WO2011039276A1 - Oxathiazinyl(het)arylsulfonylureas, processes and intermediates for preparation thereof and use thereof as crop protection agents and crop growth regulators - Google Patents
Oxathiazinyl(het)arylsulfonylureas, processes and intermediates for preparation thereof and use thereof as crop protection agents and crop growth regulators Download PDFInfo
- Publication number
- WO2011039276A1 WO2011039276A1 PCT/EP2010/064493 EP2010064493W WO2011039276A1 WO 2011039276 A1 WO2011039276 A1 WO 2011039276A1 EP 2010064493 W EP2010064493 W EP 2010064493W WO 2011039276 A1 WO2011039276 A1 WO 2011039276A1
- Authority
- WO
- WIPO (PCT)
- Prior art keywords
- ppm
- formula
- hydrogen
- halogen
- alkyl
- Prior art date
- Legal status (The legal status is an assumption and is not a legal conclusion. Google has not performed a legal analysis and makes no representation as to the accuracy of the status listed.)
- Ceased
Links
- 0 CC1=C(C)N=C*(*)C=C1 Chemical compound CC1=C(C)N=C*(*)C=C1 0.000 description 5
- LVFRCHIUUKWBLR-UHFFFAOYSA-N COc1cc(OC)nc(N)n1 Chemical compound COc1cc(OC)nc(N)n1 LVFRCHIUUKWBLR-UHFFFAOYSA-N 0.000 description 1
- YKHTYIQAJLEEKN-UHFFFAOYSA-N COc1nc(NC(NS(c(cccc2)c2C2=NOCCS2)(=O)=O)=O)nc(OC)c1 Chemical compound COc1nc(NC(NS(c(cccc2)c2C2=NOCCS2)(=O)=O)=O)nc(OC)c1 YKHTYIQAJLEEKN-UHFFFAOYSA-N 0.000 description 1
- BFQMSKRRFDZWHX-UHFFFAOYSA-N NS(c(nccc1)c1C1=NOCCS1)(=O)=O Chemical compound NS(c(nccc1)c1C1=NOCCS1)(=O)=O BFQMSKRRFDZWHX-UHFFFAOYSA-N 0.000 description 1
- JLTNPJIPNBBWOR-RUDMXATFSA-N O/N=C/c(cccn1)c1Br Chemical compound O/N=C/c(cccn1)c1Br JLTNPJIPNBBWOR-RUDMXATFSA-N 0.000 description 1
- FAWSARODSXRGEP-UHFFFAOYSA-N O=C(NS(c(cccc1)c1C1=NOCCS1)(=O)=O)Oc1ccccc1 Chemical compound O=C(NS(c(cccc1)c1C1=NOCCS1)(=O)=O)Oc1ccccc1 FAWSARODSXRGEP-UHFFFAOYSA-N 0.000 description 1
Classifications
-
- C—CHEMISTRY; METALLURGY
- C07—ORGANIC CHEMISTRY
- C07D—HETEROCYCLIC COMPOUNDS
- C07D419/00—Heterocyclic compounds containing two or more hetero rings, at least one ring having nitrogen, oxygen, and sulfur atoms as the only ring hetero atoms
- C07D419/02—Heterocyclic compounds containing two or more hetero rings, at least one ring having nitrogen, oxygen, and sulfur atoms as the only ring hetero atoms containing two hetero rings
- C07D419/12—Heterocyclic compounds containing two or more hetero rings, at least one ring having nitrogen, oxygen, and sulfur atoms as the only ring hetero atoms containing two hetero rings linked by a chain containing hetero atoms as chain links
-
- A—HUMAN NECESSITIES
- A01—AGRICULTURE; FORESTRY; ANIMAL HUSBANDRY; HUNTING; TRAPPING; FISHING
- A01N—PRESERVATION OF BODIES OF HUMANS OR ANIMALS OR PLANTS OR PARTS THEREOF; BIOCIDES, e.g. AS DISINFECTANTS, AS PESTICIDES OR AS HERBICIDES; PEST REPELLANTS OR ATTRACTANTS; PLANT GROWTH REGULATORS
- A01N47/00—Biocides, pest repellants or attractants, or plant growth regulators containing organic compounds containing a carbon atom not being member of a ring and having no bond to a carbon or hydrogen atom, e.g. derivatives of carbonic acid
- A01N47/08—Biocides, pest repellants or attractants, or plant growth regulators containing organic compounds containing a carbon atom not being member of a ring and having no bond to a carbon or hydrogen atom, e.g. derivatives of carbonic acid the carbon atom having one or more single bonds to nitrogen atoms
- A01N47/28—Ureas or thioureas containing the groups >N—CO—N< or >N—CS—N<
- A01N47/36—Ureas or thioureas containing the groups >N—CO—N< or >N—CS—N< containing the group >N—CO—N< directly attached to at least one heterocyclic ring; Thio analogues thereof
-
- C—CHEMISTRY; METALLURGY
- C07—ORGANIC CHEMISTRY
- C07D—HETEROCYCLIC COMPOUNDS
- C07D419/00—Heterocyclic compounds containing two or more hetero rings, at least one ring having nitrogen, oxygen, and sulfur atoms as the only ring hetero atoms
- C07D419/14—Heterocyclic compounds containing two or more hetero rings, at least one ring having nitrogen, oxygen, and sulfur atoms as the only ring hetero atoms containing three or more hetero rings
Definitions
- A is nitrogen or a CR moiety
- R 11 is hydrogen, alkyl, halogen and haloalkyl
- R 1 is hydrogen or an optionally substituted radical from the series alkyl, alkoxy, alkoxyalkyl, alkenyl, alkynyl, cycloalkyl, cycloalkylalkyl, aralkyl and
- R 2 is hydrogen, halogen or each optionally halogen
- R 3 is hydrogen, halogen or each optionally halogen
- J is J-1 to J-4, wherein J-1 to J-4 have the following meanings:
- the arrow is in each case a bond to the sulfonyl unit of the formula (I), represents a direct bond, alkylene, oxygen, alkylamino or sulfur,
- alkyl independently of one another are hydrogen, halogen, cyano, thiocyanato or in each case optionally halogen-substituted alkyl, alkoxy, alkylthio, alkylsulfinyl, alkylsulfonyl, alkylamino, alkylcarbonyl,
- Cycloalkyl groups each 3 to 6 carbon atoms and the aryl groups may each contain 6 or 10 carbon atoms, as well as salts of compounds of formula (I) found.
- a characteristic structural feature of the new sulfonylureas (I) is therefore the (5,6-dihydro- [1,2,2] oxathiazin-3-yl) radical as a novel heterocyclic substituent in the (het) aryl portion of the (het) arylsulfonylureas.
- the simple body of this class of compounds such.
- the (5,6-dihydro- [1, 4.2] -oxathiazin-3-yl) benzene, - thiazole or pyridine are known (see, Brouwer, W.G., Blem, A. R. et al., EP
- R 1 to R 3 have the meanings given above and
- R 12 is alkyl or aryl
- a and R to R have the meanings given above, if appropriate in the presence of a diluent and if appropriate in the presence of a reaction auxiliary, or if
- a and R 1 to R 3 have the meanings given above, if appropriate in the presence of a diluent and if appropriate in the presence of a reaction auxiliary, and, if appropriate, the products obtained by processes (a), (b) or (c) are converted into salts by customary methods.
- the new oxathiazinyl (het) arylsulfonylureas of the formula (I) are distinguished by their strong herbicidal activity.
- novel compounds of the formula (I) show considerably greater activity and / or increased selectivity than the compounds which are comparable in structure and activity profile N- (4,6-dimethylpyrimidin-2-yl) -N '- (2-methoxyaminocarbonyl-phenylsulfonyl ) urea and the corresponding -N '- (2-n-octyloxyaminocarbonyl-phenylsulfonyl) urea or dihydro-dioxazines as described in EP 0645386A1 (US 5476936).
- the invention preferably compounds
- A is nitrogen or a CH group
- R 1 is hydrogen or an optionally halogen-substituted radical from the series alkyl, alkoxy, alkoxyalkyl, alkenyl and alkynyl, each with up to
- R 2 is hydrogen, halogen or each optionally halogen
- R 3 is hydrogen, halogen or each optionally halogen
- J is J-1 to J-4, preferably J-2,
- R 4 -R 7 independently of one another represent hydrogen, halogen, cyano, thiocyanato or in each case optionally halogen-substituted alkyl, alkoxy,
- R 8 is hydrogen or an optionally substituted radical from the series (dC 4) -alkyl, (C 3 -C 6) -cycloalkyl, (C 7 -CN) aralkyl and (C 6 -C 0) aryl, R 10 independently of one another represent hydrogen, halogen, cyano, thiocyanato or in each case optionally halogen-substituted alkyl, alkoxy,
- Alkoxycarbonyl or alkylaminocarbonyl each having 1 to 3
- the invention further preferably relates to salts which are obtained from compounds of the formula (I) and bases, such as, for example, sodium, potassium or calcium hydroxide, hydride, amide and carbonate, sodium or potassium (C 1 -C 4 ) -alkanolaten, ammonia, (Ci-C 4) - alkyl amines, di - ((Ci-C 4) -alkyl) amines or tri - ((Ci-C 4) alkyl) -amines, obtained by conventional methods.
- bases such as, for example, sodium, potassium or calcium hydroxide, hydride, amide and carbonate, sodium or potassium (C 1 -C 4 ) -alkanolaten, ammonia, (Ci-C 4) - alkyl amines, di - ((Ci-C 4) -alkyl) amines or tri - ((Ci-C 4) alkyl) -amines, obtained by conventional methods.
- the invention particularly relates to compounds of the formula (I)
- A is nitrogen or a CH group
- R 1 is hydrogen, methyl, ethyl, methoxy, methoxymethyl or ethoxy
- R 2 is hydrogen, chlorine, methyl, ethyl, trifluoromethyl, methoxy, ethoxy
- R 3 is hydrogen, chlorine, methyl, ethyl, trifluoromethyl, methoxy, ethoxy,
- J is J-1 to J-4, preferably J-2,
- R 4 -R 7 independently of one another represent hydrogen, fluorine, chlorine, cyano, or in each case optionally substituted by chlorine or fluorine, methyl, methylthio, methylsulfinyl, methylsulfonyl, methoxycarbonyl and ethoxycarbonyl,
- R 8 is hydrogen, methyl, ethyl, phenyl or benzyl
- R 10 is independently of one another hydrogen, fluorine, chlorine, bromine, cyano or in each case optionally substituted by chlorine or fluorine methyl, methoxy, ethoxy, methylthio, ethylthio, methylsulfinyl, ethylsulfinyl, methylsulfonyl, ethylsulfonyl, methyl or dimethylamino.
- Residue definitions apply both to the end products of the formula (I) and correspondingly to the starting or end preparation required in each case.
- hydrocarbon radicals mentioned in the radical definitions such as alkyl, alkenyl or alkynyl, even in combinations with heteroatoms, such as in alkoxy, alkylthio or alkylamino, are also straight-chain or branched, even if not expressly stated.
- Examples of the compounds of the formula (II) which may be mentioned are: 2- (5,6-dihydro [1,2,2] oxathiazin-3-yl) benzenesulfonamide, 2- (5,6-dihydro- [1, 4 , 2] -oxathiazin-3-yl) -6-methyl-benzenesulfonamide, 2- (5,6-dihydro- [1,2,2] -oxathiazin-3-yl) -phenylmethanesulfonamide, 3- (5,6- Dihydro- [1,2,2] oxathiazin-3-yl) -pyridine-2-sulfonamide, 2- (5,6-dihydro- [1,2,2] -oxathiazin-3-yl) -thiophene-3 sulfonamide, 1-methyl-4- (5,6-dihydro- [1,2,2] oxathiazin-3-yl) -pyrazole
- N-azinyl carbamates also to be used as starting materials in process (a) are generally defined by formula (III).
- A, R 1 , R 2 and R 3 preferably or in particular have those meanings which have already been mentioned above in connection with the description of the novel compounds
- R 12 is preferably (C 1 -C 6) -alkyl or (C 1 -C 5) -aryl, particularly preferably (C 1 -C 4 ) -alkyl or phenyl.
- the starting materials of the formula (III) are known and / or can be prepared by processes known per se (cf., EP-238 070).
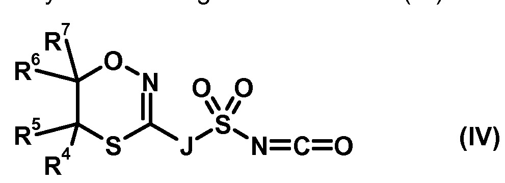
- Examples of starting materials of the formula (IV) which may be mentioned are: 2- (5,6-dihydro- [1,2,2] oxathiazin-3-yl) benzenesulfonyl isocyanate, 2- (5,6-dihydro- [1, 4,2] -oxathiazin-3-yl) -6-methyl-benzenesulfonyl isocyanate, 2- (5,6-dihydro- [1,2,2] -oxathiazin-3-yl) -phenylmethanesulfonyl isocyanate, 3- (5,6- Dihydro- [1,2,2] oxathiazin-3-yl) -pyridine-2-sulfonyl isocyanate, 2- (5,6-dihydro- [1,2,2] oxathiazin-3-yl) -thiophene-3 sulfonyl isocyanate, 1-methyl-4- (5,6-dihydro-
- the starting materials of the formula (IV) are not yet known from the literature and as novel substances are also the subject of the present invention.
- the novel (het) arylsulfonyl isocyanates of the formula (IV) are obtained by reacting (het) arylsulfonamides of the above formula (II) with phosgene in the presence of a diluent, such as, for example, chlorobenzene, and reaction auxiliaries, such as, for example, butyl isocyanate and diazabicyclooctane (DABCO), at temperatures between 0 ° C and 200 ° C, preferably between 20 ° C and 160 ° C, and then the volatile components are carefully distilled off under reduced pressure (see, EP 162 723).
- a diluent such as, for example, chlorobenzene
- reaction auxiliaries such as, for example, butyl isocyanate and diazabicyclooctane (DABCO)
- formula (V) The in process (b) for the preparation of compounds of formula (I) further required as starting materials aminoazines are generally defined by formula (V).
- A, R 1 , R 2 and R 3 are preferably or
- the starting materials of the formula (V) are known and / or can be prepared by processes known per se (compare Huaxue Shijie, 32 (6), 254-7 (1991) JP-01 016 770, EP-246 984); some of these substances are commercially available synthetic chemicals.
- a diluent e.g. Dioxane or acetone itril
- reaction auxiliaries e.g. Pyridine, potassium or calcium carbonate
- (het) arylcarboxyimidoyl chlorides are generally defined by formula (VIII).
- the group J preferably has those
- the starting materials of the formula (VIII) are all known, some commercially available aldehydes, which can be converted by means of hydroxylamine first in their Carbaldoxime and then with chlorinating agents such as N-chlorosuccinimide or gaseous chlorine in the compounds of formula (VIII) ,
- chlorinating agents such as N-chlorosuccinimide or gaseous chlorine in the compounds of formula (VIII)
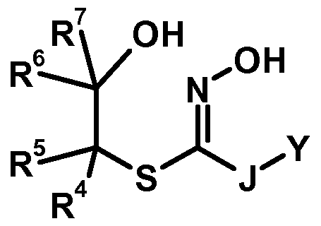
- the new (het) arylsulfonamides of the formula (II) are obtained if (d) N-hydroxy- (het) arylcarboxyimidoyl chlorides of the formula (VIII)
- Y is hydrogen or halogen (preferably hydrogen or bromine)
- R 4 - R 7 have the meanings given above, if appropriate in the presence of an organic diluent and if appropriate in the presence of a reaction auxiliary.
- Suitable reagents for a cyclization are dialkyl azodicarboxylates in combination with triphenylphosphine and nitrophenols as catalyst (Mitsunobu conditions, see also Kai, Nakai Tetrahedron Lett., 42 (2001) 6895-6897)
- Y is hydrogen or halogen (preferably hydrogen or bromine)
- R 4 - R 7 have the meanings given above, where X is halogen
- Organometallic compounds such as e.g. n-butyllithium, n-butylmagnesium chloride, n-butylmagnesium bromide, sec-butyllithium or tert-butyllithium, in the course of a halogen-metal exchange or e.g. with n-butyllithium, n-butylmagnesium chloride, n-butylmagnesium bromide, sec-butyllithium, tert-butyllithium,
- Sulfonylating agents such as gaseous sulfur dioxide on their Metal sulfinates, which are then oxidized with sulfuryl chloride, or directly with sulfuryl chloride in the chlorosulfones are transferred.
- the chlorosulfones can then be treated with a suitable nitrogen source, e.g. gaseous ammonia or aqueous ammoniacal solutions into the desired compounds of formula (II).
- a suitable nitrogen source e.g. gaseous ammonia or aqueous ammoniacal solutions into the desired compounds of formula (II).
- Suitable diluents are virtually all inert organic solvents. These include
- Hydrocarbons such as pentane, hexane, heptane, cyclohexane, petroleum ether, gasoline, ligroin, benzene, toluene, xylene, methylene chloride,
- Chlorobenzene and o-dichlorobenzene ethers such as diethyl and dibutyl ether,
- ketones such as acetone, methyl ethyl, methyl isopropyl and methyl isobutyl ketone
- esters such as methyl acetate and ethyl acetate
- nitriles such as e.g. Acetonitrile and propionitrile
- amides e.
- the processes (a), (d) and (e) according to the invention are optionally carried out in the presence of a reaction auxiliary.
- a reaction auxiliary preferably include basic organic nitrogen compounds, e.g. Trimethylamine, triethylamine, N, N-dimethylaniline, ⁇ , ⁇ -dimethylbenzylamine, pyridine, 4-dimethylaminopyridine, diazabicyclooctane (DABCO), diazabicyclononene (DBN) and diazabicycloundecene (DBU), as well as inorganic bases, e.g. Sodium hydride, potassium hydride,
- inventive processes (b) and (c) are optionally carried out in the presence of a reaction auxiliary.
- a reaction auxiliary Suitable for this purpose are preferably basic organic nitrogen compounds, e.g. Trimethylamine, triethylamine, N, N-dimethylaniline, ⁇ , ⁇ -dimethylbenzylamine, pyridine, N, N-dimethylaminopyridine, diazabicyclooctane (DABCO), diazabicyclononene (DBN) and diazabicycloundecene (DBU).
- DABCO diazabicyclooctane
- DBN diazabicyclononene
- DBU diazabicycloundecene
- reaction temperatures can in each case be varied within a relatively wide range in processes (a) to (e).
- - in process (c) also generally at temperatures between 0 ° C and 150 ° C, preferably so at temperatures between 20 ° C and 100 ° C;
- + 40 ° C preferably at temperatures between -20 ° C and + 30 ° C.
- the processes (a) to (e) are generally carried out under normal pressure. However, it is also possible to work under increased or reduced pressure.
- the particular starting materials required in each case are used in approximately equimolar amounts. However, it is also possible to use one of the two components used in each case in a larger excess.
- the reactions are generally carried out in a suitable diluent and optionally with the addition of a reaction auxiliary, and the reaction mixture becomes several
- Salts may optionally be prepared from the compounds of the general formula (I) according to the invention. Such salts are obtained in a simple manner by customary salt formation methods, for example by dissolving or dispersing a compound of the formula (I) in a suitable manner
- Diluents such as methylene chloride, acetone, tert-butyl methyl ether or toluene, and addition of a suitable base.
- the salts can then be isolated by concentrating or filtering off, if appropriate after prolonged stirring (compare the preparation examples).
- the active compounds according to the invention can be used as defoliants, desiccants, haulm killers and especially as weed killers. Weeds in the broadest sense are all plants that grow in places where they are undesirable. Whether the substances according to the invention act as total or selective herbicides essentially depends on the amount used.
- the active compounds of the invention may e.g. used in the following plants:
- Echinochloa Setaria, Panicum, Digitaria, Phleum, Poa, Festuca, Eleusine,
- Total weed control e.g. on industrial and railway tracks and on paths and squares with and without tree cover.
- the compounds for weed control in permanent crops e.g. Forest, ornamental, fruit, wine, citrus, nut, banana, coffee, tea, gum, oil palm, cocoa, berry fruit and hop plants, on ornamental and sports turf and pasture and selective Weed control in one-year crops.
- the compounds of the formula (I) according to the invention are suitable for the selective control of monocotyledonous and dicotyledonous weeds in different crops, in part e.g. in wheat, both pre-emergence and post-emergence.
- the compounds of the invention may be in the form of wettable powders, emulsifiable concentrates, sprayable solutions, dusts or
- Granules are used in the usual preparations.
- the invention therefore also relates to herbicidal and plant growth-regulating agents which contain the compounds according to the invention.
- the compounds according to the invention can be formulated in various ways, depending on which biological and / or chemical-physical parameters are predetermined. As formulation options come
- wettable powder WP
- water-soluble powder SP
- EC emulsifiable concentrates
- EW emulsions
- SC Suspension concentrates
- CS capsule suspensions
- DP dusts
- mordants granules for litter and soil application
- granules GR
- WG water-dispersible granules
- SG water-soluble granules
- the necessary formulation auxiliaries such as inert materials, surfactants,
- Solvents and other additives are also known and are described, for example, in Watkins, Handbook of Insecticides Dust Diluents and Carriers, 2nd ed., Darland Books, Caldwell N.J., H.v. Olphen, "Introduction to Clay Colloid Chemistry”; 2nd Ed., J. Wiley & Sons, N.Y .; C. Marsden, “Solvents Guide”; 2nd Ed., Interscience, N.Y. 1963; McCutcheon's "Detergents and Emulsifiers
- Injectable powders are preparations which are uniformly dispersible in water and contain surfactants of the ionic and / or nonionic type (wetting agents, dispersants) in addition to the active ingredient except a diluent or inert substance.
- surfactants of the ionic and / or nonionic type (wetting agents, dispersants) in addition to the active ingredient except a diluent or inert substance.
- lignosulfonic acid sodium 2,2'-dinaphthylmethane-6,6'-disulfonic acid sodium, dibutylnaphthalene-sulfonic acid sodium or oleoylmethyltaurine acid.
- herbicidal active ingredients for example, finely ground in conventional equipment such as hammer mills, blower mills and air jet mills and at the same time or subsequently with the herbicidal active ingredients for example, finely ground in conventional equipment such as hammer mills, blower mills and air jet mills and at the same time or subsequently with the herbicidal active ingredients for example, finely ground in conventional equipment such as hammer mills, blower mills and air jet mills and at the same time or subsequently with the herbicidal active ingredients for example, finely ground in conventional equipment such as hammer mills, blower mills and air jet mills and at the same time or subsequently with the herbicidal active ingredients for example, finely ground in conventional equipment such as hammer
- Emulsifiable concentrates are prepared by dissolving the active ingredient in an organic solvent, e.g. Butanol, cyclohexanone, dimethylformamide, xylene or higher-boiling aromatics or hydrocarbons or mixtures of organic solvents with the addition of one or more surfactants of ionic and / or nonionic type (emulsifiers).
- organic solvent e.g. Butanol, cyclohexanone, dimethylformamide, xylene or higher-boiling aromatics or hydrocarbons or mixtures of organic solvents
- surfactants of ionic and / or nonionic type emulsifiers
- suitable emulsifiers are: alkylarylsulfonic acid calcium salts such as calcium dodecylbenzenesulfonate or nonionic emulsifiers such as
- Fatty acid polyglycol esters alkylaryl polyglycol ethers, fatty alcohol polyglycol ethers, propylene oxide-ethylene oxide condensation products, alkyl polyethers, sorbitan esters such as e.g. Sorbitan fatty acid esters or polyoxethylenesorbitan esters such as e.g.
- Dusts are obtained by milling the active ingredient with finely divided solids, e.g. Talc, natural clays such as kaolin, bentonite and pyrophyllite, or diatomaceous earth.
- finely divided solids e.g. Talc, natural clays such as kaolin, bentonite and pyrophyllite, or diatomaceous earth.
- Suspension concentrates may be water or oil based. They can be prepared, for example, by wet grinding using commercially available bead mills and, if appropriate, addition of surfactants, as described, for example, in US Pat. upstairs with the others
- Emulsions e.g. Oil-in-water emulsions (EW) can be prepared, for example, by means of stirrers, colloid mills and / or static mixers using aqueous organic solvents and optionally surfactants, as described e.g. listed above for the other formulation types.
- EW Oil-in-water emulsions
- Granules can be prepared either by spraying the active ingredient on adsorptive, granulated inert material or by applying Active substance concentrates by means of adhesives, for example polyvinyl alcohol, sodium polyacrylate or mineral oils, on the surface of carriers such as sand, kaolinites or granulated inert material. It is also possible to granulate suitable active ingredients in the manner customary for the production of fertilizer granules, if desired in admixture with fertilizers.
- adhesives for example polyvinyl alcohol, sodium polyacrylate or mineral oils
- Water-dispersible granules are generally prepared by the usual methods such as spray drying, fluidized bed granulation, plate granulation, mixing with high-speed mixers and extrusion without solid inert material.
- the agrochemical preparations generally contain from 0.1 to 99% by weight, in particular from 0.1 to 95% by weight, of compounds according to the invention.
- the drug concentration is e.g. about 10 to 90 wt .-%, the balance to 100 wt .-% consists of conventional formulation ingredients.
- the active ingredient concentration may be about 1 to 90, preferably 5 to 80 wt .-%.
- Dust-like formulations contain 1 to 30 wt .-% of active ingredient, preferably usually 5 to 20 wt .-% of active ingredient, sprayable solutions contain about 0.05 to 80, preferably 2 to 50 wt .-% of active ingredient.
- the active ingredient content depends, in part, on whether the active compound is liquid or solid and which
- Granulation aids, fillers, etc. are used. In the water
- the content of active ingredient is, for example, between 1 and 95% by weight, preferably between 10 and 80% by weight.
- the active substance formulations mentioned optionally contain the customary adhesion, wetting, dispersing, emulsifying, penetrating, preserving, antifreeze and solvent, fillers, carriers and dyes, antifoams,
- a dust is obtained by mixing 10 parts by weight of a compound of formula (I) and / or salts thereof and 90 parts by weight of talc as an inert material and comminuted in a hammer mill.
- a wettable powder readily dispersible in water is obtained by reacting 25 parts by weight of a compound of the formula (I) and / or its salts,
- a dispersion concentrate readily dispersible in water is obtained by reacting 20 parts by weight of a compound of the formula (I) and / or salts thereof with 6 parts by weight of alkylphenol polyglycol ether ( ⁇ Triton X 207), 3
- isotridecanol polyglycol ether 8 EO
- paraffinic mineral oil oil range, for example, about 255 to more than 277 C
- An emulsifiable concentrate is obtained from 15 parts by weight of a
- Nonylphenol as emulsifier A water-dispersible granule is obtained by reacting 75 parts by weight of a compound of the formula (I) and / or salts thereof,
- a water-dispersible granule is also obtained by
- the active compounds according to the invention can be used as such or in their formulations also in mixture with known herbicides for controlling weeds, ready-to-use formulations or tank mixes being possible.
- known herbicides for controlling weeds ready-to-use formulations or tank mixes being possible.
- Active substances which are based on an inhibition of, for example, acetolactate synthase, acetyl-CoA carboxylase, cellulose synthase, enolpyruvylshikimate-3-phosphate synthase, glutamine synthetase, p-hydroxyphenylpyruvate dioxygenase, phytoene desaturase, photosystem I, photosystem II, protoporphyrinogen Oxidase based, for example, as described in Weed Research 26 (1986) 441 -445 or "The Pesticide Manual", 14th edition, The British Crop Protection Council and the Royal Soc. of Chemistry, 2003 and cited there literature are described.
- Known herbicides or plant growth regulators which can be combined with the compounds according to the invention are, for example, the following active substances (which
- Flucetosulfuron Fluchloralin, Flufenacet (Thiafluamide), Flufenpyr, Flufenpyr-ethyl, Flumetralin, Flumetsulam, Flumiclorac, Flumiclorac-pentyl, Flumioxazin,
- indaziflam indoleacetic acid (IAA), 4-indol-3-yl-butyric acid (IBA), iodosulfuron, iodosulfuron-methyl-sodium, loxynil, lecarbarbazonejsocarbamide, isopropalin, isoproturon, isourone, isoxaben, isoxachlortole, isoxaflutole, isoxapyrifop, IDH-100, KUH 043, KUH-071, carbutilates, ketospiradox, lactofen, lenacil, linuron,
- Nonanoic acid pendimethalin, pendralin, penoxsulam, pentanochlor, pentoxazone, perfluidone, pethoxamide, phenisopham, phenmedipham, phenmedipham-ethyl,
- CDEC compact disc sulfentrazone, sulfometuron, sulfometuron-methyl, sulfosate (glyphosate trimesium), sulfosulfuron, SYN-523, SYP-249, SYP-298, SYP-300, tebutam, tebuthiuron, tecnazene, tefuryltrione, tembotrione, tepraloxydim, terbacil , Terbucarb, Terbuchlor, Terbumetone, Terbuthylazine, Terbutryn, TH-547, Thenylchloro, thiafluamides, thiazafluron, thiazopyr, thidiazimine, thidiazuron, thiencarbazones, thiencarbazone-n-ethyl, thifensulfuron, thifensulfuron-n-ethyl, thio
- Insecticides Insecticides, acaricides, nematicides, bird repellents,
- Plant nutrients and soil conditioners are possible.
- the compounds according to the invention can also be used in combination with one or more compounds which act as safeners.
- the safeners are preferably selected from the group consisting of S1) compounds of the formula (S1),
- n A is a natural number from 0 to 5, preferably 0 to 3;
- R A 1 is halogen, (C 1 -C 4 ) -alkyl, (C 1 -C 4 ) -alkoxy, nitro or (C 1 -C 4 ) -haloalkyl;
- W A is an unsubstituted or substituted divalent heterocyclic radical from the group of the unsaturated or unsaturated five-membered ring heterocycles having 1 to 3 hetero ring atoms from the group N and O, wherein at least one N atom and at most one O atom is contained in the ring, preferably a radical from the group (W A 1 ) to (W A 4 ),
- R A 2 is OR A 3 , SR A 3 or NR A 3 R A 4 or a saturated or unsaturated 3- to 7-membered heterocycle having at least one N atom and up to 3 hetero atoms, preferably from the group O and S, who uses the N atom with the Carbonyl group in (S1) is connected and unsubstituted or by radicals from the group (Ci-C 4 ) alkyl, (dC 4 ) alkoxy or optionally
- substituted phenyl preferably a radical of the formula ORA 3 , NHR a 4 or N (CH 3 ) 2, in particular of the formula ORA 3 ;
- R a 3 is hydrogen or an unsubstituted or substituted aliphatic
- Hydrocarbon radical preferably having a total of 1 to 18 carbon atoms
- R A 4 is hydrogen, (C 1 -C 6) -alkyl, (C 1 -C 6) -alkoxy or substituted or
- R A 5 is H, (C 1 -C 8 ) -alkyl, (C 1 -C 8 ) -haloalkyl, (C 1 -C 4 ) -alkoxy- (C 1 -C 8 ) -alkyl, cyano or COORA 9 , in which R A 9 is hydrogen, (C 1 -C 8 ) -alkyl, (C 1 -C 8 ) -haloalkyl, (C 1 -C 4 ) -alkoxy- (C 1 -C 4 ) -alkyl, (C 1 -C 6 ) -hydroxyalkyl, (C 3 - Ci 2) cycloalkyl or tri- (dC 4) -alkyl-silyl;
- R A 6, R A 7, RA 8 are identical or different hydrogen, (Ci-C 8) alkyl, (CrC 8) -Halo- alkyl, (C3-Ci2) -cycloalkyl or substituted or unsubstituted phenyl; preferably:
- dichlorophenylpyrazolecarboxylic acid derivatives S1 b
- dichlorophenylpyrazolecarboxylic acid derivatives S1 b
- compounds such as 1 - (2,4-dichlorophenyl) -5-methyl-pyrazol-3-carbonklareethyl- ester (S1 -2), 1 - (2,4-dichlorophenyl) - Ethyl 5-isopropyl-pyrazole-3-carboxylate (S1-3), 1- (2,4-dichlorophenyl) -5- (1,1-dimethyl-ethyl) -pyrazole-3-carboxylic acid ethyl ester (S1- 4) and related compounds, as in
- EP-A-333,131 and EP-A-269,806 are described;
- R B 1 is halogen, ( C 1 -C 4 ) -alkyl, ( C 1 -C 4 ) -alkoxy, nitro or (C 1 -C 4 ) -haloalkyl;
- n B is a natural number from 0 to 5, preferably 0 to 3;
- R B 2 is OR B 3 , SR b 3 or NR B 3 R B 4 or a saturated one
- Hydrocarbon radical preferably having a total of 1 to 18 carbon atoms
- RB 4 is hydrogen, (C 1 -C 6) alkyl, (C 1 -C 6) alkoxy or substituted or
- T B is a (C 1 or C 2 ) alkanediyl chain which is unsubstituted or substituted by one or two (C 1 -C 4 ) -alkyl radicals or by [(C 1 -C 3) -alkoxy] -carbonyl; preferably:
- Rc 1 is (Ci-C 4) alkyl, (Ci-C 4) -haloalkyl, (C 2 -C 4) alkenyl, (C 2 -C 4) haloalkenyl,
- Rc 2, rc 3 are identical or different hydrogen, (Ci-C 4) -alkyl, (C2-C4) -alkenyl, (C 2 -C 4) alkynyl, (Ci-C 4) -haloalkyl, (C 2 -C 4) haloalkenyl, (dC 4) - Al kylcarbamoyl- (Ci -C 4) -alkyl, (C 2 -C 4) -alkyl kenylcarbamoyl- (Ci -C 4) -alkyl, (Ci - C 4 ) - alkoxy- (C 1 -C 4 ) -alkyl, dioxolanyl- (C 1 -C 4 ) -alkyl, thiazolyl, furyl, furylalkyl,
- heterocyclic ring preferably an oxazolidine, thiazolidine,
- R-28725" (3-dichloroacetyl-2,2, -dimethyl-1,3-oxazolidine) from Stauffer (S3-3),
- AD-67 or "MON 4660” (3-dichloroacetyl-1-oxa-3-aza-spiro [4,5] decane) Company Nitrokemia or Monsanto (S3-7),
- TI-35 (1-dichloroacetyl-azepane) from TRI-Chemical RT (S3-8),
- Diaclonone (dicyclonone) or "BAS145138” or “LAB145138” (S3-9) ((RS) -1-dichloroacetyl-3,3,8a-trimethylperhydropyrrolo [1,2-a] pyrimidin-6-one) from BASF .
- X D is CH or N
- R D 1 is CO-NR D 5 R D 6 or NHCO-RD 7 ;
- RD 2 is halogen, (C 1 -C 4 ) -haloalkyl, (C 1 -C 4 ) -haloalkoxy, nitro, (C 1 -C 4 ) -alkyl,
- R D 3 is hydrogen, (C 1 -C 4 ) -alkyl, (C 2 -C 4 ) -alkenyl or (C 2 -C 4 ) -alkynyl;
- R D 4 is halogen, nitro, (dC 4) -alkyl, (dC 4) -haloalkyl, (dC 4) haloalkoxy,
- R D 5 is hydrogen, (C 1 -C 6 ) -alkyl, (C 3 -C 6 ) -cycloalkyl, (C 2 -C 6 ) -alkenyl, (C 2 -C 6 ) -alkynyl, (C 5 -C 6 ) ) -Cycloalkenyl, phenyl or 3- to 6-membered heterocyclyl containing v D heteroatoms from the group consisting of nitrogen, oxygen and
- R D 6 is hydrogen, (C 1 -C 6 ) -alkyl, (C 2 -C 6 ) -alkenyl or (C 2 -C 6 ) -alkynyl, where the three last-mentioned radicals are represented by v D radicals from the group consisting of halogen, hydroxy , (C 1 -C 4 ) -alkyl, (C 1 -C 4 ) -alkoxy and (C 1 -C 4 ) -alkylthio, or
- R D 7 is hydrogen, (C 1 -C 4 ) -alkylamino, di- (C 1 -C 4 ) -alkylamino, (C 1 -C 6 ) -alkyl,
- Haloalkyl are substituted
- n D 0, 1 or 2;
- n D is 1 or 2;
- v D is 0, 1, 2 or 3; preferred are compounds of the type of N-acylsulfonamides, for example the following formula (S4 a ), the z. B. are known from WO-A-97/45016 wherein
- R D 4 is halogen, (C 1 -C 4 ) -alkyl, (C 1 -C 4 ) -alkoxy, CF 3;
- v D is 0, 1, 2 or 3;
- Acylsulfamoylbenzoeklareamide for example, the following formula (S4 b ), for example, are known from WO-A-99/16744,
- RD 8 and RD 9 independently of one another are hydrogen, (C 1 -C 5 -alkyl, (C 3 -C 8) -cycloalkyl,
- R D 4 is halogen, (C 1 -C 4 ) -alkyl, (C 1 -C 4 ) -alkoxy, CF 3
- n D 1 or 2; for example
- RE 1 , RE 2 are independently halogen, (C 1 -C 4 ) -alkyl, (C 1 -C 4 ) -alkoxy,
- a E is COORE 3 or COSR E 4
- RE 3 RE 4 are independently hydrogen, (dC 4) -alkyl, (C2-C6) - alkenyl, (C 2 -C 4) alkynyl, cyanoalkyl, (dC 4) -haloalkyl, phenyl,
- n E is 0 or 1
- n E 2 , n E 3 are each independently 0, 1 or 2, preferably:
- Methyl diphenylmethoxyacetate (CAS No. 41858-19-9) (S7-1).
- R F 1 is halogen, (dC 4) -alkyl, (dC 4) -haloalkyl, (dC 4) alkoxy, (dC 4) -haloalkoxy, nitro, (dC 4) alkylthio, (CrC 4) alkylsulfonyl, ( dC 4 ) alkoxycarbonyl, optionally substituted. Phenyl, optionally substituted phenoxy,
- R F 2 is hydrogen or (C 1 -C 4 ) -alkyl
- R F 3 is hydrogen, (C 1 -C 8 ) -alkyl, (C 2 -C 4 ) -alkenyl, (C 2 -C 4 ) -alkynyl, or aryl, where each of the abovementioned C-containing radicals is unsubstituted or is replaced by one or more a plurality, preferably up to three, identical or different radicals from the group consisting of halogen and alkoxy, or their salts, preferably compounds, in which
- n F is an integer from 0 to 2
- R F 1 is halogen, (dC 4) -alkyl, (dC 4) -haloalkyl, (dC 4) alkoxy, (dC 4) haloalkoxy,
- R 2 is hydrogen or F (dC 4) -alkyl
- R F 3 is hydrogen, (C 1 -C 8 ) -alkyl, (C 2 -C 4 ) -alkenyl, (C 2 -C 4 ) -alkynyl, or aryl, where each of the abovementioned C-containing radicals is unsubstituted or is replaced by one or more a plurality, preferably up to three, identical or different radicals from the group consisting of halogen and alkoxy is substituted, or their salts.
- R G 1 is halogen, (C 1 -C 4 ) -alkyl, methoxy, nitro, cyano, CF 3 , OCF 3
- n G is an integer from 0 to 4,
- R G 2 is (C 1 -C 6 ) -alkyl, (C 2 -C 6 ) -alkenyl, (C 3 -C 6 ) -cycloalkyl, aryl; benzyl,
- R G 3 is hydrogen or (Ci-C 6 ) -alkyl.
- S1 1 active ingredients of the type of oxyimino compounds (S1 1), which are known as seed dressing, such.
- Oxabetrinil ((Z) -1, 3-dioxolan-2-ylmethoxyimino (phenyl) acetonitrile) (S1 1 -1), which is known as a seedling safener for millet against damage from metolachlor,
- Cyometrinil or “CGA-43089” ((Z) -cyanomethoxyimino (phenyl) acetonitrile) (S1 1 -3), which is known as a seed dressing safener for millet against damage by metolachlor.
