WO2011017548A1 - Lipid formulated compositions and methods for inhibiting expression of eg5 and vegf genes - Google Patents
Lipid formulated compositions and methods for inhibiting expression of eg5 and vegf genes Download PDFInfo
- Publication number
- WO2011017548A1 WO2011017548A1 PCT/US2010/044594 US2010044594W WO2011017548A1 WO 2011017548 A1 WO2011017548 A1 WO 2011017548A1 US 2010044594 W US2010044594 W US 2010044594W WO 2011017548 A1 WO2011017548 A1 WO 2011017548A1
- Authority
- WO
- WIPO (PCT)
- Prior art keywords
- dsrna
- lipid
- composition
- peg
- cell
- Prior art date
- Legal status (The legal status is an assumption and is not a legal conclusion. Google has not performed a legal analysis and makes no representation as to the accuracy of the status listed.)
- Ceased
Links
- 0 *C[C@](COC(O*(C(CC1)=O)C1=O)=O)O* Chemical compound *C[C@](COC(O*(C(CC1)=O)C1=O)=O)O* 0.000 description 1
Classifications
-
- A—HUMAN NECESSITIES
- A61—MEDICAL OR VETERINARY SCIENCE; HYGIENE
- A61K—PREPARATIONS FOR MEDICAL, DENTAL OR TOILETRY PURPOSES
- A61K9/00—Medicinal preparations characterised by special physical form
- A61K9/10—Dispersions; Emulsions
- A61K9/127—Synthetic bilayered vehicles, e.g. liposomes or liposomes with cholesterol as the only non-phosphatidyl surfactant
- A61K9/1271—Non-conventional liposomes, e.g. PEGylated liposomes or liposomes coated or grafted with polymers
-
- A—HUMAN NECESSITIES
- A61—MEDICAL OR VETERINARY SCIENCE; HYGIENE
- A61K—PREPARATIONS FOR MEDICAL, DENTAL OR TOILETRY PURPOSES
- A61K9/00—Medicinal preparations characterised by special physical form
- A61K9/10—Dispersions; Emulsions
- A61K9/127—Synthetic bilayered vehicles, e.g. liposomes or liposomes with cholesterol as the only non-phosphatidyl surfactant
- A61K9/1271—Non-conventional liposomes, e.g. PEGylated liposomes or liposomes coated or grafted with polymers
- A61K9/1272—Non-conventional liposomes, e.g. PEGylated liposomes or liposomes coated or grafted with polymers comprising non-phosphatidyl surfactants as bilayer-forming substances, e.g. cationic lipids or non-phosphatidyl liposomes coated or grafted with polymers
Definitions
- This invention relates to lipid formulated compositions containing double-stranded ribonucleic acid (dsRNA), and their use in mediating RNA interference to inhibit the expression of a combination of genes, e.g., the Eg5 and Vascular Endothelial Growth Factor (VEGF) genes.
- dsRNA double-stranded ribonucleic acid
- the dsRNA are formulated in a lipid formulation and can include a lipoprotein, e.g.,
- compositions to treat pathological processes mediated by Eg5 and VEGF expression, such as cancer.
- the maintenance of cell populations within an organism is governed by the cellular processes of cell division and programmed cell death. Within normal cells, the cellular events associated with the initiation and completion of each process is highly regulated. In proliferative disease such as cancer, one or both of these processes may be perturbed. For example, a cancer cell may have lost its regulation (checkpoint control) of the cell division cycle through either the overexpression of a positive regulator or the loss of a negative regulator, perhaps by mutation.
- a cancer cell may have lost the ability to undergo programmed cell death through the overexpression of a negative regulator.
- chemotherapeutic drugs that will restore the processes of checkpoint control and programmed cell death to cancerous cells.
- One approach to the treatment of human cancers is to target a protein that is essential for cell cycle progression. In order for the cell cycle to proceed from one phase to the next, certain prerequisite events must be completed. There are checkpoints within the cell cycle that enforce the proper order of events and phases.
- One such checkpoint is the spindle checkpoint that occurs during the metaphase stage of mitosis. Small molecules that target proteins with essential functions in mitosis may initiate the spindle checkpoint to arrest cells in mitosis. Of the small molecules that arrest cells in mitosis, those which display anti-tumor activity in the clinic also induce apoptosis, the morphological changes associated with programmed cell death.
- An effective chemotherapeutic for the treatment of cancer may thus be one which induces checkpoint control and programmed cell death.
- Eg5 is one of several kinesin-like motor proteins that are localized to the mitotic spindle and known to be required for formation and/or function of the bipolar mitotic spindle. Recently, there was a report of a small molecule that disturbs bipolarity of the mitotic spindle (Mayer, T. U. et al. 1999. Science 286(5441) 971-4, herein incorporated by reference). More specifically, the small molecule induced the formation of an aberrant mitotic spindle wherein a monoastral array of microtubules emanated from a central pair of centrosomes, with chromosomes attached to the distal ends of the microtubules.
- the small molecule was dubbed "monastrol" after the monoastral array.
- This monoastral array phenotype had been previously observed in mitotic cells that were immunodepleted of the Eg5 motor protein.
- This distinctive monoastral array phenotype facilitated identification of monastrol as a potential inhibitor of EgS. Indeed, monastrol was further shown to inhibit the EgS motor-driven motility of microtubules in an in vitro assay.
- the Eg5 inhibitor monastrol had no apparent effect upon the related kinesin motor or upon the motor(s) responsible for golgi apparatus movement within the cell.
- VEGF vascular endothelial growth factor, also known as vascular permeability factor, VPF
- VPF vascular permeability factor
- VEGF can be produced by a wide variety of tissues, and its overexpression or aberrant expression can result in a variety disorders, including cancers and retinal disorders, such as age-related macular degeneration and other angiogenic disorders.
- dsRNA double-stranded RNA molecules
- RNAi RNA interference
- WO 99/32619 discloses the use of a dsRNA of at least 25 nucleotides in length to inhibit the expression of genes in C. elegans.
- dsRNA has also been shown to degrade target RNA in other organisms, including plants (see, e.g., WO 99/53050, Waterhouse et al.; and WO 99/6163 l , Heifetz ef ⁇ /.), Drosophila (see, e.g., Yang, D., et al., Curr. Biol.
- the invention provides compositions and methods for inhibiting the expression of human Eg5/KSP and VEGF genes in a cell using lipid formulated compositions containing dsRNA.
- compositions of the invention include a nucleic acid lipid particle having a first double- stranded ribonucleic acid (dsRNA) for inhibiting the expression of a human kinesin family member 1 1 (Eg5/KSP) gene in a cell and a second dsRNA for inhibiting expression of a human VEGF in a cell.
- the nucleic acid lipid particle has a lipid formulation having about 25.0-75.0 mol % of a cationic lipid, about 0.1-15.0 mol % of a non-cationic lipid, about 5.0-50.0 mol % of a sterol, and about 0.5-20.0 mol % of a PEG or PEG-modified lipid.
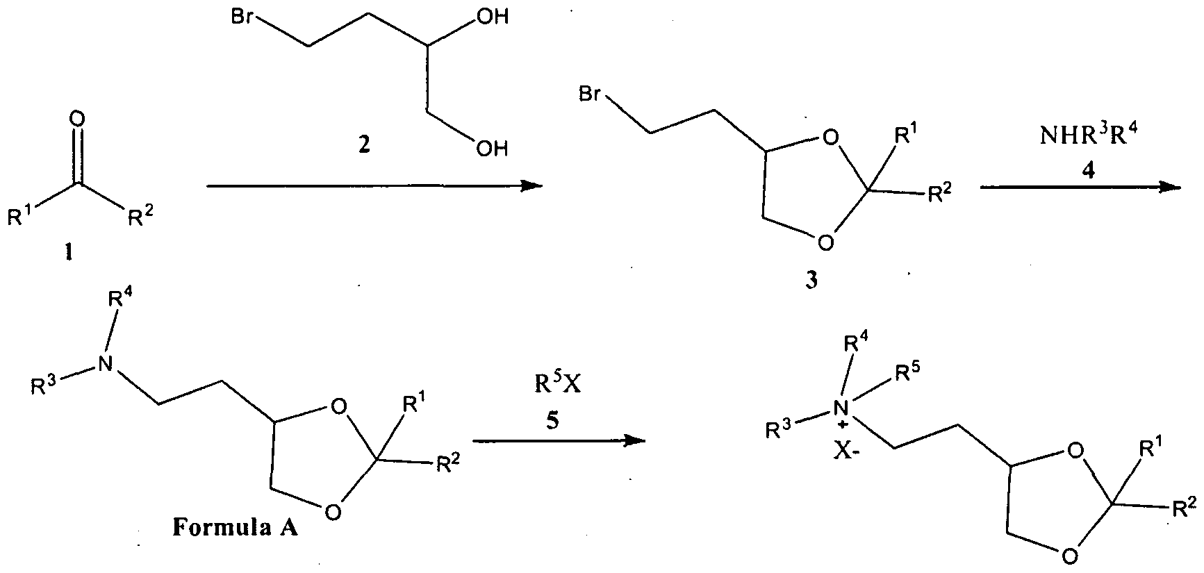
- the cationic lipid comprises a compound of formula (III), (IV) or a mixture thereof,
- each R is independently H, alkyl, ⁇ R , or R 2 ; provided that at .R 1
- R is « R , or R 2
- Rl for each occurrence, is independently H, R3,
- R3 is optionally substituted with one or more substituent
- R2 for each occurrence, is independently, alkyl, alkenyl, alkynyl, heteroalkyl, heteroalkenyl, or heteroalkynyl; each of which is optionally substituted with one or more substituent;
- R3 for each occurrence, is independently, alkyl, alkenyl, alkynyl, heteroalkyl, heteroalkenyl, or heteroalkynyl; each of which is optionally substituted with one or more substituent;
- Y for each occurrence, is independently O, NR 4 , or S;
- R4 for each occurrence is independently H alkyl, alkenyl, alkynyl, heteroalkyl, heteroalkenyl, or heteroalkynyl; each of which is optionally substituted with one or more substituent.
- the first dsRN A targeting Eg5/KSP includes a a first sense strand and a first antisense strand, wherein the first antisense strand is complementary to at least 15 contiguous nucleotides of SEQ ID NO: 131 1 (5 '-UCGAGAAUCUAAACUAACU-S '), and the first sense strand is complementary to the first antisense strand and wherein the first dsRNA is between 15 and 30 base pairs in length; and the second dsRNA consists of a second sense strand and a second antisense strand, wherein the second antisense strand is complementary to at least 15 contiguous nucleotides of SEQ ID NO: 1538 (5 '-GCACAUAGGAGAGAUGAGCUU-S '), wherein the second sense strand is complementary to the second antisense strand and wherein the second dsRNA is between 15 and 30 base pairs in length.
- the lipid formulation is about 45.0-6.05 mol % of a cationic lipid, about 5.0-10.0 mol % of a non-cationic lipid, about 25.0-40.0 mol % of a sterol, and about 0.5- 5.0 mol % of a PEG or PEG-modified lipid.
- the cationic lipid comprises a compound of formula (V) or formula (VI):
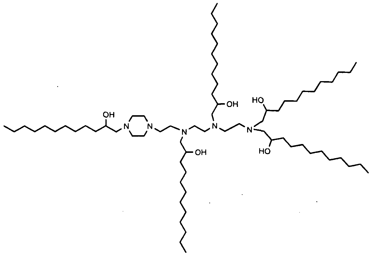
- the composition includes the cationic lipid C 12-200 (Formula V) (1,1 '-(2-(4-(2-((2-(bis(2-hydroxydodecyl)amino)ethyl)(2-hydroxydodecyl)amino)ethyl)piperazin- l-yl)ethylazanediyl)didodecan-2-o! ).
- the cationic lipid is C 12-200
- the non-cationic lipid is DSPC
- the sterol is cholesterol
- the PEG lipid is PEG-DMG or PEG- DSG.
- formulations include the following:
- any composition of the invention can include a first dsRNA having a sense strand consisting of SEQ ID NO: 1534 (5 '-UCGAGAAUCUAAACUAACUTT- 3') and an antisense strand consisting of SEQ ID NO: 1535 (5'-)
- AGUU AGUUU AGAUUCCUGATTO' and a second dsRNA having a sense strand consisting of SEQ ID NO: 1536 (5 '-GCACAUAGGAGAGAUGAGCUU-S '), and an antisense strand consisting of SEQ ID NO: 1537 (5 '-AAGCUCAUCUCUCCUAUGUGCUG-S ').
- each strand is modified as follows to include a 2'-O-methyl ribonucleotide as indicated by a lower case letter "c” or "u” and a phosphorothioate as indicated by a lower case letter “s”:
- the first dsRNA includes a sense strand consisting of SEQ ID NO: 1240 (5'- ucGAGAAucuAAAcuAAcuTsT-3') and an antisense strand consisting of SEQ ID NO:1241 (5'- AGUuAGUUuAGAUUCUCGATsT);
- the second dsRNA includes a sense.
- SEQ ID NO: 1242 S'-GcAcAuAGGAGAGAuGAGCUsUO'
- SEQ ID NO: 1243 S'-AAGCUcAUCUCUCCuAuGuGCusGO 1 .
- the first and second dsRNA includes at least one modified nucleotide.
- the modified nucleotide is chosen from the group of: a 2'-O- methyl modified nucleotide, a nucleotide having a 5'-phosphorothioate group, and a terminal nucleotide linked to a cholesteryl derivative or dodecanoic acid bisdecylamide group.
- the modified nucleotide is chosen from the group of: a 2'-deoxy-2'-fluoro modified nucleotide, a 2'-deoxy-modified nucleotide, a locked nucleotide, an abasic nucleotide, 2'-amino- modified nucleotide, 2'-alkyl-modified nucleotide, morpholino nucleotide, a phosphoramidate, and a non-natural base having nucleotide.
- the first and second dsRNA each comprise at least one 2'-O-methyl modified ribonucleotide and at least one nucleotide having a 5'-phosphorothioate group.
- each dsRNA is 19-23 bases in length. In another embodiment, each strand of each dsRNA is 21 -23 bases in length. In yet another embodiment, each strand of the first dsRNA is 21 bases in length, the sense strand of the second dsRNA is 21 bases in length and the antisense strand of the second dsRNA is 23 bases in length. In other embodiments, the first and second dsRNA are present in an equimolar ratio. In one embodiment, the composition further has Sorafenib. In another embodiment, the composition further has a lipoprotein. In another embodiment, the composition further has apolipoprotein E (ApoE).
- ApoE apolipoprotein E
- the composition upon contact with a cell expressing Eg5, inhibits expression of Eg5 by at least 40%. In yet another embodiment, the composition, upon contact with a cell expressing VEGF, inhibits expression of VEGF by at least 40%. In other embodiments, the administration of the composition to a cell decreases expression of Eg5 and VEGF in the cell. In a related embodiment, the composition is administered in a nM concentration. In a yet related embodiment, the administration of the composition to a cell increases monoaster formation in the cell.
- the administration of the composition to a mammal results in at least one effect selected from the group consisting of prevention of tumor growth, reduction in tumor growth, or prolonged survival in the mammal.
- the effect is measured using at least one assay selected from the group consisting of determination of body weight, determination of organ weight, visual inspection, mRNA analysis, serum AFP analysis and survival monitoring.
- the invention also provides methods for inhibiting the expression of Eg5/KSP and VEGF in a cell.
- the methods include the steps ofadministering the composition of the invention to a cell.
- the invention also provides methods for preventing tumor growth, reducing tumor growth, or prolonging survival in a mammal in need of treatment for cancer.
- the methods include the step of administering the composition of the inventionto the mammal.
- the mammal has liver cancer.
- the mammal is a human with liver cancer.
- a dose containing between 0.25 mg/kg and 4 mg/kg dsRNA is administered to the mammal.
- the dsRN A is administered to a human at about 0.01 , 0.1 ,
- the invention provides methods for reducing tumor growth in a mammal in need of treatment for cancer.
- the methods include administering the composition of the invention to the mammal, the method reducing tumor growth by at least 20%.
- the method reduces KSP expression by at least 60%.
- FIG. 1 is a graph showing liver weights as a percentage of body weight following administration of SNALP-siRNAs in a Hep3B mouse model.
- FIG. 2A is a graph showing the effect of PBS on body weight in a Hep3B mouse model.
- FIG. 2B is a graph showing the effect of a SNALP-siRNA (VEGF/KSP) on body weight in a Hep3B mouse model.
- VEGF/KSP SNALP-siRNA
- FIG. 2C is a graph showing the effect of a SNALP-siRNA (KSP/Luciferase) on body weight in a Hep3B mouse model.
- FIG. 2D is a graph showing the effect of SNALP-siRNA (VEGF/Luciferase) on body weight in a Hep3B mouse model.
- FIG. 3 is a graph showing the effects of SNALP-siRNAs on body weight in a Hep3B mouse model.
- FIG. 4 is a graph showing the body weight in untreated control animals.
- FIG. 5 is a graph showing the effects of control luciferase-SNALP siRNAs on body weight in a Hep3B mouse model.
- FIG. 6 is a graph showing the effects of VSP-SNALP siRNAs on body weight in a Hep3B mouse model.
- FIG. 7A is a graph showing the effects of SNALP-siRNAs on human GAPDH levels normalized to mouse GAPDH levels in a Hep3B mouse model.
- FIG. 7B is a graph showing the effects of SNALP-siRNAs on serum AFP levels as measured by serum ELISA in a Hep3B mouse model.
- FIG. 8 is a graph showing the effects of SNALP-siRNAs on human GAPDH levels normalized to mouse GAPDH levels in a Hep3B mouse model.
- FIG. 9 is a graph showing the effects of SNALP-siRNAs on human KSP levels normalized to human GAPDH levels in a Hep3B mouse model.
- FIG. 10 is a graph showing the effects of SNALP-siRNAs on human VEGF levels normalized to human GAPDH levels in a Hep3B mouse model.
- FIG. 1 1 A is a graph showing the effects of SNALP-siRNAs on mouse VEGF levels normalized to human GAPDH levels in a Hep3B mouse model.
- FIG. 1 IB is a set of graphs showing the effects of SNALP-siRNAs on human GAPDH levels and serum AFP levels in a Hep3B mouse model.
- FIG. 12A is a graph showing the effect of PBS, Luciferase, and ALN-VSP on tumor KSP measured by percentage of relative hKSP mRNA in a Hep3B mouse model.
- FIG. 12B is a graph showing the effect of PBS, Luciferase, and SNALP-VSP on tumor VEGF measured by percentage of relative hVEGF mRNA in a Hep3B mouse model.
- FIG. 12C is a graph showing the effect of PBS, Luciferase, and SNALP-VSP on GAPDH levels measured by percentage of relative hGAPDH mRNA in a Hep3B mouse model.
- FIG. 13A is a graph showing the effect of SNALP si-RNAs on survival in mice with hepatic tumors. Treatment was started at 18 days after tumor cell seeding.
- FIG. 13B is a graph showing the effect of SNALP-siRNAs on survival in mice with hepatic tumors. Treatment was started at 26 days after tumor cell seeding.
- FIG. 14 is a graph showing the effects of SNALP-siRNAs on serum alpha fetoprotein (AFP) levels.
- FIG. 15A is an image of H&E stained sections in tumor bearing . animals (three weeks after Hep3B cell implantation) that were administered 2 mg/kg SNALP-VSP. Twenty four hours later, rumor bearing liver lobes were processed for histological analysis. Arrows indicate mono asters.
- FIG. 15B is an image of H&E stained sections in tumor bearing animals (three weeks after Hep3B cell implantation) that were administered 2 mg/kg SNALP-Luc. Twenty four hours later, tumor bearing liver lobes were processed for histological analysis.
- FIG. 16 is a graph illustrating the effects on survival of administration SNALP formulated siRNA and Sorafenib.
- FIG. 17 is a flow chart of the in-line mixing method.
- FIG. 18 are graphs illustrating the effects on KSP and VEGF expression in intrahepatic Hep3B tumors in mice following treatment with LNP-08 formulated VSP.
- FIG. 19 illustrates the chemical structures of PEG-DSG and PEG-C-DSA.
- FIG. 20 illustrates the structures of cationic lipids ALNY-100, MC3, and XTC.
- FIG. 21 are graphs illustrating the effects on KSP and VEGF expression in intrahepatic Hep3B tumors in mice treated with SNALP-1955 (Luc), ALN-VSP02, and SNALP-T-VSP LNPl 1 and LNP- 12 formulated VSP.
- FIG. 22 is a set of graphs comparing the effects on KSP and VEGF expression in intrahepatic Hep3B tumors in mice treated with LNP08-Luc, ALN-VSP02, and LNP-08 and LNP08-C18 formulated VSP.
- FlG. 23 illustrates the chemical structures of C12-200 lipid Formula V.
- the invention provides compositions and methods for inhibiting the expression of the Eg5 gene and VEGF gene in a cell or mammal using the dsRNAs.
- the dsRNAs are packaged in a lipid nucleic acid particle.
- the invention also provides compositions and methods for treating pathological conditions and diseases, such as liver cancer, in a mammal caused by the expression of the Eg5 gene and VEGF genes.
- the dsRNA directs the sequence-specific degradation of mRNA through a process known as RNA interference (RNAi).
- compositions containing dsRNAs to inhibit the expression of the Eg5 gene and VEGF genes, respectively, as well as compositions and methods for treating diseases and disorders caused by the expression of these genes, such as cancer.
- the pharmaceutical compositions featured in the invention include a dsRNA having an antisense strand comprising a region of complementarity which is less than 30 nucleotides in length, generally 19-24 nucleotides in length, and is substantially
- RNA transcript of the Eg5 gene complementary to at least part of an RNA transcript of the Eg5 gene, together with a
- compositions featured in the invention also include a dsRNA having an antisense strand having a region of complementarity which is less than 30 nucleotides in length, generally 19-24 nucleotides in length, and is substantially complementary to at least part of an RNA transcript of the VEGF gene.
- compositions containing the Eg5 and VEGF dsRNAs and a pharmaceutically acceptable carrier methods of using the compositions to inhibit expression of the Eg5 gene and the VEGF gene respectively, and methods of using the pharmaceutical compositions to treat diseases caused by expression of the Eg5 and VEGF genes.
- G,” “C,” “A” and “U” each generally stand for a nucleotide that contains guanine, cytosine, adenine, and uracil as a base, respectively.
- T and “dT” are used interchangeably herein and refer to a deoxyribonucleotide wherein the nucleobase is thymine, e.g.,
- nucleotide can also refer to a modified nucleotide, as further detailed below, or a surrogate replacement moiety.
- guanine, cytosine, adenine, and uracil may be replaced by other moieties without substantially altering the base pairing properties of an oligonucleotide comprising a nucleotide bearing such replacement moiety.
- a nucleotide comprising inosine as its base may base pair with nucleotides containing adenine, cytosine, or uracil.
- nucleotides containing uracil, guanine, or adenine may be replaced in the nucleotide sequences of the invention by a nucleotide containing, for example, inosine.
- adenine and cytosine anywhere in the oligonucleotide can be replaced with guanine and uracil, respectively to form G-U Wobble base pairing with the target mRNA. Sequences comprising such replacement moieties are embodiments of the invention.
- Eg5 refers to the human kinesin family member 1 1, which is also known as KlFl 1, Eg5, HKSP, KSP, KNSLl or TR1P5.
- Eg5 sequence can be found as NCBI GeneID:3832, HGNC ID: HGNC:6388 and RefSeq ID number:NM_004523.
- the terms "Eg5" and "KSP” and “Eg5/KSP” are used interchangeably
- VEGF also known as vascular permeability factor
- VEGF is an angiogenic growth factor.
- VEGF is a homodimeric 45 kDa glycoprotein that exists in at least three different isoforms.
- VEGF isoforms are expressed in endothelial cells.
- the VEGF gene contains 8 exons that express a 189-amino acid protein isoform.
- a 165-amino acid isoform lacks the residues encoded by exon 6, whereas a 121 -amino acid isoform lacks the residues encoded by exons 6 and 7.
- VEGF145 is an isoform predicted to contain 145 amino acids and to lack exon 7.
- VEGF can act on endothelial cells by binding to an endothelial tyrosine kinase receptor, such as FIt-I (VEGFR-I) or KDR/flk-1 (VEGFR-2).
- VEGFR-2 is expressed in endothelial cells and is involved in endothelial cell differentiation and vasculogenesis.
- a third receptor, VEGFR-3 has been implicated in lymphogenesis.
- VEGF 145 induces angiogenesis and like VEGF 189 (but unlike VEGF 165), VEGF 145 binds efficiently to the extracellular matrix by a mechanism that is not dependent on extracellular matrix-associated heparin sulfates.
- VEGF displays activity as an endothelial cell mitogen and chemoattractant in vitro and induces vascular permeability and angiogenesis in vivo.
- VEGF is secreted by a wide variety of cancer cell types and promotes the growth of tumors by inducing the development of tumor-associated vasculature.
- VEGF function has been shown to limit both the growth of primary experimental tumors as well as the incidence of metastases in immunocompromised mice.
- Various dsRNAs directed to VEGF are described in co-pending US Ser. No. 1 1/078,073 and 11/340,080, which are hereby incorporated by reference in their entirety.
- target sequence refers to a contiguous portion of the nucleotide sequence of an mRNA molecule formed during the transcription of the Eg5/KSP and/or VEGF gene, including mRNA that is a product of RNA processing of a primary transcription product.
- strand comprising a sequence refers to an oligonucleotide comprising a chain of nucleotides that is described by the sequence referred to using the standard nucleotide nomenclature.
- the term "complementary,” when used to describe a first nucleotide sequence in relation to a second nucleotide sequence, refers to the ability of an oligonucleotide or polynucleotide comprising the first nucleotide sequence to hybridize and form a duplex structure under certain conditions with an oligonucleotide or polynucleotide comprising the second nucleotide sequence, as will be understood by the skilled person.
- Such conditions can, for example, be stringent conditions, where stringent conditions may include: 400 mM NaCl, 40 mM PIPES pH 6.4, 1 mM EDTA, 5O 0 C or 7O 0 C for 12- 16 hours followed by washing.
- stringent conditions may include: 400 mM NaCl, 40 mM PIPES pH 6.4, 1 mM EDTA, 5O 0 C or 7O 0 C for 12- 16 hours followed by washing.
- Other conditions such as physiologically relevant conditions as may be encountered inside an organism, can apply. The skilled person will be able to determine the set of conditions most appropriate for a test of complementarity of two sequences in accordance with the ultimate application of the hybridized nucleotides.
- the term "complementary" includes base-pairing of the oligonucleotide or
- polynucleotide comprising the first nucleotide sequence to the oligonucleotide or polynucleotide comprising the second nucleotide sequence over the entire length of the first and second nucleotide sequence.
- sequences can be referred to as “fully complementary” with respect to each other herein.
- first sequence is referred to as “substantially complementary” with respect to a second sequence herein
- the two sequences can be fully complementary, or they may form one or more, but generally not more than 4, 3 or 2 mismatched base pairs upon hybridization, while retaining the ability to hybridize under the conditions most relevant to their ultimate application.
- a dsRNA comprising one oligonucleotide 21 nucleotides in length and another oligonucleotide 23 nucleotides in length, wherein the longer oligonucleotide comprises a sequence of 21 nucleotides that is fully complementary to the shorter oligonucleotide, may yet be referred to as "fully complementary" for the purposes of the invention.
- “Complementary” sequences may also include, or be formed entirely from, non-Watson-Crick base pairs and/or base pairs formed from non-natural and modified nucleotides, in as far as the above requirements with respect to their ability to hybridize are fulfilled.
- non- Watson-Crick base pairs include, but are not limited to, G:U Wobble or Hoogstein base pairing.
- a polynucleotide which is "substantially complementary to at least part of a messenger RNA (mRNA) refers to a polynucleotide which is substantially complementary to a contiguous portion of the mRNA of interest (e.g., encoding Eg5/KSP and/or VEGF) including a 5' untranslated region (UTR), an open reading frame (ORF), or a 3' UTR.
- a polynucleotide is complementary to at least a part of a Eg5 mRNA if the sequence is substantially complementary to a non-interrupted portion of a mRNA encoding Eg5.
- double-stranded RNA refers to a duplex structure comprising two anti-parallel and substantially complementary, as defined above, nucleic acid strands.
- the majority of nucleotides of each strand are ribonucleotides, but as described in detail herein, each or both strands can also include at least one non- ribonucleotide, e.g., a deoxyribonucleotide and/or a modified nucleotide.
- dsRNA may include chemical modifications to ribonucleotides, including substantial modifications at multiple nucleotides and including all types of modifications disclosed herein or known in the art. Any such modifications, as used in an siRNA type molecule, are encompassed by "dsRNA” for the purposes of this specification and claims.
- the two strands forming the duplex structure may be different portions of one larger RNA molecule, or they may be separate RNA molecules. Where the two strands are part of one larger molecule, and therefore are connected by an uninterrupted chain of nucleotides between the 3' end of one strand and the 5' end of the respective other strand forming the duplex structure, the connecting RNA chain is referred to as a "hairpin loop". Where the two strands are connected covalently by means other than an uninterrupted chain of nucleotides between the 3' end of one strand and the 5 'end of the respective other strand forming the duplex structure, the connecting structure is referred to as a "linker.”
- the RNA strands may have the same or a different number of nucleotides.
- the maximum number of base pairs is the number of nucleotides in the shortest strand of the dsRNA minus any overhangs that are present in the duplex.
- a dsRNA may comprise one or more nucleotide overhangs.
- the majority of nucleotides of each strand are ribonucleotides, but as described in detail herein, each or both strands can also include at least one non-ribonucleotide, e.g., a deoxyribonucleotide and/or a modified nucleotide.
- dsRNA may include chemical modifications to ribonucleotides, including substantial modifications at multiple nucleotides and including all types of modifications disclosed herein or known in the art. Any such modifications, as used in an siRNA type molecule, are encompassed by “dsRNA” for the purposes of this specification and claims.
- nucleotide overhang refers to the unpaired nucleotide or nucleotides that protrude from the duplex structure of a dsRNA when a 3' end of one strand of the dsRNA extends beyond the 5' end of the other strand, or vice versa.
- Bount or “blunt end” means that there are no unpaired nucleotides at that end of the dsRNA, i.e., no nucleotide overhang.
- a “blunt ended" dsRNA is a dsRNA that is double-stranded over its entire length, i.e., no nucleotide overhang at either end of the molecule.
- the dsRNA can have a nucleotide overhang at one end of the duplex and a blunt end at the other end.
- antisense strand refers to the strand of a dsRNA which includes a region that is substantially complementary to a target sequence.
- region of complementarity refers to the region on the antisense strand that is substantially complementary to a sequence, for example a target sequence, as defined herein. Where the region of complementarity is not fully complementary to the target sequence, the mismatches may be in the internal or terminal regions of the molecule. Generally, the most tolerated mismatches are in the terminal regions, e.g., within 6, 5, 4, 3, or 2 nucleotides of the 5' and/or 3' terminus.
- sense strand refers to the strand of a dsRNA that includes a region that is substantially complementary to a region of the antisense strand.
- dsRNA "Introducing into a cell,” when referring to a dsRNA, means facilitating uptake or absorption into the cell, as is understood by those skilled in the art. Absorption or uptake of dsRNA can occur through unaided diffusive or active cellular processes, or by auxiliary agents or devices. The meaning of this term is not limited to cells in vitro.
- a dsRNA may also be “introduced into a cell", wherein the cell is part of a living organism. In such instance, introduction into the cell will include the delivery to the organism.
- dsRNA can be injected into a tissue site or administered systemically. In vitro introduction into a cell includes methods known in the art such as electroporation and lipofection.
- the degree of inhibition is usually expressed in terms of
- the degree of inhibition may be given in terms of a reduction of a parameter that is functionally linked to Eg5 and/or VEGF gene expression, e.g. the amount of protein encoded by the Eg5 and/or VEGF gene which is produced by a cell, or the number of cells displaying a certain phenotype, e.g. apoptosis.
- target gene silencing can be determined in any cell expressing the target, either constitutively or by genomic engineering, and by any appropriate assay.
- the assay provided in the Examples below shall serve as such reference.
- expression of the Eg5 gene is suppressed by at least about 5%, 10%, 15%, 20%, 25%, 30%, 35%, 40%, 45%, or 50% by administration of the double-stranded oligonucleotide of the invention.
- the Eg5 and/or VEGF gene is suppressed by at least about 60%, 70%, or 80% by administration of the double-stranded oligonucleotide of the invention.
- the Eg5 and/or VEGF gene is suppressed by at least about 85%, 90%, or 95% by administration of the double- stranded oligonucleotide of the invention.
- the Tables and Example below provides values for inhibition of expression using various Eg5 and/or VEGF dsRNA molecules at various concentrations.
- treatment refers to relief from or alleviation of pathological processes mediated by Eg5 and/or VEGF expression.
- the terms “treat,” “treatment,” and the like mean to relieve or alleviate at least one symptom associated with such condition, or to slow or reverse the progression of such condition, such as the slowing and progression of hepatic carcinoma.
- the phrases "therapeutically effective amount” and “prophylactically effective amount” refer to an amount that provides a therapeutic benefit in the treatment, prevention, or management of pathological processes mediated by Eg5 and/or VEGF expression or an overt symptom of pathological processes mediated by Eg5 and/or VEGF expression.
- the specific amount that is therapeutically effective can be readily determined by ordinary medical practitioner, and may vary depending on factors known in the art, such as, e.g., the type of pathological processes mediated by Eg5 and/or VEGF expression, the patient's history and age, the stage of pathological processes mediated by Eg5 and/or VEGF expression, and the administration of other anti-pathological processes mediated by Eg5 and/or VEGF expression agents.
- a "pharmaceutical composition” comprises a pharmacologically effective amount of a dsRNA and a pharmaceutically acceptable carrier.
- RNA effective amount refers to that amount of an RNA effective to produce the intended pharmacological, therapeutic or preventive result. For example, if a given clinical treatment is considered effective when there is at least a 25% reduction in a measurable parameter associated with a disease or disorder, a therapeutically effective amount of a drug for the treatment of that disease or disorder is the amount necessary to effect at least a 25% reduction in that parameter.
- pharmaceutically acceptable carrier refers to a carrier for administration of a therapeutic agent. As described in more detail below, such carriers include, but are not limited to, saline, buffered saline, dextrose, water, glycerol, ethanol, and combinations thereof.
- pharmaceutically acceptable carriers include, but are not limited to, pharmaceutically acceptable excipients, such as inert diluents, disintegrating agents, binding agents, lubricating agents, sweetening agents, flavoring agents, coloring agents and preservatives.
- suitable inert diluents include sodium and calcium carbonate, sodium and calcium phosphate, and lactose, while corn starch and alginic acid are suitable disintegrating agents.
- Binding agents may include starch and gelatin, while the lubricating agent, if present, will generally be magnesium stearate, stearic acid or talc. If desired, the tablets may be coated with a material such as glyceryl monostearate or glyceryl distearate, to delay absorption in the gastrointestinal tract.
- a "transformed cell” is a cell into which a vector has been introduced from which a dsRNA molecule may be expressed.
- Double-stranded ribonucleic acid dsRNA
- the invention provides double-stranded ribonucleic acid (dsRNA) molecules for inhibiting the expression of the Eg5 and/or VEGF gene in a cell or mammal, wherein the dsRNA comprises an antisense strand comprising a region of dsRNA
- the dsRNA of the invention can further include one or more single-stranded nucleotide overhangs.
- the dsRNA can be synthesized by standard methods known in the art as further discussed below, e.g., by use of an automated DNA synthesizer, such as are commercially available from, for example, Biosearch, Applied Biosystems, Inc.
- the dsRNA comprises two strands that are sufficiently complementary to hybridize to form a duplex structure.
- the antisense strand comprises a region of complementarity that is substantially complementary, and generally fully complementary, to a target sequence, derived from the sequence of an mRNA formed during the expression of the Eg5 and/or VEGF gene
- the other strand comprises a region which is complementary to the antisense strand, such that the two strands hybridize and form a duplex structure when combined under suitable conditions.
- the duplex structure is between 15 and 30, or between 25 and 30, or between 18 and 25, or between 19 and 24, or between 19 and 21 , or 19, 20, or 21 base pairs in length.
- the duplex is 19 base pairs in length.
- the duplex is 21 base pairs in length.
- the duplex lengths can be identical or can differ.
- Each strand of the dsRNA of invention is generally between 15 and 30, or between 18 and 25, or 18, 19, 20, 21, 22, 23, or 24 nucleotides in length. In other embodiments, each is strand is 25-30 base pairs in length.
- Each strand of the duplex can be the same length or of different lengths. When two different siRNAs are used in combination, the lengths of each strand of each siRNA can be identical or can differ.
- a composition can include a dsRNA targeted to Eg5 with a sense strand of 21 nucleotides and an antisense strand of 21 nucleotides, and a second dsRNA targeted to VEGF with a sense strand of 21 nucleotides and an antisense strand of 23 nucleotides.
- the dsRNA of the invention can include one or more single-stranded overhang(s) of one or more nucleotides.
- at least one end of the dsRNA has a single-stranded nucleotide overhang of 1 to 4, generally 1 or 2 nucleotides.
- the antisense strand of the dsRNA has 1-10 nucleotides overhangs each at the 3' end and the 5' end over the sense strand.
- the sense strand of the dsRNA has 1-10 nucleotides overhangs each at the 3 ' end and the 5 ' end over the antisense strand.
- a dsRNA having at least one nucleotide overhang can have unexpectedly superior inhibitory properties than the blunt-ended counterpart.
- the presence of only one nucleotide overhang strengthens the interference activity of the dsRNA, without affecting its overall stability.
- a dsRNA having only one overhang has proven particularly stable and effective in vivo, as well as in a variety of cells, cell culture mediums, blood, and serum.
- the single-stranded overhang is located at the 3' terminal end of the antisense strand or, alternatively, at the 3' terminal end of the sense strand.
- the dsRNA can also have a blunt end, generally located at the 5' end of the antisense strand.
- dsRNAs can have improved stability and inhibitory activity, thus allowing administration at low dosages, i.e., less than 5 mg/kg body weight of the recipient per day.
- the antisense strand of the dsRNA has a nucleotide overhang at the 3' end, and the 5' end is blunt.
- one or more of the nucleotides in the overhang is replaced with a nucleoside thiophosphate.
- the composition of the invention includes a first dsRNA targeting Eg5 and a second dsRNA targeting VEGF.
- the first and second dsRNA can have the same overhang architecture, e.g., number of nucleotide overhangs on each strand, or each dsRNA can have a different architecture.
- the first dsRNA targeting Eg5 includes a 2 nucleotide overhang at the 3' end of each strand and the second dsRNA targeting VEGF includes a 2 nucleotide overhang on the 3' end of the antisense strand and a blunt end at the 5' end of the antisense strand (e.g., the 3' end of the sense strand).
- the Eg5 gene targeted by the dsRNA of the invention is the human Eg5 gene.
- the antisense strand of the dsRNA targeting Eg5 comprises at least 15 contiguous nucleotides of one of the antisense sequences of Tables 1-3.
- the first sequence of the dsRNA is selected from one of the sense strands of Tables 1-3, and the second sequence is selected from the group consisting of the antisense sequences of Tables 1 -3.
- Alternative antisense agents that target elsewhere in the target sequence provided in Tables 1-3 can readily be determined using the target sequence and the flanking Eg5 sequence.
- the dsRNA targeted to Eg5 will comprise at least two nucleotide sequence selected from the groups of sequences provided in Tables 1-3. One of the two sequences is complementary to the other of the two sequences, with one of the sequences being substantially complementary to a sequence of an mRNA generated in the expression of the Eg5 gene. As such, the dsRNA will comprises two oligonucleotides, wherein one
- oligonucleotide is described as the sense strand in Tables 1-3, and the second oligonucleotide is described as the antisense strand in Tables 1-3.
- dsRNA targeting VEGF has an antisense strand complementary to at least 15 contiguous nucleotides of the VEGF target sequences described in Table 4a.
- the dsRNA targeting VEGF comprises one of the antisense sequences of Table 4b, or one of the sense sequences of Table 4b, or comprises one of the duplexes (sense and antisense strands) of Table 4b.
- dsRNAs comprising a duplex structure of between
- the dsRNAs of the invention can comprise at least one strand of a length of minimally 21 nt. It can be reasonably expected that shorter dsRNAs comprising one of the sequences of Tables 1 -3 minus only a few nucleotides on one or both ends may be similarly effective as compared to the dsRNAs described above.
- dsRNAs comprising a partial sequence of at least 15, 16, 17, 18, 19, 20, or more contiguous nucleotides from one of the sequences of Tables 1-3, and differing in their ability to inhibit the expression of the Eg5 gene in a FACS assay as described herein below by not more than 5, 10, 15, 20, 25, or 30 % inhibition from a dsRNA comprising the full sequence, are contemplated by the invention.
- Further dsRNAs that cleave within the target sequence provided in Tables 1-3 can readily be made using the Eg5 sequence and the target sequence provided.
- Additional dsRNA targeting VEGF can be designed in a similar matter using the sequences disclosed in Tables 4a and 4b, the Examples and co-pending US Serial Nos: 1 1/078,073 and 1 1/340,080, herein incorporated by reference.
- RNAi agents provided in Tables 1 -3 identify a site in the Eg5 mRNA that is susceptible to RNAi based cleavage.
- the present invention further includes RNAi agents, e.g., dsRNA, that target within the sequence targeted by one of the agents of the present invention.
- a second RNAi agent is said to target within the sequence of a first RNAi agent if the second RNAi agent cleaves the message anywhere within the mRNA that is complementary to the antisense strand of the first RNAi agent.
- Such a second agent will generally consist of at least 15 contiguous nucleotides from one of the sequences provided in Tables 1 -3 coupled to additional nucleotide sequences taken from the region contiguous to the selected sequence in the Eg5 gene.
- the last 15 nucleotides of SEQ ID NO:1 combined with the next 6 nucleotides from the target Eg5 gene produces a single strand agent of 21 nucleotides that is based on one of the sequences provided in Tables 1-3.
- RNAi agents e.g., dsRNA
- VEGF vascular endothelial growth factor
- Tables 4a and 4b the Examples and co-pending US Serial Nos: 1 1/078,073 and 1 1/340,080, herein incorporated by reference.
- the dsRNA of the invention can contain one or more mismatches to the target sequence. In a preferred embodiment, the dsRNA of the invention contains no more than 3 mismatches. If the antisense strand of the dsRNA contains mismatches to a target sequence, it is preferable that the area of mismatch not be located in the center of the region of complementarity. If the antisense strand of the dsRNA contains mismatches to the target sequence, it is preferable that the mismatch be restricted to 5 nucleotides from either end, for example 5, 4, 3, 2, or 1 nucleotide from either the 5' or 3' end of the region of complementarity.
- the dsRNA generally does not contain any mismatch within the central 13 nucleotides.
- the methods described within the invention can be used to determine whether a dsRNA containing a mismatch to a target sequence is effective in inhibiting the expression of the Eg5 gene.
- the dsRNA is chemically modified to enhance stability.
- the nucleic acids of the invention may be synthesized and/or modified by methods well established in the art, such as those described in "Current protocols in nucleic acid chemistry,” Beaucage, S. L. et al. (Edrs.), John Wiley & Sons, Inc., New York, NY, USA, which is hereby incorporated herein by reference.
- Specific examples of preferred dsRNA compounds useful in this invention include dsRNAs containing modified backbones or no natural internucleoside linkages.
- dsRNAs having modified backbones include those that retain a phosphorus atom in the backbone and those that do not have a phosphorus atom in the backbone.
- modified dsRNAs that do not have a phosphorus atom in their internucleoside backbone can also be considered to be oligonucleosides.
- Preferred modified dsRNA backbones include, for example, phosphorothioates, chiral phosphorothioates, phosphorodithioates, phosphotriesters, aminoalkylphosphotriesters, methyl and other alkyl phosphonates including 3'-alkylene phosphonates and chiral phosphonates, phosphinates, phosphoramidates including 3 '-amino phosphoramidate and
- thionoalkylphosphotriesters having normal 3 '-5' linkages, 2 '-5' linked analogs of these, and those having inverted polarity wherein the adjacent pairs of nucleoside units are linked 3 '-5' to 5 '-3' or 2 '-5' to 5 '-2'.
- Various salts, mixed salts and free acid forms are also included.
- Preferred modified dsRNA backbones that do not include a phosphorus atom therein have backbones that are formed by short chain alkyl or cycloalkyl internucleoside linkages, mixed heteroatoms and alkyl or cycloalkyl internucleoside linkages, or ore or more short chain heteroatomic or heterocyclic internucleoside linkages.
- morpholino linkages formed in part from the sugar portion of a nucleoside
- siloxane backbones sulfide, sulfoxide and sulfone backbones
- formacetyl and thioformacetyl backbones methylene formacetyl and thioformacetyl backbones
- alkene containing backbones sulfamate backbones
- sulfonate and sulfonamide backbones amide backbones; and others having mixed N, O, S and CH2 component parts.
- both the sugar and the internucleoside linkage, i.e., the backbone, of the nucleotide units are replaced with novel groups.
- the base units are maintained for hybridization with an appropriate nucleic acid target compound.
- a dsRNA mimetic that has been shown to have excellent hybridization properties, is referred to as a peptide nucleic acid (PNA).
- PNA peptide nucleic acid
- the sugar backbone of a dsRNA is replaced with an amide containing backbone, in particular an aminoethylglycine backbone.
- the nucleobases are retained and are bound directly or indirectly to aza nitrogen atoms of the amide portion of the backbone.
- Representative U.S. patents that teach the preparation of PNA compounds include, but are not limited to, U.S. Pat. Nos.
- Most preferred embodiments of the invention are dsRNAs with phosphorothioate backbones and oligonucleosides with heteroatom backbones, and in particular --CH 2 -NH-CH 2 - -, --CH 2 --N(CH 3 )--O--CH 2 --[known as a methylene (methylimino) or MMI backbone], -CH 2 -- O--N(CH 3 )-CH 2 -, --CH 2 -N(CH 3 )-N(CH 3 )--CH2- and -N(CH 3 )-CH 2 --CH 2 --[wherein the native phosphodiester backbone is represented as -0-P-O-CH 2 -] of the above-referenced U.S. Pat. No. 5,489,677, and the amide backbones of the above-referenced U.S. Pat. No.
- dsRNAs having morpholino backbone structures of the above- referenced U.S. Pat. No. 5,034,506.
- Modified dsRNAs may also contain one or more substituted sugar moieties.
- Preferred dsRNAs comprise one of the following at the 2' position: OH; F; O-, S-, or N-alkyl; O-, S-, or N- alkenyl; O-, S- or N-alkynyl; or 0-alkyl-O-alkyl, wherein the alkyl, alkenyl and alkynyl may be substituted or unsubstituted Q to Cio alkyl or C 2 to Cio alkenyl and alkynyl.
- dsRNAs comprise one of the following at the 2' position: Ci to Cio lower alkyl, substituted lower alkyl, alkaryl, aralkyl, O-alkaryl or O-aralkyl, SH, SCH 3 , OCN, Cl, Br, CN, CF 3 , OCF 3 , SOCH 3 , S ⁇ 2 CH 3 , ONO 2 , NO 2 , N 3 , NH 2 , heterocycloalkyl, heterocycloalkaryl, aminoalkylamino, polyalkylamino, substituted silyl, an RNA cleaving group, a reporter group, an intercalator, a group for improving the pharmacokinetic properties of an dsRNA, or a group for improving the pharmacodynamic properties of an dsRNA, and other substituents having similar properties.
- a preferred modification includes 2'-methoxyethoxy (2'-0-CHICHIOCH 3 , also known as 2'-O- (2-methoxyethyl) or 2'-MOE) (Martin et ah, HeIv. Chim. Acta, 1995, 78, 486-504) i.e., an alkoxy-alkoxy group.
- a further preferred modification includes 2'-dimethylaminooxyefhoxy, i.e., a O(CH 2 ) 2 ON(CH 3 ) 2 group, also known as 2'-DMAOE, as described in examples herein below, and 2'-dimethylaminoethoxyethoxy (also known in the art as 2'-O- dimethylaminoethoxyethyl or 2'-DMAEOE), i.e., 2'-0--CH 2 -O-CH 2 -N(CH 2 ) ⁇ , also described in examples herein below.
- dsRNAs may also have sugar mimetics such as cyclobutyl moieties in place of the pentofuranosyl sugar.
- Representative U.S. patents that teach the preparation of such modified sugar structures include, but are not limited to, U.S. Pat. Nos.
- dsRNAs may also include nucleobase (often referred to in the art simply as “base”) modifications or substitutions.
- nucleobases include the purine bases adenine (A) and guanine (G), and the pyrimidine bases thymine (T), cytosine (C) and uracil (U).
- Modified nucleobases include other synthetic and natural nucleobases such as 5-methylcytosine (5-me-C), 5-hydroxymethyl cytosine, xanthine, hypoxanthine, 2- aminoadenine, 6-methyl and other alkyl derivatives of adenine and guanine, 2-propyl and other alkyl derivatives of adenine and guanine, 2-thiouracil, 2-thiothymine and 2-thiocytosine, 5- halouracil and cytosine, 5-propynyl uracil and cytosine, 6-azo uracil, cytosine and thymine, 5- uracil (pseudouracil), 4-thiouracil, 8-halo, 8-amino, 8-thiol, 8-thioalkyl, 8-hydroxyl anal other 8- substituted adenines and guanines, 5-halo, particularly 5-bromo, 5-trifluoromethyl and other 5- substituted urac
- nucleobases include those disclosed in U.S. Pat. No. 3,687,808, those disclosed in The Concise Encyclopedia Of Polymer Science And Engineering, pages 858-859, Kroschwitz, J. L, ed. John Wiley & Sons, 1990, those disclosed by Englisch et al, Angewandte Chemie,
- nucleobases are particularly useful for increasing the binding affinity of the oligomeric compounds of the invention.
- These include 5-substituted pyrimidines, 6- azapyrimidines and N-2, N-6 and 0-6 substituted purines, including 2-aminopropyladenine, 5- propynyluracil and 5-propynylcytosine. 5-methylcytosine substitutions have been shown to increase nucleic acid duplex stability by 0.6-1.2 degrees Celcius.
- dsRNAs of the invention involves chemically linking to the dsRNA one or more moieties or conjugates which enhance the activity, cellular distribution or cellular uptake of the dsRNA.
- moieties include but are not limited to lipid moieties such as a cholesterol moiety (Letsinger et al, Proc. Natl. Acid. Sci. USA, 199, 86, 6553-6556), cholic acid (Manoharan et al, Biorg. Med. Chem. Let., 1994 4 1053-1060), a thioether, e.g., beryl-S- tritylthiol (Manoharan et al, Ann. N.Y. Acad.
- a phospholipid e.g., di-hexadecyl-rac-glycerol or triethyl-ammonium l,2-di-O-hexadecyl-rac-glycero-3-Hphosphonate (Manoharan et al, Tetrahedron Lett., 1995, 36, 3651 -3654; Shea et ai, Nucl.
- Acids Res., 1990, 18, 3777-3783 a polyamine or a polyethylene glycol chain (Manoharan et al., Nucleosides & Nucleotides, 1995, 14, 969-973), or adamantane acetic acid (Manoharan et al., Tetrahedron Lett., 1995, 36, 3651- 3654), a palmityl moiety (Mishra et al., Biochim. Biophys. Acta, 1995, 1264, 229-237), or an octadecylamine or hexylamino-carbonyloxycholesterol moiety (Crooke et al., J. Pharmacol. Exp. Ther., 1996, 277, 923-937).
- dsRNA compounds which are chimeric compounds. "Chimeric" dsRNA compounds or
- chimeras in the context of this invention, are dsRNA compounds, particularly dsRNAs, which contain two or more chemically distinct regions, each made up of at least one monomer unit, i.e., a nucleotide in the case of an dsRNA compound.
- dsRNAs typically contain at least one region wherein the dsRNA is modified so as to confer upon the dsRNA increased resistance to nuclease degradation, increased cellular uptake, and/or increased binding affinity for the target nucleic acid.
- An additional region of the dsRNA may serve as a substrate for enzymes capable of cleaving RNA: DNA or RNA: RNA hybrids.
- RNase H is a cellular endonuclease which cleaves the RNA strand of an RNA.DNA duplex. Activation of RNase H, therefore, results in cleavage of the RNA target, thereby greatly enhancing the efficiency of dsRNA inhibition of gene expression. Consequently, comparable results can often be obtained with shorter dsRNAs when chimeric dsRNAs are used, compared to phosphorothioate deoxy dsRNAs hybridizing to the same target region. Cleavage of the RNA target can be routinely detected by gel electrophoresis and, if necessary, associated nucleic acid hybridization techniques known in the art. In certain instances, the dsRNA may be modified by a non-ligand group.
- non-ligand molecules have been conjugated to dsRNAs in order to enhance the activity, cellular distribution or cellular uptake of the dsRNA, and procedures for performing such conjugations are available in the scientific literature.
- Such non-ligand moieties have included lipid moieties, such as cholesterol (Letsinger et al, Proc. Natl. Acad. Sci. USA, 1989, 86:6553), cholic acid (Manoharan et al, Bioorg. Med. Chem. Lett., 1994, 4: 1053), a thioether, e.g., hexyl-S-tritylthiol (Manoharan et al, Ann. N.Y. Acad.
- Acids Res., 1990, 18:3777 a polyamine or a polyethylene glycol chain (Manoharan et al, Nucleosides & Nucleotides, 1995, 14:969), or adamantane acetic acid (Manoharan et al, Tetrahedron Lett., 1995, 36:3651), a palmityl moiety (Mishra et al, Biochim. Biophys. Acta, 1995, 1264:229), or an octadecylamine or hexylamino-carbonyl-oxycholesterol moiety (Crooke et al, J. Pharmacol. Exp. Ther., 1996, 277:923).
- Typical conjugation protocols involve the synthesis of dsRNAs bearing an aminolinker at one or more positions of the sequence. The amino group is then reacted with the molecule being conjugated using appropriate coupling or activating reagents. The conjugation reaction may be performed either with the dsRNA still bound to the solid support or following cleavage of the dsRNA in solution phase. Purification of the dsRNA conjugate by HPLC typically affords the pure conjugate.
- a ligand can be multifunctional and/or a dsRNA can be conjugated to more than one ligand.
- the dsRNA can be conjugated to one ligand for improved uptake and to a second ligand for improved release.
- Eg5 and VEGF specific dsRNA molecules that are expressed from transcription units inserted into DNA or RNA vectors (see, e.g., Couture, A, et al, TIG. (1996), 12:5-10; Skillern, A., et al, International PCT Publication No. WO 00/221 13, Conrad, International PCT Publication No. WO 00/221 14, and Conrad, US Pat. No. 6,054,299).
- These transgenes can be introduced as a linear construct, a circular plasmid, or a viral vector, which can be incorporated and inherited as a transgene integrated into the host genome.
- the transgene can also be constructed to permit it to be inherited as an extrachromosomal plasmid
- a dsRNA can be transcribed by promoters on two separate expression vectors and co-transfected into a target cell.
- each individual strand of the dsRNA can be transcribed by promoters both of which are located on the same expression plasmid.
- a dsRNA is expressed as an inverted repeat joined by a linker polynucleotide sequence such that the dsRNA has a stem and loop structure.
- the recombinant dsRNA expression vectors are generally DNA plasmids or viral vectors.
- dsRNA expressing viral vectors can be constructed based on, but not limited to, adeno-associated virus (for a review, see Muzyczka, et al, Curr. Topics Micro. Immunol. (1992) 158:97-129)); adenovirus (see, for example, Berkner, et al, BioTechniques (1998) 6:616), Rosenfeld et al.
- Retroviruses have been used to introduce a variety of genes into many different cell types, including epithelial cells, in vitro and/or in vivo (see, e.g., Eglitis, et a!., Science (1985) 230: 1395-1398; Danos and Mulligan, Proc. Natl. Acad. Sci. USA (1998)
- Recombinant retroviral vectors capable of transducing and expressing genes inserted into the genome of a cell can be produced by transfecting the recombinant retroviral genome into suitable packaging cell lines such as P A317 and Psi-CRIP (Comette et al, 1991, Human Gene Therapy 2:5-10; Cone et al, 1984, Proc. Natl. Acad. Sci. USA 81 :6349).
- Recombinant adenoviral vectors can be used to infect a wide variety of cells and tissues in susceptible hosts ⁇ e.g., rat, hamster, dog, and chimpanzee) (Hsu et al, 1992, J. Infectious Disease, 166:769), and also have the advantage of not requiring mitotically active cells for infection.
- Any viral vector capable of accepting the coding sequences for the dsRNA molecule(s) to be expressed can be used, for example vectors derived from adenovirus (AV); adeno-associated virus (AAV); retroviruses ⁇ e.g., lentiviruses (LV), Rhabdoviruses, murine leukemia virus);
- AV adenovirus
- AAV adeno-associated virus
- retroviruses ⁇ e.g., lentiviruses (LV), Rhabdoviruses, murine leukemia virus
- herpes virus and the like.
- the tropism of viral vectors can be modified by pseudotyping the vectors with envelope proteins or other surface antigens from other viruses, or by substituting different viral capsid proteins, as appropriate.
- lentiviral vectors of the invention can be pseudotyped with surface proteins from vesicular stomatitis virus (VSV), rabies, Ebola, Mokola, and the like.
- AAV vectors of the invention can be made to target different cells by engineering the vectors to express different capsid protein serotypes.
- an AAV vector expressing a serotype 2 capsid on a serotype 2 genome is called AAV 2/2.
- This serotype 2 capsid gene in the AAV 2/2 vector can be replaced by a serotype 5 capsid gene to produce an AAV 2/5 vector.
- AAV vectors which express different capsid protein serotypes are within the skill in the art; see, e.g., Rabinowitz J E e/ al. (2002), J Virol 76:791-801, the entire disclosure of which is herein incorporated by reference.
- Preferred viral vectors are those derived from AV and AAV.
- the dsRNA of the invention is expressed as two separate, complementary single- stranded RNA molecules from a recombinant AAV vector having, for example, either the U6 or Hl RNA promoters, or the cytomegalovirus (CMV) promoter.
- CMV cytomegalovirus
- a suitable AV vector for expressing the dsRNA of the invention a method for constructing the recombinant AV vector, and a method for delivering the vector into target cells, are described in Xia H et al. (2002), Nat. Biotech. 20: 1006-1010.
- Suitable AAV vectors for expressing the dsRNA of the invention, methods for constructing the recombinant AV vector, and methods for delivering the vectors into target cells are described in Samulski R et al. ( 1987), J. Virol. 61 : 3096-3101 ; Fisher K J e/ o/. (l 996), J. Virol, 70: 520-532; Samulski R et al. (1989), J. Virol. 63: 3822-3826; U.S. Pat. No. 5,252,479; U.S. Pat. No. 5,139,941 ; International Patent Application No. WO 94/13788; and International Patent Application No. WO 93/24641 , the entire disclosures of which are herein incorporated by reference.
- the promoter driving dsRNA expression in either a DNA plasmid or viral vector of the invention may be a eukaryotic RNA polymerase I (e.g. ribosomal RNA promoter), RNA polymerase 11 (e.g. CMV early promoter or actin promoter or Ul snRNA promoter) or generally RNA polymerase III promoter (e.g. U6 snRNA or 7SK RNA promoter) or a prokaryotic promoter, for example the T7 promoter, provided the expression plasmid also encodes T7 RNA polymerase required for transcription from a T7 promoter.
- RNA polymerase I e.g. ribosomal RNA promoter
- RNA polymerase 11 e.g. CMV early promoter or actin promoter or Ul snRNA promoter
- RNA polymerase III promoter e.g. U6 snRNA or 7SK RNA promoter
- a prokaryotic promoter for example the T
- the promoter can also direct transgene expression to the pancreas (see, e.g., the insulin regulatory sequence for pancreas (Bucchini et al., 1986, Proc. Natl. Acad. Sci. USA 83:251 1-2515)).
- expression of the transgene can be precisely regulated, for example, by using an inducible regulatory sequence and expression systems such as a regulatory sequence that is sensitive to certain physiological regulators, e.g., circulating glucose levels, or hormones (Docherty et ah, 1994, FASEB J. 8:20-24).
- inducible expression systems suitable for the control of transgene expression in cells or in mammals include regulation by ecdysone, by estrogen, progesterone, tetracycline, chemical inducers of dimerization, and isopropyl-beta-Dl - thiogalactopyranoside (EPTG).
- ETG isopropyl-beta-Dl - thiogalactopyranoside
- recombinant vectors capable of expressing dsRNA molecules are delivered as described below, and persist in target cells.
- viral vectors can be used that provide for transient expression of dsRNA molecules.
- Such vectors can be repeatedly administered as necessary. Once expressed, the dsRNAs bind to target RNA and modulate its function or expression. Delivery of dsRNA expressing vectors can be systemic, such as by intravenous or intramuscular administration, by administration to target cells ex-planted from the patient followed by reintroduction into the patient, or by any other means that allows for introduction into a desired target cell.
- DNA plasmids are typically transfected into target cells as a complex with cationic lipid carriers (e.g. Oligofectamine) or non-cationic lipid-based carriers (e.g.
- Transit-TKOTM Multiple lipid transfections for dsRNA-mediated knockdowns targeting different regions of a single EG5 gene (or VEGF gene) or multiple Eg5 genes (or VEGF genes) over a period of a week or more are also contemplated by the invention.
- Successful introduction of the vectors of the invention into host cells can be monitored using various known methods.
- transient transfection can be signaled with a reporter, such as a fluorescent marker, such as Green Fluorescent Protein (GFP).
- GFP Green Fluorescent Protein
- Stable transfection of ex vivo cells can be ensured using markers that provide the transfected cell with resistance to specific environmental factors (e.g., antibiotics and drugs), such as hygromycin B resistance.
- the Eg5 specific dsRNA molecules and VEGF specific dsRNA molecules can also be inserted into vectors and used as gene therapy vectors for human patients.
- Gene therapy vectors can be delivered to a subject by, for example, intravenous injection, local administration (see U.S. Patent 5,328,470) or by stereotactic injection (see e.g., Chen et al. ( 1994) Proc. Natl. Acad. Sci. USA 91 :3054-3057).
- the pharmaceutical preparation of the gene therapy vector can include the gene therapy vector in an acceptable diluent, or can include a slow release matrix in which the gene delivery vehicle is imbedded.
- the pharmaceutical preparation can include one or more cells which produce the gene delivery system.
- compositions containing dsRNA are provided.
- the invention provides pharmaceutical compositions containing a dsRNA, as described herein, and a pharmaceutically acceptable carrier and methods of administering the same.
- the pharmaceutical composition containing the dsRNA is useful for treating a disease or disorder associated with the expression or activity of a Eg5/KSP and/or VEGF gene, such as pathological processes mediated by Eg5/KSP and/or VEGF expression, e.g., liver cancer.
- Such pharmaceutical compositions are formulated based on the mode of delivery.
- compositions featured herein are administered in dosages sufficient to inhibit expression of EG5/KSP and/or VEGF genes.
- a suitable dose of dsRNA will be in the range of about 0.01 to 200.0 milligrams (mg) per kilogram (kg) body weight of the recipient per day, or in the range of about 1 to 50 mg per kilogram body weight per day or in the range of about 0.01 mg/kg to 3.0 mg/kg per single dose.
- the dsRNA can be administered at about 0.01 mg/kg, 0.02 mg/kg, 0.03 mg/kg, 0.04 mg/kg, 0.05 mg/kg, 0.06 mg/kg, 0.07 mg/kg, 0.08 mg/kg, 0.09 mg/kg, 0.1 mg/kg, 0.2 mg/kg, 0.3 mg/kg, 0.4 mg/kg, 0.5 mg/kg, 0.6 mg/kg, 0.7 mg/kg, 0.8 mg/kg, 0.9 mg/kg, 1.0 mg/kg, 1.5 mg/kg, 1.7 mg/kg, 2.0 mg/kg, 3.0 mg/kg, 5.0 mg/kg, 10.0 mg/kg, 20 mg/kg, 30 mg/kg, 40 mg/kg, or about 50 mg/kg per single dose.
- the pharmaceutical composition can be administered once daily, or the dsRNA may be administered as two, three, or more sub-doses at appropriate intervals throughout the day.
- the effect of a single dose on EG5/KSP and/or VEGF levels is long lasting, such that subsequent doses are administered at not more than 7 day intervals, or at not more than 1, 2, 3, or 4 week intervals.
- the dsRNA is administered using continuous infusion or delivery through a controlled release formulation.
- the dsRNA contained in each sub-dose must be correspondingly smaller in order to achieve the total daily dosage.
- the dosage unit can also be compounded for delivery over several days, e.g., using a conventional sustained release formulation which provides sustained release of the dsRNA over a several day period. Sustained release formulations are well known in the art and are particularly useful for delivery of agents at a particular site, such as could be used with the agents of the present invention.
- the dosage unit contains a corresponding multiple of the daily dose.
- treatment of a subject with a therapeutically effective amount of a composition can include a single treatment or a series of treatments.
- Estimates of effective dosages and in vivo half-lives for the individual dsRNAs encompassed by the invention can be made using conventional methodologies or on the basis of in vivo testing using an appropriate animal model, as described elsewhere herein.
- a suitable mouse model is, for example, a mouse containing a plasmid expressing human EG5/KSP AND/OR VEGF.
- Another suitable mouse model is a transgenic mouse carrying a transgene that expresses human EG5/KSP AND/OR VEGF.
- Toxicity and therapeutic efficacy of such compounds can be determined by standard pharmaceutical procedures in cell cultures or experimental animals, e.g., for determining the
- LD50 the dose lethal to 50% of the population
- ED50 the dose therapeutically effective in 50% of the population.
- the dose ratio between toxic and therapeutic effects is the therapeutic index and it can be expressed as the ratio LD50/ED50.
- Compounds that exhibit high therapeutic indices are preferred.
- the data obtained from cell culture assays and animal studies can be used in formulating a range of dosage for use in humans.
- the dosage of compositions featured in the invention lies generally within a range of circulating concentrations that include the ED50 with little or no toxicity.
- the dosage may vary within this range depending upon the dosage form employed and the route of administration utilized.
- the therapeutically effective dose can be estimated initially from cell culture assays.
- a dose may be formulated in animal models to achieve a circulating plasma concentration range of the compound or, when appropriate, of the polypeptide product of a target sequence (e.g., achieving a decreased concentration of the polypeptide) that includes the IC50 (i.e., the concentration of the test compound which achieves a half-maximal inhibition of symptoms) as determined in cell culture.
- a target sequence e.g., achieving a decreased concentration of the polypeptide
- the IC50 i.e., the concentration of the test compound which achieves a half-maximal inhibition of symptoms
- levels in plasma may be measured, for example, by high performance liquid chromatography.
- the dsRNAs featured in the invention can be administered in combination with other known agents effective in treatment of pathological processes mediated by target gene expression.
- the administering physician can adjust the amount and timing of dsRNA administration on the basis of results observed using standard measures of efficacy known in the art or described herein.
- compositions of the present invention may be administered in a number of ways depending upon whether local or systemic treatment is desired and upon the area to be treated. Administration may be topical, pulmonary, e.g., by inhalation or insufflation of powders or aerosols, including by nebulizer; intratracheal, intranasal, epidermal and transdermal, and subdermal, oral or parenteral, e.g., subcutaneous.
- the dsRNA molecules are administered systemically via parental means.
- Parenteral administration includes intravenous, intra-arterial, subcutaneous, intraperitoneal or intramuscular injection or infusion; or intracranial, e.g., intraparenchymal, intrathecal or intraventricular, administration.
- dsRNAs conjugated or unconjugated or formulated with or without liposomes
- a dsRNA molecule can be formulated into compositions such as sterile and non-sterile aqueous solutions, non-aqueous solutions in common solvents such as alcohols, or solutions in liquid or solid oil bases.
- Such solutions also can contain buffers, diluents, and other suitable additives.
- a dsRNA molecule can be formulated into compositions such as sterile aqueous solutions, which also can contain buffers, diluents, and other suitable additives (e.g., penetration enhancers, carrier compounds, and other pharmaceutically acceptable carriers). Formulations are described in more detail herein.
- the dsRNA can be delivered in a manner to target a particular tissue, such as the liver (e.g., the hepatocytes of the liver).
- a particular tissue such as the liver (e.g., the hepatocytes of the liver).
- the pharmaceutical formulations of the present invention may be prepared according to conventional techniques well known in the pharmaceutical industry. Such techniques include the step of bringing into association the active ingredients with the pharmaceutical carrier(s) or excipient(s). In general, the formulations are prepared by uniformly and intimately bringing into association the active ingredients with liquid carriers or finely divided solid carriers or both, and then, if necessary, shaping the product.
- compositions of the present invention may be formulated into any of many possible dosage forms such as, but not limited to, tablets, capsules, gel capsules, liquid syrups, soft gels, suppositories, and enemas.
- the compositions of the present invention may also be formulated as suspensions in aqueous, non-aqueous or mixed media.
- Aqueous suspensions may further contain substances which increase the viscosity of the suspension including, for example, sodium carboxymethylcellulose, sorbitol and/or dextran.
- the suspension may also contain stabilizers.
- compositions of the present invention include, but are not limited to, solutions, emulsions, and liposome-containing formulations. These compositions may be generated from a variety of components that include, but are not limited to, preformed liquids, self-emulsifying solids and self-emulsifying semisolids. In one aspect are formulations that target the liver when treating hepatic disorders such as hyperlipidemia.
- dsRNA that target the EG5/KSP and/or VEGF gene can be formulated into compositions containing the dsRNA admixed, encapsulated, conjugated, or otherwise associated with other molecules, molecular structures, or mixtures of nucleic acids.
- a composition containing one or more dsRNA agents that target the Eg5/KSP and/or VEGF gene can contain other therapeutic agents, such as other cancer therapeutics or one or more dsRNA compounds that target non-EG5/KSP AND/OR VEGF genes.
- compositions and formulations for oral administration include powders or granules, microparticulates, nanoparticulates, suspensions or solutions in water or non-aqueous media, capsules, gel capsules, sachets, tablets or minitablets. Thickeners, flavoring agents, diluents, emulsifiers, dispersing aids or binders may be desirable.
- oral formulations are those in which dsRNAs featured in the invention are administered in conjunction with one or more penetration enhancers surfactants and chelators.
- Suitable surfactants include fatty acids and/or esters or salts thereof, bile acids and/or salts thereof.
- Suitable bile acids/salts include chenodeoxycholic acid (CDCA) and
- ursodeoxychenodeoxycholic acid UDCA
- cholic acid dehydrocholic acid, deoxycholic acid, glucholic acid, glycholic acid, glycodeoxycholic acid, taurocholic acid, taurodeoxycholic acid, sodium tauro-24,25-dihydro-fusidate and sodium glycodihydrofusidate.
- Suitable fatty acids include arachidonic acid, undecanoic acid, oleic acid, lauric acid, caprylic acid, capric acid, myristic acid, palmitic acid, stearic acid, linoleic acid, linolenic acid, dicaprate, tricaprate, monoolein, dilaurin, glyceryl 1 -monocaprate, 1 -dodecylazacycloheptan ⁇ -one, an acylcarnitine, an acylcholine, or a monoglyceride, a diglyceride or a pharmaceutically acceptable salt thereof (e.g., sodium).
- arachidonic acid arachidonic acid, undecanoic acid, oleic acid, lauric acid, caprylic acid, capric acid, myristic acid, palmitic acid, stearic acid, linoleic acid, linolenic acid, dicaprate, tricaprate, monoolein, dilaurin
- combinations of penetration enhancers are used, for example, fatty acids/salts in combination with bile acids/salts.
- One exemplary combination is the sodium salt of lauric acid, capric acid and UDCA.
- Further penetration enhancers include polyoxyethylene-9-lauryl ether, polyoxyethylene-20-cetyl ether.
- dsRNAs featured in the invention may be delivered orally, in granular form including sprayed dried particles, or complexed to form micro or nanoparticles.
- dsRNA complexing agents include poly-amino acids; polyimines; polyacrylates; polyalkylacrylates, polyoxethanes, polyalkylcyanoacrylates; cationized gelatins, albumins, starches, acrylates, polyethyleneglycols (PEG) and starches; polyalkylcyanoacrylates; DEAE-derivatized polyimines, pollulans, celluloses and starches.
- Suitable complexing agents include chitosan, N-trimethylchitosan, poly-L-lysine, polyhistidine, polyornithine, polyspermines, protamine, polyvinylpyridine,
- Oral formulations for dsRNAs and their preparation are described in detail in U.S. Patent 6,887,906, U.S. Patent Publication. No. 20030027780, and U.S. Patent No. 6,747,014, each of which is incorporated herein by reference.
- compositions and formulations for parenteral, intraparenchymal (into the brain), intrathecal, intraventricular or intrahepatic administration may include sterile aqueous solutions which may also contain buffers, diluents and other suitable additives such as, but not limited to, penetration enhancers, carrier compounds and other pharmaceutically acceptable carriers or excipients.
- compositions and formulations for topical administration may include transdermal patches, ointments, lotions, creams, gels, drops, suppositories, sprays, liquids and powders.
- Conventional pharmaceutical carriers, aqueous, powder or oily bases, thickeners and the like may be necessary or desirable.
- Suitable topical formulations include those in which the dsRNAs featured in the invention are in admixture with a topical delivery agent such as lipids, liposomes, fatty acids, fatty acid esters, steroids, chelating agents and surfactants.
- Suitable lipids and liposomes include neutral (e.g., dioleoylphosphatidyl DOPE ethanolamine,
- dsRNAs featured in the invention may be encapsulated within liposomes or may form complexes thereto, in particular to cationic liposomes. Alternatively, dsRNAs may be complexed to lipids, in particular to cationic lipids.
- Suitable fatty acids and esters include but are not limited to arachidonic acid, oleic acid, eicosanoic acid, lauric acid, caprylic acid, capric acid, myristic acid, palmitic acid, stearic acid, linoleic acid, linolenic acid, dicaprate, tricaprate, monoolein, dilaurin, glyceryl 1 -monocaprate, 1 -dodecylazacycloheptan-2-one, an acylcarnitine, an acylcholine, or a C M0 alkyl ester (e.g., isopropylmyristate IPM), monoglyceride, diglyceride or pharmaceutically acceptable salt thereof.
- arachidonic acid oleic acid, eicosanoic acid, lauric acid, caprylic acid, capric acid, myristic acid, palmitic acid, stearic acid, linoleic acid, l
- dsRNA molecules can be administered to a mammal as biologic or abiologic means as described in, for example, U.S. Pat. No. 6,271 ,359.
- Abiologic delivery can be accomplished by a variety of methods including, without limitation, (1) loading liposomes with a dsRNA acid molecule provided herein and (2) complexing a dsRNA molecule with lipids or liposomes to form nucleic acid-lipid or nucleic acid-liposome complexes.
- the liposome can be composed of cationic and neutral lipids commonly used to transfect cells in vitro.
- Cationic lipids can complex (e.g., charge-associate) with negatively charged nucleic acids to form liposomes.
- cationic liposomes include, without limitation, lipofectin, lipofectamine, lipofectace, and DOTAP. Procedures for forming liposomes are well known in the art. Liposome compositions can be formed, for example, from phosphatidylcholine, dimyristoyl phosphatidylcholine, dipalmitoyl phosphatidylcholine, dimyristoyl phosphatidylglycerol, or dioleoyl phosphatidylethanolamine.
- LipofectinTM Invitrogen/Life Technologies, Carlsbad, Calif.
- EffecteneTM Qiagen, Valencia, Calif.
- systemic delivery methods can be optimized using commercially available cationic lipids such as DDAB or
- DOTAP DOTAP
- a neutral lipid such as DOPE or cholesterol.
- liposomes such as those described by Templeton et al. (Nature Biotechnology, 15: 647- 652 (1997)) can be used.
- polycations such as polyethyleneimine can be used to achieve delivery in vivo and ex vivo (Boletta et al., J. Am Soc. Nephrol. 7: 1728 (1996)). Additional information regarding the use of liposomes to deliver nucleic acids can be found in U.S. Pat. No. 6,271 ,359, PCT Publication WO 96/40964 and Morrissey, D. et al. 2005. Nat Biotechnol. 23(8): 1002-7.
- Biologic delivery can be accomplished by a variety of methods including, without limitation, the use of viral vectors.
- viral vectors e.g., adenovirus and herpes virus vectors
- Standard molecular biology techniques can be used to introduce one or more of the dsRNAs provided herein into one of the many different viral vectors previously developed to deliver nucleic acid to cells.
- These resulting viral vectors can be used to deliver the one or more dsRNAs to cells by, for example, infection.
- liposome means a vesicle composed of amphophilic lipids arranged in a spherical bilayer or bilayers.
