)=O)=CC2(C)*)=Cc2c(*)c(**)c(N**)nc2C=C1 0.000 description 7
- NEWNAFUPHIKYLY-UHFFFAOYSA-N CC(C)(C)OC(N(CC1)CCN1C(c1cc(cc(cc2)-c(cc3NS(c(c(F)c4)ccc4F)(=O)=O)cnc3OC)c2[n+]([O-])c1N)=O)=O Chemical compound CC(C)(C)OC(N(CC1)CCN1C(c1cc(cc(cc2)-c(cc3NS(c(c(F)c4)ccc4F)(=O)=O)cnc3OC)c2[n+]([O-])c1N)=O)=O NEWNAFUPHIKYLY-UHFFFAOYSA-N 0.000 description 1
- ZSVZGZXWVYKNAM-UHFFFAOYSA-N CC(C)(C)OC(NCc1cc(cc(cc2)-c(cc3NS(c(c(F)c4)ccc4F)(=O)=O)cnc3OC)c2nc1N)=O Chemical compound CC(C)(C)OC(NCc1cc(cc(cc2)-c(cc3NS(c(c(F)c4)ccc4F)(=O)=O)cnc3OC)c2nc1N)=O ZSVZGZXWVYKNAM-UHFFFAOYSA-N 0.000 description 1
- MGVQWQOWZBPANU-UHFFFAOYSA-N CC(C)Oc(c([N+]([O-])=O)c1)ncc1Br Chemical compound CC(C)Oc(c([N+]([O-])=O)c1)ncc1Br MGVQWQOWZBPANU-UHFFFAOYSA-N 0.000 description 1
- XFOKXHJYIRNPAK-UHFFFAOYSA-N CC(C)Oc1ncc(B2OC(C)(C)C(C)(C)O2)cc1NS(c1ccccc1)(=O)=O Chemical compound CC(C)Oc1ncc(B2OC(C)(C)C(C)(C)O2)cc1NS(c1ccccc1)(=O)=O XFOKXHJYIRNPAK-UHFFFAOYSA-N 0.000 description 1
- IGAGTGLFCNMAQR-UHFFFAOYSA-N CC(C)c(cc1)cc(-c2cc(cc(cc3)-c(cc4NS(c(ccc(F)c5)c5F)(=O)=O)cnc4OC)c3nc2N)c1OC Chemical compound CC(C)c(cc1)cc(-c2cc(cc(cc3)-c(cc4NS(c(ccc(F)c5)c5F)(=O)=O)cnc4OC)c3nc2N)c1OC IGAGTGLFCNMAQR-UHFFFAOYSA-N 0.000 description 1
- ARQTVJQRHUHMDA-UHFFFAOYSA-N CC1(C)OB(c(cc2NS(Cc3ccccc3)(=O)=O)cnc2OC)OC1(C)C Chemical compound CC1(C)OB(c(cc2NS(Cc3ccccc3)(=O)=O)cnc2OC)OC1(C)C ARQTVJQRHUHMDA-UHFFFAOYSA-N 0.000 description 1
- XWOPCZXPVLFDBY-UHFFFAOYSA-N CC1(C)OB(c(ccc(N2CCOCC2)c2)c2Cl)OC1(C)C Chemical compound CC1(C)OB(c(ccc(N2CCOCC2)c2)c2Cl)OC1(C)C XWOPCZXPVLFDBY-UHFFFAOYSA-N 0.000 description 1
- UXJVHVXONVGHIL-UHFFFAOYSA-N CC1(C)OB(c2cc(NS(c3ccccc3)(=O)=O)cnc2)OC1(C)C Chemical compound CC1(C)OB(c2cc(NS(c3ccccc3)(=O)=O)cnc2)OC1(C)C UXJVHVXONVGHIL-UHFFFAOYSA-N 0.000 description 1
- FKSZRFOLTQURRQ-UHFFFAOYSA-N CCS(c(cc1)ccc1-c1c(N)nc(ccc(-c2cc(NS(c3ccccc3)=O)cnc2)c2)c2c1)(=O)=O Chemical compound CCS(c(cc1)ccc1-c1c(N)nc(ccc(-c2cc(NS(c3ccccc3)=O)cnc2)c2)c2c1)(=O)=O FKSZRFOLTQURRQ-UHFFFAOYSA-N 0.000 description 1
- TYEJPGIXQPMOER-UHFFFAOYSA-N CCS(c(cc1)ccc1-c1cc(cc(cc2)-c(cc3NS(c4ccccc4)(=O)=O)cnc3NC(C)C)c2nc1N)(=O)=O Chemical compound CCS(c(cc1)ccc1-c1cc(cc(cc2)-c(cc3NS(c4ccccc4)(=O)=O)cnc3NC(C)C)c2nc1N)(=O)=O TYEJPGIXQPMOER-UHFFFAOYSA-N 0.000 description 1
- MBNRXCYQDNXEFK-UHFFFAOYSA-N CCS(c(cc1)ccc1-c1cc(cc(cc2)-c(cc3NS(c4ccccc4)(=O)=O)cnc3OC(C)C)c2nc1N)=O Chemical compound CCS(c(cc1)ccc1-c1cc(cc(cc2)-c(cc3NS(c4ccccc4)(=O)=O)cnc3OC(C)C)c2nc1N)=O MBNRXCYQDNXEFK-UHFFFAOYSA-N 0.000 description 1
- DXMWGJULQVBMMD-UHFFFAOYSA-N CNC(c(c(Cl)c1)ccc1-c1c(N)nc(ccc(-c(cc2NS(c(ccc(F)c3)c3F)(=O)=O)cnc2OC)c2)c2c1)=O Chemical compound CNC(c(c(Cl)c1)ccc1-c1c(N)nc(ccc(-c(cc2NS(c(ccc(F)c3)c3F)(=O)=O)cnc2OC)c2)c2c1)=O DXMWGJULQVBMMD-UHFFFAOYSA-N 0.000 description 1
- VAXZPEVPYJCYQU-UHFFFAOYSA-N COc(c(NS(c(c(F)c1)ccc1F)(=O)=O)c1)ncc1-c(cc1)cc(cc2-c3c[n](CCN4CCOCC4)nc3)c1nc2N Chemical compound COc(c(NS(c(c(F)c1)ccc1F)(=O)=O)c1)ncc1-c(cc1)cc(cc2-c3c[n](CCN4CCOCC4)nc3)c1nc2N VAXZPEVPYJCYQU-UHFFFAOYSA-N 0.000 description 1
- AMFYAUNIMQLEJB-UHFFFAOYSA-N COc(c(NS(c(c(F)c1)ccc1F)(=O)=O)c1)ncc1-c(cc1)cc(cc2Br)c1nc2N Chemical compound COc(c(NS(c(c(F)c1)ccc1F)(=O)=O)c1)ncc1-c(cc1)cc(cc2Br)c1nc2N AMFYAUNIMQLEJB-UHFFFAOYSA-N 0.000 description 1
- RKRYJMBZDHODCL-UHFFFAOYSA-N COc(c(NS(c(ccc(F)c1)c1F)(=O)=O)c1)ncc1-c(cc1)cc(cc2-c(c(Cl)c3)ccc3N3CCCCC3)c1nc2N Chemical compound COc(c(NS(c(ccc(F)c1)c1F)(=O)=O)c1)ncc1-c(cc1)cc(cc2-c(c(Cl)c3)ccc3N3CCCCC3)c1nc2N RKRYJMBZDHODCL-UHFFFAOYSA-N 0.000 description 1
- HCSVWALWJXFOJA-UHFFFAOYSA-N COc(c(NS(c(ccc(F)c1)c1F)(=O)=O)c1)ncc1-c(cc1)cc(cc2C(Nc3ccccc3)=O)c1nc2N Chemical compound COc(c(NS(c(ccc(F)c1)c1F)(=O)=O)c1)ncc1-c(cc1)cc(cc2C(Nc3ccccc3)=O)c1nc2N HCSVWALWJXFOJA-UHFFFAOYSA-N 0.000 description 1
- KQYQQZXAGITSNA-UHFFFAOYSA-N COc(c(NS(c(ccc(F)c1)c1F)(=O)=O)c1)ncc1-c1cc2cc(Nc3cccc(S(N)(=O)=O)c3)c(N)nc2cc1 Chemical compound COc(c(NS(c(ccc(F)c1)c1F)(=O)=O)c1)ncc1-c1cc2cc(Nc3cccc(S(N)(=O)=O)c3)c(N)nc2cc1 KQYQQZXAGITSNA-UHFFFAOYSA-N 0.000 description 1
- NPEGEFAQWXGEBF-UHFFFAOYSA-N COc(c(NSc(ccc(F)c1)c1F)c1)ncc1-c(cc1)cc(cc2C(O)=O)c1nc2N Chemical compound COc(c(NSc(ccc(F)c1)c1F)c1)ncc1-c(cc1)cc(cc2C(O)=O)c1nc2N NPEGEFAQWXGEBF-UHFFFAOYSA-N 0.000 description 1
- SLQWZFZAZKTODV-UHFFFAOYSA-N COc(c(S(N1CCCC1)(=O)=O)c1)ncc1-c(cc1)cc(cc2C(N(CC3)CCC33OCCO3)=O)c1nc2N Chemical compound COc(c(S(N1CCCC1)(=O)=O)c1)ncc1-c(cc1)cc(cc2C(N(CC3)CCC33OCCO3)=O)c1nc2N SLQWZFZAZKTODV-UHFFFAOYSA-N 0.000 description 1
- BLVWBTRICMMJPY-UHFFFAOYSA-N COc(c(S(Nc1cccc(F)c1)(=O)=O)c1)ncc1-c(cc1)cc(cc2C(N(CC3)CCC33OCCO3)=O)c1nc2N Chemical compound COc(c(S(Nc1cccc(F)c1)(=O)=O)c1)ncc1-c(cc1)cc(cc2C(N(CC3)CCC33OCCO3)=O)c1nc2N BLVWBTRICMMJPY-UHFFFAOYSA-N 0.000 description 1
- VNOWRVWRTZPGNV-UHFFFAOYSA-N COc(c(S(Nc1ccccc1)(=O)=O)c1)ncc1-c(ccc1nc(N)c2-c(cc3)ccc3C(N3CCOCC3)=O)cc1c2C#N Chemical compound COc(c(S(Nc1ccccc1)(=O)=O)c1)ncc1-c(ccc1nc(N)c2-c(cc3)ccc3C(N3CCOCC3)=O)cc1c2C#N VNOWRVWRTZPGNV-UHFFFAOYSA-N 0.000 description 1
- KSWYYXDCJOKCMY-UHFFFAOYSA-N COc(ncc(Br)c1)c1NS(c(cc1)ccc1C#N)(=O)=O Chemical compound COc(ncc(Br)c1)c1NS(c(cc1)ccc1C#N)(=O)=O KSWYYXDCJOKCMY-UHFFFAOYSA-N 0.000 description 1
- HURVDHWOFYKQQW-UHFFFAOYSA-N COc1c(cc(cc2)I)c2nc(N)c1-c1ccccc1 Chemical compound COc1c(cc(cc2)I)c2nc(N)c1-c1ccccc1 HURVDHWOFYKQQW-UHFFFAOYSA-N 0.000 description 1
- TZOKWTMNXNJEPT-UHFFFAOYSA-N COc1ccc(-c2c(N)nc(ccc(-c(cn3)cc(NS(c(ccc(F)c4)c4F)(=O)=O)c3OC)c3)c3c2)c(OC)c1OC Chemical compound COc1ccc(-c2c(N)nc(ccc(-c(cn3)cc(NS(c(ccc(F)c4)c4F)(=O)=O)c3OC)c3)c3c2)c(OC)c1OC TZOKWTMNXNJEPT-UHFFFAOYSA-N 0.000 description 1
- LCPSWQWWKMOGDR-UHFFFAOYSA-N COc1nccc(-c(cc2)cc(cc3-c4ccccc4NS(C)(=O)=O)c2nc3N)c1NS(c(c(F)c1)ccc1F)(=O)=O Chemical compound COc1nccc(-c(cc2)cc(cc3-c4ccccc4NS(C)(=O)=O)c2nc3N)c1NS(c(c(F)c1)ccc1F)(=O)=O LCPSWQWWKMOGDR-UHFFFAOYSA-N 0.000 description 1
- KHLXTMZRKBVYST-SSDOTTSWSA-N C[C@H](C(O)=O)NS(c1ccccc1)(=O)=O Chemical compound C[C@H](C(O)=O)NS(c1ccccc1)(=O)=O KHLXTMZRKBVYST-SSDOTTSWSA-N 0.000 description 1
- SISXDOKQVPTQOL-UHFFFAOYSA-N Cc(c(Br)c1)nc(OC)c1N Chemical compound Cc(c(Br)c1)nc(OC)c1N SISXDOKQVPTQOL-UHFFFAOYSA-N 0.000 description 1
- ORHODDYPZMCLBU-UHFFFAOYSA-N Cc1c(B(O)O)ccc(C=O)c1 Chemical compound Cc1c(B(O)O)ccc(C=O)c1 ORHODDYPZMCLBU-UHFFFAOYSA-N 0.000 description 1
- JEDYFKAUQOCACF-UHFFFAOYSA-N Cc1cc(-c2cc(cc(cc3)-c(cc4NS(c(ccc(F)c5)c5F)(=O)=O)cnc4OC)c3nc2N)ccc1N1CCCCC1 Chemical compound Cc1cc(-c2cc(cc(cc3)-c(cc4NS(c(ccc(F)c5)c5F)(=O)=O)cnc4OC)c3nc2N)ccc1N1CCCCC1 JEDYFKAUQOCACF-UHFFFAOYSA-N 0.000 description 1
- NVDAAOIMGXWNCJ-UHFFFAOYSA-N Cc1cc(CN2CCCC2)ccc1-c1cc(cc(cc2)-c(cn3)cc(NS(c(ccc(F)c4)c4F)(=O)=O)c3OC)c2nc1N Chemical compound Cc1cc(CN2CCCC2)ccc1-c1cc(cc(cc2)-c(cn3)cc(NS(c(ccc(F)c4)c4F)(=O)=O)c3OC)c2nc1N NVDAAOIMGXWNCJ-UHFFFAOYSA-N 0.000 description 1
- UJGQUMWUTCQUJD-UHFFFAOYSA-N NC(c(cc(cc1)-c2c(N)nc(ccc(-c(cc3S(N4CCOCC4)(=O)=O)cnc3N)c3)c3c2)c1F)=O Chemical compound NC(c(cc(cc1)-c2c(N)nc(ccc(-c(cc3S(N4CCOCC4)(=O)=O)cnc3N)c3)c3c2)c1F)=O UJGQUMWUTCQUJD-UHFFFAOYSA-N 0.000 description 1
- GKVJFYZHEAFUDS-UHFFFAOYSA-N NC(c(cc(cc1)-c2c(N)nc(ccc(-c(cc3S(Nc4cnccc4)(=O)=O)cnc3N)c3)c3c2)c1F)=O Chemical compound NC(c(cc(cc1)-c2c(N)nc(ccc(-c(cc3S(Nc4cnccc4)(=O)=O)cnc3N)c3)c3c2)c1F)=O GKVJFYZHEAFUDS-UHFFFAOYSA-N 0.000 description 1
- DWMHZZFAIGIHOS-UHFFFAOYSA-N NC(c1cc(-c2cc3cc(-c(cc4S(Nc(ccc(F)c5)c5F)(=O)=O)cnc4N)ccc3nc2N)ccc1F)=O Chemical compound NC(c1cc(-c2cc3cc(-c(cc4S(Nc(ccc(F)c5)c5F)(=O)=O)cnc4N)ccc3nc2N)ccc1F)=O DWMHZZFAIGIHOS-UHFFFAOYSA-N 0.000 description 1
- AOJREMLURQQPKA-UHFFFAOYSA-N Nc1nc(ccc(-c2cncc(NC(C3CCCC3)=O)c2)c2)c2cc1-c(cc1)ccc1N1CCOCC1 Chemical compound Nc1nc(ccc(-c2cncc(NC(C3CCCC3)=O)c2)c2)c2cc1-c(cc1)ccc1N1CCOCC1 AOJREMLURQQPKA-UHFFFAOYSA-N 0.000 description 1
Classifications
-
- C—CHEMISTRY; METALLURGY
- C07—ORGANIC CHEMISTRY
- C07D—HETEROCYCLIC COMPOUNDS
- C07D215/00—Heterocyclic compounds containing quinoline or hydrogenated quinoline ring systems
- C07D215/02—Heterocyclic compounds containing quinoline or hydrogenated quinoline ring systems having no bond between the ring nitrogen atom and a non-ring member or having only hydrogen atoms or carbon atoms directly attached to the ring nitrogen atom
- C07D215/16—Heterocyclic compounds containing quinoline or hydrogenated quinoline ring systems having no bond between the ring nitrogen atom and a non-ring member or having only hydrogen atoms or carbon atoms directly attached to the ring nitrogen atom with hetero atoms or with carbon atoms having three bonds to hetero atoms with at the most one bond to halogen, e.g. ester or nitrile radicals, directly attached to ring carbon atoms
- C07D215/38—Nitrogen atoms
-
- A—HUMAN NECESSITIES
- A61—MEDICAL OR VETERINARY SCIENCE; HYGIENE
- A61K—PREPARATIONS FOR MEDICAL, DENTAL OR TOILETRY PURPOSES
- A61K31/00—Medicinal preparations containing organic active ingredients
- A61K31/33—Heterocyclic compounds
- A61K31/395—Heterocyclic compounds having nitrogen as a ring hetero atom, e.g. guanethidine or rifamycins
- A61K31/435—Heterocyclic compounds having nitrogen as a ring hetero atom, e.g. guanethidine or rifamycins having six-membered rings with one nitrogen as the only ring hetero atom
- A61K31/47—Quinolines; Isoquinolines
-
- A—HUMAN NECESSITIES
- A61—MEDICAL OR VETERINARY SCIENCE; HYGIENE
- A61K—PREPARATIONS FOR MEDICAL, DENTAL OR TOILETRY PURPOSES
- A61K31/00—Medicinal preparations containing organic active ingredients
- A61K31/70—Carbohydrates; Sugars; Derivatives thereof
- A61K31/7042—Compounds having saccharide radicals and heterocyclic rings
- A61K31/7052—Compounds having saccharide radicals and heterocyclic rings having nitrogen as a ring hetero atom, e.g. nucleosides, nucleotides
- A61K31/7056—Compounds having saccharide radicals and heterocyclic rings having nitrogen as a ring hetero atom, e.g. nucleosides, nucleotides containing five-membered rings with nitrogen as a ring hetero atom
-
- A—HUMAN NECESSITIES
- A61—MEDICAL OR VETERINARY SCIENCE; HYGIENE
- A61K—PREPARATIONS FOR MEDICAL, DENTAL OR TOILETRY PURPOSES
- A61K38/00—Medicinal preparations containing peptides
- A61K38/16—Peptides having more than 20 amino acids; Gastrins; Somatostatins; Melanotropins; Derivatives thereof
- A61K38/17—Peptides having more than 20 amino acids; Gastrins; Somatostatins; Melanotropins; Derivatives thereof from animals; from humans
- A61K38/19—Cytokines; Lymphokines; Interferons
- A61K38/21—Interferons [IFN]
-
- A—HUMAN NECESSITIES
- A61—MEDICAL OR VETERINARY SCIENCE; HYGIENE
- A61K—PREPARATIONS FOR MEDICAL, DENTAL OR TOILETRY PURPOSES
- A61K45/00—Medicinal preparations containing active ingredients not provided for in groups A61K31/00 - A61K41/00
- A61K45/06—Mixtures of active ingredients without chemical characterisation, e.g. antiphlogistics and cardiaca
-
- C—CHEMISTRY; METALLURGY
- C07—ORGANIC CHEMISTRY
- C07D—HETEROCYCLIC COMPOUNDS
- C07D215/00—Heterocyclic compounds containing quinoline or hydrogenated quinoline ring systems
- C07D215/02—Heterocyclic compounds containing quinoline or hydrogenated quinoline ring systems having no bond between the ring nitrogen atom and a non-ring member or having only hydrogen atoms or carbon atoms directly attached to the ring nitrogen atom
- C07D215/16—Heterocyclic compounds containing quinoline or hydrogenated quinoline ring systems having no bond between the ring nitrogen atom and a non-ring member or having only hydrogen atoms or carbon atoms directly attached to the ring nitrogen atom with hetero atoms or with carbon atoms having three bonds to hetero atoms with at the most one bond to halogen, e.g. ester or nitrile radicals, directly attached to ring carbon atoms
- C07D215/48—Carbon atoms having three bonds to hetero atoms with at the most one bond to halogen
- C07D215/50—Carbon atoms having three bonds to hetero atoms with at the most one bond to halogen attached in position 4
-
- C—CHEMISTRY; METALLURGY
- C07—ORGANIC CHEMISTRY
- C07D—HETEROCYCLIC COMPOUNDS
- C07D291/00—Heterocyclic compounds containing rings having nitrogen, oxygen and sulfur atoms as the only ring hetero atoms
- C07D291/08—Heterocyclic compounds containing rings having nitrogen, oxygen and sulfur atoms as the only ring hetero atoms condensed with carbocyclic rings or ring systems
-
- C—CHEMISTRY; METALLURGY
- C07—ORGANIC CHEMISTRY
- C07D—HETEROCYCLIC COMPOUNDS
- C07D401/00—Heterocyclic compounds containing two or more hetero rings, having nitrogen atoms as the only ring hetero atoms, at least one ring being a six-membered ring with only one nitrogen atom
- C07D401/02—Heterocyclic compounds containing two or more hetero rings, having nitrogen atoms as the only ring hetero atoms, at least one ring being a six-membered ring with only one nitrogen atom containing two hetero rings
- C07D401/04—Heterocyclic compounds containing two or more hetero rings, having nitrogen atoms as the only ring hetero atoms, at least one ring being a six-membered ring with only one nitrogen atom containing two hetero rings directly linked by a ring-member-to-ring-member bond
-
- C—CHEMISTRY; METALLURGY
- C07—ORGANIC CHEMISTRY
- C07D—HETEROCYCLIC COMPOUNDS
- C07D401/00—Heterocyclic compounds containing two or more hetero rings, having nitrogen atoms as the only ring hetero atoms, at least one ring being a six-membered ring with only one nitrogen atom
- C07D401/14—Heterocyclic compounds containing two or more hetero rings, having nitrogen atoms as the only ring hetero atoms, at least one ring being a six-membered ring with only one nitrogen atom containing three or more hetero rings
-
- C—CHEMISTRY; METALLURGY
- C07—ORGANIC CHEMISTRY
- C07D—HETEROCYCLIC COMPOUNDS
- C07D405/00—Heterocyclic compounds containing both one or more hetero rings having oxygen atoms as the only ring hetero atoms, and one or more rings having nitrogen as the only ring hetero atom
- C07D405/14—Heterocyclic compounds containing both one or more hetero rings having oxygen atoms as the only ring hetero atoms, and one or more rings having nitrogen as the only ring hetero atom containing three or more hetero rings
-
- C—CHEMISTRY; METALLURGY
- C07—ORGANIC CHEMISTRY
- C07D—HETEROCYCLIC COMPOUNDS
- C07D413/00—Heterocyclic compounds containing two or more hetero rings, at least one ring having nitrogen and oxygen atoms as the only ring hetero atoms
- C07D413/14—Heterocyclic compounds containing two or more hetero rings, at least one ring having nitrogen and oxygen atoms as the only ring hetero atoms containing three or more hetero rings
-
- C—CHEMISTRY; METALLURGY
- C07—ORGANIC CHEMISTRY
- C07D—HETEROCYCLIC COMPOUNDS
- C07D471/00—Heterocyclic compounds containing nitrogen atoms as the only ring hetero atoms in the condensed system, at least one ring being a six-membered ring with one nitrogen atom, not provided for by groups C07D451/00 - C07D463/00
- C07D471/02—Heterocyclic compounds containing nitrogen atoms as the only ring hetero atoms in the condensed system, at least one ring being a six-membered ring with one nitrogen atom, not provided for by groups C07D451/00 - C07D463/00 in which the condensed system contains two hetero rings
- C07D471/04—Ortho-condensed systems
-
- C—CHEMISTRY; METALLURGY
- C07—ORGANIC CHEMISTRY
- C07D—HETEROCYCLIC COMPOUNDS
- C07D471/00—Heterocyclic compounds containing nitrogen atoms as the only ring hetero atoms in the condensed system, at least one ring being a six-membered ring with one nitrogen atom, not provided for by groups C07D451/00 - C07D463/00
- C07D471/12—Heterocyclic compounds containing nitrogen atoms as the only ring hetero atoms in the condensed system, at least one ring being a six-membered ring with one nitrogen atom, not provided for by groups C07D451/00 - C07D463/00 in which the condensed system contains three hetero rings
- C07D471/18—Bridged systems
-
- C—CHEMISTRY; METALLURGY
- C07—ORGANIC CHEMISTRY
- C07D—HETEROCYCLIC COMPOUNDS
- C07D491/00—Heterocyclic compounds containing in the condensed ring system both one or more rings having oxygen atoms as the only ring hetero atoms and one or more rings having nitrogen atoms as the only ring hetero atoms, not provided for by groups C07D451/00 - C07D459/00, C07D463/00, C07D477/00 or C07D489/00
- C07D491/02—Heterocyclic compounds containing in the condensed ring system both one or more rings having oxygen atoms as the only ring hetero atoms and one or more rings having nitrogen atoms as the only ring hetero atoms, not provided for by groups C07D451/00 - C07D459/00, C07D463/00, C07D477/00 or C07D489/00 in which the condensed system contains two hetero rings
- C07D491/10—Spiro-condensed systems
Definitions
- HCV hepatitis C virus
- HCV is a hepacivirus member of the Flaviviridae family of RNA viruses that affect animals and humans.
- the genome is a single ⁇ 9.6-kilobase strand of RNA, and consists of one open reading frame that encodes for a polyprotein of -3000 amino acids flanked by untranslated regions at both 5' and 3' ends (5'- and 3'-UTR).
- the polyprotein serves as the precursor to at least 10 separate viral proteins critical for replication and assembly of progeny viral particles.
- HCV polyprotein The organization of structural and non-structural proteins in the HCV polyprotein is as follows: C-E1-E2-p7-NS2-NS3-NS4a-NS4b- NS5a-NS5b. Because the replicative cycle of HCV does not involve any DNA intermediate and the virus is not integrated into the host genome, HCV infection can theoretically be cured. While the pathology of HCV infection affects mainly the liver, the virus is found in other cell types in the body including peripheral blood lymphocytes.
- HCV is major causative agent for post-transfusion and for sporadic hepatitis.
- Infection by HCV is insidious in a high proportion of chronically infected (and infectious) carriers who may not experience clinical symptoms for many years.
- An estimated 170 million chronic carriers worldwide are at risk of developing liver disease. See, for example, Szabo, et al., Pathol. Oncol. Res. 2003, 9:215-221 , and Hoofnagle JH, Hepatology 1997, 26:15S-20S.
- In the United States alone 2.7 million are chronically infected with HCV, and the number of HCV- related deaths in 2000 was estimated between 8,000 and 10,000, a number that is expected to increase significantly over the next years.
- IFN- alpha interferon alpha
- ribavirin the standard treatment for chronic HCV.
- IFN-alpha belongs to a family of naturally occurring small proteins with characteristic biological effects such as antiviral, immunoregulatory, and antitumoral activities that are produced and secreted by most animal nucleated cells in response to several diseases, in particular viral infections.
- IFN-alpha is an important regulator of growth and differentiation affecting cellular
- HCV Hastolic hypertension
- interferon Treatment of HCV with interferon has frequently been associated with adverse side effects such as fatigue, fever, chills, headache, myalgias, arthralgias, mild alopecia, psychiatric effects and associated disorders, autoimmune
- Ribavirin an inhibitor of inosine 5'-monophosphate dehydrogenase (IMPDH), enhances the efficacy of IFN-alpha in the treatment of HCV.
- IFN interferon-alpha
- ribavirin standard therapy of chronic hepatitis C has been changed to the combination of pegylated IFN-alpha plus ribavirin.
- a number of patients still have significant side effects, primarily related to ribavirin.
- Ribavirin causes significant hemolysis in 10-20% of patients treated at currently recommended doses, and the drug is both teratogenic and embryotoxic. Even with recent improvements, a substantial fraction of patients do not respond with a sustained reduction in viral load and there is a clear need for more effective antiviral therapy of HCV infection.
- a number of approaches are being pursued to combat the virus. These include, for example, application of antisense oligonucleotides or ribozymes for inhibiting HCV replication. Furthermore, low-molecular weight compounds that directly inhibit HCV proteins and interfere with viral replication are considered as attractive strategies to control HCV infection.
- the viral targets the NS3/4a protease/helicase and the NS5b RNA-dependent RNA polymerase are considered the most promising viral targets for new drugs. Indeed, compounds said to be useful for treating HCV infections are disclosed, for example, in
- antiviral activity can also be achieved by targeting host cell proteins that are necessary for viral replication.
- antiviral activity can be achieved by inhibiting host cell cyclophilins.
- a potent TLR7 agonist has been shown to reduce HCV plasma levels in humans.
- Flaviviridae family of viruses and further in view of the limited treatment options, there is a strong need for new effective drugs for treating infections cause by these viruses.
- W is selected from the group consisting of -NHS0 2 R 5 , -S0 2 R 14 , -S0 2 NHR 5 ,
- X is N or CR 3 ;
- Y is selected from the group consisting of a bond, -C(O), (Ci-C 6 )alkylene, and (C 2 - C 6 )alkynyl;
- Z is selected from the group consisting of a bond and (CrC 6 )alkylene
- R 1 is selected from the group consisting of hydrogen, (d-C 6 )alkyl, (C 4 -Ci 4 )aryl,
- R 2 is selected from the group consisting of (C 1 -C 6 )alkyl, (C 1 -C 6 )alkenyl, halo,
- R 1 and R 2 may optionally join together along with any intervening N and C atoms to form a (C 1 -C 11 heterocyclic or a (CrCn)heteroaryl group fused to the adjacent pyridine ring and each independendly have one to three nitrogen heteroatoms, and wherein said R 1 and R 2 -joined (CrCn)heterocyclic or (Ci-Cn)heteroaryl group may be optionally substituted with one to three R 8 groups;
- R 3 and R 4 are independently selected from the group consisting of hydrogen, (C
- R 3 and R 4 groups may be optionally substituted with one to three R 17 groups;
- R 5 is selected from the group consisting of hydrogen, (d-C 6 )alkyl, (CrC 6 )alkoxy, (C 4 - Ci 4 )aryl, benzyl, (C 3 -Ci 2 )cycloalkyl, trifluoromethyl, trifluoroethyl, -R 12 ,
- (Ci-Cii)heterocyclic, and (CrCn)heteroaryl wherein said (CrCn)heterocyclic and (Ci-Cii)heteroaryl of said R 5 group each independently have one to three heteroatoms selected from N and O, and wherein R 5 may be optionally substituted with one to three R 15 groups;
- R 6 is independently selected from the group consisting of (CrC 6 )alkyl, (CrC 6 )alkoxy, -OR 8 , -C(0)R 14 , and (CrCn)heterocyclic, wherein said (Ci-Cn)heterocyclic of said R 6 group has one to three heteroatoms selected from N and O;
- R 7 is independently selected from the group consisting of (CrC 6 )alkyl, (CrC 6 )alkoxy, oxo, halo, nitrile, -N0 2 , -R 9 OR 8 , -(CH 2 ) W CN, -NHS0 2 R 9 , -SR 9 , -C(0)R 12 , -S0 2 R 12 , -S0 2 R 9 , -S0 2 NH(CH 2 ) w R 14 , -S0 2 (CH 2 ) w R 14 , -R 12 , -R 14 , -(CH 2 ) w OR 8 , -C(0)NHR 13 , -C(0)NHR 14 , -C(0)NHR 9 , -C(0)R 12 , -NHC(O)NHR 10 R 11 , -C(0)NH(CH 2 ) w R 12 , -C(0)(CH 2 ) w R 12 ,
- R 8 is independently selected from the group consisting of hydrogen, oxo, and
- R 9 is (Ci-C 6 )alkyl
- R 11 is selected from the group consisting of nitrile, halo, (Ci-C 6 )alkyl, (CrC 6 )alkoxy,
- R 12 is -NR 8 R 8 ;
- R 13 is (C 3 -Ci 2 )cycloalkyl
- R 14 is selected from the group consisting of (C-i-Cn heterocyclic and (C-i-C-i- heteroaryl, each independently having one to three heteroatoms selected from N and O, wherein said (C-i-C-i- heterocyclic and (C-i-C-i- heteroaryl may be optionally substituted by one to three independent R 16 groups;
- R 15 is independently selected from the group consisting of (C 1 -C 6 )alkyl, (C 1 -C 6 )alkoxy, -OR 8 , halo, nitrile, -N0 2 , and -C0 2 R 8 , and wherein said (C C 6 )alkyl and (d- C 6 )alkoxy of said R 15 group may be optionally substituted with one to three R 17 groups;
- R 16 is independently selected from the group consisting of (CrC 6 )alkyl, (CrC 6 )alkoxy, halo, nitrile, -NHS0 2 R 9 , -C0 2 R 8 , -OR 8 , -0(CH 2 ) w R 12 , -S0 2 R 12 , -S0 2 R 9 , -NH(CH 2 ) W R 14 , and -(CH 2 ) W R 14 ; and wherein said (Ci-C 6 )alkyl and (d-C 6 )alkoxy of said R 16 group may be optionally substituted with one to three R 17 groups;
- R 17 is halo
- n is independently 0 or an integer from 1 to 4;
- n is independently 0 or an integer from 1 to 3;
- w is independently 0 or an integer from 1 to 6.
- X is N or CR 3 ;
- Y is selected from the group consisting of a bond, (CrC 6 )alkylene, and (C 2 -C 6 )alkynyl;
- Z is selected from the group consisting of a bond and (CrC 6 )alkylene
- R 1 is selected from the group consisting of hydrogen, (d-C 6 )alkyl, (C 4 -Ci 4 )aryl,
- R 2 is selected from the group consisting of (C 1 -C 6 )alkenyl, halo, -NHR 10 , (C 4 -C 14 )aryl, (Ci-Ci heterocyclic, and (CrC ⁇ heteroaryl, wherein said (CrC ⁇ heterocyclic and (CrCn ⁇ eteroaryl groups of said R 2 group each independently have one to three heteroatoms selected from N and O, and wherein said R 2 group may be optionally substituted with one to three R 7 groups;
- R 1 and R 2 may optionally join together along with any intervening N and C atoms to form a (Ci-Cii)heterocyclic or a (CrCn)heteroaryl group fused to the adjacent pyridyl moiety and each independendly have one to three nitrogen heteroatoms, and wherein said R 1 and R 2 -joined (Ci-Cn)heterocyclic or (Ci-Cn)heteroaryl group may be optionally substituted with one to three R 8 groups;
- R 3 and R 4 are independently selected from the group consisting of hydrogen, (d-
- R 5 is selected from the group consisting of (CrC 6 )alkyl, (Ci-C 6 )alkoxy, (C -Ci )aryl, benzyl, (C 3 -Ci 2 )cycloalkyl, trifluoromethyl, trifluoroethyl, (CrCn)heterocyclic, and (Ci-Cii)heteroaryl, wherein said (CrCn)heterocyclic and (CrCn)heteroaryl of said R 5 group each independently have one to three heteroatoms selected from N and O, and wherein R 5 may be optionally substituted with one to three R 15 groups;
- R 6 is independently selected from the group consisting of (C 1 -C 6 )alkyl, (C 1 -C 6 )alkoxy, -OR 8 , -C(0)R 14 , and (C Ci heterocyclic, wherein said (Ci-Ci heterocyclic of said R 6 group has one to three heteroatoms selected from N and O;
- R 7 is independently selected from the group consisting of (CrC 6 )alkyl, (CrC 6 )alkoxy, oxo, halo, nitrile, -N0 2 , -R 9 OR 8 , -(CH 2 ) W CN, -S0 2 R 12 , -S0 2 R 9 , -S0 2 NH(CH 2 ) w R 14 , -S0 2 (CH 2 ) w R 14 , -R 12 , -R 14 , -(CH 2 ) w OR 8 , -C(0)NHR 13 , -C(0)NHR 14 , -C(0)NHR 9 , -C(0)R 12 , -NHC(O)NHR 10 R 11 , -C(0)NH(CH 2 ) w R 12 , -C(0)(CH 2 ) w R 12 , -C0 2 R 8 , -NHC(0)C(0)R 14 , -NHC
- R 8 is independently selected from the group consisting of hydrogen and (CrC 6 )alkyl
- R 9 is (Ci-C 6 )alkyl
- R 10 is (C 4 -C 14 )aryl
- R 11 is selected from the group consisting of nitrile, halo, (C 1 -C 6 )alkyl, (C 1 -C 6 )alkoxy,
- R 12 is -NR 8 R 8 ;
- R 13 is (C 3 -Ci 2 )cycloalkyl
- R 14 is selected from the group consisting of (CrCn)heterocyclic and (Ci-Cn)heteroaryl, each independently having one to three heteroatoms selected from N and O, wherein said (Ci-Cn)heterocyclic and (CrCn)heteroaryl may be optionally substituted by one to three independent R 16 groups;
- R 15 is independently selected from the group consisting of (CrC 6 )alkyl, (d-C 6 )alkoxy, -OR 8 , halo, nitrile, -N0 2 , and -C0 2 R 8 , and wherein said (C C 6 )alkyl and (d- C 6 )alkoxy of said R 15 group may be optionally substituted with one to three R 17 groups;
- R 16 is independently selected from the group consisting of (CrC 6 )alkyl, (CrC 6 )alkoxy, halo, nitrile, -NHS0 2 R 9 , -C0 2 R 8 , -OR 8 , -0(CH 2 ) w R 12 , -S0 2 R 12 , -S0 2 R 9 ,
- R 17 is halo
- n is independently 0 or an integer from 1 to 4;
- n is independently 0 or an integer from 1 to 3;
- w is independently 0 or an integer from 1 to 6.
- a pharmaceutical composition comprising a pharmaceutically acceptable carrier and a therapeutically effective amount of a compound of Formula (I) or (II) or a pharmaceutically acceptable salt or solvate thereof.
- synthetic intermediates, methods for preparing the compounds of Formula (I) or Formula (II), or a pharmaceutically acceptable salt or solvate thereof, and compositions thereof and for their therapeutic uses comprising administering to said patient a composition comprising a compound of Formula (I) or (II), or a pharmaceutically acceptable salt or solvate thereof.
- the viral infection is mediated by hepatitis C virus.
- Alkyl refers to monovalent saturated aliphatic hydrocarbyl groups having from 1 to 14 carbon atoms and, in some embodiments, from 1 to 6 carbon atoms.
- (C x- C y )alkyl refers to alkyl groups having from x to y carbon atoms. This term includes, by way of example, linear and branched hydrocarbyl groups such as methyl (CH 3 -), ethyl (CH 3 CH 2 -), n-propyl
- Alkylidene or “alkylene” refers to divalent saturated aliphatic hydrocarbyl groups having from 1 to 10 carbon atoms and, in some embodiments, from 1 to 6 carbon atoms.
- (C u-V )alkylene refers to alkylene groups having from u to v carbon atoms.
- the alkylidene and alkylene groups include branched and straight chain hydrocarbyl groups.
- (C-i. 6 )alkylene is meant to include methylene, ethylene, propylene, 2-methypropylene, pentylene, and so forth.
- (C x -C y )alkenyl refers to alkenyl groups having from x to y carbon atoms and is meant to include for example, ethenyl, propenyl, isopropylene, 1 ,3-butadienyl, and the like.
- Alkynyl refers to a linear monovalent hydrocarbon radical or a branched monovalent hydrocarbon radical containing at least one triple bond.
- alkynyl is also meant to include those hydrocarbyl groups having one triple bond and one double bond.
- (C 2 -C 6 )alkynyl is meant to include ethynyl, propynyl, and the like.
- Alkoxy refers to the group -O-alkyl wherein alkyl is defined herein. Alkoxy includes, by way of example, methoxy, ethoxy, n-propoxy, isopropoxy, n-butoxy, f-butoxy, sec-butoxy, and n-pentoxy.
- Acyl refers to the groups H-C(O)-, alkyl-C(O)-, alkenyl-C(O)-, alkynyl-C(O)-, cycloalkyl-C(O)-, aryl-C(O)-, heteroaryl-C(O)-, and heterocyclic-C(O)-.
- Acyl includes the "acetyl” group CH 3 C(0)-.
- Acylamino refers to the groups -NR 20 C(O)alkyl, -NR 20 C(O)cycloalkyl,
- R 20 is hydrogen or alkyl
- Acyloxy refers to the groups alkyl-C(0)0-, alkenyl-C(0)0-, alkynyl-C(0)0-, aryl-C(0)0-, cycloalkyl-C(0)0-, heteroaryl-C(0)0-, and heterocyclic-C(0)0-.
- Amino refers to the group -NR 21 R 22 where R 21 and R 22 are independently selected from hydrogen, alkyl, alkenyl, alkynyl, aryl, cycloalkyl, heteroaryl, heterocyclic,
- R 21 and R 22 are optionally joined together with the nitrogen bound thereto to form a heterocyclic group.
- R 21 is hydrogen and R 22 is alkyl
- the amino group is sometimes referred to herein as alkylamino.
- R 21 and R 22 are alkyl, the amino group is sometimes referred to herein as dialkylamino.
- a monosubstituted amino it is meant that either R 21 or R 22 is hydrogen but not both.
- a disubstituted amino it is meant that neither R 21 nor R 22 are hydrogen.
- Hydroxyamino refers to the group -NHOH.
- Alkoxyamino refers to the group -NHO-alkyl wherein alkyl is defined herein.
- Aminocarbonyl refers to the group -C(0)NR 26 R 27 where R 26 and R 27 are independently selected from hydrogen, alkyl, alkenyl, alkynyl, aryl, cycloalkyl, heteroaryl, heterocyclic, hydroxy, alkoxy, amino, and acylamino, and where R and R are optionally joined together with the nitrogen bound thereto to form a heterocyclic group.
- Aryl refers to an aromatic group of from 6 to 14 carbon atoms and no ring heteroatoms and having a single ring (e.g., phenyl) or multiple condensed (fused) rings (e.g., naphthyl or anthryl).
- a single ring e.g., phenyl
- multiple condensed (fused) rings e.g., naphthyl or anthryl.
- Aryl or “Ar” applies when the point of attachment is at an aromatic carbon atom (e.g., 5,6,7,8
- tetrahydronaphthalene-2-yl is an aryl group as its point of attachment is at the 2-position of the aromatic phenyl ring).
- Cycloalkyi refers to a saturated or partially saturated cyclic group of from 3 to
- cycloalkyi 14 carbon atoms and no ring heteroatoms and having a single ring or multiple rings including fused, bridged, and spiro ring systems.
- cycloalkyi applies when the point of attachment is at a non-aromatic carbon atom (e.g. 5,6,7,8,-tetrahydronaphthalene-5-yl).
- Cycloalkyi includes cycloalkenyl groups, such as cyclohexenyl.
- cycloalkyi groups include, for instance, adamantyl, cyclopropyl, cyclobutyl, cyclohexyl, cyclopentyl, cyclooctyl, cyclopentenyl, and cyclohexenyl.
- Examples of cycloalkyi groups that include multiple bicycloalkyl ring systems are bicyclohexyl, bicyclopentyl, bicyclooctyl, and the like. Two such bic cloalkyl multiple ring structures are exemplified and named below:
- (C u -C v )cycloalkyl refers to cycloalkyi groups having u to v carbon atoms.
- Spiro cycloalkyi refers to a 3 to 10 member cyclic substituent formed by replacement of two hydrogen atoms at a common carbon atom in a cyclic ring structure or in an alkylene group having 2 to 9 carbon atoms, as exemplified by the following structure wherein the group shown here attached to bonds marked with wavy lines is substituted with a spiro cycloalkyi group:
- Fused cycloalkyi refers to a 3 to 10 member cyclic substituent formed by the replacement of two hydrogen atoms at different carbon atoms in a cycloalkyi ring structure, as exemplified by the following structure wherein the cycloalkyl group shown here contains bonds marked with wavy lines which are bonded to carbon atoms that are substituted with a fused cycloalkyl group:
- Halo or "halogen” refers to fluoro, chloro, bromo, and iodo.
- Haloalkoxy refers to substitution of alkoxy groups with 1 to 5 (e.g. when the alkoxy group has at least 2 carbon atoms) or in some embodiments 1 to 3 halo groups (e.g. trifluoromethoxy).
- Heteroaryl refers to an aromatic group of from 1 to 14 carbon atoms and 1 to 6 heteroatoms selected from oxygen, nitrogen, and sulfur and includes single ring (e.g. imidazolyl) and multiple ring systems (e.g. benzimidazol-2-yl and benzimidazol-6-yl).
- single ring e.g. imidazolyl
- multiple ring systems e.g. benzimidazol-2-yl and benzimidazol-6-yl.
- the term “heteroaryl” applies if there is at least one ring heteroatom and the point of attachment is at an atom of an aromatic ring (e.g.
- the nitrogen and/or the sulfur ring atom(s) of the heteroaryl group are optionally oxidized to provide for the N-oxide (N ⁇ 0), sulfinyl, or sulfonyl moieties.
- heteroaryl includes, but is not limited to, pyridyl, furanyl, thienyl, thiazolyl, isothiazolyl, triazolyl, imidazolyl, imidazolinyl, isoxazolyl, pyrrolyl, pyrazolyl, pyridazinyl, pyrimidinyl, purinyl, phthalazyl, naphthylpryidyl, benzofuranyl,
- Heterocyclic or “heterocycle” or “heterocycloalkyl” or “heterocyclyl” refers to a saturated or partially saturated cyclic group having from 1 to 14 carbon atoms and from 1 to 6 heteroatoms selected from nitrogen, sulfur, phosphorus or oxygen and includes single ring and multiple ring systems including fused, bridged, and spiro ring systems.
- heterocyclic For multiple ring systems having aromatic and/or non-aromatic rings, the terms “heterocyclic”, “heterocycle”, “heterocycloalkyl”, or “heterocyclyl” apply when there is at least one ring heteroatom and the point of attachment is at an atom of a non-aromatic ring (e.g.
- the nitrogen, phosphorus and/or sulfur atom(s) of the heterocyclic group are optionally oxidized to provide for the N-oxide, phosphinane oxide, sulfinyl, sulfonyl moieties.
- the heterocyclyl includes, but is not limited to, tetrahydropyranyl, piperidinyl, piperazinyl, 3-pyrrolidinyl, 2- pyrrolidon-1 -yl, morpholinyl, and pyrrolidinyl.
- a prefix indicating the number of carbon atoms (e.g., C3-C10) refers to the total number of carbon atoms in the portion of the heterocyclyl group exclusive of the number of heteroatoms.
- heterocycle and heteroaryl groups include, but are not limited to, azetidine, pyrrole, imidazole, pyrazole, pyridine, pyrazine, pyrimidine, pyridazine, pyridone, indolizine, isoindole, indole, dihydroindole, indazole, purine, quinolizine, isoquinoline, quinoline, phthalazine, naphthylpyridine, quinoxaline, quinazoline, cinnoline, pteridine, carbazole, carboline, phenanthridine, acridine, phenanthroline, isothiazole, phenazine, isoxazole, phenoxazine, phenothiazine, imidazolidine, imidazoline, piperidine, piperazine, indoline, phthalimide, 1 ,2,3,4-tetra
- fused heterocyclic refers to a 3 to 10 member cyclic substituent formed by the replacement of two hydrogen atoms at different carbon atoms in a cycloalkyl ring structure, as exemplified by the following structure wherein the cycloalkyl group shown here contains bonds marked with wavy lines which are bonded to carbon atoms that are substituted with a fused heterocyclic group:
- Compound refers to a compound encompassed by the generic formulae disclosed herein, any subgenus of those generic formulae, and any forms of the compounds within the generic and subgeneric formulae, including the racemates, stereoisomers, and tautomers of the compound or compounds.
- Oxazolidinone refers to a 5-membered heterocyclic ring containing one nitrogen and one oxygen as heteroatoms and also contains two carbons and is substituted at one of the two carbons by a carbonyl group as exemplified by any of the following structures, wherein the oxazolidinone groups shown here are bonded to a parent molecule, which is indicated by a wavy line in the bond to the parent molecule:
- Racemates refers to a mixture of enantiomers.
- the compounds of Formula I, or pharmaceutically acceptable salts thereof are enantiomerically enriched with one enantiomer wherein all of the chiral carbons referred to are in one configuration.
- reference to an enantiomerically enriched compound or salt is meant to indicate that the specified enantiomer will comprise more than 50% by weight of the total weight of all enantiomers of the compound or salt.
- Solvate or “solvates” of a compound refer to those compounds, as defined above, which are bound to a stoichiometric or non-stoichiometric amount of a solvent.
- Solvates of a compound includes solvates of all forms of the compound.
- solvents are volatile, non-toxic, and/or acceptable for administration to humans in trace amounts. Suitable solvates include water.
- Stereoisomer or “stereoisomers” refer to compounds that differ in the chirality of one or more stereocenters. Stereoisomers include enantiomers and diastereomers.
- “Pharmaceutically acceptable salt” refers to pharmaceutically acceptable salts derived from a variety of organic and inorganic counter ions well known in the art and include, by way of example only, sodium, potassium, calcium, magnesium, ammonium, and
- salts of organic or inorganic acids such as hydrochloride, hydrobromide, tartrate, mesylate, acetate, maleate, and oxalate.
- Suitable salts include those described in P. Heinrich Stahl, Camille G. Wermuth (Eds.), Handbook of Pharmaceutical Salts Properties, Selection, and Use; 2002.
- Patient refers to mammals and includes humans and non-human mammals.
- Treating" or “treatment” of a disease in a patient refers to 1 ) preventing the disease from occurring in a patient that is predisposed or does not yet display symptoms of the disease; 2) inhibiting the disease or arresting its development; or 3) ameliorating or causing regression of the disease.
- substituents that are not explicitly defined herein are arrived at by naming the terminal portion of the functionality followed by the adjacent functionality toward the point of attachment.
- substituent "arylalkyloxycarbonyl” refers to the group (aryl)-(alkyl)-0-C(0)-.
- C(R X ) 2 it should be understood that the two R x groups can be the same, or they can be different if R x is defined as having more than one possible identity.
- certain substituents are drawn as -R x R y , where the "-" indicates a bond adjacent to the parent molecule and R y being the terminal portion of the functionality.
- impermissible substitution patterns ⁇ e.g., methyl substituted with 5 fluoro groups). Such impermissible substitution patterns are well known to the skilled artisan.
- W is selected from the group consisting of -NHS0 2 R 5 , -S0 2 R 14 , -S0 2 NHR 5 ,
- X is N or CR 3 ;
- Y is selected from the group consisting of a bond, -C(O), (Ci-C 6 )alkylene, and (C 2 - C 6 )alkynyl;
- Z is selected from the group consisting of a bond and (C 1 -C 6 )alkylene
- R 1 is selected from the group consisting of hydrogen, (C 1 -C 6 )alkyl, (C 4 -C 14 )aryl,
- R 2 is selected from the group consisting of (CrC 6 )alkyl, (d-C 6 )alkenyl, halo, -C(0)NHR 13 , -R 12 , nitrile, -NHC0 2 R 8 , -NHR 10 , -S0 2 R 1 °, -S0 2 R 9 , -NHC(0)R 14 , -NHC(0)R 12 , -NHC(0)R 9 , -NHS0 2 R 14 , -NHS0 2 R 9 , -C(0), (C 4 -Ci 4 )aryl, (d- Cii)heterocyclic, and (CrCn)heteroaryl, wherein said (CrCn)heterocyclic and (Ci-Cii)heteroaryl groups of said R 2 group each independently have one to three heteroatoms selected from N and O, and wherein said R 2 group may be optionally substituted with one to three R 7 groups;
- R 1 and R 2 may optionally join together along with any intervening N and C atoms to form a ⁇ C C ⁇ heterocyclic or a (CrC ⁇ heteroaryl group fused to the adjacent pyridine ring and each independendly have one to three nitrogen heteroatoms, and wherein said R 1 and R 2 -joined (C-i-C-i- heterocyclic or (C-i-C-i- heteroaryl group may be optionally substituted with one to three R 8 groups;
- R 3 and R 4 are independently selected from the group consisting of hydrogen, (C
- R 3 and R 4 groups may be optionally substituted with one to three R 17 groups;
- R 5 is selected from the group consisting of hydrogen, (Ci-C 6 )alkyl, (CrC 6 )alkoxy, (C 4 - Ci 4 )aryl, benzyl, (C 3 -Ci 2 )cycloalkyl, trifluoromethyl, trifluoroethyl, -R 12 ,
- (Ci-Cii)heterocyclic, and (CrCn)heteroaryl wherein said (CrCn)heterocyclic and (Ci-Cii)heteroaryl of said R 5 group each independently have one to three heteroatoms selected from N and O, and wherein R 5 may be optionally substituted with one to three R 15 groups;
- R 6 is independently selected from the group consisting of (CrC 6 )alkyl, (CrC 6 )alkoxy, -OR 8 , -C(0)R 14 , and (CrCn)heterocyclic, wherein said (Ci-Cn)heterocyclic of said R 6 group has one to three heteroatoms selected from N and O;
- R 7 is independently selected from the group consisting of (C 1 -C 6 )alkyl, (C 1 -C 6 )alkoxy, oxo, halo, nitrile, -N0 2 , -R 9 OR 8 , -(CH 2 ) W CN, -NHS0 2 R 9 , -SR 9 , -C(0)R 12 , -S0 2 R 12 , -S0 2 R 9 , -S0 2 NH(CH 2 ) w R 14 , -S0 2 (CH 2 ) w R 14 , -R 12 , -R 14 , -(CH 2 ) w OR 8 , -C(0)NHR 13 , -C(0)NHR 14 , -C(0)NHR 9 , -C(0)R 12 , -NHC(O)NHR 10 R 11 , -C(0)NH(CH 2 ) w R 12 , -C(0)(CH 2 ) w
- R is independently selected from the group consisting of hydrogen, oxo, and
- R 9 is (Ci-C 6 )alkyl
- R 11 is selected from the group consisting of nitrile, halo, (Ci-C 6 )alkyl, (d-C 6 )alkoxy,
- R 12 is -NR 8 R 8 ;
- R 13 is (C 3 -C 12 )cycloalkyl
- R 14 is selected from the group consisting of (C-i-Cn heterocyclic and (C-i-C-i- heteroaryl, each independently having one to three heteroatoms selected from N and O, wherein said (Ci-Cn)heterocyclic and (CrCn)heteroaryl may be optionally substituted by one to three independent R 16 groups;
- R 15 is independently selected from the group consisting of (CrC 6 )alkyl, (CrC 6 )alkoxy, -OR 8 , halo, nitrile, -N0 2 , and -C0 2 R 8 , and wherein said (C C 6 )alkyl and (d- C 6 )alkoxy of said R 15 group may be optionally substituted with one to three R 17 groups;
- R 16 is independently selected from the group consisting of (CrC 6 )alkyl, (CrC 6 )alkoxy, halo, nitrile, -NHS0 2 R 9 , -C0 2 R 8 , -OR 8 , -0(CH 2 ) w R 12 , -S0 2 R 12 , -S0 2 R 9 ,
- R 17 is halo
- n is independently 0 or an integer from 1 to 4;
- n is independently 0 or an integer from 1 to 3;
- w is independently 0 or an integer from 1 to 6.
- X is N or CR 3 ;
- Y is selected from the group consisting of a bond, (C 1 -C 6 )alkylene, and (C 2 -C 6 )alkynyl;
- Z is selected from the group consisting of a bond and (CrC 6 )alkylene
- R 1 is selected from the group consisting of hydrogen, (d-C 6 )alkyl, (C 4 -Ci 4 )aryl,
- R 2 is selected from the group consisting of (CrC 6 )alkenyl, halo, -NHR 10 , (C -Ci )aryl, (Ci-Cii)heterocyclic, and (CrCn)heteroaryl, wherein said (CrCn)heterocyclic and (Ci-Cii)heteroaryl groups of said R 2 group each independently have one to three heteroatoms selected from N and O, and wherein said R 2 group may be optionally substituted with one to three R 7 groups;
- R 1 and R 2 may optionally join together along with any intervening N and C atoms to form a (Ci-Cii)heterocyclic or a (CrCn)heteroaryl group fused to the adjacent pyridyl moiety and each independendly have one to three nitrogen heteroatoms, and wherein said R 1 and R 2 -joined (Ci-Cn)heterocyclic or (Ci-Cn)heteroaryl group may be optionally substituted with one to three R 8 groups;
- R 3 and R 4 are independently selected from the group consisting of hydrogen, (C
- R 5 is selected from the group consisting of (CrC 6 )alkyl, (Ci-C 6 )alkoxy, (C -Ci )aryl, benzyl, (C 3 -Ci 2 )cycloalkyl, trifluoromethyl, trifluoroethyl, (CrCn)heterocyclic, and (Ci-Cii)heteroaryl, wherein said (CrCn)heterocyclic and (CrCn)heteroaryl of said R 5 group each independently have one to three heteroatoms selected from N and O, and wherein R 5 may be optionally substituted with one to three R 15 groups;
- R 6 is independently selected from the group consisting of (CrC 6 )alkyl, (d-C 6 )alkoxy, -OR 8 , -C(0)R 14 , and (CrCn)heterocyclic, wherein said (Ci-Cn)heterocyclic of said R 6 group has one to three heteroatoms selected from N and O;
- R 7 is independently selected from the group consisting of (CrC 6 )alkyl, (CrC 6 )alkoxy, oxo, halo, nitrile, -N0 2 , -R 9 OR 8 , -(CH 2 ) W CN, -S0 2 R 12 , -S0 2 R 9 , -S0 2 NH(CH 2 ) w R 14 , -S0 2 (CH 2 ) w R 14 , -R 12 , -R 14 , -(CH 2 ) w OR 8 , -C(0)NHR 13 , -C(0)NHR 14 , -C(0)NHR 9 , -C(0)R 12 , -NHC(O)NHR 10 R 11 , -C(0)NH(CH 2 ) w R 12 , -C(0)(CH 2 ) w R 12 , -C0 2 R 8 , -NHC(0)C(0)R 14 , -NHC
- R 8 is independently selected from the group consisting of hydrogen and (CrC 6 )alkyl
- R 9 is (Ci-C 6 )alkyl
- R 11 is selected from the group consisting of nitrile, halo, (Ci-C 6 )alkyl, (CrC 6 )alkoxy,
- R 12 is -NR 8 R 8 ;
- R 13 is (C 3 -Ci 2 )cycloalkyl
- R 14 is selected from the group consisting of (CrCn)heterocyclic and (Ci-Cn)heteroaryl, each independently having one to three heteroatoms selected from N and O, wherein said (C-i-C-i- heterocyclic and (C-i-C-i- heteroaryl may be optionally substituted by one to three independent R 16 groups;
- R 15 is independently selected from the group consisting of (C 1 -C 6 )alkyl, (C 1 -C 6 )alkoxy, -OR 8 , halo, nitrile, -N0 2 , and -C0 2 R 8 , and wherein said (C C 6 )alkyl and (C r C 6 )alkoxy of said R 15 group may be optionally substituted with one to three R 17 groups;
- R 16 is independently selected from the group consisting of (CrC 6 )alkyl, (CrC 6 )alkoxy, halo, nitrile, -NHS0 2 R 9 , -C0 2 R 8 , -OR 8 , -0(CH 2 ) w R 12 , -S0 2 R 12 , -S0 2 R 9 ,
- n is independently 0 or an integer from 1 to 4;
- n is independently 0 or an integer from 1 to 3;
- w is independently 0 or an integer from 1 to 6.
- R 2 is selected from the group consisting of methyl, ethylene, halo, -NH 2 , -NHR 10 , -NHC0 2 R 8 -C(0)NHR 13 , -NHC(0)R 14 , nitrile, phenyl, pyridinyl, pyrazolyl, piperazinyl, morpholinyl, thiomorpholinyl, piperidinyl, pyrrolidinyl, pyrimidyl, dioxanyl, benzodioxolanyl, and wherein R 2 may be optionally substituted with one to three independent R 7 groups.
- R 2 is selected from the group consisting of phenyl, pyridyl, and pyrimidyl, and wherein R 2 may be optionally substituted with 1-2 independent R 7 groups.
- R 1 and R 2 may optionally join together along with the intervening N and C atoms to form a ring structure, wherein said ring structure is fused to the adjacent pyridine and said ring structure is selected from the group consisting of:
- said ring structure may be optionally substituted with one to three independent R 8 groups.
- R 3 is selected from the group consisting of hydrogen, methyl, ethyl, methoxy, oxo, nitrile, -N 3 , -SR 8 , -S0 2 R 8 , hydroxyl, -NR 8 R 8 , and halo.
- R 3 is selected from the group consisting of -NR 8 R 8 , methoxy, ethoxy, and H.
- R 4 is selected from the group consisting of hydrogen, methyl, ethyl, methoxy, oxo, nitrile, -N 3 , -SR 8 , -SR 9 , -S0 2 R 8 , hydroxyl, -NR 8 R 8 and halo.
- R 5 is selected from the group consisting of methyl, ethyl, isopropyl, propyl, butyl, isobutyl, tert-butyl, phenyl, benzyl, cyclopropyl, cyclopentyl,
- R 5 may be optionally substituted with one to three independent R 15 groups.
- R 5 is (C 4 -C 14 )aryl, and wherein said aryl may be optionally substituted with 1-3 independent R 15 groups.
- R 5 is selected from the group consisting of phenyl and furanyl, and wherein said phenyl may be optionally substituted with 1-3 independent R 15 groups.
- R 7 is independently selected from the group consisting of methyl, ethyl, methoxy, ethoxy, oxo, hydroxyl, halo, nitrile, -(CH 2 ) W CN, -C0 2 R 8 , -S0 2 R 12 , - (CH 2 ) w S0 2 R 12 , -S0 2 R 9 , -S0 2 NHR 9 , -R 14 , -(CH 2 ) w OR 8 , -C(0)R 12 , -NHS0 2 R 9 , -SR 9 , -C(0)NHR 13 , -C(0)(CH 2 ) w R 12 , -C0 2 R 8 , -NHC(0)C(0)R 14 , -C(0)NH(CH 2 ) w R 14 , -C(0)R 14 , -NH(CH 2 ) W R 14 , - (CH 2 ) W
- R 7 is independently selected from the group consisting of methyl, methoxy, hydroxyl, CI, F, -S0 2 R 12 , -S0 2 R 9 , morpholinyl, -C(0)R 12 , -C(0)R 14 , - NH(CH 2 ) W R 14 .
- R 8 is independently selected from the group consisting of hydrogen, methyl, ethyl, oxo, propyl, isopropyl, butyl, and tert-butyl.
- R 9 is independently selected from the group consisting of methyl, ethyl, propyl, isopropyl, butyl, and tert-butyl.
- R 9 is independently selected from the group consisting of methyl, ethyl, and tert-butyl.
- R 11 is independently selected from the group consisting of methyl, ethyl, propyl, isopropyl, butyl, tert-butyl, halo, trifluoromethyl, trifluoromethoxy, methoxy, ethoxy, nitrile, -NHS0 2 R 9 , -C0 2 R 8 , -OR 8 , -0(CH 2 ) w R 12 , -S0 2 R 12 , -S0 2 R 9 , and -(CH 2 ) W R 14 .
- R 13 is selected from the group consisting of cyclopropyl, cyclobutyl, cyclopentyl, and cyclohexyl.
- R 14 is selected from the group consisting of morpholinyl, triazolyl, pyrimidinyl, pyrazolyl, tetrahydropyranyl, piperazinyl, pyrrolidinyl, piperidinyl, pyridinyl, wherein R 14 may be optionally substituted by one to three independent R 16 groups.
- R 14 is selected from the group consisting of morpholinyl, piperazinyl, pyrrolidinyl, piperidinyl, and wherein R 14 may be optionally substituted by an R 16 group.
- R 14 is selected from the group consisting of morpholinyl, piperazinyl, pyrrolidinyl, and piperidinyl, and wherein R 14 may be optionally substituted with a methyl or -OR 8 group.
- R 15 is independently selected from the group consisting of halo, methoxy, nitrile, and -N0 2 .
- R 16 is independently selected from the group consisting of methyl, ethyl, propyl, isopropyl, butyl, tert-butyl, halo, trifluoromethyl, trifluoromethoxy, methoxy, ethoxy, nitrile, -NHS0 2 R 9 , -C0 2 R 8 , -OR 8 , -0(CH 2 ) w R 12 , -S0 2 R 12 , -S0 2 R 9 , -NH(CH 2 ) W R 14 , and - (CH 2 ) W R 14 .
- R 16 is independently selected from the group consisting of methyl and -OR 8 .
- n is selected from the group consisting of 0 and 1 .
- X is N or CR 3 ;
- Y is selected from the group consisting of a bond and a methylene linker
- Z is selected from the group consisting of a bond and a methylene linker
- R 1 is selected from the group consisting of hydrogen, methyl, ethyl, phenyl, -(CH 2 ) W R 14 , and -(CH 2 ) w S0 2 R 9 , wherein phenyl is optionally substituted with 1-3 independent
- R 2 is selected from the group consisting of hydrogen, ethylene, halo, -NHR 10 SO 2 R 9 , -NHR 10 SO 2 R 12 , -NHR 10 R 12 , phenyl, pyridyl, pyrazolyl, pyrimidyl, benzoxazinyl, benzodioxolanyl, and diazaspirodecanyl, wherein ethylene, phenyl, pyridyl, pyrazolyl, pyrimidyl, benzoxazinyl, and benzodioxolanyl, may be optionally substituted with 1-3 independent R 7 groups;
- R 1 and R 2 may optionally join together along with the intervening N and C atoms to form a ring structure, wherein said ring structure is fused to the adjacent pyridyl moiety and said ring structure is selected from the group consisting of:
- ring structure may be optionally substituted with 1-3 independent R 8 groups;
- R 3 and R 4 are independently selected from the group consisting of hydrogen, methyl, ethyl, propyl, isopropyl, methoxy, ethoxy, oxo, hydroxyl, trifluoromethyl, -NR 8 R 8 trifluoromethoxy, and halo;
- R 5 is selected from the group consisting of methyl, ethyl, isopropyl, propyl, butyl,
- R 5 may be optionally substituted with 1-3 independent R 15 groups;
- R 6 is selected from the group consisting of -OR 8 , morpholinyl, and -C(0)R 14 ;
- R 7 is independently selected from the group consisting of hydrogen, methyl, ethyl, propyl, isopropyl, butyl, isobutyl, tert-butyl, methoxy, oxo, hydroxyl, CI, F, trifluoromethyl, trifluoromethoxy, nitrile, -N0 2 , -(CH 2 ) W CN, -S0 2 R 12 , -S0 2 R 9 , -S0 2 NH(CH 2 ) w R 14 , -S0 2 (CH 2 ) w R 14 , -S0 2 R 14 , -R 12 , -R 14 , -(CH 2 ) w OR 8 , -C(0)R 12 , -NHC(O)NHR 10 R 11 , -R 9 OR 8 , -C(0)NHR 13 , -C(0)NHR 14 ,
- R 8 is independently selected from the group consisting of hydrogen, methyl, ethyl, propyl, isopropyl, butyl, and tert-butyl;
- R 9 is selected from the group consisting of methyl, ethyl, propyl, isopropyl, butyl, and tert-butyl;
- R 10 is phenyl
- R 11 is selected from the group consisting of methyl, ethyl, propyl, isopropyl, butyl, tert- butyl, halo, trifluoromethyl, trifluoromethoxy, methoxy, ethoxy, nitrile, -NHS0 2 R 9 , -C0 2 R 8 , -OR 8 , -0(CH 2 ) w R 12 , -S0 2 R 12 , -S0 2 R 9 , and -(CH 2 ) W R 14 ;
- R 12 is -NR 8 R 8 ,
- R 13 is selected from the group consisting of cyclopropyl, cyclobutyl, cyclopentyl, and cyclohexyl;
- R 14 is selected from the group consisting of morpholinyl, triazolyl, pyrimidinyl, pyrazolyl, piperazinyl, pyrrolidinyl, piperidinyl, pyridinyl, wherein R 14 may be optionally substituted by 1 -3 independent R 16 groups;
- R 15 is independently selected from the group consisting of halo, methoxy, ethoxy,
- R 16 is independently selected from the group consisting of methyl, ethyl, propyl,
- R 17 is halo; m is 0 or an integer from 1 to 3
- n is independently 0 or an integer from 1 to 3;
- w is independently 0 or an integer from 1 to 6.
- X is N or CR 3 ;
- Y is selected from the group consisting of a bond and a methylene linker
- R 1 is H
- R 2 is selected from the group consisting of phenyl, pyridyl, and pyrimidyl, and wherein R 2 may be optionally substituted with 1 -2 independent R 7 groups;
- R 3 and R 4 are independently selected from the group consisting of -NR 8 R 8 , methoxy, and H;
- R 5 is selected from the group consisting of phenyl and furanyl, and wherein said phenyl may be optionally substituted with 1 -3 independent R 15 groups;
- R 7 is independently selected from the group consisting of methyl, ethyl, methoxy,
- R 8 is independently selected from the group consisting of hydrogen, methyl, ethyl,
- R 9 is independently selected from the group consisting of methyl, ethyl, propyl, isopropyl, butyl, and tert-butyl;
- R 10 is phenyl
- R 11 is independently selected from the group consisting of methyl, ethyl, propyl,
- R 12 is -NR 8 R 8 ;
- R 13 is selected from the group consisting of cyclopropyl, cyclobutyl, cyclopentyl, and cyclohexyl;
- R 14 is selected from the group consisting of morpholinyl, piperazinyl, pyrrolidinyl,
- R 15 is independently selected from the group consisting of halo, methoxy, nitrile, and -N0 2 ;
- R 16 is selected from the group consisting of methyl and -OR 8 ;
- R 17 is halo
- m 1 ;
- n 0;
- w is independently 0 or an integer from 1 to 3.
- a pharmaceutical composition comprising a pharmaceutically acceptable diluent and a therapeutically effective amount of a compound as defined for a compound of Formula (I) or (II).
- a method for treating a viral infection in a mammal mediated at least in part by a virus in the Flaviviridae family of viruses which method comprises administering to a mammal, that has been diagnosed with said viral infection or is at risk of developing said viral infection, a compound of Formula (I) or (II).
- a method for treating a viral infection in a mammal mediated at least in part by a virus in the Flaviviridae family of viruses which method comprises administering to a mammal, that has been diagnosed with said viral infection or is at risk of developing said viral infection, a compound of Formula (I) or (II), wherein said virus is hepatitis C virus.
- a method for treating a viral infection in a mammal mediated at least in part by a virus in the Flaviviridae family of viruses comprises administering to a mammal, that has been diagnosed with said viral infection or is at risk of developing said viral infection, a compound of Formula (I) or (II), further comprising administration of a therapeutically effective amount of one or more agents active against hepatitis C virus.
- a method for treating a viral infection in a mammal mediated at least in part by a virus in the Flaviviridae family of viruses comprises administering to a mammal, that has been diagnosed with said viral infection or is at risk of developing said viral infection, a compound of Formula (I) or (II), further comprising administration of a therapeutically effective amount of one or more agents active against hepatitis C virus, wherein said agent active against hepatitis C virus is an inhibitor of HCV protease, HCV polymerase, HCV helicase, HCV entry, HCV assembly, HCV egress, HCV replicase, HCV NS5A protein, or inosine 5'-monophosphate dehydrogenase.
- a method for treating a viral infection in a mammal mediated at least in part by a virus in the Flaviviridae family of viruses comprises administering to a mammal, that has been diagnosed with said viral infection or is at risk of developing said viral infection, a compound of Formula (I) or Formula (II), further comprising administration of a therapeutically effective amount of one or more agents active against hepatitis C virus, wherein said agent active against hepatitis C virus is interferon.
- a method for treating a viral infection in a mammal mediated at least in part by a virus in the Flaviviridae family of viruses comprises administering to a mammal, that has been diagnosed with said viral infection or is at risk of developing said viral infection, a compound of Formula (I) or Formula (II), further comprising administration of a therapeutically effective amount of one or more agents active against hepatitis C virus, wherein said agent active against hepatitis C virus is ribavirin.
- a method for treating a viral infection in a mammal mediated at least in part by a virus in the Flaviviridae family of viruses comprises administering to a mammal, that has been diagnosed with said viral infection or is at risk of developing said viral infection, a compound of Formula (I) or Formula (II), further comprising administration of a therapeutically effective amount of one or more agents active against hepatitis C virus, wherein said agent active against hepatitis C virus is interferon in combination with ribavirin.
- the compound of the present invention is chosen from the compounds set forth in Table 1 .
- the compound(s) of the present invention is chosen from the compounds set forth in Table 1 .
- the methods of this invention may employ protecting groups which prevent certain functional groups from undergoing undesired reactions.
- the provided chemical entities may contain one or more chiral centers and such compounds can be prepared or isolated as pure stereoisomers, i.e., as individual enantiomers or diastereomers, or as stereoisomer-enriched mixtures. All such stereoisomers (and enriched mixtures) are included within the scope of this specification, unless otherwise indicated. Pure stereoisomers (or enriched mixtures) may be prepared using, for example, optically active starting materials or stereoselective reagents well-known in the art. Alternatively, racemic mixtures of such compounds can be separated using, for example, chiral column chromatography, chiral resolving agents and the like.
- the starting materials for the following reactions are generally known compounds or can be prepared by known procedures or obvious modifications thereof.
- many of the starting materials are available from commercial suppliers such as Aldrich Chemical Co. (Milwaukee, Wisconsin, USA), Bachem (Torrance, California, USA), Ernka-Chemce or Sigma (St. Louis, Missouri, USA).
- Others may be prepared by procedures, or obvious modifications thereof, described in standard reference texts such as Fieser and Fieser's Reagents for Organic Synthesis, Volumes 1 -15 (John Wiley and Sons, 1991 ), Rodd's Chemistry of Carbon
- reaction times and conditions are intended to be approximate, e.g., taking place at about atmospheric pressure within a temperature range of about -78 °C to about 1 10 °C over a period of about 1 to about 24 hours; reactions left to run overnight average a period of about 16 hours.
- solvent each mean a solvent inert under the conditions of the reaction being described in conjunction therewith, including, for example, benzene, toluene, acetonitrile, tetrahydrofuranyl (“THF”), dimethylformamide (“DMF”), chloroform, methylene chloride (or dichloromethane), diethyl ether, methanol, N- methylpyrrolidone (“NMP”), pyridine and the like.
- solvent solvent inert under the conditions of the reaction being described in conjunction therewith, including, for example, benzene, toluene, acetonitrile, tetrahydrofuranyl (“THF”), dimethylformamide (“DMF”), chloroform, methylene chloride (or dichloromethane), diethyl ether, methanol, N- methylpyrrolidone (“NMP”), pyridine and the like.
- THF tetrahydrofuranyl
- DMF dimethylformamide
- Isolation and purification of the chemical entities and intermediates described herein can be effected, if desired, by any suitable separation or purification procedure such as, for example, filtration, extraction, crystallization, column chromatography, thin-layer
- the (R)- and (S)-isomers may be resolved by methods known to those skilled in the art, for example by formation of diastereoisomeric salts or complexes which may be separated, for example, by crystallization; via formation of diastereoisomeric derivatives which may be separated, for example, by crystallization, gas-liquid or liquid chromatography; selective reaction of one enantiomer with an enantiomer-specific reagent, for example enzymatic oxidation or reduction, followed by separation of the modified and unmodified enantiomers; or gas-liquid or liquid chromatography in a chiral environment, for example on a chiral support, such as silica with a bound chiral ligand or in the presence of a chiral solvent.
- a specific enantiomer may be synthesized by asymmetric synthesis using optically active reagents, substrates, catalysts or solvents, or by converting one enantiomer to the other
- Step 2 N-[2-(methyloxy)-5-(4, 4, 5, 5-tetramethyl-1 ,3, 2-dioxaborolan-2-yl)-3-pyridinyl]-8- quinolinesulfonamide
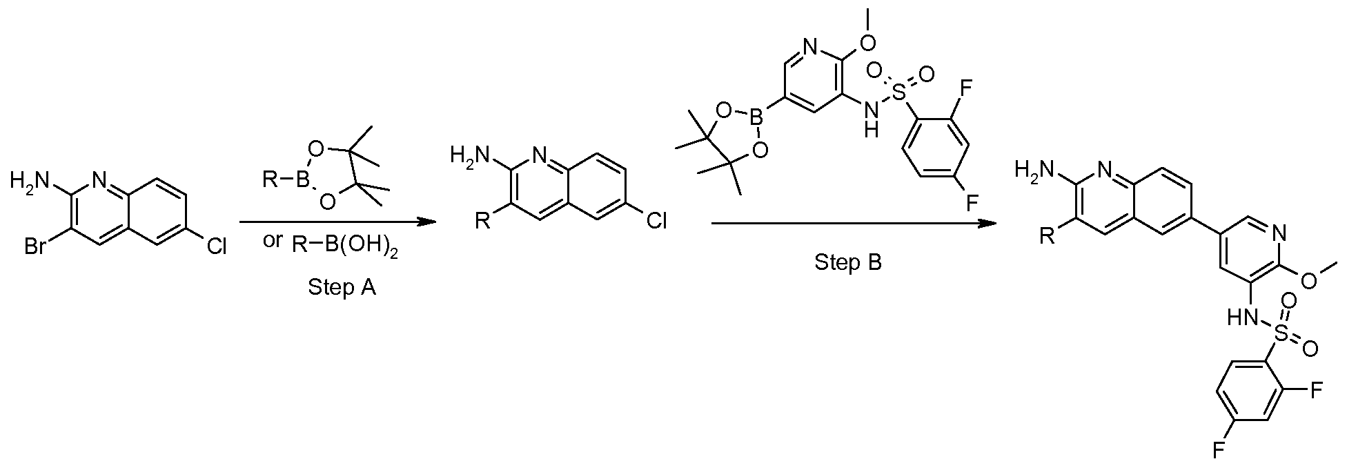
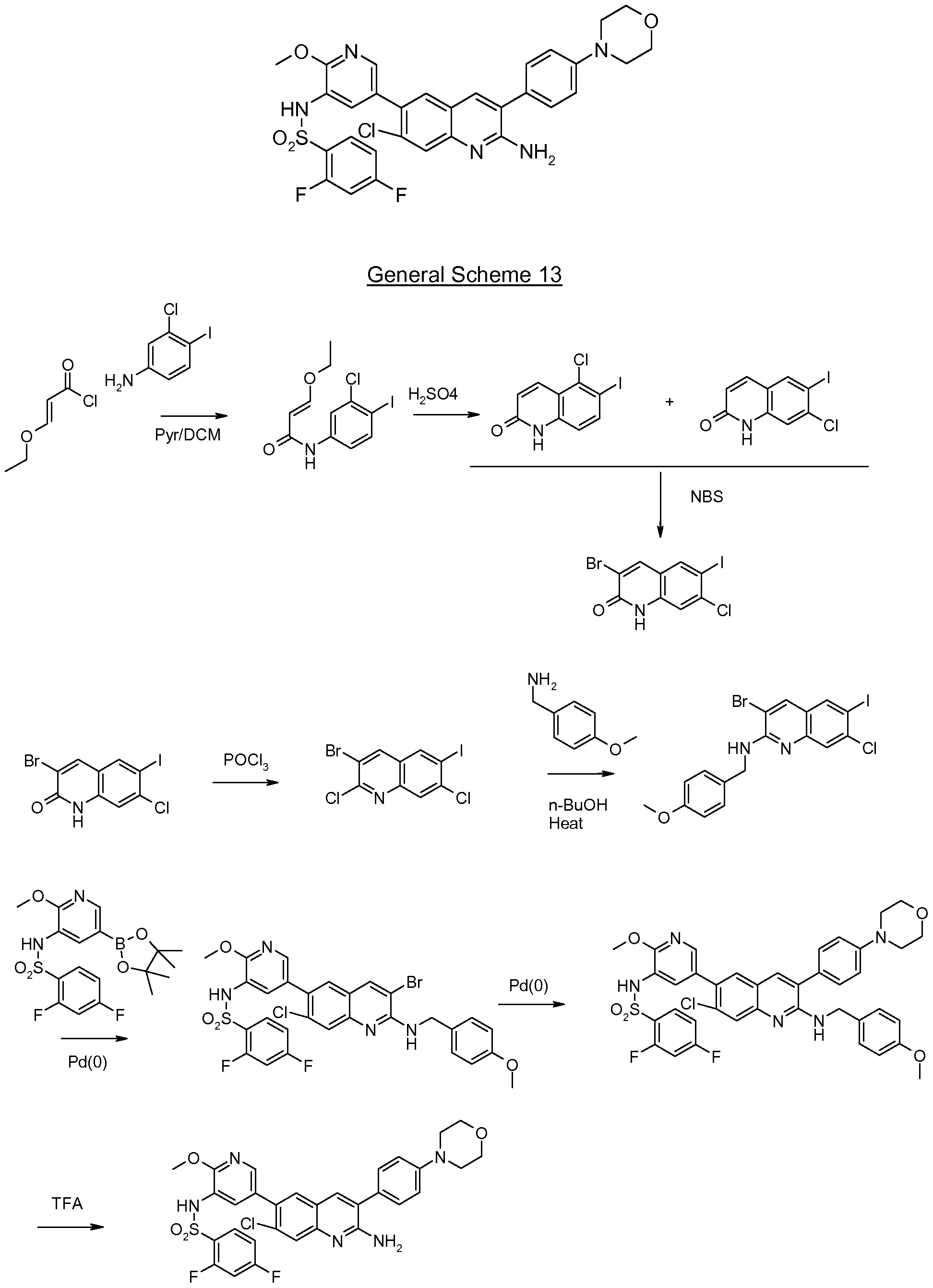
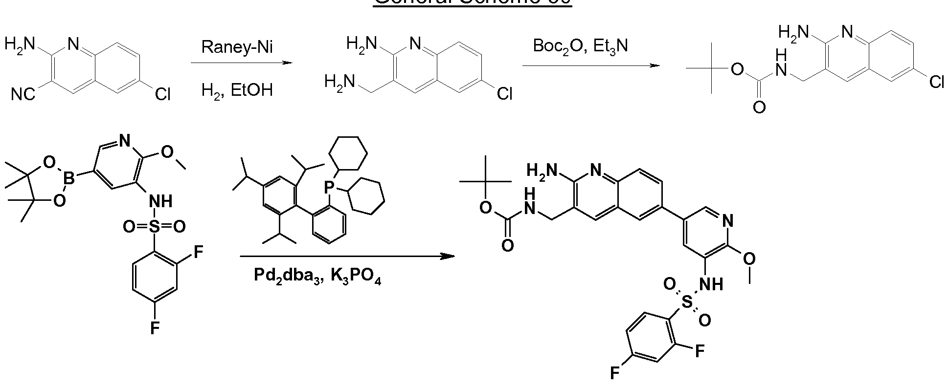
- Step 1 N-[5-bromo-2-(meth loxy)-3-pyridinyl]-3-pyridinesulfonamide
- 3-bro -6-chloro-2-quinolinamine [00155] A thick slurry of 3-bromo-2,6-dichloroquinoline (25 g, 90 mmol), ⁇ [4- (methyloxy)phenyl]methyl ⁇ amine (18.57 g, 135 mmol), DIPEA (47.3 mL, 271 mmol) in n-BuOH (170 mL) was heated in a sealed tube at 130 °C for 40 h. The resulting mixture was allowed to cool to room temperature and concentrated. The resulting slurry was filtered. The solid was taken up into CH 2 CI 2 and filtered.
- the filtrate was concentrated to about 200 mL and purified by column chromatography (silica gel, 10-50% CH 2 CI 2 /hexane) to obtain crude 3-bromo-6-chloro- N- ⁇ [4-(methyloxy)phenyl]methyl ⁇ -2-quinolinamine.
- benzenesulfonamide (from Step A) (53 mg, 0.16 mmol) was added 2,4-difluoro-N-[2- (methyloxy)-5-(4,4,5,5-tetramethyl-1 ,3,2-dioxaborolan-2-yl)-3-pyridinyl]benzenesulfonamide (67.7 mg, 0.16 mmol), K 3 P0 4 (67.4 mg, 0.32 mol), Pd 2 (dba) 3 (7.3 mg, 8 mol) and
- 3-bromo-6-iodo-N- ⁇ [4-(methyloxy)phenyl]methyl ⁇ -2-quinolinamine [00181] To a 100-mL sealed tube containing 1 -butanol (40 mL) were added 3-bromo-2- chloro-6-iodoquinoline (5 g, 13.57 mmol) and 4-methoxylbenzylamine (2.3 mL, 17.6 mmol) and triethylamine(3.8 mL, 27.1 mmol). After the tube was sealed, the reaction was heated to 135°C for 29 hrs. The reaction mixture was then cooled down to rt and further on ice. Yellow needle crystals were formed and collected by filtration.
Landscapes
- Chemical & Material Sciences (AREA)
- Organic Chemistry (AREA)
- Health & Medical Sciences (AREA)
- Life Sciences & Earth Sciences (AREA)
- Veterinary Medicine (AREA)
- Medicinal Chemistry (AREA)
- Pharmacology & Pharmacy (AREA)
- Epidemiology (AREA)
- Animal Behavior & Ethology (AREA)
- General Health & Medical Sciences (AREA)
- Public Health (AREA)
- Molecular Biology (AREA)
- Zoology (AREA)
- Gastroenterology & Hepatology (AREA)
- Engineering & Computer Science (AREA)
- Bioinformatics & Cheminformatics (AREA)
- Immunology (AREA)
- Proteomics, Peptides & Aminoacids (AREA)
- Pharmaceuticals Containing Other Organic And Inorganic Compounds (AREA)
Abstract
Provided are compounds of Formula (I) and Formula (II) and pharmaceutically acceptable salts thereof, their pharmaceutical compositions, their methods of preparation, and their use for treating viral infections mediated by a member of the Flaviviridae family of viruses such as hepatitis C virus (HCV).
Description
AMINOQUINOLINE DERIVATIVES AS ANTIVIRAL AGENTS
CROSS REFERENCE TO RELATED PATENTS AND PATENT APPLICATIONS
[0001] This application is a Patent Cooperation Treaty application and claims the priority benefit of U.S. Provisional Patent Application No. 61/382,143, filed September 13, 2010, which is incorporated herein by reference in its entirety.
FIELD OF THE INVENTION
[0002] Provided are compounds, pharmaceutical compositions, their methods of preparation, and their use for treating viral infections mediated by a member of the Flaviviridae family of viruses such as hepatitis C virus (HCV).
BACKGROUND OF THE INVENTION
[0003] Chronic infection with HCV is a major health problem associated with chronic liver disease, cirrhosis, hepatocellular carcinoma, and liver failure. HCV is a hepacivirus member of the Flaviviridae family of RNA viruses that affect animals and humans. The genome is a single ~9.6-kilobase strand of RNA, and consists of one open reading frame that encodes for a polyprotein of -3000 amino acids flanked by untranslated regions at both 5' and 3' ends (5'- and 3'-UTR). The polyprotein serves as the precursor to at least 10 separate viral proteins critical for replication and assembly of progeny viral particles. The organization of structural and non-structural proteins in the HCV polyprotein is as follows: C-E1-E2-p7-NS2-NS3-NS4a-NS4b- NS5a-NS5b. Because the replicative cycle of HCV does not involve any DNA intermediate and the virus is not integrated into the host genome, HCV infection can theoretically be cured. While the pathology of HCV infection affects mainly the liver, the virus is found in other cell types in the body including peripheral blood lymphocytes.
[0004] HCV is major causative agent for post-transfusion and for sporadic hepatitis.
Infection by HCV is insidious in a high proportion of chronically infected (and infectious) carriers who may not experience clinical symptoms for many years. An estimated 170 million chronic carriers worldwide are at risk of developing liver disease. See, for example, Szabo, et al., Pathol. Oncol. Res. 2003, 9:215-221 , and Hoofnagle JH, Hepatology 1997, 26:15S-20S. In the United States alone 2.7 million are chronically infected with HCV, and the number of HCV-
related deaths in 2000 was estimated between 8,000 and 10,000, a number that is expected to increase significantly over the next years.
[0005] At present, the standard treatment for chronic HCV is interferon alpha (IFN- alpha) in combination with ribavirin and this requires at least six months of treatment. IFN-alpha belongs to a family of naturally occurring small proteins with characteristic biological effects such as antiviral, immunoregulatory, and antitumoral activities that are produced and secreted by most animal nucleated cells in response to several diseases, in particular viral infections. IFN-alpha is an important regulator of growth and differentiation affecting cellular
communication and immunological control. Treatment of HCV with interferon has frequently been associated with adverse side effects such as fatigue, fever, chills, headache, myalgias, arthralgias, mild alopecia, psychiatric effects and associated disorders, autoimmune
phenomena and associated disorders and thyroid dysfunction. Ribavirin, an inhibitor of inosine 5'-monophosphate dehydrogenase (IMPDH), enhances the efficacy of IFN-alpha in the treatment of HCV. Despite the introduction of ribavirin, more than 50% of the patients do not eliminate the virus with the current standard therapy of interferon-alpha (IFN) and ribavirin. By now, standard therapy of chronic hepatitis C has been changed to the combination of pegylated IFN-alpha plus ribavirin. However, a number of patients still have significant side effects, primarily related to ribavirin. Ribavirin causes significant hemolysis in 10-20% of patients treated at currently recommended doses, and the drug is both teratogenic and embryotoxic. Even with recent improvements, a substantial fraction of patients do not respond with a sustained reduction in viral load and there is a clear need for more effective antiviral therapy of HCV infection.
[0006] A number of approaches are being pursued to combat the virus. These include, for example, application of antisense oligonucleotides or ribozymes for inhibiting HCV replication. Furthermore, low-molecular weight compounds that directly inhibit HCV proteins and interfere with viral replication are considered as attractive strategies to control HCV infection. Among the viral targets, the NS3/4a protease/helicase and the NS5b RNA-dependent RNA polymerase are considered the most promising viral targets for new drugs. Indeed, compounds said to be useful for treating HCV infections are disclosed, for example, in
WO2005/051318 (Chunduru, et al.) and WO2009/023179 (Schmitz, et a/.). These references disclose methods for preparing the compounds, compositions comprising the compounds, compositions comprising the compounds and additional compounds, and methods of treating HCV.
[0007] Besides targeting viral genes and their transcription and translation products, antiviral activity can also be achieved by targeting host cell proteins that are necessary for viral replication. For example, antiviral activity can be achieved by inhibiting host cell cyclophilins. Alternatively, a potent TLR7 agonist has been shown to reduce HCV plasma levels in humans.
[0008] In view of the worldwide epidemic level of HCV and other members of the
Flaviviridae family of viruses, and further in view of the limited treatment options, there is a strong need for new effective drugs for treating infections cause by these viruses.
SUMMARY OF THE INVENTION
[0009] In accordance with one embodiment of the present invention, there is provided a compound of Formula (II):
(II)
or a pharmaceutically acceptable salt thereof, wherein:
W is selected from the group consisting of -NHS02R5, -S02R14, -S02NHR5,
-C(0)NHR9R12, -C02R8, -NHC(0)R5, and -S02NHR9R5;
X is N or CR3;
Y is selected from the group consisting of a bond, -C(O), (Ci-C6)alkylene, and (C2- C6)alkynyl;
Z is selected from the group consisting of a bond and (CrC6)alkylene;
R1 is selected from the group consisting of hydrogen, (d-C6)alkyl, (C4-Ci4)aryl,
-R14, and -S02R9, wherein said (C4-C14)aryl of said R1 group is optionally substituted with one to three R6 groups;
R2 is selected from the group consisting of (C1-C6)alkyl, (C1-C6)alkenyl, halo,
-C(0)NHR13, -R12, nitrile, -NHC02R8, -NHR10, -S02R10, -S02R9, -NHC(0)R14, -NHC(0)R12, -NHC(0)R9, -NHS02R14, -NHS02R9, -C(O), (C4-Ci4)aryl, (d- Cii heterocyclic, and (CrCn)heteroaryl, wherein said (CrCn)heterocyclic and
(Ci-Cii)heteroaryl groups of said R2 group each independently have one to three heteroatoms selected from N and O, and wherein said R2 group may be optionally substituted with one to three R7 groups;
R1 and R2 may optionally join together along with any intervening N and C atoms to form a (C1-C11 heterocyclic or a (CrCn)heteroaryl group fused to the adjacent pyridine ring and each independendly have one to three nitrogen heteroatoms, and wherein said R1 and R2-joined (CrCn)heterocyclic or (Ci-Cn)heteroaryl group may be optionally substituted with one to three R8 groups;
R3 and R4 are independently selected from the group consisting of hydrogen, (C
C6)alkyl, (C C6)alkoxy, nitrile, -N3, -SR8, -NHR8, -S(0)R9, -C(0)R12, -SR9, -S02R8, oxo, -OR8, -R12, and halo, and wherein said (C C6)alkyl and (C
C6)alkoxy of said R3 and R4 groups may be optionally substituted with one to three R17 groups;
R5 is selected from the group consisting of hydrogen, (d-C6)alkyl, (CrC6)alkoxy, (C4- Ci4)aryl, benzyl, (C3-Ci2)cycloalkyl, trifluoromethyl, trifluoroethyl, -R12,
(Ci-Cii)heterocyclic, and (CrCn)heteroaryl, wherein said (CrCn)heterocyclic and (Ci-Cii)heteroaryl of said R5 group each independently have one to three heteroatoms selected from N and O, and wherein R5 may be optionally substituted with one to three R15 groups;
R6 is independently selected from the group consisting of (CrC6)alkyl, (CrC6)alkoxy, -OR8, -C(0)R14, and (CrCn)heterocyclic, wherein said (Ci-Cn)heterocyclic of said R6 group has one to three heteroatoms selected from N and O;
R7 is independently selected from the group consisting of (CrC6)alkyl, (CrC6)alkoxy, oxo, halo, nitrile, -N02, -R9OR8, -(CH2)WCN, -NHS02R9, -SR9, -C(0)R12, -S02R12, -S02R9, -S02NH(CH2)wR14, -S02(CH2)wR14, -R12, -R14, -(CH2)wOR8, -C(0)NHR13, -C(0)NHR14, -C(0)NHR9, -C(0)R12, -NHC(O)NHR10R11, -C(0)NH(CH2)wR12, -C(0)(CH2)wR12, -C02R8, -NHC(0)C(0)R14, -NHC02R8, -OR8, -C(0)NH(CH2)wR14, -C(0)(CH2)wR14, -C(0)R14, -(CH2)WR11, -NH(CH2)WR14, -(CH2)WR14 , -(CH2)WR10, -(CH2)WNHR10, -(CH2)wC02R8, -C(O)NHR10R11, -C(0)NH(CH2)wOR8, and
-C(0)NH(CH2)wR11; and wherein said (C C6)alkyl and (C C6)alkoxy of said R7 group may be optionally substituted with one to three R17 groups;
R8 is independently selected from the group consisting of hydrogen, oxo, and
(Ci-C6)alkyl;
R11 is selected from the group consisting of nitrile, halo, (Ci-C6)alkyl, (CrC6)alkoxy,
-NHSO2R9, -CO2R8, -OR8, -0(CH2)wR12, -SO2R12, -SO2R9, -NH(CH2)WR14 , and -(CH2)WR14; and wherein said (CrC6)alkyl and (CrC6)alkoxy of said R11 group may be optionally substituted with one to three R17 groups;
R12 is -NR8R8;
R13 is (C3-Ci2)cycloalkyl;
R14 is selected from the group consisting of (C-i-Cn heterocyclic and (C-i-C-i- heteroaryl, each independently having one to three heteroatoms selected from N and O, wherein said (C-i-C-i- heterocyclic and (C-i-C-i- heteroaryl may be optionally substituted by one to three independent R16 groups;
R15 is independently selected from the group consisting of (C1-C6)alkyl, (C1-C6)alkoxy, -OR8, halo, nitrile, -N02, and -C02R8, and wherein said (C C6)alkyl and (d- C6)alkoxy of said R15 group may be optionally substituted with one to three R17 groups;
R16 is independently selected from the group consisting of (CrC6)alkyl, (CrC6)alkoxy, halo, nitrile, -NHS02R9, -C02R8, -OR8, -0(CH2)wR12, -S02R12, -S02R9, -NH(CH2)WR14, and -(CH2)WR14; and wherein said (Ci-C6)alkyl and (d-C6)alkoxy of said R16 group may be optionally substituted with one to three R17 groups;
R17 is halo;
m is independently 0 or an integer from 1 to 4;
n is independently 0 or an integer from 1 to 3; and
w is independently 0 or an integer from 1 to 6.
Also provided is a compound of Formula (I):
(I)
X is N or CR3;
Y is selected from the group consisting of a bond, (CrC6)alkylene, and (C2-C6)alkynyl;
Z is selected from the group consisting of a bond and (CrC6)alkylene;
R1 is selected from the group consisting of hydrogen, (d-C6)alkyl, (C4-Ci4)aryl,
-R14, and -S02R9, wherein said (C -Ci )aryl of said R1 group is optionally substituted with one to three R6 groups;
R2 is selected from the group consisting of (C1-C6)alkenyl, halo, -NHR10, (C4-C14)aryl, (Ci-Ci heterocyclic, and (CrC^heteroaryl, wherein said (CrC^heterocyclic and (CrCn^eteroaryl groups of said R2 group each independently have one to three heteroatoms selected from N and O, and wherein said R2 group may be optionally substituted with one to three R7 groups;
R1 and R2 may optionally join together along with any intervening N and C atoms to form a (Ci-Cii)heterocyclic or a (CrCn)heteroaryl group fused to the adjacent pyridyl moiety and each independendly have one to three nitrogen heteroatoms, and wherein said R1 and R2-joined (Ci-Cn)heterocyclic or (Ci-Cn)heteroaryl group may be optionally substituted with one to three R8 groups;
R3 and R4 are independently selected from the group consisting of hydrogen, (d-
C6)alkyl, (C C6)alkoxy, nitrile, -N3, -SR8, -S02R8, oxo, -OR8, -R12, and halo, and wherein said (Ci-C6)alkyl and (Ci-C6)alkoxy of said R3 and R4 groups may be optionally substituted with one to three R17 groups;
R5 is selected from the group consisting of (CrC6)alkyl, (Ci-C6)alkoxy, (C -Ci )aryl, benzyl, (C3-Ci2)cycloalkyl, trifluoromethyl, trifluoroethyl, (CrCn)heterocyclic, and (Ci-Cii)heteroaryl, wherein said (CrCn)heterocyclic and (CrCn)heteroaryl of said R5 group each independently have one to three heteroatoms selected from N and O, and wherein R5 may be optionally substituted with one to three R15 groups;
R6 is independently selected from the group consisting of (C1-C6)alkyl, (C1-C6)alkoxy, -OR8, -C(0)R14, and (C Ci heterocyclic, wherein said (Ci-Ci heterocyclic of said R6 group has one to three heteroatoms selected from N and O;
R7 is independently selected from the group consisting of (CrC6)alkyl, (CrC6)alkoxy, oxo, halo, nitrile, -N02, -R9OR8, -(CH2)WCN, -S02R12, -S02R9, -S02NH(CH2)wR14, -S02(CH2)wR14, -R12, -R14, -(CH2)wOR8, -C(0)NHR13, -C(0)NHR14, -C(0)NHR9, -C(0)R12, -NHC(O)NHR10R11, -C(0)NH(CH2)wR12, -C(0)(CH2)wR12, -C02R8,
-NHC(0)C(0)R14, -NHC02R , -OR , -C(0)NH(CH2)wR14, -C(0)(CH2)wR14,
-C(0)R14, -(CH2)WR11, -NH(CH2)WR14, -(CH2)WR14 , -(CH2)WR10, -(CH2)WNHR10, -(CH2)wC02R8, -C(O)NHR10R11, -C(0)NH(CH2)wOR8, and -C(0)NH(CH2)wR11; and wherein said (Ci-C6)alkyl and (Ci-C6)alkoxy of said R7 group may be optionally substituted with one to three R17 groups;
R8 is independently selected from the group consisting of hydrogen and (CrC6)alkyl;
R9 is (Ci-C6)alkyl;
R10 is (C4-C14)aryl;
R11 is selected from the group consisting of nitrile, halo, (C1-C6)alkyl, (C1-C6)alkoxy,
-NHS02R9, -C02R8, -OR8, -0(CH2)wR12, -S02R12, -S02R9, -NH(CH2)WR14 , and -(CH2)WR14; and wherein said (C1-C6)alkyl and (C1-C6)alkoxy of said R11 group may be optionally substituted with one to three R17 groups;
R12 is -NR8R8;
R13 is (C3-Ci2)cycloalkyl;
R14 is selected from the group consisting of (CrCn)heterocyclic and (Ci-Cn)heteroaryl, each independently having one to three heteroatoms selected from N and O, wherein said (Ci-Cn)heterocyclic and (CrCn)heteroaryl may be optionally substituted by one to three independent R16 groups;
R15 is independently selected from the group consisting of (CrC6)alkyl, (d-C6)alkoxy, -OR8, halo, nitrile, -N02, and -C02R8, and wherein said (C C6)alkyl and (d- C6)alkoxy of said R15 group may be optionally substituted with one to three R17 groups;
R16 is independently selected from the group consisting of (CrC6)alkyl, (CrC6)alkoxy, halo, nitrile, -NHS02R9, -C02R8, -OR8, -0(CH2)wR12, -S02R12, -S02R9,
-NH(CH2)WR14, and -(CH2)WR14; and wherein said (Ci-C6)alkyl and (d-C6)alkoxy of said R16 group may be optionally substituted with one to three R17 groups;
R17 is halo;
m is independently 0 or an integer from 1 to 4;
n is independently 0 or an integer from 1 to 3; and
w is independently 0 or an integer from 1 to 6.
[0011] Also provided is a pharmaceutical composition comprising a pharmaceutically acceptable carrier and a therapeutically effective amount of a compound of Formula (I) or (II) or a pharmaceutically acceptable salt or solvate thereof.
[0012] Also provided are synthetic intermediates, methods for preparing the compounds of Formula (I) or Formula (II), or a pharmaceutically acceptable salt or solvate thereof, and compositions thereof and for their therapeutic uses. In some embodiments, provided is a method for treating a viral infection in a patient mediated at least in part by a virus in the Flaviviridae family of viruses, comprising administering to said patient a composition comprising a compound of Formula (I) or (II), or a pharmaceutically acceptable salt or solvate thereof. In some embodiments, the viral infection is mediated by hepatitis C virus. Those and other embodiments are further described in the text that follows.
DETAILED DESCRIPTION OF REPRESENTATIVE EMBODIMENTS
[0013] Throughout this application, references are made to various embodiments relating to compounds, compositions, and methods. The various embodiments described are meant to provide a variety of illustrative examples and should not be construed as descriptions of alternative species. Rather it should be noted that the descriptions of various embodiments provided herein may be of overlapping scope. The embodiments discussed herein are merely illustrative and are not meant to limit the scope of the present invention.
[0014] It is to be understood that the terminology used herein is for the purpose of describing particular embodiments only and is not intended to limit the scope of the present invention. In this specification and in the claims that follow, reference will be made to a number of terms that shall be defined to have the following meanings.
[0015] "Alkyl" refers to monovalent saturated aliphatic hydrocarbyl groups having from 1 to 14 carbon atoms and, in some embodiments, from 1 to 6 carbon atoms. "(Cx-Cy)alkyl" refers to alkyl groups having from x to y carbon atoms. This term includes, by way of example, linear and branched hydrocarbyl groups such as methyl (CH3-), ethyl (CH3CH2-), n-propyl
(CH3CH2CH2-), isopropyl ((CH3)2CH-), n-butyl (CH3CH2CH2CH2-), isobutyl ((CH3)2CHCH2-), sec-butyl ((CH3)(CH3CH2)CH-), f-butyl ((CH3)3C-), n-pentyl (CH3CH2CH2CH2CH2-), and neopentyl ((CH3)3CCH2-).
