WO2012019071A1 - Methods of preventing and treating sarcopenia - Google Patents
Methods of preventing and treating sarcopenia Download PDFInfo
- Publication number
- WO2012019071A1 WO2012019071A1 PCT/US2011/046693 US2011046693W WO2012019071A1 WO 2012019071 A1 WO2012019071 A1 WO 2012019071A1 US 2011046693 W US2011046693 W US 2011046693W WO 2012019071 A1 WO2012019071 A1 WO 2012019071A1
- Authority
- WO
- WIPO (PCT)
- Prior art keywords
- alkyl
- aryl
- cycloalkyl
- heterocyclyl
- alkenyl
- Prior art date
- Legal status (The legal status is an assumption and is not a legal conclusion. Google has not performed a legal analysis and makes no representation as to the accuracy of the status listed.)
- Ceased
Links
- 0 *S(N(CC1)Cc2cc(I)c(*=C)cc2S1=*)(O)=O Chemical compound *S(N(CC1)Cc2cc(I)c(*=C)cc2S1=*)(O)=O 0.000 description 4
- POUGMPXLJMMYHG-UHFFFAOYSA-N COc(cc1)cc2c1SCCN(CC(O)=O)C2 Chemical compound COc(cc1)cc2c1SCCN(CC(O)=O)C2 POUGMPXLJMMYHG-UHFFFAOYSA-N 0.000 description 2
- ORZWTDMZQZHKQU-UHFFFAOYSA-N CC(C)(C)OC(N(CC1)CCN1C(C(N1Cc2cc(OC(F)(F)F)ccc2OCC1)=O)=O)=O Chemical compound CC(C)(C)OC(N(CC1)CCN1C(C(N1Cc2cc(OC(F)(F)F)ccc2OCC1)=O)=O)=O ORZWTDMZQZHKQU-UHFFFAOYSA-N 0.000 description 1
- CBTMIYWUUWOEBS-UHFFFAOYSA-N CC(C)(C)OC(N(CC1)CCN1C(N1Cc(ccc([IH][NH+]([O-])O)c2)c2OCC1)=O)=O Chemical compound CC(C)(C)OC(N(CC1)CCN1C(N1Cc(ccc([IH][NH+]([O-])O)c2)c2OCC1)=O)=O CBTMIYWUUWOEBS-UHFFFAOYSA-N 0.000 description 1
Classifications
-
- A—HUMAN NECESSITIES
- A61—MEDICAL OR VETERINARY SCIENCE; HYGIENE
- A61K—PREPARATIONS FOR MEDICAL, DENTAL OR TOILETRY PURPOSES
- A61K31/00—Medicinal preparations containing organic active ingredients
- A61K31/33—Heterocyclic compounds
- A61K31/395—Heterocyclic compounds having nitrogen as a ring hetero atom, e.g. guanethidine or rifamycins
- A61K31/55—Heterocyclic compounds having nitrogen as a ring hetero atom, e.g. guanethidine or rifamycins having seven-membered rings, e.g. azelastine, pentylenetetrazole
-
- A—HUMAN NECESSITIES
- A61—MEDICAL OR VETERINARY SCIENCE; HYGIENE
- A61K—PREPARATIONS FOR MEDICAL, DENTAL OR TOILETRY PURPOSES
- A61K31/00—Medicinal preparations containing organic active ingredients
- A61K31/33—Heterocyclic compounds
- A61K31/395—Heterocyclic compounds having nitrogen as a ring hetero atom, e.g. guanethidine or rifamycins
- A61K31/55—Heterocyclic compounds having nitrogen as a ring hetero atom, e.g. guanethidine or rifamycins having seven-membered rings, e.g. azelastine, pentylenetetrazole
- A61K31/553—Heterocyclic compounds having nitrogen as a ring hetero atom, e.g. guanethidine or rifamycins having seven-membered rings, e.g. azelastine, pentylenetetrazole having at least one nitrogen and one oxygen as ring hetero atoms, e.g. loxapine, staurosporine
-
- A—HUMAN NECESSITIES
- A61—MEDICAL OR VETERINARY SCIENCE; HYGIENE
- A61K—PREPARATIONS FOR MEDICAL, DENTAL OR TOILETRY PURPOSES
- A61K31/00—Medicinal preparations containing organic active ingredients
- A61K31/33—Heterocyclic compounds
- A61K31/395—Heterocyclic compounds having nitrogen as a ring hetero atom, e.g. guanethidine or rifamycins
- A61K31/55—Heterocyclic compounds having nitrogen as a ring hetero atom, e.g. guanethidine or rifamycins having seven-membered rings, e.g. azelastine, pentylenetetrazole
- A61K31/554—Heterocyclic compounds having nitrogen as a ring hetero atom, e.g. guanethidine or rifamycins having seven-membered rings, e.g. azelastine, pentylenetetrazole having at least one nitrogen and one sulfur as ring hetero atoms, e.g. clothiapine, diltiazem
-
- A—HUMAN NECESSITIES
- A61—MEDICAL OR VETERINARY SCIENCE; HYGIENE
- A61P—SPECIFIC THERAPEUTIC ACTIVITY OF CHEMICAL COMPOUNDS OR MEDICINAL PREPARATIONS
- A61P21/00—Drugs for disorders of the muscular or neuromuscular system
Definitions
- the invention relates to compositions and methods of preventing and treating sarcopenia.
- SR Ca 2+ release channel also known in skeletal muscle as the ryanodine receptor 1 (RyRl).
- RyRl sarcoplasmic reticulum
- the release of SR Ca 2+ via RyRl raises cytoplasmic [Ca 2+ ] cyt leading to activation of actin- myosin cross-bridging and shortening of the sarcomere, manifesting as muscle contraction.
- Impaired Ca 2+ handling is associated with contractile dysfunction in heart failure and muscular dystrophy, and sarcopenic skeletal muscle is reported to have decreased SR Ca 2+ release.
- proper Ca 2+ handling in muscle plays a key role in normal EC coupling and specific force production.
- SNO Cysteine nitrosylation
- carbonyl modifications of proteins are emerging as important cellular mediators for RyR function and Ca 2+ signaling.
- Excessive SNO- modification of RyRl disrupts the interaction between RyRl and calstabinl (also known as FKBP12 in skeletal muscle). Loss of the RyRl /Calstabinl interaction results in channels that leak SR Ca 2+ . This leak leads to reduced SR Ca 2+ release and muscle function.
- sarcopenia Currently, the primary treatment for sarcopenia is exercise. Specifically, resistance training or strength training— exercises that increase muscle strength and endurance with weights or resistance bands— are shown to be beneficial for both the prevention and treatment of sarcopenia. Resistance training is reported to positively influence the neuromuscular system, hormone concentrations, and protein synthesis rate. Research show that an exercise program of progressive resistance training can increase protein synthesis rates in the elderly in as little as two weeks. While this is possible for patients who are otherwise generally in good health and capable of conducting such exercise, it is not possible for a certain segment of the population to continually and properly follow an exercise regimen.
- compositions and methods useful for the treatment and/or prevention of sarcopenia involve modulation of the function of skeletal muscle ryanodine receptors (RyRl).
- the present invention provides a method for treating and/or preventing sarcopenia, in part, based on the discovery that administering certain
- benzothiazepine, benzoxazepine, benzodiazepine and benzazepine compounds to aged subjects, exemplified by mice, improves muscle function and exercise capacity by correcting defects at the level of the myocyte Ca 2+ handling machinery.
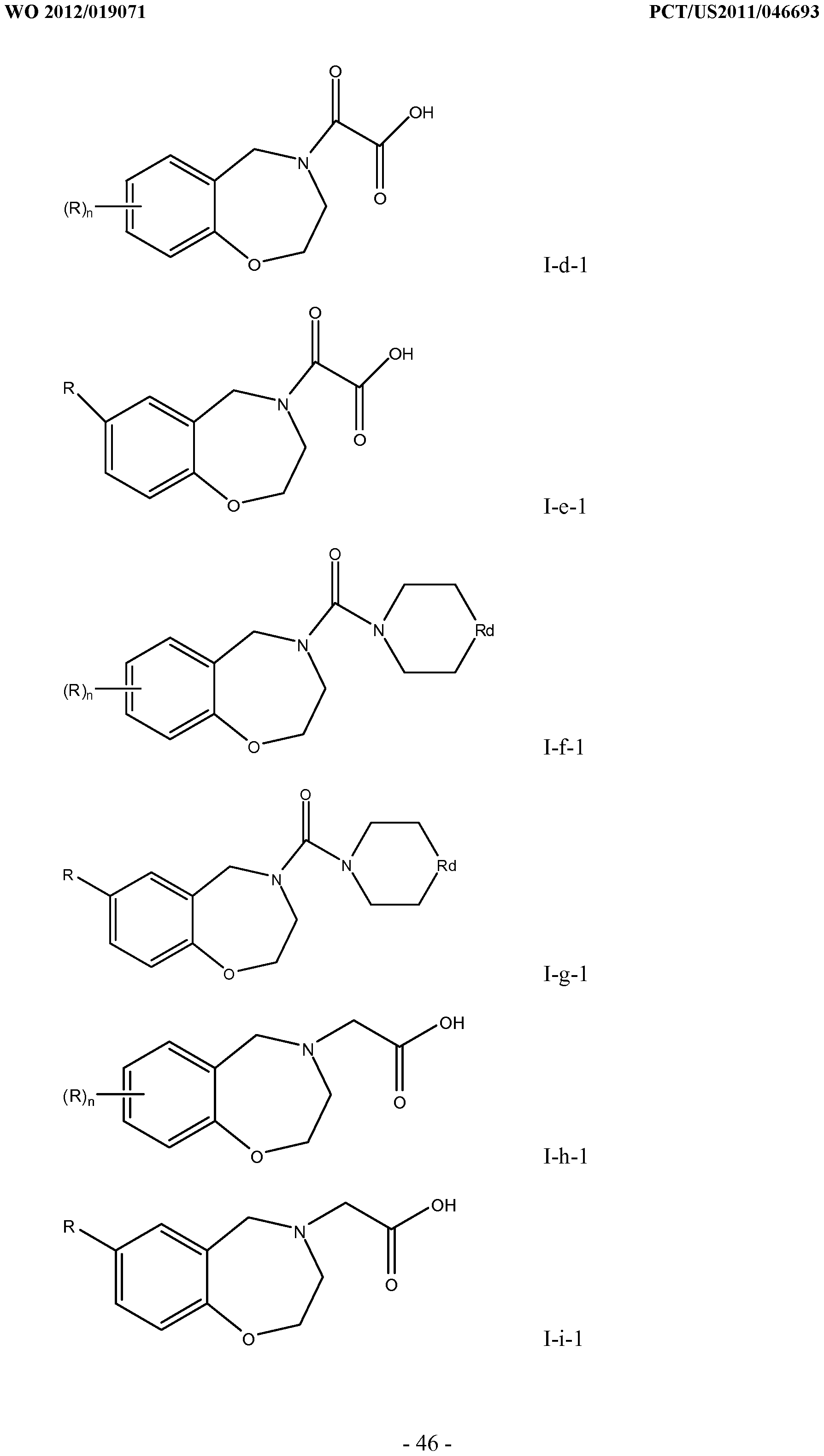
- the present invention provides a method of treating and/or preventing sarcopenia in a subject in need thereof, comprising administering to the subject a therapeutically or prophylactically effective amount of a compound of Formula I, I-a', I-a, I-b, I-c, I-d, I-e, I-f, I-g, I-h, I-i, I-j, I-k, 1-1, 1-m, I-n, I-o, I-p, I-a-1, 1-b-1, 1-c-1, 1-d-1, I-e-1, I-f- 1 , 1-g-1, I-h- 1 , I-i- 1 , or Formula II, or enantiomers, diastereomers, tautomers, pharmaceutically acceptable salts, hydrates, solvates, complexes, metabolites, or pro-drugs thereof, or any combination thereof.
- the structures of these Formulae are provided in the Detailed Description that follows.
- the present invention provides a method of treating or preventing sarcopenia in a subject in need thereof, comprising administering to the subject a therapeutically or prophylactically effective amount of a compound represented by the structure of Formula I-k as disclosed herein.
- the present invention provides a method of treating or preventing sarcopenia in a subject in need thereof, comprising administering to the subject a therapeutically or prophylactically effective amount of the compound Si l l represented by the structure:
- the present invention provides a method of treating or preventing sarcopenia in a subject in need thereof, comprising administering to the subject a therapeutically or prophylactically effective amount of a compound represented by the structure of Formula I-o as disclosed herein.
- the present invention provides a method of treating or preventing cardiac ischemia/reperfusion injury in a subject in need thereof, comprising administering to the subject a therapeutically or prophylactically effective amount of the com ound SI 07 represented by the structure
- a preferred salt is the hydrochloride salt (S107-HC1).
- the present invention provides a method of treating or preventing cardiac ischemia/reperfusion injury in a subject in need thereof, comprising administering to the subject a therapeutically or prophylactically effective amount of the compound S36 represented by the structure
- a referred salt is the sodium salt (S36-Na) represented by the structure
- the present invention provides a method of treating or preventing sarcopenia in a subject in need thereof, comprising administering to the subject a therapeutically or prophylactically effective amount of a compound represented by the structure of Formula I, I-a', I-a, I-b, I-c, I-d, I-e, I-f, I-g, I-h, I-i, I-j, I-k, I-l, I-m, I-n, I-o, I-p, I-a-1, I-b- 1 , 1-c-1, I-d- 1 , 1-e-1, I-f- 1 , 1-g-1, I-h- 1 , I-i- 1 , or Formula II, or enantiomers, diastereomers, tautomers, pharmaceutically acceptable salts, hydrates, solvates, complexes, metabolites, or pro-drugs thereof, or any combination thereof.
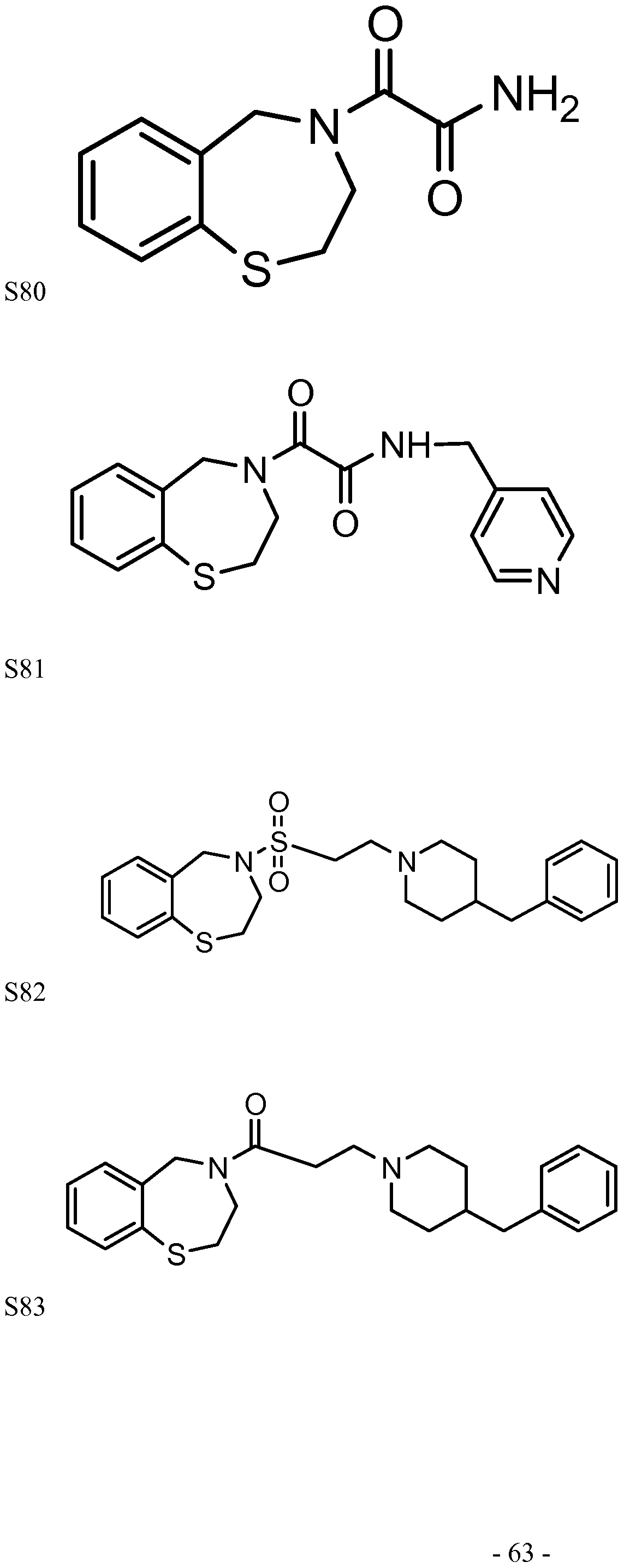
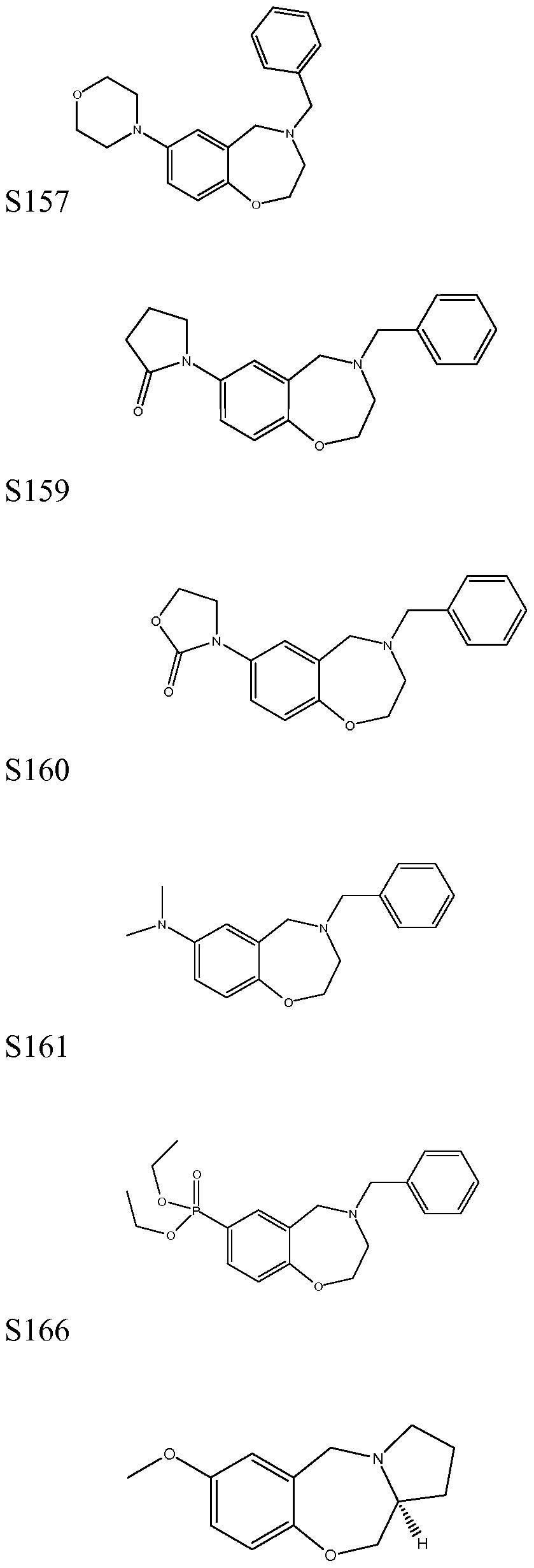
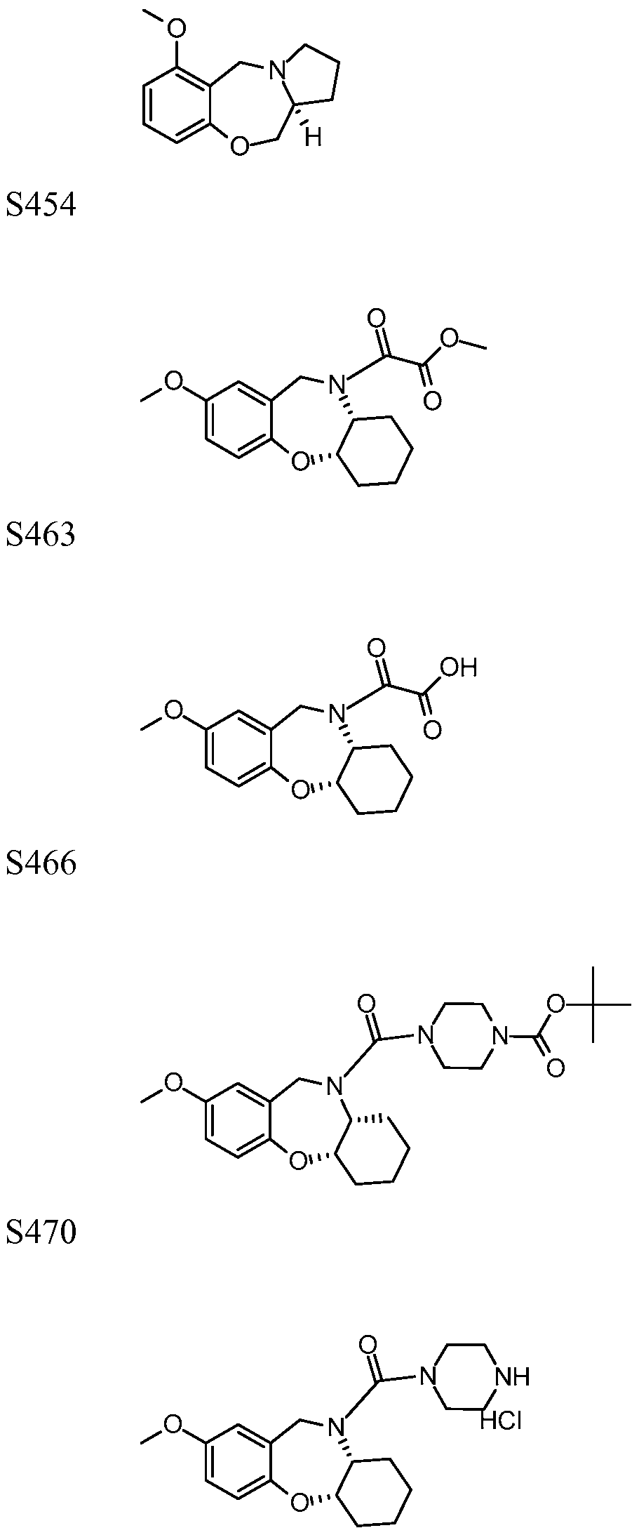
- the compound administered is selected from the group consisting of SI, S2, S3, S4, S5, S6, S7, S9, SI 1, S12, SI 3, S14, SI 9, S20, S22, S23, S24, S25, S26, S27, S36, S37, S38, S40, S43, S44, S45, S46, S47, S48, S49, S50, S51, S52, S53, S54, S55, S56, S57, S58, S59, S60, S61, S62, S63, S64, S66, S67, S68, S69, S70, S71, S72, S73, S74, S75, S76, S77, S78, S79, S80, S81, S82, S83, S84, S85, S86, S87, S88, S89, S90, S91, S92, S93, S94, S95, S96, S97, S98, S99, S100, S101, S
- the present invention provides a method of treating and/or preventing sarcopenia in a subject in need thereof, comprising administering to the subject a therapeutically or prophylactically effective amount of a compound that decreases the open probability of the RyRl channel under conditions that simulate resting muscle (i.e., low activating calcium levels).
- the present invention provides a method of treating and/or preventing sarcopenia in a subject in need thereof, comprising administering to the subject a therapeutically or prophylactically effective amount of a compound that decreases Ca 2+ current through the RyRl channel under conditions that simulate resting muscle (i.e., low activating calcium levels).
- the present invention provides a method of treating and/or preventing sarcopenia in a subject in need thereof, comprising administering to the subject a therapeutically or prophylactically effective amount of a compound that decreases calcium leak through the RyRl channel under conditions that simulate resting muscle (i.e., low activating calcium levels).
- the present invention provides a method of treating and/or preventing sarcopenia in a subject in need thereof, comprising administering to the subject a therapeutically or prophylactically effective amount of a compound that increases the affinity with which calstabin 1 binds to nitrosylated, and/or oxidized, and/or phosphorylated, RyRl .
- the present invention provides a method of treating and/or preventing sarcopenia in a subject in need thereof, comprising administering to the subject a therapeutically or prophylactically effective amount of a compound that decreases dissociation of calstabin 1 from nitrosylated, and/or oxidized, and/or phosphorylated, RyRl .
- the present invention provides a method of treating and/or preventing sarcopenia in a subject in need thereof, comprising administering to the subject a therapeutically or prophylactically effective amount of a compound that increases rebinding of calstabin 1 to nitrosylated, and/or oxidized, and/or phosphorylated, RyRl .
- the subject to whom the compounds of the invention are administered is a mammal selected from the group consisting of primates, rodents, ovine species, bovine species, porcine species, equine species, feline species and canine species.
- the subject is a human, preferably over the age of 60, more preferably over the age of 70, and most preferably over the age of 80.
- the older a person the greater tendency is for that person to be subject to sarcopenia and thus the need is greater for administration of one of the compounds disclosed herein to reduce or prevent further muscle deterioration.
- the compounds of the invention may be administered by any suitable route known in the art, without limitation.
- compounds of the invention may be administered by a route selected from the group consisting of parenteral, enteral, intravenous, intraarterial, intracardiac, intra intrapericardial, intraosseal, intracutaneous, subcutaneous, intradermal, subdermal, transdermal, intrathecal, intramuscular, intraperitoneal, intrasternal,
- parenchymatous oral, sublingual, buccal, rectal, vaginal, inhalational, and intranasal.
- the compounds of the invention may be administered using a drug-releasing implant.
- the compounds of the invention are administered to the subject at a dose of from about 0.01 mg/kg/day to about 20 mg/kg/day, or more preferably still, at a dose of from about 0.05 mg/kg/day to about 1 mg/kg/day.
- a dose of from about 0.01 mg/kg/day to about 20 mg/kg/day or more preferably still, at a dose of from about 0.05 mg/kg/day to about 1 mg/kg/day.
- Other suitable dose ranges are provided in the Detailed Description and Examples.
- one of skill in the art can select other suitable doses for administration.
- the invention provides use of a compound of Formula I, I-a', I-a, I-b, I-c, I-d, I-e, I-f, I-g, I-h, I-i, I-j, I-k, I-l, I-m, I-n, I-o, I-p, I-a-1, I-b- 1 , 1- c-1, I-d- 1 , 1-e-1, I-f- 1 , 1-g-1, I-h- 1 , I-i- 1 , or Formula II for preparation of a medicament for treating or preventing sarcopenia in a subject in need thereof. All compounds disclosed herein are expected to be useful for treating or preventing sarcopenia in a subject in need thereof.
- Figures 1 A-H show impaired force development and reduced Ca 2+ release in aged extensor digitorum longus (EDL) muscle.
- Figures 2A-D show effects of SR Ca 2+ leak on mitochondrial membrane potential, ROS and RNS production in skeletal muscle fibers.
- Figures 3A-G show improved exercise capacity, muscle specific force, and increased calstabinl in the RyRl complex following SI 07 treatment of aged mice.
- Figures 4A-E show that SI 07 reduces SR Ca 2+ leak resulting in enhanced tetanic SR Ca 2+ release in skeletal muscle from aged mice.
- Figures 6A-H show that improved muscle function and exercise capacity following SI 07 treatment of aged mice requires calstabinl .
- Figures 7A-E represent a model of RyRl -mediated SR Ca 2+ leak and mitochondrial dysfunction in aging skeletal muscle.
- Figures 8A and B show oxidative stress in muscle from aged WT mice and muscle- specific calstabinl KO mice and effects of treatment with SI 07.
- Figures 9A-F show that RyRl from aged rat skeletal muscle are cysteine-nitrosylated, oxidized and depleted of calstabinl .
- Figures 10A-E show electron microscopy of EDL muscle.
- Figures 11A-E show mitochondrial uptake of the Ca 2+ indicator Rhod-2 AM in flexor digitorum brevis (FDB) muscle fiber.
- Figure 12 shows EDL muscle fiber cross-sectional area in aged mice is not altered by 4 weeks of SI 07 treatment.
- Figures 13A-C show increased open probability of RyRl-S2844D channels.
- FIGS 14A-C show strategy used to generate RyRl-S2844D mice. DETAILED DESCRIPTION OF THE INVENTION
- rycal compounds refers to compounds of the general Formula I, I-a', I-a, I-b, I-c, I-d, I-e, I-f, I-g, I-h, I-i, I-j, I-k, 1-1, 1-m, I-n, I-o, I-p, I-a-1, 1-b-1, I-c-1, I-d- 1 , 1-e-1, I-f- 1 , 1-g-1, I-h- 1 , I-i- 1 , or Formula II, as provided by the invention, and herein referred to as "compound(s) of the invention".
- the compounds of the invention are referred using a numerical naming system, with compound numbers 1 to 477 provided herein. These numbered compounds are referred to using either the prefix "S.” Thus, the first numbered compound is referred to either as “SI”, the second numbered compound is referred to as either “S2”, the third numbered compound is referred to as either "S3”, and so on.
- S nomenclature systems is used interchangeably throughout the specification, the drawings, and the claims to indicate the specific compounds that are shown by their structures in the Detailed Description.
- alkyl refers to a linear or branched, saturated hydrocarbon and preferably one having from 1 to 6 carbon atoms.
- Representative alkyl groups include, but are not limited to, methyl, ethyl, propyl, isopropyl, butyl, sec-butyl, tert-butyl, pentyl, isopentyl, neopentyl, hexyl, isohexyl, and neohexyl.
- alkenyl refers to a linear or branched hydrocarbon and preferably one having from 2 to 6 carbon atoms and having at least one carbon-carbon double bond. In one embodiment, the alkenyl has one or two double bonds. The double bond may exist as the E or Z isomers and the compounds of the present invention include both isomers.
- alkynyl refers to a linear or branched hydrocarbon and preferably one having from 2 to 6 carbon atoms and having at least one carbon-carbon triple bond.
- aryl refers to an aromatic group and preferably one containing 1 to 3 aromatic rings, either fused or linked. An example of an aryl group is a phenyl group.
- cyclic group as used herein includes a cycloalkyl group and a heterocyclic group.
- cycloalkyl group refers to a three- to seven-membered saturated or partially unsaturated carbon ring. Any suitable ring position of the cycloalkyl group may be covalently linked to the defined chemical structure. Examples of cycloalkyl groups include cyclopropyl, cyclobutyl, cyclopentyl, cyclohexyl, and cycloheptyl.
- halogen refers to fluorine, chlorine, bromine, and iodine.
- heterocyclic group or “heterocyclic” or “heterocyclyl” or “heterocyclo” as used herein refers to fully saturated, or partially or fully unsaturated, including aromatic (i.e., “heteroaryl”) cyclic groups (for example, 4 to 7 membered monocyclic, 7 to 11 membered bicyclic, or 10 to 16 membered tricyclic ring systems) which have at least one heteroatom in at least one carbon atom-containing ring.
- aromatic i.e., "heteroaryl”
- Each ring of the heterocyclic group containing a heteroatom may have 1, 2, 3, or 4 heteroatoms selected from nitrogen atoms, oxygen atoms and/or sulfur atoms, where the nitrogen and sulfur heteroatoms may optionally be oxidized and the nitrogen heteroatoms may optionally be quatemized.
- the heterocyclic group may be attached to the remainder of the molecule at any heteroatom or carbon atom of the ring or ring system.
- heterocyclic groups include, but are not limited to, azepanyl, azetidinyl, aziridinyl, dioxolanyl, furanyl, furazanyl, homo piperazinyl, imidazolidinyl, imidazolinyl, isothiazolyl, isoxazolyl, morpholinyl, oxadiazolyl, oxazolidinyl, oxazolyl, oxazolidinyl, pyrimidinyl, phenanthridinyl, phenanthrolinyl, piperazinyl, piperidinyl, pyranyl, pyrazinyl, pyrazolidinyl, pyrazolinyl, pyrazolyl, pyridazinyl, pyridooxazolyl, pyridoimidazolyl, pyridothiazolyl, pyridinyl, pyrimidinyl,
- bicyclic heterocyclic groups include indolyl, isoindolyl, benzothiazolyl, benzoxazolyl,
- triazinylazepinyl tetrahydroquinolinyl and the like.
- tricyclic heterocyclic groups include carbazolyl, benzidolyl, phenanthrolinyl, acridinyl, phenanthridinyl, xanthenyl and the like.
- phenyl as used herein includes a substituted or unsubstituted phenyl group.
- alkyl alkenyl
- alkynyl alkynyl
- aryl alkenyl
- aryl acyl
- phenyl cyclic group
- cycloalkyl heterocyclyl
- heterocyclo heterocyclo
- heterocycle substituents
- groups such as alkyl, cycloalkyl, alkenyl, alkynyl, cycloalkenyl, alkylaryl, heteroaryl, heterocycle and aryl can themselves be optionally substituted.
- Representative substituents may further optionally include at least one labeling group, such as a fluorescent, a bioluminescent, a chemiluminescent, a colorimetric or a radioactive labeling group.
- a fluorescent labeling group can be selected from bodipy, dansyl, fluorescein, rhodamine, Texas red, cyanine dyes, pyrene, coumarins, Cascade BlueTM, Pacific Blue, Marina Blue, Oregon Green, 4',6-Diamidino-2-phenylindole (DAPI), indopyra dyes, lucifer yellow, propidium iodide, porphyrins, arginine, and variants and derivatives thereof.
- DAPI 6-Diamidino-2-phenylindole
- SI 18 of the present invention contains a labeling group BODIPY, which is a family of fiuorophores based on the 4,4-difluoro-4-bora-3a,4a-diaza-s-indacene moiety.
- BODIPY is a family of fiuorophores based on the 4,4-difluoro-4-bora-3a,4a-diaza-s-indacene moiety.
- fluorescent label moieties and fluorescence techniques see, e.g., Handbook of Fluorescent Probes and Research Chemicals, by Richard P. Haughland, Sixth Edition, Molecular Probes, (1996), which is hereby incorporated by reference in its entirety.
- One of skill in the art can readily select a suitable labeling group, and conjugate such a labeling group to any of the compounds of the invention, without undue experimentation.
- quaternary nitrogen refers to a tetravalent positively charged nitrogen atom including, for example, the positively charged nitrogen in a tetraalkylammonium group (e.g., tetramethylammonium, N-methylpyridinium), the positively charged nitrogen in protonated ammonium species (e.g., trimethyl-hydroammonium, N-hydropyridinium), the positively charged nitrogen in amine N-oxides (e.g., N-methyl-morpholine-N-oxide, pyridine-N-oxide), and the positively charged nitrogen in an N-amino-ammonium group (e.g.,
- the compounds described herein may exist in their tautomeric form (for example, as an amide or imino ether). All such tautomeric forms are contemplated herein as part of the present invention.
- prodrug denotes a compound that, upon administration to a subject, undergoes chemical conversion by metabolic or chemical processes to yield compounds of the present invention.
- an ester may be a prodrug of the corresponding carboxylic acid.
- compound(s) of the invention means a compound of Formula I, I-a', I-a, I-b, I-c, I-d, I-e, I-f, I-g, I-h, I-i, I-j, I-k, I-l, I-m, I-n, I-o, I-p, I-a-1, I-b- 1 , I-c-1, I-d- 1 , 1-e-1, I-f- 1 , 1-g-1, I-h- 1 , I-i- 1 , or Formula II, or any of the specific chemical compounds described herein, and salts, hydrates, complexes, metabolites, prodrugs and solvates thereof, or any combination thereof, such as may be used for the treatment or prevention of sarcopenia.
- a “pharmaceutical composition” refers to a mixture of one or more of the compounds described herein, or pharmaceutically acceptable salts, hydrates or pro-drugs thereof, with other chemical components, such as physiologically acceptable carriers and excipients.
- the purpose of a pharmaceutical composition is to facilitate administration of a compound to an organism or subject.
- a “pro-drug” refers to an agent which is converted into the parent drug in vivo. Prodrugs are often useful because, in some situations, they are easier to administer than the parent drug. They are bioavailable, for instance, by oral administration whereas the parent drug is not. The pro-drug also has improved solubility in pharmaceutical compositions over the parent drug.
- the compound carries protective groups which are split off by hydrolysis in body fluids, e.g., in the bloodstream, thus releasing active compound or is oxidized or reduced in body fluids to release the compound.
- a compound of the present invention also can be formulated as a pharmaceutically acceptable salt, e.g., acid addition salt, and complexes thereof.
- the preparation of such salts can facilitate the pharmacological use by altering the physical characteristics of the agent without preventing its physiological effect.
- useful alterations in physical properties include, but are not limited to, lowering the melting point to facilitate transmucosal administration and increasing the solubility to facilitate administering higher concentrations of the drug.
- salts means a salt that is suitable for, or compatible with, the treatment of a patient or a subject such as a human patient.
- the salts can be any non-toxic organic or inorganic salt of any of the compounds represented by Formula I, I-a', I-a, I-b, I-c, I-d, I-e, I-f, I-g, I-h, I-i, I-j, I-k, 1-1, 1-m, I-n, I-o, I-p, I-a-1, 1-b-1, 1-c-1, 1-d-1, I-e-1, I-f- 1 , 1-g-1, I-h- 1 , I-i- 1 , or Formula II, or any of the specific compounds described herein, or any of their intermediates.
- Illustrative salt-forming ions include, but are not limited to, ammonium (NH 4 ), calcium (Ca ), iron (Fe and Fe ), magnesium (Mg ), potassium (K + ), pyridinium (C 5 H 5 NH + ), quaternary ammonium (NR 4 + ), sodium (Na + ), acetate, carbonate, chloride, bromide, citrate, cyanide, hydroxide, nitrate, nitrite, oxide, phosphate, sulfate, maleate, fumarate, lactate, tartrate, gluconate, besylate, and valproate.
- Illustrative inorganic acids that form suitable salts include, but are not limited to, hydrochloric, hydrobromic, sulfuric and phosphoric acids, as well as metal salts such as sodium monohydrogen
- the acid addition salts of compounds of Formula I, I-a', I-a, I-b, I-c, I-d, I-e, I-f, I-g, I-h, I-i, I-j, I-k, 1-1, 1-m, I-n, I-o, I-p, I-a-1, I-b- 1 , 1-c-1, I-d- 1 , I-e-1, 1-f-1, 1-g-1, I-h- 1 , 1-i-1, or Formula II are more soluble in water and various hydrophilic organic solvents, and generally demonstrate higher melting points in comparison to their free base forms.
- the selection of an appropriate salt can be performed by one skilled in the art.
- salts in reference to "Handbook of Pharmaceutical Salts : Properties, Selection, and Use” by P. Heinrich Stahl and Camille G. Wermuth, or Berge (1977) "Pharmaceutcial Salts” J. Pharm Sci., Vol 66(1), p 1-19.
- Other non-pharmaceutically acceptable salts ⁇ e.g., oxalates
- a compound of the present invention when a compound of the present invention is a racemate, the racemate can be separated into the (S)-compound and (R)-compound by optical resolution.
- Individual optical isomers and mixtures thereof are included in the scope of Formula I, I-a', I-a, I-b, I-c, I-d, I-e, I-f, I-g, I-h, I-i, I-j, I-k, 1-1, 1-m, I-n, I-o, I-p, I-a-1 , I-b- 1 , I-c-1 , 1-d-1 , 1-e-1 , I-f- 1 , 1-g-1 , 1-h-1 , I-i-1 , or Formula II.
- an “effective amount,” “sufficient amount,” “therapeutically effective amount,” or “prophylactically effective amount” of an agent or compounds, as used herein, refer to amounts sufficient to effect the beneficial or desired results, including clinical results and, as such, the actual “amount” intended will depend upon the context in which it is being applied, such as whether the desired clinical outcome is prevention or treatment.
- the term "effective amount” also includes that amount of the compound of Formula I, I-a', I-a, I-b, I-c, I-d, I-e, I-f, I-g, I-h, I-i, I-j, I-k, 1-1, 1-m, I-n, I-o, I-p, I-a-1 , 1-b-1 , I-c-1 , 1-d-1 , 1-e-1 , I-f- 1 , I-g-1 , I-h- 1 , I-i-1 , or Formula II, which is "therapeutically effective” or “prophylactically effective” and which avoids or substantially attenuates undesirable side effects.
- treatment is an approach for obtaining beneficial or desired results, including clinical results.
- beneficial or desired clinical results can include, but are not limited to, alleviation or amelioration of one or more symptoms or conditions, diminishment of extent of disease, stabilized (i.e., not worsening) state of disease, preventing spread of disease, delay or slowing of disease progression, amelioration or palliation of the disease state and remission (whether partial or total), whether detectable or undetectable.
- Treatment can also mean prolonging survival as compared to expected survival if not receiving treatment. Unless otherwise stated, the term “treatment” should be construed as encompassing preventive and therapeutic methods.
- animal refers to all members of the animal kingdom including, but not limited to, mammals, animals (e.g., cats, dogs, horses, etc.) and humans.
- All stereoisomers of the compounds of the present invention are contemplated within the scope of this invention.
- Individual stereoisomers of the compounds of the invention may, for example, be substantially free of other isomers (e.g., as a pure or substantially pure optical isomer having a specified activity), or may be admixed, for example, as racemates or with all other, or other selected,
- the chiral centers of the present invention may have the S or R configuration as defined by the IUPAC 1974 Recommendations.
- the racemic forms can be resolved by physical methods, such as, for example, fractional crystallization, separation or crystallization of diastereomeric derivatives or separation by chiral column chromatography.
- the individual optical isomers can be obtained from the racemates by any suitable method, including without limitation, conventional methods, such as, for example, salt formation with an optically active acid followed by crystallization.
- Compounds of the present invention are, subsequent to their preparation, preferably isolated and purified to obtain a composition containing an amount by weight equal to or greater than 99% of the compound ("substantially pure” compound), which is then used or formulated as described herein. Such “substantially pure” compounds of the present invention are also contemplated herein as part of the present invention.
- FKBP12 channel stabilizing subunit FK506 binding protein
- This remodeling of the RyRl channel complex results in "leaky” channels manifested by increased Ca 2+ sparks.
- skeletal muscle tetanic Ca 2+ and muscle specific force are significantly reduced in 2 yr old mice (equivalent to -70-80 yr old humans).
- the present invention provides compositions and methods that are useful for treating and/or preventing sarcopenia. More particularly, the present invention provides compositions comprising the compounds described herein, and methods of treatment and/or prevention comprising administration of these compositions to subjects suffering from, or at risk of developing sarcopenia.
- compositions described herein are administered therapeutically or prophylactically to subjects who are suffering from, or at risk of developing sarcopenia.
- a subject may be any animal that is suffering from, or at risk of developing sarcopenia.
- the subject is a mammal.
- mammals that may be treated using the methods and compositions of the invention include, but are not limited to, primates, rodents, ovine species, bovine species, porcine species, equine species, feline species and canine species.
- Symptoms of muscle loss include musculoskeletal weakness and loss of stamina, which can interfere with physical activities, which in turn, results in further reductions in muscle mass.
- sarcopenia is mostly seen in people who are inactive, the fact that it also occurs in people who stay physically active throughout life suggests there are other factors involved in the development of this condition.
- the "subjects" of the present invention may also be in vitro or in vivo systems, including, without limitation, isolated or cultured cells or tissues, in vitro assay systems.
- compositions for preparing and/or preparing the compounds described herein may be formulated into compositions for preparing and/or preparing the compounds described herein.
- compositions comprise one or more of the benzothiazepine, benzoxazepine, benzodiazepine and benzazepine compounds described herein (such as the compounds of Formula I, I-a', I-a, I-b, I-c, I-d, I-e, I-f, I-g, I-h, I-i, I-j, I-k, 1-1, 1-m, I-n, I-o, I-p, I-a-1, 1-b-1, 1-c-1, 1-d-1, 1-e-1, I-f-1, 1-g-1, 1-h-1, 1-i-1, or Formula II), in admixture with a pharmaceutically acceptable diluent and/or carrier and optionally one or more other pharmarceutically acceptable additives.
- a pharmaceutically acceptable diluent and/or carrier optionally one or more other pharmarceutically acceptable additives.
- compositions suitable for administration to subjects, such as human subjects, for example using the teaching a standard text such as Remington's Pharmaceutical Sciences, 18th ed, (Mack Publishing Company: Easton, Pa., 1990), pp. 1635-36), and by taking into account the selected route of delivery.
- diluents and/or carriers and/or other additives that may be included in the compostions of the invention include, but are not limited to, water, glycols, oils, alcohols, aqueous solvents, organic solvents, DMSO, saline solutions, physiological buffer solutions, peptide carriers, starches, sugars, preservatives, antioxidants, coloring agents, pH buffering agents, granulating agents, lubricants, binders, disintegrating agents, emulsifiers, binders, excipients, extenders, glidants, solubilizers, stabilizers, surface active agents, suspending agents, tonicity agents, viscosity-altering agents, carboxymethyl cellulose, crystalline cellulose, glycerin, gum arabic, lactose, magnesium stearate, methyl cellulose, powders, saline, sodium alginate.
- diluents and/or carriers and/or other additives used can be varied taking into account the nature of the active agents used (for example the solubility and stability of the active agents), the route of delivery (e.g. oral, parenteral, etc.), whether the agents are to be delivered over an extended period (such as from a controlled- release capsule), whether the agents are to be co-administered with other agents, and various other factors.
- the route of delivery e.g. oral, parenteral, etc.
- an extended period such as from a controlled- release capsule
- agents are to be co-administered with other agents
- the compounds of Formula I, I-a', I-a, I-b, I-c, I-d, I-e, I-f, I-g, I-h, I-i, I-j, I-k, 1-1, 1-m, I-n, I-o, I-p, I-a-1, 1-b-1, 1-c-1, 1-d-1, I-e-1, I-f-1, 1-g-1, I-h- 1 , I-i- 1 , or Formula II, may be administered to the subject (or contacted with cells of the subject) in an amount effective to treat and/or prevent sarcopenia, and/or in an amount effective to reduce calcium "leak" through the RyR, and/or in an amount effective to reduce the calcium current through the RyR, and/or in an amount effective to stabilize gating of the RyR, and/or in amount effective to increase the binding of calstabin to the RyR complex in the subject, and/or in amount effective to reverse a malfunction
- an effective amount of the agents of the invention to be administered to a subject taking into account whether the agent is being used prophylactically or therapeutically, and taking into account other factors such as the age, weight and sex of the subject, any other drugs that the subject may be taking, any allergies or contraindications that the subject may have, and the like.
