WO2011109042A1 - Phosphorescent materials - Google Patents
Phosphorescent materials Download PDFInfo
- Publication number
- WO2011109042A1 WO2011109042A1 PCT/US2010/051076 US2010051076W WO2011109042A1 WO 2011109042 A1 WO2011109042 A1 WO 2011109042A1 US 2010051076 W US2010051076 W US 2010051076W WO 2011109042 A1 WO2011109042 A1 WO 2011109042A1
- Authority
- WO
- WIPO (PCT)
- Prior art keywords
- compound
- formula
- ligand
- metal
- heterocyclic ring
- Prior art date
- Legal status (The legal status is an assumption and is not a legal conclusion. Google has not performed a legal analysis and makes no representation as to the accuracy of the status listed.)
- Ceased
Links
- 0 C*(*)c1ccncc1 Chemical compound C*(*)c1ccncc1 0.000 description 14
- DGTUHVYZMVIMEC-MJMLZNCBSA-N C/C(/N(C)/C=N\C=N)=C/C=C\C=C Chemical compound C/C(/N(C)/C=N\C=N)=C/C=C\C=C DGTUHVYZMVIMEC-MJMLZNCBSA-N 0.000 description 1
- QYNZYUUXSVZDJO-UHFFFAOYSA-N CCCNC(C)CC Chemical compound CCCNC(C)CC QYNZYUUXSVZDJO-UHFFFAOYSA-N 0.000 description 1
- YXFVVABEGXRONW-UHFFFAOYSA-N Cc1ccccc1 Chemical compound Cc1ccccc1 YXFVVABEGXRONW-UHFFFAOYSA-N 0.000 description 1
Classifications
-
- C—CHEMISTRY; METALLURGY
- C07—ORGANIC CHEMISTRY
- C07F—ACYCLIC, CARBOCYCLIC OR HETEROCYCLIC COMPOUNDS CONTAINING ELEMENTS OTHER THAN CARBON, HYDROGEN, HALOGEN, OXYGEN, NITROGEN, SULFUR, SELENIUM OR TELLURIUM
- C07F15/00—Compounds containing elements of Groups 8, 9, 10 or 18 of the Periodic Table
- C07F15/0006—Compounds containing elements of Groups 8, 9, 10 or 18 of the Periodic Table compounds of the platinum group
- C07F15/0033—Iridium compounds
-
- C—CHEMISTRY; METALLURGY
- C09—DYES; PAINTS; POLISHES; NATURAL RESINS; ADHESIVES; COMPOSITIONS NOT OTHERWISE PROVIDED FOR; APPLICATIONS OF MATERIALS NOT OTHERWISE PROVIDED FOR
- C09K—MATERIALS FOR MISCELLANEOUS APPLICATIONS, NOT PROVIDED FOR ELSEWHERE
- C09K11/00—Luminescent, e.g. electroluminescent, chemiluminescent materials
- C09K11/06—Luminescent, e.g. electroluminescent, chemiluminescent materials containing organic luminescent materials
-
- H—ELECTRICITY
- H05—ELECTRIC TECHNIQUES NOT OTHERWISE PROVIDED FOR
- H05B—ELECTRIC HEATING; ELECTRIC LIGHT SOURCES NOT OTHERWISE PROVIDED FOR; CIRCUIT ARRANGEMENTS FOR ELECTRIC LIGHT SOURCES, IN GENERAL
- H05B33/00—Electroluminescent light sources
- H05B33/12—Light sources with substantially two-dimensional radiating surfaces
- H05B33/14—Light sources with substantially two-dimensional radiating surfaces characterised by the chemical or physical composition or the arrangement of the electroluminescent material, or by the simultaneous addition of the electroluminescent material in or onto the light source
-
- H—ELECTRICITY
- H10—SEMICONDUCTOR DEVICES; ELECTRIC SOLID-STATE DEVICES NOT OTHERWISE PROVIDED FOR
- H10K—ORGANIC ELECTRIC SOLID-STATE DEVICES
- H10K50/00—Organic light-emitting devices
- H10K50/10—OLEDs or polymer light-emitting diodes [PLED]
- H10K50/11—OLEDs or polymer light-emitting diodes [PLED] characterised by the electroluminescent [EL] layers
-
- H—ELECTRICITY
- H10—SEMICONDUCTOR DEVICES; ELECTRIC SOLID-STATE DEVICES NOT OTHERWISE PROVIDED FOR
- H10K—ORGANIC ELECTRIC SOLID-STATE DEVICES
- H10K85/00—Organic materials used in the body or electrodes of devices covered by this subclass
- H10K85/30—Coordination compounds
- H10K85/341—Transition metal complexes, e.g. Ru(II)polypyridine complexes
- H10K85/342—Transition metal complexes, e.g. Ru(II)polypyridine complexes comprising iridium
-
- C—CHEMISTRY; METALLURGY
- C09—DYES; PAINTS; POLISHES; NATURAL RESINS; ADHESIVES; COMPOSITIONS NOT OTHERWISE PROVIDED FOR; APPLICATIONS OF MATERIALS NOT OTHERWISE PROVIDED FOR
- C09K—MATERIALS FOR MISCELLANEOUS APPLICATIONS, NOT PROVIDED FOR ELSEWHERE
- C09K2211/00—Chemical nature of organic luminescent or tenebrescent compounds
- C09K2211/10—Non-macromolecular compounds
- C09K2211/1018—Heterocyclic compounds
- C09K2211/1022—Heterocyclic compounds bridged by heteroatoms, e.g. N, P, Si or B
-
- C—CHEMISTRY; METALLURGY
- C09—DYES; PAINTS; POLISHES; NATURAL RESINS; ADHESIVES; COMPOSITIONS NOT OTHERWISE PROVIDED FOR; APPLICATIONS OF MATERIALS NOT OTHERWISE PROVIDED FOR
- C09K—MATERIALS FOR MISCELLANEOUS APPLICATIONS, NOT PROVIDED FOR ELSEWHERE
- C09K2211/00—Chemical nature of organic luminescent or tenebrescent compounds
- C09K2211/10—Non-macromolecular compounds
- C09K2211/1018—Heterocyclic compounds
- C09K2211/1025—Heterocyclic compounds characterised by ligands
- C09K2211/1029—Heterocyclic compounds characterised by ligands containing one nitrogen atom as the heteroatom
-
- C—CHEMISTRY; METALLURGY
- C09—DYES; PAINTS; POLISHES; NATURAL RESINS; ADHESIVES; COMPOSITIONS NOT OTHERWISE PROVIDED FOR; APPLICATIONS OF MATERIALS NOT OTHERWISE PROVIDED FOR
- C09K—MATERIALS FOR MISCELLANEOUS APPLICATIONS, NOT PROVIDED FOR ELSEWHERE
- C09K2211/00—Chemical nature of organic luminescent or tenebrescent compounds
- C09K2211/10—Non-macromolecular compounds
- C09K2211/1018—Heterocyclic compounds
- C09K2211/1025—Heterocyclic compounds characterised by ligands
- C09K2211/1029—Heterocyclic compounds characterised by ligands containing one nitrogen atom as the heteroatom
- C09K2211/1033—Heterocyclic compounds characterised by ligands containing one nitrogen atom as the heteroatom with oxygen
-
- C—CHEMISTRY; METALLURGY
- C09—DYES; PAINTS; POLISHES; NATURAL RESINS; ADHESIVES; COMPOSITIONS NOT OTHERWISE PROVIDED FOR; APPLICATIONS OF MATERIALS NOT OTHERWISE PROVIDED FOR
- C09K—MATERIALS FOR MISCELLANEOUS APPLICATIONS, NOT PROVIDED FOR ELSEWHERE
- C09K2211/00—Chemical nature of organic luminescent or tenebrescent compounds
- C09K2211/10—Non-macromolecular compounds
- C09K2211/1018—Heterocyclic compounds
- C09K2211/1025—Heterocyclic compounds characterised by ligands
- C09K2211/1029—Heterocyclic compounds characterised by ligands containing one nitrogen atom as the heteroatom
- C09K2211/1037—Heterocyclic compounds characterised by ligands containing one nitrogen atom as the heteroatom with sulfur
-
- C—CHEMISTRY; METALLURGY
- C09—DYES; PAINTS; POLISHES; NATURAL RESINS; ADHESIVES; COMPOSITIONS NOT OTHERWISE PROVIDED FOR; APPLICATIONS OF MATERIALS NOT OTHERWISE PROVIDED FOR
- C09K—MATERIALS FOR MISCELLANEOUS APPLICATIONS, NOT PROVIDED FOR ELSEWHERE
- C09K2211/00—Chemical nature of organic luminescent or tenebrescent compounds
- C09K2211/10—Non-macromolecular compounds
- C09K2211/1018—Heterocyclic compounds
- C09K2211/1025—Heterocyclic compounds characterised by ligands
- C09K2211/1044—Heterocyclic compounds characterised by ligands containing two nitrogen atoms as heteroatoms
-
- C—CHEMISTRY; METALLURGY
- C09—DYES; PAINTS; POLISHES; NATURAL RESINS; ADHESIVES; COMPOSITIONS NOT OTHERWISE PROVIDED FOR; APPLICATIONS OF MATERIALS NOT OTHERWISE PROVIDED FOR
- C09K—MATERIALS FOR MISCELLANEOUS APPLICATIONS, NOT PROVIDED FOR ELSEWHERE
- C09K2211/00—Chemical nature of organic luminescent or tenebrescent compounds
- C09K2211/10—Non-macromolecular compounds
- C09K2211/1018—Heterocyclic compounds
- C09K2211/1025—Heterocyclic compounds characterised by ligands
- C09K2211/1059—Heterocyclic compounds characterised by ligands containing three nitrogen atoms as heteroatoms
-
- C—CHEMISTRY; METALLURGY
- C09—DYES; PAINTS; POLISHES; NATURAL RESINS; ADHESIVES; COMPOSITIONS NOT OTHERWISE PROVIDED FOR; APPLICATIONS OF MATERIALS NOT OTHERWISE PROVIDED FOR
- C09K—MATERIALS FOR MISCELLANEOUS APPLICATIONS, NOT PROVIDED FOR ELSEWHERE
- C09K2211/00—Chemical nature of organic luminescent or tenebrescent compounds
- C09K2211/18—Metal complexes
- C09K2211/185—Metal complexes of the platinum group, i.e. Os, Ir, Pt, Ru, Rh or Pd
-
- H—ELECTRICITY
- H10—SEMICONDUCTOR DEVICES; ELECTRIC SOLID-STATE DEVICES NOT OTHERWISE PROVIDED FOR
- H10K—ORGANIC ELECTRIC SOLID-STATE DEVICES
- H10K2101/00—Properties of the organic materials covered by group H10K85/00
- H10K2101/10—Triplet emission
Definitions
- the claimed invention was made by, on behalf of, and/or in connection with one or more of the following parties to a joint university corporation research agreement: Regents of the University of Michigan, Princeton University, The University of Southern California, and the Universal Display Corporation. The agreement was in effect on and before the date the claimed invention was made, and the claimed invention was made as a result of activities undertaken within the scope of the agreement.
- the present invention relates to organic light emitting devices (OLEDs). More specifically, the present invention relates to phosphorescent materials comprising a 2- phenylpyridine ligand further substituted with a heterocyclic group. These materials may provide devices having improved efficiency and lifetime.
- Opto-electronic devices that make use of organic materials are becoming increasingly desirable for a number of reasons. Many of the materials used to make such devices are relatively inexpensive, so organic opto-electronic devices have the potential for cost advantages over inorganic devices. In addition, the inherent properties of organic materials, such as their flexibility, may make them well suited for particular applications such as fabrication on a flexible substrate. Examples of organic opto-electronic devices include organic light emitting devices (OLEDs), organic phototransistors, organic photovoltaic cells, and organic photodetectors. For OLEDs, the organic materials may have performance advantages over conventional materials. For example, the wavelength at which an organic emissive layer emits light may generally be readily tuned with appropriate dopants.
- OLEDs organic light emitting devices
- the wavelength at which an organic emissive layer emits light may generally be readily tuned with appropriate dopants.
- OLEDs make use of thin organic films that emit light when voltage is applied across the device. OLEDs are becoming an increasingly interesting technology for use in applications such as flat panel displays, illumination, and backlighting. Several OLED materials and configurations are described in U.S. Pat. Nos. 5,844,363, 6,303,238, and 5,707,745, which are incorporated herein by reference in their entirety.
- One example of a green emissive molecule is tris(2-phenylpyridine) iridium, denoted Ir(ppy) 3 , which has the structure:
- organic includes polymeric materials as well as small molecule organic materials that may be used to fabricate organic opto-electronic devices.
- Small molecule refers to any organic material that is not a polymer, and "small molecules” may actually be quite large. Small molecules may include repeat units in some circumstances. For example, using a long chain alkyl group as a substituent does not remove a molecule from the "small molecule” class. Small molecules may also be incorporated into polymers, for example as a pendent group on a polymer backbone or as a part of the backbone. Small molecules may also serve as the core moiety of a dendrimer, which consists of a series of chemical shells built on the core moiety.
- the core moiety of a dendrimer may be a fluorescent or phosphorescent small molecule emitter.
- a dendrimer may be a "small molecule,” and it is believed that all dendrimers currently used in the field of OLEDs are small molecules.
- top means furthest away from the substrate, while “bottom” means closest to the substrate.
- first layer is described as “disposed over” a second layer, the first layer is disposed further away from substrate. There may be other layers between the first and second layer, unless it is specified that the first layer is "in contact with” the second layer.
- a cathode may be described as “disposed over” an anode, even though there are various organic layers in between.
- solution processible means capable of being dissolved, dispersed, or transported in and/or deposited from a liquid medium, either in solution or suspension form.
- a ligand may be referred to as "photoactive” when it is believed that the ligand directly contributes to the photoactive properties of an emissive material.
- a ligand may be referred to as "ancillary” when it is believed that the ligand does not contribute to the photoactive properties of an emissive material, although an ancillary ligand may alter the properties of a photoactive ligand.
- a first "Highest Occupied Molecular Orbital” (HOMO) or “Lowest Unoccupied Molecular Orbital” (LUMO) energy level is “greater than” or "higher than” a second HOMO or LUMO energy level if the first energy level is closer to the vacuum energy level.
- IP ionization potentials
- a higher HOMO energy level corresponds to an IP having a smaller absolute value (an IP that is less negative).
- a higher LUMO energy level corresponds to an electron affinity (EA) having a smaller absolute value (an EA that is less negative).
- the LUMO energy level of a material is higher than the HOMO energy level of the same material.
- a "higher” HOMO or LUMO energy level appears closer to the top of such a diagram than a "lower” HOMO or LUMO energy level.
- a first work function is "greater than” or “higher than” a second work function if the first work function has a higher absolute value. Because work functions are generally measured as negative numbers relative to vacuum level, this means that a "higher” work function is more negative. On a conventional energy level diagram, with the vacuum level at the top, a “higher” work function is illustrated as further away from the vacuum level in the downward direction. Thus, the definitions of HOMO and LUMO energy levels follow a different convention than work functions.