[0016] "Alkylidene" or "alkylene" refers to divalent saturated aliphatic hydrocarbyl groups having from 1 to 10 carbon atoms and, in some embodiments, from 1 to 6 carbon atoms.
"(Cu-V)alkylene" refers to alkylene groups having from u to v carbon atoms. The alkylidene and alkylene groups include branched and straight chain hydrocarbyl groups. For example "(C-i. 6)alkylene" is meant to include methylene, ethylene, propylene, 2-methypropylene, pentylene, and so forth.
[0017] "Alkenyl" refers to a linear or branched hydrocarbyl group having from 2 to 10 carbon atoms and in some embodiments from 2 to 6 carbon atoms or 2 to 4 carbon atoms and having at least 1 site of vinyl unsaturation (>C=C<). For example, (Cx-Cy)alkenyl refers to alkenyl groups having from x to y carbon atoms and is meant to include for example, ethenyl, propenyl, isopropylene, 1 ,3-butadienyl, and the like.
[0018] "Alkynyl" refers to a linear monovalent hydrocarbon radical or a branched monovalent hydrocarbon radical containing at least one triple bond. The term "alkynyl" is also meant to include those hydrocarbyl groups having one triple bond and one double bond. For example, (C2-C6)alkynyl is meant to include ethynyl, propynyl, and the like.
[0019] "Alkoxy" refers to the group -O-alkyl wherein alkyl is defined herein. Alkoxy includes, by way of example, methoxy, ethoxy, n-propoxy, isopropoxy, n-butoxy, f-butoxy, sec-butoxy, and n-pentoxy.
[0020] "Acyl" refers to the groups H-C(O)-, alkyl-C(O)-, alkenyl-C(O)-, alkynyl-C(O)-, cycloalkyl-C(O)-, aryl-C(O)-, heteroaryl-C(O)-, and heterocyclic-C(O)-. Acyl includes the "acetyl" group CH3C(0)-.
[0021] "Acylamino" refers to the groups -NR20C(O)alkyl, -NR20C(O)cycloalkyl,
-NR20C(O)alkenyl, -NR20C(O)alkynyl, -NR20C(O)aryl, -NR20C(O)heteroaryl, and
-NR20C(O)heterocyclic, wherein R20 is hydrogen or alkyl.
[0022] "Acyloxy" refers to the groups alkyl-C(0)0-, alkenyl-C(0)0-, alkynyl-C(0)0-, aryl-C(0)0-, cycloalkyl-C(0)0-, heteroaryl-C(0)0-, and heterocyclic-C(0)0-.
[0023] "Amino" refers to the group -NR21R22 where R21 and R22 are independently selected from hydrogen, alkyl, alkenyl, alkynyl, aryl, cycloalkyl, heteroaryl, heterocyclic,
-S02-alkyl, -S02-alkenyl, -S02-cycloalkyl, -S02-aryl, -S02-heteroaryl, and -S02-heterocyclic, and wherein R21 and R22 are optionally joined together with the nitrogen bound thereto to form a heterocyclic group. When R21 is hydrogen and R22 is alkyl, the amino group is sometimes referred to herein as alkylamino. When R21 and R22 are alkyl, the amino group is sometimes referred to herein as dialkylamino. When referring to a monosubstituted amino, it is meant that either R21 or R22 is hydrogen but not both. When referring to a disubstituted amino, it is meant that neither R21 nor R22 are hydrogen.
[0024] "Hydroxyamino" refers to the group -NHOH.
[0025] "Alkoxyamino" refers to the group -NHO-alkyl wherein alkyl is defined herein.
[0026] "Aminocarbonyl" refers to the group -C(0)NR26R27 where R26 and R27 are independently selected from hydrogen, alkyl, alkenyl, alkynyl, aryl, cycloalkyl, heteroaryl,
heterocyclic, hydroxy, alkoxy, amino, and acylamino, and where R and R are optionally joined together with the nitrogen bound thereto to form a heterocyclic group.
[0027] "Aryl" refers to an aromatic group of from 6 to 14 carbon atoms and no ring heteroatoms and having a single ring (e.g., phenyl) or multiple condensed (fused) rings (e.g., naphthyl or anthryl). For multiple ring systems, including fused, bridged, and spiro ring systems having aromatic and non-aromatic rings that have no ring heteroatoms, the term "Aryl" or "Ar" applies when the point of attachment is at an aromatic carbon atom (e.g., 5,6,7,8
tetrahydronaphthalene-2-yl is an aryl group as its point of attachment is at the 2-position of the aromatic phenyl ring).
[0028] "Cyano" or "nitrile" refers to the group -CN.
[0029] "Cycloalkyi" refers to a saturated or partially saturated cyclic group of from 3 to
14 carbon atoms and no ring heteroatoms and having a single ring or multiple rings including fused, bridged, and spiro ring systems. For multiple ring systems having aromatic and non- aromatic rings that have no ring heteroatoms, the term "cycloalkyi" applies when the point of attachment is at a non-aromatic carbon atom (e.g. 5,6,7,8,-tetrahydronaphthalene-5-yl). The term "Cycloalkyi" includes cycloalkenyl groups, such as cyclohexenyl. Examples of cycloalkyi groups include, for instance, adamantyl, cyclopropyl, cyclobutyl, cyclohexyl, cyclopentyl, cyclooctyl, cyclopentenyl, and cyclohexenyl. Examples of cycloalkyi groups that include multiple bicycloalkyl ring systems are bicyclohexyl, bicyclopentyl, bicyclooctyl, and the like. Two such bic cloalkyl multiple ring structures are exemplified and named below:
bicyclohexyl, and bicyclohexyl.
[0030] "(Cu-Cv)cycloalkyl" refers to cycloalkyi groups having u to v carbon atoms.
[0031] "Spiro cycloalkyi" refers to a 3 to 10 member cyclic substituent formed by replacement of two hydrogen atoms at a common carbon atom in a cyclic ring structure or in an alkylene group having 2 to 9 carbon atoms, as exemplified by the following structure wherein the group shown here attached to bonds marked with wavy lines is substituted with a spiro cycloalkyi group:
[0032] "Fused cycloalkyi" refers to a 3 to 10 member cyclic substituent formed by the replacement of two hydrogen atoms at different carbon atoms in a cycloalkyi ring structure, as
exemplified by the following structure wherein the cycloalkyl group shown here contains bonds marked with wavy lines which are bonded to carbon atoms that are substituted with a fused cycloalkyl group:
[0033] "Halo" or "halogen" refers to fluoro, chloro, bromo, and iodo.
[0034] "Haloalkoxy" refers to substitution of alkoxy groups with 1 to 5 (e.g. when the alkoxy group has at least 2 carbon atoms) or in some embodiments 1 to 3 halo groups (e.g. trifluoromethoxy).
[0035] "Hydroxy" or "hydroxyl" refers to the group -OH .
[0036] "Heteroaryl" refers to an aromatic group of from 1 to 14 carbon atoms and 1 to 6 heteroatoms selected from oxygen, nitrogen, and sulfur and includes single ring (e.g. imidazolyl) and multiple ring systems (e.g. benzimidazol-2-yl and benzimidazol-6-yl). For multiple ring systems, including fused, bridged, and spiro ring systems having aromatic and non-aromatic rings, the term "heteroaryl" applies if there is at least one ring heteroatom and the point of attachment is at an atom of an aromatic ring (e.g. 1 ,2,3,4-tetrahydroquinolin-6-yl and 5,6,7,8- tetrahydroquinolin-3-yl). In some embodiments, the nitrogen and/or the sulfur ring atom(s) of the heteroaryl group are optionally oxidized to provide for the N-oxide (N→0), sulfinyl, or sulfonyl moieties. More specifically the term heteroaryl includes, but is not limited to, pyridyl, furanyl, thienyl, thiazolyl, isothiazolyl, triazolyl, imidazolyl, imidazolinyl, isoxazolyl, pyrrolyl, pyrazolyl, pyridazinyl, pyrimidinyl, purinyl, phthalazyl, naphthylpryidyl, benzofuranyl,
tetrahydrobenzofuranyl, isobenzofuranyl, benzothiazolyl, benzoisothiazolyl, benzotriazolyl, indolyl, isoindolyl, indolizinyl, dihydroindolyl, indazolyl, indolinyl, benzoxazolyl, quinolyl, isoquinolyl, quinolizyl, quianazolyl, quinoxalyl, tetrahydroquinolinyl, isoquinolyl, quinazolinonyl, benzimidazolyl, benzisoxazolyl, benzothienyl, benzopyridazinyl, pteridinyl, carbazolyl, carbolinyl, phenanthridinyl, acridinyl, phenanthrolinyl, phenazinyl, phenoxazinyl, phenothiazinyl, and phthalimidyl.
[0037] "Heterocyclic" or "heterocycle" or "heterocycloalkyl" or "heterocyclyl" refers to a saturated or partially saturated cyclic group having from 1 to 14 carbon atoms and from 1 to 6 heteroatoms selected from nitrogen, sulfur, phosphorus or oxygen and includes single ring and multiple ring systems including fused, bridged, and spiro ring systems. For multiple ring systems having aromatic and/or non-aromatic rings, the terms "heterocyclic", "heterocycle", "heterocycloalkyl", or "heterocyclyl" apply when there is at least one ring heteroatom and the
point of attachment is at an atom of a non-aromatic ring (e.g. 1 ,2,3,4-tetrahydroquinoline-3-yl, 5,6,7,8-tetrahydroquinoline-6-yl, and decahydroquinolin-6-yl). In one embodiment, the nitrogen, phosphorus and/or sulfur atom(s) of the heterocyclic group are optionally oxidized to provide for the N-oxide, phosphinane oxide, sulfinyl, sulfonyl moieties. More specifically the heterocyclyl includes, but is not limited to, tetrahydropyranyl, piperidinyl, piperazinyl, 3-pyrrolidinyl, 2- pyrrolidon-1 -yl, morpholinyl, and pyrrolidinyl. A prefix indicating the number of carbon atoms (e.g., C3-C10) refers to the total number of carbon atoms in the portion of the heterocyclyl group exclusive of the number of heteroatoms.
[0038] Examples of heterocycle and heteroaryl groups include, but are not limited to, azetidine, pyrrole, imidazole, pyrazole, pyridine, pyrazine, pyrimidine, pyridazine, pyridone, indolizine, isoindole, indole, dihydroindole, indazole, purine, quinolizine, isoquinoline, quinoline, phthalazine, naphthylpyridine, quinoxaline, quinazoline, cinnoline, pteridine, carbazole, carboline, phenanthridine, acridine, phenanthroline, isothiazole, phenazine, isoxazole, phenoxazine, phenothiazine, imidazolidine, imidazoline, piperidine, piperazine, indoline, phthalimide, 1 ,2,3,4-tetrahydroisoquinoline, 4,5,6,7-tetrahydrobenzo[b]thiophene, thiazole, thiazolidine, thiophene, benzo[b]thiophene, morpholine, thiomorpholine (also referred to as thiamorpholine), piperidine, pyrrolidine, and tetrahydrofuranyl.
[0039] "Fused heterocyclic" refers to a 3 to 10 member cyclic substituent formed by the replacement of two hydrogen atoms at different carbon atoms in a cycloalkyl ring structure, as exemplified by the following structure wherein the cycloalkyl group shown here contains bonds marked with wavy lines which are bonded to carbon atoms that are substituted with a fused heterocyclic group:
[0040] "Compound", "compounds", "chemical entity", and "chemical entities" as used herein refers to a compound encompassed by the generic formulae disclosed herein, any subgenus of those generic formulae, and any forms of the compounds within the generic and subgeneric formulae, including the racemates, stereoisomers, and tautomers of the compound or compounds.
[0041] "Oxazolidinone" refers to a 5-membered heterocyclic ring containing one nitrogen and one oxygen as heteroatoms and also contains two carbons and is substituted at one of the two carbons by a carbonyl group as exemplified by any of the following structures, wherein the
oxazolidinone groups shown here are bonded to a parent molecule, which is indicated by a wavy line in the bond to the parent molecule:
[0042] "Racemates" refers to a mixture of enantiomers. In an embodiment of the invention, the compounds of Formula I, or pharmaceutically acceptable salts thereof, are enantiomerically enriched with one enantiomer wherein all of the chiral carbons referred to are in one configuration. In general, reference to an enantiomerically enriched compound or salt, is meant to indicate that the specified enantiomer will comprise more than 50% by weight of the total weight of all enantiomers of the compound or salt.
[0043] "Solvate" or "solvates" of a compound refer to those compounds, as defined above, which are bound to a stoichiometric or non-stoichiometric amount of a solvent. Solvates of a compound includes solvates of all forms of the compound. In certain embodiments, solvents are volatile, non-toxic, and/or acceptable for administration to humans in trace amounts. Suitable solvates include water.
[0044] "Stereoisomer" or "stereoisomers" refer to compounds that differ in the chirality of one or more stereocenters. Stereoisomers include enantiomers and diastereomers.
[0045] "Tautomer" refer to alternate forms of a compound that differ in the position of a proton, such as enol-keto and imine-enamine tautomers, or the tautomeric forms of heteroaryl groups containing a ring atom attached to both a ring -NH- moiety and a ring =N- moiety such as pyrazoles, imidazoles, benzimidazoles, triazoles, and tetrazoles.
[0046] "Pharmaceutically acceptable salt" refers to pharmaceutically acceptable salts derived from a variety of organic and inorganic counter ions well known in the art and include, by way of example only, sodium, potassium, calcium, magnesium, ammonium, and
tetraalkylammonium, and when the molecule contains a basic functionality, salts of organic or inorganic acids, such as hydrochloride, hydrobromide, tartrate, mesylate, acetate, maleate, and oxalate. Suitable salts include those described in P. Heinrich Stahl, Camille G. Wermuth (Eds.), Handbook of Pharmaceutical Salts Properties, Selection, and Use; 2002.
[0047] "Patient" refers to mammals and includes humans and non-human mammals.
[0048] "Treating" or "treatment" of a disease in a patient refers to 1 ) preventing the disease from occurring in a patient that is predisposed or does not yet display symptoms of the
disease; 2) inhibiting the disease or arresting its development; or 3) ameliorating or causing regression of the disease.
[0049] Unless indicated otherwise, the nomenclature of substituents that are not explicitly defined herein are arrived at by naming the terminal portion of the functionality followed by the adjacent functionality toward the point of attachment. For example, the substituent "arylalkyloxycarbonyl" refers to the group (aryl)-(alkyl)-0-C(0)-. In a term such as "C(RX)2", it should be understood that the two Rx groups can be the same, or they can be different if Rx is defined as having more than one possible identity. In addition, certain substituents are drawn as -RxRy, where the "-" indicates a bond adjacent to the parent molecule and Ry being the terminal portion of the functionality. Similarly, it is understood that the above definitions are not intended to include impermissible substitution patterns {e.g., methyl substituted with 5 fluoro groups). Such impermissible substitution patterns are well known to the skilled artisan.
[0050] In accordance with one embodiment of the present invention, there is provided a compound of Formula (II):
(II)
or a pharmaceutically acceptable salt thereof, wherein:
W is selected from the group consisting of -NHS02R5, -S02R14, -S02NHR5,
-C(0)NHR9R12, -C02R8, -NHC(0)R5, and -S02NHR9R5;
X is N or CR3;
Y is selected from the group consisting of a bond, -C(O), (Ci-C6)alkylene, and (C2- C6)alkynyl;
Z is selected from the group consisting of a bond and (C1-C6)alkylene;
R1 is selected from the group consisting of hydrogen, (C1-C6)alkyl, (C4-C14)aryl,
-R14, and -S02R9, wherein said (C4-C14)aryl of said R1 group is optionally substituted with one to three R6 groups;
R2 is selected from the group consisting of (CrC6)alkyl, (d-C6)alkenyl, halo,
-C(0)NHR13, -R12, nitrile, -NHC02R8, -NHR10, -S02R1°, -S02R9, -NHC(0)R14, -NHC(0)R12, -NHC(0)R9, -NHS02R14, -NHS02R9, -C(0), (C4-Ci4)aryl, (d- Cii)heterocyclic, and (CrCn)heteroaryl, wherein said (CrCn)heterocyclic and (Ci-Cii)heteroaryl groups of said R2 group each independently have one to three heteroatoms selected from N and O, and wherein said R2 group may be optionally substituted with one to three R7 groups;
R1 and R2 may optionally join together along with any intervening N and C atoms to form a {C C ^heterocyclic or a (CrC^heteroaryl group fused to the adjacent pyridine ring and each independendly have one to three nitrogen heteroatoms, and wherein said R1 and R2-joined (C-i-C-i- heterocyclic or (C-i-C-i- heteroaryl group may be optionally substituted with one to three R8 groups;
R3 and R4 are independently selected from the group consisting of hydrogen, (C
C6)alkyl, (C C6)alkoxy, nitrile, -N3, -SR8, -NHR8, -S(0)R9, -C(0)R12, -SR9, -S02R8, oxo, -OR8, -R12, and halo, and wherein said (C C6)alkyl and (C
C6)alkoxy of said R3 and R4 groups may be optionally substituted with one to three R17 groups;
R5 is selected from the group consisting of hydrogen, (Ci-C6)alkyl, (CrC6)alkoxy, (C4- Ci4)aryl, benzyl, (C3-Ci2)cycloalkyl, trifluoromethyl, trifluoroethyl, -R12,
(Ci-Cii)heterocyclic, and (CrCn)heteroaryl, wherein said (CrCn)heterocyclic and (Ci-Cii)heteroaryl of said R5 group each independently have one to three heteroatoms selected from N and O, and wherein R5 may be optionally substituted with one to three R15 groups;
R6 is independently selected from the group consisting of (CrC6)alkyl, (CrC6)alkoxy, -OR8, -C(0)R14, and (CrCn)heterocyclic, wherein said (Ci-Cn)heterocyclic of said R6 group has one to three heteroatoms selected from N and O;
R7 is independently selected from the group consisting of (C1-C6)alkyl, (C1-C6)alkoxy, oxo, halo, nitrile, -N02, -R9OR8, -(CH2)WCN, -NHS02R9, -SR9, -C(0)R12, -S02R12, -S02R9, -S02NH(CH2)wR14, -S02(CH2)wR14, -R12, -R14, -(CH2)wOR8, -C(0)NHR13, -C(0)NHR14, -C(0)NHR9, -C(0)R12, -NHC(O)NHR10R11, -C(0)NH(CH2)wR12, -C(0)(CH2)wR12, -C02R8, -NHC(0)C(0)R14, -NHC02R8, -OR8, -C(0)NH(CH2)wR14, -C(0)(CH2)wR14, -C(0)R14, -(CH2)WR11, -NH(CH2)WR14, -(CH2)WR14 , -(CH2)WR10, -(CH2)WNHR10, -(CH2)wC02R8, -C(O)NHR10R11, -C(0)NH(CH2)wOR8, and
-C(0)NH(CH2)wR11; and wherein said (C C6)alkyl and (C C6)alkoxy of said R7 group may be optionally substituted with one to three R17 groups;
R is independently selected from the group consisting of hydrogen, oxo, and
(Ci-C6)alkyl;
R9 is (Ci-C6)alkyl;
R11 is selected from the group consisting of nitrile, halo, (Ci-C6)alkyl, (d-C6)alkoxy,
-NHSO2R9, -CO2R8, -OR8, -0(CH2)wR12, -SO2R12, -SO2R9, -NH(CH2)WR14 , and -(CH2)WR14; and wherein said (CrC6)alkyl and (CrC6)alkoxy of said R11 group may be optionally substituted with one to three R17 groups;
R12 is -NR8R8;
R13 is (C3-C12)cycloalkyl;
R14 is selected from the group consisting of (C-i-Cn heterocyclic and (C-i-C-i- heteroaryl, each independently having one to three heteroatoms selected from N and O, wherein said (Ci-Cn)heterocyclic and (CrCn)heteroaryl may be optionally substituted by one to three independent R16 groups;
R15 is independently selected from the group consisting of (CrC6)alkyl, (CrC6)alkoxy, -OR8, halo, nitrile, -N02, and -C02R8, and wherein said (C C6)alkyl and (d- C6)alkoxy of said R15 group may be optionally substituted with one to three R17 groups;
R16 is independently selected from the group consisting of (CrC6)alkyl, (CrC6)alkoxy, halo, nitrile, -NHS02R9, -C02R8, -OR8, -0(CH2)wR12, -S02R12, -S02R9,
-NH(CH2)WR14, and -(CH2)WR14; and wherein said (Ci-C6)alkyl and (d-C6)alkoxy of said R16 group may be optionally substituted with one to three R17 groups;
R17 is halo;
m is independently 0 or an integer from 1 to 4;
n is independently 0 or an integer from 1 to 3; and
w is independently 0 or an integer from 1 to 6.
[0051] In another embodiment of the present invention, there is provided a compound of
Formula (I):
(I)
armaceutically acceptable salt thereof, wherein:
X is N or CR3;
Y is selected from the group consisting of a bond, (C1-C6)alkylene, and (C2-C6)alkynyl;
Z is selected from the group consisting of a bond and (CrC6)alkylene;
R1 is selected from the group consisting of hydrogen, (d-C6)alkyl, (C4-Ci4)aryl,
-R14, and -S02R9, wherein said (C4-Ci )aryl of said R1 group is optionally substituted with one to three R6 groups;
R2 is selected from the group consisting of (CrC6)alkenyl, halo, -NHR10, (C -Ci )aryl, (Ci-Cii)heterocyclic, and (CrCn)heteroaryl, wherein said (CrCn)heterocyclic and (Ci-Cii)heteroaryl groups of said R2 group each independently have one to three heteroatoms selected from N and O, and wherein said R2 group may be optionally substituted with one to three R7 groups;
R1 and R2 may optionally join together along with any intervening N and C atoms to form a (Ci-Cii)heterocyclic or a (CrCn)heteroaryl group fused to the adjacent pyridyl moiety and each independendly have one to three nitrogen heteroatoms, and wherein said R1 and R2-joined (Ci-Cn)heterocyclic or (Ci-Cn)heteroaryl group may be optionally substituted with one to three R8 groups;
R3 and R4 are independently selected from the group consisting of hydrogen, (C
C6)alkyl, (C C6)alkoxy, nitrile, -N3, -SR8, -S02R8, oxo, -OR8, -R12, and halo, and wherein said (C1-C6)alkyl and (C1-C6)alkoxy of said R3 and R4 groups may be optionally substituted with one to three R17 groups;
R5 is selected from the group consisting of (CrC6)alkyl, (Ci-C6)alkoxy, (C -Ci )aryl, benzyl, (C3-Ci2)cycloalkyl, trifluoromethyl, trifluoroethyl, (CrCn)heterocyclic, and (Ci-Cii)heteroaryl, wherein said (CrCn)heterocyclic and (CrCn)heteroaryl of said R5 group each independently have one to three heteroatoms selected from
N and O, and wherein R5 may be optionally substituted with one to three R15 groups;
R6 is independently selected from the group consisting of (CrC6)alkyl, (d-C6)alkoxy, -OR8, -C(0)R14, and (CrCn)heterocyclic, wherein said (Ci-Cn)heterocyclic of said R6 group has one to three heteroatoms selected from N and O;
R7 is independently selected from the group consisting of (CrC6)alkyl, (CrC6)alkoxy, oxo, halo, nitrile, -N02, -R9OR8, -(CH2)WCN, -S02R12, -S02R9, -S02NH(CH2)wR14, -S02(CH2)wR14, -R12, -R14, -(CH2)wOR8, -C(0)NHR13, -C(0)NHR14, -C(0)NHR9, -C(0)R12, -NHC(O)NHR10R11, -C(0)NH(CH2)wR12, -C(0)(CH2)wR12, -C02R8, -NHC(0)C(0)R14, -NHC02R8, -OR8, -C(0)NH(CH2)wR14, -C(0)(CH2)wR14, -C(0)R14, -(CH2)WR11, -NH(CH2)WR14, -(CH2)WR14 , -(CH2)WR10, -(CH2)WNHR10, -(CH2)wC02R8, -C(O)NHR10R11, -C(0)NH(CH2)wOR8, and -C(0)NH(CH2)wR11; and wherein said (Ci-C6)alkyl and (Ci-C6)alkoxy of said R7 group may be optionally substituted with one to three R17 groups;
R8 is independently selected from the group consisting of hydrogen and (CrC6)alkyl;
R9 is (Ci-C6)alkyl;
R11 is selected from the group consisting of nitrile, halo, (Ci-C6)alkyl, (CrC6)alkoxy,
-NHS02R9, -C02R8, -OR8, -0(CH2)wR12, -S02R12, -S02R9, -NH(CH2)WR14 , and -(CH2)WR14; and wherein said (CrC6)alkyl and (CrC6)alkoxy of said R11 group may be optionally substituted with one to three R17 groups;
R12 is -NR8R8;
R13 is (C3-Ci2)cycloalkyl;
R14 is selected from the group consisting of (CrCn)heterocyclic and (Ci-Cn)heteroaryl, each independently having one to three heteroatoms selected from N and O, wherein said (C-i-C-i- heterocyclic and (C-i-C-i- heteroaryl may be optionally substituted by one to three independent R16 groups;
R15 is independently selected from the group consisting of (C1-C6)alkyl, (C1-C6)alkoxy, -OR8, halo, nitrile, -N02, and -C02R8, and wherein said (C C6)alkyl and (Cr C6)alkoxy of said R15 group may be optionally substituted with one to three R17 groups;
R16 is independently selected from the group consisting of (CrC6)alkyl, (CrC6)alkoxy, halo, nitrile, -NHS02R9, -C02R8, -OR8, -0(CH2)wR12, -S02R12, -S02R9,
-NH(CH2)WR14, and -(CH2)WR14; and wherein said (Ci-C6)alkyl and (d-C6)alkoxy
of said R16 group may be optionally substituted with one to three R17 groups; R17 is halo;
m is independently 0 or an integer from 1 to 4;
n is independently 0 or an integer from 1 to 3; and
w is independently 0 or an integer from 1 to 6.
[0052] In another embodiment of the present invention, there is provided a compound of
Formula (II), wherein W is selected from the group consisting of -NHS02R5, -S02R14,
-SO2NHR5, -C(0)NHR9R12, -NHC(0)R5, and -S02NHR9R5.
[0053] In another embodiment of the present invention, there is provided a compound of
Formula (II), wherein W is selected from the group consisting of -NHS02R5 or -S02NHR5.
[0054] In another embodiment of the present invention, there is provided a compound of
Formula (I) or Formula (II), wherein X is N.
[0055] In another embodiment of the present invention, there is provided a compound of
Formula (I) or Formula (II), wherein X is CR3.
[0056] In another embodiment of the present invention, there is provided a compound of
Formula (I) or Formula (II), wherein X is CH.
[0057] In another embodiment of the present invention, there is provided a compound of
Formula (I) or Formula (II), wherein Z is a bond.
[0058] In another embodiment of the present invention, there is provided a compound of
Formula (I) or Formula (II), wherein Z is methylene.
[0059] In another embodiment of the present invention, there is provided a compound of
Formula (I) or Formula (II), wherein Y is a bond.
[0060] In another embodiment of the present invention, there is provided a compound of
Formula (I) or Formula (II), wherein Y is methylene.
[0061] In another embodiment of the present invention, there is provided a compound of
Formula (I) or Formula (II), wherein Z is a bond and R1 is H.
[0062] In another embodiment of the present invention, there is provided a compound of
Formula (I) or Formula (II), wherein R2 is selected from the group consisting of methyl, ethylene, halo, -NH2, -NHR10, -NHC02R8 -C(0)NHR13, -NHC(0)R14, nitrile, phenyl, pyridinyl, pyrazolyl, piperazinyl, morpholinyl, thiomorpholinyl, piperidinyl, pyrrolidinyl, pyrimidyl, dioxanyl,
benzodioxolanyl, and
wherein R2 may be optionally substituted with one to three independent R7 groups.
[0063] In another embodiment of the present invention, there is provided a compound of
Formula (I) or Formula (II), wherein R2 is selected from the group consisting of phenyl, pyridyl, and pyrimidyl, and wherein R2 may be optionally substituted with 1-2 independent R7 groups.
[0064] In another embodiment of the present invention, there is provided a compound of
Formula (I) or Formula (II), wherein Y is a bond and R2 is phenyl, and wherein said phenyl may be optionally substituted with 1-2 independent R7 groups.
[0065] In another embodiment of the present invention, there is provided a compound of
Formula (I) or Formula (II), wherein R1 and R2 may optionally join together along with the intervening N and C atoms to form a ring structure, wherein said ring structure is fused to the adjacent pyridine and said ring structure is selected from the group consisting of:
wherein said ring structure may be optionally substituted with one to three independent R8 groups.
[0066] In another embodiment of the present invention, there is provided a compound of
Formula (I) or Formula (II), wherein R3 is selected from the group consisting of hydrogen, methyl, ethyl, methoxy, oxo, nitrile, -N3, -SR8, -S02R8, hydroxyl, -NR8R8 , and halo.
[0067] In another embodiment of the present invention, there is provided a compound of
Formula (I) or Formula (II), wherein R3 is selected from the group consisting of -NR8R8 , methoxy, ethoxy, and H.
[0068] In another embodiment of the present invention, there is provided a compound of
Formula (I) or Formula (II), wherein R3 is H.
[0069] In another embodiment of the present invention, there is provided a compound of
Formula (I) or Formula (II), wherein R4 is selected from the group consisting of hydrogen, methyl, ethyl, methoxy, oxo, nitrile, -N3, -SR8, -SR9, -S02R8, hydroxyl, -NR8R8 and halo.
[0070] In another embodiment of the present invention, there is provided a compound of
Formula (I) or Formula (II), wherein R4 is selected from the group consisting of -NR8R8 and H.
[0071] In another embodiment of the present invention, there is provided a compound of
Formula (I) or Formula (II), wherein R4 is H.
[0072] In another embodiment of the present invention, there is provided a compound of
Formula (I) or Formula (II), wherein R5 is selected from the group consisting of methyl, ethyl, isopropyl, propyl, butyl, isobutyl, tert-butyl, phenyl, benzyl, cyclopropyl, cyclopentyl,
trifluoromethyl, trifluoroethyl, pyridinyl, quinolinyl, and furanyl, wherein R5 may be optionally substituted with one to three independent R15 groups.
[0073] In another embodiment of the present invention, there is provided a compound of
Formula (I) or Formula (II), wherein R5 is (C4-C14)aryl, and wherein said aryl may be optionally substituted with 1-3 independent R15 groups.
[0074] In another embodiment of the present invention, there is provided a compound of
Formula (I) or Formula (II), wherein R5 is selected from the group consisting of phenyl and furanyl, and wherein said phenyl may be optionally substituted with 1-3 independent R15 groups.
[0075] In another embodiment of the present invention, there is provided a compound of
Formula (I) or Formula (II), wherein R5 is phenyl, and wherein said phenyl is substituted with 1 -2 independent R15 groups.
[0076] In another embodiment of the present invention, there is provided a compound of
Formula (I) or Formula (II), wherein R7 is independently selected from the group consisting of methyl, ethyl, methoxy, ethoxy, oxo, hydroxyl, halo, nitrile, -(CH2)WCN, -C02R8, -S02R12, - (CH2)wS02R12, -S02R9, -S02NHR9, -R14, -(CH2)wOR8, -C(0)R12, -NHS02R9, -SR9, -C(0)NHR13, -C(0)(CH2)wR12, -C02R8, -NHC(0)C(0)R14, -C(0)NH(CH2)wR14, -C(0)R14, -NH(CH2)WR14, - (CH2)WR14, and -C(0)NHR9.
[0077] In another embodiment of the present invention, there is provided a compound of
Formula (I) or Formula (II), wherein R7 is independently selected from the group consisting of methyl, methoxy, hydroxyl, CI, F, -S02R12, -S02R9, morpholinyl, -C(0)R12, -C(0)R14, - NH(CH2)WR14.
[0078] In another embodiment of the present invention, there is provided a compound of
Formula (I) or Formula (II), wherein R8 is independently selected from the group consisting of hydrogen, methyl, ethyl, oxo, propyl, isopropyl, butyl, and tert-butyl.
[0079] In another embodiment of the present invention, there is provided a compound of
Formula (I) or Formula (II), wherein R8 is independently selected from the group consisting of hydrogen, methyl, and ethyl.
[0080] In another embodiment of the present invention, there is provided a compound of
Formula (I) or Formula (II), wherein R9 is independently selected from the group consisting of methyl, ethyl, propyl, isopropyl, butyl, and tert-butyl.
[0081] In another embodiment of the present invention, there is provided a compound of
Formula (I) or Formula (II), wherein R9 is independently selected from the group consisting of methyl, ethyl, and tert-butyl.
[0082] In another embodiment of the present invention, there is provided a compound of
Formula (I) or Formula (II), wherein R10 is phenyl.
[0083] In another embodiment of the present invention, there is provided a compound of
Formula (I) or Formula (II), wherein R11 is independently selected from the group consisting of methyl, ethyl, propyl, isopropyl, butyl, tert-butyl, halo, trifluoromethyl, trifluoromethoxy, methoxy, ethoxy, nitrile, -NHS02R9, -C02R8, -OR8, -0(CH2)wR12, -S02R12, -S02R9, and -(CH2)WR14.
[0084] In another embodiment of the present invention, there is provided a compound of
Formula (I) or Formula (II), wherein R12 is -NH2.
[0085] In another embodiment of the present invention, there is provided a compound of
Formula (I) or Formula (II), wherein R13 is selected from the group consisting of cyclopropyl, cyclobutyl, cyclopentyl, and cyclohexyl.
[0086] In another embodiment of the present invention, there is provided a compound of
Formula (I) or Formula (II), wherein R14 is selected from the group consisting of morpholinyl, triazolyl, pyrimidinyl, pyrazolyl, tetrahydropyranyl, piperazinyl, pyrrolidinyl, piperidinyl, pyridinyl, wherein R14 may be optionally substituted by one to three independent R16 groups.
[0087] In another embodiment of the present invention, there is provided a compound of
Formula (I) or Formula (II), wherein R14 is selected from the group consisting of morpholinyl, piperazinyl, pyrrolidinyl, piperidinyl, and wherein R14 may be optionally substituted by an R16 group.
[0088] In another embodiment of the present invention, there is provided a compound of
Formula (I) or Formula (II), wherein R14 is selected from the group consisting of morpholinyl, piperazinyl, pyrrolidinyl, and piperidinyl, and wherein R14 may be optionally substituted with a methyl or -OR8 group.
[0089] In another embodiment of the present invention, there is provided a compound of
Formula (I) or Formula (II), wherein R15 is independently selected from the group consisting of halo, methoxy, nitrile, and -N02.
[0090] In another embodiment of the present invention, there is provided a compound of
Formula (I) or Formula (II), wherein R15 is halo.
[0091] In another embodiment of the present invention, there is provided a compound of
Formula (I) or Formula (II), wherein R15 is F.
[0092] In another embodiment of the present invention, there is provided a compound of
Formula (I) or Formula (II), wherein R16 is independently selected from the group consisting of methyl, ethyl, propyl, isopropyl, butyl, tert-butyl, halo, trifluoromethyl, trifluoromethoxy, methoxy, ethoxy, nitrile, -NHS02R9, -C02R8, -OR8, -0(CH2)wR12, -S02R12, -S02R9, -NH(CH2)WR14, and - (CH2)WR14.
[0093] In another embodiment of the present invention, there is provided a compound of
Formula (I) or Formula (II), wherein R16 is independently selected from the group consisting of methyl and -OR8.
[0094] In another embodiment of the present invention, there is provided a compound of
Formula (I) or Formula (II), wherein R16 is methyl.
[0095] In another embodiment of the present invention, there is provided a compound of
Formula (I) or Formula (II), wherein R17 is F.
[0096] In another embodiment of the present invention, there is provided a compound of
Formula (I) or Formula (II), wherein m is 1 .
[0097] In another embodiment of the present invention, there is provided a compound of
Formula (I) or Formula (II), wherein n is selected from the group consisting of 0 and 1 .
[0098] In another embodiment of the present invention, there is provided a compound of
Formula (I) or Formula (II), wherein n is 0.
[0099] In another embodiment of the present invention, there is provided a compound of
Formula (I) or Formula (II), wherein w is selected from the group consisting of 0, 1 , 2, and 3.
[00100] In another embodiment of the present invention, there is provided a compound of Formula (I) or Formula (II), wherein w is selected from the group consisting of 1 , 2, and 3.
[00101] In another embodiment of the present invention, there is provided a compound of Formula (I) or Formula (II), wherein w is selected from the group consisting of 1 and 2.
[00102] In another embodiment of the present invention, there is provided a compound of Formula (I):
(I)
or a pharmaceutically acceptable salt thereof, wherein:
X is N or CR3;
Y is selected from the group consisting of a bond and a methylene linker;
Z is selected from the group consisting of a bond and a methylene linker;
R1 is selected from the group consisting of hydrogen, methyl, ethyl, phenyl, -(CH2)WR14, and -(CH2)wS02R9, wherein phenyl is optionally substituted with 1-3 independent
R6 groups;
R2 is selected from the group consisting of hydrogen, ethylene, halo, -NHR10SO2R9, -NHR10SO2R12, -NHR10R12, phenyl, pyridyl, pyrazolyl, pyrimidyl, benzoxazinyl, benzodioxolanyl, and diazaspirodecanyl, wherein ethylene, phenyl, pyridyl, pyrazolyl, pyrimidyl, benzoxazinyl, and benzodioxolanyl, may be optionally substituted with 1-3 independent R7 groups;
R1 and R2 may optionally join together along with the intervening N and C atoms to form a ring structure, wherein said ring structure is fused to the adjacent pyridyl moiety and said ring structure is selected from the group consisting of:
R3 and R4 are independently selected from the group consisting of hydrogen, methyl, ethyl, propyl, isopropyl, methoxy, ethoxy, oxo, hydroxyl, trifluoromethyl, -NR8R8 trifluoromethoxy, and halo;
R5 is selected from the group consisting of methyl, ethyl, isopropyl, propyl, butyl,
isobutyl, tert-butyl, phenyl, benzyl, cyclopropyl, trifluoromethyl, trifluoroethyl,
pyridyl, quinolinyl, and furanyl, wherein R5 may be optionally substituted with 1-3 independent R15 groups;
R6 is selected from the group consisting of -OR8, morpholinyl, and -C(0)R14;
R7 is independently selected from the group consisting of hydrogen, methyl, ethyl, propyl, isopropyl, butyl, isobutyl, tert-butyl, methoxy, oxo, hydroxyl, CI, F, trifluoromethyl, trifluoromethoxy, nitrile, -N02, -(CH2)WCN, -S02R12, -S02R9, -S02NH(CH2)wR14, -S02(CH2)wR14, -S02R14, -R12 , -R14, -(CH2)wOR8, -C(0)R12, -NHC(O)NHR10R11, -R9OR8, -C(0)NHR13, -C(0)NHR14,
-C(0)NH(CH2)wR12, -C(0)(CH2)wR12, -C02R8, -NHC(0)C(0)R14, -NHC02R8, -OR8, -C(0)NH(CH2)wR14, -C(0)(CH2)wR14, -C(0)R14, -(CH2)WR11, -NH(CH2)WR14, -(CH2)WR14, -(CH2)WR10, -(CH2)WNHR10, -(CH2)wC02R8, -C(0)NHR9,
-C(O)NHR10R11, -C(0)NH(CH2)wOR8, and -C(0)NH(CH2)wR11;
R8 is independently selected from the group consisting of hydrogen, methyl, ethyl, propyl, isopropyl, butyl, and tert-butyl;
R9 is selected from the group consisting of methyl, ethyl, propyl, isopropyl, butyl, and tert-butyl;
R10 is phenyl;
R11 is selected from the group consisting of methyl, ethyl, propyl, isopropyl, butyl, tert- butyl, halo, trifluoromethyl, trifluoromethoxy, methoxy, ethoxy, nitrile, -NHS02R9, -C02R8, -OR8, -0(CH2)wR12, -S02R12, -S02R9, and -(CH2)WR14;
R12 is -NR8R8,
R13 is selected from the group consisting of cyclopropyl, cyclobutyl, cyclopentyl, and cyclohexyl;
R14 is selected from the group consisting of morpholinyl, triazolyl, pyrimidinyl, pyrazolyl, piperazinyl, pyrrolidinyl, piperidinyl, pyridinyl, wherein R14 may be optionally substituted by 1 -3 independent R16 groups;
R15 is independently selected from the group consisting of halo, methoxy, ethoxy,
methyl, ethyl, butyl, propyl, isopropyl, nitrile, -N02, trifluoromethoxy, and trifluoromethyl;
R16 is independently selected from the group consisting of methyl, ethyl, propyl,
isopropyl, butyl, tert-butyl, halo, trifluoromethyl, trifluoromethoxy, methoxy, ethoxy, nitrile, -NHS02R9, -C02R8, -OR8, -0(CH2)wR12, -S02R12, -S02R9, -NH(CH2)WR14, and -(CH2)WR14;
R17 is halo;
m is 0 or an integer from 1 to 3
n is independently 0 or an integer from 1 to 3; and
w is independently 0 or an integer from 1 to 6.
[00103] In another embodiment of the present invention, there is provided a compound of Formula (I):
(I)
or a pharmaceutically acceptable salt thereof, wherein:
X is N or CR3;
Y is selected from the group consisting of a bond and a methylene linker;
Z is a bond;
R1 is H;
R2 is selected from the group consisting of phenyl, pyridyl, and pyrimidyl, and wherein R2 may be optionally substituted with 1 -2 independent R7 groups;
R3 and R4 are independently selected from the group consisting of -NR8R8 , methoxy, and H;
R5 is selected from the group consisting of phenyl and furanyl, and wherein said phenyl may be optionally substituted with 1 -3 independent R15 groups;
R7 is independently selected from the group consisting of methyl, ethyl, methoxy,
hydroxyl, halo, nitrile, -(CH2)WCN, -S02R12, -(CH2)wS02R12, -S02R9, -S02NHR9, -R14, -(CH2)wOR8, -C(0)R12, -C(0)NHR13, -C(0)(CH2)wR12, -C02R8, -NHC(0)C(0)R14, -C(0)NH(CH2)wR14, -C(0)R14, -NH(CH2)WR14, -(CH2)WR14, and -C(0)NHR9;
R8 is independently selected from the group consisting of hydrogen, methyl, ethyl,
propyl, isopropyl, butyl, and tert-butyl;
R9 is independently selected from the group consisting of methyl, ethyl, propyl, isopropyl,
butyl, and tert-butyl;
R10 is phenyl;
R11 is independently selected from the group consisting of methyl, ethyl, propyl,
isopropyl, butyl, tert-butyl, halo, trifluoromethyl, trifluoromethoxy, methoxy, ethoxy, nitrile, -NHS02R9, -C02R8, -OR8, -0(CH2)wR12, -S02R12, -S02R9, and -(CH2)WR14;
R12 is -NR8R8;
R13 is selected from the group consisting of cyclopropyl, cyclobutyl, cyclopentyl, and cyclohexyl;
R14 is selected from the group consisting of morpholinyl, piperazinyl, pyrrolidinyl,
piperidinyl, and wherein R14 may be optionally substituted by an R16 group;
R15 is independently selected from the group consisting of halo, methoxy, nitrile, and -N02;
R16 is selected from the group consisting of methyl and -OR8;
R17 is halo;
m is 1 ;
n is 0; and
w is independently 0 or an integer from 1 to 3.
[00104] In another embodiment of the present invention, there is provided a compound that is selected from the group consisting of:
, and
[00105] In another embodiment of the invention, there is provided a compound of Formula (I) or (II), wherein the compound or salt of the compound is used in the manufacture of a medicament for use in the treatment of a viral infection in a human.
[00106] In another embodiment of the invention, there is provided a pharmaceutical composition comprising a pharmaceutically acceptable diluent and a therapeutically effective amount of a compound as defined for a compound of Formula (I) or (II).
[00107] In another embodiment of the invention, there is provided a method for treating a viral infection in a mammal mediated at least in part by a virus in the Flaviviridae family of viruses which method comprises administering to a mammal, that has been diagnosed with said viral infection or is at risk of developing said viral infection, a compound of Formula (I) or (II).
[00108] In another embodiment of the invention, there is provided a method for treating a viral infection in a mammal mediated at least in part by a virus in the Flaviviridae family of viruses which method comprises administering to a mammal, that has been diagnosed with said viral infection or is at risk of developing said viral infection, a compound of Formula (I) or (II), wherein said virus is hepatitis C virus.
[00109] In another embodiment of the invention, there is provided a method for treating a viral infection in a mammal mediated at least in part by a virus in the Flaviviridae family of viruses which method comprises administering to a mammal, that has been diagnosed with said viral infection or is at risk of developing said viral infection, a compound of Formula (I) or (II), further comprising administration of a therapeutically effective amount of one or more agents active against hepatitis C virus.
[00110] In another embodiment of the invention, there is provided a method for treating a viral infection in a mammal mediated at least in part by a virus in the Flaviviridae family of viruses which method comprises administering to a mammal, that has been diagnosed with said viral infection or is at risk of developing said viral infection, a compound of Formula (I) or (II), further comprising administration of a therapeutically effective amount of one or more agents active against hepatitis C virus, wherein said agent active against hepatitis C virus is an inhibitor of HCV protease, HCV polymerase, HCV helicase, HCV entry, HCV assembly, HCV egress, HCV replicase, HCV NS5A protein, or inosine 5'-monophosphate dehydrogenase.
[00111] In another embodiment of the invention, there is provided a method for treating a viral infection in a mammal mediated at least in part by a virus in the Flaviviridae family of
viruses which method comprises administering to a mammal, that has been diagnosed with said viral infection or is at risk of developing said viral infection, a compound of Formula (I) or Formula (II), further comprising administration of a therapeutically effective amount of one or more agents active against hepatitis C virus, wherein said agent active against hepatitis C virus is interferon.
[00112] In another embodiment of the invention, there is provided a method for treating a viral infection in a mammal mediated at least in part by a virus in the Flaviviridae family of viruses which method comprises administering to a mammal, that has been diagnosed with said viral infection or is at risk of developing said viral infection, a compound of Formula (I) or Formula (II), further comprising administration of a therapeutically effective amount of one or more agents active against hepatitis C virus, wherein said agent active against hepatitis C virus is ribavirin.
[00113] In another embodiment of the invention, there is provided a method for treating a viral infection in a mammal mediated at least in part by a virus in the Flaviviridae family of viruses which method comprises administering to a mammal, that has been diagnosed with said viral infection or is at risk of developing said viral infection, a compound of Formula (I) or Formula (II), further comprising administration of a therapeutically effective amount of one or more agents active against hepatitis C virus, wherein said agent active against hepatitis C virus is interferon in combination with ribavirin.
[00114] In yet further embodiments, the compound of the present invention, or a pharmaceutically acceptable salt thereof, is chosen from the compounds set forth in Table 1 .
Table 1
1 -sulfonamide
N-[5-(3-benzyl-2-{[(4- methoxyphenyl)methyl]amino}quinolin-6- yl)-2-methoxypyridin-3-yl]-2,4- difluorobenzene-1 -sulfonamide
N-[5-(2-amino-3-benzylquinolin-6-yl)-2- methoxypyridin-3-yl]-2,4-difluorobenzene- 1 -sulfonamide
2,4-difluoro-N-(5-{3-[(3- methanesulfonylphenyl)amino]-2-{[(4- methoxyphenyl)methyl]amino}quinolin-6- yl}-2-methoxypyridin-3-yl)benzene-1-
sulfonamide
6-(3-methanesulfonylphenyl)-3-(4-
CH, 0=S=0 methanesulfonylphenyl)quinolin-2-amine
CH,
3-(4-methanesulfonylphenyl)-6-[3-
CH3 .N (morpholin-4-yl)phenyl]quinolin-2-amine
0
3-[2-amino-3-(4- methanesulfonylphenyl)quinolin-6-yl]-N,N-
CH, 0=S=0
dimethylbenzene-1 -sulfonamide H,C'N~CH,
3-[2-amino-3-(4- methanesulfonylphenyl)quinolin-6-
CH, 0=S=0
NH2 yl]benzene-1 -sulfonamide
N-(5-{2-amino-3-[(3- methanesulfonylphenyl)amino]quinolin-6- yl}-2-methoxypyridin-3-yl)-2,4- difluorobenzene-1 -sulfonamide
difluorobenzene-1 -sulfonamide
methyl 4-(2-amino-6-{5-[(2,4- difluorobenzene)sulfonamido]-6- methoxypyridin-3-yl}quinolin-3-yl)benzoate
ethyl 4-(2-amino-6-{5-[(2,4- difluorobenzene)sulfonamido]-6- methoxypyridin-3-yl}quinolin-3-yl)benzoate
u iNT°'CH3 N-[5-(2-amino-3-{4-[(piperazin-1- yl)carbonyl]phenyl}quinolin-6-yl)-2- methoxypyridin-3-yl]-2,4-difluorobenzene- 1 -sulfonamide
N-[5-(2-amino-3-{4-[(pyrrolidin-1- yl)carbonyl]phenyl}quinolin-6-yl)-2- methoxypyridin-3-yl]-2,4-difluorobenzene- 1 -sulfonamide
N-(5-{2-amino-3-[6-(piperazin-1-yl)pyridin- 3-yl]quinolin-6-yl}-2-methoxypyridin-3-yl)- 2,4-difluorobenzene-1 -sulfonamide
N-(5-{2-amino-3-[4- (dimethylsulfamoyl)phenyl]quinolin-6-yl}-2- methoxypyridin-3-yl)-2,4-difluorobenzene- 1 -sulfonamide
N-(5-{2-amino-3-[4-(1 -cyano-1- methylethyl)phenyl]quinolin-6-yl}-2- methoxypyridin-3-yl)-2,4-difluorobenzene- 1 -sulfonamide
N-[5-(2-amino-3-{1-[2-(morpholin-4- yl)ethyl]-1 H-pyrazol-4-yl}quinolin-6-yl)-2- methoxypyridin-3-yl]-2,4-difluorobenzene- 1 -sulfonamide
4-(2-amino-6-{5-[(2,4- difluorobenzene)sulfonamido]-6- methoxypyridin-3-yl}quinolin-3-yl)-N-[2- (dimethylamino)ethyl]benzamide
tert-butyl N-[3-(2-amino-6-{5-[(2,4- difluorobenzene)sulfonamido]-6- methoxypyridin-3-yl}quinolin-3- yl)phenyl]carbamate
CH3
N-{5-[2-amino-3-(4-methyl-3,4-dihydro-2H-
1 ,4-benzoxazin-7-yl)quinolin-6-yl]-2- methoxypyridin-3-yl}-2,4-difluorobenzene- 1 -sulfonamide
2-[4-(2-amino-6-{5-[(2,4- difluorobenzene)sulfonamido]-6- methoxypyridin-3-yl}quinolin-3- yl)phenyl]acetic acid
N-{5-[3-bromo-2-(ethylamino)quinolin-6-yl]- 2-methoxypyridin-3-yl}-2,4- difluorobenzene-1 -sulfonamide
N-{5-[3-bromo-2-(methylamino)quinolin-6- y l]-2-m ethoxy py ri d i n-3-yl}-2 , 4- difluorobenzene-1 -sulfonamide
3-(2-amino-6-{5-[(2,4- difluorobenzene)sulfonamido]-6- methoxypyridin-3-yl}quinolin-3-yl)-5- fluorobenzoic acid
N-(5-{2-amino-3-[2-methoxy-5-(propan-2- yl)phenyl]quinolin-6-yl}-2-methoxypyridin- 3-yl)-2,4-difluorobenzene-1 -sulfonamide
3-(2-amino-6-{5-[(2,4- difluorobenzene)sulfonamido]-6- methoxypyridin-3-yl}quinolin-3-yl)-N- cyclopropylbenzamide
3-(2-amino-6-{5-[(2,4- difluorobenzene)sulfonamido]-6- methoxypyridin-3-yl}quinolin-3- yl)benzamide
2-(2-amino-6-{5-[(2,4- difluorobenzene)sulfonamido]-6- methoxypyridin-3-yl}quinolin-3- yl)benzamide
5-(2-amino-6-{5-[(2,4- difluorobenzene)sulfonamido]-6- methoxypyridin-3-yl}quinolin-3-yl)-2- fluorobenzamide
tert-butyl 4-[3-(2-amino-6-{5-[(2,4- difluorobenzene)sulfonamido]-6- methoxypyridin-3-yl}quinolin-3- yl)phenyl]piperazine-1-carboxylate
A jf °-cH3 N-{5-[2-amino-3-(3,5- dimethoxyphenyl)quinolin-6-yl]-2- methoxypyridin-3-yl}-2,4-difluorobenzene- 1 -sulfonamide
OH
2-[3-(2-amino-6-{5-[(2,4- difluorobenzene)sulfonamido]-6- methoxypyridin-3-yl}quinolin-3- yl)phenyl]acetic acid
3-(2-amino-6-{5-[(2,4- difluorobenzene)sulfonamido]-6- methoxypyridin-3-yl}quinolin-3-yl)-N-(4- fluorophenyl)benzamide
N-[5-(2-amino-3-{4-fluoro-3-[(morpholin-4-
F c l iY'CH3 yl)carbonyl]phenyl}quinolin-6-yl)-2- methoxypyridin-3-yl]-2,4-difluorobenzene- 1 -sulfonamide
4-(2-amino-6-{5-[(2,4- difluorobenzene)sulfonamido]-6- methoxypyridin-3-yl}quinolin-3-yl)-N-(4H- 1 ,2,4-triazol-4-yl)benzamide
4-(2-amino-6-{5-[(2,4- difluorobenzene)sulfonamido]-6- methoxypyridin-3-yl}quinolin-3-yl)-2-fluoro- N-methylbenzamide
Η·°'½ ΧΝΙ°'ΟΗ· 4-(2-amino-6-{5-[(2,4- difluorobenzene)sulfonamido]-6- methoxypyridin-3-yl}quinolin-3-yl)-2-chloro- N-methylbenzamide
N-(5-{2-amino-3-[4-(morpholine-4- sulfonyl)phenyl]quinolin-6-yl}-2- methoxypyridin-3-yl)-2,4-difluorobenzene- 1 -sulfonamide
4-(2-amino-6-{5-[(2,4- difluorobenzene)sulfonamido]-6- methoxypyridin-3-yl}quinolin-3-yl)-2-chloro- N-cyclopentylbenzamide
N-(5-{2-amino-7-methyl-3-[4-(morpholin-4- yl)phenyl]quinolin-6-yl}-2-methoxypyridin- 3-yl)-2,4-difluorobenzene-1 -sulfonamide
N-[5-(2-amino-3-{2-methyl-4-[(morpholin-4- yl)carbonyl]phenyl}quinolin-6-yl)-2- methoxypyridin-3-yl]-2,4-difluorobenzene- 1 -sulfonamide
Q N-(5-{2-amino-3-[2-methyl-4-(pyrrolidin-1- ylmethyl)phenyl]quinolin-6-yl}-2- methoxypyridin-3-yl)-2,4-difluorobenzene- 1 -sulfonamide
N-(5-{2-amino-3-[3-methyl-4-(piperidin-1- yl)phenyl]quinolin-6-yl}-2-methoxypyridin- 3-yl)-2,4-difluorobenzene-1 -sulfonamide
N-(5-{2-amino-3-[2-methyl-4-(piperidin-1- ylmethyl)phenyl]quinolin-6-yl}-2- methoxypyridin-3-yl)-2,4-difluorobenzene- 1 -sulfonamide
N-(5-{2-amino-3-[3-methyl-4-(morpholin-4- yl)phenyl]quinolin-6-yl}-2-methoxypyridin- 3-yl)-2,4-difluorobenzene-1 -sulfonamide
N-(5-{2-amino-3-[2-methyl-4-(morpholin-4- γγ jTNY ylmethyl)phenyl]quinolin-6-yl}-2- methoxypyridin-3-yl)-2,4-difluorobenzene- 1 -sulfonamide
N-[5-(2-amino-3-{2-methoxy-4-[(morpholin-
199 quinolinyl}-2-(methyloxy)-3-pyridinyl]-2,4- f difluorobenzenesulfonamide
N-[4-(2-amino-3-{2- [(methylsulfonyl)amino]phenyl}-6-quinolinyl)-
200
2-(methyloxy)-3-pyridinyl]-2,4- difluorobenzenesulfonamide
N-[4-{2-amino-3-[2-(methylthio)phenyl]-6-
201 quinolinyl}-2-(methyloxy)-3-pyridinyl]-2,4- V difluorobenzenesulfonamide
N-[4-{2-amino-3-[2-(cyanomethyl)phenyl]-6- quinolinyl}-2-(methyloxy)-3-pyridinyl]-2,4- difluorobenzenesulfonamide
202
207
(methyloxy)-3-pyridinyl]-2,4- difluorobenzenesulfonamide
2-amino-3-[4-bromo-2-(methyloxy)phenyl]-6- [5-{[(2,4-difluorophenyl)sulfonyl]amino}-6-
208
(methyloxy)-3-pyridinyl]-4- quinolinecarboxamide
2-amino-6-[5-{[(2,4- difluorophenyl)sulfonyl]amino}-6-(methyloxy)- 3-pyridinyl]-3-[4-(4-morpholinyl)phenyl]-4- quinolinecarboxamide
209
A 2-amino-6-{6-(ethyloxy)-5-[(3- pyridinylsulfonyl)amino]-3-pyridinyl}-3-[4-(4- morpholinyl)phenyl]-4-quinolinecarboxamide
210
5-[2-amino-6-(6-amino-5-{[(2,4- difluorophenyl)amino]sulfonyl}-3-pyridinyl)-3- quinolinyl]-2-fluorobenzamide
21 1
5-(2-amino-6-{6-amino-5-
212 [(phenylamino)sulfonyl]-3-pyridinyl}-3- quinolinyl)-2-fluorobenzamide
5-{2-amino-6-[6-amino-5-(4-
213 morpholinylsulfonyl)-3-pyridinyl]-3- quinolinyl}-2-fluorobenzamide
N-[5-{2-amino-3-[(3-methyl-4- morpholinyl)carbonyl]-6-quinolinyl}-2- (methyloxy)-3-pyridinyl]-2,4-
226 difluorobenzenesulfonamide
N-[5-[2-amino-3-(1 ,4-dioxa-8- azaspiro[4.5]dec-8-ylcarbonyl)-6-quinolinyl]-
227
2-(methyloxy)-3-pyridinyl]-2,4-
0" difluorobenzenesulfonamide
m N-[5-[2-amino-3-(1 ,3-dioxan-2-yl)-6- quinolinyl]-2-(methyloxy)-3-pyridinyl]-2,4- difluorobenzenesulfonamide
228
N-[5-[2-amino-3-(4-morpholinylmethyl)-6- quinolinyl]-2-(methyloxy)-3-pyridinyl]-2,4- difluorobenzenesulfonamide
229
N-[5-(2-amino-4-cyano-3-phenyl-6-
N-[5-(2-amino-4-fluoro-3-phenyl-6-
231 quinolinyl)-2-(methyloxy)-3-pyridinyl]-2,4- difluorobenzenesulfonamide
N-[5-[2-amino-4-(methyloxy)-3-phenyl-6-
232 quinolinyl]-2-(methyloxy)-3-pyridinyl]-2,4- difluorobenzenesulfonamide
N-[5-[2-amino-4-(methylthio)-3-phenyl-6-
N-[5-[2-amino-4-fluoro-3-(4- morpholinylcarbonyl)-6-quinolinyl]-2-
234 (methyloxy)-3-pyridinyl]-2,4- difluorobenzenesulfonamide
N-[5-{2-amino-4-cyano-3-[4-(4- morpholinylcarbonyl)phenyl]-6-quinolinyl}-2-
235
(methyloxy)-3-pyridinyl]-2,4- difluorobenzenesulfonamide
5-{2-a m i n o-4-cyan o-3-[4-(4- morpholinylcarbonyl)phenyl]-6-quinolinyl}-N-
236
(1 , 1-dimethylethyl)-2-(methyloxy)-3- pyridinesulfonamide
5-{2-a m i n o-4-cyan o-3-[4-(4-
237 morpholinylcarbonyl)phenyl]-6-quinolinyl}-2- (methyloxy)-N-phenyl-3-pyridinesulfonamide
i 1 ¾ 1 * N-[5-{2-amino-4-cyano-3-[4-(4- morpholinyl)phenyl]-6-quinolinyl}-2- (methyloxy)-3-pyridinyl]-2,4-
238
difluorobenzenesulfonamide
N-[5-{2-amino-4-cyano-3-[4-(4- morpholinyl)phenyl]-6-quinolinyl}-2-
239 (ethyloxy)-3-pyridinyl]-2,4- difluorobenzenesulfonamide
N-[5-{2-amino-4-cyano-3-[4-(4-
240 morpholinyl)phenyl]-6-quinolinyl}-2- (ethyloxy)-3-pyridinyl]-3-pyridinesulfonamide
N-[5-[2-amino-3-(1 ,4-dioxa-8- azaspiro[4.5]dec-8-ylcarbonyl)-6-quinolinyl]-
245
2-(ethyloxy)-3-pyridinyl]-3- pyridinesulfonamide
N-[5-[2-amino-3-(1 ,4-dioxa-8- azaspiro[4.5]dec-8-ylcarbonyl)-6-quinolinyl]-
246 is 2-(ethyloxy)-3-pyridinyl]-2,4- difluorobenzenesulfonamide
5-[2-amino-3-(1 ,4-dioxa-8-azaspiro[4.5]dec- 8-ylcarbonyl)-6-quinolinyl]-N-(1 , 1 -
247
dimethylethyl)-2-(methyloxy)-3- pyridinesulfonamide
5-[2-amino-3-(1 ,4-dioxa-8-azaspiro[4.5]dec-
248 8-ylcarbonyl)-6-quinolinyl]-2-(methyloxy)-N- (4-methylphenyl)-3-pyridinesulfonamide
5-[2-amino-3-(1 ,4-dioxa-8-azaspiro[4.5]dec- 8-ylcarbonyl)-6-quinolinyl]-N-(4-
249
fluorophenyl)-2-(methyloxy)-3- pyridinesulfonamide
5-[2-amino-3-(1 ,4-dioxa-8-azaspiro[4.5]dec- 8-ylcarbonyl)-6-quinolinyl]-2-(methyloxy)-N-
250 (3-methylphenyl)-3-pyridinesulfonamide
3-(1 ,4-dioxa-8-azaspiro[4.5]dec-8- ylcarbonyl)-6-{6-(methyloxy)-5-[(4-methyl-1 -
251
piperazinyl)sulfonyl]-3-pyridinyl}-2- quinolinamine
5-[2-amino-3-(1 ,4-dioxa-8-azaspiro[4.5]dec-
252 8-ylcarbonyl)-6-quinolinyl]-N-cyclopentyl-2- (methyloxy)-3-pyridinesulfonamide
\5-[2-amino-3-(1 ,4-dioxa-8-azaspiro[4.5]dec- 8-ylcarbonyl)-6-quinolinyl]-N-(2-
253
hydroxyethyl)-2-(methyloxy)-3-
' s pyridinesulfonamide
5-[2-amino-3-(1 ,4-dioxa-8-azaspiro[4.5]dec- 8-ylcarbonyl)-6-quinolinyl]-2-(methyloxy)-N-
254
(2-methylphenyl)-3-pyridinesulfonamide
5-[2-amino-3-(1 ,4-dioxa-8-azaspiro[4.5]dec- 8-ylcarbonyl)-6-quinolinyl]-N-(2-fluoro-3-
255
methylphenyl)-2-(methyloxy)-3- pyridinesulfonamide
5-[2-amino-3-(1 ,4-dioxa-8-azaspiro[4.5]dec- 8-ylcarbonyl)-6-quinolinyl]-N-[2-
256
s (dimethylamino)ethyl]-2-(methyloxy)-3- - pyridinesulfonamide
N-[5-(2-amino-3-cyano-6-quinolinyl)-2-
261 (methyloxy)-3-pyridinyl]-2,4- difluorobenzenesulfonamide
1 , 1-dimethylethyl ({2-amino-6-[5-{[(2,4- difluorophenyl)sulfonyl]amino}-6-(methyloxy)- 3-pyridinyl]-3-quinolinyl}methyl)carbamate
262
N-[5-{2-amino-3-[(1 , 1-dioxido-4- thiomorpholinyl)carbonyl]-6-quinolinyl}-2-
263
(methyloxy)-3-pyridinyl]-2,4- difluorobenzenesulfonamide
N-[5-[2-amino-3-(aminomethyl)-6-quinolinyl]-
264 ¾< 2-(methyloxy)-3-pyridinyl]-2,4- difluorobenzenesulfonamide
277 difluorophenyl)sulfonyl]amino}-6-(methyloxy)- 3-pyridinyl]-3-quinolinyl}methyl)acetamide
N-[5-(2-amino-3- {[(methylsulfonyl)amino]methyl}-6-quinolinyl)- 2-(methyloxy)-3-pyridinyl]-2,4-
278
N-[5-[2-amino-3- ({[(dimethylamino)carbonyl]amino}methyl)-6-
279
quinolinyl]-2-(methyloxy)-3-pyridinyl]-2,4- difluorobenzenesulfonamide
N-[5-(2-amino-3-methyl-6-quinolinyl)-2-
280 ΧΧΛ ' (methyloxy)-3-pyridinyl]-2,4- difluorobenzenesulfonamide
N-[5-(2-amino-3-bromo-6-quinolinyl)-2-
281 t JL (methyloxy)-3-pyridinyl]-3- pyridinesulfonamide
282 pyridinesulfonamide
N-(5-{2-amino-3-[4-(ethylsulfonyl)phenyl]-6-
283
quinolinyl}-3-pyridinyl)benzenesulfonamide
N1-(2-amino-3-phenyl-6-quinolinyl)-N2-
284
(phenylsulfonyl)-D-alaninamide
3-[4-(ethylsulfonyl)phenyl]-6-(2-fluoro-5,5- dioxido-6H-dibenzo[b,f][1 ,4,5]oxathiazepin-8- yl)-2-quinolinamine
1 s 5-{2-amino-3-[4-(ethylsulfonyl)phenyl]-6- quinolinyl}-2-(methyloxy)-3- pyridinecarboxylic acid
N-{5-{2-amino-3-[4-(ethylsulfonyl)phenyl]-6- quinolinyl}-2-[(1-methylethyl)oxy]-3- pyridinyl}benzenesulfonamide
N-[5-{2-amino-3-[4-(ethylsulfonyl)phenyl]-6- quinolinyl}-2-(ethyloxy)-3- pyridinyl]benzenesulfonamide
N-{5-{2-amino-3-[4-(ethylsulfonyl)phenyl]-6-
N-[5-{2-amino-3-[4-(ethylsulfonyl)phenyl]-6- quinolinyl}-2-(methylamino)-3-
290 pyridinyl]benzenesulfonamide
5-{2-amino-3-[4-(ethylsulfonyl)phenyl]-6-
291
quinolinyl}-3-pyridinecarboxylic acid
N-(2-aminoethyl)-5-{2-amino-3-[4-
292 (ethylsulfonyl)phenyl]-6-quinolinyl}-3- pyridinecarboxamide
5-{2-amino-3-[4-(ethylsulfonyl)phenyl]-6-
293 quinolinyl}-N-(3-aminopropyl)-3- pyridinecarboxamide
6-(3-aminophenyl)-3-[4-(4- morpholinyl)phenyl]-2-quinolinamine
294
methyl 3-{2-amino-3-[4-(4-
295
morpholinyl)phenyl]-6-quinolinyl}benzoate
N-(3-{2-amino-3-[4-(4-morpholinyl)phenyl]-6-
296
301
quinolinyl}phenyl)-3-pyridinecarboxamide
N-(3-{2-amino-3-[4-(4-morpholinyl)phenyl]-6- quinolinyl}phenyl)-3,5-dimethylbenzamide
302
N-(3-(2-amino-3-phenylquinolin-6-yl)-5-
303 (hydroxymethyl)phenyl)-2,4- difluorobenzenesulfonamide
N-(2-amino-5-(2-amino-3-phenylquinolin-6-
304 yl)pyridin-3-yl)-2,4
difluorobenzenesulfonamide
5-(2-amino-3-phenylquinolin-6-yl)pyridine-3-
305
sulfonamide
N-[5-[2-amino-3-(phenylsulfonyl)-6- quinolinyl]-2-(methyloxy)-3-pyridinyl]-2,4- difluorobenzenesulfonamide
306
N-[5-[2-amino-3-(methylsulfonyl)-6-
21-amino-5-(methyloxy)-20-phenyl-14-oxa-7- thia-4,8, 17,22- tetraazapentacyclo[17.6.2.12'6.19'13.023'27]non
308
acosa-
[00115] The compounds of Table 1 can be synthesized according to the Synthetic Methods, General Schemes, and the Examples described below.
[00116] In certain embodiments, the compound(s) of the present invention, or a pharmaceutically acceptable salt thereof, is chosen from the compounds set forth in Table 1 .
Synthetic Methods
[00117] The methods of synthesis for the provided chemical entities employ readily available starting materials using the following general methods and procedures. It will be appreciated that where typical or preferred process conditions {i.e., reaction temperatures, times, mole ratios of reactants, solvents, pressures, etc.) are given; other process conditions can also be used unless otherwise stated. Optimum reaction conditions may vary with the particular reactants or solvent used, but such conditions can be determined by one skilled in the art by routine optimization procedures.
[00118] Additionally, the methods of this invention may employ protecting groups which prevent certain functional groups from undergoing undesired reactions. Suitable protecting groups for various functional groups as well as suitable conditions for protecting and
deprotecting particular functional groups are well known in the art. For example, numerous protecting groups are described in T. W. Greene and G. M. Wuts, Protecting Groups in Organic Synthesis, Third Edition, Wiley, New York, 1999, and references cited therein.
[00119] Furthermore, the provided chemical entities may contain one or more chiral centers and such compounds can be prepared or isolated as pure stereoisomers, i.e., as individual enantiomers or diastereomers, or as stereoisomer-enriched mixtures. All such stereoisomers (and enriched mixtures) are included within the scope of this specification, unless otherwise indicated. Pure stereoisomers (or enriched mixtures) may be prepared using, for example, optically active starting materials or stereoselective reagents well-known in the art.
Alternatively, racemic mixtures of such compounds can be separated using, for example, chiral column chromatography, chiral resolving agents and the like.
[00120] The starting materials for the following reactions are generally known compounds or can be prepared by known procedures or obvious modifications thereof. For example, many of the starting materials are available from commercial suppliers such as Aldrich Chemical Co. (Milwaukee, Wisconsin, USA), Bachem (Torrance, California, USA), Ernka-Chemce or Sigma (St. Louis, Missouri, USA). Others may be prepared by procedures, or obvious modifications thereof, described in standard reference texts such as Fieser and Fieser's Reagents for Organic Synthesis, Volumes 1 -15 (John Wiley and Sons, 1991 ), Rodd's Chemistry of Carbon
Compounds, Volumes 1-5 and Supplemental (Elsevier Science Publishers, 1989), Organic Reactions, Volumes 1-40 (John Wiley and Sons, 1991 ), March's Advanced Organic Chemistry, (John Wiley and Sons, 4th Edition), and Larock's Comprehensive Organic Transformations (VCH Publishers Inc., 1989).
[00121] Unless specified to the contrary, the reactions described herein take place at atmospheric pressure, generally within a temperature range from -78 °C to 200 °C. Further, except as employed in the Examples or as otherwise specified, reaction times and conditions are intended to be approximate, e.g., taking place at about atmospheric pressure within a temperature range of about -78 °C to about 1 10 °C over a period of about 1 to about 24 hours; reactions left to run overnight average a period of about 16 hours.
[00122] The terms "solvent," "organic solvent," and "inert solvent" each mean a solvent inert under the conditions of the reaction being described in conjunction therewith, including, for example, benzene, toluene, acetonitrile, tetrahydrofuranyl ("THF"), dimethylformamide ("DMF"), chloroform, methylene chloride (or dichloromethane), diethyl ether, methanol, N- methylpyrrolidone ("NMP"), pyridine and the like.
[00123] Isolation and purification of the chemical entities and intermediates described herein can be effected, if desired, by any suitable separation or purification procedure such as, for example, filtration, extraction, crystallization, column chromatography, thin-layer
chromatography or thick-layer chromatography, or a combination of these procedures. Specific illustrations of suitable separation and isolation procedures can be had by reference to the examples herein below. However, other equivalent separation or isolation procedures can also be used.
[00124] When desired, the (R)- and (S)-isomers may be resolved by methods known to those skilled in the art, for example by formation of diastereoisomeric salts or complexes which may be separated, for example, by crystallization; via formation of diastereoisomeric derivatives
which may be separated, for example, by crystallization, gas-liquid or liquid chromatography; selective reaction of one enantiomer with an enantiomer-specific reagent, for example enzymatic oxidation or reduction, followed by separation of the modified and unmodified enantiomers; or gas-liquid or liquid chromatography in a chiral environment, for example on a chiral support, such as silica with a bound chiral ligand or in the presence of a chiral solvent. Alternatively, a specific enantiomer may be synthesized by asymmetric synthesis using optically active reagents, substrates, catalysts or solvents, or by converting one enantiomer to the other by asymmetric transformation.
EXAMPLES
[00125] The following examples serve to more fully describe the manner of making and using the above-described invention. It is understood that these examples in no way serve to limit the true scope of the invention, but rather are presented for illustrative purposes. In the examples below and the synthetic schemes above, the following abbreviations have the following meanings. If an abbreviation is not defined, it has its generally accepted meaning.
aqueous
microliters
micromolar
nuclear magnetic resonance
tert-butoxycarbonyl
broad
benzyloxycarbonyl
doublet
chemical shift
degrees celcius
dichloromethane
doublet of doublets
Dulbeco's Modified Eagle's Mediu
N,N-dimethylformamide
dimethylsulfoxide
ethyl acetate
gram
hours
hepatitus C virus
high performance liquid chromatography hertz
International Units
inhibitory concentration at 50% inhibition coupling constant (given in Hz unless otherwise indicated)
multiplet
molar
parent mass spectrum peak plus H+ milligram
milliliter
millimolar
millimole
mass spectrum
nanomolar
parts per million
sufficient amount
singlet
saturated
triplet
trifluoroacetic acid
- Synthesis of Boronic Esters
INTERMEDIATE 1
N-[2-(methyloxy)-5-(4,4,5,5-tetramethyl-1,3,2-dioxaborolan-2-yl)-3- pyridinyljbenzenesulfonamide
Step 1
N-[5-bromo-2-(methyloxy)-3-pyridinyl]benzenesulfonamide
[00126] A solution of 5-bromo-2-(methyloxy)-3-pyridinamine (1 g, 4.93 mmol) and benzenesulfonyl chloride (0.870 g, 4.93 mmol) in pyridine (30 mL) was maintained at room temperature. After 17 h more benzenesulfonyl chloride (1.74 g, 9.8 mmol) was added. After 1 h the resulting mixture was concentrated. The residue was dissolved in CH2CI2, concentrated onto Celite™ and purified by column chromatography (silica gel, 0-100 CH2CI2/hexane) to obtain N-[5-bromo-2-(methyloxy)-3-pyridinyl]benzenesulfonamide (1.21 g, 71.6 % yield) as a white solid: 1H NMR (400 MHz, DMSO-d6) δ ppm 3.61 (s, 3 H) 7.53 - 7.62 (m, 2 H) 7.62 - 7.70
(m, 2 H) 7.73 - 7.78 (m, 2 H) 8.05 (d, J=2.24 Hz, 1 H) 10.17 (s, 1 H); ES LC-MS m/z =343.2 (Br79, M+H)+, ES LC-MS m/z =345.2 (Br81, M+H)+.
Step 2
N-[2-(methyloxy)-5-(4,4, 5, 5-tetramethyl-1 , 3, 2-dioxaborolan-2-yl)-3- pyridinyljbenzenesulfonamide
[00127] A degassed mixture of N-[5-bromo-2-(methyloxy)-3- pyridinyl]benzenesulfonamide (1 .21 g, 3.53 mmol), 4,4,4',4',5,5,5',5'-octamethyl-2,2'-bi-1 ,3,2- dioxaborolane (0.985 g, 3.88 mmol), Pd(dppf)2CI2 CH2CI2 adduct (0.288 g, 0.353 mmol) and potassium acetate (1.038 g, 10.58 mmol) in 1 ,4-dioxane (50 ml.) was heated at 80 °C for 90 minutes. The resulting mixture was allowed to cool to room temperature and filtered through pad of Celite™ with the aid of EtOAc. The filtrate was concentrated and reevaporated twice from CH2CI2/hexane. The residue was dissolved in CH2CI2 and purified by column chromatography (silica gel, 0-100% EtOAc/hexane) to obtain N-[2-(methyloxy)-5-(4,4,5,5-tetramethyl-1 ,3,2- dioxaborolan-2-yl)-3-pyridinyl]benzenesulfonamide (971 mg, 70.6 % yield) as a grey solid: 1H NMR (400 MHz, DMSO-d6) δ ppm 1.29 (s, 12 H) 3.59 (s, 3 H) 7.50 - 7.59 (m, 2 H) 7.59 - 7.65 (m, 1 H) 7.65 - 7.70 (m, 2 H) 7.73 (d, J=1 .66 Hz, 1 H) 8.15 (d, J=1.66 Hz, 1 H) 9.87 (s, 1 H); ES LC-MS m/z =391.3 (M+H)+.
INTERMEDIATE 2
4-cyano-N-[2-(methyloxy)-5-(4,4,5,5-tetramethyl-1,3,2-dioxaborolan-2-yl)-3- pyridinyljbenzenesulfonamide
Step 1
N-[5-bromo-2-(methyloxy)-3-pyridinyl]-4-cyanobenzenesulfonamide
[00128] A mixture of 5-bromo-2-(methyloxy)-3-pyridinamine (500 mg, 2.463 mmol), 4- cyanobenzenesulfonyl chloride (745 mg, 3.69 mmol) and DMAP (30.1 mg, 0.246 mmol) in pyridine (10 ml.) was maintained at room temperature. After 2 h more 4-cyanobenzenesulfonyl chloride (745 mg, 3.69 mmol) was added and the reaction mixture was maintained at room temperature for 17 h. The resulting mixture was concentrated and reevaporated from CH2CI2. The residue was dissolved in CH2CI2 and purified by column chromatography (0-100%
EtOAc/hexane) to obtain N-[5-bromo-2-(methyloxy)-3-pyridinyl]-4-cyanobenzenesulfonamide (620 mg, 68.4 % yield) as a white solid: 1 H NMR (400 MHz, DMSO-d6) δ ppm 3.56 (s, 3 H) 7.75 (d, J=2.34 Hz, 1 H) 7.86 - 7.92 (m, 2 H) 8.04 - 8.10 (m, 2 H) 8.12 (d, J=2.25 Hz, 1 H) 10.50 (s, 1 H).
Step 2
4-cyano-N-[2-(met yloxy)-5-(4, 4, 5, 5-tetramet yl-1 ,3, 2-dioxaborolan-2-yl)-3- pyridinyljbenzenesulfonamide
[00129] A degassed mixture of N-[5-bromo-2-(methyloxy)-3-pyridinyl]-4- cyanobenzenesulfonamide (617 mg, 1 .676 mmol), 4,4,4',4',5,5,5',5'-octamethyl-2,2'-bi-1 ,3,2- dioxaborolane (468 mg, 1.843 mmol), Pd(dppf)2CI2 CH2CI2 adduct (137 mg, 0.168 mmol) and potassium acetate (493 mg, 5.03 mmol) in 1 ,4-dioxane (30 ml.) was heated at 80 °C. After 2 h the reaction mixture was allowed to cool to room temperature and filtered through a pad of Celite with the aid of EtOAc. The filtrate was concentrated, reevaporated from CH2CI2/hexane. The residue was dissolved in CH2CI2 and purified by column chromatography (silica gel, 0-100% EtOAc/hexane) to obtain 4-cyano-N-[2-(methyloxy)-5-(4,4,5,5-tetramethyl-1 ,3,2-dioxaborolan-2- yl)-3-pyridinyl]benzenesulfonamide (614 mg, 88 % yield) as a white solid: 1H NMR (400 MHz, DMSO-de) δ ppm 1.29 (s, 12 H) 3.56 (s, 3 H) 7.69 (d, J=1.76 Hz, 1 H) 7.82 (d, J=8.39 Hz, 2 H) 8.05 (d, J=8.49 Hz, 2 H) 8.20 (d, J=1 .66 Hz, 1 H) 10.22 (s, 1 H); ES LC-MS m/z =416.4 (M+H)+.
INTERMEDIATE 3
N-[2-(methyloxy)-5-(4,4,5,5-tetramethyl-1,3,2-dioxaborolan-2-yl^
Step 1
N-[5-bromo-2-(methyloxy)-3-pyridinyl]-4-nitrobenzenesulfonamide
[00130] A mixture of 5-bromo-2-(methyloxy)-3-pyridinamine (500 mg, 2.463 mmol), 4- nitrobenzenesulfonyl chloride (819 mg, 3.69 mmol) and DMAP (30.1 mg, 0.246 mmol) in pyridine (10 mL) was maintained at room temperature. After 2 h the resulting mixture was concentrated, reevaporated from CH2CI2. The residue was dissolved in CH2CI2 and purified by column chromatography (0-100% EtOAc/hexane) to obtain N-[5-bromo-2-(methyloxy)-3- pyridinyl]-4-nitrobenzenesulfonamide (493 mg, 51.6 % yield) as a white solid: 1H NMR (400 MHz, DMSO-de) δ ppm 3.57 (s, 3 H) 7.77 (d, J=2.24 Hz, 1 H) 7.97 - 8.02 (m, 2 H) 8.12 (d, J=2.24 Hz, 1 H) 8.40 (d, J=8.88 Hz, 2 H) 10.57 (s, 1 H); ES LC-MS m/z =388.2 (Br79, M+H)+, ES LC-MS m/z =390.2 (Br81, M+H)+.
Step 2
N-[2-(met yloxy)-5-(4, 4, 5, 5-tetramet yl-1 ,3, 2-dioxaborolan-2-yl)-3-pyridinyl]-4- nitrobenzenesulfonamide
[00131] A degassed mixture of N-[5-bromo-2-(methyloxy)-3-pyridinyl]-4- nitrobenzenesulfonamide (490 mg, 1 .262 mmol), 4,4,4',4',5,5,5',5'-octamethyl-2,2'-bi-1 ,3,2- dioxaborolane (353 mg, 1.388 mmol), Pd(dppf)2CI2 CH2CI2 adduct (103 mg, 0.126 mmol) and potassium acetate (372 mg, 3.79 mmol) in 1 ,4-dioxane (30 mL) was heated at 80 °C. After 2 h the reaction mixture was allowed to cool to room temperature and filtered through a pad of Celite with the aid of EtOAc. The filtrate was concentrated, reevaporated from CH2CI2/hexane. The residue was dissolved in CH2CI2 and purified by column chromatography (silica gel, 0-100% EtOAc/hexane) to obtain N-[2-(methyloxy)-5-(4,4,5,5-tetramethyl-1 ,3,2-dioxaborolan-2-yl)-3- pyridinyl]-4-nitrobenzenesulfonamide (427 mg, 78 % yield) as a white solid: 1H NMR (400 MHz,
DMSO-de) δ ppm 1.29 (s, 12 H) 3.56 (s, 3 H) 7.72 (s, 1 H) 7.92 (d, J=8.58 Hz, 2 H) 8.38 (d, J=8.58 Hz, 3 H) 10.30 (s, 1 H); ES LC-MS m/z =436.2 (M+H)+.
INTERMEDIATE 4
N-[2-(methyloxy)-5-(4,4,5,5-tetramethyl-1,3,2-dioxaborolan-2^
phenylmethanesulfonamide
Step 1
N-[5-bromo-2-(methyloxy)-3-pyridinyl]-1 -phenylmethanesulfonamide
[00132] A mixture of 5-bromo-2-(methyloxy)-3-pyridinamine (500 mg, 2.463 mmol), phenylmethanesulfonyl chloride (939 mg, 4.93 mmol) and DMAP (30.1 mg, 0.246 mmol) in pyridine (10 mL) was maintained at room temperature. After 10 minutes the resulting mixture was concentrated and reevaporated from CH2CI2. The residue was dissolved in CH2CI2 and purified by column chromatography (0-100% EtOAc/hexane) to obtain N-[5-bromo-2- (methyloxy)-3-pyridinyl]-1 -phenylmethanesulfonamide (665 mg, 76 % yield): 1H NMR (400 MHz, DMSO-de) δ ppm 3.91 (s, 3 H) 4.57 (s, 2 H) 7.28 - 7.40 (m, 6 H) 7.94 - 7.98 (m, 1 H) 9.47 (s, 1 H); ES LC-MS m/z =357.1 (Br79, M+H)+, ES LC-MS m/z =359.1 (Br81, M+H)+.
Step 2
N-[2-(methyloxy)-5-(4, 4, 5, 5-tetramethyl-1 ,3, 2-dioxaborolan-2-yl)-3-pyridinyl]- 1 - phenylmethanesulfonamide
[00133] A degassed mixture of N-[5-bromo-2-(methyloxy)-3-pyridinyl]-1- phenylmethanesulfonamide (662 mg, 1.853 mmol), 4,4,4',4',5,5,5',5'-octamethyl-2,2'-bi-1 ,3,2- dioxaborolane (518 mg, 2.039 mmol), Pd(dppf)2CI2 CH2CI2 adduct (151 mg, 0.185 mmol) and potassium acetate (546 mg, 5.56 mmol) in 1 ,4-dioxane (30 mL) was heated at 80 °C. After 2 h the reaction mixture was allowed to cool to room temperature and filtered through a pad of
Celite with the aid of EtOAc. The filtrate was concentrated and reevaporated from CH2CI2/hexane. The residue was dissolved in CH2CI2 and purified by column chromatography (silica gel, 0-100% EtOAc/hexane) to obtain N-[2-(methyloxy)-5-(4,4,5,5-tetramethyl-1 ,3,2- dioxaborolan-2-yl)-3-pyridinyl]-1-phenylmethanesulfonamide (589 mg, 79 % yield) as a white solid: 1H NMR (400 MHz, DMSO-d6) δ ppm 1 .23 - 1 .35 (m, 12 H) 3.95 (s, 3 H) 4.48 (s, 2 H) 7.24 - 7.39 (m, 5 H) 7.56 (d, J=1 .66 Hz, 1 H) 8.13 (d, J=1.56 Hz, 1 H) 9.22 (s, 1 H); ES LC-MS m/z =405.4 (M+H)+.
INTERMEDIATE 5
N-[2-(methyloxy)-5-(4,4,5,5-tetramethyl-1,3,2-dioxaborolan-2-y^
Step 1
N-[5-bromo-2-(meth loxy)-3-pyridinyl]-8-quinolinesulfonamide
[00134] A mixture of 5-bromo-2-(methyloxy)-3-pyridinamine (500 mg, 2.463 mmol), 8- quinolinesulfonyl chloride (1 121 mg, 4.93 mmol) and DMAP (30.1 mg, 0.246 mmol) in pyridine (10 mL) was maintained at room temperature. After 2 h the resulting mixture was concentrated. The residue was taken up into CH2CI2 and filtered. The filtrate was purified by column chromatography (0-100% EtOAc/hexane) to obtain N-[5-bromo-2-(methyloxy)-3-pyridinyl]-8- quinolinesulfonamide (860 mg, 89 % yield) as a white solid: 1 H NMR (400 MHz, DMSO-c/6) δ ppm 3.40 (s, 3 H) 7.69 - 7.79 (m, 2 H) 7.85 (d, J=2.24 Hz, 1 H) 7.95 (d, J=2.24 Hz, 1 H) 8.32 (dd, J=7.85, 2.10 Hz, 2 H) 8.58 (dd, J=8.29, 1.66 Hz, 1 H) 9.08 (dd, J=4.29, 1 .66 Hz, 1 H) 9.43 (s, 1 H); ES LC-MS m/z =394.1 (Br79, M+H)+, ES LC-MS m/z =396.1 (Br81, M+H)+.
Step 2
N-[2-(methyloxy)-5-(4, 4, 5, 5-tetramethyl-1 ,3, 2-dioxaborolan-2-yl)-3-pyridinyl]-8- quinolinesulfonamide
[00135] A degassed mixture of N-[5-bromo-2-(methyloxy)-3-pyridinyl]-8- quinolinesulfonamide (858 mg, 2.176 mmol), 4,4,4',4',5,5,5',5'-octamethyl-2,2'-bi-1 ,3,2- dioxaborolane (608 mg, 2.394 mmol), Pd(dppf)2CI2 CH2CI2 adduct (1777 mg, 2.176 mmol) and potassium acetate (641 mg, 6.53 mmol) in 1 ,4-dioxane (30 mL) was heated at 80 °C. After 4 h the reaction mixture was allowed to cool to room temperature and filtered through a pad of Celite with the aid of EtOAc. The filtrate was concentrated and reevaporated from CH2CI2 /hexane. The residue was dissolved in CH2CI2 and purified by column chromatography (silica gel, 0-100% EtOAc/hexane) to obtain N-[2-(methyloxy)-5-(4,4,5,5-tetramethyl-1 ,3,2- dioxaborolan-2-yl)-3-pyridinyl]-8-quinolinesulfonamide (901 mg, 94 % yield) as a grey solid: 1H NMR (400 MHz, DMSO-d6) δ ppm 1.28 (s, 12 H) 3.37 (s, 3 H) 7.67 - 7.73 (m, 1 H) 7.77 (dd, J=8.29, 4.29 Hz, 1 H) 7.86 (d, J=1.66 Hz, 1 H) 8.03 (d, J=1.66 Hz, 1 H) 8.25 (dd, J=7.32, 1.27 Hz, 1 H) 8.31 (dd, J=8.19, 1.27 Hz, 1 H) 8.58 (dd, J=8.39, 1 .66 Hz, 1 H) 9.10 - 9.14 (m, 1 H) 9.23 (s, 1 H); ES LC-MS m/z =442.4 (M+H)+.
INTERMEDIATE 6
N-[2-(methyloxy)-5-(4,4,5,5-tetramethyl-1,3,2-dioxaborolan-2-yl)-3- pyridin ljcyclopropanesulfonamide
Step 1
N-[5-bromo-2-(meth loxy)-3-pyridinyl]cyclopropanesulfonamide
[00136] A mixture of 5-bromo-2-(methyloxy)-3-pyridinamine (500 mg, 2.463 mmol), cyclopropanesulfonyl chloride (692 mg, 4.93 mmol) and DMAP (30.1 mg, 0.246 mmol) in pyridine (10 mL) was maintained at room temperature. After 5 min more cyclopropanesulfonyl chloride (1384 mg, 9.86 mmol) was added. After 3 days the resulting mixture was diluted with
water (50 mL) and extracted with EtOAc (100 mL). The organic layer was concentrated onto Celite and purified by column chromatography (0-100% EtOAc/hexane) to afford N-[5-bromo-2- (methyloxy)-3-pyridinyl]cyclopropanesulfonamide (700 mg, 93 % yield) as a beige solid: 1H NMR (400 MHz, DMSO-d6) δ ppm 0.86 - 1.00 (m, 4 H) 2.72 - 2.83 (m, 1 H) 3.86 - 3.94 (m, 3 H) 7.79 (d, J=2.15 Hz, 1 H) 8.10 (d, J=2.15 Hz, 1 H) 9.54 (s, 1 H); ES LC-MS m/z =307.1 (Br79, M+H)+, ES LC-MS m/z =309.1 (Br81, M+H)+.
Step 2
N-[2-(methyloxy)-5-(4,4, 5, 5-tetramethyl-1 , 3, 2-dioxaborolan-2-yl)-3- pyridinyl]cyclopropanesulfonamide
[00137] A degassed mixture of N-[5-bromo-2-(methyloxy)-3- pyridinyl]cyclopropanesulfonamide (698 mg, 2.272 mmol), 4,4,4',4',5,5,5',5'-octamethyl-2,2'-bi- 1 ,3,2-dioxaborolane (635 mg, 2.500 mmol), Pd(dppf)2CI2 CH2CI2 adduct (186 mg, 0.227 mmol) and potassium acetate (669 mg, 6.82 mmol) in 1 ,4-dioxane (30 mL) was heated at 80°C. After 2 h the reaction mixture was allowed to cool to room temperature and filtered through a pad of Celite with the aid of EtOAc. The filtrate was concentrated and reevaporated from
CH2CI2/hexane. The residue was dissolved in CH2CI2 and purified by column chromatography (silica gel, 0-100% EtOAc/hexane) to obtain N-[2-(methyloxy)-5-(4,4,5,5-tetramethyl-1 ,3,2- dioxaborolan-2-yl)-3-pyridinyl]cyclopropanesulfonamide (779 mg, 97 % yield) as a grey solid: 1 H NMR (400 MHz, DMSO-d6) δ ppm 0.79 - 0.96 (m, 4 H) 1 .25 - 1.34 (m, 12 H) 2.58 - 2.68 (m, 1 H) 3.94 (s, 3 H) 7.79 (d, 1 H) 8.21 (d, J=1 .46 Hz, 1 H) 9.28 (s, 1 H); ES LC-MS m/z =355.2 (M+H)+.
INTERMEDIATE 7
N-[2-(methyloxy)-5-(4,4,5,5-tetramethyl-1,3,2-dioxaborolan-2-y^
furansulfonamide
Step 1
[00138] A mixture of 5-bromo-2-(methyloxy)-3-pyridinamine (500 mg, 2.463 mmol), 3- furansulfonyl chloride (615 mg, 3.69 mmol) and DMAP (30.1 mg, 0.246 mmol) in pyridine (10 mL) was maintained at room temperature for 17 h. The resulting mixture was concentrated. The residue was dissolved in CH2CI2 and purified by column chromatography (0-100%
EtOAc/hexane) to afford N-[5-bromo-2-(methyloxy)-3-pyridinyl]-3-furansulfonamide (380 mg, 46.3 % yield) as a beige solid: 1H NMR (400 MHz, DMSO-d6) δ ppm 3.77 (s, 3 H) 6.68 - 6.73 (m, 1 H) 7.71 (d, J=2.34 Hz, 1 H) 7.85 (t, J=1.80 Hz, 1 H) 8.06 - 8.10 (m, 1 H) 8.34 (d, J=0.59 Hz, 1 H) 10.15 (s, 1 H).
Step 2
N-[2-(methyloxy)-5-(4, 4, 5, 5-tetramethyl-1 ,3, 2-dioxaborolan-2-yl)-3-pyridinyl]-3-furansulfonamide
[00139] A degassed mixture of N-[5-bromo-2-(methyloxy)-3-pyridinyl]-3-furansulfonamide (378 mg, 1.135 mmol), 4,4,4',4',5,5,5',5'-octamethyl-2,2'-bi-1 ,3,2-dioxaborolane (317 mg, 1 .248 mmol), Pd(dppf)2CI2 CH2CI2 adduct (93 mg, 0.1 13 mmol) and potassium acetate (334 mg, 3.40 mmol) in 1 ,4-dioxane (20 mL) was heated at 80 °C. After 2 h the resulting mixture was allowed to cool to room temperature and filtered through a pad of Celite with the aid of EtOAc. The filtrate was concentrated and reevaporated from CH2CI2/hexane. The residue was dissolved in CH2CI2 and purified by column chromatography (silica gel, 0-100% EtOAc/hexane) to obtain N- [2-(methyloxy)-5-(4,4,5,5-tetramethyl-1 ,3,2-dioxaborolan-2-yl)-3-pyridinyl]-3-furansulfonamide (286 mg, 66 % yield) as a white solid: 1H NMR (400 MHz, DMSO-d6) δ ppm 1.29 (s, 12 H) 3.77 (s, 3 H) 6.62 - 6.66 (m, 1 H) 7.75 (d, J=1.27 Hz, 1 H) 7.83 (s, 1 H) 8.15 - 8.21 (m, 2 H) 9.87 (s, 1 H); ES LC-MS m/z =381.3 (M+H)+.
INTERMEDIATE 8
2-methyl-N-[2-(methyloxy)-5-(4,4,5,5-t^^
propanesulfonamide
Step 1
N-[5-bromo-2-(methyloxy)-3-pyridinyl]-2-methyl-1 -propanesulfonamide
[00140] A mixture of 5-bromo-2-(methyloxy)-3-pyridinamine (500 mg, 2.463 mmol), 2- methyl-1 -propanesulfonyl chloride (2314 mg, 14.78 mmol) and DMAP (30.1 mg, 0.246 mmol) in pyridine (10 mL) was maintained at room temperature for 17 h. The resulting mixture was concentrated. The residue was dissolved in CH2CI2 and purified by column chromatography (0- 100% EtOAc/hexane) to afford N-[5-bromo-2-(methyloxy)-3-pyridinyl]-2-methyl-1 - propanesulfonamide (370 mg, 46.5 % yield) as a yellow solid: 1H NMR (400 MHz, DMSO-c/6) δ ppm 1.01 (d, 6 H) 2.17 (m, J=13.29, 6.64, 6.64, 6.64, 6.64 Hz, 1 H) 3.07 (d, J=6.35 Hz, 2 H) 3.90 (s, 3 H) 7.76 (d, J=2.25 Hz, 1 H) 8.08 (d, J=2.25 Hz, 1 H) 9.51 (s, 1 H) ES LC-MS m/z =323.1 (Br79, M+H)+, ES LC-MS m/z =325.1 (Br81, M+H)+.
Step 2
2-methyl-N-[2-(methyloxy)-5-(4,4, 5, 5-tetramethyl- 1, 3, 2-dioxaborolan-2-yl)-3-pyridinyl]- 1 - propanesulfonamide
[00141] A degassed mixture of N-[5-bromo-2-(methyloxy)-3-pyridinyl]-2-methyl-1- propanesulfonamide (366 mg, 1 .132 mmol), 4,4,4',4',5,5,5',5'-octamethyl-2,2'-bi-1 ,3,2- dioxaborolane (316 mg, 1.246 mmol), Pd(dppf)2CI2 CH2CI2 adduct (92 mg, 0.1 13 mmol) and potassium acetate (333 mg, 3.40 mmol) in 1 ,4-dioxane (20 mL) was heated at 80 °C. After 2 h the reaction mixture was allowed to cool to room temperature and filtered through a pad of Celite with the aid of EtOAc. The filtrate was concentrated and reevaporated from
CH2CI2/hexane. The residue was dissolved in CH2CI2 and purified by column chromatography (silica gel, 0-100% EtOAc/hexane) to obtain 2-methyl-N-[2-(methyloxy)-5-(4,4,5,5-tetramethyl- 1 , 3, 2-dioxaborolan-2-yl)-3-pyridinyl]-1 -propanesulfonamide (346 mg, 83 % yield) as a solid: 1 H
NMR (400 MHz, DMSO-d6) δ ppm 1.00 (d, J=6.73 Hz, 6 H) 1.29 (s, 12 H) 2.17 (dt, J=13.22, 6.56 Hz, 1 H) 2.96 (d, J=6.34 Hz, 2 H) 3.93 (s, 3 H) 7.78 (s, 1 H) 8.20 (s, 1 H) 9.28 (s, 1 H); ES LC-MS m/z =371.4 (M+H)+.
INTERMEDIATE 9
1,1,1-trifluoro-N-[2-(methyloxy)-5-(4 ,5,5-tetramethyl-1,3,2-dM
pyri inyljmethanesulfonamide
Step 1
N-[5-bromo-2-(methyloxy)-3-pyridinyl]-1, 1, 1-trifluoromethanesulfonamide
[00142] A 0°C solution of 5-bromo-2-(methyloxy)-3-pyridinamine (500 mg, 2.463 mmol) in CH2CI2 (30 mL) was treated with trifluoromethanesulfonyl anhydride (2084 mg, 7.39 mmol). After 30 minutes the resulting mixture was diluted with water (50 mL) and extracted with CH2CI2 (100 mL). The organic layer was washed with a sat. NaHC03 solution. The aqueous layer was neutralized with a 1 N HCI solution and extracted with 4 x 75 mL CH2CI2. The organic layers were combined and concentrated to obtain N-[5-bromo-2-(methyloxy)-3-pyridinyl]-1 ,1 , 1- trifluoromethanesulfonamide (743 mg, 90 % yield) as a white solid: 1 H NMR (400 MHz, DMSO- cfe) δ ppm 3.90 (s, 3 H) 7.87 (dd, J=2.20, 1.12 Hz, 1 H) 8.21 (d, J=2.15 Hz, 1 H).
Step 2
1, 1, 1-trifluoro-N-[2-(methyloxy)-5-(4, 4, 5, 5-tetramethyl- 1, 3, 2-dioxaborolan-2-yl)-3- pyridinyljmethanesulfonamide
[00143] A degassed mixture N-[5-bromo-2-(methyloxy)-3-pyridinyl]-1 , 1 ,1 - trifluoromethanesulfonamide (741 mg, 2.21 1 mmol), 4,4,4',4',5,5,5',5'-octamethyl-2,2'-bi-1 ,3,2- dioxaborolane (618 mg, 2.432 mmol), Pd(dppf)2CI2 CH2CI2 adduct (181 mg, 0.221 mmol) and
potassium acetate (651 mg, 6.63 mmol) in 1 ,4-dioxane (20 mL) was heated at 80°C for 2 h. The resulting mixture was allowed to cool to room temperature and was filtered through a pad of Celite with the aid of EtOAc. The filtrate was concentrated and reevaporated from
CH2CI2/hexane. The residue was dissolved in CH2CI2 and purified by column chromatography (silica gel, 0-100% EtOAc/hexane) to obtain 1 , 1 , 1-trifluoro-N-[2-(methyloxy)-5-(4,4,5,5- tetramethyl-1 ,3,2-dioxaborolan-2-yl)-3-pyridinyl]methanesulfonamide (502 mg, 59.4 % yield) as a white solid: 1H NMR (400 MHz, DMSO-d6) δ ppm 1.30 (s, 12 H) 3.96 (s, 3 H) 7.75 (s, 1 H) 8.34 (s, 1 H); ES LC-MS m/z =383.3 (M+H)+.
INTERMEDIATE 10
3 -bis(methyloxy)-N-[2-(methyloxy)-5-(4^,5,5-tetramethyl-1,3,2-d^
pyridinyljbenzenesulfonamide
Step 1
N-[5-bromo-2-(methylox -3-pyridinyl]-3,4-bis(methyloxy)benzenesulfonamide
[00144] A mixture of 5-bromo-2-(methyloxy)-3-pyridinamine (500 mg, 2.463 mmol), 3,4- bis(methyloxy)benzenesulfonyl chloride (1 166 mg, 4.93 mmol), DMAP (30.1 mg, 0.246 mmol) in pyridine (10 mL) was maintained at room temperature for 10 min. The resulting mixture was concentrated. The residue was dissolved in CH2CI2 and purified by column chromatography (0- 100% EtOAc/hexane) to afford N-[5-bromo-2-(methyloxy)-3-pyridinyl]-3,4- bis(methyloxy)benzenesulfonamide (950 mg, 96 % yield) as a white solid: 1 H NMR (400 MHz, DMSO-de) δ ppm 3.70 (s, 3 H) 3.77 (s, 3 H) 3.81 (s, 3 H) 7.09 (d, J=8.10 Hz, 1 H) 7.29 - 7.37 (m, 2 H) 7.65 - 7.69 (m, 1 H) 7.99 - 8.05 (m, 1 H) 9.98 (s, 1 H); ES LC-MS m/z =403.2 (Br79, M+H)+, ES LC-MS m/z =405.2 (Br81, M+H)+.