- an effective amount can be determined by the skilled artisan using known procedures, including analysis of titration curves established in vitro or in vivo.
- the desired subject is a human
- one of skill in the art can determine the effective dose from performing pilot experiments in suitable animal model species and scaling the doses up or down depending on the subjects weight etc.
- Effective amounts can also be determined by performing clinical trials in individuals of the same species as the subject, for example starting at a low dose and gradually increasing the dose and monitoring the effects on sarcopenia.
- Appropriate dosing regimens can also be determined by one of skill in the art without undue experimentation, in order to determine, for example, whether to administer the agent in one single dose or in multiple doses, and in the case of multiple doses, to determine an effective interval between doses.
- an effective amount of the compounds of the invention to administer to a subject ranges from about 0.01 mg/kg/day to about 20 mg/kg/day, and/or is an amount sufficient to achieve plasma levels ranging from about 300 ng/ml to about 1000 ng/ml.
- the amount of compounds from the invention ranges from about 5 mg/kg/day to about 20 mg/kg/day.
- from about 10 mg/kg/day to about 20 mg/kg/day is administered.
- from about 0.01 mg/kg/day to about 10 mg/kg/day is administered.
- from about 0.01 mg/kg/day to about 5 mg/kg/day is administered.
- from about 0.05 mg/kg/day to about 5 mg/kg/day is administered.
- from about 0.05 mg/kg/day to about 1 mg/kg/day is administered.
- compositions described herein may be administered to a subject by any suitable method that allows the agent to exert its effect on the subject in vivo.
- the compositions may be administered to the subject by known procedures including, but not limitated to, by oral administration, sublingual or buccal administration, parenteral
- the compounds of the invention may be administered parenterally, or by epifascial, intracapsular, intracutaneous, subcutaneous, intradermal, intrathecal, intramuscular, intraperitoneal, intrasternal, intravascular, intravenous, parenchymatous, or sublingual delivery. Delivery may be by injection, infusion, catheter delivery, or some other means, such as by tablet or spray.
- the agent is adiminstered to the subject by way of delivery directly to the heart tissue, such as by way of a catheter inserted into, or in the proximity of the subject's heart, or by using delivery vehicles capable of targeting the drug to the heart.
- the compounds of the invention may be conjugated to or administered in conjunction with an agent that is targeted to the heart, such as an antibody or antibody fragment.
- a formulation of the compounds of the invention may be presented as capsules, tablets, powders, granules, or as a suspension or solution.
- the formulation may contain conventional additives, such as lactose, mannitol, cornstarch or potato starch, binders, crystalline cellulose, cellulose derivatives, acacia, cornstarch, gelatins, disintegrators, potato starch, sodium carboxymethylcellulose, dibasic calcium phosphate, anhydrous or sodium starch glycolate, lubricants, and/or or magnesium stearate.
- the compounds of the invention may be combined with a sterile aqueous solution that is isotonic with the blood of the subject.
- a sterile aqueous solution that is isotonic with the blood of the subject.
- Such a formulation may be prepared by dissolving the active ingredient in water containing physiologically-compatible substances, such as sodium chloride, glycine and the like, and having a buffered pH compatible with physiological conditions, so as to produce an aqueous solution, then rendering the solution sterile.
- the formulation may be presented in unit or multi-dose containers, such as sealed ampoules or vials.
- the formulation may be delivered by injection, infusion, or other means known in the art.
- the compounds of the invention may be combined with skin penetration enhancers, such as propylene glycol, polyethylene glycol, isopropanol, ethanol, oleic acid, N-methylpyrrolidone and the like, which increase the permeability of the skin to the compounds of the invention and permit the compounds to penetrate through the skin and into the bloodstream.
- skin penetration enhancers such as propylene glycol, polyethylene glycol, isopropanol, ethanol, oleic acid, N-methylpyrrolidone and the like, which increase the permeability of the skin to the compounds of the invention and permit the compounds to penetrate through the skin and into the bloodstream.
- agents of the invention and the other agents useful for the treatment and/or prevention of sarcopenia may be administered to the subject at the same time, or at different times.
- the agents of the invention and the other agents may be administered within minutes, hours, days, weeks, or months of each other, for example as part of the overall treatment regimen of a subject.
- Agents of the invention useful for treating and/or preventing sarcopenia may be used in combination with the other agents that include, but are not limited to, ⁇ -adrenergic blockers, calcium channel blockers and anti-arrhythmic drugs.
- the present invention is directed to methods for identifying additional compounds that may be useful for the treatment and/or prevention of sarcopenia.
- Such methods may be based on, inter alia, identifying compounds that increase binding of calstabins to RyRs, and/or decrease the calcium current through RyR, and the like. Examples of suitable assays and screening methods that may be used to identify new compounds that may be useful for the treatment and/or prevention of sarcopenia are described in U.S.
- the present invention encompasses compounds useful for the treatment and/or prevention of sarcopenia, and methods of treatment and/or prevention comprising
- the compounds of the invention decrease the open probability of RyR, particularly protein kinase A (PKA) phosphorylated, and/or nitrosylated, and/or oxidized RyRs, and thereby decrease the Ca 2+ current through such channels under resting conditions when muscles are relaxed.
- PKA protein kinase A
- the compounds of the invention exert this effect, at least in part, by increasing the affinity with which calstabin proteins bind to RyRs, and/or by inhibiting a decrease in binding of calstabins to RyRs, and/or by inhibiting dissociation of calstabins from RyRs, particularly PKA phosphorylated RyRs.
- the compounds of the invention decrease the open probability of RyR and decrease the "leak" of Ca 2+ through such channels by stabilizing the closed state of the channel without blocking the channel pore.
- the present invention relates to use of benzothiazepine, benzoxazepine,
- the present invention provides benzothiazepine, benzoxazepine, benzodiazepine and benzazepine compounds as described by the chemical formulae Formula I, I-a', I-a, I-b, I-c, I-d, I-e, I-f, I-g, I-h, I-i, I-j, I-k, 1-1, 1-m, I-n, I-o, I-p, I-a-1, 1-b-1, 1-c-1, I-d-1, 1-e-1, I-f- 1 , 1-g-1, 1-h-1, 1-i-1, or Formula II, as described below.
- the present invention provides methods for the treatment and/or prevention of sarcopenia that comprise administering compounds of Formula I to subjects in need thereof.
- the present invention provides compositions useful for the treatment and/or prevention of sarcopenia that comprise compounds of Formula I.
- the structure of Formula I is as follows:
- n 0, 1, or 2;
- q 0, 1, 2, 3, or 4;
- Ri is selected from the group consisting of H, oxo, alkyl, alkenyl, aryl, alkylaryl, cycloalkyl, heteroaryl, and heterocyclyl; wherein each alkyl, alkenyl, aryl, alkylaryl, cycloalkyl, heteroaryl, and heterocyclyl may be optionally substituted;
- R4 is selected from the group consisting of H, alkyl, alkenyl, aryl, alkylaryl, cycloalkyl, heteroaryl, and heterocyclyl; wherein each alkyl, alkenyl, aryl, alkylaryl, cycloalkyl, heteroaryl, and heterocyclyl may be optionally substituted;
- Re is selected from the group consisting of -OR15, -NHNR15R16, -NHOH, -NR15R16, -CH 2 X, acyl, alkenyl, alkyl, aryl, alkylaryl, cycloalkyl, cycloalkylalkyl, heteroaryl, heterocyclyl, and heterocyclylalkyl; wherein each acyl, alkenyl, alkyl, aryl, alkylaryl, cycloalkyl,
- cycloalkylalkyl, heteroaryl, heterocyclyl, and heterocyclylalkyl may be optionally substituted
- R 11 , Ri 2 , Ri 3 , and Ri 4 independently are selected from the group consisting of H, OH, NH 2 , -NHNH 2 , -NHOH, acyl, alkenyl, alkoxyl, alkyl, alkylamino, aryl, alkylaryl, cycloalkyl, cycloalkylalkyl, heteroaryl, heterocyclyl, and heterocyclylalkyl; wherein each acyl, alkenyl, alkoxyl, alkyl, alkylamino, aryl, alkylaryl, cycloalkyl, cycloalkylalkyl, heteroaryl,
- X is selected from the group consisting of halogen, -CN, -C0 2 Ri 5 , -NR15R16,
- the nitrogen in the benzothiazepine ring may optionally be a quaternary nitrogen; and enantiomers, diastereomers, tautomers, pharmaceutically acceptable salts, hydrates, solvates, complexes, and prodrugs thereof.
- Examples of compounds that may be used in conjunction with the invention include, without limitation, SI, S2, S3, S4, S5, S6, S7, S9, SI 1, S12, SI 3, S14, SI 9, S20, S22, S23, S24, S25, S26, S27, S36, S37, S38, S40, S43, S44, S45, S46, S47, S48, S49, S50, S51, S52, S53, S54, S55, S56, S57, S58, S59, S60, S61, S62, S63, S64, S66, S67, S68, S69, S70, S71, S72, S73, S74, S75, S76, S77, S78, S79, S80, S81, S82, S83, S84, S85, S86, S87, S88, S89, S90, S91, S92, S93, S94, S95, S96, S97, S98, S99, S100, S101,
- the present invention provides methods and uses which comprise administering compounds of Formula I-a':
- n 0, 1, or 2;
- q 0, 1, 2, 3, or 4;
- R 7 is selected from the group consisting of H, -OR15, -NR 15 R 16 , -NHNR15R16, -NHOH, -CH 2 X, alkyl, akenyl, alkynyl, aryl, cycloalkyl, cycloalkylalkyl, heterocyclyl, and
- heterocyclylalkyl wherein each alkyl, akenyl, alkynyl, aryl, cycloalkyl, cycloalkylalkyl, heterocyclyl, and heterocyclylalkyl may be substituted or unsubstituted;
- Rg and R9 independently are selected from the group consisting of -OH, acyl, alkenyl, alkoxyl, alkyl, alkylamino, aryl, cycloalkyl, cycloalkylalkyl, heterocyclyl, and heterocyclylalkyl;
- each acyl, alkenyl, alkoxyl, alkyl, alkylamino, aryl, cycloalkyl, cycloalkylalkyl, heterocyclyl, and heterocyclylalkyl may be substituted or unsubstituted;
- R 11 , R 12 , Ri 3 , and Ri 4 independently are selected from the group consisting of H, OH, NH 2 , -NHNH 2 , -NHOH, acyl, alkenyl, alkoxyl, alkyl, alkylamino, aryl, cycloalkyl, cycloalkylalkyl, heterocyclyl, and heterocyclylalkyl; wherein each acyl, alkenyl, alkoxyl, alkyl, alkylamino, aryl, cycloalkyl, cycloalkylalkyl, heterocyclyl, and heterocyclylalkyl may be substituted or unsubstituted;
- X is selected from the group consisting of halogen, -CN, -CO2R15, -NR15R16,
- Ri 5 and Ri 6 independently are selected from the group consisting of H, acyl, alkenyl, alkoxyl, OH, NH 2 , alkyl, alkylamino, aryl, cycloalkyl, cycloalkylalkyl, heterocyclyl, and
- heterocyclylalkyl wherein each acyl, alkenyl, alkoxyl, alkyl, alkylamino, aryl, cycloalkyl, cycloalkylalkyl, heterocyclyl, and heterocyclylalkyl may be substituted or unsubstituted; and optionally R15 and R1 ⁇ 2 together with the N to which they are bonded may form a heterocycle which may be substituted or unsubstituted;
- the nitrogen in the benzothiazepine ring may be optionally a quaternary nitrogen; and enantiomers, diastereomers, tautomers, pharmaceutically acceptable salts, hydrates, solvates, complexes, and prodrugs thereof.
- the present invention provides methods and uses which comprise administering compounds of Formula I-a:
- n 0, 1, or 2;
- q 0, 1, 2, 3, or 4;
- R 5 is selected from the group consisting of -NR15R16, -(CH 2 ) z NRi 5 Ri6, -NHNR15R16, -NHOH, -ORis, -CH 2 X, acyl, alkyl, alkenyl, alkynyl, aryl, cycloalkyl, cycloalkylalkyl, heterocyclyl, and heterocyclylalkyl; wherein each acyl, alkyl, alkenyl, alkynyl, aryl, cycloalkyl, cycloalkylalkyl, heterocyclyl, and heterocyclylalkyl may be substituted or unsubstituted, and wherein z is 1, 2, 3, 4, 5, or 6;
- Re is selected from the group consisting of -ORi 5 , -NHNRi 5 Ri 6 , -NHOH, -NRi 5 Ri 6 , -CH 2 X, acyl, alkenyl, alkyl, aryl, cycloalkyl, cycloalkylalkyl, heterocyclyl, and heterocyclylalkyl; wherein each acyl, alkenyl, alkyl, aryl, cycloalkyl, cycloalkylalkyl, heterocyclyl, and heterocyclylalkyl may be substituted or unsubstituted;
- R 7 is selected from the group consisting of H, -OR i5 , -NRi 5 Ri 6 , -NHNRi 5 Ri 6 , -NHOH, -CH 2 X, alkyl, akenyl, alkynyl, aryl, cycloalkyl, cycloalkylalkyl, heterocyclyl, and heterocyclylalkyl; wherein each alkyl, akenyl, alkynyl, aryl, cycloalkyl, cycloalkylalkyl, heterocyclyl, and heterocyclylalkyl may be substituted or unsubstituted;
- Rg and R9 independently are selected from the group consisting of -OH, acyl, alkenyl, alkoxyl, alkyl, alkylamino, aryl, cycloalkyl, cycloalkylalkyl, heterocyclyl, and heterocyclylalkyl;
- R 11 , R 12 , Ri 3 , and R 14 independently are selected from the group consisting of H, OH, NH 2 , -NHNH 2 , -NHOH, acyl, alkenyl, alkoxyl, alkyl, alkylamino, aryl, cycloalkyl, cycloalkylalkyl, heterocyclyl, and heterocyclylalkyl; wherein each acyl, alkenyl, alkoxyl, alkyl, alkylamino, aryl, cycloalkyl, cycloalkylalkyl, heterocyclyl, and heterocyclylalkyl may be substituted or unsubstituted;
- Ri 5 and Ri 6 independently are selected from the group consisting of H, acyl, alkenyl, alkoxyl, OH, NH 2 , alkyl, alkylamino, aryl, cycloalkyl, cycloalkylalkyl, heterocyclyl, and
- heterocyclylalkyl wherein each acyl, alkenyl, alkoxyl, alkyl, alkylamino, aryl, cycloalkyl, cycloalkylalkyl, heterocyclyl, and heterocyclylalkyl may be substituted or unsubstituted; and optionally R 15 and R1 ⁇ 2 together with the N to which they are bonded may form a heterocycle which may be substituted or unsubstituted;
- the nitrogen in the benzothiazepine ring may be optionally a quaternary nitrogen; and enantiomers, diastereomers, tautomers, pharmaceutically acceptable salts, hydrates, solvates, complexes, and prodrugs thereof.
- n 0, 1, or 2.
- the present invention provides methods and uses which comprise administering com ounds of formula I-b:
- R 2 and n are as defined in compounds of formula I-a above;
- R is H or OMe
- R" is H.
- the present invention provides methods and uses which comprise administering compounds formula of I-c:
- each R, R 7 , q, and n is as defined in compounds of formula I-a above;
- n 0, 1, or 2.
- the present invention provides methods and uses which comprise administering compounds of formula I-c, wherein R 7 is selected from the group consisting of -OH, -NR15R16, alkyl, alkenyl, aryl, cycloalkyl, cycloalkylalkyl, heterocyclyl, and heterocyclylalkyl; wherein each alkyl, akenyl, aryl, cycloalkyl, cycloalkylalkyl, heterocyclyl, and heterocyclylalkyl may be substituted or unsubstituted.
- the present invention provides methods and uses which comprise administering com ounds of formula of I-d:
- R and R" are independently selected from the group consisting of H, halogen, -OH,
- acyl alkyl, alkoxyl, alkylamino, alkylthio, cycloalkyl, aryl, heterocyclyl, heterocyclylalkyl, alkenyl, alkynyl, (hetero-)aryl, (hetero-)arylthio, and (hetero-)arylamino; and wherein each acyl, alkyl, alkoxyl, alkylamino, cycloalkyl, aryl, heterocyclyl, heterocyclylalkyl, alkenyl, alkynyl, (hetero-)aryl, (hetero-)arylthio may be substituted or unsubsti
- R 7 and n are as defined in compounds of formula I-a above; and enantiomers, diastereomers, tautomers, pharmaceutically acceptable salts, hydrates, solvates, complexes and pro-drugs thereof.
- R is H or OMe
- R" is H.
- the present invention provides methods and uses which comprise administering compounds of formula I-d, wherein Ry is selected from the group consisting of -OH, -NR 15 R 16 , alkyl, alkenyl, aryl, cycloalkyl, cycloalkylalkyl, heterocyclyl, and heterocyclylalkyl; wherein each alkyl, akenyl, aryl, cycloalkyl, cycloalkylalkyl, heterocyclyl, and heterocyclylalkyl may be substituted or unsubstituted.
- Ry is selected from the group consisting of -OH, -NR 15 R 16 , alkyl, alkenyl, aryl, cycloalkyl, cycloalkylalkyl, heterocyclyl, and heterocyclylalkyl; wherein each alkyl, akenyl, aryl, cycloalkyl, cycloalkylalkyl, heterocyclyl, and heterocycly
- the present invention provides methods and uses which comprise administering compounds of formula of I-e:
- each R, R 5 , q and n is as defined compounds of formula I-a above; and enantiomers, diastereomers, tautomers, pharmaceutically acceptable salts, hydrates, solvates, complexes and pro-drugs thereof.
- n 0, 1 , or 2.
- the present invention provides methods and uses which comprise administering compounds of formula I-e, wherein R 5 is selected from the group consisting of-NRi 5 Ri 6 , -(CH 2 ) z NRi 5 Ri 6 , -NHOH, -ORi 5 , -CH 2 X, alkyl, alkenyl, aryl, cycloalkyl, cycloalkylalkyl, heterocyclyl, and heterocyclylalkyl; wherein each acyl, alkyl, alkenyl, aryl, cycloalkyl, cycloalkylalkyl, heterocyclyl, and heterocyclylalkyl may be substituted or unsubstituted.
- the present invention provides methods and uses which comprise administering compounds of formula I-e, wherein R5 is an alkyl substituted by at least one labeling group, such as a fluorescent, a bioluminescent, a chemiluminescent, a colorimetric and a radioactive labeling group.
- R5 is an alkyl substituted by at least one labeling group, such as a fluorescent, a bioluminescent, a chemiluminescent, a colorimetric and a radioactive labeling group.
- a fluorescent labeling group can be selected from bodipy, dansyl, fluorescein, rhodamine, Texas red, cyanine dyes, pyrene, coumarins, Cascade BlueTM, Pacific Blue, Marina Blue, Oregon Green, 4',6-Diamidino-2-phenylindole (DAPI), indopyra dyes, lucifer yellow, propidium iodide, porphyrins, arginine, and variants and derivatives thereof.
- the present invention provides methods and uses which comprise administering compounds of formula of I-f:
- R and R" are independently selected from the group consisting of H, halogen, -OH,
- acyl alkyl, alkoxyl, alkylamino, alkylthio, cycloalkyl, aryl, heterocyclyl, heterocyclylalkyl, alkenyl, alkynyl, (hetero-)aryl, (hetero-)arylthio, and (hetero-)arylamino; and wherein each acyl, alkyl, alkoxyl, alkylamino, cycloalkyl, aryl, heterocyclyl, heterocyclylalkyl, alkenyl, alkynyl, (hetero-)aryl, (hetero-)arylthio may be substituted or unsubsti
- R 5 and n are as defined in compounds of formula I-a above; and enantiomers, diastereomers, tautomers, pharmaceutically acceptable salts, hydrates, solvates, complexes and pro-drugs thereof.
- a preferred compound of formula I-f is S36, in particular in the form of a sodium salt.
- the present invention provides methods and uses which comprise administering compounds of formula I-f, wherein -(CH 2 ) z NRi 5 Ri6, selected from the group consisting of-NRi 5 Ri 6 , -NHOH, -ORi 5 , -CH 2 X, alkyl, alkenyl, aryl, cycloalkyl, cycloalkylalkyl, heterocyclyl, and heterocyclylalkyl; wherein each acyl, alkyl, alkenyl, aryl, cycloalkyl, cycloalkylalkyl, heterocyclyl, and heterocyclylalkyl may be substituted or unsubstituted.
- the present invention provides methods and uses which comprise administerin mpounds of formula of I-g:
- W is S or O; each R, Ri 5 , Ri 6 , q, and n is as defined in compounds of formula I-a above; and enantiomers, diastereomers, tautomers, pharmaceutically acceptable salts, hydrates, solvates, complexes and pro-drugs thereof.
- the present invention provides methods and uses which comprise administering compounds of formula I-g, wherein Ri 5 and Ri 6 independently are selected from the group consisting of H, OH, NH 2 , alkyl, alkylamino, aryl, cycloalkyl, cycloalkylalkyl, heterocyclyl, and heterocyclylalkyl; wherein each alkyl, alkylamino, aryl, cycloalkyl, cycloalkylalkyl, heterocyclyl, and heterocyclylalkyl may be substituted; and optionally R15 and R1 ⁇ 2 together with the N to which they are bonded may form a heterocycle which may be substituted.
- Ri 5 and Ri 6 independently are selected from the group consisting of H, OH, NH 2 , alkyl, alkylamino, aryl, cycloalkyl, cycloalkylalkyl, heterocyclyl, and heterocyclylalkyl; wherein each alkyl, alkyla
- the present invention provides methods and uses which comprise administering compounds of formula I-g, wherein W is O or S.
- the present invention provides methods and uses which comprise administerin compounds of formula of I-h:
- W is S or O
- R and R" are independently selected from the group consisting of H, halogen, -OH,
- acyl alkyl, alkoxyl, alkylamino, alkylthio, cycloalkyl, aryl, heterocyclyl, heterocyclylalkyl, alkenyl, alkynyl, (hetero-)aryl, (hetero-)arylthio, and (hetero-)arylamino; and wherein each acyl, alkyl, alkoxyl, alkylamino, cycloalkyl, aryl, heterocyclyl, heterocyclylalkyl, alkenyl, alkynyl, (hetero-)aryl, (hetero-)arylthio may be substituted or unsubsti
- Ri 5 , Ri 6 and n are as defined in compounds of formula I-a above;
- R' is H or OMe
- R" is H.
- the present invention provides methods and uses which comprise administering compounds of formula I-h, wherein W is O or S.
- R 17 is selected from the group consisting of -NR15R16, -NHNR15R16, -NHOH, -OR15, -CH 2 X, alkenyl, aryl, cycloalkyl, cycloalkylalkyl, heterocyclyl, and heterocyclylalkyl;
- alkenyl, aryl, cycloalkyl, cycloalkylalkyl, heterocyclyl, and heterocyclylalkyl may be substituted or unsubstituted;
- each R, q, and n is as defined in compounds of formula I-a above; and enantiomers, diastereomers, tautomers, pharmaceutically acceptable salts, hydrates, solvates, complexes and pro-drugs thereof.
- n 0, 1, or 2.
- the present invention provides methods and uses which comprise administering compounds of formula I-i, wherein Rn is -NRi 5 Ri 6 , and -ORi 5 .
- R i7 is -OH, -OMe, -NEt, -NHEt, -NHPh, -NH 2 , or
- the present invention provides methods and uses which comprise administering compounds of formula of I- :
- R and R" are independently selected from the group consisting of H, halogen, -OH,
- Ri 7 is selected from the group consisting of -NR15R16, -NHNR15R16, -NHOH, -OR15, -CH 2 X, alkenyl, aryl, cycloalkyl, cycloalkylalkyl, heterocyclyl, and heterocyclylalkyl; wherein each alkenyl, aryl, cycloalkyl, cycloalkylalkyl, heterocyclyl, and heterocyclylalkyl may be substituted or unsubstituted;
- n is as defined in compounds of formula I-a;
- R' is H or OMe
- R" is H.
- the present invention provides methods and uses which comprise administering compounds of formula I-k:
- R and R" are independently selected from the group consisting of H, halogen, -OH,
- acyl alkyl, alkoxyl, alkylamino, alkylthio, cycloalkyl, aryl, heterocyclyl, heterocyclylalkyl, alkenyl, alkynyl, (hetero-)aryl, (hetero-)arylthio, and (hetero-)arylamino; and wherein each acyl, alkyl, alkoxyl, alkylamino, cycloalkyl, aryl, heterocyclyl, heterocyclylalkyl, alkenyl, alkynyl, (hetero-)aryl, (hetero-)arylthio may be substituted or unsubsti
- Rig is selected from the group consisting of -NRi 5 Ri 6 , -OR 15 , alkyl, aryl, cycloalkyl, heterocyclyl, and at one labeling group; wherein each alkyl, aryl, cycloalkyl, and heterocyclyl may be substituted or unsubstituted;
- p is any one of 1, 2, 3, 4, 5, 6, 7, 8, 9, or 10, with each value of p representing a different embodiment; and n is 0, 1, or 2;
- R is H, OMe, or C 2 -C 4 alkoxyl;
- R" is H;
- n is 0; and
- Rig is Ci-C 4 alkyl.
- n is 0, and Rig is C 1 -C4 alkyl, such as Me, Et, propyl, and butyl.
- n 2
- Ri 8 is pyrrolidine, piperidine, piperazine, or morpholine.
- m is 3, 4, 5, 5, 7, or 8
- Rig is a fluorescent labeling group selected from bodipy, dansyl, fluorescein, rhodamine, Texas red, cyanine dyes, pyrene, coumarins, Cascade BlueTM, Pacific Blue, Marina Blue, Oregon Green, 4',6-Diamidino-2-phenylindole (DAPI), indopyra dyes, lucifer yellow, propidium iodide, porphyrins, arginine, and variants and derivatives thereof.
- the present invention provides methods and uses which comprise administering com ounds of formula of I-l:
- R and R" are independently selected from the group consisting of H, halogen, -OH,
- acyl alkyl, alkoxyl, alkylamino, alkylthio, cycloalkyl, aryl, heterocyclyl, heterocyclylalkyl, alkenyl, alkynyl, (hetero-)aryl, (hetero-)arylthio, and (hetero-)arylamino; and wherein each acyl, alkyl, alkoxyl, alkylamino, cycloalkyl, aryl, heterocyclyl, heterocyclylalkyl, alkenyl, alkynyl, (hetero-)aryl, (hetero-)arylthio may be substituted or unsubsti
- Re and n are as defined in compounds of formula I-a; and enantiomers, diastereomers, tautomers, pharmaceutically acceptable salts, hydrates, solvates, complexes and pro-drugs thereof.
- R' is H or OMe
- R" is H.
- the present invention provides methods and uses which comprise administering compounds of formula 1-1, wherein R ⁇ is selected from the group consisting of -NRi 5 Ri 6 , -NHNRi 5 Ri 6 , -ORi 5 , -NHOH, -CH 2 X, acyl, alkenyl, alkyl, aryl, cycloalkyl, cycloalkylalkyl, heterocyclyl, and heterocyclylalkyl; wherein each acyl, alkenyl, alkyl, aryl, cycloalkyl, cycloalkylalkyl, heterocyclyl, and heterocyclylalkyl may be substituted or unsubstituted.
- Re is -NR 15 R 16 such as -NHPh, pyrrolidine, piperidine, piperazine, morpholine, and the like.
- R 6 is alkoxyl, such as -O-tBu.
- the present invention provides methods and uses which comprise administering com ounds of formula I-m:
- acyl alkyl, alkoxyl, alkylamino, alkylthio, cycloalkyl, aryl, heterocyclyl, heterocyclylalkyl, alkenyl, alkynyl, (hetero-)aryl, (hetero-)arylthio, and (hetero-)arylamino; and wherein each acyl, alkyl, alkoxyl, alkylamino, cycloalkyl, aryl, heterocyclyl, heterocyclylalkyl, alkenyl, alkynyl, (hetero-)aryl, (hetero-)arylthio may be substituted or unsubsti
- Rg, R 9 and n are as defined in compounds of formula I-a above; and enantiomers,
- R is H or OMe
- R" is H.
- the present invention provides methods and uses which comprise administering compounds of formula I-m, wherein Rg and R 9 are independently alkyl, aryl, -OH, alkoxyl, or alkylamino.
- Rg is Ci-C 4 alkyl such as Me, Et, propyl and butyl; and R 9 is aryl such as phenyl.
- the present invention provides methods and uses which comprise administering com ounds of formula I-n,
- R d is CH 2 , or NR a ;
- R a is H, -(Ci-C 6 alkyl)-aryl, wherein the aryl is a disubstituted phenyl or a
- benzo[l,3]dioxo-5-yl group or an amine protecting group (e.g., a Boc group);
- R b is hydrogen of alkoxy (e.g., methoxy).
- Representative compounds of Formula I-n include without limitation S101, SI 02,
- the invention provides compounds of Formula I-o:
- Re is substituted or unsubstituted -Ci-C 6 alkyl, -(Ci-C 6 alkyl)-phenyl, or -(Ci-C 6 alkyl)-C(0)R b ;
- R b is -OH or -0-(Ci-C 6 alkyl), and
- phenyl or substituted alkyl is substituted with one or more of halogen, hydroxyl, -Ci-C 6 alkyl, -0-(Ci-C 6 alkyl), -NH 2 , -NH(Ci-C 6 alkyl), -N(Ci-C 6 alkyl) 2 , cyano, or dioxolane.
- Representative compounds of Formula I-o include without limitation S 107, SI 10, Si l l, S120, and S121.
- Rc is -(Ci-Ce alkyl)-NH 2 , -(Ci-C 6 alkyl)-OR f , wherein R f is H or -C(0)-(Ci-C 6 )alkyl, or -(Ci-C 6 alkyl)-NHR g wherein Rg is carboxybenzyl.
- Representative compound of Formula I-p include without limitation SI 09, S122, and SI 23.
- the compounds of Formula I, I-a', I-a, I-b, I-c, I-d, I-e, I-f, I-g, I-h, I-i, I-j, I-k, 1-1, 1-m, I-n, I-o, I-p, and Formula II can be used in methods that treat and/or prevent sarcopenia, and may also be used in compositions suitable for the treatment and/or prevention of sarcopenia.
- the compounds used have structures as described by Formula I-a, I-b, I-e, I-f, I-g, I-h, I-i, I-j, I-k, I-n, I-o, or I-p.
- Another preferred embodiment relates to compounds of Formula I-a-1 :
- n 0, 1, 2, 3, or 4;
- R 2 and R 3 together with the nitrogen and carbon to which they are respectively attached, form an unsubstituted or substituted heterocycle other than a piperazine;
- R 3 and R 4 together with the carbon atoms to which they are respectively attached, form an unsubstituted or substituted cycloalkyl or heterocyclic ring;
- R4 is selected from the group consisting of R 5 and oxo;
- each R 5 is selected from the group consisting of hydrogen, alkyl, alkenyl, alkynyl, cycloalkyl, heterocyclyl, aryl, heteroaryl, cycloalkylalkyl, heterocyclylalkyl, alkylaryl, and alkylheteroaryl;
- Rg, R9, R 11 and R 12 are independently selected from the group consisting of R 5 , OR 5 , and -N(R 5 ) 2 ;
- Z is a halogen selected from F, CI, Br and I;
- Ri 3 and R 14 are independently selected from the group consisting of R 5 , or R 13 and R 14 together with the N to which they are bonded may form an unsubstituted or substituted heterocycle;
- alkyl, alkenyl, alkynyl, cycloalkyl, heterocyclyl, aryl, heteroaryl, cycloalkylalkyl, heterocyclylalkyl, alkylaryl, and alkylheteroaryl may be substituted or unsubstituted;
- nitrogen in the benzoxazepine ring may optionally be a quaternary nitrogen
- the invention further provides a number of more preferred structures that fall within the general structure of formula I-a-1.
- Preferred compounds of the present invention include:
- each R 5 is independently hydrogen, or an unsubstituted or substituted alkyl, alkylaryl, aryl, or heterocyclyl.
- R is methoxy
- n 1 or 2
- n 1
- More preferred compounds of (a) include Rg and R9 being independently OR 5 . Also in (a)-(d), more preferred compounds of (a)-(d) include each R 5 being independently hydrogen, or an unsubstituted or substituted alkyl, alkylaryl, aryl, or heterocyclyl.
- each R is independently OR 5 at positions 7 and 8 of the benzoxazepine ring.
- the more preferred compounds of the invention specifically include those of formula I-a-1, wherein:
- n 1
- R is OR 5 or OCZ 3 at position 7 of the benzoxazepine ring
- Ri 3 and Ri 4 are either each H or are bonded to make , wherein Rj is CH 2 , NH,
- Rj may optionally be a quaternary nitrogen; or R 2 and R 3 together with the nitrogen and carbon to which they are respectively attached, form an unsubstituted or substituted heterocycle other than a piperazine; or
- n 2
- each R is independently OR 5 at positions 7 and 8 of the benzoxazepine ring
- N-benzo[l,3]dioxo-5-yl, or N-C( 0)OC(R 5 ) 3 , wherein the nitrogen in Rj may optionally be a quaternary nitrogen; or
- n 1
- R is OR 5 at position 6 of the benzoxazepine ring
- R 2 and R 3 together with the nitrogen and carbon to which they are respectively attached, form an unsubstituted or substituted heterocycle other than a piperazine; or
- R being OR 5 at position 7 of the benzoxazepine ring wherein each R 5 is independently hydrogen, or an unsubstituted or substituted alkyl, alkylaryl, aryl, or heterocyclyl.
- Still other preferred compounds are those represented by the structure of any one or more of formula I-b-1, I-c-1, 1-d-1, 1-e-1, 1-f-1, 1-g-1, 1-h-1, and I-i- 1 , and their
- R, n and R 2 are as in formula I-a-1 and Rd is CH 2 , NH, O,
- N-benzo[l,3]dioxo-5-yl, or N-C( 0)OC(R 5 )3, wherein the nitrogen in Rj may optionally be a quaternary nitrogen.
- the most preferred compounds of formula I-b-1 to I-i-1 include those where R is OR 5 at position 7 of the benzoxazepine ring wherein each R5 is independently hydrogen, or an unsubstituted or substituted alkyl, alkylaryl, aryl, or heterocyclyl.
- R is methoxy at position 7 of the benzothiazepine ring.
- Examples of compounds that may be used in conjunction with the invention include, without limitation, SI, S2, S3, S4, S5, S6, S7, S9, SI 1, S12, SI 3, S14, SI 9, S20, S22, S23, S24, S25, S26, S27, S36, S37, S38, S40, S43, S44, S45, S46, S47, S48, S49, S50, S51, S52, S53, S54, S55, S56, S57, S58, S59, S60, S61, S62, S63, S64, S66, S67, S68, S69, S70, S71, S72, S73, S74, S75, S76, S77, S78, S79, S80, S81, S82, S83, S84, S85, S86, S87, S88, S89, S90, S91, S92, S93, S94, S95, S96, S97, S98, S99, S100, S101,
- each R is independently selected from the group consisting of H, halogen, -OH, -NH 2 , -N0 2 , -CN, -N 3 , -S0 3 H, acyl, alkyl, alkylamino, cycloalkyl, heterocyclyl, heterocyclylalkyl, alkenyl, (hetero-)aryl, (hetero-)arylthio, and (hetero-) arylamino; wherein each acyl, alkyl, alkoxyl, alkylamino, cycloalkyl, heterocyclyl, heterocyclylalkyl, alkenyl, (hetero-)aryl, (hetero-)arylthio, and (hetero-)arylamino may be substituted with one or more radicals independently selected from the group consisting of hal
- each R is independently selected from the group consisting of H, halogen, -OH, -NH 2 , -N0 2 , -CN, -N 3 , -S0 3 H, acyl, alkyl, alkylamino, cycloalkyl, heterocyclyl, heterocyclylalkyl, alkenyl, (hetero-)aryl, (hetero-)arylthio, and (hetero-)arylamino; wherein each acyl, alkyl, alkoxyl, alkylamino, cycloalkyl, heterocyclyl, heterocyclylalkyl, alkenyl, (hetero-)aryl,
- (hetero-)arylthio, and (hetero-)arylamino may be substituted with one or more radicals independently selected from the group consisting of halogen, N, O, -S-, -CN, -N 3 , -SH, nitro, oxo, acyl, alkyl, alkoxyl, alkylamino, alkenyl, aryl, (hetero-)cycloalkyl, and (hetero-)cyclyl.
- R 5 is selected from the group consisting of -NR 16 , -(CH 2 ) z NRi 5 Ri6, NHNHRie, NHOH, -ORis, CONH 2 NHRi 6 , CONRie, CH 2 X, acyl, aryl, cycloalkyl, cycloalkylalkyl, heterocyclyl, and heterocyclylalkyl; wherein each acyl, aryl, cycloalkyl, cycloalkylalkyl, heterocyclyl, and heterocyclylalkyl may be substituted with one or more radicals
- the present invention provides use of the compounds of Formula II in the method of the invention.
- Formula II is
- Formula II is discussed also in co-pending application 10/680,988, the disclosure of which is incorporated herein in its entirety by reference.
- the -S- or -O- of the ring in all embodiments disclosed herein can instead be replaced by -CH 2 - or by -NH- with such compounds being expected to be useful by reducing calcium "leak” or calcium current through the RyR, stabilizing gating of the RyR, or increasing the binding of calstabin to the RyR complex in the subject.
- the compounds of the invention are useful for the treatment and/or prevention of disorders and conditions associated with abnormal function of RyR receptors, particularly RyRl and RyR2 (with the ryanodine receptor 2 found predominantly in the heart), where such disorders and conditions are characterized by an increase in the open probability of, and in increase in the calcium current through, RyRs.
- protein is isolated and purified from cells of a subject using standard methods known in the art, including, without limitation, extraction from the cells (e.g., with a detergent that solubilizes the protein) where necessary, followed by affinity purification on a column, chromatography (e.g., FTLC and HPLC), immunoprecipitation (with an antibody), and precipitation (e.g., with isopropanol and a reagent such as Trizol). Isolation and purification of the protein is followed by electrophoresis (e.g., on an SDS- polyacrylamide gel).
- phosphorylated RyR to associate physically with calstabin (e.g. , binding of approximately two fold or, approximately five fold, above the background binding of a negative control) in cells of the subject and enhancing, increasing or improving the ability of calstabin to associate physically with phosphorylated RyR (e.g., binding of approximately two fold, or,
- a decrease in the level of RyR-bound calstabin in cells of a subject is limited or prevented by directly decreasing the level of phosphorylated RyR in cells of the subject or by indirectly decreasing the level of phosphorylated RyR in the cells (e.g., by targeting an enzyme (such as PKA) or another endogenous molecule that regulates or modulates the functions or levels of phosphorylated RyR in the cells).
- the level of phosphorylated RyR in the cells is decreased by at least 10% in the method of the present invention. In another embodiment, the level of phosphorylated RyR is decreased by at least 20%.
- the compounds of the present invention may be synthesized as described in published PCT application WO 07/024717 and U.S. patent application 1 1/506,285, the entire contents of which are hereby incorporated by reference.
- the present invention provides use of compounds of the following formula for preparing many of the compounds disclosed herein:
- a PCR fragment carrying the point mutation (RyRl-2844 S > D) was used to replace the WT sequence by conventional cloning methods (Fig. 14).
- the targeting vector was electroporated into ES cells derived from hybrid C57BL/6N x 129SvEv mice (Taconic), which, after selection, were implanted into blastocysts in C57BL/6N mice. Chimeras were crossed with C57BL/6N to generate the Fl . After confirmation of germ line transmission and crossing with Ella ere mice to excise the neomycin cassette, mice were backcrossed for more than six generations into the C57BL/6J strain. ES cell preparation and implantation were performed at inGenious Targeting Laboratory.
- FDB fibers were obtained by enzymatic dissociation as previously described (Aydin et al., 2009). FDB muscles from both hind limbs were incubated for -2 hours at 37°C in -4 ml Dulbecco's Modified Eagles Medium (DMEM) containing 0.3% collagenase 1 (Sigma) and 10% fetal bovine serum. The muscles were transferred to a culture dish containing fresh DMEM ( ⁇ 4 ml) and gently triturated using a 1000 ⁇ pipette until the muscles were dissociated. The cell suspension was stored in an incubator at 37°C/5% C0 2 until the start of the experiment.
- DMEM Dulbecco's Modified Eagles Medium
- FDB fibers were loaded with the fluorescent Ca 2+ indicator Fluo-4 AM (5 ⁇ , Invitrogen/Molecular probes) for 15 min in room temperature (RT).
- the cells were allowed to attach to a laminin coated glass cover slip that formed the bottom of a perfusion chamber.
- the cells were then superfused with tyrode solution (in mM: NaCl 121, KC1 5.0, CaCl 2 1.8, MgCl 2 0.5, NaH 2 P0 4 0.4, NaHC0 3 24, EDTA 0.1, glucose 5.5; bubbled with 0 2 /C0 2
- the fibers were triggered to tetanic contraction using electrical field stimulation (pulses of 0.5 ms at 70 Hz for a duration of 350 ms, at supra-threshold voltage) and Fluo-4 fluorescence was monitored using a confocal microscope system (Zeiss LSM 5 Live, 40x oil immersion lens, excitation wavelength was 488 nm and the emitted fluorescence was recorded between 495-525 nm).
- the use of the single excitation/emission dye fluo-4 necessitates normalizing to prestimulation values to negate possible differences in dye loading and excitation strength.
- mice were euthanized and EDL muscles were dissected and stored in a HEPES-buffered physiological medium (in mM: 119 NaCl, 5 KC1, 1.25 CaCl 2 , 1 MgS0 4 , 10 glucose, 1.1 mannitol, 10 HEPES, pH 7.4). Muscles were then rapidly placed in a dissecting chamber and the solution exchanged with a relaxing solution (in mM: 140 K-glutamate, 10 HEPES, 10 MgCl 2 , 0.1 EGTA, pH 7.0).
- a relaxing solution in mM: 140 K-glutamate, 10 HEPES, 10 MgCl 2 , 0.1 EGTA, pH 7.0.
- Bundles of 5 to 10 EDL fibers were manually dissected, mounted as described previously (Lacampagne et al, 1998) and permeabilized in a relaxing solution containing 0.01% saponin for 30 s. After washing with saponin free solution, the solution was changed to an internal medium (in mM: 140 K- glutamate, 5 Na 2 ATP, 10 glucose, 10 HEPES, 4.4 MgCl 2 , 1.1 EGTA, 0.3 CaCl 2 , Fluo-3 0.05 (pentapotassium salt, Invitrogen, USA), pH 7.0) for Ca 2+ sparks acquisition as previously reported (Bellinger et al, 2009; Reiken et al, 2003; Ward et al, 2003).
- an internal medium in mM: 140 K- glutamate, 5 Na 2 ATP, 10 glucose, 10 HEPES, 4.4 MgCl 2 , 1.1 EGTA, 0.3 CaCl 2 , Fluo-3 0.05 (pentapotassium salt, In
- the mean F value for the image was calculated by summing and averaging the temporal F at each spatial location while ignoring potential spark areas. This F value was then used to create a AF/F image pixel by pixel. Statistical comparisons were performed using the ANOVA test with a significance level set at ⁇ 0.05. The investigators were blinded to the genotype, age and treatment of subjects.
- Muscle tissue from the young, aged and SI 07 groups was homogenized using a tissue miser (Fisher Scientific) at the highest speed for 1 min with 2 volumes of: 20 mM Tris- maleate (pH 7.4), 1 mM EDTA and protease inhibitors (Roche). Homogenate was centrifuged at 4,000 g for 15 min at 4°C and the following supernatant was centrifuged at 40,000 g for 30 min at 4°C. The final pellet, containing the SR fractions, was resuspended and aliquoted using the following solution: 250 mM sucrose, 10 mM MOPS (pH 7.4), 1 mM EDTA and protease inhibitors. Samples were frozen in liquid nitrogen and stored at -80°C.
- SR vesicles containing RyRl were fused to planar lipid bilayers formed by painting a lipid mixture of phosphatidylethanolamine, phosphatidylcholine and phosphatidylserine (Avanti Polar Lipids) in a 5:3:2 ratio across a 200- ⁇ hole in polysulfonate cups (Warner Instruments) separating 2 chambers.
- the final concentration of lipids was 40 mg/ml dissolved in decane.
- Membrane thinning was assayed by applying a triangular wave test pulse. Typical capacitance values were 100-250 pF.
- SR vesicles were added to the cis side and fusion with the lipid bilayer was induced by making the cis side hyperosmotic by the addition of 400-500 mM KC1. After the appearance of potassium and chloride channels, the cis side was perfused with the cis solution.
- Single-channel currents were recorded at 0 mV using a Bilayer Clamp BC-525C amplifier (Warner Instruments), and filtered with a low-pass Bessel filter eight pole (Warner Instruments) at 1 kHz and then sampled at 4 kHz. Data acquisition was performed by using Digidata 1322A and Axoscope 10 software (Axon Instruments).
- EDL muscles were dissected from the hind limbs using micro dissection scissors and forceps. Stainless steel hooks were tied to the tendons of the muscles using nylon sutures. The muscle was thereafter mounted between a force transducer (Harvard apparatus) and an adjustable hook. The muscle preparation was immersed in a stimulation chamber containing 0 2 /C0 2 (95/5%) bubbled Tyrode solution (in mM: NaCl 121, KC1 5.0, CaCl 2 1.8, MgCl 2 0.5, NaH 2 P0 4 0.4, NaHC0 3 24, EDTA 0.1, glucose 5.5). The muscle was stimulated to contraction via application of an electrical field between two platinum electrodes (Aurora Scientific) attached to the stimulation chamber. The control unit for the electrical field stimulation as well as the data acquisition system came from Aurora Scientific (Ontario, Canada).
