WO2011012723A1 - Injectable sustained release compositions comprising a pramipexole prodrug - Google Patents
Injectable sustained release compositions comprising a pramipexole prodrug Download PDFInfo
- Publication number
- WO2011012723A1 WO2011012723A1 PCT/EP2010/061164 EP2010061164W WO2011012723A1 WO 2011012723 A1 WO2011012723 A1 WO 2011012723A1 EP 2010061164 W EP2010061164 W EP 2010061164W WO 2011012723 A1 WO2011012723 A1 WO 2011012723A1
- Authority
- WO
- WIPO (PCT)
- Prior art keywords
- poly
- pramipexole
- mmol
- hydrogel
- prodrug
- Prior art date
- Legal status (The legal status is an assumption and is not a legal conclusion. Google has not performed a legal analysis and makes no representation as to the accuracy of the status listed.)
- Ceased
Links
- OZISNNWCMNVVTP-UHFFFAOYSA-N CC(C)(CCOC(C)(C)CCNC(CCN(C(C=C1)=O)C1=O)=O)C(ON(C(CC1)=O)C1=O)=O Chemical compound CC(C)(CCOC(C)(C)CCNC(CCN(C(C=C1)=O)C1=O)=O)C(ON(C(CC1)=O)C1=O)=O OZISNNWCMNVVTP-UHFFFAOYSA-N 0.000 description 1
- 0 CCCN(C(CC1)Cc2c1nc(N)[s]2)C(c1ccccc1C(NCCNCCCCCCSC(CC(N1CCC(NCCOCCC(NCC(N)=O)=O)=*)=O)C1=O)=O)=O Chemical compound CCCN(C(CC1)Cc2c1nc(N)[s]2)C(c1ccccc1C(NCCNCCCCCCSC(CC(N1CCC(NCCOCCC(NCC(N)=O)=O)=*)=O)C1=O)=O)=O 0.000 description 1
- UVQXZHMDCIBGGU-AWEZNQCLSA-N CCCN[C@@H](CC1)Cc2c1nc(NC(CNC(NCCCCCCS)=O)=O)[s]2 Chemical compound CCCN[C@@H](CC1)Cc2c1nc(NC(CNC(NCCCCCCS)=O)=O)[s]2 UVQXZHMDCIBGGU-AWEZNQCLSA-N 0.000 description 1
- AUYQMTUSRYXGEJ-UHFFFAOYSA-N OC(CCC(NCCCCCCS)=O)=O Chemical compound OC(CCC(NCCCCCCS)=O)=O AUYQMTUSRYXGEJ-UHFFFAOYSA-N 0.000 description 1
Classifications
-
- A—HUMAN NECESSITIES
- A61—MEDICAL OR VETERINARY SCIENCE; HYGIENE
- A61K—PREPARATIONS FOR MEDICAL, DENTAL OR TOILETRY PURPOSES
- A61K31/00—Medicinal preparations containing organic active ingredients
- A61K31/33—Heterocyclic compounds
- A61K31/395—Heterocyclic compounds having nitrogen as a ring hetero atom, e.g. guanethidine or rifamycins
- A61K31/41—Heterocyclic compounds having nitrogen as a ring hetero atom, e.g. guanethidine or rifamycins having five-membered rings with two or more ring hetero atoms, at least one of which being nitrogen, e.g. tetrazole
- A61K31/425—Thiazoles
- A61K31/428—Thiazoles condensed with carbocyclic rings
-
- A—HUMAN NECESSITIES
- A61—MEDICAL OR VETERINARY SCIENCE; HYGIENE
- A61K—PREPARATIONS FOR MEDICAL, DENTAL OR TOILETRY PURPOSES
- A61K47/00—Medicinal preparations characterised by the non-active ingredients used, e.g. carriers or inert additives; Targeting or modifying agents chemically bound to the active ingredient
- A61K47/50—Medicinal preparations characterised by the non-active ingredients used, e.g. carriers or inert additives; Targeting or modifying agents chemically bound to the active ingredient the non-active ingredient being chemically bound to the active ingredient, e.g. polymer-drug conjugates
- A61K47/51—Medicinal preparations characterised by the non-active ingredients used, e.g. carriers or inert additives; Targeting or modifying agents chemically bound to the active ingredient the non-active ingredient being chemically bound to the active ingredient, e.g. polymer-drug conjugates the non-active ingredient being a modifying agent
- A61K47/56—Medicinal preparations characterised by the non-active ingredients used, e.g. carriers or inert additives; Targeting or modifying agents chemically bound to the active ingredient the non-active ingredient being chemically bound to the active ingredient, e.g. polymer-drug conjugates the non-active ingredient being a modifying agent the modifying agent being an organic macromolecular compound, e.g. an oligomeric, polymeric or dendrimeric molecule
- A61K47/59—Medicinal preparations characterised by the non-active ingredients used, e.g. carriers or inert additives; Targeting or modifying agents chemically bound to the active ingredient the non-active ingredient being chemically bound to the active ingredient, e.g. polymer-drug conjugates the non-active ingredient being a modifying agent the modifying agent being an organic macromolecular compound, e.g. an oligomeric, polymeric or dendrimeric molecule obtained otherwise than by reactions only involving carbon-to-carbon unsaturated bonds, e.g. polyureas or polyurethanes
- A61K47/60—Medicinal preparations characterised by the non-active ingredients used, e.g. carriers or inert additives; Targeting or modifying agents chemically bound to the active ingredient the non-active ingredient being chemically bound to the active ingredient, e.g. polymer-drug conjugates the non-active ingredient being a modifying agent the modifying agent being an organic macromolecular compound, e.g. an oligomeric, polymeric or dendrimeric molecule obtained otherwise than by reactions only involving carbon-to-carbon unsaturated bonds, e.g. polyureas or polyurethanes the organic macromolecular compound being a polyoxyalkylene oligomer, polymer or dendrimer, e.g. PEG, PPG, PEO or polyglycerol
-
- A—HUMAN NECESSITIES
- A61—MEDICAL OR VETERINARY SCIENCE; HYGIENE
- A61K—PREPARATIONS FOR MEDICAL, DENTAL OR TOILETRY PURPOSES
- A61K47/00—Medicinal preparations characterised by the non-active ingredients used, e.g. carriers or inert additives; Targeting or modifying agents chemically bound to the active ingredient
- A61K47/50—Medicinal preparations characterised by the non-active ingredients used, e.g. carriers or inert additives; Targeting or modifying agents chemically bound to the active ingredient the non-active ingredient being chemically bound to the active ingredient, e.g. polymer-drug conjugates
- A61K47/51—Medicinal preparations characterised by the non-active ingredients used, e.g. carriers or inert additives; Targeting or modifying agents chemically bound to the active ingredient the non-active ingredient being chemically bound to the active ingredient, e.g. polymer-drug conjugates the non-active ingredient being a modifying agent
- A61K47/62—Medicinal preparations characterised by the non-active ingredients used, e.g. carriers or inert additives; Targeting or modifying agents chemically bound to the active ingredient the non-active ingredient being chemically bound to the active ingredient, e.g. polymer-drug conjugates the non-active ingredient being a modifying agent the modifying agent being a protein, peptide or polyamino acid
- A61K47/64—Drug-peptide, drug-protein or drug-polyamino acid conjugates, i.e. the modifying agent being a peptide, protein or polyamino acid which is covalently bonded or complexed to a therapeutically active agent
- A61K47/645—Polycationic or polyanionic oligopeptides, polypeptides or polyamino acids, e.g. polylysine, polyarginine, polyglutamic acid or peptide TAT
-
- A—HUMAN NECESSITIES
- A61—MEDICAL OR VETERINARY SCIENCE; HYGIENE
- A61K—PREPARATIONS FOR MEDICAL, DENTAL OR TOILETRY PURPOSES
- A61K47/00—Medicinal preparations characterised by the non-active ingredients used, e.g. carriers or inert additives; Targeting or modifying agents chemically bound to the active ingredient
- A61K47/50—Medicinal preparations characterised by the non-active ingredients used, e.g. carriers or inert additives; Targeting or modifying agents chemically bound to the active ingredient the non-active ingredient being chemically bound to the active ingredient, e.g. polymer-drug conjugates
- A61K47/69—Medicinal preparations characterised by the non-active ingredients used, e.g. carriers or inert additives; Targeting or modifying agents chemically bound to the active ingredient the non-active ingredient being chemically bound to the active ingredient, e.g. polymer-drug conjugates the conjugate being characterised by physical or galenical forms, e.g. emulsion, particle, inclusion complex, stent or kit
- A61K47/6903—Medicinal preparations characterised by the non-active ingredients used, e.g. carriers or inert additives; Targeting or modifying agents chemically bound to the active ingredient the non-active ingredient being chemically bound to the active ingredient, e.g. polymer-drug conjugates the conjugate being characterised by physical or galenical forms, e.g. emulsion, particle, inclusion complex, stent or kit the form being semi-solid, e.g. an ointment, a gel, a hydrogel or a solidifying gel
Definitions
- the present invention relates to an injectable sustained release pharmaceutical composition containing a carrier linked pramipexole prodrug.
- the invention also relates to their use as medicaments.
- a carrier-linked prodrug is a prodrug that contains a temporary linkage of a given active substance with a transient carrier group that produces improved physicochemical or pharmacokinetic properties and that can be easily removed in vivo, usually by a hydrolytic cleavage.
- linkers employed in such carrier- linked prodrugs may be transient, meaning that they are non-enzymatically hydrolytically degradable (cleavable) under physiological conditions (aqueous buffer at pH 7.4, 37°C) with half-lives ranging from, for example, one hour to three months.
- stable linkages such as employed in connecting moieties and spacer, are typically non-cleavable permanent bonds meaning that the respective spacer or connecting moiety have a half-life of at least six months under physiological conditions (aqueous buffer at pH 7.4, 37°C).
- Suitable carriers are polymers.
- Pramipexole (trade names Mirapexin, Mirapex and Sifrol) is a dopamine receptor agonist with selectivity and specificity for the dopamine D2 subfamily with affinity for the D3 receptors. Pramipexole demonstrated excellent therapeutic efficacy in the treatment of
- Pramipexole is rapidly and completely absorbed following oral administration. Oral bioavailability is over 90% and maximum plasma concentration is achieved within 1-2 hours on an empty stomach or 3-4 hours with food although the extent of absorption remains unaffected. Fifteen percent of pramipexole is protein bound and it has a volume of distribution of 7 litres/kg. There is negligible metabolism of pramipexole. Excretion is mainly renal and the elimination half life was found to be 8 hours in healthy subjects. Pramipexole is available as immediate-release tablets in various strengths, designed for oral administration of a single tablet three times per day (see Physicians' Desk Reference 57th edition (2003), 2768-2772).
- a three times daily dosing regimen for immediate-release pramipexole dihydrochloride tablets is well tolerated, but patient compliance can be improved through a once-dailye oral dosage form.
- One of the reasons for enhanced patient compliance is that Parkinson's disease is an affliction that becomes more prevalent with advanced age and is often accompanied by deterioration of memory.
- a once-daily regimen demonstrated clinical efficacy and is expected to be useful in enhancing compliance among elderly patients.
- pramipexole In common with other anti-Parkinson's disease drugs, pramipexole has potential to cause undesirable side effects. Side effects of pramipexole have been reported to include orthostatic hypotension, the incidence of which is dose-related. There are also reports of subjects on pramipexole medication experiencing increased somnolence, in particular" sleep attacks". Such attacks involve a subject falling asleep while engaged in activities of daily living, including operation of a motor vehicle, sometimes resulting in accidents. Development of any long-acting sustained release dosage form of pramipexole must take into account the potential to cause such side effects, so that the new dosage form can be tolerated at least as well as the present tablet formulations.
- WO 2004/089375 claims implantable sustained-release dosage forms of dopamine receptor agonists, including pramipexole.
- dopamine receptor agonists including pramipexole.
- non-degradable polymers based on vinylacetate are employed.
- US-B 6,927,036 relates to methods for synthesis of l-(acyloxy)-alkyl derivatives, in particular of such derivatives of pharmacologically effective drugs.
- Said l-(acyloxy)-alkyl compounds comprise a NRR 1 -fragment, which is defined as a drug such as (among many others) pramipexole.
- the l-(acyloxy)-alkyl-fragment is not a polymer and the compounds therefore undergo rapid renal clearance.
- the prodrugs of US-B 6,927,036 can be administered by all methods known in the art such as intramuscular, intravenous or oral, depending on the drug contained in such prodrug and the disease to be treated with.
- Said prodrugs may in general also be used as a oral sustained release system.
- US-B 7,227,028 discloses similar prodrugs based on (acyloxy)-alkyl carbamate.
- the pramipexole prodrugs detailed in these documents exhibit only short in vivo half-lives and are not suitable as sustained release-compositions.
- a long-acting pramipexole depot should be charaterized by small fluctuation of blood levels. Burst-like fluctuations in blood levels are likely to give rise to the side effects, including so-called on-off phenomena.
- the in vivo release profiles shown in the abovementioned patent application are characterized by a significant burst effect for rotigotine and it is very likely that similar or even more pronounced fluctuations will be observed with pramipexole PLGA depots.
- carrier-linked prodrugs of pramiprexole can be used to obtain sustained-release dosage forms of pramipexole that are characterized by a burstless release profile with a low peak-to-trough ratio and strong in vitro-in vivo correlation.
- the prodrug according to the present invention show excellent in vivo/in vitro correlation of linker cleavage, a high degree of enzyme independence and show a higher stability at lower pH (pH dependent cleavage).
- a strong "in vivo/in vitro correlation" is observed, if the release kinetics exhibited by a carrier-linked prodrug conjugate according to the invention in vivo (plasma levels of free pramipexole) display a half-life that is not smaller than half the value exhibited by the same carrier-linked prodrug conjugate in aqueous buffer of pH 7.4 at 37°C. It is understood that in the case of soluble carriers, release kinetics may be recorded as a hydrolysis kinetics.
- Concentration of a pramipexole prodrug in a pharmaceutical composition is given in mg/ml, based on quantitative release of free pramipexole.
- aliquots of a composition are subjected to pramipexole releasing conditions (aqueous buffer pH 7.4, 37°C, or accelerated conditions at elevated pH), until no significant increase in pramipexole concentration is observed and the total amount of released pramipexole is determined. It is understood that in the case of soluble carriers, quantitative release is synonymous to quantitative hydrolysis.
- a "therapeutically effective amount" of pramipexole as used herein means an amount sufficient to cure, alleviate or partially arrest the clinical manifestations of a given disease and its complications. An amount adequate to accomplish this is defined as
- terapéuticaally effective amount Effective amounts for each purpose will depend on the severity of the disease or injury as well as the weight and general state of the subject. It will be understood that determining an appropriate dosage may be achieved using routine experimentation, by constructing a matrix of values and testing different points in the matrix, which is all within the ordinary skills of a trained physician.
- the term "essentially burstless” is intended to mean that the ratio of the peak concentration of free pramipexole in blood plasma during the first 48 hours after administration, such as subcutaneous or intramuscular, to the lowest concentration of free pramipexole in blood plasma after the peak concentration during the first 48 hours after administration is less than 10, preferred less than 5, most preferred, less than 2.
- Non-biologically active linker means a linker which does not show the pharmacological effects of the drug pramipexole.
- Alkyl means a straight-chain or branched carbon chain (unsubstituted alkyl).
- each hydrogen of an alkyl carbon may be replaced by a substituent.
- Ci_ 4 alkyl means an alkyl chain having 1 to 4 carbon atoms (unsubstituted Ci_ 4 alkyl), e.g. if present at the end of a molecule: methyl, ethyl, n-propyl, isopropyl, n-butyl, isobutyl, sec-butyl tert-butyl, or e.g.
- Ci_ 4 alkyl means an alkyl chain having 1 to 50 carbon atoms.
- each hydrogen of a C 2 . so alkenyl carbon may be replaced by a substituent as further specified.
- alkenyl relates to a carbon chain with at least one carbon carbon double bond.
- one or more triple bonds may occur.
- C 2 _ 5 o alkynyl means a branched or unbranched alkynyl chain having 2 to 50 carbon atoms (unsubstituted C 2 _ 50 alkynyl), e.g. if present at the end of a molecule: -C ⁇ CH, -CH 2 - C ⁇ CH, CH 2 -CH 2 -C ⁇ CH, CH 2 -C ⁇ C-CH 3 , or e.g. -C ⁇ C- when two moieties of a molecule are linked by the alkynyl group.
- each hydrogen of a C 2 _so alkynyl carbon may be replaced by a substituent as further specified.
- alkynyl relates to a carbon chain with at lest one carbon carbon triple bond.
- one or more double bonds may occur.
- C 3 _ 7 cycloalkyl (unsubstituted C 3 _ 7 cycloalkyl), e.g. cyclopropyl, cyclobutyl, cyclopentyl, cyclohexyl, cyclohexenyl, cycloheptyl.
- each hydrogen of a cycloalkyl carbon may be replaced by a substituent.
- the term "C 3 _ 7 cycloalkyl” or “C 3 _ 7 cycloalkyl ring” also includes bridged bicycles like norbonane (norbonanyl) or norbonene (norbonenyl). Accordingly, "C 3 _ 5 cycloalkyl” means a cycloalkyl having 3 to 5 carbon atoms.
- Halogen means fluoro, chloro, bromo or iodo. It is generally preferred that halogen is fluoro or chloro.
- the linker moiety L 1 of formula (I) contains a fragment X 1 , which is defined (among others) as 4 to 7 membered heterocyclyl, with additional requirements in some embodiments.
- X 1 is 4 to 7 membered heterocyclyl
- the respective additional requirements of X 1 have to be considered for 4 to 7 membered heterocyclyl as well.
- Examples for a 4 to 7 membered heterocycles are azetidine, oxetane, thietane, furan, thiophene, pyrrole, pyrroline, imidazole, imidazoline, pyrazole, pyrazoline, oxazole, oxazoline, isoxazole, isoxazoline, thiazole, thiazoline, isothiazole, isothiazoline, thiadiazole, thiadiazoline, tetrahydrofuran, tetrahydrothiophene, pyrrolidine, imidazolidine, pyrazolidine, oxazolidine, isoxazolidine, thiazolidine, isothiazolidine, thiadiazolidine, sulfolane, pyran, dihydropyran, tetrahydropyran, imidazolidine, pyridine, pyridazine, pyrazine, pyr
- 9 to 11 membered heterobicyclyl has to fulfill additional requirements.
- the linker moiety L 1 of formula (I) contains a fragment X 1 , which is defined (among others) as 9 to 11 membered heterobicyclyl, with additional requirements in some embodiments.
- X 1 is 9 to 11 membered bicyclyl
- the respective additional requirements of X 1 have to be considered for 9 to 11 membered heterobicyclyl as well.
- Examples for a 9 to 11 membered heterobicycle are indole, indoline, benzofuran, benzothiophene, benzoxazole, benzisoxazole, benzothiazole, benzisothiazole, benzimidazole, benzimidazoline, quinoline, quinazoline, dihydroquinazoline, quinoline, dihydroquinoline, tetrahydroquinoline, decahydroquinoline, isoquinoline, decahydroisoquinoline, tetrahydroisoquinoline, dihydroisoquinoline, benzazepine, purine or pteridine.
- 9 to 11 membered heterobicycle also includes spiro structures of two rings like l,4-dioxa-8-azaspiro[4.5]decane or bridged heterocycles like 8-aza- bicyclo[3.2.1]octane.
- each hydrogen of a 9 to 11 membered heterobicyclyl may be replaced by a substituent.
- interrupted means that between two carbon atoms of, for example, a linker or a spacer or at the respective end of the carbon chain between the respective carbon atom and the hydrogen atom a group (such a -O- or -NH-) is inserted.
- the invention also comprises their corresponding pharmaceutically or toxicologically acceptable salts, in particular their pharmaceutically utilizable salts.
- the prodrugs which contain acidic groups can be used according to the invention, for example, as alkali metal salts, alkaline earth metal salts or as ammonium salts. More precise examples of such salts include sodium salts, potassium salts, calcium salts, magnesium salts or salts with ammonia or organic amines such as, for example, ethylamine, ethanolamine, triethanolamine or amino acids.
- Prodrugs which contain one or more basic groups i.e.
- acids which can be protonated, can be present and can be used according to the invention in the form of their addition salts with inorganic or organic acids.
- suitable acids include hydrogen chloride, hydrogen bromide, phosphoric acid, sulfuric acid, nitric acid, methanesulfonic acid, p-toluenesulfonic acid, naphthalenedisulfonic acids, oxalic acid, acetic acid, tartaric acid, lactic acid, salicylic acid, benzoic acid, formic acid, propionic acid, pivalic acid, diethylacetic acid, malonic acid, succinic acid, pimelic acid, fumaric acid, maleic acid, malic acid, sulfaminic acid, phenylpropionic acid, gluconic acid, ascorbic acid, isonicotinic acid, citric acid, adipic acid, and other acids known to the person skilled in the art.
- the invention also includes, in addition to the salt forms mentioned, inner salts or betaines (zwitterions).
- the respective salts of the prodrugs of the present invention can be obtained by customary methods which are known to the person skilled in the art like, for example by contacting these with an organic or inorganic acid or base in a solvent or dispersant, or by anion exchange or cation exchange with other salts.
- the present invention also includes all salts of the prodrugs which, owing to low physiological compatibility, are not directly suitable for use in pharmaceuticals but which can be used, for example, as intermediates for chemical reactions or for the preparation of pharmaceutically acceptable salts.
- pharmaceutically acceptable means approved by a regulatory agency such as the EMEA (Europe) and/or the FDA (US) and/or any other national regulatory agency for use in animals, preferably in humans.
- a carrier-linked prodrug is a prodrug that contains a temporary linkage of a given active substance with a transient carrier group that produces improved physicochemical or pharmacokinetic properties and that can be easily removed in vivo, usually by a hydrolytic cleavage.
- linkers employed in such carrier-linked prodrugs are transient, meaning that they are non-enzymatically hydrolytically degradable (cleavable) under physiological conditions (aqueous buffer at pH 7.4, 37°C) with half-lives ranging from, for example, one hour to three months.
- Suitable carriers are polymers and can either be directly conjugated to the linker or via a non-cleavable spacer.
- the terms "pramipexole hydrogel prodrug” and “hydrogel-linked prodrug of pramipexole” refer to carrier-linked prodrugs of pramipexole, wherein the carrier is a hydrogel and both terms are used synonymously.
- the terms "hydrogel prodrug” and “hydrogel-linked prodrug” refer to prodrugs of biologically active agents transiently linked to a hydrogel and both terms are used synonymously.
- composition means a composition containing one or more active ingredients (for example a drug or a prodrug), and one or more inert ingredients, as well as any product which results, directly or indirectly, from combination, complexation or aggregation of any two or more of the ingredients, or from dissociation of one or more of the ingredients, or from other types of reactions or interactions of one or more of the ingredients.
- active ingredients for example a drug or a prodrug
- inert ingredients as well as any product which results, directly or indirectly, from combination, complexation or aggregation of any two or more of the ingredients, or from dissociation of one or more of the ingredients, or from other types of reactions or interactions of one or more of the ingredients.
- the pharmaceutical compositions of the present invention encompass any composition made by admixing a prodrug of the present invention and a pharmaceutically acceptable excipient.
- “Dry composition” means that the pramipexole hydrogel prodrug composition is provided in a dry form in a container. Suitable methods for drying are spray
- lyophilization dry composition of pramipexole hydrogel prodrug has a residual water content of a maximum of 10 %, preferably less than 5% and more preferably less than 2% (determined according to Karl Fischer).
- the preferred method of drying is lyophilization.
- "Lyophilized composition” means that the pramipexole hydrogel polymer prodrug composition was first frozen and subsequently subjected to water reduction by means of reduced pressure. This terminology does not exclude additional drying steps which occur in the manufacturing process prior to filling the composition into the final container.
- “Lyophilization” (freeze-drying) is a dehydration process, characterized by freezing a composition and then reducing the surrounding pressure and, optionally, adding heat to allow the frozen water in the composition to sublime directly from the solid phase to gas. Typically, the sublimed water is collected by desublimation.
- “Reconstitution” means the restoration of the composition's condition prior to drying, such as a solution or suspension, by adding a liquid prior to administrating the composition to a patient in need thereof.
- the liquid may contain one or more excipients.
- Reconstitution solution refers to the liquid used to reconstitute the dry composition of a pramipexole hydrogel prodrug prior to administration to a patient in need thereof.
- Constant means any container in which the pramipexole hydrogel prodrug composition is comprised and can be stored until reconstitution.
- Buffer or “buffering agent” refers to chemical compounds that maintain the pH in a desired range.
- Physiologically tolerated buffers are, for example, sodium phosphate, succinate, histidine, bicarbonate, citrate and acetate, sulphate, nitrate, chloride, pyruvate.
- Antacids such as Mg(OH) 2 or ZnCO 3 may be also used. Buffering capacity may be adjusted to match the conditions most sensitive to pH stability.
- Excipients refers to compounds administered together with the therapeutic agent, for example, buffering agents, isotonicity modifiers, preservatives, stabilizers, anti-adsorption agents, oxidation protection agents, or other auxiliary agents. However, in some cases, one excipient may have dual or triple functions.
- a “lyoprotectant” is a molecule which, when combined with a protein of interest, significantly prevents or reduces chemical and/or physical instability of the protein upon drying in general and especially during lyophilization and subsequent storage.
- exemplary lyoprotectants include sugars, such as sucrose or trehalose; amino acids such as monosodium glutamate or histidine; methylamines such as betaine; lyotropic salts such as magnesium sulfate; polyols such as trihydric or higher sugar alcohols, e.g.
- glycerin erythritol, glycerol, arabitol, xylitol, sorbitol, and mannitol
- ethylene glycol propylene glycol
- polyethylene glycol pluronics
- hydroxyalkyl starches e.g. hydroxyethyl starch (HES), and combinations thereof.
- “Surfactant” refers to wetting agents that lower the surface tension of a liquid. “Isotonicity modifiers” refer to compounds which minimize pain that can result from cell damage due to osmotic pressure differences at the injection depot.
- stabilizers refers to compouds used to stabilize the hydrogel prodrug.
- Stabilisation is achieved by strengthening of the protein-stabilising forces, by
- Anti-adsorption agents refers to mainly ionic or non-ionic surfactants or other proteins or soluble polymers used to coat or adsorb competitively to the inner surface of the composition's container. Chosen concentration and type of excipient depend on the effect to be avoided but typically a monolayer of surfactant is formed at the interface just above the CMC value.
- Oxidation protection agents refers to antioxidants such as ascorbic acid, ectoine, glutathione, methionine, monothioglycerol, morin, polyethylenimine (PEI), propyl gallate, vitamin E, chelating agents such aus citric acid, EDTA, hexaphosphate, thioglycolic acid.
- Antimicrobial refers to a chemical substance that kills or inhibits the growth of microorganisms, such as bacteria, fungi, yeasts, protozoans and/or destroys viruses.
- “Sealing a container” means that the container is closed in such way that it is airtight, allowing no gas exchange between the outside and the inside and keeping the content sterile.
- the terms "pramipexole hydrogel prodrug” and “hydrogel-linked pramipexole prodrug” refer to carrier-linked prodrugs of pramipexole, wherein the carrier is a hydrogel and both terms are used synonymously.
- Free form of a drug refers to the drug in its unmodified, pharmacologically active form, such as after being released from a polymer conjugate.
- biologically active molecules mean any substance which can affect any physical or biochemical properties of a biological organism, including but not limited to viruses, bacteria, fungi, plants, animals, and humans.
- biologically active molecules include any substance intended for diagnosis, cure, mitigation, treatment, or prevention of disease in humans or other animals, or to otherwise enhance physical or mental well-being of humans or animals.
- a "therapeutically effective amount" of pramipexole as used herein means an amount sufficient to cure, alleviate or partially arrest the clinical manifestations of a given disease and its complications. An amount adequate to accomplish this is defined as
- terapéuticaally effective amount Effective amounts for each purpose will depend on the severity of the disease or injury as well as the weight and general state of the subject. It will be understood that determining an appropriate dosage may be achieved using routine experimentation, by constructing a matrix of values and testing different points in the matrix, which is all within the ordinary skills of a trained physician.
- “Stable” and “stability” means that within the indicated storage time the hydrogel conjugates remain conjugated and do not hydrolyze to a substantial extent and exhibit an acceptable impurity profile relating to pramipexole. To be considered stable, the composition contains less than 5% of the drug in its free form.
- the term “reagent” or “precursor” refers to an intermediate or starting material used in the assembly process leading to a prodrug of the present invention.
- chemical functional group refers to carboxylic acid and activated derivatives, amino, maleimide, thiol and derivatives, sulfonic acid and derivatives, carbonate and derivatives, carbamate and derivatives, hydroxyl, aldehyde, ketone, hydrazine, isocyanate, isothiocyanate, phosphoric acid and derivatives, phosphonic acid and derivatives, haloacetyl, alkyl halides, acryloyl and other alpha-beta unsaturated michael acceptors, arylating agents like aryl fluorides, hydroxylamine, disulfides like pyridyl disulfide, vinyl sulfone, vinyl ketone, diazoalkanes, diazoacetyl compounds, oxirane, and aziridine.
- linkage for example, the reaction of an amine group with
- Reactive functional groups are chemical functional groups of the backbone moiety, which are connected to the hyperbranched moiety.
- Frctional group is the collective term used for "reactive functional group", “degradable interconnected functional group”, or “conjugate functional group”.
- a “degradable interconnected functional group” is a linkage comprising a biodegradable bond which on one side is connected to a spacer moiety connected to a backbone moiety and on the other side is connected to the crosslinking moiety.
- blocking group or “capping group” are used synonymously and refer to moieties which are irreversibly (especially permanently) connected to reactive functional groups to render them incapable of reacting with for example chemical functional groups.
- protecting group refers to a moiety which is reversibly connected to reactive functional groups to render them incapable of reacting with for example other chemical functional groups.
- interconnectable functional group refers to chemical functional groups, which participate in a radical polymerization reaction and are part of the crosslinker reagent or the backbone reagent.
- polymerizable functional group refers to chemical functional groups, which participate in a ligation-type polymerization reaction and are part of the crosslinker reagent and the backbone reagent.
- a backbone moiety may comprise a spacer moiety which at one end is connected to the backbone moiety and on the other side to the crosslinker moiety.
- derivatives refers to chemical functional groups suitably substituted with protecting and/or activation groups or to activated forms of a corresponding chemical functional group which are known to the person skilled in the art.
- activated forms of carboxyl groups include but are not limited to active esters, such as succinimidyl ester, benzotriazyl ester, nitrophenyl ester, pentafluorophenyl ester, azabenzotriazyl ester, acyl halogenides, mixed or symmetrical anhydrides, acyl imidazole.