Step 2
3, 4-bis(methyloxy)-N-[2-(methyloxy)-5-(4, 4, 5, 5-tetramethyl-1 , 3, 2-dioxaborolan-2-yl)-3- pyridinyljbenzenesulfonamide
[00145] A degassed mixture of N-[5-bromo-2-(methyloxy)-3-pyridinyl]-3,4- bis(methyloxy)benzenesulfonamide (948 mg, 2.351 mmol), 4,4,4',4',5,5,5',5'-octamethyl-2,2'-bi- 1 ,3,2-dioxaborolane (657 mg, 2.59 mmol), Pd(dppf)2CI2 CH2CI2 adduct (192 mg, 0.235 mmol) and potassium acetate (692 mg, 7.05 mmol) in 1 ,4-dioxane (30 mL) was heated at 80 °C for 2 h. The resulting mixture was allowed to cool to room temperature and filtered through a pad of Celite with the aid of EtOAc. The filtrate was concentrated and reevaporated from
CH2CI2/hexane. The residue was dissolved in CH2CI2 and purified by column chromatography (silica gel, 0-100% EtOAc/hexane) to obtain 3,4-bis(methyloxy)-N-[2-(methyloxy)-5-(4,4,5,5- tetramethyl-1 ,3,2-dioxaborolan-2-yl)-3-pyridinyl]benzenesulfonamide (988 mg, 93 % yield) as a white solid: 1H NMR (400 MHz, DMSO-d6) δ ppm 1.28 (s, 12 H) 3.70 (s, 3 H) 3.76 (s, 3 H) 3.80 (s, 3 H) 7.03 - 7.10 (m, 1 H) 7.23 - 7.30 (m, 2 H) 7.72 (d, J=1.56 Hz, 1 H) 8.1 1 (d, J=1 .56 Hz, 1 H) 9.69 (s, 1 H); ES LC-MS m/z =451 .3 (M+H)+
INTERMEDIATE 11
2,2,2-trifluoro-N-[2-(methyloxy)-5-(4,4,5,5-tetramethyl-1 ,3,2-dioxaborolan-2-yl)-3- ridinyljethanesulfonamide
Step 1
N-[5-bromo-2-(methyloxy)-3-pyridinyl]-2,2,2-trifluoroethanesulfonamide
[00146] A 0°C mixture of 5-bromo-2-(methyloxy)-3-pyridinamine (500 mg, 2.463 mmol), 2,2,2-trifluoroethanesulfonyl chloride (674 mg, 3.69 mmol) and pyridine (10 mL) was treated with 2,2,2-trifluoroethanesulfonyl chloride (899 mg, 4.926 mmol). After 20 min the reaction
mixture was allowed to warm to room temperature and concentrated. The residue was dissolved in CH2CI2 and purified by column chromatography (silica gel, 0-50% EtOAc/hexane) to afford N- [5-bromo-2-(methyloxy)-3-pyridinyl]-2,2,2-trifluoroethanesulfonamide (427 mg, 49.7 % yield) as a white solid: 1H NMR (400 MHz, DMSO-d6) δ ppm 3.90 (s, 3 H) 4.62 (q, J=9.82 Hz, 2 H) 7.84 (d, J=2.24 Hz, 1 H) 8.17 (d, J=2.24 Hz, 1 H) 10.21 (s, 1 H); ES LC-MS m/z =349.1 (Br79, M+H)+, ES LC-MS m/z =351 .0 (Br81, M+H)+.
Step 2
2, 2, 2-trifluoro-N-[2-(methyloxy)-5-(4, 4, 5, 5-tetramethyl- 1, 3, 2-dioxaborolan-2-yl)-3- pyridinyljethanesulfonamide
[00147] A degassed mixture of N-[5-bromo-2-(methyloxy)-3-pyridinyl]-2,2,2- trifluoroethanesulfonamide (425 mg, 1 .217 mmol), 4,4,4',4',5,5,5',5'-octamethyl-2,2'-bi-1 ,3,2- dioxaborolane (340 mg, 1.339 mmol), Pd(dppf)2CI2 CH2CI2 adduct (99 mg, 0.122 mmol) and potassium acetate (358 mg, 3.65 mmol) in 1 ,4-dioxane (20 mL) was heated at 80°C for 2 h. The resulting mixture was allowed to cool to room temperature and filtered through a pad of Celite with the aid of EtOAc. The filtrate was concentrated and reevaporated from CH2CI2/hexane. The residue was dissolved in CH2CI2 and purified by column chromatography (silica gel, 0-100% EtOAc/hexane) to obtain 2,2,2-trifluoro-N-[2-(methyloxy)-5-(4,4,5,5-tetramethyl-1 ,3,2- dioxaborolan-2-yl)-3-pyridinyl]ethanesulfonamide (260 mg, 53.9 % yield) as a yellow solid: 1H NMR (400 MHz, DMSO-d6) δ ppm 1.30 (s, 12 H) 3.94 (s, 3 H) 4.49 (q, J=9.87 Hz, 2 H) 7.77 (d, J=1.66 Hz, 1 H) 8.26 (d, J=1 .66 Hz, 1 H) 9.96 (s, 1 H) ES LC-MS m/z =397.2 (M+H)+.
INTERMEDIATE 12
N-[2-(methyloxy)-5-(4,4,5,5-tetramethyl-1,3,2-dioxaborolan-2^
ridinesulfonamide
Step 1
N-[5-bromo-2-(meth loxy)-3-pyridinyl]-3-pyridinesulfonamide
[00148] A mixture of 5-bromo-2-(methyloxy)-3-pyridinamine (500 mg, 2.463 mmol), 3- pyridinesulfonyl chloride (656 mg, 3.69 mmol) in pyridine (10 mL) was maintained at room temperature. After 30 minutes the reaction mixture was concentrated. The residue was taken up into CH2CI2 (100 mL) and washed with a sat. NaHC03 solution (100 mL). The organic layer was concentrated down to about 10 mL. The resulting slurry was filtered to obtain N-[5-bromo-2- (methyloxy)-3-pyridinyl]-3-pyridinesulfonamide (368 mg, 43.4 % yield) as a grey solid: 1 H NMR (400 MHz, DMSO-de) δ ppm 3.56 (s, 3 H) 7.62 (ddd, J=8.10, 4.83, 0.63 Hz, 1 H) 7.77 (d, J=2.34 Hz, 1 H) 8.07 - 8.15 (m, 2 H) 8.82 (dd, J=4.83, 1.51 Hz, 1 H) 8.88 (d, J=1.95 Hz, 1 H) 10.43 (s, 1 H); ES LC-MS m/z =344.0 (Br79, M+H)+, ES LC-MS m/z =346.0 (Br81, M+H)+.
Step 2
N-[2-(methyloxy)-5-(4, 4, 5, 5-tetramethyl-1 ,3, 2-dioxaborolan-2-yl)-3-pyridinyl]-3- pyridinesulfonamide
[00149] A degassed mixture of N-[5-bromo-2-(methyloxy)-3-pyridinyl]-3- pyridinesulfonamide (363 mg, 1.055 mmol), 4,4,4',4',5,5,5',5'-octamethyl-2,2'-bi-1 ,3,2- dioxaborolane (295 mg, 1.160 mmol), Pd(dppf)2CI2 CH2CI2 adduct (86 mg, 0.105 mmol) and potassium acetate (31 1 mg, 3.16 mmol) in 1 ,4-dioxane (10 mL) was heated at 80 °C for 2 h. The resulting mixture was filtered through a pad of Celite with the aid of EtOAc. The filtrate was concentrated and reevaporated from CH2CI2/hexane. The residue was dissolved in CH2CI2 and purified by column chromatography (silica gel, 0-100% EtOAc/hexane) to obtain N-[2- (methyloxy)-5-(4,4,5,5-tetramethyl-1 ,3,2-dioxaborolan-2-yl)-3-pyridinyl]-3-pyridinesulfonamide (265 mg, 64.2 % yield) as a solid: 1H NMR (400 MHz, DMSO-d6) δ ppm 1.29 (s, 12 H) 3.54 (s, 3 H) 7.60 (dd, J=7.96, 4.93 Hz, 1 H) 7.75 (d, J=1.66 Hz, 1 H) 8.02 (dt, J=8.13, 1 .89 Hz, 1 H) 8.20 (d, J=1.66 Hz, 1 H) 8.73 - 8.85 (m, 2 H) 10.20 (s, 1 H); ES LC-MS m/z =392.2 (M+H)+.
INTERMEDIATE 13
N-[5-bromo-2-(methyloxy)-3-pyridinyl]-2,4-difluoro-N-methylbenzenesulfonamide
[00150] A mixture of N-[5-bromo-2-(methyloxy)-3-pyridinyl]-2,4- difluorobenzenesulfonamide (300 mg, 0.791 mmol), iodomethane (0.099 mL, 1.582 mmol) and K2C03 (328 mg, 2.374 mmol) in DMF (5 mL) was stirred at room temperature for 3 days. The resulting mixture was diluted with EtOAc (50 mL), washed with water (50 mL) and a sat. NaCI solution (50 mL). The organic layer was concentrated onto Celite and purified by column chromatography (silica gel, 0-100% EtOAc/hexane) to obtain N-[5-bromo-2-(methyloxy)-3- pyridinyl]-2,4-difluoro-N-methylbenzenesulfonamide (245 mg, 79% yield) as a colorless thick oil: 1H NMR (400 MHz, DMSO-d6) δ ppm 3.19 (s, 1.5 H) 3.20 (s, 1.5 H) 3.56 (s, 3 H) 7.25 (td, J=8.48, 2.30 Hz, 1 H) 7.58 - 7.67 (m, 1 H) 7.72 (td, J=8.50, 6.35 Hz, 1 H) 7.95 (d, J=2.35 Hz, 1 H) 8.30 (d, J=2.35 Hz, 1 H); ES LC-MS m/z =393.1 (Br79, M+H)+, ES LC-MS m/z =395.0 (Br81, M+H)+.
INTERMEDIATE 14
2,4-difluoro-N-methyl-N-[2-(methyloxy)-5-(4,4,5,5-tetramethyl-1,3,2-dio^
p ridinyljbenzenesulfonamide
[00151] A degassed mixture of N-[5-bromo-2-(methyloxy)-3-pyridinyl]-2,4-difluoro-N- methylbenzenesulfonamide (235 mg, 0.598 mmol), 4,4,4',4',5,5,5',5'-octamethyl-2,2'-bi-1 ,3,2- dioxaborolane (167 mg, 0.657 mmol), Pd(dppf)2CI2 CH2CI2 adduct (48.8 mg, 0.060 mmol) and potassium acetate (176 mg, 1.793 mmol) in 1 ,4-dioxane (5 mL) was heated at 80 °C. After 2 h the resulting mixture was allowed to cool to room temperature and was filtered through a pad of Celite with the aid of EtOAc. The filtrate was concentrated and reevaporated twice from
CH2CI2/hexane. The residue was dissolved in CH2CI2, concentrated onto Celite and purified by column chromatography (silica gel, 0-100% EtOAc/hexane) to obtain 2,4-difluoro-N-methyl-N-[2- (methyloxy)-5-(4,4,5,5-tetramethyl-1 ,3,2-dioxaborolan-2-yl)-3-pyridinyl]benzenesulfonamide (146 mg, 55.5 % yield) as a white solid: 1 H NMR (400 MHz, DMSO-d6) δ ppm 1 .26 - 1.35 (m, 12 H) 3.20 (d, J=1.46 Hz, 3 H) 3.58 (s, 3 H) 7.23 (td, J=8.51 , 2.19 Hz, 1 H) 7.56 - 7.74 (m, 2 H) 7.74 - 7.82 (m, 1 H) 8.34 (d, J=1 .76 Hz, 1 H); ES LC-MS m/z =441.3 (M+H)+.
INTERMEDIATE 15
6-chloro-3-[4-(ethylsulfonyl)phenyl]-2-quinolinamine
General Scheme 3
Step 1
[00152] A slurry of of 6-chloroquinoline (50 g, 306 mmol) and NBS (59.8 g, 336 mmol) in
AcOH (500 ml.) was heated at 1 15 °C for 90 min, then was allowed to cool to room
temperature. More NBS (0.25 eq. 15 g) was added and the reaction mixture was heated at 70 °C for 2 h. The resulting mixture was allowed to cool to room temperature and was
concentrated. The residue was taken up into water (500 ml_). The resulting slurry was filtered, solid washed with water. The solid was dissolved in CH2CI2 (500 ml_). The layers were separated. The organic layer was concentrated and purified by multiple column chromatography (0-40% CH2CI2/hexane) and triturations using CH2CI2 to obtain 3-bromo-6-chloroquinoline (45.2 g, 61 .0 % yield) as an off-white solid: 1 H NMR (400 MHz, DMSO-d6) δ ppm 7.80 (dd, 1 H) 8.03 (d, J=9.07 Hz, 1 H) 8.08 (d, J=2.34 Hz, 1 H) 8.69 (d, J=2.24 Hz, 1 H) 8.96 (d, J=2.24 Hz, 1 H); ES LC-MS m/z =242.1 (Br79, CI35 M+H)+.
Step 2
[00153] To a pale yellow solution of 3-bromo-6-chloroquinoline (45.2 g, 186 mmol) in
CH2CI2 (1500 mL) was added urea hydrogen peroxide (43.8 g, 466 mmol). To the resulting slurry was slowly added TFAA (52.7 mL, 373 mmol). Moderate exotherm was observed. Most of solids dissolved in the bright yellow solution by the end of addition. The reaction mixture was stirred overnight. The resulting mixture was quenched with a sat. Na2S203 solution (400 mL). The organic layer was washed with a sat. NaHC03 solution, dried (Na2S04) and concentrated to obtain 3-bromo-6-chloroquinoline 1-oxide (50 g, quant, yield) as a light yellow solid: 1H NMR (400 MHz, DMSO-d6) δ ppm 7.84 (dd, J=9.27, 2.15 Hz, 1 H) 8.19 (d, 1 H) 8.24 (s, 1 H) 8.45 (d, J=9.27 Hz, 1 H) 8.89 (s, 1 H); ES LC-MS m/z =258.1 (Br79, CI35, M+H)+.
Step 3
[00154] Solid 3-bromo-6-chloroquinoline 1 -oxide (50 g, 186 mmol) was taken up into
POCI3 (about 40 mL). A large exotherm was observed. The flask was immersed in ice-bath and the rest of POCI3 (total 173 mL, 1857 mmol) was added dropwise. The reaction mixture was then heated at the reflux temperature for 1 h. The resulting mixture was allowed to cool to room temperature and concentrated to dryness. The residue was taken up into EtOAc (500 mL). A sat. NaHC03 solution (1 L), then solid K2C03 was carefully added to finish quenching. The biphasic mixture was filtered to remove a light yellow solid. The layers were separated and back extracted with EtOAc (200 mL). The organic layers were combined, washed with a sat. NaCI solution (300 mL) dried (Na2S04) and concentrated to a slurry. The slurry was filtered, solid washed with a small amount of EtOAc. The filtate was concentrated onto Celite and purified by column chromatography (silica gel, 0-20% EtOAc/hexane). Fractions containing the desired product were concentrated to a thick slurry and filtered. All the solids were combined to obtain 3-bromo-2,6-dichloroquinoline (36.2 g, 70.4 % yield) as a beige solid: 1H NMR (400 MHz, DMSO-de) δ ppm 7.88 (dd, 1 H) 8.00 (d, J=8.98 Hz, 1 H) 8.16 (d, J=2.34 Hz, 1 H) 8.92 (s, 1 H); ES LC-MS m/z =276.0 (Br79, CI35, CI35, M+H)+.
Step 4
3-bro -6-chloro-2-quinolinamine
[00155] A thick slurry of 3-bromo-2,6-dichloroquinoline (25 g, 90 mmol), {[4- (methyloxy)phenyl]methyl}amine (18.57 g, 135 mmol), DIPEA (47.3 mL, 271 mmol) in n-BuOH (170 mL) was heated in a sealed tube at 130 °C for 40 h. The resulting mixture was allowed to cool to room temperature and concentrated. The resulting slurry was filtered. The solid was taken up into CH2CI2 and filtered. The filtrate was concentrated to about 200 mL and purified by column chromatography (silica gel, 10-50% CH2CI2/hexane) to obtain crude 3-bromo-6-chloro- N-{[4-(methyloxy)phenyl]methyl}-2-quinolinamine.
[00156] A solution of crude 3-bromo-6-chloro-N-{[4-(methyloxy)phenyl]methyl}-2- quinolinamine in TFA (70 mL) was heated at 65 °C for 3 h. The resulting mixture was concentrated to a thick oil. The residue was taken up into EtOAc (200 mL). The resulting slurry was washed with a sat. NaHC03 solution (200 mL). The organic layer (still a slurry) was concentrated. The residue purified by trituration (CH2CI2, then 5% MeOH/CH2CI2). The filtrates were further purified by column chromatography (silica gel, 0-5% MeOH/CH2CI2). All clean solids were combined to obtain 3-bromo-6-chloro-2-quinolinamine (7.3 g, 76 % yield) as an off- white solid: 1H NMR (400 MHz, DMSO-d6) δ ppm 6.82 (br. s., 2 H) 7.41 - 7.62 (m, 2 H) 7.77 (br. s., 1 H) 8.39 (s, 1 H); ES LC-MS m/z =257.1 (Br79, CI35, M+H)+ .
Step 5
6-chloro-3-[4-(ethylsulfonyl)phenyl]-2-quinolinamine
[00157] A degassed mixture of [4-(ethylsulfonyl)phenyl]boronic acid (457 mg, 2.136 mmol), 3-bromo-6-chloro-2-quinolinamine (500 mg, 1.942 mmol), PdCI2(dppf)2 (142 mg, 0.194 mmol) and potassium acetate (572 mg, 5.82 mmol) in DME (20 mL) and water (5 mL) was heated at 80 °C for 2 h. The resulting mixture was concentrated onto Celite and purified by column chromatography (silica gel, 0-100% EtOAc/hexane) to obtain 6-chloro-3-[4- (ethylsulfonyl)phenyl]-2-quinolinamine (395 mg, 58.7 % yield) as a yellow solid: 1H NMR (400 MHz, DMSO-de) δ ppm 1 .16 (t, J=6.83 Hz, 3 H) 3.34 (d, J=7.5 Hz, 2 H) 6.37 (br. s., 2 H) 7.52 (s, 2 H) 7.75 - 7.85 (m, 3 H) 7.92 (s, 1 H) 7.99 (d, J=6.93 Hz, 2 H); ES LC-MS m/z =347.2 (CI35, M+H)+, ES LC-MS m/z =349.2 (CI37, M+H)+.
EXAMPLE 1
(Compound 1)
N-[5-(2-amino-3-phenyl-6-quinolinyl)-2-(methyloxy)-3-pyridinyl]-2,4- difluorobenzenesulfonamide
[00158] /V-[5-(2-Amino-3-phenyl-6-quinolinyl)-2-(methyloxy)-3-pyridinyl]-2,4- difluorobenzenesulfonamide (20mg, yield: 36%) was obtained from BioBlocks, Inc. (San Diego, CA), 2-amino-6-bromo-3-phenylquinoline HCI and 2,4-difluoro-/V-[2-(methyloxy)-5-(4,4,5,5- tetramethyl-1 ,3,2-dioxaborolan-2-yl)-3-pyridinyl]benzenesulfonamide, following a similar procedure outlined in Step B of Example 4 and General Scheme 4 shown below. 1H NMR (CHLOROFORM-d) 6 ppm: 8.54 (s, 1 H), 8.13 (d, J = 2.1 Hz, 1 H), 7.94 - 8.02 (m, 2H), 7.82 - 7.94 (m, 2H), 7.75 (dq, J = 4.5, 2.1 Hz, 2H), 7.52 - 7.61 (m, 3H), 7.42 - 7.52 (m, 2H), 6.89 - 7.09 (m, 2H), 6.35 - 6.88 (m, 2H), 3.95 (s, 3H). LC-MS: m/z 519 (M+1 ).
EXAMPLE 4
(Compound 4)
N-[5-{2-amino-3-[4-(aminosulfonyl)phenyl]-6-quinolinyl}-2-(methyloxy)-3-pyrid
difluorobenzenesulfonamide
General Scheme 4
Step A
4-(2-amino-6-chloro-3-quinolinyl)benzenesulfonamide
[00159] To a Schlenk flask charged with 3-bromo-6-chloro-2-quinolinamine (50 mg, 0.19 mmol) were added benzenesulfonamide-4-boronic acid pinacol ester (55 mg, 0.19 mmol), KOAc (95 mg, 0.97mmol) and PdCI2(dppf) (14,2 mg, 0.019mmol). A mixed solvent of DME/water (2 mL/0.5ml_) was subsequently introduced. After the resulting suspension was purged with N2 (3x), the reaction was stirred at 80°C for 3 hrs before cooled down to rt. The solvent was evaporated and the crude product was purified by column chromatography (silica gel, 0 to 70% DCM(10%MeOH 2M NH3) in hexanes) to give the title Step A intermediate (52 mg, yield: 80%). LC-MS: m/z 334 (M+1 ).
Step B
N-[5-{2-amino-3-[4-(aminosulfonyl)phenyl]-6-quinolinyl}-2-(meth^
difluorobenzenesulfonamide
[00160] To a Schlenk flask charged with 4-(2-amino-6-chloro-3-quinolinyl)
benzenesulfonamide (from Step A) (53 mg, 0.16 mmol) was added 2,4-difluoro-N-[2- (methyloxy)-5-(4,4,5,5-tetramethyl-1 ,3,2-dioxaborolan-2-yl)-3-pyridinyl]benzenesulfonamide (67.7 mg, 0.16 mmol), K3P04 (67.4 mg, 0.32 mol), Pd2(dba)3 (7.3 mg, 8 mol) and
dicyclohexyl[2',4',6'-tris(1 -methylethyl)-2-biphenylyl]phosphane (15 mg, 0.032 mmol). A mixed solvent of n-butanol/water (2mL/0.5ml_) was subsequently introduced. After the resulting suspension was purged with N2 (3x), the reaction was stirred at 100°C for 16 hrs before being cooled down to rt. The solvent was evaporated and the crude product was then purified by column chromatography (silica gel, 0 to 70% DCM (10%MeOH 2M NH3) in hexanes) to give the title compound (38 mg, yield, 38%). 1H NMR (DMSO-d6): δ 10.31 (br. s., 1 H), 8.41 (s, 1 H), 7.89 - 8.04 (m, 5H), 7.72 - 7.84 (m, 4H), 7.54 - 7.65 (m, 2H), 7.47 (s, 2H), 7.12 - 7.29 (m, 1 H), 6.18 -
6.43 (m, 2H), 3.64 (s, 3H). LC-MS: m/z 598 (M+1 ).
EXAMPLE 5
(Compound 5)
N-[5-[2-amino-3-(1,3-benzodioxol-5-yl)-6-quinolinyl]-2-(methyloxy)-3-pyridin
difluorobenzenesulfonamide
Step A
3-( 1, 3-benzodioxol-5-yl)-6-chloro-2-quinolinamine
[00161] To a schlenk flask charged with 3-bromo-6-chloro-2-quinolinamine( 50 mg, 0.19 mmol) were added 3,4-methylenedioxyphenylboroic acid (32 mg, 0.19 mmol), KOAc (57.2 mg, 0.58 mmol) and PdCI2(dppf) (14.2 mg, 0.019mmol). A mixed solvent of DME/water (2 mL/0.5ml_) was subsequently introduced. After the resulting suspension was purged with N2 (3x), the reaction was stirred at 80°C for 3 hrs before cooled down to rt. The solvent was evaporated and the crude product was purified by column chromatography (silica gel,
0 to 70% DCM (10% MeOH 2 M NH3) in hexanes) to give the titled intermediate (56 mg, yield: 97%). LC-MS: m/z 299 (M+1 ).
Step B
N-[5-[2-amino-3-(1,3-benzodioxol-5-yl)-6-quinolinyl]-2-(m
difluorobenzenesulfonamide:
[00162] To a schlenk flask charged with 3-(1 ,3-benzodioxol-5-yl)-6-chloro-2- quinolinamine (from Step A) (56 mg, 0.19 mmol) were added 2,4-difluoro-/V-[2-(methyloxy)-5- (4,4,5,5-tetramethyl-1 ,3,2-dioxaborolan-2-yl)-3-pyridinyl]benzenesulfonamide (80 mg, 0.19 mmol), K3PO4 (80 mg, 0.38 mmol), Pd2(dba)3 (8.6 mg, 9.4 μπιοΙ) and dicyclohexyl[2',4',6'-tris(1 - methylethyl)-2-biphenylyl]phosphane (18 mg, 0.037 mmol). A mixed solvent of n-butanol/water (2 mL/0.5ml_) was subsequently introduced. After the resulting suspension was purged with N2
(3x), the reaction was stirred at 100°C for 16 hrs before cooled down to rt. The solvent was evaporated and the crude product was purified by column chromatography (silica gel,
0 to 100% DCM (10% MeOH 2M NH3) in hexanes) to give the titled compound (60mg, yield: 54%). 1 H NMR (CHLOROFORM-d) δ: 8.15 (d, J = 2.3 Hz, 1 H), 8.03 (d, J = 2.3 Hz, 1 H), 7.88 (d, J = 6.1 Hz, 1 H), 7.78 (s, 1 H), 7.62 - 7.76 (m, 3H), 6.97 - 7.03 (m, 2H), 6.82 - 6.97 (m, 3H), 6.05 (s, 2H), 5.12 (br. s., 2H), 3.93 (s, 3H). LC-MS: m/z 563 (M+1 ).
EXAMPLE 7
(Compound 7)
N-[5-(2-amino-3-{4-[(aminosulfonyl)methyl]phenyl}-6-quinolinyl)-2-(meth
pyridinyl]-2,4-difluorobenzenesulfonamide
[00163] A/-[5-(2-Amino-3-{4-[(aminosulfonyl)methyl]phenyl}-6-quinolinyl)-2-(methyloxy)-3- pyridinyl]-2,4-difluorobenzenesulfonamide (30mg, yield 31 %) was obtained as a solid from 3- bromo-6-chloro-2-quinolinamine, 1-[4-(4,4,5,5-tetramethyl-1 ,3,2-dioxaborolan-2- yl)phenyl]methanesulfonamide and 2,4-difluoro-/V-[2-(methyloxy)-5-(4,4,5,5- tetramethyl-1 ,3,2-dioxaborolan-2-yl)-3-pyridinyl]benzenesulfonamide, following a similar two- step synthesis outlined in Example 4. 1H NMR (DMSO-d6) <5: 10.17 - 10.40 (m, 1 H), 8.39 (d, J = 1.8 Hz, 1 H), 7.98 (d, J = 1 .2 Hz, 1 H), 7.88 - 7.96 (m, 2H), 7.78 (d, J = 2.0 Hz, 2H), 7.39 - 7.67 (m, 6H), 7.14 - 7.34 (m, 1 H), 6.79 (s, 2H), 6.17 (br. s., 2H), 4.36 (s, 2H), 3.64 (s, 3H). LC-MS: m/z 612 (M+1 ).
EXAMPLE 8
(Compound 8)
N-[5-[2-amino-3-(1-ethyl-1H-pyrazol-4-yl)-6-quinolinyl]-2-(methyloxy)-3-pyridiny
difluorobenzenesulfonamide
[00164] /V-[5-[2-Amino-3-(1-ethyl-1 H-pyrazol-4-yl)-6-quinolinyl]-2-(methyloxy)-3-pyri 2,4-difluorobenzenesulfonamide (25mg, yield: 39%) was obtained as a solid from 3-bromo-6- chloro-2-quinolinamine, 1-ethyl-4-(4,4,5,5-tetramethyl-1 ,3,2-dioxaborolan-2-yl)-1 H-pyrazole and 2,4-difluoro-/V-[2-(methyloxy)-5-(4,4,5,5-tetramethyl-1 ,3,2-dioxaborolan-2-yl)-3- pyridinyl]benzenesulfonamide, following a similar two-step synthesis outlined in Example 4 above. 1H NMR (DMSO-d6) δ: 10.31 (br. s., 1 H), 8.37 (s, 1 H), 8.17 (s, 1 H), 8.03 (s, 1 H), 7.91 (dd, J = 7.6, 2.1 Hz, 2H), 7.83 (s, 1 H), 7.66 - 7.79 (m, 2H), 7.57 (d, J = 8.8 Hz, 2H), 7.05 - 7.30 (m, 1 H), 6.28 (s, 2H), 4.20 (t, 2H), 3.65 (s, 3H), 1.45 (t, 3H). LC-MS: m/z 537 (M+1 ).
EXAMPLE 10
(Compound 10)
N-[5-{2-amino-3-[4-(ethylsulfonyl)phenyl]-6-quinolinyl}-2-(methyloxy)-3-pyridi
[00165] /\/-[5-{2-Amino-3-[4-(ethylsulfonyl)phenyl]-6-quinolinyl}-2-(methyloxy)-3-pyridinyl]- 2,4-difluorobenzenesulfonamide (27mg, yield:30%) was obtained as solid from 3-bromo-6- chloro-2-quinolinamine, ethanesulfonylbenzene boronic acid and 2,4-difluoro-/V-[2-(methyloxy)- 5-(4,4,5,5-tetramethyl-1 ,3,2-dioxaborolan-2-yl)-3-pyridinyl]benzenesulfonamide, following a similar two-step synthesis outlined in Example 4 above. 1H NMR (DMSO-c/6) δ: 10.19 - 10.42 (m, 1 H), 8.38 (d, J = 2.0 Hz, 1 H), 7.96 - 8.04 (m, 5H), 7.93 (d, J = 2.1 Hz, 1 H), 7.71 - 7.88 (m, 4H), 7.61 (d, J = 8.8 Hz, 2H), 7.15 - 7.33 (m, 1 H), 6.35 (br. s., 2H), 3.65 (s, 3H), 3.33 - 3.42 (m,
2H), 1 .17 (t, J = 7.4 Hz, 3H). LC-MS: m/z 61 1 (M+1 ).
EXAMPLE 11
(Compound 11 )
N-[5-{2-amino-3-[4-(4-morpholinylcarbonyl)phenyl]-6-quinolinyl}-2-(methyloxy)-3- pyridinyl]-2,4-difluorobenzenesulfonamide
[00166] /V-[5-{2-Amino-3-[4-(4-morpholinylcarbonyl)phenyl]-6-quinolinyl}-2-(m
pyridinyl]-2,4-difluorobenzenesulfonamide was obtained as solid from 3-bromo-6-chloro-2- quinolinamine, 4-(morpholin-4-carbonyl)phenyl boronic acid and 2,4-difluoro-N-[2-(methyloxy)-5- (4,4,5,5-tetramethyl-1 ,3,2-dioxaborolan-2-yl)-3-pyridinyl]benzenesulfonamide, following a similar two-step synthesis outlined in Example 4 above. 1H NMR (CHLOROFORM-d) δ: 8.16 (s, 1 H),
8.04 (d, J = 2.1 Hz, 1 H), 7.80 - 7.95 (m, 2H), 7.66 - 7.80 (m, 3H), 7.51 - 7.66 (m, 4H), 6.85 -
7.05 (m, 2H), 4.99 (br. s., 2H), 3.95 (s, 3H), 3.35 - 3.92 (m, 8H). LC-MS: m/z 632 (M+1 ).
EXAMPLE 16
(Compound 16)
N-[5-[2-amino-3-(phenylmethyl)-6-quinolinyl]-2-(methyloxy)-3-pyridinyl]-2,4- difluorobenzenesulfonamide
General Scheme 5
Step 1
2,4-difluoro-N-{2-(methyloxy)-5-[2-({[4-(methyloxy)phenyl]methyl}amin
quinolinyl]-3-pyridinyl}benzenesulfonamide
[00167] The title compound (50mg, 58.4%) was obtained from N-[5-[3-bromo-2-({[4- (methyloxy)phenyl]methyl}amino)-6-quinolinyl]-2-(methyloxy)-3-pyridinyl]-2,4- difluorobenzenesulfonamide and benzyl boronic acid under Suzuki conditions described in Example 29. 1 H NMR (400 MHz, CHLOROFORM-d) δ ppm 3.80 (s, 3 H), 3.94 (s, 3 H), 3.96 (s, 2 H), 4.67 (d, J=4.5 Hz, 2 H), 4.75 (br. s., 1 H), 6.80 (d, J=8.6 Hz, 2 H), 6.87 - 6.98 (m, 2 H), 7.07 (d, J=8.6 Hz, 2 H), 7.19 (d, J=6.6 Hz, 2 H), 7.22 - 7.27 (m, 1 H), 7.28 - 7.36 (m, 3 H), 7.60 - 7.68 (m, 3 H), 7.81 (d, J=8.0 Hz, 1 H), 7.84 - 7.93 (m, 1 H), 8.03 (d, J=2.0 Hz, 1 H), 8.15 (d, J=1.8 Hz, 1 H). LC-MS: m/z 653 (M+1 ).
Step 2
N-[5-[2-amino-3-(phenylmethyl)-6-quinolinyl]-2-(methyloxy)-3-pyrid
difluorobenzenesulfonamide
[00168] The title compound (6mg, yield: 35%) was obtained from 2,4-difluoro-N-{2- (methyloxy)-5-[2-({[4-(methyloxy)phenyl]methyl}amino)-3-(phenylmethyl)-6-quinolinyl]-3- pyridinyl}benzenesulfonamide with TFA in a similar procedure outlined in Step 2 of Example 168. 1H NMR (400 MHz, DMSO-d6) δ ppm 3.17 (s, 3 H), 3.62 (s, 2 H), 3.96 (br. s., 1 H), 7.18 (t, J=7.8 Hz, 1 H), 7.23 - 7.40 (m, 5 H), 7.49 - 7.62 (m, 1 H), 7.64 - 7.85 (m, 3 H), 7.85 - 7.97 (m, 1 H), 8.13 (s, 0 H), 8.33 (br. s., 1 H), 10.28 (br. s., 1 H) . LC-MS: m/z 533 (M+1 ).
EXAMPLE 22
(Compound 22)
N-[5-(2-amino-3-{[3-(methylsulfonyl)phenyl]amino}-6-quinolinyl)-2-(methyloxy)-3- pyridinyl]-2,4-difluorobenzenesulfonamide
Step 1
2 -difluoro-N-[2-(methyloxy)-5-(2-({[4-(methyloxy
(methylsulfonyl)phenyl]amino}-6-quinolinyl)-3^yridinyl]benzenesulfonamide
[00169] To a Schlenk flask containing 5 ml. of 1 ,4-dioxane were added Pd2(dba)3 (7.14 mg, 7.79 μηηοΙ) and Xantphos (18.04 mg, 0.031 mmol) 1 ,4-dioxane (5 ml_). The mixture was stirred for -10 min under nitrogen atmosphere before introducing cesium carbonate (152 mg, 0.468 mmol), A/-[5-[3-bromo-2-({[4-(methyloxy)phenyl]methyl}amino)-6-quinolinyl]-2-(methyloxy)- 3-pyridinyl]-2,4-difluorobenzenesulfonamide (100 mg, 0.156 mmol) and 3-(methylsulfonyl)aniline (32.4 mg, 0.156 mmol). The resulting mixture was heated to 100°C for 16h. After cooling down to rt, the solvent was evaporated. The crude mixture was purified by column chromatography (silica gel, 0 to 100 % ethyl acetate in hexanes) to give the title compound (25 mg, yield: 21 %). 1H NMR (400 MHz, CHLOROFORM-d) δ ppm 3.02 (s, 3 H), 3.80 (s, 3 H), 3.91 - 3.99 (m, 3 H), 4.76 (s, 2 H), 5.34 - 5.47 (m, 1 H), 5.51 (s, 1 H), 6.86 (d, J=8.6 Hz, 2 H), 6.90 - 6.99 (m, 2 H), 7.03 (d, J=7.2 Hz, 1 H), 7.24 (s, 1 H), 7.30 - 7.37 (m, 3 H), 7.38 - 7.46 (m, 2 H), 7.61 (s, 1 H), 7.67 (dd, J=8.6, 1 .8 Hz, 1 H), 7.75 (s, 1 H), 7.82 - 7.91 (m, 2 H). LC-MS: m/z 732 (M+1 ).
N-[5-[3-{[3-(aminosulfonyl)phenyl]amino}-2-({[4-(methyloxy)phen
quinolinyl]-2-(methyloxy)-3-pyridinyl]-2,4-difluorobenzenesulfonamide
/V-[5-[3-{[3-(aminosulfonyl)phenyl]amino}-2-({[4-(methyloxy)phenyl]m
quinolinyl]-2-(methyloxy)-3-pyridinyl]-2,4-difluorobenzenesulfonamide
(12 mg, yield 27%) was obtained using a similar procedure outlined in General Scheme 6 and in Step 1 . LC-MS: m/z 733 (M+1 ).
Step 2
N-[5-(2-amino-3-{[3-(methylsulfonyl)phenyl]amino}-6-quinolinyl)-2-(mefo^
difluorobenzenesulfonamide
[00170] 2,4-Difluoro-N-[2-(methyloxy)-5-(2-({[4-(methyloxy)phenyl]methyl}amino)-3-{[3- (methylsulfonyl)phenyl] amino}-6-quinolinyl)-3-pyridinyl]benzenesulfonamide (10 mg, 0.014 mmol) was treated with trifluoroacetic acid (TFA) (2 ml.) at 65°C overnight. The solvent was then removed in vacuum. The crude product was purified by HPLC (C18, 5-90%
acetontrile/water (0.1 % formic acid)) to give the title compound (5 mg, yield 57%). 1H NMR (400 MHz, DMSO-d6) δ ppm 3.20 (s, 3 H), 3.64 (s, 3 H), 6.49 (br. s., 2 H), 7.20 (t, J=8.4 Hz, 1 H), 7.29 - 7.38 (m, 2 H), 7.42 - 7.61 (m, 4 H), 7.67 (d, J=8.6 Hz, 1 H), 7.71 - 7.80 (m, 1 H), 7.82 - 7.93 (m, 3 H), 8.03 (s, 1 H), 8.13 (s, 1 H), 8.35 (br. s., 1 H), 10.28 (br. s., 1 H). LC-MS: m/z 612 (M+1 ).
EXAMPLE 23
(Compound 23)
N-[5-(2-amino-3-{[3-(aminosulfonyl)phenyl]amino}-6-quinolinyl)-2-(meth
pyridinyl]-2,4-difluorobenzenesulfonamide
[00171] The title compound (5 mg, 57%) was obtained from Λ/-[5-[3-{[3- (aminosulfonyl)phenyl]amino}-2-({[4-(methyloxy)phenyl]methyl}amino)-6-quinolinyl]-2- (methyloxy)-3-pyridinyl]-2,4-difluorobenzenesulfonamide with TFA in a similar procedure outlined in Step 2 of Example 22. 1 H NMR (400 MHz, CHLOROFORM-d) δ ppm 6.79 - 6.94 (m, 2 H), 7.13 (d, J=7.6 Hz, 1 H), 7.30 - 7.42 (m, 2 H), 7.43 (s, 1 H), 7.52 - 7.57 (m, 2 H), 7.59 - 7.66 (m, 1 H), 7.70 - 7.79 (m, 2 H), 7.90 (d, J=2A Hz, 1 H), 8.03 (d, J=2.0 Hz, 1 H), 8.22 (s, 1 H). LC-MS: m/z 613 (M+1 ).
EXAMPLE 24
(Compound 24)
N-[5-{2-amino-3-[3-(ethylsulfonyl)phenyl]-6-quinolinyl}-2-(methyloxy)-3-pyridi
difluorobenzenesulfonamide
F
[00172] 1H NMR (CHLOROFORM-d) δ: 8.16 (d, J = 2.1 Hz, 1 H), 8.08 - 8.14 (m, 1 H), 7.96
- 8.08 (m, 2H), 7.84 - 7.96 (m, 3H), 7.62 - 7.84 (m, 4H), 7.26 (s, 1 H), 6.86 - 7.1 1 (m, 2H), 5.03 (br. s., 1 H), 3.94 (s, 3H), 3.21 (q, J = 7.4 Hz, 2H), 1 .36 (t, 3H). LC-MS: m/z 61 1 (M+1 ).
EXAMPLE 25
(Compound 25)
N-[5-{2-amino-3-[3-(aminosulfonyl)phenyl]-6-quinolinyl}-2-(methylox
difluorobenzenesulfonamide
[00173] 1H NMR (DMSO-d6) δ: 10.31 (br. s., 1 H), 8.39 (br. s., 2H), 7.91 - 8.06 (m, 3H),
7.85 - 7.91 (m, 1 H), 7.68 - 7.85 (m, 3H), 7.53 - 7.66 (m, 2H), 7.38 - 7.45 (m, 2H), 7.17 - 7.27 (m, 1 H), 6.20 - 6.43 (m, 2H), 3.65 (s, 3H). LC-MS: m/z 598 (M+1 ).
EXAMPLE 26
(Compound 26)
N-[5-{2-amino-3-[3-(4-morpholinyl)phenyl]-6-quinolinyl}-2-(methyloxy)-3-pyridi
2,4- ide
[00174] 1H NMR (CHLOROFORM-d) δ: 8.16 (d, J = 2.1 Hz, 1 H), 8.05 (d, J = 2.0 Hz, 1 H),
7.80 - 7.95 (m, 2H), 7.62 - 7.80 (m, 3H), 7.41 (t, J = 7.9 Hz, 1 H), 6.87 - 7.10 (m, 4H), 5.14 (br. s., 2H), 3.94 (s, 3H), 3.89 (d, J = 4.9 Hz, 4H), 3.12 - 3.36 (m, 4H). LC-MS: m/z 604 (M+1 ).
EXAMPLE 27
(Compound 27)
N-[5-{2-amino-3-[2-(methyloxy)-4-pyridinyl]-6-quinolinyl}-2-(methyloxy)-3-p
[00175] 1H NMR (CHLOROFORM-d) δ: 8.34 (d, J = 2.0 Hz, 1 H), 8.17 (d, J = 2.0 Hz, 1 H),
8.05 (d, J = 2.0 Hz, 1 H), 7.88 (d, J = 6.2 Hz, 1 H), 7.65 - 7.85 (m, 5H), 7.53 - 7.65 (m, 1 H), 7.40 (d, J = 2.3 Hz, 1 H), 6.81 - 7.1 1 (m, 3H), 4.96 (br. s., 2H), 4.02 (s, 3H), 3.95 (s, 3H). LC-MS: m/z 550 (M+1 ).
EXAMPLE 28
(Compound 28)
N-[5-{2-amino-3-[4-(cyanomethyl)phenyl]-6-quinolinyl}-2-(methyloxy)-3-py
difluorobenzenesulfonamide
[00176] 1H NMR (400 MHz, CHLOROFORM-d) δ = 3.86 (s, 2 H), 3.95 (s, 3 H), 5.05 (br. s., 2 H), 6.94 (q, J=7.4 Hz, 2 H), 7.48 - 7.55 (m, 2 H), 7.55 - 7.62 (m, 2 H), 7.68 - 7.80 (m, 3 H), 7.82 - 7.93 (m, 2 H), 8.05 (s, 1 H), 8.17 (s, 1 H). LC-MS: m/z 558 (M+1 ).
EXAMPLE 29
(Compound 29)
4-{2-amino-6-[5-{[(2,4-difluorophenyl)sulfonyl]amino}-6-(methyloxy)-3-py^^
quinolinyl}-N-methylbenzamide
General Scheme 7
Step I
(2E)-3-(ethyloxy)-N-(4-iodophenyl)-2-propenamide
[00177] At 0 °C, to a stirred solution of 4-iodoaniline (33.9 g, 155 mmol) and pyridine (30 ml, 371 mmol) in dichloromethane (200ml_) was slowly added (2£)-3-(ethyloxy)-2-propenoyl chloride (23g, 155 mmol). The resulting mixture was stirred at rt for 2hrs, during which precipitates were formed. The suspension reaction mixture was then concentrated down to about half of the original volume in vacuo. The solid was filtered, washed with water and dried in vacuo to give the title compound (33 g, yield: 67.2%). 1H NMR (400 MHz, CHLOROFORM-d) δ 1.35 (t, J=1A Hz, 3 H), 3.94 (q, J=7.0 Hz, 2 H), 5.29 (d, J=12.1 Hz, 1 H), 7.31 (d, J=8.4 Hz, 2 H), 7.56 - 7.67 (m, 3 H). ES-LCMS: m/z 318(M+1 ).
Step II
6-iodo-2( 1H)-quinolinone
[00178] At 0°C, to a stirred concentrated sulfuric acid (300 mL) was added (2E)-3- (ethyloxy)-N-(4-iodophenyl)-2-propenamide (33 g, 104 mmol) portionwise. After stirring at room temperature for 2hrs, the reaction mixture was slowly poured into ~1 kg of ice. The resulting solid was filtered, washed with water (3x) and acetonitrile (2x) and dried in vacuo to provide the title compound as an off-white solid (27.1 g, yield: 96%). 1H NMR (400 MHz, CHLOROFORM-d) δ = 6.73 (d, J=9.6 Hz, 1 H), 7.17 (d, J=8.8 Hz, 1 H), 7.74 (d, J=9.6 Hz, 1 H), 7.77 (dd, J=8.8, 1.4 Hz, 1 H), 7.93 (d, J=1 .4 Hz, 1 H). ES-LCMS: m/z 272 (M+1 ).
Step III
3-bromo-6-iodo-2(1H)-quinolinone
[00179] To a stirred solution of 6-iodo-2(1 H)-quinolinone (22 g, 81 mmol) in a mixed N,N- Dimethylformamide (DMF) (400 mL) and dichloromethane (DCM) (100mL) was added NBS (17.34 g, 97 mmol). Stirring was continued at rt for 22 hrs. After the reaction was completed, the mixture was concentrated to remove DCM in vacuo before poured into 6000 mL of water. The precipitate was collected by filtration, washed with water and acetonitrile and dried in vacuo to give 3-bromo-6-iodo-2(1 H)-quinolinone as white solid (24 g, 84%). 1H NMR (400 MHz, DMSO-de) δ = 7.13 (d, J=8.8 Hz, 1 H), 7.82 (dd, J=8.8, 2.0 Hz, 1 H), 8.08 (d, J=1.8 Hz, 1 H), 8.45 (s, 1 H), 12.36 (s, 1 H). ES-LCMS: m/z 350 (M+1 ).
Step IV
3-bromo-2-chloro-6-iodoquinoline
[00180] 3-Bromo-6-iodo-2(1 H)-quinolinone (26 g, 74.3 mmol) was treated with phosphorus oxychloride (80 mL, 858 mmol) at 100 °C for one hour. After being cooled down, phosphorus oxychloride was removed in vacuo and the residue was redissolved in 1500 mL of ethyl acetate and washed with saturated Na2C03 solution and brine. After drying over Na2S04 and evaporation of the solvents, the title compound (22.5g, yield: 82%) was obtained. 1 H NMR (400 MHz, DMSO-d6) δ = 7.75 (d, J=8.8 Hz, 1 H), 8.1 1 (dd, J=8.8, 2.0 Hz, 1 H), 8.49 (d, J=1 .8 Hz, 1 H), 8.88 (s, 1 H). ES-LCMS: m/z 340 (M+1 ).
Step V
3-bromo-6-iodo-N-{[4-(methyloxy)phenyl]methyl}-2-quinolinamine
[00181] To a 100-mL sealed tube containing 1 -butanol (40 mL) were added 3-bromo-2- chloro-6-iodoquinoline (5 g, 13.57 mmol) and 4-methoxylbenzylamine (2.3 mL, 17.6 mmol) and triethylamine(3.8 mL, 27.1 mmol). After the tube was sealed, the reaction was heated to 135°C for 29 hrs. The reaction mixture was then cooled down to rt and further on ice. Yellow needle crystals were formed and collected by filtration. The collected crystals were washed with ethanol and dried in vacuo to give 3-bromo-6-iodo-/V-{[4-(methyloxy)phenyl]methyl}-2- quinolinamine(5.5g, yield: 86%).ES-LCMS: m/z 469(M+1 ).
3-bromo-6-iodo-N-methyl-2-naphthalenamine
[00182] The title intermediate (700 mg, yield: 71 %) was obtained from 3-bromo-2-chloro- 6-iodonaphthalene (1 g, 2.72 mmol), methylamine hydrochloride (0.37 g, 5.44 mmol) and triethylamine (1.9 mL, 13.6 mmol), following the similar procedure outlined in the preparation of 3-bromo-6-iodo-N-{[4-(methyloxy)phenyl]methyl}-2-quinolinamine (above)
1H NMR (400 MHz, CHLOROFORM-d) δ = 3.14 (d, J=4.9 Hz, 3 H), 5.46 (br. s., 1 H), 7.46 (d, J=8.8 Hz, 1 H), 7.76 (dd, J=8.9, 1.9 Hz, 1 H), 7.85 (d, J=1.8 Hz, 1 H), 7.94 (s, 1 H). LC-MS: m/z 362 (M+1 ).
3-bromo-N-ethyl-6-iodo-2-naphthalenamine
[00183] The title intermediate (0.47 g, 92%) was obtained from 3-bromo-2-chloro-6- iodonaphthalene ethylamine hydrochloride and triethylamine, following the similar procedure outlined in the preparation of 3-bromo-6-iodo-/V-{[4-(methyloxy)phenyl]methyl}-2-quinolinamine (above). 1 H NMR (400 MHz, CHLOROFORM-d) δ = 1 .33 (t, J=7.2 Hz, 3 H), 3.56 - 3.70 (m, 2 H), 5.36 (br. s., 1 H), 7.43 (d, J=8.8 Hz, 1 H), 7.74 (dd, J=9.0, 1 .8 Hz, 1 H), 7.84 (s, 1 H), 7.90 - 7.98 (m, 1 H). LCMS: m/z 376 (M+1 ).
Step VI
N-[5-[3-bromo-2-({[4-(methyloxy)phenyl]methyl}amino)-6-quinolin
2,4-difluorobenzenesulfonamide
[00184] To a Schlenk flask was added: 3-bromo-6-iodo-/V-{[4-(methyloxy)phenyl]methyl}- 2-quinolinamine (5 g, 10.66 mmol), 2,4-difluoro-/V-[2-(methyloxy)-5-(4,4,5,5-tetramethyl-1 ,3,2- dioxaborolan-2-yl)-3-pyridinyl] benzenesulfonamide (prepared according to the procedure described in WO2008141065) (5.7 g, 13.37 mmol), sodium carbonate (3.39 g, 32 mmol) and PdCI2(dppf)-CH2CI2 adduct (0.435 g, 0.533 mmol). A mixed solvent of THF (100 mL) and water (20 mL) was introduced. After the flask was purged with N2 (3X), the mixture was heated to
60°C overnight under nitrogen atmosphere. The reaction was then cooled down to rt before diluted with ethyl acetate. The layers were separated. The organic layer was washed with brine and dried over sodium sulfate. After evaporation of the solvents, the crude product was purified by column chromatography (silica gel, 0-70% ethyl acetate in hexanes) to give the title compound (5.7 g, yield: 83%). ES-LCMS: m/z 641 (M+1 ).
[00185] The following two intermediates were prepared using the procedure described above.
N-[5-[3-bromo-2-(methylamino)-6-quinolinyl]-2-(methyloxy)-3-pyridinyl]-2,4- difluorobenzenesulfonamide
[00186] 199 mg, yield: 58%. 1H NMR (400 MHz, CHLOROFORM-d) δ = 3.19 (d, J=2.3 Hz, 3 H), 3.95 (s, 3 H), 5.51 (br. s., 1 H), 6.88 - 7.00 (m, 2 H), 7.60 (d, J=1.8 Hz, 1 H), 7.67 (dd, J=8.8, 2.0 Hz, 1 H), 7.80 (d, J=8.6 Hz, 1 H), 7.84 - 7.93 (m, 1 H), 8.00 - 8.06 (m, 1 H), 8.1 1 - 8.17 (m, 2 H). LC-MS: m/z 535 (M+1 ).
N-[5-[3-bromo-2-(ethylamino)-6-quinolinyl]-2-(methyloxy)-3-pyridinyl]-2,4- difluorobenzenesulfonamide
[00187] 163 mg, yield: 48%. 1 H NMR (400 MHz, CHLOROFORM-d) δ = 1.37 (t, J=7.2 Hz,
3 H), 3.62 - 3.72 (m, 2 H), 3.96 (s, 3 H), 6.90 - 7.00 (m, 2 H), 7.26 (s, 1 H), 7.60 (d, J=2.1 Hz, 1 H), 7.63 - 7.70 (m, 1 H), 7.72 - 7.80 (m, 1 H), 7.89 (td, J=8.6, 6.1 Hz, 1 H), 7.99 - 8.04 (m, 1 H), 8.1 1 - 8.16 (m, 2 H). LC-MS: m/z 549 (M+1 ).
Step VII
N-[5-(2-amino-3-bromo-6-quinolinyl)-2-(methyloxy)-3-pyridinyl]-2,4-difluorobenzenesulfonamid
[00188] A/-[5-[3-Bromo-2-({[4-(methyloxy)phenyl]methyl}amino)-6-quinolinyl]-2- (methyloxy)-3-pyridinyl]-2,4-difluorobenzenesulfonamide (50 mg, 0.078 mmol) was dissolved in trifluoroacetic acid (TFA) (1 ml_). The resulting solution was heated to 65°C for 6hrs. After cooling, TFA was removed in vacuo. The residue was dissolved in ethyl acetate and washed with saturated sodium carbonate solution. The organic phase was dried over sodium sulfate, filtered and evaporated to give the title compound. 1H NMR (400 MHz, DMSO-c/6) δ ppm 3.65 (s, 4 H), 7.14 - 7.28 (m, 1 H), 7.53 - 7.63 (m, 1 H), 7.68 (d, J=8.6 Hz, 1 H), 7.73 - 7.82 (m, 1 H), 7.91 - 7.98 (m, 2 H), 8.04 (s, 1 H), 8.39 (d, J=2.1 Hz, 1 H), 8.66 (br. s., 1 H), 10.34 (s, 1 H). ES-
LCMS: m/z 522 (M+1 ).
Step VIII
4-{2-amino-6-[5-{[(2,4-difluorophenyl)sulfonyl]amino}-6-(me
methylbenzamide
[00189] To a schlenk flask were added A/-[5-(2-Amino-3-bromo-6-quinolinyl)-2- (methyloxy)-3-pyridinyl]-2,4-difluorobenzenesulfonamide (30 mg, 0.058 mmol), 4- methylaminocarbonyl-phenylboronic acid (10.3 mg, 0.058 mmol), PdCI2(dppf)-CH2Cl2 adduct (4.7mg, 5.75μmmol) and potassium acetate (16.9 mg, 0.173 mmol). A mixed toluene (2ml_) and methanol (0.5 ml.) solution was then introduced. After purging with N2 (3X), the reaction was heated to 100°C for 2 hrs under a nitrogen atmosphere before cooling downed to rt. The solvents were evaporated and the crude mixture was purified by column chromatography (silica gel, 0 to 100% DCM(10% MeOH 2M NH3) in hexanes) to give the title compound (5 mg, yield: 14.3%). 1H NMR (400 MHz, CHLOROFORM-d) δ = 3.07 (d, J=4.9 Hz, 3 H), 3.94 (s, 3 H), 4.99 (br. s., 2 H), 6.29 (d, J=4.5 Hz, 1 H), 6.87 - 6.99 (m, 2 H), 7.62 (d, J=8.0 Hz, 2 H), 7.67 - 7.77 (m, 3 H), 7.81 - 7.95 (m, 4 H), 8.03 (d, J=1.8 Hz, 1 H), 8.15 (d, J=1 .8 Hz, 1 H). LC-MS: m/z 576 (M+1 ).
[00190] Examples 24-28, 30-42, 46-49, 50-54, 59-61 , 65-70, 76-81 , 89-91 , 95, 97-101 ,
103-108, 1 10, and 132 were synthesized by Suzuki coupling using a similar procedure outlined in Step VIII of the preparation of this example: Example 29, from N-[5-(2-Amino-3-bromo-6- quinolinyl)-2-(methyloxy)-3-pyridinyl]-2,4-difluorobenzenesulfonamide and the corresponding boronic acids/esters in a yield of 10 to 75%.
EXAMPLE 30
(Compound 30)
ethyl 3-{2-amino-6-[5-{[(2,4-difluorophenyl)sulfonyl]amino}-6-(methyloxy)
quinolinyljbenzoa te
[00191] 1H NMR (400 MHz, DMSO-d6) δ = 1.34 (t, J=7.0 Hz, 3 H), 3.65 (s, 3 H), 4.36 (q,
J=1A Hz, 2 H), 6.25 (br. s., 2 H), 7.20 (t, J=7.5 Hz, 1 H), 7.51 - 7.63 (m, 2 H), 7.64 - 7.71 (m, 1 H), 7.73 - 7.85 (m, 3 H), 7.91 (s, 1 H), 7.95 - 8.00 (m, 2 H), 8.03 (d, J=7.2 Hz, 1 H), 8.08 (s, 1 H), 8.35 (br. s., 1 H). LC-MS: m/z 591 (M+1 ).
EXAMPLE 31
(Compound 31 )
4-{2-amino-6-[5-{[(2,4-difluorophenyl)sulfonyl]amino}-6-(methyloxy)-3-pyrid
quinolinyl}benzamide
[00192] 1H NMR (400 MHz, DMSO-d6) δ ppm 3.65 (s, 3 H), 6.22 (br. s., 2 H), 7.21 (t, J=8.4 Hz, 1 H), 7.45 (br. s., 1 H), 7.54 - 7.66 (m, 4 H), 7.72 - 7.83 (m, 2 H), 7.90 - 7.99 (m, 3 H), 8.03 (d, J=8.2 Hz, 2 H), 8.14 (s, 1 H), 8.38 (s, 1 H). LC-MS: m/z 562 (M+1 ).
EXAMPLE 32
(Compound 32)
N-[5-{2-amino-3-[4-(4-morpholinyl)phenyl]-6-quinolinyl}-2-(methyloxy)-3-pyridi
[00193] 1H NMR (CHLOROFORM-d) δ: 8.55 (s, 1 H), 8.13 (d, J = 2.1 Hz, 1 H), 7.99 (d, J =
2.3 Hz, 1 H), 7.80 - 7.96 (m, 3H), 7.66 - 7.80 (m, 2H), 7.40 (d, J = 8.8 Hz, 2H), 7.06 (d, J = 8.8 Hz, 2H), 6.73 - 7.00 (m, 2H), 3.83 - 4.03 (m, 7H), 3.20 - 3.35 (m, 4H). LC-MS: m/z
604 (M+1 ).
EXAMPLE 33
(Compound 33)
N-[5-{2-amino-3-[6-(4-methyl-1-piperazinyl)-3-pyridinyl]-6-quinoliny
3-pyridinyl]-2,4-difluorobenzenesulfonamide
[00194] 1H NMR (CHLOROFORM-d) δ: 8.34 (s, 1 H), 8.16 (s, 1 H), 8.03 (s, 1 H), 7.56 -
7.99 (m, 6H), 7.27 (s, 1 H), 6.87 - 7.08 (m, 2H), 6.79 (d, J = 8.8 Hz, 1 H), 5.09 - 6.20 (m, 2H), 3.95 (s, 3H), 2.40 (s, 3H), 0.69 - 1.93 (m, 8H). LC-MS: m/z 618 (M+1 ).
EXAMPLE 34
(Compound 34)
N-[5-{2-amino-3-[4-(4-methyl-1-piperazinyl)phenyl]-6-quinolinyl}-2-(methyloxy)-3^ pyridinyl]-2,4-difluorobenzenesulfonamide
[00195] 1H NMR (CHLOROFORM-d) δ: 8.16 (d, J = 2.3 Hz, 1 H), 8.03 (d, J = 2.1 Hz, 1 H),
7.88 (d, J = 5.9 Hz, 1 H), 7.79 (s, 1 H), 7.61 - 7.79 (m, 4H), 7.44 (d, J = 8.8 Hz, 2H), 7.05 (d, J = 8.8 Hz, 2H), 6.84 - 7.00 (m, 2H), 5.07 (br. s., 2H), 3.94 (s, 3H), 3.15 - 3.39 (m, 4H),
2.54 - 2.77 (m, 4H), 2.39 (s, 3H). LC-MS: m/z 618 (M+1 ).
EXAMPLE 35
(Compound 35)
N-[5-{2-amino-3-[4-(4-morpholinylmethyl)phenyl]-6-quinolinyl}-2-(m
pyridinyl]-2,4-difluorobenzenesulfonamide:
[00196] 1H NMR (CHLOROFORM-d) δ: 8.16 (d, J = 2.1 Hz, 1 H), 8.04 (d, J = 2.3 Hz, 1 H),
7.80 - 7.93 (m, 2H), 7.60 - 7.80 (m, 3H), 7.37 - 7.56 (m, 4H), 6.94 (dd, J = 7.8, 2.1 Hz, 2H), 5.05 (br. s., 2H), 3.95 (s, 3H), 3.75 (t, J = 4.5 Hz, 4H), 3.58 (s, 2H), 2.51 (br. s., 4H). LC-MS: m/z 618 (M+1 ).
EXAMPLE 36
(Compound 36)
N-[5-[2-amino-3-(4-cyanophenyl)-6-quinolinyl]-2-(methyloxy)-3-pyridinyl]-2,4- difluorobenzenesulfonamide
[00197] 1H NMR (400 MHz, CHLOROFORM-d) δ = 3.95 (s, 3 H), 6.14 (br. s., 2 H), 6.89 -
7.00 (m, 2 H), 7.69 (d, J=8.4 Hz, 2 H), 7.76 (dq, J=4.6, 2.2 Hz, 2 H), 7.82 - 7.91 (m, 4 H), 7.92 (s, 1 H), 8.03 (d, J=2.1 Hz, 1 H), 8.15 (d, J=2.1 Hz, 1 H). LC-MS: m/z 544 (M+1 ).
EXAMPLE 37
(Compound 37)
methyl 4-{2-amino-6-[5-{[(2,4-difluorophenyl)sulfonyl]amino}-6-(methyloxy)-3-pyridinyl]-3- quinolinyljbenzoa te
[00198] 1H NMR (400 MHz, CHLOROFORM-d) δ = 3.95 (s, 3 H), 3.98 (s, 3 H), 6.90 -
6.98 (m, 2 H), 7.62 (d, J=8.4 Hz, 2 H), 7.72 - 7.78 (m, 2 H), 7.83 - 7.91 (m, 2 H), 7.97 (s, 1 H), 8.01 (d, J=2.1 Hz, 1 H), 8.14 (d, J=2.3 Hz, 1 H), 8.23 (d, J=8.4 Hz, 2 H). LC-MS: m/z 577 (M+1 ).
EXAMPLE 38
(Compound 38)
ethyl 4-{2-amino-6-[5-{[(2,4-difluorophenyl)sulfonyl]amino}-6-(methyloxy)-3-pyridinyl]-3- quinolinyljbenzoa te
[00199] 1H NMR (400 MHz, DMSO-d6) δ = 1.35 (t, J=l A Hz, 3 H), 3.66 (s, 3 H), 4.36 (q,
J=7.0 Hz, 2 H), 6.24 (br. s., 2 H), 7.13 - 7.22 (m, 1 H), 7.51 (t, J=9.4 Hz, 1 H), 7.59 (d, J=8.8 Hz, 1 H), 7.71 (d, J=8.2 Hz, 2 H), 7.74 - 7.81 (m, 2 H), 7.85 (br. s., 1 H), 7.93 (s, 1 H), 7.97 (s, 1 H), 8.09 (d, J=8.2 Hz, 2 H), 8.24 (br. s., 1 H). LC-MS: m/z 591 (M+1 ).
EXAMPLE 39
(Compound 39)
N-[5-{2-amino-3-[4-(1-piperazinylcarbonyl)phenyl]-6-quinolinyl}-2-(methyloxy)-3- pyridinyl]-2,4-difluorobenzenesulfonamide
[00200] 1H NMR (400 MHz, CHLOROFORM-d) δ = ppm 3.03 (br. s., 4 H), 3.62 (br. s., 4
H), 3.96 (s, 3 H), 6.88 - 7.00 (m, 2 H), 7.56 - 7.66 (m, 4 H), 7.72 - 7.79 (m, 2 H), 7.84 - 7.93 (m, 2 H), 7.95 (s, 1 H), 8.02 (s, 1 H), 8.15 (s, 1 H). LC-MS: m/z 631 (M+1 ).
EXAMPLE 40
(Compound 40)
N-[5-{2-amino-3-[4-(1-pyrrolidinylcarbonyl)phenyl]-6-quinolinyl}-2-(methyloxy)-3- pyridinyl]-2,4-difluorobenzenesulfonamide
[00201] 1H NMR (CHLOROFORM-d) δ: 8.17 (d, J = 2.1 Hz, 1 H), 8.05 (d, J = 2.1 Hz, 1 H),
7.82 - 7.94 (m, 2H), 7.65 - 7.80 (m, 5H), 7.51 - 7.65 (m, 2H), 6.95 (dd, J = 7.9, 1 .9 Hz, 2H), 5.06 (br. s., 2H), 3.95 (s, 3H), 3.71 (t, J = 6.9 Hz, 2H), 3.53 (t, J = 6.4 Hz, 2H), 1 .83 - 2.29 (m, 4H). LC-MS: m/z 616 (M+1 ).
EXAMPLE 41
(Compound 41 )
N-[5-{2-amino-3-[6-(1-piperazinyl)-3-pyridinyl]-6-quinolinyl}-2-(m
difluorobenzenesulfonamide
[00202] 1H NMR (400 MHz, CHLOROFORM-d) δ ppm 3.02 - 3.12 (m, 4 H), 3.63 - 3.72
(m, 4 H), 3.95 (s, 3 H), 6.78 (d, J=8.8 Hz, 1 H), 6.88 - 7.00 (m, 2 H), 7.64 - 7.73 (m, 3 H), 7.80 (d, J=8.6 Hz, 1 H), 7.83 (s, 1 H), 7.88 (td, J=8.6, 6.1 Hz, 1 H), 8.02 (d, J=2.1 Hz, 1 H), 8.12 - 8.17 (m, 1 H), 8.31 - 8.38 (m, 1 H). LC-MS: m/z 604 (M+1 ).
EXAMPLE 42
(Compound 42)
N-[5-(2-amino-3-{4-[(dimethylamino)sulfonyl]phenyl}-6-quinolinyl)-2-(m
[00203] 1H NMR (CHLOROFORM-d) δ: 8.16 (d, J = 2.1 Hz, 1 H), 8.05 (d, J = 2.3 Hz, 1 H),
7.81 - 7.98 (m, 4H), 7.63 - 7.83 (m, 5H), 6.95 (s, 2H), 4.98 (br. s., 2H), 3.95 (s, 3H), 2.81 (s, 6H). LC-MS: m/z 626 (M+1 ).
EXAMPLE 45
(Compound 45)
-amino-3-(6-{[3-(dimethylamino)propyl]oxy}-3-pyridinyl)-6-quinolinyl]-2- (methyloxy)- -pyridinyl]-2,4-difluorobenzenesulfonamide
[00204] 1H NMR (400 MHz, DMSO-d6) δ ppm 8.29 (d, J=2.3 Hz, 1 H), 8.16 - 8.24 (m, 1
H), 8.14 (s, 2 H), 7.67 - 7.92 (m, 6 H), 7.58 (d, J=8.6 Hz, 1 H), 7.44 - 7.53 (m, 1 H), 7.06 - 7.24 (m, 1 H), 6.93 (d, J=8.8 Hz, 1 H), 6.22 (s, 2 H), 4.35 (t, J=6.5 Hz, 2 H), 3.67 (s, 3 H), 2.33 (s, 6 H), 1.84 - 2.02 (m, 2 H). ES-LCMS: m/z = 621 .4 (M+1 ).
EXAMPLE 46
(Compound 46)
N-[5-{2-amino-3-[4-(1-piperidinylcarbonyl)phenyl]-6-quinolinyl}-2-(methyloxy)-3-py
[00205] 1H NMR (400 MHz, CHLOROFORM-d) δ ppm 1 .59 (br. s., 2 H), 1.73 (br. s., 4 H),
3.42 (br. s., 2 H), 3.76 (d, J=2.7 Hz, 2 H), 3.97 (s, 3 H), 6.88 - 7.00 (m, 2 H), 7.58 (q, J=8.3 Hz, 4 H), 7.73 - 7.77 (m, 2 H), 7.83 - 7.92 (m, 2 H), 7.94 (s, 1 H), 8.01 (d, J=2.3 Hz, 1 H), 8.14 (d, J=2.1 Hz, 1 H), 8.53 (s, 1 H). LC-MS: m/z 630 (M+1 ).
EXAMPLE 47
(Compound 47)
N-[5-{2-amino-3-[4-(1-pyrrolidinylsulfonyl)phenyl]-6-quinolinyl}-2-(m
pyridinyl]-2,4-difluorobenzenesulfonamide
[00206] 1H NMR (400 MHz, CHLOROFORM-d) δ ppm 1 .80 - 1 .92 (m, 4 H), 3.29 - 3.39
(m, 4 H), 3.99 (br. s., 3 H), 5.68 (br. s., 2 H), 6.88 - 6.99 (m, 2 H), 7.70 - 7.77 (m, 4 H), 7.79 - 7.93 (m, 3 H), 8.00 (d, J=8.2 Hz, 2 H), 8.04 (d, J=2.1 Hz, 1 H), 8.16 (d, J=2.1 Hz, 1 H). LC-MS: m/z 652 (M+1 ).
EXAMPLE 48
(Compound 48)
1,1-dimethylethyl 4-(5-{2-amino-6-[5-{[(2,4-difluorophenyl)sulfonyl]amino}-6-(methyloxy)- 3-pyridinyl]-3-quinolinyl}-2-pyridinyl)-1 -piperazinecarboxyla te
[00207] 1H NMR (400 MHz, CHLOROFORM-d) δ ppm 1 .52 (s, 9 H), 3.57 - 3.69 (m, 8 H),
3.96 (s, 3 H), 6.79 (d, J=8.8 Hz, 1 H), 6.90 - 7.01 (m, 2 H), 7.67 - 7.79 (m, 4 H), 7.81 (s, 1 H), 7.85 - 7.94 (m, 1 H), 8.04 (d, J=2.3 Hz, 1 H), 8.17 (d, J=2.3 Hz, 1 H), 8.35 - 8.39 (m, 1 H). LC- MS: m/z 704 (M+1 ).
EXAMPLE 49
(Compound 49)
N-[5-{2-amino-3-[2-(1-piperidinyl)-5-pyrimidinyl]-6-quinolinyl}-2-(m
2,4-difluorobenzenesulfonamide
[00208] 1H NMR (400 MHz, CHLOROFORM-d) δ ppm 1 .67 (d, J=4.5 Hz, 4 H), 1.70 - 1.79
(m, 2 H), 3.83 - 3.90 (m, 4 H), 3.95 (s, 3 H), 6.88 - 6.99 (m, 2 H), 7.66 - 7.80 (m, 4 H), 7.84 - 7.93 (m, 1 H), 8.02 (d, J=2.0 Hz, 1 H), 8.15 (d, J=2.0 Hz, 1 H), 8.47 (s, 2 H). LC-MS: m/z 604 (M+1 ).
EXAMPLE 50
(Compound 50)
N-[5-{2-amino-3-[3-chloro-4-(4-morpholinylcarbonyl)phenyl]-6-quinolinyl}-2-(met^
[00209] 1H NMR (400 MHz, CHLOROFORM-d) δ ppm 3.27 - 3.45 (m, 4 H), 3.61 - 3.87
(m, 4 H), 3.95 (s, 3 H), 6.86 - 7.01 (m, 2 H), 7.45 - 7.50 (m, 1 H), 7.51 - 7.56 (m, 1 H), 7.62 (s, 1 H), 7.70 - 7.76 (m, 2 H), 7.77 - 7.83 (m, 1 H), 7.83 - 7.92 (m, 2 H), 8.03 (d, J=2.0 Hz, 1 H), 8.15 (d, J=2.0 Hz, 1 H). LC-MS: m/z 666 (M+1 ).
EXAMPLE 51
(Compound 51 )
4-{2-amino-6-[5-{[(2,4-difluorophenyl)sulfonyl]amino}-6-(methyloxy
quinolinyl}-N-[2-(4-morpholinyl)ethyl]benzamide
[00210] 1H NMR (CHLOROFORM-d) δ: 8.17 (s, 1 H), 8.04 (s, 1 H), 7.81 - 8.00 (m, 4H),
7.68 - 7.81 (m, 3H), 7.64 (d, J = 7.8 Hz, 2H), 6.73 - 7.09 (m, 3H), 5.06 (br. s., 2H), 3.94 (s, 3H), 3.76 (d, J = 3.9 Hz, 4H), 3.62 (q, J = 5.3 Hz, 2H), 2.66 (t, J = 5.8 Hz, 2H), 2.55 (br. s., 4H). LC- MS: m/z 675 (M+1 ).
EXAMPLE 52
(Compound 52)
N-[5-(2-amino-3-{4-[(4-methyl-1-piperazinyl)carbonyl]phenyl}-6-quinolinyl)-2-(me
3-pyridinyl]-2,4-difluorobenzenesulfonamide
[00211] 1H NMR (CHLOROFORM-d) δ: 8.17 (d, J = 2.0 Hz, 1H), 8.04 (d, J =2.1 Hz, 1H),
7.81 - 7.96 (m, 2H), 7.66 - 7.81 (m, 3H), 7.59 (q, J = 8.2 Hz, 4H), 6.75 - 7.12 (m, 2H), 5.03 (br. s., 2H), 3.94 (s, 3H), 3.71 - 3.91 (m, 2H), 3.54 (d, J = 1.4 Hz, 2H), 2.37 - 2.64 (m, 4H), 2.36 (s, 3H). ). LC-MS:m/z 645 (M+1).
EXAMPLE 53
(Compound 53)
1-[(4-{2-amino-6-[5-{[(2,4-difluorophenyl)sulfonyl]amino}-6-(methy
quinolinyl}phenyl)carbonyl]-4-piperidinecarboxylic acid
[00212] 1H NMR (METHANOL-^) <5: 8.25-8.34 (m, 1H), 8.12-8.23 (m, 2H), 8.05-8.11
(m, 1 H), 7.96 - 8.05 (m, 1 H), 7.80 - 7.96 (m, 2H), 7.71 - 7.80 (m, 1 H), 7.65 - 7.71 (m, 1 H), 7.57 - 7.65 (m, 1H), 7.39 - 7.56 (m, 1H), 7.16 - 7.29 (m, 1H), 6.98 - 7.12 (m, 1H), 3.69 - 3.89 (m, 3H), 3.10 (m, 3H), 2.57-2.74 (m, 1H), 1.54-2.16 (m, 5H), LC-MS: m/z 674 (M+1).
EXAMPLE 54
(Compound 54)
N-[5-(2-amino-3-{4-[4-(1-methylethyl)-1-piperazinyl]phenyl}-6-quinolinyl)-2-(m
[00213] 1H NMR (CHLOROFORM-d) δ: 8.16 (d, J = 2.3 Hz, 1 H), 8.04 (d, J = 2.1 Hz, 1 H),
7.89 (d, J = 6.1 Hz, 1 H), 7.80 (s, 1 H), 7.57 - 7.77 (m, 3H), 7.44 (d, J = 8.6 Hz, 2H), 7.05 (d, J = 8.8 Hz, 2H), 6.88 - 7.02 (m, 2H), 5.08 (br. s., 2H), 3.94 (s, 3H), 3.24 - 3.36 (m, 4H), 2.54 - 2.81 (m, 5H), 1 .01 - 1 .19 (m, 6H). LC-MS: m/z 645 (M+1 ).
EXAMPLE 55
(Compound 55)
N-(4-{2-amino-6-[5-{[(2,4-difluorophenyl)sulfonyl]amino}-6-(methy
quinolinyl}phenyl)-2-(4-morpholinyl)-2-oxoacetamide
[00214] 1H NMR (400 MHz, DMSO-d6) δ ppm 12.70 (br. s., 1 H, 10.99 (s, 1 H), 8.36 (br. s., 1 H), 8.13 (s, 1 H), 7.90 - 7.99 (m, 2 H), 7.71 - 7.84 (m, 4 H), 7.49 - 7.63 (m, 4 H), 7.21 (s, 1 H), 6.17 (br. s., 2 H), 3.60 - 3.70 (m, 7 H), 3.47 - 3.61 (m, 4 H). ES-LCMS: m/z = 675.43 (M+1 ).
EXAMPLE 56
(Compound 56)
N-[5-[2-amino-3-(6-{[2-(4-morpholinyl)ethyl]amino}-3-pyridinyl)-6-quinolin
(methyloxy)-3-pyridinyl]-2,4-difluorobenzenesulfonamide
[00215] 1H NMR (400 MHz, DMSO-d6) δ ppm 8.35 (d, J=2.0 Hz, 1 H), 8.08 - 8.18 (m, 2
H), 7.91 (dd, J=4.0, 2.2 Hz, 2 H), 7.83 (s, 1 H), 7.69 - 7.80 (m, 2 H), 7.49 - 7.63 (m, 3 H), 7.12 - 7.26 (m, 1 H), 6.65 - 6.72 (m, 1 H), 6.57 - 6.64 (m, 1 H), 6.15 (br. s., 2 H), 3.64 (s, 3 H), 3.55 - 3.62 (m, 4 H), 3.40 - 3.48 (m, 4 H), 2.39 - 2.48 (m, 4 H). ES-LCMS m/z = 648.05 (M+1 ).
EXAMPLE 57
(Compound 57)
*.-amino-3-[4-( 1-cyano- 1 -methylethyl)phenyl]-6-quinolinyl}-2-(methyloxy)-3- -2,4-d
[00216] 1H NMR (400 MHz, DMSO-d6) δ ppm 10.31 (br. s., 1 H), 8.38 (br. s., 1 H), 7.87 -
7.99 (m, 2 H), 7.72 - 7.83 (m, 2 H), 7.65 - 7.70 (m, 2 H), 7.58 - 7.65 (m, 3 H), 7.16 - 7.26 (m, 1 H) , 6.21 (br. s., 2 H), 3.64 (s, 3 H), 1 .75 (s, 9 H). ES-LCMS: m/z = 586.00 (M+1 ).
EXAMPLE 58
(Compound 58)
N-[5-(2-amino-3-{1-[2-(4-morpholinyl)ethyl]-1H-pyrazol-4-yl}-6-qu
pyridinyl]-2,4-difluorobenzenesulfonamide
[00217] 1H NMR (400 MHz, DMSO-d6) δ ppm 10.31 (br. s., 1 H), 8.37 (d, J=2.0 Hz, 1 H),
8.19 (s, 1 H), 8.03 (s, 1 H), 7.91 (dd, J=3.6, 2.2 Hz, 2 H), 7.83 (s, 1 H), 7.71 - 7.81 (m, 2 H), 7.57 (d, J=8.8 Hz, 2 H), 7.16 - 7.26 (m, 1 H), 6.27 (br. s., 2 H), 4.29 (t, J=6.6 Hz, 2 H), 3.65 (s, 3 H), 3.51 - 3.61 (m, 4 H), 2.78 (t, J=6.6 Hz, 2 H), 2.45 (br. s., 4 H). ES-LCMS: m/z = 622.06 (M+1 ).
EXAMPLE 59
(Compound 59)
4-{2-amino-6-[5-{[(2,4-difluorophenyl)sulfonyl]amino}-6-(methyloxy)-3-pyridin
quinolinyl}-N-[2-(dimethylamino)ethyl]benzamide
[00218] 1H NMR (400 MHz, CHLOROFORM-d) δ ppm 2.53 (s, 6 H), 2.88 (t, J=5.3 Hz, 2
H), 3.68 - 3.77 (m, 2 H), 3.94 (s, 3 H), 5.45 (br. s., 2 H), 6.89 - 6.98 (m, 2 H), 7.61 (d, J=8.0 Hz, 2 H), 7.67 - 7.80 (m, 3 H), 7.83 - 7.92 (m, 2 H), 8.00 - 8.05 (m, 3 H), 8.15 (d, J=1.8 Hz, 1 H). LC-MS: m/z 633 (M+1 ).
EXAMPLE 60
(Compound 60)
1,1-dimethylethyl (3-{2-amino-6-[5-{[(2,4-difluorophenyl)sulfonyl]amino}-6-(methyloxy)-3- pyridinyl]-3-quinolinyl}phenyl)carbamate
[00219] 1H NMR (400 MHz, CHLOROFORM-d) δ ppm 1 .52 (s, 9 H), 3.95 (s, 3 H), 6.63 (s,
1 H), 6.94 (t, J=8.4 Hz, 2 H), 7.18 (d, J=7.4 Hz, 1 H), 7.34 - 7.39 (m, 1 H), 7.42 - 7.48 (m, 1 H), 7.61 - 7.74 (m, 3 H), 7.80 (d, J=8.4 Hz, 1 H), 7.85 - 7.94 (m, 2 H), 8.02 (d, J=2.0 Hz, 1 H), 8.15 (d, J=2.0 Hz, 1 H). LC-MS: m/z 634 (M+1 ).
EXAMPLE 61
(Compound 61 )
N-[5-[2-amino-3-(4-methyl-3,4-dihydro-2H-1,4-benzoxazin-7-yl)-6-quin
(meth loxy)-3-pyridinyl]-2,4-difluorobenzenesulfonamide
[00220] 1H NMR (400 MHz, CHLOROFORM-d) δ ppm 2.98 (s, 3 H), 3.34 - 3.41 (m, 2 H),
3.95 (s, 3 H), 4.32 - 4.39 (m, 2 H), 6.77 (d, J=8.2 Hz, 1 H), 6.88 - 7.02 (m, 4 H), 7.65 - 7.72 (m, 2 H), 7.81 - 7.94 (m, 3 H), 8.00 (d, J=2.0 Hz, 1 H), 8.13 (d, J=2.0 Hz, 1 H). LC-MS: m/z 590 (M+1 ).
EXAMPLE 62
(Compound 62)
(4-{2-amino-6-[5-{[(2,4-difluorophenyl)sulfonyl]amino}-6-(methyloxy
quinolinyl}phenyl)acetic acid
[00221] 1H NMR (400 MHz, DMSO-d6) δ ppm 10.29 (br. s., 1 H), 8.37 (br. s., 1 H), 7.83 -
7.99 (m, 3 H), 7.72 - 7.82 (m, 2 H), 7.55 - 7.62 (m, 2 H), 7.48 - 7.55 (m, 2 H), 7.38 - 7.46 (m, 2 H), 7.14 - 7.28 (m, 1 H), 6.14 (br. s., 2 H), 3.61 - 3.68 (m, 5 H). ES-LCMS: (m/z) = 577 (M+1 ).
EXAMPLE 65
(Compound 65)
3-{2-amino-6-[5-{[(2,4-difluorophenyl)sulfonyl]amino}-6-(methyloxy)-3-pyri
quinolinyl}-5-fluorobenzoic acid
[00222] 1H NMR (400 MHz, DMSO-d6) δ ppm 3.65 (s, 3 H), 7.15 - 7.27 (m, 1 H), 7.55 -
7.64 (m, 2 H), 7.65 - 7.86 (m, 4 H), 7.89 - 7.96 (m, 2 H), 7.98 - 8.08 (m, 2 H), 8.39 (d, J=2.3 Hz, 1 H), 10.30 (br. s., 1 H). LC-MS: m/z = 581 (M+1 ).
EXAMPLE 66
(Compound 66)
[00223] 1H NMR (400 MHz, CHLOROFORM-d) δ ppm 1 .28 (d, J=7.0 Hz, 6 H), 2.94 (spt,
J=6.9 Hz, 1 H), 3.81 (s, 3 H), 3.97 (s, 3 H), 6.90 - 6.98 (m, 2 H), 7.00 (d, J=8.6 Hz, 1 H), 7.15 (d, J=2.1 Hz, 1 H), 7.36 (dd, J=8.5, 2.0 Hz, 1 H), 7.72 - 7.78 (m, 2 H), 7.83 - 7.91 (m, 1 H), 7.92 - 7.98 (m, 2 H), 8.00 (d, J=2.1 Hz, 1 H), 8.13 (d, J=2.1 Hz, 1 H). LC-MS: m/z 591 (M+1 ).
EXAMPLE 67
(Compound 67)
3-{2-amino-6-[5-{[(2,4-difluorophenyl)sulfonyl]amino}-6-(methyloxy)-3-pyridi
inolinyl}-N-cyclopropylbenzamide
[00224] 1H NMR (400 MHz, DMSO-d6) δ ppm 0.54 - 0.62 (m, 2 H), 0.67 - 0.76 (m, 2 H),
2.88 (m, 1 H), 3.71 (br. s., 3 H), 6.24 (br. s., 2 H), 7.16 - 7.27 (m, 1 H), 7.52 - 7.64 (m, 3 H), 7.65 - 7.71 (m, 1 H), 7.73 - 7.83 (m, 2 H), 7.89 (d, J=7.8 Hz, 1 H), 7.92 - 8.02 (m, 2 H), 8.38 (d, J=2.0 Hz, 1 H). LC-MS: m/z 602 (M+1 ).
EXAMPLE 68
(Compound 68)
3-{2-amino-6-[5-{[(2,4-difluorophenyl)sulfonyl]amino}-6-(methyloxy)-3-pyri
quinolinyl}benzamide
[00225] 1H NMR (400 MHz, DMSO-d6) δ ppm 3.65 (s, 3 H), 6.24 (br. s., 2 H), 7.15 - 7.25
(m, 1 H), 7.46 (s, 1 H), 7.52 - 7.63 (m, 3 H), 7.69 (d, J=7.8 Hz, 1 H), 7.73 - 7.82 (m, 2 H), 7.87 - 7.99 (m, 4 H), 8.04 (s, 1 H), 8.10 (s, 1 H), 8.34 (br. s., 1 H). LC-MS: m/z 634 (M+1 ).
EXAMPLE 70
(Compound 70)
5-{2-amino-6-[5-{[(2,4-difluorophenyl)sulfonyl]amino}-6-(methyloxy)-3-pyridi
quinolinyl}-2-fluorobenzamide
[00226] 1H NMR (400 MHz, DMSO-d6) δ ppm 3.64 (s, 3 H), 6.30 (br. s., 2 H), 7.21 (td,
J=8.5, 2.1 Hz, 1 H), 7.42 (dd, J=10.5, 8.5 Hz, 1 H), 7.55 - 7.62 (m, 2 H), 7.64 - 7.85 (m, 6 H), 7.91 - 7.99 (m, 3 H), 8.38 (d, J=2.1 Hz, 1 H). LC-MS: m/z 580 (M+1 ).
EXAMPLE 71
(Compound 71 )
N-[5-[2-amino-3-(3-cyanophenyl)-6-quinolinyl]-2-(methyloxy)-3-pyridinyl]-2,4- difluorobenzenesulfonamide
[00227] 1H NMR (400 MHz, DMSO-d6) δ ppm 10.32 (br. s., 1 H), 8.37 (br. s., 1 H), 8.00
(s, 1 H), 7.94 - 7.99 (m, 2 H), 7.92 (s, 1 H), 7.85 - 7.91 (m, 2 H), 7.79 - 7.84 (m, 1 H), 7.68 - 7.78 (m, 2 H), 7.60 (d, J=8.8 Hz, 2 H), 7.21 (td, J=8.5, 2.1 Hz, 1 H), 6.35 (br. s., 2 H), 3.64 (s, 3 H). ES-LCMS: m/z = 543 (M+1 ).
EXAMPLE 72
(Compound 72)
N-[5-[2-amino-3-(5-cyano-2-fluorophenyl)-6-quinolinyl]-2-(methyloxy)-3-py
difluorobenzenesulfonamide
[00228] 1H NMR (400 MHz, DMSO-d6) δ ppm 10.32 (br. s., 1 H), 8.38 (br. s., 1 H), 8.01 -
8.10 (m, 2 H), 7.99 (s, 1 H), 7.93 (dd, J=8.5, 2.1 Hz, 2 H), 7.69 - 7.86 (m, 2 H), 7.55 - 7.64 (m, 3 H), 7.13 - 7.28 (m, 1 H), 6.38 (br. s., 2 H), 3.61 - 3.67 (m, 3 H). ES-LCMS: m/z = 561 (M+1 ).
EXAMPLE 73
(Compound 73)
[00229] 1H NMR (400 MHz, DMSO-d6) δ ppm 10.31 (br. s., 1 H), 8.38 (br. s., 1 H), 7.98
(d, J=1.4 Hz, 1 H), 7.93 (s, 2 H), 7.67 - 7.83 (m, 2 H), 7.38 - 7.64 (m, 6 H), 7.1 1 - 7.27 (m, 1 H), 6.23 (br. s., 2 H), 4.13 (s, 2 H), 3.64 (s, 3 H). ES-LCMS: m/z = 557 (M+1 ).
EXAMPLE 74
(Compound 74)
N-[5-{2-amino-3-[3,5-bis(trifluoromethyl)phenyl]-6-quinolinyl}-2-(m
2,4-difluorobenzenesulfonamide
[00230] 1H NMR (400 MHz, DMSO-d6) δ ppm 10.32 (s, 1 H), 8.38 (br. s., 1 H), 8.12 - 8.24
(m, 3 H), 8.08 (s, 1 H), 7.99 (d, J=1.6 Hz, 1 H), 7.93 (d, J=1 .8 Hz, 1 H), 7.69 - 7.89 (m, 2 H), 7.47 - 7.67 (m, 2 H), 7.08 - 7.30 (m, 1 H), 6.45 (br. s., 2 H), 3.64 (s, 3 H). ES-LCMS: m/z = 654 (M+1 ).
EXAMPLE 76
(Compound 76)
1,1-dimethylethyl 4-(3-{2-amino-6-[5-{[(2,4-difluorophenyl)sulfonyl]amino}-6-(methyloxy)- 3-pyridinyl]-3-quinolinyl}phenyl)- 1 -piperazinecarboxyla te
[00231] 1H NMR (400 MHz, DMSO-d6) δ ppm 1.42 (s, 9 H), 3.20 (d, J=4.5 Hz, 4 H), 3.48 (br. s., 4 H), 3.65 (s, 3 H), 6.13 (br. s., 2 H), 6.97 (d, J=7.6 Hz, 1 H), 7.02 - 7.10 (m, 2 H), 7.17 - 7.26 (m, 1 H), 7.37 (t, J=7.8 Hz, 1 H), 7.59 (d, J=8.8 Hz, 2 H), 7.74 - 7.81 (m, 2 H), 7.88 - 7.98 (m, 3 H), 8.37 (br. s., 1 H). LC-MS: m/z 703 (M+1 ).
EXAMPLE 77
(Compound 77)
N-[5-{2-amino-3-[3,5-bis(methyloxy)phenyl]-6-quinolinyl}-2-(methyloxy)-3-pyridi
difluorobenzenesulfonamide
[00232] 1H NMR (400 MHz, DMSO-d6) δ ppm 3.65 (s, 3 H), 3.83 (s, 6 H), 6.20 (br. s., 2
H), 6.55 - 6.60 (m, 1 H), 6.67 (d, J=2.1 Hz, 2 H), 7.21 - 7.27 (m, 1 H), 7.52 - 7.63 (m, 2 H), 7.73 7.82 (m, 2 H), 7.89 - 7.98 (m, 3 H), 8.37 (br. s., 1 H), 10.30 (br. s., 1 H). LC-MS: m/z 579 (M+1 ).
EXAMPLE 78
(Compound 78)
(3-{2-amino-6-[5-{[(2,4-difluorophenyl)sulfonyl]amino}-6-(methyloxy)-3-py
quinolinyl}phenyl)acetic acid
[00233] 1H NMR (400 MHz, DMSO-d6) δ ppm 3.65 (s, 3 H), 3.69 (s, 2 H), 6.15 (br. s., 2
H), 7.14 - 7.27 (m, 1 H), 7.35 (d, J=7.0 Hz, 1 H), 7.40 - 7.51 (m, 3 H), 7.52 - 7.66 (m, 2 H), 7.69 - 7.82 (m, 2 H), 7.92 (s, 2 H), 7.97 (br. s., 1 H), 8.36 (br. s., 1 H). LC-MS: m/z 577 (M+1 ).
EXAMPLE 79
(Compound 79)
3-{2-amino-6-[5-{[(2,4-difluorophenyl)sulfonyl]amino}-6-(methyloxy)-3-pyridin
quinolinyl}-N-(4-fluorophenyl)benzamide
[00234] 1H NMR (400 MHz, DMSO-d6) δ ppm 3.65 (s, 3 H), 6.31 (br. s., 2 H), 7.21 (t,
J=8.9 Hz, 3 H), 7.53 - 7.64 (m, 2 H), 7.65 - 7.72 (m, 1 H), 7.72 - 7.86 (m, 5 H), 7.94 (d, J=2.0 Hz, 1 H), 7.96 - 8.05 (m, 3 H), 8.14 (d, J=4.7 Hz, 1 H), 8.38 (s, 1 H), 10.39 (s, 1 H). LC-MS: m/z 656 (M+1 ).
EXAMPLE 80
(Compound 80)
N-[5-{2-amino-3-[4-fluoro-3-(4-morpholinylcarbonyl)phenyl]-6-quinolinyl}-^^
pyridinyl]-2,4-difluorobenzenesulfonamide
[00235] 1H NMR (400 MHz, DMSO-d6) δ ppm 3.39 (br. s., 4 H), 3.55 - 3.60 (m, 2 H), 3.65
(s, 3 H), 3.67 (s, 4 H), 6.26 (br. s., 4 H), 7.21 (s, 2 H), 7.44 (t, J=9.0 Hz, 2 H), 7.52 (dd, J=6.3, 2.0 Hz, 2 H), 7.59 (d, J=8.6 Hz, 3 H), 7.64 (td, J=5.4, 2.4 Hz, 2 H), 7.73 - 7.83 (m, 4 H), 7.93 (s, 6 H), 8.14 (s, 1 H), 8.35 (br. s., 1 H). LC-MS: m/z 650 (M+1 ).
EXAMPLE 81
(Compound 81 )
N-[5-[2-amino-3-(3-{[(methylsulfonyl)amino]methyl}phenyl)-6-quinolin
pyridinyl]-2,4-difluorobenzenesulfonamide
[00236] 1H NMR (400 MHz, DMSO-d6) δ ppm 2.92 (s, 3 H), 3.64 (s, 3 H), 4.26 (d, J=6.0
Hz, 2 H), 6.21 (br. s., 2 H), 7.21 (td, J=8.4, 1.8 Hz, 1 H), 7.40 - 7.48 (m, 2 H), 7.49 - 7.57 (m, 2 H), 7.57 - 7.65 (m, 2 H), 7.72 - 7.82 (m, 2 H), 7.89 - 7.95 (m, 2 H), 7.98 (d, J=1 .6 Hz, 1 H), 8.39 (d, J=2.1 Hz, 1 H). LC-MS: m/z 626 (M+1 ).
EXAMPLE 83
(Compound 83)
N-[5-(2-amino-3-{3-[({[4-(methyloxy)phenyl]amino}carbonyl)amino]phenyl}-6-quinoH
2-(methyloxy)-3-pyridinyl]-2,4-difluorobenzenesulfonamide
[00237] 1H NMR (400 MHz, DMSO-d6) δ ppm 8.77 (s, 1 H), 8.56 (s, 1 H), 8.14 (s, 1 H),
7.93 - 7.98 (m, 1 H), 7.91 (s, 1 H), 7.85 - 7.90 (m, 1 H), 7.72 - 7.82 (m, 2 H), 7.63 - 7.67 (m, 1 H), 7.56 - 7.61 (m, 1 H), 7.48 - 7.56 (m, 2 H), 7.29 - 7.46 (m, 3 H), 7.15 - 7.27 (m, 1 H), 7.09 - 7.15 (m, 1 H), 6.74 - 6.92 (m, 2 H) , 6.18 (br. s., 2 H), 3.71 (s, 3 H), 3.65 (s, 3 H). ES-LCMS: m/z = 683 (M+1 ).
EXAMPLE 84
(Compound 84)
N-[5-(2-amino-3-{3-[(4-methyl-1-piperazinyl)carbonyl]phenyl}-6-quinolinyl)-2-(m
3-pyridinyl]-2,4-difluorobenzenesulfonamide
[00238] 1H NMR (400 MHz, DMSO-d6) δ ppm 8.35 (d, J=1.8 Hz, 1 H), 8.13 (s, 1 H), 7.87
- 7.98 (m, 3 H), 7.71 - 7.83 (m, 2 H), 7.53 - 7.66 (m, 4 H), 7.48 - 7.52 (m, 1 H), 7.41 - 7.47 (m, 1 H), 7.15 - 7.27 (m, 1 H) , 6.23 (br. s., 2 H) , 3.64 (s, 3 H), 2.27 - 2.44 (m, 4 H), 2.22 (s, 3 H). ES-LCMS: m/z = 645 (M+1 ).
EXAMPLE 85
(Compound 85)
N-[5-(2-amino-3-{3-[2-(4-morpholinyl)ethyl]phenyl}-6-quinolinyl)-2-(methyloxy)^
[00239] 1H NMR (400 MHz, DMSO-d6) δ ppm 8.36 (d, J=2A Hz, 1 H), 8.13 (s, 1 H), 7.96
(d, J=2.0 Hz, 1 H), 7.88 - 7.94 (m, 2 H), 7.68 - 7.82 (m, 2 H), 7.49 - 7.65 (m, 2 H), 7.40 - 7.53 (m, 2 H), 7.27 - 7.39 (m, 2 H), 7.1 1 - 7.26 (m, 1 H), 6.15 (br. s., 2 H), 3.64 (s, 3 H), 3.52 - 3.61 (m, 6 H), 2.77 - 2.89 (m, 2 H), 2.54 - 2.65 (m, 2 H), 2.45 (br. s., 2 H). ES-LCMS: m/z = 632 (M+1 ).
EXAMPLE 86
(Compound 86)
methyl 3-{2-amino-6-[5-{[(2,4-difluorophenyl)sulfonyl]amino}-6-(methyloxy)-3-pyridinyl]-3- quinolinyl}-5-(hydroxymethyl)benzoate
[00240] 1H NMR (400 MHz, DMSO-d6) δ ppm 10.26 (br. s., 1 H), 8.37 (br. s., 1 H), 8.13
(s, 1 H), 7.85 - 8.05 (m, 5 H), 7.68 - 7.84 (m, 3 H), 7.45 - 7.66 (m, 2 H), 7.02 - 7.26 (m, 1 H), 6.26 (br. s., 2 H), 5.45 (t, J=5.8 Hz, 1 H), 4.66 (d, J=5.7 Hz, 2 H), 3.89 (s, 3 H), 3.64 (s, 3 H). ES-LCMS: m/z = 607 (M+1 ).
EXAMPLE 87
(Compound 87)
*-amino-3-(3-{[(1,1-dimethylethyl)amino]sulfonyl}phenyl)-6-quinolinyl]-2'
[00241] 1H NMR (400 MHz, DMSO-d6) δ ppm 12.73 (br. s., 1 H), 10.31 (br. s., 1 H), 8.40
(d, J=2.3 Hz, 1 H), 8.10 - 8.29 (m, 1 H), 8.03 (d, J=1 .6 Hz, 1 H), 7.91 - 7.99 (m, 3 H), 7.67 - 7.92 (m, 4 H), 7.56 - 7.66 (m, 2 H), 7.09 - 7.27 (m, 1 H), 6.24 (br. s., 2 H), 3.64 (s, 3 H), 1 .01 - 1 .17 (m, 9 H). ES-LCMS: m/z = 654 (M+1 ).
EXAMPLE 88
(Compound 88)
N-[5-{2-amino-3-[2-(4-methyl-1-piperazinyl)-4-pyridinyl]-6-quinolin
pyridinyl]-2,4-difluorobenzenesulfonamide
1H NMR (400 MHz, DMSO-d6) δ ppm 8.35 (d, J=2.3 Hz, 1 H), 8.27 (d, J=2.3 Hz, 1 H), 8.13 (s, 1 H), 7.91 (dd, J=6.1 , 2.1 Hz, 2 H), 7.86 (s, 1 H), 7.66 - 7.84 (m, 3 H), 7.47 - 7.65 (m, 2 H), 7.13 - 7.28 (m, 1 H), 6.98 (d, J=8.8 Hz, 1 H), 6.19 (br. s., 2 H), 3.65 (s, 3 H), 3.54 - 3.62 (m, 4 H), 2.30 (s, 3 H). ES-LCMS: m/z = 618 (M+1 ).
EXAMPLE 89
(Compound 89)
N-[5-{2-amino-3-[2,3-bis(methyloxy)phenyl]-6-quinolinyl}-2-(methyloxy)-3-pyridin
[00242] 1H NMR (CHLOROFORM-d) δ: 8.62 (s, 1 H), 8.13 (d, J = 2.3 Hz, 1 H), 8.00 (d, J =
2.1 Hz, 1 H), 7.95 (s, 1 H), 7.90 (d, J = 9.2 Hz, 2H), 7.69 - 7.81 (m, 2H), 7.28 - 7.62 (m, 3H), 7.15 - 7.24 (m, 1 H), 7.07 (dd, J = 8.3, 1 .3 Hz, 1 H), 6.82 - 7.04 (m, 2H), 3.95 (s, 6H),
3.71 (s, 3H). LC-MS: m/z 579 (M+1 ).
EXAMPLE 90
(Compound 90)
N-[5-{2-amino-3-[2,3,4-tris(methyloxy)phenyl]-6-quinolinyl}-2-(methylo
difluorobenzenesulfonamide
[00243] 1H NMR (CHLOROFORM-d) δ: 8.63 (s, 1 H), 8.15 (d, J = 2.3 Hz, 1 H), 8.03 (d, J =
2.1 Hz, 1 H), 7.94 (s, 1 H), 7.87 (d, J = 8.4 Hz, 2H), 7.75 (s, 2H), 7.06 - 7.25 (m, 2H), 6.95 (d, J = 4.7 Hz, 2H), 6.71 (s, 2H), 3.88 - 4.03 (m, 12H). LC-MS: m/z 609 (M+1 ).
EXAMPLE 91
(Compound 91 )
N-[5-(2-amino-3-{3-[(dimethylamino)sulfonyl]phenyl}-6-quinolinyl)-2-(m
pyridinyl]-2,4-difluorobenzenesulfonamide
[00244] 1H NMR (CHLOROFORM-d) δ: 8.45 (s, 1 H), 8.16 (d, J = 2.1 Hz, 1 H), 8.04 (d, J =
2.3 Hz, 1 H), 7.99 (s, 1 H), 7.85 - 7.98 (m, 4H), 7.71 - 7.85 (m, 4H), 7.05 - 7.21 (m, 1 H), 6.95 (d, J = 8.0 Hz, 2H), 4.37 - 4.98 (m, 2H), 3.97 (s, 3H), 2.82 (s, 6H). LC-MS: m/z 626 (M+1 ).
EXAMPLE 92
(Compound 92)
4-[6-[5-{[(2,4-difluorophenyl)sulfonyl]amino}-6-(methyloxy)-3-pyridi
3-quinolinyl]-N-methylbenzamide
[00245] The title compound was obtained from N-[5-[3-bromo-2-(methylamino)-6- quinolinyl]-2-(methyloxy)-3-pyridinyl]-2,4-difluorobenzenesulfonamide,
(methylaminocarbonyl)phenylboronic acid, following the similar procedure outlined in Step 8 of Example 29. 1 H NMR (CHLOROFORM-d) δ: 8.16 (d, J = 1.2 Hz, 1 H), 8.04 (s, 1 H), 7.79 - 8.00 (m, 3H), 7.63 - 7.79 (m, 2H), 7.57 (d, J = 7.6 Hz, 2H), 7.21 - 7.29 (m, 1 H), 6.87 - 7.12 (m, 2H), 6.23 (br. s., 1 H), 5.31 (s, 1 H), 4.86 (br, 1 H), 3.95 (s, 3H), 3.08 (d, J = 4.5 Hz, 6H). LC-MS: m/z 590 (M+1 ).
EXAMPLE 93
(Compound 93)
4-[6-[5-{[(2,4-difluorophenyl)sulfonyl]amino}-6-(methyloxy)-3-pyridinyl]-2-(ethyl^
[00246] The title compound was obtained from A/-[5-[3-bromo-2-(ethylamino)-6- quinolinyl]-2-(methyloxy)-3-pyridinyl]-2,4-difluorobenzenesulfonamide
(methylaminocarbonyl)phenylboronic acid, following the similar procedure outlined in Step 8 of Example 29. 1 H NMR (CHLOROFORM-d) δ: 8.26 (s, 1 H), 8.14 (d, J = 2.1 Hz, 1 H), 7.83 - 8.03 (m, 5H), 7.78 (s, 1 H), 7.65 - 7.76 (m, 2H), 7.56 (d, J = 8.0 Hz, 2H), 7.28 - 7.52 (m, 2H), 6.85 - 7.14 (m, 2H), 6.55 (d, J = 4.7 Hz, 1 H), 3.95 (s, 3H), 3.67 (q, J = 7.2 Hz, 2H), 3.07 (d, J = 4.9 Hz, 3H), 1 .25 (t, 3H). LC-MS: m/z 604 (M+1 ).