- the muscle length was adjusted to the length (L 0 ) that yielded the maximum force.
- the force-frequency relationships were then determined by triggering contraction using incremental stimulation frequencies (EDL: 0.5 ms pulses at 2-150 Hz for 350 ms at supra-threshold voltage). Between each stimulation, the muscle was allowed to rest for ⁇ 1 minute. At the end of the force measurement, the length (L 0 ) and weight of the muscle was measured, where after the muscle was snap frozen in liquid N 2 .
- the absolute force was normalized to the muscle cross-sectional area, calculated as the muscle weight divided by the length and a muscle density constant of 1.056 kg/m 3 (Yamada et al, 2009). RyRl immunoprecipitation and immunoblotting
- EDLs were isotonically lysed in 0.5 ml of a buffer containing 50 mM Tris-HCl (pH 7.4), 150 mM NaCl, 20 mM NaF, 1.0 mM Na 3 V0 4 , and protease inhibitors.
- An anti-RyR antibody (4 ⁇ g 5029 Ab) was used to immunoprecipitate RyRl from 250 ⁇ g of tissue homogenate.
- the samples were incubated with the antibody in 0.5 ml of a modified RIPA buffer (50 mM Tris-HCl pH 7.4, 0.9% NaCl, 5.0 mM NaF, 1.0 mM Na 3 V0 4 , 1% Triton- XI 00, and protease inhibitors) for 1 hr at 4°C.
- the immune complexes were incubated with protein A Sepharose beads (Sigma, St. Louis, MS) at 4°C for 1 hr and the beads were washed three times with buffer.
- DNP-hydrazone 2,4- dinitrophenylhydrazone
- DNPH 2,4- dinitrophenylhydrazine
- skeletal SR membranes (100 ⁇ g) were resuspended in 200 ⁇ of buffer (10 mM Tris-HCl, pH 7.2 with complete protease inhibitors (Roche Applied Science)). The samples were treated with 1 mM H 2 0 2 and/or 100 ⁇ ⁇ 2 (l-Hudroxy-2-oxo-[N-ethyl-2-aminoethyl]-3-ethyl-l-triazen; A.G. Scientific, USA) for 30 min at room temperature. After the reaction is completed, RyRl was immunoprecipitated from the sample with an RyR antibody and the immunoprecipitates were analyzed for total RyRl, oxidized RyRl, and calstabinl associated with the channel complex as described.
- buffer 10 mM Tris-HCl, pH 7.2 with complete protease inhibitors (Roche Applied Science)
- the samples were treated with 1 mM H 2 0 2 and/or 100 ⁇ ⁇ 2 (l-
- Fluorescence changes in mitochondria-rich regions was followed over time and quantification was made using ImageJ. In each cell, at each time point, three different mitochondrial-rich regions were analyzed and averaged. Fluorescence measurements were normalized to the baseline fluorescence (F 0 ) in the same cell at the start of the experiment. Statistical significance was tested using analysis of variance (two-way repeated measures ANOVA).
- Enzymatically dissociated FDB fibers were incubated with the fluorescent indicator Rhod-2/ AM (Invitrogen by Life Technologies/Molecular Probes, USA; 5 ⁇ ) for ⁇ 1 hour at room temperature.
- Rhod-2 was taken up in the mitochondria
- cell were simultaneously loaded with the fluorescent indicator Mitotracker green (Fig. 11); Invitrogen by Life Technologies/Molecular Probes, USA; 0.2 ⁇ ; 30 min room temperature).
- Mitotracker green Fig. 11
- Invitrogen by Life Technologies/Molecular Probes, USA 0.2 ⁇ ; 30 min room temperature.
- the mitochondria are lined up along the sides of the z-lines. When Rhod-2 and Mitotracker Green are loaded into the mitochondria, a striated pattern of fluorescence is shown (Aydin et al, 2009; Lannergren et al, 2001).
- Rhod-2 fluorescence was measured using a confocal microscope (Zeiss LSM 5 Live, 40x oil immersion lens) with excitation at 532 nm and the emitted signal collected through a band pass filter (540-625 nm). Mitotracker green was excited at 488 nm and the emitted fluorescence collected at >510 nm. ImageJ was used to quantify changes in Rhod-2 fluorescence in mitochondria rich areas (confirmed by overlapping Rhod-2 and mitotracker green signals). Statistical significance was tested using analysis of variance (ANOVA). Reactive nitrogen species (RNS) detection
- the EDL samples were fixed with formalin, embedded in paraffin wax, and sliced at 5-um thickness.
- the sections were deparaffinized, stained with hematoxylin and eosin (HE staining, Sigma- Aldrich Co., St. Louis, MO) and observed using light microscopy.
- the images were captured using a SPOT RT slider camera (Diagnostic Instruments Inc., Sterling Heights, MI) and analyzed with ImageJ.
- EDL muscles were fixed in 2.5% glutaraldehyde in 0.1M Sorenson's buffer (PH 7.2) followed by one hour of postfixing with 1% Os0 4 in Sorenson's buffer. After dehydration the tissue samples were embedded in Lx-112 (Ladd Research Industries) and 60 nm sections were cut using an ultramicrotome (MT-7000). The sections were then stained with uranyl acetate and lead citrate and examined under an electron microscope (JEM- 1200 EXII, JEOL) and images were taken using an ORCA-HR digital camera (Hamamatsu) and recorded with an AMT Image Capture Engine. Statistics
- embodiment G are shown immunoblots of immunoprecipitated RyRl from young and aged mice.
- DNP 2,4-dinitrophenylhydrazone.
- P*RyRl Phosphorylated RyRl (at serine 2844). See also Figures 8 and 2A.
- the dashed line indicates application of Antimycin A (10 ⁇ ) as a positive control for superoxide production.
- * P ⁇ 0.05 indicates significant difference between the control rapamycin group and no rapamycin or SI 07 groups (ANOVA).
- In embodiment D are shown the effect of rapamycin-induced Ca 2+ leak on RNS production in FDB fibers measured with the RNS indicator DAF. Arrow indicates application of rapamycin.
- the NO donor S-nitroso-N-acetylpenicillamine (SNAP; 100 nM) was applied as a positive control at the end of each experiment (indicated by dashed line).
- a and B are shown representative Ca 2+ transients Fluo-4 fluorescence in FDB muscle fibers during a 70Hz tetanic stimulation in mice that did not receive (A) or received SI 07 in the drinking water (B).
- D are shown are representative single channel current traces of skeletal RyRl channels isolated from young, aged, and aged + SI 07 treated mice.
- Figures 5A and B show elevated Ca 2+ spark frequency is reversed by SI 07 in EDL muscle from aged WT mice and RyRl-S2844D mice but not in calstabinl KO mice.
- embodiment A are shown line scans of Fluo-4 fluorescence from permeablized EDL muscle fibers (young: upper panel; aged: middle panel; aged +S107: lower panel) showing Ca 2+ spark activity.
- the heat diagram indicates the normalized change in fluorescence intensity (AF/F0).
- Figures 6A-H show that improved muscle function and exercise capacity following SI 07 treatment of aged mice requires calstabinl .
- embodiment A are shown immunoblot of immunoprecipitated RyRl from WT, 1 month old (1 m), 6 month old (6 m) RyRl-S2844D mice and 6 month old (6 m) RyRl-S2844D mice that was treated with SI 07.
- RyRl from RyRl- S2844D mice are progressively oxidized (DNP) and depleted of calstabinl with age.
- embodiment C are shown EDL muscle force-frequency curves in 6 month old RyRl-S2844D mice and young WT mice (from the same animals as in embodiment A).
- SI 07 treatment (4 weeks) significantly increased muscle force in the RyRl-S2844D mice (mean ⁇ SEM).
- embodiment D are shown peak Ca 2+ transient amplitudes at 70 Hz tetanic stimulation [peak Fluo-4 fluorescence (F) was normalized to resting fluorescence (F0), AF/F0].
- embodiment E are shown EDL muscle from muscle-specific calstabinl KO mice produce significantly less force compared to young WT.
- SI 07 treatment (4 weeks) did not restore EDL muscle force in muscle-specific calstabinl KO mice.
- In embodiment F are shown daily voluntary running distance in young WT mice with or without SI 07 treatment and in muscle-specific calstabinl KO mice with or without SI 07 treatment (mean, ⁇ SEM; * P ⁇ 0.05 (ANOVA). The arrow indicates start of the SI 07 treatment.
- In embodiment G are shown immunoblot of immunoprecipitated muscle RyRl from young WT, aged (18 month) WT, young transgenic mice with mitochondrial targeted overexpression of catalase (MCAT) and aged (18 month) MCAT mice.
- MCAT catalase
- FIGS 7A-E show model of RyRl -mediated SR Ca 2+ leak and mitochondrial dysfunction in aging skeletal muscle.
- SR sarcoplasmic reticulum
- ROS reactive oxygen species
- embodiment B are shown DCF fluorescence when normalized to the fluorescence at 10 min in presence of H 2 0 2 (100 ⁇ ).
- Figures show mean ⁇ SEM, statistical significance for both panels were obtained by an ANOVA (* P ⁇ 0.05, ** P ⁇ 0.01, *** P ⁇ 0.001).
- FIGS 9A-F show RyRl from aged rat skeletal muscle are cysteine-nitrosylated, oxidized and depleted of calstabinl .
- embodiment A are shown immunoblots of
- E and F are shown in vitro oxidation (H 2 0 2 ) and nitrosylation (using the NO donor Noc-12) of skeletal muscle SR microsomes leads to calstabinl depletion.
- Figures 10A-E show electron microscopy of EDL muscle.
- A are shown representative image depicting morphologically normal mitochondria in EDL muscle from a young WT mouse.
- B-D are shown representative images of EDL muscle from aged (B), RyRl-2844D (C), and calstabinl deficient (D) mice.
- E are shown fraction of mitochondria with abnormal morphology (for each group, the number of normal and abnormal mitochondria were counted from two mice and five muscle fibers). Data is presented as mean ⁇ SEM; *** P ⁇ 0.001. Arrows indicate mitochondria with abnormal morphology. Scale bar indicates 500 nm.
- FIGS 11A-E show mitochondrial uptake of the Ca 2+ indicator Rhod-2 AM in FDB muscle fiber.
- a and B are shown images of an FDB muscle fiber loaded with the fluorescent indicators Rhod-2 (A) and Mitotracker Green (B).
- the mitochondria are lined up along the sides of the z-lines.
- C are shown overlap between the Ca 2+ indicator Rhod-2 and the mitochondrial marker Mitotracker Green.
- the scale bar indicates 10 ⁇ .
- In embodiment D are shown FK506-induced decrease in mitochondrial membrane potential.
- the arrow indicates onset of FK506 (50 ⁇ ) treatment.
- the dashed line indicates application of FCCP (300 nM).
- Figure 12 shows EDL muscle fiber cross-sectional area in aged mice is not altered by 4 weeks of SI 07 treatment.
- Figures 13A-C show increased open probability of RyRl-S2844D channels.
- a and B are shown representative single channel current traces of RyRl -WT (A) and RyRl-S2844D (B) channels measured at 150 nM and 350 nM cytosolic [Ca 2+ ].
- Channel openings are shown as upward deflections; the closed (c -) state of the channel is indicated by horizontal bars in the beginning of each tracing.
- Example of channel activity is shown at two different time scales (5 s for the upper trace and 500 ms for the lower trace) as indicated by dimension bars, and the Po, To (average open time) and Tc (average closed time) are shown above each 5s trace.
- An amplitude histogram is shown on the right side of each representative single channel trace to illustrate two to three distinct peaks corresponding to fully open ( ⁇ 4 pA), subconductance ( ⁇ 2 pA) and closed ( ⁇ 0 pA) states of the channel.
- Figures 14A-C show strategy used to generate RyRl-S2844D mice.
- A are shown targeted mutagenesis of RyRl Exon 53, the Loxp-Fret-Neo cassette was placed upstream of the point mutation in intron 52-53.
- B are shown homologous recombination of the mutant RyRl-S2844D allele in ES cells and chimeric mice.
- C are shown Cre mediated excision of the floxed neo cassette resulted in RyRl- S2844D knock-in mice.
- EDL muscles from aged (24-month old) C57BL/6 mice were analyzed to explore the potential role of RyRl dysfunction in aging skeletal muscle.
- ROS were measured in FDB fibers using a cell permeant form of the fluorescent indicator 20,70-dichlorodihydrofluorescein diacetate, acetyl ester (DCF) (Aydin et al, 2009; Durham et al., 2008). Muscle fibers from aged mice exhibited oxidative stress with significantly increased levels of DCF fluorescence compared to fibers from young adult mice (Fig. 8A, B).
- FDB fibers loaded with Rhod-2 were used to measure mitochondrial Ca 2+ (Aydin et al, 2009; Bruton et al., 2003). Fibers were co-stained with Mitotracker Green to confirm that Rhod-2 was loaded into mitochondria (Fig. 11 A-C).
- TMRE fluorescent indicator tetra-metyl rhodamine ethyl ester
- TMRE fluorescence p-trifluoromethoxyphenylhydrazone
- FCCP p-trifluoromethoxyphenylhydrazone
- Rapamycin has other activities in addition to disrupting RyRl-calstabinl interactions such as inhibition of mTOR signaling.
- FK506 similarly depletes calstabinl from RyRl channels, but does not inhibit mTOR (Brillantes et al., 1994) and caused a reduction in the TMRE signal similar to rapamycin (Fig. 1 ID).
- rapamycin had no effect on mitochondrial membrane potential in FDB muscles from mice with a skeletal muscle targeted deficiency in FKBP12 (calstabinl) (Tang et al., 2004) (Fig. 1 IE). Together, these results indicate that inhibiting RyRl-calstabinl binding leads to Ca 2+ leak and mitochondrial dysfunction. Mitochondrial dysfunction is typically associated with increased ROS production.
- SI 07 inhibits SR Ca 2+ leak by reducing the stress-induced depletion of calstabin from the RyR channel complex (Andersson and Marks, 2010; Bellinger et al., 2009; Lehnart et al., 2008).
- SI 07 FDB fibers from young WT mice were incubated with SI 07 (5 ⁇ ) for 2-3 hours before the start of the experiment (Shan et al., 2010).
- the rapamycin-induced increase in Rhod-2 fluorescence as well as the loss of mitochondrial membrane potential and increase in MitoSOX Red and DAF signals were prevented by SI 07 (Fig.
- mice exhibited more episodes at higher running speeds (Fig. 3B).
- S107-treated aged mice exhibited increased exercise capacity and exercised at higher intensity levels compared to controls.
- S107 requires calstabinl to reduce Ca 2+ leak and improve muscle function
- RyRl oxidation was measured in muscles from young (3 month) and aged (18 month) transgenic mice with mitochondrial targeted overexpression of catalase (MCAT) (Lee et al, 2010; Schriner et al, 2005).
- MCAT catalase
- RyRl oxidation was substantially reduced, nitrosylation slightly reduced and calstabinl binding was preserved in samples from aged MCAT mice compared to age-matched WT controls (Fig. 6G, H).
- SR microsomes from WT muscle were treated with oxidizing (H 2 0 2 ) and nitrosylating (Noc-12) compounds alone and in combination to examine the effects of these modifications in more detail.
- Senescent decline in muscle function is not restricted to mammals as the nematode C. elegans also develops a sarcopenia-like phenotype and impaired locomotion with age. Loss of muscular strength in aging is highly predictive of all-cause mortality in humans. Interestingly, this is also true for C. elegans, where the degree of locomotor dysfunction is a lifespan predictor. Thus, muscle dysfunction seems to be a central aspect of the aging process and studying pathogenic processes of sarcopenia might, therefore, provide clues as to the mechanisms of aging in general.
- SNO protein modification is critically dependent on local production of NO, e.g., by NO synthases (NOS).
- NOS NO synthases
- ROS generation from non-mitochondrial sources e.g. non-phagocytic NAD(P)H oxidase (NOX)
- NOX non-phagocytic NAD(P)H oxidase
- the present study used saponin permeabilized muscle fibers in order to control the intracellular conditions (e.g., pH, [Ca 2+ ], [Mg 2+ ] and the Ca 2+ dye concentration), which is not possible using intact muscle fibers (Isaeva et al, 2005; Rios et al, 1999; Shirokova and Niggli, 2008).
- This method was used previously to study pathological conditions where RyRl exhibited a leaky phenotype (Bellinger et al, 2009; Reiken et al, 2003; Ward et al, 2003).
- the increased Ca 2+ spark frequency is consistent with the increased RyRl Po observed in the aged muscle.
- Hypemitrosylated ryanodine receptor calcium release channels are leaky in dystrophic muscle. Nat Med 15, 325-330.
- Insulin-like growth factor- 1 prevents age-related decrease in specific force and intracellular Ca2+ in single intact muscle fibres from transgenic mice. J Physiol 552, 833-844.
- Muscle-specific inositide phosphatase (MIP/MTMR14) is reduced with age and its loss accelerates skeletal muscle aging process by altering calcium homeostasis. Aging (Albany NY) 2, 504-513.
- Skeletal muscle ryanodine receptor is a redox sensor with a well defined redox potential that is sensitive to channel modulators. J Biol Chem 275, 36556-36561.
- Skeletal muscle sarcoplasmic reticulum contains a NADH-dependent oxidase that generates superoxide. Am J Physiol Cell Physiol 285, C215-221.
- Hypemitrosylated ryanodine receptor calcium release channels are leaky in dystrophic muscle. Nat Med 15, 325-330.
Landscapes
- Health & Medical Sciences (AREA)
- Chemical & Material Sciences (AREA)
- Medicinal Chemistry (AREA)
- Pharmacology & Pharmacy (AREA)
- Life Sciences & Earth Sciences (AREA)
- Animal Behavior & Ethology (AREA)
- General Health & Medical Sciences (AREA)
- Public Health (AREA)
- Veterinary Medicine (AREA)
- Epidemiology (AREA)
- Engineering & Computer Science (AREA)
- Bioinformatics & Cheminformatics (AREA)
- Neurology (AREA)
- Orthopedic Medicine & Surgery (AREA)
- Physical Education & Sports Medicine (AREA)
- Chemical Kinetics & Catalysis (AREA)
- General Chemical & Material Sciences (AREA)
- Nuclear Medicine, Radiotherapy & Molecular Imaging (AREA)
- Organic Chemistry (AREA)
- Pharmaceuticals Containing Other Organic And Inorganic Compounds (AREA)
Abstract
The present invention provides methods and compositions useful for the treatment and/or prevention of sarcopenia. The compositions include one or more of the following benzothiazepine, benzoxazepine, benzodiazepine or benzazepine compounds (The formula should be inserted here) as disclosed herein while the methods include administering to a subject a therapeutically or prophylactically effective amount of the compounds or compositions to a subject in need thereof.
Description
METHODS OF PREVENTING AND TREATING SARCOPENIA
GOVERNMENT INTERESTS
This invention was made with government support under NIH Grant No. ROl HL 056180-15. As such, the United States government may have certain rights in this invention.
FIELD OF THE INVENTION
The invention relates to compositions and methods of preventing and treating sarcopenia.
BACKGROUND OF THE INVENTION
A hallmark of aging is the progressive decline in skeletal muscle function,
characterized by reduced force generating capacity and loss of muscle mass. These phenomena, referred to collectively as sarcopenia, are common in aged humans and animal models. Moreover, age-dependent deterioration of muscle function is not restricted to mammals as it is also observed in the nematode Caenorhabditis elegans (C. elegans). It is estimated that sarcopenia affects as many as 45% of the population over the age of 60, leading to profound loss of function in the elderly. Indeed, loss of muscular strength is highly predictive of frailty, and disability, all of which cause mortality with increased age. Much attention is focused on understanding how to reverse muscle wasting, and significant advances in this field have lead to early clinical trials targeting muscle growth, but there are no established treatments for age-related loss of muscle mass at this time. In contrast, improving specific force production which is also significantly reduced in aged muscle, has received less attention. The loss of specific force suggests that the calcium-(Ca2+) dependent process known as excitation-contraction (EC) coupling may be impaired in aged muscle. During EC coupling in skeletal muscle, muscle membrane depolarization activates voltage-sensing channels in the transverse tubules (Cavl. l) which in turn activate the sarcoplasmic reticulum (SR) Ca2+ release channel, also known in skeletal muscle as the ryanodine receptor 1 (RyRl). The release of SR Ca2+ via RyRl raises cytoplasmic [Ca2+]cyt leading to activation of actin- myosin cross-bridging and shortening of the sarcomere, manifesting as muscle contraction. Impaired Ca2+ handling is associated with contractile dysfunction in heart failure and muscular dystrophy, and sarcopenic skeletal muscle is reported to have decreased SR Ca2+ release. Thus, proper Ca2+ handling in muscle plays a key role in normal EC coupling and specific force production.
Cysteine nitrosylation (SNO) and carbonyl modifications of proteins are emerging as important cellular mediators for RyR function and Ca2+ signaling. Excessive SNO- modification of RyRl disrupts the interaction between RyRl and calstabinl (also known as FKBP12 in skeletal muscle). Loss of the RyRl /Calstabinl interaction results in channels that leak SR Ca2+. This leak leads to reduced SR Ca2+ release and muscle function.
Currently, the primary treatment for sarcopenia is exercise. Specifically, resistance training or strength training— exercises that increase muscle strength and endurance with weights or resistance bands— are shown to be beneficial for both the prevention and treatment of sarcopenia. Resistance training is reported to positively influence the neuromuscular system, hormone concentrations, and protein synthesis rate. Research show that an exercise program of progressive resistance training can increase protein synthesis rates in the elderly in as little as two weeks. While this is possible for patients who are otherwise generally in good health and capable of conducting such exercise, it is not possible for a certain segment of the population to continually and properly follow an exercise regimen.
Current interventions for sarcopenia are focused on ways to increase muscle mass and/or reduce wasting of the aged muscle. This focus includes therapeutic regimens that utilize anabolic pathways such as testosterone, growth hormone, and insulin-like growth factor- 1 signaling. Some trials with these anabolic regimens demonstrate modest increase in muscle growth but no increase in muscle strength or power. Inhibition of the endogenous negative regulator of myogenesis, myostatin (growth differentiation factor 8), has emerged as an attractive target for combating muscle weakness diseases as mutations in myostatin that inactivate or reduce its function lead to a dramatic increase of muscle girth in mice, dogs, and cattle. However, muscular dystrophy patients treated with an anti-myostatin recombinant human antibody, which inactivates the function of myostatin, failed to improve muscle power. Interestingly, the muscular dystrophy mouse model associated with dystrophinopathy
(C57BL/10ScSn-D Dm£fc) displays both reduced muscle force and sarcous hypertrophy. Thus, merely increasing the amount of skeletal muscle is not necessarily accompanied by improved function. There is a need in the industry for more effective sarcopenia treatments, which desirably result in an increase in muscular mass, strength and force.
SUMMARY OF THE INVENTION
The present invention addresses the aforementioned needs in the art by providing, inter alia, compositions and methods useful for the treatment and/or prevention of sarcopenia.
These compositions and methods involve modulation of the function of skeletal muscle ryanodine receptors (RyRl).
In one embodiment, the present invention provides a method for treating and/or preventing sarcopenia, in part, based on the discovery that administering certain
benzothiazepine, benzoxazepine, benzodiazepine and benzazepine compounds to aged subjects, exemplified by mice, improves muscle function and exercise capacity by correcting defects at the level of the myocyte Ca2+ handling machinery.
In some preferred embodiments, the present invention provides a method of treating and/or preventing sarcopenia in a subject in need thereof, comprising administering to the subject a therapeutically or prophylactically effective amount of a compound of Formula I, I-a', I-a, I-b, I-c, I-d, I-e, I-f, I-g, I-h, I-i, I-j, I-k, 1-1, 1-m, I-n, I-o, I-p, I-a-1, 1-b-1, 1-c-1, 1-d-1, I-e-1, I-f- 1 , 1-g-1, I-h- 1 , I-i- 1 , or Formula II, or enantiomers, diastereomers, tautomers, pharmaceutically acceptable salts, hydrates, solvates, complexes, metabolites, or pro-drugs thereof, or any combination thereof. The structures of these Formulae are provided in the Detailed Description that follows.
In a preferred embodiment, the present invention provides a method of treating or preventing sarcopenia in a subject in need thereof, comprising administering to the subject a therapeutically or prophylactically effective amount of a compound represented by the structure of Formula I-k as disclosed herein.
In a preferred embodiment, the present invention provides a method of treating or preventing sarcopenia in a subject in need thereof, comprising administering to the subject a therapeutically or prophylactically effective amount of a compound represented by the structure of Formula I-o as disclosed herein.
In another embodiment, the present invention provides a method of treating or preventing sarcopenia in a subject in need thereof, comprising administering to the subject a therapeutically or prophylactically effective amount of the compound Si l l represented by the structure:
, or pharmaceutically acceptable salts, hydrates, solvates, complexes and pro-drugs thereof, or any combination thereof.
In other preferred embodiments, the present invention provides a method of treating or preventing sarcopenia in a subject in need thereof, comprising administering to the subject a
therapeutically or prophylactically effective amount of a compound represented by the structure of Formula I-o as disclosed herein.
In additional preferred embodiments, the present invention provides a method of treating or preventing cardiac ischemia/reperfusion injury in a subject in need thereof, comprising administering to the subject a therapeutically or prophylactically effective amount of the com ound SI 07 represented by the structure
, or pharmaceutically acceptable salts, hydrates, solvates, complexes, metabolites, or pro-drugs thereof, or any combination thereof. A preferred salt is the hydrochloride salt (S107-HC1).
In additional preferred embodiments, the present invention provides a method of treating or preventing cardiac ischemia/reperfusion injury in a subject in need thereof, comprising administering to the subject a therapeutically or prophylactically effective amount of the compound S36 represented by the structure
, or pharmaceutically acceptable salts, hydrates, solvates, complexes, metabolites, or pro-drugs thereof, or any combination thereof. A referred salt is the sodium salt (S36-Na) represented by the structure
In other preferred embodiments, the present invention provides a method of treating or preventing sarcopenia in a subject in need thereof, comprising administering to the subject a therapeutically or prophylactically effective amount of a compound represented by the structure of Formula I, I-a', I-a, I-b, I-c, I-d, I-e, I-f, I-g, I-h, I-i, I-j, I-k, I-l, I-m, I-n, I-o, I-p, I-a-1, I-b- 1 , 1-c-1, I-d- 1 , 1-e-1, I-f- 1 , 1-g-1, I-h- 1 , I-i- 1 , or Formula II, or enantiomers,
diastereomers, tautomers, pharmaceutically acceptable salts, hydrates, solvates, complexes, metabolites, or pro-drugs thereof, or any combination thereof.
In certain specific embodiments, the compound administered is selected from the group consisting of SI, S2, S3, S4, S5, S6, S7, S9, SI 1, S12, SI 3, S14, SI 9, S20, S22, S23, S24, S25, S26, S27, S36, S37, S38, S40, S43, S44, S45, S46, S47, S48, S49, S50, S51, S52, S53, S54, S55, S56, S57, S58, S59, S60, S61, S62, S63, S64, S66, S67, S68, S69, S70, S71, S72, S73, S74, S75, S76, S77, S78, S79, S80, S81, S82, S83, S84, S85, S86, S87, S88, S89, S90, S91, S92, S93, S94, S95, S96, S97, S98, S99, S100, S101, S102, S103, S104, S107, S108, S109, S110, Si l l, S112, S113, S114, S115, S116, S117, S118, S119, S120, S121, S122, S123, S136, S137, S138, S139, S140, S146, S147, S148, S149, S150, S151, S152, S153, S156, S157, S159, S160, S161, S166, S167, S182, S186, S189, S203, S217, S251, S252, S258, S277, S279, S282, S291, S293, S296, S301, S302, S306, S311, S312, S313, S318, S322, S324, S326, S331, S335, S337, S351, S352, S353, S354, S397, S398, S399, S423, S454, S463, S466, S470, S473 and S477. The structures of these compounds are provided in the Detailed Description that follows.
In other embodiments, the present invention provides a method of treating and/or preventing sarcopenia in a subject in need thereof, comprising administering to the subject a therapeutically or prophylactically effective amount of a compound that decreases the open probability of the RyRl channel under conditions that simulate resting muscle (i.e., low activating calcium levels).
In yet another embodiment, the present invention provides a method of treating and/or preventing sarcopenia in a subject in need thereof, comprising administering to the subject a therapeutically or prophylactically effective amount of a compound that decreases Ca2+ current through the RyRl channel under conditions that simulate resting muscle (i.e., low activating calcium levels).
In a further embodiment, the present invention provides a method of treating and/or preventing sarcopenia in a subject in need thereof, comprising administering to the subject a therapeutically or prophylactically effective amount of a compound that decreases calcium leak through the RyRl channel under conditions that simulate resting muscle (i.e., low activating calcium levels).
In an additional embodiment, the present invention provides a method of treating and/or preventing sarcopenia in a subject in need thereof, comprising administering to the subject a therapeutically or prophylactically effective amount of a compound that increases
the affinity with which calstabin 1 binds to nitrosylated, and/or oxidized, and/or phosphorylated, RyRl .
In other embodiments, the present invention provides a method of treating and/or preventing sarcopenia in a subject in need thereof, comprising administering to the subject a therapeutically or prophylactically effective amount of a compound that decreases dissociation of calstabin 1 from nitrosylated, and/or oxidized, and/or phosphorylated, RyRl .
In other embodiments, the present invention provides a method of treating and/or preventing sarcopenia in a subject in need thereof, comprising administering to the subject a therapeutically or prophylactically effective amount of a compound that increases rebinding of calstabin 1 to nitrosylated, and/or oxidized, and/or phosphorylated, RyRl .
In certain embodiments, the subject to whom the compounds of the invention are administered is a mammal selected from the group consisting of primates, rodents, ovine species, bovine species, porcine species, equine species, feline species and canine species. In a preferred embodiment, the subject is a human, preferably over the age of 60, more preferably over the age of 70, and most preferably over the age of 80. In general, the older a person, the greater tendency is for that person to be subject to sarcopenia and thus the need is greater for administration of one of the compounds disclosed herein to reduce or prevent further muscle deterioration.
The compounds of the invention may be administered by any suitable route known in the art, without limitation. For example, compounds of the invention may be administered by a route selected from the group consisting of parenteral, enteral, intravenous, intraarterial, intracardiac, intra intrapericardial, intraosseal, intracutaneous, subcutaneous, intradermal, subdermal, transdermal, intrathecal, intramuscular, intraperitoneal, intrasternal,
parenchymatous, oral, sublingual, buccal, rectal, vaginal, inhalational, and intranasal.
Additionally, the compounds of the invention may be administered using a drug-releasing implant.
In one preferred embodiment, the compounds of the invention are administered to the subject at a dose sufficient to partially or completely restore binding of calstabin 1 to RyRl, or at a dose sufficient to enhance binding of calstabin 1 to RyRl . In certain preferred
embodiments, the compounds of the invention are administered to the subject at a dose of from about 0.01 mg/kg/day to about 20 mg/kg/day, or more preferably still, at a dose of from about 0.05 mg/kg/day to about 1 mg/kg/day. Other suitable dose ranges are provided in the Detailed Description and Examples. In addition, one of skill in the art can select other suitable doses for administration.
In other embodiments of the invention, the invention provides use of a compound of Formula I, I-a', I-a, I-b, I-c, I-d, I-e, I-f, I-g, I-h, I-i, I-j, I-k, I-l, I-m, I-n, I-o, I-p, I-a-1, I-b- 1 , 1- c-1, I-d- 1 , 1-e-1, I-f- 1 , 1-g-1, I-h- 1 , I-i- 1 , or Formula II for preparation of a medicament for treating or preventing sarcopenia in a subject in need thereof. All compounds disclosed herein are expected to be useful for treating or preventing sarcopenia in a subject in need thereof.
BRIEF DESCRIPTION OF THE FIGURES
Figures 1 A-H show impaired force development and reduced Ca2+ release in aged extensor digitorum longus (EDL) muscle.
Figures 2A-D show effects of SR Ca2+ leak on mitochondrial membrane potential, ROS and RNS production in skeletal muscle fibers.
Figures 3A-G show improved exercise capacity, muscle specific force, and increased calstabinl in the RyRl complex following SI 07 treatment of aged mice.
Figures 4A-E show that SI 07 reduces SR Ca2+ leak resulting in enhanced tetanic SR Ca2+ release in skeletal muscle from aged mice.
Figures 5A and B show that elevated Ca2+ spark frequency is reversed by SI 07 in EDL muscle from aged wild-type (WT) mice and RyRl-S2844D mice but not in calstabinl knockout (KO) mice.
Figures 6A-H show that improved muscle function and exercise capacity following SI 07 treatment of aged mice requires calstabinl .
Figures 7A-E represent a model of RyRl -mediated SR Ca2+ leak and mitochondrial dysfunction in aging skeletal muscle.
Figures 8A and B show oxidative stress in muscle from aged WT mice and muscle- specific calstabinl KO mice and effects of treatment with SI 07.
Figures 9A-F show that RyRl from aged rat skeletal muscle are cysteine-nitrosylated, oxidized and depleted of calstabinl .
Figures 10A-E show electron microscopy of EDL muscle.
Figures 11A-E show mitochondrial uptake of the Ca2+ indicator Rhod-2 AM in flexor digitorum brevis (FDB) muscle fiber.
Figure 12 shows EDL muscle fiber cross-sectional area in aged mice is not altered by 4 weeks of SI 07 treatment.
Figures 13A-C show increased open probability of RyRl-S2844D channels.
Figures 14A-C show strategy used to generate RyRl-S2844D mice.
DETAILED DESCRIPTION OF THE INVENTION
The following are definitions of terms used in the present specification. The initial definition provided for a chemical group or term herein applies to that group or term throughout the present specification individually or as part of another group, unless otherwise indicated.
As used herein and in the appended claims, the singular forms "a," "an," and "the" include plural references unless the content clearly dictates otherwise. Thus, for example, reference to "an agent" or "a compound" includes a plurality of such agents or compounds and equivalents thereof known to those skilled in the art.
As used herein, the term "rycal compounds" refers to compounds of the general Formula I, I-a', I-a, I-b, I-c, I-d, I-e, I-f, I-g, I-h, I-i, I-j, I-k, 1-1, 1-m, I-n, I-o, I-p, I-a-1, 1-b-1, I-c-1, I-d- 1 , 1-e-1, I-f- 1 , 1-g-1, I-h- 1 , I-i- 1 , or Formula II, as provided by the invention, and herein referred to as "compound(s) of the invention".
The compounds of the invention are referred using a numerical naming system, with compound numbers 1 to 477 provided herein. These numbered compounds are referred to using either the prefix "S." Thus, the first numbered compound is referred to either as "SI", the second numbered compound is referred to as either "S2", the third numbered compound is referred to as either "S3", and so on. The "S" nomenclature systems is used interchangeably throughout the specification, the drawings, and the claims to indicate the specific compounds that are shown by their structures in the Detailed Description.
The term "alkyl" as used herein refers to a linear or branched, saturated hydrocarbon and preferably one having from 1 to 6 carbon atoms. Representative alkyl groups include, but are not limited to, methyl, ethyl, propyl, isopropyl, butyl, sec-butyl, tert-butyl, pentyl, isopentyl, neopentyl, hexyl, isohexyl, and neohexyl. The term "C1-C4 alkyl" refers to a straight or branched chain alkane (hydrocarbon) radical containing from 1 to 4 carbon atoms, such as methyl, ethyl, propyl, isopropyl, n-butyl, t-butyl, and isobutyl.
The term "alkenyl" as used herein refers to a linear or branched hydrocarbon and preferably one having from 2 to 6 carbon atoms and having at least one carbon-carbon double bond. In one embodiment, the alkenyl has one or two double bonds. The double bond may exist as the E or Z isomers and the compounds of the present invention include both isomers.
The term "alkynyl" as used herein refers to a linear or branched hydrocarbon and preferably one having from 2 to 6 carbon atoms and having at least one carbon-carbon triple bond.
The term "aryl" as used herein refers to an aromatic group and preferably one containing 1 to 3 aromatic rings, either fused or linked. An example of an aryl group is a phenyl group.
The term "cyclic group" as used herein includes a cycloalkyl group and a heterocyclic group.
The term "cycloalkyl group" as used herein refers to a three- to seven-membered saturated or partially unsaturated carbon ring. Any suitable ring position of the cycloalkyl group may be covalently linked to the defined chemical structure. Examples of cycloalkyl groups include cyclopropyl, cyclobutyl, cyclopentyl, cyclohexyl, and cycloheptyl.
The term "halogen" as used herein refers to fluorine, chlorine, bromine, and iodine.
The term "heterocyclic group" or "heterocyclic" or "heterocyclyl" or "heterocyclo" as used herein refers to fully saturated, or partially or fully unsaturated, including aromatic (i.e., "heteroaryl") cyclic groups (for example, 4 to 7 membered monocyclic, 7 to 11 membered bicyclic, or 10 to 16 membered tricyclic ring systems) which have at least one heteroatom in at least one carbon atom-containing ring. Each ring of the heterocyclic group containing a heteroatom may have 1, 2, 3, or 4 heteroatoms selected from nitrogen atoms, oxygen atoms and/or sulfur atoms, where the nitrogen and sulfur heteroatoms may optionally be oxidized and the nitrogen heteroatoms may optionally be quatemized. The heterocyclic group may be attached to the remainder of the molecule at any heteroatom or carbon atom of the ring or ring system. Examples of heterocyclic groups include, but are not limited to, azepanyl, azetidinyl, aziridinyl, dioxolanyl, furanyl, furazanyl, homo piperazinyl, imidazolidinyl, imidazolinyl, isothiazolyl, isoxazolyl, morpholinyl, oxadiazolyl, oxazolidinyl, oxazolyl, oxazolidinyl, pyrimidinyl, phenanthridinyl, phenanthrolinyl, piperazinyl, piperidinyl, pyranyl, pyrazinyl, pyrazolidinyl, pyrazolinyl, pyrazolyl, pyridazinyl, pyridooxazolyl, pyridoimidazolyl, pyridothiazolyl, pyridinyl, pyrimidinyl, pyrrolidinyl, pyrrolinyl, quinuclidinyl,
tetrahydrofuranyl, thiadiazinyl, thiadiazolyl, thienyl, thienothiazolyl, thienooxazolyl, thienoimidazolyl, thiomorpholinyl, thiophenyl, triazinyl, and triazolyl. Examples of bicyclic heterocyclic groups include indolyl, isoindolyl, benzothiazolyl, benzoxazolyl,
benzoxadiazolyl, benzothienyl, quinuclidinyl, quinolinyl, tetrahydroisoquinolinyl,
isoquinolinyl, benzimidazolyl, benzopyranyl, indolizinyl, benzofuryl, benzofurazanyl, chromonyl, coumarinyl, benzopyranyl, cinnolinyl, quinoxalinyl, indazolyl, pyrrolopyridyl, furopyridinyl (such as furo[2,3-c]pyridinyl, furo[3,2-b]pyridinyl] or furo[2,3-b]pyridinyl), dihydroisoindolyl, dihydroquinazolinyl (such as 3,4-dihydro-4-oxo-quinazolinyl),
triazinylazepinyl, tetrahydroquinolinyl and the like. Examples of tricyclic heterocyclic groups
include carbazolyl, benzidolyl, phenanthrolinyl, acridinyl, phenanthridinyl, xanthenyl and the like.
The term "phenyl" as used herein includes a substituted or unsubstituted phenyl group.
The aforementioned terms "alkyl," "alkenyl," "alkynyl," "aryl," "acyl," "phenyl," "cyclic group," "cycloalkyl," "heterocyclyl," "heterocyclo," and "heterocycle" may further be optionally substituted with one or more substituents. Examples of substituents include but are not limited to one or more of the following groups: hydrogen, halogen, CF3, OCF3, cyano, nitro, N3, oxo, cycloalkyl, alkenyl, alkynyl, heterocycle, aryl, alkylaryl, heteroaryl, ORa, SRa, S(=0)Re,
NRbC(=0)ORa, NRdC(=0)NRbRe, NRdS(=0)2NRbRc, NRdP(=0)2NRbRc, NRbC(=0)Ra, or NRbP(=0)2Re, wherein Ra is hydrogen, alkyl, cycloalkyl, alkenyl, alkynyl, alkylaryl, heteroaryl, heterocycle, or aryl; Rb, Rc and Rj are independently hydrogen, alkyl, cycloalkyl, alkylaryl, heteroaryl, heterocycle, aryl, or said Rb and Rc together with the N to which they are bonded optionally form a heterocycle; and R» is alkyl, cycloalkyl, alkenyl, cycloalkenyl, alkynyl, alkylaryl, heteroaryl, heterocycle, or aryl. In the aforementioned representative substitutents, groups such as alkyl, cycloalkyl, alkenyl, alkynyl, cycloalkenyl, alkylaryl, heteroaryl, heterocycle and aryl can themselves be optionally substituted.
Representative substituents may further optionally include at least one labeling group, such as a fluorescent, a bioluminescent, a chemiluminescent, a colorimetric or a radioactive labeling group. A fluorescent labeling group can be selected from bodipy, dansyl, fluorescein, rhodamine, Texas red, cyanine dyes, pyrene, coumarins, Cascade Blue™, Pacific Blue, Marina Blue, Oregon Green, 4',6-Diamidino-2-phenylindole (DAPI), indopyra dyes, lucifer yellow, propidium iodide, porphyrins, arginine, and variants and derivatives thereof. For example, SI 18 of the present invention contains a labeling group BODIPY, which is a family of fiuorophores based on the 4,4-difluoro-4-bora-3a,4a-diaza-s-indacene moiety. For further information on fluorescent label moieties and fluorescence techniques, see, e.g., Handbook of Fluorescent Probes and Research Chemicals, by Richard P. Haughland, Sixth Edition, Molecular Probes, (1996), which is hereby incorporated by reference in its entirety. One of skill in the art can readily select a suitable labeling group, and conjugate such a labeling group to any of the compounds of the invention, without undue experimentation.
The term "quaternary nitrogen" refers to a tetravalent positively charged nitrogen atom including, for example, the positively charged nitrogen in a tetraalkylammonium group (e.g.,
tetramethylammonium, N-methylpyridinium), the positively charged nitrogen in protonated ammonium species (e.g., trimethyl-hydroammonium, N-hydropyridinium), the positively charged nitrogen in amine N-oxides (e.g., N-methyl-morpholine-N-oxide, pyridine-N-oxide), and the positively charged nitrogen in an N-amino-ammonium group (e.g.,
N-aminopyridinium) .
Throughout the specification, unless otherwise noted, the nitrogen in the
benzothiazepine ring of compounds of the present invention may optionally be a quaternary nitrogen, to form, e.g., ammonium derivatives (N(R)4 wherein R is alkyl, aryl, etc.) or N-oxides (NO )Non- limiting examples include SI 13 and SI 19.
The compounds described herein may exist in their tautomeric form (for example, as an amide or imino ether). All such tautomeric forms are contemplated herein as part of the present invention.
The term "prodrug" as employed herein denotes a compound that, upon administration to a subject, undergoes chemical conversion by metabolic or chemical processes to yield compounds of the present invention. For example an ester may be a prodrug of the corresponding carboxylic acid.
The term "compound(s) of the invention" as used herein means a compound of Formula I, I-a', I-a, I-b, I-c, I-d, I-e, I-f, I-g, I-h, I-i, I-j, I-k, I-l, I-m, I-n, I-o, I-p, I-a-1, I-b- 1 , I-c-1, I-d- 1 , 1-e-1, I-f- 1 , 1-g-1, I-h- 1 , I-i- 1 , or Formula II, or any of the specific chemical compounds described herein, and salts, hydrates, complexes, metabolites, prodrugs and solvates thereof, or any combination thereof, such as may be used for the treatment or prevention of sarcopenia.
A "pharmaceutical composition" refers to a mixture of one or more of the compounds described herein, or pharmaceutically acceptable salts, hydrates or pro-drugs thereof, with other chemical components, such as physiologically acceptable carriers and excipients. The purpose of a pharmaceutical composition is to facilitate administration of a compound to an organism or subject.
A "pro-drug" refers to an agent which is converted into the parent drug in vivo. Prodrugs are often useful because, in some situations, they are easier to administer than the parent drug. They are bioavailable, for instance, by oral administration whereas the parent drug is not. The pro-drug also has improved solubility in pharmaceutical compositions over the parent drug. For example, the compound carries protective groups which are split off by hydrolysis in body fluids, e.g., in the bloodstream, thus releasing active compound or is oxidized or reduced in body fluids to release the compound.
A compound of the present invention also can be formulated as a pharmaceutically acceptable salt, e.g., acid addition salt, and complexes thereof. The preparation of such salts can facilitate the pharmacological use by altering the physical characteristics of the agent without preventing its physiological effect. Examples of useful alterations in physical properties include, but are not limited to, lowering the melting point to facilitate transmucosal administration and increasing the solubility to facilitate administering higher concentrations of the drug.