- Li and L 2 can be the same or different.
- M is a metal having an atomic number greater than 40.
- the metal M is Ir.
- x is 1 , 2 or 3.
- y is 0, 1 or 2.
- z is 0, 1 or 2.
- x+y+z is the oxidation state of the metal M.
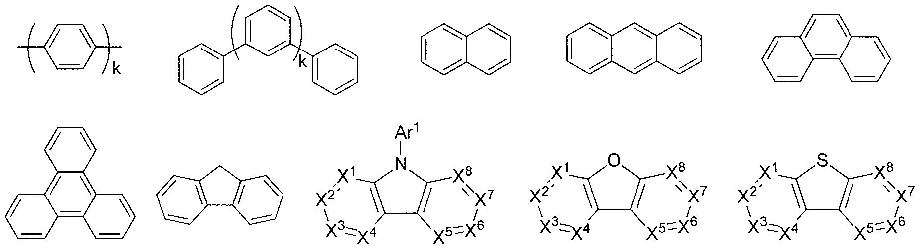
- A is a 6-membered heterocyclic ring.
- B, C, D, E and F are each independently a 5 or 6-membered carbocyclic or heterocyclic ring.
- B is phenyl.
- R is a 5 or 6-membered heterocyclic ring.
- R is attached to A at a position para to the metal M.
- R A , R B , R C , R D , R E and Rp may represent mono, di, tri, tetra, or penta substitutions.
- Each of R A , R B , R C , R D , R E and Rp is independently selected from the group consisting of hydrogen, alkyl, alkoxy, amino, alkenyl, alkynyl, arylkyl, aryl, and heteroaryl.
- the ligand L is coordinated bidentately to the metal M.
- R is a 5 or 6-membered heterocyclic ring that contains at least one nitrogen atom.
- the ligand L has the formula:
- G is a 5 or 6-membered heterocyclic ring.
- G is a 5 or 6-membered heterocyclic ring that contains at least one nitrogen atom.
- Xi , X 2 , and X 3 are independently selected from carbon, oxygen, sulfur and nitrogen.
- Xi, X 2 , and X 3 are independently carbon or nitrogen.
- RQ may represent mono, di, tri, tetra, or penta substitutions.
- RG is independently selected from the group consisting of hydrogen, alkyl, alkoxy, amino, alkenyl, alkynyl, arylkyl, aryl, and heteroaryl.
- At least one of Xi, X 2 , and X 3 is nitrogen. In another aspect, each of Xi, X 2 , and X 3 is carbon.
- L, L] and L 2 are connected to form a tetradentate ligand and a bidentate ligand or a hexadentate ligand.
- L and L] may be connected to form a tetradentate ligand and L 2 is a bidentate ligand.
- L and L 2 or Li and L 2 may be connected to form a tetradentate ligand while Li or L is a bidentate ligand.
- L, Li and L 2 may all be connected to form a hexadentate ligand.
- the compound is homoleptic. In another aspect, the compound has the formula:
- the compound is heteroleptic. In another aspect, the compound has the formula:
- n+y+z is the oxidation state of the metal M.
- n is at least 1 .
- y is 0, 1 or 2.
- x is 0, 1 , or 2.
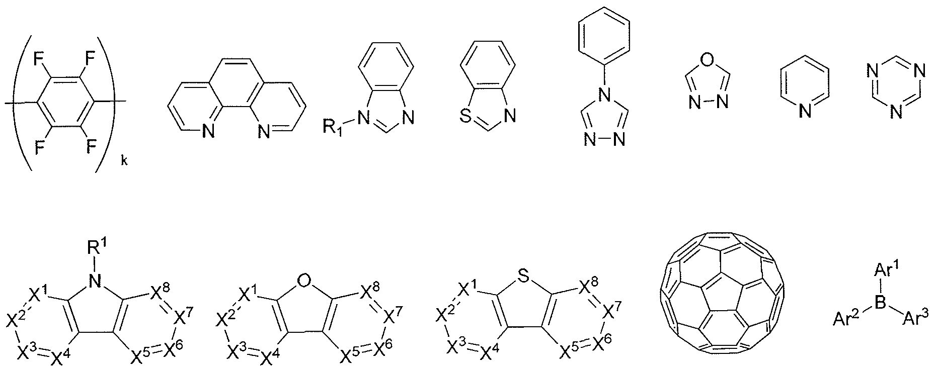
- the ligand L is selected from the group consisting of:
- a first device comprises an organic light emitting device, further comprising an anode, a cathode, and an organic layer, disposed between the anode and the cathode.
- the organic layer comprising a first compound having the formula M(L) x (L,) y (L 2 ) 2 .
- L 2 is Formula III.
- Li and L 2 can be the same or different.
- M is a metal having an atomic number greater than 40.
- the metal M is Ir.
- x is 1 , 2 or 3.
- y is 0, 1 or 2.
- z is 0, 1 or 2.
- x+y+z is the oxidation state of the metal M.
- A is a 6-membered heterocyclic ring.
- B, C, D, E and F are each independently a 5 or 6-membered carbocyclic or heterocyclic ring.
- B is phenyl.
- R is a 5 or 6-membered heterocyclic ring.
- R is a 5 or 6- membered heterocyclic ring that contains at least one nitrogen atom.
- R is attached to A at a position para to the metal M.
- R A , RB, RC, RD, RE and RF may represent mono, di, tri, tetra, or penta substitutions.
- Each of R A , RB, RC, RD, RE and RF is independently selected from the group consisting of hydrogen, alky], alkoxy, amino, alkenyl, alkynyl, arylkyl, aryl, and heteroaryl.
- the ligand L is coordinated bidentately to the metal M.
- the ligand L has the formula:
- G is a 5 or 6-membered heterocyclic ring.
- G is a 5 or 6-membered heterocyclic ring that contains at least one nitrogen atom.
- Xi, X 2 , and X 3 are independently selected from carbon, oxygen, sulfur and nitrogen.
- X], X 2 , and X 3 are independently carbon or nitrogen.
- RG may represent mono, di, tri, tetra, or penta
- RG is independently selected from the group consisting of hydrogen, alkyl, alkoxy, amino, alkenyl, alkynyl, arylkyl, aryl, and heteroaryl.
- At least one of X], X 2 , and X 3 is nitrogen. In another aspect, each of X] , X 2 , and X 3 is carbon.
- L, L, and L 2 are connected to form a tetradentate ligand and a bidentate ligand or a hexadentate ligand.
- the compound is homoleptic. In another aspect, the compound has the formula:
- the compound is heteroleptic. In another aspect, the compound has the formula:
- n+y+z is the oxidation state of the metal M.
- n is at least 1 .
- y is 0, 1 or 2.
- x is 0, 1 , or 2.
- the ligand L is selected from the group consisting of:
- the organic layer is an emissive layer and the first compound is an emissive compound.
- the organic layer further comprises a second emissive compound.
- the second emissive compound is
- the organic layer further comprises a host having the formula:
- R' , , R' 2 , R' 3 , R'4, R'5, R'6, R'7, and R' 8 are independently selected from the group consisting of hydrogen, alkyl, alkoxy, amino, alkenyl, alkynyl, arylkyl, aryl, and heteroaryl.
- the host is:
- the first device is a consumer product. In another aspect, the first device is an organic light emitting device.
- FIG. 1 shows an organic light emitting device.
- FIG. 2 shows an inverted organic light emitting device that does not have a separate electron transport layer.
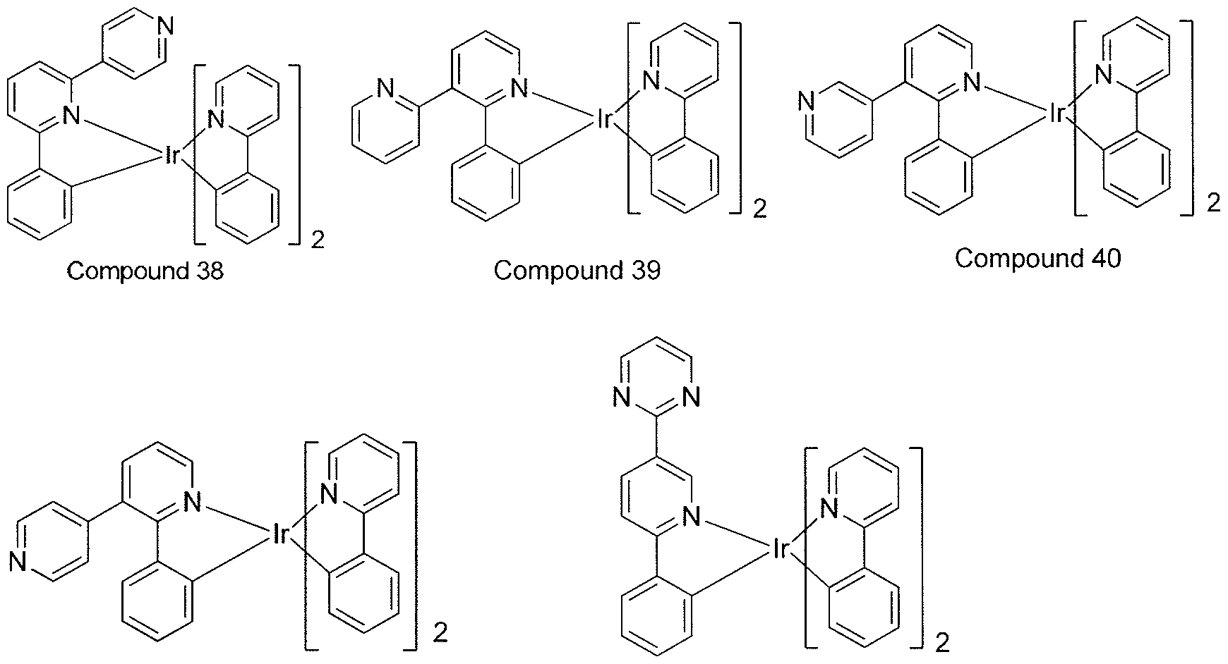
- FIG. 3 shows a compound comprising a 2-phenylpyridine ligand further substituted with a heterocyclic group.
- an OLED comprises at least one organic layer disposed between and electrically connected to an anode and a cathode.
- the anode injects holes and the cathode injects electrons into the organic layer(s).
- the injected holes and electrons each migrate toward the oppositely charged electrode.
- an "exciton” which is a localized electron-hole pair having an excited energy state, is formed.
- Light is emitted when the exciton relaxes via a photoemissive mechanism.
- the exciton may be localized on an excimer or an exciplex. Non- radiative mechanisms, such as thermal relaxation, may also occur, but are generally considered undesirable.
- the initial OLEDs used emissive molecules that emitted light from their singlet states ("fluorescence") as disclosed, for example, in U.S. Pat. No. 4,769,292, which is incorporated by reference in its entirety. Fluorescent emission generally occurs in a time frame of less than 10 nanoseconds.
- FIG. 1 shows an organic light emitting device 100.
- Device 100 may include a substrate 1 10, an anode 1 15, a hole injection layer 120, a hole transport layer 125, an electron blocking layer 130, an emissive layer 135, a hole blocking layer 140, an electron transport layer 145, an electron injection layer 150, a protective layer 155, and a cathode 160.
- Cathode 160 is a compound cathode having a first conductive layer 162 and a second conductive layer 164.
- Device 100 may be fabricated by depositing the layers described, in order. The properties and functions of these various layers, as well as example materials, are described in more detail in US 7,279,704 at cols. 6- 10, which are incorporated by reference.
- each of these layers are available.
- a flexible and transparent substrate-anode combination is disclosed in U.S. Pat. No. 5,844,363, which is incorporated by reference in its entirety.
- An example of a p-doped hole transport layer is m- MTDATA doped with F.sub.4-TCNQ at a molar ratio of 50: 1, as disclosed in U.S. Patent Application Publication No. 2003/0230980, which is incorporated by reference in its entirety.
- Examples of emissive and host materials are disclosed in U.S. Pat. No. 6,303,238 to
- n- doped electron transport layer is BPhen doped with Li at a molar ratio of 1 : 1 , as disclosed in U.S. Patent Application Publication No. 2003/0230980, which is incorporated by reference in its entirety.
- FIG. 2 shows an inverted OLED 200.
- the device includes a substrate 210, a cathode 215, an emissive layer 220, a hole transport layer 225, and an anode 230.
- Device 200 may be fabricated by depositing the layers described, in order. Because the most common OLED configuration has a cathode disposed over the anode, and device 200 has cathode 215 disposed under anode 230, device 200 may be referred to as an "inverted" OLED. Materials similar to those described with respect to device 100 may be used in the corresponding layers of device 200.
- FIG. 2 provides one example of how some layers may be omitted from the structure of device 100.
- FIGS. 1 and 2 The simple layered structure illustrated in FIGS. 1 and 2 is provided by way of non- limiting example, and it is understood that embodiments of the invention may be used in connection with a wide variety of other structures.
- the specific materials and structures described are exemplary in nature, and other materials and structures may be used.
- Functional OLEDs may be achieved by combining the various layers described in different ways, or layers may be omitted entirely, based on design, performance, and cost factors. Other layers not specifically described may also be included. Materials other than those specifically described may be used. Although many of the examples provided herein describe various layers as comprising a single material, it is understood that combinations of materials, such as a mixture of host and dopant, or more generally a mixture, may be used. Also, the layers may have various sublayers.
- hole transport layer 225 transports holes and injects holes into emissive layer 220, and may be described as a hole transport layer or a hole injection layer.
- an OLED may be described as having an "organic layer" disposed between a cathode and an anode. This organic layer may comprise a single layer, or may further comprise multiple layers of different organic materials as described, for example, with respect to FIGS. 1 and 2.
- OLEDs comprised of polymeric materials (PLEDs) such as disclosed in U.S. Pat. No.
- OLEDs having a single organic layer may be used.
- OLEDs may be stacked, for example as described in U.S. Pat. No. 5,707,745 to Forrest et al, which is incorporated by reference in its entirety.
- the OLED structure may deviate from the simple layered structure illustrated in FIGS. 1 and 2.
- the substrate may include an angled reflective surface to improve out-coupling, such as a mesa structure as described in U.S. Pat. No.
- any of the layers of the various embodiments may be deposited by any suitable method.
- preferred methods include thermal evaporation, ink-jet, such as described in U.S. Pat. Nos. 6,013,982 and 6,087, 196, which are incorporated by reference in their entireties, organic vapor phase deposition (OVPD), such as described in U.S. Pat. No. 6,337, 102 to Forrest et al., which is incorporated by reference in its entirety, and deposition by organic vapor jet printing (OVJP), such as described in U.S.
- OVPD organic vapor phase deposition
- OJP organic vapor jet printing
- deposition methods include spin coating and other solution based processes. Solution based processes are preferably carried out in nitrogen or an inert atmosphere.