- Liposomes are unilamellar or multilamellar vesicles which have a membrane formed from a lipophilic material and an aqueous interior. The aqueous portion contains the composition to be delivered. Cationic liposomes possess the advantage of being able to fuse to the cell wall. Non-cationic liposomes, although not able to fuse as efficiently with the cell wall, are taken up by macrophages in vivo.
- lipid vesicles In order to cross intact mammalian skin, lipid vesicles must pass through a series of fine pores, each with a diameter less than 50 nm, under the influence of a suitable transdermal gradient. Therefore, it is desirable to use a liposome which is highly deformable and able to pass through such fine pores.
- liposomes obtained from natural phospholipids are biocompatible and biodegradable; liposomes can incorporate a wide range of water and lipid soluble drugs; and liposomes can protect encapsulated drugs in their internal compartments from metabolism and degradation (Rosoff, in Pharmaceutical Dosage Forms, Lieberman, Rieger and Banker (Eds.), 1988, Marcel Dekker, Inc., New York, N. Y., volume 1, p. 245).
- Important considerations in the preparation of liposome formulations are the lipid surface charge, vesicle size and the aqueous volume of the liposomes.
- Liposomes are useful for the transfer and delivery of active ingredients to the site of action. Because the liposomal membrane is structurally similar to biological membranes, when liposomes are applied to a tissue, the liposomes start to merge with the cellular membranes and as the merging of the liposome and cell progresses, the liposomal contents are emptied into the cell where the active agent may act. Liposomal formulations have been the focus of extensive investigation as the mode of delivery for many drugs. There is growing evidence that for topical administration, liposomes present several advantages over other formulations. Such advantages include reduced side- effects related to high systemic absorption of the administered drug, increased accumulation of the administered drug at the desired target, and the ability to administer a wide variety of drugs, both hydrophilic and hydrophobic, into the skin.
- liposomes to deliver agents including high- molecular weight DNA into the skin.
- Compounds including analgesics, antibodies, hormones and high-molecular weight DNAs have been administered to the skin. The majority of applications resulted in the targeting of the upper epidermis
- Liposomes fall into two broad classes. Cationic liposomes are positively charged liposomes which interact with the negatively charged DNA molecules to form a stable complex. The positively charged DNA/liposome complex binds to the negatively charged cell surface and is internalized in an endosome. Due to the acidic pH within the endosome, the liposomes are ruptured, releasing their contents into the cell cytoplasm (Wang et at., Biochem. Biophys. Res. Commun., 1987, 147, 980-985).
- Liposomes which are pH-sensitive or negatively -charged, entrap DNA rather than complex with it. Since both the DNA and the lipid are similarly charged, repulsion rather than complex formation occurs. Nevertheless, some DNA is entrapped within the aqueous interior of these liposomes. pH-sensitive liposomes have been used to deliver DNA encoding the thymidine kinase gene to cell monolayers in culture. Expression of the exogenous gene was detected in the target cells (Zhou et ai, Journal of Controlled Release, 1992, 19, 269-274).
- liposomal composition includes phospholipids other than naturally- derived phosphatidylcholine.
- Neutral liposome compositions can be formed from dimyristoyl phosphatidylcholine (DMPC) or dipalmitoyl phosphatidylcholine (DPPC).
- Anionic liposome compositions generally are formed from dimyristoyl phosphatidylglycerol, while anionic fusogenic liposomes are formed primarily from dioleoyl phosphatidylethanolamine (DOPE).
- Another type of liposomal composition is formed from phosphatidylcholine (PC) such as, for example, soybean PC, and egg PC. Another type is formed from mixtures of
- phospholipid and/or phosphatidylcholine and/or cholesterol are examples of phospholipid and/or phosphatidylcholine and/or cholesterol.
- Non-ionic liposomal systems have also been examined to determine their utility in the delivery of drugs to the skin, in particular systems comprising non-ionic surfactant and cholesterol.
- Non-ionic liposomal formulations comprising NovasomeTM I (glyceryl r dilaurate/cholesterol/po- lyoxyethylene-10-stearyl ether) and NovasomeTM II (glyceryl distearate/cholesterol/polyoxyethylene-10-stearyl ether) were used to deliver cyclosporin-A into the dermis of mouse skin. Results indicated that such non-ionic liposomal systems were effective in facilitating the deposition of cyclosporin-A into different layers of the skin (Hu et al., S.T.P. Pharma. Sci., 1994, 4, 6, 466).
- Liposomes also include "sterically stabilized" liposomes, a term which, as used herein, refers to liposomes comprising one or more specialized lipids that, when incorporated into liposomes, result in enhanced circulation lifetimes relative to liposomes lacking such specialized lipids.
- sterically stabilized liposomes are those in which part of the vesicle-forming lipid portion of the liposome (A) comprises one or more glycolipids, such as
- monosialoganglioside G M I or (B) is derivatized with one or more hydrophilic polymers, such as a polyethylene glycol (PEG) moiety.
- PEG polyethylene glycol
- the enhanced circulation half-life of these sterically stabilized liposomes derives from a reduced uptake into cells of the reticuloendothelial system (RES) (Allen et al., FEBS Letters, 1987, 223, 42; Wu et al., Cancer Research, 1993, 53, 3765).
- RES reticuloendothelial system
- liposomes comprising one or more glycolipids are known in the art.
- Liposomes comprising sphingomyelin. Liposomes comprising 1 ,2-sn-dimyristoylphosphat- idylcholine are disclosed in WO 97/13499 (Lim et al.).
- liposomes comprising lipids derivatized with one or more hydrophilic polymers, and methods of preparation thereof, are known in the art.
- Sunamoto et al. (Bull. Chem. Soc. Jpn., 1980, 53, 2778) described liposomes comprising a nonionic detergent, 2Cui5G, that contains a PEG moiety.
- Ilium et al. (FEBS Lett., 1984, 167, 79) noted that hydrophilic coating of polystyrene particles with polymeric glycols results in significantly enhanced blood half-lives.
- Synthetic phospholipids modified by the attachment of carboxylic groups of polyalkylene glycols (e.g., PEG) are described by Sears (U.S. Pat.
- Liposomes having covalently bound PEG moieties on their external surface are described in European Patent No. EP 0 445 131 B 1 and WO 90/04384 to Fisher.
- Liposome compositions containing 1 -20 mole percent of PE derivatized with PEG, and methods of use thereof, are described by Woodle et al. (U.S. Pat. Nos. 5,013,556 and 5,356,633) and Martin et al. (U.S. Pat. No. 5,213,804 and European Patent No. EP 0 496 813 Bl).
- Liposomes comprising a number of other lipid-polymer conjugates are disclosed in WO 91/05545 and U.S. Pat. No.
- a number of liposomes comprising nucleic acids are known in the art.
- WO 96/40062 to Thierry et al. discloses methods for encapsulating high molecular weight nucleic acids in liposomes.
- U.S. Pat. No. 5,264,221 to Tagawa et al. discloses protein-bonded liposomes and asserts that the contents of such liposomes may include a dsRNA.
- U.S. Pat. No. 5,665,710 to Rahman et al. describes certain methods of encapsulating oligodeoxynucleotides in liposomes.
- WO 97/04787 to Love et al. discloses liposomes comprising dsRNAs targeted to the raf gene.
- Transfersomes are yet another type of liposomes and are highly deformable lipid aggregates which are attractive candidates for drug delivery vehicles. Transfersomes may be described as lipid droplets which are so highly deformable that they are easily able to penetrate through pores which are smaller than the droplet. Transfersomes are adaptable to the environment in which they are used, e.g., they are self-optimizing (adaptive to the shape of pores in the skin), self-repairing, frequently reach their targets without fragmenting, and often self- loading. To make transfersomes, it is possible to add surface edge-activators, usually surfactants, to a standard liposomal composition. Transfersomes have been used to deliver serum albumin to the skin. The transfersome-mediated delivery of serum albumin has been shown to be as effective as subcutaneous injection of a solution containing serum albumin.
- HLB hydrophile/lipophile balance
- Nonionic surfactants find wide application in pharmaceutical and cosmetic products and are usable over a wide range of pH values. In general their HLB values range from 2 to about 18 depending on their structure.
- Nonionic surfactants include nonionic esters such as ethylene glycol esters, propylene glycol esters, glyceryl esters, polyglyceryl esters, sorbitan esters, sucrose esters, and ethoxylated esters.
- Nonionic alkanolamides and ethers such as fatty alcohol ethoxylates, propoxylated alcohols, and ethoxylated/propoxylated block polymers are also included in this class.
- the polyoxyethylene surfactants are the most popular members of the nonionic surfactant class.
- Anionic surfactants include carboxylates such as soaps, acyl lactylates, acyl amides of amino acids, esters of sulfuric acid such as alkyl sulfates and ethoxylated alkyl sulfates, sulfonates such as alkyl benzene sulfonates, acyl isethionates, acyl taurates and sulfosuccinates, and phosphates.
- the most important members of the anionic surfactant class are the alkyl sulfates and the soaps.
- Cationic surfactants include quaternary ammonium salts and ethoxylated amines. The quaternary ammonium salts are the most used members of this class.
- amphoteric surfactants include acrylic acid derivatives, substituted alkylamides, N-alkylbetaines and phosphatides.
- a dsRNA featured in the invention is fully encapsulated in the lipid formulation, e.g., to form a nucleic acid-lipid particle, e.g., .
- Nucleic acid-lipid particles typically contain a cationic lipid, a non-cationic lipid, a sterol, and a lipid that prevents aggregation of the particle (e.g., a PEG-lipid conjugate).
- Nucleic acid-lipid particles are extremely useful for systemic applications, as they exhibit extended circulation lifetimes following intravenous (i.v.) injection and accumulate at distal sites (e.g., sites physically separated from the administration site).
- nucleic acids when present in the nucleic acid-lipid particles of the present invention are resistant in aqueous solution to degradation with a nuclease.
- Nucleic acid-lipid particles and their method of preparation are disclosed in, e.g., U.S. Patent Nos. 5,976,567; 5,981,501; 6,534,484; 6,586,410; 6,815,432; and PCT Publication No. WO 96/40964.
- Nucleic acid-lipid particles can further include one or more additional lipids and/or other components such as cholesterol.
- Other lipids may be included in the liposome compositions for a variety of purposes, such as to prevent lipid oxidation or to attach ligands onto the liposome surface. Any of a number of lipids may be present, including amphipathic, neutral, cationic, and anionic lipids. Such lipids can be used alone or in combination. Specific examples of additional lipid components that may be present are described herein.
- Additional components that may be present in a nucleic acid-lipid particle include bi layer stabilizing components such as polyamide oligomers (see, e.g., U.S. Patent No. 6,320,017), peptides, proteins, detergents, lipid-derivatives, such as PEG coupled to
- a nucleic acid-lipid particle can include one or more of a second amino lipid or cationic lipid, a neutral lipid, a sterol, and a lipid selected to reduce aggregation of lipid particles during formation, which may result from steric stabilization of particles which prevents charge-induced aggregation during formation.
- Nucleic acid-lipid particles include, e.g., a SPLP, pSPLP, and SNALP.
- SNALP refers to a stable nucleic acid-lipid particle, including SPLP.
- SPLP refers to a nucleic acid-lipid particle comprising plasmid DNA encapsulated within a lipid vesicle.
- SPLPs include "pSPLP,” which include an encapsulated condensing agent-nucleic acid complex as set forth in PCT Publication No. WO 00/03683.
- the particles of the present invention typically have a mean diameter of about 50 nm to about 150 nm, more typically about 60 nm to about 130 nm, more typically about 70 nm to about 1 10 nm, most typically about 70 nm to about 90 nm, or about 50, 60, 70, 80, 90, 100, 1 10, 120, 130, 140, or about 150 nm such that the particles are substantially nontoxic
- the lipid to drug ratio (mass/mass ratio) (e.g., lipid to dsRNA ratio) will be in the range of from about 1 : 1 to about 50: 1, from about 1 : 1 to about 25: 1, from about 3: 1 to about 15: 1 , from about 4: 1 to about 10: 1 , from about 5: 1 to about 9: 1, or about 6: 1 to about 9: l, or about 6: l, 7: l, 8: l, 9: l, 10: 1, 1 1 : 1, 12: 1, or 33: 1.
- the nucleic acid-lipid particles of the invention typically include a cationic lipid.
- the cationic lipid may be, for example, N,N-dioleyl-N,N-dirnethylarnrnonium chloride (DODAC), N,N-distearyl-N,N-dimethylamrnonium bromide (DDAB), N-(I -(2,3- dioleoyloxy)propyl)- N,N,N-trimethylammonium chloride (DOTAP), N-(I -(2,3- dioleyloxy)propyl)-N,N,N- trimethylammonium chloride (DOTMA), N,N-dimethyl-2,3- dioleyloxy)propylamine
- DODAC N,N-dioleyl-N,N-dirnethylarnrnonium chloride
- DDAB N,N-distearyl-N,N-dimethylamrnonium bromid
- DODMA l,2-DiLinoleyloxy-N,N-dimethylaminopropane
- DLenDMA 1,2-Dilinolenyloxy- N,N-dimethylaminopropane
- DLin-C-DAP 1,2-Dilinoleylcarbamoyloxy-3- dimethylaminopropane
- DLin-DAC 1,2-Dilinoleyoxy-3-morpholinopropane
- DLin-S- DMA l-Linoleoyl-2-linoleyloxy-3-dimethylaminopropane
- cationic lipids which carry a net positive charge at about physiological pH, in addition to those specifically described above, may also be included in lipid particles of the invention.
- cationic lipids include, but are not limited to, N,N-dioleyl-N,N- dimethylammonium chloride (“DODAC”); N-(2,3-dioleyloxy)propyl-N,N-N-triethylammoniurn chloride (“DOTMA”); N,N-distearyl-N,N-dimethylammonium bromide (“DDAB”); N-(2,3- dioleoyloxy)propyl)-N,N,N-trimethylammonium chloride (“DOTAP”); l ,2-Dioleyloxy-3- trimethylaminopropane chloride salt (“DOTAP.
- DODAC N,N-dioleyl-N,N- dimethylammonium chloride
- DOTMA N-(2,3-dioleyloxy
- DOGS dioctadecylamidoglycyl carboxyspermine
- DOPE dioctadecylamidoglycyl carboxyspermine
- DOPE dioctadecylamidoglycyl carboxyspermine
- DOPE dioctadecylamidoglycyl carboxyspermine
- DOPE dioctadecylamidoglycyl carboxyspermine
- DOPE dioctadecylamidoglycyl carboxyspermine
- DOPE dioctadecylamidoglycyl carboxyspermine
- DOPE dioctadecylamidoglycyl carboxyspermine
- DOPE dioctadecylamidoglycyl carboxyspermine
- DOPE dioctadecylamidoglycyl carboxyspermine
- DOPE dioctadecylamidoglycyl carboxyspermine
- cationic lipids can be used, such as, e.g., LIPOFECTIN (including DOTMA and DOPE, available from GIBCO/BRL), and LIPOFECTAMINE (comprising DOSPA and DOPE, available from GIBCO/BRL).
- LIPOFECTIN including DOTMA and DOPE, available from GIBCO/BRL
- LIPOFECTAMINE comprising DOSPA and DOPE, available from GIBCO/BRL
- a.cationic lipid is an amino lipid.
- amino lipid is meant to include those lipids having one or two fatty acid or fatty alkyl chains and an amino head group (including an alkylamino or
- dialkylamino group that may be protonated to form a cationic lipid at physiological pH.
- amino lipids would include those having alternative fatty acid groups and other dialkylamino groups, including those in which the alkyl substituents are different (e.g., N-ethyl- N-methylamino-, N-propyl-N-ethylamino- and the like).
- R 1 ' and R 12 are both long chain alkyl or acyl groups, they can be the same or different.
- amino lipids having less saturated acyl chains are more easily sized, particularly when the complexes must be sized below about 0.3 microns, for purposes of filter sterilization.
- Amino lipids containing unsaturated fatty acids with carbon chain lengths in the range of C H to C 22 are preferred.
- Other scaffolds can also be used to separate the amino group and the fatty acid or fatty alkyl portion of the amino lipid. Suitable scaffolds are known to those of skill in the art.
- amino or cationic lipids of the invention have at least one protonatable or deprotonatable group, such that the lipid is positively charged at a pH at or below physiological pH (e.g. pH 7.4), and neutral at a second pH, preferably at or above physiological pH.
- physiological pH e.g. pH 7.4
- second pH preferably at or above physiological pH.
- protonatable lipids according to the invention have a pKa of the protonatable group in the range of about 4 to about 1 1. Most preferred is pKa of about 4 to about 7, because these lipids will be cationic at a lower pH formulation stage, while particles will be largely (though not completely) surface neutralized at physiological pH around pH 7.4.
- pKa of the protonatable group in the range of about 4 to about 1 1. Most preferred is pKa of about 4 to about 7, because these lipids will be cationic at a lower pH formulation stage, while particles will be largely (though not completely) surface neutralized at physiological pH around pH 7.4.
- One of the benefits of this pKa is that at least some nucleic acid associated with the outside surface of the particle will lose its electrostatic interaction at physiological pH and be removed by simple dialysis; thus greatly reducing the particle's susceptibility to clearance.
- a cationic lipid is l,2-Dilinolenyloxy-N,N-dimethylaminopropane
- DHnDMA nucleic acid-lipid particles including DHnDMA
- the cationic lipid XTC (2,2-Dilinoleyl-4-dimethylaminoethyl-[l ,3]- dioxolane) is used to prepare nucleic acid-lipid particles .
- Synthesis of XTC is described in United States provisional patent application number 61/107,998 filed on October 23, 2008, which is herein incorporated by reference.
- the cationic lipid MC3 ((6Z,9Z,28Z,3 lZ)-heptatriaconta- 6,9,28,3 l-tetraen-19-yl 4-(dimethylamino)butanoate), (e.g., DLin-M-C3-DMA) is used to prepare nucleic acid-lipid particles .
- Synthesis of MC3 and MC3 comprising formulations are described, e.g., in U.S. Provisional Serial No. 61/244,834, filed September 22, 2009, and U.S. Provisional Serial No. 61/185,800, filed June 10, 2009, which are hereby incorporated by reference.
- the cationic lipid ALNY- 100 ((3aR,5s,6aS)-N,N-dimethyl-2,2- di((9Z,12Z)-octadeca-9,12-dienyl)tetrahydro-3aH-cyclopenta[d][l,3]dioxol-5-amine) is used to prepare nucleic acid-lipid particles .
- Synthesis of ALNY- 100 is described in International patent application number PCT/US09/63933 filed on November 10, 2009, which is herein incorporated by reference.
- FIG. 20 illustrates the structures of ALNY- 100, MC3, and XTC.
- the cationic lipid 1,1'- (2-(4-(2-((2-(bis (2-hydroxydodecyl) amino) ethyl) (2-hydroxydodecyl) amino) ethyl) piperazin-1 -yl) ethylazanediyl) didodecan-2-ol (C 12-200) is used to prepare nuceic acid lipid particles.
- C 12-200 is also known as Tech Gl . Synthesis of C 12-200 and formulations using C 12-200 are described in International patent application no. PCT/US 10/33777 filed May 5, 2010 and in Love et al (Love et al. (2010) PNAS 107(5); 1864-69).
- FIG. 23 illustrates the structure of C 12-200.
- the cationic lipid e.g., C 12-200, can comprise from about 20 mol % to about 70 mol % or about 45-65 mol % or about 20, 25, 30, 35, 40, 45, 50, 55, 60, 65, or about 70 mol % of the total lipid present in the particle. In one embodiment the cationic lipid comprises about 50 mol % of the total lipid present.
- Non-cationic lipids e.g., C 12-200
- the nucleic acid-lipid particles of the invention can include a non-cationic lipid.
- the non-cationic lipid may be an anionic lipid or a neutral lipid. Examples include but not limited to, distearoylphosphatidylcholine (DSPC), dioleoylphosphatidylcholine (DOPC),
- DPPC dipalmitoylphosphatidylcholine
- DOPG dioleoylphosphatidylglycerol
- dipalmitoylphosphatidylglycerol DPPG
- dioleoyl-phosphatidylethanolamine DOPE
- palmitoyloleoylphosphatidylcholine POPC
- palmitoyloleoylphosphatidylethanolamine POPE
- dipalmitoyl phosphatidyl ethanolamine DPPE
- dimyristoylphosphoethanolamine dimyristoylphosphoethanolamine
- DMPE distearoyl-phosphatidyl-ethanolamine
- DSPE distearoyl-phosphatidyl-ethanolamine
- 16-0-monomethyl PE 16-O-dimethyl PE
- 18-1 -trans PE 18-1 -trans PE
- SOPE 1 -stearoyl-2-oleoyl- phosphatidyethanolamine
- cholesterol or a mixture thereof.
- Anionic lipids suitable for use in lipid particles of the invention include, but are not limited to, phosphatidylglycerol, cardiolipin, diacylphosphatidylserine, diacylphosphatidic acid, N-dodecanoyl phosphatidylethanoloamine, N-succinyl phosphatidylethanolamine, N-glutaryl phosphatidylethanolamine, lysylphosphatidylglycerol, and other anionic modifying groups joined to neutral lipids.
- Neutral lipids when present in the lipid particle, can be any of a number of lipid species which exist either in an uncharged or neutral zwitterionic form at physiological pH.
- Such lipids include, for example diacylphosphatidylcholine, diacylphosphatidylethanolamine, ceramide, sphingomyelin, dihydrosphingomyelin, cephalin, and cerebrosides.
- the selection of neutral lipids for use in the particles described herein is generally guided by consideration of, e.g., liposome size and stability of the liposomes in the bloodstream.
- the neutral lipid component is a lipid having two acyl groups, (i.e., diacylphosphatidylcholine and
- diacylphosphatidylethanolamine diacylphosphatidylethanolamine.
- Lipids having a variety of acyl chain groups of varying chain length and degree of saturation are available or may be isolated or synthesized by well-known techniques. In one group of embodiments, lipids containing saturated fatty acids with carbon chain lengths in the range of C M to C 22 are preferred. In another group of embodiments, lipids with mono- or di-unsaturated fatty acids with carbon chain lengths in the range of C 14 to C 22 are used. Additionally, lipids having mixtures of saturated and unsaturated fatty acid chains can be used.
- the neutral lipids used in the invention are DOPE, DSPC, POPC, or any related phosphatidylcholine.
- the neutral lipids useful in the invention may also be composed of sphingomyelin, dihydrosphingomyeline, or phospholipids with other head groups, such as serine and inositol.
- the non-cationic lipid is distearoylphosphatidylcholine (DSPC).
- the non-cationic lipid is dipalmitoylphosphatidylcholine (DPPC).
- the non-cationic lipid e.g., DSPC
- Conjugated lipids can be used in nucleic acid-lipid particle to prevent aggregation, including polyethylene glycol (PEG)-modified lipids, monosialoganglioside GmI, and polyamide oligomers ("PAO") such as (described in US Pat. No. 6,320,017).
- PEG polyethylene glycol
- PAO polyamide oligomers
- Other compounds with uncharged, hydrophilic, steric-barrier moieties, which prevent aggregation during formulation, like PEG, Gm I or ATTA, can also be coupled to lipids for use as in the methods and compositions of the invention.
- ATTA-lipids are described, e.g., in U.S. Patent No.
- the concentration of the lipid component selected to reduce aggregation is about 1 to 15% (by mole percent of lipids).
- PEG-modified lipids or lipid-polyoxyethylene conjugates
- suitable PEG-modified lipids include PEG- modified phosphatidylethanolamine and phosphatidic acid, PEG-ceramide conjugates (e.g., PEG-CerC14 or PEG-CerC20) which are described in co-pending USSN 08/486,214, incorporated herein by reference, PEG-modified dialkylamines and PEG-modified 1 ,2- diacyloxypropan-3-amines.
- PEG-modified diacylglycerols and dialkylglycerols Particularly preferred are PEG-modified diacylglycerols and dialkylglycerols.
- a sterically-large moiety such as PEG or ATTA are conjugated to a lipid anchor
- the selection of the lipid anchor depends on what type of association the conjugate is to have with the lipid particle. It is well known that mePEG (mw2000)- diastearoylphosphatidylethanolamine (PEG-DSPE) will remain associated with a liposome until the particle is cleared from the circulation, possibly a matter of days.
- Other conjugates, such as PEG-CerC20 have similar staying capacity.
- PEG-CerC14 rapidly exchanges out of the formulation upon exposure to serum, with a T 1 / 2 less than 60 mins. in some assays. As illustrated in US Pat.
- Compounds having suitable variations of these features may be useful for the invention.
- Exemplary lipid anchors include those having lengths of from about Cn to about C22, preferably from about Cu to about Ci6-
- a PEG moiety for example an mPEG-NHb, has a size of about 1000, 2000, 5000, 10,000, 15,000 or 20,000 daltons.
- aggregation preventing compounds do not necessarily require lipid conjugation to function properly. Free PEG or free ATTA in solution may be sufficient to prevent aggregation. If the particles are stable after formulation, the PEG or ATTA can be dialyzed away before administration to a subject.
- the conjugated lipid that inhibits aggregation of particles may be, for example, a polyethyleneglycol (PEG)-lipid including, without limitation, a PEG-diacylglycerol (DAG), a PEG-dialkyloxypropyl (DAA), a PEG-phospholipid, a PEG-ceramide (Cer), or a mixture thereof.
- PEG-DAA conjugate may be, for example, a PEG-dilauryloxypropyl (CM 2 ), a PEG- dimyristyloxypropyl (Cu), a PEG-dipalmityloxypropyl (Ci6), or a PEG- distearyloxypropyl (C]s).
- Additional conjugated lipids include polyethylene glycol - didimyristoyl glycerol (CM- PEG or PEG-C 14, where PEG has an average molecular weight of 2000 Da) (PEG-DMG); (R)- 2,3-bis(octadecyloxy)propyll-(methoxy poly(ethylene glycol)2000)propylcarbamate) (PEG-
- PEG-carbamoyl-l ,2-dimyristyloxypropylamine in which PEG has an average molecular weight of 2000 Da
- PEG-cDMA PEG-carbamoyl-l ,2-dimyristyloxypropylamine, in which PEG has an average molecular weight of 2000 Da
- PEG-cDMA N-Acetylgalactosamine-((R)-2,3-bis(octadecyloxy)propyll- (methoxy poly(ethylene glycol)2000)propylcarbamate))
- GaINAc-PEG-DSG polyethylene glycol -dipalmitoylglycerol
- PEG-DPG polyethylene glycol -dipalmitoylglycerol
- the conjugated lipid is PEG-DMG or PEG-DSG. In another embodiment the conjugated lipid is PEG-cDMA. In still another embodiment the conjugated lipid is PEG-DPG. Alternatively the conjugated lipid is GaINAc-PEG-DSG.
- the conjugated lipid e.g., PEG-DMG or PEG-DSG
- the conjugated lipid can be about 0.5, 1.0, 1.5, 2.0, 2.5, 3.0, 3.5, 4.0, 4.5, or about 5.0 mol % of the total lipid present in the particle.
- the conjugated lipid that prevents aggregation of particles is from 0 mol % to about 20 mol % or about 0.5 to about 5.0 mol % or about or about 1.5 mol % or about 2.0 mol % of the total lipid present in the particle.
- the sterol component of the lipid mixture when present, can be any of those sterols conventionally used in the field of liposome, lipid vesicle or lipid particle preparation.
- a preferred sterol is cholesterol.
- the nucleic acid-lipid particle further includes a sterol, e.g., cholesterol at about 10, 15, 20, 25, 30, 35, 40, 45, 50, 55, or about 60 mol % of the total lipid present in the article.
- a sterol e.g., cholesterol at about 10, 15, 20, 25, 30, 35, 40, 45, 50, 55, or about 60 mol % of the total lipid present in the article.
- the sterol is about 10 to about 60 mol % or about 25 to about 40 mol % or about 38.5 mol % or about 48 mol % of the total lipid present in the particle.
- the formulations of the invention further comprise an apolipoprotein.
- apolipoprotein or “lipoprotein” refers to apolipoproteins known to those of skill in the art and variants and fragments thereof and to apolipoprotein agonists, analogues or fragments thereof described below.
- Suitable apolipoproteins include, but are not limited to, ApoA-I, ApoA-II, ApoA-IV, ApoA-V and ApoE, and active polymorphic forms, isoforms, variants and mutants as well as fragments or truncated forms thereof.
- the apolipoprotein is a thiol containing apolipoprotein.
- Thiol containing apolipoprotein refers to an apolipoprotein, variant, fragment or isoform that contains at least one cysteine residue.
- ApoA-II, ApoE2 and ApoE3 are also thiol containing apolipoproteins. Isolated ApoE and/or active fragments and polypeptide analogues thereof, including recombinantly produced forms thereof, are described in U.S. Pat. Nos.
- the apolipoprotein can be in its mature form, in its
- the apolipoprotein can be a fragment, variant or isoform of the apolipoprotein.
- fragment refers to any apolipoprotein having an amino acid sequence shorter than that of a native apolipoprotein and which fragment retains the activity of native apolipoprotein, including lipid binding properties.
- variant is meant substitutions or alterations in the amino acid sequences of the apolipoprotein, which substitutions or alterations, e.g., additions and deletions of amino acid residues, do not abolish the activity of native apolipoprotein, including lipid binding properties.
- a variant can comprise a protein or peptide having a substantially identical amino acid sequence to a native apolipoprotein provided herein in which one or more amino acid residues have been conservatively substituted with chemically similar amino acids.
- conservative substitutions include the substitution of at least one hydrophobic residue such as isoleucine, valine, leucine or methionine for another.
- the present invention contemplates, for example, the substitution of at least one hydrophilic residue such as, for example, between arginine and lysine, between glutamine and asparagine, and between glycine and serine (see U.S. Pat. Nos. 6,004,925, 6,037,323 and 6,046,166).
- isoform refers to a protein having the same, greater or partial function and similar, identical or partial sequence, and may or may not be the product of the same gene and usually tissue specific (see Weisgraber 1990, J. Lipid Res. 31(8): 1503-1 1 ; Hixson and Powers 1991 , J. Lipid Res. 32(9): 1529-35; Lackner et al., 1985, J. Biol. Chem. 260(2):703-6; Hoeg et ai, 1986, J. Biol. Chem. 261(9):391 1-4; Gordon et al., 1984, J. Biol. Chem.
- the methods and compositions of the present invention include the use of a chimeric construction of an apolipoprotein.
- a chimeric construction of an apolipoprotein can be comprised of an apolipoprotein domain with high lipid binding capacity associated with an apolipoprotein domain containing ischemia reperfusion protective properties.
- a chimeric construction of an apolipoprotein can be a construction that includes separate regions within an apolipoprotein (i.e., homologous construction) or a chimeric construction can be a construction that includes separate regions between different apolipoproteins (i.e., heterologous constructions).
- compositions comprising a chimeric construction can also include segments that are apolipoprotein variants or segments designed to have a specific character (e.g., lipid binding, receptor binding, enzymatic, enzyme activating, antioxidant or reduction-oxidation property) (see Weisgraber 1990, J. Lipid Res. 31(8): 1503-1 1; Hixson and Powers 1991, J. Lipid Res. 32(9): 1529-35; Lackner et al, 1985, J. Biol. Chem. 260(2):703-6; Hoeg et al, 1986, J. Biol. Chem. 261(9):391 1-4; Gordon et al, 1984, J. Biol. Chem.
- a specific character e.g., lipid binding, receptor binding, enzymatic, enzyme activating, antioxidant or reduction-oxidation property
- Apolipoproteins utilized in the invention also include recombinant, synthetic, semi- synthetic or purified apolipoproteins. Methods for obtaining apolipoproteins or equivalents thereof, utilized by the invention are well-known in the art.
- apolipoproteins can be separated from plasma or natural products by, for example, density gradient centrifugation or immunoaffinity chromatography, or produced synthetically, semi-synthetically or using recombinant DNA techniques known to those of the art (see, e.g., Mulugeta et al, 1998, J. Chromatogr. 798(1-2): 83-90; Chung et al, 1980, J. Lipid Res.
- Apolipoproteins utilized in the invention further include apolipoprotein agonists such as peptides and peptide analogues that mimic the activity of ApoA-I, ApoA-I Milano (APOA-1 M ), ApoA-I Paris (ApoA-Ip), ApoA-II, ApoA-IV, and ApoE.
- apolipoprotein can be any of those described in U.S. Pat. Nos. 6,004,925, 6,037,323, 6,046,166, and 5,840,688, the contents of which are incorporated herein by reference in their entireties.
- Apolipoprotein agonist peptides or peptide analogues can be synthesized or manufactured using any technique for peptide synthesis known in the art including, e.g., the techniques described in U.S. Pat. Nos. 6,004,925, 6,037,323 and 6,046,166.
- the peptides may be prepared using the solid-phase synthetic technique initially described by Merrifield (1963, J. Am. Chem. Soc. 85:2149-2154).
- Other peptide synthesis techniques may be found in Bodanszky et al., Peptide Synthesis, John Wiley & Sons, 2d Ed., (1976) and other references readily available to those skilled in the art.
- Peptides may also be synthesized by solution methods as described in The Proteins, Vol. II, 3d Ed., Neurath et al., Eds., p. 105-237, Academic Press, New York, N.Y. (1976). Appropriate protective groups for use in different peptide syntheses are described in the above-mentioned texts as well as in McOmie, Protective Groups in Organic Chemistry, Plenum Press, New York, N.Y. (1973).
- the peptides of the present invention might also be prepared by chemical or enzymatic cleavage from larger portions of, for example, apolipoprotein A-I.
- the apolipoprotein can be a mixture of apolipoproteins.
- the apolipoprotein can be a homogeneous mixture, that is, a single type of apolipoprotein.
- the apolipoprotein can be a heterogeneous mixture of apolipoproteins, that is, a mixture of two or more different apolipoproteins.
- Embodiments of heterogenous mixtures of apolipoproteins can comprise, for example, a mixture of an apolipoprotein from an animal source and an apolipoprotein from a semi-synthetic source.
- a heterogenous mixture can comprise, for example, a mixture of ApoA-I and ApoA-I Milano.
- a heterogeneous mixture can comprise, for example, a mixture of ApoA-I Milano and ApoA-I Paris. Suitable mixtures for use in the methods and compositions of the invention will be apparent to one of skill in the art.
- the apolipoprotein is obtained from natural sources, it can be obtained from a plant or animal source. If the apolipoprotein is obtained from an animal source, the apolipoprotein can be from any species. In certain embodiments, the apolipoprotien can be obtained from an animal source. In certain embodiments, the apolipoprotein can be obtained from a human source. In preferred embodiments of the invention, the apolipoprotein is derived from the same species as the individual to which the apolipoprotein is administered.
- amphipathic lipids are included in lipid particles of the invention.
- “Amphipathic lipids” refer to any suitable material, wherein the hydrophobic portion of the lipid material orients into a hydrophobic phase, while the hydrophilic portion orients toward the aqueous phase.
- Such compounds include, but are not limited to, phospholipids, aminolipids, and sphingolipids.
- Representative phospholipids include sphingomyelin, phosphatidylcholine, phosphatidylethanolamine, phosphatidylserine, phosphatidylinositol, phosphatidic acid, palmitoyloleoyl phosphatdylcholine, lysophosphatidylcholine,
- lysophosphatidylethanolamine dipalmitoylphosphatidylcholine, dioleoylphosphatidylcholine, distearoylphosphatidylcholine, or dilinoleylphosphatidylcholine.
- Other phosphorus-lacking compounds such as sphingolipids, glycosphingolipid families, diacylglycerols, and ⁇ - acyloxyacids, can also be used. Additionally, such amphipathic lipids can be readily mixed with other lipids, such as triglycerides and sterols.
- lipid particles of the invention are programmable fusion lipids.
- Such lipid particles have little tendency to fuse with cell membranes and deliver their payload until a given signal event occurs. This allows the lipid particle to distribute more evenly after injection into an organism or disease site before it starts fusing with cells.
- the signal event can be, for example, a change in pH, temperature, ionic environment, or time.
- a fusion delaying or "cloaking" component such as an ATTA-lipid conjugate or a PEG-lipid conjugate, can simply exchange out of the lipid particle membrane over time.
- Exemplary lipid anchors include those having lengths of from about C H to about C 22 , preferably from about Q 4 to about Ci6- Tn some embodiments, a PEG moiety, for example an mPEG-NH 2 , has a size of about 1000, 2000, 5000, 10,000, 15,000 or 20,000 daltons.
- a lipid particle conjugated to a nucleic acid agent can also include a targeting moiety, e.g., a targeting moiety that is specific to a cell type or tissue.
- a targeting moiety e.g., a targeting moiety that is specific to a cell type or tissue.
- targeting moieties such as ligands, cell surface receptors, glycoproteins, vitamins (e.g., riboflavin) and monoclonal antibodies, has been previously described (see, e.g., U.S. Patent Nos. 4,957,773 and 4,603,044).
- the targeting moieties can include the entire protein or fragments thereof.
- Targeting mechanisms generally require that the targeting agents be positioned on the surface of the lipid particle in such a manner that the targeting moiety is available for interaction with the target, for example, a cell surface receptor.
- a variety of different targeting agents and methods are known and available in the art, including those described, e.g., in Sapra, P. and Allen, TM, Prog. Lipid Res. 42(5):439-62 (2003); and Abra, RM et al, J. Liposome Res. 12: 1-3, (2002).
- lipid particles i.e., liposomes
- hydrophilic polymer chains such as polyethylene glycol (PEG) chains
- a ligand such as an antibody, for targeting the lipid particle is linked to the polar head group of lipids forming the lipid particle.
- the targeting ligand is attached to the distal ends of the PEG chains forming the hydrophilic polymer coating (Klibanov, et al., Journal of Liposome Research 2: 321-334 (1992); Kirpotin et al, FEBS Letters 388: 1 15-1 18 (1996)).
- Standard methods for coupling the target agents can be used. For example,
- Antibody-targeted liposomes can be constructed using, for instance, liposomes that incorporate protein A ⁇ see, Renneisen, et al., J. Bio. Chem., 265: 16337-16342 (1990) and Leonetti, et al., Proc. Natl. Acad. Sci. (USA), 87:2448-2451 (1990).
- Other examples of antibody conjugation are disclosed in U.S. Patent No. 6,027,726, the teachings of which are incorporated herein by reference.
- targeting moieties can also include other proteins, specific to cellular components, including antigens associated with neoplasms or tumors. Proteins used as targeting moieties can be attached to the liposomes via covalent bonds (see, Heath, Covalent Attachment of Proteins to Liposomes, 149 Methods in Enzymology 1 1 1 -1 19 (Academic Press, Inc. 1987)). Other targeting methods include the biotin-avidin system.
- the nucleic acid-lipid particle formulations of the invention are produced via an extrusion method or an in-line mixing method.
- the extrusion method (also referred to as preformed method or batch process) is a method where the empty liposomes (i.e. no nucleic acid) are prepared first, followed by the addition of nucleic acid to the empty liposome.
- Extrusion of liposome compositions through a small-pore polycarbonate membrane or an asymmetric ceramic membrane results in a relatively well-defined size distribution.
- the suspension is cycled through the membrane one or more times until the desired liposome complex size distribution is achieved.
- the liposomes may be extruded through successively smaller-pore membranes, to achieve a gradual reduction in liposome size.
- the lipid-nucleic acid compositions which are formed can be used without any sizing.
- the in-line mixing method is a method wherein both the lipids and the nucleic acid are added in parallel into a mixing chamber.
- the mixing chamber can be a simple T-connector or any other mixing chamber that is known to one skill in the art. These methods are disclosed in US patent nos. 6,534,018 and US 6,855,277; US publication 2007/0042031 and Pharmaceuticals Research, Vol. 22, No. 3, Mar. 2005, p. 362-372, which are hereby incorporated by reference in their entirety.
- formulations of the invention can be prepared by any methods known to one of ordinary skill in the art.
- Formulations prepared by either the standard or extrusion-free method can be characterized in similar manners.
- formulations are typically characterized by visual inspection. They should be whitish translucent solutions free from aggregates or sediment. Particle size and particle size distribution of lipid-nanoparticles can be measured by light scattering using, for example, a Malvern Zetasizer Nano ZS (Malvern, USA). Particles should be about 20-300 nm, such as 40-100 nm in size. The particle size distribution should be unimodal.
- the total siRNA concentration in the formulation, as well as the entrapped fraction is estimated using a dye exclusion assay.
- a sample of the formulated siRNA can be incubated with an RNA-binding dye, such as Ribogreen (Molecular Probes) in the presence or absence of a formulation disrupting surfactant, e.g., 0.5% Triton-XIOO.
- the total siRNA in the formulation can be determined by the signal from the sample containing the surfactant, relative to a standard curve.
- the entrapped fraction is determined by subtracting the "free" siRNA content (as measured by the signal in the absence of surfactant) from the total siRNA content. Percent entrapped siRNA is typically >85%.
- the formulations of the invention are entrapped by at least 75%, at least 80% or at least 90%.
- the particle size is at least 30 nm, at least 40 nm, at least 50 nm, at least 60 nm, at least 70 nm, at least 80 nm, at least 90 nm, at least 100 nm, at least 1 10 nm, and at least 120 nm.
- the suitable range is typically about at least 50 nm to about at least 1 10 nm, about at least 60 nm to about at least 100 nm, or about at least 80 nm to about at least 90 nm.
- nucleic acid-lipid particles are synthesized using the lipidoid ND98-4HC1 (MW 1487) (Formula 1), Cholesterol (Sigma-Aldrich), and PEG-Ceramide C16 (Avanti Polar Lipids) ,.
- This nucleic acid-lipid particle is sometimes referred to as a LNPOl particles.
- Stock solutions of each in ethanol can be prepared as follows: ND98, 133 mg/ml; Cholesterol, 25 mg/ml, PEG-Ceramide C 16, 100 mg/ml.
- the ND98, Cholesterol, and PEG-Ceramide C 16 stock solutions can then be combined in a, e.g., 42:48: 10 molar ratio.
- the combined lipid solution can be mixed with aqueous siRNA (e.g., in sodium acetate pH 5) such that the final ethanol concentration is about 35-45% and the final sodium acetate concentration is about 100-300 mM.
- aqueous siRNA e.g., in sodium acetate pH 5
- Lipid-siRNA nanoparticles typically form spontaneously upon mixing.
- the resultant nanoparticle mixture can be extruded through a polycarbonate membrane (e.g., 100 nm cut-off) using, for example, a thermobarrel extruder, such as Lipex Extruder (Northern Lipids, Inc).
- a thermobarrel extruder such as Lipex Extruder (Northern Lipids, Inc).
- the extrusion step can be omitted.
- Ethanol removal and simultaneous buffer exchange can be accomplished by, for example, dialysis or tangential flow filtration.
- Buffer can be exchanged with, for example, phosphate buffered saline (PBS) at about pH 7, e.g., about pH 6.9, about pH 7.0, about pH 7.1, about pH 7.2, about pH 7.3, or about pH 7.4.
- PBS phosphate buffered saline
- LNPOl formulations are described, e.g., in International Application Publication No. WO 2008/042973, which is hereby incorporated by reference.
- nucleic acid-lipid particle formulations are described in the following table. It is to be understood that the name of the nucleic acid-lipid particle in the table is not meant to be limiting.
- SNALP refers to formulations that include the cationic lipid DLinDMA.
- XTC comprising formulations are described, e.g., in U.S. Provisional Serial
- MC3 comprising formulations are described, e.g., in U.S. Provisional Serial
- ALNY- 100 comprising formulations are described, e.g., International patent application number PCT/US09/63933, filed on November 10, 2009, which is hereby incorporated by reference.
- Lipid refers to a cationic lipid.
- Table 25 Composition of exemplary nucleic acid-lipid particles prepared via extrusion methods.
- Table 26 Composition of exemplary nucleic acid-lipid particles prepared via in-line
- compositions prepared via the extrusion method or in-line mixing method are delineated in Table 27, wherein Lipid T is Formula V, Formula VI, or a combination thereof (e.g., C 12-200).
- Table 27 Compositions of exemplary nucleic acid-lipid particles prepared via the extrusion method or in-line mixing method using lipid C 12-200
- any of the compounds, e.g., cationic lipids and the like, used in the nucleic acid-lipid particles of the invention may be prepared by known organic synthesis techniques, including the methods described in more detail in the Examples. All substituents are as defined below unless indicated otherwise.
- Alkyl means a straight chain or branched, noncyclic or cyclic, saturated aliphatic hydrocarbon containing from 1 to 24 carbon atoms.
- Representative saturated straight chain alkyls include methyl, ethyl, n-propyl, n-butyl, n-pentyl, n-hexyl, and the like; while saturated branched alkyls include isopropyl, sec-butyl, isobutyl, tert-buty ⁇ , isopentyl, and the like.
- saturated cyclic alkyls include cyclopropyl, cyclobutyl, cyclopentyl, cyclohexyl, and the like; while unsaturated cyclic alkyls include cyclopentenyl and cyclohexenyl, and the like.
- Alkenyl means an alkyl, as defined above, containing at least one double bond between adjacent carbon atoms. Alkenyls include both cis and trans isomers. Representative straight chain and branched alkenyls include ethylenyl, propylenyl, 1-butenyl, 2-butenyl, isobutylenyl, 1- pentenyl, 2-pentenyl, 3-methyl- 1-butenyl, 2-methyl-2 : butenyl, 2,3-dimethyl-2-butenyl, and the like.
- Alkynyl means any alkyl or alkenyl, as defined above, which additionally contains at least one triple bond between adjacent carbons.
- Representative straight chain and branched alkynyls include acetylenyl, propynyl, 1-butynyl, 2-butynyl, 1-pentynyl, 2-pentynyl, 3-methyl- 1 butynyl, and the like.
- Acyl means any alkyl, alkenyl, or alkynyl wherein the carbon at the point of attachment is substituted with an oxo group, as defined below.
- Heterocycle means a 5- to 7-membered monocyclic, or 7- to 10-membered bicyclic, heterocyclic ring which is either saturated, unsaturated, or aromatic, and which contains from 1 or 2 heteroatoms independently selected from nitrogen, oxygen and sulfur, and wherein the nitrogen and sulfur heteroatoms may be optionally oxidized, and the nitrogen heteroatom may be optionally quaternized, including bicyclic rings in which any of the above heterocycles are fused to a benzene ring.
- the heterocycle may be attached via any heteroatom or carbon atom.
- Heterocycles include heteroaryls as defined below.
- Heterocycles include morpholinyl, pyrrolidinonyl, pyrrolidinyl, piperidinyl, piperizynyl, hydantoinyl, valerolactamyl, oxiranyl, oxetanyl, tetrahydrofuranyl, tetrahydropyranyl, tetrahydropyridinyl, tetrahydroprimidinyl, tetrahydrothiophenyl, tetrahydrothiopyranyl, tetrahydropyrimidinyl, tetrahydrothiophenyl, tetrahydrothiopyranyl, and the like.
- Halogen means fluoro, chloro, bromo and iodo.
- the methods of the invention may require the use of protecting groups.
- protecting group methodology is well known to those skilled in the art ⁇ see, for example, PROTECTIVE GROUPS IN ORGANIC SYNTHESIS, Green, T.W. et al., Wiley-Interscience, New York City, 1999).
- protecting groups within the context of this invention are any group that reduces or eliminates unwanted reactivity of a functional group.
- a protecting group can be added to a functional group to mask its reactivity during certain reactions and then removed to reveal the original functional group.
- an "alcohol protecting group” is used.
- An “alcohol protecting group” is any group which decreases or eliminates unwanted reactivity of an alcohol functional group.
- Protecting groups can be added and removed using techniques well known in the art.
- nucleic acid-lipid particles of the invention are formulated using a cationic lipid of formula A:
- the cationic lipid is XTC (2,2-Dilinoleyl-4-dimethylaminoethyl-[l,3]-dioxolane).
- the lipid of formula A above may be made by the following Reaction Schemes 1 or 2, wherein all substituents are as defined above unless indicated otherwise.
- Lipid A where Ri and R 2 are independently alkyl, alkenyl or alkynyl, each can be optionally substituted, and R 3 and R4 are independently lower alkyl or R3 and R4 can be taken together to form an optionally substituted heterocyclic ring, can be prepared according to
- Ketone 1 and bromide 2 can be purchased or prepared according to methods known to those of ordinary skill in the art. Reaction of 1 and 2 yields ketal 3. Treatment of ketal 3 with amine 4 yields lipids of formula A. The lipids of formula A can be converted to the corresponding ammonium salt with an organic salt of formula 5, where X is anion counter ion selected from halogen, hydroxide, phosphate, sulfate, or the like.
- the ketone 1 starting material can be prepared according to Scheme 2.
- Grignard reagent 6 and cyanide 7 can be purchased or prepared according to methods known to those of ordinary skill in the art. Reaction of 6 and 7 yields ketone 1. Conversion of ketone 1 to the corresponding lipids of formula A is as described in Scheme 1.
- the cyclopentene 516 (5 g, 0.02164 mol) was dissolved in a solution of 220 mL acetone and water ( 10: 1 ) in a single neck 500 mL RBF and to it was added N-methyl morpholine-N- oxide (7.6 g, 0.06492 mol) followed by 4.2 mL of 7.6% solution of OsO4 (0.275 g, 0.00108 mol) in tert-butanol at room temperature. After completion of the reaction ( ⁇ 3 h), the mixture was quenched with addition of solid Na2SO3 and resulting mixture was stirred for 1.5 h at room temperature.
- C 12-200 is a nondegradable amino alcohol consisting of a polar amine-containing head group and nonpolar hydrocarbon tails. Synthesis is achieved through efficient ring opening of epoxides by amine substrates. The synthesis can be carried out without solvent, does not require protection/deprotection steps, and C 12-200 can be used without purification.
- a lipid of formula V can be prepared by reacting the amine compound with various epoxides.
- the lipid of formula (V) and (VI) can be made by the following Reaction Scheme 1.
- the compound of formula (V) can be prepared from racemic 3.
- the initial product can include a mixture of diastereomers, which can optionally be further purified.
- Compound (R)-6 is a stereocontrolled compound according to formula (V):
- Compound (/?)-6 can be prepared according to scheme 1 from two precursors:
- the corresponding (5)-6 compound can be prepared from 1 and (S)-I (i.e., the enantiomer of
- Structural isomers of 1 can also be used in the preparation of an amino lipid.
- Such structural isomers include:
- compositions comprising a lipid particle of the invention and an active agent, wherein the active agent is associated with the lipid particle.
- the active agent is a therapeutic agent.
- the active agent is encapsulated within an aqueous interior of the lipid particle.
- the active agent is present within one or more lipid layers of the lipid particle.
- the active agent is bound to the exterior or interior lipid surface of a lipid particle.
- “Fully encapsulated” as used herein indicates that the nucleic acid in the particles is not significantly degraded after exposure to serum or a nuclease assay that would significantly degrade free DNA. In a fully encapsulated system, preferably less than 25% of particle nucleic acid is degraded in a treatment that would normally degrade 100% of free nucleic acid, more preferably less than 10% and most preferably less than 5% of the particle nucleic acid is degraded. Alternatively, full encapsulation may be determined by an Oligreen ® assay.
- Oligreen ® is an ultra-sensitive fluorescent nucleic acid stain for quantitating oligonucleotides and single-stranded DNA in solution (available from Invitrogen Corporation, Carlsbad, CA). Fully encapsulated also suggests that the particles are serum stable, that is, that they do not rapidly decompose into their component parts upon in vivo administration.
- Active agents include any molecule or compound capable of exerting a desired effect on a cell, tissue, organ, or subject. Such effects may be biological, physiological, or cosmetic, for example. Active agents may be any type of molecule or compound, including e.g., nucleic acids, peptides and polypeptides, including, e.g., antibodies, such as, e.g., polyclonal antibodies, monoclonal antibodies, antibody fragments; humanized antibodies, recombinant antibodies, recombinant human antibodies, and PrimatizedTM antibodies, cytokines, growth factors, apoptotic factors, differentiation-inducing factors, cell surface receptors and their ligands; hormones; and small molecules, including small organic molecules or compounds.
- nucleic acids e.g., nucleic acids, peptides and polypeptides
- antibodies such as, e.g., polyclonal antibodies, monoclonal antibodies, antibody fragments
- the active agent is a therapeutic agent, or a salt or derivative thereof.
- Therapeutic agent derivatives may be therapeutically active themselves or they may be prodrugs, which become active upon further modification.
- a therapeutic agent derivative retains some or all of the therapeutic activity as compared to the unmodified agent, while in another embodiment, a therapeutic agent derivative lacks therapeutic activity.
- therapeutic agents include any therapeutically effective agent or drug, such as anti-inflammatory compounds, anti-depressants, stimulants, analgesics, antibiotics, birth control medication, antipyretics, vasodilators, anti-angiogenics, cytovascular agents, signal transduction inhibitors, cardiovascular drugs, e.g., anti-arrhythmic agents, vasoconstrictors, hormones, and steroids.
- therapeutically effective agent or drug such as anti-inflammatory compounds, anti-depressants, stimulants, analgesics, antibiotics, birth control medication, antipyretics, vasodilators, anti-angiogenics, cytovascular agents, signal transduction inhibitors, cardiovascular drugs, e.g., anti-arrhythmic agents, vasoconstrictors, hormones, and steroids.
- the therapeutic agent is an oncology drug, which may also be referred to as an anti-tumor drug, an anti-cancer drug, a tumor drug, an antineoplastic agent, or the like.
- oncology drugs that may be used according to the invention include, but are not limited to, adriamycin, alkeran, allopurinol, altretamine, amifostine, anastrozole, araC, arsenic trioxide, azathioprine, bexarotene, biCNU, bleomycin, busulfan intravenous, busulfan oral, capecitabine (Xeloda), carboplatin, carmustine, CCNU, celecoxib, chlorambucil, cisplatin, cladribine, cyclosporin A, cytarabine, cytosine arabinoside, daunorubicin, Cytoxan, daunorubicin, dexamethasone, de
- compositions of the present invention may be prepared and formulated as emulsions.
- Emulsions are typically heterogeneous systems of one liquid dispersed in another in the form of droplets usually exceeding 0.1 ⁇ m in diameter (Idson, in Pharmaceutical Dosage Forms, Lieberman, Rieger and Banker (Eds.), 1988, Marcel Dekker, Inc., New York, RY. , volume 1, p. 199; Rosoff, in Pharmaceutical Dosage Forms, Lieberman, Rieger and Banker (Eds.), 1988, Marcel Dekker, Inc., New York, N.Y., Volume 1 , p.
- Emulsions are often biphasic systems comprising two immiscible liquid phases intimately mixed and dispersed with each other.
- emulsions may be of either the water-in-oil (w/o) or the oil-in-water (o/w) variety.
- Emulsions may contain additional components in addition to the dispersed phases, and the active drug which may be present as a solution in either the aqueous phase, oily phase or itself as a separate phase.
- compositions such as emulsifiers, stabilizers, dyes, and anti-oxidants may also be present in emulsions as needed.
- Pharmaceutical emulsions may also be multiple emulsions that are comprised of more than two phases such as, for example, in the case of oil-in-water-in-oil (o/w/o) and water-in-oil-in-water (w/o/w) emulsions.
- Such complex formulations often provide certain advantages that simple binary emulsions do not.
- Multiple emulsions in which individual oil droplets of an o/w emulsion enclose small water droplets constitute a w/o/w emulsion.
- a system of oil droplets enclosed in globules of water stabilized in an oily continuous phase provides an o/w/o emulsion.
- Emulsions are characterized by little or no thermodynamic stability. Often, the dispersed or discontinuous phase of the emulsion is well dispersed into the external or continuous phase and maintained in this form through the means of emulsifiers or the viscosity of the formulation. Either of the phases of the emulsion may be a semisolid or a solid, as is the case of emulsion- style ointment bases and creams. Other means of stabilizing emulsions entail the use of emulsifiers that may be incorporated into either phase of the emulsion. Emulsifiers may broadly be classified into four categories: synthetic surfactants, naturally occurring emulsifiers, absorption bases, and finely dispersed solids (Idson, in Pharmaceutical Dosage Forms,
- Synthetic surfactants also known as surface active agents, have found wide applicability in the formulation of emulsions and have been reviewed in the literature (Rieger, in
- Surfactants are typically amphiphilic and comprise a hydrophilic and a hydrophobic portion.
- the ratio of the hydrophilic to the hydrophobic nature of the surfactant has been termed the hydrophile/lipophile balance (HLB) and is a valuable tool in categorizing and selecting surfactants in the preparation of formulations.
- HLB hydrophile/lipophile balance
- Surfactants may be classified into different classes based on the nature of the hydrophilic group: nonionic, anionic, cationic and amphoteric (Rieger, in Pharmaceutical Dosage Forms, Lieberman, Rieger and Banker (Eds.), 1988, Marcel Dekker, Inc., New York, N.Y., volume 1 , p. 285).
- Naturally occurring emulsifiers used in emulsion formulations include lanolin, beeswax, phosphatides, lecithin and acacia.
- Absorption bases possess hydrophilic properties such that they can soak up water to form w/o emulsions yet retain their semisolid consistencies, such as anhydrous lanolin and hydrophilic petrolatum. Finely divided solids have also been used as good emulsifiers especially in combination with surfactants and in viscous preparations.
- polar inorganic solids such as heavy metal hydroxides, non-swelling clays such as bentonite, attapulgite, hectorite, kaolin, montmorillonite, colloidal aluminum silicate and colloidal magnesium aluminum silicate, pigments and nonpolar solids such as carbon or glyceryl tristearate.
- non-emulsifying materials are also included in emulsion formulations and contribute to the properties of emulsions. These include fats, oils, waxes, fatty acids, fatty alcohols, fatty esters, humectants, hydrophilic colloids, preservatives and antioxidants (Block, in Pharmaceutical Dosage Forms, Lieberman, Rieger and Banker (Eds.), 1988, Marcel Dekker, Inc., New York, N.Y., volume 1 , p. 335; Idson, in Pharmaceutical Dosage Forms, Lieberman, Rieger and Banker (Eds.), 1988, Marcel Dekker, Inc., New York, N. Y., volume 1, p. 199).
- Hydrophilic colloids or hydrocolloids include naturally occurring gums and synthetic polymers such as polysaccharides (for example, acacia, agar, alginic acid, carrageenan, guar gum, karaya gum, and tragacanth), cellulose derivatives (for example, carboxymethylcellulose and carboxypropylcellulose), and synthetic polymers (for example, carbomers, cellulose ethers, and carboxyvinyl polymers). These disperse or swell in water to form colloidal solutions that stabilize emulsions by forming strong interfacial films around the dispersed-phase droplets and by increasing the viscosity of the external phase.
- polysaccharides for example, acacia, agar, alginic acid, carrageenan, guar gum, karaya gum, and tragacanth
- cellulose derivatives for example, carboxymethylcellulose and carboxypropylcellulose
- synthetic polymers for example, carbomers, cellulose ethers, and
- emulsions often contain a number of ingredients such as carbohydrates, proteins, sterols and phosphatides that may readily support the growth of microbes, these formulations often incorporate preservatives. Commonly used preservatives included in emulsion
- formulations include methyl paraben, propyl paraben, quaternary ammonium salts,
- benzalkonium chloride esters of p-hydroxybenzoic acid, and boric acid.
- Antioxidants are also commonly added to emulsion formulations to prevent deterioration of the formulation.
- Antioxidants used may be free radical scavengers such as tocopherols, alkyl gallates, butylated hydroxyanisole, butylated hydroxytoluene, or reducing agents such as ascorbic acid and sodium metabisulfite, and antioxidant synergists such as citric acid, tartaric acid, and lecithin.
- free radical scavengers such as tocopherols, alkyl gallates, butylated hydroxyanisole, butylated hydroxytoluene, or reducing agents such as ascorbic acid and sodium metabisulfite
- antioxidant synergists such as citric acid, tartaric acid, and lecithin.
- Emulsion formulations for oral delivery have been very widely used because of ease of formulation, as well as efficacy from an absorption and bioavailability standpoint (Rosoff, in Pharmaceutical Dosage Forms, Lieberman, Rieger and Banker (Eds.), 1988, Marcel Dekker, Inc., New York, N.Y., volume 1, p.
- the compositions of dsRNAs and nucleic acids are formulated as microemulsions.
- a microemulsion may be defined as a system of water, oil and amphiphile which is a single optically isotropic and thermodynamically stable liquid solution (Rosoff, in Pharmaceutical Dosage Forms, Lieberman, Rieger and Banker (Eds.), 1988, Marcel Dekker, Inc., New York, N.Y., volume 1, p. 245).
- microemulsions are systems that are prepared by first dispersing an oil in an aqueous surfactant solution and then adding a sufficient amount of a fourth component, generally an intermediate chain-length alcohol to form a transparent system.
- microemulsions have also been described as thermodynamically stable, isotropically clear dispersions of two immiscible liquids that are stabilized by interfacial films of surface-active molecules (Leung and Shah, in: Controlled Release of Drugs: Polymers and Aggregate Systems, Rosoff, M., Ed., 1989, VCH Publishers, New York, pages 185-215).
- Microemulsions commonly are prepared via a combination of three to five components that include oil, water, surfactant, cosurfactant and electrolyte.
- microemulsion is of the water-in-oil (w/o) or an oil-in-water (o/w) type is dependent on the properties of the oil and surfactant used and on the structure and geometric packing of the polar heads and hydrocarbon tails of the surfactant molecules (Schott, in Remington's Pharmaceutical Sciences, Mack Publishing Co., Easton, Pa., 1985, p. 271 ).
- microemulsions offer the advantage of solubilizing water-insoluble drugs in a formulation of thermodynamically stable droplets that are formed spontaneously.
- Surfactants used in the preparation of microemulsions include, but are not limited to, ionic surfactants, non-ionic surfactants, Brij 96, polyoxyethylene oleyl ethers, polyglycerol fatty acid esters, tetraglycerol monolaurate (ML310), tetraglycerol monooleate (MO310), hexaglycerol monooleate (PO310), hexaglycerol pentaoleate (PO500), decaglycerol monocaprate (MCA750), decaglycerol monooleate (MO750), decaglycerol sequioleate (SO750), decaglycerol decaoleate (DAO750), alone or in combination with cosurfactants.
- ionic surfactants non-ionic surfactants
- Brij 96 polyoxyethylene oleyl ethers
- polyglycerol fatty acid esters tetraglycerol monolaurate (ML310),
- the cosurfactant usually a short-chain alcohol such as ethanol, 1-propanol, and 1-butanol, serves to increase the interfacial fluidity by penetrating into the surfactant film and consequently creating a disordered film because of the void space generated among surfactant molecules.
- Microemulsions may, however, be prepared ' without the use of cosurfactants and alcohol-free self-emulsifying microemulsion systems are known in the art.
- the aqueous phase may typically be, but is not limited to, water, an aqueous solution of the drug, glycerol, PEG300, PEG400, polyglycerols, propylene glycols, and derivatives of ethylene glycol.
- the oil phase may include, but is not limited to, materials such as Captex 300, Captex 355, Capmul MCM, fatty acid esters, medium chain (C8-C12) mono, di, and tri-glycerides, polyoxyethylated glyceryl fatty acid esters, fatty alcohols, polyglycolized glycerides, saturated polyglycolized C8-C10 glycerides, vegetable oils and silicone oil.
- materials such as Captex 300, Captex 355, Capmul MCM, fatty acid esters, medium chain (C8-C12) mono, di, and tri-glycerides, polyoxyethylated glyceryl fatty acid esters, fatty alcohols, polyglycolized glycerides, saturated polyglycolized C8-C10 glycerides, vegetable oils and silicone oil.
- Microemulsions are particularly of interest from the standpoint of drug solubilization and the enhanced absorption of drugs.
- Lipid based microemulsions both o/w and w/o have been proposed to enhance the oral bioavailability of drugs, including peptides (Constantinides et al., Pharmaceutical Research, 1994, 1 1, 1385-1390; Ritschel, Meth. Find. Exp. Clin. Pharmacol., 1993, 13, 205).
- Microemulsions afford advantages of improved drug solubilization, protection of drug from enzymatic hydrolysis, possible enhancement of drug absorption due to surfactant- induced alterations in membrane fluidity and permeability, ease of preparation, ease of oral administration over solid dosage forms, improved clinical potency, and decreased toxicity (Constantinides et al, Pharmaceutical Research, 1994, 1 1 , 1385; Ho et al, J. Pharm. Sci., 1996, 85, 138-143). Often microemulsions may form spontaneously when their components are brought together at ambient temperature. This may be particularly advantageous when formulating thermolabile drugs, peptides or dsRNAs. Microemulsions have also been effective in the transdermal delivery of active components in both cosmetic and pharmaceutical applications. It is expected that the microemulsion compositions and formulations of the present invention will facilitate the increased systemic absorption of dsRNAs and nucleic acids from the
- Microemulsions of the present invention may also contain additional components and additives such as sorbitan monostearate (Grill 3), Labrasol, and penetration enhancers to improve the properties of the formulation and to enhance the absorption of the dsRNAs and nucleic acids of the present invention.
- Penetration enhancers used in the microemulsions of the present invention may be classified as belonging to one of five broad categories— surfactants, fatty acids, bile salts, chelating agents, and non-chelating non-surfactants (Lee et al., Critical Reviews in
- the present invention employs various penetration enhancers to effect the efficient delivery of nucleic acids, particularly dsRNAs, to the skin of animals.
- nucleic acids particularly dsRNAs
- Most drugs are present in solution in both ionized and nonionized forms. However, usually only lipid soluble or lipophilic drugs readily cross cell membranes. It has been discovered that even non- lipophilic drugs may cross cell membranes if the membrane to be crossed is treated with a penetration enhancer. In addition to aiding the diffusion of non-lipophilic drugs across cell membranes, penetration enhancers also enhance the permeability of lipophilic drugs.
- Penetration enhancers may be classified as belonging to one of five broad categories, i.e., surfactants, fatty acids, bile salts, chelating agents, and non-chelating non-surfactants (Lee et al., Critical Reviews in Therapeutic Drug Carrier Systems, 1991, p.92). Each of the above mentioned classes of penetration enhancers are described below in greater detail.
- surfactants are chemical entities which, when dissolved in an aqueous solution, reduce the surface tension of the solution or the interfacial tension between the aqueous solution and another liquid, with the result that absorption of dsRNAs through the mucosa is enhanced.
- these penetration enhancers include, for example, sodium lauryl sulfate, polyoxyethylene-9-lauryl ether and polyoxyethylene-20-cetyl ether) (Lee et al., Critical Reviews in Therapeutic Drug Carrier Systems, 1991, p.92); and perfluorochemical emulsions, such as FC- 43. Takahashi et al, J. Pharm. Pharmacol., 1988, 40, 252).
- Fatty acids Various fatty acids and their derivatives which act as penetration enhancers include, for example, oleic acid, lauric acid, capric acid (n-decanoic acid), myristic acid, palmitic acid, stearic acid, linoleic acid, linolenic acid, dicaprate, tricaprate, monoolein (1 -monooleoyl- rac-glycerol), dilaurin, caprylic acid, arachidonic acid, glycerol 1 -monocaprate, 1 - dodecylazacycloheptan-2-one, acylcarnitines, acylcholines, C MO alkyl esters thereof (e.g., methyl, isopropyl and t-butyl), and mono- and di-glycerides thereof ⁇ i.e., oleate, laurate, caprate, myristate, palmitate, stearate, linoleate, etc.)
- Bile salts The physiological role of bile includes the facilitation of dispersion and absorption of lipids and fat-soluble vitamins (Brunton, Chapter 38 in: Goodman & Gilman's The Pharmacological Basis of Therapeutics, 9th Ed., Hardman et al. Eds., McGraw-Hill, New York, 1996, pp. 934-935).
- the term "bile salts" includes any of the naturally occurring components of bile as well as any of their synthetic derivatives.
- Suitable bile salts include, for example, cholic acid (or its pharmaceutically acceptable sodium salt, sodium cholate), dehydrocholic acid (sodium dehydrocholate), deoxycholic acid (sodium deoxycholate), glucholic acid (sodium glucholate), glycholic acid (sodium glycocholate), glycodeoxycholic acid (sodium glycodeoxycholate), taurocholic acid (sodium taurocholate), taurodeoxycholic acid (sodium taurodeoxycholate), chenodeoxycholic acid (sodium chenodeoxycholate), ursodeoxycholic acid (UDCA), sodium tauro-24,25-dihydro-fusidate (STDHF), sodium glycodihydrofusidate and polyoxyethylene-9- lauryl ether (POE) (Lee et al., Critical Reviews in Therapeutic Drug Carrier Systems, 1991, page 92; Swinyard, Chapter 39 In: Remington's Pharmaceutical Sciences, 18th
- Chelating agents can be defined as compounds that remove metallic ions from solution by forming complexes therewith, with the result that absorption of dsRNAs through the mucosa is enhanced.
- chelating agents have the added advantage of also serving as DNase inhibitors, as most characterized DNA nucleases require a divalent metal ion for catalysis and are thus inhibited by chelating agents (Jarrett, J. Chromatogr., 1993, 618, 315-339).
- Suitable chelating agents include but are not limited to disodium ethylenediaminetetraacetate (EDTA), citric acid, salicylates (e.g., sodium salicylate, 5- methoxysal icy late and homovanilate), N-acyl derivatives of collagen, laureth-9 and N-amino acyl derivatives of beta-diketones (enamines)(Lee et al., Critical Reviews in Therapeutic Drug Carrier Systems, 1991, page 92; Muranishi, Critical Reviews in Therapeutic Drug Carrier Systems, 1990, 7, 1-33; Bum et al., J. Control ReI., 1990, 14, 43-51).
- EDTA disodium ethylenediaminetetraacetate
- citric acid e.g., citric acid
- salicylates e.g., sodium salicylate, 5- methoxysal icy late and homovanilate
- N-acyl derivatives of collagen e.g., laureth-9 and N-amino acyl derivative
- Non-chelating non-surfactants As used herein, non-chelating non-surfactant penetration enhancing compounds can be defined as compounds that demonstrate insignificant activity as chelating agents or as surfactants but that nonetheless enhance absorption of dsRNAs through the alimentary mucosa (Muranishi, Critical Reviews in Therapeutic Drug Carrier Systems, 1990, 7, 1-33).
- This class of penetration enhancers include, for example, unsaturated cyclic ureas, 1- alkyl- and 1-alkenylazacyclo-alkanone derivatives (Lee et al., Critical Reviews in Therapeutic Drug Carrier Systems, 1991, page 92); and non-steroidal anti-inflammatory agents such as diclofenac sodium, indomethacin and phenylbutazone (Yamashita et al., J. Pharm. Pharmacol., 1987, 39, 621-626).
- Agents that enhance uptake of dsRNAs at the cellular level may also be added to the pharmaceutical and other compositions of the present invention.
- cationic lipids such as lipofectin (Junichi et al, U.S. Pat. No. 5,705,188), cationic glycerol derivatives, and polycationic molecules, such as polylysine (Lollo et al, PCT Application WO 97/30731), are also known to enhance the cellular uptake of dsRNAs.
- nucleic acids may be utilized to enhance the penetration of the administered nucleic acids, including glycols such as ethylene glycol and propylene glycol, pyrrols such as 2-pyrrol, azones, and terpenes such as limonene and menthone.
- glycols such as ethylene glycol and propylene glycol
- pyrrols such as 2-pyrrol
- azones such as 2-pyrrol
- terpenes such as limonene and menthone.
- dsRNAs of the present invention can be formulated in a pharmaceutically acceptable carrier or diluent.
- a "pharmaceutically acceptable carrier” also referred to herein as an
- excipient is a pharmaceutically acceptable solvent, suspending agent, or any other pharmacologically inert vehicle.
- Pharmaceutically acceptable carriers can be liquid or solid, and can be selected with the planned manner of administration in mind so as to provide for the desired bulk, consistency, and other pertinent transport and chemical properties.
- Typical pharmaceutically acceptable carriers include, by way of example and not limitation: water; saline solution; binding agents (e.g., polyvinylpyrrolidone or hydroxypropyl methylcellulose); fillers (e.g., lactose and other sugars, gelatin, or calcium sulfate); lubricants (e.g., starch, polyethylene glycol, or sodium acetate); disintegrates (e.g., starch or sodium starch glycolate); and wetting agents (e.g., sodium lauryl sulfate).
- binding agents e.g., polyvinylpyrrolidone or hydroxypropyl methylcellulose
- fillers e.g., lactose and other sugars, gelatin, or calcium sulfate
- lubricants e.g., starch, polyethylene glycol, or sodium acetate
- disintegrates e.g., starch or sodium starch glycolate
- wetting agents e.g., sodium lau
- compositions of the present invention also incorporate carrier compounds in the formulation.
- carrier compound or “carrier” can refer to a nucleic acid, or analog thereof, which is inert (i.e., does not possess biological activity per se) but is recognized as a nucleic acid by in vivo processes that reduce the bioavailability of a nucleic acid having biological activity by, for example, degrading the biologically active nucleic acid or promoting its removal from circulation.
- a nucleic acid and a carrier compound can result in a substantial reduction of the amount of nucleic acid recovered in the liver, kidney or other extra-circulatory reservoirs, presumably due to competition between the carrier compound and the nucleic acid for a common receptor.
- the recovery of a partially phosphorothioate dsRNA in hepatic tissue can be reduced when it is co-administered with polyinosinic acid, dextran sulfate, polycytidic acid or 4-acetamido-4'isothiocyano-stilbene-2,2'-disulfonic acid (Miyao et al., DsRNA Res. Dev., 1995, 5, 1 15-121 ; Takakura e/ ⁇ /., DsRNA & Nucl. Acid Drug Dev., 1996, 6, 177-183.
- a "pharmaceutical carrier” or “excipient” is a pharmaceutically acceptable solvent, suspending agent or any other pharmacologically inert vehicle for delivering one or more nucleic acids to an animal.
- the excipient may be liquid or solid and is selected, with the planned manner of administration in mind, so as to provide for the desired bulk, consistency, etc., when combined with a nucleic acid and the other components of a given pharmaceutical composition.
- Typical pharmaceutical carriers include, but are not limited to, binding agents (e.g., pregelatinized maize starch, polyvinylpyrrolidone or hydroxypropyl methylcellulose, etc.); fillers (e.g., lactose and other sugars, microcrystalline cellulose, pectin, gelatin, calcium sulfate, ethyl cellulose, polyacrylates or calcium hydrogen phosphate, etc.); lubricants (e.g., magnesium stearate, talc, silica, colloidal silicon dioxide, stearic acid, metallic stearates, hydrogenated vegetable oils, corn starch, polyethylene glycols, sodium benzoate, sodium acetate, etc.); disintegrants (e.g., starch, sodium starch glycolate, etc.); and wetting agents (e.g., sodium lauryl sulphate, etc).
- binding agents e.g., pregelatinized maize starch, polyvinylpyrrolidone or hydroxypropy
- compositions of the present invention can also be used to formulate the compositions of the present invention.
- suitable pharmaceutically acceptable carriers include, but are not limited to, water, salt solutions, alcohols, polyethylene glycols, gelatin, lactose, amylose, magnesium stearate, talc, silicic acid, viscous paraffin, hydroxymethylcellulose, polyvinylpyrrolidone and the like.
- Formulations for topical administration of nucleic acids may include sterile and non- sterile aqueous solutions, non-aqueous solutions in common solvents such as alcohols, or solutions of the nucleic acids in liquid or solid oil bases.
- the solutions may also contain buffers, diluents and other suitable additives.
- Pharmaceutically acceptable organic or inorganic excipients suitable for non-parenteral administration which do not deleteriously react with nucleic acids can be used.
- Suitable pharmaceutically acceptable excipients include, but are not limited to, water, salt solutions, alcohol, polyethylene glycols, gelatin, lactose, amylose, magnesium stearate, talc, silicic acid, viscous paraffin, hydroxymethylcellulose, polyvinylpyrrolidone and the like.
- compositions of the present invention may additionally contain other adjunct components conventionally found in pharmaceutical compositions, at their art-established usage levels.
- the compositions may contain additional, compatible,
- compositions of the present invention may contain additional materials useful in physically formulating various dosage forms of the compositions of the present invention, such as dyes, flavoring agents, preservatives, antioxidants, opacifiers, thickening agents and stabilizers.
- compositions of the present invention can be sterilized and, if desired, mixed with auxiliary agents, e.g., lubricants, preservatives, stabilizers, wetting agents, emulsifiers, salts for influencing osmotic pressure, buffers, colorings, flavorings and/or aromatic substances and the like which do not deleteriously interact with the nucleic acid(s) of the formulation.
- auxiliary agents e.g., lubricants, preservatives, stabilizers, wetting agents, emulsifiers, salts for influencing osmotic pressure, buffers, colorings, flavorings and/or aromatic substances and the like which do not deleteriously interact with the nucleic acid(s) of the formulation.
- Aqueous suspensions may contain substances which increase the viscosity of the suspension including, for example, sodium carboxymethylcellulose, sorbitol and/or dextran.
