WO2011021385A1 - 有機電界発光素子及び新規なアルコール可溶性リン光発光材料 - Google Patents
有機電界発光素子及び新規なアルコール可溶性リン光発光材料 Download PDFInfo
- Publication number
- WO2011021385A1 WO2011021385A1 PCT/JP2010/005087 JP2010005087W WO2011021385A1 WO 2011021385 A1 WO2011021385 A1 WO 2011021385A1 JP 2010005087 W JP2010005087 W JP 2010005087W WO 2011021385 A1 WO2011021385 A1 WO 2011021385A1
- Authority
- WO
- WIPO (PCT)
- Prior art keywords
- group
- formula
- represented
- organic
- phosphine oxide
- Prior art date
- Legal status (The legal status is an assumption and is not a legal conclusion. Google has not performed a legal analysis and makes no representation as to the accuracy of the status listed.)
- Ceased
Links
- 0 C*c1cccc(Br)c1 Chemical compound C*c1cccc(Br)c1 0.000 description 2
- UKYHKRNPUWIQSV-UHFFFAOYSA-N O=P(c1ccccc1)(c1ccccc1)c1cc(F)ccc1 Chemical compound O=P(c1ccccc1)(c1ccccc1)c1cc(F)ccc1 UKYHKRNPUWIQSV-UHFFFAOYSA-N 0.000 description 2
- LZGSQBYVVHBCCM-UHFFFAOYSA-N O=P(c1cnc2[n]1c(cccc1)c1c1c2cccc1)(c1ccccc1)c1ccccc1 Chemical compound O=P(c1cnc2[n]1c(cccc1)c1c1c2cccc1)(c1ccccc1)c1ccccc1 LZGSQBYVVHBCCM-UHFFFAOYSA-N 0.000 description 2
- WLPFTJXVEBANAM-UHFFFAOYSA-N Brc1cccc(-c2ncccc2)c1 Chemical compound Brc1cccc(-c2ncccc2)c1 WLPFTJXVEBANAM-UHFFFAOYSA-N 0.000 description 1
- IMRWILPUOVGIMU-UHFFFAOYSA-N Brc1ccccn1 Chemical compound Brc1ccccn1 IMRWILPUOVGIMU-UHFFFAOYSA-N 0.000 description 1
- WJIFKOVZNJTSGO-UHFFFAOYSA-N Cc1cccc(Br)c1 Chemical compound Cc1cccc(Br)c1 WJIFKOVZNJTSGO-UHFFFAOYSA-N 0.000 description 1
- UAZKAAAOEUOCEP-UHFFFAOYSA-N ClP(c1ccccc1)C1=CCCC=C1 Chemical compound ClP(c1ccccc1)C1=CCCC=C1 UAZKAAAOEUOCEP-UHFFFAOYSA-N 0.000 description 1
- ZNAWARFIYJDDCT-UHFFFAOYSA-N O=P(c1ccc(-c2ccc(P(c3ccccc3)(c3ccccc3)=O)[s]2)[s]1)(c1ccccc1)c1ccccc1 Chemical compound O=P(c1ccc(-c2ccc(P(c3ccccc3)(c3ccccc3)=O)[s]2)[s]1)(c1ccccc1)c1ccccc1 ZNAWARFIYJDDCT-UHFFFAOYSA-N 0.000 description 1
- OATDNIOWXXJXFB-UHFFFAOYSA-N O=P(c1ccccc1)(c1ccccc1)c(cc1)ccc1-c1c(cccc2)c2c(-c(cc2)ccc2P(c2ccccc2)(c2ccccc2)=O)c2c1cccc2 Chemical compound O=P(c1ccccc1)(c1ccccc1)c(cc1)ccc1-c1c(cccc2)c2c(-c(cc2)ccc2P(c2ccccc2)(c2ccccc2)=O)c2c1cccc2 OATDNIOWXXJXFB-UHFFFAOYSA-N 0.000 description 1
- DUJWMECFTRSZIZ-UHFFFAOYSA-N O=P(c1ccccc1)(c1ccccc1)c(nc1)ccc1-c1nnc(-c(cc2)cnc2P(c2ccccc2)(c2ccccc2)=O)[o]1 Chemical compound O=P(c1ccccc1)(c1ccccc1)c(nc1)ccc1-c1nnc(-c(cc2)cnc2P(c2ccccc2)(c2ccccc2)=O)[o]1 DUJWMECFTRSZIZ-UHFFFAOYSA-N 0.000 description 1
- GZZLAPUQZCXKKT-UHFFFAOYSA-N O=P(c1ccccc1)(c1ccccc1)c1cc(Br)ccc1 Chemical compound O=P(c1ccccc1)(c1ccccc1)c1cc(Br)ccc1 GZZLAPUQZCXKKT-UHFFFAOYSA-N 0.000 description 1
- YVELQZRTYBZIJJ-UHFFFAOYSA-N O=P(c1ccccc1)(c1ccccc1)c1cccc(-[n]2cncc2)c1 Chemical compound O=P(c1ccccc1)(c1ccccc1)c1cccc(-[n]2cncc2)c1 YVELQZRTYBZIJJ-UHFFFAOYSA-N 0.000 description 1
- SHWNDUJCIYUZRF-UHFFFAOYSA-N c1cnc2[n]1c(cccc1)c1c1ccccc21 Chemical compound c1cnc2[n]1c(cccc1)c1c1ccccc21 SHWNDUJCIYUZRF-UHFFFAOYSA-N 0.000 description 1
- HYZJCKYKOHLVJF-UHFFFAOYSA-N c1nc2ccccc2[nH]1 Chemical compound c1nc2ccccc2[nH]1 HYZJCKYKOHLVJF-UHFFFAOYSA-N 0.000 description 1
Images
Classifications
-
- C—CHEMISTRY; METALLURGY
- C09—DYES; PAINTS; POLISHES; NATURAL RESINS; ADHESIVES; COMPOSITIONS NOT OTHERWISE PROVIDED FOR; APPLICATIONS OF MATERIALS NOT OTHERWISE PROVIDED FOR
- C09K—MATERIALS FOR MISCELLANEOUS APPLICATIONS, NOT PROVIDED FOR ELSEWHERE
- C09K11/00—Luminescent, e.g. electroluminescent, chemiluminescent materials
- C09K11/06—Luminescent, e.g. electroluminescent, chemiluminescent materials containing organic luminescent materials
-
- C—CHEMISTRY; METALLURGY
- C07—ORGANIC CHEMISTRY
- C07F—ACYCLIC, CARBOCYCLIC OR HETEROCYCLIC COMPOUNDS CONTAINING ELEMENTS OTHER THAN CARBON, HYDROGEN, HALOGEN, OXYGEN, NITROGEN, SULFUR, SELENIUM OR TELLURIUM
- C07F15/00—Compounds containing elements of Groups 8, 9, 10 or 18 of the Periodic Table
- C07F15/0006—Compounds containing elements of Groups 8, 9, 10 or 18 of the Periodic Table compounds of the platinum group
- C07F15/0033—Iridium compounds
-
- H—ELECTRICITY
- H05—ELECTRIC TECHNIQUES NOT OTHERWISE PROVIDED FOR
- H05B—ELECTRIC HEATING; ELECTRIC LIGHT SOURCES NOT OTHERWISE PROVIDED FOR; CIRCUIT ARRANGEMENTS FOR ELECTRIC LIGHT SOURCES, IN GENERAL
- H05B33/00—Electroluminescent light sources
- H05B33/12—Light sources with substantially two-dimensional radiating surfaces
- H05B33/14—Light sources with substantially two-dimensional radiating surfaces characterised by the chemical or physical composition or the arrangement of the electroluminescent material, or by the simultaneous addition of the electroluminescent material in or onto the light source
-
- H—ELECTRICITY
- H10—SEMICONDUCTOR DEVICES; ELECTRIC SOLID-STATE DEVICES NOT OTHERWISE PROVIDED FOR
- H10K—ORGANIC ELECTRIC SOLID-STATE DEVICES
- H10K50/00—Organic light-emitting devices
- H10K50/10—OLEDs or polymer light-emitting diodes [PLED]
- H10K50/11—OLEDs or polymer light-emitting diodes [PLED] characterised by the electroluminescent [EL] layers
-
- H—ELECTRICITY
- H10—SEMICONDUCTOR DEVICES; ELECTRIC SOLID-STATE DEVICES NOT OTHERWISE PROVIDED FOR
- H10K—ORGANIC ELECTRIC SOLID-STATE DEVICES
- H10K71/00—Manufacture or treatment specially adapted for the organic devices covered by this subclass
- H10K71/10—Deposition of organic active material
- H10K71/12—Deposition of organic active material using liquid deposition, e.g. spin coating
-
- H—ELECTRICITY
- H10—SEMICONDUCTOR DEVICES; ELECTRIC SOLID-STATE DEVICES NOT OTHERWISE PROVIDED FOR
- H10K—ORGANIC ELECTRIC SOLID-STATE DEVICES
- H10K85/00—Organic materials used in the body or electrodes of devices covered by this subclass
- H10K85/10—Organic polymers or oligomers
- H10K85/111—Organic polymers or oligomers comprising aromatic, heteroaromatic, or aryl chains, e.g. polyaniline, polyphenylene or polyphenylene vinylene
- H10K85/113—Heteroaromatic compounds comprising sulfur or selene, e.g. polythiophene
- H10K85/1135—Polyethylene dioxythiophene [PEDOT]; Derivatives thereof
-
- H—ELECTRICITY
- H10—SEMICONDUCTOR DEVICES; ELECTRIC SOLID-STATE DEVICES NOT OTHERWISE PROVIDED FOR
- H10K—ORGANIC ELECTRIC SOLID-STATE DEVICES
- H10K85/00—Organic materials used in the body or electrodes of devices covered by this subclass
- H10K85/10—Organic polymers or oligomers
- H10K85/141—Organic polymers or oligomers comprising aliphatic or olefinic chains, e.g. poly N-vinylcarbazol, PVC or PTFE
- H10K85/146—Organic polymers or oligomers comprising aliphatic or olefinic chains, e.g. poly N-vinylcarbazol, PVC or PTFE poly N-vinylcarbazol; Derivatives thereof
-
- H—ELECTRICITY
- H10—SEMICONDUCTOR DEVICES; ELECTRIC SOLID-STATE DEVICES NOT OTHERWISE PROVIDED FOR
- H10K—ORGANIC ELECTRIC SOLID-STATE DEVICES
- H10K85/00—Organic materials used in the body or electrodes of devices covered by this subclass
- H10K85/30—Coordination compounds
- H10K85/341—Transition metal complexes, e.g. Ru(II)polypyridine complexes
- H10K85/342—Transition metal complexes, e.g. Ru(II)polypyridine complexes comprising iridium
-
- C—CHEMISTRY; METALLURGY
- C09—DYES; PAINTS; POLISHES; NATURAL RESINS; ADHESIVES; COMPOSITIONS NOT OTHERWISE PROVIDED FOR; APPLICATIONS OF MATERIALS NOT OTHERWISE PROVIDED FOR
- C09K—MATERIALS FOR MISCELLANEOUS APPLICATIONS, NOT PROVIDED FOR ELSEWHERE
- C09K2211/00—Chemical nature of organic luminescent or tenebrescent compounds
- C09K2211/10—Non-macromolecular compounds
- C09K2211/1003—Carbocyclic compounds
- C09K2211/1007—Non-condensed systems
-
- C—CHEMISTRY; METALLURGY
- C09—DYES; PAINTS; POLISHES; NATURAL RESINS; ADHESIVES; COMPOSITIONS NOT OTHERWISE PROVIDED FOR; APPLICATIONS OF MATERIALS NOT OTHERWISE PROVIDED FOR
- C09K—MATERIALS FOR MISCELLANEOUS APPLICATIONS, NOT PROVIDED FOR ELSEWHERE
- C09K2211/00—Chemical nature of organic luminescent or tenebrescent compounds
- C09K2211/10—Non-macromolecular compounds
- C09K2211/1003—Carbocyclic compounds
- C09K2211/1014—Carbocyclic compounds bridged by heteroatoms, e.g. N, P, Si or B
-
- C—CHEMISTRY; METALLURGY
- C09—DYES; PAINTS; POLISHES; NATURAL RESINS; ADHESIVES; COMPOSITIONS NOT OTHERWISE PROVIDED FOR; APPLICATIONS OF MATERIALS NOT OTHERWISE PROVIDED FOR
- C09K—MATERIALS FOR MISCELLANEOUS APPLICATIONS, NOT PROVIDED FOR ELSEWHERE
- C09K2211/00—Chemical nature of organic luminescent or tenebrescent compounds
- C09K2211/10—Non-macromolecular compounds
- C09K2211/1018—Heterocyclic compounds
- C09K2211/1025—Heterocyclic compounds characterised by ligands
- C09K2211/1029—Heterocyclic compounds characterised by ligands containing one nitrogen atom as the heteroatom
-
- C—CHEMISTRY; METALLURGY
- C09—DYES; PAINTS; POLISHES; NATURAL RESINS; ADHESIVES; COMPOSITIONS NOT OTHERWISE PROVIDED FOR; APPLICATIONS OF MATERIALS NOT OTHERWISE PROVIDED FOR
- C09K—MATERIALS FOR MISCELLANEOUS APPLICATIONS, NOT PROVIDED FOR ELSEWHERE
- C09K2211/00—Chemical nature of organic luminescent or tenebrescent compounds
- C09K2211/10—Non-macromolecular compounds
- C09K2211/1018—Heterocyclic compounds
- C09K2211/1025—Heterocyclic compounds characterised by ligands
- C09K2211/1044—Heterocyclic compounds characterised by ligands containing two nitrogen atoms as heteroatoms
-
- C—CHEMISTRY; METALLURGY
- C09—DYES; PAINTS; POLISHES; NATURAL RESINS; ADHESIVES; COMPOSITIONS NOT OTHERWISE PROVIDED FOR; APPLICATIONS OF MATERIALS NOT OTHERWISE PROVIDED FOR
- C09K—MATERIALS FOR MISCELLANEOUS APPLICATIONS, NOT PROVIDED FOR ELSEWHERE
- C09K2211/00—Chemical nature of organic luminescent or tenebrescent compounds
- C09K2211/18—Metal complexes
- C09K2211/185—Metal complexes of the platinum group, i.e. Os, Ir, Pt, Ru, Rh or Pd
-
- H—ELECTRICITY
- H10—SEMICONDUCTOR DEVICES; ELECTRIC SOLID-STATE DEVICES NOT OTHERWISE PROVIDED FOR
- H10K—ORGANIC ELECTRIC SOLID-STATE DEVICES
- H10K2101/00—Properties of the organic materials covered by group H10K85/00
- H10K2101/10—Triplet emission
-
- H—ELECTRICITY
- H10—SEMICONDUCTOR DEVICES; ELECTRIC SOLID-STATE DEVICES NOT OTHERWISE PROVIDED FOR
- H10K—ORGANIC ELECTRIC SOLID-STATE DEVICES
- H10K2102/00—Constructional details relating to the organic devices covered by this subclass
- H10K2102/10—Transparent electrodes, e.g. using graphene
- H10K2102/101—Transparent electrodes, e.g. using graphene comprising transparent conductive oxides [TCO]
- H10K2102/103—Transparent electrodes, e.g. using graphene comprising transparent conductive oxides [TCO] comprising indium oxides, e.g. ITO
-
- H—ELECTRICITY
- H10—SEMICONDUCTOR DEVICES; ELECTRIC SOLID-STATE DEVICES NOT OTHERWISE PROVIDED FOR
- H10K—ORGANIC ELECTRIC SOLID-STATE DEVICES
- H10K71/00—Manufacture or treatment specially adapted for the organic devices covered by this subclass
-
- H—ELECTRICITY
- H10—SEMICONDUCTOR DEVICES; ELECTRIC SOLID-STATE DEVICES NOT OTHERWISE PROVIDED FOR
- H10K—ORGANIC ELECTRIC SOLID-STATE DEVICES
- H10K71/00—Manufacture or treatment specially adapted for the organic devices covered by this subclass
- H10K71/50—Forming devices by joining two substrates together, e.g. lamination techniques
Definitions
- the present invention relates to an organic electroluminescent device and a novel alcohol-soluble phosphorescent light-emitting material, and more specifically, can be formed by a wet method in the manufacture of an organic electronic device having a multilayer structure, and has electron injection characteristics and electron transport characteristics.