- non-enzymatically cleavable linker refers to linkers that are hydro lyrically degradable under physiological conditions without enzymatic activity.
- Non-biologically active linker means a linker which does not show the pharmacological effects of the drug (D-H) derived from the biologically active moiety.
- spacer refers to any moiety suitable for connecting two moieties, such as Ci_so alkyl, C 2 - 50 alkenyl or C 2 - 50 alkinyl, which fragment is optionally interrupted by one or more groups selected from -NH-, -N(Ci -4 alkyl)-, -O-, -S-, -C(O)-, -C(O)NH-, -C(O)N(C L4 alkyl)-, -O- C(O)-, -S(O)-, -S(O) 2 -, 4 to 7 membered heterocyclyl, phenyl or naphthyl.
- terminal refers to the position of a functional group or linkage within a molecule or moiety, whereby such functional group may be a chemical functional group and the linkage may be a degradable or permanent linkage, characterized by being located adjacent to or within a linkage between two moieties or at the end of an oligomeric or polymeric chain.
- in bound form refers to sub-structures which are part of a larger molecule.
- in bound form is used to simplify reference to moieties by naming or listing reagents, starting materials or hypothetical starting materials well known in the art, and whereby “in bound form” means that for example one or more hydrogen radicals (-H), or one or more activating or protecting groups present in the reagents or starting materials are not present in the moiety.
- reagents and moieties comprising polymeric moieties refer to macromolecular entities known to exhibit variability with respect to molecular weight, chain lengths or degree of polymerization, or the number of functional groups. Structures shown for backbone reagents, backbone moieties, crosslinker reagents, and crosslinker moieties are thus only representative examples.
- a reagent or moiety may be linear or branched. If the reagent or moiety has two terminal groups, it is referred to as a linear reagent or moiety. If the reagent or moiety has more than two terminal groups, it is considered to be a branched or multi-functional reagent or moiety.
- poly(ethylene glycol) based polymeric chain or "PEG based chain” refers to an oligo- or polymeric molecular chain.
- such poly(ethylene glycol) based polymeric chain is connected to a branching core, it is a linear poly(ethylene glycol) chain, of which one terminus is connected to the branching core and the other to a hyperbranched dendritic moiety.
- a PEG-based chain may be terminated or interrupted by alkyl or aryl groups optionally substituted with heteroatoms and chemical functional groups.
- poly(ethylene glycol) based polymeric chain is used in reference to a crosslinker reagent, it refers to a crosslinker moiety or chain comprising at least 20 weight % ethylene glycol moieties. In the following, the present invention is explained in more detail.
- the injectable sustained release pharmaceutical compositions according to the present invention comprise a carrier linked pramipexole prodrug at a concentration of 10-100 mg/mL based on quantitative release of free pramipexole.
- the concentration of the said compositions is preferably 15 to 50 mg/mL, more preferably 15 to 35 mg/mL.
- the compositions according to the present invention release pramipexole in therapeutic levels for a time period of 1 day up to one month, preferably 1 day up to two weeks, most preferably 1 day up to one week.
- compositions according to the present invention show a tight in vitro-in vivo correlation. Furthermore, the compositions according to the present invention have an essentially burstless in vitro release profile.
- the compositions according to the present invention are preferably employed in form of an injectable solution, injectable microsphere, an injectable gel or an implant.
- the composition is an injectable solution or injectable microspheres with a particle diameter of 10 to 1000 microns, preferably 15 to 100 microns.
- the compositions according to the present invention may comprise - besides the carrier linked pramipexole prodrug - at least one pharmaceutically acceptable excipient as defined above. The concentration of such excipient is known to a person skilled in the art.
- compositions according to the present invention are also know to a person skilled in the art.
- the compositions may be prepared by admixing a carrier linked pramipexole prodrug (as defined below) with one or more excipients additionally contained within said composition.
- compositions according to the present invention contain a carrier linked pramipexole prodrug, wherein pramipexole is transiently linked to the carrier.
- transiently means that pramipexole is bound to the prodrug carrier in such a way that the sustained release of pramipexole is obtained when the compositions according to the present invention comprising a carrier linked pramipexole prodrug is administered to a person in need thereof.
- the carrier linked pramipexole prodrugs according to the present invention contain pramipexole.
- Pramipexole as such is a pharmaceutical (drug) known to a person skilled in the art either in its pure (free base) form or as a pharmaceutically acceptable salt thereof. Therefore, pramipexole is a biologically active drug.
- Pramipexole contains two different amino groups.
- the first amino group is bound to the aromatic (thiazolyl) ring of pramipexole.
- this first amino group is denoted with the term "aromatic amino group”, since the aromatic fragment of pramipexole is substituted with said first amino group, which is a primary amino group.
- the second amino group of pramipexole is bound to the second, non-aromatic ring of pramipexole.
- said second amino group is denoted in the following as "aliphatic amino group”, since the non-aromatic (cyclohexenyl) fragment of pramipexole is substituted with said second amino group.
- the aliphatic amino group is a secondary amino group, since it contains a propyl substituent.
- the carrier linked pramipexole prodrug or a pharmaceutically acceptable salt thereof does not contain pramipexole in form of its free base or as a pharmaceutically acceptable salt thereof, since pramipexole is bound via a linker L to a carrier.
- the carrier linked pramipexole prodrug according to the present invention contain pramipexole as a biologically active moiety. Due to the cleavage of the biological active moiety from the carrier linked pramipexole products when administered to a patient in need thereof, pramipexole is released either in its free form or as a pharmaceutically acceptable salt thereof.
- the carrier linked to pramipexole prodrugs contain pramipexole, which is substituted with a linker L, which in turn is bound to a carrier.
- Pramipexole may be bound to the linker L at any position of pramipexole found to be useful by a person skilled in the art.
- pramipexole is bound via its aliphatic amino group or via its aromatic amino group to the linker L.
- pramipexole is bound to the linker moiety L 1 as defined below. More preferably, pramipexole is bound to the linker L, in particular to the linker moiety L 1 , by forming an amide bond.
- the carrier linked pramipexole products according to the present invention contain a carrier Z, which is bound via the linker L (as defined below) to pramipexole.
- the carrier Z is bound to the linker moiety L 2 (as defined below).
- the carrier is a polymer having a molecular weight of > 500 g/mol.
- polymer describes a molecule comprised of repeating structural units connected by chemical bonds in a linear, circular, branched, crosslinked or dendrimeric way or a combination thereof, which can be of synthetic or biological origin or a combination of both.
- Preferred polymers are selected from 2-methacryloyl-oxyethyl phosphoyl cholins, hydrogels, PEG-based hydrogels, poly(acrylic acids), poly(acrylates), poly(acrylamides), poly(alkyloxy) polymers, poly(amides), poly(amidoamines), poly(amino acids), poly(anhydrides), poly(aspartamides), poly(butyric acids), poly(glycolic acids), polybutylene terephthalates, poly(caprolactones), poly(carbonates), poly(cyanoacrylates), poly(dimethylacrylamides), poly(esters), poly(ethylenes), poly(ethyleneglycols), poly(ethylene oxides), poly(ethyl phosphates), poly(ethyloxazolines), poly(glycolic acids), poly(hydroxyethyl acrylates), poly(hydroxyethyloxazolines), poly(hydroxymethacrylates), poly(hydroxypropylmethacrylamides), poly(hydroxypropy
- the carrier may be a hydrogel (as one option for a polymer).
- Hydrogels to be used are known in the art. Suitable hydrogels may be used which are described in WO-A 2006/003014 or EP-A 1 625 856. Accordingly, a hydrogel may be defined as a three-dimensional, hydrophilic or amphiphilic polymeric network capable of taking up large quantities of water.
- the networks are composed of homopolymers or copolymers, are insoluble due to the presence of covalent chemical or physical (ionic, hydrophobic interactions, entanglements) crosslinks.
- the crosslinks provide the network structure and physical integrity.
- Hydrogels exhibit a thermodynamic compatibility with water which allow them to swell in aqueous media.
- the chains of the network are connected in such a fashion that pores exist and that a substantial fraction of these pores are of dimensions between 1 nm and 1000 nm.
- the polymer is a poly(ethylene glycol) or a poly(ethylene glycol)-based hydrogel, preferably polyethylene glycol-based hydrogel microparticles with a particle diameter of 10 to 1000 microns, preferably 15 to 100 microns.
- the carrier is a biodegradable poly(ethylene glycol) (PEG) based water- insoluble hydrogel.
- PEG based as understood herein means that the mass proportion of PEG chains in the hydrogel is at least 10% by weight, preferably at least 25%, based on the total weight of the hydrogel. The remainder can be made up of other spacers and/or oligomers or polymers, such as oligo- or polylysines.
- water-insoluble refers to a swellable three-dimensionally crosslinked molecular network forming the hydrogel.
- the hydrogel if suspended in a large surplus of water or aqueous buffer of physiological osmolality may take up a substantial amount of water, e.g. up to 10-fold on a weight per weight basis, and is therefore swellable but after removing excess water still retains the physical stability of a gel and a shape.
- Such shape may be of any geometry and it is understood that such an individual hydrogel object is to be considered as a single molecule consisting of components wherein each component is connected to each other component through chemical bonds.
- the linker L may be any linker known to a person skilled in the art to be used for binding (chemically contacting) pramipexole to a carrier.
- the linker L is a non- biologically active linker.
- the linker L may contain at least one of the linker moieties as defined below.
- the linker L contains a moiety L 1 represented by formula (I),
- X 1 is C(R 1 R 1*1 ) or a cyclic fragment selected from C3_7 cycloalkyl, 4 to 7 membered heterocyclyl, phenyl, naphthyl, indenyl, indanyl, tetralinyl, or 9 to 11 membered heterobicyclyl;
- X 2 is a chemical bond or selected from C(R 3 R 3a ), N(R 3 ), O, C(R 3 R 3a )-C(R 4 R 4a ),
- X 1 is a cyclic fragment
- X 2 is a chemical bond, C(R 3 R 3a ), N(R 3 ) or O; optionally, in case X 1 is a cyclic fragment and X 2 is C(R 3 R 3a ), the order of the X 1 fragment and the X 2 fragment within L 1 may be changed;
- R 1 , R 3 and R 4 are independently selected from the group consisting of H, Ci_ 4 alkyl and -N(R 5 R 5a );
- R la , R 2 , R 2a , R 3a , R 4a and R 5a are independently selected from the group consisting of H, and Ci-4 alkyl; optionally, one of the pairs R 2a /R 2 , R 2a /R 3a , R 2a /R 4a are joined to form a 4 to 7 membered at least partially saturated heterocycle;
- R 5 is C(O)R 6 ;
- R 6 is Ci_ 4 alkyl; optionally, one of the pairs R la /R 4a , R 3a /R 4a or R la /R 3a form a chemical bond; optionally, L 1 is further substituted.
- R la , R 2 , R 2a , R 3a , R 4a and R 5a are independently selected from the group consisting of H, and Ci_ 4 alkyl.
- the moiety L 1 is selected from
- L is a non-biologically active linker containing a moiety L 1 represented by formula (Ia), wherein the dashed line indicates the attachment of L 1 to pramipexole by forming an amide bond with the aromatic amino group of pramipexole.
- X 1 is C(R 1 R 1*1 ) or a cyclic fragment selected from C 3 _ 7 cycloalkyl, 4 to 7 membered heterocyclyl, phenyl, naphthyl, indenyl, indanyl, tetralinyl, or 9 to 11 membered heterobicyclyl;
- X z is a chemical bond or selected from
- X is a cyclic fragment
- X is a chemical bond, C(R R > 3a a ⁇ ), N(R ) or O; optionally, in case X 1 is a cyclic fragment and X 2 is C(R 3 R 3a ), the order of the X 1 fragment and the X 2 fragment within L 1 may be changed;
- R 1 , R 3 and R 4 are independently selected from the group consisting of H, Ci_ 4 alkyl and -
- R la , R 2 , R 3a , R 4a and R 5a are independently selected from the group consisting of H, and Ci_ 4 alkyl;
- R 5 is C(O)R 6 ;
- R 6 is Ci_ 4 alkyl
- one of the pairs R la /R 4a , R 3a /R 4a or R la /R 3a form a chemical bond; optionally, L 1 is further substituted; provided that the hydrogen marked with the asterisk in formula (I) is not replaced by a substituent or a connection of L 1 to the carrier.
- L 1 is further substituted; provided that the hydrogen marked with the asterisk in formula (I) is not replaced by a substituent or a connection of L 1 to the carrier.
- the aromatic amino group of pramipexole forms together with the carbonyl-fragment (-C(O)-) on the right hand side of L 1 (as depicted in formula (I)/(Ia)) an amide bond within the carrier linked pramipexole prodrug according to the present invention.
- amide fragment (chemically bound) by an amide fragment of the general structure Y ⁇ C(O)-N(H)-Y 2 .
- Y 1 indicates the remaining parts of the moiety L 1 and Y 2 indicates the aromatic fragment of pramipexole.
- said amide bond is indicated within formula (I)/(Ia) by the dashed line added diagonally on this bond.
- X 1 is a cyclic fragment
- said cyclic fragment is incorporated into L 1 via two adjacent ring atoms and the ring atom of X 1 , which is adjacent to the carbon atom of the amide bond, is also a carbon atom; or in case the order of the X 1 fragment and the X 2 fragment within L 1 is changed, the cyclic fragment is incorporated into L 1 via two adjacent ring atoms.
- the X 1 -fragment of the moiety L 1 represented by formula (I) may also be a cyclic fragment such as C 3 _ 7 cycloalkyl, phenyl or indanyl.
- the respective cyclic fragment is incorporated into L 1 via two adjacent ring atoms (of said cyclic fragment).
- X 1 is phenyl
- the phenyl fragment of L 1 is bound to the X 2 fragment of L 1 via a first (phenyl) ring atom being in ⁇ -position (adjacent) to a second (phenyl) ring atom, which itself is bound to the carbon atom of the carbonyl-fragment on the right hand side of L 1 according to formula (I)/(Ia) (the carbonyl fragment which forms together with the aromatic amino group of D an amide bond).
- R 5 is C(O)R 6 ;
- R 1 , R la , R 2 , R 3 and R 6 are independently from each other Ci -4 alkyl; and L 1 is optionally substituted with one L 2 moiety, preferably R 2 is substituted with one L 2 moiety.
- pramipexole is bound to L, preferably to L 1 , via it aromatic amino group.
- linker L contains a moiety L 1 represented by formula (II),
- X is C(R 4 R 4a ), N(R 4 ), O, C(R 4 R 4a )-C(R 5 R 5a ), C(R 5 R 5a )-C(R 4 R 4a ), C(R 4 R 4a )-N(R 6 ), N(R 6 )- C(R 4 R 4a ), C(R 4 R 4a )-O, or O-C(R 4 R 4a );
- X 1 is C, or S(O);
- X 2 is C(R 7 , R 7a ), or C(R 7 , R 7a )-C(R 8 R 8a );
- X 3 is O, S, or N-CN;
- R 1 , R la , R 2 , R 2a , R 3 , R 3a , R 4 , R 4a , R 5 , R 5a , R 6 , R 7 , R 7a , R 8 and R 8a are independently selected from the group consisting of H, and Ci_ 4 alkyl; optionally, one or more of the pairs R la /R 4a , R la /R 5a , R 4a /R 5a and R 7a /R 8a form a chemical bond; optionally, one or more of the pairs RVR la , R 2 /R 2a , R 4 /R 4a , R 5 /R 5a , R 7 /R 7a and R 8 /R 8a are joined together with the atom to which they are attached to form a C3_7 cycloalkyl, or 4 to 7 membered heterocyclyl; optionally, one or more of the pairs RVR 4
- A is selected from the group consisting of phenyl, naphthyl, indenyl, indanyl, tetralinyl, C 3 . io cycloalkyl, 4 to 7 membered heterocyclyl and 9 to 11 membered heterobicyclyl; optionally, L 1 is further substituted;
- fragment X-C(R 1 R 1*1 ) of formula (II) contains a cyclic fragment by joining one or more of the pairs R 1 ZR 1*1 , R 4 /R 4a and R 5 /R 5a or one or more of the pairs R 1 ZR 4 , RVR 5 , RVR 6 , R 4 /R 5 and R 4 /R 6 together with the atoms to which they are attached to,
- said cyclic fragment is incorporated into L 1 via two adjacent ring atoms and ii) the ring atom of said cyclic fragment, which is adjacent to the carbon atom of the amide bond, is also a carbon atom and
- the carbon atom of the amide bond and X 2 are in ⁇ - and ⁇ -position to each other.
- pramipexole is bond to L, preferably to L 1 , via its aliphatic amino group.
- linker L contains a moiety L 1 represented by formula (III)
- X is H or Ci_5o alkyl optionally interrupted by one or more groups selected from -NH-, -C(Ci -4 alkyl)-, -O-, -C(O)- or -C(O)NH-;
- R 1 and R la are independently selected from the group consisting of H and Ci -C 4 alkyl; optionally, L 1 is further substituted.
- X is a substituent selected from N(HR 2 )-C(0)
- R 2 is H or Ci _ 4 alkyl
- R 3 is Ci_ 4 alkyl
- n is an integer from 1 to 10.
- X in formula (III) includes one of the following fragments, wherein the dashed line on the right hand side indicates the attachment of L 1 to pramipexole by forming an amide bond with the aromatic amino group of pramipexole and the dashed line on the left hand side indicates the attachment to the rest of X and wherein L 1 is optionally further substituted:
- X in formula (III) includes one of the following fragments, wherein the dashed line on the right hand side indicates the attachment of L 1 to pramipexole by forming an amide bond with the aromatic amino group of pramipexole and the dashed line on the left hand side indicates the attachment to the rest of X:
- pramipexole is bond to L, preferably to L 1 , via its aromatic amino group.
- linker L contains a moiety L 1 represented by formulas (IVa), (IVb) or (IVc)
- T is pramipexole
- X is a spacer moiety, preferably R 13 -Y 1 ;
- Yl is O, S, NR6, succinimide, maleimide, unsaturated carbon-carbon bonds or any heteroatom containing a free electron pair or is absent;
- Rl 3 is selected from substituted or non-substituted linear, branched or cyclical alkyl or heteroalkyl, aryls, substituted aryls, substituted or non-substituted heteroaryls;
- R2 and R3 are selected independently from hydrogen, acyl groups, or protecting groups for hydroxyl groups;
- R4 to R12 are selected independently from hydrogen, X-Rl, substituted or non-substituted linear, branched or cyclical alkyl or heteroalkyl, aryls, substituted aryls, substituted or non- substituted heteroaryls, cyano, nitro, halogen, carboxy or carboxamide; Rl is the rest of S 0 , comprising at least S 1 , S 2 , BS 1 , and optionally BS 2 .
- linker L contains a moiety L 1 represented by formulas (Va) or (Vb),
- T is pramipexole
- X is a spacer moiety
- Yi and Y 2 each independently are O, S or NR 6 ;
- Y 3 is O or S
- Y 4 is O, NR 6 or -C(R 7 )(R 8 );
- R 3 is a moiety selected from the group consisting of hydrogen, substituted or unsubstituted linear, branched or cyclical alkyl or heteroalkyl groups, aryls, substituted aryls, substituted or unsubstituted heteroaryls, cyano groups, nitro groups, halogens, carboxy groups, carboxyalkyl groups, alkylcarbonyl groups or carboxamidoalkyl groups;
- R 4 is a moiety selected from the group consisting of hydrogen, substituted or unsubstituted linear, branched or cyclical alkyls or heteroalkyls, aryls, substituted aryls, substituted or unsubstituted heteroaryl, substituted or unsubstituted linear, branched or cyclical alkoxys, substituted or unsubstituted linear, branched or cyclical heteroalkyloxys, aryloxys or heteroaryloxys, cyano groups and halogens
- R 7 and Rs are each independently selected from the group consisting of hydrogen, substituted or unsubstituted linear, branched or cyclical alkyls or heteroalkyls, aryls, substituted aryls, substituted or unsubstituted heteroaryls, carboxyalkyl groups, alkylcarbonyl groups, carboxamidoalkyl groups, cyano groups, and halogens;
- Re is a group selected from hydrogen, substituted or unsubstituted linear, branched or cyclical alkyls or heteroalkyls, aryls, substituted aryls and substituted or unsubstituted heteroaryls;
- Ri is the rest of S 0 ;
- W is a group selected from substituted or unsubstituted linear, branched or cyclical alkyls, aryls, substituted aryls, substituted or unsubstituted linear, branched or cyclical heteroalkyls, substituted or unsubstituted heteroaryls;
- T which means pramipexole
- the letter T has to be understood that at this position the linker L 1 is chemically bond to pramipexole (place of attachment of L 1 to pramipexole by forming an amide bond).
- the linker L may also contain a moiety L 2 .
- the linker L contains one moiety L 1 as defined above and 1 to 4, preferably 1, L 2 moieties.
- the linker L consists of one moiety L 1 and one moiety L 2 .
- the moiety L 2 is a chemical bond or a spacer and L 2 is bound to the carrier.
- the linker L contains one moiety L 1 represented by, for example, any of the formulas (I) to (Vb) (including the respective preferred definitions) and 1 to 4 L 2 moieties, preferably 1 L 2 moiety. This means that in such a case the moiety L 1 is substituted with the moiety L 2 .
- the (respective) moiety L 2 is also bond to the carrier. In other words, the moiety L 2 connects the carrier with the linker moiety L 1 , which in turn is bound to pramipexole.
- the moiety L 2 may be bound to any position of the moiety L 1 .
- the hydrogen marked with the asterisk within formula (I) or formula (II) is not replaced by the moiety L 2 .
- the substitution (attachment) of the respective L 2 moiety occurs by replacing one hydrogen according to the definitions of the moiety L 1 including any fragments or substitutes thereof (for example X 1 , X 2 , R 1 to R 5 and R la to R 5a according to formula I).
- each L 2 moiety is bond to a carrier as defined above.
- each L 2 and each carrier can be selected independently.
- L 2 is a spacer
- any spacer known to a person skilled in the art for connecting a moiety L 1 as represented by, for example, formula (I) to the carrier can be used.
- the spacer is a fragment selected from Ci_so alkyl, C2-50 alkenyl or C2-50 alkinyl, which fragment is optionally interrupted by one or more groups selected from -NH-, -N(C 1-4 alkyl)-, -O-, -S-, -C(O)-, -C(O)NH-, -C(O)N(Ci -4 alkyl)-, -O-C(O)-, -S(O)-, -S(O) 2 -, 4 to 7 membered heterocyclyl, phenyl or naphthyl.
- the spacer L 2 is more preferably a fragment selected from Ci_so alkyl, C 2 - 50 alkenyl or C 2 - 50 alkinyl, which fragment is optionally interrupted by one or more groups selected from -NH-, -N(C 1-4 alkyl)-, -0-, -S-, -C(O)-, -C(O)NH-, -C(O)N(CH alkyl)-, -O-C(O)-, -S(O)-, -S(O) 2 -, 4 to 7 membered heterocyclyl, phenyl or naphthyl, provided that the spacer does not contain a nitrogen atom being in ⁇ - or ⁇ -position to the amino group containing the hydrogen marked with the asterisk in formula (I), in case the spacer is bound to R 2 .
- n 1-3, Z is the carrier
- preferred carrier linked pramipexole prodrugs are selected from a prodrug according to the formulas (IX) to (XIV), hydrogel
- hydrogel and L 2 are defined as above;
- L 2 is preferably a spacer
- the spacer (L 2 ) is a Ci_ 2 o alkyl being bound to L 1 and which Ci_ 2 o alkyl is optionally interrupted by one or more groups selected from -NH-, -N(C 1-4 alkyl)-, -O-, -S-, -C(O)-, -C(O)NH-, -C(O)N(Ci -4 alkyl)-, -O-C(O)-, -S(O)-, -S(O) 2 -, 4 to 7 membered heterocyclyl, phenyl or naphthyl.
- the spacer does not contain a nitrogen atom being in ⁇ - or ⁇ -position to the amino group containing the hydrogen marked with the asterisk in formula (I).
- R 2 is substituted with L 2 ;
- R 3 is substituted with L 2 ;
- L 2 has a molecular weight in the range of from 14 g/mol to 750 g/mol.
- L 2 is attached to the carrier via a terminal group selected from -CO-NH-, and
- L 2 has such terminal group it is furthermore preferred that L 2 has a molecular weight in the range of from 14 g/mol to 500 g/mol calculated without such terminal group.
- the covalent attachment formed between the linker and the carrier is a permanent bond and the carrier is a hydrogel.
- the carrier is a biodegradable polyethylene glycol (PEG) based water-insoluble hydrogel.
- PEG polyethylene glycol
- the term "PEG based" as understood herein means that the mass proportion of PEG chains in the hydrogel is at least 10% by weight, preferably at least 25%, based on the total weight of the hydrogel. The remainder can be made up of other spacers and/or oligomers or polymers, such as oligo- or polylysines.
- water-insoluble refers to a swellable three-dimensionally crosslinked molecular network froming the hydrogel.
- the hydrogel if suspended in a large surplus of water or aqueous buffer of physiological osmolality may take up a substantial amount of water, e.g. up to 10-fold on a weight per weight basis, and is therefore swellable but after removing excess water still retains the physical stability of a gel and a shape.
- Such shape may be of any geometry and it is understood that such an individual hydrogel object is to be considered as a single molecule consisting of components wherein each component is connected to each other component through chemical bonds.
- the hydrogel carrier may be composed of backbone moieties interconnected by hydro lyrically degradable bonds.
- the backbone moiety has a molecular weight in the range of from 1 kDa to 20 kDa, more preferably from 1 kDa to 15 kDa and even more preferably from 1 kDa to 10 kDa.
- the backbone moieties are preferably also PEG-based comprising one or more PEG chains.
- Another aspect of the present invention is a carrier-linked pramipexole prodrug comprising a biodegradable hydrogel of the present invention as carrier, wherein a number of permanent linkages of the backbone moieties exist with a transient prodrug linker to which a biologically active moiety is covalently attached.
- the reactive functional groups of a reactive biodegradable hydrogel or modified reactive biodegradable hydrogel serve as attachment points for direct linkage through the before mentioned permanent linkages of pramipexole or pramipexole-linker conjugate.
- the hydrogel-connected drug-linker conjugates are dispersed homogeneously throughout the hydrogel according to the invention, and may or may not be present on the surface of the hydrogel according to the invention.
- the functional groups may be attached to a linear chain. In this case, the functional groups may be spaced regularly or irregularly across the chain, or alternatively, the chain may be terminated by two dendritic moieties, providing for the total of functional groups.
- Remaining reactive functional groups which are not connected to a transient prodrug linker or to a spacer connected to a transient prodrug linker may be capped with suitable blocking reagents.
- the covalent attachment formed between the reactive functional groups provided by the backbone moieties and the prodrug linker are permanent bonds.
- Suitable functional groups for attachment of the prodrug linker to the hydrogel according to the invention include but are not limited to carboxylic acid and derivatives, carbonate and derivatives, hydroxyl, hydrazine, hydroxylamine, maleamic acid and derivatives, ketone, amino, aldehyde, thiol and disulfide.
- the biodegradable hydrogel according to the invention is composed of backbone moieties interconnected by hydro lyrically degradable bonds.
- a backbone moiety is characterized by a number of functional groups, comprising interconnected biodegradable functional groups and hydrogel-connected drug-linker conjugates, and optionally capping groups.
- a backbone moiety is characterized by a number of hydrogel-connected drug-linker conjugates; functional groups, comprising biodegradable interconnected functional groups; and optionally capping groups.
- the sum of interconnected biodegradable functional groups and drug-linker conjugates and capping groups is 16-128, preferred 20-100, more preferred 24-80 and most preferred 30-60.
- the sum of interconnected functional groups and hydrogel-connected drug- linker conjugates and capping groups of a backbone moiety is equally divided by the number of PEG-based polymeric chains extending from the branching core.
- the number of PEG-based polymeric chains extending from the branching core For instance, if there are 32 interconnected functional groups and hydrogel-connected drug-linker conjugates and capping groups, eight groups may be provided by each of the four PEG- based polymeric chains extending from the core, preferably by means of dendritic moieties attached to the terminus of each PEG-based polymeric chain. Alternatively, four groups may be provided by each of eight PEG-based polymeric chains extending from the core or two groups by each of sixteen PEG-based polymeric chains.
- the deviation from the mean number of the sum of interconnected functional groups and hydrogel-connected drug-linker conjugates and capping groups per PEG-based polymeric chain is kept to a minimum.
- a backbone moiety is characterized by having a branching core, from which at least three PEG-based polymeric chains extend.
- the backbone reagent comprises a branching core, from which at least three PEG-based polymeric chains extend.
- branching cores may be comprised of poly- or oligoalcohols in bound form, preferably pentaerythritol, tripentaerythritol, hexaglycerine, sucrose, sorbitol, fructose, mannitol, glucose, cellulose, amyloses, starches, hydroxyalkyl starches, polyvinylalcohols, dextranes, hyualuronans, or branching cores may be comprised of poly- or oligoamines such as ornithine, diaminobutyric acid, trilysine, tetralysine, pentalysine, hexalysine, heptalysine, octalysine, nonalysine, decalysine, undecalysine, dodecalysine, tridecalysine, tetradecalysine, pentadecalysine or oligolysines,
- the branching core extends three to sixteen PEG-based polymeric chains, more preferably four to eight.
- Preferred branching cores may be comprised of pentaerythritol, ornithine, diaminobutyric acid, trilysine, tetralysine, pentalysine, hexalysine, heptalysine or oligolysine, low-molecular weight PEI, hexaglycerine, tripentaerythritol in bound form.
- the branching core extends three to sixteen PEG-based polymeric chains, more preferably four to eight.
- a PEG-based polymeric chain is a linear poly(ethylene glycol) chain, of which one end is connected to the branching core and the other to a hyperbranched dendritic moiety. It is understood that a polymeric PEG-based chain may be terminated or interrupted by alkyl or aryl groups optionally substituted with heteroatoms and chemical functional groups.
- a PEG-based polymeric chain is a suitably substituted polyethylene glycol derivative (PEG based).
- Preferred structures for corresponding PEG-based polymeric chains extending from a branching core contained in a backbone moiety are multi-arm PEG derivatives as, for instance, detailed in the products list of JenKem Technology, USA (accessed by download from www.jenkemusa.com on July 28, 2009), 4ARM-PEG Derivatives (pentaerythritol core), 8ARM-PEG Derivatives (hexaglycerin core) and 8ARM-PEG Derivatives (tripentaerythritol core).
- PEG Amine (pentaerythritol core) and 4arm PEG Carboxyl (pentaerythritol core), 8arm PEG Amine (hexaglycerin core), 8arm PEG Carboxyl (hexaglycerin core), 8arm PEG Amine (tripentaerythritol core) and 8arm PEG Carboxyl (tripentaerythritol core).