- the suspension may also contain stabilizers.
- a composition of the invention can be used in combination therapy.
- the term "combination therapy” includes the administration of the subject compounds in further combination with other biologically active ingredients (such as, but not limited to, a second and different antineoplastic agent) and non-drug therapies (such as, but not limited to, surgery or radiation treatment).
- the compounds of the invention can be used in combination with other pharmaceutically active compounds, preferably compounds that are able to enhance the effect of the compounds of the invention.
- the compounds of the invention can be administered simultaneously (as a single preparation or separate preparation) or sequentially to the other drug therapy.
- a combination therapy envisions administration of two or more drugs during a single cycle or course of therapy.
- the subject compounds may be administered in combination with one or more separate agents that modulate protein kinases involved in various disease states.
- kinases may include, but are not limited to: serine/threonine specific kinases, receptor tyrosine specific kinases and non-receptor tyrosine specific kinases.
- Serine/threonine kinases include mitogen activated protein kinases (MAPK), meiosis specific kinase (MEK), RAF and aurora kinase.
- receptor kinase families include epidermal growth factor receptor (EGFR) (e.g., HER2/neu, HER3, HER4, ErbB, ErbB2, ErbB3, ErbB4, Xmrk, DER, Let23); fibroblast growth factor (FGF) receptor (e.g. FGF-Rl, GFF-R2/BEK/CEK3, FGF-R3/CEK2, FGF-R4/TKF, KGF-R); hepatocyte growth/scatter factor receptor (HGFR) (e.g., MET, RON, SEA, SEX); insulin receptor (e.g. IGFI-R); Eph (e.g.
- Non-receptor tyrosine kinase families include, but are not limited to, BCR-ABL (e.g. p43 abl , ARG); BTK (e.g.
- ITK/EMT ITK/EMT, TEC
- CSK CSK
- FAK FPS
- JAK JAK
- SRC BMX
- FER FER
- CDK CDK
- SYK SYK
- the subject compounds may be administered in combination with one or more agents that modulate non-kinase biological targets or processes.
- targets include histone deacetylases (HDAC), DNA methyltransferase (DNMT), heat shock proteins (e.g., HSP90), and proteosomes.
- HDAC histone deacetylases
- DNMT DNA methyltransferase
- HSP90 heat shock proteins
- subject compounds may be combined with antineoplastic agents (e.g.
- small molecules, monoclonal antibodies, antisense RNA, and fusion proteins that inhibit one or more biological targets such as Zolinza, Tarceva, Iressa, Tykerb, Gleevec, Sutent, Sprycel, Nexavar, Sorafenib, CNF2024, RG 108, BMS387032, Affmitak, Avastin, Herceptin, Erbitux, AG24322, PD325901 , ZD6474, PD 184322, Obatodax, ABT737 and AEE788.
- biological targets such as Zolinza, Tarceva, Iressa, Tykerb, Gleevec, Sutent, Sprycel, Nexavar, Sorafenib, CNF2024, RG 108, BMS387032, Affmitak, Avastin, Herceptin, Erbitux, AG24322, PD325901 , ZD6474, PD 184322, Obatodax, A
- the compounds of the invention are administered in combination with a chemotherapeutic agent.
- chemotherapeutic agents encompass a wide range of therapeutic treatments in the field of oncology. These agents are administered at various stages of the disease for the purposes of shrinking tumors, destroying remaining cancer cells left over after surgery, inducing remission, maintaining remission and/or alleviating symptoms relating to the cancer or its treatment. Examples of such agents include, but are not limited to, alkylating agents such as mustard gas derivatives (Mechlorethamine, cylophosphamide, chlorambucil, melphalan, ifosfamide), ethylenimines (thiotepa, hexamethylmelanine),
- Alkylsulfonates (Busulfan), Hydrazines and Triazines (Altretamine, Procarbazine, dacarbazine and Temozolomide), Nitrosoureas (Carmustine, Lomustine and Streptozocin), Ifosfamide and metal salts (Carboplatin, Cisplatin, and Oxaliplatin); plant alkaloids such as Podophyllotoxins (Etoposide and Tenisopide), Taxanes (Paclitaxel and Docetaxel), Vinca alkaloids (Vincristine, Vinblastine, Vindesine and Vinorelbine), and Camptothecan analogs (Irinotecan and Topotecan); anti-tumor antibiotics such as Chromomycins (Dactinomycin and Plicamycin), Anthracyclines (Doxorubicin, Daunorubicin, Epirubicin, Mitoxantrone, Valrubicin and Idarubicin), and miscel
- topoisomerase inhibitors such as topoisomerase I inhibitors (Ironotecan, topotecan) and topoisomerase II inhibitors (Amsacrine, etoposide, etoposide phosphate, teniposide);
- the compounds of the invention are administered in combination with a chemoprotective agent.
- Chemoprotective agents act to protect the body or minimize the side effects of chemotherapy. Examples of such agents include, but are not limited to, amfostine, mesna, and dexrazoxane.
- the subject compounds are administered in combination with radiation therapy.
- Radiation is commonly delivered internally (implantation of radioactive material near cancer site) or externally from a machine that employs photon (x-ray or gamma- ray) or particle radiation.
- the combination therapy further comprises radiation treatment
- the radiation treatment may be conducted at any suitable time so long as a beneficial effect from the co-action of the combination of the therapeutic agents and radiation treatment is achieved. For example, in appropriate cases, the beneficial effect is still achieved when the radiation treatment is temporally removed from the administration of the therapeutic agents, perhaps by days or even weeks.
- compounds of the invention can be used in combination with an immunotherapeutic agent.
- immunotherapy is the generation of an active systemic tumor-specific immune response of host origin by administering a vaccine composition at a site distant from the tumor.
- Various types of vaccines have been proposed, including isolated tumor- antigen vaccines and anti-idiotype vaccines.
- Another approach is to use tumor cells from the subject to be treated, or a derivative of such cells (reviewed by Schirrmacher et al. (1995) J. Cancer Res. Clin. Oncol. 121 :487).
- Schirrmacher et al. (1995) J. Cancer Res. Clin. Oncol. 121 :487) In U.S. Pat. No. 5,484,596, Hanna Jr. et al.
- a method for treating a resectable carcinoma to prevent recurrence or metastases comprising surgically removing the tumor, dispersing the cells with collagenase, irradiating the cells, and vaccinating the patient with at least three consecutive doses of about 10 7 cells.
- the compounds of the invention may advantageously be used in conjunction with one or more adjunctive therapeutic agents.
- suitable agents for adjunctive therapy include steroids, such as corticosteroids (amcinonide, betamethasone, betamethasone dipropionate, betamethasone valerate, budesonide, clobetasol, clobetasol acetate, clobetasol butyrate, clobetasol 17-propionate, cortisone, deflazacort, desoximetasone, diflucortolone valerate, dexamethasone, dexamethasone sodium phosphate, desonide, furoate, fluocinonide, fluocinolone acetonide, halcinonide, hydrocortisone, hydrocortisone butyrate, hydrocortisone sodium succinate, hydrocortisone valerate, methyl prednisolone, mometasone, prednicarbate, predni
- steroids such
- adenosine Al agonist such as an EP ligand; an NMDA modulator, such as a glycine antagonist; a sodium channel blocker (e.g. lamotrigine); a substance P antagonist (e.g. an NKi antagonist); a cannabinoid; acetaminophen or phenacetin; a 5 -lipoxygenase inhibitor; a leukotriene receptor antagonist; a DMARD (e.g. methotrexate); gabapentin and related compounds; a tricyclic antidepressant (e.g.
- amitryptilline a neurone stabilizing antiepileptic drug
- a mono-aminergic uptake inhibitor e.g. venlafaxine
- a matrix metalloproteinase inhibitor e.g. a nitric oxide synthase (NOS) inhibitor, such as an iNOS or an nNOS inhibitor
- NOS nitric oxide synthase
- an antibody therapy such as a monoclonal antibody therapy
- an antiviral agent such as a nucleoside inhibitor (e.g. lamivudine) or an immune system modulator (e.g.
- an opioid analgesic e.g. a local anaesthetic; a stimulant, including caffeine; an H2-antagonist (e.g. ranitidine); a proton pump inhibitor (e.g. omeprazole); an antacid (e.g. aluminium or magnesium hydroxide; an antiflatulent (e.g. simethicone); a decongestant (e.g. phenylephrine,
- an opioid analgesic e.g. ranitidine
- a proton pump inhibitor e.g. omeprazole
- an antacid e.g. aluminium or magnesium hydroxide
- an antiflatulent e.g. simethicone
- a decongestant e.g. phenylephrine
- xylometazoline propylhexedrine, or levo-desoxyephedrine
- an antitussive e.g. codeine, hydrocodone, carmiphen, carbetapentane, or dextromethorphan
- a diuretic or a sedating or non- sedating antihistamine.
- the compounds of the invention can be co-administered with siRNA that target other genes.
- a compound of the invention can be co-administered with an siRNA targeted to a c-Myc gene.
- AD-121 15 can be co-administered with a c-Myc siRNA. Examples of c-Myc targeted siRNAs are disclosed in United States patent application number 12/373,039 which is herein incorporated by reference.
- the invention relates in particular to the use of a composition containing at least two dsRNAs, one targeting an Eg5 gene, and one targeting a VEGF gene, for the treatment of a cancer, such as liver cancer, e.g., for inhibiting tumor growth and tumor metastasis.
- a composition such as pharmaceutical composition, may be used for the treatment of solid tumors, like intrahepatic tumors such as may occur in cancers of the liver.
- a composition containing a dsRNA targeting Eg5 and a dsRNA targeting VEGF may also be used to treat other tumors and cancers, such as breast cancer, lung cancer, head and neck cancer, brain cancer, abdominal cancer, colon cancer, colorectal cancer, esophagus cancer, gastrointestinal cancer, glioma, tongue cancer, neuroblastoma, osteosarcoma, ovarian cancer, pancreatic cancer, prostate cancer, retinoblastoma, Wilm's tumor, multiple myeloma and for the treatment of skin cancer, like melanoma, for the treatment of lymphomas and blood cancer.
- tumors and cancers such as breast cancer, lung cancer, head and neck cancer, brain cancer, abdominal cancer, colon cancer, colorectal cancer, esophagus cancer, gastrointestinal cancer, glioma, tongue cancer, neuroblastoma, osteosarcoma, ovarian cancer, pancreatic cancer, prostate cancer, retinoblastoma, Wilm's
- the invention further relates to the use of a composition containing an Eg5 dsRNA and a VEGF dsRNA for inhibiting accumulation of ascites fluid and pleural effusion in different types of cancer, e.g., liver cancer, breast cancer, lung cancer, head cancer, neck cancer, brain cancer, abdominal cancer, colon cancer, colorectal cancer, esophagus cancer, gastrointestinal cancer, glioma, tongue cancer, neuroblastoma, osteosarcoma, ovarian cancer, pancreatic cancer, prostate cancer, retinoblastoma, Wilm's tumor, multiple myeloma, skin cancer, melanoma, lymphomas and blood cancer.
- a composition according to the invention or a pharmaceutical composition prepared therefrom can enhance the quality of life.
- a patient having a tumor associated with AFP expression, or a tumor secreting AFP e.g., a hepatoma or teratoma
- the patient has a malignant teratoma, an endodermal sinus tumor (yolk sac carcinoma), a neuroblastoma, a hepatoblastoma, a heptocellular carcinoma, testicular cancer or ovarian cancer.
- the invention furthermore relates to the use of a dsRNA or a pharmaceutical composition thereof, e.g., for treating cancer or for preventing tumor metastasis, in combination with other pharmaceuticals and/or other therapeutic methods, e.g., with known pharmaceuticals and/or known therapeutic methods, such as, for example, those which are currently employed for treating cancer and/or for preventing tumor metastasis.
- a combination with radiation therapy and chemotherapeutic agents such as cisplatin, cyclophosphamide, 5- fluorouracil, adriamycin, daunorubicin or tamoxifen.
- the invention can also be practiced by including with a specific RNAi agent, in combination with another anti-cancer chemotherapeutic agent, such as any conventional chemotherapeutic agent.
- a specific binding agent with such other agents can potentiate the chemotherapeutic protocol.
- Any chemotherapeutic agent can be used, including alkylating agents, antimetabolites, hormones and antagonists, radioisotopes, as well as natural products.
- the compound of the invention can be administered with antibiotics such as doxorubicin and other anthracycline analogs, nitrogen mustards such as cyclophosphamide, pyrimidine analogs such as 5-fluorouracil, cisplatin, hydroxyurea, taxol and its natural and synthetic derivatives, and the like.
- antibiotics such as doxorubicin and other anthracycline analogs
- nitrogen mustards such as cyclophosphamide
- pyrimidine analogs such as 5-fluorouracil, cisplatin
- hydroxyurea taxol and its natural and synthetic derivatives, and the like.
- mixed tumors such as adenocarcinoma of the breast, where the tumors include gonadotropin-dependent and
- gonadotropin-independent cells the compound can be administered in conjunction with leuprolide or goserelin (synthetic peptide analogs of LH-RH).
- Other antineoplastic protocols include the use of a tetracycline compound with another treatment modality, e.g., surgery, radiation, etc., also referred to herein as "adjunct antineoplastic modalities.”
- the method of the invention can be employed with such conventional regimens with the benefit of reducing side effects and enhancing efficacy.
- the invention provides a method for inhibiting the expression of the Eg5 gene and the VEGF gene in a mammal.
- the method includes administering a composition featured in the invention to the mammal such that expression of the target Eg5 gene and the target VEGF gene is silenced.
- a method for inhibiting Eg5 gene expression and VEGF gene expression includes administering a composition containing two different dsRNA molecules, one having a nucleotide sequence that is complementary to at least a part of an RNA transcript of the Eg5 gene and the other having a nucleotide sequence that is complementary to at least a part of an RNA transcript of the VEGF gene of the mammal to be treated.
- the composition may be administered by any means known in the art including, but not limited to oral or parenteral routes, including intravenous, intramuscular, subcutaneous, transdermal, airway (aerosol), nasal, rectal, and topical (including buccal and sublingual) administration.
- oral or parenteral routes including intravenous, intramuscular, subcutaneous, transdermal, airway (aerosol), nasal, rectal, and topical (including buccal and sublingual) administration.
- the compositions are administered by intravenous infusion or injection.
- the methods and compositions of the invention make use of certain cationic lipids, the synthesis, preparation and characterization of which is described below and in the accompanying Examples.
- the present invention provides methods of preparing lipid particles, including those associated with a therapeutic agent, e.g. , a nucleic acid.
- a mixture of lipids is combined with a buffered aqueous solution of nucleic acid to produce an intermediate mixture containing nucleic acid encapsulated in lipid particles wherein the encapsulated nucleic acids are present in a nucleic acid/lipid ratio of about 3 wt% to about 25 wt%, preferably 5 to 15 wt%.
- the intermediate mixture may optionally be sized to obtain lipid-encapsulated nucleic acid particles wherein the lipid portions are unilamellar vesicles, preferably having a diameter of 30 to 150 nm, more preferably about 40 to 90 nm.
- the pH is then raised to neutralize at least a portion of the surface charges on the lipid-nucleic acid particles, thus providing an at least partially surface-neutralized lipid-encapsulated nucleic acid composition.
- lipid vesicles can be formed at the lower pH with titratable cationic lipids and other vesicle components in the presence of nucleic acids. In this manner, the vesicles will encapsulate and entrap the nucleic acids.
- the surface charge of the newly formed vesicles can be neutralized by increasing the pH of the medium to a level above the pKa of the titratable cationic lipids present, i.e., to physiological pH or higher.
- Particularly advantageous aspects of this process include both the facile removal of any surface adsorbed nucleic acid and a resultant nucleic acid delivery vehicle which has a neutral surface.
- Liposomes or lipid particles having a neutral surface are expected to avoid rapid clearance from circulation and to avoid certain toxicities which are associated with cationic liposome preparations. Additional details concerning these uses of such titratable cationic lipids in the formulation of nucleic acid-lipid particles are provided in US Patent 6,287,591 and US Patent 6,858,225, incorporated herein by reference.
- the vesicles formed in this manner provide formulations of uniform vesicle size with high content of nucleic acids. Additionally, the vesicles have a size range of from about 30 to about 150 nm, more preferably about 30 to about 90 nm.
- nucleic acid encapsulation is a result of electrostatic interaction at low pH.
- acidic pH e.g. pH 4.0
- the vesicle surface is charged and binds a portion of the nucleic acids through electrostatic interactions.
- a more neutral buffer e.g. pH 7.5
- the surface of the lipid particle or liposome is neutralized, allowing any external nucleic acid to be removed.
- the present invention provides methods of preparing lipid/nucleic acid formulations.
- a mixture of lipids is combined with a buffered aqueous solution of nucleic acid to produce an intermediate mixture containing nucleic acid encapsulated in lipid particles, e.g., wherein the encapsulated nucleic acids are present in a nucleic acid/lipid ratio of about 10 wt% to about 20 wt%.
- the intermediate mixture may optionally be sized to obtain lipid-encapsulated nucleic acid particles wherein the lipid portions are unilamellar vesicles, preferably having a diameter of 30 to 150 nm, more preferably about 40 to 90 nm.
- the pH is then raised to neutralize at least a portion of the surface charges on the lipid-nucleic acid particles, thus providing an at least partially surface-neutralized lipid- encapsulated nucleic acid composition.
- the mixture of lipids includes at least two lipid components: a first amino lipid component of the present invention that is selected from among lipids which have a pKa such that the lipid is cationic at pH below the pKa and neutral at pH above the pKa, and a second lipid component that is selected from among lipids that prevent particle aggregation during lipid-nucleic acid particle formation.
- the amino lipid is a novel cationic lipid of the present invention.
- the mixture of lipids is typically a solution of lipids in an organic solvent.
- This mixture of lipids can then be dried to form a thin film or lyophilized to form a powder before being hydrated with an aqueous buffer to form liposomes.
- the lipid mixture can be solubilized in a water miscible alcohol, such as ethanol, and this ethanolic solution added to an aqueous buffer resulting in spontaneous liposome formation.
- the alcohol is used in the form in which it is commercially available.
- ethanol can be used as absolute ethanol (100%), or as 95% ethanol, the remainder being water. This method is described in more detail in US Patent 5,976,567).
- the lipid mixture is combined with a buffered aqueous solution that may contain the nucleic acids.
- the buffered aqueous solution of is typically a solution in which the buffer has a pH of less than the pKa of the protonatable lipid in the lipid mixture.
- suitable buffers include citrate, phosphate, acetate, and MES.
- a particularly preferred buffer is citrate buffer.
- Preferred buffers will be in the range of 1-1000 mM of the anion, depending on the chemistry of the nucleic acid being encapsulated, and optimization of buffer concentration may be significant to achieving high loading levels (see, e.g., US Patent 6,287,591 and US Patent 6,858,225).
- pure water acidified to pH 5-6 with chloride, sulfate or the like may be useful.
- it may be suitable to add 5% glucose, or another non-ionic solute which will balance the osmotic potential across the particle membrane when the particles are dialyzed to remove ethanol, increase the pH, or mixed with a pharmaceutically acceptable carrier such as normal saline.
- the amount of nucleic acid in buffer can vary, but will typically be from about 0.01 mg/mL to about 200 mg/mL, more preferably from about 0.5 mg/mL to about 50 mg/mL.
- the mixture of lipids and the buffered aqueous solution of therapeutic nucleic acids is combined to provide an intermediate mixture.
- the intermediate mixture is typically a mixture of lipid particles having encapsulated nucleic acids. Additionally, the intermediate mixture may also contain some portion of nucleic acids which are attached to the surface of the lipid particles (liposomes or lipid vesicles) due to the ionic attraction of the negatively-charged nucleic acids and positively-charged lipids on the lipid particle surface (the amino lipids or other lipid making up the protonatable first lipid component are positively charged in a buffer having a pH of less than the pK a of the protonatable group on the lipid).
- the mixture of lipids is an alcohol solution of lipids and the volumes of each of the solutions is adjusted so that upon combination, the resulting alcohol content is from about 20% by volume to about 45% by volume.
- the method of combining the mixtures can include any of a variety of processes, often depending upon the scale of formulation produced. For example, when the total volume is about 10-20 mL or less, the solutions can be combined in a test tube and stirred together using a vortex mixer. Large-scale processes can be carried out in suitable production scale glassware.
- the lipid-encapsulated therapeutic agent e.g., nucleic acid
- the compositions provided herein will be sized to a mean diameter of from about 70 to about 200 nm, more preferably about 90 to about 130 nm.
- Several techniques are available for sizing liposomes to a desired size. One sizing method is described in U.S. Pat. No. 4,737,323, incorporated herein by reference.
- Sonicating a liposome suspension either by bath or probe sonication produces a progressive size reduction down to small unilamellar vesicles (SUVs) less than about 0.05 microns in size.
- Homogenization is another method which relies on shearing energy to fragment large liposomes into smaller ones.
- multilamellar vesicles are recirculated through a standard emulsion homogenizer until selected liposome sizes, typically between about 0.1 and 0.5 microns, are observed.
- the particle size distribution can be monitored by conventional laser-beam particle size determination.
- extrusion is used to obtain a uniform vesicle size.
- Extrusion of liposome compositions through a small-pore polycarbonate membrane or an asymmetric ceramic membrane results in a relatively well-defined size distribution.
- the suspension is cycled through the membrane one or more times until the desired liposome complex size distribution is achieved.
- the liposomes may be extruded through successively smaller-pore membranes, to achieve a gradual reduction in liposome size.
- the lipid-nucleic acid compositions which are formed can be used without any sizing.
- methods of the present invention further comprise a step of neutralizing at least some of the surface charges on the lipid portions of the lipid-nucleic acid compositions.
- unencapsulated nucleic acid is freed from the lipid particle surface and can be removed from the composition using conventional techniques.
- unencapsulated and surface adsorbed nucleic acids are removed from the resulting compositions through exchange of buffer solutions.
- buffer solutions For example, replacement of a citrate buffer (pH about 4.0, used for forming the compositions) with a HEPES- buffered saline (HBS pH about 7.5) solution, results in the neutralization of liposome surface and nucleic acid release from the surface.
- the released nucleic acid can then be removed via chromatography using standard methods, and then switched into a buffer with a pH above the pKa of the lipid used.
- the lipid vesicles can be formed by hydration in an aqueous buffer and sized using any of the methods described above prior to addition of the nucleic acid.
- the aqueous buffer should be of a pH below the pKa of the amino lipid.
- a solution of the nucleic acids can then be added to these sized, preformed vesicles.
- the mixture should contain an alcohol, such as ethanol. In the case of ethanol, it should be present at a concentration of about 20% (w/w) to about 45% (w/w).
- nucleic acid encapsulation process it may be necessary to warm the mixture of pre-formed vesicles and nucleic acid in the aqueous buffer-ethanol mixture to a temperature of about 25° C to about 50° C depending on the composition of the lipid vesicles and the nature of the nucleic acid. It will be apparent to one of ordinary skill in the art that optimization of the encapsulation process to achieve a desired level of nucleic acid in the lipid vesicles will require manipulation of variable such as ethanol concentration and temperature. Examples of suitable conditions for nucleic acid encapsulation are provided in the Examples.
- the lipid particles of the invention may be used to deliver a therapeutic agent to a cell, in vitro or in vivo.
- the therapeutic agent is a nucleic acid, which is delivered to a cell using a nucleic acid-lipid particle of the invention. While the following description of various methods of using the lipid particles and related pharmaceutical compositions of the invention are exemplified by description related to nucleic acid-lipid particles, it is understood that these methods and compositions may be readily adapted for the delivery of any therapeutic agent for the treatment of any disease or disorder that would benefit from such treatment.
- the invention provides methods for introducing a nucleic acid into a cell.
- Preferred nucleic acids for introduction into cells are siRNA, immune-stimulating oligonucleotides, plasmids, antisense and ribozymes. These methods may be carried out by contacting the particles or compositions of the invention with the cells for a period of time sufficient for intracellular delivery to occur.
- compositions of the invention can be adsorbed to almost any cell type.
- the nucleic acid-lipid particles can either be endocytosed by a portion of the cells, exchange lipids with cell membranes, or fuse with the cells. Transfer or incorporation of the nucleic acid portion of the complex can take place via any one of these pathways. Without intending to be limited with respect to the scope of the invention, it is believed that in the case of particles taken up into the cell by endocytosis the particles then interact with the endosomal membrane, resulting in destabilization of the endosomal membrane, possibly by the formation of non-bilayer phases, resulting in introduction of the encapsulated nucleic acid into the cell cytoplasm.
- the liposome membrane is integrated into the cell membrane and the contents of the liposome combine with the intracellular fluid.
- Contact between the cells and the lipid-nucleic acid compositions when carried out in vitro, will take place in a biologically compatible medium.
- concentration of compositions can vary widely depending on the particular application, but is generally between about 1 ⁇ mol and about 10 mmol.
- treatment of the cells with the lipid-nucleic acid compositions will generally be carried out at physiological temperatures (about 37°C) for periods of time from about 1 to 24 hours, preferably from about 2 to 8 hours.
- the delivery of nucleic acids can be to any cell grown in culture, whether of plant or animal origin, vertebrate or invertebrate, and of any tissue or type.
- the cells will be animal cells, more preferably mammalian cells, and most preferably human cells.
- a lipid-nucleic acid particle suspension is added to 60-80% confluent plated cells having a cell density of from about 10 3 to about 10 5 cells/mL, more preferably about 2 x 10 4 cells/mL.
- the concentration of the suspension added to the cells is preferably of from about 0.01 to 20 ⁇ g/mL, more preferably about 1 ⁇ g/mL.
- Typical applications include using well known procedures to provide intracellular delivery of siRNA to knock down or silence specific cellular targets.
- Alternatively applications include delivery of DNA or mRNA sequences that code for therapeutically useful polypeptides.
- therapy is provided for genetic diseases by supplying deficient or absent gene products (i.e., for Duchenne's dystrophy, see Kunkel, et ai, Brit. Med. Bull. 45(3):630-643 (1989), and for cystic fibrosis, see Goodfellow, Nature 341 : 102-103 (1989)).
- Other uses for the compositions of the invention include introduction of antisense oligonucleotides in cells (see, Bennett, et ai, MoI. Pharm. 41 : 1023-1033 (1992)).
- compositions of the invention can also be used for deliver of nucleic acids to cells in vivo, using methods which are known to those of skill in the art.
- CMV cytomegalovirus
- CAT chloramphenicol acetyltransferase
- Hyde et al, Nature 362:250-256 (1993), incorporated herein by reference, describes the delivery of the cystic fibrosis transmembrane conductance regulator (CFTR) gene to epithelia of the airway and to alveoli in the lung of mice, using liposomes.
- CFTR cystic fibrosis transmembrane conductance regulator
- compositions of the invention can be used in the treatment of infectious diseases.
- the pharmaceutical compositions are preferably administered parenterally, i.e., intraarticular ⁇ , intravenously, intraperitoneally, subcutaneously, or intramuscularly.
- the pharmaceutical compositions are administered intravenously or intraperitoneally by a bolus injection.
- a bolus injection see Stadler, et al, U.S. Patent No. 5,286,634, which is incorporated herein by reference.
- Intracellular nucleic acid delivery has also been discussed in Straubringer, et al, METHODS IN ENZYMOLOGY, Academic Press, New York. 101 :512-527 (1983); Mannino, et al, Biotechniques 6:682-690 (1988);
- the pharmaceutical preparations may be contacted with the target tissue by direct application of the preparation to the tissue.
- the application may be made by topical, "open” or “closed” procedures.
- topical it is meant the direct application of the
- Open procedures are those procedures which include incising the skin of a patient and directly visualizing the underlying tissue to which the pharmaceutical preparations are applied. This is generally accomplished by a surgical procedure, such as a thoracotomy to access the lungs, abdominal laparotomy to access abdominal viscera, or other direct surgical approach to the target tissue.
- Closed procedures are invasive procedures in which the internal target tissues are not directly visualized, but accessed via inserting instruments through small wounds in the skin. For example, the preparations may be administered to the peritoneum by needle lavage.
- the pharmaceutical preparations may be administered to the meninges or spinal cord by infusion during a lumbar puncture followed by appropriate positioning of the patient as commonly practiced for spinal anesthesia or metrazamide imaging of the spinal cord.
- the preparations may be administered through endoscopic devices.
- lipid-nucleic acid compositions can also be administered in an aerosol inhaled into the lungs (see, Brigham, et ai, Am. J. ScL 298(4):278-281 ( 1989)) or by direct injection at the site of disease (Culver, Human Gene Therapy, Mary Ann Liebert, Inc., Publishers, New York. pp.70-71 (1994)).
- the methods of the invention may be practiced in a variety of hosts.
- Preferred hosts include mammalian species, such as humans, non-human primates, dogs, cats, cattle, horses, sheep, and the like.
- Dosages for the lipid-therapeutic agent particles of the invention will depend on the ratio of therapeutic agent to lipid and the administrating physician's opinion based on age, weight, and condition of the patient.
- the invention provides a method of modulating the expression of a target polynucleotide or polypeptide. These methods generally comprise contacting a cell with a lipid particle of the invention that is associated with a nucleic acid capable of modulating the expression of a target polynucleotide or polypeptide.
- modulating refers to altering the expression of a target polynucleotide or polypeptide. In different embodiments, modulating can mean increasing or enhancing, or it can mean decreasing or reducing.
- the level of expression of a target polynucleotide or polypeptide is increased or reduced by at least 10%, 20%, 30%, 40%, 50%, or greater than 50% as compared to an appropriate control value.
- the nucleic acid may be an expression vector that includes a polynucleotide that encodes the desired polypeptide.
- the nucleic acid may be, e.g., an antisense oligonucleotide, siRNA, or microRNA that comprises a polynucleotide sequence that specifically hybridizes to a polynucleotide that encodes the target polypeptide, thereby disrupting expression of the target polynucleotide or polypeptide.
- the nucleic acid may be a plasmid that expresses such an antisense oligonucleotide, siRNA, or microRNA.
- the invention provides a method of modulating the expression of a polypeptide by a cell, comprising providing to a cell a lipid particle that consists of or consists essentially of a cationic lipid of formula A, a neutral lipid, a sterol, a PEG of PEG- modified lipid, e.g., in a molar ratio of about 35-65% of cationic lipid of formula A, 3-12% of the neutral lipid, 15-45% of the sterol, and 0.5-10% of the PEG or PEG-modified lipid, wherein the lipid particle is associated with a nucleic acid capable of modulating the expression of the polypeptide.
- the molar lipid ratio is approximately 60/7.5/31/1.5 or 57.5/7.5/31.5/3.5 CmOPZO LIPID AZDSPaChOlZPEG-DMG).
- the neutral lipid in these compositions is replaced with DPPC (dipalmitoylphosphatidylcholine), POPC, DOPE or SM.
- the therapeutic agent is selected from an siRNA, a microRNA, an antisense oligonucleotide, and a plasmid capable of expressing an siRNA, a microRNA, or an antisense oligonucleotide, and wherein the siRNA, microRNA, or antisense RNA comprises a polynucleotide that specifically binds to a polynucleotide that encodes the polypeptide, or a complement thereof, such that the expression of the polypeptide is reduced.
- the nucleic acid is a plasmid that encodes the polypeptide or a functional variant or fragment thereof, such that expression of the polypeptide or the functional variant or fragment thereof is increased.
- the invention provides a method of treating a disease or disorder characterized by overexpression of a polypeptide in a subject, comprising providing to the subject a pharmaceutical composition of the invention, wherein the therapeutic agent is selected from an siRNA, a microRNA, an antisense oligonucleotide, and a plasmid capable of expressing an siRNA, a microRNA, or an antisense oligonucleotide, and wherein the siRNA, microRNA, or antisense RNA comprises a polynucleotide that specifically binds to a polynucleotide that encodes the polypeptide, or a complement thereof.
- the therapeutic agent is selected from an siRNA, a microRNA, an antisense oligonucleotide, and a plasmid capable of expressing an siRNA, a microRNA, or an antisense oligonucleotide
- the siRNA, microRNA, or antisense RNA comprises a polynucleotide that specifically bind
- the pharmaceutical composition comprises a lipid particle that consists of or consists essentially of Lipid A, DSPC, Choi and PEG-DMG, PEG-C-DOMG or PEG-DMA, e.g., in a molar ratio of about 35-65% of cationic lipid of formula A, 3-12% of the neutral lipid, 15-45% of the sterol, and 0.5-10% of the PEG or PEG-modified lipid PEG-DMG, PEG-C-DOMG or PEG-DMA, wherein the lipid particle is associated with the therapeutic nucleic acid.
- the molar lipid ratio is approximately 60Z7.5Z31Z1.5 or 57.5/7.5/31.5/3.5 (mol% LIPID A/DSPC/Chol/PEG-DMG).
- the neutral lipid in these compositions is replaced with DPPC, POPC, DOPE or SM.
- the invention includes a method of treating a disease or disorder characterized by underexpression of a polypeptide in a subject, comprising providing to the subject a pharmaceutical composition of the invention, wherein the therapeutic agent is a plasmid that encodes the polypeptide or a functional variant or fragment thereof.
- such reagent may be obtained from any supplier of reagents for molecular biology at a quality/purity standard for application in molecular biology.
- RNA and RNA containing 2'-O- methyl nucleotides were generated by solid phase synthesis employing the corresponding phosphoramidites and 2'-O-methyl phosphoramidites, respectively (Proligo Biochemie GmbH, Hamburg, Germany).
- siRNA design was carried out to identify siRNAs targeting Eg5 (also known as KIFl 1, HSKP, KNSLl and TRIP5). Human mRNA sequences to Eg5, RefSeq ID number:NM_004523, was used.
- siRNA duplexes cross-reactive to human and mouse Eg5 were designed. Twenty-four duplexes were synthesized for screening. (Table 1 a). A second screening set was defined with 266 siRNAs targeting human Eg5, as well as its rhesus monkey ortholog (Table 2a). An expanded screening set was selected with 328 siRNA targeting human Eg5, with no necessity to hit any Eg5 mRNA of other species (Table 3a).
Landscapes
- Health & Medical Sciences (AREA)
- Chemical & Material Sciences (AREA)
- Life Sciences & Earth Sciences (AREA)
- Medicinal Chemistry (AREA)
- Pharmacology & Pharmacy (AREA)
- Epidemiology (AREA)
- Dispersion Chemistry (AREA)
- Animal Behavior & Ethology (AREA)
- General Health & Medical Sciences (AREA)
- Public Health (AREA)
- Veterinary Medicine (AREA)
- Biophysics (AREA)
- Molecular Biology (AREA)
- Pharmaceuticals Containing Other Organic And Inorganic Compounds (AREA)
Abstract
This invention relates to compositions containing double-stranded ribonucleic acid (dsRNA) in a lipid formulation, and methods of using the compositions to inhibit the expression of the Human kinesin family member 1 1 (Eg5) and Vascular Endothelial Growth Factor (VEGF), and methods of using the compositions to treat pathological processes mediated by Eg5 and VEGF expression, such as cancer.
Description
LIPID FORMULATED COMPOSITIONS AND METHODS FOR INHIBITING EXPRESSION OF Eg5 AND VEGF GENES
Field of the Invention
This invention relates to lipid formulated compositions containing double-stranded ribonucleic acid (dsRNA), and their use in mediating RNA interference to inhibit the expression of a combination of genes, e.g., the Eg5 and Vascular Endothelial Growth Factor (VEGF) genes. The dsRNA are formulated in a lipid formulation and can include a lipoprotein, e.g.,
apolipoprotein E. Also included in the invention is the use of the compositions to treat pathological processes mediated by Eg5 and VEGF expression, such as cancer.
Cross Reference to Related Applications
This application claims the benefit of U.S. Provisional Application Serial No. 61/231 ,579, filed August 5, 2009 which isincorporated herein by reference, in itsentirety, for all purposes.
Reference to a Sequence Listing
This application includes a Sequence Listing submitted electronically via USPTO EFS as a text file named 17192PCT_sequencelisting.txt, created on August 5, 2010, with a size of 715,044 bytes. The sequence listing is incorporated by reference.
Background of the Invention
The maintenance of cell populations within an organism is governed by the cellular processes of cell division and programmed cell death. Within normal cells, the cellular events associated with the initiation and completion of each process is highly regulated. In proliferative disease such as cancer, one or both of these processes may be perturbed. For example, a cancer cell may have lost its regulation (checkpoint control) of the cell division cycle through either the overexpression of a positive regulator or the loss of a negative regulator, perhaps by mutation.
Alternatively, a cancer cell may have lost the ability to undergo programmed cell death through the overexpression of a negative regulator. Hence, there is a need to develop new chemotherapeutic drugs that will restore the processes of checkpoint control and programmed cell death to cancerous cells.
One approach to the treatment of human cancers is to target a protein that is essential for cell cycle progression. In order for the cell cycle to proceed from one phase to the next, certain prerequisite events must be completed. There are checkpoints within the cell cycle that enforce the proper order of events and phases. One such checkpoint is the spindle checkpoint that occurs during the metaphase stage of mitosis. Small molecules that target proteins with essential functions in mitosis may initiate the spindle checkpoint to arrest cells in mitosis. Of the small molecules that arrest cells in mitosis, those which display anti-tumor activity in the clinic also
induce apoptosis, the morphological changes associated with programmed cell death. An effective chemotherapeutic for the treatment of cancer may thus be one which induces checkpoint control and programmed cell death. Unfortunately, there are few compounds available for controlling these processes within the cell. Most compounds known to cause mitotic arrest and apoptosis act as tubulin binding agents. These compounds alter the dynamic instability of microtubules and indirectly alter the function/structure of the mitotic spindle thereby causing mitotic arrest. Because most of these compounds specifically target the tubulin protein which is a component of all microtubules, they may also affect one or more of the numerous normal cellular processes in which microtubules have a role. Hence, there is also a need for agents that more specifically target proteins associated with proliferating cells.
Eg5 is one of several kinesin-like motor proteins that are localized to the mitotic spindle and known to be required for formation and/or function of the bipolar mitotic spindle. Recently, there was a report of a small molecule that disturbs bipolarity of the mitotic spindle (Mayer, T. U. et al. 1999. Science 286(5441) 971-4, herein incorporated by reference). More specifically, the small molecule induced the formation of an aberrant mitotic spindle wherein a monoastral array of microtubules emanated from a central pair of centrosomes, with chromosomes attached to the distal ends of the microtubules. The small molecule was dubbed "monastrol" after the monoastral array. This monoastral array phenotype had been previously observed in mitotic cells that were immunodepleted of the Eg5 motor protein. This distinctive monoastral array phenotype facilitated identification of monastrol as a potential inhibitor of EgS. Indeed, monastrol was further shown to inhibit the EgS motor-driven motility of microtubules in an in vitro assay. The Eg5 inhibitor monastrol had no apparent effect upon the related kinesin motor or upon the motor(s) responsible for golgi apparatus movement within the cell. Cells that display the monoastral array phenotype either through immunodepletion of Eg5 or monastrol inhibition of Eg5 arrest in M-phase of the cell cycle. However, the mitotic arrest induced by either immunodepletion or inhibition of Eg5 is transient (Kapoor, T. M., 2000. J Cell Biol 150(5) 975- 80). Both the monoastral array phenotype and the cell cycle arrest in mitosis induced by monastrol are reversible. Cells recover to form a normal bipolar mitotic spindle, to complete mitosis and to proceed through the cell cycle and normal cell proliferation. These data suggest that an inhibitor of EgS which induced a transient mitotic arrest may not be effective for the treatment of cancer cell proliferation. Nonetheless, the discovery that monastrol causes mitotic arrest is intriguing and hence there is a need to further study and identify compounds which can be used to modulate the Eg5 motor protein in a manner that would be effective in the treatment
of human cancers. There is also a need to explore the use of these compounds in combination with other antineoplastic agents.
VEGF (vascular endothelial growth factor, also known as vascular permeability factor, VPF) is a multifunctional cytokine that stimulates angiogenesis, epithelial cell proliferation, and endothelial cell survival. VEGF can be produced by a wide variety of tissues, and its overexpression or aberrant expression can result in a variety disorders, including cancers and retinal disorders, such as age-related macular degeneration and other angiogenic disorders.
Recently, double-stranded RNA molecules (dsRNA) have been shown to block gene expression in a highly conserved regulatory mechanism known as RNA interference (RNAi). WO 99/32619 (Fire et al.) discloses the use of a dsRNA of at least 25 nucleotides in length to inhibit the expression of genes in C. elegans. dsRNA has also been shown to degrade target RNA in other organisms, including plants (see, e.g., WO 99/53050, Waterhouse et al.; and WO 99/6163 l , Heifetz ef α/.), Drosophila (see, e.g., Yang, D., et al., Curr. Biol. (2000) 10: 1 191- 1200), and mammals (see WO 00/44895, Limmer; and DE 101 00 586.5, Kreutzer et al.). This natural mechanism has now become the focus for the development of a new class of pharmaceutical agents for treating disorders that are caused by the aberrant or unwanted regulation of a gene.
Summary of the Invention
The invention provides compositions and methods for inhibiting the expression of human Eg5/KSP and VEGF genes in a cell using lipid formulated compositions containing dsRNA.
Compositions of the invention include a nucleic acid lipid particle having a first double- stranded ribonucleic acid (dsRNA) for inhibiting the expression of a human kinesin family member 1 1 (Eg5/KSP) gene in a cell and a second dsRNA for inhibiting expression of a human VEGF in a cell. The nucleic acid lipid particle has a lipid formulation having about 25.0-75.0 mol % of a cationic lipid, about 0.1-15.0 mol % of a non-cationic lipid, about 5.0-50.0 mol % of a sterol, and about 0.5-20.0 mol % of a PEG or PEG-modified lipid.
formula (III) formula (IV),
^R pi1
,R1
~Y
wherein each R is independently H, alkyl, < R , or R2 ; provided that at
.R1
Y ^i .-R1
least one R is « R , or R2
wherein R3 is optionally substituted with one or more substituent;
R2, for each occurrence, is independently, alkyl, alkenyl, alkynyl, heteroalkyl, heteroalkenyl, or heteroalkynyl; each of which is optionally substituted with one or more substituent;
R3, for each occurrence, is independently, alkyl, alkenyl, alkynyl, heteroalkyl, heteroalkenyl, or heteroalkynyl; each of which is optionally substituted with one or more substituent;
Y, for each occurrence, is independently O, NR4, or S;
R4, for each occurrence is independently H alkyl, alkenyl, alkynyl, heteroalkyl, heteroalkenyl, or heteroalkynyl; each of which is optionally substituted with one or more substituent.
The first dsRN A targeting Eg5/KSP includes a a first sense strand and a first antisense strand, wherein the first antisense strand is complementary to at least 15 contiguous nucleotides of SEQ ID NO: 131 1 (5 '-UCGAGAAUCUAAACUAACU-S '), and the first sense strand is complementary to the first antisense strand and wherein the first dsRNA is between 15 and 30 base pairs in length; and the second dsRNA consists of a second sense strand and a second antisense strand, wherein the second antisense strand is complementary to at least 15 contiguous nucleotides of SEQ ID NO: 1538 (5 '-GCACAUAGGAGAGAUGAGCUU-S '), wherein the second sense strand is complementary to the second antisense strand and wherein the second dsRNA is between 15 and 30 base pairs in length.
In one embodiment, the lipid formulation is about 45.0-6.05 mol % of a cationic lipid, about 5.0-10.0 mol % of a non-cationic lipid, about 25.0-40.0 mol % of a sterol, and about 0.5- 5.0 mol % of a PEG or PEG-modified lipid.
In some embodiments, the cationic lipid comprises a compound of formula (V) or formula (VI):
formula (V)
formula (Vl).
In some embodiments, the composition includes the cationic lipid C 12-200 (Formula V) (1,1 '-(2-(4-(2-((2-(bis(2-hydroxydodecyl)amino)ethyl)(2-hydroxydodecyl)amino)ethyl)piperazin- l-yl)ethylazanediyl)didodecan-2-o! ). In other embodiments the cationic lipid is C 12-200, the non-cationic lipid is DSPC, the sterol is cholesterol and the PEG lipid is PEG-DMG or PEG- DSG. Examples of formulations include the following:
C 12-200/DSPC/Cholesterol/PEG-DMG
50/10/38.5/1.5 (mol %)
C 12-200/DSPC/Cholesterol/PEG-DSG
50/10/38.5/1.5 (mol %)
In some embodiments, any composition of the invention can include a first dsRNA having a sense strand consisting of SEQ ID NO: 1534 (5 '-UCGAGAAUCUAAACUAACUTT-
3') and an antisense strand consisting of SEQ ID NO: 1535 (5'-
AGUU AGUUU AGAUUCCUGATTO') and a second dsRNA having a sense strand consisting of SEQ ID NO: 1536 (5 '-GCACAUAGGAGAGAUGAGCUU-S '), and an antisense strand consisting of SEQ ID NO: 1537 (5 '-AAGCUCAUCUCUCCUAUGUGCUG-S '). In yet another embodiment, each strand is modified as follows to include a 2'-O-methyl ribonucleotide as indicated by a lower case letter "c" or "u" and a phosphorothioate as indicated by a lower case letter "s": the first dsRNA includes a sense strand consisting of SEQ ID NO: 1240 (5'- ucGAGAAucuAAAcuAAcuTsT-3') and an antisense strand consisting of SEQ ID NO:1241 (5'- AGUuAGUUuAGAUUCUCGATsT); the second dsRNA includes a sense. strand consisting of SEQ ID NO: 1242 (S'-GcAcAuAGGAGAGAuGAGCUsUO') and an antisense strand consisting of SEQ ID NO: 1243 (S'-AAGCUcAUCUCUCCuAuGuGCusGO1).
In other embodiments, the first and second dsRNA includes at least one modified nucleotide. In some embodiments, the modified nucleotide is chosen from the group of: a 2'-O- methyl modified nucleotide, a nucleotide having a 5'-phosphorothioate group, and a terminal nucleotide linked to a cholesteryl derivative or dodecanoic acid bisdecylamide group. In another embodiment, the modified nucleotide is chosen from the group of: a 2'-deoxy-2'-fluoro modified nucleotide, a 2'-deoxy-modified nucleotide, a locked nucleotide, an abasic nucleotide, 2'-amino- modified nucleotide, 2'-alkyl-modified nucleotide, morpholino nucleotide, a phosphoramidate, and a non-natural base having nucleotide. In yet another embodiment, the first and second dsRNA each comprise at least one 2'-O-methyl modified ribonucleotide and at least one nucleotide having a 5'-phosphorothioate group.
In some embodiments, each dsRNA is 19-23 bases in length. In another embodiment, each strand of each dsRNA is 21 -23 bases in length. In yet another embodiment, each strand of the first dsRNA is 21 bases in length, the sense strand of the second dsRNA is 21 bases in length and the antisense strand of the second dsRNA is 23 bases in length. In other embodiments, the first and second dsRNA are present in an equimolar ratio. In one embodiment, the composition further has Sorafenib. In another embodiment, the composition further has a lipoprotein. In another embodiment, the composition further has apolipoprotein E (ApoE).
In another embodiment, the composition, upon contact with a cell expressing Eg5, inhibits expression of Eg5 by at least 40%. In yet another embodiment, the composition, upon contact with a cell expressing VEGF, inhibits expression of VEGF by at least 40%. In other embodiments, the administration of the composition to a cell decreases expression of Eg5 and VEGF in the cell. In a related embodiment, the composition is administered in a nM
concentration. In a yet related embodiment, the administration of the composition to a cell increases monoaster formation in the cell.
In other embodiments, the administration of the composition to a mammal results in at least one effect selected from the group consisting of prevention of tumor growth, reduction in tumor growth, or prolonged survival in the mammal. In some embodiments, the effect is measured using at least one assay selected from the group consisting of determination of body weight, determination of organ weight, visual inspection, mRNA analysis, serum AFP analysis and survival monitoring.
The invention also provides methods for inhibiting the expression of Eg5/KSP and VEGF in a cell. The methods include the steps ofadministering the composition of the invention to a cell. The invention also provides methods for preventing tumor growth, reducing tumor growth, or prolonging survival in a mammal in need of treatment for cancer. The methods include the step of administering the composition of the inventionto the mammal. In one embodiment, the mammal has liver cancer. In another embodiment, the mammal is a human with liver cancer. In some embodiments, a dose containing between 0.25 mg/kg and 4 mg/kg dsRNA is administered to the mammal. In other embodiments, the dsRN A is administered to a human at about 0.01 , 0.1 ,
0.5, 1.0, 2.5, or 5.0 mg/kg.
In yet another embodiment, the invention provides methods for reducing tumor growth in a mammal in need of treatment for cancer. The methods include administering the composition of the invention to the mammal, the method reducing tumor growth by at least 20%. In another embodiment, the method reduces KSP expression by at least 60%.
Brief Description of the Figures
FIG. 1 is a graph showing liver weights as a percentage of body weight following administration of SNALP-siRNAs in a Hep3B mouse model.
FIG. 2A is a graph showing the effect of PBS on body weight in a Hep3B mouse model.
FIG. 2B is a graph showing the effect of a SNALP-siRNA (VEGF/KSP) on body weight in a Hep3B mouse model.
FIG. 2C is a graph showing the effect of a SNALP-siRNA (KSP/Luciferase) on body weight in a Hep3B mouse model.
FIG. 2D is a graph showing the effect of SNALP-siRNA (VEGF/Luciferase) on body weight in a Hep3B mouse model.
FIG. 3 is a graph showing the effects of SNALP-siRNAs on body weight in a Hep3B mouse model.
FIG. 4 is a graph showing the body weight in untreated control animals.
FIG. 5 is a graph showing the effects of control luciferase-SNALP siRNAs on body weight in a Hep3B mouse model.
FIG. 6 is a graph showing the effects of VSP-SNALP siRNAs on body weight in a Hep3B mouse model.
FIG. 7A is a graph showing the effects of SNALP-siRNAs on human GAPDH levels normalized to mouse GAPDH levels in a Hep3B mouse model.
FIG. 7B is a graph showing the effects of SNALP-siRNAs on serum AFP levels as measured by serum ELISA in a Hep3B mouse model.
FIG. 8 is a graph showing the effects of SNALP-siRNAs on human GAPDH levels normalized to mouse GAPDH levels in a Hep3B mouse model.
FIG. 9 is a graph showing the effects of SNALP-siRNAs on human KSP levels normalized to human GAPDH levels in a Hep3B mouse model.
FIG. 10 is a graph showing the effects of SNALP-siRNAs on human VEGF levels normalized to human GAPDH levels in a Hep3B mouse model.
FIG. 1 1 A is a graph showing the effects of SNALP-siRNAs on mouse VEGF levels normalized to human GAPDH levels in a Hep3B mouse model.
FIG. 1 IB is a set of graphs showing the effects of SNALP-siRNAs on human GAPDH levels and serum AFP levels in a Hep3B mouse model.
FIG. 12A is a graph showing the effect of PBS, Luciferase, and ALN-VSP on tumor KSP measured by percentage of relative hKSP mRNA in a Hep3B mouse model.
FIG. 12B is a graph showing the effect of PBS, Luciferase, and SNALP-VSP on tumor VEGF measured by percentage of relative hVEGF mRNA in a Hep3B mouse model.
FIG. 12C is a graph showing the effect of PBS, Luciferase, and SNALP-VSP on GAPDH levels measured by percentage of relative hGAPDH mRNA in a Hep3B mouse model.
FIG. 13A is a graph showing the effect of SNALP si-RNAs on survival in mice with hepatic tumors. Treatment was started at 18 days after tumor cell seeding.
FIG. 13B is a graph showing the effect of SNALP-siRNAs on survival in mice with hepatic tumors. Treatment was started at 26 days after tumor cell seeding.
FIG. 14 is a graph showing the effects of SNALP-siRNAs on serum alpha fetoprotein (AFP) levels.
FIG. 15A is an image of H&E stained sections in tumor bearing. animals (three weeks after Hep3B cell implantation) that were administered 2 mg/kg SNALP-VSP. Twenty four hours later, rumor bearing liver lobes were processed for histological analysis. Arrows indicate mono asters.
FIG. 15B is an image of H&E stained sections in tumor bearing animals (three weeks after Hep3B cell implantation) that were administered 2 mg/kg SNALP-Luc. Twenty four hours later, tumor bearing liver lobes were processed for histological analysis.
FIG. 16 is a graph illustrating the effects on survival of administration SNALP formulated siRNA and Sorafenib.
FIG. 17 is a flow chart of the in-line mixing method.
FIG. 18 are graphs illustrating the effects on KSP and VEGF expression in intrahepatic Hep3B tumors in mice following treatment with LNP-08 formulated VSP.
FIG. 19 illustrates the chemical structures of PEG-DSG and PEG-C-DSA.
FIG. 20 illustrates the structures of cationic lipids ALNY-100, MC3, and XTC.
FIG. 21 are graphs illustrating the effects on KSP and VEGF expression in intrahepatic Hep3B tumors in mice treated with SNALP-1955 (Luc), ALN-VSP02, and SNALP-T-VSP LNPl 1 and LNP- 12 formulated VSP.
FIG. 22 is a set of graphs comparing the effects on KSP and VEGF expression in intrahepatic Hep3B tumors in mice treated with LNP08-Luc, ALN-VSP02, and LNP-08 and LNP08-C18 formulated VSP.
FlG. 23 illustrates the chemical structures of C12-200 lipid Formula V.
Detailed Description of the Invention
The invention provides compositions and methods for inhibiting the expression of the Eg5 gene and VEGF gene in a cell or mammal using the dsRNAs. The dsRNAs are packaged in a lipid nucleic acid particle. The invention also provides compositions and methods for treating pathological conditions and diseases, such as liver cancer, in a mammal caused by the expression of the Eg5 gene and VEGF genes. The dsRNA directs the sequence-specific degradation of mRNA through a process known as RNA interference (RNAi).
The following detailed description discloses how to make and use the compositions containing dsRNAs to inhibit the expression of the Eg5 gene and VEGF genes, respectively, as well as compositions and methods for treating diseases and disorders caused by the expression of these genes, such as cancer. The pharmaceutical compositions featured in the invention include a dsRNA having an antisense strand comprising a region of complementarity which is less than 30 nucleotides in length, generally 19-24 nucleotides in length, and is substantially
complementary to at least part of an RNA transcript of the Eg5 gene, together with a
pharmaceutically acceptable carrier. The compositions featured in the invention also include a dsRNA having an antisense strand having a region of complementarity which is less than 30
nucleotides in length, generally 19-24 nucleotides in length, and is substantially complementary to at least part of an RNA transcript of the VEGF gene.
Accordingly, certain aspects of the invention provide pharmaceutical compositions containing the Eg5 and VEGF dsRNAs and a pharmaceutically acceptable carrier, methods of using the compositions to inhibit expression of the Eg5 gene and the VEGF gene respectively, and methods of using the pharmaceutical compositions to treat diseases caused by expression of the Eg5 and VEGF genes.
I. Definitions
For convenience, the meaning of certain terms and phrases used in the specification, examples, and appended claims, are provided below. If there is an apparent discrepancy between the usage of a term in other parts of this specification and its definition provided in this section, the definition in this section shall prevail.
"G," "C," "A" and "U" each generally stand for a nucleotide that contains guanine, cytosine, adenine, and uracil as a base, respectively. "T" and "dT" are used interchangeably herein and refer to a deoxyribonucleotide wherein the nucleobase is thymine, e.g.,
deoxyribothymine. However, it will be understood that the term "ribonucleotide" or
"nucleotide" can also refer to a modified nucleotide, as further detailed below, or a surrogate replacement moiety. The skilled person is well aware that guanine, cytosine, adenine, and uracil may be replaced by other moieties without substantially altering the base pairing properties of an oligonucleotide comprising a nucleotide bearing such replacement moiety. For example, without limitation, a nucleotide comprising inosine as its base may base pair with nucleotides containing adenine, cytosine, or uracil. Hence, nucleotides containing uracil, guanine, or adenine may be replaced in the nucleotide sequences of the invention by a nucleotide containing, for example, inosine. In another example, adenine and cytosine anywhere in the oligonucleotide can be replaced with guanine and uracil, respectively to form G-U Wobble base pairing with the target mRNA. Sequences comprising such replacement moieties are embodiments of the invention.
As used herein, "Eg5" refers to the human kinesin family member 1 1, which is also known as KlFl 1, Eg5, HKSP, KSP, KNSLl or TR1P5. Eg5 sequence can be found as NCBI GeneID:3832, HGNC ID: HGNC:6388 and RefSeq ID number:NM_004523. The terms "Eg5" and "KSP" and "Eg5/KSP" are used interchangeably
As used herein, "VEGF," also known as vascular permeability factor, is an angiogenic growth factor. VEGF is a homodimeric 45 kDa glycoprotein that exists in at least three different isoforms. VEGF isoforms are expressed in endothelial cells. The VEGF gene contains 8 exons that express a 189-amino acid protein isoform. A 165-amino acid isoform lacks the residues
encoded by exon 6, whereas a 121 -amino acid isoform lacks the residues encoded by exons 6 and 7. VEGF145 is an isoform predicted to contain 145 amino acids and to lack exon 7. VEGF can act on endothelial cells by binding to an endothelial tyrosine kinase receptor, such as FIt-I (VEGFR-I) or KDR/flk-1 (VEGFR-2). VEGFR-2 is expressed in endothelial cells and is involved in endothelial cell differentiation and vasculogenesis. A third receptor, VEGFR-3, has been implicated in lymphogenesis.
The various isoforms have different biologic activities and clinical implications. For example, VEGF 145 induces angiogenesis and like VEGF 189 (but unlike VEGF 165), VEGF 145 binds efficiently to the extracellular matrix by a mechanism that is not dependent on extracellular matrix-associated heparin sulfates. VEGF displays activity as an endothelial cell mitogen and chemoattractant in vitro and induces vascular permeability and angiogenesis in vivo. VEGF is secreted by a wide variety of cancer cell types and promotes the growth of tumors by inducing the development of tumor-associated vasculature. Inhibition of VEGF function has been shown to limit both the growth of primary experimental tumors as well as the incidence of metastases in immunocompromised mice. Various dsRNAs directed to VEGF are described in co-pending US Ser. No. 1 1/078,073 and 11/340,080, which are hereby incorporated by reference in their entirety.
As used herein, "target sequence" refers to a contiguous portion of the nucleotide sequence of an mRNA molecule formed during the transcription of the Eg5/KSP and/or VEGF gene, including mRNA that is a product of RNA processing of a primary transcription product.
As used herein, the term "strand comprising a sequence" refers to an oligonucleotide comprising a chain of nucleotides that is described by the sequence referred to using the standard nucleotide nomenclature.
As used herein, and unless otherwise indicated, the term "complementary," when used to describe a first nucleotide sequence in relation to a second nucleotide sequence, refers to the ability of an oligonucleotide or polynucleotide comprising the first nucleotide sequence to hybridize and form a duplex structure under certain conditions with an oligonucleotide or polynucleotide comprising the second nucleotide sequence, as will be understood by the skilled person. Such conditions can, for example, be stringent conditions, where stringent conditions may include: 400 mM NaCl, 40 mM PIPES pH 6.4, 1 mM EDTA, 5O0C or 7O0C for 12- 16 hours followed by washing. Other conditions, such as physiologically relevant conditions as may be encountered inside an organism, can apply. The skilled person will be able to determine the set of conditions most appropriate for a test of complementarity of two sequences in accordance with the ultimate application of the hybridized nucleotides.
The term "complementary" includes base-pairing of the oligonucleotide or
polynucleotide comprising the first nucleotide sequence to the oligonucleotide or polynucleotide comprising the second nucleotide sequence over the entire length of the first and second nucleotide sequence. Such sequences can be referred to as "fully complementary" with respect to each other herein. However, where a first sequence is referred to as "substantially complementary" with respect to a second sequence herein, the two sequences can be fully complementary, or they may form one or more, but generally not more than 4, 3 or 2 mismatched base pairs upon hybridization, while retaining the ability to hybridize under the conditions most relevant to their ultimate application. However, where two oligonucleotides are designed to form, upon hybridization, one or more single stranded overhangs, such overhangs shall not be regarded as mismatches with regard to the determination of complementarity. For example, a dsRNA comprising one oligonucleotide 21 nucleotides in length and another oligonucleotide 23 nucleotides in length, wherein the longer oligonucleotide comprises a sequence of 21 nucleotides that is fully complementary to the shorter oligonucleotide, may yet be referred to as "fully complementary" for the purposes of the invention.
"Complementary" sequences, as used herein, may also include, or be formed entirely from, non-Watson-Crick base pairs and/or base pairs formed from non-natural and modified nucleotides, in as far as the above requirements with respect to their ability to hybridize are fulfilled. Such non- Watson-Crick base pairs include, but are not limited to, G:U Wobble or Hoogstein base pairing.
The terms "complementary," "fully complementary" and "substantially complementary" herein may be used with respect to the base matching between the sense strand and the antisense strand of a dsRNA, or between the antisense strand of a dsRNA and a target sequence, as will be understood from the context of their use.
As used herein, a polynucleotide which is "substantially complementary to at least part of a messenger RNA (mRNA) refers to a polynucleotide which is substantially complementary to a contiguous portion of the mRNA of interest (e.g., encoding Eg5/KSP and/or VEGF) including a 5' untranslated region (UTR), an open reading frame (ORF), or a 3' UTR. For example, a polynucleotide is complementary to at least a part of a Eg5 mRNA if the sequence is substantially complementary to a non-interrupted portion of a mRNA encoding Eg5.
The term "double-stranded RNA" or "dsRNA", as used herein, refers to a duplex structure comprising two anti-parallel and substantially complementary, as defined above, nucleic acid strands. In general, the majority of nucleotides of each strand are ribonucleotides, but as described in detail herein, each or both strands can also include at least one non-
ribonucleotide, e.g., a deoxyribonucleotide and/or a modified nucleotide. In addition, as used in this specification, "dsRNA" may include chemical modifications to ribonucleotides, including substantial modifications at multiple nucleotides and including all types of modifications disclosed herein or known in the art. Any such modifications, as used in an siRNA type molecule, are encompassed by "dsRNA" for the purposes of this specification and claims.
The two strands forming the duplex structure may be different portions of one larger RNA molecule, or they may be separate RNA molecules. Where the two strands are part of one larger molecule, and therefore are connected by an uninterrupted chain of nucleotides between the 3' end of one strand and the 5' end of the respective other strand forming the duplex structure, the connecting RNA chain is referred to as a "hairpin loop". Where the two strands are connected covalently by means other than an uninterrupted chain of nucleotides between the 3' end of one strand and the 5 'end of the respective other strand forming the duplex structure, the connecting structure is referred to as a "linker." The RNA strands may have the same or a different number of nucleotides. The maximum number of base pairs is the number of nucleotides in the shortest strand of the dsRNA minus any overhangs that are present in the duplex. In addition to the duplex structure, a dsRNA may comprise one or more nucleotide overhangs. In general, the majority of nucleotides of each strand are ribonucleotides, but as described in detail herein, each or both strands can also include at least one non-ribonucleotide, e.g., a deoxyribonucleotide and/or a modified nucleotide. In addition, as used in this specification, "dsRNA" may include chemical modifications to ribonucleotides, including substantial modifications at multiple nucleotides and including all types of modifications disclosed herein or known in the art. Any such modifications, as used in an siRNA type molecule, are encompassed by "dsRNA" for the purposes of this specification and claims.
As used herein, a "nucleotide overhang" refers to the unpaired nucleotide or nucleotides that protrude from the duplex structure of a dsRNA when a 3' end of one strand of the dsRNA extends beyond the 5' end of the other strand, or vice versa. "Blunt" or "blunt end" means that there are no unpaired nucleotides at that end of the dsRNA, i.e., no nucleotide overhang. A "blunt ended" dsRNA is a dsRNA that is double-stranded over its entire length, i.e., no nucleotide overhang at either end of the molecule. In some embodiments the dsRNA can have a nucleotide overhang at one end of the duplex and a blunt end at the other end.
The term "antisense strand" refers to the strand of a dsRNA which includes a region that is substantially complementary to a target sequence. As used herein, the term "region of complementarity" refers to the region on the antisense strand that is substantially complementary to a sequence, for example a target sequence, as defined herein. Where the region of
complementarity is not fully complementary to the target sequence, the mismatches may be in the internal or terminal regions of the molecule. Generally, the most tolerated mismatches are in the terminal regions, e.g., within 6, 5, 4, 3, or 2 nucleotides of the 5' and/or 3' terminus.
The term "sense strand," as used herein, refers to the strand of a dsRNA that includes a region that is substantially complementary to a region of the antisense strand.
"Introducing into a cell," when referring to a dsRNA, means facilitating uptake or absorption into the cell, as is understood by those skilled in the art. Absorption or uptake of dsRNA can occur through unaided diffusive or active cellular processes, or by auxiliary agents or devices. The meaning of this term is not limited to cells in vitro. A dsRNA may also be "introduced into a cell", wherein the cell is part of a living organism. In such instance, introduction into the cell will include the delivery to the organism. For example, for in vivo delivery, dsRNA can be injected into a tissue site or administered systemically. In vitro introduction into a cell includes methods known in the art such as electroporation and lipofection.
The terms "silence" and "inhibit the expression of "down-regulate the expression of,"
"suppress the expression of and the like, in as far as they refer to the Eg5 and/or VEGF gene, herein refer to the at least partial suppression of the expression of the Eg5 gene, as manifested by a reduction of the amount of Eg5 mRNA and/or VEGF mRNA which may be isolated from a first cell or group of cells in which the Eg5 and/or VEGF gene is transcribed and which has or have been treated such that the expression of the Eg5 and/or VEGF gene is inhibited, as compared to a second cell or group of cells substantially identical to the first cell or group of cells but which has or have not been so treated (control cells). The degree of inhibition is usually expressed in terms of
(mRNA in control cells) - (mRNA in treated cells) •
• 1 OU %
(mRNA in control cells)
Alternatively, the degree of inhibition may be given in terms of a reduction of a parameter that is functionally linked to Eg5 and/or VEGF gene expression, e.g. the amount of protein encoded by the Eg5 and/or VEGF gene which is produced by a cell, or the number of cells displaying a certain phenotype, e.g. apoptosis. In principle, target gene silencing can be determined in any cell expressing the target, either constitutively or by genomic engineering, and by any appropriate assay. However, when a reference is needed in order to determine whether a given dsRNA inhibits the expression of the Eg5 gene by a certain degree and therefore is encompassed by the instant invention, the assay provided in the Examples below shall serve as such reference.
For example, in certain instances, expression of the Eg5 gene (or VEGF gene) is suppressed by at least about 5%, 10%, 15%, 20%, 25%, 30%, 35%, 40%, 45%, or 50% by administration of the double-stranded oligonucleotide of the invention. In some embodiments, the Eg5 and/or VEGF gene is suppressed by at least about 60%, 70%, or 80% by administration of the double-stranded oligonucleotide of the invention. In other embodiments, the Eg5 and/or VEGF gene is suppressed by at least about 85%, 90%, or 95% by administration of the double- stranded oligonucleotide of the invention. The Tables and Example below provides values for inhibition of expression using various Eg5 and/or VEGF dsRNA molecules at various concentrations.
As used herein in the context of Eg5 expression (or VEGF expression), the terms "treat,"
"treatment," and the like, refer to relief from or alleviation of pathological processes mediated by Eg5 and/or VEGF expression. In the context of the present invention, insofar as it relates to any of the other conditions recited herein below (other than pathological processes mediated by Eg5 and/or VEGF expression), the terms "treat," "treatment," and the like mean to relieve or alleviate at least one symptom associated with such condition, or to slow or reverse the progression of such condition, such as the slowing and progression of hepatic carcinoma.
As used herein, the phrases "therapeutically effective amount" and "prophylactically effective amount" refer to an amount that provides a therapeutic benefit in the treatment, prevention, or management of pathological processes mediated by Eg5 and/or VEGF expression or an overt symptom of pathological processes mediated by Eg5 and/or VEGF expression. The specific amount that is therapeutically effective can be readily determined by ordinary medical practitioner, and may vary depending on factors known in the art, such as, e.g., the type of pathological processes mediated by Eg5 and/or VEGF expression, the patient's history and age, the stage of pathological processes mediated by Eg5 and/or VEGF expression, and the administration of other anti-pathological processes mediated by Eg5 and/or VEGF expression agents.
As used herein, a "pharmaceutical composition" comprises a pharmacologically effective amount of a dsRNA and a pharmaceutically acceptable carrier. As used herein,
"pharmacologically effective amount," "therapeutically effective amount" or simply "effective amount" refers to that amount of an RNA effective to produce the intended pharmacological, therapeutic or preventive result. For example, if a given clinical treatment is considered effective when there is at least a 25% reduction in a measurable parameter associated with a disease or disorder, a therapeutically effective amount of a drug for the treatment of that disease or disorder is the amount necessary to effect at least a 25% reduction in that parameter.
The term "pharmaceutically acceptable carrier" refers to a carrier for administration of a therapeutic agent. As described in more detail below, such carriers include, but are not limited to, saline, buffered saline, dextrose, water, glycerol, ethanol, and combinations thereof. The term specifically excludes cell culture medium. For drugs administered orally, pharmaceutically acceptable carriers include, but are not limited to, pharmaceutically acceptable excipients, such as inert diluents, disintegrating agents, binding agents, lubricating agents, sweetening agents, flavoring agents, coloring agents and preservatives. Suitable inert diluents include sodium and calcium carbonate, sodium and calcium phosphate, and lactose, while corn starch and alginic acid are suitable disintegrating agents. Binding agents may include starch and gelatin, while the lubricating agent, if present, will generally be magnesium stearate, stearic acid or talc. If desired, the tablets may be coated with a material such as glyceryl monostearate or glyceryl distearate, to delay absorption in the gastrointestinal tract.
As used herein, a "transformed cell" is a cell into which a vector has been introduced from which a dsRNA molecule may be expressed.
II. Double-stranded ribonucleic acid (dsRNA)
As described in more detail herein, the invention provides double-stranded ribonucleic acid (dsRNA) molecules for inhibiting the expression of the Eg5 and/or VEGF gene in a cell or mammal, wherein the dsRNA comprises an antisense strand comprising a region of
complementarity which is complementary to at least a part of an mRNA formed in the expression of the Eg5 and/or VEGF gene, and wherein the region of complementarity is less than 30 nucleotides in length, generally 19-24 nucleotides in length, and wherein said dsRNA, upon contact with a cell expressing said Eg5 and/or VEGF gene, inhibits the expression of said Eg5 and/or VEGF gene. The dsRNA of the invention can further include one or more single-stranded nucleotide overhangs.
The dsRNA can be synthesized by standard methods known in the art as further discussed below, e.g., by use of an automated DNA synthesizer, such as are commercially available from, for example, Biosearch, Applied Biosystems, Inc. The dsRNA comprises two strands that are sufficiently complementary to hybridize to form a duplex structure. One strand of the dsRNA (the antisense strand) comprises a region of complementarity that is substantially complementary, and generally fully complementary, to a target sequence, derived from the sequence of an mRNA formed during the expression of the Eg5 and/or VEGF gene, the other strand (the sense strand) comprises a region which is complementary to the antisense strand, such that the two strands hybridize and form a duplex structure when combined under suitable conditions. Generally, the duplex structure is between 15 and 30, or between 25 and 30, or
between 18 and 25, or between 19 and 24, or between 19 and 21 , or 19, 20, or 21 base pairs in length. In one embodiment the duplex is 19 base pairs in length. In another embodiment the duplex is 21 base pairs in length. When two different siRNAs are used in combination, the duplex lengths can be identical or can differ.
Each strand of the dsRNA of invention is generally between 15 and 30, or between 18 and 25, or 18, 19, 20, 21, 22, 23, or 24 nucleotides in length. In other embodiments, each is strand is 25-30 base pairs in length. Each strand of the duplex can be the same length or of different lengths. When two different siRNAs are used in combination, the lengths of each strand of each siRNA can be identical or can differ. For example, a composition can include a dsRNA targeted to Eg5 with a sense strand of 21 nucleotides and an antisense strand of 21 nucleotides, and a second dsRNA targeted to VEGF with a sense strand of 21 nucleotides and an antisense strand of 23 nucleotides.
The dsRNA of the invention can include one or more single-stranded overhang(s) of one or more nucleotides. In one embodiment, at least one end of the dsRNA has a single-stranded nucleotide overhang of 1 to 4, generally 1 or 2 nucleotides. In another embodiment, the antisense strand of the dsRNA has 1-10 nucleotides overhangs each at the 3' end and the 5' end over the sense strand. In further embodiments, the sense strand of the dsRNA has 1-10 nucleotides overhangs each at the 3 ' end and the 5 ' end over the antisense strand.
A dsRNA having at least one nucleotide overhang can have unexpectedly superior inhibitory properties than the blunt-ended counterpart. In some embodiments the presence of only one nucleotide overhang strengthens the interference activity of the dsRNA, without affecting its overall stability. A dsRNA having only one overhang has proven particularly stable and effective in vivo, as well as in a variety of cells, cell culture mediums, blood, and serum. Generally, the single-stranded overhang is located at the 3' terminal end of the antisense strand or, alternatively, at the 3' terminal end of the sense strand. The dsRNA can also have a blunt end, generally located at the 5' end of the antisense strand. Such dsRNAs can have improved stability and inhibitory activity, thus allowing administration at low dosages, i.e., less than 5 mg/kg body weight of the recipient per day. Generally, the antisense strand of the dsRNA has a nucleotide overhang at the 3' end, and the 5' end is blunt. In another embodiment, one or more of the nucleotides in the overhang is replaced with a nucleoside thiophosphate.
As described in more detail herein, the composition of the invention includes a first dsRNA targeting Eg5 and a second dsRNA targeting VEGF. The first and second dsRNA can have the same overhang architecture, e.g., number of nucleotide overhangs on each strand, or each dsRNA can have a different architecture. In one embodiment, the first dsRNA targeting
Eg5 includes a 2 nucleotide overhang at the 3' end of each strand and the second dsRNA targeting VEGF includes a 2 nucleotide overhang on the 3' end of the antisense strand and a blunt end at the 5' end of the antisense strand (e.g., the 3' end of the sense strand).
In one embodiment, the Eg5 gene targeted by the dsRNA of the invention is the human Eg5 gene. In one embodiment, the antisense strand of the dsRNA targeting Eg5 comprises at least 15 contiguous nucleotides of one of the antisense sequences of Tables 1-3. In specific embodiments, the first sequence of the dsRNA is selected from one of the sense strands of Tables 1-3, and the second sequence is selected from the group consisting of the antisense sequences of Tables 1 -3. Alternative antisense agents that target elsewhere in the target sequence provided in Tables 1-3 can readily be determined using the target sequence and the flanking Eg5 sequence. In some embodiments, the dsRNA targeted to Eg5 will comprise at least two nucleotide sequence selected from the groups of sequences provided in Tables 1-3. One of the two sequences is complementary to the other of the two sequences, with one of the sequences being substantially complementary to a sequence of an mRNA generated in the expression of the Eg5 gene. As such, the dsRNA will comprises two oligonucleotides, wherein one
oligonucleotide is described as the sense strand in Tables 1-3, and the second oligonucleotide is described as the antisense strand in Tables 1-3.
In embodiments using a second dsRNA targeting VEGF, such agents are exemplified in the Examples, Tables 4a and 4b, and in co-pending US Serial Nos: 1 1/078,073 and 11/340,080, herein incorporated by reference. In one embodiment the dsRNA targeting VEGF has an antisense strand complementary to at least 15 contiguous nucleotides of the VEGF target sequences described in Table 4a. In other embodiments, the dsRNA targeting VEGF comprises one of the antisense sequences of Table 4b, or one of the sense sequences of Table 4b, or comprises one of the duplexes (sense and antisense strands) of Table 4b.
The skilled person is well aware that dsRNAs comprising a duplex structure of between
20 and 23, but specifically 21 , base pairs have been hailed as particularly effective in inducing RNA interference (Elbashir et ai, EMBO 2001, 20:6877-6888). However, others have found that shorter or longer dsRNAs can be effective as well. In the embodiments described above, by virtue of the nature of the oligonucleotide sequences provided in Tables 1-3, the dsRNAs of the invention can comprise at least one strand of a length of minimally 21 nt. It can be reasonably expected that shorter dsRNAs comprising one of the sequences of Tables 1 -3 minus only a few nucleotides on one or both ends may be similarly effective as compared to the dsRNAs described above. Hence, dsRNAs comprising a partial sequence of at least 15, 16, 17, 18, 19, 20, or more contiguous nucleotides from one of the sequences of Tables 1-3, and differing in their ability to
inhibit the expression of the Eg5 gene in a FACS assay as described herein below by not more than 5, 10, 15, 20, 25, or 30 % inhibition from a dsRNA comprising the full sequence, are contemplated by the invention. Further dsRNAs that cleave within the target sequence provided in Tables 1-3 can readily be made using the Eg5 sequence and the target sequence provided. Additional dsRNA targeting VEGF can be designed in a similar matter using the sequences disclosed in Tables 4a and 4b, the Examples and co-pending US Serial Nos: 1 1/078,073 and 1 1/340,080, herein incorporated by reference.