The term "pharmaceutically acceptable salt" means a salt that is suitable for, or compatible with, the treatment of a patient or a subject such as a human patient. The salts can be any non-toxic organic or inorganic salt of any of the compounds represented by Formula I, I-a', I-a, I-b, I-c, I-d, I-e, I-f, I-g, I-h, I-i, I-j, I-k, 1-1, 1-m, I-n, I-o, I-p, I-a-1, 1-b-1, 1-c-1, 1-d-1, I-e-1, I-f- 1 , 1-g-1, I-h- 1 , I-i- 1 , or Formula II, or any of the specific compounds described herein, or any of their intermediates. Illustrative salt-forming ions include, but are not limited to, ammonium (NH4 ), calcium (Ca ), iron (Fe and Fe ), magnesium (Mg ), potassium (K+), pyridinium (C5H5NH+), quaternary ammonium (NR4 +), sodium (Na+), acetate, carbonate, chloride, bromide, citrate, cyanide, hydroxide, nitrate, nitrite, oxide, phosphate, sulfate, maleate, fumarate, lactate, tartrate, gluconate, besylate, and valproate. Illustrative inorganic acids that form suitable salts include, but are not limited to, hydrochloric, hydrobromic, sulfuric and phosphoric acids, as well as metal salts such as sodium monohydrogen
orthophosphate and potassium hydrogen sulfate. Illustrative organic acids that form suitable acid addition salts include, but are not limited to, mono-, di-, and tricarboxylic acids such as glycolic, lactic, pyruvic, malonic, succinic, glutaric, fumaric, malic, tartaric, citric, ascorbic, maleic, benzoic, phenylacetic, cinnamic and salicylic acids, as well as sulfonic acids such as p-toluene sulfonic and methanesulfonic acids. Either mono or di-acid salts can be formed, and such salts exist in either a hydrated, solvated or substantially anhydrous form. In general, the acid addition salts of compounds of Formula I, I-a', I-a, I-b, I-c, I-d, I-e, I-f, I-g, I-h, I-i, I-j, I-k, 1-1, 1-m, I-n, I-o, I-p, I-a-1, I-b- 1 , 1-c-1, I-d- 1 , I-e-1, 1-f-1, 1-g-1, I-h- 1 , 1-i-1, or Formula II, are more soluble in water and various hydrophilic organic solvents, and generally demonstrate higher melting points in comparison to their free base forms. The selection of an appropriate salt can be performed by one skilled in the art. For example, one can select salts in reference to "Handbook of Pharmaceutical Salts : Properties, Selection, and Use" by P. Heinrich Stahl and Camille G. Wermuth, or Berge (1977) "Pharmaceutcial Salts" J. Pharm Sci., Vol 66(1), p 1-19. Other non-pharmaceutically acceptable salts {e.g., oxalates) may be used, for
example, in the isolation of compounds of the invention for laboratory use or for subsequent conversion to a pharmaceutically acceptable acid addition salt.
The compounds of the present invention form hydrates or solvates, which are included in the scope of the claims. When the compounds of the present invention exist as
regioisomers, configurational isomers, conformers or diasteroisomeric forms all such forms and various mixtures thereof are included in the scope of Formula I, I-a', I-a, I-b, I-c, I-d, I-e, I-f, I-g, I-h, I-i, I-j, I-k, 1-1, 1-m, I-n, I-o, I-p, I-a-1, 1-b-1 , 1-c-1, 1-d-1 , 1-e-1, 1-f-1 , 1-g-1 , 1-h-1 , I-i-1 , or Formula II. It is possible to isolate individual isomers using known separation and purification methods, if desired. For example, when a compound of the present invention is a racemate, the racemate can be separated into the (S)-compound and (R)-compound by optical resolution. Individual optical isomers and mixtures thereof are included in the scope of Formula I, I-a', I-a, I-b, I-c, I-d, I-e, I-f, I-g, I-h, I-i, I-j, I-k, 1-1, 1-m, I-n, I-o, I-p, I-a-1 , I-b- 1 , I-c-1 , 1-d-1 , 1-e-1 , I-f- 1 , 1-g-1 , 1-h-1 , I-i-1 , or Formula II.
The term "solvate" as used herein means a compound of Formula I, I-a', I-a, I-b, I-c, I-d, I-e, I-f, I-g, I-h, I-i, I-j, I-k, 1-1, 1-m, I-n, I-o, I-p, I-a-1 , 1-b-1 , I-c-1 , 1-d-1 , 1-e-1 , I-f- 1 , I-g-1 , I-h- 1 , I-i-1 , or Formula II, or a pharmaceutically acceptable salt thereof, wherein molecules of a suitable solvent are incorporated in the crystal lattice. A suitable solvent is physiologically tolerable at the dosage administered. Examples of suitable solvents are ethanol, water and the like. When water is the solvent, the molecule is referred to as a "hydrate."
The terms an "effective amount," "sufficient amount," "therapeutically effective amount," or "prophylactically effective amount" of an agent or compounds, as used herein, refer to amounts sufficient to effect the beneficial or desired results, including clinical results and, as such, the actual "amount" intended will depend upon the context in which it is being applied, such as whether the desired clinical outcome is prevention or treatment. The term "effective amount" also includes that amount of the compound of Formula I, I-a', I-a, I-b, I-c, I-d, I-e, I-f, I-g, I-h, I-i, I-j, I-k, 1-1, 1-m, I-n, I-o, I-p, I-a-1 , 1-b-1 , I-c-1 , 1-d-1 , 1-e-1 , I-f- 1 , I-g-1 , I-h- 1 , I-i-1 , or Formula II, which is "therapeutically effective" or "prophylactically effective" and which avoids or substantially attenuates undesirable side effects.
As used herein and as well understood in the art, "treatment" is an approach for obtaining beneficial or desired results, including clinical results. Beneficial or desired clinical results can include, but are not limited to, alleviation or amelioration of one or more symptoms or conditions, diminishment of extent of disease, stabilized (i.e., not worsening) state of disease, preventing spread of disease, delay or slowing of disease progression,
amelioration or palliation of the disease state and remission (whether partial or total), whether detectable or undetectable. "Treatment" can also mean prolonging survival as compared to expected survival if not receiving treatment. Unless otherwise stated, the term "treatment" should be construed as encompassing preventive and therapeutic methods.
The terms "animal," "subject," "organism" and "patient" as used herein include all members of the animal kingdom including, but not limited to, mammals, animals (e.g., cats, dogs, horses, etc.) and humans.
All stereoisomers of the compounds of the present invention (for example, those which may exist due to asymmetric carbons on various substituents), including enantiomeric forms and diastereomeric forms, are contemplated within the scope of this invention. Individual stereoisomers of the compounds of the invention may, for example, be substantially free of other isomers (e.g., as a pure or substantially pure optical isomer having a specified activity), or may be admixed, for example, as racemates or with all other, or other selected,
stereoisomers. The chiral centers of the present invention may have the S or R configuration as defined by the IUPAC 1974 Recommendations. The racemic forms can be resolved by physical methods, such as, for example, fractional crystallization, separation or crystallization of diastereomeric derivatives or separation by chiral column chromatography. The individual optical isomers can be obtained from the racemates by any suitable method, including without limitation, conventional methods, such as, for example, salt formation with an optically active acid followed by crystallization.
Compounds of the present invention are, subsequent to their preparation, preferably isolated and purified to obtain a composition containing an amount by weight equal to or greater than 99% of the compound ("substantially pure" compound), which is then used or formulated as described herein. Such "substantially pure" compounds of the present invention are also contemplated herein as part of the present invention.
All configurational isomers of the compounds of the present invention are
contemplated, either in admixture or in pure or substantially pure form. The definition of compounds of the present invention embraces both cis (Z) and trans (E) alkene isomers, as well as cis and trans isomers of cyclic hydrocarbon or heterocyclic rings.
Throughout the specification, groups and substituents thereof may be chosen to provide stable moieties and compounds.
Prevention and Treatment of Sarcopenia
The inventors found that the Ca2-release channel/ RyRl, from aged rodent muscle, is cysteine-nitrosylated, oxidized, and depleted of the channel stabilizing subunit FK506 binding protein (FKBP12, also known as calstabinl in skeletal muscle) compared to younger rodents. This remodeling of the RyRl channel complex results in "leaky" channels manifested by increased Ca2+ sparks. As a consequence skeletal muscle tetanic Ca2+ and muscle specific force are significantly reduced in 2 yr old mice (equivalent to -70-80 yr old humans).
Treating aged mice with novel RyR-stabilizing compounds preserves RyRl -calstabinl interaction, enhances tetanic Ca2+-release, muscle specific force and exercise capacity. These data suggest that a leaky RyRl significantly contributes to age-related loss of muscle function and that RyRl is a novel therapeutic target for improving exercise capacity in the elderly.
Based on these findings, the present invention provides compositions and methods that are useful for treating and/or preventing sarcopenia. More particularly, the present invention provides compositions comprising the compounds described herein, and methods of treatment and/or prevention comprising administration of these compositions to subjects suffering from, or at risk of developing sarcopenia.
Subjects
In preferred embodiments, the compositions described herein are administered therapeutically or prophylactically to subjects who are suffering from, or at risk of developing sarcopenia. Such a subject may be any animal that is suffering from, or at risk of developing sarcopenia. For example, in one embodiment, the subject is a mammal. Examples of mammals that may be treated using the methods and compositions of the invention include, but are not limited to, primates, rodents, ovine species, bovine species, porcine species, equine species, feline species and canine species.
From the time a person is born to between ages 20 and 30, muscles grow larger and stronger. At some point thereafter, the person begins to lose muscle mass and function due to sarcopenia. Typically, between 20 and 80 years of age, a person's muscle mass decreases by about 40%, with negative effects on mobility, strength production, metabolic rate and respiratory function. People who are physically inactive can lose as much as 3% to 5% of their muscle mass per decade after age 30, but all people experience some muscle loss after that age.
Although there is no generally accepted test or specific level of muscle mass for sarcopenia diagnosis, any loss of muscle mass is of consequence because loss of muscle
means loss of strength and mobility. Sarcopenia accelerates after age 70-75 and is a factor in the occurrence of frailty and the likelihood of falls and fractures in the elderly.
Symptoms of muscle loss include musculoskeletal weakness and loss of stamina, which can interfere with physical activities, which in turn, results in further reductions in muscle mass. Although sarcopenia is mostly seen in people who are inactive, the fact that it also occurs in people who stay physically active throughout life suggests there are other factors involved in the development of this condition.
The following factors are believed to contribute to sarcopenia:
A reduction in nerve cells responsible for sending signals from the brain to the muscles to initiate movement.
A decrease in the concentrations of certain hormones, such as growth hormone, testosterone, and insulin-like growth factor.
A decrease in the body's ability to synthesize protein.
Inadequate intake of calories and/or protein to sustain muscle mass.
Identification of these factors would identify subjects who are in need of the treatments of the present invention. As noted, while sarcopenia generally begins after age 30, it becomes more pronounced as the subject ages. While this condition sometimes occurs in younger people who are aging prematurely, it more often occurs in later years, such that the treatment is generally most useful after the person achieves the age of 60. The treatment can be more beneficial and thus more needed when the person if over the age of 70 -75, and most beneficial and needed when the person is over the age of 80. Thus, the subject in need of this treatment is one who has achieved the ages mentioned herein as well as those who are diagnosed with premature aging or who otherwise exhibit the risk factors and experience or begin to experience age-dependent deterioration of muscle function.
In other embodiments, the "subjects" of the present invention may also be in vitro or in vivo systems, including, without limitation, isolated or cultured cells or tissues, in vitro assay systems.
Compositions
The compounds described herein may be formulated into compositions for
administration to subjects for the treatment and/or prevention of sarcopenia. The
compositions comprise one or more of the benzothiazepine, benzoxazepine, benzodiazepine and benzazepine compounds described herein (such as the compounds of Formula I, I-a', I-a, I-b, I-c, I-d, I-e, I-f, I-g, I-h, I-i, I-j, I-k, 1-1, 1-m, I-n, I-o, I-p, I-a-1, 1-b-1, 1-c-1, 1-d-1, 1-e-1,
I-f-1, 1-g-1, 1-h-1, 1-i-1, or Formula II), in admixture with a pharmaceutically acceptable diluent and/or carrier and optionally one or more other pharmarceutically acceptable additives. The pharmaceutically-acceptable diluents and/or carriers and any other additives must be "acceptable" in the sense of being compatible with the other ingredients of the composition and not deleterious to the subject to whom the composition will be administered. One of skill in the art can readily formulate the compounds of the invention into compositions suitable for administration to subjects, such as human subjects, for example using the teaching a standard text such as Remington's Pharmaceutical Sciences, 18th ed, (Mack Publishing Company: Easton, Pa., 1990), pp. 1635-36), and by taking into account the selected route of delivery.
Examples of diluents and/or carriers and/or other additives that may be included in the compostions of the invention include, but are not limited to, water, glycols, oils, alcohols, aqueous solvents, organic solvents, DMSO, saline solutions, physiological buffer solutions, peptide carriers, starches, sugars, preservatives, antioxidants, coloring agents, pH buffering agents, granulating agents, lubricants, binders, disintegrating agents, emulsifiers, binders, excipients, extenders, glidants, solubilizers, stabilizers, surface active agents, suspending agents, tonicity agents, viscosity-altering agents, carboxymethyl cellulose, crystalline cellulose, glycerin, gum arabic, lactose, magnesium stearate, methyl cellulose, powders, saline, sodium alginate. The combination of diluents and/or carriers and/or other additives used can be varied taking into account the nature of the active agents used (for example the solubility and stability of the active agents), the route of delivery (e.g. oral, parenteral, etc.), whether the agents are to be delivered over an extended period (such as from a controlled- release capsule), whether the agents are to be co-administered with other agents, and various other factors. One of skill in the art will readily be able to formulate the compounds for the desired use without undue experimentation.
Dosing & Administration
In accordance with a method of the present invention, the compounds of Formula I, I-a', I-a, I-b, I-c, I-d, I-e, I-f, I-g, I-h, I-i, I-j, I-k, 1-1, 1-m, I-n, I-o, I-p, I-a-1, 1-b-1, 1-c-1, 1-d-1, I-e-1, I-f-1, 1-g-1, I-h- 1 , I-i- 1 , or Formula II, may be administered to the subject (or contacted with cells of the subject) in an amount effective to treat and/or prevent sarcopenia, and/or in an amount effective to reduce calcium "leak" through the RyR, and/or in an amount effective to reduce the calcium current through the RyR, and/or in an amount effective to stabilize gating of the RyR, and/or in amount effective to increase the binding of calstabin to the RyR
complex in the subject, and/or in amount effective to reverse a malfunction of a RyR in the subject, particularly in the skeletal muscle cells of the subject.
One of skill in the art can readily determine what would be an effective amount of the agents of the invention to be administered to a subject, taking into account whether the agent is being used prophylactically or therapeutically, and taking into account other factors such as the age, weight and sex of the subject, any other drugs that the subject may be taking, any allergies or contraindications that the subject may have, and the like. For example, an effective amount can be determined by the skilled artisan using known procedures, including analysis of titration curves established in vitro or in vivo. Also, where the desired subject is a human, one of skill in the art can determine the effective dose from performing pilot experiments in suitable animal model species and scaling the doses up or down depending on the subjects weight etc. Effective amounts can also be determined by performing clinical trials in individuals of the same species as the subject, for example starting at a low dose and gradually increasing the dose and monitoring the effects on sarcopenia. Appropriate dosing regimens can also be determined by one of skill in the art without undue experimentation, in order to determine, for example, whether to administer the agent in one single dose or in multiple doses, and in the case of multiple doses, to determine an effective interval between doses.
In one embodiment, an effective amount of the compounds of the invention to administer to a subject ranges from about 0.01 mg/kg/day to about 20 mg/kg/day, and/or is an amount sufficient to achieve plasma levels ranging from about 300 ng/ml to about 1000 ng/ml. In one embodiment, the amount of compounds from the invention ranges from about 5 mg/kg/day to about 20 mg/kg/day. In another embodiment, from about 10 mg/kg/day to about 20 mg/kg/day is administered. In another embodiment, from about 0.01 mg/kg/day to about 10 mg/kg/day is administered. In another embodiment, from about 0.01 mg/kg/day to about 5 mg/kg/day is administered. In another embodiment, from about 0.05 mg/kg/day to about 5 mg/kg/day is administered. In another embodiment, from about 0.05 mg/kg/day to about 1 mg/kg/day is administered.
The compositions described herein may be administered to a subject by any suitable method that allows the agent to exert its effect on the subject in vivo. For example, the compositions may be administered to the subject by known procedures including, but not limitated to, by oral administration, sublingual or buccal administration, parenteral
administration, transdermal administration, via inhalation, via nasal delivery, vaginally, rectally, and intramuscularly. The compounds of the invention may be administered
parenterally, or by epifascial, intracapsular, intracutaneous, subcutaneous, intradermal, intrathecal, intramuscular, intraperitoneal, intrasternal, intravascular, intravenous, parenchymatous, or sublingual delivery. Delivery may be by injection, infusion, catheter delivery, or some other means, such as by tablet or spray. In one embodiment, the agent is adiminstered to the subject by way of delivery directly to the heart tissue, such as by way of a catheter inserted into, or in the proximity of the subject's heart, or by using delivery vehicles capable of targeting the drug to the heart. For example, the compounds of the invention may be conjugated to or administered in conjunction with an agent that is targeted to the heart, such as an antibody or antibody fragment.
For oral administration, a formulation of the compounds of the invention may be presented as capsules, tablets, powders, granules, or as a suspension or solution. The formulation may contain conventional additives, such as lactose, mannitol, cornstarch or potato starch, binders, crystalline cellulose, cellulose derivatives, acacia, cornstarch, gelatins, disintegrators, potato starch, sodium carboxymethylcellulose, dibasic calcium phosphate, anhydrous or sodium starch glycolate, lubricants, and/or or magnesium stearate.
For parenteral administration (i.e., administration by through a route other than the alimentary canal), the compounds of the invention may be combined with a sterile aqueous solution that is isotonic with the blood of the subject. Such a formulation may be prepared by dissolving the active ingredient in water containing physiologically-compatible substances, such as sodium chloride, glycine and the like, and having a buffered pH compatible with physiological conditions, so as to produce an aqueous solution, then rendering the solution sterile. The formulation may be presented in unit or multi-dose containers, such as sealed ampoules or vials. The formulation may be delivered by injection, infusion, or other means known in the art.
For transdermal administration, the compounds of the invention may be combined with skin penetration enhancers, such as propylene glycol, polyethylene glycol, isopropanol, ethanol, oleic acid, N-methylpyrrolidone and the like, which increase the permeability of the skin to the compounds of the invention and permit the compounds to penetrate through the skin and into the bloodstream. The compositions also may be further combined with a polymeric substance, such as ethylcellulose, hydroxypropyl cellulose, ethylene/vinylacetate, polyvinyl pyrrolidone, and the like, to provide the composition in gel form, which are dissolved in a solvent, such as methylene chloride, evaporated to the desired viscosity and then applied to backing material to provide a patch.
In some embodiments, the composition is in unit dose form such as a tablet, capsule or single-dose injection or infusion vial.
In certain embodiments, the agents described herein may be used in combination with other agents useful for the treatment of sarcopenia or with other agents that ameliorate the effect of certain risk factors for sarcopenia. For example, in one embodiment, the agents of the invention may be delivered to a subject as part of a composition containing one or more additional active agents. In another embdodiment, the agents of the invention may be delivered to a subject in a composition or formulation containing only that active agent, while one or more other agents useful for the treatment and/or prevention of sarcopenia may also be administered to the subject in one or more separate compositions or formulations.
The agents of the invention and the other agents useful for the treatment and/or prevention of sarcopenia may be administered to the subject at the same time, or at different times. For example, the agents of the invention and the other agents may be administered within minutes, hours, days, weeks, or months of each other, for example as part of the overall treatment regimen of a subject.
Agents of the invention useful for treating and/or preventing sarcopenia may be used in combination with the other agents that include, but are not limited to, β-adrenergic blockers, calcium channel blockers and anti-arrhythmic drugs.
Screening for new compounds useful for treating sarcopenia
In another embodiment, the present invention is directed to methods for identifying additional compounds that may be useful for the treatment and/or prevention of sarcopenia. Such methods may be based on, inter alia, identifying compounds that increase binding of calstabins to RyRs, and/or decrease the calcium current through RyR, and the like. Examples of suitable assays and screening methods that may be used to identify new compounds that may be useful for the treatment and/or prevention of sarcopenia are described in U.S. patent applications 09/568,474, 10/288,606, 10/680,988, 10/608,723, 10/809,089, 10/763,498, 10/794,218, 11/088,058, 11/088,123, 11/212,309, 11/506,285, and 11/212,413, the entire contents of each of which are hereby incorporated by reference.
Compounds
The present invention encompasses compounds useful for the treatment and/or prevention of sarcopenia, and methods of treatment and/or prevention comprising
administration of such compounds, or compositions containing such compounds, to subjects
who are suffereing from, or who are at risk of developing, sarcopenia. The compounds of the invention decrease the open probability of RyR, particularly protein kinase A (PKA) phosphorylated, and/or nitrosylated, and/or oxidized RyRs, and thereby decrease the Ca2+ current through such channels under resting conditions when muscles are relaxed. The compounds of the invention exert this effect, at least in part, by increasing the affinity with which calstabin proteins bind to RyRs, and/or by inhibiting a decrease in binding of calstabins to RyRs, and/or by inhibiting dissociation of calstabins from RyRs, particularly PKA phosphorylated RyRs. The compounds of the invention decrease the open probability of RyR and decrease the "leak" of Ca2+ through such channels by stabilizing the closed state of the channel without blocking the channel pore.
The present invention relates to use of benzothiazepine, benzoxazepine,
benzodiazepine and benzazepine compounds in the treatment and/or prevention of sarcopenia. In preferred embodiments, the present invention provides benzothiazepine, benzoxazepine, benzodiazepine and benzazepine compounds as described by the chemical formulae Formula I, I-a', I-a, I-b, I-c, I-d, I-e, I-f, I-g, I-h, I-i, I-j, I-k, 1-1, 1-m, I-n, I-o, I-p, I-a-1, 1-b-1, 1-c-1, I-d-1, 1-e-1, I-f- 1 , 1-g-1, 1-h-1, 1-i-1, or Formula II, as described below.
In one aspect, the present invention provides methods for the treatment and/or prevention of sarcopenia that comprise administering compounds of Formula I to subjects in need thereof. In another aspect, the present invention provides compositions useful for the treatment and/or prevention of sarcopenia that comprise compounds of Formula I. The structure of Formula I is as follows:
wherein,
T is O, CH2, NH, or S=(02)n;
n is 0, 1, or 2;
q is 0, 1, 2, 3, or 4;
each R is independently selected from the group consisting of H, halogen, -OH, -NH2, -N02, -CN, -CF3, -OCF3, -N3, -S03H, -S(=0)2alkyl, -S(=0)alkyl, -OS(=0)2CF3, acyl, -O-acyl, alkyl,
alkoxyl, alkylamino, alkylarylamino, alkylthio, cycloalkyl, alkylaryl, aryl, heteroaryl, heterocyclyl, heterocyclylalkyl, alkenyl, alkynyl, (hetero-)aryl, (hetero-)arylthio, and
(hetero-)arylamino; wherein each acyl, -O-acyl, alkyl, alkoxyl, alkylamino, alkylarylamino, alkylthio, cycloalkyl, alkylaryl, aryl, heteroaryl, heterocyclyl, heterocyclylalkyl, alkenyl, alkynyl, (hetero-)aryl, (hetero-)arylthio, and (hetero-)arylamino may be optionally substituted;
Ri is selected from the group consisting of H, oxo, alkyl, alkenyl, aryl, alkylaryl, cycloalkyl, heteroaryl, and heterocyclyl; wherein each alkyl, alkenyl, aryl, alkylaryl, cycloalkyl, heteroaryl, and heterocyclyl may be optionally substituted;
R2 is selected from the group consisting of H, -C(=0)R5, -C(=S)R6, -S02R7, -P(=0)R8R9, -(CH2)m-Rio, alkyl, aryl, alkylaryl, heteroaryl, cycloalkyl, cycloalkylalkyl, and heterocyclyl; wherein each alkyl, aryl, alkylaryl, heteroaryl, cycloalkyl, cycloalkylalkyl, and heterocyclyl may be optionally substituted and wherein m is 0, 1, 2, 3, or 4;
R3 is selected from the group consisting of H, -C02Y, -C(=0)NHY, acyl, -O-acyl, alkyl, alkenyl, aryl, alkylaryl, cycloalkyl, heteroaryl, and heterocyclyl; wherein each acyl, alkyl, alkenyl, aryl, alkylaryl, cycloalkyl, heteroaryl, and heterocyclyl may be optionally substituted; and wherein Y is selected from the group consisting of H, alkyl, aryl, alkylaryl, cycloalkyl, heteroaryl, and heterocyclyl, and wherein each alkyl, aryl, alkylaryl, cycloalkyl, heteroaryl, and heterocyclyl may be optionally substituted;
R4 is selected from the group consisting of H, alkyl, alkenyl, aryl, alkylaryl, cycloalkyl, heteroaryl, and heterocyclyl; wherein each alkyl, alkenyl, aryl, alkylaryl, cycloalkyl, heteroaryl, and heterocyclyl may be optionally substituted;
R5 is selected from the group consisting of -NR15R16, -(CH2)zNRi5Ri6, -NHNR15R16, -NHOH, -ORis, -C(=0)NHNRi5Ri6, -CO2R15,
-CH2X, acyl, alkyl, alkenyl, aryl, alkylaryl, cycloalkyl, cycloalkylalkyl, heteroaryl, heterocyclyl, and heterocyclylalkyl; wherein each acyl, alkyl, alkenyl, aryl, alkylaryl, cycloalkyl, cycloalkylalkyl, heteroaryl, heterocyclyl, and heterocyclylalkyl may be optionally substituted, and wherein z is 1, 2, 3, 4, 5, or 6;
Re is selected from the group consisting of -OR15, -NHNR15R16, -NHOH, -NR15R16, -CH2X, acyl, alkenyl, alkyl, aryl, alkylaryl, cycloalkyl, cycloalkylalkyl, heteroaryl, heterocyclyl, and heterocyclylalkyl; wherein each acyl, alkenyl, alkyl, aryl, alkylaryl, cycloalkyl,
cycloalkylalkyl, heteroaryl, heterocyclyl, and heterocyclylalkyl may be optionally substituted;
R7 is selected from the group consisting of -OR15, -NR15R16, -NHNR15R16, -NHOH, -CH2X, alkyl, alkenyl, alkynyl, aryl, alkylaryl, cycloalkyl, cycloalkylalkyl, heteroaryl, heterocyclyl,
and heterocyclylalkyl; wherein each alkyl, alkenyl, alkynyl, aryl, alkylaryl, cycloalkyl, cycloalkylalkyl, heteroaryl, heterocyclyl, and heterocyclylalkyl may be optionally substituted;
Rg and R9 independently are selected from the group consisting of OH, acyl, alkenyl, alkoxyl, alkyl, alkylamino, aryl, alkylaryl, cycloalkyl, cycloalkylalkyl, heteroaryl, heterocyclyl, and heterocyclylalkyl; wherein each acyl, alkenyl, alkoxyl, alkyl, alkylamino, aryl, alkylaryl, cycloalkyl, cycloalkylalkyl, heteroaryl, heterocyclyl, and heterocyclylalkyl may be optionally substituted;
Rio is selected from the group consisting of -NRi5Ri6, OH, -S02Rn, -NHS02Rn, C(=0)(Ri2), NHC=0(Ri2), -OC=0(Ri2), and -P(=0)Ri3Ri4;
R11, Ri2, Ri3, and Ri4 independently are selected from the group consisting of H, OH, NH2, -NHNH2, -NHOH, acyl, alkenyl, alkoxyl, alkyl, alkylamino, aryl, alkylaryl, cycloalkyl, cycloalkylalkyl, heteroaryl, heterocyclyl, and heterocyclylalkyl; wherein each acyl, alkenyl, alkoxyl, alkyl, alkylamino, aryl, alkylaryl, cycloalkyl, cycloalkylalkyl, heteroaryl,
heterocyclyl, and heterocyclylalkyl may be optionally substituted;
Ri5 and Ri6 independently are selected from the group consisting of H, acyl, alkenyl, alkoxyl, OH, NH2, alkyl, alkylamino, aryl, alkylaryl, cycloalkyl, cycloalkylalkyl, heteroaryl, heterocyclyl, and heterocyclylalkyl; wherein each acyl, alkenyl, alkoxyl, alkyl, alkylamino, aryl, alkylaryl, cycloalkyl, cycloalkylalkyl, heteroaryl, heterocyclyl, and heterocyclylalkyl may be optionally substituted; and optionally Ri5 and Ri6 together with the N to which they are bonded may form a heterocycle which may be substituted;
the nitrogen in the benzothiazepine ring may optionally be a quaternary nitrogen; and enantiomers, diastereomers, tautomers, pharmaceutically acceptable salts, hydrates, solvates, complexes, and prodrugs thereof.
Examples of compounds that may be used in conjunction with the invention include, without limitation, SI, S2, S3, S4, S5, S6, S7, S9, SI 1, S12, SI 3, S14, SI 9, S20, S22, S23, S24, S25, S26, S27, S36, S37, S38, S40, S43, S44, S45, S46, S47, S48, S49, S50, S51, S52, S53, S54, S55, S56, S57, S58, S59, S60, S61, S62, S63, S64, S66, S67, S68, S69, S70, S71, S72, S73, S74, S75, S76, S77, S78, S79, S80, S81, S82, S83, S84, S85, S86, S87, S88, S89, S90, S91, S92, S93, S94, S95, S96, S97, S98, S99, S100, S101, S102, S103, S104, S107,
S108, S109, S110, Si l l, S112, S113, S114, S115, S116, S117, S118, S119, S120, S121, S122, S123, S136, S137, S138, S139, S140, S146, S147, S148, S149, S150, S151, S152, S153, S156, S157, S159, S160, S161, S166, S167, S182, S186, S189, S203, S217, S251, S252, S258, S277, S279, S282, S291, S293, S296, S301, S302, S306, S311, S312, S313, S318, S322, S324, S326, S331, S335, S337, S351, S352, S353, S354, S397, S398, S399, S423, S454, S463, S466, S470, S473 and S477, as herein defined. In certain embodiments, the compounds are isolated and substantially pure.
In one embodiment, the present invention provides methods and uses which comprise administering compounds of Formula I-a':
wherein,
T is O, CH2, NH, or S=(02)n;
n is 0, 1, or 2;
q is 0, 1, 2, 3, or 4;
each R is independently selected from the group consisting of H, halogen, -OH, -NH2, -N02, -CN, -CF3, -OCF3, -N3, -S03H, -S(=0)2alkyl, -S(=0)alkyl, -OS(=0)2CF3, acyl, alkyl, alkoxyl, alkylamino, alkylthio, cycloalkyl, aryl, heterocyclyl, heterocyclylalkyl, alkenyl, alkynyl, (hetero-)aryl, (hetero-)arylthio, and (hetero-)arylamino; wherein each acyl, alkyl, alkoxyl, alkylamino, alkylthio, cycloalkyl, aryl, heterocyclyl, heterocyclylalkyl, alkenyl, alkynyl, (hetero-)aryl, (hetero-)arylthio, and (hetero-)arylamino may be substituted or unsubstituted;
R2 is selected from the group consisting of H, -C=0(R5), -C=S(Re), -S02R7, -P(=0)R8R9, -(CH2)m-Rio, alkyl, aryl, heteroaryl, cycloalkyl, cycloalkylalkyl, and heterocyclyl; wherein each alkyl, aryl, heteroaryl, cycloalkyl, cycloalkylalkyl, and heterocyclyl may be substituted or unsubstituted, wherein m is 0, 1, 2, 3, or 4;
R5 is selected from the group consisting of -NR15R16, -(CH2)zNRi5Ri6, -NHNR15R16, -NHOH, -ORis, -C(=0)NHNRi5Ri6, -C02Ri5,
-CH2X, acyl, alkyl, alkenyl, alkynyl, aryl, cycloalkyl, cycloalkylalkyl, heterocyclyl, and heterocyclylalkyl; wherein each acyl, alkyl, alkenyl, alkynyl, aryl, cycloalkyl, cycloalkylalkyl, heterocyclyl, and heterocyclylalkyl may be substituted or unsubstituted, and wherein z is 1, 2, 3, 4, 5, or 6;
Re is selected from the group consisting of -OR15, -NHNR15R16, -NHOH, -NR15R16, -CH2X, acyl, alkenyl, alkyl, aryl, cycloalkyl, cycloalkylalkyl, heterocyclyl, and heterocyclylalkyl; wherein each acyl, alkenyl, alkyl, aryl, cycloalkyl, cycloalkylalkyl, heterocyclyl, and heterocyclylalkyl may be substituted or unsubstituted;
R7 is selected from the group consisting of H, -OR15, -NR15R16, -NHNR15R16, -NHOH, -CH2X, alkyl, akenyl, alkynyl, aryl, cycloalkyl, cycloalkylalkyl, heterocyclyl, and
heterocyclylalkyl; wherein each alkyl, akenyl, alkynyl, aryl, cycloalkyl, cycloalkylalkyl, heterocyclyl, and heterocyclylalkyl may be substituted or unsubstituted;
Rg and R9 independently are selected from the group consisting of -OH, acyl, alkenyl, alkoxyl, alkyl, alkylamino, aryl, cycloalkyl, cycloalkylalkyl, heterocyclyl, and heterocyclylalkyl;
wherein each acyl, alkenyl, alkoxyl, alkyl, alkylamino, aryl, cycloalkyl, cycloalkylalkyl, heterocyclyl, and heterocyclylalkyl may be substituted or unsubstituted;
Rio is selected from the group consisting of -NR15R16, OH, -S02Rn, -NHS02Rn, -C(=0)Ri2, -NH(C=0)Ri2, -0(C=0)Ri2, and -P(=0)Ri3Ri4;
R11, R12, Ri3, and Ri4 independently are selected from the group consisting of H, OH, NH2, -NHNH2, -NHOH, acyl, alkenyl, alkoxyl, alkyl, alkylamino, aryl, cycloalkyl, cycloalkylalkyl, heterocyclyl, and heterocyclylalkyl; wherein each acyl, alkenyl, alkoxyl, alkyl, alkylamino, aryl, cycloalkyl, cycloalkylalkyl, heterocyclyl, and heterocyclylalkyl may be substituted or unsubstituted;
Ri5 and Ri6 independently are selected from the group consisting of H, acyl, alkenyl, alkoxyl, OH, NH2, alkyl, alkylamino, aryl, cycloalkyl, cycloalkylalkyl, heterocyclyl, and
heterocyclylalkyl; wherein each acyl, alkenyl, alkoxyl, alkyl, alkylamino, aryl, cycloalkyl, cycloalkylalkyl, heterocyclyl, and heterocyclylalkyl may be substituted or unsubstituted; and optionally R15 and R½ together with the N to which they are bonded may form a heterocycle which may be substituted or unsubstituted;
the nitrogen in the benzothiazepine ring may be optionally a quaternary nitrogen; and enantiomers, diastereomers, tautomers, pharmaceutically acceptable salts, hydrates, solvates, complexes, and prodrugs thereof.
In one embodiment, the present invention provides methods and uses which comprise administering compounds of Formula I-a:
wherein:
n is 0, 1, or 2;
q is 0, 1, 2, 3, or 4;
each R is independently selected from the group consisting of H, halogen, -OH, -NH2, -N02, -CN, -CF3, -OCF3, -N3, -S03H, -S(=0)2alkyl, -S(=0)alkyl, -OS(=0)2CF3, acyl, alkyl, alkoxyl, alkylamino, alkylthio, cycloalkyl, aryl, heterocyclyl, heterocyclylalkyl, alkenyl, alkynyl, (hetero-)aryl, (hetero-)arylthio, and (hetero-)arylamino; wherein each acyl, alkyl, alkoxyl, alkylamino, alkylthio, cycloalkyl, aryl, heterocyclyl, heterocyclylalkyl, alkenyl, alkynyl, (hetero-)aryl, (hetero-)arylthio, and (hetero-)arylamino may be substituted or unsubstituted;
R2 is selected from the group consisting of H, -C=0(R5), -C=S(Re), -S02R7, -P(=0)R8R9, -(CH2)m-Rio, alkyl, aryl, heteroaryl, cycloalkyl, cycloalkylalkyl, and heterocyclyl; wherein each alkyl, aryl, heteroaryl, cycloalkyl, cycloalkylalkyl, and heterocyclyl may be substituted or unsubstituted, wherein m is 0, 1, 2, 3, or 4;
R5 is selected from the group consisting of -NR15R16, -(CH2)zNRi5Ri6, -NHNR15R16, -NHOH, -ORis,
-CH2X, acyl, alkyl, alkenyl, alkynyl, aryl, cycloalkyl, cycloalkylalkyl, heterocyclyl, and heterocyclylalkyl; wherein each acyl, alkyl, alkenyl, alkynyl, aryl, cycloalkyl, cycloalkylalkyl, heterocyclyl, and heterocyclylalkyl may be substituted or unsubstituted, and wherein z is 1, 2, 3, 4, 5, or 6;
Re is selected from the group consisting of -ORi5, -NHNRi5Ri6, -NHOH, -NRi5Ri6, -CH2X, acyl, alkenyl, alkyl, aryl, cycloalkyl, cycloalkylalkyl, heterocyclyl, and heterocyclylalkyl; wherein each acyl, alkenyl, alkyl, aryl, cycloalkyl, cycloalkylalkyl, heterocyclyl, and heterocyclylalkyl may be substituted or unsubstituted;
R7 is selected from the group consisting of H, -ORi5, -NRi5Ri6, -NHNRi5Ri6, -NHOH, -CH2X, alkyl, akenyl, alkynyl, aryl, cycloalkyl, cycloalkylalkyl, heterocyclyl, and
heterocyclylalkyl; wherein each alkyl, akenyl, alkynyl, aryl, cycloalkyl, cycloalkylalkyl, heterocyclyl, and heterocyclylalkyl may be substituted or unsubstituted;
Rg and R9 independently are selected from the group consisting of -OH, acyl, alkenyl, alkoxyl, alkyl, alkylamino, aryl, cycloalkyl, cycloalkylalkyl, heterocyclyl, and heterocyclylalkyl;
wherein each acyl, alkenyl, alkoxyl, alkyl, alkylamino, aryl, cycloalkyl, cycloalkylalkyl, heterocyclyl, and heterocyclylalkyl may be substituted or unsubstituted;
Rio is selected from the group consisting of -NR15R16, OH, -S02Rn, -NHS02Rn, -C(=0)Ri2, -NH(C=0)Ri2, -0(C=0)Ri2, and -P(=0)Ri3Ri4;
R11, R12, Ri3, and R14 independently are selected from the group consisting of H, OH, NH2, -NHNH2, -NHOH, acyl, alkenyl, alkoxyl, alkyl, alkylamino, aryl, cycloalkyl, cycloalkylalkyl, heterocyclyl, and heterocyclylalkyl; wherein each acyl, alkenyl, alkoxyl, alkyl, alkylamino, aryl, cycloalkyl, cycloalkylalkyl, heterocyclyl, and heterocyclylalkyl may be substituted or unsubstituted;
Ri5 and Ri6 independently are selected from the group consisting of H, acyl, alkenyl, alkoxyl, OH, NH2, alkyl, alkylamino, aryl, cycloalkyl, cycloalkylalkyl, heterocyclyl, and
heterocyclylalkyl; wherein each acyl, alkenyl, alkoxyl, alkyl, alkylamino, aryl, cycloalkyl, cycloalkylalkyl, heterocyclyl, and heterocyclylalkyl may be substituted or unsubstituted; and optionally R15 and R½ together with the N to which they are bonded may form a heterocycle which may be substituted or unsubstituted;
the nitrogen in the benzothiazepine ring may be optionally a quaternary nitrogen; and enantiomers, diastereomers, tautomers, pharmaceutically acceptable salts, hydrates, solvates, complexes, and prodrugs thereof.
In certain embodiments, the present invention provides methods and uses which comprise administering compounds of formula I-a, wherein each R is independently selected from the group consisting of H, halogen, -OH, OMe, -NH2, -N02, -CN, -CF3, -OCF3, -N3, -S(=0)2Ci-C4alkyl, -S(=0)Ci-C4alkyl, -S-Ci-C4alkyl, -OS(=0)2CF3, Ph, -NHCH2Ph,
-C(=0)Me, -OC(=0)Me, morpholinyl and propenyl; and n is 0, 1, or 2.
In other embodiments, the present invention provides methods and uses which comprise administering compounds of formula I-a, wherein R2 is selected from the group
consisting of-C=0(R5), -C=S(R6), -S02R7, -P(=0)R8R9, and -(CH2)m-Rio, wherein m is 0, 1, 2, 3, or 4.
In yet another embodiment, the present invention provides methods and uses which comprise administering com ounds of formula I-b:
wherein R and R" are independently selected from the group consisting of H, halogen, -OH, -NH2, -N02, -CN, -CF3, -OCF3, -N3, -S03H, -S(=0)2alkyl, -S(=0)alkyl, -OS(=0)2CF3, acyl, alkyl, alkoxyl, alkylamino, alkylthio, cycloalkyl, aryl, heterocyclyl, heterocyclylalkyl, alkenyl, alkynyl, (hetero-)aryl, (hetero-)arylthio, and (hetero-)arylamino; and wherein each acyl, alkyl, alkoxyl, alkylamino, cycloalkyl, aryl, heterocyclyl, heterocyclylalkyl, alkenyl, alkynyl, (hetero-)aryl, (hetero-)arylthio may be substituted or unsubstituted;
R2 and n are as defined in compounds of formula I-a above;
and enantiomers, diastereomers, tautomers, pharmaceutically acceptable salts, hydrates, solvates, complexes and pro-drugs thereof.
In certain embodiments, the present invention provides methods and uses which comprise administering compounds of formula I-b, wherein R and R" are independently selected from the group consisting of H, halogen, -OH, OMe, -NH2, -N02, -CN, -CF3, -OCF3, -N3, -S(=0)2Ci-C4alkyl, -S(=0)C C4alkyl, -S-C C4alkyl, -OS(=0)2CF3, Ph, -NHCH2Ph, -C(=0)Me, -OC(=0)Me, morpholinyl and propenyl; and n is 0, 1 or 3. In some cases, R is H or OMe, and R" is H.
In other embodiments, the present invention provides methods and uses which comprise administering compounds of formula I-b, wherein R2 is selected from the group consisting of-C=0(R5), -C=S(R6), -S02R7, -P(=0)R8R9, and -(CH2)m-Ri0.
In yet another embodiment, the present invention provides methods and uses which comprise administering compounds formula of I-c:
wherein each R, R7, q, and n is as defined in compounds of formula I-a above; and
enantiomers, diastereomers, tautomers, pharmaceutically acceptable salts, hydrates, solvates, complexes, metabolites, and pro-drugs thereof.
In certain embodiments, the present invention provides methods and uses which comprise administering compounds of formula I-c, wherein each R is independently selected from the group consisting of H, halogen, -OH, OMe, -NH2, -N02, -CN, -CF3, -OCF3, -N3, -S(=0)2Ci-C4alkyl, -S(=0)Ci-C4alkyl, -S-Ci-C4alkyl, -OS(=0)2CF3, Ph, -NHCH2Ph,
-C(=0)Me, -OC(=0)Me, morpholinyl and propenyl; and n is 0, 1, or 2.
In other embodiments, the present invention provides methods and uses which comprise administering compounds of formula I-c, wherein R7 is selected from the group consisting of -OH, -NR15R16, alkyl, alkenyl, aryl, cycloalkyl, cycloalkylalkyl, heterocyclyl, and heterocyclylalkyl; wherein each alkyl, akenyl, aryl, cycloalkyl, cycloalkylalkyl, heterocyclyl, and heterocyclylalkyl may be substituted or unsubstituted.
In a further embodiment, the present invention provides methods and uses which comprise administering com ounds of formula of I-d:
wherein R and R" are independently selected from the group consisting of H, halogen, -OH,
-NH2, -NO2, -CN, -CF3, -OCF3, -N3, -S03H, -S(=0)2alkyl, -S(=0)alkyl, -OS(=0)2CF3, acyl, alkyl, alkoxyl, alkylamino, alkylthio, cycloalkyl, aryl, heterocyclyl, heterocyclylalkyl, alkenyl,
alkynyl, (hetero-)aryl, (hetero-)arylthio, and (hetero-)arylamino; and wherein each acyl, alkyl, alkoxyl, alkylamino, cycloalkyl, aryl, heterocyclyl, heterocyclylalkyl, alkenyl, alkynyl, (hetero-)aryl, (hetero-)arylthio may be substituted or unsubstituted;
R7 and n are as defined in compounds of formula I-a above; and enantiomers, diastereomers, tautomers, pharmaceutically acceptable salts, hydrates, solvates, complexes and pro-drugs thereof.
In certain embodiments, the present invention provides methods and uses which comprise administering compounds of formula I-d, wherein R and R" are independently selected from the group consisting of H, halogen, -OH, OMe, -NH2, -N02, -CN, -CF3, -OCF3, -N3, -S(=0)2Ci-C4alkyl, -S(=0)Ci-C4alkyl, -S-Ci-C4alkyl, -OS(=0)2CF3, Ph, -NHCH2Ph, -C(=0)Me, -OC(=0)Me, morpholinyl and propenyl; and n is 0, 1 or 3. In some cases, R is H or OMe, and R" is H.
In other embodiments, the present invention provides methods and uses which comprise administering compounds of formula I-d, wherein Ry is selected from the group consisting of -OH, -NR15R16, alkyl, alkenyl, aryl, cycloalkyl, cycloalkylalkyl, heterocyclyl, and heterocyclylalkyl; wherein each alkyl, akenyl, aryl, cycloalkyl, cycloalkylalkyl, heterocyclyl, and heterocyclylalkyl may be substituted or unsubstituted.
In one embodiment, the present invention provides methods and uses which comprise administering compounds of formula of I-e:
wherein each R, R5, q and n is as defined compounds of formula I-a above; and enantiomers, diastereomers, tautomers, pharmaceutically acceptable salts, hydrates, solvates, complexes and pro-drugs thereof.
In certain embodiments, the present invention provides methods and uses which comprise administering compounds of formula I-e, wherein each R is independently selected from the group consisting of H, halogen, -OH, OMe, -NH2, -N02, -CN, -CF3, -OCF3, -N3,
-S(=0)2Ci-C4alkyl, -S(=0)Ci-C4alkyl, -S-Ci-C4alkyl, -OS(=0)2CF3, Ph, -NHCH2Ph,
-C(=0)Me, -OC(=0)Me, morpholinyl and propenyl; and n is 0, 1 , or 2.
In other embodiments, the present invention provides methods and uses which comprise administering compounds of formula I-e, wherein R5 is selected from the group consisting of-NRi5Ri6, -(CH2)zNRi5Ri6, -NHOH, -ORi5, -CH2X, alkyl, alkenyl, aryl, cycloalkyl, cycloalkylalkyl, heterocyclyl, and heterocyclylalkyl; wherein each acyl, alkyl, alkenyl, aryl, cycloalkyl, cycloalkylalkyl, heterocyclyl, and heterocyclylalkyl may be substituted or unsubstituted.