- Isothiochromanone (S12) class agents e.g. Methyl - [(3-oxo-1H-2-benzothiopyran-4 (3H) -ylidene) methoxy] acetate (CAS Reg.
- Naphthalene anhydride (1,8-naphthalenedicarboxylic anhydride) (S13-1), which is known as
- Seed pickling safener for maize known for damage from thiocarbamate herbicides
- MG 191 (CAS Reg. No. 96420-72-3) (2-dichloromethyl-2-methyl-1,3-dioxolane) (S13-5) from Nitrokemia, which is known as safener for corn,
- COD (1-Bromo-4- (chloromethylsulfonyl) benzene) from Kumiai, (CAS Registry No. 54091-06-4), which is known as a safener against damage of some herbicides in rice. S15) active substances, which are primarily used as herbicides, but also
- the active compounds can be used as such, in the form of their formulations or the use forms prepared therefrom by further dilution, such as ready-to-use solutions, suspensions, emulsions, powders, pastes and granules.
- the application is done in the usual way, for example by pouring, spraying; Spraying, sprinkling.
- the active compounds can also be used for controlling harmful plants in crops of known or yet to be developed genetically modified plants.
- the transgenic plants are usually characterized by particular advantageous properties, for example by resistance to certain pesticides, especially certain herbicides, resistance to plant diseases or pathogens of plant diseases such as certain insects or microorganisms such as fungi, bacteria or viruses.
- z. B the crop in terms of quantity, quality, shelf life, composition and special ingredients.
- transgenic plants with increased starch content or altered quality of the starch or those with other fatty acid composition of the crop are known.
- Crop plants are used, which are resistant to the phytotoxic effects of herbicides or have been made genetically resistant. Conventional ways of producing new plants that have modified properties compared to previously occurring plants exist
- Glufosinate see, for example, EP-A-0242236, EP-A-242246) or glyphosate
- transgenic crops characterized by a combination z.
- B the above-mentioned new properties ("gene stacking") Numerous molecular biology techniques that can be used to produce novel transgenic plants with altered properties are known in principle; see, for. BI Potrykus and G. Spangenberg (eds.) Gene Transfer to Plants, Springer Lab Manual (1995), Springer Verlag Berlin, Heidelberg, or Christou, "Trends in Plant Science” 1 (1996) 423-431).
- nucleic acid molecules can be introduced into plasmids that allow mutagenesis or sequence alteration by recombination of DNA sequences.
- Standard methods can z. For example, base substitutions are made, partial sequences are removed, or natural or synthetic sequences are added.
- adapters or linkers can be attached to the fragments, see, for example, US Pat. Sambrook et al., 1989, Molecular Cloning, A Laboratory Manual, 2nd Edition Cold Spring Harbor Laboratory Press, Cold Spring Harbor, NY; or Winnacker "Genes and Clones", VCH Weinheim 2nd edition 1996
- Gene product can be obtained, for example, by the expression of at least one corresponding antisense RNA, a sense RNA to obtain a
- DNA molecules may be used which comprise the entire coding sequence of a gene product, including any flanking sequences that may be present, as well as DNA molecules which comprise only parts of the coding sequence, which parts must be long enough to be present in the cells to cause an antisense effect. Also possible is the use of DNA sequences that encode a high degree of homology to those
- the synthesized protein may be located in any compartment of the plant cell. But to achieve the localization in a particular compartment, z.
- the coding region can be linked to DNA sequences that ensure localization in a particular compartment.
- sequences are known to those of skill in the art (see, for example, Braun et al., EMBO J. 11 (1992), 3219-3227; Wolter et al., Proc. Natl. Acad., U.S.A. 85 (1988), 846-850; Sonnewald et al., Plant J. 1 (1991), 95-106).
- the expression of the nucleic acid molecules can also take place in the organelles of the plant cells.
- the transgenic plant cells can be regenerated to whole plants by known techniques.
- the transgenic plants may, in principle, be plants of any plant species, that is, both monocotyledonous and dicotyledonous plants.
- transgenic plants are available, the altered properties by
- the compounds (I) according to the invention can be used in transgenic cultures which are resistant to growth substances, such as. B. Dicamba or against herbicides, the essential plant enzymes, eg. Acetolactate synthases (ALS), EPSP synthases, glutamine synthases (GS) or hydroxyphenylpyruvate
- the essential plant enzymes eg. Acetolactate synthases (ALS), EPSP synthases, glutamine synthases (GS) or hydroxyphenylpyruvate
- HPPD Dioxygenases
- Harmful plants often have effects that are specific for application in the particular transgenic culture, for example a modified or specific one extended weed spectrum that can be controlled, changed effort amounts that can be used for the application, preferably good compatibility with the herbicides to which the transgenic culture is resistant, and influencing the growth and yield of the transgenic
- the invention therefore also relates to the use of
- the active compounds according to the invention can be applied both before and after emergence of the plants. They can also be incorporated into the soil before sowing.
- the amount of active ingredient used can vary within a substantial range. It depends essentially on the type of effect desired. In general, the application rates are between 10g and 10kg of active ingredient per hectare
- Soil area preferably between 50 g and 5 kg per hectare.
- the preparation and the use of the active compounds according to the invention are evident from the following examples.
- reaction solution thus obtained is cooled to 10 ° C and treated with 0.57 ml (0.004 mol) of triethylamine in 3 ml of dimethylformamide. Subsequently, 1 .43 ml
- the resulting suspension is stirred for a further 2 hours.
- Triphenylphosphine in 50ml tetrahydrofuran submitted. 9.97 ml (0.051 mol) of diisopropyl azodicarboxylate are slowly added dropwise and the mixture is stirred in for 5 hours
- the test compounds formulated in the form of wettable powders (WP) or as emulsion concentrates (EC) are then applied to the surface of the cover soil as an aqueous suspension with an application rate of 800 l / ha with the addition of 0.2% wetting agent.
- WP wettable powders
- EC emulsion concentrates
- the compounds 2-1 and 3-1 show a very strong action against weeds with partially good compatibility with crops.
- WP wettable powders
- EC emulsion concentrates
- test compounds are then sprayed onto the green parts of plants as an aqueous suspension with a water application rate of about 800 l / ha with the addition of 0.2% wetting agent. After about 3 weeks of service life of
- the compounds 2-1, 2-1 show its Na + salt and 3-1 with some good compatibility with crop plants very strong action against weeds.
Landscapes
- Chemical & Material Sciences (AREA)
- Organic Chemistry (AREA)
- Life Sciences & Earth Sciences (AREA)
- Agronomy & Crop Science (AREA)
- Pest Control & Pesticides (AREA)
- Plant Pathology (AREA)
- Health & Medical Sciences (AREA)
- Engineering & Computer Science (AREA)
- Dentistry (AREA)
- General Health & Medical Sciences (AREA)
- Wood Science & Technology (AREA)
- Zoology (AREA)
- Environmental Sciences (AREA)
- Agricultural Chemicals And Associated Chemicals (AREA)
- Plural Heterocyclic Compounds (AREA)
Abstract
Description
OXATHIAZINYL- (HET) ARYLSULFONYLHARNSTOFFE, VERFAHREN UND ZWISCHENPRODUKTE ZU IHRER HERSTELLUNG UND IHRE VERWENDUNG ALS PLANZENSCHUTZMITTEL UND PFLAZNENWACHSTUMSREGULATOREN OXATHIAZINYL- (HET) ARYLSULFONYL HARVES, METHODS AND INTERMEDIATE PRODUCTS FOR THEIR PREPARATION AND THEIR USE AS PLANT PROTECTION AGENTS AND PULSE GROWTH REGULATORS
Beschreibung Es ist bereits bekannt, daß bestimmte N-Azinyl-N'-arylsulfonylharnstoffe mit einfachen offenkettigen Hydroxamsäureester-Gruppen im Arylteil, wie z.B. N-(4,6- Dimethylpyrimidin-2-yl)-N'-(2-methoxyaminocarbonyl-phenylsulfonyl)-harnstoff und der entsprechende - N'-(2-n-octyloxyaminocarbonylphenylsulfonyl)-harnstoff herbizide Eigenschaften aufweisen (vgl. DE-A-3 516 435 = EP-A-173 958 = US-4 704 158). Die Herbizidwirkung dieser bekannten Verbindungen ist jedoch nicht in allen Belangen zufriedenstellend. Description It is already known that certain N-azinyl-N'-arylsulphonylureas have been prepared with simple open-chain hydroxamic acid ester groups in the aryl moiety such as e.g. N- (4,6-dimethylpyrimidin-2-yl) -N '- (2-methoxyaminocarbonyl-phenylsulfonyl) urea and the corresponding - N' - (2-n-octyloxyaminocarbonylphenylsulfonyl) urea have herbicidal properties (cf. A-3 516 435 = EP-A-173 958 = US-4,704,158). However, the herbicidal action of these known compounds is not satisfactory in all respects.
Weiterhin sind auch bestimmte herbizid wirksame N-Azinyl-N'- (het)arylsulfonylharnstoffe bekannt geworden, welche im (Het)arylteil durch o,o- dialkylierte, ebenfalls offenkettige Hydroxamsäure-Gruppen substituiert sind (vgl. EP-A-301 784); auch entsprechende cyclische Hydroxamsäurederivate (Dihydro- dioxazine) sind z.B. in EP 0645386 = US 5476936 beschrieben worden. Furthermore, certain herbicidally active N-azinyl-N'- (het) arylsulfonylureas have become known which are substituted in the (het) aryl moiety by o, o-dialkylated, likewise open-chain hydroxamic acid groups (cf EP-A-301 784). ; Corresponding cyclic hydroxamic acid derivatives (dihydrodoxazines) are also known, for example. in EP 0645386 = US 5476936.
Desweiteren wurden auch substituierte cyclische Hydroxamsäurederivate (Dihydro- dioxazine) beschrieben, (vgl. JP2007246477, JP2007217336, JP2007145792, WO2007046440, WO2005103044=EP 1748047) Furthermore, substituted cyclic hydroxamic acid derivatives (dihydrodoxazines) have also been described (compare JP2007246477, JP2007217336, JP2007145792, WO2007046440, WO2005103044 = EP 1748047).
Es wurden nun neue Oxathiazinyl-(het)arylsulfonylharnstoffe der allgemeinen Formel (I). in welcher There have now been new oxathiazinyl (het) arylsulfonylureas of the general formula (I). in which
1 1 1 1
A für Stickstoff oder eine CR -Gruppierung steht A is nitrogen or a CR moiety
wobei R11 für Wasserstoff, Alkyl, Halogen und Haloalkyl steht wherein R 11 is hydrogen, alkyl, halogen and haloalkyl
R1 für Wasserstoff oder einen gegebenenfalls substituierten Rest aus der Reihe Alkyl, Alkoxy, Alkoxyalkyl, Alkenyl, Alkinyl, Cycloalkyl, Cycloalkylalkyl, Aralkyl und R 1 is hydrogen or an optionally substituted radical from the series alkyl, alkoxy, alkoxyalkyl, alkenyl, alkynyl, cycloalkyl, cycloalkylalkyl, aralkyl and
Aryl steht, Aryl stands,
R2 für Wasserstoff, Halogen oder für jeweils gegebenenfalls durch Halogen R 2 is hydrogen, halogen or each optionally halogen
substituiertes Alkyl, Alkoxy, Alkylthio, Alkylamino oder Dialkylamino mit jeweils 1 bis 6 Kohlenstoffatomen steht, substituted alkyl, alkoxy, alkylthio, alkylamino or dialkylamino having in each case 1 to 6 carbon atoms,
R3 für Wasserstoff, Halogen oder für jeweils gegebenenfalls durch Halogen R 3 is hydrogen, halogen or each optionally halogen
substituiertes Alkyl, Alkoxy, Alkylthio, Alkylamino oder Dialkylamino mit jeweils 1 bis 6 Kohlenstoffatomen steht, substituted alkyl, alkoxy, alkylthio, alkylamino or dialkylamino having in each case 1 to 6 carbon atoms,
J für J-1 bis J-4 steht, wobei J-1 bis J-4 folgende Bedeutungen haben: J is J-1 to J-4, wherein J-1 to J-4 have the following meanings:
J-1 J-2 J-3 J-4 worin J-1 J-2 J-3 J-4 wherein
der Pfeil jeweils für eine Bindung zur Sulfonyl-Einheit der Formel (I) steht, für eine direkte Bindung, Alkylen, Sauerstoff, Alkylamino oder Schwefel steht, the arrow is in each case a bond to the sulfonyl unit of the formula (I), represents a direct bond, alkylene, oxygen, alkylamino or sulfur,
unabhängig voneinander für Wasserstoff, Halogen, Cyano, Thiocyanato oder für jeweils gegebenenfalls durch Halogen substituiertes Alkyl, Alkoxy, Alkylthio, Alkylsulfinyl, AI kylsulfonyl, Alkylamino, Alkylcarbonyl, independently of one another are hydrogen, halogen, cyano, thiocyanato or in each case optionally halogen-substituted alkyl, alkoxy, alkylthio, alkylsulfinyl, alkylsulfonyl, alkylamino, alkylcarbonyl,
Alkoxycarbonyl, Alkylaminocarbonyl mit jeweils 1 bis 3 Kohlenstoffatomen stehen, Alkoxycarbonyl, alkylaminocarbonyl having in each case 1 to 3 carbon atoms,
für Wasserstoff oder einen gegebenenfalls substituierten Rest aus der Reihe Alkyl, Alkenyl, Alkinyl, Cycloalkyl, Cycloalkylalkyl, Aralkyl und Aryl oder für eine Gruppe C(=O)R9 steht, wobei is hydrogen or an optionally substituted radical from the series alkyl, alkenyl, alkynyl, cycloalkyl, cycloalkylalkyl, aralkyl and aryl or a group C (= O) R 9 , where
für Wasserstoff, gegebenenfalls substituiertes Alkyl, gegebenenfalls substituiertes Aryl, Alkoxy, Alkylamino oder Dialkylamino steht, is hydrogen, optionally substituted alkyl, optionally substituted aryl, alkoxy, alkylamino or dialkylamino,
unabhängig voneinander für Wasserstoff, Halogen, Cyano, Thiocyanato für jeweils gegebenenfalls independently of one another are hydrogen, halogen, cyano, thiocyanato, if appropriate
durch Halogen substituiertes Alkyl, Alkoxy, Alkylthio, Alkylsulfinyl, halogen-substituted alkyl, alkoxy, alkylthio, alkylsulfinyl,
AI kylsulfonyl, Alkylamino, Alkylcarbonyl, Alkoxycarbonyl, Alkylaminocarbonyl mit jeweils 1 bis 3 Kohlenstoffatomen steht, wobei in den vorgenannten Resten die Alkyl- und Alkylengruppen jeweils 1 bis 6 C- Atome, die Alkenyl- und Alkinylgruppen jeweils 2 bis 6 C-Atome, die AI kylsulfonyl, alkylamino, alkylcarbonyl, alkoxycarbonyl, alkylaminocarbonyl each having 1 to 3 carbon atoms, wherein in the aforementioned radicals the alkyl and alkylene groups each have 1 to 6 carbon atoms, the alkenyl and alkynyl groups each 2 to 6 carbon atoms, the
Cycloalkylgruppen jeweils 3 bis 6 C-Atome und die Arylgruppen jeweils 6 bzw. 10 C- Atome enthalten können, sowie Salze von Verbindungen der Formel (I) gefunden. Cycloalkyl groups each 3 to 6 carbon atoms and the aryl groups may each contain 6 or 10 carbon atoms, as well as salts of compounds of formula (I) found.
Charakteristisches Strukturmerkmal der neuen Sulfonylharnstoffe (I) ist demnach der (5,6-Dihydro-[1 ,4,2]-oxathiazin-3-yl)-Rest als neuartiger heterocyclischer Substituent im (Het)arylteil der (Het)arylsulfonylharnstoffe. Die einfachen Grundkörper dieser Verbindungsklasse, wie z. B. das (5,6-Dihydro-[1 ,4,2]-oxathiazin-3-yl)-benzol, - thiazol oder -pyridin, sind bekannt (vgl. Brouwer, W. G.; Blem, A. R. et al. EP A characteristic structural feature of the new sulfonylureas (I) is therefore the (5,6-dihydro- [1,2,2] oxathiazin-3-yl) radical as a novel heterocyclic substituent in the (het) aryl portion of the (het) arylsulfonylureas. The simple body of this class of compounds, such. As the (5,6-dihydro- [1, 4.2] -oxathiazin-3-yl) benzene, - thiazole or pyridine, are known (see, Brouwer, W.G., Blem, A. R. et al., EP
0104940 (Uniroyal Inc. 1983)). 0104940 (Uniroyal Inc. 1983)).
Man erhält die neuen N-Azinyl-N'-(het)arylsulfonyl-hamstoffe der allgemeinen Formel (I), wenn man (a) (Het)arylsulfonamide der allgemeinen Formel (II), The novel N-azinyl-N '- (het) arylsulfonyl-ureas of the general formula (I), if (a) (Het) arylsulfonamides of the general formula (II),
in welcher in which
J die oben angegebenen Bedeutungen hat, mit J has the meanings given above, with
Azinylcarbamaten der Formel (III), Azinyl carbamates of the formula (III),
in welcher in which
A und R1 bis R3 die oben angegebenen Bedeutungen haben und A and R 1 to R 3 have the meanings given above and
R12für Alkyl oder Aryl steht, R 12 is alkyl or aryl,
gegebenenfalls in Gegenwart eines Verdünnungsmittels und gegebenenfalls Gegenwart eines Reaktionshilfsmittels umsetzt, oder wenn man if appropriate in the presence of a diluent and if appropriate the presence of a reaction auxiliary, or if
(b) (Het)arylsulfonylisocyanate der allgemeinen Formel (IV) (b) (Het) arylsulfonyl isocyanates of the general formula (IV)
in welcher J die oben angegebenen Bedeutungen hat, in which J has the meanings given above,
mit Aminoazinen der Formel (V), with aminoazines of the formula (V),
in welcher in which
1 3 1 3
A und R bis R die oben angegebenen Bedeutungen haben, gegebenenfalls in Gegenwart eines Verdünnungsmittels und gegebenenfalls in Gegenwart eines Reaktionshilfsmittels umsetzt, oder wenn man A and R to R have the meanings given above, if appropriate in the presence of a diluent and if appropriate in the presence of a reaction auxiliary, or if
(c) (Het)arylsulfonylcarbamate der allgemeinen Formel (VI), (c) (Het) arylsulfonylcarbamates of the general formula (VI),
in welcher in which
12 12
und R die oben angegebenen Bedeutungen haben, mit Aminoazinen der Formel and R have the meanings given above, with aminoazines of the formula
in welcher in which
A und R1 bis R3 die oben angegebenen Bedeutungen haben, gegebenenfalls in Gegenwart eines Verdünnungsmittels und gegebenenfalls in Gegenwart eines Reaktionshilfsmittels umsetzt, und gegebenenfalls die nach Verfahren (a), (b) oder (c) erhaltenen Produkte nach üblichen Methoden in Salze überführt. A and R 1 to R 3 have the meanings given above, if appropriate in the presence of a diluent and if appropriate in the presence of a reaction auxiliary, and, if appropriate, the products obtained by processes (a), (b) or (c) are converted into salts by customary methods.
Die neuen Oxathiazinyl-(het)arylsulfonylharnstoffe der Formel (I) zeichnen sich durch starke herbizide Wirksamkeit aus. The new oxathiazinyl (het) arylsulfonylureas of the formula (I) are distinguished by their strong herbicidal activity.
Uberraschenderweise zeigen die neuen Verbindungen der Formel (I) erheblich stärkere Wirkung und / oder eine gesteigerte Selektivität als die nach Struktur und Wirkprofil vergleichbaren Verbindungen N-(4,6-Dimethylpyrimidin-2-yl)-N'-(2- methoxyaminocarbonyl-phenylsulfonyl)-harnstoff und der entsprechende -N'-(2-n- octyloxyaminocarbonyl-phenylsulfonyl)-harnstoff bzw. die Dihydro-dioxazine wie in EP 0645386A1 (US 5476936) beschrieben. Surprisingly, the novel compounds of the formula (I) show considerably greater activity and / or increased selectivity than the compounds which are comparable in structure and activity profile N- (4,6-dimethylpyrimidin-2-yl) -N '- (2-methoxyaminocarbonyl-phenylsulfonyl ) urea and the corresponding -N '- (2-n-octyloxyaminocarbonyl-phenylsulfonyl) urea or dihydro-dioxazines as described in EP 0645386A1 (US 5476936).
Gegenstand der Erfindung sind vorzugsweise Verbindungen The invention preferably compounds
der Formel (I), in welcher of the formula (I) in which
A für Stickstoff oder eine CH-Gruppierung steht, A is nitrogen or a CH group,
R1 für Wasserstoff oder einen gegebenenfalls durch Halogen substituierten Rest aus der Reihe Alkyl, Alkoxy, Alkoxyalkyl, Alkenyl und Alkinyl mit jeweils bis zuR 1 is hydrogen or an optionally halogen-substituted radical from the series alkyl, alkoxy, alkoxyalkyl, alkenyl and alkynyl, each with up to
3 Kohlenstoffatomen steht, 3 carbon atoms,
R2 für Wasserstoff, Halogen oder für jeweils gegebenenfalls durch Halogen R 2 is hydrogen, halogen or each optionally halogen
substituiertes Alkyl, Alkoxy, Alkylthio, Alkylamino oder Dialkylamino mit jeweils substituted alkyl, alkoxy, alkylthio, alkylamino or dialkylamino each with
1 bis 3 Kohlenstoffatomen in denAlkylresten steht, 1 to 3 carbon atoms in the alkyl radicals,
R3 für Wasserstoff, Halogen oder für jeweils gegebenenfalls durch Halogen R 3 is hydrogen, halogen or each optionally halogen
substituiertes Alkyl, Alkoxy, Alkylthio, Alkylamino oder Dialkylamino mit jeweils 1 bis 3 Kohlenstoffatomen in den Alkylresten steht, substituted alkyl, alkoxy, alkylthio, alkylamino or dialkylamino having in each case 1 to 3 carbon atoms in the alkyl radicals,
J für J-1 bis J-4, bevorzugt J-2 steht, J is J-1 to J-4, preferably J-2,
E für eine direkte Bindung, Methylen, Sauerstoff, Alkylamino mit 1 bis 3 E for a direct bond, methylene, oxygen, alkylamino with 1 to 3
Kohlenstoffatomen oder Schwefel steht, Carbon atoms or sulfur,
R4-R7 unabhängig voneinander für Wasserstoff, Halogen, Cyano, Thiocyanato oder für jeweils gegebenenfalls durch Halogen substituiertes Alkyl, Alkoxy, R 4 -R 7 independently of one another represent hydrogen, halogen, cyano, thiocyanato or in each case optionally halogen-substituted alkyl, alkoxy,
Alkylthio, Alkylsulfinyl, AI kylsulfonyl, Alkylamino, Alkylcarbonyl, Alkoxycarbonyl oder Alkylaminocarbonyl mit jeweils 1 bis 3 Alkylthio, alkylsulfinyl, alkylsulfonyl, alkylamino, alkylcarbonyl, Alkoxycarbonyl or alkylaminocarbonyl each having 1 to 3
Kohlenstoffatomen in den Alkylresten steht, Carbon atoms in the alkyl radicals,
R8 für Wasserstoff oder einen gegebenenfalls substituierten Rest aus der Reihe (d-C4)-Alkyl, (C3-C6)-Cycloalkyl, (C7-Cn)-Aralkyl und (C6-Ci0)-Aryl steht, R10 unabhängig voneinander für Wasserstoff, Halogen, Cyano, Thiocyanato oder für jeweils gegebenenfalls durch Halogen substituiertes Alkyl, Alkoxy, R 8 is hydrogen or an optionally substituted radical from the series (dC 4) -alkyl, (C 3 -C 6) -cycloalkyl, (C 7 -CN) aralkyl and (C 6 -C 0) aryl, R 10 independently of one another represent hydrogen, halogen, cyano, thiocyanato or in each case optionally halogen-substituted alkyl, alkoxy,
Alkylthio, Alkylsulfinyl, AI kylsulfonyl, Alkylamino, Alkylcarbonyl, Alkylthio, alkylsulfinyl, alkylsulfonyl, alkylamino, alkylcarbonyl,
Alkoxycarbonyl oder Alkylaminocarbonyl mit jeweils 1 bis 3 Alkoxycarbonyl or alkylaminocarbonyl each having 1 to 3
Kohlenstoffatomen in den Alkylresten steht. Carbon atoms in the alkyl radicals.
Die Erfindung betrifft weiter vorzugsweise Salze, die man aus Verbindungen der Formel (I) und Basen, wie z.B. Natrium-, Kalium- oder Calcium-hydroxid, -hydrid, - amid und carbonat, Natrium- oder Kalium-(Ci-C4)-alkanolaten, Ammoniak, (Ci-C4)- Alkylaminen, Di-((Ci-C4)-alkyl)-aminen oder Tri-((Ci-C4)-alkyl)-aminen, nach üblichen Verfahren erhält. The invention further preferably relates to salts which are obtained from compounds of the formula (I) and bases, such as, for example, sodium, potassium or calcium hydroxide, hydride, amide and carbonate, sodium or potassium (C 1 -C 4 ) -alkanolaten, ammonia, (Ci-C 4) - alkyl amines, di - ((Ci-C 4) -alkyl) amines or tri - ((Ci-C 4) alkyl) -amines, obtained by conventional methods.
Die Erfindung betrifft insbesondere Verbindungen der Formel (I), The invention particularly relates to compounds of the formula (I)
in welcher in which
A für Stickstoff oder eine CH-Gruppierung steht, A is nitrogen or a CH group,
R1 für Wasserstoff, Methyl, Ethyl, Methoxy, Methoxymethyl oder Ethoxy steht, R2 für Wasserstoff, Chlor, Methyl, Ethyl, Trifluoromethyl, Methoxy, Ethoxy, R 1 is hydrogen, methyl, ethyl, methoxy, methoxymethyl or ethoxy, R 2 is hydrogen, chlorine, methyl, ethyl, trifluoromethyl, methoxy, ethoxy,
Difluoromethoxy, Methylthio, Methylamino oder Dimethylamino steht, Difluoromethoxy, methylthio, methylamino or dimethylamino,
R3 für Wasserstoff, Chlor, Methyl, Ethyl, Trifluoromethyl, Methoxy, Ethoxy, R 3 is hydrogen, chlorine, methyl, ethyl, trifluoromethyl, methoxy, ethoxy,
Difluoromethoxy, Methylthio, Methylamino oder Dimethylamino steht, Difluoromethoxy, methylthio, methylamino or dimethylamino,
J für J-1 bis J-4, bevorzugt J-2 steht, J is J-1 to J-4, preferably J-2,
E für eine direkte Bindung, Methylen, Sauerstoff, (Ci-C2)-Alkylamino oder E for a direct bond, methylene, oxygen, (Ci-C2) -alkylamino or
Schwefel steht, Sulfur stands,
R4-R7 unabhängig voneinander für Wasserstoff, Fluor, Chlor, Cyano, oder für jeweils gegebenenfalls durch Chlor oder Fluor substituiertes Methyl, Methylthio, Methylsulfinyl, Methylsulfonyl, Methoxycarbonyl und Ethoxycarbonyl steht,R 4 -R 7 independently of one another represent hydrogen, fluorine, chlorine, cyano, or in each case optionally substituted by chlorine or fluorine, methyl, methylthio, methylsulfinyl, methylsulfonyl, methoxycarbonyl and ethoxycarbonyl,
R8 für Wasserstoff, Methyl, Ethyl, Phenyl oder Benzyl steht, R10 unabhängig voneinander für Wasserstoff, Fluor, Chlor, Brom, Cyano oder für jeweils gegebenenfalls durch Chlor oder Fluor substituiertes Methyl, Methoxy, Ethoxy, Methylthio, Ethylthio, Methylsulfinyl, Ethylsulfinyl, Methyl sulfonyl, Ethylsulfonyl, Methyl- oder Dimethylamino steht. R 8 is hydrogen, methyl, ethyl, phenyl or benzyl, R 10 is independently of one another hydrogen, fluorine, chlorine, bromine, cyano or in each case optionally substituted by chlorine or fluorine methyl, methoxy, ethoxy, methylthio, ethylthio, methylsulfinyl, ethylsulfinyl, methylsulfonyl, ethylsulfonyl, methyl or dimethylamino.
Die oben aufgeführten allgemeinen oder in Vorzugsbereichen aufgeführten The general or preferred ones listed above
Restedefinitionen gelten sowohl für die Endprodukte der Formel (I) als auch entsprechend für die jeweils zur Herstellung benötigten Ausgangs- bzw. Residue definitions apply both to the end products of the formula (I) and correspondingly to the starting or end preparation required in each case.
Zwischenprodukte. Diese Restedefinitionen können untereinander, also auch zwischen den angegebenen bevorzugten Bereichen beliebig kombiniert werden. Intermediates. These remainder definitions can be combined with one another as desired, ie also between the specified preferred ranges.
Die bei den Restedefinitionen genannten Kohlenwasserstoffreste, wie Alkyl, Alkenyl oder Alkinyl, auch in Kombinationen mit Heteroatomen, wie in Alkoxy, Alkylthio oder Alkylamino, sind auch dann, wenn dies nicht ausdrücklich angegeben ist, geradkettig oder verzweigt. The hydrocarbon radicals mentioned in the radical definitions, such as alkyl, alkenyl or alkynyl, even in combinations with heteroatoms, such as in alkoxy, alkylthio or alkylamino, are also straight-chain or branched, even if not expressly stated.
Verwendet man beispielsweise für die Verfahrensvariante (a) 2-(5,6-Dihydro-[1 ,4,2]- oxathiazin-3-yl)-benzolsulfonamid und (4,6-Dimethoxypyrimidin-2-yl)- phenylcarbamat als Ausgangsstoffe, so kann der Reaktionsverlauf durch das folgende Formelschema skizziert werden: For example, for process variant (a), 2- (5,6-dihydro- [1,2,2] oxathiazin-3-yl) -benzenesulfonamide and (4,6-dimethoxypyrimidin-2-yl) -phenylcarbamate are used as starting materials , so the reaction course can be outlined by the following equation:
Verwendet man beispielsweise für die Verfahrensvariante (b) 2-(5,6-Dihydro-[1 ,4,2]- oxathiazin-3-yl)-benzolsulfonylisocyanat und 2-Amino-4,6-dimethoxypyrimidin als Ausgangsstoffe, so kann der Reaktionsverlauf durch das folgende Formelschema skizziert werden: If, for example, for process variant (b) 2- (5,6-dihydro- [1, 4.2] - oxathiazin-3-yl) -benzenesulfonyl isocyanate and 2-amino-4,6-dimethoxypyrimidine as starting materials, the Reaction history are outlined by the following equation scheme:
Verwendet man beispielsweise für die Verfahrensvariante (c) N-(2-(5,6-Dihydro- [1 ,4,2]- oxathiazin-3-yl)-benzolsulfonyl)-phenylcarbamat und 2-Amino-4,6- dimethoxypyrimidin als Ausgangsstoffe, so kann der Reaktionsverlauf durch das folgende Formelschema skizziert werden: For example, for process variant (c), use is made of N- (2- (5,6-dihydro- [1,2,2] oxathiazin-3-yl) -benzenesulfonyl) -phenylcarbamate and 2-amino-4,6-dimethoxypyrimidine as starting materials, the course of the reaction can be outlined by the following formula scheme:
Die beim erfindungsgemäßen Verfahren (a) zur Herstellung von Verbindungen der Formel (I) als Ausgangsstoffe zu verwendenden (Het)arylsulfonamide sind durch Formel (II) allgemein definiert. In Formel (II) hat J die Bedeutungen, die bereits oben im Zusammenhang mit der Beschreibung der erfindungsgemäßen Verbindungen der Formel (I) vorzugsweise bzw. als insbesondere bevorzugt für J angegeben wurden. The in process (a) for the preparation of compounds of formula (I) as starting materials to be used (Het) arylsulfonamide are generally defined by formula (II). In formula (II), J has the meanings which have already been mentioned above in connection with the description of the compounds of the formula (I) according to the invention as being preferred or as being particularly preferred for J.
Als Beispiele für die Verbindungen der Formel (II) seien genannt: 2-(5,6- Dihydro[1 ,4,2]-oxathiazin-3-yl)benzolsulfonamid, 2-(5,6-Dihydro-[1 ,4,2]-oxathiazin-3- yl)-6-methyl-benzolsulfonamid, 2-(5,6-Dihydro-[1 ,4,2]-oxathiazin-3-yl)- phenylmethansulfonamid, 3-(5,6-Dihydro-[1 ,4,2]-oxathiazin-3-yl)-pyridin-2- sulfonamid, 2-(5,6-Dihydro-[1 ,4,2]-oxathiazin-3-yl)-thiophen-3-sulfonamid, 1 -Methyl- 4-(5,6-dihydro-[1 ,4,2]-oxathiazin-3-yl)-pyrazol-5-sulfonamid, 1 -Methyl-3-chlor-4-(5,6- dihydro-[1 ,4,2]-oxathiazin-3-yl)-pyrazol-5-sulfonamid. Die Ausgangsstoffe der Formel (II) sind noch nicht aus der Literatur bekannt und sind als neue Stoffe auch Gegenstand der vorliegenden Erfindung. Verfahren zur Herstellung der Verbindungen der Formel (II) werden weiter unten beschrieben [vgl. Verfahren (d) und (e)]. Examples of the compounds of the formula (II) which may be mentioned are: 2- (5,6-dihydro [1,2,2] oxathiazin-3-yl) benzenesulfonamide, 2- (5,6-dihydro- [1, 4 , 2] -oxathiazin-3-yl) -6-methyl-benzenesulfonamide, 2- (5,6-dihydro- [1,2,2] -oxathiazin-3-yl) -phenylmethanesulfonamide, 3- (5,6- Dihydro- [1,2,2] oxathiazin-3-yl) -pyridine-2-sulfonamide, 2- (5,6-dihydro- [1,2,2] -oxathiazin-3-yl) -thiophene-3 sulfonamide, 1-methyl-4- (5,6-dihydro- [1,2,2] oxathiazin-3-yl) -pyrazole-5-sulfonamide, 1-methyl-3-chloro-4- (5, 6-dihydro- [1,2,2] oxathiazin-3-yl) -pyrazole-5-sulfonamide. The starting materials of the formula (II) are not yet known from the literature and as novel substances are also the subject of the present invention. Process for the preparation of the compounds of the formula (II) are described below [cf. Methods (d) and (e)].
Die bei Verfahren (a) außerdem als Ausgangsstoffe zu verwendenden N- Azinylcarbamate sind durch Formel (III) allgemein definiert. In Formel (III) haben A, R1, R2 und R3 vorzugsweise bzw. insbesondere diejenigen Bedeutungen, die bereits oben im Zusammenhang mit der Beschreibung der erfindungsgemäßen The N-azinyl carbamates also to be used as starting materials in process (a) are generally defined by formula (III). In formula (III), A, R 1 , R 2 and R 3 preferably or in particular have those meanings which have already been mentioned above in connection with the description of the novel compounds
Verbindungen der Formel (I) vorzugsweise bzw. als insbesondere bevorzugt für A, R1, R2 bzw. R3 angegeben wurden. R12 steht vorzugsweise für (d-C6)-Alkyl oder (Ce- Cs)-Aryl, besonders bevorzugt für (d-C4)-Alkyl oder Phenyl. Compounds of formula (I) were preferably or as particularly preferred for A, R 1 , R 2 and R 3 were specified. R 12 is preferably (C 1 -C 6) -alkyl or (C 1 -C 5) -aryl, particularly preferably (C 1 -C 4 ) -alkyl or phenyl.
Die Ausgangsstoffe der Formel (III) sind bekannt und/oder können nach an sich bekannten Verfahren hergestellt werden (vgl. EP-238 070). The starting materials of the formula (III) are known and / or can be prepared by processes known per se (cf., EP-238 070).
Die beim erfindungsgemäßen Verfahren (b) zur Herstellung von Verbindungen der Formel (I) als Ausgangsstoffe zu verwendenden (Het)arylsulfonylisocyanate sind durch Formel (IV) allgemein definiert. In Formel (IV) hat J vorzugsweise bzw. The in process (b) for the preparation of compounds of formula (I) as starting materials to be used (Het) arylsulfonylisocyanate are generally defined by formula (IV). In formula (IV), J preferably has
insbesondere diejenigen Bedeutungen, die bereits oben im Zusammenhang mit der Beschreibung der erfindungsgemäßen Verbindungen der Formel (I) vorzugsweise bzw. als insbesondere bevorzugt für J angegeben wurden. in particular those meanings which have already been mentioned above in connection with the description of the compounds of the formula (I) according to the invention as being preferred or as being particularly preferred for J.
Als Beispiele für die Ausgangsstoffe der Formel (IV) seien genannt: 2-(5,6-Dihydro- [1 ,4,2]-oxathiazin-3-yl)benzolsulfonylisocyanat, 2-(5,6-Dihydro-[1 ,4,2]-oxathiazin-3- yl)-6-methyl-benzolsulfonylisocyanat, 2-(5,6-Dihydro-[1 ,4,2]-oxathiazin -3- yl)phenylmethansulfonylisocyanat, 3-(5,6-Dihydro-[1 ,4,2]-oxathiazin-3-yl)-pyridin-2- sulfonylisocyanat, 2-(5,6-Dihydro-[1 ,4,2]-oxathiazin-3-yl)thiophen-3-sulfonyliso- cyanat, 1 -Methyl-4-(5,6-dihydro-[1 ,4,2]-oxathiazin-3-yl)pyrazol-5-sulfonylisocyanat, 1 -Methyl-3-chlor-4-(5,6-dihydro-[1 ,4,2]-oxathiazin-3-yl)pyrazol-5-sulfonylisocyanat. Die Ausgangsstoffe der Formel (IV) sind noch nicht aus der Literatur bekannt und sind als neue Stoffe auch Gegenstand der vorliegenden Erfindung. Man erhält die neuen (Het)arylsulfonylisocyanate der Formel (IV), wenn man (Het)arylsulfonamide der obigen Formel (II) mit Phosgen in Gegenwart eines Verdünnungsmittels, wie z.B. Chlorbenzol, und von Reaktionshilfsmitteln, wie z.B. Butylisocyanat und Diazabicyclooctan (DABCO), bei Temperaturen zwischen 0°C und 200°C, vorzugsweise zwischen 20°C und 160°C, umsetzt und anschließend die flüchtigen Komponenten unter vermindertem Druck sorgfältig abdestilliert (vgl. EP- 162 723). Examples of starting materials of the formula (IV) which may be mentioned are: 2- (5,6-dihydro- [1,2,2] oxathiazin-3-yl) benzenesulfonyl isocyanate, 2- (5,6-dihydro- [1, 4,2] -oxathiazin-3-yl) -6-methyl-benzenesulfonyl isocyanate, 2- (5,6-dihydro- [1,2,2] -oxathiazin-3-yl) -phenylmethanesulfonyl isocyanate, 3- (5,6- Dihydro- [1,2,2] oxathiazin-3-yl) -pyridine-2-sulfonyl isocyanate, 2- (5,6-dihydro- [1,2,2] oxathiazin-3-yl) -thiophene-3 sulfonyl isocyanate, 1-methyl-4- (5,6-dihydro- [1,2,2] oxathiazin-3-yl) pyrazole-5-sulfonyl isocyanate, 1-methyl-3-chloro-4- (5, 6-dihydro- [1,2,2] oxathiazin-3-yl) pyrazole-5-sulfonyl isocyanate. The starting materials of the formula (IV) are not yet known from the literature and as novel substances are also the subject of the present invention. The novel (het) arylsulfonyl isocyanates of the formula (IV) are obtained by reacting (het) arylsulfonamides of the above formula (II) with phosgene in the presence of a diluent, such as, for example, chlorobenzene, and reaction auxiliaries, such as, for example, butyl isocyanate and diazabicyclooctane (DABCO), at temperatures between 0 ° C and 200 ° C, preferably between 20 ° C and 160 ° C, and then the volatile components are carefully distilled off under reduced pressure (see, EP 162 723).