- Preferred molecular weights for such multi-arm PEG-derivatives in a backbone moiety are 1 kDa to 20 kDa, more preferably 1 kDa to 15 kDa and even more preferably 1 kDa to 10 kDa.
- terminal amine groups of the above mentioned multi-arm molecules are present in bound form in the backbone moiety to provide further interconnected functional groups and reactive functional groups of a backbone moiety.
- the sum of interconnected functional groups and reactive functional groups of a backbone moiety is equally divided by the number of PEG-based polymeric chains extending from the branching core. If the number of PEG-based polymeric chains extending from the branching core does not allow for an equal distribution, it is preferred that the deviation from the mean number of the sum of interconnected and reactive functional groups per PEG-based polymeric chain is kept to a minimum. More preferably, the sum of interconnected and reactive functional groups of a backbone moiety is equally divided by the number of PEG-based polymeric chains extending from the branching core.
- each of the four PEG-based polymeric chains extending from the core preferably by means of dendritic moieties attached to the terminus of each PEG-based polymeric chain.
- four groups may be provided by each of eight PEG-based polymeric chains extending from the core or two groups by each of sixteen PEG-based polymeric chains.
- each dendritic moiety has a molecular weight in the range of from 0.4 kDa to 4 kDa, more preferably 0.4 kDa to 2 kDa.
- each dendritic moiety has at least 3 branchings and at least 4 reactive functional groups, and at most 63 branchings and 64 reactive functional groups, preferred at least 7 branchings and at least 8 reactive functional groups and at most 31 branchings and 32 reactive functional groups.
- dendritic moieties are comprised of trilysine, tetralysine, pentalysine, hexalysine, heptalysine, octalysine, nonalysine, decalysine, undecalysine, dodecalysine, tridecalysine, tetradecalysine, pentadecalysine, hexadecalysine, heptadecalysine, octadecalysine, nonadecalysine in bound form.
- dendritic moieties are comprised oftrilysine, tetralysine, pentalysine, hexalysine, heptalysine in bound form, most preferred trilysine, pentalysine or heptalysine, ornithine, diaminobutyric acid in bound form.
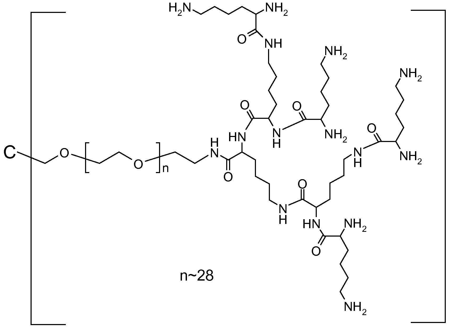
- the hydrogel carrier of the present invention is characterized in that the backbone moiety has a quarternary carbon of formula C(A-Hyp) 4 , wherein each A is independently a poly(ethylene glycol) based polymeric chain terminally attached to the quarternary carbon by a permanent covalent bond and the distal end of the PEG-based polymeric chain is covalently bound to a dendritic moiety Hyp, each dendritic moiety Hyp having at least four functional groups representing the interconnected functional groups and reactive functional groups.
- each A is independently selected from the formula -(CH 2 )Di(OCH 2 CH 2 )I 1 X-, wherein nl is 1 or 2; n is an integer in the range of from 5 to 50; and X is a chemical functional group covalently linking A and Hyp.
- a and Hyp are covalently linked by an amide linkage.
- the dendritic moiety Hyp is a hyperbranched polypeptide.
- the hyperbranched polypeptide comprises lysine in bound form.
- each dendritic moiety Hyp has a molecular weight in the range of from 0.4 kDa to 4 kDa. It is understood that a backbone moiety C(A-HyP) 4 can consist of the same or different dendritic moieties Hyp and that each Hyp can be chosen independently.
- Each moiety Hyp consists of between 5 and 32 lysines, preferably of at least 7 lysines, i.e.
- each moiety Hyp is comprised of between 5 and 32 lysines in bound form, preferably of at least 7 lysines in bound form.Most preferably Hyp is comprised of heptalysinyl.
- the reaction of polymerizable functional groups a backbone reagent, more specifically of Hyp with the polymerizable functional groups of polyethyleneglycol based crosslinker reagents results in a permanent amide bond.
- C(A-Hyp) 4 has a molecular weight in the range of from 1 kDa to 20 kDa, more preferably 1 kDa to 15 kDa and even more preferably 1 kDa to 10 kDa.
- n is an integer of from 5 to 50:
- Biodegradability of the hydrogels according to the present invention is achieved by introduction of hydro lyrically degradable bonds.
- the terms “hydro lyrically degradable”, “biodegradable” or “hydro lyrically cleavable”, “auto-cleavable”, or “self-cleavage”, “self-cleavable”, “transient” or “temporary” refers within the context of the present invention to bonds and linkages which are non- enzymatically hydrolytically degradable or cleavable under physiological conditions (aqueous buffer at pH 7.4, 37°C) with half-lives ranging from one hour to three months, including, but are not limited to, aconityls, acetals, amides, carboxylic anhydrides, esters, imines, hydrazones, maleamic acid amides, ortho esters, phosphamides, phosphoesters, phosphosilyl esters, silyl esters, sulfonic esters, aromatic carb
- biodegradable linkages are carboxylic esters, carbonates, phosphoesters and sulfonic acid esters and most preferred are carboxylic esters or carbonates.
- Permanent linkages are non-enzymatically hydrolytically degradable under physiological conditions (aqueous buffer at pH 7.4, 37°C) with half-lives of six months or longer, such as, for example, amides.
- the backbone moieties can be directly linked to each other by means of biodegradable bonds.
- the backbone moieties of the biodegradable hydrogel carrier may be linked together directly, i.e. without crosslinker moieties.
- the hyperbranched dendritic moieties of two backbone moieties of such biodegradable hydrogel may either be directly linked through an interconnected functional group that connects the two hyperbranched dendritic moieties.
- two hyperbranched dendritic moieties of two different backbone moieties may be interconnected through two spacer moieties connected to a backbone moiety and on the other side connected to a crosslinking moiety separated by an interconnected functional groups.
- backbone moieties may be linked together through crosslinker moieties, each crosslinker moiety is terminated by at least two of the hydrolytically degradable bonds.
- the crosslinker moieties may contain further biodegradable bonds.
- each end of the crosslinker moiety linked to a backbone moiety comprises a hydrolytically degradable bond, and additional biodegradable bonds may optionally be present in the crosslinker moiety.
- the biodegradable hydrogel carrier is composed of backbone moieties interconnected by hydrolytically degradable bonds and the backbone moieties are linked together through crosslinker moieties.
- the biodegradable hydrogel carrier may contain one or more different types of crosslinker moieties, preferably one.
- the crosslinker moiety may be a linear or branched molecule and preferably is a linear molecule. In a preferred embodiment of the invention, the crosslinker moiety is connected to backbone moieties by at least two biodegradable bonds.
- biodegradable linkages are carboxylic esters, carbonates, phosphoesters and sulfonic acid esters and most preferred are carboxylic esters or carbonates.
- crosslinker moieties have a molecular weight in the range of from 60 Da to 5 kDa, more preferably, from 0.5 kDa to 4 kDa, even more preferably from 1 kDa to 4 kDa, even more preferably from 1 kDa to 3 kDa.
- a crosslinker moiety consists of a polymer.
- low-molecular weight crosslinking moieties may be used, especially when hydrophilic high-molecular weight backbone moieties are used for the formation of a biodegradable hydrogel according to the invention.
- the poly(ethylene glycol) based crosslinker moieties are hydrocarbon chains comprising ethylene glycol units, optionally comprising further chemical functional groups, wherein the poly(ethylene glycol) based crosslinker moieties comprise at least each m ethylene glycol units, wherein m is an integer in the range of from 3 to 100, preferably from 10 to 70.
- the poly(ethylene glycol) based crosslinker moieties have a molecular weight in the range of from 0.5 kDa to 5 kDa.
- PEG-based refers to a crosslinker moiety or PEG-based polymeric chain comprising at least 20 weight % ethylene glycol moieties.
- monomers constituting the polymeric crosslinker moieties are connected by biodegradable bonds.
- Such polymeric crosslinker moieties may contain up to 100 biodegradable bonds or more, depending on the molecular weight of the crosslinker moiety and the molecular weight of the monomer units.
- Examples for such crosslinker moieties are poly(lactic acid) or poly(gly colic acid) based polymers. It is understood that such poly(lactic acid) or poly(gly colic acid) chain may be terminated or interrupted by alkyl or aryl groups and that they may optionally be substituted with heteroatoms and chemical functional groups.
- the crosslinker moieties are PEG based, preferably represented by only one PEG based molecular chain.
- the poly(ethylene glycol) based crosslinker moieties are hydrocarbon chains comprising ethylene glycol units, optionally comprising further chemical functional groups, wherein the poly(ethylene glycol) based crosslinker moieties comprise at least each m ethylene glycol units, wherein m is an integer in the range of from 3 to 100, preferably from 10 to 70.
- the poly(ethylene glycol) based crosslinker moieties have a molecular weight in the range of from 0.5 kDa to 5 kDa.
- the crosslinker moiety consists of PEG, which is symmetrically connected through ester bonds to two alpha, omega-aliphatic dicarboxylic spacers provided by backbone moieties connected to the hyperbranched dendritic moiety through permanent amide bonds.
- the dicarboxylic acids of the spacer moieties connected to a backbone moiety and on the other side is connected to a crosslinking moiety consist of 3 to 12 carbon atoms, most preferably between 5 and 8 carbon atoms and may be substituted at one or more carbon atom.
- Preferred substituents are alkyl groups, hydroxyl groups or amido groups or substituted amino groups.
- One or more of the aliphatic dicarboxylic acid's methylene groups may optionally be substituted by O or NH or alkyl-substituted N.
- Preferred alkyl is linear or branched alkyl with 1 to 6 carbon atoms.
- a permanent amide bond between the hyperbranched dendritic moiety and the spacer moiety connected to a backbone moiety and on the other side is connected to a crosslinking moiety.
- One preferred crosslinker moiety is shown below; dashed lines indicate interconnecting biodegradable linkages to backbone moieties:
- n is an integer of from 5 to 50.
- the hydrogel carrier is composed of backbone moieties interconnected by hydro lyrically degradable bonds.
- the backbone moieties comprise a branching core of the following formula:
- the backbone moieties comprise a structure of the following formula: o 4 .
- n is an integer of from 5 to 50 and the dashed line indicates attachment to the remainder of the backbone moiety.
- backbone moiety comprises a hyperbranched moiety Hyp.
- the backbone moiety comprises a hyperbranched moiety Hyp of the following formula:
- the backbone moieties are attached to at least one spacer of the following formula:
- one of the dashed lines indicates attachment to the hyperbranched moiety Hyp and the second dashed line indicates attachment to the rest of the molecule;
- n is an integer of from 2 to 4.
- the backbone moieties are linked together through crosslinker moieties having the following structure
- q is an integer from 3 to 100, preferably from 5 to 50;
- the hydrolysis rate of the biodegradable bonds between backbone moieties and crosslinker moieties is influenced or determined by the number and type of connected atoms adjacent to the PEG-ester carboxy group. For instance, by selecting from succinic, adipic or glutaric acid for PEG ester formation it is possible to vary the degradation half-lives of the biodegradable hydrogel carrier according to the invention.
- the degradation of the biodegradable hydrogel carrier according to the invention is a multi-step reaction where a multitude of degradable bonds is cleaved resulting in degradation products which may be water-soluble or water-insoluble. However, water- insoluble degradation products may further comprise degradable bonds so that they can be cleaved in that water-soluble degradation products are obtained.
- water-soluble degradation products may comprise one or more backbone moieties. It is understood that released backbone moieties may, for instance, be permanently conjugated to spacer or blocking or linker groups or affinity groups and/or prodrug linker degradation products and that also water-soluble degradation products may comprise degradable bonds.
- the structures of the branching core, PEG-based polymeric chains, hyperbranched dendritic moieties and moieties attached to the hyperbranched dendritic moieties can be inferred from the corresponding descriptions provided in the sections covering the hydrogel carriers of the present invention. It is understood that the structure of a degradant depends on the type of hydrogel according to the invention undergoing degradation.
- the total amount of backbone moieties can be measured in solution after complete degradation of the hydrogel according to the invention, and during degradation, fractions of soluble backbone degradation products can be separated from the insoluble hydrogel according to the invention and can be quantified without interference from other soluble degradation products released from the hydrogel according to the invention.
- a hydrogel object according to the invention may be separated from excess water of buffer of physiological osmolality by sedimentation or centrifugation. Centrifugation may be performed in such way that the supernatant provides for at least 10% of the volume of the swollen hydrogel according to the invention.
- Soluble hydrogel degradation products remain in the aqueous supernatant after such sedimentation or centrifugation step, and water-soluble degradation products comprising one or more backbone moieties are detectable by subjecting aliquots of such supernatant to suitable separation and/or analytical methods.
- water-soluble degradation products may be separated from water-insoluble degradation products by filtration through 0.45 ⁇ m filters, after which the water-soluble degradation products can be found in the flow-through.
- Water-soluble degradation products may also be separated from water-insoluble degradation products by a combination of a centrifugation and a filtration step.
- the backbone moieties may carry groups that exhibit UV absorption at wavelengths where other degradation products do not exhibit UV absorption.
- selectively UV-absorbing groups may be structural components of the backbone moiety such as amide bonds or may be introduced into the backbone by attachment to its reactive functional groups by means of aromatic ring systems such as indoyl groups.
- the spacer is connected to the carrier and the linker via stable bonds, such as amide or thiosuccinimide bonds, and preferably these stable bonds are amide bonds. Any spacer known to a person skilled in the art can be used.
- the spacer is a fragment selected from Ci_so alkyl, C2-50 alkenyl or C2-50 alkinyl, which fragment is optionally interrupted by one or more groups selected from -NH-, -N(C 1-4 alkyl)-, -O-, -S-, -C(O)-, - C(O)NH-, -C(O)N(C L4 alkyl)-, -O-C(O)-, -S(O)-, -S(O) 2 -, 4 to 7 membered heterocyclyl, phenyl or naphthyl.
- the hydrogel-linked pramipexole prodrug of the present invention can be prepared starting from the hydrogel of the present invention by convenient methods known in the art. It is clear to a practitioner in the art that several routes exist. For example the prodrug linker mentioned above to which the biologically active moiety is covalently attached can be reacted with the reactive functional groups of the hydrogel of the present invention with or with already bearing the active moiety in part or as whole.
- the hydrogel is generated through chemical ligation reactions.
- the hydrogel may be formed from two macromolecular educts with complementary functionalities which undergo a reaction such as a condensation or addition.
- One of these starting materials is a crosslinker reagent with at least two identical functional groups and the other starting material is a homomultifunctional backbone reagent.
- Suitable functional groups present on the crosslinker reagent include terminal amino, carboxylic acid and derivatives, maleimide and other alpha,beta unsaturated Michael acceptors like vinylsulfone, thiol, hydroxyl groups.
- Suitable functional groups present in the backbone reagent include but are not limited to amino, carboxylic acid and derivatives, maleimide and other alpha, beta unsaturated Michael acceptors like vinylsulfone, thiol, hydroxyl groups. If the crosslinker reagent reactive functional groups are used substoichiometrically with respect to backbone reactive functional groups, the resulting hydrogel will be a reactive hydrogel with free reactive functional groups attached to the backbone structure.
- the prodrug linker may be first conjugated to pramipexole and the resulting pramipexole-prodrug linker conjugate may then react with the hydrogel' s reactive functional groups.
- the linker-hydrogel conjugate may be contacted with pramipexole in the second reaction step and excess pramipexole may be removed by filtration after conjugation of the pramipexole to the hydrogel-bound prodrug linker.
- a preferred process for the preparation of a prodrug according to the present invention is as follows:
- a preferred starting material for the backbone reagent synthesis is a 4-arm PEG terra amine or 8-arm PEG octa amine, with the PEG reagent having a molecular weight ranging from 2000 to 10000 Dalton, most preferably fom 2000 to 5000 Da.
- lysine residues are coupled sequentially to form the hyperbranched backbone reagent. It is understood that the lysines can be partially or fully protected by protective groups during the coupling steps and that also the final backbone reagent may contain protective groups.
- a preferred building block is bis-boc lysine.
- a dendritic poly-lysine moiety may be assembled first and subsequently coupled to the 4-arm PEG tetra amine or 8-arm PEG octa amine. It is desirable to obtain backbone reagent carrying 32 amino groups, consequently seven lysines would be attached to each arm of a 4-arm PEG, or five lysines would be attached to each arm of a 8-arm PEG.
- the multi-arm PEG derivative is a tetra- or octa carboxy PEG.
- the dendritic moieties may be generated from glutaric or aspartic acid, and the resulting backbone reagent would carry 32 carboxy groups.
- backbone reagent's functional groups may be present in a free form, as salts or conjugated to protecting groups. It is understood that due to practical reasons the backbone reagent's number of lysines per PEG-arm will be between six and seven, more preferably approximately seven.
- a preferred backbone reagent is shown below:
- Synthesis of the crosslinker reagent starts from a linear PEG chain with a molecular weight ranging from 0.2 to 5 kDa, more preferably from 0.6 to 2 kDa, which is esterified with a half ester of a dicarboxylic acid, most adipic acid or glutaric acid.
- Preferred protecting group for half ester formation is the benzylic group.
- the resulting bis dicarboxylic acid PEG half esters are converted into more reactive carboxy compounds such as acyl chlorides or active esters, eg pentafluorophenyl or N-hydroxysuccinimide esters, most preferred N-hydroxysuccinimde esters, of which preferred selected structur is shown below.
- each m independently is an integer ranging from 2 to 4, and
- q is an integer of from 3 to 100, preferably of from 5 to 50. More preferred is the following structure:
- the bis dicarboxylic acid PEG half esters may be activated in the presence of a coupling agent such as DCC or HOBt or PyBOP.
- the backbone reagent carries carboxyl groups and the corresponding crosslinker reagent would be selected from ester-containing amino- terminated PEG-chains.
- Backbone reagent and crosslinker reagent may be polymerized to form the hydrogel according to the invention using inverse emulsion polymerization.
- backbone and crosslinker are dissolved in DMSO and a suitable emulgator with an appropriately selected HLB value, preferably Arlacel P 135, is employed to form an inverse emulsion using a mechanical stirrer and controlling the stirring speed.
- a suitable base preferably by N,N,N',N'-tetramethylethylenene diamine.
- an acid such as acetic acid and water.
- the beads are harvested, washed, and fractionated according to particle size by mechanical sieving.
- protecting groups may be removed at this stage.
- multi-functional moieties are coupled to the reactive functional groups of the polymerized reactive hydrogel to increase the number of functional groups which allows to increase the drug load of the hydrogel.
- Such multifunctional moieties may be provided by suitably substituted derivatives of lysine, dilysine, trilysine, tetralysine, pentalysine, hexalysine, heptalysine, or oligolysine, low-molecular weight PEL
- the multi-functional moiety is lysine.
- a pramipexole compound may be directly reacted with a reactive biodegradable hydrogel to form a covalent transient linkage resulting in a hydrogel prodrug according to the invention.
- a transient linkage between drug and biodegradable hydrogel is preferably a carbamate or amide.
- a pramipexole compound is first conjugated to a spacer in such a fashion that the linkage between drug compound and spacer is a covalent transient linkage such as a carbamate or amide linkage, and is subsequently reacted with the reactive biodegradable hydrogel form a prodrug according to the invention.
- a pramipexole compound is first conjugated to a linker in such a fashion that the linkage between drug compound and linker is a covalent transient linkage such as an aromatic amide linkage, and is subsequently reacted with a reactive biodegradable hydrogel to form a prodrug according to the invention.
- hydrogel according to the invention may be functionalized with a spacer carrying a different reactive functional group than provided by the hydrogel.
- maleimide reactive functional groups may be introduced into the hydrogel by coupling a suitable heterobifunctional spacer such as MaI-(EG) 6 -NHS to the hydrogel.
- suitable heterobifunctional spacer such as MaI-(EG) 6 -NHS
- Such functionalized hydrogel can be further conjugated to drug-linker reagents, carrying a reactive thiol group on the linker moiety to form carrier-linked prodrugs according to the present invention.
- a particularly preferred method for the preparation of a prodrug of the present invention comprises the steps of (a) reacting a compound of formula C(A'-X 1 ) 4 , wherein A'-X 1 represents A before its binding to Hyp or a precursor of Hyp and X 1 is a suitable chemical functional group, with a compound of formula Hyp'-X 2 , wherein Hyp'-X 2 represents Hyp before its binding to A or a precursor of Hyp and X 2 is a suitable chemical functional group to react with X 1 ;
- step (b) optionally reacting the resulting compound from step (a) in one or more further steps to yield a compound of formula C(A-HyP) 4 having at least four chemical functional groups;
- step (c) reacting the at least four chemical functional groups of the resulting compound from step (b) with a poly(ethylene glycol) based crosslinker precursor reagent, wherein the crosslinker precursor reagent is used in a sub-stoichiometric amount compared to the total number of functional groups of C(A-Hyp) 4 to yield a hydrogel according to the invention;
- step (d) reacting remaining un-reacted reactive functional groups (representing the reactive functional groups of the backbone comprised in the reactive biodegradable hydrogelof the present invention) in the hydrogel backbone of step (c) with a covalent conjugate of biologically active moiety and transient prodrug linker or first reacting the un-reacted reactive functional groups with the transient prodrug linker and subsequently with the biologically active moiety;
- hydrogels of the present invention are synthesized as follows:
- backbone reagent and crosslinker reagent are mixed in a ratio amine/active ester of 2:1 to 1.05:1. Both backbone reagent and crosslinker reagent are dissolved in DMSO to give a solution with a concentration of 5 to 50 g per 100 mL, preferably 7.5 to 20 g per 100 ml and most preferably 10 to 20 g per 100 ml.
- N,N,N',N'-tertramethylethylene diamine TMEDA
- DMSO solution containing crosslinker reagent and backbone reagent 2 to 10 % (vol.) N,N,N',N'-tertramethylethylene diamine (TMEDA)
- TMDA N,N,N',N'-tertramethylethylene diamine
- Such hydrogel according to the invention is preferably comminuted by mechanical processes such as stirring, crushing, cutting pressing, or milling, and optionally sieving.
- the reaction mixture is comprised of the dispersed phase and the continuous phase.
- backbone reagent and crosslinker reagent are mixed in a ratio amine/active ester of 2: 1 to 1.05: 1 and are dissolved in DMSO to give a to give a solution with a concentration of 5 to 50 g per 100 mL, preferably 7.5 to 20 g per 100 ml and most preferably 10 to 20 g per 100 ml.
- the continuous phase is any solvent, that is not miscible with DMSO, not basic, aprotic and shows a viscosity lower than 10 Pa*s.
- the solvent is not miscible with DMSO, not basic, aprotic, shows a viscosity lower than 2 Pa*s and is non-toxic.
- the solvent is a saturated linear or branched hydrocarbon with 5 to 10 carbon atoms.
- the solvent is n-heptane.
- an emulsifier is added to the continuous phase before adding the dispersed phase.
- the amount of emulsifier is 2 to 50 mg per mL dispersed phase, more preferably 5 to 20 mg per mL dispersed phase, most preferably 10 mg per mL dispersed phase.
- the emulsifier has an HLB-value of 3 to 8.
- the emulsifier is a triester of sorbitol and a fatty acid or an poly(hydroxyl fatty acid)-poly(ethylene glycol) conjugate.
- the emulsifier is an poly(hydroxy-fatty acid)-polyethylene glycol conjugate, with a linear poly(ethylene glycol) of a molecular weight in the range of from 0.5 kDa to 5 kDa and poly(hydroxy-fatty acid) units of a molecular weight in the range of from 0.5 kDa to 3 kDa on each end of the chain.
- the emulsifier is poly(ethylene glycol) dipolyhydroxy stearate, Cithrol DPHS (Cithrol DPHS, former Arlacel P 135, Croda International PIc).
- Droplets of the dispersed phase are generated by stirring with an axial flow impeller with a geometry similar to stirrers such as Isojet, Intermig, Propeller (EKATO Ruhr- und
- stirring is initated before addition of the dispersed phase.
- Stirrer speed is set to 0.6 to 1.7 m/s.
- the dispersed phase is added at room temperature, and the concentration of the disperse phase is 2% to 70%, preferably 5 to 50%
- the mixture of dispersed phase, emulsif ⁇ er and continuous phase is stirred for 5 to 60 min before adding the base to the effect polymerization.
- each amide bond to be formed 5 to 10 equivalents (referred to each amide bond to be formed) of a base are added to the mixture of dispersed and continuous phase.
- the base is aprotic, non nucleophilic and soluble in the disperse phase.
- the base is aprotic, non nucleophilic, well soluble in both disperse phase and DMSO.
- the base is aprotic, non nucleophilic, well soluble in both disperse phase and DMSO, an amine base and non-toxic.
- the base is N,N,N',N'-tertramethylethylene diamine (TMEDA). Stirring in the presence of base is continued for 1 to 16 h.
- TEDA N,N,N',N'-tertramethylethylene diamine
- hydrogel beads according to the invention During stirring, droplets of dispersed phase are hardened to become crosslinked hydrogel beads according to the invention which can be collected and fractionation according to size is performed on a vibrational continuous sieving machine with a 75 ⁇ m and a 32 ⁇ m deck to give hydrogel microparticles according to the invention.
- the hydrogel for the prodrug of the present invention can be obtained from the preparation methods in form of micro-particles.
- the reactive hydrogel is a shaped article such as a coating, mesh or a stent or microparticle.
- the hydrogel is formed into microparticulate beads which can be administered as subcutaneous or intramuscular injectably by means of a standard syringe. Such soft beads may have a diameter of between 1 and 500 micrometer.
- such beaded pramipexole hydrogel prodrugs have a diameter of between 10 and 100 micrometer if suspended in an isotonic aqueous formulation buffer, most preferably a diameter of between 20 and 100 micrometer, most preferably a diameter of between 25 and 80 micrometer.
- such beaded biodegradable hydrogel prodrugs can be administered by injection through a needle smaller than 0.6 mm inner diameter, preferably through a needle smaller than 0.3 mm inner diameter, more preferably through a needle small than 0.25 mm inner diameter, even more preferably through a needle smaller than 0.2 mm inner diameter, and most preferably through a needle small than 0.16 mm inner diameter.
- the terms “can be administered by injection”, “injectable” or “injectability” refer to a combination of factors such as a certain force applied to a plunger of a syringe containing the biodegradable hydrogel according to the invention swollen in a liquid at a certain concentration (w/v) and at a certain temperature, a needle of a given inner diameter connected to the outlet of such syringe, and the time required to extrude a certain volume of the biodegradable hydrogel carrier according to the invention from the syringe through the needle.
- a volume of 1 mL of the pramipexole prodrugs according to the invention swollen in water to a concentration of at least 5% (w/v) and contained in a syringe holding a plunger of a diameter of 4.7 mm can be extruded at room temperature within 10 seconds by applying a force of less than 50 Newton.
- Preferably injectability is achieved for an pramipexole prodrug according to the invention swollen in water to a concentration of ca. 10% (w/v).
- L 2 has such terminal group it is furthermore preferred that L 2 has a molecular weight in the range of from 14 g/mol to 500 g/mol calculated without such terminal group.
- the spacer (L 2 ) is preferably a Ci_2o alkyl being bound to R 2 and which Ci_2o alkyl is optionally interrupted by one or more groups selected from -NH-, -N(C 1-4 alkyl)-, - O-, -S-, -C(O)-, -C(O)NH-, -C(O)N(C L4 alkyl)-, -O-C(O)-, -S(O)-, -S(O) 2 -, 4 to 7 membered heterocyclyl, phenyl or naphthyl, provided that the spacer does not contain a nitrogen atom being in ⁇ - or ⁇ -position to the nitrogen atom bound to the hydrogen marked with the asterisk in formula (I) and L 2 is attached to the carrier via a terminal group selected from -C(O)NH-;
- L 2 has a molecular weight in the range of from 14 g/mol to 500 g/mol calculated without said terminal group.
- the linker L of the carrier linked pramipexole prodrug may be optionally substituted further by one or more substituents.
- the substitution may occur at the moiety L 1 and/or the moiety L 2 including the respective preferred definitions of L 1 and/or L 2 as defined above.
- any substituent may be used as far as the cleavage principle is not affected (when the prodrug is administered to a patient in need thereof.)
- one or more further optional substituents are independently selected from the group consisting of halogen; CN; COOR 9 ; OR 9 ; C(O)R 9 ; C(O)N(R 9 R 9a ); S(O) 2 N(R 9 R 9a ); S(O)N(R 9 R 9a ); S(O) 2 R 9 ; S(O)R 9 ; N(R 9 )S(O) 2 N(R 9a R 9b ); SR 9 ; N(R 9 R 9a ); NO 2 ; OC(O)R 9 ; N(R 9 )C(O)R 9a ; N(R 9 )S(O) 2 R 9a ; N(R 9 )S(O)R 9a ; N(R 9 )C(O)OR 9a ; N(R 9 )C(O)N(R 9a R 9b ); OC(O)N(R 9 R 9a ); T; Ci_ 5 o alkyl
- R 9 , R 9a , R 9b are independently selected from the group consisting of H; T; and Ci_so alkyl;
- Ci_so alkyl; C2-50 alkenyl; and C2-50 alkynyl are optionally substituted with one or more R 10 , which are the same or different and wherein
- Ci_ 5 o alkyl; C 2 _ 50 alkenyl; and C 2 _ 50 alkynyl are optionally interrupted by one or more groups selected from the group consisting of T, -C(O)O-; -O-; -C(O)-; -C(O)N(R 11 )-; - S(O) 2 N(R 11 )-; -S(O)N(R 11 )-; -S(O) 2 -; -S(O)-; -N(R 1 ⁇ S(O) 2 N(R 1 la )-; -S-; -N(R 11 )-; - OC(O)R 11 ; -N(R ⁇ )C(0)-; -N(R 1 ⁇ S(O) 2 -; -N(R 1 ⁇ S(O)-; -N(R 1 ⁇ C(O)O-; - N(R 1 ⁇ C(O)N(R 11
- Ci -6 alkyl wherein Ci -6 alkyl is optionally substituted with one or more halogen, which are the same or different;
- R 11 , R l la , R 12 , R 12a , R 12b are independently selected from the group consisting of H; or Ci -6 alkyl, wherein Ci_ 6 alkyl is optionally substituted with one or more halogen, which are the same or different.
- the carrier linked pramipexole prodrug according to the present invention is any combination of possible pramipexole, the linker L and the carrier as defined above including the respective definitions.
- Prodrugs or precursors of prodrugs according to the present invention may be prepared by known methods or in accordance with the reaction sequences described below.
- the starting materials used in the preparation (synthesis) of prodrugs of the invention or precursors thereof are known or commercially available, or can be prepared by known methods or as described below.
