WO2011051671A1 - Aminopyridine derivatives as kallikrein inhibitors - Google Patents
Aminopyridine derivatives as kallikrein inhibitors Download PDFInfo
- Publication number
- WO2011051671A1 WO2011051671A1 PCT/GB2010/001996 GB2010001996W WO2011051671A1 WO 2011051671 A1 WO2011051671 A1 WO 2011051671A1 GB 2010001996 W GB2010001996 W GB 2010001996W WO 2011051671 A1 WO2011051671 A1 WO 2011051671A1
- Authority
- WO
- WIPO (PCT)
- Prior art keywords
- amino
- pyridin
- ylmethyl
- phenyl
- carbamoyl
- Prior art date
- Legal status (The legal status is an assumption and is not a legal conclusion. Google has not performed a legal analysis and makes no representation as to the accuracy of the status listed.)
- Ceased
Links
- 0 *C(*)C(*)(C(NCc(cc1)cnc1N)=O)N* Chemical compound *C(*)C(*)(C(NCc(cc1)cnc1N)=O)N* 0.000 description 1
- PPHCQEAHSLRXOL-WCCCRJGXSA-N Cc1c(CNC(/C(/NC([C@@H](Cc2ccccc2)O)=O)=C/c(cc2)ccc2F)=O)ccc(N)n1 Chemical compound Cc1c(CNC(/C(/NC([C@@H](Cc2ccccc2)O)=O)=C/c(cc2)ccc2F)=O)ccc(N)n1 PPHCQEAHSLRXOL-WCCCRJGXSA-N 0.000 description 1
Classifications
-
- C—CHEMISTRY; METALLURGY
- C07—ORGANIC CHEMISTRY
- C07D—HETEROCYCLIC COMPOUNDS
- C07D213/00—Heterocyclic compounds containing six-membered rings, not condensed with other rings, with one nitrogen atom as the only ring hetero atom and three or more double bonds between ring members or between ring members and non-ring members
- C07D213/02—Heterocyclic compounds containing six-membered rings, not condensed with other rings, with one nitrogen atom as the only ring hetero atom and three or more double bonds between ring members or between ring members and non-ring members having three double bonds between ring members or between ring members and non-ring members
- C07D213/04—Heterocyclic compounds containing six-membered rings, not condensed with other rings, with one nitrogen atom as the only ring hetero atom and three or more double bonds between ring members or between ring members and non-ring members having three double bonds between ring members or between ring members and non-ring members having no bond between the ring nitrogen atom and a non-ring member or having only hydrogen or carbon atoms directly attached to the ring nitrogen atom
- C07D213/60—Heterocyclic compounds containing six-membered rings, not condensed with other rings, with one nitrogen atom as the only ring hetero atom and three or more double bonds between ring members or between ring members and non-ring members having three double bonds between ring members or between ring members and non-ring members having no bond between the ring nitrogen atom and a non-ring member or having only hydrogen or carbon atoms directly attached to the ring nitrogen atom with hetero atoms or with carbon atoms having three bonds to hetero atoms with at the most one bond to halogen, e.g. ester or nitrile radicals, directly attached to ring carbon atoms
- C07D213/72—Nitrogen atoms
- C07D213/73—Unsubstituted amino or imino radicals
-
- A—HUMAN NECESSITIES
- A61—MEDICAL OR VETERINARY SCIENCE; HYGIENE
- A61P—SPECIFIC THERAPEUTIC ACTIVITY OF CHEMICAL COMPOUNDS OR MEDICINAL PREPARATIONS
- A61P11/00—Drugs for disorders of the respiratory system
-
- A—HUMAN NECESSITIES
- A61—MEDICAL OR VETERINARY SCIENCE; HYGIENE
- A61P—SPECIFIC THERAPEUTIC ACTIVITY OF CHEMICAL COMPOUNDS OR MEDICINAL PREPARATIONS
- A61P11/00—Drugs for disorders of the respiratory system
- A61P11/06—Antiasthmatics
-
- A—HUMAN NECESSITIES
- A61—MEDICAL OR VETERINARY SCIENCE; HYGIENE
- A61P—SPECIFIC THERAPEUTIC ACTIVITY OF CHEMICAL COMPOUNDS OR MEDICINAL PREPARATIONS
- A61P19/00—Drugs for skeletal disorders
- A61P19/02—Drugs for skeletal disorders for joint disorders, e.g. arthritis, arthrosis
-
- A—HUMAN NECESSITIES
- A61—MEDICAL OR VETERINARY SCIENCE; HYGIENE
- A61P—SPECIFIC THERAPEUTIC ACTIVITY OF CHEMICAL COMPOUNDS OR MEDICINAL PREPARATIONS
- A61P37/00—Drugs for immunological or allergic disorders
-
- A—HUMAN NECESSITIES
- A61—MEDICAL OR VETERINARY SCIENCE; HYGIENE
- A61P—SPECIFIC THERAPEUTIC ACTIVITY OF CHEMICAL COMPOUNDS OR MEDICINAL PREPARATIONS
- A61P37/00—Drugs for immunological or allergic disorders
- A61P37/08—Antiallergic agents
Definitions
- This invention relates to aminopyridine derivatives and to processes for the preparation of, intermediates used in the preparation of, compositions containing and the uses of, such derivatives.
- the aminopyridine derivatives of the present invention are inhibitors of tissue kallikrein and have a number of therapeutic applications, particularly in the treatment of inflammatory diseases such as asthma and chronic obstructive pulmonary disease (COPD).
- COPD chronic obstructive pulmonary disease
- the compounds of the invention are selective inhibitors of human tissue kallikrein (KLK1). In particular, they show an ability to inhibit KLK1 which is greater than their ability to inhibit other trypsin-like serine proteases.
- KLK1 Human tissue kallikrein , KLK1 (EC.3.4.21.35, also known as hKl, glandular kallikrein and urinary kallikrein) is a trypsin-like serine protease belonging to the kallikrein gene family of which there are 14 other members (including prostate specific antigen) (G. M. Yousef et al., Endocrine Rev., 2001, 22, 184). Other closely related trypsin-like serine proteases include plasma kallikrein, thrombin, trypsin and plasmin. Active LK1 is a membrane-bound enzyme and is widely expressed.
- KLK1 can liberate the kinins from kininogens by limited proteolysis, kallidin is released from low molecular weight kininogen whilst bradykinin is released from high molecular weight kininogen (K. D. Bhoola et al., Pharmacological Rev., 1992, 44, 1).
- Kinins such as kallidin (Lys-bradykinin) and bradykinin are potent mediators of inflammation.
- the actions of kinins are mediated by activation of two main bradykinin receptor subtypes, Bl and B2, both of which are members of the seven trans-membrane G protein-coupled receptor families.
- KL 1 also activates the matrix metalloproteases (MMPs), pro-collagenase and pro-gelatinases and cleaves insulin-like growth factor binding protein-3 (J. A. Clements et al., Crit. Rev. Clin. Lab. Set, 2004, 41, 265-312).
- MMPs matrix metalloproteases
- KLK1 can directly activate the bradykinin receptors (C. Hecquet et al., Mol. Pharmacol., 2000, 39, 508-515).
- KLK1 S. C. Chrstiansen et al., J. Clin. Invest., 1987, 79, 188-197
- KLK1 the enzyme chiefly responsible for the liberation of kinins in the airways of asthmatic subjects. It has also been demonstrated that inflammatory cells release KLK1 (I. T. Lauredo et al., Am. J. Physiol. Lung Cell Mol Physiol, 2004, 286, 734). Inhibition of KLK1 may be a novel approach for the treatment of asthma.
- KLKl has been implicated in a number of other disease states including acute pancreatitis (T. Griesbacher, Pharmacology, 2000, 60, 1 13; T. Griesbacher et al., Br. J. Pharmacol., 2003, 139, 299), inflammatory bowel disease (A. Stadnicki, Digestive and Liver Disease, 2005, 37, 648; A. Stadnicki et al., Digestive Diseases and Science, 2003, 48, 615), arthritis (R. W. Colman, Immunopharmacology, 1999, 43, 103; R. J. Williams, Brit. J. Rheumatology, 1997, 36, 420).
- bradykinin B2 receptor antagonists have previously been investigated as potential therapeutic agents for the treatment of a number of inflammatory disorders (F. Marceau and D. Regoli, Nature Rev., Drug Discovery, 2004, 3, 845-852).
- bradykinin B2 receptor antagonists have been investigated as potential treatments for airways disease (W. M. Abraham et al., Eur. J. Pharm. , 2006, 533, 215).
- KLKl plays a role in cancer (K. D. Bhoola et al., Curr. Opin. 5 Invest. Drugs, 2007, 8, 462).
- KLKl plays a role in increasing tumor invasiveness via activation of matrix metalloproteases, pro-collagenases and pro-gelatinases (K. D. Bhoola et al., Biol. Che ., 2001, 382, 77; H. Tschesche et al., Adv. Exp. Med. Biol., 1969, 247A, 545).
- KLKl is indirectly involved in promoting proliferation through the liberation of mitogenic kinins (R. A. Roberts et al., J. Cell. 5'c/ ' ., 1989, 94, 10 527).
- KLKl is also involved in growth factor regulation and is implicated in processing of precursors of various growth factors e.g. EGF, NGF.
- Endogenous inhibitors of KLKl include the serpins, kallistatin, antiprotein C, ai- antitrypsin, and ai-antichymotrypsin.
- Aprotinin is also a potent non-selective KLKl inhibitor.
- Low molecular weight inhibitors of KLKl have previously been reported (M. Szelke et al., WO 199204371 ; M. Szelke et al., WO 199507291 ; C. Olivier et al., Peptides, 2000, 705; M. M. Staveski et al., WO 2003101941; M. Tokumasu et al., WO 0 2005095327; J.
- KLKl inhibitors have been reported to display activity in animal models of allergic inflammation (M. Szelke et al., Braz. J. Med. Biol. Res., 1994, 27, 1943; D. M. Evans et al., Immunopharmacology, 1996, 32, 1 17), citric acid induced cough (R. L. Featherstone et al., Lung, 1996, 174, 269) and acute pancreatitis (T. Griesbacher et al., Br. J. Pharmacol, 2002, 137, 692).
- KLKl 5 inhibitors have also been shown to be active in models of cancer (tumor cell migration in a matrigel invasion assay is inhibited in a dose-dependant manner by a KLKl inhibitor) (W. C. Wolf et al., Am. J. Pathol, 2001, 159, 1797).
- a human KLKl antibody that inhibits KLKl with nanomolar potency has been shown to be active in an allergic sheep model of asthma. The antibody inhibited the late phase bronchoconstriction and 0 completely blocked airway hyperresponsiveness (D. J. Sexton et al., WO 2006017538, D. J. Sexton et al., Biochem. Journal, 2009, 422, 383).
- KBP Kallikrein-binding protein
- VEGF has also been linked with blood-retinal barrier breakdown which is a hallmark of diabetic retinopathy (D. A. Antonettie et al., Diabetes, 1998, 47, 1953). VEGF has also been implicated in remodeling of airway vasculature in chronic inflammation (D. M. McDonald, Am. J. Respir. Crit. Care Med., 2001 , 164, S39).
- the compounds of the present invention have the advantage that they are selective inhibitors of KLKl (and so are likely to have reduced side effects). In addition, they may be more potent, they may be longer acting, they may have greater bioavailability or they may have other more desirable properties than the compounds of the prior art.
- the present invention provides compounds of formula (I):
- R and R are independently selected from H, hydroxyl, (Ci-Cio)alkyl, (Ci-C )alkoxy,
- R 3 is selected from H, (Ci-C 10 )alkyl and (C 2 -C 6 )alkenyl;
- R 6 and R 7 are independently selected from H and (Ci-C 6 )alkyl
- R 8 , R 9 and R 10 are independently selected from H, (Ci-C 10 )alkyl, halo, hydroxyl and (Ci-
- a 1 is selected from CW and S(0)X;
- W is selected from Y and the groups of formulae (II) and (III) below;
- X is selected from (Ci-Cio)alkyl, (C2-C 6 )alkenyl, (C 3 -Ci 0 )cycloalkyl, heterocycloalkyl, aryl, heteroaryl and aryl(C 1 -C 4 )alkyl-;
- R x is selected from H, (Ci-Ci 0 )alkyl, (C 2 -C 6 )alkenyl, (C 3 -Ci 0 )cycloalkyl, aryl, aryl(Ci- C 4 )alkyl-, aryl(C 2 -C 4 )alkenyl- and heteroaryl(Ci-C 4 )alkyl-;
- R Y is selected from H and (Ci-Cio)alkyl;
- R v is selected from aryl and heteroaryl
- R w is selected from H, fluoro and (Ci-Cio)alkyl
- R v and R w together with the carbon atoms to which they are attached form a group selected from aryl and heteroaryl;
- R z is selected from H, (Ci-Cio)alkyl and fluoro;
- R 4 and R 5 are independently selected from H, (Ci-Cio)alkyl, (C 2 -C6)alkenyl, (C 3 - Ci 0 )cycloalkyl, heterocycloalkyi, aryl, heteroaryl, aryl(Ci-C4)alkyl- and heteroaryI(Ci- C 4 )alkyl-;
- R a and R b are independently selected from H, (Ci-Cio)alkyl, (C 2 -C 6 )alkenyl, (C 3 - C!o)cycloalkyl, heterocycloalkyi, aryl, heteroaryl, aryl(C 1 -C4)alkyl-, aryl(C 2 -C 4 )alkenyl-, heteroaryl(C 1 -C 4 )alkyl-, -S0 2 (C 1 -C 6 )alkyl, -S0 2 aryl and -S0 2 aryl(Ci-C 4 )alkyl;
- R a and R b together with the atoms to which they are attached may form a saturated or partially unsaturated 4-7 membered N-containing ring, optionally containing one further heteroatom selected from N, O and S, and optionally substituted on carbon with 1 or 2 substituents independently selected from (C - C 6 )alkyl, (Ci-C 6 )alkoxy, halo, CN and hydroxyl; said N-containing ring may also optionally be fused to an aryl group;
- R a and R b together with the atoms to which they are attached may form a 5, 6, 9 or 10 membered mono- or bi-cylic N-containing aromatic ring, optionally containing one further heteroatom selected from N, O and S, and optionally substituted on carbon with 1, 2 or 3 substituents independently selected from (Ci- C 6 )alkyl, (Ci-C 6 )alkoxy, halo, CN, aryl, COOR 15 and hydroxyl; wherein: alkyl may optionally be substituted with 1 or 2 substituents independently selected from (C 3 -Ci 0 )cycloalkyl, (Ci-C6)alkoxy, phenoxy, OH, CN, CF 3 ,
- alkenyl may optionally be substituted with 1 or 2 substituents independently selected from (C 3 -Ci 0 )cycloalkyl, (C,-C 6 )alkoxy, OH, CN, CF 3 , COOR 11 , fluoro and NR n R 12 ; alkynyl may optionally be substituted with 1 or 2 substituents independently selected from (C 3 -C, 0 )cycloalkyl, (Ci-C 6 )alkoxy, OH, CN, CF 3 , COOR 1 1 , fluoro and NR"R 12 ; alkoxy may optionally be substituted with 1 or 2 substituents independently selected from (C 3 -C 10 )cycloalkyl, OH, CN, CF 3 , COOR 11 , fluoro and NR 1 'R 12 cycloalkyl is a non-aromatic mono- or bi-cyclic
- heterocycloalkyl is a C-linked or N-linked 3 to 10 membered non-aromatic, mono- or bi-cyclic ring, wherein said heterocycloalkyl ring contains, where possible, 1 , 2 or 3 heteroatoms independently selected from N, NR 11 , S(0) q and O; and said heterocycloalkyl ring optionally contains, where possible, 1 or 2 double bonds, and is optionally substituted on carbon with 1 or 2 substituents independently selected from (Ci-C 6 )alkyl, (d-C6)alkoxy, OH, CN, CF 3 , halo, COOR", NR n R 12 and aryl; aryl is a single or fused aromatic ring system containing 6 or 10 carbon atoms; wherein, unless otherwise stated, each occurrence of aryl may be optionally substituted with up to 5 substituents independently selected from (Ci-C6)alkyl, (C C 6 )alkoxy, OH
- q 0, 1 or 2;
- R 11 and R 12 are independently selected from H and (CrC 6 )alkyl
- the present invention provides a prodrug of a compound of formula (I) as herein defined, or a pharmaceutically acceptable salt thereof.
- the present invention provides an N-oxide of a compound of formula (I) as herein defined, or a prodrug or pharmaceutically acceptable salt thereof. It will be understood that certain compounds of the present invention may exist in solvated, for example hydrated, as well as unsolvated forms. It is to be understood that the present invention encompasses all such solvated forms.
- R 1 is selected from (Ci-C 6 )alkyl, (C3-Ci 0 )cycloalkyl, heterocycloalkyl, aryl and heteroaryl;
- R 2 is selected from H, hydroxyl, (C C 6 )alkyl, (Ci-C 6 )alkoxy, (C 3 -Cio)cycloalkyl, heterocycloalkyl and aryl;
- R 3 is selected from H and (Ci-C 6 )alkyl
- R 6 and R 7 are H
- R 8 , R 9 and R 10 are independently selected from H and (Ci-C 6 )alkyl
- a 1 is selected from CW and S(0)X; selected from Y w;
- X is selected from (Ci-C 6 )alkyl, (C 4 -C )cycloalkyl, heterocycloalkyl, aryl and heteroaryl;
- R x is selected from (C,-C 6 )alkyl, (C 4 -C 6 )cycloalkyl, aryl, aryl(C r C 4 )alkyl- and heteroaryl (C ⁇ -C 4 )alkyl-;
- R is selected from H and (d-C 6 )alkyl
- R v is aryl
- R w is selected from H, fluoro and (Ci-C 6 )alkyl
- R v and R w together with the carbon atom to which they are attached form a group selected from aryl and heteroaryl;
- R is selected from H, (Ci-C6)alkyl and fluoro
- R 4 is selected from H, (Ci-C 6 )alkyl, (C3-Ci 0 )cycloalkyl, heterocycloalkyl, aryl, heteroaryl, aryl(Ci-C 4 )alkyl- and heteroaryl(CrC 4 )alkyl-;
- R 5 is selected from H and (Ci-C 6 )alkyl
- R a and R b are independently selected from H, (CrC 6 )alkyl, (C 4 -C 6 )cycloalkyl, heterocycloalkyl, aryl, heteroaryl,
- R 1 is selected from (C 3 -Cio)cycloalkyl, heterocycloalkyl, aryl and heteroaryl;
- R 2 is selected from H and (C 3 -Cio)cycloalkyl
- R 3 is H
- R 6 and R 7 are H
- R 8 is selected from H and methyl
- R 9 and R 10 are H
- a 1 is selected from CW and S(0)X;
- W is selected from Y ;
- X is selected from (Ci-C 6 )alkyl and aryl
- R x is selected from (Ci-C 6 )alkyl, aryl, aryl(Ci-C 4 )alkyl- and heteroaryl(Ci-C 4 )alkyl-;
- R Y is selected from H and methyl;
- R x and R Y together with the carbon atom to which they are attached form a (C 4 -C 6 )cycloalkyl group
- R v is aryl
- R w is selected from H and fluoro
- R v and R w together with the carbon atom to which they are attached form a group selected from aryl and heteroaryl;
- R z is selected from H and (CpC6)alkyl
- R 4 is selected from (Ci-C 6 )alkyl, aryl, heteroaryl, aryl(C 1 -C 4 )alkyl- and heteroaryl (d- C 4 )alkyl-;
- R 5 is selected from H and methyl;
- R a and R b are independently selected from H, (Ci-C 6 )alkyl, (C4-C 6 )cycloalkyl, aryl, or R a and R b together with the atoms to which they are attached may form a saturated or partially unsaturated 5-6 membered N-containing ring optionally substituted on carbon with 1 or 2 (C
- -C 6 )alkyl substituents; wherein alkyl, cycloalkyl, heterocycloalkyl, aryl and heteroaryl are as defined above; with the proviso that in the case when A 1 is CW, W is Y, Y is -C(R W ) CR V R Z and R v and R w together with the carbon atoms to which they are attached form a heteroaryl group, then R w cannot be a nitrogen atom; and tautomers, stereoisomers, pharmaceutically acceptable salts and solvates thereof.
- the present invention also comprises the following aspects and combinations thereof:
- the present invention provides a compound of formula (I) wherein R 1 is selected from H, (Ci-Cio)alkyl, (C 3 -Cio)cycloalkyl, heterocycloalkyl, aryl, heteroaryl, aryl(Ci-C 4 )alkyl- and heteroaryl(C 1 -C 4 )alkyl-.
- the present invention provides a compound of formula (I) wherein R 1 is selected from (Ci-C6)alkyl, (C3-Cio)cycloalkyl, heterocycloalkyl, aryl and heteroaryl. In a further aspect, the present invention provides a compound of formula (I) wherein R 1 is selected from (C3-Cio)cycloalkyl, aryl and heteroaryl.
- the present invention provides a compound of formula (I) wherein R 1 is aryl.
- the present invention provides a compound of formula (I) wherein R is selected from H, hydroxyl, (Ci-C6)alkyl, (Ci-C 6 )alkoxy, (C3-Cio)cycloalkyl, heterocycloalkyl and aryl.
- the present invention provides a compound of formula (I) wherein R is selected from H, (C 3 -Cio)cycloalkyl, heterocycloalkyl and aryl.
- the present invention provides a compound of formula (I) wherein R 2 is selected from H and (C 4 -C 6 )cycloalkyl. In yet a further aspect, the present invention provides a compound of formula (I) wherein R 2 is H.
- the present invention provides a compound of formula (I) wherein R 3 is selected from H or (C i -C 6 )alky 1.
- the present invention provides a compound of formula (I) wherein R 3 is H.
- the present invention provides a compound of formula (I) wherein R 3 is H and the carbon atom to which R 3 is attached is chiral and has an (S) configuration.
- the present invention provides a compound of formula (I) wherein R 3 is H and the carbon atom to which R 3 is attached is chiral and has an (R) configuration.
- the present invention provides a compound of formula (I) wherein A 1 is CW.
- the present invention provides a compound of formula (I) wherein A 1 is S(0)X.
- the present invention provides a compound of formula (I) wherein W is selected from the groups of formulae (II) and (III) below
- the present invention provides a compound of formula (I) wherein W is the group of formula (II) below
- the present invention provides a compound of formula (I) wherein W is Y.
- the present invention provides a compound of formula (I) wherein X is selected from (C r Cio)alkyI, (C 2 -C 6 )alkenyl, (C 3 -C 10 )cycloalkyl, heterocycloalkyl, aryl, heteroaryl and aryl(Ci-C4)alkyl-.
- the present invention provides a compound of formula (I) wherein X is selected from (C]-C 6 )alkyl, (C4-C 6 )cycloalkyl, heterocycloalkyl, aryl and heteroaryl.
- the present invention provides a compound of formula (I) wherein X is selected from (Ci-C 6 )alkyl and aryl.
- the present invention provides a compound of formula (I) wherein Y is -CHR X R Y .
- the present invention provides a compound of formula (I) wherein R x is selected from H, (Ci-Cio)alkyl, (C 2 -C )alkenyl, (C 3 -Ci 0 )cycloalkyl, aryl, aryl(d- C 4 )alkyl-, aryl(C 2 -C 4 )alkenyl- and heteroaryl(Ci-C 4 )alkyl-.
- the present invention provides a compound of formula (I) wherein R x is selected from (C 4 -C 6 )cycloalkyl, aryl, aryl(Ci-C 4 )alkyI- and heteroaryl(Ci- C 4 )alkyl-.
- the present invention provides a compound of formula (I) wherein R x is selected from (Ci-C 6 )alkyl, aryl, aryl(Ci-C 4 )alkyl- and heteroaryl(CrC 4 )alkyl-.
- R x is selected from (Ci-C 6 )alkyl, aryl, aryl(Ci-C 4 )alkyl- and heteroaryl(CrC 4 )alkyl-.
- the present invention provides a compound of formula (I) wherein R is selected from H and (C
- the present invention provides a compound of formula (I) wherein R Y is selected from H and (Ci-C 6 )alkyl.
- the present invention provides a compound of formula (I) wherein R Y is selected from H and methyl.
- the present invention provides a compound of formula (I) wherein R and R together with the carbon atom to which they are attached form a (C3-Cio)cycloalkyl group.
- the present invention provides a compound of formula (I) wherein R x and R together with the carbon atom to which they are attached form a (C 4 - C 6 )cycloalkyl group.
- the present invention provides a compound of formula (I) wherein R v is selected from aryl and heteroaryl.
- the present invention provides a compound of formula (I) wherein R v is aryl. In one aspect, the present invention provides a compound of formula (I) wherein R w is selected from H, fluoro and (Ci-Cio)alkyl.
- the present invention provides a compound of formula (I) wherein R w is selected from H, fluoro and (Ci-C 6 )alkyl.
- the present invention provides a compound of formula (I) wherein R w is selected from H and fluoro.
- the present invention provides a compound of formula (I) wherein R v and R w together with the carbon atoms to which they are attached form a group selected from aryl and heteroaryl with the proviso that when R v and R w together with the carbon atoms to which they are attached form heteroaryl group, then R w cannot be a nitrogen atom.
- the present invention provides a compound of formula (I) wherein R z is selected from H, (Ci-Cio)alkyl and fluoro.
- the present invention provides a compound of formula (I) wherein R z is selected from H, (Ci-C 6 )alkyl and fluoro.
- the present invention provides a compound of formula (I) wherein R z is selected from H and (Ci-C 6 )alkyl.
- the present invention provides a compound of formula (I) wherein R 4 is selected from H, (Ci-C 6 )alkyl, (C3-Cio)cycloalkyl, heterocycloalkyl, aryl, heteroaryl, aryl(Ci-C 4 )alkyl- and heteroaryl(C,-C 4 )alkyl-.
- the present invention provides a compound of formula (I) wherein R 4 is selected from (CpC 6 )alkyl, aryl, heteroaryl, aryl(Ci-C 4 )alkyl- and heteroaryl (Ci- C 4 )alkyl-.
- the present invention provides a compound of formula (I) wherein R 4 is selected from (Ci-C 6 )alkyl, aryl(d-C 4 )alkyl- and heteroaryl(C r C 4 )alkyl-.
- the present invention provides a compound of formula (I) wherein R 4 is selected from (CpC 6 )alkyl and aryl(Ci-C 4 )alkyl-.
- the present invention provides a compound of formula (I) wherein R 4 is aryl(C C 4 )alkyk
- the present invention provides a compound of formula (I) wherein R 5 is selected from H and (Ci-C 6 )alkyl.
- the present invention provides a compound of formula (I) wherein R 5 is selected from H and methyl.
- the present invention provides a compound of formula (I) wherein R 5 is H.
- the present invention provides a compound of formula (I) wherein one of R 4 and R 5 is H and the other of R 4 and R 5 is not H, and the carbon atom to which R 4 and R 5 is attached is chiral and has an (R) configuration.
- the present invention provides a compound of formula (I) wherein one of R 4 and R 5 is H and the other of R 4 and R 5 is not H, and the carbon atom to which R 4 and R 5 is attached is chiral and has an (S) configuration.
- the present invention provides a compound of formula (I) wherein R 3 is H and the carbon atom to which R is attached is chiral and has an (R) configuration, and wherein one of R 4 and R 5 is H and the other of R 4 and R 5 is not H, and the carbon atom to which R 4 and R 5 are attached is chiral and has an (S) configuration.
- the present invention provides a compound of formula (I) wherein R 3 is H and the carbon atom to which R 3 is attached is chiral and has an (S) configuration, and wherein one of R 4 and R 5 is H and the other of R 4 and R 5 is not H, and the carbon atom to which R 4 and R 5 are attached is chiral and has an (R) configuration.
- the present invention provides a compound of formula (I) wherein R a is selected from H, (Ci-Ci 0 )alkyl, (C 2 -C 6 )alkenyl, (C 3 -C
- R a is selected from H, (Ci-Ci 0 )alkyl, (C 2 -C 6 )alkenyl, (C 3 -C
- the present invention provides a compound of formula (I) wherein R a is selected from H, (Ci-C 6 )alkyl, (C 4 -C 6 )cycloalkyl, heterocycloalkyl, aryl and heteroaryl.
- the present invention provides a compound of formula (I) wherein R a is selected from H, (Ci-C 6 )alkyl, (C 4 -C 6 )cycloalkyl and aryl.
- the present invention provides a compound of formula (I) wherein R b is selected from H, (Ci-Cio)alkyl, (C 2 -C 6 )alkenyl, (C 3 -Cio)cycloalkyl, heterocycloalkyl, aryl, heteroaryl, aryl(Ci-C 4 )alkyl-, aryl(C2-C4)alkenyl-, heteroaryl(CrC 4 )alkyl-, - S0 2 (Ci-C 6 )alkyl, -S0 2 aryl and -S0 2 aryl(C C 4 )alkyl.
- R b is selected from H, (Ci-Cio)alkyl, (C 2 -C 6 )alkenyl, (C 3 -Cio)cycloalkyl, heterocycloalkyl, aryl, heteroaryl, aryl(Ci-C 4 )alkyl-, aryl(C
- the present invention provides a compound of formula (I) wherein R b is selected from H, (Ci-C 6 )alkyl, (C 4 -C 6 )cycloalkyl, heterocycloalkyl, aryl and heteroaryl.
- the present invention provides a compound of formula (I) wherein R b is selected from H, (Ci-C 6 )alkyl, (C 4 -C 6 )cycloalkyl and aryl.
- the present invention provides a compound of formula (I) wherein R b is selected from H and (C r C 6 )alkyl.
- R a and R b together with the atoms to which they are attached may form a saturated or partially unsaturated 4-7 membered N-containing ring, optionally containing one further heteroatom selected from N, O and S, and optionally substituted on carbon with 1 or 2 substituents independently selected from (Ci-C 6 )alkyl, (C]-C )alkoxy, halo, CN and hydroxyl; said N-containing ring may also optionally be fused to an aryl group.
- the present invention provides a compound of formula (I) wherein R a and R b together with the atoms to which they are attached may form a saturated or partially unsaturated 5-6 membered N-containing ring optionally substituted on carbon with 1 or 2 (d-C6)alkyl substituents.
- the present invention provides a compound of formula (I) wherein R a and R b together with the atoms to which they are attached may form a 5, 6, 9 or 10 membered mono- or bi-cylic N-containing aromatic ring, optionally containing one further heteroatom selected from N, O and S, and optionally substituted on carbon with 1, 2 or 3 substituents independently selected from (Ci-C 6 )alkyl, (Ci-C )alkoxy, halo, CN, aryl, COOR 15 and hydroxyl.
- the present invention provides a compound of formula (I) wherein R a and R b together with the atoms to which they are attached may form a 5, 6, 9 or 10 membered mono- or bi-cylic N-containing aromatic ring optionally substituted on carbon with 1 or 2 (d-C 6 )alkyl substituents.
- the present invention provides a compound of formula (I) wherein R 6 and R 7 are H.
- the present invention provides a compound of formula (I) wherein R is selected from H and (Ci-C 6 )alkyl.
- the present invention provides a compound of formula (I) wherein R 8 is selected from H and methyl.
- the present invention provides a compound of formula (I) wherein R 8 is H. In one aspect, the present invention provides a compound of formula (I) wherein R 9 and R 10 are independently selected from H and (Ci-C6)alkyl.
- the present invention provides a compound of formula (I) wherein R 9 and R 10 are H.
- the present invention provides a compound of formula (I) wherein R 6 , R 7 , R 9 and R 10 are H.
- alkyl, alkoxy, cycloalkyl, heterocycloalkyl, aryl and heteroaryl are as defined above.
- the present invention provides a compound of formula (I) selected from:
- the present invention provides a compound of formula (I) selected from:
- the compounds of the present invention have a number of therapeutic applications, particularly in the treatment of inflammatory diseases such as asthma and COPD, by virtue of their ability to inhibit KLK1.
- the compounds of the present invention may be used for the treatment of respiratory disorders involving airways inflammation e.g. asthma (allergic and non- allergic) including exacerbations resulting from asthma and chronic obstructive pulmonary disease (COPD).
- airways inflammation e.g. asthma (allergic and non- allergic) including exacerbations resulting from asthma and chronic obstructive pulmonary disease (COPD).
- COPD chronic obstructive pulmonary disease
- Such compounds may also be used to treat other forms of allergic inflammation including allergic rhinitis (hayfever), rhino-conjunctivitis, rhinorrhoea, urticaria, excess lung mucus production, ascites build-up, chronic bronchitis, chronic respiratory obstruction, pulmonary fibrosis and pulmonary emphysema.
- inflammatory disorders that may be treated with the compounds of the present invention include, multiple sclerosis, arthritis, rheumatoid arthritis, osteopathic arthritis, osteoarthritis, rhinitis, sinusitis, inflammatory bowel disease (such as Crohn's disease and ulcerative colitis), immune mediated diabetes, acute pancreatitis and interstitial cystitis, thermal injury, crush injury, conjunctivitis, periodontal disease, chronic prostate inflammation, chronic recurrent parotitis, inflammatory skin disorders (e.g. psoriasis, eczema), hepatic cirrhosis, spinal cord trauma and SIRS (systemic inflammatory response syndrome); smooth muscle spasm (e.g.
- hypotension e.g. shock due to haemorrhage, septicaemia or anaphylaxis, carcinoid syndrome, dumping syndrome
- oedema e.g. burns, brain trauma, angioneurotic oedema whether or not as a result or treatment with inhibitors of angiotensin converting enzyme
- pain and irritation
- the compounds of the present invention may also be used to treat disorders that can be a response to the release of an inflammatory mediator (e.g. cough).
- the compounds of the present invention may also be used to treat disorders involving regulation of growth factors (e.g. vascular endothelial growth factor (VEGF)) which may involve increased vascular permeability (e.g. diabetic retinopathy and septic shock).
- growth factors e.g. vascular endothelial growth factor (VEGF)
- VEGF vascular endothelial growth factor
- the compounds of the present invention may be used to treat a neoplastic disorder (e.g. metastatic pancreatic adenocarcinomas, tumour angiogenesis) in particular they may be used to reduce angiogenesis associated with neoplasms e.g. cancer and tumour growth and to modulate angiogenesis and other processes associated with neoplasia and tumour growth and in particular may be used to block tumour angiogenesis and/or cancer cell invasion and metastasis.
- Asthma is a chronic lung condition that may be classified as allergic (intrinsic) or non- allergic (extrinsic). Patients with asthma experience difficulty breathing as a result of narrowing or obstruction of the airway, making it more difficult to move air in and out. This narrowing can result from airway inflammation and bronchoconstriction. Symptoms of asthma include, for example, wheezing, shortness of breath, bronchoconstriction, airway hyperreactivity, decreased lung capacity, fibrosis, airway inflammation and mucus production. A further symptom of asthma is exacerbations resulting from the original asthma attack which account for a significant morbidity from the disease. A KLK1 inhibitor can be used to ameliorate or prevent at least one symptom of asthma.
- a KLK1 inhibitor can also be administered in conjunction with another agent for treating asthma e.g. inhaled steroids, an oral steroid, a long acting beta- agonist, a leukotnene modifier, cromolyn sodium and nedocromil, theophylline and an anti-IgE antibody (see below).
- another agent for treating asthma e.g. inhaled steroids, an oral steroid, a long acting beta- agonist, a leukotnene modifier, cromolyn sodium and nedocromil, theophylline and an anti-IgE antibody (see below).
- Allergic rhinitis or "hay fever” involves an allergic reaction to pollen from grasses, trees, and weeds. When pollen is inhaled by an individual suffering from allergic rhinitis, antibody production and histamine release is triggered. Symptoms of allergic rhinitis include but are not limited to coughing, headache, itching of the eyes, mouth, throat, or nose, sneezing, nasal congestion, wheezing, sore throat, and watery eyes. The symptoms associated with hay fever vary significantly from person to person, and allergic rhinitis may be associated with other conditions such as asthma.
- COPD Chronic obstructive pulmonary disease
- COPD chronic obstructive pulmonary disease
- Emphysema along with chronic bronchitis, is part of COPD. It is a serious lung disease and is progressive, usually occurring in elderly patients. COPD causes over- inflation of structures in the lungs known as alveoli or air sacs. The walls of the alveoli break down resulting in a decrease in the respiratory ability of the lungs. Patients with this disease may first experience shortness of breath and cough.
- the KLKl inhibitor can be used to ameliorate at least one symptom of COPD.
- a KLKl inhibitor can also be administered in conjunction with another agent for treating COPD e.g. inhaled steroids, an oral steroid, a long acting beta-agonist, a leukotriene modifier, cromolyn sodium and nedocromil, theophylline and an anti-IgE antibody (see below).
- Cough can be caused by inflammation of the upper respiratory tract (throat and windpipe) due to a viral infection.
- Viral infections include; the common cold, flu, laryngitis, and bronchitis. These viral infections can also spread to the lower respiratory tract (bronchi) to cause a cough.
- a cough is a symptom of many illnesses and conditions including: asthma, bronchitis, influenza and whooping cough (pertussis) and may also result as a side effect from use of certain drugs such as ACE inhibitors. Individuals who smoke often have a smoker's cough, a loud, hacking cough which often results in the expiration of phlegm.
- the KLKl inhibitor can be used to ameliorate or prevent at least one symptom of cough.
- Subjects suffering from asthma and COPD are at risk of an exacerbation when their lungs and airways begin to overreact to certain things that trigger these attacks.
- the lining of the airways will suddenly become swollen and inflamed.
- the muscles of these airways will tighten up and the production of mucus will increase. This combination makes the openings much narrower and can almost close them altogether, making breathing hard.
- Exacerbations account for a significant morbidity and contribute a disproportionate amount to the cost of asthma management, symptoms frequently persist for at least a month following the exacerbation.
- Current treatment strategies for acute exacerbations of asthma rely heavily on bronchodilators and inhaled or systemic corticosteroids.
- a KLKl inhibitor can be used to ameliorate or prevent at least one symptom of the exacerbations.
- a KLKl inhibitor can also be administered in conjunction with another agent for treating exacerbations resulting from asthma and COPD e.g. inhaled steroids, an oral steroid, a long acting beta-agonist, a leukotriene modifier, cromolyn sodium and nedocromil, theophylline and an anti-IgE antibody (see below).
- Pancreatitis is an inflammation of the pancreas. There are two types:
- Acute pancreatitis the inflammation comes on quickly over a few hours, and will usually go away leaving no permanent damage, although it can be fatal if complications occur (5% of cases).
- the KLKl inhibitor can be used to ameliorate or prevent at least one symptom of pancreatitis.
- This order is characterised by inflammation in the lining of the joints and/or other internal organs. It is typically chronic, but can include flare-ups. Symptoms include, inflammation of joints, swelling, difficulty moving, pain and fever.
- a KLKl inhibitor may be used to ameliorate or prevent at least one symptom of rheumatoid arthritis.
- a KLKl inhibitor can be administered with another agent for treating rheumatoid arthritis, such as NSAIDs and aspirin, analgesics and corticosteroids which help reduce joint pain, stiffness and swelling.
- Osteoarthritis is a degenerative joint disease. It is characterised by the breakdown of cartilage in the joint, thus causing bones to rub against each other, causing pain and loss of movement.
- a KLK1 inhibitor can be used to ameliorate or prevent at least one symptom of osteoarthritis.
- a KLK1 inhibitor can be administered with another agent for treating rheumatoid arthritis, such as a corticosteroid or an NSAID.
- a KLK1 inhibitor may be administered to a subject to modulate angiogenesis or other processes associated with neoplasia and tumour growth.
- a KLK1 inhibitor may be used to reduce angiogenesis (e.g. uncontrolled or unwanted angiogenesis) such as angiogenesis associated with vascular malformations and cardiovascular disorders (e.g. atherosclerosis, restenosis and arteriovenous malformations), chronic inflammatory diseases (e.g. diabetes mellitus, inflammatory bowel disease, psoriasis and rheumatoid arthritis), dermatological disorders (e.g. arterial ulcers, systemic vasculitis and scleroderma) or ocular disorders (e.g. blindness caused by neovascular disease, neovascular glaucoma, corneal neovascularization, trachoma, diabetic retinopathy and myopic degeneration).
- angiogenesis e.g. uncontrolled or unwanted angiogenesis
- angiogenesis associated with vascular malformations and cardiovascular disorders e.g. atherosclerosis, restenosis and arteriovenous malformations
- chronic inflammatory diseases e.g. diabetes me
- a KL 1 inhibitor can be used to reduce angiogenesis associated with neoplasia, e.g., cancer and tumour growth, e.g., growth of a benign, malignant, or metastatic tumour.
- cancerous disorders include, but are not limited to, solid tumours, soft tissue tumours and metastatic lesions.
- examples include sarcomas, adenocarcinomas and carcinomas of various organ systems such as those affecting lung, breast, lymphoid, gastrointestinal (e.g. colon) and genitourinary tract (e.g. renal urothelial cells), pharynx, prostate, ovary as well as adenocarcinomas which include malignancies such as most colon cancers, rectal cancer, renal-cell carcinoma, liver cancer, non-small cell carcinoma of the lung, pharynx, cancer of the small intestine, cancer of the esophagus and others.
- Exemplary solid tumours that can be treated include: fibrosarcoma, myxosarcoma, liposarcoma, chrondrosarcoma, osteogenic sarcoma, chordoma, lymphanangioendotheliosarcoma, synovioma, mesothelioma, Ewing's tumour, leiomyosaarcoma, rhabdomyosarcoma, colon carcinoma, pancreatic cancer, breast cancer, ovarian cancer, prostate cancer, squamous cell carcinoma, basal cell carcinoma, adenocarcinoma, sweat gland carcinoma, sebaceous gland carcinoma, papillary carcinoma, papillary adenocarcinomas, cystadenocarcinoma, medullary carcinoma, bronchogenic carcinoma, renal cell carcinoma, heptoma, bile duct carcinoma, choriocarcinoma, seminoma, embryonal carcinoma, cervical cancer, testicular tumour, lung carcinoma, small cell lung carcinoma, non-small cell
- the KLK1 inhibitor can also be used to treat a carcinoma, e.g. a malignancy of epithelial or endocrine tissues including respiratory system carcinomas, gastrointestinal system carcinomas, genitourinary system carcinomas and melanoma.
- a carcinoma e.g. a malignancy of epithelial or endocrine tissues including respiratory system carcinomas, gastrointestinal system carcinomas, genitourinary system carcinomas and melanoma.
- Exemplary carcinoma include adenocarcinoma, carcinomas of tissue of the cervix, lung, prostate, breast, head and neck, colon and ovary.
- the KL I inhibitor can also be used to treat sarcomas, e.g. malignant tumours of mesenchchymal derivation.
- the KLKI inhibitor can be administered in combination with another agent for treating neoplastic and/or metastatic disorders.
- other agents include:
- antiangiogenic agents e.g. linomide, angiostatin, razoxane
- cytostatic agents such as antiestrogens(e.g. tamoxifan, toremifene, raloxifene), progestogens(e.g. megestrol acetate), aromatase inhibitors (e.g. anastrozole, letrozole), antiprogestogens, antiandrogens(e.g. flutamide, nilutamide, bicalutamide), anti-invasion agents (e.g. metalloproteinase inhibitors such as marimastat and inhibitors of urokinase plasminogen activator receptor function).
- antiestrogens e.g. tamoxifan, toremifene, raloxifene
- progestogens e.g. megestrol acetate
- aromatase inhibitors e.g. anastrozole, letrozole
- antiprogestogens e.g. flutamide, nilutamide,
- antiproliferative/antineoplastic drugs and combinations thereof as used in medical oncology, such as antimetabolites (e.g. fluoropyrimidines like 5-fluorouracil, purine and adenosine analogues, cytosine arabinoside); Intercalating antitumour antibiotics (e.g. anthracyclines like doxorubicin, daunomycin, epirubicin); platinum derivatives(e.g. cisplatin, carboplatin)alkylating agents (e.g. chlorambucil, cyclophosphamide); antmitotic agents(e.g.
- antimetabolites e.g. fluoropyrimidines like 5-fluorouracil, purine and adenosine analogues, cytosine arabinoside
- Intercalating antitumour antibiotics e.g. anthracyclines like doxorubicin, daunomycin, epirubicin
- vinca alkaloids l such as vincristine and taxoids like TAXOL® (paclitaxel), TAXOTERE® (docetaxel, topoisomerase inhibitors (e.g. epipodophyllotoxins such as etoposide and teniposide) and proteasome inhibitors such as VELCADE® (bortezomib).
- TAXOL® paclitaxel
- TAXOTERE® docetaxel
- topoisomerase inhibitors e.g. epipodophyllotoxins such as etoposide and teniposide
- proteasome inhibitors such as VELCADE® (bortezomib).
- the present invention also provides for the use of a compound of formula (I) in the manufacture of a medicament for the treatment or prevention of a disease or condition in which KLKl activity is implicated.
- Diseases or conditions in which KLKl activity is implicated include inflammation, respiratory disorders, disorders involving regulation of growth factors and neoplastic disorders. Specific examples of such diseases and conditions include those listed above.
- the present invention also provides a compound of formula (I) for use in the treatment or prevention of a disease or condition in which KLKl activity is implicated.
- Diseases or conditions in which KLKl activity is implicated include inflammation, respiratory disorders, disorders involving regulation of growth factors and neoplastic disorders. Specific examples of such diseases and conditions include those listed above.
- the present invention also provides a method of treatment of a disease or condition in which KLKl activity is implicated comprising administration to a subject in need thereof a therapeutically effective amount of a compound of formula (I).
- Diseases or conditions in which KLKl activity is implicated include inflammation, respiratory disorders, disorders involving regulation of growth factors and neoplastic disorders. Specific examples of such diseases and conditions include those listed above.
- the disease or condition in which KLKl activity is implicated is selected from an inflammatory or respiratory disorder or condition selected from asthma (allergic and non-allergic), chronic obstructive pulmonary disease (COPD), allergic rhinitis (hayfever), cough, exacerbations resulting from asthma and chronic obstructive pulmonary disease (COPD), multiple sclerosis, arthritis, rheumatoid arthritis, osteopathic arthritis, osteoarthritis, rhinitis, sinusitis, inflammatory bowel disease (such as Crohn's disease and ulcerative colitis), immune mediated diabetes, acute pancreatitis and interstitial cystitis, conjunctivitis, periodontal disease, chronic prostate inflammation, chronic recurrent parotitis, inflammatory skin disorders (e.g.
- psoriasis eczema
- SIRS systemic inflammatory response syndrome
- smooth muscle spasm e.g. asthma, angina
- RDS respiratory distress syndrome
- rhino-conjunctivitis e.g. asthma, angina
- RDS respiratory distress syndrome
- rhino-conjunctivitis e.g. rhinorrhoea
- urticaria e.g. asthma, angina
- a neoplastic disorder e.g. asthma, angina
- chronic bronchitis chronic respiratory obstruction
- pulmonary fibrosis chronic respiratory obstruction
- pulmonary fibrosis pulmonary fibrosis
- pulmonary emphysema emphysema
- the disease or condition in which KLK1 activity is implicated is a respiratory disorder selected from asthma (allergic and non-allergic), chronic obstructive pulmonary disease (COPD), allergic rhinitis (hayfever), cough, exacerbations resulting from asthma and chronic obstructive pulmonary disease (COPD),
- the disease or condition in which KLK1 activity is implicated is selected from asthma (allergic and non-allergic) and exacerbations resulting from asthma and chronic obstructive pulmonary disease (COPD).
- the disease or condition in which KLK1 activity is implicated is a respiratory disorder selected from asthma (allergic and non-allergic) and cough.
- the disease or condition in which KLK1 activity is implicated is exacerbations resulting from asthma and chronic obstructive pulmonary disease (COPD).
- COPD chronic obstructive pulmonary disease
- compositions for preventing and treating respiratory-tract disorders such as asthma (allergic and non-allergic) including exacerbations resulting from asthma, allergic rhinitis and chronic obstructive pulmonary disease (COPD) comprising a therapeutically effective amount of a compound of the invention and one or more other therapeutic agents.
- asthma allergic and non-allergic
- COPD chronic obstructive pulmonary disease
- compositions may also be used to treat other forms of allergic inflammation including allergic rhinitis (hayfever), rhino-conjunctivitis, rhinorrhoea, urticaria, excess lung mucus production, ascites build-up, chronic bronchitis, chronic respiratory obstruction, pulmonary fibrosis and pulmonary emphysema.
- allergic rhinitis hayfever
- rhino-conjunctivitis rhinorrhoea
- urticaria urticaria
- excess lung mucus production ascites build-up
- chronic bronchitis chronic respiratory obstruction
- pulmonary fibrosis pulmonary fibrosis
- pulmonary emphysema pulmonary emphysema
- the invention includes a combination of a compound of the present invention, as hereinbefore described, with one or more anti-inflammatory, bronchodilator, antihistamine, decongestant or anti-tussive agents, said compounds of the present invention and said combination agents existing in the same or different pharmaceutical compositions, administered separately, sequentially or simultaneously.
- Combinations may comprise two or three different pharmaceutical compositions.
- Suitable therapeutic agents that could be used in combination with the compounds of the present invention include:
- Steroidal glucocorticoid agonists examples include budesonide, fluticasone (e.g. as propionate ester), mometasone (e.g. as furoate ester), beclomethasone (e.g. as 17-propionate or 17,21-dipropionate esters), ciclesonide, loteprednol, (e.g. etabonate), etipednol (as e.g. dicloacetate), triamcinolone (e.g.