- preferred methods include thermal evaporation.
- Preferred patterning methods include deposition through a mask, cold welding such as described in U.S. Pat. Nos.
- Devices fabricated in accordance with embodiments of the invention may be incorporated into a wide variety of consumer products, including flat panel displays, computer monitors, televisions, billboards, lights for interior or exterior illumination and/or signaling, heads up displays, fully transparent displays, flexible displays, laser printers, telephones, cell phones, personal digital assistants (PDAs), laptop computers, digital cameras, camcorders, viewfinders, micro-displays, vehicles, a large area wall, theater or stadium screen, or a sign.
- PDAs personal digital assistants
- Various control mechanisms may be used to control devices fabricated in accordance with the present invention, including passive matrix and active matrix. Many of the devices are intended for use in a temperature range comfortable to humans, such as 18 degrees C. to 30 degrees C, and more preferably at room temperature (20-25 degrees C).
- the materials and structures described herein may have applications in devices other than OLEDs.
- other optoelectronic devices such as organic solar cells and organic photodetectors may employ the materials and structures.
- organic devices such as organic transistors, may employ the materials and structures.
- halo halogen, alkyl, cycloalkyl, alkenyl, alkynyl, arylkyl, heterocyclic group, aryl, aromatic group, and heteroaryl are known to the art, and are defined in US 7,279,704 at cols. 31 -32, which are incorporated herein by reference.
- Novel compounds containing a phenylpyridine ligand further substituted with a heterocyclic ring are provided.
- the heterocyclic ring is attached to the pyridine ring of the 2-phenyipyridine ligand at the position para to the metal, i.e., the 4 position, to which the ligand is coordinated (illustrated in FIG. 3).
- the compounds may be used as emissive materials for phosphorescent OLEDs. All ligands in the compound are
- phenylpyridine-based because these ligands may have higher stability.
- a compound with all phenylpyridine-based ligands may have higher stability than a compound comprising an acetylacetone, i.e., acac, ligand.
- Phenylpyridine and alkyl substituted 2-phenylpyridine ligands have been reported in the literature. In particular, these ligands can bind strongly with iridium(III) to provide good chemical stability. Additionally, the tris complexes of iridium and 2-phenylpyridine ligands may evaporate under high vacuum at low temperatures (i.e., ⁇ 250 °C). However, the use of these compounds in phosphorescent OLEDs is limited. The operational stability of OLEDs comprising these complexes as the emissive material is poor. Aryl and heterocyclic substitution on 2-phenylpyridine can improve device stability.
- homoleptic and heteroleptic compounds comprising of at least one ligand with a heterocyclic substituent provide improved devices.
- the compounds provided herein may provide high efficiency, high luminous efficiency : quantum efficiency ratio (LE:EQE) and high stability.
- Phenyl groups substituted on the pyridine ring of the 2-phenylpyridine ligand may increase the conjugation of the ligand and, in some cases, result in a red shifted emission. This red-shifting effect may be desirable for emission with longer wavelengths (between 540 nm and 560 nm) in the yellow part of the spectrum.
- Heterocyclic groups substituted on the pyridine ring of the 2-phenylpyridine ligand may also increase the conjugation of the ligand resulting in even further red shifted emission of up to 590 nm.
- the heterocyclic group located at the 4 position of the pyridine ring of the 2-phenylpyridine ligand provides significant red shifting impact and broadens the emission spectra. That is, heterocyclic rings at the 4 position of the 2-phenylpyridine ligand may provide a broad organce spectrum, which may be especially desirable for white devices.
- a nitrogen containing heterocycle may be particularly beneficial for color tuning.
- Typical white OLEDs can be prepared by using a combination of emissive components with different wavelengths, which when optimized can produce white light.
- White OLEDs can typically be prepared by using a combination of 3 emissive components. In particular, a combination of blue, green and red emissive components can be used to generate white light. For manufacturing purposes, it is most desirable to incorporate a minimum number of materials into a device. Therefore, white OLEDs containing only two emissive components are highly desirable.
- Generating a commercial device using two emissive components to generate white light is far more challenging than generating a commercial device using three components. Emitters with more specific colors are required. Without being bound by theory, it is believed that the compounds provided herein emit in an energy range suitable for use in two emitting component white devices. In addition, these compounds can also be used in a three emitting component white device.
- Heterocyclic groups substituted at the 4 position on the pyridine ring of the 2- phenylpyridine not only provides the optimum desired color but in addition the ligand may also lower and stabilize the LUMO of the metal complex, thereby providing further device operational stability.
- the homoleptic and heteroleptic compounds provided herein comprise at least one 2-phenylpyridine ligand with a heterocyclic substituent attached to the pyridine para to the metal, i.e., the 4 position. These ligands result in a stabilized LUMO and red shifted emission of the metal complex. Therefore, the compounds provided herein may have emission energies red shifted from the target range of phenyl substituted or unsubstituted counterparts, i.e., 550 nm and 600 nm.
- the compounds provided herein may provide devices having high efficiency, high stability and improved processiblity. These compounds are suitable for both monochrome displays and white devices for displays, medical backlight and lighting.
- L is Formula I.
- L 2 is Formula III.
- Li and L 2 can be the same or different.
- M is a metal having an atomic number greater than 40.
- the metal M is Ir.
- x is 1 , 2 or 3.
- y is 0, 1 or 2.
- z is 0, 1 or 2.
- x+y+z is the oxidation state of the metal M.
- A is a 6-membered heterocyclic ring.
- B, C, D, E and F are each independently a 5 or 6-membered carbocyclic or heterocyclic ring.
- B is phenyl.
- R is a 5 or 6-membered heterocyclic ring.
- R is attached to A at a position para to the metal M.
- RA, RB, RC, RD, RE and RF may represent mono, di, tri, tetra, or penta substitutions.
- Each of R A , RB, RC, RD, RE and R F is independently selected from the group consisting of hydrogen, alkyl, alkoxy, amino, alkenyl, alkynyl, arylkyl, aryl, and heteroaryl.
- the ligand L is coordinated bidentately to the metal M.
- R is a 5 or 6-membered heterocyclic ring that contains at least one nitrogen atom.
- the ligand L has the formula:
- G is a 5 or 6-membered heterocyclic ring.
- G is a 5 or 6-membered heterocyclic ring that contains at least one nitrogen atom.
- , X 2 , and X 3 are independently selected from carbon, oxygen, sulfur and nitrogen.
- Xj, X 2 , and X 3 are independently carbon or nitrogen.
- Rc may represent mono, di, tri, tetra, or penta substitutions.
- RG is independently selected from the group consisting of hydrogen, alkyl, alkoxy, amino, alkenyl, alkynyl, arylkyl, aryl, and heteroaryl.
- At least one of Xi, X 2 , and X 3 is nitrogen. In another aspect, each of Xi, X 2 , and X 3 is carbon.
- L, Li and L 2 are connected to form a tetradentate ligand and a bidentate ligand or a hexadentate ligand.
- L and Li may be connected to form a tetradentate ligand and L 2 is a bidentate ligand.
- L and L 2 or Li and L 2 may be connected to form a tetradentate ligand while Li or L is a bidentate ligand.
- L, Li and L 2 may all be connected to form a hexadentate ligand.
- the compound is homoleptic. In another aspect, the compound has the formula:
- the compound is heteroleptic. In another aspect, the compound has the formula:
- n+y+z is the oxidation state of the metal M.
- n is at least 1 .
- y is 0, 1 or 2.
- x is 0, 1 , or 2.
- the ligand L is selected from the group consisting of:
- a first device is also provided.
- the first device comprises an organic light emitting device, further comprising an anode, a cathode, and an organic layer, disposed between the anode and the cathode.
- the organic layer comprising a first compound having the formula M(L) x (L,) y (L 2 ) z .
- L i Formula I L i Formula I.
- and L 2 can be the same or different.
- M is a metal having an atomic number greater than 40.
- the metal M is Ir.
- x is 1 , 2 or 3.
- y is 0, 1 or 2.
- z is 0, 1 or 2.
- x+y+z is the oxidation state of the metal M.
- A is a 6-membered heterocyclic ring.
- B, C, D, E and F are each independently a 5 or 6-membered carbocyclic or heterocyclic ring.
- B is phenyl.
- R is a 5 or 6-membered heterocyclic ring.
- R is a 5 or 6- membered heterocyclic ring that contains at least one nitrogen atom.
- R is attached to A at a position para to the metal M.
- R A , RB, RC, RD, RE and Rp rnay represent mono, di, tri, tetra, or penta substitutions.
- Each of RA, RB, RC, RD, RE and Rp is independently selected from the group consisting of hydrogen, alkyl, alkoxy, amino, alkenyl, alkynyl, arylkyl, aryl, and heteroaryl.
- the ligand L is coordinated bidentately to the metal M.
- the ligand L has the formula:
- G is a 5 or 6-membered heterocyclic ring.
- G is a 5 or 6-membered heterocyclic ring that contains at least one nitrogen atom.
- Xi, X 2 , and X 3 are independently selected from carbon, oxygen, sulfur and nitrogen.
- , X 2 , and X 3 are independently carbon or nitrogen.
- RG may represent mono, di, tri, tetra, or penta substitutions. RG is independently selected from the group consisting of hydrogen, alkyl, alkoxy, amino, alkenyl, alkynyl, arylkyl, aryl, and heteroaryl.
- , X 2 , and X 3 is nitrogen. In another aspect, each of Xi, X 2 , and X 3 is carbon.
- L, Li and L 2 are connected to form a tetradentate ligand and a bidentate ligand or a hexadentate ligand.
- the compound is homoleptic. In another aspect, the compound has the formula:
- the compound is heteroleptic. In another aspect, the compound has the formula:
- n+y+z is the oxidation state of the metal M.
- n is at least 1.
- y is 0, 1 or 2.
- x is 0, 1 , or 2.
- the ligand L is selected from the group consisting of:
- the organic layer is an emissive layer and the first compound is an emissive compound.
- the organic layer further comprises a second emissive compound.
- the second emissive compound is
- the organic layer further comprises a host having the formula:
- R'i, R' 2 , R' 3 , R'4, R's, R'6, ' 7, and R' 8 are independently selected from the group consisting of hydrogen, alkyl, aikoxy, amino, alkenyl, alkynyl, aryikyl, aryl, and heteroaryl.
- the host is:
- the first device is a consumer product. In another aspect, the first device is an organic light emitting device.
- Compounds comprising a 2-phenylpyridine ligand further substituted with a heterocyclic ring are provided.
- the compounds comprise a ligand L having the formula: Formula VII.
- a and B are each independently a 5 or 6-membered carbocyclic or heterocyclic ring.
- B is phenyl.
- R is a 5 or 6-membered heterocyclic ring.
- R is a 5 or 6- membered heterocyclic ring that contains at least one nitrogen atom.
- RA and Re may represent mono, di, tri, tetra, or penta substitutions.
- RA and RB is independently selected from the group consisting of hydrogen, alkyl, alkoxy, amino, alkenyl, alkynyl, arylkyl, aryl, and heteroaryl.
- the ligand L is coordinated to a metal M having an atomic number greater than 40.
- the metal M is Ir.
- the compounds have the formula M(L) x (Li) y (L 2 ) z .
- Li and L 2 can be the same or different, x is 1 , 2 or 3, y is 0, 1 or 2, z is 0, 1 or 2. x+y+z is the oxidation state of the metal M.
- A, B, C, D, E and F are each independently a 5 or 6-membered carbocyclic or heterocyclic ring.
- R is a 5 or 6-membered heterocyclic ring.
- R A , RB, RC, RD, RE and Rp may represent mono, di, tri, tetra, or penta substitutions.
- Each of RA, RB, RC, RD, RE and Rp is independently selected from the group consisting of hydrogen, alkyl, alkoxy, amino, alkenyl, alkynyl, arylkyl, aryl, and heteroaryl.
- the ligand L is coordinated bidentately to a metal M having an atomic number greater than 40.
- the compound is homoleptic.
- the compound has the formula:
- the compound has a formula selected from the group consistin of:
- the compound is heteroleptic.
- the compound has the formula:
- n+y+z is the oxidation state of the metal M.
- n is at least 1 .
- y is 0, 1 or 2.
- x is 0, I , or 2.
- the compound has a formula selected from the group consisting of:
- the ligand L is selected from the group consisting of:
- a first device comprising an organic light emitting device is also provided.
- the device further comprises an anode, a cathode, and an organic layer, disposed between the anode and the cathode.
- the organic layer comprises a first compound having the formula:
- a and B are each independently a 5 or 6-membered carbocyclic or heterocyclic ring.
- B is phenyl.
- R is a 5 or 6-membered heterocyclic ring.
- R is a 5 or 6- membered heterocyclic ring that contains at least one nitrogen atom.
- RA and RB may represent mono, di, tri, tetra, or penta substitutions.
- RA and RB is independently selected from the group consisting of hydrogen, alkyl, alkoxy, amino, alkenyl, alkynyl, arylkyl, aryl, and heteroaryl.
- the ligand L is coordinated to a metal M having an atomic number greater than 40.
- the metal M is Ir.
- the device comprises a compound having the formula
- L 2 is Formula X.
- L, and L 2 can be the same or different, x is 1 , 2 or 3, y is 0, 1 or 2, z is 0, 1 or 2. x+y+z is the oxidation state of the metal M.
- A, B, C, D, E and F are each independently a 5 or 6-membered carbocyclic or heterocyclic ring.
- R is a 5 or 6-membered heterocyclic ring.
- R A , RB, RC, RD, RE and RF may represent mono, di, tri, tetra, or penta substitutions.
- Each of R A , RB, RC, RD, RE and R F is independently selected from the group consisting of hydrogen, alkyl, alkoxy, amino, alkenyl, alkynyl, arylkyl, aryl, and heteroaryl.
- the ligand L is coordinated bidentately to a metal M having an atomic number greater than 40.
- the compound is homoleptic.
- the compound has the formula:
- the compound has a formula selected from the group consisting of:
- the compound is heteroleptic.
- the compound has the formula:
- n+y+z is the oxidation state of the metal M.
- n is at least 1.
- y is 0, 1 or 2.
- x is 0, 1 , or 2.
- the compound has a formula selected from the group consisting of:
- the ligand L is selected from the group consisting of:
- the organic layer is an emissive layer and the first compound having Formula I is an emissive compound.
- the organic layer further comprises a second emissive compound.
- the second emissive compound is
- the organic layer further comprises a host having the formula:
- R'i, R' 2 , R'3, R'4, R's, R'e, R'v, and R' 8 are independently selected from the group consisting of hydrogen, alkyi, alkoxy, amino, alkenyl, alkynyl, arylkyl, aryl, and heteroaryl.
- the host is:
- the first device is a consumer product. In another aspect, the first device is an organic light emitting device.
- the materials described herein as useful for a particular layer in an organic light emitting device may be used in combination with a wide variety of other materials present in the device.