Die beim erfindungsgemäßen Verfahren (b) zur Herstellung von Verbindungen der Formel (I) weiter als Ausgangsstoffe benötigten Aminoazine sind durch Formel (V) allgemein definiert. In Formel (V) haben A, R1, R2 und R3 vorzugsweise bzw. The in process (b) for the preparation of compounds of formula (I) further required as starting materials aminoazines are generally defined by formula (V). In formula (V), A, R 1 , R 2 and R 3 are preferably or
insbesondere diejenigen Bedeutungen, die bereits oben im Zusammenhang mit der Beschreibung der erfindungsgemäßen Verbindungen der Formel (I) vorzugsweise bzw. als insbesondere bevorzugt für R1, R2 und R3 angegeben wurden. Als Beispiele für die Ausgangsstoffe der Formel (V) seien genannt: in particular those meanings which have already been mentioned above in connection with the description of the compounds of the formula (I) according to the invention as being preferred or as being particularly preferred for R 1 , R 2 and R 3 . As examples of the starting materials of the formula (V) may be mentioned:
2-Amino-4,6-dimethoxypyrimidin, 2-amino-4,6-dimethoxypyrimidine,
2-Amino-4,6-diethoxypyrimidin, 2-amino-4,6-diethoxypyrimidin,
2-Methylamino-4,6-dimethoxypyrimidin, 2-methylamino-4,6-dimethoxypyrimidine,
2-Methoxymethylamino-4,6-dimethoxypyrimidin, 2-methoxymethylamino-4,6-dimethoxypyrimidine,
2-Amino-4,6-dimethylpyrimidin, 2-amino-4,6-dimethylpyrimidine,
2-Amino-4,6-diethylpyrimidin, 2-amino-4,6-diethylpyrimidin,
2-Amino-4,6-bis(difluormethoxy)pyrimidin, 2-amino-4,6-bis pyrimidine (difluoromethoxy),
2-Amino-4,6-bis(dimethylamino)pyrimidin, 2-amino-4,6-bis pyrimidine (dimethylamino)
2-Amino-4-methyl-6-ethylpyrimidin, 2-amino-4-methyl-6-ethylpyrimidine,
2-Am ino-4-methoxy-6-ch lorpyrim id in , 2-Am ino-4-methoxy-6-chloropyrim id in,
2-Amino-4-ethoxy-6-methylaminotriazin, 2-amino-4-ethoxy-6-methylaminotriazin,
2-Amino-4-methoxy-6-methyltriazin, 2-Am ino-4-isopropoxy-6-ch lortriazin , 2-amino-4-methoxy-6-methyltriazin, 2-Amino-4-isopropoxy-6-chlorotriazine,
2-Amino-4-methoxy-6-chlortriazin, 2-amino-4-methoxy-6-chlorotriazine,
2-Amino-4-(2,2,2-trifluorethoxy)-6-dimethylaminotnazin, 2-Amino-4- (2,2,2-trifluoroethoxy) -6-dimethylaminotnazin,
2-Amino-4-trifluornnethyl-6-nnethoxytriazin, 2-amino-4-trifluornnethyl-6-nnethoxytriazin,
2-Amino-4-methylamino-6-chlortriazin, 2-Amino-4-methylamino-6-chlorotriazine,
2-Amino-4-methoxy-6-dimethylaminotriazin, 2-amino-4-methoxy-6-dimethylaminotriazin,
2-Amino-4,6-dimethoxytriazin, 2-amino-4,6-dimethoxytriazine,
2-Amino-4,6-diethoxytriazin, 2-amino-4,6-diethoxytriazin,
2-Amino-4,6-dimethyltriazin, 2-amino-4,6-dimethyltriazin,
2-Amino-4-methyl-6-chlorpyrimidin, 2-amino-4-methyl-6-chloropyrimidine,
2-Amino-4-methoxy-6-methylpyrimidin, 2-amino-4-methoxy-6-methylpyrimidine,
2-Am ino-4-methoxy-6-ethoxypyrim id in , 2-Amino-4-methoxy-6-ethoxypyrim id in,
2-Amino-4-methoxy-6-dimethylaminopyrimidin, 2-amino-4-methoxy-6-dimethylaminopyrimidine,
2-Amino-4-ethoxy-6-chlorpyrimidin, 2-amino-4-ethoxy-6-chloropyrimidine,
2-Amino-4-ethoxy-6-dimethylaminopyrimidin, 2-amino-4-ethoxy-6-dimethylaminopyrimidine,
2-Amino-4-methyl-6-dimethylaminopyrimidin, 2-amino-4-methyl-6-dimethylaminopyrimidine,
2-Amino-4-methyl-6-isopropoxypyhmidin, 2-amino-4-methyl-6-isopropoxypyhmidin,
2-Amino-4-dimethylamino-6-chlorpyrimidin, 2-amino-4-dimethylamino-6-chloropyrimidine,
2-Amino-4-(2,2,2-thfluorethoxy)-6-chlorpyrimidin, 2-Amino-4- (2,2,2-thfluorethoxy) -6-chloropyrimidine,
2-Amino-4-methylamino-6-chlorpyrimidin, 2-Amino-4-methylamino-6-chloropyrimidine,
2-Am ino-4-d ifluormethoxy-6-methylpyrimid in , 2-amino-4-d-isluoromethoxy-6-methylpyrimide in,
2-Amino-4-(2,2,2-thfluorethoxy)-6-methylpyrimidin. 2-Amino-4- (2,2,2-thfluorethoxy) -6-methylpyrimidine.
Die Ausgangsstoffe der Formel (V) sind bekannt und/oder können nach an sich bekannten Verfahren hergestellt werden (vgl. Huaxue Shijie, 32(6), 254-7 (1991 ) JP-01 016 770; EP-246 984); zum Teil sind diese Stoffe im Handel erhältliche Synthesechemikalien. The starting materials of the formula (V) are known and / or can be prepared by processes known per se (compare Huaxue Shijie, 32 (6), 254-7 (1991) JP-01 016 770, EP-246 984); some of these substances are commercially available synthetic chemicals.
Die beim erfindungsgemäßen Verfahren (c) zur Herstellung von Verbindungen der Formel (I) als Ausgangsstoffe zu verwendenden (Het)arylsulfonylcarbamate sind durch Formel (VI) allgemein definiert. In Formel (VI) haben J und R12 vorzugsweise bzw. insbesondere diejenigen Bedeutungen, die bereits oben im Zusammenhang mit der Beschreibung der erfindungsgemäßen Verbindungen der Formeln (I) bzw. (III) vorzugsweise bzw. als insbesondere bevorzugt für J bzw. R12 angegeben wurden. The in process (c) for preparing compounds of formula (I) as starting materials to be used (Het) arylsulfonylcarbamate are generally defined by formula (VI). In formula (VI), J and R 12 preferably or in particular have those meanings which have already been mentioned above in connection with the description of the compounds of the formulas (I) or (III) according to the invention preferably or as particularly preferred for J or R 12 were given.
Als Beispiele für die Ausgangsstoffe der Formel (VI) seien genannt: As examples of the starting materials of the formula (VI) may be mentioned:
N-(2-(5,6-Dihydro-[1 ,4,2]-oxathiazin-3-yl)benzolsulfonyl)-phenylcarbamat, N- (2- (5,6-dihydro- [1,2,2] oxathiazin-3-yl) benzenesulfonyl) -phenylcarbamate,
N-(2-(5,6-Dihydro-[1 ,4,2]-oxathiazin-3-yl)-6-methyl-benzolsulfonyl)-phenylcarbamat, N-(2-(5,6-Dihydro-[1 ,4,2]-oxathiazin-3-yl)phenylmethansulfonyl)-phenylcarbamat, N-(3-(5,6-Dihydro-[1 ,4,2]-oxathiazin-3-yl)pyridin-2-sulfonyl)-phenylcarbamat, N- (2- (5,6-Dihydro- [1,2,2] oxathiazin-3-yl) -6-methyl-benzenesulfonyl) -phenylcarbamate, N- (2- (5,6-dihydro- [1 , 4,2] -oxathiazin-3-yl) phenylmethanesulfonyl) -phenylcarbamate, N- (3- (5,6-dihydro- [1,2,2] -oxathiazin-3-yl) -pyridine-2-sulfonyl) - phenylcarbamate,
N-(2-(5,6-Dihydro-[1 ,4,2]- oxathiazin-3-yl)thiophen-3-sulfonyl)-phenylcarbamat, N-(1 -Methyl-4-(5,6-dihydro-[1 ,4,2]-oxathiazin-3-yl)pyrazol-5-sulfonyl)- phenylcarbamat, N-(1 -Methyl-3-chlor-4-(5,6-dihydro-[1 ,4,2]-oxathiazin-3-yl)pyrazol-5- sulfonyl)-phenylcarbamat. N- (2- (5,6-Dihydro- [1,2,2] oxathiazin-3-yl) thiophene-3-sulfonyl) -phenylcarbamate, N- (1-methyl-4- (5,6-dihydro - [1,2,2] oxathiazin-3-yl) pyrazole-5-sulfonyl) -phenylcarbamate, N- (1-methyl-3-chloro-4- (5,6-dihydro- [1, 4,2 ] -oxathiazin-3-yl) pyrazole-5-sulfonyl) -phenylcarbamate.
Die Ausgangsstoffe der Formel (VI) sind noch nicht aus der Literatur bekannt und sind als neue Stoffe auch Gegenstand der vorliegenden Erfindung. The starting materials of the formula (VI) are not yet known from the literature and as novel substances are also the subject of the present invention.
Man erhält die neuen (Het)arylsulfonylcarbamate der Formel (VI), wenn man The novel (het) arylsulphonylcarbamates of the formula (VI) are obtained if
(Het)arylsulfonamide der obigen Formel (II) mit Chlorameisensäureester in (Het) arylsulfonamides of the above formula (II) with chloroformate in
Gegenwart eines Verdünnungsmittels, wie z.B. Dioxan oder Aceton itril, und von Reaktionshilfsmitteln, wie z.B. Pyridin, Kalium- oder Calciumcarbonat, bei Presence of a diluent, e.g. Dioxane or acetone itril, and reaction auxiliaries, e.g. Pyridine, potassium or calcium carbonate, at
Temperaturen zwischen 0°C und 120°C, vorzugsweise zwischen 20°C und 100°C, umsetzt und anschließend die flüchtigen Komponenten unter vermindertem Druck sorgfältig abdestilliert (vgl. JP-04139170). Die beim erfindungsgemäßen Verfahren (c) weiter als Ausgangsstoffe benötigten Aminoazine der Formel (V) sind bereits oben bei Verfahren (b) näher beschrieben worden. Temperatures between 0 ° C and 120 ° C, preferably between 20 ° C and 100 ° C, reacted and then the volatile components are distilled off under reduced pressure carefully (see JP-04139170). The aminoazines of the formula (V) which are furthermore required as starting materials in process (c) according to the invention have already been described in more detail above in process (b).
Die neuen, oben beschriebenen und nahe miteinander verwandten Ausgangs- bzw. Zwischenprodukte der Formeln (II), (IV) und (VI) können zusammenfassend als "(Het)arylsulfonylverbindungen" bezeichnet und durch folgende Formel (VII) dargestellt werden: in welcher The new starting and intermediate products of formulas (II), (IV) and (VI) described above and closely related may be collectively referred to as "(Het) arylsulfonyl compounds" and represented by the following formula (VII): in which
J die oben bei Formel (I) genannten Bedeutungen hat und J has the meanings given above in formula (I) and
G für -NH2, -N=C=O oder -NH-COOR12 steht, wobei R12 die oben angegebene Bedeutung hat. G is -NH 2 , -N = C = O or -NH-COOR 12 , wherein R 12 has the meaning given above.
Die beim erfindungsgemäßen Verfahren (d) zur Herstellung von Verbindungen der Formel (II) als Ausgangsstoffe zu verwendenden N-Hydroxy-The in process (d) for the preparation of compounds of formula (II) as starting materials to be used N-hydroxy
(het)arylcarboxyimidoylchloride sind durch Formel (VIII) allgemein definiert. In der Formel (VIII) hat die Gruppe J vorzugsweise bzw. insbesondere diejenigen (het) arylcarboxyimidoyl chlorides are generally defined by formula (VIII). In the formula (VIII), the group J preferably has those
Bedeutungen, die bereits oben im Zusammenhang mit der Beschreibung der erfindungsgemäßen Verbindungen der Formeln (I) bzw. (II) vorzugsweise bzw. als insbesondere bevorzugt für J angegeben wurden. Meanings which have already been mentioned above in connection with the description of the compounds of the formulas (I) or (II) according to the invention preferably or as particularly preferred for J.
Als Beispiele für die Zwischenprodukte der Formel (VIII) seien genannt: As examples of the intermediates of the formula (VIII) may be mentioned:
2-Brom-N-hydroxybenzolcarboximidoylchlorid, 2-bromo-N-hydroxybenzolcarboximidoylchlorid,
2-Brom-N-hydroxy-3-methylbenzolcarboximidoylchlorid, 2-Bromo-N-hydroxy-3-methylbenzolcarboximidoylchlorid,
2-(Brommethyl)-N-hydroxybenzolcarboximidoylchlorid, 2- (bromomethyl) -N-hydroxybenzolcarboximidoylchlorid,
2- Brom-N-hydroxypyridin-3-carboximidoylchlorid, 2-bromo-N-hydroxypyridine-3-carboximidoyl chloride,
5-Brom-N-hydroxy-1 -methyl-1 H-pyrazol-4-carboximidoylchlorid, 5-bromo-N-hydroxy-1-methyl-1H-pyrazole-4-carboximidoyl chloride,
5-Brom-3-chlor-N-hydroxy-1 -methyl-1 H-pyrazol-4-carboximidoylchlorid, 5-bromo-3-chloro-N-hydroxy-1-methyl-1H-pyrazole-4-carboximidoyl chloride,
3- Brom-N-hydroxythiophen-2-carboximidoylchlorid 3-bromo-N-hydroxythiophene-2-carboximidoyl chloride
Die Ausgangsstoffe der Formel (VIII) sind durchweg bekannte, zum Teil im Handel erhältliche Aldehyde, die mittels Hydroxylamin zunächst in ihre Carbaldoxime und anschließend mit Chlorierungsmitteln, wie z.B. N-Chlorsuccinimid oder gasförmigem Chlor, in die Verbindungen der Formel (VIII) überführt werden können. Man erhält man die neuen (Het)arylsulfonamide der Formel (II), wenn man (d) N-Hydroxy-(het)arylcarboxyimidoylchloride der Formel (VIII), The starting materials of the formula (VIII) are all known, some commercially available aldehydes, which can be converted by means of hydroxylamine first in their Carbaldoxime and then with chlorinating agents such as N-chlorosuccinimide or gaseous chlorine in the compounds of formula (VIII) , The new (het) arylsulfonamides of the formula (II) are obtained if (d) N-hydroxy- (het) arylcarboxyimidoyl chlorides of the formula (VIII)
in der Y für Wasserstoff oder Halogen (vorzugsweise für Wasserstoff oder Brom) steht, in which Y is hydrogen or halogen (preferably hydrogen or bromine),
mit einem ggf. substituierten Thioalkanol der Formel (IX), with an optionally substituted thioalkanol of the formula (IX),
in der in the
R4- R7 die oben angegebenen Bedeutungen haben, gegebenenfalls in Gegenwart eines organischen Verdünnungsmittels und gegebenenfalls in Gegenwart eines Reaktionshilfsmittels umsetzt. R 4 - R 7 have the meanings given above, if appropriate in the presence of an organic diluent and if appropriate in the presence of a reaction auxiliary.
Das so erhaltene Addukt (X) The adduct thus obtained (X)
kann unter Einsatz geeigneter Reagentien zu Verbindungen der Formel (XI) cyclisiert werden. Geeignete Reagentien für eine Cyclisierung sind Azodicarbonsäuredialkylester in Verbindung mit Triphenylphosphin und Nitrophenolen als Katalysator (Mitsunobu- Bedingungen, s. auch Kai, Nakai Tetrahedron Lett. 42 (2001 ) 6895- 6897) can be cyclized using suitable reagents to compounds of formula (XI). Suitable reagents for a cyclization are dialkyl azodicarboxylates in combination with triphenylphosphine and nitrophenols as catalyst (Mitsunobu conditions, see also Kai, Nakai Tetrahedron Lett., 42 (2001) 6895-6897)
(e) Alternativ erhält man die neuen (Het)arylsulfonamide der Formel (II), wenn man N-Hydroxy-(Het)arylcarboxyimidoylchloride der Formel (VIII), (e) Alternatively, the novel (het) arylsulfonamides of the formula (II) are obtained if N-hydroxy- (Het) -arylcarboxyimidoyl chlorides of the formula (VIII)
in der Y für Wasserstoff oder Halogen (vorzugsweise für Wasserstoff oder Brom) steht, in which Y is hydrogen or halogen (preferably hydrogen or bromine),
mit einem ggf. substituierten Thiol der Formel (XII), with an optionally substituted thiol of the formula (XII),
in der in the
R4- R7 die oben angegebenen Bedeutungen haben, wobei X für Halogen, R 4 - R 7 have the meanings given above, where X is halogen,
gegebenenfalls substituiertes Alkyl- oder Arylcarbo-nyloxy oder -sulfonyloxy optionally substituted alkyl or arylcarboxynyloxy or -sulfonyloxy
(vorzugsweise für Chlor, Brom, lod, (Ci-Ce)-Alkyl oder (C6-Ci2)-Arylcarbonyloxy oder -sulfonyloxy) steht, gegebenenfalls in Gegenwart eines organischen (Preferably, chlorine, bromine, iodine, (Ci-Ce) alkyl or (C6-Ci2) -Arylcarbonyloxy or -sulfonyloxy), optionally in the presence of an organic
Verdünnungsmittels und gegebenenfalls in Gegenwart eines Reaktionshilfsmittels umsetzt. Das so erhaltene Addukt (XIII) Diluent and optionally in the presence of a reaction auxiliary. The adduct thus obtained (XIII)
kann ebenfalls unter Einsatz geeigneter Basen, wie zum Beispiel Alkalimetallhydride, z.B. Natriumhydrid zu Verbindungen der Formel (XI) cyclisiert werden. may also be cyclized to compounds of formula (XI) using appropriate bases, such as alkali metal hydrides, eg, sodium hydride.
Aus Verbindungen der Formel (XI) lassen sich mit geeigneten From compounds of formula (XI) can be with suitable
Organometallverbindungen, wie z.B. n-Butyllithium, n-Butylmagnesiumchlorid, n- Butylmagnesiumbromid, sec.-Butyllithium oder tert.-Butyllithium, im Zuge eines Halogen-Metall-Austauschs oder z.B. mit n-Butyllithium, n-Butylmagnesiumchlorid, n-Butylmagnesiumbromid, sec.-Butyllithium, tert.-Butyllithium, Organometallic compounds, such as e.g. n-butyllithium, n-butylmagnesium chloride, n-butylmagnesium bromide, sec-butyllithium or tert-butyllithium, in the course of a halogen-metal exchange or e.g. with n-butyllithium, n-butylmagnesium chloride, n-butylmagnesium bromide, sec-butyllithium, tert-butyllithium,
Lithiumdiisopropylamid, Lithiumhexamethyldisilazid oder Lithiumtetramethylpiperidid im Zuge einer Deprotonierung metallierte Derivate der Formel (XIV) gewinnen, wobei M für ein Alkali oder Erdalkalimetall, vorzugsweise Lithium oder Magnesium, steht. Lithium diisopropylamide, lithium hexamethyldisilazide or lithium tetramethylpiperidide in the course of deprotonation metallated derivatives of the formula (XIV) win, where M is an alkali or alkaline earth metal, preferably lithium or magnesium.
Diese metallierten Derivate der Formel (XIV) können mit geeigneten These metalated derivatives of the formula (XIV) can be reacted with suitable
Sulfonylierungsmitteln, wie z.B. gasförmigem Schwefeldioxid über ihre Metallsulfinate, welche anschließend mit Sulfurylchlorid oxidiert werden, oder direkt mit Sulfurylchlorid in die Chlorsulfone überführt werden. Sulfonylating agents, such as gaseous sulfur dioxide on their Metal sulfinates, which are then oxidized with sulfuryl chloride, or directly with sulfuryl chloride in the chlorosulfones are transferred.
Die Chlorsulfone lassen sich dann mit einer geeigneten Stickstoffquelle, wie z.B. gasförmigem Ammoniak oder wässrigen ammoniakalischen Lösungen in die gewünschten Verbindungen der Formel (II) umwandeln. The chlorosulfones can then be treated with a suitable nitrogen source, e.g. gaseous ammonia or aqueous ammoniacal solutions into the desired compounds of formula (II).
8 108 10
Tabelle A: Beispiele für die Verbindungen der Formel (II) mit R = CHs und R = H: Table A: Examples of the compounds of the formula (II) where R = CHs and R = H:
1H-NMR-Daten (400 MHz, Solvens: DMSO-d6, interner Standard Tetramethylsilan: d = 0,00ppm) s = Singulett, sbr = breites Singulett, d = Dublett, dd = Doppeldublett, m = Multiplett, q = Quartett, t = Triplett) 1 H NMR data (400 MHz, solvent: DMSO-d 6 , internal standard tetramethylsilane: d = 0.00 ppm) s = singlet, sbr = broad singlet, d = doublet, dd = double doublet, m = multiplet, q = Quartet, t = triplet)
A-1 : (Solvens: CDCI3) d = 8,15 - 8,05 ppm (m, 4H); 5,50 ppm (sbr, 2H); 4,35 - 4,25 ppm (m, 2H); 3,45 - 3,35 ppm (m, 2H) A-1: (solvent: CDCl 3 ) d = 8.15 - 8.05 ppm (m, 4H); 5.50 ppm (sbr, 2H); 4.35-4.25 ppm (m, 2H); 3.45-3.35 ppm (m, 2H)
A-3: d = 8,85 - 8,75 ppm (s, 1 H); 8,05 - 7,95 ppm (m, 1 H); 7,75 - 7,65 ppm(m, 1 H); A-3: d = 8.85 - 8.75 ppm (s, 1H); 8.05-7.95 ppm (m, 1H); 7.75-7.65 ppm (m, 1H);
7,45 ppm (s, 2H); 4,20 - 4,10 ppm(m, 2H); 3,45 - 3,35 ppm(m, 2H) 7.45 ppm (s, 2H); 4.20 - 4.10 ppm (m, 2H); 3.45-3.35 ppm (m, 2H)
A-4: (Solvens: CDCI3) d = 8,75 ppm (m, 1 H); 7,95 ppm (m, 1 H); 7,60 ppm (m, 1 H); A-4: (solvent: CDCl 3 ) d = 8.75 ppm (m, 1H); 7.95 ppm (m, 1H); 7.60 ppm (m, 1H);
6,35 ppm (sbr, 2H); 4,20 ppm (m, 1 H); 3,15 ppm (m, 2H); 1 ,49 ppm (d, 3H) A-5: d = 7,70 ppm (s, 1 H); 7,30 ppm (s, 2H); 4,10 - 4,00 ppm (m, 2H); 4,05 ppm (s, 1 H); 3,40 - 3,30 ppm (m, 2H) 6.35 ppm (sbr, 2H); 4.20 ppm (m, 1H); 3.15 ppm (m, 2H); 1.49 ppm (d, 3H) A-5: d = 7.70 ppm (s, 1H); 7.30 ppm (s, 2H); 4.10-4.00 ppm (m, 2H); 4.05 ppm (s, 1H); 3.40-3.30 ppm (m, 2H)
A-7: d = 7,80 ppm (d, 1 H); 7,35 ppm (s, 2H); 7,20 ppm (d, 1 H); 4,20 - 4,10 ppm (m, A-7: d = 7.80 ppm (d, 1H); 7.35 ppm (s, 2H); 7.20 ppm (d, 1H); 4.20 - 4.10 ppm (m,
2H) 3,50 - 3,40 ppm (m, 2H) 2H) 3.50 - 3.40 ppm (m, 2H)
Die erfindungsgemäßen Verfahren (a), (b), (c) zur Herstellung der neuen The processes (a), (b), (c) according to the invention for the preparation of the new
Verbindungen (I), das erfindungsgemäße Verfahren (d) und (e) zur Herstellung der neuen Zwischenprodukte der Formel (II) werden vorzugsweise unter Verwendung von Verdünnungsmitteln durchgeführt. Als Verdünnungsmittel kommen dabei praktisch alle inerten organischen Lösungsmittel infrage. Hierzu gehören Compounds (I), the inventive method (d) and (e) for the preparation of new intermediates of formula (II) are preferably carried out using diluents. Suitable diluents are virtually all inert organic solvents. These include
vorzugsweise - aliphatische und aromatische, gegebenenfalls halogenierte preferably - aliphatic and aromatic, optionally halogenated
Kohlenwasserstoffe wie Pentan, Hexan, Heptan, Cyclohexan, Petrolether, Benzin, Ligroin, Benzol, Toluol, Xylol, Methylenchlorid, Hydrocarbons such as pentane, hexane, heptane, cyclohexane, petroleum ether, gasoline, ligroin, benzene, toluene, xylene, methylene chloride,
Chlorbenzol und o-Dichlorbenzol, Ether wie Diethyl- und Dibutylether, Chlorobenzene and o-dichlorobenzene, ethers such as diethyl and dibutyl ether,
Glykoldimethylether und Diglycoldimethylether, Tetra hydrofu ran und Dioxan, Ketone wie Aceton, Methyl-ethyl-, Methyl -isopropyl- und Methylisobutyl-keton, Ester wie Essigsäuremethylester und -ethylester, Nitrile wie z.B. Acetonitril und Propionitril, Amide wie z.B. Dimethylformamid, Dimethylacetamid und N-Methylpyrrolidon sowie Dimethylsulfoxid, Tetramethylensulfon und Hexamethylphosphorsäuretriamid. Glycol dimethyl ether and diglycol dimethyl ether, tetrahydrofuran and dioxane, ketones such as acetone, methyl ethyl, methyl isopropyl and methyl isobutyl ketone, esters such as methyl acetate and ethyl acetate, nitriles such as e.g. Acetonitrile and propionitrile, amides, e.g. Dimethylformamide, dimethylacetamide and N-methylpyrrolidone and dimethyl sulfoxide, tetramethylene sulfone and hexamethylphosphoric triamide.
Die erfindungsgemäßen Verfahren (a), (d) und (e) werden gegebenenfalls in Gegenwart eines Reaktionshilfsmittels durchgeführt. Hierzu gehören vorzugsweise basische organische Stickstoffverbindungen, wie z.B. Trimethylamin, Triethylamin, N,N-Dimethylanilin, Ν,Ν-Dimethylbenzylamin, Pyridin, 4-Dimethylaminopy-ridin, Diazabicyclooctan (DABCO), Diazabicyclononen (DBN) und Diazabicycloundecen (DBU), sowie anorganische Basen, wie z.B. Natriumhydrid, Kaliumhydrid, The processes (a), (d) and (e) according to the invention are optionally carried out in the presence of a reaction auxiliary. These preferably include basic organic nitrogen compounds, e.g. Trimethylamine, triethylamine, N, N-dimethylaniline, Ν, Ν-dimethylbenzylamine, pyridine, 4-dimethylaminopyridine, diazabicyclooctane (DABCO), diazabicyclononene (DBN) and diazabicycloundecene (DBU), as well as inorganic bases, e.g. Sodium hydride, potassium hydride,
Natriumcarbonat, Kaliumcarbonat, Calciumcarbonat, Kaliumhydroxid, Sodium carbonate, potassium carbonate, calcium carbonate, potassium hydroxide,
Natriumhydroxid, und Calciumhydroxid. Sodium hydroxide, and calcium hydroxide.
Auch die erfindungsgemäßen Verfahren (b) und (c) werden gegebenenfalls in Gegenwart eines Reaktionshilfsmittels durchgeführt. Hierfür geeignet sind vorzugsweise basische organische Stickstoffverbindungen, wie z.B. Trimethylamin, Triethylamin, N,N-Dimethylanilin, Ν,Ν-Dimethylbenzylamin, Pyridin, N,N- Dimethylaminopyridin, Diazabicyclooctan (DABCO), Diazabicyclononen (DBN) und Diazabicycloundecen (DBU). The inventive processes (b) and (c) are optionally carried out in the presence of a reaction auxiliary. Suitable for this purpose are preferably basic organic nitrogen compounds, e.g. Trimethylamine, triethylamine, N, N-dimethylaniline, Ν, Ν-dimethylbenzylamine, pyridine, N, N-dimethylaminopyridine, diazabicyclooctane (DABCO), diazabicyclononene (DBN) and diazabicycloundecene (DBU).
Die Reaktionstemperaturen können bei den Verfahren (a) bis (e) jeweils in einem größeren Bereich variiert werden. The reaction temperatures can in each case be varied within a relatively wide range in processes (a) to (e).
So arbeitet man That's how you work
- bei Verfahren (a) im allgemeinen bei Temperaturen zwischen 0°C und - In process (a) generally at temperatures between 0 ° C and
150°C, vorzugsweise bei Temperaturen zwischen 10°C und 80°C; 150 ° C, preferably at temperatures between 10 ° C and 80 ° C;
- bei Verfahren (b) im allgemeinen bei Temperaturen zwischen 0°C und - In process (b) generally at temperatures between 0 ° C and
150°C, 150 ° C,
vorzugsweise bei Temperaturen zwischen 20°C und 100°C; preferably at temperatures between 20 ° C and 100 ° C;
- bei Verfahren (c) im allgemeinen ebenfalls bei Temperaturen zwischen 0°C und 150°C, vorzugsweise so bei Temperaturen zwischen 20°C und 100°C; - in process (c) also generally at temperatures between 0 ° C and 150 ° C, preferably so at temperatures between 20 ° C and 100 ° C;
- bei Verfahren (d) und (e) im allgemeinen bei Temperaturen zwischen -20°C und - in processes (d) and (e) generally at temperatures between -20 ° C and
+40°C, vorzugsweise bei Temperaturen zwischen -20° C und +30°C. + 40 ° C, preferably at temperatures between -20 ° C and + 30 ° C.
Die Verfahren (a) bis (e) werden im allgemeinen unter Normaldruck durchgeführt. Es ist jedoch jeweils auch möglich, unter erhöhtem oder vermindertem Druck zu arbeiten. Zur Durchführung der erfindungsgemäßen Verfahren (a) bis (e) werden die jeweils benötigten Ausgangsstoffe in annähernd äquimolaren Mengen eingesetzt. Es ist jedoch auch möglich, eine der beiden jeweils eingesetzten Komponenten in einem größeren Überschuß zu verwenden. Die Reaktionen werden im allgemeinen in einem geeigneten Verdünnungsmittel und gegebenenfalls unter Zusatz eines Reaktionshilfsmittels durchgeführt, und das Reaktionsgemisch wird mehrere The processes (a) to (e) are generally carried out under normal pressure. However, it is also possible to work under increased or reduced pressure. For carrying out the processes (a) to (e) according to the invention, the particular starting materials required in each case are used in approximately equimolar amounts. However, it is also possible to use one of the two components used in each case in a larger excess. The reactions are generally carried out in a suitable diluent and optionally with the addition of a reaction auxiliary, and the reaction mixture becomes several
Stunden bei der jeweils erforderlichen Temperatur gerührt. Die Aufarbeitung erfolgt bei den erfindungsgemäßen Verfahren jeweils nach üblichen Methoden. Stirred at the required temperature for hours. The workup is carried out in the inventive method in each case by conventional methods.
Aus den erfindungsgemäßen Verbindungen der allgemeinen Formel (I) können gegebenenfalls Salze hergestellt werden. Man erhält solche Salze in einfacher Weise nach üblichen Salzbildungsmethoden, beispielsweise durch Lösen oder Dispergieren einer Verbindung der Formel (I) in einem geeigneten Salts may optionally be prepared from the compounds of the general formula (I) according to the invention. Such salts are obtained in a simple manner by customary salt formation methods, for example by dissolving or dispersing a compound of the formula (I) in a suitable manner
Verdünnungsmittel, wie z.B. Methylenchlorid, Aceton, tert.-Butyl-methylether oder Toluol, und Zugabe einer geeigneten Base. Die Salze können dann - gegebenenfalls nach längerem Rühren - durch Einengen oder Absaugen isoliert werden (vgl. die Herstellbeispiele). Die erfindungsgemäßen Wirkstoffe können als Defoliants, Desiccants, Krautabtötungsmittel und insbesondere als Unkrautvernichtungsmittel verwendet werden. Unter Unkraut im weitesten Sinne sind alle Pflanzen zu verstehen, die an Orten aufwachsen, wo sie unerwünscht sind. Ob die erfindungsgemäßen Stoffe als totale oder selektive Herbizide wirken, hängt im wesentlichen von der angewendeten Menge ab. Diluents, such as methylene chloride, acetone, tert-butyl methyl ether or toluene, and addition of a suitable base. The salts can then be isolated by concentrating or filtering off, if appropriate after prolonged stirring (compare the preparation examples). The active compounds according to the invention can be used as defoliants, desiccants, haulm killers and especially as weed killers. Weeds in the broadest sense are all plants that grow in places where they are undesirable. Whether the substances according to the invention act as total or selective herbicides essentially depends on the amount used.
Die erfindungsgemäßen Wirkstoffe können z.B. bei den folgenden Pflanzen verwendet werden: The active compounds of the invention may e.g. used in the following plants:
Dikotyle Unkräuter der Gattungen: Dicotyledonous weeds of the genera:
Sinapis, Lepidium, Galium, Stellaria, Matricaria, Anthemis, Galinsoga, Chenopodium, Urtica, Senecio, Amaranthus, Portulaca, Xanthium, Convolvulus, Ipomoea, Sinapis, Lepidium, Galium, Stellaria, Matricaria, Anthemis, Galinsoga, Chenopodium, Urtica, Senecio, Amaranthus, Portulaca, Xanthium, Convolvulus, Ipomoea,
Polygonum, Sesbania, Ambrosia, Cirsium, Carduus, Sonchus, Solanum, Rorippa, Rotala, Lindernia, Lamium, Veronica, Abutilon, Emex, Datura, Viola, Galeopsis, Papaver, Centaurea, Trifolium, Ranunculus, Taraxacum. Polygonum, Sesbania, Ambrosia, Cirsium, Carduus, Sonchus, Solanum, Rorippa, Rotala, Lindernia, Lamium, Veronica, Abutilon, Emex, Datura, Viola, Galeopsis, Papaver, Centaurea, Trifolium, Ranunculus, Taraxacum.
Dikotyle Kulturen der Gattungen: Dicotyledonous cultures of the genera:
Gossypium, Glycine, Beta, Daucus, Phaseolus, Pisum, Solanum, Linum, Ipomoea, Vicia, Nicotiana, Lycopersicon, Arachis, Brassica, Lactuca, Cucumis, Cucurbita. Gossypium, Glycine, Beta, Daucus, Phaseolus, Pisum, Solanum, Linum, Ipomoea, Vicia, Nicotiana, Lycopersicon, Arachis, Brassica, Lactuca, Cucumis, Cucurbita.
Monokotyle Unkräuter der Gattungen: Monocotyledonous weeds of the genera:
Echinochloa, Setaria, Panicum, Digitaria, Phleum, Poa, Festuca, Eleusine, Echinochloa, Setaria, Panicum, Digitaria, Phleum, Poa, Festuca, Eleusine,
Brachiaria, Lolium, Bromus, Avena, Cyperus, Sorghum, Agropyron, Cynodon, Monochoria, Fimbristylis, Sagittaria, Eleocharis, Scirpus, Paspalum, Ischaemum, Sphenoclea, Dactyloctenium, Agrostis, Alopecurus, Apera. Brachiaria, Lolium, Bromus, Avena, Cyperus, Sorghum, Agropyron, Cynodon, Monochoria, Fimbristylis, Sagittaria, Eleocharis, Scirpus, Paspalum, Ischemum, Sphenoclea, Dactyloctenium, Agrostis, Alopecurus, Apera.
Monokotyle Kulturen der Gattungen: Monocotyl cultures of the genera:
Oryza, Zea, Triticum, Hordeum, Avena, Seeale, Sorghum, Panicum, Saccharum, Ananas, Asparagus, Allium. Die Verwendung der erfindungsgemäßen Wirkstoffe ist jedoch keineswegs auf diese Gattungen beschränkt, sondern erstreckt sich in gleicher Weise auch auf andere Pflanzen. Die Verbindungen eignen sich in Abhängigkeit von der Konzentration zur Oryza, Zea, Triticum, Hordeum, Avena, Seeale, Sorghum, Panicum, Saccharum, Pineapple, Asparagus, Allium. However, the use of the active compounds according to the invention is by no means restricted to these genera, but extends in the same way to other plants. The compounds are suitable depending on the concentration
Totalunkrautbekämpfung z.B. auf Industrie- und Gleisanlagen und auf Wegen und Plätzen mit und ohne Baumbewuchs. Ebenso können die Verbindungen zur Unkrautbekämpfung in Dauerkulturen, z.B. Forst, Ziergehölz-, Obst-, Wein-, Zitrus-, Nuß-, Bananen-, Kaffee-, Tee-, Gummi-, Ölpalm-, Kakao-, Beerenfrucht- und Hopfenanlagen, auf Zier- und Sportrasen und Weideflächen und zur selektiven Unkrautbekämpfung in einjährigen Kulturen eingesetzt werden. Total weed control e.g. on industrial and railway tracks and on paths and squares with and without tree cover. Similarly, the compounds for weed control in permanent crops, e.g. Forest, ornamental, fruit, wine, citrus, nut, banana, coffee, tea, gum, oil palm, cocoa, berry fruit and hop plants, on ornamental and sports turf and pasture and selective Weed control in one-year crops.
Die erfindungsgemäßen Verbindungen der Formel (I) eignen sich zur selektiven Bekämpfung von monokotylen und dikotylen Unkräutern in verschiedenen Kulturen, teilweise z.B. in Weizen, sowohl im Vorauflauf- als auch im Nachauflauf- Verfahren. The compounds of the formula (I) according to the invention are suitable for the selective control of monocotyledonous and dicotyledonous weeds in different crops, in part e.g. in wheat, both pre-emergence and post-emergence.
Die erfindungsgemäßen Verbindungen können in Form von Spritzpulvern, emulgierbaren Konzentraten, versprühbaren Lösungen, Stäubemitteln oder The compounds of the invention may be in the form of wettable powders, emulsifiable concentrates, sprayable solutions, dusts or
Granulaten in den üblichen Zubereitungen angewendet werden. Gegenstand der Erfindung sind deshalb auch herbizide und pflanzenwachstumsregulierende Mittel, welche die erfindungsgemäßen Verbindungen enthalten. Granules are used in the usual preparations. The invention therefore also relates to herbicidal and plant growth-regulating agents which contain the compounds according to the invention.