In some embodiments, the present invention provides methods and uses which comprise administering compounds of formula I-e, wherein R5 is an alkyl substituted by at least one labeling group, such as a fluorescent, a bioluminescent, a chemiluminescent, a colorimetric and a radioactive labeling group. A fluorescent labeling group can be selected from bodipy, dansyl, fluorescein, rhodamine, Texas red, cyanine dyes, pyrene, coumarins, Cascade Blue™, Pacific Blue, Marina Blue, Oregon Green, 4',6-Diamidino-2-phenylindole (DAPI), indopyra dyes, lucifer yellow, propidium iodide, porphyrins, arginine, and variants and derivatives thereof.
In another embodiment, the present invention provides methods and uses which comprise administering compounds of formula of I-f:
wherein R and R" are independently selected from the group consisting of H, halogen, -OH,
-NH2, -NO2, -CN, -CF3, -OCF3, -N3, -S03H, -S(=0)2alkyl, -S(=0)alkyl, -OS(=0)2CF3, acyl, alkyl, alkoxyl, alkylamino, alkylthio, cycloalkyl, aryl, heterocyclyl, heterocyclylalkyl, alkenyl, alkynyl, (hetero-)aryl, (hetero-)arylthio, and (hetero-)arylamino; and wherein each acyl, alkyl, alkoxyl, alkylamino, cycloalkyl, aryl, heterocyclyl, heterocyclylalkyl, alkenyl, alkynyl, (hetero-)aryl, (hetero-)arylthio may be substituted or unsubstituted;
R5 and n are as defined in compounds of formula I-a above;
and enantiomers, diastereomers, tautomers, pharmaceutically acceptable salts, hydrates, solvates, complexes and pro-drugs thereof.
In certain embodiments, the present invention provides methods and uses which comprise administering compounds of formula I-f, wherein R' and R" are independently selected from the group consisting of H, halogen, -OH, OMe, -NH2, -N02, -CN, -CF3, -OCF3, -N3, -S(=0)2Ci-C4alkyl, -S(=0)Ci-C4alkyl, -S-Ci-C4alkyl, -OS(=0)2CF3, Ph, -NHCH2Ph, -C(=0)Me, -OC(=0)Me, morpholinyl and propenyl; and n is 0, 1 or 3. In some cases, R is H or OMe, and R" is H.
A preferred compound of formula I-f is S36, in particular in the form of a sodium salt.
In other embodiments, the present invention provides methods and uses which comprise administering compounds of formula I-f, wherein -(CH2)zNRi5Ri6, selected from the group consisting of-NRi5Ri6, -NHOH, -ORi5, -CH2X, alkyl, alkenyl, aryl, cycloalkyl, cycloalkylalkyl, heterocyclyl, and heterocyclylalkyl; wherein each acyl, alkyl, alkenyl, aryl, cycloalkyl, cycloalkylalkyl, heterocyclyl, and heterocyclylalkyl may be substituted or unsubstituted.
In yet another embodiment, the present invention provides methods and uses which comprise administerin mpounds of formula of I-g:
wherein W is S or O; each R, Ri5, Ri6, q, and n is as defined in compounds of formula I-a above; and enantiomers, diastereomers, tautomers, pharmaceutically acceptable salts, hydrates, solvates, complexes and pro-drugs thereof.
In certain embodiments, the present invention provides methods and uses which comprise administering compounds of formula I-g, wherein each R is independently selected from the group consisting of H, halogen, -OH, OMe, -NH2, -N02, -CN, -CF3, -OCF3, -N3, -S(=0)2Ci-C4alkyl, -S(=0)C C4alkyl, -S-C C4alkyl, -OS(=0)2CF3, Ph, -NHCH2Ph, -C(=0)Me, -OC(=0)Me, morpholinyl and propenyl; and n is 0, 1, or 2.
In other embodiments, the present invention provides methods and uses which comprise administering compounds of formula I-g, wherein Ri5 and Ri6 independently are selected from the group consisting of H, OH, NH2, alkyl, alkylamino, aryl, cycloalkyl, cycloalkylalkyl, heterocyclyl, and heterocyclylalkyl; wherein each alkyl, alkylamino, aryl, cycloalkyl, cycloalkylalkyl, heterocyclyl, and heterocyclylalkyl may be substituted; and optionally R15 and R½ together with the N to which they are bonded may form a heterocycle which may be substituted.
In some embodiments, the present invention provides methods and uses which comprise administering compounds of formula I-g, wherein W is O or S.
In yet another embodiment, the present invention provides methods and uses which comprise administerin compounds of formula of I-h:
wherein W is S or O;
wherein R and R" are independently selected from the group consisting of H, halogen, -OH,
-NH2, -NO2, -CN, -CF3, -OCF3, -N3, -S03H, -S(=0)2alkyl, -S(=0)alkyl, -OS(=0)2CF3, acyl, alkyl, alkoxyl, alkylamino, alkylthio, cycloalkyl, aryl, heterocyclyl, heterocyclylalkyl, alkenyl, alkynyl, (hetero-)aryl, (hetero-)arylthio, and (hetero-)arylamino; and wherein each acyl, alkyl, alkoxyl, alkylamino, cycloalkyl, aryl, heterocyclyl, heterocyclylalkyl, alkenyl, alkynyl, (hetero-)aryl, (hetero-)arylthio may be substituted or unsubstituted;
Ri5, Ri6 and n are as defined in compounds of formula I-a above;
and enantiomers, diastereomers, tautomers, pharmaceutically acceptable salts, hydrates, solvates, complexes and pro-drugs thereof.
In certain embodiments, the present invention provides methods and uses which comprise administering compounds of formula I-h, wherein R and R" are independently selected from the group consisting of H, halogen, -OH, OMe, -NH2, -N02, -CN, -CF3, -OCF3,
-N3, -S(=0)2Ci-C4alkyl, -S(=0)Ci-C4alkyl, -S-Ci-C4alkyl, -OS(=0)2CF3, Ph, -NHCH2Ph, -C(=0)Me, -OC(=0)Me, morpholinyl and propenyl; and n is 0, 1 or 3. In some cases, R' is H or OMe, and R" is H.
In other embodiments, the present invention provides methods and uses which comprise administering compounds of formula I-h, wherein R15 and Ri6 independently are selected from the group consisting of H, OH, NH2, alkyl, alkylamino, aryl, cycloalkyl, cycloalkylalkyl, heterocyclyl, and heterocyclylalkyl; wherein each alkyl, alkylamino, aryl, cycloalkyl, cycloalkylalkyl, heterocyclyl, and heterocyclylalkyl may be substituted; and optionally R15 and R½ together with the N to which they are bonded may form a heterocycle which may be substituted.
In some embodiments, the present invention provides methods and uses which comprise administering compounds of formula I-h, wherein W is O or S.
In a further embodiment, the present invention provides methods and uses which comprise administerin compounds of formula of I-i:
wherein R17 is selected from the group consisting of -NR15R16, -NHNR15R16, -NHOH, -OR15, -CH2X, alkenyl, aryl, cycloalkyl, cycloalkylalkyl, heterocyclyl, and heterocyclylalkyl;
wherein each alkenyl, aryl, cycloalkyl, cycloalkylalkyl, heterocyclyl, and heterocyclylalkyl may be substituted or unsubstituted;
each R, q, and n is as defined in compounds of formula I-a above; and enantiomers, diastereomers, tautomers, pharmaceutically acceptable salts, hydrates, solvates, complexes and pro-drugs thereof.
In certain embodiments, the present invention provides methods and uses which comprise administering compounds of formula I-i, wherein each R is independently selected from the group consisting of H, halogen, -OH, OMe, -NH2, -N02, -CN, -CF3, -OCF3, -N3,
-S(=0)2Ci-C4alkyl, -S(=0)Ci-C4alkyl, -S-Ci-C4alkyl, -OS(=0)2CF3, Ph, -NHCH2Ph,
-C(=0)Me, -OC(=0)Me, morpholinyl and propenyl; and n is 0, 1, or 2.
In other embodiments, the present invention provides methods and uses which comprise administering compounds of formula I-i, wherein Rn is -NRi5Ri6, and -ORi5. In certain other embodiments, Ri7 is -OH, -OMe, -NEt, -NHEt, -NHPh, -NH2, or
-NHCH2pyridyl.
In one embodiment, the present invention provides methods and uses which comprise administering compounds of formula of I- :
wherein R and R" are independently selected from the group consisting of H, halogen, -OH,
-NH2, -N02, -CN, -CF3, -OCF3, -N3, -S03H, -S(=0)2alkyl, -S(=0)alkyl, -OS(=0)2CF3, acyl, alkyl, alkoxyl, alkylamino, alkylthio, cycloalkyl, aryl, heterocyclyl, heterocyclylalkyl, alkenyl, alkynyl, (hetero-)aryl, (hetero-)arylthio, and (hetero-)arylamino; and wherein each acyl, alkyl, alkoxyl, alkylamino, cycloalkyl, aryl, heterocyclyl, heterocyclylalkyl, alkenyl, alkynyl, (hetero-)aryl, (hetero-)arylthio may be substituted or unsubstituted;
Ri7 is selected from the group consisting of -NR15R16, -NHNR15R16, -NHOH, -OR15, -CH2X, alkenyl, aryl, cycloalkyl, cycloalkylalkyl, heterocyclyl, and heterocyclylalkyl; wherein each alkenyl, aryl, cycloalkyl, cycloalkylalkyl, heterocyclyl, and heterocyclylalkyl may be substituted or unsubstituted;
n is as defined in compounds of formula I-a; and
enantiomers, diastereomers, tautomers, pharmaceutically acceptable salts, hydrates, solvates, complexes and pro-drugs thereof.
In certain embodiments, the present invention provides methods and uses which comprise administering compounds of formula I-j, wherein R and R" are independently selected from the group consisting of H, halogen, -OH, OMe, -NH2, -N02, -CN, -CF3, -OCF3,
-N3, -S(=0)2Ci-C4alkyl, -S(=0)Ci-C4alkyl, -S-Ci-C4alkyl, -OS(=0)2CF3, Ph, -NHCH2Ph, -C(=0)Me, -OC(=0)Me, morpholinyl and propenyl; and n is 0, 1 or 3. In some cases, R' is H or OMe, and R" is H.
In other embodiments, the present invention provides methods and uses which comprise administering compounds of formula I-j, wherein R17 is -NR15R16 or -OR15. In certain other embodiments, Rn is -OH, -OMe, -NEt, -NHEt, -NHPh, -NH2, or
-NHCH2pyridyl.
In another embodiment, the present invention provides methods and uses which comprise administering compounds of formula I-k:
wherein R and R" are independently selected from the group consisting of H, halogen, -OH,
-NH2, -NO2, -CN, -CF3, -OCF3, -N3, -S03H, -S(=0)2alkyl, -S(=0)alkyl, -OS(=0)2CF3, acyl, alkyl, alkoxyl, alkylamino, alkylthio, cycloalkyl, aryl, heterocyclyl, heterocyclylalkyl, alkenyl, alkynyl, (hetero-)aryl, (hetero-)arylthio, and (hetero-)arylamino; and wherein each acyl, alkyl, alkoxyl, alkylamino, cycloalkyl, aryl, heterocyclyl, heterocyclylalkyl, alkenyl, alkynyl, (hetero-)aryl, (hetero-)arylthio may be substituted or unsubstituted;
Ri5 and Ri6 are as defined in Formula (I),
Rig is selected from the group consisting of -NRi5Ri6,
-OR15, alkyl, aryl, cycloalkyl, heterocyclyl, and at one labeling group; wherein each alkyl, aryl, cycloalkyl, and heterocyclyl may be substituted or unsubstituted;
wherein p is any one of 1, 2, 3, 4, 5, 6, 7, 8, 9, or 10, with each value of p representing a different embodiment; and n is 0, 1, or 2;
and enantiomers, diastereomers, tautomers, pharmaceutically acceptable salts, hydrates, solvates, complexes and pro-drugs thereof.
In certain preferred embodiments, the present invention provides methods and uses which comprise administering compounds of formula I-k, wherein R' and R" are
independently selected from the group consisting of H, halogen, -OH, OMe, -NH2, -N02, -CN, -CF3, -OCF3, -N3, -S(=0)2Ci-C4alkyl, -S(=0)C C4alkyl, -S-C C4alkyl, -OS(=0)2CF3, Ph, -NHCH2Ph, -C(=0)Me, -OC(=0)Me, C2-C4alkoxyl, morpholinyl and propenyl; and n is 0, 1 or 3. In some cases, R' is H or OMe, and R" is H.
In some embodiments, Rig in formula I-k is selected from the group consisting of -NR15R16, -(C=0)ORi5, -OR15, alkyl, and aryl, wherein each alkyl and aryl may be substituted or unsubstituted. Most preferably, in Formula I-k, R is H, OMe, or C2-C4alkoxyl; R" is H; n is 0; and Rig is Ci-C4alkyl.
In other embodiments, the present invention provides methods and uses which comprise administering compounds of formula I-k, wherein Rig is selected from the group consisting of-NRi5Ri6, -(C=0)OR15, -OR15, alkyl, aryl, and at one labeling group; and wherein each alkyl and aryl may be substituted or unsubstituted. In some cases, n is 1, and Ri8 is Ph, C(=0)OMe, C(=0)OH, aminoalkyl, NH2, NHOH, or NHCbz. In other cases, n is 0, and Rig is C1-C4 alkyl, such as Me, Et, propyl, and butyl. In yet other cases, n is 2, and Ri8 is pyrrolidine, piperidine, piperazine, or morpholine. In some embodiments, m is 3, 4, 5, 5, 7, or 8, and Rig is a fluorescent labeling group selected from bodipy, dansyl, fluorescein, rhodamine, Texas red, cyanine dyes, pyrene, coumarins, Cascade Blue™, Pacific Blue, Marina Blue, Oregon Green, 4',6-Diamidino-2-phenylindole (DAPI), indopyra dyes, lucifer yellow, propidium iodide, porphyrins, arginine, and variants and derivatives thereof.
In yet another embodiment, the present invention provides methods and uses which comprise administering com ounds of formula of I-l:
wherein R and R" are independently selected from the group consisting of H, halogen, -OH,
-NH2, -NO2, -CN, -CF3, -OCF3, -N3, -S03H, -S(=0)2alkyl, -S(=0)alkyl, -OS(=0)2CF3, acyl,
alkyl, alkoxyl, alkylamino, alkylthio, cycloalkyl, aryl, heterocyclyl, heterocyclylalkyl, alkenyl, alkynyl, (hetero-)aryl, (hetero-)arylthio, and (hetero-)arylamino; and wherein each acyl, alkyl, alkoxyl, alkylamino, cycloalkyl, aryl, heterocyclyl, heterocyclylalkyl, alkenyl, alkynyl, (hetero-)aryl, (hetero-)arylthio may be substituted or unsubstituted;
Re and n are as defined in compounds of formula I-a; and enantiomers, diastereomers, tautomers, pharmaceutically acceptable salts, hydrates, solvates, complexes and pro-drugs thereof.
In certain embodiments, the present invention provides methods and uses which comprise administering compounds of formula 1-1, wherein R' and R" are independently selected from the group consisting of H, halogen, -OH, OMe, -NH2, -N02, -CN, -CF3, -OCF3, -N3, -S(=0)2Ci-C4alkyl, -S(=0)Ci-C4alkyl, -S-Ci-C4alkyl, -OS(=0)2CF3, Ph, -NHCH2Ph, -C(=0)Me, -OC(=0)Me, morpholinyl and propenyl; and n is 0, 1 or 3. In some cases, R' is H or OMe, and R" is H.
In other embodiments, the present invention provides methods and uses which comprise administering compounds of formula 1-1, wherein R^ is selected from the group consisting of -NRi5Ri6, -NHNRi5Ri6, -ORi5, -NHOH, -CH2X, acyl, alkenyl, alkyl, aryl, cycloalkyl, cycloalkylalkyl, heterocyclyl, and heterocyclylalkyl; wherein each acyl, alkenyl, alkyl, aryl, cycloalkyl, cycloalkylalkyl, heterocyclyl, and heterocyclylalkyl may be substituted or unsubstituted. In some cases, Re is -NR15R16 such as -NHPh, pyrrolidine, piperidine, piperazine, morpholine, and the like. In some other cases, R6 is alkoxyl, such as -O-tBu.
In a further embodiment, the present invention provides methods and uses which comprise administering com ounds of formula I-m:
wherein R' and R" are independently selected from the group consisting of H, halogen, -OH,
-NH2, -NO2, -CN, -CF3, -OCF3, -N3, -S03H, -S(=0)2alkyl, -S(=0)alkyl, -OS(=0)2CF3, acyl, alkyl, alkoxyl, alkylamino, alkylthio, cycloalkyl, aryl, heterocyclyl, heterocyclylalkyl, alkenyl,
alkynyl, (hetero-)aryl, (hetero-)arylthio, and (hetero-)arylamino; and wherein each acyl, alkyl, alkoxyl, alkylamino, cycloalkyl, aryl, heterocyclyl, heterocyclylalkyl, alkenyl, alkynyl, (hetero-)aryl, (hetero-)arylthio may be substituted or unsubstituted;
Rg, R9 and n are as defined in compounds of formula I-a above; and enantiomers,
diastereomers, tautomers, pharmaceutically acceptable salts, hydrates, solvates, complexes and pro-drugs thereof.
In certain embodiments, the present invention provides methods and uses which comprise administering compounds of formula I-m, wherein R and R" are independently selected from the group consisting of H, halogen, -OH, OMe, -NH2, -N02, -CN, -CF3, -OCF3, -N3, -S(=0)2Ci-C4alkyl, -S(=0)Ci-C4alkyl, -S-Ci-C4alkyl, -OS(=0)2CF3, Ph, -NHCH2Ph, -C(=0)Me, -OC(=0)Me, morpholinyl and propenyl; and n is 0, 1 or 3. In some cases, R is H or OMe, and R" is H.
In other embodiments, the present invention provides methods and uses which comprise administering compounds of formula I-m, wherein Rg and R9 are independently alkyl, aryl, -OH, alkoxyl, or alkylamino. In some cases, Rg is Ci-C4 alkyl such as Me, Et, propyl and butyl; and R9 is aryl such as phenyl.
In other embodiments, the present invention provides methods and uses which comprise administering com ounds of formula I-n,
I-n
wherein:
Rd is CH2, or NRa; and
Ra is H, -(Ci-C6 alkyl)-aryl, wherein the aryl is a disubstituted phenyl or a
benzo[l,3]dioxo-5-yl group, or an amine protecting group (e.g., a Boc group); and
Rb is hydrogen of alkoxy (e.g., methoxy).
Representative compounds of Formula I-n include without limitation S101, SI 02,
S103, S114.
1-0
wherein:
Re is substituted or unsubstituted -Ci-C6 alkyl, -(Ci-C6 alkyl)-phenyl, or -(Ci-C6 alkyl)-C(0)Rb; and
Rb is -OH or -0-(Ci-C6 alkyl), and
wherein the phenyl or substituted alkyl is substituted with one or more of halogen, hydroxyl, -Ci-C6 alkyl, -0-(Ci-C6 alkyl), -NH2, -NH(Ci-C6 alkyl), -N(Ci-C6 alkyl)2, cyano, or dioxolane.
Representative compounds of Formula I-o include without limitation S 107, SI 10, Si l l, S120, and S121.
In certain other embodiments the invention provides compounds of Formula I-p:
I-p
wherein:
Rc is -(Ci-Ce alkyl)-NH2, -(Ci-C6 alkyl)-ORf, wherein Rf is H or -C(0)-(Ci-C6)alkyl, or -(Ci-C6 alkyl)-NHRg wherein Rg is carboxybenzyl. Representative compound of Formula I-p include without limitation SI 09, S122, and SI 23.
• The compounds of Formula I, I-a', I-a, I-b, I-c, I-d, I-e, I-f, I-g, I-h, I-i, I-j, I-k, 1-1, 1-m, I-n, I-o, I-p, and Formula II can be used in methods that treat and/or prevent sarcopenia, and may also be used in compositions suitable for the treatment and/or prevention of sarcopenia. In one preferred embodiment, the compounds used have structures as described by Formula I-a, I-b, I-e, I-f, I-g, I-h, I-i, I-j, I-k, I-n, I-o, or I-p.
Another preferred embodiment relates to compounds of Formula I-a-1 :
I-a-1
wherein
n is 0, 1, 2, 3, or 4;
each R is independently selected from the group consisting of Z, R5, -OR5, -SR5, -N(R5)2, -NR5C(=0)OR5, -C(=0)N(R5)2, -C(=0)OR5, -C(=0)R5, -OC(=0)R5, N02, CN, -CZ3, OCZ3, -N3, and -P(=0)R8R9;
Ri and R3 are each independently selected from the group consisting of oxo, R5, -CH2OR5, -CH2OC(=0)R6, -C(=0)OR5, -C(=0)NHR5, -C(=0)R5, and -OC(=0)R5;
R2 is selected from the group consisting of R5, -C(=0)R6, -C(=S)R6, and -(CH2)mRi0, wherein m is 1, 2, 3, 4, 5, or 6; or
Ri and R2 together with the carbon and nitrogen to which they are respectively attached, form an unsubstituted or substituted heterocycle; or
R2 and R3 together with the nitrogen and carbon to which they are respectively attached, form an unsubstituted or substituted heterocycle other than a piperazine; or
R3 and R4 together with the carbon atoms to which they are respectively attached, form an unsubstituted or substituted cycloalkyl or heterocyclic ring; or
R4 is selected from the group consisting of R5 and oxo;
each R5 is selected from the group consisting of hydrogen, alkyl, alkenyl, alkynyl, cycloalkyl, heterocyclyl, aryl, heteroaryl, cycloalkylalkyl, heterocyclylalkyl, alkylaryl, and alkylheteroaryl;
Re is selected from the group consisting of R5, -(CH2)bNRi3Ri4, -NR5OR5, -OR5, -C(=0)OR5, -C(=0)NRi3Ri4, -(CH2 )CY, and -C(=0)R5, wherein b is 0, 1, 2, 3, 4, 5, or 6 and c is 1, 2, 3, 4 or 5;
Rio is selected from the group consisting of R5, -OR5, -SO2R11, -C(=0)Ri2,
-NH(C=0)Ri2, -0(C=0)Ri2, and -P(=0)R8R9;
Rg, R9, R11 and R12 are independently selected from the group consisting of R5, OR5, and -N(R5)2;
Y is selected from the group consisting of Z, -CO2R5, -C(=0)NRi3Ri4, and -OR5; Z is a halogen selected from F, CI, Br and I;
Ri3 and R14 are independently selected from the group consisting of R5, or R13 and R14 together with the N to which they are bonded may form an unsubstituted or substituted heterocycle; and
wherein each alkyl, alkenyl, alkynyl, cycloalkyl, heterocyclyl, aryl, heteroaryl, cycloalkylalkyl, heterocyclylalkyl, alkylaryl, and alkylheteroaryl may be substituted or unsubstituted;
wherein the nitrogen in the benzoxazepine ring may optionally be a quaternary nitrogen; and
all enantiomers, diastereomers, tautomers, pharmaceutically acceptable salts, hydrates, solvates, complexes, polymorphs, metabolites, and prodrugs thereof;
provided that, (i) when R is hydrogen at position 7 of the benzoxazepine ring, R2 is not hydrogen, alkyl, haloalkyl or alkoxyalkyl, (ii) when R3 is oxo, Ri is not oxo or -C(=0)NHR5; (iii) when R2 is H, Ri is not phenyl; and (iv) when R2 and R3 together with the nitrogen and carbon to which they are respectively attached, form an unsubstituted or substituted heterocycle, Ri is not oxo.
The invention further provides a number of more preferred structures that fall within the general structure of formula I-a-1. Preferred compounds of the present invention include:
• Compounds of formula I-a-1 wherein n, and R1-R4 are as in formula I-a-1, and wherein each R is independently selected from the group consisting of Z, OCZ3, R5, OR5, CN, NO2, N(R5)2, -C(=0)N(R5)2, -C(=0)OR5, and -P(=0)R8R9, wherein R8 and R9 are
independently OR5, and wherein each R5 is independently hydrogen, or an unsubstituted or substituted alkyl, alkylaryl, aryl, or heterocyclyl.
• Compounds of formula I-a-1 wherein R is OR5 at position 7 of the benzoxazepine ring, n, and R1-R4 are as in formula I-a-1, and wherein R5 is selected from the group
consisting of hydrogen, or an unsubstituted or substituted alkyl, alkylaryl, aryl, or
heterocyclyl. In one most preferred embodiment, R is methoxy.
• Compounds of formula I-a-1 wherein n, R, Ri, R3, and R4 are as in formula I-a-1, and wherein R2 is selected from the group consisting of (i) R5, (ii) -C(=0)R6, and (iii) -(CH2)mRio, wherein R5 is hydrogen, or an unsubstituted or substituted alkyl, aryl, alkylaryl, heterocyclyl or heteroaryl; wherein R<5 is -NRi3Ri4, -C(=0)NRi3Ri4 or -(C=0)OR5; and wherein Ri3 and Ri4 together with the N to which they are bonded form an unsubstituted or substituted heterocycle; and wherein m is 1, 2, 3, 4, 5, or 6, and wherein Rio is R5 or
(C=0)OR5.
• Compounds of formula I-a-1 wherein n, R, Ri, R3, and R4 are as in formula I-a-1, and wherein R2 is selected from the group consisting of R5, -C(=0)(C=0)OR5,
-C(=0)NRi3Ri4, -CH2R10 and -C(=0)C(=0)NRi3Ri4, wherein R5 is hydrogen, or an unsubstituted or substituted alkyl, aryl, alkylaryl, heterocyclyl or heteroaryl; and wherein Ri3 N J F
and Ri4 are either each H or are bonded to make , wherein Rd is CH2, NH, O,
N-benzo[l,3]dioxo-5-yl, or N-C(=0)OC(R5)3, wherein the nitrogen in Rj may optionally be a quaternary nitrogen; and wherein Rio is R5 or (C=0)OR5. In one most preferred embodiment, R2 is -C(=0)C(=0)OH.
• Compounds of formula I-a-1 wherein n, R, Rls and R4 are as in formula I-a-1, and wherein R2 and R3 together with the nitrogen and carbon to which they are respectively attached, form an unsusbstituted or substituted heterocycle other than a piperazine.
• Compounds of formula I-a-1 wherein n, R, Ri and R2 are as in formula I-a-1, and wherein R3 and R4 together with the carbon atoms to which they are respectively attached, form an unsusbstituted or substituted cycloalkyl or heterocyclic ring.
Still other preferred compounds of the present invention include those of formula I-a-1, wherein
(a) n is 1 or 2, R is Z, OCZ3, R5, OR5, CN, N02, N(R5)2, -C(=0)N(R5)2, -C(=0)OR5, or
at position 7 or 8 of the benzoxazepine ring; or
(b) n is 1, R is Z, OCZ3, R5, OR5, CN, N02, -N(R5)2, -C(=0)N(R5)2, -C(=0)OR5, or
at position 6 of the benzoxazepine ring; or
(c) R2 is C(=0)R6, wherein R6 is selected from the group consisting of -C(=0)R5, -C(=0)OR5, -C(=0)NRi3Ri4, and (CH2)bNRi3Ri4, wherein b=0, and Ri3 and Ri4 are
N J F
either each H or are bonded to make , wherein Rj is O, CH2, or NRa; and Ra is H, alkoxy, C(=0)OC(CH3)3, or (Ci-C6 alkyl)-aryl, wherein the aryl is a disubstituted phenyl or a benzo[l,3]dioxo-5-yl group, and wherein the nitrogen in NRa may optionally be a quaternary nitrogen; or
(d) R2 is R5 or (CH2)mRio, wherein R10 is selected from the group consisting of R5, -C(=0)N(R5)2, -(C=0)OR5, or -OR5; and m is 1, 2, 3, 4, 5, or 6.
More preferred compounds of (a) include Rg and R9 being independently OR5. Also in (a)-(d), more preferred compounds of (a)-(d) include each R5 being independently hydrogen, or an unsubstituted or substituted alkyl, alkylaryl, aryl, or heterocyclyl.
The preferred compounds of the invention specifically include those of formula I-a-1, wherein n is 1 and R is OR5, OCZ3, Z, CN, R5, N(R5)2, -C(=0)N(R5)2, -C(=0)OR5, or
-P(=0)(OR5)2, N02 at position 6, 7 or 8 of the benzoxazepine ring; or n is 2, each R is independently OR5 at positions 7 and 8 of the benzoxazepine ring.
The more preferred compounds of the invention specifically include those of formula I-a-1, wherein:
A) n is 1 , R is OR5 or OCZ3 at position 7 of the benzoxazepine ring, and R2 is (i) hydrogen; (ii) R5, (iii) (CH2)mRi0, wherein m is 1, 2, 3, 4, 5, or 6, and wherein R10 is R5 or (C=0)OR5; (iv) -C(=0)C(=0)OR5; (v) -C(=0)NRi3Ri4 or (vi) -C(=0)C(=0)NRi3Ri4, wherein N J F
Ri3 and Ri4 are either each H or are bonded to make , wherein Rj is CH2, NH,
O, N-benzo[l,3]dioxo-5-yl, or N-C(=0)OC(R5) , wherein the nitrogen in Rj may optionally be a quaternary nitrogen; or R2 and R3 together with the nitrogen and carbon to which they are respectively attached, form an unsubstituted or substituted heterocycle other than a piperazine; or
B) n is 1, R is Z, CN, R5, N(R5)2, -C(=0)N(R5)2, -C(=0)OR5, or -P(=0)(OR5)2 at position 7 of the benzoxazepine ring, and R2 is R5; or
C) n is 1 , R is N02 at position 8 of the benzoxazepine ring, and R2 is (i) hydrogen; (ii) R5, (iii) -C(=0)C(= -C(=0)NRi3Ri4, wherein Ri3 and Ri4 are either each H or
are bonded to make
, wherein Rd is CH2, NH, O, NC(=0)OC(R5)3, or
N-benzo[l,3]dioxo-5-yl, wherein the nitrogen in Rd may optionally be a quaternary nitrogen; or R2 and R3 together with the nitrogen and carbon to which they are respectively attached, form an unsubstituted or substituted heterocycle other than a piperazine; or
D) n is 2, each R is independently OR5 at positions 7 and 8 of the benzoxazepine ring, and R2 is (i) hydrogen; (ii) C(=0)C(=0)OR5; or (iii) -C(=0)NRi3Ri4, wherein Ri3 and RM are N J F
either each H or are bonded to make , wherein Rd is CH2, NH, O,
N-benzo[l,3]dioxo-5-yl, or N-C(=0)OC(R5)3, wherein the nitrogen in Rj may optionally be a quaternary nitrogen; or
E) n is 1 , R is OR5 at position 6 of the benzoxazepine ring, and R2 and R3 together with the nitrogen and carbon to which they are respectively attached, form an unsubstituted or substituted heterocycle other than a piperazine; or
F) each of Rh R2, R3, and R4 is H, n=l, R is OR5, OCZ3, Z, CN, R5, N(R5)2,
-C(=0)N(R5)2, -C(=0)OR5, or -P(=0)(OR5)2, N02 and is at position 7 of the benzoxazepine ring.
The most preferred compounds of (A)-(F) include R being OR5 at position 7 of the benzoxazepine ring wherein each R5 is independently hydrogen, or an unsubstituted or substituted alkyl, alkylaryl, aryl, or heterocyclyl.
Still other preferred compounds are those represented by the structure of any one or more of formula I-b-1, I-c-1, 1-d-1, 1-e-1, 1-f-1, 1-g-1, 1-h-1, and I-i- 1 , and their
pharmaceutically acceptable salts and hydrates.
N-benzo[l,3]dioxo-5-yl, or N-C(=0)OC(R5)3, wherein the nitrogen in Rj may optionally be a quaternary nitrogen.
The most preferred compounds of formula I-b-1 to I-i-1 include those where R is OR5 at position 7 of the benzoxazepine ring wherein each R5 is independently hydrogen, or an unsubstituted or substituted alkyl, alkylaryl, aryl, or heterocyclyl. Preferably, R is methoxy at position 7 of the benzothiazepine ring.
Examples of compounds that may be used in conjunction with the invention include, without limitation, SI, S2, S3, S4, S5, S6, S7, S9, SI 1, S12, SI 3, S14, SI 9, S20, S22, S23, S24, S25, S26, S27, S36, S37, S38, S40, S43, S44, S45, S46, S47, S48, S49, S50, S51, S52, S53, S54, S55, S56, S57, S58, S59, S60, S61, S62, S63, S64, S66, S67, S68, S69, S70, S71, S72, S73, S74, S75, S76, S77, S78, S79, S80, S81, S82, S83, S84, S85, S86, S87, S88, S89, S90, S91, S92, S93, S94, S95, S96, S97, S98, S99, S100, S101, S102, S103, S104, S107, S108, S109, S110, Si l l, S112, S113, S114, S115, S116, S117, S118, S119, S120, S121, S122, S123, S136, S137, S138, S139, S140, S146, S147, S148, S149, S150, S151, S152, S153, S156, S157, S159, S160, S161, S166, S167, S182, S186, S189, S203, S217, S251, S252, S258, S277, S279, S282, S291, S293, S296, S301, S302, S306, S311, S312, S313, S318, S322, S324, S326, S331, S335, S337, S351, S352, S353, S354, S397, S398, S399, S423, S454, S463, S466, S470, S473 and S477, as herein defined. In certain embodiments, the compounds are isolated and substantially pure.
The named "S" compounds described herein have the following structures:
-53 -
-58-
-59-
-60-
-64-
-70-
-73 -
S203
S217
S296
S306
S311
S312
S318
S477
In one embodiment of the present invention, for compounds of Formula I, if R2 is C=0(R5) or S02R7, then R is at positions 6, 7 or 9 on the benzothiazepme ring.
In another embodiment of the invention, for compounds of Formula I, if R2 is C=0(Rs) or S02R7, then each R is independently selected from the group consisting of H, halogen, -OH, -NH2, -N02, -CN, -N3, -S03H, acyl, alkyl, alkylamino, cycloalkyl, heterocyclyl, heterocyclylalkyl, alkenyl, (hetero-)aryl, (hetero-)arylthio, and (hetero-) arylamino; wherein each acyl, alkyl, alkoxyl, alkylamino, cycloalkyl, heterocyclyl, heterocyclylalkyl, alkenyl, (hetero-)aryl, (hetero-)arylthio, and (hetero-)arylamino may be substituted with one or more radicals independently selected from the group consisting of halogen, N, O, -S-, -CN, -N3, -SH, nitro, oxo, acyl, alkyl, alkoxyl, alkylamino, alkenyl, aryl, (hetero-)cycloalkyl, and (hetero-)cyclyl.
In another embodiment of the invention, for compounds of Formula I, if R2 is C=0(R5) or S02R7, then there are at least two R groups attached to the benzothiazepme ring.
Furthermore, there are at least two R groups attached to the benzothiazepme ring, and both R groups are attached at positions 6, 7, or 9 on the benzothiazepme ring. Still furthermore, each R is independently selected from the group consisting of H, halogen, -OH, -NH2, -N02, -CN, -N3, -S03H, acyl, alkyl, alkylamino, cycloalkyl, heterocyclyl, heterocyclylalkyl, alkenyl, (hetero-)aryl, (hetero-)arylthio, and (hetero-)arylamino; wherein each acyl, alkyl, alkoxyl, alkylamino, cycloalkyl, heterocyclyl, heterocyclylalkyl, alkenyl, (hetero-)aryl,
(hetero-)arylthio, and (hetero-)arylamino may be substituted with one or more radicals independently selected from the group consisting of halogen, N, O, -S-, -CN, -N3, -SH, nitro, oxo, acyl, alkyl, alkoxyl, alkylamino, alkenyl, aryl, (hetero-)cycloalkyl, and (hetero-)cyclyl.
In another embodiment of the invention, for compounds of Formula I, if R2 is
C=0(R5), then R5 is selected from the group consisting of -NR16, -(CH2)zNRi5Ri6, NHNHRie, NHOH, -ORis, CONH2NHRi6, CONRie, CH2X, acyl, aryl, cycloalkyl, cycloalkylalkyl, heterocyclyl, and heterocyclylalkyl; wherein each acyl, aryl, cycloalkyl, cycloalkylalkyl, heterocyclyl, and heterocyclylalkyl may be substituted with one or more radicals
independently selected from the group consisting of halogen, N, O, -S-, -CN, -N3, nitro, oxo, acyl, alkyl, alkoxyl, alkylamino, alkenyl, aryl, (hetero-)cycloalkyl, and (hetero-)cyclyl.
In another embodiment, the present invention provides use of the compounds of Formula II in the method of the invention. Formula II is
wherein R=OR', SR', NR, alkyl, or halide and R = alkyl, aryl, or H, and wherein R can be at position 6, 7, 8, or 9 of the benzothiazepine ring. Formula II is discussed also in co-pending application 10/680,988, the disclosure of which is incorporated herein in its entirety by reference.
It is recognized in general that the -S- or -O- of the ring in all embodiments disclosed herein can instead be replaced by -CH2- or by -NH- with such compounds being expected to be useful by reducing calcium "leak" or calcium current through the RyR, stabilizing gating of the RyR, or increasing the binding of calstabin to the RyR complex in the subject.
Routes of Activity
The compounds of the invention, such as the compounds of Formula I, I-a', I-a, I-b, I-c, I-d, I-e, I-f, I-g, I-h, I-i, I-j, I-k, 1-1, 1-m, I-n, I-o, I-p, I-a-1, 1-b-1, 1-c-1, 1-d-1, 1-e-1, 1-f-1, I-g-1, 1-h-1, 1-i-1, or Formula II, reduce the open probability of RyRs and decrease the calcium current through such channels by increasing binding of calstabin (FKBP12 or calstabinl, and FKBP12.6, also known as the cardiac calstabin2) binding affinity. Therefore, the compounds of the invention are useful for the treatment and/or prevention of disorders and conditions associated with abnormal function of RyR receptors, particularly RyRl and RyR2 (with the ryanodine receptor 2 found predominantly in the heart), where such disorders and conditions are characterized by an increase in the open probability of, and in increase in the calcium current through, RyRs.
In accordance with the methods of the present invention, a "decrease" or "disorder" in the level of RyR-bound calstabin in cells of a subject refers to a detectable decrease, diminution or reduction in the level of RyR-bound calstabin in cells of the subject. Such a decrease is limited or prevented in cells of a subject when the decrease is in any way halted, hindered, impeded, obstructed or reduced by the administration of compounds of the
invention, such that the level of RyR-bound calstabin in cells of the subject is higher than it would otherwise be in the absence of the administered compound.
The level of RyR-bound calstabin in a subject is detected by standard assays and techniques, including those readily determined from the known art (e.g. , immunological techniques, hybridization analysis, immunoprecipitation, Western-blot analysis, fluorescence imaging techniques and/or radiation detection, etc.), as well as any assays and detection methods disclosed herein. For example, protein is isolated and purified from cells of a subject using standard methods known in the art, including, without limitation, extraction from the cells (e.g., with a detergent that solubilizes the protein) where necessary, followed by affinity purification on a column, chromatography (e.g., FTLC and HPLC), immunoprecipitation (with an antibody), and precipitation (e.g., with isopropanol and a reagent such as Trizol). Isolation and purification of the protein is followed by electrophoresis (e.g., on an SDS- polyacrylamide gel). A decrease in the level of RyR-bound calstabin in a subject, or the limiting or prevention thereof, is determined by comparing the amount of RyR-bound calstabin detected prior to the administration of JTV-519 or a compound of Formula I, I-a', I-a, I-b, I-c, I-d, I-e, I-f, I-g, I-h, I-i, I-j, I-k, 1-1, 1-m, I-n, I-o, I-p, I-a-1 , 1-b-1 , 1-c-1 , 1-d-1 , I-e-1 , I-f- 1 , 1-g-1 , I-h- 1 , I-i- 1 , or Formula II, (in accordance with methods described below) with the amount detected a suitable time after administration of the compound.
A decrease in the level of RyR-bound calstabin in cells of a subject is limited or prevented, for example, by inhibiting dissociation of calstabin and RyR in cells of the subject; by increasing binding between FKBP and RyR in cells of the subject; or by stabilizing the RyR-calstabin complex in cells of a subject. As used herein, the term "inhibiting dissociation" includes blocking, decreasing, inhibiting, limiting or preventing the physical dissociation or separation of an calstabin subunit from an RyR molecule in cells of the subject, and blocking, decreasing, inhibiting, limiting or preventing the physical dissociation or separation of an RyR molecule from an calstabin subunit in cells of the subject. As further used herein, the term "increasing binding" includes enhancing, increasing, or improving the ability of
phosphorylated RyR to associate physically with calstabin (e.g. , binding of approximately two fold or, approximately five fold, above the background binding of a negative control) in cells of the subject and enhancing, increasing or improving the ability of calstabin to associate physically with phosphorylated RyR (e.g., binding of approximately two fold, or,
approximately five fold, above the background binding of a negative control) in cells of the subject. Additionally, a decrease in the level of RyR-bound calstabin in cells of a subject is limited or prevented by directly decreasing the level of phosphorylated RyR in cells of the
subject or by indirectly decreasing the level of phosphorylated RyR in the cells (e.g., by targeting an enzyme (such as PKA) or another endogenous molecule that regulates or modulates the functions or levels of phosphorylated RyR in the cells). In one embodiment, the level of phosphorylated RyR in the cells is decreased by at least 10% in the method of the present invention. In another embodiment, the level of phosphorylated RyR is decreased by at least 20%.
The efficacy of compounds S I to S I 07 in increasing binding of calstabin to RyRs, as shown by their EC50 values, can be found in published PCT application WO 07/024717 and U.S. patent application 1 1/506,285, the entire contents of which are hereby incorporated by reference. The EC50 data were obtained using an calstabin2 rebinding assay to determine the amount of calstabin2 binding to PKA-phosphorylated RyR2 at various concentrations (0.5 - 1000 nM) of these compounds. The EC50 values were calculated using Michaelis-Menten curve fitting. These previous studies have shown that some of the rycal compounds have a higher biologic activity than JTV-519, a known modulator of RyRs, as evidenced by their significantly lower EC50 values, as compared to that of JTV-519, which has an EC50 value of about 150nM.
Methods of Synthesis
In general, the compounds of the present invention may be synthesized as described in published PCT application WO 07/024717 and U.S. patent application 1 1/506,285, the entire contents of which are hereby incorporated by reference.
In another embodiment, the present invention provides use of compounds of the following formula for preparing many of the compounds disclosed herein:
(Formula II)
wherein R=OR', SR', NR, alkyl, or halide and R = alkyl, aryl, or H, and wherein R can be at position 6, 7, 8, or 9 of the benzothiazepine ring. Various synthesis schemes are disclosed in application 12/263,435 the disclosure of which is expressly incorporated herein in its entirety by reference.
EXAMPLES
METHODS
Exercise wheel experiments and SI 07 treatment
Aged mice (23-26 months; C57BL/6) were obtained from the National Institute of Aging. Young mice (3-6 months, C57BL/6) served as the control group. At the beginning of each experiment, the animals were transferred to individual cages equipped with running wheels and exercise patterns were continuously recorded using a data acquisition system from Respironics. The mice were allowed to acclimate to the running wheels for a period of 7-9 days and randomized into two treatment groups. The first group received SI 07 (50 mg/kg/day) in the drinking water while the second group received water only. SI 07 (SI 07- HC1 FW 245.77) was synthesized as previously described (Bellinger et al, 2008; Lehnart et al, 2008; Wehrens et al, 2004). The structure and purity of S107 were confirmed by NMR, MS, and Elemental Analysis (Bellinger et al, 2008). The specificity of SI 07 was assessed by extensive testing of activities against a panel of >250 channels, receptors, phosphatases and kinases (Bellinger et al., 2008). Mice drank -8 ml/day (water bottle and body weight were recorded to monitor consumption) for a daily dose of S107 of -1.5 mg (-50 mg/kg/day). Mice were sacrificed using excess C02 followed by cervical dislocation and muscles were harvested for functional and biochemical analyses. Investigators performing all aspects of the studies were blinded to the treatment groups.
Generation of RyRl-S2844D mutant mice
A PCR fragment carrying the point mutation (RyRl-2844 S > D) was used to replace the WT sequence by conventional cloning methods (Fig. 14). The targeting vector was electroporated into ES cells derived from hybrid C57BL/6N x 129SvEv mice (Taconic), which, after selection, were implanted into blastocysts in C57BL/6N mice. Chimeras were crossed with C57BL/6N to generate the Fl . After confirmation of germ line transmission and crossing with Ella ere mice to excise the neomycin cassette, mice were backcrossed for more than six generations into the C57BL/6J strain. ES cell preparation and implantation were performed at inGenious Targeting Laboratory.
Ca2+ imaging using Fluo-4 AM in FDB muscle fibers
Single FDB fibers were obtained by enzymatic dissociation as previously described (Aydin et al., 2009). FDB muscles from both hind limbs were incubated for -2 hours at 37°C in -4 ml Dulbecco's Modified Eagles Medium (DMEM) containing 0.3% collagenase 1
(Sigma) and 10% fetal bovine serum. The muscles were transferred to a culture dish containing fresh DMEM (~4 ml) and gently triturated using a 1000 μΐ pipette until the muscles were dissociated. The cell suspension was stored in an incubator at 37°C/5% C02 until the start of the experiment.