- the prodrugs or precursors can be purified by customary purification procedures, for example by recrystallization or chromatography.
- the prodrugs according to the present invention may be prepared by a method comprising the step of reacting a prodrug precursor L-Y with pramipexole (P) to obtain a pramipexole linker conjugate P-L by forming an amide bond, wherein Y is a leaving group.
- P-L may be bound to the carrier to obtain the carrier linked prodrugs according to the present invention.
- the carrier may already be bound to L-Y or L 1 -Y (as defined below).
- Y is a leaving group. Such leaving groups are known to a person skilled in the art.
- Y is chloride, bromide, fluoride, nitrophenoxy, imidazolyl, N- hydroxysuccinimidyl, N-hydroxybenzotriazolyl, N-hydroxyazobenzotriazolyl, pentafluorophenoxy, 2-thiooxo-thiazolidinyl, or N-hydroxysulfosuccinimidyl.
- a pramipexole linker intermediate (L 1 -P) is obtained by reacting L 2 -Y with the biologically active drug pramipexole (by forming an amide bond).
- said pramipexole intermediate L 1 -P is reacted further to obtain the carrier linked pramipexole product by adding the moiety L 2 and the carrier to said pramipexole linker intermediate L 1 -P.
- the addition of L 2 and/or the carrier to L 1 -P may be performed in several steps by preparing further intermediate compounds prior to obtaining the prodrug according to the present invention.
- a prodrug precursor L * -Y may be employed instead of L 1 -Y, wherein L * is selected from a fragment of L 1 , L 1 containing at least one protecting group or L 1 additionally containing precursors of L 2 and/or the carrier.
- the pharmaceutical composition is further described in the following paragraphs.
- the composition of pramipexole hydrogel prodrug may be provided as a suspension composition or as a dry composition.
- the pharmaceutical composition of pramipexole hydrogel prodrug is a dry composition. Suitable methods of drying are, for example, spray-drying and lyophilization (freeze-drying).
- the pharmaceutical composition of pramipexole hydrogel prodrug is dried by lyophilization.
- the pramipexole hydrogel prodrug is sufficiently dosed in the composition to provide therapeutically effective amount of pramipexole for at least three days in one application. More preferably, one application of the pramipexole hydrogel prodrug is sufficient for one week.
- the pharmaceutical composition of pramipexole hydrogel prodrug according to the present invention contains one or more excipients.
- Excipients used in parenteral compositions may be categorized as buffering agents, isotonicity modifiers, preservatives, stabilizers, anti-adsorption agents, oxidation protection agents, viscosifiers/viscosity enhancing agents, or other auxiliary agents. In some cases, these ingredients may have dual or triple functions.
- the compositions of pramipexole hydrogel prodrugs according to the present invention contain one or more than one excipient, selected from the groups consisting of:
- Buffering agents physiologically tolerated buffers to maintain pH in a desired
- Antacids such as Mg(OH) 2 or ZnCO 3 may be also used. Buffering capacity may be adjusted to match the conditions most sensitive to pH stability (ii) Isotonicity modifiers: to minimize pain that can result from cell damage due to osmotic pressure differences at the injection depot. Glycerin and sodium chloride are examples. Effective concentrations can be determined by osmometry using an assumed osmolality of 285-315 m ⁇ smol/kg for serum
- Preservatives and/or antimicrobials multidose parenteral preparations require the addition of preservatives at a sufficient concentration to minimize risk of patients becoming infected upon injection and corresponding regulatory requirements have been established.
- Typical preservatives include m-cresol, phenol, methylparaben, ethylparaben, propylparaben, butylparaben, chlorobutanol, benzyl alcohol, phenylmercuric nitrate, thimerosol, sorbic acid, potassium sorbate, benzoic acid, chlorocresol, and benzalkonium chloride
- Stabilizers Stabilisation is achieved by strengthening of the protein- stabilising forces, by destabilisation of the denatured stater, or by direct binding of excipients to the protein.
- Stabilizers may be amino acids such as alanine, arginine, aspartic acid, glycine, histidine, lysine, proline, sugars such as glucose, sucrose, trehalose, polyols such as glycerol, mannitol, sorbitol, salts such as potassium phosphate, sodium sulphate, chelating agents such as EDTA, hexaphosphate, ligands such as divalent metal ions (zinc, calcium, etc.), other salts or organic molecules such as phenolic derivatives.
- oligomers or polymers such as cyclodextrins, dextran, dendrimers, PEG or PVP or protamine or HSA may be used
- Anti-adsorption agents Mainly ionic or inon-ionic surfactants or other proteins or soluble polymers are used to coat or adsorb competitively to the inner surface of the composition ' s or composition ' s container.
- poloxamer Pluronic F-68
- PEG dodecyl ether Brij 35
- polysorbate 20 and 80 dextran
- polyethylene glycol PEG- polyhistidine
- BSA and HSA gelatines. Chosen concentration and type of excipient depends on the effect to be avoided but typically a monolayer of surfactant is formed at the interface just above the CMC value
- Lyo- and/or cryoprotectants During freeze- or spray drying, excipients may
- Trehalose is particulary efficient at reducing moisture- induced aggregation and also improves thermal stability potentially caused by exposure of protein hydrophobic groups to water.
- Mannitol and sucrose may also be used, either as sole lyo/cryoprotectant or in combination with each other where higher ratios of mannitohsucrose are known to enhance physical stability of a lyophilized cake.
- Mannitol may also be combined with trehalose.
- Trehalose may also be combined with sorbitol or sorbitol used as the sole protectant.
- Starch or starch derivatives may also be used
- Oxidation protection agents such as ascorbic acid, ectoine,
- Viscosifiers or viscosity enhancers retard settling of the particles in the vial and syringe and are used in order to facilitate mixing and resuspension of the particles and to make the suspension easier to inject (i.e., low force on the syringe plunger).
- Suitable viscosifiers or viscosity enhancers are, for example, carbomer viscosifiers like Carbopol 940, Carbopol Ultrez 10, cellulose derivatives like
- hydroxypropylmethylcellulose hyperromellose, HPMC
- diethylaminoethyl cellulose DEAE or DEAE-C
- colloidal magnesium silicate Veegum or sodium silicate
- hydroxyapatite gel tricalcium phosphate gel
- xanthans carrageenans like Satia gum UTC 30
- aliphatic poly(hydroxy acids) such as poly(D,L- or L-lactic acid) (PLA) and poly(glycolic acid) (PGA) and their copolymers (PLGA), terpolymers of D,L-lactide, glycolide and caprolactone, poloxamers, hydrophilic poly(oxyethylene) blocks and hydrophobic poly(oxypropylene) blocks to make up a triblock of poly(oxyethylene)-poly(oxypropylene)-poly(oxyethylene) (e.g.
- polyetherester copolymer such as a polyethylene glycol
- SAIB dextran or derivatives thereof, combinations of dextrans and PEG, polydimethylsiloxane, collagen, chitosan, polyvinyl alcohol (PVA) and derivatives, polyalkylimides, poly (acrylamide-co-diallyldimethyl ammonium (DADMA)), polyvinylpyrrolidone (PVP), glycosaminoglycans (GAGs) such as dermatan sulfate, chondroitin sulfate, keratan sulfate, heparin, heparan sulfate, hyaluronan, ABA triblock or AB block copolymers composed of hydrophobic A-b locks, such as polylactide (PLA) or poly(lactide-co-glycolide) (PLGA), and hydrophilic B-blocks, such as polyethylene glycol (PEG) or polyvinyl pyrrolidone.
- PVA poly(lactide-co-g
- copolymers as well as the abovementioned poloxamers may exhibit reverse thermal gelation behavior (fluid state at room temperature to facilitate administration and gel state above sol-gel transition temperature at body temperature after injection).
- a spreading agent such as but not limited to hyaluronidase temporarily decreases the viscosity of the extracellular matrix and promotes diffusion of injected drugs.
- auxiliary agents such as wetting agents, viscosity modifiers, antibiotics, hyaluronidase. Acids and bases such as hydrochloric acid and sodium hydroxide are auxiliary agents necessary for pH adjustment during manufacture
- the composition of pramipexole hydrogel prodrug contains one or more than one viscosif ⁇ er and/or viscosity modifying agent.
- excipient preferably refers to a diluent, adjuvant, or vehicle with which the therapeutic is administered.
- Such pharmaceutical excipient can be sterile liquids, such as water and oils, including those of petroleum, animal, vegetable or synthetic origin, including but not limited to peanut oil, soybean oil, mineral oil, sesame oil and the like. Water is a preferred excipient when the pharmaceutical composition is administered orally.
- Saline and aqueous dextrose are preferred excipients when the pharmaceutical composition is administered intravenously. Saline solutions and aqueous dextrose and glycerol solutions are preferably employed as liquid excipients for injectable solutions.
- Suitable pharmaceutical excipients include starch, glucose, lactose, sucrose, gelatin, malt, rice, flour, chalk, silica gel, sodium stearate, glycerol monostearate, talc, sodium chloride, dried skim milk, glycerol, propylene, glycol, water, ethanol and the like.
- the composition if desired, can also contain minor amounts of wetting or emulsifying agents, or pH buffering agents. These compositions can take the form of solutions, suspensions, emulsions, tablets, pills, capsules, powders, sustained-release formulations and the like.
- the composition can be formulated as a suppository, with traditional binders and excipients such as triglycerides.
- Oral formulation can include standard excipients such as pharmaceutical grades of mannitol, lactose, starch, magnesium stearate, sodium saccharine, cellulose, magnesium carbonate, etc. Examples of suitable pharmaceutical excipients are described in "Remington's Pharmaceutical Sciences” by E.W. Martin. Such compositions will contain a therapeutically effective amount of the therapeutic, preferably in purified form, together with a suitable amount of excipient so as to provide the form for proper administration to the patient. The formulation should suit the mode of administration. In one embodiment of the present invention, the dry composition of pramipexole hydrogel prodrug is provided as a single dose, meaning that the container in which it is supplied contains one pharmaceutical dose.
- composition of the present invention whether in dry form or as a suspension or in another form may be provided as single or multiple dose composition.
- composition is provided as a single dose composition.
- the suspension composition or dried composition is a multiple dose
- a multiple dose composition contains at least 2 doses.
- Such multiple dose composition of pramipexole hydrogel can either be used for different patients in need thereof or is intendend for use in one patient, wherein the remaining doses are stored after the application of the first dose until needed.
- the composition is comprised in a container.
- the container is a dual-chamber syringe.
- the dry composition according to the present invention is provided in a first chamber of the dual-chamber syringe and reconstitution solution is provided in a second chamber of the dual-chamber syringe.
- the dry composition Prior to applying the dry composition of pramipexole hydrogel prodrug to a patient in need thereof, the dry composition is reconstituted. Reconstitution can take place in the container in which the dry composition of pramipexole hydrogel prodrug is provided, such as in a vial, syringe, dual-chamber syringe, ampoule, and cartridge. Reconstitution is done by adding a predefined amount of reconstitution solution to the dry composition.
- Reconstitution solutions are sterile liquids, such as water or buffer, which may contain further additives, such as preservatives and/or antimicrobials, such as, for example, benzylalcohol and cresol.
- the reconstitution solution is sterile water.
- An additional aspect of the present invention relates to the method of administration of a reconstituted pramipexole hydrogel prodrug composition.
- the pramipexole hydrogel prodrug composition can be administered by methods of injection or infusion, including intradermal, subcutaneous, intramuscular, intravenous, intraosseous, and intraperitoneal.
- the pramipexole hydrogel prodrug is administered subcutaneously.
- a further aspect is a method of preparing a reconstituted composition comprising a therapeutically effective amount of an pramipexole hydrogel prodrug, and optionally one or more pharmaceutically acceptable excipients, wherein the pramipexole is transiently linked to a hydrogel, the method comprising the step of
- Another aspect is a reconstituted composition
- a reconstituted composition comprising a therapeutically effective amount of a pramipexole hydrogel prodrug, and optionally one or more pharmaceutically acceptable excipients, wherein the pramipexole is transiently linked to a hydrogel obtainable by the method above.
- Another aspect of the present invention is the method of manufacturing a dry composition of pramipexole hydrogel prodrug.
- such suspension composition is made by
- Suitable containers are vials, syringes, dual-chamber syringes, ampoules, and cartridges.
- kits of parts When the administration device is simply a hypodermic syringe then the kit may comprise the syringe, a needle and a container comprising the dry pramipexole hydrogel prodrug composition for use with the syringe and a second container comprising the reconstitution solution.
- the injection device is other than a simple hypodermic syringe and so the separate container with reconstituted pramipexole hydrogel prodrug is adapted to engage with the injection device such that in use the liquid composition in the container is in fluid connection with the outlet of the injection device.
- administration devices include but are not limited to hypodermic syringes and pen injector devices. Particularly preferred injection devices are the pen injectors in which case the container is a cartridge, preferably a disposable cartridge.
- a preferred kit of parts comprises a needle and a container containing the composition according to the present invention and optionally further containing a reconstitution solution, the container being adapted for use with the needle.
- the container is a dual-chamber syringe.
- the invention provides a cartridge containing a composition of pramipexole hydrogel prodrug as hereinbefore described for use with a pen injector device.
- the cartridge may contain a single dose or multiplicity of doses of pramipexole.
- compositions comprising a carrier linked pramipexole prodrug (or a pharmaceutically acceptable salt thereof) as pharmaceuticals or medicaments, respectively.
- a carrier linked pramipexole prodrug or a pharmaceutically acceptable salt thereof
- the same definitions for the polymeric pramipexole prodrug as well as for further fragments, moieties or substituents such as L 1 or X 1 ) as laid out above in the context of the prodrug as such apply.
- diseases which can be treated by employing the pharmaceutical compositions according to the present invention are dopamine receptor related diseases, including Parkinson's disease, neurological disorders, amyotrophic lateral sclerosis, compulsive behavior, bipolar disorders, Tourette's syndrome, depressive disorders, treatment resistant depression, f ⁇ bromyalia or restless leg syndrome (RLS).
- Parkinson's disease including Parkinson's disease, neurological disorders, amyotrophic lateral sclerosis, compulsive behavior, bipolar disorders, Tourette's syndrome, depressive disorders, treatment resistant depression, f ⁇ bromyalia or restless leg syndrome (RLS).
- Preferred diseases to be treated are Parkinson's disease or RLS.
- the use of the pharmaceutical compositions according to the present invention includes the prophylaxis and/or treatment of said diseases.
- the present invention also includes a method for producing a medicament for the prophylaxis and/or treatment of said diseases.
- the present invention also includes a method of treating, controlling, delaying or preventing in a mammalian patient in need of the treatment of one or more conditions comprising administering to said patient a therapeutically effective amount of a pharmaceutical composition (or a pharmaceutically acceptable salt thereof) according to the present invention.
- compositions according to the present invention or the respective pharmaceutical compositions can be administered to animals, preferably to mammals, and in particular to humans.
- the pharmaceutical compositions can be administered as such or in mixtures with one another or in mixtures with other pharmaceuticals.
- the pharmaceutical compositions according to the present invention are administered in effective doses, which are known to a person skilled in the art.
- the following examples illustrate the invention without limitation. Examples Materials and Methods
- 2-Chlorotrityl chloride resin and Sieber amide resin were obtained from Merck Biosciences GmbH, Schwalbach/Ts, Germany. Boc-Gly-OH and Fmoc-Gly-OH were obtained from Merck KGaA, Darmstadt, Germany. Ac-GIu(OtBu)-OH was obtained from Bachem, Bubendorf, Switzerland. Mal-dPEG6-NHS-ester was obtained from celares GmbH, Berlin, Germany. Amino 4-arm PEG5000 was obtained from JenKem Technology, Beijing, P. R. China. Amino 4-arm PEG2000 was obtained from CreativePEGWorks, Winston Salem, North Carolina, USA.
- Pramipexole dihydrochloride was obtained from Carbone Scientific Co., Ltd., Wuhan, China.
- Fmoc-PP-OH was obtained from Polypure AS, Oslo, Norway.
- Fmoc-Ado-OH was obtained from Polypeptide, France. All other chemicals were obtained from Sigma-ALDRICH Chemie GmbH, Taufmün, Germany.
- S-Tritylcysteamine was synthesized according to the literature: Di Maro, S. Pong, R.-C. Hsieh, J.-T. Ahn, J.-M. J. Med. Chem. 2008, 51(21), 6639-6641.
- 6-Tritylsulfanylhexane-l -amine was synthesized according to the literature: Raghunand, N. Jagadish, B. Trouard, T. P.; Galons, J.-P.; Gillies, R. J.; Mash, E. A. Magnetic Resonance in Medicine 2006, 55(6), 1272-1280. Solid phase synthesis was performed on 2-Chlorotrityl chloride resin with a loading of 1.1 - 1.0 mmol/g or Sieber amide resin with a loading of 0.64 - 0.62 mmol/g. Syringes equipped with polyethylene frits were used as reaction vessels.
- the resin was agitated with 2/2/96 (v/v/v) piperidine/DBU/DMF (two times, 10 min each) at RT and washed with DMF (ten times).
- Synthesis of ureas starting from free amino groups on resin was achieved by agitating resin with 2.5 eq of bis(pentafluorophenyl) carbonate and 5 eq DIEA in relation to free amino groups in DCM at RT. After 45 min resin was washed with DMF (10 times). 1 eq of amine and 2.5 eq DIEA were dissolved in DCM. Mixture was added to resin and agitated for 75 min at RT. Resin was washed with DMF (10 times).
- RP-HPLC was done on a 100x20 or a 100x40 mm C18 ReproSil-Pur 300 ODS-3 5 ⁇ column (Dr. Maisch, Ammerbuch, Germany) connected to a Waters 600 HPLC System and Waters 2487 Absorbance detector. Linear gradients of solution A (0.1% TFA in H 2 O) and solution B (0.1% TFA in acetonitrile) were used. HPLC fractions containing product were pooled and lyophilized.
- Ultra performance liquid chromatography-electronspray ionization mass spectrometry (UPLC-ESI-MS) was performed on a Waters Acquity Ultra Performance LC instrument connected to a Thermo scientific LTQ Orbitrap Discovery instrument and spectra were, if necessary, interpreted by Thermo scientific software xcalibur.
- the amount of amino groups was determined according to a method used for amino group quantification of solid phase synthesis resins (M. Gude, J. Ryf, P. D. White, Lett. Pept. ScL, 2002, 9, 203-206).
- Hydrogel degradation was analysed by monitoring release of water soluble (backbone moieties containing) macromonomers from hydrogel by SEC.
- Sample preparation and SEC conditions are identical as given in "Quantification of pramipexole in in vitro release studies”. Signals of macromonomers at 0.9 - 1.7 min were integrated (215 nm) and plotted versus time.
- the gradient system comprised a linear gradient from 0.1 % B to 99 % B in 4 min, an isocratic washing phase with 99% B (1.0 min), and a reconditioning phase (2.9 min) with a flow rate of 0.25 mL/min.
- Detection of the ions was performed in the selected reaction monitoring (SRM) mode, monitoring the transition pairs at the m/z 212.1 precursor ion to the m/z 153.0 product ion for pramipexole and m/z 180.2 precursor ion to the m/z 164.2 product ion for the internal standard memantine.
- SRM reaction monitoring
- the calibration curve was acquired by plotting the ratio (peak area pramipexole) : (peak area internal standard) against the nominal amount of calibration standards. The results were fitted to linear regression using standard software.
- lyophilisate was dissolved in HFIP (2 mL), TES (20 ⁇ L) was added, and the mixture was incubated for 10 min. Volatiles were evaporated and Ib was purified by RP-HPLC.
- 3a was synthesized as described for 2a except for the use of l,4-dioxane-2,6-dione instead of succinic anhydride.
- 3b was synthesized as described for Ib except for the use of 3a instead of Ia.
- the coupling of pramipexole was completed within 30 min.
- 4b was synthesized as described for Ib except for the use of 4a instead of Ia.
- the coupling of pramipexole was completed within 40 min. 38 mg (0.042mmol, TFA salt) of the coupling product were isolated after RP-HPLC purification and lyophilisation.
- Boc-Gly-OH (659 mg, 3.76 mmol), PyBOP (2.35 g, 4.51 mmol) and JV-methyl morpholine (4.14 mL, 37.6 mmol) were dissolved in DMSO (20 mL). Pramipexole dihydrochloride (2.14 g, 7.52 mmol) was added, and the mixture was stirred for 1 h. The solution was diluted with 300 mL 1 M NaOH solution, saturated with NaCl, and extracted with DCM (8 x 70 mL). The combined organic phases were dried over MgSO 4 , the solvent was evaporated under reduced pressure, and the residue purified by RP-HPLC. After lyophilisation 721 mg (1.49 mmol, TFA salt) of the Boc protected derivative were obtained.
- the intermediate was dissolved in 3 M methanolic HCl (10 mL), concentrated aqueous HCl (400 ⁇ L) were added, and the mixture was agitated for 4 h. The solvent was removed under reduced pressure and the residue was dried in vacuo.
- 6-Tritylsulfanylhexane-l -amine (1.21 g, 3.22 mmol) and /?-nitrophenyl chloro formate (0.78 g, 3.86 mmol) were suspended in dry THF (15 mL).
- DIEA (841 ⁇ L, 4.83 mmol) was added, and the resulting solution was stirred at RT for 2 h. After acidification by addition of acetic acid the solvent was evaporated under reduced pressure, and the residue was purified by RP-HPLC.
- PEG-carrier 8 was synthesized on Sieber amide resin (600 mg, 0.38 mmol) by loading the resin with Fmoc-Phe-OH, Fmoc-deprotection, coupling with Fmoc-8-amino-3,6-dioxa- octanoic acid, Fmoc-deprotection, second coupling with Fmoc-8-amino-3,6-dioxa-octanoic acid and Fmoc-deprotection as depicted above and described in "Materials and Methods". Product formation was confirmed by MS analysis after cleavage of fmoc protected product (step 6) from a small amount of resin as described in "Materials and Methods" .
- 9c was synthesized as described for 9a except for the use of 3b (2 mg, 0.004 mmol) instead of Ib.
- 9d was synthesized as described for 9a except for the use of 4b (2 mg, 0.003 mmol) instead of Ib.
- 9e was synthesized as described for 9a except for the use of 5c (2 mg, 0.004 mmol) instead of Ib.
- OEG-carrier 10 was synthesized on 2-chlorotrityl chloride resin (362 mg, 0.365 mmol) by loading the resin with Fmoc-Ado-OH, Fmoc deprotection, coupling with Fmoc-Ado-OH, Fmoc deprotection, coupling with 2-(2-(2-methoxyethoxy)ethoxy)acetic acid, and cleavage from the resin as described in "Materials and Methods". Crude 10 was used in the next step without further purification.
- Backbone reagent 12g was synthesized from Amino 4-ami PEG5000 12a according to the following scheme: [ I Boc-Lys(Boc)-OH r ] HCI Dioxane/MeOH r -i p EG1 250 NH, ⁇ PEG1250 LyS(BoC) 2 ⁇ PEG1250K LyS(NH 2 )J
- Compound 12c was obtained by stirring of 3.40 g of compound 12b (0.521 mmol) in 5 mL of methanol and 9 mL of 4 N HCl in dioxane at RT for 15 min. Volatiles were removed in vacuo. The product was used in the the next step without further purification.
- Reaction mixture was diluted with 800 rnL DCM and washed with 400 mL of 0.1 N H 2 SO 4 (2 x), brine (1 x), 0.1 M NaOH (2 x), and 1/1 (v/v) brine/water (4 x). Aqueous layers were reextracted with 800 mL of DCM. Organic phases were dried with Na 2 SO 4 , filtered and evaporated to give a glassy crude product.
- compound 12e (3.55 g, 0.48 mmol) was dissolved in 20 mL of DMSO (anhydrous). Boc-Lys(Boc)-OH (5.32 g, 15.4 mmol) in 18.8 mL of DMSO (anhydrous), EDC HCl (2.76 g, 14.4 mmol), HOBt-H 2 O (2.20 g, 14.4 mmol), and 10.0 mL of collidine (76.8 mmol) were added. The reaction mixture was stirred for 60 min at RT.
- reaction mixture was diluted with 800 mL of DCM and washed with 400 mL of 0.1 N H 2 SO 4 (2 x), brine (1 x), 0.1 M NaOH (2 x), and 1/1 (v/v) brine/water (4 x). Aqueous layers were reextracted with 800 mL of DCM. Organic phases were dried over Na 2 SO 4 , filtered and evaporated to give crude product 12f as colorless oil.
- Backbone reagent 12g was obtained by stirring a solution of compound 12f (MW ca 12035 g/mol, 4.72 g, 0,39 mmol) in 20 mL of methanol and 40 mL of 4 N HCl in dioxane at RT for 30 min. Volatiles were removed in vacuo.
- Backbone reagent 12h was synthesized as described for 12g except for the use of 4-arm PEG2000 instead of 4-arm PEG5000.
- Crosslinker reagent 13d was prepared from adipic acid mono benzyl ester (English, Arthur R. et al, Journal of Medicinal Chemistry, 1990, 33(1), 344-347) and PEG2000 according to the following scheme:
- 13e was synthesized as described for 13d except for the use of glutaric acid instead of adipic acid
- 13g was synthesized as described for 13d except for the use of PEGlOOO instead of PEG2000
- a solution of 300 mg 12g and 900 mg 13d in 10.8 rnL DMSO was added to a solution of 100 mg Arlacel P 135 in 60 mL heptane.
- the mixture was stirred at 700 rpm with a custom metal stirrer for 10 min at RT to form a suspension.
- 1.1 mL N,N,N',N'-tertramethylene diamine (TMEDA) was added to effect polymerization. After 2 h, the stirrer speed was reduced to 400 rpm and the mixture was stirred for additional 16 h.
- 1.6 mL of acetic acid were added and then after 10 min 50 mL of water were added. After 5 min, the stirrer was stopped and the aqueous phase was drained.
- the water-hydrogel suspension was wet-sieved on 75, 50, 40, 32 and 20 ⁇ m steel sieves. Bead fractions that were retained on the 32, 40, and 50 ⁇ m sieves were pooled and washed 3 times with water, 10 times with ethanol and dried for 16 h at 0.1 mbar to give 14a as a white powder.
- 14b was prepared as described for 14a except for the use of 322 mg 12h, 350 mg 13f, 2.9 ml DMSO, 1.6 ml TMEDA, 2.4 ml acetic acid and a stirring speed of 1000 rpm.
- 14c was prepared as described for 14a except for the use of 300 mg 12g, 810 mg 13e, 6.3 ml DMSO, 1.1 ml TMEDA, 1.6 ml acetic acid and a stirring speed of 1000 rpm.
- 14d was prepared as described for 14a except for the use of 900 mg 12g, 886 mg 13g, 300 mg Arlacel P135, 6.7 ml DMSO, 3.2 ml TMEDA, 5 ml acetic acid and a stirring speed of 1500 rpm.
- 14e was prepared as described for 14a except for the use of 900 mg 12g, 1476 mg 13d, 320 mg Arlacel P135, 8.0 ml DMSO, 3.2 ml TMEDA, 5 ml acetic acid and a stirring speed of 1500 rpm.
- maleimide content was determined to be 0.27 mmol/g dry hydrogel.
- Maleimide-derivatized hydrogel microparticles 15a (100 ⁇ L. loading 30 ⁇ mol/mL, 3 ⁇ mol) were reacted with compound 5c (2.3 mg, 4.3 ⁇ mol) in 1/1 acetonitrile/water (420 ⁇ L) and 0.5 M phosphate buffer pH 7.4 (52 ⁇ L) for 10 min at RT. The hydrogel was washed 20 times with 1/1 acetonitrile/water. Remaining maleimides where reacted with 2- mercaptoethanol (34 ⁇ L, 0.48 mmol) in 1/1 acetonitrile/water (3 mL) and 0.5 M phosphate buffer pH 7.4 (0.4 mL) for 10 min at RT. The loaded hydrogel was washed 20 times with 1/1 acetonitrile/water, and 20 times with phosphate buffer pH 7.4.
- Pramipexole loading 16a 27 mg/g High loaded pramipexole linker hydrogel 16b was prepared as described above except for the use of 88 mg 5c and 100 mg 15b.
- Pramipexole loading 16b 152 mg/g
- Derivative 17a was synthesized by dissolving pramipexole dihydrochloride (400 mg, 1.41 mmol) and BoC 2 O (307 mg, 1.41 mmol) in DMSO (5 mL). DIEA (735 ⁇ L, 4.22 mmol) was added and the solution was stirred for three hours at rt. The product was purified by RP-HPLC. Yield: 422 mg (0.99 mmol, TFA salt).
- Pramipexole dihydrochloride 200 mg, 0.704 mmol
- diglycol anhydride 82 mg, 0.704 mmol
- pyridine 199 ⁇ L, 2.462 mmol
- OEG-carrier-resin 19a was synthesized on Sieber amide resin (242 mg, 0.167 mmol) by loading resin with Fmoc-Phe-OH, followed by a sequence of Fmoc deprotection and coupling of the Fmoc-protected amino acids Fmoc-PP-OH and Fmoc-Ala-OH as described in "Materials and Methods".
- OEG-linker pramipexole conjugate 20 was synthesized by coupling 6 (5.4 mg, 0.012 mmol) to OEG-carrier resin 19b (25 mg, 0.012 mmol) with PyBOP (7.5 mg, 0.014 mmol) and DIEA (7.1 ⁇ L, 0.041 mmol) in DMF (0.8 mL).
- Product 20 was cleaved from the resin as described in "Materials and Methods" and purified by RP-HPLC.
- Resin 19b (36 mg, 0.018 mmol) was reacted with 22a (10 mg, 0.018 mmol), PyBOP (11.2 mg, 0.022 mmol) and DIEA (7.5 ⁇ L, 0.043 mmol) in DMF (400 ⁇ L).
- Product 22b was obtained by cleavage from resin as described in "Materials and Methods" and RP-HPLC purification.
- OEG-carrier-resin 8 (19 mg, 0.009 mmol substitution) was coupled with 24a (11 mg, 0.023 mmol) with PyBOP (14 mg, 0.028 mmol) and DIEA (13 ⁇ L, 0.074 mmol) in DMF (400 ⁇ L).
- Product 24b was obtained by cleavage from the resin as described in "Materials and
- Linker intermediate-resin 25a (1.359 g, 0.433 mmol) was agitated with diglycol anhydride
- Hydrogel beads 14d containing free amino groups (320.5 mg, loading 0.99 mmol/g, 317.3 ⁇ mol) were reacted with compound 25b (460 mg, 793 ⁇ mol), PyBOP (462 mg, 888 ⁇ mol) and collidine (210 ⁇ L, 1.587 mmol) in DMF (3.5 mL) for 2.5 hours at RT.