Die erfindungsgemäßen Verbindungen können auf verschiedene Art formuliert werden, je nachdem welche biologischen und/oder chemisch-physikalischen Parameter vorgegeben sind. Als Formulierungsmöglichkeiten kommen The compounds according to the invention can be formulated in various ways, depending on which biological and / or chemical-physical parameters are predetermined. As formulation options come
beispielsweise in Frage: Spritzpulver (WP), wasserlösliche Pulver (SP), for example in question: wettable powder (WP), water-soluble powder (SP),
wasserlösliche Konzentrate, emulgierbare Konzentrate (EC), Emulsionen (EW), wie Öl-in-Wasser- und Wasser-in-ÖI-Emulsionen, versprühbare Lösungen, water-soluble concentrates, emulsifiable concentrates (EC), emulsions (EW), such as oil-in-water and water-in-oil emulsions, sprayable solutions,
Suspensionskonzentrate (SC), Dispersionen auf Öl- oder Wasserbasis, olmischbare Lösungen, Kapselsuspensionen (CS), Stäubemittel (DP), Beizmittel, Granulate für die Streu- und Bodenapplikation, Granulate (GR) in Form von Mikro-, Sprüh-, Aufzugs- und Adsorptionsgranulaten, wasserdispergierbare Granulate (WG), wasserlösliche Granulate (SG), ULV-Formulierungen, Mikrokapseln und Wachse. Diese einzelnen Formulierungstypen sind im Prinzip bekannt und werden Suspension concentrates (SC), oil- or water-based dispersions, oil-miscible solutions, capsule suspensions (CS), dusts (DP), mordants, granules for litter and soil application, granules (GR) in the form of micro, spray, elevator and adsorption granules, water-dispersible granules (WG), water-soluble granules (SG), ULV formulations, microcapsules and waxes. These individual formulation types are known and will be known in principle
beispielsweise beschrieben in: Winnacker-Küchler, "Chemische Technologie", Band 7, C. Hanser Verlag München, 4. Aufl. 1986; Wade van Valkenburg, "Pesticide Formulations", Marcel Dekker, N.Y., 1973; K. Martens, "Spray Drying" Handbook, 3rd Ed. 1979, G. Goodwin Ltd. London. for example, described in: Winnacker-Kuchler, "Chemical Technology", Volume 7, C. Hanser Verlag Munich, 4th ed., 1986; Wade van Valkenburg, "Pesticide Formulations", Marcel Dekker, N.Y., 1973; K. Martens, "Spray Drying" Handbook, 3rd ed. 1979, G. Goodwin Ltd. London.
Die notwendigen Formulierungshilfsmittel wie Inertmaterialien, Tenside, The necessary formulation auxiliaries such as inert materials, surfactants,
Lösungsmittel und weitere Zusatzstoffe sind ebenfalls bekannt und werden beispielsweise beschrieben in: Watkins, "Handbook of Insecticide Dust Diluents and Carriers", 2nd Ed., Darland Books, Caldwell N.J., H.v. Olphen, "Introduction to Clay Colloid Chemistry"; 2nd Ed., J. Wiley & Sons, N.Y.; C. Marsden, "Solvents Guide"; 2nd Ed., Interscience, N.Y. 1963; McCutcheon's "Detergents and Emulsifiers Solvents and other additives are also known and are described, for example, in Watkins, Handbook of Insecticides Dust Diluents and Carriers, 2nd ed., Darland Books, Caldwell N.J., H.v. Olphen, "Introduction to Clay Colloid Chemistry"; 2nd Ed., J. Wiley & Sons, N.Y .; C. Marsden, "Solvents Guide"; 2nd Ed., Interscience, N.Y. 1963; McCutcheon's "Detergents and Emulsifiers
Annual", MC Publ. Corp., Ridgewood N.J.; Sisley and Wood, "Encyclopedia of Surface Active Agents", Chem. Publ. Co. Inc., N.Y. 1964; Schönfeldt, Annual ", MC Publ. Corp., Ridgewood N.J .; Sisley and Wood," Encyclopedia of Surface Active Agents ", Chem. Publ. Co. Inc., N.Y. 1964; Schonfeldt,
"Grenzflächenaktive Äthylenoxidaddukte", Wiss. Verlagsgesell., Stuttgart 1976; "Surface-active ethylene oxide adducts", Wiss. Publishing company, Stuttgart 1976;
Winnacker-Küchler, "Chemische Technologie", Band 7, C. Hanser Verlag München, 4. Aufl. 1986. Auf der Basis dieser Formulierungen lassen sich auch Kombinationen mit anderen Pestizid wirksamen Stoffen, wie z.B. Insektiziden, Akariziden, Herbiziden, Winnacker-Kuchler, "Chemische Technologie", Volume 7, C. Hanser Verlag Munich, 4th ed., 1986. On the basis of these formulations, it is also possible to use combinations with other pesticidally active substances, e.g. Insecticides, acaricides, herbicides,
Fungiziden, sowie mit Safenern, Düngemitteln und/oder Wachstumsregulatoren herstellen, z.B. in Form einer Fertigformulierung oder als Tankmix. Spritzpulver sind in Wasser gleichmäßig dispergierbare Präparate, die neben dem Wirkstoff außer einem Verdünnungs- oder Inertstoff noch Tenside ionischer und/oder nichtionischer Art (Netzmittel, Dispergiermittel), z.B. polyoxyethylierte Alkylphenole, polyoxethylierte Fettalkohole, polyoxethylierte Fettamine, Fungicides, as well as with safeners, fertilizers and / or growth regulators, e.g. in the form of a ready-made formulation or as a tank mix. Injectable powders are preparations which are uniformly dispersible in water and contain surfactants of the ionic and / or nonionic type (wetting agents, dispersants) in addition to the active ingredient except a diluent or inert substance. polyoxyethylated alkylphenols, polyoxethylated fatty alcohols, polyoxethylated fatty amines,
Fettalkoholpolyglykolethersulfate, Alkansulfonate, Alkylbenzolsulfonate, Fatty alcohol polyglycol ether sulfates, alkanesulfonates, alkylbenzenesulfonates,
ligninsulfonsaures Natrium, 2,2'-dinaphthylmethan-6,6'-disulfonsaures Natrium, dibutylnaphthalin-sulfonsaures Natrium oder auch oleoylmethyltaurinsaures Natrium enthalten. Zur Herstellung der Spritzpulver werden die herbiziden Wirkstoffe beispielsweise in üblichen Apparaturen wie Hammermühlen, Gebläsemühlen und Luftstrahlmühlen feingemahlen und gleichzeitig oder anschließend mit den lignosulfonic acid sodium, 2,2'-dinaphthylmethane-6,6'-disulfonic acid sodium, dibutylnaphthalene-sulfonic acid sodium or oleoylmethyltaurine acid. To prepare the wettable powders are the herbicidal active ingredients for example, finely ground in conventional equipment such as hammer mills, blower mills and air jet mills and at the same time or subsequently with the
Formulierungshilfsmitteln vermischt. Emulgierbare Konzentrate werden durch Auflösen des Wirkstoffes in einem organischen Lösungsmittel z.B. Butanol, Cyclohexanon, Dimethylformamid, Xylol oder auch höhersiedenden Aromaten oder Kohlenwasserstoffen oder Mischungen der organischen Lösungsmittel unter Zusatz von einem oder mehreren Tensiden ionischer und/oder nichtionischer Art (Emulgatoren) hergestellt. Als Emulgatoren können beispielsweise verwendet werden: Alkylarylsulfonsaure Calzium-Salze wie Ca-Dodecylbenzolsulfonat oder nichtionische Emulgatoren wie Formulation aids mixed. Emulsifiable concentrates are prepared by dissolving the active ingredient in an organic solvent, e.g. Butanol, cyclohexanone, dimethylformamide, xylene or higher-boiling aromatics or hydrocarbons or mixtures of organic solvents with the addition of one or more surfactants of ionic and / or nonionic type (emulsifiers). Examples of suitable emulsifiers are: alkylarylsulfonic acid calcium salts such as calcium dodecylbenzenesulfonate or nonionic emulsifiers such as
Fettsäurepolyglykolester, Alkylarylpolyglykolether, Fettalkoholpolyglykolether, Propylenoxid-Ethylenoxid-Kondensationsprodukte, Alkylpolyether, Sorbitanester wie z.B. Sorbitanfettsäureester oder Polyoxethylensorbitanester wie z.B. Fatty acid polyglycol esters, alkylaryl polyglycol ethers, fatty alcohol polyglycol ethers, propylene oxide-ethylene oxide condensation products, alkyl polyethers, sorbitan esters such as e.g. Sorbitan fatty acid esters or polyoxethylenesorbitan esters such as e.g.
Polyoxyethylensorbitanfettsäureester. Polyoxyethylene.
Stäubemittel erhält man durch Vermählen des Wirkstoffes mit fein verteilten festen Stoffen, z.B. Talkum, natürlichen Tonen, wie Kaolin, Bentonit und Pyrophyllit, oder Diatomeenerde. Dusts are obtained by milling the active ingredient with finely divided solids, e.g. Talc, natural clays such as kaolin, bentonite and pyrophyllite, or diatomaceous earth.
Suspensionskonzentrate können auf Wasser- oder Ölbasis sein. Sie können beispielsweise durch Naß-Vermahlung mittels handelsüblicher Perlmühlen und gegebenenfalls Zusatz von Tensiden, wie sie z.B. oben bei den anderen Suspension concentrates may be water or oil based. They can be prepared, for example, by wet grinding using commercially available bead mills and, if appropriate, addition of surfactants, as described, for example, in US Pat. upstairs with the others
Formulierungstypen bereits aufgeführt sind, hergestellt werden. Formulation types already listed are produced.
Emulsionen, z.B. ÖI-in-Wasser-Emulsionen (EW), lassen sich beispielsweise mittels Rührern, Kolloidmühlen und/oder statischen Mischern unter Verwendung von wäßrigen organischen Lösungsmitteln und gegebenenfalls Tensiden, wie sie z.B. oben bei den anderen Formulierungstypen bereits aufgeführt sind, herstellen. Emulsions, e.g. Oil-in-water emulsions (EW) can be prepared, for example, by means of stirrers, colloid mills and / or static mixers using aqueous organic solvents and optionally surfactants, as described e.g. listed above for the other formulation types.
Granulate können entweder durch Verdüsen des Wirkstoffes auf adsorptionsfähiges, granuliertes Inertmaterial hergestellt werden oder durch Aufbringen von Wirkstoffkonzentraten mittels Klebemitteln, z.B. Polyvinylalkohol, polyacrylsaurem Natrium oder auch Mineralölen, auf die Oberfläche von Trägerstoffen wie Sand, Kaolinite oder von granuliertem Inertmaterial. Auch können geeignete Wirkstoffe in der für die Herstellung von Düngemittelgranulaten üblichen Weise - gewünschtenfalls in Mischung mit Düngemitteln - granuliert werden. Granules can be prepared either by spraying the active ingredient on adsorptive, granulated inert material or by applying Active substance concentrates by means of adhesives, for example polyvinyl alcohol, sodium polyacrylate or mineral oils, on the surface of carriers such as sand, kaolinites or granulated inert material. It is also possible to granulate suitable active ingredients in the manner customary for the production of fertilizer granules, if desired in admixture with fertilizers.
Wasserdispergierbare Granulate werden in der Regel nach den üblichen Verfahren wie Sprühtrocknung, Wirbelbett-Granulierung, Teller-Granulierung, Mischung mit Hochgeschwindigkeitsmischern und Extrusion ohne festes Inertmaterial hergestellt. Water-dispersible granules are generally prepared by the usual methods such as spray drying, fluidized bed granulation, plate granulation, mixing with high-speed mixers and extrusion without solid inert material.
Zur Herstellung von Teller-, Fließbett-, Extruder- und Sprühgranulate siehe z.B. For the preparation of plate, fluid bed, extruder and spray granules, see e.g.
Verfahren in "Spray-Drying Handbook" 3rd ed. 1979, G. Goodwin Ltd., London; J.E. Browning, "Agglomeration", Chemical and Engineering 1967, Seiten 147 ff; "Perry's Chemical Engineer's Handbook", 5th Ed., McGraw-Hill, New York 1973, S. 8-57. Process in "Spray-Drying Handbook" 3rd ed. 1979, G. Goodwin Ltd., London; J.E. Browning, "Agglomeration", Chemical and Engineering 1967, pages 147 ff; Perry's Chemical Engineer's Handbook, 5th Ed., McGraw-Hill, New York 1973, pp. 8-57.
Für weitere Einzelheiten zur Formulierung von Pflanzenschutzmitteln siehe z.B. G.C. Klingman, "Weed Control as a Science", John Wiley and Sons, Inc., New York, 1961 , Seiten 81 -96 und J.D. Freyer, S.A. Evans, "Weed Control Handbook", 5th Ed., Blackwell Scientific Publications, Oxford, 1968, Seiten 101 -103. For further details on the formulation of crop protection agents see, e.g. G.C. Klingman, "Weed Control as a Science", John Wiley and Sons, Inc., New York, 1961, pp. 81-96 and J.D. Freyer, S.A. Evans, "Weed Control Handbook", 5th Ed., Blackwell Scientific Publications, Oxford, 1968, pp. 101-103.
Die agrochemischen Zubereitungen enthalten in der Regel 0.1 bis 99 Gew.-%, insbesondere 0.1 bis 95 Gew.-%, erfindungsgemäße Verbindungen. The agrochemical preparations generally contain from 0.1 to 99% by weight, in particular from 0.1 to 95% by weight, of compounds according to the invention.
In Spritzpulvern beträgt die Wirkstoffkonzentration z.B. etwa 10 bis 90 Gew.-%, der Rest zu 100 Gew.-% besteht aus üblichen Formulierungsbestandteilen. Bei emulgierbaren Konzentraten kann die Wirkstoffkonzentration etwa 1 bis 90, vorzugsweise 5 bis 80 Gew.-% betragen. Staubförmige Formulierungen enthalten 1 bis 30 Gew.-% Wirkstoff, vorzugsweise meistens 5 bis 20 Gew.-% an Wirkstoff, versprühbare Lösungen enthalten etwa 0.05 bis 80, vorzugsweise 2 bis 50 Gew.-% Wirkstoff. Bei wasserdispergierbaren Granulaten hängt der Wirkstoffgehalt zum Teil davon ab, ob die wirksame Verbindung flüssig oder fest vorliegt und welche In wettable powders, the drug concentration is e.g. about 10 to 90 wt .-%, the balance to 100 wt .-% consists of conventional formulation ingredients. For emulsifiable concentrates, the active ingredient concentration may be about 1 to 90, preferably 5 to 80 wt .-%. Dust-like formulations contain 1 to 30 wt .-% of active ingredient, preferably usually 5 to 20 wt .-% of active ingredient, sprayable solutions contain about 0.05 to 80, preferably 2 to 50 wt .-% of active ingredient. In the case of water-dispersible granules, the active ingredient content depends, in part, on whether the active compound is liquid or solid and which
Granulierhilfsmittel, Füllstoffe usw. verwendet werden. Bei den in Wasser Granulation aids, fillers, etc. are used. In the water
dispergierbaren Granulaten liegt der Gehalt an Wirkstoff beispielsweise zwischen 1 und 95 Gew.-%, vorzugsweise zwischen 10 und 80 Gew.-%. dispersible granules, the content of active ingredient is, for example, between 1 and 95% by weight, preferably between 10 and 80% by weight.
Daneben enthalten die genannten Wirkstoffornnulierungen gegebenenfalls die jeweils üblichen Haft-, Netz-, Dispergier-, Emulgier-, Penetrations-, Konservierungs-, Frostschutz- und Lösungsmittel, Füll-, Träger- und Farbstoffe, Entschäumer, In addition, the active substance formulations mentioned optionally contain the customary adhesion, wetting, dispersing, emulsifying, penetrating, preserving, antifreeze and solvent, fillers, carriers and dyes, antifoams,
Verdunstungshemmer und den pH-Wert und die Viskosität beeinflussende Mittel. Evaporation inhibitors and pH and viscosity affecting agents.
Nachfolgend sind einige mögliche Wirkstoffformulierungen exemplarisch benannt: a) Ein Stäubemittel wird erhalten, indem man 10 Gew.-Teile einer Verbindung der Formel (I) und/oder deren Salze und 90 Gew.-Teile Talkum als Inertstoff mischt und in einer Schlagmühle zerkleinert. b) Ein in Wasser leicht dispergierbares, benetzbares Pulver wird erhalten, indem man 25 Gewichtsteile einer Verbindung der Formel (I) und/oder deren Salze,The following are some examples of possible drug formulations: a) A dust is obtained by mixing 10 parts by weight of a compound of formula (I) and / or salts thereof and 90 parts by weight of talc as an inert material and comminuted in a hammer mill. b) A wettable powder readily dispersible in water is obtained by reacting 25 parts by weight of a compound of the formula (I) and / or its salts,
64 Gew.-Teile kaolinhaltigen Quarz als Inertstoff, 10 Gewichtsteile 64 parts by weight of kaolin-containing quartz as inert material, 10 parts by weight
ligninsulfonsaures Kalium und 1 Gew.-Teil oleoylmethyltaurinsaures Natrium als Netz- und Dispergiermittel mischt und in einer Stiftmühle mahlt. potassium lignosulfonate and 1 part by weight oleoylmethyltaurine sodium as wetting and dispersing agent and grinding in a pin mill.
Ein in Wasser leicht dispergierbares Dispersionskonzentrat wird erhalten, indem man 20 Gew.-Teile einer Verbindung der Formel (I) und/oder deren Salze mit 6 Gew.-Teilen Alkylphenolpolyglykolether (©Triton X 207), 3 A dispersion concentrate readily dispersible in water is obtained by reacting 20 parts by weight of a compound of the formula (I) and / or salts thereof with 6 parts by weight of alkylphenol polyglycol ether (© Triton X 207), 3
Gew.-Teilen Isotridecanolpolyglykolether (8 EO) und 71 Gew.-Teilen paraffinischem Mineralöl (Siedebereich z.B. ca. 255 bis über 277 C) mischt und in einer Reibkugelmühle auf eine Feinheit von unter 5 Mikron vermahlt. Parts by weight of isotridecanol polyglycol ether (8 EO) and 71 parts by weight of paraffinic mineral oil (boiling range, for example, about 255 to more than 277 C) and ground in a ball mill to a fineness of less than 5 microns.
Ein emulgierbares Konzentrat wird erhalten aus 15 Gew.-Teilen einer An emulsifiable concentrate is obtained from 15 parts by weight of a
Verbindung der Formel (I) und/oder deren Salze, 75 Gew.-Teilen Compound of formula (I) and / or salts thereof, 75 parts by weight
Cyclohexanon als Lösungsmittel und 10 Gew.-Teilen oxethyliertes Cyclohexanone as a solvent and 10 parts by weight of ethoxylated
Nonylphenol als Emulgator. Ein in Wasser dispergierbares Granulat wird erhalten indem man 75 Gew.-Teile einer Verbindung der Formel (I) und/oder deren Salze, Nonylphenol as emulsifier. A water-dispersible granule is obtained by reacting 75 parts by weight of a compound of the formula (I) and / or salts thereof,
10 Gew.-Teile ligninsulfonsaures Calcium, 10 parts by weight of lignosulfonic acid calcium,
5 Gew.-Teile Natriumlaurylsulfat, 5 parts by weight of sodium lauryl sulfate,
3 Gew.-Teile Polyvinylalkohol und 3 parts by weight of polyvinyl alcohol and
7 Gew.-Teile Kaolin 7 parts by weight kaolin
mischt, auf einer Stiftmühle mahlt und das Pulver in einem Wirbelbett durch Aufsprühen von Wasser als Granulierflüssigkeit granuliert. milled, ground on a pin mill and granulated the powder in a fluidized bed by spraying water as Granulierflüssigkeit.
Ein in Wasser dispergierbares Granulat wird auch erhalten, indem manA water-dispersible granule is also obtained by
25 Gew.-Teile einer Verbindung der Formel (I) und/oder deren Salze, 25 parts by weight of a compound of the formula (I) and / or salts thereof,
5 Gew.-Teile 2,2'-dinaphthylmethan-6,6'-disulfonsaures Natrium 5 parts by weight of 2,2'-dinaphthylmethane-6,6'-disulfonate sodium
2 Gew.-Teile oleoylmethyltaurinsaures Natrium, 2 parts by weight oleoylmethyltaurine acid sodium,
1 Gew.-Teil Polyvinylalkohol, 1 part by weight of polyvinyl alcohol,
17 Gew.-Teile Calciumcarbonat und 17 parts by weight of calcium carbonate and
50 Gew.-Teile Wasser 50 parts by weight of water
auf einer Kolloidmühle homogenisiert und vorzerkleinert, anschließend auf einer Perlmühle mahlt und die so erhaltene Suspension in einem Sprühturm mittels einer Einstoffdüse zerstäubt und trocknet. Homogenized on a colloid mill and pre-crushed, then grinded on a bead mill and the suspension thus obtained in a spray tower by means of a Einstoffdüse atomized and dried.
Die erfindungsgemäßen Wirkstoffe können als solche oder in ihren Formulierungen auch in Mischung mit bekannten Herbiziden zur Unkrautbekämpfung Verwendung finden, wobei Fertigformulierungen oder Tankmischungen möglich sind. Als Kombinationspartner für die erfindungsgemäßen Verbindungen in The active compounds according to the invention can be used as such or in their formulations also in mixture with known herbicides for controlling weeds, ready-to-use formulations or tank mixes being possible. As a combination partner for the compounds of the invention in
Mischungsformulierungen oder im Tank-Mix sind beispielsweise bekannte Mixture formulations or in the tank mix are known, for example
Wirkstoffe, die auf einer Inhibition von beispielsweise Acetolactat-Synthase, Acetyl- CoA-Carboxylase, Cellulose-Synthase, Enolpyruvylshikimat-3-phosphat-Synthase, Glutamin-Synthetase, p-Hydroxyphenylpyruvat-Dioxygenase, Phytoendesaturase, Photosystem I, Photosystem II, Protoporphyrinogen-Oxidase beruhen, einsetzbar, wie sie z.B. aus Weed Research 26 (1986) 441 -445 oder "The Pesticide Manual", 14th edition, The British Crop Protection Council and the Royal Soc. of Chemistry, 2003 und dort zitierter Literatur beschrieben sind. Als bekannte Herbizide oder Pflanzenwachstumsregulatoren, die mit den erfindungsgemäßen Verbindungen kombiniert werden können, sind z.B. folgende Wirkstoffe zu nennen (die Active substances which are based on an inhibition of, for example, acetolactate synthase, acetyl-CoA carboxylase, cellulose synthase, enolpyruvylshikimate-3-phosphate synthase, glutamine synthetase, p-hydroxyphenylpyruvate dioxygenase, phytoene desaturase, photosystem I, photosystem II, protoporphyrinogen Oxidase based, for example, as described in Weed Research 26 (1986) 441 -445 or "The Pesticide Manual", 14th edition, The British Crop Protection Council and the Royal Soc. of Chemistry, 2003 and cited there literature are described. Known herbicides or plant growth regulators which can be combined with the compounds according to the invention are, for example, the following active substances (which
Verbindungen sind entweder mit dem "common name" nach der International Organization for Standardization (ISO) oder mit dem chemischen Namen oder mit der Codenummer bezeichnet) und umfassen stets sämtliche Anwendungsformen wie Säuren, Salze, Ester und Isomere wie Stereoisomere und optische Isomere. Dabei sind beispielhaft eine und zum Teil auch mehrere Anwendungsformen genannt: Compounds are denoted either by the common name according to the International Organization for Standardization (ISO) or by the chemical name or by the code number) and always include all forms of use such as acids, salts, esters and isomers such as stereoisomers and optical isomers. Here are an example and partly also called several application forms:
Acetochlor, Acibenzolar, Acibenzolar-S-methyl, Acifluorfen, Acifluorfen-sodium, Aclonifen, Alachlor, Allidochlor, Alloxydim, Alloxydim-sodium, Ametryn, Acetochlor, acibenzolar, acibenzolar-S-methyl, acifluorfen, acifluorfen-sodium, aclonifen, alachlor, allidochlor, alloxydim, alloxydim-sodium, ametryn,
Amicarbazone, Amidochlor, Amidosulfuron, Aminocyclopyrachlor, Aminopyralid, Amitrole, Ammoniumsulfamat, Ancymidol, Anilofos, Asulam, Atrazine, Azafenidin, Azimsulfuron, Aziprotryn, BAH-043, BAS-140H, BAS-693H, BAS-714H, BAS-762H, BAS-776H, BAS-800H, Beflubutamid, Benazolin, Benazolin-ethyl, Bencarbazone, Benfluralin, Benfuresate, Bensulide, Bensulfuron-methyl, Bentazone, Benzfendizone, Benzobicyclon, Benzofenap, Benzofluor, Benzoylprop, Bicyclopyrone, Bifenox, Bilanafos, Bilanafos-natrium, Bispyribac, Bispyribac-natrium, Bromacil, Bromobutide, Bromofenoxim, Bromoxynil, Bromuron, Buminafos, Busoxinone, Butachlor, Amicarbazone, amidochlor, amidosulfuron, aminocyclopyrachlor, aminopyralid, amitrole, ammonium sulfamate, ancymidol, anilofos, asulam, atrazines, azafenidine, azimsulfuron, aziprotryn, BAH-043, BAS-140H, BAS-693H, BAS-714H, BAS-762H, BAS- 776H, BAS-800H, Beflubutamide, Benazoline, Benazolin-ethyl, Bencarbazone, Benfluralin, Benfuresate, Bensulide, Bensulfuron-methyl, Bentazone, Benzfendizone, Benzobicyclone, Benzofenap, Benzofluor, Benzoylprop, Bicyclopyrone, Bifenox, Bilanafos, Bilanafos-Sodium, Bispyribac, Bispyribac Sodium, Bromacil, Bromobutide, Bromofenoxime, Bromoxynil, Bromuron, Buminafos, Busoxinone, Butachlor,
Butafenacil, Butamifos, Butenachlor, Butralin, Butroxydim, Butylate, Cafenstrole, Carbetamide, Carfentrazone, Carfentrazone-ethyl, Chlomethoxyfen, Chloramben, Chlorazifop, Chlorazifop-butyl, Chlorbromuron, Chlorbufam, Chlorfenac, Chlorfenac- natrium, Chlorfenprop, Chlorflurenol, Chlorflurenol-nnethyl, Chloridazon, Chlorimuron, Chlorimuron-ethyl, Chlormequat-chlorid, Chlornitrofen, Chlorophthalim, Chlorthal- dimethyl, Chlorotoluron, Chlorsulfuron, Cinidon, Cinidon-ethyl, Cinmethylin, Butafenacil, butamifos, butenachlor, butraline, butroxydim, butylates, cafenstrols, carbetamides, carfentrazone, carfentrazone-ethyl, chlomethoxyfen, chloramben, chloroazifop, chlorazifop-butyl, chlorobromuron, chlorobufam, chlorfenac, chlorfenacsodium, chlorfenprop, chlorofluorol, chlorofluorol-nnethyl, Chloridazon, chlorimuron, chlorimuron-ethyl, chlormequat chloride, chloronitrofen, chlorophthalim, chlorothal-dimethyl, chlorotoluron, chlorosulfuron, cinidone, cinidon-ethyl, cinmethylin,
Cinosulfuron, Clethodim, Clodinafop Clodinafop-propargyl, Clofencet, Clomazone, Clomeprop, Cloprop, Clopyralid, Cloransulam, Cloransulam-methyl, Cumyluron, Cyanamide, Cyanazine, Cyclanilide, Cycloate, Cyclosulfamuron, Cycloxydim, Cycluron, Cyhalofop, Cyhalofop-butyl, Cyperquat, Cyprazine, Cyprazole, 2,4-D, 2,4- DB, Daimuron/Dymron, Dalapon, Daminozide, Dazomet, n-Decanol, Desmedipham, Desmetryn, Detosyl-Pyrazolate (DTP), Diallate, Dicamba, Dichlobenil, Dichlorprop, Dichlorprop-P, Diclofop, Diclofop-methyl, Diclofop-P-methyl, Diclosulam, Diethatyl, Diethatyl-ethyl, Difenoxuron, Difenzoquat, Diflufenican, Diflufenzopyr, Diflufenzopyr- natrium, Dimefuron, Dikegulac-sodium, Dimefuron, Dimepiperate, Dimethachlor, Dimethametryn, Dimethenamid, Dimethenamid-P, Dimethipin, Dimetrasulfuron, Dinitramine, Dinoseb, Dinoterb, Diphenamid, Dipropetryn, Diquat, Diquat-dibromide, Dithiopyr, Diuron, DNOC, Eglinazine-ethyl, Endothal, EPTC, Esprocarb, Ethalfluralin, Ethametsulfuron-nnethyl, Ethephon, Ethidimuron, Ethiozin, Ethofumesate, Ethoxyfen, Ethoxyfen-ethyl, Ethoxysulfuron, Etobenzanid, F-5331 , d.h. N-[2-Chlor-4-fluor-5-[4- (3fluorpropyl)-4,5-dihydro-5-oxo-1 H-tetrazol-1 -yl]-phenyl]-ethansulfonamid, Cinosulfuron, clethodim, clodinafop clodinafop-propargyl, clofencet, clomazone, clomeprop, cloprop, clopyralid, cloransulam, cloransulam-methyl, cumyluron, cyanamides, cyanazines, cyclanilides, cycloates, cyclosulfamuron, cycloxydim, cycluron, cyhalofop, cyhalofop-butyl, cyperquat, cyprazine , Cyprazole, 2,4-D, 2,4-DB, Daimuron / Dymron, Dalapon, Daminozide, Dazomet, n-Decanol, Desmedipham, Desmetryn, Detosyl-Pyrazolate (DTP), Diallate, Dicamba, Dichlobenil, Dichlorprop, Dichlorprop- P, diclofop, diclofop-methyl, diclofop-P-methyl, diclosulam, diethatyl, Diethatyl-ethyl, difenoxuron, difenzoquat, diflufenican, diflufenzopyr, diflufenzopyr-sodium, dimefuron, dikegulac-sodium, dimefuron, dimepiperate, dimethachlor, dimethametryn, dimethenamid, dimethenamid-P, dimethipine, dimetrasulfuron, dinitramine, dinoseb, dinoterb, diphenamid, dipropetryn, Diquat, diquat-dibromide, dithiopyr, diuron, DNOC, eglinazine-ethyl, endothal, EPTC, esprocarb, etalfluralin, ethametsulfuron-n-ethyl, ethephon, ethidimuron, ethiozine, ethofumesate, ethoxyfen, ethoxyfen-ethyl, ethoxysulfuron, etobenzanide, F-5331, ie N- [2-chloro-4-fluoro-5- [4- (3-fluoropropyl) -4,5-dihydro-5-oxo-1H-tetrazol-1-yl] -phenyl] -ethanesulfonamide,
Fenoprop, Fenoxaprop, Fenoxaprop-P, Fenoxaprop-ethyl, Fenoxaprop-P-ethyl, Fenoxasulfone, Fentrazamide, Fenuron, Flamprop, Flamprop-M-isopropyl, Fenoprop, fenoxaprop, fenoxaprop-P, fenoxaprop-ethyl, fenoxaprop-P-ethyl, fenoxasulfone, fentrazamide, fenuron, flamprop, flamprop-M-isopropyl,
Flamprop-M-methyl, Flazasulfuron, Florasulam, Fluazifop, Fluazifop-P, Fluazifop- butyl, Fluazifop-P-butyl, Fluazolate, Flucarbazone, Flucarbazone-sodium, Flamprop-M-methyl, flazasulfuron, florasulam, fluazifop, fluazifop-P, fluazifop-butyl, fluazifop-p-butyl, fluazolates, flucarbazone, flucarbazone-sodium,
Flucetosulfuron, Fluchloralin, Flufenacet (Thiafluamide), Flufenpyr, Flufenpyr-ethyl, Flumetralin, Flumetsulam, Flumiclorac, Flumiclorac-pentyl, Flumioxazin, Flucetosulfuron, Fluchloralin, Flufenacet (Thiafluamide), Flufenpyr, Flufenpyr-ethyl, Flumetralin, Flumetsulam, Flumiclorac, Flumiclorac-pentyl, Flumioxazin,
Flumipropyn, Fluometuron, Fluorodifen, Fluoroglycofen, Fluoroglycofen-ethyl,Flumipropyne, fluometuron, fluorodifene, fluoroglycofen, fluoroglycofen-ethyl,
Flupoxam, Flupropacil, Flupropanate, Flupyrsulfuron, Flupyrsulfuron-methyl-sodium, Flurenol, Flurenol-butyl, Fluridone, Flurochloridone, Fluroxypyr, Fluroxypyr-meptyl, Flurprimidol, Flurtamone, Fluthiacet, Fluthiacet-methyl, Fluthiamide, Fomesafen, Foramsulfuron, Förch lorfenuron, Fosamine, Furyloxyfen, Gibberellinsäure, Flupoxam, flupropacil, flupropanate, flupyrsulfuron, flupyrsulfuron-methyl-sodium, flurenol, flurenol-butyl, fluridone, flurochloridone, fluroxypyr, fluroxypyr-meptyl, flurprimidol, flurtamone, fluthiacet, fluthiacet-methyl, fluthiamide, fomesafen, foramsulfuron, förch lorfenuron, fosamine , Furyloxyfen, gibberellin acid,
Glufosinate, L-Glufosinate, L-Glufosinate-ammonium, Glufosinate-ammonium, Glyphosate, Glyphosate-isopropylammonium, H-9201 , Halosafen, Halosulfuron, Halosulfuron-methyl, Haloxyfop, Haloxyfop-P, Haloxyfop-ethoxyethyl, Haloxyfop-P- ethoxyethyl, Haloxyfop-methyl, Haloxyfop-P-methyl, Hexazinone, HNPC-9908, HOK- 201 , HW-02, Imazamethabenz, Imazamethabenz-methyl, Imazamox, Imazapic, Imazapyr, Imazaquin, Imazethapyr, Imazosulfuron, Inabenfide, Indanofan, Glufosinate, L-glufosinate, L-glufosinate-ammonium, glufosinate-ammonium, glyphosate, glyphosate-isopropylammonium, H-9201, halosafen, halosulfuron, halosulfuron-methyl, haloxyfop, haloxyfop-P, haloxyfopethoxyethyl, haloxyfop-P-ethoxyethyl, Haloxyfop-methyl, Haloxyfop-P-methyl, Hexazinone, HNPC-9908, HOK-201, HW-02, Imazamethabenz, Imazamethabenz-methyl, Imazamox, Imazapic, Imazapyr, Imazaquin, Imazethapyr, Imazosulfuron, Inabenfide, Indanofan,
Indaziflam, Indolessigsäure (IAA), 4-lndol-3-ylbuttersäure (IBA), lodosulfuron, lodosulfuron-methyl-natrium, loxynil, Ipfencarbazonejsocarbamid, Isopropalin, Isoproturon, Isouron, Isoxaben, Isoxachlortole, Isoxaflutole, Isoxapyrifop, IDH-100, KUH-043, KUH-071 , Karbutilate, Ketospiradox, Lactofen, Lenacil, Linuron, Indaziflam, indoleacetic acid (IAA), 4-indol-3-yl-butyric acid (IBA), iodosulfuron, iodosulfuron-methyl-sodium, loxynil, lecarbarbazonejsocarbamide, isopropalin, isoproturon, isourone, isoxaben, isoxachlortole, isoxaflutole, isoxapyrifop, IDH-100, KUH 043, KUH-071, carbutilates, ketospiradox, lactofen, lenacil, linuron,
Maleinsäurehydrazid, MCPA, MCPB, MCPB-methyl, -ethyl und -natrium, Mecoprop, Mecoprop-natrium, Mecoprop-butotyl, Mecoprop-P-butotyl, Mecoprop-P- dimethylammonium, Mecoprop-P-2-ethylhexyl, Mecoprop-P-kalium, Mefenacet, Mefluidide, Mepiquat-chlorid, Mesosulfuron, Mesosulfuron-methyl, Mesotrione, Methabenzthiazuron, Metam, Metamifop, Metamitron, Metazachlor, Metazosulfuron, Methazole, Methiozolin, Methoxyphenone, Methyldymron, 1 -Methylcyclopropen, Methylisothiocyanat, Metobenzuron, Metobenzuron, Metobromuron, Metolachlor, S- Metolachlor, Metosulam, Metoxuron, Metribuzin, Metsulfuron, Metsulfuron-methyl, Molinate, Monalide, Monocarbamide, Monocarbamide-dihydrogensulfat, Maleic hydrazide, MCPA, MCPB, MCPB-methyl, -ethyl and -sodium, mecoprop, mecoprop-sodium, mecoprop-butotyl, mecoprop-p-butotyl, mecoprop-P-dimethylammonium, mecoprop-P-2-ethylhexyl, mecoprop-P potassium, mefenacet, Mefluidides, mepiquat chloride, mesosulfuron, mesosulfuron-methyl, mesotrione, methabenzthiazuron, metam, metamifop, metamitron, metazachlor, metazosulfuron, methazoles, methiozoline, methoxyphenones, methyldymrone, 1-methylcyclopropene, methylisothiocyanate, metobenzuron, metobenzuron, metobromuron, metolachlor, S- Metolachlor, metosulam, metoxuron, metribuzin, metsulfuron, metsulfuron-methyl, molinates, monalides, monocarbamides, monocarbamide dihydrogen sulfate,
Monolinuron, Monosulfuron, Monuron, MT 128, MT-5950, d. h. N-[3-Chlor-4-(1 - methylethyl)-phenyl]-2-methylpentanamid, NGGC-01 1 , Naproanilide, Napropamide, Naptalam, NC-310, d.h. 4-(2,4-dichlorobenzoyl)-1 -methyl-5-benzyloxypyrazole, Neburon, Nicosulfuron, Nipyraclofen, Nitralin, Nitrofen, Nitrophenolat-natrium Monolinuron, monosulfuron, monuron, MT 128, MT-5950, d. H. N- [3-chloro-4- (1-methylethyl) phenyl] -2-methylpentanamide, NGGC-01 1, naproanilides, napropamide, naptalam, NC-310, i. 4- (2,4-dichlorobenzoyl) -1-methyl-5-benzyloxypyrazoles, neburon, nicosulfuron, nipyraclofen, nitrite, nitrofen, nitrophenolate sodium
(Isomerengemisch), Nitrofluorfen, Nonansäure, Norflurazon, Orbencarb, (Mixture of isomers), nitrofluorfen, nonanoic acid, norflurazon, orbencarb,
Orthosulfamuron, Oryzalin, Oxadiargyl, Oxadiazon, Oxasulfuron, Oxaziclomefone, Oxyfluorfen, Paclobutrazol, Paraquat, Paraquat-dichlorid, Pelargonsäure Orthosulfamuron, oryzalin, oxadiargyl, oxadiazon, oxasulfuron, oxaziclomefone, oxyfluorfen, paclobutrazole, paraquat, paraquat-dichloride, pelargonic acid
(Nonansäure), Pendimethalin, Pendralin, Penoxsulam, Pentanochlor, Pentoxazone, Perfluidone, Pethoxamid, Phenisopham, Phenmedipham, Phenmedipham-ethyl,(Nonanoic acid), pendimethalin, pendralin, penoxsulam, pentanochlor, pentoxazone, perfluidone, pethoxamide, phenisopham, phenmedipham, phenmedipham-ethyl,
Pidoram, Picolinafen, Pinoxaden, Piperophos, Pirifenop, Pirifenop-butyl, Pretilachlor, Primisulfuron, Primisulfuron-methyl, Probenazole, Profluazol, Procyazine, Pidoram, Picolinafen, Pinoxaden, Piperophos, Pirifenop, Pirifenopbutyl, Pretilachlor, Primisulfuron, Primisulfuron-methyl, Probenazole, Profluazole, Procyazine,
Prodiamine, Prifluraline, Profoxydim, Prohexadione, Prohexadione-calcium, Prodiamines, prifluralins, profoxydim, prohexadione, prohexadione-calcium,
Prohydrojasmone, Prometon, Prometryn, Propachlor, Propanil, Propaquizafop, Propazine, Propham, Propisochlor, Propoxycarbazone, Propoxycarbazone-natrium, Propyrisulfuron, Propyzamide, Prosulfalin, Prosulfocarb, Prosulfuron, Prynachlor, Pyraclonil, Pyraflufen, Pyraflufen-ethyl, Pyrasulfotole, Pyrazolynate (Pyrazolate), Pyrazosulfuron-ethyl, Pyrazoxyfen, Pyribambenz, Pyribambenz-isopropyl, Prohydrojasmone, Prometon, Prometry, Propachlor, Propanil, Propaquizafop, Propazine, Prophet, Propisochlor, Propoxycarbazone, Propoxycarbazone Sodium, Propyrisulfuron, Propyzamide, Prosulfine, Prosulfocarb, Prosulfuron, Prynachlor, Pyraclonil, Pyraflufen, Pyraflufen-ethyl, Pyrasulfotole, Pyrazolynate (Pyrazolate) , Pyrazosulfuron-ethyl, pyrazoxyfen, pyribambenz, pyribambenz-isopropyl,
Pyribenzoxim, Pyributicarb, Pyridafol, Pyridate, Pyriftalid, Pyriminobac, Pyriminobac- methyl, Pyrimisulfan, Pyrithiobac, Pyrithiobac-natrium, Pyroxasulfone, Pyroxsulam, Quinclorac, Quinmerac, Quinoclamine, Quizalofop, Quizalofop-ethyl, Quizalofop-P, Quizalofop-P-ethyl, Quizalofop-P-tefuryl, Rimsulfuron, Saflufenacil, Secbumeton, Sethoxydim, Siduron, Simazine, Simetryn, SN-106279, Sulcotrione, Sulfallate Pyribenzoxim, Pyributicarb, Pyridafol, Pyridate, Pyriftalid, Pyriminobac, Pyriminobacmethyl, Pyrimisulfan, Pyrithiobac, Pyrithiobac Sodium, Pyroxasulfones, Pyroxsulam, Quinclorac, Quinmerac, Quinoclamine, Quizalofop, Quizalofop-ethyl, Quizalofop-P, Quizalofop-P-ethyl, Quizalofop P-tefuryl, rimsulfuron, saflufenacil, secbumetone, sethoxydim, siduron, simazine, simetryn, SN-106279, sulcotrione, sulfallates
(CDEC), Sulfentrazone, Sulfometuron, Sulfometuron-methyl, Sulfosate (Glyphosate- trimesium), Sulfosulfuron, SYN-523, SYP-249, SYP-298, SYP-300, Tebutam, Tebuthiuron, Tecnazene, Tefuryltrione, Tembotrione, Tepraloxydim, Terbacil, Terbucarb, Terbuchlor, Terbumeton, Terbuthylazine, Terbutryn, TH-547, Thenylchlor, Thiafluamide, Thiazafluron, Thiazopyr, Thidiazimin, Thidiazuron, Thiencarbazone, Thiencarbazone-nnethyl, Thifensulfuron, Thifensulfuron-nnethyl, Thiobencarb, Tiocarbazil, Topramezone, Tralkoxydim, Triallate, Triasulfuron, Thaziflam, Triazofenamide, Tribenuron, Tribenuron-methyl, Trichloressigsäure (TCA), Triclopyr, Tridiphane, Trietazine, Trifloxysulfuron, Trifloxysulfuron-nathum, Trifluralin, Triflusulfuron, Triflusulfuron-methyl, Trimeturon, Trinexapac, Trinexapac- ethyl, Tritosulfuron, Tsitodef, Uniconazole, Uniconazole-P, Vernolate, ZJ-0166, ZJ- 0270, ZJ-0543, ZJ-0862 sowie die folgenden Verbindungen (CDEC), sulfentrazone, sulfometuron, sulfometuron-methyl, sulfosate (glyphosate trimesium), sulfosulfuron, SYN-523, SYP-249, SYP-298, SYP-300, tebutam, tebuthiuron, tecnazene, tefuryltrione, tembotrione, tepraloxydim, terbacil , Terbucarb, Terbuchlor, Terbumetone, Terbuthylazine, Terbutryn, TH-547, Thenylchloro, thiafluamides, thiazafluron, thiazopyr, thidiazimine, thidiazuron, thiencarbazones, thiencarbazone-n-ethyl, thifensulfuron, thifensulfuron-n-ethyl, thiobencarb, tiocarbazil, toramezone, tralkoxydim, triallate, triasulfuron, thaziflam, triazofenamide, tribenuron, tribenuron-methyl, trichloroacetic acid (TCA) , Triclopyr, Tridiphane, Trietazine, Trifloxysulfuron, Trifloxysulfuron-nathum, Trifluralin, Triflusulfuron, Triflusulfuron-methyl, Trimeturon, Trinexapac, Trinexapacethyl, Tritosulfuron, Tsitodef, Uniconazole, Uniconazole-P, Vernolate, ZJ-0166, ZJ-0270, ZJ -0543, ZJ-0862 and the following compounds
Auch eine Mischung mit anderen bekannten Wirkstoffen, wie Fungiziden, Also a mixture with other known active ingredients, such as fungicides,
Insektiziden, Akariziden, Nematiziden, Schutzstoffen gegen Vogelfraß, Insecticides, acaricides, nematicides, bird repellents,
Pflanzennährstoffen und Bodenstrukturverbesserungsmitteln ist möglich. Plant nutrients and soil conditioners are possible.