FDB fibers were loaded with the fluorescent Ca2+ indicator Fluo-4 AM (5μΜ, Invitrogen/Molecular probes) for 15 min in room temperature (RT). The cells were allowed to attach to a laminin coated glass cover slip that formed the bottom of a perfusion chamber. The cells were then superfused with tyrode solution (in mM: NaCl 121, KC1 5.0, CaCl2 1.8, MgCl2 0.5, NaH2P04 0.4, NaHC03 24, EDTA 0.1, glucose 5.5; bubbled with 02/C02
(95/5%)). The fibers were triggered to tetanic contraction using electrical field stimulation (pulses of 0.5 ms at 70 Hz for a duration of 350 ms, at supra-threshold voltage) and Fluo-4 fluorescence was monitored using a confocal microscope system (Zeiss LSM 5 Live, 40x oil immersion lens, excitation wavelength was 488 nm and the emitted fluorescence was recorded between 495-525 nm). The use of the single excitation/emission dye fluo-4 necessitates normalizing to prestimulation values to negate possible differences in dye loading and excitation strength. As similar loading conditions and confocal configurations were used throughout, no differences in baseline fluorescence values were observed among the groups (young: 19.5 AU, (n=8); aged: 17.7 AU (n=20); aged + S107: 16.8 AU (n=16). Furthermore, the fiuo-4 accumulation rates in FDB fibers from young vs. aged mice were examined and no differences in the rate of dye uptake were found (young: 5.9 AU/min (n=3); aged: 6.3 AU/min (n=3)). After subtraction of background fluorescence, the change in fluorescent signal during the tetanus [peak-resting (AF)] was divided by the resting signal (AF/F0). All experiments were performed in RT (~20°C). The investigators were blinded to the genotype, age and treatment of subjects.
Calcium spark measurements
Following in situ contractile measurements, mice were euthanized and EDL muscles were dissected and stored in a HEPES-buffered physiological medium (in mM: 119 NaCl, 5 KC1, 1.25 CaCl2, 1 MgS04, 10 glucose, 1.1 mannitol, 10 HEPES, pH 7.4). Muscles were then rapidly placed in a dissecting chamber and the solution exchanged with a relaxing solution (in mM: 140 K-glutamate, 10 HEPES, 10 MgCl2, 0.1 EGTA, pH 7.0). Bundles of 5 to 10 EDL fibers were manually dissected, mounted as described previously (Lacampagne et al, 1998) and permeabilized in a relaxing solution containing 0.01% saponin for 30 s. After washing with saponin free solution, the solution was changed to an internal medium (in mM: 140 K-
glutamate, 5 Na2ATP, 10 glucose, 10 HEPES, 4.4 MgCl2, 1.1 EGTA, 0.3 CaCl2, Fluo-3 0.05 (pentapotassium salt, Invitrogen, USA), pH 7.0) for Ca2+ sparks acquisition as previously reported (Bellinger et al, 2009; Reiken et al, 2003; Ward et al, 2003).
Fluorescence images were acquired with a Zeiss LSM 5 Live confocal system (63 x oil immersion, NA=1.4) operated in line-scan mode (x vs. t, 1.5 ms/line, 3000 lines /scan) along the longitudinal axis of the fibers. Each location was scanned at most twice prior to moving the line location. Fluo-3 was excited with an Argon laser at 488 nm, and the emitted fluorescence was recorded between 495-555 nm. Image analysis was performed using custom made routines compiled in IDL (v7.1, ITT). Potential Ca2+ spark areas were empirically identified using an autodetection algorithm (Cheng et al., 1999). The mean F value for the image was calculated by summing and averaging the temporal F at each spatial location while ignoring potential spark areas. This F value was then used to create a AF/F image pixel by pixel. Statistical comparisons were performed using the ANOVA test with a significance level set at <0.05. The investigators were blinded to the genotype, age and treatment of subjects.
RyRl single-channel measurement
Muscle tissue from the young, aged and SI 07 groups was homogenized using a tissue miser (Fisher Scientific) at the highest speed for 1 min with 2 volumes of: 20 mM Tris- maleate (pH 7.4), 1 mM EDTA and protease inhibitors (Roche). Homogenate was centrifuged at 4,000 g for 15 min at 4°C and the following supernatant was centrifuged at 40,000 g for 30 min at 4°C. The final pellet, containing the SR fractions, was resuspended and aliquoted using the following solution: 250 mM sucrose, 10 mM MOPS (pH 7.4), 1 mM EDTA and protease inhibitors. Samples were frozen in liquid nitrogen and stored at -80°C.
SR vesicles containing RyRl were fused to planar lipid bilayers formed by painting a lipid mixture of phosphatidylethanolamine, phosphatidylcholine and phosphatidylserine (Avanti Polar Lipids) in a 5:3:2 ratio across a 200-μιη hole in polysulfonate cups (Warner Instruments) separating 2 chambers. The final concentration of lipids was 40 mg/ml dissolved in decane. Membrane thinning was assayed by applying a triangular wave test pulse. Typical capacitance values were 100-250 pF. The trans chamber (1.0 ml), representing the intra-SR (luminal) compartment, was connected to the head stage input of a bilayer voltage clamp amplifier. The cis chamber (1.0 ml), representing the cytoplasmic compartment, was held at virtual ground. The recording solutions consisted of: 1 mM EGTA, 250/125 mM Hepes/Tris, 50 mM KC1, 0.64 mM CaCl2, pH 7.35 as cis solution and 53 mM Ca(OH)2, 50 mM KC1 and
250 mM Hepes, pH 7.35 as trans solution. The concentration of free Ca2+ in the cis chamber was calculated with WinMaxC program (version 2.50). SR vesicles were added to the cis side and fusion with the lipid bilayer was induced by making the cis side hyperosmotic by the addition of 400-500 mM KC1. After the appearance of potassium and chloride channels, the cis side was perfused with the cis solution. Single-channel currents were recorded at 0 mV using a Bilayer Clamp BC-525C amplifier (Warner Instruments), and filtered with a low-pass Bessel filter eight pole (Warner Instruments) at 1 kHz and then sampled at 4 kHz. Data acquisition was performed by using Digidata 1322A and Axoscope 10 software (Axon Instruments). At the conclusion of each experiment, 5 μΜ ryanodine or 20 μΜ ruthenium red was applied to confirm RyR channel identity. The recordings were analyzed using the software Clampfit 10.1 (Molecular Devices) and Sigma Plot 8.0 (Systat Software).
Muscle function
EDL muscles were dissected from the hind limbs using micro dissection scissors and forceps. Stainless steel hooks were tied to the tendons of the muscles using nylon sutures. The muscle was thereafter mounted between a force transducer (Harvard aparatus) and an adjustable hook. The muscle preparation was immersed in a stimulation chamber containing 02/C02 (95/5%) bubbled Tyrode solution (in mM: NaCl 121, KC1 5.0, CaCl2 1.8, MgCl2 0.5, NaH2P04 0.4, NaHC03 24, EDTA 0.1, glucose 5.5). The muscle was stimulated to contraction via application of an electrical field between two platinum electrodes (Aurora Scientific) attached to the stimulation chamber. The control unit for the electrical field stimulation as well as the data acquisition system came from Aurora Scientific (Ontario, Canada).
Before the start of the experiment, the muscle length was adjusted to the length (L0) that yielded the maximum force. The force-frequency relationships were then determined by triggering contraction using incremental stimulation frequencies (EDL: 0.5 ms pulses at 2-150 Hz for 350 ms at supra-threshold voltage). Between each stimulation, the muscle was allowed to rest for ~1 minute. At the end of the force measurement, the length (L0) and weight of the muscle was measured, where after the muscle was snap frozen in liquid N2. To quantify the specific force, the absolute force was normalized to the muscle cross-sectional area, calculated as the muscle weight divided by the length and a muscle density constant of 1.056 kg/m3 (Yamada et al, 2009).
RyRl immunoprecipitation and immunoblotting
EDLs were isotonically lysed in 0.5 ml of a buffer containing 50 mM Tris-HCl (pH 7.4), 150 mM NaCl, 20 mM NaF, 1.0 mM Na3V04, and protease inhibitors. An anti-RyR antibody (4 μg 5029 Ab) was used to immunoprecipitate RyRl from 250 μg of tissue homogenate. The samples were incubated with the antibody in 0.5 ml of a modified RIPA buffer (50 mM Tris-HCl pH 7.4, 0.9% NaCl, 5.0 mM NaF, 1.0 mM Na3V04, 1% Triton- XI 00, and protease inhibitors) for 1 hr at 4°C. The immune complexes were incubated with protein A Sepharose beads (Sigma, St. Louis, MS) at 4°C for 1 hr and the beads were washed three times with buffer. Proteins were separated on SDS-PAGE gels (6% for RyRl, 15% for calstabinl) and transferred onto nitrocellulose membranes for 1 hr at 200 mA (SemiDry transfer blot, Bio-Rad). After incubation with blocking solution (LICOR Biosciences, Lincoln NE) to prevent non-specific antibody binding, immunoblots were developed with anti-RyR (Affinity Bioreagents, Bolder, CO 1 :2,000), anti-phospho-RyR2-pSer2809 (1 :5000), an anti- Cys-NO antibody (Sigma, St. Louis, MO, 1 :2,000), or an anti-calstabin antibody (1 :2,500). To determine channel oxidation, the carbonyl groups in the protein side chains within the immunoprecipitate are derivatized to 2,4- dinitrophenylhydrazone (DNP-hydrazone) by reaction with 2,4- dinitrophenylhydrazine (DNPH). The DNP signal associated with RyR is determined using an anti-DNP antibody. All immunoblots were developed and quantified using the Odyssey Infrared Imaging System (LICOR Biosystems, Lincoln, NE) and infrared- labeled secondary antibodies. For the in vitro oxidation and nitrosylation experiment, skeletal SR membranes (100 μg) were resuspended in 200 μΐ of buffer (10 mM Tris-HCl, pH 7.2 with complete protease inhibitors (Roche Applied Science)). The samples were treated with 1 mM H202 and/or 100 μΜ ΜΧΜ2 (l-Hudroxy-2-oxo-[N-ethyl-2-aminoethyl]-3-ethyl-l-triazen; A.G. Scientific, USA) for 30 min at room temperature. After the reaction is completed, RyRl was immunoprecipitated from the sample with an RyR antibody and the immunoprecipitates were analyzed for total RyRl, oxidized RyRl, and calstabinl associated with the channel complex as described.
Measurement of mitochondrial membrane potential
Enzymatically dissociated FDB fibers were incubated with the fluorescent indicator of mitochondrial membrane potential tetra-methylrhodamine ethyl ester (TMRE; 30 nM;
Invitrogen by Life Technologies/Molecular Probes, USA) for 20 minutes at room temperature. Cells were perfused with Tyrode solution (135 mM NaCl, 1 mM MgCl2, 4 mM KC1, 1 mM Glucose, 2 mM HEPES, 1.8 mM CaCl2). In some experiments cells were pre -incubated with
SI 07 (5 μΜ) for 2-4 hours at 37°C. Using a confocal laser scanning microscope (Zeiss LSM 5 Live, 40x oil immersion lens), TMRE fluorescence was exited at 532 nm laser light and the emitted signal was collected through a band pass filter (540-625 nm). Fluorescence changes in mitochondria-rich regions was followed over time and quantification was made using ImageJ. In each cell, at each time point, three different mitochondrial-rich regions were analyzed and averaged. Fluorescence measurements were normalized to the baseline fluorescence (F0) in the same cell at the start of the experiment. Statistical significance was tested using analysis of variance (two-way repeated measures ANOVA).
To test the effect of action potential-induced Ca2+ transients on mitochondrial membrane potential, muscle fibers were repeatedly stimulated with electrical pulses (0.5 ms duration, 1 Hz frequency at supravoltage threshold). To minimize movement artifacts, the muscle fibers were pre-incubated for 30 minutes with N-benzyl-/?-toluenesulphonamide (BTS; 25-125 μΜ; Toronto Research Chemicals, Canada) (Cheung et al, 2002). Stimulation was discontinued when the fibers were perfused with FCCP.
Ca2+ imaging using Rhod-2
Enzymatically dissociated FDB fibers were incubated with the fluorescent indicator Rhod-2/ AM (Invitrogen by Life Technologies/Molecular Probes, USA; 5 μΜ) for ~1 hour at room temperature. To confirm that Rhod-2 was taken up in the mitochondria, cell were simultaneously loaded with the fluorescent indicator Mitotracker green (Fig. 11); Invitrogen by Life Technologies/Molecular Probes, USA; 0.2 μΜ; 30 min room temperature). In mouse FDB fibers, the mitochondria are lined up along the sides of the z-lines. When Rhod-2 and Mitotracker Green are loaded into the mitochondria, a striated pattern of fluorescence is shown (Aydin et al, 2009; Lannergren et al, 2001). Cells were perfused with Tyrode solution and, when indicated, rapamycin (15 μΜ) containing Tyrode solution. In some experiments, cells were pre-incubated with SI 07 (5 μΜ) for 2-4 hours. Rhod-2 fluorescence was measured using a confocal microscope (Zeiss LSM 5 Live, 40x oil immersion lens) with excitation at 532 nm and the emitted signal collected through a band pass filter (540-625 nm). Mitotracker green was excited at 488 nm and the emitted fluorescence collected at >510 nm. ImageJ was used to quantify changes in Rhod-2 fluorescence in mitochondria rich areas (confirmed by overlapping Rhod-2 and mitotracker green signals). Statistical significance was tested using analysis of variance (ANOVA).
Reactive nitrogen species (RNS) detection
FDB fibers were incubated with 4-amino-5-methylamino-2',7'-difluorofluorescein diacetate (DAF-FM; 10 μΜ; Invitrogen by Life Technologies/Molecular Probes, USA), a pH- insensitive fluorescent dye that emits increased fluorescence after reaction with an active intermediate of NO (Durham et al., 2008), for 20 minutes at room temperature. Cells were perfused with Tyrode solution, incubated with Rapamycin, and perfused with the NO donor S-Nitroso-Nacetylpenicillamine (SNAP; 100 nM). DAF fluorescence was measured using a confocal microscope (Zeiss LSM 5 Live, 40x oil immersion lens) where the cells were excited at 488nm and the emitted signal was collected through a band pass filter (495-525 nm).
Images were analyzed using ImageJ.
Mitochondrial superoxide detection
FDB fibers were incubated for 20 min at room temperature with MitoSOX Red (Invitrogen/Molecular Probes, USA; 2.5 μΜ), a mitochondria-targeted fluorescent indicator for ROS (Aydin et al, 2009). Cells were perfused with Tyrode solution, incubated with Rapamycin (2.5 μΜ) and perfused with Antimycin A (10 μΜ) at the end of the experiment to cause an increase in mitochondrial superoxide production. Using a confocal microscope (Zeiss LSM 5 Live, 40 x oil immersion lens), MitoSOX-loaded cells were excited at 488 nm and the emitted signal was filtered through a band pass filter (540-625 nm).
Histology
The EDL samples were fixed with formalin, embedded in paraffin wax, and sliced at 5-um thickness. The sections were deparaffinized, stained with hematoxylin and eosin (HE staining, Sigma- Aldrich Co., St. Louis, MO) and observed using light microscopy. The images were captured using a SPOT RT slider camera (Diagnostic Instruments Inc., Sterling Heights, MI) and analyzed with ImageJ.
Transmission Electron Microscopy
EDL muscles were fixed in 2.5% glutaraldehyde in 0.1M Sorenson's buffer (PH 7.2) followed by one hour of postfixing with 1% Os04 in Sorenson's buffer. After dehydration the tissue samples were embedded in Lx-112 (Ladd Research Industries) and 60 nm sections were cut using an ultramicrotome (MT-7000). The sections were then stained with uranyl acetate and lead citrate and examined under an electron microscope (JEM- 1200 EXII, JEOL) and images were taken using an ORCA-HR digital camera (Hamamatsu) and recorded with an AMT Image Capture Engine.
Statistics
To determine statistical significance, student's t-test was used for comparison between two groups. For comparison between more than two groups analysis of variance (ANOVA) followed by the Bonferroni post hoc test was used. All pooled data are expressed as mean±SEM unless otherwise noted. All experiments were performed by blinded observers.
RESULTS
Detailed Description of Figures
Figures 1 A-H show impaired force development and reduced Ca2+ release in aged EDL muscle. In embodiments A and B are shown representative tetanic contractions of EDL muscle from young (A) and aged (B) mice (force normalized to cross-sectional area). In embodiment C are shown average force production over a range of stimulation frequencies in young and aged murine EDL muscles (mean, ±SEM, n = 5 (young), 7 (aged), P < 0.05 among groups at all stimulation frequencies). In embodiments D and E are shown representative normalized fluo-4 fluorescence in FDB muscle fibers during a 70 Hz tetanic stimulation. In embodiment F are shown peak Ca2+ responses in FDB fibers stimulated at 70 Hz (fibers taken from the same animals as in embodiments A and B; mean, ±SEM, n = 8 (young), 10 (aged), * P < 0.05). In embodiment G are shown immunoblots of immunoprecipitated RyRl from young and aged mice. In embodiment H are shown bar graphs showing average band densities from the immunoblots in embodiment G (mean, ±SEM, n = 2, ** P < 0.01, ***P < 0.001). DNP: 2,4-dinitrophenylhydrazone. P*RyRl : Phosphorylated RyRl (at serine 2844). See also Figures 8 and 2A.
Figures 2A-D show effects of SR Ca2+ leak on mitochondrial membrane potential, ROS and RNS production in skeletal muscle fibers. In embodiment A are shown rapamycin- induced increase in mitochondrial Ca2+ measured with the fluorescent indicator Rhod-2. The Rhod-2 signal was measured from three mitochondria rich regions in each cell (mitochondria rich regions were confirmed using mitotracker green, see Fig. 11) and normalized to baseline; *P < 0.05 indicates significant difference of the control rapamycin (N = 7) compared to SI 07 (N = 6) and control no rapamycin (N = 4) groups (ANOVA). In the SI 07 rapamycin group FDB fibers were incubated with SI 07 (5μΜ) for 2-4 hrs before starting the experiment. In embodiment B are shown changes in mitochondrial membrane potential (measured with TMRE fluorescence) with respect to different interventions. Arrow indicates onset of rapamycin (for groups control rapamycin and SI 07 rapamycin) or repetitive twitch stimulation
without rapamycin (twitching). The dashed line indicates application of FCCP (300 nM). * P < 0.05 indicates significant difference (ANOVA) among the groups control rapamycin (n = 5) and control no rapamycin (n = 3) or group twitching (n = 6) or SI 07 rapamycin (n = 5). In embodiment C are shown mitochondrial superoxide production in FDB fibers measured with MitoSOX Red. Arrow indicates when rapamycin was applied. The dashed line indicates application of Antimycin A (10 μΜ) as a positive control for superoxide production. Control rapamycin (n = 8), Control no rapamycin (n = 5), SI 07 rapamycin (n = 5). * P < 0.05 indicates significant difference between the control rapamycin group and no rapamycin or SI 07 groups (ANOVA). In embodiment D are shown the effect of rapamycin-induced Ca2+ leak on RNS production in FDB fibers measured with the RNS indicator DAF. Arrow indicates application of rapamycin. The NO donor S-nitroso-N-acetylpenicillamine (SNAP; 100 nM) was applied as a positive control at the end of each experiment (indicated by dashed line). Control rapamycin (n = 6), control no rapamycin (n = 6), SI 07 rapamycin (n = 5). *P < 0.05 indicates significant difference (ANOVA) for the control rapamycin group compared to the SI 07 and no rapamycin groups. All data are shown as mean ± SEM. See also Figure 11.
Figures 3A-G show improved exercise capacity, muscle specific force, and increased calstabinl in the RyRl complex following SI 07 treatment of aged mice. In embodiment A are shown daily voluntary running distance in aged mice ±S107 treatment (mean, ±SEM, n = 13 (S107), n = 14 (control), * P < 0.05 (ANOVA)). The arrow indicates start of the S107 treatment. In embodiment B are shown exercise intensity frequency distribution in aged and aged +S107 mice (exercise intensity is presented as running wheel revolutions per 5 min, i.e., the number of 5 -minute episodes in which the mice ran at a given speed). Graph shows exercise intensity spectrum. The insert shows the tail of the graph at expanded time scale. Note the increased number of high-speed episodes in SI 07 treated mice compared to control. In embodiments C and D are shown representative examples of 70 Hz tetanic contractions in isolated EDL muscles from aged and SI 07 treated aged mice. In embodiment E are shown average specific force in EDL muscles from the same mice as in embodiment D (mean ±SEM, n = 6 (young), 7 (aged), * P < 0.05, *** P < 0.001). In embodiment F are shown
immunoblots of immunoprecipitated RyRl from aged muscle (aged EDL muscles taken from the mice in embodiments A and E). In embodiment G are shown band intensities quantified from the immunoblot in embodiment F. The SI 07 regimen reduced depletion of calstabinl from the RyRl complex in skeletal muscle from aged mice (mean, ±SEM, n=3, ** P < 0.01, compared to young). See also Figures 8 and 9.
Figures 4A-E show SI 07 reduces SR Ca2+ leak resulting in enhanced tetanic SR Ca2+ release in skeletal muscle from aged mice. In embodiments A and B are shown representative Ca2+ transients Fluo-4 fluorescence in FDB muscle fibers during a 70Hz tetanic stimulation in mice that did not receive (A) or received SI 07 in the drinking water (B). In embodiment C are shown peak tetanic Ca2+ amplitudes in the two treatment groups (muscle fibers were taken from the same animals as in Figures 3A and B; mean, ±SEM, n = 10-13, ** P < 0.01). In embodiment D are shown are representative single channel current traces of skeletal RyRl channels isolated from young, aged, and aged + SI 07 treated mice. Single channel currents were measured at 150 nM cytosolic [Ca2+] using Ca2+ as a charge carrier at 0 mV. Channel openings are shown as upward deflections; the closed (c-) state of the channel is indicated by horizontal bars in the beginning of each trace. Representative line tracings over three minutes of recording for each condition showing channel activity at two time scales (5 s in upper trace and 500 ms in lower trace) as indicated by dimension bars, and the respective Po, To (average open time) and Tc (average closed time) are shown above each 5 s trace. The activity of the channel indicated by the thick black bar is shown on the expanded time scale (the 500 ms trace below). In embodiment E is shown bar graph summarizing Po at 150 nM cytosolic [Ca2+] in young (n = 4), aged (n = 5), and aged + SI 07 treated (n = 5) channels (mean, ±SEM, * < 0.05 (ANOVA)).
Figures 5A and B show elevated Ca2+ spark frequency is reversed by SI 07 in EDL muscle from aged WT mice and RyRl-S2844D mice but not in calstabinl KO mice. In embodiment A are shown line scans of Fluo-4 fluorescence from permeablized EDL muscle fibers (young: upper panel; aged: middle panel; aged +S107: lower panel) showing Ca2+ spark activity. The heat diagram indicates the normalized change in fluorescence intensity (AF/F0). In embodiment B are shown bar graph showing average Ca2+ spark frequency (the number of sparks examined were: 1219 in the young mice, n = 530 line scans from 32 fibers and 6 animals; 7389 in the vehicle-treated aged mice, n = 505 line scans from 30 fibers and 6 animals; 3713 in aged mice treated with S107, n = 414 line scans from 25 fibers and 5 animals; 673 in the untreated RyRl-S2844D mice, n = 240 line scans from 15 fibers and 3 animals; 2405 in S107 treated RyRl-S2844D mice, n = 210 line scans from 14 cells and 3 animals; mean, ± SEM, *** P< 0.001 (ANOVA).
Figures 6A-H show that improved muscle function and exercise capacity following SI 07 treatment of aged mice requires calstabinl . In embodiment A are shown immunoblot of immunoprecipitated RyRl from WT, 1 month old (1 m), 6 month old (6 m) RyRl-S2844D mice and 6 month old (6 m) RyRl-S2844D mice that was treated with SI 07. In embodiment
B are shown quantification of band intensities in embodiment A (mean ± SEM, n = 3, ** P < 0.01 compared to WT, ## P < 0.01 compared to S2844D 1 m, ANOVA). RyRl from RyRl- S2844D mice are progressively oxidized (DNP) and depleted of calstabinl with age. In embodiment C are shown EDL muscle force-frequency curves in 6 month old RyRl-S2844D mice and young WT mice (from the same animals as in embodiment A). SI 07 treatment (4 weeks) significantly increased muscle force in the RyRl-S2844D mice (mean ± SEM). In embodiment D are shown peak Ca2+ transient amplitudes at 70 Hz tetanic stimulation [peak Fluo-4 fluorescence (F) was normalized to resting fluorescence (F0), AF/F0]. In embodiment E are shown EDL muscle from muscle-specific calstabinl KO mice produce significantly less force compared to young WT. SI 07 treatment (4 weeks) did not restore EDL muscle force in muscle-specific calstabinl KO mice. In embodiment F are shown daily voluntary running distance in young WT mice with or without SI 07 treatment and in muscle-specific calstabinl KO mice with or without SI 07 treatment (mean, ± SEM; * P < 0.05 (ANOVA). The arrow indicates start of the SI 07 treatment. In embodiment G are shown immunoblot of immunoprecipitated muscle RyRl from young WT, aged (18 month) WT, young transgenic mice with mitochondrial targeted overexpression of catalase (MCAT) and aged (18 month) MCAT mice. In embodiment H are shown quantification of band intensities in embodiment G (mean ± SEM, n= 4 all groups; *** P < 0.001, ## P < 0.01 compared to aged WT
(ANOVA)). The pooled data in the figure are mean ± SEM; * P < 0.05, *** P < 0.001 (ANOVA). See also Figure 9.
Figures 7A-E show model of RyRl -mediated SR Ca2+ leak and mitochondrial dysfunction in aging skeletal muscle. In embodiment A are shown sarcoplasmic reticulum (SR) Ca2+ leak due to oxidation-dependent modifications of RyRl exacerbates mitochondrial dysfunction and production of reactive oxygen species (ROS). This causes remodeling of RyRl resulting in SR Ca2+ leak, which impairs muscle force production. In embodiments B and C are shown the RyRl from young mice are not "leaky", the SR Ca2+ stores are filled and activation of the myocyte leads to SR Ca2+ release which triggers muscle contraction. In embodiments D and E are shown in aging, ROS and reactive nitrogen species (RNS)- mediated remodeling of RyRl results in dissociation of the RyRl stabilizing subunit calstabinl and SR Ca2+ leak. Under these conditions, muscle activation will lead to reduced SR Ca2+ release and impaired muscle force. Ryanodine receptor type 1 : RyRl; Reactive oxygen species: ROS; Sarcoplasmic reticulum: SR; Mitochondrial [Ca2+]: [Ca2+]m; and Mitochondrial membrane potential: ΑΨ^
Figures 8A and B show oxidative stress in muscle from aged WT mice and muscle- specific calstabinl KO mice and effects of treatment with SI 07. In embodiment A are shown DCF fluorescence measured in FDB fibers from young (n=16), aged (n=17), aged + SI 07 (n=l l), calstabinl KO (n=4) and muscle-specific calstabinl KO + S107 (n=7). In
embodiment B are shown DCF fluorescence when normalized to the fluorescence at 10 min in presence of H202 (100 μΜ). Figures show mean ± SEM, statistical significance for both panels were obtained by an ANOVA (* P < 0.05, ** P < 0.01, *** P <0.001).
Figures 9A-F show RyRl from aged rat skeletal muscle are cysteine-nitrosylated, oxidized and depleted of calstabinl . In embodiment A are shown immunoblots of
immunoprecipitated RyRl from 3, 12 and 24 months old rats. In embodiment B are shown bar graph showing band intensities quantified from the immunoblots in embodiment A (mean ± SEM; n = 2 per group). In embodiments C and D are shown oxidation and nitrosylation of RyRl in aged WT, RyRl-S2844D and call deficient muscle and effects of S107 treatment. In embodiment C are shown immunoblot of muscle RyRl from young and aged WT + / - SI 07, RyR-S2844D (S2844D) + / - S107, calstabinl KO (Call ko) + / - S107. In embodiment D are shown quantification of band densities in embodiment C (mean ± SEM; n = 3 per group). In embodiments E and F are shown in vitro oxidation (H202) and nitrosylation (using the NO donor Noc-12) of skeletal muscle SR microsomes leads to calstabinl depletion. In
embodiment E are shown immunoblot of muscle RyRl from young WT +/- in vitro treatment with H202 and Noc-12 by individually or in combination. In embodiment F are shown quantification of band densities in embodiment E (mean ± SEM; n = 4 per group).
Figures 10A-E show electron microscopy of EDL muscle. In embodiment A are shown representative image depicting morphologically normal mitochondria in EDL muscle from a young WT mouse. In embodiments B-D are shown representative images of EDL muscle from aged (B), RyRl-2844D (C), and calstabinl deficient (D) mice. In embodiment E are shown fraction of mitochondria with abnormal morphology (for each group, the number of normal and abnormal mitochondria were counted from two mice and five muscle fibers). Data is presented as mean ± SEM; *** P < 0.001. Arrows indicate mitochondria with abnormal morphology. Scale bar indicates 500 nm.
Figures 11A-E show mitochondrial uptake of the Ca2+ indicator Rhod-2 AM in FDB muscle fiber. In embodiments A and B are shown images of an FDB muscle fiber loaded with the fluorescent indicators Rhod-2 (A) and Mitotracker Green (B). In murine FDB fibers, the mitochondria are lined up along the sides of the z-lines. When the fluorescent indicators are loaded into the mitochondria, a striated pattern is seen. In embodiment C are shown overlap
between the Ca2+ indicator Rhod-2 and the mitochondrial marker Mitotracker Green. The scale bar indicates 10 μΜ. In embodiment D are shown FK506-induced decrease in mitochondrial membrane potential. The arrow indicates onset of FK506 (50 μΜ) treatment. The dashed line indicates application of FCCP (300 nM). Data in embodiment D are shown as mean ± SEM. *P < 0.05 indicates significant difference (A OVA) between the two groups control no FK506 (n = 4) and FK506 (n = 4). In embodiment E are shown mitochondrial membrane potential measured using TMRE fluorescence in FDB fibers from muscle-specific calstabinl KO mice. Application of rapamycin (Rap; 15 μΜ) did not induce any change in TMRE fluorescence. At the end of each experiment, the mitochondrial uncoupler FCCP was applied as a positive control. Data in embodiment E are shown as mean ± SEM; n = 4.
Figure 12 shows EDL muscle fiber cross-sectional area in aged mice is not altered by 4 weeks of SI 07 treatment. Representative images of hematoxylin and eosin stained EDL muscle cross-sections from young (top image), aged (middle image) and aged +S107 (bottom image) mice. The bar graph shows average fiber cross-sectional areas (mean, ± SEM; n = 309 (young), n = 282 (aged), n = 317 (aged + SI 07); ns = non-significant, ** P < 0.01 (ANOVA)). Samples came from 2 separate mice for each group. Scale bar indicates 100 μιη.
Figures 13A-C show increased open probability of RyRl-S2844D channels. In embodiments A and B are shown representative single channel current traces of RyRl -WT (A) and RyRl-S2844D (B) channels measured at 150 nM and 350 nM cytosolic [Ca2+].
Channel openings are shown as upward deflections; the closed (c -) state of the channel is indicated by horizontal bars in the beginning of each tracing. Example of channel activity is shown at two different time scales (5 s for the upper trace and 500 ms for the lower trace) as indicated by dimension bars, and the Po, To (average open time) and Tc (average closed time) are shown above each 5s trace. An amplitude histogram is shown on the right side of each representative single channel trace to illustrate two to three distinct peaks corresponding to fully open (~4 pA), subconductance (~2 pA) and closed (~0 pA) states of the channel.
Inhibition by 5 μιηοΙ/L (μΜ) ryanodine showing typical sub-conductance state is illustrated for each channel at the two different time scales. In embodiment C are shown bar graph summarizing single channel Po in RyRl-WT (n = 4; empty bars) and RyRl-S2844D (n = 4; striped bars) at 150 and 350 nM cytosolic [Ca2 ]. Data is presented as meant SEM; * P < 0.05.
Figures 14A-C show strategy used to generate RyRl-S2844D mice. In embodiment A are shown targeted mutagenesis of RyRl Exon 53, the Loxp-Fret-Neo cassette was placed upstream of the point mutation in intron 52-53. In embodiment B are shown homologous
recombination of the mutant RyRl-S2844D allele in ES cells and chimeric mice. In embodiment C are shown Cre mediated excision of the floxed neo cassette resulted in RyRl- S2844D knock-in mice.
Studies with SI 07
Oxidation-dependent remodeling of RyRl and defective SR Ca2+ release in aged muscle
EDL muscles from aged (24-month old) C57BL/6 mice were analyzed to explore the potential role of RyRl dysfunction in aging skeletal muscle. EDL muscles from aged mice were found to exhibit reduced specific force compared to EDL muscles from young (3-6 month old) controls (mean specific force at 70 Hz tetanic contraction ± SEM: aged, 251 ± 21 kNm"2, vs. young, 388 ± 14 kNm"2; n = 5 (aged), 7 (young), P < 0.001; Fig. 1A-C). Isolated fast twitch muscle FDB fibers from aged mice also exhibited significantly reduced tetanic Ca2+ transients compared to FDB fibers from young mice (mean AF/F0 at 70 Hz tetanic contraction ± SEM: aged, 4.4 ± 0.6, vs. young, 6.8 ±0.9; n = 8 aged, 10 young, P < 0.05; Fig. 1D-F).
ROS were measured in FDB fibers using a cell permeant form of the fluorescent indicator 20,70-dichlorodihydrofluorescein diacetate, acetyl ester (DCF) (Aydin et al, 2009; Durham et al., 2008). Muscle fibers from aged mice exhibited oxidative stress with significantly increased levels of DCF fluorescence compared to fibers from young adult mice (Fig. 8A, B). To determine whether the observed reductions in muscle specific force and tetanic Ca2+ release were associated with oxidation-dependent remodeling of the RyRl macromolecular complexes, RyRl from aged and young adult murine muscles were immunoprecipitated and immunoblotted for components of the RyRl complex (Bellinger et al., 2009). Skeletal muscle RyRl complexes from aged mice exhibited significantly increased nitrosylation and oxidation, and depletion of calstabinl, compared to channels from young adult mice (Fig. 1G, H). Similar remodeling of the RyRl complex was observed in skeletal muscles from 24-month old rats (Fig. 9A, B). Aging is known to be associated with oxidative stress and mitochondrial abnormalities (Haigis and Yankner, 2010). EDL muscle from 24- month old WT mice examined by electron microscopy exhibited a significant increase in mitochondria with disorganized or absent cristae compared to EDL muscle from young adult mice (Fig. 10A, B, E).
RyRl Ca2+ leak causes mitochondrial dysfunction in skeletal muscle
Transient increases of mitochondrial [Ca2+] enhance ATP production, whereas prolonged and excessively elevated mitochondrial [Ca2+] impair mitochondrial function due to dissipation of the mitochondrial membrane potential (A*Fm) and increased ROS production (Brookes et al., 2004; Duchen, 2000). To test whether RyRl mediated SR Ca2+ leak can lead to mitochondrial dysfunction, changes in mitochondrial/cytosol [Ca2+] and mitochondrial membrane potential in FDB muscle fibers were measured in the presence of rapamycin (15 μΜ), which causes SR Ca2+ leak by disrupting RyRl-calstabinl interactions (Ahern et al., 1997; Brillantes et al, 1994). FDB fibers loaded with Rhod-2 were used to measure mitochondrial Ca2+ (Aydin et al, 2009; Bruton et al., 2003). Fibers were co-stained with Mitotracker Green to confirm that Rhod-2 was loaded into mitochondria (Fig. 11 A-C).
Rapamycin treatment caused a time-dependent increase in the Rhod-2 signal, indicating Ca2+ accumulation in the mitochondria (Fig. 2A). Next, mitochondrial membrane potential in FDB fibers were measured using the fluorescent indicator tetra-metyl rhodamine ethyl ester (TMRE) (Aydin et al, 2009; Duchen, 2004; Nagy et al, 2011). Rapamycin induced a progressive reduction in the TMRE signal (Fig. 2B). At the end of each experiment, an uncoupler of the mitochondrial membrane potential (carbonyl cyanide
p-trifluoromethoxyphenylhydrazone; FCCP) was added to the muscle fiber resulting in a further reduction in TMRE fluorescence (Fig. 2B). Rapamycin has other activities in addition to disrupting RyRl-calstabinl interactions such as inhibition of mTOR signaling. FK506 similarly depletes calstabinl from RyRl channels, but does not inhibit mTOR (Brillantes et al., 1994) and caused a reduction in the TMRE signal similar to rapamycin (Fig. 1 ID).
Moreover, rapamycin had no effect on mitochondrial membrane potential in FDB muscles from mice with a skeletal muscle targeted deficiency in FKBP12 (calstabinl) (Tang et al., 2004) (Fig. 1 IE). Together, these results indicate that inhibiting RyRl-calstabinl binding leads to Ca2+ leak and mitochondrial dysfunction. Mitochondrial dysfunction is typically associated with increased ROS production. The fluorescent indicator MitoSOX Red was used to measure mitochondrial superoxide (02 ") production (Aydin et al., 2009). Rapamycin caused an increase in the MitoSOX Red signal (control: 114=1=6%, N = 5, rapamycin: 171±8%, N = 10, P < 0.01; Figure 2C). At the end of each experiment the electron transport chain inhibitor Antimycin A (10 μΜ) was applied as a positive control (Mukhopadhyay et al., 2007). Ca2+ leak and ROS production in muscle are associated with increased reactive nitrogen species (RNS) (Durham et al., 2008) and increased nitrosylation of the RyRl was
observed in skeletal muscle from aged mice (Fig. 1G). FDB fibers were loaded with the fluorescent RNS indicator DAF-FM (DAF) to examine the effects of leaky RyRl on RNS production. In the presence of rapamycin, DAF fluorescence increased significantly compared to untreated controls (rapamycin: 121±3%, baseline: 102±5%, P < 0.001, N=6; Fig. 2D), consistent with increased RNS production. Taken together, the results indicate that acute induction of RyRl -mediated SR Ca2+ leak leads to defective mitochondrial function associated with elevated ROS and RNS production.
It has been shown that SI 07 inhibits SR Ca2+ leak by reducing the stress-induced depletion of calstabin from the RyR channel complex (Andersson and Marks, 2010; Bellinger et al., 2009; Lehnart et al., 2008). Experiments were conducted to determine whether the rapamycin-induced Ca2+ leak and the consequent detrimental effects on mitochondrial membrane potential could be prevented by treatment with SI 07. FDB fibers from young WT mice were incubated with SI 07 (5 μΜ) for 2-3 hours before the start of the experiment (Shan et al., 2010). The rapamycin-induced increase in Rhod-2 fluorescence as well as the loss of mitochondrial membrane potential and increase in MitoSOX Red and DAF signals were prevented by SI 07 (Fig. 2A-D) while intermittent twitch stimulation of the FDB fibers (which causes large but transient increases in cytoplasmic [Ca2+]) did not alter the mitochondrial membrane potential (Fig. 2B). These data indicate that pathologic SR Ca2+ leak, but not action potential-mediated SR Ca2+ release, have detrimental effects on mitochondrial function and that the effects of pathologic Ca2+-leak on mitochondrial membrane potential could be prevented by SI 07 treatment.
Inhibiting RyRl Ca2+ leak improves muscle force and exercise capacity.
Aged mice were housed individually in cages equipped with running wheels, and voluntary running time and distance were continuously recorded. Half of the aged mice (n = 13) were supplied with SI 07 (-50 mg/kg/d) in their drinking water for a 4-week period, while the other half (n = 14) served as the control group. Water consumption was not different between the SI 07 and vehicle groups (average daily consumption in ml, aged + SI 07, 8.4 ± 0.63; aged, 7.9 ± 0.4; ± SEM, P = NS). The S107 treated mice exhibited significantly increased running distance (aged + SI 07, 94 ± 14 km; aged, 57 ± 7 km; mean total distance in 4 weeks, ±SEM, P < 0.05; Fig. 3A) and average speed (S107, 155 ± 20 m/h; vehicle, 88 ± 11 m/h; mean speed over the entire treatment period, ± SEM, P < 0.01). Moreover, the S107 treated mice exhibited more episodes at higher running speeds (Fig. 3B). Thus, S107-treated
aged mice exhibited increased exercise capacity and exercised at higher intensity levels compared to controls.
When the muscle force production was measured in SI 07 treated aged mice, there was a significant increase in specific force at all stimulation frequencies in the EDL muscles from the SI 07 treated mice (mean force at 70 Hz tetanic contraction ± SEM: aged, 201 ± 21 kNm-2, aged + SI 07, 320 ± 19 kNm"2; P < 0.001; Fig. 3C-E). The average tetanic forces for EDL muscles from untreated aged mice at 70 Hz in the experiments shown in Figs. 1 and 3 were not significantly different (aged mice Fig. 1 : 250 ± 21 kN/m2, N = 5; aged mice Fig. 3: 196 ± 19 kN/m2, N = 6; P =NS; T-test). The cross-sectional area of EDL muscle fibers from aged mice were slightly smaller compared to young mice (Fig. 12). There was no difference in the fiber size between SI 07 treated versus untreated aged mice (Fig. 12). Furthermore, EDL muscle mass was not different between the SI 07 and vehicle treated aged mice (aged + SI 07, 12.7 ± 0.6 mg; aged, 13.8 ± 0.6 mg; P = 0.22). EDL muscles used in the force measurements were also analyzed for post-translational modifications of RyRl . There were no differences in the levels of nitrosylation, oxidation or PKA phosphorylation of RyRl from muscles from mice treated with SI 07 vs. control (Fig. 3F, G). This suggests that the oxidative protein modifications are irreversible, as has been reported (Palmese et al., 2011), and protein nitrosylation may have a half-life longer than the 4 weeks of SI 07 treatment, which has also been reported (Hess et al, 2005). Muscles from the SI 07 treated mice did, however, show significantly more calstabinl in the RyRl complexes compared to skeletal muscle from control mice (Fig. 3F, G).
To determine whether the improvement in exercise and muscle specific force were associated with improved SR Ca2+ release, Ca2+ responses to tetanic stimulation were recorded in FDB myocytes from SI 07 treated and control mice. Tetanic Ca2+ transients were significantly increased in FDB myocytes from SI 07 treated mice compared to those from the control group (mean AF/F0 at 70 Hz tetanic contraction ± SEM: aged, 3.7 ± 0.3; S107, 5.9 ± 0.5; n = 13, P < 0.01; Fig. 4A-C). Thus, the improved tetanic SR Ca2+ release in muscles from SI 07 treated aged mice accounts for the observed increase in muscle force production (Fig. 3C-E). To assess the effects of SI 07 treatment on the single-channel properties of isolated skeletal muscle RyRl channels, SR membranes were prepared from EDL muscles and fused to planar lipid membrane bilayers and Ca2+ fluxes through RyRl channels were recorded as previously described (Brillantes et al, 1994) using conditions that simulate resting muscle (150 nM Ca2+ on the cis, "cytosolic" side of the channel). The open probability (Po) of skeletal muscle RyRl channels from young mice was low, as expected for normal skeletal
muscle RyRl channels (Fig. 4D, E). In contrast, skeletal muscle RyRl channels from the aged mice exhibited a significantly increased Po, whereas channels from SI 07 treated aged mice displayed normal, low Po (Fig. 4D, E). Taken together, these data suggest that SI 07 treatment improves exercise capacity in aged mice by reducing the loss of calstabinl from the channel complexes, and restoring normal (non-leaky) channel function which in turn results in improved tetanic Ca2+ and muscle specific force production.
To test whether the RyRl channels in aged muscle are leaky, spontaneous releases of SR Ca2+, i.e., Ca2+ sparks, were recorded (Bellinger et al, 2009; Shirokova and Niggli, 2008; Ward et al, 2003), in permeabilized EDL muscle fiber bundles from SI 07 treated and muscles from untreated adult and aged mice. Ca2+ spark frequency was significantly increased in muscle fibers from aged mice, compared to young mice, when examined under identical conditions by blinded observers (Fig. 5 A, B). Furthermore, SI 07 treatment in vivo resulted in significantly reduced Ca2+ spark frequencies in EDL muscle from aged mice (Fig. 5A, B). Thus, both the increased Ca2+ spark frequency and RyRl Po in muscle from the aged mice support a model in which leaky RyRl channels are associated with defective SR Ca2+ release and reduced muscle force production. These defects can be reversed using SI 07 which inhibits the RyRl -mediated SR Ca2+ leak by preventing depletion of the calstabinl subunit from the channel complex, resulting in stabilization of the closed state of the channel in resting muscle (Brillantes et al., 1994).
S107 requires calstabinl to reduce Ca2+ leak and improve muscle function
Extreme exercise and heart failure are both associated with "leaky" RyRl due to phosphorylation of RyRl at serine 2844 resulting in skeletal muscle weakness (Bellinger et al., 2008; Reiken et al., 2003). To further test whether "leaky" RyRl can cause muscle weakness, a knock-in mouse model with a "leaky" RyRl due to substitution of aspartic acid for serine 2844 (RyRl-S2844D mouse) was developed. Compared to WT muscles, EDL muscles from 6-month-old RyRl-S2844D mice displayed increased Ca2+ spark frequency (Figure 5B) and increased single RyRl channel open probability under resting conditions (Fig. 13A-C). These abnormalities observed in muscle from 6-month-old RyRl-S2844D mice were comparable to those observed in 24-month old WT muscle, consistent with "leaky" RyRl . RyRl from RyRl-S2844D mice were progressively oxidized, nitrosylated and depleted of calstabinl by 6 months of age (Fig. 6A, B), again comparable to changes observed in RyRl complexes from 24-month old WT mice. EDL muscles from the RyRl-S2844D mouse exhibited a significant increase in mitochondria with abnormal morphology (Fig. IOC, E).
Muscle specific force and action potential-triggered Ca2+ transient amplitudes were reduced in the 6-month-old RyRl-S2844D mice compared to WT mice (Fig. 6C, D). Four weeks of SI 07 treatment in vivo reduced the elevated Ca2+ spark frequency (Fig. 5B) and improved muscle force in 6-month-old RyRl-S2844D mice, both to levels comparable to those observed in muscle from young WT mice (Fig. 6C).
In summary, the SR Ca2+ leak and impaired muscle force production observed in skeletal muscle from 6-month old RyRl-S2844D mice were comparable to those found in 24-month old WT muscle.