- the loaded hydrogel was washed 10 times with DMF, 10 times with 1/1 acetonitrile/water, 8 times with phosphate buffer pH 7.4 and again 10 times with 1/1 acetonitrile/water.
- Pramipexole loading 125 mg/g
- 16a, 16b, 26, 30, and 31 respectively were suspended in buffer (60 mM sodium phosphate, 3 mM EDTA, 0.01% Tween20, pH 7.4) and incubated at 37 0 C. At time intervals samples were vortexed and centrifuged. Aliquots (10-50 ⁇ L) were taken from the supernatant solution, and analyzed by measurement of the absorption of released drug at 263 nm. Calculated amounts of released drug were plotted against incubation time.
- buffer 60 mM sodium phosphate, 3 mM EDTA, 0.01% Tween20, pH 7.4
- amount of released pramipexole was determined by size exclusion chromatography as described in "Materials and Methods".
- Curve-fitting software was applied to estimate the corresponding half time of release.
- Hydrogel 14a, 14b, and 14c, respectively, in a syringe equipped with a polypropylene frit was washed with 1% diisopropylethylamine solution in DMF and ten times with DMF.
- Fmoc-Ado-OH coupling was then performed by agitating 14a, 14b, and 14c, respectively, with 3.5 eq of Fmoc-Ado-OH, 3.5 eq of PyBOP and 8.75 eq of DIPEA in DMF (using 0.2 mmol/mL fmoc-Ado-OH concentration). After 45 min, hydrogel was washed with DMF (10 times), then with DCM (10 times).
- Hydrogel 14a in a syringe equipped with a polypropylene frit was washed with 1% diisopropylethylamine solution in DMF and ten times with DMF.
- Fmoc-Lys(Fmoc)-OH coupling was then performed by agitating 14a with 3.5 eq of Fmoc- Lys(Fmoc)-OH, 3.5 eq of PyBOP and 8.75 eq of DIPEA in DMF (using 0.2 mmol/mL Fmoc-Lys-OH concentration). After 45 min, hydrogel was washed with DMF (10 times), then with DCM (10 times).
- Fmoc-deprotection was achieved by agitating the hydrogel two times with a 96/2/2 DMF/piperidine/DBU (v/v) solution for 5 min each. 28d was then washed with DMF (10 times) and ethanol (10 times) and finally dried in vacuo.
- Hydrogel 28e was obtained as described for 28d except for the use of hydrogel 14e as starting material.
- Example 29
- Hydrogel beads 14d containing free amino groups were reacted with compound 29 (324 mg, 732 ⁇ mol), PyBOP (421 mg, 809 ⁇ mol) and collidine (191 ⁇ L, 1.45 mmol) in DMF (3 mL) for 2.5 hours at RT.
- the loaded hydrogel was washed 10 times with DMF, 10 times with 1/1 acetonitrile/water, 8 times with phosphate buffer pH 7.4 and again 10 times with 1/1 acetonitrile/water.
- Pramipexole loading 148 mg/g Example 31 (carrier linked pramipexole prodrug)
- Hydrogel beads 28e containing free amino groups (669 mg, loading 1.48 mmol/g, 0.99 ⁇ mol) were reacted with compound 25b (1.14 g, 1.99 mmol), PyBOP (1.16 mg, 2.23 ⁇ mol) and collidine (525 ⁇ L, 3.98 mmol) in DMF (9 mL) for 2.5 hours at RT.
- the loaded hydrogel was washed 10 times with DMF, 10 times with 1/1 acetonitrile/water, 8 times with phosphate buffer pH 7.4 and again 10 times with 1/1 acetonitrile/water.
- Pramipexole loading 110 mg/g
- Fmoc deprotection 32a (417 mg, 0.461 mmol) was dissolved in 3 rnL piperidine/DBU/DMF (2/2/96) and stirred for 60 min at RT.
- Product 32b was purified by RP-HPLC.
- 35 was synthesized similar to 33 except that 34b was used instead of 32c. 35 was purified by RP-HPLC.
- Pramipexole linker hydrogel 30 was incubated in pH 7.4 buffer at 37 0 C as described in Example 27. Hydrogel degradation over 150 days was monitored by SEC as described in "Materials and Methods". Result: During lag phase of hydrogel degradation (60 days) approx. 90 % of pramipexole is released due to matched pramipexole prodrug linker kinetics and hydrogel degradation kinetics. Hydrogel degradation was complete after 150 days, Fig. 2.
- the pharmacokinetics of 30 were determined by measuring the plasma pramipexole concentration after subcutaneous application of a single dose into rats.
- Averaged plasma pramipexole concentrations for each time point were obtained by calculating the mean of the 5 animals used.
- the pharmacokinetics of 26 were determined by measuring the plasma pramipexole concentration after subcutaneous application of three repeated doses into rats.
- Averaged plasma pramipexole concentrations for each time point were obtained by calculating the mean of the 5 animals used.
- the pharmacokinetics of 31 were determined by measuring the plasma pramipexole concentration after subcutaneous application of a single dose into rats.
- One group consisting of 3 male Wistar rats (200-250 g) was used to study the plasma pramipexole levels over a period of 24 hours. Each of the animals received a single subcutaneous injection of a suspension of 31 in acetate buffer pH 5. A dose of 6.3 mg pramipexole/ kg (4.5 mg pramipexole/ml) was used. Per animal and time point 200 ⁇ L of blood was withdrawn sublingually to obtain 100 ⁇ L Li-Heparin plasma. Samples were collected before application and after 5 min, 30 min, 90 min, 4 h and 24 h. Plasma samples were frozen within 15 min after blood withdrawal and stored at -80 0 C until assayed.
- Averaged plasma pramipexole concentrations for each time point were obtained by calculating the mean of the 3 animals used.
- Hydrogel suspension 26 was washed ten times with formulation buffer (10 mM succinate buffer pH 5.0, 85 g trehalose dihydrate/L, 0.3 % (weight) Pluronic F68). Hydrogel was left settling at 4 0 C for 1 day and the supernatant was removed in order to obtain a dense suspension. The total volume of the dense suspension was determined (2.6 mL), and the suspension was lyophilized.
- formulation buffer 10 mM succinate buffer pH 5.0, 85 g trehalose dihydrate/L, 0.3 % (weight) Pluronic F68. Hydrogel was left settling at 4 0 C for 1 day and the supernatant was removed in order to obtain a dense suspension. The total volume of the dense suspension was determined (2.6 mL), and the suspension was lyophilized.
- the lyophilization cake was reconstituted by addition of water to give a total volume of 2.6 mL.
- the suspension was homogenized by means of a vortexer. Suspension was drawn into two 1 mL Luer-lock syringes via a 20 G needle (0.9 mL each). The needle was exchanged to a 30 G needle. The suspension was ejected from one syringe manually. The suspension passed the needle without blocking.
- the second syringe was stored horizontally at 4 0 C for two weeks prior to syringeability test.
- Stored TransCon Hydrogel Pramipexole also passed the 30 G needle without blocking.
- Hydrogel suspension 26 was washed ten times with formulation buffer (10 mM succinate buffer pH 5.0, 85 g trehalose dihydrate/L, 0.3 % (weight) Pluronic F68). Hydrogel was left settling at 4 0 C for 1 day and the supernatant was removed in order to obtain a dense suspension. Aliquots of 34 ⁇ L TransCon Hydrogel Pramipexole suspension (containing
- lyophilisate was dissolved in HFIP (2 mL), TES (20 ⁇ L) was added, and the mixture was incubated for 10 min. Volatiles were evaporated and 101b was purified by RP-HPLC.
- 102a 102a was synthesized as described for 101a except for the use of 6-tritylsulfanylhexane-l- amine instead of S-trityl cysteamine.
- 102b was synthesized as described for 101b except for the use of 102a instead of 101a.
- 4.8 mg (0.006 mmol, TFA salt) of the trityl protected intermediate were obtained after RP- HPLC and lyophilisation prior trityl deprotection.
- Tritylsulfanyl-hexanoic acid (4.48 g, 11.47 mmol), PyBOP (5.67 g, 11.47 mmol) and DIEA (5.0 mL, 28.68 mmol) were added and the mixture was agitated 30 min at RT. The solution was diluted with diethyl ether (250 rnL) and washed three times with brine/0.1 M
- the mixture was diluted with ethyl acetate (300 mL) at RT, washed with saturated, aqueous Na 2 CO 3 solution (2 x 100 mL) and saturated, aqueous NaHCO 3 solution (2 x 100 mL).
- the organic phase was dried over Na 2 SO 4 and volatiles were evaporated at reduced pressure to obtain the crude amine intermediate (3.22 g).
- 103c was synthesized on 2-chlorotrityl chloride resin (130 mg, 0.129 mmol) by loading of the resin with Fmoc-Gly-OH, Fmoc deprotection, on-resin urea formation using 103b as amine, cleavage from the resin and purification via RP-HPLC as depicted above and described in "Materials and Methods".
- lyophilisate was dissolved in 1.2 mL HFIP/TFA (1/1), 48 ⁇ L of TES/water (1/1) was added, and the solution was agitated for 1.5 h. Volatiles were removed and the product was purified by RP-HPLC.
- 104a was synthesized as described for 102a except for the use of l,4-dioxane-2,6-dione instead of succinic anhydride.
- 104b was synthesized as described for 101b except for the use of 104a instead of 101a.
- the coupling of pramipexole was completed within 30 min.
- Prior trityl deprotection 38 mg (0.048mmol, TFA salt) of the intermediate were isolated after RP-HPLC purification and lyophilisation.
- 105a was synthesized as described for 102a except for the use of tert-butyi 2,6- dioxomorpholine-4-carboxylate instead of succinic anhydride.
- 105b was synthesized as described for 103d except for the use of 105a instead of 103c.
- Boc-Gly-OH (659 mg, 3.76 mmol), PyBOP (2.35 g, 4.51 mmol) and JV-methyl morpholine (4.14 niL, 37.6 mmol) were dissolved in DMSO (20 mL). Pramipexole dihydrochloride (2.14 g, 7.52 mmol) was added, and the mixture was stirred for 1 h. The solution was diluted with 300 mL 1 M NaOH solution, saturated with NaCl, and extracted with DCM (8 x 70 mL). The combined organic phases were dried over MgSO 4 , the solvent was evaporated under reduced pressure, and the residue purified by RP-HPLC. After lyophilisation 721 mg (1.49 mmol, TFA salt) of the Boc protected derivative were obtained.
- the intermediate was dissolved in 3 M methanolic HCl (10 mL), concentrated aqueous HCl (400 ⁇ L) were added, and the mixture was agitated for 4 h. The solvent was removed under reduced pressure and the residue was dried in vacuo.
- the carbamate (801 mg, 1.48 mmol) was dissolved in DMSO (4.4 mL) and added dropwise to a stirred solution of 106a (490 mg, 1.44 mmol) and DIEA (800 ⁇ L, 4.60 mmol) in DMSO (7 mL) within 30 min. The mixture was agitated for 4.5 h at RT. The solution was diluted with 0.5 M NaOH solution (300 mL) and extracted with DCM (6 x 70 mL). The combined organic phases were dried over MgSO 4 , the solvent was evaporated under reduced pressure, and the conjugate was purified by RP-HPLC to obtain 254 mg (0.323 mmol, TFA salt) of the trityl protected intermediate.
- 109 109 was synthesized as described for 108 except for the use of 102b (1.8 mg, 0.003 mmol) instead of 101b.
- Example 111 carrier linked pramipexole prodrug
- 111 was synthesized as described for 108 except for the use of 104b (2 mg, 0.004 mmol) instead of 101b.
- 112 was synthesized as described for 108 except for the use of 105b (2 mg, 0.003 mmol) instead of 101b. Yield: 1.8 mg (0.0015 mmol, double TFA salt).
- 113 was synthesized as described for 108 except for the use of 106b (2 mg, 0.004 mmol) instead of 101b.
- Pramipexole dihydrochloride 134 mg, 0.47 mmol
- DIEA 246 ⁇ L, 1.41 mmol
- Phthalic anhydride 35 mg, 0.24 mmol
- 115a 50 mg, 0.139 mmol
- PyBOP 87 mg, 0.167 mmol
- DIEA 0.742 ⁇ L, 0.556 mmol
- 103b (288 mg, 0.556 mmol) was added and the solution was stirred ant RT for 30 min.
- the reaction was quenched by acidification with acetic acid (100 ⁇ L) and diluted with 9/1 acetonitrile/water (6 mL).
- the trityl- and boc-protected intermediate was purified by RP-HPLC to obtain 84 mg (0.086 mmol, TFA salt) of the substance after lyophilisation.
Landscapes
- Health & Medical Sciences (AREA)
- Life Sciences & Earth Sciences (AREA)
- Animal Behavior & Ethology (AREA)
- General Health & Medical Sciences (AREA)
- Medicinal Chemistry (AREA)
- Pharmacology & Pharmacy (AREA)
- Epidemiology (AREA)
- Bioinformatics & Cheminformatics (AREA)
- Engineering & Computer Science (AREA)
- Chemical & Material Sciences (AREA)
- Public Health (AREA)
- Veterinary Medicine (AREA)
- Proteomics, Peptides & Aminoacids (AREA)
- Molecular Biology (AREA)
- Medicinal Preparation (AREA)
- Pharmaceuticals Containing Other Organic And Inorganic Compounds (AREA)
Abstract
The present invention relates to an injectable slow release pharmaceutical composition containing a carrier linked pramipexole prodrug. The invention also relates to their use as medicaments.
Description
INJECTABLE SUSTAINED RELEASE COMPOSITIONS COMPRISING A PRAMIPEXOLE PRODRUG
The present invention relates to an injectable sustained release pharmaceutical composition containing a carrier linked pramipexole prodrug. The invention also relates to their use as medicaments.
To enhance physicochemical or pharmacokinetic properties of a drug, such as pramipexole, in vivo, such drug can be conjugated with a carrier. If the drug is transiently bound to a carrier and/or a linker, such systems are commonly assigned as carrier-linked prodrugs. According to the definitions provided by IUPAC (as given under http://www.chem.qmul.ac.uk/iupac.medchem, accessed on July 22, 2009), a carrier-linked prodrug is a prodrug that contains a temporary linkage of a given active substance with a transient carrier group that produces improved physicochemical or pharmacokinetic properties and that can be easily removed in vivo, usually by a hydrolytic cleavage.
The linkers employed in such carrier- linked prodrugs may be transient, meaning that they are non-enzymatically hydrolytically degradable (cleavable) under physiological conditions (aqueous buffer at pH 7.4, 37°C) with half-lives ranging from, for example, one hour to three months. On the other hand, stable linkages such as employed in connecting moieties and spacer, are typically non-cleavable permanent bonds meaning that the respective spacer or connecting moiety have a half-life of at least six months under physiological conditions (aqueous buffer at pH 7.4, 37°C). Suitable carriers are polymers.
Pramipexole (trade names Mirapexin, Mirapex and Sifrol) is a dopamine receptor agonist with selectivity and specificity for the dopamine D2 subfamily with affinity for the D3 receptors. Pramipexole demonstrated excellent therapeutic efficacy in the treatment of
Parkinson's Disease and Restless Legs Syndrome.
Pramipexole is rapidly and completely absorbed following oral administration. Oral bioavailability is over 90% and maximum plasma concentration is achieved within 1-2 hours on an empty stomach or 3-4 hours with food although the extent of absorption remains unaffected. Fifteen percent of pramipexole is protein bound and it has a volume of distribution of 7 litres/kg. There is negligible metabolism of pramipexole. Excretion is mainly renal and the elimination half life was found to be 8 hours in healthy subjects.
Pramipexole is available as immediate-release tablets in various strengths, designed for oral administration of a single tablet three times per day (see Physicians' Desk Reference 57th edition (2003), 2768-2772). A three times daily dosing regimen for immediate-release pramipexole dihydrochloride tablets is well tolerated, but patient compliance can be improved through a once-dailye oral dosage form. One of the reasons for enhanced patient compliance is that Parkinson's disease is an affliction that becomes more prevalent with advanced age and is often accompanied by deterioration of memory. A once-daily regimen demonstrated clinical efficacy and is expected to be useful in enhancing compliance among elderly patients.
In common with other anti-Parkinson's disease drugs, pramipexole has potential to cause undesirable side effects. Side effects of pramipexole have been reported to include orthostatic hypotension, the incidence of which is dose-related. There are also reports of subjects on pramipexole medication experiencing increased somnolence, in particular" sleep attacks". Such attacks involve a subject falling asleep while engaged in activities of daily living, including operation of a motor vehicle, sometimes resulting in accidents. Development of any long-acting sustained release dosage form of pramipexole must take into account the potential to cause such side effects, so that the new dosage form can be tolerated at least as well as the present tablet formulations.
WO 2004/089375 claims implantable sustained-release dosage forms of dopamine receptor agonists, including pramipexole. In this case, non-degradable polymers based on vinylacetate are employed.
The use of a non-degradable polymer carrier is non-desirable for safety and compliance reasons. US 2008/0260846 claims injectable sustained-release dosage forms of dopamine receptor agonists, including pramipexole. Examples are given for depot formulations of rotigotine as injectable microparticles containing up to 50% rotigotine in a biodegradable PLGA matrix. As pramipexole formulations are not detailed, and pramipexole, due to the presence of an aromatic and a secondary amine will require a formulation approach different from rotigotine, such formulation will not be readily attainable and may not fulfill the criteria required for a long acting effect. Furthermore, the in vitro-in vivo correlation obtained for a rotigotine depot (Fig 13), demonstrates the presence of a burst-type release
in beagle dogs that is not visible under in vitro release conditions and therefore raises safety concerns.
US-B 6,927,036 relates to methods for synthesis of l-(acyloxy)-alkyl derivatives, in particular of such derivatives of pharmacologically effective drugs. Said l-(acyloxy)-alkyl compounds comprise a NRR1 -fragment, which is defined as a drug such as (among many others) pramipexole. However, the l-(acyloxy)-alkyl-fragment is not a polymer and the compounds therefore undergo rapid renal clearance. The prodrugs of US-B 6,927,036 can be administered by all methods known in the art such as intramuscular, intravenous or oral, depending on the drug contained in such prodrug and the disease to be treated with. Said prodrugs may in general also be used as a oral sustained release system. US-B 7,227,028 discloses similar prodrugs based on (acyloxy)-alkyl carbamate. The pramipexole prodrugs detailed in these documents exhibit only short in vivo half-lives and are not suitable as sustained release-compositions.
As mentioned above, a long-acting pramipexole depot should be charaterized by small fluctuation of blood levels. Burst-like fluctuations in blood levels are likely to give rise to the side effects, including so-called on-off phenomena. The in vivo release profiles shown in the abovementioned patent application are characterized by a significant burst effect for rotigotine and it is very likely that similar or even more pronounced fluctuations will be observed with pramipexole PLGA depots.
It was now surprisingly discovered that carrier-linked prodrugs of pramiprexole can be used to obtain sustained-release dosage forms of pramipexole that are characterized by a burstless release profile with a low peak-to-trough ratio and strong in vitro-in vivo correlation.
The prodrug according to the present invention show excellent in vivo/in vitro correlation of linker cleavage, a high degree of enzyme independence and show a higher stability at lower pH (pH dependent cleavage).
Within the present invention the terms are used having the meaning as follows.
A strong "in vivo/in vitro correlation" is observed, if the release kinetics exhibited by a carrier-linked prodrug conjugate according to the invention in vivo (plasma levels of free
pramipexole) display a half-life that is not smaller than half the value exhibited by the same carrier-linked prodrug conjugate in aqueous buffer of pH 7.4 at 37°C. It is understood that in the case of soluble carriers, release kinetics may be recorded as a hydrolysis kinetics.
Concentration of a pramipexole prodrug in a pharmaceutical composition is given in mg/ml, based on quantitative release of free pramipexole. By methods well-known in the art, aliquots of a composition are subjected to pramipexole releasing conditions (aqueous buffer pH 7.4, 37°C, or accelerated conditions at elevated pH), until no significant increase in pramipexole concentration is observed and the total amount of released pramipexole is determined. It is understood that in the case of soluble carriers, quantitative release is synonymous to quantitative hydrolysis.
A "therapeutically effective amount" of pramipexole as used herein means an amount sufficient to cure, alleviate or partially arrest the clinical manifestations of a given disease and its complications. An amount adequate to accomplish this is defined as
"therapeutically effective amount". Effective amounts for each purpose will depend on the severity of the disease or injury as well as the weight and general state of the subject. It will be understood that determining an appropriate dosage may be achieved using routine experimentation, by constructing a matrix of values and testing different points in the matrix, which is all within the ordinary skills of a trained physician.
As used herein the term "essentially burstless" is intended to mean that the ratio of the peak concentration of free pramipexole in blood plasma during the first 48 hours after administration, such as subcutaneous or intramuscular, to the lowest concentration of free pramipexole in blood plasma after the peak concentration during the first 48 hours after administration is less than 10, preferred less than 5, most preferred, less than 2.
"Non-biologically active linker" means a linker which does not show the pharmacological effects of the drug pramipexole.
"Alkyl" means a straight-chain or branched carbon chain (unsubstituted alkyl). Optionally, each hydrogen of an alkyl carbon may be replaced by a substituent.
"Ci_4 alkyl" means an alkyl chain having 1 to 4 carbon atoms (unsubstituted Ci_4 alkyl), e.g. if present at the end of a molecule: methyl, ethyl, n-propyl, isopropyl, n-butyl, isobutyl, sec-butyl tert-butyl, or e.g. -CH2-, -CH2-CH2-, -CH(CH3)-, -CH2-CH2-CH2-, -CH(C2H5)-, - C(CH3 )2-, when two moieties of a molecule are linked by the alkyl group. Optionally, each hydrogen of a Ci_4 alkyl carbon may be replaced by a substituent. Accordingly, "Ci_50 alkyl" means an alkyl chain having 1 to 50 carbon atoms.
"C2_5o alkenyl" means a branched or unbranched alkenyl chain having 2 to 50 carbon atoms (unsubstituted C2_so alkenyl), e.g. if present at the end of a molecule: -CH=CH2, -CH=CH- CH3, -CH2-CH=CH2, -CH=CH-CH2-CH3, -CH=CH-CH=CH2, or e.g. -CH=CH-, when two moieties of a molecule are linked by the alkenyl group. Optionally, each hydrogen of a C2. so alkenyl carbon may be replaced by a substituent as further specified. Accordingly, the term "alkenyl" relates to a carbon chain with at least one carbon carbon double bond. Optionally, one or more triple bonds may occur.
"C2_5o alkynyl" means a branched or unbranched alkynyl chain having 2 to 50 carbon atoms (unsubstituted C2_50 alkynyl), e.g. if present at the end of a molecule: -C≡CH, -CH2- C≡CH, CH2-CH2-C≡CH, CH2-C≡C-CH3, or e.g. -C≡C- when two moieties of a molecule are linked by the alkynyl group. Optionally, each hydrogen of a C2_so alkynyl carbon may be replaced by a substituent as further specified. Accordingly, the term "alkynyl" relates to a carbon chain with at lest one carbon carbon triple bond. Optionally, one or more double bonds may occur.
"C3_7 cycloalkyl" or "C3_7 cycloalkyl ring" means a cyclic alkyl chain having 3 to 7 carbon atoms, which may have carbon-carbon double bonds being at least partially saturated
(unsubstituted C3_7 cycloalkyl), e.g. cyclopropyl, cyclobutyl, cyclopentyl, cyclohexyl, cyclohexenyl, cycloheptyl. Optionally, each hydrogen of a cycloalkyl carbon may be replaced by a substituent. The term "C3_7 cycloalkyl" or "C3_7 cycloalkyl ring" also includes bridged bicycles like norbonane (norbonanyl) or norbonene (norbonenyl). Accordingly, "C3_5 cycloalkyl" means a cycloalkyl having 3 to 5 carbon atoms.
"Halogen" means fluoro, chloro, bromo or iodo. It is generally preferred that halogen is fluoro or chloro.
"4 to 7 membered heterocyclyl" or "4 to 7 membered heterocycle" means a ring with 4, 5, 6 or 7 ring atoms that may contain up to the maximum number of double bonds (aromatic or non-aromatic ring which is fully, partially or un-saturated) wherein at least one ring atom up to 4 ring atoms are replaced by a heteroatom selected from the group consisting of sulfur (including -S(O)-, -S(O)2-), oxygen and nitrogen (including =N(O)-) and wherein the ring is linked to the rest of the molecule via a carbon or nitrogen atom (unsubstituted 4 to 7 membered heterocyclyl). For the sake of completeness it is indicated that in some embodiments of the present invention, 4 to 7 membered heterocyclyl has to fulfill additional requirements. For example, the linker moiety L1 of formula (I) contains a fragment X1, which is defined (among others) as 4 to 7 membered heterocyclyl, with additional requirements in some embodiments. In such a case, if X1 is 4 to 7 membered heterocyclyl, the respective additional requirements of X1 have to be considered for 4 to 7 membered heterocyclyl as well. This means that in this case the respective 4 to 7 membered heterocyclyl is incorporated into L1 via two adjacent ring atoms and the ring atom of said 4 to 7 membered heterocyclyl, which is adjacent to the carbon atom of the amide bond, is also a carbon atom.
Examples for a 4 to 7 membered heterocycles are azetidine, oxetane, thietane, furan, thiophene, pyrrole, pyrroline, imidazole, imidazoline, pyrazole, pyrazoline, oxazole, oxazoline, isoxazole, isoxazoline, thiazole, thiazoline, isothiazole, isothiazoline, thiadiazole, thiadiazoline, tetrahydrofuran, tetrahydrothiophene, pyrrolidine, imidazolidine, pyrazolidine, oxazolidine, isoxazolidine, thiazolidine, isothiazolidine, thiadiazolidine, sulfolane, pyran, dihydropyran, tetrahydropyran, imidazolidine, pyridine, pyridazine, pyrazine, pyrimidine, piperazine, piperidine, morpholine, tetrazole, triazole, triazolidine, tetrazolidine, diazepane, azepine or homopiperazine. Optionally, each hydrogen of a 4 to 7 membered heterocyclyl may be replaced by a substituent.
"9 to 11 membered heterobicyclyl" or "9 to 11 membered heterobicycle" means a heterocyclic system of two rings with 9 to 11 ring atoms, where at least one ring atom is shared by both rings and that may contain up to the maximum number of double bonds (aromatic or non-aromatic ring which is fully, partially or un-saturated) wherein at least one ring atom up to 6 ring atoms are replaced by a heteroatom selected from the group consisting of sulfur (including -S(O)-, -S(O)2-), oxygen and nitrogen (including =N(O)-) and wherein the ring is linked to the rest of the molecule via a carbon or nitrogen atom
(unsubstituted 9 to 11 membered heterobicyclyl). For the sake of completeness it is indicated that in some embodiments of the present invention, 9 to 11 membered heterobicyclyl has to fulfill additional requirements. For example the linker moiety L1 of formula (I) contains a fragment X1, which is defined (among others) as 9 to 11 membered heterobicyclyl, with additional requirements in some embodiments. In such a case, if X1 is 9 to 11 membered bicyclyl, the respective additional requirements of X1 have to be considered for 9 to 11 membered heterobicyclyl as well. This means that in this case the respective 9 to 11 membered bicyclyl is incorporated into L1 via two adjacent ring atoms and the ring atom of said 9 to 11 membered bicyclyl, which is adjacent to the carbon atom of the amide bond, is also a carbon atom.
Examples for a 9 to 11 membered heterobicycle are indole, indoline, benzofuran, benzothiophene, benzoxazole, benzisoxazole, benzothiazole, benzisothiazole, benzimidazole, benzimidazoline, quinoline, quinazoline, dihydroquinazoline, quinoline, dihydroquinoline, tetrahydroquinoline, decahydroquinoline, isoquinoline, decahydroisoquinoline, tetrahydroisoquinoline, dihydroisoquinoline, benzazepine, purine or pteridine. The term 9 to 11 membered heterobicycle also includes spiro structures of two rings like l,4-dioxa-8-azaspiro[4.5]decane or bridged heterocycles like 8-aza- bicyclo[3.2.1]octane. Optionally, each hydrogen of a 9 to 11 membered heterobicyclyl may be replaced by a substituent.
The term interrupted" means that between two carbon atoms of, for example, a linker or a spacer or at the respective end of the carbon chain between the respective carbon atom and the hydrogen atom a group (such a -O- or -NH-) is inserted.
In case the biologically active agents; prodrugs, especially hydrogel prodrugs contain one or more acidic or basic groups, the invention also comprises their corresponding pharmaceutically or toxicologically acceptable salts, in particular their pharmaceutically utilizable salts. Thus, the prodrugs which contain acidic groups can be used according to the invention, for example, as alkali metal salts, alkaline earth metal salts or as ammonium salts. More precise examples of such salts include sodium salts, potassium salts, calcium salts, magnesium salts or salts with ammonia or organic amines such as, for example, ethylamine, ethanolamine, triethanolamine or amino acids. Prodrugs which contain one or more basic groups, i.e. groups which can be protonated, can be present and can be used
according to the invention in the form of their addition salts with inorganic or organic acids. Examples for suitable acids include hydrogen chloride, hydrogen bromide, phosphoric acid, sulfuric acid, nitric acid, methanesulfonic acid, p-toluenesulfonic acid, naphthalenedisulfonic acids, oxalic acid, acetic acid, tartaric acid, lactic acid, salicylic acid, benzoic acid, formic acid, propionic acid, pivalic acid, diethylacetic acid, malonic acid, succinic acid, pimelic acid, fumaric acid, maleic acid, malic acid, sulfaminic acid, phenylpropionic acid, gluconic acid, ascorbic acid, isonicotinic acid, citric acid, adipic acid, and other acids known to the person skilled in the art. If the prodrugs simultaneously contain acidic and basic groups in the molecule, the invention also includes, in addition to the salt forms mentioned, inner salts or betaines (zwitterions). The respective salts of the prodrugs of the present invention can be obtained by customary methods which are known to the person skilled in the art like, for example by contacting these with an organic or inorganic acid or base in a solvent or dispersant, or by anion exchange or cation exchange with other salts. The present invention also includes all salts of the prodrugs which, owing to low physiological compatibility, are not directly suitable for use in pharmaceuticals but which can be used, for example, as intermediates for chemical reactions or for the preparation of pharmaceutically acceptable salts.
The term "pharmaceutically acceptable" means approved by a regulatory agency such as the EMEA (Europe) and/or the FDA (US) and/or any other national regulatory agency for use in animals, preferably in humans.
To enhance physicochemical or pharmacokinetic properties of a drug, such as pramipexole, in vivo, such drug can be conjugated with a carrier. If the drug is transiently bound to a carrier and/or a linker, such systems are commonly assigned as carrier-linked prodrugs. According to the definitions provided by IUPAC (as given under http://www.chem.qmul.ac.uk/iupac.medchem, accessed on July 22, 2009), a carrier-linked prodrug is a prodrug that contains a temporary linkage of a given active substance with a transient carrier group that produces improved physicochemical or pharmacokinetic properties and that can be easily removed in vivo, usually by a hydrolytic cleavage.