- emissive dopants disclosed herein may be used in conjunction with a wide variety of hosts, transport layers, blocking layers, injection layers, electrodes and other layers that may be present.
- the materials described or referred to below are non-limiting examples of materials that may be useful in combination with the compounds disclosed herein, and one of skill in the art can readily consult the literature to identify other materials that may be useful in combination.
- hole injection materials In addition to and / or in combination with the materials disclosed herein, many hole injection materials, hole transporting materials, host materials, dopant materials, exiton/hole blocking layer materials, electron transporting and electron injecting materials may be used in an OLED.
- Non-limiting examples of the materials that may be used in an OLED in combination with materials disclosed herein are listed below. The list includes non-limiting classes of materials, non-limiting examples of compounds for each class, and references that disclose the materials.
- a hole injecting/transporting material to be used in the present invention is not particularly limited, and any compound may be used as long as the compound is typically used as a hole injecting/transporting material.
- the material include, but not limit to: a phthalocyanine or porphryin derivative; an aromatic amine derivative; an
- indoiocarbazole derivative a polymer containing fluorohydrocarbon; a polymer with conductivity dopants; a conducting polymer, such as PEDOT/PSS; a self-assembly monomer derived from compounds such as phosphonic acid and sliane derivatives; a metal oxide derivative, such as MoO x ; a p-type semiconducting organic compound, such as 1 ,4,5,8,9, 12- Hexaazatriphenylenehexacarbonitrile; a metal complex, and a cross-linkable compounds.
- aromatic amine derivatives used in HIL or HTL include, but not limit to the following general structures:
- Each of Ar to Ar is selected from the group consisting aromatic hydrocarbon cyclic compounds such as benzene, biphenyl, triphenyl, triphenylene, naphthalene, anthracene, phenalene, phenanthrene, fluorene, pyrene, chrysene, perylene, azulene; group consisting aromatic heterocyclic compounds such as dibenzothiophene, dibenzofuran, dibenzoselenophene, furan, thiophene, benzofuran, benzothiophene, benzoselenophene, carbazole, indoiocarbazole, pyridylindole, pyrrolodipyridine, pyrazole, imidazole, triazole, oxazole, thiazole, oxadiazole, oxatriazole, dioxazole, thiadiazole, pyridine, pyridazine, pyr
- each Ar is further substituted by a substituent selected from the group consisting of hydrogen, alkyl, alkoxy, amino, alkenyl, alkynyl, arylalkyl, heteroalkyl, aryl and heteroaryl.
- Ar' to Ar 9 is independently selected from the group consisting of:
- k is an integer from 1 to 20; X 1 to X 8 is CH or N; Ar' has the same group defined above.
- metal complexes used in HIL or HTL include, but not limit to the following general formula:
- M is a metal, having an atomic weight greater than 40; ( ⁇ ' - ⁇ 2 ) is a bidentate ligand, Y 1 and Y 2 are independently selected from C, N, O, P, and S; L is an ancillary ligand; m is an integer value from 1 to the maximum number of ligands that may be attached to the metal; and m+n is the maximum number of ligands that may be attached to the metal.
- ( ⁇ ' - ⁇ 2 ) is a 2-phenylpyridine derivative.
- ( ⁇ ' - ⁇ 2 ) is a carbene ligand.
- M is selected from Ir, Pt, Os, and Zn.
- the metal complex has a smallest oxidation potential in solution vs. Fc + /Fc couple less than about 0.6 V. Host:
- the light emitting layer of the organic EL device of the present invention preferably contains at least a metal complex as light emitting material, and may contain a host material using the metal complex as a dopant material.
- the host material are not particularly limited, and any metal complexes or organic compounds may be used as long as the triplet energy of the host is larger than that of the dopant.
- M is a metal
- (Y 3 -Y 4 ) is a bidentate ligand, Y 3 and Y 4 are independently selected from C, N, O, P, and S
- L is an ancillary ligand
- m is an integer value from 1 to the maximum number of ligands that may be attached to the metal
- m+n is the maximum number of ligands that may be attached to the metal.
- the metal complexes are:
- (O-N) is a bidentate ligand, having metal coordinated to atoms O and N.
- M is selected from Ir and Pt.
- (Y 3 -Y 4 ) is a carbene ligand.
- organic compounds used as host are selected from the group consisting aromatic hydrocarbon cyclic compounds such as benzene, biphenyl, triphenyl, triphenylene, naphthalene, anthracene, phenalene, phenanthrene, fluorene, pyrene, chrysene, perylene, azulene; group consisting aromatic heterocyclic compounds such as dibenzothiophene, dibenzofuran, dibenzoselenophene, furan, thiophene, benzofuran, benzothiophene, benzoselenophene, carbazole, indolocarbazole, pyridylindole, pyrrolodipyridine, pyrazole, imidazole, triazole, oxazole, thiazole, oxadiazole, oxatriazole, dioxazole, thiadiazole, pyridine, pyridazine,
- furodipyridine benzothienopyridine, thienodipyridine, benzoselenophenopyridine, and selenophenodipyridine; and group consisting 2 to 10 cyclic structural units which are groups of the same type or different types selected from the aromatic hydrocarbon cyclic group and the aromatic heterocyclic group and are bonded to each other directly or via at least one of oxygen atom, nitrogen atom, sulfur atom, silicon atom, phosphorus atom, boron atom, chain structural unit and the aliphatic cyclic group. Wherein each group is further substituted by a substituent selected from the group consisting of hydrogen, alkyl, alkoxy, amino, alkenyl, alkynyl, arylalkyl, heteroalkyl, aryl and heteroaryl.
- host compound contains at least one of the following groups in the molecule:
- R 1 to R 7 is independently selected from the group consisting of hydrogen, alkyl, alkoxy, amino, alkenyl, alkynyl, arylalkyl, heteroalkyl, aryl and heteroaryl, when it is aryl or heteroaryl, it has the similar definition as Ar's mentioned above.
- k is an integer from 0 to 20.
- X 1 to X 8 is selected from CH or N.
- a hole blocking layer may be used to reduce the number of holes and/or excitons that leave the emissive layer.
- the presence of such a blocking layer in a device may result in substantially higher efficiencies as compared to a similar device lacking a blocking layer.
- a blocking layer may be used to confine emission to a desired region of an OLED.
- compound used in HBL contains the same molecule used as host described above.
- compound used in HBL contains at least one of the following groups in the molecule:
- Electron transport layer may include a material capable of transporting electrons. Electron transport layer may be intrinsic (undoped), or doped. Doping may be used to enhance conductivity. Examples of the ETL material are not particularly limited, and any metal complexes or organic compounds may be used as long as they are typically used to transport electrons.
- compound used in ETL contains at least one of the following groups in the molecule:
- R is selected from the group consisting of hydrogen, alkyl, alkoxy, amino, alkenyl, alkynyl, arylalkyl, heteroalkyl, aryl and heteroaryl, when it is aryl or heteroaryl, it has the similar definition as Ar's mentioned above.
- Ar' to Ar J has the similar definition as Ar's mentioned above.
- k is an integer from 0 to 20.
- 1 to X 8 is selected from CH or N.
- the metal complexes used in ETL contains, but not limit to the following general formula:
- (O-N) or (N-N) is a bidentate ligand, having metal coordinated to atoms O, N or N, N; L is an ancillary ligand; m is an integer value from 1 to the maximum number of ligands that may be attached to the metal.
- the hydrogen atoms attached to conjugated rings can be partially or fully deuterated.
- the materials described herein as useful for a particular layer in an organic light emitting device may be used in combination with a wide variety of other materials present in the device.
- emissive dopants disclosed herein may be use din conjunction with a wide variety pf hosts, transport layers, blocking layers, injection layers, electrodes and other layers that may be present.
- the materials described or referred to below are non-limiting examples of materials that may be useful in combination with the compounds disclosed herein, and one of skill in the art can readily consult the literature to identify other materials that may be useful in combination.
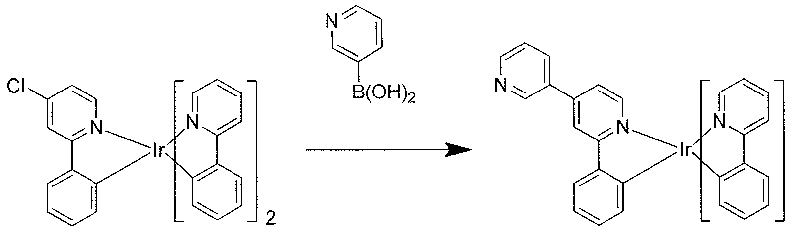
- the iridium phenylpyridine triflate salt was refluxed in ethanol with 2-phenyl-4- (4,4,5, 5-tetramethyl-l ,3,2-dioxaborolan-2-yl)pyridine (4 g, 14.23 mmol) under nitrogen for 24 h. After cooling to room temperature, the mixture was filtered through a Celite pad and washed with ethanol and hexanes to give 60% yield of the desired product. The product was used for the next step without further purification.
- the heteroleptic Iridium pre cursor (5.56g, 8.09 mmol), pyrimidin-5-ylboronic acid (5.01 g, 40.5mmol), Potassium phosphate tribasic monohydrate (5.59g, 24.27 mmol) and dicyclohexyl(2',6'-dimethoxy-[ l , l '-biphenyl]-2-yl)phosphine (0.133g, 0.324 mmol), toluene (250 mL) and water (25 mL) were all placed in a 500 mL 3-neck round bottom flask.
- All device examples were fabricated by high vacuum ( ⁇ 10 ⁇ 7 Torr) thermal evaporation.
- the anode electrode is 1200A of indium tin oxide (ITO).
- the cathode consisted of 10 A of LiF followed by 1000 A of Al. All devices were encapsulated with a glass lid sealed with an epoxy resin in a nitrogen glove box ( ⁇ 1 ppm of H 2 0 and 0 2 ) immediately after fabrication, and a moisture getter was incorporated inside the package.
- the organic stack of the Device Example consisted of sequentially, from the ITO surface, 100 A of hole injection layer (HIL), 300 A of 4,4'-bis[N-(l -naphthyl)-N- phenylamino]biphenyl ( -NPD) as the hole transporting later (HTL), 300 A of host doped with 7-10%) of Compound 1 -4 as the emissive layer (EML), 100 A of blocking layer (BL) and 400 A of Alq 3 (tris-8-hydroxyquinoline aluminum) as the ETL1.
- HIL hole injection layer
- HTL hole transporting later
- EML emissive layer
- BL blocking layer
- Alq 3 tris-8-hydroxyquinoline aluminum
- Examples 6 and 7 were fabricated similarly to other device examples except there were two emissive compounds in the EML.
- emissive dopants for the emissive layer of an OLED are provided. These compounds may lead to devices having particularly good properties.
- the device structures are provided in Table 2, and the corresponding device data is provided in Table 3.
- VTE Device data [0192] In particular Device Examples 1 -5 are significantly red shifted from Comparative Device Examples 1 -3. This supports that the LUMO of the complex has been lowered, reducing the HOMO-LUMO gap and the triplet energy.
- the external quantum efficiencies of Devices 1 -5 are comparable to comparative examples 1 -3.
- the device lifetimes of devices 1 ,2,4 and 5 are significantly better than comparative examples 1 -3 which shows that complexes with heterocyclic groups substituted at the 4 position on the pyridine ring of the 2- phenylpyridine may also lower and stabilize the LUMO of the metal complex, thereby providing further device operational stability.