- a non-steroidal glucocorticoid receptor agonist A non-steroidal glucocorticoid receptor agonist
- a p2-adrenoreceptor agonist for example albuterol (salbutamol), salmeterol, metaproterenol, terbutaline, fenoterol, procaterol, carmoterol, indacaterol, formoterol, arformoterol, picumeterol, GSK-159797, GSK-597901, GSK- 159802, GSK-64244, GSK-678007, TA-2005 and also compounds of EP1440966, JP05025045, WO93/18007, WO99/64035, US2002/0055651, US2005/0133417, US2005/5159448, WO00/075114, WO01/42193, WO01/83462, WO02/66422, WO02/70490, WO02/76933, WO03/24439, WO03/42160, WO03/42164, WO03/72539, WO03/91204, WO03/99
- a leukotriene modulator for example montelukast, zafirlukast or pranlukast
- protease inhibitors such as inhibitors of matrix metalloprotease for example MMP12 and TACE inhibitors such as marimastat, DPC-333, GW-3333
- marimastat DPC-333, GW-3333
- Human neutrophil elastase inhibitors such as sivelestat and those described in WO04/043942, WO05/021509, WO05/021512, WO05/026123, WO05/026124, WO04/024700, WO04/024701, WO04/020410, WO04/020412, WO05/080372, WO05/082863, WO05/082864, WO03/053930;
- Phosphodiesterase-4 (PDE4) inhibitors for example roflumilast, arofylline, cimomilast, Ibudilast, Lirimilast, Mesopram, ONO-6126 or lC-485;
- Phosphodiesterase-7 inhibitors for example roflumilast, arofylline, cimomilast, Ibudilast, Lirimilast, Mesopram, ONO-6126 or lC-485;
- Modulators of chemokine receptor function for example antagonists of CCR1, CCR2, CCR3, CXCR2, CXCR3, CX3CR1 and CCR8, such as SB- 332235, SB-656933, SB- 265610, SB-225002, MC P- 1 (9-76), RS-504393,
- alkyl includes saturated hydrocarbon residues including:
- alkyl groups up to 10 atoms (C[-Ci 0 ), or of up to 6 atoms (C]-C 6 ), or of up to 4 atoms (CrC4).
- alkyl groups include, but are not limited, to Ci - methyl, C 2 - ethyl, C 3 - propyl and C 4 - n-butyl.
- alkyl groups include, but are not limited to, C 3 - iso-propyl, C 4 - sec-butyl, C 4 - iso-butyl, C 4 - tert-butyl and C 5 - neo-pentyl. each optionally substituted as stated above.
- alkenyl includes monounsaturated hydrocarbon residues including:
- alkenyl groups include, but are not limited to, C 2 - vinyl, C 3 - 1-propenyl, C 3 - allyl, C 4 - 2-butenyl.
- alkenyl groups include, but are not limited to, C 4 - 2-methyl-2-propenyl and C 6 - 2,3-dimethyl-2- butenyl.
- alkynyl includes monounsaturated hydrocarbon residues having a carbon- carbon triple bond including:
- alkynyl groups include, but are not limited to C 2 - ethynyl, C 3 - 1-propynyl, C 4 - 2-butynyl.
- alkynyl groups examples include, but are not limited to, C 4 - 3-methyl- 1-propynyl.
- alkoxy includes O-linked hydrocarbon residues including:
- alkoxy groups include, but are not limited to, Ci - methoxy,
- alkoxy groups include, but are not limited to, C 3 - iso- propoxy, and C 4 - sec-butoxy and tert-butoxy.
- halo is selected from CI, F, Br and I.
- Cycloalkyl is as defined above.
- Conveniently cycloalkyl groups may contain from 4 to 10 carbon atoms, or from 5 to 10 carbon atoms, or from 4 to 6 carbon atoms.
- suitable monocyclic cycloalkyl groups include cyclopropyl, cyclobutyl, cyclopentyl, cyclohexyl, cycloheptyl, cyclopentene, cyclopenta-l ,3-diene, cyclohexene and cyclohexa-l,4-diene (optionally substituted as stated above).
- Suitable bicyclic cycloalkyl groups include decahydronaphthalene, octahydro-lH-indene (optionally substituted as stated above).
- suitable cycloalkyl groups, when fused with aryl, include indanyl and 1,2,3,4-tetrahydronaphthyl (optionally substituted as stated above).
- Heterocycloalkyl is as defined above.
- suitable heterocycloalkyl groups include oxiranyl, aziridinyl, azetidinyl, tetrahydrofuranyl, pyrrolidinyl, tetrahydropyranyl, piperidinyl, N-methylpiperidinyl, morpholinyl, N-methyl morpholinyl, thiomorpholinyl, thiomorpholinyl-l -oxide, thiomorpholinyl- 1,1 -dioxide, piperazinyl, N-methylpiperazinyl, azepinyl oxazepinyl, diazepinyl, and 1,2,3,4- tetrahydropyridinyl (optionally substituted as stated above).
- Aryl is as defined above. Typically, aryl will be optionally substituted with 1, 2 or 3 substituents. Optional substituents are seleted from those stated above. Examples of suitable aryl groups include phenyl and naphthyl (each optionally substituted as stated above).
- Heteroaryl is as defined above.
- suitable heteroaryl groups include thienyl, furanyl, pyrrolyl, pyrazolyl, imidazoyl, oxazolyl, isoxazolyl, thiazolyl, isothiazolyl, triazolyl, oxadiazolyl, thiadiazolyl, tetrazolyl, pyridinyl, pyridazinyl, pyrimidinyl, pyrazinyl, indolyl, benzimidazolyl, benzotriazolyl, quinolinyl and isoquinolinyl (optionally substituted as stated above).
- C-linked such as in "C-linked heterocycloalkyl" means that the heterocycloalkyl group is joined to the remainder of the molecule via a ring carbon atom.
- N-linked such as in “N-linked heterocycloalkyl” means that the heterocycloalkyl group is joined to the remainder of the molecule via a ring nitrogen atom.
- O-linked such as in "O-linked hydrocarbon residue” means that the hydrocarbon residue is joined to the remainder of the molecule via an oxygen atom.
- “Pharmaceutically acceptable salt” means a physiologically or toxicologically tolerable salt and includes, when appropriate, pharmaceutically acceptable base addition salts and pharmaceutically acceptable acid addition salts.
- pharmaceutically acceptable base addition salts that can be formed include sodium, potassium, calcium, magnesium and ammonium salts, or salts with organic amines, such as, diethylamine, N-methyl-glucarnine, diethanolamine or amino acids (e.g.
- a compound of the invention contains a basic group, such as an amino group
- pharmaceutically acceptable acid addition salts that can be formed include hydrochlorides, hydrobromides, sulfates, phosphates, acetates, citrates, lactates, tartrates, mesylates, succinates, oxalates, phosphates, esylates, tosylates, benzenesulfonates, naphthalenedisulphonates, maleates, fumarates, hippurates, xinafoates, p- acetamidobenzoates, dihydroxybenzoates, hydroxynaphthoates, succinates, ascorbates, oleates, bisulfates and the like.
- Hemisalts of acids and bases can also be formed, for example, hemisulfate and hemicalcium salts.
- Prodrug refers to a compound which is convertible in vivo by metabolic means (e.g. by hydrolysis, reduction or oxidation) to a compound of the invention. Suitable groups for forming pro-drugs are described in 'The Practice of Medicinal Chemistry, 2 nd Ed. pp561- 585 (2003) and in F. J. Leinweber, Drug Metab. Res., 1987, 18, 379. .
- the compounds of the invention can exist in both unsolvated and solvated forms.
- 'solvate' is used herein to describe a molecular complex comprising the compound of the invention and a stoichiometric amount of one or more pharmaceutically acceptable solvent molecules, for example, ethanol.
- solvent molecules for example, ethanol.
- 'hydrate' is employed when the solvent is water.
- Typical configurations of the compounds of formula (I) include:
- references herein to "treatment” include references to curative, palliative and prophylactic treatment.
- the compounds of formula (I) should be assessed for their biopharmaceutical properties, such as solubility and solution stability (across pH), permeability, etc. , in order to select the most appropriate dosage form and route of administration for treatment of the proposed indication.
- Compounds of the invention intended for pharmaceutical use may be administered as crystalline or amorphous products. They may be obtained, for example, as solid plugs, powders, or films by methods such as precipitation, crystallization, freeze drying, spray drying, evaporative drying, melt congealing and extrusion. Conventional drying processes including static/dynamic oven, infrared, microwave or radio frequency drying may be used to assist in the formation of the above crystalline and amorphous products.
- excipients may be administered alone or in combination with one or more other compounds of the invention or in combination with one or more other drugs (or as any combination thereof). Generally, they will be administered as a formulation in association with one or more pharmaceutically acceptable excipients.
- excipient' is used herein to describe any ingredient other than the compound(s) of the invention which may impart either a functional (i.e., drug release rate controlling) and/or a non-functional (i.e., processing aid or diluent) characteristic to the formulations.
- the choice of excipient will to a large extent depend on factors such as the particular mode of administration, the effect of the excipient on solubility and stability, and the nature of the dosage form.
- compositions suitable for the delivery of compounds of the present invention and methods for their preparation will be readily apparent to those skilled in the art. Such compositions and methods for their preparation may be found, for example, in Remington's Pharmaceutical Sciences, 19th Edition (Mack Publishing Company, 1995).
- the present invention provides a pharmaceutical composition
- a pharmaceutical composition comprising a compound of formula (I) and a pharmaceutically acceptable carrier, diluent or excipient.
- the compounds of the invention may be administered orally.
- Oral administration may involve swallowing, so that the compound enters the gastrointestinal tract, and/or buccal, lingual, or sublingual administration by which the compound enters the blood stream directly from the mouth.
- Formulations suitable for oral administration include solid plugs, solid microparticulates, semi-solid and liquid (including multiple phases or dispersed systems) such as tablets; soft or hard capsules containing multi- or nano-particulates, liquids, emulsions or powders; lozenges (including liquid-filled); chews; gels; fast dispersing dosage forms; films; ovules; sprays; and buccal/mucoadhesive patches.
- Formulations suitable for oral administration may also be designed to deliver the compounds of formula (I) in an immediate release manner or in a rate-sustaining manner, wherein the release profile can be delayed, pulsed, controlled, sustained, or delayed and sustained or modified in such a manner which optimises the therapeutic efficacy of the said compounds.
- Means to deliver compounds in a rate-sustaining manner are known in the art and include slow release polymers that can be formulated with the said compounds to control their release.
- rate-sustaining polymers include degradable and non-degradable polymers that can be used to release the said compounds by diffusion or a combination of diffusion and polymer erosion.
- rate-sustaining polymers include hydroxypropyl methylcellulose, hydroxypropyl cellulose, methyl cellulose, ethyl cellulose, sodium carboxymethyl cellulose, polyvinyl alcohol, polyvinyl pyrrolidone, xanthum gum, polymethacrylates, polyethylene oxide and polyethylene glycol.
- Liquid (including multiple phases and dispersed systems) formulations include emulsions, suspensions, solutions, syrups and elixirs.
- Such formulations may be presented as fillers in soft or hard capsules (made, for example, from gelatin or hydroxypropylmethylcellulose) and typically comprise a carrier, for example, water, ethanol, polyethylene glycol, propylene glycol, methylcellulose, or a suitable oil, and one or more emulsifying agents and/or suspending agents.
- a carrier for example, water, ethanol, polyethylene glycol, propylene glycol, methylcellulose, or a suitable oil
- emulsifying agents and/or suspending agents may also be prepared by the reconstitution of a solid, for example, from a sachet.
- the compounds of the invention may also be used in fast-dissolving, fast-disintegrating dosage forms such as those described in Liang and Chen, Expert Opinion in Therapeutic Patents, 2001, 11 (6), 981-986.
- the formulation of tablets is discussed in Pharmaceutical Dosage Forms: Tablets, Vol. 1, by H. Lieberman and L. Lachman (Marcel Dekker, New York, 1980).
- the compounds of the invention may also be administered directly into the blood stream, into subcutaneous tissue, into muscle, or into an internal organ.
- Suitable means for parenteral administration include intravenous, intraarterial, intraperitoneal, intrathecal, intraventricular, intraurethral, intrasternal, intracranial, intramuscular, intrasynovial and subcutaneous.
- Suitable devices for parenteral administration include needle (including microneedle) injectors, needle-free injectors and infusion techniques.
- Parenteral formulations are typically aqueous or oily solutions. Where the solution is aqueous, excipients such as sugars (including but restricted to glucose, manitol, sorbitol, etc.) salts, carbohydrates and buffering agents (preferably to a pH of from 3 to 9), but, for some applications, they may be more suitably formulated as a sterile non-aqueous solution or as a dried form to be used in conjunction with a suitable vehicle such as sterile, pyrogen-free water.
- excipients such as sugars (including but restricted to glucose, manitol, sorbitol, etc.) salts, carbohydrates and buffering agents (preferably to a pH of from 3 to 9), but, for some applications, they may be more suitably formulated as a sterile non-aqueous solution or as a dried form to be used in conjunction with a suitable vehicle such as sterile, pyrogen-free water.
- Parenteral formulations may include implants derived from degradable polymers such as polyesters (i.e., polylactic acid, polylactide, polylactide-co-glycolide, polycapro-lactone, polyhydroxybutyrate), polyorthoesters and polyanhydrides. These formulations may be administered via surgical incision into the subcutaneous tissue, muscular tissue or directly into specific organs.
- degradable polymers such as polyesters (i.e., polylactic acid, polylactide, polylactide-co-glycolide, polycapro-lactone, polyhydroxybutyrate), polyorthoesters and polyanhydrides.
- parenteral formulations under sterile conditions may readily be accomplished using standard pharmaceutical techniques well known to those skilled in the art.
- solubility of compounds of formula (I) used in the preparation of parenteral solutions may be increased by the use of appropriate formulation techniques, such as the incorporation of co-solvents and/or solubility-enhancing agents such as surfactants, micelle structures and cyclodextrins.
- the compounds of the invention can also be administered intranasally or by inhalation, typically in the form of a dry powder (either alone, as a mixture, for example, in a dry blend with lactose, or as a mixed component particle, for example, mixed with phospholipids, such as phosphatidylcholine) from a dry powder inhaler, as an aerosol spray from a pressurised container, pump, spray, atomiser (preferably an atomiser using electrohydrodynamics to produce a fine mist), or nebuliser, with or without the use of a suitable propellant, such as 1,1,1 ,2-tetrafluoroethane or 1,1,1,2,3,3,3- heptafluoropropane, or as nasal drops.
- the powder may comprise a bioadhesive agent, for example, chitosan or cyclodextrin.
- the pressurised container, pump, spray, atomizer, or nebuliser contains a solution or suspension of the compound(s) of the invention comprising, for example, ethanol, aqueous ethanol, or a suitable alternative agent for dispersing, solubilising, or extending release of the active, a propellant(s) as solvent and an optional surfactant, such as sorbitan trioleate, oleic acid, or an oligolactic acid.
- a solution or suspension of the compound(s) of the invention comprising, for example, ethanol, aqueous ethanol, or a suitable alternative agent for dispersing, solubilising, or extending release of the active, a propellant(s) as solvent and an optional surfactant, such as sorbitan trioleate, oleic acid, or an oligolactic acid.
- the drug product Prior to use in a dry powder or suspension formulation, the drug product is micronised to a size suitable for delivery by inhalation (typically less than 5 microns). This may be achieved by any appropriate comminuting method, such as spiral jet milling, fluid bed jet milling, supercritical fluid processing to form nanoparticles, high pressure homogenisation, or spray drying.
- Capsules (made, for example, from gelatin or hydroxypropylmethylcellulose), blisters and cartridges for use in an inhaler or insufflator may be formulated to contain a powder mix of the compound of the invention, a suitable powder base such as lactose or starch and a performance modifier such as /-leucine, mannitol, or magnesium stearate.
- the lactose may be anhydrous or in the form of the monohydrate, preferably the latter.
- suitable excipients include dextran, glucose, maltose, sorbitol, xylitol, fructose, sucrose and trehalose.
- Formulations for inhaled intranasal administration may be formulated to be immediate and/or modified release using, for example, PGLA.
- Modified release formulations include delayed-, sustained-, pulsed-, controlled-, targeted and programmed release.
- kits suitable for coadministration of the compositions.
- the kit of the invention comprises two or more separate pharmaceutical compositions, at least one of which contains a compound of formula (I) in accordance with the invention, and means for separately retaining said compositions, such as a container, divided bottle, or divided foil packet.
- An example of such a kit is the familiar blister pack used for the packaging of tablets, capsules and the like.
- the kit of the invention is particularly suitable for administering different dosage forms, for example, oral and parenteral, for administering the separate compositions at different dosage intervals, or for titrating the separate compositions against one another.
- the kit typically comprises directions for administration and may be provided with a so-called memory aid.
- the total daily dose of the compounds of the invention is typically in the range 0.01 mg and 1000 mg, or between 0.1 mg and 250 mg, or between 1 mg and 50 mg depending, of course, on the mode of administration.
- the total daily dose may be administered in single or divided doses and may, at the physician's discretion, fall outside of the typical range given herein. These dosages are based on an average human subject having a weight of about 60kg to 70kg. The physician will readily be able to determine doses for subjects whose weight falls outside this range, such as infants and the elderly.
- the compounds of the present invention can be prepared according to the procedures of the following schemes and examples, using appropriate materials, and are further exemplified by the specific examples provided herein below. Moreover, by utilising the procedures described herein, one of ordinary skill in the art can readily prepare additional compounds that fall within the scope of the present invention claimed herein. The compounds illustrated in the examples are not, however, to be construed as forming the only genus that is considered as the invention. The examples further illustrate details for the preparation of the compounds of the present invention. Those skilled in the art will readily understand that known variations of the conditions and processes of the following preparative procedures can be used to prepare these compounds.
- the compounds of the invention may be isolated in the form of their pharmaceutically acceptable salts, such as those described previously herein above.
- reactive functional groups e.g. hydroxy, amino, thio or carboxy
- Conventional protecting groups for example those described by T. W. Greene and P. G. M. Wuts in "Protective groups in organic chemistry” John Wiley and Sons, 4 th Edition, 2006, may be used.
- a common amino protecting group suitable for use herein is tert-butoxy carbonyl (Boc), which is readily removed by treatment with an acid such as trifluoroacetic acid or hydrogen chloride in an organic solvent such as dichloromethane.
- the amino protecting group may be a benzyloxycarbonyl (Z) group which can be removed by hydrogenation with a palladium catalyst under a hydrogen atmosphere or 9-fluorenylmethyloxycarbonyl (Fmoc) group which can be removed by solutions of secondary organic amines such as diethylamine or piperidine in an organic solvents.
- Carboxyl groups are typically protected as esters such as methyl, ethyl, benzyl or tert-butyl which can all be removed by hydrolysis in the presence of bases such as lithium or sodium hydroxide.
- Benzyl protecting groups can also be removed by hydrogenation with a palladium catalyst under a hydrogen atmosphere whilst tert-butyl groups can also be removed by trifluoroacetic acid. Alternatively a trichloroethyl ester protecting group is removed with zinc in acetic acid.
- a common hydroxy protecting group suitable for use herein is a methyl ether, deprotection conditions comprise refluxing in 48% aqueous HBr for 1-24 hours, or by stirring with borane tribromide in dichloromethane for 1-24 hours. Alternatively where a hydroxy group is protected as a benzyl ether, deprotection conditions comprise hydrogenation with a palladium catalyst under a hydrogen atmosphere.
- R-'-R 6 and R a and R b are as previously defined for the compounds of formula (I);
- PGi or PG 2 is a suitable protecting group
- R 20 is H, (Cj-Cio)alkyl, halogen, hydroxyl or (C,-C 6 )alkoxy;
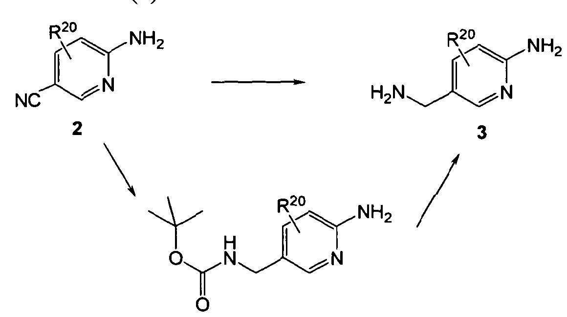
- the compounds according to general formula I can be prepared using conventional synthetic methods. In a typical first step, 5-aminomethyl-pyridin-2-ylamine or substituted 5-aminomethyl-pyridin-2-ylamine (3) is prepared by reduction of the corresponding nitrile (2).
- a suitable solvent such as methanol
- a suitable catalyst such as palladium on charcoal
- an acid such as hydrochloric acid
- a suitable borohydride in the presence of a suitable transition metal such as cobalt or nickel chloride in a suitable solvent such as methanol at room temperature
- amine (3) can be prepared from the corresponding acid (5) via a primary amide (6).
- acid (5) is treated with ammonia in the presence of a suitable coupling reagent in a suitable solvent such as dichloromethane and DMF at room temperature.
- a suitable coupling reagent such as dichloromethane and DMF at room temperature.
- the resulting amide (6) is then reduced with a reducing agent such as lithium aluminium hydride in a suitable solvent such as tetrahydrofuran at room temperature to yield amine (3).
- the amine (3) is coupled using standard peptide coupling conditions to an alpha amino acid (7) suitably amino-protected with a standard protecting group such as tert-butyloxycarbonyl (Boc), benzyloxycarbonyl (Z) or 9- fluorenylmethyloxycarbonyl (Fmoc).
- a standard protecting group such as tert-butyloxycarbonyl (Boc), benzyloxycarbonyl (Z) or 9- fluorenylmethyloxycarbonyl (Fmoc).
- Boc tert-butyloxycarbonyl
- Z benzyloxycarbonyl
- Fmoc 9- fluorenylmethyloxycarbonyl
- Standard peptide coupling methods include the reaction of acids with amines in the presence of hydroxybenzotriazole and carbodiimide such as water soluble carbodiimide, or 2-(lH-benzotriazole-l-yl)-l,l,3,3- tetramethylaminiurn hexafluorophosphate or benzotriazole-l-yl-oxy-tris-pyrrolidino- phosphoium hexaffluorophosphate or bromo-trispyrolidino-phosphoium hexafluorophosphate in the presence of organic bases such as triethylamine, diisopropylethylamine or N-methylmorpholine.
- hydroxybenzotriazole and carbodiimide such as water soluble carbodiimide, or 2-(lH-benzotriazole-l-yl)-l,l,3,3- tetramethylaminiurn hexafluorophosphate or benzotriazole
- the protecting group of (8) is removed using standard methods described previously to yield the amine (9).
- the amine (9) is coupled using the standard peptide coupling conditions described previously to a lactic acid derivative (10). Where R 1 or R 2 has a reactive functional group such as an amine or a carboxylic acid, this group will also be protected.
- Compound (11) can also be synthesised from compound (13).
- a compound can be prepared from an alpha amino acid and a lactic acid derivative (10) with carboxylic acid functionality protected with a standard protecting group such as an ester such as a methyl, tert-butyl, trichloroethyl ester.
- the carboxyl protecting group of (12) is removed by standard methods described previously following the coupling reaction.
- the amide bond forming reactions may be carried out using the standard peptide coupling conditions described above.
- the amine (9) can be derivatised by reaction with a sulphonyl chloride (14) to give the sulphonamide derivative (15).
- R 1 or R 2 has a reactive functional group such as an amine or a carboxylic acid, this grou will also be rotected.
- Compound (15) can also be synthesised from compound (17).
- a compound can be prepared from an alpha amino acid and a sulphonyl chloride (14) with carboxylic acid functionality protected with a standard protecting group such as an ester such as a methyl, tert-butyl, trichloroethyl ester.
- the carboxyl protecting group of (16) is removed by standard methods described previously following the coupling reaction.
- the amide bond forming reactions may be carried out using the standard peptide coupling cond
- the amine (9) can be denvatised by reaction with acid chloride or carboxylic acid (18) to give the amide derivative (19). If a carboxylic acid is used the amide bond forming reactions may be carried out using the standard peptide coupling conditions described above. Where R or R has a reactive functional group such as an amine or a carboxylic acid, this group will also be protected.
- Compound (19) can also be synthesised from compound (21).
- Such a compound can be prepared from an alpha amino acid and a acid chloride or carboxylic acid (18) with additional carboxylic acid functionality protected with a standard protecting group such as an ester such as a methyl, tert-butyl, trichloroethyl ester.
- the carboxyl protecting group of (20) is removed by standard methods described previously following the coupling reaction.
- the amide bond forming reactions may be carried out using the standard peptide coupling conditions described above.
- the amine (9) can be denvatised by reaction with an amine (22) in the presence of a suitable agent such as 1,1-carbonyldiimidazole to give the urea derivative (23).
- a suitable agent such as 1,1-carbonyldiimidazole
- R 1 or R 2 has a reactive functional group such as an amine or a carboxylic acid, this group will also be protected.
- Compound (23) can also be synthesised from compound (25).
- a compound can be prepared from an alpha amino acid and an amine (22) with carboxylic acid functionality protected with a standard protecting group such as an ester such as a methyl, tert-butyl, trichloroethyl ester.
- the carboxyl protecting group of (24) is removed by standard methods described previously following the coupling reaction.
- the amide bond forming reactions may be carried out using the standard peptide coupling conditions described above.
- the present invention also encompasses intermediate compounds that have utility in the synthesis of the compounds of formula (I). Accordingly, one aspect of the present invention provides an intermediate compound selected from the group including:
- the present invention provides a process for the preparation of compound of formula (I),
- Standard peptide coupling conditions include the reaction of acids with amines in the presence of hydroxybenzotriazole and carbodiimide such as water soluble carbodiimide, or 2-(lH-benzotriazole-l-yl)-l,l,3,3-tetramethylaminium hexafluorophosphate or benzotriazole-l-yl-oxy-tris-pyrrolidino-phosphoium hexaffluorophosphate or bromo- trispyrolidino-phosphoium hexafluorophosphate in the presence of organic bases such as triethylamine, diisopropylethylamine or N-methylmorpholine. These reactions are typically carried out in solvents such as dichloromethane and dimethylformamide.
- ⁇ NMR spectra were recorded on a Jeol EX 270 (270MHz) or Brucker Avance III (400MHz) spectrometer with reference to deuterium solvent and at room temperature.
- Molecular ions were obtained using LCMS which was carried out using a Chromolith Speedrod RP-18e column, 50 x 4.6 mm, with a linear gradient 10% to 90% 0.1% HC0 2 H/MeCN into 0.1% HC0 2 H/H 2 0 over 1 1 min, flow rate 1.5 mL/min.
- Data was collected using a Thermofinnigan Surveyor MSQ mass spectrometer with electospray ionisation in conjunction with a Thermofinnigan Surveyor LC system.
- 6-Amino-3-pyridinecarbonitrile (12.5g, 21.0mmol) was dissolved (250mls), 6M HC1 (35mls, 210mmol) was added. 10% Pd/C (2.5g) was added. The reaction mixture was shaken at lOpsi for 18 hours after which time the catalyst was filtered off through celite and the residue washed with methanol (lOOmls) and water (20mls). The combined filtrates were evaporated in vacuo to give a white solid. Recrystalised from MeOH diethyl ether to give a white solid identified as the title compound
- Boc-3,4-difluoro-Phe-OH (5.0g, 16.6mmol) was dissolved in CH 2 Cl 2 (100mls) and DMF (lOmls). This solution was cooled to 0 C. 5-aminomethyI-pyridin-2-ylamine dihydrochloride (3.58g, 18.2mmol) was added followed by HOBt (2.69g, 19.9mmol) and water soluble carbodiimide (3.18g, 16.6mmol). After 15mins diisopropylethylamine (6.44g, 49.8mmol) was added. After 5 hrs at 0 C to room temperature the reaction mixture was diluted with CHC1 3 (150mls), this solution was washed with sat.
- 6-Amino-3-cyano-2-methylpyridine (3.0g, 22.5mmol) was dissolved in methanol (150ml). This solution was cooled to 0 C. Nickel (II) chloride hexahydrate (534mg, 2.25mmol) and di-tertbutyl dicarbonate (5.4g, 24.7mmol) were added followed by sodium borohydride (5.95g, 157mmol) portionwise. The reaction mixture was stirred at 0°C to room temp for 18hrs. The MeOH was removed by evaporation.
- Boc-4-fluoro-Phe-OH (1.28g, 4.52mmol) was dissolved in CH 2 Cl 2 (25mls).
- HBTU (1.71g, 4.52mmoI) was added followed by triethylamine (1.37g, 13.55mmol).
- 5-aminomethyl-6-methyl-pyridin-2-ylamine dihydrochloride (3.58g, 18.2mmol) was added.
- the reaction mixture was diluted with CHC1 3 (50mls), this solution was washed with sat. NaHC0 3 (lx20mls), water (lx20mls), brine (lx20mls), dried (Na 2 S0 4 ) and evaporated in vacuo.
- the residue was purified by flash chromatography (silica), eluent 10%MeOH, 90% dichloromethane, fractions combined and evaporated in vacuo to give a yellow oil identified as the title compound.
- Boc-D-3,3-Diphenylalanine (4.86g, 14.06mmol) was dissolved in methanol (200mls). This solution was hydrogenated over 5% Rh on carbon (500mg) at 60psi and room temperature. After 2 days at room temperature further 5% Rh on carbon (500mg) was added and hydrogenation continued at 60psi and room temperature for a further 3 days. After this time the catalyst was filtered off through celite and the residue washed with MeOH (lOOmls). The combined filtrates were evaporated in vacuo to give a foamy white solid identified as the title compound,
- reaction mixture was diluted with chloroform (50mls) and washed with NaHC0 3 (lx20mls), water (lx20mls), brine (lx20mls), dried (Na 2 S0 4 ) and evaporated in vacuo giving a yellow oil.
- the residue was purified by Prep HPLC (Sunfire prep CI 8 OBD column. 19x250mm, 10 ⁇ ). 10 to 90% 0.1% TFA/MeCN into 0.1%TFA/H2O over 35 min at 20ml/min. Fractions combined and freeze dried to give a white solid identified as the title compound.
- Boc-lNal-OH (l .Og, 2.66mmol) was dissolved in CH 2 C1 2 (30mls). Triethylamine (0.805g, 7.96mmol) and HBTU (1.21g, 3.18mmol) was added followed by 5- aminomethyl-pyridin-2-ylamine dihydrochloride (0.52g, 2.66mmol). After 3 hours at room temperature the reaction mixture was diluted with CHC1 3 (50mls), this solution was washed with sat. NaHC0 3 (lx20mls), water (lx20mls), brine (lx20mls), dried (Na 2 S0 4 ) and evaporated in vacuo.
- CD 3 OD 400 7.00-7.07(2H,m), 7.13-7.30(2H,m), 7.77-7.84(2H,m),
- CD 3 OD 400 4.21 -4.3 l(2H,m), 4.60-4.65(1 H,m), 7.00-7.05(3H,m),
- CD3OD 400 4.21-4.32(2H,m), 4.57-4.64(1 H,m), 7.00-7.07(2H,m),
- CD3OD 400 4.19-4.38(2H,m), 4.57-4.64(lH,m), 6.98-7.05(3H,m),
- CD3OD 400 4.20-4.4 l(2H,m), 4.58-4.63(1 H,m), 6.99-7.05(3H,m),
- CD3OD 400 4.12-4.18 (IH, m) 4.43 (IH, t, J 8.0 Hz) 4.81 (4H, s)
- CD3OD 400 2.86-2.89 (IH, m) 2.90-2.94 (IH, m) 3.00-3.03 (IH, m)
Landscapes
- Health & Medical Sciences (AREA)
- Chemical & Material Sciences (AREA)
- Organic Chemistry (AREA)
- Pharmacology & Pharmacy (AREA)
- Animal Behavior & Ethology (AREA)
- Chemical Kinetics & Catalysis (AREA)
- General Chemical & Material Sciences (AREA)
- Medicinal Chemistry (AREA)
- Nuclear Medicine, Radiotherapy & Molecular Imaging (AREA)
- Bioinformatics & Cheminformatics (AREA)
- Engineering & Computer Science (AREA)
- Life Sciences & Earth Sciences (AREA)
- Veterinary Medicine (AREA)
- General Health & Medical Sciences (AREA)
- Public Health (AREA)
- Pulmonology (AREA)
- Immunology (AREA)
- Orthopedic Medicine & Surgery (AREA)
- Rheumatology (AREA)
- Physical Education & Sports Medicine (AREA)
- Pharmaceuticals Containing Other Organic And Inorganic Compounds (AREA)
- Pyridine Compounds (AREA)
Abstract
The present invention provides compounds of formula (I): compositions comprising such compounds; the use of such compounds in therapy (such as asthma or COPD); and methods of treating patients with such compounds; wherein R1 - R10 and A1 are as defined herein.
Description
AMINOPYRIDINE DERIVATIVES AS KALLI REIN INHIBITORS
This invention relates to aminopyridine derivatives and to processes for the preparation of, intermediates used in the preparation of, compositions containing and the uses of, such derivatives.
Background to the Invention
The aminopyridine derivatives of the present invention are inhibitors of tissue kallikrein and have a number of therapeutic applications, particularly in the treatment of inflammatory diseases such as asthma and chronic obstructive pulmonary disease (COPD).
The compounds of the invention are selective inhibitors of human tissue kallikrein (KLK1). In particular, they show an ability to inhibit KLK1 which is greater than their ability to inhibit other trypsin-like serine proteases.
Human tissue kallikrein , KLK1 (EC.3.4.21.35, also known as hKl, glandular kallikrein and urinary kallikrein) is a trypsin-like serine protease belonging to the kallikrein gene family of which there are 14 other members (including prostate specific antigen) (G. M. Yousef et al., Endocrine Rev., 2001, 22, 184). Other closely related trypsin-like serine proteases include plasma kallikrein, thrombin, trypsin and plasmin. Active LK1 is a membrane-bound enzyme and is widely expressed. Strongest expression is observed in the pancreas, salivary gland, colon, kidney, lymph node, prostate, small intestine, stomach, thyroid gland and vagina. There is moderate expression of KLK1 in the lung, as well as expression in the saliva and its increased activity has also been detected in the sputum of patients following chronic lung injury.
KLK1 can liberate the kinins from kininogens by limited proteolysis, kallidin is released from low molecular weight kininogen whilst bradykinin is released from high molecular weight kininogen (K. D. Bhoola et al., Pharmacological Rev., 1992, 44, 1). Kinins such as kallidin (Lys-bradykinin) and bradykinin are potent mediators of inflammation. The actions of kinins are mediated by activation of two main bradykinin receptor subtypes,
Bl and B2, both of which are members of the seven trans-membrane G protein-coupled receptor families. Bl receptors are involved in chronic responses and have low expression at basal levels but are upregulated following tissue injury and/or inflammation whilst B2 receptors are involved in acute responses and are constitutively expressed. KL 1 also activates the matrix metalloproteases (MMPs), pro-collagenase and pro-gelatinases and cleaves insulin-like growth factor binding protein-3 (J. A. Clements et al., Crit. Rev. Clin. Lab. Set, 2004, 41, 265-312). There are also reports that KLK1 can directly activate the bradykinin receptors (C. Hecquet et al., Mol. Pharmacol., 2000, 39, 508-515).
Kinins have been shown to be important mediators in allergic inflammation such as asthma and hayfever (S. C. Chrstiansen et al., J. Clin. Invest., 1987, 79, 188-197) and that the enzyme chiefly responsible for the liberation of kinins in the airways of asthmatic subjects is KLK1 (S. C. Chrstiansen et al., Am. Rev. Respir. Dis., 1992, 145, 900-905). It has also been demonstrated that inflammatory cells release KLK1 (I. T. Lauredo et al., Am. J. Physiol. Lung Cell Mol Physiol, 2004, 286, 734). Inhibition of KLK1 may be a novel approach for the treatment of asthma.
In addition KLKl has been implicated in a number of other disease states including acute pancreatitis (T. Griesbacher, Pharmacology, 2000, 60, 1 13; T. Griesbacher et al., Br. J. Pharmacol., 2003, 139, 299), inflammatory bowel disease (A. Stadnicki, Digestive and Liver Disease, 2005, 37, 648; A. Stadnicki et al., Digestive Diseases and Science, 2003, 48, 615), arthritis (R. W. Colman, Immunopharmacology, 1999, 43, 103; R. J. Williams, Brit. J. Rheumatology, 1997, 36, 420).
High levels of circulating KLKl induce chronic hypotension, Aprotinin a non-selective KLKl inhibitor has been shown to suppress this (J. N. Sharma et al, Pharmacology, 1995, 50, 363; Q. Song et al., Immunopharmacology, 1996, 32, 105). Antagonists of kinins (such as bradykinin receptor antagonists) have previously been investigated as potential therapeutic agents for the treatment of a number of inflammatory disorders (F. Marceau and D. Regoli, Nature Rev., Drug Discovery, 2004, 3, 845-852). In particular bradykinin B2 receptor antagonists have been investigated as
potential treatments for airways disease (W. M. Abraham et al., Eur. J. Pharm. , 2006, 533, 215).
There is also evidence that KLKl plays a role in cancer (K. D. Bhoola et al., Curr. Opin. 5 Invest. Drugs, 2007, 8, 462). KLKl plays a role in increasing tumor invasiveness via activation of matrix metalloproteases, pro-collagenases and pro-gelatinases (K. D. Bhoola et al., Biol. Che ., 2001, 382, 77; H. Tschesche et al., Adv. Exp. Med. Biol., 1969, 247A, 545). Additionally KLKl is indirectly involved in promoting proliferation through the liberation of mitogenic kinins (R. A. Roberts et al., J. Cell. 5'c/'., 1989, 94, 10 527).
KLKl is also involved in growth factor regulation and is implicated in processing of precursors of various growth factors e.g. EGF, NGF.
15 Endogenous inhibitors of KLKl include the serpins, kallistatin, antiprotein C, ai- antitrypsin, and ai-antichymotrypsin. Aprotinin is also a potent non-selective KLKl inhibitor. Low molecular weight inhibitors of KLKl have previously been reported (M. Szelke et al., WO 199204371 ; M. Szelke et al., WO 199507291 ; C. Olivier et al., Peptides, 2000, 705; M. M. Staveski et al., WO 2003101941; M. Tokumasu et al., WO 0 2005095327; J. Burton et al., US 5464820). KLKl inhibitors have been reported to display activity in animal models of allergic inflammation (M. Szelke et al., Braz. J. Med. Biol. Res., 1994, 27, 1943; D. M. Evans et al., Immunopharmacology, 1996, 32, 1 17), citric acid induced cough (R. L. Featherstone et al., Lung, 1996, 174, 269) and acute pancreatitis (T. Griesbacher et al., Br. J. Pharmacol, 2002, 137, 692). KLKl 5 inhibitors have also been shown to be active in models of cancer (tumor cell migration in a matrigel invasion assay is inhibited in a dose-dependant manner by a KLKl inhibitor) (W. C. Wolf et al., Am. J. Pathol, 2001, 159, 1797). A human KLKl antibody that inhibits KLKl with nanomolar potency has been shown to be active in an allergic sheep model of asthma. The antibody inhibited the late phase bronchoconstriction and 0 completely blocked airway hyperresponsiveness (D. J. Sexton et al., WO 2006017538, D. J. Sexton et al., Biochem. Journal, 2009, 422, 383).
Hyaluronic acid which binds and inactivates KLKl in vitro has been shown to block porcine pancreatic elastase induced bronchoconstriction in sheep (M. Scuri et al., Am. J. Respir. Crit. Care Med., 2001, 164, 1855). Kallikrein-binding protein (KBP) is a serine protease inhibitor (serpin) which specifically binds to tissue kallikrein and inhibits kallikrein activity. KBP has been shown to inhibit retinal neovascularization and decrease vascular leakage by downregulation of vascular endothelial growth factor (VEGF) (G. Gao et al., Diabetologia, 2003, 46, 689) and to inhibit growth of gastric carcinoma by reducing VEGF production (L. Lu et al., Mol. Cancer. Then, 2007, 6, 3297). VEGF has also been linked with blood-retinal barrier breakdown which is a hallmark of diabetic retinopathy (D. A. Antonettie et al., Diabetes, 1998, 47, 1953). VEGF has also been implicated in remodeling of airway vasculature in chronic inflammation (D. M. McDonald, Am. J. Respir. Crit. Care Med., 2001 , 164, S39).
Selectivity with respect to the other members of the trypsin-like serine protease family, particularly plasma kallikrein, is an important issue. Inhibitors of tissue kallikrein displaying poor plasma kallikrein activity have previously been reported (M. Szelke et al., Brazilian J. Med. Biol. Res. 1994, 27, 1935 and D. M. Evans et al., Immunopharmacology, 1996, 32, 1 17), but there remains a need for further compounds that selectively inhibit tissue kallikrein. Several groups have disclosed synthetic inhibitors of plasma kallikrein. These include arginineketomethylene derivatives (WO 92/04371 and D. M. Evans et al., Immunopharmacology, 1996, 32, 1 15-1 16), noragmatine and agmatine derivatives (WO 95/07291, WO 94/29335), benzamidine derivatives (J.Sturzbecher et al., Brazilian J. Med. Biol. Res., 1994, 27, 1929-1934), boronic acid derivatives (US 5,187, 157) and aniinomethylcyclohexanoyl derivatives (N. Teno et al., Chem. Pharm. Bull., 1993, 41, 1079-1090). Non-peptide plasma kallikrein inhibitors have also been reported (W. B. Young et al., Bio. Med. Chem Lett., 2006, 16, 2034 and WO 2008/016883).
The compounds of the present invention, and their pharmaceutically acceptable salts, have the advantage that they are selective inhibitors of KLKl (and so are likely to have reduced side effects). In addition, they may be more potent, they may be longer acting,
they may have greater bioavailability or they may have other more desirable properties than the compounds of the prior art.
Summary of the Invention
In one aspect, the present invention provides compounds of formula (I):
(I)
wherein:
1 2
R and R are independently selected from H, hydroxyl, (Ci-Cio)alkyl, (Ci-C )alkoxy,
(C2-C6)alkenyl, (C2-C6)alkynyl, (C3-Ci0)cycloalkyl, heterocycloalkyl, aryl, heteroaryl, aryl(Ci-C4)alkyl- and heteroaryl(Ci-C4)alkyl-;
R3 is selected from H, (Ci-C10)alkyl and (C2-C6)alkenyl;
R6 and R7 are independently selected from H and (Ci-C6)alkyl;
R8, R9 and R10 are independently selected from H, (Ci-C10)alkyl, halo, hydroxyl and (Ci-
C6)alkoxy;
A1 is selected from CW and S(0)X;
(II) (III)
X is selected from (Ci-Cio)alkyl, (C2-C6)alkenyl, (C3-Ci0)cycloalkyl, heterocycloalkyl, aryl, heteroaryl and aryl(C1-C4)alkyl-;
Y is selected from -CHRXRY and -C(RW)=CRVRZ ;
Rx is selected from H, (Ci-Ci0)alkyl, (C2-C6)alkenyl, (C3-Ci0)cycloalkyl, aryl, aryl(Ci- C4)alkyl-, aryl(C2-C4)alkenyl- and heteroaryl(Ci-C4)alkyl-;
RY is selected from H and (Ci-Cio)alkyl;
or R and R together with the carbon atom to which they are attached form a
(C3-Cio)cycloalkyl group;
Rv is selected from aryl and heteroaryl;
Rw is selected from H, fluoro and (Ci-Cio)alkyl;
or Rv and Rw together with the carbon atoms to which they are attached form a group selected from aryl and heteroaryl;
Rz is selected from H, (Ci-Cio)alkyl and fluoro;
R4 and R5 are independently selected from H, (Ci-Cio)alkyl, (C2-C6)alkenyl, (C3- Ci0)cycloalkyl, heterocycloalkyi, aryl, heteroaryl, aryl(Ci-C4)alkyl- and heteroaryI(Ci- C4)alkyl-;
Ra and Rb are independently selected from H, (Ci-Cio)alkyl, (C2-C6)alkenyl, (C3- C!o)cycloalkyl, heterocycloalkyi, aryl, heteroaryl, aryl(C1-C4)alkyl-, aryl(C2-C4)alkenyl-, heteroaryl(C1-C4)alkyl-, -S02(C1-C6)alkyl, -S02aryl and -S02aryl(Ci-C4)alkyl;
or Ra and Rb together with the atoms to which they are attached may form a saturated or partially unsaturated 4-7 membered N-containing ring, optionally containing one further heteroatom selected from N, O and S, and optionally substituted on carbon with 1 or 2 substituents independently selected from (C - C6)alkyl, (Ci-C6)alkoxy, halo, CN and hydroxyl; said N-containing ring may also optionally be fused to an aryl group;
or Ra and Rb together with the atoms to which they are attached may form a 5, 6, 9 or 10 membered mono- or bi-cylic N-containing aromatic ring, optionally containing one further heteroatom selected from N, O and S, and optionally substituted on carbon with 1, 2 or 3 substituents independently selected from (Ci- C6)alkyl, (Ci-C6)alkoxy, halo, CN, aryl, COOR15 and hydroxyl; wherein: alkyl may optionally be substituted with 1 or 2 substituents independently selected from (C3-Ci0)cycloalkyl, (Ci-C6)alkoxy, phenoxy, OH, CN, CF3,
COOR1 1, fluoro and NRnR12;
alkenyl may optionally be substituted with 1 or 2 substituents independently selected from (C3-Ci0)cycloalkyl, (C,-C6)alkoxy, OH, CN, CF3, COOR11, fluoro and NRnR12; alkynyl may optionally be substituted with 1 or 2 substituents independently selected from (C3-C,0)cycloalkyl, (Ci-C6)alkoxy, OH, CN, CF3, COOR1 1, fluoro and NR"R12; alkoxy may optionally be substituted with 1 or 2 substituents independently selected from (C3-C10)cycloalkyl, OH, CN, CF3, COOR11, fluoro and NR1 'R12 cycloalkyl is a non-aromatic mono- or bi-cyclic hydrocarbon ring, optionally fused to an aryl group, wherein said cycloalkyl ring optionally contains, where possible, up to 2 double bonds; and wherein, unless otherwise stated, said cycloalkyl may optionally be substituted with 1 or 2 substituents independently selected from (C1-C6)alkyl, (C C6)alkoxy, OH, CN, CF3, COOR1 1, fluoro and
NR"R12. heterocycloalkyl is a C-linked or N-linked 3 to 10 membered non-aromatic, mono- or bi-cyclic ring, wherein said heterocycloalkyl ring contains, where possible, 1 , 2 or 3 heteroatoms independently selected from N, NR11, S(0)q and O; and said heterocycloalkyl ring optionally contains, where possible, 1 or 2 double bonds, and is optionally substituted on carbon with 1 or 2 substituents independently selected from (Ci-C6)alkyl, (d-C6)alkoxy, OH, CN, CF3, halo, COOR", NRnR12 and aryl; aryl is a single or fused aromatic ring system containing 6 or 10 carbon atoms; wherein, unless otherwise stated, each occurrence of aryl may be optionally substituted with up to 5 substituents independently selected from (Ci-C6)alkyl, (C C6)alkoxy, OH, halo, CN, COOR11, CF3 and NRnR12; heteroaryl is a 5, 6, 9 or 10 membered mono- or bi-cyclic aromatic ring, containing, where possible, 1 , 2 or 3 ring members independently selected from
N, NR.", S and O; wherein, unless otherwise stated, said heteroaryl may be optionally substituted with 1, 2 or 3 substituents independently selected from (Ci-C6)alkyl, (C,-C6)alkoxy, OH, halo, CN, COOR1 1, CF3 and NRnR12;
q is 0, 1 or 2;
R11 and R12 are independently selected from H and (CrC6)alkyl;
with the proviso that in the case when A1 is CW, W is Y, Y is -C(RW)=CRVRZ and Rv and Rw together with the carbon atoms to which they are attached form a heteroaryl group, then Rw cannot be a nitrogen atom; and tautomers, stereoisomers, pharmaceutically acceptable salts and solvates thereof.
In another aspect the present invention provides a prodrug of a compound of formula (I) as herein defined, or a pharmaceutically acceptable salt thereof.
In yet another aspect the present invention provides an N-oxide of a compound of formula (I) as herein defined, or a prodrug or pharmaceutically acceptable salt thereof. It will be understood that certain compounds of the present invention may exist in solvated, for example hydrated, as well as unsolvated forms. It is to be understood that the present invention encompasses all such solvated forms.
In one subset of the compounds of formula (I):
R1 is selected from (Ci-C6)alkyl, (C3-Ci0)cycloalkyl, heterocycloalkyl, aryl and heteroaryl;
R2 is selected from H, hydroxyl, (C C6)alkyl, (Ci-C6)alkoxy, (C3-Cio)cycloalkyl, heterocycloalkyl and aryl;
R3 is selected from H and (Ci-C6)alkyl;
R6 and R7 are H;
R8, R9 and R10 are independently selected from H and (Ci-C6)alkyl;
A1 is selected from CW and S(0)X;
selected from Y w;
(II) (III)
X is selected from (Ci-C6)alkyl, (C4-C )cycloalkyl, heterocycloalkyl, aryl and heteroaryl; Y is selected from -CHRXRY and -C(RW)=CRVRZ;
Rx is selected from (C,-C6)alkyl, (C4-C6)cycloalkyl, aryl, aryl(CrC4)alkyl- and heteroaryl (C { -C4)alkyl-;
R is selected from H and (d-C6)alkyl;
or R and R together with the carbon atom to which they are attached form a (C4-C6)cycloalkyl group;
Rv is aryl
Rw is selected from H, fluoro and (Ci-C6)alkyl;
or Rv and Rw together with the carbon atom to which they are attached form a group selected from aryl and heteroaryl;
R is selected from H, (Ci-C6)alkyl and fluoro;
R4 is selected from H, (Ci-C6)alkyl, (C3-Ci0)cycloalkyl, heterocycloalkyl, aryl, heteroaryl, aryl(Ci-C4)alkyl- and heteroaryl(CrC4)alkyl-;
R5 is selected from H and (Ci-C6)alkyl;
Ra and Rb are independently selected from H, (CrC6)alkyl, (C4-C6)cycloalkyl, heterocycloalkyl, aryl, heteroaryl,
or Ra and Rb together with the atoms to which they are attached may form a saturated or partially unsaturated 4-7 membered N-containing ring, optionally containing one further heteroatom selected from N, O and S, and optionally substituted on carbon with 1 or 2 substituents independently selected from (Ci- C )alkyl, (Ci-C6)alkoxy, halo, CN and hydroxyl; said N-containing ring may also optionally be fused to an aryl group; wherein alkyl, alkoxy, cycloalkyl, heterocycloalkyl, aryl and heteroaryl are as defined above;
with the proviso that in the case when A1 is CW, W is Y, Y is -C(RW)=CRVRZ and Rv and Rw together with the carbon atoms to which they are attached form a heteroaryl group, then Rw cannot be a nitrogen atom; and tautomers, stereoisomers, pharmaceutically acceptable salts and solvates thereof.