EXAMPLE 95
(Compound 95)
N-[5-(2-amino-3-{2-[(methyloxy)methyl]phenyl}-6-quinolinyl)-2-(methyloxy)-3-pyrid
-difluorobenzenesulfonamide
[00247] 1H NMR (CHLOROFORM-d) δ: 8.16 (d, J = 2.3 Hz, 1 H), 8.03 (d, J = 2.3 Hz, 1 H),
7.77 - 7.95 (m, 3H), 7.68 - 7.77 (m, 2H), 7.62 (d, J = 7.4 Hz, 1 H), 7.40 - 7.57 (m, 2H), 7.31 (dd, J = 7.3, 1.1 Hz, 1 H), 6.81 - 7.03 (m, 2H), 5.55 (br. s., 2H), 4.22 - 4.41 (m, 2H), 3.95 (s, 3H), 3.30 (s, 3H). LC-MS: m/z 562 (M+1 ).
EXAMPLE 97
(Compound 97)
N-[5-(2-amino-3-{3-[(trifluoromethyl)oxy]phenyl}-6-quinolinyl)-2-(methyloxy
-difluorobenzenesulfonamide
[00248] 1H NMR (400 MHz, CHLOROFORM-d) δ ppm 3.96 (s, 3 H), 6.88 - 6.99 (m, 2 H),
7.32 - 7.45 (m, 3 H), 7.55 - 7.65 (m, 1 H), 7.72 - 7.81 (m, 3 H), 7.82 - 7.95 (m, 1 H), 8.00 (s, 2 H), 8.13 (d, J=2.0 Hz, 1 H). LC-MS: m/z 603 (M+1 ).
EXAMPLE 98
(Compound 98)
4-{2-amino-6-[5-{[(2,4-difluorophenyl)sulfonyl]amino}-6-(methyloxy)-3-pyri
quinolinyl}-2-chlorobenzamide
[00249] 1H NMR (400 MHz, DMSO-d6) δ ppm 3.65 (s, 3 H), 6.26 (s, 2 H), 7.20 (td, J=8.4,
2.0 Hz, 1 H), 7.52 - 7.70 (m, 6 H), 7.72 - 7.84 (m, 2 H), 7.89 - 8.00 (m, 4 H), 8.35 (br. s., 1 H). LC-MS: m/z 596 (M+1 ).
EXAMPLE 99
(Compound 99)
4-{2-amino-6-[5-{[(2,4-difluorophenyl)sulfonyl]amino}-6-(methyloxy)-3-py
[00250] 1H NMR (400 MHz, DMSO-d6) δ ppm 3.65 (s, 3 H), 6.28 (br. s., 2 H), 7.18 - 7.27
(m, 1 H), 7.53 - 7.66 (m, 2 H), 7.74 - 7.86 (m, 4 H), 7.94 (d, J=2.1 Hz, 1 H), 8.00 (s, 2 H), 8.06 - 8.16 (m, 2 H), 8.39 (d, J=2.1 Hz, 1 H). LC-MS: m/z 629 (M+1 ).
EXAMPLE 100
(Compound 100)
4-{2-amino-6-[5-{[(2,4-difluorophenyl)sulfonyl]amino}-6-(methyloxy)-3-py
quinolinyl}-2-fluoro-N-methylbenzamide
[00251] 1H NMR (400 MHz, DMSO-d6) <5 ppm 2.82 (d, J=4.7 Hz, 3 H), 3.65 (s, 3 H), 7.21
(td, J=8.5, 2.1 Hz, 1 H), 7.43 - 7.51 (m, 2 H), 7.54 - 7.64 (m, 2 H), 7.72 - 7.85 (m, 3 H), 7.93 (d, J=1.8 Hz, 1 H), 7.98 (s, 2 H), 8.23 - 8.32 (m, 1 H). LC-MS: m/z 594 (M+1 ).
EXAMPLE 101
(Compound 101)
4-{2-amino-6-[5-{[(2,4-difluorophenyl)sulfonyl]amino}-6-(methyloxy)-3-pyri
quinolinyl}-2-chloro-N-methylbenzamide
[00252] 1H NMR (400 MHz, DMSO-d6) <5 ppm 2.77 - 2.82 (m, 3 H), 3.65 (s, 3 H), 6.26 (s,
2 H), 7.20 (td, J=8.4, 2.0 Hz, 1 H), 7.53 - 7.57 (m, 2 H), 7.60 (d, J=8.6 Hz, 1 H), 7.65 (s, 1 H), 7.73 - 7.83 (m, 2 H), 7.91 (d, J=1.8 Hz, 1 H), 7.94 - 7.99 (m, 2 H), 8.12 - 8.18 (m, 1 H), 8.40 (q, J=4.6 Hz, 1 H). LC-MS: m/z 610 (M+1 ).
EXAMPLE 102
(Compound 102)
N-[5-{2-amino-3-[4-(4-morpholinylsulfonyl)phenyl]-6-quinolinyl}-2-(m
pyridinyl]-2,4-difluorobenzenesulfonamide
[00253] 1H NMR (400 MHz, DMSO-d6) δ ppm 10.26 (br. s., 1 H), 8.37 (d, J=2.0 Hz, 1 H),
8.01 (s, 1 H), 7.95 - 7.99 (m, 1 H), 7.89 - 7.96 (m, 1 H), 7.70 - 7.89 (m, 6 H), 7.49 - 7.67 (m, 2 H), 7.16 - 7.27 (m, 1 H), 6.36 (br. s., 2 H), 3.66 - 3.71 (m, 4 H), 3.65 (s, 3 H), 2.96 (br. s., 4 H) ES-LCMS: m/z = 667 (M+1 ).
EXAMPLE 103
(Compound 103)
4-{2-amino-6-[5-{[(2,4-difluorophenyl)sulfonyl]amino}-6-(methyloxy)-3-pyr^
uinolinyl}-2-chloro-N-cyclopentylbenzamide
[00254] 1H NMR (400 MHz, DMSO-d6) δ ppm 1.47 - 1.61 (m, 5 H), 1.63 - 1.74 (m, 2 H),
1.81 - 1.94 (m, 2 H), 3.65 (s, 3 H), 4.15 - 4.28 (m, 1 H), 6.23 (br. s., 2 H), 7.20 (td, J=8.5, 2.1 Hz, 1 H), 7.50 - 7.66 (m, 4 H), 7.72 - 7.83 (m, 2 H), 7.89 - 7.95 (m, 2 H), 7.98 (d, J=1.2 Hz, 1 H),
8.33 (br. s., 1 H), 8.41 - 8.49 (m, 1 H). LC-MS: m/z 664 (M+1 ).
EXAMPLE 104
(Compound 104)
4-{2-amino-6-[5-{[(2,4-difluorophenyl)sulfonyl]amino}-6-(methyloxy)-3-py
quinolinyl}-N-[3-(methyloxy)propyl]benzamide
[00255] 1H NMR (400 MHz, DMSO-d6) δ ppm 1.78 (quin, J=6.6 Hz, 2 H), 3.25 (s, 3 H), 3.36 - 3.43 (m, 3 H), 3.65 (s, 3 H), 6.21 (br. s., 2 H), 7.21 (td, J=8.5, 2.1 Hz, 1 H), 7.54 - 7.66 (m, 4 H), 7.73 - 7.83 (m, 2 H), 7.90 - 8.03 (m, 3 H), 8.58 (t, J=5.6 Hz, 1 H). LC-MS: m/z 634 (M+1 ).
EXAMPLE 105
(Compound 105)
4-{2-amino-6-[5-{[(2,4-difluorophenyl)sulfonyl]amino}-6-(methyloxy)-3-pyri
quinolinyl}-2-chloro-N-cyclopropylbenzamide
[00256] 1H NMR (400 MHz, DMSO-d6) δ ppm 0.52 - 0.60 (m, 2 H), 0.69 - 0.76 (m, 2 H),
2.82 - 2.92 (m, 1 H), 3.64 (s, 3 H), 6.25 (s, 2 H), 7.20 (td, J=8.5, 2.0 Hz, 1 H), 7.52 - 7.67 (m, 5 H), 7.72 - 7.84 (m, 2 H), 7.90 - 7.94 (m, 2 H), 7.98 (d, J=1.8 Hz, 1 H), 8.49 - 8.55 (m, 1 H). LC- MS: m/z 636 (M+1 ).
EXAMPLE 106
(Compound 106)
4-{2-amino-6-[5-{[(2,4-difluorophenyl)sulfonyl]amino}-6-(methyloxy)-3-pyrid^
quinolinyl}-2-chloro-N-( 1, 1 -dimethylethyl)benzamide
[00257] 1H NMR (400 MHz, DMSO-d6) δ ppm 1.37 - 1.42 (s, 9 H), 3.64 (s, 3 H), 6.22 (br. s., 2 H), 7.20 (td, J=8.5, 2.0 Hz, 1 H), 7.47 - 7.64 (m, 3 H), 7.70 - 7.85 (m, 3 H), 7.90 - 7.95 (m, 2 H), 7.97 - 8.03 (m, 1 H), 8.06 (s, 1 H), 8.14 (s, 1 H). LC-MS: m/z 652 (M+1 ).
EXAMPLE 107
(Compound 107)
4-{2-amino-6-[5-{[(2,4-difluorophenyl)sulfonyl]amino}-6-(methyloxy)-3-pyri
quinolinyl}-N-cyclopentyl-2-fluorobenzamide
[00258] 1H NMR (400 MHz, DMSO-d6) δ ppm 1.49 - 1.60 (m, 4 H), 1.63 - 1.76 (m, 2 H),
1.83 - 1.98 (m, 2 H), 3.64 (s, 3 H), 4.24 (sxt, J=6.9 Hz, 1 H), 6.27 (br. s., 2 H), 7.21 (td, J=8.5, 2.3 Hz, 1 H), 7.39 - 7.48 (m, 2 H), 7.55 - 7.64 (m, 2 H), 7.69 (t, J=7.8 Hz, 1 H), 7.72 - 7.85 (m, 2 H), 7.92 - 8.03 (m, 3 H), 8.28 - 8.33 (m, 1 H), 8.38 (d, J=1.2 Hz, 1 H) LC-MS: m/z 648 (M+1 ).
EXAMPLE 108
4-{2-amino-6-[5-{[(2,4-difluorophenyl)sulfonyl]amino}-6-(methyloxy
quinolinyl}-N-(2-hydroxyethyl)benzamide
[00259] 1H NMR (CHLOROFORM-d) δ: 8.15 (d, J = 2.1 Hz, 1 H), 8.03 (d, J = 2.1 Hz, 1 H),
7.96 (d, J = 8.0 Hz, 2H), 7.81 - 7.92 (m, 2H), 7.67 - 7.81 (m, 3H), 7.61 (d, J = 8.0 Hz, 2H), 7.09 - 7.22 (m, 1 H), 6.81 - 7.04 (m, 2H), 3.93 (s, 3H), 3.78 - 3.87 (m, 2H), 3.66 (q, 2H). ). LC-MS: m/z 606 (M+1 ).
EXAMPLE 110
(Compound 110)
N-[5-{2-amino-3-[3-chloro-4-(1-pyrrolidinylcarbonyl)phenyl]-6-quinolinyl}-2-(meth
pyridinyl]-2,4-difluorobenzenesulfonamide
[00260] 1H NMR (CHLOROFORM-d) δ: 8.16 (d, J = 2.1 Hz, 1 H), 8.04 (d, J = 2.1 Hz, 1 H),
7.79 - 7.95 (m, 2H), 7.64 - 7.79 (m, 3H), 7.60 (s, 1 H), 7.39 - 7.57 (m, 2H), 6.94 (dd, J = 7.7, 1 .9 Hz, 2H), 5.01 (br. s., 2H), 3.94 (s, 3H), 3.71 (t, J = 6.7 Hz, 2H), 3.32 (t, J = 6.2 Hz, 2H), 1 .84 - 2.23 (m, 5H). LC-MS: m/z 651 (M+1 ).
EXAMPLE 111
(Compound 111)
'-amino-S-^-methyl^-fl-piperidinylfphenylJ-e-quinolinyl^-fmethyloxyf-S-
pyridinyl]-2,4-difluorobenzenesulfonamide
[00261] 1H NMR (CHLOROFORM-d) δ: 8.63 (s, 1 H), 8.14 (d, J = 2.1 Hz, 1 H), 8.00 (d, J
2.1 Hz, 1 H), 7.83 - 7.98 (m, 3H), 7.59 - 7.83 (m, 2H), 7.1 1 (d, J = 8.4 Hz, 1 H), 6.78 - 7.04 (m, 5H), 3.96 (s, 3H), 3.18 - 3.40 (m, 4H), 2.20 (s, 3H), 1.70 - 1 .86 (m, 4H), 1 .60 - 1 .70 (m, 2H). LC MS: m/z 616 (M+1 ).
EXAMPLE 112
(Compound 112)
N-[5-{2-amino-3-[4-(ethylsulfonyl)phenyl]-6-quinolinyl}-2-(methyloxy)-3- pyridinyljbenzenesulfonamide
General Scheme 8
[00262] Refering to General Scheme 8, a degassed mixture of 6-chloro-3-[4- (ethylsulfonyl)phenyl]-2-quinolinamine (Intermediate 15 - 100 mg, 0.288 mmol), N-[2- (methyloxy)-5-(4,4,5,5-tetramethyl-1 ,3,2-dioxaborolan-2-yl)-3-pyridinyl]benzenesulfonamide (Intermediate 1 - 1 13 mg, 0.288 mmol), Pd2(dba)3 (13.20 mg, 0.014 mmol), 2-
dicyclohexylphosphino-2',4',6'-triisopropylbiphenyl (27.5 mg, 0.058 mmol) and K3P04 (122 mg, 0.577 mmol) in 1 -butanol (2 mL) and water (0.5 mL) was heated at 100 °C for 16 h. The resulting thick slurry was diluted with EtOAc (50 mL), washed with water (50 mL) and a sat. NaCI solution (50 mL). The organic layer was concentrated. The residue was dissolved in DMF, filtered and purified by HPLC (10-90% CH3CN/H20, both containing 0.1 % formic acid) to obtain N-[5-{2-amino-3-[4-(ethylsulfonyl)phenyl]-6-quinolinyl}-2-(methyloxy)-3- pyridinyl]benzenesulfonamide (73 mg, 44.1 % yield) as a yellow solid: 1 H NMR (400 MHz, DMSO-de) δ ppm 1 .09 - 1 .23 (m, 3 H) 3.22 - 3.43 (m, 2 H) 3.55 - 3.77 (m, 3 H) 6.34 (br. s., 2 H) 7.52 - 7.68 (m, 4 H) 7.74 - 7.81 (m, 3 H) 7.83 (d, J=8.00 Hz, 2 H) 7.89 (s, 1 H) 7.94 (s, 1 H) 7.97 - 8.05 (m, 3 H) 8.14 (s, 1 H) 8.31 (s, 1 H); ES LC-MS m/z =575.3 (M+H)+.
EXAMPLE 113
(Compound 1 13)
N-[5-{2-amino-3-[2-chloro-4-(4-morpholinylcarbonyl)phenyl]-6-quinolinyl}-2-(me
3-pyridinyl]-2,4-difluorobenzenesulfonamide
Step A
4-{2-amino-6-[5-{[(2,4-difluorophenyl)sulfonyl]amino}-6-(methyto^
chlorobenzoic acid
[00263] To a solution of A/-[5-(2-amino-3-bromo-6-quinolinyl)-2-(methyloxy)-3-pyridinyl]- 2,4-difluorobenzenesulfonamide (200 mg, 0.38 mmol), prepared as described in Step VI I of Example 29, in dioxane (2.5 mL) was added 3-chloro-4-(dihydroxyboranyl)benzoic acid (95 mg, 0.47 mmol), potassium acetate (151 mg, 1 .54 mmol) and PdCI2(dppf)-CH2CI2 (31 mg, 0.04 mmol). The solution was degassed with nitrogen and heated in a sealed tube for 18 h at 100°C. The reaction was cooled to room temperature and partitioned between ethyl acetate and water. The organic layer was dried over anhydrous MgS04 and evaporated under reduced pressure. The residue was purified by reverse phase chromatography on a Ci8 column eluting with 10-
100% acetonitrile/water/0.2% NH4OH to afford the title compound (89 mg, 39%) which was used in subsequent steps without additional purification. ES-LCMS: m/z = 597.24 (M+1 ).
Step B
N-[5-{2-amino-3-[2-chloro-4-(4-morpholinylcarbonyl)phenyl]-6-qu
pyridinyl]-2,4-difluorobenzenesulfonamide
[00264] To a solution of 4-{2-amino-6-[5-{[(2,4-difluorophenyl)sulfonyl]amino}-6- (methyloxy)-3-pyridinyl]-3-quinolinyl}-3-chlorobenzoic acid (44 mg, 0.07 mmol) in anhydrous DMF (1 .0 mL) was added HATU (43 mg, 0.1 1 mmol), morpholine (0.01 mL, 0.15 mmol), and triethylamine (0.03 mL, 0.22 mmol) and the reaction stirred at room temperature for 18 h. The reaction was purified without workup by reverse phase chromatography on a C18 column eluting with 10-90% acetonitrile/water/0.2% NH4OH to afford the title compound (32 mg, 65%). 1H NMR (400 MHz, DMSO-d6) δ ppm 10.29 (br. s., 1 H), 8.36 (br. s., 1 H), 7.94 (s, 1 H), 7.91 (s, 1 H), 7.88 (s, 1 H), 7.69 - 7.83 (m, 2 H), 7.63 (d, J=1 .2 Hz, 1 H), 7.53 - 7.62 (m, 2 H), 7.43 - 7.52 (m, 2 H), 7.20 (td, J=8.5, 2.1 Hz, 1 H), 6.22 (br. s., 2 H), 3.55 - 3.74 (m, 9 H), 3.42 - 3.56 (m, 2 H). ES-LCMS: m/z = 666 (M+1 ).
EXAMPLE 114
(Compound 114)
N-[5-{2-amino-3-[4-(ethylsulfonyl)phenyl]-6-quinolinyl}-2-(methyloxy)-3-pyridi
difluoro-N-methylbenzenesulfonamide
[00265] A degassed mixture of 6-chloro-3-[4-(ethylsulfonyl)phenyl]-2-quinolinamine
(Intermediate 15 - 50 mg, 0.144 mmol), 2,4-difluoro-N-methyl-N-[2-(methyloxy)-5-(4,4,5,5- tetramethyl-1 ,3,2-dioxaborolan-2-yl)-3-pyridinyl]benzenesulfonamide (Intermediate 14 - 63.5 mg, 0.144 mmol), Pd2(dba)3 (6.60 mg, 7.21 μηιοΙ), 2-dicyclohexylphosphino-2',4',6'- triisopropylbiphenyl (13.75 mg, 0.029 mmol) and K3P04 (61.1 mg, 0.288 mmol) in 1-butanol (2 mL) and water (0.5 mL) was heated at 100 °C for 16 h. The resulting thick slurry was diluted with EtOAc (50 mL), washed with water (50 mL) and a sat. NaCI solution (50 mL). The organic
layer was concentrated. The residue was dissolved in DMF, filtered and purified by HPLC (10- 90% CH3CN/H20, both containing 0.1 % formic acid) to obtain N-[5-{2-amino-3-[4- (ethylsulfonyl)phenyl]-6-quinolinyl}-2-(methyloxy)-3-pyridinyl]-2,4-difluoro-N- methylbenzenesulfonamide (54 mg, 60.0 % yield) as a yellow solid: 1H NMR (400 MHz, DMSO- ά6) δ ppm 1.17 (t, J=7.33 Hz, 3 H) 3.21 - 3.45 (m, 5 H) 3.61 (s, 3 H) 6.35 (s, 2 H) 7.26 (td, J=8.48, 2.20 Hz, 1 H) 7.58 - 7.69 (m, 2 H) 7.69 - 7.78 (m, 1 H) 7.78 - 7.91 (m, 3 H) 7.95 - 8.09 (m, 4 H) 8.14 (s, 1 H) 8.55 (d, J=2.25 Hz, 1 H); ES LC-MS m/z =625.3 (M+H)+.
EXAMPLE 115
(Compound 115)
-amino-3-[4-{[(3S)-3-hydroxy-1-pyrrolidinyl]carbonyl}-3-(methyloxy)phenyl]-6- quinolinyl}-2-(methyloxy)-3-pyridinyl]-2,4-difluorobenzenesulfonamide
Step A
4-{2-amino-6-[5-{[(2,4-difluorophenyl)sulfonyl]amino}-6-(m
(methyloxy)benzoic acid
[00266] To a solution of A/-[5-(2-amino-3-bromo-6-quinolinyl)-2-(methyloxy)-3-pyridinyl]- 2,4-difluorobenzenesulfonamide (150 mg, 0.29 mmol), prepared as described in Step VII of Example 29, in dioxane (2.0 mL) was added 4-(dihydroxyboranyl)-2-(methyloxy)benzoic acid (62 mg, 0.32 mmol), potassium acetate (1 13 mg, 1.15 mmol) and PdCI2(dppf)-CH2CI2 (23 mg, 0.03 mmol). The solution was degassed with nitrogen and heated in a sealed tube for 1 h at 100 °C. Water (0.6 mL) and additional PdCI2(dppf)-CH2CI2 (23 mg, 0.03 mmol) were added and the solution was degassed with nitrogen and heated to 100°C for 1 h. The reaction was cooled to room temperature and evaporated under reduced pressure. The residue was purified by HPLC eluting with 10-90% acetonitrile/water/0.1 % formic acid to afford the title compound (81 mg, 48%). ES-LCMS: m/z = 592.88 (M+1 ).
Step B
N-[5-{2-amino-3-[4-{[(3S)-3-hydroxy-1-pyrrolidinyl]carbonyl}-3-(methylox
2-(methyloxy)-3-pyridinyl]-2,4-difluorobenzenesulfonamide
[00267] To a solution of 4-{2-amino-6-[5-{[(2,4-difluorophenyl)sulfonyl]amino}-6- (methyloxy)-3-pyridinyl]-3-quinolinyl}-2-(methyloxy)benzoic acid (40 mg, 0.07 mmol) ) in anhydrous DMF (1.0 mL) was added HATU (28 mg, 0.07 mmol), (3S)-3-hydroxypyrrolidine (15 mg, 0.17 mmol), and triethylamine (0.03 mL, 0.22 mmol) and the reaction stirred at room temperature for 1 .5 h. The reaction was purified without workup by HPLC eluting with 10-90% acetonitrile/water/0.1 % formic acid to afford the title compound (26 mg, 58%). 1H NMR (400 MHz, DMSO-d6) δ ppm 10.24 (br. s., 1 H), 8.38 (br. s., 1 H), 8.13 (s, 1 H), 7.87 - 8.03 (m, 3 H), 7.68 - 7.87 (m, 2 H), 7.44 - 7.67 (m, 2 H), 7.27 - 7.36 (m, 1 H), 7.17 - 7.26 (m, 2 H), 7.08 - 7.17 (m, 1 H), 6.30 (br. s., 2 H), 4.79 - 5.07 (m, 1 H), 4.15 - 4.45 (m, 1 H), 3.87 (s, 3 H), 3.65 (s, 3 H), 3.49 - 3.59 (m, 2 H), 1.50 - 2.07 (m, 3 H). ES-LCMS: m/z = 662 (M+1 ).
EXAMPLE 116
(Compound 116)
-amino-3-[3-(methyloxy)-4-(4-morpholinylcarbonyl)phenyl]-6-quinolinyl}-2- (methylox -3-pyridinyl]-2,4-difluorobenzenesulfonamid
[00268] To a solution of 4-{2-amino-6-[5-{[(2,4-difluorophenyl)sulfonyl]amino}-6- (methyloxy)-3-pyridinyl]-3-quinolinyl}-2-(methyloxy)benzoic acid (40 mg, 0.07 mmol) ), prepared as described in Example 1 15, Step A, in anhydrous DMF (1.0 mL) was added HATU (28 mg, 0.07 mmol), morpholine (0.015 mL, 0.17 mmol), and triethylamine (0.03 mL, 0.22 mmol) and the reaction stirred at room temperature for 1.5 h. The reaction was purified without workup by reverse phase chromatography on a C18 column eluting with 10-90% acetonitrile/water/0.2% NH4OH to afford the title compound (30 mg, 67%) as an off-white solid. 1H NMR (400 MHz, DMSO-d6) δ ppm 10.29 (br. s., 1 H), 8.33 (br. s., 1 H), 7.82 - 8.01 (m, 3 H), 7.62 - 7.85 (m, 2 H), 7.48 - 7.66 (m, 2 H), 7.32 (d, J=7.6 Hz, 1 H), 7.18 - 7.27 (m, 2 H), 7.09 - 7.16 (m, 1 H), 6.30 (br.
s., 2 H), 3.87 (s, 3 H), 3.60 - 3.70 (m, 7 H), 3.51 - 3.59 (m, 2 H), 3.20 - 3.29 (m, 2 H). ES-LCMS: m/z = 662 (M+1 ).
EXAMPLE 118
(Compound 118)
A -[5-{2-amino-3-[4-(4-morpholinylcarbonyl)phenyl]-6-quinolinyl}-4-methyl-2-(methyloxy)-
3-pyridinyl]-2,4-difluorobenzenesulfonamide
3-bromo-6-iodo-2-quinolinamine
[00269] Trifluoracetic acid (6.1 mL) was added to 3-bromo-6-iodo-N-{[4- (methyloxy)phenyl]methyl}-2-quinolinamine (1 .5 g, 3.2 mmol) and the resulting solution was heated in a 65°C bath. The solution was concentrated and the residue was partitioned between EtOAc and NaHC03 solution. The organic layer was washed with brine, dried with Na2S04, filtered, and then concentrated. The residue was purified by silica gel chromatography (0-5% MeOH in DCM). Fractions containing only the product were combined and concentrated to yield 3-bromo-6-iodo-2-quinolinamine (1.28 g, assume theoretical yield). 1H NMR (400 MHz, DMSO- cfe) δ ppm 8.35 (s, 1 H) 8.08 (d, J=2 Hz, 1 H) 7.75 (dd, J=8.8, 2 Hz, 1 H) 7.28 (d, J=8.8 Hz, 1 H) 6.82 (br. s., 2 H).
5-bromo-4-methyl-2-(methyloxy)-3-pyridinamine
[00270] A mixture of 5-bromo-4-methyl-2-(methyloxy)-3-nitropyridine (1.00 g, 4.05 mmol) and ammonium chloride (0.909 g, 17 mmol) in EtOH (3.5 mL) and water (3.5 mL) was stirred as iron (0.949 g, 17 mmol) was added. The mixture was heated to reflux for about 2 hours. The mixture was allowed to cool to room temperature then filtered through Celite. The filtrate was concentrated to yield a light brown solid, The solid was slurried in water and filtered to yield 5- bromo-4-methyl-2-(methyloxy)-3-pyridinamine (761 mg, 87%) as a light brown solid. 1H NMR (400 MHz, DMSO-d6) δ ppm 7.50 (s, 1 H) 5.07 (s, 2 H) 3.84 (s, 3 H) 2.17 (s, 3 H).
Step C
N-[5-bromo-4-methyl-2-(methyloxy)-3^yridinyl]-2,4-difluorobenzenesulfonamide
[00271] 2,4-Difluorobenzenesulfonyl chloride (0.47 mL, 3.49 mmol) was added to solution of 5-bromo-4-methyl-2-(methyloxy)-3-pyridinamine (758 mg, 3.49 mmol) and 4- dimethylaminopyridine (43 mg, 0.35 mmol) in dry pyridine (1 1 .2 mL) and the mixture was allowed to stir at room temperture under nitrogen. After 1 h, additional 2,4- difluorobenzenesulfonyl chloride (0.47 mL, 3.49 mmol) was added. After another 30 minutes the reaction was concentrated, and the residue diluted with EtOAc, washed with water two times, then saturated NaHCC^ followed by brine, dried (Na2S0 ) and concentrated. The residue was purified by silica gel chromatography (0-60% EtOAc in hexanes). Fractions containing only the product were combined and concentrated to yield N-[5-bromo-4-methyl-2- (methyloxy)-3-pyridinyl]-2,4-difluorobenzenesulfonamide (668 mg, 49%) as a pale yellow solid. 1H NMR (400 MHz, DMSO-d6) δ ppm 10.08 (s, 1 H) 8.21 (s, 1 H) 7.73 - 7.54 (m, 2 H) 7.24 - 7.14 (m, 1 H) 3.37 (s, 3 H) 2.40 (s, 3 H).
Step D
2, 4-difluoro-N-[4-methyl-2-(methyloxy)-5-(4, 4, 5, 5-tetramethyl- 1, 3, 2-dioxaborolan-2-yl)-3- pyridinyljbenzenesulfonamide
[00272] A mixture of N-[5-bromo-4-methyl-2-(methyloxy)-3-pyridinyl]-2,4- difluorobenzenesulfonamide (300 mg, 0.763 mmol), 4,4,4',4',5,5,5',5'-octamethyl-2,2'-bi-1 ,3,2- dioxaborolane (213 mg, 0.839 mmol), potassium acetate (225 mg, 2.289 mmol) and
PdCI2(dppf)-CH2CI2 adduct (31 mg, 0.038 mmol) in 1 ,4-dioxane (7.63 mL) was sparged with nitrogen. The mixture was then heated for 3 hours at 100°C. The mixture was then allowed to cool and was partitioned between water and EtOAc. The aqueous layer was extracted twice more with EtOAc then the combined organic layers were dried with Na2S04, filtered and concentrated. The residue was purified by silica gel chromatography (0-40% EtOAc in hexanes). Fractions containing only the product were combined and concentrated to yield 2,4- difluoro-N-[4-methyl-2-(methyloxy)-5-(4,4,5,5-tetramethyl-1 ,3,2-dioxaborolan-2-yl)-3- pyridinyl]benzenesulfonamide (1 10 mg, 33%). LCMS: m/z 441 (M+1 ).
Step E
N-[5-(2-amino-3-bromo-6-quinolinyl)-4-methyl-2-(methyloxy)-3-pyridin
difluorobenzenesulfonamide
[00273] A mixture of potassium acetate (67 mg, 0.68 mmol), 3-bromo-6-iodo-2- quinolinamine (79 mg, 0.23 mmol) and 2,4-difluoro-N-[4-methyl-2-(methyloxy)-5-(4,4,5,5-
tetramethyl-1 ,3,2-dioxaborolan-2-yl)-3-pyridinyl]benzenesulfonamide (100 mg, 0.23 mmol) was placed in a sealed tube and sparged with N2 before the addition of PdCI2(dppf)-CH2Cl2 adduct
(19 mg, 0.02 mmol). The mixture was heated for in a 65°C sand bath 3 hours. LCMS shows the reaction is incomplete. The mixture was allowed to stand in the refrigerator over the weekend before addition of a second portion of PdCl2(dppf)-CH2Cl2 adduct (19 mg, 0.02 mmol). The mixture was sparged then heated in a 65°C sand bath for 4 hours. The mixture was partitioned between EtOAc and water. The organic layer was dried with Na2S04, filtered and concentrated. The residue was purified by silica gel chromatography. The column was eluted with 0-60% EtOAc in hexanes. Fractions containing the product were combined and concentrated to yield A/-[5-(2-amino-3-bromo-6-quinolinyl)-4-methyl-2-(methyloxy)-3-pyridinyl]- 2,4-difluorobenzenesulfonamide (29 mg, 24%) as a tan solid. 1H NMR (400 MHz, DMSO-c/6) δ ppm 9.90 (s, 1 H) 8.45 (s, 1 H) 7.95 (s, 1 H) 7.79 - 7.68 (m, 1 H) 7.68 - 7.53 (m, 3 H) 7.52 - 7.46 (m, 1 H) 7.27 - 7.17 (m, 1 H) 6.78 (br. s., 2 H) 3.40 (s, 3 H) 2.28 (s, 3 H)
Step F
[00274] A mixture of potassium acetate (20 mg, 0.20 mmol), N-[5-(2-amino-3-bromo-6- quinolinyl)-4-methyl-2-(methyloxy)-3-pyridinyl]-2,4-difluorobenzenesulfonamide (23 mg, 0.04 mmol) and [4-(4-morpholinylcarbonyl)phenyl]boronic acid (12 mg, 0.05 mmol) was placed in a sealed tube and sparged with N2 before the addition of PdCI2(dppf)-CH2CI2 adduct (4 mg, 0.005 mmol). The mixture was heated at 80°C for 5 hours. A second portion of PdCI2(dppf)-CH2CI2 adduct (4 mg, 0.005 mmol) and [4-(4-morpholinylcarbonyl)phenyl]boronic acid (12 mg, 0.05 mmol) was added and the mixture was sparged then heated in a 80°C sand bath for 24 hours. The mixture was partitioned between EtOAc and water. The organic layer was dried with Na2S04, filtered and concentrated. The residue was purified by reverse phase chromatography eluting with 20-90% MeCN water. Fractions containing the product were combined and concentrated. The residue was slurried in DCM hexanes to yield /\/-[5-{2-amino-3-[4-(4- morpholinylcarbonyl)phenyl]-6-quinolinyl}-4-methyl-2-(methyloxy)-3-pyridinyl]-2,4- difluorobenzenesulfonamide (10 mg, 36%) as a white solid. 1H NMR (400 MHz, DMSO-c/6) δ ppm 8.18 (s, 1 H) 7.94 (d, J=3.9 Hz, 2 H) 7.77 - 7.66 (m, 2 H) 7.65 - 7.56 (m, 4 H) 7.56 - 7.50 (m, 2 H) 7.47 (dd, J=8.6, 2.0 Hz, 1 H) 7.21 (td, J=8.4, 2.0 Hz, 1 H) 6.23 (br s, 2H) 3.74- 3.47 (br s, 8 H) 3.40 (s, 3 H) 2.30 (s, 3 H). LCMS: m/z 646 (M+1 )+. HRMS for C33H3oF2N505S (M + H)+ calc: 646.1936, found: 646.1934.
Example 119
(Compound 119)
N-[5-{2-amino-7-methyl-3-[4-(4-morpholinyl)phenyl]-6-quinolinyl}-2-(meth
pyridinyl]-2,4-difluorobenzenesulfonamide
[00275] N-[5-{2-amino-7-methyl-3-[4-(4-morpholinyl)phenyl]-6-quinolinyl}-2-(m
pyridinyl]-2,4-difluorobenzenesulfonamide was synthesized following the route described in Example 161 below, except in Step A, instead of 3-chloro-4-iodoaniline, 4-iodo-3-methylaniline was used. The final product contained about 33% of the N-[5-{2-amino-5-methyl-3-[4-(4- morpholinyl)phenyl]-6-quinolinyl}-2-(methyloxy)-3-pyridinyl]-2,4-difluorobenzenesulfonamide regioisomer. MS: 618 (M+H); 1 H NMR (400MHz , DMSO-d6) δ = 8.18 - 7.02 (m, 13 H), 6.25 (br. s., 2 H), 3.83 - 3.72 (m, 4 H), 3.71 - 3.62 (m, 3 H), 3.24 - 3.12 (m, 4 H), 2.43 - 2.24 (m, 3 H).
EXAMPLE 120
(Compound 120)
N-[5-{2-amino-3-[4-(ethylsulfonyl)phenyl]-6-quinolinyl}-2-(methyloxy)-3- pyridinyljmethanesulfonamide
[00276] A degassed mixture of 6-chloro-3-[4-(ethylsulfonyl)phenyl]-2-quinolinamine
(Intermediate 15 - 50 mg, 0.144 mmol), crude N-[2-(methyloxy)-5-(4,4,5,5-tetramethyl-1 ,3,2- dioxaborolan-2-yl)-3-pyridinyl]methanesulfonamide (60 mg, 0.183 mmol), Pd2(dba)3 (6.60 mg, 7.21 μηηοΙ), K3P04 (61 .1 mg, 0.288 mmol), 2-dicyclohexylphosphino-2',4',6'-triisopropylbiphenyl (13.75 mg, 0.029 mmol) in 1-butanol (2 ml.) and water (0.5 mL) was heated at 100 °C for 16 h. The resulting mixture was filtered through a pad of Celite with the aid of EtOAc. The filtrate was concentrated. The residue was dissolved in DMF and purified by HPLC (10-90% CH3CN/H20, both containing 0.1 % formic acid) to obtain N-[5-{2-amino-3-[4-(ethylsulfonyl)phenyl]-6-
quinolinyl}-2-(methyloxy)-3-pyridinyl]methanesulfonamide (14 mg, 18.95 % yield) as a yellow solid: 1H NMR (400 MHz, DMSO-d6) δ ppm 1 .17 (t, 3 H) 3.10 (s, 3 H) 3.39 (q, J=7.30 Hz, 2 H) 3.98 (s, 3 H) 7.84 - 7.93 (m, 3 H) 7.96 (d, J=1.95 Hz, 1 H) 8.08 (d, J=8.31 Hz, 2 H) 8.15 (d, J=8.70 Hz, 1 H) 8.26 (s, 1 H) 8.31 - 8.57 (m, 4 H) 9.44 (s, 1 H); ES LC-MS m/z =513.0 (M+H)+.
EXAMPLE 121
(Compound 121)
N-[5-{2-amino-3-[2-methyl-4-(4-morpholinylcarbonyl)phenyl]-6-quinoliny
3-pyridinyl]-2,4-difluorobenzenesulfonamide
Step A
4-{2-amino-6-[5-{[(2,4-difluorophenyl)sulfonyl]amino}-6-(m
methylbenzoic acid
[00277] To a solution of A/-[5-(2-amino-3-bromo-6-quinolinyl)-2-(methyloxy)-3-pyridinyl]- 2,4-difluorobenzenesulfonamide (150 mg, 0.29 mmol), prepared as described in Step VII of Example 29, in dioxane (1 .6 ml.) and water (0.4 mL) was added 4-(dihydroxyboranyl)-3- methylbenzoic acid (57 mg, 0.32 mmol), potassium acetate (1 13 mg, 1.15 mmol) and PdCI- 2(dppf)-CH2CI2 (23 mg, 0.03 mmol). The solution was degassed with nitrogen and heated in a sealed tube for 1 h at 100 °C. Additional PdCI2(dppf)-CH2CI2 (23 mg, 0.03 mmol) was added and the solution degassed with nitrogen and heated to 100 °C for 2h more. The reaction was cooled to room temperature and evaporated under reduced pressure. The residue was purified by HPLC eluting with 10-90% acetonitrile/water/0.1 % formic acid to afford the title compound (35 mg, 21 %). ES-LCMS: m/z = 577.01 (M+1 ).
Step B
N-[5-{2-amino-3-[2-methyl-4-(4-morpholinylcarbonyl)phenyl]-6-qui
pyridinyl]-2,4-difluorobenzenesulfonamide
[00278] To a solution of 4-{2-amino-6-[5-{[(2,4-difluorophenyl)sulfonyl]amino}-6- (methyloxy)-3-pyridinyl]-3-quinolinyl}-3-methylbenzoic acid (35 mg, 0.06 mmol) prepared as described in Step A above, in anhydrous DMF (1.0 mL) was added HATU (25 mg, 0.07 mmol), morpholine (0.01 mL, 0.12 mmol), and triethylamine (0.025 mL, 0.18 mmol) and the reaction stirred at room temperature for 3 h. One additional equivalent of HATU, morpholine and triethylamine were added and the reaction stirred at room temperature for 18 h. The reaction was purified without workup by HPLC eluting with 10-90% acetonitrile/water/0.2% NH4OH to afford the title compound (24 mg, 61 %) as an off-white solid. 1 H NMR (400 MHz, DMSO-c/6) δ ppm 10.29 (br. s., 1 H), 8.37 (d, J=1.0 Hz, 1 H), 7.92 (dd, J=9.7, 2.1 Hz, 2 H), 7.69 - 7.85 (m, 3 H), 7.49 - 7.67 (m, 2 H), 7.38 (s, 1 H), 7.26 - 7.35 (m, 2 H), 7.21 (td, J=8.5, 2.1 Hz, 1 H), 6.05 (br. s., 2 H), 3.55 - 3.73 (m, 9 H), 3.41 - 3.55 (m, 2 H), 2.17 (s, 3 H). ES-LCMS: m/z = 646.41 (M+1 ).
EXAMPLE 122
(Compound 122)
N-[5-{2-amino-3-[2-methyl-4-(1-pyrrolidinylmethyl)phenyl]-6-quinolinyl}-2-(m
ridinyl]-2,4-difluorobenzenesulfonamide
[00279] Following General Scheme 9 above, pyrrolidine (21 .69 mg, 0.305 mmol) and Raney Ni (catalytic amount) were added to a solution of (4-Formyl-2-methylphenyl)boronic acid (50 mg, 0.305 mmol) in methanol (3 ml_). The resulting mixture was stirred under hydrogen atmosphere for 2 hrs. After Raney Ni was filtered off and washed with methanol, the filtrate was concentrated in vacuo. The crude product was purified by HPLC (C18, 5 to 50% acetonitrile in water (0.1 % formic acid)) to give the title intermediate (66.8 mg). LC-MS: m/z = 220 (M+1 ).
The following intermediates were prepared in a similar procedure outlined above:
[2-methyl-4-( 1- iperidinylmethyl)phenyl]boronic acid
74 mg, Yield: 52%. LC-MS: m/z = 234 (M+1 ).
59 mg. Yield: 41 .2%. LC-MS: m/z = 234 (M+1 ).
N-[5-{2-amino-3-[2-methyl-4-(1-pyrrolidinylmethyl)phenyl]-6-quinolinyl}-2-(m
pyridinyl]-2,4-difluorobenzenesulfonamide
General Scheme 10
[00280] To a Schlenk flask were introduced A/-[5-(2-amino-3-bromo-6-quinolinyl)-2- (methyloxy)-3-pyridinyl]-2,4-difluorobenzenesulfonamide (50 mg, 0.096 mmol), [2-methyl-4-(1- pyrrolidinylmethyl)phenyl]boronic acid (21 mg, 0.096 mmol), Pd(PPh3)4 (1 1 mg, 9.6 μηΊΓΤΐοΙ) and potassium acetate (22.8 mg, 0.288 mmol), followed by addition of toluene (2ml_) and ethanol (0.5ml_). The suspension was purged with N2 (3x) before it was heated to 80°C for 2 hrs under nitrogen atmosphere. After the reaction was cooled downed to rt, the solvents were evaporated and the crude mixture was purified by column chromatography (silica gel, 0 to 100% DCM (10% MeOH 2M NH3) in hexanes to give the title compound (10 mg, yield: 16%). 1H NMR (400 MHz, CHLOROFORM-d) δ ppm 2.12 (br. s., 4 H), 2.26 (s, 3 H), 3.17 (br. s., 4 H), 3.95 (s, 3 H), 4.12 (s, 2 H), 6.89 - 7.00 (m, 2 H), 7.32 (d, J=7.8 Hz, 1 H), 7.53 - 7.63 (m, 2 H), 7.70 - 7.77 (m, 2 H), 7.80 - 7.92 (m, 3 H), 8.02 (d, J=2.1 Hz, 1 H), 8.15 (d, J=2.1 Hz, 1 H). LC-MS: m/z 616 (M+1 ).
EXAMPLE 123
(Compound 123)
N-[5-{2-amino-3-[3-methyl-4-(1-piperidinyl)phenyl]-6-quinolinyl}-2-(methylo^
ridinyl]-2,4-difluorobenzenesulfonamide
General Scheme 1 1
R= Me, CI. OMe X= CH2, O
Step 1
1-(4-bromo-2-methylphenyl)piperidine
[00281] Following General Scheme 4 above, ethanol (5 ml_), 4-bromo-2-methanyl- analine(0.5g, 2.69mmol), 1 ,5-dibromopentane (0.68 g, 2.69 mmol) and Na2C03 (0.855 g, 8.06 mmol) were added sequentially to a 20-mL vial with a stirring bar. The vial was then sealed and heated to 80°C for 48hrs. After cooling down, the solid was filtered off and the filtrate was concentrated down in vacuo. The crude product was purified by column chromatography (silica gel, 0 to 30% ethyl acetate in hexanes) to give the title intermediate (310 mg, yield: 41.5%) LC- MS: m/z 254 (M+1 ).
[00282] The following intermediates were prepared in a similar way described as above:
4-(4-brom -2-methylphenyl)morpholine
210 mg, Yield: 30.5%. LC-MS: m/z 256 (M+1 ).
1-(4-bromo-3-meth lphenyl)piperidine
1.24 g, Yield: 50%. LC-MS: m/z 255 (M+1 ). 4-[4-bromo-3-(methyloxy)phenyl]morph line
440 mg, Yield: 32.7%. LC-MS: m/z 272 (M+1 ). 1-[4-bromo-3-(methyloxy)phenyl]piperi ine
430 mg, Yield: 32.2%. LC-MS: m/z 270 (M+1 ). 4-(4-bromo-3-methylphenyl)morpholine
630 mg. Yield: 47.4%. LC-MS: m/z 274 (M+1 ). 4-(4-bromo-3-chlorophenyl)morpholine
234 mg. Yield: 17.5%. LC-MS: m/z 276 (M+1 ).
Step 2
1-[2-Methyl-4-(4, 4, 5, 5-tetramethyl- 1, 3, 2-dioxaborolan-2-yl)phenyl]piperidine
[00283] To a Schlenk flask charged with 1 ,4-dioxane (10 mL) was added 1 -(4-bromo-2- methylphenyl)piperidine (310 mg, 1 .22 mmol), bis(pinacolato)diboron (341 mg, 1.34 mmol), PdCI2(dppf)-CH2CI2 adduct (49.8 mg, 0.061 mmol) and potassium acetate (599 mg, 6.1 mmol). After purging with N2 (3X), the reaction mixture was heated to 100°C for 3hrs under nitrogen atmosphere. The reaction was then cooled downed to rt and quenched with 60 mL of water. The crude product was extracted with ethyl acetate (3X - 20 mL). The combined organic phase was dried over MgS04. After evaporation of the solvents, the title intermediate was obtained after column chromatography (silica gel, 0 to 40% ethyl acetate in hexanes) (210 mg, yield: 57%). LC-MS: m/z 302 (M+1 ).
[00284] The following intermediates were prepared in a similar way described as above:
130 mg, Yield: 73%. LCMS: m/z 304 (M+1 ).
600 mg. Yield: 40%. LC-MS: m/z 302 (M+1 )
51 mg. Yield: 43.5%. LC-MS: m/z 320 (M+1 ).
48 mg. Yield: 20.4%. LC-MS: m/z 318 (M+1 ).
140 mg. Yield: 29.6%. LC-MS: m/z 304 (M+1 ).
1-[3-chloro-4-(4, 4, 5, 5-tetrameth l-1 , 3, 2-dioxaborolan-2-yl)phenyl]piperidine
1 10 mg. Yield: 15.6%. LC-MS: m/z 322 (M+1 ).
4-[3-chloro-4-(4,4, 5, 5-tetrameth l- 1, 3, 2-dioxaborolan-2-yl)phenyl]morpholine
1 10 mg. Yield: 47%. LC-MS: m/z 334 (M+1 ).
Step 3
N-[5-{2-amino-3-[3-methyl-4-(1-piperidinyl)phenyl]-6-quinolinyl}-2-(meth^
ifluorobenzenesulfonamide
[00285] To a Schlenk flask was added A/-[5-(2-amino-3-bromo-6-quinolinyl)-2-
(methyloxy)-3-pyridinyl]-2,4-difluorobenzenesulfonamide (50 mg, 0.096 mmol), 1-[2-methyl-4- (4,4,5,5-tetramethyl-1 ,3,2-dioxaborolan-2-yl)phenyl]piperidine (28.9 mg, 0.096 mmol), Pd(Ph3P)4 (1 1 mg, 9.6 μmmol) and potassium acetate(22.8 mg, 0.288 mmol). A mixture of solvents of toluene (2ml_) and methanol (0.5 ml.) was subsequently introduced. After purging with N2 (3X), the reaction mixture was heated to 80°C for 2 hrs under nitrogen atmosphere. The solvent was then evaporated. The crude product was purified by column chromatography (silica gel, 0 to 80% DCM (10% MeOH 2M NH3) in hexanes) to give the title compound (15 mg, yield: 24%). 1H NMR (400 MHz, CHLOROFORM-d) δ ppm 1 .62 (br. s., 2 H), 1.76 (quin, J=5.5 Hz, 4 H), 2.38 (s, 3 H), 2.87 - 2.97 (m, 4 H), 3.95 (s, 3 H), 6.89 - 7.00 (m, 2 H), 7.13 (d, J=8.0 Hz, 1 H), 7.26 - 7.31 (m, 2 H), 7.69 - 7.75 (m, 2 H), 7.82 - 7.92 (m, 3 H), 8.01 (d, J=2.3 Hz, 1 H), 8.14 (d, J=2A Hz, 1 H). LC-MS: m/z 616 (M+1 ).
Examples 111, 125, 133-135, and 137-138 were prepared following the similar procedure described in Example 123.
EXAMPLE 124
(Compound 124)
N-[5-{2-amino-3-[2-methyl-4-(1-piperidinylmethyl)phenyl]-6-quinolinyl}-2-(methyloxy)-3- ridinyl]-2,4-difluorobenzenesulfonamide
[00286] /\/-[5-{2-Amino-3-[2-methyl-4-(1 -piperidinylmethyl)phenyl]-6-quinolinyl}-2- (methyloxy)-3-pyridinyl]-2,4-difluorobenzenesulfonamide (7 mg, yield: 1 1 %) was obtained as a solid from N-[5-(2-amino-3-bromo-6-quinolinyl)-2-(methyloxy)-3-pyridinyl]-2,4- difluorobenzenesulfonamide (50 mg, 0.096 mmol) and [2-methyl-4-(1 - piperidinylmethyl)phenyl]boronic acid (22.3 mg, 0.096 mmol), Pd(Ph3P)4 (1 1 mg, 9.6 μηηοΙ) and potassium acetate (22.8 mg, 0.288 mmol), following the similar procedure outlined in Example 122. 1H NMR (400 MHz, CHLOROFORM-d) δ ppm 1.51 (br. s., 2 H), 1 .66 - 1 .77 (m, 4 H), 2.22 (s, 3 H), 2.58 (br. s.,4 H), 3.65 (s, 2 H), 3.95 (s, 3 H), 6.85 - 7.00 (m, 2 H), 7.23 (d, J=7.6 Hz, 1
H), 7.31 - 7.39 (m, 2 H), 7.68 - 7.75 (m, 2 H), 7.77 - 7.83 (m, 2 H), 7.87 (td, J=8.5, 6.2 Hz, 1 H), 8.03 (d, J=2.1 Hz, 1 H), 8.15 (d, J=2.1 Hz, 1 H). LCMS: m/z 630 (M+1 ).
EXAMPLE 125
(Compound 125)
N-[5-{2-amino-3-[3-methyl-4-(4-morpholinyl)phenyl]-6-quinolinyl}-2-(m
ridinyl]-2,4-difluorobenzenesulfonamide
[00287] 1H NMR (400 MHz, CHLOROFORM-d) δ ppm 2.95 - 3.04 (m, 4 H), 3.86 - 3.93
(m, 4 H), 3.95 (s, 3 H), 6.89 - 6.98 (m, 2 H), 7.15 (d, J=8.6 Hz, 1 H), 7.31 - 7.37 (m, 2 H), 7.69 - 7.74 (m, 2 H), 7.81 - 7.91 (m, 3 H), 8.02 (s, 1 H), 8.14 (s, 1 H), J=2.1 Hz, 1 H). LC-MS: m/z 618 (M+1 ).
EXAMPLE 126
(Compound 126)
N-[5-{2-amino-3-[2-methyl-4-(4-morpholinylmethyl)phenyl]-6-quinolinyl}-2-(me
pyridinyl]-2,4-difluorobenzenesulfonamide
[00288] N-[5-{2-amino-3-[2-methyl-4-(4-morpholinylmethyl)phenyl]-6-quinolinyl}-2- (methyloxy)-3-pyridinyl]-2,4-difluorobenzenesulfonamide (6.5 mg, yield: 10%) was obtained as solid from A/-[5-(2-amino-3-bromo-6-quinolinyl)-2-(methyloxy)-3-pyridinyl]-2,4- difluorobenzenesulfonamide (50 mg, 0.096 mmol), [2-methyl-4-(4-
morpholinylmethyl)phenyl]boronic acid (22.6 mg, 0.096 mmol), Pd(Ph3P)4 (1 1 mg, 9.6 μπΊΓηοΙ) and potassium acetate (22.8 mg, 0.288 mmol), following the similar procedure outlined in Example 122. 1H NMR (400 MHz, CHLOROFORM-d) δ ppm 2.22 (s, 3 H), 2.51 (br. s., 4 H), 3.55 (s, 2 H), 3.76 (t, J=4.5 Hz, 4 H), 3.95 (s, 3 H), 6.88 - 7.00 (m, 2 H), 7.20 - 7.24 (m, 1 H), 7.28 - 7.36 (m, 2 H), 7.67 - 7.74 (m, 2 H), 7.77 - 7.93 (m, 3 H), 8.03 (d, J=2.1 Hz, 1 H), 8.15 (d, J=2.1 Hz, 1 H). LC-MS: m/z 632 (M+1 ).
EXAMPLE 127
(Compound 127)
N-[5-{2-amino-3-[2-(methyloxy)-4-(4-morpholinylcarbonyl)phenyl]-6-quinolinyl}-2- (methylox -3-pyridinyl]-2,4-difluorobenzenesulfonamide
Step A
4-{[4-bromo-3-(methyloxy)phenyl]carbonyl}morpholine
[00289] To a solution of 4-bromo-3-(methyloxy)benzoic acid (150 mg, 0.65 mmol) in dichloromethane (3.0 ml.) was added HATU (272 mg, 0.71 mmol) and the reaction stirred at room temperature for 10 min. To the solution was added morpholine (0.1 1 ml_, 1 .3 mmol) and triethylamine (0.18 ml_, 1.3 mmol) and the reaction stirred at room temperature for 2 h. The reaction was concentrated under reduced pressure and purified by silica gel chromatography eluting with 70-100% hexanes/ethyl acetate to afford the title compound (189 mg, 97%) as a white solid.
Step B
4-{[3-(methyloxy)-4-(4, 4, 5, 5-tetramethyl- 1, 3, 2-dioxaborolan-2-yl)phenyl]carbonyl}morpholine
[00290] To a solution of 4-{[4-bromo-3-(methyloxy)phenyl]carbonyl}morpholine (188 mg, 0.63 mmol) in dioxane (2.5 ml.) was added potassium acetate (184 mg, 1 .88 mmol), PdCI- 2(dppf)-CH2CI2 (51 mg, 0.06 mmol) and bis(pinacolato)diboron (175 mg, 0.69 mmol) and the solution degassed with nitrogen and heated to 100 °C in a sealed tube for 2.5 h. The reaction
was diluted with ethyl acetate and washed with ice-cold water and the organic layer dried over anhydrous sodium sulfate. The organic layer was evaporated under reduced pressure and the residue purified by silica gel chromatography eluting with 80-100% hexanes/ethyl acetate to afford the title compound (145 mg, 67%) as an off-white solid. ES-LCMS: m/z = 348.23 (M+1 ).
Step C
N-[5-{2-amino-3-[2-(methyloxy)-4-(4-morpholinylcarbonyl)phenyl]-6-quinoli
pyridinyl]-2,4-difluorobenzenesulfonamide
[00291] To a solution of A/-[5-(2-amino-3-bromo-6-quinolinyl)-2-(methyloxy)-3-pyridinyl]- 2,4-difluorobenzenesulfonamide (40 mg, 0.08 mmol), prepared as described in Step VII of Example 29, in dioxane (0.8 ml.) and water (0.2 ml.) was added triphenylphosphine (16 mg, 0.06 mmol), Pd2dba3 (6 mg, 0.007 mmol), potassium acetate (30 mg, 0.31 mmol) and 4-{[3- (methyloxy)-4-(4,4,5,5-tetramethyl-1 ,3,2-dioxaborolan-2-yl)phenyl]carbonyl}morpholine (37 mg, 0.1 1 mmol). The solution was degassed with nitrogen and heated in a sealed tube for 1 h at 100 °C. The reaction was evaporated under reduced pressure and the residue was purified by HPLC eluting with 10-90% acetonitrile/water/0.1 % formic acid to afford the title compound as a pale yellow solid (18 mg, 36%). 1H NMR (400 MHz, DMSO-d6) δ ppm 10.24 (br. s., 1 H), 8.35 (br. s., 1 H), 7.88 - 7.96 (m, 2 H), 7.82 (s, 1 H), 7.77 (dd, J=8.5, 2.1 Hz, 2 H), 7.49 - 7.65 (m, 2 H), 7.31 (d, J=7.6 Hz, 1 H), 7.20 (td, J=8.5, 2.1 Hz, 1 H), 7.13 (s, 1 H), 7.08 (dd, J=7.6, 1.2 Hz, 1 H), 6.02 (br. s., 2 H), 3.79 (s, 3 H), 3.56 - 3.74 (m, 8 H), 3.41 - 3.58 (m, 3 H). ES-LCMS: m/z = 662 (M+1 ).
EXAMPLE 128
(Compound 128)
-amino-3-[4-{[(3S)-3-hydroxy-1-pyrrolidinyl]carbonyl}-2-(methyloxy)phenyl]-6- quinolinyl}-2-(methyloxy)-3-pyridinyl]-2,4-difluorobenzenesulfonamide
(3S)-1-{[4-bromo-3-(methyloxy)phenyl]carbonyl}-3-pyrrolidinol
[00292] To a solution of 4-bromo-3-(methyloxy)benzoic acid (150 mg, 0.65 mmol) in dichloromethane (3.0 ml.) was added HATU (272 mg, 0.71 mmol) and the reaction stirred at room temperature for 10 min. To the solution was added (3S)-3-pyrrolidinol (0.1 1 ml_, 1.3 mmol) and triethylamine (0.18 ml_, 1 .3 mmol) and the reaction stirred at room temperature for 2 h. The reaction was concentrated under reduced pressure and purified by silica gel chromatography eluting with 0-10% ethyl acetate/methanol to afford the title compound (183 mg, 94%) as an off- white solid.
Step B
(3S)-1-{[3-(methyloxy)-4-(4, 4, 5, 5-tetramethyl-1 ,3, 2-dioxaborolan-2-yl)phenyl]carbonyl}-3- pyrrolidinol
[00293] To a solution of (3S)-1-{[4-bromo-3-(methyloxy)phenyl]carbonyl}-3-pyrrolidinol (183 mg, 0.61 mmol) in dioxane (2.5 mL) was added potassium acetate (184 mg, 1 .88 mmol), PdCI2(dppf)-CH2CI2 (51 mg, 0.06 mmol) and bis(pinacolato)diboron (175 mg, 0.69 mmol) and the solution degassed with nitrogen and heated to 100 °C in a sealed tube for 2.5 h. The reaction was diluted with ethyl acetate and washed with ice-cold water and the organic layer dried over anhydrous sodium sulfate. The organic layer was evaporated under reduced pressure and the residue purified by reverse-phase chromatography eluting with 10-100% acetonitrile/water/0.1 % formic acid to afford the title compound (53 mg, 24%) as an off-white solid. ES-LCMS: m/z = 348.21 (M+1 ).
Step C
N-[5-{2-amino-3-[4-{[(3S)-3-hydroxy-1^yrrolidinyl]carbonyl}-2-(methylo^
2-(methyloxy)-3-pyridinyl]-2,4-difluorobenzenesulfonamide
[00294] To a solution of A/-[5-(2-amino-3-bromo-6-quinolinyl)-2-(methyloxy)-3-pyridinyl]-
2,4-difluorobenzenesulfonamide (40 mg, 0.08 mmol), prepared as described in Step VII of Example 29, in dioxane (0.8 mL) and water (0.2 mL) was added triphenylphosphine (16 mg, 0.06 mmol), Pd2dba3 (6 mg, 0.007 mmol), potassium acetate (30 mg, 0.31 mmol) and (3S)-1- {[3-(methyloxy)-4-(4,4,5,5-tetramethyl-1 ,3,2-dioxaborolan-2-yl)phenyl]carbonyl}-3-pyrrolidinol (29 mg, 0.08 mmol). The solution was degassed with nitrogen and heated in a sealed tube for 1 h at 100°C. The reaction was evaporated under reduced pressure and the residue was purified by HPLC eluting with 10-90% acetonitrile/water/0.1 % formic acid to afford the title compound as
a white solid (15 mg, 30%). 1 H NMR (400 MHz, DMSO-d6) δ ppm 10.28 (br. s., 1 H), 8.35 (br. s., 1 H), 7.86 - 7.98 (m, 2 H), 7.84 (s, 1 H), 7.71 - 7.81 (m, 2 H), 7.49 - 7.65 (m, 2 H), 7.31 (d, J=7.6 Hz, 1 H), 7.13 - 7.27 (m, 3 H), 5.99 (br. s., 2 H), 4.75 - 5.12 (m, 1 H), 4.19 - 4.45 (m, 1 H), 3.80 (s, 3 H), 3.65 (s, 3 H), 3.47 - 3.72 (m, 4 H), 1 .73 - 2.04 (m, 2 H). ES-LCMS: m/z = 662.30 (M+1 ).
EXAMPLE 130
(Compound 130)
N-[5-(2-amino-3-{4-[(2-methyl-1-piperidinyl)carbonyl]phenyl}-6-quinoli
3-pyridinyl]-2,4-difluorobenzenesulfonamide
Step A
1-[(4-bromophenyl)carbonyl]-2-methylpiperidine
[00295] To a solution of 4-bromobenzoyl chloride (170 mg, 0.78 mmol) in
dichloromethane (3.0 mL) was added 2-methylpiperidine (0.27 mL, 2.3 mmol) and the reaction stirred at room temperature under nitrogen. After 1 h, the reaction was concentrated under reduced pressure and the residue purified by silica gel chromatography eluting with 10-65% hexanes/ethyl acetate to afford the title compound (189 mg, 86%) as a clear oil.
Step B
2-methyl- 1-{[4-(4, 4, 5, 5-tetramethyl-1 ,3, 2-dioxaborolan-2-yl)phenyl]carbonyl}piperidine
[00296] To a solution of 1-[(4-bromophenyl)carbonyl]-2-methylpiperidine (189 mg, 0.67 mmol) in dioxane (3.0 mL) was added potassium acetate (197 mg, 2.0 mmol), PdCI2(dppf)-CH- 2CI2 (55 mg, 0.07 mmol) and bis(pinacolato)diboron (187 mg, 0.74 mmol) and the solution degassed with nitrogen and heated to 100°C in a sealed tube for 2 h. The reaction was diluted with ethyl acetate and washed with ice-cold water and the organic layer dried over anhydrous sodium sulfate. The organic layer was evaporated under reduced pressure and the residue
purified by silica gel chromatography eluting with 10-65% hexanes/ethyl acetate to afford the title compound (152 mg, 69%) as a white solid. ES-LCMS: m/z = 330.37 (M+1 ).
Step C
N-[5-(2-amino-3-{4-[(2-methyl-1^iperidinyl)carbonyl]phenyl}-6-quinoli
pyridinyl]-2,4-difluorobenzenesulfonamide
[00297] To a solution of A/-[5-(2-amino-3-bromo-6-quinolinyl)-2-(methyloxy)-3-pyridinyl]- 2,4-difluorobenzenesulfonamide (34 mg, 0.06 mmol), prepared as described in Step VII of Example 29, in dioxane (0.6 ml.) and water (0.2 ml.) was added 2-methyl-1-{[4-(4,4,5,5- tetramethyl-1 ,3,2-dioxaborolan-2-yl)phenyl]carbonyl}piperidine (24 mg, 0.07 mmol), potassium acetate (26 mg, 0.26 mmol) and PdCI2(dppf)-CH2CI2 (5 mg, 0.006 mmol). The solution was degassed with nitrogen and heated in a sealed tube for 1 h at 100°C. The reaction was cooled to room temperature and evaporated under reduced pressure. The residue was purified by HPLC eluting with 10-90% acetonitrile/water/0.1 % formic acid to afford the title compound (22 mg, 50%) as a white solid. 1H NMR (400 MHz, DMSO-d6) δ ppm 10.34 (br. s., 1 H), 8.35 (br. s., 1 H), 7.86 - 7.99 (m, 3 H), 7.71 - 7.84 (m, 2 H), 7.53 - 7.67 (m, 4 H), 7.47 (d, J=8.2 Hz, 2 H), 7.21 (td, J=8.5, 2.1 Hz, 1 H), 6.25 (br. s., 2 H), 3.65 (s, 3 H), 2.99 (br. s., 1 H), 1 .47 - 1 .79 (m, 5 H), 1.32 - 1.46 (m, 1 H), 1.22 (d, J=6.8 Hz, 3 H). ES-LCMS: m/z = 644.45 (M+1 ).
EXAMPLE 131
(Compound 131)
N-[5-{2-amino-3-[4-(4-morpholinylcarbonyl)phenyl]-6-quinolinyl}-6-methyl-2-(me
3-pyridinyl]-2,4-difluorobenzenesulfonamide
5-bromo-6-methyl-2-(methyloxy)-3-pyridinamine
[00298] The reaction was carried out according to the general procedure described for the synthesis of 5-bromo-4-methyl-2-(methyloxy)-3-pyridinamine to yield 5-bromo-6-methyl-2- (methyloxy)-3-pyridinamine (585 mg, 72%). 1H NMR (400 MHz, DMSO-d6) δ ppm 7.01 (s, 1 H) 5.02 (br. s., 2 H) 3.83 (s, 3 H) 2.32 (s, 3 H).
Step B
N-[5-bromo-6-methyl-2-(methyloxy)-3-pyridinyl]-2,4-difluorobenzenesulfon
[00299] The reaction was carried out according to the general procedure described for the synthesis of N-[5-bromo-4-methyl-2-(methyloxy)-3-pyridinyl]-2,4- difluorobenzenesulfonamide to yield N-[5-bromo-6-methyl-2-(methyloxy)-3-pyridinyl]-2,4- difluorobenzenesulfonamide (737 mg, 64%). 1H NMR (400 MHz, DMSO-c/6) δ ppm 10.30 (s, 1 H) 7.79 - 7.66 (m, 2 H) 7.62 - 7.50 (m, 1 H) 7.21 (td, J=8.5, 2.0 Hz, 1 H) 3.57 (s, 3 H) 2.43 (s, 3 H). LCMS: m/z 441 (M+1 ).
Step C
2, 4-difluoro-N-[6-methyl-2-(methyloxy)-5-(4, 4, 5, 5-tetramethyl- 1, 3, 2-dioxaborolan-2-yl)-3- pyridinyljbenzenesulfonamide
[00300] The reaction was carried out according to the general procedure described for the synthesis of A/-[5-(2-amino-3-bromo-6-quinolinyl)-4-methyl-2-(methyloxy)-3-pyridinyl]-2,4- difluorobenzenesulfonamide to yield 2,4-difluoro-N-[6-methyl-2-(methyloxy)-5-(4,4,5,5- tetramethyl-1 ,3,2-dioxaborolan-2-yl)-3-pyridinyl]benzenesulfonamide. (375 mg, 77% yield assuming 80% purity). LCMS: m/z 441 (M+1 ).
Step D
N-[5-(2-amino-3-bromo-6-quinolinyl)-6-methyl-2-(methyloxy)-3-pyridin
difluorobenzenesulfonamide
[00301] The reaction was carried out according to the general procedure described for the synthesis of A/-[5-(2-amino-3-bromo-6-quinolinyl)-4-methyl-2-(methyloxy)-3-pyridinyl]-2,4- difluorobenzenesulfonamide to yield A/-[5-(2-amino-3-bromo-6-quinolinyl)-6-methyl-2- (methyloxy)-3-pyridinyl]-2,4-difluorobenzenesulfonamide (49 mg, 14%). 1 H NMR (400 MHz, DMSO-de) δ ppm 10.14 (s, 1 H) 8.44 (s, 1 H) 7.74 (td, J=8.6, 6.4Hz, 1 H) 7.65 - 7.53 (m, 3 H) 7.53 - 7.47 (m, 1 H) 7.44 (s, 1 H) 7.22 (td, J=8.5, 2.2 Hz, 1 H) 6.76 (br. s., 2 H) 3.62 (s, 3 H) 2.34 (s, 3 H).
Step E
[00302] The reaction was carried out according to the general procedure described for the synthesis of /\/-[5-{2-amino-3-[4-(4-morpholinylcarbonyl)phenyl]-6-quinolinyl}-4-methyl-2- (methyloxy)-3-pyridinyl]-2,4-difluorobenzenesulfonamide to yield /\/-[5-{2-amino-3-[4-(4- morpholinylcarbonyl)phenyl]-6-quinolinyl}-6-methyl-2-(methyloxy)-3-pyridinyl]-2,4- difluorobenzenesulfonamide (3 mg, 1 1 %). 1H NMR (400 MHz, DMSO-c/6) δ ppm 8.18 (s, 1 H) 7.90 (s, 1 H) 7.80 - 7.68 (m, 1 H) 7.66 - 7.51 (m, 6 H) 7.44 (d, J=8.6 Hz, 2 H) 7.37 (s, 1 H) 7.17 (br. s., 1 H) 6.20 (br. s., 2 H) 3.74 - 3.54 (br m, 1 1 H) 2.32 (s, 3 H). LCMS: m/z 646 (M+1 ).
EXAMPLE 132
(Compound 132)
N-[5-{2-amino-3-[2-(4-morpholinyl)-5-pyrimidinyl]-6-quinolinyl}-2-(meth
2,4-difluorobenzenesulfonamide
[00303] 1H NMR (400 MHz, CHLOROFORM-d) δ ppm 3.80 - 3.83 (m, 4 H), 3.91 - 3.95
(m, 5 H), 3.96 (s, 3 H), 6.91 - 7.01 (m, 2 H), 7.78 - 7.83 (m, 2 H), 7.83 - 7.92 (m, 1 H), 7.93 - 8.00 (m, 2 H), 8.01 (d, J=2.3 Hz, 1 H), 8.14 (d, J=2A Hz, 1 H), 8.46 (s, 2 H). LCMS: m/z 606(M+1 ).
EXAMPLE 133
(Compound 133)
N-[5-{2-amino-3-[2-(methyloxy)-4-(4-morpholinyl)phenyl]-6-quinolinyl}-2-(methy
ridinyl]-2,4-difluorobenzenesulfonamide
[00304] 1H NMR (400 MHz, CHLOROFORM-d) δ ppm 3.25 - 3.32 (m, 4 H), 3.82 (s, 3 H),
3.88 - 3.94 (m, 4 H), 3.96 (s, 3 H), 6.55 (d, J=2.0 Hz, 1 H), 6.64 (dd, J=8.4, 2.1 Hz, 1 H), 6.88 - 7.00 (m, 2 H), 7.18 (d, J=8.4 Hz, 1 H), 7.71 - 7.81 (m, 2 H), 7.87 (td, J=8.5, 6.2 Hz, 1 H), 7.92 - 8.02 (m, 3 H), 8.12 (d, J=2.1 Hz, 1 H), 8.37 (s, 1 H). LC-MS: m/z 634(M+1 ).
EXAMPLE 134
(Compound 134)
N-[5-{2-amino-3-[2-(methyloxy)-4-(1-piperidinyl)phenyl]-6-quinolinyl}-2-(m
ridinyl]-2,4-difluorobenzenesulfonamide
[00305] 1H NMR (400 MHz, CHLOROFORM-d) δ ppm 1 .57 - 1.70 (m, 2 H), 1.71 - 1.81
(m, 4 H), 3.25 - 3.35 (m, 4 H), 3.76 - 3.84 (m, 3 H), 3.96 (s, 3 H), 6.55 (d, J=2.0 Hz, 1 H), 6.63 (dd, J=8.4, 2.1 Hz, 1 H), 6.90 - 7.00 (m, 2 H), 7.13 (d, J=8.4 Hz, 1 H), 7.69 - 7.77 (m, 2 H), 7.88 (td, J=8.4, 6.2 Hz, 1 H), 7.94 (t, J=4.2 Hz, 2 H), 7.97 - 8.01 (m, 1 H), 8.12 (d, J=2.3 Hz, 1 H), 8.49 (s, 1 H). LC-MS: m/z 632(M+1 ).
EXAMPLE 135
(Compound 135)
N-[5-{2-amino-3-[2-methyl-4-(4-morpholinyl)phenyl]-6-quinolinyl}-2-(me^^
ridinyl]-2,4-difluorobenzenesulfonamide
[00306] 1H NMR (400 MHz, CHLOROFORM-d) δ ppm 2.20 (s, 3 H), 3.21 - 3.30 (m, 4 H),
3.86 - 3.92 (m, 4 H), 3.96 (s, 3 H), 6.85 - 6.99 (m, 4 H), 7.14 (d, J=8.2 Hz, 1 H), 7.71 - 7.79 (m, 2 H), 7.83 - 7.92 (m, 2 H), 7.95 (d, J=8.6 Hz, 1 H), 8.00 (d, J=2.1 Hz, 1 H), 8.13 (d, J=2.3 Hz, 1 H). LC-MS: m/z 618(M+1 ).
EXAMPLE 136
(Compound 136)
N-[5-{2-amino-3-[4-(ethylsulfonyl)phenyl]-6-quinolinyl}-2-(methyloxy)phenyl]-2,4- difluorobenzenesulfonamide
[00307] The reaction was carried out according to the general procedure described for the synthesis of N-(5-{2-amino-3-[4-(ethylsulfonyl)phenyl]-6-quinolinyl}-2-methyl-3-pyridinyl)-2,4- difluorobenzenesulfonamide to yield /V-[5-{2-amino-3-[4-(ethylsulfonyl)phenyl]-6-quinolinyl}-2- (methyloxy)phenyl]-2,4-difluorobenzenesulfonamide (29 mg, 27%) as a light yellow solid.
1 H NMR (400 MHz, DMSO-d6) δ ppm 8.21 (s, 1 H) 8.03 - 7.93 (m, 3 H) 7.88 (d, J=2.0 Hz, 1 H) 7.83 (d, J=8.4 Hz, 2 H) 7.79 - 7.65 (m, 2 H) 7.43 - 7.64 (m, 4 H) 7.17 (td, J=8.4, 2.2 Hz, 1 H) 7.00 (d, J=8.6 Hz, 1 H) 6.27 (s, 2 H) 3.54 (s, 3 H) 3.34 - 3.28 (q, 2H overlapping water)1 .17 (t, J=7.3 Hz, 3 H). ES-LCMS: m/z 610 (M+1 ).
EXAMPLE 137
(Compound 137)
N-[5-{2-amino-3-[2-chloro-4-(1-piperidinyl)phenyl]-6-quinolinyl}-2-(methyloxy)-3- ridinyl]-2,4-difluorobenzenesulfonamide
[00308] 1H NMR (400 MHz, CHLOROFORM-d) δ ppm 1 .63 - 1.77 (m, 6 H), 3.28 - 3.36
(m, 4 H), 3.97 (s, 3 H), 6.90 - 6.99 (m, 3 H), 7.05 (d, J=2.5 Hz, 1 H), 7.74 - 7.81 (m, 3 H), 7.83 - 7.93 (m, 1 H), 7.94 - 8.02 (m, 2 H), 8.12 - 8.16 (m, 1 H), 8.42 (s, 1 H). LC-MS: m/z 636(M+1 ).
EXAMPLE 138
(Compound 138)
N-[5-{2-amino-3-[2-chloro-4-(4-morpholinyl)phenyl]-6-quinolinyl}-2-(meth
pyridinyl]-2,4-difluorobenzenesulfonamide
[00309] 1H NMR (400 MHz, CHLOROFORM-d) δ ppm 3.27 - 3.33 (m, 4 H), 3.89 - 3.93
(m, 4 H), 3.97 (s, 3 H), 6.92 - 7.00 (m, 3 H), 7.07 (d, J=2.3 Hz, 1 H), 7.76 - 7.93 (m, 3 H), 7.95 - 8.04 (m, 3 H), 8.14 (d, J=2.3 Hz, 1 H), 8.32 (s, 1 H). LC-MS: m/z 638(M+1 ).
EXAMPLE 139
(Compound 139)
N-[5-{2-amino-3-[4-(ethylsulfonyl)phenyl]-6-quinolinyl}-2-(methyloxy)-3-pyri
cyanobenzenesulfonamide
[00310] A degassed mixture of 6-chloro-3-[4-(ethylsulfonyl)phenyl]-2-quinolinamine
(Intermediate 15 - 50 mg, 0.144 mmol), 4-cyano-N-[2-(methyloxy)-5-(4,4,5,5-tetramethyl-1 ,3,2- dioxaborolan-2-yl)-3-pyridinyl]benzenesulfonamide (Intermediate 2 - 59.9 mg, 0.144 mmol), Pd2(dba)3 (6.60 mg, 7.21 μηηοΙ), 2-dicyclohexylphosphino-2',4',6'-triisopropylbiphenyl (13.75 mg, 0.029 mmol) and K3P04 (61 .1 mg, 0.288 mmol) in 1 -butanol (2 mL) and water (0.5 mL) was heated at 100°C for 16 h. The resulting thick slurry was diluted with EtOAc (50 mL), washed with water (50 mL) and a sat. NaCI solution (50 mL). The organic layer was concentrated. The residue was dissolved in DMF, filtered and purified by HPLC (10-90% CH3CN/H20, both containing 0.1 % formic acid) to obtain N-[5-{2-amino-3-[4-(ethylsulfonyl)phenyl]-6-quinolinyl}-2- (methyloxy)-3-pyridinyl]-4-cyanobenzenesulfonamide (1 1 mg, yield: 12.34%) as a solid: 1 H NMR (400 MHz, DMSO-d6) δ ppm 1 .17 (t, J=7.33 Hz, 3 H) 3.18 - 3.42 (m, 2 H) 3.60 (s, 3 H) 6.34 (br. s., 2 H) 7.61 (d, J=8.70 Hz, 1 H) 7.77 - 7.86 (m, 3 H) 7.88 - 7.94 (m, 3 H) 7.96 (d, J=1.56 Hz, 1 H) 8.00 (d, J=6.64 Hz, 3 H) 8.07 (d, J=8.21 Hz, 2 H) 8.36 (d, J=1 .66 Hz, 1 H) 10.37 (br. s., 1 H); ES LC-MS m/z =600.0 (M+H)+.
EXAMPLE 140
(Compound 140)
N-[5-{2-amino-3-[4-(ethylsulfonyl)phenyl]-6-quinolinyl}-2-(methyloxy)-3-pyri
nitrobenzenesulfonamide
[00311] A degassed mixture of 6-chloro-3-[4-(ethylsulfonyl)phenyl]-2-quinolinamine
(Intermediate 15 - 50 mg, 0.144 mmol), N-[2-(methyloxy)-5-(4,4,5,5-tetramethyl-1 ,3,2- dioxaborolan-2-yl)-3-pyridinyl]-4-nitrobenzenesulfonamide (Intermediate 3 - 62.7 mg, 0.144 mmol), Pd2(dba)3 (6.60 mg, 7.21 μηηοΙ), 2-dicyclohexylphosphino-2',4',6'-triisopropylbiphenyl (13.75 mg, 0.029 mmol), and K3P04 (61.1 mg, 0.288 mmol) in 1-butanol (2 mL) and water (0.5 mL) was heated at 100°C for 16 h. The resulting thick slurry was diluted with EtOAc (50 mL), washed with water (50 mL) and a sat. NaCI solution (50 mL). The organic layer was
concentrated. The residue was dissolved in DMF, filtered and purified by HPLC (10-90% CH3CN/H20, both containing 0.1 % formic acid) to obtain N-[5-{2-amino-3-[4- (ethylsulfonyl)phenyl]-6-quinolinyl}-2-(methyloxy)-3-pyridinyl]-4-nitrobenzenesulfonamide (12 mg, 12.76 % yield) as a yellow solid: 1H NMR (400 MHz, DMSO-d6) δ ppm 1 .17 (t, J=7.33 Hz, 3 H) 3.16 - 3.46 (m, 2 H) 3.63 (s, 3 H) 6.32 (s, 2 H) 7.60 (d, J=8.70 Hz, 1 H) 7.78 (dd, J=8.70, 1.95 Hz, 1 H) 7.83 (d, J=8.40 Hz, 2 H) 7.88 (d, J=1 .86 Hz, 1 H) 7.92 (d, J=1.66 Hz, 1 H) 7.97 - 8.04 (m, 5 H) 8.14 (s, 1 H) 8.23 (br. s., 1 H) 8.37 (d, J=8.79 Hz, 2 H); ES LC-MS m/z =620.2 (M+H)+.
EXAMPLE 141
(Compound 141)
N-[5-{2-amino-3-[4-(ethylsulfonyl)phenyl]-6-quinolinyl}-2-(methyloxy)-3-pyrid
[00312] A degassed mixture of 6-chloro-3-[4-(ethylsulfonyl)phenyl]-2-quinolinamine
(Intermediate 15 - 50 mg, 0.144 mmol), N-[2-(methyloxy)-5-(4,4,5,5-tetramethyl-1 ,3,2- dioxaborolan-2-yl)-3-pyridinyl]-1-phenylmethanesulfonamide (Intermediate 4 - 58.3 mg, 0.144 mmol), Pd2(dba)3 (6.60 mg, 7.21 μηηοΙ), 2-dicyclohexylphosphino-2',4',6'-triisopropylbiphenyl
(13.75 mg, 0.029 mmol) and K3P04 (61 .1 mg, 0.288 mmol) in 1-butanol (2 mL) and water (0.5 mL) was heated at 100 °C for 16 h. The resulting thick slurry was diluted with EtOAc (50 mL), washed with water (50 mL) and a sat. NaCI solution (50 mL). The organic layer was
concentrated. The residue was dissolved in DMF, filtered and purified by HPLC (10-90% CH3CN/H20, both containing 0.1 % formic acid) to obtain N-[5-{2-amino-3-[4- (ethylsulfonyl)phenyl]-6-quinolinyl}-2-(methyloxy)-3-pyridinyl]-1-phenylmethanesulfonamide (22 mg, 25.9 % yield) as a white solid: 1H NMR (400 MHz, DMSO-d6) δ ppm 1 .17 (t, 3 1-1) 3.21 - 3.45 (m, 2 H) 3.98 (s, 3 H) 4.57 (s, 2 H) 6.33 (s, 2 H) 7.26 - 7.42 (m, 5 H) 7.58 - 7.66 (m, 2 H) 7.72 (dd, J=8.68, 2.05 Hz, 1 H) 7.84 (d, J=8.29 Hz, 2 H) 7.88 (d, J=1 .95 Hz, 1 H) 7.97 - 8.03 (m, 3 H) 8.14 (s, 1 H) 8.28 (d, J=2.24 Hz, 1 H); ES LC-MS m/z =589.2 (M+H)+.
EXAMPLE 142
(Compound 142)
N-[5-{2-amino-3-[4-(ethylsulfonyl)phenyl]-6-quinolinyl}-2-(methyloxy)-3-pyridi
bis(methyloxy)benzenesulfonamide
[00313] A degassed mixture of 6-chloro-3-[4-(ethylsulfonyl)phenyl]-2-quinolinamine
(Intermediate 15 - 50 mg, 0.144 mmol), 3,4-bis(methyloxy)-N-[2-(methyloxy)-5-(4,4,5,5- tetramethyl-1 ,3,2-dioxaborolan-2-yl)-3-pyridinyl]benzenesulfonamide (Intermediate 10 - 64.9 mg, 0.144 mmol), Pd2(dba)3 (6.60 mg, 7.21 μηιοΙ), 2-dicyclohexylphosphino-2',4',6'- triisopropylbiphenyl (13.75 mg, 0.029 mmol) and K3P04 (61 .1 mg, 0.288 mmol) in 1-butanol (2 mL) and water (0.5 mL) was heated at 100 °C for 16 h. The resulting thick slurry was diluted with EtOAc (50 mL), washed with water (50 mL) and a sat. NaCI solution (50 mL). The organic layer was concentrated. The residue was dissolved in DMF, filtered and purified by HPLC (10- 90% CH3CN/H2O, both containing 0.1 % formic acid) to obtain N-[5-{2-amino-3-[4- (ethylsulfonyl)phenyl]-6-quinolinyl}-2-(methyloxy)-3-pyridinyl]-3,4- bis(methyloxy)benzenesulfonamide (17 mg, 18.58 % yield) as a yellow solid: 1H NMR (400 MHz, DMSO-d6) 8 ppm 1 .12 - 1 .22 (m, 3 H) 3.18 - 3.47 (m, 2 H) 3.68 - 3.77 (m, 6 H) 3.79 (s, 3 H) 6.34 (br. s., 2 H) 7.09 (d, J=2.15 Hz, 1 H) 7.31 - 7.42 (m, 2 H) 7.61 (d, J=8.49 Hz, 1 H) 7.76 (d, J=8.49 Hz, 1 H) 7.79 - 7.93 (m, 4 H) 7.96 - 8.05 (m, 3 H) 8.15 (d, J=2.24 Hz, 1 H) 8.28 (br. s., 1 H); ES LC-MS m/z =635.2 (M+H)+.
EXAMPLE 143
(Compound 143)
N-[5-{2-amino-3-[4-(ethylsulfonyl)phenyl]-6-quinolinyl}-2-(methyloxy)-3-pyridin
[00314] A degassed mixture of 6-chloro-3-[4-(ethylsulfonyl)phenyl]-2-quinolinamine
(Intermediate 15 - 50 mg, 0.144 mmol), N-[2-(methyloxy)-5-(4,4,5,5-tetramethyl-1 ,3,2- dioxaborolan-2-yl)-3-pyridinyl]-8-quinolinesulfonamide (Intermediate 5 - 63.6 mg, 0.144 mmol), Pd2(dba)3 (6.60 mg, 7.21 μηηοΙ), 2-dicyclohexylphosphino-2',4',6'-triisopropylbiphenyl (13.75 mg, 0.029 mmol) and K3P04 (61 .1 mg, 0.288 mmol) in 1 -butanol (2 mL) and water (0.5 mL) was heated at 100°C for 16 h. The resulting thick slurry was diluted with EtOAc (50 mL), washed with water (50 mL) and a sat. NaCI solution (50 mL). The organic layer was concentrated. The residue was dissolved in DMF, filtered and purified by HPLC (10-90% CH3CN/H20, both containing 0.1 % formic acid) to obtain N-[5-{2-amino-3-[4-(ethylsulfonyl)phenyl]-6-quinolinyl}-2- (methyloxy)-3-pyridinyl]-8-quinolinesulfonamide (26 mg, 28.8 % yield) as a white solid: 1H NMR (400 MHz, DMSO-de) δ ppm 1 .17 (t, 3 H) 3.26 - 3.40 (m, 2 H) 3.42 (s, 3 H) 6.34 (s, 2 H) 7.60 (d, J=8.68 Hz, 1 H) 7.66 - 7.87 (m, 5 H) 7.91 (s, 1 H) 7.96 - 8.07 (m, 4 H) 8.14 (s, 1 H) 8.18 (d, J=1.85 Hz, 1 H) 8.33 (t, J=8.15 Hz, 1 H) 8.58 (d, J=8.39 Hz, 1 H) 9.16 (d, J=4.29 Hz, 1 H) 9.20 - 9.30 (m, 1 H); ES LC-MS m/z =626.1 (M+H)+.
EXAMPLE 145
(Compound 145)
N-[5-{2-amino-3-[2-(methyloxy)-4-(4-morpholinylcarbonyl)phenyl]-6-quinolinyl}-2- (methyloxy)-3-pyridinyl]benzenesulfonamide
[00315] Preparation of N-[5-{2-amino-3-[2-(methyloxy)-4-(4-morpholinylcarbonyl)phenyl]- 6-quinolinyl}-2-(methyloxy)-3-pyridinyl]benzenesulfonamide:
General Scheme 12
Step A
N-[5-[3-bromo-2-({[4-(methyloxy)phenyl]methyl}amino)-6-quinolinyl]-2-(m
pyridinyljbenzenesulfonamide
[00316] To a solution of A/-[2-(methyloxy)-5-(4,4,5,5-tetramethyl-1 ,3,2-dioxaborolan-2-yl)- 3-pyridinyl]benzenesulfonamide (420 mg, 1.1 mmol), prepared as described in Step 2 of Intermediate 1 - (General Scheme 1 ), and 3-bromo-6-iodo-/V-{[4-(methyloxy)phenyl]methyl}-2- quinolinamine (500 mg, 1.1 mmol), (Intermediate 96) prepared as described in Step V of Example 29, in THF (8 mL) and water (2 mL) was added cesium carbonate (695 mg, 2.1 mmol) and PdCl2(dppf)-CH2Cl2 (88 mg, 0.1 1 mmol) and the reaction degassed with nitrogen and heated to 60 °C for 18 h in a sealed tube. The reaction is cooled to room temperature and diluted with ethyl acetate, washed with water and the organic layer dried over anhydrous MgS04 and the evaporated under reduced pressure. The residue was purified by silica gel
chromatography eluting with 20-75% hexanes/ethyl acetate to afford the title compound (414 mg, 64%) as an off-white solid.
Step B
N-[5-(2-amino-3-bromo-6-quinolinyl)-2-(methyloxy)-3^yridinyl]benzenesulfonami^
[00317] A solution of N-[5-[3-bromo-2-({[4-(methyloxy)phenyl]methyl}amino)-6-quinolinyl]- 2-(methyloxy)-3-pyridinyl]benzenesulfonamide (414 mg, 0.68 mmol) in trifluoroacetic acid (5.0 mL) was heated to 65 °C for 18 h and evaporated under reduced pressure. The residue was treated with saturated sodium bicarbonate solution and extracted with 15%
isopropanol/dichloromethane. The organic layer was dried over anhydrous magnesium sulfate and evaporated under reduced pressure. The residue was triturated in diethyl ether and filtered to give the title compound (238 mg, 72%) as an off-white solid. ES-LCMS: m/z = 485.10 (M+1 ).
Step C
N-[5-{2-amino-3-[2-(methyloxy)-4-(4-morpholinylcarbonyl)phenyl]-6-qu
pyridinyljbenzenesulfonamide
[00318] To a solution of N-[5-(2-amino-3-bromo-6-quinolinyl)-2-(methyloxy)-3- pyridinyl]benzenesulfonamide (75 mg, 0.16 mmol) in dioxane (1.2 mL) and water (0.3 mL) was added triphenylphosphine (32 mg, 0.12 mmol), Pd2dba3 (14 mg, 0.015 mmol), potassium acetate (61 mg, 0.62 mmol) and 4-{[3-(methyloxy)-4-(4,4,5,5-tetramethyl-1 ,3,2-dioxaborolan-2- yl)phenyl]carbonyl}morpholine (70 mg, 0.20 mmol), prepared in a similar way to Intermediate I according to General Scheme 1 . The solution was degassed with nitrogen and heated in a sealed tube for 1.5 h at 100 °C. To the reaction was added additional triphenylphosphine (32 mg, 0.12 mmol) and Pd2dba3 (14 mg, 0.015 mmol) and the reaction degassed and heated to 100 °C for an additional 1.5 h. The reaction was evaporated under reduced pressure and the residue was purified by HPLC eluting with 10-90% acetonitrile/water/0.1 % formic acid to afford the title compound as an off-white solid (62 mg, 62%). 1 H NMR (400 MHz, DMSO-c/6) δ ppm 8.30 (d, J=2A Hz, 1 H), 7.88 (t, J=2.4 Hz, 2 H), 7.83 (s, 1 H), 7.76 - 7.81 (m, 2 H), 7.73 (dd, J=8.7, 2.1 Hz, 1 H), 7.50 - 7.68 (m, 4 H), 7.23 - 7.41 (m, 1 H), 7.14 (s, 1 H), 7.08 (dd, J=7.5, 1.3 Hz, 1 H), 6.90 - 7.03 (m, 1 H), 6.03 (br. s., 2 H), 3.74 - 3.82 (m, 3 H), 3.64 (s, 3 H), 3.42 - 3.73 (m, 8 H). ES-LCMS: m/z = 626.41 (M+1 ).
EXAMPLE 146
(Compound 146)
2,4-difluoro-N-[2-(methyloxy)-5-(2-{[3-(4-morpholinyl)propyl]amino}-6-quinoli
pyridinyljbenzenesulfonamide
[00319] A solution of 6-bromo-2-chloroquinoline (100 mg, 0.412 mmol), [3-(4- morpholinyl)propyl]amine (178 mg, 1 .237 mmol) and DIPEA (216 μΙ, 1.237 mmol) in N-Methyl-2- pyrrolidone (NMP) was maintained at 130°C for 16 hours. The solution was cooled, poured into water and extracted with ethyl acetate. The organic layer was separated, dried over sodium sulfate, filtered, taken to a residue under reduced pressure and purified by column
chromatography to afford intermediate 6-bromo-N-[3-(4-morpholinyl)propyl]-2-quinolinamine (120 mg, 0.343 mmol, 83 % yield) as a white solid. A solution of 6-bromo-N-[3-(4- morpholinyl)propyl]-2-quinolinamine (120 mg, 0.343 mmol), 2,4-difluoro-N-[2-(methyloxy)-5- (4,4,5,5-tetramethyl-1 ,3,2-dioxaborolan-2-yl)-3-pyridinyl]benzenesulfonamide (197 mg, 0.463 mmol), Pd(Ph3P)4 (39.6 mg, 0.034 mmol) and potassium carbonate (142 mg, 1.028 mmol) in 1 ,4-dioxane (2 ml_)/Water (2.0 ml.) was maintained at 80°C for 2 hours. The mixture was cooled, poured into ethyl acetate and washed with water. The organic layer was separated, dried over sodium sulfate, filtered and taken to a residue under reduced pressure to afford 2,4- difluoro-N-[2-(methyloxy)-5-(2-{[3-(4-morpholinyl)propyl]amino}-6-quinolinyl)-3- pyridinyl]benzenesulfonamide (72 mg, 36.9 % yield) as a white solid following column chromatography. 1 H NMR (DMSO-d6) δ: 10.24 (br. s., 1 H), 8.34 (d, J = 2.3 Hz, 1 H), 7.87 - 7.92 (m, 2H), 7.85 (d, J = 2.0 Hz, 1 H), 7.74 - 7.80 (m, 1 H), 7.72 (dd, J = 8.9, 2.2 Hz, 1 H), 7.50 - 7.61 (m, 2H), 7.18 - 7.25 (m, 1 H), 7.15 (t, J = 5.3 Hz, 1 H), 6.79 (d, J = 9.0 Hz, 1 H), 3.64 (s, 3H), 3.56 - 3.63 (m, 4H), 3.39 - 3.47 (m, 2H), 2.35 - 2.47 (m, 6H), 1 .77 (quin, J = 7.0 Hz, 2H). LCMS (m/z, ES+) = 570 (M+H).
EXAMPLE 147
(Compound 147)
2,4-difluoro-N-[2-(methyloxy)-5-(2-{[2-(methylsulfonyl)ethyl]amino}-6-quinoli
pyridinyljbenzenesulfonamide
[00320] A solution of 6-bromo-2-chloroquinoline (100 mg, 0.412 mmol), 2- (methylsulfonyl)ethanamine (152 mg, 1 .237 mmol), and DIPEA (216 μΙ, 1.237 mmol) in N- Methyl-2-pyrrolidone (NMP) was maintained with stirring at 130°C for 24 hours. The mixture was poured into water and extracted with ethyl acetate. The organic layer was separated, dried over sodium sulfate, filtered, taken to a residue under reduced pressure and purified by column chromatography to afford intermediate 6-bromo-N-[2-(methylsulfonyl)ethyl]-2-quinolinamine (70 mg, 0.213 mmol, 51.6 % yield) as a yellow solid. A solution of 6-bromo-N-[2- (methylsulfonyl)ethyl]-2-quinolinamine (70 mg, 0.213 mmol), 2,4-difluoro-N-[2-(methyloxy)-5- (4,4,5,5-tetramethyl-1 ,3,2-dioxaborolan-2-yl)-3-pyridinyl]benzenesulfonamide (122 mg, 0.287 mmol), potassium carbonate (88 mg, 0.638 mmol), and Pd(Ph3P)4 (24.57 mg, 0.021 mmol) in 1 ,4-dioxane (2 ml_)/Water (2.000 ml.) was maintained at 80°C with rapid stirring for 3 hours. The mixture was cooled, poured into ethyl acetate and washed with saturated sodium
bicarbonate (aq). The organic layer was separated, dried over sodium sulfate, filtered, taken to a reisdue under reduced pressure and purified by column chromatography to afford a crude residue which was further purified by reverse phase HPLC to afford 2,4-difluoro-N-[2- (methyloxy)-5-(2-{[2-(methylsulfonyl)ethyl]amino}-6-quinolinyl)-3-pyridinyl]benzenesulfonamide (38 mg, 32.6 % yield) as a white solid. 1H NMR (DMSO-d6) δ: 10.29 (s, 1 H), 8.39 (d, J = 2.0 Hz, 1 H), 7.97 (d, J = 9.0 Hz, 1 H), 7.92 (dd, J = 4.3, 2.1 Hz, 2H), 7.71 - 7.80 (m, 2H), 7.55 - 7.65 (m, 2H), 7.42 (t, J = 5.6 Hz, 1 H), 7.15 - 7.26 (m, 1 H), 6.84 (d, J = 8.8 Hz, 1 H), 3.83 (q, J = 6.2 Hz, 2H), 3.64 (s, 3H), 3.48 (t, J = 6.7 Hz, 2H), 3.06 (s, 3H). LCMS (m/z, ES+) = 549 (M+H).
EXAMPLE 148
(Compound 148)
2,4-difluoro-N-[2-(methyloxy)-5-(2-{[4-(4-morpholinyl)phenyl]amino}-6-quinoli
pyridinyljbenzenesulfonamide
[00321] A solution of 6-bromo-2-chloroquinoline (175 mg, 0.722 mmol) and [4-(4- morpholinyl)phenyl]amine (148 mg, 0.830 mmol) in isopropanol (6 ml.) was treated with two drops of concentrated HCI and maintained with stirring at 90°C in a sealed pressure tube for 16 hours. The mixture was cooled, concentrated, redissolved in ethyl acetate and washed with saturated sodium bicarbonate. The organic layer was separated, dried over sodium sulfate, filtered, taken to a residue under reduced pressure, and purified by column chromatography to afford intermediate 6-bromo-N-[4-(4-morpholinyl)phenyl]-2-quinolinamine (138 mg, 0.359 mmol, 49.8 % yield) as a white solid. A solution of 6-bromo-N-[4-(4-morpholinyl)phenyl]-2- quinolinamine (133 mg, 0.346 mmol), 2,4-difluoro-N-[2-(methyloxy)-5-(4,4,5,5-tetramethyl-1 ,3,2- dioxaborolan-2-yl)-3-pyridinyl]benzenesulfonamide (162 mg, 0.381 mmol), potassium carbonate (144 mg, 1 .038 mmol), and PdCI2(dppf)-CH2CI2 adduct (28.3 mg, 0.035 mmol) in 1 ,4-dioxane (2 ml_)/water (2.0 ml.) was maintained with stirring at 90°C for 16 hours. The mixture was cooled to room temperature, poured into ethyl acetate, and washed with water. The organic layer was separated, dried over sodium sulfate, filtered, taken to a residue under reduced pressure and purified by column chromatography (EtOAc/CH2CI2). Fractions containing product were purified by column chromatography (MeOH/CH2CI2) to afford 2,4-difluoro-N-[2-(methyloxy)-5-(2-{[4-(4- morpholinyl)phenyl]amino}-6-quinolinyl)-3-pyridinyl]benzenesulfonamide (55 mg, 26.3 % yield) as a yellow solid. 1 H NMR (DMSO-d6) δ: 10.30 (s, 1 H), 9.28 (s, 1 H), 8.41 (d, J = 2.1 Hz, 1 H), 8.05 (d, J = 9.0 Hz, 1 H), 7.95 (d, J = 2.1 Hz, 2H), 7.73 - 7.88 (m, 4H), 7.68 (d, J = 8.8 Hz, 1 H), 7.55 - 7.64 (m, 1 H), 7.18 - 7.27 (m, 1 H), 7.02 (d, J = 9.0 Hz, 1 H), 6.96 (d, J = 9.0 Hz, 2H), 3.72 - 3.80 (m, 4H), 3.66 (s, 3H), 2.98 - 3.12 (m, 4H). LCMS (m/z, ES+) = 604 (M+H).
EXAMPLE 149
(Compound 149)
N-[5-{2-amino-3-[4-(ethylsulfonyl)phenyl]-6-quinolinyl}-2-(methyloxy)-3- pyridinyljcyclopropanesulfonamide
[00322] A degassed mixture of 6-chloro-3-[4-(ethylsulfonyl)phenyl]-2-quinolinamine
(Intermediate 15 - 50 mg, 0.144 mmol), N-[2-(methyloxy)-5-(4,4,5,5-tetramethyl-1 ,3,2- dioxaborolan-2-yl)-3-pyridinyl]cyclopropanesulfonamide (Intermediate 6 - 51 .1 mg, 0.144 mmol), Pd2(dba)3 (6.60 mg, 7.21 μηηοΙ), 2-dicyclohexylphosphino-2',4',6'-triisopropylbiphenyl (13.75 mg, 0.029 mmol) and K3P04 (61 .1 mg, 0.288 mmol) in 1-butanol (2 mL) and water (0.5 mL) was heated at 100 °C for 16 h. The resulting thick slurry was diluted with EtOAc (50 mL) and washed with a sat. NaCI solution (50 mL). The organic layer was concentrated. The residue was dissolved in DMF, filtered and purified by HPLC to obtain N-[5-{2-amino-3-[4- (ethylsulfonyl)phenyl]-6-quinolinyl}-2-(methyloxy)-3-pyridinyl]cyclopropanesulfonamide (3.5 mg, 4.51 % yield) as a white solid: 1H NMR (400 MHz, METHANOL-^) δ ppm 0.91 - 1 .07 (m, 4 H) 1.20 - 1.36 (m, 3 H) 2.59 - 2.68 (m, 1 H) 3.21 - 3.29 (m, 2 H) 4.05 (s, 3 H) 7.70 (d, J=8.68 Hz, 1 H) 7.82 - 7.89 (m, 2 H) 7.96 (d, J=1 .95 Hz, 1 H) 8.03 - 8.1 1 (m, 3 H) 8.30 (d, J=2.24 Hz, 1 H) 8.43 (br. s., 2 H); ES LC-MS m/z =539.2 (M+H)+.
EXAMPLE 153
N-[5-{2-amino-3-[4-(ethylsulfonyl)phenyl]-6-quinolinyl}-2-(methyloxy)-3-pyri
furansulfonamide
[00323] A degassed mixture of 6-chloro-3-[4-(ethylsulfonyl)phenyl]-2-quinolinamine
(Intermediate 15 - 50 mg, 0.144 mmol), Pd2(dba)3 (6.60 mg, 7.21 μηιοΙ), K3P04 (61 .1 mg, 0.288 mmol), 2-dicyclohexylphosphino-2',4',6'-triisopropylbiphenyl (13.75 mg, 0.029 mmol), and N-[2- (methyloxy)-5-(4,4,5,5-tetramethyl-1 ,3,2-dioxaborolan-2-yl)-3-pyridinyl]-3-furansulfonamide (Intermediate 7 - 54.8 mg, 0.144 mmol) was heated at 100 °C for 10 h. The resulting slurry was diluted with EtOAc (50 mL), washed with water (50 mL) and a sat. NaCI solution (50 mL). The organic layer was concentrated. The residue was dissolved in DMF, filtered and purified by HPLC (10-90% CH3CN/H20, both containing 0.1 % formic acid) to obtain N-[5-{2-amino-3-[4- (ethylsulfonyl)phenyl]-6-quinolinyl}-2-(methyloxy)-3-pyridinyl]-3-furansulfonamide (32 mg, 35.4
% yield) as a white solid: 1H NMR (400 MHz, DMSO-d6) δ ppm 1.17 (t, J=7.37 Hz, 3 H) 3.25 - 3.42 (m, 2 H) 3.82 (s, 3 H) 6.36 (br. s., 2 H) 6.70 - 6.76 (m, 1 H) 7.59 - 7.65 (m, 1 H) 7.77 - 7.89 (m, 4 H) 7.91 (d, J=2.24 Hz, 1 H) 7.93 - 7.98 (m, 1 H) 7.98 - 8.06 (m, 3 H) 8.34 (d, J=1.85 Hz, 2 H) 9.98 (br. s., 1 H); ES LC-MS m/z =565.4 (M+H)+.