To further test whether the beneficial effects of SI 07 in aged mice can be attributed to the restored RyRl-calstabinl binding with the consequent reduction in SR Ca2+ leak, muscle specific calstabinl deficient (calstabinl KO) mice were treated with SI 07. In agreement with the results from Tang et al (Tang et al., 2004), muscle specific calstabinl KO mice were found to exhibit reduced EDL muscle specific force (Fig. 6E) compared to WT mice. Calstabinl KO muscles had a "leaky RyRl " phenotype as indicated by enhanced frequency of Ca2+ sparks compared to young WT muscle (Fig. 5B). Electron microscopy of EDL muscle from the muscle specific calstabinl KO mouse revealed a significant increase in mitochondria with abnormal morphology (Fig. 10D, E). Muscle specific calstabinl KO FDB muscle fibers loaded with the ROS indicator DCF had increased fluorescence compared to the young WT, consistent with oxidative stress (Fig. 8). However, SI 07 treatment, which reduced DCF fluorescence in aged WT mice, did not alter the DCF signal in muscle specific calstabinl KO muscle, suggesting that the ability of SI 07 to reduce SR Ca2+ leak and oxidative stress requires calstabinl (Fig. 8). Consistent with a reduction in muscle specific force, action potential triggered Ca2+ release measured in Fluo-4 loaded FDB fibers from muscle specific calstabinl KO mice exhibited reduced Ca2+ transient amplitudes compared to young WT (Fig. 6D). Moreover, exercise capacity was reduced in the calstabinl KO mice compared to WT (Fig. 6E). Treatment with SI 07 in the drinking water (~50 mg/kg/d) for 4 weeks did not restore specific force, Ca2+ transient amplitudes, Ca2+ spark frequency or the DCF signal in calstabinl KO muscle (Figs. 5B, 6D, 6F, 8A and 8B). Furthermore, exercise capacity in young WT or calstabinl KO mice was not improved by SI 07 treatment (Fig. 6F). Taken together, these data indicate that the beneficial effects of SI 07 on Ca2+ handling and muscle function observed in both aged mice and in RyRl-S2844D mice require calstabinl in skeletal muscle. Moreover, RyRl from calstabinl KO mice were oxidized and nitrosylated (Fig. 9C, D). This suggests that ROS, produced downstream of the SR Ca2+ leak, feeds back to the RyRl where it causes oxidative modifications.
To directly test the hypothesis that mitochondrial-derived ROS causes age-dependent RyRl oxidation, RyRl oxidation was measured in muscles from young (3 month) and aged (18 month) transgenic mice with mitochondrial targeted overexpression of catalase (MCAT) (Lee et al, 2010; Schriner et al, 2005). RyRl oxidation was substantially reduced, nitrosylation slightly reduced and calstabinl binding was preserved in samples from aged MCAT mice compared to age-matched WT controls (Fig. 6G, H). SR microsomes from WT muscle were treated with oxidizing (H202) and nitrosylating (Noc-12) compounds alone and in combination to examine the effects of these modifications in more detail. Either nitrosylation or oxidation of the RyRl led to partial depletion of calstabinl, whereas a combination of these two post-translational modifications led to more extensive depletion (Fig. 9E, F). Thus, oxidation and nitrosylation of RyRl appear to work additively with respect to calstabinl depletion.
Taken together, these results show that restoring RyRl -calstabinl binding and Ca2+ release in skeletal muscle by treatment with rycals, such as SI 07, reverses muscle weakness and improves exercise capacity in aged mice.
DISCUSSION
Senescent decline in muscle function is not restricted to mammals as the nematode C. elegans also develops a sarcopenia-like phenotype and impaired locomotion with age. Loss of muscular strength in aging is highly predictive of all-cause mortality in humans. Interestingly, this is also true for C. elegans, where the degree of locomotor dysfunction is a lifespan predictor. Thus, muscle dysfunction seems to be a central aspect of the aging process and studying pathogenic processes of sarcopenia might, therefore, provide clues as to the mechanisms of aging in general. The present study shows that stress induced depletion of the stabilizing subunit calstabinl from the RyRl - channel complex and impaired SR Ca2+ release are underlying features of contractile dysfunction in aged mice. Considering that RyR isoforms are expressed in a wide range of cell types, including cardiac and neuronal tissue, it suggests that the presence of maladapted RyR-mediated Ca2+ signaling might provide a mechanistic background for aging phenotypes in other organs.
The present study shows that oxidized RyRl in muscle from aged mice are depleted of calstabinl resulting in leaky channels, reduced tetanic Ca2+, decreased muscle specific force and impaired exercise capacity. To confirm that "leaky" RyRl can cause the defects in function observed in aged muscle, a "leaky RyRl" model (RyRl-S2844D mice) was generated and muscle specific calstabinl deficient mice was also used. Both strains
prematurely develop a skeletal muscle phenotype similar to that observed in 24 month old WT mice. Moreover, rycal SI 07 which preserves RyRl-calstabinl binding and stabilizes RyRl channels, reduced Ca2+ spark frequency, improved tetanic Ca2+ release, restored muscle specific force and improved exercise capacity in aged WT mice. The fact that SI 07 had no beneficial effects in muscle specific calstabinl KO mice indicates that the mechanism of action of the drug involves calstabinl .
The present study is consistent with previous reports showing impaired Ca2+ release in aged muscle (Jimenez-Moreno et al, 2008), reduced SR Ca2+ release in SR vesicles (Russ et al, 2010) and reduced caffeine-induced release of the SR Ca2+ store (Romero-Suarez et al, 2010). In addition to the pathologic SR Ca2+ leak via remodeled RyRl found in the present study, other defects such as uncoupling between the voltage sensor and RyRl (Jimenez- Moreno et al., 2008) may also contribute to muscle weakness in aging. Mitochondria are the primary source of superoxide (02 ") and, in the presence of NO, 02 " facilitates the production of reactive nitrogen species (RNS) and protein nitrosylation (Szabo et al., 2007). Skeletal muscle RyRl is sensitive to redox changes (Xia et al, 2000) and it has previously been shown that leaky RyRl in muscular dystrophy and in muscle fatigue after extreme exercise are cysteine-nitrosylated and depleted of calstabinl . The present study shows that the skeletal muscle RyRl from aged mice are oxidized and nitrosylated.
Moreover, the leaky RyRl from RyRl-S2844D mice become progressively oxidized with age. Furthermore, acute induction of SR Ca2+ leak by rapamycin or FK506 or using muscle specific calstabinl deficient mice, increased ROS and RNS production. Taken together, these findings suggest that SR Ca2+ leak may exacerbate mitochondrial dysfunction by causing mitochondrial Ca2+ overload which in turn leads to increased RNS and ROS production. The increase in oxidative stress would further promote RyRl leak by further oxidizing the channel and depleting it of the stabilizing subunit calstabinl . The 4-week SI 07 treatment partially reduced oxidative stress in the aged muscle (Fig. 8) but did not reduce oxidation or cysteine-nitrosylation of the RyRl . Oxidation-dependent carbonyl modifications of proteins have been reported to be irreversible (Palmese et al., 2011). Thus, inhibiting SR Ca2+ leak would decrease additional oxidation of the RyRl but would not necessarily reverse the oxidation of RyRl . SNO protein modification is critically dependent on local production of NO, e.g., by NO synthases (NOS). The stability of SNO protein modifications is highly variable and can be influenced by multiple factors, such as the protein topology, redox state and pH in the vicinity of the affected protein (Hess et al., 2005). Moreover, while the effects
of Ca2+ overload on mitochondrial dysfunction and increased ROS production are multifactorial, some of them are believed to be irreversible (Feissner et al., 2009; Jekabsone et al., 2003). The half-life of the mitochondria is 2-4 weeks (Kowald, 2001; Menzies and Gold, 1971) and the half-life of the RyRl protein is—10 days in muscle from aged rats (Ferrington et al, 1998). Thus, the continued ROS production from mitochondria and the slow turnover of the RyRl protein contribute to the observation that RyRl oxidation is not reduced during a four week course of SI 07 treatment, despite inhibition of the intracellular Ca2+ leak.
Moreover, ROS generation from non-mitochondrial sources, e.g. non-phagocytic NAD(P)H oxidase (NOX), could contribute as they have been reported to activate RyR channels
(Hidalgo et al, 2006; Xia et al, 2003). The results of the present study are consistent with a "vicious cycle" whereby SR Ca2+ leak and mitochondrial ROS are locally amplified and lead to progressive age-dependent muscle dysfunction (Fig. 7). Moreover, the data of the present study show that despite persistent RyRl oxidation and nitrosylation, SI 07 treatment inhibits the loss of calstabinl from RyRl, resulting in stabilization of the channel closed state. Thus, SI 07 inhibits the pathologic SR Ca2+ leak, as long as calstabinl is present and ameliorates age-dependent loss of muscle function, despite persistent oxidation and nitrosylation of RyRl .
The data of the present study showing increased Ca2+ spark frequency in skeletal muscle from aged WT, RyRl-2844D and musclespecific calstabinl deficient mice are at odds with a previous study that reported reduced Ca2+ spark activity in aged skeletal muscle (Weisleder et al, 2006). The discrepancy could be due to differences in methodology since Weisleder et al used intact muscle fibers treated with a hypotonic solution that causes the muscle cells to swell resulting in Ca2+ sparks (Weisleder et al, 2006). In contrast, the present study used saponin permeabilized muscle fibers in order to control the intracellular conditions (e.g., pH, [Ca2+], [Mg2+] and the Ca2+ dye concentration), which is not possible using intact muscle fibers (Isaeva et al, 2005; Rios et al, 1999; Shirokova and Niggli, 2008). This method was used previously to study pathological conditions where RyRl exhibited a leaky phenotype (Bellinger et al, 2009; Reiken et al, 2003; Ward et al, 2003). In addition, the increased Ca2+ spark frequency is consistent with the increased RyRl Po observed in the aged muscle.
Much of the focus in the field of aging is on therapeutics that target anabolic pathways with hormones including testosterone, growth hormone, and insulin-like growth factor- 1 (Lynch, 2008; Rolland et al, 2008) to improve muscle mass. Some studies have demonstrated increased muscle mass without increased muscle strength or power (Lynch, 2008; Rolland et al, 2008). Inhibition of the endogenous negative regulator of myogenesis, myostatin (growth
differentiation factor 8), leads to a dramatic increase of muscle mass in mice and cattle (Lynch, 2008). However, muscular dystrophy patients that were treated with an anti- myostatin recombinant human antibody failed to improve muscle power (Wagner et al., 2008). Thus, increasing skeletal muscle mass is not necessarily accompanied by improved muscle function. Indeed, treating aged mice with SI 07 enhances muscle strength without increasing the size of the muscle, at least during the 4 week period of treatment examined in the present study.
Despite the important role of oxidative stress in aging-dependent pathologies, the use of dietary antioxidants as an experimental treatment for sarcopenia has not demonstrated improvement in muscle function (Kim et al.). A complicating factor is that systemic antioxidants could impair beneficial effects of ROS (Jackson, 2009; Vijg and Campisi, 2008). By inhibiting the SR Ca2+ leak via RyRl which is due to oxidation, SI 07 appears to be able to improve muscle function without blocking systemic ROS-dependent signaling and may represent a promising therapeutic option for reducing age-dependent loss of muscle function. The regulatory mechanisms of aging are likely multifactorial and several signaling pathways seem to contribute, e.g., changes in insulin/insulin like growth factor (IGF), sirtuin, AMP kinase and inflammatory signaling (Kenyon, 2010; Marzetti and Leeuwenburgh, 2006).
Moreover, mitochondrial dysfunction is strongly implicated in the aging mechanism (Balaban et al, 2005; Larsson, 2010). The present study shows that "leaky" RyRl, mitochondrial dysfunction and oxidative stress conspire to produce age-dependent muscle weakness and reduced exercise capacity.
It should be understood that various changes and modifications to the methods and compositions described herein are possible without departing from the spirit and scope of the invention. Variations and modifications that can be made without departing from the spirit and scope of the invention will be apparent to those skilled in the art, and all such variations and modifications are within the scope of the invention. For example, further variations and modifications of the invention may be made in accordance with the description provided in U.S. patent applications 09/568,474, 10/288,606, 10/608,723, 10/680,988, 10/763,498, 10/794,218, 10/809,089, 11/088,058, 11/088,123, 11/212,309, 11/506,285, and 11/212,413, and International application PCT/US2006/32405, the contents of each of which are hereby incorporated by reference in their entirety.
References
1. Ahern, G.P., Junankar, P.R., and Dulhunty, A.F. (1997). Subconductance states in single-channel activity of skeletal muscle ryanodine receptors after removal of FKBP12. Biophys J 72, 146-162.
2. Allen, D.G., Lamb, G.D., and Westerblad, H. (2008). Skeletal muscle fatigue: cellular mechanisms. Physiological Reviews 88, 287-332.
3. Andersson, D.C., and Marks, A.R. (2010). Fixing ryanodine receptor Ca leak - a novel therapeutic strategy for contractile failure in heart and skeletal muscle. Drug Discov Today Dis Mech 7, el51-el57.
4. Aracena-Parks, P., Goonasekera, S.A., Gilman, CP., Dirksen, R.T., Hidalgo, C, and Hamilton, S.L. (2006). Identification of cysteines involved in S-nitrosylation, S- glutathionylation, and oxidation to disulfides in ryanodine receptor type 1. J Biol Chem 281, 40354-40368.
5. Aydin, J., Andersson, D.C., Hanninen, S.L., Wredenberg, A., Tavi, P., Park, C.B., Larsson, N.G., Bruton, J.D., and Westerblad, H. (2009). Increased mitochondrial Ca2+ and decreased sarcoplasmic reticulum Ca2+ in mitochondrial myopathy. Human Molecular Genetics 18, 278-288.
6. Balaban, R.S., Nemoto, S., and Finkel, T. (2005). Mitochondria, oxidants, and aging. Cell 120, 483-495.
7. Barreiro, E., and Hussain, S.N. Protein carbonylation in skeletal muscles: impact on function. Antioxid Redox Signal 12, 417-429.
8. Bellinger, A.M., Reiken, S., Carlson, C, Mongillo, M., Liu, X., Rothman, L., Matecki, S., Lacampagne, A., and Marks, A.R. (2009). Hypemitrosylated ryanodine receptor calcium release channels are leaky in dystrophic muscle. Nat Med 15, 325-330.
9. Bellinger, A.M., Reiken, S., Dura, M., Murphy, P.W., Deng, S.X., Landry, D.W., Nieman, D., Lehnart, S.E., Samaru, M., Lacampagne, A., et al. (2008). Remodeling of ryanodine receptor complex causes "leaky" channels: a molecular mechanism for decreased exercise capacity. Proceedings of the National Academy of Sciences of the United States of America 105, 2198-2202.
10. Brillantes, A.B., Ondrias, K., Scott, A., Kobrinsky, E., Ondriasova, E., Moschella, M.C., Jayaraman, T., Landers, M., Ehrlich, B.E., and Marks, A.R. (1994). Stabilization of calcium release channel (ryanodine receptor) function by FK506-binding protein. Cell 77, 513-523.
11. Brookes, P.S., Yoon, Y., Robotham, J.L., Anders, M.W., and Sheu, S.S. (2004).
Calcium, ATP, and ROS: a mitochondrial love -hate triangle. American Journal of Physiology Cell Physiology 287, C817-C833.
12. Brooks, S.V., and Faulkner, J.A. (1988). Contractile properties of skeletal muscles from young, adult and aged mice. J Physiol 404, 71-82.
13. Bruton, J.D., Dahlstedt, A. J., Abbate, F., and Westerblad, H. (2003). Mitochondrial function in intact skeletal muscle fibres of creatine kinase deficient mice. Journal of
Physiology 552, 393-402.
14. Duchen, M.R. (2000). Mitochondria and Ca2+ in cell physiology and pathophysiology. Cell Calcium 28, 339-348.
15. Duchen, M.R. (2004). Mitochondria in health and disease: perspectives on a new mitochondrial biology. Mol Aspects Med 25, 365-451.
16. Durham, W.J., Aracena-Parks, P., Long, C, Rossi, A.E., Goonasekera, S.A.,
Boncompagni, S., Galvan, D.L., Gilman, CP., Baker, M.R., Shirokova, N., et al. (2008). RyRl S-nitrosylation underlies environmental heat stroke and sudden death in Y522S RyRl knockin mice. Cell 133, 53-65.
17. Feissner, R.F., Skalska, J., Gaum, W.E., and Sheu, S.S. (2009). Crosstalk signaling between mitochondrial Ca2+ and ROS. Front Biosci 14, 1197-1218.
18. Ferrington, D.A., Krainev, A.G., and Bigelow, D.J. (1998). Altered turnover of calcium regulatory proteins of the sarcoplasmic reticulum in aged skeletal muscle. J Biol Chem 275, 5885-5891.
19. Gonzalez, E., Messi, M.L., and Delbono, O. (2000). The specific force of single intact extensor digitorum longus and soleus mouse muscle fibers declines with aging. J Membr Biol 178, 175-183.
20. Gonzalez, E., Messi, M.L., Zheng, Z., and Delbono, O. (2003). Insulin-like growth factor- 1 prevents age-related decrease in specific force and intracellular Ca2+ in single intact muscle fibres from transgenic mice. J Physiol 552, 833-844.
21. Haigis, M.C., and Yankner, B.A. (2010). The aging stress response. Mol Cell 40, 333- 344.
22. Herndon, L.A., Schmeissner, P. J., Dudaronek, J.M., Brown, P.A., Listner, K.M., Sakano, Y., Paupard, M.C., Hall, D.H., and Driscoll, M. (2002). Stochastic and genetic factors influence tissue-specific decline in ageing C. elegans. Nature 419, 808-814.
23. Hess, D.T., Matsumoto, A., Kim, S.O., Marshall, H.E., and Stamler, J.S. (2005).
Protein S-nitrosylation: purview and parameters. Nat Rev Mol Cell Biol 6, 150-166.
24. Hidalgo, C. (2005). Cross talk between Ca2+ and redox signalling cascades in muscle and neurons through the combined activation of ryanodine receptors/Ca2+ release channels. Philos Trans R Soc Lond B Biol Sci 360, 2237-2246.
25. Hidalgo, C, Sanchez, G., Barrientos, G., and Aracena-Parks, P. (2006). A transverse tubule NADPH oxidase activity stimulates calcium release from isolated triads via ryanodine receptor type 1 S -glutathionylation. Journal of Biological Chemistry 281, 26473-26482.
26. Isaeva, E.V., Shkryl, V.M., and Shirokova, N. (2005). Mitochondrial redox state and Ca2+ sparks in permeabilized mammalian skeletal muscle. J Physiol 565, 855-872.
27. Jackson, M.J. (2009). Strategies for reducing oxidative damage in ageing skeletal muscle. Adv Drug Deliv Rev 61, 1363-1368.
28. Jang, Y.C., Lustgarten, M.S., Liu, Y., Muller, F.L., Bhattacharya, A., Liang, H., Salmon, A.B., Brooks, S.V., Larkin, L., Hayworth, C.R., et al. (2010). Increased superoxide in vivo accelerates age-associated muscle atrophy through mitochondrial dysfunction and neuromuscular junction degeneration. Faseb J 24, 1376-1390.
29. Jekabsone, A., Ivanoviene, L., Brown, G.C., and Borutaite, V. (2003). Nitric oxide and calcium together inactivate mitochondrial complex I and induce cytochrome c release. J Mol Cell Cardiol 35, 803-809.
30. Jimenez-Moreno, R., Wang, Z.M., Gerring, R.C., and Delbono, O. (2008).
Sarcoplasmic reticulum Ca2+ release declines in muscle fibers from aging mice. Biophys J 94, 3178-3188.
31. Kenyon, C.J. (2010). The genetics of ageing. Nature 464, 504-512.
32. Kim, J.S., Wilson, J.M., and Lee, S.R. Dietary implications on mechanisms of sarcopenia: roles of protein, amino acids and antioxidants. J Nutr Biochem 21, 1-13.
33. Kowald, A. (2001). The mitochondrial theory of aging. Biol Signals Recept 10, 162-175.
34. Larsson, N.G. (2010). Somatic mitochondrial DNA mutations in mammalian aging. Annu Rev Biochem 79, 683-706.
35. Lee, H.Y., Choi, C.S., Birkenfeld, A.L., Alves, T.C., Jornayvaz, F.R., Jurczak, M.J., Zhang, D., Woo, D.K., Shadel, G.S., Ladiges, W., et al. (2010). Targeted expression of catalase to mitochondria prevents ageassociated reductions in mitochondrial function and insulin resistance. Cell Metab 12, 668-674.
36. Lehnart, S.E., Mongillo, M., Bellinger, A., Lindegger, N., Chen, B.X., Hsueh, W., Reiken, S., Wronska, A., Drew, L.J., Ward, C.W., et al. (2008). Leaky Ca2+ release
- I l l -
channel/ryanodine receptor 2 causes seizures and sudden cardiac death in mice. J Clin Invest 118, 2230-2245.
37. Lynch, G.S. (2008). Update on emerging drugs for sarcopenia - age-related muscle wasting. Expert Opin Emerg Drugs 13, 655-673.
38. Marzetti, E., and Leeuwenburgh, C. (2006). Skeletal muscle apoptosis, sarcopenia and frailty at old age. ExpGerontol 41, 1234-1238.
39. Menzies, R.A., and Gold, P.H. (1971). The turnover of mitochondria in a variety of tissues of young adult and aged rats. J Biol Chem 246, 2425-2429.
40. Metier, E.J., Talbot, L.A., Schrager, M., and Conwit, R. (2002). Skeletal muscle strength as a predictor of allcause mortality in healthy men. J Gerontol A Biol Sci Med Sci 57, B359-365.
41. Moylan, J.S., and Reid, M.B. (2007). Oxidative stress, chronic disease, and muscle wasting. Muscle & Nerve 35, 411-429.
42. Mukhopadhyay, P., Rajesh, M., Yoshihiro, K., Hasko, G., and Pacher, P. (2007).
Simple quantitative detection of mitochondrial superoxide production in live cells.
Biochemical & Biophysical Research Communications 358, 203-208.
43. Muller, F.L., Lustgarten, M.S., Jang, Y., Richardson, A., and Van Remmen, H. (2007). Trends in oxidative aging theories. Free Radic Biol Med 43, 477-503.
44. Nagy, E., Andersson, D.C., Caidahl, K., Eriksson, M.J., Eriksson, P., Franco- Cereceda, A., Hansson, G.K., and Back, M. (2011). Upregulation of the 5 -lipoxygenase pathway in human aortic valves correlates with severity of stenosis and leads to leukotriene- induced effects on valvular myofibroblasts. Circulation 123, 1316-1325.
45. Palmese, A., De Rosa, C, Marino, G., and Amoresano, A. (2011). Dansyl labeling and bidimensional mass spectrometry to investigate protein carbonylation. Rapid Commun Mass Spectrom 25, 223-231.
46. Rantanen, T., Guralnik, J.M., Foley, D., Masaki, K., Leveille, S., Curb, J.D., and White, L. (1999). Midlife hand grip strength as a predictor of old age disability. Jama 281, 558-560.
47. Reiken, S., Lacampagne, A., Zhou, H., Kherani, A., Lehnart, S.E., Ward, C, Huang, F., Gaburjakova, M., Gaburjakova, J., Rosemblit, N., et al. (2003). PKA phosphorylation activates the calcium release channel (ryanodine receptor) in skeletal muscle: defective regulation in heart failure. Journal of Cell Biology 160, 919-928.
48. Rios, E., Stern, M.D., Gonzalez, A., Pizarro, G., and Shirokova, N. (1999). Calcium release flux underlying Ca2+ sparks of frog skeletal muscle. J Gen Physiol 114, 31-48.
49. Rolland, Y., Czerwinski, S., Abellan Van Kan, G., Morley, J.E., Cesari, M., Onder, G., Woo, J., Baumgartner, R., Pillard, F., Boirie, Y., et al. (2008). Sarcopenia: its assessment, etiology, pathogenesis, consequences and future perspectives. J Nutr Health Aging 12, 433- 450.
50. Romero-Suarez, S., Shen, J., Brotto, L., Hall, T., Mo, C, Valdivia, H.H., Andresen, J., Wacker, M., Nosek, T.M., Qu, C.K., et al. (2010). Muscle-specific inositide phosphatase (MIP/MTMR14) is reduced with age and its loss accelerates skeletal muscle aging process by altering calcium homeostasis. Aging (Albany NY) 2, 504-513.
51. Russ, D.W., Grandy, J.S., Toma, K., and Ward, C.W. (2010). Ageing, but not yet senescent, rats exhibit reduced muscle quality and sarcoplasmic reticulum function. Acta Physiol (Oxf).
52. Saini, A., Faulkner, S., Al-Shanti, N., and Stewart, C. (2009). Powerful signals for weak muscles. Ageing Res Rev 8, 251-267.
53. Schriner, S.E., Linford, N.J., Martin, G.M., Treuting, P., Ogburn, C.E., Emond, M., Coskun, P.E., Ladiges, W., Wolf, N., Van Remmen, H., et al. (2005). Extension of murine life span by overexpression of catalase targeted to mitochondria. Science 308, 1909-1911.
54. Shan, J., Betzenhauser, M.J., Kushnir, A., Reiken, S., Meli, A.C., Wronska, A., Dura, M., Chen, B.X., and Marks, A.R. (2010). Role of chronic ryanodine receptor phosphorylation in heart failure and beta-adrenergic receptor blockade in mice. J Clin Invest.
55. Shirokova, N., and Niggli, E. (2008). Studies of RyR function in situ. Methods 46, 183-193.
56. Szabo, C, Ischiropoulos, H., and Radi, R. (2007). Peroxynitrite: biochemistry, pathophysiology and development of therapeutics. Nat Rev Drug Discov 6, 662-680.
57. Tang, W., Ingalls, CP., Durham, W.J., Snider, J., Reid, M.B., Wu, G., Matzuk, M.M., and Hamilton, S.L. (2004). Altered excitation-contraction coupling with skeletal muscle specific FKBP12 deficiency. FASEB J 18, 1597-1599.
58. Thomas, D.R. (2007). Loss of skeletal muscle mass in aging: examining the relationship of starvation, sarcopenia and cachexia. Clin Nutr 26, 389-399.
59. Vijg, J., and Campisi, J. (2008). Puzzles, promises and a cure for ageing. Nature 454, 1065-1071.
60. Wagner, K.R., Fleckenstein, J.L., Amato, A.A., Barohn, R.J., Bushby, K., Escolar, D.M., Flanigan, K.M., Pestronk, A., Tawil, R., Wolfe, G.I., et al. (2008). A phase I/IItrial of MYO-029 in adult subjects with muscular dystrophy. Ann Neurol 63, 561-571.
61. Ward, C.W., Reiken, S., Marks, A.R., Marty, I., Vassort, G., and Lacampagne, A. (2003). Defects in ryanodine receptor calcium release in skeletal muscle from post-myocardial infarct rats. FASEB Journal 17, 1517- 1519.
62. Weisleder, N., Brotto, M., Komazaki, S., Pan, Z., Zhao, X., Nosek, T., Parness, J., Takeshima, H., and Ma, J. (2006). Muscle aging is associated with compromised Ca2+ spark signaling and segregated intracellular Ca2+ release. J Cell Biol 174, 639-645.
63. Xia, R., Stangler, T., and Abramson, J.J. (2000). Skeletal muscle ryanodine receptor is a redox sensor with a well defined redox potential that is sensitive to channel modulators. J Biol Chem 275, 36556-36561.
64. Xia, R., Webb, J.A., Gnall, L.L., Cutler, K., and Abramson, J.J. (2003). Skeletal muscle sarcoplasmic reticulum contains a NADH-dependent oxidase that generates superoxide. Am J Physiol Cell Physiol 285, C215-221.
65. Zalk, R., Lehnart, S.E., and Marks, A.R. (2007). Modulation of the ryanodine receptor and intracellular calcium. AnnuRevBiochem 76, 367-385.
66. Aydin, J., Andersson, D.C., Hanninen, S.L., Wredenberg, A., Tavi, P., Park, C.B., Larsson, N.G., Bruton, J.D., and Westerblad, H. (2009). Increased mitochondrial Ca2+ and decreased sarcoplasmic reticulum Ca2+ in mitochondrial myopathy. Human Molecular Genetics 18, 278-288.
67. Bellinger, A.M., Reiken, S., Carlson, C, Mongillo, M., Liu, X., Rothman, L., Matecki, S., Lacampagne, A., and Marks, A.R. (2009). Hypemitrosylated ryanodine receptor calcium release channels are leaky in dystrophic muscle. Nat Med 15, 325-330.
68. Bellinger, A.M., Reiken, S., Dura, M., Murphy, P.W., Deng, S.X., Landry, D.W., Nieman, D., Lehnart, S.E., Samaru, M., Lacampagne, A., et al. (2008). Remodeling of ryanodine receptor complex causes "leaky" channels: a molecular mechanism for decreased exercise capacity. Proceedings of the National Academy of Sciences of the United States of America 105, 2198-2202.
69. Cheng, H., Song, L.S., Shirokova, N., Gonzalez, A., Lakatta, E.G., Rios, E., and Stern, M.D. (1999). Amplitude distribution of calcium sparks in confocal images: theory and studies with an automatic detection method. Biophysical Journal 76, 606-617.
70. Cheung, A., Dantzig, J.A., Hollingworth, S., Baylor, S.M., Goldman, Y.E., Mitchison, T.J., and Straight, A.F. (2002). A small-molecule inhibitor of skeletal muscle myosin II.
Nature Cell Biology 4, 83-88.
71. Durham, W.J., Aracena-Parks, P., Long, C, Rossi, A.E., Goonasekera, S.A.,
Boncompagni, S., Galvan, D.L., Gilman, CP., Baker, M.R., Shirokova, N., et al. (2008).
RyRl S-nitrosylation underlies environmental heat stroke and sudden death in Y522S RyRl knockin mice. Cell 133, 53-65.
72. Lacampagne, A., Klein, M.G., and Schneider, M.F. (1998). Modulation of the frequency of spontaneous sarcoplasmic reticulum Ca2+ release events (Ca2+ sparks) by myoplasmic [Mg2+] in frog skeletal muscle. J Gen Physiol 111, 207-224.
73. Lannergren, J., Westerblad, H., and Bruton, J.D. (2001). Changes in mitochondrial Ca2+ detected with Rhod-2 in single frog and mouse skeletal muscle fibres during and after repeated tetanic contractions. Journal of Muscle Research & Cell Motility 22, 265-275.
74. Lehnart, S.E., Mongillo, M., Bellinger, A., Lindegger, N., Chen, B.X., Hsueh, W., Reiken, S., Wronska, A., Drew, L.J., Ward, C.W., et al. (2008). Leaky Ca2+ release channel/ryanodine receptor 2 causes seizures and sudden cardiac death in mice. J Clin Invest 118, 2230-2245.
75. Reiken, S., Lacampagne, A., Zhou, H., Kherani, A., Lehnart, S.E., Ward, C, Huang, F., Gaburjakova, M., Gaburjakova, J., Rosemblit, N., et al. (2003). PKA phosphorylation activates the calcium release channel (ryanodine receptor) in skeletal muscle: defective regulation in heart failure. J Cell Biol 160, 919-928.
76. Tang, W., Ingalls, CP., Durham, W.J., Snider, J., Reid, M.B., Wu, G., Matzuk, M.M., and Hamilton, S.L. (2004). Altered excitation-contraction coupling with skeletal muscle specific FKBP12 deficiency. FASEB J 18, 1597-1599.
77. Ward, C.W., Reiken, S., Marks, A.R., Marty, I., Vassort, G., and Lacampagne, A. (2003). Defects in ryanodine receptor calcium release in skeletal muscle from post-myocardial infarct rats. FASEB Journal 17, 1517- 1519.
78. Wehrens, X.H., Lehnart, S.E., Reiken, S.R., Deng, S.X., Vest, J.A., Cervantes, D., Coromilas, J., Landry, D.W., and Marks, A.R. (2004). Protection from cardiac arrhythmia through ryanodine receptor-stabilizing protein calstabin2. Science 304, 292-296.
79. Yamada, T., Place, N., Kosterina, N., Ostberg, T., Zhang, S.J., Grundtman, C, Erlandsson-Harris, H., Lundberg, I.E., Glenmark, B., Bruton, J.D., et al. (2009). Impaired myofibrillar function in the soleus muscle of mice with collagen-induced arthritis. Arthritis Rheum 60, 3280-3289.
Claims
1. A method of treating or preventing sarcopenia in a subject in need thereof, comprising administering to the subject a therapeutically or prophylactically effective amount of a compound of Formula I to improve muscle function and exercise capacity in the subject, wherein Formula I is:
wherein,
T is O, CH2, NH, or S=(02)n;
n is 0, 1, or 2;
q is 0, 1, 2, 3, or 4;
each R is independently selected from the group consisting of H, halogen, -OH, -NH2, -N02, -CN, -CF3, -OCF3, -N3, -S03H, -S(=0)2alkyl, -S(=0)alkyl, -OS(=0)2CF3, acyl, -O-acyl, alkyl, alkoxyl, alkylamino, alkylarylamino, alkylthio, cycloalkyl, alkylaryl, aryl, heteroaryl, heterocyclyl, heterocyclylalkyl, alkenyl, alkynyl, (hetero-)aryl, (hetero-)arylthio, and
(hetero-)arylamino; wherein each acyl, -O-acyl, alkyl, alkoxyl, alkylamino, alkylarylamino, alkylthio, cycloalkyl, alkylaryl, aryl, heteroaryl, heterocyclyl, heterocyclylalkyl, alkenyl, alkynyl, (hetero-)aryl, (hetero-)arylthio, and (hetero-)arylamino may be optionally substituted;
Ri is selected from the group consisting of H, oxo, alkyl, alkenyl, aryl, alkylaryl, cycloalkyl, heteroaryl, and heterocyclyl; wherein each alkyl, alkenyl, aryl, alkylaryl, cycloalkyl, heteroaryl, and heterocyclyl may be optionally substituted;
R2 is selected from the group consisting of H, -C(=0)R5, -C(=S)R6, -S02R7, -P(=0)R8R9, -(CH2)m-Rio, alkyl, aryl, alkylaryl, heteroaryl, cycloalkyl, cycloalkylalkyl, and heterocyclyl; wherein each alkyl, aryl, alkylaryl, heteroaryl, cycloalkyl, cycloalkylalkyl, and heterocyclyl may be optionally substituted and wherein m is 0, 1, 2, 3, or 4;
R3 is selected from the group consisting of H, -C02Y, -C(=0)NHY, acyl, -O-acyl, alkyl, alkenyl, aryl, alkylaryl, cycloalkyl, heteroaryl, and heterocyclyl; wherein each acyl, alkyl, alkenyl, aryl, alkylaryl, cycloalkyl, heteroaryl, and heterocyclyl may be optionally substituted; and wherein Y is selected from the group consisting of H, alkyl, aryl, alkylaryl, cycloalkyl, heteroaryl, and heterocyclyl, and wherein each alkyl, aryl, alkylaryl, cycloalkyl, heteroaryl, and heterocyclyl may be optionally substituted;
R4 is selected from the group consisting of H, alkyl, alkenyl, aryl, alkylaryl, cycloalkyl, heteroaryl, and heterocyclyl; wherein each alkyl, alkenyl, aryl, alkylaryl, cycloalkyl, heteroaryl, and heterocyclyl may be optionally substituted;
R5 is selected from the group consisting of -NRi5Ri6, -(CH2)zNRi5Ri6, -NHNRi5Ri6, -NHOH, -ORis, -C(=0)NHNRi5Ri6, -CO2R15, -CH2X, acyl, alkyl, alkenyl, aryl, alkylaryl, cycloalkyl, cycloalkylalkyl, heteroaryl, heterocyclyl, and heterocyclylalkyl; wherein each acyl, alkyl, alkenyl, aryl, alkylaryl, cycloalkyl, cycloalkylalkyl, heteroaryl, heterocyclyl, and heterocyclylalkyl may be optionally substituted, and wherein z is 1, 2, 3, 4, 5, or 6;
Re is selected from the group consisting of -OR15, -NHNR15R16, -NHOH, -NR15R16, -CH2X, acyl, alkenyl, alkyl, aryl, alkylaryl, cycloalkyl, cycloalkylalkyl, heteroaryl, heterocyclyl, and heterocyclylalkyl; wherein each acyl, alkenyl, alkyl, aryl, alkylaryl, cycloalkyl,
cycloalkylalkyl, heteroaryl, heterocyclyl, and heterocyclylalkyl may be optionally substituted;
R7 is selected from the group consisting of -OR15, -NR15R16, -NHNR15R16, -NHOH, -CH2X, alkyl, alkenyl, alkynyl, aryl, alkylaryl, cycloalkyl, cycloalkylalkyl, heteroaryl, heterocyclyl, and heterocyclylalkyl; wherein each alkyl, alkenyl, alkynyl, aryl, alkylaryl, cycloalkyl, cycloalkylalkyl, heteroaryl, heterocyclyl, and heterocyclylalkyl may be optionally substituted;
R8 and R9 independently are selected from the group consisting of OH, acyl, alkenyl, alkoxyl, alkyl, alkylamino, aryl, alkylaryl, cycloalkyl, cycloalkylalkyl, heteroaryl, heterocyclyl, and heterocyclylalkyl; wherein each acyl, alkenyl, alkoxyl, alkyl, alkylamino, aryl, alkylaryl, cycloalkyl, cycloalkylalkyl, heteroaryl, heterocyclyl, and heterocyclylalkyl may be optionally substituted;
Rio is selected from the group consisting of -NR15R16, OH, -S02Rn, -NHS02Rn, C(=0)(Ri2), NHC=0(Ri2), -OC=0(Ri2), and -P(=0)Ri3Ri4;
R11 , Ri2, Ri3, and Ri4 independently are selected from the group consisting of H, OH, NH2, -NHNH2, -NHOH, acyl, alkenyl, alkoxyl, alkyl, alkylamino, aryl, alkylaryl, cycloalkyl, cycloalkylalkyl, heteroaryl, heterocyclyl, and heterocyclylalkyl; wherein each acyl, alkenyl, alkoxyl, alkyl, alkylamino, aryl, alkylaryl, cycloalkyl, cycloalkylalkyl, heteroaryl,
heterocyclyl, and heterocyclylalkyl may be optionally substituted; X is selected from the group consisting of halogen, -CN, -CO2R15, -C(=0)NR15R16, -NR15R16,
Ri5 and Ri6 independently are selected from the group consisting of H, acyl, alkenyl, alkoxyl, OH, NH2, alkyl, alkylamino, aryl, alkylaryl, cycloalkyl, cycloalkylalkyl, heteroaryl, heterocyclyl, and heterocyclylalkyl; wherein each acyl, alkenyl, alkoxyl, alkyl, alkylamino, aryl, alkylaryl, cycloalkyl, cycloalkylalkyl, heteroaryl, heterocyclyl, and heterocyclylalkyl may be optionally substituted; and optionally R15 and Ri6 together with the N to which they are bonded may form a heterocycle which may be substituted;
the nitrogen in the benzothiazepine ring may optionally be a quaternary nitrogen; and enantiomers, diastereomers, tautomers, pharmaceutically acceptable salts, hydrates, solvates, complexes, and prodrugs thereof, or any combination thereof.
2. The method of claim 1, wherein the compound has formula I-k:
wherein R and R" are independently selected from the group consisting of H, halogen, -OH,
-NH2, -NO2, -CN, -CF3, -OCF3, -N3, -S03H, -S(=0)2alkyl, -S(=0)alkyl, -OS(=0)2CF3, acyl, alkyl, alkoxyl, alkylamino, alkylthio, cycloalkyl, aryl, heterocyclyl, heterocyclylalkyl, alkenyl, alkynyl, (hetero-)aryl, (hetero-)arylthio, and (hetero-)arylamino; and wherein each acyl, alkyl, alkoxyl, alkylamino, cycloalkyl, aryl, heterocyclyl, heterocyclylalkyl, alkenyl, alkynyl, (hetero-)aryl, (hetero-)arylthio may be substituted or unsubstituted;
Ris is selected from the group consisting of -NRi5Ri6, -C(=0)NR15R16, -(C=0)OR15, -OR15, alkyl, aryl, cycloalkyl, heterocyclyl, and at one labeling group; wherein each alkyl, aryl, cycloalkyl, and heterocyclyl may be substituted or unsubstituted; wherein p is any one of 1, 2, 3, 4, 5, 6, 7, 8, 9, or 10, and n is 0, 1, or 2; or enantiomers, diastereomers, tautomers, pharmaceutically acceptable salts, hydrates, solvates, complexes and pro-drugs thereof, or any combination thereof.
3. The method of claim 2, wherein R' and R" are independently selected from the group consisting of H, halogen, -OH, OMe, -NH2, -N02, -CN, -CF3, -OCF3, -N3,
-S(=0)2Ci-C4alkyl, -S(=0)Ci-C4alkyl, -S-Ci-C4alkyl, -OS(=0)2CF3, Ph, -NHCH2Ph,
-C(=0)Me, -OC(=0)Me, C2-C4alkoxyl, morpholinyl and propenyl; and n is 0, 1 or 3.
4. The method of claim 3, wherein R is H or OMe; R" is H; and Rig is selected from the group consisting of -NR15R16, -(C=0)OR15, -OR15, alkyl, and aryl, and wherein each alkyl and aryl may be substituted or unsubstituted.
5. The method of claim 4, wherein R is H, OMe, or C2-C4alkoxyl; R" is H; n is 0; and Rig is Ci-C4alkyl.
6. The method of claim 5, wherein the compound is S 111 represented by the structure:
The method of claim 1 wherein the compound has formula I-
wherein Rs is substituted or unsubstituted -Ci-C6 alkyl, -(Ci-C6 alkyl)-phenyl, or -(Ci-C6 alkyl)-C(0)Rb and Rb is -OH or -0-(Ci-C6 alkyl), or enantiomers, diastereomers, tautomers, pharmaceutically acceptable salts, hydrates, solvates, complexes and pro-drugs thereof, or any combination thereof.
8. The method of claim 7, wherein the compound is SI 07 represented by the structure:
, pharmaceutically acceptable salts, hydrates, solvates, complexes and pro-drugs thereof, or any combination thereof.
9. The method of claim 8, wherein the salt is a hydrochloride salt.
10. The method of claim 1, wherein the compound is represented by the structure of formula I-j :
wherein R' and R" are independently selected from the group consisting of H, halogen, -OH,
-NH2, -NO2, -CN, -CF3, -OCF3, -N3, -S03H, -S(=0)2alkyl, -S(=0)alkyl, -OS(=0)2CF3, acyl, alkyl, alkoxyl, alkylamino, alkylthio, cycloalkyl, aryl, heterocyclyl, heterocyclylalkyl, alkenyl, alkynyl, (hetero-)aryl, (hetero-)arylthio, and (hetero-)arylamino; and wherein each acyl, alkyl, alkoxyl, alkylamino, cycloalkyl, aryl, heterocyclyl, heterocyclylalkyl, alkenyl, alkynyl, (hetero-)aryl, (hetero-)arylthio may be substituted or unsubstituted;
Ri5 and Ri6 are as defined in claim 1,
Riv is selected from the group consisting of -NRi5Ri6, -NHNRi5Ri6, -NHOH, -ORi5, -CH2X, alkenyl, aryl, cycloalkyl, cycloalkylalkyl, heterocyclyl, and heterocyclylalkyl; wherein each alkenyl, aryl, cycloalkyl, cycloalkylalkyl, heterocyclyl, and heterocyclylalkyl may be substituted or unsubstituted;
n is as defined in claim 1 ; and enantiomers, diastereomers, tautomers, pharmaceutically acceptable salts, hydrates, solvates, complexes and pro-drugs thereof.
11. The method of claim 10, wherein the compound is S36 having the structure:
12. The method of claim 1, wherein the compound is selected from the group consisting of SI, S2, S3, S4, S5, S6, S7, S9, Sl l, S12, S13, S14, S19, S20, S22, S23, S24, S25, S26, S27, S36, S37, S38, S40, S43, S44, S45, S46, S47, S48, S49, S50, S51, S52, S53, S54, S55, S56, S57, S58, S59, S60, S61, S62, S63, S64, S66, S67, S68, S69, S70, S71, S72, S73, S74, S75, S76, S77, S78, S79, S80, S81, S82, S83, S84, S85, S86, S87, S88, S89, S90, S91, S92, S93, S94, S95, S96, S97, S98, S99, S100, S101, S102, S103, S104, S107, S108, S109, S110, Si l l, S112, S113, S114, S115, S116, S117, S118, S119, S120, S121, S122, S123, S136, S137, S138, S139, S140, S146, S147, S148, S149, S150, S151, S152, S153, S156, S157, S159, S160, S161, S166, S167, S182, S186, S189, S203, S217, S251, S252, S258, S277, S279, S282, S291, S293, S296, S301, S302, S306, S311, S312, S313, S318, S322, S324, S326, S331, S335, S337, S351, S352, S353, S354, S397, S398, S399, S423, S454, S463, S466, S470, S473, S477 and salts thereof.
13. The method of claim 1, wherein the subject is a mammal selected from the group consisting of primates, rodents, ovine species, bovine species, porcine species, equine species, feline species and canine species and the compound is selected from the group consisting of S136, S137, S138, S139, S140, S146, S147, S148, S149, S150, S151, S152, S153, S156, S157, S159, S160, S161, S166, S167, S182, S186, S189, S203, S217, S251, S252, S258, S277, S279, S282, S291, S293, S296, S301, S302, S306, S311, S312, S313, S318, S322, S324, S326, S331, S335, S337, S351, S352, S353, S354, S397, S398, S399, S423, S454, S463, S466, S470, S473, S477 and salts thereof.
14. The method of claim 13, wherein the compound is administered to a subject who is a human over the age of 60, over the age of 70-75 or over the age of 80 and is administered by a route selected from the group consisting of parenteral, enteral, intravenous, intraarterial, intracardiac, intra intrapericardial, intraosseal, intracutaneous, subcutaneous, intradermal, subdermal, transdermal, intrathecal, intramuscular, intraperitoneal, intrasternal, parenchymatous, oral, sublingual, buccal, rectal, vaginal, inhalational, and intranasal.