In another subset of the compounds of formula (I):
R1 is selected from (C3-Cio)cycloalkyl, heterocycloalkyl, aryl and heteroaryl;
R2 is selected from H and (C3-Cio)cycloalkyl;
R3 is H;
R6 and R7 are H;
R8 is selected from H and methyl;
R9 and R10 are H;
A1 is selected from CW and S(0)X;
(Π) (in)
X is selected from (Ci-C6)alkyl and aryl;
Y is selected from -CHRXRY and -C(RW)=CRVRZ ;
Rx is selected from (Ci-C6)alkyl, aryl, aryl(Ci-C4)alkyl- and heteroaryl(Ci-C4)alkyl-; RY is selected from H and methyl;
or Rx and RY together with the carbon atom to which they are attached form a (C4-C6)cycloalkyl group;
Rv is aryl;
Rw is selected from H and fluoro;
or Rv and Rw together with the carbon atom to which they are attached form a group selected from aryl and heteroaryl;
Rz is selected from H and (CpC6)alkyl;
R4 is selected from (Ci-C6)alkyl, aryl, heteroaryl, aryl(C1-C4)alkyl- and heteroaryl (d- C4)alkyl-;
R5 is selected from H and methyl;
Ra and Rb are independently selected from H, (Ci-C6)alkyl, (C4-C6)cycloalkyl, aryl, or Ra and Rb together with the atoms to which they are attached may form a saturated or partially unsaturated 5-6 membered N-containing ring optionally substituted on carbon with 1 or 2 (C|-C6)alkyl substituents; wherein alkyl, cycloalkyl, heterocycloalkyl, aryl and heteroaryl are as defined above; with the proviso that in the case when A1 is CW, W is Y, Y is -C(RW)=CRVRZ and Rv and Rw together with the carbon atoms to which they are attached form a heteroaryl group, then Rw cannot be a nitrogen atom; and tautomers, stereoisomers, pharmaceutically acceptable salts and solvates thereof. The present invention also comprises the following aspects and combinations thereof:
In one aspect, the present invention provides a compound of formula (I) wherein R1 is selected from H, (Ci-Cio)alkyl, (C3-Cio)cycloalkyl, heterocycloalkyl, aryl, heteroaryl, aryl(Ci-C4)alkyl- and heteroaryl(C1-C4)alkyl-.
In another aspect, the present invention provides a compound of formula (I) wherein R1 is selected from (Ci-C6)alkyl, (C3-Cio)cycloalkyl, heterocycloalkyl, aryl and heteroaryl. In a further aspect, the present invention provides a compound of formula (I) wherein R1 is selected from (C3-Cio)cycloalkyl, aryl and heteroaryl.
In yet a further aspect, the present invention provides a compound of formula (I) wherein R1 is aryl.
In one aspect, the present invention provides a compound of formula (I) wherein R is selected from H, hydroxyl, (Ci-C6)alkyl, (Ci-C6)alkoxy, (C3-Cio)cycloalkyl, heterocycloalkyl and aryl.
In another aspect, the present invention provides a compound of formula (I) wherein R is selected from H, (C3-Cio)cycloalkyl, heterocycloalkyl and aryl.
In a further aspect, the present invention provides a compound of formula (I) wherein R2 is selected from H and (C4-C6)cycloalkyl.
In yet a further aspect, the present invention provides a compound of formula (I) wherein R2 is H.
In one aspect, the present invention provides a compound of formula (I) wherein R3 is selected from H or (C i -C6)alky 1.
In another aspect, the present invention provides a compound of formula (I) wherein R3 is H.
In one aspect, the present invention provides a compound of formula (I) wherein R3 is H and the carbon atom to which R3 is attached is chiral and has an (S) configuration.
In another aspect, the present invention provides a compound of formula (I) wherein R3 is H and the carbon atom to which R3 is attached is chiral and has an (R) configuration.
In one aspect, the present invention provides a compound of formula (I) wherein A1 is CW.
In another aspect, the present invention provides a compound of formula (I) wherein A1 is S(0)X.
In one aspect, the present invention provides a compound of formula (I) wherein W is selected from the groups of formulae (II) and (III) below
(ID (III).
In another aspect, the present invention provides a compound of formula (I) wherein W is the group of formula (II) below
(II).
In a further aspect, the present invention provides a compound of formula (I) wherein W is the group of formula (III) below
N
Rb
(III).
In yet a further aspect, the present invention provides a compound of formula (I) wherein W is Y.
In one aspect, the present invention provides a compound of formula (I) wherein X is selected from (CrCio)alkyI, (C2-C6)alkenyl, (C3-C10)cycloalkyl, heterocycloalkyl, aryl, heteroaryl and aryl(Ci-C4)alkyl-.
In another aspect, the present invention provides a compound of formula (I) wherein X is selected from (C]-C6)alkyl, (C4-C6)cycloalkyl, heterocycloalkyl, aryl and heteroaryl. In a further aspect, the present invention provides a compound of formula (I) wherein X is selected from (Ci-C6)alkyl and aryl.
In one aspect, the present invention provides a compound of formula (I) wherein Y is -CHRXRY.
In another aspect the present invention provides a compound of formula (I) wherein Y is -C(RW)=CRVRZ.
In one aspect, the present invention provides a compound of formula (I) wherein Rx is selected from H, (Ci-Cio)alkyl, (C2-C )alkenyl, (C3-Ci0)cycloalkyl, aryl, aryl(d- C4)alkyl-, aryl(C2-C4)alkenyl- and heteroaryl(Ci-C4)alkyl-.
In other aspect, the present invention provides a compound of formula (I) wherein Rx is selected from
(C4-C6)cycloalkyl, aryl, aryl(Ci-C4)alkyI- and heteroaryl(Ci- C4)alkyl-.
In a further aspect, the present invention provides a compound of formula (I) wherein Rx is selected from (Ci-C6)alkyl, aryl, aryl(Ci-C4)alkyl- and heteroaryl(CrC4)alkyl-.
In one aspect, the present invention provides a compound of formula (I) wherein R is selected from H and (C|-C]0)alkyl.
In another aspect, the present invention provides a compound of formula (I) wherein RY is selected from H and (Ci-C6)alkyl.
In a further aspect, the present invention provides a compound of formula (I) wherein RY is selected from H and methyl.
In one aspect, the present invention provides a compound of formula (I) wherein R and R together with the carbon atom to which they are attached form a (C3-Cio)cycloalkyl group.
In another aspect, the present invention provides a compound of formula (I) wherein Rx and R together with the carbon atom to which they are attached form a (C4- C6)cycloalkyl group. In one aspect, the present invention provides a compound of formula (I) wherein Rv is selected from aryl and heteroaryl.
In another aspect, the present invention provides a compound of formula (I) wherein Rv is aryl. In one aspect, the present invention provides a compound of formula (I) wherein Rw is selected from H, fluoro and (Ci-Cio)alkyl.
In another aspect, the present invention provides a compound of formula (I) wherein Rw is selected from H, fluoro and (Ci-C6)alkyl.
In a further aspect, the present invention provides a compound of formula (I) wherein Rw is selected from H and fluoro.
In one aspect, the present invention provides a compound of formula (I) wherein Rv and Rw together with the carbon atoms to which they are attached form a group selected from aryl and heteroaryl with the proviso that when Rv and Rw together with the carbon atoms to which they are attached form heteroaryl group, then Rw cannot be a nitrogen atom.
In one aspect, the present invention provides a compound of formula (I) wherein Rz is selected from H, (Ci-Cio)alkyl and fluoro.
In another aspect, the present invention provides a compound of formula (I) wherein Rz is selected from H, (Ci-C6)alkyl and fluoro.
In a further aspect, the present invention provides a compound of formula (I) wherein Rz is selected from H and (Ci-C6)alkyl.
In one aspect, the present invention provides a compound of formula (I) wherein R4 is selected from H, (Ci-C6)alkyl, (C3-Cio)cycloalkyl, heterocycloalkyl, aryl, heteroaryl, aryl(Ci-C4)alkyl- and heteroaryl(C,-C4)alkyl-.
In another aspect, the present invention provides a compound of formula (I) wherein R4 is selected from (CpC6)alkyl, aryl, heteroaryl, aryl(Ci-C4)alkyl- and heteroaryl (Ci- C4)alkyl-.
In yet another aspect, the present invention provides a compound of formula (I) wherein R4 is selected from (Ci-C6)alkyl, aryl(d-C4)alkyl- and heteroaryl(CrC4)alkyl-.
In a further aspect, the present invention provides a compound of formula (I) wherein R4 is selected from (CpC6)alkyl and aryl(Ci-C4)alkyl-.
In a yet further aspect, the present invention provides a compound of formula (I) wherein R4 is aryl(C C4)alkyk
In one aspect, the present invention provides a compound of formula (I) wherein R5 is selected from H and (Ci-C6)alkyl.
In another aspect, the present invention provides a compound of formula (I) wherein R5 is selected from H and methyl.
In a further aspect, the present invention provides a compound of formula (I) wherein R5 is H.
In one aspect, the present invention provides a compound of formula (I) wherein one of R4 and R5 is H and the other of R4 and R5 is not H, and the carbon atom to which R4 and R5 is attached is chiral and has an (R) configuration.
In another aspect, the present invention provides a compound of formula (I) wherein one of R4 and R5 is H and the other of R4 and R5 is not H, and the carbon atom to which R4 and R5 is attached is chiral and has an (S) configuration.
In one aspect, the present invention provides a compound of formula (I) wherein R3 is H and the carbon atom to which R is attached is chiral and has an (R) configuration, and wherein one of R4 and R5 is H and the other of R4 and R5 is not H, and the carbon atom to which R4 and R5 are attached is chiral and has an (S) configuration.
In another aspect, the present invention provides a compound of formula (I) wherein R3 is H and the carbon atom to which R3 is attached is chiral and has an (S) configuration, and wherein one of R4 and R5 is H and the other of R4 and R5 is not H, and the carbon atom to which R4 and R5 are attached is chiral and has an (R) configuration.
In one aspect, the present invention provides a compound of formula (I) wherein Ra is selected from H, (Ci-Ci0)alkyl, (C2-C6)alkenyl, (C3-C|0)cycloalkyl, heterocycloalkyl, aryl, heteroaryl, aryl(Ci-C4)alkyl-, aryl(C2-C4)alkenyl-, heteroaryl(CrC4)alkyl-, - S02(Ci-C6)alkyl, -S02aryl and -S02aryl(C,-C4)alkyl.
In another aspect, the present invention provides a compound of formula (I) wherein Ra is selected from H, (Ci-C6)alkyl, (C4-C6)cycloalkyl, heterocycloalkyl, aryl and heteroaryl.
In a further aspect, the present invention provides a compound of formula (I) wherein Ra is selected from H, (Ci-C6)alkyl, (C4-C6)cycloalkyl and aryl.
In one aspect, the present invention provides a compound of formula (I) wherein Rb is selected from H, (Ci-Cio)alkyl, (C2-C6)alkenyl, (C3-Cio)cycloalkyl, heterocycloalkyl, aryl, heteroaryl, aryl(Ci-C4)alkyl-, aryl(C2-C4)alkenyl-, heteroaryl(CrC4)alkyl-, - S02(Ci-C6)alkyl, -S02aryl and -S02aryl(C C4)alkyl.
In another aspect, the present invention provides a compound of formula (I) wherein Rb is selected from H, (Ci-C6)alkyl, (C4-C6)cycloalkyl, heterocycloalkyl, aryl and heteroaryl.
In a further aspect, the present invention provides a compound of formula (I) wherein Rb is selected from H, (Ci-C6)alkyl, (C4-C6)cycloalkyl and aryl.
In yet a further aspect, the present invention provides a compound of formula (I) wherein Rb is selected from H and (CrC6)alkyl.
In one aspect, the present invention provides a compound of formula (I) wherein Ra and Rb together with the atoms to which they are attached may form a saturated or partially unsaturated 4-7 membered N-containing ring, optionally containing one further heteroatom selected from N, O and S, and optionally substituted on carbon with 1 or 2 substituents independently selected from (Ci-C6)alkyl, (C]-C )alkoxy, halo, CN and hydroxyl; said N-containing ring may also optionally be fused to an aryl group.
In another aspect, the present invention provides a compound of formula (I) wherein Ra and Rb together with the atoms to which they are attached may form a saturated or partially unsaturated 5-6 membered N-containing ring optionally substituted on carbon with 1 or 2 (d-C6)alkyl substituents.
In one aspect, the present invention provides a compound of formula (I) wherein Ra and Rb together with the atoms to which they are attached may form a 5, 6, 9 or 10 membered mono- or bi-cylic N-containing aromatic ring, optionally containing one further heteroatom selected from N, O and S, and optionally substituted on carbon with 1, 2 or 3 substituents independently selected from (Ci-C6)alkyl, (Ci-C )alkoxy, halo, CN, aryl, COOR15 and hydroxyl.
In another aspect, the present invention provides a compound of formula (I) wherein Ra and Rb together with the atoms to which they are attached may form a 5, 6, 9 or 10 membered mono- or bi-cylic N-containing aromatic ring optionally substituted on carbon with 1 or 2 (d-C6)alkyl substituents.
In one aspect, the present invention provides a compound of formula (I) wherein R6 and R7 are H.
In one aspect, the present invention provides a compound of formula (I) wherein R is selected from H and (Ci-C6)alkyl.
In another aspect, the present invention provides a compound of formula (I) wherein R8 is selected from H and methyl.
In a further aspect, the present invention provides a compound of formula (I) wherein R8 is H.
In one aspect, the present invention provides a compound of formula (I) wherein R9 and R10 are independently selected from H and (Ci-C6)alkyl.
In another aspect, the present invention provides a compound of formula (I) wherein R9 and R10 are H.
In one aspect, the present invention provides a compound of formula (I) wherein R6, R7, R9 and R10 are H.
In each of the above aspects alkyl, alkoxy, cycloalkyl, heterocycloalkyl, aryl and heteroaryl are as defined above.
In one aspect, the present invention provides a compound of formula (I) selected from:
(R)-N- [(S)- 1 - [(6-Amino-pyridin-3 -ylmethyl)-carbamoyl] -2-(3 ,4-difluoro-phenyl)-ethyl] - 2-hydroxy-3-phenyl-propionamide;
(R)-N- [(S)- 1 - [(6- Amino-pyridin-3 -ylmethyl)-carbamoyl] -2-(3 ,4-difluoro-phenyl)-ethyl] - 3 -(4-fluoro-phenyl)-2 -hydroxy-propionamide ;
(R)-N-[(S)-l-[(6-Amino-2-methyl-pyridin-3-ylmethyl)-carbamoyl]-2-(4-fluoro-phenyl)- ethyl]-2-hydroxy-3-phenyl-propionamide;
N- {(R)- 1 -[(6- Amino-pyridin-3 -ylmethyl)-carbamoyl] -2,2-dicyclohexyl-ethyl } -2- hydroxy-2-methyl-propionamide;
(R)-N-{(S)- 1 -[(6-Amino-pyridin-3-ylmethyl)-carbamoyl]-2-naphthalen- 1 -yl-ethyl} -2- hydroxy-3 -phenyl-propionamide;
(S)-N- { (S)- 1 - [(6- Amino-pyridin-3 -ylmethyl)-carbamoyl]-2-naphthal en- 1 -yl-ethyl } -2- hydroxy-3-phenyl-propionamide;
(R)-N-[(S)-l-[(6-Amino-pyridin-3-ylmethyl)-carbamoyl]-2-(3,4-dichloro-phenyl)-ethyl]- 2-hydroxy-3 -phenyl-propionamide ;
(R)-N-[(S)-l-[(6-Amino-pyridin-3-ylmethyl)-carbamoyl]-2-(4-fluoro-phenyl)-ethyl]-2- hydroxy-3-phenyl-propionamide;
(R)-N-[(S)-l-[(6-Amino-pyridin-3-ylmethyl)-carbamoyl]-2-(2,4,5-trifluoro-phenyl)- ethyl] -2 -hydroxy-3 -phenyl-propionamide;
(R)-N-[(S)-l-[(6-Amino-pyridin-3-ylmethyl)-carbamoyl]-2-(3-fluoro-phenyl)-ethyl]-2- hydroxy-3 -phenyl-propionamide;
(R)-N-[(S)-l-[(6-Amino-pyridin-3-ylmethyl)-carbamoyl]-2-(2-fluoro-phenyl)-ethyl]-2- hydroxy-3-phenyl-propionamide;
(R)-N-[(S)-l-[(6-Amino-pyridin-3-ylmethyl)-carbamoyl]-2-(3-chloro-phenyl)-ethyl]-2- hydroxy-3-phenyl-propionamide;
(R)-N-{(S)-l-[(6-Amino-pyridin-3-ylmethyl)-carbamoyl]-2-m-tolyl-ethyl}-2-hydroxy-3- phenyl-propionamide;
(R)-N- [(S)- 1 - [(6- Amino-pyridin-3 -ylmethyl)-carbamoyl]-2-(2-chloro-phenyl)-ethyl] -2- hydroxy-3 -phenyl-propionamide;
(R)-N- {(S)- 1 - [(6-Amino-pyridin-3 -ylmethy l)-carbamoyl]-2-p-tolyl-ethyl } -2-hydroxy-3 - phenyl-propionamide;
(R)-N-[(S)-l -[(6-Amino-pyridin-3-ylmethyl)-carbamoyl]-2-(4-chloro-phenyl)-ethyl]-2- hydroxy-3-phenyl-propionamide;
(R)-N-[(S)-l-[(6-Amino-pyridin-3-ylmethyl)-carbamoyl]-2-(3,5-difluoro-phenyl)-ethyl]- 2-hydroxy-3-phenyl-propionamide;
(R)-N-[(S)-1 -[(6-Amino-pyridin-3-ylmethyl)-carbamoyl]-2-(4-trifluoromethyl-phenyl)- ethyl] -2-hydroxy- 3 -phenyl-propionamide ;
(R)-N-{(S)-l-[(6-Amino-pyridin-3-ylmethyl)-carbamoyl]-2-benzo[b]thiophen-3-yl- ethyl } -2-hydroxy-3 -phenyl-propionamide;
(R)-N- { (S)- 1 - [(6- Amino-pyridin-3 -ylmethy l)-carbamoyl]-2-cyclohexyl-ethyl } -2- hydroxy-3-phenyl-propionamide;
(R)-N-[(S)-l-[(6-Amino-pyridin-3-ylmethyl)-carbamoyl]-2-(decahydro-naphthalen-l- yl)-ethyl]-2-hydroxy-3-phenyl-propionamide;
(R)-N-[(S)-l -[(6-Amino-pyridin-3-ylmethyl)-carbamoyl]-2-(3,4-difluoro-phenyl)-ethyl]-
2- hydroxy-4-phenyl-butyramide;
(R)-N-[(S)-l-[(6-Amino-pyridin-3-ylmethyl)-carbamoyl]-2-(4-fluoro-phenyl)-ethyl]-2- hydroxy-4-pheny 1-butyramide ;
(R)-N-(6-Amino-pyridin-3 -y lmethyl)-3 -(3 ,4-difluoro-phenyl)-2-((R)-2-hydroxy-2- phenyI-acetylamino)-propionamide;
(R)-N-(6-Amino-pyridin-3-ylmethyl)-3-(4-fluoro-phenyl)-2-((R)-2-hydroxy-2-phenyl- acetylamino)-propionamide;
(R)-N-[(S)-l-[(6-Amino-pyridin-3-ylmethyl)-carbamoyl]-2-(3,4-difluoro-phenyl)-ethyl]-
3- (4-chloro-phenyl)-2-hydroxy-propionamide;
(R)-N-[(S)-l-[(6-Amino-pyridin-3-ylmethyl)-carbanioyl]-2-(3,4-difluoro-phenyl)-ethyl]- 3-(3,4-difluoro-phenyl)-2-hydroxy-propionamide;
(R)-N-[(S)-l-[(6-Amino-pyridin-3-ylmethyl)-carbamoyl]-2-(3,4-difluoro-phenyl)-ethyl]-
2- hydroxy-3-(4-methoxy-phenyl)-propionamide;
(R)-N-[(S)-l-[(6-Amino-pyridin-3-ylmethyl)-carbamoyl]-2-(3,4-difluoro-phenyl)-ethyl]-
3- (2,4-dichloro-phenyl)-2-hydroxy-propionamide;
(R)-N-[(S)-l-[(6-Amino-pyridin-3-ylmethyl)-carbanioyl]-2-(3,4-difluoro-phenyl)-ethyl]- 2-hydroxy-3-(4-trifluoromethyl-phenyl)-propionamide;
(R)-N-[(S)-l-[(6-Amino-pyridin-3-ylmethyl)-carbamoyl]-2-(3,4-difluoro-phenyl)-ethyl]- 2-hydroxy-3-naphthalen- 1 -yl-propionamide;
(R)-N- [(S)- 1 - [(6- Amino-pyridin-3 -ylmethyl)-carbamoyl] -2-(3 ,4-difluoro-pheny l)-ethyl]-
2- hydroxy-3-thiophen-2-yl-propionamide;
(R)-N-[(S)-l-[(6-Amino-pyridin-3-ylmethyl)-carbarnoyl]-2-(3,4-dichloro-phenyl)-ethyl]-
3- (4-fluoro-phenyl)-2-hydroxy-propionamide;
(R)-N-[(S)-1 -[(6-Amino-pyridin-3-ylmethyl)-carbamoyl]-2-(3-methoxy-phenyl)-ethyl]- 3-(4-fluoro-phenyl)-2-hydroxy-propionamide;
(R)-N-{(S)-l-[(6-Amino-pyridin-3-ylrnethyl)-carbamoyl]-2-p-tolyl-ethyl}-3-(4-fluoro- phenyl)-2-hydroxy-propionamide;
(R)-N-[(S)-l-[(6-Amino-pyridin-3-ylmethyl)-carbamoyl]-2-(4-chloro-phenyl)-ethyl]-3- (4-fluoro-phenyl)-2-hydroxy-propionamide;
(R)-N-{(S)-l-[(6-Ajriino-pyridin-3-yl^
hydroxy-butyramide;
(R)-N-[(S)-l-[(6-Amino-pyridin-3-ylmethyl)-carbamoyl]-2-(4-fluoro-phenyl)-ethyl]-2- hydroxy-butyramide;
(R)-N-[(S)-l-[(6-Amino-pyridin-3-ylmethyl)-carbamoyl]-2-(3,4-difluoro-phenyl)-ethyl]- 2-hydroxy-butyramide;
3 -Amino-N- [(S)- 1 -[(6-amino-pyridin-3 -ylmethyl)-carbamoyl] -2-(3 ,4-difluoro-phenyl)- ethyl]-2-hydroxy-propionamide;
(R)-N- {(S)- 1 - [(6- Amino-pyridin-3 -ylmethyl)-carbamoyl]-2-naphthalen- 1 -yl -ethyl } -2- hydroxy-3-methyl-butyramide;
(R)-N-[(S)-l-[(6-Amino-pyridin-3-ylmethyl)-carbamoyl]-2-(4-fluoro-phenyl)-ethyl]-2- hydroxy-3 -methy 1-butyramide ;
(S)-N- [(S)- 1 - [(6- Amino-pyridin-3 -ylmethyl)-carbamoyl] -2-(4-fluoro-phenyl)-ethyl] -2- hydroxy-3 -methyl-butyramide;
(R)-N-[(S)-l-[(6-Amino-pyridin-3-ylmethyl)-carbamoyl]-2-(3,4-difluoro-phenyl)-ethyl]- 2-hydroxy-3-methyl-butyramide;
(S)-N-[(S)-l-[(6-Amino-pyridin-3-ylmethyl)-carbamoyl]-2-(3,4-difluoro-phenyl)-ethyl]- 2-hydroxy-3-methyl-butyramide;
(R)-N- [(S)- 1 - [(6- Amino-pyridin-3 -ylmethyl)-carbamoyl] -2-(3 ,4-dichloro-phenyl)-ethyl] - 2-hydroxy-3-methyl-butyramide;
(R)-2-Hydroxy-4-methyl-pentanoic acid [(S)- 1 -[(6-amino-pyridin-3-ylmethyl)- carbamoyl] -2-(4-fluoro-phenyl)-ethyl] -amide;
(S)-2-Hydroxy-4-methyl-pentanoic acid [(S)-l -[(6-amino-pyridin-3-ylmethyl)- carbamoyl]-2-(4-fluoro-phenyl)-ethyl] -amide;
(R)-2-Hydroxy-4-methyl-pentanoic acid [(S)-l-[(6-amino-pyridin-3-ylmethyl)- carbamoyl]-2-(3,4-difluoro-phenyl)-ethyl]-amide;
(S)-2-Hydroxy-4-methyl-pentanoic acid [(S)-l-[(6-amino-pyridin-3-ylmethyl)- carbamoyl]-2-(3,4-di£luoro-phenyl)-ethyl]-amide;
(R)-2-Hydroxy-4-methyl-pentanoic acid {(S)-l-[(6-amino-pyridin-3-ylmethyl)- carbamoyl] -2-cyclohexyl-ethyl } -amide;
(R)-2-Hydroxy-hexanoic acid [(S)- 1 -[(6-amino-pyridin-3-ylmethyl)-carbamoyl]-2-(4- fluoro-phenyl)-ethyl]-amide;
(S)-2-Hydroxy-hexanoic acid [(S)-l-[(6-amino-pyridin-3-ylmethyl)-carbamoyl]-2-(4- fluoro-phenyl)-ethyl]-amide;
(R)-2-Hydroxy-hexanoic acid [(S)- 1 -[(6-amino-pyridin-3-ylmethyl)-carbamoyl]-2-(3,4- difluoro-phenyl)-ethyl]-amide;
(S)-2-Hydroxy-hexanoic acid [(S)-l-[(6-amino-pyridin-3-ylmethyl)-carbamoyl]-2-(3,4- difluoro-phenyl)-ethyl] -amide ;
(R)-N-[(S)-l-[(6-Amino-pyridin-3-ylmethyl)-carbamoyl]-2-(4-fluoro-phenyl)-ethyl]-2- hydroxy-2-methyl-butyramide;
(S)-N-[(S)-l-[(6-Amino-pyridin-3-ylmethyl)-carbamoyl]-2-(4-fluoro-phenyl)-ethyl]-2- hydroxy-2-methyl-butyramide;
(R)-N-[(S)-l-[(6-Amino-pyridin-3-ylmethyl)-carbamoyl]-2-(3,4-difluoro-phenyl)-ethyl]- 2-hydroxy-2-methyl-butyramide;
(S)-N-[(S)-l-[(6-Aniino-pyridin-3-yln ethyl)-carbamoyl]-2-(3,4-difluoro-phenyl)-ethyl]- 2-hydroxy-2-methyl-butyramide;
N-[(S)-l-[(6-Amino-pyridin-3-ylmethyl)-carbamoyl]-2-(4-fluoro-phenyl)-ethyl]-2- hydroxy-2-methyl-propionamide;
N- [(S)- 1 - [(6- Amino-pyridin-3 -ylmethyl)-carbamoyl]-2-(3 ,4-difluoro-phenyl)-ethyl] -2- hydroxy-2-methyl-propionamide;
N- { (S)- 1 - [(6- Amino-pyridin-3 -ylmethyl)-carbamoyl] -2-cyclohexyl-ethyl } -2-hydroxy-2- methyl-propionamide;
(R)-N- [(S)- 1 - [(6- Amino-2-methyl-pyridin-3 -ylmethyl)-carbamoyl]-2-(3 ,4-difluoro- phenyI)-ethyl]-2-hydroxy-3-phenyl-propionamide;
(R)-N-[(S)-l-[(6-Amino-2-methyl-pyridin-3-ylmethyl)-carbamoyl]-2-(354-difluoro- phenyl)-ethyl]-3-(4-fluoro-phenyI)-2-hydroxy-propionamide;
(R)-N-[(S)-l-[(6-Amino-2-methyl-pyridin-3-ylmethyl)-carbamoyl]-2-(4-trifluoromethyl- phenyl)-ethyl]-3-(4-fluoro-phenyl)-2-hydroxy-propionamide;
(S)-N- { (R)- 1 - [(6- Amino-pyridin-3 -ylmethyl)-carbamoyl]-2,2-dicyclohexyl -ethyl } -2- hydroxy-3-phenyl-propionamide;
(R)-2-Hydroxy-4-methyl-pentanoic acid {(R)- 1 -[(6-amino-pyridin-3-ylmethyl)- carbamoyl]-2,2-dicyclohexyl-ethyl}-amide;
(S)-2-Hydroxy-4-methyl-pentanoic acid { (R)- 1 - [(6-amino-pyridin-3-ylmethyl)- carbamoyl]-2,2-dicyclohexyl-ethyl} -amide;
(S)-N-(6-Amino-pyridin-3-ylmethyl)-3-naphthalen-l-yl-2-(propane-l-sulfonylamino)- propionamide;
(S)-N-(6-Amino-pyridin-3-ylmethyl)-3-naphthalen-l-yl-2-(2-o-tolyl-acetylamino)- propionamide;
(S)-N-(6-Amino-pyridin-3-ylmethyl)-2-(3-butyl-3-methyl-ureido)-3-naphthalen-l-yl- propionamide;
(S)-N-(6-Amino-pyridin-3-ylmethyl)-3-(3,4-difluoro-phenyl)-2-(propane-l- sulfonylamino)-propionamide;
(S)-N-(6- Amino-pyridin-3 -ylmethyl)-3 -(4-fluoro-phenyl)-2-(propane- 1 -sulfonylamino)- propionamide;
(S)-N-(6- Amino-pyridin-3 -ylmethyl)-3 -(4-chloro-phenyl)-2-(propane- 1 -sulfonylamino)- propionamide;
(S)-N-(6-Amino-pyridin-3-ylmethyl -3 -(3 -chloro-phenyl)-2-(propane- 1 -sulfonylamino)- propionamide;
(S)-N-(6-Amino-pyridin-3-ylmethyl -3 -(3 ,4-dichloro-phenyl)-2-(propane- 1 - sulfonylamino)-propionamide;
(S)-N-(6- Amino-pyridin-3 -ylmethyl -2-(propane- 1 -sulfonylamino)-3-m-tolyl- propionamide;
(S)-N-(6-Amino-pyridin-3-ylmethyl -2-(propane- 1 -sulfonylamino)-3-(3-trifluoromethyl- phenyl)-propionamide;
(S)-N-(6-Amino-pyridin-3-ylmethyl -3 -naphthalen-2-yl-2-(propane- 1 -sulfonylamino)- propionamide;
(S)-N-(6-Amino-pyridin-3-ylmethyl -3 -( 1 H-indol-3 -yl)-2-(propane- 1 -sulfonylamino)- propionamide;
(S)-N-(6-Amino-pyridin-3-ylmethyl -3 -(decahydro-naphthalen- 1 -yl)-2-(propane- 1 - sulfonylamino)-propionamide;
(S)-N-(6-Amino-pyridin-3 -ylmethyl -3 -(decahydro-naphthalen- 1 -yl)-2- ethanesulfonylamino-propionamide;
(S)-N-(6-Amino-pyridin-3-ylmethyl -2-(butane- 1 -sulfonylamino)-3 -(decahydro- naphthalen- 1 -yl)-propionamide;
(S)-N-(6-Amino-pyridin-3-ylmethyl -2-cyclopentylmethanesulfonylamino-3-naphthalen- 1 -yl-propionamide;
(S)-N-(6-Amino-pyridin-3-ylmethyl -2-cyclohexylmethanesulfonylamino-3-naphthalen-
1 -yl-propionamide;
(S)-N-(6-Amino-pyridin-3-ylmethyl -3 -naphthalen- 1 -yl-2-(toluene-2-sulfonylamino)- propionamide;
(S)-N-(6-Amino-pyridin-3 -ylmethyl -3 -naphthalen- 1 -yl-2-(toluene-3-sulfonylamino)- propionamide;
(S)-N-(6-Amino-pyridin-3-ylmethyI -3 -naphthalen- 1 -yl-2-(toluene-4-sulfonylamino)- propionamide;
(S)-N-(6-Amino-pyridin-3-ylmethyl -3 -naphthalen- 1 -yl-2-(2,2,2-trifluoro- ethanesulfonylamino)-propionamide
(S)-N-(6-Amino-2-methyl-pyridin-3- ylmethyl)-3-naphthalen- 1 -yl-2-(propane- 1 - sulfonylamino)-propionamide ;
(S)-N-(6-Amino-2-methyl-pyridin-3-ylmethyl)-3-(decahydro-naphthalen-l-yl)-2- (propane- 1 -sulfonylamino)-propionamide;
N-[(S)-l-[(6-Amino-pyridin-3-ylniethyl)-carbamoyl]-2-(decahydro-naphthalen-l-yl)- ethy 1] -4-pheny 1-butyramide ;
3-Methyl-pentanoic acid [(S)-l-[(6-amino-pyridin-3-ylmethyl)-carbamoyl]-2- (decahydro-naphthalen- 1 -yl)-ethyl] -amide;
(S)-N-(6-Amino-pyridin-3-ylmethyl)-3 -(decahydro-naphthalen- 1 -yl)-2-propionylamino- propionamide;
N-[(S)-l-[(6-Amino-pyridin-3-ylmethyl)-carbamoyl]-2-(decahydro-naphthalen-l-yl)- ethyl]-3-methyl-butyramide;
(S)-N-(6- Amino-pyridin-3 -ylmethyl)-3 -(decahydro-naphthalen- 1 -yl)-2- [2-(2-methoxy- phenyl)-acetylamino]-propionamide;
Cyclopentanecarboxylic acid [(S)- l-[(6-amino-pyridin-3-ylmethyl)-carbamoyl]-2- (decahydro-naphthalen- 1 -yl)-ethyl]-amide;
2,4-Dimethyl-thiazole-5-carboxylic acid [(S)-l-[(6-amino-pyridin-3-ylmethyl)- carbamoyl]-2-(decahydro-naphthalen- 1 -yl)-ethyl] -amide;
N- [(S)- 1 -[(6-Amino-pyridin-3 -ylmethyl)-carbamoyl] -2-(decahydro-naphthalen- 1 -yl)- ethyl]-2-methoxy-nicotinamide;
(S)-N-(6-Amino-pyridin-3-ylmethyl)-3-naphthalen-l-yl-2-propionylamino- propionamide;
N-{(S)-l-[(6-Amino-pyridin-3-ylmethyl)-carbamoyl]-2-naphthalen-l-yl-ethyl}- butyramide;
(S)-N-(6- Amino-pyridin-3 -ylmethyl)-3-naphthalen-l-yl-2-(3-phenyl-propionylamino)- propionamide;
(S)-N-(6-Amino-pyridin-3-ylmethyl)-2-[2-(2-hydroxy-phenyl)-acetylamino]-3- naphthalen- 1 -yl-propionamide;
(R)-N- { (S)- 1 -[(6-Amino-pyridin-3 -ylmethyl)-carbamoy 1] -2-naphthalen- 1 -yl-ethyl } -2- phenyl-propionamide;
(S)-N- {(S)- 1 -[(6-Amino-pyridin-3 -ylmethyl)-carbamoyl]-2-naphthalen- 1 -yl-ethyl} -2- phenyl-propionamide;
(S)-N-(6- Amino-pyridin-3 -ylmethyl)-2-(3 -benzyl-ureido)-3 -naphthalen- 1 -yl- propionamide;
(E)-N- { (S)- 1 - [(6- Amino-pyridin-3 -ylmethyl)-carbamoyl] -2-naphthalen- 1 -yl-ethyl } -3 -o- tolyl-acrylamide;
(S)-N-(6-Amino-pyridin-3-ylmethyl)-3-naphthalen-l-yl-2-(2-o-tolyloxy-acetylamino)- propionamide;
(Z)-N- { (S)- 1 - [(6- Amino-pyridin-3 -ylmethyl)-carbamoy 1] -2-naphthalen- 1 -yl-ethyl } -2- fluoro-3-phenyl-acrylamide;
N- { (S)- 1 - [(6- Amino-pyridin-3-ylmethyl)-carbamoyl]-2-naphthalen- 1 -yl-ethyl } -2- methyl-benzamide ;
N- { (S)- 1 -[(6- Amino-pyridin-3 -ylmethyl)-carbamoyl]-2-naphthalen- 1 -yl-ethyl } -3 - methyl-benzamide;
N- { (S)- 1 -[(6- Amino-pyridin-3 -ylmethyl)-carbamoyl] -2-naphthalen- 1 -yl-ethyl } -4- methyl-benzamide;
(S)-N-(6-Amino-pyridin-3-ylmethyl)-3-naphthalen-l-yl-2-(2-m-tolyl-acetylamino)- propionamide;
(S)-N-(6-Amino-pyridin-3-ylmethyl)-2-[2-(2-chloro-phenyl)-acetylamino]-3-naphthalen- 1 -yl-propionamide;
(S)-N-(6-Amino-pyridin-3-ylmethyl)-3-naphthalen-l-yl-2-[2-(2-trifluoromethyl-phenyl)- acetylamino] -propionamide ;
(S)-N-(6-Amino-pyridin-3-ylmethyl)-2-[2-(2-methoxy-phenyl)-acetylamino]-3- naphthalen-1 -yl-propionamide;
(S)-N-(6-Amino-pyridin-3-ylmethyl)-2-[2-(2-fluoro-phenyl)-acetylamino]-3-naphthalen- 1 -yl-propionamide;
(S)-N-(6-Amino-pyridin-3-ylmethyl)-2-[2-(2-chloro-6-fluoro-phenyl)-acetylamino]-3- naphthalen-1 -yl-propionamide;
N-{(S)-1 -[(6-Amino-pyridin-3-ylmethyl)-carbamoyl]-2-naphthalen- 1 -yl-ethyl } -3- methyl-butyramide;
Benzofuran-2-carboxylic acid { (S)- 1 - [(6-amino-pyridin-3 -ylmethyl)-carbamoyl]-2- naphthalen-1 -yl-ethyl} -amide;
Benzo[b]thiophene-2-carboxylic acid {(S)-l -[(6-amino-pyridin-3-ylmethyl)-carbamoyl]- 2-naphthalen- 1 -yl-ethyl } -amide;
3 -Methyl-benzofuran-2-carboxylic acid { (S)- 1 - [(6-amino-pyridin-3 -ylmethyl)- carbamoyl] -2-naphthalen- 1 -yl-ethyl } -amide;
Quinoxaline-6-carboxylic acid { (S)- 1 - [(6-amino-pyridin-3 -ylmethyl)-carbamoyl] -2- naphthal en- 1 -yl-ethyl } -amide;
1 H-Benzotriazole-5 -carboxylic acid { (S)- 1 - [(6-amino-pyridin-3 -ylmethyl)-carbamoyl] -
2- naphthalen- 1 -yl-ethyl} -amide;
(S)-N-(6-Amino-pyridin-3-ylmethyl)-2-(3-phenyl-propionylamino)-3-(3-trifluoromethyl- phenyl)-propionamide;
(S)-N-(6-Amino-pyridin-3-ylmethyl)-3-(3,4-difluoro-phenyl)-2-[2-(2-hydroxy-phenyl)- acetylamino] -propionamide;
(S)-N-(6-Amino-pyridin-3-ylmethyl)-3-(3,4-difluoro-phenyl)-2-[2-(3-hydroxy-phenyl)- acetylamino]-propionamide;
(E)-N-[(S)-l-[(6-Amino-pyridin-3-ylmethyl)-carbamoyl]-2-(3,4-difluoro-phenyl)-ethyl]- 3 -(4-hydroxy-phenyl)-acrylamide;
(E)-N-[(S)- 1 -[(6- Amino-pyridin-3 -ylmethyl)-carbamoyl] -2-(3 ,4-difluoro-phenyl)-ethyl] -
3- (3-hydroxy-phenyl)-acrylamide;
(E)-N-[(S)- 1 -[(6-Amino-pyridin-3-ylmethyl)-carbamoyl]-2-(3,4-difluoro-phenyl)-ethyl]- 3 -(2-hydroxy-phenyl)-acrylamide;
N-[(S)-l-[(6-Amino-pyridin-3-ylmethyl)-carbamoyl]-2-(3,4-difluoro-phenyl)-ethyl]-3- (2-hydroxy-phenyl)-propionamide;
N-[(S)-l-[(6-Amino-pyridin-3-ylmethyl)-carbamoyl]-2-(3,4-difluoro-phenyl)-ethyl]-3- (3-hydroxy-phenyl)-propionamide;
(S)-N-(6-Amino-pyridin-3 -ylmethyl)-3 -(3 ,4-difluoro-phenyl)-2-[3 -(4-hydroxy-phenyl)- propiony lamino] -propionamide ;
Benzo[b]thiophene-2-carboxylic acid [(S)- 1 -[(6-amino-pyridin-3-ylmethyl)-carbamoyl]- 2-(4-fluoro-phenyl)-ethyl]-amide;
Benzo[c]isoxazole-3-carboxylic acid [(S)-l-[(6-amino-pyridin-3-ylmethyl)-carbamoyl]-
2 -(4-fluoro-phenyl)-ethyl] -amide;
3,5-Dimethyl-isoxazole-4-carboxylic acid [(S)- 1 -[(6-amino-pyridin-3-ylmethyl)- carbamoyl]-2-(4-fluoro-phenyl)-ethyl]-amide;
Isoxazole-5-carboxylic acid [(S)- 1 -[(6-amino-pyridin-3-ylmethyl)-carbamoyl]-2-(4- fluoro-phenyl)-ethyl]-amide;
3,5-Dimethyl- lH-pyrazole-4-carboxylic acid [(S)- 1 -[(6-amino-pyridin-3-ylmethyl)- carbamoyl]-2-(4-fluoro-phenyl)-ethyl]-amide;
2,4-Dimethyl-thiazole-5-carboxylic acid [(S)-l -[(6-amino-pyridin-3-ylmethyl)- carbamoyl]-2-(4-fluoro-phenyl)-ethyl]-amide;
N-[(S)-l-[(6-Amino-pyridin-3-ylmethyl)-carbamoyl]-2-(4-fluoro-phenyl)-ethyl]- nicotinamide;
N-[(S)-l-[(6-Amino-pyridin-3-ylmethyl)-carbamoyl]-2-(4-fluoro-phenyl)-ethyl]-3-(lH- imidazol-2-yl)-propionamide;
(S)-N-(6-Amino-pyridin-3-ylmethyl)-2-(2-o-tolyl-acetylamino)-3-(3-trifluoromethyl- phenyl)-propionamide;
(S)-N-(6-Amino-pyridin-3-ylmethyl)-3-(decahydro-naphthalen-l-yl)-2-(3-isopropyl- ureido)-propionamide;
(S)-N-(6-Amino-pyridin-3-ylmethyl)-2-(3-cyclohexyl-3-isopropyl-ureido)-3-naphthalen- 1 -yl-propionamide;
(S)-N-(6-Amino-pyridin-3-ylniethyl)-2-(3,3-dibutyl-ureido)-3-naphthalen-l-yl- propionamide;
(S)-N-(6- Amino-pyridin-3 -ylmethyl)-3 -naphthalen- 1 -yl-2-(3 -phenyl-ureido)- propionamide;
(S)-N-(6-Amino-pyridin-3-ylmethyl)-2-(3-isobutyl-3-methyl-ureido)-3-naphthalen-l -yl- propionamide;
Pyrrolidine- 1 -carboxylic acid {(S)-l -[(6-amino-pyridin-3-ylmethyl)-carbamoyl]-2- naphthalen- 1 -yl-ethyl } -amide; and tautomers, stereoisomers, pharmaceutically acceptable salts and solvates thereof.
In another aspect, the present invention provides a compound of formula (I) selected from:
(R)-N-[(S)-l-[(6-Amino-pyridin-3-ylmethyl)-carbamoyl]-2-(3,4-difluoro-phenyl)-ethyl]- 2-hydroxy-3 -phenyl-propionamide;
(R)-N- [(S)- 1 - [(6- Amino-pyridin-3 -yImethyl)-carbamoyl] -2-(3 ,4-difluoro-phenyl)-ethyl]- 3-(4-fluoro-phenyl)-2-hydroxy-propionamide;
(R)-N-{(S)-l-[(6-Amino-pyridin-3-ylmethyl)-carbamoyl]-2-naphthalen-l-yl-ethyl}-2- hydroxy-3 -phenyl-propionamide;
(R)-N-[(S)-l-[(6-Amino-pyridin-3-ylmemyl)-carbamoyl]-2-(3,4-dichloro-phenyl)-ethyl]-
2- hydroxy-3-phenyl-propionamide;
(R)-N-[(S)-l-[(6-Amino-pyridin-3-ylmethyl)-carbamoyl]-2-(3-chloro-phenyl)-ethyl]-2- hydroxy-3-phenyl-propionamide;
(R)-N-{(S)-l-[(6-Arnino-pyridin-3-ylmethyl)-carbamoyl]-2-m-tolyl-ethyl}-2-hydroxy-3- phenyl-propionamide;
(R)-N-[(S)-l-[(6-Amino-pyridin-3-ylmethyl)-carbamoyl]-2-(4-chloro-phenyl)-ethyl]-2- hydroxy-3-phenyl-propionamide;
(R)-N-{(S)-l-[(6-Amino-pyridin-3-ylmethyl)-carbamoyl]-2-benzo[b]thiophen-3-yl- ethyl }-2-hydroxy-3 -phenyl-propionamide;
(R)-N-[(S)-l-[(6-Amino-pyridin-3-ylmethyl)-carbamoyl]-2-(decahydro-naphthalen-l- yl)-ethyl]-2-hydroxy-3-phenyl-propionamide;
(R)-N- [(S)- 1 - [(6- Amino-pyridin-3 -ylmethyl)-carbamoyl]-2-(3 ,4-dichloro-phenyl)-ethyl] -
3- (4-fluoro-phenyl)-2-hydroxy-propionamide;
(R)-N-[(S)-l-[(6-Amino-pyridin-3-ylmethyl)-carbamoyl]-2-(4-chloro-phenyl)-ethyl]-3- (4-fluoro-phenyl)-2-hydroxy-propionamide;
(R)-N-{(S)-l-[(6-Amino-pyridin-3-ylmethyl)-carbamoyl]-2-naphthalen-l-yl-ethyl}-2- hydroxy-3 -methyl -butyramide;
(R)-N-[(S)-l-[(6-Amino-pyridin-3-ylmethyI)-carbamoyl]-2-(3,4-dichloro-phenyl)-ethyI]- 2-hydroxy-3-methyl-butyramide;
(S)-N-(6-Amino-pyridin-3-ylmethyl)-3-naphthalen- 1 -yl-2-(propane- 1 -sulfonylamino)- propionamide;
(S)-N-(6-Amino-pyridin-3-ylmethyl)-3-naphthalen-l-yl-2-(2-o-tolyl-acetylamino)- propionamide;
(S)-N-(6- Amino-pyridin-3 -ylmethyl)-2-(3-butyl-3-methyl-ureido)-3-naphthalen-l-yl- propionamide; and tautomers, stereoisomers, pharmaceutically acceptable salts and solvates thereof. The skilled person will appreciate that each of the compounds identified above, or identified in the Examples provided herein below, taken alone or with any combination of the other identified compounds represents an independent aspect of the invention.
Therapeutic Applications
As previously mentioned, the compounds of the present invention have a number of therapeutic applications, particularly in the treatment of inflammatory diseases such as asthma and COPD, by virtue of their ability to inhibit KLK1.
In particular, the compounds of the present invention may be used for the treatment of respiratory disorders involving airways inflammation e.g. asthma (allergic and non- allergic) including exacerbations resulting from asthma and chronic obstructive pulmonary disease (COPD). Such compounds may also be used to treat other forms of allergic inflammation including allergic rhinitis (hayfever), rhino-conjunctivitis, rhinorrhoea, urticaria, excess lung mucus production, ascites build-up, chronic bronchitis, chronic respiratory obstruction, pulmonary fibrosis and pulmonary emphysema.
Other inflammatory disorders that may be treated with the compounds of the present invention include, multiple sclerosis, arthritis, rheumatoid arthritis, osteopathic arthritis, osteoarthritis, rhinitis, sinusitis, inflammatory bowel disease (such as Crohn's disease and ulcerative colitis), immune mediated diabetes, acute pancreatitis and interstitial cystitis, thermal injury, crush injury, conjunctivitis, periodontal disease, chronic prostate inflammation, chronic recurrent parotitis, inflammatory skin disorders (e.g. psoriasis, eczema), hepatic cirrhosis, spinal cord trauma and SIRS (systemic inflammatory response syndrome); smooth muscle spasm (e.g. asthma, angina), RDS (respiratory distress syndrome); hypotension (e.g. shock due to haemorrhage, septicaemia or anaphylaxis, carcinoid syndrome, dumping syndrome); oedema (e.g. burns, brain trauma, angioneurotic oedema whether or not as a result or treatment with inhibitors of angiotensin converting enzyme); pain and irritation (e.g. burns, wounds, cuts, rashes, stings, insect bites), migraine; male contraceptive agents by virtue of inhibition of prostate kallikrein; prevention of excessive blood loss during surgical procedures.
The compounds of the present invention may also be used to treat disorders that can be a response to the release of an inflammatory mediator (e.g. cough).
The compounds of the present invention may also be used to treat disorders involving regulation of growth factors (e.g. vascular endothelial growth factor (VEGF)) which may involve increased vascular permeability (e.g. diabetic retinopathy and septic shock). The compounds of the present invention may be used to treat a neoplastic disorder (e.g. metastatic pancreatic adenocarcinomas, tumour angiogenesis) in particular they may be used to reduce angiogenesis associated with neoplasms e.g. cancer and tumour growth and to modulate angiogenesis and other processes associated with neoplasia and tumour growth and in particular may be used to block tumour angiogenesis and/or cancer cell invasion and metastasis.
Asthma
Asthma is a chronic lung condition that may be classified as allergic (intrinsic) or non- allergic (extrinsic). Patients with asthma experience difficulty breathing as a result of narrowing or obstruction of the airway, making it more difficult to move air in and out. This narrowing can result from airway inflammation and bronchoconstriction, Symptoms of asthma include, for example, wheezing, shortness of breath, bronchoconstriction, airway hyperreactivity, decreased lung capacity, fibrosis, airway inflammation and mucus production. A further symptom of asthma is exacerbations resulting from the original asthma attack which account for a significant morbidity from the disease. A KLK1 inhibitor can be used to ameliorate or prevent at least one symptom of asthma. A KLK1 inhibitor can also be administered in conjunction with another agent for treating asthma e.g. inhaled steroids, an oral steroid, a long acting beta- agonist, a leukotnene modifier, cromolyn sodium and nedocromil, theophylline and an anti-IgE antibody (see below).
Allergic Rhinitis
Allergic rhinitis or "hay fever" involves an allergic reaction to pollen from grasses, trees, and weeds. When pollen is inhaled by an individual suffering from allergic rhinitis, antibody production and histamine release is triggered. Symptoms of allergic rhinitis include but are not limited to coughing, headache, itching of the eyes, mouth, throat, or nose, sneezing, nasal congestion, wheezing, sore throat, and watery eyes. The symptoms
associated with hay fever vary significantly from person to person, and allergic rhinitis may be associated with other conditions such as asthma.