In addition, the RNAi agents provided in Tables 1 -3 identify a site in the Eg5 mRNA that is susceptible to RNAi based cleavage. As such the present invention further includes RNAi agents, e.g., dsRNA, that target within the sequence targeted by one of the agents of the present invention. As used herein a second RNAi agent is said to target within the sequence of a first RNAi agent if the second RNAi agent cleaves the message anywhere within the mRNA that is complementary to the antisense strand of the first RNAi agent. Such a second agent will generally consist of at least 15 contiguous nucleotides from one of the sequences provided in Tables 1 -3 coupled to additional nucleotide sequences taken from the region contiguous to the selected sequence in the Eg5 gene. For example, the last 15 nucleotides of SEQ ID NO:1 combined with the next 6 nucleotides from the target Eg5 gene produces a single strand agent of 21 nucleotides that is based on one of the sequences provided in Tables 1-3. Additional RNAi agents, e.g., dsRNA, targeting VEGF can be designed in a similar matter using the sequences disclosed in Tables 4a and 4b, the Examples and co-pending US Serial Nos: 1 1/078,073 and 1 1/340,080, herein incorporated by reference.
The dsRNA of the invention can contain one or more mismatches to the target sequence. In a preferred embodiment, the dsRNA of the invention contains no more than 3 mismatches. If the antisense strand of the dsRNA contains mismatches to a target sequence, it is preferable that the area of mismatch not be located in the center of the region of complementarity. If the antisense strand of the dsRNA contains mismatches to the target sequence, it is preferable that the mismatch be restricted to 5 nucleotides from either end, for example 5, 4, 3, 2, or 1 nucleotide from either the 5' or 3' end of the region of complementarity. For example, for a 23 nucleotide dsRNA strand which is complementary to a region of the Eg5 gene, the dsRNA generally does not contain any mismatch within the central 13 nucleotides. The methods described within the invention can be used to determine whether a dsRNA containing a mismatch to a target sequence is effective in inhibiting the expression of the Eg5 gene.
Consideration of the efficacy of dsRNAs with mismatches in inhibiting expression of the Eg5
gene is important, especially if the particular region of complementarity in the Eg5 gene is known to have polymorphic sequence variation within the population.
Modifications
In yet another embodiment, the dsRNA is chemically modified to enhance stability. The nucleic acids of the invention may be synthesized and/or modified by methods well established in the art, such as those described in "Current protocols in nucleic acid chemistry," Beaucage, S. L. et al. (Edrs.), John Wiley & Sons, Inc., New York, NY, USA, which is hereby incorporated herein by reference. Specific examples of preferred dsRNA compounds useful in this invention include dsRNAs containing modified backbones or no natural internucleoside linkages. As defined in this specification, dsRNAs having modified backbones include those that retain a phosphorus atom in the backbone and those that do not have a phosphorus atom in the backbone. For the purposes of this specification, and as sometimes referenced in the art, modified dsRNAs that do not have a phosphorus atom in their internucleoside backbone can also be considered to be oligonucleosides.
Preferred modified dsRNA backbones include, for example, phosphorothioates, chiral phosphorothioates, phosphorodithioates, phosphotriesters, aminoalkylphosphotriesters, methyl and other alkyl phosphonates including 3'-alkylene phosphonates and chiral phosphonates, phosphinates, phosphoramidates including 3 '-amino phosphoramidate and
aminoalkylphosphoramidates, thionophosphoramidates, thionoalkylphosphonates,
thionoalkylphosphotriesters, and boranophosphates having normal 3 '-5' linkages, 2 '-5' linked analogs of these, and those having inverted polarity wherein the adjacent pairs of nucleoside units are linked 3 '-5' to 5 '-3' or 2 '-5' to 5 '-2'. Various salts, mixed salts and free acid forms are also included.
Representative U.S. patents that teach the preparation of the above phosphorus- containing linkages include, but are not limited to, U.S. Pat. Nos. 3.687,808; 4,469,863;
4,476,301 ; 5,023,243; 5,177,195; 5,188,897; 5,264,423; 5,276,019; 5,278,302; 5,286,717;
5,321, 131 ; 5,399,676; 5,405,939; 5,453,496; 5,455,233; 5,466,677; 5,476,925; 5,519,126;
5,536,821 ; 5,541 ,316; 5,550,1 1 1 ; 5,563,253; 5,571 ,799; 5,587,361 ; and 5,625,050, each of which is herein incorporated by reference
Preferred modified dsRNA backbones that do not include a phosphorus atom therein have backbones that are formed by short chain alkyl or cycloalkyl internucleoside linkages, mixed heteroatoms and alkyl or cycloalkyl internucleoside linkages, or ore or more short chain heteroatomic or heterocyclic internucleoside linkages. These include those having morpholino linkages (formed in part from the sugar portion of a nucleoside); siloxane backbones; sulfide,
sulfoxide and sulfone backbones; formacetyl and thioformacetyl backbones; methylene formacetyl and thioformacetyl backbones; alkene containing backbones; sulfamate backbones; methyleneimino and methylenehydrazino backbones; sulfonate and sulfonamide backbones; amide backbones; and others having mixed N, O, S and CH2 component parts.
Representative U.S. patents that teach the preparation of the above oligonucleosides include, but are not limited to, U.S. Pat. Nos. 5,034,506; 5,166,315; 5, 185,444; 5,214,134;
5,216,141 ; 5,235,033; 5,64,562; 5,264,564; 5,405,938; 5,434,257; 5,466,677; 5,470,967;
5,489,677; 5,541,307; 5,561,225; 5,596,086; 5,602,240; 5,608,046; 5,610,289; 5,618,704;
5,623,070; 5,663,312; 5,633,360; 5,677,437; and, 5,677,439, each of which is herein
incorporated by reference.
In other preferred dsRNA mimetics, both the sugar and the internucleoside linkage, i.e., the backbone, of the nucleotide units are replaced with novel groups. The base units are maintained for hybridization with an appropriate nucleic acid target compound. One such oligomeric compound, a dsRNA mimetic that has been shown to have excellent hybridization properties, is referred to as a peptide nucleic acid (PNA). In PNA compounds, the sugar backbone of a dsRNA is replaced with an amide containing backbone, in particular an aminoethylglycine backbone. The nucleobases are retained and are bound directly or indirectly to aza nitrogen atoms of the amide portion of the backbone. Representative U.S. patents that teach the preparation of PNA compounds include, but are not limited to, U.S. Pat. Nos.
5,539,082; 5,714,331; and 5,719,262, each of which is herein incorporated by reference. Further teaching of PNA compounds can be found in Nielsen et ai, Science, 1991, 254, 1497-1500.
Most preferred embodiments of the invention are dsRNAs with phosphorothioate backbones and oligonucleosides with heteroatom backbones, and in particular --CH2-NH-CH2- -, --CH2--N(CH3)--O--CH2--[known as a methylene (methylimino) or MMI backbone], -CH2-- O--N(CH3)-CH2-, --CH2-N(CH3)-N(CH3)--CH2- and -N(CH3)-CH2--CH2--[wherein the native phosphodiester backbone is represented as -0-P-O-CH2-] of the above-referenced U.S. Pat. No. 5,489,677, and the amide backbones of the above-referenced U.S. Pat. No.
5,602,240. Also preferred are dsRNAs having morpholino backbone structures of the above- referenced U.S. Pat. No. 5,034,506.
Modified dsRNAs may also contain one or more substituted sugar moieties. Preferred dsRNAs comprise one of the following at the 2' position: OH; F; O-, S-, or N-alkyl; O-, S-, or N- alkenyl; O-, S- or N-alkynyl; or 0-alkyl-O-alkyl, wherein the alkyl, alkenyl and alkynyl may be substituted or unsubstituted Q to Cio alkyl or C2 to Cio alkenyl and alkynyl. Particularly preferred are O[(CH2)nO]mCH3, O(CH2)nOCH3, O(CH2)nNH2, O(CH2)nCH3, O(CH2)nONH2, and
O(CH2)nON[(CH2)nCH3)]2, where n and m are from 1 to about 10. Other preferred dsRNAs comprise one of the following at the 2' position: Ci to Cio lower alkyl, substituted lower alkyl, alkaryl, aralkyl, O-alkaryl or O-aralkyl, SH, SCH3, OCN, Cl, Br, CN, CF3, OCF3, SOCH3, Sθ2CH3, ONO2, NO2, N3, NH2, heterocycloalkyl, heterocycloalkaryl, aminoalkylamino, polyalkylamino, substituted silyl, an RNA cleaving group, a reporter group, an intercalator, a group for improving the pharmacokinetic properties of an dsRNA, or a group for improving the pharmacodynamic properties of an dsRNA, and other substituents having similar properties. A preferred modification includes 2'-methoxyethoxy (2'-0-CHICHIOCH3, also known as 2'-O- (2-methoxyethyl) or 2'-MOE) (Martin et ah, HeIv. Chim. Acta, 1995, 78, 486-504) i.e., an alkoxy-alkoxy group. A further preferred modification includes 2'-dimethylaminooxyefhoxy, i.e., a O(CH2)2ON(CH3)2 group, also known as 2'-DMAOE, as described in examples herein below, and 2'-dimethylaminoethoxyethoxy (also known in the art as 2'-O- dimethylaminoethoxyethyl or 2'-DMAEOE), i.e., 2'-0--CH2-O-CH2-N(CH2)^, also described in examples herein below.
Other preferred modifications include 2'-methoxy (2'-OCH3), 2'-aminopropoxy (2'-
OCH2CH2CH2NH2) and 2'-fluoro (2'-F). Similar modifications may also be made at other positions on the dsRNA, particularly the 3' position of the sugar on the 3' terminal nucleotide or in 2'-5' linked dsRNAs and the 5' position of 5' terminal nucleotide. dsRNAs may also have sugar mimetics such as cyclobutyl moieties in place of the pentofuranosyl sugar. Representative U.S. patents that teach the preparation of such modified sugar structures include, but are not limited to, U.S. Pat. Nos. 4,981 ,957; 5,1 18,800; 5,319,080; 5,359,044; 5,393,878; 5,446,137; 5,466,786; 5,514,785; 5,519,134; 5,567,81 1 ; 5,576,427; 5,591 ,722; 5,597,909; 5,610,300; 5,627,053; 5,639,873; 5,646,265; 5,658,873; 5,670,633; and 5,700,920, certain of which are commonly owned with the instant application, and each of which is herein incorporated by reference in its entirety.
dsRNAs may also include nucleobase (often referred to in the art simply as "base") modifications or substitutions. As used herein, "unmodified" or "natural" nucleobases include the purine bases adenine (A) and guanine (G), and the pyrimidine bases thymine (T), cytosine (C) and uracil (U). Modified nucleobases include other synthetic and natural nucleobases such as 5-methylcytosine (5-me-C), 5-hydroxymethyl cytosine, xanthine, hypoxanthine, 2- aminoadenine, 6-methyl and other alkyl derivatives of adenine and guanine, 2-propyl and other alkyl derivatives of adenine and guanine, 2-thiouracil, 2-thiothymine and 2-thiocytosine, 5- halouracil and cytosine, 5-propynyl uracil and cytosine, 6-azo uracil, cytosine and thymine, 5- uracil (pseudouracil), 4-thiouracil, 8-halo, 8-amino, 8-thiol, 8-thioalkyl, 8-hydroxyl anal other 8-
substituted adenines and guanines, 5-halo, particularly 5-bromo, 5-trifluoromethyl and other 5- substituted uracils and cytosine's, 7-methylguanine and 7-methyladenine, 8-azaguanine and 8- azaadenine, 7-deazaguanine and 7-daazaadenine and 3-deazaguanine and 3-deazaadenine.
Further nucleobases include those disclosed in U.S. Pat. No. 3,687,808, those disclosed in The Concise Encyclopedia Of Polymer Science And Engineering, pages 858-859, Kroschwitz, J. L, ed. John Wiley & Sons, 1990, those disclosed by Englisch et al, Angewandte Chemie,
International Edition, 1991, 30, 613, and those disclosed by Sanghvi, Y S., Chapter 15, DsRNA Research and Applications, pages 289-302, Crooke, S. T. and Lebleu, B., Ed., CRC Press, 1993. Certain of these nucleobases are particularly useful for increasing the binding affinity of the oligomeric compounds of the invention. These include 5-substituted pyrimidines, 6- azapyrimidines and N-2, N-6 and 0-6 substituted purines, including 2-aminopropyladenine, 5- propynyluracil and 5-propynylcytosine. 5-methylcytosine substitutions have been shown to increase nucleic acid duplex stability by 0.6-1.2 degrees Celcius. (Sanghvi, Y. S., Crooke, S. T. and Lebleu, B., Eds., DsRNA Research and Applications, CRC Press, Boca Raton, 1993, pp. 276-278) and are presently preferred base substitutions, even more particularly when combined with 2'-O-methoxyethyl sugar modifications.
Representative U.S. patents that teach the preparation of certain of the above noted modified nucleobases as well as other modified nucleobases include, but are not limited to, the above noted U.S. Pat. No. 3,687,808, as well as U.S. Pat. Nos. 4,845,205; 5,130,30; 5,134,066; 5,175,273; 5,367,066; 5,432,272; 5,457,187; 5,459,255; 5,484,908; 5,502,177; 5,525,71 1 ;
5,552,540; 5,587,469; 5,594,121, 5,596,091; 5,614,617; and 5,681 ,941, each of which is herein incorporated by reference, and U.S. Pat. No. 5,750,692, also herein incorporated by reference.
Conjugates
Another modification of the dsRNAs of the invention involves chemically linking to the dsRNA one or more moieties or conjugates which enhance the activity, cellular distribution or cellular uptake of the dsRNA. Such moieties include but are not limited to lipid moieties such as a cholesterol moiety (Letsinger et al, Proc. Natl. Acid. Sci. USA, 199, 86, 6553-6556), cholic acid (Manoharan et al, Biorg. Med. Chem. Let., 1994 4 1053-1060), a thioether, e.g., beryl-S- tritylthiol (Manoharan et al, Ann. N.Y. Acad. Sci., 1992, 660, 306-309; Manoharan et al, Biorg. Med. Chem. Let., 1993, 3, 2765-2770), a thiocholesterol (Oberhauser et al, Nucl. Acids Res., 1992, 20, 533-538), an aliphatic chain, e.g., dodecandiol or undecyl residues (Saison-Behmoaras et al, EMBO J, 1991 , 10, 1 1 1 1-1 1 18; Kabanov et al, FEBS Lett., 1990, 259, 327-330;
Svinarchuk et al, Biochimie, 1993, 75, 49-54), a phospholipid, e.g., di-hexadecyl-rac-glycerol or triethyl-ammonium l,2-di-O-hexadecyl-rac-glycero-3-Hphosphonate (Manoharan et al,
Tetrahedron Lett., 1995, 36, 3651 -3654; Shea et ai, Nucl. Acids Res., 1990, 18, 3777-3783), a polyamine or a polyethylene glycol chain (Manoharan et al., Nucleosides & Nucleotides, 1995, 14, 969-973), or adamantane acetic acid (Manoharan et al., Tetrahedron Lett., 1995, 36, 3651- 3654), a palmityl moiety (Mishra et al., Biochim. Biophys. Acta, 1995, 1264, 229-237), or an octadecylamine or hexylamino-carbonyloxycholesterol moiety (Crooke et al., J. Pharmacol. Exp. Ther., 1996, 277, 923-937).
Representative U.S. patents that teach the preparation of such dsRNA conjugates include, but are not limited to, U.S. Pat. Nos. 4,828,979; 4,948,882; 5,218,105; 5,525,465; 5,541 ,313; 5,545,730; 5,552,538; 5,578,717, 5,580,731 ; 5,591 ,584; 5,109,124; 5,118,802; 5,138,045;
5,414,077; 5,486,603; 5,512,439; 5,578,718; 5,608,046; 4,587,044; 4,605,735; 4,667,025;
4,762,779; 4,789,737; 4,824,941; 4,835,263; 4,876,335; 4,904,582; 4,958,013; 5,082,830;
5,1 12,963; 5,214,136; 5,082,830; 5,1 12,963; 5,214,136; 5,245,022; 5,254,469; 5,258,506;
5,262,536; 5,272,250; 5,292,873; 5,317,098; 5,371 ,241 , 5,391 ,723; 5,416,203, 5,451 ,463;
5,510,475; 5,512,667; 5,514,785; 5,565,552; 5,567,810; 5,574, 142; 5,585,481 ; 5,587,371;
5,595,726; 5,597,696; 5,599,923; 5,599,928 and 5,688,941, each of which is herein incorporated by reference.
It is not necessary for all positions in a given compound to be uniformly modified, and in fact more than one of the aforementioned modifications may be incorporated in a single compound or even at a single nucleoside within a dsRNA. The present invention also includes dsRNA compounds which are chimeric compounds. "Chimeric" dsRNA compounds or
"chimeras," in the context of this invention, are dsRNA compounds, particularly dsRNAs, which contain two or more chemically distinct regions, each made up of at least one monomer unit, i.e., a nucleotide in the case of an dsRNA compound. These dsRNAs typically contain at least one region wherein the dsRNA is modified so as to confer upon the dsRNA increased resistance to nuclease degradation, increased cellular uptake, and/or increased binding affinity for the target nucleic acid. An additional region of the dsRNA may serve as a substrate for enzymes capable of cleaving RNA: DNA or RNA: RNA hybrids. By way of example, RNase H is a cellular endonuclease which cleaves the RNA strand of an RNA.DNA duplex. Activation of RNase H, therefore, results in cleavage of the RNA target, thereby greatly enhancing the efficiency of dsRNA inhibition of gene expression. Consequently, comparable results can often be obtained with shorter dsRNAs when chimeric dsRNAs are used, compared to phosphorothioate deoxy dsRNAs hybridizing to the same target region. Cleavage of the RNA target can be routinely detected by gel electrophoresis and, if necessary, associated nucleic acid hybridization techniques known in the art.
In certain instances, the dsRNA may be modified by a non-ligand group. A number of non-ligand molecules have been conjugated to dsRNAs in order to enhance the activity, cellular distribution or cellular uptake of the dsRNA, and procedures for performing such conjugations are available in the scientific literature. Such non-ligand moieties have included lipid moieties, such as cholesterol (Letsinger et al, Proc. Natl. Acad. Sci. USA, 1989, 86:6553), cholic acid (Manoharan et al, Bioorg. Med. Chem. Lett., 1994, 4: 1053), a thioether, e.g., hexyl-S-tritylthiol (Manoharan et al, Ann. N.Y. Acad. Sci., 1992, 660:306; Manoharan et al., Bioorg. Med. Chem. Let., 1993, 3:2765), a thiocholesterol (Oberhauser e/ α/., Nucl. Acids Res., 1992, 20:533), an aliphatic chain, e.g., dodecandiol or undecyl residues (Saison-Behmoaras et al., EMBO J., 1991 , 10:1 1 1 ; Kabanov et al., FEBS Lett., 1990, 259:327; Svinarchuk et al, Biochimie, 1993, 75:49), a phospholipid, e.g., di-hexadecyl-rac -glycerol or triethylammonium 1,2-di-O-hexadecyl-rac- glycero-3-H-phosphonate (Manoharan et al, Tetrahedron Lett., 1995, 36:3651; Shea et al, Nucl. Acids Res., 1990, 18:3777), a polyamine or a polyethylene glycol chain (Manoharan et al, Nucleosides & Nucleotides, 1995, 14:969), or adamantane acetic acid (Manoharan et al, Tetrahedron Lett., 1995, 36:3651), a palmityl moiety (Mishra et al, Biochim. Biophys. Acta, 1995, 1264:229), or an octadecylamine or hexylamino-carbonyl-oxycholesterol moiety (Crooke et al, J. Pharmacol. Exp. Ther., 1996, 277:923). Representative United States patents that teach the preparation of such dsRNA conjugates have been listed above. Typical conjugation protocols involve the synthesis of dsRNAs bearing an aminolinker at one or more positions of the sequence. The amino group is then reacted with the molecule being conjugated using appropriate coupling or activating reagents. The conjugation reaction may be performed either with the dsRNA still bound to the solid support or following cleavage of the dsRNA in solution phase. Purification of the dsRNA conjugate by HPLC typically affords the pure conjugate.
In some cases, a ligand can be multifunctional and/or a dsRNA can be conjugated to more than one ligand. For example, the dsRNA can be conjugated to one ligand for improved uptake and to a second ligand for improved release.
Vector encoded siRNA agents
In another aspect of the invention, Eg5 and VEGF specific dsRNA molecules that are expressed from transcription units inserted into DNA or RNA vectors (see, e.g., Couture, A, et al, TIG. (1996), 12:5-10; Skillern, A., et al, International PCT Publication No. WO 00/221 13, Conrad, International PCT Publication No. WO 00/221 14, and Conrad, US Pat. No. 6,054,299). These transgenes can be introduced as a linear construct, a circular plasmid, or a viral vector, which can be incorporated and inherited as a transgene integrated into the host genome. The
transgene can also be constructed to permit it to be inherited as an extrachromosomal plasmid
(Gassmann, et al., Proc. Natl. Acad. Sci. USA (1995) 92: 1292).
The individual strands of a dsRNA can be transcribed by promoters on two separate expression vectors and co-transfected into a target cell. Alternatively each individual strand of the dsRNA can be transcribed by promoters both of which are located on the same expression plasmid. In a preferred embodiment, a dsRNA is expressed as an inverted repeat joined by a linker polynucleotide sequence such that the dsRNA has a stem and loop structure.
The recombinant dsRNA expression vectors are generally DNA plasmids or viral vectors. dsRNA expressing viral vectors can be constructed based on, but not limited to, adeno-associated virus (for a review, see Muzyczka, et al, Curr. Topics Micro. Immunol. (1992) 158:97-129)); adenovirus (see, for example, Berkner, et al, BioTechniques (1998) 6:616), Rosenfeld et al.
(1991 , Science 252:431-434), and Rosenfeld et al (1992), Cell 68: 143-155)); or alphavirus as well as others known in the art. Retroviruses have been used to introduce a variety of genes into many different cell types, including epithelial cells, in vitro and/or in vivo (see, e.g., Eglitis, et a!., Science (1985) 230: 1395-1398; Danos and Mulligan, Proc. Natl. Acad. Sci. USA (1998)
85:6460-6464; Wilson et al., 1988, Proc. Natl. Acad. Sci. USA 85:3014-3018; Armentano et al.,
1990, Proc. Natl. Acad. Sci. USA 87:61416145; Huber et al., 1991, Proc. Natl. Acad. Sci. USA 88:8039-8043; Ferry et al, 1991 , Proc. Natl. Acad. Sci. USA 88:8377-8381 ; Chowdhury et al,
1991, Science 254: 1802-1805; van Beusechem. et al, 1992, Proc. Natl. Acad. Sci. USA
89:7640-19 ; Kay et al, 1992, Human Gene Therapy 3:641 -647; Dai et al, 1992, Proc.
Natl.Acad. Sci. USA 89: 10892-10895; Hwu et al, 1993, J. Immunol. 150:4104-41 15; U.S. Patent No. 4,868, 1 16; U.S. Patent No. 4,980,286; PCT Application WO 89/07136; PCT
Application WO 89/02468; PCT Application WO 89/05345; and PCT Application WO
92/07573). Recombinant retroviral vectors capable of transducing and expressing genes inserted into the genome of a cell can be produced by transfecting the recombinant retroviral genome into suitable packaging cell lines such as P A317 and Psi-CRIP (Comette et al, 1991, Human Gene Therapy 2:5-10; Cone et al, 1984, Proc. Natl. Acad. Sci. USA 81 :6349). Recombinant adenoviral vectors can be used to infect a wide variety of cells and tissues in susceptible hosts {e.g., rat, hamster, dog, and chimpanzee) (Hsu et al, 1992, J. Infectious Disease, 166:769), and also have the advantage of not requiring mitotically active cells for infection.
Any viral vector capable of accepting the coding sequences for the dsRNA molecule(s) to be expressed can be used, for example vectors derived from adenovirus (AV); adeno-associated virus (AAV); retroviruses {e.g., lentiviruses (LV), Rhabdoviruses, murine leukemia virus);
herpes virus, and the like. The tropism of viral vectors can be modified by pseudotyping the
vectors with envelope proteins or other surface antigens from other viruses, or by substituting different viral capsid proteins, as appropriate.
For example, lentiviral vectors of the invention can be pseudotyped with surface proteins from vesicular stomatitis virus (VSV), rabies, Ebola, Mokola, and the like. AAV vectors of the invention can be made to target different cells by engineering the vectors to express different capsid protein serotypes. For example, an AAV vector expressing a serotype 2 capsid on a serotype 2 genome is called AAV 2/2. This serotype 2 capsid gene in the AAV 2/2 vector can be replaced by a serotype 5 capsid gene to produce an AAV 2/5 vector. Techniques for constructing AAV vectors which express different capsid protein serotypes are within the skill in the art; see, e.g., Rabinowitz J E e/ al. (2002), J Virol 76:791-801, the entire disclosure of which is herein incorporated by reference.
Selection of recombinant viral vectors suitable for use in the invention, methods for inserting nucleic acid sequences for expressing the dsRNA into the vector, and methods of delivering the viral vector to the cells of interest are within the skill in the art. See, for example, Dornburg R (1995), Gene Therap. 2: 301 -310; Eglitis M A (1988), Biotechniques 6: 608-614; Miller A D (1990), Hum Gene Therap. 1 : 5-14; Anderson W F (1998), Nature 392: 25-30; and Rubinson D A e? al., Nat. Genet. 33: 401-406, the entire disclosures of which are herein incorporated by reference.
Preferred viral vectors are those derived from AV and AAV. In a particularly preferred embodiment, the dsRNA of the invention is expressed as two separate, complementary single- stranded RNA molecules from a recombinant AAV vector having, for example, either the U6 or Hl RNA promoters, or the cytomegalovirus (CMV) promoter.
A suitable AV vector for expressing the dsRNA of the invention, a method for constructing the recombinant AV vector, and a method for delivering the vector into target cells, are described in Xia H et al. (2002), Nat. Biotech. 20: 1006-1010.
Suitable AAV vectors for expressing the dsRNA of the invention, methods for constructing the recombinant AV vector, and methods for delivering the vectors into target cells are described in Samulski R et al. ( 1987), J. Virol. 61 : 3096-3101 ; Fisher K J e/ o/. (l 996), J. Virol, 70: 520-532; Samulski R et al. (1989), J. Virol. 63: 3822-3826; U.S. Pat. No. 5,252,479; U.S. Pat. No. 5,139,941 ; International Patent Application No. WO 94/13788; and International Patent Application No. WO 93/24641 , the entire disclosures of which are herein incorporated by reference.
The promoter driving dsRNA expression in either a DNA plasmid or viral vector of the invention may be a eukaryotic RNA polymerase I (e.g. ribosomal RNA promoter), RNA
polymerase 11 (e.g. CMV early promoter or actin promoter or Ul snRNA promoter) or generally RNA polymerase III promoter (e.g. U6 snRNA or 7SK RNA promoter) or a prokaryotic promoter, for example the T7 promoter, provided the expression plasmid also encodes T7 RNA polymerase required for transcription from a T7 promoter. The promoter can also direct transgene expression to the pancreas (see, e.g., the insulin regulatory sequence for pancreas (Bucchini et al., 1986, Proc. Natl. Acad. Sci. USA 83:251 1-2515)).
In addition, expression of the transgene can be precisely regulated, for example, by using an inducible regulatory sequence and expression systems such as a regulatory sequence that is sensitive to certain physiological regulators, e.g., circulating glucose levels, or hormones (Docherty et ah, 1994, FASEB J. 8:20-24). Such inducible expression systems, suitable for the control of transgene expression in cells or in mammals include regulation by ecdysone, by estrogen, progesterone, tetracycline, chemical inducers of dimerization, and isopropyl-beta-Dl - thiogalactopyranoside (EPTG). A person skilled in the art would be able to choose the appropriate regulatory /promoter sequence based on the intended use of the dsRNA transgene.
Generally, recombinant vectors capable of expressing dsRNA molecules are delivered as described below, and persist in target cells. Alternatively, viral vectors can be used that provide for transient expression of dsRNA molecules. Such vectors can be repeatedly administered as necessary. Once expressed, the dsRNAs bind to target RNA and modulate its function or expression. Delivery of dsRNA expressing vectors can be systemic, such as by intravenous or intramuscular administration, by administration to target cells ex-planted from the patient followed by reintroduction into the patient, or by any other means that allows for introduction into a desired target cell.
dsRNA expression DNA plasmids are typically transfected into target cells as a complex with cationic lipid carriers (e.g. Oligofectamine) or non-cationic lipid-based carriers (e.g.
Transit-TKO™). Multiple lipid transfections for dsRNA-mediated knockdowns targeting different regions of a single EG5 gene (or VEGF gene) or multiple Eg5 genes (or VEGF genes) over a period of a week or more are also contemplated by the invention. Successful introduction of the vectors of the invention into host cells can be monitored using various known methods. For example, transient transfection can be signaled with a reporter, such as a fluorescent marker, such as Green Fluorescent Protein (GFP). Stable transfection of ex vivo cells can be ensured using markers that provide the transfected cell with resistance to specific environmental factors (e.g., antibiotics and drugs), such as hygromycin B resistance.
The Eg5 specific dsRNA molecules and VEGF specific dsRNA molecules can also be inserted into vectors and used as gene therapy vectors for human patients. Gene therapy vectors
can be delivered to a subject by, for example, intravenous injection, local administration (see U.S. Patent 5,328,470) or by stereotactic injection (see e.g., Chen et al. ( 1994) Proc. Natl. Acad. Sci. USA 91 :3054-3057). The pharmaceutical preparation of the gene therapy vector can include the gene therapy vector in an acceptable diluent, or can include a slow release matrix in which the gene delivery vehicle is imbedded. Alternatively, where the complete gene delivery vector can be produced intact from recombinant cells, e.g., retroviral vectors, the pharmaceutical preparation can include one or more cells which produce the gene delivery system.
Pharmaceutical compositions containing dsRNA
In one embodiment, the invention provides pharmaceutical compositions containing a dsRNA, as described herein, and a pharmaceutically acceptable carrier and methods of administering the same. The pharmaceutical composition containing the dsRNA is useful for treating a disease or disorder associated with the expression or activity of a Eg5/KSP and/or VEGF gene, such as pathological processes mediated by Eg5/KSP and/or VEGF expression, e.g., liver cancer. Such pharmaceutical compositions are formulated based on the mode of delivery.
Dosage
The pharmaceutical compositions featured herein are administered in dosages sufficient to inhibit expression of EG5/KSP and/or VEGF genes. In general, a suitable dose of dsRNA will be in the range of about 0.01 to 200.0 milligrams (mg) per kilogram (kg) body weight of the recipient per day, or in the range of about 1 to 50 mg per kilogram body weight per day or in the range of about 0.01 mg/kg to 3.0 mg/kg per single dose. For example, the dsRNA can be administered at about 0.01 mg/kg, 0.02 mg/kg, 0.03 mg/kg, 0.04 mg/kg, 0.05 mg/kg, 0.06 mg/kg, 0.07 mg/kg, 0.08 mg/kg, 0.09 mg/kg, 0.1 mg/kg, 0.2 mg/kg, 0.3 mg/kg, 0.4 mg/kg, 0.5 mg/kg, 0.6 mg/kg, 0.7 mg/kg, 0.8 mg/kg, 0.9 mg/kg, 1.0 mg/kg, 1.5 mg/kg, 1.7 mg/kg, 2.0 mg/kg, 3.0 mg/kg, 5.0 mg/kg, 10.0 mg/kg, 20 mg/kg, 30 mg/kg, 40 mg/kg, or about 50 mg/kg per single dose.
The pharmaceutical composition can be administered once daily, or the dsRNA may be administered as two, three, or more sub-doses at appropriate intervals throughout the day. The effect of a single dose on EG5/KSP and/or VEGF levels is long lasting, such that subsequent doses are administered at not more than 7 day intervals, or at not more than 1, 2, 3, or 4 week intervals.
In some embodiments the dsRNA is administered using continuous infusion or delivery through a controlled release formulation. In that case, the dsRNA contained in each sub-dose must be correspondingly smaller in order to achieve the total daily dosage. The dosage unit can also be compounded for delivery over several days, e.g., using a conventional sustained release
formulation which provides sustained release of the dsRNA over a several day period. Sustained release formulations are well known in the art and are particularly useful for delivery of agents at a particular site, such as could be used with the agents of the present invention. In this embodiment, the dosage unit contains a corresponding multiple of the daily dose.
The skilled artisan will appreciate that certain factors may influence the dosage and timing required to effectively treat a subject, including but not limited to the severity of the disease or disorder, previous treatments, the general health and/or age of the subject, and other diseases present. Moreover, treatment of a subject with a therapeutically effective amount of a composition can include a single treatment or a series of treatments. Estimates of effective dosages and in vivo half-lives for the individual dsRNAs encompassed by the invention can be made using conventional methodologies or on the basis of in vivo testing using an appropriate animal model, as described elsewhere herein.
Advances in mouse genetics have generated a number of mouse models for the study of various human diseases, such as pathological processes mediated by EG5/KSP AND/OR VEGF expression. Such models are used for in vivo testing of dsRNA, as well as for determining a therapeutically effective dose. A suitable mouse model is, for example, a mouse containing a plasmid expressing human EG5/KSP AND/OR VEGF. Another suitable mouse model is a transgenic mouse carrying a transgene that expresses human EG5/KSP AND/OR VEGF.
Toxicity and therapeutic efficacy of such compounds can be determined by standard pharmaceutical procedures in cell cultures or experimental animals, e.g., for determining the
LD50 (the dose lethal to 50% of the population) and the ED50 (the dose therapeutically effective in 50% of the population). The dose ratio between toxic and therapeutic effects is the therapeutic index and it can be expressed as the ratio LD50/ED50. Compounds that exhibit high therapeutic indices are preferred.
The data obtained from cell culture assays and animal studies can be used in formulating a range of dosage for use in humans. The dosage of compositions featured in the invention lies generally within a range of circulating concentrations that include the ED50 with little or no toxicity. The dosage may vary within this range depending upon the dosage form employed and the route of administration utilized. For any compound used in the methods featured in the invention, the therapeutically effective dose can be estimated initially from cell culture assays. A dose may be formulated in animal models to achieve a circulating plasma concentration range of the compound or, when appropriate, of the polypeptide product of a target sequence (e.g., achieving a decreased concentration of the polypeptide) that includes the IC50 (i.e., the concentration of the test compound which achieves a half-maximal inhibition of symptoms) as
determined in cell culture. Such information can be used to more accurately to determine useful doses in humans. Levels in plasma may be measured, for example, by high performance liquid chromatography.
In addition to their administration, as discussed above, the dsRNAs featured in the invention can be administered in combination with other known agents effective in treatment of pathological processes mediated by target gene expression. In any event, the administering physician can adjust the amount and timing of dsRNA administration on the basis of results observed using standard measures of efficacy known in the art or described herein.
Administration
The pharmaceutical compositions of the present invention may be administered in a number of ways depending upon whether local or systemic treatment is desired and upon the area to be treated. Administration may be topical, pulmonary, e.g., by inhalation or insufflation of powders or aerosols, including by nebulizer; intratracheal, intranasal, epidermal and transdermal, and subdermal, oral or parenteral, e.g., subcutaneous.
Typically, when treating a mammal with hyperlipidemia, the dsRNA molecules are administered systemically via parental means. Parenteral administration includes intravenous, intra-arterial, subcutaneous, intraperitoneal or intramuscular injection or infusion; or intracranial, e.g., intraparenchymal, intrathecal or intraventricular, administration. For example, dsRNAs, conjugated or unconjugated or formulated with or without liposomes, can be administered intravenously to a patient. For such, a dsRNA molecule can be formulated into compositions such as sterile and non-sterile aqueous solutions, non-aqueous solutions in common solvents such as alcohols, or solutions in liquid or solid oil bases. Such solutions also can contain buffers, diluents, and other suitable additives. For parenteral, intrathecal, or intraventricular
administration, a dsRNA molecule can be formulated into compositions such as sterile aqueous solutions, which also can contain buffers, diluents, and other suitable additives (e.g., penetration enhancers, carrier compounds, and other pharmaceutically acceptable carriers). Formulations are described in more detail herein.
The dsRNA can be delivered in a manner to target a particular tissue, such as the liver (e.g., the hepatocytes of the liver).
Formulations
The pharmaceutical formulations of the present invention, which may conveniently be presented in unit dosage form, may be prepared according to conventional techniques well known in the pharmaceutical industry. Such techniques include the step of bringing into association the active ingredients with the pharmaceutical carrier(s) or excipient(s). In general,
the formulations are prepared by uniformly and intimately bringing into association the active ingredients with liquid carriers or finely divided solid carriers or both, and then, if necessary, shaping the product.
The compositions of the present invention may be formulated into any of many possible dosage forms such as, but not limited to, tablets, capsules, gel capsules, liquid syrups, soft gels, suppositories, and enemas. The compositions of the present invention may also be formulated as suspensions in aqueous, non-aqueous or mixed media. Aqueous suspensions may further contain substances which increase the viscosity of the suspension including, for example, sodium carboxymethylcellulose, sorbitol and/or dextran. The suspension may also contain stabilizers.
Pharmaceutical compositions of the present invention include, but are not limited to, solutions, emulsions, and liposome-containing formulations. These compositions may be generated from a variety of components that include, but are not limited to, preformed liquids, self-emulsifying solids and self-emulsifying semisolids. In one aspect are formulations that target the liver when treating hepatic disorders such as hyperlipidemia.
In addition, dsRNA that target the EG5/KSP and/or VEGF gene can be formulated into compositions containing the dsRNA admixed, encapsulated, conjugated, or otherwise associated with other molecules, molecular structures, or mixtures of nucleic acids. For example, a composition containing one or more dsRNA agents that target the Eg5/KSP and/or VEGF gene can contain other therapeutic agents, such as other cancer therapeutics or one or more dsRNA compounds that target non-EG5/KSP AND/OR VEGF genes.
Oral, parenteral, topical, and biologic formulations
Compositions and formulations for oral administration include powders or granules, microparticulates, nanoparticulates, suspensions or solutions in water or non-aqueous media, capsules, gel capsules, sachets, tablets or minitablets. Thickeners, flavoring agents, diluents, emulsifiers, dispersing aids or binders may be desirable. In some embodiments, oral formulations are those in which dsRNAs featured in the invention are administered in conjunction with one or more penetration enhancers surfactants and chelators. Suitable surfactants include fatty acids and/or esters or salts thereof, bile acids and/or salts thereof.
Suitable bile acids/salts include chenodeoxycholic acid (CDCA) and
ursodeoxychenodeoxycholic acid (UDCA), cholic acid, dehydrocholic acid, deoxycholic acid, glucholic acid, glycholic acid, glycodeoxycholic acid, taurocholic acid, taurodeoxycholic acid, sodium tauro-24,25-dihydro-fusidate and sodium glycodihydrofusidate. Suitable fatty acids include arachidonic acid, undecanoic acid, oleic acid, lauric acid, caprylic acid, capric acid, myristic acid, palmitic acid, stearic acid, linoleic acid, linolenic acid, dicaprate, tricaprate,
monoolein, dilaurin, glyceryl 1 -monocaprate, 1 -dodecylazacycloheptan^-one, an acylcarnitine, an acylcholine, or a monoglyceride, a diglyceride or a pharmaceutically acceptable salt thereof (e.g., sodium). In some embodiments, combinations of penetration enhancers are used, for example, fatty acids/salts in combination with bile acids/salts. One exemplary combination is the sodium salt of lauric acid, capric acid and UDCA. Further penetration enhancers include polyoxyethylene-9-lauryl ether, polyoxyethylene-20-cetyl ether. dsRNAs featured in the invention may be delivered orally, in granular form including sprayed dried particles, or complexed to form micro or nanoparticles. dsRNA complexing agents include poly-amino acids; polyimines; polyacrylates; polyalkylacrylates, polyoxethanes, polyalkylcyanoacrylates; cationized gelatins, albumins, starches, acrylates, polyethyleneglycols (PEG) and starches; polyalkylcyanoacrylates; DEAE-derivatized polyimines, pollulans, celluloses and starches. Suitable complexing agents include chitosan, N-trimethylchitosan, poly-L-lysine, polyhistidine, polyornithine, polyspermines, protamine, polyvinylpyridine,
polythiodiethylaminomethylethylene P(TDAE), polyaminostyrene (e.g., p-amino),
poly(methylcyanoacrylate), poly(ethylcyanoacrylate), poly(butylcyanoacrylate),
poly(isobutylcyanoacrylate), poly(isohexylcynaoacrylate), DEAE-methacrylate, DEAE- hexylacrylate, DEAE-acrylamide, DEAE-albumin and DEAE-dextran, polymethylacrylate, polyhexylacrylate, poly(D,L-lactic acid), poly(DL-lactic-co-glycolic acid (PLGA), alginate, and polyethyleneglycol (PEG). Oral formulations for dsRNAs and their preparation are described in detail in U.S. Patent 6,887,906, U.S. Patent Publication. No. 20030027780, and U.S. Patent No. 6,747,014, each of which is incorporated herein by reference.
Compositions and formulations for parenteral, intraparenchymal (into the brain), intrathecal, intraventricular or intrahepatic administration may include sterile aqueous solutions which may also contain buffers, diluents and other suitable additives such as, but not limited to, penetration enhancers, carrier compounds and other pharmaceutically acceptable carriers or excipients.
Pharmaceutical compositions and formulations for topical administration may include transdermal patches, ointments, lotions, creams, gels, drops, suppositories, sprays, liquids and powders. Conventional pharmaceutical carriers, aqueous, powder or oily bases, thickeners and the like may be necessary or desirable. Suitable topical formulations include those in which the dsRNAs featured in the invention are in admixture with a topical delivery agent such as lipids, liposomes, fatty acids, fatty acid esters, steroids, chelating agents and surfactants. Suitable lipids and liposomes include neutral (e.g., dioleoylphosphatidyl DOPE ethanolamine,
dimyristoylphosphatidyl choline DMPC, distearolyphosphatidyl choline) negative (e.g.,
dimyristoylphosphatidyl glycerol DMPG) and cationic (e.g., dioleoyltetramethylaminopropyl DOTAP and dioleoylphosphatidyl ethanolamine DOTMA). dsRNAs featured in the invention may be encapsulated within liposomes or may form complexes thereto, in particular to cationic liposomes. Alternatively, dsRNAs may be complexed to lipids, in particular to cationic lipids. Suitable fatty acids and esters include but are not limited to arachidonic acid, oleic acid, eicosanoic acid, lauric acid, caprylic acid, capric acid, myristic acid, palmitic acid, stearic acid, linoleic acid, linolenic acid, dicaprate, tricaprate, monoolein, dilaurin, glyceryl 1 -monocaprate, 1 -dodecylazacycloheptan-2-one, an acylcarnitine, an acylcholine, or a CM0 alkyl ester (e.g., isopropylmyristate IPM), monoglyceride, diglyceride or pharmaceutically acceptable salt thereof. Topical formulations are described in detail in U.S. Patent No. 6,747,014, which is incorporated herein by reference. In addition, dsRNA molecules can be administered to a mammal as biologic or abiologic means as described in, for example, U.S. Pat. No. 6,271 ,359. Abiologic delivery can be accomplished by a variety of methods including, without limitation, (1) loading liposomes with a dsRNA acid molecule provided herein and (2) complexing a dsRNA molecule with lipids or liposomes to form nucleic acid-lipid or nucleic acid-liposome complexes. The liposome can be composed of cationic and neutral lipids commonly used to transfect cells in vitro. Cationic lipids can complex (e.g., charge-associate) with negatively charged nucleic acids to form liposomes. Examples of cationic liposomes include, without limitation, lipofectin, lipofectamine, lipofectace, and DOTAP. Procedures for forming liposomes are well known in the art. Liposome compositions can be formed, for example, from phosphatidylcholine, dimyristoyl phosphatidylcholine, dipalmitoyl phosphatidylcholine, dimyristoyl phosphatidylglycerol, or dioleoyl phosphatidylethanolamine. Numerous lipophilic agents are commercially available, including Lipofectin™ (Invitrogen/Life Technologies, Carlsbad, Calif.) and Effectene™ (Qiagen, Valencia, Calif.). In addition, systemic delivery methods can be optimized using commercially available cationic lipids such as DDAB or
DOTAP, each of which can be mixed with a neutral lipid such as DOPE or cholesterol. In some cases, liposomes such as those described by Templeton et al. (Nature Biotechnology, 15: 647- 652 (1997)) can be used. In other embodiments, polycations such as polyethyleneimine can be used to achieve delivery in vivo and ex vivo (Boletta et al., J. Am Soc. Nephrol. 7: 1728 (1996)). Additional information regarding the use of liposomes to deliver nucleic acids can be found in U.S. Pat. No. 6,271 ,359, PCT Publication WO 96/40964 and Morrissey, D. et al. 2005. Nat Biotechnol. 23(8): 1002-7.
Biologic delivery can be accomplished by a variety of methods including, without limitation, the use of viral vectors. For example, viral vectors (e.g., adenovirus and herpes virus
vectors) can be used to deliver dsRNA molecules to liver cells. Standard molecular biology techniques can be used to introduce one or more of the dsRNAs provided herein into one of the many different viral vectors previously developed to deliver nucleic acid to cells. These resulting viral vectors can be used to deliver the one or more dsRNAs to cells by, for example, infection.
Liposomal formulations
There are many organized surfactant structures besides microemulsions that have been studied and used for the formulation of drugs. These include monolayers, micelles, bilayers and vesicles. Vesicles, such as liposomes, have attracted great interest because of their specificity and the duration of action they offer from the standpoint of drug delivery. As used in the present invention, the term "liposome" means a vesicle composed of amphophilic lipids arranged in a spherical bilayer or bilayers.
Liposomes are unilamellar or multilamellar vesicles which have a membrane formed from a lipophilic material and an aqueous interior. The aqueous portion contains the composition to be delivered. Cationic liposomes possess the advantage of being able to fuse to the cell wall. Non-cationic liposomes, although not able to fuse as efficiently with the cell wall, are taken up by macrophages in vivo.
In order to cross intact mammalian skin, lipid vesicles must pass through a series of fine pores, each with a diameter less than 50 nm, under the influence of a suitable transdermal gradient. Therefore, it is desirable to use a liposome which is highly deformable and able to pass through such fine pores.
Further advantages of liposomes include: liposomes obtained from natural phospholipids are biocompatible and biodegradable; liposomes can incorporate a wide range of water and lipid soluble drugs; and liposomes can protect encapsulated drugs in their internal compartments from metabolism and degradation (Rosoff, in Pharmaceutical Dosage Forms, Lieberman, Rieger and Banker (Eds.), 1988, Marcel Dekker, Inc., New York, N. Y., volume 1, p. 245). Important considerations in the preparation of liposome formulations are the lipid surface charge, vesicle size and the aqueous volume of the liposomes.
Liposomes are useful for the transfer and delivery of active ingredients to the site of action. Because the liposomal membrane is structurally similar to biological membranes, when liposomes are applied to a tissue, the liposomes start to merge with the cellular membranes and as the merging of the liposome and cell progresses, the liposomal contents are emptied into the cell where the active agent may act.
Liposomal formulations have been the focus of extensive investigation as the mode of delivery for many drugs. There is growing evidence that for topical administration, liposomes present several advantages over other formulations. Such advantages include reduced side- effects related to high systemic absorption of the administered drug, increased accumulation of the administered drug at the desired target, and the ability to administer a wide variety of drugs, both hydrophilic and hydrophobic, into the skin.
Several reports have detailed the ability of liposomes to deliver agents including high- molecular weight DNA into the skin. Compounds including analgesics, antibodies, hormones and high-molecular weight DNAs have been administered to the skin. The majority of applications resulted in the targeting of the upper epidermis
Liposomes fall into two broad classes. Cationic liposomes are positively charged liposomes which interact with the negatively charged DNA molecules to form a stable complex. The positively charged DNA/liposome complex binds to the negatively charged cell surface and is internalized in an endosome. Due to the acidic pH within the endosome, the liposomes are ruptured, releasing their contents into the cell cytoplasm (Wang et at., Biochem. Biophys. Res. Commun., 1987, 147, 980-985).
Liposomes which are pH-sensitive or negatively -charged, entrap DNA rather than complex with it. Since both the DNA and the lipid are similarly charged, repulsion rather than complex formation occurs. Nevertheless, some DNA is entrapped within the aqueous interior of these liposomes. pH-sensitive liposomes have been used to deliver DNA encoding the thymidine kinase gene to cell monolayers in culture. Expression of the exogenous gene was detected in the target cells (Zhou et ai, Journal of Controlled Release, 1992, 19, 269-274).
One major type of liposomal composition includes phospholipids other than naturally- derived phosphatidylcholine. Neutral liposome compositions, for example, can be formed from dimyristoyl phosphatidylcholine (DMPC) or dipalmitoyl phosphatidylcholine (DPPC). Anionic liposome compositions generally are formed from dimyristoyl phosphatidylglycerol, while anionic fusogenic liposomes are formed primarily from dioleoyl phosphatidylethanolamine (DOPE). Another type of liposomal composition is formed from phosphatidylcholine (PC) such as, for example, soybean PC, and egg PC. Another type is formed from mixtures of
phospholipid and/or phosphatidylcholine and/or cholesterol.
Several studies have assessed the topical delivery of liposomal drug formulations to the skin. Application of liposomes containing interferon to guinea pig skin resulted in a reduction of skin herpes sores while delivery of interferon via other means (e.g., as a solution or as an emulsion) were ineffective (Weiner et al., Journal of Drug Targeting, 1992, 2, 405-410).
Further, an additional study tested the efficacy of interferon administered as part of a liposomal formulation to the administration of interferon using an aqueous system, and concluded that the liposomal formulation was superior to aqueous administration (du Plessis et al., Antiviral Research, 1992, 18, 259-265).
Non-ionic liposomal systems have also been examined to determine their utility in the delivery of drugs to the skin, in particular systems comprising non-ionic surfactant and cholesterol. Non-ionic liposomal formulations comprising Novasome™ I (glyceryl r dilaurate/cholesterol/po- lyoxyethylene-10-stearyl ether) and Novasome™ II (glyceryl distearate/cholesterol/polyoxyethylene-10-stearyl ether) were used to deliver cyclosporin-A into the dermis of mouse skin. Results indicated that such non-ionic liposomal systems were effective in facilitating the deposition of cyclosporin-A into different layers of the skin (Hu et al., S.T.P. Pharma. Sci., 1994, 4, 6, 466).
Liposomes also include "sterically stabilized" liposomes, a term which, as used herein, refers to liposomes comprising one or more specialized lipids that, when incorporated into liposomes, result in enhanced circulation lifetimes relative to liposomes lacking such specialized lipids. Examples of sterically stabilized liposomes are those in which part of the vesicle-forming lipid portion of the liposome (A) comprises one or more glycolipids, such as
monosialoganglioside GM I, or (B) is derivatized with one or more hydrophilic polymers, such as a polyethylene glycol (PEG) moiety. While not wishing to be bound by any particular theory, it is thought in the art that, at least for sterically stabilized liposomes containing gangliosides, sphingomyelin, or PEG-derivatized lipids, the enhanced circulation half-life of these sterically stabilized liposomes derives from a reduced uptake into cells of the reticuloendothelial system (RES) (Allen et al., FEBS Letters, 1987, 223, 42; Wu et al., Cancer Research, 1993, 53, 3765).
Various liposomes comprising one or more glycolipids are known in the art.
Papahadjopoulos et al. (Ann. N. Y. Acad. Sci., 1987, 507, 64) reported the ability of
monosialoganglioside GMI , galactocerebroside sulfate and phosphatidylinositol to improve blood half-lives of liposomes. These findings were expounded upon by Gabizon et al. (Proc. Natl. Acad. Sci. U.S.A., 1988, 85, 6949). U.S. Pat. No. 4,837,028 and WO 88/04924, both to Allen et al., disclose liposomes comprising (1) sphingomyelin and (2) the ganglioside GM I or a galactocerebroside sulfate ester. U.S. Pat. No. 5,543,152 (Webb et al.) discloses liposomes comprising sphingomyelin. Liposomes comprising 1 ,2-sn-dimyristoylphosphat- idylcholine are disclosed in WO 97/13499 (Lim et al.).
Many liposomes comprising lipids derivatized with one or more hydrophilic polymers, and methods of preparation thereof, are known in the art. Sunamoto et al. (Bull. Chem. Soc.
Jpn., 1980, 53, 2778) described liposomes comprising a nonionic detergent, 2Cui5G, that contains a PEG moiety. Ilium et al. (FEBS Lett., 1984, 167, 79) noted that hydrophilic coating of polystyrene particles with polymeric glycols results in significantly enhanced blood half-lives. Synthetic phospholipids modified by the attachment of carboxylic groups of polyalkylene glycols (e.g., PEG) are described by Sears (U.S. Pat. Nos. 4,426,330 and 4,534,899). Klibanov et al. (FEBS Lett., 1990, 268, 235) described experiments demonstrating that liposomes comprising phosphatidylethanolamine (PE) derivatized with PEG or PEG stearate have significant increases in blood circulation half-lives. Blume et al. (Biochimica et Biophysica Acta, 1990, 1029, 91 ) extended such observations to other PEG-derivatized phospholipids, e.g., DSPE-PEG, formed from the combination of distearoylphosphatidylethanolamine (DSPE) and PEG. Liposomes having covalently bound PEG moieties on their external surface are described in European Patent No. EP 0 445 131 B 1 and WO 90/04384 to Fisher. Liposome compositions containing 1 -20 mole percent of PE derivatized with PEG, and methods of use thereof, are described by Woodle et al. (U.S. Pat. Nos. 5,013,556 and 5,356,633) and Martin et al. (U.S. Pat. No. 5,213,804 and European Patent No. EP 0 496 813 Bl). Liposomes comprising a number of other lipid-polymer conjugates are disclosed in WO 91/05545 and U.S. Pat. No. 5,225,212 (both to Martin et al.) and in WO 94/20073 (Zalipsky et al.) Liposomes comprising PEG-modified ceramide lipids are described in WO 96/10391 (Choi et al). U.S. Pat. No. 5,540,935 (Miyazaki et al.) and U.S. Pat. No. 5,556,948 (Tagawa et al.) describe PEG-containing liposomes that can be further derivatized with functional moieties on their surfaces.
A number of liposomes comprising nucleic acids are known in the art. WO 96/40062 to Thierry et al. discloses methods for encapsulating high molecular weight nucleic acids in liposomes. U.S. Pat. No. 5,264,221 to Tagawa et al. discloses protein-bonded liposomes and asserts that the contents of such liposomes may include a dsRNA. U.S. Pat. No. 5,665,710 to Rahman et al. describes certain methods of encapsulating oligodeoxynucleotides in liposomes. WO 97/04787 to Love et al. discloses liposomes comprising dsRNAs targeted to the raf gene.
Transfersomes are yet another type of liposomes and are highly deformable lipid aggregates which are attractive candidates for drug delivery vehicles. Transfersomes may be described as lipid droplets which are so highly deformable that they are easily able to penetrate through pores which are smaller than the droplet. Transfersomes are adaptable to the environment in which they are used, e.g., they are self-optimizing (adaptive to the shape of pores in the skin), self-repairing, frequently reach their targets without fragmenting, and often self- loading. To make transfersomes, it is possible to add surface edge-activators, usually surfactants, to a standard liposomal composition. Transfersomes have been used to deliver
serum albumin to the skin. The transfersome-mediated delivery of serum albumin has been shown to be as effective as subcutaneous injection of a solution containing serum albumin.
Surfactants find wide application in formulations such as emulsions (including microemulsions) and liposomes. The most common way of classifying and ranking the properties of the many different types of surfactants, both natural and synthetic, is by the use of the hydrophile/lipophile balance (HLB). The nature of the hydrophilic group (also known as the "head") provides the most useful means for categorizing the different surfactants used in formulations (Rieger, in Pharmaceutical Dosage Forms, Marcel Dekker, Inc., New York, N. Y., 1988, p. 285).
If the surfactant molecule is not ionized, it is classified as a nonionic surfactant. Nonionic surfactants find wide application in pharmaceutical and cosmetic products and are usable over a wide range of pH values. In general their HLB values range from 2 to about 18 depending on their structure. Nonionic surfactants include nonionic esters such as ethylene glycol esters, propylene glycol esters, glyceryl esters, polyglyceryl esters, sorbitan esters, sucrose esters, and ethoxylated esters. Nonionic alkanolamides and ethers such as fatty alcohol ethoxylates, propoxylated alcohols, and ethoxylated/propoxylated block polymers are also included in this class. The polyoxyethylene surfactants are the most popular members of the nonionic surfactant class.
If the surfactant molecule carries a negative charge when it is dissolved or dispersed in water, the surfactant is classified as anionic. Anionic surfactants include carboxylates such as soaps, acyl lactylates, acyl amides of amino acids, esters of sulfuric acid such as alkyl sulfates and ethoxylated alkyl sulfates, sulfonates such as alkyl benzene sulfonates, acyl isethionates, acyl taurates and sulfosuccinates, and phosphates. The most important members of the anionic surfactant class are the alkyl sulfates and the soaps.
If the surfactant molecule carries a positive charge when it is dissolved or dispersed in water, the surfactant is classified as cationic. Cationic surfactants include quaternary ammonium salts and ethoxylated amines. The quaternary ammonium salts are the most used members of this class.
If the surfactant molecule has the ability to carry either a positive or negative charge, the surfactant is classified as amphoteric. Amphoteric surfactants include acrylic acid derivatives, substituted alkylamides, N-alkylbetaines and phosphatides.
The use of surfactants in drug products, formulations and in emulsions has been reviewed (Rieger, in Pharmaceutical Dosage Forms, Marcel Dekker, Inc., New York, N.Y., 1988, p. 285).
Nucleic acid lipid particles
In one embodiment, a dsRNA featured in the invention is fully encapsulated in the lipid formulation, e.g., to form a nucleic acid-lipid particle, e.g., . Nucleic acid-lipid particles typically contain a cationic lipid, a non-cationic lipid, a sterol, and a lipid that prevents aggregation of the particle (e.g., a PEG-lipid conjugate). Nucleic acid-lipid particles are extremely useful for systemic applications, as they exhibit extended circulation lifetimes following intravenous (i.v.) injection and accumulate at distal sites (e.g., sites physically separated from the administration site). In addition, the nucleic acids when present in the nucleic acid-lipid particles of the present invention are resistant in aqueous solution to degradation with a nuclease. Nucleic acid-lipid particles and their method of preparation are disclosed in, e.g., U.S. Patent Nos. 5,976,567; 5,981,501; 6,534,484; 6,586,410; 6,815,432; and PCT Publication No. WO 96/40964.
Nucleic acid-lipid particles can further include one or more additional lipids and/or other components such as cholesterol. Other lipids may be included in the liposome compositions for a variety of purposes, such as to prevent lipid oxidation or to attach ligands onto the liposome surface. Any of a number of lipids may be present, including amphipathic, neutral, cationic, and anionic lipids. Such lipids can be used alone or in combination. Specific examples of additional lipid components that may be present are described herein.
Additional components that may be present in a nucleic acid-lipid particle include bi layer stabilizing components such as polyamide oligomers (see, e.g., U.S. Patent No. 6,320,017), peptides, proteins, detergents, lipid-derivatives, such as PEG coupled to
phosphatidylethanolamine and PEG conjugated to ceramides (see, U.S. Patent No. 5,885,613).
A nucleic acid-lipid particle can include one or more of a second amino lipid or cationic lipid, a neutral lipid, a sterol, and a lipid selected to reduce aggregation of lipid particles during formation, which may result from steric stabilization of particles which prevents charge-induced aggregation during formation.
Nucleic acid-lipid particles include, e.g., a SPLP, pSPLP, and SNALP. The
term"SNALP" refers to a stable nucleic acid-lipid particle, including SPLP. The term "SPLP" refers to a nucleic acid-lipid particle comprising plasmid DNA encapsulated within a lipid vesicle. SPLPs include "pSPLP," which include an encapsulated condensing agent-nucleic acid complex as set forth in PCT Publication No. WO 00/03683.
The particles of the present invention typically have a mean diameter of about 50 nm to about 150 nm, more typically about 60 nm to about 130 nm, more typically about 70 nm to about
1 10 nm, most typically about 70 nm to about 90 nm, or about 50, 60, 70, 80, 90, 100, 1 10, 120, 130, 140, or about 150 nm such that the particles are substantially nontoxic
In one embodiment, the lipid to drug ratio (mass/mass ratio) (e.g., lipid to dsRNA ratio) will be in the range of from about 1 : 1 to about 50: 1, from about 1 : 1 to about 25: 1, from about 3: 1 to about 15: 1 , from about 4: 1 to about 10: 1 , from about 5: 1 to about 9: 1, or about 6: 1 to about 9: l, or about 6: l, 7: l, 8: l, 9: l, 10: 1, 1 1 : 1, 12: 1, or 33: 1.
Cationic lipids
The nucleic acid-lipid particles of the invention typically include a cationic lipid. The cationic lipid may be, for example, N,N-dioleyl-N,N-dirnethylarnrnonium chloride (DODAC), N,N-distearyl-N,N-dimethylamrnonium bromide (DDAB), N-(I -(2,3- dioleoyloxy)propyl)- N,N,N-trimethylammonium chloride (DOTAP), N-(I -(2,3- dioleyloxy)propyl)-N,N,N- trimethylammonium chloride (DOTMA), N,N-dimethyl-2,3- dioleyloxy)propylamine
(DODMA), l,2-DiLinoleyloxy-N,N-dimethylaminopropane (DLinDMA), 1,2-Dilinolenyloxy- N,N-dimethylaminopropane (DLenDMA), 1 ,2-Dilinoleylcarbamoyloxy-3- dimethylaminopropane (DLin-C-DAP), 1 ,2-Dilinoleyoxy-3-(dimethylamino)acetoxypropane (DLin-DAC), l,2-Dilinoleyoxy-3-morpholinopropane (DLin-MA), l,2-Dilinoleoyl-3- dimethylaminopropane (DLinDAP), l,2-Dilinoleylthio-3-dimethylarninopropane (DLin-S- DMA), l-Linoleoyl-2-linoleyloxy-3-dimethylaminopropane (DLin-2-DMAP), 1 ,2- Dilinoleyloxy-3-trimethylaminopropane chloride salt (DLin-TMA.Cl), l,2-Dilinoleoyl-3- trimethylaminopropane chloride salt (DLin-TAP.Cl), l,2-Dilinoleyloxy-3-(N- methylpiperazino)propane (DLin-MPZ), or 3-(N,N-Dilinoleylamino)-l,2-propanediol (DLinAP), 3-(N,N-Dioleylamino)-l ,2-propanedio (DOAP), 1 ,2-Dilinoleyloxo-3-(2-N,N- dimethylamino)ethoxypropane (DLin-EG-DMA), 1,2-Dilinolenyloxy-N,N- dimethylaminopropane (DLinDMA), 2,2-Dilinoleyl-4-dimethylaminomethyl-[l ,3]-dioxolane (DLin-K-DMA) or analogs thereof, (3aR,5s,6aS)-N,N-dimethyl-2,2-di((9Z,12Z)-octadeca-9,12- dienyl)tetrahydro-3aH-cyclopenta[d][ 1 ,3]dioxol-5-amine (ALNY- 100), (6Z,9Z,28Z,31 Z)- heptatriaconta-6,9,28,31-tetraen-19-yl 4-(dimethylamino)butanoate (MC3), l,l'-(2-(4-(2-((2- (bis(2-hydroxydodecyl)amino)ethyl)(2-hydroxydodecyl)amino)ethyl)piperazin-l- yl)ethylazanediyl)didodecan-2-ol (C 12-200), or a mixture thereof.
Other cationic lipids, which carry a net positive charge at about physiological pH, in addition to those specifically described above, may also be included in lipid particles of the invention. Such cationic lipids include, but are not limited to, N,N-dioleyl-N,N- dimethylammonium chloride ("DODAC"); N-(2,3-dioleyloxy)propyl-N,N-N-triethylammoniurn chloride ("DOTMA"); N,N-distearyl-N,N-dimethylammonium bromide ("DDAB"); N-(2,3-
dioleoyloxy)propyl)-N,N,N-trimethylammonium chloride ("DOTAP"); l ,2-Dioleyloxy-3- trimethylaminopropane chloride salt ("DOTAP. Cl"); 3β-(N-(N',N'-dimethylaminoethane)- carbamoyl)cholesterol ("DC-Chol"), N-(l-(2,3-dioleyloxy)propyl)-N-2- (sperminecarboxamido)ethyl)-N,N-dimethylammonium trifluoracetate ("DOSPA"),
dioctadecylamidoglycyl carboxyspermine ("DOGS"), l,2-dileoyl-sn-3-phosphoethanolamine ("DOPE"), l,2-dioleoyl-3-dimethylammonium propane ("DODAP"), N, N-dimethyl-2,3- dioleyloxy)propylamine ("DODMA"), and N-(l,2-dimyristyloxyprop-3-yl)-N,N-dimethyl-N- hydroxyethyl ammonium bromide ("DMRIE"). Additionally, a number of commercial preparations of cationic lipids can be used, such as, e.g., LIPOFECTIN (including DOTMA and DOPE, available from GIBCO/BRL), and LIPOFECTAMINE (comprising DOSPA and DOPE, available from GIBCO/BRL). In particular embodiments, a.cationic lipid is an amino lipid.
As used herein, the term "amino lipid" is meant to include those lipids having one or two fatty acid or fatty alkyl chains and an amino head group (including an alkylamino or
dialkylamino group) that may be protonated to form a cationic lipid at physiological pH.
Other amino lipids would include those having alternative fatty acid groups and other dialkylamino groups, including those in which the alkyl substituents are different (e.g., N-ethyl- N-methylamino-, N-propyl-N-ethylamino- and the like). For those embodiments in which R1 ' and R12 are both long chain alkyl or acyl groups, they can be the same or different. In general, amino lipids having less saturated acyl chains are more easily sized, particularly when the complexes must be sized below about 0.3 microns, for purposes of filter sterilization. Amino lipids containing unsaturated fatty acids with carbon chain lengths in the range of CH to C22 are preferred. Other scaffolds can also be used to separate the amino group and the fatty acid or fatty alkyl portion of the amino lipid. Suitable scaffolds are known to those of skill in the art.
In certain embodiments, amino or cationic lipids of the invention have at least one protonatable or deprotonatable group, such that the lipid is positively charged at a pH at or below physiological pH (e.g. pH 7.4), and neutral at a second pH, preferably at or above physiological pH. It will, of course, be understood that the addition or removal of protons as a function of pH is an equilibrium process, and that the reference to a charged or a neutral lipid refers to the nature of the predominant species and does not require that all of the lipid be present in the charged or neutral form. Lipids that have more than one protonatable or deprotonatable group, or which are zwiterrionic, are not excluded from use in the invention.
In certain embodiments, protonatable lipids according to the invention have a pKa of the protonatable group in the range of about 4 to about 1 1. Most preferred is pKa of about 4 to about 7, because these lipids will be cationic at a lower pH formulation stage, while particles will be
largely (though not completely) surface neutralized at physiological pH around pH 7.4. One of the benefits of this pKa is that at least some nucleic acid associated with the outside surface of the particle will lose its electrostatic interaction at physiological pH and be removed by simple dialysis; thus greatly reducing the particle's susceptibility to clearance.
One example of a cationic lipid is l,2-Dilinolenyloxy-N,N-dimethylaminopropane
(DLinDMA). Synthesis and preparation of nucleic acid-lipid particles including DHnDMA is described in International application number PCT/CA2009/00496, filed April 15, 2009.
In one embodiment, the cationic lipid XTC (2,2-Dilinoleyl-4-dimethylaminoethyl-[l ,3]- dioxolane) is used to prepare nucleic acid-lipid particles . Synthesis of XTC is described in United States provisional patent application number 61/107,998 filed on October 23, 2008, which is herein incorporated by reference.
In another embodiment, the cationic lipid MC3 ((6Z,9Z,28Z,3 lZ)-heptatriaconta- 6,9,28,3 l-tetraen-19-yl 4-(dimethylamino)butanoate), (e.g., DLin-M-C3-DMA) is used to prepare nucleic acid-lipid particles . Synthesis of MC3 and MC3 comprising formulations are described, e.g., in U.S. Provisional Serial No. 61/244,834, filed September 22, 2009, and U.S. Provisional Serial No. 61/185,800, filed June 10, 2009, which are hereby incorporated by reference.
In another embodiment, the cationic lipid ALNY- 100 ((3aR,5s,6aS)-N,N-dimethyl-2,2- di((9Z,12Z)-octadeca-9,12-dienyl)tetrahydro-3aH-cyclopenta[d][l,3]dioxol-5-amine) is used to prepare nucleic acid-lipid particles . Synthesis of ALNY- 100 is described in International patent application number PCT/US09/63933 filed on November 10, 2009, which is herein incorporated by reference.
FIG. 20 illustrates the structures of ALNY- 100, MC3, and XTC.
In another embodiment, the cationic lipid 1,1'- (2-(4-(2-((2-(bis (2-hydroxydodecyl) amino) ethyl) (2-hydroxydodecyl) amino) ethyl) piperazin-1 -yl) ethylazanediyl) didodecan-2-ol (C 12-200) is used to prepare nuceic acid lipid particles. C 12-200 is also known as Tech Gl . Synthesis of C 12-200 and formulations using C 12-200 are described in International patent application no. PCT/US 10/33777 filed May 5, 2010 and in Love et al (Love et al. (2010) PNAS 107(5); 1864-69). FIG. 23 illustrates the structure of C 12-200.
The cationic lipid, e.g., C 12-200, can comprise from about 20 mol % to about 70 mol % or about 45-65 mol % or about 20, 25, 30, 35, 40, 45, 50, 55, 60, 65, or about 70 mol % of the total lipid present in the particle. In one embodiment the cationic lipid comprises about 50 mol % of the total lipid present.
Non-cationic lipids
The nucleic acid-lipid particles of the invention can include a non-cationic lipid. The non-cationic lipid may be an anionic lipid or a neutral lipid. Examples include but not limited to, distearoylphosphatidylcholine (DSPC), dioleoylphosphatidylcholine (DOPC),
dipalmitoylphosphatidylcholine (DPPC), dioleoylphosphatidylglycerol (DOPG),
dipalmitoylphosphatidylglycerol (DPPG), dioleoyl-phosphatidylethanolamine (DOPE), palmitoyloleoylphosphatidylcholine (POPC), palmitoyloleoylphosphatidylethanolamine (POPE), dioleoyl- phosphatidylethanolamine 4-(N-maleimidomethyl)-cyclohexane-l- carboxylate (DOPE- mal), dipalmitoyl phosphatidyl ethanolamine (DPPE), dimyristoylphosphoethanolamine
(DMPE), distearoyl-phosphatidyl-ethanolamine (DSPE), 16-0-monomethyl PE, 16-O-dimethyl PE, 18-1 -trans PE, 1 -stearoyl-2-oleoyl- phosphatidyethanolamine (SOPE), cholesterol, or a mixture thereof.
Anionic lipids suitable for use in lipid particles of the invention include, but are not limited to, phosphatidylglycerol, cardiolipin, diacylphosphatidylserine, diacylphosphatidic acid, N-dodecanoyl phosphatidylethanoloamine, N-succinyl phosphatidylethanolamine, N-glutaryl phosphatidylethanolamine, lysylphosphatidylglycerol, and other anionic modifying groups joined to neutral lipids.
Neutral lipids, when present in the lipid particle, can be any of a number of lipid species which exist either in an uncharged or neutral zwitterionic form at physiological pH. Such lipids include, for example diacylphosphatidylcholine, diacylphosphatidylethanolamine, ceramide, sphingomyelin, dihydrosphingomyelin, cephalin, and cerebrosides. The selection of neutral lipids for use in the particles described herein is generally guided by consideration of, e.g., liposome size and stability of the liposomes in the bloodstream. Preferably, the neutral lipid component is a lipid having two acyl groups, (i.e., diacylphosphatidylcholine and
diacylphosphatidylethanolamine). Lipids having a variety of acyl chain groups of varying chain length and degree of saturation are available or may be isolated or synthesized by well-known techniques. In one group of embodiments, lipids containing saturated fatty acids with carbon chain lengths in the range of CM to C22 are preferred. In another group of embodiments, lipids with mono- or di-unsaturated fatty acids with carbon chain lengths in the range of C 14 to C22 are used. Additionally, lipids having mixtures of saturated and unsaturated fatty acid chains can be used. Preferably, the neutral lipids used in the invention are DOPE, DSPC, POPC, or any related phosphatidylcholine. The neutral lipids useful in the invention may also be composed of sphingomyelin, dihydrosphingomyeline, or phospholipids with other head groups, such as serine and inositol.
In one embodiment the non-cationic lipid is distearoylphosphatidylcholine (DSPC). In another embodiment the non-cationic lipid is dipalmitoylphosphatidylcholine (DPPC).
The non-cationic lipid, e.g., DSPC, can be from about 5 mol % to about 90 mol %, about 5 mol % to about 10 mol %, about 5, 10, 15, 20, 25, 30, 35, 40, 45, 50, 55, 60, 65, 70, 75, 80, 85, or about 90 mol %, or about 10 mol %, or about 58 mol % if cholesterol is included, of the total lipid present in the particle.
Conjugated lipids
Conjugated lipids can be used in nucleic acid-lipid particle to prevent aggregation, including polyethylene glycol (PEG)-modified lipids, monosialoganglioside GmI, and polyamide oligomers ("PAO") such as (described in US Pat. No. 6,320,017). Other compounds with uncharged, hydrophilic, steric-barrier moieties, which prevent aggregation during formulation, like PEG, Gm I or ATTA, can also be coupled to lipids for use as in the methods and compositions of the invention. ATTA-lipids are described, e.g., in U.S. Patent No.
6,320,017, and PEG-lipid conjugates are described, e.g., in U.S. Patent Nos. 5,820,873, 5,534,499 and 5,885,613. Typically, the concentration of the lipid component selected to reduce aggregation is about 1 to 15% (by mole percent of lipids).
Specific examples of PEG-modified lipids (or lipid-polyoxyethylene conjugates) that are useful in the invention can have a variety of "anchoring" lipid portions to secure the PEG portion to the surface of the lipid vesicle. Examples of suitable PEG-modified lipids include PEG- modified phosphatidylethanolamine and phosphatidic acid, PEG-ceramide conjugates (e.g., PEG-CerC14 or PEG-CerC20) which are described in co-pending USSN 08/486,214, incorporated herein by reference, PEG-modified dialkylamines and PEG-modified 1 ,2- diacyloxypropan-3-amines. Particularly preferred are PEG-modified diacylglycerols and dialkylglycerols.
In embodiments where a sterically-large moiety such as PEG or ATTA are conjugated to a lipid anchor, the selection of the lipid anchor depends on what type of association the conjugate is to have with the lipid particle. It is well known that mePEG (mw2000)- diastearoylphosphatidylethanolamine (PEG-DSPE) will remain associated with a liposome until the particle is cleared from the circulation, possibly a matter of days. Other conjugates, such as PEG-CerC20 have similar staying capacity. PEG-CerC14, however, rapidly exchanges out of the formulation upon exposure to serum, with a T1/2 less than 60 mins. in some assays. As illustrated in US Pat. Application SN 08/486,214, at least three characteristics influence the rate of exchange: length of acyl chain, saturation of acyl chain, and size of the steric-barrier head group. Compounds having suitable variations of these features may be useful for the invention.
For some therapeutic applications, it may be preferable for the PEG-modified lipid to be rapidly lost from the nucleic acid-lipid particle in vivo and hence the PEG-modified lipid will possess relatively short lipid anchors. In other therapeutic applications, it may be preferable for the nucleic acid-lipid particle to exhibit a longer plasma circulation lifetime and hence the PEG- modified lipid will possess relatively longer lipid anchors. Exemplary lipid anchors include those having lengths of from about Cn to about C22, preferably from about Cu to about Ci6- In some embodiments, a PEG moiety, for example an mPEG-NHb, has a size of about 1000, 2000, 5000, 10,000, 15,000 or 20,000 daltons.
It should be noted that aggregation preventing compounds do not necessarily require lipid conjugation to function properly. Free PEG or free ATTA in solution may be sufficient to prevent aggregation. If the particles are stable after formulation, the PEG or ATTA can be dialyzed away before administration to a subject.