The linkers employed in such carrier-linked prodrugs are transient, meaning that they are non-enzymatically hydrolytically degradable (cleavable) under physiological conditions
(aqueous buffer at pH 7.4, 37°C) with half-lives ranging from, for example, one hour to three months.
Suitable carriers are polymers and can either be directly conjugated to the linker or via a non-cleavable spacer. The terms "pramipexole hydrogel prodrug" and "hydrogel-linked prodrug of pramipexole" refer to carrier-linked prodrugs of pramipexole, wherein the carrier is a hydrogel and both terms are used synonymously. The terms "hydrogel prodrug" and "hydrogel-linked prodrug" refer to prodrugs of biologically active agents transiently linked to a hydrogel and both terms are used synonymously.
"Pharmaceutical composition" or "composition" means a composition containing one or more active ingredients (for example a drug or a prodrug), and one or more inert ingredients, as well as any product which results, directly or indirectly, from combination, complexation or aggregation of any two or more of the ingredients, or from dissociation of one or more of the ingredients, or from other types of reactions or interactions of one or more of the ingredients. Accordingly, the pharmaceutical compositions of the present invention encompass any composition made by admixing a prodrug of the present invention and a pharmaceutically acceptable excipient. "Dry composition" means that the pramipexole hydrogel prodrug composition is provided in a dry form in a container. Suitable methods for drying are spray-drying and
lyophilization (freeze-drying). Such dry composition of pramipexole hydrogel prodrug has a residual water content of a maximum of 10 %, preferably less than 5% and more preferably less than 2% (determined according to Karl Fischer). The preferred method of drying is lyophilization. "Lyophilized composition" means that the pramipexole hydrogel polymer prodrug composition was first frozen and subsequently subjected to water reduction by means of reduced pressure. This terminology does not exclude additional drying steps which occur in the manufacturing process prior to filling the composition into the final container.
"Lyophilization" (freeze-drying) is a dehydration process, characterized by freezing a composition and then reducing the surrounding pressure and, optionally, adding heat to allow the frozen water in the composition to sublime directly from the solid phase to gas. Typically, the sublimed water is collected by desublimation.
"Reconstitution" means the restoration of the composition's condition prior to drying, such as a solution or suspension, by adding a liquid prior to administrating the composition to a patient in need thereof. The liquid may contain one or more excipients.
"Reconstitution solution" refers to the liquid used to reconstitute the dry composition of a pramipexole hydrogel prodrug prior to administration to a patient in need thereof.
"Container" means any container in which the pramipexole hydrogel prodrug composition is comprised and can be stored until reconstitution.
"Buffer" or "buffering agent" refers to chemical compounds that maintain the pH in a desired range. Physiologically tolerated buffers are, for example, sodium phosphate, succinate, histidine, bicarbonate, citrate and acetate, sulphate, nitrate, chloride, pyruvate. Antacids such as Mg(OH)2 or ZnCO3 may be also used. Buffering capacity may be adjusted to match the conditions most sensitive to pH stability.
"Excipients" refers to compounds administered together with the therapeutic agent, for example, buffering agents, isotonicity modifiers, preservatives, stabilizers, anti-adsorption agents, oxidation protection agents, or other auxiliary agents. However, in some cases, one excipient may have dual or triple functions.
A "lyoprotectant" is a molecule which, when combined with a protein of interest, significantly prevents or reduces chemical and/or physical instability of the protein upon drying in general and especially during lyophilization and subsequent storage. Exemplary lyoprotectants include sugars, such as sucrose or trehalose; amino acids such as monosodium glutamate or histidine; methylamines such as betaine; lyotropic salts such as magnesium sulfate; polyols such as trihydric or higher sugar alcohols, e.g. glycerin, erythritol, glycerol, arabitol, xylitol, sorbitol, and mannitol; ethylene glycol; propylene glycol; polyethylene glycol; pluronics; hydroxyalkyl starches, e.g. hydroxyethyl starch (HES), and combinations thereof.
"Surfactant" refers to wetting agents that lower the surface tension of a liquid.
"Isotonicity modifiers" refer to compounds which minimize pain that can result from cell damage due to osmotic pressure differences at the injection depot.
The term "stabilizers" refers to compouds used to stabilize the hydrogel prodrug.
Stabilisation is achieved by strengthening of the protein-stabilising forces, by
destabilisation of the denatured state, or by direct binding of excipients to the protein.
"Anti-adsorption agents" refers to mainly ionic or non-ionic surfactants or other proteins or soluble polymers used to coat or adsorb competitively to the inner surface of the composition's container. Chosen concentration and type of excipient depend on the effect to be avoided but typically a monolayer of surfactant is formed at the interface just above the CMC value.
"Oxidation protection agents" refers to antioxidants such as ascorbic acid, ectoine, glutathione, methionine, monothioglycerol, morin, polyethylenimine (PEI), propyl gallate, vitamin E, chelating agents such aus citric acid, EDTA, hexaphosphate, thioglycolic acid.
"Antimicrobial" refers to a chemical substance that kills or inhibits the growth of microorganisms, such as bacteria, fungi, yeasts, protozoans and/or destroys viruses.
"Sealing a container" means that the container is closed in such way that it is airtight, allowing no gas exchange between the outside and the inside and keeping the content sterile. The terms "pramipexole hydrogel prodrug" and "hydrogel-linked pramipexole prodrug" refer to carrier-linked prodrugs of pramipexole, wherein the carrier is a hydrogel and both terms are used synonymously.
"Free form" of a drug refers to the drug in its unmodified, pharmacologically active form, such as after being released from a polymer conjugate.
The terms "drug", "biologically active molecule", "biologically active moiety", "biologically active agent", "active agent", and the like mean any substance which can affect any physical or biochemical properties of a biological organism, including but not
limited to viruses, bacteria, fungi, plants, animals, and humans. In particular, as used herein, biologically active molecules include any substance intended for diagnosis, cure, mitigation, treatment, or prevention of disease in humans or other animals, or to otherwise enhance physical or mental well-being of humans or animals.
A "therapeutically effective amount" of pramipexole as used herein means an amount sufficient to cure, alleviate or partially arrest the clinical manifestations of a given disease and its complications. An amount adequate to accomplish this is defined as
"therapeutically effective amount". Effective amounts for each purpose will depend on the severity of the disease or injury as well as the weight and general state of the subject. It will be understood that determining an appropriate dosage may be achieved using routine experimentation, by constructing a matrix of values and testing different points in the matrix, which is all within the ordinary skills of a trained physician.
"Stable" and "stability" means that within the indicated storage time the hydrogel conjugates remain conjugated and do not hydrolyze to a substantial extent and exhibit an acceptable impurity profile relating to pramipexole. To be considered stable, the composition contains less than 5% of the drug in its free form. The term "reagent" or "precursor" refers to an intermediate or starting material used in the assembly process leading to a prodrug of the present invention.
The term "chemical functional group" refers to carboxylic acid and activated derivatives, amino, maleimide, thiol and derivatives, sulfonic acid and derivatives, carbonate and derivatives, carbamate and derivatives, hydroxyl, aldehyde, ketone, hydrazine, isocyanate, isothiocyanate, phosphoric acid and derivatives, phosphonic acid and derivatives, haloacetyl, alkyl halides, acryloyl and other alpha-beta unsaturated michael acceptors, arylating agents like aryl fluorides, hydroxylamine, disulfides like pyridyl disulfide, vinyl sulfone, vinyl ketone, diazoalkanes, diazoacetyl compounds, oxirane, and aziridine.
If a chemical functional group is coupled to another chemical functional group, the resulting chemical structure is referred to as "linkage". For example, the reaction of an amine group with a carboxyl group results in an amide linkage.
"Reactive functional groups" are chemical functional groups of the backbone moiety, which are connected to the hyperbranched moiety.
"Functional group" is the collective term used for "reactive functional group", "degradable interconnected functional group", or "conjugate functional group".
A "degradable interconnected functional group" is a linkage comprising a biodegradable bond which on one side is connected to a spacer moiety connected to a backbone moiety and on the other side is connected to the crosslinking moiety. The terms "degradable interconnected functional group", "biodegradable interconnected functional group", "interconnected biodegradable functional group" and "interconnected functional group" are used synonymously.
The terms "blocking group" or "capping group" are used synonymously and refer to moieties which are irreversibly (especially permanently) connected to reactive functional groups to render them incapable of reacting with for example chemical functional groups.
The terms "protecting group" or "protective group" refers to a moiety which is reversibly connected to reactive functional groups to render them incapable of reacting with for example other chemical functional groups.
The term "interconnectable functional group" refers to chemical functional groups, which participate in a radical polymerization reaction and are part of the crosslinker reagent or the backbone reagent.
The term "polymerizable functional group" refers to chemical functional groups, which participate in a ligation-type polymerization reaction and are part of the crosslinker reagent and the backbone reagent.
A backbone moiety may comprise a spacer moiety which at one end is connected to the backbone moiety and on the other side to the crosslinker moiety.
The term "derivatives" refers to chemical functional groups suitably substituted with protecting and/or activation groups or to activated forms of a corresponding chemical functional group which are known to the person skilled in the art. For example, activated forms of carboxyl groups include but are not limited to active esters, such as succinimidyl ester, benzotriazyl ester, nitrophenyl ester, pentafluorophenyl ester, azabenzotriazyl ester, acyl halogenides, mixed or symmetrical anhydrides, acyl imidazole.
The term "non-enzymatically cleavable linker" refers to linkers that are hydro lyrically degradable under physiological conditions without enzymatic activity.
"Non-biologically active linker" means a linker which does not show the pharmacological effects of the drug (D-H) derived from the biologically active moiety.
The terms "spacer", "spacer group", "spacer molecule", and "spacer moiety" are used interchangeably and if used to describe a moiety present in the hydrogel carrier of the invention, refer to any moiety suitable for connecting two moieties, such as Ci_so alkyl, C2- 50 alkenyl or C2-50 alkinyl, which fragment is optionally interrupted by one or more groups selected from -NH-, -N(Ci-4 alkyl)-, -O-, -S-, -C(O)-, -C(O)NH-, -C(O)N(CL4 alkyl)-, -O- C(O)-, -S(O)-, -S(O)2-, 4 to 7 membered heterocyclyl, phenyl or naphthyl.
The terms "terminal", "terminus" or "distal end" refer to the position of a functional group or linkage within a molecule or moiety, whereby such functional group may be a chemical functional group and the linkage may be a degradable or permanent linkage, characterized
by being located adjacent to or within a linkage between two moieties or at the end of an oligomeric or polymeric chain.
The phrases "in bound form" or "moiety" refer to sub-structures which are part of a larger molecule. The phrase "in bound form" is used to simplify reference to moieties by naming or listing reagents, starting materials or hypothetical starting materials well known in the art, and whereby "in bound form" means that for example one or more hydrogen radicals (-H), or one or more activating or protecting groups present in the reagents or starting materials are not present in the moiety.
It is understood that all reagents and moieties comprising polymeric moieties refer to macromolecular entities known to exhibit variability with respect to molecular weight, chain lengths or degree of polymerization, or the number of functional groups. Structures shown for backbone reagents, backbone moieties, crosslinker reagents, and crosslinker moieties are thus only representative examples.
A reagent or moiety may be linear or branched. If the reagent or moiety has two terminal groups, it is referred to as a linear reagent or moiety. If the reagent or moiety has more than two terminal groups, it is considered to be a branched or multi-functional reagent or moiety.
The term "poly(ethylene glycol) based polymeric chain" or "PEG based chain" refers to an oligo- or polymeric molecular chain.
Preferably, such poly(ethylene glycol) based polymeric chain is connected to a branching core, it is a linear poly(ethylene glycol) chain, of which one terminus is connected to the branching core and the other to a hyperbranched dendritic moiety. It is understood that a PEG-based chain may be terminated or interrupted by alkyl or aryl groups optionally substituted with heteroatoms and chemical functional groups.
If the term "poly(ethylene glycol) based polymeric chain" is used in reference to a crosslinker reagent, it refers to a crosslinker moiety or chain comprising at least 20 weight % ethylene glycol moieties. In the following, the present invention is explained in more detail.
The injectable sustained release pharmaceutical compositions according to the present invention comprise a carrier linked pramipexole prodrug at a concentration of 10-100 mg/mL based on quantitative release of free pramipexole.
The concentration of the said compositions is preferably 15 to 50 mg/mL, more preferably 15 to 35 mg/mL. The compositions according to the present invention release pramipexole in therapeutic levels for a time period of 1 day up to one month, preferably 1 day up to two weeks, most preferably 1 day up to one week.
The compositions according to the present invention show a tight in vitro-in vivo correlation. Furthermore, the compositions according to the present invention have an essentially burstless in vitro release profile. The compositions according to the present invention are preferably employed in form of an injectable solution, injectable microsphere, an injectable gel or an implant. Preferably, the composition is an injectable solution or injectable microspheres with a particle diameter of 10 to 1000 microns, preferably 15 to 100 microns. The compositions according to the present invention may comprise - besides the carrier linked pramipexole prodrug - at least one pharmaceutically acceptable excipient as defined above. The concentration of such excipient is known to a person skilled in the art. A method for producing the compositions according to the present invention are also know to a person skilled in the art. For example, the compositions may be prepared by admixing a carrier linked pramipexole prodrug (as defined below) with one or more excipients additionally contained within said composition.
Preferably the compositions according to the present invention contain a carrier linked pramipexole prodrug, wherein pramipexole is transiently linked to the carrier. The term
transiently means that pramipexole is bound to the prodrug carrier in such a way that the sustained release of pramipexole is obtained when the compositions according to the present invention comprising a carrier linked pramipexole prodrug is administered to a person in need thereof.
In the following, the carrier linked to pramipexole prodrugs contained in the compositions according to the present invention are described in more detail.
The carrier linked pramipexole prodrugs according to the present invention contain pramipexole. Pramipexole as such is a pharmaceutical (drug) known to a person skilled in the art either in its pure (free base) form or as a pharmaceutically acceptable salt thereof. Therefore, pramipexole is a biologically active drug.
Pramipexole contains two different amino groups. The first amino group is bound to the aromatic (thiazolyl) ring of pramipexole. In the following, this first amino group is denoted with the term "aromatic amino group", since the aromatic fragment of pramipexole is substituted with said first amino group, which is a primary amino group. The second amino group of pramipexole is bound to the second, non-aromatic ring of pramipexole. By consequence, said second amino group is denoted in the following as "aliphatic amino group", since the non-aromatic (cyclohexenyl) fragment of pramipexole is substituted with said second amino group. The aliphatic amino group is a secondary amino group, since it contains a propyl substituent.
However, in the present invention the carrier linked pramipexole prodrug or a pharmaceutically acceptable salt thereof does not contain pramipexole in form of its free base or as a pharmaceutically acceptable salt thereof, since pramipexole is bound via a linker L to a carrier. This means that the carrier linked pramipexole prodrug according to the present invention contain pramipexole as a biologically active moiety. Due to the cleavage of the biological active moiety from the carrier linked pramipexole products when administered to a patient in need thereof, pramipexole is released either in its free form or as a pharmaceutically acceptable salt thereof. In other words, the carrier linked to pramipexole prodrugs contain pramipexole, which is substituted with a linker L, which in turn is bound to a carrier.
Pramipexole may be bound to the linker L at any position of pramipexole found to be useful by a person skilled in the art. Preferably, pramipexole is bound via its aliphatic amino group or via its aromatic amino group to the linker L. More preferably, pramipexole is bound to the linker moiety L1 as defined below. More preferably, pramipexole is bound to the linker L, in particular to the linker moiety L1, by forming an amide bond.
The carrier linked pramipexole products according to the present invention contain a carrier Z, which is bound via the linker L (as defined below) to pramipexole. Preferably, the carrier Z is bound to the linker moiety L2 (as defined below).
The carrier is a polymer having a molecular weight of > 500 g/mol.
The term polymer describes a molecule comprised of repeating structural units connected by chemical bonds in a linear, circular, branched, crosslinked or dendrimeric way or a combination thereof, which can be of synthetic or biological origin or a combination of both.
Preferred polymers are selected from 2-methacryloyl-oxyethyl phosphoyl cholins, hydrogels, PEG-based hydrogels, poly(acrylic acids), poly(acrylates), poly(acrylamides), poly(alkyloxy) polymers, poly(amides), poly(amidoamines), poly(amino acids), poly(anhydrides), poly(aspartamides), poly(butyric acids), poly(glycolic acids), polybutylene terephthalates, poly(caprolactones), poly(carbonates), poly(cyanoacrylates), poly(dimethylacrylamides), poly(esters), poly(ethylenes), poly(ethyleneglycols), poly(ethylene oxides), poly(ethyl phosphates), poly(ethyloxazolines), poly(glycolic acids), poly(hydroxyethyl acrylates), poly(hydroxyethyloxazolines), poly(hydroxymethacrylates), poly(hydroxypropylmethacrylamides), poly(hydroxypropyl methacrylates), poly(hydroxypropyloxazolines), poly(iminocarbonates), poly(lactic acids), poly(lactic-co- glycolic acids), poly(methacrylamides), poly(methacrylates), poly(methyloxazolines), poly(organophosphazenes), poly(ortho esters), poly(oxazolines), poly(propylene glycols), poly(siloxanes), poly(urethanes), poly(vinyl alcohols), poly(vinyl amines), poly(vinylmethylethers), poly(vinylpyrrolidones), silicones, celluloses, carbomethyl celluloses, hydroxypropyl methylcelluloses, chitins, chitosans, dextrans, dextrins, gelatins, hyaluronic acids and derivatives, mannans, pectins, rhamnogalacturonans,
starches, hydroxyalkyl starches, hydroxyethyl starches and other carbohydrate-based polymers, xylans, and copolymers thereof.
As indicated above, the carrier may be a hydrogel (as one option for a polymer). Hydrogels to be used are known in the art. Suitable hydrogels may be used which are described in WO-A 2006/003014 or EP-A 1 625 856. Accordingly, a hydrogel may be defined as a three-dimensional, hydrophilic or amphiphilic polymeric network capable of taking up large quantities of water. The networks are composed of homopolymers or copolymers, are insoluble due to the presence of covalent chemical or physical (ionic, hydrophobic interactions, entanglements) crosslinks. The crosslinks provide the network structure and physical integrity. Hydrogels exhibit a thermodynamic compatibility with water which allow them to swell in aqueous media. The chains of the network are connected in such a fashion that pores exist and that a substantial fraction of these pores are of dimensions between 1 nm and 1000 nm.
In a preferred embodiment, the polymer is a poly(ethylene glycol) or a poly(ethylene glycol)-based hydrogel, preferably polyethylene glycol-based hydrogel microparticles with a particle diameter of 10 to 1000 microns, preferably 15 to 100 microns. Preferably, the carrier is a biodegradable poly(ethylene glycol) (PEG) based water- insoluble hydrogel. The term "PEG based" as understood herein means that the mass proportion of PEG chains in the hydrogel is at least 10% by weight, preferably at least 25%, based on the total weight of the hydrogel. The remainder can be made up of other spacers and/or oligomers or polymers, such as oligo- or polylysines.
Moreover the term "water-insoluble" refers to a swellable three-dimensionally crosslinked molecular network forming the hydrogel. The hydrogel if suspended in a large surplus of water or aqueous buffer of physiological osmolality may take up a substantial amount of water, e.g. up to 10-fold on a weight per weight basis, and is therefore swellable but after removing excess water still retains the physical stability of a gel and a shape. Such shape may be of any geometry and it is understood that such an individual hydrogel object is to be considered as a single molecule consisting of components wherein each component is connected to each other component through chemical bonds.
The linker L may be any linker known to a person skilled in the art to be used for binding (chemically contacting) pramipexole to a carrier. Preferably, the linker L is a non- biologically active linker. The linker L may contain at least one of the linker moieties as defined below.
In one embodiment of the present invention, the linker L contains a moiety L1 represented by formula (I),
wherein the dashed line indicates the attachment of L1 to pramipexole by forming an amide bond with the aromatic amino group of pramipexole;
X1 is C(R1R1*1) or a cyclic fragment selected from C3_7 cycloalkyl, 4 to 7 membered heterocyclyl, phenyl, naphthyl, indenyl, indanyl, tetralinyl, or 9 to 11 membered heterobicyclyl; X2 is a chemical bond or selected from C(R3R3a), N(R3), O, C(R3R3a)-C(R4R4a),
C(R3R3a)-N(R4), N(R3)-C(R4R4a), C(R3R3a)-O, or O-C(R3R3a),
wherein in case X1 is a cyclic fragment, X2 is a chemical bond, C(R3R3a), N(R3) or O; optionally, in case X1 is a cyclic fragment and X2 is C(R3R3a), the order of the X1 fragment and the X2 fragment within L1 may be changed;
R1, R3 and R4 are independently selected from the group consisting of H, Ci_4 alkyl and -N(R5R5a);
Rla, R2, R2a, R3a, R4a and R5a are independently selected from the group consisting of H, and Ci-4 alkyl; optionally, one of the pairs R2a/R2, R2a/R3a, R2a/R4a are joined to form a 4 to 7 membered at least partially saturated heterocycle;
R5 is C(O)R6;
R6 is Ci_4 alkyl; optionally, one of the pairs Rla/R4a, R3a/R4a or Rla/R3a form a chemical bond; optionally, L1 is further substituted. Preferably, Rla, R2, R2a, R3a, R4a and R5a are independently selected from the group consisting of H, and Ci_4 alkyl.
More preferably, the moiety L1 is selected from
O O O O
R, J- O k R\ , N N.
In another preferred embodiment, L is a non-biologically active linker containing a moiety L1 represented by formula (Ia),
wherein the dashed line indicates the attachment of L1 to pramipexole by forming an amide bond with the aromatic amino group of pramipexole.
X1 is C(R1R1*1) or a cyclic fragment selected from C3_7 cycloalkyl, 4 to 7 membered heterocyclyl, phenyl, naphthyl, indenyl, indanyl, tetralinyl, or 9 to 11 membered heterobicyclyl;
Xz is a chemical bond or selected from
N(R4), N(R3)-C(R4R4a), C(R3R3a)-O, or O-C(R3R3a),
wherein in case X is a cyclic fragment, X is a chemical bond, C(R R > 3aa \), N(R ) or O; optionally, in case X1 is a cyclic fragment and X2 is C(R3R3a), the order of the X1 fragment and the X2 fragment within L1 may be changed;
R1, R3 and R4 are independently selected from the group consisting of H, Ci_4 alkyl and -
N(R5R5a);
Rla, R2, R3a, R4a and R5a are independently selected from the group consisting of H, and Ci_ 4 alkyl;
R5 is C(O)R6;
R6 is Ci_4 alkyl;
optionally, one of the pairs Rla/R4a, R3a/R4a or Rla/R3a form a chemical bond; optionally, L1 is further substituted; provided that the hydrogen marked with the asterisk in formula (I) is not replaced by a substituent or a connection of L1 to the carrier.
For the sake of clarity it is indicated that the aromatic amino group of pramipexole forms together with the carbonyl-fragment (-C(O)-) on the right hand side of L1 (as depicted in formula (I)/(Ia)) an amide bond within the carrier linked pramipexole prodrug according to the present invention. By consequence, the two parts of the pro drug are connected
(chemically bound) by an amide fragment of the general structure Y^C(O)-N(H)-Y2. Y1 indicates the remaining parts of the moiety L1 and Y2 indicates the aromatic fragment of pramipexole. For example, said amide bond is indicated within formula (I)/(Ia) by the dashed line added diagonally on this bond.
Within this embodiment, it is preferred that, in case X1 is a cyclic fragment, said cyclic fragment is incorporated into L1 via two adjacent ring atoms and the ring atom of X1, which is adjacent to the carbon atom of the amide bond, is also a carbon atom; or in case the order of the X1 fragment and the X2 fragment within L1 is changed, the cyclic fragment is incorporated into L1 via two adjacent ring atoms.
This means that within the first option of this preferred meaning of said embodiment, the X1 -fragment of the moiety L1 represented by formula (I) may also be a cyclic fragment such as C3_7 cycloalkyl, phenyl or indanyl. In case X1 is such a cyclic fragment, the respective cyclic fragment is incorporated into L1 via two adjacent ring atoms (of said cyclic fragment). For example, if X1 is phenyl, the phenyl fragment of L1 is bound to the X2 fragment of L1 via a first (phenyl) ring atom being in α-position (adjacent) to a second (phenyl) ring atom, which itself is bound to the carbon atom of the carbonyl-fragment on the right hand side of L1 according to formula (I)/(Ia) (the carbonyl fragment which forms together with the aromatic amino group of D an amide bond).
(xxviii) xxix) wherein
R5 is C(O)R6;
R1, Rla, R2, R3 and R6 are independently from each other Ci-4 alkyl; and
L1 is optionally substituted with one L2 moiety, preferably R2 is substituted with one L2 moiety. Within this embodiment in connection with formula (I) and the preferred meanings thereof it is also preferred that pramipexole is bound to L, preferably to L1, via it aromatic amino group.
Within this embodiment of the present invention, in case X1 is a cyclic fragment and X2 is C(R3R3a), the order of X1 (the X1 fragment) and X2 (the X2 fragment) within the moiety L1 may be changed. This means that in such a case the moiety L1 is represented by formula (Ib),
(Ib)
wherein (besides X1 and X2) all substituents (such as R2) and fragments have the same (chemical) definitions as indicated within the context of the present invention for formula
(I)- In another embodiment of the present invention the linker L contains a moiety L1 represented by formula (II),
wherein the dashed line indicates the attachment of L1 to pramipexole by forming an amide bond;
X is C(R4R4a), N(R4), O, C(R4R4a)-C(R5R5a), C(R5R5a)-C(R4R4a), C(R4R4a)-N(R6), N(R6)- C(R4R4a), C(R4R4a)-O, or O-C(R4R4a);
X1 is C, or S(O);
X2 is C(R7, R7a), or C(R7, R7a)-C(R8 R8a);
X3 is O, S, or N-CN; R1, Rla, R2, R2a, R3, R3a, R4, R4a, R5, R5a, R6, R7, R7a, R8 and R8a are independently selected from the group consisting of H, and Ci_4 alkyl; optionally, one or more of the pairs Rla/R4a, Rla/R5a, R4a/R5a and R7a/R8a form a chemical bond; optionally, one or more of the pairs RVRla, R2/R2a, R4/R4a, R5/R5a, R7/R7a and R8/R8a are joined together with the atom to which they are attached to form a C3_7 cycloalkyl, or 4 to 7 membered heterocyclyl; optionally, one or more of the pairs RVR4, RVR5, RVR6, R4/R5, R4/R6, R7/R8 and R2/R3 are joined together with the atoms to which they are attached to form a ring A; optionally, R3/R3a are joined together with the nitrogen atom to which they are attached to form a 4 to 7 membered heterocycle;
A is selected from the group consisting of phenyl, naphthyl, indenyl, indanyl, tetralinyl, C3. io cycloalkyl, 4 to 7 membered heterocyclyl and 9 to 11 membered heterobicyclyl; optionally, L1 is further substituted;
provided that the hydrogen marked with the asterisk in formula (II) is not replaced by a substituent or a connection of L1 to the carrier.
Within this embodiment it is preferred that in case the fragment X-C(R1R1*1) of formula (II) contains a cyclic fragment by joining one or more of the pairs R1ZR1*1, R4/R4a and R5/R5a or
one or more of the pairs R1ZR4, RVR5, RVR6, R4/R5 and R4/R6 together with the atoms to which they are attached to,
i) said cyclic fragment is incorporated into L1 via two adjacent ring atoms and ii) the ring atom of said cyclic fragment, which is adjacent to the carbon atom of the amide bond, is also a carbon atom and
iii) the carbon atom of the amide bond and X2 are in β- and γ-position to each other.
Within this embodiment it is even more preferred that pramipexole is bond to L, preferably to L1, via its aliphatic amino group.
In a further embodiment of the present invention the linker L contains a moiety L1 represented by formula (III)
wherein the dashed line indicates the attachment of L1 to pramipexole by forming an amide bond; X is H or Ci_5o alkyl optionally interrupted by one or more groups selected from -NH-, -C(Ci-4 alkyl)-, -O-, -C(O)- or -C(O)NH-;
R1 and Rla are independently selected from the group consisting of H and Ci -C4 alkyl; optionally, L1 is further substituted.
Within this embodiment it is preferred that X is a substituent selected from N(HR2)-C(0)
((CCHH2z)n-, R3-C(O)-NH-(CH2)n-, N(HR2)-C(0)-N(H)-, R3-C(0)-NH-, R3-O- or R3-O-(CH2)n-
; and
R2 is H or Ci _4 alkyl;
R3 is Ci_4 alkyl;
n is an integer from 1 to 10.
Preferably, X in formula (III) includes one of the following fragments, wherein the dashed line on the right hand side indicates the attachment of L1 to pramipexole by forming an amide bond with the aromatic amino group of pramipexole and the dashed line on the left hand side indicates the attachment to the rest of X and wherein L1 is optionally further substituted:
^
O V.
(1 Mb)
O O
Preferably, X in formula (III) includes one of the following fragments, wherein the dashed line on the right hand side indicates the attachment of L1 to pramipexole by forming an amide bond with the aromatic amino group of pramipexole and the dashed line on the left hand side indicates the attachment to the rest of X:
O
- N" γT (lllbb)
O
It is even more preferred within this embodiment that pramipexole is bond to L, preferably to L1, via its aromatic amino group.
In another embodiment of the present invention the linker L contains a moiety L1 represented by formulas (IVa), (IVb) or (IVc)
X is a spacer moiety, preferably R 13 -Y 1 ;
Yl is O, S, NR6, succinimide, maleimide, unsaturated carbon-carbon bonds or any heteroatom containing a free electron pair or is absent;
Rl 3 is selected from substituted or non-substituted linear, branched or cyclical alkyl or heteroalkyl, aryls, substituted aryls, substituted or non-substituted heteroaryls;
R2 and R3 are selected independently from hydrogen, acyl groups, or protecting groups for hydroxyl groups;
R4 to R12 are selected independently from hydrogen, X-Rl, substituted or non-substituted linear, branched or cyclical alkyl or heteroalkyl, aryls, substituted aryls, substituted or non- substituted heteroaryls, cyano, nitro, halogen, carboxy or carboxamide;
Rl is the rest of S0, comprising at least S1, S2, BS1, and optionally BS2.
For the sake of clarity it is indicated that within the above embodiment in connection with formulas (IVa to IVc) the fragment defined by the letter T (which means pramipexole) does actually not belong to the moiety L1. The letter T has to be understood that at this position the linker L1 is chemically bond to pramipexole (place of attachment of L1 to pramipexole by forming an amide bond).