- the present invention relates to an organic electroluminescent device having a light emitting layer excellent in durability and luminous efficiency, and a novel alcohol-soluble phosphorescent light emitting material that can be suitably used for the production thereof.
- organic electroluminescence (EL) element in which a light-emitting organic layer (organic electroluminescence layer) is provided between an anode and a cathode (hereinafter referred to as “organic EL element”) has a lower direct current voltage than an inorganic EL element. Therefore, it has the advantages of high brightness and luminous efficiency, and is attracting attention as a next-generation display device. Recently, full-color display panels have been put on the market, and research and development have been actively conducted for increasing the display surface and improving the durability.
- An organic EL element is an electroluminescent element that emits light by electrically exciting an organic compound by recombination of injected electrons and holes.
- Research on organic EL devices has been conducted by many companies and research institutions since the report of Tang et al. Of Kodak Co., Ltd. (see Non-Patent Document 1), which showed that organic laminated thin film devices emit light with high brightness.
- a typical structure of an organic EL element by Kodak is a diamine compound as a hole transport material on an ITO (indium tin oxide) glass substrate as a transparent anode, tris (8-quinolinolato) aluminum (III) as a light emitting material, A green light emission of about 1000 cd / cm 2 was observed at a driving voltage of about 10 V with Mg: Al being sequentially stacked.
- the stacked organic EL element currently being researched and put into practical use basically follows the configuration of Kodak.
- Organic EL elements are roughly classified into high-molecular organic EL elements and low-molecular organic EL elements depending on their constituent materials.
- the former is manufactured by a wet method, and the latter is manufactured by either a vapor deposition method or a wet method.
- it is difficult to balance the hole transport property and the electron transport property in the conductive polymer material used for the fabrication of the polymer organic EL device.
- Laminated low-molecular-weight organic EL elements with separated light emitting functions are becoming mainstream.
- Patent Document 1 proposes a metal compound is mixed in an electron injection layer by co-evaporating an organic compound having an electron transport property and a metal compound containing an alkali metal which is a metal having a low work function (electronegativity). Therefore, a configuration for improving the characteristics of the electron injection layer has been proposed.
- Patent Document 2 proposes using a phosphine oxide compound as an electron transport material.
- Patent Document 3 proposes a method of doping an organic compound having a coordination site with an alkali metal as a configuration of the electron transport layer.
- the electron injection layer, the electron transport material, and the electron transport layer described in Patent Documents 1 to 3 are all for the purpose of lowering the operating voltage and improving the light emission efficiency. It is hard to say that durability has been improved.
- the electron transport layer and the electron injection layer are formed by vacuum vapor deposition, a large facility is required, and when two or more materials are vapor-deposited simultaneously, the vapor deposition rate is precise. There is also a problem that adjustment is difficult and productivity is inferior.
- the production of the stacked low molecular weight organic EL element by the wet method has a problem that it is difficult to select the material, but the latter using the difference in solubility of the constituent materials of each layer.
- This method is considered suitable.
- one of the factors that make it difficult to stack using the difference in solubility of the constituent materials of each layer is that most of the conductive polymers and organic semiconductors that can be spin-coated are relatively low in toluene, chloroform, tetrahydrofuran, etc. It is soluble only in a solvent having a high solvent capacity.
- each function is separated, and a layer laminated between the anode and the cathode It is preferable to increase the number.
- an increase in the number of stacked layers may cause problems such as an increase in the number of steps and tact time required for production, and a decrease in performance due to erosion of the lower layer by the solvent.
- the present invention has been made in view of such circumstances, and can be formed by a wet method in the production of an organic electronic device having a multilayer structure, and has a light emitting layer excellent in electron injection characteristics, electron transport characteristics, durability, and light emission efficiency. It is an object to provide a novel alcohol-soluble phosphorescent light-emitting material that can be suitably used for the production of an organic electroluminescent device having the above.
- a first aspect of the present invention that meets the above-described object is an organic electroluminescent device having a plurality of organic compound layers laminated so as to be sandwiched between an anode and a cathode, wherein the plurality of organic compound layers are alcohol-based.
- a hole transport layer made of an organic compound insoluble in a solvent, and a light-emitting layer formed by a wet method so that the hole transport layer is in contact with the hole transport layer on the surface facing the cathode.
- the light emitting layer comprises a host material composed of one or more phosphine oxide derivatives soluble in an alcohol solvent, and one or more organic compounds and / or organometallic compounds soluble in an alcohol solvent,
- the object is solved by providing an organic electroluminescent device comprising a guest material that is electrically excited by recombination of injected electrons and holes and can emit light.
- the light emitting layer can be formed by a wet method using an alcohol solvent.
- the hole transport layer is insoluble in the alcohol solvent, even when the light emitting layer is formed after the formation of the hole transport layer, erosion and swelling of the hole transport layer by the alcohol solvent does not occur, An organic electroluminescent device can be produced without causing defects or performance degradation.
- the light emitting layer itself can have both high electron transport characteristics and electron injection characteristics. Therefore, since sufficient device characteristics can be realized without separately forming an electron transport layer, the number of steps in the manufacturing process can be reduced and the tact time required for manufacturing can be shortened.
- the said guest material has the phosphine oxide group which is not coordinate-bonded to the transition metal element or ion.
- P electron-withdrawing phosphine oxide group
- the said light emitting layer further contains 1 or more of the metal salt and / or metal compound containing 1 or more of the metal whose electronegativity is 1.6 or less. Electron transport properties and electron injection properties of the phosphine oxide derivative constituting the host compound are achieved by coordination of a low electronegativity (1.6 or less) metal (element or ion) to an electron-attracting phosphine oxide group. In addition to further improvement, the durability is greatly improved.
- the phosphine oxide derivative constituting the host material may be represented by the following general formula (1).
- R 1 may have one or both of one or more aryl groups and heteroaryl groups, and may have a phosphine oxide group represented by the following formula (2) on any one or more carbon atoms.
- Ar 1 and Ar 2 each independently represents an aryl group which may have one or more substituents
- Ar 1 and Ar 2 are bonded to form a heterocycle containing a phosphorus atom.
- Ar 3 and Ar 4 each independently represent an aryl group which may have one or more substituents, and Ar 3 and Ar 4 are bonded to each other to contain a phosphorus atom. May be formed.
- the phosphine oxide derivative represented by the formula (1) is one or more phosphine oxide derivatives selected from the group consisting of phosphine oxide derivatives represented by any of the following formulas A to Q: It is preferable that
- the organic compound and / or organometallic compound constituting the guest material may be represented by the following general formula (3).
- Ar 5 , Ar 6 and Ar 7 each independently represent an aryl group or heteroaryl group which may have one or more substituents, and Ar 5 , Ar 6 and Ar 7. One or more of them contain a light-emitting aromatic residue that can be electrically excited by the recombination of injected electrons and holes to emit light.
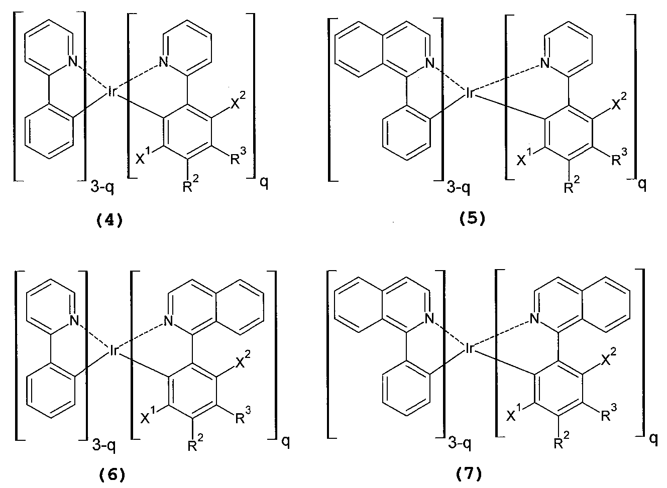
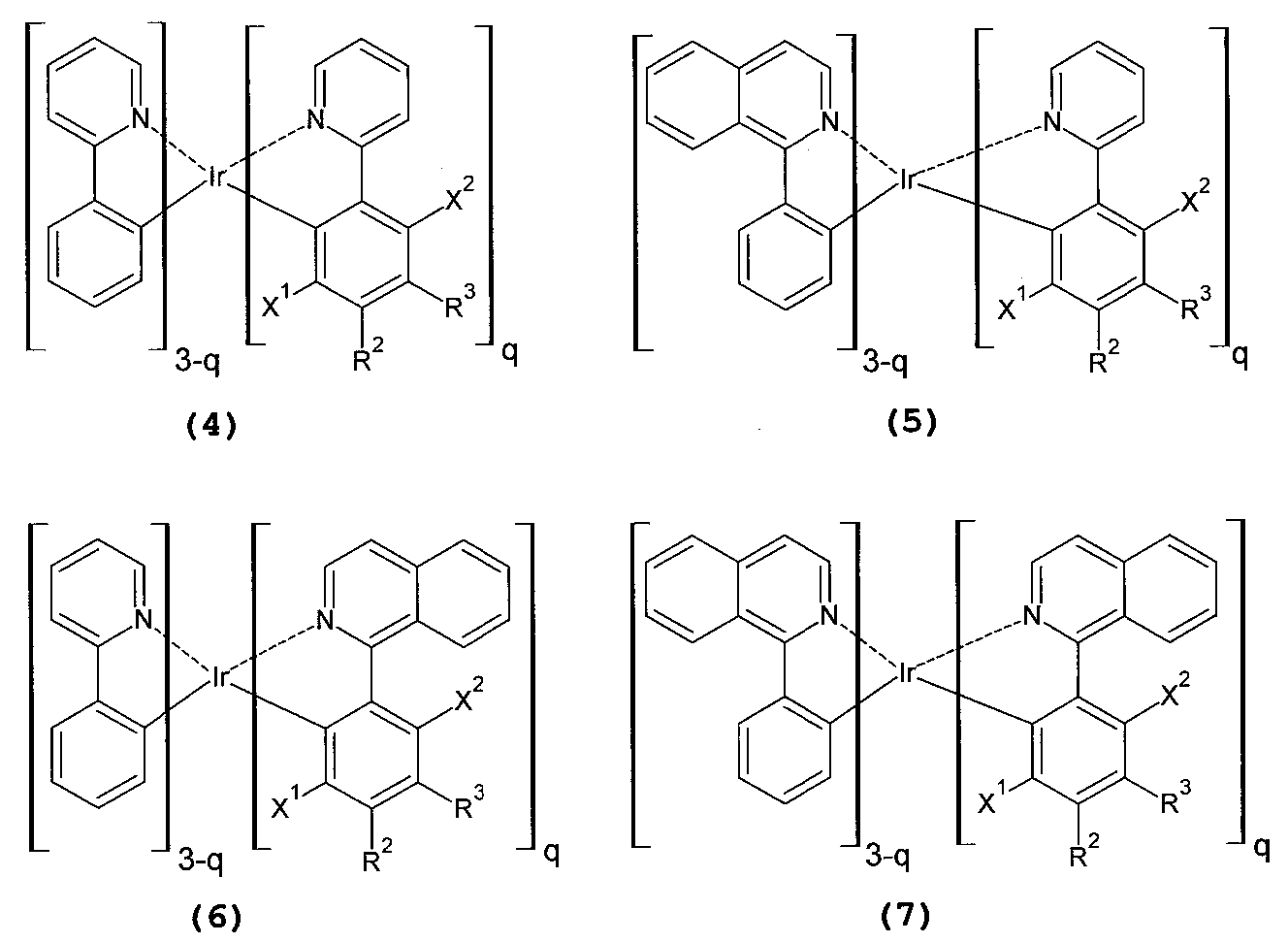
- the organic compound and / or organometallic compound represented by the above formula (3) is preferably an iridium complex represented by the following formula (3) ′, and the following formula (4):
- the iridium complex represented by any one of (15) to (15) is more preferred, and the iridium complex represented by the following formula (4) ′ is particularly preferred.
- L 1 , L 2 and L 3 are bidentate ligands
- X 1 , Y 1 , X 2 , Y 2 , X 3 and Y 3 are respectively bidentate ligands.
- L 1 , L 2 and L 3 constituting atoms, each independently a coordination atom selected from the group consisting of a carbon atom, an oxygen atom and a nitrogen atom, and L 1 , L 2 and L 3 One or more of them have a phosphine oxide group represented by the above formula (2).
- R 2 and R 3 represents a phosphine oxide group represented by the following formula (2)
- the other of R 2 and R 3 , X 1 and X 2 are each independently selected from the group consisting of a hydrogen atom and a fluorine atom
- q represents a natural number of any one of 1, 2 and 3
- R 4 and R 5 are each independently and independently A functional group selected from the group consisting of a linear or branched alkyl group having 1 to 12 carbon atoms, a linear or branched fluoroalkyl group, an aryl group and a heteroaryl group
- Z is a direct bond or a carbon number of 1 A straight-chain alkylene group having 12 or less.
- R 6 , R 7 and R 8 represent either a hydrogen atom or a phosphine oxide group represented by the above formula (2), and R 6 , R 7 and R 8. At least one of them is a phosphine oxide group represented by the above formula (2).