The conjugated lipid that inhibits aggregation of particles may be, for example, a polyethyleneglycol (PEG)-lipid including, without limitation, a PEG-diacylglycerol (DAG), a PEG-dialkyloxypropyl (DAA), a PEG-phospholipid, a PEG-ceramide (Cer), or a mixture thereof. The PEG-DAA conjugate may be, for example, a PEG-dilauryloxypropyl (CM2), a PEG- dimyristyloxypropyl (Cu), a PEG-dipalmityloxypropyl (Ci6), or a PEG- distearyloxypropyl (C]s). Additional conjugated lipids include polyethylene glycol - didimyristoyl glycerol (CM- PEG or PEG-C 14, where PEG has an average molecular weight of 2000 Da) (PEG-DMG); (R)- 2,3-bis(octadecyloxy)propyll-(methoxy poly(ethylene glycol)2000)propylcarbamate) (PEG-
DSG); PEG-carbamoyl-l ,2-dimyristyloxypropylamine, in which PEG has an average molecular weight of 2000 Da (PEG-cDMA); N-Acetylgalactosamine-((R)-2,3-bis(octadecyloxy)propyll- (methoxy poly(ethylene glycol)2000)propylcarbamate)) (GaINAc-PEG-DSG); and polyethylene glycol -dipalmitoylglycerol (PEG-DPG).
In one embodiment the conjugated lipid is PEG-DMG or PEG-DSG. In another embodiment the conjugated lipid is PEG-cDMA. In still another embodiment the conjugated lipid is PEG-DPG. Alternatively the conjugated lipid is GaINAc-PEG-DSG.
The conjugated lipid, e.g., PEG-DMG or PEG-DSG, can be about 0.5, 1.0, 1.5, 2.0, 2.5, 3.0, 3.5, 4.0, 4.5, or about 5.0 mol % of the total lipid present in the particle. In some embodiments the conjugated lipid that prevents aggregation of particles is from 0 mol % to about 20 mol % or about 0.5 to about 5.0 mol % or about or about 1.5 mol % or about 2.0 mol % of the total lipid present in the particle.
The sterol component of the lipid mixture, when present, can be any of those sterols conventionally used in the field of liposome, lipid vesicle or lipid particle preparation. A preferred sterol is cholesterol.
In some embodiments, the nucleic acid-lipid particle further includes a sterol, e.g., cholesterol at about 10, 15, 20, 25, 30, 35, 40, 45, 50, 55, or about 60 mol % of the total lipid present in the article. In some embodiments the sterol is about 10 to about 60 mol % or about 25 to about 40 mol % or about 38.5 mol % or about 48 mol % of the total lipid present in the particle.
Lipoproteins
In one embodiment, the formulations of the invention further comprise an apolipoprotein.
As used herein, the term "apolipoprotein" or "lipoprotein" refers to apolipoproteins known to those of skill in the art and variants and fragments thereof and to apolipoprotein agonists, analogues or fragments thereof described below.
Suitable apolipoproteins include, but are not limited to, ApoA-I, ApoA-II, ApoA-IV, ApoA-V and ApoE, and active polymorphic forms, isoforms, variants and mutants as well as fragments or truncated forms thereof. In certain embodiments, the apolipoprotein is a thiol containing apolipoprotein. "Thiol containing apolipoprotein" refers to an apolipoprotein, variant, fragment or isoform that contains at least one cysteine residue. The most common thiol containing apolipoproteins are ApoA-I Milano (ApoA-Ivi) and ApoA-I Paris (ApoA-Ip) which contain one cysteine residue (Jia et al, 2002, Biochem. Biophys. Res. Comm. 297: 206-13;
Bielicki and Oda, 2002, Biochemistry 41 : 2089-96). ApoA-II, ApoE2 and ApoE3 are also thiol containing apolipoproteins. Isolated ApoE and/or active fragments and polypeptide analogues thereof, including recombinantly produced forms thereof, are described in U.S. Pat. Nos.
5,672,685; 5,525,472; 5,473,039; 5,182,364; 5,177,189; 5, 168,045; 5,1 16,739; the disclosures of which are herein incorporated by reference. ApoE3 is disclosed in Weisgraber, et al, "Human E apoprotein heterogeneity: cysteine-arginine interchanges in the amino acid sequence of the apo-E isoforms," J. Biol. Chem. (1981) 256: 9077-9083; and Rail, et al, "Structural basis for receptor binding heterogeneity of apolipoprotein E from type III hyperlipoproteinemic subjects," Proc. Nat. Acad. Sci. (1982) 79: 4696-4700. (See also GenBank accession number K00396.)
In certain embodiments, the apolipoprotein can be in its mature form, in its
preproapolipoprotein form or in its proapolipoprotein form. Homo- and heterodimers (where feasible) of pro- and mature ApoA-I (Duverger et al, 1996, Arterioscler. Thromb. Vase. Biol. 16(12): 1424-29), ApoA-I Milano (Klon et al, 2000, Biophys. J. 79 :(3) 1679-87; Franceschini et al, 1985, J. Biol. Chem. 260: 1632-35), ApoA-I Paris (Daum et al, 1999, J. Mol. Med. 77:614-
22), ApoA-II (Shelness et al, 1985, J. Biol. Chem. 260(14):8637-46; Shelness et al, 1984, J. Biol. Chem. 259( 15):9929-35), ApoA-IV (Duverger et al , 1991, Euro. J. Biochem. 201(2):373- 83), and ApoE (McLean et al, 1983, J. Biol. Chem. 258(14):8993-9000) can also be utilized within the scope of the invention.
In certain embodiments, the apolipoprotein can be a fragment, variant or isoform of the apolipoprotein. The term "fragment" refers to any apolipoprotein having an amino acid sequence shorter than that of a native apolipoprotein and which fragment retains the activity of native apolipoprotein, including lipid binding properties. By "variant" is meant substitutions or alterations in the amino acid sequences of the apolipoprotein, which substitutions or alterations, e.g., additions and deletions of amino acid residues, do not abolish the activity of native apolipoprotein, including lipid binding properties. Thus, a variant can comprise a protein or peptide having a substantially identical amino acid sequence to a native apolipoprotein provided herein in which one or more amino acid residues have been conservatively substituted with chemically similar amino acids. Examples of conservative substitutions include the substitution of at least one hydrophobic residue such as isoleucine, valine, leucine or methionine for another. Likewise, the present invention contemplates, for example, the substitution of at least one hydrophilic residue such as, for example, between arginine and lysine, between glutamine and asparagine, and between glycine and serine (see U.S. Pat. Nos. 6,004,925, 6,037,323 and 6,046,166). The term "isoform" refers to a protein having the same, greater or partial function and similar, identical or partial sequence, and may or may not be the product of the same gene and usually tissue specific (see Weisgraber 1990, J. Lipid Res. 31(8): 1503-1 1 ; Hixson and Powers 1991 , J. Lipid Res. 32(9): 1529-35; Lackner et al., 1985, J. Biol. Chem. 260(2):703-6; Hoeg et ai, 1986, J. Biol. Chem. 261(9):391 1-4; Gordon et al., 1984, J. Biol. Chem. 259(1):468- 74: Powell et al., 1987, Cell 50(6):831-40; Avkam et al., 1998, Arterioscler. Thromb. Vase. Biol. 18(10): 1617-24; Aviram et al., 1998, J. Clin. Invest. 101 (8): 1581-90; Billecke et al., 2000, Drug Metab. Dispos. 28(1 1 ): 1335-42; Draganov et al., 2000, J. Biol. Chem. 275(43):33435-42; Steinmetz and Utermann 1985, J. Biol. Chem. 260(4):2258-64; Widler et al., 1980, J. Biol. Chem. 255(21): 10464-71 ; Dyer et al., 1995, J. Lipid Res. 36(l):80-8; Sacre et al., 2003, FEBS Lett. 540(1-3): 181-7; Weers, et al., 2003, Biophys. Chem. 100(l-3):481-92; Gong et al., 2002, J. Biol. Chem. 277(33):29919-26; Ohta et al., 1984, J. Biol. Chem. 259(23): 14888-93 and U.S. Pat. No. 6,372,886).
In certain embodiments, the methods and compositions of the present invention include the use of a chimeric construction of an apolipoprotein. For example, a chimeric construction of an apolipoprotein can be comprised of an apolipoprotein domain with high lipid binding capacity
associated with an apolipoprotein domain containing ischemia reperfusion protective properties. A chimeric construction of an apolipoprotein can be a construction that includes separate regions within an apolipoprotein (i.e., homologous construction) or a chimeric construction can be a construction that includes separate regions between different apolipoproteins (i.e., heterologous constructions). Compositions comprising a chimeric construction can also include segments that are apolipoprotein variants or segments designed to have a specific character (e.g., lipid binding, receptor binding, enzymatic, enzyme activating, antioxidant or reduction-oxidation property) (see Weisgraber 1990, J. Lipid Res. 31(8): 1503-1 1; Hixson and Powers 1991, J. Lipid Res. 32(9): 1529-35; Lackner et al, 1985, J. Biol. Chem. 260(2):703-6; Hoeg et al, 1986, J. Biol. Chem. 261(9):391 1-4; Gordon et al, 1984, J. Biol. Chem. 259(l):468-74; Powell et al, 1987, Cell 50(6):831-40; Aviram et al., 1998, Arterioscler. Thromb. Vase. Biol. 18(10): 1617-24; Aviram et al., 1998, J. Clin. Invest. 101 (8): 1581 -90; Billecke et al, 2000, Drug Metab. Dispos. 28(1 1): 1335-42; Draganov et al, 2000, J. Biol. Chem. 275(43):33435-42; Steinmetz and Utermann 1985, J. Biol. Chem. 260(4):2258-64; Widler et al, 1980, J. Biol. Chem.
255(21 ): 10464-71 ; Dyer et al, 1995, J. Lipid Res. 36(1 ):80-8; Sorenson et al, 1999,
Arterioscler. Thromb. Vase. Biol. 19(9):2214-25; Palgunachari 1996, Arterioscler. Throb. Vase. Biol. 16(2):328-38: Thurberg et al, J. Biol. Chem. 271(1 1):6062-70; Dyer 1991 , J. Biol. Chem. 266(23): 150009- 15; Hill 1998, J. Biol. Chem. 273(47):30979-84).
Apolipoproteins utilized in the invention also include recombinant, synthetic, semi- synthetic or purified apolipoproteins. Methods for obtaining apolipoproteins or equivalents thereof, utilized by the invention are well-known in the art. For example, apolipoproteins can be separated from plasma or natural products by, for example, density gradient centrifugation or immunoaffinity chromatography, or produced synthetically, semi-synthetically or using recombinant DNA techniques known to those of the art (see, e.g., Mulugeta et al, 1998, J. Chromatogr. 798(1-2): 83-90; Chung et al, 1980, J. Lipid Res. 21(3):284-91 ; Cheung et al, 1987, J. Lipid Res. 28(8):913-29; Persson, et al, 1998, J. Chromatogr. 71 1 :97-109; U.S. Pat. Nos. 5,059,528, 5,834,596, 5,876,968 and 5,721,1 14; and PCT Publications WO 86/04920 and WO 87/02062).
Apolipoproteins utilized in the invention further include apolipoprotein agonists such as peptides and peptide analogues that mimic the activity of ApoA-I, ApoA-I Milano (APOA-1M), ApoA-I Paris (ApoA-Ip), ApoA-II, ApoA-IV, and ApoE. For example, the apolipoprotein can be any of those described in U.S. Pat. Nos. 6,004,925, 6,037,323, 6,046,166, and 5,840,688, the contents of which are incorporated herein by reference in their entireties.
Apolipoprotein agonist peptides or peptide analogues can be synthesized or manufactured using any technique for peptide synthesis known in the art including, e.g., the techniques described in U.S. Pat. Nos. 6,004,925, 6,037,323 and 6,046,166. For example, the peptides may be prepared using the solid-phase synthetic technique initially described by Merrifield (1963, J. Am. Chem. Soc. 85:2149-2154). Other peptide synthesis techniques may be found in Bodanszky et al., Peptide Synthesis, John Wiley & Sons, 2d Ed., (1976) and other references readily available to those skilled in the art. A summary of polypeptide synthesis techniques can be found in Stuart and Young, Solid Phase Peptide. Synthesis, Pierce Chemical Company, Rockford, 111., (1984). Peptides may also be synthesized by solution methods as described in The Proteins, Vol. II, 3d Ed., Neurath et al., Eds., p. 105-237, Academic Press, New York, N.Y. (1976). Appropriate protective groups for use in different peptide syntheses are described in the above-mentioned texts as well as in McOmie, Protective Groups in Organic Chemistry, Plenum Press, New York, N.Y. (1973). The peptides of the present invention might also be prepared by chemical or enzymatic cleavage from larger portions of, for example, apolipoprotein A-I.
In certain embodiments, the apolipoprotein can be a mixture of apolipoproteins. In one embodiment, the apolipoprotein can be a homogeneous mixture, that is, a single type of apolipoprotein. In another embodiment, the apolipoprotein can be a heterogeneous mixture of apolipoproteins, that is, a mixture of two or more different apolipoproteins. Embodiments of heterogenous mixtures of apolipoproteins can comprise, for example, a mixture of an apolipoprotein from an animal source and an apolipoprotein from a semi-synthetic source. In certain embodiments, a heterogenous mixture can comprise, for example, a mixture of ApoA-I and ApoA-I Milano. In certain embodiments, a heterogeneous mixture can comprise, for example, a mixture of ApoA-I Milano and ApoA-I Paris. Suitable mixtures for use in the methods and compositions of the invention will be apparent to one of skill in the art.
If the apolipoprotein is obtained from natural sources, it can be obtained from a plant or animal source. If the apolipoprotein is obtained from an animal source, the apolipoprotein can be from any species. In certain embodiments, the apolipoprotien can be obtained from an animal source. In certain embodiments, the apolipoprotein can be obtained from a human source. In preferred embodiments of the invention, the apolipoprotein is derived from the same species as the individual to which the apolipoprotein is administered.
Other components
In numerous embodiments, amphipathic lipids are included in lipid particles of the invention. "Amphipathic lipids" refer to any suitable material, wherein the hydrophobic portion of the lipid material orients into a hydrophobic phase, while the hydrophilic portion orients
toward the aqueous phase. Such compounds include, but are not limited to, phospholipids, aminolipids, and sphingolipids. Representative phospholipids include sphingomyelin, phosphatidylcholine, phosphatidylethanolamine, phosphatidylserine, phosphatidylinositol, phosphatidic acid, palmitoyloleoyl phosphatdylcholine, lysophosphatidylcholine,
lysophosphatidylethanolamine, dipalmitoylphosphatidylcholine, dioleoylphosphatidylcholine, distearoylphosphatidylcholine, or dilinoleylphosphatidylcholine. Other phosphorus-lacking compounds, such as sphingolipids, glycosphingolipid families, diacylglycerols, and β- acyloxyacids, can also be used. Additionally, such amphipathic lipids can be readily mixed with other lipids, such as triglycerides and sterols.
Also suitable for inclusion in the lipid particles of the invention are programmable fusion lipids. Such lipid particles have little tendency to fuse with cell membranes and deliver their payload until a given signal event occurs. This allows the lipid particle to distribute more evenly after injection into an organism or disease site before it starts fusing with cells. The signal event can be, for example, a change in pH, temperature, ionic environment, or time. In the latter case, a fusion delaying or "cloaking" component, such as an ATTA-lipid conjugate or a PEG-lipid conjugate, can simply exchange out of the lipid particle membrane over time. Exemplary lipid anchors include those having lengths of from about CH to about C22, preferably from about Q4 to about Ci6- Tn some embodiments, a PEG moiety, for example an mPEG-NH2, has a size of about 1000, 2000, 5000, 10,000, 15,000 or 20,000 daltons.
A lipid particle conjugated to a nucleic acid agent can also include a targeting moiety, e.g., a targeting moiety that is specific to a cell type or tissue. Targeting of lipid particles using a variety of targeting moieties, such as ligands, cell surface receptors, glycoproteins, vitamins (e.g., riboflavin) and monoclonal antibodies, has been previously described (see, e.g., U.S. Patent Nos. 4,957,773 and 4,603,044). The targeting moieties can include the entire protein or fragments thereof. Targeting mechanisms generally require that the targeting agents be positioned on the surface of the lipid particle in such a manner that the targeting moiety is available for interaction with the target, for example, a cell surface receptor. A variety of different targeting agents and methods are known and available in the art, including those described, e.g., in Sapra, P. and Allen, TM, Prog. Lipid Res. 42(5):439-62 (2003); and Abra, RM et al, J. Liposome Res. 12: 1-3, (2002).
The use of lipid particles, i.e., liposomes, with a surface coating of hydrophilic polymer chains, such as polyethylene glycol (PEG) chains, for targeting has been proposed (Allen, et al, Biochimica et Biophysica Acta 1237: 99-108 (1995); DeFrees, et al, Journal of the American Chemistry Society 1 18: 6101-6104 (1996); Blume, et al, Biochimica et Biophysica Acta 1 149:
180-184 (1993); Klibanov, et al, Journal of Liposome Research 2: 321 -334 (1992); U.S. Patent No. 5,013556; Zalipsky, Bioconjugate Chemistry 4: 296-299 (1993); Zalipsky, FEBS Letters 353: 71-74 (1994); Zalipsky, in Stealth Liposomes Chapter 9 (Lasic and Martin, Eds) CRC Press, Boca Raton Fl (1995). In one approach, a ligand, such as an antibody, for targeting the lipid particle is linked to the polar head group of lipids forming the lipid particle. In another approach, the targeting ligand is attached to the distal ends of the PEG chains forming the hydrophilic polymer coating (Klibanov, et al., Journal of Liposome Research 2: 321-334 (1992); Kirpotin et al, FEBS Letters 388: 1 15-1 18 (1996)).
Standard methods for coupling the target agents can be used. For example,
phosphatidylethanolamine, which can be activated for attachment of target agents, or derivatized lipophilic compounds, such as lipid-derivatized bleomycin, can be used. Antibody-targeted liposomes can be constructed using, for instance, liposomes that incorporate protein A {see, Renneisen, et al., J. Bio. Chem., 265: 16337-16342 (1990) and Leonetti, et al., Proc. Natl. Acad. Sci. (USA), 87:2448-2451 (1990). Other examples of antibody conjugation are disclosed in U.S. Patent No. 6,027,726, the teachings of which are incorporated herein by reference. Examples of targeting moieties can also include other proteins, specific to cellular components, including antigens associated with neoplasms or tumors. Proteins used as targeting moieties can be attached to the liposomes via covalent bonds (see, Heath, Covalent Attachment of Proteins to Liposomes, 149 Methods in Enzymology 1 1 1 -1 19 (Academic Press, Inc. 1987)). Other targeting methods include the biotin-avidin system.
Production of nucleic acid-lipid particles
In one embodiment, the nucleic acid-lipid particle formulations of the invention are produced via an extrusion method or an in-line mixing method.
The extrusion method (also referred to as preformed method or batch process) is a method where the empty liposomes (i.e. no nucleic acid) are prepared first, followed by the addition of nucleic acid to the empty liposome. Extrusion of liposome compositions through a small-pore polycarbonate membrane or an asymmetric ceramic membrane results in a relatively well-defined size distribution. Typically, the suspension is cycled through the membrane one or more times until the desired liposome complex size distribution is achieved. The liposomes may be extruded through successively smaller-pore membranes, to achieve a gradual reduction in liposome size. In some instances, the lipid-nucleic acid compositions which are formed can be used without any sizing. These methods are disclosed in the US 5,008,050; US 4,927,637; US 4,737,323; Biochim Biophys Acta. 1979 Oct 19;557(l):9-23; Biochim Biophys Acta. 1980 Oct
2;601(3):559-7; Biochim Biophys Acta. 1986 Jun 13;858(1): 161-8; and Biochim. Biophys. Acta 1985 812, 55-65, which are hereby incorporated by reference in their entirety.
The in-line mixing method is a method wherein both the lipids and the nucleic acid are added in parallel into a mixing chamber. The mixing chamber can be a simple T-connector or any other mixing chamber that is known to one skill in the art. These methods are disclosed in US patent nos. 6,534,018 and US 6,855,277; US publication 2007/0042031 and Pharmaceuticals Research, Vol. 22, No. 3, Mar. 2005, p. 362-372, which are hereby incorporated by reference in their entirety.
It is further understood that the formulations of the invention can be prepared by any methods known to one of ordinary skill in the art.
Characterization of nucleic acid-lipid particles
Formulations prepared by either the standard or extrusion-free method can be characterized in similar manners. For example, formulations are typically characterized by visual inspection. They should be whitish translucent solutions free from aggregates or sediment. Particle size and particle size distribution of lipid-nanoparticles can be measured by light scattering using, for example, a Malvern Zetasizer Nano ZS (Malvern, USA). Particles should be about 20-300 nm, such as 40-100 nm in size. The particle size distribution should be unimodal. The total siRNA concentration in the formulation, as well as the entrapped fraction, is estimated using a dye exclusion assay. A sample of the formulated siRNA can be incubated with an RNA-binding dye, such as Ribogreen (Molecular Probes) in the presence or absence of a formulation disrupting surfactant, e.g., 0.5% Triton-XIOO. The total siRNA in the formulation can be determined by the signal from the sample containing the surfactant, relative to a standard curve. The entrapped fraction is determined by subtracting the "free" siRNA content (as measured by the signal in the absence of surfactant) from the total siRNA content. Percent entrapped siRNA is typically >85%. In one embodiment, the formulations of the invention are entrapped by at least 75%, at least 80% or at least 90%.
For nucleic acid-lipid particle formulations, the particle size is at least 30 nm, at least 40 nm, at least 50 nm, at least 60 nm, at least 70 nm, at least 80 nm, at least 90 nm, at least 100 nm, at least 1 10 nm, and at least 120 nm. The suitable range is typically about at least 50 nm to about at least 1 10 nm, about at least 60 nm to about at least 100 nm, or about at least 80 nm to about at least 90 nm.
Formulations of nucleic acid-lipid particles
LNPOl
One example of synthesis of a nucleic acid-lipid particle is as follows. Nucleic acid-lipid particles are synthesized using the lipidoid ND98-4HC1 (MW 1487) (Formula 1), Cholesterol (Sigma-Aldrich), and PEG-Ceramide C16 (Avanti Polar Lipids) ,. This nucleic acid-lipid particle is sometimes referred to as a LNPOl particles. Stock solutions of each in ethanol can be prepared as follows: ND98, 133 mg/ml; Cholesterol, 25 mg/ml, PEG-Ceramide C 16, 100 mg/ml. The ND98, Cholesterol, and PEG-Ceramide C 16 stock solutions can then be combined in a, e.g., 42:48: 10 molar ratio. The combined lipid solution can be mixed with aqueous siRNA (e.g., in sodium acetate pH 5) such that the final ethanol concentration is about 35-45% and the final sodium acetate concentration is about 100-300 mM. Lipid-siRNA nanoparticles typically form spontaneously upon mixing. Depending on the desired particle size distribution, the resultant nanoparticle mixture can be extruded through a polycarbonate membrane (e.g., 100 nm cut-off) using, for example, a thermobarrel extruder, such as Lipex Extruder (Northern Lipids, Inc). In some cases, the extrusion step can be omitted. Ethanol removal and simultaneous buffer exchange can be accomplished by, for example, dialysis or tangential flow filtration. Buffer can be exchanged with, for example, phosphate buffered saline (PBS) at about pH 7, e.g., about pH 6.9, about pH 7.0, about pH 7.1, about pH 7.2, about pH 7.3, or about pH 7.4.
H
O
H H ND98 Isomer !
Formula 1
LNPOl formulations are described, e.g., in International Application Publication No. WO 2008/042973, which is hereby incorporated by reference.
Additional exemplary nucleic acid-lipid particle formulations are described in the following table. It is to be understood that the name of the nucleic acid-lipid particle in the table is not meant to be limiting. For example, as used herein, the term SNALP refers to formulations that include the cationic lipid DLinDMA.
C 12-200/DSPC/Cholestcrol/PEG-DSG
LNP21 50/10/38.5/1.5
lipid:sJRNA ~7: l __
XTC/DSPC/Cholesterol/PEG-DSG
LNP22 50/10/38.5/1.5
lipid:sJRNA ~10: l
XTC comprising formulations are described, e.g., in U.S. Provisional Serial
No. 61/239,686, filed September 3, 2009, which is hereby incorporated by reference.
MC3 comprising formulations are described, e.g., in U.S. Provisional Serial
No. 61/244,834, filed September 22, 2009, and U.S. Provisional Serial No. 61/185,800, filed June 10, 2009, which are hereby incorporated by reference.
ALNY- 100 comprising formulations are described, e.g., International patent application number PCT/US09/63933, filed on November 10, 2009, which is hereby incorporated by reference.
C 12-200 comprising formulations are described in International patent application number PCT/US 10/33777 filed May 5, 2010 and in Love et al (Love et al. (2010) PNAS 107(5); 1864-69) which are hereby incorporated by reference.
Additional representative formulations delineated in Tables 25 and 26. Lipid refers to a cationic lipid.
Table 25: Composition of exemplary nucleic acid-lipid particles prepared via extrusion methods.
Lipid (mol %) DSPC (mol %) Choi (mol %) PEG (mol %) Lipid/ SiRNA
20 30 40 10 2.13
20 30 40 10 2.35
20 30 40 10 2.37
20 30 40 10 3.23
20 30 40 10 3.91
30 20 40 10 2.89
30 20 40 10 3.34
30 20 40 10 3.34
30 20 40 10 4.10
30 20 40 10 5.64
40 10 40 10 3.02
40 10 40 10 3.35
40 10 40 10 3.74
40 10 40 10 5.80
40 10 40 10 8.00
Lipid (mol %) DSPC (mol %) Choi (mol %) PEG (mol %) Lipid/ SiRNA
45 5 40 10 3.27
45 5 40 10 3.30
45 5 40 10 4.45
45 5 40 10 7.00
45 5 40 10 9.80
50 0 40 10 27.03
20 35 40 5 3.00
20 35 40 5 3.32
20 35 40 5 3.05
20 35 40 5 3.67
20 35 40 5 4.71
30 25 40 5 2.47
30 25 40 5 2.98
30 25 40 5 3.29
30 25 40 5 4.99
30 25 40 5 7.15
40 15 40 5 2.79
40 15 40 5 3.29
40 15 40 5 4.33
40 15 40 5 7.05
40 15 40 5 9.63
45 10 40 5 2.44
45 10 40 5 3.21
45 10 40 5 4.29
45 10 40 5 6.50
45 10 40 5 8.67
20 35 40 5 4.10
20 35 40 5 4.83
30 25 40 5 3.86
30 25 40 5 5.38
30 25 40 5 7.07
40 15 40 5 3.85
40 15 40 5 4.88
40 15 40 5 7.22
40 15 40 5 9.75
45 10 40 5 2.83
45 10 40 5 3.85
Lipid (mol %) DSPC (mol %) Choi (mol %) PEG (mol %) Lipid/ SiRNA
45 10 40 5 4.88
45 10 40 5 7.05
45 10 40 5 9.29
45 20 30 5 4.01
45 20 30 5 3.70
50 15 30 5 4.75
50 15 30 5 3.80
55 10 30 5 3.85
55 10 30 5 4.13
60 5 30 5 5.09
60 5 30 5 4.67
65 0 30 5 4.75
65 0 30 5 6.06
56.5 10 30 3.5 3.70
56.5 10 30 3.5 3.56
57.5 10 30 2.5 3.48
57.5 10 30 2.5 3.20
58.5 10 30 1.5 3.24
58.5 10 30 1.5 3.13
59.5 10 30 0.5 3.24
59.5 10 30 0.5 3.03
45 10 40 5 7.57
45 10 40 5 7.24
45 10 40 5 7.48
45 10 40 5 7.84
65 0 30 5 4.01
60 5 30 5 3.70
55 10 30 5 3.65
50 10 35 5 3.43
50 15 30 5 3.80
45 15 35 5 3.70
45 20 30 5 3.75
45 25 25 5 3.85
55 10 32.5 2.5 3.61
60 10 27.5 2.5 3.65
60 10 25 5 4.07
55 5 38.5 1.5 3.75
60 10 28.5 1.5 3.43
Lipid (mol %) DSPC (mol %) Choi (mol %) PEG (mol %) Lipid/ siRNA
55 10 33.5 1.5 3.48
60 5 33.5 1.5 3.43
55 5 37.5 2.5 3.75
60 5 32.5 2.5 4.52
60 5 32.5 2.5 3.52
45 15 (DMPC) 35 5 3.20
45 15 (DPPC) 35 5 3.43
45 15 (DOPC) 35 5 4.52
45 15 (POPC) 35 5 3.85
55 5 37.5 2.5 3.96
55 10 32.5 2.5 3.56
60 5 32.5 2.5 3.80
60 10 27.5 2.5 3.75
60 5 30 5 4.19
60 5 33.5 1.5 3.48
60 5 33.5 1.5 6.64
60 5 30 5 3.90
60 5 30 5 4.65
60 5 30 5 5.88
60 5 30 5 7.51
60 5 30 5 9.51
60 5 30 5 11.06
62.5 2.5 50 5 6.63
45 15 35 5 3.31
45 15 35 5 6.80
60 5 25 10 6.48
60 5 32.5 2.5 3.43
60 5 30 5 3.90
60 5 30 5 7.61
45 15 35 5 3.13
45 15 35 5 6.42
60 5 25 10 6.48
60 5 32.5 2.5 3.03
60 5 30 5 3.43
60 5 30 5 6.72
60 5 30 5 4.13
70 5 20 5 5.48
80 5 10 5 5.94
Lipid (mol %) DSPC (mol %) Choi (mol %) PEG (mol %) Lipid/ SiRNA
90 5 0 5 9.50
60 5 30 5 C12PEG 3.85
60 5 30 5 3.70
60 5 30 5 C16PEG 3.80
60 5 30 5 4.19
60 5 29 5 4.07
60 5 30 5 3.56
60 5 30 5 3.39
60 5 30 5 3.96
60 5 30 5 4.01
60 5 30 5 4.07
60 5 30 5 4.25
60 5 30 5 3.80
60 5 30 5 3.31
60 5 30 5 4.83
60 5 30 5 4.67
60 5 30 5 3.96
57.5 7.5 33.5 1.5 3.39
57.5 7.5 32.5 2.5 3.39
57.5 7.5 31.5 3.5 3.52
57.5 7.5 30 5 4.19
60 5 30 5 3.96
60 5 30 5 3.96
60 5 30 5 3.56
60 5 33.5 1.5 3.52
60 5 25 10 5.18
60 5 (DPPC) 30 5 4.25
60 5 32.5 2.5 3.70
57.5 7.5 31.5 3.5 3.06
57.5 7.5 31.5 3.5 3 65
57.5 7.5 31.5 3.5 4.70
57.5 7.5 31.5 3.5 6.56
Table 26: Composition of exemplary nucleic acid-lipid particles prepared via in-line
Lipid (mol %) DSPC (rr iol %) Choi (mol %) PEG (mol %) Lipid A/ siRNA
55 5 37.5 2.5 3.96
Lipid (mol %) DSPC (mol %) Choi (mol %) PEG (mol 0A) Lipid A/ siRNA
55 10 32.5 2.5 3.56
60 5 32.5 2.5 3.80
60 10 27.5 2.5 3.75
60 5 30 5 4.19
60 5 33.5 1.5 3.48
60 5 33.5 1.5 6.64
60 5 25 10 6.79
60 5 32.5 2.5 3.96
60 5 34 1 3.75
60 5 34.5 0.5 3.28
50 5 40 5 3.96
60 5 30 5 4.75
70 5 20 5 5.00
80 5 10 5 5.18
60 5 30 5 13.60
60 5 30 5 14.51
60 5 30 5 6.20
60 5 30 5 4.60
60 5 30 5 6.20
60 5 30 5 5.82
40 5 54 1 3.39
40 7.5 51.5 1 3.39
40 10 49 1 3.39
50 5 44 1 3.39
50 7.5 41.5 1 3.43
50 10 39 1 3.35
60 5 34 1 3.52
60 7.5 31.5 1 3.56
60 10 29 1 3.80
70 5 24 1 3.70
70 7.5 21.5 1 4.13
70 10 19 1 3.85
60 5 34 1 3.52
60 5 34 1 3.70
60 5 34 1 3.52
60 7.5 27.5 5 5.18
60 7.5 29 3.5 4.45
Lipid (mol %) OSPC (mol %) Choi (mol %) PEG (mol %) Lipid A/ siRNA
60 5 31.5 3.5 4.83
60 7.5 31 1.5 3.48
57.5 7.5 30 5 4.75
57.5 7.5 31.5 3.5 4.83
57.5 5 34 3.5 4.67
57.5 7.5 33.5 1.5 3.43
55 7.5 32.5 5 4.38
55 7.5 34 3.5 4.13
55 5 36.5 3.5 4.38
55 7.5 36 1.5 3.35
In a further embodiment, representative compositions prepared via the extrusion method or in-line mixing method are delineated in Table 27, wherein Lipid T is Formula V, Formula VI, or a combination thereof (e.g., C 12-200).
Formula V
Table 27: Compositions of exemplary nucleic acid-lipid particles prepared via the extrusion method or in-line mixing method using lipid C 12-200
Any of the compounds, e.g., cationic lipids and the like, used in the nucleic acid-lipid particles of the invention may be prepared by known organic synthesis techniques, including the methods described in more detail in the Examples. All substituents are as defined below unless indicated otherwise.
"Alkyl" means a straight chain or branched, noncyclic or cyclic, saturated aliphatic hydrocarbon containing from 1 to 24 carbon atoms. Representative saturated straight chain alkyls include methyl, ethyl, n-propyl, n-butyl, n-pentyl, n-hexyl, and the like; while saturated branched alkyls include isopropyl, sec-butyl, isobutyl, tert-buty\, isopentyl, and the like.
Representative saturated cyclic alkyls include cyclopropyl, cyclobutyl, cyclopentyl, cyclohexyl, and the like; while unsaturated cyclic alkyls include cyclopentenyl and cyclohexenyl, and the like.
"Alkenyl" means an alkyl, as defined above, containing at least one double bond between adjacent carbon atoms. Alkenyls include both cis and trans isomers. Representative straight chain and branched alkenyls include ethylenyl, propylenyl, 1-butenyl, 2-butenyl, isobutylenyl, 1- pentenyl, 2-pentenyl, 3-methyl- 1-butenyl, 2-methyl-2:butenyl, 2,3-dimethyl-2-butenyl, and the like.
"Alkynyl" means any alkyl or alkenyl, as defined above, which additionally contains at least one triple bond between adjacent carbons. Representative straight chain and branched alkynyls include acetylenyl, propynyl, 1-butynyl, 2-butynyl, 1-pentynyl, 2-pentynyl, 3-methyl- 1 butynyl, and the like.
"Acyl" means any alkyl, alkenyl, or alkynyl wherein the carbon at the point of attachment is substituted with an oxo group, as defined below. For example, -C(=O)alkyl, -C(=O)alkenyl, and -C(=O)alkynyl are acyl groups.
"Heterocycle" means a 5- to 7-membered monocyclic, or 7- to 10-membered bicyclic, heterocyclic ring which is either saturated, unsaturated, or aromatic, and which contains from 1 or 2 heteroatoms independently selected from nitrogen, oxygen and sulfur, and wherein the nitrogen and sulfur heteroatoms may be optionally oxidized, and the nitrogen heteroatom may be optionally quaternized, including bicyclic rings in which any of the above heterocycles are fused to a benzene ring. The heterocycle may be attached via any heteroatom or carbon atom.
Heterocycles include heteroaryls as defined below. Heterocycles include morpholinyl, pyrrolidinonyl, pyrrolidinyl, piperidinyl, piperizynyl, hydantoinyl, valerolactamyl, oxiranyl, oxetanyl, tetrahydrofuranyl, tetrahydropyranyl, tetrahydropyridinyl, tetrahydroprimidinyl,
tetrahydrothiophenyl, tetrahydrothiopyranyl, tetrahydropyrimidinyl, tetrahydrothiophenyl, tetrahydrothiopyranyl, and the like.
The terms "optionally substituted alkyl", "optionally substituted alkenyl", "optionally substituted alkynyl", "optionally substituted acyl", and "optionally substituted heterocycle" means that, when substituted, at least one hydrogen atom is replaced with a substiruent. In the case of an oxo substituent (=0) two hydrogen atoms are replaced. In this regard, substituents include oxo, halogen, heterocycle, -CN, -0R\ -NRxRy, -NRxC(=0)Ry, -NRxS02Ry, -C(=O)R\ -C(=O)OR\ -C(=0)NRxRy, -SOnR" and -SOnNRxRy, wherein n is O, 1 or 2, Rx and Ry are the same or different and independently hydrogen, alkyl or heterocycle, and each of said alkyl and heterocycle substituents may be further substituted with one or more of oxo, halogen, -OH, -CN, alkyl, -OR\ heterocycle, -NRxRy, -NRxC(=O)Ry , -NRxSO2Ry, -C(=O)RX, -C(=O)OR\
-C(=O)NRxRy, -SOnR" and -SOnNRxRy.
"Halogen" means fluoro, chloro, bromo and iodo.
In some embodiments, the methods of the invention may require the use of protecting groups. Protecting group methodology is well known to those skilled in the art {see, for example, PROTECTIVE GROUPS IN ORGANIC SYNTHESIS, Green, T.W. et al., Wiley-Interscience, New York City, 1999). Briefly, protecting groups within the context of this invention are any group that reduces or eliminates unwanted reactivity of a functional group. A protecting group can be added to a functional group to mask its reactivity during certain reactions and then removed to reveal the original functional group. In some embodiments an "alcohol protecting group" is used. An "alcohol protecting group" is any group which decreases or eliminates unwanted reactivity of an alcohol functional group. Protecting groups can be added and removed using techniques well known in the art.
Synthesis of Formula A
In one embodiment, nucleic acid-lipid particles of the invention are formulated using a cationic lipid of formula A:
where Rl and R2 are independently alkyl, alkenyl or alkynyl, each can be optionally substituted, and R3 and R4 are independently lower alkyl or R3 and R4 can be taken together to
form an optionally substituted heterocyclic ring. In some embodiments, the cationic lipid is XTC (2,2-Dilinoleyl-4-dimethylaminoethyl-[l,3]-dioxolane). In general, the lipid of formula A above may be made by the following Reaction Schemes 1 or 2, wherein all substituents are as defined above unless indicated otherwise.
Scheme 1
Lipid A, where Ri and R2 are independently alkyl, alkenyl or alkynyl, each can be optionally substituted, and R3 and R4 are independently lower alkyl or R3 and R4 can be taken together to form an optionally substituted heterocyclic ring, can be prepared according to
Scheme 1. Ketone 1 and bromide 2 can be purchased or prepared according to methods known to those of ordinary skill in the art. Reaction of 1 and 2 yields ketal 3. Treatment of ketal 3 with amine 4 yields lipids of formula A. The lipids of formula A can be converted to the corresponding ammonium salt with an organic salt of formula 5, where X is anion counter ion selected from halogen, hydroxide, phosphate, sulfate, or the like.
Scheme 2
Alternatively, the ketone 1 starting material can be prepared according to Scheme 2. Grignard reagent 6 and cyanide 7 can be purchased or prepared according to methods known to those of ordinary skill in the art. Reaction of 6 and 7 yields ketone 1. Conversion of ketone 1 to the corresponding lipids of formula A is as described in Scheme 1.
Synthesis of MC3
Preparation of DLin-M-C3-DMA (i.e., (6Z,9Z,28Z,31Z)-heptatriaconta-6,9,28,31- tetraen-19-yl 4-(dimethylamino)butanoate) was as follows. A solution of (6Z,9Z,28Z,31Z)- heptatriaconta-6,9,28,31-tetraen-19-ol (0.53 g), 4-N,N-dimethylaminobutyric acid hydrochloride (0.51 g), 4-N,N-dimethylaminopyridine (0.6Ig) and l-ethyl-3-(3- dimethylaminopropyl)carbodiimide hydrochloride (0.53 g) in dichloromethane (5 mL) was stirred at room temperature overnight. The solution was washed with dilute hydrochloric acid followed by dilute aqueous sodium bicarbonate. The organic fractions were dried over anhydrous magnesium sulphate, filtered and the solvent removed on a rotovap. The residue was passed down a silica gel column (20 g) using a 1-5% methanol/dichloromethane elution gradient.
Fractions containing the purified product were combined and the solvent removed, yielding a colorless oil (0.54 g).
Synthesis of ALNY- 100
Synthesis of ketal 519 [ALNY- 100] was performed using the following scheme 3:
Synthesis of 515:
To a stirred suspension of LiAlH4 (3.74 g, 0.09852 mol) in 200 ml anhydrous THF in a two neck RBF (IL), was added a solution of 514 (1Og, 0.04926mol) in 70 mL of THF slowly at 0 OC under nitrogen atmosphere. After complete addition, reaction mixture was warmed to room temperature and then heated to reflux for 4 h. Progress of the reaction was monitored by TLC. After completion of reaction (by TLC) the mixture was cooled to 0 OC and quenched with careful addition of saturated Na2SO4 solution. Reaction mixture was stirred for 4 h at room
temperature and filtered off. Residue was washed well with THF. The filtrate and washings were mixed and diluted with 400 mL dioxane and 26 mL cone. HCl and stirred for 20 minutes at room temperature. The volatilities were stripped off under vacuum to furnish the hydrochloride salt of 515 as a white solid. Yield: 7.12 g I H-NMR (DMSO, 400MHz): δ= 9.34 (broad, 2H), 5.68 (s, 2H), 3.74 (m, 1 H), 2.66-2.60 (m, 2H), 2.50-2.45 (m, 5H).
Synthesis of 516:
To a stirred solution of compound 515 in 100 mL dry DCM in a 250 mL two neck RBF, was added NEt3 (37.2 mL, 0.2669 mol) and cooled to 0 OC under nitrogen atmosphere. After a slow addition of N-(benzyloxy-carbonyloxy)-succinimide (20 g, 0.08007 mol) in 50 mL dry DCM, reaction mixture was allowed to warm to room temperature. After completion of the reaction (2-3 h by TLC) mixture was washed successively with IN HCl solution (1 x 100 mL) and saturated NaHCO3 solution (1 x 50 mL). The organic layer was then dried over anhyd. Na2SO4 and the solvent was evaporated to give crude material which was purified by silica gel column chromatography to get 516 as sticky mass. Yield: 1 Ig (89%). IH-NMR (CDC13, 400MHz): δ = 7.36-7.27(m, 5H), 5.69 (s, 2H), 5.12 (s, 2H), 4.96 (br., 1 H) 2.74 (s, 3H), 2.60(m, 2H), 2.30-2.25(m, 2H). LC-MS [M+H] -232.3 (96.94%).
Synthesis of 517A and 517B:
The cyclopentene 516 (5 g, 0.02164 mol) was dissolved in a solution of 220 mL acetone and water ( 10: 1 ) in a single neck 500 mL RBF and to it was added N-methyl morpholine-N- oxide (7.6 g, 0.06492 mol) followed by 4.2 mL of 7.6% solution of OsO4 (0.275 g, 0.00108 mol) in tert-butanol at room temperature. After completion of the reaction (~ 3 h), the mixture was quenched with addition of solid Na2SO3 and resulting mixture was stirred for 1.5 h at room temperature. Reaction mixture was diluted with DCM (300 mL) and washed with water (2 x 100 mL) followed by saturated NaHCO3 (1 x 50 mL) solution, water (1 x 30 mL) and finally with brine (Ix 50 mL). Organic phase was dried over an.Na2SO4 and solvent was removed in vacuum. Silica gel column chromatographic purification of the crude material was afforded a mixture of diastereomers, which were separated by prep HPLC. Yield: - 6 g crude
517A - Peak-1 (white solid), 5.13 g (96%). IH-NMR (DMSO, 400MHz): δ= 7.39- 7.3 l(m, 5H), 5.04(s, 2H), 4.78-4.73 (m, IH), 4.48-4.47(d, 2H), 3.94-3.93(m, 2H), 2.7 l(s, 3H), 1.72- 1.67(m, 4H). LC-MS - [M+H]-266.3, [M+NH4 +]-283.5 present, HPLC-97.86%.
Stereochemistry confirmed by X-ray.
Synthesis of 518:
Using a procedure analogous to that described for the synthesis of compound 505, compound 518 (1.2 g, 41%) was obtained as a colorless oil. IH-NMR (CDC13, 400MHz): δ=
7.35-7.33(m, 4H), 7.30-7.27(m, IH), 5.37-5.27(m, 8H), 5.12(s, 2H), 4.75(m,l H), 4.58- 4.57(m,2H), 2.78-2.74(m,7H), 2.06-2.00(m,8H), 1.96-1.91(m, 2H), 1.62(m, 4H), 1.48(m, 2H), 1.37-1.25(br m, 36H), 0.87(m, 6H).ΗPLC-98.65%.
General Procedure for the Synthesis of Compound 519:
A solution of compound 518 (1 eq) in hexane (15 mL) was added in a drop-wise fashion to an ice-cold solution of LAH in THF (1 M, 2 eq). After complete addition, the mixture was heated at 40(VlC over 0.5 h then cooled again on an ice bath. The mixture was carefully hydrolyzed with saturated aqueous Na2SO4 then filtered through celite and reduced to an oil. Column chromatography provided the pure 519 (1.3 g, 68%) which was obtained as a colorless oil. 13C NMR U = 130.2, 130.1 (x2), 127.9 (x3), 1 12.3, 79.3, 64.4, 44.7, 38.3, 35.4, 31.5, 29.9 (x2), 29.7, 29.6 (x2), 29.5 (x3), 29.3 (x2), 27.2 (x3), 25.6, 24.5, 23.3, 226, 14.1 ; Electrospray MS (+ve): Molecular weight for C44H80NO2 (M + H)+ CaIc. 654.6, Found 654.6.
Synthesis of C 12-200
C 12-200 is a nondegradable amino alcohol consisting of a polar amine-containing head group and nonpolar hydrocarbon tails. Synthesis is achieved through efficient ring opening of epoxides by amine substrates. The synthesis can be carried out without solvent, does not require protection/deprotection steps, and C 12-200 can be used without purification.
A lipid of formula V can be prepared by reacting the amine compound with various epoxides. In one example, the lipid of formula (V) and (VI) can be made by the following Reaction Scheme 1.
Scheme 1
1
2
Compounds 1 and 2 were synthesized according reported procedure described in WO/9318017.
Reaction of 1 with epoxide 3 at elevated temperature yielded compound 4, which was purified by standard silica gel column chromatography. Compound 5 was similarly obtained from the amine 2.
Other epoxides and amines suitable for forming amino lipids according to Scheme 1 are described in Love et al (Love et al. (2010) PNAS 107(5); 1864-69) which is incorporated by reference in its entirety.
The compound of Formula (V) (C 12-200) is as follows
Formula (V)
And can be prepared from two precursors:
H2N
HN- -NH,
-N N- and
3
n=9
For example, the compound of formula (V) can be prepared from racemic 3. In this case, the initial product can include a mixture of diastereomers, which can optionally be further purified.
Compound (R)-6 is a stereocontrolled compound according to formula (V):
(R)-6
And (R)-7
The corresponding (5)-6 compound can be prepared from 1 and (S)-I (i.e., the enantiomer of
(R)-T).
Structural isomers of 1 can also be used in the preparation of an amino lipid. Such structural isomers include:
The compound of Formula (VI),
Formula VI
and
3
n=9
Therapeutic Agent-Lipid Particle Compositions and Formulations
The invention includes compositions comprising a lipid particle of the invention and an active agent, wherein the active agent is associated with the lipid particle. In particular embodiments, the active agent is a therapeutic agent. In particular embodiments, the active agent is encapsulated within an aqueous interior of the lipid particle. In other embodiments, the active agent is present within one or more lipid layers of the lipid particle. In other embodiments, the active agent is bound to the exterior or interior lipid surface of a lipid particle.
"Fully encapsulated" as used herein indicates that the nucleic acid in the particles is not significantly degraded after exposure to serum or a nuclease assay that would significantly degrade free DNA. In a fully encapsulated system, preferably less than 25% of particle nucleic acid is degraded in a treatment that would normally degrade 100% of free nucleic acid, more preferably less than 10% and most preferably less than 5% of the particle nucleic acid is degraded. Alternatively, full encapsulation may be determined by an Oligreen® assay.
Oligreen® is an ultra-sensitive fluorescent nucleic acid stain for quantitating oligonucleotides and
single-stranded DNA in solution (available from Invitrogen Corporation, Carlsbad, CA). Fully encapsulated also suggests that the particles are serum stable, that is, that they do not rapidly decompose into their component parts upon in vivo administration.
Active agents, as used herein, include any molecule or compound capable of exerting a desired effect on a cell, tissue, organ, or subject. Such effects may be biological, physiological, or cosmetic, for example. Active agents may be any type of molecule or compound, including e.g., nucleic acids, peptides and polypeptides, including, e.g., antibodies, such as, e.g., polyclonal antibodies, monoclonal antibodies, antibody fragments; humanized antibodies, recombinant antibodies, recombinant human antibodies, and Primatized™ antibodies, cytokines, growth factors, apoptotic factors, differentiation-inducing factors, cell surface receptors and their ligands; hormones; and small molecules, including small organic molecules or compounds.
In one embodiment, the active agent is a therapeutic agent, or a salt or derivative thereof. Therapeutic agent derivatives may be therapeutically active themselves or they may be prodrugs, which become active upon further modification. Thus, in one embodiment, a therapeutic agent derivative retains some or all of the therapeutic activity as compared to the unmodified agent, while in another embodiment, a therapeutic agent derivative lacks therapeutic activity.
In various embodiments, therapeutic agents include any therapeutically effective agent or drug, such as anti-inflammatory compounds, anti-depressants, stimulants, analgesics, antibiotics, birth control medication, antipyretics, vasodilators, anti-angiogenics, cytovascular agents, signal transduction inhibitors, cardiovascular drugs, e.g., anti-arrhythmic agents, vasoconstrictors, hormones, and steroids.
In certain embodiments, the therapeutic agent is an oncology drug, which may also be referred to as an anti-tumor drug, an anti-cancer drug, a tumor drug, an antineoplastic agent, or the like. Examples of oncology drugs that may be used according to the invention include, but are not limited to, adriamycin, alkeran, allopurinol, altretamine, amifostine, anastrozole, araC, arsenic trioxide, azathioprine, bexarotene, biCNU, bleomycin, busulfan intravenous, busulfan oral, capecitabine (Xeloda), carboplatin, carmustine, CCNU, celecoxib, chlorambucil, cisplatin, cladribine, cyclosporin A, cytarabine, cytosine arabinoside, daunorubicin, Cytoxan, daunorubicin, dexamethasone, dexrazoxane, dodetaxel, doxorubicin, doxorubicin, DTIC, epirubicin, estramustine, etoposide phosphate, etoposide and VP- 16, exemestane, FK506, fludarabine, fluorouracil, 5-FU, gemcitabine (Gemzar), gemtuzumab-ozogamicin, goserelin acetate, hydrea, hydroxyurea, idarubicin, ifosfamide, imatinib mesylate, interferon, irinotecan (Camptostar, CPT- 1 1 1), letrozole, leucovorin, leustatin, leuprolide, levamisole, litretinoin, megastrol, melphalan, L- PAM, mesna, methotrexate, methoxsalen, mithramycin, mitomycin, mitoxantrone, nitrogen
mustard, paclitaxel, pamidronate, Pegademase, pentostatin, porfϊmer sodium, prednisone, rituxan, streptozocin, STI-571 , tamoxifen, taxotere, temozolamide, teniposide, VM-26, topotecan (Hycamtin), toremifene, tretinoin, ATRA, valrubicin, velban, vinblastine, vincristine, VP 16, and vinorelbine. Other examples of oncology drugs that may be used according to the invention are ellipticin and ellipticin analogs or derivatives, epothilones, intracellular kinase inhibitors and camptothecins.
Additional formulations
Emulsions
The compositions of the present invention may be prepared and formulated as emulsions. Emulsions are typically heterogeneous systems of one liquid dispersed in another in the form of droplets usually exceeding 0.1 μm in diameter (Idson, in Pharmaceutical Dosage Forms, Lieberman, Rieger and Banker (Eds.), 1988, Marcel Dekker, Inc., New York, RY. , volume 1, p. 199; Rosoff, in Pharmaceutical Dosage Forms, Lieberman, Rieger and Banker (Eds.), 1988, Marcel Dekker, Inc., New York, N.Y., Volume 1 , p. 245; Block in Pharmaceutical Dosage Forms, Lieberman, Rieger and Banker (Eds.), 1988, Marcel Dekker, Inc., New York, N.Y., volume 2, p. 335; Higuchi et ah, in Remington's Pharmaceutical Sciences, Mack Publishing Co., Easton, Pa., 1985, p. 301). Emulsions are often biphasic systems comprising two immiscible liquid phases intimately mixed and dispersed with each other. In general, emulsions may be of either the water-in-oil (w/o) or the oil-in-water (o/w) variety. When an aqueous phase is finely divided into and dispersed as minute droplets into a bulk oily phase, the resulting composition is called a water-in-oil (w/o) emulsion. Alternatively, when an oily phase is finely divided into and dispersed as minute droplets into a bulk aqueous phase, the resulting composition is called an oil-in-water (o/w) emulsion. Emulsions may contain additional components in addition to the dispersed phases, and the active drug which may be present as a solution in either the aqueous phase, oily phase or itself as a separate phase. Pharmaceutical excipients such as emulsifiers, stabilizers, dyes, and anti-oxidants may also be present in emulsions as needed. Pharmaceutical emulsions may also be multiple emulsions that are comprised of more than two phases such as, for example, in the case of oil-in-water-in-oil (o/w/o) and water-in-oil-in-water (w/o/w) emulsions. Such complex formulations often provide certain advantages that simple binary emulsions do not. Multiple emulsions in which individual oil droplets of an o/w emulsion enclose small water droplets constitute a w/o/w emulsion. Likewise a system of oil droplets enclosed in globules of water stabilized in an oily continuous phase provides an o/w/o emulsion.
Emulsions are characterized by little or no thermodynamic stability. Often, the dispersed or discontinuous phase of the emulsion is well dispersed into the external or continuous phase
and maintained in this form through the means of emulsifiers or the viscosity of the formulation. Either of the phases of the emulsion may be a semisolid or a solid, as is the case of emulsion- style ointment bases and creams. Other means of stabilizing emulsions entail the use of emulsifiers that may be incorporated into either phase of the emulsion. Emulsifiers may broadly be classified into four categories: synthetic surfactants, naturally occurring emulsifiers, absorption bases, and finely dispersed solids (Idson, in Pharmaceutical Dosage Forms,
Lieberman, Rieger and Banker (Eds.), 1988, Marcel Dekker, Inc., New York, N.Y., volume 1, p. 199).
Synthetic surfactants, also known as surface active agents, have found wide applicability in the formulation of emulsions and have been reviewed in the literature (Rieger, in
Pharmaceutical Dosage Forms, Lieberman, Rieger and Banker (Eds.), 1988, Marcel Dekker, Inc., New York, N.Y., volume 1 , p. 285; Idson, in Pharmaceutical Dosage Forms, Lieberman, Rieger and Banker (Eds.), Marcel Dekker, Inc., New York, N. Y., 1988, volume 1 , p. 199).
Surfactants are typically amphiphilic and comprise a hydrophilic and a hydrophobic portion. The ratio of the hydrophilic to the hydrophobic nature of the surfactant has been termed the hydrophile/lipophile balance (HLB) and is a valuable tool in categorizing and selecting surfactants in the preparation of formulations. Surfactants may be classified into different classes based on the nature of the hydrophilic group: nonionic, anionic, cationic and amphoteric (Rieger, in Pharmaceutical Dosage Forms, Lieberman, Rieger and Banker (Eds.), 1988, Marcel Dekker, Inc., New York, N.Y., volume 1 , p. 285).
Naturally occurring emulsifiers used in emulsion formulations include lanolin, beeswax, phosphatides, lecithin and acacia. Absorption bases possess hydrophilic properties such that they can soak up water to form w/o emulsions yet retain their semisolid consistencies, such as anhydrous lanolin and hydrophilic petrolatum. Finely divided solids have also been used as good emulsifiers especially in combination with surfactants and in viscous preparations. These include polar inorganic solids, such as heavy metal hydroxides, non-swelling clays such as bentonite, attapulgite, hectorite, kaolin, montmorillonite, colloidal aluminum silicate and colloidal magnesium aluminum silicate, pigments and nonpolar solids such as carbon or glyceryl tristearate.
A large variety of non-emulsifying materials are also included in emulsion formulations and contribute to the properties of emulsions. These include fats, oils, waxes, fatty acids, fatty alcohols, fatty esters, humectants, hydrophilic colloids, preservatives and antioxidants (Block, in Pharmaceutical Dosage Forms, Lieberman, Rieger and Banker (Eds.), 1988, Marcel Dekker,
Inc., New York, N.Y., volume 1 , p. 335; Idson, in Pharmaceutical Dosage Forms, Lieberman, Rieger and Banker (Eds.), 1988, Marcel Dekker, Inc., New York, N. Y., volume 1, p. 199).
Hydrophilic colloids or hydrocolloids include naturally occurring gums and synthetic polymers such as polysaccharides (for example, acacia, agar, alginic acid, carrageenan, guar gum, karaya gum, and tragacanth), cellulose derivatives (for example, carboxymethylcellulose and carboxypropylcellulose), and synthetic polymers (for example, carbomers, cellulose ethers, and carboxyvinyl polymers). These disperse or swell in water to form colloidal solutions that stabilize emulsions by forming strong interfacial films around the dispersed-phase droplets and by increasing the viscosity of the external phase.
Since emulsions often contain a number of ingredients such as carbohydrates, proteins, sterols and phosphatides that may readily support the growth of microbes, these formulations often incorporate preservatives. Commonly used preservatives included in emulsion
formulations include methyl paraben, propyl paraben, quaternary ammonium salts,
benzalkonium chloride, esters of p-hydroxybenzoic acid, and boric acid. Antioxidants are also commonly added to emulsion formulations to prevent deterioration of the formulation.
Antioxidants used may be free radical scavengers such as tocopherols, alkyl gallates, butylated hydroxyanisole, butylated hydroxytoluene, or reducing agents such as ascorbic acid and sodium metabisulfite, and antioxidant synergists such as citric acid, tartaric acid, and lecithin.
The application of emulsion formulations via dermatological, oral and parenteral routes and methods for their manufacture have been reviewed in the literature (Idson, in Pharmaceutical Dosage Forms, Lieberman, Rieger and Banker (Eds.), 1988, Marcel Dekker, Inc., New York, N.Y., volume 1, p. 199). Emulsion formulations for oral delivery have been very widely used because of ease of formulation, as well as efficacy from an absorption and bioavailability standpoint (Rosoff, in Pharmaceutical Dosage Forms, Lieberman, Rieger and Banker (Eds.), 1988, Marcel Dekker, Inc., New York, N.Y., volume 1, p. 245; Idson, in Pharmaceutical Dosage Forms, Lieberman, Rieger and Banker (Eds.), 1988, Marcel Dekker, Inc., New York, N. Y., volume 1, p. 199). Mineral-oil base laxatives, oil-soluble vitamins and high fat nutritive preparations are among the materials that have commonly been administered orally as o/w emulsions.
In one embodiment of the present invention, the compositions of dsRNAs and nucleic acids are formulated as microemulsions. A microemulsion may be defined as a system of water, oil and amphiphile which is a single optically isotropic and thermodynamically stable liquid solution (Rosoff, in Pharmaceutical Dosage Forms, Lieberman, Rieger and Banker (Eds.), 1988, Marcel Dekker, Inc., New York, N.Y., volume 1, p. 245). Typically microemulsions are systems
that are prepared by first dispersing an oil in an aqueous surfactant solution and then adding a sufficient amount of a fourth component, generally an intermediate chain-length alcohol to form a transparent system. Therefore, microemulsions have also been described as thermodynamically stable, isotropically clear dispersions of two immiscible liquids that are stabilized by interfacial films of surface-active molecules (Leung and Shah, in: Controlled Release of Drugs: Polymers and Aggregate Systems, Rosoff, M., Ed., 1989, VCH Publishers, New York, pages 185-215). Microemulsions commonly are prepared via a combination of three to five components that include oil, water, surfactant, cosurfactant and electrolyte. Whether the microemulsion is of the water-in-oil (w/o) or an oil-in-water (o/w) type is dependent on the properties of the oil and surfactant used and on the structure and geometric packing of the polar heads and hydrocarbon tails of the surfactant molecules (Schott, in Remington's Pharmaceutical Sciences, Mack Publishing Co., Easton, Pa., 1985, p. 271 ).
The phenomenological approach utilizing phase diagrams has been extensively studied and has yielded a comprehensive knowledge, to one skilled in the art, of how to formulate microemulsions (Rosoff, in Pharmaceutical Dosage Forms, Lieberman, Rieger and Banker
(Eds.), 1988, Marcel Dekker, Inc., New York, N.Y., volume 1 , p. 245; Block, in Pharmaceutical Dosage Forms, Lieberman, Rieger and Banker (Eds.), 1988, Marcel Dekker, Inc., New York, N. Y., volume 1, p. 335). Compared to conventional emulsions, microemulsions offer the advantage of solubilizing water-insoluble drugs in a formulation of thermodynamically stable droplets that are formed spontaneously.
Surfactants used in the preparation of microemulsions include, but are not limited to, ionic surfactants, non-ionic surfactants, Brij 96, polyoxyethylene oleyl ethers, polyglycerol fatty acid esters, tetraglycerol monolaurate (ML310), tetraglycerol monooleate (MO310), hexaglycerol monooleate (PO310), hexaglycerol pentaoleate (PO500), decaglycerol monocaprate (MCA750), decaglycerol monooleate (MO750), decaglycerol sequioleate (SO750), decaglycerol decaoleate (DAO750), alone or in combination with cosurfactants. The cosurfactant, usually a short-chain alcohol such as ethanol, 1-propanol, and 1-butanol, serves to increase the interfacial fluidity by penetrating into the surfactant film and consequently creating a disordered film because of the void space generated among surfactant molecules. Microemulsions may, however, be prepared'without the use of cosurfactants and alcohol-free self-emulsifying microemulsion systems are known in the art. The aqueous phase may typically be, but is not limited to, water, an aqueous solution of the drug, glycerol, PEG300, PEG400, polyglycerols, propylene glycols, and derivatives of ethylene glycol. The oil phase may include, but is not limited to, materials such as Captex 300, Captex 355, Capmul MCM, fatty acid esters, medium
chain (C8-C12) mono, di, and tri-glycerides, polyoxyethylated glyceryl fatty acid esters, fatty alcohols, polyglycolized glycerides, saturated polyglycolized C8-C10 glycerides, vegetable oils and silicone oil.
Microemulsions are particularly of interest from the standpoint of drug solubilization and the enhanced absorption of drugs. Lipid based microemulsions (both o/w and w/o) have been proposed to enhance the oral bioavailability of drugs, including peptides (Constantinides et al., Pharmaceutical Research, 1994, 1 1, 1385-1390; Ritschel, Meth. Find. Exp. Clin. Pharmacol., 1993, 13, 205). Microemulsions afford advantages of improved drug solubilization, protection of drug from enzymatic hydrolysis, possible enhancement of drug absorption due to surfactant- induced alterations in membrane fluidity and permeability, ease of preparation, ease of oral administration over solid dosage forms, improved clinical potency, and decreased toxicity (Constantinides et al, Pharmaceutical Research, 1994, 1 1 , 1385; Ho et al, J. Pharm. Sci., 1996, 85, 138-143). Often microemulsions may form spontaneously when their components are brought together at ambient temperature. This may be particularly advantageous when formulating thermolabile drugs, peptides or dsRNAs. Microemulsions have also been effective in the transdermal delivery of active components in both cosmetic and pharmaceutical applications. It is expected that the microemulsion compositions and formulations of the present invention will facilitate the increased systemic absorption of dsRNAs and nucleic acids from the
gastrointestinal tract, as well as improve the local cellular uptake of dsRNAs and nucleic acids.
Microemulsions of the present invention may also contain additional components and additives such as sorbitan monostearate (Grill 3), Labrasol, and penetration enhancers to improve the properties of the formulation and to enhance the absorption of the dsRNAs and nucleic acids of the present invention. Penetration enhancers used in the microemulsions of the present invention may be classified as belonging to one of five broad categories— surfactants, fatty acids, bile salts, chelating agents, and non-chelating non-surfactants (Lee et al., Critical Reviews in
Therapeutic Drug Carrier Systems, 1991, p. 92). Each of these classes has been discussed above.
Penetration Enhancers
In one embodiment, the present invention employs various penetration enhancers to effect the efficient delivery of nucleic acids, particularly dsRNAs, to the skin of animals. Most drugs are present in solution in both ionized and nonionized forms. However, usually only lipid soluble or lipophilic drugs readily cross cell membranes. It has been discovered that even non- lipophilic drugs may cross cell membranes if the membrane to be crossed is treated with a penetration enhancer. In addition to aiding the diffusion of non-lipophilic drugs across cell membranes, penetration enhancers also enhance the permeability of lipophilic drugs.
Penetration enhancers may be classified as belonging to one of five broad categories, i.e., surfactants, fatty acids, bile salts, chelating agents, and non-chelating non-surfactants (Lee et al., Critical Reviews in Therapeutic Drug Carrier Systems, 1991, p.92). Each of the above mentioned classes of penetration enhancers are described below in greater detail.
Surfactants: In connection with the present invention, surfactants (or "surface-active agents") are chemical entities which, when dissolved in an aqueous solution, reduce the surface tension of the solution or the interfacial tension between the aqueous solution and another liquid, with the result that absorption of dsRNAs through the mucosa is enhanced. In addition to bile salts and fatty acids, these penetration enhancers include, for example, sodium lauryl sulfate, polyoxyethylene-9-lauryl ether and polyoxyethylene-20-cetyl ether) (Lee et al., Critical Reviews in Therapeutic Drug Carrier Systems, 1991, p.92); and perfluorochemical emulsions, such as FC- 43. Takahashi et al, J. Pharm. Pharmacol., 1988, 40, 252).
Fatty acids: Various fatty acids and their derivatives which act as penetration enhancers include, for example, oleic acid, lauric acid, capric acid (n-decanoic acid), myristic acid, palmitic acid, stearic acid, linoleic acid, linolenic acid, dicaprate, tricaprate, monoolein (1 -monooleoyl- rac-glycerol), dilaurin, caprylic acid, arachidonic acid, glycerol 1 -monocaprate, 1 - dodecylazacycloheptan-2-one, acylcarnitines, acylcholines, CMO alkyl esters thereof (e.g., methyl, isopropyl and t-butyl), and mono- and di-glycerides thereof {i.e., oleate, laurate, caprate, myristate, palmitate, stearate, linoleate, etc.) (Lee et al., Critical Reviews in Therapeutic Drug Carrier Systems, 1991 , p.92; Muranishi, Critical Reviews in Therapeutic Drug Carrier Systems, 1990, 7, 1-33; El Hariri et al., J. Pharm. Pharmacol., 1992, 44, 651-654).
Bile salts: The physiological role of bile includes the facilitation of dispersion and absorption of lipids and fat-soluble vitamins (Brunton, Chapter 38 in: Goodman & Gilman's The Pharmacological Basis of Therapeutics, 9th Ed., Hardman et al. Eds., McGraw-Hill, New York, 1996, pp. 934-935). Various natural bile salts, and their synthetic derivatives, act as penetration enhancers. Thus the term "bile salts" includes any of the naturally occurring components of bile as well as any of their synthetic derivatives. Suitable bile salts include, for example, cholic acid (or its pharmaceutically acceptable sodium salt, sodium cholate), dehydrocholic acid (sodium dehydrocholate), deoxycholic acid (sodium deoxycholate), glucholic acid (sodium glucholate), glycholic acid (sodium glycocholate), glycodeoxycholic acid (sodium glycodeoxycholate), taurocholic acid (sodium taurocholate), taurodeoxycholic acid (sodium taurodeoxycholate), chenodeoxycholic acid (sodium chenodeoxycholate), ursodeoxycholic acid (UDCA), sodium tauro-24,25-dihydro-fusidate (STDHF), sodium glycodihydrofusidate and polyoxyethylene-9- lauryl ether (POE) (Lee et al., Critical Reviews in Therapeutic Drug Carrier Systems, 1991, page
92; Swinyard, Chapter 39 In: Remington's Pharmaceutical Sciences, 18th Ed., Gennaro, ed., Mack Publishing Co., Easton, Pa., 1990, pages 782-783; Muranishi, Critical Reviews in
Therapeutic Drug Carrier Systems, 1990, 7, 1-33; Yamamoto et al., J. Pharm. Exp. Ther., 1992, 263, 25; Yamashita et a!., J. Pharm. Sci., 1990, 79, 579-583).
Chelating Agents: Chelating agents, as used in connection with the present invention, can be defined as compounds that remove metallic ions from solution by forming complexes therewith, with the result that absorption of dsRNAs through the mucosa is enhanced. With regards to their use as penetration enhancers in the present invention, chelating agents have the added advantage of also serving as DNase inhibitors, as most characterized DNA nucleases require a divalent metal ion for catalysis and are thus inhibited by chelating agents (Jarrett, J. Chromatogr., 1993, 618, 315-339). Suitable chelating agents include but are not limited to disodium ethylenediaminetetraacetate (EDTA), citric acid, salicylates (e.g., sodium salicylate, 5- methoxysal icy late and homovanilate), N-acyl derivatives of collagen, laureth-9 and N-amino acyl derivatives of beta-diketones (enamines)(Lee et al., Critical Reviews in Therapeutic Drug Carrier Systems, 1991, page 92; Muranishi, Critical Reviews in Therapeutic Drug Carrier Systems, 1990, 7, 1-33; Bum et al., J. Control ReI., 1990, 14, 43-51).
Non-chelating non-surfactants: As used herein, non-chelating non-surfactant penetration enhancing compounds can be defined as compounds that demonstrate insignificant activity as chelating agents or as surfactants but that nonetheless enhance absorption of dsRNAs through the alimentary mucosa (Muranishi, Critical Reviews in Therapeutic Drug Carrier Systems, 1990, 7, 1-33). This class of penetration enhancers include, for example, unsaturated cyclic ureas, 1- alkyl- and 1-alkenylazacyclo-alkanone derivatives (Lee et al., Critical Reviews in Therapeutic Drug Carrier Systems, 1991, page 92); and non-steroidal anti-inflammatory agents such as diclofenac sodium, indomethacin and phenylbutazone (Yamashita et al., J. Pharm. Pharmacol., 1987, 39, 621-626).
Agents that enhance uptake of dsRNAs at the cellular level may also be added to the pharmaceutical and other compositions of the present invention. For example, cationic lipids, such as lipofectin (Junichi et al, U.S. Pat. No. 5,705,188), cationic glycerol derivatives, and polycationic molecules, such as polylysine (Lollo et al, PCT Application WO 97/30731), are also known to enhance the cellular uptake of dsRNAs.
Other agents may be utilized to enhance the penetration of the administered nucleic acids, including glycols such as ethylene glycol and propylene glycol, pyrrols such as 2-pyrrol, azones, and terpenes such as limonene and menthone.
Carriers
dsRNAs of the present invention can be formulated in a pharmaceutically acceptable carrier or diluent. A "pharmaceutically acceptable carrier" (also referred to herein as an
"excipient") is a pharmaceutically acceptable solvent, suspending agent, or any other pharmacologically inert vehicle. Pharmaceutically acceptable carriers can be liquid or solid, and can be selected with the planned manner of administration in mind so as to provide for the desired bulk, consistency, and other pertinent transport and chemical properties. Typical pharmaceutically acceptable carriers include, by way of example and not limitation: water; saline solution; binding agents (e.g., polyvinylpyrrolidone or hydroxypropyl methylcellulose); fillers (e.g., lactose and other sugars, gelatin, or calcium sulfate); lubricants (e.g., starch, polyethylene glycol, or sodium acetate); disintegrates (e.g., starch or sodium starch glycolate); and wetting agents (e.g., sodium lauryl sulfate).
Certain compositions of the present invention also incorporate carrier compounds in the formulation. As used herein, "carrier compound" or "carrier" can refer to a nucleic acid, or analog thereof, which is inert (i.e., does not possess biological activity per se) but is recognized as a nucleic acid by in vivo processes that reduce the bioavailability of a nucleic acid having biological activity by, for example, degrading the biologically active nucleic acid or promoting its removal from circulation. The co-administration of a nucleic acid and a carrier compound, typically with an excess of the latter substance, can result in a substantial reduction of the amount of nucleic acid recovered in the liver, kidney or other extra-circulatory reservoirs, presumably due to competition between the carrier compound and the nucleic acid for a common receptor. For example, the recovery of a partially phosphorothioate dsRNA in hepatic tissue can be reduced when it is co-administered with polyinosinic acid, dextran sulfate, polycytidic acid or 4-acetamido-4'isothiocyano-stilbene-2,2'-disulfonic acid (Miyao et al., DsRNA Res. Dev., 1995, 5, 1 15-121 ; Takakura e/ α/., DsRNA & Nucl. Acid Drug Dev., 1996, 6, 177-183.
Excipients
In contrast to a carrier compound, a "pharmaceutical carrier" or "excipient" is a pharmaceutically acceptable solvent, suspending agent or any other pharmacologically inert vehicle for delivering one or more nucleic acids to an animal. The excipient may be liquid or solid and is selected, with the planned manner of administration in mind, so as to provide for the desired bulk, consistency, etc., when combined with a nucleic acid and the other components of a given pharmaceutical composition. Typical pharmaceutical carriers include, but are not limited to, binding agents (e.g., pregelatinized maize starch, polyvinylpyrrolidone or hydroxypropyl methylcellulose, etc.); fillers (e.g., lactose and other sugars, microcrystalline cellulose, pectin,
gelatin, calcium sulfate, ethyl cellulose, polyacrylates or calcium hydrogen phosphate, etc.); lubricants (e.g., magnesium stearate, talc, silica, colloidal silicon dioxide, stearic acid, metallic stearates, hydrogenated vegetable oils, corn starch, polyethylene glycols, sodium benzoate, sodium acetate, etc.); disintegrants (e.g., starch, sodium starch glycolate, etc.); and wetting agents (e.g., sodium lauryl sulphate, etc).
Pharmaceutically acceptable organic or inorganic excipients suitable for non-parenteral administration which do not deleteriously react with nucleic acids can also be used to formulate the compositions of the present invention. Suitable pharmaceutically acceptable carriers include, but are not limited to, water, salt solutions, alcohols, polyethylene glycols, gelatin, lactose, amylose, magnesium stearate, talc, silicic acid, viscous paraffin, hydroxymethylcellulose, polyvinylpyrrolidone and the like.
Formulations for topical administration of nucleic acids may include sterile and non- sterile aqueous solutions, non-aqueous solutions in common solvents such as alcohols, or solutions of the nucleic acids in liquid or solid oil bases. The solutions may also contain buffers, diluents and other suitable additives. Pharmaceutically acceptable organic or inorganic excipients suitable for non-parenteral administration which do not deleteriously react with nucleic acids can be used.
Suitable pharmaceutically acceptable excipients include, but are not limited to, water, salt solutions, alcohol, polyethylene glycols, gelatin, lactose, amylose, magnesium stearate, talc, silicic acid, viscous paraffin, hydroxymethylcellulose, polyvinylpyrrolidone and the like.
Other Components
The compositions of the present invention may additionally contain other adjunct components conventionally found in pharmaceutical compositions, at their art-established usage levels. Thus, for example, the compositions may contain additional, compatible,
pharmaceutically-active materials such as, for example, antipruritics, astringents, local anesthetics or anti-inflammatory agents, or may contain additional materials useful in physically formulating various dosage forms of the compositions of the present invention, such as dyes, flavoring agents, preservatives, antioxidants, opacifiers, thickening agents and stabilizers.
However, such materials, when added, should not unduly interfere with the biological activities of the components of the compositions of the present invention. The formulations can be sterilized and, if desired, mixed with auxiliary agents, e.g., lubricants, preservatives, stabilizers, wetting agents, emulsifiers, salts for influencing osmotic pressure, buffers, colorings, flavorings and/or aromatic substances and the like which do not deleteriously interact with the nucleic acid(s) of the formulation.
Aqueous suspensions may contain substances which increase the viscosity of the suspension including, for example, sodium carboxymethylcellulose, sorbitol and/or dextran. The suspension may also contain stabilizers.
Combination therapy
In one aspect, a composition of the invention can be used in combination therapy. The term "combination therapy" includes the administration of the subject compounds in further combination with other biologically active ingredients (such as, but not limited to, a second and different antineoplastic agent) and non-drug therapies (such as, but not limited to, surgery or radiation treatment). For instance, the compounds of the invention can be used in combination with other pharmaceutically active compounds, preferably compounds that are able to enhance the effect of the compounds of the invention. The compounds of the invention can be administered simultaneously (as a single preparation or separate preparation) or sequentially to the other drug therapy. In general, a combination therapy envisions administration of two or more drugs during a single cycle or course of therapy.