Landscapes
- Chemical & Material Sciences (AREA)
- Organic Chemistry (AREA)
- Engineering & Computer Science (AREA)
- Materials Engineering (AREA)
- Crystallography & Structural Chemistry (AREA)
- Inorganic Chemistry (AREA)
- Physics & Mathematics (AREA)
- Optics & Photonics (AREA)
- Electroluminescent Light Sources (AREA)
- Pyridine Compounds (AREA)
- Plural Heterocyclic Compounds (AREA)
Abstract
Description
Claims
Priority Applications (6)
| Application Number | Priority Date | Filing Date | Title |
|---|---|---|---|
| CN201080066225.7A CN102858910B (en) | 2010-03-03 | 2010-10-01 | phosphorescent material |
| EP10763296.0A EP2542644B1 (en) | 2010-03-03 | 2010-10-01 | Phosphorescent materials |
| JP2012556051A JP5872491B2 (en) | 2010-03-03 | 2010-10-01 | Phosphorescent substance |
| KR1020187017344A KR102004108B1 (en) | 2010-03-03 | 2010-10-01 | Phosphorescent materials |
| KR1020127025676A KR101872038B1 (en) | 2010-03-03 | 2010-10-01 | Phosphorescent materials |
| TW099134954A TWI548721B (en) | 2010-03-03 | 2010-10-13 | Phosphorescent materials |
Applications Claiming Priority (4)
| Application Number | Priority Date | Filing Date | Title |
|---|---|---|---|
| US33933710P | 2010-03-03 | 2010-03-03 | |
| US61/339,337 | 2010-03-03 | ||
| US12/868,350 | 2010-08-25 | ||
| US12/868,350 US9175211B2 (en) | 2010-03-03 | 2010-08-25 | Phosphorescent materials |
Publications (1)
| Publication Number | Publication Date |
|---|---|
| WO2011109042A1 true WO2011109042A1 (en) | 2011-09-09 |
Family
ID=44530741
Family Applications (1)
| Application Number | Title | Priority Date | Filing Date |
|---|---|---|---|
| PCT/US2010/051076 Ceased WO2011109042A1 (en) | 2010-03-03 | 2010-10-01 | Phosphorescent materials |
Country Status (7)
| Country | Link |
|---|---|
| US (1) | US9175211B2 (en) |
| EP (1) | EP2542644B1 (en) |
| JP (2) | JP5872491B2 (en) |
| KR (2) | KR101872038B1 (en) |
| CN (2) | CN106366130B (en) |
| TW (1) | TWI548721B (en) |
| WO (1) | WO2011109042A1 (en) |
Cited By (26)
| Publication number | Priority date | Publication date | Assignee | Title |
|---|---|---|---|---|
| JP2013237662A (en) * | 2012-04-20 | 2013-11-28 | Semiconductor Energy Lab Co Ltd | Phosphorescent organometallic iridium complex, light-emitting element, light-emitting device, electronic device, and lighting device |
| WO2015063046A1 (en) | 2013-10-31 | 2015-05-07 | Basf Se | Azadibenzothiophenes for electronic applications |
| WO2016016791A1 (en) | 2014-07-28 | 2016-02-04 | Idemitsu Kosan Co., Ltd (Ikc) | 2,9-functionalized benzimidazolo[1,2-a]benzimidazoles as hosts for organic light emitting diodes (oleds) |
| EP2982676A1 (en) | 2014-08-07 | 2016-02-10 | Idemitsu Kosan Co., Ltd. | Benzimidazo[2,1-B]benzoxazoles for electronic applications |
| EP2993215A1 (en) | 2014-09-04 | 2016-03-09 | Idemitsu Kosan Co., Ltd. | Azabenzimidazo[2,1-a]benzimidazoles for electronic applications |
| EP3015469A1 (en) | 2014-10-30 | 2016-05-04 | Idemitsu Kosan Co., Ltd. | 5-((benz)imidazol-2-yl)benzimidazo[1,2-a]benzimidazoles for electronic applications |
| WO2016079667A1 (en) | 2014-11-17 | 2016-05-26 | Idemitsu Kosan Co., Ltd. | Indole derivatives for electronic applications |
| WO2016079169A1 (en) | 2014-11-18 | 2016-05-26 | Basf Se | Pt- or pd-carbene complexes for use in organic light emitting diodes |
| EP3034506A1 (en) | 2014-12-15 | 2016-06-22 | Idemitsu Kosan Co., Ltd | 4-functionalized carbazole derivatives for electronic applications |
| EP3034507A1 (en) | 2014-12-15 | 2016-06-22 | Idemitsu Kosan Co., Ltd | 1-functionalized dibenzofurans and dibenzothiophenes for organic light emitting diodes (OLEDs) |
| EP3053918A1 (en) | 2015-02-06 | 2016-08-10 | Idemitsu Kosan Co., Ltd | 2-carbazole substituted benzimidazoles for electronic applications |
| EP3054498A1 (en) | 2015-02-06 | 2016-08-10 | Idemitsu Kosan Co., Ltd. | Bisimidazodiazocines |
| EP3061759A1 (en) | 2015-02-24 | 2016-08-31 | Idemitsu Kosan Co., Ltd | Nitrile substituted dibenzofurans |
| EP3070144A1 (en) | 2015-03-17 | 2016-09-21 | Idemitsu Kosan Co., Ltd. | Seven-membered ring compounds |
| EP3072943A1 (en) | 2015-03-26 | 2016-09-28 | Idemitsu Kosan Co., Ltd. | Dibenzofuran/carbazole-substituted benzonitriles |
| EP3075737A1 (en) | 2015-03-31 | 2016-10-05 | Idemitsu Kosan Co., Ltd | Benzimidazolo[1,2-a]benzimidazole carrying aryl- or heteroarylnitril groups for organic light emitting diodes |
| EP3150606A1 (en) | 2015-10-01 | 2017-04-05 | Idemitsu Kosan Co., Ltd. | Benzimidazolo[1,2-a]benzimidazoles carrying benzofurane or benzothiophene groups for organic light emitting diodes |
| EP3150604A1 (en) | 2015-10-01 | 2017-04-05 | Idemitsu Kosan Co., Ltd. | Benzimidazolo[1,2-a]benzimidazole carrying benzimidazolo[1,2-a]benzimidazolyl groups, carbazolyl groups, benzofurane groups or benzothiophene groups for organic light emitting diodes |
| WO2017056055A1 (en) | 2015-10-01 | 2017-04-06 | Idemitsu Kosan Co., Ltd. | Benzimidazolo[1,2-a]benzimidazole carrying triazine groups for organic light emitting diodes |
| WO2017056053A1 (en) | 2015-10-01 | 2017-04-06 | Idemitsu Kosan Co., Ltd. | Benzimidazolo[1,2-a]benzimidazole carrying benzimidazolo[1,2-a]benzimidazolyl groups, carbazolyl groups, benzofurane groups or benzothiophene groups for organic light emitting diodes |
| WO2017078182A1 (en) | 2015-11-04 | 2017-05-11 | Idemitsu Kosan Co., Ltd. | Benzimidazole fused heteroaryls |
| WO2017093958A1 (en) | 2015-12-04 | 2017-06-08 | Idemitsu Kosan Co., Ltd. | Benzimidazolo[1,2-a]benzimidazole derivatives for organic light emitting diodes |
| EP3184534A1 (en) | 2015-12-21 | 2017-06-28 | UDC Ireland Limited | Transition metal complexes with tripodal ligands and the use thereof in oleds |
| WO2017178864A1 (en) | 2016-04-12 | 2017-10-19 | Idemitsu Kosan Co., Ltd. | Seven-membered ring compounds |
| EP3318566A1 (en) | 2012-09-20 | 2018-05-09 | UDC Ireland Limited | Azadibenzofurans for electronic applications |
| EP3466957A1 (en) | 2014-08-08 | 2019-04-10 | UDC Ireland Limited | Oled comprising an electroluminescent imidazo-quinoxaline carbene metal complexes |
Families Citing this family (92)
| Publication number | Priority date | Publication date | Assignee | Title |
|---|---|---|---|---|
| US9175211B2 (en) * | 2010-03-03 | 2015-11-03 | Universal Display Corporation | Phosphorescent materials |
| JP5978843B2 (en) | 2012-02-02 | 2016-08-24 | コニカミノルタ株式会社 | Iridium complex compound, organic electroluminescence device material, organic electroluminescence device, lighting device and display device |
| US9209411B2 (en) | 2012-12-07 | 2015-12-08 | Universal Display Corporation | Organic electroluminescent materials and devices |
| US10367154B2 (en) | 2013-02-21 | 2019-07-30 | Universal Display Corporation | Organic electroluminescent materials and devices |
| CN103936795B (en) * | 2014-03-26 | 2016-08-24 | 南京邮电大学 | There is the phosphorescent iridium complex of stimuli responsive characteristic and preparation method and application |
| WO2016015815A1 (en) * | 2014-07-28 | 2016-02-04 | Merck Patent Gmbh | Metal complexes |
| US10038151B2 (en) | 2014-11-12 | 2018-07-31 | Universal Display Corporation | Organic electroluminescent materials and devices |
| TWI586672B (en) | 2014-12-03 | 2017-06-11 | 財團法人工業技術研究院 | Organic metal compounds and organic electroluminescence devices employing the same |
| TWI526448B (en) | 2014-12-03 | 2016-03-21 | 財團法人工業技術研究院 | Organic metal compound, and organic light-emitting device employing the same |
| US9929361B2 (en) | 2015-02-16 | 2018-03-27 | Universal Display Corporation | Organic electroluminescent materials and devices |
| US11056657B2 (en) | 2015-02-27 | 2021-07-06 | University Display Corporation | Organic electroluminescent materials and devices |
| US9859510B2 (en) | 2015-05-15 | 2018-01-02 | Universal Display Corporation | Organic electroluminescent materials and devices |
| US10418568B2 (en) | 2015-06-01 | 2019-09-17 | Universal Display Corporation | Organic electroluminescent materials and devices |
| US11925102B2 (en) | 2015-06-04 | 2024-03-05 | Universal Display Corporation | Organic electroluminescent materials and devices |
| US11127905B2 (en) | 2015-07-29 | 2021-09-21 | Universal Display Corporation | Organic electroluminescent materials and devices |
| US10672996B2 (en) | 2015-09-03 | 2020-06-02 | Universal Display Corporation | Organic electroluminescent materials and devices |
| US20170229663A1 (en) | 2016-02-09 | 2017-08-10 | Universal Display Corporation | Organic electroluminescent materials and devices |
| US10236456B2 (en) | 2016-04-11 | 2019-03-19 | Universal Display Corporation | Organic electroluminescent materials and devices |
| US10862054B2 (en) | 2016-06-20 | 2020-12-08 | Universal Display Corporation | Organic electroluminescent materials and devices |
| US11482683B2 (en) | 2016-06-20 | 2022-10-25 | Universal Display Corporation | Organic electroluminescent materials and devices |
| US10672997B2 (en) | 2016-06-20 | 2020-06-02 | Universal Display Corporation | Organic electroluminescent materials and devices |
| US10608186B2 (en) | 2016-09-14 | 2020-03-31 | Universal Display Corporation | Organic electroluminescent materials and devices |
| US10680187B2 (en) | 2016-09-23 | 2020-06-09 | Universal Display Corporation | Organic electroluminescent materials and devices |
| US11196010B2 (en) | 2016-10-03 | 2021-12-07 | Universal Display Corporation | Organic electroluminescent materials and devices |
| US11011709B2 (en) | 2016-10-07 | 2021-05-18 | Universal Display Corporation | Organic electroluminescent materials and devices |
| US12317745B2 (en) | 2016-11-09 | 2025-05-27 | Universal Display Corporation | Organic electroluminescent materials and devices |
| US10680188B2 (en) | 2016-11-11 | 2020-06-09 | Universal Display Corporation | Organic electroluminescent materials and devices |
| US11780865B2 (en) | 2017-01-09 | 2023-10-10 | Universal Display Corporation | Organic electroluminescent materials and devices |
| US11522142B2 (en) * | 2017-02-24 | 2022-12-06 | Semiconductor Energy Laboratory Co., Ltd. | Light-emitting element material, light-emitting element, light-emitting device, electronic device, lighting device, and organometallic complex |
| US10844085B2 (en) | 2017-03-29 | 2020-11-24 | Universal Display Corporation | Organic electroluminescent materials and devices |
| US11276829B2 (en) * | 2017-03-31 | 2022-03-15 | Universal Display Corporation | Organic electroluminescent materials and devices |
| US10944060B2 (en) | 2017-05-11 | 2021-03-09 | Universal Display Corporation | Organic electroluminescent materials and devices |
| US12098157B2 (en) | 2017-06-23 | 2024-09-24 | Universal Display Corporation | Organic electroluminescent materials and devices |
| US11228010B2 (en) | 2017-07-26 | 2022-01-18 | Universal Display Corporation | Organic electroluminescent materials and devices |
| US11744142B2 (en) | 2017-08-10 | 2023-08-29 | Universal Display Corporation | Organic electroluminescent materials and devices |
| US12180230B2 (en) | 2017-11-28 | 2024-12-31 | University Of Southern California | Carbene compounds and organic electroluminescent devices |
| EP3492480B1 (en) | 2017-11-29 | 2021-10-20 | Universal Display Corporation | Organic electroluminescent materials and devices |
| US11937503B2 (en) | 2017-11-30 | 2024-03-19 | Universal Display Corporation | Organic electroluminescent materials and devices |
| US11542289B2 (en) | 2018-01-26 | 2023-01-03 | Universal Display Corporation | Organic electroluminescent materials and devices |
| US11165028B2 (en) | 2018-03-12 | 2021-11-02 | Universal Display Corporation | Organic electroluminescent materials and devices |
| JP2019163228A (en) | 2018-03-20 | 2019-09-26 | 株式会社東芝 | Metal organic structure, phosphor film, and molecular detection device |
| US12453279B2 (en) | 2018-08-22 | 2025-10-21 | Universal Display Corporation | Organic electroluminescent materials and devices |
| US11737349B2 (en) | 2018-12-12 | 2023-08-22 | Universal Display Corporation | Organic electroluminescent materials and devices |
| US11780829B2 (en) | 2019-01-30 | 2023-10-10 | The University Of Southern California | Organic electroluminescent materials and devices |
| US12477890B2 (en) | 2019-02-01 | 2025-11-18 | Universal Display Corporation | Organic electroluminescent materials and devices |
| JP2020158491A (en) | 2019-03-26 | 2020-10-01 | ユニバーサル ディスプレイ コーポレイション | Organic electroluminescent materials and devices |
| US12281128B2 (en) | 2019-07-30 | 2025-04-22 | Universal Display Corporation | Organic electroluminescent materials and devices |
| US12139501B2 (en) | 2019-08-16 | 2024-11-12 | Universal Display Corporation | Organic electroluminescent materials and devices |
| US11999886B2 (en) | 2019-09-26 | 2024-06-04 | Universal Display Corporation | Organic electroluminescent materials and devices |
| US20210135130A1 (en) | 2019-11-04 | 2021-05-06 | Universal Display Corporation | Organic electroluminescent materials and devices |
| US12538698B2 (en) | 2020-01-06 | 2026-01-27 | Universal Display Corporation | Organic electroluminescent materials and devices |
| US12426495B2 (en) | 2020-01-28 | 2025-09-23 | Universal Display Corporation | Organic electroluminescent materials and devices |
| EP3937268B1 (en) | 2020-07-10 | 2025-05-07 | Universal Display Corporation | Plasmonic oleds and vertical dipole emitters |
| CN116368957A (en) | 2020-09-18 | 2023-06-30 | 三星显示有限公司 | Organic Electroluminescent Devices |