- the second aspect of the present invention solves the above-mentioned problem by providing an alcohol-soluble phosphorescent material represented by the above formula (3) ′.
- the alcohol-soluble phosphorescent material is preferably represented by any one of the above formulas (4) to (15), and the alcohol-soluble phosphorescent material is represented by the formula (4). 4) It is more preferable to have a structure represented by '.
- the iridium complex represented by the formula (3) ′ preferably any one of (4) to (15), more preferably the formula (4) ′, has a high quantum state through a triplet state by being electrically excited. Phosphorescence can be emitted with a yield.
- the iridium complex represented by any one of the above structural formulas is soluble in an alcohol solvent and has a bulky phosphine oxide group. Hard to form. For this reason, a decrease in light emission efficiency due to concentration quenching hardly occurs, and the light emission efficiency is high.
- an organic electroluminescent device having a light emitting layer that can be formed by a wet method in the manufacture of an organic electronic device having a multilayer structure and has excellent electron injection properties, electron transport properties, durability, and luminous efficiency.
- a novel alcohol-soluble phosphorescent light-emitting material that can be suitably used for a light-emitting element and its production is provided. Further, when the alcohol-soluble phosphorescent light emitting material according to the present invention is used, an expensive vapor deposition apparatus is not required for the production of an electron transport layer or a stacked low molecular EL element, and a co-deposition of a metal and an organic electron transport material is possible. Complicated condition setting is not required.
- an organic electroluminescent device that can be produced at high productivity and at low cost, has excellent luminous efficiency, and has high durability is provided.
- the organic electroluminescent device 1 includes a plurality of layers stacked so as to be sandwiched between an anode 3 and a cathode 7. It is an organic electroluminescent element having an organic compound layer (a hole injection layer 4, a hole transport layer 5, and a light emitting layer 6 in this order from the anode 3 side).
- the anode 3 is provided on the transparent substrate 2 and is entirely sealed with a sealing member 8.
- the hole transport layer 5 is made of an organic compound insoluble in an alcohol solvent.
- the light-emitting layer 6 formed by a wet method so that the hole transport layer 5 is in contact with the hole transport layer 5 on the surface facing the cathode 7 is composed of one or more phosphine oxides soluble in an alcohol solvent.
- One or more organic compounds and / or organometallic compounds having a host material (medium) composed of a derivative and preferably a phosphine oxide group that is not coordinated to a transition metal element or ion and soluble in an alcohol solvent And a guest material (emission center) that is electrically excited by recombination of injected electrons and holes to emit light.
- the substrate 2 serves as a support for the organic electroluminescent element 1. Since the organic electroluminescent element 1 according to the present embodiment is configured to extract light from the substrate 2 side (bottom emission type), each of the substrate 2 and the anode 3 is substantially transparent (colorless transparent, colored transparent or It is made of a translucent material.
- the constituent material of the substrate 2 include resin materials such as polyethylene terephthalate, polyethylene naphthalate, polypropylene, cycloolefin polymer, polyamide, polyethersulfone, polymethyl methacrylate, polycarbonate, and polyarylate, quartz glass, and soda glass. Such glass materials can be used, and one or more of these can be used in combination.
- the average thickness of the substrate 2 is not particularly limited, but is preferably about 0.1 to 30 mm, and more preferably about 0.1 to 10 mm.
- the substrate 2 can be either a transparent substrate or an opaque substrate.
- the opaque substrate include a substrate made of a ceramic material such as alumina, a substrate in which an oxide film (insulating film) is formed on the surface of a metal substrate such as stainless steel, and a substrate made of a resin material.
- the anode 3 is an electrode that injects holes into a hole injection layer 4 described later.
- a constituent material of the anode 3 it is preferable to use a material having a large work function and excellent conductivity.
- the constituent material of the anode 3 include ITO (indium tin oxide), IZO (indium zirconium oxide), In 3 O 3 , SnO 2 , Sb-containing SnO 2 , oxides such as Al-containing ZnO, Au, Pt, and Ag. Cu, alloys containing these, and the like can be used, and one or more of these can be used in combination.
- the average thickness of the anode 3 is not particularly limited, but is preferably about 10 to 200 nm, and more preferably about 50 to 150 nm.
- the cathode 7 is an electrode for injecting electrons into an electron transport layer 6 described later, and is provided on the opposite side of the electron transport layer 6 from the organic light emitting layer 5.
- a constituent material of the cathode 7 it is preferable to use a material having a small work function.
- the constituent material of the cathode 7 include Li, Mg, Ca, Sr, La, Ce, Er, Eu, Sc, Y, Yb, Ag, Cu, Al, Cs, Rb, and alloys containing these. These can be used alone or in combination of two or more (for example, a multi-layer laminate).
- an alloy when used as the constituent material of the cathode 7, it is preferable to use an alloy containing a stable metal element such as Ag, Al, or Cu, specifically, an alloy such as MgAg, AlLi, or CuLi.
- an alloy such as MgAg, AlLi, or CuLi.
- the average thickness of the cathode 7 is not particularly limited, but is preferably about 50 to 10,000 nm, and more preferably about 80 to 500 nm.
- a material having a small work function or an alloy containing these is made to have a thickness of about 5 to 20 nm, and the upper surface is made of a highly transmissive conductive material such as ITO with a thickness of about 100 to 500 nm. It will be formed.
- the organic electroluminescent element 1 which concerns on this Embodiment is a bottom emission type, the light transmittance of the cathode 7 is not especially requested
- the hole injection layer 4 has a function of receiving holes injected from the anode 3 and transporting them to the hole transport layer 5.
- the hole transport layer 5 receives holes injected from the hole injection layer 4. It has a function of transporting to the light emitting layer 6.
- Examples of the constituent material of the hole injection layer 4 and the hole transport layer 5 include metal or metal-free phthalocyanine compounds such as phthalocyanine, copper phthalocyanine (CuPc), and iron phthalocyanine, polyarylamine, fluorene-arylamine Polymer, fluorene-bithiophene copolymer, poly (N-vinylcarbazole), polyvinylpyrene, polyvinylanthracene, polythiophene, polyalkylthiophene, polyhexylthiophene, poly (p-phenylene vinylene), polytinylene vinylene, pyrene formaldehyde resin Ethylcarbazole formaldehyde resin or a derivative thereof, and the like, and one or more of them can be used in combination.
- the constituent material of the hole transport layer 5 needs to be insoluble in an alcohol solvent.
- the said compound can also be used as a mixture with another compound.
- examples of the mixture containing polythiophene include poly (3,4-ethylenedioxythiophene / styrene sulfonic acid) (PEDOT / PSS).
- PEDOT / PSS poly (3,4-ethylenedioxythiophene / styrene sulfonic acid)
- the hole injection layer 4 and the hole transport layer 5 are optimized for hole injection efficiency and transport efficiency, and the radiation emitted from the light emitting layer 6 From the viewpoint of prevention of reabsorption, heat resistance, and the like, one or more appropriate materials are appropriately selected or used in combination.
- the hole injection layer 4 has a small difference between the hole conduction level (Ev) and the work function of the material used for the anode 3, and has no absorption band in the visible light region in order to prevent reabsorption of emitted light.
- Materials are preferably used.
- the hole transport layer 5 does not form an exciplex or charge transfer complex with the constituent material of the light emitting layer 6, and the exciton energy transfer or light emitting layer generated in the light emitting layer 6 can be obtained.
- a material having a singlet excitation energy larger than the exciton energy of the light emitting layer 6, a large band gap energy, and a shallow electron conduction potential (Ec) is preferably used.
- examples of materials suitably used for the hole injection layer 4 and the hole transport layer 5 are poly (3,4-ethylenedioxythiophene / styrenesulfonic acid) (PEDOT), respectively. / PSS) and poly (N-vinylcarbazole) (PVK).
- the hole injection layer 4 and the hole transport layer 5 are formed as two separate layers between the anode 3 and the light emitting layer 6, but if necessary, the anode 3 May be a single hole transport layer for injecting holes from and transporting holes to the light emitting layer 6, or a structure in which three or more layers having the same composition or different compositions are stacked.
- the average thickness of the hole injection layer 4 is not particularly limited, but is preferably about 10 to 150 nm, and more preferably about 50 to 100 nm.
- the average thickness of the hole transport layer 5 is not particularly limited, but is preferably about 10 to 150 nm, and more preferably about 15 to 50 nm.
- a light emitting layer 6 is provided on the hole transport layer 5, that is, adjacent to the surface opposite to the anode 3. Electrons are supplied (injected) to the light emitting layer 6 directly from the cathode 7 or via an electron transport layer (not shown), and holes are supplied from the hole transport layer 5. Then, inside the light emitting layer 6, holes and electrons are recombined, and excitons (excitons) are generated by the energy released during the recombination, and energy (fluorescence and fluorescence) is generated when the excitons return to the ground state. (Phosphorescence) is emitted (emitted).
- the light emitting layer 6 is composed of (I) a host material comprising one or more phosphine oxide derivatives soluble in an alcohol solvent; (II) One or more organic compounds and / or organometallic compounds that have a phosphine oxide group that is not coordinated to a transition metal element or ion and are soluble in an alcohol solvent, and injected electrons and holes And a guest material capable of emitting light when excited by recombination.
- R 1 may have one or both of one or more aryl groups and heteroaryl groups, and may have a phosphine oxide group represented by the following formula (2) on any one or more carbon atoms.
- Ar 1 and Ar 2 each independently represents an aryl group which may have one or more substituents
- Ar 1 and Ar 2 are bonded to form a heterocycle containing a phosphorus atom.
- Ar 3 and Ar 4 each independently represent an aryl group which may have one or more substituents, and Ar 3 and Ar 4 are bonded to each other to contain a phosphorus atom. May be formed.
- the number of carbon atoms of the aryl group and heteroaryl group contained in R 1 is not particularly limited, but is preferably 2 to 30, and more preferably 2 to 20. More specifically, monocyclic aromatic hydrocarbon groups such as phenyl groups, thiophene rings, triazine rings, furan rings, pyrazine rings, pyridine rings, thiazole rings, imidazole rings, pyrimidine rings, etc.
- Ring groups condensed polycyclic aromatic hydrocarbon groups such as naphthalene ring and anthracene ring, condensed polycyclic heterocyclic groups such as thieno [3,2-b] furan ring, rings such as biphenyl ring and terphenyl ring Aggregate aromatic hydrocarbon group, bithiophene ring, bifuran ring, etc.
- ring aggregated heterocyclic group acridine ring, isoquinoline ring, indole ring, carbazole ring, carboline ring, quinoline ring, dibenzofuran ring, cinnoline ring, thionaphthene ring 1,10-phenanthroline ring, phenothiazine ring, purine ring, benzofuran ring, and a combination of an aromatic ring and a heterocyclic ring such as a silole ring And the like.
- the aryl group contained in Ar 1 to Ar 4 is the same as in the case of the atomic group R 1 described above, but is preferably a phenyl group.
- phosphine oxide derivatives represented by the formula (1) phosphine oxide derivatives represented by the following general formulas (16), (17) and (18) are preferably used as the host material.
- X and R 9 represent an atomic group that has one or both of one or more aryl groups and heteroaryl groups, and may have one or more substituents;
- Ar 8 to Ar 28 each independently represents an aryl group optionally having one or more substituents;
- Ar 8 and Ar 9 , Ar 10 and Ar 11 , Ar 15 and Ar 16 , Ar 17 and Ar 18 , Ar 19 and Ar 20 , Ar 21 and Ar 22 , Ar 23 and Ar 24 , Ar 25 and Ar 26 and Ar 27 And Ar 28 may be bonded to each other to form a heterocycle containing a phosphorus atom.
- the aryl groups contained in X, R 9 and Ar 8 to Ar 28 are the same as those in the above-mentioned atomic group R 1 , but Ar 8 to Ar 28 are preferably phenyl groups.
- phosphine oxide derivatives represented by the following structural formulas A to Q.
- phosphine oxide derivatives may be used, such as oxidation of tertiary phosphine, reaction of phosphinyl chloride or phosphoryl dichloride with Grignard reagent, coupling of aryl halides with diaryl phosphine oxide, hydrolysis of dihalophosphoranes. It may be synthesized by using any known method such as. Any one phosphine oxide derivative may be used alone, or any two or more phosphine oxide derivatives may be mixed and used in an arbitrary ratio.
- (II) Guest material The organic compound and / or organometallic compound constituting the guest material is soluble in an alcohol solvent, and is electrically excited by recombination of injected electrons and holes to emit light.
- One or a plurality of any of the above can be selected and used, but those having a phosphine oxide group that is not coordinated to a transition metal element or ion are preferred and represented by the following general formula (3) Those are more preferred.
- Ar 5 , Ar 6 and Ar 7 each independently represent an aryl group or heteroaryl group which may have one or more substituents, and Ar 5 , Ar 6 and Ar 7. One or more of them contain a light-emitting aromatic residue that can be electrically excited by the recombination of injected electrons and holes to emit light.
- luminescent aromatic residues examples include 1,3,5-tris [(3-phenyl-6-trifluoromethyl) quinoxalin-2-yl] benzene (TPQ1), 1,3,5-tris [ ⁇ Aryl group or heteroaryl group such as 3- (4-t-butylphenyl) -6-trifluoromethyl ⁇ quinoxalin-2-yl] benzene (TPQ2), tris (8-hydroxyquinolinolate) aluminum (Alq 3 ) And organometallic complexes having an aromatic compound such as factory (2-phenylpyridine) iridium (Ir (ppy) 3 ) as a ligand, and one or more of these may be used in combination. it can.
- an iridium complex represented by the following formula (3) ′ (an organic electroluminescent material according to the second embodiment of the present invention) can be given.
- L 1 , L 2 and L 3 are bidentate ligands, one or more of which have the light-emitting aromatic residue, and X 1 , Y 1 , X 2 , Y 2 , X 3 and Y 3 are each a constituent atom of the bidentate ligands L 1 , L 2 and L 3 and are each independently selected from the group consisting of a carbon atom, an oxygen atom and a nitrogen atom. And one or more of L 1 , L 2, and L 3 is a phosphine oxide group represented by the following formula (2) (which may be one or more). Have.
- Ar 3 and Ar 4 each independently represent an aryl group which may have one or more substituents, and Ar 3 and Ar 4 are bonded to each other to contain a phosphorus atom. May be formed.
- More preferred guest materials are iridium complexes represented by the following formulas (4) to (15), and particularly preferred guest materials are iridium complexes represented by the following formula (4) ′.
- any one of R 2 and R 3 represents a phosphine oxide group represented by the above formula (2), and the other of R 2 and R 3 , X 1 and X 2 is Each independently selected from the group consisting of a hydrogen atom and a fluorine atom, q represents a natural number of any one of 1, 2, and 3, and R 4 and R 5 each independently represent 1 to 12 carbon atoms.