In another embodiment of the present invention the linker L contains a moiety L1 represented by formulas (Va) or (Vb),
X is a spacer moiety;
Yi and Y2 each independently are O, S or NR6;
Y3 is O or S;
Y4 is O, NR6 or -C(R7)(R8);
R3 is a moiety selected from the group consisting of hydrogen, substituted or unsubstituted linear, branched or cyclical alkyl or heteroalkyl groups, aryls,
substituted aryls, substituted or unsubstituted heteroaryls, cyano groups, nitro groups, halogens, carboxy groups, carboxyalkyl groups, alkylcarbonyl groups or carboxamidoalkyl groups; R4 is a moiety selected from the group consisting of hydrogen, substituted or unsubstituted linear, branched or cyclical alkyls or heteroalkyls, aryls, substituted aryls, substituted or unsubstituted heteroaryl, substituted or unsubstituted linear, branched or cyclical alkoxys, substituted or unsubstituted linear, branched or cyclical heteroalkyloxys, aryloxys or heteroaryloxys, cyano groups and halogens;
R7 and Rs are each independently selected from the group consisting of hydrogen, substituted or unsubstituted linear, branched or cyclical alkyls or heteroalkyls, aryls, substituted aryls, substituted or unsubstituted heteroaryls, carboxyalkyl groups, alkylcarbonyl groups, carboxamidoalkyl groups, cyano groups, and halogens;
Re is a group selected from hydrogen, substituted or unsubstituted linear, branched or cyclical alkyls or heteroalkyls, aryls, substituted aryls and substituted or unsubstituted heteroaryls;
Ri is the rest of S0;
W is a group selected from substituted or unsubstituted linear, branched or cyclical alkyls, aryls, substituted aryls, substituted or unsubstituted linear, branched or cyclical heteroalkyls, substituted or unsubstituted heteroaryls;
Nu is a nucleophile; n is zero or a positive integer; and Ar is an at least mono-substituted aromatic hydrocarbon or at least mono- substituted aromatic heterocycle.
For the sake of clarity it is indicated that within the above embodiment in connection with formulas (Va to Vb) the fragment defined by the letter T (which means pramipexole) does actually not belong to the moiety L1. The letter T has to be understood that at this position the linker L1 is chemically bond to pramipexole (place of attachment of L1 to pramipexole by forming an amide bond).
The linker L may also contain a moiety L2. Preferably, the linker L contains one moiety L1 as defined above and 1 to 4, preferably 1, L2 moieties. In one embodiment of the present invention, the linker L consists of one moiety L1 and one moiety L2.
The moiety L2 is a chemical bond or a spacer and L2 is bound to the carrier. As indicated above it is preferred that the linker L contains one moiety L1 represented by, for example, any of the formulas (I) to (Vb) (including the respective preferred definitions) and 1 to 4 L2 moieties, preferably 1 L2 moiety. This means that in such a case the moiety L1 is substituted with the moiety L2. On the other hand, the (respective) moiety L2 is also bond to the carrier. In other words, the moiety L2 connects the carrier with the linker moiety L1, which in turn is bound to pramipexole.
The moiety L2 may be bound to any position of the moiety L1. However, in case of the definitions of moiety L1 according to formula (I) and formula (II) - including the respective preferred definitions - the hydrogen marked with the asterisk within formula (I) or formula (II) is not replaced by the moiety L2. The substitution (attachment) of the respective L2 moiety occurs by replacing one hydrogen according to the definitions of the moiety L1 including any fragments or substitutes thereof ( for example X1, X2, R1 to R5 and Rla to R5a according to formula I).
In case more than one L2 moiety is present (for example 2 to 4 L2 moieties), each L2 moiety is bond to a carrier as defined above. By consequence, each L2 and each carrier can be selected independently.
In case L2 is a spacer, any spacer known to a person skilled in the art for connecting a moiety L1 as represented by, for example, formula (I) to the carrier can be used. Preferably, the spacer is a fragment selected from Ci_so alkyl, C2-50 alkenyl or C2-50 alkinyl, which fragment is optionally interrupted by one or more groups selected from -NH-, -N(C1-4
alkyl)-, -O-, -S-, -C(O)-, -C(O)NH-, -C(O)N(Ci-4 alkyl)-, -O-C(O)-, -S(O)-, -S(O)2-, 4 to 7 membered heterocyclyl, phenyl or naphthyl.
If the moiety L1 is represented by the embodiment containing formula (I), the spacer L2 is more preferably a fragment selected from Ci_so alkyl, C2-50 alkenyl or C2-50 alkinyl, which fragment is optionally interrupted by one or more groups selected from -NH-, -N(C1-4 alkyl)-, -0-, -S-, -C(O)-, -C(O)NH-, -C(O)N(CH alkyl)-, -O-C(O)-, -S(O)-, -S(O)2-, 4 to 7 membered heterocyclyl, phenyl or naphthyl, provided that the spacer does not contain a nitrogen atom being in β- or γ-position to the amino group containing the hydrogen marked with the asterisk in formula (I), in case the spacer is bound to R2.
Most preferred are the following structures:
wherein n = 1-3, Z is the carrier;
and R1, Rla, X and L2 as defined above. In another preferred embodiment of the present invention, preferred carrier linked pramipexole prodrugs are selected from a prodrug according to the formulas (IX) to (XIV),
hydrogel
hydrogel (XIV)
wherein the hydrogel and L2 are defined as above;
L2 is preferably a spacer.
More preferably, the spacer (L2) is a Ci_2o alkyl being bound to L1 and which Ci_2o alkyl is optionally interrupted by one or more groups selected from -NH-, -N(C1-4 alkyl)-, -O-, -S-, -C(O)-, -C(O)NH-, -C(O)N(Ci-4 alkyl)-, -O-C(O)-, -S(O)-, -S(O)2-, 4 to 7 membered heterocyclyl, phenyl or naphthyl. In case of the embodiment containing formula (I), it is
also preferred that the spacer does not contain a nitrogen atom being in β- or γ-position to the amino group containing the hydrogen marked with the asterisk in formula (I).
In another embodiment of the present invention it is preferred that in case the moiety L1 is represented
i) by formula (I), R2 is substituted with L2;
ii) by formula (II), R3 is substituted with L2; or
iii) by formula (III), X is substituted with L2. According to another embodiment of the present invention, it is preferred that the moiety L2 has a molecular weight in the range of from 14 g/mol to 750 g/mol.
In case L2 has such terminal group it is furthermore preferred that L2 has a molecular weight in the range of from 14 g/mol to 500 g/mol calculated without such terminal group.
Preferably, the covalent attachment formed between the linker and the carrier is a permanent bond and the carrier is a hydrogel.
Preferably, the carrier is a biodegradable polyethylene glycol (PEG) based water-insoluble hydrogel. The term "PEG based" as understood herein means that the mass proportion of PEG chains in the hydrogel is at least 10% by weight, preferably at least 25%, based on the total weight of the hydrogel. The remainder can be made up of other spacers and/or oligomers or polymers, such as oligo- or polylysines.
Moreover the term "water-insoluble" refers to a swellable three-dimensionally crosslinked molecular network froming the hydrogel. The hydrogel if suspended in a large surplus of water or aqueous buffer of physiological osmolality may take up a substantial amount of water, e.g. up to 10-fold on a weight per weight basis, and is therefore swellable but after removing excess water still retains the physical stability of a gel and a shape. Such shape
may be of any geometry and it is understood that such an individual hydrogel object is to be considered as a single molecule consisting of components wherein each component is connected to each other component through chemical bonds. According to this invention, the hydrogel carrier may be composed of backbone moieties interconnected by hydro lyrically degradable bonds.
Preferably, the backbone moiety has a molecular weight in the range of from 1 kDa to 20 kDa, more preferably from 1 kDa to 15 kDa and even more preferably from 1 kDa to 10 kDa. The backbone moieties are preferably also PEG-based comprising one or more PEG chains.
Another aspect of the present invention is a carrier-linked pramipexole prodrug comprising a biodegradable hydrogel of the present invention as carrier, wherein a number of permanent linkages of the backbone moieties exist with a transient prodrug linker to which a biologically active moiety is covalently attached.
The reactive functional groups of a reactive biodegradable hydrogel or modified reactive biodegradable hydrogel serve as attachment points for direct linkage through the before mentioned permanent linkages of pramipexole or pramipexole-linker conjugate. Ideally, the hydrogel-connected drug-linker conjugates are dispersed homogeneously throughout the hydrogel according to the invention, and may or may not be present on the surface of the hydrogel according to the invention. The functional groups may be attached to a linear chain. In this case, the functional groups may be spaced regularly or irregularly across the chain, or alternatively, the chain may be terminated by two dendritic moieties, providing for the total of functional groups.
Remaining reactive functional groups which are not connected to a transient prodrug linker or to a spacer connected to a transient prodrug linker may be capped with suitable blocking reagents.
Preferably, the covalent attachment formed between the reactive functional groups provided by the backbone moieties and the prodrug linker are permanent bonds. Suitable
functional groups for attachment of the prodrug linker to the hydrogel according to the invention include but are not limited to carboxylic acid and derivatives, carbonate and derivatives, hydroxyl, hydrazine, hydroxylamine, maleamic acid and derivatives, ketone, amino, aldehyde, thiol and disulfide.
According to this invention, the biodegradable hydrogel according to the invention is composed of backbone moieties interconnected by hydro lyrically degradable bonds.
In a hydrogel carrying drug-linker conjugates according to the invention, a backbone moiety is characterized by a number of functional groups, comprising interconnected biodegradable functional groups and hydrogel-connected drug-linker conjugates, and optionally capping groups. This means that a backbone moiety is characterized by a number of hydrogel-connected drug-linker conjugates; functional groups, comprising biodegradable interconnected functional groups; and optionally capping groups. Preferably, the sum of interconnected biodegradable functional groups and drug-linker conjugates and capping groups is 16-128, preferred 20-100, more preferred 24-80 and most preferred 30-60.
Preferably, the sum of interconnected functional groups and hydrogel-connected drug- linker conjugates and capping groups of a backbone moiety is equally divided by the number of PEG-based polymeric chains extending from the branching core. For instance, if there are 32 interconnected functional groups and hydrogel-connected drug-linker conjugates and capping groups, eight groups may be provided by each of the four PEG- based polymeric chains extending from the core, preferably by means of dendritic moieties attached to the terminus of each PEG-based polymeric chain. Alternatively, four groups may be provided by each of eight PEG-based polymeric chains extending from the core or two groups by each of sixteen PEG-based polymeric chains. If the number of PEG-based polymeric chains extending from the branching core does not allow for an equal distribution, it is preferred that the deviation from the mean number of the sum of interconnected functional groups and hydrogel-connected drug-linker conjugates and capping groups per PEG-based polymeric chain is kept to a minimum.
In such carrier-linked prodrugs according to the invention, it is desirable that almost all drug release (> 90 %) has occurred before a significant amount of release of the backbone
moieties (< 10 %) has taken place. This can be achieved by adjusting the carrier- linked prodrug's half- life versus the degradation kinetics of the hydrogel according to the invention. Preferentially, a backbone moiety is characterized by having a branching core, from which at least three PEG-based polymeric chains extend. Accordingly, in a preferred aspect of the present invention the backbone reagent comprises a branching core, from which at least three PEG-based polymeric chains extend. Such branching cores may be comprised of poly- or oligoalcohols in bound form, preferably pentaerythritol, tripentaerythritol, hexaglycerine, sucrose, sorbitol, fructose, mannitol, glucose, cellulose, amyloses, starches, hydroxyalkyl starches, polyvinylalcohols, dextranes, hyualuronans, or branching cores may be comprised of poly- or oligoamines such as ornithine, diaminobutyric acid, trilysine, tetralysine, pentalysine, hexalysine, heptalysine, octalysine, nonalysine, decalysine, undecalysine, dodecalysine, tridecalysine, tetradecalysine, pentadecalysine or oligolysines, polyethyleneimines, polyvinylamines in bound form.
Preferably, the branching core extends three to sixteen PEG-based polymeric chains, more preferably four to eight. Preferred branching cores may be comprised of pentaerythritol, ornithine, diaminobutyric acid, trilysine, tetralysine, pentalysine, hexalysine, heptalysine or oligolysine, low-molecular weight PEI, hexaglycerine, tripentaerythritol in bound form. Preferably, the branching core extends three to sixteen PEG-based polymeric chains, more preferably four to eight. Preferably, a PEG-based polymeric chain is a linear poly(ethylene glycol) chain, of which one end is connected to the branching core and the other to a hyperbranched dendritic moiety. It is understood that a polymeric PEG-based chain may be terminated or interrupted by alkyl or aryl groups optionally substituted with heteroatoms and chemical functional groups.
Preferably, a PEG-based polymeric chain is a suitably substituted polyethylene glycol derivative (PEG based).
Preferred structures for corresponding PEG-based polymeric chains extending from a branching core contained in a backbone moiety are multi-arm PEG derivatives as, for instance, detailed in the products list of JenKem Technology, USA (accessed by download from www.jenkemusa.com on July 28, 2009), 4ARM-PEG Derivatives (pentaerythritol
core), 8ARM-PEG Derivatives (hexaglycerin core) and 8ARM-PEG Derivatives (tripentaerythritol core). Most preferred are 4arm PEG Amine (pentaerythritol core) and 4arm PEG Carboxyl (pentaerythritol core), 8arm PEG Amine (hexaglycerin core), 8arm PEG Carboxyl (hexaglycerin core), 8arm PEG Amine (tripentaerythritol core) and 8arm PEG Carboxyl (tripentaerythritol core). Preferred molecular weights for such multi-arm PEG-derivatives in a backbone moiety are 1 kDa to 20 kDa, more preferably 1 kDa to 15 kDa and even more preferably 1 kDa to 10 kDa.
It is understood that the terminal amine groups of the above mentioned multi-arm molecules are present in bound form in the backbone moiety to provide further interconnected functional groups and reactive functional groups of a backbone moiety.
It is preferred that the sum of interconnected functional groups and reactive functional groups of a backbone moiety is equally divided by the number of PEG-based polymeric chains extending from the branching core. If the number of PEG-based polymeric chains extending from the branching core does not allow for an equal distribution, it is preferred that the deviation from the mean number of the sum of interconnected and reactive functional groups per PEG-based polymeric chain is kept to a minimum. More preferably, the sum of interconnected and reactive functional groups of a backbone moiety is equally divided by the number of PEG-based polymeric chains extending from the branching core. For instance, if there are 32 interconnected functional groups and reactive functional groups, eight groups may be provided by each of the four PEG-based polymeric chains extending from the core, preferably by means of dendritic moieties attached to the terminus of each PEG-based polymeric chain. Alternatively, four groups may be provided by each of eight PEG-based polymeric chains extending from the core or two groups by each of sixteen PEG-based polymeric chains.
Such additional functional groups may be provided by dendritic moieties. Preferably, each dendritic moiety has a molecular weight in the range of from 0.4 kDa to 4 kDa, more preferably 0.4 kDa to 2 kDa. Preferably, each dendritic moiety has at least 3 branchings and at least 4 reactive functional groups, and at most 63 branchings and 64 reactive
functional groups, preferred at least 7 branchings and at least 8 reactive functional groups and at most 31 branchings and 32 reactive functional groups.
Examples for such dendritic moieties are comprised of trilysine, tetralysine, pentalysine, hexalysine, heptalysine, octalysine, nonalysine, decalysine, undecalysine, dodecalysine, tridecalysine, tetradecalysine, pentadecalysine, hexadecalysine, heptadecalysine, octadecalysine, nonadecalysine in bound form. Examples for such preferred dendritic moieties are comprised oftrilysine, tetralysine, pentalysine, hexalysine, heptalysine in bound form, most preferred trilysine, pentalysine or heptalysine, ornithine, diaminobutyric acid in bound form.
Most preferably, the hydrogel carrier of the present invention is characterized in that the the backbone moiety has a quarternary carbon of formula C(A-Hyp)4, wherein each A is independently a poly(ethylene glycol) based polymeric chain terminally attached to the quarternary carbon by a permanent covalent bond and the distal end of the PEG-based polymeric chain is covalently bound to a dendritic moiety Hyp, each dendritic moiety Hyp having at least four functional groups representing the interconnected functional groups and reactive functional groups. Preferably, each A is independently selected from the formula -(CH2)Di(OCH2CH2)I1X-, wherein nl is 1 or 2; n is an integer in the range of from 5 to 50; and X is a chemical functional group covalently linking A and Hyp.
Preferably, A and Hyp are covalently linked by an amide linkage.
Preferably, the dendritic moiety Hyp is a hyperbranched polypeptide. Preferably, the hyperbranched polypeptide comprises lysine in bound form. Preferably, each dendritic moiety Hyp has a molecular weight in the range of from 0.4 kDa to 4 kDa. It is understood that a backbone moiety C(A-HyP)4 can consist of the same or different dendritic moieties Hyp and that each Hyp can be chosen independently. Each moiety Hyp consists of between 5 and 32 lysines, preferably of at least 7 lysines, i.e. each moiety Hyp is comprised of between 5 and 32 lysines in bound form, preferably of at least 7 lysines in bound form.Most preferably Hyp is comprised of heptalysinyl.
The reaction of polymerizable functional groups a backbone reagent, more specifically of Hyp with the polymerizable functional groups of polyethyleneglycol based crosslinker reagents results in a permanent amide bond. Preferably, C(A-Hyp)4 has a molecular weight in the range of from 1 kDa to 20 kDa, more preferably 1 kDa to 15 kDa and even more preferably 1 kDa to 10 kDa.
One preferred backbone moiety is shown below, dashed lines indicate interconnecting biodegradable linkages to crosslinker moieties and n is an integer of from 5 to 50:
Biodegradability of the hydrogels according to the present invention is achieved by introduction of hydro lyrically degradable bonds. The terms "hydro lyrically degradable", "biodegradable" or "hydro lyrically cleavable", "auto-cleavable", or "self-cleavage", "self-cleavable", "transient" or "temporary" refers
within the context of the present invention to bonds and linkages which are non- enzymatically hydrolytically degradable or cleavable under physiological conditions (aqueous buffer at pH 7.4, 37°C) with half-lives ranging from one hour to three months, including, but are not limited to, aconityls, acetals, amides, carboxylic anhydrides, esters, imines, hydrazones, maleamic acid amides, ortho esters, phosphamides, phosphoesters, phosphosilyl esters, silyl esters, sulfonic esters, aromatic carbamates, combinations thereof, and the like.
If present in a hydrogel according to the invention as degradable interconnected functional group, preferred biodegradable linkages are carboxylic esters, carbonates, phosphoesters and sulfonic acid esters and most preferred are carboxylic esters or carbonates.
Permanent linkages are non-enzymatically hydrolytically degradable under physiological conditions (aqueous buffer at pH 7.4, 37°C) with half-lives of six months or longer, such as, for example, amides.
To introduce the hydrolytically cleavable bonds into the hydrogel carrier of the invention, the backbone moieties can be directly linked to each other by means of biodegradable bonds.
In one embodiment, the backbone moieties of the biodegradable hydrogel carrier may be linked together directly, i.e. without crosslinker moieties. The hyperbranched dendritic moieties of two backbone moieties of such biodegradable hydrogel may either be directly linked through an interconnected functional group that connects the two hyperbranched dendritic moieties. Alternatively, two hyperbranched dendritic moieties of two different backbone moieties may be interconnected through two spacer moieties connected to a backbone moiety and on the other side connected to a crosslinking moiety separated by an interconnected functional groups. Alternatively, backbone moieties may be linked together through crosslinker moieties, each crosslinker moiety is terminated by at least two of the hydrolytically degradable bonds. In addition to the terminating degradable bonds, the crosslinker moieties may contain further biodegradable bonds. Thus, each end of the crosslinker moiety linked to a
backbone moiety comprises a hydrolytically degradable bond, and additional biodegradable bonds may optionally be present in the crosslinker moiety.
Preferably, the biodegradable hydrogel carrier is composed of backbone moieties interconnected by hydrolytically degradable bonds and the backbone moieties are linked together through crosslinker moieties.
The biodegradable hydrogel carrier may contain one or more different types of crosslinker moieties, preferably one. The crosslinker moiety may be a linear or branched molecule and preferably is a linear molecule. In a preferred embodiment of the invention, the crosslinker moiety is connected to backbone moieties by at least two biodegradable bonds.
If present in a hydrogel according to the invention as degradable interconnected functional group, preferred biodegradable linkages are carboxylic esters, carbonates, phosphoesters and sulfonic acid esters and most preferred are carboxylic esters or carbonates.
Preferably, crosslinker moieties have a molecular weight in the range of from 60 Da to 5 kDa, more preferably, from 0.5 kDa to 4 kDa, even more preferably from 1 kDa to 4 kDa, even more preferably from 1 kDa to 3 kDa. In one embodiment, a crosslinker moiety consists of a polymer.
In addition to oligomeric or polymeric crosslinking moieties, low-molecular weight crosslinking moieties may be used, especially when hydrophilic high-molecular weight backbone moieties are used for the formation of a biodegradable hydrogel according to the invention.
Preferably, the poly(ethylene glycol) based crosslinker moieties are hydrocarbon chains comprising ethylene glycol units, optionally comprising further chemical functional groups, wherein the poly(ethylene glycol) based crosslinker moieties comprise at least each m ethylene glycol units, wherein m is an integer in the range of from 3 to 100, preferably from 10 to 70. Preferably, the poly(ethylene glycol) based crosslinker moieties have a molecular weight in the range of from 0.5 kDa to 5 kDa.
If used in reference to a crosslinker moiety or a PEG-based polymeric chain connected to a branching core, the term "PEG-based" refers to a crosslinker moiety or PEG-based polymeric chain comprising at least 20 weight % ethylene glycol moieties. In one embodiment, monomers constituting the polymeric crosslinker moieties are connected by biodegradable bonds. Such polymeric crosslinker moieties may contain up to 100 biodegradable bonds or more, depending on the molecular weight of the crosslinker moiety and the molecular weight of the monomer units. Examples for such crosslinker moieties are poly(lactic acid) or poly(gly colic acid) based polymers. It is understood that such poly(lactic acid) or poly(gly colic acid) chain may be terminated or interrupted by alkyl or aryl groups and that they may optionally be substituted with heteroatoms and chemical functional groups.
Preferably, the crosslinker moieties are PEG based, preferably represented by only one PEG based molecular chain. Preferably, the poly(ethylene glycol) based crosslinker moieties are hydrocarbon chains comprising ethylene glycol units, optionally comprising further chemical functional groups, wherein the poly(ethylene glycol) based crosslinker moieties comprise at least each m ethylene glycol units, wherein m is an integer in the range of from 3 to 100, preferably from 10 to 70. Preferably, the poly(ethylene glycol) based crosslinker moieties have a molecular weight in the range of from 0.5 kDa to 5 kDa.
In a preferred embodiment of the present invention the crosslinker moiety consists of PEG, which is symmetrically connected through ester bonds to two alpha, omega-aliphatic dicarboxylic spacers provided by backbone moieties connected to the hyperbranched dendritic moiety through permanent amide bonds.
The dicarboxylic acids of the spacer moieties connected to a backbone moiety and on the other side is connected to a crosslinking moiety consist of 3 to 12 carbon atoms, most preferably between 5 and 8 carbon atoms and may be substituted at one or more carbon atom. Preferred substituents are alkyl groups, hydroxyl groups or amido groups or substituted amino groups. One or more of the aliphatic dicarboxylic acid's methylene groups may optionally be substituted by O or NH or alkyl-substituted N. Preferred alkyl is linear or branched alkyl with 1 to 6 carbon atoms.
Preferably, there is a permanent amide bond between the hyperbranched dendritic moiety and the spacer moiety connected to a backbone moiety and on the other side is connected to a crosslinking moiety. One preferred crosslinker moiety is shown below; dashed lines indicate interconnecting biodegradable linkages to backbone moieties:
^O M ^- Fn O ^
•>
wherein n is an integer of from 5 to 50.
Preferably, the hydrogel carrier is composed of backbone moieties interconnected by hydro lyrically degradable bonds.
More preferably, the backbone moieties comprise a branching core of the following formula:
C C4 wherein the dashed line indicates attachment to the remainder of the backbone moiety.
More preferably, the backbone moieties comprise a structure of the following formula: o 4.
C O N ■ 4
wherein n is an integer of from 5 to 50 and the dashed line indicates attachment to the remainder of the backbone moiety.
Preferably, backbone moiety comprises a hyperbranched moiety Hyp.
More preferably, the backbone moiety comprises a hyperbranched moiety Hyp of the following formula:
wherein the dashed lines indicate attachment to the rest of the molecule and carbon atoms marked with asterisks indicate S-confϊguration. Preferably, the backbone moieties are attached to at least one spacer of the following formula:
wherein one of the dashed lines indicates attachment to the hyperbranched moiety Hyp and the second dashed line indicates attachment to the rest of the molecule; and
wherein m is an integer of from 2 to 4.
Preferably, the backbone moieties are linked together through crosslinker moieties having the following structure
wherein
q is an integer from 3 to 100, preferably from 5 to 50;
the hydrolysis rate of the biodegradable bonds between backbone moieties and crosslinker moieties is influenced or determined by the number and type of connected atoms adjacent to the PEG-ester carboxy group. For instance, by selecting from succinic, adipic or glutaric acid for PEG ester formation it is possible to vary the degradation half-lives of the biodegradable hydrogel carrier according to the invention. The degradation of the biodegradable hydrogel carrier according to the invention is a multi-step reaction where a multitude of degradable bonds is cleaved resulting in degradation products which may be water-soluble or water-insoluble. However, water- insoluble degradation products may further comprise degradable bonds so that they can be cleaved in that water-soluble degradation products are obtained. These water-soluble degradation products may comprise one or more backbone moieties. It is understood that released backbone moieties may, for instance, be permanently conjugated to spacer or blocking or linker groups or affinity groups and/or prodrug linker degradation products and that also water-soluble degradation products may comprise degradable bonds. The structures of the branching core, PEG-based polymeric chains, hyperbranched dendritic moieties and moieties attached to the hyperbranched dendritic moieties can be inferred from the corresponding descriptions provided in the sections covering the hydrogel carriers of the present invention. It is understood that the structure of a degradant depends on the type of hydrogel according to the invention undergoing degradation.
The total amount of backbone moieties can be measured in solution after complete degradation of the hydrogel according to the invention, and during degradation, fractions of soluble backbone degradation products can be separated from the insoluble hydrogel according to the invention and can be quantified without interference from other soluble degradation products released from the hydrogel according to the invention. A hydrogel object according to the invention may be separated from excess water of buffer of physiological osmolality by sedimentation or centrifugation. Centrifugation may be performed in such way that the supernatant provides for at least 10% of the volume of the swollen hydrogel according to the invention. Soluble hydrogel degradation products
remain in the aqueous supernatant after such sedimentation or centrifugation step, and water-soluble degradation products comprising one or more backbone moieties are detectable by subjecting aliquots of such supernatant to suitable separation and/or analytical methods.
Preferably, water-soluble degradation products may be separated from water-insoluble degradation products by filtration through 0.45 μm filters, after which the water-soluble degradation products can be found in the flow-through. Water-soluble degradation products may also be separated from water-insoluble degradation products by a combination of a centrifugation and a filtration step.
For instance the backbone moieties may carry groups that exhibit UV absorption at wavelengths where other degradation products do not exhibit UV absorption. Such selectively UV-absorbing groups may be structural components of the backbone moiety such as amide bonds or may be introduced into the backbone by attachment to its reactive functional groups by means of aromatic ring systems such as indoyl groups.
In such hydrogel-linked pramipexole prodrugs according to the invention, it is desirable that almost all pramipexole release (> 90 %) has occurred before a significant amount of release of the backbone degradation products (< 10 %) has taken place. This can be achieved by adjusting the hydrogel-linked pramipexole prodrug's half-life versus the hydrogel degradation kinetics.
Optionally, there is a spacer moiety between the carrier and the linker. Preferably, the spacer is connected to the carrier and the linker via stable bonds, such as amide or thiosuccinimide bonds, and preferably these stable bonds are amide bonds. Any spacer known to a person skilled in the art can be used. Preferably, the spacer is a fragment selected from Ci_so alkyl, C2-50 alkenyl or C2-50 alkinyl, which fragment is optionally interrupted by one or more groups selected from -NH-, -N(C1-4 alkyl)-, -O-, -S-, -C(O)-, - C(O)NH-, -C(O)N(CL4 alkyl)-, -O-C(O)-, -S(O)-, -S(O)2-, 4 to 7 membered heterocyclyl, phenyl or naphthyl.
The hydrogel-linked pramipexole prodrug of the present invention can be prepared starting from the hydrogel of the present invention by convenient methods known in the art. It is clear to a practitioner in the art that several routes exist. For example the prodrug linker mentioned above to which the biologically active moiety is covalently attached can be reacted with the reactive functional groups of the hydrogel of the present invention with or with already bearing the active moiety in part or as whole.
In a preferable method of preparation, the hydrogel is generated through chemical ligation reactions. The hydrogel may be formed from two macromolecular educts with complementary functionalities which undergo a reaction such as a condensation or addition. One of these starting materials is a crosslinker reagent with at least two identical functional groups and the other starting material is a homomultifunctional backbone reagent. Suitable functional groups present on the crosslinker reagent include terminal amino, carboxylic acid and derivatives, maleimide and other alpha,beta unsaturated Michael acceptors like vinylsulfone, thiol, hydroxyl groups. Suitable functional groups present in the backbone reagent include but are not limited to amino, carboxylic acid and derivatives, maleimide and other alpha, beta unsaturated Michael acceptors like vinylsulfone, thiol, hydroxyl groups. If the crosslinker reagent reactive functional groups are used substoichiometrically with respect to backbone reactive functional groups, the resulting hydrogel will be a reactive hydrogel with free reactive functional groups attached to the backbone structure.
Optionally, the prodrug linker may be first conjugated to pramipexole and the resulting pramipexole-prodrug linker conjugate may then react with the hydrogel' s reactive functional groups. Alternatively, after activation of one of the functional groups of the prodrug linker, the linker-hydrogel conjugate may be contacted with pramipexole in the second reaction step and excess pramipexole may be removed by filtration after conjugation of the pramipexole to the hydrogel-bound prodrug linker.