In one aspect of the invention, the subject compounds may be administered in combination with one or more separate agents that modulate protein kinases involved in various disease states. Examples of such kinases may include, but are not limited to: serine/threonine specific kinases, receptor tyrosine specific kinases and non-receptor tyrosine specific kinases. Serine/threonine kinases include mitogen activated protein kinases (MAPK), meiosis specific kinase (MEK), RAF and aurora kinase. Examples of receptor kinase families include epidermal growth factor receptor (EGFR) (e.g., HER2/neu, HER3, HER4, ErbB, ErbB2, ErbB3, ErbB4, Xmrk, DER, Let23); fibroblast growth factor (FGF) receptor (e.g. FGF-Rl, GFF-R2/BEK/CEK3, FGF-R3/CEK2, FGF-R4/TKF, KGF-R); hepatocyte growth/scatter factor receptor (HGFR) (e.g., MET, RON, SEA, SEX); insulin receptor (e.g. IGFI-R); Eph (e.g. CEK5, CEK8, EBK, ECK, EEK, EHK-I, EHK-2, ELK, EPH, ERK, HEK, MDK2, MDK5, SEK); AxI (e.g. Mer/Nyk, Rse); RET; and platelet- derived growth factor receptor (PDGFR) (e.g. PDGFα-R, PDGβ-R, CSFl - R/FMS, SCF- R/C-KIT, VEGF-R/FLT, NEK/FLKl, FLT3/FLK2/STK-1). Non-receptor tyrosine kinase families include, but are not limited to, BCR-ABL (e.g. p43abl, ARG); BTK (e.g.
ITK/EMT, TEC); CSK, FAK, FPS, JAK, SRC, BMX, FER, CDK and SYK.
In another aspect of the invention, the subject compounds may be administered in combination with one or more agents that modulate non-kinase biological targets or processes. Such targets include histone deacetylases (HDAC), DNA methyltransferase (DNMT), heat shock proteins (e.g., HSP90), and proteosomes.
In one embodiment, subject compounds may be combined with antineoplastic agents (e.g. small molecules, monoclonal antibodies, antisense RNA, and fusion proteins) that inhibit one or more biological targets such as Zolinza, Tarceva, Iressa, Tykerb, Gleevec, Sutent, Sprycel, Nexavar, Sorafenib, CNF2024, RG 108, BMS387032, Affmitak, Avastin, Herceptin, Erbitux, AG24322, PD325901 , ZD6474, PD 184322, Obatodax, ABT737 and AEE788. Such combinations may enhance therapeutic efficacy over efficacy achieved by any of the agents alone and may prevent or delay the appearance of resistant mutational variants.
In certain preferred embodiments, the compounds of the invention are administered in combination with a chemotherapeutic agent. Chemotherapeutic agents encompass a wide range of therapeutic treatments in the field of oncology. These agents are administered at various stages of the disease for the purposes of shrinking tumors, destroying remaining cancer cells left over after surgery, inducing remission, maintaining remission and/or alleviating symptoms relating to the cancer or its treatment. Examples of such agents include, but are not limited to, alkylating agents such as mustard gas derivatives (Mechlorethamine, cylophosphamide, chlorambucil, melphalan, ifosfamide), ethylenimines (thiotepa, hexamethylmelanine),
Alkylsulfonates (Busulfan), Hydrazines and Triazines (Altretamine, Procarbazine, Dacarbazine and Temozolomide), Nitrosoureas (Carmustine, Lomustine and Streptozocin), Ifosfamide and metal salts (Carboplatin, Cisplatin, and Oxaliplatin); plant alkaloids such as Podophyllotoxins (Etoposide and Tenisopide), Taxanes (Paclitaxel and Docetaxel), Vinca alkaloids (Vincristine, Vinblastine, Vindesine and Vinorelbine), and Camptothecan analogs (Irinotecan and Topotecan); anti-tumor antibiotics such as Chromomycins (Dactinomycin and Plicamycin), Anthracyclines (Doxorubicin, Daunorubicin, Epirubicin, Mitoxantrone, Valrubicin and Idarubicin), and miscellaneous antibiotics such as Mitomycin, Actinomycin and Bleomycin; anti-metabolites such as folic acid antagonists (Methotrexate, Pemetrexed, Raltitrexed, Aminopterin), pyrimidine antagonists (5-Fluorouracil, Floxuridine, Cytarabine, Capecitabine, and Gemcitabine), purine antagonists (6-Mercaptopurine and 6-Thioguanine) and adenosine deaminase inhibitors
(Cladribine; Fludarabine, Mercaptopurine, Clofarabine, Thioguanine, Nelarabine and
Pentostatin); topoisomerase inhibitors such as topoisomerase I inhibitors (Ironotecan, topotecan) and topoisomerase II inhibitors (Amsacrine, etoposide, etoposide phosphate, teniposide);
monoclonal antibodies (Alemtuzumab, Gemtuzumab ozogamicin, Rituximab, Trastuzumab, Ibritumomab Tioxetan, Cetuximab, Panitumumab, Tositumomab, Bevacizumab); and miscellaneous anti-neoplasties such as ribonucleotide reductase inhibitors (Hydroxyurea);
adrenocortical steroid inhibitor (Mitotane); enzymes (Asparaginase and Pegaspargase); anti- microtubule agents (Estramustine); and retinoids (Bexarotene, Isotretinoin, Tretinoin (ATRA). In
certain preferred embodiments, the compounds of the invention are administered in combination with a chemoprotective agent. Chemoprotective agents act to protect the body or minimize the side effects of chemotherapy. Examples of such agents include, but are not limited to, amfostine, mesna, and dexrazoxane.
In one aspect of the invention, the subject compounds are administered in combination with radiation therapy. Radiation is commonly delivered internally (implantation of radioactive material near cancer site) or externally from a machine that employs photon (x-ray or gamma- ray) or particle radiation. Where the combination therapy further comprises radiation treatment, the radiation treatment may be conducted at any suitable time so long as a beneficial effect from the co-action of the combination of the therapeutic agents and radiation treatment is achieved. For example, in appropriate cases, the beneficial effect is still achieved when the radiation treatment is temporally removed from the administration of the therapeutic agents, perhaps by days or even weeks.
It will be appreciated that compounds of the invention can be used in combination with an immunotherapeutic agent. One form of immunotherapy is the generation of an active systemic tumor-specific immune response of host origin by administering a vaccine composition at a site distant from the tumor. Various types of vaccines have been proposed, including isolated tumor- antigen vaccines and anti-idiotype vaccines. Another approach is to use tumor cells from the subject to be treated, or a derivative of such cells (reviewed by Schirrmacher et al. (1995) J. Cancer Res. Clin. Oncol. 121 :487). In U.S. Pat. No. 5,484,596, Hanna Jr. et al. claim a method for treating a resectable carcinoma to prevent recurrence or metastases, comprising surgically removing the tumor, dispersing the cells with collagenase, irradiating the cells, and vaccinating the patient with at least three consecutive doses of about 107 cells.
It will be appreciated that the compounds of the invention may advantageously be used in conjunction with one or more adjunctive therapeutic agents. Examples of suitable agents for adjunctive therapy include steroids, such as corticosteroids (amcinonide, betamethasone, betamethasone dipropionate, betamethasone valerate, budesonide, clobetasol, clobetasol acetate, clobetasol butyrate, clobetasol 17-propionate, cortisone, deflazacort, desoximetasone, diflucortolone valerate, dexamethasone, dexamethasone sodium phosphate, desonide, furoate, fluocinonide, fluocinolone acetonide, halcinonide, hydrocortisone, hydrocortisone butyrate, hydrocortisone sodium succinate, hydrocortisone valerate, methyl prednisolone, mometasone, prednicarbate, prednisolone, triamcinolone, triamcinolone acetonide, and halobetasol proprionate); a 5HTi agonist, such as a triptan {e.g. sumatriptan or naratriptan); an adenosine Al agonist; an EP ligand; an NMDA modulator, such as a glycine antagonist; a sodium channel
blocker (e.g. lamotrigine); a substance P antagonist (e.g. an NKi antagonist); a cannabinoid; acetaminophen or phenacetin; a 5 -lipoxygenase inhibitor; a leukotriene receptor antagonist; a DMARD (e.g. methotrexate); gabapentin and related compounds; a tricyclic antidepressant (e.g. amitryptilline); a neurone stabilizing antiepileptic drug; a mono-aminergic uptake inhibitor (e.g. venlafaxine); a matrix metalloproteinase inhibitor; a nitric oxide synthase (NOS) inhibitor, such as an iNOS or an nNOS inhibitor; an inhibitor of the release, or action, of tumour necrosis factor α; an antibody therapy, such as a monoclonal antibody therapy; an antiviral agent, such as a nucleoside inhibitor (e.g. lamivudine) or an immune system modulator (e.g. interferon); an opioid analgesic; a local anaesthetic; a stimulant, including caffeine; an H2-antagonist (e.g. ranitidine); a proton pump inhibitor (e.g. omeprazole); an antacid (e.g. aluminium or magnesium hydroxide; an antiflatulent (e.g. simethicone); a decongestant (e.g. phenylephrine,
phenylpropanolamine, pseudoephedrine, oxymetazoline, epinephrine, naphazoline,
xylometazoline, propylhexedrine, or levo-desoxyephedrine); an antitussive (e.g. codeine, hydrocodone, carmiphen, carbetapentane, or dextromethorphan); a diuretic; or a sedating or non- sedating antihistamine.
The compounds of the invention can be co-administered with siRNA that target other genes. For example, a compound of the invention can be co-administered with an siRNA targeted to a c-Myc gene. In one example, AD-121 15 can be co-administered with a c-Myc siRNA. Examples of c-Myc targeted siRNAs are disclosed in United States patent application number 12/373,039 which is herein incorporated by reference.
Methods for treating diseases caused by expression of the Eg5 and VEGF genes The invention relates in particular to the use of a composition containing at least two dsRNAs, one targeting an Eg5 gene, and one targeting a VEGF gene, for the treatment of a cancer, such as liver cancer, e.g., for inhibiting tumor growth and tumor metastasis. For example, a composition, such as pharmaceutical composition, may be used for the treatment of solid tumors, like intrahepatic tumors such as may occur in cancers of the liver. A composition containing a dsRNA targeting Eg5 and a dsRNA targeting VEGF may also be used to treat other tumors and cancers, such as breast cancer, lung cancer, head and neck cancer, brain cancer, abdominal cancer, colon cancer, colorectal cancer, esophagus cancer, gastrointestinal cancer, glioma, tongue cancer, neuroblastoma, osteosarcoma, ovarian cancer, pancreatic cancer, prostate cancer, retinoblastoma, Wilm's tumor, multiple myeloma and for the treatment of skin cancer, like melanoma, for the treatment of lymphomas and blood cancer. The invention further relates to the use of a composition containing an Eg5 dsRNA and a VEGF dsRNA for inhibiting accumulation of ascites fluid and pleural effusion in different types of cancer, e.g., liver cancer,
breast cancer, lung cancer, head cancer, neck cancer, brain cancer, abdominal cancer, colon cancer, colorectal cancer, esophagus cancer, gastrointestinal cancer, glioma, tongue cancer, neuroblastoma, osteosarcoma, ovarian cancer, pancreatic cancer, prostate cancer, retinoblastoma, Wilm's tumor, multiple myeloma, skin cancer, melanoma, lymphomas and blood cancer. Owing to the inhibitory effects on Eg5 and VEGF expression, a composition according to the invention or a pharmaceutical composition prepared therefrom can enhance the quality of life.
In one embodiment, a patient having a tumor associated with AFP expression, or a tumor secreting AFP, e.g., a hepatoma or teratoma, is treated. In certain embodiments, the patient has a malignant teratoma, an endodermal sinus tumor (yolk sac carcinoma), a neuroblastoma, a hepatoblastoma, a heptocellular carcinoma, testicular cancer or ovarian cancer.
The invention furthermore relates to the use of a dsRNA or a pharmaceutical composition thereof, e.g., for treating cancer or for preventing tumor metastasis, in combination with other pharmaceuticals and/or other therapeutic methods, e.g., with known pharmaceuticals and/or known therapeutic methods, such as, for example, those which are currently employed for treating cancer and/or for preventing tumor metastasis. Preference is given to a combination with radiation therapy and chemotherapeutic agents, such as cisplatin, cyclophosphamide, 5- fluorouracil, adriamycin, daunorubicin or tamoxifen.
The invention can also be practiced by including with a specific RNAi agent, in combination with another anti-cancer chemotherapeutic agent, such as any conventional chemotherapeutic agent. The combination of a specific binding agent with such other agents can potentiate the chemotherapeutic protocol. Numerous chemotherapeutic protocols will present themselves in the mind of the skilled practitioner as being capable of incorporation into the method of the invention. Any chemotherapeutic agent can be used, including alkylating agents, antimetabolites, hormones and antagonists, radioisotopes, as well as natural products. For example, the compound of the invention can be administered with antibiotics such as doxorubicin and other anthracycline analogs, nitrogen mustards such as cyclophosphamide, pyrimidine analogs such as 5-fluorouracil, cisplatin, hydroxyurea, taxol and its natural and synthetic derivatives, and the like. As another example, in the case of mixed tumors, such as adenocarcinoma of the breast, where the tumors include gonadotropin-dependent and
gonadotropin-independent cells, the compound can be administered in conjunction with leuprolide or goserelin (synthetic peptide analogs of LH-RH). Other antineoplastic protocols include the use of a tetracycline compound with another treatment modality, e.g., surgery, radiation, etc., also referred to herein as "adjunct antineoplastic modalities." Thus, the method of
the invention can be employed with such conventional regimens with the benefit of reducing side effects and enhancing efficacy.
Methods for inhibiting expression of the Eg5 gene and the VEGF gene
In yet another aspect, the invention provides a method for inhibiting the expression of the Eg5 gene and the VEGF gene in a mammal. The method includes administering a composition featured in the invention to the mammal such that expression of the target Eg5 gene and the target VEGF gene is silenced.
In one embodiment, a method for inhibiting Eg5 gene expression and VEGF gene expression includes administering a composition containing two different dsRNA molecules, one having a nucleotide sequence that is complementary to at least a part of an RNA transcript of the Eg5 gene and the other having a nucleotide sequence that is complementary to at least a part of an RNA transcript of the VEGF gene of the mammal to be treated. When the organism to be treated is a mammal such as a human, the composition may be administered by any means known in the art including, but not limited to oral or parenteral routes, including intravenous, intramuscular, subcutaneous, transdermal, airway (aerosol), nasal, rectal, and topical (including buccal and sublingual) administration. In preferred embodiments, the compositions are administered by intravenous infusion or injection.
Methods of preparing lipid particles
The methods and compositions of the invention make use of certain cationic lipids, the synthesis, preparation and characterization of which is described below and in the accompanying Examples. In addition, the present invention provides methods of preparing lipid particles, including those associated with a therapeutic agent, e.g. , a nucleic acid. In the methods described herein, a mixture of lipids is combined with a buffered aqueous solution of nucleic acid to produce an intermediate mixture containing nucleic acid encapsulated in lipid particles wherein the encapsulated nucleic acids are present in a nucleic acid/lipid ratio of about 3 wt% to about 25 wt%, preferably 5 to 15 wt%. The intermediate mixture may optionally be sized to obtain lipid-encapsulated nucleic acid particles wherein the lipid portions are unilamellar vesicles, preferably having a diameter of 30 to 150 nm, more preferably about 40 to 90 nm. The pH is then raised to neutralize at least a portion of the surface charges on the lipid-nucleic acid particles, thus providing an at least partially surface-neutralized lipid-encapsulated nucleic acid composition.
As described above, several of these cationic lipids are amino lipids that are charged at a pH below the pKa of the amino group and substantially neutral at a pH above the pKa. These cationic lipids are termed titratable cationic lipids and can be used in the formulations of the
invention using a two-step process. First, lipid vesicles can be formed at the lower pH with titratable cationic lipids and other vesicle components in the presence of nucleic acids. In this manner, the vesicles will encapsulate and entrap the nucleic acids. Second, the surface charge of the newly formed vesicles can be neutralized by increasing the pH of the medium to a level above the pKa of the titratable cationic lipids present, i.e., to physiological pH or higher.
Particularly advantageous aspects of this process include both the facile removal of any surface adsorbed nucleic acid and a resultant nucleic acid delivery vehicle which has a neutral surface. Liposomes or lipid particles having a neutral surface are expected to avoid rapid clearance from circulation and to avoid certain toxicities which are associated with cationic liposome preparations. Additional details concerning these uses of such titratable cationic lipids in the formulation of nucleic acid-lipid particles are provided in US Patent 6,287,591 and US Patent 6,858,225, incorporated herein by reference.
It is further noted that the vesicles formed in this manner provide formulations of uniform vesicle size with high content of nucleic acids. Additionally, the vesicles have a size range of from about 30 to about 150 nm, more preferably about 30 to about 90 nm.
Without intending to be bound by any particular theory, it is believed that the very high efficiency of nucleic acid encapsulation is a result of electrostatic interaction at low pH. At acidic pH (e.g. pH 4.0) the vesicle surface is charged and binds a portion of the nucleic acids through electrostatic interactions. When the external acidic buffer is exchanged for a more neutral buffer (e.g.. pH 7.5) the surface of the lipid particle or liposome is neutralized, allowing any external nucleic acid to be removed. More detailed information on the formulation process is provided in various publications (e.g., US Patent 6,287,591 and US Patent 6,858,225).
In view of the above, the present invention provides methods of preparing lipid/nucleic acid formulations. In the methods described herein, a mixture of lipids is combined with a buffered aqueous solution of nucleic acid to produce an intermediate mixture containing nucleic acid encapsulated in lipid particles, e.g., wherein the encapsulated nucleic acids are present in a nucleic acid/lipid ratio of about 10 wt% to about 20 wt%. The intermediate mixture may optionally be sized to obtain lipid-encapsulated nucleic acid particles wherein the lipid portions are unilamellar vesicles, preferably having a diameter of 30 to 150 nm, more preferably about 40 to 90 nm. The pH is then raised to neutralize at least a portion of the surface charges on the lipid-nucleic acid particles, thus providing an at least partially surface-neutralized lipid- encapsulated nucleic acid composition.
In certain embodiments, the mixture of lipids includes at least two lipid components: a first amino lipid component of the present invention that is selected from among lipids which
have a pKa such that the lipid is cationic at pH below the pKa and neutral at pH above the pKa, and a second lipid component that is selected from among lipids that prevent particle aggregation during lipid-nucleic acid particle formation. In particular embodiments, the amino lipid is a novel cationic lipid of the present invention.
In preparing the nucleic acid-lipid particles of the invention, the mixture of lipids is typically a solution of lipids in an organic solvent. This mixture of lipids can then be dried to form a thin film or lyophilized to form a powder before being hydrated with an aqueous buffer to form liposomes. Alternatively, in a preferred method, the lipid mixture can be solubilized in a water miscible alcohol, such as ethanol, and this ethanolic solution added to an aqueous buffer resulting in spontaneous liposome formation. In most embodiments, the alcohol is used in the form in which it is commercially available. For example, ethanol can be used as absolute ethanol (100%), or as 95% ethanol, the remainder being water. This method is described in more detail in US Patent 5,976,567).
In accordance with the invention, the lipid mixture is combined with a buffered aqueous solution that may contain the nucleic acids. The buffered aqueous solution of is typically a solution in which the buffer has a pH of less than the pKa of the protonatable lipid in the lipid mixture. Examples of suitable buffers include citrate, phosphate, acetate, and MES. A particularly preferred buffer is citrate buffer. Preferred buffers will be in the range of 1-1000 mM of the anion, depending on the chemistry of the nucleic acid being encapsulated, and optimization of buffer concentration may be significant to achieving high loading levels (see, e.g., US Patent 6,287,591 and US Patent 6,858,225). Alternatively, pure water acidified to pH 5-6 with chloride, sulfate or the like may be useful. In this case, it may be suitable to add 5% glucose, or another non-ionic solute which will balance the osmotic potential across the particle membrane when the particles are dialyzed to remove ethanol, increase the pH, or mixed with a pharmaceutically acceptable carrier such as normal saline. The amount of nucleic acid in buffer can vary, but will typically be from about 0.01 mg/mL to about 200 mg/mL, more preferably from about 0.5 mg/mL to about 50 mg/mL.
The mixture of lipids and the buffered aqueous solution of therapeutic nucleic acids is combined to provide an intermediate mixture. The intermediate mixture is typically a mixture of lipid particles having encapsulated nucleic acids. Additionally, the intermediate mixture may also contain some portion of nucleic acids which are attached to the surface of the lipid particles (liposomes or lipid vesicles) due to the ionic attraction of the negatively-charged nucleic acids and positively-charged lipids on the lipid particle surface (the amino lipids or other lipid making up the protonatable first lipid component are positively charged in a buffer having a pH of less
than the pKa of the protonatable group on the lipid). In one group of preferred embodiments, the mixture of lipids is an alcohol solution of lipids and the volumes of each of the solutions is adjusted so that upon combination, the resulting alcohol content is from about 20% by volume to about 45% by volume. The method of combining the mixtures can include any of a variety of processes, often depending upon the scale of formulation produced. For example, when the total volume is about 10-20 mL or less, the solutions can be combined in a test tube and stirred together using a vortex mixer. Large-scale processes can be carried out in suitable production scale glassware.
Optionally, the lipid-encapsulated therapeutic agent (e.g., nucleic acid) complexes which are produced by combining the lipid mixture and the buffered aqueous solution of therapeutic agents (nucleic acids) can be sized to achieve a desired size range and relatively narrow distribution of lipid particle sizes. Preferably, the compositions provided herein will be sized to a mean diameter of from about 70 to about 200 nm, more preferably about 90 to about 130 nm. Several techniques are available for sizing liposomes to a desired size. One sizing method is described in U.S. Pat. No. 4,737,323, incorporated herein by reference. Sonicating a liposome suspension either by bath or probe sonication produces a progressive size reduction down to small unilamellar vesicles (SUVs) less than about 0.05 microns in size. Homogenization is another method which relies on shearing energy to fragment large liposomes into smaller ones. In a typical homogenization procedure, multilamellar vesicles are recirculated through a standard emulsion homogenizer until selected liposome sizes, typically between about 0.1 and 0.5 microns, are observed. In both methods, the particle size distribution can be monitored by conventional laser-beam particle size determination. For certain methods herein, extrusion is used to obtain a uniform vesicle size.
Extrusion of liposome compositions through a small-pore polycarbonate membrane or an asymmetric ceramic membrane results in a relatively well-defined size distribution. Typically, the suspension is cycled through the membrane one or more times until the desired liposome complex size distribution is achieved. The liposomes may be extruded through successively smaller-pore membranes, to achieve a gradual reduction in liposome size. In some instances, the lipid-nucleic acid compositions which are formed can be used without any sizing.
In particular embodiments, methods of the present invention further comprise a step of neutralizing at least some of the surface charges on the lipid portions of the lipid-nucleic acid compositions. By at least partially neutralizing the surface charges, unencapsulated nucleic acid is freed from the lipid particle surface and can be removed from the composition using conventional techniques. Preferably, unencapsulated and surface adsorbed nucleic acids are
removed from the resulting compositions through exchange of buffer solutions. For example, replacement of a citrate buffer (pH about 4.0, used for forming the compositions) with a HEPES- buffered saline (HBS pH about 7.5) solution, results in the neutralization of liposome surface and nucleic acid release from the surface. The released nucleic acid can then be removed via chromatography using standard methods, and then switched into a buffer with a pH above the pKa of the lipid used.
Optionally the lipid vesicles (i.e., lipid particles) can be formed by hydration in an aqueous buffer and sized using any of the methods described above prior to addition of the nucleic acid. As described above, the aqueous buffer should be of a pH below the pKa of the amino lipid. A solution of the nucleic acids can then be added to these sized, preformed vesicles. To allow encapsulation of nucleic acids into such "pre-formed" vesicles the mixture should contain an alcohol, such as ethanol. In the case of ethanol, it should be present at a concentration of about 20% (w/w) to about 45% (w/w). In addition, it may be necessary to warm the mixture of pre-formed vesicles and nucleic acid in the aqueous buffer-ethanol mixture to a temperature of about 25° C to about 50° C depending on the composition of the lipid vesicles and the nature of the nucleic acid. It will be apparent to one of ordinary skill in the art that optimization of the encapsulation process to achieve a desired level of nucleic acid in the lipid vesicles will require manipulation of variable such as ethanol concentration and temperature. Examples of suitable conditions for nucleic acid encapsulation are provided in the Examples. Once the nucleic acids are encapsulated within the preformed vesicles, the external pH can be increased to at least partially neutralize the surface charge. Unencapsulated and surface adsorbed nucleic acids can then be removed as described above.
Method of Use
The lipid particles of the invention may be used to deliver a therapeutic agent to a cell, in vitro or in vivo. In particular embodiments, the therapeutic agent is a nucleic acid, which is delivered to a cell using a nucleic acid-lipid particle of the invention. While the following description of various methods of using the lipid particles and related pharmaceutical compositions of the invention are exemplified by description related to nucleic acid-lipid particles, it is understood that these methods and compositions may be readily adapted for the delivery of any therapeutic agent for the treatment of any disease or disorder that would benefit from such treatment.
In certain embodiments, the invention provides methods for introducing a nucleic acid into a cell. Preferred nucleic acids for introduction into cells are siRNA, immune-stimulating oligonucleotides, plasmids, antisense and ribozymes. These methods may be carried out by
contacting the particles or compositions of the invention with the cells for a period of time sufficient for intracellular delivery to occur.
The compositions of the invention can be adsorbed to almost any cell type. Once adsorbed, the nucleic acid-lipid particles can either be endocytosed by a portion of the cells, exchange lipids with cell membranes, or fuse with the cells. Transfer or incorporation of the nucleic acid portion of the complex can take place via any one of these pathways. Without intending to be limited with respect to the scope of the invention, it is believed that in the case of particles taken up into the cell by endocytosis the particles then interact with the endosomal membrane, resulting in destabilization of the endosomal membrane, possibly by the formation of non-bilayer phases, resulting in introduction of the encapsulated nucleic acid into the cell cytoplasm. Similarly in the case of direct fusion of the particles with the cell plasma membrane, when fusion takes place, the liposome membrane is integrated into the cell membrane and the contents of the liposome combine with the intracellular fluid. Contact between the cells and the lipid-nucleic acid compositions, when carried out in vitro, will take place in a biologically compatible medium. The concentration of compositions can vary widely depending on the particular application, but is generally between about 1 μmol and about 10 mmol. In certain embodiments, treatment of the cells with the lipid-nucleic acid compositions will generally be carried out at physiological temperatures (about 37°C) for periods of time from about 1 to 24 hours, preferably from about 2 to 8 hours. For in vitro applications, the delivery of nucleic acids can be to any cell grown in culture, whether of plant or animal origin, vertebrate or invertebrate, and of any tissue or type. In preferred embodiments, the cells will be animal cells, more preferably mammalian cells, and most preferably human cells.
In one group of embodiments, a lipid-nucleic acid particle suspension is added to 60-80% confluent plated cells having a cell density of from about 103 to about 105 cells/mL, more preferably about 2 x 104 cells/mL. The concentration of the suspension added to the cells is preferably of from about 0.01 to 20 μg/mL, more preferably about 1 μg/mL.
Typical applications include using well known procedures to provide intracellular delivery of siRNA to knock down or silence specific cellular targets. Alternatively applications include delivery of DNA or mRNA sequences that code for therapeutically useful polypeptides. In this manner, therapy is provided for genetic diseases by supplying deficient or absent gene products (i.e., for Duchenne's dystrophy, see Kunkel, et ai, Brit. Med. Bull. 45(3):630-643 (1989), and for cystic fibrosis, see Goodfellow, Nature 341 : 102-103 (1989)). Other uses for the compositions of the invention include introduction of antisense oligonucleotides in cells (see, Bennett, et ai, MoI. Pharm. 41 : 1023-1033 (1992)).
Alternatively, the compositions of the invention can also be used for deliver of nucleic acids to cells in vivo, using methods which are known to those of skill in the art. With respect to application of the invention for delivery of DNA or mRNA sequences, Zhu, et al. Science 261 :209-21 1 (1993), incorporated herein by reference, describes the intravenous delivery of cytomegalovirus (CMV)-chloramphenicol acetyltransferase (CAT) expression plasmid using DOTMA-DOPE complexes. Hyde, et al, Nature 362:250-256 (1993), incorporated herein by reference, describes the delivery of the cystic fibrosis transmembrane conductance regulator (CFTR) gene to epithelia of the airway and to alveoli in the lung of mice, using liposomes.
■ Brigham, et al. Am. J. Med. ScL 298:278-281 (1989), incorporated herein by reference, describes the in vivo transfection of lungs of mice with a functioning prokaryotic gene encoding the intracellular enzyme, chloramphenicol acetyltransferase (CAT). Thus, the compositions of the invention can be used in the treatment of infectious diseases.
For in vivo administration, the pharmaceutical compositions are preferably administered parenterally, i.e., intraarticular^, intravenously, intraperitoneally, subcutaneously, or intramuscularly. In particular embodiments, the pharmaceutical compositions are administered intravenously or intraperitoneally by a bolus injection. For one example, see Stadler, et al, U.S. Patent No. 5,286,634, which is incorporated herein by reference. Intracellular nucleic acid delivery has also been discussed in Straubringer, et al, METHODS IN ENZYMOLOGY, Academic Press, New York. 101 :512-527 (1983); Mannino, et al, Biotechniques 6:682-690 (1988);
Nicolau, et al, CHt. Rev. Ther. Drug Carrier Syst. 6:239-271 (1989), and Behr, Ace. Chem. Res. 26:274-278 (1993). Still other methods of administering lipid-based therapeutics are described in, for example, Rahman et al, U.S. Patent No. 3,993,754; Sears, U.S. Patent No. 4,145,410; Papahadjopoulos et al, U.S. Patent No. 4,235,871 ; Schneider, U.S. Patent No. 4,224,179; Lenk et al, U.S. Patent No. 4,522,803; and Fountain et al, U.S. Patent No. 4,588,578.
In other methods, the pharmaceutical preparations may be contacted with the target tissue by direct application of the preparation to the tissue. The application may be made by topical, "open" or "closed" procedures. By "topical," it is meant the direct application of the
pharmaceutical preparation to a tissue exposed to the environment, such as the skin, oropharynx, external auditory canal, and the like. "Open" procedures are those procedures which include incising the skin of a patient and directly visualizing the underlying tissue to which the pharmaceutical preparations are applied. This is generally accomplished by a surgical procedure, such as a thoracotomy to access the lungs, abdominal laparotomy to access abdominal viscera, or other direct surgical approach to the target tissue. "Closed" procedures are invasive procedures in which the internal target tissues are not directly visualized, but accessed via inserting
instruments through small wounds in the skin. For example, the preparations may be administered to the peritoneum by needle lavage. Likewise, the pharmaceutical preparations may be administered to the meninges or spinal cord by infusion during a lumbar puncture followed by appropriate positioning of the patient as commonly practiced for spinal anesthesia or metrazamide imaging of the spinal cord. Alternatively, the preparations may be administered through endoscopic devices.
The lipid-nucleic acid compositions can also be administered in an aerosol inhaled into the lungs (see, Brigham, et ai, Am. J. ScL 298(4):278-281 ( 1989)) or by direct injection at the site of disease (Culver, Human Gene Therapy, Mary Ann Liebert, Inc., Publishers, New York. pp.70-71 (1994)).
The methods of the invention may be practiced in a variety of hosts. Preferred hosts include mammalian species, such as humans, non-human primates, dogs, cats, cattle, horses, sheep, and the like.
Dosages for the lipid-therapeutic agent particles of the invention will depend on the ratio of therapeutic agent to lipid and the administrating physician's opinion based on age, weight, and condition of the patient.
In one embodiment, the invention provides a method of modulating the expression of a target polynucleotide or polypeptide. These methods generally comprise contacting a cell with a lipid particle of the invention that is associated with a nucleic acid capable of modulating the expression of a target polynucleotide or polypeptide. As used herein, the term "modulating" refers to altering the expression of a target polynucleotide or polypeptide. In different embodiments, modulating can mean increasing or enhancing, or it can mean decreasing or reducing. Methods of measuring the level of expression of a target polynucleotide or polypeptide are known and available in the arts and include, e.g., methods employing reverse transcription-polymerase chain reaction (RT-PCR) and immunohistochemical techniques. In particular embodiments, the level of expression of a target polynucleotide or polypeptide is increased or reduced by at least 10%, 20%, 30%, 40%, 50%, or greater than 50% as compared to an appropriate control value. For example, if increased expression of a polypeptide desired, the nucleic acid may be an expression vector that includes a polynucleotide that encodes the desired polypeptide. On the other hand, if reduced expression of a polynucleotide or polypeptide is desired, then the nucleic acid may be, e.g., an antisense oligonucleotide, siRNA, or microRNA that comprises a polynucleotide sequence that specifically hybridizes to a polynucleotide that encodes the target polypeptide, thereby disrupting expression of the target polynucleotide or
polypeptide. Alternatively, the nucleic acid may be a plasmid that expresses such an antisense oligonucleotide, siRNA, or microRNA.
In one particular embodiment, the invention provides a method of modulating the expression of a polypeptide by a cell, comprising providing to a cell a lipid particle that consists of or consists essentially of a cationic lipid of formula A, a neutral lipid, a sterol, a PEG of PEG- modified lipid, e.g., in a molar ratio of about 35-65% of cationic lipid of formula A, 3-12% of the neutral lipid, 15-45% of the sterol, and 0.5-10% of the PEG or PEG-modified lipid, wherein the lipid particle is associated with a nucleic acid capable of modulating the expression of the polypeptide. In particular embodiments, the molar lipid ratio is approximately 60/7.5/31/1.5 or 57.5/7.5/31.5/3.5 CmOPZO LIPID AZDSPaChOlZPEG-DMG). In another group of embodiments, the neutral lipid in these compositions is replaced with DPPC (dipalmitoylphosphatidylcholine), POPC, DOPE or SM.
In particular embodiments, the therapeutic agent is selected from an siRNA, a microRNA, an antisense oligonucleotide, and a plasmid capable of expressing an siRNA, a microRNA, or an antisense oligonucleotide, and wherein the siRNA, microRNA, or antisense RNA comprises a polynucleotide that specifically binds to a polynucleotide that encodes the polypeptide, or a complement thereof, such that the expression of the polypeptide is reduced.
In other embodiments, the nucleic acid is a plasmid that encodes the polypeptide or a functional variant or fragment thereof, such that expression of the polypeptide or the functional variant or fragment thereof is increased.
In related embodiments, the invention provides a method of treating a disease or disorder characterized by overexpression of a polypeptide in a subject, comprising providing to the subject a pharmaceutical composition of the invention, wherein the therapeutic agent is selected from an siRNA, a microRNA, an antisense oligonucleotide, and a plasmid capable of expressing an siRNA, a microRNA, or an antisense oligonucleotide, and wherein the siRNA, microRNA, or antisense RNA comprises a polynucleotide that specifically binds to a polynucleotide that encodes the polypeptide, or a complement thereof.
In one embodiment, the pharmaceutical composition comprises a lipid particle that consists of or consists essentially of Lipid A, DSPC, Choi and PEG-DMG, PEG-C-DOMG or PEG-DMA, e.g., in a molar ratio of about 35-65% of cationic lipid of formula A, 3-12% of the neutral lipid, 15-45% of the sterol, and 0.5-10% of the PEG or PEG-modified lipid PEG-DMG, PEG-C-DOMG or PEG-DMA, wherein the lipid particle is associated with the therapeutic nucleic acid. In particular embodiments, the molar lipid ratio is approximately 60Z7.5Z31Z1.5 or
57.5/7.5/31.5/3.5 (mol% LIPID A/DSPC/Chol/PEG-DMG). In another group of embodiments, the neutral lipid in these compositions is replaced with DPPC, POPC, DOPE or SM.
In another related embodiment, the invention includes a method of treating a disease or disorder characterized by underexpression of a polypeptide in a subject, comprising providing to the subject a pharmaceutical composition of the invention, wherein the therapeutic agent is a plasmid that encodes the polypeptide or a functional variant or fragment thereof.
Unless otherwise defined, all technical and scientific terms used herein have the same meaning as commonly understood by one of ordinary skill in the art to which this invention belongs. Although methods and materials similar or equivalent to those described herein can be used in the practice or testing of the invention, suitable methods and materials are described below. All publications, patent applications, patents, and other references mentioned herein are incorporated by reference in their entirety. In case of conflict, the present specification, including definitions, will control. In addition, the materials, methods, and examples are illustrative only and not intended to be limiting.
EXAMPLES
Example 1. dsRNA synthesis
Source of reagents
Where the source of a reagent is not specifically given herein, such reagent may be obtained from any supplier of reagents for molecular biology at a quality/purity standard for application in molecular biology.
siRNA synthesis
For screening of dsRNA, single-stranded RNAs were produced by solid phase synthesis on a scale of 1 μmole using an Expedite 8909 synthesizer (Applied Biosystems, Applera Deutschland GmbH, Darmstadt, Germany) and controlled pore glass (CPG, 500A, Proligo Biochemie GmbH, Hamburg, Germany) as solid support. RNA and RNA containing 2'-O- methyl nucleotides were generated by solid phase synthesis employing the corresponding phosphoramidites and 2'-O-methyl phosphoramidites, respectively (Proligo Biochemie GmbH, Hamburg, Germany). These building blocks were incorporated at selected sites within the sequence of the oligoribonucleotide chain using standard nucleoside phosphoramidite chemistry such as described in Current protocols in nucleic acid chemistry, Beaucage, S. L. et a (Edrs.), John Wiley & Sons, Inc., New York, NY, USA. Phosphorothioate linkages were introduced by replacement of the iodine oxidizer solution with a solution of the Beaucage reagent (Chruachem Ltd, Glasgow, UK) in acetonitrile (1%). Further ancillary reagents were obtained from
Mallinckrodt Baker (Griesheim, Germany).
Deprotection and purification of the crude oligoribonucleotides by anion exchange HPLC were carried out according to established procedures. Yields and concentrations were determined by UV absorption of a solution of the respective RNA at a wavelength of 260 nm using a spectral photometer (DU 640B, Beckman Coulter GmbH, Unterschleiβheim, Germany). Double stranded RNA was generated by mixing an equimolar solution of complementary strands in annealing buffer (20 mM sodium phosphate, pH 6.8; 100 mM sodium chloride), heated in a water bath at 85 - 900C for 3 minutes and cooled to room temperature over a period of 3 - 4 hours. The annealed RNA solution was stored at -20 0C until use.
dsRNA targeting the Eg5 gene
Initial Screening set
siRNA design was carried out to identify siRNAs targeting Eg5 (also known as KIFl 1, HSKP, KNSLl and TRIP5). Human mRNA sequences to Eg5, RefSeq ID number:NM_004523, was used.
siRNA duplexes cross-reactive to human and mouse Eg5 were designed. Twenty-four duplexes were synthesized for screening. (Table 1 a). A second screening set was defined with 266 siRNAs targeting human Eg5, as well as its rhesus monkey ortholog (Table 2a). An expanded screening set was selected with 328 siRNA targeting human Eg5, with no necessity to hit any Eg5 mRNA of other species (Table 3a).
The sequences for human and a partial rhesus Eg5 mRNAs were downloaded from NCBI Nucleotide database and the human sequence was further on used as reference sequence (Human EG5:NM_004523.2, 4908 bp, and Rhesus EG5: XMJ)01087644.1, 878 bp (only 5' part of human EG5).
For the Tables: Key: A,G,C,U-ribonucleotides: T-deoxythymidine: u,c-2'-O-methyl nucleotides: s-phosphorothioate linkage.
Table Ia. Sequences of Eg5/ KSP dsRNA duplexes
Table Ib. Analysis of Eg5/KSP ds duplexes
s ingle
dose
screen @
25 nM [ % SDs 2nd screen duplex residual (among name mRNA] quadruplicates )
AL-DP-6226 23% 3%
AL-DP-6227 69% 10%
AL-DP-6228 33% 2%
AL-DP-6229 2% 2%
AL-DP-6230 66% 11%
AL-DP-6231 17% 1 %
AL-DP-6232 9% 3%
AL-DP-6233 24% 6%
AL-DP-6234 91% 2%
AL-DP-6235 112% 4%
AL-DP-6236 69% 4%
AL-DP-6237 42% 2%
AL-DP-6238 45% 2%
AL-DP-6239 2% 1 %
AL-DP-6240 48% 2%
AL-DP-6241 41 % 2%
AL-DP-6242 8% 2%
AL-DP-6243 7% 1 %
AL-DP-6244 6% 2%
AL-DP-6245 12% 2%
AL-DP-6246 28% 3%
AL-DP-6247 71 % 4%
AL-DP-6248 5% 2%
AL-DP-6249 28% 3%
Table 2a. Sequences of Eg5/ KSP dsRNA duplexes
SEQ SEQ SEQ
sequence of 19-mer anti sense sequence ( 5 ' - duplex ID I D sense sequence ( 5 ' -3 ) ID
target site 3 ' ) name
NO: NO . NO .
1268 CAUACUCUAGUCGUUCCCA 49 cAuAcucuAGucGuucccATsT 50 UGGGAACGACuAGAGuAUGTsT AD-12072
1269 AGCGCCCAUUCAAUAGUAG 51 AGcGcccAuucAAuAGuAGTsT 52 CuACu AUUGAAUGGGCGCUTST AD-12073
1270 GCAAAGCUAGCGCCCAUUC 53 GGAAAGcuAGcGcccAuucTsT 54 GAAUGGGCGCuAGCUUUCCTsT AD-12074
1271 GAAAGCUAGCGCCCAUUCA 55 GAAAGcuAGcGcccAuucATsT 56 UGAAUGGGCGCuAGCUUUCTsT AD-12075
1272 AGAAACUACGAUUGAUGCA 57 AGAAAcuAcGAuuGAuGGATsT 58 UCcAUcAAUCGuAGUUUCUTsT AD-12076
1273 UGUUCCUUAUCGAGAAUCU 59 uGuuccuuAucGAGAAucuTsT 60 AGAUUCUCGAuAAGGAAcATsT AD-12077
1274 CAGAUUACCUCUGCGAGCC 61 cAGAuuAccucuGcCAGccTsT 62 GGCUCGc AGAGGuAAUCUGTsT AD-12078
1275 GCGCCCAUUCAAUAGUAGA 63 GcGcccAuucAAuAGuAGATsT 64 UCuACuAUUGAAUGGGCGCTsT AD-12079
1276 UUGCΛCUΛUCUUUGCGUAU 65 uuGcAcuAucuuuGcGuΛuTsT 66 AuACGcAAΛGAuAGUGcAΛTsT AD-12080
1277 CAGAGCGGAAAGCUAGCGC 67 cAGAGcGGAAAGcuAGcGcTsT 68 GCGCuAGCUUUCCGCUCUGTsT AD-12081
1278 AGACCUUAUUUGGUAAUCU 69 AGAccuuΛuuuGGuAAucuTsT 70 ΛGΛUuACcAAAuΛΛGGUCUTsT AD-12Q82
1279 AUUCUCUUGGAGGGCGUAC 71 AuucucuuGGAGGGcGuAcTsT 72 GuACGCCCUCcAAGAGAAUTsT AD-12083
1280 GGCUGGUAUAAUUCCΛCGU 73 GGcuGGuAuAAuuccAcGuTsT 74 ACGUGGAΛUuAuACcAGCCTsT AD-12084
1281 GCGGAAAGCUAGCGCCCAU 75 GcGGAAAGcuAGcGcccAuTsT 76 AUGGGCGCuAGCUUUCCGCTsT AD-12Q85
1282 UGCACUAUCUUUGCGUAUG 77 uGcAcuAucuuuGcGuAuGTsT 78 cAuACGcAAAGAuAGUGcATsT AD-12086
1283 GUAUAAUUCCACGUACCCU 79 GuAuAAuuccAcGuAcccuTsT 80 AGGGuACGUGGAAUuAuACTsT AD-12087
1284 AGAAUCUAAACUAACUAGA 81 AGAAucuAAAcuAAcuAGATsT 82 UCuAGUuAGUUuAGAUUCUTsT AD-12088
1285 AGGAGCUGAAUAGGGUUAC 83 AGGAGcuGAAuAGGGuu AcTsT 84 GuAACCCuAUUcAGCUCCUTsT AD-12089
1286 GAAGUACAUAAGACCUUAU 85 GAAGuAcAuAAGAccuuAuTsT 86 AuAAGGUCUuAUGuACUUCTsT AD-12090
1287 GACACUGCCCGAUAAGAUA 87 GAcAGuGGccGAuAACAuATsT 88 uAUCUuAUCGGCcACUGUCTsT AD-12091
1288 AAACCACUUAGUAGUGUCC 89 AAAccAcuuAGuAGuGuccTsT 90 GGAcACuACuAAGUGGUUUTsT AD-12092
1289 UCCCUAGACUUCCCUAUUU 91 ucccuAGAcuucccuAuuuTsT 92 AAAuAGGGAAGUCuAGGGATsT AD-12093
1290 UAGACUUCCCUAUUUCGCU 93 uAGAcuucccuAuuucGcuTsT 94 AGCGAAAuAGGGAAGUCuATsT AD-12094
1291 GCGUCGCAGCCAAAUUCGU 95 GcGucGcAGccAAAuucGuTsT 96 ACGAAUUUGGCUGCGACGCTST AD-12095
1292 AGCUAGCGCCCAUUCAAUA 97 AGcuAGcGcccAuucAAuATsT 98 uAUUGAAUGGGCGCuAGCUTsT AD-12096
1293 GAAACUACGΛUUGAUGGAG 99 GAAAcuAcGAuuGAuGGAGTsT 100 CUCcAUcAAUCGuΛGUUUCTsT AD-12097
1294 CCGAUAAGAUAGAAGAUCA 101 ccGAuAAGAuAGAAGAucATsT 102 UGAUCUUCuAUCUuAUCGGTsT AD-12098
1295 UAGCGCCCAUUCAAUAGUA 103 uAGcGcccAuucAAuAGuATsT 104 uACuAUUGAAUGGGCGCuATsT AD-12099
1296 UUUGCGUAUGGCCAAACUG 105 uuuGcGuAuGGccAAAcuGTsT 106 cAGUUUGGCcAuACGcAAATsT AD-12100
1297 CACGUACCCUUCAUCAAAU 107 cAcGuΛcccuucAucAAAuTsT 108 AUUUGAUGAAGGGUACGUGTST AD-12101
1298 UCUUUGCGUAUGGCCAAAC 109 ucuuuGcGuAuGGccAAAcTsT 110 GUUUGGCcAuACGcAAAGATsT AD-12102
1299 CCGAAGUGUUGUUUGUCCA 111 ccGAAGuGuuGuuuGuccATsT 112 UGGAcAAAcAAcACUUCGGTsT AD-12103
1300 AGAGCGGAAAGCUAGCGCC 113 AGAGcGGAAAGcuAGcGccTsT 114 GGCGCuAGCUUUCCGCUCUTsT AD-12104
1301 GCUAGCGCCCAUUCAAUAG 115 GcuAGcGcccAuucAAuAGTsT 116 CuAUUGAAUGGGCGCuAGCTsT AD-12105
1302 AAGuuAGUGUACGAACUGG 117 AAGuuAGuGuAcGAAcuGGTsT 118 CcAGUUCCuAcACuAACUUTsT AD-12106
1303. GUACGAACUGGAGGAUUGG 119 GuAcGAAcuGGAGGAuuGGTsT 120 CcAAUCCUCcAGUUCGuACTsT AD-12107
1304 ACGAACUGGΛGGΛUUGGCU 121 AcGAAcuGGAGGAuuGGcuTsT 122 AGCCAAUCCUCCAGUUCGUTBT AD-12108
1305 AGAuuGAUGuuuACCGAAG 123 AGAuuGAuGuuuAccGAAGTsT 124 CUUCGGuAAAcAUcAAUCUTsT AD-12109
1306 UAUGGGCUAUAAUUGCACU 125 uAuGGGcuAuAAuuGcAcuTsT 126 AGUGcAAUuAuAGCCcAuATsT AD-12110
1307 AUCUUUGCGUAUGGCCAAA 127 AucuuuGcGuAuGGccAAATsT 128 UUUGGCcAuACGcAAAGAUTsT AD-12111
1308 ACUCUAGUCGUUCCCACUC 129 AcucuAGucGuucccAcυcTsT 130 GAGUGGGAACGACUAGAGUTST AD-12112
1309 AACUACGAUUGAUGGAGAA 131 AAcuAcGAuuGAuGGAGAATsT 132 UUCUCcAUcAAUCGuAGUUTsT AD-12113
1310 GAUAAGAGAGCUCGGGAAG 133 GAuAAGAGAGcucGGGAAGTsT 134 CUUCCCGAGCUCUCUUAUCTST AD-12114
1311 UCCAGAAUCUAAACUAACU 135 ucGAGAAucuAAAcuAAcuTsT 136 AGUuAGUUuAGAUUCUCGATsT AD-12115
1312 AACUAACUAGAAUCCUCCA 137 AAcuAAcuAGAAuccuccATsT 138 UGGAGGAUUCuAGUuAGUUTsT AD-12116
1313 GGAUCGUAACAAGGCAGUU 139 GGAucGuAAGAAGGcACuuTsT 140 AACUGCCUUCUuACGAUCCTsT AD-12117
1314 AUCGUAAGAAGGCAGUUGA 14 1 AucGuAAGAAGGcAGuuGATsT 142 UcAACUGCCUUCUuACGAUTsT AD-12118
1315 AGGCAGUUGACCAACACAA 143 AGGcAGuuGAccAAcAcAATsT 144 UUGUCUUGGUc AACUGCCUTST AD-12119
1316 UGGCCGAUAAGAUAGAAGA 145 uGGccGAuAAGAuAGAAGATsT 146 UCUUCuAUCUuAUCGGCcATsT AD-12120
1317 UCUAAGGAUAUAGUCAACA 147 ucuΛAGGAuAuAGucAAcATsT 148 UGUUGACuAuAUCCUuAGATsT AD-12121
1318 ACUAAGCUUAAUUGCUUUC 149 AcuAAGcuuAAuuGcuuucTsT 150 GAAAGcAAUuAAGCUuAGUTsT AD-12122
1319 GCCCAGAUCΛACCUUUAAU 151 GcccAGAucAAccuuuAAuTsT 152 AUuAAAGGUUGAUCUGGGCTsT AD-12123
1320 UUAAUUUGGCAGAGCGGAA 153 uuAAuuuGGcAGAGcGGAATsT 154 UUCCGCUCUGCcAAAUuAATsT AD-12124
1321 UUAUCGAGAAUCUAAACUA 155 uuΛucGAGAAucuAAAcuATsT 156 uAGUUuAGAUUCUCGAuAATsT AD-12125
1322 CUAGCGCCCAUUCAAUAGU 157 cuAGcGcccAuucAAuAGuTsT 158 ACuAUUGAAUGGGCGCuAGTsT AD-12126
1323 AAUAGUAGAAUGUGAUCCU 159 AAuAGuAGAAuGuGAuccuTsT 160 AGGAUcAcAUUCuACuAUUTsT AD-12127
1324 UACGAAAAGAAGUUAGUGU 161 uAcGAAAAGAAGuuAGuGuTsT 162 AcACuAACUUCUUUUCGuATsT AD-12128
1325 AGAAGUUAGUGUACGAACU 163 AGAAGuuAGuGuAcGAAcuTsT 164 AGUUCGuAcACuAACUUCUTsT AD-12129
1326 ACUAAACAGAUUGAUGUUU 165 AcuAAAcAGAuuGAuGuuuTsT 166 AAAcAUc AAUCUGUUUAGUTST AD-12130
1327 CUUUGCGUAUGGCCAAACU 167 cuuuGcGuAuGGccAAAcuTsT 168 AGUUUGGCcAuACGcAAAGTsT AD-12131
1328 AAUGAAGAGUAUACCUGGG 169 AAuGAAGAGuAuAccuGGGTsT 170 CCcAGGuAuACUCUUcAUUTsT AD-12132
1329 AUAAUUCCACGUACCCUUC 171 AuAAuuccAcGuAcccuucTsT 172 GAAGGGuACGUGGAAUuAUTsT AD-12133
1330 ACGUACCCUUCAUCAAAUU 173 AcGuAcccuucAucAAAuuTsT 174 AAUUUGAUGAAGGGUACGUTST AD-12134
1331 CGUACCCUUCAUCAAAUUU 175 cGuAcccuucAucAAAuuuTsT 176 AAAUUUGAUGAAGGGUACGTST AD-12135
1332 GUACCCUUCAUCAAAUUUU 177 GuAcccuucAucAAAuuuuTsT 178 AAAAUUUGAUGAAGGGUACTST AD-12136
SEQ SEQ SEQ
ID sequence of 19-mer ID sense sequence (5 '-3') ID antisense sequence (5'- duplex target site 3' ) name
NO: NO . NO .
1333 AACUUACUGAUAAUGGUAC 179 AAcuuAcuGAuAAuGGuAcTsT 180 GuACcAUuAUcAGuAAGUUTsT AD-12137
1334 UUCAGUCAAAGUGUCUCUG 181 uucAGucAAAGuGucucuGTsT 182 cAGAGAcACUUUGACUGAATsT AD-12138
1335 UUCUUAAUCCAUCAUCUGA 183 uucuuAAuccAucAucuGATsT 184 UcAGAUGAUGGAUuAAGAATsT AD-12139
1336 ACAGUACACAACAAGGAuc 185 AcACuAcAcAAcAAGGAuGTsT 186 cAUCCUUGUUGUGuACUGUTsT AD-12140
1337 AAGAAACUACGAUUGAUGG 187 AAGAAAcuAcGAuuGAuGGTsT 188 CcAUcAAUCGuAGUUUCUUTsT AD-12141
1338 AAACUACGAUUGAUGGAGA 189 AAAcuAcGAuuGAuGGAGATsT 190 UCUCcAUcAAUCGuAGUUUTsT AD-12142
1339 UGGAGCUGUUGAUAAGAGA 191 uGGAGcuGuuGAuAAGAGATsT 192 UCUCUuAUcAAcAGCUCcATsT AD-12143
1340 CUAACUAGAAUCCUCCAGG 193 cuAAcuAGAAuccuccAGGTsT 194 CCUGGAGGAUUCuAGUuAGTsT AD-12144
1341 GAAUAUGCUCAUAGAGCAA 195 GAAuAuGcucAuAGAGcAATsT 196 UUGCUCuAUGAGcAuAUUCTsT AD-12145
1342 AUGCUCAUΛGAGCAΛAGAA 197 AuGcucΛuAGAGcAAAGAΛTsT 198 UUCUUUGCUCuAUGAGcAUTsT AD-12146
1343 AAAAAUUGGUGCUGUUGAG 199 AAAAAuuGGuGcuGuuGAGTsT 200 CUcAAcAGcACcAAUUUUUTsT AD-12147
1344 GAGGAGCUGAAUAGGGUUA 201 GAGGAGcuGAAuAGGGuuATsT 202 uAACCCuAUUcAGCUCCUCTsT AD-12148
1345 GGAGCUGAAUAGGGUUACA 203 GGAGcuGAAuAGGGuuAcATsT 204 UGuAACCCuAUUcAGCUCCTsT AD-12149
1346 GAGCUGAAUAGGGUUACAG 205 GAGcuGAAuAGGGuuAcAGTsT 206 CUGuAACCCuAUUcAGCUCTsT AD-12150
1347 AGCUGAAUAGGGUUACAGA 207 AGcuGAAuAGGGuuAcAGATsT 208 UCUGuAACCCuAUUcAGCUTsT AD-12151
1348 GCUGAAUAGGGUUACAGAG 209 GcuGAAuAGGGuuAcAGAGTsT 210 CUCUGuAACCCuAUUcAGCTsT AD-12152
1349 CCAAACUGGAUCGUAAGAA 211 ccAAAcuGGAucGuAAGAATsT 212 UUCUuACGAUCcAGUUUGGTsT AD-12153
1350 GAUCGUAAGAAGGCAGUUG 213 GAucGuAAGAAGGcAGuuGTsT 214 cAACUGCCUUCUuACGAUCTsT AD-12154
1351 ACCUUAUUUGGUAAUCUGC 215 AccuuAuuuGGuAAucuGcTsT 216 GcAGAUuACcAAAuAAGGUTsT AD-12155
1352 UUAGAUACCAUUACUACAG 217 uuAGAuAccAuuAcuAcAGTsT 218 CUGuAGuAAUGGuAUCuAATsT AD-12156
1353 AUACCAUUACUACAGUAGC 219 AuAccAuuΛcuAcAGuAGcTsT 220 GCuACUGuAGuAAUGGuAUTsT AD-12157
1354 UACUACAGUAGCACUUGGA 221 uAcuAcAGuAGcAcuuGGATsT 222 UCcAAGUGCuACUGuAGuATsT AD-12158
1355 AAAGUAAAACUGUACUACA 223 AAAGuAAAAcuGuΛcuAcATsT 224 UGuAGuAcAGUUUuACUUUTsT AD-12159
1356 CUCAAGACUGAUCUUCUAA 225 cucAAGAcuGAucuucuAATsT 226 UuAGAAGAUcAGUCUUGAGTsT AD-12160
1357 UUGACAGUGGCCGAUAAGA 227 uuGAcAGuGGccGAuAAGATsT 228 UCUuΛUCGGCcΛCUGUcAATsT AD-12161
1358 UGACAGUGGCCGAUAAGAU 229 uGAcAGuGGccGAuAAGAuTsT 230 AUCUuAUCGGCcACUGUcATsT AD-12162
1359 GCAAUGUGGAAACCUAACU 231 GcAAuGuGGAAAccuAAcuTsT 232 AGUuAGGUUUCcAcAUUGCTsT AD-12163
1360 CCACUUAGUAGUGUCCAGG 233 ccAcuuAGuAGuGuccAGGTsT 234 CCUGCAcACuACuAACUGGTsT AD-12164
1361 AGAAGGUACAAAAUUGGUU 235 AGAAGGuAcAAAAuuGGuuTsT 236 AACcAAUUUUGuACCUUCUTsT AD-12165
1362 UGGUUUGACUAAGCUUAAU 237 uGGuuuGAcuAAGcuuAAuTsT 238 AUuAAGCUuAGUcAAACcATsT AD-12166
1363 GGUUUGACUAAGCUUAAUU 239 GGuuuGAcuAAGcuuAAuuTsT 240 AAUuAAGCUuAGUcAAACCTsT AD-12167
1364 UCUAAGUCAAGAGCCAUCU 241 ucuAAGucAAGAGccAucuTsT 242 AGAUGGCUCUUGACUUAGATST AD-12168