Chronic obstructive pulmonary disease (COPD)
Chronic obstructive pulmonary disease (COPD) is a disease involving inflammation of the airways. Emphysema, along with chronic bronchitis, is part of COPD. It is a serious lung disease and is progressive, usually occurring in elderly patients. COPD causes over- inflation of structures in the lungs known as alveoli or air sacs. The walls of the alveoli break down resulting in a decrease in the respiratory ability of the lungs. Patients with this disease may first experience shortness of breath and cough. The KLKl inhibitor can be used to ameliorate at least one symptom of COPD. A KLKl inhibitor can also be administered in conjunction with another agent for treating COPD e.g. inhaled steroids, an oral steroid, a long acting beta-agonist, a leukotriene modifier, cromolyn sodium and nedocromil, theophylline and an anti-IgE antibody (see below).
Cough
Cough can be caused by inflammation of the upper respiratory tract (throat and windpipe) due to a viral infection. Viral infections include; the common cold, flu, laryngitis, and bronchitis. These viral infections can also spread to the lower respiratory tract (bronchi) to cause a cough. A cough is a symptom of many illnesses and conditions including: asthma, bronchitis, influenza and whooping cough (pertussis) and may also result as a side effect from use of certain drugs such as ACE inhibitors. Individuals who smoke often have a smoker's cough, a loud, hacking cough which often results in the expiration of phlegm. The KLKl inhibitor can be used to ameliorate or prevent at least one symptom of cough.
Exacerbations Resulting from Asthma and Chronic Obstructive Pulmonary Disease (COPD)
Subjects suffering from asthma and COPD are at risk of an exacerbation when their lungs and airways begin to overreact to certain things that trigger these attacks. During an exacerbation the lining of the airways will suddenly become swollen and inflamed. The muscles of these airways will tighten up and the production of mucus will increase.
This combination makes the openings much narrower and can almost close them altogether, making breathing hard. Exacerbations account for a significant morbidity and contribute a disproportionate amount to the cost of asthma management, symptoms frequently persist for at least a month following the exacerbation. Current treatment strategies for acute exacerbations of asthma rely heavily on bronchodilators and inhaled or systemic corticosteroids. A KLKl inhibitor can be used to ameliorate or prevent at least one symptom of the exacerbations. A KLKl inhibitor can also be administered in conjunction with another agent for treating exacerbations resulting from asthma and COPD e.g. inhaled steroids, an oral steroid, a long acting beta-agonist, a leukotriene modifier, cromolyn sodium and nedocromil, theophylline and an anti-IgE antibody (see below).
Pancreatitis
Pancreatitis is an inflammation of the pancreas. There are two types:
Acute pancreatitis - the inflammation comes on quickly over a few hours, and will usually go away leaving no permanent damage, although it can be fatal if complications occur (5% of cases).
Chronic pancreatitis - this condition often starts with bouts of acute pancreatitis, and eventually becomes a permanent condition. The pancreas becomes constantly inflamed. The KLKl inhibitor can be used to ameliorate or prevent at least one symptom of pancreatitis.
Rheumatoid Arthritis (RA)
This order is characterised by inflammation in the lining of the joints and/or other internal organs. It is typically chronic, but can include flare-ups. Symptoms include, inflammation of joints, swelling, difficulty moving, pain and fever. A KLKl inhibitor may be used to ameliorate or prevent at least one symptom of rheumatoid arthritis.
A KLKl inhibitor can be administered with another agent for treating rheumatoid arthritis, such as NSAIDs and aspirin, analgesics and corticosteroids which help reduce joint pain, stiffness and swelling.
Osteoarthritis
Osteoarthritis is a degenerative joint disease. It is characterised by the breakdown of cartilage in the joint, thus causing bones to rub against each other, causing pain and loss of movement. A KLK1 inhibitor can be used to ameliorate or prevent at least one symptom of osteoarthritis. A KLK1 inhibitor can be administered with another agent for treating rheumatoid arthritis, such as a corticosteroid or an NSAID.
Angiogenesis- Associated and Neoplastic Disorders
In one embodiment, a KLK1 inhibitor may be administered to a subject to modulate angiogenesis or other processes associated with neoplasia and tumour growth.
For example a KLK1 inhibitor may be used to reduce angiogenesis (e.g. uncontrolled or unwanted angiogenesis) such as angiogenesis associated with vascular malformations and cardiovascular disorders (e.g. atherosclerosis, restenosis and arteriovenous malformations), chronic inflammatory diseases (e.g. diabetes mellitus, inflammatory bowel disease, psoriasis and rheumatoid arthritis), dermatological disorders (e.g. arterial ulcers, systemic vasculitis and scleroderma) or ocular disorders (e.g. blindness caused by neovascular disease, neovascular glaucoma, corneal neovascularization, trachoma, diabetic retinopathy and myopic degeneration).
In particular, a KL 1 inhibitor can be used to reduce angiogenesis associated with neoplasia, e.g., cancer and tumour growth, e.g., growth of a benign, malignant, or metastatic tumour.
Examples of cancerous disorders include, but are not limited to, solid tumours, soft tissue tumours and metastatic lesions. Examples include sarcomas, adenocarcinomas and carcinomas of various organ systems such as those affecting lung, breast, lymphoid, gastrointestinal (e.g. colon) and genitourinary tract (e.g. renal urothelial cells), pharynx, prostate, ovary as well as adenocarcinomas which include malignancies such as most colon cancers, rectal cancer, renal-cell carcinoma, liver cancer, non-small cell carcinoma of the lung, pharynx, cancer of the small intestine, cancer of the esophagus and others. Exemplary solid tumours that can be treated include: fibrosarcoma, myxosarcoma, liposarcoma, chrondrosarcoma, osteogenic sarcoma, chordoma, lymphanangioendotheliosarcoma, synovioma, mesothelioma, Ewing's tumour, leiomyosaarcoma, rhabdomyosarcoma, colon carcinoma, pancreatic cancer, breast cancer, ovarian cancer, prostate cancer, squamous cell carcinoma, basal cell carcinoma,
adenocarcinoma, sweat gland carcinoma, sebaceous gland carcinoma, papillary carcinoma, papillary adenocarcinomas, cystadenocarcinoma, medullary carcinoma, bronchogenic carcinoma, renal cell carcinoma, heptoma, bile duct carcinoma, choriocarcinoma, seminoma, embryonal carcinoma, cervical cancer, testicular tumour, lung carcinoma, small cell lung carcinoma, non-small cell lung carcinoma, bladder carcinoma, epithelial carcinoma, glioma, astrocytoma, medulloblastoma, craniopharyngioma, ependymoma, pinealoma, hemagioblastoma, acoustic neuroma, oligodendroglioma, meningioma, melanoma, neuroblastoma and retinoblastoma.
The KLK1 inhibitor can also be used to treat a carcinoma, e.g. a malignancy of epithelial or endocrine tissues including respiratory system carcinomas, gastrointestinal system carcinomas, genitourinary system carcinomas and melanoma. Exemplary carcinoma include adenocarcinoma, carcinomas of tissue of the cervix, lung, prostate, breast, head and neck, colon and ovary.
The KL I inhibitor can also be used to treat sarcomas, e.g. malignant tumours of mesenchchymal derivation.
The KLKI inhibitor can be administered in combination with another agent for treating neoplastic and/or metastatic disorders. Examples of such other agents include:
(i) other antiangiogenic agents (e.g. linomide, angiostatin, razoxane);
(ii) cytostatic agents such as antiestrogens(e.g. tamoxifan, toremifene, raloxifene), progestogens(e.g. megestrol acetate), aromatase inhibitors (e.g. anastrozole, letrozole), antiprogestogens, antiandrogens(e.g. flutamide, nilutamide, bicalutamide), anti-invasion agents (e.g. metalloproteinase inhibitors such as marimastat and inhibitors of urokinase plasminogen activator receptor function).
(iii) antiproliferative/antineoplastic drugs and combinations thereof, as used in medical oncology, such as antimetabolites (e.g. fluoropyrimidines like 5-fluorouracil, purine and adenosine analogues, cytosine arabinoside); Intercalating antitumour antibiotics (e.g. anthracyclines like doxorubicin, daunomycin, epirubicin); platinum derivatives(e.g. cisplatin, carboplatin)alkylating agents (e.g. chlorambucil, cyclophosphamide); antmitotic agents(e.g. vinca alkaloids lsuch as vincristine and taxoids like TAXOL® (paclitaxel), TAXOTERE® (docetaxel, topoisomerase inhibitors (e.g. epipodophyllotoxins such as etoposide and teniposide) and proteasome inhibitors such as VELCADE® (bortezomib).
Accordingly, the present invention provides a compound of formula (I) for use in therapy.
The present invention also provides for the use of a compound of formula (I) in the manufacture of a medicament for the treatment or prevention of a disease or condition in which KLKl activity is implicated. Diseases or conditions in which KLKl activity is implicated include inflammation, respiratory disorders, disorders involving regulation of growth factors and neoplastic disorders. Specific examples of such diseases and conditions include those listed above.
The present invention also provides a compound of formula (I) for use in the treatment or prevention of a disease or condition in which KLKl activity is implicated. Diseases or conditions in which KLKl activity is implicated include inflammation, respiratory disorders, disorders involving regulation of growth factors and neoplastic disorders. Specific examples of such diseases and conditions include those listed above.
The present invention also provides a method of treatment of a disease or condition in which KLKl activity is implicated comprising administration to a subject in need thereof a therapeutically effective amount of a compound of formula (I). Diseases or conditions in which KLKl activity is implicated include inflammation, respiratory disorders, disorders involving regulation of growth factors and neoplastic disorders. Specific examples of such diseases and conditions include those listed above.
In one aspect, the disease or condition in which KLKl activity is implicated is selected from an inflammatory or respiratory disorder or condition selected from asthma (allergic and non-allergic), chronic obstructive pulmonary disease (COPD), allergic rhinitis (hayfever), cough, exacerbations resulting from asthma and chronic obstructive pulmonary disease (COPD), multiple sclerosis, arthritis, rheumatoid arthritis, osteopathic arthritis, osteoarthritis, rhinitis, sinusitis, inflammatory bowel disease (such as Crohn's disease and ulcerative colitis), immune mediated diabetes, acute pancreatitis and interstitial cystitis, conjunctivitis, periodontal disease, chronic prostate inflammation, chronic recurrent parotitis, inflammatory skin disorders (e.g. psoriasis, eczema), and SIRS (systemic inflammatory response syndrome); smooth muscle spasm (e.g. asthma,
angina), RDS (respiratory distress syndrome) , rhino-conjunctivitis, rhinorrhoea, urticaria, a neoplastic disorder, chronic bronchitis, chronic respiratory obstruction, pulmonary fibrosis and pulmonary emphysema. In another aspect, the disease or condition in which KLK1 activity is implicated is a respiratory disorder selected from asthma (allergic and non-allergic), chronic obstructive pulmonary disease (COPD), allergic rhinitis (hayfever), cough, exacerbations resulting from asthma and chronic obstructive pulmonary disease (COPD), In yet another aspect, the disease or condition in which KLK1 activity is implicated is selected from asthma (allergic and non-allergic) and exacerbations resulting from asthma and chronic obstructive pulmonary disease (COPD).
In a further aspect, the disease or condition in which KLK1 activity is implicated is a respiratory disorder selected from asthma (allergic and non-allergic) and cough.
In a yet further aspect, the disease or condition in which KLK1 activity is implicated is exacerbations resulting from asthma and chronic obstructive pulmonary disease (COPD). Combination Therapy
Current treatments for respiratory diseases can yield important benefits, however, the efficacy of some of these agents is often far from satisfactory, in particular in the treatment of COPD and exacerbations related to airways disease. Moreover, in view of the complexity of respiratory diseases such as asthma and COPD it is possible that any one mediator may not satisfactorily treat the disease alone and a combination of therapeutic agents may prove advantageous. In particular whilst the use of steroids may lead to therapeutic effects, it is desirable to be able to use steroids in low doses to minimise the occurrence and severity of undesirable side effects that may be associated with regular administration, and combination with another agent such as a KLK1 inhibitor may enable the dose of the steroid to be significantly reduced and therefore minimise potential side effects.
Other compounds may be combined with compounds of this invention for the prevention and treatment of inflammatory diseases of the lung. Thus the present invention is also concerned with pharmaceutical compositions for preventing and treating respiratory-tract disorders such as asthma (allergic and non-allergic) including exacerbations resulting from asthma, allergic rhinitis and chronic obstructive pulmonary disease (COPD) comprising a therapeutically effective amount of a compound of the invention and one or more other therapeutic agents. Such compositions may also be used to treat other forms of allergic inflammation including allergic rhinitis (hayfever), rhino-conjunctivitis, rhinorrhoea, urticaria, excess lung mucus production, ascites build-up, chronic bronchitis, chronic respiratory obstruction, pulmonary fibrosis and pulmonary emphysema.
Accordingly, the invention includes a combination of a compound of the present invention, as hereinbefore described, with one or more anti-inflammatory, bronchodilator, antihistamine, decongestant or anti-tussive agents, said compounds of the present invention and said combination agents existing in the same or different pharmaceutical compositions, administered separately, sequentially or simultaneously. Combinations may comprise two or three different pharmaceutical compositions. Suitable therapeutic agents that could be used in combination with the compounds of the present invention include:
(i) Steroidal glucocorticoid agonists. Examples of a steroidal glucocorticoid agonist that may be used in this embodiment include budesonide, fluticasone (e.g. as propionate ester), mometasone (e.g. as furoate ester), beclomethasone (e.g. as 17-propionate or 17,21-dipropionate esters), ciclesonide, loteprednol, (e.g. etabonate), etipednol (as e.g. dicloacetate), triamcinolone (e.g. as acetonide), flunisolide, zoticaasone, fiumoxonide, roofleponide, butixocort, (e.g. as propionate ester), prednisolone, prednisone, tipredane, steroid esters e.g. 6a, 9a-difluoro-17a-[2-furanylcarbonyl)oxy]-l iP-hydroxy-16a-methyl- 3-oxo-androsta-l,4-diene-17 -carbothioic acid S-fiuoromethyl ester, 6a, 9a- difluoro-1 1 β-hydroxy-l 6a-methyl-3-oxo-l 7a-propionyloxy-androsta-l ,4- diene-17 -carbothioic acid S-(2-oxo-tetrahydro-furan-3S-yl) ester and 6a, 9a-difluoro- 1 1 β-hydroxy- 16a-methyl- 17a -[(4-methyl- 1 ,3-thiazole-5- carbonyl)oxy]-3-oxo- 3^Γθ8ΐ3-1,4^ΐεη6-17β-ΰ3τοοίηΐοϊο acid S-
fluoromethyl ester, steroid esters according to DE 4129535, steroids according to WO 2002/00679, WO 2005/041980 or steroids GSK 870086, GSK 685698 and GSK 799943.
A non-steroidal glucocorticoid receptor agonist;
A p2-adrenoreceptor agonist, for example albuterol (salbutamol), salmeterol, metaproterenol, terbutaline, fenoterol, procaterol, carmoterol, indacaterol, formoterol, arformoterol, picumeterol, GSK-159797, GSK-597901, GSK- 159802, GSK-64244, GSK-678007, TA-2005 and also compounds of EP1440966, JP05025045, WO93/18007, WO99/64035, US2002/0055651, US2005/0133417, US2005/5159448, WO00/075114, WO01/42193, WO01/83462, WO02/66422, WO02/70490, WO02/76933, WO03/24439, WO03/42160, WO03/42164, WO03/72539, WO03/91204, WO03/99764, WO04/16578, WO04/016601 , WO04/22547, WO04/32921, WO04/33412, WO04/37768, WO04/37773, WO04/37807, WO0439762, WO04/39766, WO04/45618, WO04/46083, WO04/71388, WO04/80964, EP1460064, WO04/087142, WO04/89892, EP01477167, US2004/0242622,
US2004/0229904, WO04/108675, WO04/108676, WO05/033121, WO05/040103, WO05/044787, WO04/071388, WO05/058299,
WO05/058867, WO05/065650, WO05/066140, WO05/070908, WO05/092840, WO05/092841 WO05/092860, WO05/092887, WO05/092861, WO05/090288, WO05/092087, WO05/080324, WO05/080313, US20050182091 , US20050171147, WO05/092870, WO05/077361 , DE10258695, WO05/11 1002, WO05/1 1 1005, WO05/110990, US2005/0272769, WO05/110359, WO05/121065, US2006/0019991, WO06/016245, WO06/014704, WO06/031556,
WO06/032627, US2006/0106075, US2006/0106213, WO06/051373, WO06/056471;
(iv) A leukotriene modulator, for example montelukast, zafirlukast or pranlukast; protease inhibitors, such as inhibitors of matrix metalloprotease for example MMP12 and TACE inhibitors such as marimastat, DPC-333, GW-3333;
(v) Human neutrophil elastase inhibitors, such as sivelestat and those described in WO04/043942, WO05/021509, WO05/021512, WO05/026123, WO05/026124, WO04/024700, WO04/024701, WO04/020410,
WO04/020412, WO05/080372, WO05/082863, WO05/082864, WO03/053930;
(vi) Phosphodiesterase-4 (PDE4) inhibitors, for example roflumilast, arofylline, cimomilast, Ibudilast, Lirimilast, Mesopram, ONO-6126 or lC-485; (vii) Phosphodiesterase-7 inhibitors;
(viii) Kinase inhibitors, particularly P38 MAPKinase inhibitors;
(ix) Muscarinic receptor antagonists;
(x) Modulators of chemokine receptor function, for example antagonists of CCR1, CCR2, CCR3, CXCR2, CXCR3, CX3CR1 and CCR8, such as SB- 332235, SB-656933, SB- 265610, SB-225002, MC P- 1 (9-76), RS-504393,
MLN-1202, INCB-3284; and
(xi) CRTH2 receptor agonists
Definitions
The term "alkyl" includes saturated hydrocarbon residues including:
- linear groups up to 10 atoms (C[-Ci0), or of up to 6 atoms (C]-C6), or of up to 4 atoms (CrC4). Examples of such alkyl groups include, but are not limited, to Ci - methyl, C2 - ethyl, C3 - propyl and C4- n-butyl.
- branched groups of between 3 and 10 atoms (C3-Ci0), or of up to 7 atoms (C3-C7), or of up to 4 atoms (C3-C4). Examples of such alkyl groups include, but are not limited to, C3 - iso-propyl, C4 - sec-butyl, C4 - iso-butyl, C4 - tert-butyl and C5 - neo-pentyl. each optionally substituted as stated above. The term "alkenyl" includes monounsaturated hydrocarbon residues including:
- linear groups of between 2 and 6 atoms (C2-C6). Examples of such alkenyl groups include, but are not limited to, C2 - vinyl, C3 - 1-propenyl, C3 - allyl, C4 - 2-butenyl.
- branched groups of between 3 and 8 atoms (C3-C8). Examples of such alkenyl groups include, but are not limited to, C4 - 2-methyl-2-propenyl and C6 - 2,3-dimethyl-2- butenyl.
each optionally substituted as stated above.
The term "alkynyl" includes monounsaturated hydrocarbon residues having a carbon- carbon triple bond including:
- linear groups of between 2 and 6 atoms (C2-C6). Examples of such alkynyl groups include, but are not limited to C2 - ethynyl, C3 - 1-propynyl, C4 - 2-butynyl.
- Branched groups of between 3 and 8 atoms (C3-C8). Examples of such alkynyl groups include, but are not limited to, C4 - 3-methyl- 1-propynyl.
The term "alkoxy" includes O-linked hydrocarbon residues including:
- linear groups of between 1 and 6 atoms (Ci-C6), or of between 1 and 4 atoms (Cp C4). Examples of such alkoxy groups include, but are not limited to, Ci - methoxy,
C2 - ethoxy, C3 - n-propoxy and C4 - n-butoxy.
branched groups of between 3 and 6 atoms (C3-C6) or of between 3 and 4 atoms (C3- C4). Examples of such alkoxy groups include, but are not limited to, C3 - iso- propoxy, and C4 - sec-butoxy and tert-butoxy.
each optionally substituted as stated above.
Unless otherwise stated, halo is selected from CI, F, Br and I.
Cycloalkyl is as defined above. Conveniently cycloalkyl groups may contain from 4 to 10 carbon atoms, or from 5 to 10 carbon atoms, or from 4 to 6 carbon atoms. Examples of suitable monocyclic cycloalkyl groups include cyclopropyl, cyclobutyl, cyclopentyl, cyclohexyl, cycloheptyl, cyclopentene, cyclopenta-l ,3-diene, cyclohexene and cyclohexa-l,4-diene (optionally substituted as stated above). Examples of suitable bicyclic cycloalkyl groups include decahydronaphthalene, octahydro-lH-indene (optionally substituted as stated above). Examples of suitable cycloalkyl groups, when fused with aryl, include indanyl and 1,2,3,4-tetrahydronaphthyl (optionally substituted as stated above).
Heterocycloalkyl is as defined above. Examples of suitable heterocycloalkyl groups include oxiranyl, aziridinyl, azetidinyl, tetrahydrofuranyl, pyrrolidinyl, tetrahydropyranyl, piperidinyl, N-methylpiperidinyl, morpholinyl, N-methyl morpholinyl, thiomorpholinyl, thiomorpholinyl-l -oxide, thiomorpholinyl- 1,1 -dioxide,
piperazinyl, N-methylpiperazinyl, azepinyl oxazepinyl, diazepinyl, and 1,2,3,4- tetrahydropyridinyl (optionally substituted as stated above).
Aryl is as defined above. Typically, aryl will be optionally substituted with 1, 2 or 3 substituents. Optional substituents are seleted from those stated above. Examples of suitable aryl groups include phenyl and naphthyl (each optionally substituted as stated above).
Heteroaryl is as defined above. Examples of suitable heteroaryl groups include thienyl, furanyl, pyrrolyl, pyrazolyl, imidazoyl, oxazolyl, isoxazolyl, thiazolyl, isothiazolyl, triazolyl, oxadiazolyl, thiadiazolyl, tetrazolyl, pyridinyl, pyridazinyl, pyrimidinyl, pyrazinyl, indolyl, benzimidazolyl, benzotriazolyl, quinolinyl and isoquinolinyl (optionally substituted as stated above). The term "C-linked", such as in "C-linked heterocycloalkyl", means that the heterocycloalkyl group is joined to the remainder of the molecule via a ring carbon atom.
The term "N-linked", such as in "N-linked heterocycloalkyl", means that the heterocycloalkyl group is joined to the remainder of the molecule via a ring nitrogen atom.
The term "O-linked", such as in "O-linked hydrocarbon residue", means that the hydrocarbon residue is joined to the remainder of the molecule via an oxygen atom. In groups such as aryI(Ci-C4)alkyl-, "-" denotes the point of attachment of the group to the remainder of the molecule.
"Pharmaceutically acceptable salt" means a physiologically or toxicologically tolerable salt and includes, when appropriate, pharmaceutically acceptable base addition salts and pharmaceutically acceptable acid addition salts. For example (i) where a compound of the invention contains one or more acidic groups, for example carboxy groups, pharmaceutically acceptable base addition salts that can be formed include sodium, potassium, calcium, magnesium and ammonium salts, or salts with organic amines, such
as, diethylamine, N-methyl-glucarnine, diethanolamine or amino acids (e.g. lysine) and the like; (ii) where a compound of the invention contains a basic group, such as an amino group, pharmaceutically acceptable acid addition salts that can be formed include hydrochlorides, hydrobromides, sulfates, phosphates, acetates, citrates, lactates, tartrates, mesylates, succinates, oxalates, phosphates, esylates, tosylates, benzenesulfonates, naphthalenedisulphonates, maleates, fumarates, hippurates, xinafoates, p- acetamidobenzoates, dihydroxybenzoates, hydroxynaphthoates, succinates, ascorbates, oleates, bisulfates and the like. Hemisalts of acids and bases can also be formed, for example, hemisulfate and hemicalcium salts.
For a review of suitable salts, see "Handbook of Pharmaceutical Salts: Properties, Selection and Use" by Stahl and Wermuth (Wiley-VCH, Weinheim, Germany, 2002).
"Prodrug" refers to a compound which is convertible in vivo by metabolic means (e.g. by hydrolysis, reduction or oxidation) to a compound of the invention. Suitable groups for forming pro-drugs are described in 'The Practice of Medicinal Chemistry, 2nd Ed. pp561- 585 (2003) and in F. J. Leinweber, Drug Metab. Res., 1987, 18, 379. .
The compounds of the invention can exist in both unsolvated and solvated forms. The term 'solvate' is used herein to describe a molecular complex comprising the compound of the invention and a stoichiometric amount of one or more pharmaceutically acceptable solvent molecules, for example, ethanol. The term 'hydrate' is employed when the solvent is water.
Where compounds of the invention exist in one or more geometrical, optical, enantiomeric, diastereomeric and tautomeric forms, including but not limited to cis- and trans-forms, E- and Z-forms, R-, S- and meso-forms, keto-, and enol-forms. Unless otherwise stated a reference to a particular compound includes all such isomeric forms, including racemic and other mixtures thereof. Where appropriate such isomers can be separated from their mixtures by the application or adaptation of known methods (e.g. chromatographic techniques and recrystallisation techniques). Where appropriate such
isomers can be prepared by the application or adaptation of known methods (e.g. asymmetric synthesis).
Typical configurations of the compounds of formula (I) include:
In the context of the present invention, references herein to "treatment" include references to curative, palliative and prophylactic treatment.
General Methods
The compounds of formula (I) should be assessed for their biopharmaceutical properties, such as solubility and solution stability (across pH), permeability, etc. , in order to select the most appropriate dosage form and route of administration for treatment of the proposed indication.
Compounds of the invention intended for pharmaceutical use may be administered as crystalline or amorphous products. They may be obtained, for example, as solid plugs, powders, or films by methods such as precipitation, crystallization, freeze drying, spray drying, evaporative drying, melt congealing and extrusion. Conventional drying processes including static/dynamic oven, infrared, microwave or radio frequency drying may be used to assist in the formation of the above crystalline and amorphous products.
They may be administered alone or in combination with one or more other compounds of the invention or in combination with one or more other drugs (or as any combination thereof). Generally, they will be administered as a formulation in association with one or more pharmaceutically acceptable excipients. The term 'excipient' is used herein to describe any ingredient other than the compound(s) of the invention which may impart either a functional (i.e., drug release rate controlling) and/or a non-functional (i.e., processing aid or diluent) characteristic to the formulations. The choice of excipient will to a large extent depend on factors such as the particular mode of administration, the effect of the excipient on solubility and stability, and the nature of the dosage form.
Pharmaceutical compositions suitable for the delivery of compounds of the present invention and methods for their preparation will be readily apparent to those skilled in the art. Such compositions and methods for their preparation may be found, for example, in Remington's Pharmaceutical Sciences, 19th Edition (Mack Publishing Company, 1995).
Accordingly, the present invention provides a pharmaceutical composition comprising a compound of formula (I) and a pharmaceutically acceptable carrier, diluent or excipient.
The compounds of the invention may be administered orally. Oral administration may involve swallowing, so that the compound enters the gastrointestinal tract, and/or buccal, lingual, or sublingual administration by which the compound enters the blood stream directly from the mouth.
Formulations suitable for oral administration include solid plugs, solid microparticulates, semi-solid and liquid (including multiple phases or dispersed systems) such as tablets;
soft or hard capsules containing multi- or nano-particulates, liquids, emulsions or powders; lozenges (including liquid-filled); chews; gels; fast dispersing dosage forms; films; ovules; sprays; and buccal/mucoadhesive patches. Formulations suitable for oral administration may also be designed to deliver the compounds of formula (I) in an immediate release manner or in a rate-sustaining manner, wherein the release profile can be delayed, pulsed, controlled, sustained, or delayed and sustained or modified in such a manner which optimises the therapeutic efficacy of the said compounds. Means to deliver compounds in a rate-sustaining manner are known in the art and include slow release polymers that can be formulated with the said compounds to control their release.
Examples of rate-sustaining polymers include degradable and non-degradable polymers that can be used to release the said compounds by diffusion or a combination of diffusion and polymer erosion. Examples of rate-sustaining polymers include hydroxypropyl methylcellulose, hydroxypropyl cellulose, methyl cellulose, ethyl cellulose, sodium carboxymethyl cellulose, polyvinyl alcohol, polyvinyl pyrrolidone, xanthum gum, polymethacrylates, polyethylene oxide and polyethylene glycol. Liquid (including multiple phases and dispersed systems) formulations include emulsions, suspensions, solutions, syrups and elixirs. Such formulations may be presented as fillers in soft or hard capsules (made, for example, from gelatin or hydroxypropylmethylcellulose) and typically comprise a carrier, for example, water, ethanol, polyethylene glycol, propylene glycol, methylcellulose, or a suitable oil, and one or more emulsifying agents and/or suspending agents. Liquid formulations may also be prepared by the reconstitution of a solid, for example, from a sachet.
The compounds of the invention may also be used in fast-dissolving, fast-disintegrating dosage forms such as those described in Liang and Chen, Expert Opinion in Therapeutic Patents, 2001, 11 (6), 981-986.
The formulation of tablets is discussed in Pharmaceutical Dosage Forms: Tablets, Vol. 1, by H. Lieberman and L. Lachman (Marcel Dekker, New York, 1980).
The compounds of the invention may also be administered directly into the blood stream, into subcutaneous tissue, into muscle, or into an internal organ. Suitable means for parenteral administration include intravenous, intraarterial, intraperitoneal, intrathecal, intraventricular, intraurethral, intrasternal, intracranial, intramuscular, intrasynovial and subcutaneous. Suitable devices for parenteral administration include needle (including microneedle) injectors, needle-free injectors and infusion techniques.
Parenteral formulations are typically aqueous or oily solutions. Where the solution is aqueous, excipients such as sugars (including but restricted to glucose, manitol, sorbitol, etc.) salts, carbohydrates and buffering agents (preferably to a pH of from 3 to 9), but, for some applications, they may be more suitably formulated as a sterile non-aqueous solution or as a dried form to be used in conjunction with a suitable vehicle such as sterile, pyrogen-free water.
Parenteral formulations may include implants derived from degradable polymers such as polyesters (i.e., polylactic acid, polylactide, polylactide-co-glycolide, polycapro-lactone, polyhydroxybutyrate), polyorthoesters and polyanhydrides. These formulations may be administered via surgical incision into the subcutaneous tissue, muscular tissue or directly into specific organs.
The preparation of parenteral formulations under sterile conditions, for example, by lyophilisation, may readily be accomplished using standard pharmaceutical techniques well known to those skilled in the art.
The solubility of compounds of formula (I) used in the preparation of parenteral solutions may be increased by the use of appropriate formulation techniques, such as the incorporation of co-solvents and/or solubility-enhancing agents such as surfactants, micelle structures and cyclodextrins.
The compounds of the invention can also be administered intranasally or by inhalation, typically in the form of a dry powder (either alone, as a mixture, for example, in a dry blend with lactose, or as a mixed component particle, for example, mixed with
phospholipids, such as phosphatidylcholine) from a dry powder inhaler, as an aerosol spray from a pressurised container, pump, spray, atomiser (preferably an atomiser using electrohydrodynamics to produce a fine mist), or nebuliser, with or without the use of a suitable propellant, such as 1,1,1 ,2-tetrafluoroethane or 1,1,1,2,3,3,3- heptafluoropropane, or as nasal drops. For intranasal use, the powder may comprise a bioadhesive agent, for example, chitosan or cyclodextrin.
The pressurised container, pump, spray, atomizer, or nebuliser contains a solution or suspension of the compound(s) of the invention comprising, for example, ethanol, aqueous ethanol, or a suitable alternative agent for dispersing, solubilising, or extending release of the active, a propellant(s) as solvent and an optional surfactant, such as sorbitan trioleate, oleic acid, or an oligolactic acid.
Prior to use in a dry powder or suspension formulation, the drug product is micronised to a size suitable for delivery by inhalation (typically less than 5 microns). This may be achieved by any appropriate comminuting method, such as spiral jet milling, fluid bed jet milling, supercritical fluid processing to form nanoparticles, high pressure homogenisation, or spray drying. Capsules (made, for example, from gelatin or hydroxypropylmethylcellulose), blisters and cartridges for use in an inhaler or insufflator may be formulated to contain a powder mix of the compound of the invention, a suitable powder base such as lactose or starch and a performance modifier such as /-leucine, mannitol, or magnesium stearate. The lactose may be anhydrous or in the form of the monohydrate, preferably the latter. Other suitable excipients include dextran, glucose, maltose, sorbitol, xylitol, fructose, sucrose and trehalose.
Formulations for inhaled intranasal administration may be formulated to be immediate and/or modified release using, for example, PGLA. Modified release formulations include delayed-, sustained-, pulsed-, controlled-, targeted and programmed release.
Inasmuch as it may desirable to administer a combination of active compounds, for example, for the purpose of treating a particular disease or condition, it is within the
scope of the present invention that two or more pharmaceutical compositions, at least one of which contains a compound of formula (I), may conveniently be combined in the form of a kit suitable for coadministration of the compositions. Thus the kit of the invention comprises two or more separate pharmaceutical compositions, at least one of which contains a compound of formula (I) in accordance with the invention, and means for separately retaining said compositions, such as a container, divided bottle, or divided foil packet. An example of such a kit is the familiar blister pack used for the packaging of tablets, capsules and the like.
The kit of the invention is particularly suitable for administering different dosage forms, for example, oral and parenteral, for administering the separate compositions at different dosage intervals, or for titrating the separate compositions against one another. To assist compliance, the kit typically comprises directions for administration and may be provided with a so-called memory aid.
For administration to human patients, the total daily dose of the compounds of the invention is typically in the range 0.01 mg and 1000 mg, or between 0.1 mg and 250 mg, or between 1 mg and 50 mg depending, of course, on the mode of administration. The total daily dose may be administered in single or divided doses and may, at the physician's discretion, fall outside of the typical range given herein. These dosages are based on an average human subject having a weight of about 60kg to 70kg. The physician will readily be able to determine doses for subjects whose weight falls outside this range, such as infants and the elderly.
Synthetic methods
The compounds of the present invention can be prepared according to the procedures of the following schemes and examples, using appropriate materials, and are further exemplified by the specific examples provided herein below. Moreover, by utilising the procedures described herein, one of ordinary skill in the art can readily prepare additional compounds that fall within the scope of the present invention claimed herein. The compounds illustrated in the examples are not, however, to be construed as forming
the only genus that is considered as the invention. The examples further illustrate details for the preparation of the compounds of the present invention. Those skilled in the art will readily understand that known variations of the conditions and processes of the following preparative procedures can be used to prepare these compounds.
The compounds of the invention may be isolated in the form of their pharmaceutically acceptable salts, such as those described previously herein above.
It may be necessary to protect reactive functional groups (e.g. hydroxy, amino, thio or carboxy) in intermediates used in the preparation of compounds of the invention to avoid their unwanted participation in a reaction leading to the formation of the compounds. Conventional protecting groups, for example those described by T. W. Greene and P. G. M. Wuts in "Protective groups in organic chemistry" John Wiley and Sons, 4th Edition, 2006, may be used. For example, a common amino protecting group suitable for use herein is tert-butoxy carbonyl (Boc), which is readily removed by treatment with an acid such as trifluoroacetic acid or hydrogen chloride in an organic solvent such as dichloromethane. Alternatively the amino protecting group may be a benzyloxycarbonyl (Z) group which can be removed by hydrogenation with a palladium catalyst under a hydrogen atmosphere or 9-fluorenylmethyloxycarbonyl (Fmoc) group which can be removed by solutions of secondary organic amines such as diethylamine or piperidine in an organic solvents. Carboxyl groups are typically protected as esters such as methyl, ethyl, benzyl or tert-butyl which can all be removed by hydrolysis in the presence of bases such as lithium or sodium hydroxide. Benzyl protecting groups can also be removed by hydrogenation with a palladium catalyst under a hydrogen atmosphere whilst tert-butyl groups can also be removed by trifluoroacetic acid. Alternatively a trichloroethyl ester protecting group is removed with zinc in acetic acid. A common hydroxy protecting group suitable for use herein is a methyl ether, deprotection conditions comprise refluxing in 48% aqueous HBr for 1-24 hours, or by stirring with borane tribromide in dichloromethane for 1-24 hours. Alternatively where a hydroxy group is protected as a benzyl ether, deprotection conditions comprise hydrogenation with a palladium catalyst under a hydrogen atmosphere.
In the following schemes:
R-'-R6 and Ra and Rb are as previously defined for the compounds of formula (I);
PGi or PG2 is a suitable protecting group;
R20 is H, (Cj-Cio)alkyl, halogen, hydroxyl or (C,-C6)alkoxy; The compounds according to general formula I can be prepared using conventional synthetic methods. In a typical first step, 5-aminomethyl-pyridin-2-ylamine or substituted 5-aminomethyl-pyridin-2-ylamine (3) is prepared by reduction of the corresponding nitrile (2). This can be achieved either by direct reduction of the nitrile by hydrogenation in a suitable solvent such as methanol in the presence of a suitable catalyst such as palladium on charcoal in the presence of an acid such as hydrochloric acid or reduction with a suitable borohydride in the presence of a suitable transition metal such as cobalt or nickel chloride in a suitable solvent such as methanol at room temperature; or by trapping out of the tert-butoxycarbonyl (Boc) protected amine(4) (using, for example, the method as described in S. Caddick et al., Tetrahedron Lett., 2000, 41, 3513) which is then subsequently deprotected by standard means described previously to give the amine(3).
Alternatively amine (3) can be prepared from the corresponding acid (5) via a primary amide (6). Typically, acid (5) is treated with ammonia in the presence of a suitable coupling reagent in a suitable solvent such as dichloromethane and DMF at room temperature. The resulting amide (6) is then reduced with a reducing agent such as lithium aluminium hydride in a suitable solvent such as tetrahydrofuran at room temperature to yield amine (3).
In a typical second step, the amine (3) is coupled using standard peptide coupling conditions to an alpha amino acid (7) suitably amino-protected with a standard protecting group such as tert-butyloxycarbonyl (Boc), benzyloxycarbonyl (Z) or 9- fluorenylmethyloxycarbonyl (Fmoc). The use of such groups is well known in the art. Where R R2 has a reactive functional group such as an amine or a carboxylic acid, this group will also be protected. Standard peptide coupling methods include the reaction of acids with amines in the presence of hydroxybenzotriazole and carbodiimide such as water soluble carbodiimide, or 2-(lH-benzotriazole-l-yl)-l,l,3,3- tetramethylaminiurn hexafluorophosphate or benzotriazole-l-yl-oxy-tris-pyrrolidino- phosphoium hexaffluorophosphate or bromo-trispyrolidino-phosphoium hexafluorophosphate in the presence of organic bases such as triethylamine, diisopropylethylamine or N-methylmorpholine.
The protecting group of (8) is removed using standard methods described previously to yield the amine (9).
The amine (9) is coupled using the standard peptide coupling conditions described previously to a lactic acid derivative (10). Where R1 or R2 has a reactive functional group such as an amine or a carboxylic acid, this group will also be protected.
10
Compound (11) can also be synthesised from compound (13). Such a compound can be prepared from an alpha amino acid and a lactic acid derivative (10) with carboxylic acid functionality protected with a standard protecting group such as an ester such as a methyl, tert-butyl, trichloroethyl ester. The carboxyl protecting group of (12) is removed by standard methods described previously following the coupling reaction. The amide bond forming reactions may be carried out using the standard peptide coupling conditions described above.
11 13
The amine (9) can be derivatised by reaction with a sulphonyl chloride (14) to give the sulphonamide derivative (15). Where R1 or R2 has a reactive functional group such as an amine or a carboxylic acid, this grou will also be rotected.
o^-ci
X
14
Compound (15) can also be synthesised from compound (17). Such a compound can be prepared from an alpha amino acid and a sulphonyl chloride (14) with carboxylic acid functionality protected with a standard protecting group such as an ester such as a methyl, tert-butyl, trichloroethyl ester. The carboxyl protecting group of (16) is removed by standard methods described previously following the coupling reaction. The amide
bond forming reactions may be carried out using the standard peptide coupling cond
15 17
The amine (9) can be denvatised by reaction with acid chloride or carboxylic acid (18) to give the amide derivative (19). If a carboxylic acid is used the amide bond forming reactions may be carried out using the standard peptide coupling conditions described above. Where R or R has a reactive functional group such as an amine or a carboxylic acid, this group will also be protected.
18
Compound (19) can also be synthesised from compound (21). Such a compound can be prepared from an alpha amino acid and a acid chloride or carboxylic acid (18) with additional carboxylic acid functionality protected with a standard protecting group such as an ester such as a methyl, tert-butyl, trichloroethyl ester. The carboxyl protecting group of (20) is removed by standard methods described previously following the coupling reaction. The amide bond forming reactions may be carried out using the standard peptide coupling conditions described above.
18
20
19 21 The amine (9) can be denvatised by reaction with an amine (22) in the presence of a suitable agent such as 1,1-carbonyldiimidazole to give the urea derivative (23). Where R1 or R2has a reactive functional group such as an amine or a carboxylic acid, this group will also be protected.
22
Compound (23) can also be synthesised from compound (25). Such a compound can be prepared from an alpha amino acid and an amine (22) with carboxylic acid functionality protected with a standard protecting group such as an ester such as a methyl, tert-butyl, trichloroethyl ester. The carboxyl protecting group of (24) is removed by standard methods described previously following the coupling reaction. The amide bond forming reactions may be carried out using the standard peptide coupling conditions described above.
23 25
The present invention also encompasses intermediate compounds that have utility in the synthesis of the compounds of formula (I). Accordingly, one aspect of the present invention provides an intermediate compound selected from the group including:
[(S)-l-[(6-Amino-pyridin-3-ylmethyl)-carbamoyl]-2-(3,4-difluoro-phenyl)-ethyl]- carbamic acid tert-butyl ester;
(S)-2-Amino-N-(6-amino-pyridin-3-ylmethyl)-3-(3,4-difluoro-phenyl)-propionamide; [(S)-l-[(6-Amino-pyridin-3-ylmethyl)-carbamoyl]-2-(4-fluoro-phenyl)-ethyl]-carbamic acid tert-butyl ester;
(S)-2-Amino-N-(6-amino-pyridin-3-ylmethyl)-3-(4-fluoro-phenyl)-propionamide;
{ (R)- 1 -[(6- Amino-pyridin-3 -ylmethyl)-carbamoyl] -2,2-dicyclohexyl-ethyl } -carbamic acid tert-butyl ester;
(R)-2-Amino-N-(6-amino-pyridin-3-ylmethyl)-3,3-dicyclohexyl-propionamide;
and pharmaceutically acceptable salts and solvates thereof.
In one aspect, the present invention provides a process for the preparation of compound of formula (I),
comprising the reaction of a compound of formula (IV):
with a compound of formula (V):
(V)
under standard peptide coupling conditions; wherein R'-R10 and A1 are as previously defined for the compounds of formula (I).
Standard peptide coupling conditions include the reaction of acids with amines in the presence of hydroxybenzotriazole and carbodiimide such as water soluble carbodiimide, or 2-(lH-benzotriazole-l-yl)-l,l,3,3-tetramethylaminium hexafluorophosphate or benzotriazole-l-yl-oxy-tris-pyrrolidino-phosphoium hexaffluorophosphate or bromo- trispyrolidino-phosphoium hexafluorophosphate in the presence of organic bases such as triethylamine, diisopropylethylamine or N-methylmorpholine. These reactions are typically carried out in solvents such as dichloromethane and dimethylformamide.
Examples
The invention is illustrated by the following non-limiting examples in which the following abbreviations and definitions are used:
DMF N,N-Dimethylformamide
EtOAc Ethyl Acetate
hrs Hours
2-(l H-Benzotriazole- 1 -yl)- 1 , 1 ,3 ,3 -tetramethyluronium
HBTU
hexafluorophosphate
HOBt Hydroxybenzotriazole
He Isoleucine
LCMS Liquid chromatography mass spectrometry
Me Methyl
MeCN Acetonitrile
MeOH Methanol
Min Minutes
MS Mass spectrum
Nal Napthylalanine
Nuclear magnetic resonance spectrum - NMR spectra were
NMR recorded at a frequency of 270 or 400MHz unless otherwise indicated
Pet. Ether Petroleum ether fraction boiling at 60-80aC
Phe Phenylalanine
Pro Proline
Benzotriazole- 1 -yl-oxy-tris-pyrrolidino-phosphoium
PyBOP®
hexafluorophosphate
THF Tetrahydrofuran
TFA Trifluoroacetic acid
All reactions were carried out under an atmosphere of nitrogen unless specified otherwise.
Ή NMR spectra were recorded on a Jeol EX 270 (270MHz) or Brucker Avance III (400MHz) spectrometer with reference to deuterium solvent and at room temperature. Molecular ions were obtained using LCMS which was carried out using a Chromolith Speedrod RP-18e column, 50 x 4.6 mm, with a linear gradient 10% to 90% 0.1% HC02H/MeCN into 0.1% HC02H/H20 over 1 1 min, flow rate 1.5 mL/min. Data was collected using a Thermofinnigan Surveyor MSQ mass spectrometer with electospray ionisation in conjunction with a Thermofinnigan Surveyor LC system.
Chemical names were generated using the Autonom software provided as part of the ISIS draw package from MDL Information Systems. Where products were purified by flash chromatography, 'silica' refers to silica gel for chromatography, 0.035 to 0.070 mm (220 to 440 mesh) (e.g. Merck silica gel 60), and an applied pressure of nitrogen up to 10 p.s.i accelerated column elution. Reverse phase preparative HPLC purifications were carried out using a Waters 2525 binary gradient pumping system at flow rates of typically 20ml/min using a Waters 2996 photodiode array detector.
All solvents and commercial reagents were used as received.
EXAMPLE 1
(R)-N-[(S)-l-K6-Amino-pyridin-3-ylmethyl)-carbamoyll-2-(3,4-difluoro-phenvn- ethvH-2-hydroxy-3-phenyl-propionamide
A. 5-AminomethyI-pyridin-2-ylamine dihydrochloride
6-Amino-3-pyridinecarbonitrile (12.5g, 21.0mmol) was dissolved (250mls), 6M HC1 (35mls, 210mmol) was added. 10% Pd/C (2.5g) was added. The reaction mixture was shaken at lOpsi for 18 hours after which time the catalyst was filtered off through celite and the residue washed with methanol (lOOmls) and water (20mls). The combined filtrates were evaporated in vacuo to give a white solid. Recrystalised from MeOH diethyl ether to give a white solid identified as the title compound
Yield = 14.28g, 72.8mmol, 69%
[M+H]+ = 124.1
B. [(S)-l-[(6-Amino-pyridin-3-ylmethyl)-carbamoyll-2-(3,4-difluoro-phenyI)-ethylI- carbamic acid tert-butyl ester
Boc-3,4-difluoro-Phe-OH (5.0g, 16.6mmol) was dissolved in CH2Cl2(100mls) and DMF (lOmls). This solution was cooled to 0 C. 5-aminomethyI-pyridin-2-ylamine dihydrochloride (3.58g, 18.2mmol) was added followed by HOBt (2.69g, 19.9mmol) and water soluble carbodiimide (3.18g, 16.6mmol). After 15mins diisopropylethylamine (6.44g, 49.8mmol) was added. After 5 hrs at 0 C to room temperature the reaction mixture was diluted with CHC13 (150mls), this solution was washed with sat. NaHC03 (lx50mls), water (lx50mls), brine (lx50mls), dried (Na2S04) and evaporated in vacuo. The residue was purified by flash chromatography (silica), eluent 5%MeOH, 95%
CHCI3, fractions combined and evaporated in vacuo to give a yellow oil identified as the title compound.
Yield = 5.79g, 14.2mmol, 88%
[M+H]+ = 407.16
C. (S)-2-Amino-N-(6-amino-pyridin-3-ylmethyl)-3-(3,4-difluoro-phenyl)- propionamide dihydrochloride
[(S)-l-[(6-Amino-pyridin-3-ylmethyl)-carbamoyl]-2-(3,4-difluoro-phenyl)-ethyl]- carbamic acid tert-butyl ester (5.79g, 14.2mmol) was treated with 4M HC1 in dioxan (lOOmls). After 1 hour at room temperature the solvent was removed in vacuo giving a pale brown solid identified as the title compound.
Yield = 5.4g, 14.2mmol, 100%
[M+H]+ = 307.05 D. (R)-N-[(S)-l-[(6-Amino-pyridin-3-ylmethyl)-carbamoyI]-2-(3,4-difluoro-phenyl)- ethyl] -2-hydroxy-3-phenyl-propionamide trifluoroacetate
((S)-2- Amino-N-(6-amino-pyridin-3 -ylmethyl)-3 -(3 ,4-difluoro-phenyl)-propionamide dihydrochloride (250mg, 0.66mmol) was dissolved in CH2CI2 (30mls). This solution was cooled to 0°C. D-3-Phenyllactic acid (109mg, 0.66mmol) was added followed by HOBt (107mg, 0.79mmol) and water soluble carbodiimide (177mg, 0.92mmol). After 15mins triethylamine (200mg, 1.98mmol) was added. After 18 hrs at 0 C to room temperature the reaction mixture was diluted with CHCI3 (50mls), this solution was washed with sat. NaHC03 (lx20mls), water (lx20mls), brine (lx20mls), dried (Na2S04) and evaporated in vacuo. The residue was purified by Prep HPLC (Sunfire prep CI 8 OBD column. 19x250mm, 10μ). 10 to 90% 0.1% TFA/MeCN into 0.1%TFA H2O over 35 min at 20ml/min. Fractions combined and freeze dried to give a white solid identified as the title compound.
Yield = 145mg, 0.26mmol, 39%
[M+H]+ = 455.12
Ή NMR (270MHz) (CD3OD) 2.70-3.10 (4H,m), 3.25-3.35 (2H,m), 4.10-4.25 (3H,m), 4.45-4.55 (lH,m), 4.90-5.10 (2H,m), 6.90-7.30 (9H,m), 7.65-7.80 (2H,m), 8.35-8.50 (lH,m)
EXAMPLE 2
( R)-N- [(S)-l - r(6-Amino-pyridin-3-ylmethvn-carbamovH -2-(3,4-difluoro-phenyl)- ethyll-3-(4-fluoro-phenvn-2-hvdroxy-propionamide
A. (R)-3-(4-Fluoro-phenyl)-2-hydroxy-propionic acid
A solution of 40 % sodium nitrite (5 mis) was added into a solution of H-4-fluoro-DPhe -OH (3.0g, 10.6 mmol) in H2S04 (2mol/L, 25 mis) over a period of 120 minutes under ice -cooling. The reaction solution was kept at 0 °C for 4 hours then left to stir at room temperature overnight. Additional ¾S04 (2 mol/L, 6 mis) and sodium nitrite (40 %, 6 mis) were added and left for room temperature for 2 hours. The reaction mixture was saturated by NaCl, followed by extraction with ethyl acetate (3 x 100 mis). The combined organics were washed with brine (lx50mls), dried (Na2S04) and evaporated in vacuo to give a yellow oil identified as the title compound.