Die erfindungsgemäßen Verbindungen können auch in Kombination mit einem oder mehreren als Safener wirkenden Verbindungen eingesetzt werden. The compounds according to the invention can also be used in combination with one or more compounds which act as safeners.
Die Safener sind vorzugsweise ausgewählt aus der Gruppe bestehend S1 ) Verbindungen der Formel (S1 ), The safeners are preferably selected from the group consisting of S1) compounds of the formula (S1),
wobei die Symbole und Indizes folgende Bedeutungen haben: where the symbols and indices have the following meanings:
nA ist eine natürliche Zahl von 0 bis 5, vorzugsweise 0 bis 3; n A is a natural number from 0 to 5, preferably 0 to 3;
RA 1 ist Halogen, (d-C4)-Alkyl, (d-C4)-Alkoxy, Nitro oder (d-C4)-Haloalkyl; R A 1 is halogen, (C 1 -C 4 ) -alkyl, (C 1 -C 4 ) -alkoxy, nitro or (C 1 -C 4 ) -haloalkyl;
WA ist ein unsubstituierter oder substituierter divalenter heterocyclischer Rest aus der Gruppe der teilungesättigten oder aromatischen Fünfring-Heterocyclen mit 1 bis 3 Heteroringatomen aus der Gruppe N und O, wobei mindestens ein N- Atom und höchstens ein O-Atom im Ring enthalten ist, vorzugsweise ein Rest aus der Gruppe (WA 1) bis (WA 4), W A is an unsubstituted or substituted divalent heterocyclic radical from the group of the unsaturated or unsaturated five-membered ring heterocycles having 1 to 3 hetero ring atoms from the group N and O, wherein at least one N atom and at most one O atom is contained in the ring, preferably a radical from the group (W A 1 ) to (W A 4 ),
A1 ) (WA 2) (WA 3) (VV) mA ist 0 oder 1 ; A1) (W A 2 ) (W A 3 ) (VV) m A is 0 or 1;
RA 2 ist ORA 3, SRA 3 oder NRA 3RA 4 oder ein gesättigter oder ungesättigter 3- bis 7- gliedriger Heterocyclus mit mindestens einem N-Atom und bis zu 3 Hetero- atomen, vorzugsweise aus der Gruppe O und S, der über das N-Atom mit der Carbonylgruppe in (S1 ) verbunden ist und unsubstituiert oder durch Reste aus der Gruppe (Ci-C4)-Alkyl, (d-C4)-Alkoxy oder gegebenenfalls R A 2 is OR A 3 , SR A 3 or NR A 3 R A 4 or a saturated or unsaturated 3- to 7-membered heterocycle having at least one N atom and up to 3 hetero atoms, preferably from the group O and S, who uses the N atom with the Carbonyl group in (S1) is connected and unsubstituted or by radicals from the group (Ci-C 4 ) alkyl, (dC 4 ) alkoxy or optionally
substituiertes Phenyl substituiert ist, vorzugsweise ein Rest der Formel ORA3, NHRa 4 oder N(CH3)2, insbesondere der Formel ORA3; substituted phenyl, preferably a radical of the formula ORA 3 , NHR a 4 or N (CH 3 ) 2, in particular of the formula ORA 3 ;
Ra 3 ist Wasserstoff oder ein unsubstituierter oder substituierter aliphatischer R a 3 is hydrogen or an unsubstituted or substituted aliphatic
Kohlenwasserstoffrest, vorzugsweise mit insgesamt 1 bis 18 C-Atomen; Hydrocarbon radical, preferably having a total of 1 to 18 carbon atoms;
RA 4 ist Wasserstoff, (d-C6)-Alkyl, (Ci-Ce)-Alkoxy oder substituiertes oder R A 4 is hydrogen, (C 1 -C 6) -alkyl, (C 1 -C 6) -alkoxy or substituted or
unsubstituiertes Phenyl; unsubstituted phenyl;
RA 5 ist H, (Ci-C8)-Alkyl, (Ci-C8)-Haloalkyl, (Ci-C4)-Alkoxy-(Ci-C8)-Alkyl, Cyano oder COORA9, worin RA 9 Wasserstoff, (Ci-C8)-Alkyl, (Ci-C8)-Haloalkyl, (d- C4)-Alkoxy-(d-C4)-alkyl, (Ci-C6)-Hydroxyalkyl, (C3-Ci2)-Cycloalkyl oder Tri- (d-C4)-alkyl-silyl ist; R A 5 is H, (C 1 -C 8 ) -alkyl, (C 1 -C 8 ) -haloalkyl, (C 1 -C 4 ) -alkoxy- (C 1 -C 8 ) -alkyl, cyano or COORA 9 , in which R A 9 is hydrogen, (C 1 -C 8 ) -alkyl, (C 1 -C 8 ) -haloalkyl, (C 1 -C 4 ) -alkoxy- (C 1 -C 4 ) -alkyl, (C 1 -C 6 ) -hydroxyalkyl, (C 3 - Ci 2) cycloalkyl or tri- (dC 4) -alkyl-silyl;
RA 6, RA 7, RA8 sind gleich oder verschieden Wasserstoff, (Ci-C8)-Alkyl, (CrC8)-Halo- alkyl, (C3-Ci2)-Cycloalkyl oder substituiertes oder unsubstituiertes Phenyl; vorzugsweise: R A 6, R A 7, RA 8 are identical or different hydrogen, (Ci-C 8) alkyl, (CrC 8) -Halo- alkyl, (C3-Ci2) -cycloalkyl or substituted or unsubstituted phenyl; preferably:
a) Verbindungen vom Typ der Dichlorphenylpyrazolin-3-carbonsäure (S1 a), vorzugsweise Verbindungen wie a) compounds of the type dichlorophenylpyrazoline-3-carboxylic acid (S1 a ), preferably compounds such
1 -(2,4-Dichlorphenyl)-5-(ethoxycarbonyl)-5-methyl-2-pyrazolin-3-carbonsäure 1 -(2,4-Dichlorphenyl)-5-(ethoxycarbonyl)-5-methyl-2-pyrazolin-3-carbonsäure ethylester (S1 -1 ) ("Mefenpyr-diethyl"), und verwandte Verbindungen, wie sie in der WO-A-91/07874 beschrieben sind; 1- (2,4-dichlorophenyl) -5- (ethoxycarbonyl) -5-methyl-2-pyrazoline-3-carboxylic acid 1- (2,4-dichlorophenyl) -5- (ethoxycarbonyl) -5-methyl-2-pyrazoline Ethyl 3-carboxylate (S1-1) ("mefenpyr-diethyl"), and related compounds as described in WO-A-91/07874;
b) Derivate der Dichlorphenylpyrazolcarbonsäure (S1 b), vorzugsweise Verbindungen wie 1 -(2,4-Dichlorphenyl)-5-methyl-pyrazol-3-carbonsäureethyl- ester (S1 -2), 1 -(2,4-Dichlorphenyl)-5-isopropyl-pyrazol-3-carbonsäureethyl- ester (S1 -3), 1 -(2,4-Dichlorphenyl)-5-(1 ,1 -dimethyl-ethyl)pyrazol-3-carbon- säureethyl-ester (S1 -4) und verwandte Verbindungen, wie sie in b) dichlorophenylpyrazolecarboxylic acid derivatives (S1 b), preferably compounds such as 1 - (2,4-dichlorophenyl) -5-methyl-pyrazol-3-carbonsäureethyl- ester (S1 -2), 1 - (2,4-dichlorophenyl) - Ethyl 5-isopropyl-pyrazole-3-carboxylate (S1-3), 1- (2,4-dichlorophenyl) -5- (1,1-dimethyl-ethyl) -pyrazole-3-carboxylic acid ethyl ester (S1- 4) and related compounds, as in
EP-A-333 131 und EP-A-269 806 beschrieben sind; EP-A-333,131 and EP-A-269,806 are described;
c) Derivate der 1 ,5-Diphenylpyrazol-3-carbonsäure (S1 c), vorzugsweise Verbindungen wie 1 -(2,4-Dichlorphenyl)-5-phenylpyrazol-3-carbonsäureethyl- ester (S1 -5), 1 -(2-Chlorphenyl)-5-phenylpyrazol-3-carbonsäuremethylester (S1 -6) und verwandte Verbindungen wie sie beispielsweise in der EP-A- 268554 beschrieben sind; c) derivatives of 1, 5-diphenylpyrazole-3-carboxylic acid (S1 c), preferably compounds such as 1 - (2,4-dichlorophenyl) -5-phenylpyrazole-3-carbonsäureethyl- ester (S1 -5), 1 - (2 -chlorophenyl) -5-phenylpyrazole-3-carbonsäuremethylester (S1 -6) and related compounds as described, for example, in EP-A-268554;
Verbindungen vom Typ der Triazolcarbonsäuren (S1 d), vorzugsweise Compounds of the type of triazolecarboxylic acids (S1 d ), preferably
Verbindungen wie Fenchlorazol(-ethylester), d.h. Compounds such as fenchlorazole (ethyl ester), i.
1 -(2,4-Dichlorphenyl)-5-thchlormethyl-(1 H)-1 ,2,4-triazol-3-carbonsäure- ethylester (S1 -7), und verwandte Verbindungen wie sie in EP-A-174 562 und EP-A-346 620 beschrieben sind; 1- (2,4-dichlorophenyl) -5-thchloromethyl- (1H) -1, 2,4-triazole-3-carboxylic acid ethyl ester (S1 -7), and related compounds as described in EP-A-174 562 and EP-A-346 620;
Verbindungen vom Typ der 5-Benzyl- oder 5-Phenyl-2-isoxazolin-3- carbonsäure oder der 5,5-Diphenyl-2-isoxazolin-3-carbonsäure (S1 e), vorzugsweise Verbindungen wie 5-(2,4-Dichlorbenzyl)-2-isoxazolin-3-carbonsäureethylester (S1 -8) oder 5-Phenyl-2-isoxazolin-3-carbonsäureethylester (S1 -9) und verwandte Verbindungen, wie sie in WO-A-91/08202 beschrieben sind, bzw. 5,5-Diphenyl-2-isoxazolin-carbonsäure (S1 -10) oder 5,5-Diphenyl-2- isoxazolin-carbonsäureethylester (S1 -1 1 ) ("Isoxadifen-ethyl") oder Compounds of the 5-benzyl- or carboxylic acid-5-phenyl-2-isoxazoline-3 or the 5,5-diphenyl-2-isoxazoline-3-carboxylic acid (S1 e), preferably compounds such as ethyl 5- (2,4- Dichlorobenzyl) -2-isoxazoline-3-carboxylic acid ethyl ester (S1 -8) or 5-phenyl-2-isoxazoline-3-carboxylic acid ethyl ester (S1 -9) and related compounds, as described in WO-A-91/08202, or 5,5-diphenyl-2-isoxazoline-carboxylic acid (S1 -10) or 5,5-diphenyl-2-isoxazoline-carboxylic acid ethyl ester (S1-1 1) ("isoxadifen-ethyl") or
-n-propylester (S1 -12) oder der 5-(4-Fluorphenyl)-5-phenyl-2-isoxazolin-3- carbonsäureethylester (S1 -13), wie sie in der Patentanmeldung n-propyl ester (S1 -12) or 5- (4-fluorophenyl) -5-phenyl-2-isoxazoline-3-carboxylic acid ethyl ester (S1 -13), as described in the patent application
WO-A-95/07897 beschrieben sind. WO-A-95/07897 are described.
Chinolinderivate der Formel (S2), Quinoline derivatives of the formula (S2)
wobei die Symbole und Indizes folgende Bedeutungen haben: where the symbols and indices have the following meanings:
RB 1 ist Halogen, (d-C4)-Alkyl, (d-C4)-Alkoxy, Nitro oder (d-C4)-Haloalkyl; R B 1 is halogen, ( C 1 -C 4 ) -alkyl, ( C 1 -C 4 ) -alkoxy, nitro or (C 1 -C 4 ) -haloalkyl;
nB ist eine natürliche Zahl von 0 bis 5, vorzugsweise 0 bis 3; n B is a natural number from 0 to 5, preferably 0 to 3;
RB 2 ist ORB 3, SRb 3 oder NRB 3RB 4 oder ein gesättigter R B 2 is OR B 3 , SR b 3 or NR B 3 R B 4 or a saturated one
oder ungesättigter 3- bis 7-gliedriger Heterocyclus mit mindestens einem N-Atom und bis zu 3 Heteroatomen, vorzugsweise aus der Gruppe O und S, der über das N-Atom mit der Carbonylgruppe in (S2) verbunden ist und unsubstituiert oder durch Reste aus der Gruppe (Ci-C4)-Alkyl, (Ci-C4)-Alkoxy oder gegebenenfalls substituiertes Phenyl substituiert ist, vorzugsweise einor unsaturated 3- to 7-membered heterocycle having at least one N-atom and up to 3 heteroatoms, preferably from the group O and S, which is connected via the N-atom with the carbonyl group in (S2) and unsubstituted or by radicals the group (Ci-C 4 ) -alkyl, (Ci-C 4 ) -alkoxy or optionally substituted phenyl, preferably one
Rest der Formel ORB3, NHRb 4 oder N(CH3)2, insbesondere der Formel ORB3; RB3 ist Wasserstoff oder ein unsubstituierter oder substituierter aliphatischer Radical of the formula ORB 3 , NHR b 4 or N (CH 3 ) 2 , in particular of the formula ORB 3 ; RB 3 is hydrogen or an unsubstituted or substituted aliphatic
Kohlenwasserstoffrest, vorzugsweise mit insgesamt 1 bis 18 C-Atomen; Hydrocarbon radical, preferably having a total of 1 to 18 carbon atoms;
RB4 ist Wasserstoff, (d-C6)-Alkyl, (d-C6)-Alkoxy oder substituiertes oder RB 4 is hydrogen, (C 1 -C 6) alkyl, (C 1 -C 6) alkoxy or substituted or
unsubstituiertes Phenyl; unsubstituted phenyl;
TB ist eine (Ci oder C2)-Alkandiyl kette, die unsubstituiert oder mit einem oder zwei (Ci-C4)-Alkylresten oder mit [(d-C3)-Alkoxy]-carbonyl substituiert ist; vorzugsweise: T B is a (C 1 or C 2 ) alkanediyl chain which is unsubstituted or substituted by one or two (C 1 -C 4 ) -alkyl radicals or by [(C 1 -C 3) -alkoxy] -carbonyl; preferably:
a) Verbindungen vom Typ der 8-Chinolinoxyessigsäure (S2a), vorzugsweise (5-Chlor-8-chinolinoxy)essigsäure-(1 -methylhexyl)ester ("Cloquintocet-mexyl") (S2-1 ), a) Compounds of the 8-quinolinoxyacetic acid (S2 a), preferably (5-chloro-8-quinolinoxy) ester acetic acid (1 -methylhexyl) ( "cloquintocet-mexyl") (S2-1),
(5-Chlor-8-chinolinoxy)essigsäure-(1 ,3-dimethyl-but-1 -yl)ester (S2-2), (5-chloro-8-quinolinoxy) acetic acid (1, 3-dimethylbut-1-yl) ester (S2-2),
(5-Chlor-8-chinolinoxy)essigsäure-4-allyloxy-butylester (S2-3), (5-chloro-8-quinolinoxy) acetic acid 4-allyloxy-butyl ester (S2-3),
(5-Chlor-8-chinolinoxy)essigsäure-1 -allyloxy-prop-2-ylester (S2-4), (5-chloro-8-quinolinoxy) acetic acid 1 -allyloxy-prop-2-yl ester (S2-4),
(5-Chlor-8-chinolinoxy)essigsäureethylester (S2-5), (5-chloro-8-quinolinoxy) acetic acid ethyl ester (S2-5),
(5-Chlor-8-chinolinoxy)essigsäuremethylester (S2-6), (5-chloro-8-quinolinoxy) acetic acid methyl ester (S2-6),
(5-Chlor-8-chinolinoxy)essigsäureallylester (S2-7), Allyl (5-chloro-8-quinolinoxy) acetates (S2-7),
(5-Chlor-8-chinolinoxy)essigsäure-2-(2-propyliden-iminoxy)-1 -ethylester (5-chloro-8-quinolinoxy) acetic acid 2- (2-propylidene-iminoxy) -1-ethyl ester
(S2-8), (5-Chlor-8-chinolinoxy)essigsäure-2-oxo-prop-1 -ylester (S2-9) und verwandte Verbindungen, wie sie in EP-A-86 750, EP-A-94 349 und (S2-8), (5-chloro-8-quinolinoxy) acetic acid 2-oxo-prop-1-yl-ester (S2-9) and related compounds as described in EP-A-86 750, EP-A-94 349 and
EP-A-191 736 oder EP-A-0 492 366 beschrieben sind, sowie (5-Chlor-8- chinolinoxy)essigsäure (S2-10), deren Hydrate und Salze, beispielsweise deren Lithium-, Natrium- Kalium-, Kalzium-, Magnesium-, Aluminium-, Eisen-, EP-A-191 736 or EP-A-0 492 366, and (5-chloro-8-quinolinoxy) acetic acid (S2-10), their hydrates and salts, for example their lithium, sodium, potassium, calcium , Magnesium, aluminum, iron,
Ammonium-, quartäre Ammonium-, Sulfonium-, oder Phosphoniumsalze wie sie in der WO-A-2002/34048 beschrieben sind; Ammonium, quaternary ammonium, sulfonium or phosphonium salts as described in WO-A-2002/34048;
b) Verbindungen vom Typ der (5-Chlor-8-chinolinoxy)malonsäure (S2b), b) compounds of the (5-chloro-8-quinolinoxy) malonic acid type (S2 b ),
vorzugsweise Verbindungen wie (5-Chlor-8-chinolinoxy)malonsäurediethyl- ester, (5-Chlor-8-chinolinoxy)malonsäurediallylester, (5-Chlor-8-chinolin- oxy)malonsäure-methyl-ethylester und verwandte Verbindungen, wie sie in EP-A-0 582 198 beschrieben sind. S3) Verbindungen der Formel (S3) preferably compounds such as (5-chloro-8-quinolinoxy) malonate diethyl ester, (5-chloro-8-quinolinoxy) malonic acid diallyl ester, (5-chloro-8-quinolineoxy) malonic acid methyl ethyl ester and related compounds, as described in EP-A-0 582 198 are described. S3) compounds of the formula (S3)
wobei die Symbole und Indizes folgende Bedeutungen haben: where the symbols and indices have the following meanings:
Rc1 ist (Ci-C4)-Alkyl, (Ci-C4)-Haloalkyl, (C2-C4)-Alkenyl, (C2-C4)-Haloalkenyl, Rc 1 is (Ci-C 4) alkyl, (Ci-C 4) -haloalkyl, (C 2 -C 4) alkenyl, (C 2 -C 4) haloalkenyl,
(C3-C7)-Cycloalkyl, vorzugsweise Dichlormethyl; (C3-C7) -cycloalkyl, preferably dichloromethyl;
Rc2, Rc3 sind gleich oder verschieden Wasserstoff, (Ci-C4)-Alkyl, (C2-C4)-Alkenyl, (C2-C4)-Alkinyl, (Ci-C4)-Haloalkyl, (C2-C4)-Haloalkenyl, (d-C4)- Al kylcarbamoyl-(Ci -C4)-al kyl , (C2-C4)-Al kenylcarbamoyl-(Ci -C4)-al kyl , (Ci -C4)- Alkoxy-(Ci-C4)-alkyl, Dioxolanyl-(Ci-C4)-alkyl, Thiazolyl, Furyl, Furylalkyl,Rc 2, rc 3 are identical or different hydrogen, (Ci-C 4) -alkyl, (C2-C4) -alkenyl, (C 2 -C 4) alkynyl, (Ci-C 4) -haloalkyl, (C 2 -C 4) haloalkenyl, (dC 4) - Al kylcarbamoyl- (Ci -C 4) -alkyl, (C 2 -C 4) -alkyl kenylcarbamoyl- (Ci -C 4) -alkyl, (Ci - C 4 ) - alkoxy- (C 1 -C 4 ) -alkyl, dioxolanyl- (C 1 -C 4 ) -alkyl, thiazolyl, furyl, furylalkyl,
Thienyl, Piperidyl, substituiertes oder unsubstituiertes Phenyl, oder Rc 2 und Rc3 bilden zusammen einen substituierten oder unsubstituierten Thienyl, piperidyl, substituted or unsubstituted phenyl, or R c 2 and Rc 3 together form a substituted or unsubstituted one
heterocyclischen Ring, vorzugsweise einen Oxazolidin-, Thiazolidin-, heterocyclic ring, preferably an oxazolidine, thiazolidine,
Piperidin-, Morpholin-, Hexahydropyrimidin- oder Benzoxazinring; vorzugsweise: Piperidine, morpholine, hexahydropyrimidine or benzoxazine ring; preferably:
Wirkstoffe vom Typ der Dichloracetamide, die häufig als Vorauflaufsafener (bodenwirksame Safener) angewendet werden, wie z. B. Active substances of the dichloroacetamide type, which are often used as pre-emergence safeners (soil-active safeners), such as. B.
"Dichlormid" (N,N-Diallyl-2,2-dichloracetamid) (S3-1 ), "Dichloromid" (N, N-diallyl-2,2-dichloroacetamide) (S3-1),
"R-29148" (3-Dichloracetyl-2,2,5-trimethyl-1 ,3-oxazolidin) der Firma Stauffer "R-29148" (3-dichloroacetyl-2,2,5-trimethyl-1,3-oxazolidine) from Stauffer
(S3-2), (S3-2),
"R-28725" (3-Dichloracetyl-2,2,-dimethyl-1 ,3-oxazolidin) der Firma Stauffer (S3-3), "R-28725" (3-dichloroacetyl-2,2, -dimethyl-1,3-oxazolidine) from Stauffer (S3-3),
"Benoxacor" (4-Dichloracetyl-3,4-dihydro-3-methyl-2H-1 ,4-benzoxazin) (S3-4), "PPG-1292" (N-Allyl-N-[(1 ,3-dioxolan-2-yl)-methyl]-dichloracetamid) der Firma "Benoxacor" (4-dichloroacetyl-3,4-dihydro-3-methyl-2H-1,4-benzoxazine) (S3-4), "PPG-1292" (N-allyl-N - [(1,3) dioxolan-2-yl) -methyl] -dichloroacetamide) of the company
PPG Industries (S3-5), PPG Industries (S3-5),
"DKA-24" (N-Allyl-N-[(allylaminocarbonyl)methyl]-dichloracetamid) der Firma Sagro-Chem (S3-6), "DKA-24" (N-allyl-N - [(allylaminocarbonyl) methyl] -dichloroacetamide) from Sagro-Chem (S3-6),
"AD-67" oder "MON 4660" (3-Dichloracetyl-1 -oxa-3-aza-spiro[4,5]decan) der Firma Nitrokemia bzw. Monsanto (S3-7), "AD-67" or "MON 4660" (3-dichloroacetyl-1-oxa-3-aza-spiro [4,5] decane) Company Nitrokemia or Monsanto (S3-7),
"TI-35" (1 -Dichloracetyl-azepan) der Firma TRI-Chemical RT (S3-8), "TI-35" (1-dichloroacetyl-azepane) from TRI-Chemical RT (S3-8),
"Diclonon" (Dicyclonon) oder "BAS145138" oder "LAB145138" (S3-9) ((RS)-1 Dichloracetyl-3,3,8a-trimethylperhydropyrrolo[1 ,2-a]pyrimidin-6-on) der Firma BASF, "Diclonone" (dicyclonone) or "BAS145138" or "LAB145138" (S3-9) ((RS) -1-dichloroacetyl-3,3,8a-trimethylperhydropyrrolo [1,2-a] pyrimidin-6-one) from BASF .
"Furilazol" oder "MON 13900" ((RS)-3-Dichloracetyl-5-(2-furyl)-2,2-dimethyl- oxazolidin) (S3-10); sowie dessen (R)-Isomer (S3-1 1 ). "Furilazole" or "MON 13900" ((RS) -3-dichloroacetyl-5- (2-furyl) -2,2-dimethyl-oxazolidine) (S3-10); and its (R) isomer (S3-1 1).
N-Acylsulfonamide der Formel (S4) und ihre Salze, N-acylsulfonamides of the formula (S4) and their salts,
worin die Symbole und Indizes folgende Bedeutungen haben: wherein the symbols and indices have the following meanings:
XD ist CH oder N; X D is CH or N;
RD 1 ist CO-NRD 5RD 6 oder NHCO-RD7; R D 1 is CO-NR D 5 R D 6 or NHCO-RD 7 ;
RD2 ist Halogen, (d-C4)-Haloalkyl, (d-C4)-Haloalkoxy, Nitro, (d-C4)-Alkyl, RD 2 is halogen, (C 1 -C 4 ) -haloalkyl, (C 1 -C 4 ) -haloalkoxy, nitro, (C 1 -C 4 ) -alkyl,
(d-C4)-Alkoxy, (CrC4)-Alkylsulfonyl, (d-C4)-Alkoxycarbonyl oder (Ci-C4)- Alkylcarbonyl; (dC 4) alkoxy, (CrC 4) alkylsulfonyl, (dC 4) -alkoxycarbonyl or (Ci-C4) - alkylcarbonyl;
RD 3 ist Wasserstoff, (d-C4)-Alkyl, (C2-C4)-Alkenyl oder (C2-C4)-Alkinyl; R D 3 is hydrogen, (C 1 -C 4 ) -alkyl, (C 2 -C 4 ) -alkenyl or (C 2 -C 4 ) -alkynyl;
RD 4 ist Halogen, Nitro, (d-C4)-Alkyl, (d-C4)-Haloalkyl, (d-C4)-Haloalkoxy, R D 4 is halogen, nitro, (dC 4) -alkyl, (dC 4) -haloalkyl, (dC 4) haloalkoxy,
(C3-C6)-Cycloalkyl, Phenyl, (d-C4)-Alkoxy, Cyano, (d-C4)-Alkylthio, (d-C4)- Alkylsulfinyl, (CrC4)-Alkylsulfonyl, (d-C4)-Alkoxycarbonyl oder (Ci-C4)- Alkylcarbonyl; (C 3 -C 6) -cycloalkyl, phenyl, (dC 4) alkoxy, cyano, (dC 4) alkylthio, (dC 4) - alkylsulfinyl, (CrC 4) alkylsulfonyl, (dC 4) -alkoxycarbonyl or ( C 1 -C 4 ) - alkylcarbonyl;
RD 5 ist Wasserstoff, (Ci-C6)-Alkyl, (C3-C6)-Cycloalkyl, (C2-C6)-Alkenyl, (C2-C6)- Alkinyl, (C5-C6)-Cycloalkenyl, Phenyl oder 3- bis 6-gliedriges Heterocyclyl enthaltend vD Heteroatome aus der Gruppe Stickstoff, Sauerstoff und R D 5 is hydrogen, (C 1 -C 6 ) -alkyl, (C 3 -C 6 ) -cycloalkyl, (C 2 -C 6 ) -alkenyl, (C 2 -C 6 ) -alkynyl, (C 5 -C 6 ) ) -Cycloalkenyl, phenyl or 3- to 6-membered heterocyclyl containing v D heteroatoms from the group consisting of nitrogen, oxygen and
Schwefel, wobei die sieben letztgenannten Reste durch vD Substituenten aus der Gruppe Halogen, (d-C6)-Alkoxy, (d-C6)-Haloalkoxy, (d-C2)-Alkylsulfinyl, (Ci-C2)-Alkylsulfonyl, (C3-C6)-Cycloalkyl, (d-C4)-Alkoxycarbonyl, (d-C4)- Alkylcarbonyl und Phenyl und im Falle cyclischer Reste auch (d-C4)-Alkyl und (Ci-C4)-Haloalkyl substituiert sind; Sulfur, where the seven last-mentioned radicals are substituted by v D substituents from the group halogen, (d-C6) alkoxy, (d-C6) -haloalkoxy, (dC 2) alkylsulfinyl, (Ci-C2) alkylsulfonyl, (C 3 -C 6) -cycloalkyl, (dC 4) alkoxycarbonyl, (dC 4) - Alkylcarbonyl and phenyl and in the case of cyclic radicals are also (C 1 -C 4 ) -alkyl and (C 1 -C 4 ) -haloalkyl substituted;
RD 6 ist Wasserstoff, (Ci-C6)-Alkyl, (C2-C6)-Alkenyl oder (C2-C6)-Alkinyl, wobei die drei letztgenannten Reste durch vD Reste aus der Gruppe Halogen, Hydroxy, (d-C4)-Alkyl, (d-C4)-Alkoxy und (Ci-C4)-Alkylthio substituiert sind, oderR D 6 is hydrogen, (C 1 -C 6 ) -alkyl, (C 2 -C 6 ) -alkenyl or (C 2 -C 6 ) -alkynyl, where the three last-mentioned radicals are represented by v D radicals from the group consisting of halogen, hydroxy , (C 1 -C 4 ) -alkyl, (C 1 -C 4 ) -alkoxy and (C 1 -C 4 ) -alkylthio, or
RD5 und RD6 gemeinsam mit dem dem sie tragenden Stickstoffatom einen RD 5 and RD 6 together with the nitrogen atom carrying them
Pyrrolidinyl- oder Piperidinyl-Rest bilden; Pyrrolidinyl or piperidinyl moiety;
RD 7 ist Wasserstoff, (Ci-C4)-Alkylamino, Di-(Ci-C4)-alkylamino, (Ci-C6)-Alkyl,R D 7 is hydrogen, (C 1 -C 4 ) -alkylamino, di- (C 1 -C 4 ) -alkylamino, (C 1 -C 6 ) -alkyl,
(C3-C6)-Cycloalkyl, wobei die 2 letztgenannten Reste durch vD Substituenten aus der Gruppe Halogen, (d-C4)-Alkoxy, (d-C6)-Haloalkoxy und (Ci-C4)-(C 3 -C 6) -cycloalkyl, where the 2 last-mentioned radicals are substituted by v D substituents from the group halogen, (dC 4) alkoxy, (d-C6) haloalkoxy and (Ci-C 4) -
Alkylthio und im Falle cyclischer Reste auch (d-C4)-Alkyl und (Ci-C4)-Alkylthio and in the case of cyclic radicals also (C 1 -C 4 ) -alkyl and (C 1 -C 4 ) -
Haloalkyl substituiert sind; Haloalkyl are substituted;
nD ist 0, 1 oder 2; n D is 0, 1 or 2;
mD ist 1 oder 2; m D is 1 or 2;
vD ist 0, 1 , 2 oder 3; davon bevorzugt sind Verbindungen von Typ der N-Acylsulfonamide, z.B. der nachfolgenden Formel (S4a), die z. B. bekannt sind aus WO-A-97/45016 worin v D is 0, 1, 2 or 3; preferred are compounds of the type of N-acylsulfonamides, for example the following formula (S4 a ), the z. B. are known from WO-A-97/45016 wherein
RD7 (CrC6)-Alkyl, (C3-C6)-Cycloalkyl, wobei die 2 letztgenannten Reste durch vD Substituenten aus der Gruppe Halogen, (d-C4)-Alkoxy, (d-C6)-Haloalkoxy und (Ci-C4)-Alkylthio und im Falle cyclischer Reste auch (d-C4)-Alkyl und (Ci-C4)-Haloalkyl substituiert sind; RD 7 (CrC 6) alkyl, (C 3 -C 6) -cycloalkyl, where the 2 last-mentioned radicals are substituted by v D substituents from the group halogen, (dC 4) alkoxy, (d-C6) haloalkoxy and (Ci- C 4 ) alkylthio and in the case of cyclic radicals are also (C 1 -C 4 ) -alkyl and (C 1 -C 4 ) -haloalkyl substituted;
RD 4 Halogen, (d-C4)-Alkyl, (d-C4)-Alkoxy, CF3; R D 4 is halogen, (C 1 -C 4 ) -alkyl, (C 1 -C 4 ) -alkoxy, CF 3;
mD 1 oder 2; m D 1 or 2;
vD ist 0, 1 , 2 oder 3 bedeutet; sowie Acylsulfamoylbenzoesäureamide, z.B. der nachfolgenden Formel (S4b), die z.B. bekannt sind aus WO-A-99/16744, v D is 0, 1, 2 or 3; such as Acylsulfamoylbenzoesäureamide, for example, the following formula (S4 b ), for example, are known from WO-A-99/16744,
z.B. solche worin e.g. such
RD 5 = Cyclopropyl und (RD 4) = 2-OMe ist ("Cyprosulfamide", S4-1 ), R D 5 = cyclopropyl and (R D 4 ) = 2-OMe ("Cyprosulfamide", S4-1),
RD 5 = Cyclopropyl und (RD 4) = 5-CI-2-OMe ist (S4-2), R D 5 = cyclopropyl and (R D 4 ) = 5-CI-2-OMe is (S4-2),
RD 5 = Ethyl und (RD 4) = 2-OMe ist (S4-3), R D 5 = ethyl and (R D 4 ) = 2-OMe is (S4-3),
RD 5 = Isopropyl und (RD 4) = 5-CI-2-OMe ist (S4-4) und R D 5 = isopropyl and (R D 4 ) = 5-CI-2-OMe is (S4-4) and
RD 5 = Isopropyl und (RD 4) = 2-OMe ist (S4-5). sowie R D 5 = isopropyl and (R D 4 ) = 2-OMe is (S4-5). such as
Verbindungen vom Typ der N-Acylsulfamoylphenylharnstoffe der Formel (S4C), die z.B. bekannt sind aus der EP-A-365484, Compounds of the type of N-acylsulfamoylphenylureas of the formula (S4 C ) which are known, for example, from EP-A-365484,
worin wherein
RD8 und RD9 unabhängig voneinander Wasserstoff, (Ci-CsJ-Alkyl, (C3-C8)-Cycloalkyl,RD 8 and RD 9 independently of one another are hydrogen, (C 1 -C 5 -alkyl, (C 3 -C 8) -cycloalkyl,
(C3-C6)-Al kenyl , (C3-C6)-Al kinyl , (C 3 -C 6 ) -alkynyl, (C 3 -C 6 ) -alkynyl,
RD 4 Halogen, (d-C4)-Alkyl, (d-C4)-Alkoxy, CF3 R D 4 is halogen, (C 1 -C 4 ) -alkyl, (C 1 -C 4 ) -alkoxy, CF 3
mD 1 oder 2 bedeutet; beispielsweise m is D 1 or 2; for example
1 -[4-(N-2-Methoxybenzoylsulfamoyl)phenyl]-3-methylharnstoff, 1 - [4- (N-2-methoxybenzoylsulfamoyl) phenyl] -3-methylurea,
1 -[4-(N-2-Methoxybenzoylsulfamoyl)phenyl]-3,3-dimethylharnstoff, 1 - [4- (N-2-methoxybenzoylsulfamoyl) phenyl] -3,3-dimethylurea,
1 -[4-(N-4,5-Dimethylbenzoylsulfamoyl)phenyl]-3-methylharnstoff. 1 - [4- (N-4,5-dimethylbenzoylsulfamoyl) phenyl] -3-methylurea.