- a chain alkylene group is a direct bond or a straight chain having 1 to 12 carbon atoms.
- R 6 , R 7 and R 8 represent either a hydrogen atom or a phosphine oxide group represented by the above formula (2), and R 6 , R 7 and R 8. At least one of them is a phosphine oxide group represented by the above formula (2).
- the light emitting layer 6 may contain one or more metal salts and / or metal compounds containing one or more of any metal element or ion having an electronegativity ( ⁇ ) of 1.6 or less.
- metals having an electronegativity of 1.6 or less include alkali metals (Li, Na, K, Rb, Cs), alkaline earth metals (Be, Mg, Ca, Sr, Ba), and lanthanum (La ). If the electronegativity exceeds 1.6, the efficiency of electron injection from the cathode is lowered, so that the electron transport property is lowered. Even if the electronegativity is 1.6 or less, for transition elements other than lanthanum, the excitation energy is quenched by dd transition or the like, so that the electron transport property is deteriorated. Therefore, typical metal salts are preferable, and alkali metal salts and alkaline earth metal salts having a low electronegativity are particularly preferable.
- the raw materials containing these metals are preferably metal alkoxides or ⁇ -diketonato complexes coordinated with one or more ⁇ -diketones.
- salts soluble in alcohol solvents and free ⁇ -diketones. May be reacted (complex formation) in a solution and produced in the reaction system.
- the type of metal salt to be used is not particularly limited, and any salt such as a halide such as chloride, nitrate, sulfate, carbonate, acetate, sulfonate, etc., can be used if it is soluble in an alcohol solvent. Can be used.
- the ⁇ -diketone used in the production of the organic electron transport material forming composition in a free state or in a state coordinated to the central metal in the metal ⁇ -diketonato complex has a structure represented by the following general formula (19) ing.
- R 10 and R 11 are each independently a group consisting of a linear or branched alkyl group having 1 to 12 carbon atoms, a linear or branched fluoroalkyl group, an aryl group, and a heteroaryl group. Represents a functional group more selected.
- ⁇ -diketone that can be preferably used for addition to the light emitting layer 6 include those represented by the following formula.
- the ⁇ -diketone shown in the following formula is from the left: acetylacetone (acac), 2,2,6,6-tetramethylheptane-3,5-dione (TMHD), 1,1,1-trifluoroacetylacetone (TFA) 1,1,1,5,5,5-hexafluoroacetylacetone (HFA).
- Formation of the light emitting layer 6 by a wet method is performed by supplying a light emitting layer forming material in which a host material, a guest material, and a metal salt or metal compound are dissolved in an alcohol solvent onto the hole transport layer 5 and then drying (desolvent or It can be formed by dedispersing medium).
- a solvent used for the light emitting layer forming material, it is difficult to dissolve or swell the hole injection layer 4 and the hole transport layer 5, and any solubility of the host material, guest material and metal salt or metal compound is high.
- Alcohol solvents can be used, preferably monohydric alcohols having 1 to 7 carbon atoms, more preferably 1 to 4 carbon atoms.
- alcohol solvents include methanol, ethanol, 1-propanol, 2-propanol, 1-butanol, 2-butanol, t-butyl alcohol, 1-pentanol, 1-hexanol, cyclohexanol and the like. Can be mentioned. These may be used alone, or any two or more may be mixed and used in an arbitrary ratio.
- the preferred concentration range of the host material, guest material and metal salt or metal compound contained in the light emitting layer forming material depends on the solubility of these materials and the volatility of the solvent, but cannot be determined uniquely.
- the total concentration is 0.1 to 5% by weight, preferably 0.2 to 2% by weight. If the concentrations of the host material, guest material and metal salt or metal compound are too low, the work time required to form the light emitting layer 6 having a large film thickness will increase, and the productivity will decrease. Conversely, if the concentration of the host material, guest material, and metal salt or metal compound is too high, these materials will precipitate, or the viscosity of the solution (light emitting layer forming material) will become too high and workability will decrease. There is a fear.
- the solvent used in each solution may be the same, but may be different from each other as long as a uniform solution is obtained.
- solubility of a phosphine oxide derivative and a metal compound is greatly different, and even when it is difficult to mix at a desired quantitative ratio, a solution can be prepared.
- mixing can be performed so that the ratio of the host material, the guest material, and the metal salt or metal compound becomes a desired value.
- the content of the guest material is preferably 1 to 25 wt% with respect to the host material, and the content of the metal salt or metal compound is preferably 1 to 50 wt% with respect to the host material.
- the light emitting layer 6 may further contain another light emitting substance.
- the luminescent substance to be added needs to be soluble in an alcohol solvent.
- the average thickness of the light emitting layer 6 is not particularly limited, but is preferably about 10 to 150 nm, and more preferably about 40 to 100 nm.
- the sealing member 8 is provided so as to cover the organic electroluminescent element 1 (the anode 3, the hole injection layer 4, the hole transport layer 5, the light emitting layer 6 and the cathode 7), and hermetically seals them. Has the function of blocking oxygen and moisture.
- the constituent material of the sealing member 8 examples include Al, Au, Cr, Nb, Ta, Ti, alloys containing these, silicon oxide, various resin materials, and the like.
- the material which has electroconductivity as a constituent material of the sealing member 8 in order to prevent a short circuit, between the sealing member 8 and the organic electroluminescent element 1, insulation is needed as needed. It is preferable to provide a membrane.
- the sealing member 8 may be formed in a flat plate shape so as to face the substrate 2 and be sealed with a sealing material such as a thermosetting resin.
- An electron transport layer (not shown) may be provided between the light emitting layer 6 and the cathode 7.
- This electron transport layer has a function of transporting electrons injected from the cathode 7 to the light emitting layer 6.
- the constituent material of the electron transport layer include triazole derivatives, oxazole derivatives, oxadiazole derivatives, imidazole derivatives, fluorenone derivatives, anthraquinodimethane derivatives, anthrone derivatives, diphenylquinone derivatives, thiopyran dioxide derivatives, carbodiimide derivatives, Metal complexes of fluorenylidenemethane derivatives, distyrylpyrazine derivatives, aromatic ring tetracarboxylic anhydrides such as naphthalene and perylene, phthalocyanine derivatives, 8-quinolinol derivatives, metal phthalocyanines, benzoxazoles and benzothiazoles Various metal complexes typified by complexe
- the electron transporting layer can contain an electron donating dopant.
- the electron-donating dopant introduced into the electron-transporting layer only needs to have an electron-donating property and a property of reducing an organic compound, and includes an alkali metal such as Li, an alkaline earth metal such as Mg, and a rare earth metal.
- a metal, a reducing organic compound, etc. are used suitably.
- the metal include Li, Na, K, Be, Mg, Ca, Sr, Ba, Y, Cs, La, Sm, Gd, and Yb.
- the reducing organic compound include nitrogen-containing compounds, sulfur-containing compounds, phosphorus-containing compounds (including phosphine oxide derivatives used as a host material in the light-emitting layer 6).
- JP-A-6-212153, JP-A-2000-196140, JP-A-2003-68468, JP-A-2003-229278, JP-A-2004-342614, and the like are used. Can do.
- the average thickness of the electron transport layer is not particularly limited, but is preferably about 1 to 100 nm, and more preferably about 10 to 50 nm. Furthermore, a charge injection layer made of LiF or the like may be provided between the cathode 7 and the light emitting layer 6 or the electron transport layer, if necessary.
- the organic electroluminescent element 1 can be manufactured as follows, for example. First, the substrate 2 is prepared, and the anode 3 is formed on the substrate 2.
- the anode 3 is, for example, a chemical vapor deposition method (CVD) such as plasma CVD, thermal CVD, or laser CVD, a dry plating method such as vacuum deposition, sputtering, or ion plating, or a wet method such as electroplating, immersion plating, or electroless plating. It can be formed by using a plating method, a thermal spraying method, a sol-gel method, a MOD method, a metal foil bonding, or the like.
- CVD chemical vapor deposition method
- a dry plating method such as vacuum deposition, sputtering, or ion plating
- a wet method such as electroplating, immersion plating, or electroless plating. It can be formed by using a plating method, a thermal spraying method, a sol-gel method, a MOD method
- the hole injection layer 4 and the hole transport layer 5 are sequentially formed on the anode 3.
- the hole injection layer 4 and the hole transport layer 5 may be dried (desorbed) after a hole injection layer forming material obtained by dissolving the hole injection material in a solvent or dispersing in a dispersion medium is supplied onto the anode 3.
- a hole transport layer forming material obtained by dissolving a hole transport material in a solvent or dispersing in a dispersion medium is supplied onto the hole injection layer 4 and then dried.
- Examples of the method for supplying the hole injection layer forming material and the hole transport layer forming material include spin coating, casting, micro gravure coating, gravure coating, bar coating, roll coating, and wire bar coating.
- Various coating methods such as a method, a dip coating method, a spray coating method, a screen printing method, a flexographic printing method, an offset printing method, and an ink jet printing method can be used.
- a coating method By using such a coating method, the hole injection layer 4 and the hole transport layer 5 can be formed relatively easily.
- Examples of the solvent or dispersion medium used for the preparation of the hole injection layer forming material and the hole transport layer forming material include nitric acid, sulfuric acid, ammonia, hydrogen peroxide, water, carbon disulfide, carbon tetrachloride, and ethylene carbonate.
- Inorganic solvents such as methyl ethyl ketone (MEK), acetone, diethyl ketone, methyl isobutyl ketone (MIBK), methyl isopropyl ketone (MIPK), cyclohexanone and other ketone solvents, methanol, ethanol, isopropanol, ethylene glycol, diethylene glycol (DEG) , Alcohol solvents such as glycerin (however, when the hole injection material and the hole transport material are insoluble, they can be used only as a dispersion medium), diethyl ether, diisopropyl ether, 1,2-dimethoxyethane (DME), 1,4-dioxane, Tet Ether solvents such as hydrofuran (THF), tetrahydropyran (THP), anisole, diethylene glycol dimethyl ether (diglyme), diethylene glycol ethyl ether (carbitol), cellosolv solvents such as
- the upper surface of the anode 3 may be subjected to oxygen plasma treatment.
- oxygen plasma treatment includes, for example, a plasma power of about 100 to 800 W, an oxygen gas flow rate of about 50 to 100 mL / min, a conveyance speed of the member to be treated (anode 3) of about 0.5 to 10 mm / sec, and a substrate.
- the temperature 2 is preferably about 70 to 90 ° C.
- the light emitting layer 6 is formed on the hole transport layer 5 (one surface side of the anode 3).
- the light emitting layer 6 is dried (desolvent or dedispersed) after supplying the light emitting layer forming material formed by dissolving the above host material and guest material in a solvent or dispersing in a dispersion medium onto the hole transport layer 5, for example. Medium).
- the method for supplying the material for forming the light emitting layer and the method for drying are the same as described in the formation of the hole injection layer 4 and the hole transport layer 5.
- the composition for forming an organic electron transport material is supplied onto the light emitting layer 6 and then dried to obtain an electron transport layer. Since the method for supplying the organic electron transport material forming composition and the method for drying are the same as those described in the formation of the hole injection layer 4 and the hole transport layer 5, detailed description thereof is omitted.
- the cathode 7 is formed on the electron transport layer 6 (on the side opposite to the organic light emitting layer 5).
- the cathode 7 can be formed by using, for example, a vacuum deposition method, a sputtering method, bonding of metal foil, application and firing of metal fine particle ink, or the like.
- the sealing member 8 is covered so as to cover the obtained organic light emitting device 1 and bonded to the substrate 2.
- the organic electroluminescent element 1 is obtained through the steps as described above.
- the vacuum is used. Since no large equipment such as an apparatus is required, the manufacturing time and manufacturing cost of the organic light emitting element 1 can be reduced.
- an ink jet method droplet discharge method
- the hole injection layer 4 and the hole transport layer 5 have been described as being manufactured by a liquid phase process.
- the layer may be formed by a vapor phase process such as vacuum deposition.
- Such an organic electroluminescent element 1 can be used as, for example, a light source.
- a display apparatus can be comprised by arrange
- the driving method of the display device is not particularly limited, and may be either an active matrix method or a passive matrix method.
- the electrical energy source supplied to the organic electroluminescent element 1 is mainly a direct current, but a pulse current or an alternating current can also be used.
- the current value and the voltage value are not particularly limited, but the maximum luminance should be obtained with the lowest possible energy in consideration of the power consumption and lifetime of the element.
- a “matrix” that constitutes a display device refers to a display in which pixels (pixels) for display are arranged in a lattice pattern, and a character or an image is displayed by a set of pixels.
- the shape and size of the pixel are determined by the application. For example, a square pixel with a side of 300 ⁇ m or less is usually used for displaying images and characters on a personal computer, monitor, television, and a pixel with a side of mm order is used for a large display such as a display panel.
- monochrome display pixels of the same color may be arranged. However, in color display, red, green, and blue pixels are displayed side by side. In this case, there are typically a delta type and a stripe type.
- the matrix driving method may be either a passive matrix method or an active matrix method.
- the former has an advantage that the structure is simple, but the latter active matrix may be superior in consideration of operation characteristics, and therefore, it is necessary to properly use the latter depending on
- the organic electroluminescent element 1 may be a segment type display device.
- the “segment type” means that a predetermined pattern is formed so as to display predetermined information, and a predetermined region is caused to emit light.
- the time and temperature display in a digital clock or a thermometer, the operational status display of an audio device or an electromagnetic cooker, the panel display of an automobile, etc. can be mentioned.
- the matrix display and the segment display may coexist in the same panel.
- the organic electroluminescent element 1 is used for the purpose of improving the visibility of a display device that does not emit light, and may be a backlight used for a liquid crystal display device, a clock, an audio device, an automobile panel, a display board, a sign, or the like. Good.
- a backlight for a liquid crystal display device especially a personal computer for which thinning is an issue, can be made thinner and lighter than a conventional backlight made of a fluorescent lamp or a light guide plate.
- Organic Electroluminescent Material is represented by the following formula (3) ′, preferably any one of the following formulas (4) to (15). It is an iridium complex having a structure.
- L 1 , L 2 and L 3 are bidentate ligands
- X 1 , Y 1 , X 2 , Y 2 , X 3 and Y 3 are respectively bidentate ligands.
- L 1 , L 2 and L 3 constituting atoms, each independently a coordination atom selected from the group consisting of a carbon atom, an oxygen atom and a nitrogen atom, and L 1 , L 2 and L 3 Of these, one or more have a phosphine oxide group represented by the following formula (2) (which may be either one or more).