Yield = 1.50 g, 8.14mmol, 77 %
Ή NMR (CD3OD) 2.92-2.99 (1H, m) 3.06-3.12 (1H, m) 4.38-4.43 (1H, m) 4.21 (2H, s) 6.99-7.13 (2H, m) 7.25-7.40 (2H, m) B. (R)-N-[(S)-l-[(6-Amino-pyridin-3-ylmethyl)-carbamoyl]-2-(3,4-difluoro-phenyl)- ethyl]-3-(4-fluoro-phenyl)-2-hydroxy-propionamide trifluoroacetate
((S)-2-Amino-N-(6-amino-pyridin-3-ylmethyl)-3-(3,4-difluoro-phenyl)-propionamide dihydrochloride (702mg, 1.85mmol) was dissolved in CH2CI2 (30mls). This solution was cooled to 0 C. (R)-3-(4-Fluoro-phenyl)-2-hydroxy-propionic acid (341mg, 1.85mmol) was added followed by HOBt (350mg, 2.59mmol) and water soluble carbodiimide (426mg, 2.22mmol). After 15mins triethylamine (1.86g, 18.5mmol) was added. After 18
hrs at 0 C to room temperature the reaction mixture was diluted with CHCI3 (50mls), this solution was washed with sat. NaHC03 (lx20mls), water (lx20mls), brine (lx20mls), dried (Na2S04) and evaporated in vacuo. The residue was purified by Prep HPLC (Sunfire prep C18 OBD column. 19x250mm, 10μ). 10 to 90% 0.1% TFA/MeCN into 0.1%TFA/H2O over 35 min at 20ml/min. Fractions combined and freeze dried to give a white solid identified as the title compound.
Yield = 76mg, O.Bmmol, 7%
[M+H]+ = 473.42
Ή NMR (400MHz) (CD3OD) 2.63-2.82 (1H, m) 2.84-2.86 (2H, m) 2.94-2.99 (2H, m) 3.23-3.30 (1H, m) 3.97-4.17 (3H, s) 4.40-4.45 (1H, m) 4.50-4.58 (1H, m) 4.84 (2H, br s) 6.81-6.98 (5H, m) 7.08-7.27 (3H, m) 7.61-7.70 (2H, m)
EXAMPLE 3
(R)-N-f(S)-l-i(6-Amino-2-methyl-Dyridin-3-ylmethyl)-carbamoyll-2-r4-fluoro- phenyl)-ethyll-2-hvdroxy-3-phenyl-propionamide
A. ((6-Amino-2-methyl-pyridin-3-yImethyl)-carbamic acid tert-butyl ester
6-Amino-3-cyano-2-methylpyridine (3.0g, 22.5mmol) was dissolved in methanol (150ml). This solution was cooled to 0 C. Nickel (II) chloride hexahydrate (534mg, 2.25mmol) and di-tertbutyl dicarbonate (5.4g, 24.7mmol) were added followed by sodium borohydride (5.95g, 157mmol) portionwise. The reaction mixture was stirred at 0°C to room temp for 18hrs. The MeOH was removed by evaporation. The residue was dissolved in EtOAc (100ml), washed with sat NaHC03 (lx50mls), water (lx50mls), brine (lx50mls), dried (Na2S04) and evaporated in vacuo to give a brown oil. Purified by flash chromatography, eluant 5% MeOH, 95% dichloromethane to give an orange oil identified as the title compound.
Yield = 4.0g, 16.81mmol, 75%
[M+H]+ = 238.42
B. 5-Aminomethyl-6-methyl-pyridin-2-ylamine dihydrochloride
((6-Amino-2-methyl-pyridin-3-ylmethyl)-carbamic acid tert-butyl ester (4.0g, 16.81mmol) was dissolved in 4M HCI/dioxan (50mls). After one hour at room temp the solvent was removed in vacuo to give a pale yellow solid identified as the title compound.
Yield = 3.0g, 14.3mmol, 85%
[M+H]+ = 138.33
C. [(S)-l-[(6-Amino-pyridin-3-ylmethyl)-carbamoyl]-2-(4-fluoro-phenyl)-ethyl]- carbamic acid tert-butyl ester
Boc-4-fluoro-Phe-OH (1.28g, 4.52mmol) was dissolved in CH2Cl2(25mls). HBTU (1.71g, 4.52mmoI) was added followed by triethylamine (1.37g, 13.55mmol). After 15 mins 5-aminomethyl-6-methyl-pyridin-2-ylamine dihydrochloride (3.58g, 18.2mmol) was added. After 3 hrs at room temperature the reaction mixture was diluted with CHC13 (50mls), this solution was washed with sat. NaHC03 (lx20mls), water (lx20mls), brine (lx20mls), dried (Na2S04) and evaporated in vacuo. The residue was purified by flash chromatography (silica), eluent 10%MeOH, 90% dichloromethane, fractions combined and evaporated in vacuo to give a yellow oil identified as the title compound.
Yield = 1.75g, 4.38mmol, 96%
[M+H]+ = 403.49
D. (S)-2-Amino-N-(6-amino-pyridin-3-ylmethyl)-3-(4-fluoro-phenyl)-propionamide dihydrochloride
[(S)-l-[(6-Amino-pyridin-3-ylmethyl)-carbamoyl]-2-(4-fluoro-phenyl)-ethyl]-carbamic acid tert-butyl ester (1.75g, 4.34mmol) was treated with 4M HC1 in dioxan (50mls). After 1 hour at room temperature the solvent was removed in vacuo giving a yellow solid identified as the title compound.
Yield = 1.654g, 4.4mmol, 100%
[M+H]+ = 303.4
E. (R)-N-[(S)-l-[(6-Amino-2-methyl-pyridin-3-ylmethyl)-carbamoyl]-2-(4-fluoro- phenyI)-ethyl]-2-hydroxy-3-phenyl-propionamide.trifluoroacetate
(S)-2-Amino-N-(6-amino-pyridin-3-ylmethyl)-3-(4-fluoro-phenyl)-propionaniide dihydrochloride (499mg, 1.33mmol) was dissolved in CH2C12 (30mls). This solution was cooled to 0 C. D-3-Phenyllactic acid (221mg, 1.33mmol) was added followed by HOBt(252mg, 1.86mmol) and water soluble carbodiimide(306mg, 1.6mmol). After 15mins triethylamine(1.34g, 13.3mmol) was added. After 5 hrs at 0 C to room temperature the reaction mixture was diluted with CHC13 (50mls), this solution was washed with sat. NaHC03 (lx20mls), water (lx20mls), brine (lx20mls), dried (Na2S04) and evaporated in vacuo. The residue was purified by flash chromatography (silica), eluent 10%MeOH, 90% dichloromethane, fractions combined and evaporated in vacuo to give a yellow oil. The residue was further purified by Prep HPLC (Sunfire prep CI 8 OBD column. 19x250mm, 10μ). 0 to 60% 0.1% TFA/MeCN into 0.1%TFA/H2O over 35 min at 20ml/min. Fractions combined and freeze dried to give a white solid identified as the title compound.
Yield = 16mg, 0.028mmol, 2%
[M+H]+ = 451.19
1H NMR (400MHz) (CD3OD) 2.46 (3H, s) 2.83-2087 (1H, m) 2.94-3.12 (3H, m) 3.36- 3.37 (1H, m) 4.05 (1H, d, J = 8.0 Hz) 4.22-4.29 (2H, m) 4.53-4.59 (2H, m) 4.91 (2H, br s) 6.82 (1H, d, J = 8.0 Hz) 6.97-7.02 (2H, m) 7.19-7.31 (6H, m) 7.66 (1H, d, J = 8.0 Hz) 7.93 (1H, d, J = 8.0 Hz) 8.43 (1H, d, J = 4.0 Hz)
EXAMPLE 4
N-{(R)-l-i(6-Amino-pyridin-3-ylmethyl)-carbamoyll-2,2-dicvclohexyl-ethyl}-2- hvdroxy-2-methyl-propionamide
Boc-D-3,3-Diphenylalanine (4.86g, 14.06mmol) was dissolved in methanol (200mls). This solution was hydrogenated over 5% Rh on carbon (500mg) at 60psi and room temperature. After 2 days at room temperature further 5% Rh on carbon (500mg) was added and hydrogenation continued at 60psi and room temperature for a further 3 days. After this time the catalyst was filtered off through celite and the residue washed with MeOH (lOOmls). The combined filtrates were evaporated in vacuo to give a foamy white solid identified as the title compound,
Yield = 4.95g, 14mmoL 100%
[M+H]+ = 354.28
B. {(R)-l-[(6-Amino-pyridin-3-ylmethyl)-carbamoyl]-2,2-dicyclohexyl-ethyl}- carbamic acid tert-butyl ester
(R)-2-tert-Butoxycarbonylamino-3,3-dicyclohexyl-propionic acid (995mg, 2.82mmol) was dissolved in CH2Cl2(30mls). Triethylamine (712mg, 7.04mmol) and HBTU (1.07g, 2.81mmol) was added followed by 5-aminomethyl-pyridin-2-ylamine dihydrochloride (460mg, 2.32mmol). After 3 hours at room temperature the reaction mixture was diluted with CHC13 (50mls), this solution was washed with sat. NaHC03 (lx20mls), water (lx20mls), brine (lx20mls), dried (Na2S04) and evaporated in vacuo. The residue was purified by flash chromatography (silica), eluent 3%MeOH, 97% CHC13, fractions combined and evaporated in vacuo to give a colourless oil identified as the title compound.
Yield = 872mg, 1.90mmol, 81%
[M+H]+ = 495.39
C. (R)-2-Amino-N-(6-aniino-pyridin-3-ylmethyl)-33-dicyclohexyl-propionamide dihydrochloride
{(R)-l-[(6-Amino-pyridin-3-ylmethyl)-carbamoyl]-2,2-dicyclohexyl-ethyl}-carbamic acid tert-butyl ester (850mg, 1.85mmol) was treated with4M HCl/dioxan (50mls). After one hour at room temperature the solvent was removed to give a pale orange identified as the title compound.
Yield = 800mg, 1.85mmol, 100%
[M+H]+ = 359.56
'H NMR: (CD3OD), 1.09-1.37 (10H,m), 1.46-2.05 (12H,m), 4.07 (lH,d,J=4.36Hz), 4.25 (lH,d,J=14.8Hz), 4.48 (lH,d,J=4.1Hz), 4.95 (5H,s), 7.07 (lH,d,J=9.1Hz), 7.92 (lH,d,J=1.4Hz), 7.97-8.03 (lH,m), 8.90-9.00 (lH,m).
D. N-{(R)-l-[(6-Amino-pyridin-3-ylmethyl)-carbamoyl]-2,2-dicyclohexyI-ethyl}-2- hydroxy-2-methyl-propionamide trifluoroacetate
(R)-2-Amino-N-(6-arnino-pyridin-3-ylrnethyl)-3,3-dicyclohexyl-propionamide dihydrochloride (lOOmg, 0.23mmol) was dissolved in Cl-^C (20mls) and DMF (2mls). This solution was cooled to 0°C. 2-Hydroxyisobutyric acid (27mg, 0.26mmol) was added followed by HOBt (38mg, 0.28mmol) and triethylamine (71mg, OJOmmol). Water soluble carbodiimide (49mg, 0.26mmol) was then added. After 18 hrs at 0°C to room temperature reaction mixture was diluted with chloroform (50mls) and washed with NaHC03 (lx20mls), water (lx20mls), brine (lx20mls), dried (Na2S04) and evaporated in vacuo giving a yellow oil. The residue was purified by Prep HPLC (Sunfire prep CI 8 OBD column. 19x250mm, 10μ). 10 to 90% 0.1% TFA/MeCN into 0.1%TFA/H2O over 35 min at 20ml/min. Fractions combined and freeze dried to give a white solid identified as the title compound.
Yield = 55mg, 0.099mmol, 42%
[M+H]+ = 445.60
'H NMR: (400MHz) (CD30D) 1.04-1.35(12H,m), 1.42(6H,s), 1.52-1.77(12H,m), 4.26- 4.36(2H,m), 4.50-4.54(lH,m), 4.95(2H,s), 7.04(1 H,d,J=9.2Hz), 7.70(lH,d,J=8.9Hz), 7.82(lH,s), 7.93-7.96(lH,m), 8.65-8.78(lH,m).
TABLE 1
Compounds were synthesised as described for Exampli
TABLE 3
EXAMPLE 69
(S)-N-(6-Amino-pyridin-3-ylmethvn-3-naphthalen-l-yl-2-(propane-l- sulfonylamino)-propionamide
A. {(S)-l-[(6-Amino-pyridin-3-ylmethyl)-carbamoyI]-2-naphthalen-l-yl-ethyl}- carbamic acid tert-butyl ester
Boc-lNal-OH (l .Og, 2.66mmol) was dissolved in CH2C12 (30mls). Triethylamine (0.805g, 7.96mmol) and HBTU (1.21g, 3.18mmol) was added followed by 5- aminomethyl-pyridin-2-ylamine dihydrochloride (0.52g, 2.66mmol). After 3 hours at room temperature the reaction mixture was diluted with CHC13 (50mls), this solution was washed with sat. NaHC03 (lx20mls), water (lx20mls), brine (lx20mls), dried (Na2S04) and evaporated in vacuo. The residue was purified by flash chromatography (silica), eluent 3%MeOH, 97% CHC13, fractions combined and evaporated in vacuo to give a colourless oil identified as the title compound.
Yield = 1.18g, 2.15mmol, 81%
[M+H]+ = 421.27
B. (S)-2-Amino-N-(6-amino-pyridin-3-yImethyl)-3-naphthalen-l-yl-propionamide ditrifluoroacetate
{(S)- 1 -[(6- Amino-pyridin-3 -ylmethyl)-carbamoyl] -2-naphthalen- 1 -yl-ethyl } -carbamic acid tert-butyl ester (1.18g, 2.81mmol) was treated with trifluoroacetic acid (30mls). After 1 hour at room temperature the solvent was removed in vacuo giving a pale brown solid identified as the title compound.
Yield = 1.53g, 2.8mmol, 99%
[M+H]+ = 321.1
C. (S)-N-(6-Amino-pyridin-3-ylmethyl)-3-naphthalen-l-yl-2-(propane-l- sulfonylamino)-propionamide trifluoroacetate
(S)-2-Amino-N-(6-amino-pyridin-3-ylmethyl)-3-naphthalen- 1 -yl-propionamide ditrifluoroacetate (330mg, 0.6mmol) was dissolved in CH2Cl2(50mls). This solution was cooled to 0 C. n-Propylsulphonyl chloride (106mg, 0.72mmol) was added followed by triethylamine(182mg, 1.8mmol). After 18 hrs O C to room temperature the reaction mixture was diluted with CHC13 (50mls), this solution was washed with sat. NaHC03 (lx20mls), water (lx20mls), brine (lx20mls), dried (Na2S04) and evaporated in vacuo. The residue was purified by Prep HPLC (Sunfire prep CI 8 OBD column. 19x250mm, 10μ). 10 to 90% 0.1% TFA/MeCN into 0.1%TFA/H2O over 35 min at 20ml/min. Fractions combined and freeze dried to give a white solid identified as the title compound.
Yield = 195mg, 0.36mmol, 60%
[M+H]+ = 427.3
1H NMR (400MHz) (CD3OD) 0.61(3H,t,J=7.4Hz), 1.25-1.50(2H,m), 2.31-2.39(2H,m), 3.29-3.33(lH,m), 3.62-3.70(lH,m),4.13-4.25(3H,m), 4.90(3H,s), 6.87(lH,dd ,J=2Hz, 8Hz), 7.38-7.4 l(2H,m), 7.51-7.62(4H,m), 7.79-7.82(lH,m), 7.88-7.91 (lH,m),
8.17(lH,d,J=8.4Hz), 8.40-8.60(lH,m)
EXAMPLE 70
(S)-N-(6-Amino-pyridin-3-vImethyl)-3-naphthaIen-l-yl-2-(2-o-tolyl-acetylamino)- propionamide
A. (S)-N-(6-Amino-pyridin-3-ylmethyl)-3-naphthalen-l-yl-2-(2-o-tolyl- acetylamino)-propionamide trifluoroacetate
(S)-2-Amino-N-(6-amino-pyridin-3-ylmethyl)-3-naphthalen-l-yl-propionamide dihydrochloride (160mg, 0.41mmol) was dissolved in CH2Cl2(30mls) and DMF(3mls). This solution was cooled to 0 C. o-Tolylacetic acid (67mg, 0.45mmol) was added followed by HOBt(125mg, 0.81mmol) and water soluble carbodiimide(94mg, 0.49mmol). After 15mins triethylamine(123mg, 1.22mmol) was added. After 18 hrs at
0 C to room temperature the reaction mixture was diluted with CHC13 (50mls), this solution was washed with sat. NaHC03 (lx20mls), water (lx20mls), brine (lx20mls), dried (Na2S04) and evaporated in vacuo. The residue was purified by flash chromatography (silica), eluent 3%MeOH, 97% CHC13, fractions combined and evaporated in vacuo to give a colourless oil. The residue was further purified by Prep HPLC(Sunfire prep CI 8 OBD column. 19x250mm, 10μ). 10 to 90% 0.1% TFA/MeCN into 0.1%TFA/H2O over 35 min at 20ml/min. Fractions combined and freeze dried to give a white solid identified as the title compound.
Yield = 56mg, O.lmmol, 24%
[M+H]+ = 453.29
1H NMR (270MHz) (CD30D) 2.12(3H,s), 3.41-3.43(lH,m), 3.52-3.56(3H,m), 4.08- 4.10(2H,m), 4.67-4.70(1 H,m), 6.82(1 H,d,J=9.4Hz), 7.08-7.128(5H,m), 7.27-7.32(3H,m), 7.47-7.53(4H,m), 7.75-7.78(lH,m), 7.85-7.88(lH,m), 8.13-8.15(2H,m).
EXAMPLE 71
(S)-N-(6-Amino-pyridin-3-ylmethyl)-2-(3-butyl-3-methyl-ureido)-3-naphthalen-l- yl-propionamide
A. (S)-N-(6-Amino-pyridin-3-ylmethyl)-2-(3-butyI-3-methyl-ureido)-3-naphthalen- 1-yl-propionamide trifluoroacetate
(S)-2-Amino-N-(6-amino-pyridin-3-ylmethyl)-3-naphthalen-l-yl-propionamide ditrifluoroacetate (850mg, 0.16mmol) was dissolved in DMF (lOmls). To this solution was added diisopropylethylamine(60mg, 0.46mmol) followed by 1,1-caronyldiimidazole (28mg, 0.17mmol). After 20 mins at room temperature N-methylbutylamine(16mg, 0.19mmol) was added. After a further 3 hrs at room temperature the solvent was removed in vacuo and the residue taken up in EtOAc (50mls), this solution was washed with sat. NaHC03 (lx20mls), water (lx20mls), brine (lx20mls), dried (Na2S04) and evaporated in vacuo. The residue was purified by Prep HPLC. 10 to 90% 0.1% TFA/MeCN into 0.1%TFA/H2O over 35 min at 20ml/min. Fractions combined and freeze dried to give a white solid identified as the title compound.
Yield = 23mg, 0.042mmol, 27%
[M+H]+ = 434.4
'H NMR (270MHz) (CD30D) 0.85-0.90(3H,m), 1.21- 1.36(2H,m), 1.40- 1.60(2H,m), 3.18-3.20(2H,m), 3.29-3.33(3H,m), 3.35-3.50(lH,m), 3.60-3.80(1 H,m), 4.05- 4.35(2H,m), 4.60-4.80(1 H,m), 4.90(3H,s), 6.85-6.89(lH,m), 7.34-7.37(2H,m), 7.51- 7.61(4H,m), 7.70-7.80(1 H,m), 7.85-7.88(lH,m), 8.15-8.25(lH,m), 8.40-8.60(lH,m)
TABLE 4
TABLE 6
1Η NMR data for examples
Example Frequency Chemical Shifts
Solvent
No (MHz)
2.75-2.83(2H,m), 2.98-3.05(2H,m), 3.40-3.48(2H,m), 3.98-4.17(2H,m), 4.22-4.26(1 H,m), 4.64-4.67(1 H,m),
5 CD3OD 270
6.83(lH,d,J=9.1Hz), 7.15-7.36(6H,m), 7.424- 7.57(3H,m), 7.75(1 H,d,J=7.7Hz), 7.85-7.88(lH,m),
7.99(1 H,d,J=7.4Hz), 8.17(lH,d,J=8.2Hz), 8.20- 8.40(1 H,m)
2.70-2.78(2H,m), 2.92-2.98(2H,m), 3.40-3.48(2H,m), 4.02(2H,dd,J= 15Hz, 40Hz), 4.23-4.27(lH,m), 4.63- 4.67(1 H,m), 4.90(4H,s), 6.79(1 H,d,J=9.2Hz), 7.15-
CD3OD 270
7.35(6H,m), 7.39-7.55(3H,m), 7.75(lH,d,J=7.7Hz), 7.85-7.88(1 H,m), 7.99(1 H,d,J=7.7Hz), 8.1 1(lH,d,J=7.7Hz),
2.70-3.10 (4H,m), 3.25-3.35 (2H,m), 4.00-4.30 (3H,m), 4.40-4.60 (lH,m), 4.90-5.10 (lH,m), 6.90-7.40
CD3OD 270
(9H,m), 7.60-7.75 (2H,m), 7.90-8.10 (ΙΗ,ηι), 8.40-8.60 (lH,m)
2.82-3.02 (4H, m) 4.14-4.21 (3H, m) 4.50 (IH, t, J = 7.4 Hz) 4.92 (5H, br s) 6.91-6.98 (3H, m) 7.14-7.24
CD3OD 270
(6H, m) 7.66 (2H, d, J = 7.6 Hz) 8.41 (IH, t, J = 7.2 Hz)
2.74-2.82 (IH , m) 2.95-3.03 (3H, m) 4.13-4.24 (3H, m) 4.54 (IH, t, J = 7.2 Hz) 4.94 (5H, br s) 6.88-7.00
CD3OD 270
(4H ,m) 7.15-7.26 (5H, m) 7.63-7.68 (2H, m) 8.43 (IH, s)
2.48-2.64 (IH, m) 2.84-2.93 (3H, m) 2.98-3.03 (I H, m) 4.01-4.12 (4H, m) 4.47-4.50 (IH, m) 4.77 (3H, br s)
CD3OD 400 6.71 (IH, d, J = 8.0 Hz) 6.90-6.96 (2H, m) 7.04-7.20
(6H, m) 7.54 (IH, s) 7.60 (IH, dd, J = 8.0, 4.0 Hz) 8.31 (IH, t, J = 4.0 Hz)
2.82-2.87 (IH, m) 2.92-3.15 (3H, m) 4.12-4.36 (3H, m)
CD3OD 400 4.58-4.65 (IH, m) 4.94 (5H, br s) 6.98 (IH, dd, J = 8.0,
4.0 Hz) 7.16-7.31 (9H, m) 7.70-7.79 (2H, m)
2.31 (3H, s) 2.65-2.70 (IH, m) 2.80-2.96 (3H, m) 3.97-
CD3OD 400 4.15 (3H, s) 4.43 (I H, t, J = 8.0 Hz) 4.80 (5H, br s)
6.75-6.97 (4H, m) 7.01-7.18 (6H, m) 7.40-7.47 (2H, m)
2.65-2.70 (IH, m) 2.88-2.98 (2H, m) 3.07-3.14 (IH, m)
CD3OD 400
4.08-4.23 (3H, m) 4.54-4.57 (IH, m) 4.79 (5H, br s)
6.81 (IH, d, J = 8.0 Hz) 7.05-7.20 (8H, m) 7.25 (IH, d, J= 8.0 Hz) 7.35 (IH, br s) 8.27 (IH, t, J = 4.0 Hz)
2.29 (3H, s) 2.77-2.82 (IH, m) 2.86-3.01 (3H, m) 4.08- 4.25 (3H, m) 4.48-4.55 (IH, m) 4.87 (5H, br s) 6.93
CD3OD 400
(IH, d, J = 12.0 Hz) 7.03-7.13 (4H, m) 7.17-7.30 (5H, mO 7.61-7.65 (2H, m)
2.77-2.82 (IH, m) 2.84-3.11 (3H, m) 4.04-4.27 (3H, m)
CD3OD 400 4.51-4.55 (IH, m) 4.80-4.92 (5H, br m) 6.96 (IH, d, J
= 8.0 Hz) 7.13-7.30 (9H, m) 7.63-7.66 (2H, m)
2.78-2.88 (IH, m) 2.92-3.17 (3H, m) 4.12-4.31 (3H, m) 4.53-4.58 (IH, m) 4.90 (5H ,br s) 6.73-6.81 (3H, m)
CD3OD 400
6.96 (IH, d, J = 12.0 Hz) 7.14-7.28 (5H, m) 7.68-7.74 (2H, m)
2.81-2.88 (IH, m) 3.01 -3.10 (2H, m) 3.19-3.23 (I H, m) 4.19-4.22 (2H, m) 4.26-4.32 (2H, m) 4.61-4.68 (IH, m)
CD3OD 400 4.93 (5H, br s) 6.98-7.03 (IH, m) 7.19-7.29 (4H, m)
7.42 (2H, d, J = 8.0 Hz) 7.59 (2H, d, J = 8.0 Hz) 7.74- 7.79 (2H, m)
2.81-2.84 (IH, m) 2.96-3.00 (IH, m) 3.22-3.30 (2H, m) 4.03-4.26 (IH, m) 4.62-4.66 (IH, m) 4.92 (5H, m) 6.80
CD3OD 270
(IH, d, J = 9.2 Hz) 7.18-7.26 (6H, m) 7.46-7.52 (4H, m) 7.83-7.84 (2H, m)
0.90-1.04(2H,m), 1.20-1.33(4H,m), 1.56-1.67(2H,m), 1.73-1.80(5H,m), 2.86-2.95(lH,m), 3.09-3.13(lH,m),
CD3OD 400 4.24-4.48(4H,m), 7.03(lH,d,J= 9.1Hz), 7.21- 7.34(5H,m), 7.77(lH,d,J= 1.4Hz), 7.89(lH,dd,J= 9.2,2.1Hz), 8.01(lH,d,J= 7.5Hz), 8.53(lH,t,J= 5.9Hz).
1.12-1.82(19H,m), 2.87-2.94(1 H,m), 3.08-3.13(lH,m), 4.24-4.40(4H,m), 7.03(1 H,d,J= 9.2Hz), 7.20-
CD3OD 400
7.31(5H,m), 7.77(1 H,s), 7.89(1 H,dd,J= 9.2,2.0Hz), 8.00-8.07(lH,m), 8.50-8.58(1 H,m).
1.56-1.67 (IH, m) 1.72-1.84 (IH, m) 2.38-2.50 (2H, m)
CD3OD 400
2.74-2.96 (3H, m) 3.11 (IH, dd, J = 8.0, 4.0 Hz) 3.20- 3.22 (2H, m) 4.05-4.21 (3H, m) 4.39-4.44 (IH, m) 4.80
CD3OD 400 (2H, s) 6.84-6.95 (2H, m) 6.97-7.1 1 (3H, m) 7.25-7.30
(IH, m) 7.61-7.65 (2H, m) 7.95-7.99 (IH, m) 8.51 (IH, s)
2.92-3.18 (5H, m) 3.36-3.37 (5H, m) 4.16-4.33 (2H, m) 4.56 (IH, t, J = 8.0 Hz) 7.00-7.04 (4H, m) 7.09-7.22
CD3OD 400
(2H, m) 7.58-7.60 (2H, m) 8.05-8.07 (IH, m) 8.60-8.63 (IH, m)
2.78-2.94 (IH, M) 3.00-3.1 1 (IH, m) 3.19-3.26 (IH, m) 3.36 (IH, quintet, J = 4.0 Hz) 3.67 (IH, dd, J = 12.0 4.0 Hz) 4.18-4.24 (2H, m) 4.42 (IH, q, J = 4.0 Hz) 4.55
CD3OD 400 (IH, t, J = 8.0 Hz) 4.98 (4H, s) 6.96-7.00 (2H, m) 7.06- 7.19 (2H, m) 7.40-7.44 (2H, m) 7.52-7.62 (2H, m) 7.74-7.80 (3H, m) 7.90 (IH, dd, J = 8.0, 4.0 Hz) 8.20 (IH, d, J = 8.0 Hz)
2.76-2.85 (IH, m) 2.91-3.00 (2H, m) 3.10 (IH, dd, J= 12.0, 4.0 Hz) 3.20-3.25 (2H, m) 3.93-4.13 (4H, m)
CD3OD 400 4.35-4.45 (IH, m) 6.73-6.80 (2H, m) 6.84-6.89 (2H, m)
6.95-7.15 (3H, m) 7.58-7.65 (2H, m) 7.91 (IH, d, J =8.0 Hz) 8.21 (lH, s)
2.62-2.75 (2H, m) 2.89-3.09 (3H, m) 3.23-3.24 (IH, m) 4.00-4.04 (IH, m) 4.12-4.18 (2H, m) 4.41-4.53 (IH, m) 4.79 (2H, m) 6.84-6.96 (3H, m) 7.03 (IH, dd, J = 8.0,
CD3OD 400
4.0 Hz) 7.09-7.15 (2H, m) 7.24 (IH, d, J = 4.0 Hz) 7.28-7.34 (IH, m) 7.57-7.61 (2H, m) 7.90 (IH, d, J = 8.0 Hz) 8.40 (IH, t, J = 4.0 Hz)
2.79-2.88 (IH, m) 2.92-3.09 (3H, m) 3.37 (5H, q, J = 4.0 Hz) 3.81 (3H, s) 4.18-4.38 (3H, m) 4.52 (IH, q, J =
CD3OD 400 8.0 Hz) 6.84 (2H, d, J = 8.0 Hz) 6.97-7.07 (3H, m) 7.12
(2H, dd, J = 8.0, 4.0 Hz) 7.18-7.26 (2H, m) 7.68 (IH, dd, J = 8.0, 4.0 Hz) 7.88 (IH, d, J = 8.0 Hz)
2.21 (3H, s) 2.69-2.93 (4H, m) 3.24 (4H, quintet, J = 4.0 Hz) 4.01-4.14 (3H, m) 4.37-4.47 (1H, m) 6.84-6.90
CD3OD 400
(3H, m) 6.97 (3H, s) 7.08-7.12 (2H, m) 7.54-7.58 (2H, mO 7.77 (1H, dd ,J = 8.0 Hz) 8.30 (1H, t, J - 4.0 Hz)
2.72 (1H, dd, J = 8.0, 4.0 Hz) 2.83-2.95 (3H, m) 3.24 (3H, s) 3.93-4.14 (3H, m) 4.40-4.59 (1H, m) 4.78 (1H,
CD3OD 400
s) 6.83-6.92 (3H, m) 6.97-7.16 (6H, m) 7.57 (2H, dd, J = 8.0, 4.0 Hz) 7.82 (1H, d, J = 8.0 Hz)
0.88 (3H,t,J=7.5 Hz), 1.51-1.61 (lH,m), 1 .69- 1.75(lH,m), 3.29-3.32 (3H,m), 3.48-3.53(2H,m),3.93- 4.15 (3H,m), 4.69-4.75 (lH,m), 6.82 (lH,d,J=9.0Hz),
CD3OD 270
7.31-7.38 (2H,m), 7.43-7.57 (4H,m), 7.74-7.77 (lH,m), 7.85-7.88 (lH,m),8.03(lH,d,J=7.9Hz), 8.19(lH,d,J= 8.2Hz), 8.30-8.50 (lH,m)
0.93(3H,t,J= 7.4Hz), 1.55-1.65(lH,m), 1.72- 1.81(lH,m), 3.00-3.05(1 H,m), 3.10-3.15(1 H,m), 3.98-
CD3OD 400 4.01(lH,m), 4.19-4.30(2H,m), 4.58-4.66(lH,m), 6.99- 7.05(3H,m), 7.24-7.28(2H,m), 7.74-7.77(2H,m), 8.01(lH,d,J= 7.7Hz), 8.63(1 H,t,J= 5.8Hz).
0.93(3H,t,J= 7.4Hz), 1.56-1.67(1 H,m), 1.73- 1.83(lH,m), 3.00-3.05(lH,m), 3.10-3.15(lH,m), 3.98- 4.01(lH,m), 4.20-4.3 l(2H,m), 4.58-4.63(1 H,m),
CD3OD 400
7.01(lH,d,J= 9.0Hz), 7.04-7.07(1 H,m), 7.12- 7.23(2H,m), 7.76(lH,d,J= 1.3Hz), 7.80(lH,dd,J= 9.2,2.1Hz), 8.05(lH,d,J= 7.8Hz), 8.65(lH,t,J= 5.8Hz).
2.93-3.30(4H,m), 4.22-4.38(3H,m), 4.62-4.68(1 H,m),
CD3OD 400 7.00-7.07(2H,m), 7.13-7.30(2H,m), 7.77-7.84(2H,m),
8.15-8.27(lH,m), 8.72-8.84(lH,m).
0.75 (3H,d,J=6.9 Hz), 0.93 (3H,d,J=6.9Hz), 1.97-2.04 (lH,m), 3.29-3.32 (3H,m), 3.45-3.57(2H,m),3.83
CD3OD 270 (lH,d, J= 3.4Hz), 3.96-4.14 (2H,m), 4.68-4.76 (l H,m),
6.82 (lH,d,J=9.1Hz), 7.31-7.37 (2H,m), 7.43-7.57 (4H,m), 7.74-7.77 (lH,m), 7.85-7.88
(lH,m),8.03(lH,d,J=7.9Hz), 8.19(lH,d,J= 12.2Hz), 8.40-8.60 (lH,m)
0.74 (3H,d,J=6.94Hz), 0.92 (3H,d,J=6.91Hz), 1.90- 2.10 (lH,m), 2.90-3.10 (2H,m), 3.25-3.35 (2H,m), 3.81
CD3OD 270 (lH,d,J=3.73Hz), 4.10-4.20 (2H,m), 4.45-4.60 (lH,m),
4.90-5.10 (lH,m), 6.85-7.05 (3H,m), 7.15-7.30 (2H,m), 7.65-7.75 (2H,m), 7.90-8.10 (lH,m), 8.55-8.70 (lH,m)
0.71(3H,d,J= 6.9Hz), 0.96(3H,d,J= 6.9Hz), 1.99- 2.07(lH,m), 3.00-3.05(lH,m), 3.1 l-3.16(lH,m), 3.90(lH,d,J= 3.6Hz), 4.20-4.32(2H,m), 4.62-
CD3OD 400
4.70(lH,m), 6.99-7.05(3H,m), 7.25-7.29(2H,m), 7.74(lH,s), 7.77(1 H,dd,J= 9.2,2.1 Hz), 7.98(lH,d,J= 7.8Hz), 8.64(lH,t,J= 5.8Hz).
0.80(3H,d,J= 6.8Hz), 0.98(3H,d,J= 6.9Hz), 2.00- 2.10(lH,m), 2.99-3.04(1 H,m), 3.09-3.14(lH,m), 3.87(lH,d,J= 3.8Hz), 4.20-4.37(2H,m), 4.59-
CD3OD 400
4.65(lH,m), 7.00(lH,d,J= 9.1Hz), 7.05-7.08(1 H,m), 7.13-7.24(2H,m), 7.77(lH,s), 7.80(1 H,dd,J= 9.2,2. IHz), 8.05(lH,d,J= 7.8Hz), 8.66(lH,t,J= 5.8Hz).
0.71(3H,d,J= 6.8Hz), 0.96(3H,d,J= 7.0Hz), 1.99- 2.07(lH,m), 2.99-3.05(1 H,m), 3.1 l-3.17(lH,m), 3.90(lH,d,J= 3.6Hz), 4.21-4.33(2H,m), 4.63-
CD3OD 400
4.69(lH,m), 7.01(lH,d,J= 9.1Hz), 7.06-7.09(1 H,m), 7.14-7.24(2H,m), 7.77(lH,d,J= 1.4Hz), 7.81(lH,dd,J= 9.1,2.1Hz), 8.04(lH,d,J= 8.0Hz), 8.67(lH,t,J= 5.8Hz).
0.74 (3H,d,J=6.67 Hz), 0.92 (3H,d,J=6.94Hz), 1.90- 2.10 (lH,m), 2.90-3.10 (2H,m), 3.25-3.35 (2H,m), 3.80-3.90 (lH,m), 4.10-4.30 (2H,m), 4.50-4.60 (lH,m),
CD3OD 270
4.90-5.10 (lH,m), 6.90-7.00 (lH,m), 7.10-7.20 (lH,m), 7.30-7.50 (2H,m), 7.65-7.75 (2H,m), 7.90-8.10 (lH,m), 8.60-8.70 (lH,mO
0.94-0.97(6H,m), 1.46-1.49(2H,m), 1.75-1.86(1 H,m),
CD3OD 400
3.00-3.03(lH,m), 3.10-3.17(lH,m), 4.05-4.10(1 H,m),
4.21 -4.3 l(2H,m), 4.56-4.65(1 H,m), 6.99-7.06(3H,m), 7.24-7.28(2H,m), 7.74-7.80(2H,m), 7.98-8.02(1 H,m), 8.61(lH,t,J= 5.8Hz).
0.94-0.97(6H,m), 1.34-1.47(2H,m), 1.75-1.85(lH,m), 2.99-3.04(lH,m), 3.12-3.17(lH,m), 4.06-4.09(1 H,m),
CD3OD 400 4.21 -4.3 l(2H,m), 4.60-4.65(1 H,m), 7.00-7.05(3H,m),
7.24-7.28(2H,m), 7.75(1 H,d,J= 1.2Hz), 7.79(1 H,dd,J= 9.2,2.1Hz), 7.99(lH,d,J= 7.9Hz), 8.63(lH,t,J= 5.8Hz).
0.94-0.97(6H,m), 1.46-1.49(2H,m), 1.74-1.84(1 H,m), 2.98-3.05(lH,m), 3.10-3.18(lH,m), 4.05-4.09(1 H,m),
CD3OD 400 4.21-4.32(2H,m), 4.57-4.64(1 H,m), 7.00-7.07(2H,m),
7.12-7.26(2H,m), 7.77(lH,s), 7.79-7.84(lH,m), 8.04- 8.07(lH,m), 8.64(lH,t,J= 5.8Hz).
0.95(6H,d,J= 6.7Hz), 1.35-1.47(2H,m), 1.74- 1.84(lH,m), 2.98-3.03(1 H,m), 3.13-3.18(lH,m), 4.06- 4.09(lH,m), 4.22-4.33(2H,m), 4.61-4.66(l H,m),
CD3OD 400
7.02(1 H,d,J= 9.1Hz), 7.04-7.07(1 H,m), 7.12- 7.26(2H,m), 7.77(1 H,d,J= 1.5Hz), 7.83(1 H,dd,J= 9.2,2.1Hz), 8.05(lH,d,J= 8.0Hz), 8.66(lH,t,J= 5.8Hz).
0.99(3H,d,J=2.88Hz), 1.00(3H,d,J=2.80Hz), 1.02- 1.08(3H,m), 1.22-1.4 l(4H,m), 1.54(2H,t,J=6.64Hz), 1.55-1.94(10H,m), 4.13(lH,t,J=6.96Hz), 4.27-
CD3OD 400
4.36(2H,m), 4.41-4.47(lH,m), 7.03(lH,d,J=9.03Hz), 7.80(lH,d,J=1.2Hz), 7..91-7.95(2H,m), 8.63- 8.66(lH,m)
0.92-0.95(3H,m), 1.30-1.40(4H,m), 1.52-1.63(1 H,m), 1.68-1.76(lH,m), 3.00-3.05(1 H,m), 3.10-3.15(lH,m), 4.01-4.04(lH,m), 4.20-4.3 l(2H,m), 4.57-4.61(lH,m),
CD3OD 400
6.99-7.05(3H,m), 7.24-7.29(2H,m), 7.74(1 H,s), 7.77(lH,dd,J= 9.1,2.1Hz), 8.01(lH,d,J= 7.7Hz), 8.62(lH,t,J= 5.8Hz).
0.91 -0.94(3 H,m), 1.18-1.38(4H,m), 1.47-1.56(lH,m),
CD3OD 400
1.62-1.70(1 H,m), 2.98-3.04(1 H,m), 3.13-3.18(lH,m),
4.03-4.06(1 H,m), 4.22-4.32(2H,m), 4.61 -4.67(1 H,m), 7.00-7.05(3H,m), 7.25-7.29(2H,m), 7.75(1 H,d,J= 1.3Hz), 7.79(lH,dd,J= 9.2,2. lHz), 7.98(lH,d,J= 7.9Hz), 8.64(lH,t,J= 5.8Hz).
0.92-0.95(3H,m), 1.32-1.42(4H,m), 1.52-1.61(lH,m), 1.67-1.77(lH,m), 2.98-3.05(lH,m), 3.10-3.19(lH,m), 4.01-4.06(lH,m), 4.20-4.3 l(2H,m), 4.57-4.62(1 H,m),
CD3OD 400
7.00-7.07(2H,m), 7.13-7.23(2H,m), 7.77(lH,s), 7.81(lH,dd,J= 9.1,2.1Hz), 8.05(lH,d,J= 7.8Hz), 8.63(lH,t,J= 5.8Hz).
0.93(3H,t,J= 7.1Hz), 1.15-1.38(4H,m), 1.49- 1.58(lH,tn), 1.62-1.70(lH,m), 2.97-3.03(lH,m), 3.13- 3.18(lH,m), 4.03-4.06(lH,m), 4.22-4.33(2H,m), 4.62-
CD3OD 400
4.67(lH,m), 7.02(lH,d,J= 9.5Hz), 7.05-7.08(lH,m), 7.13-7.23(2H,m), 7.78(lH,d,J= 1.5Hz), 7.83(lH,dd,J= 9.2,2.2Hz), 8.03(lH,d,J= 8.0Hz), 8.66(lH,t,J= 5.8Hz).
0.84(3H,t,J= 7.4Hz), 1.29(3H,s), 1.53-1.63(1 H,m), 1.75-1.84(lH,m), 2.99-3.05(1 H,m), 3.08-3.14(lH,m),
CD3OD 400 4.19-4.38(2H,m), 4.57-4.64(lH,m), 6.98-7.05(3H,m),
7.24-7.28(2H,m), 7.74(lH,d,J= 1.3Hz), 7.75- 7.78(lH,m), 7.93(lH,d,J= 8.0Hz), 8.63(lH,t,J= 5.8Hz).
0.73(3H,t,J= 7.4Hz), 1.34(3H,s), 1.50-1.57(lH,m), 1.70-1.79(lH,m), 3.00-3.06(lH,m), 3.09-3.14(lH,m),
CD3OD 400 4.20-4.4 l(2H,m), 4.58-4.63(1 H,m), 6.99-7.05(3H,m),
7.25-7.3 l(2H,m), 7.74(1 H,d,J= 1.3Hz), 7.77(lH,dd,J= 9.2,2.1Hz), 7.92(lH,d,J= 7.9Hz), 8.63(lH,t,J= 5.8Hz).
0.84(3H,t,J= 7.4Hz), 1.29(3H,s), 1.54-1.63(lH,m), 1.75-1.84(lH,m), 2.99-3.04(lH,m), 3.09-3.14(lH,m), 4.20-4.38(2H,m), 4.57-4.63(1 H,m), 7.01(lH,d,J
CD3OD 400
=9.0Hz), 7.03-7.07(lH,m), 7.11-7.22(2H,m), 7.77(lH,d,J= 1.3Hz), 7.80(lH,dd,J= 9.2,2.2Hz), 7.98(lH,d,J= 8.0Hz), 8.66(lH,t,J= 5.8Hz).
CD3OD 400 0.73(3H,t,J= 7.4Hz), 1.34(3H,s), 1.49-1.58(lH,m),
1.70-1.79(1 H,m), 3.00-3.05(lH,m), 3.09-3.14(lH,m), 4.21 -4.41 (2H,m), 4.59-4.64(1 H,m), 7.02(lH,d,J =9.1 Hz), 7.05-7.08(1 H,m), 7.13-7.22(2H,m), 7.77(lH,d,J= 0.8Hz), 7.81(lH,dd,J= 9.2,2.1Hz), 7.97(lH,d,J= 8.0Hz), 8.66(lH,t,J= 5.8Hz).
1.30(3H,s), 1.37(3H,s), 3.00-3.05(1 H,m), 3.10- 3.15(lH,m), 4.20-4.32(2H,m), 4.55-4.63(lH,m), 7.00-
CD3OD 400 7.05(3H,m), 7.22-7.29(2H,m), 7.74(1 H,d,J= 0.9Hz),
7.78(lH,dd,J= 9.1 ,2.1Hz), 7.94(lH,d,J= 7.8Hz), 8.63(1 H,t,J= 5.8Hz).
1.31(3H,s), 1.37(3H,s), 2.99-3.04(1 H,m), 3.1 1- 3.16(lH,m), 4.21-4.34(2H,m), 4.56-4.63(1 H,m), 7.01-
CD3OD 400 7.06(2H,m), 7.1 l-7.22(2H,m), 7.77(lH,d,J= 1.4Hz),
7.82(lH,dd,J= 9.2,2.1Hz), 7.99(lH,d,J= 8.0Hz), 8.66(lH,t,J= 5.8Hz).