EXAMPLE 154
N-[5-{2-amino-3-[4-(ethylsulfonyl)phenyl]-6-quinolinyl}-2-(methyloxy)-3-pyri
methyl-1-propanesulfonamide
[00324] A degassed mixture of 6-chloro-3-[4-(ethylsulfonyl)phenyl]-2-quinolinamine
(Intermediate 15 - 50 mg, 0.144 mmol), Pd2(dba)3 (6.60 mg, 7.21 pmol), K3P04 (61 .1 mg, 0.288 mmol) and 2-dicyclohexylphosphino-2',4',6'-triisopropylbiphenyl (13.75 mg, 0.029 mmol) and 2- methyl-N-[2-(methyloxy)-5-(4,4,5,5-tetramethyl-1 ,3,2-dioxaborolan-2-yl)-3-pyridinyl]-1 - propanesulfonamide (Intermediate 8 - 53.4 mg, 0.144 mmol) was heated at 100 °C for 10 h. The resulting slurry was diluted with EtOAc (50 mL), washed with water (50 mL) and a sat. NaCI solution (50 mL). The organic layer was concentrated. The residue was dissolved in DMF, filtered and purified by HPLC (10-90% CH3CN/H20, both containing 0.1 % formic acid) to obtain N-[5-{2-amino-3-[4-(ethylsulfonyl)phenyl]-6-quinolinyl}-2-(methyloxy)-3-pyridinyl]-2-methyl-1- propanesulfonamide (26 mg, 31 .9 % yield) as a yellow solid: 1H NMR (400 MHz, DMSO-c/6) δ ppm 1.00 - 1.06 (m, 6 H) 1.17 (t, J=7.22 Hz, 3 H) 2.21 (s, 1 H) 3.06 (d, J=6.24 Hz, 2 H) 3.18 - 3.47 (m, 2 H) 3.97 (s, 3 H) 6.33 (br. s., 2 H) 7.62 (d, J=8.39 Hz, 1 H) 7.83 (d, J=7.90 Hz, 3 H) 7.91 - 8.08 (m, 5 H) 8.37 (s, 1 H) 9.39 (br. s., 1 H); ES LC-MS m/z =555.4 (M+H)+.
EXAMPLE 155
N-[5-{2-amino-3-[4-(ethylsulfonyl)phenyl]-6-quinolinyl}-2-(methyloxy)-3-pyridi
trifluoromethanesulfonamide
[00325] A degassed mixture of 6-chloro-3-[4-(ethylsulfonyl)phenyl]-2-quinolinamine
(Intermediate 15 - 50 mg, 0.144 mmol), Pd2(dba)3 (6.60 mg, 7.21 pmol), K3P04 (61.1 mg, 0.288 mmol) and 2-dicyclohexylphosphino-2',4',6'-triisopropylbiphenyl (13.75 mg, 0.029 mmol), 1 ,1 , 1- trifluoro-N-[2-(methyloxy)-5-(4,4,5,5-tetramethyl-1 ,3,2-dioxaborolan-2-yl)-3- pyridinyl]methanesulfonamide (Intermediate 9 - 55.1 mg, 0.144 mmol) was heated at 100°C for 10 h. The resulting slurry was diluted with EtOAc (50 ml_), washed with water (50 ml.) and a sat. NaCI solution (50 ml_). The organic layer was concentrated. The residue was dissolved in DMF, filtered and purified by HPLC (10-90% CH3CN/H20, both containing 0.1 % formic acid) to obtain N-[5-{2-amino-3-[4-(ethylsulfonyl)phenyl]-6-quinolinyl}-2-(methyloxy)-3-pyridinyl]-1 , 1 , 1 - trifluoromethanesulfonamide (2.6 mg, 3.12 % yield) as a yellow solid: 1H NMR (400 MHz, METHANOL-^ and CDCI3) δ ppm 1.32 (t, J=7.37 Hz, 3 H) 3.25 (q, J=7.41 Hz, 2 H) 4.05 (s, 3 H) 7.79 (d, J=8.29 Hz, 2 H) 7.89 - 7.94 (m, 1 H) 7.97 - 8.05 (m, 3 H) 8.09 (d, J=8.29 Hz, 2 H) 8.32 (s, 1 H) 8.34 (d, J=2.34 Hz, 1 H); ES LC-MS m/z =567.3 (M+H)+.
EXAMPLE 158
(Compound 158)
N-[5-[2-amino-3-(1,3-benzodioxol-4-yl)-6-quinolinyl]-2-(methyloxy)-3-pyridi
difluorobenzenesulfonamide
1H NMR (400 MHz, CHLOROFORM-d) δ ppm 3.96 (s, 3 H), 6.07 (s, 2 H), 6.90 - 7.06 (m, 4 H), 7.63 - 7.72 (m, 1 H), 7.73 - 7.79 (m, 2 H), 7.82 - 7.94 (m, 2 H), 8.04 (d, J=2.3 Hz, 1 H), 8.07 (s, 1 H), 8.12 - 8.19 (m, 1 H). LCMS: m/z 563(M+1 ).
EXAMPLE 161
(Compound 161)
N-[5-{2-amino-7-chloro-3-[4-(4-morpholinyl)phenyl]-6-quinolinyl}-2-(meth
pyridinyl]-2,4-difluorobenzenesulfonamide
216
Step A
(2E)-N-(3-chloro-4-iodophenyl)-3-(ethyloxy)-2-propenamide
[00326] To a solution of (2E)-3-(ethyloxy)-2-propenoyl chloride in Dichloromethane (DCM) (50 ml.) 3-chloro-4-iodoaniline (5.25 g, 20.71 mmol) and pyridine (3.35 ml_, 41.4 mmol) were added. The initially formed heavy precipitate quickly became dissolved upon addition of the pyridine and the solution was then warmed up. The sample, taken in 3 minutes, showed completion. The reaction mixture was washed with water (1x), 1 M HCI (3x), water (2x), saturated sodium bicarbonate (2x) and brine (1 x); dried over sodium sulfate then evaporated to dryness to give (2E)-N-(3-chloro-4-iodophenyl)-3-(ethyloxy)-2-propenamide (7.0 g, 19.91 mmol, 96 % yield). MS: 352 (M+H); 1H NMR (400MHz ,DMSO-d6) δ = 9.99 (s, 1 H), 8.00 (d, J = 2.3 Hz, 1 H), 7.81 (d, J = 8.6 Hz, 1 H), 7.51 (d, J = 12.2 Hz, 1 H), 7.23 (dd, J = 2.4, 8.6 Hz, 1 H), 5.47 (d, J = 12.2 Hz, 1 H), 3.96 (q, J = 7.0 Hz, 2 H), 1.27 (t, J = 7.0 Hz, 3 H).
Step B
5-chloro-6-iodo-2( 1H)-quinolinone and 7-chloro-6-iodo-2( 1H)-quinolinone
[00327] (2E)-N-(3-chloro-4-iodophenyl)-3-(ethyloxy)-2-propenamide (7g, 19.91 mmol) was dissolved in sulfuric acid (70 ml_, 1313 mmol) at room temperature. The reaction was complete when all solid material was dissolved. The clear solution was poured on ice, the precipitate filtered off, washed with water until neutral and dried to result in a 1 :1 mixture of 5- chloro-6-iodo-2(1 H)-quinolinone and 7-chloro-6-iodo-2(1 H)-quinolinone (5.59g, 92 % yield) as a tan solid. MS: 306 (M+H); 1H NMR of the mixture (400MHz ,DMSO-d6) δ = 12.08 (br. s., 1 H), 1 1 .85 (br. s., 1 H), 8.28 (s, 1 H), 8.1 1 (d, J = 10.0 Hz, 1 H), 7.97 (d, J = 8.8 Hz, 1 H), 7.86 (d, J = 9.7 Hz, 1 H), 7.45 (s, 1 H), 7.09 (d, J = 8.7 Hz, 1 H), 6.62 (d, J = 10.0 Hz, 1 H), 6.53 (dd, 1 H).
Step C
[00328] To the suspension of the 1 :1 mixture of 7-chloro-6-iodo-2(1 H)-quinolinone and
5-chloro-6-iodo-2(1 H)-quinolinone (1 g, 3.27 mmol) in a solvent mixture of dichloromethane (DCM) (4.00 ml) and N,N-Dimethylformamide (16 ml), NBS (0.699 g, 3.93 mmol) was added. The mixture was heated at 50C° for 5 hrs. LCMS indicated that one of the starting materials was consumed while the other barely reacted (<10%). The remaining solid was filtered off, washed with DCM and dried. NMR proved that that was the unreacted 5-chloro-6-iodo-2(1 H)- quinolinone. The filtrate was evaporated, the solid residue was sonicated with methanol, the precipitate was filtered off, washed with methanol to give 3-bromo-7-chloro-6-iodo-2(1 H)- quinolinone (390 mg, 31.0 % yield); MS: 383 (M+H); 1H NMR (400MHz ,DMSO-d6) δ = 12.37 (s, 1 H), 8.46 (s, 1 H), 8.28 (s, 1 H), 7.46 (s, 1 H).
Step D
[00329] A suspension of 3-bromo-7-chloro-6-iodo-2(1 H)-quinolinone (390 mg, 1 .015 mmol) in POCI3 (3783 μΙ, 40.6 mmol) was heated at 100C° for 1 hr. The brown clear solution was evaporated. Saturated sodium bicarbonate was added to the solid residue and then extracted with ethyl acetate. The organic phase was washed with brine, dried with sodium sulfate and evaporated to give 3-bromo-2,7-dichloro-6-iodoquinoline (343 mg, 84 % yield) as an off-white solid. MS: 402, 404 (M+H); 1H NMR (400MHz ,DMSO-d6) δ = 8.89 (s, 1 H), 8.71 (s, 1 H), 8.22 (s,
1 H).
Step E
[00330] 3-bromo-2,7-dichloro-6-iodoquinoline (340 mg, 0.844 mmol) was suspended in 1- Butanol (4 mL), TEA (0.235 mL, 1.688 mmol) and 4-methoxylbenzylamine (0.142 mL, 1 .097 mmol) were added and the mixture was heated in a sealed tube at 140°C overnight. The mixture was then cooled down and the oily suspension was evaporated. The solid residue was suspended in ethanol, filtered off, washed twice with cold methanol and dried to result in 3- bromo-7-chloro-6-iodo-N-{[4-(methyloxy)phenyl]methyl}-2-quinolinamine (327 mg, 0.649 mmol, 77 % yield) as a beige fine powder. MS: 503, 505 (M+H); 1H NMR (400MHz ,DMSO-d6) δ = 8.37 (s, 1 H), 8.29 (s, 1 H), 7.69 (s, 1 H), 7.59 (t, J = 6.0 Hz, 1 H), 7.34 (d, J = 8.5 Hz, 2 H), 6.86 (d, J = 8.6 Hz, 2 H), 4.59 (d, J = 6.0 Hz, 2 H), 3.32 (s, 3 H).
Step F
N-[5-[3-bromo-7-chloro-2-({[4-(methyloxy)phenyl]methyl}amino)-6-quinoli
pyridinyl]-2,4-difluorobenzenesulfonamide
[00331] 3-bromo-7-chloro-6-iodo-N-{[4-(methyloxy)phenyl]methyl}-2-quinolinamine (60mg, 0.1 19mmol), 2,4-difluoro-N-[2-(methyloxy)-5-(4,4,5,5-tetramethyl-1 ,3,2-dioxaborolan-2- yl)-3-pyridinyl]benzenesulfonamide (50.8 mg, 0.1 19 mmol), PdCI2(dppf)-CH2CI2 adduct (9.7 mg, 0.012mmol) and cesium carbonate (38.8 mg, 0.1 19 mmol) were suspended in a solvent mixture of THF (1 .5 mL) and water (0.375 mL). The mixture was degassed and filled back with nitrogen and was heated at 60°C for 1 h. The reaction was just 90% complete, therefore, 5mg more of 2,4-difluoro-N-[2-(methyloxy)-5-(4,4,5,5-tetramethyl-1 ,3,2-dioxaborolan-2-yl)-3- pyridinyl]benzenesulfonamide was added and the heating was continued for an additional 1 h .The LCMS indicated that all the starting materials were consumed and the product was formed. MS: 675, 677 (M+H). The reaction mixture was used without work up in the next step.
Step G
N-[5-{7-chloro-2-({[4-(methyloxy)phenyl]methyl}amino)-3-[4-(4-m
2-(methylox -3-pyridinyl]-2,4-difluorobenzenesulfonamide
[00332] To the reaction mixture of Step F [4-(4-morpholinyl)phenyl]boronic acid (27.1 mg, 0.131 mmol), Na2C03 (37.8 mg, 0.357 mmol) and PdCI2(dppf)-CH2CI2 adduct (9.72 mg, 0.012 mmol) were added; the mixture was degassed, filled back with nitrogen and heated for 2hrs at 80°C. It was then evaporated, the residue washed with water and the solid precipitate dried to give N-[5-{7-chloro-2-({[4-(methyloxy)phenyl]methyl}amino)-3-[4-(4- morpholinyl)phenyl]-6-quinolinyl}-2-(methyloxy)-3-pyridinyl]-2,4-difluorobenzenesulfonamide (93 mg, 0.123 mmol, quantitative yield) as a gray powder. MS: 758 (M+H). The purity of the product was sufficient to use in the next step.
Step H
N-[5-{2-amino-7-chloro-3-[4-(4-morpholinyl)phenyl]-6-quinolin
difluorobenzenesulfonamide
[00333] N-[5-{7-chloro-2-({[4-(methyloxy)phenyl]methyl}amino)-3-[4-(4- morpholinyl)phenyl]-6-quinolinyl}-2-(methyloxy)-3-pyridinyl]-2,4-difluorobenzenesulfonamide (90 mg, 0.1 19 mmol) was dissolved in trifluoroacetic acid (TFA) and was heated at 65°C for 6.5hr. The TFA was evaporated and the residue purified on RP-HPLC to give N-[5-{2-amino-7-chloro- 3-[4-(4-morpholinyl)phenyl]-6-quinolinyl}-2-(methyloxy)-3-pyridinyl]-2,4-
difluorobenzenesulfonamide (10.5 mg, 13.83 % yield) as a yellow solid. MS: 638 (M+H); 1H NMR (400MHz ,DMSO-d6) δ = 10.33 (br. s., 1 H), 8.08 (d, J = 2.2 Hz, 1 H), 7.87 (s, 1 H), 7.81 - 7.72 (m, 2 H), 7.69 (d, J = 2.1 Hz, 1 H), 7.65 (s, 1 H), 7.63 - 7.54 (m, 1 H), 7.40 (d, J = 8.6 Hz, 2 H), 7.24 (td, J = 2.0, 8.5 Hz, 1 H), 7.08 (d, J = 8.8 Hz, 2 H), 6.55 (br. s., 2 H), 3.81 - 3.73 (m, 4 H), 3.70 (s, 3 H), 3.23 - 3.15 (m, 3 H).
EXAMPLE 166
(Compound 166)
N-[5-(2-amino-3-bromo-6-quinolinyl)-2-(methyloxy)-3-pyridinyl]-3,4- bis(methyloxy)benzenesulfonamide
[00334] A degassed mixture of 3-bromo-6-iodo-2-quinolinamine (Step A, Example 118 - 50 mg, 0.143 mmol), 3,4-bis(methyloxy)-N-[2-(methyloxy)-5-(4,4,5,5-tetramethyl-1 ,3,2- dioxaborolan-2-yl)-3-pyridinyl]benzenesulfonamide (Intermediate 10 - 64.5 mg, 0.143 mmol), PdCI2(dppf)2 CH2CI2 adduct (10.48 mg, 0.014 mmol) and cesium carbonate (93 mg, 0.287 mmol) in THF (2 mL) and water (0.5 mL) was maintained at room temperature. After 3 days the resulting mixture was diluted with EtOAc (50 mL) and washed with a sat. NaCI solution (50 mL). The organic layer was concentrated. The residue was dissolved in DMF, filtered and purified by HPLC (10-50%CH3CN/H2O, both containing 0.1 % formic acid) to obtain N-[5-(2-amino-3-bromo- 6-quinolinyl)-2-(methyloxy)-3-pyridinyl]-3,4-bis(methyloxy)benzenesulfonamide (23 mg, 29.4 % yield) as a white solid: 1 H NMR (400 MHz, DMSO-d6) δ ppm 3.73 (s, 3 H) 3.75 (s, 3 H) 3.80 (s, 3 H) 6.77 (br. s., 2 H) 7.08 (d, J=8.39 Hz, 1 H) 7.30 - 7.40 (m, 2 H) 7.57 (d, J=8.78 Hz, 1 H) 7.72 - 7.80 (m, 1 H) 7.86 (s, 2 H) 8.27 (d, J=2.15 Hz, 1 H) 8.46 (s, 1 H); ES LC-MS m/z =545.3 (Br79,
M+H)+ ES LC-MS m/z =547.3 (Br81, M+H)+.
EXAMPLE 167
(Compound 167)
N-[5-(2-amino-3-bromo-6-quinolinyl)-2-(methyloxy)-3-pyridinyl]-4- cyanobenzenesulfonamide
[00335] A degassed mixture of 3-bromo-6-iodo-2-quinolinamine (Step A, Example 118 -
50 mg, 0.143 mmol), 4-cyano-N-[2-(methyloxy)-5-(4,4,5,5-tetramethyl-1 ,3,2-dioxaborolan-2-yl)- 3-pyridinyl]benzenesulfonamide (Intermediate 2 - 77 mg, 0.186 mmol), PdCI2(dppf)2 CH2CI2 adduct (1 1.70 mg, 0.014 mmol) and cesium carbonate (93 mg, 0.287 mmol) in THF (2 mL) and water (0.5 mL) was maintained at room temperature for 3 days. The resulting mixture was diluted with EtOAc (50 mL) and washed with a sat. NaCI solution (50 mL). The organic layer was concentrated. The residue was dissolved in DMF, filtered and purified by HPLC (10-50% CH3CN/H20, both containing 0.1 % formic acid) to obtain N-[5-(2-amino-3-bromo-6-quinolinyl)-2- (methyloxy)-3-pyridinyl]-4-cyanobenzenesulfonamide (17 mg, 21 .85 % yield) as a white solid: 1H NMR (400 MHz, DMSO-d6) δ ppm 3.61 (s, 3 H) 6.77 (br. s., 2 H) 7.58 (d, J=8.78 Hz, 1 H) 7.80 (d, J=8.58 Hz, 1 H) 7.87 - 7.94 (m, 4 H) 8.06 (d, J=8.00 Hz, 2 H) 8.32 (br. s., 1 H) 8.46 (s, 1 H) 10.32 (br. s., 1 H); ES LC-MS m/z =510.3 (Br79, M+H)+ ES LC-MS m/z =512.3 (Br81, M+H)+.
EXAMPLE 168
(Compound 168)
N-[5-{2-amino-3-[3-hydroxy-2-(methyloxy)-4-(4-morpholinylcarbonyl)phenyl]-6- quinolinyl}-2-(methyloxy)-3-pyridinyl]-2,4-difluorobenzenesulfonamide
223
Step 1
6-formyl-2- (me thyloxy) -3-nitrophenyl a ceta te
[00336] Following the General Scheme 5 above, a slurry at -20°C of O-vanilin acetate and NaN03 was stirred in DCM and then was slowly added to TFA over 30 mins, followed by addition of TFAA over another 30 mins. The resulting mixture was stirred at the same temperature for 6 hrs. 100ml_ of water was introduced at the same temperature to destroy the excess of TFAA before warmed up to rt. Layers were separated and the aqueous layer was extracted with DCM (200 mLx 3). The combined organic phase was washed with NaHC03 (ss), brine and dried. After evaporation of the solvents, the crude was obtained as oil, which was purified by column chromatography (silica gel, 0 to 60% ethyl acetate in hexanes) to give to the title intermediate (36.6 g, yield: 64%). 1H NMR (CHLOROFORM-d) δ: 10.09 (s, 1 H), 7.77 - 7.84 (m, 1 H), 7.68 - 7.75 (m, 1 H), 3.99 (s, 3H), 2.47 (s, 3H).
Step 2
2-hydroxy-3-(methyloxy)-4-nitrobenzaldehyde
[00337] To a stirred solution of 6-formyl-2-(methyloxy)-3-nitrophenyl acetate (4.65g, 19.4 mmol) in methanol (25 mL) was added NaOH (10 mL, 2N). The mixture was heated to reflux for 2hrs. The reaction mixture was then concentrated down to remove methanol. The resulting aqueous solution was acidified with cone. HCI. The desired product was precipitated and collected by filtration as orange solid (3.45 g, yield: 90%). 1H NMR (CHLOROFORM-d) δ: 1 1 .41 (s, 1 H), 9.99 (s, 1 H), 7.44 (d, J = 8.6 Hz, 1 H), 7.27 - 7.34 (m, 1 H), 4.09 (s, 3H).
Step 3
2-hydroxy-3-(methyloxy)-4-nitrobenzoic acid
[00338] To a stirred solution of 2-hydroxy-3-(methyloxy)-4-nitrobenzaldehyde (10g, 50.7 mmol) in acetone (150 mL) was added a solution of KnM04 in 100 mL of acetone/water(1/1 ). The mixture was stirred overnight at rt. After filtration through Celite™, the filtrate was concentrated down to just leave aqueous solution, which was then subsequently acidified with 4N HCI. The resulting precipitate was collected by filtration to give off-white solid that was used without further purification (4 g, yield: 37%). LC-MS: m/z 212 (M-1 ).
Step 4
4-amino-2-hydroxy-3-(methyloxy)benzoic acid
[00339] 2-hydroxy-3-(methyloxy)-4-nitrobenzoic acid (2 g, 9.4 mmol) was hydrogenated
with Pd/C (10%) under 55 psi in methanol (20 mL) for 2 hrs to give the titled intermediate (1 .64 g, yield 95%). LC-MS: m/z 184 (M+1 ).
Step 5
3-amino-2-(methyloxy)-6-(4-morpholinylcarbonyl)phenol
[00340] To a stirred solution of 4-amino-2-hydroxy-3-(methyloxy)benzoic acid (1 .64 g, 8.95 mmol) in a mixed DCM (30 mL) and DMF(15 mL) was added morpholine (0.858 g, 9.85 mmol), followed by TEA (1.37 mL, 9.85 mmol) and HATU (3.74g, 9.85 mmol). The resulting mixture was stirred for 2 hrs at rt before diluted with EtOAc (200 mL). The reaction mixture was then washed with NaHC03 (ss), brine and dried over MgS04. After evaporation of the solvents the resulting residual was loaded onto the column for purification (silica gel, 10 to 60%) to give the title intermediate (1 .6 g, yield: 71 %). 1H NMR (CHLOROFORM-d) δ: 8.01 (s, 1 H), 6.84 (d, J = 8.6 Hz, 1 H), 5.98 - 6.40 (m, 1 H), 3.88 (s, 3H), 3.72 (s, 8H). LC-MS: m/z 253 (M+1 ).
Step 6
3-bromo-2-(methyloxy)-6-(4-morpholinylcarbonyl)phenol
[00341] To a solution of 3-amino-2-(methyloxy)-6-(4-morpholinylcarbonyl)phenol (388 mg, 1 .54 mmol) in HBr (48%, 0.7 mL) was added water (2 mL). The resulting solution was cooled down to 0°C. A solution of NaN02 (100mg in 1 .5 mL of water) was introduced dropwise by a syringe over 5 mins. The reaction mixture was stirred for 30 mins. When diazotization was complete, CuBr was added and the reaction was brought up 60°C for ~ 10 mins before cooled down to rt, diluted with EtOAc (50 mL) and washed with brine. The organic phase was dried over Na2S04. After evaporation of the solvents, the crude product was purified by column chromatography (silica gel, 0 to 50% ethyl acetate in hexanes) to give the titled intermediate (120mg, yield: 25%). 1 H NMR (CHLOROFORM-d) δ: 8.47 - 9.03 (m, 1 H), 7.03 (d, J = 8.4 Hz, 1 H), 6.85 (d, J = 8.4 Hz, 1 H), 3.87 (s, 3H), 3.67 - 3.74 (m, 4H), 3.64 (d, 4H), LC-MS: m/z 317 (M+1 ).
Step 7
2-(methyloxy)-6-(4-morpholinylcarbonyl)-3-(4,4,5,5-tetramethyl-1,3,2-dioxabo
[00342] To a Schlenk flask were added 3-amino-2-(methyloxy)-6-(4- morpholinylcarbonyl)phenol (120 mg, 0.38 mmol), 4,4,4',4',5,5,5',5'-octamethyl-2,2'-bi-1 ,3,2- dioxaborolane (145 mg, 0.57 mmol), KOAc (1 12 mg, 1.14 mmol) and Pd2(dppf) (27 mg,
0.038mmol). 5 mL of THF was then introduced. After purging with N2 (3X), the resulting mixture was stirred at 60 °C for 48 hrs. The reaction was cooled down and the mixed solution was directly loaded to a column and purified by chromatography (silica gel, 0 to 60% ethyl acetate) to give the title intermediate as foam (135 mg, yield: 98%). LC-MS: m/z 364 (M+1 ).
Step 8
4-{[4-bromo-2,3-bis(methyloxy)phenyl]carbonyl}morpholine
[00343] To a stirred solution of 3-bromo-2-(methyloxy)-6-(4-morpholinylcarbonyl)phenol (410 mg, 1.3 mmol) was added a solution of TMSCH2N2 (6 mL, 2M in hexanes). The resulting mixture was stirred for 2 hr. The solvents was then evaporated and the residue was purified by column chromatography (silica gel, 0 to 50% EtOAc in hexanes) to give the title intermediate (280 mg, yield: 65%). 1H NMR (CHLOROFORM-d) δ: 7.28 (d, J = 8.2 Hz, 1 H), 6.83 (d, J = 8.2 Hz, 1 H), 3.85 (d, J = 9.6 Hz, 6H), 3.71 - 3.80 (m, 4H), 3.44 - 3.66 (m, 2H), 3.23 (dt, 2H).
Step 9
4-{[2, 3-bis(methyloxy)-4-(4, 4, 5, 5-tetra methyl- 1, 3, 2-dioxaborolan-2- yl)phenyl]carbonyl}morpholine
[00344] The title intermediate (250 mg, yield:79%) was obtained as foam using a similar procedure outlined in Step 7. 1H NMR (CHLOROFORM-d) δ: 7.38 - 7.48 (m, 1 H), 6.92 - 7.04 (m, 1 H), 3.88 (d, J = 15.6 Hz, 6H), 3.75 (s, 4H), 3.49 - 3.68 (m, 2H), 3.14 - 3.41 (m, 2H), 1.10 - 1.29 (m, 12H). LC-MS: m/z 378 (M+1 ).
Step 10
N-[5-{2-amino-3-[3-hydroxy-2-(methyloxy)-4-(4-morpholinylcarbonyl)phenyl]-6-qui
(methyloxy)-3-pyridinyl]-2,4-difluorobenzenesulfonamide
[00345] To a Schlenk flask were mixed 2-(methyloxy)-6-(4-morpholinylcarbonyl)-3- (4,4,5,5-tetramethyl-1 ,3,2-dioxaborolan-2-yl)phenol (140 mg, 0.385 mmol), A/-[5-(2-amino-3- bromo-6-quinolinyl)-2-(methyloxy)-3-pyridinyl]-2,4-difluorobenzenesulfonamide (201 mg, 0.385 mmol), KOAc (1 13 mg, 1.156 mmol) and Pd(Ph3P)4 (44 mg, 0.039 mmol). A mixed solvents of DME (4 mL) and water (1 mL) was introduced. After purged with N2 (3X), the reaction suspension was heated to 80°C overnight. The solvent was evaporated and the crude reaction mixture was loaded onto silica gel column and purified by column chromatography (10 to 100%, ethyl acetate in hexanes) to give the title compound (140 mg, yield: 51 %). 1H NMR
(CHLOROFORM-d) δ: 8.48 (br. s., 1 H), 8.14 (d, J = 2.1 Hz, 1 H), 7.98 - 8.08 (m, 1 H), 7.95 (d, J
= 8.6 Hz, 1 H), 7.84 - 7.91 (m, 1 H), 7.73 - 7.84 (m, 2H), 7.60 (br, 3H), 7.17 (d, J = 8.0 Hz, 1 H), 6.91 - 7.08 (m, 2H), 6.86 (d, J = 8.0 Hz, 1 H), 3.95 (s, 3H), 3.67 - 3.87 (m, 1 1 H). LC-MS: m/z 678 (M+1 ).
EXAMPLE 169
(Compound 169)
N-[5-{2-amino-3-[2,3-bis(methyloxy)-4-(4-morpholinylcarbonyl)phenyl]-6-quinoli
(methyloxy)-3-pyridinyl]-2,4-difl uorobenzenesulfonamide
[00346] Example 169 (40 mg, yield: 30%) was obtained as solid from 4-{[2,3- bis(methyloxy)-4-(4,4,5,5-tetramethyl-1 ,3,2-dioxaborolan-2-yl)phenyl]carbonyl}morpholine (72.4 mg, 0.192 mmol) and A/-[5-(2-amino-3-bromo-6-quinolinyl)-2-(methyloxy)-3-pyridinyl]-2,4- difluorobenzenesulfonamide (100 mg, 0.192 mmol), following the similar procedure outlined in Step 10 of Example 168 and General Scheme 5. 1H NMR (CHLOROFORM-d) δ: 8.50 (s, 1 H), 8.12 (d, J = 2.1 Hz, 1 H), 7.94 - 7.99 (m, 2H), 7.82 - 7.94 (m, 2H), 7.69 - 7.80 (m, 2H), 7.14 (q, J = 7.8 Hz, 2H), 6.80 - 6.99 (m, 2H), 3.54 - 4.03 (m, 18H), 3.38 (m, 2H). LC-MS: m/z 692 (M+1 ).
EXAMPLE 178
(Compound 178)
N-(5-{2-amino-3-[4-(ethylsulfonyl)phenyl]-6-quinolinyl}-2-hydroxyphenyl)-2,4- difluorobenzenesulfonamide
[00347] The reaction was carried out according to the general procedure described for the synthesis of N-(5-{2-amino-3-[4-(ethylsulfonyl)phenyl]-6-quinolinyl}-2-methyl-3-pyridinyl)-2,4- difluorobenzenesulfonamide to yield /V-(5-{2-amino-3-[4-(ethylsulfonyl)phenyl]-6-quinolinyl}-2- hydroxyphenyl)-2,4-difluorobenzenesulfonamide (7 mg, 7%) as a light yellow solid.
1H NMR (400 MHz, DMSO-d6) δ ppm 8.15 (s, 1 H) 7.96 - 8.03 (m, 3 H) 7.86 - 7.74 (m, 4 H) 7.68 (dd, J=8.8, 2.0 Hz, 1 H) 7.56 (d, J=8.8 Hz, 1 H) 7.45 (d, J=2.2 Hz, 2 H) 7.31 - 7.22 (m, 1 H) 7.16 (t, J=8.2 Hz, 1 H) 6.79 (d, J=8.4 Hz, 1 H) 6.23 (s, 2 H) 3.51 - 3.14 (m, 3 H overlapping water) 1.17 (t,
(M + H)+ calc: 596.1 125, found: 596.1 127.
EXAMPLE 179
(Compound 179)
N-(5-{2-amino-3-[4-(ethylsulfonyl)phenyl]-6-quinolinyl}-2-methyl-3-pyridinyl)-2,4- difluorobenzenesulfonamide
[00348] A degassed mixture of 6-chloro-3-[4-(ethylsulfonyl)phenyl]-2-quinolinamine (60 mg, 0.173 mmol), 2,4-difluoro-N-[2-methyl-5-(4,4,5,5-tetramethyl-1 ,3,2-dioxaborolan-2-yl)-3- pyridinyl]benzenesulfonamide, Pd2(dba)3 (7.92 mg, 8.65 μηηοΙ), 2-dicyclohexylphosphino-2',4',6'- triisopropylbiphenyl (16.49 mg, 0.035 mmol) and K3P04 (73.3 mg, 0.346 mmol) in 1-butanol (1.2 ml.) and water (0.3 ml.) was heated at 100 °C for 24 hours. The resulting thick slurry was concentrated and the residue diluted with DCM, washed with water. The organic layer was concentrated. The residue was chromatographed on a reverse phase HPLC 10-70% MeCN water each with 0.1 % formic acid. Fractions containing only product were concentrated to yield, N-(5-{2-amino-3-[4-(ethylsulfonyl)phenyl]-6-quinolinyl}-2-methyl-3-pyridinyl)-2,4- difluorobenzenesulfonamide, (24 mg, 23%). 1 H NMR (400 MHz, CHLOROFORM-d) δ ppm
8.60 (d, J=1.7 Hz, 1 H) 8.28 (s, 1 H) 8.12 (d, J=8.2 Hz, 2 H) 8.05 - 7.95 (m, 2 H) 7.95 - 7.85 (m, 2 H) 7.84 - 7.73 (m, 4 H) 7.05 - 6.93 (m, 2 H) 6.90 - 6.39 (br, 2H) 3.22 (q, J=7.4 Hz, 2 H) 2.49 (s, 3 H) 1.38 (t, J=7.4 Hz, 3 H). ES-LCMS: m/z 595 (M+1 ). HRMS for C29H24F2N4O4S2 (M + H)+ calc: 595.1285, found: 595.1287.
EXAMPLE 180
(Compound 180)
N-[5-{2-amino-3-[4-(ethylsulfonyl)phenyl]-6-quinolinyl}-2-(methyloxy)-3-pyridi
trifluoroethanesulfonamide
[00349] Refering to General Scheme 4 above, a degassed mixture of N-[5-(2-amino-3- bromo-6-quinolinyl)-2-(methyloxy)-3-pyridinyl]-2,2,2-trifluoroethanesulfonamide (50 mg, 0.102 mmol), [4-(ethylsulfonyl)phenyl]boronic acid (26.1 mg, 0.122 mmol), PdCI2(dppf)2 CH2CI2 adduct (8.31 mg, 10.18 μηηοΙ) and potassium acetate (30.0 mg, 0.305 mmol) in 1 ,4-dioxane (4 mL) was heated at 80 °C for 2 h. More [4-(ethylsulfonyl)phenyl]boronic acid (26.1 mg, 0.122 mmol) was added, the reaction mixture was degassed and heated at 80 °C for 2 h. The resulting mixture was filtered through a pad of Celite with the aid of EtOAc. The filtrate was concentrated. The residue was dissolved in DMF, filtered and purified by column chromatography (HPLC) to afford N-[5-{2-amino-3-[4-(ethylsulfonyl)phenyl]-6-quinolinyl}-2-(methyloxy)-3-pyridinyl]-2,2,2- trifluoroethanesulfonamide (10 mg, 16.42 % yield) as a white solid:1H NMR (400 MHz, DMSO- d6) 5 ppm 1.17 (t, J=7.27 Hz, 3 H) 3.33 - 3.42 (m, 2 H) 3.97 (s, 3 H) 4.56 (d, J=9.85 Hz, 2 H) 6.34 (br. s., 2 H) 7.62 (d, J=8.68 Hz, 1 H) 7.76 - 7.91 (m, 3 H) 7.93 - 8.07 (m, 5 H) 8.42 (s, 1 H); ES LC-MS m/z =581 .4 (M+H)+.
EXAMPLE 181
(Compound 181)
[00350] A degassed mixture of 3-bromo-6-iodo-2-quinolinamine (Step A, Example 118 - 100 mg, 0.287 mmol), 2,2,2-trifluoro-N-[2-(methyloxy)-5-(4,4,5,5-tetramethyl-1 ,3,2-dioxaborolan- 2-yl)-3-pyridinyl]ethanesulfonamide (1 14 mg, 0.287 mmol), PdCI2(dppf)2 (20.97 mg, 0.029 mmol) and cesium carbonate (187 mg, 0.573 mmol) in THF (4 mL) and water (1 mL) was maintained at room temperature overnight. The resulting mizture was diluted with EtOAc (40 mL) and washed with a sat. NaCI solution (10 mL). The aqueous layer was back extracted with EtOAc (40 mL). The organic layers were combined and concentrated. The residue was taken up into CH2CI2 (5 mL) and was allowed to sit. After 1 h the resulting slurry was filtered, the solid was washed with a small amount of CH2CI2 to obtain N-[5-(2-amino-3-bromo-6-quinolinyl)-2- (methyloxy)-3-pyridinyl]-2,2,2-trifluoroethanesulfonamide (51 mg, 36.2 % yield) as a beige solid: 1H NMR (400 MHz, DMSO-d6) δ ppm 3.96 (d, J=1.07 Hz, 3 H) 4.54 (d, J=9.76 Hz, 2 H) 6.77 (br. s., 2 H) 7.58 (d, J=8.68 Hz, 1 H) 7.85 (d, J=8.78 Hz, 1 H) 7.91 - 7.98 (m, 2 H) 8.38 (s, 1 H) 8.45 (s, 1 H) 10.09 (s, 1 H); ES LC-MS m/z =491.1 (Br79, M+H)+ ES LC-MS m/z =493.1 (Br81, M+H)+.
EXAMPLE 182
(Compound 182)
N-[5-(2-amino-3-bromo-6-quinolinyl)-2-(methyloxy)-3-pyridinyl]-8-quinoli
[00351] A degassed mixture of 3-bromo-6-iodo-2-quinolinamine (Step A, Example 118 - 50 mg, 0.143 mmol), N-[2-(methyloxy)-5-(4,4,5,5-tetramethyl-1 ,3,2-dioxaborolan-2-yl)-3- pyridinyl]-8-quinolinesulfonamide (82 mg, 0.186 mmol), PdCI2(dppf)2 CH2CI2 adduct (1 1.70 mg, 0.014 mmol) and cesium carbonate (93 mg, 0.287 mmol) in THF (2 mL) and water (0.5 mL) was maintained at room temperature for 4 days. The resulting thick slurry was diluted with THF (2 mL) and heated at 80 °C for 4 h. The mixture was then diluted with CH2CI2. The resulting slurry was filtered and the solid was washed with EtOAc and water. The filtrate was diluted with EtOAc (50 mL), washed with a sat. NaCI solution (50 mL). The organic layer was concentrated, the
residue was dissolved in DMF, filtered and purified by HPLC (10-70% CH3CN/H20, both containing 0.1 % formic acid) to obtain N-[5-(2-amino-3-bromo-6-quinolinyl)-2-(methyloxy)-3- pyridinyl]-8-quinolinesulfonamide (5 mg, 6.44 % yield) as a grey solid: 1 H NMR (400 MHz, DMSO-d6) δ ppm 3.41 (s, 3 H) 6.78 (br. s., 2 H) 7.56 (d, J=8.68 Hz, 1 H) 7.67 - 7.82 (m, 3 H) 7.87 (s, 1 H) 8.02 (s, 1 H) 8.16 (s, 1 H) 8.33 (t, J=7.80 Hz, 2 H) 8.47 (s, 1 H) 8.59 (d, J=8.29 Hz, 1 H) 9.12 - 9.20 (m, 1 H) 9.25 (s, 1 H); ES LC-MS m/z =536.3 (Br79, M+H)+ ES LC-MS m/z =538.3 (Br81, M+H)+.
EXAMPLE 183
(Compound 183)
N-[5-{2-amino-3-[4-(ethylsulfonyl)phenyl]-6-quinolinyl}-2-(methyloxy)-3-pyri
pyridinesulfonamide
General Scheme 16
[00352] Refering to General Scheme 4 above, a degassed mixture of N-[5-(2-amino-3- bromo-6-quinolinyl)-2-(methyloxy)-3-pyridinyl]-3-pyridinesulfonamide (74 mg, 0.152 mmol), [4- (ethylsulfonyl)phenyl]boronic acid (65.1 mg, 0.304 mmol), PdCI2(dppf)2 CH2CI2 adduct (12.43 mg, 0.015 mmol) and potassium acetate (44.8 mg, 0.456 mmol) in 1 ,4-dioxane (4 ml.) was heated at 80 °C for 2 h. The resulting mixture was filtered through a pad of Celite with the aid of EtOAc. The filtrate was concentrated. The residue was dissolved in DMF, filtered and purified by HPLC (10-70% CH3CN/H20, both containing 0.1 % formic acid) to obtain N-[5-{2-amino-3-[4- (ethylsulfonyl)phenyl]-6-quinolinyl}-2-(methyloxy)-3-pyridinyl]-3-pyridinesulfonamide (30 mg, 33.9 % yield) as a yellow solid: 1 H NMR (400 MHz, DMSO-d6) δ ppm 1.17 (t, J=7.32 Hz, 3 H) 3.27 - 3.42 (m, 2 H) 3.59 (s, 3 H) 6.36 (br. s., 2 H) 7.57 - 7.66 (m, 2 H) 7.78 - 7.87 (m, 3 H) 7.96 (d, J=2.05 Hz, 1 H) 8.00 (d, J=7.71 Hz, 4 H) 8.07 - 8.17 (m, 1 H) 8.38 (d, J=2.05 Hz, 1 H) 8.81
(d, J=4.59 Hz, 1 H) 8.89 (d, J=2.15 Hz, 1 H) 10.29 (br. s., 1 H); ES LC-MS m/z =576.4 (M+H)
EXAMPLE 187
(Compound 187)
N-[5-[2-amino-3-(1-piperidinylcarbonyl)-6-quinolinyl]-2-(methyloxy)-3-pyridiny
Step A
2-amino-6-[5-{[(2,4-difluorophenyl)sulfonyl]amino}-6-(methyloxy)-3-pyrid
quinolinecarboxylic acid
[00353] 2-amino-6-chloro-3-quinolinecarbonitrile (353 mg, 1.7 mmol) was prepared by following, Mahadevan, et al., Heterocyclic Communications, vol. 12, no. 6, pp. 481 -484, and subsequently added to a solution of ethanol (8 ml_), water (2 ml_), and solid potassium hydroxide (486 mg, 8.7 mmol). The solution was then reacted by heating to reflux for 18 h. The mixture was then cooled to room temperature and treated with 1 N HCI until the solution turned standard pH paper red in color after contact. The reaction was then evaporated under reduced pressure and the residue triturated in hot isopropanol and filtered. The filtrate was discarded and the solids dried under vacuum and used without additional purification. The solids were suspended in n-butanol (7 ml.) and water (3 ml.) to which were added Pd2dba3 (51 mg, 0.06 mmol), dicyclohexyl[2',4',6'-tris(1 -methylethyl)-2-biphenylyl]phosphane (107 mg, 0.23 mmol), tribasic potassium phosphate (477 mg, 2.2 mmol) and 2,4-difluoro-/V-[2-(methyloxy)-5-(4,4,5,5- tetramethyl-1 ,3,2-dioxaborolan-2-yl)-3-pyridinyl]benzenesulfonamide (527 mg, 1.24 mmol), prepared as described in Intermediate VII according to General Scheme 7, and the solution degassed with nitrogen and heated to 100 °C for 18 h in a sealed tube. The reaction was cooled to room temperature, poured into water (50 ml.) and treated with 1 N HCI (5 ml_). The aqueous layer was extracted with 15% isopropanol/dichloromethane (3 x 60 ml.) and the organic layer was evaporated under reduced pressure to afford the title compound (483 mg,
58%) as a yellow solid, which was used in subsequent reactions without additional purification. ES-LCMS: m/z = 487.32 (M+1 ).
Step B
N-[5-[2-amino-3-(1^iperidinylcarbonyl)-6-quinolinyl]-2-(methyto
difluorobenzenesulfonamide
[00354] To a solution of 2-amino-6-[5-{[(2,4-difluorophenyl)sulfonyl]amino}-6-(methyloxy)- 3-pyridinyl]-3-quinolinecarboxylic acid (40 mg, 0.08 mmol) in anhydrous DMF (1.0 mL) was added HATU (34 mg, 0.09 mmol), triethylamine (0.034 mL, 0.25 mmol) and piperidine (0.016 mL, 0.16 mmol) and the solution stirred at room temperature for 1 h. The reaction was purified without workup by HPLC eluting with 10-90% acetonitrile/water/0.1 % formic acid to afford the title compound (34 mg, 75%) as a yellow solid. 1H NMR (400 MHz, DMSO-c/6) δ ppm 10.29 (br. s., 1 H), 8.38 (d, J=2.3 Hz, 1 H), 7.99 (s, 2 H), 7.93 (d, J=2A Hz, 1 H), 7.70 - 7.86 (m, 2 H), 7.46 - 7.66 (m, 2 H), 7.21 (td, J=8.5, 2.1 Hz, 1 H), 6.44 (br. s., 2 H), 3.64 (s, 3 H), 3.28 (br. s., 4 H), 1.37 - 1.72 (m, 6 H). ES-LCMS: m/z = 554.27 (M+1 ).
EXAMPLE 188
(Compound 188)
1,1-dimethylethyl 4-({2-amino-6-[5-{[(2,4-difluorophenyl)sulfonyl]amino}-6-(methyloxy)-3- pyridinyl]-3-quinolinyl}carbonyl)-1-piperazinecarboxylate
[00355] To a solution of 2-amino-6-[5-{[(2,4-difluorophenyl)sulfonyl]amino}-6-(methyloxy)- 3-pyridinyl]-3-quinolinecarboxylic acid (40 mg, 0.08 mmol) in anhydrous DMF (1.0 mL) was added HATU (34 mg, 0.09 mmol), triethylamine (0.034 mL, 0.25 mmol) and fert-butyl 1 - piperazinecarboxylate (31 mg, 0.16 mmol) and the solution stirred at room temperature for 1 h. One additional equivalent of HATU, triethylamine and ferf-butyl 1 -piperazinecarboxylate were added and the reaction was stirred for an additional 1 hour. The reaction was purified without workup by HPLC eluting with 10-90% acetonitrile/water/0.1 % formic acid to afford the title
compound (27 mg, 49%) as a yellow solid. 1H NMR (400 MHz, DMSO-c/6) δ ppm 10.30 (br. s., 1 H), 8.38 (d, J=2.3 Hz, 1 H), 8.03 (s, 1 H), 7.98 (s, 1 H), 7.93 (d, J=2.3 Hz, 1 H), 7.84 (d, J=8.8 Hz, 1 H), 7.76 (td, J=8.5, 6.4 Hz, 1 H), 7.53 - 7.65 (m, 2 H), 7.12 - 7.28 (m, 1 H), 6.45 (br. s., 2 H), 3.64 (s, 3 H), 3.32 - 3.52 (m, 8 H), 1 .41 (s, 9 H). ES-LCMS : m/z = 655.50 (M+1 ).
EXAMPLE 189
(Compound 189)
N-[5-[2-amino-3-(4-morpholinylcarbonyl)-6-quinolinyl]-2-(methyloxy)-3-pyridi
difluorobenzenesulfonamide
[00356] To a solution of 2-amino-6-[5-{[(2,4-difluorophenyl)sulfonyl]amino}-6-(methyloxy)- 3-pyridinyl]-3-quinolinecarboxylic acid (40 mg, 0.08 mmol) in anhydrous DMF (1.0 mL) was added HATU (34 mg, 0.09 mmol), triethylamine (0.034 mL, 0.25 mmol) and morpholine (0.014 mL, 0.16 mmol) and the solution stirred at room temperature for 1 h. The reaction was purified without workup by HPLC eluting with 10-90% acetonitrile/water/0.1 % formic acid to afford the title compound (35 mg, 77%) as a yellow solid. 1H NMR (400 MHz, DMSO-c/6) δ ppm 10.29 (br. s., 1 H), 8.38 (d, J=2.3 Hz, 1 H), 8.03 (s, 1 H), 7.96 - 8.00 (m, 1 H), 7.93 (d, J=2.3 Hz, 1 H), 7.80 - 7.85 (m, 1 H), 7.71 - 7.79 (m, 1 H), 7.54 - 7.63 (m, 2 H), 7.21 (td, J=8.5, 2.1 Hz, 1 H), 6.52 (br. s., 2 H), 3.64 (s, 5 H), 3.48 - 3.79 (m, 6 H). ES-LCMS: m/z = 556.36 (M+1 ).
EXAMPLE 190
(Compound 190)
N-[5-{2-amino-3-[(4-methyl-1-piperazinyl)carbonyl]-6-quinolinyl}-2-(methyloxy)-3- pyridinyl]-2,4-difluorobenzenesulfonamide
[00357] To a solution of 2-amino-6-[5-{[(2,4-difluorophenyl)sulfonyl]amino}-6-(methyloxy)- 3-pyridinyl]-3-quinolinecarboxylic acid (40 mg, 0.08 mmol) in anhydrous DMF (1.0 mL) was added HATU (34 mg, 0.09 mmol), triethylamine (0.034 mL, 0.25 mmol) and 1 -methylpiperazine (16 mg, 0.16 mmol) and the solution stirred at room temperature for 1 h. One additional equivalent of HATU, triethylamine and 1-methylpiperazine were added and the reaction stirred for one additional hour. The reaction was purified without workup by HPLC eluting with 10-90% acetonitrile/water/0.1 % formic acid to afford the title compound (30 mg, 64%) as a yellow solid. 1H NMR (400 MHz, DMSO-d6) δ ppm 8.36 (d, J=2.3 Hz, 1 H), 7.99 (s, 1 H), 7.97 (d, J=2.0 Hz, 1 H), 7.92 (d, J=2.3 Hz, 1 H), 7.80 (d, J=2A Hz, 1 H), 7.72 - 7.79 (m, 1 H), 7.57 (d, J=8.6 Hz, 2 H), 7.13 - 7.32 (m, 1 H), 6.44 (br. s., 2 H), 3.65 (s, 3 H), 3.46 - 3.79 (m, 4 H), 2.27 - 2.46 (m, 4 H), 2.23 (s, 3 H). ES-LCMS: m/z = 569.28 (M+1 ).
EXAMPLE 191
(Compound 191)
N-[5-(2-amino-3-cyano-6-quinolinyl)-2-(methyloxy)-3-pyridinyl]-2,4- difluorobenzenesulfonamide
[00358] To a solution of 2-amino-6-chloro-3-quinolinecarbonitrile (35 mg, 0.17 mmol) in n-butanol (1.0 mL) and water (0.4 mL) was added Pd2dba3 (8 mg, 0.009 mmol),
dicyclohexyl[2',4',6'-tris(1 -methylethyl)-2-biphenylyl]phosphane (16 mg, 0.03 mmol), tribasic
potassium phosphate (73 mg, 0.34 mmol) and 2,4-difluoro-/\/-[2-(methyloxy)-5-(4,4,5,5- tetramethyl-1 ,3,2-dioxaborolan-2-yl)-3-pyridinyl]benzenesulfonamide (81 mg, 0.19 mmol), prepared in an analogous fashion to Intermediate 1 from General Scheme 1 , and the solution degassed with nitrogen and heated to 100 °C for 18 h in a sealed tube. The reaction was cooled to room temperature, the solids collected by filtration and purified by HPLC eluting with 10-90% acetonitrile/water/0.1 % formic acid to afford the title compound as a yellow solid (23 mg, 27%). 1 H NMR (400 MHz, DMSO-d6) δ ppm 10.29 (br. s., 1 H), 8.73 (s, 1 H), 8.33 (br. s., 1 H), 7.99 (s, 1 H), 7.88 - 7.96 (m, 2 H), 7.71 - 7.83 (m, 1 H), 7.46 - 7.64 (m, 2 H), 7.16 - 7.27 (m, 1 H), 7.03 - 7.13 (m, 2 H), 3.66 (s, 3 H). ES-LCMS: m/z = 468.1 1 (M+1 ).
EXAMPLE 192
(Compound 192)
N-[5-(2-amino-3-bromo-6-quinolinyl)-2-(methyloxy)-3-pyridinyl]-3-pyridinesulfonam
[00359] A degassed mixture of 3-bromo-6-iodo-2-quinolinamine (Step A, Example 118 - 100 mg, 0.287 mmol), N-[2-(methyloxy)-5-(4,4,5,5-tetramethyl-1 ,3,2-dioxaborolan-2-yl)-3- pyridinyl]-3-pyridinesulfonamide (146 mg, 0.373 mmol), PdCI2(dppf)2 (20.97 mg, 0.029 mmol) and cesium carbonate (187 mg, 0.573 mmol) in THF (4 mL) and water (1 mL) was maintained at room temperature overnight. The reaction mixture was treated with more N-[2-(methyloxy)-5- (4,4,5,5-tetramethyl-1 ,3,2-dioxaborolan-2-yl)-3-pyridinyl]-3-pyridinesulfonamide (42 mg, 0.1 1 mmol) and was stirred at room temperature overnight. The resulting mixture was diluted with EtOAc (50 mL), washed with a sat. NaCI solution (50 mL). The aqueous layer was back extracted with EtOAc (50 mL). The organic layers were combined and concentrated. The residue was triturated using CH2CI2 to obtain N-[5-(2-amino-3-bromo-6-quinolinyl)-2- (methyloxy)-3-pyridinyl]-3-pyridinesulfonamide (76 mg, 0.134 mmol, 46.9 % yield) as a brown solid: 1H NMR (400 MHz, DMSO-d6) δ ppm 3.59 (s, 3 H) 6.78 (br. s., 2 H) 7.54 - 7.66 (m, 2 H) 7.78 - 7.86 (m, 1 H) 7.95 (d, J=1 .37 Hz, 2 H) 8.1 1 (d, J=8.10 Hz, 1 H) 8.37 (d, J=2.05 Hz, 1 H) 8.46 (s, 1 H) 8.81 (d, J=4.78 Hz, 1 H) 8.89 (d, J=2.05 Hz, 1 H) 10.29 (s, 1 H); ES LC-MS m/z =486.2 (Br79, M+H)+ ES LC-MS m/z =488.3 (Br81, M+H)+.
EXAMPLE 193
(Compound 193)
N-[5-{2-amino-3-[3-(4-morpholinyl)-3-oxopropyl]-6-quinolinyl}-2-(methy
2,4-difluorobenzenesulfonamide
[00360] 1H NMR (CHLOROFORM-dj δ: 8.94 - 9.31 (m, 1 H), 8.50 (s, 1 H), 8.12 (d, J = 2.1
Hz, 1 H), 7.99 (d, J = 2.1 Hz, 1 H), 7.81 - 7.97 (m, 3H), 7.62 - 7.81 (m, 2H), 6.85 - 7.05 (m, 2H), 3.97 (s, 3H), 3.62 - 3.76 (m, 6H), 3.40 - 3.57 (m, 2H), 3.13 (t, J = 6.3 Hz, 2H), 2.76 (t, 2H). LC- MS: m/z 584 (M+1 ).
EXAMPLE 194
(Compound 194)
N-[5-{2-amino-3-[4-(ethylsulfonyl)phenyl]-6-quinolinyl}-2-(ethyloxy)-3- pyridinyljbenzenesulfonamide
Ste A
N-[5-bromo-2-(ethyloxy)-3-pyridinyl]benzenesulfonamide
[00361] Ν,Ν dimethylaminopyridine (15.7 mg, 0.128 mmol) and 5-bromo-2-(ethyloxy)-3- pyridinamine (reference: WO2009/147187, 278mg, 1.26 mmol) were combined with dry pyridine (3.94 ml_), before the addition of benzenesulfonyl chloride (0.16 ml_, 1.26 mmol) The resulting mixture was stirred at room temperature under nitrogen. After 1 hour the residue was concentrated, diluted with EtOAc, washed with water two times, then saturated NaHC03 followed by brine, dried (Na2S04) filtered and concentrated. The residue was purified by silica gel chromatography (0-60% EtOAc in hexanes). Fractions containing the product were combined and concentrated to yield N-[5-bromo-2-(ethyloxy)-3-pyridinyl]benzenesulfonamide (322 mg, 65%) as a pale yellow solid. 1H NMR (400 MHz, DMSO-d6) δ ppm 10.12 (s, 1 H) 8.03 (d, J=2.1 Hz, 1 H) 7.77 - 7.69 (m, 3 H) 7.68- 7.62 (m, 1 H) 7.60 - 7.52 (m, 2 H) 4.04 (q, J=7.0 Hz, 2 H) 1.06 (t, J=7.0 Hz, 3 H).
Ste B
N-[2-(ethyloxy)-5-(4,4, 5, 5-tetramethyl-1 , 3, 2-dioxaborolan-2-yl)-3-pyridinyl]benzenesulfonamide
[00362] A mixture of N-[5-bromo-2-(ethyloxy)-3-pyridinyl]benzenesulfonamide (318 mg, 0.89 mmol) 4,4, 4',4',5,5,5',5'-octamethyl-2,2'-bi-1 ,3,2-dioxaborolane (271 mg, 1.068 mmol) potassium acetate (262 mg, 2.67 mmol) and PdCI2(dppf)-CH2CI2 adduct (73 mg, 0.09 mmol) in 1 ,4-dioxane (8.9 ml_), was sparged with N2, The reaction flask was heated in a 100°C sand bath for 2.5 hours. The mixture was then allowed to cool before being concentrated then diluted with DCM and washed with water. The organic layer was dried with Na2S04 filtered and
concentrated. The residue was purified by silica gel column chromatography (0-100% EtOAc in hexanes). Fractions containing the product were combined and concentrated to yield N-[2- (ethyloxy)-5-(4,4,5,5-tetramethyl-1 ,3,2-dioxaborolan-2-yl)-3-pyridinyl]benzenesulfonamide (304 mg, 72%). 1H NMR (400 MHz, DMSO-d6) δ ppm 9.83 (s, 1 H) 8.13 (d, J=1 .8 Hz, 1 H) 7.76 (d, J=1.8 Hz, 1 H) 7.70 - 7.58 (m, 3 H) 7.568 - 7.49 (m, 2 H) 4.08 - 4.01 (m, 2 H) 1.29 (s, 12 H) 1 .03 (t, J=7.0 Hz, 3 H).
Step C
[00363] A degassed mixture of 6-chloro-3-[4-(ethylsulfonyl)phenyl]-2-quinolinamine (60 mg, 0.173 mmol) N-[2-(ethyloxy)-5-(4,4,5,5-tetramethyl-1 ,3,2-dioxaborolan-2-yl)-3- pyridinyl]benzenesulfonamide (70 mg, 0.173 mmol), Pd2(dba)3 (15.84 mg, 0.017 mmol), 2- dicyclohexylphosphino-2',4',6'-triisopropylbiphenyl (16.49 mg, 0.035 mmol) and K3P04 (73.3 mg, 0.346 mmol) in 1-butanol (1.2 mL) and water (0.3 ml.) was heated at 100 °C for 20 h. The solution was concentrated and the residue was partitioned between DCM and water. The organic layer was concentrated and the residue was purified by reverse phase HPLC 20-70 % MeCN in water using 0.1 % formic acid modifier. Fractions containing the product were combined and concentrated. The residue was slurried in DCM/hexanes and concentrated to yield /\/-[5-{2-amino-3-[4-(ethylsulfonyl)phenyl]-6-quinolinyl}-2-(ethyloxy)-3- pyridinyl]benzenesulfonamide (23 mg, 23 %) as a light yellow solid. 1 H NMR (400 MHz, DMSO- d6) δ ppm 8.28 (d, J=2.1 Hz, 1 H) 8.16 (s, 1 H) 8.00 (d, J=7.0 Hz, 3 H) 7.95 (d,J=2.1 Hz, 1 H) 7.91 (d, J=2.3 Hz, 1 H) 7.83 (d, J=8.4 Hz, 2 H) 7.80 - 7.73 (m, 3 H) 7.66 - 7.59 (m, 2 H) 7.58 - 7.51 (m, 2 H) 6.34 (s, 2 H) 4.10 (q, J=7.0 Hz, 2 H) 3.36 (q, J=7.2 Hz, 2 H overlapping water) 1.17 (t, J=7.3 Hz, 3 H) 1 .10 (t,J=7.0 Hz, 3 H). HRMS for C3oH28N405S2 (M + H)+ calc: 589.1579, found: 589.1578.
EXAMPLE 195
(Compound 195)
N-{5-{2-amino-3-[4-(ethylsulfonyl)phenyl]-6-quinolinyl}-2-[(1-methylethyl)oxy]-3- pyridinyl}benzenesulfonamide
5-bromo-2-[(1-methylethyl)oxy]-3-nitropyridine
[00364] A mixture of 5-bromo-3-nitro-2-pyridinol (2.00 g, 9.13 mmol), and silver carbonate 50% by weight on Celite (6.30 g, 1 1.42 mmol) in toluene (60 mL) was stirred as 2-iodopropane (1 .83 mL, 18.27 mmol) was added. The resulting mixture was allowed to stir at room
temperature overnight. The organic layer was diluted with EtOAc and filtered through Celite. The filtrate was washed with NaHC03 then brine before being dried with Na2S04, filtered and concentrated. The residue was purified by silica gel chromatography. The column was eluted with 0-40% EtOAc in hexanes. Fractions containing the product were combined and concentrated to yield 5-bromo-2-[(1 -methylethyl)oxy]-3-nitropyridine (1 .72 g, 72%) as a dark oil. 1H NMR (400 MHz, DMSO-d6) δ ppm 8.67 - 8.65 (d, J=2.4 Hz, 1 H) 8.64 (d, J=2.4 Hz, 1 H) 5.42 - 5.36 (m, 1 H) 1 .33 (d, J=6.2 Hz, 6 H).
5-bromo-2-[(1-methylethyl)oxy]-3-pyridinamine
[00365] The reaction was carried out according to the general procedure described for the synthesis of 5-bromo-4-methyl-2-(methyloxy)-3-pyridinamine to yield 5-bromo-2-[(1- methylethyl)oxy]-3-pyridinamine (1.52 g). 1H NMR (400 MHz, DMSO-c/6) δ ppm 7.36 (d, J=2.3 Hz, 1 H) 6.97 (d, J=2.34 Hz, 1 H) 5.01 - 5.30 (m, 3 H) 1 .28 (d, J=6.0 Hz, 6 H).
Ste C
N-{5-bromo-2-[(1-methylethyl)oxy]-3-pyridinyl}benzenesulfonamide
[00366] The reaction was carried out according to the general procedure described for the synthesis of N-[5-bromo-4-methyl-2-(methyloxy)-3-pyridinyl]-2,4- difluorobenzenesulfonamide to yield A/-{5-bromo-2-[(1 -methylethyl)oxy]-3- pyridinyl}benzenesulfonamide (2.141 g, 88% over 2 steps). 1H NMR (400 MHz, DMSO-c/6) δ ppm 10.03 (s, 1 H) 8.02 (d, J=2.3 Hz, 1 H) 7.78 - 7.69 (m, 3 H) 7.68 - 7.60 (m, 1 H) 7.59 - 7.51 (m, 2H) 4.99 - 4.93 (m, 1 H) 1.03 (d, J=6.2 Hz, 6 H).
Ste D
N-[2-[(1-methylethyl)oxy]-5-(4, 4, 5, 5-tetramethyl-1 ,3, 2-dioxaborolan-2-yl)-3- pyridinyljbenzenesulfonamide
[00367] The reaction was carried out according to the general procedure described for the synthesis of N-[5-bromo-4-methyl-2-(methyloxy)-3-pyridinyl]-2,4- difluorobenzenesulfonamide to yield A/-[2-[(1-methylethyl)oxy]-5-(4,4,5,5-tetramethyl-1 ,3,2- dioxaborolan-2-yl)-3-pyridinyl]benzenesulfonamide (427 mg, 66%). 1H NMR (400 MHz, DMSO- d6) δ ppm 9.74 (s, 1 H) 8.12 (d, J=1.8 Hz, 1 H) 7.78 (d, J=1.8 Hz, 1 H) 7.72 - 7.65 (m, 2 H) 7.65 - 7.57 (m, 1 H) 7.56 - 7.48 (m, 2 H) 5.04 (quin, J=6.2 Hz, 1 H) 1 .29 (s, 12 H) 1.01 (d, J = 6.2 Hz, 6 H).
Step E
[00368] The reaction was carried out according to the general procedure described for the synthesis of N-(5-{2-amino-3-[4-(ethylsulfonyl)phenyl]-6-quinolinyl}-2-methyl-3-pyridinyl)-2,4- difluorobenzenesulfonamide to yield /\/-{5-{2-amino-3-[4-(ethylsulfonyl)phenyl]-6-quinolinyl}-2- [(1-methylethyl)oxy]-3-pyridinyl}benzenesulfonamide (26 mg, 25%).1 H NMR (400 MHz, DMSO- cfe) δ ppm 8.26 (d, J=2.2 Hz, 1 H) 8.19 (s, 1 H) 8.04 - 7.97 (m, 3 H) 7.93 (dd, J=10.0, 2.2 Hz, 2 H) 7.83 (d, J=8.4 Hz, 2 H) 7.81 - 7.74 (m, 3 H) 7.67 - 7.49 (m, 4 H) 6.33 (s, 2 H) 5.07 (quin, J=6.2 Hz, 1 H) 3.36 (q, J=7.3 Hz, 2 H overlapping water) 1 .17 (t, J=7.3 Hz, 3 H) 1.08 (d, J=6.2
Hz, 6 H) LCMS: m/z 603 (M+1 ). HRMS for C3iH3oN505S2 (M + H)+ calc: 603.1736, found: 603.1735.
EXAMPLE 196
(Compound 196)
N-{5-{2-amino-3-[4-(ethylsulfonyl)phenyl]-6-quinolinyl}-2-[(1-methylethyl)amino]-3- pyridinyl}benzenesulfonamide
5-bromo-N-( 1 -methylethyl)-3-nitro-2-pyridinamine
[00369] A solution of 5-bromo-2-chloro-3-nitropyridine (0.944 g, 3.98 mmol) in DMA (7.4 mL) was stirred at 0°C as isopropylamine (0.677 mL, 7.95 mmol) was added. The solution was then allowed to stir at room temperature for one hour. The solution was then partitioned between EtOAc and NaHC03 solution. The organic layer was washed with brine, dried with
Na2S0 filtered and concentrated to yield 5-bromo-/V-(1-methylethyl)-3-nitro-2-pyridinamine
(1 .037g) 1 H NMR (400 MHz, DMSO-d6) δ ppm 8.60 (d, J=2.3 Hz, 1 H) 8.56 (d, J=2.3 Hz, 1 H) 8.09 (d, J=7.6 Hz, 1 H) 4.29 - 4.55 (m, 1 H) 1 .26 (d, J=6.4 Hz, 6 H) LCMS: m/z 260 (M+1 ).
Step B
H
CH3
Br
5-bromo-N2-(1 -methylethyl)-2, 3-pyridinediamine
[00370] A mixture of 5-bromo-/V-(1-methylethyl)-3-nitro-2-pyridinamine (804 mg, 2.78 mmol) and ammonium chloride (625 mg, 1 1.68 mmol) in a 1 :1 mixture of EtOH:H20 (4.8 mL) was stirred as iron (653 mg, 1 1 .68 mmol) was added. The mixture was heated to reflux for ~ 1 hour. The mixture was allowed to cool to room temperature then diluted with EtOH and filtered through Celite™. The filtrate was concentrated to yield a black tar which was slurried in water. The residue was diluted with EtOH then concentrated several times to yield 5-bromo-/V2-(1- methylethyl)-2, 3-pyridinediamine (0.70 g assume theoretical yield), as a black oil. The residue was used without purification. 1H NMR (400 MHz, DMSO-c/6) δ ppm 7.35 (d, J=2 Hz, 1 H) 6.80 (d, J=2 Hz, 1 H) 6.1 1 - 5.57 (m, 2 H) 4.77 - 3.89 (m, 2 H) 1 .16 (d, J=6.4 Hz, 6 H).
Ste C
N-{5-bromo-2-[(1-methylethyl)amino]-3-pyridinyl}benzenesulfonamide
[00371] DMAP (29 mg, 0.24 mmol) and 5-bromo-N2-(1 -methylethyl)-2, 3-pyridinediamine (540 mg, 2.35 mmol) were combined with dry pyridine (7.2 mL). Benzenesulfonylchlonde (0.30 mL, 2.35 mmol) was added and stirred at room temperature under nitrogen. After 1 hour the reaction was concentrated and the residue diluted with EtOAc, washed with water two times, then saturated NaHC03 followed by brine, dried with Na2S04, filtered and concentrated. The residue was purified by silica gel chromatography (0-40% EtOAc in hexanes). Fractions containing the product were combined and concentrated to yield /\/-{5-bromo-2-[(1 - methylethyl)amino]-3-pyridinyl}benzenesulfonamide (314 mg 28% over 2 steps) as a dark glass. 1H NMR (400 MHz, DMSO-d6) δ ppm 9.63 (s, 1 H) 7.92 (d, J=2.1 Hz, 1 H) 7.71 - 7.62 (m, 3 H) 7.59 - 7.52 (m, 2 H) 7.26 (d, J=2.1 Hz, 1 H) 5.68 (d, J=6.8 Hz, 1 H) 3.91 - 3.75 (m, 1 H) 0.91 (d, J=6.4 Hz, 6 H).
Step D
[00372] Potassium acetate (301 mg, 3.06 mmol), N-{5-bromo-2-[(1 -methylethyl)amino]-3- pyridinyl}benzenesulfonamide (378 mg, 1.02 mmol) 4,4,4',4',5,5,5',5'-octamethyl-2,2'-bi-1 ,3,2- dioxaborolane (31 1 mg, 1.22 mmol) and PdCI2(dppf)-CH2Cl2 adduct (83 mg, 0.10 mmol) were
dissolved in 1 ,4-dioxane (10 mL). The mixture was sparged with N2 then heated to 100 °C for 5 hours. The mixture was then allowed to cool before being concentrated. The residue was then diltuted with DCM and washed with water. The organic layer was dried with Na2S04 filtered and concentrated. The residue was purified by silica gel chromatography (0-100% EtOAc in hexanes). Fractions containing the product were combined and concentrated to yield a dark oil. A degassed mixture of a portion of this dark oil (72 mg, 0.173 mmol), 6-chloro-3-[4- (ethylsulfonyl)phenyl]-2-quinolinamine (60 mg, 0.173 mmol) Pd2(dba)3 (15.84 mg, 0.017 mmol), 2-dicyclohexylphosphino-2',4',6'-triisopropylbiphenyl (16.49 mg, 0.035 mmol) and K3P04 (73.3 mg, 0.346 mmol) in 1-butanol (1.2 mL) and water (0.3 mL) was heated at 100 °C for 20 h. The solution was concentrated and the residue was partitioned between DCM and water. The organic layer was concentrated and the residue was purified by reverse phase HPLC 20-70 % MeCN in water using 0.1 % formic acid modifier. Fractions containing the product were combined and concentrated. The residue was slurried in DCM/hexanes and concentrated to yield /\/-{5-{2-amino-3-[4-(ethylsulfonyl)phenyl]-6-quinolinyl}-2-[(1 -methylethyl)amino]-3- pyridinyl}benzenesulfonamide (26 mg, 25 %) as a yellow solid. 1H NMR (400 MHz, DMSO-c/6) δ ppm 8.26 (br. s., 1 H) 8.13 (s, 1 H) 8.00 (d, J=8.4 Hz, 2 H) 7.95 (s, 1 H) 7.83 (d, J=8.2 Hz, 2 H) 7.77 (d, J=2.0 Hz, 1 H) 7.74 - 7.69 (m, 2 H) 7.69 - 7.61 (m, 2 H) 7.61 - 7.52 (m, 3 H) 7.49 (d, J=2.1 Hz, 1 H) 6.26 (br. s., 2 H) 5.60 (br. s., 1 H) 4.01 - 3.93 (m, , 1 H) 3.45 - 3.25 (m, 2 H overlapping water) 1.17(t, J=7.3 Hz, 3 H) 0.97 (d, J=6.4 Hz, 6 H) HRMS for C3i H3i N504S (M + H)+ calc: 602.1896, found: 602.1897.
EXAMPLE 197
(Compound 197)
N-[5-{2-amino-3-[4-(ethylsulfonyl)phenyl]-6-quinolinyl}-2-(methylamino)-3- pyridinyljbenzenesulfonamide
5-bromo-N-methyl-3-nitro-2-pyridinamine
[00373] A solution of 5-bromo-2-chloro-3-nitropyridine (1.00g, 4.21 mmol) in DMA (7.4 mL) was stirred at 0°C as methylamine (9 mL, of a 2 M solution) was added. The solution was then allowed to stir at room temperature for one hour. The solution was then partitioned between EtOAc and NaHC03 solution. The organic layer was washed with brine, dried with
Na2S0 filtered and concentrated to yield 5-bromo-/V-methyl-3-nitro-2-pyridinamine (1 .14 g, assume quantitative yield). The crude material was used in the next step without purification. 1H NMR (400 MHz, DMSO-d6) δ ppm 8.60 (d, J=2.3 Hz, 1 H) 8.59 - 8.56 (m, 1 H) 8.55 (d, J=2.3 Hz, 1 H) 3.02 (d, J=4.7 Hz, 3 H).
Step B
N-[5-bromo-2-(methylamino)-3-pyridinyl]benzenesulfonamide
[00374] A mixture of the 5-bromo-/V-methyl-3-nitro-2-pyridinamine (1.14 g, 4.21 mmol assumed). and ammonium chloride (1.103 g, 20.62 mmol) in EtOH^O (8.5 mL of a 1 :1 solution) was stirred as iron (1 .152 g, 20.62 mmol) was added. The mixture was heated to reflux for ~ 2 hours. The mixture was allowed to cool to room temperature then diluted with EtOH and filtered through Celite™. The filtrate was concentrated to yield a black tar which was diluted with EtOH then concentrated three times. The residue was slurried in EtOH then filtered. The filtrate was concentrated to yield a black solid which was dissolved in pyridine (15.1 mL). N, N dimethylaminopyridine (0.060 g, 0.49 mmoL) was added followed by
benzenesulfonylchlonde (0.63 mL, 4.91 mmol). The resulting mixture was stirred for one hour under a nitrogen atmosphere. The mixture was then concentrated. The residue diluted with EtOAc, washed with water two times, then saturated NaHC03 followed by brine, dried
(Na2S0 ) and concentrated. The residue was purified by silica gel chromatography (0-100%
EtOAc in hexanes). Fractions containing the product were combined and concentrated to yield A/-[5-bromo-2-(methylamino)-3-pyridinyl]benzenesulfonamide (0.859 g, 2.51 mmol 60% over 3 steps) as a grey solid. 1H NMR (400 MHz, DMSO-d6) δ ppm 9.58 (br. s., 1 H) 7.94 (br. s., 1 H) 7.75 - 7.64 (m, 3 H) 7.62 - 7.55 (m, 2 H) 6.92 (d, J=2.3 Hz, 1 H) 6.25 (br. s., 1 H) 2.68 (d, J=4.5 Hz, 3 H) LCMS: m/z 344 (M+1 ).
Step C
[00375] A mixture of N-[5-bromo-2-(methylamino)-3-pyridinyl]benzenesulfonamide (859 mg, 2.51 mmol) 4,4, 4',4',5,5,5',5'-octamethyl-2,2'-bi-1 ,3,2-dioxaborolane (701 mg, 2.76 mmol) potassium acetate (739 mg, 7.53 mmol) and PdCI2(dppf)-CH2CI2 adduct (103 mg, 0.126 mmol) were dissolved in 1 ,4-dioxane (2.5 ml_), sparged with heated to 100 °C and kept for 5h. The mixture was then allowed to cool before being concentrated then diluted with DCM and filtered through Celite™. The filtrate was concentrated residue was purified by silica gel silica gel chromatography (0-10% MeOH in DCM). Fractions containing the product were combined and concentrated to yield 260 mg. A mixture of the residue (88 mg, 0.22 mmol) 6-chloro-3-[4- (ethylsulfonyl)phenyl]-2-quinolinamine (60 mg, 0.173 mmol) Pd2(dba)3 (15.84 mg, 0.017 mmol), 2-dicyclohexylphosphino-2',4',6'-triisopropylbiphenyl (16.49 mg, 0.035 mmol) and K3PO4 (73.3 mg, 0.346 mmol) in 1-butanol (1.2 ml.) and water (0.3 ml.) was heated at 100 °C for 24 h. The solution was concentrated and the residue was partitioned between DCM and water. The organic layer was concentrated and the residue was purified by reverse phase HPLC 20-70 % MeCN in water using 0.1 % formic acid modifier. Fractions containing the product were combined and concentrated. The residue was slurried in DCM/hexanes and concentrated to yield /\/-[5-{2-amino-3-[4-(ethylsulfonyl)phenyl]-6-quinolinyl}-2-(methylamino)-3- pyridinyl]benzenesulfonamide (27 mg, 27%) as a yellow solid. 1H NMR (400 MHz, DMSO-c/6) δ ppm 8.24 - 8.15 (m, 1 H) 8.14 (s, 1 H) 8.00 (d, J=8.4 Hz, 2 H) 7.91 (s, 1 H) 7.83 (d, J=8.2 Hz, 2 H) 7.73 - 7.80 (m, 2 H) 7.68 - 7.46 (m, 6 H) 7.17 (d, J=2.1 Hz, 1 H) 6.24 (s, 3 H) 3.40 - 3.25 (m, 2 H overlapping water) 2.78 (d, J=4.7 Hz, 3 H) 1.17 (t, J=7.3 Hz, 3 H) LCMS: m/z 574 (M+1 ).
EXAMPLE 198
(Compound 198)
N-[5-(2-amino-4-cyano-3-phenyl-6-quinolinyl)-2-(methyloxy)-3-pyridinyl]-2,4- difluorobenzenesulfonamide
General Scheme 17
4-fluoro-6-iodo-3-phenyl-2-quinolinamine
[00376] At -78°C, to a stirred solution of benzyl cyanide (6.35g, 55.7 mmol) in THF (50 mL), was slowly added LDA. After 30 min stirring, 2-amino-5-iodobenzotrifluoride (4g, 14 mmlol) was introduced. The resulting mixture was stirred at the same temperature for 2hrs, then warmed up to rt for another 2 hours before quenching with water. The crude product was extracted with ether (3x 100 mL). The combined organic layers were washed with NaHC03(ss) and brine, dried, concentrated down to give a solid . After triturated with 20 mL of ether, the title intermediate was obtained by filtration (4g, Yield: 79%). 1 H NMR (CHLOROFORM-d) δ: 8.23 (d, J = 2.0 Hz, 1 H), 7.83 (dd, J = 8.8, 2.0 Hz, 1 H), 7.50 - 7.60 (m, 2H), 7.37 - 7.50 (m, 4H), 5.01 (br. s., 2H). LC-MS: m/z 365 (M+1 ).
2-amino-6-iodo-3-phenyl-4-quinolinecarbonitrile
[00377] To a stirred solution of 4-fluoro-6-iodo-3-phenyl-2-quinolinamine (200mg, 0.55mmol) in DMF (5 mL) was added KCN (39 mg, 0.60 mmol) and 18-crown-6 (160 mg, 0.60 mmol). After the resulting mixture was stirred at 100°C overnight, the reaction was cooled down to rt, diluted with EtOAc and washed with brine (2X). The organic layer was dried over Na2S04, filtered, concentrated to give the title intermediate, which was used without purification. LC-MS: m/z 372 (M+1 ).
Step C
N-[5-(2-amino-4-cyano-3-phenyl-6-quinolinyl)-2-(methyloxy)-3-pyridinyl]-2,4- difluorobenzenesulfonamide
[00378] N-[5-(2-amino-4-cyano-3-phenyl-6-quinolinyl)-2-(methyloxy)-3-pyridinyl]-2,4- difluorobenzenesulfonamide (40 mg, yield: 52%) was obtained from 2,4-difluoro-/V-[2- (methyloxy)-5-(4,4,5,5-tetramethyl-1 ,3,2-dioxaborolan-2-yl)-3-pyridinyl]benzenesulfonamide (57.4 mg, 0.135 mmol) and 2-amino-6-iodo-3-phenyl-4-quinolinecarbonitrile (50 mg, 0.135 mmol), following a typical Suzuki coupling procedure described above. 1H NMR
(CHLOROFORM-d) δ: 8.15 (d, J = 2.1 Hz, 1 H), 7.97 - 8.07 (m, 2H), 7.94 (s, 1 H), 7.68 - 7.84 (m,
2H), 7.50 - 7.69 (m, 5H), 7.33 - 7.50 (m, 1 H), 7.05 (s, 1 H), 6.95 (s, 1 H), 5.28 (br. s., 2H), 3.97 (s, 3H). LC-MS: m/z 544 (M+1 ).
4-fluoro-6-iodo-3-phenyl-2-quinolinamine
[00379] At -78°C, to a stirred solution of benzyl cyanide (6.35g, 55.7 mmol) in THF (50 mL), was slowly added LDA. After 30 min stirring, 2-amino-5-iodobenzotrifluoride (4g, 14 mmlol) was introduced. The resulting mixture was stirred at the same temperature for 2hrs, then warmed up to rt for another 2 hours before quenching with water. The crude product was extracted with ether (3x 100 mL). The combined organic layers were washed with NaHC03(ss) and brine, dried, concentrated down to give a solid . After triturated with 20 mL of ether, the title intermediate was obtained by filtration (4g, Yield: 79%). 1 H NMR (CHLOROFORM-d) δ: 8.23 (d, J = 2.0 Hz, 1 H), 7.83 (dd, J = 8.8, 2.0 Hz, 1 H), 7.50 - 7.60 (m, 2H), 7.37 - 7.50 (m, 4H), 5.01 (br. s., 2H). LC-MS: m/z 365 (M+1 ).
2-amino-6-iodo-3-phenyl-4-quinolinecarbonitrile
[00380] To a stirred solution of 4-fluoro-6-iodo-3-phenyl-2-quinolinamine (200mg, 0.55mmol) in DMF (5 mL) was added KCN (39 mg, 0.60 mmol) and 18-crown-6 (160 mg, 0.60 mmol). After the resulting mixture was stirred at 100°C overnight, the reaction was cooled down to rt, diluted with EtOAc and washed with brine (2X). The organic layer was dried over Na2S04, filtered, concentrated to give the title intermediate, which was used without purification. LC-MS: m/z 372 (M+1 ).
Step C
N-[5-(2-amino-4-cyano-3-phenyl-6-quinolinyl)-2-(methyloxy)-3-pyrid
difluorobenzenesulfonamide
[00381] N-[5-(2-amino-4-cyano-3-phenyl-6-quinolinyl)-2-(methyloxy
difluorobenzenesulfonamide (40 mg, yield: 52%) was obtained from 2,4-difluoro-/V-[2- (methyloxy)-5-(4,4,5,5-tetramethyl-1 ,3,2-dioxaborolan-2-yl)-3-pyridinyl]benzenesulfonamide (57.4 mg, 0.135 mmol) and 2-amino-6-iodo-3-phenyl-4-quinolinecarbonitrile (50 mg, 0.135 mmol), following a typical Suzuki coupling procedure described above. 1H NMR
(CHLOROFORM-d) δ: 8.15 (d, J = 2.1 Hz, 1 H), 7.97 - 8.07 (m, 2H), 7.94 (s, 1 H), 7.68 - 7.84 (m, 2H), 7.50 - 7.69 (m, 5H), 7.33 - 7.50 (m, 1 H), 7.05 (s, 1 H), 6.95 (s, 1 H), 5.28 (br. s., 2H), 3.97 (s, 3H). LC-MS: m/z 544 (M+1 ).
General Scheme 18
Example 199
(Compound 199)
N-[4-{2-amino-3-[2-(ethyloxy)phenyl]-6-quinolinyl}-2-(methyloxy)-3-pyridinyl]-2,4- difluorobenzenesulfonamide
[00382] The mixture of N-[4-(2-amino-3-bromo-6-quinolinyl)-2-(methyloxy)-3-pyridinyl]- 2,4-difluorobenzenesulfonamide (52 mg, 0.1 mmol), [2-(ethoxy)phenyl]boronic acid (24.83 mg, 0.15 mmol), potassium acetate (29.4 mg, 0.299 mmol) and PdCI2(dppf)-CH2CI2 adduct (8.16 mg, 9.97 μηηοΙ ) in 1 ,2-Dimethoxyethane (DME) ( 2 mL) was heated under nitrogen atmosphere
at 80 °C overnight. Cooled down and loaded the reaction solution to a column and purified by column chromatography (silica gel, 0-60% E/H) to give the desire product (27.2 mg, 48%). MS (ES+) m/z 563; 1H NMR (400 MHz, CHLOROFORM-d) δ ppm 8.16 (d, J=2.15 Hz, 1 H) 8.03 (d, J=2.15 Hz, 1 H) 7.85 (s, 2 H) 7.77 - 7.81 (m, 1 H) 7.66 - 7.74 (m, 2 H) 7.40 - 7.46 (m, 1 H) 7.33 (dd, J=7.52, 1.66 Hz, 1 H) 7.07 - 7.13 (m, 1 H) 7.04 (d, J=8.40 Hz, 1 H) 6.91 - 6.98 (m, 2 H) 5.38 (br. s., 2 H) 4.09 (d, J=8.21 Hz, 2 H) 3.95 (s, 3 H) 1 .31 (t, J=6.94 Hz, 3 H).
[00383] Example 200, 201 , 202 were prepared using similar procedures to Example 199, by varying the choice of boronic acids.
Example 200
(Compound 200)
N-[4-(2-amino-3-{2-[(methylsulfonyl)amino]phenyl}-6-quinolinyl)-2-(m
namide
[00384] Grey solid, 10.7 mg, yield: 17%. LCMS (m/z) ES+ 612 (M+H); 1H NMR (400 MHz, CHLOROFORM-d) δ ppm 8.05 (d, 1 H) 7.95 (d, J=2.15 Hz, 1 H) 7.83 - 7.90 (m, 2 H) 7.74 (d, J=8.20 Hz, 1 H) 7.60 - 7.67 (m, 3 H) 7.50 - 7.56 (m, 1 H) 7.35 (d, J=3.91 Hz, 2 H) 6.89 - 6.99 (m, 2 H) 4.97 - 5.43 (m, 2 H) 3.93 (s, 3 H) 2.99 (s, 3 H).
Example 201
(Compound 201)
N-[4-{2-amino-3-[2-(methylthio)phenyl]-6-quinolinyl}-2-(methyloxy)-3-pyridiny
[00385] Grey solid 43.5 mg, yield: 73 %. LCMS (m/z) ES+ 565 (M+H); 1H NMR (400 MHz, CHLOROFORM-d) δ ppm 8.14 (d, J=2.15 Hz, 1 H) 8.01 (d, J=2.15 Hz, 1 H) 7.87 (d, J=6.05 Hz, 1 H) 7.82 (s, 1 H) 7.75 - 7.79 (m, 1 H) 7.66 - 7.72 (m, 2 H) 7.41 - 7.48 (m, 1 H) 7.34 (d, J=8.01 Hz, 1 H) 7.23 - 7.30 (m, 2 H) 6.88 - 6.99 (m, 2 H) 5.39 (br. s., 2 H) 3.92 (s, 3 H) 2.41 (s, 3 H).
Example 202
(Compound 202)
N-[4-{2-amino-3-[2-(cyanomethyl)phenyl]-6-quinolinyl}-2-(methyloxy)-3-p
[00386] Grey solid, 14.7 mg, yield: 26 %. LCMS (m/z) ES+ 558 (M+H); 1H NMR (400 MHz, CHLOROFORM-d) δ ppm 8.16 (d, J=2.34 Hz, 1 H) 8.04 (d, J=2.15 Hz, 1 H) 7.81 - 7.92 (m, 3 H) 7.74 - 7.79 (m, 2 H) 7.69 (d, J=7.22 Hz, 1 H) 7.50 - 7.60 (m, 2 H) 7.39 (dd, J=7.22, 1.56 Hz, 1 H) 6.91 - 6.99 (m, 2 H) 5.03 - 5.31 (m, 2 H) 3.96 (s, 3 H) 3.56 - 3.76 (m, 3 H).
Example 203
(Compound 203)
N-[5-[2-amino-3-(4-morpholinylcarbonyl)-6-quinolinyl]-2-(methyloxy)-3-py
1,2-dihydro-5-pyrimidinesulfonamide
[00387] The mixture 6-bromo-3-(4-morpholinylcarbonyl)-2-quinolinamine (35.5 mg, 0.105 mmol), 2-chloro-N-[2-(methyloxy)-5-(4,4,5,5-tetramethyl-1 ,3,2-dioxaborolan-2-yl)-3-pyridinyl]-5- pyrimidinesulfonamide (30 mg, 0.07 mmol), potassium acetate (20.7 mg, 0.21 1 mmol) and PdCI2(dppf)-CH2CI2 adduct (5.75 mg, 7.03 mol ) in 1 ,2-Dimethoxyethane (DME) ( 2 mL) was heated under nitrogen atmosphere at 80 °C for 2 h. Cooled down and loaded the reaction solution to a column and purified by column chromatography(silica gel, 0-10% Methanol in EtOAc) to give the desire products(13.3 mg, 35%). MS (ES+) m/z 538; 1H NMR (400 MHz, METHANOL-^) δ ppm 9.02 (d, 1 H) 8.82 (s, 2 H) 8.17 (s, 1 H) 8.10 (d, J=1.76 Hz, 1 H) 7.98 (d, J=1.56 Hz, 1 H) 7.91 (dd, J=8.78, 1 .76 Hz, 1 H) 7.67 (d, J=8.78 Hz, 1 H) 4.08 (s, 3 H) 3.61 - 3.83 (m, 8 H).
Example 204
(Compound 204)
Step A
6-iodo-4-(methylsulfinyl)-3-phenyl-2-quinolinamine
) To a solution of 4-fluoro-6-iodo-3-phenyl-2-quinolinamine (100 mg, 0.275 mmol) in DMF(10 mL) was added NaSMe (20.26mg). The reaction mixture was stirred at 100 °C for 2 h, the mixture was dissolved in H20( 50 mL ), and extract with EtOAc (50 mL), The organic layer was washed with brine(50 mL), and dried by anhydrous MgS04. Evaporated the solvent to afford a yellow solid. LCMS (m/z) ES+ 393
(M+H).
To a solution of 6-iodo-4-(methylthio)-3-phenyl-2-quinolinamine (181 mg, 0.461 mmol) in Methanol (15 mL) at 25°C was added OXZONE (567 mg, 0.923 mmol). The reaction mixture was stirred at 25 °C overnight. The crude product was added to a silica gel column and was eluted with Hex/EtOAc (100%-70%). Collected fractions to afford the product. LCMS (m/z) ES+ 409 (M+H).
Other iodides were prepared using a similar procedure to that above.
Step B
N-[5-[2-amino-4-(methylsulfinyl)-3-phenyl-6-quinolinyl]-2-(methyto^
[00389] The mixture of 6-iodo-4-(methylsulfinyl)-3-phenyl-2-quinolinamine (134 mg, 0.328mmol), 2,4-difluoro-N-[2-(methyloxy)-5-(4,4,5,5-tetramethyl-1 ,3,2-dioxaborolan-2-yl)- 3pyridinyl] benzenesulfonamide (210 mg, 392 mmol), potassium acetate (97 mg, 0.985 mmol) and PdCI2(dppf)-CH2CI2 adduct (26.8 mg, 0.033mmol ) in 1 ,2-Dimethoxyethane (DME) (3 mL) and water (0.75 mL) was heated under nitrogen atmosphere at 80 C° over night. Cooled down and loaded the reaction solution to a column and purified by column chromatography (silica gel, EtOAc/Hexane from 0-80%) to give the desire product (81 mg, 40%). LCMS (ES+) m/z 581 ; 1H NMR (400 MHz, CHLOROFORM-d) δ ppm 9.27 (d, J=1.56 Hz, 1 H) 8.15 (d, J=2.15 Hz, 1 H) 7.95 - 8.03 (m, 2 H) 7.73 - 7.81 (m, 2 H) 7.43 - 7.62 (m, 5 H) 7.10 - 7.16 (m, 1 H) 6.86 - 7.01 (m, 2 H) 5.28 - 5.77 (m, 2 H) 3.92 (s, 3 H) 3.02 (s, 3 H).
Example 205
(Compound 205)
N-[5-(2-amino-4-azido-3-phenyl-6-quinolinyl)-2-(methyloxy)-3-pyridin
difluorobenzenesulfonamide
White solid, 16.2 mg, yield 21 %; LCMS (m/z) ES+ 409 (M+H); 1H NMR (400 MHz,
CHLOROFORM-d) δ ppm 8.12 (s, 2 H) 8.01 (s, 3 H) 7.83 - 7.92 (m, 2 H) 7.69 (d, J=1.37 Hz, 3 H) 7.46 - 7.51 (m, 2 H) 6.91 - 7.01 (m, 2 H) 3.96 (s, 3 H).
Example 206
(Compound 206)
-6-[5-{[(2, 4-difluorophenyl)sulfonyl]amino}-6-(methyloxy)-3-pyridinyl]-3-phenyl-4-
[00390] Grey solid, 21 mg, yield 43%. LCMS (m/z) ES+ 562 (M+H); 1H NMR (400 MHz, METHANOL-^) δ ppm 8.18 (d, J=1.95 Hz, 1 H) 7.98 (d, J=2.15 Hz, 1 H) 7.85 - 7.92 (m, 1 H) 7.79 - 7.84 (m, 2 H) 7.70 (d, J=9.37 Hz, 1 H) 7.44 - 7.58 (m, 5 H) 7.16 - 7.24 (m, 1 H) 7.07 - 7.15 (m, 4 H) 3.82 (s, 100 H).
General Scheme 21
(Compound 207)
Step A
3-[4-bromo-2-(methyloxy)phenyl]-4-fluoro-6-iodo-2-quinolinamine
[00391] At -44 °C, to a stirred solution of [4-bromo-2-(methyloxy)phenyl]acetonitrile (1912 mg, 8.46 mmol) in THF was slowly added LDA. After -40 min, [4-iodo-2- (trifluoromethyl)phenyl]amine (607 mg, 2.1 15 mmol) was introduced. The resulting mixture was stirred at the same temperature for 2 hrs, then warmed up to rt for another 2 hrs before quenched with water. The crude product was extracted with the mixture of DCM/IPA (85/15) (4x50 mL). The organic layer was dried, concentrated to give solid. Washed with ether/EtOAc and dried over vacum pump to provide clean product (520 mg, 52 %). LCMS (m/z) ES+ 474 (M+H).
Step B
[00392] To a stirred solution of 3-[4-bromo-2-(methyloxy)phenyl]-4-fluoro-6-iodo-2- quinolinamine (206 mg, 0.435 mmol) in Ν,Ν-Dimethylformamide (DMF) (25 mL), was added KCN and 18-crown-6. The mixture was stirred at 100 °C overnight. The organic phase was washed withH20 (50 mL), EtOAc (50mL), dried. The crude sample was added to a column and was eluted with (H/E 0-60%) afforded yellow solid (180 mg, 86%). LCMS (m/z) ES+ 481 (M+H).
[00393] Others iodides were prepared using a similar procedure to that above.
Step C
N-[5-{2-amino-3-[4-bromo-2-(methyloxy)phenyl]-4-cyano-6-quinolinyl}-2-(m
2,4-difluorobenzenesulfonamide
[00394] The mixture of 2-amino-3-[4-bromo-2-(methyloxy)phenyl]-6-iodo-4- quinolinecarbonitrile (85 mg, 0.177 mmol), 2,4-difluoro-N-[2-(methyloxy)-5-(4,4,5,5-tetramethyl- 1 ,3,2-dioxaborolan-2-yl)-3-pyridinyl]benzenesulfonamide (1 13 mg, 0.226 mmol), potassium acetate (52.1 mg, 0.531 mmol ) and PdCI2(dppf)-CH2CI2 adduct (14.48 mg, 0.018 mmol) in 1 ,2- Dimethoxyethane (DME) (2 ml.) and water (0.5 ml.) was heated under nitrogen atmosphere at 65 °C for 5 h. Cooled down and loaded the reaction solution to a column and purified by column chromatography (silica gel, EtOAc/Hexane from 0-50%) to give the desire products (21.4 mg, 18 %). LCMS (ES+) m/z 653; 1H NMR (400 MHz, CHLOROFORM-d) δ ppm 8.16 (s, 1 H) 7.92 - 8.05 (m, 3 H) 7.80 (s, 2 H) 7.33 (d, J=8.00 Hz, 1 H) 7.20 - 7.27 (m, 2 H) 7.05 (t, J=7.71 Hz, 1 H) 6.95 (t, J=8.59 Hz, 1 H) 5.00 (br. s., 2 H) 3.98 (s, 3 H) 3.86 (s, 3 H).
[00395] Example 208, 209, 210 were prepared using a similar procedure described in Example 207 by varying the choice of iodides.
Example 208
(Compound 208)
2-amino-3-[4-bromo-2-(methyloxy)phenyl]-6-[5-{[(2,4-difluorophenyl)sulfonyl]ami
(methyloxy)-3-pyridinyl]-4-quinolinecarboxamide
CHLOROFORM-d) δ ppm 7.96 (d, J=1.95 Hz, 1 H) 7.76 (dd, J=5.08, 1 .95 Hz, 2 H) 7.61 - 7.73 (m, 2 H) 7.55 - 7.61 (m, 1 H) 7.22 (s, 2 H) 7.18 (s, 1 H) 6.83 - 6.95 (m, 3 H) 6.46 (br. s., 1 H) 5.30 (br. s., 2 H) 3.83 (s, 3 H) 3.79 (s, 3 H).
Example 209
(Compound 209)
2-amino-6-[5-{[(2,4-difluorophenyl)sulfonyl]amino}-6-(methyloxy)-3-pyri
morpholinyl)phenyl]-4-quinolinecarboxamide
[00397] Light yellow solid, 1.6 mg, 3%. LCMS (ES+) m/z 647; 1H NMR (400 MHz, CHLOROFORM-d) δ ppm 8.40 (s, 1 H) 7.94 (d, J=2.35 Hz, 1 H) 7.78 - 7.80 (m, 2 H) 7.75 - 7.78 (m, 1 H) 7.72 (d, J=2.15 Hz, 1 H) 7.63 (dd, J=8.60, 1.95 Hz, 1 H) 7.43 (d, J=8.79 Hz, 2 H) 7.05 (d, J=8.79 Hz, 2 H) 6.88 - 6.99 (m, 2 H) 6.57 (br. s., 2 H) 3.86 - 3.97 (m, 7 H) 3.24 - 3.32 (m, 4 H).
Example 210
(Compound 210)
2-amino-6-{6-(ethyloxy)-5-[(3-pyridinylsulfonyl)amino]-3-pyridinyl}-3-[4-(4- morpholinyl)phenyl]-4-quinolinecarboxamide
[00398] Grey solid, 2.5 mg, 5%. LCMS (ES+) m/z 626; 1H NMR (400 MHz,
CHLOROFORM-d) δ ppm 8.88 (d, J=1.95 Hz, 1 H) 8.74 (dd, J=4.88, 1 .37 Hz, 1 H) 8.44 (s, 1 H) 7.89 - 7.96 (m, 2 H) 7.83 (d, J=1 .76 Hz, 1 H) 7.79 (d, J=8.58 Hz, 1 H) 7.71 (d, J=2A 5 Hz, 1 H) 7.64 (dd, J=8.68, 1.66 Hz, 1 H) 7.46 (d, J=8.58 Hz, 2 H) 7.37 (dd, J=8.00, 4.88 Hz, 1 H) 7.07 - 7.12 (m, 1 H) 7.04 (d, J=8.78 Hz, 2 H) 6.90 (br. s., 1 H) 4.20 (q, 2 H) 3.87 - 3.93 (m, 4 H) 3.23 - 3.32 (m, 4 H) 1 .24 (t, J=7.02 Hz, 3 H).
General Scheme 22
Example 211
(Compound 211)
Step A
-amino-6-chlor -3-quinolinyl)-2-fluorobenzamide
[00399] A mixture of 3-bromo-6-chloro-2-quinolinamine (3 g, 1 1.65 mmol), [3- (aminocarbonyl)-4-fluorophenyl]boronic acid (2.77 g, 15.14 mmol), potassium acetate (3.43 g, 34.9 mmol ) and PdCI2(dppf)-CH2CI2 adduct (0.953 g, 1.165 mmol) in 1 ,2-Dimethoxyethane (DME) ( 50 mL) and water (12.5 mL) was heated under nitrogen atmosphere at 80 °C overnight. Cooled down and loaded the reaction solution to a column and purified by column
chromatography (silica gel, EtOAc/Hexane from 0-50%) to give the desire product. (1.52 g, 34 %). LCMS (ES+) m/z 316.
Step B
2-amino-5-bromo-3-pyridinesulfonyl chloride
[00400] To a cooled (0 °C) solution of chlorosulfonic acid (44.5 mL) under vigorous stirring was added 5-bromo-2-pyridinamine (1 1.5 g, 66.5 mmol) portionwise. The reaction mixture was then heated at reflux for 3 h. Upon cooling to room temperature, the reaction mixture was poured over ice (100 g) with vigorously stirring. The resulting yellow precipitate was collected by suction filtration, washing with cold water and petroleum ether to provide the title compound as an orange-yellow solid (13 g, 72% yield).
Step C
-N-(2, 4-difluorophenyl)-5-(4, 4, 5, 5-tetramethyl- 1, 3, 2-dioxaborolan-2-yl)-3- pyridinesulfonamide
1 ) To a cold (0 °C ) suspension of 2-amino-5-bromo-3-pyridinesulfonyl chloride (1 .36 g, 5 mmol) in dry 1 ,4-dioxane (15 mL) was added pyridine (0.48 mL, 6 mmol) followed by a 1 ,4-difluoro-aniline(0.547 mL, 6 mmol). The reaction mixture was allowed to warm to rt
for 2 hrs, heated to 50 °C for 1 h, then cooled to rt. After standing for 2 h, the precipitate was collected by filtration and rinsed with a minimal amount of cold water. Drying the precipitate to constant weight under high vacuum provided red solid. ES-LCMS: m/z 364.21 , 366.19 (M+1 ).
2) To a solution of 2- amino-5-bromo-N, N-dimethyl-3-pyridinesulfonamide in THF (20 mL) was added 4,4,4',4',5,5,5',5'-octamethyl-2,2'-bi-1 ,3,2-dioxaborolane (1 .27g, 5 mmol), potassium acetate (1 .47 g, 15 mmol) and Pd(PPh3)2CI2 (351 mg, 0.5 mmol). The reaction mixture was stirred at 100 °C for 18 h. The reaction was concentrated in vacuo, purified on silica using 60% ethyl acetate/ hexane to yield the title compound as a grey solid (76%). ES-LCMS: m/z 330.31 (B(OH)2) (M+1 )
[00401] Other sulfonamides were prepared using a similar procedure to the above by varying the choice of amine.
Step D
5-[2-amino-6-(6-amino-5-{[(2,4-difluorophenyl)amino]sulfon
fluorobenzamide
[00402] The mixture of 5-(2-amino-6-chloro-3-quinolinyl)-2-fluorobenzamide (60 mg, 0.19 mmol), (6-amino-5-{[(2,4-difluorophenyl)amino]sulfonyl}-3-pyridinyl)boronic acid (62.5 mg, 0.19 mmol), K3P04 (80.6 mg, 0.38 mmol ), Xphos(18.2 mg, 0.038 mmol) and Pd2(dba)3 (17.4 m g, 0.019 mmol) in 1 -Butanol ( 2 ml.) and water(0.5 ml.) was heated under nitrogen atmosphere at 100 °C overnight. Cooled down and loaded the reaction solution to a column and purified by column chromatography(silica gel, EtOAc/Hexane from 0-50%) to give the desire products(20 mg, 18 %). LCMS (ES+) m/z 565; 1H NMR (400 MHz, METHANOL-^) δ ppm 8.46 - 8.51 (m, 2 H) 8.26 (s, 2 H) 8.03 (s, 1 H) 8.00 (d, J=2.34 Hz, 1 H) 7.97 (dd, J=7.02, 2.34 Hz, 1 H) 7.79 (d, J=1.37 Hz, 1 H) 7.68 - 7.74 (m, 2 H) 7.63 - 7.67 (m, 1 H) 7.44 - 7.52 (m, 1 H) 7.39 (dd, J=10.54, 8.58 Hz, 2 H) 6.86 - 6.98 (m, 4 H).