Wirkstoffe aus der Klasse der Hydroxyaromaten und der aromatisch- aliphatischen Carbonsäurederivate (S5), z.B. 3,4,5-Triacetoxybenzoesäureethylester, 3,5-Dimethoxy-4-hydroxybenzoe- säure, 3,5-Dihydroxybenzoesäure, 4-Hydroxysalicylsäure, 4-Fluorsalicycl- säure, 2-Hydroxyzimtsäure, 2,4-Dichlorzimtsäure, wie sie in der WO-A- 2004/084631 , WO-A-2005/015994, WO-A-2005/016001 beschrieben sind. Active substances from the class of hydroxyaromatics and the aromatic-aliphatic carboxylic acid derivatives (S5), eg 3,4,5-triacetoxybenzoic acid ethyl ester, 3,5-dimethoxy-4-hydroxybenzoic acid, 3,5-dihydroxybenzoic acid, 4-hydroxysalicylic acid, 4-fluorosalicyclic acid, 2-hydroxycinnamic acid, 2,4-dichlorocinnamic acid, as described in US Pat WO-A-2004/084631, WO-A-2005/015994, WO-A-2005/016001.
Wirkstoffe aus der Klasse der 1 ,2-Dihydrochinoxalin-2-one (S6), z.B. Agents from the class of 1, 2-dihydroquinoxaline-2-ones (S6), e.g.
1 -Methyl-3-(2-thienyl)-1 ,2-dihydrochinoxalin-2-on, 1 -Methyl-3-(2-thienyl)-1 ,2- dihydrochinoxalin-2-thion, 1 -(2-Aminoethyl)-3-(2-thienyl)-1 ,2-dihydro- chinoxalin-2-on-hydrochlorid, 1 -(2-Methylsulfonylaminoethyl)-3-(2-thienyl)-1 ,2- dihydro-chinoxalin-2-οη, wie sie in der WO-A-2005/1 12630 beschrieben sind. 1-Methyl-3- (2-thienyl) -1,2-dihydroquinoxalin-2-one, 1-methyl-3- (2-thienyl) -1,2-dihydroquinoxaline-2-thione, 1- (2-aminoethyl ) -3- (2-thienyl) -1,2-dihydroquinoxalin-2-one hydrochloride, 1- (2-methylsulfonylaminoethyl) -3- (2-thienyl) -1,2-dihydroquinoxaline-2 οη, as described in WO-A-2005/1 12630.
Verbindungen der Formel (S7),wie sie in der WO-A- 1998/38856 beschrieben sind Compounds of the formula (S7) as described in WO-A-1998/38856
worin die Symbole und Indizes folgende Bedeutungen haben: wherein the symbols and indices have the following meanings:
RE1 , RE2 sind unabhängig voneinander Halogen, (d-C4)-Alkyl, (d-C4)-Alkoxy, RE 1 , RE 2 are independently halogen, (C 1 -C 4 ) -alkyl, (C 1 -C 4 ) -alkoxy,
(d-C4)-Haloalkyl, (CrC4)-Alkylamino, Di-(CrC4)-Alkylamino, Nitro;(C 1 -C 4 ) -haloalkyl, (C 1 -C 4 ) -alkylamino, di (C 1 -C 4 ) -alkylamino, nitro;
AE ist COORE3 oder COSRE 4 A E is COORE 3 or COSR E 4
RE 3 RE4 sind unabhängig voneinander Wasserstoff, (d-C4)-Alkyl, (C2-C6)- Alkenyl, (C2-C4)-Alkinyl, Cyanoalkyl, (d-C4)-Haloalkyl, Phenyl, RE 3 RE 4 are independently hydrogen, (dC 4) -alkyl, (C2-C6) - alkenyl, (C 2 -C 4) alkynyl, cyanoalkyl, (dC 4) -haloalkyl, phenyl,
Nitrophenyl, Benzyl, Halobenzyl, Pyridinylalkyl und Alkylammonium, nE ist 0 oder 1 Nitrophenyl, benzyl, halobenzyl, pyridinylalkyl and alkylammonium, n E is 0 or 1
nE 2, nE 3 sind unabhängig voneinander 0, 1 oder 2, vorzugsweise: n E 2 , n E 3 are each independently 0, 1 or 2, preferably:
Diphenylmethoxyessigsäure, diphenylmethoxy,
Diphenylmethoxyessigsäureethylester, Diphenylmethoxyessigsäureethylester,
Diphenylmethoxyessigsäuremethylester (CAS-Reg.Nr. 41858-19-9) (S7-1 ). Methyl diphenylmethoxyacetate (CAS No. 41858-19-9) (S7-1).
S8) Verbindungen der Formel (S8),wie sie in der WO-A-98/27049 beschrieben sind S8) compounds of the formula (S8) as described in WO-A-98/27049
worin wherein
XF CH oder N, X F CH or N,
nF für den Fall, dass XF=N ist, eine ganze Zahl von 0 bis 4 und n F for the case that X F = N, an integer from 0 to 4 and
für den Fall, dass XF=CH ist, eine ganze Zahl von 0 bis 5 , for the case that X F = CH, an integer from 0 to 5,
RF 1 Halogen, (d-C4)-Alkyl, (d-C4)-Haloalkyl, (d-C4)-Alkoxy, (d-C4)-Haloalkoxy, Nitro, (d-C4)-Alkylthio, (CrC4)-Alkylsulfonyl, (d-C4)-Alkoxycarbonyl, ggf. substituiertes. Phenyl, ggf. substituiertes Phenoxy, R F 1 is halogen, (dC 4) -alkyl, (dC 4) -haloalkyl, (dC 4) alkoxy, (dC 4) -haloalkoxy, nitro, (dC 4) alkylthio, (CrC 4) alkylsulfonyl, ( dC 4 ) alkoxycarbonyl, optionally substituted. Phenyl, optionally substituted phenoxy,
RF 2 Wasserstoff oder (d-C4)-Alkyl R F 2 is hydrogen or (C 1 -C 4 ) -alkyl
RF 3 Wasserstoff, (Ci-C8)-Alkyl, (C2-C4)-Alkenyl, (C2-C4)-Alkinyl, oder Aryl, wobei jeder der vorgenannten C-haltigen Reste unsubstituiert oder durch einen oder mehrere, vorzugsweise bis zu drei gleiche oder verschiedene Reste aus der Gruppe, bestehend aus Halogen und Alkoxy substituiert ist;bedeuten, oder deren Salze, vorzugsweise Verbindungen worin R F 3 is hydrogen, (C 1 -C 8 ) -alkyl, (C 2 -C 4 ) -alkenyl, (C 2 -C 4 ) -alkynyl, or aryl, where each of the abovementioned C-containing radicals is unsubstituted or is replaced by one or more a plurality, preferably up to three, identical or different radicals from the group consisting of halogen and alkoxy, or their salts, preferably compounds, in which
XF CH, X F CH,
nF eine ganze Zahl von 0 bis 2, n F is an integer from 0 to 2,
RF 1 Halogen, (d-C4)-Alkyl, (d-C4)-Haloalkyl, (d-C4)-Alkoxy, (d-C4)-Haloalkoxy, RF 2 Wasserstoff oder (d-C4)-Alkyl, RF 3 Wasserstoff, (Ci-C8)-Alkyl, (C2-C4)-Alkenyl, (C2-C4)-Alkinyl, oder Aryl, wobei jeder der vorgenannten C-haltigen Reste unsubstituiert oder durch einen oder mehrere, vorzugsweise bis zu drei gleiche oder verschiedene Reste aus der Gruppe, bestehend aus Halogen und Alkoxy substituiert ist, bedeuten, oder deren Salze. R F 1 is halogen, (dC 4) -alkyl, (dC 4) -haloalkyl, (dC 4) alkoxy, (dC 4) haloalkoxy, R 2 is hydrogen or F (dC 4) -alkyl, R F 3 is hydrogen, (C 1 -C 8 ) -alkyl, (C 2 -C 4 ) -alkenyl, (C 2 -C 4 ) -alkynyl, or aryl, where each of the abovementioned C-containing radicals is unsubstituted or is replaced by one or more a plurality, preferably up to three, identical or different radicals from the group consisting of halogen and alkoxy is substituted, or their salts.
S9) Wirkstoffe aus der Klasse der 3-(5-Tetrazolylcarbonyl)-2-chinolone (S9), z.B. S9) Agents from the class of 3- (5-tetrazolylcarbonyl) -2-quinolones (S9), e.g.
1 ,2-Dihydro-4-hydroxy-1 -ethyl-3-(5-tetrazolylcarbonyl)-2-chinolon (CAS- Reg.Nr. 219479-18-2), 1 ,2-Dihydro-4-hydroxy-1 -methyl-3-(5-tetrazolyl- carbonyl)-2-chinolon (CAS-Reg.Nr. 95855-00-8), wie sie in der 1, 2-Dihydro-4-hydroxy-1-ethyl-3- (5-tetrazolylcarbonyl) -2-quinolone (CAS Reg. No. 219479-18-2), 1, 2-dihydro-4-hydroxy-1 -methyl-3- (5-tetrazolylcarbonyl) -2-quinolone (CAS Reg. No. 95855-00-8), as described in the
WO-A- 1999/000020 beschrieben sind. WO-A-1999/000020 are described.
S10) Verbindungen der Formeln (S10a) oder (S10b) S10) Compounds of the formulas (S10 a ) or (S10 b )
wie sie in der WO-A-2007/023719 und WO-A-2007/023764 beschrieben sind as described in WO-A-2007/023719 and WO-A-2007/023764
(S10a) (S10b) worin (S10 a) (S10 b), wherein
RG 1 Halogen, (d-C4)-Alkyl, Methoxy, Nitro, Cyano, CF3, OCF3 R G 1 is halogen, (C 1 -C 4 ) -alkyl, methoxy, nitro, cyano, CF 3 , OCF 3
YG, Zg unabhängig voneinander O oder S, YG, Z g independently of one another O or S,
nG eine ganze Zahl von 0 bis 4, n G is an integer from 0 to 4,
RG 2 (Ci-Ci6)-Alkyl, (C2-C6)-Alkenyl, (C3-C6)-Cycloalkyl, Aryl; Benzyl, R G 2 is (C 1 -C 6 ) -alkyl, (C 2 -C 6 ) -alkenyl, (C 3 -C 6 ) -cycloalkyl, aryl; benzyl,
Halogenbenzyl, halobenzyl,
RG 3 Wasserstoff oder (Ci-C6)-Alkyl bedeutet. R G 3 is hydrogen or (Ci-C 6 ) -alkyl.
S1 1 ) Wirkstoffe vom Typ der Oxyimino-Verbindungen (S1 1 ), die als Saatbeizmittel bekannt sind, wie z. B. S1 1) active ingredients of the type of oxyimino compounds (S1 1), which are known as seed dressing, such. B.
"Oxabetrinil" ((Z)-1 ,3-Dioxolan-2-ylmethoxyimino(phenyl)acetonitril) (S1 1 -1 ), das als Saatbeiz-Safener für Hirse gegen Schäden von Metolachlor bekannt ist, "Oxabetrinil" ((Z) -1, 3-dioxolan-2-ylmethoxyimino (phenyl) acetonitrile) (S1 1 -1), which is known as a seedling safener for millet against damage from metolachlor,
"Fluxofenim" (1 -(4-Chlorphenyl)-2,2,2-trifluor-1 -ethanon-O-(1 ,3-dioxolan-2- ylmethyl)-oxinn) (S1 1 -2), das als Saatbeiz-Safener für Hirse gegen Schäden von Metolachlor bekannt ist, und "Fluxofenim" (1- (4-chlorophenyl) -2,2,2-trifluoro-1-ethanone-O- (1,3-dioxolan-2-ylmethyl) -oxyn) (S1 1 -2), which was used as seed dressing -Safener for millet is known against damage from metolachlor, and
"Cyometrinil" oder "CGA-43089" ((Z)-Cyanomethoxyimino(phenyl)acetonitril) (S1 1 -3), das als Saatbeiz-Safener für Hirse gegen Schäden von Metolachlor bekannt ist. "Cyometrinil" or "CGA-43089" ((Z) -cyanomethoxyimino (phenyl) acetonitrile) (S1 1 -3), which is known as a seed dressing safener for millet against damage by metolachlor.
S12) Wirkstoffe aus der Klasse der Isothiochromanone (S12), wie z.B. Methyl-[(3 oxo-1 H-2-benzothiopyran-4(3H)-yliden)methoxy]acetate (CAS-Reg.Nr. S12) Isothiochromanone (S12) class agents, e.g. Methyl - [(3-oxo-1H-2-benzothiopyran-4 (3H) -ylidene) methoxy] acetate (CAS Reg.
205121 -04-6) (S12-1 ) und verwandte Verbindungen aus WO-A-1998/13361 205121 -04-6) (S12-1) and related compounds of WO-A-1998/13361
S13) Eine oder mehrere Verbindungen aus Gruppe (S13): S13) One or more compounds from group (S13):
"Naphthalic anhydrid" (1 ,8-Naphthalindicarbonsäureanhydrid) (S13-1 ), das als "Naphthalene anhydride" (1,8-naphthalenedicarboxylic anhydride) (S13-1), which is known as
Saatbeiz-Safener für Mais gegen Schäden von Thiocarbamatherbiziden bekannt ist, Seed pickling safener for maize known for damage from thiocarbamate herbicides
"Fenclorim" (4,6-Dichlor-2-phenylpyrimidin) (S13-2), das als Safener für Pretilachlor in gesätem Reis bekannt ist, "Fenclorim" (4,6-dichloro-2-phenylpyrimidine) (S13-2), known as safener for pretilachlor in sown rice,
"Flurazole" (Benzyl-2-chlor-4-trifluormethyl-1 ,3-thiazol-5-carboxylat) (S13-3), das als Saatbeiz-Safener für Hirse gegen Schäden von Alachlor und "Flurazole" (benzyl-2-chloro-4-trifluoromethyl-1,3-thiazole-5-carboxylate) (S13-3) used as a seed dressing safener for millet against damage by alachlor and
Metolachlor bekannt ist, Metolachlor is known
"CL 304415" (CAS-Reg.Nr. 31541 -57-8) "CL 304415" (CAS No. 31541 -57-8)
(4-Carboxy-3,4-dihydro-2H-1 -benzopyran-4-essigsäure) (S13-4) der Firma American Cyanamid, das als Safener für Mais gegen Schäden von (4-carboxy-3,4-dihydro-2H-1-benzopyran-4-acetic acid) (S13-4) from American Cyanamid, used as safener for maize against damage of
Imidazolinonen bekannt ist, Imidazolinones are known
"MG 191 " (CAS-Reg.Nr. 96420-72-3) (2-Dichlormethyl-2-methyl-1 ,3-dioxolan) (S13-5) der Firma Nitrokemia, das als Safener für Mais bekannt ist, "MG 191" (CAS Reg. No. 96420-72-3) (2-dichloromethyl-2-methyl-1,3-dioxolane) (S13-5) from Nitrokemia, which is known as safener for corn,
"MG-838" (CAS-Reg.Nr. 133993-74-5) "MG-838" (CAS Reg. No. 133993-74-5)
(2-propenyl 1 -oxa-4-azaspiro[4.5]decane-4-carbodithioate) (S13-6) der Firma (2-propenyl 1 -oxa-4-azaspiro [4.5] decane-4-carbodithioate) (S13-6) of the company
Nitrokemia, Nitrokemia,
"Disulfoton" (O,O-Diethyl S-2-ethylthioethyl phosphordithioat) (S13-7), "Dietholate" (O,O-Diethyl-O-phenylphosphorotioat) (S13-8), "Disulfonone" (O, O-diethyl S-2-ethylthioethyl phosphorodithioate) (S13-7), "Dietholate" (O, O-diethyl-O-phenyl phosphorotioate) (S13-8),
"Mephenate" (4-Chlorphenyl-methylcarbamat) (S13-9). "Mephenate" (4-chlorophenyl methylcarbamate) (S13-9).
S14) Wirkstoffe, die neben einer herbiziden Wirkung gegen Schadpflanzen auch Safenerwirkung an Kulturpflanzen wie Reis aufweisen, wie z. B. S14) active substances, in addition to a herbicidal activity against harmful plants and safener action on crop plants such as rice, such as. B.
"Dimepiperate" oder "MY-93" (S-1 -Methyl-1 -phenylethyl-piperidin-1 - carbothioat), das als Safener für Reis gegen Schäden des Herbizids Molinate bekannt ist, "Dimepiperate" or "MY-93" (S-1-methyl-1-phenylethyl-piperidine-1-carbothioate) known as a safener for rice against damage by the herbicide Molinate,
"Daimuron" oder "SK 23" (1 -(1 -Methyl-1 -phenylethyl)-3-p-tolyl-harnstoff), das als Safener für Reis gegen Schäden des Herbizids Imazosulfuron bekannt ist, "Daimuron" or "SK 23" (1- (1-methyl-1-phenylethyl) -3-p-tolyl-urea) known as safener for rice against damage of the herbicide imazosulfuron,
"Cumyluron" = "JC-940" (3-(2-Chlorphenylmethyl)-1 -(1 -methyl-1 -phenyl- ethyl)harnstoff, siehe JP-A-60087254), das als Safener für Reis gegen Schäden einiger Herbizide bekannt ist, "Cumyluron" = "JC-940" (3- (2-chlorophenylmethyl) -1- (1-methyl-1-phenylethyl) urea, see JP-A-60087254) which can be used as safener for rice against damage of some herbicides is known
"Methoxyphenon" oder "NK 049" (3,3'-Dimethyl-4-methoxy-benzophenon), das als Safener für Reis gegen Schäden einiger Herbizide bekannt ist, "Methoxyphenone" or "NK 049" (3,3'-dimethyl-4-methoxy-benzophenone), which is known as safener for rice against damage of some herbicides,
"CSB" (1 -Brom-4-(chlormethylsulfonyl)benzol) von Kumiai, (CAS-Reg.Nr. 54091 -06-4), das als Safener gegen Schäden einiger Herbizide in Reis bekannt ist. S15) Wirkstoffe, die vorrangig als Herbizide eingesetzt werden, jedoch auch "COD" (1-Bromo-4- (chloromethylsulfonyl) benzene) from Kumiai, (CAS Registry No. 54091-06-4), which is known as a safener against damage of some herbicides in rice. S15) active substances, which are primarily used as herbicides, but also
Safenerwirkung auf Kulturpflanzen aufweisen, z.B. Safeners on crops, e.g.
(2,4-Dichlorphenoxy)essigsäure (2,4-D), (2,4-dichlorophenoxy) acetic acid (2,4-D),
(4-Chlorphenoxy)essigsäure, (4-chlorophenoxy) acetic acid,
(R,S)-2-(4-Chlor-o-tolyloxy)propionsäure (Mecoprop), (R, S) -2- (4-chloro-o-tolyloxy) propionic acid (mecoprop),
4-(2,4-Dichlorphenoxy)buttersäure (2,4-DB), 4- (2,4-dichlorophenoxy) butyric acid (2,4-DB),
(4-Chlor-o-tolyloxy)essigsäure (MCPA), (4-chloro-o-tolyloxy) acetic acid (MCPA),
4-(4-Chlor-o-tolyloxy)buttersäure, 4- (4-chloro-o-tolyloxy) butyric acid,
4-(4-Chlorphenoxy)buttersäure, Of 4- (4-chlorophenoxy) butyric acid,
3,6-Dichlor-2-methoxybenzoesäure (Dicamba), 3,6-dichloro-2-methoxybenzoic acid (Dicamba),
1 -(Ethoxycarbonyl)ethyl-3,6-dichlor-2-methoxybenzoat (Lactidichlor-ethyl). Die Wirkstoffe können als solche, in Form ihrer Formulierungen oder den daraus durch weiteres Verdünnen bereiteten Anwendungsformen, wie gebrauchsfertige Lösungen, Suspensionen, Emulsionen, Pulver, Pasten und Granulate angewandt werden. Die Anwendung geschieht in üblicher weise, z.B. durch Gießen, Spritzen; Sprühen, Streuen. 1 - (ethoxycarbonyl) ethyl 3,6-dichloro-2-methoxybenzoate (lactidichloroethyl). The active compounds can be used as such, in the form of their formulations or the use forms prepared therefrom by further dilution, such as ready-to-use solutions, suspensions, emulsions, powders, pastes and granules. The application is done in the usual way, for example by pouring, spraying; Spraying, sprinkling.
Aufgrund ihrer herbiziden und pflanzenwachstumsregulatorischen Eigenschaften können die Wirkstoffe auch zur Bekämpfung von Schadpflanzen in Kulturen von bekannten oder noch zu entwickelnden gentechnisch veränderten Pflanzen eingesetzt werden. Die transgenen Pflanzen zeichnen sich in der Regel durch besondere vorteilhafte Eigenschaften aus, beispielsweise durch Resistenzen gegenüber bestimmten Pestiziden, vor allem bestimmten Herbiziden, Resistenzen gegenüber Pflanzenkrankheiten oder Erregern von Pflanzenkrankheiten wie bestimmten Insekten oder Mikroorganismen wie Pilzen, Bakterien oder Viren. Due to their herbicidal and plant growth regulatory properties, the active compounds can also be used for controlling harmful plants in crops of known or yet to be developed genetically modified plants. The transgenic plants are usually characterized by particular advantageous properties, for example by resistance to certain pesticides, especially certain herbicides, resistance to plant diseases or pathogens of plant diseases such as certain insects or microorganisms such as fungi, bacteria or viruses.
Andere besondere Eigenschaften betreffen z. B. das Erntegut hinsichtlich Menge, Qualität, Lagerfähigkeit, Zusammensetzung und spezieller Inhaltsstoffe. So sind transgene Pflanzen mit erhöhtem Stärkegehalt oder veränderter Qualität der Stärke oder solche mit anderer Fettsäurezusammensetzung des Ernteguts bekannt. Other special properties relate to z. B. the crop in terms of quantity, quality, shelf life, composition and special ingredients. Thus, transgenic plants with increased starch content or altered quality of the starch or those with other fatty acid composition of the crop are known.
Weitere besondere Eigenschaften können in einer Toleranz oder Resistenz gegen abiotische Stressoren z. B. Hitze, Kälte, Trockenheit, Salz und ultraviolette Other special properties may be in a tolerance or resistance to abiotic stressors z. As heat, cold, drought, salt and ultraviolet
Strahlung liegen. Radiation lie.
Bevorzugt ist die Anwendung der erfindungsgemäßen Verbindungen der Formel (I) oder deren Salze in wirtschaftlich bedeutenden transgenen Kulturen von Nutz-und Zierpflanzen, z. B. von Getreide wie Weizen, Gerste, Roggen, Hafer, Hirse, Reis,Preference is given to the use of the compounds of the formula (I) according to the invention or salts thereof in economically important transgenic crops of useful and ornamental plants, eg. As cereals such as wheat, barley, rye, oats, millet, rice,
Maniok und Mais oder auch Kulturen von Zuckerrübe, Baumwolle, Soja, Raps,Manioc and maize or also crops of sugar beet, cotton, soya, rapeseed,
Kartoffel, Tomate, Erbse und anderen Gemüsesorten. Potato, tomato, pea and other vegetables.
Vorzugsweise können die Verbindungen der Formel (I) als Herbizide in Preferably, the compounds of formula (I) as herbicides in
Nutzpflanzenkulturen eingesetzt werden, welche gegenüber den phytotoxischen Wirkungen der Herbizide resistent sind bzw. gentechnisch resistent gemacht worden sind. Herkömmliche Wege zur Herstellung neuer Pflanzen, die im Vergleich zu bisher vorkommenden Pflanzen modifizierte Eigenschaften aufweisen, bestehen Crop plants are used, which are resistant to the phytotoxic effects of herbicides or have been made genetically resistant. Conventional ways of producing new plants that have modified properties compared to previously occurring plants exist
beispielsweise in klassischen Züchtungsverfahren und der Erzeugung von Mutanten. Alternativ können neue Pflanzen mit veränderten Eigenschaften mit Hilfe for example, in classical breeding methods and the generation of mutants. Alternatively, new plants with altered properties can help
gentechnischer Verfahren erzeugt werden (siehe z. B. EP-A-0221044, EP-A- 0131624). Beschrieben wurden beispielsweise in mehreren Fällen Genetic engineering methods are produced (see, for example, EP-A-0221044, EP-A-0131624). For example, several cases have been described
gentechnische Veränderungen von Kulturpflanzen zwecks Modifikation der in den Pflanzen synthetisierten Stärke (z. B. WO 92/1 1376, WO 92/14827, WO 91/19806), genetic engineering of crops for modification of the starch synthesized in the plants (eg WO 92/1 1376, WO 92/14827, WO 91/19806),
- transgene Kulturpflanzen, welche gegen bestimmte Herbizide vom Typ transgenic crops which are resistant to certain herbicides of the
Glufosinate (vgl. z. B. EP-A-0242236, EP-A-242246) oder Glyphosate Glufosinate (see, for example, EP-A-0242236, EP-A-242246) or glyphosate
(WO 92/00377) oder der Sulfonylharnstoffe (EP-A-0257993, US-A-5013659) resistent sind, (WO 92/00377) or the sulfonylureas (EP-A-0257993, US-A-5013659) are resistant,
transgene Kulturpflanzen, beispielsweise Baumwolle, mit der Fähigkeit Bacillus thuringiensis-Toxine (Bt-Toxine) zu produzieren, welche die Transgenic crops, such as cotton, with the ability to produce Bacillus thuringiensis toxins (Bt toxins), which the
Pflanzen gegen bestimmte Schädlinge resistent machen (EP-A-0142924, EP-A-0193259). Make plants resistant to certain pests (EP-A-0142924, EP-A-0193259).
transgene Kulturpflanzen mit modifizierter Fettsäurezusammensetzung (WO 91/13972). Transgenic crop plants with modified fatty acid composition (WO 91/13972).
- gentechnisch veränderte Kulturpflanzen mit neuen Inhalts- oder - genetically modified crops with new content or
Sekundärstoffen z. B. neuen Phytoalexinen, die eine erhöhte Secondary materials z. B. new phytoalexins, which increased one
Krankheitsresistenz verursachen (EPA 309862, EPA0464461 ) Disease resistance cause (EPA 309862, EPA0464461)
gentechnisch veränderte Pflanzen mit reduzierter Photorespiration, die höhere Erträge und höhere Stresstoleranz aufweisen (EPA 0305398). genetically modified plants with reduced photorespiration, which have higher yields and higher stress tolerance (EPA 0305398).
- Transgene Kulturpflanzen, die pharmazeutisch oder diagnostisch wichtige Proteine produzieren („molecular pharming") - Transgenic crops that produce pharmaceutically or diagnostically important proteins ("molecular pharming")
transgene Kulturpflanzen, die sich durch höhere Erträge oder bessere transgenic crops characterized by higher yields or better
Qualität auszeichnen To distinguish quality
transgene Kulturpflanzen die sich durch eine Kombinationen z. B. der o. g. neuen Eigenschaften auszeichnen („gene stacking") Zahlreiche molekularbiologische Techniken, mit denen neue transgene Pflanzen mit veränderten Eigenschaften hergestellt werden können, sind im Prinzip bekannt; siehe z. B. I. Potrykus und G. Spangenberg (eds.) Gene Transfer to Plants, Springer Lab Manual (1995), Springer Verlag Berlin, Heidelberg, oder Christou, "Trends in Plant Science" 1 (1996) 423-431 ). transgenic crops characterized by a combination z. B. the above-mentioned new properties ("gene stacking") Numerous molecular biology techniques that can be used to produce novel transgenic plants with altered properties are known in principle; see, for. BI Potrykus and G. Spangenberg (eds.) Gene Transfer to Plants, Springer Lab Manual (1995), Springer Verlag Berlin, Heidelberg, or Christou, "Trends in Plant Science" 1 (1996) 423-431).
Für derartige gentechnische Manipulationen können Nucleinsäuremoleküle in Plasmide eingebracht werden, die eine Mutagenese oder eine Sequenzveränderung durch Rekombination von DNA-Sequenzen erlauben. Mit Hilfe von For such genetic engineering, nucleic acid molecules can be introduced into plasmids that allow mutagenesis or sequence alteration by recombination of DNA sequences. With the help of
Standardverfahren können z. B. Basenaustausche vorgenommen, Teilsequenzen entfernt oder natürliche oder synthetische Sequenzen hinzugefügt werden. Für die Verbindung der DNA-Fragmente untereinander können an die Fragmente Adaptoren oder Linker angesetzt werden, siehe z. B. Sambrook et al., 1989, Molecular Cloning, A Laboratory Manual, 2. Aufl. Cold Spring Harbor Laboratory Press, Cold Spring Harbor, NY; oder Winnacker "Gene und Klone", VCH Weinheim 2. Auflage 1996 Standard methods can z. For example, base substitutions are made, partial sequences are removed, or natural or synthetic sequences are added. For the connection of the DNA fragments with one another adapters or linkers can be attached to the fragments, see, for example, US Pat. Sambrook et al., 1989, Molecular Cloning, A Laboratory Manual, 2nd Edition Cold Spring Harbor Laboratory Press, Cold Spring Harbor, NY; or Winnacker "Genes and Clones", VCH Weinheim 2nd edition 1996
Die Herstellung von Pflanzenzellen mit einer verringerten Aktivität eines The production of plant cells with a reduced activity of a
Genprodukts kann beispielsweise erzielt werden durch die Expression mindestens einer entsprechenden antisense-RNA, einer sense-RNA zur Erzielung eines Gene product can be obtained, for example, by the expression of at least one corresponding antisense RNA, a sense RNA to obtain a
Cosuppressionseffekt.es oder die Expression mindestens eines entsprechend konstruierten Ribozyms, das spezifisch Transkripte des obengenannten Cosuppressionseffekt.es or the expression of at least one appropriately engineered ribozyme, specifically transcripts of the above
Genprodukts spaltet. Gene product splits.
Hierzu können zum einen DNA-Moleküle verwendet werden, die die gesamte codierende Sequenz eines Genprodukts einschließlich eventuell vorhandener flankierender Sequenzen umfassen, als auch DNA-Moleküle, die nur Teile der codierenden Sequenz umfassen, wobei diese Teile lang genug sein müssen, um in den Zellen einen antisense-Effekt zu bewirken. Möglich ist auch die Verwendung von DNA-Sequenzen, die einen hohen Grad an Homologie zu den codiereden For this purpose, DNA molecules may be used which comprise the entire coding sequence of a gene product, including any flanking sequences that may be present, as well as DNA molecules which comprise only parts of the coding sequence, which parts must be long enough to be present in the cells to cause an antisense effect. Also possible is the use of DNA sequences that encode a high degree of homology to those
Sequenzen eines Genprodukts aufweisen, aber nicht vollkommen identisch sind. Bei der Expression von Nucleinsäuremolekülen in Pflanzen kann das synthetisierte Protein in jedem beliebigen Kompartiment der pflanzlichen Zelle lokalisiert sein. Um aber die Lokalisation in einem bestimmten Kompartiment zu erreichen, kann z. B. die codierende Region mit DNA-Sequenzen verknüpft werden, die die Lokalisierung in einem bestimmten Kompartiment gewährleisten. Derartige Sequenzen sind dem Fachmann bekannt (siehe beispielsweise Braun et al., EMBO J. 1 1 (1992), 3219- 3227; Wolter et al., Proc. Natl. Acad. Sei. USA 85 (1988), 846-850; Sonnewald et al., Plant J. 1 (1991 ), 95-106). Die Expression der Nukleinsäuremoleküle kann auch in den Organellen der Pflanzenzellen stattfinden. Have sequences of a gene product but are not completely identical. In the expression of nucleic acid molecules in plants, the synthesized protein may be located in any compartment of the plant cell. But to achieve the localization in a particular compartment, z. For example, the coding region can be linked to DNA sequences that ensure localization in a particular compartment. Such sequences are known to those of skill in the art (see, for example, Braun et al., EMBO J. 11 (1992), 3219-3227; Wolter et al., Proc. Natl. Acad., U.S.A. 85 (1988), 846-850; Sonnewald et al., Plant J. 1 (1991), 95-106). The expression of the nucleic acid molecules can also take place in the organelles of the plant cells.
Die transgenen Pflanzenzellen können nach bekannten Techniken zu ganzen Pflanzen regeneriert werden. Bei den transgenen Pflanzen kann es sich prinzipiell um Pflanzen jeder beliebigen Pflanzenspezies handeln, d.h., sowohl monokotyle als auch dikotyle Pflanzen. The transgenic plant cells can be regenerated to whole plants by known techniques. The transgenic plants may, in principle, be plants of any plant species, that is, both monocotyledonous and dicotyledonous plants.
So sind transgene Pflanzen erhältlich, die veränderte Eigenschaften durch Thus, transgenic plants are available, the altered properties by
Überexpression, Suppression oder Inhibierung homologer (= natürlicher) Gene oder Gensequenzen oder Expression heterologer (= fremder) Gene oder Gensequenzen aufweisen. Overexpression, suppression or inhibition of homologous (= natural) genes or gene sequences or expression of heterologous (= foreign) genes or gene sequences.
Vorzugsweise können die erfindungsgemäßen Verbindungen (I) in transgenen Kulturen eingesetzt werden, welche gegen Wuchsstoffe, wie z. B. Dicamba oder gegen Herbizide, die essentielle Pflanzenenzyme, z. B. Acetolactatsynthasen (ALS), EPSP Synthasen, Glutaminsynthasen (GS) oder Hydroxyphenylpyruvat Preferably, the compounds (I) according to the invention can be used in transgenic cultures which are resistant to growth substances, such as. B. Dicamba or against herbicides, the essential plant enzymes, eg. Acetolactate synthases (ALS), EPSP synthases, glutamine synthases (GS) or hydroxyphenylpyruvate
Dioxygenasen (HPPD) hemmen, respektive gegen Herbizide aus der Gruppe der Sulfonylharnstoffe, der Glyphosate, Glufosinate oder Benzoylisoxazole und analogen Wirkstoffe, resistent sind. Dioxygenases (HPPD) inhibit or are resistant to herbicides from the group of sulfonylureas, the glyphosate, glufosinate or benzoylisoxazole and analogues.
Bei der Anwendung der erfindungsgemäßen Wirkstoffe in transgenen Kulturen treten neben den in anderen Kulturen zu beobachtenden Wirkungen gegenüber In the application of the active compounds according to the invention in transgenic cultures, in addition to the effects to be observed in other cultures
Schadpflanzen oftmals Wirkungen auf, die für die Applikation in der jeweiligen transgenen Kultur spezifisch sind, beispielsweise ein verändertes oder speziell erweitertes Unkrautspektrum, das bekämpft werden kann, veränderte Aufwand mengen, die für die Applikation eingesetzt werden können, vorzugsweise gute Kombinierbarkeit mit den Herbiziden, gegenüber denen die transgene Kultur resistent ist, sowie Beeinflussung von Wuchs und Ertrag der transgenen Harmful plants often have effects that are specific for application in the particular transgenic culture, for example a modified or specific one extended weed spectrum that can be controlled, changed effort amounts that can be used for the application, preferably good compatibility with the herbicides to which the transgenic culture is resistant, and influencing the growth and yield of the transgenic
Kulturpflanzen. Crops.
Gegenstand der Erfindung ist deshalb auch die Verwendung der The invention therefore also relates to the use of
erfindungsgemäßen Verbindungen der Formel (I) als Herbizide zur Bekämpfung von Schadpflanzen in transgenen Kulturpflanzen. Compounds of the formula (I) according to the invention as herbicides for controlling harmful plants in transgenic crop plants.
Die erfindungsgemäßen Wirkstoffe können sowohl vor als auch nach dem Auflaufen der Pflanzen appliziert werden. Sie können auch vor der Saat in den Boden eingearbeitet werden. Die angewandte Wirkstoffmenge kann in einem größeren Bereich schwanken. Sie hängt im wesentlichen von der Art des gewünschten Effektes ab. Im allgemeinen liegen die Aufwandmengen zwischen 10g und 10kg Wirkstoff pro Hektar The active compounds according to the invention can be applied both before and after emergence of the plants. They can also be incorporated into the soil before sowing. The amount of active ingredient used can vary within a substantial range. It depends essentially on the type of effect desired. In general, the application rates are between 10g and 10kg of active ingredient per hectare
Bodenfläche, vorzugsweise zwischen 50 g und 5 kg pro Hektar. Die Herstellung und die Verwendung der erfindungsgemäßen Wirkstoffe geht aus den nachfolgenden Beispielen hervor. Soil area, preferably between 50 g and 5 kg per hectare. The preparation and the use of the active compounds according to the invention are evident from the following examples.
Herstellungsbeispiele: Preparation Examples:
Beispiel 1 -1 Example 1 -1
2-(5,6-Dihydro-1 ,4,2-oxathiazin-3-yl)-N-[(4,6-dimethoxypyrimidin- 2-yl)carbamoyl]benzolsulfonamid 2- (5,6-Dihydro-1,2,2-oxathiazin-3-yl) -N - [(4,6-dimethoxypyrimidin-2-yl) carbamoyl] benzenesulfonamide
(Verfahren (a)) Zu einer Lösung von 1 .292 g (5.00 mmol) 2-(5,6-Dihydro[1 ,4,2]oxathiazin-3- yl)benzolsulfonamid und 1 .377 g (5.00 mmol) 2-(N-Phenoxycarbonylamino)-4,6- dimethoxypyrimidin in 25 ml Acetonithl gibt man bei 0°C 0.16 g (5.15 mmol) 80%ige Natriumhydrid-Suspension. Nach 4 h Rühren bei RT wird im Vakuum eingedampft, der Rückstand in Wasser gelöst und mit Phosphorsäure auf ca. pH 3 angesäuert. Der Niederschlag wird abgesaugt und getrocknet. Ausbeute an N-(4,6-(Method (a)) To a solution of 1, 292 g (5.00 mmol) of 2- (5,6-dihydro [1,2,2] oxathiazin-3-yl) benzenesulfonamide and 1.377 g (5.00 mmol) of 2 - (N-Phenoxycarbonylamino) -4,6-dimethoxypyrimidine in 25 ml acetonitrile is added at 0 ° C 0.16 g (5.15 mmol) 80% sodium hydride suspension. After 4 h stirring at RT is evaporated in vacuo, the residue dissolved in water and acidified with phosphoric acid to about pH 3. The precipitate is filtered off with suction and dried. Yield of N- (4,6-
Dimethoxypyrimidin-2-yl)-N'-(2-(5,6-dihydro[1 ,4,2]oxthiazin-3-yl)benzolsulfonyl)- harnstoff: 1 .9 g (87%). 1H-NMR (DMSO-d6): δ = 8,20 ppm (d, 1 H); 7,80 ppm (tr, 1 H); 7,75 ppm (tr, 1 H); 7,60 ppm (d, 1 H); 6,00 ppm (s, 1 H); 4,10 ppm (tr, 2H); 3,90 ppm (s, 6H); 3,30 ppm (tr, 2H) Dimethoxypyrimidin-2-yl) -N '- (2- (5,6-dihydro [1,2,2] oxthiazin-3-yl) benzenesulfonyl) urea: 1.9 g (87%). 1 H-NMR (DMSO-d 6 ): δ = 8.20 ppm (d, 1 H); 7.80 ppm (tr, 1H); 7.75 ppm (tr, 1H); 7.60 ppm (d, 1H); 6.00 ppm (s, 1H); 4.10 ppm (tr, 2H); 3.90 ppm (s, 6H); 3.30 ppm (tr, 2H)
Analog Beispiel 1 -1 und entsprechend der allgemeinen Beschreibung der Analogously to Example 1 -1 and according to the general description of
erfindungsgemäßen Herstellungsverfahren können beispielsweise auch die weiteren, in den nachstehenden Tabellen 1 , 2, 3 und 4 aufgeführten Verbindungen der Formel (I) hergestellt werden. For example, the other compounds of formula (I) listed in Tables 1, 2, 3 and 4 below can also be prepared.
(+) ( + )
Abkürzungen: Smp.: = Schmelzpunkt Zers. oder Z. = unter Zersetzung = Der angegebene Schmelzpunkt (Smp.) bezieht sich jeweils auf das entsprechende Natriumsalz. Abbreviations: Mp .: = melting point Zers. or Z. = with decomposition = The stated melting point (mp) refers in each case to the corresponding sodium salt.