1365 UCAUCCCUAUAGUUCACUU 243 ucAucccuAuAGuucAcuuTsT 244 AAGUGAACuAuAGGGAUGATsT AD-12169
1366 CAUCCCUAUAGUUCACUUU 245 cAucccuAuAGuucAcuuuTsT 246 AAAGUGAACuAuAGGGAUGTsT AD-12170
1367 CCCUAGACUUCCCUAUUUC 247 cccuAGAcuucccuAuuucTsT 248 GAAAuAGGGAAGUCuAGGGTsT AD-12171
1368 AGACuucccuAUUUCGCuu 249 AGAcuucccuAuuucGcuuTsT 250 AAGCGAAAuAGGGAΛGUCUTsT AD-12172
1369 UCACCAAACCAUUUGUAGA 251 ucAccAAAccAuuuGuAGATsT 252 UCuAcAAAUGGUUUGGUGATsT AD-12173
1370 UCCUUUAAGAGGCCUΛACU 253 uccuuuAAGAGGccuAAcuTsT 254 AGUuAGGCCUCUuAAAGGATsT AD-12174
1371 UUUAAGAGGCCUAACUCAU 255 uuuAAGAGGccuAAcucAuTsT 256 AUGAGUuAGGCCUCUuAAATsT AD-12175
1372 UUAAGAGGCCUΛΛCUCAUU 257 uuAAGAGGccuAAcucAuuTsT 258 AAUGAGUuAGGCCUCUuAATsT AD-12176
1373 GGCCUAACUCAUUCACCCU 259 GGccuAAcucAuucAcccuTsT 260 AGGGUGAAUGAGUUAGGCCTST AD-12177
1374 UGGUAUUUUUGAUCUGGCA 261 uGGuAuuuuuGAucuGGcATsT 262 UGCcAGAUcAAAAAuACcATsT AD-12178
1375 ACUUUAGUGUGUAAAGUUU 263 AGuuuAGuGuCuAAAGuuuTsT 264 AAACUUuAcAcACuAAACUTsT AD-12179
1376 GCCAAAUUCGUCUGCGAAG 265 GccAAAuucGucuGcGAAGTsT 266 CUUCGcAGACGAAUUUGGCTsT AD-12180
1377 AAUUCGUCUGCGAAGAAGA 267 AAuucGucuGcGAAGAAGATsT 268 UCUUCUUCGcAGACGAAUUTsT AD-12181
1378 UGAAAGGUCACCUAAUGAA 269 uGAAAGGucAccuAAuGAATsT 270 UUcAUuAGGUGACCUUUcATsT AD-12182
1379 CAGACCAUUUAAUUUGGCA 271 cAGAccAuuuAAuuuGGcATsT 272 UGCcAAAUuAAAUGGUCUGTsT AD-12183
1380 AGACCAUUUAAUUUGGCAG 273 AGAccAuuuAAuuuGGcAGTsT 274 CUGCcAAAUuAAAUGGUCUTsT AD-12184
1381 AGUUAUUAUGGGCUΛUAΛU 275 AGuuAuuAuGGGcuΛuAAuTsT 276 AUuAuAGCCcAuAAuAACUTsT AD-12185
1382 GCUGGUAUAAUUCCACGUA 277 GcuGGuAuAAuuccAcGuATsT 278 uACGUGGAAUuAuACcAGCTsT AD-12186
1383 AuuuAAUUUGGCAGAGCGG 279 AuuuAAuuuGGcAGAGcGGTsT 280 CCGCUCUGCcAAAUuAAAUTsT AD-12187
1384 UUUAAUUUGGCAGAGCGGA 281 uuuAAuuuGGcAGAGcGGATsT 282 UCCGCUCUGCcAAAUuAAATsT AD-12188
1385 UUUGGCΛGΛCCGGAAAGCU 283 uuuGGcAGAGcGGAAAGcuTsT 284 AGCUUUCCGCUCUGCCAAATST AD-12189
1386 UUUUACAAUGGAAGGUGAA 285 uuuuAcAAuGGAAGGuGAATsT 286 UUcACCUUCcAUUGuAAAATsT AD-12190
1387 AAUGGAAGGUGAAAGGUCA 287 AAuGGAAGGuGAAAGGucATsT 288 UGACCUUUcACCUUCcAUUTsT AD-12191
1388 uGAGAUGCAGACCAuuuAA 289 uGAGAuGcAGAccAuuuAATsT 290 UuAAAUGGUCUGcAUCUcATsT AD-12192
1389 UCGCAGCCAAAUUCGUCUG 291 ucGcAGccAAAuucGucuGTsT 292 cAGACGAAUUUGGCUGCGATsT AD-12193
1390 GGCUAUAAUUGCACUAUCU 293 GGcuAuAAuuGcAcuAucuTsT 294 AGAuAGUGcAAUuAuACCCTsT AD-12194
1391 AUUGACAGUGGCCGAUAAG 295 AuuGAcAGuGGccGAuAAGTsT 296 CUuAUCGGCcACUGUcAAUTsT AD-12195
1392 CUAGACUUCCCUAUUUCGC 297 cuAGAcuucccuAuuucGcTsT 298 GCGAAAuAGGGAAGUCuAGTsT AD-12196
1393 ACUAUCUUUGCGUAUGGCC 299 AcuAucuuuGcGuAuGGccTsT 300 GGCcAuACGcAAAGAuAGUTsT AD-12197
1394 AUACUCUΛGUCGUUCCCAC 301 AuΛcucuAGucGuucccAcTsT 302 GUGGGAACGACuAGAGuAUTsT AD-12198
1395 AAAGAAACUACGAUUGAUG 303 AAAGAAAcuAcGAuuGAuGTsT 304 cAUcAAUCGuAGUUUCUUUTsT AD-12199
1396 GCCUUGΛUUUUUUGGCGGG 305 GccuuGAuuuuuuGGcGGGTsT 306 CCCGCcAAAAAAUcAAGGCTsT AD-12200
1397 CGCCCAUUCAAUAGUAGAA 307 cGcccAuucAAuAGuAGAATsT 308 UUCuACuAUUGAAUGGGCGTsT AD-12201
1398 CCUUAUUUGGUAΛUCUGCU 309 ccuuAuuuGGuAAucuGcuTsT 310 AGcAGAUuACcAAAuAAGGTsT AD-12202
1399 AGAGACAAUUCCGGAUGUG 311 AGAGAcAAuuccGGAuGuGTsT 312 cAcAUCCGGAAUUGUCUCUTsT AD-12203
1400 UGΛCUUUGAUAGCUAAAUU 313 uGAcuuuGAuAGcuAAAuuTsT 314 AAUUuAGCuAUcAAAGUcATsT AD-12204
1401 UGGCAGAGCGGAAAGCUAG 315 uGGcAGAGcGGAAAGcuAGTsT 316 CuAGCUUUCCGCUCUGCcATsT AD-12205
1402 GAGCGGAAAGCUAGCGCCC 317 GAGcGGAAAGcuAGcGcccTsT 318 GGGCGCuAGCUUUCCGCUCTST AD-12206
1403 AAAGAAGUUAGUGUACGAA 319 AAAGAAGuuAGuGuAcGAATsT 320 UUCGuAcACuAACUUCUUUTsT AD-12207
1404 AUUGCACUAUCUUUGCGUA 321 AuuGcAcuAucuuuGcGuATsT 322 uACGcAAAGAuAGUGcAAUTsT AD-12208
1405 GGUAUAAUUCCACGUACCC 323 GGuAuAAuuccAcGuAcccTsT 324 GGGuACGUGGAAUuAuACCTsT AD-12209
1406 UACUCUAGUCGUUCCCACU 325 uAcucuAGucGuucccAcuTsT 326 AGUGGGAACGACuAGAGuATsT AD-12210
SEQ SEQ SEQ
sequence of 19-mer
ID ID sense sequence (5 ' -3 ' ) ID antisense sequence ( 5 ' - duplex target site
NO: NO . NO . 3 ' ) name 1407 UAUGAAAGAAACUACGAUU 327 uAuGAAAGAAAcuAcGAuuTsT 328 AAUCGuAGUUUCUUUcAuATsT AD-1221 1 1408 AUGCUAGAAGUACAUAAGA 329 AuGcuAGAAGuAcAuAAGATsT 330 UCUuAUGuACUUCuAGcAUTsT AD-12212 1409 AAGUACAUAAGACCUUAUU 331 AAGuAcAuAAGAccuuAuuTsT 332 AAuAAGGUCUuAUGuACUUTsT AD-12213 1410 ACAGCCUGAGCUGUUAAUG 333 AcAGccuGAGcuGuuAAuGTsT 334 cAUuAAcAGCUcAGGCUGUTsT AD-12214 1411 AAAGAAGAGACAAUUCCGG 335 AAAGAAGAGAcAAuuccGGTsT 336 AD-12215 1412 CACACUGGAGAGGUCUAAA 337 cAcAcuGGAGAGGucuAAATsT 338 UUuAGACCUCUCcAGUGUGTsT AD-12216 1413 CACUGGAGAGGUCUAAAGU 339 cAcuGGAGAGGucuAAAGuTsT 340 ACUUuAGACCUCUCcAGUGTsT AD-12217 1414 ACUGGΛGAGGUCUAAAGUG 341 AcuGGAGAGGucuAAAGuGTsT 342 cACUUuAGACCUCUCcAGUTsT AD-12218 1415 CGUCGCAGCCAAAUUCGUC 343 cGucGcAGccAAAuucGucTsT 344 AD-12219 1416 GΛAGGCAGUUGACCΛACAC 345 GAAGGcAGuuGAccAAcAcTsT 346 GUGUUGGUcAACUGCCUUCTsT AD-12220 1417 CAUUCACCCUGACAGAGUU 347 cAuucAcccuGAcAGAGuuTsT 348 AACUCUGUcAGGGUGAAUGTsT AD-12221 1418 AAGΛGGCCUAACUCAUUCA 349 AΛGAGGccuAAcucAuucATsT 350 UGAAUGAGUuAGGCCUCUUTsT AD-12222 1419 GAGACAAUuccGGAUGUGG 351 GAGAcAAuuccCGAuGuGGTsT 352 CcAcAUCCGGAAUUGUCUCTsT AD-12223 1420 UUCCGGAUGUGGAUGUAGA 353 uuccGGAuGuGGAuGuAGATsT 354 UCuAcAUCcAcAUCCGGAATsT AD-12224 1421 AAGCUACCGCCCAUUCAAU 355 AACcuAGcGcccAuucAAuTsT 356 AD-12225 1422 GAAGUUAGUGUACGAACUG 357 GAAGuuAGuGuAcGAAcuGTsT 358 cAGUUCGuAcACuAACUUCTsT AD-12226 1423 UAUAAUUCCACGUAcccuu 359 uAuAAuuccAcGuAcccuuTsT 360 AAGGGuACGUGGAAUuAuATsT AD-12227 1424 ACAGUGGCCGAUAAGAUAG 361 AcAGuGGccGAuAAGAuAGTsT 362 CuAUCUuAUCGGCcACUGUTsT AD-12228 1425 UCUGUCAUCCCUAUAGUUC 363 ucuGucAucccuAuAGuucTsT 364 GAACuAuAGGGAUGAcAGATsT AD-12229 1426 UUCUUGCUAUGACUUGUGU 365 uucuuGcuAuGAcuuGuGuTsT 366 AcAcAAGUcAuAGcAAGAATsT AD-12230 1427 GUAAGAAGGCΛGUUGACCA 367 GuAAGAAGGcAGuuGAccATsT 368 UGGUcAACUGCCUUCUuACTsT AD-12231 1428 CAUUGACAGUGGCCGAUAA 369 cAuuGAcAGuGGccGAuAATsT 370 UuAUCGGCcACUGUcAAUGTsT AD-12232 1429 ΛGAAACCACUUAGUΛGUGU 371 AGAAΛccAcuuΛGuΛGuGuTsT 372 AcACuΛCuAΛGUGGUUUCUTsT AD-12233 1430 GGAUUGUUCAUCAAUUGGC 373 GGAuuGuucAucAAuuGGcTsT 374 GCcAAUUGAUGAAcAAUCCTsT AD-12234 1431 UAAGAGGCCUAACUCAUUC 375 uAAGΛGGccuAAcucAuucTsT 376 GAΛUGAGUuAGGCCUCUuATsT AD-12235 1432 AGUUAGUGUACGAACUGCA 377 ACuuACuGuAcGAAcuGCATsT 378 UCc AGUUCCuAc ACu AACUTsT AD-12236 1433 AGUACAUAAGACCUUAUUU 379 AGuAcAuAAGAccuuAuuuTsT 380 AAAuAAGGUCUuAUGuACUTsT AD-12237 1434 UGAGCCUUGUGUAUAGAUU 381 uGAGccuuGuGuAuAGAuuTsT 382 AAUCuAuAcAcAAGCCUcATsT AD-12238 1435 CCUUUAAGAGGCCUAACUC 383 ccuuuAAGAGGccuAAcucTsT 384 GAGUuAGGCCUCUuAAAGGTsT AD-12239 1436 ACCACUUAGUAGUGUCCAG 385 AccAcuuAGuAGuGuccAGTsT 386 CUGGAcACuACuAAGUGGUTsT AD-12240 1437 GAAACUUCCAAUUAUGUCU 387 GAAAcuuccAAuuAuGucuTsT 388 AGAcAuAAUUGGAAGUUUCTsT AD-12241 1438 UGCAUACUCUAGUCGUUCC 389 uGcAuAcucuAGucGuuccTsT 390 GGAACGACuAGAGuAUGcATsT AD-12242 1439 AGAAGGCAGUUGACCAACA 391 AGAAGGcAGuuGAccAAcATsT 392 UGUUGGUcAACUGCCUUCUTsT AD-12243 1440 GUACAUAAGACCUUAUUUG 393 GuAcAuAAGAccuuAuuuGTsT 394 cAAAuAAGGUCUuAUGuACTsT AD-12244 1441 UAUAAUUGCACUAUCUUUG 395 uAuAAuuGcAcuAucuuuGTsT 396 cAAAGAuAGUGcAAUuAuATsT AD-12245 1442 UCUCUGUUACAAUACAUAU 397 ucucuGuuAcAAuAcAuAuTsT 398 AuAUGuAUUGuAAcAGAGATsT AD-12246 1443 UAUGCUCAUAGAGCAAAGA 399 uAuGcucAuAGAGcAAAGATsT 400 UCUUUGCUCuAUGAGcAuATsT AD-12247 1444 UGUUGUUUGUCCAAUUCUG 401 uGuuGuuuGuccAAuucuGTsT 402 cAGAAUUGGAcAAAcAAcATsT AD-12248 1445 ACUAACUAGAAUCCUCCAG 403 AcuAAcuAGAAuccuccAGTsT 404 CUGGAGGAUUCuAGUuAGUTsT AD-12249 1446 UGUGGUGUCUAUACUGAAA 405 uGuGGuGucuAuAcuGAAATsT 406 UUUcAGuAuAGAcACcAcATsT AD-12250 1447 UAUUAUGGGAGACCACCCA 407 uAuuAuGGGAGAccAcccATsT 408 UGGGUGGUCUCCcAuAAuATsT AD-12251 1448 AAGGAUGAAGUCUAUCAAA 409 AAGGAuGAAGucuAucAAATsT 410 UUUGAuAGACUUcAUCCUUTsT AD-12252 1449 UUGAUAAGAGAGCUCGGGA 4 1 1 uuGAuAAGAGAGcucGGGATsT 412 UCCCCAGCUCUCUuAUcAATsT AD-12253 1450 AUGUUCCUUAUCGAGAAUC 413 AuGuuccuuAucGAGAAucTsT 414 GAUUCUCGAuAAGGAAcAUTsT AD-12254 1451 GGAAUAuccucAUAGAGCA 415 GGAAuAuGcucAuAGACcATsT 4 1 6 UGCUCuAUCACcAuAUUCCTsT AD-12255 1452 CCAUUCCAAACUGGAUCGU 417 ccAuuccAAAcuGGAucGuTsT 4 18 ACGAUCcAGUUUGGAAUGGTsT AD-12256 1453 CCCAGUUGACCAACACAAU 4 1 9 GGcAGuuGAccAAcAcAAuTsT 420 AUUGUGUUGGUcAACUGCCTsT AD-12257 1454 CAUGCUAGAAGUACAUAAG 421 cAuGcuAGAAGuAcAuAAGTsT 422 CUuAUGuACUUCuAGcAUGTsT AD-12258 145b CUAGΛAGUACAUAAGΛCCU 423 cuAGAAGuAcAuAΛGΛccuTsT 424 ΛGGUCUuAUGuACUUCuAGTsT AD-12259 1456 UUGGAUCUCUCACAUCUAU 425 uuGGAucucucAcAucuAuTsT 426 AuAGAUGUGAGAGAUCcAATsT AD-12260 1457 AACUGUGGUGUCUAUACUG 427 AAcuGuGGuGucuAuAcuGTsT 428 cAGuAuAGAcACcAcAGUUTsT AD-12261 1458 UCAUUGACAGUGGCCGAUA 429 ucAuuGAcAGuGGccGAuATsT 430 uAUCGGCcACUGUcAAUGATsT AD-12262 1459 AUAAAGCAGACccAuuccc 431 AuAAAGcAGAcccΛuucccTsT 432 AD-12263 1460 ACAGAAACCACUUAGUAGU 433 AcAGAAAccAcuuAGuAGuTsT 434 ACuACuAAGUGGUUUCUGUTsT AD-12264 1461 GAAACCACUUAGUAGUGUC 435 GAAAccAcuuAGuAGuGucTsT 436 GAcACuACuAAGUGGUUUCTsT AD-12265 1462 AAAUCUAAGGAUAUAGUCA 437 AAAucuAAGGAuAuAGucATsT 438 UGACu Au AUCCUuAGAUUUTsT AD-12266 1463 uuAuuuAUACCCAucAACA 439 uuAuuuAuAcccAucAAcATsT 440 UGUUGAUGGGuAuAAAuAATsT AD-12267 1464 ACAGAGGCAUUAACACACU 44 1 AcAGAGGcAuuAAcAcAcuTsT 442 AGUGUGUuAAUGCCUCUGUTsT AD-12268 1465 ACACACUGGAGAGGUCUAA 443 Ac AcAcuGGAGAGGucu AATsT 444 UuAGACCUCUCcAGUGUGUTsT AD-12269 1466 ACACUGGAGAGGUCUAAΛG 44 5 AcAcuGGAGAGGucuAAAGTsT 446 CUUuAGACCUCUCcAGUGUTsT AD-12270 1467 CGAGCCCAGAUCAACCUUU 447 cGAGcccAGAucAAccuuuTsT 448 AD-12271 1468 UCCCUAUUUCGCUUUCUCC 449 ucccuAuuucGcuuucuccTsT 450 AD-12272 1469 UCUAAAAUCACUGUCAACA 451 ucuAAAAucAcuGucAAcATsT 452 UGUUGAcAGUGAUUUuAGATsT AD-12273 1470 AGCCAAAUUCGUCUGCGAA 453 AGccAAAuucGucuGcGAATsT 454 UUCGcAGACGAAUUUGGCUTsT AD-12274 1471 CCCAUUCAAUAGUAGAAUG 455 cccAuucAAuAGuAGAAuGTsT 456 cAUUCuACuAUUGAAUGGGTsT AD-12275 1472 GAUGAAUGCAUACUCUAGU 457 GAuGAAuGcAuAcucuAGuTsT 458 ACuAGAGuAUGcAUUcAUCTsT AD-12276 1473 CUCAUGUUCCUUAUCGAGA 459 cucAuGuuccuuAucGAGATsT 460 UCUCGAuAAGGAAcAUGAGTsT AD-12277 1474 GAGAAucuAAACUAACUAG 461 GAGAAucuΛAAcuAAcuAGTsT 462 CuAGUuAGUUuAGAUUCUCTsT AD-12278 1475 UAGAAGUACAUAAGACCUU 463 uAGAAGuAcAuAAGAccuuTsT 464 AAGGUCUuAUGuACUUCuATsT AD-12279 1476 CAGCCUGAGCUGUUAAUGA 465 cAGccuGAGcuGuuAAuGATsT 466 UcAUuAAcAGCUcAGGCUGTsT AD-12280 1477 AAGAAGAGACAAUUCCGGA 467 AAGAAGAGAcAAuuccGGATsT 468 AD-12281 1478 UGCUGGUGUGGAUUGUUCA 469 uGcuGGuGuGGAuuGuucATsT 470 UGAAcAAUCcAcACcAGcATsT AD-12282 1479 AAAUUCGUCUGCGAAGAAG 471 AAAuucGucuGcGAAGAAGTsT 472 CUUCUUCGcAGACGAAUUUTsT AD-12283 1480 UUUCUGGAAGUUGAGAUGU 473 uuucuGGAAGuuGAGAuGuTsT 474 AcAUCUcAACUUCcAGAAATsT AD-12284
SEQ SEQ SEQ
ID sequence of 19-mer ID sense sequence (5 '-3') ID antisense sequence (5'- duplex target site NO . NO . 3 ' ) name
NO:
1481 UACUAAACAGAUUGAUGUU 475 uAcuAAAcAGAuuGAuGuuTsT 476 AAcAUcAAUCUGUUuAGuATsT AD-12285
1482 GAUUGAUGUUUACCGAAGU 477 GAuuGAuGuuuAccGAAGuTsT 478 ACUUCGGuAAAcAUcAAUCTsT AD-12286
1483 GCACUAUCUUUGCGUAUGG 479 GcAcuAucuuuGcGuAuGGTsT 480 CcAuACGcAAAGAuAGUGCTsT AD-12287
1484 UGGUAUAAUUCCACGUACC 481 uGGuAuAAuuccAcGuAccTsT 482 GGuACGUGGAAUuAuACcATsT AD-12288
1485 AGCAAGCUGCUUAACACAG 483 AGcAAGcuGcuuAAcAcAGTsT 484 CUGUGUuAAGcAGCUUGCUTsT AD-12289
1486 CAGAAACCACUUAGUAGUG 485 cAGAAAccAcuuAGuAGuGTsT 486 cACuACuAAGUGGUUUCUGTsT AD-12290
1487 AACUUAUUGGAGGUUGUAA 487 AAcuuAuuGGAGGuuGuAATsT 488 UuAcAACCUCcAAuAAGUUTsT AD-12291
1488 CUGGΛGAGGUCUAAAGUGG 489 cuGGAGAGGucuAAAGuGGTsT 490 CcACUUuAGACCUCUCcAGTsT AD-12292
1489 AAAAAAGAUAUAAGGCAGU 491 AAAAAAGAuAuAAGGcAGuTsT 492 ACUGCCUuAuAUCUUUUUUTsT AD-12293
1490 GAΛUUUUGAUAUCUACCCA 493 GAAuuuuGAuAucuAcccATsT 494 UGGGuAGAuAUcAAAAUUCTsT AD-12294
1491 GUAUUUUUGAUCUGGCAAC 495 GuAuuuuuGAucuGGcAAcTsT 496 GUUGCcAGAUcAAAAAuACTsT AD-12295
1492 AGGAUCCCUUGGCUGGUΛU 497 ΛGGAucccuuGGcuGGuAuTsT 498 AuACcAGCcAAGGGAUCCUTsT AD-12296
1493 GGAUCCCUUGGCUGGUAUA 499 ' GGAucccuuGCcuGGuAuATsT 500 uAuACcAGCcAAGGGAUCCTsT AD-12297
1494 CAAUAGUAGAAUGUGAUCC 501 cAAuAGuAGAAuGuGAuccTsT 502 GGAUcAcAUUCuACuAUUGTsT AD-12298
1495 GCUAUAAUUGCACUAUCUU 503 GcuAuAAuuGcAcuAucuuTsT 504 AAGAuAGUGcAAUuAuAGCTsT AD-12299
1496 UACCCUUCAUCAAAUUUUU 505 uAcccuucAucAAAuuuuuTsT 506 AAAAAUUUGAUGAAGGGUATST AD-12300
1497 AGAACAUAUUGAAUAAGCC 507 AGAAcAuAuuGAAuAAGccTsT 508 GGCUuAUUcAAuAUGUUCUTsT AD-123Q1
1498 AAAUUGGUGCUGUUGAGGA 509 AAAuuGGuGcuGuuGAGGATsT 510 UCCUcAAcAGcACcAAUUUTsT AD-12302
1499 UGAAUAGGGUUACAGAGUU 511 uGAAuAGGGuuAcAGAGuuTsT 512 AACUCUGUAACCCUAUUcATsT AD-12303
1500 AAGAACUUGAAACCACUCA 513 AAGAAcuuGAAAccAcucATsT 514 UGAGUGGUUUcAAGUUCUUTsT AD-12304
1501 AAUAAAGCΛGACCCAUUCC 515 AAuAAAGcAGAcccAuuccTsT 516 GGAAUGGGUCUGCUUUAUUTST AD-12305
1502 AUACCCAUCAACACUGGUA 517 AuAcccAucAAcAcuGGuATsT 518 uACcAGUGUUGAUGGGuAUTsT AD-12306
1503 UGGAUUGUUCAUCAAUUGG 519 uGGΛuuGuucAucΛAuuGGTsT 520 CcAΛUUGΛUGAAcΛAUCcΛTsT AD-12307
1504 UGGAGAGGUCUAAAGUGGA 521 uGGAGAGGucuAAAGuGGATsT 522 UCcACUUuAGACCUCUCcATsT AD-12308
1505 GUCAUCCCUAUΛGUUCACU 523 GucAucccuΛuAGuucAcuTsT 524 ΛGUGAACuAuAGGGAUGACTsT AD-12309
1506 AUAAucGCUAUAAuuucuc 525 AuAAuGGcuAuAAuuucucTsT 526 GAGAAAUuAuAGCcAUuAUTsT AD-12310
1507 AUCCCUUGGCUGGUAUAAU 527 ΛucccuuGGcuGGuAuAAuTsT 528 AUuΛuΛCcΛGCcAAGGGΛUTsT AD-12311
1508 GCGCUAUAAUUCCACUAUC 529 GGGcuAuAAuuGcAcuAucTsT 530 GAuAGUGcAAUuAuACCCCTsT AD-12312
1509 GAUUCUCUUGGAGGGCGUA 531 GAuuciicυuGGAGGGcGuATsT 532 uACGCCCUCcAAGAGAAUCTsT AD-12313
1510 GCAUCUCUCAAUCUUGACG 533 GcAucucucAAucuuCACGTsT 534 CCUcAAGAUUGAGAGAUGCTsT AD-12314
1511 CAGCAGAAAUCUAAGGAUA 535 cAGcAGAAAucuAAGGAuATsT 536 uAUCCUuAGAUUUCUGCUGTsT AD-12315
1512 CUCAAGAGCCAUCUCUAGA 537 GucAAGAGccAucuCuAGATsT 538 UCuAcAGAUGGCUCUUGACTsT AD-12316
1513 AAACAGAGGCAUUAACACA 539 AAAcAGAGGcAuuAAcAcATsT 540 UGUGUuAAUGCCUCUGUUUTsT AD-12317
1514 AGCCCAGAUCAACCUUUAA 541 AGcccAGAucAAccuuuAATsT 542 UuAAAGGUUGAUCUGGGCUTsT AD-12318
1515 UAUUUUUGAUCUGGCAACC 543 uAuuuuuGAucuGGcAAccTsT 544 GGUUGCcAGAUcAAAAAuATsT AD-12319
1516 UGUUUGGAGCAUCUACUAA 545 uGuuuGGAGcAucuAcuAATsT 546 UuAGuAGAUGCUCcAAAcATsT AD-12320
1517 GAAAUUACAGUACACAACA 547 GAAAuuAcAGuAcAcAAcATsT 548 UGUUGUGuACUGuAAUUUCTsT AD-12321
1518 ACUUGACCAGUGUAAAUCU 549 AcuuGAccAGuGuAAAucuTsT 550 AGAUUuAcACUGGUcAAGUTsT AD-12322
1519 ACCAGUGUAAAUCUGACCU 551 AccAGuGuAAAucuGAccuTsT 552 AGGUcAGAUUuAcACUGGUTsT AD-12323
1520 AGAACAAUCAUUAGCAGCA 553 AGAAcAAucAuuAGcAGcATsT 554 UGCUGCuAAUGAUUGUUCUTST AD-12324
1521 CAAUGUGGAAACCUAACUG 555 cAAuGuGGAAAccuAAcuGTsT 556 cAGUuAGGUUUCcAcAUUGTsT AD-12325
1522 ACCAAGAAGGUACAAAAUU 557 AccAAGAAGGuAcAAAAuuTsT 558 AAUUUUGuACCUUCUUGGUTsT AD-12326
1523 GGUACAAAAUUGGUUGAAG 559 GGuAcAAAAuuGGuuGAAGTsT 560 CUUcAACcAAUUUUGuACCTsT AD-12327
1524 GGUGUGGAUUGUUCAUCAA 561 GGuGuGGAuuGuucAucAATsT 562 UUGAUGAAcAAUCcAcACCTsT AD-12328
1525 AGAGUUCACAAAAAGCCCA 563 AGAGuucAcAAAAAGcccATsT 564 UGGGCUUUUUGUGAACUCUTST AD-12329
1526 UGAUAGCUAAAUUAAACCA 565 uGAuAGcuAAAuuAAAccATsT 566 UGGUUuAAUUuAGCuAUcATsT AD-12330
1527 AAUAAGCCUGAACUCAAUC 567 AAuAAGccuCAAGuGAAucTsT 568 GAUUcACUUcAGGCUuAUUTsT AD-12331
1528 CAGUUGACCAACACAAUGC 569 cAGuuGAccAAcAcAAuGcTsT 570 GcAUUGUGUUGGUcAACUGTsT AD-12332
1529 UGGUGUGGAUUGUUCΛUCΛ 571 uGGuGuGGAuuGuucAucATsT 572 UGAUGAAcAΛUCcAcACcATsT AD-12333
1530 AUUCACCCUGACAGAGUUC 573 AuucAcccuGAcAGAGuucTsT 574 GAACUCUGUcAGGGUGAAUTsT AD-12334
1531 UAAGACCUUAUUUGGUAAU 575 uAAGAccuuAuuuGGuAAuTsT 576 AUUACCAAAUAAGGUCUUATST AD-12335
1532 AAGCAAUGUGGAAACCUAA 577 AAGcAAuGuGGAAAccuAATsT 578 UuAGGUUUCcAcAUUGCUUTsT AD-12336
1533 ucuGAAACUGGAUAucccA 579 ucuGAAAcuGGΛuΛucccATsT 580 UGGGAuΛUCcAGUUUcAGATsT AD-12337
Table 2b. Analysis of Ee5/KSP dsRNA dur
SDs single
2nd
SEQ dose
Λntisense sequence (5'- SEQ screen
Sense sequence (5 '-3') ID duplex screen @
ID (among
NO. 3 ) name 25 nM [ %
NO . quadru residual
pl icat trRNAJ
es ) ccAuuAcuAcAGuAGcAcuTsT 582 AGUGCuACUGuAGuAAUGGTsT 583 AD-14085 19% 1 %
AucuGGcΛAccAuAuuucuTsT 584 ΛGAAAuAUGGUUGCcΛGΛUTsT 585 AD- 14086 38% 1%
GAuAGcuAAAuuAAAccAATsT 586 UUGGUUuAAUUuAGCuAUCTsT 587 AD- 14087 75% 10%
AGAuAccAuuAcuΛcAGuATsT 588 uACUGuAGuΛAUGGuAUCUTsT 589 AD- 14088 22% 8%
GAuuGuucAucAAuuGGcGTsT 590 CGCcAAUUGAUGAAcAAUCTsT 591 AD- 14089 70% 12%
GcuuucuccucGGcucAcuTsT 592 AGuGAGCCGAGGAGAAAGCTsT 593 AD- 14090 79% 11 %
GGAGGAuuGGcuGAcAAGATsT 594 UCUUGUcAGCcAAUCCUCCTsT 595 AD-14091 29% 3% uAAuGAAGAGuAuAccuGGTsT 596 CcAGGuAuACUCUUcAUuATsT 597 AD-14092 23% 2% uuucAccAAAccAuuuGuATsT 598 uAcAAAUGGUUUGGUGAAATsT 599 AD-14093 60% 2% cuuAuuAAGGAGuAuAcGGTsT 600 CCGuAuACUCCUuAAuAAGTsT 601 AD-14094 11 % 3%
GAAAucAGAuGGAcGuAAGTsT 602 CUuACGUCcAUCUGAUUUCTsT 603 AD-14095 10% 2% cAGAuGucAGcAuAAGcGATsT 604 UCGCUuAUGCUGAcAUCUGTsT 605 AD-14096 27 % 2%
AucuAAcccuAGuuGuAucTsT 606 CAuAcAACuAGGGUuAGAUTsT 607 AD-14097 45% 6%
AAGAGcuuGuuAAAAucGGTsT 608 CCGAUUUuAAcAAGCUCUUTsT 609 AD-14098 50% 10 % uuAAGGAGuAuAcGGAGGATsT 610 UCCUCCGuAuACUCCUuAATsT 611 AD-14099 12% 4 % uuGcAAuGuAAAuAcGuAuTsT 612 AuACGuAUUuAcAUUGcAATsT 613 AD-14100 49% 7% ucuAAcccuAGuuGuAuccTsT 614 GGAuAcAACuAGGGUuAGATsT 615 AD-14101 36% 1 % cAuGuAucuuuuucucGAuTsT 616 AUCGAGAAAAAGAuAcAUGTsT 617 AD-14102 49% 3%
GAuGucAGcAuAAGCGAUGTST 618 cAUCGCUuΛUGCUGAcAUCTsT 619 AD-14103 74 % 5% ucccAAcAGGuAcGAcAccTsT 620 GGUGUCGuACCUGUUGGGATsT 621 AD-14104 27% 3% uGcucAcGAuGAGuuuAGuTsT 622 ACuAAACUcAUCGUGAGcATsT 623 AD-14105 34 % 4 %
AGAGcuuGuuAAAAucGGATsT 624 UCCGAUUUuAAcAAGCUCUTsT 625 AD-14106 9% 2%
GcGuAcAAGAAcAucuAuATsT 626 uAuAGAUGUUCUUGuACGCTsT 627 AD-14107 5% 1 %
GAGGuuGuAAGccAAuGuuTsT 628 AAcAUUGGCUuAcAACCUCTsT 629 AD-14108 15% 1 %
AAcAGGuAcGAcAccAcAGTsT 630 CUGUGGUGUCGuACCUGUUTsT 631 AD-14109 91 % 2 %
AAcccuAGuuGuAucccucTsT 632 GAGGGAuAcAACuAGGGUUTsT 633 AD-14110 66% 5%
GcAuAAGcGAuGGAuAAuATsT 634 uAUuAUCcAUCGCUuAUGCTsT 635 AD-14111 33% 3%
AAGcGAuGGAuAAuAccuATsT 636 uAGGuAUuAUCcAUCGCUUTsT 637 AD-14112 51 % 3% uGAuccuGuAcGAAAAGAATsT 638 UUCUUUUCGuAcAGGAUcATsT 639 AD-14113 22% 3%
ΛΛAAcAuuGGccGuucuGGTsT 640 CcAGAACGGCcAAUGUUUUTsT 641 AD-14114 1 17% 8% cuuGGAGGGcGuAcAAGAATsT 642 UUCUUGuACGCCCUCcAAGTsT 643 AD-14115 50% 8%
GGcGuAcAAGAAcAucuAuTsT 644 AuAGAUGUUCUUGuACGCCTsT 645 AD-14116 14 % 3%
AcucuGAGuAcAuuGGAAuTsT 646 AUUCcAAUGuACUcAGAGUTsT 647 AD-14117 12% 4 % uuΛuuAAGGAGuAuAcGGATsT 648 UCCGuAuACUCCUuAAuAATsT 649 AD-14118 26% 4 % uAAGGAGuAuAcGGAGGAGTsT 650 CUCCUCCGuAuACUCCUuATsT 651 AD-14119 24 % 5%
AAAucAAuAGucAAcuAAATsT 652 UUuAGUUGACuAUUGAUUUTsT 653 AD-14120 8% 1 %
AAucAAuAGucAAcuAAAGTsT 654 CUUuAGUUGACuAUUGAUUTsT 655 AD-14121 24 % 2% uucucAGuAuAcuGuGuAATsT 656 UuAcAcAGuAuACUGAGAATsT 657 AD-14122 10% 1 % uGuGAAAcAcucuGAuAAATsT 658 UUuAUcAGAGUGUUUcAcATsT 659 AD-14123 81 1 %
AGAuGuGAAucucuGAAcATsT 660 UGUUcAGAGAUUcAcAUCUTsT 661 AD-14124 9% 2%
AGGuuGuAAGccAAuGuuGTsT 662 cAAcAUUGCCUuAcAACCUTsT 663 AD-14125 114 % 6% uGAGAAAucAGAuGGAcGuTsT 664 ACGUCcAUCUGAUUUCUcATsT 665 AD-14126 9% 1 %
AGAAAucAGAuCGAcGuAATsT 666 UuACGUCcAUCUGAUUUCUTsT 667 AD-14127 57 % 6%
AυAucccAAcAGGuAcCAcTsT 668 GUCGuACCuGUUGGGAuAUTsT 669 AD-14128 104% 6% cccAAcAGGuAcGΛcΛccATsT 670 UGGUGUCGuΛCCUGUUGGGTsT 671 AD-14129 21 % 2%
AGuAuAcuGAAGAAccucuTsT 672 AGAGGUUCUUcAGuAuACUTsT 673 AD-14130 57 % 6%
AuAuAuAucAGccGGGcGcTsT 674 GCGCCCGGCUGAuAuAuAUTsT 675 AD-14131 93% 6%
AAυcuAAcccuAGuuGuAuTsT 676 AuAcAACuAGGGUuAGAUUTsT 677 AD-14132 75% 8% cuAAcccuAGuuGuAucccTsT 678 GGGAuAcAACuAGGGUuAGTsT 679 AD-14133 66% 4% cuAGuuGuAucccuccuuuTsT 680 AAAGGAGGGAuAcAACuAGTsT 681 AD-14134 44 % 6%
AGAcAucuGAcuAAuGGcuTsT 682 AGCcAUuAGUcAGAUGUCUTsT 683 AD-14135 55% 6%
GAAGcucAcAAuGAuuuAATsT 684 UuAAAUcAUUGUGAGCUUCTsT 685 AD-14136 29% 3%
AcAuGuAucuuuuucucGATsT 686 UCGAGAAAAAGAuAcAUGUTsT 687 AD-14137 40% 3% ucGAuucAAAucuuAAcccTsT 688 GGGUuAAGAUUUGAAUCGATsT 689 AD-14138 39% 5% ucuuAAcccuuAGGAcucuTsT 690 AGAGUCCuAAGGGUuAAGATsT 691 AD-14139 71 % 11 %
GcucAcGAuGAGuuuAGuGTsT 692 cACuAAACUcAUCGUGAGCTsT 693 AD-14140 43% 15% cAuAAGcGAuGGAuAAuAcTsT 694 GuAuuAUCcAUCGCUuAUGTsT 695 AD-14141 33% 6%
AuAAGcGAuGGAuAAuAccTsT 696 GGuAUuAUCcAUCGCUuAUTsT 697 AD-14142 51 % 14 % ccuAAuAAAcuGcccucAGTsT 698 CUGAGGGcAGUUuAUuAGGTsT 699 AD-14143 42 % 1 % ucGGAAAGuuGAAcuuGGuTsT 700 ACcAAGUϋcAACUUUCCGATsT 701 AD-14144 4% 4 %
GAAAAcAuuGGccGuucuGTsT 702 cAGAACGGCcAAUGUUUUCTsT 703 AD-14145 92 % 5%
AAGAcuGAucuucuAAGuuTsT 704 AACUuAGAAGAUcAGUCUϋTsT 705 AD-14146 13% 2%
GAGcuuGuuAAAAucGGAATsT 706 UUCCGAUUUuAAcAAGCUCTsT 707 AD-14147 8% 1%
AcAuuGGccGuucuGGAGcTsT 708 GCUCcAGAACGGCcAAUGUTsT 709 AD-14148 80% 7%
AAGAAcAucuAuAAuuGcATsT 710 UGcAAUuAuAGAUGUUCUUTsT 71 1 AD-14149 44 % 7%
SDs single 2nd
SEQ dose
SEQ screen
Sense sequence ( 5 ' -3 ' ) I D Antisense sequence (5'- ID duplex screen @ (among
NO . 3') name 25 nM [ %
NO. quadru residual
plicat mRNA]
es )
AAAuGuGucuAcucAuGuuTsT 712 AAcAUGAGuAGAcAcAUUUTsT 713 AD-14150 32 % 29% uGucuAcucAuGuuucucATsT 714 UGAGAAAcAUGAGuAGAcATsT 715 AD-14151 75% 11 %
GuAuAcuGuGuAAcAAucuTsT 716 AGAUUGUuAcAcAGuAuACTsT 717 AD-14152 8% 5% uAuAcuGuGuAAcAAucuATsT 718 uAGAUUGUuAcAcAGuAuATsT 719 AD-14153 17% 11 % cuuAGuAGuGuccAGGAAATsT 720 UUUCCUGGAcACuACuAAGTsT 721 AD-14154 16% 4% ucAGAuGGAcGuAAGGcAGTsT 722 CUGCCUuACGUCcAUCUGATsT 723 AD-14155 11 % 1 %
AGAuAAAuuGAuAGcAcAATsT 724 UUGUGCuAUcAAUUuAUCUTsT 725 AD-14156 10% 1% cAΛcAGGuAcGAcAccAcATsT 726 UGUGGUGUCGuACCUGUUGTsT 727 AD-14157 29% 3% uGcAAuGuAAAuAcGuAuuTsT 728 AAuACGuAUUuAcAUUGcATsT 729 AD-14158 51 % 3%
AGucAGAAuuuuAucuAGATsT 730 UCuAGAuAAAAUUCUGACUTST 731 AD-14159 53% 5% cuAGAAAucuuuuAAcAccTsT 732 GGUGUuAAAAGAUUUCuAGTsT 733 AD-14160 40% 3%
AAuAAAucuAAcccuAGuuTsT 734 AACuAGGGUuAGAUUuAUUTsT 735 AD-14161 83% 7%
AAuuuucuGcucAcGAuGATsT 736 UcAUCGUGAGcAGAAAAUUTsT 737 AD-14162 44 % 6%
GcccucAGuAAAuccAuGGTsT 738 CcAUGGAUUuACUGAGGGCTsT 739 AD-14163 57 % 3%
AcCυuυAAAAcGAGAucuυTsT 740 AAGAUCUCCUUUuAAACGUTsT 74 1 AD-14164 4 % 1 %
AGGAGAuAGAAcGuuuAAATsT 742 UUuAAACGUUCuAUCUCCUTsT 743 AD-14165 11 % 1%
GAccGucAuGCcGucGcAGTsT 744 CUGCGACGCcAUGACGGUCTsT 74 5 AD-14166 90% 5%
AccGucAuGGcGucGcAGcTsT 746 GCUGCGACGCcAUGACGGUTsT 747 AD-14167 49% 1 %
GAΛcGuuuAAAAcGAGΛucTsT 748 GAUCUCGUUUuAAACGUUCTsT 749 AD-14168 12% 2% uuGAGcuuAAcAuAGGuAATsT 750 UuACCuAUGUuAAGCUcAATsT 751 AD-14169 66% 4 % AcuΛAΛuuGAucucGuAGATsT . 752 UCuACGAGAUcΛAUUuAGUTsT 753 AD-14170 52% 6% ucGuAGAAuuAucuuAAuATsT 754 uAUuAAGAuAAUUCuACGATsT 755 AD-14171 42 % 4 %
GGAGAuAGAAcGuuuAAAATsT 756 UUUuAAACGUUCuAUCUCCTsT 757 AD-14172 3% 1 %
AcAAcuuAuuGGAGGuuGuTsT 758 AcAACCUCcAAuAAGUUGUTsT 759 AD-14173 29% 2% uGAGcuuAAcAuAGGuAAATsT 760 UUuACCuAUGUuAAGCUcATsT 761 AD-14174 69% 2%
AucucGuAGAAuuAucuuATsT 762 uAAGAuAAUUCuACGAGAUTsT 763 AD-14175 53% 3% cuGcGuGcAGucGGuccucTsT 764 GAGGACCGACUGcACGcAGTsT 765 AD-14176 111% 4 % cAcGcAGcGcccGAGAGuATsT 766 uACUCUCGGGCGCUGCGUGTsT 767 AD-14177 87 % 6%
AGuAccAGGGAGAcuccGGTsT 768 CCGGAGUCUCCCUGGUACUTST 769 AD-14178 59% 2%
AcGGACGAGAuAGAAcGuuTsT 770 AACGUUCuAUCUCCUCCGUTsT 771 AD-14179 9% 2%
AGAAcGuuuAAAAcGAGAuTsT 772 AUCUCGUUUuAAACGUUCUTsT 773 AD-14180 43% 2%
AAcGuuuAAAAcGAGAucuTsT 774 AGAUCUCGUUUuAAACGUUTsT 775 AD-14181 70% 10%
AGcuuGAGcuuAAcAuAGGTsT 776 CCuAUGUuAAGCUcAAGCUTsT 111 AD-14182 100% 7%
AGcuuAAcAuAGGuΛAAuATsT 778 uAUUuACCuAUGUuAAGCUTsT 119 AD-14183 60% 5% uAGAGcuAcAAAAccuAucTsT 780 GAuAGGUUUUGuAGCUCuATsT 781 AD-14184 129% 6% uAGuuGuAucccuccuuuATsT 782 uAAAGGAGGGAuAcAΛCuATsT 783 AD-14185 62% 4%
AccAcccAGAcAucuGAcuTsT 784 AGUcAGAUGUCUGGGUGGUTsT 785 AD-14186 42% 3%
AGAAAcuAAAuuGAucucGTsT 786 CGAGAUcAAUUuAGUUUCUTsT 787 AD-14187 123% 12% ucucGuAGAAuuAucuuAATsT 788 UuAAGAuAAUUCuACGAGATsT 789 AD-14188 38% 2% cAAcuuAuuGGAGGuuGuATsT 790 uAcAACCUCcAAuAAGUUGTsT 791 AD-14189 13% 1 % uuGuAucccuccuuuAACuTsT 792 ACUuAAAGGAGGGAuAcAATsT 793 AD-14190 59% 3% ucAcAAcuuAuuGGAGGuuTsT 794 AACCUCcAAuAAGUUGUGATsT 795 AD-14191 93% 3%
AGAAcuGuAcucuucucAGTsT 796 CUGAGAAGAGuAcAGUUCUTsT 797 AD-14192 45% 5%
GAGcuuAAcAuAGGuAAAuTsT 798 AUUuACCuAUGUuAAGCUCTsT 799 AD-14193 57% 3% cAccAΛcAucuGuccuuΛGTsT 800 CuAAGGΛcAGAUGUUGGUGTsT 801 AD-14194 51 % 4 %
AAAGcccAcuuuAGAGuAuTsT 802 AuACUCuAAAGUGGGCUUUTsT 803 AD-14195 77 % 5%
AAGcccΛcuuuAGAGuAuATsT 804 uAuACUCuAAAGUGGGCUUTsT 805 AD-14196 42% 6%
GAccuuAuuuGGuAAucuGTsT 806 cAGAUuACcAAAuAAGGUCTsT 807 AD-14197 15% 2%
GAuuAAuGuAcucΛAGAcuTsT 808 ΛGUCUUGAGuΛcΛϋuAAUCTsT 809 AD-14198 12 % 2% cuuuAAGAGGccuAAcucATsT 810 UGAGUuAGGCCUCUUAAAGTST 81 1 AD-14199 18% 2% uuAAAccAAAcccuAuuGATsT 812 UcAAuAGGGUUUGGUUuAATsT 81 3 AD-14200 72 % 9% ucuGuuGGAGAucuAuAAuTsT 814 AUuAuAGAUCUCcAAcAGATsT 815 AD- 14201 9% 3% cuGAuGuuucuGAGAGAcuTsT 816 AGUCUCUcAGAAAcAUcAGTsT 817 AD- 14202 25% 3%
GcAuAcucuAGucGuucccTsT 818 CGGAACGACuAGAGuAUGCTsT 819 AD-14203 21 % 1 %
GuuccuuAucGAGAAucuATsT 820 uAGAUUCUCGAuAAGGAACTsT 821 AD- 14204 4 % 2%
GcAcuuGGAucucucAcAuTsT 822 AUGUGAGAGAUCcAAGUGCTsT 823 AD-14205 5% 1 %
AAAAAAGGAAcuAGAuGGcTsT 824 GCcAUCuAGUUCCUUUUUUTsT 825 AD- 14206 79% 6%
AGAGcAGAuuAccucuGcGTsT 826 CGcAGAGGuAAUCUGCUCUTsT 827 AD- 14207 55% 2%
AGcAGAuuAccucuGcGAGTsT 828 CUCGcAGAGGuAAUCUGCUTsT 829 AD-14208 100% 4% cccuGAcAGAGuucAcAAATsT 830 UUUGUGAACUCUGUCAGGGTST 831 AD- 14209 34 % 3%
GuuuAccGAAGuGuuGuuuTsT 832 AAAcAAcACUUCGGuAAACTsT 833 AD-14210 13% 2% uuAcAGuAcAcAAcAAGGATsT 834 UCCUUGUUGUGuACUGuAATsT 835 AD-14211 9% 1 %
AcuGGAucGuAAGAAGGcATsT 836 UGCCUUCUuACGAUCcAGUTsT 837 AD-14212 20% 3%
GAGcAGAuuAccucuGcGATsT 838 UCGcAGAGGuAAUCUGCUCTsT 839 AD-14213 48% 5%
AAAAGAAGuuAGuGuAcGATsT 840 UCGuAcACuAACUUCUUUUTsT 841 AD-14214 28% 18 %
GAccAuuuAAuuuGGcAGATsT 842 UCUGCcAAAUuAAAUGGUCTsT 843 AD-14215 132% 0%
GAGAGGAGUGAUAAuυAAATsT 844 UUuAAUuAUcACUCCUCUCTsT 845 AD-14216 3% 0% cuGGAGGAuuGGcuGAcAATsT 846 UUGUcAGCcAAUCCUCcAGTsT 847 AD-14217 19% 1 % cucuAGucGuucccAcucATsT 848 UGAGUGGGAACGACUAGAGTST 849 AD-14218 67 % 8%
GAuAccAuuAcuAcAGuAGTsT 850 CuACUGuAGuAAUGGuAUCTsT 851 AD-14219 76% 4 %
SDs single
2nd
SEQ dose
SEQ screen
Sense sequence (5 '-3') ID Antisense sequence (5'- duplex screen @
ID (among
NO. 3') name 25 nM [ %
NO . quadru residual
plicat mRNAJ
es ) uucGucuGcGAAGAAGAAATsT 852 UUUCUUCUUCGcAGACGAATsT 853 AD- 14220 33% 8%
GAAAAGAAGuuAGuCuAcGTsT 854 CGuAcACuAACUUCUUUUCTsT 855 AD-14221 25% 2% uGAuGuuuAccGAAGuGuuTsT 856 AAcACUUCGGuAAAcAUcATsT 857 AD-14222 7% 2% uGuuuGuccAAuucuGGAuTsT 858 AUCcAGAAUUGGAcAAAcATsT 859 AD-14223 19% 2%
AuGAAGAGuAuAccuGGGATsT 860 UCCcAGGuAuACUCUUcAUTsT 861 AD- 14224 13% 1%
GcuAcucuGΛuGAAuGcAuTsT 862 AUGcAUUcAUcΛGAGuAGCTsT 863 AD-14225 15% 2%
GcccuuGuAGAAAGAAcAcTsT 864 GUGUUCUUUCuAcAAGGGCTsT 865 AD-14226 11 % 0% ucAuGuuccuuAucGAGAATsT 866 UUCUCGAuAAGGAAcAUGATsT 867 AD-14227 5% 1%
GAAuAGGGuuAcAGAGuuGTsT 868 cAACUCUGuAACCCuAUUCTsT 869 AD- 14228 34 % 3% cAAAcuGGAucGuAAGAAGTsT 870 CUUCUuACGAUCcAGUUUGTsT 871 AD-14229 15% 2% cuuAuuuGGuAAucuGcuGTsT 872 cAGcAGAUuACcAAAuAAGTsT 873 AD-14230 20% 1 %
AGcAAuGuGGAAAccuAAcTsT 874 GUuAGGUUUCcAcAUUGCUTsT 875 AD- 14231 18% 1 %
AcAAuAAAGcAGAcccAuuTsT 876 AAUGGGUCUGCUUUAUUGUTST 877 AD- 14232 21 % 1 %
AAccAcuuAGuAGuGuccATsT 878 UGGACACUACUAAGUGGUUTST 879 AD- 14233 106% 12 %
AGucAAGAGccAucuGuAGTsT 880 CuAcAGAUGGCUCUUGACUTsT 881 AD-14234 35% 3% cucccuAGAcuucccuAuuTsT 882 AAuAGGGAAGUCuAGGGAGTST 883 AD-14235 48% 4 %
AuAGcuAAAuuAAAccAAATsT 884 UUUCGUUuAAUUuACCuAUTsT 885 AD- 14236 23% 3% uGGcuGGuAuAAuuccAcGTsT 886 CGUGGAAUuAuACcAGCcATsT 887 AD-14237 79% 9%- uuΛuuuGGuAAucuGcuGuTsT 888 AcAGcAGΛUuACcAAAuΛΛTsT 889 AD-14238 92% 7%
AAcuAGAuGGcuuucucAGTsT 890 CUGAGAAAGCcAUCuAGUUTsT 891 AD-14239 20% 2% ucAuGGcGucGcAGccAAΛTsT 892 UUUGGCUGCGACGCCAUGATST 893 AD-14240 71 % 6%
AcuGGAGGAuuGGcuGAcATsT 894 UGUcAGCcAAUCCUCcAGUTsT 895 AD- 14241 14 % 1 % cuAuAAuuGcAcuAucuuuTsT 896 AAAGAuAGUGcAAUuAuAGTsT 897 AD- 14242 11 % 2%
AAAGGucAccuAAuGAAGATsT 898 UCUUcAUuAGGUGACCUUUTsT 899 AD- 14243 11 % 1 %
AuGAAuGcAuAcucuAGucTsT 900 GACuAGAGuAUGcAUUcAUTsT 901 AD- 14244 15% 2%
AAcAuAuuGAAuAAGccuGTsT 902 cAGGCUuAUUcAAuAUGUUTsT 903 AD- 14245 80% 7%
AAGAAGGcAGυuGAccAAcTsT 904 GUUGGUcAACUGCCUUCUUTsT 90b AD-14246 57 % b%
CAuAcuAAAAGAAcAAucATsT 906 UGAUUGUUCUUUuAGuAUCTsT 907 AD- 14247 9% 3%
AuAcuGAAAAucAAuAGucTsT 908 GACuAUUGAUUUUcAGuAUTsT 909 AD- 14248 39% 4 %
AAAAAGGAAcuAGAuCCcuTsT 910 AGCcAUCuAGUUCCUUUUUTsT 91 1 AD-14249 64 % 2%
GAAcuAGAuGGcuuucucATsT 912 UGAGAAAGCcAUCuAGUUCTsT 913 AD- 14250 18% 2%
GAAAccuAΛcuGAAGAccuTsT 914 ΛGGUCUUcΛGUuΛGGUUUCTsT 915 AD- 14251 561 6% uAcccAucAAcAcuGGuAATsT 916 UuACcAGUGUUGAUGGGuATsT 917 AD-14252 48% 6%
ΛuuuuGAuAucuAcccΛuuTsT 918 AAUGGGuAGAuAUcAAAAUTsT 919 AD-14253 39% 5%
AucccuAuAGuucAcuuuGTsT 920 cAAAGUGAACuAuAGGGAUTsT 921 AD- 14254 44 % 8%
AuGGGcuΛuΛAuuGcAcuATsT 922 uΛGUGcAAUuAuΛGCCcAUTsT 923 AD-14255 108% 8%
AGAuuAccucuGcGAGcccTsT 924 GGGCUCGcACAGGuAAUCUTsT 925 AD-14256 108% 6% uAAuuccAcGuAcccuucATsT 926 UGAAGGGuACGUGGAAUuATsT 927 AD-14257 23% 2%
GucGuucccAcucAGuuuuTsT 928 AAAACUGAGUGGGAACGACTsT 929 AD-14258 21 % 3%
AAAucAAucccuGuuGAcuTsT 930 AGUcAAcAGGGAUUGAUUUTsT 931 AD-14259 19% 2% ucAuAGAGcAAAGAAcAuATsT 932 uAUGUUCUUUGCUCuAUGATsT 933 AD-14260 10% 1 % uuAcuAcAGuAGcAcuuGGTsT 934 CcAAGUGCuACUGuAGuAATsT 935 AD- 14261 76% 3%
AuGuGGAAAccuAAcuCAATsT 936 UUcAGUuAGGUUUCcAcAUTsT 937 AD-14262 13% 2% uGuGGAAAccuAAcuGAAGTsT 938 CUUcAGUuAGGUUUCcAcATsT 939 AD-14263 14 % 2% ucuuccuuAAAuGAAAGGGTsT 940 CCCUUUcAUUuAAGGAAGATsT 941 AD-14264 65% 3% uGAAGAAccucuAAGucAATsT 942 UUGACUuAGAGGUUCUUcATsT 943 AD- 14265 13% 1%
AGAGGucuAAAGuGGAAGATsT 944 UCUUCcACUUuAGACCUCUTsT 945 AD-14266 18% 3%
AuAucuAcccAuuuuucuGTsT 946 cAGAAAAAUGGGuAGAuAUTsT 947 AD-14267 50% 9% uAAGccuGAAGuGAAucAGTsT 948 CUGAUUcACUUcAGGCUuATsT 949 AD- 14268 13% 3%
AGAuGcAGAccAuuuAAuuTsT 950 AAUuAAAUGGUCUGcAUCUTsT 951 AD- 14269 19% 4 %
AGuGuuGuuuGuccAAuucTsT 952 GAAUUGGAcAAAcAAcACUTsT 953 AD-14270 11% 2% cuAuAAuGAAGAGcuuuυuTsT 954 AAAAAGCUCUUcAUuAuAGTsT 955 AD-14271 11% 1 %
AGAGGAGuGAuAAuuAAAGTsT 956 CUUuAAUuAUcACUCCUCUTsT 957 AD-14272 7% 1 % uuucucuGuuAcAAuAcAuTsT 958 AUCuAUUGuAAcAGAGAAATsT 959 AD-14273 14 % 2%
AAcAucuAuAAuuGcAAcATsT 960 UGUUGcAAUuAuAGAUGUUTsT 961 AD-14274 73% 4 % uGcuAGAAGuAcAuAACAcTsT 962 GUCUuAUGuACUUCuAGcATsT 963 AD-14275 10% 1 %
AAuGuAcucAAGAcuGAucTsT 964 GAUcAGUCUUGAGuAcAUUTsT 965 AD-14276 89% 2%
GuAcucAAGAcuGAucuucTsT 966 GAAGAUcAGUCUUGAGuACTsT 967 AD- 14277 7% 1% cAcucuGAuAAAcucAAuGTsT 968 cAUUGAGUUuAUcAGAGUGTsT 969 AD-14278 12% 1 %
AAGAGcAGAuuAccucuGcTsT 970 GcAGAGGuAAUCUGCUCUUTsT 971 AD-14279 104% 3% ucuGcGAGcccAGAucAAcTsT 972 GUUGAUCUGGGCUCGcAGATsT 973 AD- 14280 21 % 2%
AAcuuGAGccuuGuGuAuATsT 974 uAuAcAcAAGGCUcAAGUUTsT 975 AD-14281 43% 3%
GAAuAuAuAuAucAGccGGTsT 976 CCGGCUGAuAuAuAuAUUCTsT 977 AD-14282 45% 6% uGucAucccuAuAGuucAcTsT 978 GUGAACuAuAGGGAUGAcATsT 979 AD-14283 35% 5%
GAucuGGcAAccAuAuuucTsT .980 GAAAuAUGGUUGCcAGAUCTsT 981 AD-14284 58% 3% uGGcAAccAuAuuucuGGATsT 982 UCcAGAAAuAUGGUUGCcATsT 983 AD-14285 48% 3%
GAuGuuuAccGAAGuGuuGTsT 984 cAAcACUUCGGuAAAcAUCTsT 985 AD-14286 49% 3% uuccuuAucGAGAAucuAATsT 986 UuAGAUUCUCGAuAAGGAATsT 987 AD-14287 6% 1 %
AGcuuAAuuGcuuucuGGATsT 988 UCcAGAAAGcAAUuAAGCUTsT 989 AD-14288 50% 2% uuGcuAuuAuGGGAGAccATsT 990 UGGUCUCCCAUAAuAGcAATsT 991 AD-14289 48% 1 %
SDs single
2nd
SEQ dose
SEQ screen
Antisense sequence (5'- duplex screen @
Sense sequence ( 5 ' -3 ' ) ID ID (among
NO . 3') name 25 nM ( %
NO . quadru residual plicat mRNAJ
es)
GucAuGGcGucGcAGccAATsT 992 UUGGCUGCGACGCCAUGACTST 993 AD-1429Q 112% 7% uAAuuGcAcuAucuuuGcGTsT 994 CGcAAAGAuAGUGcAAUuATsT 995 AD-14291 77% 2% cuAucuuuGcGuAuGGccATsT 996 UGGCcAuACGcAAAGAuAGTsT 997 AD-14292 80% 6% ucccuAuAGuucAcuuuGuTsT 998 AcAAAGUGAACuAuAGGGATsT 999 AD-14293 58% 2% ucAAccuuuAAuucAcuuGTsT 1000 cAAGUGAAUuAAAGGUUGATsT 1001 AD-14294 77% 2%
GGcAAccAuAuuucuGGAATsT 1002 UUCcAGAAAuAUGGUUGCCTsT 1003 AD-14295 62% 2%
AuGuAcucAAGAcuGAucuTsT 1004 AGAUcAGUCUUGAGuAcAUTsT 1005 AD-14296 59% 4 %
GcAGAccAuuuAAuuuGGcTsT 1006 GCcAAAUuAAAUGGUCUGCTsT 1007 AD-14297 37% 1 % ucuGAGAGAcuAcAGAuGuTsT 1008 AcAUCUGuAGUCUCUcAGATsT 1009 AD-14298 21 % 1 % uGcucAuAGAGcAAAGAAcTsT 1010 GUUCUUUGCUCuAUGAGcATsT 1011 AD-14299 6% 1 %
AcAuAAGAccuuAuuuGGuTsT 1012 ACcAAAuAAGGUCUuAUGUTsT 1013 AD-14300 17 % 2% uuuGuGcuGAuucuGAuGGTsT 1014 CcAUcAGAAUcAGcAcAAATsT 1015 AD-14301 97% 6% ccAucAAcAcuGGuAAGAATsT 1016 UUCUuACcAGUGUUGAUGGTsT 1017 AD- 14302 13% 1 %
AGAcAAuuccGGAuGuGGATsT 1018 UCcAcAUCCGGAAUUGUCUTsT 1019 AD-14303 13% 3%
GAAcuuGAGccuuGuGuAuTsT 1020 AuAcAcAAGGCUcAAGUUCTsT 1021 AD-14304 38% 2% uAAuuuGGcAGAGcGGAAATsT 1022 UUUCCGCUCUGCcAAAUuATsT 1023 AD-14305 14 % 2% uGGAuGAAGuuAuuAuGGGTsT 1024 CCcAuAAuAACUUcAUCcATsT 1025 AD-14306 22% 4%
AucuAcAuGAAcuAcAAGATsT 1026 UCUUGuAGUUcAUGuAGAUTsT 1027 AD-14307 26% 6%
GGuAuuuuuGAucuGGcAATsT 1028 UUGCcAGAUcAAAAAuACCTsT 1029 AD-14308 62% 8% cuAAuGAAGAGuAuAccuGTsT 1030 cAGGuAuACUCUUcAUuAGTsT 1031 AD- 14309 52 % 5% uuuGAGAAAcuuAcuGAuATsT 1032 uAUcAGuAAGUUUCUcAAATsT 1033 AD-14310 32% 3% cGAuAAGAuAGAAGAucAATsT 1034 UUGAUCUUCuAUCUuAUCGTsT 1035 AD-14311 23% 2% cuGGcAAccAuAuuucuGGTsT 1036 CcAGAAAuAUGGUUGCcAGTsT 1037 AD-14312 49% 6% uAGAuAccAuuAcuAcAGuTsT 1038 ACUGuAGuAAUGGuAUCuATsT 1039 AD-14313 69% 4 %
GuAuuAAAuuGGGuuucAuTsT 1040 AUGAAACCcAAUUuAAuACTsT 1041 AD-14314 52 % 3%
AACAccuuAuuuGGuAAucTsT 1042 GAUuACcAAAuAAGGUCUUTsT 1043 AD-14315 66% 4 %
GcuGuuGAuAAGAGAGcucTsT 1044 GAGCUCUCUuAUcAAcAGCTsT 1045 AD-14316 19% 4 % uAcucAuGuuucucAGAuuTsT 1046 AAUCUGAGAAAcAUGAGuATsT 1047 AD-14317 16% 5% cAGAuGGAcGuAAGGcAGcTsT 1048 GCUGCCUuACGUCcAUCUGTsT 1049 AD-14318 52% 11 % uAucccAAcAGGuAcGAcATsT 1050 UGUCGuACCUGUUGGGAuATsT 1051 AD-14319 28 % 11 % cAuuGcuAuuAuGGGAGAcTsT 1052 GUCUCCcAuAAuAGcAAUGTsT 1053 AD- 14320 52% 10% cccucAGuAAAuccAuGGuTsT 1054 ACcAUGGAUUuACUGΛGGGTsT 1055 AD- 14321 53% 6%
GGucAuuAcuGcccuuGuATsT 1056 UAcAAGGGcAGuAAUGACCTsT 1057 AD-14322 20% 2%
ΛAccAcucAAAAAcAuuuGTsT 1058 cAAAUGUUUUUGAGUGGUUTsT 1059 AD- 14323 116% 6% uuuGcAAGuuAAuGAAucuTsT 1060 AGAUUcAUuAACUUGcAAATsT 1061 AD- 14324 14 % 2% uuAuuuucAGuAGucAGAATsT 1062 UUCUGACuACUGAAAAUAATST 1063 AD- 14325 50% 2% uuuucucGAuucAAAucuuTsT 1064 AAGAUUuGΛAUCGAGAAAATsT 1065 AD- 14326 47 % 3%
GuAcGAAAAGAAGuuAGuGTsT 1066 cACuAACUUCUUUUCGuACTsT 106 / AD- 14327 18 % 2 b uuuAAAAcGAGAucuuGcuTsT 1068 AGcAAGAUCUCGUUUuAAATsT 1069 AD-14328 19% 1 %
GAAuuGAuuAAuGuAcucATsT 1070 UGAGuAcAUuAAUcAAUUCTsT 1071 AD-14329 94 % 10%
GAuGCAcGuAAGGcAGcucTsT 1072 GAGCUGCCUuACGUCcAUCTsT 1073 AD-14330 60% 4 % cAucuGAcuAAuGGcucuGTsT 1074 cAGAGCcAUuAGUcAGAUGTsT 1075 AD-14331 54 % 7%
GuGAuccuGuAcGAAAAGATsT 1076 UCUUUUCGuAcAGGAUcACTsT 1077 AD- 14332 22 % 4 %
AGcucuuAuuAAGGAGuAuTsT 1078 AuACUCCUuAAuAAGAGCUTsT 1079 AD-14333 70% 10%
GcucuuAuuAAGGΛGuAuATsT 1080 uAuACUCCUuΛAuAAGAGCTsT 1081 AD- 14334 18% 3%
UCUUAJUAAGGAGUAUACGTST 1082 CGuAuACUCCUuAAuAAGATsT 1083 AD-14335 38 % 6% uΛuuΛAGGΛGuAuAcGGAGTsT 1084 CUCCGuAuACUCCUUAAUATST 1085 AD- 14336 16% 3% cuGcAGcccGuGAGAAAAATsT 1086 UUUUUCUcACGGGCUGcAGTsT 1087 • AD-14337 65% 4 % ucAAGAcuGAucuucuAAGTsT 1088 CUuAGAAGΛUcACUCUUGATsT 1089 AD- 14338 18% 0% cuucuAAGuucAcuGGAAATsT 1090 UUUCcAGUGAACUuAGAAGTsT 1091 AD- 14339 20% 4 % uGcAAGuuAAuGAAucuuuTsT 1092 AAAGAUUcAUuAACUUGcATsT 1093 AD-14340 24 % 1 %
AAucuAAGGAuAuAGucAATsT 1094 UUGACuAuAUCCUuAGAUUTsT 1095 AD-14341 27 % 3%
AucucuGAAcAcAAGAAcATsT 1096 UGUUCUUGUGUUcAGAGAUTsT 1097 AD- 14342 13% 1 % uucuGAAcAGuGGGuAucuTsT 1098 AGAuACCcACUGUUcAGAATsT 1099 AD-14343 19% 1%
AGuuAuuuAuAcccAucAATsT 1100 UUGAUGGGuAuAAAuAACUTsT 1101 AD-14344 23% 2%
AuGcuAAAcuGuucAGAAATsT 1102 UUUCUGAAcAGUUuAGcAUTsT 1103 AD-14345 21% 4% cuAcAGAGcAcuuGGuuAcTsT 1104 GuAACcAAGUGCUCUGuAGTsT 1105 AD- 14346 18% 2% uAuAuAucAGccGGGcGcGTsT 1106 CGCGCCCGGCUGAuAuAuATsT 1107 AD-14347 67% 2%
AuGuAAAuAcGuAuuucuATsT 1108 uAGAAAuACGuAUUuAcAUTsT 1109 AD-14348 39% 3% uuuuucucGAuucAAAucuTsT 1110 AGAUUuGAAUCGAGAAAAATsT 1111 AD-14349 83% 6%
AAucuuAAcccuuAGGAcuTsT 1112 AGUCCuAAGGGUuAAGAUUTsT 1113 AD-14350 54 % 2% ccuuAGGAcucuGGuAuuuTsT 1114 AAAuACcAGAGUCCuAAGGTsT 1115 AD-14351 57% 8%
AAuAAAcuGcccucAGuAATsT 1116 UuACUGAGGGcAGUUuAUUTsT 1117 AD-14352 82% 3%
GAuccuGuAcGAAAAGAAGTsT 1118 CUUCUUUUCGuAcAGGAUCTsT 1119 AD-14353 2% 1 %
AAuGuGAuccuGuAcGAAATsT 1120 UUUCGuAcAGGAUcAcAUUTsT 1121 AD- 14354 18% 11 %
GuGAAAAcAuuGGccGuucTsT 1122 GAACGGCcAAUGUUUUcACTsT 1123 AD-14355 2% 1 % cuuGAGGAAAcucuGAGuATsT 1124 uACUcAGAGUUUCCUcAAGTsT 1125 AD-14356 8% 2% cGuuuAAAAcGAGAucuuGTsT 1126 cAAGAUCUCGUUUuAAACGTsT 1127 AD- 14357 6% 3% uuAAAAcGAGAucuuGcuGTsT 1128 cAGcAAGAUCUCGUUUuAATsT 1129 AD- 14358 98% 17 %
AAAGAuGuAucuGGucuccTsT 1130 GGAGACCAGAUAcAUCUUUTsT 1131 AD-14359 10% 1 %
SDs single 2nd
SEQ dose
Antisense sequence (5'- SEQ screen
Sense sequence ( 5 ' -3 ' ) I D ID duplex screen @ (among
3') name 25 nM [ %
NO . NO . quadru residual mRNA ] plicat es ) cAGAAAAuGuGucuAcucATsT 1132 UGAGuAGAcAcAUUUUCUGTsT 1133 AD-14360 6% 4 % cAGGAAuuGAuuAAuGuAcTsT 1134 GuAcAUuAAUcAAUUCCUGTsT 1135 AD-14361 30% 5%
AGucAAcuAAAGcAuAuuuTsT 1136 AAAuAUGCUUuAGUUGACUTsT 1137 AD-14362 28% 2% uGuGuAAcAAucuAcAuGATsT 1138 UcAUGuAGAUUGUuAcAcATsT 1139 AD-14363 60% 6%
AuAccAuuuGuuccuuGGuTsT 1140 ACcAAGGAAcAAAUGGuAUTsT 1141 AD-14364 12% 9%
GcAGAAAucuAAGGAuAuATsT 1142 uAuAUCCUuAGAUUUCUGCTST 1143 AD-14365 5% 2% uGGcuucucAcAGGAAcucTsT 1144 GAGUUCCUGUGAGAAGCCATST 1145 AD-14366 28 % 5%
GAGAuGuGAAucucuGAAcTsT 1146 GUUcAGAGAUUcAcAUCUCTsT 1147 AD-14367 42 % 4% uGuAAGccAAuGuuGuGAGTsT 1148 CUcAcAAcAUUGGCUuAcATsT 1149 AD-14368 93% 12%
AGccAAuGuuGuGAGGcuuTsT 1150 AAGCCUcAcAAcAUUGGCUTsT 1151 AD-14369 65% 4% uuGuGAGGcuucAAGuucATsT 1152 UGAACUUGAAGCCUcAcAATsT 1153 AD-14370 5% 2%
AGGcAGcucAuGAGAAAcATsT 1154 UGUUUCUcAUGAGCUGCCUTsT 1155 AD- 14371 54 % 5%
AuAAAuuGAuAGcAcAAAATsT 1156 UUUUGUGCuAUcAAUUuAUTsT 1157 AD- 14372 4 % 1%
AcAAAAucuAGAAcuuAAuTsT 1158 AUuAAGUUCuAGAUUUUGUTsT 1159 AD-14373 5% 1 %
GAuAucccAAcAGGuAcGATsT 1160 UCGuACCUGUUGGGAuAUCTsT 1161 AD-14374 92% 6%
AAGuuAuuuAuAcccAucATsT 1162 UGAUGGGuAuAAAuAACUUTsT 1163 AD- 14375 76% 4 % uGuAAAuAcGuAuuucuAGTsT 1164 CuAGAAAuACGuAUUuAcATsT 1165 AD- 14376 70% 5% ucuAGuuuucAuAuAAAGuTsT 1166 ACUUuAuAUGAAAACuAGATsT 1167 AD-14377 48% 4 %
AuΛΛΛGuAGuucuuuuΛuATsT 1168 uAuAΛΛΛGΛACuACUUuAUTsT 1169 AD-14378 48 % 3% ccAuuuGuAGAGcuAcAAATsT 1170 UUUGuAGCUCuAcAAAUGGTsT 1171 AD- 14379 44 % 5% uAuuυucΛGuΛGucAGAΛuTsT 1172 ΛUUCUGACuΛCUGAAAAuATsT 1173 AD-14380 35% 1 6%
AAAucuAAcccuAGuuGuATsT 1174 uAcAACuAGGGUuAGAUUUTsT 1175 AD-14381 44 % 5% cuuuAGAGuAuAcAuuGcuTsT 1176 AGcAAUGuAuACUCuAAAGTsT 1177 AD-14382 28 % 1 %
AucuGAcuAAuGGcucuGuTsT 1178 AcAGAGCcAUuAGUcAGAUTsT 1179 AD-14383 55% 1 1 % cAcAAuGAuuuAAGGAcuGTsT 1180 cAGUCCUuAAAUcAUUGUGTsT 1181 AD-14384 48% 9% ucuuuuucucGAuucAAAuTsT 1182 AUUuGAAUCGAGAAAAAGATsT 1183 AD-14385 36% 2% cuuuuucucGAuucAAAucTsT 1184 GAUUuGAAUCGAGAAAAAGTsT 1185 AD- 14386 41 % 7 %
AuuuucuGcucAcGAuGAGTsT 1186 CUcAUCGUGAGcAGAAAAUTsT 1187 AD- 14387 38% 3% uuucuGcucAcGAuGAGuuTsT 1188 AACUcAUCGUGAGcAGAAATsT 1189 AD-14388 50% 4 %
AGACcuAcAAAAccuAuccTsT 1190 GGAuAGGUUUUGuAGCUCUTsT 1191 AD- 14389 98% 6%
GAGccAAAGGuAcAccAcuTsT 1192 AGUGGUGuACCUUUGGCUCTsT 1193 AD- 14390 43% 8%
GccAAAGGuAcAccAcuAcTsT 1194 GuAGUGGUGuACCUUUGGCTsT 1195 AD- 14391 48 % 4 %
GAAcuGuAcucuucucAGcTsT 1196 GCUGAGAAGAGuAcAGUUCTsT 1197 AD-14392 44 % 3%
AGGuAAAuAucAccAAcAuTsT 1198 AUGUUGGUGAuAUUuACCUTsT 1199 AD-14393 37% 2%
AGcuAcAAAAccuAuccuuTsT 1200 AAGGAuAGGUUUUGuAGCUTsT 1201 AD-14394 114 % 7% uGuGAAAGcAuuuAAuuccTsT 1202 GGAAUuAAAUGCUUUcAcATsT 1203 AD-14395 55% 4 %
GcccAcuuuAGAGuAuAcATsT 1204 UGuAuACUCuAAAGUGGGCTsT 1205 AD-14396 49% 5% uGuGccAcAcuccAAGAccTsT 1206 GGUCUUGGAGUGUGGCACATST 1207 AD-14397 71 % 6%
AAAcuAAAuuCAucucGuATsT 1208 uACGAGAUcAAUUuAGUUUTsT 1209 AD-14398 81 % 7% uGAucucGuAGAAuuAucuTsT 1210 AGAuAAUUCuACGAGAUcATsT 1211 AD-14399 38% 4 %
GcGuGcAGucGGuccuccATsT 1212 UGGAGGACCGACUGCACGCTST 1213 AD-14400 106% 8%
AAAGuuuAGAGAcAυcuGATsT 1214 UcAGAUGUCUCuAAACUUUTsT 1215 AD-14401 47 % 3% cAGAAGGAAuAuGuAcAAATsT 1216 UUUGuAcAuAUUCCUUCUGTsT 1217 AD-14402 31 % 1 % cGcccGAGAGuAccAGGGATsT 1218 UCCCUGGuACUCUCGGGCGTsT 1219 AD- 14403 105% 4 % cGGAGGAGAuAGAAcGuuuTsT 1220 AAACGUUCuAUCUCCUCCGTsT 1221 AD-14404 3% 1 %
ACAuAGAAcGuuuAAAAcGTsT 1222 CGUUUuAAACGUUCuAUCUTsT 1223 AD-14405 15% 1 %
GGAAcAGGAAcuucAcAAcTsT 1224 GUuGuGAAGUUCCuGUUCCTsT 1225 AD-14406 44% 5%
GuGAGccAAAGGuAcAccATsT 1226 UGGUGuACCUUUGGCUcACTsT 1227 AD-14407 41 % 4 %
AuccucccuAGAcuucccuTsT 1228 AGGGΛΛGUCuAGGGAGGΛUTsT 1229 AD- 14408 104% 3% cAcAcuccAAGAccuGuGcTsT 1230 GcAcAGGUCUUGGAGUGUGTsT 1231 AD-14409 67 % 4 %
AcAGAAGGAAuAuGuAcAATsT 1232 UUGuAcAuAUUCCUUCUGUTsT 1233 AD-14410 22% 1 % uuAGAGAcAucuGAcuuuGTsT 1234 cAAAGUcAGAUGUCUCuAATsT 1235 AD-14411 29% 3%
AAuuGAucucGuAGAAuuATsT 1236 uAAUUCuACGAGAUcAAUUTsT 1237 AD-14412 31% 4% dsRNA targeting the VEGF gene
Four hundred target sequences were identified within exons 1-5 of the VEGF-A121 mRNA sequence. Reference transcript is : NM 003376.
1 augaacuuuc ugcugucuug ggugcauugg agccuugccu ugcugcucua ccuccaccau
61 gccaaguggu cccaggcugc acccauggca gaaggaggag ggcagaauca ucacgaagug
121 gugaaguuca uggaugucua ucagcgcagc uacugccauc caaucgagac ccυgguggac
181 aucuuccagg aguacccuga ugagaucgag uacaucuuca agccauccug ugugccccug
241 augcgaugcg ggggcugcug caaugacgag ggccuggagu gugugcccac ugaggagucc
301 aacaucacca ugcagauuau gcggaucaaa ccucaccaag gccagcacau aggagagaug
361 agcuuccuac agcacaacaa augugaaugc agaccaaaga aagauagagc aagacaagaa
421 aaaugugaca agccgaggcg guga ( SEQ I D NO : 1539 )
Table 4a includes the identified target sequences. Corresponding siRNAs targeting these sequences were subjected to a bioinformatics screen.
To ensure that the sequences were specific to VEGF sequence and not to sequences from any other genes, the target sequences were checked against the sequences in Genbank using the BLAST search engine provided by NCBI. The use of the BLAST algorithm is described in Altschul et al., J. MoI. Biol. 215:403, 1990; and Altschul and Gish, Meth. Eηzymol. 266:460, 1996.
siRNAs were also prioritized for their ability to cross react with monkey, rat and human VEGF sequences.
Of these 400 potential target sequences 80 were selected for analysis by experimental screening in order to identify a small number of lead candidates. A total of 1 14 siRNA molecules were designed for these 80 target sequences 1 14 (Table 4b).
Table 4a. Target sequences in VEGF-121
Table 4b: VEGF targeted duplexes Strand: S= sense, AS=Antisense
Example 2. Eg5 siRNA in vitro screening via ceil proliferation
As silencing of Eg5 has been shown to cause mitotic arrest (Weil, D, et al [2002] Biotechniques 33: 1244-8), a cell viability assay was used for siRNA activity screening. HeLa cells (14000 per well [Screens 1 and 3] or 10000 per well [Screen2])) were seeded in 96-well plates and simultaneously transfected with Lipofectamine 2000 (Invitrogen) at a final siRNA concentration in the well of 30 nM and at final concentrations of 50 nM (Is1 screen) and 25 nM (2nd screen). A subset of duplexes was tested at 25 nM in a third screen (Table 5).
Seventy-two hours post-transfection, cell proliferation was assayed the addition of WST- 1 reagent (Roche) to the culture medium, and subsequent absorbance measurement at 450 nm. The absorbance value for control (non-transfected) cells was considered 100 percent, and absorbances for the siRNA transfected wells were compared to the control value. Assays were performed in sextuplicate for each of three screens. A subset of the siRNAs was further tested
at a range of siRNA concentrations. Assays were performed in HeLa cells (14000 per well; method same as above, Table 5).
Table 5: Effects of Eg5 targeted duplexes on cell viability at 25nM.
The nine siRNA duplexes that showed the greatest growth inhibition in Table 5 were re- tested at a range of siRNA concentrations in HeLa cells. The siRNA concentrations tested were 100 nM, 33.3 nM, 1 1.1 nM, 3.70 nM, 1.23 nM, 0.41 nM, 0.14 nM and 0.046 nM. Assays were performed in sextuplicate, and the concentration of each siRNA resulting in fifty percent inhibition of cell proliferation (IC50) was calculated. This dose-response analysis was performed between two and four times for each duplex. Mean ΪC50 values (nM) are given in Table 6.
Table 6: IC50 of siRNA: cell proliferation in HeLa cells
Example 3. Eg5 siRNA in vitro screening via mRNA inhibition
Directly before transfection, HeLa S3 (ATCC-Number: CCL-2.2, LCG Promochem GmbH, Wesel, Germany) cells were seeded at 1.5 x 104 cells / well on 96-well plates (Greiner Bio-One GmbH, Frickenhausen, Germany) in 75 μl of growth medium (Ham's F12, 10% fetal calf serum, lOOu penicillin / 100 μg/ml streptomycin, all from Bookroom AG, Berlin, Germany). Transfections were performed in quadruplicates. For each well 0.5 μl Lipofectamine2000 (Invitrogen GmbH, Karlsruhe, Germany) were mixed with 12 μl Opti-MEM (Invitrogen) and incubated for 15 min at room temperature. For the siRNA concentration being 50 nM in the 100 μl transfection volume, 1 μl of a 5 μM siRNA were mixed with 1 1.5 μl Opti-MEM per well, combined with the Lipofectamine2000-Opti-MEM mixture and again incubated for 15 minutes at room temperature. siRNA-Lipofectamine2000-complexes were applied completely (25 μl each per well) to the cells and cells were incubated for 24 h at 37°C and 5 % CO2 in a humidified incubator (Heroes GmbH, Hanau). The single dose screen was done once at 50 nM and at 25 nM, respectively.
Cells were harvested by applying 50 μl of lysis mixture (content of the QuantiGene bDNA-kit from Genospectra, Fremont, USA) to each well containing 100 μl of growth medium and were lysed at 53°C for 30 min. Afterwards, 50 μl of the lists were incubated with probe sets specific to human Eg5 and human GAPDH and proceeded according to the manufacturer's protocol for QuantiGene. In the end chemoluminescence was measured in a Victor2-Light (Perkin Elmer, Wiesbaden, Germany) as RLUs (relative light units) and values obtained with the hEg5 probe set were normalized to the respective GAPDH values for each well. Values obtained with siRNAs directed against Eg5 were related to the value obtained with an unspecific siRNA (directed against HCV) which was set to 100% (Tables Ib, 2b and 3b).
Effective siRNAs from the screen were further characterized by dose response curves. Transfections of dose response curves were performed at the following concentrations: 100 nM, 16.7 nM, 2.8 nM, 0.46 nM, 77 picoM, 12.8 picoM, 2.1 picoM, 0.35 picoM, 59.5 fM, 9.9 fM and mock (no siRNA) and diluted with Opti-MEM to a final concentration of 12.5 μl according to the above protocol. Data analysis was performed by using the Microsoft Excel add-in software XL-fit 4.2 (IDBS, Guildford, Surrey, UK) and applying the dose response model number 205 (Tables Ib, 2b and 3b).
The lead siRNA AD121 15 was additionally analyzed by applying the WST-proliferation assay from Roche (as previously described).
A subset of 34 duplexes from Table 2 that showed greatest activity was assayed by transfection in HeLa cells at final concentrations ranging from 10OnM to 1OfM. Transfections were performed in quadruplicate. Two dose-response assays were performed for each duplex. The concentration giving 20% (IC20), 50% (IC50) and 80% (IC80) reduction of KSP mRNA was calculated for each duplex (Table 7).
Table 7: Dose response mRNA inhibition of Eg5/KSP duplexes in HeLa cells
administration of LNPOl formulated siRNA
From birth until approximately 23 days of age, Eg5/KSP expression can be detected in the growing rat liver. Target silencing with a formulated Eg5/KSP siRNA was evaluated in juvenile rats using duplex AD-6248.
KSP Duplex Tested
Duplex ID Target Sense Antisense
AD6248 KSP AccGAAGuGuuGuuuGuccTsT (SEQ ID NOM238 ) GGAcAAAcAAcACUUCGGUTsT (SEQ ID NO: I 239)
Methods
Dosing of animals. Male, juvenile Sprague-Dawley rats (19 days old) were administered single doses of lipidoid ("LNPOl") formulated siRNA via tail vein injection. Groups of ten animals received doses of 10 milligrams per kilogram (mg/kg) bodyweight of either AD6248 or an unspecific siRNA. Dose level refers to the amount of siRNA duplex administered in the formulation. A third group received phosphate-buffered saline. Animals were sacrificed two days after siRNA administration. Livers were dissected, flash frozen in liquid Nitrogen and pulverized into powders.
mRNA measurements. Levels of Eg5/KSP mRNA were measured in livers from all treatment groups. Samples of each liver powder (approximately ten milligrams) were homogenized in tissue lysis buffer containing proteinase K. Levels of Eg5/KSP and GAPDH mRNA were measured in triplicate for each sample using the Quantigene branched DNA assay (GenoSpectra). Mean values for Eg5/KSP were normalized to mean GAPDH values for each sample. Group means were determined and normalized to the PBS group for each experiment.
Statistical analysis. Significance was determined by ANOVA followed by the Tukey post-hoc test.
Results
Data Summary
Mean values (±standard deviation) for Eg5/KSP mRNA are given. Statistical significance (p value) versus the PBS group is shown (ns, not significant [p>0.05]).
Table 8. Experiment 1
KSP/GAPDH p value
PBS 1.0±0.47
AD6248 10 mg/kg 0.47±0.12 <0.001
unspec 10 mg/kg 1.0±0.26 ns
A statistically significant reduction in liver Eg5/KSP mRNA was obtained following treatment with formulated AD6248 at a dose of 10 mg/kg.
Example 5. Silencing of rat liver VEGF following intravenous infusion of LNP01 formulated VSP
A "lipidoid" formulation comprising an equimolar mixture of two siRNAs was administered to rats. As used herein, VSP refers to a composition having two siRNAs, one directed to Eg5/KSP and one directed to VEGF. For this experiment the duplex AD3133 directed towards VEGF and AD121 15 directed towards Eg5/KSP were used. Since Eg5/KSP expression is nearly undetectable in the adult rat liver, only VEGF levels were measured following siRNA treatment.
siRNA duplexes administered (VSP)
Key: A,G,C,U-ribonucleotides; c,u-2'-O-Me ribonucleotides; s-phosphorothioate.
Unmodified versions of each strand and the targets for each siRNA are as follows
unmod sense 5' UCGAGAAUCUAAACUAACUTT 3' SEQ ID NO: 1534 unmod antisense 3' TTAGUCCUUAGAUUUGAUUGA 5' SEQ ID NO:1535
Eg5/KSP target 5' UCGAGAAUCUAAACUAACU 3' SEQ ID NO:1311 unmod sense 5' GCACAUAGGAGAGAUGAGCUU 3' SEQ ID NO:1536
VEGF unmod antisense 3' GUCGUGUAUCCUCUCUACUCGAA 5' SEQ ID NO:1537 target 5' GCACAUAGGAGAGAUGAGCUU 3' SEQ ID NO:1538 Methods
Dosing of animals. Adult, female Sprague-Dawley rats were administered lipidoid ("LNPOl") formulated siRNA by a two-hour infusion into the femoral vein. Groups of four animals received doses of 5, 10 and 15 milligrams per kilogram (mg/kg) bodyweight of formulated siRNA. Dose level refers to the total amount of siRNA duplex administered in the formulation. A fourth group received phosphate-buffered saline. Animals were sacrificed 72 hours after the end of the siRNA infusion. Livers were dissected, flash frozen in liquid Nitrogen and pulverized into powders.
Formulation Procedure
The lipidoid ND984HC1 (MW 1487) (Formula 1 , above), Cholesterol (Sigma-Aldrich), and PEG-Ceramide C 16 (Avanti Polar Lipids) were used to prepare lipid-siRNA nanoparticles.
Stock solutions of each in ethanol were prepared: ND98, 133 mg/mL; Cholesterol, 25 mg/mL, PEG-Ceramide C 16, 100 mg/mL. ND98, Cholesterol, and PEG-Ceramide Cl 6 stock solutions were then combined in a 42:48: 10 molar ratio. Combined lipid solution was mixed rapidly with aqueous siRNA (in sodium acetate pH 5) such that the final ethanol concentration was 35-45% and the final sodium acetate concentration was 100-300 mM. Lipid-siRNA nanoparticles formed spontaneously upon mixing. Depending on the desired particle size distribution, the resultant nanoparticle mixture was in some cases extruded through a polycarbonate membrane (100 nm cut-off) using a thermobarrel extruder (Lipex Extruder, Northern Lipids, Inc). In other cases, the extrusion step was omitted. Ethanol removal and simultaneous buffer exchange was accomplished by either dialysis or tangential flow filtration. Buffer was exchanged to phosphate buffered saline (PBS) pH 7.2.
Characterization of formulations
Formulations prepared by either the standard or extrusion-free method are characterized in a similar manner. Formulations are first characterized by visual inspection. They should be whitish translucent solutions free from aggregates or sediment. Particle size and particle size distribution of lipid-nanoparticles are measured by dynamic light scattering using a Malvern Zetasizer Nano ZS (Malvern, USA). Particles should be 20-300 nm, and ideally, 40-100 nm in size. The particle size distribution should be unimodal. The total siRNA concentration in the formulation, as well as the entrapped fraction, is estimated using a dye exclusion assay. A sample of the formulated siRNA is incubated with the RNA-binding dye Ribogreen (Molecular Probes) in the presence or absence of a formulation disrupting surfactant, 0.5% Triton-XIOO. The total siRNA in the formulation is determined by the signal from the sample containing the surfactant, relative to a standard curve. The entrapped fraction is determined by subtracting the "free" siRNA content (as measured by the signal in the absence of surfactant) from the total siRNA content. Percent entrapped siRNA is typically >85%. For SNALP formulation, the particle size is at least 30 nm, at least 40 nm, at least 50 nm, at least 60 nm, at least 70 nm, at least 80 nm, at least 90 nm, at least 100 nm, at least 110 nm, and at least 120 nm. The preferred range is about at least 50 nm to about at least 1 10 nm, preferably about at least 60 nm to about at least 100 nm, most preferably about at least 80 nm to about at least 90 nm. In one example, each of the particle size comprises at least about 1 : 1 ratio of Eg5 dsRN A to VEGF dsRN A.
mRNA measurements. Samples of each liver powder (approximately ten milligrams) were homogenized in tissue lysis buffer containing proteinase K. Levels of VEGF and GAPDH mRNA were measured in triplicate for each sample using the Quantigene branched DNA assay
(GenoSpectra). Mean values for VEGF were normalized to mean GAPDH values for each sample. Group means were determined and normalized to the PBS group for each experiment.
Protein measurements. Samples of each liver powder (approximately 60 milligrams) were homogenized in 1 ml RIPA buffer. Total protein concentrations were determined using the Micro BCA protein assay kit (Pierce). Samples of total protein from each animal were used to determine VEGF protein levels using a VEGF ELISA assay (R&D systems). Group means were determined and normalized to the PBS group for each experiment.
Statistical analysis. Significance was determined by ANOVA followed by the Tukey post-hoc test
Results
Data Summary
Mean values (±standard deviation) for mRNA (VEGF/G APDH) and protein (rel. VEGF) are shown for each treatment group. Statistical significance (p value) versus the PBS group for each experiment is shown.
Table 9.
VEGF/GAPDH p value rel VEGF p valiK
PBS LO±O.17 I .O±O. Π
5 mg/kg 0.74±0.12 <0.05 0.23±0.03 O.001
10 mg/kg 0.65±0.12 ' O.005 0.22±0.03 <0.001
15 mg/kg 0.49±0.17 <0.001 0.20±0.04 O.OOl
Statistically significant reductions in liver VEGF mRNA and protein were measured at all three siRNA dose levels.