- Ar 3 and Ar 4 each independently represent an aryl group which may have one or more substituents, and Ar 3 and Ar 4 are bonded to each other to contain a phosphorus atom. May be formed.
- any one of R 2 and R 3 represents the phosphine oxide group represented by the above formula (2), and the other of R 2 and R 3 , X 1 and X 3 2 is independently selected from the group consisting of a hydrogen atom and a fluorine atom, q represents a natural number of any one of 1, 2 and 3, and R 4 and R 5 each independently represent 1 carbon atom.
- R 2 is a diarylphosphine oxide group present at the p-position of the 2-pyridyl group, 3 and X 1 and X 2 are hydrogen atoms.
- R 6 , R 7 and R 8 represent either a hydrogen atom or a phosphine oxide group represented by the above formula (2), and R 6 , R 7 and R 8. At least one of them is a phosphine oxide group represented by the above formula (2).
- the ligand having a 2-phenylpyridine skeleton or a 1-phenylisoquinoline skeleton in the iridium complexes represented by the formulas (4) to (15) is synthesized according to, for example, any one of the following Scheme 1 and Scheme 2. it can.
- Schemes 1 and 2 those having a 2-phenylpyridine skeleton are described.
- 1-chloroisoquinoline instead of 2-bromopyridine
- a ligand having a 1-phenylisoquinoline skeleton can also be used. Can be synthesized.
- diphenylchlorophosphine may be used instead of diphenylphosphinic chloride, and the resulting phosphine derivative may be oxidized with hydrogen peroxide or the like to be converted into a phosphine oxide derivative.
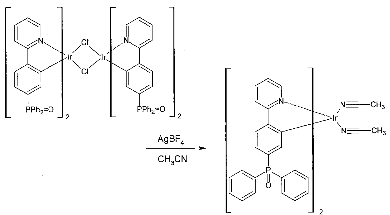
- the chlorine-bridged binuclear complex may be further reacted with a ligand after reacting with acetonitrile in the presence of a silver salt (see Scheme 4).
- the iridium complex thus obtained has two types of isomers (meridional (mer-) and facial (fac-)) depending on the ligand conformation, as shown in the following formula. .
- the abundance ratio of these isomers depends on the reaction conditions and the like. All isomers exhibit phosphorescence, but generally the fac-form has a longer emission lifetime and a higher quantum yield. Therefore, when a mixture of both isomers is obtained, the mer-isomer may be isomerized to the fac-isomer by ultraviolet light irradiation or the like.
- phenanthridine which is a ligand of the iridium complex represented by the formula (8), can be synthesized by the method shown in Scheme 5.
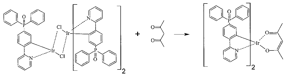
- An iridium complex can be synthesized from this ligand using the same method as in Scheme 3 above, but a ⁇ -diketone such as acetylacetone may be used instead of acetonitrile.
- the iridium complex represented by the formulas (12), (14), and (15) is a chlorine-bridged binuclear complex synthesized according to the method shown in the first half of the scheme 3, and is represented by the above general formula (19). Can be synthesized by reacting with ⁇ -diketone (see Scheme 8).
- the iridium complex represented by the formula (13) can be synthesized using the same method except that picolinic acid is used instead of the ⁇ -diketone.
- VII-4 (Bis (2- (4-diphenylphosphinophenyl) pyridinato N, C 2 ′ ) -mono (1-phenylisoquinolinato N, C 2 ′ )) iridium (Ir (pdppy) 2 ( piq))
- the ITO substrate used was made by Sanyo Vacuum (film thickness: 80 nm).
- 2-Propanol used for substrate cleaning is manufactured by Kanto Chemical for the electronics industry, alcohols used for forming the electron transport layer are manufactured by Kanto Chemical, and toluene used for forming the light emitting layer is manufactured by Kanto Chemical.
- As the hole injection material PEDOT-PSS (manufactured by HC Starck, AI4083) was used as it was.
- the hole transport material poly (N-vinylcarbazole) (PVK, manufactured by Aldrich) was used as a toluene solution (5 g / L or 10 g / L).
- the host material used for the light emitting layer the phosphine oxide derivative represented by the above formula F was used, and as the guest material, various iridium complexes synthesized in the above (2) were used.
- As a guest material 8.7% by weight of the host material was added to prepare a 2-propanol solution having a total concentration of 10 g / L or 15 g / L.
- the ITO substrate As a pretreatment of the ITO substrate, it was boiled and washed in 2-propanol for 5 minutes, and then immediately placed in a UV / O 3 treatment apparatus, and O 3 treatment was performed by UV light irradiation for 15 minutes.
- PEDOT-PSS, PVK, and the light-emitting layer were formed using a MIKASA spin coater under an N 2 atmosphere (within a glove box) having an oxygen concentration of 1 to 3 ppm, and then dried in an N 2 atmosphere or in vacuum.
- a high vacuum vapor deposition apparatus with a chamber pressure of 8 ⁇ 10 ⁇ 4 Pa was used for vapor deposition of the cathode (Al, purity 99.999%) and the electron transport layer (LiF).
- the deposition rate was set to 0.1 ⁇ / s for LiF and 10 ⁇ / s for Al. All elements were sealed under N 2 atmosphere. After completion of the cathode film formation, glass immediately moves into a glove box (made by Kyushu Keiki Co., Ltd., dew point -60 to -70 ° C., oxygen concentration of 5 ppm or less) in which the element is replaced with nitrogen, and is coated with desiccant Oledry (14 ⁇ L). The element was sealed with a cap.
- the element structure was as shown in FIG. 1 except that an electron transport layer was provided between the cathode and the light emitting layer.
- the film thickness of each layer is as follows.
- Anode ITO (80 nm)
- Hole injection layer PEDOT-PSS (50 nm)
- Hole transport layer PVK (15 nm or 30 nm)
- Light emitting layer (40 nm or 70 nm)
- Cathode Al (100 nm)
- the voltage-current-luminance characteristics of the manufactured EL element were measured by applying a voltage from 0 V to 20 V using an ADVANTEST DC voltage / current power source / monitor (TR6143) and measuring the current value every 0.2V step.
- the EL spectrum was measured using a spectroscopic detector of a multichannel spectrophotometer (C7473) manufactured by Hamamatsu Photonics.
- T (L 0 / L) 1.5 ⁇ T 1 (In the formula, L 0 : initial luminance [cd / m 2 ], L: converted luminance [cd / m 2 ], T 1 : actual measurement time when luminance is halved, and T: half time)
- the relative quantum yields for 9,10-diphenylanthracene are 0.35, 0.44 and 0.47 for Ir (ppy) 2 (pdppy), Ir (ppy) (pdppy) 2 and Ir (pdppy) 3 respectively. there were.
- Ir (ppy) 3 having no phosphine oxide group was similarly estimated for the relative quantum yield, a value of 0.40 was obtained. It was confirmed that as the number of bulky phosphine oxide groups increased, the relative quantum yield increased as molecular association was suppressed.
- Example 11 Current efficiency ⁇ c , 500 cd / m 2 equivalent lifetime (including phosphine oxide group) for Examples 1 to 13 below (host compounds, guest compounds, metal compounds and their concentrations used are as shown below)
- the relative lifetime of Example 11 using Ir (ppy) 3 as a guest compound and the measurement results of the luminescent color were as shown in Table 1 below.
- the structural formula of guest compound C545T used in Example 13 is as shown below.
- Organic EL devices using all guest materials including those other than iridium complexes (Examples 8 and 13) and those having no phosphine oxide group (Examples 11 to 13) are used as phosphorescent dyes in organic EL devices.
- Current efficiency and lifetime equal to or higher than those of the organic EL device using Ir (ppy) 3 (Example 11) used were observed.
- ⁇ c was measured for an organic EL device (Example 1) using Ir (ppy) 2 (pdppy) as a guest material, a maximum value of 67 cd / A was obtained.
Landscapes
- Chemical & Material Sciences (AREA)
- Engineering & Computer Science (AREA)
- Organic Chemistry (AREA)
- Materials Engineering (AREA)
- Crystallography & Structural Chemistry (AREA)
- Inorganic Chemistry (AREA)
- Manufacturing & Machinery (AREA)
- Physics & Mathematics (AREA)
- Optics & Photonics (AREA)
- Electroluminescent Light Sources (AREA)
Abstract
Description
例えば、特許文献1では、電子輸送性の有機化合物と、仕事関数(電気陰性度)の低い金属であるアルカリ金属を含む金属化合物とを共蒸着することにより、電子注入層中に金属化合物を混入させることにより、電子注入層の特性の改善を図る構成が提案されている。
また、特許文献2では、ホスフィンオキサイド化合物を電子輸送材料として用いることが提案されている。更に、特許文献3では、電子輸送層の構成として、配位部位を有する有機化合物にアルカリ金属をドーピングする方法が提案されている。
電気陰性度の低い(1.6以下)金属(元素又はイオン)が電子求引性のホスフィンオキシド基に配位することにより、ホスト化合物を構成するホスフィンオキシド誘導体の電子輸送特性及び電子注入特性が更に向上すると共に耐久性が大幅に向上する。
R1は1又は複数のアリール基及びヘテロアリール基の一方又は双方を有し、任意の1又は複数の炭素原子上に下記の式(2)で表されるホスフィンオキシド基を有していてもよい原子団を表し、
Ar1及びAr2は、それぞれ独立して1又は複数の置換基を有していてもよいアリール基を表し、Ar1及びAr2が結合することによりリン原子を含むヘテロ環を形成していてもよく、
式(4)~(15)において、R2及びR3のいずれか一方は下記の式(2)で表されるホスフィンオキシド基を表し、前記R2及びR3の他方、X1及びX2は、それぞれ独立して、水素原子及びフッ素原子からなる群より選択され、qは1、2及び3のいずれかの自然数を表し、R4及びR5は、それぞれ独立して、それぞれ独立して炭素数1以上12以下の直鎖又は分岐鎖アルキル基、直鎖又は分岐鎖フルオロアルキル基、アリール基及びヘテロアリール基からなる群より選択される官能基であり、Zは直接結合又は炭素数1以上12以下の直鎖アルキレン基である。
また、式(4)’において、R6、R7及びR8は、水素原子及び上記の式(2)で表されるホスフィンオキシド基のいずれかを表し、かつR6、R7及びR8のうち少なくとも1つは上記の式(2)で表されるホスフィンオキシド基である。
(1)有機電界発光素子