(J-1) (J-1)
4 5 6 74 5 6 7
Tabelle 1 : Beispiele für die Verbindungen der Formel (I) mit R = R = R = R = HTable 1: Examples of the compounds of the formula (I) where R = R = R = R = H
10 10
und R = H: and R = H:
1H-NMR-Daten (400 MHz, Solvens: DMSO-d6, interner Standard Tetramethylsilan: d = 0,00 ppm) s = Singulett, sbr = breites Singulett, d = Dublett, dd = Doppeldublett, m = Multiplett, q = Quartett, t = Triplett) 1 H-NMR data (400 MHz, solvent: DMSO-d 6 , internal standard tetramethylsilane: d = 0.00 ppm) s = singlet, sbr = broad singlet, d = doublet, dd = double doublet, m = multiplet, q = Quartet, t = triplet)
1 -2: d = 8,20 ppm (d, 1 H); 7,80 ppm (tr, 1 H); 7,70 ppm (tr, 1 H); 7,55 ppm (d, 1 H); 1 -2: d = 8.20 ppm (d, 1 H); 7.80 ppm (tr, 1H); 7.70 ppm (tr, 1H); 7.55 ppm (d, 1H);
7,00 ppm (s, 1 H); 4,15 ppm (tr, 2H); 3,35 ppm (tr, 2H); 2,50 ppm (s, 6H) 1 -5: d = 8,15 ppm (d, 1 H); 7,80 ppm (tr, 1 H); 7,75 ppm (tr, 1 H); 7,60 ppm (d, 1 H) 7.00 ppm (s, 1H); 4.15 ppm (tr, 2H); 3.35 ppm (tr, 2H); 2.50 ppm (s, 6H) 1-5: d = 8.15 ppm (d, 1H); 7.80 ppm (tr, 1H); 7.75 ppm (tr, 1H); 7.60 ppm (d, 1H)
6,85 ppm (s, 1 H); 4,10 ppm (tr, 2H); 4,00ppm (s, 3H); 3,35ppm (tr, 2H) 1 -6: (250 MHz) d = 8,20 ppm (d, 1 H); 7,85 ppm (tr, 1 H); 7,75 ppm (tr, 1 H); 7,60 ppm (d, 1 H); 5,90 ppm (s, 1 H); 4,35 ppm (q, 4H); 4,10 ppm (dd, 2H); 3,30 ppm (dd, 2H);1 ,35 ppm (tr, 6H) 6.85 ppm (s, 1H); 4.10 ppm (tr, 2H); 4ppm (s, 3H); 3.35ppm (tr, 2H) 1 -6: (250MHz) d = 8.20ppm (d, 1H); 7.85 ppm (tr, 1H); 7.75 ppm (tr, 1H); 7.60 ppm (d, 1H); 5.90 ppm (s, 1H); 4.35 ppm (q, 4H); 4.10 ppm (dd, 2H); 3.30 ppm (dd, 2H); 1.35 ppm (tr, 6H)
1 -9: d = 8,20 ppm (d, 1 H); 7,80 ppm (tr, 1 H); 7,75 ppm (tr, 1 H); 7,55 ppm (d, 1 H); 1 -9: d = 8.20 ppm (d, 1H); 7.80 ppm (tr, 1H); 7.75 ppm (tr, 1H); 7.55 ppm (d, 1H);
7,35 ppm (s, 1 H); 4,10 ppm (dd, 2H), 3,40 ppm (dd, 2H) 2,50 ppm (s, 3H) 1 -10: ö = 8,20 ppm (d, 1 H); 7,80 ppm (tr, 1 H); 7,75 ppm (tr, 1 H); 7,55 ppm (d, 1 H); 7.35 ppm (s, 1H); 4.10 ppm (dd, 2H), 3.40 ppm (dd, 2H) 2.50 ppm (s, 3H) 1 -10: δ = 8.20 ppm (d, 1H); 7.80 ppm (tr, 1H); 7.75 ppm (tr, 1H); 7.55 ppm (d, 1H);
6,55 ppm (s, 1 H); 4,10 ppm (dd, 2H); 3,90 ppm (s, 3H); 3,35 ppm (dd, 2H); 6.55 ppm (s, 1H); 4.10 ppm (dd, 2H); 3.90 ppm (s, 3H); 3.35 ppm (dd, 2H);
2,40 ppm (s, 3H) 2.40 ppm (s, 3H)
1 -12: d = 8,20 ppm (d, 1 H); 7,85 ppm (tr, 1 H); 7,75 ppm (tr, 1 H); 7,60 ppm (d, 1 H); 1 -12: d = 8.20 ppm (d, 1H); 7.85 ppm (tr, 1H); 7.75 ppm (tr, 1H); 7.60 ppm (d, 1H);
4,10 ppm (tr, 2H); 4,00 ppm (s, 3H); 3,40 ppm (tr, 2H); 2,50 ppm (s, 3H) 1 -15: ö = 8,20 ppm (d, 1 H); 7,85 ppm (tr, 1 H); 7,75 ppm (tr, 1 H); 7,55 ppm (d, 1 H); 4.10 ppm (tr, 2H); 4.00 ppm (s, 3H); 3.40 ppm (tr, 2H); 2.50 ppm (s, 3H) 1-15: δ = 8.20 ppm (d, 1H); 7.85 ppm (tr, 1H); 7.75 ppm (tr, 1H); 7.55 ppm (d, 1H);
4,10 ppm (tr, 2H); 4,00 ppm (s, 6H); 3,35 ppm (tr, 2H) 4.10 ppm (tr, 2H); 4.00 ppm (s, 6H); 3.35 ppm (tr, 2H)
1 -18: d = 8,20 ppm (d, 1 H); 7,85 ppm (tr, 1 H); 7,75 ppm (tr, 1 H); 7,60 ppm (d, 1 H); 1 -18: d = 8.20 ppm (d, 1H); 7.85 ppm (tr, 1H); 7.75 ppm (tr, 1H); 7.60 ppm (d, 1H);
4,20 ppm (tr, 2H); 3,40 ppm (tr, 2H); 2,50 ppm (s, 6H) Beispiel 2-1 4.20 ppm (tr, 2H); 3.40 ppm (tr, 2H); 2.50 ppm (s, 6H) Example 2-1
3-(5,6-Dihydro-1 ,4,2-oxathiazin-3-yl)-N-[(4,6-dimethoxypyrimidin- 2-yl)carbamoyl]pyridin-2-sulfonamid 3- (5,6-Dihydro-1,2,2-oxathiazin-3-yl) -N - [(4,6-dimethoxypyrimidin-2-yl) carbamoyl] pyridine-2-sulfonamide
2-Bromo-pyridin-3-carbaldoxinn 2-Bromo-pyridin-3-carbaldoxinn
Zu einer Mischung aus 8.22 g (0.1 18 Mol) Hydroxylamin-Hydrochlorid und 9.70 g (0.1 18 Mol) Natriumacetat in 170 ml Methanol und 22ml Wasser portioniert man bei Raumtemperatur insgesamt 20.00 g (0.108 Mol) 2-Brom-3-pyridincaboxaldehyd zu. Man lässt 3 Stunden bei Raumtemperatur rühren. To a mixture of 8.22 g (0.1 18 mol) of hydroxylamine hydrochloride and 9.70 g (0.1 18 mol) of sodium acetate in 170 ml of methanol and 22 ml of water is portioned at room temperature a total of 20.00 g (0.108 mol) of 2-bromo-3-pyridincaboxaldehyde. It is allowed to stir for 3 hours at room temperature.
Anschließend werden 300ml Eiswasser zugegeben. Das ausgefallene Produkt wird abgesaugt, mit Wasser gewaschen und getrocknet. Subsequently, 300 ml of ice water are added. The precipitated product is filtered off with suction, washed with water and dried.
Man erhält 17 g (78% der Theorie) 2-Bromo-pyridin-3-carbaldoxim This gives 17 g (78% of theory) of 2-bromo-pyridine-3-carbaldoxime
als Feststoff vom Schmelzpunkt: 184° C. 2-Bromo-N-hydroxy-thionicotinimidsäure-2-hydroxy-ethyl ester as a solid of melting point: 184 ° C. 2-Bromo-N-hydroxy-thionicotinimidic acid 2-hydroxyethyl ester
17.00 g (0.085 Mol) 2-Bromo-pyridin-3-carbaldoxim werden zusammen mit 4.00 g (0.030 Mol) N-Chlorsuccinimid bei maximal 40°C in 52 ml Dimethylformamid vorgelegt. Die restlichen 9.55 g (0.072 Mol) N-Chlorsuccinimid werden so zuportioniert, dass die Reaktion anspringt und bei 35-40°C abläuft. 17.00 g (0.085 mol) of 2-bromo-pyridine-3-carbaldoxime are introduced together with 4.00 g (0.030 mol) of N-chlorosuccinimide at a maximum of 40 ° C in 52 ml of dimethylformamide. The remaining 9.55 g (0.072 mol) of N-chlorosuccinimide are portioned in such a way that the reaction starts and proceeds at 35-40 ° C.
Man rührt 1 Stunde nach. (Ausbeute ca. 75%) It is stirred for 1 hour. (Yield about 75%)
Die so erhaltene Reaktionslösung wird auf 10°C gekühlt und mit 0.57 ml (0.004 Mol) Triethylamin in 3 ml Dimethylformamid versetzt. Anschließend werden 1 .43 ml The reaction solution thus obtained is cooled to 10 ° C and treated with 0.57 ml (0.004 mol) of triethylamine in 3 ml of dimethylformamide. Subsequently, 1 .43 ml
(0.020 Mol) 2-Mercaptoethanol in 3ml Dimethylformamid langsam zugetropft, danach werden 2.28 ml (0.016 Mol) Triethylamin zugegeben. (0.020 mol) of 2-mercaptoethanol in 3 ml of dimethylformamide is slowly added dropwise, then 2.28 ml (0.016 mol) of triethylamine are added.
Die entstandene Suspension wird noch 2 Stunden lang nachgerührt. The resulting suspension is stirred for a further 2 hours.
Man versetzt mit Wasser, extrahiert mit Essigsaureethylester. Die organische Phase wird getrocknet und eingeengt. Der Rückstand wir mit wenig Essigsaureethylester aufgenommen und mit n-Hexan gefällt. It is mixed with water, extracted with ethyl acetate. The organic phase is dried and concentrated. The residue is taken up with a little ethyl acetate and precipitated with n-hexane.
Man erhält 0.5 g (92%, 69% über beide Stufen) 2-Bromo-N-hydroxy- thionicotinimidsäure-2-hydroxy-ethylester als Feststoff vom Schmelzpunkt: 138°C. This gives 0.5 g (92%, 69% over both stages) of 2-bromo-N-hydroxy-thionicotinimidate 2-hydroxyethyl ester as a solid of melting point: 138 ° C.
3-(2-Bromo-pyridin-3-yl)-5,6-dihydro-1 ,4,2-oxathiazin 3- (2-Bromo-pyridin-3-yl) -5,6-dihydro-1,2,2-oxathiazine
24.00 g (0.056 Mol) 2-Bromo-N-hydroxy-thionicotinimidsäure-2-hydroxy-ethyl ester werden mit 1 .566 g (0.01 1 Mol) 4-Nitrophenol und 14.76 g ( 0.056 Mol) 24.00 g (0.056 mol) of 2-hydroxyethyl 2-bromo-N-hydroxy-thionicotinamide are treated with 1 .566 g (0.01 1 mol) of 4-nitrophenol and 14.76 g (0.056 mol)
Triphenylphosphin in 50ml Tetrahydrofuran vorgelegt. Man tropft 9.97ml (0.051 Mol) Azodicarbonsäurediisopropylester langsam zu und rührt 5 Stunden bei Triphenylphosphine in 50ml tetrahydrofuran submitted. 9.97 ml (0.051 mol) of diisopropyl azodicarboxylate are slowly added dropwise and the mixture is stirred in for 5 hours
Raumtemperatur nach. Man lässt über Nacht stehen, fügt nochmals 2.21 ml (0.001 Mol) Azodicarbonsäurediisopropylester hinzu und rührt weitere 6 Stunden Room temperature after. It is allowed to stand overnight, added again 2.21 ml (0.001 mol) of diisopropyl azodicarboxylate and stirred for a further 6 hours
Man engt am Rotationsverdampfer ein und chromatographiert den Rückstand mit einem Gemisch aus Essigester/ n-Heptan 6:4. The mixture is concentrated on a rotary evaporator and the residue is chromatographed with a mixture of ethyl acetate / n-heptane 6: 4.
Man erhält einen Feststoff vom Fp 1 18°C (Ausbeute 75%) 3-(5,6-Dihydro-1 ,4,2-oxathiazin-3-yl)-pyridine-2-sulfonsäureannid This gives a solid of mp 1 18 ° C (yield 75%). 3- (5,6-Dihydro-1,2,2-oxathiazin-3-yl) -pyridine-2-sulfonic acid anide
Unter Stickstoffatmosphäre werden bei -10°C 5.6 ml (0.01 1 Mol, 2.1 Äquivalente) einer 2M n-Butylmagnesiumchlorid-Lösung in 85ml Tetrahydrofuran vorgelegt und tropfenweise mit 4.5 ml einer 2.5M n-Butyllithium-Lösung (2 Äquivalente) versetzt. Man rührt 30 min bei -5° bis 0°C nach, kühlt auf -10°C und tropft dann 1 .40 g (0.005 Mol) 3-(2-Bromo-pyridin-3-yl)-5,6-dihydro-1 ,4,2-oxathiazin, gelöst in wenig Under a nitrogen atmosphere, 5.6 ml (0.01 1 mol, 2.1 equivalents) of a 2M n-butylmagnesium chloride solution in 85 ml of tetrahydrofuran are initially charged at -10 ° C. and admixed dropwise with 4.5 ml of a 2.5M n-butyllithium solution (2 equivalents). The mixture is stirred for 30 min at -5 ° to 0 ° C, cooled to -10 ° C and then dripping 1.40 g (0.005 mol) of 3- (2-bromo-pyridin-3-yl) -5,6-dihydro -1,4,2-oxathiazine dissolved in a little
Tetrahydrofuran, zu. Die rötlich-braune Lösung wird 30 min bei -5 bis 0°C Tetrahydrofuran, too. The reddish-brown solution is at -5 to 0 ° C for 30 min
nachgerührt, wobei sich die Lösung langsam eintrübt. Man kühlt dann auf -50°C ab und leitet solange Schwefeldioxid-Gas ein, bis ein pH-Papier keine Basizität mehr anzeigt. Die inzwischen geklärte Lösung wird sich innerhalb von 30 min auf -10° C erwärmen gelassen und anschließend mit 0.61 ml (0.008 Mol) Sulfurylchlorid in 3 ml n-Heptan tropfenweise versetzt. Man lässt 1 Stunde bei 0°C nachrühren. stirred, with the solution slowly clouding. It is then cooled to -50 ° C and initiates sulfur dioxide gas until a pH paper indicates no more basicity. The now clarified solution is allowed to warm to -10 ° C within 30 min and then treated dropwise with 0.61 ml (0.008 mol) of sulfuryl chloride in 3 ml of n-heptane. The mixture is stirred for 1 hour at 0 ° C.
Anschließend tropft man bei -10°C 9ml einer 35%igen wässrigen Ammoniaklösung zu, überprüft, ob die Lösung alkalisch bleibt und rührt die gelbe Suspension 3 Stunden bei Raumtemperatur nach. 9 ml of a 35% strength aqueous ammonia solution are then added dropwise at -10 ° C., the mixture is checked whether the solution remains alkaline, and the yellow suspension is stirred at room temperature for 3 hours.
Man engt im Vakuum ein, versetzt mit Trockenmittel und digeriert die Mischung kräftig mit Essigsäureethylester. Man saugt ab und wäscht den Rückstand zweimal mit Essigsäureethylester. Die vereinigten Filtrate werden eingeengt, und der so erhaltene Rückstand wird mit wenig Diethylether kristallisiert. Man erhält 1 .48g (52% Ausbeute) eines Feststoffs vom Fp 174°C. 3-(5,6-Dihydro-1 ,4,2-oxathiazin-3-yl)-N-[(4,6-dimethoxypyrimidin- 2-yl)carbamoyl]pyridin-2-sulfonannid (Bsp-Nr. 2-1 ) It is concentrated in vacuo, mixed with drying agent and digested the mixture vigorously with ethyl acetate. It is filtered off with suction and the residue is washed twice with ethyl acetate. The combined filtrates are concentrated, and the residue thus obtained is crystallized with a little diethyl ether. This gives 1 .48g (52% yield) of a solid, mp 174 ° C. 3- (5,6-Dihydro-1,2,2-oxathiazin-3-yl) -N - [(4,6-dimethoxypyrimidin-2-yl) -carbamoyl] -pyridine-2-sulfonan-1-one (Ex. 1 )
Zu einer Lösung von 0.18 g (0.69 mmol) 3-(5,6-Dihydro-1 ,4,2-oxathiazin-3-yl)- pyridine-2-sulfonsäureamid und 0.19 g (0.69 mmol) 2-(N-Phenoxycarbonylamino)- 4,6-dimethoxypyrimidin in 25 ml Acetonitril gibt man bei RT 0.24 g (1 .60 mmol) 1 ,8- Diazabicyclo[5.4.0]undec-7-en. Nach 2 h Rühren bei RT wird im Vakuum To a solution of 0.18 g (0.69 mmol) of 3- (5,6-dihydro-1,2,2-oxathiazin-3-yl) -pyridine-2-sulfonic acid amide and 0.19 g (0.69 mmol) of 2- (N-phenoxycarbonylamino ) - 4,6-dimethoxypyrimidine in 25 ml of acetonitrile is added at RT 0.24 g (1 .60 mmol) of 1, 8-diazabicyclo [5.4.0] undec-7-ene. After 2 h stirring at RT is in vacuo
aufkonzentriert, der Rückstand in wenig Wasser aufgenommen und mit 6M concentrated, the residue taken up in a little water and with 6M
Salzsäure angesäuert. Der Niederschlag wird abgesaugt und getrocknet. Ausbeute an 3-(5,6-Dihydro-1 ,4,2-oxathiazin-3-yl)-N-[(4,6-dimethoxypyrimidin-2- yl)carbamoyl]pyridin-2-sulfonamid: 0.21 g (69%). Hydrochloric acid acidified. The precipitate is filtered off with suction and dried. Yield of 3- (5,6-dihydro-1,2,2-oxathiazin-3-yl) -N - [(4,6-dimethoxypyrimidin-2-yl) carbamoyl] pyridine-2-sulfonamide: 0.21 g (69 %).
1H-NMR (400 MHz, DMSO-d6): δ = 8,75 ppm (m, 1 H); 8,10 ppm (m, 1 H); 7,80 ppm (m, 1 H), 6,00 ppm (s, 1 H); 4,15 ppm (tr, 2H); 3,90 ppm (s, 6H); 3,40 ppm (tr, 2H) 1 H-NMR (400 MHz, DMSO-d 6 ): δ = 8.75 ppm (m, 1H); 8.10 ppm (m, 1H); 7.80 ppm (m, 1H), 6.00 ppm (s, 1H); 4.15 ppm (tr, 2H); 3.90 ppm (s, 6H); 3.40 ppm (tr, 2H)
Natrium-{[3-(5,6-dihydro-1 ,4,2-oxathiazin-3-yl)pyridin-2- yl]sulfonyl}[(4,6-dimethoxypyrimidin-2-yl)carbamoyl]azanid (Bsp-Nr. 2-1 Na+) Sodium - {[3- (5,6-dihydro-1, 4,2-oxathiazin-3-yl) pyridin-2-yl] sulfonyl} [(4,6-dimethoxypyrimidin-2-yl) carbamoyl] azanide (Ex No. 2-1 Na + )
0.10g (0.2mmol) 3-(5,6-Dihydro-1 ,4,2-oxathiazin-3-yl)-N-[(4,6-dimethoxypyrimidin-2- yl)carbamoyl]pyridin-2-sulfonannid werden in 5ml Methylenchlorid gelöst, mit einem Tropfen Wasser und 8mg (0.2mmol) Natriumhydroxid versetzt und 1 h bei RT gerührt. 0.10 g (0.2 mmol) of 3- (5,6-dihydro-1,2,2-oxathiazin-3-yl) -N - [(4,6-dimethoxypyrimidin-2-yl) carbamoyl] pyridine-2-sulfonanide dissolved in 5 ml of methylene chloride, treated with a drop of water and 8mg (0.2mmol) of sodium hydroxide and stirred for 1 h at RT.
Man engt im Vakuum ein, nimmt das entstandene Salz in Aceton/Toluol auf und engt im Vakuum ein (je zweimal). It is concentrated in vacuo, the resulting salt in acetone / toluene and concentrated in vacuo (twice).
Ausbeute an Natrium-{[3-(5,6-dihydro-1 ,4,2-oxathiazin-3-yl)pyridin-2-yl]sulfonyl}[(4,6- dimethoxypyrimidin-2-yl)carbamoyl]azanid: 88mg (95%) Yield of sodium - {[3- (5,6-dihydro-1, 4,2-oxathiazin-3-yl) pyridin-2-yl] sulfonyl} [(4,6-dimethoxypyrimidin-2-yl) carbamoyl] azanide : 88mg (95%)
1H-NMR (400 MHz, CDCI3):8,10 ppm (sbr); 7,70 ppm (sbr), 7,60 ppm (dbr, 1 H); 7,10 ppm (trbr); 5,55 ppm (s, 1 H); 4,35 ppm (sbr, 2H); 3,75 ppm (s, 6H), 3,40 ppm (sbr, 2H) 1H-NMR (400 MHz, CDCl 3 ): 8.10 ppm (sbr); 7.70 ppm (sbr), 7.60 ppm (dbr, 1H); 7.10 ppm (trbr); 5.55 ppm (s, 1H); 4.35 ppm (sbr, 2H); 3.75 ppm (s, 6H), 3.40 ppm (sbr, 2H)
Analog Beispiel 2-1 können beispielsweise auch die weiteren, in den nachstehenden Tabellen 2 und 3 aufgeführten Verbindungen der Formel (I) hergestellt werden. By way of example, the further compounds of the formula (I) listed in Tables 2 and 3 below can also be prepared analogously to Example 2-1.
4 5 6 7 4 5 6 7
Tabelle 2 Beispiele für die Verbindungen der Formel (I) mit R = R = R = R = H; Table 2 Examples of the compounds of formula (I) where R = R = R = R = H;
10 10
R = H: R = H:
1H-NMR-Daten (400 MHz, Solvens: DMSO-d6, interner Standard Tetramethylsilan: d = 0,00 ppm) s = Singulett, sbr = breites Singulett, d = Dublett, dd = Doppeldublett, m = Multiplett, q = Quartett, t = Triplett) 1H-NMR data (400 MHz, solvent: DMSO-d 6 , internal standard tetramethylsilane: d = 0.00 ppm) s = singlet, sbr = broad singlet, d = doublet, dd = double doublet, m = multiplet, q = Quartet, t = triplet)
2-2: d = 8,75 ppm (m, 1 H); 8,10 ppm (m, 1 H); 7,80 ppm (m, 1 H); 7,00 ppm (s, 1 H); 2-2: d = 8.75 ppm (m, 1H); 8.10 ppm (m, 1H); 7.80 ppm (m, 1H); 7.00 ppm (s, 1H);
4,15 ppm (tr, 2H); 3,40 ppm (tr, 2H): 2,50 ppm (s, 6H) 4.15 ppm (tr, 2H); 3.40 ppm (tr, 2H): 2.50 ppm (s, 6H)
2-4: d = 8,80 ppm (m, 1 H); 8,10 ppm (m, 1 H); 7,80 ppm (m, 1 H); 5,95 ppm (s, 1 H); 2-4: d = 8.80 ppm (m, 1H); 8.10 ppm (m, 1H); 7.80 ppm (m, 1H); 5.95 ppm (s, 1H);
4,30 ppm (m, 4H); 4,15 ppm (tr, 2H); 3,40 ppm (tr, 2H); 1 ,30 ppm (m, 6H) 2-7: d = 8,75 ppm (m, 1 H); 8,10 ppm (m, 1 H); 7,80 ppm (m, 1 H); 4,15 ppm (tr, 2H); 4.30 ppm (m, 4H); 4.15 ppm (tr, 2H); 3.40 ppm (tr, 2H); 1.30 ppm (m, 6H) 2-7: d = 8.75 ppm (m, 1H); 8.10 ppm (m, 1H); 7.80 ppm (m, 1H); 4.15 ppm (tr, 2H);
4,00 ppm (s, 3H); 3,40 ppm (tr, 2H); 2,45 ppm (s, 3H) 4.00 ppm (s, 3H); 3.40 ppm (tr, 2H); 2.45 ppm (s, 3H)
(J-2) (J-2)
6 4 5 7 6 4 5 7
Tabelle 3 Beispiele für die Verbindungen der Formel (I) mit R = Me; R = R = R = Table 3 Examples of the compounds of the formula (I) where R = Me; R = R = R =
10 10
H und R = H: H and R = H:
1H-NMR-Daten (400 MHz, Solvens: DMSO-d6, interner Standard Tetramethylsilan: d = 0,00 ppm) s = Singulett, sbr = breites Singulett, d = Dublett, dd = Doppeldublett, m = Multiplett, q = Quartett, t = Triplett) 1 : d = 8,70 ppm (m, 1 H); 7,90 ppm (m, 1 H); 7,55 ppm (m, 1 H); 5,80 ppm (s, 1 H); 1 H-NMR data (400 MHz, solvent: DMSO-d 6 , internal standard tetramethylsilane: d = 0.00 ppm) s = singlet, sbr = broad singlet, d = doublet, dd = double doublet, m = multiplet, q = Quartet, t = triplet) 1: d = 8.70 ppm (m, 1H); 7.90 ppm (m, 1H); 7.55 ppm (m, 1H); 5.80 ppm (s, 1H);
4,20 ppm (m, 1 H); 3,95 ppm (s, 6H); 3,15 ppm (m, 2H); 1 ,49 ppm (d, 3H) 7: d = 8,70 ppm (m, 1 H); 7,90 ppm (m, 1 H); 7,55 ppm (m, 1 H, Pyridin-H); 4,20 ppm (m, 1 H); 4,05 ppm (s, 3H); 3,15 ppm (m, 2H); 2,55 ppm (s, 3H); 1 ,49 ppm4.20 ppm (m, 1H); 3.95 ppm (s, 6H); 3.15 ppm (m, 2H); 1.49 ppm (d, 3H) 7: d = 8.70 ppm (m, 1H); 7.90 ppm (m, 1H); 7.55 ppm (m, 1H, pyridine-H); 4.20 ppm (m, 1H); 4.05 ppm (s, 3H); 3.15 ppm (m, 2H); 2.55 ppm (s, 3H); 1, 49 ppm
(d, 3H) (d, 3H)
Beispiel 4-1 Example 4-1
4-(5,6-Dihydro-1 ,4,2-oxathiazin-3-yl)-N-[(4,6-dimethoxypyrimid 4- (5,6-Dihydro-1,2,2-oxathiazin-3-yl) -N - [(4,6-dimethoxypyrimide
2-yl)carbamoyl]-1 -methyl-1 H-pyrazol-5-sulfonamid 2-yl) carbamoyl] -1-methyl-1H-pyrazole-5-sulfonamide
2-Chlorethanthiol 2-chloroethanethiol
In eine Lösung von 200 g (3.33 mol) Thiiran (Ethylensulfid) in 3.4 I Ether leitet man bei -6 bis -9 °C 1 .5 h Chlorwasserstoff ein. Man läßt langsam auf RT kommen und rührt über Nacht. Der Ether wird bei Normaldruck über eine Vigreuxkolonne abdestilliert. Der Rückstand wird im Vakuum destilliert (Kp50.80 = 48-50 °C) und im Tiefkühlfach gelagert. Ausbeute an: 88.2 g (27.4 %). 1H-NMR (CDCI3): d = 1 .75 ppm (tr, 1 H), 2.90 ppm (dtr, 2H), 3.65 ppm (tr, 2H). In a solution of 200 g (3.33 mol) of thiirane (ethylene sulfide) in 3.4 l of ether is passed at -6 to -9 ° C 1 .5 h of hydrogen chloride. It is allowed to rise slowly to RT and stirred overnight. The ether is distilled off at atmospheric pressure via a Vigreux column. The residue is distilled in vacuo (bp 50.80 = 48-50 ° C) and stored in the freezer. Yield: 88.2 g (27.4%). 1 H-NMR (CDCl 3 ): d = 1.75 ppm (tr, 1H), 2.90 ppm (dtr, 2H), 3.65 ppm (tr, 2H).
N-Hydroxy-1 -methyl-1 H-pyrazol-4-carboximidoylchlorid N-hydroxy-1-methyl-1H-pyrazole-4-carboximidoyl chloride
In einer Lösung von 75.28 g (0.602 mol) 1 -Methyl-1 H-pyrazol-4-carbaldehydoxim in 1 .5 I Chloroform leitet man bei -15°C einen Überschuß Chlor ein. Man rührt 3 h bei - 15 °C und vertreibt anschließend das überschüssige Chlor mit Argon. Nach Rühren über Nacht wird das Produkt abgesaugt. Ausbeute: 75.9 g (96.1 %). 1H-NMR In a solution of 75.28 g (0.602 mol) of 1-methyl-1 H-pyrazole-4-carbaldehydoxim in 1 .5 I chloroform is passed at -15 ° C, an excess of chlorine. The mixture is stirred for 3 h at - 15 ° C and then expels the excess chlorine with argon. After stirring overnight, the product is aspirated. Yield: 75.9 g (96.1%). 1 H-NMR
(DMSO-de): d = 3.90 ppm (s, 3H), 7.70 ppm und 8.10 ppm (2s, 2H), 10.4 ppm (sbr, 1 H). (DMSO-de): d = 3.90ppm (s, 3H), 7.70ppm and 8.10ppm (2s, 2H), 10.4ppm (sbr, 1H).
2-Chlorethyl-N-hydroxy-1 -methyl-1 H-pyrazol-4-carbimidothioat 2-chloroethyl-N-hydroxy-1-methyl-1H-pyrazole-4-carbimidothioate
Zu einer Lösung von 39.85 g (250 mmol) N-Hydroxy-1 -methyl-1 H-pyrazol-4- carboximidoylchlorid in 600 ml Ether pumpt man bei 5-10°C innerhalb eine Stunde synchron mittels zweier Spritzenpumpen 48.45 g (500 mmol) 2-Chlorethanthiol in 70 ml Ether und 27.82 g (275 mmol)Triethylamin in 218 ml Ether. Anschließend rührt man 3 Tage bei RT. Da It. DC noch Edukt vorhanden ist, werden weitere 12.1 1 g (125 mmol) 2-Chlorethanthiol und 6.96 g (63 mmol) Triethylamin in derselben Weise zugespritzt. Nach vier Stunden Rühren wiederholt man diese Zugabe und rührt über Nacht weiter. Man saugt ab, dampft das Filtrat ein und trocknet den Rückstand im Hochvakuum. Ausbeute: 48.6 g (88.5%). 1H-NMR (DMSO-d6): d = 3.20 ppm und 3.60 ppm (2tr, 4H), 3.85 ppm (s, 3H), 7.60 ppm und 7.95 ppm (2s, 2H), 12.60 ppm (s, 1 H). 3-(1 -Methyl-1 H-pyrazol-4-yl)-5,6-dihydro-1 ,4,2-oxathiazin To a solution of 39.85 g (250 mmol) of N-hydroxy-1-methyl-1H-pyrazole-4-carboximidoyl chloride in 600 ml of ether is pumped at 5-10 ° C within one hour synchronously by means of two syringe pumps 48.45 g (500 mmol ) 2-chloroethanethiol in 70 ml of ether and 27.82 g (275 mmol) of triethylamine in 218 ml of ether. Then it is stirred for 3 days at RT. Since it. DC still starting material is present, a further 12.1 1 g (125 mmol) 2-Chlorethanethiol and 6.96 g (63 mmol) of triethylamine are injected in the same manner. After stirring for four hours, this addition is repeated and stirring is continued overnight. It is suctioned off, the filtrate is evaporated and the residue is dried under high vacuum. Yield: 48.6 g (88.5%). 1 H-NMR (DMSO-d 6 ): d = 3.20 ppm and 3.60 ppm (2tr, 4H), 3.85 ppm (s, 3H), 7.60 ppm and 7.95 ppm (2s, 2H), 12.60 ppm (s, 1H ). 3- (1-Methyl-1H-pyrazol-4-yl) -5,6-dihydro-1,2,2-oxathiazine
Zu einer Lösung von 48.6 g (221 mmol) 2-Chlorethyl-N-hydroxy-1 -methyl-1 H- pyrazol-4-carbimidothioat in 0.16 I DMF gibt man bei 20°C unter Argon portionsweise 7.9 g (263 mmol) 80 %ige Natriumhydrid-Suspension. Man rührt über Nacht bei RT, gießt dann auf Eiswasser und extrahiert dreimal mit Methylenchlorid. Die vereinigten Extrakte werden getrocknet und im Vakuum eingedampft. Der Rückstand wird chromatographiert (Eluens: Cyclohexan/Essigester 1 :3). Ausbeute: 1 1 .2 g (27%).7.9 g (263 mmol) of 80 are added in portions to a solution of 48.6 g (221 mmol) of 2-chloroethyl-N-hydroxy-1-methyl-1H-pyrazole-4-carbimidothioate in 0.16 l of DMF at 20 ° C. under argon % sodium hydride suspension. The mixture is stirred overnight at RT, then poured into ice-water and extracted three times with methylene chloride. The combined extracts are dried and evaporated in vacuo. The residue is chromatographed (eluent: cyclohexane / ethyl acetate 1: 3). Yield: 1 1 .2 g (27%).
H-NMR (CDCI3): d = 3.25 ppm - 3.35 ppm und 4.10 ppm - 4.20 ppm (2m, 4H); 3.90 ppm (s, 1 H); 7.65 ppm und 7.75 ppm (2s, 2H). H NMR (CDCl 3 ): d = 3.25 ppm - 3.35 ppm and 4.10 ppm - 4.20 ppm (2m, 4H); 3.90 ppm (s, 1H); 7.65 ppm and 7.75 ppm (2s, 2H).
4-(5,6-Dihydro-1 ,4,2-oxathiazin-3-yl)-1 -methyl-1 H-pyrazol-5-sulfonamid 4- (5,6-Dihydro-1,2,2-oxathiazin-3-yl) -1-methyl-1H-pyrazole-5-sulfonamide
Zu einer Lösung von 0.92 g (5.0 mmol) 3-(1 -Methyl-1 H-pyrazol-4-yl)-5,6-dihydro- 1 ,4,2-oxathiazin in 10 ml Ether tropft man unter Argon bei -70°C eine Lösung von Lithiumdiisopropylamid (hergestellt durch Zusatz von 3.6 ml (9 mmol) 2.5 M n- Butyllithium in Hexan zu 1 .12 ml (8 mmol) Diisopropylamin in 5 ml Ether bei -60°C) und rührt 2 h bei -70°C. Anschließend spritzt man 0.80 ml (10 mmol) Sulfurylchlorid in 3 ml Hexan vorgekühlt zu und leitet sofort danach einen geringen A solution of 0.92 g (5.0 mmol) of 3- (1-methyl-1H-pyrazol-4-yl) -5,6-dihydro-1,2,2-oxathiazine in 10 ml of ether is added dropwise under argon. 70 ° C, a solution of lithium diisopropylamide (prepared by adding 3.6 ml (9 mmol) of 2.5 M n-butyl lithium in hexane to 1 .12 ml (8 mmol) of diisopropylamine in 5 ml of ether at -60 ° C) and stirred for 2 h -70 ° C. Subsequently, 0.80 ml (10 mmol) of sulfuryl chloride in 3 ml of hexane are injected precooled and immediately afterward led to a small amount
Ammoniaküberschuß ein. Die Lösung wird im Vakuum eingedampft und der Ammonia excess. The solution is evaporated in vacuo and the
Rückstand zwischen Methylenchlorid und 25 %iger Natriumdihydrogenphosphatlösung verteilt. Die wässerige Phase wird zweimal mit Methylenchlorid extrahiert. Die vereinigten organischen Phasen werden getrocknet, im Vakuum eingedampft und chromatographiert (Eluens Essigester/Cydohexan 1 :9). Ausbeute: 23 mg (1 .8%). 1H-NMR (DMSO-d6): d = 3.30 ppm - 3.40 ppm und 4.00 ppm - 4.10 ppm (2m, 4H); 4.05 ppm (s, 1 H), 7.70 ppm (s, 1 H); 7.30 ppm (s, 2H). Residue between methylene chloride and 25% Sodium dihydrogen phosphate solution distributed. The aqueous phase is extracted twice with methylene chloride. The combined organic phases are dried, evaporated in vacuo and chromatographed (eluent ethyl acetate / cyclohexane 1: 9). Yield: 23 mg (1 .8%). 1 H-NMR (DMSO-d 6 ): d = 3.30 ppm - 3.40 ppm and 4.00 ppm - 4.10 ppm (2m, 4H); 4.05 ppm (s, 1H), 7.70 ppm (s, 1H); 7.30 ppm (s, 2H).