| US12187748B2 (en) | 2020-11-02 | 2025-01-07 | Universal Display Corporation | Organic electroluminescent materials and devices |
| US20220158096A1 (en) | 2020-11-16 | 2022-05-19 | Universal Display Corporation | Organic electroluminescent materials and devices |
| US20220165967A1 (en) | 2020-11-24 | 2022-05-26 | Universal Display Corporation | Organic electroluminescent materials and devices |
| US12325717B2 (en) | 2020-11-24 | 2025-06-10 | Universal Display Corporation | Organic electroluminescent materials and devices |
| US20220271241A1 (en) | 2021-02-03 | 2022-08-25 | Universal Display Corporation | Organic electroluminescent materials and devices |
| EP4059915B1 (en) | 2021-02-26 | 2025-12-24 | Universal Display Corporation | Organic electroluminescent materials and devices |
| EP4060758A3 (en) | 2021-02-26 | 2023-03-29 | Universal Display Corporation | Organic electroluminescent materials and devices |
| US20220298192A1 (en) | 2021-03-05 | 2022-09-22 | Universal Display Corporation | Organic electroluminescent materials and devices |
| US12428599B2 (en) | 2021-03-09 | 2025-09-30 | Universal Display Corporation | Organic electroluminescent materials and devices |
| US20220298190A1 (en) | 2021-03-12 | 2022-09-22 | Universal Display Corporation | Organic electroluminescent materials and devices |
| US12421262B2 (en) | 2021-03-15 | 2025-09-23 | Universal Display Corporation | Organic electroluminescent materials and devices |
| US20220340607A1 (en) | 2021-04-05 | 2022-10-27 | Universal Display Corporation | Organic electroluminescent materials and devices |
| US12480042B2 (en) | 2021-04-09 | 2025-11-25 | Universal Display Corporation | Organic electroluminescent materials and devices |
| EP4075531A1 (en) | 2021-04-13 | 2022-10-19 | Universal Display Corporation | Plasmonic oleds and vertical dipole emitters |
| US20220352478A1 (en) | 2021-04-14 | 2022-11-03 | Universal Display Corporation | Organic eletroluminescent materials and devices |
| US20220407020A1 (en) | 2021-04-23 | 2022-12-22 | Universal Display Corporation | Organic electroluminescent materials and devices |
| US20230006149A1 (en) | 2021-04-23 | 2023-01-05 | Universal Display Corporation | Organic electroluminescent materials and devices |
| US20230133787A1 (en) | 2021-06-08 | 2023-05-04 | University Of Southern California | Molecular Alignment of Homoleptic Iridium Phosphors |
| US20230124626A1 (en) * | 2021-07-20 | 2023-04-20 | Universal Display Corporation | Organic electroluminescent materials and devices |
| EP4151699A1 (en) | 2021-09-17 | 2023-03-22 | Universal Display Corporation | Organic electroluminescent materials and devices |
| US12473318B2 (en) | 2021-10-08 | 2025-11-18 | Universal Display Corporation | Organic electroluminescent materials and devices |
| US12509628B2 (en) | 2021-12-16 | 2025-12-30 | Universal Display Corporation | Organic electroluminescent materials and devices |
| KR20230099169A (en) * | 2021-12-27 | 2023-07-04 | 엘지디스플레이 주식회사 | Organometallic compounds and organic light emitting diode comprising the same |
| EP4231804A3 (en) | 2022-02-16 | 2023-09-20 | Universal Display Corporation | Organic electroluminescent materials and devices |
| US20230292592A1 (en) | 2022-03-09 | 2023-09-14 | Universal Display Corporation | Organic electroluminescent materials and devices |
| US20230337516A1 (en) | 2022-04-18 | 2023-10-19 | Universal Display Corporation | Organic electroluminescent materials and devices |
| US20230389421A1 (en) | 2022-05-24 | 2023-11-30 | Universal Display Corporation | Organic electroluminescent materials and devices |
| EP4293001A1 (en) | 2022-06-08 | 2023-12-20 | Universal Display Corporation | Organic electroluminescent materials and devices |
| US20240016051A1 (en) | 2022-06-28 | 2024-01-11 | Universal Display Corporation | Organic electroluminescent materials and devices |
| US20240107880A1 (en) | 2022-08-17 | 2024-03-28 | Universal Display Corporation | Organic electroluminescent materials and devices |
| US20240196730A1 (en) | 2022-10-27 | 2024-06-13 | Universal Display Corporation | Organic electroluminescent materials and devices |
| US20240188419A1 (en) | 2022-10-27 | 2024-06-06 | Universal Display Corporation | Organic electroluminescent materials and devices |
| US20240180025A1 (en) | 2022-10-27 | 2024-05-30 | Universal Display Corporation | Organic electroluminescent materials and devices |
| US20240188319A1 (en) | 2022-10-27 | 2024-06-06 | Universal Display Corporation | Organic electroluminescent materials and devices |
| US20240188316A1 (en) | 2022-10-27 | 2024-06-06 | Universal Display Corporation | Organic electroluminescent materials and devices |
| US20240247017A1 (en) | 2022-12-14 | 2024-07-25 | Universal Display Corporation | Organic electroluminescent materials and devices |
| US20250204239A1 (en) | 2023-12-15 | 2025-06-19 | Universal Display Corporation | Organic electroluminescent materials and devices |
| US20250204238A1 (en) | 2023-12-15 | 2025-06-19 | Universal Display Corporation | Organic electroluminscent materials and devices |
Citations (25)
| Publication number | Priority date | Publication date | Assignee | Title |
|---|---|---|---|---|
| US4769292A (en) | 1987-03-02 | 1988-09-06 | Eastman Kodak Company | Electroluminescent device with modified thin film luminescent zone |
| US5247190A (en) | 1989-04-20 | 1993-09-21 | Cambridge Research And Innovation Limited | Electroluminescent devices |
| US5703436A (en) | 1994-12-13 | 1997-12-30 | The Trustees Of Princeton University | Transparent contacts for organic devices |
| US5707745A (en) | 1994-12-13 | 1998-01-13 | The Trustees Of Princeton University | Multicolor organic light emitting devices |
| US5834893A (en) | 1996-12-23 | 1998-11-10 | The Trustees Of Princeton University | High efficiency organic light emitting devices with light directing structures |
| US5844363A (en) | 1997-01-23 | 1998-12-01 | The Trustees Of Princeton Univ. | Vacuum deposited, non-polymeric flexible organic light emitting devices |
| US6013982A (en) | 1996-12-23 | 2000-01-11 | The Trustees Of Princeton University | Multicolor display devices |
| US6087196A (en) | 1998-01-30 | 2000-07-11 | The Trustees Of Princeton University | Fabrication of organic semiconductor devices using ink jet printing |
| US6091195A (en) | 1997-02-03 | 2000-07-18 | The Trustees Of Princeton University | Displays having mesa pixel configuration |
| US6097147A (en) | 1998-09-14 | 2000-08-01 | The Trustees Of Princeton University | Structure for high efficiency electroluminescent device |
| US6294398B1 (en) | 1999-11-23 | 2001-09-25 | The Trustees Of Princeton University | Method for patterning devices |
| US6303238B1 (en) | 1997-12-01 | 2001-10-16 | The Trustees Of Princeton University | OLEDs doped with phosphorescent compounds |
| US6337102B1 (en) | 1997-11-17 | 2002-01-08 | The Trustees Of Princeton University | Low pressure vapor phase deposition of organic thin films |
| EP1239526A2 (en) * | 2001-03-08 | 2002-09-11 | Canon Kabushiki Kaisha | Metal coordination compound, luminescene device and display apparatus |
| US20030230980A1 (en) | 2002-06-18 | 2003-12-18 | Forrest Stephen R | Very low voltage, high efficiency phosphorescent oled in a p-i-n structure |
| US20040174116A1 (en) | 2001-08-20 | 2004-09-09 | Lu Min-Hao Michael | Transparent electrodes |
| US20050027123A1 (en) * | 2001-03-14 | 2005-02-03 | Canon Kabushiki Kaisha | Metal coordination compound, luminescence device and display apparatus |
| US20070184301A1 (en) * | 2004-02-26 | 2007-08-09 | Konica Minolta Holdings, Inc. | Material for organic electroluminescence element, organic electroluminescence element, display device and illumination device |
| US7279704B2 (en) | 2004-05-18 | 2007-10-09 | The University Of Southern California | Complexes with tridentate ligands |
| JP2008101114A (en) * | 2006-10-19 | 2008-05-01 | Konica Minolta Holdings Inc | ORGANIC ELECTROLUMINESCENT ELEMENT MATERIAL, ORGANIC ELECTROLUMINESCENT ELEMENT, DISPLAY DEVICE AND LIGHTING DEVICE |
| JP2008210941A (en) * | 2007-02-26 | 2008-09-11 | Konica Minolta Holdings Inc | Organic electroluminescent element, display unit, and lighting fixture |
| EP2062959A2 (en) * | 2007-11-20 | 2009-05-27 | Gracel Display Inc. | Novel red electroluminescent compounds and organic electroluminescent device using the same |
| JP2009267244A (en) * | 2008-04-28 | 2009-11-12 | Fujifilm Corp | Organic electroluminescent element |
| WO2010004877A1 (en) * | 2008-07-10 | 2010-01-14 | コニカミノルタホールディングス株式会社 | Organic electroluminescent element, display device and illuminating device |
| WO2010028151A1 (en) | 2008-09-03 | 2010-03-11 | Universal Display Corporation | Phosphorescent materials |
Family Cites Families (130)
| Publication number | Priority date | Publication date | Assignee | Title |
|---|---|---|---|---|
| US5061569A (en) | 1990-07-26 | 1991-10-29 | Eastman Kodak Company | Electroluminescent device with organic electroluminescent medium |
| US5087196A (en) * | 1991-08-06 | 1992-02-11 | Polanco Julio R | Dual coil spring lingual arch |
| DE69412567T2 (en) | 1993-11-01 | 1999-02-04 | Hodogaya Chemical Co., Ltd., Tokio/Tokyo | Amine compound and electroluminescent device containing it |
| US5468819A (en) * | 1993-11-16 | 1995-11-21 | The B.F. Goodrich Company | Process for making polymers containing a norbornene repeating unit by addition polymerization using an organo (nickel or palladium) complex |
| AU681934B2 (en) | 1995-03-14 | 1997-09-11 | Kalford Pty Ltd | A hinge |
| US5884383A (en) * | 1995-06-06 | 1999-03-23 | Donald H. Wolfe | Method of securing a coupling to an end of a composite pipe |
| US6939625B2 (en) | 1996-06-25 | 2005-09-06 | Nôrthwestern University | Organic light-emitting diodes and methods for assembly and enhanced charge injection |
| JP3999837B2 (en) | 1997-02-10 | 2007-10-31 | Tdk株式会社 | Organic electroluminescence display device |
| US6528187B1 (en) | 1998-09-08 | 2003-03-04 | Fuji Photo Film Co., Ltd. | Material for luminescence element and luminescence element using the same |
| US6830828B2 (en) | 1998-09-14 | 2004-12-14 | The Trustees Of Princeton University | Organometallic complexes as phosphorescent emitters in organic LEDs |
| US6458475B1 (en) | 1999-11-24 | 2002-10-01 | The Trustee Of Princeton University | Organic light emitting diode having a blue phosphorescent molecule as an emitter |
| KR100377321B1 (en) | 1999-12-31 | 2003-03-26 | 주식회사 엘지화학 | Electronic device comprising organic compound having p-type semiconducting characteristics |
| US20020121638A1 (en) | 2000-06-30 | 2002-09-05 | Vladimir Grushin | Electroluminescent iridium compounds with fluorinated phenylpyridines, phenylpyrimidines, and phenylquinolines and devices made with such compounds |
| CN101924190B (en) | 2000-08-11 | 2012-07-04 | 普林斯顿大学理事会 | Organometallic compounds and emission-shifting organic electrophosphorescence |
| US6579630B2 (en) | 2000-12-07 | 2003-06-17 | Canon Kabushiki Kaisha | Deuterated semiconducting organic compounds used for opto-electronic devices |
| JP3812730B2 (en) | 2001-02-01 | 2006-08-23 | 富士写真フイルム株式会社 | Transition metal complex and light emitting device |
| JP4307000B2 (en) | 2001-03-08 | 2009-08-05 | キヤノン株式会社 | Metal coordination compound, electroluminescent element and display device |
| JP4310077B2 (en) | 2001-06-19 | 2009-08-05 | キヤノン株式会社 | Metal coordination compound and organic light emitting device |
| CN100440568C (en) | 2001-06-20 | 2008-12-03 | 昭和电工株式会社 | Light-emitting materials and organic light-emitting devices |
| US7250226B2 (en) | 2001-08-31 | 2007-07-31 | Nippon Hoso Kyokai | Phosphorescent compound, a phosphorescent composition and an organic light-emitting device |
| US7431968B1 (en) | 2001-09-04 | 2008-10-07 | The Trustees Of Princeton University | Process and apparatus for organic vapor jet deposition |
| JP5135660B2 (en) * | 2001-09-27 | 2013-02-06 | コニカミノルタホールディングス株式会社 | Organic electroluminescence device |
| US6835469B2 (en) | 2001-10-17 | 2004-12-28 | The University Of Southern California | Phosphorescent compounds and devices comprising the same |
| US7166368B2 (en) | 2001-11-07 | 2007-01-23 | E. I. Du Pont De Nemours And Company | Electroluminescent platinum compounds and devices made with such compounds |
| US6863997B2 (en) | 2001-12-28 | 2005-03-08 | The Trustees Of Princeton University | White light emitting OLEDs from combined monomer and aggregate emission |
| KR100691543B1 (en) | 2002-01-18 | 2007-03-09 | 주식회사 엘지화학 | New material for electron transport and organic light emitting device using the same |
| WO2003099848A2 (en) * | 2002-05-24 | 2003-12-04 | Restoragen Inc. | Method for universal enzymatic production of bioactive peptides |
| KR20050052473A (en) * | 2002-08-16 | 2005-06-02 | 더 유니버시티 오브 써던 캘리포니아 | Organic light emitting materials and devices |
| US7189989B2 (en) | 2002-08-22 | 2007-03-13 | Fuji Photo Film Co., Ltd. | Light emitting element |
| KR100686268B1 (en) | 2002-08-27 | 2007-02-28 | 후지필름 가부시키가이샤 | Organometallic Complex, Organic EL Element, and Organic EL Display |
| US6687266B1 (en) | 2002-11-08 | 2004-02-03 | Universal Display Corporation | Organic light emitting materials and devices |
| JP4365199B2 (en) | 2002-12-27 | 2009-11-18 | 富士フイルム株式会社 | Organic electroluminescence device |
| JP4365196B2 (en) | 2002-12-27 | 2009-11-18 | 富士フイルム株式会社 | Organic electroluminescence device |
| EP1606296B1 (en) | 2003-03-24 | 2009-08-05 | University Of Southern California | PHENYL-PYRAZOLE COMPLEXES OF Ir |