図1に示すように、本発明の第1の実施の形態に係る有機電界発光素子1は、陽極3と陰極7との間に挟まれるように積層された複数の有機化合物層(陽極3側から順に、正孔注入層4、正孔輸送層5、発光層6)を有する有機電界発光素子である。陽極3は透明な基板2上に設けられており、全体が封止部材8で封止されている。正孔輸送層5はアルコール系溶媒に不溶な有機化合物からなっている。正孔輸送層5が陰極7と対向している側の面で正孔輸送層5に接するように湿式法で形成された発光層6は、アルコール系溶媒に可溶な1又は複数のホスフィンオキシド誘導体からなるホスト材料(媒体)と、好ましくは遷移金属元素又はイオンに配位結合していないホスフィンオキシド基を有し、アルコール系溶媒に可溶な1又は複数の有機化合物及び/又は有機金属化合物からなり、注入した電子と正孔との再結合により電気的に励起され発光することができるゲスト材料(発光中心)とを含んでいる。
例えば、正孔注入層4には、正孔伝導準位(Ev)と陽極3に用いられる材料の仕事関数との差が小さく、放射光の再吸収を防ぐために可視光領域に吸収帯のない材料が好ましく用いられる。また、正孔輸送層5には、発光層6の構成材料との間で励起錯体(エキサイプレックス)や電荷移動錯体を形成せず、発光層6において生成した励起子のエネルギーの移動や発光層6からの電子注入を防ぐために、発光層6の励起子エネルギーよりも一重項励起エネルギーが大きく、バンドギャップエネルギーが大きく、電子伝導電位(Ec)が浅い材料が好ましく用いられる。陽極3にITOが用いられる場合、正孔注入層4及び正孔輸送層5に好適に用いられる材料の例としては、それぞれ、ポリ(3,4-エチレンジオキシチオフェン/スチレンスルホン酸)(PEDOT/PSS)及びポリ(N-ビニルカルバゾール)(PVK)が挙げられる。
(I)アルコール系溶媒に可溶な1又は複数のホスフィンオキシド誘導体からなるホスト材料と、
(II)遷移金属元素又はイオンに配位結合していないホスフィンオキシド基を有し、アルコール系溶媒に可溶な1又は複数の有機化合物及び/又は有機金属化合物からなり、注入した電子と正孔との再結合により電気的に励起され発光することができるゲスト材料とを含んでいる。
ホスト材料を構成する前記ホスフィンオキシド誘導体としては、下記の一般式(1)で表されるものが好ましく用いられる。
R1は1又は複数のアリール基及びヘテロアリール基の一方又は双方を有し、任意の1又は複数の炭素原子上に下記の式(2)で表されるホスフィンオキシド基を有していてもよい原子団を表し、
Ar1及びAr2は、それぞれ独立して1又は複数の置換基を有していてもよいアリール基を表し、Ar1及びAr2が結合することによりリン原子を含むヘテロ環を形成していてもよく、
X及びR9は、1又は複数のアリール基及びヘテロアリール基の一方又は双方を有し、1又は複数の置換基を有していてもよい原子団を表し、
Ar8~Ar28はそれぞれ独立して1又は複数の置換基を有していてもよいアリール基を表し、
Ar8とAr9、Ar10とAr11、Ar15とAr16、Ar17とAr18、Ar19とAr20、Ar21とAr22、Ar23とAr24、Ar25とAr26及びAr27とAr28がそれぞれ結合することによりリン原子を含むヘテロ環を形成していてもよい。
X、R9、Ar8~Ar28に含まれるアリール基についても上記の原子団R1の場合と同様であるが、Ar8~Ar28は好ましくはフェニル基である。
ホスフィンオキシド誘導体は任意の1種類を単独で用いてもよく、任意の2種類以上を任意の割合で混合して用いてもよい。有機電界発光素子1の製造に用いられる陰極材料や発光層6に含まれるゲスト材料の種類等に応じてホスフィンオキシド誘導体又はその組み合わせを適宜選択することにより、電子注入特性、電子輸送特性及び発光特性を最適化できる。
ゲスト材料を構成する前記有機化合物及び/又は有機金属化合物としては、アルコール系溶媒に可溶であり、注入した電子と正孔との再結合により電気的に励起され発光することができる任意のものを1又は複数選択して用いることができるが、遷移金属元素又はイオンに配位結合していないホスフィンオキシド基を有するものが好ましく、下記の一般式(3)で表されるものがより好ましい。
発光層形成用材料に用いられるアルコール系溶媒としては、正孔注入層4及び正孔輸送層5を溶解又は膨潤させにくく、ホスト材料、ゲスト材料及び金属塩又は金属化合物の溶解性が高い任意のアルコール系溶媒を用いることができ、好ましくは炭素数1~7、より好ましくは炭素数1~4の単価アルコールが用いられる。このようなアルコール系溶媒の具体例としては、メタノール、エタノール、1-プロパノール、2-プロパノール、1-ブタノール、2-ブタノール、t-ブチルアルコール、1-ペンタノール、1-ヘキサノール、シクロヘキサノール等が挙げられる。これらは単独で用いてもよく、任意の2以上を任意の割合で混合して用いてもよい。
まず、基板2を用意し、この基板2上に陽極3を形成する。
陽極3は、例えば、プラズマCVD、熱CVD、レーザーCVDのような化学蒸着法(CVD)、真空蒸着、スパッタリング、イオンプレーティング等の乾式メッキ法、電界メッキ、浸漬メッキ、無電界メッキ等の湿式メッキ法、溶射法、ゾル・ゲル法、MOD法、金属箔の接合等を用いて形成することができる。
正孔注入層4及び正孔輸送層5は、例えば、正孔注入材料を溶媒に溶解又は分散媒に分散してなる正孔注入層形成用材料を陽極3上に供給した後、乾燥(脱溶媒又は脱分散媒)し、次いで正孔輸送材料を溶媒に溶解又は分散媒に分散してなる正孔輸送層形成用材料を正孔注入層4上に供給した後、乾燥することにより形成することができる。正孔注入層形成用材料及び正孔輸送層形成用材料の供給方法としては、例えば、スピンコート法、キャスティング法、マイクログラビアコート法、グラビアコート法、バーコート法、ロールコート法、ワイヤーバーコート法、ディップコート法、スプレーコート法、スクリーン印刷法、フレキソ印刷法、オフセット印刷法、インクジェット印刷法等の各種塗布法を用いることができる。このような塗布法を用いることにより、正孔注入層4及び正孔輸送層5を比較的容易に形成することができる。
なお、乾燥は、例えば、大気圧又は減圧雰囲気中での放置、加熱処理、不活性ガスの吹付け等により行うことができる。
ここで、酸素プラズマ処理の条件としては、例えば、プラズマパワー100~800W程度、酸素ガス流量50~100mL/min程度、被処理部材(陽極3)の搬送速度0.5~10mm/sec程度、基板2の温度70~90℃程度とするのが好ましい。
発光層6は、例えば、上述のホスト材料及びゲスト材料を溶媒に溶解又は分散媒に分散してなる発光層形成用材料を正孔輸送層5上に供給した後、乾燥(脱溶媒又は脱分散媒)することにより形成することができる。発光層形成用材料の供給方法及び乾燥の方法は、正孔注入層4及び正孔輸送層5の形成で説明したのと同様である。
陰極7は、例えば、真空蒸着法、スパッタリング法、金属箔の接合、金属微粒子インクの塗布および焼成等を用いて形成することができる。
最後に、得られた有機発光素子1を覆うように封止部材8を被せ、基板2に接合する。
以上のような工程を経て、有機電界発光素子1が得られる。
なお、ディスプレイ装置の駆動方式としては、特に限定されず、アクティブマトリックス方式、パッシブマトリックス方式のいずれであってもよい。
本発明の第2の実施の形態に係る有機電界発光材料は、下記の式(3)’、好ましくは下記の式(4)~(15)のいずれかで表される構造を有するイリジウム錯体である。
ホスト材料の合成
使用したホスト材料(ホスフィンオキシド誘導体:上記の式A~Qで表されるもの)のうち国際公開第2005/104628号パンフレットに記載のものは、同パンフレットに記載の方法にしたがい合成した。
[I][ビス(2-フェニルピリジナト-N,C2’)-モノ(2-(4-ジフェニルホスホリルフェニル)ピリジナト-N,C2’)]イリジウム(III)(Ir(ppy)2(pdppy))の合成
収量:13.4g、収率:44.2%
収量:2.04g、収率:47.9%
収量:0.32g、収率:90.1%
粗収量:0.27g、粗収率:31.8%
収量:0.28g、収率:90.6%
粗収量:0.13g、粗収率:61.9%
粗収量:0.3g、粗収率:30%
(IV-1)mdppyの合成(ジフェニルホスフィン酸クロリドを使った合成方法)
収量:0.82g、収率:23.0%
収量:0.36g、収率:11.5%
(IV-1’-1)3-ブロモジフェニルホスフィンオキシド(mBrdppo)の合成
収量:4.84g、収率:18.3%
(IV-1-2)と同様の反応で合成した。
(IV-1”-1)2-(3-ブロモフェニル)ピリジン(2(3BrPh)py)の合成
粗収量:1.88g、粗収率:104%
収量:0.77g、収率:28.3%
粗収量=0.33g、粗収率:48.5%
収量:2.30g、収率:18.8%
収量:1.24g、収率:100%
収量:1.37g、収率=98.6%
粗収量:1.25g、粗収率:78.1%
粗収量:3.04g、粗収率:71.4%
粗収量::1.11g、粗収率:91.0%
収量:0.56g、収率:90.8%
溶媒を含んだ状態であり、収率は100%を超えたが、収率100%と仮定して次の反応に使用した。
粗収量:0.65g、粗収率:85.6%
m/z=206([M]+)を確認した。
収量:2.59g、収率:84.1%
FAB-MSにより目的物の生成を確認した(m/z=901([(M-Cl)/2]+)、937([M/2]+))。
収量:0.42g、収率:98.5%
粗収量:60mg、粗収率=24.0%
上記の(2)の[I]において合成したIr(ppy)2(pdppy)を用いて、紫外光照射によるmer-体のfac-体への異性化の条件について検討した。逆相HPLC(YMC-Pack ODS-AQ:φ50×500mm、H2O:MeOH=20:80)により異性化前のfac-:mer-比を求めたところ、45:55であった。これを種々の溶媒に溶解し、高圧水銀灯(オーク製作所 HANDY UV 500:500W)で照射したところ、溶媒としてTHFを用い(57.2mg/40mL)、3時間照射したところ、完全にfac-体に異性化したことが逆相HPLC分析により確認された。
粗収量:1.29g、粗収率:52.4%
収量:9.8g、収率:78.4%
ITO基板は、三容真空製のもの(膜厚80nm)を使用した。基板洗浄に用いる2-プロパノールは関東化学製の電子工業用を用い、電子輸送層の成膜に用いるアルコール類は関東化学製、発光層の成膜に用いるトルエンは関東化学製の電子工業用を用いた。正孔注入材料としては、PEDOT-PSS(H.C.Starck製の、AI4083)を原液のまま用いた。正孔輸送材料としては、ポリ(N-ビニルカルバゾール)(PVK、Aldrich社製)をトルエン溶液(5g/L又は10g/L)として用いた。発光層に用いるホスト材料としては、上記の式Fで表されるホスフィンオキシド誘導体を用い、ゲスト材料としては、上記の(2)で合成した各種イリジウム錯体を用いた。ゲスト材料はホスト材料の8.7重量%添加し、総濃度が10g/L又は15g/Lの2-プロパノール溶液を作製した。
陽極:ITO(80nm)
正孔注入層:PEDOT-PSS(50nm)
正孔輸送層:PVK(15nm又は30nm)
発光層:(40nm又は70nm)
電子輸送層:LiF(0.2nm)
陰極:Al(100nm)
各ゲスト材料の発光特性(量子収率)については、相対蛍光量子収率は、溶液中での紫外可視吸収スペクトルおよび蛍光スペクトルを測定し、Φp=1とされる9,10-ジフェニルアントラセンを標準に用いて相対蛍光量子収率(Φp)を見積もった。なお、リン光は、酸素により消光するため、酸素を脱気するために、5分間アルゴンでバブリング後、スペクトルを測定した。
作製したEL素子の電圧-電流-輝度特性はADVANTEST製DC電圧電流電源・モニター(TR6143)を用いて0Vから20Vまで電圧を印加して0.2Vステップ毎電流値を測定した。ELスペクトルは浜松ホトニクス製マルチチャンネル分光測定器(C7473)の分光検出器を用いて測定した。
500cd/m2換算寿命の測定にはアペックス製の装置を使用し、50mA/m2の定電流連続駆動により測定した。全て1.5乗則(下式参照)を用い500cd/m2に換算した駆動時間により、初期輝度の1/2に達した半減時間により比較した。
(式中、L0:初期輝度[cd/m2]、L:換算輝度[cd/m2]、T1:輝度半減時の実測時間、T:半減時間である。)
また、発光層にLi(acac)、Ba(acac)2等の金属化合物を添加すると、耐久性が向上することが確認された(実施例1、2及び3、4参照。)。
2 基板
3 陽極
4 正孔注入層
5 正孔輸送層
6 発光層
7 陰極
8 封止部材
Claims (12)
- 陽極と陰極との間に挟まれるように積層された複数の有機化合物層を有する有機電界発光素子において、前記複数の有機化合物層が、
アルコール系溶媒に不溶な有機化合物からなる正孔輸送層と、
前記正孔輸送層が前記陰極と対向している側の面で該正孔輸送層に接するように湿式法で形成された発光層とを有し、
前記発光層が、アルコール系溶媒に可溶な1又は複数のホスフィンオキシド誘導体からなるホスト材料と、アルコール系溶媒に可溶な1又は複数の有機化合物及び/又は有機金属化合物からなり、注入した電子と正孔との再結合により電気的に励起され発光することができるゲスト材料とを含むことを特徴とする有機電界発光素子。 - 前記ゲスト材料が、遷移金属元素又はイオンに配位結合していないホスフィンオキシド基を有することを特徴とする請求項1記載の有機電界発光素子。
- 前記発光層が、電気陰性度が1.6以下である金属の1又は複数を含む金属塩及び/又は金属化合物の1又は複数を更に含むことを特徴とする請求項1及び2のいずれか1項記載の有機電界発光素子。
- 前記ホスト材料を構成する前記ホスフィンオキシド誘導体が、下記の一般式(1)で表されることを特徴とする請求項1から3のいずれか1項記載の有機電界発光素子。
式(1)において、
R1は1又は複数のアリール基及びヘテロアリール基の一方又は双方を有し、任意の1又は複数の炭素原子上に下記の式(2)で表されるホスフィンオキシド基を有していてもよい原子団を表し、
Ar1及びAr2は、それぞれ独立して1又は複数の置換基を有していてもよいアリール基を表し、Ar1及びAr2が結合することによりリン原子を含むヘテロ環を形成していてもよく、
式(2)においてAr3及びAr4は、それぞれ独立して1又は複数の置換基を有していてもよいアリール基を表し、Ar3及びAr4が結合することによりリン原子を含むヘテロ環を形成していてもよい。 - 上記の式(3)で表される前記有機化合物及び/又は有機金属化合物が、下記の式(3)’で表されるイリジウム錯体であることを特徴とする請求項6記載の有機電界発光素子。
式(3)’において、L1、L2及びL3は二座配位子であり、X1、Y1、X2、Y2、X3及びY3は、それぞれ、二座配位子L1、L2及びL3の構成原子であり、それぞれ独立して炭素原子、酸素原子及び窒素原子からなる群より選択される配位原子であり、かつ、L1、L2及びL3のうち1又は複数は下記の式(2)で表されるホスフィンオキシド基を有しており、
式(2)においてAr3及びAr4は、それぞれ独立して1又は複数の置換基を有していてもよいアリール基を表し、Ar3及びAr4が結合することによりリン原子を含むヘテロ環を形成していてもよい。 - 上記の式(3)’で表される前記イリジウム錯体が、下記の式(4)~(15)のいずれかで表されるイリジウム錯体であることを特徴とする請求項7記載の有機電界発光素子。
式(4)~(15)において、R2及びR3のいずれか一方は下記の式(2)で表されるホスフィンオキシド基を表し、前記R2及びR3の他方、X1及びX2は、それぞれ独立して、水素原子及びフッ素原子からなる群より選択され、qは1、2及び3のいずれかの自然数を表し、R4及びR5は、それぞれ独立して、それぞれ独立して炭素数1以上12以下の直鎖又は分岐鎖アルキル基、直鎖又は分岐鎖フルオロアルキル基、アリール基及びヘテロアリール基からなる群より選択される官能基であり、Zは直接結合又は炭素数1以上12以下の直鎖アルキレン基である。 - 下記の式(3)’で表されることを特徴とするアルコール可溶性リン光発光材料。
式(3)’において、L1、L2及びL3は二座配位子であり、X1、Y1、X2、Y2、X3及びY3は、それぞれ、二座配位子L1、L2及びL3の構成原子であり、それぞれ独立して炭素原子、酸素原子及び窒素原子からなる群より選択される配位原子であり、かつ、L1、L2及びL3のうち1又は複数は下記の式(2)で表されるホスフィンオキシド基を有しており、
式(2)においてAr3及びAr4は、それぞれ独立して1又は複数の置換基を有していてもよいアリール基を表し、Ar3及びAr4が結合することによりリン原子を含むヘテロ環を形成していてもよい。 - 上記の式(3)’で表される前記イリジウム錯体が、下記の式(4)~(15)のいずれかで表されることを特徴とする請求項10記載のアルコール可溶性リン光発光材料。
式(4)~(15)において、R2及びR3のいずれか一方は下記の式(2)で表されるホスフィンオキシド基を表し、前記R2及びR3の他方、X1及びX2は、それぞれ独立して、水素原子及びフッ素原子からなる群より選択され、qは1、2及び3のいずれかの自然数を表し、R4及びR5は、それぞれ独立して、それぞれ独立して炭素数1以上12以下の直鎖又は分岐鎖アルキル基、直鎖又は分岐鎖フルオロアルキル基、アリール基及びヘテロアリール基からなる群より選択される官能基であり、Zは直接結合又は炭素数1以上12以下の直鎖アルキレン基であり、
式(2)においてAr3及びAr4は、それぞれ独立して1又は複数の置換基を有していてもよいアリール基を表し、Ar3及びAr4が結合することによりリン原子を含むヘテロ環を形成していてもよい。
Priority Applications (4)
| Application Number | Priority Date | Filing Date | Title |
|---|---|---|---|
| KR1020127006848A KR101692043B1 (ko) | 2009-08-18 | 2010-08-17 | 유기 전계 발광 소자 및 신규 알코올 가용성 인광 발광 재료 |
| CN201080046890.XA CN102668156B (zh) | 2009-08-18 | 2010-08-17 | 有机电致发光元件及新型的醇可溶性磷光发光材料 |
| JP2011527582A JP5722220B2 (ja) | 2009-08-18 | 2010-08-17 | 有機電界発光素子 |
| US13/499,016 US20120261651A1 (en) | 2009-08-18 | 2010-08-17 | Organic electroluminescent element and novel alcohol-soluble phosphorescent material |
Applications Claiming Priority (2)
| Application Number | Priority Date | Filing Date | Title |
|---|---|---|---|
| JP2009-188846 | 2009-08-18 | ||
| JP2009188846 | 2009-08-18 |
Publications (1)
| Publication Number | Publication Date |
|---|---|
| WO2011021385A1 true WO2011021385A1 (ja) | 2011-02-24 |
Family
ID=43606844
Family Applications (1)
| Application Number | Title | Priority Date | Filing Date |
|---|---|---|---|
| PCT/JP2010/005087 Ceased WO2011021385A1 (ja) | 2009-08-18 | 2010-08-17 | 有機電界発光素子及び新規なアルコール可溶性リン光発光材料 |
Country Status (5)
| Country | Link |
|---|---|
| US (1) | US20120261651A1 (ja) |
| JP (3) | JP5722220B2 (ja) |
| KR (1) | KR101692043B1 (ja) |
| CN (1) | CN102668156B (ja) |
| WO (1) | WO2011021385A1 (ja) |
Cited By (25)
| Publication number | Priority date | Publication date | Assignee | Title |
|---|---|---|---|---|
| WO2012038029A1 (de) * | 2010-09-24 | 2012-03-29 | Merck Patent Gmbh | Phosphorhaltige metallkomplexe |
| CN102675368A (zh) * | 2012-05-08 | 2012-09-19 | 东莞彩显有机发光科技有限公司 | 一种电子传输材料及其制备方法和应用 |