Example 6. Assessment of VSP SNALP in mouse models of human hepatic tumors.
These studies utilized a VSP siRNA cocktail containing dsRNAs targeting KSP/Eg5 and dsRNAs targeting VEGF. As used herein, VSP refers to a composition having two siRNAs, one directed to Eg5/KSP and one directed to VEGF. For this experiment the duplexes AD3133 (directed towards VEGF) and ADl 21 15 (directed towards Eg5/KSP) were used. The siRNA cocktail was formulated in SNALP as described below.
The maximum study size utilized 20-25 mice. To test the efficacy of the siRNA SNALP cocktail to treat liver cancer, lxl0Λ6 tumor cells were injected directly into the left lateral lobe of test mice. The incisions were closed by sutures, and the mice allowed to recover for 2-5 hours. The mice were fully recovered within 48-72 hours. The SNALP siRNA treatment was initiated 8-1 1 days after tumor seeding.
The SNALP formulations utilized were (i) VSP (KSP + VEGF siRNA cocktail
(1 : 1 molar ratio)); (ii) KSP (KSP + Luc siRNA cocktail); and (iii) VEGF (VEGF + Luc siRNA
cocktail). All formulations contained equal amounts (mg) of each active siRNA. All mice received a total siRNA/lipid dose, and each cocktail was formulated into 1 :57 cDMA SNALP (1.4% PEG-cDMA; 57.1% DLinDMA; 7.1% DPPC; and 34.3% cholesterol), 6: 1 lipidrdrug using original citrate buffer conditions.
Human Hep3B Study A: anti-tumor activity of VSP-SNALP
Human Hepatoma Hep3B tumors were established in scid/beige mice by intrahepatic seeding. Group A (n=6) animals were administered PBS; Group B (n=6) animals were administered VSP SNALP; Group C (n=5) animals were administered KSP/Luc SNALP; Group D (n=5) animals were administered VEGF/Luc SNALP.
SNALP treatment was initiated eight days after tumor seeding. The SNALP was dosed at
3 mg/kg total siRNA, twice weekly (Monday and Thursday), for a total of six doses (cumulative 18 mg/kg siRNA). The final dose was administered at day 25, and the terminal endpoint was at day 27.
Tumor burden was assayed by (a) body weight; (b) liver weight; (c) visual inspection + photography at day 27; (d) human-specific mRNA analysis; and (e) blood alpha-fetoprotein levels measured at day 27.
Table 10 below illustrates the results of visual scoring of tumor burden measured in the seeded (left lateral) liver lobe. Score: "-" = no visible tumor; "+"= evidence of tumor tissue at injection site; "++" = Discrete tumor nodule protruding from liver lobe; "+++" = large tumor protruding on both sides of liver lobe; "++++" = large tumor, multiple nodules throughout liver lobe.
Table 10.
Liver weights, as percentage of body weight, are shown in FIG. 1. FIG.. 2A, FIG. 2B, FIG. 2C and FIG. 2D show the effects of PBS, VSP, KSP and VEGF on body weight on Human Hepatoma Hep3B tumors in mice.
From this study, the following conclusions were made. (1 ) VSP SNALP demonstrated potent anti-tumor effects in Hep3B IH model; (2) the anti-tumor activity of the VSP cocktail appeared largely associated with the KSP component; (3) anti-KSP activity was confirmed by single dose histological analysis; and (4) VEGF siRNA showed no measurable effect on inhibition of tumor growth in this model.
Human Hep3B Study B: prolonged survival with VSP treatment
In a second Hep3B study, human hepatoma Hep3B tumors were established by intrahepatic seeding into scid/beige mice. These mice were deficient for lymphocytes and natural killer (NK) cells, which is the minimal scope for immune-mediated anti-tumor effects. Group A (n=6) mice were untreated; Group B (n=6) mice were administered luciferase (luc) 1955 SNALP (Lot No. AP 10-02); and Group C (n=7) mice were administered VSP SNALP (Lot No. APlO-Ol). SNALP was 1:57 cDMA SNALP, and 6: 1 lipid:drug.
SNALP treatment was initiated eight days after tumor seeding. SNALP was dosed at 3 mg/kg siRNA, twice weekly (Mondays and Thursdays), for a total of six doses (cumulative 18 mg/kg siRNA). The final dose was delivered at day 25, and the terminal endpoint of the study was at day 27.
Tumor burden was assayed by (1) body weight; (2) visual inspection + photography at day 27; (3) human-specific mRNA analysis; and (4) blood alpha-fetoprotein measured at day 27.
FIG. 3 shows body weights were measured at each day of dosing (days 8, 1 1 , 14, 18, 21 , and 25) and on the day of sacrifice.
Table 1 1.
Score: "-" = no visible tumor; "+"= evidence of tumor tissue at injection site; "++" = Discrete tumor nodule protruding from liver lobe; "+++" = large tumor protruding on both sides of liver lobe; "++++" = large tumor, multiple nodules throughout liver lobe.
The correlation between body weights and tumor burden are shown in FIGs. 4, 5 and 6. FIG. 4 shows percentage body weight over 27 days in untreated mice. FIG. 5 shows percentage body weight over 27 days in 1955 Luc SNALP treated mice. FIG. 6 shows percentage body weight over 27 days in VSP SNALP treated mice.
A single dose of VSP SNALP (2 mg/kg) to Hep3B mice also resulted in the formation of mitotic spindles in liver tissue samples examined by histological staining.
Tumor burden was quantified by quantitative RT-PCR (pRT-PCR) (Taqman). Human
GAPDH was normalized to mouse GAPDH via species-specific Taqman assays. FIG. 7A shows tumor scores as shown by macroscopic observation in the table above correlated with GADPH levels.
Serum ELISA was performed to measure alpha-fetoprotein (AFP) secreted by the tumor. As described below, if levels of AFP go down after treatment, the tumor is not growing. FIG. 7B shows that the treatment with VSP lowered AFP levels in some animals compared to treatment with controls.
Human HepB3 Study C:
In a third study, human HCC cells (HepB3) were injected directly into the liver of SCID/beige mice, and treatment was initiated 20 days later. Group A animals were administered PBS; Group B animals were administered 4 mg/kg Luc- 1955 SNALP; Group C animals were administered 4 mg/kg SNALP-VSP; Group D animals were administered 2 mg/kg SNALP-VSP;
and Group E animals were administered 1 mg/kg SNALP-VSP. Treatment was with a single intravenous (iv) dose, and mice were sacrificed 24 hr. later.
Tumor burden and target silencing was assayed by qRT-PCR (Taqman). Tumor score was also measured visually as described above, and the results are shown in the following table. hGAPDH levels, as shown in FIG. 8, correlates with macroscopic tumor score as shown in the table below.
Table 12.
Score: "+"= variable tumor take/ some small tumors; "++" = Discrete tumor nodule protruding from liver lobe; "+++" = large tumor protruding on both sides of liver lobe
Human (tumor-derived) KSP silencing was assayed by Taqman analysis and the results are shown in FIG. 9. hKSP expression was normalized to hGAPDH. About 80% tumor KSP silencing was observed at 4 mg/kg SNALP-VSP, and efficacy was evident at 1 mg/kg. The clear bars in FIG. 9 represent the results from small (low GAPDH) tumors.
Human (tumor-derived) VEGF silencing was assayed by Taqman analysis and the results are shown in FIG. 10. hVEGF expression was normalized to hGAPDH. About 60% tumor VEGF silencing was observed at 4 mg/kg SNALP-VSP, and efficacy was evident at 1 mg/kg. The clear bars in FIG. 10 represent the results from small (low GAPDH) tumors.
Mouse (liver-derived) VEGF silencing was assayed by Taqman analysis and the results are shown in FIG. 1 IA. mVEGF expression was normalized to hGAPDH. About 50% liver VEGF silencing was observed at 4 mg/kg SNALP-VSP, and efficacy was evident at 1 mg/kg.
Human HepB3 Study D: contribution of each dsRNA to tumor growth
In a fourth study, human HCC cells (HepB3) were injected directly into the liver of SCID/beige mice, and treatment was initiated 8 days later. Treatment was with intravenous (iv) bolus injections, twice weekly, for a total of six does. The final dose was administered at day 25, and the terminal endpoint was at day 27.
Tumor burden was assayed by gross histology, human-specific mRNA analysis
(hGAPDH qPCR), and blood alpha-fetoprotein levels (serum AFP via ELISA).
In Study 1 , Group A was treated with PBS, Group B was treated with SN ALP-KSP+Luc (3 mg/kg), Group C was treated with SNALP-VEGF+Luc (3 mg/kg), and Group D was treated with SNALP-VSP (3 mg/kg).
In Study 2, Group A was treated with PBS; Group B was treated with SNALP-KSP+Luc (1 mg/kg), Group C was treated with ALN-VSP02 (1 mg/kg).
Both GAPDH mRNA levels and serum AFP levels were shown to decrease after treatment with SNALP-VSP (as shown in FTG. 1 IB).
Histology Studies:
Human hepatoma Hep3B tumors were established by intrahepatic seeding in mice.
SNALP treatment was initiated 20 days after tumor seeding. Tumor-bearing mice (three per group) were treated with a single intravenous (IV) dose of (i) VSP SNALP or (ii) control (Luc) SNALP at 2 mg/kg total siRNA.
Liver/rumor samples were collected for conventional H&E histology 24 hours after single
SNALP administration.
Large macroscopic tumor nodules (5-10 mm) were evident at necroscopy.
Effect of SNALP-VSP in Hep3B mice:
SNALP-VSP (a cocktail of KSP dsRNA and VEGF dsRNA) treatment reduced tumor burden and expression of tumor-derived KSP and VEGF. GAPDH mRNA levels, a measure of tumor burden, were also observed to decline following administration of SNALP-VSP dsRNA (shown in FIG. 12 A, FIG. 12B and FIG. 12C). A decrease in tumor burden by visual macroscopic observation was also evident following administration of SNALP-VSP.
A single IV bolus injection of SNALP-VSP also resulted in mitotic spindle formation that was clearly detected in liver tissue samples from Hep3B mice. This observation indicated cell cycle arrest.
Example 7. Survival of SNALP-VSP animals versus SNALP-Luc treated animals
To test the effect of siRNA SNALP on survival rates of cancer subjects, tumors were established by intrahepatic seeding in mice and the mice were treated with SNALP-siRNA.
These studies utilized a VSP siRNA cocktail containing dsRNAs targeting KSP/Eg5 and VEGF. Control was dsRNA targeting Luc. The siRNA cocktail was formulated in SNALPs.
Tumor cells (Human Hepatoma Hep3B, lxlOΛ6) were injected directly into the left lateral lobe of scid/beige mice. These mice were deficient for lymphocytes and natural killer (NK) cells, which is the minimal scope for immune-mediated anti-tumor effects. The incisions were closed by sutures, and the mice allowed to recover for 2-5 hours. The mice were fully recovered within 48-72 hours.
All mice received a total siRNA/lipid intravenous (iv) dose, and each cocktail was formulated into 1 :57 cDMA SNALP (1.4% PEG-cDMA; 57.1% DLinDMA; 7.1% DPPC; and 34.3% cholesterol), 6: 1 lipid:drug using original citrate buffer conditions.
siRNA-SNALP treatment was initiated on the day indicated below (18 or 26 days) after tumor seeding. siRNA-SNALP were administered twice a week for three weeks after 18 or 26 days at a dose of 4 mg/kg. Survival was monitored and animals were euthanized based on humane surrogate endpoints (e.g., animal body weight, abdominal distension/discoloration, and overall health).
The survival data for treatment initiated 18 days after tumor seeing is summarized in Table 13, Table 14, and FlG. 13A.
Table 13. Kaplan-Meier (survival) data (% Surviving)
Table 14. Survival in days, for each animal.
FIG. 13A shows the mean survival of SNALP-VSP animals and SNALP-Luc treated animals versus days after tumor seeding. The mean survival of SNALP-VSP animals was extended by approximately 15 days versus SNALP-Luc treated animals.
Table 15. Serum alpha fetoprotein (AFP) concentration, for each animal, at a time pre- treatment and at end of treatment (concentration in μg/ml)
Tumor burden was monitored using serum AFP levels during the course of the experiment. Alpha-fetoprotein (AFP) is a major plasma protein produced by the yolk sac and the liver during fetal life. The protein is thought to be the fetal counterpart of serum albumin, and human AFP and albumin gene are present in tandem in the same transcriptional orientation on chromosome 4. AFP is found in monomelic as well as dimeric and trimeric forms, and binds copper, nickel, fatty acids and bilirubin. AFP levels decrease gradually after birth, reaching adult levels by 8-12 months. Normal adult AFP levels are low, but detectable. AFP has no known function in normal adults and AFP expression in adults is often associated with a subset of tumors such as hepatoma and teratoma. AFP is a tumor marker used to monitor testicular cancer, ovarian cancer, and malignant teratoma. Principle tumors that secrete AFP include endodermal sinus tumor (yolk sac carcinoma), neuroblastoma, hepatoblastoma, and heptocellular carcinoma. In patients with AFP-secreting rumors, serum levels of AFP often correlate with tumor size. Serum levels are useful in assessing response to treatment. Typically, if levels of AFP go down after treatment, the tumor is not growing. A temporary increase in AFP immediately following chemotherapy may indicate not that the tumor is growing but rather that it is shrinking (and releasing AFP as the tumor cells die). Resection is usually associated with a fall in serum levels. As shown in FIG. 14, tumor burden in SNALP-VSP treated animals was significantly reduced.
The experiment was repeated with SNALP-siRNA treatment at 26, 29, 32 35, 39, and 42 days after implantation. The data is shown in FIG. 13B. The mean survival of SNALP-VSP animals was extended by approximately 15 days versus SNALP-Luc treated animals by approximately 19 days, or 38%.
Example 8. Induction of Mono-asters in Established Tumors
Inhibition of KSP in dividing cells leads to the formation of mono asters that are readily observable in histological sections. To determine whether mono aster formation occurred in SNALP-VSP treated tumors, tumor bearing animals (three weeks after Hep3B cell implantation) were administered 2 mg/kg SNALP-VSP via tail vein injection. Control animals received 2 mg/kg SNALP-Luc. Each cocktail was formulated into 1 :57 cDMA SNALP (1.4% PEG-cDMA; 57.1% DLinDMA; 7.1% DPPC; and 34.3% cholesterol), 6: 1 lipid:drug using original citrate buffer conditions.
Twenty four hours later, animals were sacrificed, and rumor bearing liver lobes were processed for histological analysis. Representative images of H&E stained tissue sections are shown in FIG. 15. Extensive mono aster formation was evident in SNALP-VSP treated (A), but
not SNALP-Luc treated (B), tumors. In the latter, normal mitotic figures were evident. The generation of mono asters is a characteristic feature of KSP inhibition and provides further evidence that SNALP-VSP has significant activity in established liver tumors.
Example 9. Manufacturing Process and Product specification of ALN-VSP02 (SNALP-VSP)
ALN-VSP02 product contains 2 mg/mL of drug substance ALN-VSPDSOl formulated in a sterile lipid particle formulation (referred to as SNALP) for IV administration via infusion. Drug substance ALN-VSPDSOl consists of two siRNAs (ALN-121 15 targeting KSP and ALN-3133 targeting VEGF) in an equimolar ratio. The drug product is packaged in 10 mL glass vials with a fill volume of 5 mL.
The drug substance can be formulated in other nucleic acid-lipid particle formulations as described herein, e.g., with cationic lipids C12-200, XTC, ALNY-100, or MC3.
The following terminology is used herein:
♦Alternate names = AD- 121 15, AD121 15; ** Alternate names = AD-3133, AD3133
9.1 Preparation of drug substance ALN-VSPDSOl
The two siRNA components of drug substance ALN-VSPDSOl , ALN-121 15 and ALN-3133, are chemically synthesized using commercially available synthesizers and raw materials. The manufacturing process consists of synthesizing the two single strand
oligonucleotides of each duplex (A 19562 sense and A 19563 antisense of ALN 121 15 and A 3981 sense and A 3982 antisense of ALN 3133) by conventional solid phase oligonucleotide synthesis using phosphoramidite chemistry and 5' O dimethoxytriphenylmethyl (DMT) protecting group with the 2' hydroxyl protected with tert butyldimethylsilyl (TBDMS) or the T hydroxyl replaced with a 2' methoxy group (2' OMe). Assembly of an oligonucleotide chain by the phosphoramidite method on a solid support such as controlled pore glass or polystyrene. The cycle consists of 5' deprotection, coupling, oxidation, and capping. Each coupling reaction is carried out by activation of the appropriately protected ribo, 2' OMe , or deoxyribonucleoside amidite using 5 (ethylthio) IH tetrazole reagent followed by the coupling of the free 5' hydroxyl group of a support immobilized protected nucleoside or oligonucleotide. After the appropriate number of cycles, the final 5' protecting group is removed by acid treatment. The crude oligonucleotide is cleaved from the solid support by aqueous methylamine treatment with
concomitant removal of the cyanoethyl protecting group as well as nucleobase protecting groups. The 2' O TBDMS group is then cleaved using a hydrogen fluoride containing reagent to yield the crude oligoribonucleotide, which is purified using strong anion exchange high performance liquid chromatography (HPLC) followed by desalting using ultrafiltration. The purified single strands are analyzed to confirm the correct molecular weight, the molecular sequence, impurity profile and oligonucleotide content, prior to annealing into the duplexes. The annealed duplex intermediates ALN 121 15 and ALN 3133 are either lyophilized and stored at 2O0C or mixed in 1 : 1 molar ratio and the solution is lyophilized to yield drug substance ALN VSPDSOl. If the duplex intermediates were stored as dry powder, they are re-dissolved in water before mixing. The equimolar ratio is achieved by monitoring the mixing process by an HPLC method.
Example specifications are shown in Table 16a.
Table 16a. Example specifications for ALN-VSPDSOl
The results of up to 12 month stability testing for ALN-VSPDSOl drug substance are shown in Tables 16b. The assay methods were chosen to assess physical property (appearance, pH, moisture), purity (by SEC and denaturing anion exchange chromatography) and potency (by denaturing anion exchange chromatography [AX-HPLC]).
Table 16b: Stability of drug substance
9.2 Preparation of drug product ALN-VSP02
ALN VSP02, is a sterile formulation of the two siRNAs (in a 1 : 1 molar ratio) with lipid excipients in isotonic buffer. The lipid excipients associate with the two siRNAs, protect them from degradation in the circulatory system, and aid in their delivery to the target tissue. The specific lipid excipients and the quantitative proportion of each (shown in Table 17) have been selected through an iterative series of experiments comparing the physicochemical properties, stability, pharmacodynamics, pharmacokinetics, toxicity and product manufacturability of numerous different formulations. The excipient DLinDMA is a titratable aminolipid that is positively charged at low pH, such as that found in the endosome of mammalian cells, but relatively uncharged at the more neutral pH of whole blood. This feature facilitates the efficient encapsulation of the negatively charged siRNAs at low pH, preventing formation of empty particles, yet allows for adjustment (reduction) of the particle charge by replacing the formulation buffer with a more neutral storage buffer prior to use. Cholesterol and the neutral lipid DPPC are incorporated in order to provide physicochemical stability to the particles. The polyethyleneglycol lipid conjugate PEG2000 C DMA aids drug product stability, and provides optimum circulation time for the proposed use. ALN VSP02 lipid particles have a mean diameter of approximately 80-90 nm with low polydispersity values. At neutral pH, the particles are essentially uncharged, with Zeta Potential values of less than 6 mV. There is no evidence of empty (non loaded) particles based on the manufacturing process.
Table 17: Quantitative Composition of ALN-VSP02
* The 1 : 1 molar ratio of the two siRNΛs in the drug product is maintained throughout the size distribution of the drug product particles.
Solutions of lipid (in ethanol) and ALN VSPDSOl drug substance (in aqueous buffer) are mixed and diluted to form a colloidal dispersion of siRNA lipid particles with an average particle size of approximately 80-90 nm. This dispersion is then filtered through 0.45/0.2 μm filters, concentrated, and diafiltered by Tangential Flow Filtration. After in process testing and concentration adjustment to 2.0 mg/mL, the product is sterile filtered, aseptically filled into glass vials, stoppered, capped and placed at 5 ± 3°C. The ethanol and all aqueous buffer components are USP grade; all- water used is USP Sterile Water For Injection grade. ALN-VSP02.
A similar method is used to formulate ALN-VSPDSOl in other lipid formulations, e.g., those with cationic lipids C 12-200, XTC, ALNY- 100, or MC3.
Example 10. In Vitro Efficacy of ALN-VSP02 in Human Cancer Cell Lines
The efficacy of ALN-VSP02 treatment in human cancer cell lines was determined via measurement of KSP mRNA, VEGF mRNA, and cell viability after treatment. IC50 (nM) values determined for KSP and VEGF in each cell line.
Table 19: cell lines
Cell line tested ATCC cat number
HELA ATCC Cat N: CCL-2
KB ATCC Cat N: CCL- 17
HEP3B ATCC Cat N: HB-8064
SKOV-3 ATCC Cat N: HTB-77
HCT-1 16 ATCC Cat N: CCL-247
HT-29 ATCC Cat N: HTB-38
PC-3 ATCC Cat N: CRL-1435
A549 ATCC Cat N: CCL- 185
MDA-MB-231 ATCC Cat N: HTB-26
Cells were plated in 96 well plates in complete media at day 1 to reach a density of 70% on day 2. On day 2 media was replaced with Opti-MEM reduced serum media (Invitrogen Cat N: 11058-021) and cells were transfected with either ALN-VSP02 or control SNALP-Luc with concentration range starting at 1.8 μM down to 10 pM. After 6 hours the media was changed to complete media. Three replicate plates for each cell line for each experiment was done.
ALN-VSP02 was formulated as described in Table 17.
Cells were harvested 24 hours after transfection. KSP levels were measured using bDNA; VEGF mRNA levels were measured using human TaqMan assay.
Viability was measured using Cell Titer Blue reagent (Promega Cat N: G8080) at 48 and/or 72h following manufacturer's recommendations.
As shown in Table 20, nM concentrations of VSP02 are effective in reducing expression of both KSP and VEGF in multiple human cell lines. Viability of treated cells was not
Table 20: Results
Example 11. Anti-tumor efficacy of VSP SNALP vs. Sorafenib in established Hep3B intrahepatic tumors
The anti-tumor effects of multi-dosing VSP SNALP verses Sorafenib in scid^eige mice bearing established Hep3B intrahepatic tumors was studied. Sorafenib is a small molecule inhibitor of protein kinases approved for treatment of hepatic cellular carcinoma (HCC).
Tumors were established by intrahepatic seeding in scid/beige mice as described herein. Treatment was initiated 1 1 days post-seeding. Mice were treated with Sorafenib and a control SiRlMA-SNALP, Sorafenib and VSP siRNA-SNALP, or VSP siRNA-SNALP only. Control mice were treated with buffers only (DMSO for Sorafenib and PBS for siRNA-SNALP). Sorafenib was administered intraparenterally from Mon to Fri for three weeks, at 15 mg/kg according to body weight for a total of 15 injections. Sorafenib was administered a minimum of 1 hour after
SNALP injections. The siRNA-SNALPS were administered intravenously via the lateral tail vein according at 3 mg/kg based on the most recently recorded body weight (10 ml/kg) for 3 weeks (total of 6 doses) on days 1, 4, 7, 10, 14, and 17.
Each siRNA-SNALP was formulated into 1 :57 cDMA SNALP (1.4% PEG-cDMA; 57.1% DLinDMA; 7.1% DPPC; and 34.3% cholesterol), 6: 1 lipid:drug using original citrate buffer conditions.
Mice were euthanized based on an assessment of tumor burden including progressive weight loss and clinical signs including condition, abdominal distension/discoloration and mobility.
The percent survival data are shown in FIG. 16. Co-administration of VSP siRNA-
SNALP with Sorafenib increased survival proportion compared to administration of Sorafenib or VSP siRNA-SNALP alone. VSP siRNA-SNALP increased survival proportion compared to Sorafenib.
Example 12. In vitro efficacy of VSP using variants of AD-12115 and AD-3133
Two sets of duplexes targeted to Eg5/KSP and VEGF were designed and synthesized.
Each set included duplexes tiling 10 nucleotides in each direction of the target sites for either AD-121 15 and AD-3133.
Sequences of the target, sense strand, and antisense strand for each duplex are shown in the Table below.
Each duplex is assayed for inhibition of expression using the assays described herein.
The duplexes are administered alone and/or in combination, e.g., an Eg5/KSP dsRNA in combination with a VEGF dsRNA. In some embodiments, the dsRNA are administered in a nucleic-acid lipid particle, e.g., SNALP, formulation as described herein.
Table 21 : Sequences of dsRNA targeted to VEGF and Eg5/KSP (tiling')
Example 13. VEGF targeted dsRNA with a single blunt end
A set of dsRNA duplexes targeted to VEGF were designed and synthesized. The set included duplexes tiling 10 nucleotides in each direction of the target sites for AD-3133. Each duplex includes a 2 base overhang at the end corresponding to the 3' end of the antisense strand and no overhang, e.g., a blunt end, at the end corresponding to the 5' end of the antisense strand.
The sequences of each strand of these duplexes are shown in the following table.
Each duplex is assayed for inhibition of expression using the assays described herein. The VEGF duplexes are administered alone and/or in combination with an Eg5/KSP dsRNA (e.g., AD-121 15). In some embodiments, the dsRNA are administered in a nucleic-acid lipid particle, e.g., SNALP, formulation as described herein.
Table 22: Target sequences of blunt ended dsRNA targeted to VEGF
Table 23: Strand sequences of blunt ended dsRNA targeted to VEGF
I AD-20466 7l | GAGAUGAGCUUCCUACAGCAC | 2423 [ GUGCUGUAGGAAGCUCAUCUCUC [ 2443 |
Example 14: dsRNA Oligonucleotide Synthesis
Synthesis
All oligonucleotides are synthesized on an AKTAoligopilot synthesizer. Commercially available controlled pore glass solid support (dT-CPG, 500A, Prime Synthesis) and RNA phosphoramidites with standard protecting groups, 5'-Odimethoxytrityl N6-benzoyl-2'-/- butyldimethylsilyl-adenosine-3'-O-N,N'-diisopropyl-2-cyanoethylphosphoramidite, 5'-O- dimethoxytrityl-N^acetyl^'-^-butyldimethylsilyl-cytidine-S'-O-N^'-diisopropyl^- cyanoethylphosphoramidite, 5'-Odimethoxytrityl-N2--isobutryl-2'-/-butyldimethylsilyl- guanosine-3'-0-N,N'-diisopropyl-2-cyanoethylphosphoramidite, and 5'-O-dimethoxytrityl-2'-/- butyldimethylsilyl-uridine-3'-O-N,N'-diisopropyl-2-cyanoethylphosphoramidite (Pierce Nucleic Acids Technologies) were used for the oligonucleotide synthesis. The 2'-F phosphoramidites, 5'-O-dimethoxytrityl-N4-acetyl-2'-fluro-cytidine-3'-O-N,N'-diisopropyl-2-cyanoethyl- phosphoramidite and 5'-0-dimethoxytrityl-2'-fluro-uridine-3'-0-N,N'-diisopropyl-2- cyanoethyl-phosphoramidite are purchased from (Promega). All phosphoramidites are used at a concentration of 0.2M in acetonitrile (CH3CN) except for guanosine which is used at 0.2M concentration in 10% THF/ ANC (v/v). Coupling/recycling time of 16 minutes is used. The activator is 5-ethyl thiotetrazole (0.75M, American International Chemicals); for the PO- oxidation iodine/water/pyridine is used and for the PS-oxidation PADS (2%) in 2,6- lutidine/ACN (1 :1 v/v) is used.
3'-ligand conjugated strands are synthesized using solid support containing the corresponding ligand. For example, the introduction of cholesterol unit in the sequence is performed from a hydroxyprolinol-cholesterol phosphoramidite. Cholesterol is tethered to trans- 4-hydroxyprolinol via a 6-aminohexanoate linkage to obtain a hydroxyprolinol-cholesterol moiety. 5'-end Cy-3 and Cy-5.5 (fluorophore) labeled siRNAs are synthesized from the corresponding Quasar-570 (Cy-3) phosphoramidite are purchased from Biosearch Technologies. Conjugation of ligands to 5 '-end and or internal position is achieved by using appropriately protected ligand-phosphoramidite building block. An extended 15 min coupling of 0.1 M solution of phosphoramidite in anhydrous CH3CN in the presence of 5-(ethylthio)-lH-tetrazole activator to a solid-support-bound oligonucleotide. Oxidation of the internucleotide phosphite to the phosphate is carried out using standard iodine-water as reported (1) or by treatment with tert- butyl hydroperoxide/acetonitrile/water (10: 87: 3) with 10 min oxidation wait time conjugated oligonucleotide. Phosphorothioate is introduced by the oxidation of phosphite to
phosphorothioate by using a sulfur transfer reagent such as DDTT (purchased from AM
Chemicals), PADS and or Beaucage reagent. The cholesterol phosphoramidite is synthesized in house and used at a concentration of 0.1 M in dichloromethane. Coupling time for the cholesterol phosphoramidite is 16 minutes.
Deprotection I fNucleobase Deprotection)
After completion of synthesis, the support is transferred to a 100 mL glass bottle (VWR). The oligonucleotide is cleaved from the support with simultaneous deprotection of base and phosphate groups with 80 mL of a mixture of ethanolic ammonia [ammonia: ethanol (3: 1)] for 6.5 h at 550C. The bottle is cooled briefly on ice and then the ethanolic ammonia mixture is filtered into a new 250-mL bottle. The CPG is washed with 2 x 40 mL portions of ethanol/water (1 : 1 v/v). The volume of the mixture is then reduced to ~ 30 mL by roto-vap. The mixture is then frozen on dry ice and dried under vacuum on a speed vac.
Deprotection Il (Removal of 2'-TBDMS group)
The dried residue is resuspended in 26 mL of triethylamine, triethylamine
trihydrofluoride (TEA«3HF) or pyridine-HF and DMSO (3:4:6) and heated at 60oC for 90 minutes to remove the tert-butyldimethylsilyl (TBDMS) groups at the 2' position. The reaction is then quenched with 50 mL of 20 mM sodium acetate and the pH is adjusted to 6.5.
Oligonucleotide is stored in a freezer until purification.
Analysis
The oligonucleotides are analyzed by high-performance liquid chromatography (HPLC) prior to purification and selection of buffer and column depends on nature of the sequence and or conjugated ligand.
HPLC Purification
The ligand-conjugated oligonucleotides are purified by reverse-phase preparative HPLC. The unconjugated oligonucleotides are purified by anion-exchange HPLC on a TSK gel column packed in house. The buffers are 20 mM sodium phosphate (pH 8.5) in 10% CH3CN (buffer A) and 20 mM sodium phosphate (pH 8.5) in 10% CH3CN, IM NaBr (buffer B). Fractions containing full-length oligonucleotides are pooled, desalted, and lyophilized. Approximately 0.15 OD of desalted oligonucleotides are diluted in water to 150 μL and then pipetted into special vials for CGE and LC/MS analysis. Compounds are then analyzed by LC-ESMS and CGE.
siRNA preparation
For the preparation of siRNA, equimolar amounts of sense and antisense strand are heated in IxPBS at 95°C for 5 min and slowly cooled to room temperature. Integrity of the duplex is confirmed by HPLC analysis. AD-3133 and AD-AD-121 15, described herein are synthesized.
Example 15: Synthesis of conjugated lipids:
The PEG-lipids, such as mPEG2OOO-l,2-Di-0-alkyl-.™3-carbornoylglyceride (PEG- DMG) were synthesized using the following procedures:
R O'^-^OH
1a R = C14H29
I b R = C16H33
Ic R = C18H37
I O mPEG2000- 1 ,2-Di-Oalkyl-s«3-carbomoylglyceride
Preparation of compound 4a: l ,2-Di-0-tetradecyl-s«-glyceride Ia (30 g, 61.80 mmol) and NN'-succinimidylcarboante (DSC, 23.76 g, 1.5eq) were taken in dichloromethane (DCM, 500 mL) and stirred over an ice water mixture. Triethylamine (25.30 mL, 3eq) was added to stirring solution and subsequently the reaction mixture was allowed to stir overnight at ambient
15 temperature. Progress of the reaction was monitored by TLC. The reaction mixture was diluted with DCM (400 mL) and the organic layer was washed with water (2X500 mL), aqueous ΝaHCC>3 solution (500 mL) followed by standard work-up. Residue obtained was dried at ambient temperature under high vacuum overnight. After drying the crude carbonate 2a thus obtained was dissolved in dichloromethane (500 mL) and stirred over an ice bath. To the stirring 0 solution mPEG2ooo-NH2 (3, 103.00 g, 47.20 mmol, purchased from NOF Corporation, Japan) and anhydrous pyridine (80 mL, excess) were added under argon. In some embodiments, the methoxy-(PEG)x-amine has an x= from 45-49, preferably 47-49, and more preferably 49. The reaction mixture was then allowed stir at ambient temperature overnight. Solvents and volatiles were removed under vacuum and the residue was dissolved in DCM (200 mL) and charged on a 5 column of silica gel packed in ethyl acetate. The column was initially eluted with ethyl acetate
and subsequently with gradient of 5-10 % methanol in dichloromethane to afford the desired PEG-Lipid 4a as a white solid (105.3Og, 83%). 1H NMR (CDCl3, 400 MHz) δ = 5.20-5.12(m, IH), 4.18-4.01 (m, 2H), 3.80-3.70(m, 2H), 3.70-3.20(m, -0-CH2-CH2-O-, PEG-CH2), 2.10- 2.01(m, 2H), 1.70-1.60 (m, 2H), 1.56-1.45(m, 4H), 1.31-1.15(m, 48H), 0.84(t, J= 6.5Hz, 6H). MS range found: 2660-2836.
Preparation of 4b: 1 ,2-Di-O-hexadecyl-5«-glyceride Ib (1.00 g, 1.848 mmol) and DSC (0.710 g, 1.5eq) were taken together in dichloromethane (20 mL) and cooled down to 00C in an ice water mixture. Triethylamine (1.00 mL, 3eq) was added to that and stirred overnight. The reaction was followed by TLC, diluted with DCM, washed with water (2 times), NaHCO3 solution and dried over sodium sulfate. Solvents were removed under reduced pressure and the residue 2b under high vacuum overnight. This compound was directly used for the next reaction without further purification. MPEG2000-NH2 3 (1.50g, 0.687 mmol, purchased from NOF Corporation, Japan) and compound from previous step 2b (0.702g, 1.5eq) were dissolved in dichloromethane (20 mL) under argon. The reaction was cooled to 00C. Pyridine (1 mL, excess) was added to that and stirred overnight. The reaction was monitored by TLC. Solvents and volatiles were removed under vacuum and the residue was purified by chromatography (first Ethyl acetate then 5-10% MeOH/DCM as a gradient elution) to get the required compound 4b as white solid (1.46 g, 76 %). 1H NMR (CDCl3, 400 MHz) δ = 5.17(t, J= 5.5Hz, IH), 4.13(dd, J= 4.00Hz, 11.00 Hz, IH), 4.05(dd, J= 5.00Hz, 1 1.00 Hz, IH), 3.82-3.75(m, 2H), 3.70-3.20(m, - 0-CH2-CH2-O-, PEG-CH2), 2.05-1.90(m, 2H), 1.80-1.70 (m, 2H), 1.61-1.45(m, 6H), 1.35- 1.17(m, 56H), 0.85(t, J= 6.5Hz, 6H). MS range found: 2716-2892.
Preparation of 4c: 1 ,2-Di-O-octadecyl-5«-glyceride Ic (4.00 g, 6.70 mmol) and DSC (2.58 g, 1.5eq) were taken together in dichloromethane (60 mL) and cooled down to O0C in an ice water mixture. Triethylamine (2.75 mL, 3eq) was added to that and stirred overnight. The reaction was followed by TLC, diluted with DCM, washed with water (2 times), NaHCO3 solution and dried over sodium sulfate. Solvents were removed under reduced pressure and the residue under high vacuum overnight. This compound was directly used for the next reaction with further purification. MPEG2ooo-NH2 3 (1.5Og, 0.687 mmol, purchased from NOF
Corporation, Japan) and compound from previous step 2c (0.76Og, 1.5eq) were dissolved in dichloromethane (20 mL) under argon. The reaction was cooled to 00C. Pyridine (1 mL, excess) was added to that and stirred overnight. The reaction was monitored by TLC. Solvents and volatiles were removed under vacuum and the residue was purified by chromatography (first Ethyl acetate then 5-10% MeOH/DCM as a gradient elution) to get the required compound 4c as white solid (0.92 g, 48 %). 1H NMR (CDCl3, 400 MHz) δ = 5.22-5.15(m, IH), 4.16(dd, J=
4.00Hz, 1 1.00 Hz, I H), 4.06 (dd, J= 5.00Hz, 1 1.00 Hz, IH), 3.81-3.75(m, 2H), 3.70-3.20(m, - 0-CH2-CH2-O-, PEG-CH2), 1 .80-1.70 (m, 2H), 1.60-1.48(m, 4H), 1.31 -1.15(m, 64H), 0.85(t, J= 6.5Hz, 6H). MS range found: 2774-2948.
Example 16: General protocol for the extrusion method
Lipids (e.g., C 12-200, DSPC, cholesterol, DMG-PEG) are solubilized and mixed in ethanol according to the desired molar ratio. Liposomes are formed by an ethanol injection method where mixed lipids are added to sodium acetate buffer at pH 5.2. This results in the spontaneous formation of liposomes in 35 % ethanol. The liposomes are extruded through a 0.08 μm polycarbonate membrane at least 2 times. A stock siRNA solution is prepared in sodium acetate and 35% ethanol and is added to the liposome to load. The siRNA-liposome solution is incubated at 370C for 30 min and, subsequently, diluted. Ethanol is removed and exchanged to PBS buffer by dialysis or tangential flow filtration.
Example 17: General protocol for the in-line mixing method
Individual and separate stock solutions are prepared - one containing lipid and the other siRNA. Lipid stock containing, e.g., C 12-200, DSPC, cholesterol and PEG lipid is prepared by solubilized in 90% ethanol. The remaining 10% is low pH citrate buffer. The concentration of the lipid stock is 4 mg/mL. The pH of this citrate buffer can range between pH 3-5, depending on the type of fusogenic lipid employed. The siRNA is also solubilized in citrate buffer at a concentration of 4 mg/mL. For small scale, 5 mL of each stock solution is prepared.
Stock solutions are completely clear and lipids must be completely solubilized before combining with siRNA. Therefore stock solutions may be heated to completely solubilize the lipids. The siRNAs used in the process may be unmodified oligonucleotides or modified and may be conjugated with lipophilic moieties such as cholesterol.
The individual stocks are combined by pumping each solution to a T-junction. A dual- head Watson-Marlow pump is used to simultaneously control the start and stop of the two streams. A 1.6 mm polypropylene tubing is further downsized to a 0.8 mm tubing in order to increase the linear flow rate. The polypropylene line (ID = 0.8 mm) are attached to either side of a T-junction. The polypropylene T has a linear edge of 1.6 mm for a resultant volume of 4.1 mm3. Each of the large ends (1.6 mm) of polypropylene line is placed into test tubes containing either solubilized lipid stock or solubilized siRNA. After the T-junction a single tubing is placed where the combined stream will emit. The tubing is then extending into a container with 2χ volume of PBS. The PBS is rapidly stirring. The flow rate for the pump is at a setting of 300 rpm or 1 10 mL/min. Ethanol is removed and exchanged for PBS by dialysis. The lipid
formulations are then concentrated using centrifugation or diafiltration to an appropriate working concentration.
FIG. 17 shows a schematic of the in-line mixing method.
Example 18: siRNA silencing by LNP-08 formulated VSP in intrahepatic Hep3B tumors in mice.
Silencing of VSP (VEGF and KSP) was performed in orthotopic (intrahepatic) Hep3B tumors following intravenous administration of siRNAs formulated in XTC containing nucleic acid-lipid particles, e.g., LNP-08.
Tumors were established by implantation of IXlO6 Hep3B cells into the right flank of 8 week-old female Fox scid/beige mice. The cells were engineered to stably express firefly
Luciferase. Tumor burden was monitored weekly by in vivo biophotonic imaging using the IVIS system (Caliper, Inc.). Approximately 4 weeks after tumor implantation, cohorts of tumor- bearing animals received intravenous (tail vein) injections of test article as follows:
Group Test article Dose (siRNA) n
1 LNP08-1955 4 mg/kg 5
2 LNP08-VSP 4 mg/kg 5
LNP08-1955 is siRNA AD- 1955 (targeting firefly Luciferase) formulated in lipid nanoparticles comprising XTC (60 mol%), DSPC (7.5 mol%), Cholesterol (31 mol%) and PEG- cDMG (1.5 mol%) at an N:P ratio of approximately 3.0.
LNP08-VSP is siRNAs AD-121 15 (targeting KSP) and AD-3133 (targeting VEGF) in a
1 : 1 molar ratio formulated in lipid nanoparticles comprising XTC (60 mol%), DSPC (7.5 mol%), Cholesterol (31 mol%) and PEG-cDMG (1.5 mol%) at an N:P ratio of approximately 3.0.
One day following treatment, animals were sacrificed and tumor-bearing liver lobes collected for analysis. Total RNA was extracted followed by cDNA synthesis by random priming. Levels of human KSP and human VEGF, normalized to human GAPDH, were measured using human-specific custom Taqman® assays (Applied Biosystems, Inc.). Group averages were calculated and normalized to the LNP08-1955 treatment group.
As shown in FIG. 18, treatment with LNP08-VSP (Group 2) resulted in a greater than 60%, e.g., 68% reduction in tumor KSP mRNA (p<0.001) and at least 40% reduction in VEGF mRNA (p<0.05) relative to the LNP08- 1955 treatment (Group 1 ).
Example 19: Evaluation of LNP-Il and LNP-12 lipid formulations in the mouse Hep3b tumor model
The effects of various VSP formulations on KSP and VEGF expression in intrahepatic Hep3B rumors in mice were compared. Thirty five female Fox Scid beige mice were injected
with 1X1OΛ6 Hep3B-Luc cells suspeneded in 0.025 cc PBS via direct intrahepatic surgery. Tumor growth was monitered via Luc readings by Xenogen.
Mice received a single bolus dose (4 mg/kg) of one of the following: SNALP- 1955 (luciferase control); ALN-VSP02; SNALP-T-VSP (with C-18 PEG)-VSP; LNP-1 1-VSP, and LNP- 12 VSP (with C 12-200). Animal were euthanized at 24 hours post does, and the TaqMan protocol was used for detection of tumor specific KSP and VEGF knockdown.
The results are shown in FIG. 21. SNAPL-T-VSP; LNP-1 1-VSP, and LNP- 12 VSP demonstrated increased knockdown of KSP expression compared to ALN-VSP02.
These results demonstrate that C 12-200 comprising lipid nucleic acid particles targeting VSP (KSP and VEGF) are effective in reducing expression of KSP mRNA.
Example 20: Evaluation of LNP-08 +/- C 18 lipid formulations in the mouse Hep3b tumor model
The effects of the following VSP formulations were tested in a HEP3B tumor model. Tumor-bearing (intrahepatic) mice were injected with one of the following formulations, prepared and administered as a single bolus IV dose according to protocols described above:
Group Test article Dose fsiRNA) n
1 ALN-VSP02 4 mg/kg 6
2 LNP08-Luc 4 mg/kg 4
3 LNP08-VSP 4 mg/kg 7
4 LNP08-VSP 1 mg/kg 7
5 LNP08-VSP 0.25 mg/kg 7
6 LNP08-C18-VSP 4 mg/kg 7
7 LNP08-C18-VSP 1 mg/kg 7
8 LNP08-C18-VSP 0.25 me/kε 7
Formulation of ALN-VSP02 was as described in Example 9.
LNP08-Luc is siRNA AD-1955 (targeting firefly Luciferase) formulated in lipid nanoparticles comprising XTC (60 mol%), DSPC (7.5 mol%), Cholesterol (31 mol%) and PEG- CDMG -(1.5 mol%) at an N:P ratio of approximately 3.0.
LNP08-VSP is siRNA AD-121 15 (targeting KSP) and AD-3133 (targeting VEGF) in a 1 : 1 molar ratio formulated in lipid nanoparticles comprising XTC (60 mol%), DSPC (7.5 mol%), Cholesterol (31 mol%) and PEG-cDMG (1.5 mol%) at an N:P ratio of approximately 3.0.
LNP08-C18-VSP is siRNA AD-121 15 (targeting KSP) and AD-3133 (targeting VEGF) in a 1 : 1 molar ratio formulated in lipid nanoparticles comprising XTC (60 mol%), DSPC (7.5 mol%), Cholesterol (31 mol%) and PEG-cDSG (1.5 mol%) at an N:P ratio of approximately 3.0.
FIG. 19 illustrates the chemical structures of PEG-DSG and PEG-C-DSA. PEG-DSG is polyethylene glycol distyryl glycerol, in which PEG is either Cl 8-PEG or PEG-C 18 and the PEG has an average molecular weight of 2000 Da.
Twenty-four hours following treatment, animals were sacrificed and tumors collected for analysis. Total RNA was extracted from tumors, followed by cDNA synthesis by random priming. Levels of human KSP and human VEGF, normalized to human GAPDH, were measured using human-specific custom Taqman® assays (Applied Biosystems, Inc.).
The results are shown the graphs in FIG. 22 and show KSP and VEGF silencing comparable to silencing by ALN-VSP02.
Example 21; Role of ApoE in the Cellular Uptake of Liposomes in HeLa Cells
LNP formulated dsRNAs are prepared with the addition of recombinant human ApoE. The resulting LNP-ApoE formulated dsRNA are tested in HeLa cells for the effect on uptake of the dsRNA by the cells. Compositions and methods utilizing ApoE in conjunction with ionizable lipids is described in International patent application No., PCT/US 10/22614, which is herein incorporated by reference in its entirety.
Experimental protocol:
HeLa cells are seeded in 96 well plates (Grenier) at 6000 cells per well overnight. Three different liposome formulations of Alexa-fluor 647 labeled GFP siRNA: 1) LNPOl , 2) SNALP, 3) LNP05 are diluted in one of 3 media conditions to a 5OnM final concentration. Media conditions examined are OptiMem, DMEM with 10% FBS or DMEM with 10% FBS plus lOug/mL of human recombinant ApoE (Fitzgerald Industries). The indicated liposomes either in media or in media-precomplexed with ApoE for 10 minutes are added to cells for either 4, 6, or 24 hours. Three replicated are performed for each experimental condition. After addition to HeLa cells in plates for indicated time points cells are fixed in 4% paraformaldehyde for 15 minutes then nuclei and cytoplasm stained with DAPI and Syto dye. Images are acquired using an Opera spinning disc automated confocal system from Perkin Elmer. Quantitation of Alexa Fluor 647 siRNA uptake is performed using Acapella software. Four different parameters are quantified: 1 ) Cell number, 2) the number of siRNA positive spots per field, 3) the number of siRNA positive spots per cell and 4) the integrated spot signal or the average number of siRNA spots per cell times the average spot intensity. The average spot signal therefore is a rough estimate of the total amount of siRNA content per cell.
In addition, the 4 different LNP-ApoE formulated dsRNA are tested (SNALP
(DLinDMa), XTC, MC3, ALNY- 100) in the following cell lines and the effect on uptake of the dsRNA by the cells is determined:
A375 (melanoma), B l 6F10 (melanoma), BT-474 (breast), GTL- 16 (gastric carcinoma), Hctl 16 (colon), Hep3b (Hepatic), HepG2 (liver), HeLa (cervical), HUH 7 (liver), MCF7 (breast) , Mel-285 (uveal melanoma), NCI-H 1975 (lung), OMM- 1.3 (uveal melanoma), PC3 (prostate), SKOV-3 (ovarian), U87 (glioblastoma).
Example 22: Kd of KSP siRNA in the presence of ApoE.
The effect of ApoE on the Kd (affinity) of LNP-08 formulated siRNA targeting KSP was evaluated in multiple cell lines. Both LNP08 and LNP08 with Cl 8PEG formulated siRNA were used. The KSP targeted siRNA duplex was AL-DP-6248.
The following cell lines were used.
On day 1, cells were plated in 96 well plates at 20,000 cells/well. On day 2, formulated siRNA were incubated with serum-containing media +/- ApoE at 37°C for 15-30 minutes.
Media was removed from cells and pre-warmed complexes were layered on the cells at
100uL/well at an siRNA concentration of 2OnM. ApoE concentration was titrated at 1.0, 3.0, 9.0, and 20.0 μg/ml. Cells were incubated with formulated duplexes for 24 hours. At day 3, cells lysed and prepared for bDNA analysis and kD calculations.
The presence of Apo E improved kD in a number of cell lines including HCT-1 16, HeLa, A375, and Bl 6F10 (data not shown).
Example 23: ICsn of KSP siRNA in the presence of APOE.
The effect of ApoE on the IC50 (efficacy) of LNP-08 formulated siRNA targeting KSP was evaluated in multiple cell lines. Both LNP08 and LNP08 with Cl 8PEG formulated siRNA were used. The KSP targeted siRNA duplex was AL-DP-6248.
At day 0, cells were plated at 15,000-20,000 per well in 96 well plates. At day 1 , serum- containing media, formulated duplex, and +/- 3ug/ml ApoE were incubated at 370C for 15-30 minutes. Serial dilutions of siRNA were used in the 0.01 nM to 1.0 μM range. Media was removed from cells and pre-warmed complexes were layered on cells at l00uL/well. Cells were incubated with siRNA for 24 hours. At day 2, cells were lysed and prepared for bDNA analysis as described herein. KSP mRNA levels were determined using a Quantigene 1.0 to determine KSP levels in comparison to GAPDH. Negative control was luciferase targeted siRNA, AD- 1955.
The results are shown in the table below. LNP-08 formulated siRNA was active in all cell lines. In some cell lines the addition of ApoE improved efficacy of siRNA treatment as demonstrated by a lower IC50.
Example 24. C12-200 VSP synthesis and assays
Synthesis. Cl 2-200 was synthesized by reacting alkyl epoxide 200 with amine C 12 (described above). Substoichiometric amounts of epoxide were added to increase the proportion of products with one less tail than the total possible for a given amine monomer. The amine (1 equiv, typically 1 millimoles (mmol)) and epoxide ('ΛN - 1_ equiv, where N is the number of
secondary amines plus 2 x number of primary amines in the amine starting material) were added to a 2 mL glass vial containing a magnetic stir bar. The vial was sealed, and the reaction was heated to 90 0C with stirring for 2.5 d. A selection of crude reaction mixtures were characterized by MALDITOF mass spectroscopy ; the spectra revealed that the mixtures contained predominately N and 'ΛN - 1_ tailed products, as expected. Crude reaction products were used for in vitro screening; groups of products could be separated by number of lipid tails by chromatography on silica with gradient elution from CH2C12 to 75=22:3
CH2C12A4eOΪWH4OH (aq).
Lipidoid-siRNA Formulations. C12-200-siRNA formulations were prepared using a method adapted from Jeffs et al. (Jeffs LB, et al. (2004) A scalable, extrusion-free method for efficient liposomal encapsulation of plasmid DNA. Pharm Res, 22:362-372.) Briefly, C12-200, distearoyl phosphatidylcholine (DSPC), cholesterol and mPEG2000-DMG were solubilized in 90% ethanol at a molar ratio of 50: 10=38.5: 1.5. The siRNA (VSP, AD-121 15 and AD-3133) was solubilized in 10 mM citrate, pH 3 buffer at a concentration of 0.4 mg4τiL. The ethanolic lipid solution and the aqueous siRNA solution were pumped by means of a peristaltic pump fitted with dual pump heads at equivalent volumetric flow rates and mixed in a "T"-junction. Lipids were combined with siRNA at a total lipid to siRNA ratio of 7= 1 (wt=wt). The spontaneously formed C12-200-siRNA formulations were dialyzed against PBS (155mMNaCl,
3mMNa2HPO4, ImM KH2PO4, pH 7.5) to remove ethanol and exchange buffer. This formulation yields a mean particle diameter of 80 nm with approximately 90% siRNA entrapment efficiency.
Gene Silencing in Mice. C57BL/6 mice (Charles River Labs) are used for siRNA silencing experiments. Prior to injection, formulations are diluted in PBS at siRNA
concentrations such that each mouse is administered a dose of 0.01 ml/g body-weight.
Formulations are administered intravenously via tail vein injection. After 48 or 72 h, body- weight gain/loss is measured and mice are anaesthetized by isofluorane inhalation for blood sample collection by retroorbital eye bleed. Serum is isolated with serum separation tubes (Falcon tubes, Becton Dickinson) and KSP and/or VEGF protein levels are analyzed using methods described herein. In addition, mRNA levels are assessed in livers harvested from mice treated with C 12-200 formulated VSP. Frozen liver tissue was ground and tissue lysates were prepared. KSP and/or VEGF mRNA levels are normalized to those of GAPDH were determined in the lysates by using a branched DNA assay (QuantiGene Reagent System, Panomics).
Target/GAPDH levels in mice treated with C 12-200 formulated VSP are plated after
normalization to the corresponding Target/GAPDH levels in mice treated with C 12-200 formulated luciferase control siRNA.
siRNA Uptake and Microscopy. HeLa cells are purchased from ATCC. Alexa- Fluor® 488-labeled dextran, transferrin, cholera toxin, and phalloidin are purchased from Invitrogen. Cells are seeded in 96-well plates (Grenier) overnight, then incubated with C 12-200 formulated Alexa-647 tagged VSP siRNA for durations ranging from 15 min to 3 h. Labeled cargo is added during the final 15 min of nanoparticle incubation prior to nuclear staining with Hoescht. In some experiments, EIPA or Cytochalasin D (Sigma-Aldrich) is preincubated with cells for 1 h prior to incubation with C 12-200 particles where drug was continually present. For examination of actin ruffling, cells are serum starved for 1 h, followed by addition of particles for 15 min in serum-free media. Cells are fixed in 4% paraformaldehyde, permeabilized with 0:1% saponin and stained with Alexa-Fluor® 488 phalloidin. All images are acquired using an Opera spinning disc confocal system (Perkin Elmer), and the data is analyzed using Acapella Software (Perkin Elmer
Efficacy of C 12-200 in nonhuman primates. Cynomolgus monkeys (n = 3 per group) receive either PBS or 0.03, 0.1, or 0.3 mg/kg siRNA targeting VSP formulated in C 12-200 as 15 min intravenous infusions (5 mlykg) via the cephalic vein. Liver biopsies are collected from animals at 48 h postadministration. KSP and/or VEGF mRNA levels relative to GAPDH mRNA levels are determined in liver samples.
Example 25. Inhibition of Eg5/KSP and VEGF expression in humans
A human subject is treated with a pharmaceutical composition, e.g., a nucleic acid-lipid particle having both a dsRNA targeted to a Eg5/KSP gene and a dsRNA targeted to a VEGF gene to inhibit expression of the Eg5/KSP and VEGF genes in a nucleic acid-lipid particle. The nucleic acid-lipid particle comprises, e.g., C 12-200, XTC, MC3, or ALNY- 100.
A subject in need of treatment is selected or identified. The subject can be in need of cancer treatment, e.g., liver cancer.
At time zero, a suitable first dose of the composition is subcutaneously administered to the subject. The composition is formulated as described herein. After a period of time, the subject's condition is evaluated, e.g., by measurement of tumor growth, measuring serum AFP levels, and the like. This measurement can be accompanied by a measurement of Eg5/KSP and/or VEGF expression in said subject, and/or the products of the successful siRNA-targeting of Eg5/KSP and/or VEGF mRNA. Other relevant criteria can also be measured. The number and strength of doses are adjusted according to the subject's needs.
After treatment, the subject's condition is compared to the condition existing prior to the treatment, or relative to the condition of a similarly afflicted but untreated subject.
Those skilled in the art are familiar with methods and compositions in addition to those specifically set out in the present disclosure which will allow them to practice this invention to the full scope of the claims hereinafter appended.
Claims
1. A composition comprising a nucleic acid lipid particle comprising a first double-stranded ribonucleic acid (dsRNA) for inhibiting the expression of a human kinesin family member 1 1 (Eg5/KSP) gene in a cell and a second dsRNA for inhibiting expression of a human VEGF in a cell, wherein:
the nucleic acid lipid particle comprises a lipid formulation comprising about 25.0-75.0 mol % of a cationic lipid, about 0.1-15.0 mol % of a non-cationic lipid, about 5.0-50.0 mol % of a sterol, and about 0.5-20.0 mol % of a PEG or PEG-modified lipid,
wherein R3 is optionally substituted with one or more substituent;
R2, for each occurrence, is independently, alkyl, alkenyl, alkynyl, heteroalkyl, heteroalkenyl, or heteroalkynyl; each of which is optionally substituted with one or more substituent;
R3, for each occurrence, is independently, alkyl, alkenyl, alkynyl, heteroalkyl, heteroalkenyl, or heteroalkynyl; each of which is optionally substituted with one or more substituent;
Y, for each occurrence, is independently O, NR4, or S;
R4, for each occurrence is independently H alkyl, alkenyl, alkynyl, heteroalkyl,
heteroalkenyl, or heteroalkynyl; each of which is optionally substituted with one or more substituent; and
the first dsRNA consists of a first sense strand and a first antisense strand, wherein the first antisense strand is complementary to at least 15 contiguous nucleotides of SEQ ID NO:131 1 (5 '-UCGAGAAUCUAAACUAACU-S '),
wherein the first sense strand is complementary to the first antisense strand and wherein the first dsRNA is between 15 and 30 base pairs in length; and
the second dsRNA consists of a second sense strand and a second antisense strand, wherein the second antisense strand is complementary to at least 15 contiguous nucleotides of
SEQ ID NO: 1538 (5 '-GCACAUAGGAGAGAUGAGCUU^ '),
wherein the second sense strand is complementary to the second antisense strand and wherein the second dsRNA is between 15 and 30 base pairs in length.
2. The composition of claim 1, wherein the lipid formulation comprises about 45.0-6.05 mol % of a cationic lipid, about 5.0-10.0 mol % of a non-cationic lipid, about 25.0-40.0 mol % of a sterol, and about 0.5-5.0 mol % of a PEG or PEG-modified lipid.
3. The composition of claim 1 or 2, wherein the cationic lipid comprises a compound of formula (V) or formula (VI):
formula (V)
formula (VI).
4. The composition of claim 1 or 2, wherein the cationic lipid comprises C 12-200 (Formula V) (1,1 '-(2-(4-(2-((2-(bis(2-hydroxydodecyl)amino)ethyl)(2-hydroxydodecyl)amino)ethyl)piperazin- 1 -yl)ethylazanediyl)didodecan-2-ol ).
5. The composition of claim 1 or 2, wherein the cationic lipid comprises C 12-200, the non- cationic lipid comprises DSPC, the sterol comprises cholesterol and the PEG lipid comprises PEG-DMG or PEG-DSG.
7. The composition of any one of claims 1 to 6, wherein the first dsRNA consists of the first sense strand consisting of SEQ ID NO: 1534 (5'-UCGAGAAUCUAAACUAACUTT-3') and the first antisense strand consisting of SEQ ID NO: 1535 (S'-AGUUAGUUUAGAUUCCUGATT- 3') and the second dsRNA consists of the second sense strand consisting of SEQ ID NO: 1536 (5'-GCACAUAGGAGAGAUGAGCUU-3'), and the second antisense strand consisting of SEQ ID NO: 1537 (5 '-AAGCUCAUCUCUCCUAUGUGCUG-S').
8. The composition of claim 7, wherein each strand is modified as follows to include a 2'-O- methyl ribonucleotide as indicated by a lower case letter "c" or "u" and a phosphorothioate as indicated by a lower case letter "s":
the first dsRNA consists of a sense strand consisting of
SEQ ID NO: 1240 (S'-ucGAGAAucuAAAcuAAcuTsT^')
and an antisense strand consisting of
SEQ ID NO: 1241 (S'-AGUuAGUUuAGAUUCUCGATsT);
the second dsRNA consists of a sense strand consisting of
SEQ ID NO: 1242 (S'-GcAcAuAGGAGAGAuGAGCUslW)
and an antisense strand consisting of
SEQ ID NO: 1243 (S'-AAGCUcAUCUCUCCuAuGuGCusG^')-
9. The composition of any one of claims 1-7, wherein the first and second dsRNA comprises at least one modified nucleotide.
10. The composition of claim 9, wherein the modified nucleotide is chosen from the group of: a 2'-O-methyl modified nucleotide, a nucleotide comprising a 5'-phosphorothioate group, and a terminal nucleotide linked to a cholesteryl derivative or dodecanoic acid bisdecylamide group.
11. The composition of claim 9, wherein the modified nucleotide is chosen from the group of: a 2'-deoxy-2'-fluoro modified nucleotide, a 2'-deoxy-modified nucleotide, a locked nucleotide, an abasic nucleotide, 2'-amino-modified nucleotide, 2'-alkyl-modified nucleotide, morpholino nucleotide, a phosphoramidate, and a non-natural base comprising nucleotide.
12. The composition of any one of claims 1-6 and 9-1 1, wherein each strand of each dsRNA is 19-23 bases in length.
13. The composition of any one of claims 1-6 and 9-11 , wherein each strand of each dsRNA is 21-23 bases in length.
14. The composition of any one of claims 1-6 and 9-1 1 , wherein each strand of the first dsRNA is 21 bases in length and the sense strand of the second dsRNA is 21 bases in length and the antisense strand of the second dsRNA is 23 bases in length.
15. The composition of any one of claims 1 -14, wherein the first and second dsRNA are present in an equimolar ratio.
16. The composition of any one of claims 1 -15, further comprising Sorafenib.
17. The composition of any one of claims 1-16, wherein the composition, upon contact with a cell expressing Eg5, inhibits expression of Eg5 by at least 40%.
18. The composition of any one of claims 1-17, wherein the composition, upon contact with a cell expressing VEGF, inhibits expression of VEGF by at least 40%.
19. The composition of any one of claims 1 -18, wherein the composition is administered in a nM concentration.
20. The composition of any one of claims 1 -19, wherein administration of the composition to a cell increases monoaster formation in the cell.
21. The composition of any one of claims 1 -20, wherein administration of the composition to a mammal results in at least one effect selected from the group consisting of prevention of tumor growth, reduction in tumor growth, or prolonged survival in the mammal.
22. The composition of claim 21, wherein the effect is measured using at least one assay selected from the group consisting of determination of body weight, determination of organ weight, visual inspection, mRNA analysis, serum AFP analysis and survival monitoring.
23. A method for inhibiting the expression of Eg5/KSP and VEGF in a cell comprising administering the composition of any one of claims 1-22 to the cell.
24. A method for preventing tumor growth, reducing tumor growth, or prolonging survival in a mammal in need of treatment for cancer comprising administering the composition of any one of claims 1 -22 to the mammal.
25. The method of claim 24, wherein the mammal has liver cancer.
26. The method of claim 24, wherein the mammal is a human with liver cancer.
27. The method of any one of claims 24-26, wherein a dose containing between 0.25 mg/kg and 4 mg/kg dsRNA is administered to the mammal.
28. The method of any one of claims 24-26, wherein the dsRNA is administered to a human at about 0.01 , 0.03, 0.1, 0.3, 0.5, 1.0, 1.7, 2.5, 3.0, or 5.0 mg/kg.
29. A method for reducing tumor growth in a mammal in need of treatment for cancer comprising administering the composition of any one of claims 1-22 to the mammal, the method reducing tumor growth by at least 20%.
30. The method of claim 29, wherein the method reduces KSP expression by at least 60%.
Applications Claiming Priority (2)
| Application Number | Priority Date | Filing Date | Title |
|---|---|---|---|
| US23157909P | 2009-08-05 | 2009-08-05 | |
| US61/231,579 | 2009-08-05 |
Publications (1)
| Publication Number | Publication Date |
|---|---|
| WO2011017548A1 true WO2011017548A1 (en) | 2011-02-10 |
Family
ID=43544669
Family Applications (1)
| Application Number | Title | Priority Date | Filing Date |
|---|---|---|---|
| PCT/US2010/044594 Ceased WO2011017548A1 (en) | 2009-08-05 | 2010-08-05 | Lipid formulated compositions and methods for inhibiting expression of eg5 and vegf genes |
Country Status (1)
| Country | Link |
|---|---|
| WO (1) | WO2011017548A1 (en) |
Cited By (20)
| Publication number | Priority date | Publication date | Assignee | Title |
|---|---|---|---|---|
| WO2011141705A1 (en) * | 2010-05-12 | 2011-11-17 | Protiva Biotherapeutics, Inc. | Novel cationic lipids and methods of use thereof |
| US8293719B2 (en) | 2004-03-12 | 2012-10-23 | Alnylam Pharmaceuticals, Inc. | iRNA agents targeting VEGF |
| US8318689B2 (en) | 2001-11-09 | 2012-11-27 | Centre National De La Recherche Scientifique | SiRNA-based cancer treatment |
| US8859516B2 (en) | 2009-09-15 | 2014-10-14 | Alnylam Pharmaceuticals, Inc. | Lipid formulated compositions and methods for inhibiting expression of Eg5 and VEGF genes |
| WO2017025588A1 (en) * | 2015-08-11 | 2017-02-16 | Eyesiu Medicines B.V. | Pegylated lipid nanoparticle with bioactive lipophilic compound |
| EP3049066A4 (en) * | 2013-09-24 | 2017-05-17 | Alnylam Pharmaceuticals, Inc. | Compositions and methods for the manufacture of lipid nanoparticles |
| RU2689392C1 (en) * | 2018-12-27 | 2019-05-28 | Федеральное государственное автономное образовательное учреждение высшего образования "Национальный исследовательский технологический университет "МИСиС" | Method of producing modified magnetite crystals |
| EP3394030B1 (en) | 2015-12-22 | 2021-12-22 | Modernatx, Inc. | Compounds and compositions for intracellular delivery of agents |
| US11591544B2 (en) | 2020-11-25 | 2023-02-28 | Akagera Medicines, Inc. | Ionizable cationic lipids |
| US11969506B2 (en) | 2017-03-15 | 2024-04-30 | Modernatx, Inc. | Lipid nanoparticle formulation |
| US12064479B2 (en) | 2022-05-25 | 2024-08-20 | Akagera Medicines, Inc. | Lipid nanoparticles for delivery of nucleic acids and methods of use thereof |
| US12077501B2 (en) | 2017-06-14 | 2024-09-03 | Modernatx, Inc. | Compounds and compositions for intracellular delivery of agents |
| US12144895B2 (en) | 2016-11-08 | 2024-11-19 | Modernatx, Inc. | Stabilized formulations of lipid nanoparticles |
| US12151995B2 (en) | 2015-09-17 | 2024-11-26 | Modernatx, Inc. | Compounds and compositions for intracellular delivery of therapeutic agents |
| EP4268851A4 (en) * | 2020-12-24 | 2024-12-11 | EnhancedBio Inc. | COMPOSITION FOR THE PREVENTION OR TREATMENT OF CANCER WITH LIPID DNANOPARTICLES |
| EP4268808A4 (en) * | 2020-12-24 | 2025-01-01 | EnhancedBio Inc. | Lipid nanoparticles comprising mannose or uses thereof |
| US12263248B2 (en) | 2018-09-19 | 2025-04-01 | Modernatx, Inc. | Compounds and compositions for intracellular delivery of therapeutic agents |
| US12274743B2 (en) | 2014-04-23 | 2025-04-15 | Modernatx, Inc. | Nucleic acid vaccines |
| US12312293B2 (en) | 2019-09-19 | 2025-05-27 | Modernatx, Inc. | Branched tail lipid compounds and compositions for intracellular delivery of therapeutic agents |
| US12324859B2 (en) | 2017-03-15 | 2025-06-10 | Modernatx, Inc. | Compounds and compositions for intracellular delivery of therapeutic agents |
Citations (5)
| Publication number | Priority date | Publication date | Assignee | Title |
|---|---|---|---|---|
| US20060223770A1 (en) * | 2004-03-12 | 2006-10-05 | Fougerolles Antonin D | IRNA agents targeting VEGF |
| US20070281899A1 (en) * | 2006-03-31 | 2007-12-06 | David Bumcrot | COMPOSITIONS AND METHODS FOR INHIBITING EXPRESSION OF Eg5 GENE |
| US20080188675A1 (en) * | 2005-02-14 | 2008-08-07 | Sirna Therapeutics Inc. | Lipid nanoparticle based compositions and methods for the delivery of biologically active molecules |
| US20090023673A1 (en) * | 2006-10-03 | 2009-01-22 | Muthiah Manoharan | Lipid containing formulations |
| US20090023215A1 (en) * | 2005-05-17 | 2009-01-22 | Molecular Transfer | Novel reagents for transfection of eukaryotic cells |
-
2010
- 2010-08-05 WO PCT/US2010/044594 patent/WO2011017548A1/en not_active Ceased
Patent Citations (5)
| Publication number | Priority date | Publication date | Assignee | Title |
|---|---|---|---|---|
| US20060223770A1 (en) * | 2004-03-12 | 2006-10-05 | Fougerolles Antonin D | IRNA agents targeting VEGF |
| US20080188675A1 (en) * | 2005-02-14 | 2008-08-07 | Sirna Therapeutics Inc. | Lipid nanoparticle based compositions and methods for the delivery of biologically active molecules |
| US20090023215A1 (en) * | 2005-05-17 | 2009-01-22 | Molecular Transfer | Novel reagents for transfection of eukaryotic cells |
| US20070281899A1 (en) * | 2006-03-31 | 2007-12-06 | David Bumcrot | COMPOSITIONS AND METHODS FOR INHIBITING EXPRESSION OF Eg5 GENE |
| US20090023673A1 (en) * | 2006-10-03 | 2009-01-22 | Muthiah Manoharan | Lipid containing formulations |
Cited By (29)
| Publication number | Priority date | Publication date | Assignee | Title |
|---|---|---|---|---|
| US8318689B2 (en) | 2001-11-09 | 2012-11-27 | Centre National De La Recherche Scientifique | SiRNA-based cancer treatment |
| US8293719B2 (en) | 2004-03-12 | 2012-10-23 | Alnylam Pharmaceuticals, Inc. | iRNA agents targeting VEGF |
| US8859516B2 (en) | 2009-09-15 | 2014-10-14 | Alnylam Pharmaceuticals, Inc. | Lipid formulated compositions and methods for inhibiting expression of Eg5 and VEGF genes |
| WO2011141705A1 (en) * | 2010-05-12 | 2011-11-17 | Protiva Biotherapeutics, Inc. | Novel cationic lipids and methods of use thereof |
| US10195291B2 (en) | 2013-09-24 | 2019-02-05 | Alnylam Pharmaceuticals, Inc. | Compositions and methods for the manufacture of lipid nanoparticles |
| EP3049066A4 (en) * | 2013-09-24 | 2017-05-17 | Alnylam Pharmaceuticals, Inc. | Compositions and methods for the manufacture of lipid nanoparticles |
| US12329812B2 (en) | 2014-04-23 | 2025-06-17 | Modernatx, Inc. | Nucleic acid vaccines |
| US12274743B2 (en) | 2014-04-23 | 2025-04-15 | Modernatx, Inc. | Nucleic acid vaccines |
| WO2017025588A1 (en) * | 2015-08-11 | 2017-02-16 | Eyesiu Medicines B.V. | Pegylated lipid nanoparticle with bioactive lipophilic compound |
| US10525012B2 (en) | 2015-08-11 | 2020-01-07 | Eyesiu Medicines B.V. | Pegylated lipid nanoparticle with bioactive lipophilic compound |
| US10945966B2 (en) | 2015-08-11 | 2021-03-16 | Eyesiu Medicines B.V. | PEGylated lipid nanoparticle with bioactive lipophilic compound |
| US12404232B2 (en) | 2015-09-17 | 2025-09-02 | Modernatx, Inc. | Compounds and compositions for intracellular delivery of therapeutic agents |
| US12151995B2 (en) | 2015-09-17 | 2024-11-26 | Modernatx, Inc. | Compounds and compositions for intracellular delivery of therapeutic agents |
| EP3394030B1 (en) | 2015-12-22 | 2021-12-22 | Modernatx, Inc. | Compounds and compositions for intracellular delivery of agents |
| US12396961B2 (en) | 2015-12-22 | 2025-08-26 | Modernatx, Inc. | Compounds and compositions for intracellular delivery of agents |
| EP3394030B2 (en) † | 2015-12-22 | 2025-02-12 | ModernaTX, Inc. | Compounds and compositions for intracellular delivery of agents |
| US12144895B2 (en) | 2016-11-08 | 2024-11-19 | Modernatx, Inc. | Stabilized formulations of lipid nanoparticles |
| US11969506B2 (en) | 2017-03-15 | 2024-04-30 | Modernatx, Inc. | Lipid nanoparticle formulation |
| US12324859B2 (en) | 2017-03-15 | 2025-06-10 | Modernatx, Inc. | Compounds and compositions for intracellular delivery of therapeutic agents |
| US12077501B2 (en) | 2017-06-14 | 2024-09-03 | Modernatx, Inc. | Compounds and compositions for intracellular delivery of agents |
| US12263248B2 (en) | 2018-09-19 | 2025-04-01 | Modernatx, Inc. | Compounds and compositions for intracellular delivery of therapeutic agents |
| RU2689392C1 (en) * | 2018-12-27 | 2019-05-28 | Федеральное государственное автономное образовательное учреждение высшего образования "Национальный исследовательский технологический университет "МИСиС" | Method of producing modified magnetite crystals |
| US12312293B2 (en) | 2019-09-19 | 2025-05-27 | Modernatx, Inc. | Branched tail lipid compounds and compositions for intracellular delivery of therapeutic agents |
| US12331264B2 (en) | 2020-11-25 | 2025-06-17 | Akagera Medicines, Inc. | Lipid nanoparticles for delivery of nucleic acids and methods of use thereof |
| US12077725B2 (en) | 2020-11-25 | 2024-09-03 | Akagera Medicines, Inc. | Ionizable cationic lipids |
| US11591544B2 (en) | 2020-11-25 | 2023-02-28 | Akagera Medicines, Inc. | Ionizable cationic lipids |
| EP4268808A4 (en) * | 2020-12-24 | 2025-01-01 | EnhancedBio Inc. | Lipid nanoparticles comprising mannose or uses thereof |
| EP4268851A4 (en) * | 2020-12-24 | 2024-12-11 | EnhancedBio Inc. | COMPOSITION FOR THE PREVENTION OR TREATMENT OF CANCER WITH LIPID DNANOPARTICLES |
| US12064479B2 (en) | 2022-05-25 | 2024-08-20 | Akagera Medicines, Inc. | Lipid nanoparticles for delivery of nucleic acids and methods of use thereof |
Similar Documents
| Publication | Publication Date | Title |
|---|---|---|
| AU2010223967B2 (en) | Lipid formulated compositions and methods for inhibiting expression of Eg5 and VEGF genes | |
| US10053689B2 (en) | Methods for increasing efficacy of lipid formulated siRNA | |
| WO2011017548A1 (en) | Lipid formulated compositions and methods for inhibiting expression of eg5 and vegf genes | |
| US8598139B2 (en) | Lipid formulated dsRNA targeting the PCSK9 gene | |
| US8859516B2 (en) | Lipid formulated compositions and methods for inhibiting expression of Eg5 and VEGF genes | |
| US9339513B2 (en) | Lipid formulated compositions and methods for inhibiting expression of Eg5 and VEGF genes | |
| US20150353934A1 (en) | Lipid Formulated Compositions and Methods for Inhibiting Expression of a Gene from the Ebola Virus | |
| JP2015177801A (en) | COMPOSITIONS AND METHODS FOR INHIBITING EXPRESSION OF Eg5 AND VEGF GENES | |
| HK1215180B (en) | Lipid formulated compositions and methods for inhibiting expression of eg5 and vegf genes | |
| HK1169676B (en) | Lipid formulated compositions and methods for inhibiting expression of eg5 and vegf genes | |
| HK1174556A (en) | Lipid formulated compositions and methods for inhibiting expression of eg5 and vegf genes | |
| HK1186967A (en) | Lipid formulated compositions and methods for inhibiting expression of eg5 and vegf genes |
Legal Events
| Date | Code | Title | Description |
|---|---|---|---|
| 121 | Ep: the epo has been informed by wipo that ep was designated in this application |
Ref document number: 10807178 Country of ref document: EP Kind code of ref document: A1 |
|
| NENP | Non-entry into the national phase |
Ref country code: DE |
|
| 122 | Ep: pct application non-entry in european phase |
Ref document number: 10807178 Country of ref document: EP Kind code of ref document: A1 |












































