[00403] Example 212, 213, 214, 215 were prepared using a similar procedure as in Example 21 1 by varying the choice of boronic esters.
Example 212
(Compound 212)
5-(2-amino-6-{6-amino-5-[(phenylamino)sulfonyl]-3-pyridinyl}-3-quinoli
fluorobenzamide
[00404] Grey solid, 21 mg, 20%. LCMS (ES+) m/z 529; 1 H NMR (400 MHz, METHANOL- d4) δ ppm 8.40 (d, J=2.35 Hz, 1 H) 8.32 (s, 1 H) 8.04 (d, J=2.15 Hz, 1 H) 7.94 - 7.99 (m, 2 H) 7.67 - 7.74 (m, 2 H) 7.62 (s, 2 H) 7.38 (dd, J=10.55, 8.60 Hz, 1 H) 7.18 - 7.25 (m, 2 H) 7.12 - 7.16 (m, 2 H) 7.01 - 7.06 (m, 1 H).
Example 213
(Compound 213) -f2-am/■no-6- '6-am/■no- - 4-mo Λo//■n /su/fon ^-3- r/■d/■n / -3-qu/■no//n /^-2- fluorobenzamide
[00405] White solid, 1 1.2 mg, 1 1 %. LCMS (ES+) m/z 523; 1 H NMR (400 MHz,
METHANOL-^) δ ppm 8.60 (d, J=2.34 Hz, 1 H) 8.52 (s, 0 H) 8.15 (d, J=2.34 Hz, 1 H) 7.94 - 8.00 (m, 2 H) 7.92 (d, J=1.95 Hz, 1 H) 7.81 (dd, J=8.78, 2.15 Hz, 1 H) 7.70 - 7.76 (m, 1 H) 7.67 (d, J=8.58 Hz, 1 H) 7.38 (dd, J=10.73, 8.59 Hz, 2 H) 3.68 - 3.73 (m, 4 H) 3.13 - 3.19 (m, 4 H).
Example 214
(Compound 214)
5-(2-amino-6-{6-amino-5-[(3-pyridinylamino)sulfonyl]-3-pyridm
fluorobenzamide
[00406] White solid, 4.5 mg, 4 %. LCMS (ES+) m/z 530; 1 H NMR (400 MHz, DMSO-d6) δ ppm 8.58 (d, J=2.34 Hz, 1 H) 8.31 (d, J=2.34 Hz, 1 H) 8.22 (br. s., 1 H) 8.12 - 8.17 (m, 1 H) 7.90 - 7.95 (m, 2 H) 7.80 - 7.85 (m, 1 H) 7.78 (dd, J=6.83, 2.34 Hz, 1 H) 7.73 (dd, J=8.78, 2.15 Hz, 1 H) 7.70 (br. s., 1 H) 7.64 - 7.69 (m, 1 H) 7.52 - 7.59 (m, 2 H) 7.42 (dd, J=10.54, 8.59 Hz, 1 H) 7.30 (dd, J=8.39, 4.68 Hz, 1 H) 6.82 (br. s., 2 H) 6.25 (br. s., 2 H).
Example 215
(Compound 215)
2-amino-5-{2-amino-4-cyano-3-[4-(4-morpholinylcarbonyl)phenyl]-6-quinolinyl}-N- cyclopropyl-3-pyridinesulfonamide
[00407] Grey solid, 3 mg, 4%. LCMS (ES+) m/z 570; 1H NMR (400 MHz, DMSO-d6) δ ppm 8.68 (br. s., 1 H) 8.17 (br. s., 2H) 7.95 - 8.01 (m, 1 H) 7.90 (br. s., 1 H) 7.74 (br. s., 1 H) 7.60 (s, 4 H) 6.80 (br. s., 2 H) 6.58 (br. s., 2 H) 3.67 (br. s., 8 H) 1 .75 (s, 1 H) 0.44 (br. s., 4 H)
-(1^-dioxa-8-azaspiro[4.5]dec-8-ylcarbonyl)-6-[6-(methyloxy)-5-(1-pyrrolidinylsulfony pyridinyl]-2-quinolinamine
Step A
1 ) Thionyl chloride (60.1 mL, 823 mmol) was added dropwise over 60 min to water (361 mL), cooled to 0 °C, maintaining the temperature of the mixture 0-7 °C. The solution was allowed to warm to 18 °C over 17 h. copper(l) chloride (218 mg, 2.2 mmol) was added to the mixture, and the resultant yellow-green solution was cooled to -3 °C using an acetone/ ice bath.
2) HCI (195 mL, 6.418 mol)(37% w/w) was added, with agitation, to 5-bromo-2-chloro-3- pyridineamine (25 g, 121 mmol), maintaining the temperature of the mixture below 30 °C with ice cooling. The reaction mixture was cooled to -5 °C using an ice/acetone bath and a solution of sodium nitrite (14.72 g, 213 mmol) in water (58 mL) was added dropwise over 45 min, maintaining the temperature of the reaction mixture between -5 to 0 °C, the resultant slurry was cooled to -2 °C and stirred for 10 min.
3) The slurry from step (2) was cooled to -5 °C and added to the solution obtained from step 1 ) over 30 min, maintaining the temperature of the reaction mixture between -3 to 0 °C ( the slurry from step b was maintained at -5 °C throughout the addition). As the reaction proceeded, a solid began to precipitate. When the addition was complete, the reaction mixture was agitated at 0 °C for 75 min. The suspended solid was collected by vacuum filtration, washed with water, and dried under vacuum to give 5- bromo-2-chloro- 3-pyridinesulfonyl chloride. ES-LCMS: m/z 271 .94, 269.97 (M-1 ).
Step B
5-bromo-2-methox -3-(pyrrolidin-1-ylsulfonyl)pyridine
Step C
[00408] To a cold (0 °C ) suspension of 2-chloro-5-bromo-3-pyridinesulfonyl chloride ( 2.91 g, 10 mmol) in dry 1 ,4-dioxane (25 mL) was added pyridine (3.26 mL, 40 mmol) followed by a pyrolidine (1 mL, 10 mmol). The reaction mixture was allowed to warm to rt for 2 hrs, heated to 50 °C for 1 h, then cooled to rt. 1 , 4-dioxane was evaporated under vacuum condition. The residue was extracted by EtOAc (50 mL), the organic layer was washed by H2O(50 mL), and brine (50 mL), dried by anhydrous Mg2S04. The solvent was evaporated to afford red oil.
Step D
[00409] The red oil in the step C was dissolved in 10 mL anhydrous methanol and sodium methoxide (25% in methanol)(6 mL) was added and the mixture was sealed and heated
by microwave at 95°C for 30 min. After cooled to rt, the mixture was dissolved in 60 mL EtOAc and washed with H20 (50 mL), brine (50 mL), dried by Mg2S04. The solid was filtrated and the filtration was evaporated to afford the yellow solid 1 .7 g, yield 53%.
ES-LCMS: m/z 321 , 323 (M+1 )
[00410] Other intermediates were prepared using a similar procedure to that described above.
Step C
2-(methyloxy)-3-(1^yrrolidinylsulfo thyl-1,3,2-dioxaborolan
[00411] To a solution of 5-bromo-2-methoxy-3-(pyrrolidin-1 -ylsulfonyl)pyridine (1 .9 g, 5.9 mmol) in 1 ,4-dioxane (30 mL) was added 4,4,4',4',5,5,5',5'-octamethyl-2,2'-bi-1 ,3,2- dioxaborolane (2.3 g, 8.9 mmol), potassium acetate (1.8 g, 17.9 mmol) and Pd(PPh3)2CI2 (487 mg, 0.6 mmol). The reaction mixture was stirred at 100 °C overnight. The reaction was concentrated in vacuo, purified on silica using 60% ethyl acetate/ hexane to yield the title compound as a white solid 1.5 g (69 %). ES-LCMS: m/z 369 (M+1 ).
[00412] The following intermediates were prepared using a similar procedure to that described above.
3-( 1, 4-dioxa-8-azaspiro[4.5]dec-8-ylcarbonyl)-6-[6-(methyloxy)-5-(1-pyrrolidinylsulfonyl)-3- pyridinyl]-2-quinolinamine
[00413] The mixture of 6-chloro-3-(1 ,4-dioxa-8-azaspiro[4.5]dec-8-ylcarbonyl)-2- quinolinamine (70 mg, 0.201 mmol), 2-(methyloxy)-3-(1-pyrrolidinylsulfonyl)-5-(4, 4,5,5- tetramethyl-1 ,3,2-dioxaborolan-2-yl)pyridine (74.0 mg, 0.201 mmol), K3P04 (128 mg, 0.604 mmol ), Xphos(19.19 mg, 0.040 mmol) and Pd2(dba)3 (18.43 mg, 0.020 mmol) in 1-Butanol ( 2 ml.) and water (0.5 ml.) was heated under nitrogen atmosphere at 100 C overnight. Cooled down and loaded the reaction solution to a column and purified by column chromatograrhy(silica gel, 10% methanol in Ethyl acetate) to give the desire products (53.6 mg, 46 %). LCMS (ES+) m/z 554; 1 H NMR (400 MHz, CHLOROFORM-d) δ ppm 8.57 (d, J=2.34 Hz, 1 H) 8.48 (d, J=2.54 Hz, 1 H) 7.85 (s, 1 H) 7.76 - 7.81 (m, 2 H) 7.73 (s, 1 H) 5.60 (br. s., 2 H) 4.10 (s, 3 H) 3.97 (s, 4 H) 3.74 (none, 4 H) 3.43 (t, J=6.63 Hz, 4 H) 1 .83 - 1 .91 (m, 4 H) 1.21 (s, 5 H).
[00414] Example 217 - 223 were prepared using a similar procedure as Example 216 by varying the choice of boronic esters.
Example 217
(Compound 217)
5-[2-amino-3-(1,4-dioxa-8-azaspiro[4.5]dec-8-ylcarbonyl)-6-quinolinyl]-N- (cyclopropylmethyl)-2-(methyloxy)-3-pyridinesulfonamide
[00415] Grey solid, 55.2 mg, 47 %. LCMS (ES+) m/z 554; 1 H NMR (400 MHz, DMSO-d6) δ ppm 8.76 (d, J=2.34 Hz, 1 H) 8.36 (d, J=2.54 Hz, 1 H) 8.06 (s, 1 H) 8.04 (s, 1 H) 7.89 (dd, J=8.88, 1 .66 Hz, 1 H) 7.58 (d, J=8.78 Hz, 1 H) 4.05 (d, J=7.61 Hz, 8 H) 3.91 (s, 3 H) 3.58 - 3.80 (m, 2 H) 2.79 (d, J=6.83 Hz, 2 H) 1 .56 - 1 .86 (m, 4 H) 0.69 - 0.81 (m, 1 H) 0.24 - 0.31 (m, 2 H) 0.06 (d, 2 H).
Example 218
(Compound 218)
5-[2-amino-3-(1,4-dioxa-8-azaspiro[4.5]dec-8-ylcarbonyl)-6-quinolinyl]-2-(m
(methyloxy)phenyl]-3-pyridinesulfonamide
[00416] White solid, 69.4 mg, 54 %. LCMS (ES+) m/z 606; 1 H NMR (400 MHz, DMSO- cfe) δ ppm 10.39 (s, 1 H) 8.75 (d, J=2.35 Hz, 1 H) 8.41 (d, J=2.54 Hz, 1 H) 8.01 - 8.06 (m, 2 H) 7.85 (dd, J=8.70, 2.25 Hz, 1 H) 7.56 (d, J=8.60 Hz, 1 H) 7.1 1 (t, =Q.2^ Hz, 1 H) 6.71 - 6.75 (m, 1 H) 6.70 (t, J=2.15 Hz, 1 H) 6.57 (dd, J=8.1 1 , 2.25 Hz, 1 H) 6.49 (br. s., 2 H) 4.03 (s, 3 H) 3.91 (s, 4 H) 3.73 (none, 2 H) 3.63 (s, 3 H) 1 .56 - 1 .86 (m, 4 H).
Example 219
(Compound 219)
5-[2-amino-3-(1^-dioxa-8-azaspiro[4.5]dec-8-ylcarbonyl)-6-quinolinyl]-N-(2-fluorophen
2-(me thyloxy) -3-pyridinesulfonamide
[00417] Light yellow solid, 78.4 mg, 64 %. LCMS (ES+) m/z 594; 1H NMR (400 MHz, DMSO-de) δ pm 10.20 (s, 1 H) 8.78 (d, J=2.34 Hz, 1 H) 8.26 (d, J=2.34 Hz, 1 H) 7.99 - 8.03 (m, 2 H) 7.83 (dd, J=8.78, 2.15 Hz, 1 H) 7.55 (d, J=8.78 Hz, 1 H) 7.31 (s, 1 H) 7.09 - 7.22 (m, 3 H) 6.48 (s, 2 H) 3.99 (s, 3 H) 3.91 (s, 4 H) 3.54 - 3.81 (m, 2 H) 1.53 - 1.87 (m, 4 H).
Example 220
(Compound 220)
5-[2-amino-3-(1, 4-dioxa-8-azaspiro[4.5]dec-8-ylcarbonyl)-6-quinolinyl]-N-(3-fluorophenyl)-
2-(me thyloxy) -3-pyridinesulfonamide
[00418] Grey solid, 83.5 mg, 68 %. LCMS (ES+) m/z 594; 1H NMR (400 MHz, DMSO-d6) δ ppm 10.71 (s, 1 H) 8.76 (d, J=2.34 Hz, 1 H) 8.45 (d, J=2.54 Hz, 1 H) 8.06 (d, J=2.15 Hz, 1 H) 8.03 (s, 1 H) 7.87 (dd, J=8.78, 2.15 Hz, 1 H) 7.56 (d, J=8.78 Hz, 1 H) 7.26 (d, J=6.83 Hz, 1 H) 6.90 - 7.02 (m, 2 H) 6.82 (d, J=1 .95 Hz, 1 H) 6.50 (s, 2 H) 4.01 (s, 3 H) 3.91 (s, 4 H) 3.50 - 3.83 (m, 2 H) 1 .71 (none, 4 H).
Example 221
(Compound 221)
5-[2-amino-3-(1,4-dioxa-8-azaspiro[4.5]dec-8-ylcarbonyl)-6-quinolinyl]-2-(meth^
(methyloxy)phenyl]-3-pyridinesulfonamide
[00419] Grey solid, 23 mg, 18 %. LCMS (ES+) m/z 606; 1H NMR (400 MHz, DMSO-d6) δ ppm 10.03 (s, 1 H) 8.74 (d, J=2.54 Hz, 1 H) 8.28 (d, J=2.54 Hz, 1 H) 8.02 (s, 1 H) 8.00 (d, J=1.95 Hz, 1 H) 7.82 (dd, J=8.79, 2.15 Hz, 1 H) 7.55 (d, J=8.79 Hz, 1 H) 7.04 (d, J=8.99 Hz, 2 H) 6.79 (d, J=8.99 Hz, 2 H) 6.48 (s, 2 H) 4.06 (s, 3 H) 3.91 (s, 4 H) 3.65 - 3.83 (m, 2 H) 3.62 (s, 3 H) 1 .70 (none, 4 H).
General Scheme 24
Example 222
(Compound 222)
N-{5-[2-amino-3-(2-aminophenyl)quinolin-6-yl]-2-methoxypyridin-3-yl}-2,4- difluorobenzenesulfonamide
[00420] /V-{5-[2-Amino-3-(2-aminophenyl)quinolin-6-yl]-2-meth^
difluorobenzenesulfonamide was obtained from A/-[5-(2-amino-3-bromoquinolin-6-yl)-2- methoxypyridin-3-yl]-2,4-difluorobenzenesulfonamide and 2-aminophenylboronic acid using a similar procedure outlined in Example 29, Step VI. LCMS (m/z) ES+ 534 (M+H), 1 H NMR (CHLOROFORM-d) δ: 8.14 (d, J = 2.3 Hz, 1 H), 8.01 (d, J = 2.1 Hz, 1 H), 7.82 - 7.97 (m, 2H), 7.74 - 7.82 (m, 1 H), 7.70 (dt, J = 4.5, 2.3 Hz, 2H), 7.40 - 7.56 (m, 1 H), 7.24 - 7.35 (m, 2H), 7.16 (dd, J = 7.6, 1.4 Hz, 1 H), 6.81 - 7.05 (m, 4H), 5.47 - 5.83 (m, 2H), 3.94 (s, 3H).
Example 223
(Compound 223)
N-{5-[2-amino-3-(2-ethylphenyl)quinolin-6-yl]-2-methoxypyridin-3-yl}-2,4- difluorobenzenesulfonamide
[00421] /\/-{5-[2-Amino-3-(2-ethylphenyl)quinolin-6-yl]-2-methoxypyridin-3-yl}-2,4- difluorobenzenesulfonamide was obtained from N-[5-(2-amino-3-bromoquinolin-6-yl)-2- methoxypyridin-3-yl]-2,4-difluorobenzenesulfonamide and 2-ethylphenylboronic acid as solid by a similar procedure outlined in Example 29, Step VI.. LCMS (m/z) ES+ 547(M+H), 1H NMR (CHLOROFORM-d) δ: 8.15 (d, J = 2.1 Hz, 1 H), 8.02 (d, J = 2.1 Hz, 1 H), 7.87 (d, J = 6.1 Hz,
1 H), 7.74 - 7.86 (m, 2H), 7.63 - 7.74 (m, 2H), 7.39 - 7.51 (m, 2H), 7.33 (td, J = 7.0, 2.2 Hz, 1 H), 7.17 - 7.29 (m, 2H), 6.78 - 7.03 (m, 2H), 5.63 - 5.97 (m, 2H), 3.94 (s, 3H), 2.41 - 2.68 (m, 2H), 1.1 1 (t, 3H).
Example 224
(Compound 224)
N-{5-[2-amino-3-(3-morpholin-4-yl-3-oxopropyl)quinolin-6-yl]-2-metho
difluorobenzenesulfonamide
[00422] /V-{5-[2-Amino-3-(3-morpholin-4-yl-3-oxopropy
yl}-2,4-difluorobenzenesulfonamide was obtained from N-[5-(2-amino-3-bromoquinolin-6-yl)-2- methoxypyridin-3-yl]-2,4-difluorobenzenesulfonamide, potassium-3-morpholino-3- oxopropyltrifluoroborate and Sphos as solid by a similar procedure outlined in Example 29, Step VI. LCMS (m/z) ES+ 584(M+H), 1H NMR (CHLOROFORM-d) δ: 8.91 - 9.33 (m, 1 H), 8.50 (s, 1 H), 8.12 (d, J = 2.1 Hz, 1 H), 7.83 - 8.08 (m, 4H), 7.67 - 7.78 (m, 2H), 6.81 - 7.05 (m, 2H), 3.97 (s, 3H), 3.62 - 3.77 (m, 6H), 3.38 - 3.56 (m, 2H), 3.13 (t, J = 6.3 Hz, 2H), 2.76 (t, 2H).
Example 225
(Compound 225)
2-amino-6-(5-{[(2,4-difluorophenyl)sulfonyl]amino}-6-methoxypyridin-3-yl)-N- phenylquinoline-3-carboxamide
Step A
ethyl 2-amino-6-(5-{[(2,4-difluorophenyl)sulfonyl]amino}-6-metho
carboxylate
[00423] /V-[5-(2-Amino-3-bromoquinolin-6-yl)-2-methoxypyridin-3-yl]-2,4- difluorobenzenesulfonamide (500 mg, 0.96 mmol), Xantphose (166 mg, 0.28 mmol), Pd(OAc)2 (32 mg, 0.14 mmol) and Hunig's base (248 mg, 1 .98 mmol) were mixed in a reaction vessel. A mixed solvent of DMSO/ethanol (10mL/10ml_) was introduced. The reaction mixture was purged with CO (3x) before heated to 90 °C under CO atmosphere (90 psi) for 16 hrs. Cooled down to rt and the reaction mixture was diluted with EtOAc (200ml_) and further washed with NaHC03 (ss) and brine. The organic phase was dried and concentrated. The crude product was purified
by column chromatography (silica gel, 0 to 60% ethyl acetate in hexanes) to give the title compound as a light yellow solid (170mg, yield: 35%). LCMS (m/z) ES+ 515(M+H).
Step B
-6-(5-{[(2,4-difluorophenyl)sulfonyl]amino}-6-methoxypyridin-3-yl)quinoli
acid
[00424] Ethyl 2-amino-6-(5-{[(2,4-difluorophenyl)sulfonyl]amino}-6-methoxypyridin-3- yl)quinoline-3-carboxylate (170 mg, 0.33 mmol) was treated with LiOH (20.0 mg, 0.83 mmol) in a mixed MeOH/water (2mL/0.5ml_) at rt for 2 hrs. Solvents were evaporated and the residual was used for the next step. LCMS (m/z) ES+ 501 (M+H).
Step D
2-amino-6-(5-{[(2,4-difluorophenyl)sulfonyl]amino}-6-methoxypyri
carboxamide
[00425] 2-Amino-6-(5-{[(2,4-difluorophenyl)sulfonyl]amino}-6-methoxypyridin-3- yl)quinoline-3-carboxylic acid lithium salt (40 mg, 0.08 mmol), aniline (1 1 mg, 0.12 mmol) and HATU (34 mg, 0.08mmol) were mixed in 1 mL of DMF. The resulting mixture was stirred at rt overnight. The reaction solution was directly loaded to HPLC and purified by HPLC (C18, 5-
80%, CHsCN/water (0.1 % formic acid)) to give the title compound (12 mg, yield: 25%). LCMS (m/z) ES+ 562 (M+H). 1H NMR (CHLOROFORM-d) δ: 8.35 (s, 1 H), 8.14 (d, J = 2.1 Hz, 2H), 8.02 (d, J = 2.0 Hz, 1 H), 7.82 - 7.98 (m, 1 H), 7.54 - 7.79 (m, 4H), 7.43 (t, J = 7.9 Hz, 2H), 7.16 - 7.24 (m, 1 H), 6.83 - 7.08 (m, 3H), 6.57 (br. s., 2H), 3.86 - 4.02 (m, 3H).
Example 226
(Compound 226)
N-(5-{2-amino-3-[(3-methylmorpholin-4-yl)carbonyl]quinolin-6-yl}-2-mefa
2,4-difluorobenzenesulfonamide
[00426] N-(5-{2-Amino-3-[(3-methylmorpholin-4-yl)carbonyl]quinolin-6-yl}-2- methoxypyridin-3-yl)-2,4-difluorobenzenesulfonamide was obtained as a solid from 2-amino-6- (5-{[(2,4-difluorophenyl)sulfonyl]amino}-6-methoxypyridin-3-yl)quinoline-3-carboxylic acid lithium salt, 3-methylmorpholine and HATU by a similar procedure outlined in Example 225, Step C. LCMS (m/z) ES+ 570 (M+H). 1 H NMR (CHLOROFORM-d) δ: 8.16 (d, J = 2.1 Hz, 1 H), 8.05 (d, J = 2.1 Hz, 1 H), 7.80 - 7.95 (m, 2H), 7.67 - 7.80 (m, 3H), 6.95 (d, J = 7.8 Hz, 2H), 5.40 (s, 2H), 3.96 (s, 6H), 3.67 - 3.79 (m, 2H), 3.53 (br. s., 2H), 1.45 (d, 3H).
Example 227
(Compound 227)
N-{5-[2-amino-3-( 1,4-dioxa-8-azaspiro[4.5]dec-8-ylcarbonyl) quinolin-6-yl]-2- methoxypyridin-3-yl}-2,4-difluorobenzenesulfonamide
[00427] /V-{5-[2-Amino-3-(1 ,4-dioxa-8-azaspiro[4.5]dec-8-ylcarbonyl)quinolin-6-yl]-2- methoxypyridin-3-yl}-2,4-difluorobenzenesulfonamide was obtained as a solid from 2-amino-6- (5-{[(2,4-difluorophenyl)sulfonyl]amino}-6-methoxypyridin-3-yl)quinoline-3-carboxylic acid lithium salt, 1 ,4-dioxa-8-azaspiro-[4,5]decane and HATU by a similar procedure outlined in Example 225, Step C. LCMS (m/z) ES+ 612 (M+H). 1H NMR (CHLOROFORM-d) δ: 8.43 (s, 1 H), 8.12 (d, J = 2.1 Hz, 1 H), 8.00 (d, J = 2.1 Hz, 1 H), 7.93 (s, 1 H), 7.86 (s, 1 H), 7.60 - 7.84 (m, 4H), 6.64 - 7.13 (m, 4H), 5.40 - 6.25 (m, 2H), 3.90 - 4.10 (m, 7H), 3.46 - 3.90 (m, 4H), 1 .80 (br. s., 4H).
Example 228
(Compound 228)
N-{5-[2-amino-3-(1,3-dioxan-2-yl)quinolin-6-yl]-2-methoxypyridin-3-yl}-2,4- difluorobenzenesulfonamide
General Scheme 25
Step A
[00428] 2-Am' o-5-bromobenzaldehyde (2.5g, 12.5 mmol), malononitrile (0.99 g, 15 mmol) and piperidine (0.106 g, 1 .25 mmol) were mixed in 50 mL of ethanol. The resulting mixture was heated to reflux for 4 hrs. The reaction solution was then cooled down in ice-water bath. The yellow solid was collected by filtration after washing with methanol and ether to give the title compound (2.9 g, yield: 94%). LCMS (m/z) ES+ 248, 250(M+H). 1H NMR (DMSO-d6) <5: 8.65 (s, 1 H), 7.99 (d, J = 2.3 Hz, 1 H), 7.74 (dd, J = 9.0, 2.3 Hz, 1 H), 7.44 (d, J = 9.0 Hz, 1 H), 7.16 (s, 2H).
Step B
2-amino-6-bromoquinoline-3-carbaldehyde
[00429] 2-Amino-6-bromoquinoline-3-carbonitrile (1 .9 g, 7.66 mmol) was treated with Dibal-H (25ml_, 1.0M in toluene) in 100 ml. of DCM at -78°C. After quenching the reaction mixture with MeOH, the mixture was stirred with citric acid for 4 hrs before being neutralized back to basic. The resulting precipitate was collected by filtration. The collected solid was washed with water and ether, and dried over pump to give the title compound (1.5 g, yield: 78%). LCMS (m/z) ES+ 251 , 253 (M+H).
Step C
6-bromo-3-( 1 ,3-dioxan-2-yl)quinolin
[00430] To a stirred 2-amino-6-bromoquinoline-3-carbaldehyde (450mg, 1 .8 mmol) in toluene (70ml_) were added excess of 1 ,3-propandiol (1.4g) and TsOH (340mg, 1 .8mmol). The mixture was heated to reflux with Dean Stark overnight. After cooled down to rt, the reaction mixture was diluted with EtOAc (150ml_) and washed with NaHC03 (ss), brine and dried.
Evaporation of the solvents and purification by column chromatography (silica gel, 0 to 70% EtOAc in hexanes) gave title compound (310mg, yield: 56%). LCMS (m/z) ES+ 309, 31 1 (M+H).
Step D
6-bromo-3-(morpholin-4-ylmethyl)quinolin-2-amine
[00431] To a stirred 2-amino-6-bromoquinoline-3-carbaldehyde (450 mg, 1.8 mmol) in mixed DCM/acetic acid (10mL/2ml_) was added morpholine (312 mg, 3.6 mmol), followed by addition of sodium triacetoxylborohydride (760 mg, 3.58 mmol). The resulting mixture was stirred for 24hrs at rt before quenched with NaHC03 (ss). The mixture was diluted with EtOAc (200ml_) and washed with NaHC03(ss), brine and dried. Evaporation of the solvents and purification by column chromatography (silica gel, 0 to 100% EtOAc in hexanes) gave the title compound (310 mg, yield: 56%). LCMS (m/z) ES+ 322, 324(M+H).
Step E
N-{5-[2-amino-3-( 1, 3-dioxan-2-yl)quinolin-6-yl]-2-methoxypyridin-3-yl}-2, 4- difluorobenzenesulfonamide (GSK2672337A)
[00432] To a Schlenk flask charged with 6-bromo-3-(1 ,3-dioxan-2-yl)quinolin-2-amine (from Step C) (50 mg, 0.16 mmol) were added 2,4-difluoro-N-[2-(methyloxy)-5-(4,4,5,5- tetramethyl-1 ,3,2-dioxaborolan-2-yl)-3-pyridinyl]benzenesulfonamide (68 mg, 0.16 mmol), KOAc (47.4 mg, 0.485 mol) and PdCI2(dppf) (12 mg, 16 μηιοΙ). A mixed solvent of DME/water (2mL/0.5mL) was subsequently introduced. After purged with N2 (3x), the reaction mixture was stirred at 100°C for 16 hrs before cooled down to rt. The solvent was evaporated and the crude product was purified by column chromatography (silica gel, 0 to 80% EtOAc in hexanes) to give the title compound (45 mg, yield, 50%). LCMS (m/z) ES+ 529 (M+H). 1H NMR (CHLOROFORM- d) δ: 8.13 (d, J = 2.3 Hz, 1 H), 7.99 - 8.09 (m, 2H), 7.84 - 7.94 (m, 1 H), 7.50 - 7.80 (m, 3H), 6.70 - 7.09 (m, 2H), 5.60 (s, 1 H), 5.52 (s, 2H), 5.30 (s, 1 H), 4.36 (dd, J = 10.8, 5.0 Hz, 2H), 4.01 - 4.24 (m, 2H), 3.94 (s, 3H), 2.19 - 2.46 (m, 1 H), 1.58 (s, 1 H).
Example 229
(Compound 229)
N-{5-[2-amino-3-(morpholin-4-ylmethyl)quinolin-6-yl]-2-metho
difluorobenzenesulfonamide
[00433] /V-{5-[2-Amino-3-(morpholin-4-ylmethyl)quinolin-6-yl]-2-methoxypyri difluorobenzenesulfonamide was obtained as a solid from 6-bromo-3-(morpholin-4- ylmethyl)quinolin-2-amine (step d) and 2,4-difluoro-N-[2-(methyloxy)-5-(4,4,5,5-tetramethyl- 1 ,3,2-dioxaborolan-2-yl)-3-pyridinyl]benzenesulfonamide using a similar procedure outlined in Example 7 step e. LCMS (m/z) ES+ 542(M+H). 1H NMR (CHLOROFORM-d) δ: 8.67 (s, 1 H), 8.12 (d, J = 2.1 Hz, 1 H), 7.99 (d, J = 2.3 Hz, 1 H), 7.78 - 7.94 (m, 4H), 7.58 - 7.78 (m, 3H), 6.78 7.1 1 (m, 2H), 3.95 (s, 3H), 3.56 - 3.87 (m, 6H), 2.53 (br. s., 4H).
Example 230
(Compound 230)
N-[5-(2-amino-4-cyano-3-phenyl-6-quinolinyl)-2-(methyloxy)-3-pyridinyl]-2,4- difluorobenzenesulfonamide
General Scheme 26
Step A
[00434] At -78°C, to a stirred solution of benzyl cyanide (6.35g, 55.7 mmol) in THF (50 mL) was slowly added LDA. After 30 min stirring, 2-anmio-5-iodobenzotrifluoride (4g, 14 mmlol) was introduced. The resulting mixture was stirred at the same temperature for 2hrs, then warmed up to rt for another 2 hours before quenched with water. The crude product was extracted with ether (3x 100 mL). The combined organic layers were washed with NaHC03(ss) and brine, dried, concentrated down to give a solid. After triturated with 20 mL of ether, the title intermediate was obtained by filtration (4g, Yield: 79%). 1 H NMR (CHLOROFORM-d) δ: 8.23 (d, J = 2.0 Hz, 1 H), 7.83 (dd, J = 8.8, 2.0 Hz, 1 H), 7.50 - 7.60 (m, 2H), 7.37 - 7.50 (m, 4H), 5.01 (br. s., 2H). LC-MS: m/z 365 (M+1 ).
[00435] The following intermediates were prepared by a similar procedure outlined at Step A.
325mg, Yield: 34%. LC-MS: m/z 450 (M+1 ).
4-fluoro-6-iodo-3-[4-(morpholin-4-ylcarbonyl)phenyl]quinolin-2-amine
1 150mg, Yield: 20%. LC-MS: m/z 478 (M+1 ).
Step B
2-amino-6-iodo-3-phenyl-4-quinolinecarbonitrile
[00436] To a stirred solution of 4-fluoro-6-iodo-3-phenyl-2-quinolinamine (200mg, 0.55mmol) in DMF (5 mL) were added KCN (39 mg, 0.60 mmol) and 18-crown-6 (160 mg, 0.60 mmol). After the resulting mixture was stirred at 100°C overnight, the reaction was cooled down to rt, diluted with EtOAc and washed with brine (2X). The organic layer was dried over Na2S04, filtered, concentrated to give the title intermediate, which was used without purification. LC-MS: m/z 372 (M+1 ).
[00437] The following intermediates were prepared by a similar procedure outlined at Step A.
[00438] 260 mg, Yield: 76%. LC-MS: m/z457 (M+1).1H NMR (DMSO-d6) <5: 8.05 (d, J = 1.8 Hz, 1H), 7.81 - 7.99 (m, 1H), 7.40 (d, J = 8.6 Hz, 3H), 7.13 (d, J = 8.8 Hz, 2H), 6.37 - 6.65 (m, 2H), 3.63 - 3.87 (m, 4H), 3.13 - 3.30 (m, 4H).
2-am'no-6- do-3-/4-('mo /^o/n- - /car6on /^ /^en /quno/ne- -car6on e
[00439] 360 mg, Yield: 71%. LC-MS: m/z485 (M+1).
[00440] To a stirred 4-fluoro-6-iodo-3-phenyl-2-quinolinamine (180 mg, 0.5 mmol) in anhydrous methanol (5 mL) was added NaOMe (5.0 mL, 0.5 M in MeOH). The resulting mixture was stirred at 65 °C for 6 hrs. The solvents were then evaporated. The residual was re- dissolved in DCM and washed with water and brine. After dried with anhydrous sodium sulfate, the organic phase was concentrated down to give the title compound (180mg, yield: 97%). LC- MS: m/z 377 (M+1).1H NMR (CHLOROFORM-d) δ: 8.31 (d, J = 2.1 Hz, 1 H), 7.78 (dd, J = 8.8, 2.1 Hz, 1H), 7.34 - 7.58 (m, 6H), 4.72 (br. s., 2H), 3.51 (s, 3H).
[00441] 6-lodo-4-(methylthio)-3-phenylquinolin-2-amine was prepared similarly to the above: LC-MS: m/z 393 (M+1 ).
Step C
N-[5-(2-amino-4-cyano-3-phenyl-6-quinolinyl)-2-(methyloxy)-3-pyridinyl]-2,4- difluorobenzenesulfonamide
[00442] A/-[5-(2-Amino-4-cyano-3-phenyl-6-quinolinyl)-2-(methyloxy)-3-pyridinyl]-2,4- difluorobenzenesulfonamide (40 mg, yield: 52%) was obtained from 2,4-difluoro-/V-[2- (methyloxy)-5-(4,4,5,5-tetramethyl-1 ,3,2-dioxaborolan-2-yl)-3-pyridinyl]benzenesulfonamide (57.4 mg, 0.135 mmol) and 2-amino-6-iodo-3-phenyl-4-quinolinecarbonitrile (50 mg, 0.135 mmol), following a typical Suzuki coupling procedure described elsewhere. 1H NMR
(CHLOROFORM-d) δ: 8.15 (d, J = 2.1 Hz, 1 H), 7.97 - 8.07 (m, 2H), 7.94 (s, 1 H), 7.68 - 7.84 (m, 2H), 7.50 - 7.69 (m, 5H), 7.33 - 7.50 (m, 1 H), 7.05 (s, 1 H), 6.95 (s, 1 H), 5.28 (br. s., 2H), 3.97 (s, 3H). LC-MS: m/z 544 (M+1 ).
Example 231
(Compound 231)
N-[5-(2-amino-4-fluoro-3-phenylquinolin-6-yl)-2-methoxypyridin-3-yl]-2,4- difluorobenzenesulfonamide
[00443] /V-[5-(2-Amino-4-fluoro-3-phenylquinolin-6-yl)-2-methoxypyridin-3-yl]-2 difluorobenzenesulfonamide was obtained from 4-fluoro-6-iodo-3-phenyl-2-quinolinamine and 2,4-difluoro-/V-[2-(methyloxy)-5-(4,4,5,5-tetramethyl-1 ,3,2-dioxaborolan-2-yl)-3- pyridinyl]benzenesulfonamide using a similar procedure outlined in Example 228, Step E. LC- MS: m/z 537 (M+1 ). 1 H NMR (CHLOROFORM-d) δ: 8.14 (d, J = 2.3 Hz, 1 H), 7.99 (d, J = 2.1 Hz, 1 H), 7.90 (s, 2H), 7.71 (s, 2H), 7.40 - 7.58 (m, 5H), 6.94 (t, J = 8.4 Hz, 2H), 5.30 - 5.61 (m, 2H), 3.89 - 4.02 (s, 3H).
Example 232
(Compound 232)
N-[5-(2-amino-4-methoxy-3-phenylquinolin-6-yl)-2-methoxypyridi
difluorobenzenesulfonamide
[00444] /\/-[5-(2->Am/'no-4-methoxy-3-phenylquinolin-6-yl)-2-methoxypyridin-3-yl]-2,4- difluorobenzenesulfonamide was obtained from 6-iodo-4-methoxy-3-phenylquinolin-2-amine and 2,4-difluoro-/V-[2-(methyloxy)-5-(4,4,5,5-tetramethyl-1 ,3,2-dioxaborolan-2-yl)-3- pyridinyl]benzenesulfonamide using a similar procedure outlined in Example 228, Step E. LC- MS: m/z 549 (M+1 ). 1 H NMR (CHLOROFORM-d) δ: 8.15 (d, J = 2.0 Hz, 1 H), 8.02 (dd, J = 10.0,
2.0 Hz, 2H), 7.89 (d, J = 6.1 Hz, 1 H), 7.61 - 7.81 (m, 2H), 7.41 - 7.62 (m, 5H), 6.87 - 7.07 (m, 2H), 5.42 - 5.83 (m, 2H), 3.92 (s, 3H), 3.56 (s, 3H).
Example 233
(Compound 233)
N-{5-[2-amino-4-(methylthio)-3^henylquinolin-6-yl]-2-metho
difluorobenzenesulfonamide
[00445] /V-{5-[2->Am/'no-4-(methylthio)-3-phenylquinolin-6-yl]-2-methoxypyridi
difluorobenzenesulfonamide was obtained from 6-iodo-4-methylthio-3-phenylquinolin-2-amine and 2,4-difluoro-/V-[2-(methyloxy)-5-(4,4,5,5-tetramethyl-1 ,3,2-dioxaborolan-2-yl)-3- pyridinyl]benzenesulfonamide using a similar procedure outlined in Example 228, Step E. LC- MS: m/z 565 (M+1 1H NMR (CHLOROFORM-d) δ: 8.43 (d, J = 2.0 Hz, 1 H), 8.18 (d, J = 2.1 Hz, 1 H), 8.03 (d, J = 2.1 Hz, 1 H), 7.93 (s, 1 H), 7.81 - 7.89 (m, 1 H), 7.70 - 7.81 (m, 1 H), 7.48 - 7.70 (m, 3H), 7.34 - 7.46 (m, 2H), 6.86 - 7.03 (m, 2H), 5.39 - 5.92 (m, 2H), 3.97 (s, 3H), 2.06 - 2.16 (m, 3H).
Example 234
(Compound 234)
N-(5-{2-amino-4-fluoro-3-[4-(morpholin-4-ylcarbonyl)phenyl]quinolin-6-yl}-2-metho
yl)-2,4-difluorobenzenesulfonamide
[00446] /V-(5-{2->4m/no-4-fluoro-3-[4-(morp^
methoxypyridin-3-yl)-2,4-difluorobenzenesulfonamide was obtained from 4-fluoro-6-iodo-3-[4- (morpholin-4-ylcarbonyl)phenyl]quinolin-2-amine and 2,4-difluoro-/V-[2-(methyloxy)-5-(4,4,5,5- tetramethyl-1 ,3,2-dioxaborolan-2-yl)-3-pyridinyl]benzenesulfonamide using a similar procedure outlined in Example 228, Step E. LC-MS: m/z 574 (M+1 ). 1H NMR (CHLOROFORM-d) δ: 8.26 (s, 1 H), 8.14 (d, J = 2.1 Hz, 1 H), 8.01 (d, J = 2.1 Hz, 1 H), 7.83 - 7.95 (m, 2H), 7.67 - 7.83 (m, 2H), 7.26 - 7.35 (m, 1 H), 6.76 - 7.07 (m, 2H), 6.13 (br. s., 2H), 3.89 - 4.00 (m, 3H), 3.73 - 3.90 (m, 4H), 3.25 - 3.73 (m, 4H).
Example 235
(Compound 235)
N-(5-{2-amino-4-cyano-3-[4-(morpholin-4-ylcarbonyl)phenyl]quinoli^
l)-2,4-difluorobenzenesulfonamide
[00447] /\/-(5-{2->Am/'no-4-cyano-3-[4-(morpholin-4-ylcarbonyl)phenyl]quinolin-6-yl}-2- methoxypyridin-3-yl)-2,4-difluorobenzenesulfonamide was obtained from 2-amino-6-iodo-3-[4- (morpholin-4-ylcarbonyl)phenyl]quinoline-4-carbonitrile and 2,4-difluoro-/V-[2-(methyloxy)-5- (4,4,5,5-tetramethyl-1 ,3,2-dioxaborolan-2-yl)-3-pyridinyl]benzenesulfonamide using a similar procedure outlined in Example 228, Step E. LC-MS: m/z 657 (M+1 ). 1H NMR
(CHLOROFORM-d) δ: 8.17 (d, J = 2.1 Hz, 1 H), 7.94 - 8.07 (m, 3H), 7.75 - 7.88 (m, 2H), 7.54 - 7.75 (m, 4H), 6.89 - 7.13 (m, 2H), 5.06 (s, 2H), 3.99 (s, 3H), 3.29 - 3.95 (m, 8H).
Example 236
(Compound 236)
5-{2-amino-4-cyano-3-[4-(morpholin-4-ylcarbonyl)phenyl]quino
methoxypyridine-3-sulfonamide
[00448] 5-{2-Amino-4-cyano-3-[4-(morpholin-4-ylcarbonyl)phenyl]quinolin-6-yl}-/V^ butyl)-2-methoxypyridine-3-sulfonamide was obtained from 2-amino-6-iodo-3-[4-(morpholin-4- ylcarbonyl)phenyl]quinoline-4-carbonitrile and /V-(fert-butyl)-2-methoxy-5-(4,4,5,5-tetramethyl- 1 ,3,2-dioxaborolan-2-yl)pyridine-3-sulfonamide using a similar procedure outlined in Example 228, Step E. LC-MS: m/z 601 (M+1 ). 1H NMR (CHLOROFORM-d) δ: 8.66 (d, J = 2.3 Hz, 1 H), 8.49 (d, J = 2.3 Hz, 1 H), 8.13 (s, 1 H), 7.81 - 7.97 (m, 2H), 7.55 - 7.73 (m, 4H), 5.03 (d, J = 14.1 Hz, 2H), 4.19 (s, 3H), 3.83 (br. s., 8H), 1 .25 (s, 9H).
Example 237
(Compound 237)
5-{2-amino-4-cyano-3-[4-(morpholin-4-ylcarbonyl)phenyl]quinolin-6-yl}-2-m
phenylpyridine-3-sulfonamide
[00449] 5-{2-Amino-4-cyano-3-[4-(morpholin-4-ylcarbonyl)phenyl]quinolin-6-yl}-2^ methoxy-/\/-phenylpyridine-3-sulfonamide was obtained from 2-amino-6-iodo-3-[4-(morpholin-4- ylcarbonyl)phenyl]quinoline-4-carbonitrile and 2-methoxy-/V-phenyl-5-(4,4,5,5-tetramethyl-1 ,3,2- dioxaborolan-2-yl)pyridine-3-sulfonamide using a similar procedure outlined in Example 228, Step E. LC-MS: m/z 621 (M+1 ). 1H NMR (CHLOROFORM-d) δ: 8.17 (d, J = 2.1 Hz, 1 H), 7.87 - 8.06 (m, 3H), 7.75 - 7.87 (m, 2H), 7.58 - 7.75 (m, 4H), 6.87 - 7.21 (m, 2H), 5.06 (s, 2H), 3.99 (s, 3H), 3.24 - 3.94 (m, 8H).
Example 238
(Compound 238)
N-{5-[2-amino-4-cyano-3-(4-morpholin-4-ylphenyl)quinolin-6-yl]-2-m
difluorobenzenesulfonamide
[00450] /\/-{5-[2-Amino-4-cyano-3-(4-morpholin-4-ylphenyl)quinolin-6-yl]-2- methoxypyridin-3-yl}-2,4-difluorobenzenesulfonamide was obtained from 2-amino-6-iodo-3-(4- morpholin-4-ylphenyl)quinoline-4-carbonitrile and 2,4-difluoro-/V-[2-(methyloxy)-5-(4,4,5,5- tetramethyl-1 ,3,2-dioxaborolan-2-yl)-3-pyridinyl]benzenesulfonamide using a similar procedure outlined in Example 228, Step E. LC-MS: m/z 629 (M+1 ). 1H NMR (CHLOROFORM-d) δ: 8.16 (d, J = 2.1 Hz, 1 H), 7.98 - 8.09 (m, 2H), 7.89 - 7.98 (m, 1 H), 7.78 (d, J = 1 .4 Hz, 2H), 7.42 - 7.59
(m, 2H), 7.39 (br. s., 1 H), 7.02 - 7.16 (m, 3H), 6.95 (s, 1 H), 5.23 (br. s., 2H), 3.99 (s, 3H), 3.83 - 3.97 (m, 4H), 3.20 - 3.47 (m, 4H).
Example 239
(Compound 239)
>-amino-4-cyano-3-(4-morpholin-4-ylphenyl)quinolin-6-yl]-2-ethoxypyrid
difluorobenzenesulfonamide
[00451] /V-{5-[2-Amino-4-cyano-3-(4-morpholin-4-ylphenyl)quinolin-6-yl]-2-etho^
3-yl}-2,4-difluorobenzenesulfonamide was obtained from 2-amino-6-iodo-3-(4-morpholin-4- ylphenyl)quinoline-4-carbonitrile and 2,4-difluoro-/V-[2-(ethyloxy)-5-(4,4,5,5-tetramethyl-1 ,3,2- dioxaborolan-2-yl)-3-pyridinyl]benzenesulfonamide using a similar procedure outlined in Example 228, Step E. LC-MS: m/z 643 (M+1 ). 1H NMR (CHLOROFORM-d) δ: 8.15 (d, J = 1.4 Hz, 1 H), 7.86 - 8.07 (m, 3H), 7.78 (s, 2H), 7.46 (d, J = 8.4 Hz, 3H), 7.00 - 7.13 (m, 3H), 6.86 - 7.00 (m, 1 H), 5.27 (br. s., 2H), 4.41 (q, J = 7.0 Hz, 2H), 3.81 - 4.1 1 (m, 4H), 3.14 - 3.53 (m, 4H), 1.40 (t, 3H).
Example 240
(Compound 240)
N-{5-[2-amino-4-cyano-3-(4-morpholin-4-ylphenyl)quinolin-6-yl]-2-ethoxypyn
sulfonamide
[00452] /V-{5-[2-am/'no-4-cyano-3-(4-morpholin-4-ylphenyl)quinolin-6-yl]-2-ethoxy 3-yl}pyridine-3-sulfonamide was obtained from 2-amino-6-iodo-3-(4-morpholin-4- ylphenyl)quinoline-4-carbonitrile and /V-[2-ethoxy-5-(4,4,5,5-tetramethyl-1 ,3,2-dioxaborolan-2- yl)pyridin-3-yl]pyridine-3-sulfonamide using a similar procedure outlined in Example 228, Step E. LC-MS: m/z 608 (M+1 ). 1H NMR (CHLOROFORM-d) δ: 9.06 (d, J = 2.0 Hz, 1 H), 8.79 (dd, J = 4.8, 1.3 Hz, 1 H), 7.99 - 8.28 (m, 4H), 7.83 (s, 1 H), 7.31 - 7.56 (m, 2H), 7.09 (d, J = 8.8 Hz, 2H), 5.48 (br. s., 2H), 4.31 (q, J = 7.2 Hz, 2H), 3.77 - 4.12 (m, 4H), 3.09 - 3.48 (m, 4H), 1.28 (t, 3H).
Example 241
(Compound 241)
N-{5-[2-amino-3-(morpholin-4-ylcarbonyl)quinolin-6-yl]-2-m
sulfonamide
General Scheme 27
Step A
[00453] 3-Bromo-6-cWorogu/'no//'n-2-amine (2.0 g, 7.8 mmol), Xantphose (449 mg, 0.77 mmol), Pd(OAc)2 (87 mg, 0.39 mmol) and Hunig's base (3.01 g, 23.3 mmol) were mixed in a reaction vessel. A mixed solvent of toluene /ethanol (20 mL/20 ml.) was introduced. The reaction mixture was purged with CO (3x) before heated to 90 °C under CO atmosphere (90 psi) for 8 hrs. The reaction was then cooled down to rt and was evaporated. The residual was triturated with water. The solid was collected by filtration, further washed with water and ether, and then dried to give the title compound as a light yellow solid (1.9 g, yield: 98%). LCMS (m/z) ES+ 251 (M+H).
Step B
ethyl 2-amino-6-{6-methoxy-5-[(pyridin-3-ylsulfonyl)amino]pyrid
[00454] To a Schlenk flask charged with ethyl 2-amino-6-chloroquinoline-3-carboxylate (from Step A) (200 mg, 0.16 mmol) were added N-[2-(methyloxy)-5-(4,4,5,5-tetramethyl-1 ,3,2- dioxaborolan-2-yl)-3-pyridinyl]-3-pyridinesulfonamide (312 mg, 0.80 mmol), KOAc (235 mg, 2.4 mmol), Pd2(dba)3 (36.5 mg, 40 mol) and dicyclohexyl[2',4',6'-tris(1-methylethyl)-2- biphenylyl]phosphane (38 mg, 0.08 mmol). A mixed solvent of n-butanol/water (4 mL/1 ml_) was subsequently introduced. After the resulting suspension was purged with N2 (3x), the reaction was stirred at 100°C for 16 hrs before cooled down to rt. The solvent was evaporated and the crude product was purified by column chromatography (silica gel, 20 to 100% EtOAc in hexanes) to give the title compound (150 mg, yield, 39%). LC-MS: m/z 480 (M+1 ).
Step C
-6-{6-methoxy-5-[(pyridin-3-ylsulfonyl)amino]pyridin-3-yl}qui acid lithium salt
[00455] Ethyl 2-amino-6-{6-methoxy-5-[(pyridin-3-ylsulfonyl)amino]pyridin-3-yl}quinoline- 3-carboxylate (150 mg, 0.31 mmol) was treated with LiOH (15 mg, 0.62 mmol) in mixed THF/water (1 mL/0.5 ml.) to give the title compound (140 mg, yield: 96 %). LC-MS: m/z 466 (M+1 ).
Step E
N-{5-[2-amino-3-(morpholin-4-ylcarbonyl)quinolin-6-yl]-2-m
sulfonamide
[00456] To a stirred 2-amino-6-{6-methoxy-5-[(pyridin-3-ylsulfonyl)amino]pyridin-3- yl}quinoline-3-carboxylic acid lithium salt (40 mg, 0.089 mmol) in DMF (1 ml.) were added morpholine (1 1 .6 mg, 0.133 mmol) and HATU (50 mg, 0.133 mmol). The resulting mixture was stirred at rt overnight. The reaction was purified by HPLC (C18, 5 to 60% CH3CN/H20 (0.1 % formic acid)) to give title compound (1 1 mg, yield: 22%). LC-MS: m/z 521 (M+1 ). 1H NMR (CHLOROFORM-d) δ: 8.94 - 9.12 (m, 2H), 8.84 - 8.94 (m, 1 H), 8.70 - 8.84 (m, 1 H), 8.18 (d, J = 2.1 Hz, 1 H), 8.13 (s, 2H), 7.92 (s, 1 H), 7.79 (s, 3H), 7.49 - 7.58 (m, 1 H), 7.32 - 7.49 (m, 1 H), 6.16 - 6.53 (m, 2H), 3.62 - 3.95 (m, 8H), 2.97 - 3.18 (m, 2H).
Example 242
(Compound 242)
N-{5-[2-amino-3-(1 -dioxa-8-azaspiro[4.5]dec-8-ylcarbonyl)quinolin-6-yl]-2-m
yl}pyridine-3-sulfonamide
[00457] /\/-{5-[2-Amino-3-(1 ,4-dioxa-8-azaspiro[4.5]dec-8-ylcarbonyl)quinolin-6-yl]-2- methoxypyridin-3-yl}pyridine-3-sulfonamide was obtained from 2-amino-6-{6-methoxy-5- [(pyridin-3-ylsulfonyl)amino]pyridin-3-yl}quinoline-3-carboxylic acid lithium salt, 1 ,4-dioxa-8- azaspiro[4,5]decane and HATU using a similar procedure outlined in Example 241 . LC-MS: m/z
577(M+1 ). 1 H NMR (CHLOROFORM-d) δ: 9.04 (d, J = 2.0 Hz, 1 H), 8.79 (dd, J = 4.9, 1.6 Hz, 1 H), 8.20 (d, J = 2.1 Hz, 1 H), 8.03 - 8.17 (m, 2H), 7.90 (s, 1 H), 7.69 - 7.84 (m, 3H), 7.42 (dd, J = 7.6, 4.9 Hz, 1 H), 6.97 - 7.15 (m, 1 H), 5.49 (br. s., 2H), 4.01 (s, 3H), 3.85 (s, 6H), 1 .80 (br. s., 6H).
Example 243
(Compound 243)
'-amino-3-[(4-hydroxypiperidin-1-yl)carbonyl]quinolin-6^
3-sulfonamide
[00458] /V-(5-{2->Am/'no-3-[(4-hydroxypiperidin-1-yl)carbonyl]quinolin-6-yl}-2- methoxypyridin-3-yl)pyridine-3-sulfonamide was obtained from 2-amino-6-{6-methoxy-5- [(pyridin-3-ylsulfonyl)amino]pyridin-3-yl}quinoline-3-carboxylic acid lithium salt, 4- hydroxylpiperidine and HATU using a similar procedure outlined in Example 241. LC-MS: m/z 535 (M+1 ). 1 H NMR (CHLOROFORM-d) δ: 9.03 (d, J = 2.1 Hz, 1 H), 8.78 (dd, J = 4.8, 1.5 Hz, 1 H), 8.19 (d, J = 2.3 Hz, 1 H), 8.05 - 8.18 (m, 2H), 7.89 (s, 1 H), 7.67 - 7.84 (m, 3H), 7.41 (dd, J = 8.0, 4.9 Hz, 1 H), 5.67 (br. s., 2H), 3.91 - 4.32 (m, 3H), 3.84 (s, 4H), 3.49 (s, 2H), 2.05 (m, 5H), 1.66 (br, 2H).
Example 244
(Compound 244)
N-(5-{2-amino-3-[(3-methylmorpholin-4-yl)carbonyl]quinolin-6-yl}-2-meth
3-sulfonamide
[00459] /V-(5-{2->Am/'no-3-[(3-methylmorpholin-4-yl)carbonyl]quinolin-6-yl}-2- methoxypyridin-3-yl)pyridine-3-sulfonamide was obtained from 2-amino-6-{6-methoxy-5- [(pyridin-3-ylsulfonyl)amino]pyridin-3-yl}quinoline-3-carboxylic acid lithium salt , 3- methylmorpholine and HATU using a similar procedure outlined in Example 241. LC-MS: m/z 535 (M+1 ). 1H NMR (DMSO-d6) δ: 8.88 (s, 1 H), 8.74 - 8.85 (m, 1 H), 8.34 (s, 2H), 8.07 - 8.24 (m, 2H), 7.89 - 8.07 (m, 4H), 7.76 - 7.89 (m, 1 H), 7.40 - 7.66 (m, 2H), 6.46 (br. s., 2H), 3.58 (m, 8H), 1.28 (br. s., 3H).
Example 245
(Compound 245)
N-{5-[2-amino-3-(1,4-dioxa-8-azaspiro[4.5]dec-8-ylcarbonyl)quinolin
yl}pyridine-3-sulfonamide
General Scheme 28
[00460] Ethyl 2-amino-6-chloroquinoline-3-carboxylate (2.67 g, 10.65 mmol) was treated with LiOH (383 mg, 16 mmol) in a mixed water/methanol (10 mL/20 mL) at 45 °C for 3 hrs. Evaporation of the solvents gave the title compound as light yellow solid used for the next step.
Step B
6-chloro-3-( 1 ,4-dioxa- -azaspiro[4.5]dec-8-ylcarbonyl)quinolin-2-amine
[00461] To a stirred 2-amino-6-chloroquinoline-3-carboxylic acid lithium slat obtained as above in DMF (50 mL) were added 1 ,4-dioxa-8-azaspiro[4.5]decane (2.3 g, 16.0 mmol) and HATU (4.86 g, 12.8 mmol). The resulting mixture was stirred at rt overnight. The reaction was diluted with EtOAc (250 mL) and washed with NaHC03 (ss) and brine. The organic phase was concentrated down to dryness. The residual was triturated with water and the solid was collected by filtration. After further washed with water and ether, the title compound was obtained as a light yellow solid. (1 .8g yield: 48% over two steps). LC-MS: m/z 348(M+1 ). 1 H NMR (DMSO-de) δ: 7.95 (s, 1 H), 7.80 (d, J = 2.1 Hz, 1 H), 7.33 - 7.62 (m, 2H), 6.51 (s, 2H), 3.90 (br. s., 2H), 3.70 (br. s., 2H), 3.29 (br. s., 2H), 1.41 - 1 .83 (m, 4H).
Step C
N-{5-[2-amino-3-(1,4-dioxa-8-azaspiro[4.5]dec-8-ylcarbonyl)quinolin-6-yl]-2-ethoxypyn
yl}pyridine-3-sulfonamide
[00462] To a Schlenk flask charged with 6-chloro-3-(1 ,4-dioxa-8-azaspiro[4.5]dec-8- ylcarbonyl)quinolin-2-amine (from Step B) (70 mg, 0.2 mmol) were added A/-[2-ethoxy-5- (4,4,5,5-tetramethyl-1 ,3,2-dioxaborolan-2-yl)pyridin-3-yl]pyridine-3-sulfonamide (90 mg, 0.22 mmol), KOAc (79 mg, 0.80 mmol), Pd2(dba)3 (9.2 mg, 10 mol) and dicyclohexyl[2',4',6'-tris(1- methylethyl)-2-biphenylyl]phosphane (9.6 mg, 0.002 mmol). A mixed solvent of n-butanol/water (2mL/0.5ml_) was subsequently introduced. After the resulting suspension was purged with N2 (3x), the reaction was stirred at 100 °C for 16 hrs before cooled down to rt. The solvent was evaporated and the crude product was purified by column chromatography (silica gel, 0 to 10% methanol in hexanes) to give the title compound (25 mg, yield: 20%). LC-MS: m/z 591 (M+1 ). 1H NMR (CHLOROFORM-d) δ: 9.03 (d, J = 2.0 Hz, 1 H), 8.79 (dd, J = 4.9, 1.6 Hz, 1 H), 8.19 (d, J = 2.1 Hz, 1 H), 8.12 (d, J = 2.3 Hz, 1 H), 8.06 (dt, J = 8.2, 2.0 Hz, 1 H), 7.90 (s, 1 H), 7.70 - 7.80 (m, 3H), 7.41 (dd, J = 8.0, 4.9 Hz, 1 H), 5.86 (br. s., 2H), 4.28 (q, J = 7.0 Hz, 2H), 4.01 (s, 4H), 3.50 (s, 4H), 1.81 (br. s., 4H), 1.26 (t, 3H).
Example 246
(Compound 246)
N-{5-[2-amino-3-(1^-dioxa-8-azaspiro[4.5]dec-8-ylcarbonyl)quinolin-6-yl]-2-ethoxy
-yl}-2,4-difluorobenzenesulfonamide
[00463] /V-{5-[2-Amino-3-(1 ,4-dioxa-8-azaspiro[4.5]dec-8-ylcarbonyl)quinolin-6-yl]-2- ethoxypyridin-3-yl}-2,4-difluorobenzenesulfonamide was obtained from 6-chloro-3-(1 ,4-dioxa-8- azaspiro[4.5]dec-8-ylcarbonyl)quinolin-2-amine and /V-[2-ethoxy-5-(4,4,5,5-tetramethyl-1 ,3,2- dioxaborolan-2-yl)pyridin-3-yl]-2,4-difluorobenzenesulfonamide using a similar procedure outlined in Example 245, Step C. LC-MS: m/z 626 (M+1 ). 1H NMR (DMSO-d6) <5: 10.25 (br. s., 1 H), 8.36 (d, J = 2.1 Hz, 1 H), 7.90 - 8.15 (m, 3H), 7.67 - 7.90 (m, 2H), 7.44 - 7.67 (m, 2H), 7.04 - 7.40 (m, 1 H), 6.48 (br. s., 2H), 4.12 (q, J = 7.0 Hz, 3H), 3.90 (br. s., 4H), 3.72 (br. s., 2H), 3.16 (d, J = 4.7 Hz, 1 H), 1.66 (br. s., 4H), 1.10 (t, 3H).
Example 247
(Compound 247)
5-[2-amino-3-(1 -dioxa-8-azaspiro[4.5]dec-8-ylcarbonyl)quinolin-6-yl]-N-(tert-b^
methoxypyridine-3-sulfonamide
[00464] 5-[2-Amino-3-(1 ,4-dioxa-8-azasp/'ro[4.5]dec-8-ylcarbonyl)quinolin-6-yl]-/\/-(ferf- butyl)-2-methoxypyridine-3-sulfonamide was obtained from 6-chloro-3-(1 ,4-dioxa-8- azaspiro[4.5]dec-8-ylcarbonyl)quinolin-2-amine and A/-(ferf-butyl)-2-methoxy-5-(4,4,5,5- tetramethyl-1 ,3,2-dioxaborolan-2-yl)pyridine-3-sulfonamide using a similar procedure outlined in Example 245, Step C. LC-MS: m/z 556 (M+1 ). 1 H NMR (DMSO-d6) δ: 8.77 (br. s., 1 H), 8.38 (br. s., 1 H), 8.06 (d, J = 6.6 Hz, 2H), 7.89 (d, J = 8.0 Hz, 1 H), 7.41 - 7.74 (m, 2H), 6.50 (br. s., 2H), 4.06 (br. s., 3H), 3.58 - 3.99 (m, 8H), 1.66 (br. s., 4H), 1.10 (br. s., 9H).
Example 248
(Compound 248)
5-[2-amino-3-( 1, 4-dioxa-8-azaspiro[4.5]dec-8-ylcarbonyl)quinolin-6-yl]-2-methoxy-N-(4- methylphenyl)pyridine-3-sulfonamide
[00465] 5-[2-Amino-3-(1 ,4-dioxa-8-azaspiro[4.5]dec-8-ylcarbonyl)quinolin-6-yl]-2- methoxy-/\/-(4-methylphenyl)pyridine-3-sulfonamide was obtained from 6-chloro-3-(1 ,4-dioxa-8- azaspiro[4.5]dec-8-ylcarbonyl)quinolin-2-amine and 2-methoxy-/V-(4-methylphenyl)-5-(4,4,5,5- tetramethyl-1 ,3,2-dioxaborolan-2-yl)pyridine-3-sulfonamide using a similar procedure outlined in Example 245, Step C. LC-MS: m/z 590(M+1 ). 1H NMR (DMSO-d6) <5: 8.73 (d, J = 2.5 Hz, 1 H), 8.34 (d, J = 2.5 Hz, 1 H), 8.02 (s, 2H), 7.84 (dd, J = 8.6, 2.1 Hz, 1 H), 7.55 (d, J = 8.8 Hz, 1 H), 6.92 - 7.18 (m, 4H), 6.49 (s, 2H), 4.03 (s, 5H), 3.91 (m, 8H), 2.14 (s, 3H), 1 .70 (br, 4H).
Example 249
(Compound 249)
5-[2-amino-3-(1 -dioxa-8-azaspiro[4.5]dec-8-ylcarbonyl)quinolin-6^
methoxypyridine-3-sulfonamide
[00466] 5-[2-Amino-3-(1 ,4-dioxa-8-azaspiro[4.5]dec-8-ylcarbonyl)quinolin-6-yl]-A/-(4- fluorophenyl)-2-methoxypyridine-3-sulfonamide was obtained from 6-chloro-3-(1 ,4-dioxa-8- azaspiro[4.5]dec-8-ylcarbonyl)quinolin-2-amine and A/-(4-fluorophenyl)-2-methoxy-5-(4,4,5,5- tetramethyl-1 ,3,2-dioxaborolan-2-yl)pyridine-3-sulfonamide using a similar procedure outlined in
Example 245, Step C. LC-MS: m/z 594(M+1 ). 1 H NMR (DMSO-d6) <5: 8.74 (d, J = 2.5 Hz, 1 H), 8.35 (d, J = 2.3 Hz, 1 H), 8.02 (s, 2H), 7.84 (dd, J = 8.7, 2.2 Hz, 1 H), 7.56 (d, J = 8.6 Hz, 1 H), 6.86 - 7.25 (m, 4H), 6.49 (s, 2H), 4.03 (s, 3H), 3.91 (s, 4H), 3.47 - 3.80 (m, 2H), 3.33 (br. s., 2H), 1.29 - 2.03 (m, 4H).
Example 250
(Compound 250)
5-[2-amino-3-(1,4-dioxa-8-azaspiro[4.5]dec-8-ylcarbonyl)quinolin-6-yl]-2-m
methylphenyl)pyridine-3-sulfonamide
[00467] 5-[2-Amino-3-(1 ,4-dioxa-8-azaspiro[4.5]dec-8-ylcarbonyl)quinolin-6-yl]-2- methoxy-/V-(3-methylphenyl)pyridine-3-sulfonamide was obtained from 6-chloro-3-(1 ,4-dioxa-8- azaspiro[4.5]dec-8-ylcarbonyl)quinolin-2-amine and 2-methoxy-/V-(3-methylphenyl)-5-(4,4,5,5- tetramethyl-1 ,3,2-dioxaborolan-2-yl)pyridine-3-sulfonamide using a similar procedure outlined in Example 245, Step C. LC-MS: m/z 590 (M+1 ). 1 H NMR (DMSO-d6) <5: 8.73 (d, J = 2.5 Hz, 1 H), 8.38 (d, J = 2.5 Hz, 1 H), 7.96 - 8.12 (m, 2H), 7.78 - 7.91 (m, 1 H), 7.56 (d, J = 8.6 Hz, 2H), 7.08 (s, 1 H), 6.95 (br. s., 2H), 6.75 - 6.88 (m, 1 H), 6.49 (s, 2H), 4.02 (s, 3H), 3.91 (s, 4H), 3.56 - 3.84 (m, 2H), 3.37 - 3.49 (m, 2H), 2.18 (s, 3H), 1 .65 (br, 4H).
Example 251
(Compound 251)
3-(1 ,4-dioxa-8-azaspiro[4.5]dec-8-ylcarbonyl)-6-{6-methoxy-5-[(4-methylpiperazin-1- yl)sulfonyl]pyridin-3-yl}quinolin-2-amine
[00468] 3-(1 ,4-Dioxa-8-azaspiro[4.5]dec-8-ylcarbonyl)-6-{6-methoxy-5-[(4- methylpiperazin-1 -yl)sulfonyl]pyridin-3-yl}quinolin-2-amine was obtained from 6-chloro-3-(1 ,4- dioxa-8-azaspiro[4.5]dec-8-ylcarbonyl)quinolin-2-amine and 1 -{[2-methoxy-5-(4,4,5,5- tetramethyl-1 ,3,2-dioxaborolan-2-yl)pyridin-3-yl]sulfonyl}-4-methylpiperazine using a similar procedure outlined in Example 245, Step C. LC-MS: m/z 583 (M+1 ). 1 H NMR (DMSO-d6) δ: 8.81 (d, J = 2.3 Hz, 1 H), 8.36 (d, J = 2.5 Hz, 1 H), 7.99 - 8.18 (m, 2H), 7.91 (dd, J = 8.8, 2.1 Hz, 1 H), 7.58 (d, J = 8.8 Hz, 1 H), 6.49 (s, 2H), 4.04 (s, 3H), 3.91 (s, 4H), 3.58 - 3.81 (m, 2H), 3.1 1 - 3.30 (m, 5H), 2.33 (t, J = 4.3 Hz, 5H), 2.16 (s, 4H), 1.75 (br. s., 4H).
Example 252
(Compound 252)
5-[2-amino-3-(1 -dioxa-8-azaspiro[4.5]dec-8-ylcarbonyl)quinolin-6-yl]-N-cy^
methoxypyridine-3-sulfonamide
[00469] 5-[2-Amino-3-(1 ,4-dioxa-8-azaspiro[4.5]dec-8-ylcarbonyl)quinolin-6-yl]-/\/- cyclopentyl-2-methoxypyridine-3-sulfonamide was obtained from 6-chloro-3-(1 ,4-dioxa-8- azaspiro[4.5]dec-8-ylcarbonyl)quinolin-2-amine and A/-cyclopentyl-2-methoxy-5-(4,4,5,5- tetramethyl-1 ,3,2-dioxaborolan-2-yl)pyridine-3-sulfonamide using a similar procedure outlined in Example 245, Step C. LC-MS: m/z 568 (M+1 ). 1H NMR (DMSO-d6) <5: 8.78 (d, J = 2.3 Hz, 1 H), 8.37 (d, J = 2.5 Hz, 1 H), 7.95 - 8.13 (m, 2H), 7.78 - 7.95 (m, 1 H), 7.70 (d, J = 7.8 Hz, 1 H), 7.58
(d, J = 8.8 Hz, 1 H), 6.48 (s, 2H), 4.05 (s, 3H), 3.91 (s, 4H), 3.62 - 3.82 (m, 2H), 3.41 - 3.62 (m, 2H), 1 .56 (d, J = 5.1 Hz, 9H), 1.27 - 1.45 (m, 4H).
Example 253
(Compound 253)
5-[2-amino-3-(1,4-dioxa-8-azaspiro[4.5]dec-8-ylcarbonyl)quinolin-6-yl]-N-(2-hydroxyeth^ methoxypyridine-3-sulfonamide
OH
[00470] 5-[2-Amino-3-(1 ,4-dioxa-8-azaspiro[4.5]dec-8-ylcarbonyl)quinolin-6-yl]-/\/-(2- hydroxyethyl)-2-methoxypyridine-3-sulfonamide was obtained from 6-chloro-3-(1 ,4-dioxa-8- azaspiro[4.5]dec-8-ylcarbonyl)quinolin-2-amine and A/-(2-hydroxyethyl)-2-methoxy-5-(4,4,5,5- tetramethyl-1 ,3,2-dioxaborolan-2-yl)pyridine-3-sulfonamide using a similar procedure outlined in Example 245, Step C. LC-MS: m/z 544 (M+1 ). 1 H NMR (DMSO-d6) <5: 8.78 (d, J = 2.5 Hz, 1 H), 8.38 (d, J = 2.5 Hz, 1 H), 7.99 - 8.16 (m, 2H), 7.90 (dd, J = 8.8, 2.1 Hz, 1 H), 7.26 - 7.69 (m, 2H), 6.48 (s, 2H), 4.69 (t, J = 5.6 Hz, 1 H), 4.05 (s, 3H), 3.91 (s, 4H), 3.58 - 3.82 (m, 2H), 3.38 (q, J = 6.2 Hz, 3H), 2.94 (d, J = 6.1 Hz, 2H), 1.73 (br, 4H).
Example 254
(Compound 254)
5-[2-amino-3-(1 -dioxa-8-azaspiro[4.5]dec-8-ylcarbonyl)quinolin-6-yl]-2-methoxy- methylphenyl)pyridine-3-sulfonamide
[00471] 5-[2-Amino-3-(1 ,4-dioxa-8-azaspiro[4.5]dec-8-ylcarbonyl)quinolin-6-yl]-2- methoxy-/\/-(2-methylphenyl)pyridine-3-sulfonamide was obtained from 6-chloro-3-(1 ,4-dioxa-8- azaspiro[4.5]dec-8-ylcarbonyl)quinolin-2-amine and 2-methoxy-/V-(2-methylphenyl)-5-(4,4,5,5- tetramethyl-1 ,3,2-dioxaborolan-2-yl)pyridine-3-sulfonamide using a similar procedure outlined in Example 245, Step C. LC-MS: m/z 590 (M+1 ). 1 H NMR (DMSO-d6) δ: 9.72 (s, 1 H), 8.79 (d, J = 2.3 Hz, 1 H), 8.20 (d, J = 2.5 Hz, 1 H), 7.92 - 8.09 (m, 2H), 7.81 (dd, J = 8.8, 2.1 Hz, 1 H), 7.54 (d, J = 8.8 Hz, 1 H), 6.86 - 7.19 (m, 4H), 6.48 (s, 2H), 4.03 (s, 3H), 3.79 - 3.96 (m, 4H), 3.51 - 3.79 (m, 2H), 3.33 (s, 2H), 2.16 (s, 3H), 1 .48 - 1 .91 (m, 4H).
Example 255
(Compound 255)
5-[2-amino-3-(1 -dioxa-8-azaspiro[4.5]dec-8-ylcarbonyl)quinolin-6-yl]-N-(2-flu
methylphenyl)-2-methoxypyridine-3-sulfonamide
[00472] 5-[2-amino-3-(1 ,4-dioxa-8-azaspiro[4.5]dec-8-ylcarbonyl)quinolin-6-yl]-/\/-(2- fluoro-3-methylphenyl)-2-methoxypyridine-3-sulfonamide was obtained from 6-chloro-3-(1 ,4- dioxa-8-azaspiro[4.5]dec-8-ylcarbonyl)quinolin-2-amine and A/-(2-fluoro-3-methylphenyl)-2- methoxy-5-(4,4,5,5-tetramethyl-1 ,3,2-dioxaborolan-2-yl)pyridine-3-sulfonamide using a similar procedure outlined in Example 245, Step C. LC-MS: m/z 608 (M+1 ). 1 H NMR (DMSO-d6) δ:
10.13 (s, 1 H), 8.78 (d, J = 2.3 Hz, 1 H), 8.27 (d, J = 2.3 Hz, 1 H), 7.95 - 8.18 (m, 2H), 7.83 (dd, J = 8.8, 2.0 Hz, 1 H), 7.55 (d, J = 8.8 Hz, 1 H), 6.86 - 7.36 (m, 3H), 6.48 (s, 2H), 3.82 - 4.14 (m, 7H), 3.46 - 3.82 (m, 2H), 3.36 - 3.46 (m, 2H), 2.14 (d, J = 1 .6 Hz, 3H), 1 .73 (br, 4H).
Example 256
(Compound 256)
5-[2-amino-3-( 1 ,4-dioxa-8-azaspiro[4.5]dec-8-ylcarbonyl)quinolin-6-yl]-N-[2- (dimethylamino)ethyl]-2-methoxypyridine-3-sulfonamide
[00473] 5-[2-amino-3-(1 ,4-dioxa-8-azaspiro[4.5]dec-8-ylcarbonyl)quinolin-6-yl]-/\/-[2- (dimethylamino)ethyl]-2-methoxypyridine-3-sulfonamide was obtained from 6-chloro-3-(1 ,4- dioxa-8-azaspiro[4.5]dec-8-ylcarbonyl)quinolin-2-amine and A/-[2-(dimethylamino)ethyl]-2- methoxy-5-(4,4,5,5-tetramethyl-1 ,3,2-dioxaborolan-2-yl)pyridine-3-sulfonamide using a similar procedure outlined in Example 245, Step C. LC-MS: m/z 571 (M+1 ). 1H NMR (DMSO-d6) <5: 8.77 (d, J = 2.5 Hz, 1 H), 8.37 (d, J = 2.5 Hz, 1 H), 7.97 - 8.19 (m, 2H), 7.82 - 7.97 (m, 1 H), 7.59 (s, 1 H), 7.32 - 7.46 (m, 1 H), 7.07 - 7.23 (m, 1 H), 6.48 (s, 2H), 4.05 (s, 3H), 3.99 (s, 2H), 3.91 (s, 3H), 3.60 - 3.84 (m, 2H), 3.37 - 3.48 (m, 2H), 2.78 - 3.03 (m, 1 H), 2.12 - 2.28 (m, 2H), 1 .98 (s, 6H), 1 .67 (m, 4H).
EXAMPLE 257
(Compound 257)
N-[5-[2-amino-3-(1-piperidinylcarbonyl)-6-quinolinyl]-2-(methyloxy)-3-pyridiny
difluorobenzenesulfonamide
General Scheme 29
[00474] To a solution of malononitrile (224 mg, 3.4 mmol) in ethanol (10 mL) was added a few drops of piperidine and the solution stirred at room temperature for 20 min. A solution of 2-amino-5-chlorobenzaldehyde (440 mg, 2.8 mmol) in ethanol (10 mL) was added and the reaction was refluxed for 2 h, concentrated to half volume and cooled to 0 °C. Solids were filtered and dried to afford the title compound as a yellow solid (388 mg, 67 % yield).
Step B
[00475] To a solution of 2-amino-6-chloro-3-quinolinecarbonitrile (353 mg, 1.7 mmol) in ethanol (8 mL) and water (2 mL) was added KOH (486 mg, 8.7 mmol) and the reaction mixture heated to reflux for 18 h. The reaction was cooled to room temperature and treated with 1 N HCI until the solution gave red pH paper. The reaction was concentrated in vacuo and the residue triturated in hot isopropanol and filtered. The filtrate was concentrated in vacuo to afford the title compound as a yellow solid (128 mg, 33 % yield) which was used without additional purification.
Step C
-6-[5-{[(2,4-difluorophenyl)sulfonyl]amino}-6-(methyloxy)-3-pyridinyl]-3- quinolinecarboxylic acid
[00476] A solution of 2-amino-6-chloro-3-quinolinecarboxylic acid (250 mg, 1.1 mmol),
2,4-difluoro-/V-[2-(methyloxy)-5-(4,4,5,5-tetramethyl-1 ,3,2-dioxaborolan-2-yl)-3- pyridinyl]benzenesulfonamide (527 mg, 1.2 mmol), potassium phosphate (477 mg, 2.2 mmol), Pd2dba3 (51 mg, 0.06 mmol) and dicyclohexyl[2',4',6'-tris(1-methylethyl)-2-biphenylyl]phosphane (107 mg, 0.2 mmol) in n-butanol (7 mL) and water (3 mL) was degassed with nitrogen and heated to 100 °C in a sealed tube for 18 h. The reaction was cooled to room temperature, treated with 1 N HCI (5 mL) and partitioned between water and 15%
isopropanol/dichloromethane. The organic layer was separated and the aqueous layer was extracted twice with dichloromethane. The combined organic layers were concentrated in vacuo and the residue triturated in ether and the solids filtered and dried to afford the title compound as a yellow solid (483 mg, 88% yield).
Step D
N-[5-[2-amino-3-(1^iperidinylcarbonyl)-6-quinolinyl]-2-(methyloxy)-3^yridinyl]-2
difluorobenzenesulfonamide
[00477] To a solution of 2-amino-6-[5-{[(2,4-difluorophenyl)sulfonyl]amino}-6-(methyloxy)- 3-pyridinyl]-3-quinolinecarboxylic acid (40 mg, 0.08 mmol), HATU (34 mg, 0.09 mmol), triethylamine (0.03 mL, 0.25 mmol) in DMF (1 mL) was added piperidine (0.016 mL, 0.16 mmol) and the reaction stirred at room temperature for 1 h. The reaction was purified without workup by Ci8 P HPLC eluting with 10-90% water/acetonitrile/0.1 % formic acid to afford the title compound (34 mg, 75%). 1H NMR (400 MHz, DMSO-d6) d ppm 12.53 - 12.86 (m, 1 H), 10.29 (br. s., 1 H), 8.38 (d, J=2.3 Hz, 1 H), 7.99 (s, 2 H), 7.93 (d, J=2A Hz, 1 H), 7.70 - 7.86 (m, 2 H), 7.57 (d, J=8.6 Hz, 2 H), 7.21 (td, J=8.5, 2.1 Hz, 1 H), 6.43 (br. s., 2 H), 3.64 (s, 5 H), 1 .42 - 1 .72 (m, 7 H). ES-LCMS: m/z = 554.27 (M+1 ).
Example 258
(Compound 258)
N-[5-[2-amino-3-(4-morpholinylcarbonyl)-6-quinolinyl]-2-(methyloxy)-3-pyri
2,4-difluorobenzenesulfonamide
[00478] Prepared as described in Example 257, Step D. 1H NMR (400 MHz, DMSO-c/6) δ ppm 12.47 - 12.97 (m, 1 H), 10.21 - 10.43 (m, 1 H), 8.38 (d, J=2.3 Hz, 1 H), 8.03 (s, 1 H), 7.96 - 8.01 (m, 1 H), 7.90 - 7.94 (m, 1 H), 7.67 - 7.88 (m, 2 H), 7.50 - 7.66 (m, 2 H), 7.14 - 7.28 (m, 1 H), 6.39 - 6.63 (m, 2 H), 3.44 - 3.82 (m, 1 1 H). ES-LCMS: m/z = 556.36 (M+1 ).
Example 259
(Compound 259)
N-[5-{2-amino-3-[(4-methyl-1-piperazinyl)carbonyl]-6-quinolinyl}-2-(meth
pyridin -2,4-difluorobenzenesulfonamide
[00479] Prepared as described in Example 257, Step D. 1H NMR (400 MHz, DMSO-c/6) δ ppm 8.36 (d, J=2.3 Hz, 1 H), 8.14 (s, 1 H), 7.93 - 8.03 (m, 2 H), 7.92 (d, J=2.3 Hz, 1 H), 7.70 - 7.86 (m, 2 H), 7.46 - 7.61 (m, 2 H), 7.14 - 7.29 (m, 1 H), 6.34 - 6.52 (m, 2 H), 3.57 - 3.75 (m, 5 H), 2.30 - 2.48 (m, 4 H), 2.23 (s, 3 H). ES-LCMS: m/z = 569.28 (M+1 ).
Example 260
(Compound 260)
1, 1 -dimethylethyl 4-({2-amino-6-[5-{[(2,4-difluorophenyl)sulfonyl]amino}-6- (methyloxy)-3-pyridinyl]-3-quinolinyl}carbonyl)-1-piperazinecarboxylate
[00480] Prepared as described in Example 257, Step D. 1H NMR (400 MHz, DMSO-c/6) δ ppm 10.30 (br. s., 1 H), 8.38 (d, J=2.3 Hz, 1 H), 8.04 (s, 1 H), 7.98 (s, 1 H), 7.90 - 7.95 (m, 1 H), 7.80 - 7.87 (m, 1 H), 7.71 - 7.80 (m, 1 H), 7.53 - 7.63 (m, 2 H), 7.17 - 7.28 (m, 1 H), 6.29 - 6.63 (m, 2 H), 3.60 - 3.72 (m, 5 H), 3.37 - 3.54 (m, 6 H), 1.41 (s, 9 H). ES-LCMS: m/z = 655.50 (M+1 ).
Example 261
(Compound 261 )
N-[5-(2-amino-3-cyano-6-quinolinyl)-2-(methyloxy)-3-pyridinyl]-2,4- difluorobenzenesulfonamide
[00481 ] A solution of 2-amino-6-chloro-3-quinolinecarbonitrile (Step A, Example 257) (35 mg, 0.17 mmol), 2,4-difluoro-/\/-[2-(methyloxy)-5-(4,4,5,5-tetramethyl-1 ,3,2-dioxaborolan-2-yl)-3- pyridinyl]benzenesulfonamide (81 mg, 0.19 mmol), potassium phosphate (73 mg, 0.34 mmol), Pd2dba3 (8 mg, 0.009 mmol) and dicyclohexyl[2',4',6'-tris(1 -methylethyl)-2-biphenylyl]phosphane (16 mg, 0.03 mmol) in n-butanol (1 ml.) and water (0.4 ml.) was degassed with nitrogen and heated to 100 °C in a sealed tube for 18 h. The reaction was cooled to room temperature and the solids filtered. The solid material was purified by Ci8 P HPLC eluting with 10-90% water/acetonitrile/0.1 % formic acid to afford the title compound (23 mg, 27% yield). 1 H NMR (400 MHz, DMSO-de) δ ppm 10.33 (br. s., 1 H), 8.73 (s, 1 H), 8.29 - 8.42 (m, 1 H), 7.86 - 8.02 (m, 3 H), 7.70 - 7.85 (m, 1 H), 7.49 - 7.64 (m, 2 H), 7.16 - 7.26 (m, 1 H), 7.08 (s, 2 H), 3.66 (s, 3 H). ES-LCMS: m/z = 468.1 1 (M+1 ).
Example 262
(Compound 262)
1, 1 -dimethylethyl ({2-amino-6-[5-{[(2,4-difluorophenyl)sulfonyl]amino}-6-(methyloxy)-3- pyridinyl]-3-quinolinyl}methyl)carbamate
General Scheme 30
Step A
[00482] To a suspension of 2-amino-6-chloro-3-quinolinecarbonitrile (Step A, Example 257) (300 mg, 1 .5 mmol) in ethanol (12 mL) was added Raney-Nickel and the reaction hydrogenated at 60 psi at 50 °C for 1 .5 h. The reaction was cooled to room temperature, concentrated ammonium hydroxide (2 mL) was added and the reaction resubjected at 50 °C for 2 h. The reaction is cooled to room temperature and filtered through Celite™ and the filtrate concentrated in vacuo to afford the title compound (267 mg, 87%).
Step B
[00483] To a solution of 3-(aminomethyl)-6-chloro-2-quinolinamine (105 mg, 0.5 mmol) and di-tert-butyldicarbonate (1 10 mg, 0.5 mmol) in isopropanol (4 mL) was added triethylamine (0.14 mL), 1 mmol) and the reaction stirred at room temperature for 1.5 h. Solids are filtered and dried to afford the title compound (95 mg, 61 % yield).
Step C
1, 1-dimethylethyl ({2-amino-6-[5-{[(2,4-difluorophenyl)sulfonyl]amino}-6-(methyloxy)-3-pyridin
3- uinolinyl}methyl)carbamate
[00484] Prepared as described in Example 257, Step C. 1H NMR (400 MHz, DMSO-c/6) δ ppm 10.29 (br. s., 1 H), 8.39 (d, J=1.8 Hz, 1 H), 7.94 (d, J=2.0 Hz, 2 H), 7.66 - 7.83 (m, 3 H), 7.50 - 7.64 (m, 2 H), 7.46 (t, J=5.4 Hz, 1 H), 7.20 (td, J=8.5, 2.1 Hz, 1 H), 6.46 (br. s., 2 H), 4.10 (d, J=6.1 Hz, 2 H), 3.64 (s, 3 H), 1.43 (s, 9 H). ES-LCMS: m/z = 572.44 (M+1 ).
Example 263
(Compound 263)
N-[5-{2-amino-3-[( 1, 1 -dioxido-4-thiomorpholinyl) carbonyl]-6-quinolinyl}-2- (methyloxy)-3-pyridinyl]-2,4-difluorobenzenesulfonamide
[00485] Prepared as described in Example 257, Step D. 1H NMR (400 MHz, DMSO-c/6) δ ppm 10.30 (br. s., 1 H), 8.38 (d, J=2.3 Hz, 1 H), 8.04 - 8.18 (m, 1 H), 7.95 (dd, J=8.6, 2.0 Hz, 2 H), 7.84 (dd, J=8.7, 1 .7 Hz, 1 H), 7.76 (td, J=8.5, 6.4 Hz, 1 H), 7.52 - 7.67 (m, 2 H), 7.21 (td, J=8.5, 2.1 Hz, 1 H), 6.61 (br. s., 2 H), 4.03 (br. s., 4 H), 3.49 - 3.85 (m, 7 H). ES-LCMS: m/z = 604.37 (M+1 ).
Example 264
(Compound 264)
N-[5-[2-amino-3-(aminomethyl)-6-quinolinyl]-2-(methyloxy)-3-pyridinyl]-2,4- difluorobenzenesulfonamide
[00486] Prepared from 3-(aminomethyl)-6-chloro-2-quinolinamine (Example 262, Step A) in a manner as described in Example 257, Step C. 1 H NMR (400 MHz, DMSO-c/6) d ppm 8.16 (s, 1 H), 7.88 - 8.00 (m, 2 H), 7.74 - 7.86 (m, 1 H), 7.60 - 7.72 (m, 3 H), 7.53 (d, J=8.6 Hz, 1 H), 7.29 - 7.43 (m, 1 H), 7.08 - 7.21 (m, 1 H), 6.60 (br. s., 2 H), 3.96 (s, 2 H), 3.62 - 3.78 (m, 3 H). ES-LCMS: m/z = 472.60 (M+1 ).
Example 265
(Compound 265)
*-amino-3-[(4-hydroxy-1-piperidinyl)carbonyl]-6-quinolinyl}-2-(methyloxy)-3-
pyridinyl]-2,4-difluorobenzenesulfonamide
[00487] Prepared as described in Example 257, Step D. 1H NMR (400 MHz, DMSO-c/6) δ ppm 10.30 (br. s., 1 H), 8.38 (d, J=2.3 Hz, 1 H), 7.96 - 8.02 (m, 2 H), 7.93 (d, J=2.3 Hz, 1 H), 7.69 - 7.88 (m, 2 H), 7.51 - 7.65 (m, 2 H), 7.21 (td, J=8.5, 2.1 Hz, 1 H), 6.43 (br. s., 2 H), 4.81 (d, J=3.7 Hz, 1 H), 3.75 (dd, J=7.6, 3.9 Hz, 1 H), 3.64 (s, 3 H), 3.06 - 3.25 (m, 2 H), 1 .63 - 1.91 (m, 2 H), 1 .28 - 1.58 (m, 2 H). ES-LCMS: m/z = 570.57 (M+1 ).
Example 266
(Compound 266)
N-[5-{2-amino-3-[(4-methyl-3-oxo-1-piperazinyl)carbonyl]-6-quinolinyl}-2- (methylox -3-pyridinyl]-2,4-difluorobenzenesulfonamide
[00488] Prepared as described in Example 257, Step D. 1H NMR (400 MHz, DMSO-c/6) δ ppm 10.32 (s, 1 H), 8.38 (d, J=2.1 Hz, 1 H), 8.05 (s, 1 H), 7.97 (d, J=1.6 Hz, 1 H), 7.93 (d, J=2A Hz, 1 H), 7.83 (dd, J=8.8, 1 .6 Hz, 1 H), 7.76 (td, J=8.4, 6.5 Hz, 1 H), 7.51 - 7.65 (m, 2 H), 7.21 (td, J=8.5, 2.1 Hz, 1 H), 6.62 (br. s., 2 H), 4.17 (br. s., 2 H), 3.64 (s, 3 H), 3.45 - 3.60 (m, 2 H), 2.87 (s, 3 H). ES-LCMS: m/z = 583.52 (M+1 ).
Example 267
(Compound 267)
>-amino-3-{[4-(methylsulfonyl)-1-piperazinyl]carbonyl}-6-quinolinyl)-2-(meth
3-pyridinyl]-2,4-difluorobenzenesulfonamide
[00489] Prepared as described in Example 257, Step D. 1H NMR (400 MHz, DMSO-c/6) δ ppm 10.30 (br. s., 1 H), 8.37 (br. s., 1 H), 8.03 (s, 1 H), 7.88 - 7.99 (m, 2 H), 7.69 - 7.86 (m, 2 H), 7.58 (d, J=8.8 Hz, 2 H), 7.12 - 7.31 (m, 1 H), 6.51 (s, 2 H), 3.67 - 3.85 (m, 2 H), 3.64 (s, 3 H), 3.05 - 3.26 (m, 4 H), 2.91 (s, 3 H). ES-LCMS: m/z = 633.52 (M+1 ).
Example 268
(Compound 268)
1, 1-dimethylethyl {2-[1-({2-amino-6-[5-{[(2,4-difluorophenyl)sulfonyl]amino}-6- (methyloxy)-3-pyridinyl]-3-quinolinyl}carbonyl)-4-piperidinyl]ethyl}carbamate
[00490] Prepared as described in Example 257, Step D. 1H NMR (400 MHz, DMSO-c/6) δ ppm 10.32 (s, 1 H), 8.38 (d, J=2.1 Hz, 1 H), 7.99 (br. s., 2 H), 7.93 (d, J=2.1 Hz, 1 H), 7.76 (td, J=8.5, 6.4 Hz, 2 H), 7.52 - 7.65 (m, 2 H), 7.12 - 7.28 (m, 1 H), 6.73 - 6.86 (m, 1 H), 6.45 (br. s., 2 H), 4.50 (br. s., 1 H), 3.63 (s, 3 H), 3.39 - 3.56 (m, 2 H), 2.99 - 3.16 (m, 1 H), 2.88 - 3.00 (m, 3 H), 2.78 (br. s., 1 H), 1 .44 - 1 .85 (m, 3 H), 1 .36 (s, 9 H), 1.17 (br. s., 2 H). ES-LCMS: m/z = 697.56 (M+1 ).
Example 269
(Compound 269)
-6-[5-{[(2,4-difluorophenyl)sulfonyl]amino}-6-(methyloxy)-3-pyridinyl]-3-
[00491 ] To a solution of 2-amino-6-[5-{[(2,4-difluorophenyl)sulfonyl]amino}-6-(methyloxy)- 3-pyridinyl]-3-quinolinecarboxylic acid (Example 257, Step C) (35 mg, 0.07 mmol), HATU (33 mg, 0.09 mmol), triethylamine (0.02 mL, 0.14 mmol) in DMF (1 mL) was added ammonium chloride (15 mg, 0.29 mmol) and the reaction stirred at room temperature for 1 h. The reaction was purified without workup by Ci8 P HPLC eluting with 10-90% water/acetonitrile/0.1 % formic acid to afford the title compound (9 mg, 21 % yield). 1 H NMR (400 MHz, DMSO-c/6) δ ppm 10.34 (br. s., 1 H), 8.53 (s, 1 H), 8.37 (br. s., 1 H), 8.23 - 8.31 (m, 1 H), 7.82 - 7.99 (m, 3 H), 7.76 (td, J=8.5, 6.4 Hz, 1 H), 7.63 - 7.70 (m, 1 H), 7.55 (d, J=8.8 Hz, 2 H), 7.30 (br. s., 2 H), 7.15 - 7.25 (m, 1 H), 3.65 (s, 3 H). ES-LCMS: m/z = 486.32 (M+1 ).
Example 270
(Compound 270)
2-amino-6-[5-{[(2,4-difluorophenyl)sulfonyl]amino}-6-(methyloxy)-3-pyridinyl]-N- (trans-4-hydroxycyclohexyl)-3-quinolinecarboxamide
[00492] Prepared as described in Example 257, Step D. 1H NMR (400 MHz, DMSO-c/6) δ ppm 8.57 (d, J=7.6 Hz, 1 H), 8.33 - 8.47 (m, 2 H), 7.97 (dd, J=5.6, 1.9 Hz, 2 H), 7.86 (dd, J=8.8, 1.8 Hz, 1 H), 7.75 (td, J=8.5, 6.4 Hz, 1 H), 7.48 - 7.66 (m, 2 H), 7.17 - 7.27 (m, 1 H), 7.05 - 7.17 (m, 2 H), 4.60 (d, J=4.3 Hz, 1 H), 3.68 - 3.80 (m, 1 H), 3.65 (s, 3 H), 1 .81 - 1 .94 (m, 4 H), 1.18 - 1.50 (m, 4 H). ES-LCMS: m/z = 584.66 (M+1 ).
Example 271
(Compound 271)
A -[5-(2-amino-3-{[(3S)-3-hydroxy-1 -pyrrolidinyl]carbonyl}-6-quinolinyl)-2- (methyloxy)-3-pyridinyl]-2,4-difluorobenzenesulfonamide
[00493] Prepared as described in Example 257, Step D. 1H NMR (400 MHz, DMSO-c/6) δ ppm 10.31 (br. s., 1 H), 8.36 (br. s., 1 H), 8.08 - 8.21 (m, 1 H), 7.96 - 8.04 (m, 1 H), 7.92 (d, J=2.0 Hz, 1 H), 7.68 - 7.85 (m, 2 H), 7.56 (d, J=8.8 Hz, 2 H), 7.13 - 7.26 (m, 1 H), 6.54 (d, J=8.0 Hz, 2 H), 4.81 - 5.15 (m, 1 H), 4.17 - 4.46 (m, 1 H), 3.48 - 3.71 (m, 5 H), 3.38 - 3.50 (m, 2 H), 1.72 - 2.10 (m, 3 H). ES-LCMS: m/z = 556.40 (M+1 ).
Example 272
(Compound 272)
1, 1 -dimethylethyl 4-({2-amino-6-[5-{[(2,4-difluorophenyl)sulfonyl]amino}-6- (methyloxy)-3-pyridinyl - 1 -oxido-3-quinolinyl}carbonyl)-1 -piperazmecarboxyla te
Step A
[00494] Prepared from 5-chloro-2, 1-benzisoxazole in the same manner as described in Example 257, Step A.
Step B
2-amino-6-chlo -3-quinolinecarboxylic acid 1 -oxide
[00495] Prepared in the same manner as described in Example 257, Step B.
Step C
-6-[5-{[(2,4-difluorophenyl)sulfonyl]amino}-6-(methyloxy)-3-pyridinyl]-3- quinolinecarboxylic acid 1-oxide
Prepared in the same manner as described in Example 257, Step C.
Step D
1, 1-dimethylethyl 4-({2-amino-6-[5-{[(2,4-difluorophenyl)sulfonyl]amino}-6-(methyloxy)-3- pyridinyl]-1-oxido-3- uinolinyl}carbonyl)-1-piperazinecarboxylate
[00497] Prepared in the same manner as described in Example 257, Step D. 1H NMR (400 MHz, DMSO-de) δ ppm 10.34 (s, 1 H), 8.44 (d, J=2A Hz, 1 H), 8.38 (d, J=9.0 Hz, 1 H), 8.19 (d, J=1.8 Hz, 1 H), 8.03 (dd, J=9.1 , 1 .9 Hz, 1 H), 7.99 (d, J=2.3 Hz, 1 H), 7.83 (s, 1 H), 7.77 (td, J=8.6, 6.4 Hz, 1 H), 7.53 - 7.64 (m, 1 H), 7.40 (s, 2 H), 7.21 (td, J=8.4, 2.2 Hz, 1 H), 3.60 - 3.73 (m, 5 H), 3.51 (br. s., 2 H), 1 .41 (s, 9 H). ES-LCMS: m/z = 671.51 (M+1 ).
EXAMPLE 273
(Compound 273)
N-({2-amino-6-[5-{[(2,4-difluorophenyl)sulfonyl]amino}-6-(methyloxy)-3-pyrM
quinolinyl}methyl)-4-morpholinecarboxamide
Step A
[00498] To a solution of 3-(aminomethyl)-6-chloro-2-quinolinamine (Example 262, Step A) (75 mg, 0.36 mmol) in acetonitrile (1.8 mL) was added triethylamine (0.1 mL, 0.72 mmol), morpholinecarbamoyi chloride (0.04 mL, 0.36 mmol) and DMAP (4 mg) and the reaction heated to 65 °C in a sealed tube for 1 .5 h. The reaction was cooled to room temperature and water added (2 mL) and stirred for 1 h. The solids were removed by filtration. The filtrate was diluted with ethyl acetate, washed with water, brine, dried (MgS04) and concentrated to afford the title compound (99 mg, 85 % yield).
Step B
N-({2-amino-6-[5-{[(2,4-difluorophenyl)sulfonyl]amino}-6-(m
quinolinyl}methyl)-4-morpholinecarboxamide
[00499] Prepared from the product of step A in a manner similar to that described in Example 257, Step C. 1 H NMR (400 MHz, DMSO-d6) δ ppm 8.36 (s, 1 H), 8.13 (s, 1 H), 7.88 - 7.96 (m, 2 H), 7.67 - 7.83 (m, 3 H), 7.53 (d, J=8.8 Hz, 2 H), 7.1 1 - 7.29 (m, 2 H), 6.63 (s, 2 H), 4.24 (d, J=5.7 Hz, 2 H), 3.63 (s, 3 H), 3.52 - 3.60 (m, 4 H). ES-LCMS: m/z = 585.43 (M+1 ).
EXAMPLE 274
(Compound 274)
2,4-difluoro-N-[2-(methyloxy)-5-(2-oxo-1,2,3,4-tetrahydropyrimido[4,5-b]quinoli
pyridinyljbenzenesulfonamide
[00500] Prepared from the product of Example 273, Step A in a manner similar to that described in Example 257, Step C. 1 H NMR (400 MHz, DMSO-d6) δ ppm 10.34 (br. s., 1 H), 9.92 (s, 1 H), 8.40 (br. s., 1 H), 8.09 (s, 1 H), 8.00 - 8.05 (m, 1 H), 7.93 - 7.98 (m, 1 H), 7.88 (d, J=8.8 Hz, 1 H), 7.69 - 7.80 (m, 2 H), 7.57 (br. s., 1 H), 7.21 (br. s., 2 H), 4.51 (s, 2 H), 3.65 (s, 3 H). ES-LCMS: m/z = 498.33 (M+1 ).
EXAMPLE 275
(Compound 275)
N-({2-amino-6-[5-{[(2,4-difluorophenyl)sulfonyl]amino}-6-(methyloxy)-3-pyrM
quinolinyl}methyl)tetrahydro-2H-pyran-4-carboxamide
[00501 ] A solution of N-[5-[2-amino-3-(aminomethyl)-6-quinolinyl]-2-(methyloxy)-3- pyridinyl]-2,4-difluorobenzenesulfonamide (example 373) (28 mg, 0.06 mmol), HATU (27 mg, 0.07 mmol), triethylamine (0.02 mL, 0.12 mmol) and tetrahydro-2H-pyran-4-carboxylic acid (9 mg, 0.07 mmol) in DMF (0.8 mL) was stirred at room temperature for 1 h. The reaction mixture was purified by Ci8 RP HPLC eluting with 10-90% water/acetonitrile/0.1 % formic acid to afford the title compound (10 mg, 28% yield). 1 H NMR (400 MHz, DMSO-d6) δ rappm 10.29 (br. s., 1 H), 8.44 (t, J=6.1 Hz, 1 H), 8.39 (d, J=2.3 Hz, 1 H), 7.88 - 7.99 (m, 2 H), 7.68 - 7.85 (m, 4 H),
7.48 - 7.65 (m, 3 H), 7.12 - 7.28 (m, 1 H), 6.54 (br. s., 2 H), 4.24 (d, J=5.9 Hz, 2 H), 3.82 - 3.96 (m, 2 H), 3.63 (s, 3 H), 1.45 - 1.78 (m, 4 H). ES-LCMS: m/z = 584.42 (M+1 ).
EXAMPLE 276
(Compound 276)
N-({2-amino-6-[5-{[(2,4-difluorophenyl)sulfonyl]amino}-6-(methyloxy)-3-pyridi
quinolinyl}methyl)-4-morpholinesulfonamide
[00502] Prepared in a manner similar as described in Example 273. 1 H NMR (400 MHz, DMSO-de) δ ppm 8.38 (d, J=1 .2 Hz, 1 H), 7.86 - 8.05 (m, 4 H), 7.67 - 7.82 (m, 2 H), 7.49 - 7.65 (m, 2 H), 7.20 (td, J=8.4, 2.1 Hz, 1 H), 6.41 (br. s., 2 H), 4.13 (d, J=6.1 Hz, 2 H), 3.63 (s, 3 H), 3.51 - 3.60 (m, 4 H), 2.97 - 3.21 (m, 4 H). ES-LCMS: m/z = 621.33 (M+1 ).