| US7090928B2 (en) | 2003-04-01 | 2006-08-15 | The University Of Southern California | Binuclear compounds |
| JP5318347B2 (en) | 2003-04-15 | 2013-10-16 | メルク パテント ゲーエムベーハー | Mixture of matrix material and organic semiconductor capable of emitting light, use thereof, and electronic component comprising said mixture |
| US7029765B2 (en) | 2003-04-22 | 2006-04-18 | Universal Display Corporation | Organic light emitting devices having reduced pixel shrinkage |
| JP4673744B2 (en) | 2003-05-29 | 2011-04-20 | 新日鐵化学株式会社 | Organic electroluminescence device |
| JP2005011610A (en) | 2003-06-18 | 2005-01-13 | Nippon Steel Chem Co Ltd | Organic electroluminescence device |
| US20050025993A1 (en) | 2003-07-25 | 2005-02-03 | Thompson Mark E. | Materials and structures for enhancing the performance of organic light emitting devices |
| TWI390006B (en) | 2003-08-07 | 2013-03-21 | Nippon Steel Chemical Co | Organic EL materials with aluminum clamps |
| DE10338550A1 (en) | 2003-08-19 | 2005-03-31 | Basf Ag | Transition metal complexes with carbene ligands as emitters for organic light-emitting diodes (OLEDs) |
| US20060269780A1 (en) | 2003-09-25 | 2006-11-30 | Takayuki Fukumatsu | Organic electroluminescent device |
| JP4822687B2 (en) | 2003-11-21 | 2011-11-24 | 富士フイルム株式会社 | Organic electroluminescence device |
| KR100560790B1 (en) * | 2003-11-25 | 2006-03-13 | 삼성에스디아이 주식회사 | Organic electroluminescent display with excellent high temperature |
| US7332232B2 (en) | 2004-02-03 | 2008-02-19 | Universal Display Corporation | OLEDs utilizing multidentate ligand systems |
| WO2005089024A1 (en) | 2004-03-11 | 2005-09-22 | Mitsubishi Chemical Corporation | Composition for charge-transporting film and ion compound, charge-transporting film and organic electroluminescent device using same, and method for manufacturing organic electroluminescent device and method for producing charge-transporting film |
| TW200531592A (en) | 2004-03-15 | 2005-09-16 | Nippon Steel Chemical Co | Organic electroluminescent device |
| JP5045100B2 (en) | 2004-03-31 | 2012-10-10 | コニカミノルタホールディングス株式会社 | Organic electroluminescence element material and organic electroluminescence element |
| WO2005101912A1 (en) | 2004-04-14 | 2005-10-27 | Konica Minolta Holdings, Inc. | Organic electroluminescence device, display unit and lighting apparatus |
| JP4869565B2 (en) | 2004-04-23 | 2012-02-08 | 富士フイルム株式会社 | Organic electroluminescence device |
| US7445855B2 (en) | 2004-05-18 | 2008-11-04 | The University Of Southern California | Cationic metal-carbene complexes |
| US7393599B2 (en) | 2004-05-18 | 2008-07-01 | The University Of Southern California | Luminescent compounds with carbene ligands |
| US7534505B2 (en) | 2004-05-18 | 2009-05-19 | The University Of Southern California | Organometallic compounds for use in electroluminescent devices |
| US7154114B2 (en) | 2004-05-18 | 2006-12-26 | Universal Display Corporation | Cyclometallated iridium carbene complexes for use as hosts |
| US7491823B2 (en) | 2004-05-18 | 2009-02-17 | The University Of Southern California | Luminescent compounds with carbene ligands |
| WO2005123873A1 (en) | 2004-06-17 | 2005-12-29 | Konica Minolta Holdings, Inc. | Organic electroluminescent device material, organic electroluminescent device, display and illuminating device |
| CA2568667A1 (en) | 2004-06-28 | 2006-01-05 | Ciba Specialty Chemicals Holding Inc. | Electroluminescent metal complexes with triazoles and benzotriazoles |
| US20060008670A1 (en) | 2004-07-06 | 2006-01-12 | Chun Lin | Organic light emitting materials and devices |
| DE102004033902A1 (en) * | 2004-07-14 | 2006-02-16 | Zentaris Gmbh | New tetrahydrocarbazole compounds are neurokinin-1 receptor antagonists useful to treat or prevent e.g. pubertas praecox, hirsutism, polycystic ovary syndrome, hormone dependent neoplastic diseases and Alzheimer's disease |
| EP2178348B1 (en) | 2004-07-23 | 2012-11-21 | Konica Minolta Holdings, Inc. | Organic electroluminescent element, display and illuminator |
| US7251561B2 (en) * | 2004-07-28 | 2007-07-31 | Telmap Ltd. | Selective download of corridor map data |
| US7402345B2 (en) * | 2004-09-14 | 2008-07-22 | E.I. Du Pont De Nemours And Company | Electroluminescent iridium compounds with fluorinated phenylpyridine ligands, and devices made with such compounds |
| JP4792724B2 (en) * | 2004-09-29 | 2011-10-12 | コニカミノルタホールディングス株式会社 | Organic electroluminescence element, display device and lighting device |
| DE102004057072A1 (en) | 2004-11-25 | 2006-06-01 | Basf Ag | Use of Transition Metal Carbene Complexes in Organic Light Emitting Diodes (OLEDs) |
| KR101272435B1 (en) | 2004-12-30 | 2013-06-07 | 이 아이 듀폰 디 네모아 앤드 캄파니 | Organometallic complexes |
| GB2437453B (en) | 2005-02-04 | 2011-05-04 | Konica Minolta Holdings Inc | Material for organic electroluminescence element, organic electroluminescence element, display device and lighting device |
| KR100803125B1 (en) | 2005-03-08 | 2008-02-14 | 엘지전자 주식회사 | Red phosphorescent compound and organic light emitting device using the same |
| JP5125502B2 (en) | 2005-03-16 | 2013-01-23 | コニカミノルタホールディングス株式会社 | Organic electroluminescence element material, organic electroluminescence element |
| WO2006100925A1 (en) * | 2005-03-22 | 2006-09-28 | Konica Minolta Holdings, Inc. | Material for organic el device, organic el device, display and illuminating device |
| DE102005014284A1 (en) | 2005-03-24 | 2006-09-28 | Basf Ag | Use of compounds containing aromatic or heteroaromatic rings containing groups via carbonyl groups as matrix materials in organic light-emitting diodes |
| JPWO2006103874A1 (en) | 2005-03-29 | 2008-09-04 | コニカミノルタホールディングス株式会社 | ORGANIC ELECTROLUMINESCENT ELEMENT MATERIAL, ORGANIC ELECTROLUMINESCENT ELEMENT, DISPLAY DEVICE AND LIGHTING DEVICE |
| GB2439030B (en) | 2005-04-18 | 2011-03-02 | Konica Minolta Holdings Inc | Organic electroluminescent device, display and illuminating device |
| US7807275B2 (en) | 2005-04-21 | 2010-10-05 | Universal Display Corporation | Non-blocked phosphorescent OLEDs |
| US9051344B2 (en) | 2005-05-06 | 2015-06-09 | Universal Display Corporation | Stability OLED materials and devices |
| JP4533796B2 (en) | 2005-05-06 | 2010-09-01 | 富士フイルム株式会社 | Organic electroluminescence device |
| CN101203583A (en) * | 2005-05-31 | 2008-06-18 | 通用显示公司 | Benzo [9,10] phenanthrene matrices in phosphorescent emitting diodes |
| WO2006132173A1 (en) | 2005-06-07 | 2006-12-14 | Nippon Steel Chemical Co., Ltd. | Organic metal complex and organic electroluminescent device using same |
| US7638072B2 (en) | 2005-06-27 | 2009-12-29 | E. I. Du Pont De Nemours And Company | Electrically conductive polymer compositions |
| WO2007004380A1 (en) | 2005-07-01 | 2007-01-11 | Konica Minolta Holdings, Inc. | Organic electroluminescent element material, organic electroluminescent element, display device, and lighting equipment |
| WO2007028417A1 (en) | 2005-09-07 | 2007-03-15 | Technische Universität Braunschweig | Triplett emitter having condensed five-membered rings |
| JP4887731B2 (en) | 2005-10-26 | 2012-02-29 | コニカミノルタホールディングス株式会社 | Organic electroluminescence element, display device and lighting device |
| KR20080085000A (en) | 2005-12-01 | 2008-09-22 | 신닛테츠가가쿠 가부시키가이샤 | Organic electroluminescent device |
| EP1956022B1 (en) | 2005-12-01 | 2012-07-25 | Nippon Steel Chemical Co., Ltd. | Compound for organic electroluminescent element and organic electroluminescent element |
| KR100826882B1 (en) * | 2005-12-05 | 2008-05-06 | 한국전자통신연구원 | Digital automatic gain controller method and apparatus in bust mode optical receiver |
| DE102005057963A1 (en) * | 2005-12-05 | 2007-06-06 | Merck Patent Gmbh | Process for the preparation of ortho-metallated metal compounds |
| KR101600624B1 (en) | 2006-02-10 | 2016-03-21 | 유니버셜 디스플레이 코포레이션 | METAL COMPLEXES OF CYCLOMETALLATED IMIDAZO[1,2-f]PHENANTHRIDINE AND DIIMIDAZO[1,2-A:1',2'-C]QUINAZOLINE LIGANDS AND ISOELECTRONIC AND BENZANNULATED ANALOGS THEREOF |
| JP4823730B2 (en) | 2006-03-20 | 2011-11-24 | 新日鐵化学株式会社 | Luminescent layer compound and organic electroluminescent device |
| KR101453109B1 (en) | 2006-04-26 | 2014-10-27 | 이데미쓰 고산 가부시키가이샤 | Aromatic amine derivative, and organic electroluminescence element using the same |
| JP5432523B2 (en) | 2006-05-11 | 2014-03-05 | 出光興産株式会社 | Organic electroluminescence device |
| CN101461074B (en) | 2006-06-02 | 2011-06-15 | 出光兴产株式会社 | Material for organic electroluminescence element and organic electroluminescence element using same |
| JP5139297B2 (en) | 2006-08-23 | 2013-02-06 | 出光興産株式会社 | Aromatic amine derivatives and organic electroluminescence devices using them |
| JP5589251B2 (en) | 2006-09-21 | 2014-09-17 | コニカミノルタ株式会社 | Organic electroluminescence element material |
| JP5099013B2 (en) | 2006-10-13 | 2012-12-12 | コニカミノルタホールディングス株式会社 | ORGANIC ELECTROLUMINESCENT ELEMENT MATERIAL, ORGANIC ELECTROLUMINESCENT ELEMENT, DISPLAY DEVICE AND LIGHTING DEVICE |
| US8062769B2 (en) | 2006-11-09 | 2011-11-22 | Nippon Steel Chemical Co., Ltd. | Indolocarbazole compound for use in organic electroluminescent device and organic electroluminescent device |
| WO2008062636A1 (en) | 2006-11-24 | 2008-05-29 | Idemitsu Kosan Co., Ltd. | Aromatic amine derivative and organic electroluminescent element using the same |
| US8119255B2 (en) | 2006-12-08 | 2012-02-21 | Universal Display Corporation | Cross-linkable iridium complexes and organic light-emitting devices using the same |
| JP5262104B2 (en) * | 2006-12-27 | 2013-08-14 | 住友化学株式会社 | Metal complexes, polymer compounds, and devices containing them |
| WO2008101842A1 (en) | 2007-02-23 | 2008-08-28 | Basf Se | Electroluminescent metal complexes with benzotriazoles |
| EP2150556B1 (en) | 2007-04-26 | 2011-01-12 | Basf Se | Silanes containing phenothiazine-s-oxide or phenothiazine-s,s-dioxide groups and the use thereof in oleds |
| WO2008156879A1 (en) | 2007-06-20 | 2008-12-24 | Universal Display Corporation | Blue phosphorescent imidazophenanthridine materials |
| CN101720330B (en) | 2007-06-22 | 2017-06-09 | Udc爱尔兰有限责任公司 | Light emitting cu (I) complex compound |
| US8373159B2 (en) | 2007-07-05 | 2013-02-12 | Basf Se | Organic light-emitting diodes comprising carbene-transition metal complex emitter, and at least one compound selected from disilylcarbazoles, disilyldibenzofurans, disilyldibenzothiophenes, disilyldibenzophospholes, disilyldibenzothiophene s-oxides and disilyldibe |
| US20090045731A1 (en) | 2007-07-07 | 2009-02-19 | Idemitsu Kosan Co., Ltd. | Organic electroluminescence device and material for organic electroluminescence device |
| JP5473600B2 (en) | 2007-07-07 | 2014-04-16 | 出光興産株式会社 | Chrysene derivative and organic electroluminescence device using the same |
| WO2009008205A1 (en) | 2007-07-07 | 2009-01-15 | Idemitsu Kosan Co., Ltd. | Organic electroluminescent device and material for organic electroluminescent device |
| US8779655B2 (en) | 2007-07-07 | 2014-07-15 | Idemitsu Kosan Co., Ltd. | Organic electroluminescence device and material for organic electroluminescence device |
| WO2009008201A1 (en) | 2007-07-07 | 2009-01-15 | Idemitsu Kosan Co., Ltd. | Naphthalene derivative, material for organic el element, and organic el element using the material |
| TW200903877A (en) | 2007-07-10 | 2009-01-16 | Idemitsu Kosan Co | Material for organic electroluminescence device and organic electroluminescence device utilizing the same |
| US8080658B2 (en) | 2007-07-10 | 2011-12-20 | Idemitsu Kosan Co., Ltd. | Material for organic electroluminescent element and organic electroluminescent element employing the same |
| CN101688052A (en) | 2007-07-27 | 2010-03-31 | E.I.内穆尔杜邦公司 | Aqueous dispersion of conductive polymer comprising inorganic nanoparticles |
| EP2185532B1 (en) | 2007-08-08 | 2016-11-09 | Universal Display Corporation | Benzo-fused thiophene compounds comprising a triphenylene group |
| JP2009040728A (en) | 2007-08-09 | 2009-02-26 | Canon Inc | Organometallic complex and organic light emitting device using the same |
| JP2011500648A (en) | 2007-10-17 | 2011-01-06 | ビーエーエスエフ ソシエタス・ヨーロピア | Transition metal complexes with bridged carbene ligands and their use in OLEDs |
| US20090101870A1 (en) | 2007-10-22 | 2009-04-23 | E. I. Du Pont De Nemours And Company | Electron transport bi-layers and devices made with such bi-layers |
| US7914908B2 (en) | 2007-11-02 | 2011-03-29 | Global Oled Technology Llc | Organic electroluminescent device having an azatriphenylene derivative |
| DE102007053771A1 (en) | 2007-11-12 | 2009-05-14 | Merck Patent Gmbh | Organic electroluminescent devices |
| WO2009063833A1 (en) | 2007-11-15 | 2009-05-22 | Idemitsu Kosan Co., Ltd. | Benzochrysene derivative and organic electroluminescent device using the same |
| EP2221896A4 (en) | 2007-11-22 | 2012-04-18 | Idemitsu Kosan Co | ORGANIC EL ELEMENT |
| US8574725B2 (en) | 2007-11-22 | 2013-11-05 | Idemitsu Kosan Co., Ltd. | Organic el element and solution containing organic el material |
| KR100905951B1 (en) * | 2007-12-06 | 2009-07-06 | 주식회사 잉크테크 | Iridium-based compounds having carbazole pyridine and phenyl derivatives as main ligands and organic electroluminescent devices comprising the same |
| WO2009073245A1 (en) | 2007-12-06 | 2009-06-11 | Universal Display Corporation | Light-emitting organometallic complexes |
| JP5438955B2 (en) * | 2007-12-14 | 2014-03-12 | ユー・ディー・シー アイルランド リミテッド | Platinum complex compound and organic electroluminescence device using the same |
| US8221905B2 (en) | 2007-12-28 | 2012-07-17 | Universal Display Corporation | Carbazole-containing materials in phosphorescent light emitting diodes |