4-(5,6-Dihydro-1 ,4,2-oxathiazin-3-yl)-N-[(4,6-dimethoxypyrimidin- 2-yl)carbamoyl]-1 -methyl-1 H-pyrazol-5-sulfonamid (Bsp-Nr. 4-1 ) 4- (5,6-Dihydro-1,2,2-oxathiazin-3-yl) -N - [(4,6-dimethoxypyrimidin-2-yl) carbamoyl] -1-methyl-1H-pyrazole-5- sulfonamide (Ex 4-1)
Zu einer Lösung von 262 mg (1 .00 mmol) 4-(5,6-Dihydro-1 ,4,2-oxathiazin-3-yl)-1 - methyl-1 H-pyrazol-5-sulfonamid und 276 mg (1 .00 mmol) 2-(N- Phenoxycarbonylamino)-4,6-dimethoxypyrimidin in 3 ml Acetonitril gibt man bei 0°C 32 mg (1 .06 mmol) 80 %ige Natriumhydrid-Suspension. Nach 5 h Rühren bei RT wird die Mischung im Vakuum eingedampft und der Rückstand in wenig Wasser gelöst. Diese Lösung wird mit Methylenchlorid extrahiert (der Extrakt wird To a solution of 262 mg (1 .00 mmol) of 4- (5,6-dihydro-1,2,2-oxathiazin-3-yl) -1-methyl-1H-pyrazole-5-sulfonamide and 276 mg ( 1 .00 mmol) of 2- (N-phenoxycarbonylamino) -4,6-dimethoxypyrimidine in 3 ml of acetonitrile are added at 0 ° C 32 mg (1 .06 mmol) 80% sodium hydride suspension. After stirring at RT for 5 h, the mixture is evaporated in vacuo and the residue is dissolved in a little water. This solution is extracted with methylene chloride (the extract becomes
verworfen), mit Phosphorsäure auf pH 2 angesäuert und wiederum mit discarded), acidified to pH 2 with phosphoric acid and again with
Methylenchlorid extrahiert. Die vereinigten Extrakte der sauren Lösung werden getrocknet und im Vakuum eingedampft. Ausbeute: 294 mg (66%). 1H-NMR (400 MHz, DMSO-de): d = 7,85 ppm (s, 1 H); 6,00 ppm (s, 1 H); 4,20 ppm (s, 3H); 3,95 ppm (m, 2H); 3,90 ppm (s, 6H); 3,30 ppm (m, 2H) Extracted methylene chloride. The combined extracts of the acidic solution are dried and evaporated in vacuo. Yield: 294 mg (66%). 1 H-NMR (400 MHz, DMSO-de): d = 7.85 ppm (s, 1H); 6.00 ppm (s, 1H); 4.20 ppm (s, 3H); 3.95 ppm (m, 2H); 3.90 ppm (s, 6H); 3.30 ppm (m, 2H)
Tabelle 4 Beispiele für die Verbindungen der Formel (I) mit R = R = R = R = H; R Table 4 Examples of the compounds of formula (I) where R = R = R = R = H; R
10 10
= CH3 und R = H: = CH 3 and R = H:
1H-NMR-Daten (400 MHz, Solvens: DMSO-d6, interner Standard Tetramethylsilan: d = 0,00 ppm) s = Singulett, sbr = breites Singulett, d = Dublett, dd = Doppeldublett, m = Multiplett, q = Quartett, t = Triplett) 1 H-NMR data (400 MHz, solvent: DMSO-d 6 , internal standard tetramethylsilane: d = 0.00 ppm) s = singlet, sbr = broad singlet, d = doublet, dd = double doublet, m = multiplet, q = Quartet, t = triplet)
4-2: d = 7,80 ppm (s, 1 H); 7,00 ppm (s, 1 H); 4,20 ppm (s, 3H); 4,00 ppm (m, 2H); 4-2: d = 7.80 ppm (s, 1H); 7.00 ppm (s, 1H); 4.20 ppm (s, 3H); 4.00 ppm (m, 2H);
3,30 ppm (m, 2H); 2,40 ppm (s, 6H) 3.30 ppm (m, 2H); 2.40 ppm (s, 6H)
4-3: d = 7,80 ppm (s, 1 H); 6,85 ppm (s, 1 H); 4,20 ppm (s, 3H); 4,00 ppm (m, 2H); 4-3: d = 7.80 ppm (s, 1H); 6.85 ppm (s, 1H); 4.20 ppm (s, 3H); 4.00 ppm (m, 2H);
4,00 ppm (s, 3H); 3,30 ppm (m, 2H) 4-4: d = 7,85 ppm (s, 1 H); 5,95 ppm (s, 1 H); 4,30 ppm (m, 2H); 4,20 ppm (s, 3H);4.00 ppm (s, 3H); 3.30 ppm (m, 2H) 4-4: d = 7.85 ppm (s, 1H); 5.95 ppm (s, 1H); 4.30 ppm (m, 2H); 4.20 ppm (s, 3H);
4,00 ppm (m, 2H); 3,30 ppm (m, 2H); 1 ,30 ppm (s, 6H) 4.00 ppm (m, 2H); 3.30 ppm (m, 2H); 1.30 ppm (s, 6H)
4-8: (250 MHz) d = 7,85 ppm (s, 1 H); 4,20 ppm (s, 3H); 4,00 ppm (m, 2H); 3,95 ppm 4-8: (250 MHz) d = 7.85 ppm (s, 1H); 4.20 ppm (s, 3H); 4.00 ppm (m, 2H); 3.95 ppm
(s, 6H); 3,30 ppm (m, 2H) (s, 6H); 3.30 ppm (m, 2H)
Entsprechend der allgemeinen Beschreibung der erfindungsgemäßen According to the general description of the invention
Herstellungsverfahren können beispielsweise auch die weiteren, in der Manufacturing process, for example, the other, in the
nachstehenden Tabelle 5 aufgeführten Verbindungen der Formel (I) hergestellt werden. Table 5 listed compounds of formula (I) are prepared.
(J-4) (J-4)
4 5 6 7 4 5 6 7
Tabelle 5 Beispiele für die Verbindungen der Formel (I) mit R = R = R = R = H; Table 5 Examples of the compounds of formula (I) where R = R = R = R = H;
10 10
R = H: R = H:
1H-NMR-Daten (400 MHz, Solvens: DMSO-d6, interner Standard Tetramethylsilan: d = 0,00 ppm) s = Singulett, sbr = breites Singulett, d = Dublett, dd = Doppeldublett, m = Multiplett, q = Quartett, t = Triplett) 1 H-NMR data (400 MHz, solvent: DMSO-d 6 , internal standard tetramethylsilane: d = 0.00 ppm) s = singlet, sbr = broad singlet, d = doublet, dd = double doublet, m = multiplet, q = Quartet, t = triplet)
5-1 : d = 7,85 ppm (d, 1 H); 7,55 ppm (d, 1 H); 6,00 ppm (s, 1 H); 4,05 ppm (m, 2H); 5-1: d = 7.85 ppm (d, 1H); 7.55 ppm (d, 1H); 6.00 ppm (s, 1H); 4.05 ppm (m, 2H);
3,90 ppm (s, 3H); 3,35 ppm (m, 2H) 3.90 ppm (s, 3H); 3.35 ppm (m, 2H)
Anwendungsbeispiele: Beispiel A Application Examples: Example A
1 . Herbizide Wirkung im Vorauflauf 1 . Pre-emergence herbicidal action
Samen von mono- bzw. dikotylen Unkraut- bzw. Kulturpflanzen werden in Seeds of monocotyledonous or dicotyledonous weeds are cultivated in
Holzfasertöpfen in sandiger Lehmerde ausgelegt und mit Erde abgedeckt. Die in Form von benetzbaren Pulvern (WP) oder als Emulsionskonzentrate (EC) formulierten Testverbindungen werden dann als wäßrige Suspension mit einer Wasseraufwandmenge von umgerechnet 800 l/ha unter Zusatz von 0,2% Netzmittel auf die Oberfläche der Abdeckerde appliziert. Wood fiber pots laid in sandy loam soil and covered with soil. The test compounds formulated in the form of wettable powders (WP) or as emulsion concentrates (EC) are then applied to the surface of the cover soil as an aqueous suspension with an application rate of 800 l / ha with the addition of 0.2% wetting agent.
Nach ca. 3 Wochen Standzeit der Versuchspflanzen im Gewächshaus unter optimalen Wachstumsbedingungen wird die Wirkung der Präparate visuell im Vergleich zu unbehandelten Kontrollen bonitiert (herbizide Wirkung in Prozent (%): 100% Wirkung = Pflanzen sind abgestorben, 0 % Wirkung = wie Kontrollpflanzen). After about 3 weeks life of the test plants in the greenhouse under optimal growth conditions, the effect of the preparations is visually in Compared to untreated controls scored (herbicidal activity in percent (%): 100% effect = plants have died, 0% effect = like control plants).
Nachfolgend sind die Wirksamkeiten einiger der beanspruchten Verbindungen auf verschiedene getestete Unkräuter dargestellt. The following are the efficiencies of some of the claimed compounds on various weeds tested.
Es bedeuten: It means:
ALOMY Alopecurus myosuroides ALOMY Alopecurus myosuroides
AMARE Ambrosia artemisiifolia AMARE Ambrosia artemisiifolia
ECHCG Echinochloa crus-galli ECHCG Echinochloa crus-galli
LOLMU Lolium multiflorum LOLMU Lolium multiflorum
MATIN Matricaria indodora MATIN MATRICARIA INDODORA
SETVI Setaria viridis SETVI Setaria viridis
STEME Stellaria media STEME Stellaria media
VIOTR Viola tricolor VIOTR viola tricolor
Verbindung Applikation A A E L M S s V Connection Application A A E L M S s V
g ai/ha L M C O A E T I g ai / ha L M C O A E T I
O A H L T T E O O A H L T T E O
M R C M I V M TM R C M I V M T
Y E G U N I E R Y E G U N I E R
2-1 80 80 80 90 80 90 90 90 100 Verbindung Applikation A L M S 2-1 80 80 80 90 80 90 90 90 100 Connection application ALMS
g ai/ha L O A T g ai / ha L O A T
O L T E O L T E
M M I MM M I M
Y U N E Y U N E
3-1 80 90 90 90 80 3-1 80 90 90 90 80
In diesem Test zeigen beispielsweise die Verbindungen 2-1 und 3-1 bei teilweise guter Verträglichkeit gegenüber Kulturpflanzen sehr starke Wirkung gegenüber Unkräutern. In this test, for example, the compounds 2-1 and 3-1 show a very strong action against weeds with partially good compatibility with crops.
Beispiel B Example B
2. Herbizide Wirkung im Nachauflauf 2. Post-emergence herbicidal action
Samen von mono- bzw. dikotylen Unkraut- bzw. Kulturpflanzen werden in Seeds of monocotyledonous or dicotyledonous weeds are cultivated in
Holzfasertöpfen in sandigem Lehmboden ausgelegt, mit Erde abgedeckt und im Gewächshaus unter guten Wachstumsbedingungen angezogen. 2 bis 3 Wochen nach der Aussaat werden die Versuchspflanzen im Einblattstadium behandelt. Die in Form von benetzbaren Pulvern (WP) oder als Emulsionskonzentrate (EC) Wood fiber pots laid in sandy loam soil, covered with soil and grown in the greenhouse under good growth conditions. 2 to 3 weeks after sowing, the test plants are treated in the single leaf stage. In the form of wettable powders (WP) or as emulsion concentrates (EC)
formulierten Testverbindungen werden dann als wäßrige Suspension mit einer Wasseraufwandmenge von umgerechnet 800 l/ha unter Zusatz von 0,2% Netzmittel auf die grünen Pflanzenteile gesprüht. Nach ca. 3 Wochen Standzeit der formulated test compounds are then sprayed onto the green parts of plants as an aqueous suspension with a water application rate of about 800 l / ha with the addition of 0.2% wetting agent. After about 3 weeks of service life of
Versuchspflanzen im Gewächshaus unter optimalen Wachstumsbedingungen wird die Wirkung der Präparate visuell im Vergleich zu unbehandelten Kontrollen bonitiert (herbizide Wirkung in Prozent (%): 100% Wirkung = Pflanzen sind abgestorben, 0 % Wirkung = wie Kontrollpflanzen). Test plants in the greenhouse under optimal growth conditions, the effect of the preparations is scored visually compared to untreated controls (herbicidal action in percent (%): 100% effect = plants are dead, 0% effect = as control plants).
Nachfolgend sind die Wirksamkeiten einiger der beanspruchten Verbindungen auf verschiedene getestete Unkräuter dargestellt. Hierbei bedeuten: The following are the efficiencies of some of the claimed compounds on various weeds tested. Where:
ABUTH Abutilon theophrasti ABUTH Abutilon theophrasti
AMARE Ambrosia artemisiifolia AMARE Ambrosia artemisiifolia
ECHCG Echinochloa crus-galli ECHCG Echinochloa crus-galli
LOLMU Lolium multiflorum LOLMU Lolium multiflorum
MATIN Mairicaria indodora MATIN Mairicaria indodora
PHBPU Ipomoea purpurea PHBPU Ipomoea purpurea
SETVI Setaria viridis SETVI Setaria viridis
STEME Stellaria media STEME Stellaria media
VIOTR Viola tricolor VIOTR viola tricolor
Verbindung Applikation A E L M P S s V g ai/ha M c O A H E T I Connection Application A E L M P S s V g ai / ha M C O A H E T I
A H L T B T E O A H L T B T E O
R C M I P V M TR C M I P V M T
E G U N U I E R E G U N U I R E
2-1 Na+ 80 100 90 90 90 80 90 100 90 Verbindung Applikation A A L M S V 2-1 Na + 80 100 90 90 90 80 90 100 90 Connection application AALMSV
g ai/ha B M O A T I g ai / ha B M O A T I
U A L T E O U A L T E O
T R M I M TT R M I M T
H E U N E R H E U N E R
3-1 80 90 90 80 80 90 90 3-1 80 90 90 80 80 90 90
In diesem Test zeigen beispielsweise die Verbindungen 2-1 , 2-1 dessen Na+-Salz und 3-1 bei teilweise guter Verträglichkeit gegenüber Kulturpflanzen sehr starke Wirkung gegenüber Unkräutern. In this test, for example, the compounds 2-1, 2-1 show its Na + salt and 3-1 with some good compatibility with crop plants very strong action against weeds.
Claims
Applications Claiming Priority (4)
| Application Number | Priority Date | Filing Date | Title |
|---|---|---|---|
| US24774509P | 2009-10-01 | 2009-10-01 | |
| EP09012435.5 | 2009-10-01 | ||
| US61/247,745 | 2009-10-01 | ||
| EP09012435 | 2009-10-01 |
Publications (1)
| Publication Number | Publication Date |
|---|---|
| WO2011039276A1 true WO2011039276A1 (en) | 2011-04-07 |
Family
ID=41801153
Family Applications (1)
| Application Number | Title | Priority Date | Filing Date |
|---|---|---|---|
| PCT/EP2010/064493 Ceased WO2011039276A1 (en) | 2009-10-01 | 2010-09-29 | Oxathiazinyl(het)arylsulfonylureas, processes and intermediates for preparation thereof and use thereof as crop protection agents and crop growth regulators |
Country Status (1)
| Country | Link |
|---|---|
| WO (1) | WO2011039276A1 (en) |
Citations (54)
| Publication number | Priority date | Publication date | Assignee | Title |
|---|---|---|---|---|
| EP0086750A2 (en) | 1982-02-17 | 1983-08-24 | Ciba-Geigy Ag | Use of quinoline derivatives in the protection of crop plants |
| EP0094349A2 (en) | 1982-05-07 | 1983-11-16 | Ciba-Geigy Ag | Use of quinoline derivatives for the protection of cultivated plants |
| EP0104940A1 (en) | 1982-09-28 | 1984-04-04 | Uniroyal, Inc. | 3-Aryl-5,6-dihydro-1,4,2-oxathiazines and their oxides |
| EP0131624A1 (en) | 1983-01-17 | 1985-01-23 | Monsanto Co | PLASMIDES FOR TRANSFORMING PLANT CELLS. |
| JPS6087254A (en) | 1983-10-19 | 1985-05-16 | Japan Carlit Co Ltd:The | Novel urea compound and herbicide containing the same |
| EP0142924A2 (en) | 1983-09-26 | 1985-05-29 | Mycogen Plant Science, Inc. | Insect resistant plants |
| EP0162723A2 (en) | 1984-05-24 | 1985-11-27 | E.I. Du Pont De Nemours And Company | Herbicidal sulfonamides |
| EP0174562A2 (en) | 1984-09-11 | 1986-03-19 | Hoechst Aktiengesellschaft | Plant protecting agents based on 1,2,4 - triazole derivatives as well as 1,2,4-triazole derivatives |
| EP0191736A2 (en) | 1985-02-14 | 1986-08-20 | Ciba-Geigy Ag | Use of quinoline derivatives for the protection of crop plants |
| EP0193259A1 (en) | 1985-01-18 | 1986-09-03 | Plant Genetic Systems N.V. | Modifying plants by genetic engineering to combat or control insects |
| EP0221044A1 (en) | 1985-10-25 | 1987-05-06 | Monsanto Company | Novel plant vectors |
| EP0238070A2 (en) | 1986-03-20 | 1987-09-23 | Takeda Chemical Industries, Ltd. | Sulfonylurea compounds, their production and herbicidal use |
| EP0242236A1 (en) | 1986-03-11 | 1987-10-21 | Plant Genetic Systems N.V. | Plant cells resistant to glutamine synthetase inhibitors, made by genetic engineering |
| US4704158A (en) | 1984-08-30 | 1987-11-03 | Bayer Aktiengesellschaft | 1-(2-oxyaminocarbonylphenylsulphonyl)-3-heteroaryl-ureas |
| EP0246984A2 (en) | 1986-05-07 | 1987-11-25 | Rhone-Poulenc Agrochimie | Sulfonyl urea herbicides, their preparation, compositions containing them and their use |
| EP0257993A2 (en) | 1986-08-26 | 1988-03-02 | E.I. Du Pont De Nemours And Company | Nucleic acid fragment encoding herbicide resistant plant acetolactate synthase |
| EP0268554A2 (en) | 1986-10-22 | 1988-05-25 | Ciba-Geigy Ag | 1,5-Diphenyl pyrazole-3-carbonic-acid derivatives for the protection of cultured plants |
| EP0269806A1 (en) | 1986-10-04 | 1988-06-08 | Hoechst Aktiengesellschaft | Phenylpyrazole carbonic acid derivatives, their preparation and use as plant growth regulators and antidotes |
| JPS6416770A (en) | 1987-07-10 | 1989-01-20 | Ishihara Mining & Chemical Co | Production of pyrimidine derivative |
| EP0301784A1 (en) | 1987-07-27 | 1989-02-01 | E.I. Du Pont De Nemours And Company | Herbicidal sulfonamides |
| EP0333131A1 (en) | 1988-03-17 | 1989-09-20 | Hoechst Aktiengesellschaft | Plant protective agent based on pyrazolecarboxylic acid derivatives |
| EP0346620A1 (en) | 1988-05-20 | 1989-12-20 | Hoechst Aktiengesellschaft | Plant protection agents containing 1,2,4-triazole derivatives, and the 1,2,4-triazole derivatives |
| US5013659A (en) | 1987-07-27 | 1991-05-07 | E. I. Du Pont De Nemours And Company | Nucleic acid fragment encoding herbicide resistant plant acetolactate synthase |
| WO1991008202A1 (en) | 1989-11-25 | 1991-06-13 | Hoechst Aktiengesellschaft | Isoxazolines, method of preparation thereof, and their use as plant-protection agents |
| WO1991013972A1 (en) | 1990-03-16 | 1991-09-19 | Calgene, Inc. | Plant desaturases - compositions and uses |
| WO1991019806A1 (en) | 1990-06-18 | 1991-12-26 | Monsanto Company | Increased starch content in plants |
| WO1992000377A1 (en) | 1990-06-25 | 1992-01-09 | Monsanto Company | Glyphosate tolerant plants |
| JPH04139170A (en) | 1990-10-01 | 1992-05-13 | Ishihara Sangyo Kaisha Ltd | Substituted pyridinesufonylcarbamate-based compound, its production and production of substituted pyridinesulfonamide-based compound |
| EP0492366A2 (en) | 1990-12-21 | 1992-07-01 | Hoechst Schering AgrEvo GmbH | New 5-chloroquinolin-8-oxyalkanecarbonic acid derivatives, process for their preparation and their use as antidotes for herbicides |
| WO1992011376A1 (en) | 1990-12-21 | 1992-07-09 | Amylogene Hb | Genetically engineered modification of potato to form amylopectin-type starch |
| WO1992014827A1 (en) | 1991-02-13 | 1992-09-03 | Institut Für Genbiologische Forschung Berlin Gmbh | Plasmids containing dna-sequences that cause changes in the carbohydrate concentration and the carbohydrate composition in plants, as well as plant cells and plants containing these plasmids |
| EP0582198A2 (en) | 1992-08-01 | 1994-02-09 | Hoechst Schering AgrEvo GmbH | Substituted (hetero-)aryle compounds, process for their preparation, those containing compositions and their use as safeners |
| WO1995007897A1 (en) | 1993-09-16 | 1995-03-23 | Hoechst Schering Agrevo Gmbh | Substituted isoxazolines, process for producing them, agents containing them and their use as safeners |
| EP0645386A1 (en) | 1993-09-27 | 1995-03-29 | Bayer Ag | N-Azinyl-N'-(het)arylsulfonylureas as herbicides |
| WO1997045016A1 (en) | 1996-05-29 | 1997-12-04 | Hoechst Schering Agrevo Gmbh | Novel n-acyl sulphonamides, novel mixtures of herbicides and antidotes and their use |
| WO1998013361A1 (en) | 1996-09-26 | 1998-04-02 | Novartis Ag | Herbicidal composition |
| WO1998027049A1 (en) | 1996-12-19 | 1998-06-25 | Hoechst Schering Agrevo Gmbh | Novel 2-fluoroacrylic acid derivatives, novel mixtures of herbicides and antidotes and the use thereof |
| WO1998038856A1 (en) | 1997-03-04 | 1998-09-11 | Zeneca Limited | Compositions for safening rice against acetochlor |
| WO1999000020A1 (en) | 1997-06-27 | 1999-01-07 | Hoechst Schering Agrevo Gmbh | 3-(5-tetrazolyl carbonyl)-2-quinolones and products for protecting useful plants containing the same |
| WO1999016744A1 (en) | 1997-09-29 | 1999-04-08 | Aventis Cropscience Gmbh | Acylsulfamoyl benzoic acid amides, plant protection agents containing said acylsulfamoyl benzoic acid amides, and method for producing the same |
| WO2002034048A1 (en) | 2000-10-23 | 2002-05-02 | Syngenta Participations Ag | Agrochemical compositions with quinoline safeners |
| WO2004084631A1 (en) | 2003-03-26 | 2004-10-07 | Bayer Cropscience Gmbh | Use of aromatic hydroxy compounds as safeners |
| WO2005015994A1 (en) | 2003-08-05 | 2005-02-24 | Bayer Cropscience Gmbh | Use of aromatic compounds as safeners |
| WO2005016001A1 (en) | 2003-08-05 | 2005-02-24 | Bayer Cropscience Gmbh | Safener based on aromatic-aliphatic carboxylic acid derivatives |
| WO2005103044A1 (en) | 2004-04-27 | 2005-11-03 | Nissan Chemical Industries, Ltd. | Pyrazole sulfonylurea compound and herbicide |
| WO2005112630A1 (en) | 2004-05-12 | 2005-12-01 | Bayer Cropscience Gmbh | Quinoxalin-2-one derivatives crop protection agents comprising the same and method for production and use therof |
| WO2006012982A1 (en) * | 2004-07-28 | 2006-02-09 | Bayer Cropscience Ag | Dioxazinyl-substituted thienylsulphonylaminocarbonyl compounds |
| EP1728430A1 (en) * | 2005-06-04 | 2006-12-06 | Bayer CropScience GmbH | Herbicidal agents |
| WO2007023719A1 (en) | 2005-08-22 | 2007-03-01 | Kumiai Chemical Industry Co., Ltd. | Agent for reducing chemical injury and herbicide composition with reduced chemical injury |
| WO2007023764A1 (en) | 2005-08-26 | 2007-03-01 | Kumiai Chemical Industry Co., Ltd. | Agent for reduction of harmful effect of herbicide and herbicide composition having reduced harmful effect |
| WO2007046440A1 (en) | 2005-10-18 | 2007-04-26 | Nissan Chemical Industries, Ltd. | Herbicide composition |
| JP2007145792A (en) | 2005-10-26 | 2007-06-14 | Nissan Chem Ind Ltd | Release controlled granule and preparation containing the granule |
| JP2007217336A (en) | 2006-02-16 | 2007-08-30 | Nissan Chem Ind Ltd | Sulfonylurea compound and herbicide |
| JP2007246477A (en) | 2006-03-17 | 2007-09-27 | Nissan Chem Ind Ltd | Sulfonylurea compound and herbicide |
-
2010
- 2010-09-29 WO PCT/EP2010/064493 patent/WO2011039276A1/en not_active Ceased
Patent Citations (57)
| Publication number | Priority date | Publication date | Assignee | Title |
|---|---|---|---|---|
| EP0086750A2 (en) | 1982-02-17 | 1983-08-24 | Ciba-Geigy Ag | Use of quinoline derivatives in the protection of crop plants |
| EP0094349A2 (en) | 1982-05-07 | 1983-11-16 | Ciba-Geigy Ag | Use of quinoline derivatives for the protection of cultivated plants |
| EP0104940A1 (en) | 1982-09-28 | 1984-04-04 | Uniroyal, Inc. | 3-Aryl-5,6-dihydro-1,4,2-oxathiazines and their oxides |
| EP0131624A1 (en) | 1983-01-17 | 1985-01-23 | Monsanto Co | PLASMIDES FOR TRANSFORMING PLANT CELLS. |
| EP0142924A2 (en) | 1983-09-26 | 1985-05-29 | Mycogen Plant Science, Inc. | Insect resistant plants |
| JPS6087254A (en) | 1983-10-19 | 1985-05-16 | Japan Carlit Co Ltd:The | Novel urea compound and herbicide containing the same |
| EP0162723A2 (en) | 1984-05-24 | 1985-11-27 | E.I. Du Pont De Nemours And Company | Herbicidal sulfonamides |
| US4704158A (en) | 1984-08-30 | 1987-11-03 | Bayer Aktiengesellschaft | 1-(2-oxyaminocarbonylphenylsulphonyl)-3-heteroaryl-ureas |
| EP0174562A2 (en) | 1984-09-11 | 1986-03-19 | Hoechst Aktiengesellschaft | Plant protecting agents based on 1,2,4 - triazole derivatives as well as 1,2,4-triazole derivatives |
| EP0193259A1 (en) | 1985-01-18 | 1986-09-03 | Plant Genetic Systems N.V. | Modifying plants by genetic engineering to combat or control insects |
| EP0191736A2 (en) | 1985-02-14 | 1986-08-20 | Ciba-Geigy Ag | Use of quinoline derivatives for the protection of crop plants |
| EP0221044A1 (en) | 1985-10-25 | 1987-05-06 | Monsanto Company | Novel plant vectors |
| EP0242236A1 (en) | 1986-03-11 | 1987-10-21 | Plant Genetic Systems N.V. | Plant cells resistant to glutamine synthetase inhibitors, made by genetic engineering |
| EP0242246A1 (en) | 1986-03-11 | 1987-10-21 | Plant Genetic Systems N.V. | Plant cells resistant to glutamine synthetase inhibitors, made by genetic engineering |
| EP0238070A2 (en) | 1986-03-20 | 1987-09-23 | Takeda Chemical Industries, Ltd. | Sulfonylurea compounds, their production and herbicidal use |
| EP0246984A2 (en) | 1986-05-07 | 1987-11-25 | Rhone-Poulenc Agrochimie | Sulfonyl urea herbicides, their preparation, compositions containing them and their use |
| EP0257993A2 (en) | 1986-08-26 | 1988-03-02 | E.I. Du Pont De Nemours And Company | Nucleic acid fragment encoding herbicide resistant plant acetolactate synthase |
| EP0269806A1 (en) | 1986-10-04 | 1988-06-08 | Hoechst Aktiengesellschaft | Phenylpyrazole carbonic acid derivatives, their preparation and use as plant growth regulators and antidotes |
| EP0268554A2 (en) | 1986-10-22 | 1988-05-25 | Ciba-Geigy Ag | 1,5-Diphenyl pyrazole-3-carbonic-acid derivatives for the protection of cultured plants |
| JPS6416770A (en) | 1987-07-10 | 1989-01-20 | Ishihara Mining & Chemical Co | Production of pyrimidine derivative |
| EP0301784A1 (en) | 1987-07-27 | 1989-02-01 | E.I. Du Pont De Nemours And Company | Herbicidal sulfonamides |
| US5013659A (en) | 1987-07-27 | 1991-05-07 | E. I. Du Pont De Nemours And Company | Nucleic acid fragment encoding herbicide resistant plant acetolactate synthase |
| EP0333131A1 (en) | 1988-03-17 | 1989-09-20 | Hoechst Aktiengesellschaft | Plant protective agent based on pyrazolecarboxylic acid derivatives |
| EP0346620A1 (en) | 1988-05-20 | 1989-12-20 | Hoechst Aktiengesellschaft | Plant protection agents containing 1,2,4-triazole derivatives, and the 1,2,4-triazole derivatives |
| WO1991008202A1 (en) | 1989-11-25 | 1991-06-13 | Hoechst Aktiengesellschaft | Isoxazolines, method of preparation thereof, and their use as plant-protection agents |
| WO1991013972A1 (en) | 1990-03-16 | 1991-09-19 | Calgene, Inc. | Plant desaturases - compositions and uses |
| WO1991019806A1 (en) | 1990-06-18 | 1991-12-26 | Monsanto Company | Increased starch content in plants |
| WO1992000377A1 (en) | 1990-06-25 | 1992-01-09 | Monsanto Company | Glyphosate tolerant plants |
| JPH04139170A (en) | 1990-10-01 | 1992-05-13 | Ishihara Sangyo Kaisha Ltd | Substituted pyridinesufonylcarbamate-based compound, its production and production of substituted pyridinesulfonamide-based compound |
| EP0492366A2 (en) | 1990-12-21 | 1992-07-01 | Hoechst Schering AgrEvo GmbH | New 5-chloroquinolin-8-oxyalkanecarbonic acid derivatives, process for their preparation and their use as antidotes for herbicides |
| WO1992011376A1 (en) | 1990-12-21 | 1992-07-09 | Amylogene Hb | Genetically engineered modification of potato to form amylopectin-type starch |
| WO1992014827A1 (en) | 1991-02-13 | 1992-09-03 | Institut Für Genbiologische Forschung Berlin Gmbh | Plasmids containing dna-sequences that cause changes in the carbohydrate concentration and the carbohydrate composition in plants, as well as plant cells and plants containing these plasmids |
| EP0582198A2 (en) | 1992-08-01 | 1994-02-09 | Hoechst Schering AgrEvo GmbH | Substituted (hetero-)aryle compounds, process for their preparation, those containing compositions and their use as safeners |
| WO1995007897A1 (en) | 1993-09-16 | 1995-03-23 | Hoechst Schering Agrevo Gmbh | Substituted isoxazolines, process for producing them, agents containing them and their use as safeners |
| EP0645386A1 (en) | 1993-09-27 | 1995-03-29 | Bayer Ag | N-Azinyl-N'-(het)arylsulfonylureas as herbicides |
| US5476936A (en) | 1993-09-27 | 1995-12-19 | Bayer Aktiengesellschaft | N-azinyl-N'-(het)arylsulphonyl-ureas |
| WO1997045016A1 (en) | 1996-05-29 | 1997-12-04 | Hoechst Schering Agrevo Gmbh | Novel n-acyl sulphonamides, novel mixtures of herbicides and antidotes and their use |
| WO1998013361A1 (en) | 1996-09-26 | 1998-04-02 | Novartis Ag | Herbicidal composition |
| WO1998027049A1 (en) | 1996-12-19 | 1998-06-25 | Hoechst Schering Agrevo Gmbh | Novel 2-fluoroacrylic acid derivatives, novel mixtures of herbicides and antidotes and the use thereof |
| WO1998038856A1 (en) | 1997-03-04 | 1998-09-11 | Zeneca Limited | Compositions for safening rice against acetochlor |
| WO1999000020A1 (en) | 1997-06-27 | 1999-01-07 | Hoechst Schering Agrevo Gmbh | 3-(5-tetrazolyl carbonyl)-2-quinolones and products for protecting useful plants containing the same |
| WO1999016744A1 (en) | 1997-09-29 | 1999-04-08 | Aventis Cropscience Gmbh | Acylsulfamoyl benzoic acid amides, plant protection agents containing said acylsulfamoyl benzoic acid amides, and method for producing the same |
| WO2002034048A1 (en) | 2000-10-23 | 2002-05-02 | Syngenta Participations Ag | Agrochemical compositions with quinoline safeners |
| WO2004084631A1 (en) | 2003-03-26 | 2004-10-07 | Bayer Cropscience Gmbh | Use of aromatic hydroxy compounds as safeners |
| WO2005016001A1 (en) | 2003-08-05 | 2005-02-24 | Bayer Cropscience Gmbh | Safener based on aromatic-aliphatic carboxylic acid derivatives |
| WO2005015994A1 (en) | 2003-08-05 | 2005-02-24 | Bayer Cropscience Gmbh | Use of aromatic compounds as safeners |
| EP1748047A1 (en) | 2004-04-27 | 2007-01-31 | Nissan Chemical Industries, Ltd. | Pyrazole sulfonylurea compound and herbicide |
| WO2005103044A1 (en) | 2004-04-27 | 2005-11-03 | Nissan Chemical Industries, Ltd. | Pyrazole sulfonylurea compound and herbicide |
| WO2005112630A1 (en) | 2004-05-12 | 2005-12-01 | Bayer Cropscience Gmbh | Quinoxalin-2-one derivatives crop protection agents comprising the same and method for production and use therof |
| WO2006012982A1 (en) * | 2004-07-28 | 2006-02-09 | Bayer Cropscience Ag | Dioxazinyl-substituted thienylsulphonylaminocarbonyl compounds |
| EP1728430A1 (en) * | 2005-06-04 | 2006-12-06 | Bayer CropScience GmbH | Herbicidal agents |
| WO2007023719A1 (en) | 2005-08-22 | 2007-03-01 | Kumiai Chemical Industry Co., Ltd. | Agent for reducing chemical injury and herbicide composition with reduced chemical injury |
| WO2007023764A1 (en) | 2005-08-26 | 2007-03-01 | Kumiai Chemical Industry Co., Ltd. | Agent for reduction of harmful effect of herbicide and herbicide composition having reduced harmful effect |
| WO2007046440A1 (en) | 2005-10-18 | 2007-04-26 | Nissan Chemical Industries, Ltd. | Herbicide composition |
| JP2007145792A (en) | 2005-10-26 | 2007-06-14 | Nissan Chem Ind Ltd | Release controlled granule and preparation containing the granule |
| JP2007217336A (en) | 2006-02-16 | 2007-08-30 | Nissan Chem Ind Ltd | Sulfonylurea compound and herbicide |
| JP2007246477A (en) | 2006-03-17 | 2007-09-27 | Nissan Chem Ind Ltd | Sulfonylurea compound and herbicide |
Non-Patent Citations (28)
| Title |
|---|
| "Gene Transfer to Plants, Springer Lab Manual", 1995, SPRINGER VERLAG |
| "Perry's Chemical Engineer's Handbook, 5th Ed.,", 1973, MCGRAW-HILL, pages: 8 - 57 |
| "The Pesticide Manual, 14th edition,", 2003, THE BRITISH CROP PROTECTION COUNCIL AND THE ROYAL SOC. OF CHEMISTRY |
| B. SAMBROOK ET AL.: "Molecular Cloning, A Laboratory Manual,2. Aufl.", 1989, COLD SPRING HARBOR LABORATORY PRESS |
| BRAUN ET AL., EMBO J., vol. 11, 1992, pages 3219 - 3227 |
| C. MARSDEN: "Solvents Guide, 2nd Ed.,", 1963, INTERSCIENCE |
| CHRISTOU, TRENDS IN PLANT SCIENCE, vol. 1, 1996, pages 423 - 431 |
| DATABASE WPI Week 200736, Derwent World Patents Index; AN 2007-390466, XP002573248 * |
| DATABASE WPI Week 200745, Derwent World Patents Index; AN 2007-463791, XP002573250 * |
| DATABASE WPI Week 200808, Derwent World Patents Index; AN 2008-B20965, XP002573249 * |
| H.V. OLPHEN: "Introduction to Clay Colloid Chemistry, 2nd Ed.,", J. WILEY & SONS |
| HUAXUE SHIJIE, vol. 32, no. 6, 1991, pages 254 - 7 |
| J.D. FREYER; S.A. EVANS: "Weed Control Handbook", 1968, BLACKWELL SCIENTIFIC PUBLICATIONS, pages: 101 - 103 |
| J.E. BROWNING: "Agglomeration", CHEMICAL AND ENGINEERING, 1967, pages 147 |
| K. MARTENS: "Spray Drying, 3rd Ed.", 1979, G. GOODWIN LTD. |
| KLINGMAN: "Weed Control as a Science", 1961, JOHN WILEY AND SONS, INC., pages: 81 - 96 |
| MCCUTCHEON'S: "Detergents and Emulsifiers Annual", MC PUBL. CORP. |
| MITSUNOBU-BEDINGUNGEN; S. AUCH KAI, NAKAI TETRAHEDRON LETT., vol. 42, 2001, pages 6895 - 6897 |
| SCHÖNFELDT: "Grenzflächenaktive Äthylenoxidaddukte", 1976, WISS. VERLAGSGESELL. |
| SISLEY; WOOD: "Encyclopedia of Surface Active Agents", 1964, CHEM. PUBL. CO. INC. |
| SONNEWALD ET AL., PLANT J., vol. 1, 1991, pages 95 - 106 |
| WADE VAN VALKENBURG: "Pesticide Formulations", 1973, MARCEL DEKKER |
| WATKINS: "Handbook of Insecticide Dust Diluents and Carriers, 2nd Ed.,", CALDWELL N.J. |
| WEED RESEARCH, vol. 26, 1986, pages 441 - 445 |
| WINNACKER: "Gene und Klone 2. Auflage", 1996, VCH |
| WINNACKER-KUCHLER: "Chemische Technologie,4. Aufl.", vol. 7, 1986, C. HANSER VERLAG |
| WOLTER ET AL., PROC. NATL. ACAD. SCI. USA, vol. 85, 1988, pages 846 - 850 |
| Z.B. VERFAHREN: "Spray-Drying Handbook 3rd ed.", 1979, G. GOODWIN LTD. |
Similar Documents
| Publication | Publication Date | Title |
|---|---|---|
| EP2384321B1 (en) | Pyrimidine derivatives and use thereof for combating undesired plant growth | |
| EP2831050B1 (en) | 5-amino pyrimidine derivatives and use thereof for combating undesired plant growth | |
| EP2408305A1 (en) | Pyrimindine-4-ylpropane dinitrile derivatives, method for the production thereof, and use thereof as herbicide and plant growth regulators | |
| EP2384322B1 (en) | Pyrimidine derivatives and use thereof for combating undesired plant growth | |
| EP2274305B1 (en) | 2-[(1h-pyrazol-4-ylmethyl)-sulfonyl]-oxazole derivatives, 2-[(1h-pyrazol-4-ylmethyl)-sulfanyl]-oxazole derivatives and chiral 2-[(1h-pyrazol-4-ylmethyl)-sulfinyl]-oxazole derivatives, method for production of same and their use as herbicides and plant growth regulators | |
| WO2011120926A1 (en) | 4-cyclopropyl-2-[(5-oxo-4,5-dihydro-1,2,4-triazol-1-yl)(thio)carbonylaminosulfonyl]benzoic acid derivatives, processes for preparing them and use as herbicides and plant growth regulators | |
| WO2010127795A1 (en) | Herbicidal compounds based on n-azinyl-n'-pyridylsulfonyl ureas | |
| US11477982B2 (en) | 2-amino-5-oxyalkyl-pyrimidine derivatives and their use for controlling undesired plant growth | |
| EP2294058A1 (en) | 2-(benzylsulfonyl)-oxazole derivatives, chiral 2- (benzylsulfinyl) -oxazole derivatives and 2-(benzylsulfanyl)-oxazole derivatives, methods for the production thereof, and use thereof as herbicides and plant growth regulators | |
| WO2021028421A1 (en) | Substituted (2-heteroaryloxyphenyl)isoxazolines and salts thereof and their use as herbicidal active substances | |
| WO2011039276A1 (en) | Oxathiazinyl(het)arylsulfonylureas, processes and intermediates for preparation thereof and use thereof as crop protection agents and crop growth regulators | |
| WO2025114265A1 (en) | Substituted aryl carboxamides | |
| WO2025114275A1 (en) | 3-heterocyclyl-benzamides and use thereof as herbicides | |
| WO2024194026A1 (en) | 4-difluoromethyl benzamides with herbicidal action | |
| WO2025114252A1 (en) | Substituted isophthalic acid diamides and use thereof as herbicides | |
| WO2025103939A1 (en) | Sulfonimidoyl benzamides with herbicidal action | |
| EP3720853A1 (en) | 3-amino-[1,2,4]-triazole derivatives and their use for controlling undesired plant growth | |
| EP3938349A1 (en) | Specifically substituted 3-(2-alkoxy-6-alkyl-4-propinylphenyl)-3-pyrrolin-2-ones and their use as herbicides | |
| WO2020245097A1 (en) | Substituted pyridinyloxypyridines and salts thereof and use thereof as herbicidal agents |
Legal Events
| Date | Code | Title | Description |
|---|---|---|---|
| 121 | Ep: the epo has been informed by wipo that ep was designated in this application |
Ref document number: 10765995 Country of ref document: EP Kind code of ref document: A1 |
|
| NENP | Non-entry into the national phase |
Ref country code: DE |
|
| 122 | Ep: pct application non-entry in european phase |
Ref document number: 10765995 Country of ref document: EP Kind code of ref document: A1 |





































