EXAMPLE 277
(Compound 277)
N-({2-amino-6-[5-{[(2,4-difluorophenyl)sulfonyl]amino}-6-(methyloxy)-3-pyridiny^ quinolinyl}methyl)acetamide
Step A
[00503] To a solution of 3-(aminomethyl)-6-chloro-2-quinolinamine (example 262 step A) (75 mg, 0.36 mmol) in acetonitrile (2 ml_), was added triethylamine (0.1 ml_), 0.72 mmol) followed by acetic anhydride (0.034 ml_, 0.36 mmol) and the reaction stirred at room
temperature for 2 h. Solids were filtered and dried to afford the title compound (78 mg, 86% yield).
Step B
N-({2-amino-6-[5-{[(2,4-difluorophenyl)sulfonyl]amino}-6-(m
quinolinyl}methyl)acetamide
[00504] Prepared in a manner similar as described in Example 257, Step C. 1H NMR (400 MHz, DMSO-de) δ ppm 8.49 (t, J=6.1 Hz, 1 H), 8.38 (d, J=2A Hz, 1 H), 7.93 (s, 2 H), 7.82 (s, 1 H), 7.66 - 7.78 (m, 2 H), 7.47 - 7.65 (m, 2 H), 7.21 (td, J=8.5, 2.2 Hz, 1 H), 6.53 (br. s., 2 H), 4.23 (d, J=5.9 Hz, 2 H), 3.63 (s, 3 H), 1 .96 (s, 3 H). ES-LCMS: m/z = 514.38 (M+1 ).
EXAMPLE 278
(Compound 278)
N-[5-(2-amino-3-{[(methylsulfonyl)amino]methyl}-6-quinolinyl)-2-(methy
2 4-difluorobenzenesulfonamide
[00505] Prepared in a similar manner as described in Example 277. 1 H NMR (400 MHz, DMSO-de) δ ppm 8.38 (br. s., 1 H), 7.99 (s, 2 H), 7.94 (d, J=1 .6 Hz, 1 H), 7.71 - 7.81 (m, 2 H), 7.64 (t, J=6.3 Hz, 1 H), 7.51 - 7.61 (m, 2 H), 7.13 - 7.27 (m, 1 H), 6.41 (br. s., 2 H), 4.15 (d, J=6.2 Hz, 2 H), 3.63 (s, 3 H), 3.01 (s, 3 H). ES-LCMS: m/z = 550.34 (M+1 ).
EXAMPLE 279
(Compound 279)
N-[5-[2-amino-3-({[(dimethylamino)carbonyl]amino}methyl)-6-quinoli
pyridinyl]-2,4-difluorobenzenesulfonamide
[00506] Prepared in a similar manner as described in Example 277. 1H NMR (400 MHz, DMSO-de) δ ppm 8.36 (br. s., 1 H), 7.92 (d, J=2.0 Hz, 2 H), 7.80 (s, 1 H), 7.67 - 7.79 (m, 2 H), 7.48 - 7.63 (m, 2 H), 7.12 - 7.27 (m, 1 H), 6.96 (t, J=5.9 Hz, 1 H), 6.68 (br. s., 2 H), 4.22 (d, J=5.7 Hz, 2 H), 3.63 (s, 3 H), 2.81 - 2.91 (m, 6 H). ES-LCMS: m/z = 543.37 (M+1 ).
EXAMPLE 280
(Compound 280)
N-[5-(2-amino-3-methyl-6-quinolinyl)-2-(methyloxy)-3-pyridinyl]-2,4- difluorobenzenesulfonamide
[00507] A degassed mixture of 6-bromo-3-methyl-2-quinolinamine (50 mg, 0.21 1 mmol), 2,4-difluoro-N-[2-(methyloxy)-5-(4,4,5,5-tetramethyl-1 ,3,2-dioxaborolan-2-yl)-3- pyridinyl]benzenesulfonamide (99 mg, 0.232 mmol), Pd(dppf)2CI2 CH2CI2 adduct (17.22 mg, 0.021 mmol) and potassium acetate (62.1 mg, 0.633 mmol) in DME (4 mL) and water (1 mL)
was heated at 80 °C for 2 h. The resulting mixture was diluted with water (25 mL) and EtOAc (25 mL). The layers were separated; the aqueous layer was back extracted with EtOAc (50 mL). The organic layers were combined and concentrated. The residue was reevaporated from CH2CI2/hexane, then dissolved in CH2CI2 and purified by column chromatography (silica gel, 0- 100% EtOAc/hexane) to obtain N-[5-(2-amino-3-methyl-6-quinolinyl)-2-(methyloxy)-3-pyridinyl]- 2,4-difluorobenzenesulfonamide (61 mg, 0.134 mmol, 63.4 % yield) as an off-white solid: 1 H NMR (400 MHz, DMSO-d6) δ ppm 2.23 (s, 3 H) 3.64 (s, 3 H) 6.44 (br. s., 2 H) 7.21 (td, J=8.49, 2.15 Hz, 1 H) 7.53 (d, J=8.69 Hz, 1 H) 7.59 (m, J=19.72, 2.34 Hz, 1 H) 7.69 (dd, J=8.69, 2.05 Hz, 1 H) 7.72 - 7.85 (m, 3 H) 7.90 (d, J=2.25 Hz, 1 H) 8.35 (d, J=2.25 Hz, 1 H) 10.35 (br. s., 1 H); ES LC-MS m/z =547.3 (M+H)+.
EXAMPLE 281
(Compound 281)
N-[5-(2-amino-3-bromo-6-quinolinyl)-2-(methyloxy)-3-pyridinyl]-3-pyridine
Step A
6-bromo-3-phenylquinolin-2-amine
[00508] A solution of 2-amino-5-bromobenzaldehyde (6.1 g, 30.5 mmol) in THF (200 mL) was treated with benzyl cyanide (3.93 g, 33.6 mmol) and then sodium hydride (1.220 g, 30.5 mmol) and stirred at RT for 30 minutes. Mixture warmed and evolved gas (H2) with the NaH addition. After stirring for 30 minutes product formed and full consumption of SM was noted. The reaction mixture was treated with NH4CI (sat aq, 100 mL) and partitioned, the organics were dried (brine, Na2S04), and concentrated to give the product (8 g, 88%). ES-LCMS: m/z 521 (M+1 ).
Step B
[00509] A degassed mixture of 3-bromo-6-iodo-2-quinolinamine (100 mg, 0.287 mmol), N-[2-(methyloxy)-5-(4,4,5,5-tetramethyl-1 ,3,2-dioxaborolan-2-yl)-3-pyridinyl]-3-
pyridinesulfonamide (146 mg, 0.373 mmol), Pd(dppf)2CI2 CH2CI2 adduct (20.97 mg, 0.029 mmol) and cesium carbonate (187 mg, 0.573 mmol) in THF (4 ml.) and water (1 ml.) was stirred at room temperature for 17 h. More N-[2-(methyloxy)-5-(4,4,5,5-tetramethyl-1 ,3,2-dioxaborolan-2- yl)-3-pyridinyl]-3-pyridinesulfonamide (42 mg, 0.107 mmol) was added and the reaction mixture was stirred for 24 h. The resulting mixture was diluted with EtOAc (50 ml.) and washed with a sat. NaCI solution (50 ml_). The aqueous layer was extracted with EtOAc (50 ml_). The organic layers were combined and concentrated. The residue was triturated twice using CH2CI2 to obtain N-[5-(2-amino-3-bromo-6-quinolinyl)-2-(methyloxy)-3-pyridinyl]-3-pyridinesulfonamide (76 mg, 0.134 mmol, 46.9 % yield) as a brown solid: 1H NMR (400 MHz, DMSO-c/6) δ ppm 3.59 (s, 3 H) 6.78 (br. s., 2 H) 7.54 - 7.66 (m, 2 H) 7.78 - 7.86 (m, 1 H) 7.95 (d, J=1.37 Hz, 2 H) 8.1 1 (d, J=8.10 Hz, 1 H) 8.37 (d, J=2.05 Hz, 1 H) 8.46 (s, 1 H) 8.81 (d, J=4.78 Hz, 1 H) 8.89 (d, J=2.05 Hz, 1 H) 10.29 (s, 1 H); ES LC-MS m/z =486.2 (Br79, M+H)+ ES LC-MS m/z =488.3 (Br81, M+H)+.
EXAMPLE 282
(Compound 282)
N-[5-(2-amino-3-bromo-6-quinolinyl)-2-(methyloxy)-3-pyridinyl]-3-pyridine
Step 1
N-[2-(methyloxy)-5-(4, 4, 5, 5-tetramethyl-1 ,3, 2-dioxaborolan-2-yl)-3-pyridinyl]-2- pyridinesulfonamide
[00510] A mixture of 5-bromo-2-(methyloxy)-3-pyridinamine (500 mg, 2.463 mmol) and 2- pyridinesulfonyl chloride hydrochloride (791 mg, 3.69 mmol) in pyridine (10 mL) was maintained at room temperature. After 45 min, more 2-pyridinesulfonyl chloride hydrochloride (791 mg, 3.69 mmol) was added. After 1 h more 2-pyridinesulfonyl chloride hydrochloride (791 mg, 3.69 mmol) was added. After 30 min the reaction mixture was diluted with EtOAc (100 mL) and a sat.
NaHC03 solution (100 mL). The organic layer was washed with a sat. NaCI solution (100 mL), concentrated and reevaporated from CH2CI2/pentane. The residue was dissolved in CH2CI2 and purified by column chromatography (silica gel, 0-50% EtOAc/hexane) to obtain N-[5-bromo-2- (methyloxy)-3-pyridinyl]-2-pyridinesulfonamide (701 mg, 2.037 mmol, 83 % yield) as a white solid: 1H NMR (400 MHz, DMSO-d6) δ ppm 3.65 (s, 3 H) 7.69 (dd, J=7.62, 4.69, 0.98 Hz, 1 H) 7.87 (d, J=2.25 Hz, 1 H) 7.94 (d, J=7.91 Hz, 1 H) 8.02 - 8.16 (m, 2 H) 8.71 (dd, J=4.64, 0.73 Hz, 1 H) 10.27 (s, 1 H); ES LC-MS m/z =344.1 (Br79, M+H)+ ES LC-MS m/z =346.1 (Br81, M+H)+.
Step 2
N-[2-(methyloxy)-5-(4, 4, 5, 5-tetramethyl-1 ,3, 2-dioxaborolan-2-yl)-3-pyridinyl]-2- pyridinesulfonamide
[00511] A degassed mixture of N-[5-bromo-2-(methyloxy)-3-pyridinyl]-2- pyridinesulfonamide (698 mg, 2.028 mmol), 4,4,4',4',5,5,5',5'-octamethyl-2,2'-bi-1 ,3,2- dioxaborolane (566 mg, 2.231 mmol), Pd(dppf)2CI2 CH2CI2 adduct (166 mg, 0.203 mmol) and potassium acetate (597 mg, 6.08 mmol) in 1 ,4-dioxane (30 mL) and THF (12 mL) was heated at 100 °C for 3 days. The resulting mixture was filtered through a pad of Celite™ with the aid of EtOAc. The filtrate was concentrated and reevaporated from CH2CI2/hexane. The residue was dissolved in CH2CI2 and purified by column chromatography (silica gel, 0-100% EtOAc/hexane) to obtain N-[2-(methyloxy)-5-(4,4,5,5-tetramethyl-1 ,3,2-dioxaborolan-2-yl)-3-pyridinyl]-2- pyridinesulfonamide (62 mg, 0.158 mmol, 7.81 % yield): 1H NMR (400 MHz, DMSO-c/6) δ ppm 1.29 (s, 12 H) 3.61 (s, 3 H) 7.66 (dd, J=7.57, 4.74 Hz, 1 H) 7.79 (s, 1 H) 7.85 (d, J=7.82 Hz, 1 H) 8.02 - 8.1 1 (m, 1 H) 8.16 (s, 1 H) 8.65 - 8.70 (m, 1 H) 9.97 (s, 1 H); ES LC-MS m/z =392.3 (M+H)+.
Step 3
[00512] A degassed mixture of 6-chloro-3-[4-(ethylsulfonyl)phenyl]-2-quinolinamine (50 mg, 0.144 mmol), N-[2-(methyloxy)-5-(4,4,5,5-tetramethyl-1 ,3,2-dioxaborolan-2-yl)-3-pyridinyl]- 2-pyridinesulfonamide (62.0 mg, 0.159 mmol), Pd2(dba)3 (6.60 mg, 7.21 μηιοΙ), 2- dicyclohexylphosphino-2',4',6'-triisopropylbiphenyl (13.75 mg, 0.029 mmol) and K3PO4 (61.1 mg, 0.288 mmol) in 1-butanol (2 mL) and water (0.5 ml.) was heated at 100 °C for 10 h. The resulting slurry was filtered and the solid was washed with hexane to obtain N-[5-{2-amino-3-[4- (ethylsulfonyl)phenyl]-6-quinolinyl}-2-(methyloxy)-3-pyridinyl]-2-pyridinesulfonamide (65 mg, 0.1 13 mmol, 78 % yield) as a grey solid: 1H N MR (400 MHz, DMSO-d6) δ ppm 1 .17 (t, J=7.37 Hz, 3 H) 3.31 - 3.41 (m, 2 H) 3.76 (s, 3 H) 6.21 (s, 2 H) 7.35 (ddd, J=6.54, 4.68, 2.15 Hz, 1 H) 7.53 - 7.62 (m, 2 H) 7.62 - 7.68 (m, 1 H) 7.75 (d, J=1 .66 Hz, 1 H) 7.80 - 7.91 (m, 5 H) 7.95 - 8.05 (m, 3 H) 8.55 (d, J=4.68 Hz, 1 H); ES LC-MS m/z =576.4 (M+H)+.
EXAMPLE 283
(Compound 283)
N-(5-{2-amino-3-[4-(ethylsulfonyl)phenyl]-6-quinolinyl}-3-pyridinyl)benzenesulfo
Step 1
[00513] A mixture of 5-bromo-3-pyridinamine (500 mg, 2.89 mmol) and benzenesulfonyl chloride (766 mg, 4.33 mmol) in pyridine (10 ml.) was maintained at room temperature for 10 min. The resulting mixture was concentrated; the residue was reevaporated from
CH2Cl2/hexane, then from hexane. The residue was dissolved in CH2CI2 and purified by column chromatography (0-100% EtOAc/hexane) to obtain N-(5-bromo-3-pyridinyl)benzenesulfonamide (252 mg, 0.805 mmol, 27.8 % yield) as a white solid: 1 H NMR (400 MHz, DMSO-d6) δ ppm 7.54 - 7.63 (m, 2 H) 7.63 - 7.71 (m, 2 H) 7.76 - 7.84 (m, 2 H) 8.28 (d, J=2.24 Hz, 1 H) 8.39 (d, J=2.05 Hz, 1 H) 10.89 (s, 1 H).
Step 2
N-[5-(4,4,5,5-tetramethyl-1,3, -dioxaborolan-2-yl)-3-pyridinyl]benzenesulfonamide
[00514] A degassed mixture of N-(5-bromo-3-pyridinyl)benzenesulfonamide (252 mg, 0.805 mmol), 4,4,4',4',5,5,5',5'-octamethyl-2,2'-bi-1 ,3,2-dioxaborolane (225 mg, 0.885 mmol), Pd(dppf)2CI2 CH2CI2 adduct (65.7 mg, 0.080 mmol) and potassium acetate (237 mg, 2.414 mmol) in 1 ,4-dioxane (10 ml.) was heated at 80 °C for 3 h. The resulting mixture was filtered through a pad of Celite™ with the aid of EtOAc. The filtrate was concentrated. The brown oily residue was taken up into CH2CI2. Pentane was added and the resulting slurry was filtered to obtain N-[5-(4,4,5,5-tetramethyl-1 ,3,2-dioxaborolan-2-yl)-3-pyridinyl]benzenesulfonamide (232 mg, 0.644 mmol, 80 % yield) as a beige solid: 1H NMR (400 MHz, DMSO-c/6) δ ppm 1 .28 (s, 12 H) 7.51 - 7.65 (m, 3 H) 7.67 (br. S., 1 H) 7.74 (d, J=7.51 Hz, 2 H) 8.32 - 8.49 (m, 2 H) 10.59 (br. S., 1 H).
Step 3
[00515] A degassed mixture of 6-chloro-3-[4-(ethylsulfonyl)phenyl]-2-quinolinamine (50 mg, 0.144 mmol), N-[5-(4,4,5,5-tetramethyl-1 ,3,2-dioxaborolan-2-yl)-3- pyridinyl]benzenesulfonamide (104 mg, 0.288 mmol), Pd2(dba)3 (6.60 mg, 7.21 μηηοΙ), 2- dicyclohexylphosphino-2',4',6'-triisopropylbiphenyl (13.75 mg, 0.029 mmol) and K3P04 (61.1 mg, 0.288 mmol) in 1-butanol (2 mL) and water (0.5 mL) was heated at 100 °C for 6 h. The resulting thick slurry was diluted with EtOAc (50 mL) and washed with a sat. NaCI solution (50 mL). The organic layer was concentrated. The residue was dissolved in DMF, filtered and purified by HPLC (10-50% CH3CN/H20, both containing 0.1 % formic acid) to obtain N-(5-{2- amino-3-[4-(ethylsulfonyl)phenyl]-6-quinolinyl}-3-pyridinyl)benzenesulfonamide (20 mg, 0.036 mmol, 24.96 % yield) as a white solid: 1H NMR (400 MHz, DMSO-d6) <5 ppm 1 .17 (t, J=7.33 Hz,
3 H) 3.17 - 3.46 (m, 2 H) 6.40 (s, 2 H) 7.55 - 7.68 (m, 4 H) 7.72 - 7.87 (m, 6 H) 7.95 - 8.04 (m,
4 H) 8.23 (d, J=2.25 Hz, 1 H) 8.63 (d, J=1.86 Hz, 1 H); ES LC-MS m/z =545.4 (M+H)+ .
General Scheme 32
DMF
EXAMPLE 284
(Compound 284)
-amino-3-phenyl-6-quinolinyl)-N2-(phenylsulfonyl)-D-alaninamide
Step 1A
N-(5-bromo-3-pyridinyl)benzenesulfonamide
Step A
methyl 2-amino-3-phenylquinoline-6-carboxylate
[00516] A degassed solution of 6-bromo-3-phenylquinolin-2-amine (1 g, 3.34 mmol), PdOAc2 (0.075 g, 0.334 mmol), dppf (0.278 g, 0.501 mmol) and TEA (1.165 mL, 8.36 mmol) in Dimethyl Sulfoxide (DMSO) (5 mL) and Methanol (3 mL) was heated to 80 °C under 30 psi CO for 24 hours. The reaction was cooled, diluted with EtOAc (200 mL), washed with water (2x 50 mL) then dried (brine, Na2S04) and purified on silica (eluting at 1 :1 EtOAc Hexanes) to give the product (710 mg, 76%) as a yellow solid. ES-LCMS: m/z 279 (M+1 ).
Step B
2-amino-3-phenylquinoline-6-carboxylic acid
[00517] A solution of the methyl 2-amino-3-phenylquinoline-6-carboxylate (680 mg, 2.443 mmol) in Tetrahydrofuran (THF) (30 mL) with 5 mL MeOH was treated with LiOH (1 N, 7 mL) and heated to 55 °C. After the starting material was consumed the reaction was acidified, extracted into EtOAc (ca 100 mL) and used directly. ES-LCMS: m/z 265 (M+1 ).
Step C
[00518] A degassed mixture of 2-amino-3-phenyl-6-quinolinecarboxylic acid (135 mg, 0.51 1 mmol), DPPA (21 1 mg, 0.766 mmol) in f-BuOH (20 mL) was heated at 95 °C overnight in a sealed vessel. The resulting slurry was filtered and the filtrate was concentrated. The residue was dissolved in CH2CI2 and purified by column chromatography (silica gel, 0-100%
EtOAc/hexane) to obtain 1 , 1 -dimethylethyl (2-amino-3-phenyl-6-quinolinyl)carbamate (15 mg, 0.045 mmol, 8.76 % yield) as a white solid: 1H NMR (400 MHz, DMSO-d6) δ ppm 1 .49 (s, 9 H) 5.81 (br. s., 2 H) 7.35 - 7.60 (m, 7 H) 7.73 (s, 1 H) 7.87 (br. s., 1 H) 9.38 (br. s., 1 H); ES LC-MS m/z =336.3 (M+H)+.
Step 1 B
[00519] A solution of 1 , 1-dimethylethyl D-alaninate (1 .023 g, 7.05 mmol) in CH2CI2 (20 mL) was treated with pyridine (1 .709 mL, 21.14 mmol), followed by benzenesulfonyl chloride (1 .493 g, 8.45 mmol). After 10 minutes the resulting mixture was concentrated onto Celite and purified by column chromatography (0-100% EtOAc/hexane) to obtain 1 ,1 -dimethylethyl N- (phenylsulfonyl)-D-alaninate (912 mg, 3.20 mmol, 45.4 % yield) as a white solid: 1 H NMR (400 MHz, DMSO-de) <5 ppm 1 .15 (d, 3 H) 1.24 (s, 9 H) 3.62 - 3.82 (m, 1 H) 7.50 - 7.69 (m, 3 H) 7.73 - 7.84 (m, 2 H) 8.24 (d, J=8.68 Hz, 1 H); ES LC-MS m/z =286.2 (M+H).
Step 2B
[00520] A solution of 1 , 1-dimethylethyl N-(phenylsulfonyl)-D-alaninate (910 mg, 3.19 mmol) in CH2CI2 (10 mL) was treated with TFA. The reaction mixture was maintained at room temperature for 1 day. The resulting mixture was concentrated the residue was reevaporated from CH2CI2/pentane to obtain N-(phenylsulfonyl)-D-alanine (749 mg, 3.27 mmol, 102 % yield) as a white solid: 1H NMR (400 MHz, DMSO-d6) <5 ppm 1.13 (d, J=7.12 Hz, 2 H) 3.76 (quin, J=7.46 Hz, 1 H) 3.96 (br. s., 1 H) 7.50 - 7.66 (m, 3 H) 7.73 - 7.83 (m, 2 H) 8.15 (d, J=8.39 Hz, 1 H) 12.64 (br. s., 1 H); ES LC-MS m/z =229.8 (M+H)+.
Step 3
1, 1-dimethylethyl N-(phenylsulfonyl)-D-alaninate
[00521] A mixture of 3-phenyl-2,6-quinolinediamine hydrochloride (29.3 mg, 0.057 mmol), N-(phenylsulfonyl)-D-alanine (14.4 mg, 0.063 mmol) in DMF (1 ml.) was maintained at room temperature for 3 days. The resulting mixture was purified by HPLC to obtain N1-(2-amino-3- phenyl-6-quinolinyl)-N2-(phenylsulfonyl)-D-alaninamide 5.1 mg, 19% yield) 1H N MR (400 MHz, CHLOROFORM-d) δ ppm 1.32 (d, J=6.93 Hz, 3 H) 3.92 - 4.07 (m, 1 H) 3.54 (br.s., 3 H) 6.35 (br. s., 1 H) 7.26 (d, J=0.78 Hz, 1 H) 7.38 - 7.63 (m, 6 H) 7.67 (d, J=8.78 Hz, 1 H) 7.79 (s, 1 H) 7.93 (d, J=7.71 Hz, 2 H) 8.13 (s, 1 H) 8.63 (br. s., 1 H) 8.93 (s, 1 H); ES LC-MS m/z =447.4 (M+H)+.
EXAMPLE 285
(Compound 285)
3-[4-(ethylsulfonyl)phenyl]-6-(2-fluoro-5,5-dioxido-6H-dibenzo[b,f][1,4,5]oxath
l)-2-quinolinamine
[00522] 3-[4-(ethylsulfonyl)phenyl]-6-(2-fluoro-5,5-dioxido-6H- dibenzo[b,f][1 ,4,5]oxathiazepin-8-yl)-2- quinolinamine (14 mg, yield: 14%) was obtained from 6- chloro-3-[4-(ethylsulfonyl)phenyl]-2-quinolinamine and 2,4-difluoro-N-[2-hydroxy-5-(4,4,5,5- tetramethyl-1 ,3,2-dioxaborolan-2-yl)phenyl]benzenesulfonamide following the synthesis outlined in Example 178. 1H NMR (DMSO-d6) δ: ppm 8.14 (s, 1 H) 8.02- 7.97 (m, 3 H) 7.95 (d, J=1 .76 Hz, 1 H) 7.82 (d, J= 8.5 Hz, 2 H) 7.80 - 7.75 (m, 2 H) 7.59 (d, J=8.58 Hz, 1 H) 7.43 (d, J=8.98 Hz, 1 H) 7.34 (br. s., 2 H) 7.28 - 7.17 (m, 2 H) 6.31 (s, 2 H) 3.20 - 3.49 (m, 2 H overlapping water) 1 .17 (t, J=7.32 Hz, 3 H) LC-MS: m/z 576 (M+1 ). HRMS for CzgHzsFNsOsSz calculated m/z 576.1063, found m/z 576.1064.
EXAMPLE 286
(Compound 286)
5-{2-amino-3-[4-(ethylsulfonyl)phenyl]-6-quinolinyl}-2-(methyloxy)-3-pyrM
[00523] 5-{2-amino-3-[4-(ethylsulfonyl)phenyl]-6-quinolinyl}-2-(methyloxy)-3- pyridinecarboxylic acid (9 mg, yield: 7%) was obtained from 6-chloro-3-[4-(ethylsulfonyl)phenyl]- 2-quinolinamine and methyl 2-(methyloxy)-5-(4,4,5,5-tetramethyl-1 ,3,2-dioxaborolan-2-yl)-3- pyridinecarboxylate (WO2008/141 1 19A2) following a similar synthesis outlined in Example 179. 1H NMR (400 MHz, DMSO-d6) δ ppm 8.45 (d, J=2A Hz, 1 H) 8.35 (s, 2 H) 8.05 (d, J=1.8 Hz, 1 H) 7.96 - 8.03 (m, 3 H) 7.78 - 7.89 (m, 3 H) 7.60 (d, J=8.8 Hz, 1 H) 6.29 (s, 2 H) 3.88 (s, 3 H) 3.35 (q, J=7.2 Hz, 2 H overlapping water) 1 .17 (t, J=7.4 Hz, 3 H) LC-MS: m/z 464 (M+1 ). HRMS for C24H21 N3O5S calculated m/z 464.1280 found m/z 464.1279.
EXAMPLE 287
(Compound 287)
N-{5-{2-amino-3-[4-(ethylsulfonyl)phenyl]-6-quinolinyl}-2-[(1-methylethyl)oxy]-3- ridinyl}benzenesulfonamide
General Scheme 33
N-{5-bromo-2-[(1-methylethyl)oxy]-3-pyridinyl}benzenesulfonamide
[00524] 5-bromo-2-[(1-methylethyl)oxy]-3-pyridinamine (WO2009/135568A1 ) (1.15 g, 6.53 mmol) and DMAP (0.08 g, 0.65 mmol) were combined with dry pyridine (20 mL), benzenesulfonyl chloride (0.83 mL, 6.53 mmol) was added and the solution was stirred at room temperture under nitrogen. After 1 hour, an additional benzenesulfonyl chloride (0.08 mL, 0.65 mmol) was added. After another 30 minutes the reaction was concentrated, and the residue diluted with EtOAc, washed with water, then saturated NaHC03 followed by brine, dried
(Na2SC>4) and concentrated. The residue was purified by silica gel chromatography (0-60%
EtOAc in hexanes 120 g column) to yield N-{5-bromo-2-[(1-methylethyl)oxy]-3- pyridinyl}benzenesulfonamide (2.141 g, 88%) as a pale yellow solid. 1H NMR (400 MHz, DMSO- d6) δ ppm 10.03 (s, 1 H) 8.02 (d, J=2.3 Hz, 1 H) 7.70 - 7.77 (m, 3 H) 7.61 - 7.67 (m, 1 H) 7.52 - 7.59 (m, 2 H) 4.90 - 5.02 (m, 1 H) 1 .03 (d, J=6.2 Hz, 6 H)_LC-MS: m/z 371 (M+1 ).
N-[2-[(1-methylethyl)oxy]-5-(4, 4, 5, 5-tetramethyl-1 ,3, 2-dioxaborolan-2-yl)-3- pyridin ljbenzenesulfonamide
[00525] A mixture of potassium acetate (397 mg, 4.04 mmol), N-{5-bromo-2-[(1 - methylethyl)oxy]-3-pyridinyl}benzenesulfonamide (500 mg, 1 .347 mmol), 4, 4, 4', 4', 5, 5, 5', 5'- octamethyl-2,2'-bi-1 ,3,2-dioxaborolane (410 mg, 1 .616 mmol), PdCI2(dppf)-CH2CI2 adduct (1 10 mg, 0.135 mmol) were dissolved in 1 ,4-Dioxane (1 .35E+04 μΙ), and sparged with N2, The mixture was heated to 100 °C for 5 hours. The mixture was then allowed to cool before being concentrated then diluted with DCM and washed with water. The organic layer was dried with Na2S04 filtered and concentrated. The residue was purified by silica gel chromatography (0-
100% EtOAc in hexanes, 24 g column) to yield N-[2-[(1 -methylethyl)oxy]-5-(4,4,5,5-tetramethyl- 1 ,3,2-dioxaborolan-2-yl)-3-pyridinyl]benzenesulfonamide (427 mg, 66% yield). 1 H NMR (400 MHz, DMSO-de) <5 ppm 9.74 (s, 1 H) 8.12 (d, J=1 .8 Hz, 1 H) 7.78 (d, J=1 .8 Hz, 1 H) 7.65 - 7.73 (m, 2 H) 7.57 - 7.65 (m, 1 H) 7.46 - 7.57 (m, 2 H) 5.09 - 4.99 (m, 1 H) 1 .29 (s, 12 H) 1 .01 (d, J=6.3 Hz, 6 H).LC-MS: m/z 419 (M+1 ).
Example 288
(Compound 288)
N-{5-{2-amino-3-[4-(ethylsulfonyl)phenyl]-6-quinolinyl}-2-[(1-methylethyl)oxy]-3- pyridinyl}benzenesulfonamide
[00526] N-{5-{2-amino-3-[4-(ethylsulfonyl)phenyl]-6-quinolinyl}-2-[(1 -methylethyl)oxy]-3- pyridinyl}benzenesulfonamide (26 mg, yield: 25 %) was obtained from N-[2-[(1-methylethyl)oxy]- 5-(4,4,5,5-tetramethyl-1 ,3,2-dioxaborolan-2-yl)-3-pyridinyl]benzenesulfonamide and 6-chloro-3- [4-(ethylsulfonyl)phenyl]-2-quinolinamine following a similar procedure outline in Example 179). 1H NMR (400 MHz, DMSO-d6) δ ppm 8.26 (d, J=2.1 Hz, 1 H) 8.19 (s, 1 H) 7.97 - 8.04 (m, 3 H) 7.93 (dd, J=9.6, 2.1 Hz, 2 H) 7.83 (d, J=8.4 Hz, 2 H) 7.75 - 7.81 (m, 3 H) 7.61 (d, J=8.4 Hz, 2 H) 7.51 - 7.58 (m, 2 H) 6.33 (s, 2 H) 4.99 - 5.14 (m, 1 H) 3.36 (q, J=7.3 Hz, 2 H overlapping water) 1 .17 (t, J=7.3 Hz, 3 H) 1.08 (d, J=6.2 Hz, 6 H). LC-MS: m/z 603 (M+1 ). HRMS for
C3iH31N405S2 calculated m/z 603.1736, found m/z 603.1735.
EXAMPLE 289
(Compound 289)
N-[5-{2-amino-3-[4-(ethylsulfonyl)phenyl]-6-quinolinyl}-2-(ethyloxy)-3- pyridinyljbenzenesulfonamide
N-[5-bromo-2-(ethyloxy)-3-pyridinyl]benzenesulfonamide
[00527] N-[5-bromo-2-(ethyloxy)-3-pyridinyl]benzenesulfonamide (322 mg, yield: 65%) was obtained from 5-bromo-2-(ethyloxy)-3-pyridinamine (WO2009/147187A1 ) and benzene sulfonyl chloride following a similar synthesis outlined in Example 287. 1H NMR (400 MHz, DMSO-d6) δ ppm 10.12 (s, 1 H) 8.03 (d, J=2.1 Hz, 1 H) 7.68 - 7.77 (m, 3 H) 7.61 - 7.68 (m, 1 H) 7.51 - 7.60 (m, 2 H) 4.04 (q, J=7.0 Hz, 2 H) 1.06 (t, J=7.0 Hz, 3 H). LC MS: m/z 357.1 (M+1 ).
N-[2-(ethyloxy)-5-(4,4, 5, 5-tetramethyl-1 , 3, 2-dioxaborolan-2-yl)-3-pyridinyl]benzenesulfonamide
[00528] N-[2-(ethyloxy)-5-(4!4!5!5-tetramethyl-1 !3,2-dioxaborolan-2-yl)-3- pyridinyl]benzenesulfonamide (304 mg, yield: 72%) was obtained from N-[5-bromo-2-(ethyloxy)- 3-pyridinyl]benzenesulfonamide following a similar synthesis outlined in Example 287.
1H NMR (400 MHz, DMSO-d6) δ ppm 9.83 (s, 1 H) 8.13 (d, J=1.8 Hz, 1 H) 7.76 (d, J=1 .8 Hz, 1 H) 7.63 - 7.70 (m, 3 H) 7.48 - 7.56 (m, 2 H) 4.07 - 4.00 (m, 2 H) 1 .29 (s, 12 H) 1 .10 - 0.95 (m, 3 H). LC-MS: m/z 405.3 (M+1 ).
EXAMPLE 288
(Compound 288)
N-[5-{2-amino-3-[4-(ethylsulfonyl)phenyl]-6-quinolinyl}-2-(ethyloxy)-3- pyridinyljbenzenesulfonamide
[00529] N-[5-{2-amino-3-[4-(ethylsulfonyl)phenyl]-6-quinolinyl}-2-(ethyloxy)-3- pyridinyl]benzenesulfonamide (23 mg, yield: 23 %) was obtained from N-[2-(ethyloxy)-5- (4,4,5,5-tetramethyl-1 ,3,2-dioxaborolan-2-yl)-3-pyridinyl]benzenesulfonamide and N-[2- (ethyloxy)-5-(4,4,5,5-tetramethyl-1 ,3,2-dioxaborolan-2-yl)-3-pyridinyl]benzenesulfonamide following a similar synthesis outlined in Example 178. 1H NMR (400 MHz, DMSO-c/6) δ ppm
8.28 (d, J=2.1 Hz, 1 H) 8.16 (s, 1 H) 8.00 (d, J=7.0 Hz, 3 H) 7.95 (d, J=2.1 Hz, 1 H) 7.91 (d, J=2.3 Hz, 1 H) 7.83 (d, J=8.4 Hz, 2 H) 7.72 - 7.81 (m, 3 H) 7.58 - 7.67 (m, 2 H) 7.52 - 7.59 (m, 2 H) 6.34 (s, 2 H) 4.10 (q, J=7.0 Hz, 2 H) 3.36 (q, J=7.2 Hz, 2 H overlapping water) 1.17 (t, J=7.3 Hz, 3 H) 1.10 (t, J=7.0 Hz, 3 H). LC-MS: m/z 589 (M+1 ). HRMS for C3i H3i N405S2 calculated m/z 589.1579, found m/z 589.1578.
EXAMPLE 289
(Compound 289)
N-{5-{2-amino-3-[4-(ethylsulfonyl)phenyl]-6-quinolinyl}-2-[(1-methylethyl)amin
pyridinyl}benzenesulfonamide
[00530] A solution of 5-bromo-2-chloro-3-nitropyridine (0.944 g, 3.98 mmol) in DMA (7.4 ml) was stirred at 0 °C as isopropylamine (0.68 mL, 7.95 mmol) was added. The solution was then allowed to stir at room temperature for one hour. The solution was then partitioned between EtOAc and NaHCC^ solution. The organic layer was washed with brine, dried with
Na2S0 filtered and concentrated to yield 5-bromo-N-(1-methylethyl)-3-nitro-2-pyridinamine
(1 .037g, 95% yield as 95% purity). 1H NMR (400 MHz, DMSO-d6) δ ppm 8.60 (d, J=2.3 Hz, 1 H) 8.56 (d, J=2.3 Hz, 1 H) 8.09 (d, J=7.6 Hz, 1 H) 4.30 - 4.53 (m, 1 H) 1.26 (d, J=6.4 Hz, 6 H) LC-MS: m/z 260 (M+1 ).
[00531] A mixture of 5-bromo-N-(1 -methylethyl)-3-nitro-2-pyridinamine (804 mg, 2.78 mmol) and ammonium chloride (625 mg, 1 1.68 mmol) in 1 :1 EtOHih^O (4.8 mL) was stirred as iron (653 mg, 1 1 .68 mmol) was added. The mixture was heated to reflux for approximately 1 hour. The mixture was allowed to cool to room temperature then diluted with EtOH and filtered through Celite™. The filtrate was concentrated to yield a black tar which was slurried in water. The residue was diluted with EtOH then concentrated several times to yield 5-bromo-N2-(1 - methylethyl)-2,3-pyridinediamine (0.70 g, assume theoretical yield) as a black solid which was used without purification, 1H NMR (400 MHz, DMSO-d6) δ ppm 7.35 (d, J=2A Hz, 1 H) 6.80 (d, J=2.0 Hz, 1 H) 4.92 - 6.03 (m, 2 H) 3.96 - 4.16 (m, 1 H) 1.16 (d, J=6.4 Hz, 6 H). LC-MS: m/z 230 (M+1 ).
N-{5-bromo-2-[(1-methylethyl)amino]-3-pyridinyl}benzenesulfonam
[00532] N-{5-bromo-2-[(1-methylethyl)amino]-3-pyridinyl}benzenesulfonamide
(314 mg, yield: 33 %) was obtained from 5-bromo-N2-(1-methylethyl)-2,3-pyridinediamine following a similar synthesis outlined in Example 287. 1H NMR (400 MHz, DMSO-c/6) δ ppm 9.63 (s, 1 H) 7.92 (d, J=2.1 Hz, 1 H) 7.61 - 7.70 (m, 3 H) 7.51 - 7.60 (m, 2 H) 7.26 (d, J=2.1 Hz, 1 H) 5.68 (d, J=6.8 Hz, 1 H) 3.84 (dq, J=13.2, 6.6 Hz, 1 H) 0.91 (d, J=6.4 Hz, 6 H).
N-{5-{2-amino-3-[4-(ethylsulfonyl)phenyl]-6-quinolinyl}-2-[(1-methylethyl)a
pyridinyljbenzenesulfonamide
[00533] Potassium acetate (301 mg, 3.06 mmol) N-{5-bromo-2-[(1-methylethyl)amino]-3- pyridinyl}benzenesulfonamide (1 .02 mmol) N-{5-bromo-2-[(1-methylethyl)amino]-3- pyridinyl}benzenesulfonamide (31 1 mg, 1.022 mmol) and PdCI2(dppf)-CH2Cl2 adduct ( 83 mg, 0.10 mmol) was dissolved in 1 ,4-Dioxane (1 .02E+04 μΙ), and sparged with The mixture heated to 100 °C and kept for 5 h. The mixture was then allowed to cool before being concentrated then diltuted with DCM and washed with water. The organic layer was dried with Na2S0 filtered and concentrated. The residue was chromatographed on a 12g silica gel column eluted with 0-100% EtOAc in hexanes. Fractions containing the product were combined and concentrated. A degassed mixture of 6-chloro-3-[4-(ethylsulfonyl)phenyl]-2-quinolinamine (60 mg, 0.173 mmol) N-[2-[(1 -methylethyl)amino]-5-(4,4,5,5-tetramethyl-1 ,3,2-dioxaborolan-2- yl)-3-pyridinyl]benzenesulfonamide (72 mg, 0.173 mmol), Pd2(dba)3 (15.84 mg, 0.017 mmol), 2- dicyclohexylphosphino-2',4',6'-triisopropylbiphenyl (16.49 mg, 0.035 mmol) and K3P04 (73.3 mg, 0.346 mmol) in 1 -butanol (1 .2 mL) and water (0.3 mL) was heated at 100 °C for 20 h. The solution was concentrated and the residue was partitioned between DCM and water. The organic layer was concentrated and the residue was purified by reverse phase HPLC 20-70 % MeCN in water using 0.1 % formic acid modifier. Fractions containing the product were combined and concentrated. The residue was slurried in DCM hexanes and concentrated to yield N-{5-{2-amino-3-[4-(ethylsulfonyl)phenyl]-6-quinolinyl}-2-[(1 -methylethyl)amino]-3- pyridinyl}benzenesulfonamide (26 mg, 25% yield) as a yellow solid. 1H NMR (400 MHz, DMSO- d6) δ ppm 8.26 (br. s., 1 H) 8.13 (s, 1 H) 8.00 (d, J=8.4 Hz, 2 H) 7.95 (s, 1 H) 7.83 (d, J=8.2 Hz, 2 H) 7.77 (d, J=2.0 Hz, 1 H) 7.69 - 7.75 (m, 2 H) 7.61 - 7.69 (m, 2 H) 7.53 - 7.60 (m, 3 H) 7.49 (d, J=2A Hz, 1 H) 6.26 (br. s., 2 H) 5.60 (br. s., 1 H) 4.02 - 3.92 (m, J=13.1 , 6.5 Hz, 1 H) 3.28 - 3.41 (m, 2 H overlapping water) 1.17 (t, J=7.3 Hz, 3 H) 0.97 (d, J=6.4 Hz, 6 H). LC-MS: m/z 602 (M+1 ). HRMS for C3i H3i N504S2 calculated m/z 602.1896, found m/z 602.1897.
EXAMPLE 290
(Compound 290)
N-[5-{2-amino-3-[4-(ethylsulfonyl)phenyl]-6-quinolinyl}-2-(methylamino)-3- pyridinyljbenzenesulfonamide
N-[5-bromo-2-(meth lamino)pyridin-3-yl]benzenesulfonamide
[00534] N-[5-bromo-2-(methylamino)pyridin-3-yl]benzenesulfonamide (859 mg, yield: 51 %) was obtained from 5-bromo-N2-methylpyridine-2,3-diaminefollowing a similar synthesis outlined in Example 352. 1H NMR (400 MHz, DMSO-d6) δ ppm 9.58 (br. s., 1 H) 7.94 (br. s., 1 H) 7.64 - 7.75 (m, 3 H) 7.55 - 7.63 (m, 2 H) 6.92 (d, J=2.3 Hz, 1 H) 6.25 (br. s., 1 H) 2.68 (d, J=4.5 Hz, 3 H).
N-[2-(methylamino)-5-(4, 4, 5, 5-tetramethyl-1 ,3, 2-dioxaborolan-2-yl)-3- pyridinyljbenzenesulfonamide
[00535] N-[2-(methylamino)-5-(4!4!5!5-tetramethyl-1 !3,2-dioxaborolan-2-yl)-3- pyridinyl]benzenesulfonamide (260 mg, yield: 27%) was obtained from N-[5-bromo-2- (methylamino)pyridin-3-yl]benzenesulfonamide following a similar synthesis outlined in Example 352. LC-MS: m/z 308 (boronic acid M+1 ).
N-[5-{2-amino-3-[4-(ethylsulfonyl)phenyl]-6-quinolinyl}-2-(m
pyridinyljbenzenesulfonamide
[00536] N-[5-{2-amino-3-[4-(ethylsulfonyl)phenyl]-6-quinolinyl}-2-(methylamino)-3- pyridinyl]benzenesulfonamide (27 mg, yield: 27%) was obtained from N-[2-(methylamino)-5- (4,4,5,5-tetramethyl-1 ,3,2-dioxaborolan-2-yl)-3-pyridinyl]benzenesulfonamide and 6-chloro-3-[4- (ethylsulfonyl)phenyl]-2-quinolinamine following a similar synthesis outlined in Example 178. 1H NMR (400 MHz, DMSO-d6) δ ppm 8.15 - 8.20 (m, 1 H) 8.14 (s, 1 H) 8.00 (d, J=8.4 Hz, 2 H) 7.91 (s, 1 H) 7.83 (d, J=8.2 Hz, 2 H) 7.73 - 7.79 (m, 2 H) 7.61 - 7.68 (m, 2 H) 7.55 - 7.61 (m, 2 H) 7.47 - 7.55 (m, 2 H) 7.17 (d, J=2A Hz, 1 H) 6.24 (s, 2 H) 3.27 - 3.41 (m, 2 H overlapping water) 2.78 (d, J=4.7 Hz, 3 H) 1 .17 (t, J=7.3 Hz, 3 H) LC-MS: m/z 574 (M+1 ). HRMS for C29H28N5O4S2, calculated m/z 574.1583, found m/z 574.1583.
EXAMPLE 291
(Compound 291)
5-{2-amino-3-[4-(ethylsulfonyl)phenyl]-6-quinolinyl}-3-pyridinecarboxylic acid
[00537] 5-{2-amino-3-[4-(ethylsulfonyl)phenyl]-6-quinolinyl}-3-pyridinecarboxylic acid (1 14 mg, yield: 51 %) was obtained from 5-(dihydroxyboranyl)-3-pyridinecarboxylic acid and 6-chloro- 3-[4-(ethylsulfonyl)phenyl]-2-quinolinamine following a similar synthesis outlined in Example 178. 1H NMR (400 MHz, DMSO-d6) δ ppm 9.09 (d, J=2.0 Hz, 1 H) 9.00 (d, J=1.8 Hz, 1 H) 8.51 (t, J=2A Hz, 1 H) 8.18 (d, J=1 .8 Hz, 1 H) 7.92 - 8.08 (m, 4 H) 7.82 (d, J=8.4 Hz, 2 H) 7.64 (d, J=8.6 Hz, 1 H) 6.40 (br. s., 2 H) 3.30 - 3.43 (m, 2 H overlapping water) 1 .17 (t, J=7.3 Hz, 3 H) LC-MS: m/z 534 (M+1 ).
EXAMPLE 292
(Compound 292)
N-(2-aminoethyl)-5-{2-amino-3-[4-(ethylsulfonyl)phenyl]-6-quinolinyl}-3- pyridinecarboxamide 3HCI
[00538] 1 ,1 -dimethylethyl (2-aminoethyl)carbamate hydrochloride (45.4 mg, 0.231 mmol) was added to 5-{2-amino-3-[4-(ethylsulfonyl)phenyl]-6-quinolinyl}-3-pyridinecarboxylic acid (50 mg, 0.1 15 mmol) in DMF (0.78 ml.) . Hunig's base (100 uL 0.577 mmol) was added folowed by HATU (48 mg, 0.127 mmol). The resulting brown solution was allowed to stir at room temperature. After two hours the solution was partitioned between EtOAc and water. The
organic layer was washed with NaHC03 solution followed by brine before being dried with
Na2S0 filter and concentrated. The residual solid was slurried in ether then EtOAc to yield 56 mg of a light yellow solid A mixture of 1 ,1-dimethylethyl (2-{[(5-{2-amino-3-[4- (ethylsulfonyl)phenyl]-6-quinolinyl}-3-pyridinyl)carbonyl]amino}ethyl)carbamate (51 mg, 0.09 mmol) in dioxane (0.66 ml.) was stirred as a 4 N solution of HCI in (0.22 ml.) dioxane was added. The mixture was allowed to stir at room temperature. After 3 hours an additional solvent, dioxane (2.6 ml.) and 4 N HCI in dioxane (0.9 ml.) was added and the solution was allowed to stir for another 1 .5 hours. The solution was then concentrated and the residue was slurried in ether and filtered to yield N-(2-aminoethyl)-5-{2-amino-3-[4-(ethylsulfonyl)phenyl]-6- quinolinyl}-3-pyridinecarboxamide (24 mg, 46 % yield) as a cream colored solid, 1H NMR (400 MHz, DMSO-d6) <5 ppm 9.26 (t, J=5.3 Hz, 1 H) 9.16 (d, J=2A Hz, 1 H) 9.1 1 (d, J=2.0 Hz, 1 H) 8.76 (s, 1 H) 8.54 (d, J=1.4 Hz, 3 H) 8.43 (s, 1 H) 8.36 (dd, J=8.7, 1.7 Hz, 1 H) 8.09 (d, J=8.2 Hz, 5 H) 7.93 (d, J=8.8 Hz, 1 H) 7.88 (d, J=8.2 Hz, 2 H) 3.59 (q, J=5.7 Hz, 2 H) 3.39 (q, J=7.2 Hz, 2 H) 2.98 - 3.13 (m, 2 H) 1 .18 (t, J=7.3 Hz, 3 H) LC-MS: m/z 476 (M+1 ).
EXAMPLE 293
(Compound 293)
5-{2-amino-3-[4-(ethylsulfonyl)phenyl]-6-quinolinyl}-N-(3-aminopropyl)-3- pyridinecarboxamide 3HCI
[00539] 1 ,1 -dimethylethyl (3-aminopropyl)carbamate (20 mg, 0.231 mmol) was added to 5-{2-amino-3-[4-(ethylsulfonyl)phenyl]-6-quinolinyl}-3-pyridinecarboxylic acid (50 mg, 0.1 15 mmol) in DMF (0.78 ml.) . Hunig's base (100 uL 0.577 mmol) was added folowed by HATU (48 mg, 0.127 mmol). The resulting brown solution was allowed to stir at room temperature. After two hours the solution was partitioned between EtOAc and water. The organic layer was washed with ΝθΗΟΟ solution followed by 5% LiCI solution x2 before being dried with Na2S0 filtered and concentrated. The residual solid was slurried in ether then EtOAc to yield 59 mg of a light yellow solid. A mixture of 1 ,1-dimethylethyl (3-{[(5-{2-amino-3-[4-(ethylsulfonyl)phenyl]-6- quinolinyl}-3-pyridinyl)carbonyl]amino}propyl)carbamate (57 mg, 0.1 mmol) in dioxane (3.2 ml.)
was stirred as a 4 N solution of HCI in (1.1 mL) dioxane was added. The mixture was allowed to stir at room temperature. The solution was then concentrated and the residue was slurried in ether and filtered. The resulting gummy solid was dissolved in methanol and the filtrate concentrated. The sticky brown solid was dissovled in water and freeze dried to yield 5-{2- amino-3-[4-(ethylsulfonyl)phenyl]-6-quinolinyl}-N-(3-aminopropyl)-3-pyridinecarboxamide (14 mg, 24 % yield) as a yellow solid, 1H NMR (400 MHz, METHANOL-^) δ ppm 9.20 (d, J=17.6 Hz, 2H) 8.92 (br. s., 1 H) 8.42 - 8.53 (m, 2 H) 8.31 (dd, J=8.8, 1.8 Hz, 1 H) 8.14 (d, J=8.2 Hz, 2H) 7.94 (d, J=8.8 Hz, 1 H) 7.89 (d, J=8.2 Hz, 2 H) 3.54 - 3.6 (m, 2 H) 3.05 (t, J=7.3 Hz, 2 H) 2.02 (quin, J=7.0 Hz, 2 H) 1 .22 - 1 .36 (m, 4 H) LC-MS: m/z 490 (M+1 ). HRMS calculated C26H28N503S m/z 490.1913, found m/z 490.1913.
EXAMPLE 294
(Compound 294)
6-(3-aminophenyl)-3-[4-(4-morpholinyl)phenyl]-2-quinolinamine
Step A
6-(3-aminophenyl)-3-bromo-N-{[4-(methyloxy)phenyl]methyl}-2-quinolinamine
[00540] A solution of 3-bromo-6-iodo-N-{[4-(methyloxy)phenyl]methyl}-2-quinolinamine (0.750 g, 1.599 mmol), (3-aminophenyl)boronic acid (0.219 g, 1 .599 mmol) in THF (1 1 .63 ml) and water (2.91 ml) was treated with Cs2C03 (1 .042 g, 3.20 mmol) and PdCI2(dppf)-CH2CI2 adduct (0.131 g, 0.160 mmol) and the reaction was purged with nitrogen then heated to 60 °C overnight in a sealed tube. The reaction was then stirred at room temperature for 48 hours and diluted with EtOAc and water. The combined organics were washed with brine, dried over MgS04, filtered, and concentrated. The greenish residue was purified by silica gel
chromatography (10-50% EtOAc/Hexanes, then 100% EtOAc) to give 6-(3-aminophenyl)-3- bromo-N-{[4-(methyloxy)phenyl]methyl}-2-quinolinamine (0.334 g, 48%). LC-MS: m/z 434.2, 436.2 (M+1 ).
Step B
6-(3-aminophenyl)-N-{[4-(methyloxy)phenyl]methyl}-3-[4-(4-mo
[00541] A degassed mixture of 6-(3-aminophenyl)-3-bromo-N-{[4- (methyloxy)phenyl]methyl}-2-quinolinamine (0.334 g, 0.769 mmol), [4-(4- morpholinyl)phenyl]boronic acid (0.175 g, 0.846 mmol) , potassium acetate (0.226 g, 2.307 mmol), and PdCI2(dppf)-CH2CI2 adduct (0.063 g, 0.077 mmol) in DME (5.59 ml) and water (1 .398 ml) was heated to 80 °C for overnight. The reaction was cooled to room temperature and diluted with EtOAc and water. The combined organics were washed with brine, dried over MgS04, filtered, and concentrated to give 6-(3-aminophenyl)-N-{[4-(methyloxy)phenyl]methyl}-3- [4-(4-morpholinyl)phenyl]-2-quinolinamine as a brown solid (0.467 g, 100%). LC-MS: m/z 280.0 (M+1 ).
Step C
4-(2-amino-6-chloro-3-quinolinyl)benzenesulfonamide
[00542] A solution of 6-(3-aminophenyl)-N-{[4-(methyloxy)phenyl]methyl}-3-[4-(4- morpholinyl)phenyl]-2-quinolinamine (0.065 g, 0.126 mmol) and TFA (2.0 ml, 26.0 mmol) was heated to 65 °C for 4 hours. The reaction was concentrated under reduced pressure and the residue was taken up in DCM and basified with 2N NH4 in MeOH. The reaction was
concentrated and the residue was taken up in DMF, the solids filtered, and the filtrate purified by reverse phase chromatography (10-90% ACN/ H20 + formic acid) to give 6-(3-aminophenyl)-3- [4-(4-morpholinyl)phenyl]-2-quinolinamine (0.025 g, 50%). 1H NMR (400 MHz, CHLOROFORM- cQ δ ppm 7.79 - 7.98 (m, 4 H), 7.41 (d, J=8.79 Hz, 2 H), 7.23 - 7.31 (m, 2 H), 7.01 - 7.09 (m, 3 H), 6.96 (t, J=1 .86 Hz, 1 H), 6.73 (dd, J=7.91 , 1.66 Hz, 1 H), 3.87 - 3.96 (m, 4 H), 3.23 - 3.35 (m, 4 H), 4 exchangeable protons not present; LC-MS: m/z 397.3 (M+1 ).
EXAMPLE 295
(Compound 295)
methyl 3-{2-amino-3-[4-(4-morpholinyl)phenyl]-6-quinolinyl}benzoate
Step A
methyl 3-[3-bromo-2-({[4-(methyloxy)phenyl]methyl}amino)-6-qui
[00543] A solution of 3-bromo-6-iodo-N-{[4-(methyloxy)phenyl]methyl}-2-quinolinamine (.250 g, 0.533 mmol) in 1 ,4-dioxane (1.581 ml) was treated with {3-
[(methyloxy)carbonyl]phenyl}boronic acid (0.1 15 g, 0.640 mmol), potassium phosphate tribasic (0.339 g, 1.599 mmol), and PdCI2(dppf)-CH2CI2 adduct (0.022 g, 0.027 mmol) and heated to 90 °C overnight. The reaction was treated with additional {3-[(methyloxy)carbonyl]phenyl}boronic acid (0.1 15 g, 0.640 mmol), potassium phosphate tribasic (0.339 g, 1 .599 mmol), and
PdCI2(dppf)-CH2CI2 adduct (0.022 g, 0.027 mmol). The reaction was cooled to room
temperature and diluted with EtOAc and water. The combined organics were washed with brine, dried over MgS04, filtered, and concentrated. The residue was purified by silica gel chromatography (0-100% EtOAc/hexane) to give methyl 3-[3-bromo-2-({[4- (methyloxy)phenyl]methyl}amino)-6-quinolinyl]benzoate (0.136 g, 54%). LC-MS: m/z
477.2/479.2 (M+1 ).
Step B
methyl 3-{2-({[4-(methyloxy)phenyl]methyl}amino)-3-[4-(4-morpholinyl)phenyl]-6- quinolinyljbenzoate
[00544] A solution of methyl 3-[3-bromo-2-({[4-(methyloxy)phenyl]methyl}amino)-6- quinolinyl]benzoate (0.136 g, 0.285 mmol) in 1 ,4-dioxane (0.845 ml) was treated with [4-(4- morpholinyl)phenyl]boronic acid (0.065 g, 0.313 mmol), potassium phosphate tribasic (0.181 g, 0.855 mmol), and PdCI2(dppf)-CH2CI2 adduct (0.023 g, 0.028 mmol) was purged with nitrogen and then heated to 80 °C overnight. The reaction was cooled to room temperature and diluted with EtOAc and water. The combined organics were washed with brine, dried over MgS04, filtered, and concentrated to give methyl 3-{2-({[4-(methyloxy)phenyl]methyl}amino)-3-[4-(4- morpholinyl)phenyl]-6-quinolinyl}benzoate (0.135 g, 85%) as a brown solid. LC-MS: m/z 560.2 (M+1 ).
Step C
methyl 3-{2-amino-3-[4-(4-morpholinyl)phenyl]-6-quinolinyl}benzoate
[00545] A solution of methyl 3-{2-({[4-(methyloxy)phenyl]methyl}amino)-3-[4-(4- morpholinyl)phenyl]-6-quinolinyl}benzoate (.060 g, 0.107 mmol) in TFA (2.0 ml, 26.0 mmol) was heated to 65 °C for 6 hours. The reaction was concentrated under reduced pressure and the residue was taken up in DCM and basified with 2N NH4 in MeOH. The reaction was
concentrated and the residue was taken up in DMF, the solids filtered, and the filtrate purified by
reverse phase chromatography (10-90% ACN/H20 + formic acid) to give methyl 3-{2-amino-3- [4-(4-morpholinyl)phenyl]-6-quinolinyl}benzoate (0.01 1 g, 23.4%). 1H NMR (400 MHz,
CHLOROFORM-d) δ ppm 8.36 (s, 1 H), 8.02 - 8.10 (m, 1 H), 7.80 - 7.93 (m, 5 H), 7.57 (s, 1 H), 7.43 (d, J=8.60 Hz, 2 H), 7.06 (d, J=8.79 Hz, 2 H), 3.98 (s, 3 H), 3.89 - 3.95 (m, 4 H), 3.25 - 3.32 (m, 4 H), 2 exchangeable protons not evident; LC-MS: m/z 440.2 (M+1 ).
EXAMPLE 296
(Compound 296)
N-(3-{2-amino-3-[4-(4-morpholinyl)phenyl]-6-quinolinyl}phenyl)benzamide
Step A
N-(3-{2-({[4-(met yloxy)p enyl]met yl}amino)-3-[4-(4-morp olinyl)p enyl]-6- quinolinyl}phenyl)benzamide
[00546] A solution of 6-(3-aminophenyl)-N-{[4-(methyloxy)phenyl]methyl}-3-[4-(4- morpholinyl)phenyl]-2-quinolinamine (0.070 g, 0.135 mmol), benzoic acid (0.018 g, 0.149 mmol), HATU (0.057 g, 0.149 mmol) , and DIEA (0.047 ml, 0.271 mmol) in DMF (0.630 ml) was stirred at room temperature overnight. The reaction was diluted with EtOAc, washed with 5% LiCI (3x), brine, dried over Na2S04, filtered, and concentrated. The brown residue was purified by silica gel chromatography (0-3% MeOH/DCM) to give N-(3-{2-({[4- (methyloxy)phenyl]methyl}amino)-3-[4-(4-morpholinyl)phenyl]-6-quinolinyl}phenyl)benzamide (0.046 g, 55%). LC-MS: m/z 621 .4 (M+1 ).
Step B
N-(3-{2-amino-3-[4-(4-morpholinyl)phenyl]-6-quinolinyl}phenyl)benzamide
[00547] A solution of N-(3-{2-({[4-(methyloxy)phenyl]methyl}amino)-3-[4-(4- morpholinyl)phenyl]-6-quinolinyl}phenyl)benzamide (0.046 g, 0.074 mmol) in TFA (2.0 mL, 26.0 mmol) was heated at 65 °C overnight. The solvents were removed under reduced pressure. The residue was taken up in DCM and basified with 2M NH4 in MeOH and then concentrated. The residue was taken up in DMF, the solids filtered, and the filtrate was purified by reverse
phase chromatography (10-90% ACN/ H20 + formic acid). Isolation and lyophilization of the fractions gave N-(3-{2-amino-3-[4-(4-morpholinyl)phenyl]-6-quinolinyl}phenyl)benzamide as a yellow solid. 1 H NMR (400 MHz, DMSO-d6) δ ppm 14.41 (br. s., 1 H), 10.43 (s, 1 H), 8.19 - 8.36 (m, 3 H), 7.95 - 8.10 (m, 4 H), 7.76 - 7.86 (m, 2 H), 7.42 - 7.66 (m, 7 H), 7.14 (d, J=8.70 Hz, 2 H), 3.74 - 3.82 (m, 4 H), 3.20 - 3.27 (m, 4 H); LC-MS: m/z 501 .4 (M+1 ).
EXAMPLE 297
(Compound 297)
N-(3-{2-amino-3-[4-(4-morpholinyl)phenyl]-6-quinolinyl}phenyl)cyclopentan
Step A
N-(3-{2-({[4-(met yloxy)p enyl]met yl}amino)-3-[4-(4-morp olinyl)p enyl]-6- quinolinyl}phenyl)cyclopentanecarboxamide
[00548] A solution of 6-(3-aminophenyl)-N-{[4-(methyloxy)phenyl]methyl}-3-[4-(4- morpholinyl)phenyl]-2-quinolinamine (.070 g, 0.135 mmol), cyclopentanecarboxylic acid (0.017 g, 0.149 mmol), HATU (0.057 g, 0.149 mmol), and DIEA (0.047 ml, 0.271 mmol) in DMF (0.630 ml) was stirred at room temperature overnight. The reaction was diluted with EtOAc, washed with 5% LiCI (3x), brine, dried over Na2S04, filtered, and concentrated. The brown residue was purified by silica gel chromatography (0-3% MeOH/DCM) to give N-(3-{2-({[4- (methyloxy)phenyl]methyl}amino)-3-[4-(4-morpholinyl)phenyl]-6- quinolinyl}phenyl)cyclopentanecarboxamide (0.061 g, 74%). LC-MS: m/z 613.5 (M+1 ).
Step B
N-(3-{2-amino-3-[4-(4-morpholinyl)phenyl]-6-quinolinyl}phenyl)cyclopentanecarb
[00549] A solution of N-(3-{2-({[4-(methyloxy)phenyl]methyl}amino)-3-[4-(4- morpholinyl)phenyl]-6-quinolinyl}phenyl)cyclopentanecarboxamide (.061 g, 0.100 mmol) in TFA (2.0 mL, 26.0 mmol) was heated at 65 °C overnight. The solvents were removed under reduced pressure. The residue was taken up in DCM and basified with 2M NH4 in MeOH and then concentrated. The residue was taken up in DMF, the solids filtered, and the filtrate was purified
by reverse phase chromatography (10-90% ACN/ H20 + formic acid). Isolation and lyophilization of the fractions gave N-(3-{2-amino-3-[4-(4-morpholinyl)phenyl]-6- quinolinyl}phenyl)cyclopentanecarboxamide formate salt as a yellow solid. 1H NMR (400 MHz, DMSO-de) δ ppm 9.96 (s, 1 H), 8.16 (s, 1 H), 8.04 (s, 1 H), 7.93 (s, 1 H), 7.86 (s, 1 H), 7.75 (d, J=8.78 Hz, 1 H), 7.52 - 7.61 (m, 2 H), 7.36 - 7.45 (m, 4 H), 7.08 (d, J=8.20 Hz, 2 H), 6.06 (br. s., 2 H), 3.71 - 3.82 (m, 4 H), 3.13 - 3.23 (m, 4 H), 2.80 (t, J=7.80 Hz, 1 H), 1 .81 - 1 .92 (m, 2 H), 1.63 - 1.79 (m, 4 H), 1.50 - 1 .61 (m, 2 H); LC-MS: m/z 493.6 (M+1 ).
EXAMPLE 298
(Compound 298)
N-(5-{2-amino-3-[4-(4-morpholinyl)phenyl]-6-quinolinyl}-3- pyridinyl)cyclopentanecarboxamide
Step A
6-(5-amino-3^yridinyl)-3-bromo-N-{[4-(methyloxy)phenyl]methyl}-2-quinolinamine
[00550] A solution of 3-bromo-6-iodo-N-{[4-(methyloxy)phenyl]methyl}-2-quinolinamine (.300 g, 0.640 mmol), 5-(4,4,5,5-tetramethyl-1 ,3,2-dioxaborolan-2-yl)-3-pyridinamine (0.141 g, 0.640 mmol) in THF (4.65 ml) and water (1.163 ml) was treated with Cs2C03 (0.417 g, 1 .279 mmol) and PdCI2(dppf)-CH2Cl2 adduct (0.052 g, 0.064 mmol) and the reaction was purged with nitrogen then heated to 60 °C overnight in a sealed tube. After the reaction was stirred at room temperature for 48 hours, it was diluted with EtOAc and water. The combined organics were washed with brine, dried over MgS04, filtered, and concentrated. The greenish residue was purified by silica gel chromatography to give 6-(5-amino-3-pyridinyl)-3-bromo-N-{[4- (methyloxy)phenyl]methyl}-2-quinolinamine (0.143 g, 51 %). LC-MS: m/z 435.5, 437.5 (M+1 ).
Step B
6-(5-amino-3^yridinyl)-N-{[4-(methyloxy)phenyl]methyl}-3-[4-(4-m
quinolinamine
[00551] A degassed mixture of 6-(5-amino-3-pyridinyl)-3-bromo-N-{[4- (methyloxy)phenyl]methyl}-2-quinolinamine (0.143 g, 0.328 mmol), [4-(4- morpholinyl)phenyl]boronic acid (0.075 g, 0.361 mmol), potassium acetate (0.097 g, 0.985 mmol), and PdCI2(dppf)-CH2CI2 adduct (0.027 g, 0.033 mmol) in DME (2.389 ml) and water (0.597 ml) was heated to 80 °C for 3 hours. After the reaction was cooled to room temperature it was diluted with EtOAc. The combined organics were washed with brine, dried over MgS04, filtered, and concentrated to give 6-(5-amino-3-pyridinyl)-N-{[4-(methyloxy)phenyl]methyl}-3-[4- (4-morpholinyl)phenyl]-2-quinolinamine (0.150 g, 88%). LC-MS: m/z 518.4 (M+1 ).
Step C
N-(5-{2-({[4-(methyloxy)phenyl]methyl}amino)-3-[4-(4-morpholi
pyridinyl)cyclopentanecarboxamide
[00552] A solution of 6-(5-amino-3-pyr/'c//'ny/)-N-{[4-(methyloxy)phenyl]methyl}-3-[4-(4- morpholinyl)phenyl]-2-quinolinamine (0.048 g, 0.093 mmol) in DMF (0.412 ml) was treated by the addition of cyclopentanecarboxylic acid (0.01 1 ml, 0.102 mmol), HATU (0.039 g, 0.102 mmol), and DIEA (0.040 ml, 0.232 mmol). The reaction was stirred at room temperature overnight. The reaction was diluted with EtOAc, washed with 5% LiCI (3x), brine, dried over Na2S04, filtered, and concentrated. The brown residue was purified by silica gel
chromatography (0-3% MeOH/DCM) to give N-(5-{2-({[4-(methyloxy)phenyl]methyl}amino)-3-[4- (4-morpholinyl)phenyl]-6-quinolinyl}-3-pyridinyl)cyclopentanecarboxamide (0.034 g, 60%). LC- MS: m/z 614.4 (M+1 ).
Step D
N-(5-{2-amino-3-[4-(4-morpholinyl)phenyl]-6-quinolinyl}-3^yridi
[00553] A solution of N-(5-{2-({[4-(methyloxy)phenyl]methyl}amino)-3-[4-(4- morpholinyl)phenyl]-6-quinolinyl}-3-pyridinyl)cyclopentanecarboxamide (0.027 g, 0.044 mmol) in TFA (2.0 ml_, 26.0 mmol) was heated at 65 °C overnight. The solvents were removed under reduced pressure. The residue was taken up in DCM and basified with 2M NH4 in MeOH and then concentrated. The residue was taken up in DMF, the solids filtered, and the filtrate was purified by reverse phase chromatography (10-90% ACN/ H20 + formic acid). Isolation and lyophilization of the fractions gave N-(5-{2-amino-3-[4-(4-morpholinyl)phenyl]-6-quinolinyl}-3- pyridinyl)cyclopentanecarboxamide (0.017 g, 78%) as a yellow solid. 1 H NMR (400 MHz, DMSO-d6) δ ppm 10.21 (s, 1 H), 8.59 - 8.72 (m, 2 H), 8.45 (br. s., 1 H), 8.03 (br. s., 1 H), 7.92 (s, 1 H), 7.79 - 7.85 (m, 1 H), 7.59 - 7.67 (m, 1 H), 7.43 (d, J=8.39 Hz, 2 H), 7.09 (d, J=8.39 Hz,
2 H), 6.29 (br. s., 2 H), 3.77 (br. s., 4 H), 3.20 (br. s., 4 H), 2.78 - 2.90 (m, 1 H), 1.82 - 1.94 (m, 2 H), 1.64 - 1.82 (m, 4 H), 1.51 - 1.63 (m, 2 H); LC-MS: m/z 494.6 (M+1 ).
EXAMPLE 299
(Compound 299)
N-(5-{2-amino-3-[4-(4-morpholinyl)phenyl]-6-quinolinyl}-3-pyridinyl)benzamide
Step A
N-(5-{2-({[4-(methyloxy)phenyl]methyl}amino)-3-[4-(4-morpholi
pyridinyl)benzamide
[00554] A solution of 6-(5-amino-3-pyridinyl)-N-{[4-(methyloxy)phenyl]methyl}-3-[4-(4- morpholinyl)phenyl]-2-quinolinamine (0.054 g, 0.104 mmol) in DMF (0.476 ml) was treated by the addition of benzoic acid (0.014 g, 0.1 15 mmol), HATU (0.044 g, 0.1 15 mmol), and DIEA (0.046 ml, 0.261 mmol). The reaction was stirred at room temperature overnight. The reaction was diluted with EtOAc, washed with 5% LiCI (3x), brine, dried over Na2S04, filtered, and concentrated. The brown residue was purified by silica gel chromatography (0-3% MeOH/DCM) to give N-(5-{2-({[4-(methyloxy)phenyl]methyl}amino)-3-[4-(4-morpholinyl)phenyl]-6-quinolinyl}-3- pyridinyl)benzamide (0.034 g, 52%). LC-MS: m/z 622.5 (M+1 ).
Step B
N-(5-{2-amino-3-[4-(4-morpholinyl)phenyl]-6-quinolinyl}-3-pyridinyl)benzamide
[00555] A solution of N-(5-{2-({[4-(methyloxy)phenyl]methyl}amino)-3-[4-(4- morpholinyl)phenyl]-6-quinolinyl}-3-pyridinyl)benzamide (0.034 g, 0.055 mmol) in TFA (2.0 ml_, 26.0 mmol) was heated at 65 °C overnight. The solvents were removed under reduced pressure. The residue was taken up in DCM and basified with 2M NH4 in MeOH and then concentrated. The residue was taken up in DMF, the solids filtered, and the filtrate was purified by reverse phase chromatography (10-90% ACN/ H20 + formic acid). Isolation and
lyophilization of the fractions gave N-(5-{2-amino-3-[4-(4-morpholinyl)phenyl]-6-quinolinyl}-3- pyridinyl)benzamide (0.013 g, 47%) as a yellow solid. 1 H NMR (400 MHz, DMSO-c/6) δ ppm
10.56 (s, 1 H), 8.93 (s, 1 H), 8.72 (s, 1 H), 8.58 (s, 1 H), 8.09 - 8.14 (m, 1 H), 8.02 (d, J=7.03 Hz, 2 H), 7.96 (br. s., 1 H), 7.86 - 7.91 (m, 1 H), 7.54 - 7.72 (m, 4 H), 7.44 (d, J=8.78 Hz, 2 H), 7.10 (d, J=8.78 Hz, 2 H), 6.32 - 6.57 (m, 1 H), 3.73 - 3.83 (m, 4 H), 3.15 - 3.25 (m, 4 H) one exchangeable proton not observed; LC-MS: m/z 502.8 (M+1 ).
EXAMPLE 300
(Compound 300)
N-(5-{2-amino-3-[4-(4-morpholinyl)phenyl]-6-quinolinyl}-3-pyridinyl)-2,2,2- trifluoroacetamide
Step A
N-(5-{2-amino-3-[4-(4-morpholinyl)phenyl]-6-quinolinyl}-3^y
[00556] A solution of 6-(5-amino-3-pyridinyl)-N-{[4-(methyloxy)phenyl]methyl}-3-[4-(4- morpholinyl)phenyl]-2-quinolinamine (0.050 g, 0.097 mmol) was treated with TFA (2.0 ml, 26.0 mmol) and heated to 65 °C for overnight. The reaction was concentrated and the residue was taken up in DCM and basified with 2M NH4 in MeOH. The solvents were evaporated and the residue taken up in DMF, the solids were filtered, and the filtrated was purified by reverse phase chromatography (10-90% ACN/ H20 + formic acid). Isolation and lyophilization fractions gave N-(5-{2-amino-3-[4-(4-morpholinyl)phenyl]-6-quinolinyl}-3-pyridinyl)-2,2,2-trifluoroacetamide (0.027 g, 57%). 1H NMR (400 MHz, CHLOROFORM-d) δ ppm 8.80 (s, 1 H), 8.68 (s, 1 H), 8.49 (s, 1 H), 8.23 (br. s., 1 H), 7.82 - 7.97 (m, 4 H), 7.38 - 7.46 (m, 2 H), 7.02 - 7.10 (m, 2 H), 3.91 (br. s., 4 H), 3.28 (br. s., 4 H) 2 exchangeable protons not observed, LC-MS: m/z 494.33 (M+1 ).
EXAMPLE 301
(Compound 301)
Step A
N-(3-{2-({[4-(methyloxy)phenyl]methyl}amino)-3-[4-(4-morpholinyl)p
3-pyridinecarboxamide
[00557] A solution of 6-(3-aminophenyl)-N-{[4-(methyloxy)phenyl]methyl}-3-[4-(4- morpholinyl)phenyl]-2-quinolinamine (0.070 g, 0.135 mmol), 3-pyridinecarboxylic acid (0.018 g, 0.149 mmol), HATU (0.057 g, 0.149 mmol) , and DIEA (0.047 ml, 0.271 mmol) in DMF (0.630 ml) was stirred at room temperature overnight. The reaction was diluted with EtOAc, washed with 5% LiCI (3x), brine, dried over Na2S04, filtered, and concentrated. The brown residue was purified by silica gel chromatography (0-3% MeOH/DCM) to give N-(3-{2-({[4- (methyloxy)phenyl]methyl}amino)-3-[4-(4-morpholinyl)phenyl]-6-quinolinyl}phenyl)-3- pyridinecarboxamide (0.075 g, 89%). LC-MS: m/z 622.7 (M+1 ).
Step B
N-(3-{2-amino-3-[4-(4-morpholinyl)phenyl]-6-quinolinyl}phenyl)-3-pyridi
[00558] A solution of N-(3-{2-({[4-(methyloxy)phenyl]methyl}amino)-3-[4-(4- morpholinyl)phenyl]-6-quinolinyl}phenyl)-3-pyridinecarboxamide (0.075 g, 0.121 mmol) in TFA (2.0 ml, 26.0 mmol) was heated to 65 °C for the 48 hours. The reaction was concentrated under reduced pressure and the residue was taken up in DCM and basified with 2N NH4 in MeOH. The reaction was concentrated and the residue was taken up in DMF, the solids filtered, and the filtrate purified by reverse phase chromatography (10-90% ACN/ H20 + formic acid) to give N- (3-{2-amino-3-[4-(4-morpholinyl)phenyl]-6-quinolinyl}phenyl)-3-pyridinecarboxamide (0.016 g, 26%). 1H NMR (400 MHz, DMSO-d6) δ ppm 10.56 (s, 1 H), 9.15 (s, 1 H), 8.75 - 8.81 (m, 1 H), 8.29 - 8.37 (m, 1 H), 8.22 (s, 1 H), 7.98 - 8.10 (m, 2 H), 7.84 - 7.92 (m, 1 H), 7.74 - 7.81 (m, 1 H), 7.57 - 7.72 (m, 3 H), 7.40 - 7.53 (m, 4 H), 7.07 - 7.15 (m, 2 H), 3.72 - 3.83 (m, 4 H), 3.16 - 3.26 (m, 4 H) one exchangeable proton not evident; LC-MS: m/z 502.3 (M+1 ).
EXAMPLE 302
(Compound 302)
N-(3-{2-amino-3-[4-(4-morpholinyl)phenyl]-6-quinolinyl}phenyl)-3,5-dimeth
Step A
3,5-dimethyl-N-(3-{2-({[4-(methyloxy)phenyl]methyl}amino)-3-[4-(4-m
quinolinyl}phenyl)benzamide
[00559] A solution of 6-(3-aminophenyl)-N-{[4-(methyloxy)phenyl]methyl}-3-[4-(4- morpholinyl)phenyl]-2-quinolinamine (0.070 g, 0.135 mmol), 3,5-dimethylbenzoic acid (0.020 g, 0.135 mmol), HATU (0.057 g, 0.149 mmol), and DIEA (0.047 ml, 0.271 mmol) in DMF (0.630 ml) was stirred at room temperature overnight. The reaction was diluted with EtOAc, washed with 5% LiCI (3x), brine, dried over Na2S04, filtered, and concentrated. The brown residue was purified by silica gel chromatography (0-3% MeOH/DCM) to give 3,5-dimethyl-N-(3-{2-({[4- (methyloxy)phenyl]methyl}amino)-3-[4-(4-morpholinyl)phenyl]-6-quinolinyl}phenyl)benzamide as a solid (0.098 g, 1 1 1 %). LC-MS: m/z 649.7 (M+1 ).
Step B
N-(3-{2-amino-3-[4-(4-morpholinyl)phenyl]-6-quinolinyl}phenyl)-3,5-di
[00560] A solution of 3,5-dimethyl-N-(3-{2-({[4-(methyloxy)phenyl]methyl}amino)-3-[4-(4- morpholinyl)phenyl]-6-quinolinyl}phenyl)benzamide (0.098 g, 0.151 mmol) in TFA (2.0 mL, 26.0 mmol) was heated to 65 °C for the 48 hours. The reaction was concentrated under reduced pressure and the residue was taken up in DCM and basified with 2N NH4 in MeOH. The mixture was concentrated and the residue was taken up in DMF, the solids filtered, and the filtrate purified by reverse phase chromatography (10-90% ACN/ H20 + formic acid). The fractions were lyophilized to give N-(3-{2-amino-3-[4-(4-morpholinyl)phenyl]-6-quinolinyl}phenyl)-3,5- dimethylbenzamide as a solid (0.013 g, 16%). 1H NMR (400 MHz, DMSO-d6) δ ppm 10.25 (s, 1 H), 8.15 (s, 1 H), 7.97 (s, 1 H), 7.87 (s, 1 H), 7.80 (d, =^.2 Hz, 2 H), 7.56 - 7.66 (m, 3 H), 7.39 - 7.50 (m, 4 H), 7.24 (s, 1 H), 7.09 (d, J=8.21 Hz, 2 H), 6.06 (br. s., 2 H), 3.72 - 3.84 (m, 4 H), 3.15 - 3.24 (m, 4 H), 2.37 (s, 6 H); LC-MS: m/z 529.4 (M+1 ).
EXAMPLE 303
(Compound 303)
N-(3-(2-amino-3-phenylquinolin-6-yl)-5-(hydroxymethyl)phenyl)-2,4- difluorobenzenesulfonamide
Step 1
3-bromo-5-( ( (tert-butyldimethylsilyl)oxy)methyl)aniline
[00561] A solution of (3-amino-5-bromophenyl)methanol (500 mg, 2.475 mmol) and imidazole (505 mg, 7.42 mmol) in Tetrahydrofuran (THF) (10 mL) at room temperature was treated with TBDMSCI (932 mg, 6.19 mmol) and the mixture stirred. LCMS after 15 minutes shows only product. The reaction was washed with water, dried (brine, Na2S04) and
concentrated to an oil which was used directly in the next reaction.
Step 2
N-(3-bromo-5-(((tert-butyldimethylsilyl)oxy)methyl)phenyl)-2,4-diflu
[00562] A solution of 3-bromo-5-(((tert-butyldimethylsilyl)oxy)methyl)aniline (0.380 g, 1.2 mmol) and DIEA (0.314 mL, 1 .800 mmol) in Tetrahydrofuran (THF) (10 mL) at room
temperature was treated with 2,4-difluorobenzene-1-sulfonyl chloride (0.306 g, 1.440 mmol) and the mixture stirred. After 2 hours the reaction was partitioned between EtOAc and water, the organic layer dried (brine, Na2S04) and purified on silica gel to give the product. ES-LCMS: m/z 492 (M+1 ).
Step 3
N-(3-bromo-5-(((tert-butyldimethylsilyl)oxy)methyl)phenyl)-2,4-diflu
[00563] A degassed solution of 3-phenyl-6-(4,4,5,5-tetramethyl-1 ,3,2-dioxaborolan-2- yl)quinolin-2-amine (73.8 mg, 0.213 mmol), N-(3-bromo-5-(((tert- butyldimethylsilyl)oxy)methyl)phenyl)-2,4-difluorobenzenesulfonamide (70 mg, 0.142 mmol), and cesium carbonate (93 mg, 0.284 mmol) with PdCI2(dppf)-CH2CI2 adduct (1 1 .61 mg, 0.014 mmol) in 1 ,4-Dioxane (5 mL) was heated with microwave irradiation to 120 °C for 10 minutes. Product recovered by HPLC 90 mg. ES-LCMS: m/z 632 (M+1 ).
Step 4
N-(3-(2-amino-3^henylquinolin-6-yl)-5-(hydroxymethyl)phenyl)-2,4-difluo
[00564] The product from the previous step (90 mg, 0.14 mmol) was dissolved in
Dichloromethane (DCM) (1 mL) and Trifluoroacetic acid (TFA) (1 mL) and stirred for 30 minutes.
After the starting material was consumed the solvents were removed and the reaction mixture purified on RP-HPLC to afford the product. 1H NMR (400 MHz, CHLOROFORM-d) δ = 10.8 (s, 1 H), 8.1 (br. s. 1 H), 8.0 (m, 2H), 7.75 (m, 3H), 7.55 (m, 6H), 7.35 (m, 2H), 7.27 (m, 1 H), 7.07 (m, 1 H), 4.5 (s, 2H). ES-LCMS: m/z 518 (M+1 ).
EXAMPLE 304
(Compound 304)
N-(2-amino-5-(2-amino-3-phenylquinolin-6-yl)pyridin-3-yl)-2,4
difluorobenzenesulfonamide
Step 1
N-(2-amino-5-bromopyridin-3-yl)-2,4-difluorobenzenesulfonamide
[00565] A solution of 5-bromopyridine-2,3-diamine (531 mg, 2.82 mmol) in pyridine (10 ml.) was treated with 2,4-difluorobenzene-1-sulfonyl chloride (600 mg, 2.82 mmol) at room temperature for 1 hour. The solvents were evaporated, the crude partitioned between DCM and water and the aqueous layer dried (brine, Na2S04) and purified (silica gel) to give the product. Regiochemistry inferred from literature: Tet. Lett. 1997, 38, 44, 7793-7796.
Step 2
N-(2-amino-5-(2-amino-3-phenylquinolin-6-yl)pyridin-3-yl)-2,4-difluoroben
[00566] A degassed solution of 3-phenyl-6-(4,4,5,5-tetramethyl-1 ,3,2-dioxaborolan-2- yl)quinolin-2-amine (80 mg, 0.231 mmol), N-(2-amino-5-bromo-1 ,2-dihydropyridin-3-yl)-2,4- difluorobenzenesulfonamide (85 mg, 0.231 mmol), and cesium carbonate (151 mg, 0.462 mmol) with PdCI2(dppf)-CH2CI2 adduct (18.87 mg, 0.023 mmol) in 1 ,4-Dioxane (5 ml.) was degassed, then heated with microwave irradiation to 120 °C for 20 minutes. Purified on HPLC and submitted. 1 H NMR (400 MHz, CHLOROFORM-d) δ = 8.37 (s, 2H), 8.3 (s, 1 H), 8.1 (s, 1 H), 7.9 (m, 2H), 7.8 (m, 2H), 7.6 (m, 6H), 7.27 (m, 1 H). ES-LCMS: m/z 504 (M+1 ).
EXAMPLE 305
(Compound 305)
5-(2-amino-3-phenylquinolin-6-yl)pyridine-3-sulfonamide
[00567] A degassed solution of 3-phenyl-6-(4,4,5,5-tetramethyl-1 ,3,2-dioxaborolan-2- yl)quinolin-2-amine (80 mg, 0.231 mmol), 5-bromopyridine-3-sulfonamide (54.8 mg, 0.231 mmol), and PdCI2(dppf)-CH2CI2 adduct (18.87 mg, 0.023 mmol) in 1 ,4-Dioxane (3 mL) and
NaHC03 (sat. aq. 2 mL) was degassed, then heated with microwave irradiation to 130 °C for 15 minutes. Purified on HPLC and submitted. 1 H NMR (400 MHz, CHLOROFORM-d) δ = 9.2 (s, 1 H), 9.0 (s, 1 H), 8.6 (m, 1 H), 8.5 (s, 1 H), 8.4 (s, 1 H), 8.2 (m, 1 H), 7.9 (m, 1 H), 7.8 (br. s, 2H), 7.6 (m, 5H). ES-LCMS: m/z 377 (M+1 ).
EXAMPLE 306
(Compound 306)
N-(5-(2-amino-3-(phenylsulfonyl)quinolin-6-yl)-2-methoxypyridin-3-yl)-2,4- difluorobenzenesulfonamide
Step 1
N-(5-(4-amino-3-(hydroxymethyl)phenyl)-2-methoxypyridin-3-yl)-2,4- difluorobenzenesulfonamide
[00568] A degassed solution of (2-amino-5-bromophenyl)methanol (50 mg, 0.247 mmol), 2,4-difluoro-N-(2-methoxy-5-(4,4,5,5-tetramethyl-1 ,3,2-dioxaborolan-2-yl)pyridin-3- yl)benzenesulfonamide (105 mg, 0.247 mmol), and PdCI2(dppf)-CH2CI2 adduct (20.21 mg, 0.025 mmol) in 1 ,4-Dioxane (3 mL) and NaHC03 (sat. aq. 2 mL) was degassed, then heated with microwave irridation to 130 °C for 15 minutes. The reaction was purified on silica to get the title compound. ES-LCMS: m/z 422 (M+1 ).
Step 2
N-[5-(4-amino-3-formylphenyl)-2-(methyloxy)-3^yridinyl]-2,4-difluoroben
[00569] To a solution of N-(5-(4-amino-3-(hydroxymethyl)phenyl)-2-methoxypyridin-3-yl)- 2,4-difluorobenzenesulfonamide (652 mg, 1 .547 mmol) in THF (30 mL) was added Mn02 (161 mg, 1 .857 mmol) and the mixture stirred overnight- 30% complete. Another 1 eq of Mn02 was added and the mixture refluxed for 4 hours. The reaction was cooled, filtered and concentrated to give the product N-(5-(4-amino-3-formylphenyl)-2-methoxypyridin-3-yl)-2,4- difluorobenzenesulfonamide (594 mg, 1 .204 mmol, 78 % yield) as a yellow oil which was used directly in the next step.
Step 3
N-( 5-( 2-amino-3-(phenylsulfonyl)quinolin-6-yl)-2-methoxypyridin-3-yl)-2, 4- difluorobenzenesulfonamide
[00570] Piperidine (7.08 μΙ_, 0.072 mmol) was added to the mixture solution of N-[5-(4- amino-3-formylphenyl)-2-(methyloxy)-3-pyridinyl]-2,4-difluorobenzenesulfonamide (30 mg, 0.072 mmol) and (phenylsulfonyl)acetonitrile (25.9 mg, 0.143 mmol) in Ethanol (3 ml_). The mixture was refluxed for 12 hours then cooled and purified on silica (EtOAc:Hexane=1 :4) to give the prodruct, N-[5-[2-amino-3-(phenylsulfonyl)-6-quinolinyl]-2-(methyloxy)-3-pyridinyl]-2,4- difluorobenzenesulfonamide (8.4 mg, 0.014 mmol, 19% yield) as a yellow solid. 1 H NMR (400 MHz, CHLOROFORM-d) δ = 10.3 (s, 1 H), 9.0 (s, 1 H), 8.4 (m, 1 H), 8.3 (m, 1 H), 8.0 (m, 2H), 7.9 (m, 2H), 7.7 (m, 2H), 7.6 (m, 4H), 7.2 (m, 1 H), 6.9 (br. s, 2H), 3.6 (s, 3H). ES-LCMS: m/z 583 (M+1 ).
EXAMPLE 307
(Compound 307)
N-(5-(2-amino-3-(methylsulfonyl)quinolin-6-yl)-2-methoxypyridin-3-yl)-2,4- difluorobenzenesulfonamide
[00571] Piperidine (7.08 μΙ_, 0.072 mmol) was added to a solution of N-[5-(4-amino-3- formylphenyl)-2-(methyloxy)-3-pyridinyl]-2,4-difluorobenzenesulfonamide (30 mg, 0.072 mmol) and (methylsulfonyl)acetonitrile (8.52 mg, 0.072 mmol) in Ethanol (3 ml_). The mixture was refluxed for 12 hours then cooled and purified on silica (EtOAc:Hexane=1 :4) to give the prodruct N-[5-[2-amino-3-(methylsulfonyl)-6-quinolinyl]-2-(methyloxy)-3-pyridinyl]-2,4- difluorobenzenesulfonamide (7.7 mg, 0.015 mmol, 20 % yield) as a yellow solid. 1H NMR (400 MHz, CHLOROFORM-d) δ = 8.7 (s, 1 H), 8.4 (m, 1 H), 8.3 (m, 1 H), 8.0 (m, 2H), 7.7 (m, 1 H), 7.6 (m, 2H), 7.2 (m, 1 H), 6.9 (br. s, 2H), 3.6 (s, 3H) 3.3 (s, 3H). ES-LCMS: m/z 521 (M+1 ).
EXAMPLE 308
(Compound 308)
21-amino-5-(methyloxy)-20-phenyl-14-oxa-7-thia-4,8,17,22-
tetraazapentacyclo[17.6.2.126.19 13.023 27]nonacosa-1(25),2(29),3,5,9(28), 10,12,19,21,23,26- undecaen-18-one 7,7-dioxide
Step A
4-fluoro-6-iodo-3-phenylquinolin-2-amine
[00572] To a solution of benzyl cyanide (16.08 mL, 139 mmol) in THF (120 mL) at -78 °C was added a solution of LDA (77 mL, 139 mmol) (1 .8M in heptane/THF/ethylbenzene) dropwise over 30 minutes. After 30 minutes, 4-iodo-2-(trifluoromethyl)aniline (5.00 mL, 34.8 mmol) was added dropwise to the mixture. After 2.5 hours, the mixture was replaced with an ice-water bath. After 2 hours, water (50 mL) was added to quench the reaction. Diethyl ether (500 mL) was added and the mixture was washed with saturated aqueous NaHC03 (2 x 100 mL), then brine (100 mL). The ethereal layer was dried (MgS04), filtered and concentrated. The semi-solid was triturated with hexanes/Et20 (3:1 v/v, 25 mL). The solid was filtered and dried under high vacuum to give 4-fluoro-6-iodo-3-phenylquinolin-2-amine (6.5326 g, 51 % yield) as light yellow solid. The brown filtrate was purified by silica gel chromatography [0-25% EtOAc in hexanes] to give a second batch of 4-fluoro-6-iodo-3-phenylquinolin-2-amine (0.8083 g, 5.10 % yield) as light orange solid. 1 H NMR (400 MHz, DMSO-d6) δ ppm 6.29 (br. s., 2 H), 7.34 (dd, J=8.8, 1 .7 Hz, 1 H), 7.40 - 7.46 (m, 2 H), 7.46 - 7.58 (m, 3 H), 7.83 (dd, J=8.8, 2.0 Hz, 1 H), 8.09 (d, J=2.0 Hz, 1 H); ES LC-MS m/z = 365.0 (M+H)+.
Step B
2-amino-6-iodo-3-phenylquinoline-4-carbonitrile
[00573] A solut to a solution of benzyl cyanide (16.08 mL, 139 mmol) in THF (120 mL) at 78 °C was added a solution of LDA (77 mL, 139 mmol) (1.8M in heptane/THF/ethylbenzene) dropwise over 30 minutes. After 30 minutes, 4-iodo-2-(trifluoromethyl)aniline (5.00 mL, 34.8 mmol) was added dropwise to the mixture. After 2.5 hours, the mixture was replaced with an ice-water bath. After 2 hours, water (50 mL) was added to quench the reaction. Diethyl ether (500 mL) was added and the mixture was washed with saturated aqueous NaHC03 (2 x 100 mL), then brine (100 mL). The ethereal layer was dried (MgS04), filtered and concentrated. The semi-solid was triturated with hexanes/Et20 (3:1 v/v, 25 mL). The solid was filtered and dried under high vacuum to give 4-fluoro-6-iodo-3-phenylquinolin-2-amine (6.5326 g, 51 % yield) as light yellow solid. The brown filtrate was purified by silica gel chromatography [0-25% EtOAc in hexanes] to give a second batch of 4-fluoro-6-iodo-3-phenylquinolin-2-amine (0.8083 g, 5.10 % yield) as light orange solid. 1H NMR (400 MHz, DMSO-d6) δ ppm 6.29 (br. s., 2 H), 7.34 (dd,
J=8.8, 1.7 Hz, 1 H), 7.40 - 7.46 (m, 2 H), 7.46 - 7.58 (m, 3 H), 7.83 (dd, J=8.8, 2.0 Hz, 1 H), 8.09 (d, J=2.0 Hz, 1 H); ES LC-MS m/z = 365.0 (M+H)+. Ion of 4-fluoro-6-iodo-3-phenylquinolin-2- amine (6.53 g, 17.93 mmol), potassium cyanide (1 .284 g, 19.73 mmol) and 18-crown-6 (5.21 g, 19.73 mmol) was heated at 90 °C in DMF (100 mL). After 4 hours, the mixture was cooled, diluted with EtOAc (500 mL) and washed with brine (150 mL)/ water (50 mL), brine (150 mL), dried (Na2S04), filtered and concentrated. The crude solid was triturated with hexanes/Et20 (9:1 v/v, 30 mL), filtered and dried to give 2-amino-6-iodo-3-phenylquinoline-4-carbonitrile (6.6841 g, quantitative yield) as yellow solid. 1H NMR (400 MHz, DMSO-c/6) δ ppm 6.54 (br. s., 2 H), 7.39 - 7.47 (m, 1 H), 7.50 - 7.66 (m, 5 H), 7.92 (dd, J=8.8, 2.0 Hz, 1 H), 8.07 (d, J=2.0 Hz, 1 H); ES LC-MS m/z = 371 .9 (M+H)+.
Step C
2-amino-6-iodo-3-phenylquinoline-4-carboxylic acid
[00574] To a suspension of 2-amino-6-iodo-3-phenylquinoline-4-carbonitrile (2 g, 5.39 mmol) in acetic acid (10 mL) and water (10 mL) was added cone, sulfuric acid (10 mL, 188 mmol) in a sealed tube (150 mL). The mixture was heated to 150 °C. After 4 days, acetic acid (2 mL) and sulfuric acid (2 mL) were added and the mixture was heated to 160 °C. After 2 days, acetic acid (2 mL) and sulfuric acid (2 mL) were added and the mixture was continued to heat at 160 °C. After 2 days, acetic acid (2 mL) and sulfuric acid (2 mL) were added and the mixture was continued to heat at 160 °C. After 3 more days (1 1 days total), the mixture was cooled, poured into ice (200 mL) carefully. The precipitate was filtered and dried under high vacuum to give 2-amino-6-iodo-3-phenylquinoline-4-carboxylic acid (1 .7903 g, 4.59 mmol, 85 % yield) as light brown solid. 1 H NMR (400 MHz, DMSO-d6) δ ppm 7.36 - 7.41 (m, 2 H), 7.48 - 7.57 (m, 4 H), 7.86 (d, J=1.8 Hz, 1 H), 7.97 (d, J=8.6 Hz, 1 H); ES LC-MS m/z = 391 .0 (M+H)+.
Step D
2-((tert-butoxycarbonyl)amino)ethyl 4-methylbenzenesulfonate
[00575] p-Toluenesulfonyl chloride (3.73 g, 19.54 mmol) was added to a solution of N- Boc-ethanolamine (3 g, 18.61 mmol) in pyridine (10 mL) at 0 °C. The mixture was allowed to stir overnight. The solvent was removed to form the white suspension. The semi-solid was diluted with DCM (100 mL) and washed with 1 N HCI (2 x 25 mL), then brine (25 mL). The organic phase was dried (MgS04), filtered and concentrated to give 2-((tert- butoxycarbonyl)amino)ethyl 4-methylbenzenesulfonate (4.405 g, 13.97 mmol, 75 % yield) as semi-solid. 1H NMR (400 MHz, CHLOROFORM-d) δ ppm 1.41 (s, 9 H), 2.43 (br. s., 3 H), 3.38
(q, J=5.2 Hz, 2 H), 4.07 (t, J=5.1 Hz, 2 H), 4.82 (br. s., 1 H), 7.35 (d, J=8.1 Hz, 2 H), 7.79 (d, J=8.3 Hz, 2 H); ES LC-MS m/z = 260.0 (M+1 -tBu)+.
Step E
tert-butyl (2-(3-aminophenoxy)ethyl)carbamate
[00576] A suspension of 3-aminophenol (1 g, 9.16 mmol), 2-((tert- butoxycarbonyl)amino)ethyl 4-methylbenzenesulfonate (3.648 g, 1 1.57 mmol) and cesium carbonate (3.58 g, 1 1.00 mmol) was stirred at room temperature in DMF (30.5 mL). After 1 day, the mixture was diluted with EtOAc (300 mL), and washed with saturated aqueous NH4CI (100 mL), then brine (100 mL), dried (Na2S04), filtered and concentrated. The crude was absorbed on silica gel and purified by column chromatography [0-35% EtOAc in hexanes] to give tert-butyl (2-(3-aminophenoxy)ethyl)carbamate (773.8 mg, 33.5 % yield) as colorless oil and recovered starting material 3-aminophenol (521.5 mg, 52.2 % yield) as white solid. Tert-butyl (2-(3- aminophenoxy)ethyl)carbamate - 1H NMR (400 MHz, DMSO-c/6) δ ppm 1.38 (s, 9 H), 3.24 (q, J=5.8 Hz, 2 H), 3.82 (t, J=5.9 Hz, 2 H), 5.03 (s, 2 H), 6.05 (dd, J=8.0, 2.0 Hz, 1 H), 6.08 - 6.17 (m, 2 H), 6.87 (t, J=8.0 Hz, 1 H), 6.97 (t, J=5.4 Hz, 1 H); ES LC-MS m/z = 253.4 (M+H)+.
Step F
tert-butyl (2-(3-(5-bromo-2-methoxypyridine-3-sulfonamido)phenoxy)ethyl)carbamate
[00577] A mixture of tert-butyl (2-(3-aminophenoxy)ethyl)carbamate (763 mg, 3.02 mmol), 5-bromo-2-chloropyridine-3-sulfonyl chloride (800 mg, 2.75 mmol) and pyridine (0.245 mL, 3.02 mmol) in DCM (10 mL) was stirred at room temperature for 3.5 hours. The red solution was concentrated under reduced pressure to give crude tert-butyl (2-(3-(5-bromo-2- chloropyridine-3-sulfonamido)phenoxy)ethyl)carbamate (1 .7959g) as red foam. ES LC-MS m/z = 506.2, 508.1 (M+H)+. The crude tert-butyl (2-(3-(5-bromo-2-chloropyridine-3- sulfonamido)phenoxy)ethyl)carbamate was dissolved in methanol (8 mL) and a solution of sodium methanolate in MeOH (25wt%, 7.98 mL, 35.7 mmol) was added. The mixture was heated at 50 °C for 3.25 hours. The mixture was cooled, and the solvent was removed under reduced pressure. The crude oil was diluted with EtOAc (60 mL) and water (30 mL). The aqueous phase was separated and extracted with EtOAc (60 mL). The combined organic phase was washed with brine (30 mL), dried (Na2S04), filtered and concentrated. The crude foam was absorbed on silica gel and purified by silica gel chromatography [0-30% EtOAc in hexanes] to give tert-butyl (2-(3-(5-bromo-2-methoxypyridine-3-sulfonamido)phenoxy)ethyl)carbamate (928.4 mg, 67.2 % yield) as light yellow solid. 1H NMR (400 MHz, DMSO-d6) δ ppm 1 .37 (s, 9
H), 3.24 (q, J=5.6 Hz, 2 H), 3.84 (t, J=5.6 Hz, 2 H), 3.96 (s, 3 H), 6.61 (dd, J=8.2, 2.1 Hz, 1 H), 6.63 - 6.71 (m, 2 H), 6.99 (t, J=5.5 Hz, 1 H), 7.13 (t, J=8.1 Hz, 1 H), 8.23 (d, J=2.4 Hz, 1 H), 8.52 (d, J=2.4 Hz, 1 H), 10.46 (s, 1 H); ES LC-MS m/z = 500.1 , 502.1 (M-1 )\
Step G
tert-butyl (2-(3-(2-met oxy-5-(4, 4, 5, 5-tetra methyl- 1, 3, 2-dioxaborolan-2-yl)pyridine-3- sulfonamido)phenoxy)ethyl)carbamate
[00578] A suspension of tert-butyl (2-(3-(5-bromo-2-methoxypyridine-3- sulfonamido)phenoxy)ethyl)carbamate (925 mg, 1 .841 mmol), bis(pinacolato)diboron (608 mg, 2.394 mmol), potassium acetate (542 mg, 5.52 mmol) and PdCI2(dppf)-CH2CI2 adduct (1 10 mg, 0.135 mmol) was heated at 100 °C in 1 ,4-dioxane (10 ml_) for 1 hour 40 minues. The mixture was cooled, filtered through a pad of Celite™ and washed with EtOAc (100 mL). The solvent was concentrated with silica gel. The crude was purified by column chromatography [0-65% EtOAc in hexanes] to give tert-butyl (2-(3-(2-methoxy-5-(4,4,5,5-tetramethyl-1 ,3,2-dioxaborolan-
2- yl)pyridine-3-sulfonamido)phenoxy)ethyl)carbamate (865 mg, 1 .574 mmol, 86 % yield) as light orange solid. 1 H NMR (400 MHz, DMSO-d6) δ ppm 1.28 (s, 12 H), 1.38 (s, 9 H), 3.23 (q, J=5.4 Hz, 2 H), 3.78 - 3.89 (m, 2 H), 4.00 (s, 3H), 6.58 (dd, J=8.1 , 2.0 Hz, 1 H), 6.62 - 6.71 (m, 2 H), 6.99 (t, J=5.4 Hz, 1 H), 7.1 1 (t, J=8.1 Hz, 1 H), 8.24 (d, J=1.8 Hz, 1 H), 8.52 (d, J=1.8 Hz, 1 H), 10.32 (s, 1 H) (extra pinacol peaks observed); ES LC-MS m/z = 548.3 (M-1 )\
Step H
2-amino-6-(5-(N-(3-(2-((teii-butoxycarbonyl)amino)ethoxy)phenyl)sulfamoyl)-6-methoxypyridin-
3-yl)-3-phenylquinoline-4-carboxylic acid
[00579] A suspension of 2-amino-6-iodo-3-phenylquinoline-4-carboxylic acid (400 mg, 1.025 mmol), tert-butyl (2-(3-(2-methoxy-5-(4,4,5,5-tetramethyl-1 ,3,2-dioxaborolan-2-yl)pyridine-
3- sulfonamido)phenoxy)ethyl)carbamate (676 mg, 1.230 mmol), palladium(ll) acetate (23.02 mg, 0.103 mmol), cataCXium® A (36.8 mg, 0.103 mmol) and sodium carbonate (1 .538 mL, 3.08 mmol) in 1 ,4-dioxane (5 mL) was heated at 60 °C. After 2.5 hours, the mixture was cooled, filtered through a pad of Celite™, washed with EtOAc (120 mL). The filtrate was washed with saturated aq NaHC03 (50 mL). Precipitates found in aqueous layer was filtered through fritted funnel. The solid was dried under high vacuum to give 2-amino-6-(5-(N-(3-(2-((tert- butoxycarbonyl)amino)ethoxy)phenyl)sulfamoyl)-6-methoxypyridin-3-yl)-3-phenylquinoline-4- carboxylic acid (401.3 mg, 0.585 mmol, 57.1 % yield) as white solid (N20166-60-1 ). The organic layer was separated and washed with brine, dried (Na2S04), filtered and concentrated. Celite™
was further washed with DCM/MeOH (120 ml_). LCMS showed this contained some product as well as starting material. This was combined with the EtOAc wash. This fraction was discarded as little product was found. 1 H NMR (400 MHz, DMSO-d6) δ ppm 1.33 (s, 9 H), 3.21 (br. s., 2 H), 3.78 (br. s., 2 H), 3.96 (br. s., 3 H), 5.54 (br. s., 2 H), 6.68 (br. s., 3 H), 7.08 (br. s., 1 H), 7.31 - 7.47 (m, 6 H), 7.51 (d, J=8.7 Hz, 1 H), 7.68 (br. s., 1 H), 7.81 (d, J=1 .7 Hz, 1 H), 8.26 (d, J=2.3 Hz, 1 H), 8.60 (br. s., 1 H), 10.43 (br. s., 1 H); ES LC-MS m/z = 686.3 (M+H)+.