| WO2009085344A2 (en) | 2007-12-28 | 2009-07-09 | Universal Display Corporation | Dibenzothiophene-containing materials in phosphorescent light emitting diodes |
| KR101691610B1 (en) | 2008-02-12 | 2017-01-02 | 유디씨 아일랜드 리미티드 | Electroluminescent metal complexes with dibenzo[f,h]quinoxalines |
| US20110155238A1 (en) * | 2008-04-24 | 2011-06-30 | Xiuliang Shen | Pyridine type metal complex, photoelectrode comprising the metal complex, and dye-sensitized solar cell comprising the photoelectrode |
| JP5609022B2 (en) | 2008-06-23 | 2014-10-22 | 住友化学株式会社 | Polymer compound containing residue of metal complex and device using the same |
| US8815415B2 (en) | 2008-12-12 | 2014-08-26 | Universal Display Corporation | Blue emitter with high efficiency based on imidazo[1,2-f] phenanthridine iridium complexes |
| US9175211B2 (en) * | 2010-03-03 | 2015-11-03 | Universal Display Corporation | Phosphorescent materials |
-
2010
- 2010-08-25 US US12/868,350 patent/US9175211B2/en active Active
- 2010-10-01 CN CN201610674077.6A patent/CN106366130B/en active Active
- 2010-10-01 KR KR1020127025676A patent/KR101872038B1/en active Active
- 2010-10-01 EP EP10763296.0A patent/EP2542644B1/en active Active
- 2010-10-01 WO PCT/US2010/051076 patent/WO2011109042A1/en not_active Ceased
- 2010-10-01 CN CN201080066225.7A patent/CN102858910B/en active Active
- 2010-10-01 JP JP2012556051A patent/JP5872491B2/en active Active
- 2010-10-01 KR KR1020187017344A patent/KR102004108B1/en active Active
- 2010-10-13 TW TW099134954A patent/TWI548721B/en active
-
2016
- 2016-01-12 JP JP2016003317A patent/JP6251299B2/en active Active
Patent Citations (26)
| Publication number | Priority date | Publication date | Assignee | Title |
|---|---|---|---|---|
| US4769292A (en) | 1987-03-02 | 1988-09-06 | Eastman Kodak Company | Electroluminescent device with modified thin film luminescent zone |
| US5247190A (en) | 1989-04-20 | 1993-09-21 | Cambridge Research And Innovation Limited | Electroluminescent devices |
| US5703436A (en) | 1994-12-13 | 1997-12-30 | The Trustees Of Princeton University | Transparent contacts for organic devices |
| US5707745A (en) | 1994-12-13 | 1998-01-13 | The Trustees Of Princeton University | Multicolor organic light emitting devices |
| US5834893A (en) | 1996-12-23 | 1998-11-10 | The Trustees Of Princeton University | High efficiency organic light emitting devices with light directing structures |
| US6013982A (en) | 1996-12-23 | 2000-01-11 | The Trustees Of Princeton University | Multicolor display devices |
| US5844363A (en) | 1997-01-23 | 1998-12-01 | The Trustees Of Princeton Univ. | Vacuum deposited, non-polymeric flexible organic light emitting devices |
| US6091195A (en) | 1997-02-03 | 2000-07-18 | The Trustees Of Princeton University | Displays having mesa pixel configuration |
| US6337102B1 (en) | 1997-11-17 | 2002-01-08 | The Trustees Of Princeton University | Low pressure vapor phase deposition of organic thin films |
| US6303238B1 (en) | 1997-12-01 | 2001-10-16 | The Trustees Of Princeton University | OLEDs doped with phosphorescent compounds |
| US6087196A (en) | 1998-01-30 | 2000-07-11 | The Trustees Of Princeton University | Fabrication of organic semiconductor devices using ink jet printing |
| US6097147A (en) | 1998-09-14 | 2000-08-01 | The Trustees Of Princeton University | Structure for high efficiency electroluminescent device |
| US6294398B1 (en) | 1999-11-23 | 2001-09-25 | The Trustees Of Princeton University | Method for patterning devices |
| US6468819B1 (en) | 1999-11-23 | 2002-10-22 | The Trustees Of Princeton University | Method for patterning organic thin film devices using a die |
| EP1239526A2 (en) * | 2001-03-08 | 2002-09-11 | Canon Kabushiki Kaisha | Metal coordination compound, luminescene device and display apparatus |
| US20050027123A1 (en) * | 2001-03-14 | 2005-02-03 | Canon Kabushiki Kaisha | Metal coordination compound, luminescence device and display apparatus |
| US20040174116A1 (en) | 2001-08-20 | 2004-09-09 | Lu Min-Hao Michael | Transparent electrodes |
| US20030230980A1 (en) | 2002-06-18 | 2003-12-18 | Forrest Stephen R | Very low voltage, high efficiency phosphorescent oled in a p-i-n structure |
| US20070184301A1 (en) * | 2004-02-26 | 2007-08-09 | Konica Minolta Holdings, Inc. | Material for organic electroluminescence element, organic electroluminescence element, display device and illumination device |
| US7279704B2 (en) | 2004-05-18 | 2007-10-09 | The University Of Southern California | Complexes with tridentate ligands |
| JP2008101114A (en) * | 2006-10-19 | 2008-05-01 | Konica Minolta Holdings Inc | ORGANIC ELECTROLUMINESCENT ELEMENT MATERIAL, ORGANIC ELECTROLUMINESCENT ELEMENT, DISPLAY DEVICE AND LIGHTING DEVICE |
| JP2008210941A (en) * | 2007-02-26 | 2008-09-11 | Konica Minolta Holdings Inc | Organic electroluminescent element, display unit, and lighting fixture |
| EP2062959A2 (en) * | 2007-11-20 | 2009-05-27 | Gracel Display Inc. | Novel red electroluminescent compounds and organic electroluminescent device using the same |
| JP2009267244A (en) * | 2008-04-28 | 2009-11-12 | Fujifilm Corp | Organic electroluminescent element |
| WO2010004877A1 (en) * | 2008-07-10 | 2010-01-14 | コニカミノルタホールディングス株式会社 | Organic electroluminescent element, display device and illuminating device |
| WO2010028151A1 (en) | 2008-09-03 | 2010-03-11 | Universal Display Corporation | Phosphorescent materials |
Non-Patent Citations (2)
| Title |
|---|
| BALDO ET AL.: "Highly Efficient Phosphorescent Emission from Organic Electroluminescent Devices", NATURE, vol. 395, 1998, pages 151 - 154 |
| BALDO ET AL.: "Very high-efficiency green organic light-emitting devices based on electrophosphorescence", APPL. PHYS. LETT., vol. 75, no. 3, 1999, pages 4 - 6 |
Cited By (32)
| Publication number | Priority date | Publication date | Assignee | Title |
|---|---|---|---|---|
| JP2013237662A (en) * | 2012-04-20 | 2013-11-28 | Semiconductor Energy Lab Co Ltd | Phosphorescent organometallic iridium complex, light-emitting element, light-emitting device, electronic device, and lighting device |
| EP3318566A1 (en) | 2012-09-20 | 2018-05-09 | UDC Ireland Limited | Azadibenzofurans for electronic applications |
| US10249827B2 (en) | 2012-09-20 | 2019-04-02 | Udc Ireland Limited | Azadibenzofurans for electronic applications |
| WO2015063046A1 (en) | 2013-10-31 | 2015-05-07 | Basf Se | Azadibenzothiophenes for electronic applications |
| WO2016016791A1 (en) | 2014-07-28 | 2016-02-04 | Idemitsu Kosan Co., Ltd (Ikc) | 2,9-functionalized benzimidazolo[1,2-a]benzimidazoles as hosts for organic light emitting diodes (oleds) |
| EP2982676A1 (en) | 2014-08-07 | 2016-02-10 | Idemitsu Kosan Co., Ltd. | Benzimidazo[2,1-B]benzoxazoles for electronic applications |
| EP3466957A1 (en) | 2014-08-08 | 2019-04-10 | UDC Ireland Limited | Oled comprising an electroluminescent imidazo-quinoxaline carbene metal complexes |
| EP2993215A1 (en) | 2014-09-04 | 2016-03-09 | Idemitsu Kosan Co., Ltd. | Azabenzimidazo[2,1-a]benzimidazoles for electronic applications |
| EP3015469A1 (en) | 2014-10-30 | 2016-05-04 | Idemitsu Kosan Co., Ltd. | 5-((benz)imidazol-2-yl)benzimidazo[1,2-a]benzimidazoles for electronic applications |
| WO2016067261A1 (en) | 2014-10-30 | 2016-05-06 | Idemitsu Kosan Co., Ltd. | 5-((benz)imidazol-2-yl)benzimidazo[1,2-a]benzimidazoles for electronic applications |
| WO2016079667A1 (en) | 2014-11-17 | 2016-05-26 | Idemitsu Kosan Co., Ltd. | Indole derivatives for electronic applications |
| WO2016079169A1 (en) | 2014-11-18 | 2016-05-26 | Basf Se | Pt- or pd-carbene complexes for use in organic light emitting diodes |
| EP3034507A1 (en) | 2014-12-15 | 2016-06-22 | Idemitsu Kosan Co., Ltd | 1-functionalized dibenzofurans and dibenzothiophenes for organic light emitting diodes (OLEDs) |
| EP3034506A1 (en) | 2014-12-15 | 2016-06-22 | Idemitsu Kosan Co., Ltd | 4-functionalized carbazole derivatives for electronic applications |
| EP3054498A1 (en) | 2015-02-06 | 2016-08-10 | Idemitsu Kosan Co., Ltd. | Bisimidazodiazocines |
| WO2016125110A1 (en) | 2015-02-06 | 2016-08-11 | Idemitsu Kosan Co., Ltd. | Bisimidazolodiazocines |
| EP3053918A1 (en) | 2015-02-06 | 2016-08-10 | Idemitsu Kosan Co., Ltd | 2-carbazole substituted benzimidazoles for electronic applications |
| EP3061759A1 (en) | 2015-02-24 | 2016-08-31 | Idemitsu Kosan Co., Ltd | Nitrile substituted dibenzofurans |
| EP3070144A1 (en) | 2015-03-17 | 2016-09-21 | Idemitsu Kosan Co., Ltd. | Seven-membered ring compounds |
| EP3072943A1 (en) | 2015-03-26 | 2016-09-28 | Idemitsu Kosan Co., Ltd. | Dibenzofuran/carbazole-substituted benzonitriles |
| WO2016157113A1 (en) | 2015-03-31 | 2016-10-06 | Idemitsu Kosan Co., Ltd. | Benzimidazolo[1,2-a]benzimidazole carrying aryl- or heteroarylnitril groups for organic light emitting diodes |
| EP3075737A1 (en) | 2015-03-31 | 2016-10-05 | Idemitsu Kosan Co., Ltd | Benzimidazolo[1,2-a]benzimidazole carrying aryl- or heteroarylnitril groups for organic light emitting diodes |
| EP3150604A1 (en) | 2015-10-01 | 2017-04-05 | Idemitsu Kosan Co., Ltd. | Benzimidazolo[1,2-a]benzimidazole carrying benzimidazolo[1,2-a]benzimidazolyl groups, carbazolyl groups, benzofurane groups or benzothiophene groups for organic light emitting diodes |
| WO2017056055A1 (en) | 2015-10-01 | 2017-04-06 | Idemitsu Kosan Co., Ltd. | Benzimidazolo[1,2-a]benzimidazole carrying triazine groups for organic light emitting diodes |
| WO2017056053A1 (en) | 2015-10-01 | 2017-04-06 | Idemitsu Kosan Co., Ltd. | Benzimidazolo[1,2-a]benzimidazole carrying benzimidazolo[1,2-a]benzimidazolyl groups, carbazolyl groups, benzofurane groups or benzothiophene groups for organic light emitting diodes |
| WO2017056052A1 (en) | 2015-10-01 | 2017-04-06 | Idemitsu Kosan Co., Ltd. | Benzimidazolo[1,2-a]benzimidazole carrying benzimidazolo[1,2-a]benzimidazolyl groups, carbazolyl groups, benzofurane groups or benzothiophene groups for organic light emitting diodes |
| EP3150606A1 (en) | 2015-10-01 | 2017-04-05 | Idemitsu Kosan Co., Ltd. | Benzimidazolo[1,2-a]benzimidazoles carrying benzofurane or benzothiophene groups for organic light emitting diodes |
| WO2017078182A1 (en) | 2015-11-04 | 2017-05-11 | Idemitsu Kosan Co., Ltd. | Benzimidazole fused heteroaryls |
| WO2017093958A1 (en) | 2015-12-04 | 2017-06-08 | Idemitsu Kosan Co., Ltd. | Benzimidazolo[1,2-a]benzimidazole derivatives for organic light emitting diodes |
| EP3184534A1 (en) | 2015-12-21 | 2017-06-28 | UDC Ireland Limited | Transition metal complexes with tripodal ligands and the use thereof in oleds |
| US10490754B2 (en) | 2015-12-21 | 2019-11-26 | Udc Ireland Limited | Transition metal complexes with tripodal ligands and the use thereof in OLEDs |
| WO2017178864A1 (en) | 2016-04-12 | 2017-10-19 | Idemitsu Kosan Co., Ltd. | Seven-membered ring compounds |
Also Published As
| Publication number | Publication date |
|---|---|
| KR20130018738A (en) | 2013-02-25 |
| JP5872491B2 (en) | 2016-03-01 |
| EP2542644B1 (en) | 2015-09-09 |
| KR102004108B1 (en) | 2019-07-25 |
| JP2016121160A (en) | 2016-07-07 |
| KR20180070726A (en) | 2018-06-26 |
| US9175211B2 (en) | 2015-11-03 |
| CN102858910B (en) | 2016-09-14 |
| JP2013521280A (en) | 2013-06-10 |
| JP6251299B2 (en) | 2017-12-20 |
| EP2542644A1 (en) | 2013-01-09 |
| US20110215710A1 (en) | 2011-09-08 |
| TW201130948A (en) | 2011-09-16 |
| CN102858910A (en) | 2013-01-02 |
| CN106366130A (en) | 2017-02-01 |
| TWI548721B (en) | 2016-09-11 |
| CN106366130B (en) | 2021-07-09 |
| KR101872038B1 (en) | 2018-07-31 |
Similar Documents
| Publication | Publication Date | Title |
|---|---|---|
| KR102762148B1 (en) | Phosphorescent compound | |
| JP6568190B2 (en) | High efficiency yellow light emitter for OLED devices | |
| EP2542644B1 (en) | Phosphorescent materials | |
| JP6219466B2 (en) | Phosphorescent substance | |
| KR102855100B1 (en) | 5-substituted 2-phenylquinoline complexes materials for light emitting diode | |
| KR102394667B1 (en) | Organic electroluminescent materials and devices | |
| KR101907711B1 (en) | Germanium-containing red emitter materials for organic light emitting diode | |
| KR20130109006A (en) | Azaborine compounds as host materials and dopants for pholeds | |
| EP2769982B1 (en) | Deuterated heteroleptic iridium complexes as phosphorescent material in OLEDS |
Legal Events
| Date | Code | Title | Description |
|---|---|---|---|
| WWE | Wipo information: entry into national phase |
Ref document number: 201080066225.7 Country of ref document: CN |
|
| 121 | Ep: the epo has been informed by wipo that ep was designated in this application |
Ref document number: 10763296 Country of ref document: EP Kind code of ref document: A1 |
|
| WWE | Wipo information: entry into national phase |
Ref document number: 7445/DELNP/2012 Country of ref document: IN |
|
| WWE | Wipo information: entry into national phase |
Ref document number: 2012556051 Country of ref document: JP |
|
| NENP | Non-entry into the national phase |
Ref country code: DE |
|
| ENP | Entry into the national phase |
Ref document number: 20127025676 Country of ref document: KR Kind code of ref document: A |
|
| WWE | Wipo information: entry into national phase |
Ref document number: 2010763296 Country of ref document: EP |



















































































































































