| CN102675367A (zh) * | 2012-03-31 | 2012-09-19 | 东莞彩显有机发光科技有限公司 | 一种含磷氧基和吡啶单元化合物及其制备方法 |
| US20120256171A1 (en) * | 2011-04-08 | 2012-10-11 | Showa Denko K.K. | Phosphine oxide compound, organic electroluminescence element, production method and uses thereof |
| US20120256536A1 (en) * | 2011-04-08 | 2012-10-11 | Showa Denko K.K. | Phosphine oxide compound, organic electroluminescence element, production method and uses thereof |
| WO2012173369A3 (ko) * | 2011-06-13 | 2013-04-04 | 주식회사 엘지화학 | 신규한 화합물 및 이를 이용한 유기 전자 소자 |
| US20130099216A1 (en) * | 2010-06-17 | 2013-04-25 | Konica Minolta Holdings, Inc. | Organic electroluminescent material, organic electroluminescent element, display device and lighting device |
| KR20130071376A (ko) * | 2011-12-20 | 2013-06-28 | 세이코 엡슨 가부시키가이샤 | 성막용 잉크, 성막 방법, 발광 소자의 제조 방법, 발광 소자, 발광 장치 및 전자 기기 |
| JP2013131573A (ja) * | 2011-12-20 | 2013-07-04 | Seiko Epson Corp | 成膜用インク、成膜方法、発光素子の製造方法、発光素子、発光装置および電子機器 |
| JP2013185088A (ja) * | 2012-03-08 | 2013-09-19 | Daicel Corp | 樹脂組成物及びその硬化物、並びに発光素子 |
| US20130306940A1 (en) * | 2012-05-21 | 2013-11-21 | Universal Display Corporation | Heteroleptic iridium complexes containing carbazole-imidazole-carbene ligands and application of the same in light-emitting devices |
| CN103413893A (zh) * | 2013-08-01 | 2013-11-27 | 中国航空工业集团公司北京航空材料研究院 | 一种oled器件 |
| US20140077190A1 (en) * | 2012-09-14 | 2014-03-20 | Industry-Academic Cooperation Foundation Gyeongsang National University | Phosphine oxide-based compound and organic light-emitting device including the same |
| WO2014082308A1 (zh) * | 2012-11-30 | 2014-06-05 | 海洋王照明科技股份有限公司 | 一种有机电致发光器件及其制备方法 |
| KR101464408B1 (ko) * | 2011-10-05 | 2014-11-27 | 주식회사 엘지화학 | 유기 발광 소자 및 이의 제조방법 |
| WO2015115532A1 (ja) * | 2014-01-31 | 2015-08-06 | 出光興産株式会社 | 化合物、有機エレクトロルミネッセンス素子用材料、有機エレクトロルミネッセンス素子及び電子機器 |
| WO2015151914A1 (ja) * | 2014-04-04 | 2015-10-08 | コニカミノルタ株式会社 | 有機金属錯体の合成方法及び当該合成方法により合成された化合物を用いた有機エレクトロルミネッセンス素子 |
| WO2016140549A3 (ko) * | 2015-03-05 | 2016-10-27 | 주식회사 엘지화학 | 헤테로고리 화합물 및 이를 포함하는 유기 발광 소자 |
| KR20190024992A (ko) | 2016-07-29 | 2019-03-08 | 다이덴 가부시키가이샤 | 금속 착체 및 그것을 사용한 전자 수송 재료 |
| JP2019142829A (ja) * | 2018-02-23 | 2019-08-29 | 東ソー株式会社 | 新規セリウム錯体、及び発光材 |
| CN110383522A (zh) * | 2017-02-24 | 2019-10-25 | 株式会社半导体能源研究所 | 发光元件用材料、发光元件、发光装置、电子设备、照明装置及有机金属配合物 |
| US10879473B2 (en) * | 2013-06-06 | 2020-12-29 | Novaled Gmbh | Organic electronic device |
| JP2021054808A (ja) * | 2019-09-30 | 2021-04-08 | 三星ディスプレイ株式會社Samsung Display Co.,Ltd. | 発光素子及び発光素子用多環化合物 |
| US20220013727A1 (en) * | 2020-07-10 | 2022-01-13 | Samsung Display Co., Ltd. | Method of purifying light-emitting device material and light-emitting device including light-emitting device material |
| KR20220070298A (ko) | 2019-10-02 | 2022-05-30 | 다이덴 가부시키가이샤 | 금속 착체 및 그것을 사용한 전자 수송 재료 |
Families Citing this family (21)
| Publication number | Priority date | Publication date | Assignee | Title |
|---|---|---|---|---|
| US8906752B2 (en) | 2011-09-16 | 2014-12-09 | Kateeva, Inc. | Polythiophene-containing ink compositions for inkjet printing |
| KR102122453B1 (ko) | 2013-02-28 | 2020-06-15 | 삼성디스플레이 주식회사 | 유기 발광 장치 |
| EP3249714B1 (en) * | 2013-04-10 | 2021-03-17 | Novaled GmbH | Semiconducting material comprising aza-substituted phosphine oxide matrix and metal salt |
| CN103374040B (zh) * | 2013-07-02 | 2016-01-06 | 华南理工大学 | 一类含有三芳基磷氧及氮杂环功能基团的醇溶性阴极缓冲层分子型材料及其合成方法与应用 |
| EP2887416B1 (en) * | 2013-12-23 | 2018-02-21 | Novaled GmbH | N-doped semiconducting material comprising phosphine oxide matrix and metal dopant |
| JP6392874B2 (ja) * | 2013-12-26 | 2018-09-19 | カティーバ, インコーポレイテッド | 電子デバイスの熱処理のための装置および技法 |
| WO2015117876A1 (en) * | 2014-02-04 | 2015-08-13 | Koninklijke Philips N.V. | Quantum dots with inorganic ligands in an inorganic matrix |
| US10113109B2 (en) * | 2014-02-04 | 2018-10-30 | Lumileds Llc | Oxo- and hydroxo-based composite inorganic ligands for quantum dots |
| JP6395854B2 (ja) * | 2014-11-21 | 2018-09-26 | 富士フイルム株式会社 | 光電変換素子および太陽電池 |
| KR102409384B1 (ko) | 2015-02-04 | 2022-06-15 | 삼성전자주식회사 | 유기금속 화합물 및 이를 포함한 유기 발광 소자 |
| JP6940221B2 (ja) | 2015-03-05 | 2021-09-22 | エルジー・ケム・リミテッド | ヘテロ環化合物およびこれを含む有機発光素子 |
| CN105090816A (zh) | 2015-06-29 | 2015-11-25 | 合肥京东方显示光源有限公司 | 光源组件、背光源以及显示装置 |
| KR20170070640A (ko) * | 2015-12-14 | 2017-06-22 | 주식회사 동진쎄미켐 | 신규한 화합물 및 이를 포함하는 유기 발광 소자 |
| CN107163082A (zh) * | 2016-03-08 | 2017-09-15 | 上海和辉光电有限公司 | 一种有机化合物及oled显示装置 |
| CN108886856B (zh) | 2016-03-29 | 2020-04-10 | 夏普株式会社 | 有机el显示装置和有机el显示装置的制造方法 |
| CN105859793B (zh) * | 2016-04-19 | 2018-11-23 | 西安交通大学 | 含二苯并膦杂茂基团的非对称铱(iii)磷光配合物及其合成方法 |
| KR102691010B1 (ko) | 2016-08-31 | 2024-07-31 | 엘지디스플레이 주식회사 | 유기발광소자 및 이를 구비한 유기발광 표시장치 |
| KR101946277B1 (ko) * | 2017-04-19 | 2019-02-11 | 부산대학교 산학협력단 | 신규한 신규한 이리듐(iii) 착화합물 및 이를 포함하는 유기 전계 발광 소자 |
| CN110760305A (zh) * | 2019-11-01 | 2020-02-07 | 吉林奥来德光电材料股份有限公司 | 一种磷光化合物及其制备方法和包含它的有机电致发光器件 |
| KR20220095393A (ko) * | 2020-12-29 | 2022-07-07 | 삼성디스플레이 주식회사 | 잉크 조성물, 발광 소자 및 이의 제조 방법 |
| CN114031752B (zh) * | 2020-12-29 | 2023-06-16 | 广东聚华印刷显示技术有限公司 | 聚合型可交联化合物及其制备方法和应用 |
Citations (4)
| Publication number | Priority date | Publication date | Assignee | Title |
|---|---|---|---|---|
| WO2005104628A1 (ja) * | 2004-04-20 | 2005-11-03 | Kyushu Electric Power Co., Inc. | 有機電界発光素子およびその製造方法ならびにリン含有有機化合物およびその製造方法 |
| WO2007027440A1 (en) * | 2005-08-31 | 2007-03-08 | Eastman Kodak Company | Organic phosphorescent light emitting device |
| WO2007137725A1 (de) * | 2006-05-31 | 2007-12-06 | Merck Patent Gmbh | Neue materialien für organische elektrolumineszenzvorrichtungen |
| JP2008244012A (ja) * | 2007-03-26 | 2008-10-09 | Fujifilm Corp | 有機電界発光素子 |
Family Cites Families (13)
| Publication number | Priority date | Publication date | Assignee | Title |
|---|---|---|---|---|
| GB9826406D0 (en) * | 1998-12-02 | 1999-01-27 | South Bank Univ Entpr Ltd | Quinolates |
| US6800380B2 (en) * | 1998-06-23 | 2004-10-05 | Nessdisplay Co., Ltd. | Organometallic luminescent materials and organic electroluminescent device containing same |
| JP4876333B2 (ja) | 2000-06-08 | 2012-02-15 | 東レ株式会社 | 発光素子 |
| JP2002352961A (ja) | 2001-05-25 | 2002-12-06 | Toray Ind Inc | 有機電界発光装置 |
| JP2004172090A (ja) * | 2002-10-31 | 2004-06-17 | Seiko Epson Corp | エレクトロルミネッセンス装置の製造方法及びエレクトロルミネッセンス装置、並びに電子機器 |
| JP2005063910A (ja) | 2003-08-20 | 2005-03-10 | Canon Inc | 有機発光素子及びその製造方法 |
| US7419728B2 (en) * | 2005-05-31 | 2008-09-02 | Eastman Kodak Company | Light-emitting device containing bis-phosphineoxide compound |
| JP4273132B2 (ja) * | 2006-04-03 | 2009-06-03 | セイコーエプソン株式会社 | 有機発光素子の製造方法 |
| EP1978576A3 (en) * | 2007-04-03 | 2012-10-17 | Fujikura, Ltd. | Organic light-emitting diode element and optical interconnection module |
| TW200910661A (en) * | 2007-04-04 | 2009-03-01 | Koninkl Philips Electronics Nv | OLED with metal complexes having a high quantum efficiency |
| CN101679467B (zh) * | 2007-05-18 | 2016-03-02 | 株式会社半导体能源研究所 | 有机金属配合物,包含该有机金属配合物的组合物和发光元件 |
| JP2011500648A (ja) * | 2007-10-17 | 2011-01-06 | ビーエーエスエフ ソシエタス・ヨーロピア | 架橋カルベンリガンドを有する遷移金属錯体およびoledにおけるその使用 |
| JP2009158756A (ja) * | 2007-12-27 | 2009-07-16 | Canon Inc | 有機電界発光素子 |
-
2010
- 2010-08-17 US US13/499,016 patent/US20120261651A1/en not_active Abandoned
- 2010-08-17 CN CN201080046890.XA patent/CN102668156B/zh active Active
- 2010-08-17 KR KR1020127006848A patent/KR101692043B1/ko active Active
- 2010-08-17 JP JP2011527582A patent/JP5722220B2/ja active Active
- 2010-08-17 WO PCT/JP2010/005087 patent/WO2011021385A1/ja not_active Ceased
-
2015
- 2015-01-30 JP JP2015017476A patent/JP5893777B2/ja not_active Expired - Fee Related
-
2016
- 2016-01-05 JP JP2016000657A patent/JP6196692B2/ja active Active
Patent Citations (4)
| Publication number | Priority date | Publication date | Assignee | Title |
|---|---|---|---|---|
| WO2005104628A1 (ja) * | 2004-04-20 | 2005-11-03 | Kyushu Electric Power Co., Inc. | 有機電界発光素子およびその製造方法ならびにリン含有有機化合物およびその製造方法 |
| WO2007027440A1 (en) * | 2005-08-31 | 2007-03-08 | Eastman Kodak Company | Organic phosphorescent light emitting device |
| WO2007137725A1 (de) * | 2006-05-31 | 2007-12-06 | Merck Patent Gmbh | Neue materialien für organische elektrolumineszenzvorrichtungen |
| JP2008244012A (ja) * | 2007-03-26 | 2008-10-09 | Fujifilm Corp | 有機電界発光素子 |
Non-Patent Citations (1)
| Title |
|---|
| GUIJIANG ZHOU ET AL.: "Manipulating Charge- Transfer Character with Electron-Withdrawing Main-Group Moieties for the Color Tuning of Iridium Electrophosphors", ADVANCED FUNCTIONAL MATERIALS, vol. 18, 4 July 2007 (2007-07-04), pages 499 - 511 * |
Cited By (58)
| Publication number | Priority date | Publication date | Assignee | Title |
|---|---|---|---|---|
| US20130099216A1 (en) * | 2010-06-17 | 2013-04-25 | Konica Minolta Holdings, Inc. | Organic electroluminescent material, organic electroluminescent element, display device and lighting device |
| US9331289B2 (en) * | 2010-06-17 | 2016-05-03 | Konica Minolta Holdings, Inc. | Organic electroluminescent material, organic electroluminescent element, display device and lighting device |
| US9040512B2 (en) | 2010-09-24 | 2015-05-26 | Merck Patent Gmbh | Phosphorus-containing metal complexes |