0.96-1.07(3H, m), 1.18-1.24(3H, m), 1.26(6H,s),1.36- 1.95(10H,m), 4.4.33(2H, t, J=3.2Hz), 4.42-4.49(lH,
CD3OD 400 m), 7.04(1 H, d, J = 9.5 Hz) 7.81(lH,d,J=1.0Hz),
7.83(lH,d,J=7.84Hz), 7.93(1H, dd, J = 9.16, 2.07 Hz) 8.66-8.69 (IH, m)
(2.35 (3H, s) 2.65-2.69 (IH, m) 2.73-2.80 (IH, m) 2.85-2.99 (2H, m) 3.95-3.98 (IH, m) 4.05-4.09 (IH, m)
CD3OD 400 4.12-4.18 (IH, m) 4.43 (IH, t, J = 8.0 Hz) 4.81 (4H, s)
6.66 (IH, d, J = 8.0 Hz) 6.82-6.86 (IH, m) 6.90-7.01 (2H, m) 7.05-7.19 (6H, m) 7.53 (IH, d, J = 8.0 Hz)
2.49 (3H, s) 2.82-2.87 (IH, m) 2.90-3.07 (3H, m) 4.06- 4.17 (IH, m) 4.24-4.33 (2H, m) 4.53-4.57 (IH, m) 4.92
CD3OD 400 (4H ,s) 6.82 (IH, d, J = 8.0 Hz) 6.97-7.04 (3H, m)
7.06-7.22 (2H, m) 7.24-7.28 (2H, m) 7.79 (IH, d, J = 8.0 Hz) 8.51 (IH, t, J = 8.0 Hz)
1.21 (IH, t, J = 8.0 Hz) 2.36 (3H, s) 2.65-2.71 (IH, m)
CD3OD 400 2.86-2.89 (IH, m) 2.90-2.94 (IH, m) 3.00-3.03 (IH, m)
3.20-3.22 (IH, m) 4.00-4.16 (4H, m) 4.43-4.49 (IH, m)
(3H,m), 4.90-5.10 (lH,m), 6.85 (lH,d,J=9.15Hz), 6.90- 8.70 (7H,m), 8.50-8.60 (lH,m)
0.89-1.01 (3H,m), 1.28-1.81(24H,m), 2.85-3.05(2H,m), 3.75-3.95(lH,m), 4.25-4.35 (2H,m), 6.97
82 CD3OD 270
(lH,d,J=9Hz), 7.77 (lH,s), 7.85-7.95(1 H,m), 8.65- 8.80(lH,s,br)
1.14-1.79(23H,m), 2.95-3.00 (2H,m), 3.29-3.3 l(lH,m),
83 CD3OD 270 3.75-3.90(lH,m), 4.27(2H,s), 6.97(1 H,d,J=9.1 Hz),
7.78(lH,s), 7.86-7.87(1 H,m)
2.24(3H,s), 3.07-3.15(lH,m), 3.46-3.54(lH,m), 3.99- 4.10(3H,m), 6.85(1 H,dd,J=0.7, 8.4Hz), 7.09-
87 CD3OD 270
7.26(5H,m), 7.33-7.45(5H,m), 7.50-7.79(6H,m), 8.40- 8.60(lH,m)
2.24(3H,s), 3.07-3.15(lH,m), 3.46-3.54(lH,m), 3.99- 4.10(3H,m), 6.85(lH,dd,J=0.7, 8.4Hz), 7.09-
88 CD3OD 270
7.26(5H,m), 7.33-7.45(5H,m), 7.50-7.79(6H,m), 8.40- 8.60(lH,m)
2.31(3H,s), 3.04-3.12(lH,m), 3.49-3.56(lH,m), 3.98- 4.03(2H,m), 4.13-4.21 (lH,m), 6.87(1 H,d,J=9.2Hz),
89 CD3OD 270
6.96-6.99(3H,m), 7.18-7.27(3H,m), 7.33-7.45(5H,m), 7.56-7.79(5H,m), 8.40-8.60(1 H,m)
2.12(3H,s), 3.41-3.43(lH,m), 3.52-3.56(3H,m), 4.08- 4.10(2H,m), 4.67-4.70(1 H,m), 6.82(1 H,d,J=9.4Hz),
90 CD3OD 270 7.08-7.128(5H,m), 7.27-7.32(3H,m), 7.47-7.53(4H,m),
7.75-7.78(lH,m), 7.85-7.88(lH,m), 8.13-8.15(2H,m), 8.40-8.50(lH,m)
0.85-0.90(3H,m), 1.21-1.36(2H,m), 1.40-1.60(2H,m), 3.18-3.20(2H,m), 3.29-3.33(3H,m), 3.35-3.50(lH,m), 3.60-3.80(lH,m), 4.05-4.35(2H,m), 4.60-4.80(1 H,m),
91 CD3OD 270
4.90(3H,s), 6.85-6.89(1 H,m), 7.34-7.37(2H,m), 7.51- 7.61(4H,m), 7.70-7.80(1 H,m), 7.85-7.88(lH,m), 8.15- 8.25(lH,m), 8.40-8.60(lH,m)
92 CD3OD 270 1.00-1.80 (22H,m), 1.80-2.0(2H,m), 2.15(2H,s), 2.20-
2.30(2H,m), 2.59-2.62(2H,m), 4.16-4.21(1 H,m), 4.25- 4.35(lH,m), 6.53(lH,d,J= 8.4Hz), 7.14-7.24(6H,m), 7.81(lH,t)
0.89(6H,s), 0.96 -1.70 (20H,m), 2.02(2H,s), 4.18- 4.20(2H,m),4.43-4.45(1 H,m), 4.71(2H,s,br),
95 CD3OD 270
6.17(lH,d,J=7.9Hz), 6.39(1 H,d,J=8.4Hz), 7.0- 7.1(1 H,m), 7.31(1 H,d,J=8.4Hz),7.82( 1 H,s)
1.21-1.77(19H,m), 3.30-3.34(2H,m), 3.47(lH,d,J=14.4Hz), 3.60-3.70(lH,m), 3.82(3H,s),
96 CD3OD 270 4.25-4.27(3H,m), 6.89-6.95(3H,m), 7.17-7.24(2H,m),
7.68(lH,s), 7.79-7.83(1 H,m), 8.05-8.20(lH,m), 8.45- 8.70(lH,m)
1.19-1.88(29H,m), 2.70-2.80(1 H,m), 4.20-4.26(3H,m),
97 CD3OD 270 6.97(lH,d,J=9.1Hz), 7.72(lH,s), 7.84-7.87(1 H,m),
8.05-8.20(lH,m), 8.45-8.70(lH,m)
1.10-1.81(21H,m), 2.54(3H,s), 2.67(3H,s), 4.20- 4.65(3H,m), 6.98(1 H,d,J=9.2Hz), 7.76(lH,s),
98 CD3OD 270
7.89(lH,d,J=9.7Hz), 8.20-8.40(1 H,m), 8.75- 9.00(lH,m)
1.19-1.79(20H,m), 4.09,4.10(3H, 2xs),4.27 (2H,d,J=5.7Hz), 4.53-4.56(lH,m), 6.98 (lH,d,J=8.6Hz), 7.12(lH,dd, J= 3.8Hz,7.7Hz),
99 CD3OD 270
7.76(lH,d, 1.5Hz), 7.75-7.79(lH,m), 7.88 (lH,dd, 1.9Hz, 9.1Hz), 8.26-8.33(2H,m), 8.65-8.67(lH,m), 8.75-9.00(1 H,m)
1.03-1.12(3H,m), 2.19-2.33(2H,m), 3.41-3.54(2H,m), 3.29-3.33(lH,m), 3.95-4.20(2H,m),4.60-4.70(lH,m),
100 CD3OD 270 4.90(3H,s), 6.81-6.85(lH,m), 7.33-7.38(2H,m), 7.45- 7.54(4H,m), 7.74-7.78(lH,m), 7.84-7.88(1 H,m), 8.16(lH,d,J=8.4Hz), 8.40-8.60(lH,m)
0.82-0.87(3H,m), 1.52-1.59(2H,m), 2.16-2.22(2H,m),
101 CD3OD 270 3.35-3.38(lH,m), 3.41-3.43(lH,m), 4.02-4.08(2H,m),
4.66-4.69(lH,m), 6.83(lH,d ,J=9.1Hz), 7.32-
7.35(3H,m), 7.46-7.56(6H,m), 7.74-7.77(1 H,m), 7.84- 7.87(lH,m), 8.14-8.17(lH,m), 8.30-8.40(lH,m)
2.49-2.54(2H,m), 2.81-2.86(2H,m), 3.30- 3.32(lH,m),3.33-3.48(lH,m), 4.01-4.07(2H,m), 4.61-
102 CD3OD 270 4.64(lH,m), 6.82(lH,d,J=8.9Hz), 7.13-7.36(9H,m),
7.44-7.56(5H,m), 7.75(1 H,d,J=7.9Hz), 7.85- 7.88(lH,m), 8.12(lH,d,J=8.2Hz),), 8.20-8.40(lH,m)
3.41-3.44(lH,m), 3.52-3.55(3H,m), 4.04-4.09(2H,m), 4.10-4.15(1 H,m), 4.65(1 H,t,J=7.4Hz), 6.75-
103 CD3OD 270 6.81(4H,m), 7.02-7.09(3H,m), 7.26-7.30(3H,m), 7.45- 7.52(5H,m), 7.72-7.75(1 H,m), 7.83-7.86(lH,m),8.123- 8.16(lH,m)
1.39(3H,d,J=6.9Hz), 3.28-3.32(lH,m),3.33- 3.36(lH,m), 3.46-3.54(lH,m), 3.68-4.1 l(2H,m), 4.61- 4.67(lH,m), 6.83(lH,d,J=9.2Hz), 7.13-7.32(9H,m),
104 CD3OD 270
7.45-7.53(4H,m), 7.69(1 H,d,J= 8.2Hz), 7.81- 7.85(lH,m), 8.06-8.10(lH,m), 8.23(lH,d,J=6.9Hz), 8.35-8.45(lH,m)
1.37(3H,d,J=7.2Hz), 3.44-3.53 (2H,m), 3.68- 3.70(lH,m), 3.98-4.10(2H,m), 4.62-4.68(1 H,m),
105 CD3OD 270 6.77(lH,d,J=9.1Hz), 7.21 -7.40(1 ΟΗ,ηι), 7.46- 7.54(5H,m), 7.75(lH,d,J= 7.7Hz), 7.84-7.88(lH,m), 8.16(lH,d,J=9.1Hz)
2.41 (3H,s), 3.48-3.65(2H,m), 4.03-4.10(2H,m), 4.79- 4.84(lH,m), 6.60(lH,d,J=15.6Hz), 6.83(lH,d,J=9.1Hz), 7.21-7.26(3H,m), 7.32-
107 CD3OD 270
7.37(2H,m), 7.45-7.49(1 H,m), 7.53-7.60(5H,m), 7.75- 7.88(4H,m),8.19-8.22(1 H,m), 8.35-8.45(lH,m), 8.64- 8.67(lH,m)
2.22(3H,s), 3.51-3.59(2H,m), 4.08-4.14(2H,m), 4.44- 4.579(2H,m), 4.78-4.81(lH,m), 6.72(lH,d,J=7.9Hz),
108 CD3OD 270
7.82-6.90(2H,m), 7.05-7.15(3H,m), 7.30-7.33(2H,m), 7.47-7.52(5H,m), 7.74-7.78(1 H,m),7.84-7.87(lH,m),
8.00-8.03(lH,m), 8.16-8.18(lH,m), 8.45-8.55(1 H,m)
3.49-3.55(lH,m), 3.660-3.70(lH,m), 4.07-4.10(2H,m), 4.76-4.82(1 H,m), 4.90(4H,s), 6.74-6.88(2H,m), 7.35-
109 CD3OD 270 7.63(10H,m), 7.76(lH,t, J=4.9Hz),
7.86(1 H,d,J=8.6Hz), 8.19(lH,d,J=8.0Hz), 8.40- 8.60(lH,m)
2.25(3H,s), 3.47-3.67(2H,m), 4.10(2H,d,J=6Hz), 4.82- 4.89(lH,m), 6.84(lH,dd,J=l,3.3Hz), 7.21-7.23(3H,m),
110 CD3OD 270 7.28-7.41 (5H,m), 7.48-7.58(5H,m), 7.76-7.80(1 H,m),
7.86-7.90(1 H,m), 8.20(1 H,d,J=8.2Hz),), 8.45- 8.55(lH,m)
2.38(3H,s), 3.57-3.60(lH,m), 3.67-3.70(lH,m), 4.09- 4.11(2H,m), 4.84-4.89(1 H,m), 6.84(lH,d,J=9.1Hz),
111 CD3OD 270 7.33-7.38(4H,m), 7.52-7.59(8H,m), 7.76-7.78(1 H,m),
7.86-7.89(lH,m), 8.22(lH,d,J=7.7Hz), 8.40- 8.50(lH,m), 8.59-8.61(lH,m)
2.39(3H,s), 3.57-3.60(1 H,m), 3.67-3.70(lH,m), 4.07- 4.11(2H,m), 4.84-4.89(1 H,m), 6.84(lH,d,J=9.2Hz), 7.25-7.28(2H,m), 7.35-7.38(2H,m), 7.50-7.56(5H,m),
112 CD3OD 270
7.68-7.78(4H,m), 7.86-7.88(lH,m), 8.21(lH,d,J=7.6Hz), 8.40-8.50(1 H,m), 8.56- 8.59(1 H,m)
2.28(3H,s), 3.44-3.56(4H,m), 4.05-4.09(2H,m), 4.64- 4.67(lH,m), 6.81(lH,d,J=8.9Hz), 6.95-7.05(4H,m),
113 CD3OD 270 7.11-7.14(lH,m), 7.27-7.3 l(2H,m), 7.46-7.54(6H,m),
7.73-7.76(1 H,m), 7.85-7.87(lH,m), 8.13(lH,d, J=7.7Hz), 8.39-8.4 l(2H,m)
3.45-3.47(lH,m), 3.54-3.57(lH,m), 3.71(2H,s), 4.05- 4.10(2H,m), 4.70-4.72(lH,m), 6.81(lH,d,J=8.9Hz),
114 CD3OD 270 7.21-7.24(4H,m), 7.32-7.36(4H,m), 7.47-7.55(5H,m),
7.75-7.78(1 H,m), 7.86-7.88(1 H,m), 8.14-8.17(lH,m), 8.39-8.44(lH,m)
115 CD3OD 270 3.44-3.56(2H,m), 3.79(2H,s), 4.075-4.09(2H,m), 4.65-
4.85(lH,m), 6.81(lH,d,J=8.9Hz), 7.26-7.34(4H,m),
7.42-7.5 l(8H,m), 7.64-7.67(lH,m), 7.75-7.79(1 H,m), 7.86-7.89(lH,m), 8.13-8.17(1 H,m), 8.35-8.45(lH,m)
3.41-3.53(3H,m), 3.68(3H,s), 4.05-4.12(2H,m), 4.65- 4.68(lH,m), 6.80-6.9 l(4H,m), 7.08-7.10(lH,m), 7.21-
116 CD3OD 270 7.33(4H,m), 7.46-7.526(5H,m), 7.74-7.77(1 H,m), 7.84- 7.88(lH,m), 8.13-8.16(lH,m), 8.35-8.39(lH,m), 8.56- 8.58(lH,m)
3.39-3.47(lH,m), 3.53-3.61(3H,m), 4.04-4.09(2H,m), 4.66-4.69(1 H,m), 6.81(lH,d,J=9.0Hz), 7.02-
117 CD3OD 270 7.17(3H,m), 7.23-7.36(4H,m), 7.44-7.55(5H,m), 7.74- 7.78(lH,m), 7.84-7.88(lH,m),8.13-8.17(lH,m), 8.38- 8.40(lH,m), 8.50-8.53(lH,m)
3.42-3.61(2H,m), 3.77-3.80(2H,m), 4.03-4.09(2H,m), 4.67-4.70(1 H,m), 6.81(lH,d,J=9.1Hz), 7.04-
118 CD3OD 270 7.11(lH,m), 7.21-7.38(5H,m), 7.43-7.56(5H,m), 7.74- 7.78(lH,m), 7.84-7.88(lH,m), 8.14-8.17(lH,m), 8.37- 8.39(lH,m), 8.56-8.58(lH,m)
0.84(6H,t,J=6.2Hz), 1.80-2.05(lH,m), 2.07- 2.09(2H,m), 3.30(lH,s), 3.35-3.65(2H,m), 4.034.06(2H,m), 4.6-4.80(1 H,m), 6.83(1 H,d,J=9.2Hz),
119 CD3OD 270
7.33(2H,d,J=4.7Hz), 7.45-7.52(5H,m), 7.70- 7.80(lH,m), 7.86(lH,d,J=7.7Hz), 8.15(lH,d,J=8.2Hz),8.36(2H,s,br)
3.55-3.63(lH,m), 3.72-3.80(lH,m), 4.08-4.13(2H,m), 4.88-4.94(lH,m), 6.84(lH,d,J=9.7Hz), 7.29-
120 CD3OD 270
7.60(12H,m), 7.73-7.77(3H,m), 7.84-7.91(lH,m), 8.22(lH,d,J=8.5Hz), 8.50-8.60(lH,m)
3.58-3.63(lH,m),3.70-3.78(lH,m), 4.07-4.1 l(2H,m), 4.85-4.90(1 H,m), 6.83(lH,d,J=9.1Hz), 7.33-
121 CD3OD 270 7.58(9H,m), 7.75(1 H,d,J=8.2Hz), 7.85-7.91 (4H,m),
8.01(lH,s), 8.21(lH,d,J=8.2Hz), 8.40-8.60(1 H,m), 8.87(lH,d,J=7Hz)
2.52(3H,s), 3.55-3.63(lH,m), 3.70-3.78(lH,m), 4.06- 4.15(2H,m), 4.89-4.93(1 H,m), 6.84(1 H,dd,J=0.8, 8.9Hz), 7.29-7.56(13H,m), 7.67(1 H,d,J=7.2Hz),
122 CD3OD 270
7.75(lH,d, J=7.7Hz), 7.84-7.88(1 H,m), 8.24(lH,d,J=8.2Hz), 8.42(1 H,d,J=7.6Hz), 8.45- 8.55(lH,m)
3.30-3.31 (IH, m) 3.58-3.82 (2H, m) 4.12-4.17 (IH, m) 4.90 (4H, br, s) 6.85 (IH, d, J = 9.0 Hz) 7.39-7.59 (6H,
123 CD3OD 270
m) 7.76-7.89 (2H, m) 8.16-8.25 (3H, m) 8.55-8.58 (2H, m) 8.96-8.98 (2H, m)
2.40-2.60 (2H,m), 2.70-2.85 (2H,m), 2.90-3.20 (2H,m), 3.30 (2H,s), 4.05-4.30 (2H,m), 4.45-4.70 (lH,m), 4.90-
125 CD3OD 270
5.10 (lH,m), 6.85-7.00 (lH,m), 7.10-7.30 (5H,m), 7.40-7.60 (4H,m), 7.65-7.70 (2H,m), 8.30-8.60 (lH,mO
2.97 (IH, q, J = 8.0 Hz) 3.1 1 (IH, q, J = 8.0 Hz) 3.36- 3.40 (IH, m) 3.49 (2H, s) 4.23-4.29 (2H, m) 4.55 (IH,
127 CD3OD 400 dd, J = 8.0, 4.0 Hz) 4.85-4.91 (4H, m) 6.67-6.75 (3H, m) 6.97 (2H, d, J = 8.0 Hz) 7.07-7.20 (2H, m) 7.73- 7.83 (2H, m) 8.58 (IH, t, J = 8.0 Hz)
2.79-2.89 (2H,m), 3.01-3.11 (2H,m), 3.20-3.22 (lH,m), 4.05-4.14 (3H,m), 4.50-4.55 (2H,m) 6.36 (lH,d J =
128 CD3OD 400 16.0 Hz), 6.69 (2H, d, J = 8.0 Hz) 6.84 (IH, t, J = 8.0
Hz) 6.93 (IH, br s) 7.00-7.16 (2H, m) 7.22-7.48 (3H, m) 7.60-7.65 (2H, m)
3.08-3.22 (2H, m) 3.36 (3H, d, J = 4.0 Hz) 4.22-4.31 (2H, m) 4.64-4.73 (lH,m) 4.86-4.96 (2H, m) 6.66 (IH,
129 CD3OD 400 d, J = 12.0 Hz) 6.80-6.94 (2H, m) 7.01 (2H, d, J = 8.0
Hz) 7.06-7.11 (IH, m) 7.17-7.28 (2H, m) 7.51 (IH, dd, J = 12.0, 4.0 Hz) 7.77-7.83 (2H, m) 8.66 (IH ,s)
3.05-3.22 (2H, m) 3.37 (IH, t, J = 4.0 Hz) 4.25 (2H, d, J = 4.0 Hz) 4.64-4.71 (IH, m) 4.92 (4H, s) 6.80-6.93
130 CD3OD 400
(4H, m) 7.10 (IH, br s) 7.17-7.25 (3H, m) 7.50 (IH, d, J = 8.0 Hz) 7.76-7.90 (3H, m)
1.19 (IH, s) 2.41 (2H ,t J = 8.0 Hz) 2.67-2.80 (3H, m)
2.87-2.92 (IH, m) 3.21 (4H, quintet, J = 4.0 Hz) 4.07
131 CD3OD 400 (2H, d, J = 8.0 Hz) 4.34 (IH, q, J = 4.0 Hz) 6.57-6.64
(2H, m) 6.83-7.07 (4H, m) 7.58-7.63 (2H, m) 8.1 1 (IH, d, J = 8.0 Hz) 8.33 (IH, t, J = 4.0 Hz)
2.40-2.56 (2H, m) 2.62-2.73 (2H, m) 2.77-2.82 (IH, m) 2.84-2.92 (IH, m) 3.20-3.22 (2H, m) 4.02-4.11 (2H, m)
132 CD3OD 400 4.34-4.40 (IH, m) 4.80-4.85 (2H, m) 6.48-6.53 (3H, m)
6.84 (2H, dd, J = 8.0, 4.0 Hz) 6.92-7.06 (3H, m) 7.57- 7.62 (2H, m) 8.29 (IH, t, J = 8.0 Hz)
2.53 (2H, t, J = 8.0 Hz) 2.81 (2H, t, J = 8.0 Hz) 2.91 (IH, q, J = 8.0 Hz) 3.04 (IH, q, J - 8.0 Hz) 4.22 (2H,
133 CD3OD 400 d, J = 4.0 Hz) 4.52 (IH, t, J = 8.0 Hz) 4.62 (IH, t, J =
8.0 Hz) 4.92 (4H, br s) 6.70-6.73 (2H, m) 6.97-7.04 (4H, m) 7.09-7.22 (2H, m) 7.72-7.77 (2H, m)
1.57-1.67 (2H, m) 2.65 (2H, s) 3.14 (IH, t, J = 6.0 Hz) 3.35 (4H, br s) 5.35-5.71 (3H, m) 5.73-5.75 (2H, m)
134 CD3OD 400
5.85-5.91 (2H, m) 6.13-6.17 (2H, m) 6.31-6.34 (2H, m) 6.44-6.46 (IH, m)
2.22 (3H, s) 2.40 (3H, s) 3.00-3.06 (IH, m) 3.13-3.19 (IH, m) 3.86 (2H, s) 4.66 (IH, t, J = 8.0 Hz) 4.88-4.93
136 CD3OD 400
(4H, m) 6.94-7.07 (3H, m) 7.26-7.30 (2H, m) 7.73-7.78 (2H, m)
3.05-3.1 1 (IH, m) 3.31-3.33 (IH, m) 4.21-4.22 (2H, m) 4.70 (IH, t, J = 8.0 Hz) 4.88-4.93 (4H, m) 6.94-7.01
137 CD3OD 400
(3H, m) 7.24-7.28 (2H, m) 7.70-7.74 (2H, m) 8.52 (IH, s) 8.70-8.73 (IH, m)
2.02-2.36 (9H, m) 2.89-2.95 (IH, m) 3.02-3.08 (IH, m)
138 CD3OD 400 3.31-3.33 (2H, m) 4.39 (2H, s) 4.68 (IH, t, J = 8.0 Hz)
6.93-7.07 (3H, m) 7.20-7.28 (2H, m) 7.71-7.86 (2H, m)
2.45 (3H, s) 2.66 (3H, s) 2.99-3.07 (IH, m) 3.14-3.24
139 CD3OD 400 (IH, m) 4.05-4.09 (2H, m) 4.65 (IH, t, J = 8.2 Hz)
5.25-5.27 (4H, m) 6.97 (3H ,q, J = 8.0 Hz) 7.27-7.27
(2H, m) 7.72-7.77 (2H, m)
1.70-1.96 (2H, m) 2.86 (2H, m) 3.37 (1H, t, J = 6.0 Hz) 3.59 (4H, br s) 5.58-5.66 (3H, m) 5.90-5.95 (2H, m)
140 CD3OD 400
6.31-6.39 (3H, m) 7.02-7.05 (1H, m) 7.41 (1H, d, J = 6.0 Hz) 7.65 (1H, br s)
1.40-1.57 (3H, m) 1.59-1.71 (3H, m) 1.84-1.87 (1H, m) 2.86 (2H, d, J = 6.0 Hz) 3.17 (1H, t, J = 6.0 Hz) 3.59
141 CD3OD 400
(4H, br s) 5.60-5.74 (3H, m) 5.86-5.90 (2H, m) 6.08- 6.12 (2H, m) 6.26 (2H, s) 6.36-6.59 (2H,m)
2.11 (3H,s), 2.90-3.35 (4H,m), 3.53 (2H,s), 4.10-4.30
142 CD3OD 270 (2H,m), 4.50-4.70 (lH,m), 6.85-7.20 (5H,m), 7.40-7.80
(6H,m), 8.20-8.30 (lH,m), 8.60-8.80 (lH,m)
1.08-1.74 (30H,m), 3.74-3.77 (lH,m), 4.05-4.15
143 CD3OD 270 (lH,m), 4.25(2H,s), 6.97 (lH,d,J=9Hz), 7.74 (lH,s),
7.84-7.88(lH,m)
l.l l-1.14(6H,m), 1.61-1.1.76(10H,m), 3.29- 3.30(lH,m), 3.42-3.48(lH,m), 3.57-3.70(2H,m), 4.13- 4.18(2H,m), 4.55(lH,t,7.5Hz), 4.90(3H,s),
144 CD3OD 270
6.87(1 H,d,J=9.9Hz), 7.34-7.39(2H,m), 7.48- 7.66(4H,m), 7.75-7.78(lH,m), 7.85-7.88(1 H,m), 8.18(1 H,d,J=8.1 Hz), 8.40-8.60( 1 H,m)
0.85-0.90(6H,m), 1.161-1.38(8H,m), 3.07-3.17(4H,m), 3.29-3.40(lH,m), 3.50-3.70(lH,m), 4.13-4.18(2H,m),
145 CD3OD 270 456-4.57(lH,m), 4.90(3H,s), 6.87(1 H,d,J=9.9Hz),
7.35-7.37(2H,m), 7.48-7.64(4H,m), 7.70-7.80(lH,m), 7.85-7.88(1 H,m), 8.15-8.25(lH,m), 8.40-8.60(1 H,m)
3.51-3.54(2H,m), 4.00-4.20(2H,m), 4.60-4.70(1 H,m), 4.89(2H,s), 6.81-6.85(lH,m), 6.97-7.01 (lH,m), 7.20-
146 CD3OD 270
7.35(7H,m), 7.49-7.54(5H,m), 7.78-7.80(lH,m), 7.86- 7.88(lH,m), 8.19-8.22(lH,m), 8.43(lH,s,br)
0.77(6H,d,J=6.7Hz), 1.76-1.81(lH,m), 2.83(3 H,s),
147 CD3OD 270 3.00(2H,d,J=7.7Hz), 3.38-3.46(1 H,m), 3.58- 3.66(lH,m), 4.09-4.35(2H,m), 4.55(lH,t,J=7.4Hz),
4.90(3H,s), 6.86(lH,d,J=9.9Hz), 7.34-7.37(2H,m),
7.50-7.6 l(4H,m), 7.74-7.78(lH,m), 7.85-7.88(1 H,m), 8.16-8.19(lH,m), 8.30-8.50(1 H,m)
TABLE 7
Names of examples
Example No Name
(R)-N-{(S)-l-[(6-Amino-pyridin-3-ylmethyl)-
5 carbamoy 1] -2-naphthalen- 1 -yl-ethyl } -2-hydroxy-3 - phenyl-propionamide
(S)-N-{(S)-l-[(6-Amino-pyridin-3-ylmethyl)-
6 carbamoyl]-2-naphthalen- 1 -yl-ethyl } -2-hydroxy-3 - phenyl-propionamide
(R)-N-[(S)-l-[(6-Amino-pyridin-3-ylmethyl)-
7 carbamoyl]-2-(3 ,4-dichloro-phenyl)-ethyl] -2-hydroxy-3 - phenyl-propionamide
(R)-N-[(S)-l-[(6-Amino-pyridin-3-ylmethyl)-
8 carbamoyl]-2-(4-fluoro-phenyl)-ethyl]-2-hydroxy-3- phenyl-propionamide
(R)-N-[(S)-l-[(6-Amino-pyridin-3-ylmethyl)-
9 carbamoyl]-2-(2,4,5-trifluoro-phenyl)-ethyl]-2-hydroxy- 3 -phenyl-propionamide
(R)-N-[(S)-l-[(6-Amino-pyridin-3-ylmethyl)-
10 carbamoyl] -2-(3 -fluoro-phenyl)-ethyl] -2-hydroxy-3- phenyl-propionamide
(R)-N- [(S)- 1 - [(6-Amino-pyridin-3 -ylmethyl)-
1 1 carbamoyl] -2-(2-fluoro-phenyl)-ethyl] -2-hydroxy-3 - phenyl-propionamide
(R)-N-[(S)- 1 - [(6-Amino-pyridin-3 -ylmethyl)-
12 carbamoyl]-2-(3-chloro-phenyl)-ethyl]-2-hydroxy-3- phenyl-propionamide
13 (R)-N- {(S)- 1 -[(6-Amino-pyridin-3 -ylmethyl)-
carbamoyl]-2-m-tolyl-ethyl}-2-hydroxy-3-phenyl- propionamide
(R)-N-[(S)-l-[(6-Amino-pyridin-3-ylmethyl)-
14 carbamoyl]-2-(2-chloro-phenyl)-ethyl]-2-hydroxy-3- phenyl-propionamide
(R)-N-{(S)-l-[(6-Amino-pyridin-3-ylmethyl)-
15 carbamoyl]-2-p-tolyl-ethyl}-2-hydroxy-3-phenyl- propionamide
(R)-N-[(S)-l-[(6-Amino-pyridin-3-ylmethyl)-
16 carbamoyl]-2-(4-chloro-phenyl)-ethyl]-2-hydroxy-3- phenyl-propionamide
(R)-N-[(S)-l-[(6-Amino-pyridin-3-ylmethyl)-
17 carbamoyl] -2-(3 ,5 -difluoro-phenyl)-ethyl]-2-hydroxy-3 - phenyl-propionamide
(R)-N- [(S)- 1 - [(6- Amino-pyridin-3 -ylmethyl)-
18 carbamoyl] -2-(4-trifluoromethyl-phenyl)-ethyl] -2- hydroxy-3 -phenyl-propionamide
(R)-N-{(S)-l-[(6-Amino-pyridin-3-ylmethyl)-
19 carbamoyl]-2-benzo[b]thiophen-3-yl-ethyl}-2-hydroxy- 3 -phenyl-propionamide
(R)-N-{(S)-l-[(6-Amino-pyridin-3-ylmethyl)-
20 carbamoyl] -2-cyclohexyl-ethyl } -2-hydroxy-3 -phenyl- propionamide
(R)-N-[(S)-l-[(6-Amino-pyridin-3-ylmethyl)-
21 carbamoyl]-2-(decahydro-naphthalen-l -yl)-ethyl]-2- hydroxy-3 -phenyl-propionamide
(R)-N-[(S)-l-[(6-Amino-pyridin-3-ylmethyl)-
22 carbamoyI]-2-(3,4-difluoro-phenyI)-ethyl]-2-hydroxy-4- phenyl-butyramide
(R)-N-[(S)- 1 -[(6- Amino-pyridin-3-ylmethyl)-
23 carbamoyl]-2-(4-fluoro-phenyl)-ethyl]-2-hydroxy-4- phenyl-butyramide
24 (R)-N-(6-Amino-pyridin-3-ylmethyl)-3-(3,4-difluoro-
phenyl)-2-((R)-2-hydroxy-2-phenyl-acetylamino)- propionamide
(R)-N-(6-Amino-pyridin-3-ylmethyl)-3-(4-fluoro-
25 phenyl)-2-((R)-2-hydroxy-2-phenyl-acetylamino)- propionamide
(R)-N-[(S)- 1 -[(6-Amino-pyridin-3-ylmethyl)-
26 carbamoyl] -2-(3 ,4-difluoro-pheny l)-ethyl] -3 -(4-chloro- phenyl)-2-hydroxy-propionamide
(R)-N-[(S)- 1 -[(6-Amino-pyridin-3-ylmethyl)-
27 carbamoyl]-2-(3 ,4-difluoro-phenyl)-ethyl]-3 -(3 ,4- difluoro-phenyl)-2-hydroxy-propionamide
(R)-N-[(S)-l-[(6-Amino-pyridin-3-ylmethyl)-
28 carbamoyl] -2-(3 ,4-difluoro-pheny l)-ethyl] -2-hydroxy-3 - (4-methoxy-phenyl)-propionamide
(R)-N-[(S)- 1 -[(6-Amino-pyridin-3-ylmethyl)-
29 carbamoyl] -2-(3 ,4-difluoro-phenyl)-ethyl] -3 -(2,4- dichloro-phenyl)-2-hydroxy-propionamide
(R)-N- [(S)- 1 - [(6- Amino-pyridin-3 -ylmethyl)-
30 carbamoyl]-2-(3,4-difluoro-phenyI)-ethyl]-2-hydroxy-3-
(4-trifluoromethyl-phenyl)-propionamide
(R)-N-[(S)-l-[(6-Amino-pyridin-3-ylmethyl)-
31 carbamoyl] -2-(3 ,4-difluoro-phenyl)-ethyl]-2-hydroxy-3 - naphthalen-1 -yl-propionamide
(R)-N-[(S)-l-[(6-Amino-pyridin-3-ylmethyl)-
32 carbamoyl]-2-(3,4-difluoro-phenyl)-ethyl]-2-hydroxy-3- thiophen-2-yl-propionamide
(R)-N-[(S)-l-[(6-Amino-pyridin-3-ylmethyl)-
33 carbamoyl]-2-(3,4-dichloro-phenyl)-ethyl]-3-(4-fluoro- phenyl)-2-hydroxy-propionamide
(R)-N-[(S)- 1 -[(6-Amino-pyridin-3-ylmethyl)-
34 carbamoyl] -2-(3 -methoxy-phenyl)-ethyl] -3 -(4-fluoro- phenyl)-2-hydroxy-propionamide
35 (R)-N- {(S)- 1 - [(6- Amino-pyridin-3 -ylmethyl)-
carbamoyl]-2-p-tolyl-ethyl}-3-(4-fluoro-phenyl)-2- hydroxy-propionamide
(R)-N- [(S)- 1 - [(6-Amino-pyridin-3 -ylmethyl)-
36 carbamoyl]-2-(4-chloro-phenyl)-ethyl]-3-(4-fluoro- phenyl)-2-hydroxy-propionamide
(R)-N- { (S)- 1 -[(6- Amino-pyridin-3 -ylmethyl)-
37 carbamoyl] -2-naphthalen- 1 -yl-ethyl } -2-hydroxy- butyramide
(R)-N- [(S)- 1 - [(6-Amino-pyridin-3 -ylmethyl)-
38 carbamoyl]-2-(4-fluoro-phenyl)-ethyl]-2-hydroxy- butyramide
(R)-N-[(S)-l-[(6-Amino-pyridin-3-ylmethyl)-
39 carbamoyl] -2-(3 ,4-difluoro-phenyl)-ethyl] -2-hydroxy- butyramide
3-Amino-N-[(S)-l-[(6-amino-pyridin-3-ylmethyl)-
40 carbamoyl] -2-(3 ,4-difluoro-phenyl)-ethyl] -2-hydroxy- propionamide
(R)-N-{(S)-l-[(6-Amino-pyridin-3-ylmethyl)-
41 carbamoy 1] -2-naphthalen- 1 -yl-ethyl } -2-hydroxy-3 - methyl-butyramide
(R)-N-[(S)-1 -[(6- Amino-pyridin-3 -ylmethyl)-
42 carbamoyl]-2-(4-fluoro-phenyl)-ethyl]-2-hydroxy-3- methyl-butyramide
(S)-N-[(S)- 1 -[(6-Amino-pyridin-3-ylmethyl)-
43 carbamoyl]-2-(4-fluoro-phenyl)-ethyl]-2-hydroxy-3- methyl-butyramide
(R)-N-[(S)-l-[(6-Amino-pyridin-3-ylmethyl)-
44 carbamoyl] -2-(3 ,4-difluoro-phenyl)-ethyl]-2-hydroxy-3 - methyl-butyramide
(S)-N-[(S)-l-[(6-Amino-pyridin-3-ylmethyl)-
45 carbamoyl] -2-(3 ,4-difluoro-phenyl)-ethyl]-2-hydroxy-3 - methyl-butyramide
46 (R)-N-[(S)-l-[(6-Amino-pyridin-3-ylmethyl)-
carbamoyl]-2-(3 ,4-dichloro-phenyl)-ethyl] -2-hydroxy-3 - methyl-butyr amide
(R)-2-Hydroxy-4-methyl-pentanoic acid [(S)-l-[(6-
47 amino-pyridin-3-ylmethyl)-carbamoyl]-2-(4-fluoro- phenyl)-ethyl]-amide
(S)-2-Hydroxy-4-methyl-pentanoic acid [(S)-l-[(6-
48 amino-pyridin-3-ylmethyl)-carbamoyl]-2-(4-fluoro- phenyl)-ethyl]-amide
(R)-2-Hydroxy-4-methyl-pentanoic acid [(S)-l-[(6-
49 amino-pyridin-3-ylmethyI)-carbamoyl]-2-(3,4-difluoro- phenyl)-ethyl] -amide
(S)-2-Hydroxy-4-methyl-pentanoic acid [(S)-l-[(6-
50 amino-pyridin-3 -ylmethy l)-carbamoyl] -2-(3 ,4-difluoro- phenyl)-ethyl]-amide
(R)-2-Hydroxy-4-methyl-pentanoic acid {(S)-l-[(6-
51 amino-pyridin-3 -ylmethy l)-carbamoyl] -2-cyclohexyl- ethyl} -amide
(R)-2-Hydroxy-hexanoic acid [(S)-l-[(6-amino-pyridin-
52 3-ylmethyl)-carbamoyl]-2-(4-fluoro-phenyl)-ethyl]- amide
(S)-2-Hydroxy-hexanoic acid [(S)-l-[(6-amino-pyridin-
53 3-ylmethyl)-carbamoyl]-2-(4-fluoro-phenyl)-ethyl]- amide
(R)-2-Hydroxy-hexanoic acid [(S)-l-[(6-amino-pyridin-
54 3 -ylmethyl)-carbamoyl]-2-(3 ,4-difluoro-phenyl)-ethyl] - amide
(S)-2-Hydroxy-hexanoic acid [(S)-l-[(6-amino-pyridin-
55 3-ylmethyl)-carbamoyl]-2-(3,4-difluoro-phenyl)-ethyl]- amide
(R)-N-[(S)-l-[(6-Amino-pyridin-3-ylmethyl)-
56 carbamoyl]-2-(4-fluoro-phenyl)-ethyl]-2-hydroxy-2- methyl-butyramide
57 (S)-N-[(S)-l-[(6-Amino-pyridin-3-ylmethyl)-
carbamoyl] -2-(4-fluoro-phenyl)-ethyl] -2-hydroxy-2- methyl-butyramide
(R)-N-[(S)-l-[(6-Amino-pyridin-3-ylmethyl)-
58 carbamoyl]-2-(3,4-difluoro-phenyl)-ethyl]-2-hydroxy-2- methyl-butyr amide
(S)-N-[(S)-l-[(6-Amino-pyridin-3-ylmethyl)-
59 carbamoyl]-2-(3,4-difluoro-phenyl)-ethyl]-2-hydroxy-2- methyl-butyr amide
N-[(S)-l-[(6-Amino-pyridin-3-ylmethyl)-carbamoyl]-2-
60 (4-fluoro-phenyl)-ethyl]-2-hydroxy-2-methyl- propionamide
N-[(S)- 1 -[(6-Amino-pyridin-3-ylmethyl)-carbamoyl]-2-
61 (3,4-difluoro-phenyl)-ethyl]-2-hydroxy-2-methyl- propionamide
N- { (S)- 1 -[(6- Amino-pyridin-3 -ylmethyl)-carbamoyl] -2-
62
cyclohexyl-ethyl}-2-hydroxy-2-methyl-propionamide
(R)-N- [(S)- 1 - [(6- Amino-2-methyl-pyridin-3 -ylmethyl)-
63 carbamoyl]-2-(3,4-difluoro-phenyl)-ethyl]-2-hydroxy-3- phenyl-propionamide
(R)-N-[(S)-l-[(6-Amino-2-methyl-pyridin-3-ylmethyl)-
64 carbamoy 1] -2 -(3 ,4-difluoro-phenyl)-ethyl] -3 -(4-fluoro- phenyl)-2-hydroxy-propionamide
(R)-N-[(S)-l-[(6-Amino-2-methyl-pyridin-3-ylmethyl)-
65 carbamoyl]-2-(4-trifluoromethyl-phenyl)-ethyl]-3-(4-f luoro-phenyl)-2-hydroxy-propionamide
(S)-N-{(R)-l-[(6-Amino-pyridin-3-ylmethyl)-
66 carbamoyl]-2,2-dicyclohexyl-ethyl}-2-hydroxy-3- phenyl-propionamide
R)-2-Hydroxy-4-methyl-pentanoic acid {(R)-l-[(6-
67 amino-pyridin-3-ylmethyl)-carbamoyl]-2,2-dicyclohexyl- ethyl} -amide
(S)-2-Hydroxy-4-methyl-pentanoic acid {(R)-l-[(6-
68
amino-pyridin-3-ylmethyl)-carbamoyl]-2,2-dicyclohexyl-
ethyl} -amide
(S)-N-(6- Amino-pyridin-3 -ylmethyl)-3 -(3 ,4-dif uoro-
72
phenyl)-2-(propane- 1 -sulfonylamino)-propionamide
(S)-N-(6- Amino-pyridin-3 -ylmethyl)-3 -(4-fluoro-
73
phenyl)-2-(propane- 1 -sulfonylamino)-propionamide
(S)-N-(6- Amino-pyridin-3 -ylmethyl)-3 -(4-chloro-
74
phenyl)-2-(propane- 1 -sulfonylamino)-propionamide
(S)-N-(6-Amino-pyridin-3-ylmethyl)-3-(3-chloro-
75
phenyl)-2-(propane- 1 -sulfonylamino)-propionamide
(S)-N-(6- Amino-pyridin-3 -ylmethyl)-3 -(3 ,4-dichloro-
76
phenyl)-2 -(propane- 1 -sulfonylamino)-propionamide
(S)-N-(6-Amino-pyridin-3-ylmethyl)-2-(propane- 1 -
77
sulfonylamino)-3-m-tolyl-propionamide
(S)-N-(6- Amino-pyridin-3 -ylmethyl)-2-(propane- 1 -
78 sulfonylamino)-3 -(3 -trifluoromethy 1-phenyl)- propionamide
(S)-N-(6- Amino-pyridin-3 -ylmethyl)-3-naphthalen-2-yl-
79
2-(propane- 1 -sulfonylamino)-propionamide
(S)-N-(6-Amino-pyridin-3-ylmethyl)-3-( 1 H-indol-3-yl)-
80
2-(propane- 1 -sulfonylamino)-propionamide
(S)-N-(6- Amino-pyridin-3 -ylmethyl)-3 -(decahydro-
81 naphthalen- 1 -yl)-2-(propane- 1 -sulfonylamino)- propionamide
(S)-N-(6- Amino-pyridin-3 -ylmethyl)-3 -(decahydro-
82
naphthalen- 1 -yl)-2-ethanesulfonylamino-propionamide
(S)-N-(6-Amino-pyridin-3-ylmethyl)-2-(butane- 1 -
83 sulfonylamino)-3 -(decahydro-naphthalen- 1 -yl)- propionamide
(S)-N-(6-Amino-pyridin-3-ylmethyl)-2-
84 cyclopentylmethanesulfonylamino-3-naphthalen- 1 -yl- propionamide
(S)-N-(6-Amino-pyridin-3-ylmethyl)-2-
85
cyclohexylmethanesulfonylamino-3 -naphthalen- 1 -yl-
propionamide
(S)-N-(6-Amino-pyridin-3-ylmethyl)-3-naphthalen-l-yl-
86
2-(toluene-2-sulfonylamino)-propionamide
(S)-N-(6-Amino-pyridin-3-ylmethyl)-3-naphthalen-l-yl-
87
2-(toluene-3-sulfonylamino)-propionamide
(S)-N-(6-Amino-pyridin-3-ylmethyl)-3-naphthalen-l-yl-
88
2-(toluene-4-sulfonylamino)-propionamide
(S)-N-(6-Amino-pyridin-3-ylmethyl)-3-naphthalen-l-yl-
89
2-(2,2,2-trifluoro-ethanesulfonylamino)-propionamide
(S)-N-(6-Amino-2-methy I-pyridin-3 -ylmethyl)-3 -
90 naphthalen- 1 -yl-2-(propane- 1 -sulfonylamino)- propionamide
(S)-N-(6-Amino-2-methyl-pyridin-3-ylmethyl)-3-
91 (decahydro-naphthalen-1 -yl)-2-(propane- 1 - sulfonylamino)-propionamide
N-[(S)-l-[(6-Amino-pyridin-3-ylmethyl)-carbamoyl]-2-
92
(decahydro-naphthalen- 1 -yl)-ethyl] -4-phenyl-butyramide
3-Methyl-pentanoic acid [(S)-l-[(6-amino-pyridin-3-
93 ylmethyl)-carbamoyl] -2-(decahydro-naphthalen- 1 -yl)- ethyl] -amide
(S)-N-(6-Amino-pyridin-3-ylmethyl)-3-(decahydro-
94
naphthalen- 1 -yl)-2-propionylamino-propionamide
N-[(S)-l-[(6-Amino-pyridin-3-ylmethyl)-carbamoyl]-2-
95
(decahydro-naphthalen-l-yl)-ethyl]-3-methyl-butyramide
(S)-N-(6-Amino-pyridin-3-ylmethyl)-3-(decahydro-
96 naphthalen- 1 -yl)-2-[2-(2-methoxy-phenyl)-acetylamino]- propionamide
Cyclopentanecarboxylic acid [(S)-l-[(6-amino-pyridin-3-
97 ylmethyl)-carbamoyl]-2-(decahydro-naphthalen- 1 -yl)- ethyl] -amide
2,4-Dimethyl-thiazole-5-carboxylic acid [(S)-l-[(6-
98 amino-pyridin-3-ylmethyl)-carbamoyl] ^-(decahydro- naphthalen- 1 -yl)-ethyl] -amide
N-[(S)-l-[(6-Amino-pyridin-3-ylmethyl)-carbamoyl]-2-
99 (decahydro-naphthalen- 1 -yl)-ethyl]-2-methoxy- nicotinamide
(S)-N-(6- Amino-pyridin-3 -ylmethyl)-3 -naphthalen- 1-yl-
100
2-propionylamino-propionamide
N-{(S)-l-[(6-Amino-pyridin-3-ylmethyl)-carbamoyl]-2-
101
naphthalen- 1 -yl-ethyl } -butyramide
(S)-N-(6- Amino-pyridin-3 -ylmethyl)-3 -naphthalen- 1-yl-
102
2-(3-phenyl-propionylamino)-propionamide
(S)-N-(6-Amino-pyridin-3-ylmethyl)-2-[2-(2-hydroxy-
103
phenyl)-acetylamino] -3 -naphthalen- 1 -yl-propionamide
(R)-N- {(S)- 1 -[(6-Amino-pyridin-3-ylmethyl)-
104 carbamoyl]-2-naphthalen-l-yl-ethyl}-2-phenyl- propionamide
(S)-N-{(S)-l-[(6-Amino-pyridin-3-ylmethyl)-
105 carbamoyl]-2-naphthalen- 1 -yl-ethyl } -2-phenyl- propionamide
(S)-N-(6-Amino-pyridin-3-ylmethyl)-2-(3-benzyl-
106
ureido)-3 -naphthalen- 1 -yl-propionamide
(E)-N- {(S)- 1 -[(6-Amino-pyridin-3 -ylmethyl)-
107 carbamoyl] -2 -naphthalen- 1 -yl-ethyl } -3 -o-tolyl- acrylamide
(S)-N-(6- Amino-pyridin-3 -ylmethyl)-3 -naphthalen- 1 -yl-
108
2-(2-o-tolyloxy-acetylamino)-propionamide
(Z)-N- { (S)- 1 - [(6- Amino-pyridin-3 -ylmethyl)-
109 carbamoyl] -2-naphthalen- 1 -yl-ethyl } -2-fluoro-3-phenyl- acrylamide
N- { (S)- 1 - [(6- Amino-pyridin-3 -ylmethyl)-carbamoyl] -2-
110
naphthalen- 1 -yl-ethyl} -2-methyl-benzamide
N- { (S)- 1 - [(6- Amino-pyridin-3-ylmethyl)-carbamoyl] -2-
111
naphthalen- 1 -yl-ethyl } -3 -methyl-benzamide
N-{(S)-l-[(6-Amino-pyridin-3-ylmethyl)-carbamoyl]-2-
112
naphthalen- 1 -yl-ethyl } -4-methyl-benzarnide
(S)-N-(6-Amino-pyridin-3-ylmethyl)-3-naphthalen-l-yl-
1 13
2-(2-m-tolyl-acetylamino)-propionamide
(S)-N-(6-Amino-pyridin-3-ylmethyl)-2-[2-(2-chloro-
114
phenyl)-acetylamino]-3-naphthalen-l-yl-propionamide
(S)-N-(6-Amino-pyridin-3-ylmethyl)-3-naphthalen-l-yl-
1 15 2-[2-(2-trifluoromethyl-phenyl)-acetylamino]- propionamide
(S)-N-(6-Amino-pyridin-3-ylmethyl)-2-[2-(2-methoxy-
116
phenyl)-acetylamino]-3-naphthalen-l-yl-propionamide
(S)-N-(6-Amino-pyridin-3-ylmethyl)-2-[2-(2-fluoro-
1 17
phenyl)-acetylamino]-3-naphthalen-l-yl-propionamide
(S)-N-(6-Amino-pyridin-3-ylmethyl)-2-[2-(2-chloro-6-
1 18 fluoro-phenyl)-acetylamino]-3-naphthalen- 1 -yl- propionamide
N-{(S)-l-[(6-Amino-pyridin-3-ylmethyl)-carbamoyl]-2-
1 19
naphthalen- 1 -yl-ethyl } -3 -methyl-butyramide
Benzofuran-2-carboxylic acid {(S)-l-[(6-amino-pyridin-
120
3-ylmethyl)-carbamoyl]-2-naphthalen- 1 -yl-ethyl} -amide
Benzo[b]thiophene-2-carboxylic acid {(S)-l-[(6-amino-
121 pyridin-3-ylmethyl)-carbamoyl]-2-naphthalen-l -yl- ethyl} -amide
3-Methyl-benzofuran-2-carboxylic acid {(S)-l-[(6-
122 amino-pyridin-3-ylmethyl)-carbamoyl]-2-naphthalen- 1 - yl-ethyl} -amide
Quinoxaline-6-carboxylic acid {(S)-l-[(6-amino-pyridin-
123
3-ylmethyl)-carbamoyl]-2-naphthalen- 1 -yl-ethyl} -amide lH-Benzotriazole-5-carboxylic acid {(S)-l-[(6-amino-
124 pyridin-3-ylmethyl)-carbamoyl]-2-naphthalen-l -yl- ethyl} -amide
(S)-N-(6-Amino-pyridin-3-ylmethyl)-2-(3-phenyl-
125 propionylamino)-3 -(3 -trifluoromethyl-phenyl)- propionamide
126 (S)-N-(6-Amino-pyridin-3 -ylmethy l)-3 -(3 ,4-difluoro-
phenyl)-2- [2-(2-hydroxy-phenyl)-acetylamino] - propionamide
(S)-N-(6-Amino-pyridin-3-ylmethyl)-3-(3,4-difluoro-
127 phenyl)-2-[2-(3-hydroxy-phenyl)-acetylamino]- propionamide
(E)-N-[(S)- 1 -[(6-Amino-pyridin-3-ylmethyl)-
128 carbamoyl]-2-(3,4-difluoro-phenyl)-ethyl]-3-(4-hydroxy- phenyl)-acrylamide
(E)-N-[(S)-l-[(6-Amino-pyridin-3-ylmethyl)-
129 carbamoyl]-2-(3,4-difluoro-phenyl)-ethyl]-3-(3-hydroxy- phenyl)-acrylamide
(E)-N-[(S)- 1 -[(6-Amino-pyridin-3-ylmethyl)-
130 carbamoyl]-2-(3,4-difluoro-phenyl)-ethyl]-3-(2-hydroxy- phenyl)-acrylamide
N- [(S)- 1 -[(6- Amino-pyridin-3 -ylmethyl)-carban oyl] -2-
131 (3,4-difluoro-phenyl)-ethyl]-3-(2-hydroxy-phenyl)- propionamide
N-[(S)- 1 -[(6-Amino-pyridin-3-ylmethyl)-carbamoyl]-2-
132 (3 ,4-difluoro-phenyl)-ethyl] -3 -(3 -hydroxy-phenyl)- propionamide
(S)-N-(6-Amino-pyridin-3-ylmethyl)-3-(3,4-difluoro-
133 phenyl)-2-[3-(4-hydroxy-phenyl)-propionylamino]- propionamide
Benzo[b]thiophene-2-carboxylic acid [(S)-l-[(6-amino-
134 pyridin-3-ylmethyl)-carbamoyl]-2-(4-fluoro-phenyl)- ethyl] -amide
Benzo[c]isoxazole-3-carboxylic acid [(S)-l-[(6-amino-
135 pyridin-3-ylmethyl)-carbamoyl]-2-(4-fluoro-phenyl)- ethyl] -amide
3,5-Dimethyl-isoxazole-4-carboxylic acid [(S)-l -[(6-
136 amino-pyridin-3-ylmethyl)-carbamoyl]-2-(4-fluoro- phenyl)-ethyl]-amide
137 Isoxazole-5-carboxylic acid [(S)-l-[(6-amino-pyridin-3-
ylmethyl)-carbamoyl]-2-(4-fluoro-phenyl)-ethyl]-amide
3,5-Dimethyl-lH-pyrazole-4-carboxylic acid [(S)-l-[(6-
138 amino-pyridin-3 -ylmethyl)-carbamoyl] -2-(4-fluoro- phenyl)-ethyl] -amide
2,4-Dimethyl-thiazole-5-carboxylic acid [(S)-l-[(6-
139 ammo-pyridin-3-ylmethyl)-carbamoyl]-2-(4-fluoro- phenyl)-ethyl]-amide
N- [(S)- 1 - [(6- Amino-pyridin-3 -ylmethyl)-carbamoyl]-2-
140
(4-fluoro-phenyl)-ethyl]-nicotinamide
N-[(S)- 1 -[(6-Amino-pyridin-3-ylmethyl)-carbamoyl]-2-
141 (4-fluoro-phenyl)-ethyl]-3-(lH-imidazol-2-yl)- propionamide
(S)-N-(6-Amino-pyridin-3-ylmethyl)-2-(2-o-tolyl-
142
acetylamino)-3 -(3 -trifluoromethyl-phenyl)-propionamide
(S)-N-(6-Amino-pyridin-3-ylmethyl)-3-(decahydro-
143
naphthalen- 1 -yl)-2-(3-isopropyl-ureido)-propionamide
(S)-N-(6-Amino-pyridin-3-ylmethyl)-2-(3-cyclohexyl-3-
144
isopropyl-ureido)-3-naphthalen- 1 -yl-propionamide
(S)-N-(6-Amino-pyridin-3-ylmethyl)-2-(3,3-dibutyl-
145
ureido)-3-naphthalen-l -yl-propionamide
(S)-N-(6-Amino-pyridin-3-ylmethyl)-3-naphthalen- 1 -yl-
146
2-(3-phenyl-ureido)-propionamide
(S)-N-(6-Amino-pyridin-3-ylmethyl)-2-(3-isobutyl-3-
147
methyl-ureido)-3-naphthalen- 1 -yl-propionamide
Pyrrolidine- 1-carboxylic acid {(S)-l-[(6-amino-pyridin-
148
3-ylmethyl)-carbamoyl]-2-naphthalen-l-yl-ethyl}-amide
Biological Methods
The ability of the compounds of formula (I) to inhibit KLKl may be determined the following biological assays:
Determination of the IC50 for KLK1
KLK1 inhibitory activity in vitro was determined using standard published methods (see e.g. Johansen et al, Int. J. Tiss. Reac. 1986, 8, 185; Shori et al, Biochem. Pharmacol., 1992, 43, 1209; Sturzebecher et al, Biol. Chem. Hoppe-Seyler, 1992, 373, 1025). Human KLK1 (Callbiochem) was incubated at 37°C with the fiuorogenic substrate H- DVal-Leu-Arg-AFC and various concentrations of the test compound. Residual enzyme activity (initial rate of reaction) was determined by measuring the change in optical absorbance at 410nm and the IC5o value for the test compound was determined.