15. The method of claim 13, wherein the compound is administered using a drug- releasing implant to a person over the age of 60 and at a dose of from about 0.01 mg/kg/day to about 20 mg/kg/day but sufficient to restore or enhance binding of calstabin 1 to RyRl .
16. A compound of Formula I for use in treating or preventing sarcopenia in a subject in need thereof, wherein the compound of Formula I is:
wherein,
T is O, CH2, NH, or S=(02)n;
n is 0, 1, or 2;
q is 0, 1, 2, 3, or 4;
each R is independently selected from the group consisting of H, halogen, -OH, -NH2, -N02, -CN, -CF3, -OCF3, -N3, -S03H, -S(=0)2alkyl, -S(=0)alkyl, -OS(=0)2CF3, acyl, -O-acyl, alkyl, alkoxyl, alkylamino, alkylarylamino, alkylthio, cycloalkyl, alkylaryl, aryl, heteroaryl, heterocyclyl, heterocyclylalkyl, alkenyl, alkynyl, (hetero-)aryl, (hetero-)arylthio, and
(hetero-)arylamino; wherein each acyl, -O-acyl, alkyl, alkoxyl, alkylamino, alkylarylamino, alkylthio, cycloalkyl, alkylaryl, aryl, heteroaryl, heterocyclyl, heterocyclylalkyl, alkenyl, alkynyl, (hetero-)aryl, (hetero-)arylthio, and (hetero-)arylamino may be optionally substituted; Ri is selected from the group consisting of H, oxo, alkyl, alkenyl, aryl, alkylaryl, cycloalkyl, heteroaryl, and heterocyclyl; wherein each alkyl, alkenyl, aryl, alkylaryl, cycloalkyl, heteroaryl, and heterocyclyl may be optionally substituted;
R2 is selected from the group consisting of H, -C(=0)R5, -C(=S)R6, -S02R7, -P(=0)R8R9, -(CH2)m-Rio, alkyl, aryl, alkylaryl, heteroaryl, cycloalkyl, cycloalkylalkyl, and heterocyclyl; wherein each alkyl, aryl, alkylaryl, heteroaryl, cycloalkyl, cycloalkylalkyl, and heterocyclyl may be optionally substituted and wherein m is 0, 1, 2, 3, or 4;
R3 is selected from the group consisting of H, -C02Y, -C(=0)NHY, acyl, -O-acyl, alkyl, alkenyl, aryl, alkylaryl, cycloalkyl, heteroaryl, and heterocyclyl; wherein each acyl, alkyl, alkenyl, aryl, alkylaryl, cycloalkyl, heteroaryl, and heterocyclyl may be optionally substituted; and wherein Y is selected from the group consisting of H, alkyl, aryl, alkylaryl, cycloalkyl, heteroaryl, and heterocyclyl, and wherein each alkyl, aryl, alkylaryl, cycloalkyl, heteroaryl, and heterocyclyl may be optionally substituted;
R4 is selected from the group consisting of H, alkyl, alkenyl, aryl, alkylaryl, cycloalkyl, heteroaryl, and heterocyclyl; wherein each alkyl, alkenyl, aryl, alkylaryl, cycloalkyl, heteroaryl, and heterocyclyl may be optionally substituted;
R5 is selected from the group consisting of -NR15R16, -(CH2)zNRi5Ri6, -NHNR15R16, -NHOH, -ORis, -C(=0)NHNRi5Ri6, -C02Ri5, -CH2X, acyl, alkyl, alkenyl, aryl, alkylaryl, cycloalkyl, cycloalkylalkyl, heteroaryl, heterocyclyl, and heterocyclylalkyl; wherein each acyl, alkyl, alkenyl, aryl, alkylaryl, cycloalkyl, cycloalkylalkyl, heteroaryl, heterocyclyl, and heterocyclylalkyl may be optionally substituted, and wherein z is 1, 2, 3, 4, 5, or 6;
Re is selected from the group consisting of -OR15, -NHNR15R16, -NHOH, -NR15R16, -CH2X, acyl, alkenyl, alkyl, aryl, alkylaryl, cycloalkyl, cycloalkylalkyl, heteroaryl, heterocyclyl, and heterocyclylalkyl; wherein each acyl, alkenyl, alkyl, aryl, alkylaryl, cycloalkyl,
cycloalkylalkyl, heteroaryl, heterocyclyl, and heterocyclylalkyl may be optionally substituted;
R7 is selected from the group consisting of -OR15, -NR15R16, -NHNR15R16, -NHOH, -CH2X, alkyl, alkenyl, alkynyl, aryl, alkylaryl, cycloalkyl, cycloalkylalkyl, heteroaryl, heterocyclyl, and heterocyclylalkyl; wherein each alkyl, alkenyl, alkynyl, aryl, alkylaryl, cycloalkyl, cycloalkylalkyl, heteroaryl, heterocyclyl, and heterocyclylalkyl may be optionally substituted;
Rg and R9 independently are selected from the group consisting of OH, acyl, alkenyl, alkoxyl, alkyl, alkylamino, aryl, alkylaryl, cycloalkyl, cycloalkylalkyl, heteroaryl, heterocyclyl, and heterocyclylalkyl; wherein each acyl, alkenyl, alkoxyl, alkyl, alkylamino, aryl, alkylaryl, cycloalkyl, cycloalkylalkyl, heteroaryl, heterocyclyl, and heterocyclylalkyl may be optionally substituted;
Rio is selected from the group consisting of -NR15R16, OH, -S02Rn, -NHS02Rn, C(=0)(R12), NHC=0(Ri2), -OC=0(Ri2), and -P(=0)Ri3Ri4;
R11, Ri2, Ri3, and R14 independently are selected from the group consisting of H, OH, NH2, -NHNH2, -NHOH, acyl, alkenyl, alkoxyl, alkyl, alkylamino, aryl, alkylaryl, cycloalkyl, cycloalkylalkyl, heteroaryl, heterocyclyl, and heterocyclylalkyl; wherein each acyl, alkenyl, alkoxyl, alkyl, alkylamino, aryl, alkylaryl, cycloalkyl, cycloalkylalkyl, heteroaryl,
heterocyclyl, and heterocyclylalkyl may be optionally substituted;
Ri5 and Ri6 independently are selected from the group consisting of H, acyl, alkenyl, alkoxyl, OH, NH2, alkyl, alkylamino, aryl, alkylaryl, cycloalkyl, cycloalkylalkyl, heteroaryl, heterocyclyl, and heterocyclylalkyl; wherein each acyl, alkenyl, alkoxyl, alkyl, alkylamino, aryl, alkylaryl, cycloalkyl, cycloalkylalkyl, heteroaryl, heterocyclyl, and heterocyclylalkyl may be optionally substituted; and optionally Ri5 and Ri6 together with the N to which they are bonded may form a heterocycle which may be substituted;
the nitrogen in the benzothiazepine ring may optionally be a quaternary nitrogen; and enantiomers, diastereomers, tautomers, pharmaceutically acceptable salts, hydrates, solvates, complexes, and prodrugs thereof, or any combination thereof.
17. Use of a compound defined by Formula I according toclaim 16 for treating or preventing sarcopenia in a subject in need thereof.
18. Use of a compound defined by Formula I according to claim 16 for preparing a medicament for treating or preventing sarcopenia in a subject in need thereof.
Applications Claiming Priority (2)
| Application Number | Priority Date | Filing Date | Title |
|---|---|---|---|
| US37160210P | 2010-08-06 | 2010-08-06 | |
| US61/371,602 | 2010-08-06 |
Publications (1)
| Publication Number | Publication Date |
|---|---|
| WO2012019071A1 true WO2012019071A1 (en) | 2012-02-09 |
Family
ID=44511555
Family Applications (1)
| Application Number | Title | Priority Date | Filing Date |
|---|---|---|---|
| PCT/US2011/046693 Ceased WO2012019071A1 (en) | 2010-08-06 | 2011-08-05 | Methods of preventing and treating sarcopenia |
Country Status (1)
| Country | Link |
|---|---|
| WO (1) | WO2012019071A1 (en) |
Cited By (12)
| Publication number | Priority date | Publication date | Assignee | Title |
|---|---|---|---|---|
| WO2013006485A1 (en) * | 2011-07-01 | 2013-01-10 | Gilead Sciences, Inc. | Fused benzoxazepinones as ion channel modulators |
| EP2653466A1 (en) | 2012-04-18 | 2013-10-23 | Les Laboratoires Servier | Agents for treating disorders involving modulation of ryanodine receptors |
| US8952034B2 (en) | 2009-07-27 | 2015-02-10 | Gilead Sciences, Inc. | Fused heterocyclic compounds as ion channel modulators |
| US8962610B2 (en) | 2011-07-01 | 2015-02-24 | Gilead Sciences, Inc. | Fused heterocyclic compounds as ion channel modulators |
| AU2013201608B2 (en) * | 2011-07-01 | 2015-07-09 | Gilead Sciences, Inc. | Fused benzoxazepinones as ion channel modulators |
| US9079901B2 (en) | 2010-07-02 | 2015-07-14 | Gilead Sciences, Inc. | Fused heterocyclic compounds as ion channel modulators |
| US9115096B2 (en) | 2011-05-10 | 2015-08-25 | Gilead Sciences, Inc. | Fused heterocyclic compounds as ion channel modulators |
| AU2015224425B2 (en) * | 2011-07-01 | 2017-02-09 | Gilead Sciences, Inc. | Fused benzoxazepinones as ion channel modulators |
| WO2017203083A1 (en) | 2016-05-24 | 2017-11-30 | Universidad Del País Vasco | Triazoles for regulating intracellular calcium homeostasis |
| US10485502B2 (en) | 2016-12-20 | 2019-11-26 | General Electric Company | System and method for assessing muscle function of a patient |
| WO2019207553A3 (en) * | 2018-04-27 | 2020-03-19 | Joslin Diabetes Center, Inc. | Methods and compositions relating to lipokines for treating metabolic disorders |
| CN116710425A (en) * | 2020-11-17 | 2023-09-05 | 阿姆果制药有限公司 | Agents for the treatment of disorders involving ryanodine receptors |
Citations (3)
| Publication number | Priority date | Publication date | Assignee | Title |
|---|---|---|---|---|
| WO2008060332A2 (en) * | 2006-06-02 | 2008-05-22 | The Trustees Of Columbia University In The City Of New York | Methods for treating or reducing muscle fatigue |
| WO2008121602A1 (en) * | 2007-03-29 | 2008-10-09 | Smithkline Beecham Corporation | Chemical compounds |
| WO2008144483A2 (en) * | 2007-05-18 | 2008-11-27 | Armgo Pharma, Inc. | Agents for treating disorders involving modulation of ryanodine receptors |
-
2011
- 2011-08-05 WO PCT/US2011/046693 patent/WO2012019071A1/en not_active Ceased
Patent Citations (3)
| Publication number | Priority date | Publication date | Assignee | Title |
|---|---|---|---|---|
| WO2008060332A2 (en) * | 2006-06-02 | 2008-05-22 | The Trustees Of Columbia University In The City Of New York | Methods for treating or reducing muscle fatigue |
| WO2008121602A1 (en) * | 2007-03-29 | 2008-10-09 | Smithkline Beecham Corporation | Chemical compounds |
| WO2008144483A2 (en) * | 2007-05-18 | 2008-11-27 | Armgo Pharma, Inc. | Agents for treating disorders involving modulation of ryanodine receptors |
Non-Patent Citations (83)
| Title |
|---|
| "Remington's Pharmaceutical Sciences", 1990, MACK PUBLISHING COMPANY, pages: 1635 - 36 |
| AHERN, G.P., JUNANKAR, P.R., DULHUNTY, A.F: "Subconductance states in single-channel activity of skeletal muscle ryanodine receptors after removal of FKBP12", BIOPHYS J, vol. 72, 1997, pages 146 - 162 |
| ALLEN, D.G., LAMB, G.D., WESTERBLAD, H.: "Skeletal muscle fatigue: cellular mechanisms", PHYSIOLOGICAL REVIEWS, vol. 88, 2008, pages 287 - 332 |
| ANDERSSON DANIEL C ET AL: "Ryanodine Receptor Oxidation Causes Intracellular Calcium Leak and Muscle Weakness in Aging", CELL METABOLISM, vol. 14, no. 2, August 2011 (2011-08-01), pages 196 - 207 URL, XP002661749, ISSN: 1550-4131 * |
| ANDERSSON, D.C., MARKS, A.R.: "Fixing ryanodine receptor Ca leak - a novel therapeutic strategy for contractile failure in heart and skeletal muscle", DRUG DISCOV TODAY DIS MCCH, vol. 7, 2010, pages C151 - C157 |
| ARACENA-PARKS, P., GOONASEKERA, S.A., GILMAN, C.P., DIRKSEN, R.T., HIDALGO, C., HAMILTON, S.L.: "Identification of cysteines involved in S-nitrosylation, S-glutathionylation, and oxidation to disulfides in ryanodine receptor type 1", J BIOL CHEM, vol. 281, 2006, pages 40354 - 40368 |
| AYDIN, J., ANDERSSON, D.C., HANNINEN, S.L., WREDENBERG, A., TAVI, P., PARK, C.B., LARSSON, N.G., BRUTON, J.D., WESTERBLAD, H.: "Increased mitochondrial Ca2+ and decreased sarcoplasmic reticulum Ca2+ in mitochondrial myopathy", HUMAN MOLECULAR GENETICS, vol. 18, 2009, pages 278 - 288 |
| BALABAN, R.S., NEMOTO, S., FINKEL, T.: "Mitochondria, oxidants, and aging", CELL, vol. 120, 2005, pages 483 - 495 |
| BARREIRO, E., HUSSAIN, S.N.: "Protein carbonylation in skeletal muscles: impact on function", ANTIOXID REDOX SIGNAL, vol. 12, pages 417 - 429 |
| BELLINGER, A.M., REIKEN, S., CARLSON, C., MONGILLO, M., LIU, X., ROTHMAN, L., MATECKI, S., LACAMPAGNE, A., MARKS, A.R.: "Hypemitrosylated ryanodine receptor calcium release channels are leaky in dystrophic muscle", NAT MED, vol. 15, 2009, pages 325 - 330, XP002729938, DOI: doi:10.1038/nm.1916 |
| BELLINGER, A.M., REIKEN, S., DURA, M., MURPHY, P.W., DENG, S.X., LANDRY, D.W., NICMAN, D., LCHNART, S.E., SAMARU, M., LACAMPAGNC,: "Remodeling of ryanodine receptor complex causes ''leaky'' channels: a molecular mechanism for decreased exercise capacity", PROCEEDINGS OF THE NATIONAL ACADEMY OF SCIENCES OF THE UNITED STATES OF AMERICA, vol. 105, 2008, pages 2198 - 2202 |
| BELLINGER, A.M., REIKEN, S., DURA, M., MURPHY, P.W., DENG, S.X., LANDRY, D.W., NIEMAN, D., LEHNART, S.E., SAMARU, M., LACAMPAGNE,: "Remodeling of ryanodine receptor complex causes ''leaky'' channels: a molecular mechanism for decreased exercise capacity", PROCEEDINGS OF THE NATIONAL ACADEMY OF SCIENCES OF THE UNITED STATES OF AMERICA, vol. 105, 2008, pages 2198 - 2202 |
| BERGE: "Pharmaceutcial Salts", J. PHARM SCI., vol. 66, no. 1, 1977, pages 1 - 19 |
| BRILLANTES, A.B., ONDRIAS, K., SCOTT, A., KOBRINSKY, E., ONDRIASOVA, E., MOSCHELLA, M.C., JAYARAMAN, T., LANDERS, M., EHRLICH, B.E: "Stabilization of calcium release channel (ryanodine receptor) function by FK506-binding protein", CELL, vol. 77, 1994, pages 513 - 523, XP027462024, DOI: doi:10.1016/0092-8674(94)90214-3 |
| BROOKES, P.S., YOON, Y., ROBOTHAM, J.L., ANDERS, M.W., SHEU, S.S.: "Calcium, ATP, and ROS: a mitochondrial love-hate triangle", AMERICAN JOURNAL OF PHYSIOLOGY CELL PHYSIOLOGY, vol. 287, 2004, pages C817 - C833 |
| BROOKS, S.V., FAULKNER, J.A.: "Contractile properties of skeletal muscles from young, adult and aged mice", J PHYSIOL, vol. 404, 1988, pages 71 - 82 |
| BRUTON, J.D., DAHLSTEDT, A.J., ABBATE, F., WESTERBLAD, H.: "Mitochondrial function in intact skeletal muscle fibres of creatine kinase deficient mice", JOURNAL OF PHYSIOLOGY, vol. 552, 2003, pages 393 - 402 |
| CHENG, H., SONG, L.S., SHIROKOVA, N., GONZALEZ, A., LAKATTA, E.G., RIOS, E., STERN, M.D.: "Amplitude distribution of calcium sparks in confocal images: theory and studies with an automatic detection method", BIOPHYSICAL JOURNAL, vol. 76, 1999, pages 606 - 617, XP008144041, DOI: doi:10.1016/S0006-3495(99)77229-2 |
| CHEUNG, A., DANTZIG, J.A., HOLLINGWORTH, S., BAYLOR, S.M., GOLDMAN, Y.E., MITCHISON, T.J., STRAIGHT, A.F.: "A small-molecule inhibitor of skeletal muscle myosin II", NATURE CELL BIOLOGY, vol. 4, 2002, pages 83 - 88, XP002529526, DOI: doi:10.1038/ncb734 |
| DUCHCN, M.R.: "Mitochondria and Ca2+ in cell physiology and pathophysiology", CELL CALCIUM, vol. 28, 2000, pages 339 - 348 |
| DUCHEN, M.R.: "Mitochondria in health and disease: perspectives on a new mitochondrial biology", MOL ASPECTS MED, vol. 25, 2004, pages 365 - 451 |
| DURHAM, W.J., ARACENA-PARKS, P., LONG, C., ROSSI, A.E., GOONASEKERA, S.A., BONCOMPAGNI, S., GALVAN, D.L., GILMAN, C.P., BAKER, M.R: "RyR S-nitrosylation underlies environmental heat stroke and sudden death in Y522S RyR 1 knockin mice", CELL, vol. 133, 2008, pages 53 - 65 |
| DURHAM, W.J., ARACENA-PARKS, P., LONG, C., ROSSI, A.E., GOONASEKERA, S.A., BONCOMPAGNI, S., GALVAN, D.L., GILMAN, C.P., BAKER, M.R: "RyRl S-nitrosylation underlies environmental heat stroke and sudden death in Y522S RyRl knockin mice", CELL, vol. 133, 2008, pages 53 - 65 |
| FEISSNER, R.F., SKALSKA, J., GAUM, W.E., SHEU, S.S.: "Crosstalk signaling between mitochondrial Ca2+ and ROS", FRONT BIOSCI, vol. 14, 2009, pages 1197 - 1218 |
| FERRINGTON, D.A., KRAINEV, A.G., BIGELOW, D.J.: "Altered turnover of calcium regulatory proteins of the sarcoplasmic reticulum in aged skeletal muscle", J BIOL CHEM, vol. 273, 1998, pages 5885 - 5891 |
| GONZALEZ, E., MESSI, M.L., DELBONO, O.: "The specific force of single intact extensor digitorum longus and soleus mouse muscle fibers declines with aging", J MEMBR BIOL, vol. 178, 2000, pages 175 - 183 |
| GONZALEZ, E., MESSI, M.L., ZHENG, Z., DELBONO, O.: "Insulin-like growth factor-1 prevents agc-rclatcd decrease in specific force and intraccllular Ca2+ in single intact muscle fibres from transgenic mice", J PHYSIOL, vol. 552, 2003, pages 833 - 844 |
| HAIGIS, M.C., YANKNER, B.A.: "The aging stress response", MOL CELL, vol. 40, 2010, pages 333 - 344 |
| HERNDON, L.A., SCHMEISSNER, P.J., DUDARONEK, J.M., BROWN, P.A., LISTNER, K.M., SAKANO, Y., PAUPARD, M.C., HALL, D.H., DRISCOLL, M.: "Stochastic and genetic factors influence tissue-specific decline in ageing C. elegans", NATURE, vol. 419, 2002, pages 808 - 814 |
| HESS, D.T., MATSUMOTO, A., KIM, S.O., MARSHALL, H.E., STAMLER, J.S.: "Protein S-nitrosylation: purview and parameters", NAT REV MOL CELL BIOL, vol. 6, 2005, pages 150 - 166, XP008050368 |
| HIDALGO, C., SANCHEZ, G., BARRIENTOS, G., ARACENA-PARKS, P.: "A transverse tubule NADPH oxidase activity stimulates calcium release from isolated triads via ryanodine receptor type 1 S -glutathionylation", JOURNAL OF BIOLOGICAL CHEMISTRY, vol. 281, 2006, pages 26473 - 26482 |
| HIDALGO, C.: "Cross talk between Ca2+ and redox signalling cascades in muscle and neurons through the combined activation of ryanodine receptors/Ca2+ release channels", PHILOS TRANS R SOC LOND B BIOL SCI, vol. 360, 2005, pages 2237 - 2246 |
| ISAEVA, E.V., SHKRYL, V.M., SHIROKOVA, N.: "Mitochondrial redox state and Ca2+ sparks in permeabilized mammalian skeletal muscle", J PHYSIOL, vol. 565, 2005, pages 855 - 872 |
| JACKSON, M.J.: "Strategies for reducing oxidative damage in ageing skeletal muscle", ADV DRUG DELIV REV, vol. 61, 2009, pages 1363 - 1368, XP026761115, DOI: doi:10.1016/j.addr.2009.07.018 |
| JANG, Y.C., LUSTGARTEN, M.S., LIU, Y., MULLER, F.L., BHATTACHARYA, A., LIANG, H., SALMON, A.B., BROOKS, S.V., LARKIN, L., HAYWORTH: "Increased superoxide in vivo accelerates age-associated muscle atrophy through mitochondrial dysfunction and neuromuscular junction degeneration", FASEB J, vol. 24, 2010, pages 1376 - 1390 |
| JEKABSONE, A., IVANOVIENE, L., BROWN, G.C., BORUTAITE, V.: "Nitric oxide and calcium together inactivate mitochondrial complex I and induce cytochrome c release", J MOL CELL CARDIOL, vol. 35, 2003, pages 803 - 809 |
| JIMENEZ-MORENO, R., WANG, Z.M., GERRING, R.C., DELBONO, O: "Sarcoplasmic reticulum Ca2+ release declines in muscle fibers from aging mice", BIOPHYS J, vol. 94, 2008, pages 3178 - 3188, XP029292031, DOI: doi:10.1529/biophysj.107.118786 |
| KENYON, C.J.: "The genetics of ageing", NATURE, vol. 464, 2010, pages 504 - 512, XP009166023, DOI: doi:10.1038/nature08980 |
| KIM, J.S., WILSON, J.M., LEE, S.R.: "Dietary implications on mechanisms of sarcopenia: roles of protein, amino acids and antioxidants", J NUTR BIOCHEM, vol. 21, pages 1 - 13, XP026785505, DOI: doi:10.1016/j.jnutbio.2009.06.014 |
| KOWALD, A.: "The mitochondrial theory of aging", BIOL SIGNALS RECEPT, vol. 10, 2001, pages 162 - 175 |
| LACAMPAGNE, A., KLEIN, M.G., SCHNEIDER, M.F.: "Modulation of the frequency of spontaneous sarcoplasmic reticulum Ca2+ release events (Ca2+ sparks) by myoplasmic [Mg2+] in frog skeletal muscle", J GEN PHYSIOL, vol. 111, 1998, pages 207 - 224 |
| LÄNNERGREN, J., WESTERBLAD, H., BRUTON, J.D.: "Changes in mitochondrial Ca2+ detected with Rhod-2 in single frog and mouse skeletal muscle fibres during and after repeated tetanic contractions", JOURNAL OF MUSCLE RESEARCH & CELL MOTILITY, vol. 22, 2001, pages 265 - 275 |
| LARSSON, N.G.: "Somatic mitochondrial DNA mutations in mammalian aging", ANNU REV BIOCHEM, vol. 79, 2010, pages 683 - 706, XP055169257, DOI: doi:10.1146/annurev-biochem-060408-093701 |
| LCHNART, S.E., MONGILLO, M., BCLLINGCR, A., LINDCGGCR, N., CHCN, B.X., HSUCH, W., REIKEN, S., WRONSKA, A., DREW, L.J., WARD, C.W.: "Leaky Ca2+ release channel/ryanodine receptor 2 causes seizures and sudden cardiac death in mice", J CLIN INVEST, vol. 118, 2008, pages 2230 - 2245 |
| LEE, H.Y., CHOI, C.S., BIRKENFELD, A.L., ALVES, T.C., JOMAYVAZ, F.R., JURCZAK, M.J., ZHANG, D., WOO, D.K., SHADEL, G.S., LADIGES,: "Targeted expression of catalase to mitochondria prevents ageassociated reductions in mitochondrial function and insulin resistance", CELL METAB, vol. 12, 2010, pages 668 - 674 |
| LEHNART, S.E., MONGILLO, M., BELLINGER, A., LINDEGGER, N., CHEN, B.X., HSUEH, W., REIKEN, S., WRONSKA, A., DREW, L.J., WARD, C.W.: "Leaky Ca2+ release channel/ryanodine receptor 2 causes seizures and sudden cardiac death in mice", J CLIN INVEST, vol. 118, 2008, pages 2230 - 2245 |
| LYNCH, G.S.: "Update on emerging drugs for sarcopenia - age-related muscle wasting", EXPERT OPIN EMERG DRUGS, vol. 13, 2008, pages 655 - 673 |
| MARZETTI, E., LEEUWENBURGH, C.: "Skeletal muscle apoptosis, sarcopenia and frailty at old age", EXPGERONTOL, vol. 41, 2006, pages 1234 - 1238, XP025083390, DOI: doi:10.1016/j.exger.2006.08.011 |
| MCTTCR, E.J., TALBOT, L.A., SCHRAGCR, M., CONWIT, R.: "Skeletal muscle strength as a predictor of allcause mortality in healthy men", J GERONTOL A BIOL SCI MED SCI, vol. 57, 2002, pages B359 - 365 |
| MENZIES, R.A., GOLD, P.H.: "The turnover of mitochondria in a variety of tissues of young adult and aged rats", J BIOL CHEM, vol. 246, 1971, pages 2425 - 2429 |
| MOYLAN, J.S., REID, M.B.: "Oxidative stress, chronic disease, and muscle wasting", MUSCLE & NERVE, vol. 35, 2007, pages 411 - 429 |
| MUKHOPADHYAY, P., RAJESH, M., YOSHIHIRO, K., HASKO, G., PACHER, P.: "Simple quantitative detection of mitochondrial superoxide production in live cells", BIOCHEMICAL & BIOPHYSICAL RESEARCH COMMUNICATIONS, vol. 358, 2007, pages 203 - 208, XP022077630, DOI: doi:10.1016/j.bbrc.2007.04.106 |
| MULLER, F.L., LUSTGARTEN, M.S., JANG, Y., RICHARDSON, A., VAN REMMEN, H.: "Trends in oxidative aging theories", FREE RADIC BIOL MED, vol. 43, 2007, pages 477 - 503, XP022156519, DOI: doi:10.1016/j.freeradbiomed.2007.03.034 |
| NAGY, E., ANDERSSON, D.C., CAIDAHL, K., ERIKSSON, M.J., ERIKSSON, P., FRANCO-CERECEDA, A., HANSSON, G.K., BACK, M.: "Upregulation of the 5-lipoxygenase pathway in human aortic valves correlates with severity of stenosis and leads to leukotriene- induced effects on valvular myofibroblasts", CIRCULATION, vol. 123, 2011, pages 1316 - 1325 |
| P. HEINRICH STAHL, CAMILLE G. WERMUTH: "Handbook of Pharmaceutical Salts : Properties, Selection, and Use" |
| PALMESE, A., DE ROSA, C., MARINO, G., AMORESANO, A.: "Dansyl labeling and bidimensional mass spectrometry to investigate protein carbonylation", RAPID COMMUN MASS SPECTROM, vol. 25, 2011, pages 223 - 231 |
| RANTANCN, T., GURALNIK, J.M., FOLCY, D., MASAKI, K., LCVCILLC, S., CURB, J.D., WHITE, L.: "Midlife hand grip strength as a predictor of old age disability", JAMA, vol. 281, 1999, pages 558 - 560 |
| REIKEN, S., LACAMPAGNE, A., ZHOU, H., KHERANI, A., LEHNART, S.E., WARD, C., HUANG, F., GABURJAKOVA, M., GABURJAKOVA, J., ROSEMBLIT: "PKA phosphorylation activates the calcium release channel (ryanodine receptor) in skeletal muscle: defective regulation in heart failure", J CELL BIOL, vol. 160, 2003, pages 919 - 928, XP002531402, DOI: doi:10.1083/JCB.200211012 |
| REIKEN, S., LACAMPAGNE, A., ZHOU, H., KHERANI, A., LEHNART, S.E., WARD, C., HUANG, F., GABURJAKOVA, M., GABURJAKOVA, J., ROSEMBLIT: "PKA phosphorylation activates the calcium release channel (ryanodine receptor) in skeletal muscle: defective regulation in heart failure", JOURNAL OF CELL BIOLOGY, vol. 160, 2003, pages 919 - 928, XP002531402, DOI: doi:10.1083/JCB.200211012 |
| RICHARD P. HAUGHLAND: "Handbook of Fluorescent Probes and Research Chemicals", 1996, MOLECULAR PROBES |
| RIOS, E., STEM, M.D., GONZALEZ, A., PIZARRO, G., SHIROKOVA, N.: "Calcium release flux underlying Ca2+ sparks of frog skeletal muscle", J GEN PHYSIOL, vol. 114, 1999, pages 31 - 48 |
| ROLLAND, Y., CZERWINSKI, S., ABELLAN VAN KAN, G., MORLEY, J.E., CESARI, M., ONDER, G., WOO, J., BAUMGARTNER, R., PILLARD, F., BOIR: "Sarcopenia: its assessment, etiology, pathogenesis, consequences and future perspectives", J NUTR HEALTH AGING, vol. 12, 2008, pages 433 - 450 |
| ROMERO-SUAREZ, S., SHEN, J., BROTTO, L., HALL, T., MO, C., VALDIVIA, H.H., ANDRESEN, J., WACKER, M., NOSEK, T.M., QU, C.K. ET AL.: "Muscle-specific inositide phosphatase (MIP/MTMR14) is reduced with age and its loss accelerates skeletal muscle aging process by altering calcium homeostasis", AGING (ALBANY NY, vol. 2, 2010, pages 504 - 513 |
| ROUBENOFF RONENN: "Physical activity, inflammation, and muscle loss.", NUTRITION REVIEWS, vol. 65, no. 12 Pt 2, December 2007 (2007-12-01), pages S208 - S212, XP002661748 * |
| RUSS, D.W., GRANDY, J.S., TOMA, K., WARD, C.W.: "Ageing, but not yet senescent, rats exhibit reduced muscle quality and sarcoplasmic reticulum function", ACTA PHYSIOL (OXF, 2010 |
| SAINI, A., FAULKNER, S., AL-SHANTI, N., STEWART, C.: "Powerful signals for weak muscles", AGEING RES REV, vol. 8, 2009, pages 251 - 267, XP026520060, DOI: doi:10.1016/j.arr.2009.02.001 |
| SCHRINER, S.E., LINFORD, N.J., MARTIN, G.M., TREUTING, P., OGBURN, C.E., EMOND, M., COSKUN, P.E., LADIGES, W., WOLF, N., VAN REMME: "Extension of murine life span by overexpression ofcatalase targeted to mitochondria", SCIENCE, vol. 308, 2005, pages 1909 - 1911 |
| SHAN, J., BETZENHAUSER, M.J., KUSHNIR, A., REIKEN, S., MELI, A.C., WRONSKA, A., DURA, M., CHEN, B.X., MARKS, A.R.: "Role of chronic ryanodine receptor phosphorylation in heart failure and beta-adrenergic receptor blockade in mice", J CLIN INVEST., 2010 |
| SHIROKOVA, N., NIGGLI, E.: "Studies of RyR function in situ", METHODS, vol. 46, 2008, pages 183 - 193, XP025679381, DOI: doi:10.1016/j.ymeth.2008.09.017 |
| SZABO, C., ISCHIROPOULOS, H., RADI, R.: "Peroxynitrite: biochemistry, pathophysiology and development of therapeutics", NAT REV DRUG DISCOV, vol. 6, 2007, pages 662 - 680 |
| TANG, W., INGALLS, C.P., DURHAM, W.J., SNIDER, J., REID, M.B., WU, G., MATZUK, M.M., HAMILTON, S.L.: "Altered excitation-contraction coupling with skeletal muscle specific FKBP12 deficiency", FASEB J, vol. 1, no. 8, 2004, pages 1597 - 1599 |
| TANG, W., INGALLS, C.P., DURHAM, W.J., SNIDER, J., REID, M.B., WU, G., MATZUK, M.M., HAMILTON, S.L.: "Altered excitation-contraction coupling with skeletal muscle specific FKBP12 deficiency", FASEB J, vol. 18, 2004, pages 1597 - 1599 |
| THOMAS, D.R.: "Loss of skeletal muscle mass in aging: examining the relationship of starvation, sarcopenia and cachexia", CLIN NUTR, vol. 26, 2007, pages 389 - 399, XP022159281, DOI: doi:10.1016/j.clnu.2007.03.008 |
| VIJG, J., CAMPISI, J.: "Puzzles, promises and a cure for ageing", NATURE, vol. 454, 2008, pages 1065 - 1071 |
| WAGNER, K.R., FLECKENSTEIN, J.L., AMATO, A.A., BAROHN, R.J., BUSHBY, K., ESCOLAR, D.M., FLANIGAN, K.M., PESTRONK, A., TAWIL, R., W: "A phase 1/IItrial of MYO-029 in adult subjects with muscular dystrophy", ANN NEUROL, vol. 63, 2008, pages 561 - 571, XP002514515, DOI: doi:10.1002/ana.21338 |
| WARD, C.W., REIKEN, S., MARKS, A.R., MARTY, I., VASSORT, G., LACAMPAGNE, A.: "Defects in ryanodine receptor calcium release in skeletal muscle from post-myocardial infarct rats", FASEB JOURNAL, vol. 17, 2003, pages 1517 - 1519 |
| WARD, C.W., REIKEN, S., MARKS, A.R., MARTY, L, VASSORT, G., LACAMPAGNE, A.: "Defects in ryanodine receptor calcium release in skeletal muscle from post-myocardial infarct rats", FASEB JOURNAL, vol. 17, 2003, pages 1517 - 1519 |
| WEHRENS, X.H., LEHNART, S.E., REIKEN, S.R., DENG, S.X., VEST, J.A., CERVANTES, D., COROMILAS, J., LANDRY, D.W., MARKS, A.R.: "rotection from cardiac arrhythmia through ryanodine receptor-stabilizing protein calstabin2", SCIENCE, vol. 304, 2004, pages 292 - 296, XP002579110, DOI: doi:10.1126/SCIENCE.1094301 |
| WEISLEDER, N., BROTTO, M., KOMAZAKI, S., PAN, Z., ZHAO, X., NOSEK, T., PARNESS, J., TAKESHIMA, H., MA, J.: "Muscle aging is associated with compromised Ca2+ spark signaling and segregated intracellular Ca2+ release", J CELL BIOL, vol. 174, 2006, pages 639 - 645 |
| XIA, R., STANGLER, T., ABRAMSON, J.J.: "Skeletal muscle ryanodine receptor is a redox sensor with a well defined redox potential that is sensitive to channel modulators", J BIOL CHEM, vol. 275, 2000, pages 36556 - 36561 |
| XIA, R., WEBB, J.A., GNALL, L.L., CUTLER, K., ABRAMSON, J.J.: "Skeletal muscle sarcoplasmic reticulum contains a NADH-dependent oxidase that generates superoxide", AM J PHYSIOL CELL PHYSIOL, vol. 285, 2003, pages C215 - 221 |
| YAMADA, T., PLACE, N., KOSTCRINA, N., OSTBCRG, T., ZHANG, S.J., GRUNDTMAN, C., ERLANDSSON-HARRIS, H., LUNDBERG, LE., GLENMARK, B.,: "Impaired myofibrillar function in the soleus muscle of mice with collagen-induced arthritis", ARTHRITIS RHEUM, vol. 60, 2009, pages 3280 - 3289 |
| ZALK, R., LEHNART, S.E., MARKS, A.R.: "Modulation of the ryanodine receptor and intracellular calcium", ANNUREVBIOCHEM, vol. 76, 2007, pages 367 - 385 |
Cited By (35)
| Publication number | Priority date | Publication date | Assignee | Title |
|---|---|---|---|---|
| US9371329B2 (en) | 2009-07-27 | 2016-06-21 | Gilead Sciences, Inc. | Fused heterocyclic compounds as ion channel modulators |
| US8952034B2 (en) | 2009-07-27 | 2015-02-10 | Gilead Sciences, Inc. | Fused heterocyclic compounds as ion channel modulators |
| US9079901B2 (en) | 2010-07-02 | 2015-07-14 | Gilead Sciences, Inc. | Fused heterocyclic compounds as ion channel modulators |
| US9682998B2 (en) | 2011-05-10 | 2017-06-20 | Gilead Sciences, Inc. | Fused heterocyclic compounds as ion channel modulators |
| US9403782B2 (en) | 2011-05-10 | 2016-08-02 | Gilead Sciences, Inc. | Fused heterocyclic compounds as ion channel modulators |
| US9115096B2 (en) | 2011-05-10 | 2015-08-25 | Gilead Sciences, Inc. | Fused heterocyclic compounds as ion channel modulators |
| EP3085694A1 (en) * | 2011-07-01 | 2016-10-26 | Gilead Sciences, Inc. | Fused benzoxazepinones as ion channel modulators |
| US9695192B2 (en) | 2011-07-01 | 2017-07-04 | Gilead Sciences, Inc. | Fused heterocyclic compounds as ion channel modulators |
| AU2013201608B2 (en) * | 2011-07-01 | 2015-07-09 | Gilead Sciences, Inc. | Fused benzoxazepinones as ion channel modulators |
| US8962610B2 (en) | 2011-07-01 | 2015-02-24 | Gilead Sciences, Inc. | Fused heterocyclic compounds as ion channel modulators |
| AU2013201608B9 (en) * | 2011-07-01 | 2015-07-23 | Gilead Sciences, Inc. | Fused benzoxazepinones as ion channel modulators |
| EA027356B1 (en) * | 2011-07-01 | 2017-07-31 | Джилид Сайэнс, Инк. | Fused heterocyclic compounds as ion channel modulators |
| US9193694B2 (en) | 2011-07-01 | 2015-11-24 | Gilead Sciences, Inc. | Fused heterocyclic compounds as ion channel modulators |
| US9676760B2 (en) | 2011-07-01 | 2017-06-13 | Gilead Sciences, Inc. | Fused heterocyclic compounds as ion channel modulators |
| AU2012279236B2 (en) * | 2011-07-01 | 2015-05-14 | Gilead Sciences, Inc. | Fused benzoxazepinones as ion channel modulators |
| EP3085696A1 (en) * | 2011-07-01 | 2016-10-26 | Gilead Sciences, Inc. | Fused benzoxazepinones as ion channel modulators |
| WO2013006485A1 (en) * | 2011-07-01 | 2013-01-10 | Gilead Sciences, Inc. | Fused benzoxazepinones as ion channel modulators |
| EP3088395A1 (en) * | 2011-07-01 | 2016-11-02 | Gilead Sciences, Inc. | Fused benzoxazepinones as ion channel modulators |
| EP3098218A1 (en) * | 2011-07-01 | 2016-11-30 | Gilead Sciences, Inc. | Fused benzoxazepinones as ion channel modulators |
| EP3101013A1 (en) * | 2011-07-01 | 2016-12-07 | Gilead Sciences, Inc. | Fused benzoxazepinones as ion channel modulators |
| AU2015224425B2 (en) * | 2011-07-01 | 2017-02-09 | Gilead Sciences, Inc. | Fused benzoxazepinones as ion channel modulators |
| US9598435B2 (en) | 2011-07-01 | 2017-03-21 | Gilead Sciences, Inc. | Fused heterocyclic compounds as ion channel modulators |
| WO2013156505A1 (en) | 2012-04-18 | 2013-10-24 | Les Laboratoires Servier | Agents for treating disorders involving modulation of ryanodine receptors |
| EP2653466A1 (en) | 2012-04-18 | 2013-10-23 | Les Laboratoires Servier | Agents for treating disorders involving modulation of ryanodine receptors |
| US8853198B2 (en) | 2012-04-18 | 2014-10-07 | Les Laboratoires Servier | Agents for treating disorders involving modulation of ryanodine receptors |
| MD4489C1 (en) * | 2012-04-18 | 2018-01-31 | Les Laboratoires Servier | 1,4-Benzothiazepine derivatives, method for the synthesis thereof, pharmaceutical compositions comprising the same, and use thereof for treating and preventing disorders involving modulation of ryanodine receptors |
| EP2708535A1 (en) | 2012-05-11 | 2014-03-19 | Les Laboratoires Servier | Agents for treating disorders involving modulation of ryanodine receptors |
| WO2017203083A1 (en) | 2016-05-24 | 2017-11-30 | Universidad Del País Vasco | Triazoles for regulating intracellular calcium homeostasis |
| US11377427B2 (en) | 2016-05-24 | 2022-07-05 | Universidad Del Pais Vasco | Triazoles for regulating intracellular calcium homeostasis |
| US10485502B2 (en) | 2016-12-20 | 2019-11-26 | General Electric Company | System and method for assessing muscle function of a patient |
| WO2019207553A3 (en) * | 2018-04-27 | 2020-03-19 | Joslin Diabetes Center, Inc. | Methods and compositions relating to lipokines for treating metabolic disorders |
| US12005039B2 (en) | 2018-04-27 | 2024-06-11 | Joslin Diabetes Center, Inc. | Methods and compositions relating to lipokines for treating metabolic disorders |
| CN116710425A (en) * | 2020-11-17 | 2023-09-05 | 阿姆果制药有限公司 | Agents for the treatment of disorders involving ryanodine receptors |
| JP2023549583A (en) * | 2020-11-17 | 2023-11-27 | アームゴ・ファーマ・インコーポレーテッド | Drugs for treating ryanodine receptor-related disorders |
| EP4247778A4 (en) * | 2020-11-17 | 2025-03-05 | RyCarma Therapeutics, Inc. | AGENTS FOR THE TREATMENT OF DISEASES WITH RYANODINE RECEPTORS |
Similar Documents
| Publication | Publication Date | Title |
|---|---|---|
| WO2012019071A1 (en) | Methods of preventing and treating sarcopenia | |
| WO2012037105A1 (en) | Methods of treating, ameliorating or preventing stress-induced neuronal disorders and diseases | |
| WO2008060332A2 (en) | Methods for treating or reducing muscle fatigue | |
| AU2013248313B2 (en) | Agents for treating disorders involving modulation of ryanodine receptors | |
| WO2012019076A1 (en) | Compositions and methods for preventing and treating cardiac ischemia/reperfusion injury | |
| JP5274831B2 (en) | Novel anti-arrhythmic and heart failure drugs and their use targeting ryanodine receptor (RyR2) leakage | |
| WO2013177170A2 (en) | Methods for drug screen using zebrafish model and the compounds screened thereform | |
| AU2025201645A1 (en) | Methods and compositions for treating psychotic disorders | |
| Guibert et al. | 5-HT induces an arachidonic acid-sensitive calcium influx in rat small intrapulmonary artery | |
| WO2018201146A1 (en) | Compounds and methods of treating retinal degeneration | |
| ES2973215T3 (en) | Therapeutic agent for amyotrophic lateral sclerosis and composition for treatment | |
| De Ieso et al. | Physiologic consequences of caveolin-1 ablation in conventional outflow endothelia | |
| KR20070116900A (en) | New Antiarrhythmic and Heart Failure Drugs Targeting Leakage at the Lyanodine Receptor (RVR2) | |
| JP2024012483A (en) | Treatment of tachycardia | |
| US20120115778A1 (en) | Methods of Suppressing Appetite by the Administration of Antagonists of the Serotonin HTR1a or HTR2b Receptors or Inhibitors of TPH2 | |
| EP1551412B1 (en) | Pharmaceutical compositions for the treatment of diseases related to neurotrophines | |
| WO2008021439A2 (en) | Compositions and methods for treatment of cardiac hypertrophy | |
| US10172854B2 (en) | Compositions and methods for treating mitochondrial diseases | |
| EP4061356A2 (en) | Novel benzothiophene derivatives and use thereof for stimulating mitochondrial turnover | |
| FR2903905A1 (en) | DRUGS FOR THE TREATMENT OF SARCOGLYCANOPATHIES | |
| WO2015014666A1 (en) | Methods and pharmaceutical compositions for the treatment of ventilator-induced diaphragmatic dysfunction | |
| WO2025264985A1 (en) | Mitochondrial enhancers for treating neurodegenerative disease | |
| KR20240148365A (en) | Methods for monitoring patient response to treatment of retinal oxidative disease | |
| Reiken et al. | Leaky ryanodine receptors in β-sarcoglycan deficient mice: a potential common defect in muscular dystrophy | |
| TW200815381A (en) | Methods for treating or reducing muscle fatigue |
Legal Events
| Date | Code | Title | Description |
|---|---|---|---|
| 121 | Ep: the epo has been informed by wipo that ep was designated in this application |
Ref document number: 11748811 Country of ref document: EP Kind code of ref document: A1 |
|
| DPE2 | Request for preliminary examination filed before expiration of 19th month from priority date (pct application filed from 20040101) | ||
| NENP | Non-entry into the national phase |
Ref country code: DE |
|
| 122 | Ep: pct application non-entry in european phase |
Ref document number: 11748811 Country of ref document: EP Kind code of ref document: A1 |




















































































