| US9598637B2 (en) | 2010-09-24 | 2017-03-21 | Merck Patent Gmbh | Phosphorus-containing metal complexes |
| WO2012038029A1 (de) * | 2010-09-24 | 2012-03-29 | Merck Patent Gmbh | Phosphorhaltige metallkomplexe |
| JP2016166219A (ja) * | 2010-09-24 | 2016-09-15 | メルク パテント ゲーエムベーハー | リンを含む金属錯体 |
| JP2013543487A (ja) * | 2010-09-24 | 2013-12-05 | メルク パテント ゲーエムベーハー | リンを含む金属錯体 |
| US20120256536A1 (en) * | 2011-04-08 | 2012-10-11 | Showa Denko K.K. | Phosphine oxide compound, organic electroluminescence element, production method and uses thereof |
| JP2012224627A (ja) * | 2011-04-08 | 2012-11-15 | Showa Denko Kk | ホスフィンオキサイド系化合物、有機エレクトロルミネッセンス素子、その製造方法およびその用途 |
| JP2012224626A (ja) * | 2011-04-08 | 2012-11-15 | Showa Denko Kk | ホスフィンオキサイド系化合物、有機エレクトロルミネッセンス素子、その製造方法およびその用途 |
| US20120256171A1 (en) * | 2011-04-08 | 2012-10-11 | Showa Denko K.K. | Phosphine oxide compound, organic electroluminescence element, production method and uses thereof |
| KR101412437B1 (ko) | 2011-06-13 | 2014-06-26 | 주식회사 엘지화학 | 신규한 화합물 및 이를 이용한 유기 전자 소자 |
| EP2719743A4 (en) * | 2011-06-13 | 2015-02-18 | Lg Chemical Ltd | NEW CONNECTIONS AND THIS USING ORGANIC ELECTRONIC DEVICE |
| JP2014523875A (ja) * | 2011-06-13 | 2014-09-18 | エルジー・ケム・リミテッド | 新規な化合物およびこれを用いた有機電子素子 |
| CN103608429B (zh) * | 2011-06-13 | 2017-03-08 | 株式会社Lg化学 | 化合物及使用所述化合物的有机电子器件 |
| US8999530B2 (en) | 2011-06-13 | 2015-04-07 | Lg Chem, Ltd. | Compounds and organic electronic device using same |
| CN103608429A (zh) * | 2011-06-13 | 2014-02-26 | 株式会社Lg化学 | 新化合物及使用所述化合物的有机电子器件 |
| CN103619989A (zh) * | 2011-06-13 | 2014-03-05 | 株式会社Lg化学 | 新的化合物以及使用其的有机电子器件 |
| US9543524B2 (en) | 2011-06-13 | 2017-01-10 | Lg Chem, Ltd. | Compounds and organic electronic device using same |
| US20140110694A1 (en) * | 2011-06-13 | 2014-04-24 | Lg Chem, Ltd. | Novel compounds and organic electronic device using same |
| EP2719742A4 (en) * | 2011-06-13 | 2015-02-18 | Lg Chemical Ltd | NEW CONNECTIONS AND THIS USING ORGANIC ELECTRONIC DEVICE |
| WO2012173370A3 (ko) * | 2011-06-13 | 2013-04-04 | 주식회사 엘지화학 | 신규한 화합물 및 이를 이용한 유기 전자 소자 |
| WO2012173369A3 (ko) * | 2011-06-13 | 2013-04-04 | 주식회사 엘지화학 | 신규한 화합물 및 이를 이용한 유기 전자 소자 |
| US9972784B2 (en) | 2011-06-13 | 2018-05-15 | Lg Chem, Ltd. | Compounds and organic electronic device using same |
| KR101464408B1 (ko) * | 2011-10-05 | 2014-11-27 | 주식회사 엘지화학 | 유기 발광 소자 및 이의 제조방법 |
| US9887368B2 (en) | 2011-10-05 | 2018-02-06 | Lg Chem, Ltd. | Organic light-emitting device and method for manufacturing same |
| KR20130071376A (ko) * | 2011-12-20 | 2013-06-28 | 세이코 엡슨 가부시키가이샤 | 성막용 잉크, 성막 방법, 발광 소자의 제조 방법, 발광 소자, 발광 장치 및 전자 기기 |
| KR102127219B1 (ko) * | 2011-12-20 | 2020-07-07 | 세이코 엡슨 가부시키가이샤 | 성막용 잉크, 성막 방법, 발광 소자의 제조 방법, 발광 소자, 발광 장치 및 전자 기기 |
| JP2013131573A (ja) * | 2011-12-20 | 2013-07-04 | Seiko Epson Corp | 成膜用インク、成膜方法、発光素子の製造方法、発光素子、発光装置および電子機器 |
| JP2013185088A (ja) * | 2012-03-08 | 2013-09-19 | Daicel Corp | 樹脂組成物及びその硬化物、並びに発光素子 |
| CN102675367A (zh) * | 2012-03-31 | 2012-09-19 | 东莞彩显有机发光科技有限公司 | 一种含磷氧基和吡啶单元化合物及其制备方法 |
| CN102675368A (zh) * | 2012-05-08 | 2012-09-19 | 东莞彩显有机发光科技有限公司 | 一种电子传输材料及其制备方法和应用 |
| US9773985B2 (en) * | 2012-05-21 | 2017-09-26 | Universal Display Corporation | Organic electroluminescent materials and devices |
| US20130306940A1 (en) * | 2012-05-21 | 2013-11-21 | Universal Display Corporation | Heteroleptic iridium complexes containing carbazole-imidazole-carbene ligands and application of the same in light-emitting devices |
| US20140077190A1 (en) * | 2012-09-14 | 2014-03-20 | Industry-Academic Cooperation Foundation Gyeongsang National University | Phosphine oxide-based compound and organic light-emitting device including the same |
| US9627627B2 (en) * | 2012-09-14 | 2017-04-18 | Samsung Display Co., Ltd. | Phosphine oxide-based compound and organic light-emitting device including the same |
| WO2014082308A1 (zh) * | 2012-11-30 | 2014-06-05 | 海洋王照明科技股份有限公司 | 一种有机电致发光器件及其制备方法 |
| US10879473B2 (en) * | 2013-06-06 | 2020-12-29 | Novaled Gmbh | Organic electronic device |
| CN103413893A (zh) * | 2013-08-01 | 2013-11-27 | 中国航空工业集团公司北京航空材料研究院 | 一种oled器件 |
| WO2015115532A1 (ja) * | 2014-01-31 | 2015-08-06 | 出光興産株式会社 | 化合物、有機エレクトロルミネッセンス素子用材料、有機エレクトロルミネッセンス素子及び電子機器 |
| JPWO2015115532A1 (ja) * | 2014-01-31 | 2017-03-23 | 出光興産株式会社 | 化合物、有機エレクトロルミネッセンス素子用材料、有機エレクトロルミネッセンス素子及び電子機器 |
| US10211404B2 (en) | 2014-01-31 | 2019-02-19 | Idemitsu Kosan Co., Ltd. | Compound, material for organic electroluminescent elements, organic electroluminescent element and electronic device |
| WO2015151914A1 (ja) * | 2014-04-04 | 2015-10-08 | コニカミノルタ株式会社 | 有機金属錯体の合成方法及び当該合成方法により合成された化合物を用いた有機エレクトロルミネッセンス素子 |
| JPWO2015151914A1 (ja) * | 2014-04-04 | 2017-04-13 | コニカミノルタ株式会社 | 有機金属錯体の合成方法及び当該合成方法により合成された化合物を用いた有機エレクトロルミネッセンス素子 |
| WO2016140549A3 (ko) * | 2015-03-05 | 2016-10-27 | 주식회사 엘지화학 | 헤테로고리 화합물 및 이를 포함하는 유기 발광 소자 |
| JP2018513109A (ja) * | 2015-03-05 | 2018-05-24 | エルジー・ケム・リミテッド | ヘテロ環化合物およびこれを含む有機発光素子 |
| KR20200110819A (ko) | 2016-07-29 | 2020-09-25 | 다이덴 가부시키가이샤 | 금속 착체 및 그것을 사용한 전자 수송 재료 |
| KR20190024992A (ko) | 2016-07-29 | 2019-03-08 | 다이덴 가부시키가이샤 | 금속 착체 및 그것을 사용한 전자 수송 재료 |
| CN110383522A (zh) * | 2017-02-24 | 2019-10-25 | 株式会社半导体能源研究所 | 发光元件用材料、发光元件、发光装置、电子设备、照明装置及有机金属配合物 |
| US11522142B2 (en) | 2017-02-24 | 2022-12-06 | Semiconductor Energy Laboratory Co., Ltd. | Light-emitting element material, light-emitting element, light-emitting device, electronic device, lighting device, and organometallic complex |
| CN110383522B (zh) * | 2017-02-24 | 2023-04-25 | 株式会社半导体能源研究所 | 发光元件用材料、发光元件及有机金属配合物 |
| JP2019142829A (ja) * | 2018-02-23 | 2019-08-29 | 東ソー株式会社 | 新規セリウム錯体、及び発光材 |
| JP7100312B2 (ja) | 2018-02-23 | 2022-07-13 | 東ソー株式会社 | 新規セリウム錯体、及び発光材 |
| JP2021054808A (ja) * | 2019-09-30 | 2021-04-08 | 三星ディスプレイ株式會社Samsung Display Co.,Ltd. | 発光素子及び発光素子用多環化合物 |
| JP7614603B2 (ja) | 2019-09-30 | 2025-01-16 | 三星ディスプレイ株式會社 | 発光素子及び発光素子用多環化合物 |
| KR20220070298A (ko) | 2019-10-02 | 2022-05-30 | 다이덴 가부시키가이샤 | 금속 착체 및 그것을 사용한 전자 수송 재료 |
| US20220013727A1 (en) * | 2020-07-10 | 2022-01-13 | Samsung Display Co., Ltd. | Method of purifying light-emitting device material and light-emitting device including light-emitting device material |
| US12069937B2 (en) * | 2020-07-10 | 2024-08-20 | Samsung Display Co., Ltd. | Method of purifying light-emitting device material and light-emitting device including light-emitting device material |
Also Published As
| Publication number | Publication date |
|---|---|
| KR20120085749A (ko) | 2012-08-01 |
| JPWO2011021385A1 (ja) | 2013-01-17 |
| JP5722220B2 (ja) | 2015-05-20 |
| JP2016119481A (ja) | 2016-06-30 |
| CN102668156A (zh) | 2012-09-12 |
| JP6196692B2 (ja) | 2017-09-13 |
| KR101692043B1 (ko) | 2017-01-03 |
| JP2015134920A (ja) | 2015-07-27 |
| CN102668156B (zh) | 2016-01-13 |
| US20120261651A1 (en) | 2012-10-18 |
| JP5893777B2 (ja) | 2016-03-23 |
Similar Documents
| Publication | Publication Date | Title |
|---|---|---|
| JP6196692B2 (ja) | 有機電界発光素子の発光層を形成するための発光層形成用材料 | |
| EP1711579B1 (en) | Improved electroluminescent stability | |
| US7011897B2 (en) | Organic light emitting materials and devices | |
| EP1856226B1 (en) | Red phosphorescent compounds and organic electroluminescence devices using the same | |
| KR101233855B1 (ko) | 유기금속 화합물 및 그러한 화합물로 만들어진 장치 | |
| JP5674182B2 (ja) | 有機電子輸送材料、有機電子材料形成用組成物及び有機電界発光素子 | |
| KR20190004382A (ko) | 금속 착체 및 유기 발광 소자 | |
| WO2005075597A2 (en) | Electroluminescent iridium compounds with fluorinated phenylpyridine ligands, and devices made with such compounds | |
| EP2091094A2 (en) | Organic light-emitting element | |
| JP5391427B2 (ja) | 白色有機電界発光素子及びその製造方法 | |
| KR101105242B1 (ko) | 용액공정이 가능한 피콜리닉산 또는 피콜리닉산-엔-옥사이드 유도체를 보조리간드로 갖는 이리듐계 청색 발광화합물 및 이를 포함하는 유기전계발광소자 | |
| WO2017115578A1 (ja) | 有機電子輸送材料及びこれを用いた有機電界発光素子 | |
| KR101782660B1 (ko) | 전자적 응용을 위한 트라이아릴아민 화합물 | |
| KR20150007319A (ko) | 청색 발광 화합물 | |
| KR100851519B1 (ko) | 발광 특성이 개선된 이리듐계 착화합물 및 이를 포함하는유기전계발광소자 | |
| KR20100064587A (ko) | 녹색 인광 물질 및 이를 이용한 유기전계발광소자 | |
| KR100786471B1 (ko) | 유기 금속 화합물, 이를 이용한 유기 전계 발광 소자 및그의 제조방법 | |
| KR100732821B1 (ko) | 유기 금속 화합물, 이를 이용한 유기 전계 발광 소자 및그의 제조방법 | |
| KR20150119870A (ko) | 다이아자크리센 유도체를 포함하는 전자 소자 |
Legal Events
| Date | Code | Title | Description |
|---|---|---|---|
| WWE | Wipo information: entry into national phase |
Ref document number: 201080046890.X Country of ref document: CN |
|
| 121 | Ep: the epo has been informed by wipo that ep was designated in this application |
Ref document number: 10809731 Country of ref document: EP Kind code of ref document: A1 |
|
| NENP | Non-entry into the national phase |
Ref country code: DE |
|
| WWE | Wipo information: entry into national phase |
Ref document number: 2011527582 Country of ref document: JP |
|
| ENP | Entry into the national phase |
Ref document number: 20127006848 Country of ref document: KR Kind code of ref document: A |
|
| WWE | Wipo information: entry into national phase |
Ref document number: 13499016 Country of ref document: US |
|
| 122 | Ep: pct application non-entry in european phase |
Ref document number: 10809731 Country of ref document: EP Kind code of ref document: A1 |















































































