Determination of enzyme selectivity
Selected compounds were further screened for inhibitory activity against other trypsin- like serine proteases using the appropriate enzyme and chromogenic substrate (Chromogenix AB). The activity against the following human enzymes was tested (substrate in brackets):- plasma kallikrein (S-2302), thrombin (S-2238), plasmin (S- 2390) and trypsin (S-2222). The enzyme was incubated at 37°C with the chromogenic substrate. Residual enzyme activity (initial rate of reaction) was determined by measuring the change in optical absorbance at 405nm.
Data acquired from these assays are shown in Tables 6 and 7 below:
TABLE 8 (In vitro activity)
Example No IC50 vs KLK1 (nM) Example No IC50 vs LK1 (nM)
1 5.1 75 226
2 5.7 76 34.9
3 103 77 266
4 42.4 78 143
5 3.1 79 144
6 49.2 80 92
7 1.3 81 17.1
8 14.4 82 24.1
9 29.0 83 55.3
10 26.9 84 89.0
1 1 70.6 85 51.5
12 2.6 86 61.8
13 3.5 87 65.1
14 65.7 88 43.1
15 94.6 89 88.8
16 7.9 90 54.1
17 12.9 91 37.1
18 23.0 92 67.4
19 1.8 93 40.8
20 59.7 94 80.0
21 6.8 95 31.5
22 79.5 96 29.6
23 150.6 97 55.6
24 69.1 98 41.5
25 70.4 99 58.5
26 12.1 100 402
27 12.3 101 286
28 44.5 102 131
29 10.4 103 168
30 26.7 104 47.5
31 11.5 105 52.3
32 10.0 106 553
33 1.0 107 188
34 62.2 108 120
35 55.5 109 80.5
36 6.6 1 10 44.5
37 19.9 111 145
38 68.9 112 181
39 45.4 1 13 75.2
40 291 1 14 81.4
41 6.2 1 15 92.2
42 70.6 1 16 49.4
43 144 1 17 106
44 32.5 1 18 53.5
45 91.8 1 19 1 12
46 6.2 120 198
47 147 121 334
48 583 122 415
49 1 18 123 31.2
50 435 124 86.1
51 285 125 212
52 180 126 560
53 515 127 472
54 122 128 840
55 336 129 206
56 60.0 130 474
57 51.0 131 187
58 36.4 132 251
59 36.5 133 417
60 98.0 134 637
61 59.4 135 372
62 71.9 136 55.6
63 76.5 137 390
64 50.9 138 171
65 150 139 349
66 108 140 434
67 63.4 141 467
68 52.4 142 62.4
69 23.4 143 127
70 18.5 144 43.8
71 45.3 145 55.2
72 356 146 175
73 546 147 96.6
74 190 148 97.2
TABLE 9 (Selectivity data)
Example IC50 (nM)
No
Plasma Thrombin Trypsin Plasmin allikrein
1 > 10000 >10000 > 10000 > 10000
2 >10000 >10000 > 10000 >10000
12 >10000 > 10000 > 10000 > 10000
13 > 10000 > 10000 > 10000 >10000
15 > 10000 >10000 > 10000 >10000
20 > 10000 > 10000 >10000 >10000
33 > 10000 > 10000 > 10000 > 10000
69 >10000 > 10000 > 10000 > 10000
70 > 10000 >10000 > 10000 > 10000
81 > 10000 > 10000 > 10000 > 10000
Claims
Claims
1. A compound
(I)
wherein:
R1 and R2 are independently selected from H, hydroxyl, (Ci-C10)alkyl, (CrC6)alkoxy, (C2-C6)alkenyl, (C2-C6)alkynyl, (C3-C10)cycloalkyl, heterocycloalkyl, aryl, heteroaryl, aryl(C1-C4)alkyl- and heteroaryl(Ci-C4)alkyl-;
R3 is selected from H, (Ci-C10)alkyl and (C2-C6)alkenyl;
R6 and R7 are independently selected from H and (Ci-C6)alkyl;
R8, R9 and R10 are independently selected from H, (C Cio)alkyl, halo, hydroxyl and (Ci- C6)alkoxy;
A1 is selected from CW and S(0)X;
(II) (III)
X is selected from
(C2-C )alkenyl, (C3-Cio)cycloalkyl, heterocycloalkyl, aryl, heteroaryl and aryI(Ci-C4)alkyl-;
Y is selected from -CHRXRY and -C(RW)=CRVRZ;
Rx is selected from H, (Ci-Cio)alkyl, (C2-C6)alkenyl, (C3-Ci0)cycloalkyl, aryl, aryl(C C4)alkyl-, aryl(C2-C4)alkenyl- and heteroaryl(Ci-C4)alkyl-;
RY is selected from H and (Ci-Cio)alkyl;
or R and R together with the carbon atom to which they are attached form a (C3-C)0)cycloalkyl group;
Rv is selected from aryl and heteroaryl;
Rw is selected from H, fluoro and (C]-Cio)alkyl;
or Rv and Rw together with the carbon atoms to which they are attached form a group selected from aryl and heteroaryl;
Rz is selected from H, (d-Cio)alkyl and fluoro;
R4 and R5 are independently selected from H, (Ci-C]0)alkyl, (C2-C6)alkenyl, (C3- Cio)cycloalkyl, heterocycloalkyl, aryl, heteroaryl, aryl(C1-C4)alkyl- and heteroaryl (Ci- C4)alkyl-;
Ra and Rb are independently selected from H,
(C2-C6)alkenyl, (C3- Ci0)cycloalkyl, heterocycloalkyl, aryl, heteroaryl, aryl(Ci-C4)alkyl-, aryl(C2-C4)alkenyl-, heteroaryl(Ci-C4)alkyl-, -S02(C1-C6)alkyl, -S02aryl and -S02aryl(Ci-C4)alkyl;
or Ra and Rb together with the atoms to which they are attached may form a saturated or partially unsaturated 4-7 membered N-containing ring, optionally containing one further heteroatom selected from N, O and S, and optionally substituted on carbon with 1 or 2 substituents independently selected from (Ci-
C6)alkyl, (Ci-C6)alkoxy, halo, CN and hydroxyl; said N-containing ring may also optionally be fused to an aryl group;
or Ra and Rb together with the atoms to which they are attached may form a 5, 6, 9 or 10 membered mono- or bi-cylic N-containing aromatic ring, optionally containing one further heteroatom selected from N, O and S, and optionally substituted on carbon with 1, 2 or 3 substituents independently selected from (Ci- C6)alkyl, (Ci-C6)alkoxy, halo, CN, aryl, COOR15 and hydroxyl; wherein: alkyl may optionally be substituted with 1 or 2 substituents independently selected from (C3-Cio)cycloalkyl, (Ci-C6)alkoxy, phenoxy, OH, CN, CF3, COOR1 \ fluoro and NR1 'R12; alkenyl may optionally be substituted with 1 or 2 substituents independently selected from (C3-C10)cycloalkyl, (C,-C6)alkoxy, OH, CN, CF3, COOR1 1, fluoro and NR'V2;
alkynyl may optionally be substituted with 1 or 2 substituents independently selected from (C3-CI0)cycloalkyl, (Ci-C6)alkoxy, OH, CN, CF3, COOR1 1, fluoro and NRUR12; alkoxy may optionally be substituted with 1 or 2 substituents independently selected from (C3-Ci0)cycloalkyl, OH, CN, CF3, COOR11, fluoro and NRnR12; cycloalkyl is a non-aromatic mono- or bi-cylic hydrocarbon ring, optionally fused to an aryl group, wherein said cycloalkyl ring optionally contains, where possible, up to 2 double bonds; and wherein, unless otherwise stated, said cycloalkyl may optionally be substituted with 1 or 2 substituents independently selected from (Ci-C6)alkyl, (C,-C6)alkoxy, OH, CN, CF3, COOR11 , fluoro and NR"R12; heterocycloalkyl is a C-linked or N-linked 3 to 10 membered non-aromatic, mono- or bi-cyclic ring, wherein said heterocycloalkyl ring contains, where possible, 1, 2 or 3 heteroatoms independently selected from N, NR1 1, S(0)q and O; and said heterocycloalkyl ring optionally contains, where possible, 1 or 2 double bonds, and is optionally substituted on carbon with 1 or 2 substituents independently selected from (d-C6)alkyl, (CrC6)alkoxy, OH, CN, CF3, halo,
COOR11, NRHR12 and aryl; aryl is a single or fused aromatic ring system containing 6 or 10 carbon atoms; wherein, unless otherwise stated, each occurrence of aryl may be optionally substituted with up to 5 substituents independently selected from (Ci-C6)alkyl,
(Ci-C6)alkoxy, OH, halo, CN, COOR11, CF3 and NRUR12; heteroaryl is a 5, 6, 9 or 10 membered mono- or bi-cyclic aromatic ring, containing, where possible, 1, 2 or 3 ring members independently selected from N, NR11, S and O; wherein, unless otherwise stated, said heteroaryl may be optionally substituted with 1, 2 or 3 substituents independently selected from (C]-C6)alkyl, (CrC6)alkoxy, OH, halo, CN, COOR1 1, CF3 and NRUR12;
q is 0, 1 or 2;
1 1 12
R and R are independently selected from H and (Ci-C6)alkyl; with the proviso that in the case when A1 is CW, W is Y, Y is -C(RW)=CRVRZ and Rv and Rw together with the carbon atoms to which they are attached form a heteroaryl group, then Rw cannot be a nitrogen atom; and tautomers, stereoisomers, pharmaceutically acceptable salts and solvates thereof.
2. A compound according to claim 1, or a tautomer, stereoisomer, pharmaceutically acceptable salt or solvate thereof, wherein A1 is S(0)X.
3. A compound according to claim 2, or a tautomer, stereoisomer, pharmaceutically acceptable salt or solvate thereof, wherein X is selected from (Ci-Cio)alkyl, (C2-
C6)alkenyl, (C3-Cio)cycloalkyl, heterocycloalkyl, aryl, heteroaryl and aryl(Ci- C4)alkyl-.
4. A compound according to claim 1, or a tautomer, stereoisomer, pharmaceutically acceptable salt or solvate thereof, wherein A1 is CW.
5. A compound according to claim 4, or a tautomer, stereoisomer, pharmaceutically acceptable salt or solvate thereof, wherein W is Y. 6. A compound according to claim 5, or a tautomer, stereoisomer, pharmaceutically acceptable salt or solvate thereof, wherein Y is -CHRXRY.
7. A compound according to claim 6, or a tautomer, stereoisomer, pharmaceutically acceptable salt or solvate thereof, wherein Rx is selected from (Ci-C6)alkyl, (C - C6)cycloalkyl, aryl, aryl(d-C4)alkyl- and heteroaryl(Ci-C4)alkyl-.
8. A compound according to claim 6 or claim 7, or a tautomer, stereoisomer, pharmaceutically acceptable salt or solvate thereof, wherein RY is selected from H and (CrC6)alkyl. 9. A compound according to claim 6, or a tautomer, stereoisomer, pharmaceutically acceptable salt or solvate thereof, wherein Rx and RY together with the carbon atom to which they are attached form a (C4-C6)cycloalkyl group.
10. A compound according to claim 5, or a tautomer, stereoisomer, pharmaceutically acceptable salt or solvate thereof, wherein Y is -C(RW)=CRVRZ.
11. A compound according to claim 10, or a tautomer, stereoisomer, pharmaceutically acceptable salt or solvate thereof, wherein Rv is aryl. 12. A compound according to claim 10 or 1 1, or a tautomer, stereoisomer, pharmaceutically acceptable salt or solvate thereof, wherein Rw is selected from H, fluoro and (Ci-C6)alkyl.
13. A compound according to claim 10, or a tautomer, stereoisomer, pharmaceutically acceptable salt or solvate thereof, wherein Rv and Rw together with the carbon atoms to which they are attached form a group selected from aryl and heteroaryl with the proviso that in the case where Rv and Rw together with the carbon atoms to which they are attached form a heteroaryl group, then Rw cannot be a nitrogen atom. 14. A compound according to any one of claims 10 to 13, or a tautomer, stereoisomer, pharmaceutically acceptable salt or solvate thereof wherein R is selected from H, (Ci-C6)alkyl and fluoro.
15. A compound according to claim 4, or a tautomer, stereoisomer, pharmaceutically acceptable salt or solvate thereof, wherein W is the group of formula (II) below;
16. A compound according to claim 15, or a tautomer, stereoisomer, pharmaceutically acceptable salt or solvate thereof, wherein R4 is selected from H, (Ci-C6)alkyl, (C3-
Cio)cycloalkyl, heterocycloalkyl, aryl, heteroaryl, aryl(Ci-C4)alkyl- and heteroaryl(C i -C4)alkyl-.
17. A compound according to claim 15 or claim 16, or a tautomer, stereoisomer, pharmaceutically acceptable salt or solvate thereof, wherein R4 is selected from (Ci-
C6)alkyl and aryl(C1-C4)alkyl-.
18. A compound according to claim 15 to 17, or a tautomer, stereoisomer, pharmaceutically acceptable salt or solvate thereof, wherein R5 is selected from H and (C,-C6)alkyl.
19. A compound according to claim 4, or a tautomer, stereoisomer, pharmaceutically acceptable salt or solvate thereof, wherein W is the group of formula (III) below;
(III)
20. A compound according to claim 19, or a tautomer, stereoisomer, pharmaceutically acceptable salt or solvate thereof, wherein Ra is selected from H, (Ci-C6)alkyl, (C4- C6)cycloalkyl, heterocycloalkyl, aryl and heteroaryl.
21. A compound according to claim 19 or claim 20, or a tautomer, stereoisomer, pharmaceutically acceptable salt or solvate thereof, wherein Rb is selected from H, (Ci-C6)alkyl, (C4-C6)cycloalkyl, heterocycloalkyl, aryl and heteroaryl.
22. A compound according to claim 19, or a tautomer, stereoisomer, pharmaceutically acceptable salt or solvate thereof, wherein Ra and Rb together with the atoms to which they are attached may form a saturated or partially unsaturated 5-6 membered N-containing ring optionally substituted on carbon with 1 or 2 (Ci-C6)alkyl substituents.
23. A compound according to claim 19, or a tautomer, stereoisomer, pharmaceutically acceptable salt or solvate thereof, wherein Ra and Rb together with the atoms to which they are attached may form a 5, 6, 9 or 10 membered mono- or bi-cylic N- containing aromatic ring optionally substituted on carbon with 1 or 2 (Ci-C6)alkyl substituents.
24. A compound according to any one of claims 1 to 23, or a tautomer, stereoisomer, pharmaceutically acceptable salt or solvate thereof, wherein R1 is selected from (C3- Cio)cycloalkyl, aryl and heteroaryl.
25. A compound according to any one of claims 1 to 23, or a tautomer, stereoisomer, pharmaceutically acceptable salt or solvate thereof, wherein R1 is aryl. 26. A compound according to any one of claims 1 to 25, or a tautomer, stereoisomer, pharmaceutically acceptable salt or solvate thereof, wherein R is selected from H and (C4-C6)cycloalkyl.
27. A compound according to any one of claims 1 to 25, or a tautomer, stereoisomer, pharmaceutically acceptable salt or solvate thereof, wherein R is H.
28. A compound according to any one of claims 1 to 27, or a tautomer, stereoisomer, pharmaceutically acceptable salt or solvate thereof, wherein R is selected from H and (Ci-C6)alkyl.
29. A compound according to any one of claims 1 to 28, or a tautomer, stereoisomer, pharmaceutically acceptable salt or solvate thereof, wherein R is selected from H and (Ci-C6)alkyl.
30. A compound according to any one of claims 1 to 29, or a tautomer, stereoisomer, pharmaceutically acceptable salt or solvate thereof, wherein R6, R7, R9 and R10 are H. 31. A compound according to claim 1 , or a tautomer, stereoisomer, pharmaceutically acceptable salt or solvate thereof, wherein;
R1 is selected from (C3-Ci0)cycloalkyl, heterocycloalkyl, aryl and heteroaryl;
R is selected from H and (C3-Ci0)cycloalkyl;
R3 is H;
R6 and R7 are H;
R8 is selected from H and methyl;
R9 and R10 are H;
A1 is selected from CW and S(0)X;
(II) (III)
X is selected from (Ci-C6)alkyl and aryl;
Y is selected from -CHRXRY and -C(RW)=CRVRZ;
v
R is selected from (C]-C )alkyl, aryl, aryl(C1-C4)alkyl- and heteroaryl(C!-C4)alkyl-; R is selected from H and methyl;
or R and R together with the carbon atom to which they are attached form a (C4-C6)cycloalkyl group;
Rv is aryl
Rw is selected from H and fluoro;
or Rv and Rw together with the carbon atom to which they are attached form a group selected from aryl and heteroaryl;
Rz is selected from H and (C C6)alkyl;
R4 is selected from (Ci-C6)alkyl, aryl. heteroaryl, aryl(Ci-C4)alkyl- and heteroaryl(C i -C4)alkyl-;
R5 is selected from H and methyl;
Ra and Rb are independently selected from H, (CpC6)alkyl, (C4-C )cycloalkyl, aryl,
or Ra and Rb together with the atoms to which they are attached may form a saturated or partially unsaturated 5-6 membered N-containing ring optionally substituted on carbon with 1 or 2 (Ct-C6)alkyl substituents; with the proviso that in the case when A1 is CW, W is Y, Y is -C(RW)=CRVRZ and Rv and Rw together with the carbon atoms to which they are attached form a heteroaryl group, then Rw cannot be a nitrogen atom. A compound according to claim 1, selected from:
(R)-N- [(S)- 1 -[(6- Amino-pyridin-3 -ylmethyl)-carbamoyl]-2-(3 ,4-difluoro- phenyl)-ethyl]-2-hydroxy-3-phenyl-propionamide;
(R)-N-[(S)-l-[(6-Amino-pyridin-3-ylmethyl)-carbamoyl]-2-(3,4-difluoro- phenyl)-ethyl]-3-(4-fluoro-phenyl)-2-hydroxy-propionamide;
(R)-N- [(S)- 1 - [(6-Amino-2-methyl-pyridin-3 -ylmethyl)-carbamoyl] -2-(4-fluoro- phenyl)-ethyl]-2-hydroxy-3-phenyl-propionamide;
N- { (R)- 1 - [(6- Amino-pyridin-3 -ylmethyl)-carbamoyl] -2,2-dicycIohexy 1-ethy 1 } -2- hydroxy-2-methyl-propionamide;
(R)-N-{(S)-l-[(6-Amino-pyridin-3-ylmethyl)-carbamoyl]-2-naphthalen-l-yl- ethyl } -2-hydroxy-3 -phenyl -propionamide;
(S)-N- { (S)- 1 - [(6- Amino-pyridin-3 -ylmethyl)-carbamoyl] -2-naphthalen- 1 -yl- ethyl } -2-hydroxy-3 -phenyl-propionamide;
(R)-N-[(S)-l-[(6-Amino-pyridin-3-ylmethyl)-carbamoyl]-2-(3,4-dichloro- phenyl)-ethyl]-2-hydroxy-3-phenyl-propionamide;
(R)-N-[(S)- 1 - [(6- Amino-pyridin-3 -ylmethyl)-carbamoyl] -2-(4-fluoro-phenyl)- ethyl]-2-hydroxy-3-phenyl-propionamide;
(R)-N-[(S)-l-[(6-Amino-pyridin-3-ylmethyl)-carbamoyl]-2-(2,4,5-trifluoro- phenyl)-ethyl]-2-hydroxy-3-phenyl-propionamide;
(R)-N-[(S)-l-[(6-Amino-pyridin-3-ylmethyl)-carbamoyl]-2-(3-fluoro-phenyl)- ethyl]-2-hydroxy-3-phenyl-propionamide;
(R)-N-[(S)- 1 - [(6- Amino-pyridin-3 -ylmethyl)-carbamoyl] -2-(2-fluoro-phenyl)- ethyl] -2-hydroxy-3 -phenyl-propionamide;
(R)-N- [(S)- 1 - [(6- Amino-pyridin-3 -ylmethyl)-carbamoyl] -2-(3-chloro-phenyl)- ethyl]-2-hydroxy-3-phenyl-propionamide;
(R)-N- { (S)- 1 - [(6- Amino-pyridin-3 -ylmethyl)-carbamoyl]-2-m-tolyl-ethyl } -2- hydroxy-3-phenyl-propionamide;
(R)-N-[(S)-l-[(6-Amino-pyridin-3-ylmethyl)-carbamoyl]-2-(2-chloro-phenyl)- ethy 1] -2-hydroxy-3 -phenyl-propionamide ;
(R)-N- {(S)- 1 -[(6-Amino-pyridin-3 -ylmethyl)-carbamoyl]-2-p-tolyl-ethyl } -2- hydroxy-3-phenyl-propionamide;
(R)-N- [(S)- 1 - [(6- Amino-pyridin-3 -ylmethyl)-carbamoyl]-2-(4-chloro-phenyl)- ethyl]-2-hydroxy-3-phenyl-propionamide;
(R)-N-[(S)-l-[(6-Amino-pyridin-3-ylmethyl)-carbamoyl]-2-(3,5-difluoro- phenyl)-ethyl]-2-hydroxy-3-phenyl-propionamide;
(R)-N-[(S)-l-[(6-Amino-pyridin-3-ylmethyl)-carbamoyl]-2-(4-trifluoromethyl- phenyl)-ethyl]-2-hydroxy-3-phenyl-propionamide;
(R)-N-{(S)-l-[(6-Amino-pyridin-3-ylmethyl)-carbamoyl]-2-benzo[b]thiophen-3 yl -ethyl } -2 -hydroxy-3 -phenyl-propionamide;
(R)-N-{(S)-l-[(6-Amino-pyridin-3-ylmethyl)-carbamoyl]-2-cyclohexyl-ethyl}-2 hydroxy-3-phenyl-propionamide;
(R)-N- [(S)- 1 - [(6-Amino-pyridin-3 -ylmethyl)-carbamoyl] -2-(decahydro- naphthalen-l-yl)-ethyI]-2-hydroxy-3-phenyl-propionamide;
(R)-N- [(S)- 1 -[(6-Amino-pyridin-3 -ylmethyl)-carbamoyl] -2-(3 ,4-difluoro- phenyl)-ethyl]-2-hydroxy-4-phenyl-butyramide;
(R)-N-[(S)-l-[(6-Amino-pyridin-3-ylmethyl)-carbamoyl]-2-(4-fluoro-phenyl)- ethyl]-2-hydroxy-4-phenyl-butyramide;
(R)-N-(6-Amino-pyridin-3-ylmethyl)-3-(3,4-difluoro-phenyl)-2-((R)-2-hydroxy 2-phenyl-acetylamino)-propionamide;
(R)-N-(6-Amino-pyridin-3-ylmethyl)-3-(4-fluoro-phenyl)-2-((R)-2-hydroxy-2- phenyl-acetylamino)-propionamide;
(R)-N- [(S)- 1 - [(6- Amino-pyridin-3 -ylmethyl)-carbamoyl]-2-(3 ,4-difluoro- phenyl)-ethyl]-3-(4-chloro-phenyl)-2-hydroxy-propionamide;
(R)-N- [(S)- 1 -[(6- Amino-pyridin-3 -ylmethy -carbamoyl] -2-(3 ,4-difluoro- phenyl)-ethyl]-3-(3,4-difluoro-phenyl)-2-hydroxy-propionamide;
(R)-N-[(S)-l-[(6-Amino-pyridin-3-ylmethyl)-carbamoyl]-2-(3,4-difluoro- phenyl)-ethyl]-2-hydroxy-3-(4-methoxy-phenyl)-propionamide;
(R)-N-[(S)-l-[(6-Amino-pyridin-3-ylmethyl)-carbamoyl]-2-(3,4-difluoro- phenyl)-ethyl] -3 -(2,4-dichloro-phenyl)-2-hydroxy-propionamide;
(R)-N- [(S)- 1 - [(6- Amino-pyridin-3 -ylmethyl)-carbamoyl]-2-(3 ,4-difluoro- phenyl)-ethyl]-2-hydroxy-3-(4-trifluoromethyl-phenyl)-propionamide;
(R)-N- [(S)- 1 - [(6-Amino-pyridin-3 -ylmethyl)-carbamoyl] -2-(3 ,4-difluoro- phenyl)-ethyl]-2-hydroxy-3-naphthalen- 1 -yl-propionamide;
(R)-N- [(S)- 1 - [(6- Amino-pyridin-3 -ylmethyl)-carbamoyl] -2-(3 ,4-difluoro- phenyl)-ethyl]-2-hydroxy-3-thiophen-2-yl-propionamide;
(R)-N-[(S)- 1 - [(6- Amino-pyridin-3 -ylmethyl)-carbamoyl] -2-(3 ,4-dichloro- phenyl)-ethyl]-3-(4-fluoro-phenyl)-2-hydroxy-propionamide;
(R)-N- [(S)- 1 -[(6- Amino-pyridin-3 -ylmethyl)-carbamoyl] -2-(3 -methoxy-phenyl)- ethyl]-3-(4-fluoro-phenyl)-2-hydroxy-propionamide;
(R)-N- { (S)- 1 - [(6- Amino-pyridin-3 -ylmethyl)-carbamoyI]-2-p-tolyl-ethyl } -3 -(4- fluoro-phenyl)-2-hydroxy-propionamide;
(R)-N- [(S)- 1 - [(6- Amino-pyridin-3 -ylmethyl)-carbamoyl]-2-(4-chloro-phenyl)- ethyl]-3-(4-fluoro-phenyl)-2-hydroxy-propionamide;
(R)-N-{(S)-l -[(6-Amino-pyridin-3-ylmethyl)-carbamoyl]-2-naphthalen-l-yl- ethyl } -2-hydroxy-butyramide;
(R)-N-[(S)-l-[(6-Amino-pyridin-3-ylmethyl)-carbamoyl]-2-(4-fluoro-phenyl)- ethyl]-2-hydroxy-butyramide;
(R)-N-[(S)-l-[(6-Amino-pyridin-3-ylmethyl)-carbamoyl]-2-(3,4-difluoro- phenyl)-ethyl]-2-hydroxy-butyramide;
3 - Amino-N-[(S)- 1 -[(6-amino-pyridin-3 -ylmethyl)-carbamoyl] -2-(3 ,4-difluoro- phenyl)-ethy 1] -2-hydroxy-propionamide ;
(R)-N- { (S)- 1 - [(6- Amino-pyridin-3 -ylmethyl)-carbamoyl]-2-naphthalen- 1 -yl- ethyl } -2-hydroxy-3 -methyl-butyramide;
(R)-N- [(S)- 1 - [(6- Amino-pyridin-3 -ylmethyl)-carbamoyl] -2-(4-fluoro-phenyl)- ethyl]-2-hydroxy-3-methyl-butyr amide;
(S)-N-[(S)-l-[(6-Amino-pyridin-3-ylmethyl)-carbamoyl]-2-(4-fluoro-phenyl)- ethyl] -2-hydroxy-3 -methyl-butyramide;
(R)-N-[(S)-l-[(6-Amino-pyridin-3-ylmethyl)-carbamoyl]-2-(3,4-difluoro- phenyl)-ethyl]-2-hydroxy-3-methyl-butyramide;
(S)-N- [(S)- 1 - [(6- Amino-pyridin-3 -ylmethyl)-carbamoyl]-2-(3 ,4-difluoro- phenyl)-ethyl]-2-hydroxy-3-methyl-butyramide;
(R)-N-[(S)-l-[(6-Amino-pyridin-3-ylmethyl)-carbamoyl]-2-(3,4-dichloro- phenyl)-ethyl]-2-hydroxy-3-methyl-butyramide;
(R)-2-Hydroxy-4-methyl-pentanoic acid [(S)-l-[(6-amino-pyridin-3-ylmethyl)- carbamoyl]-2-(4-fluoro-phenyl)-ethyl] -amide;
(S)-2-Hydroxy-4-methyl-pentanoic acid [(S)-l-[(6-amino-pyridin-3-ylmethyl)- carbamoy 1] -2-(4-fluoro-phenyl)-ethyl] -amide;
(R)-2-Hydroxy-4-methyl-pentanoic acid [(S)-l -[(6-amino-pyridin-3-ylmethyl)- carbamoyl]-2-(3,4-difluoro-phenyl)-ethyl]-amide;
(S)-2-Hydroxy-4-methyl-pentanoic acid [(S)-l -[(6-amino-pyridin-3-ylmethyl)- carbamoyl]-2-(3,4-difluoro-phenyl)-ethyl] -amide;
(R)-2-Hydroxy-4-methyl-pentanoic acid {(S)-l-[(6-amino-pyridin-3-ylmethyl)- carbamoyl]-2-cyclohexyl-ethyl}-amide;
(R)-2-Hydroxy-hexanoic acid [(S)- 1 -[(6-amino-pyridin-3-ylmethyl)-carbamoyl] 2-(4-fluoro-phenyl)-ethyl] -amide ;
(S)-2-Hydroxy-hexanoic acid [(S)-l -[(6-amino-pyridin-3-ylmethyl)-carbamoyl] 2-(4-fluoro-phenyl)-ethyl]-amide;
(R)-2-Hydroxy-hexanoic acid [(S)- 1 -[(6-amino-pyridin-3-ylmethyl)-carbamoyl] 2-(3 ,4-difluoro-phenyl)-ethyl] -amide;
(S)-2-Hydroxy-hexanoic acid [(S)-l-[(6-amino-pyridin-3-ylmethyl)-carbamoyl]- 2-(3,4-difluoro-phenyl)-ethyl]-amide;
(R)-N-[(S)-l-[(6-Amino-pyridin-3-ylmethyl)-carbamoyl]-2-(4-fluoro-phenyl)- ethyl]-2-hydroxy-2-methyl-butyramide;
(S)-N-[(S)-l-[(6-Amino-pyridin-3-ylmethyl)-carbamoyl]-2-(4-fluoro-phenyl)- ethyl]-2-hydroxy-2-methyl-butyr amide;
(R)-N-[(S)-l-[(6-Amino-pyridin-3-ylmethyl)-carbamoyl]-2-(3,4-difluoro- phenyl)-ethyl]-2-hydroxy-2-methyl-butyramide;
(S)-N-[(S)-l-[(6-Amino-pyridin-3-ylmethyl)-carbamoyl]-2-(3,4-difluoro- phenyl)-ethyl]-2-hydroxy-2-methyl-butyramide;
N-[(S)-l-[(6-Amino-pyridin-3-ylmethyl)-carbamoyl]-2-(4-fluoro-phenyl)-ethyl] 2-hydroxy-2-methyl-propionamide;
N-[(S)-l-[(6-Amino-pyridin-3-ylmethyl)-carbamoyl]-2-(3,4-difluoro-phenyl)- ethyl]-2-hydroxy-2-methyl-propionamide;
N- { (S)- 1 - [(6- Amino-pyridin-3 -ylmethyl)-carbamoyl]-2-cyclohexyI-ethy 1 } -2- hydroxy-2-methyl-propionamide;
(R)-N- [(S)- 1 - [(6- Amino-2-methyl-pyridin-3-ylmethyl)-carbamoyl] -2-(3 ,4- difluoro-phenyl)-ethyl]-2-hydroxy-3-phenyl-propionamide;
(R)-N- [(S)- 1 -[(6- Amino-2-methyl-pyridin-3 -ylmethyl)-carbamoyl] -2-(3 ,4- difluoro-phenyl)-ethyl]-3-(4-fluoro-phenyl)-2-hydroxy-propionamide;
(R)-N-[(S)-l-[(6-Amino-2-methyl-pyridin-3-ylmethyl)-carbamoyl]-2-(4- trifluoromethyl-phenyl)-ethyl]-3-(4-fluoro-phenyl)-2-hydroxy-propionamide;
(S)-N- {(R)- 1 - [(6- Amino-pyridin-3 -ylmethyl)-carbamoyl] -2,2-dicyclohexyl- ethyl}-2-hydroxy-3-phenyl-propionamide;
(R)-2-Hydroxy-4-methyl-pentanoic acid {(R)- 1 -[(6-amino-pyridin-3-ylmethyl)- carbamoyl]-2,2-dicyclohexyl-ethyl } -amide;
(S)-2-Hydroxy-4-methyl-pentanoic acid {(R)- 1 -[(6-amino-pyridin-3-ylmethyl)- carbamoyl]-2,2-dicyclohexyl-ethyl}-amide;
(S)-N-(6-Amino-pyridin-3-ylmethyl)-3-naphthalen- 1 -yl-2-(propane- 1 - sulfonylamino)-propionamide;
(S)-N-(6-Amino-pyridin-3-ylmethyl)-3-naphthalen-l-yl-2-(2-o-tolyl- acetylamino)-propionamide;
(S)-N-(6-Amino-pyridin-3-ylmethyl)-2-(3-butyl-3-methyl-ureido)-3-naphthalen- 1 -yl-propionamide;
(S)-N-(6-Amino-pyridin-3 -ylmethyl)-3 -(3 ,4-difluoro-phenyl)-2-(propane- 1 - sulfonylamino)-propionamide;
(S)-N-(6- Amino-pyridin-3 -ylmethyl)-3 -(4-fluoro-phenyl)-2-(propane- 1 - sulfony lamino)-propionamide ;
(S)-N-(6- Amino-pyridin-3 -ylmethyl)-3-(4-chIoro-phenyl)-2-(propane-l- sulfonylamino)-propionamide;
(S)-N-(6-Amino-pyridin-3-ylmethyl)-3-(3-chloro-phenyl)-2-(propane-l- sulfonylamino)-propionamide;
(S)-N-(6-Amino-pyridin-3-ylmethyl)-3-(3,4-dichloro-phenyl)-2-(propane-l- sulfonylamino)-propionamide;
(S)-N-(6-Amino-pyridin-3-ylmethyl)-2-(propane-l-sulfonylaniino)-3-ni-tolyl- propionamide;
(S)-N-(6- Amino-pyridin-3 -ylmethyl)-2-(propane- 1 -sulfony lamino)-3 -(3 - trifluoromethyl-phenyl)-propionaniide;
(S)-N-(6- Amino-pyridin-3 -ylmethyl)-3 -naphthalen-2-yl-2-(propane- 1- sulfonylamino)-propionamide ;
(S)-N-(6- Amino-pyridin-3 -ylmethyl)-3 -( 1 H-indol-3 -yl)-2-(propane- 1 - sulfonylamino)-propionamide;
(S)-N-(6- Amino-pyridin-3 -ylmethyl)-3 -(decahydro-naphthalen- l-yl)-2-(propane 1 -sulfonylamino)-propionamide;
(S)-N-(6-Amino-pyridin-3-ylmethyl)-3-(decahydro-naphthalen-l-yl)-2- ethanesulfonylamino-propionamide;
(S)-N-(6-Amino-pyridin-3-ylmethyl)-2-(butane-l-sulfonylamino)-3-(decahydro- naphthalen- 1 -yl)-propionamide;
(S)-N-(6-Amino-pyridin-3-ylmethyl)-2-cyclopentylmethanesulfonylamino-3- naphthalen- 1 -yl-propionamide;
(S)-N-(6-Amino-pyridin-3-ylmethyl)-2-cyclohexylmethanesulfonylamino-3- naphthalen- 1 -yl-propionamide;
(S)-N-(6-Amino-pyridin-3-ylmethyl)-3-naphthalen-l-yl-2-(toluene-2- sulfonylamino)-propionamide;
(S)-N-(6-Amino-pyridin-3-ylmethyl)-3-naphthalen-l-yl-2-(toluene-3- sulfonylamino)-propionamide;
(S)-N-(6- Amino-pyridin-3 -ylmethyl)-3 -naphthalen- 1 -yl-2-(toluene-4- sulfonylamino)-propionamide;
(S)-N-(6-Amino-pyridin-3-ylmethyl)-3-naphthalen-l-yl-2-(2,2,2-trifluoro- ethanesulfonylamino)-propionamide;
(S)-N-(6-Amino-2-methyl-pyridin-3-ylmethyl)-3-naphthalen-l-yl-2-(propane-l- sulfonylamino)-propionamide;
(S)-N-(6- Amino-2-methyl-pyridin-3 -ylmethyl)-3 -(decahydro-naphthalen- 1 -yl)-2 (propane- 1 -sulfonylamino)-propionamide;
N-[(S)-l-[(6-Amino-pyridin-3-ylmethyl)-carbamoyl]-2-(decahydro-naphthalen- 1 -yl)-ethyl]-4-phenyl-butyramide;
3 -Methyl -pentanoic acid [(S)- 1 -[(6-amino-pyridin-3-ylmethyl)-carbamoyl]-2- (decahydro-naphthalen-l-yl)-ethyl]-amide;
(S)-N-(6-Amino-pyridin-3-ylmethyl)-3-(decahydro-naphthalen-l-yl)-2- propionylamino-propionamide ;
N-[(S)-l-[(6-Amino-pyridin-3-ylmethyl)-carbamoyl]-2-(decahydro-naphthalen- 1 -yl)-ethyl]-3-methyl-butyramide;
(S)-N-(6-Amino-pyridin-3 -ylmethyl)-3 -(decahydro-naphthalen- 1 -yl)-2- [2-(2- methoxy-phenyl)-acetylamino] -propionamide ;
Cyclopentanecarboxylic acid [(S)- 1 -[(6-amino-pyridin-3-ylmethyl)-carbamoyl]- 2-(decahydro-naphthalen- 1 -yl)-ethyl]-amide;
2,4-Dimethyl-thiazole-5-carboxylic acid [(S)-l -[(6-amino-pyridin-3-ylmethy])- carbamoyl]-2-(decahydro-naphthalen-l-yl)-ethyl]-amide;
N-[(S)-l-[(6-Amino-pyridin-3-ylmethyl)-carbamoyl]-2-(decahydro-naphthalen- l-yl)-ethyl]-2-methoxy-nicotinamide;
(S)-N-(6-Amino-pyridin-3 -yImethyI)-3 -naphthalen- 1 -yl-2-propionyIamino- propionamide;
N- {(S)- 1 -[(6- Amino-pyridin-3-ylmethyl)-carbamoyl]-2 -naphthalen- 1 -yl-ethyl } - butyramide;
(S)-N-(6-Amino-pyridin-3 -ylmethyl)-3 -naphthalen- 1 -yl-2-(3-phenyl- propionylamino)-propionamide;
(S)-N-(6-Amino-pyridin-3-ylmethyl)-2-[2-(2-hydroxy-phenyl)-acetylamino]-3- naphthalen- 1 -yl-propionamide;
(R)-N-{(S)-l-[(6-Amino-pyridin-3-ylmethyl)-carbamoyl]-2-naphthalen-l-yl- ethyl } -2-phenyl-propionamide;
(S)-N- { (S)- 1 - [(6- Amino-pyridin-3 -ylmethyl)-carbamoyl]-2-naphthalen- 1 -yl- ethyl } -2 -phenyl-propionamide;
(S)-N-(6- Amino-pyridin-3 -ylmethyl)-2-(3 -benzyl-ureido)-3 -naphthalen- 1 -yl- propionamide;
(E)-N- { (S)- 1 - [(6-Amino-pyridin-3 -ylmethyl)-carbamoyl]-2 -naphthalen- 1 -yl- ethyl } -3 -o-toly 1-acrylamide ;
(S)-N-(6- Amino-pyridin-3 -ylmethyl)-3 -naphthalen- l-yl-2-(2 -o-tolyloxy- acetylamino)-propionamide;
(Z)-N-{(S)- 1 -[(6-Amino-pyridin-3-ylmethyl)-carbamoyl]-2-naphthalen- 1 -yl- ethyl } -2-fluoro-3 -pheny 1-acrylamide;
N- {(S)- 1 -[(6- Amino-pyridin-3-ylmethyl)-carbamoyl]-2-naphthalen- 1 -yl-ethyl } -
2- methyl-benzamide;
N- { (S)- 1 - [(6- Amino-pyridin-3 -ylmethy l)-carbamoy 1] -2-naphthalen- 1 -yl-ethyl } - 3 -methyl-benzamide ;
N- { (S)- 1 - [(6- Amino-pyridin-3 -ylmethyl)-carbamoyl] -2-naphthalen- 1 -yl-ethyl } - 4-methyl-benzamide;
(S)-N-(6-Amino-pyridin-3-ylmethyl)-3-naphthalen-l-yl-2-(2-m-tolyl- acetylamino)-propionamide ;
(S)-N-(6-Amino-pyridin-3-ylmethyl)-2-[2-(2-chloro-phenyl)-acetylamino]-3- naphthalen- 1 -yl-propionamide;
(S)-N-(6-Amino-pyridin-3-ylmethyl)-3-naphthalen-l-yl-2-[2-(2-trifluoromethyl- phenyl)-acetylamino]-propionamide;
(S)-N-(6-Amino-pyridin-3-ylmethyl)-2-[2-(2-methoxy-phenyl)-acetylamino]-3- naphthalen- 1 -yl-propionamide;
(S)-N-(6-Amino-pyridin-3-ylmethyl)-2-[2-(2-fluoro-phenyl)-acetylamino]-3- naphthalen- 1 -yl-propionamide;
(S)-N-(6-Amino-pyridin-3-ylmethyl)-2-[2-(2-chloro-6-fluoro-phenyl)- acetylamino]-3-naphthalen- 1 -yl-propionamide;
N- {(S)- 1 -[(6-Amino-pyridin-3-ylmethyl)-carbamoyl]-2-naphthalen- 1 -yl-ethyl } -
3- methyl-butyramide;
Benzofuran-2-carboxylic acid {(S)- 1 -[(6-amino-pyridin-3-ylmethyl)-carbamoyl]-
2- naphthalen-l -yl-ethyl}-amide;
Benzo[b]thiophene-2-carboxylic acid { (S)- 1 - [(6-amino-pyridin-3 -ylmethyl)- carbamoyl] -2-naphthalen- 1 -yl-ethyl } -amide;
3- Methyl-benzofuran-2-carboxylic acid {(S)-l -[(6-amino-pyridin-3-ylmethyl)- carbamoylJ-2-naphthalen- 1 -yl-ethyl } -amide;
Quinoxaline-6-carboxylic acid {(S)-l -[(6-amino-pyridin-3-ylmethyl)- carbamoyl]-2-naphthalen- 1 -yl-ethyl } -amide;
lH-Benzotriazole-5-carboxylic acid {(S)-l-[(6-amino-pyridin-3-ylmethyl)- carbamoyl] -2-naphthalen- 1 -yl-ethyl} -amide;
(S)-N-(6- Amino-pyridin-3 -ylmethyl)-2-(3 -phenyl-propionylamino)-3 -(3 - trifluoromethyl-phenyl)-propionamide;
(S)-N-(6- Amino-pyridin-3 -ylmethyl)-3 -(3 ,4-difluoro-phenyl)-2- [2-(2-hydroxy- phenyl)-acetylamino]-propionamide;
(S)-N-(6-Amino-pyridin-3-ylmethyl)-3-(3,4-difluoro-phenyl)-2-[2-(3-hydroxy- phenyl)-acety lamino] -propionamide ;
(E)-N-[(S)-l-[(6-Amino-pyridin-3-ylmethyl)-carbamoyl]-2-(3,4-difluoro- phenyl)-ethyl]-3-(4-hydroxy-phenyl)-acrylamide;
(E)-N-[(S)- -[(6- Amino-pyridin-3 -ylmethyl)-carbamoyl]-2-(3,4-difluoro- phenyl)-ethyl]-3-(3-hydroxy-phenyl)-acrylamide;
(E)-N- [(S)- 1 -[(6- Amino-pyridin-3 -ylmethyl)-carbamoyl]-2-(3 ,4-difluoro- phenyl)-ethyl]-3-(2-hydroxy-phenyl)-acrylamide;
N-[(S)-l-[(6-Amino-pyridin-3-ylmethyl)-carbamoyl]-2-(3,4-difluoro-phenyl)- ethyll-3-(2-hydroxy-phenyl)-propionamide;
N-[(S)-l-[(6-Amino-pyridin-3-ylmethyl)-carbamoyl]-2-(3,4-difluoro-phenyl)- ethy 1] -3 -(3 -hydroxy -pheny l)-propionamide ;
(S)-N-(6- Amino-pyridin-3 -ylmethyl)-3 -(3 ,4-difluoro-phenyl)-2- [3 -(4-hydroxy- phenyl)-propionylamino]-propionamide;
Benzo[b]thiophene-2-carboxylic acid [(S)- 1 - [(6-amino-pyridin-3 -ylmethyl)- carbamoyl]-2-(4-fluoro-phenyl)-ethyl]-amide;
Benzo[c]isoxazole-3-carboxylic acid [(S)- 1 -[(6-amino-pyridin-3-ylmethyl)- carbamoyI]-2-(4-fluoro-phenyI)-ethyl]-amide;
3,5-Dimethyl-isoxazole-4-carboxylic acid [(S)-l-[(6-amino-pyridin-3-ylmethyl) carbamoyl]-2-(4-fluoro-phenyl)-ethyl]-amide;
Isoxazole-5-carboxylic acid [(S)-l-[(6-amino-pyridin-3-ylmethyl)-carbamoyl]-2 (4-fluoro-phenyl)-ethyl]-amide;
3,5-Dimethyl-lH-pyrazoIe-4-carboxylic acid [(S)-l-[(6-amino-pyridin-3- ylmethyl)-carbamoyl]-2-(4-fluoro-phenyl)-ethyl]-amide;
2,4-Dimethyl-thiazole-5-carboxylic acid [(S)-l-[(6-amino-pyridin-3-ylmethyl)- carbamoyl] -2-(4-fluoro-phenyl)-ethyl] -amide;
N-[(S)-l-[(6-Amino-pyridin-3-ylmethyl)-carbamoyl]-2-(4-fluoro-phenyl)-ethyl] nicotinamide;
N- [(S)- 1 -[(6- Amino-pyridin-3 -ylmethyl)-carbamoyl] -2-(4-fluoro-phenyl)-ethyl] - 3-(lH-imidazol-2-yl)-propionamide;
(S)-N-(6-Amino-pyridin-3-ylmethyl)-2-(2-o-tolyl-acetylamino)-3-(3- trifluoromethyl-phenyl)-propionamide;
(S)-N-(6-Amino-pyridin-3-ylmethyl)-3-(decahydro-naphthalen- 1 -yl)-2-(3- isopropyl-ureido)-propionamide;
(S)-N-(6-Amino-pyridin-3-ylmethyl)-2-(3-cyclohexyl-3-isopropyl-ureido)-3- naphthalen- 1 -yl-propionamide;
(S)-N-(6- Amino-pyridin-3 -ylmethyl)-2-(3 ,3 -dibutyl-ureido)-3 -naphthalen- 1 -yl- propionamide;
(S)-N-(6-Amino-pyridin-3-ylmethyl)-3-naphthalen-l-yl-2-(3-phenyl-ureido)- propionamide;
(S)-N-(6-Amino-pyridin-3-ylmethyl)-2-(3-isobutyl-3-methyl-ureido)-3- naphthalen- 1 -yl-propionamide;
Pyrrolidine- 1-carboxylic acid {(S)-l-[(6-amino-pyridin-3-ylmethyl)-carbamoyl]-
2-naphthalen- 1 -yl-ethyl } -amide;
and tautomers, stereoisomers, pharmaceutically acceptable salts and solvates thereof. 33. A compound according to any one of claims 1 to 32, or a tautomer, stereoisomer, pharmaceutically acceptable salt or solvate thereof, for use in therapy.
34. The use of a compound according to any one of claims 1 to 32, or a tautomer, stereoisomer, pharmaceutically acceptable salt or solvate thereof, in the manufacture of a medicament for the treatment or prevention of a disease or condition in which KLK1 activity is implicated.
35. A method of treatment of a disease or condition in which KLK1 activity is implicated comprising administration to a subject in need thereof a therapeutically effective amount of a compound according to any one of claims 1 to 32, or a tautomer, stereoisomer, pharmaceutically acceptable salt or solvate thereof.