Step I
2-amino-6-(5-(N-(3-(2-aminoethoxy)phenyl)sulfamoyl)-6-methoxypyri
4-carboxylic acid, Hydrochloride
[00580] 2-Amino-6-(5-(N-(3-(2-((tert-butoxycarbonyl)amino)ethoxy)phenyl)sulfamoyl)-6- methoxypyridin-3-yl)-3-phenylquinoline-4-carboxylic acid (202.8 mg, 0.296 mmol) was stirred in trifluoroacetic acid (4 ml_, 51 .9 mmol) at room temperature. After 15 minutes, LCMS showed reaction was complete. The solvent was purged under nitrogen and dried under high vacuum to give brown syrup. The crude product was triturated with DCM (4 mL) and 4 M HCI in 1 ,4- dioxane (0.75 mL) to give a beige solid. The solid was centrifuged and the supernatant decanted. The solid was rinsed with ether (3 mL), centrifuged again, and supernatant decanted. The solid was then dried under high vacuum to give crude 2-amino-6-(5-(N-(3-(2- aminoethoxy)phenyl)sulfamoyl)-6-methoxypyridin-3-yl)-3-phenylquinoline-4-carboxylic acid, hydrochloride salt (212.1 mg, 92% yield, -80% purity). ES LC-MS m/z = 586.3 (M+H)+. The material was used for next step.
Step J
21-amino-5-(methyloxy)-20-phenyl-14-oxa-7-thia-4,8, 17,22- tetraazapentacyclo[17.6.2.1ze.19'13.023'27]nonacosa-1(25),2(29),3,5,9(28), 10, 12, 19,21,23,26- undecaen-18-one 7, 7-dioxide
[00581] To a solution of 2-amino-6-(5-(N-(3-(2-aminoethoxy)phenyl)sulfamoyl)-6- methoxypyridin-3-yl)-3-phenylquinoline-4-carboxylic acid (210 mg, 0.359 mmol) in DMF (400 mL) was added Hunig's base (139 mg, 1 .076 mmol) and HATU (150 mg, 0.394 mmol). After 20 hours, the solvent was removed under reduced pressure. Attempts to dissolve compound in EtOAc failed. The solid was triturated with water (10 mL) and saturated aq NaHC03 (4 mL) to give a yellow solid. The solid was filtered and rinsed with water (crude weight ~ 240mg). The solid was purified by preparative RP-HPLC [10-80% ACN gradient, 0.1 % formic acid] to give 68.7 mg off-white solid. The solid was triturated with Et20, filtered through sintered glass funnel
and dried under high vacuum to give the title compound. 1 H NMR (400 MHz, DMSO-c/6) δ ppm 2.77 (br. s., 1 H), 3.77 (br. s., 1 H), 3.86 - 4.01 (m, 2 H), 4.02 (s, 3 H), 5.98 (br. s., 2 H), 6.44 (dd, J=8.1 , 1 .8 Hz, 1 H), 6.52 (dd, J=8.0, 1.2 Hz, 1 H), 6.96 (s, 1 H), 7.03 (t, J=8.1 Hz, 1 H), 7.26 - 7.40 (m, 1 H), 7.40 - 7.56 (m, 5 H), 7.65 (d, J=8.7 Hz, 1 H), 7.87 (dd, J=8.7, 1.8 Hz, 1 H), 8.13 (s, 1 H, formic acid), 8.19 (d, J=2.2 Hz, 1 H), 8.59 (d, J=2.2 Hz, 1 H), 8.75 (br. s., 1 H), 10.69 (s, 1 H), 12.74 (br. s., 1 H, formic acid); ES LC-MS m/z = 568.3 (M+H)+.
EXAMPLE 309
(Compound 309)
22-amino-5-(methyloxy)-21-phenyl-14-oxa-7-thia-4,8,18,23- tetraazapentacyclol18.6.2.12' l9'1 0ii4'28]triacon^
undecaen-19-one 7,7-dioxide
Step A
3-((tert-butoxycarbonyl)amino)propyl 4-methylbenzenesulfonate
[00582] To a solution of tert-butyl (3-hydroxypropyl)carbamate (3.9 g, 22.26 mmol) and triethylamine (3.72 ml, 26.7 mmol) in DCM (200 ml.) at room temperature was added p- toluenesulfonyl chloride (5.09 g, 26.7 mmol) and DMAP (0.272 g, 2.226 mmol). After 5 hours, the mixture was concentrated with silica gel and purified by silica gel chromatography [0-30% EtOAc in hexanes] to give 3-((tert-butoxycarbonyl)amino)propyl 4-methylbenzenesulfonate (5.21 g, 71.1 % yield) as colorless oil. 1H NMR (400 MHz, DMSO-d6) δ ppm 1 .37 (br. s., 9 H), 1 .68 (quin, J=6.6 Hz, 2 H), 2.39 - 2.45 (m, 3 H), 2.90 (q, J=6.6 Hz, 2 H), 3.95 - 4.03 (m, 2 H), 6.82 (br. s., 1 H), 7.44 - 7.51 (m, 2 H), 7.77 (d, J=8.3 Hz, 2 H); LC-MS m/z = 274.0 (M+H-tBu)+.
Step B
tert-butyl (3-(3-aminophenoxy)propyl)carbamate
[00583] A suspension of 3-aminophenol (1.45 g, 13.29 mmol), 3-((tert- butoxycarbonyl)amino)propyl 4-methylbenzenesulfonate (5.21 g, 15.82 mmol) and cesium carbonate (5.20 g, 15.94 mmol) was stirred at room temperature in DMF (44.3 mL). After 1 day, LCMS showed a mixture of mono- and bis-alkylated products. The mixture was diluted with EtOAc (400 mL) and washed with saturated aqueous NH4CI (125 mL), then brine (125 mL), dried (Na2S04), filtered and concentrated. The crude was absorbed on silica gel and purified by column chromatography [0-35% EtOAc in hexanes] to give tert-butyl (3-(3- aminophenoxy)propyl)carbamate (3.3082 g, 12.42 mmol, 93 % yield) as white solid. 1H NMR (400 MHz, DMSO-d6) δ ppm 1.37 (s, 9 H), 1 .77 (quin, J=6.6 Hz, 2 H), 3.04 (q, J=6.8 Hz, 2 H), 3.84 (t, J=6.3 Hz, 2 H), 5.01 (s, 2 H), 6.01 - 6.07 (m, 1 H), 6.08 - 6.15 (m, 2 H), 6.81 - 6.92 (m, 2 H); LC-MS m/z = 267.1 (M+H)+, 21 1.0 (M+1 - tBu)+.
Step C
tert-butyl (3-(3-(5-bromo-2-methoxypyridine-3-sulfonamido)phenoxy)propyl)carbamate
[00584] A mixture of tert-butyl (3-(3-aminophenoxy)propyl)carbamate (1 .007 g, 3.78 mmol), 5-bromo-2-chloropyridine-3-sulfonyl chloride (1 g, 3.44 mmol) and pyridine (0.306 mL, 3.78 mmol) in DCM (10 mL) was stirred at room temperature. After 2 hours, the solvent was removed under reduced pressure to give crude tert-butyl (3-(3-(5-bromo-2-chloropyridine-3- sulfonamido)phenoxy)propyl)carbamate (2.2732 g) as red foam. LC-MS m/z = 542.0, 544.0 (M+Na)+. The crude tert-butyl (3-(3-(5-bromo-2-chloropyridine-3- sulfonamido)phenoxy)propyl)carbamate was dissolved in methanol (8 mL) and a solution of sodium methanolate in MeOH (25 wt %, 9.97 mL, 44.7 mmol) was added. The mixture was heated at 50 °C. After 3 hours, the mixture was cooled and the solvent was removed under reduced pressure. The crude oil was diluted with EtOAc (60 mL) and water (30 mL). The aqueous phase was separated and extracted with EtOAc (60 mL). The combined organic phase was washed with brine (30 mL), dried (Na2S04), filtered and concentrated. The crude foam was absorbed on silica gel and purified by silica gel chromatography [0-30% EtOAc in hexanes] to give tert-butyl (3-(3-(5-bromo-2-methoxypyridine-3-sulfonamido)phenoxy)propyl)carbamate (1 .2263 g, 2.375 mmol, 69.1 % yield) as light yellow foam. 1H NMR (400 MHz, DMSO-d6) δ ppm 1.36 (s, 9 H), 1.70 - 1.82 (m, 2 H), 3.03 (q, J=6.6 Hz, 2 H), 3.85 (t, J=6.2 Hz, 2 H), 3.96 (s, 3 H), 6.59 (dd, J=8.2, 1 .9 Hz, 1 H), 6.62 - 6.68 (m, 2 H), 6.88 (br. s., 1 H), 7.12 (t, J=8.1 Hz, 1 H), 8.24 (d, J=2.3 Hz, 1 H), 8.52 (d, J=2.4 Hz, 1 H), 10.45 (s, 1 H); LC-MS m/z = 460.0, 462.0 (M+H- tBu)+.
Step D
tert-butyl (3-(3-(2-methoxy-5-(4, 4, 5, 5-tetra methyl- 1, 3, 2-dioxaborolan-2-yl)pyridine-3- sulfonamido)phenoxy)propyl)carbamate
[00585] A suspension of tert-butyl (3-(3-(5-bromo-2-methoxypyridine-3- sulfonamido)phenoxy)propyl)carbamate (1.2226 g, 2.368 mmol), bis(pinacolato)diboron (0.782 g, 3.08 mmol), potassium acetate (0.697 g, 7.10 mmol) and PdCI2(dppf)-CH2CI2 adduct (0.097 g, 0.1 18 mmol) was heated at 100 °C in 1 ,4-dioxane (12 ml_). After 2 hours, the mixture was cooled, filtered through a pad of Celite™ and washed with EtOAc (100 ml_). The solvent was concentrated with silica gel. The crude was purified by column chromatography [0-100% EtOAc in hexanes] to give tert-butyl (3-(3-(2-methoxy-5-(4,4,5,5-tetramethyl-1 ,3,2-dioxaborolan-2- yl)pyridine-3-sulfonamido)phenoxy)propyl)carbamate (876.8 mg, 1.556 mmol, 65.7 % yield) as light yellow foam. 1 H NMR (400 MHz, DMSO-d6) δ ppm 1 .29 (s, 12 H), 1.36 (s, 9 H), 1.76 (quin, J=6.5 Hz, 2 H), 3.02 (q, J=6.6 Hz, 2 H), 3.83 (t, J=6.1 Hz, 2 H), 4.00 (s, 3 H), 6.51 - 6.60 (m, 1 H), 6.60 - 6.68 (m, 2 H), 6.84 - 6.92 (m, 1 H), 7.05 - 7.15 (m, 1 H), 8.24 (d, J=1.9 Hz, 1 H), 8.52 (d, J=1 .8 Hz, 1 H), 10.32 (s, 1 H) (extra pinacol peaks observed); LC-MS m/z = 562.3 (M-1 )\
Step E
2- amino-6-(5-(N-(3-(3-((tert-butoxycarbonyl)amino)propoxy)phenyl)sulfamo
3-yl)-3-phenylquinoline-4-carboxylic acid
[00586] A suspension of 2-amino-6-iodo-3-phenylquinoline-4-carboxylic acid (180 mg, 0.461 mmol), tert-butyl (3-(3-(2-methoxy-5-(4,4,5,5-tetramethyl-1 ,3,2-dioxaborolan-2-yl)pyridine-
3- sulfonamido)phenoxy)propyl)carbamate (316.4 mg, 0.562 mmol), palladium(ll) acetate (10.36 mg, 0.046 mmol), cataCXium®A (16.54 mg, 0.046 mmol) and sodium carbonate (0.692 ml_,
1.384 mmol) in 1 ,4-dioxane (2.1 ml.) was heated at 60 °C. After 2.5 hours, the mixture was cooled, filtered through a pad of Celite™, washed with EtOAc (80 ml_). The filtrate was further washed with DCM/MeOH (100 ml_, 1 :1 v/v). The EtOAc layer was washed with saturated aqueous NaHC03 (30 ml_), then brine (30 ml_). Precipitation occurred during brine wash which was filtered through sintered glass funnel. The solid was dried under high vacuum overnight to give 2-amino-6-(5-(N-(3-(3-((tert-butoxycarbonyl)amino)propoxy)phenyl)sulfamoyl)-6- methoxypyridin-3-yl)-3-phenylquinoline-4-carboxylic acid (84.8 mg, 0.120 mmol, 26.0 % yield) as beige solid. The EtOAc layer was separated, dried (Na2S04), filtered and concentrated. This was combined with DCM/MeOH wash and absorbed on silica gel for column chromatography [5-30% MeOH in DCM/EtOAc (1 :1 v/v)] to give a second batch of 2-amino-6-(5-(N-(3-(3-((tert- butoxycarbonyl)amino)propoxy)phenyl)sulfamoyl)-6-methoxypyridin-3-yl)-3-phenylquinoline-4-
carboxylic acid (1 16.7 mg, 0.160 mmol, 34.7 % yield) as beige solid (contained 4% of starting material acid). 1H NMR (400 MHz, DMSO-d6) δ ppm 1 .34 (s, 9 H), 1 .74 (t, J=6.3 Hz, 2 H), 3.00 (d, J=6.0 Hz, 2 H), 3.83 (t, J=6.0 Hz, 2 H), 4.03 (br. s., 3 H), 6.1 1 (br. s., 2 H), 6.55 (d, J=8.3 Hz, 1 H), 6.68 (s, 1 H), 6.72 (d, J=8.2 Hz, 1 H), 6.86 (br. s., 1 H), 7.10 (t, J=8.2 Hz, 1 H), 7.37 (d, J=7.0 Hz, 2 H), 7.42 - 7.58 (m, 3 H), 7.61 - 7.75 (m, 2 H), 7.86 (m, 1 H), 8.29 (d, J=2.1 Hz, 1 H), 8.69 (d, J=2A Hz, 1 H), 10.41 (s, 1 H), 13.69 (br. s., 1 H); LC-MS m/z = 700.3 (M+1 )+.
Step F
2-amino-6-(5-(N-(3-(3-aminopropoxy)phenyl)sulfamoyl)-6-methoxypyridin-3-yl)-3- phenylquinoline-4-carboxylic acid
[00587] 2-Amino-6-(5-(N-(3-(3-((tert-butoxycarbonyl)amino)propoxy)phenyl)sulfamoyl)-6- methoxypyridin-3-yl)-3-phenylquinoline-4-carboxylic acid (198 mg, 0.283 mmol) was stirred in trifluoroacetic acid (4 ml_, 51 .9 mmol) at room temperature. After 15 minutes, LCMS showed reaction was complete. The solvent was removed under reduced pressure. The crude product was triturated with DCM (4 ml.) and 4M HCI in 1 ,4-dioxane (0.75 ml.) to give a beige solid. The solid was centrifuged and the supernatant decanted. The solid was rinsed with ether (3 ml_), centrifuged again, and supernatant decanted. The solid was then dried under high vacuum to give 2-amino-6-(5-(N-(3-(3-aminopropoxy)phenyl)sulfamoyl)-6-methoxypyridin-3-yl)-3- phenylquinoline-4-carboxylic acid as beige solid. (205.3 mg, 90% yield, -79% purity). ES LCMS m/z = 600.3 (M+H)+. The material was used for next step.
Step G
22-amino-5-(methyloxy)-21-phenyl- 14-oxa-7-thia-4, 8, 18, 23- tetraazapentacyclo[18.6.2.1ze.19'13.024'28]triaconta-1(26),2(30), 3,5,9(29), 10, 12,20,22,24,27- undecaen-19-one 7, 7-dioxide
[00588] To a solution of 2-amino-6-(5-(N-(3-(3-aminopropoxy)phenyl)sulfamoyl)-6- methoxypyridin-3-yl)-3-phenylquinoline-4-carboxylic acid (202 mg, 0.337 mmol) in DMF (400 mL) was added Hunig's base (0.176 ml_, 1 .01 1 mmol) and HATU (141 mg, 0.371 mmol). The mixture was stirred at room temperature for 17 hours. The solvent was removed under reduced pressure. The crude was purified by preparative HPLC [5-70% ACN gradient, 0.1 % formic acid] to give the title compound (72.9 mg, 36.8 % yield) as beige solid. 1H NMR (500 MHz, DMSO-c/6) δ ppm 1 .72 - 2.1 1 (m, 2 H), 2.59 (br. s., 1 H), 3.73 (br. s., 2 H), 3.89 (br. s., 1 H), 4.04 (s, 3 H), 6.46 (dd, J=8.2, 1 .7 Hz, 1 H), 6.59 (d, J=8.0 Hz, 1 H), 6.93 (s, 1 H), 7.06 (t, J=8.1 Hz, 1 H), 7.29
- 7.59 (m, 8 H), 7.75 (d, J=8.3 Hz, 1 H), 8.03 (d, J=7.7 Hz, 1 H), 8.31 (d, J=2.3 Hz, 1 H), 8.54 (br. s., 1 H), 8.73 (d, J=2.4 Hz, 1 H), 10.67 (s, 1 H); ES LC-MS m/z = 582.3 (M+H)+.
Administration and Formulation
[00589] The chemical entities provided herein may inhibit viral replication by inhibiting the enzymes involved in replication, such as the non-structural proteins including RNA dependent RNA polymerase. They may also inhibit other enzymes utilized in the activity or proliferation of viruses in the Flaviviridae family, such as HCV. The chemical entities are administered at a therapeutically effective dosage, e.g., a dosage sufficient to provide treatment for the disease.
[00590] In another embodiment, there is provided a pharmaceutical composition comprising a pharmaceutically acceptable diluent and a therapeutically effective amount of a compound of Formula (I) or a pharmaceutically acceptable salt thereof.
[00591] The compounds of the present invention can also be supplied in the form of a pharmaceutically acceptable salt. The terms "pharmaceutically acceptable salt" refer to salts prepared from pharmaceutically acceptable inorganic and organic acids and bases.
[00592] Pharmaceutically acceptable inorganic bases include metallic ions. More preferred metallic ions include, but are not limited to, appropriate alkali metal salts, alkaline earth metal salts and other physiological acceptable metal ions. Salts derived from inorganic bases include aluminum, ammonium, calcium, copper, ferric, ferrous, lithium, magnesium, manganic salts, manganous, potassium, sodium, zinc, and the like and in their usual valences. Exemplary salts include aluminum, calcium, lithium, magnesium, potassium, sodium and zinc. Particularly preferred are the ammonium, calcium, magnesium, potassium, and sodium salts.
[00593] Salts derived from pharmaceutically acceptable organic non-toxic bases include salts of primary, secondary, and tertiary amines, including in part, trimethylamine, diethylamine, N, N'-dibenzylethylenediamine, chloroprocaine, choline, diethanolamine, ethylenediamine, meglumine (N-methylglucamine) and procaine; substituted amines including naturally occurring substituted amines; cyclic amines; quaternary ammonium cations; and basic ion exchange resins, such as arginine, betaine, caffeine, choline, Ν,Ν-dibenzylethylenediamine, diethylamine, 2-diethylaminoethanol, 2-dimethylaminoethanol, ethanolamine, ethylenediamine, N- ethylmorpholine, N-ethylpiperidine, glucamine, glucosamine, histidine, hydrabamine, isopropylamine, lysine, methylglucamine, morpholine, piperazine, piperidine, polyamine resins, procaine, purines, theobromine, triethylamine, trimethylamine, tripropylamine, tromethamine and the like.
[00594] Illustrative pharmaceutically acceptable acid addition salts of the compounds of the present invention can be prepared from the following acids, including, without limitation formic, acetic, propionic, benzoic, succinic, glycolic, gluconic, lactic, maleic, malic, tartaric, citric, nitic, ascorbic, glucuronic, maleic, fumaric, pyruvic, aspartic, glutamic, benzoic, hydrochloric, hydrobromic, hydroiodic, isocitric, trifluoroacetic, pamoic, propionic, anthranilic, mesylic, oxalacetic, oleic, stearic, salicylic, p-hydroxybenzoic, nicotinic, phenylacetic, mandelic, embonic (pamoic), methanesulfonic, phosphoric, phosphonic, ethanesulfonic, benzenesulfonic, pantothenic, toluenesulfonic, 2-hydroxyethanesulfonic, sulfanilic, sulfuric, salicylic,
cyclohexylaminosulfonic, algenic, β-hydroxybutyric, galactaric and galacturonic acids. Preferred pharmaceutically acceptable salts include the salts of hydrochloric acid and trifluoroacetic acid. All of the above salts can be prepared by those skilled in the art by conventional means from the corresponding compound of the present invention. For example, the pharmaceutically acceptable salts of the present invention can be synthesized from the parent compound which contains a basic or acidic moiety by conventional chemical methods. Generally, such salts can be prepared by reacting the free acid or base forms of these compounds with a stoichiometric amount of the appropriate base or acid in water or in an organic solvent, or in a mixture of the two; generally, nonaqueous media like ether, ethyl acetate, ethanol, isopropanol, or acetonitrile are preferred. The salt may precipitate from solution and be collected by filtration or may be recovered by evaporation of the solvent. The degree of ionisation in the salt may vary from completely ionised to almost non-ionised. Lists of suitable salts are found in Remington's Pharmaceutical Sciences, 17th ed., Mack Publishing Company, Easton, Pa., 1985, p.1418, the disclosure of which is hereby incorporated by reference only with regards to the lists of suitable salts.
[00595] The compounds of the invention may exist in both unsolvated and solvated forms. The term 'solvate' is used herein to describe a molecular complex comprising the compound of the invention and one or more pharmaceutically acceptable solvent molecules, for example, ethanol. The term 'hydrate' is employed when said solvent is water. Pharmaceutically acceptable solvates include hydrates and other solvates wherein the solvent of crystallization may be isotopically substituted, e.g. D20, d6-acetone, d6-DMSO.
[00596] Compounds of formula (I) containing one or more asymmetric carbon atoms can exist as two or more stereoisomers. Where a compound of formula (I) contains an alkenyl or alkenylene group or a cycloalkyl group, geometric cisltrans (or Z/E) isomers are possible.
Where the compound contains, for example, a keto or oxime group or an aromatic moiety,
tautomeric isomerism ('tautomerism') can occur. It follows that a single compound may exhibit more than one type of isomerism.
[00597] Included within the scope of the claimed compounds present invention are all stereoisomers, geometric isomers and tautomeric forms of the compounds of Formula (I) or Formula (II), including compounds exhibiting more than one type of isomerism, and mixtures of one or more thereof. Also included are acid addition or base salts wherein the counterion is optically active, for example, D-lactate or L-lysine, or racemic, for example, DL-tartrate or DL- arginine.
[00598] Cisltrans isomers may be separated by conventional techniques well known to those skilled in the art, for example, chromatography and fractional crystallisation.
[00599] Conventional techniques for the preparation/isolation of individual enantiomers include chiral synthesis from a suitable optically pure precursor or resolution of the racemate (or the racemate of a salt or derivative) using, for example, chiral high pressure liquid
chromatography (HPLC).
[00600] Alternatively, the racemate (or a racemic precursor) may be reacted with a suitable optically active compound, for example, an alcohol, or, in the case where the compound of formula (I) contains an acidic or basic moiety, an acid or base such as tartaric acid or 1- phenylethylamine. The resulting diastereomeric mixture may be separated by chromatography and/or fractional crystallization and one or both of the diastereoisomers converted to the corresponding pure enantiomer(s) by means well known to a skilled person.
[00601] Chiral compounds of the invention (and chiral precursors thereof) may be obtained in enantiomerically-enriched form using chromatography, typically HPLC, on a resin with an asymmetric stationary phase and with a mobile phase consisting of a hydrocarbon, typically heptane or hexane, containing from 0 to 50% isopropanol, typically from 2 to 20%, and from 0 to 5% of an alkylamine, typically 0.1 % diethylamine. Concentration of the eluate affords the enriched mixture.
[00602] Mixtures of stereoisomers may be separated by conventional techniques known to those skilled in the art. [see, for example, "Stereochemistry of Organic Compounds" by E L Eliel (Wiley, New York, 1994).]
[00603] The present invention includes all pharmaceutically acceptable isotopically- labelled compounds of formula (I) wherein one or more atoms are replaced by atoms having the same atomic number, but an atomic mass or mass number different from the atomic mass or mass number usually found in nature.
[00604] Examples of isotopes suitable for inclusion in the compounds of the invention include isotopes of hydrogen, such as 2H and 3H, carbon, such as 11C, 13C and 14C, chlorine, such as 36CI, fluorine, such as 18F, iodine, such as 123l and 125l, nitrogen, such as 13N and 15N, oxygen, such as 150, 170 and 180, phosphorus, such as 32P, and sulphur, such as 35S.
[00605] Certain isotopically-labelled compounds of Formula (I) or Formula (II), for example, those incorporating a radioactive isotope, are useful in drug and/or substrate tissue distribution studies. The radioactive isotopes tritium, i.e. 3H, and carbon-14, i.e. 14C, are particularly useful for this purpose in view of their ease of incorporation and ready means of detection.
[00606] Substitution with heavier isotopes such as deuterium, i.e. 2H, may afford certain therapeutic advantages resulting from greater metabolic stability, for example, increased in vivo half-life or reduced dosage requirements, and hence may be preferred in some circumstances.
[00607] Isotopically-labelled compounds of formula (I) can generally be prepared by conventional techniques known to those skilled in the art or by processes analogous to those described in the accompanying Examples and Preparations using an appropriate isotopically- labelled reagents in place of the non-labelled reagent previously employed.
[00608] The compounds of the present invention may be administered as prodrugs.
Thus, certain derivatives of compounds of formula (I) which may have little or no
pharmacological activity themselves can, when administered into or onto the body, be converted into compounds of formula (I) having the desired activity, for example, by hydrolytic cleavage. Such derivatives are referred to as 'prodrugs'.
[00609] Administration of the chemical entities described herein can be via any of the accepted modes of administration for agents that serve similar utilities including, but not limited to, orally, sublingually, subcutaneously, intravenously, intranasally, topically, transdermally, intraperitoneally, intramuscularly, intrapulmonarilly, vaginally, rectally, or intraocularly. In some embodiments, oral or parenteral administration is used.
[00610] Pharmaceutical compositions or formulations include solid, semi-solid, liquid and aerosol dosage forms, such as, e.g., tablets, capsules, powders, liquids, suspensions, suppositories, aerosols or the like. The chemical entities can also be administered in sustained or controlled release dosage forms, including depot injections, osmotic pumps, pills, transdermal (including electrotransport) patches, and the like, for prolonged and/or timed, pulsed
administration at a predetermined rate. In certain embodiments, the compositions are provided in unit dosage forms suitable for single administration of a precise dose.
[00611] The chemical entities described herein can be administered either alone or more typically in combination with a conventional pharmaceutical carrier, excipient or the like (e.g., mannitol, lactose, starch, magnesium stearate, sodium saccharine, talcum, cellulose, sodium crosscarmellose, glucose, gelatin, sucrose, magnesium carbonate, and the like). If desired, the pharmaceutical composition can also contain minor amounts of nontoxic auxiliary substances such as wetting agents, emulsifying agents, solubilizing agents, pH buffering agents and the like (e.g., sodium acetate, sodium citrate, cyclodextrine derivatives, sorbitan monolaurate, triethanolamine acetate, triethanolamine oleate, and the like). Generally, depending on the intended mode of administration, the pharmaceutical composition will contain about 0.005% to 95%; in certain embodiments, about 0.5% to 50% by weight of a chemical entity. Actual methods of preparing such dosage forms are known, or will be apparent, to those skilled in this art; for example, see Remington's Pharmaceutical Sciences, Mack Publishing Company, Easton, Pennsylvania.
[00612] In certain embodiments, the compositions will take the form of a pill or tablet and thus the composition will contain, along with the active ingredient, a diluent such as lactose, sucrose, dicalcium phosphate, or the like; a lubricant such as magnesium stearate or the like; and a binder such as starch, gum acacia, polyvinylpyrrolidine, gelatin, cellulose, cellulose derivatives or the like. In another solid dosage form, a powder, marume, solution or suspension (e.g., in propylene carbonate, vegetable oils or triglycerides) is encapsulated in a gelatin capsule.
[00613] Liquid pharmaceutically administrable compositions can, for example, be prepared by dissolving, dispersing, etc. at least one chemical entity and optional pharmaceutical adjuvants in a carrier (e.g., water, saline, aqueous dextrose, glycerol, glycols, ethanol or the like) to form a solution or suspension. Injectables can be prepared in conventional forms, either as liquid solutions or suspensions, as emulsions, or in solid forms suitable for dissolution or suspension in liquid prior to injection. The percentage of chemical entities contained in such parenteral compositions is highly dependent on the specific nature thereof, as well as the activity of the chemical entities and the needs of the subject. However, percentages of active ingredient of 0.01 % to 10% in solution are employable, and will be higher if the composition is a solid which will be subsequently diluted to the above percentages. In certain embodiments, the composition will comprise from about 0.2 to 2% of the active agent in solution.
[00614] Pharmaceutical compositions of the chemical entities described herein may also be administered to the respiratory tract as an aerosol or solution for a nebulizer, or as a microfine powder for insufflation, alone or in combination with an inert carrier such as lactose. In
such a case, the particles of the pharmaceutical composition have diameters of less than 50 microns, in certain embodiments, less than 10 microns.
[00615] In general, the chemical entities provided will be administered in a therapeutically effective amount by any of the accepted modes of administration for agents that serve similar utilities. The actual amount of the chemical entity, i.e., the active ingredient, will depend upon numerous factors such as the severity of the disease to be treated, the age and relative health of the subject, the potency of the chemical entity used, the route and form of administration, and other factors. The drug can be administered more than once a day, such as once or twice a day.
[00616] Therapeutically effective amounts of the chemical entities described herein may range from approximately 0.01 to 200 mg per kilogram body weight of the recipient per day; such as about 0.01-100 mg/kg/day, for example, from about 0.1 to 50 mg/kg/day. Thus, for administration to a 70 kg person, the dosage range may be about 7-3500 mg per day.
[00617] In general, the chemical entities will be administered as pharmaceutical compositions by any one of the following routes: oral, systemic (e.g., transdermal, intranasal or by suppository), or parenteral (e.g., intramuscular, intravenous or subcutaneous) administration. In certain embodiments, oral administration with a convenient daily dosage regimen that can be adjusted according to the degree of affliction may be used. Compositions can take the form of tablets, pills, capsules, semisolids, powders, sustained release formulations, solutions, suspensions, elixirs, aerosols, or any other appropriate compositions. Another manner for administering the provided chemical entities is inhalation.
[00618] The choice of formulation depends on various factors such as the mode of drug administration and bioavailability of the drug substance. For delivery via inhalation the chemical entity can be formulated as liquid solution, suspensions, aerosol propellants or dry powder and loaded into a suitable dispenser for administration. There are several types of pharmaceutical inhalation devices-nebulizer inhalers, metered dose inhalers (MDI) and dry powder inhalers (DPI). Nebulizer devices produce a stream of high velocity air that causes the therapeutic agents (which are formulated in a liquid form) to spray as a mist that is carried into the patient's respiratory tract. MDIs typically are formulation packaged with a compressed gas. Upon actuation, the device discharges a measured amount of therapeutic agent by compressed gas, thus affording a reliable method of administering a set amount of agent. DPI dispenses therapeutic agents in the form of a free flowing powder that can be dispersed in the patient's inspiratory air-stream during breathing by the device. In order to achieve a free flowing powder, the therapeutic agent is formulated with an excipient such as lactose. A measured amount of the therapeutic agent is stored in a capsule form and is dispensed with each actuation.
[00619] Recently, pharmaceutical compositions have been developed for drugs that show poor bioavailability based upon the principle that bioavailability can be increased by increasing the surface area i.e., decreasing particle size. For example, U.S. Patent No. 4,107,288 describes a pharmaceutical formulation having particles in the size range from 10 to 1 ,000 nm in which the active material is supported on a cross-linked matrix of macromolecules. U.S. Patent No. 5,145,684 describes the production of a pharmaceutical formulation in which the drug substance is pulverized to nanoparticles (average particle size of 400 nm) in the presence of a surface modifier and then dispersed in a liquid medium to give a pharmaceutical formulation that exhibits remarkably high bioavailability.
[00620] The compositions are comprised of, in general, at least one chemical entity described herein in combination with at least one pharmaceutically acceptable excipient.
Acceptable excipients are non-toxic, aid administration, and do not adversely affect the therapeutic benefit of the at least one chemical entity described herein. Such excipient may be any solid, liquid, semi-solid or, in the case of an aerosol composition, gaseous excipient that is generally available to one of skill in the art.
[00621] Solid pharmaceutical excipients include starch, cellulose, talc, glucose, lactose, sucrose, gelatin, malt, rice, flour, chalk, silica gel, magnesium stearate, sodium stearate, glycerol monostearate, sodium chloride, dried skim milk and the like. Liquid and semisolid excipients may be selected from glycerol, propylene glycol, water, ethanol and various oils, including those of petroleum, animal, vegetable or synthetic origin, e.g., peanut oil, soybean oil, mineral oil, sesame oil, etc. Liquid carriers, for injectable solutions, include water, saline, aqueous dextrose, and glycols.
[00622] Compressed gases may be used to disperse a chemical entity described herein in aerosol form. Inert gases suitable for this purpose are nitrogen, carbon dioxide, etc. Other suitable pharmaceutical excipients and their formulations are described in Remington's
Pharmaceutical Sciences, edited by E. W. Martin (Mack Publishing Company, 18th ed., 1990).
[00623] The amount of the chemical entity in a composition can vary within the full range employed by those skilled in the art. Typically, the composition will contain, on a weight percent (wt%) basis, from about 0.01 -99.99 wt% of at least one chemical entity described herein based on the total composition, with the balance being one or more suitable pharmaceutical excipients. In certain embodiments, the at least one chemical entity described herein is present at a level of about 1 -80 wt%. Representative pharmaceutical compositions containing at least one chemical entity described herein are described below.
[00624] In another embodiment, there is provided a method for treating a viral infection in a mammal mediated at least in part by a virus in the Flaviviridae family of viruses, which method comprises administering to a mammal that has been diagnosed with said viral infection or is at risk of developing said viral infection a compound described herein. In another embodiment, the virus is hepatitis C virus.
[00625] In another embodiment, the method for treating a viral infection in a mammal mediated at least in part by a virus in the Flaviviridae family of viruses further comprises administration of a therapeutically effective amount of one or more agents active against hepatitis C virus. In another embodiment, the agent is an inhibitor of HCV protease, HCV polymerase, HCV helicase, HCV NS4B protein, HCV entry, HCV assembly, HCV egress, HCV replicase, HCV NS5A protein, or inosine 5'-monophosphate dehydrogenase. In another embodiment, the agent is interferon. In another embodiment, the agent is ribavirin. In yet another embodiment, the agent(s) is a combination of interferon and ribavirin that is
administered either simultaneously or sequentially.
[00626] In addition, the chemical entities described herein can be co-administered with, and the pharmaceutical compositions can include, other medicinal agents, pharmaceutical agents, adjuvants, and the like. Suitable medicinal and pharmaceutical agents include therapeutically effective amounts of one or more agents active against HCV. In some embodiments, the agent active against HCV is an inhibitor of HCV protease, HCV polymerase, HCV helicase, HCV NS4B protein, HCV entry, HCV assembly, HCV egress, HCV replicase, HCV NS5A protein, or inosine 5'-monophosphate dehydrogenase.
[00627] Active agents against HCV include ribavirin, levovirin, viramidine, thymosin alpha-1 , an inhibitor of NS3 serine protease, and inhibitor of inosine monophosphate
dehydrogenase, interferon-alpha, either alone or in combination with ribavirin or levovirin. In some embodiments, the additional agent active against HCV is interferon-alpha or pegylated interferon-alpha alone or in combination with ribavirin or levovirin. In some embodiments, the agent active against hepatitis C virus is interferon.
[00628] The above other therapeutic agents, when employed in combination with the chemical entities described herein, may be used, for example, in those amounts indicated in the Physicians' Desk Reference (PDR) or as otherwise determined by one of ordinary skill in the art.
[00629] Additionally, the present specification is directed to a pharmaceutical composition comprising a therapeutically effective amount of at least one chemical entity described herein in combination with a therapeutically effective amount of another active agent against RNA- dependent RNA virus and, in particular, against HCV. Agents active against HCV include, but
are not limited to, ribavirin, levovirin, viramidine, thymosin alpha-1 , an inhibitor of HCV NS3 serine protease, or an inhibitor of inosine monophosphate dehydrogenase, interferon-alpha pegylated interferon-alpha (peginterferon-alpha), a combination of interferon-alpha and ribavirin, a combination of peginterferon-alpha and ribavirin, a combination of interferon-alpha and levovirin, and a combination of peginterferon-alpha and levovirin. Interferon-alpha includes, but is not limited to, recombinant interferon-alpha2a (such as ROFERON interferon available from Hoffman-LaRoche, Nutley, NJ), interferon-alpha2b (such as Intron-A interferon available from Schering Corp., Kenilworth, New Jersey, USA), a consensus interferon, and a purified interferon-alpha product. For a discussion of ribavirin and its activity against HCV, see J.O. Saunders and S.A. Raybuck, "Inosine Monophosphate Dehydrogenase: Consideration of Structure, Kinetics and Therapeutic Potential," Ann. Rep. Med. Chem., 2:201 -210 (2000).
[00630] The following examples serve to more fully describe the manner of making and using the above-described invention. It is understood that these examples in no way serve to limit the true scope of the invention, but rather are presented for illustrative purposes.
BIOLOGICAL EXAMPLES
EXAMPLE 310
ANTI-HEPATITIS C ACTIVITY
[00631] In certain embodiments, the presently described formulas and compounds can exhibit anti-hepatitis C activity by fully or partially inhibiting the host cell's PI4Ka enzyme, which has been recently described as an important host factor for HCV replication. The presently described formulas and compounds show various potencies against PI4Ka, which correlates well with the corresponding antiviral (e.g., replicon) activities. A number of assays have been published to assess these activities. A general method that assesses the gross increase of HCV virus in culture was disclosed in U.S. Patent No. 5,738,985 to Miles et al. In vitro assays have been reported in Ferrari et al. Jnl. of Vir., 73:1649-1654, (1999); Ishii et al., Hepatology, 29:1227-1235, (1999); Lohmann et al., J. Biol. Chem., 274:10807-10815, (1999); and
Yamashita et al., J. Biol. Chem., 273:15479-15486, (1998).
EXAMPLE 311
REPLICON ASSAY
[00632] Compounds were assayed for activity against HCV using the genotype 1 a and 1 b subgenomic replicon model systems. Stable cell lines bearing the genotype 1 a and 1 b replicons
were used for screening of compounds. Both replicons are bicistonic and contain the firefly luciferase gene. The ET cell line is stably transfected with RNA transcripts harboring a sgluc- ubi-neo/NS3-37ET replicon with firefly luciferase-ubiquitin-neomycin phosphotransferase fusion protein and EMCV-IRES driven NS3-5B polyprotein containing the cell culture adaptive mutations (E1202G; T1280I; K1846T) {Krieger at al, 2001 and unpublished). The genotype 1 a replicon is a stable cell line licensed from Apath LLC, modified to contain the firefly luciferase gene. The cells were grown in DMEM, supplemented with 10% fetal calf serum, 2 mM
Glutamine, Penicillin (100 IU/mL)/Streptomycin (100 μg/mL), 1 x nonessential amino acids, and 250-500 μg/mL G418 ("Geneticin"). They were all available through Life Technologies
(Bethesda, Md.). The cells were plated at 0.5 x 104 cells/well in 384 well plates containing compounds. The final concentration of compounds ranged between 0.03 pM to 50 μηη and the final DMSO concentration of 0.5-1 %.
[00633] Luciferase activity was measured 48 hours later by adding a Steady glo
(Promega, Madison, Wis.). Percent inhibition of replication data was plotted relative to no compound control. Under the same condition, cytotoxicity of the compounds was determined using cell titer glo (Promega, Madison, Wis). IC50s were determined from a 10 point dose response curve using 3-4-fold serial dilution for each compound, which spans a concentration range > 1000 fold. BioAssay determines the level of inhibition for each compound by normalizing cross-talk corrected plate values against the negative (low or background, cells with no compound present) and positive (high DMSO, no cells) controls to determine Percent Inhibition:
100 * (1 -(Cross-talk corrected value - Compound Positive Control Mean))
DMSO Negative Control Mean - Compound Positive Control Mean
[00634] These normalized values are exported to IC50 where they are plotted against the molar compound concentrations using the standard four parameter logistic equation:
B-A
y = A +
10x
1 + [ - ¾-- ]
Where:
minimum y D= slope factor
maximum y x = log10 compound concentration [M]
C = logioECso
[00635] As shown below, the tested compounds were found to inhibit the activity of the replicon with plC50 values of about 9 or less. Preferably, the compounds will exhibit plC50 values of about 8 or less, in some embodiments, about 7 or less, and in some embodiments, about 6 or less. Further, compounds of the present disclosure, which were tested against more than one genotype of HCV replicon, were found to have similar inhibitory properties.
EXAMPLE 312
PI4Ka Enzyme Luciferase cell based assay assay
[00636] 150 μΙ_ of a 1 mM stock solution in DMSO of each test compound was transferred into the first column of a 96 well, V-bottom microplate, to give 200 times the top concentration of the required dilution series. Aliquots of 50 μΙ_ were added to each well of the remaining rows containing 100 μΙ_ of DMSO giving a 1 :3 dilution series over ten points. Columns 1 1 and 12 contained DMSO only for the positive and negative control, respectively. 10 μΙ_ of each well were transferred into 90 μΙ_ of DMEM medium (Invitrogen #41965-039) supplemented with 5% v/v fetal calf serum, 1 % v/v non-essential amino acids solution, 100 units/ml penicillin, 100 μg/ml streptomycin and 2 mM L-glutamine, to give 20 times the top concentration of the required dilution series.
[00637] Suspensions were prepared from cultures of Huh-7 cells stably transfected with sub-genomic HCV NS3-NS5B replicons of either genotype 1 b (the ET subline described by Pietschmann,T., Lohmann, V., Kaul, A., Krieger, N., Rinck, G., Rutter, G., Strand, D. &
Bartenschlager, R., Journal of Virology, 2002, 76, 4008-4021 ) or genotype 1 a (subline 1 .19 constructed in-house) linked to a firefly luciferase reporter gene. Monolayers nearing confluency were stripped from growth flasks with versene-trypsin solution and the cells re-suspended in assay medium comprising DMEM. 95μΙ_ of suspension containing either 15,000 cells (genotype 1 b luciferase replicon) or 20,000 cells (genotype 1 a luciferase replicon) were added to all wells of a 96 well plate (Perkin Elmer, #6005686), except medium controls in column 12 of the assay plate. The cell suspension was dosed with 5μΙ_ of compound solution and the plate was incubated for 48 hours at 37°C in a 5% C02 atmosphere.
[00638] For toxicity the cells in one plate were treated with Cell Titer Glo (Promega, #G7573). A solution of Cell Titer Glo was prepared according to the manufacturer's instructions, and 100 μΙ_ added to each well. The plate was then read for luminescence on an Envision. For potency a solution of Steady Glo (Promega, #E2550) was prepared according to the
manufacturer's instructions and 100μΙ_ added to each well. After twenty minutes of incubation, the plate was then read for luminescence on an Envision.
Data Analysis
[00639] Toxicity:
[00640] The luminescence values from duplicate wells were averaged and expressed as a percentage of the mean absorbance of compound free control wells to determine comparative cell viability. Compound cytotoxicity was expressed either as the lowest concentration at which a significant reduction in viability was observed or a 50% toxic concentration (CCID50) was determined by plotting percentage cytotoxicity against compound concentration using
ActivityBase (IDBS Software) with curve fitting done through the XC50 module.
[00641] Potency:
[00642] The luminescence values from all compound-free wells containing cells were averaged to obtain a positive control value. The mean luminescence value from the compound- free wells that had received no cells was used to provide the negative (background) control value. The readings from the wells at each compound concentration were taken and after the subtraction of the mean background from all values, were expressed as a percentage of the positive control signal. The quantifiable and specific reduction of luciferase signal in the presence of a drug is a direct measure of replicon inhibition. BioAssay Enterprise
(CamebridgeSoft) with the XC50 module for curve fitting was used to plot the curve of percentage inhibition against compound concentration and derive the 50% inhibitory
concentration (IC50) for the compound. The IC50 values of two identical plates were averaged.
PI4KAIpha IC50 determination
[00643] To determine the potency of compounds as inhibitors of PI4Kalpha protein, a microfluidics-based kinase detection platform was utilized confidentialy through a contract research organization (Nanosyn, Inc, Research Triangle Park, North Carolina). Compounds were sent at top concentration of 10 μΜ and subsequently serially diluted to 10 pM. This enzymatic assay detection technology is based upon the difference between net charge of substrates and products, allowing electrophoretic separation of product from substrate. The
product of PI4KAIpha kinase reactions are then quantitated using Caliper LabChip microfluidic instrumentation. IC50s are calculated as the concentration corresponding to 50% inhibition of PI4Kalpha product production.
[00644] When tested in biological in vitro models, certain compounds of Table 1 were found to have plC50 values listed in Table 2.
Table 2
21 5.8 6.2 _
22 7.4 8.4 _
23 7.8 8.7 8.5
24 7.8 8.8 8.8
25 7.6 8.3 8
26 7.6 8.6 8.1
27 6.5 7.5 8.3
28 7.5 8.4 8.3
29 8.3 8.9 9.3
30 7 7.9 7.8
31 7.5 8.6 8.5
32 7.5 8.5 8
33 7.5 8.3 7.5
34 7.5 8 7.4
35 7.7 8.5 8.7
36 7.5 8.2 8.1
37 7.2 8.1 8.5
38 7.1 8.1 8.4
39 7.5 8.4 8.3
40 8 8.8 8.3
41 7.6 8.4 8.5
42 7.8 8.7 8.4
43 5.9 6 7.4
44 6.7 7.6 8.1
45 7.5 8.3 7.9
46 8 8.8 8.3
47 7.6 8.3 8.3
48 7.2 7.8 8.5
49 7.7 8.5 8.7
50 8.2 9 8.6
51 7.7 8.6 8.4
52 8 8.9 8.3
53 6.1 7.2 9.4
54 7.3 8.2 7.9
55 7.7 8.5 8.2
56 8 8.8 8.1
57 7.2 8.2 7.7
58 7.7 8.5 8.6
59 7.5 8.4 8.6
60 6.9 7.7 7.5
61 7.4 8.3 8.2
62 6.8 7.4 8.9
63 6.1 7 5.4
64 5.8 6.7 5.5
65 5.3 6.3 9
66 6.3 7.3 6.5
67 7.4 8.4 8.2
68 7.5 8.4 8.4
69 _ _ _
70 7.9 8.7 9.4
71 7.4 8.3 8.4
72 7.6 8.5 8.3
73 7.1 7.8 8.3
74 6.6 7.5 7.1
75 6.3 7.3 7.4
76 6.3 7.2 7.3
77 7 7.9 8
78 6.1 7.3 8.9
79 7.1 8 8.1
80 8 8.9 8.9
81 7.3 8.3 8.4
82 _ _ _
83 6.7 7.7 7.3
84 8 8.8 8.4
85 7.1 8.1 7.6
86 7.6 8.5 8.2
87 7.8 8.5 8.1
88 7.7 8.5 7.3
89 7.2 7.9 8.1
90 7.7 8.5 8.1
91 8.2 8.9 _
92 6.4 7 6.8
93 5.9 6.6 6.7
94 6.1 7 _
95 7.2 7.9 8.1
96 _ _ _
97 7 7.6 _
98 7.6 8.7 8.9
99 5.9 7 8.9
100 7.8 8.9 8.6
101 7.7 8.7 8.2
102 7.8 8.6 8.6
103 7.3 8.1 8.1
104 7.5 8.5 8.2
105 7.6 8.5 8.2
106 7.4 8.3 7.7
107 7.2 8.2 7.8
108 7.4 8.4 8.3
109 8.1 8.9 8.6
110 8 8.8 8.9
111 6.9 7.8 8.5
112 7.6 8.5 8.2
113 7.9 8.9 8.5
114 5.7 6.1 5.9
115 7.3 8.1 8.6
116 8 8.9 8.7
117 5.7 5.6 5.9
118 5.3 5.3 5.4
1 19 6.3 7.3 7.6
120 6.6 7.5 _
121 8.2 9 8.2
122 7.5 8.3 8
123 7.2 8.1 7.3
124 7.4 8.2 7.9
125 7.2 8.1 7.8
126 7.4 8.2 8.3
127 7.8 8.7 8.2
128 7.2 8.1 8.3
129 5.6 5.9 5.7
130 8 8.8 8.4
131 5.3 5.7 4.9
132 8 8.7 8.5
133 7.4 7.7 7.7
134 7.2 8.1 7.4
135 7.6 8.3 9
136 6.4 6.6 6.4
137 7 7.4 7.3
138 7.4 8.3 8.1
139 8 9 _
140 8 8.9 8.7
141 6.5 7.2 _
142 7.3 8 _
143 7.2 8.1 7.4
144 7.4 7.8 8
145 7.4 7.8 8.3
146 6.1 7.1 6.7
147 6.5 7.1 7.5
148 6.1 6.7 6.7
149 6.5 6.8 7
150 5.8 6.6 8
151 6.6 7.6 7.7
152 6.8 7.6 7.5
153 7.6 8.5 8.3
154 6.3 7.3 7.1
155 6.1 7.3
156 6.2 6.9 6.8
157 6.3 7.1 6.4
158 7.1 7.9 7.9
159 5.3 5.8 4.5
160 5.3 5.3 4.8
161 6 6.7 6.4
162 6 6.2 6.1
163 6.4 6.9 6.9
164 7.6 8.4 8.5
165 5.3 5.3 5
166 6.4 6.9 7.9
167 7 7.7 8.3
168 7.8 8.9 8.4
169 6 7.2 6.6
170 7.5 8.3 8.6
171 7.8 8.5 8.4
172 5.7 5.5 4.8
173 5.3 6.1 5.1
174 5.3 6.6 5.6
175 5.3 5.6 5.7
176 5.7 5.9 5.7
177 5.6 6 5.5
178 6.3 6.8 6.4
179 7.7 8.6 8.6
180 7 7.9 8.6
181 6 6.7 7.8
182 6.2 6.7 _
183 8.2 9.2 9
184 5.6 5.9 6.3
185 5.3 5.3 _
186 5.3 5.5 5.8
187 - - -
188 - - -
189 - - -
190 - - -
191 - - -
192 - - -
193 - - -
194 - - -
195 - - -
196 - - -
197 - - -
198 7.9 8.7 -
199 7.3 6.7 7.9
200 7.5 6.6 7.8
201 7.8 6.9 8.3
202 8.3 7.5 8.6
203 5.8 5.4 5.5
204 8.2 7.4 8.9
205 8.1 7.4 8.2
206 7.7 6.7 8.2
207 7.7 6.9 8.3
208 7.6 6.8 7.4
209 7.7 6.8 8.3
210 5.9 5.7 8.3
21 1 7.7 6.7 6.9
212 8.5 7.5 8.4
213 7 6.1 6
214 6.3 6 7.6
215
216 6.8 6.3 6.3
217 7.1 6.8 6.7
218 7.5 6.8 6.6
219 7.6 6.7 7
220 7.5 6.7 6.6
221 7.5 6.9 6.6
222 8 7.2 8.2
223 7.8 6.9 8
224 8.3 7.4
225 7.9 7.2 6.9
226 8.3 7.6 8.9
227 8.4 7.7 8.8
228 7.7 7.2 7.3
229 8.7 7.6 8.4
230 8.7 7.9 8.7
231 8.2 7.5 8.6
232 8.6 7.7 8.7
233 8.4 7.6 8.6
234 7.9 7.4 8.9
235 9.4 8.8 8.7
236 8.3 7.7 7.4
237 8.8 7.9 7.2
238 8.9 8.2 8.8
239 8.8 8 8.7
240 9.2 8.5 9
241 7.4 6.5 8.4
242 8 7.3 8.9
243 6.8 5.8 8.8
244 7.7 7 8.6
245 8.4 7.5 8.9
246 8.7 7.8 8.5
247 7.5 6.8 6.9
248 7.8 6.9 6.7
249 7.6 6.9 6.5
250 7.8 6.9 6.6
251 6.7 6.1 6.7
252 7.2 6.4 5.9
253 6.8 6.3 7
254 7.6 6.8 6.6
255 7.8 6.7 6.7
256 6.9 6.3 6.6
257 7.9 7.4 8.5
258 8.1 7.4 8.4
259 8 7.4 8.4
260 8.1 7.6 8.1
261 8.1 7.3 8.4
262 8.1 7.3 8.1
263 8.4 7.4 9
264 7.6 6.7 8.4
265 8.3 7.2 8.8
266 7.8 7 8.7
267 8.5 7.6 9
268 8.1 7.2 8.3
269 7.7 7.1 8.4
270 8.1 7.1 8.2
271 7.8 6.9 8.7
272 6.7 5.8 7
273 7.2 6.4 8.1
274 8.5 7.7 8.9
275 7.7 6.8 8.5
276 7.9 6.9 8.3
277 7.8 6.8 8.2
278 7.9 7 8.3
279 7.6 6.7 7.8
280 7.6 6.7 7.7
281 7.9 7.2 8.5
282 8.2 7.4 8.3
283 8.1 7.1 8.7
284 5.3 5.3 5.3
285 6.4 6 5.8
286 6.2 5.6 6.8
287 7.3 6.6 7
288 8.2 7.5 8.1
289 6.7 6 6.7
290 7.7 6.6 7.7
291 5.3 5.3
292 5.3 5.3 6.3
293 5.3 5.3 6.2
294 5.8 5.7 5.8
295 6 5.8 5.3
296 5.4 5.4 5.3
297 5.5 5.3 5.3
298 5.5 5.4 5.6
299 5.3 5.3 5.7
300 5.8 5.4 6.2
301 5.3 5.4 5.5
302 6.5 5.3 5.6
303 6.1 5.5 6.5
304 7.8 6.9 8.4
305 7.1 6.2 7.4
306 6.8 6.2 8.2
307 8.1 7.3 8.6
308 7.4 6.9 7.3
309 8.1 7 7.2
Formulation Examples
[00645] The following are representative pharmaceutical formulations containing a compound of Formula (I) or a pharmaceutically acceptable salt thereof.
Formulation Example 1
Tablet formulation
[00646] The following ingredients are mixed intimately and pressed into single scored tablets.
Ingredient Quantity per tablet (mg)
compound 400
cornstarch 50
croscarmellose sodium 25
lactose 120
magnesium stearate 5
Formulation Example 2
Capsule formulation.
[00647] The following ingredients are mixed intimately and loaded into a hard-shell gelatin capsule.
Ingredient Quantity per capsule compound 200
Lactose, spray-dried 148
magnesium stearate 2
Formulation Example 3
Suspension formulation
[00648] The following ingredients are mixed to form a suspension for oral administration.
Ingredient Amount
compound 1 .0 g
fumaric acid 0.5 g
sodium chloride 2.0 g
methyl paraben 0.15 g
propyl paraben 0.05 g
granulated sugar 25.0 g
sorbitol (70% solution) 13.00 g
Veegum K (Vanderbilt Co.) 1 .0 g
flavoring 0.035 ml_
colorings 0.5 mg
distilled water q.s. (quantity sufficient) to 100 ml_
Formulation Example 4
Injectable formulation
[00649] The following ingredients are mixed to form an injectable formulation.
Ingredient Amount
compound 0.2 mg-20 mg sodium acetate buffer solution, 0.4 M 2.0 ml_
HCI (1 N) or NaOH (1 N) q.s. to suitable pH
water (distilled, sterile) q.s. to 20 ml_
Formulation Example 5
Suppository Formulation
[00650] A suppository of total weight 2.5 g is prepared by mixing the compound with Witepsol® H-15 (triglycerides of saturated vegetable fatty acid; Riches-Nelson, Inc., New York), and has the following composition:
Ingredient Amount
compound 500 mg
Witepsol® H-15 balance
[00651] Although the invention has been shown and described above with reference to some embodiments, those skilled in the art will readily appreciate that the specific experiments detailed are only illustrative of the invention. It should be understood that various modifications can be made without departing from the spirit of the invention.
[00652] For example, for claim construction purposes, it is not intended that the claims set forth hereinafter be construed in any way narrower than the literal language thereof, and it is thus not intended that exemplary embodiments from the specification be read into the claims. Accordingly, it is to be understood that the present invention has been described by way of illustration and not limitations on the scope of the claims. Accordingly, the invention is limited only by the following claims. All publications, issued patents, patent applications, books and journal articles, cited in this application are each herein incorporated by reference in their entirety.
Claims
WHAT IS CLAIMED IS
A compound of Formula (II):
or a pharmaceutically acceptable salt thereof, wherein:
W is selected from the group consisting of -NHS02R5, -S02R14, -S02NHR5,
-C(0)NHR9R12, -C02R8, -NHC(0)R5, and -S02NHR9R5;
X is N or CR3;
Y is selected from the group consisting of a bond, -C(O), (Ci-C6)alkylene, and (C2- C6)alkynyl;
Z is selected from the group consisting of a bond and (CrC6)alkylene;
R1 is selected from the group consisting of hydrogen, (d-C6)alkyl, (C4-Ci4)aryl,
-R14, and -S02R9, wherein said (C -Ci )aryl of said R1 group is optionally substituted with one to three R6 groups;
R2 is selected from the group consisting of (CrC6)alkyl, (Ci-C6)alkenyl, halo,
-C(0)NHR13, -R12, nitrile, -NHC02R8, -NHR10, -S02R10, -S02R9, -NHC(0)R14, -NHC(0)R12, -NHC(0)R9, -NHS02R14, -NHS02R9, -C(O), (C4-Ci4)aryl, (d- Cn heterocyclic, and (CrCuheteroaryl, wherein said (CrCuheterocyclic and (d-Cuheteroaryl groups of said R2 group each independently have one to three heteroatoms selected from N and O, and wherein said R2 group may be optionally substituted with one to three R7 groups;
R1 and R2 may optionally join together along with any intervening N and C atoms to form a (C1-C11 heterocyclic or a (CrCn)heteroaryl group fused to the adjacent pyridine ring and each independendly have one to three nitrogen heteroatoms, and wherein said R1 and R2-joined (CrCn)heterocyclic or (Ci-Cn)heteroaryl group may be optionally substituted with one to three R8 groups;
R3 and R4 are independently selected from the group consisting of hydrogen, (d-
C6)alkyl, (C C6)alkoxy, nitrile, -N3, -SR8, -NHR8, -S(0)R9, -C(0)R12, -SR9, -S02R8, oxo, -OR8, -R12, and halo, and wherein said (C C6)alkyl and (C
C6)alkoxy of said R3 and R4 groups may be optionally substituted with one to three R17 groups;
R5 is selected from the group consisting of hydrogen, (d-C6)alkyl, (CrC6)alkoxy, (C4- Ci4)aryl, benzyl, (C3-Ci2)cycloalkyl, trifluoromethyl, trifluoroethyl, -R12,
(Ci-Cii)heterocyclic, and (CrCn)heteroaryl, wherein said (CrCn)heterocyclic and (CrC^heteroaryl of said R5 group each independently have one to three heteroatoms selected from N and O, and wherein R5 may be optionally substituted with one to three R15 groups;
R6 is independently selected from the group consisting of (C1-C6)alkyl, (C1-C6)alkoxy, -OR8, -C(0)R14, and (C Ci heterocyclic, wherein said (( Ci heterocyclic of said R6 group has one to three heteroatoms selected from N and O;
R7 is independently selected from the group consisting of (CrC6)alkyl, (CrC6)alkoxy, oxo, halo, nitrile, -N02, -R9OR8, -(CH2)WCN, -NHS02R9, -SR9, -C(0)R12, -S02R12, -S02R9, -S02NH(CH2)wR14, -S02(CH2)wR14, -R12, -R14, -(CH2)wOR8, -C(0)NHR13, -C(0)NHR14, -C(0)NHR9, -C(0)R12, -NHC(O)NHR10R11 , -C(0)NH(CH2)wR12, -C(0)(CH2)wR12, -C02R8, -NHC(0)C(0)R14, -NHC02R8, -OR8, -C(0)NH(CH2)wR14 -C(0)(CH2)wR14, -C(0)R14, -(CH2)WR11 , -NH(CH2)WR14, -(CH2)WR14 , -(CH2)WR10, -(CH2)WNHR10, -(CH2)wC02R8, -C(O)NHR10R11, -C(0)NH(CH2)wOR8, and
-C(0)NH(CH2)wR11; and wherein said (C C6)alkyl and (C C6)alkoxy of said R7 group may be optionally substituted with one to three R17 groups;
R8 is independently selected from the group consisting of hydrogen, oxo, and
(Ci-C6)alkyl;
R9 is (Ci-C6)alkyl;
R10 is (C4-C14)aryl;
R11 is selected from the group consisting of nitrile, halo, (C1-C6)alkyl, (C1-C6)alkoxy,
-NHS02R9, -C02R8, -OR8, -0(CH2)wR12, -S02R12, -S02R9, -NH(CH2)WR14 , and -(CH2)WR14; and wherein said (C1-C6)alkyl and (C1-C6)alkoxy of said R11 group may be optionally substituted with one to three R17 groups;
R12 is -NR8R8;
R13 is (C3-Ci2)cycloalkyl;
R14 is selected from the group consisting of (d-Cn heterocyclic and (Ci-Cn)heteroaryl, each independently having one to three heteroatoms selected from N and O,
wherein said (Ci-Cn heterocyclic and (CrCn)heteroaryl may be optionally substituted by one to three independent R16 groups;
R15 is independently selected from the group consisting of (CrC6)alkyl, (d-C6)alkoxy, -OR8, halo, nitrile, -N02, and -C02R8, and wherein said (C C6)alkyl and (d- C6)alkoxy of said R15 group may be optionally substituted with one to three R17 groups;
R16 is independently selected from the group consisting of (CrC6)alkyl, (CrC6)alkoxy, halo, nitrile, -NHS02R9, -C02R8, -OR8, -0(CH2)wR12, -S02R12, -S02R9, -NH(CH2)WR14, and -(CH2)WR14; and wherein said (d-Q^alkyl and (d-C6)alkoxy of said R16 group may be optionally substituted with one to three R17 groups;
R17 is halo;
m is independently 0 or an integer from 1 to 4;
n is independently 0 or an integer from 1 to 3; and
w is independently 0 or an integer from 1 to 6.
2. The compound according to claim 1 , wherein W is selected from the group consisting of
-NHS02R5, -S02R14, -S02NHR5, -C(0)NHR9R12, -NHC(0)R5, and -S02NHR9R5.
3. The compound according to claim 1 , wherein X is N.
4. The compound according to claim 1 , wherein X is CR3.
5. The compound according to claim 3, wherein X is CH.
6. The compound according to claim 1 , wherein Z is a bond.
7. The compound according to claim 1 , wherein Z is methylene.
8. The compound according to claim 1 , wherein Y is a bond.
9. The compound according to claim 1 , wherein Y is methylene.
10. The compound according to claim 1 , wherein Z is a bond and R1 is H.
1 1 . The compound according to claim 1 , wherein R2 is selected from the group consisting of methyl, ethylene, halo, -NH2, -NHR10, -NHC02R8 -C(0)NHR13, -NHC(0)R14, nitrile,
phenyl, pyridinyl, pyrazolyl, piperazinyl, morpholinyl, thiomorpholinyl, piperidinyl,
pyrrolidinyl, pyrimidyl, dioxanyl, benzodioxolanyl, and
wherein R2 may be optionally substituted with one to three independent R7 groups.
12. The compound according to claim 1 , wherein R2 is selected from the group consisting of bromo, phenyl, pyridinyl, thiomorpholinyl, morpholinyl, piperazinyl, piperidinyl,
pyrimidyl, and wherein R2 may be optionally substituted with one to two independent R7 groups.
13. The compound according to claim 1 , wherein Y is a bond and R2 is phenyl, and wherein said phenyl may be optionally substituted with one to two independent R7 groups.
14. The compound according to claim 1 , wherein R1 and R2 may optionally join together along with the intervening N and C atoms to form a ring structure, wherein said ring structure is fused to the adjacent pyridine and said ring structure is selected from the group consisting of:
wherein said ring structure may be optionally substituted with one to three independent R8 groups.
15. The compound according to claim 1 , wherein R3 is selected from the group consisting of hydrogen, methyl, ethyl, methoxy, ethoxy, propoxy, oxo, nitrile, -N3, -SR8, -NHR8, -S02R8, hydroxyl, -NR8R8 and halo.
16. The compound according to claim 1 , wherein R3 is selected from the group consisting of -NR8R8 , methoxy, ethoxy, and H.
17. The compound according to claim 1 , wherein R3 is H.
18. The compound according to claim 1 , wherein R4 is selected from the group consisting of hydrogen, methyl, ethyl, methoxy, oxo, nitrile, -N3, -SR8, -SR9, -S02R8, hydroxyl, - NR8R8 and halo.
19. The compound according to claim 1 , wherein R4 is selected from the group consisting of
-NR8R8, halo, methoxy, and H.
20. The compound according to claim 1 , wherein R4 is H.
21 . The compound according to claim 1 , wherein R5 is selected from the group consisting of methyl, ethyl, isopropyl, propyl, butyl, isobutyl, tert-butyl, phenyl, benzyl, cyclopropyl, cyclopentyl, trifluoromethyl, trifluoroethyl, pyridinyl, quinolinyl, and furanyl, wherein R5 may be optionally substituted with one to three independent R15 groups.
22. The compound according to claim 1 , wherein R5 is (C4-Ci4)aryl, and wherein said aryl may be optionally substituted with one to three independent R15 groups.
23. The compound according to claim 1 , wherein R5 is selected from the group consisting of phenyl and furanyl, and wherein said phenyl may be optionally substituted with one to three independent R15 groups.
24. The compound according to claim 1 , wherein R5 is phenyl, and wherein said phenyl is substituted with one to two independent R15 groups.
25. The compound according to claim 1 , wherein R7 is independently selected from the group consisting of methyl, ethyl, methoxy, ethoxy, oxo, hydroxyl, halo, nitrile, - (CH2)WCN, -C02R8, -S02R12, -(CH2)wS02R12, -S02R9, -S02NHR9, -R14, -(CH2)wOR8, - C(0)R12, -NHS02R9, -SR9, -C(0)NHR13, -C(0)(CH2)wR12, -C02R8, -NHC(0)C(0)R14, -C(0)NH(CH2)wR14, -C(0)R14, -NH(CH2)WR14, -(CH2)WR14, and -C(0)NHR9.
26. The compound according to claim 1 , wherein R7 is independently selected from the group consisting of methyl, methoxy, hydroxyl, CI, Br, F, -S02R12, -S02R9, morpholinyl, -C(0)R12, -C(0)R14, and -NH(CH2)WR14.
27. The compound according to claim 1 , wherein R is independently selected from the group consisting of hydrogen, oxo, methyl, ethyl, propyl, isopropyl, butyl, and tert- butyl.
28. The compound according to claim 1 , wherein R8 is independently selected from the
group consisting of hydrogen, methyl, and ethyl.
29. The compound according to claim 1 , wherein R9 is independently selected from the
group consisting of methyl, ethyl, propyl, isopropyl, butyl, and tert-butyl.
30. The compound according to claim 1 , wherein R9 is independently selected from the
group consisting of methyl, ethyl, and tert-butyl.
31 . The compound according to claim 1 , wherein R10 is phenyl.
32. The compound according to claim 1 , wherein R11 is independently selected from the group consisting of methyl, ethyl, propyl, isopropyl, butyl, tert-butyl, halo,
trifluoromethyl, trifluoromethoxy, methoxy, ethoxy, nitrile, -NHS02R9, -C02R8, -OR8, -0(CH2)wR12, -S02R12, -S02R9, and -(CH2)WR14.
33. The compound according to claim 1 , wherein R12 is -NH2.
34. The compound according to claim 1 , wherein R13 is selected from the group consisting of cyclopropyl, cyclobutyl, cyclopentyl, and cyclohexyl.
35. The compound according to claim 1 , wherein R14 is selected from the group consisting of morpholinyl, triazolyl, pyrimidinyl, pyrazolyl, tetrahydropyranyl, piperazinyl, pyrrolidinyl, piperidinyl, pyridinyl, wherein R14 may be optionally substituted by one to three independent R16 groups.
36. The compound according to claim 1 , wherein R14 is selected from the group consisting of morpholinyl, piperazinyl, pyrrolidinyl, piperidinyl, and wherein R14 may be optionally substituted by an R16 group.
37. The compound according to claim 1 , wherein R14 is selected from the group consisting of morpholinyl, piperazinyl, pyrrolidinyl, and piperidinyl, and wherein R14 may be
optionally substituted with a methyl or -OR group.
38. The compound according to claim 1 , wherein R15 is independently selected from the group consisting of halo, methoxy, nitrile, and -N02.
39. The compound according to claim 1 , wherein R15 is halo.
40. The compound according to claim 1 , wherein R15 is F.
41 . The compound according to claim 1 , wherein R16 is independently selected from the group consisting of methyl, ethyl, propyl, isopropyl, butyl, tert-butyl, halo,
trifluoromethyl, trifluoromethoxy, methoxy, ethoxy, nitrile, -NHS02R9, -C02R8, -OR8, -0(CH2)wR12, -S02R12, -S02R9, -NH(CH2)WR14, and -(CH2)WR14.
42. The compound according to claim 1 , wherein R16 is independently selected from the group consisting of methyl and -OR8.
43. The compound according to claim 1 , wherein R16 is methyl.
44. The compound according to claim 1 , wherein R17 is F.
45. The compound according to claim 1 , wherein m is 1 .
46. The compound according to claim 1 , wherein n is selected from the group consisting of 0 and 1 .
47. The compound according to claim 1 , wherein n is 0.
48. The compound according to claim 1 , wherein w is selected from the group consisting of
0, 1 , 2, and 3.
49. The compound according to claim 1 , wherein w is selected from the group consisting of
1 , 2, and 3.
50. The compound according to claim 1 , wherein w is selected from the group consisting of
1 and 2.
51 . A compound of Formula (I):
(I)
rmaceutically acceptable salt thereof, wherein:
X is N or CR3;
Y is selected from the group consisting of a bond and a methylene linker;
Z is selected from the group consisting of a bond and a methylene linker;
R1 is selected from the group consisting of hydrogen, methyl, ethyl, phenyl, -(CH2)WR14, and -(CH2)wS02R9, wherein phenyl is optionally substituted with 1-3 independent
R6 groups;
R2 is selected from the group consisting of hydrogen, ethylene, halo, -NHR10SO2R9, -NHR10SO2R12, -NHR10R12, phenyl, pyridyl, pyrazolyl, pyrimidyl, benzoxazinyl, benzodioxolanyl, and diazaspirodecanyl, wherein ethylene, phenyl, pyridyl, pyrazolyl, pyrimidyl, benzoxazinyl, and benzodioxolanyl, may be optionally substituted with 1-3 independent R7 groups;
R1 and R2 may optionally join together along with the intervening N and C atoms to form a ring structure, wherein said ring structure is fused to the adjacent pyridyl moiety and said ring structure is selected from the group consisting of:
, and wherein said ring structure may be optionally substituted with 1 -3 independent R8 groups; R3 and R4 are independently selected from the group consisting of hydrogen, methyl, ethyl, propyl, isopropyl, methoxy, ethoxy, oxo, hydroxyl, trifluoromethyl, -NR8Ri trifluoromethoxy, and halo;
R5 is selected from the group consisting of methyl, ethyl, isopropyl, propyl, butyl,
isobutyl, tert-butyl, phenyl, benzyl, cyclopropyl, trifluoromethyl, trifluoroethyl,
pyridyl, quinolinyl, and furanyl, wherein R5 may be optionally substituted with 1-3 independent R15 groups;
R6 is selected from the group consisting of -OR8, morpholinyl, and -C(0)R14;
R7 is independently selected from the group consisting of hydrogen, methyl, ethyl, propyl, isopropyl, butyl, isobutyl, tert-butyl, methoxy, oxo, hydroxyl, CI, F, trifluoromethyl, trifluoromethoxy, nitrile, -N02, -(CH2)WCN, -S02R12, -S02R9, -S02NH(CH2)wR14, -S02(CH2)wR14, -S02R14, -R12 , -R14, -(CH2)wOR8, -C(0)R12, -NHC(O)NHR10R11, -R9OR8, -C(0)NHR13, -C(0)NHR14,
-C(0)NH(CH2)wR12, -C(0)(CH2)wR12, -C02R8, -NHC(0)C(0)R14, -NHC02R8, -OR8, -C(0)NH(CH2)wR14, -C(0)(CH2)wR14, -C(0)R14, -(CH2)WR11, -NH(CH2)WR14, -(CH2)WR14, -(CH2)WR10, -(CH2)WNHR10, -(CH2)wC02R8, -C(0)NHR9,
-C(O)NHR10R11 , -C(0)NH(CH2)wOR8, and -C(0)NH(CH2)wR11;
R8 is independently selected from the group consisting of hydrogen, methyl, ethyl, propyl, isopropyl, butyl, and tert-butyl;
R9 is selected from the group consisting of methyl, ethyl, propyl, isopropyl, butyl, and tert-butyl;
R10 is phenyl;
R11 is selected from the group consisting of methyl, ethyl, propyl, isopropyl, butyl, tert- butyl, halo, trifluoromethyl, trifluoromethoxy, methoxy, ethoxy, nitrile, -NHS02R9, -C02R8, -OR8, -0(CH2)wR12, -S02R12, -S02R9, and -(CH2)WR14;
R12 is -NR8R8,
R13 is selected from the group consisting of cyclopropyl, cyclobutyl, cyclopentyl, and cyclohexyl;
R14 is selected from the group consisting of morpholinyl, triazolyl, pyrimidinyl, pyrazolyl, piperazinyl, pyrrolidinyl, piperidinyl, pyridinyl, wherein R14 may be optionally substituted by 1 -3 independent R16 groups;
R15 is independently selected from the group consisting of halo, methoxy, ethoxy,
methyl, ethyl, butyl, propyl, isopropyl, nitrile, -N02, trifluoromethoxy, and trifluoromethyl;
R16 is independently selected from the group consisting of methyl, ethyl, propyl,
isopropyl, butyl, tert-butyl, halo, trifluoromethyl, trifluoromethoxy, methoxy, ethoxy, nitrile, -NHS02R9, -C02R8, -OR8, -0(CH2)wR12, -S02R12, -S02R9, -NH(CH2)WR14, and -(CH2)WR14;
R17 is halo;
m is 0 or an integer from 1 to 3
n is independently 0 or an integer from 1 to 3; and
w is independently 0 or an integer from 1 to 6.
52. A compound of Formula (I):
or a pharmaceutically acceptable salt thereof, wherein:
X is N or CR3;
Y is selected from the group consisting of a bond and a methylene linker;
Z is a bond;
R1 is H;
R2 is selected from the group consisting of phenyl, pyridyl, and pyrimidyl, and wherein R2 may be optionally substituted with 1 -2 independent R7 groups;
R3 and R4 are independently selected from the group consisting of -NR8R8 , methoxy, and H;
R5 is selected from the group consisting of phenyl and furanyl, and wherein said phenyl may be optionally substituted with 1 -3 independent R15 groups;
R7 is independently selected from the group consisting of methyl, ethyl, methoxy,
hydroxyl, halo, nitrile, -(CH2)WCN, -S02R12, -(CH2)wS02R12, -S02R9, -S02NHR9, -R14, -(CH2)wOR8, -C(0)R12, -C(0)NHR13, -C(0)(CH2)wR12, -C02R8, -NHC(0)C(0)R14, -C(0)NH(CH2)wR14, -C(0)R14, -NH(CH2)WR14, -(CH2)WR14, and -C(0)NHR9;
R8 is independently selected from the group consisting of hydrogen, methyl, ethyl,
propyl, isopropyl, butyl, and tert-butyl;
R9 is independently selected from the group consisting of methyl, ethyl, propyl, isopropyl,
butyl, and tert-butyl;
R10 is phenyl;
R11 is independently selected from the group consisting of methyl, ethyl, propyl,
isopropyl, butyl, tert-butyl, halo, trifluoromethyl, trifluoromethoxy, methoxy, ethoxy, nitrile, -NHS02R9, -C02R8, -OR8, -0(CH2)wR12, -S02R12, -S02R9, and -(CH2)WR14;
R12 is -NR8R8;
R13 is selected from the group consisting of cyclopropyl, cyclobutyl, cyclopentyl, and cyclohexyl;
R14 is selected from the group consisting of morpholinyl, piperazinyl, pyrrolidinyl,
piperidinyl, and wherein R14 may be optionally substituted by an R16 group;
R15 is independently selected from the group consisting of halo, methoxy, nitrile, and -N02;
R16 is selected from the group consisting of methyl and -OR8;
R17 is halo;
m is 1 ;
n is 0; and
w is independently 0 or an integer from 1 to 3.
53. A compound selected from the group consisting of:
A compound selected from the group consisting of those compounds in Table 1 The use of a compound or salt as defined in any of the preceding claims in the
manufacture of a medicament for use in the treatment of a viral infection in a human.
56. A pharmaceutical composition comprising a pharmaceutically acceptable diluent and a therapeutically effective amount of a compound as defined in any of the preceding claims.
57. A method for treating a viral infection in a mammal mediated at least in part by a virus in the Flaviviridae family of viruses which method comprises administering to a mammal, that has been diagnosed with said viral infection or is at risk of developing said viral infection, a compound of any one of claims 1 to 54.
58. The method of claim 56, wherein said virus is hepatitis C virus.
59. The method of claim 56, further comprising administration of a therapeutically effective amount of one or more agents active against hepatitis C virus.
60. The method of claim 58, wherein said agent active against hepatitis C virus is an inhibitor of HCV protease, HCV polymerase, HCV helicase, HCV entry, HCV assembly, HCV egress, HCV replicase, HCV NS5A protein, or inosine 5'-monophosphate dehydrogenase.
61. The method of claim 59, wherein said agent active against hepatitis C virus is interferon.
62. The method of claim 60, wherein said agent active against hepatitis C virus is ribavirin.
63. The method of claim 60, wherein said agent active against hepatitis C virus is interferon in combination with ribavirin.
Applications Claiming Priority (2)
| Application Number | Priority Date | Filing Date | Title |
|---|---|---|---|
| US38214310P | 2010-09-13 | 2010-09-13 | |
| US61/382,143 | 2010-09-13 |
Publications (1)
| Publication Number | Publication Date |
|---|---|
| WO2012037108A1 true WO2012037108A1 (en) | 2012-03-22 |
Family
ID=45831936
Family Applications (1)
| Application Number | Title | Priority Date | Filing Date |
|---|---|---|---|
| PCT/US2011/051372 Ceased WO2012037108A1 (en) | 2010-09-13 | 2011-09-13 | Aminoquinoline derivatives as antiviral agents |
Country Status (1)
| Country | Link |
|---|---|
| WO (1) | WO2012037108A1 (en) |
Cited By (33)
| Publication number | Priority date | Publication date | Assignee | Title |
|---|---|---|---|---|
| WO2012064744A3 (en) * | 2010-11-08 | 2012-07-05 | Lycera Corporation | N- sulfonylated tetrahydroquinolines and related bicyclic compounds inhibition of rory activity and the treatment of diseases |
| WO2012129967A1 (en) * | 2011-03-30 | 2012-10-04 | 中国科学院上海药物研究所 | New aminopyridine compounds, the preparation method, the pharmaceutical compositions comprising these compounds and the uses thereof |
| CN103539777A (en) * | 2012-07-13 | 2014-01-29 | 广东东阳光药业有限公司 | PI3 kinase modulators and methods and uses thereof |
| WO2014022128A1 (en) * | 2012-07-29 | 2014-02-06 | Calitor Sciences, Llc | Pi3 kinase modulators and methods of use |
| CN104402861A (en) * | 2014-11-07 | 2015-03-11 | 中国人民解放军第二军医大学 | Benzene sulfonamide derivatives, preparation method, and treatment application |
| WO2015043398A1 (en) | 2013-09-30 | 2015-04-02 | 上海璎黎药业有限公司 | Fused pyrimidine compound, intermediate, preparation method therefor, and composition and application thereof |
| EP2819671A4 (en) * | 2012-02-29 | 2016-05-11 | Baruch S Blumberg Inst | INHIBITORS OF COVALENT CLOSED CIRCULAR DNA FORMATION OF HEPATITIS B VIRUS AND METHODS OF USE THEREOF |
| US9394315B2 (en) | 2012-05-08 | 2016-07-19 | Lycera Corporation | Tetrahydro[1,8]naphthyridine sulfonamide and related compounds for use as agonists of RORγ and the treatment of disease |
| US9657033B2 (en) | 2012-05-08 | 2017-05-23 | Lycera Corporation | Tetrahydronaphthyridine and related bicyclic compounds for inhibition of RORγ activity and the treatment of disease |
| US9663502B2 (en) | 2013-12-20 | 2017-05-30 | Lycera Corporation | 2-Acylamidomethyl and sulfonylamidomethyl benzoxazine carbamates for inhibition of RORgamma activity and the treatment of disease |
| US9751854B2 (en) | 2014-01-14 | 2017-09-05 | Millennium Pharmaceuticals, Inc. | Heteroaryls and uses thereof |
| US9783511B2 (en) | 2013-12-20 | 2017-10-10 | Lycera Corporation | Carbamate benzoxazine propionic acids and acid derivatives for modulation of RORgamma activity and the treatment of disease |
| US9809561B2 (en) | 2013-12-20 | 2017-11-07 | Merck Sharp & Dohme Corp. | Tetrahydronaphthyridine, benzoxazine, aza-benzoxazine and related bicyclic compounds for inhibition of RORgamma activity and the treatment of disease |
| US9896441B2 (en) | 2014-05-05 | 2018-02-20 | Lycera Corporation | Tetrahydroquinoline sulfonamide and related compounds for use as agonists of RORγ and the treatment of disease |
| TWI628180B (en) * | 2014-06-17 | 2018-07-01 | 正大天晴藥業集團股份有限公司 | Pyrido[1,2-a]pyrimidinone analogues as PI3K inhibitors |
| CN108721621A (en) * | 2017-04-14 | 2018-11-02 | 中国科学院上海高等研究院 | Inhibit micromolecular compound and the application of liver fibrosis |
| WO2019014402A1 (en) * | 2017-07-14 | 2019-01-17 | Innate Tumor Immunity, Inc. | Nlrp3 modulators |
| US10189777B2 (en) | 2014-05-05 | 2019-01-29 | Lycera Corporation | Benzenesulfonamido and related compounds for use as agonists of RORγ and the treatment of disease |
| US10202373B2 (en) | 2014-01-14 | 2019-02-12 | Millennium Pharmaceuticals, Inc. | Heteroaryls and uses thereof |
| US10221142B2 (en) | 2015-02-11 | 2019-03-05 | Merck Sharp & Dohme Corp. | Substituted pyrazole compounds as RORgammaT inhibitors and uses thereof |
| US10287272B2 (en) | 2015-10-27 | 2019-05-14 | Merck Sharp & Dohme Corp. | Substituted indazole compounds as RORgammaT inhibitors and uses thereof |
| WO2019116302A1 (en) | 2017-12-13 | 2019-06-20 | Lupin Limited | Substituted bicyclic heterocyclic compounds as prmt5 inhibitors |
| US10344000B2 (en) | 2015-10-27 | 2019-07-09 | Merck Sharp & Dohme Corp. | Substituted bicyclic pyrazole compounds as RORgammaT inhibitors and uses thereof |
| US10421751B2 (en) | 2015-05-05 | 2019-09-24 | Lycera Corporation | Dihydro-2H-benzo[b][1,4]oxazine sulfonamide and related compounds for use as agonists of RORγ and the treatment of disease |
| US10532088B2 (en) | 2014-02-27 | 2020-01-14 | Lycera Corporation | Adoptive cellular therapy using an agonist of retinoic acid receptor-related orphan receptor gamma and related therapeutic methods |
| US10584121B2 (en) | 2015-10-27 | 2020-03-10 | Merck Sharp & Dohme Corp. | Heteroaryl substituted benzoic acids as RORgammaT inhibitors and uses thereof |
| US10611740B2 (en) | 2015-06-11 | 2020-04-07 | Lycera Corporation | Aryl dihydro-2H-benzo[b][1,4]oxazine sulfonamide and related compounds for use as agonists of RORγ and the treatment of disease |
| CN110963991A (en) * | 2018-09-28 | 2020-04-07 | 嘉兴学院 | PI3K inhibitor and preparation method and application thereof |
| CN111620815A (en) * | 2020-05-12 | 2020-09-04 | 南方科技大学 | Chiral chloroquine, hydroxychloroquine and derivatives thereof, and preparation method and application thereof |
| WO2020250123A1 (en) | 2019-06-10 | 2020-12-17 | Lupin Limited | Prmt5 inhibitors |
| CN115710223A (en) * | 2022-11-14 | 2023-02-24 | 广东工业大学 | Preparation method of 3-aryl quinolinone derivative |
| WO2024080330A1 (en) | 2022-10-13 | 2024-04-18 | 住友化学株式会社 | Sulfonamide compound and harmful-arthropod controlling composition containing same |
| CN120919132A (en) * | 2025-10-14 | 2025-11-11 | 中南大学 | Application of GSK-F1 in preparation of NSUN2 protein stability reducing medicine for targeting treatment and/or radiotherapy sensitization of solid tumors |
Citations (4)
| Publication number | Priority date | Publication date | Assignee | Title |
|---|---|---|---|---|
| US5395937A (en) * | 1993-01-29 | 1995-03-07 | Minnesota Mining And Manufacturing Company | Process for preparing quinoline amines |
| US5834485A (en) * | 1996-05-20 | 1998-11-10 | Chiroscience Limited | Quinoline sulfonamides and their therapeutic use |
| US20050026915A1 (en) * | 2001-11-27 | 2005-02-03 | Devita Robert J. | 2-Aminoquinoline compounds |
| US20090227628A1 (en) * | 2008-03-07 | 2009-09-10 | Sabine Kolczewski | 2-aminoquinolines |
-
2011
- 2011-09-13 WO PCT/US2011/051372 patent/WO2012037108A1/en not_active Ceased
Patent Citations (4)
| Publication number | Priority date | Publication date | Assignee | Title |
|---|---|---|---|---|
| US5395937A (en) * | 1993-01-29 | 1995-03-07 | Minnesota Mining And Manufacturing Company | Process for preparing quinoline amines |
| US5834485A (en) * | 1996-05-20 | 1998-11-10 | Chiroscience Limited | Quinoline sulfonamides and their therapeutic use |
| US20050026915A1 (en) * | 2001-11-27 | 2005-02-03 | Devita Robert J. | 2-Aminoquinoline compounds |
| US20090227628A1 (en) * | 2008-03-07 | 2009-09-10 | Sabine Kolczewski | 2-aminoquinolines |
Cited By (57)
| Publication number | Priority date | Publication date | Assignee | Title |
|---|---|---|---|---|
| US20140088094A1 (en) * | 2010-11-08 | 2014-03-27 | Merck Sharp & Dohme Corp. | N-SULFONYLATED TETRAHYDROQUINOLINES AND RELATED BICYCLIC COMPOUNDS FOR INHIBITION OF RORgamma ACTIVITY AND THE TREATMENT OF DISEASE |
| WO2012064744A3 (en) * | 2010-11-08 | 2012-07-05 | Lycera Corporation | N- sulfonylated tetrahydroquinolines and related bicyclic compounds inhibition of rory activity and the treatment of diseases |
| US9512111B2 (en) | 2010-11-08 | 2016-12-06 | Lycera Corporation | N-sulfonylated tetrahydroquinolines and related bicyclic compounds for inhibition of RORγ activity and the treatment of disease |
| WO2012129967A1 (en) * | 2011-03-30 | 2012-10-04 | 中国科学院上海药物研究所 | New aminopyridine compounds, the preparation method, the pharmaceutical compositions comprising these compounds and the uses thereof |
| EP2819671A4 (en) * | 2012-02-29 | 2016-05-11 | Baruch S Blumberg Inst | INHIBITORS OF COVALENT CLOSED CIRCULAR DNA FORMATION OF HEPATITIS B VIRUS AND METHODS OF USE THEREOF |
| US9657013B2 (en) | 2012-02-29 | 2017-05-23 | Baruch S. Blumberg Institute | Inhibitors of hepatitis B virus covalently closed circular DNA formation and their method of use |
| US10377768B2 (en) | 2012-05-08 | 2019-08-13 | Lycera Corporation | Tetrahydronaphthyridine and related bicyclic compounds for inhibition of RORgamma activity and the treatment of disease |
| US9802958B2 (en) | 2012-05-08 | 2017-10-31 | Lycera Corporation | Tetrahydro[1,8]naphthyridine sulfonamide and related compounds for use as agonists of RORy and the treatment of disease |
| US9394315B2 (en) | 2012-05-08 | 2016-07-19 | Lycera Corporation | Tetrahydro[1,8]naphthyridine sulfonamide and related compounds for use as agonists of RORγ and the treatment of disease |
| US9657033B2 (en) | 2012-05-08 | 2017-05-23 | Lycera Corporation | Tetrahydronaphthyridine and related bicyclic compounds for inhibition of RORγ activity and the treatment of disease |
| US10208061B2 (en) | 2012-05-08 | 2019-02-19 | Lycera Corporation | Tetrahydro[1,8]naphthyridine sulfonamide and related compounds for use as agonists of RORγ and the treatment of disease |
| CN103539777B (en) * | 2012-07-13 | 2016-03-02 | 广东东阳光药业有限公司 | PI3 kinase modulator and using method thereof and purposes |
| CN103539777A (en) * | 2012-07-13 | 2014-01-29 | 广东东阳光药业有限公司 | PI3 kinase modulators and methods and uses thereof |
| WO2014022128A1 (en) * | 2012-07-29 | 2014-02-06 | Calitor Sciences, Llc | Pi3 kinase modulators and methods of use |
| WO2015043398A1 (en) | 2013-09-30 | 2015-04-02 | 上海璎黎药业有限公司 | Fused pyrimidine compound, intermediate, preparation method therefor, and composition and application thereof |
| US9745321B2 (en) | 2013-09-30 | 2017-08-29 | Shanghai Yingli Pharmaceutical Co., Ltd | Fused pyrimidine compound, intermediate, preparation method therefor, and composition and application thereof |
| US9783511B2 (en) | 2013-12-20 | 2017-10-10 | Lycera Corporation | Carbamate benzoxazine propionic acids and acid derivatives for modulation of RORgamma activity and the treatment of disease |
| US10745364B2 (en) | 2013-12-20 | 2020-08-18 | Lycera Corporation | Tetrahydronaphthyridine, benzoxazine, aza-benzoxazine and related bicyclic compounds for inhibition of RORgamma activity and the treatment of disease |
| US9663502B2 (en) | 2013-12-20 | 2017-05-30 | Lycera Corporation | 2-Acylamidomethyl and sulfonylamidomethyl benzoxazine carbamates for inhibition of RORgamma activity and the treatment of disease |
| US9809561B2 (en) | 2013-12-20 | 2017-11-07 | Merck Sharp & Dohme Corp. | Tetrahydronaphthyridine, benzoxazine, aza-benzoxazine and related bicyclic compounds for inhibition of RORgamma activity and the treatment of disease |
| US10221146B2 (en) | 2013-12-20 | 2019-03-05 | Lycera Corporation | Tetrahydronaphthyridine, benzoxazine, aza-benzoxazine and related bicyclic compounds for inhibition of RORgamma activity and the treatment of disease |
| US9751854B2 (en) | 2014-01-14 | 2017-09-05 | Millennium Pharmaceuticals, Inc. | Heteroaryls and uses thereof |
| US10538533B2 (en) | 2014-01-14 | 2020-01-21 | Millennium Pharmaceuticals, Inc. | Heteroaryls and uses thereof |
| US10202373B2 (en) | 2014-01-14 | 2019-02-12 | Millennium Pharmaceuticals, Inc. | Heteroaryls and uses thereof |
| US9802960B2 (en) | 2014-01-14 | 2017-10-31 | Millennium Pharmaceuticals, Inc. | Heteroaryls and uses thereof |
| US10532088B2 (en) | 2014-02-27 | 2020-01-14 | Lycera Corporation | Adoptive cellular therapy using an agonist of retinoic acid receptor-related orphan receptor gamma and related therapeutic methods |
| US10189777B2 (en) | 2014-05-05 | 2019-01-29 | Lycera Corporation | Benzenesulfonamido and related compounds for use as agonists of RORγ and the treatment of disease |
| US9896441B2 (en) | 2014-05-05 | 2018-02-20 | Lycera Corporation | Tetrahydroquinoline sulfonamide and related compounds for use as agonists of RORγ and the treatment of disease |
| US10364237B2 (en) | 2014-05-05 | 2019-07-30 | Lycera Corporation | Tetrahydroquinoline sulfonamide and related compounds for use as agonists of RORγ and the treatment of disease |
| US10442798B2 (en) | 2014-05-05 | 2019-10-15 | Lycera Corporation | Tetrahydroquinoline sulfonamide and related compounds for use as agonists of RORγ and the treatment of disease |
| TWI628180B (en) * | 2014-06-17 | 2018-07-01 | 正大天晴藥業集團股份有限公司 | Pyrido[1,2-a]pyrimidinone analogues as PI3K inhibitors |
| CN104402861A (en) * | 2014-11-07 | 2015-03-11 | 中国人民解放军第二军医大学 | Benzene sulfonamide derivatives, preparation method, and treatment application |
| US10221142B2 (en) | 2015-02-11 | 2019-03-05 | Merck Sharp & Dohme Corp. | Substituted pyrazole compounds as RORgammaT inhibitors and uses thereof |
| US10421751B2 (en) | 2015-05-05 | 2019-09-24 | Lycera Corporation | Dihydro-2H-benzo[b][1,4]oxazine sulfonamide and related compounds for use as agonists of RORγ and the treatment of disease |
| US11059796B2 (en) | 2015-06-11 | 2021-07-13 | The Regents Of The University Of Michigan | Aryl dihydro-2H benzo[b][1,4]oxazine sulfonamide and related compounds for use as agonists of RORγ and the treatment of disease |
| US10611740B2 (en) | 2015-06-11 | 2020-04-07 | Lycera Corporation | Aryl dihydro-2H-benzo[b][1,4]oxazine sulfonamide and related compounds for use as agonists of RORγ and the treatment of disease |
| US10344000B2 (en) | 2015-10-27 | 2019-07-09 | Merck Sharp & Dohme Corp. | Substituted bicyclic pyrazole compounds as RORgammaT inhibitors and uses thereof |
| US10287272B2 (en) | 2015-10-27 | 2019-05-14 | Merck Sharp & Dohme Corp. | Substituted indazole compounds as RORgammaT inhibitors and uses thereof |
| US10689369B2 (en) | 2015-10-27 | 2020-06-23 | Merck Sharp & Dohme Corp. | Substituted indazole compounds as RORgammaT inhibitors and uses thereof |
| US10584121B2 (en) | 2015-10-27 | 2020-03-10 | Merck Sharp & Dohme Corp. | Heteroaryl substituted benzoic acids as RORgammaT inhibitors and uses thereof |
| CN108721621B (en) * | 2017-04-14 | 2022-03-01 | 中国科学院上海高等研究院 | Small molecular compound for inhibiting hepatic fibrosis and application thereof |
| CN108721621A (en) * | 2017-04-14 | 2018-11-02 | 中国科学院上海高等研究院 | Inhibit micromolecular compound and the application of liver fibrosis |
| US12171756B2 (en) | 2017-07-14 | 2024-12-24 | Innate Tumor Immunity, Inc. | NLRP3 modulators |
| WO2019014402A1 (en) * | 2017-07-14 | 2019-01-17 | Innate Tumor Immunity, Inc. | Nlrp3 modulators |
| US11344543B2 (en) | 2017-07-14 | 2022-05-31 | Innate Tumor Immunity, Inc. | NLRP3 modulators |
| US11459330B2 (en) | 2017-12-13 | 2022-10-04 | Lupin Limited | Substituted bicyclic heterocyclic compounds as PRMT5 inhibitors |
| US11952380B2 (en) | 2017-12-13 | 2024-04-09 | Lupin Limited | Substituted bicyclic heterocyclic compounds as PRMT5 inhibitors |
| WO2019116302A1 (en) | 2017-12-13 | 2019-06-20 | Lupin Limited | Substituted bicyclic heterocyclic compounds as prmt5 inhibitors |
| CN110963991A (en) * | 2018-09-28 | 2020-04-07 | 嘉兴学院 | PI3K inhibitor and preparation method and application thereof |
| WO2020250123A1 (en) | 2019-06-10 | 2020-12-17 | Lupin Limited | Prmt5 inhibitors |
| US12391695B2 (en) | 2019-06-10 | 2025-08-19 | Lupin Limited | PRMT5 inhibitors |
| CN111620815B (en) * | 2020-05-12 | 2022-10-21 | 南方科技大学 | Chiral chloroquine, hydroxychloroquine and derivatives thereof and their preparation method and use |
| CN111620815A (en) * | 2020-05-12 | 2020-09-04 | 南方科技大学 | Chiral chloroquine, hydroxychloroquine and derivatives thereof, and preparation method and application thereof |
| WO2024080330A1 (en) | 2022-10-13 | 2024-04-18 | 住友化学株式会社 | Sulfonamide compound and harmful-arthropod controlling composition containing same |
| CN115710223A (en) * | 2022-11-14 | 2023-02-24 | 广东工业大学 | Preparation method of 3-aryl quinolinone derivative |
| CN115710223B (en) * | 2022-11-14 | 2024-05-10 | 广东工业大学 | Preparation method of 3-aryl quinolinone derivative |
| CN120919132A (en) * | 2025-10-14 | 2025-11-11 | 中南大学 | Application of GSK-F1 in preparation of NSUN2 protein stability reducing medicine for targeting treatment and/or radiotherapy sensitization of solid tumors |
Similar Documents
| Publication | Publication Date | Title |
|---|---|---|
| WO2012037108A1 (en) | Aminoquinoline derivatives as antiviral agents | |
| TWI773718B (en) | Poly-adp ribose polymerase (parp) inhibitors | |
| JP6371430B2 (en) | Bromodomain inhibitor | |
| CA2935867C (en) | Heteroaryls and uses thereof | |
| CN109810041B (en) | Halogenated allylamine SSAO/VAP-1 inhibitors and their applications | |
| AU2005259894B2 (en) | Pyrrolotriazine kinase inhibitors | |
| WO2012174312A2 (en) | Benzimidazole derivatives as antiviral agents | |
| CA2787121C (en) | Aminopyridine derivatives as anti-malarial agents | |
| KR102007056B1 (en) | Substituted benzylindazoles for use as bub1 kinase inhibitors in the treatment of hyperproliferative diseases | |
| AU2007256708B2 (en) | Organic compounds | |
| KR102530580B1 (en) | Therapeutic compounds as inhibitors of the orexin-1 receptor | |
| WO2012087938A1 (en) | Quinazolinone derivatives as antiviral agents | |
| CN101014571A (en) | N-benzyl-3,4-dihyroxypyridine-2-carboxamide and n-benzyl-2,3-dihydroxypyridine-4- carboxamide compounds useful as HIV integrase inhibitors | |
| EP3240787A2 (en) | Derivatives and methods of treating hepatitis b infections | |
| WO2010080864A1 (en) | Piperidine-containing compounds and use thereof | |
| CN102119152A (en) | Organic compounds | |
| AU2008247592A1 (en) | Thiazoles and pyrazoles useful as kinase inhibitors | |
| WO2011041713A2 (en) | Piperazinyl antiviral agents | |
| US20140323468A1 (en) | Aldosterone synthase inhibitors | |
| CN110862390B (en) | Fused tricyclic compounds and their application in medicine | |
| CA2916137C (en) | 1,3-diaminocyclopentane carboxamide derivatives | |
| CN101027305A (en) | Fused heterocyclic kinase inhibitors | |
| JP2013540134A (en) | Viral polymerase inhibitor | |
| CA2940047A1 (en) | Substituted cyclopentanes, tetrahydrofuranes and pyrrolidines as orexin receptor antagonists | |
| CN111217811A (en) | Fused tricyclic compound and application thereof in medicines |
Legal Events
| Date | Code | Title | Description |
|---|---|---|---|
| 121 | Ep: the epo has been informed by wipo that ep was designated in this application |
Ref document number: 11825782 Country of ref document: EP Kind code of ref document: A1 |
|
| NENP | Non-entry into the national phase |
Ref country code: DE |
|
| 122 | Ep: pct application non-entry in european phase |
Ref document number: 11825782 Country of ref document: EP Kind code of ref document: A1 |








































































































































































































































































































































































































































































































































