36. The use of claim 34 or the method of claim 35 wherein the disease or condition in which KLK1 activity is implicated is selected from an inflammatory or respiratory disorder or condition selected from asthma (allergic and non-allergic), chronic obstructive pulmonary disease (COPD), allergic rhinitis (hayfever), cough, exacerbations resulting from asthma and chronic obstructive pulmonary disease (COPD), multiple sclerosis, arthritis, rheumatoid arthritis, osteopathic arthritis, osteoarthritis, rhinitis, sinusitis, inflammatory bowel disease (such as Crohn's disease and ulcerative colitis), immune mediated diabetes, acute pancreatitis and interstitial cystitis, conjunctivitis, periodontal disease, chronic prostate inflammation, chronic recurrent parotitis, inflammatory skin disorders (e.g. psoriasis, eczema), and SIRS (systemic inflammatory response syndrome); smooth muscle spasm (e.g. asthma, angina), RDS (respiratory distress syndrome) , rhino-conjunctivitis, rhinorrhoea, urticaria or a neoplastic disorder, chronic bronchitis, chronic respiratory obstruction, pulmonary fibrosis and pulmonary emphysema.
37. The use of claim 34 or the method of claim 35 wherein the disease or condition in which KLK1 activity is implicated is selected from asthma (allergic and non- allergic), chronic obstructive pulmonary disease (COPD), allergic rhinitis (hayfever), cough, exacerbations resulting from asthma and chronic obstructive pulmonary disease (COPD).
38. The use of claim 34 or the method of claim 35 wherein the disease or condition in which KLK1 activity is implicated is selected from asthma (allergic and non- allergic) and exacerbations resulting from asthma and chronic obstructive pulmonary disease (COPD).
39. A pharmaceutical composition comprising a compound according to any one of claims 1 to 32, or a tautomer, stereoisomer, pharmaceutically acceptable salt or solvate thereof, and a pharmaceutically acceptable carrier, diluent or excipient.
Applications Claiming Priority (4)
| Application Number | Priority Date | Filing Date | Title |
|---|---|---|---|
| US25560609P | 2009-10-28 | 2009-10-28 | |
| GB0918922.6 | 2009-10-28 | ||
| GBGB0918922.6A GB0918922D0 (en) | 2009-10-28 | 2009-10-28 | Aminopyridine derivatives |
| US61/255,606 | 2009-10-28 |
Publications (1)
| Publication Number | Publication Date |
|---|---|
| WO2011051671A1 true WO2011051671A1 (en) | 2011-05-05 |
Family
ID=41434814
Family Applications (1)
| Application Number | Title | Priority Date | Filing Date |
|---|---|---|---|
| PCT/GB2010/001996 Ceased WO2011051671A1 (en) | 2009-10-28 | 2010-10-27 | Aminopyridine derivatives as kallikrein inhibitors |
Country Status (5)
| Country | Link |
|---|---|
| AR (1) | AR078817A1 (en) |
| GB (1) | GB0918922D0 (en) |
| TW (1) | TW201119654A (en) |
| UY (1) | UY32975A (en) |
| WO (1) | WO2011051671A1 (en) |
Cited By (6)
| Publication number | Priority date | Publication date | Assignee | Title |
|---|---|---|---|---|
| EP2665708A2 (en) * | 2011-01-20 | 2013-11-27 | The Regents of the University of Colorado, A Body Corporate | Modulators of tlr3/dsrna complex and uses thereof |
| WO2014208751A1 (en) * | 2013-06-27 | 2014-12-31 | 味の素株式会社 | Novel umami imparter |
| US9290485B2 (en) | 2010-08-04 | 2016-03-22 | Novartis Ag | N-((6-amino-pyridin-3-yl)methyl)-heteroaryl-carboxamides |
| US9849100B2 (en) * | 2013-01-09 | 2017-12-26 | Kalvista Pharmaceuticals Limited | Pharmaceutical compositions suitable for parenteral administration comprising aqueous suspensions of benzylamine derivatives having low solubilities |
| CN111138357A (en) * | 2018-11-06 | 2020-05-12 | 天津药物研究院有限公司 | 2-oxo-1, 2-dihydroquinoline derivative, preparation method and medical application thereof |
| US11613527B2 (en) | 2019-08-09 | 2023-03-28 | Kalvista Pharmaceuticals Limited | Enzyme inhibitors |
Citations (99)
| Publication number | Priority date | Publication date | Assignee | Title |
|---|---|---|---|---|
| EP0147716A2 (en) | 1983-12-24 | 1985-07-10 | ANT Nachrichtentechnik GmbH | Method and apparatus for the encipherable transmission of a series of binary information signals with authenticity check |
| US4873253A (en) * | 1987-03-30 | 1989-10-10 | Shosuke Okamoto | Phenylalanine derivative and proteinase inhibitor |
| DE4129535A1 (en) | 1990-09-07 | 1992-03-12 | Elmu Sa | Novel PREGNA-1,4-DIEN-3,20-DION-16-17-ACETAL-21-ESTERS, METHOD FOR THE PREPARATION, COMPOSITION, AND METHODS OF TREATMENT |
| WO1992004371A1 (en) | 1990-09-07 | 1992-03-19 | Ferring Peptide Research Partnership Kb | Kininogenase inhibitors |
| US5187157A (en) | 1987-06-05 | 1993-02-16 | Du Pont Merck Pharmaceutical Company | Peptide boronic acid inhibitors of trypsin-like proteases |
| JPH0525045B2 (en) | 1985-08-09 | 1993-04-09 | Noritoshi Nakabachi | |
| WO1993018007A1 (en) | 1992-03-13 | 1993-09-16 | Tokyo Tanabe Company Limited | Novel carbostyril derivative |
| WO1994029335A1 (en) | 1993-06-03 | 1994-12-22 | Astra Aktiebolag | New peptides derivatives |
| WO1995007291A1 (en) | 1993-09-08 | 1995-03-16 | Ferring B.V. | Kininogen inhibitors |
| US5464820A (en) | 1993-06-22 | 1995-11-07 | The University Hospital | Specific inhibitors of tissue kallikrein |
| WO1999064035A1 (en) | 1998-06-08 | 1999-12-16 | Advanced Medicine, Inc. | β2-ADRENERGIC RECEPTOR AGONISTS |
| WO2000075114A1 (en) | 1999-06-04 | 2000-12-14 | Novartis Ag | Beta2-adrenoceptor agonists |
| WO2001042193A1 (en) | 1999-12-08 | 2001-06-14 | Theravance, Inc. | β2-ADRENERGIC RECEPTOR AGONISTS |
| WO2001083462A1 (en) | 2000-04-27 | 2001-11-08 | Boehringer Ingelheim Pharma Kg | Novel, slow-acting betamimetics, a method for their production and their use as medicaments |
| WO2002000679A2 (en) | 2000-06-28 | 2002-01-03 | Novartis Ag | 9.alpha.-chloro-6.alpha.-fluoro-17.alpha.-hydroxy-16-methyl-17-beta-methoxycarbonyl-androst-1,4-dienes esterified in position 17.alpha. by a cyclic acyl group |
| US20020055651A1 (en) | 1999-06-02 | 2002-05-09 | Moran Edmund J. | Beta2-adrenergic receptor agonists |
| WO2002066422A1 (en) | 2001-02-14 | 2002-08-29 | Glaxo Group Limited | Phenethanolamine derivatives for treatment of respiratory diseases |
| WO2002070490A1 (en) | 2001-03-08 | 2002-09-12 | Glaxo Group Limited | Agonists of beta-adrenoceptors |
| WO2002076933A1 (en) | 2001-03-22 | 2002-10-03 | Glaxo Group Limited | Formailide derivatives as beta2-adrenoreceptor agonists |
| WO2003024439A1 (en) | 2001-09-14 | 2003-03-27 | Glaxo Group Limited | Phenethanolamine derivatives for treatment of respiratory diseases |
| WO2003042164A1 (en) | 2001-11-13 | 2003-05-22 | Theravance, Inc | Aryl aniline beta-2 adrenergic receptor agonists |
| WO2003042160A1 (en) | 2001-11-13 | 2003-05-22 | Theravance, Inc. | Aryl aniline beta-2 adrenergic receptor agonists |
| WO2003053930A1 (en) | 2001-12-20 | 2003-07-03 | Bayer Healthcare Ag | 1,4-dihydro-1,4-diphenylpyridine derivatives |
| WO2003072539A1 (en) | 2002-02-28 | 2003-09-04 | Glaxo Group Limited | Phenethanolamine derivatives for treatment of respiratory diseases |
| WO2003091204A1 (en) | 2002-04-25 | 2003-11-06 | Glaxo Group Limited | Phenethanolamine derivatives |
| WO2003099764A1 (en) | 2002-05-28 | 2003-12-04 | Theravance, Inc. | ALKOXY ARYL β2 ADRENERGIC RECEPTOR AGONISTS |
| WO2003101941A2 (en) | 2002-05-31 | 2003-12-11 | Genzyme Corporation | Alpha acyloxyacetamides for kallikrein and urokinase inhibition |
| WO2004016578A2 (en) | 2002-07-25 | 2004-02-26 | Glaxo Group Limited | Arylethanolamine beta2-adrenoreceptor agonist compounds |
| WO2004016601A1 (en) | 2002-08-09 | 2004-02-26 | Novartis Ag | Benzothiazole derivatives having beta-2-adrenoreceptor agonist activity |
| WO2004020410A2 (en) | 2002-08-27 | 2004-03-11 | Bayer Healthcare Ag | Dihydropyridinone derivatives as hne inhibitors |
| WO2004020412A1 (en) | 2002-08-27 | 2004-03-11 | Bayer Healthcare Ag | Dihydropyridine derivatives for use as human neutrophil elastase inhibitors |
| WO2004022547A1 (en) | 2002-09-06 | 2004-03-18 | Glaxo Group Limited | Phenethanolamine derivatives and their use in the treatment of respiratory diseases |
| WO2004024701A1 (en) | 2002-09-10 | 2004-03-25 | Bayer Healthcare Ag | Heterocyclic derivatives |
| WO2004024700A1 (en) | 2002-09-10 | 2004-03-25 | Bayer Healthcare Ag | Pyrimidinone derivatives as therapeutic agents against acute and chronic inflammatory, ischaemic and remodelling processes |
| WO2004033412A1 (en) | 2002-10-04 | 2004-04-22 | Boehringer Ingelheim Pharma Gmbh & Co. Kg | Novel beta mimetics with extended duration of action, method for production and use thereof as medicaments |
| WO2004032921A1 (en) | 2002-10-11 | 2004-04-22 | Pfizer Limited | Indole derivatives as beta-2 agonists |
| WO2004037773A1 (en) | 2002-10-28 | 2004-05-06 | Glaxo Group Limited | Phenethanolamine derivative for the treatment of respiratory diseases |
| WO2004037807A2 (en) | 2002-10-22 | 2004-05-06 | Glaxo Group Limited | Medicinal arylethanolamine compounds |
| WO2004037768A2 (en) | 2002-10-28 | 2004-05-06 | Glaxo Group Limited | Phenethanolamine derivatives |
| WO2004039766A1 (en) | 2002-11-01 | 2004-05-13 | Glaxo Group Limited | Phenylethanolamine derivatives for the treatment of respiratory diseases |
| WO2004039762A1 (en) | 2002-11-01 | 2004-05-13 | Glaxo Group Limited | Phenethanolamine derivatives for the treatment of respiratory diseases |
| WO2004043942A1 (en) | 2002-11-14 | 2004-05-27 | Hokko Chemical Industry Co., Ltd. | Process for producing ϝ-jasmolactone |
| WO2004046083A1 (en) | 2002-11-15 | 2004-06-03 | Boehringer Ingelheim Pharma Gmbh & Co. Kg | Novel dihydroxy-methylphenyl derivatives, method for the production and use thereof as medicaments |
| WO2004045618A2 (en) | 2002-11-15 | 2004-06-03 | Boehringer Ingelheim Pharma Gmbh & Co. Kg | Novel medicaments for the treatment of chronic obstructive pulmonary diseases |
| DE10258695A1 (en) | 2002-12-16 | 2004-06-24 | Boehringer Ingelheim Pharma Gmbh & Co. Kg | New 2-(2-hydroxy-2-(3-methylsulfonylamino-4-hydroxyphenyl)ethylamino-4-(pyrid-2-ylamino)-2-methylbutane used e.g. for treating asthma and chronic obstructive pulmonary disease |
| EP1440966A1 (en) | 2003-01-10 | 2004-07-28 | Pfizer Limited | Indole derivatives useful for the treatment of diseases |
| WO2004071388A2 (en) | 2003-02-14 | 2004-08-26 | Glaxo Group Limited | Medicinal compounds |
| EP1460064A1 (en) | 2003-03-14 | 2004-09-22 | Pfizer Limited | Indole-2-carboxamide derivatives useful as beta-2 agonists |
| WO2004087142A1 (en) | 2003-04-04 | 2004-10-14 | Novartis Ag | Quinoline-2-one-derivatives for the treatment of airways diseases |
| WO2004089892A2 (en) | 2003-04-01 | 2004-10-21 | Theravance, Inc. | Diarylmethyl and related compounds having beta2 andrenergic receptor agonist and muscarinic receptor antagonist activity |
| US20040229904A1 (en) | 2003-05-15 | 2004-11-18 | Pfizer Inc | Compounds useful for the treatment of diseases |
| US20040242622A1 (en) | 2003-05-28 | 2004-12-02 | Mathai Mammen | Azabicycloalkane compounds |
| WO2004108675A1 (en) | 2003-06-04 | 2004-12-16 | Pfizer Limited | 2-amino-pyridine derivatives as beta-2 adrenoreceptor agonists |
| WO2004108676A1 (en) | 2003-06-04 | 2004-12-16 | Pfizer Limited | 2-(6-amino-pyridin-3-yl)-2-hydroxyethylamine derivatives as beta 2-adrenoceptors agonists |
| WO2005021512A1 (en) | 2003-08-28 | 2005-03-10 | Astrazeneca Ab | Quinoxaline derivatives as neutrophil elastase inhibitors and their use |
| WO2005021509A1 (en) | 2003-08-28 | 2005-03-10 | Astrazeneca Ab | Quinoline derivatives as neutrophil elastase inhibitors and their use |
| WO2005026123A1 (en) | 2003-09-18 | 2005-03-24 | Astrazeneca Ab | 2-pyridone derivatives as neutrophil elastase inhibitors and their use |
| WO2005026124A1 (en) | 2003-09-18 | 2005-03-24 | Astrazeneca Ab | 2-pyridone derivatives as netrophil elastase inhibitors and their use |
| WO2005033121A2 (en) | 2003-10-03 | 2005-04-14 | King Pharmaceuticals Research & Development, Inc. | Synthesis of 2-aralkyloxyadenosines, 2-alkoxyadenosines, and their analogs |
| WO2005040103A1 (en) | 2003-10-22 | 2005-05-06 | Glaxo Group Limited | Medicinal compounds |
| WO2005041980A1 (en) | 2003-11-03 | 2005-05-12 | Ivax Corporation | Soft steroid compositions for use in dry powder inhalers |
| WO2005044787A1 (en) | 2003-10-24 | 2005-05-19 | Glaxo Group Limited | Phenetanolamine derivatives |
| US20050133417A1 (en) | 2003-12-19 | 2005-06-23 | Bhan Opinder K. | Systems, methods, and catalysts for producing a crude product |
| WO2005058299A1 (en) | 2003-12-09 | 2005-06-30 | Glaxo Group Limited | Phenethanolamine derivatives for treatment of respiratory diseases |
| WO2005058867A1 (en) | 2003-12-17 | 2005-06-30 | Glaxo Group Limited | Benzothiophene-and thiochromene containing phenethanolamine derivatives for the treatment of respiratory disorders |
| US20050159448A1 (en) | 2004-01-12 | 2005-07-21 | Theravance, Inc. | Aryl aniline derivatives as beta2 adrenergic receptor agonists |
| WO2005065650A2 (en) | 2003-10-09 | 2005-07-21 | Glaxo Group Limited | Aerosol formulations comprising a carboxylic acid surfactant |
| WO2005066140A1 (en) | 2004-01-09 | 2005-07-21 | Boehringer Ingelheim International Gmbh | 3-hydroxymethyl-4-hydroxy-phenyl derivatives for the treatment of respiratory illnesses |
| US20050171147A1 (en) | 2004-01-22 | 2005-08-04 | Brown Alan D. | Sulfonamide derivatives for the treatment of diseases |
| WO2005070908A1 (en) | 2004-01-23 | 2005-08-04 | Boehringer Ingelheim International Gmbh | Novel long-working beta-2-agonists and use thereof as medicaments |
| US20050182091A1 (en) | 2004-01-22 | 2005-08-18 | Brown Alan D. | Sulfonamide derivatives for the treatment of diseases |
| WO2005077361A1 (en) | 2004-02-14 | 2005-08-25 | Boehringer Ingelheim International Gmbh | Novel, sustained-action beta-2-agonists and their use as medicaments |
| WO2005080372A1 (en) | 2004-02-19 | 2005-09-01 | Bayer Healthcare Ag | Dihydropyridinone derivatives |
| WO2005082863A2 (en) | 2004-02-26 | 2005-09-09 | Bayer Healthcare Ag | 1,4 diaryl-dihydropyrimidin-2 ones and their use as a human neutrophil elastase inhibitors |
| WO2005082864A1 (en) | 2004-02-26 | 2005-09-09 | Bayer Healthcare Ag | 1,4-diaryl-dihydropyrimidin-2-ones and their use as human neutrophil elastase inhibitors |
| WO2005090288A1 (en) | 2004-03-17 | 2005-09-29 | Pfizer Limited | Phenylaminoethanol derivates as beta2 receptor agonists |
| WO2005092860A1 (en) | 2004-03-23 | 2005-10-06 | Pfizer Limited | Compounds for the treatment of diseases |
| WO2005092841A1 (en) | 2004-03-23 | 2005-10-06 | Pfizer Limited | Compounds having beta-agonist activity |
| WO2005092861A1 (en) | 2004-03-11 | 2005-10-06 | Pfizer Limited | Quinolinone derivatives pharmaceutical compositions containing them and their use |
| WO2005092840A1 (en) | 2004-03-23 | 2005-10-06 | Pfizer Limited | Formamide derivatives useful as adrenoceptor |
| WO2005092870A1 (en) | 2004-03-17 | 2005-10-06 | Boehringer Ingelheim International Gmbh | Novel benzoxazinone derivatives used as long-acting betamimetics for treating respiratory illnesses |
| WO2005092087A2 (en) | 2004-03-22 | 2005-10-06 | Mars Incorporated | Animal chew |
| WO2005092887A1 (en) | 2004-03-23 | 2005-10-06 | Pfizer Limited | Compounds for the treatment of diseases |
| WO2005095327A1 (en) | 2004-03-31 | 2005-10-13 | Ajinomoto Co., Inc. | Aniline derivatives |
| WO2005110359A1 (en) | 2004-05-14 | 2005-11-24 | Boehringer Ingelheim International Gmbh | Inhalation powder formulations containing enantiomerically pure beta-agonists |
| WO2005111002A2 (en) | 2004-05-13 | 2005-11-24 | Boehringer Ingelheim International Gmbh | Substituted cycloalkyl derivatives for use in the treatment of respiratory diseases |
| WO2005110990A1 (en) | 2004-05-13 | 2005-11-24 | Boehringer Ingelheim International Gmbh | Hydroxy-substituted benzo-condensed heterocycles for use as beta agonists in the treatment of respiratory diseases |
| WO2005111005A1 (en) | 2004-05-14 | 2005-11-24 | Boehringer Ingelheim International Gmbh | Novel enantiomerically pure beta-agonists, method for the production and the use thereof in the form of a drug |
| US20050272769A1 (en) | 2004-06-03 | 2005-12-08 | Theravance, Inc. | Diamine beta2 adrenergic receptor agonists |
| US20060019991A1 (en) | 2004-07-21 | 2006-01-26 | Theravance, Inc. | Diaryl ether beta2 adrenergic receptor agonists |
| WO2006017538A2 (en) | 2004-08-03 | 2006-02-16 | Dyax Corp. | Hk1-binding proteins |
| WO2006016245A1 (en) | 2004-08-05 | 2006-02-16 | Ranbaxy Laboratories Limited | Muscarinic receptor antagonists |
| WO2006031556A2 (en) | 2004-09-10 | 2006-03-23 | Theravance. Inc. | Amidine substituted aryl aniline compounds |
| WO2006032627A1 (en) | 2004-09-21 | 2006-03-30 | Boehringer Ingelheim International Gmbh | Heteroaryl compounds for use as betamimetics in the treatment of respiratory diseases |
| WO2006051373A1 (en) | 2004-11-12 | 2006-05-18 | Pfizer Limited | Compounds for the treatment of diseases |
| US20060106213A1 (en) | 2002-11-15 | 2006-05-18 | Boehringer Ingelheim Pharma Gmbh & Co. Kg | New Medicaments for the Treatment of Chronic Obstructive Pulmonary Disease |
| WO2006056471A1 (en) | 2004-11-29 | 2006-06-01 | Novartis Ag | 5-hydroxy-benzothiazole derivatives having beta-2-adrenorecptor agonist activity |
| WO2008016883A2 (en) | 2006-07-31 | 2008-02-07 | Activesite Pharmaceuticals, Inc. | Inhibitors of plasma kallikrein |
| WO2009133348A1 (en) * | 2008-04-29 | 2009-11-05 | Vantia Limited | Aminopyridine derivatives |
-
2009
- 2009-10-28 GB GBGB0918922.6A patent/GB0918922D0/en not_active Ceased
-
2010
- 2010-10-27 TW TW099136776A patent/TW201119654A/en unknown
- 2010-10-27 UY UY0001032975A patent/UY32975A/en unknown
- 2010-10-27 WO PCT/GB2010/001996 patent/WO2011051671A1/en not_active Ceased
- 2010-10-28 AR ARP100103978A patent/AR078817A1/en unknown
Patent Citations (105)
| Publication number | Priority date | Publication date | Assignee | Title |
|---|---|---|---|---|
| EP0147716A2 (en) | 1983-12-24 | 1985-07-10 | ANT Nachrichtentechnik GmbH | Method and apparatus for the encipherable transmission of a series of binary information signals with authenticity check |
| JPH0525045B2 (en) | 1985-08-09 | 1993-04-09 | Noritoshi Nakabachi | |
| US4873253A (en) * | 1987-03-30 | 1989-10-10 | Shosuke Okamoto | Phenylalanine derivative and proteinase inhibitor |
| US5187157A (en) | 1987-06-05 | 1993-02-16 | Du Pont Merck Pharmaceutical Company | Peptide boronic acid inhibitors of trypsin-like proteases |
| DE4129535A1 (en) | 1990-09-07 | 1992-03-12 | Elmu Sa | Novel PREGNA-1,4-DIEN-3,20-DION-16-17-ACETAL-21-ESTERS, METHOD FOR THE PREPARATION, COMPOSITION, AND METHODS OF TREATMENT |
| WO1992004371A1 (en) | 1990-09-07 | 1992-03-19 | Ferring Peptide Research Partnership Kb | Kininogenase inhibitors |
| WO1993018007A1 (en) | 1992-03-13 | 1993-09-16 | Tokyo Tanabe Company Limited | Novel carbostyril derivative |
| WO1994029335A1 (en) | 1993-06-03 | 1994-12-22 | Astra Aktiebolag | New peptides derivatives |
| US5464820A (en) | 1993-06-22 | 1995-11-07 | The University Hospital | Specific inhibitors of tissue kallikrein |
| WO1995007291A1 (en) | 1993-09-08 | 1995-03-16 | Ferring B.V. | Kininogen inhibitors |
| WO1999064035A1 (en) | 1998-06-08 | 1999-12-16 | Advanced Medicine, Inc. | β2-ADRENERGIC RECEPTOR AGONISTS |
| US20020055651A1 (en) | 1999-06-02 | 2002-05-09 | Moran Edmund J. | Beta2-adrenergic receptor agonists |
| WO2000075114A1 (en) | 1999-06-04 | 2000-12-14 | Novartis Ag | Beta2-adrenoceptor agonists |
| WO2001042193A1 (en) | 1999-12-08 | 2001-06-14 | Theravance, Inc. | β2-ADRENERGIC RECEPTOR AGONISTS |
| WO2001083462A1 (en) | 2000-04-27 | 2001-11-08 | Boehringer Ingelheim Pharma Kg | Novel, slow-acting betamimetics, a method for their production and their use as medicaments |
| WO2002000679A2 (en) | 2000-06-28 | 2002-01-03 | Novartis Ag | 9.alpha.-chloro-6.alpha.-fluoro-17.alpha.-hydroxy-16-methyl-17-beta-methoxycarbonyl-androst-1,4-dienes esterified in position 17.alpha. by a cyclic acyl group |
| WO2002066422A1 (en) | 2001-02-14 | 2002-08-29 | Glaxo Group Limited | Phenethanolamine derivatives for treatment of respiratory diseases |
| WO2002070490A1 (en) | 2001-03-08 | 2002-09-12 | Glaxo Group Limited | Agonists of beta-adrenoceptors |
| WO2002076933A1 (en) | 2001-03-22 | 2002-10-03 | Glaxo Group Limited | Formailide derivatives as beta2-adrenoreceptor agonists |
| WO2003024439A1 (en) | 2001-09-14 | 2003-03-27 | Glaxo Group Limited | Phenethanolamine derivatives for treatment of respiratory diseases |
| WO2003042164A1 (en) | 2001-11-13 | 2003-05-22 | Theravance, Inc | Aryl aniline beta-2 adrenergic receptor agonists |
| WO2003042160A1 (en) | 2001-11-13 | 2003-05-22 | Theravance, Inc. | Aryl aniline beta-2 adrenergic receptor agonists |
| WO2003053930A1 (en) | 2001-12-20 | 2003-07-03 | Bayer Healthcare Ag | 1,4-dihydro-1,4-diphenylpyridine derivatives |
| WO2003072539A1 (en) | 2002-02-28 | 2003-09-04 | Glaxo Group Limited | Phenethanolamine derivatives for treatment of respiratory diseases |
| WO2003091204A1 (en) | 2002-04-25 | 2003-11-06 | Glaxo Group Limited | Phenethanolamine derivatives |
| WO2003099764A1 (en) | 2002-05-28 | 2003-12-04 | Theravance, Inc. | ALKOXY ARYL β2 ADRENERGIC RECEPTOR AGONISTS |
| WO2003101941A2 (en) | 2002-05-31 | 2003-12-11 | Genzyme Corporation | Alpha acyloxyacetamides for kallikrein and urokinase inhibition |
| WO2004016578A2 (en) | 2002-07-25 | 2004-02-26 | Glaxo Group Limited | Arylethanolamine beta2-adrenoreceptor agonist compounds |
| US20060106075A1 (en) | 2002-08-09 | 2006-05-18 | Bernard Cuenoud | Benzothiazole derivatives having beta-2-adrenoreceptor agonist activity |
| WO2004016601A1 (en) | 2002-08-09 | 2004-02-26 | Novartis Ag | Benzothiazole derivatives having beta-2-adrenoreceptor agonist activity |
| WO2004020410A2 (en) | 2002-08-27 | 2004-03-11 | Bayer Healthcare Ag | Dihydropyridinone derivatives as hne inhibitors |
| WO2004020412A1 (en) | 2002-08-27 | 2004-03-11 | Bayer Healthcare Ag | Dihydropyridine derivatives for use as human neutrophil elastase inhibitors |
| WO2004022547A1 (en) | 2002-09-06 | 2004-03-18 | Glaxo Group Limited | Phenethanolamine derivatives and their use in the treatment of respiratory diseases |
| WO2004024700A1 (en) | 2002-09-10 | 2004-03-25 | Bayer Healthcare Ag | Pyrimidinone derivatives as therapeutic agents against acute and chronic inflammatory, ischaemic and remodelling processes |
| WO2004024701A1 (en) | 2002-09-10 | 2004-03-25 | Bayer Healthcare Ag | Heterocyclic derivatives |
| WO2004033412A1 (en) | 2002-10-04 | 2004-04-22 | Boehringer Ingelheim Pharma Gmbh & Co. Kg | Novel beta mimetics with extended duration of action, method for production and use thereof as medicaments |
| WO2004032921A1 (en) | 2002-10-11 | 2004-04-22 | Pfizer Limited | Indole derivatives as beta-2 agonists |
| WO2004037807A2 (en) | 2002-10-22 | 2004-05-06 | Glaxo Group Limited | Medicinal arylethanolamine compounds |
| WO2004037773A1 (en) | 2002-10-28 | 2004-05-06 | Glaxo Group Limited | Phenethanolamine derivative for the treatment of respiratory diseases |
| WO2004037768A2 (en) | 2002-10-28 | 2004-05-06 | Glaxo Group Limited | Phenethanolamine derivatives |
| WO2004039766A1 (en) | 2002-11-01 | 2004-05-13 | Glaxo Group Limited | Phenylethanolamine derivatives for the treatment of respiratory diseases |
| WO2004039762A1 (en) | 2002-11-01 | 2004-05-13 | Glaxo Group Limited | Phenethanolamine derivatives for the treatment of respiratory diseases |
| WO2004043942A1 (en) | 2002-11-14 | 2004-05-27 | Hokko Chemical Industry Co., Ltd. | Process for producing ϝ-jasmolactone |
| US20060106213A1 (en) | 2002-11-15 | 2006-05-18 | Boehringer Ingelheim Pharma Gmbh & Co. Kg | New Medicaments for the Treatment of Chronic Obstructive Pulmonary Disease |
| WO2004046083A1 (en) | 2002-11-15 | 2004-06-03 | Boehringer Ingelheim Pharma Gmbh & Co. Kg | Novel dihydroxy-methylphenyl derivatives, method for the production and use thereof as medicaments |
| WO2004045618A2 (en) | 2002-11-15 | 2004-06-03 | Boehringer Ingelheim Pharma Gmbh & Co. Kg | Novel medicaments for the treatment of chronic obstructive pulmonary diseases |
| DE10258695A1 (en) | 2002-12-16 | 2004-06-24 | Boehringer Ingelheim Pharma Gmbh & Co. Kg | New 2-(2-hydroxy-2-(3-methylsulfonylamino-4-hydroxyphenyl)ethylamino-4-(pyrid-2-ylamino)-2-methylbutane used e.g. for treating asthma and chronic obstructive pulmonary disease |
| EP1440966A1 (en) | 2003-01-10 | 2004-07-28 | Pfizer Limited | Indole derivatives useful for the treatment of diseases |
| WO2004071388A2 (en) | 2003-02-14 | 2004-08-26 | Glaxo Group Limited | Medicinal compounds |
| EP1460064A1 (en) | 2003-03-14 | 2004-09-22 | Pfizer Limited | Indole-2-carboxamide derivatives useful as beta-2 agonists |
| WO2004080964A1 (en) | 2003-03-14 | 2004-09-23 | Pfizer Limited | Indole derivatives useful for the treatment of diseases |
| WO2004089892A2 (en) | 2003-04-01 | 2004-10-21 | Theravance, Inc. | Diarylmethyl and related compounds having beta2 andrenergic receptor agonist and muscarinic receptor antagonist activity |
| WO2004087142A1 (en) | 2003-04-04 | 2004-10-14 | Novartis Ag | Quinoline-2-one-derivatives for the treatment of airways diseases |
| US20040229904A1 (en) | 2003-05-15 | 2004-11-18 | Pfizer Inc | Compounds useful for the treatment of diseases |
| US20040242622A1 (en) | 2003-05-28 | 2004-12-02 | Mathai Mammen | Azabicycloalkane compounds |
| WO2004108675A1 (en) | 2003-06-04 | 2004-12-16 | Pfizer Limited | 2-amino-pyridine derivatives as beta-2 adrenoreceptor agonists |
| WO2004108676A1 (en) | 2003-06-04 | 2004-12-16 | Pfizer Limited | 2-(6-amino-pyridin-3-yl)-2-hydroxyethylamine derivatives as beta 2-adrenoceptors agonists |
| WO2005021512A1 (en) | 2003-08-28 | 2005-03-10 | Astrazeneca Ab | Quinoxaline derivatives as neutrophil elastase inhibitors and their use |
| WO2005021509A1 (en) | 2003-08-28 | 2005-03-10 | Astrazeneca Ab | Quinoline derivatives as neutrophil elastase inhibitors and their use |
| WO2005026123A1 (en) | 2003-09-18 | 2005-03-24 | Astrazeneca Ab | 2-pyridone derivatives as neutrophil elastase inhibitors and their use |
| WO2005026124A1 (en) | 2003-09-18 | 2005-03-24 | Astrazeneca Ab | 2-pyridone derivatives as netrophil elastase inhibitors and their use |
| WO2005033121A2 (en) | 2003-10-03 | 2005-04-14 | King Pharmaceuticals Research & Development, Inc. | Synthesis of 2-aralkyloxyadenosines, 2-alkoxyadenosines, and their analogs |
| WO2005065650A2 (en) | 2003-10-09 | 2005-07-21 | Glaxo Group Limited | Aerosol formulations comprising a carboxylic acid surfactant |
| WO2005040103A1 (en) | 2003-10-22 | 2005-05-06 | Glaxo Group Limited | Medicinal compounds |
| WO2005044787A1 (en) | 2003-10-24 | 2005-05-19 | Glaxo Group Limited | Phenetanolamine derivatives |
| WO2005041980A1 (en) | 2003-11-03 | 2005-05-12 | Ivax Corporation | Soft steroid compositions for use in dry powder inhalers |
| WO2005058299A1 (en) | 2003-12-09 | 2005-06-30 | Glaxo Group Limited | Phenethanolamine derivatives for treatment of respiratory diseases |
| WO2005058867A1 (en) | 2003-12-17 | 2005-06-30 | Glaxo Group Limited | Benzothiophene-and thiochromene containing phenethanolamine derivatives for the treatment of respiratory disorders |
| US20050133417A1 (en) | 2003-12-19 | 2005-06-23 | Bhan Opinder K. | Systems, methods, and catalysts for producing a crude product |
| WO2005066140A1 (en) | 2004-01-09 | 2005-07-21 | Boehringer Ingelheim International Gmbh | 3-hydroxymethyl-4-hydroxy-phenyl derivatives for the treatment of respiratory illnesses |
| US20050159448A1 (en) | 2004-01-12 | 2005-07-21 | Theravance, Inc. | Aryl aniline derivatives as beta2 adrenergic receptor agonists |
| US20050171147A1 (en) | 2004-01-22 | 2005-08-04 | Brown Alan D. | Sulfonamide derivatives for the treatment of diseases |
| WO2005080313A2 (en) | 2004-01-22 | 2005-09-01 | Pfizer Limited | Sulfonamide derivatives for the treatment of diseases |
| WO2005080324A1 (en) | 2004-01-22 | 2005-09-01 | Pfizer Limited | Sulfonamide derivatives for the treatment of diseases |
| US20050182091A1 (en) | 2004-01-22 | 2005-08-18 | Brown Alan D. | Sulfonamide derivatives for the treatment of diseases |
| WO2005070908A1 (en) | 2004-01-23 | 2005-08-04 | Boehringer Ingelheim International Gmbh | Novel long-working beta-2-agonists and use thereof as medicaments |
| WO2005077361A1 (en) | 2004-02-14 | 2005-08-25 | Boehringer Ingelheim International Gmbh | Novel, sustained-action beta-2-agonists and their use as medicaments |
| WO2005080372A1 (en) | 2004-02-19 | 2005-09-01 | Bayer Healthcare Ag | Dihydropyridinone derivatives |
| WO2005082863A2 (en) | 2004-02-26 | 2005-09-09 | Bayer Healthcare Ag | 1,4 diaryl-dihydropyrimidin-2 ones and their use as a human neutrophil elastase inhibitors |
| WO2005082864A1 (en) | 2004-02-26 | 2005-09-09 | Bayer Healthcare Ag | 1,4-diaryl-dihydropyrimidin-2-ones and their use as human neutrophil elastase inhibitors |
| WO2005092861A1 (en) | 2004-03-11 | 2005-10-06 | Pfizer Limited | Quinolinone derivatives pharmaceutical compositions containing them and their use |
| WO2005090288A1 (en) | 2004-03-17 | 2005-09-29 | Pfizer Limited | Phenylaminoethanol derivates as beta2 receptor agonists |
| WO2005092870A1 (en) | 2004-03-17 | 2005-10-06 | Boehringer Ingelheim International Gmbh | Novel benzoxazinone derivatives used as long-acting betamimetics for treating respiratory illnesses |
| WO2005092087A2 (en) | 2004-03-22 | 2005-10-06 | Mars Incorporated | Animal chew |
| WO2005092860A1 (en) | 2004-03-23 | 2005-10-06 | Pfizer Limited | Compounds for the treatment of diseases |
| WO2005092840A1 (en) | 2004-03-23 | 2005-10-06 | Pfizer Limited | Formamide derivatives useful as adrenoceptor |
| WO2005092841A1 (en) | 2004-03-23 | 2005-10-06 | Pfizer Limited | Compounds having beta-agonist activity |
| WO2005092887A1 (en) | 2004-03-23 | 2005-10-06 | Pfizer Limited | Compounds for the treatment of diseases |
| WO2005095327A1 (en) | 2004-03-31 | 2005-10-13 | Ajinomoto Co., Inc. | Aniline derivatives |
| WO2005111002A2 (en) | 2004-05-13 | 2005-11-24 | Boehringer Ingelheim International Gmbh | Substituted cycloalkyl derivatives for use in the treatment of respiratory diseases |
| WO2005110990A1 (en) | 2004-05-13 | 2005-11-24 | Boehringer Ingelheim International Gmbh | Hydroxy-substituted benzo-condensed heterocycles for use as beta agonists in the treatment of respiratory diseases |
| WO2005111005A1 (en) | 2004-05-14 | 2005-11-24 | Boehringer Ingelheim International Gmbh | Novel enantiomerically pure beta-agonists, method for the production and the use thereof in the form of a drug |
| WO2005110359A1 (en) | 2004-05-14 | 2005-11-24 | Boehringer Ingelheim International Gmbh | Inhalation powder formulations containing enantiomerically pure beta-agonists |
| US20050272769A1 (en) | 2004-06-03 | 2005-12-08 | Theravance, Inc. | Diamine beta2 adrenergic receptor agonists |
| WO2005121065A2 (en) | 2004-06-03 | 2005-12-22 | Theravance, Inc. | DIAMINE β2 ADRENERGIC RECEPTOR AGONISTS |
| US20060019991A1 (en) | 2004-07-21 | 2006-01-26 | Theravance, Inc. | Diaryl ether beta2 adrenergic receptor agonists |
| WO2006014704A1 (en) | 2004-07-21 | 2006-02-09 | Theravance, Inc. | DIARYL ETHER β2 ADRENERGIC RECEPTOR AGONISTS |
| WO2006017538A2 (en) | 2004-08-03 | 2006-02-16 | Dyax Corp. | Hk1-binding proteins |
| WO2006016245A1 (en) | 2004-08-05 | 2006-02-16 | Ranbaxy Laboratories Limited | Muscarinic receptor antagonists |
| WO2006031556A2 (en) | 2004-09-10 | 2006-03-23 | Theravance. Inc. | Amidine substituted aryl aniline compounds |
| WO2006032627A1 (en) | 2004-09-21 | 2006-03-30 | Boehringer Ingelheim International Gmbh | Heteroaryl compounds for use as betamimetics in the treatment of respiratory diseases |
| WO2006051373A1 (en) | 2004-11-12 | 2006-05-18 | Pfizer Limited | Compounds for the treatment of diseases |
| WO2006056471A1 (en) | 2004-11-29 | 2006-06-01 | Novartis Ag | 5-hydroxy-benzothiazole derivatives having beta-2-adrenorecptor agonist activity |
| WO2008016883A2 (en) | 2006-07-31 | 2008-02-07 | Activesite Pharmaceuticals, Inc. | Inhibitors of plasma kallikrein |
| WO2009133348A1 (en) * | 2008-04-29 | 2009-11-05 | Vantia Limited | Aminopyridine derivatives |
Non-Patent Citations (49)
| Title |
|---|
| "Remington's Pharmaceutical Sciences", 1995, MACK PUBLISHING COMPANY |
| A. STADNICKI ET AL., DIGESTIVE DISEASES AND SCIENCE, vol. 48, 2003, pages 615 |
| A. STADNICKI, DIGESTIVE AND LIVER DISEASE, vol. 37, 2005, pages 648 |
| C. HECQUET ET AL., MOL. PHARMACOL., vol. 39, 2000, pages 508 - 515 |
| C. OLIVIER ET AL., PEPTIDES, 2000, pages 705 |
| D. A. ANTONETTIE ET AL., DIABETES, vol. 47, 1998, pages 1953 |
| D. J. SEXTON ET AL., BIOCHEM. JOURNAL, vol. 422, 2009, pages 383 |
| D. M. EVANS ET AL., IMMUNOPHARMACOLOGY, vol. 32, 1996, pages 115 - 116 |
| D. M. EVANS ET AL., IMMUNOPHARMACOLOGY, vol. 32, 1996, pages 117 |
| D. M. MCDONALD, AM. J RESPIR. CRIT. CARE MED., vol. 164, 2001, pages S39 |
| F. J. LEINWEBER, DRUG METAB. RES., vol. 18, 1987, pages 379 |
| F. MARCEAU; D. REGOLI, NATURE REV., DRUG DISCOVERY, vol. 3, 2004, pages 845 - 852 |
| G. GAO ET AL., DIABETOLOGIA, vol. 46, 2003, pages 689 |
| G. M. YOUSEF ET AL., ENDOCRINE REV., vol. 22, 2001, pages 184 |
| H. LIEBERMAN; L. LACHMAN: "Pharmaceutical Dosage Forms", vol. 1, 1980, MARCEL DEKKER |
| H. TSCHESCHE ET AL., ADV. EXP. MED. BIOL., vol. 247A, 1969, pages 545 |
| J. A. CLEMENTS ET AL., CRIT. REV. CLIN. LAB. SCI., vol. 41, 2004, pages 265 - 312 |
| J. N. SHARMA ET AL., PHARMACOLOGY, vol. 50, 1995, pages 363 |
| J.STURZBECHER ET AL., BRAZILIAN J MED. BIOL. RES., vol. 27, 1994, pages 1929 - 1934 |
| JOHANSEN ET AL., INT. J. TISS. REAC., vol. 8, 1986, pages 185 |
| K. D. BHOOLA ET AL., BIOL. CHEM., vol. 382, 2001, pages 77 |
| K. D. BHOOLA ET AL., CURR. OPIN. INVEST. DRUGS, vol. 8, 2007, pages 462 |
| K. D. BHOOLA ET AL., PHARMACOLOGICAL REV., vol. 44, 1992, pages 1 |
| L. LU ET AL., MOL. CANCER. THER., vol. 6, 2007, pages 3297 |
| LIANG; CHEN, EXPERT OPINION IN THERAPEUTIC PATENTS, vol. 11, no. 6, 2001, pages 981 - 986 |
| M. SCURI ET AL., AM. J RESPIR. CRIT. CARE MED., vol. 164, 2001, pages 1855 |
| M. SZELKE ET AL., BRAZ. J MED. BIOL. RES., vol. 27, 1994, pages 1943 |
| M. SZELKE ET AL., BRAZILIAN J. MED. BIOL. RES., vol. 27, 1994, pages 1935 |
| N. TENO ET AL., CHEM. PHARM. BULL., vol. 41, 1993, pages 1079 - 1090 |
| Q. SONG ET AL., IMMUNOPHARMACOLOGY, vol. 32, 1996, pages 105 |
| R. A. ROBERTS ET AL., J CELL. SCI., vol. 94, 1989, pages 527 |
| R. J. WILLIAMS, BRIT. J RHEUMATOLOGY, vol. 36, 1997, pages 420 |
| R. L. FEATHERSTONE ET AL., LUNG, vol. 174, 1996, pages 269 |
| R. W. COLMAN, IMMUNOPHARMACOLOGY, vol. 43, 1999, pages 103 |
| S. C. CHRSTIANSEN ET AL., AM. REV. RESPIR. DIS., vol. 145, 1992, pages 900 - 905 |
| S. C. CHRSTIANSEN ET AL., J CLIN. INVEST., vol. 79, 1987, pages 188 - 197 |
| S. CADDICK ET AL., TETRAHEDRON LETT., vol. 41, 2000, pages 3513 |
| SHORI ET AL., BIOCHEM. PHARMACOL., vol. 43, 1992, pages 1209 |
| STAHL; WERMUTH: "Handbook of Pharmaceutical Salts: Properties, Selection and Use", 2002, WILEY-VCH |
| STURZEBECHER ET AL., BIOL. CHEM. HOPPE-SEYLER, vol. 373, 1992, pages 1025 |
| T. GRIESBACHER ET AL., BR. J PHARMACOL., vol. 137, 2002, pages 692 |
| T. GRIESBACHER ET AL., BR. J PHARMACOL., vol. 139, 2003, pages 299 |
| T. GRIESBACHER, PHARMACOLOGY, vol. 60, 2000, pages 113 |
| T. LAUREDO ET AL., AM. J PHYSIOL. LUNG CELL MOL. PHYSIOL., vol. 286, 2004, pages 734 |
| T. W. GREENE; P. G. M. WUTS: "Protective groups in organic chemistry", 2006, JOHN WILEY AND SONS |
| THE PRACTICE OF MEDICINAL CHEMISTRY, 2003, pages 561 - 585 |
| W. B. YOUNG ET AL., BIO. MED. CHEM LETT., vol. 16, 2006, pages 2034 |
| W. C. WOLF ET AL., AM. J PATHOL, vol. 159, 2001, pages 1797 |
| W. M. ABRAHAM ET AL., EUR. J PHARM., vol. 533, 2006, pages 215 |
Cited By (11)
| Publication number | Priority date | Publication date | Assignee | Title |
|---|---|---|---|---|
| US9290485B2 (en) | 2010-08-04 | 2016-03-22 | Novartis Ag | N-((6-amino-pyridin-3-yl)methyl)-heteroaryl-carboxamides |
| EP2665708A2 (en) * | 2011-01-20 | 2013-11-27 | The Regents of the University of Colorado, A Body Corporate | Modulators of tlr3/dsrna complex and uses thereof |
| EP2665708A4 (en) * | 2011-01-20 | 2014-07-09 | Univ Colorado Regents | MODULATORS OF THE TLR3 / ARNDS COMPLEX AND THEIR USES |
| US9409880B2 (en) | 2011-01-20 | 2016-08-09 | The Regents Of The University Of Colorado, A Body Corporate | Modulators of TLR3/dsRNA complex and uses thereof |
| US9849100B2 (en) * | 2013-01-09 | 2017-12-26 | Kalvista Pharmaceuticals Limited | Pharmaceutical compositions suitable for parenteral administration comprising aqueous suspensions of benzylamine derivatives having low solubilities |
| US10478409B2 (en) | 2013-01-09 | 2019-11-19 | Kalvista Pharmaceuticals Limited | Pharmaceutical compositions |
| WO2014208751A1 (en) * | 2013-06-27 | 2014-12-31 | 味の素株式会社 | Novel umami imparter |
| CN111138357A (en) * | 2018-11-06 | 2020-05-12 | 天津药物研究院有限公司 | 2-oxo-1, 2-dihydroquinoline derivative, preparation method and medical application thereof |
| WO2020094008A1 (en) * | 2018-11-06 | 2020-05-14 | 天津药物研究院有限公司 | 2-oxo-1,2-dihydroquinoline derivatives, preparation method therefor, and pharmaceutical applications thereof |
| CN111138357B (en) * | 2018-11-06 | 2022-11-04 | 天津药物研究院有限公司 | 2-oxo-1, 2-dihydroquinoline derivative, preparation method and medical application thereof |
| US11613527B2 (en) | 2019-08-09 | 2023-03-28 | Kalvista Pharmaceuticals Limited | Enzyme inhibitors |
Also Published As
| Publication number | Publication date |
|---|---|
| AR078817A1 (en) | 2011-12-07 |
| UY32975A (en) | 2011-05-31 |
| GB0918922D0 (en) | 2009-12-16 |
| TW201119654A (en) | 2011-06-16 |
Similar Documents
| Publication | Publication Date | Title |
|---|---|---|
| JP5921679B2 (en) | Benzylamine derivatives as inhibitors of plasma kallikrein | |
| RU2707870C2 (en) | N-((het)arylmethyl)-heteroaryl-carboxamide compounds as plasma kallikrein inhibitors | |
| RU2674028C2 (en) | Enzyme inhibitors | |
| US20100076015A1 (en) | Aminopyridine Derivatives | |
| CA2967737C (en) | N-((het)arylmethyl)-heteroaryl-carboxamides compounds as plasma kallikrein inhibitors | |
| WO2011051671A1 (en) | Aminopyridine derivatives as kallikrein inhibitors | |
| WO2019106359A1 (en) | Enzyme inhibitors | |
| WO2014108679A1 (en) | Benzylamine derivatives | |
| JP2010507674A (en) | Tricyclic compounds as matrix metalloprotease inhibitors | |
| JP4242274B2 (en) | Pyrrolidine derivatives as factor Xa inhibitors | |
| EA036456B1 (en) | Imidazolone compounds as human neutrophil elastase inhibitors | |
| AU2007327959A1 (en) | Urea and sulfamide derivatives as tafia inhibitors | |
| WO2011051672A1 (en) | Azaindole derivatives | |
| WO2011051673A1 (en) | Aminothiazole derivatives useful as klk1 inhibitors | |
| KR20100075679A (en) | Tosylate salt of trans-n-isobutyl-3-fluoro-3-[3-fluoro-4-(pyrrolidin-1-yl-methyl)-phenyl] cyclobutanecarboxamide |
Legal Events
| Date | Code | Title | Description |
|---|---|---|---|
| 121 | Ep: the epo has been informed by wipo that ep was designated in this application |
Ref document number: 10773952 Country of ref document: EP Kind code of ref document: A1 |
|
| WWE | Wipo information: entry into national phase |
Ref document number: 2012535920 Country of ref document: JP |
|
| NENP | Non-entry into the national phase |
Ref country code: DE |
|
| NENP | Non-entry into the national phase |
Ref country code: JP |
|
| 122 | Ep: pct application non-entry in european phase |
Ref document number: 10773952 Country of ref document: EP Kind code of ref document: A1 |


























