A preferred process for the preparation of a prodrug according to the present invention is as follows:
A preferred starting material for the backbone reagent synthesis is a 4-arm PEG terra amine
or 8-arm PEG octa amine, with the PEG reagent having a molecular weight ranging from 2000 to 10000 Dalton, most preferably fom 2000 to 5000 Da. To such multi-arm PEG- derivatives, lysine residues are coupled sequentially to form the hyperbranched backbone reagent. It is understood that the lysines can be partially or fully protected by protective groups during the coupling steps and that also the final backbone reagent may contain protective groups. A preferred building block is bis-boc lysine. Alternatively, instead of sequential additions of lysine residues, a dendritic poly-lysine moiety may be assembled first and subsequently coupled to the 4-arm PEG tetra amine or 8-arm PEG octa amine. It is desirable to obtain backbone reagent carrying 32 amino groups, consequently seven lysines would be attached to each arm of a 4-arm PEG, or five lysines would be attached to each arm of a 8-arm PEG. In another embodiment, the multi-arm PEG derivative is a tetra- or octa carboxy PEG. In this case, the dendritic moieties may be generated from glutaric or aspartic acid, and the resulting backbone reagent would carry 32 carboxy groups. It is understood that all or a fraction of the backbone reagent's functional groups may be present in a free form, as salts or conjugated to protecting groups. It is understood that due to practical reasons the backbone reagent's number of lysines per PEG-arm will be between six and seven, more preferably approximately seven.
A preferred backbone reagent is shown below:
Synthesis of the crosslinker reagent starts from a linear PEG chain with a molecular weight ranging from 0.2 to 5 kDa, more preferably from 0.6 to 2 kDa, which is esterified with a half ester of a dicarboxylic acid, most adipic acid or glutaric acid. Preferred protecting group for half ester formation is the benzylic group. The resulting bis dicarboxylic acid PEG half esters are converted into more reactive carboxy compounds such as acyl chlorides or active esters, eg pentafluorophenyl or N-hydroxysuccinimide esters, most preferred N-hydroxysuccinimde esters, of which preferred selected structur is shown below.
wherein each m independently is an integer ranging from 2 to 4, and
q is an integer of from 3 to 100, preferably of from 5 to 50. More preferred is the following structure:
Alternatively, the bis dicarboxylic acid PEG half esters may be activated in the presence of a coupling agent such as DCC or HOBt or PyBOP.
In an alternative embodiment the backbone reagent carries carboxyl groups and the corresponding crosslinker reagent would be selected from ester-containing amino- terminated PEG-chains.
Backbone reagent and crosslinker reagent may be polymerized to form the hydrogel according to the invention using inverse emulsion polymerization. After selecting the desired stoichiometry between backbone and crosslinker polymerizable groups, backbone and crosslinker are dissolved in DMSO and a suitable emulgator with an appropriately selected HLB value, preferably Arlacel P 135, is employed to form an inverse emulsion using a mechanical stirrer and controlling the stirring speed. Polymerization is initiated by the addition of a suitable base, preferably by N,N,N',N'-tetramethylethylenene diamine. After stirring for an appropriate amount of time, the reaction is quenched by the addition of an acid, such as acetic acid and water. The beads are harvested, washed, and fractionated according to particle size by mechanical sieving. Optionally, protecting groups may be removed at this stage.
In an alternative embodiment of this invention, multi-functional moieties are coupled to the reactive functional groups of the polymerized reactive hydrogel to increase the number of functional groups which allows to increase the drug load of the hydrogel. Such multifunctional moieties may be provided by suitably substituted derivatives of lysine, dilysine, trilysine, tetralysine, pentalysine, hexalysine, heptalysine, or oligolysine, low-molecular weight PEL Preferably, the multi-functional moiety is lysine.
Further, such hydrogel according to the invention may be functionalized with a spacer carrying the same functional group, for instance, amino groups may be introduced into the hydrogel by coupling a heterobifunctional spacer, such as suitably activated COOH-(EG)6- NH-fmoc (EG=ethylene glycol), and removing the fmoc-protecting group.
In one embodiment, a pramipexole compound may be directly reacted with a reactive biodegradable hydrogel to form a covalent transient linkage resulting in a hydrogel prodrug according to the invention. Such transient linkage between drug and biodegradable hydrogel is preferably a carbamate or amide.
In another embodiment, a pramipexole compound is first conjugated to a spacer in such a fashion that the linkage between drug compound and spacer is a covalent transient linkage such as a carbamate or amide linkage, and is subsequently reacted with the reactive biodegradable hydrogel form a prodrug according to the invention.
In yet another embodiment, a pramipexole compound is first conjugated to a linker in such a fashion that the linkage between drug compound and linker is a covalent transient linkage such as an aromatic amide linkage, and is subsequently reacted with a reactive biodegradable hydrogel to form a prodrug according to the invention.
Further, such hydrogel according to the invention may be functionalized with a spacer carrying a different reactive functional group than provided by the hydrogel. For instance, maleimide reactive functional groups may be introduced into the hydrogel by coupling a suitable heterobifunctional spacer such as MaI-(EG)6-NHS to the hydrogel. Such functionalized hydrogel can be further conjugated to drug-linker reagents, carrying a reactive thiol group on the linker moiety to form carrier-linked prodrugs according to the present invention.
After loading the pramipexole-linker conjugate to the functionalized maleimido group- containing hydrogel, all remaining functional groups are capped with a suitable blocking reagents, such as mercaptoethanol, to prevent undesired side-reactions.
A particularly preferred method for the preparation of a prodrug of the present invention comprises the steps of
(a) reacting a compound of formula C(A'-X1)4, wherein A'-X1 represents A before its binding to Hyp or a precursor of Hyp and X1 is a suitable chemical functional group, with a compound of formula Hyp'-X2, wherein Hyp'-X2 represents Hyp before its binding to A or a precursor of Hyp and X2 is a suitable chemical functional group to react with X1;
(b) optionally reacting the resulting compound from step (a) in one or more further steps to yield a compound of formula C(A-HyP)4 having at least four chemical functional groups; (c) reacting the at least four chemical functional groups of the resulting compound from step (b) with a poly(ethylene glycol) based crosslinker precursor reagent, wherein the crosslinker precursor reagent is used in a sub-stoichiometric amount compared to the total number of functional groups of C(A-Hyp)4 to yield a hydrogel according to the invention; (d) reacting remaining un-reacted reactive functional groups (representing the reactive functional groups of the backbone comprised in the reactive biodegradable hydrogelof the present invention) in the hydrogel backbone of step (c) with a covalent conjugate of biologically active moiety and transient prodrug linker or first reacting the un-reacted reactive functional groups with the transient prodrug linker and subsequently with the biologically active moiety;
(e) optionally capping remaining un-reacted reactive functional groups to yield a prodrug of the present invention. Specifically, hydrogels of the present invention are synthesized as follows:
For bulk polymerization, backbone reagent and crosslinker reagent are mixed in a ratio amine/active ester of 2:1 to 1.05:1. Both backbone reagent and crosslinker reagent are dissolved in DMSO to give a solution with a concentration of 5 to 50 g per 100 mL, preferably 7.5 to 20 g per 100 ml and most preferably 10 to 20 g per 100 ml.
To effect polymerization, 2 to 10 % (vol.) N,N,N',N'-tertramethylethylene diamine
(TMEDA) are added to the DMSO solution containing crosslinker reagent and backbone reagent and the mixture is shaken for 1 to 20 sec and left standing. The mixture solidifies within less than 1 min. Such hydrogel according to the invention is preferably comminuted by mechanical processes such as stirring, crushing, cutting pressing, or milling, and optionally sieving.
For emulsion polymerization, the reaction mixture is comprised of the dispersed phase and the continuous phase.
For the dispersed phase, backbone reagent and crosslinker reagent are mixed in a ratio amine/active ester of 2: 1 to 1.05: 1 and are dissolved in DMSO to give a to give a solution with a concentration of 5 to 50 g per 100 mL, preferably 7.5 to 20 g per 100 ml and most preferably 10 to 20 g per 100 ml.
The continuous phase is any solvent, that is not miscible with DMSO, not basic, aprotic and shows a viscosity lower than 10 Pa*s. Preferably, the solvent is not miscible with DMSO, not basic, aprotic, shows a viscosity lower than 2 Pa*s and is non-toxic. More preferably, the solvent is a saturated linear or branched hydrocarbon with 5 to 10 carbon atoms. Most preferably, the solvent is n-heptane.
To form an emulsion of the dispersed phase in the continuous phase, an emulsifier is added to the continuous phase before adding the dispersed phase. The amount of emulsifier is 2 to 50 mg per mL dispersed phase, more preferably 5 to 20 mg per mL dispersed phase, most preferably 10 mg per mL dispersed phase.
The emulsifier has an HLB-value of 3 to 8. Preferably, the emulsifier is a triester of sorbitol and a fatty acid or an poly(hydroxyl fatty acid)-poly(ethylene glycol) conjugate. More preferably, the emulsifier is an poly(hydroxy-fatty acid)-polyethylene glycol conjugate, with a linear poly(ethylene glycol) of a molecular weight in the range of from 0.5 kDa to 5 kDa and poly(hydroxy-fatty acid) units of a molecular weight in the range of from 0.5 kDa to 3 kDa on each end of the chain. Most preferably, the emulsifier is poly(ethylene glycol) dipolyhydroxy stearate, Cithrol DPHS (Cithrol DPHS, former Arlacel P 135, Croda International PIc).
Droplets of the dispersed phase are generated by stirring with an axial flow impeller with a geometry similar to stirrers such as Isojet, Intermig, Propeller (EKATO Ruhr- und
Mischtechnik GmbH, Germany)), most preferably similar to Isojet with a diameter of 50 to 90 % of the reactor diameter. Preferably, stirring is initated before addition of the dispersed phase. Stirrer speed is set to 0.6 to 1.7 m/s. The dispersed phase is added at room temperature, and the concentration of the disperse phase is 2% to 70%, preferably 5 to 50%
, more preferably 10 to 40%, and most preferably 20 to 35% of the total reaction volume.
The mixture of dispersed phase, emulsifϊer and continuous phase is stirred for 5 to 60 min before adding the base to the effect polymerization.
5 to 10 equivalents (referred to each amide bond to be formed) of a base are added to the mixture of dispersed and continuous phase. The base is aprotic, non nucleophilic and soluble in the disperse phase. Preferably, the base is aprotic, non nucleophilic, well soluble in both disperse phase and DMSO. More preferably, the base is aprotic, non nucleophilic, well soluble in both disperse phase and DMSO, an amine base and non-toxic. Most preferably, the base is N,N,N',N'-tertramethylethylene diamine (TMEDA). Stirring in the presence of base is continued for 1 to 16 h. During stirring, droplets of dispersed phase are hardened to become crosslinked hydrogel beads according to the invention which can be collected and fractionation according to size is performed on a vibrational continuous sieving machine with a 75 μm and a 32 μm deck to give hydrogel microparticles according to the invention. The hydrogel for the prodrug of the present invention can be obtained from the preparation methods in form of micro-particles. In a preferred embodiment of the invention, the reactive hydrogel is a shaped article such as a coating, mesh or a stent or microparticle. Most preferably, the hydrogel is formed into microparticulate beads which can be administered as subcutaneous or intramuscular injectably by means of a standard syringe. Such soft beads may have a diameter of between 1 and 500 micrometer.
Preferably, such beaded pramipexole hydrogel prodrugs have a diameter of between 10 and 100 micrometer if suspended in an isotonic aqueous formulation buffer, most
preferably a diameter of between 20 and 100 micrometer, most preferably a diameter of between 25 and 80 micrometer.
Preferably, such beaded biodegradable hydrogel prodrugs can be administered by injection through a needle smaller than 0.6 mm inner diameter, preferably through a needle smaller than 0.3 mm inner diameter, more preferably through a needle small than 0.25 mm inner diameter, even more preferably through a needle smaller than 0.2 mm inner diameter, and most preferably through a needle small than 0.16 mm inner diameter. It is understood that the terms "can be administered by injection", "injectable" or "injectability "refer to a combination of factors such as a certain force applied to a plunger of a syringe containing the biodegradable hydrogel according to the invention swollen in a liquid at a certain concentration (w/v) and at a certain temperature, a needle of a given inner diameter connected to the outlet of such syringe, and the time required to extrude a certain volume of the biodegradable hydrogel carrier according to the invention from the syringe through the needle.
In order to provide for injectability, a volume of 1 mL of the pramipexole prodrugs according to the invention swollen in water to a concentration of at least 5% (w/v) and contained in a syringe holding a plunger of a diameter of 4.7 mm can be extruded at room temperature within 10 seconds by applying a force of less than 50 Newton.
Preferably injectability is achieved for an pramipexole prodrug according to the invention swollen in water to a concentration of ca. 10% (w/v).
In case L2 has such terminal group it is furthermore preferred that L2 has a molecular weight in the range of from 14 g/mol to 500 g/mol calculated without such terminal group.
In another embodiment of the present invention in respect of the definition of L1 according to formula (I), the spacer (L2) is preferably a Ci_2o alkyl being bound to R2 and which Ci_2o alkyl is optionally interrupted by one or more groups selected from -NH-, -N(C1-4 alkyl)-, - O-, -S-, -C(O)-, -C(O)NH-, -C(O)N(CL4 alkyl)-, -O-C(O)-, -S(O)-, -S(O)2-, 4 to 7 membered heterocyclyl, phenyl or naphthyl, provided that the spacer does not contain a nitrogen atom being in β- or γ-position to the nitrogen atom bound to the hydrogen marked
with the asterisk in formula (I) and L2 is attached to the carrier via a terminal group selected from -C(O)NH-;
; and , preferably -C(O)NH-, whereby L 2 has a molecular weight in the range of from 14 g/mol to 500 g/mol calculated without said terminal group.
In one embodiment of the present invention, the linker L of the carrier linked pramipexole prodrug may be optionally substituted further by one or more substituents. The substitution may occur at the moiety L1 and/or the moiety L2 including the respective preferred definitions of L1 and/or L2 as defined above. In general, any substituent may be used as far as the cleavage principle is not affected (when the prodrug is administered to a patient in need thereof.)
Preferably, one or more further optional substituents are independently selected from the group consisting of halogen; CN; COOR9; OR9; C(O)R9; C(O)N(R9R9a); S(O)2N(R9R9a); S(O)N(R9R9a); S(O)2R9; S(O)R9; N(R9)S(O)2N(R9aR9b); SR9; N(R9R9a); NO2; OC(O)R9; N(R9)C(O)R9a; N(R9)S(O)2R9a; N(R9)S(O)R9a; N(R9)C(O)OR9a; N(R9)C(O)N(R9aR9b); OC(O)N(R9R9a); T; Ci_5o alkyl; C2_50 alkenyl; or C2_50 alkynyl, wherein T; Ci_5o alkyl; C2_50 alkenyl; and C2-50 alkynyl are optionally substituted with one or more R10, which are the same or different and wherein Ci_so alkyl; C2-50 alkenyl; and C2-50 alkynyl are optionally interrupted by one or more groups selected from the group consisting of T, -C(O)O-; -0-; - C(O)-; -C(O)N(R11)-; -S(O)2N(R11)-; -S(O)N(R11)-; -S(O)2-; -S(O)-; -N(R1 ^S(O)2N(R1 la)-; -S-; -N(R11)-; -OC(O)R11; -N(Rπ)C(0)-; -N(R1 ^S(O)2-; -N(R1 ^S(O)-; -N(R1 ^C(O)O-; - N(R1 ^C(O)N(R11")-; and -OC(O)N(R11R1 la);
R9, R9a, R9b are independently selected from the group consisting of H; T; and Ci_so alkyl;
C2-50 alkenyl; or C2-50 alkynyl, wherein T; Ci_so alkyl; C2-50 alkenyl; and C2-50 alkynyl are optionally substituted with one or more R10, which are the same or different and wherein
Ci_5o alkyl; C2_50 alkenyl; and C2_50 alkynyl are optionally interrupted by one or more
groups selected from the group consisting of T, -C(O)O-; -O-; -C(O)-; -C(O)N(R11)-; - S(O)2N(R11)-; -S(O)N(R11)-; -S(O)2-; -S(O)-; -N(R1 ^S(O)2N(R1 la)-; -S-; -N(R11)-; - OC(O)R11; -N(Rπ)C(0)-; -N(R1 ^S(O)2-; -N(R1 ^S(O)-; -N(R1 ^C(O)O-; - N(R1 ^C(O)N(R11")-; and -OC(O)N(R11R1 la);
T is selected from the group consisting of phenyl; naphthyl; indenyl; indanyl; tetralinyl; C3. io cycloalkyl; 4 to 7 membered heterocyclyl; or 9 to 11 membered heterobicyclyl, wherein T is optionally substituted with one or more R10, which are the same or different; R10 is halogen; CN; oxo (=0); COOR12; OR12; C(O)R12; C(O)N(R12R12a);
S(O)2N(R12R12a); S(O)N(R12R12a); S(O)2R12; S(O)R12; N(R12)S(O)2N(R12aR12b); SR12;
N(R12R12a); NO2; OC(O)R12; N(R12)C(O)R12a; N(R12)S(O)2R12a; N(R12)S(O)R12a;
N(R12)C(O)OR12a; N(R12)C(O)N(R12aR12b); OC(O)N(R12R12a); or Ci-6 alkyl, wherein Ci-6 alkyl is optionally substituted with one or more halogen, which are the same or different;
R11, Rl la, R12, R12a, R12b are independently selected from the group consisting of H; or Ci-6 alkyl, wherein Ci_6 alkyl is optionally substituted with one or more halogen, which are the same or different. The carrier linked pramipexole prodrug according to the present invention is any combination of possible pramipexole, the linker L and the carrier as defined above including the respective definitions.
Prodrugs or precursors of prodrugs according to the present invention may be prepared by known methods or in accordance with the reaction sequences described below. The starting materials used in the preparation (synthesis) of prodrugs of the invention or precursors thereof are known or commercially available, or can be prepared by known methods or as described below. All reactions for the synthesis of the prodrugs according to the present invention including precursors such as the moiety L1 according to the formulas (I) to (Vb) are per se well- known to the skilled person and can be carried out under standard conditions according to or analogously to procedures described in the literature, for example in Houben-Weyl, Methoden der Organischen Chemie (Methods of Organic Chemistry), Thieme-Verlag,
Stuttgart, or Organic Reactions, John Wiley & Sons, New York. Depending on the circumstances of the individual case, in order to avoid side reactions during the synthesis of a prodrug or a precursor thereof, it can be necessary or advantageous to temporarily block functional groups by introducing protective groups and to deprotect them in a later stage of the synthesis, or introduce functional groups in the form of precursor groups which in a later reaction step are converted into the desired functional groups. Such synthesis strategies and protective groups and precursor groups which are suitable in an individual case are known to the skilled person. If desired, the prodrugs or precursors can be purified by customary purification procedures, for example by recrystallization or chromatography.
The prodrugs according to the present invention (or a pharmaceutically acceptable salt thereof) may be prepared by a method comprising the step of reacting a prodrug precursor L-Y with pramipexole (P) to obtain a pramipexole linker conjugate P-L by forming an amide bond, wherein Y is a leaving group. Afterwards, P-L may be bound to the carrier to obtain the carrier linked prodrugs according to the present invention. Alternatively, the carrier may already be bound to L-Y or L1 -Y (as defined below).
Y is a leaving group. Such leaving groups are known to a person skilled in the art. Preferably, Y is chloride, bromide, fluoride, nitrophenoxy, imidazolyl, N- hydroxysuccinimidyl, N-hydroxybenzotriazolyl, N-hydroxyazobenzotriazolyl, pentafluorophenoxy, 2-thiooxo-thiazolidinyl, or N-hydroxysulfosuccinimidyl.
In case the synthesis of a prodrug according to the present invention is carried out by employing a precursor L1 -Y, a pramipexole linker intermediate (L1 -P) is obtained by reacting L2-Y with the biologically active drug pramipexole (by forming an amide bond).
In such a case, said pramipexole intermediate L1 -P is reacted further to obtain the carrier linked pramipexole product by adding the moiety L2 and the carrier to said pramipexole linker intermediate L1 -P. It has to be indicated that the addition of L2 and/or the carrier to L1 -P may be performed in several steps by preparing further intermediate compounds prior to obtaining the prodrug according to the present invention.
Alternatively, a prodrug precursor L*-Y may be employed instead of L1 -Y, wherein L* is selected from a fragment of L1, L1 containing at least one protecting group or L1 additionally containing precursors of L2 and/or the carrier. The pharmaceutical composition is further described in the following paragraphs.
The composition of pramipexole hydrogel prodrug may be provided as a suspension composition or as a dry composition. Preferably, the pharmaceutical composition of pramipexole hydrogel prodrug is a dry composition. Suitable methods of drying are, for example, spray-drying and lyophilization (freeze-drying). Preferably, the pharmaceutical composition of pramipexole hydrogel prodrug is dried by lyophilization.
Preferably, the pramipexole hydrogel prodrug is sufficiently dosed in the composition to provide therapeutically effective amount of pramipexole for at least three days in one application. More preferably, one application of the pramipexole hydrogel prodrug is sufficient for one week.
The pharmaceutical composition of pramipexole hydrogel prodrug according to the present invention contains one or more excipients.
Excipients used in parenteral compositions may be categorized as buffering agents, isotonicity modifiers, preservatives, stabilizers, anti-adsorption agents, oxidation protection agents, viscosifiers/viscosity enhancing agents, or other auxiliary agents. In some cases, these ingredients may have dual or triple functions. The compositions of pramipexole hydrogel prodrugs according to the present invention contain one or more than one excipient, selected from the groups consisting of:
(i) Buffering agents: physiologically tolerated buffers to maintain pH in a desired
range, such as sodium phosphate, bicarbonate, succinate, histidine, citrate and acetate, sulphate, nitrate, chloride, pyruvate. Antacids such as Mg(OH)2 or ZnCO3 may be also used. Buffering capacity may be adjusted to match the conditions most sensitive to pH stability
(ii) Isotonicity modifiers: to minimize pain that can result from cell damage due to osmotic pressure differences at the injection depot. Glycerin and sodium chloride are examples. Effective concentrations can be determined by osmometry using an assumed osmolality of 285-315 mθsmol/kg for serum
(iii) Preservatives and/or antimicrobials: multidose parenteral preparations require the addition of preservatives at a sufficient concentration to minimize risk of patients becoming infected upon injection and corresponding regulatory requirements have been established. Typical preservatives include m-cresol, phenol, methylparaben, ethylparaben, propylparaben, butylparaben, chlorobutanol, benzyl alcohol, phenylmercuric nitrate, thimerosol, sorbic acid, potassium sorbate, benzoic acid, chlorocresol, and benzalkonium chloride
(iv) Stabilizers: Stabilisation is achieved by strengthening of the protein- stabilising forces, by destabilisation of the denatured stater, or by direct binding of excipients to the protein. Stabilizers may be amino acids such as alanine, arginine, aspartic acid, glycine, histidine, lysine, proline, sugars such as glucose, sucrose, trehalose, polyols such as glycerol, mannitol, sorbitol, salts such as potassium phosphate, sodium sulphate, chelating agents such as EDTA, hexaphosphate, ligands such as divalent metal ions (zinc, calcium, etc.), other salts or organic molecules such as phenolic derivatives. In addition, oligomers or polymers such as cyclodextrins, dextran, dendrimers, PEG or PVP or protamine or HSA may be used
(v) Anti-adsorption agents: Mainly ionic or inon-ionic surfactants or other proteins or soluble polymers are used to coat or adsorb competitively to the inner surface of the composition's or composition's container. E.g., poloxamer (Pluronic F-68), PEG dodecyl ether (Brij 35), polysorbate 20 and 80, dextran, polyethylene glycol, PEG- polyhistidine, BSA and HSA and gelatines. Chosen concentration and type of excipient depends on the effect to be avoided but typically a monolayer of surfactant is formed at the interface just above the CMC value
(vi) Lyo- and/or cryoprotectants: During freeze- or spray drying, excipients may
counteract the destabilising effects caused by hydrogen bond breaking and water removal. For this purpose sugars and polyols may be used but corresponding
positive effects have also been observed for surfactants, amino acids, non-aqueous solvents, and other peptides. Trehalose is particulary efficient at reducing moisture- induced aggregation and also improves thermal stability potentially caused by exposure of protein hydrophobic groups to water. Mannitol and sucrose may also be used, either as sole lyo/cryoprotectant or in combination with each other where higher ratios of mannitohsucrose are known to enhance physical stability of a lyophilized cake. Mannitol may also be combined with trehalose. Trehalose may also be combined with sorbitol or sorbitol used as the sole protectant. Starch or starch derivatives may also be used
(vii) Oxidation protection agents: antioxidants such as ascorbic acid, ectoine,
methionine, glutathione, monothioglycerol, morin, polyethylenimine (PEI), propyl gallate, vitamin E, chelating agents such aus citric acid, EDTA, hexaphosphate, thioglycolic acid
(viii) Viscosifiers or viscosity enhancers: retard settling of the particles in the vial and syringe and are used in order to facilitate mixing and resuspension of the particles and to make the suspension easier to inject (i.e., low force on the syringe plunger). Suitable viscosifiers or viscosity enhancers are, for example, carbomer viscosifiers like Carbopol 940, Carbopol Ultrez 10, cellulose derivatives like
hydroxypropylmethylcellulose (hypromellose, HPMC) or diethylaminoethyl cellulose (DEAE or DEAE-C), colloidal magnesium silicate (Veegum) or sodium silicate, hydroxyapatite gel, tricalcium phosphate gel, xanthans, carrageenans like Satia gum UTC 30, aliphatic poly(hydroxy acids), such as poly(D,L- or L-lactic acid) (PLA) and poly(glycolic acid) (PGA) and their copolymers (PLGA), terpolymers of D,L-lactide, glycolide and caprolactone, poloxamers, hydrophilic poly(oxyethylene) blocks and hydrophobic poly(oxypropylene) blocks to make up a triblock of poly(oxyethylene)-poly(oxypropylene)-poly(oxyethylene) (e.g.
Pluronic®), polyetherester copolymer, such as a polyethylene glycol
terephthalate/polybutylene terephthalate copolymer, sucrose acetate isobutyrate
(SAIB), dextran or derivatives thereof, combinations of dextrans and PEG, polydimethylsiloxane, collagen, chitosan, polyvinyl alcohol (PVA) and derivatives, polyalkylimides, poly (acrylamide-co-diallyldimethyl ammonium (DADMA)), polyvinylpyrrolidone (PVP), glycosaminoglycans (GAGs) such as dermatan
sulfate, chondroitin sulfate, keratan sulfate, heparin, heparan sulfate, hyaluronan, ABA triblock or AB block copolymers composed of hydrophobic A-b locks, such as polylactide (PLA) or poly(lactide-co-glycolide) (PLGA), and hydrophilic B-blocks, such as polyethylene glycol (PEG) or polyvinyl pyrrolidone. Such block
copolymers as well as the abovementioned poloxamers may exhibit reverse thermal gelation behavior (fluid state at room temperature to facilitate administration and gel state above sol-gel transition temperature at body temperature after injection).
(ix) Spreading or diffusing agent: modifies the permeability of connective tissue
through the hydrolysis of components of the extracellular matrix in the intrastitial space such as but not limited to hyaluronic acid, a polysaccharide found in the intercellular space of connective tissue. A spreading agent such as but not limited to hyaluronidase temporarily decreases the viscosity of the extracellular matrix and promotes diffusion of injected drugs.
(x) Other auxiliary agents: such as wetting agents, viscosity modifiers, antibiotics, hyaluronidase. Acids and bases such as hydrochloric acid and sodium hydroxide are auxiliary agents necessary for pH adjustment during manufacture
Preferably, the composition of pramipexole hydrogel prodrug contains one or more than one viscosifϊer and/or viscosity modifying agent.
The term "excipient" preferably refers to a diluent, adjuvant, or vehicle with which the therapeutic is administered. Such pharmaceutical excipient can be sterile liquids, such as water and oils, including those of petroleum, animal, vegetable or synthetic origin, including but not limited to peanut oil, soybean oil, mineral oil, sesame oil and the like. Water is a preferred excipient when the pharmaceutical composition is administered orally. Saline and aqueous dextrose are preferred excipients when the pharmaceutical composition is administered intravenously. Saline solutions and aqueous dextrose and glycerol solutions are preferably employed as liquid excipients for injectable solutions. Suitable pharmaceutical excipients include starch, glucose, lactose, sucrose, gelatin, malt, rice, flour, chalk, silica gel, sodium stearate, glycerol monostearate, talc, sodium chloride, dried skim milk, glycerol, propylene, glycol, water, ethanol and the like. The composition, if desired, can also contain minor amounts of wetting or emulsifying agents, or pH buffering agents. These compositions can take the form of solutions, suspensions, emulsions,
tablets, pills, capsules, powders, sustained-release formulations and the like. The composition can be formulated as a suppository, with traditional binders and excipients such as triglycerides. Oral formulation can include standard excipients such as pharmaceutical grades of mannitol, lactose, starch, magnesium stearate, sodium saccharine, cellulose, magnesium carbonate, etc. Examples of suitable pharmaceutical excipients are described in "Remington's Pharmaceutical Sciences" by E.W. Martin. Such compositions will contain a therapeutically effective amount of the therapeutic, preferably in purified form, together with a suitable amount of excipient so as to provide the form for proper administration to the patient. The formulation should suit the mode of administration. In one embodiment of the present invention, the dry composition of pramipexole hydrogel prodrug is provided as a single dose, meaning that the container in which it is supplied contains one pharmaceutical dose.
In a general embodiment a pharmaceutical composition of the present invention whether in dry form or as a suspension or in another form may be provided as single or multiple dose composition.
In another aspect of the present invention the composition is provided as a single dose composition.
Preferably, the suspension composition or dried composition is a multiple dose
composition, meaning that it contains more than one therapeutic dose. Preferably, a multiple dose composition contains at least 2 doses. Such multiple dose composition of pramipexole hydrogel can either be used for different patients in need thereof or is intendend for use in one patient, wherein the remaining doses are stored after the application of the first dose until needed.
In another aspect of the present invention the composition is comprised in a container. Preferably the container is a dual-chamber syringe. Especially the dry composition according to the present invention is provided in a first chamber of the dual-chamber syringe and reconstitution solution is provided in a second chamber of the dual-chamber syringe.
Prior to applying the dry composition of pramipexole hydrogel prodrug to a patient in need thereof, the dry composition is reconstituted. Reconstitution can take place in the container in which the dry composition of pramipexole hydrogel prodrug is provided, such as in a vial, syringe, dual-chamber syringe, ampoule, and cartridge. Reconstitution is done by adding a predefined amount of reconstitution solution to the dry composition.
Reconstitution solutions are sterile liquids, such as water or buffer, which may contain further additives, such as preservatives and/or antimicrobials, such as, for example, benzylalcohol and cresol. Preferably, the reconstitution solution is sterile water. An additional aspect of the present invention relates to the method of administration of a reconstituted pramipexole hydrogel prodrug composition. The pramipexole hydrogel prodrug composition can be administered by methods of injection or infusion, including intradermal, subcutaneous, intramuscular, intravenous, intraosseous, and intraperitoneal. Preferably, the pramipexole hydrogel prodrug is administered subcutaneously.
A further aspect is a method of preparing a reconstituted composition comprising a therapeutically effective amount of an pramipexole hydrogel prodrug, and optionally one or more pharmaceutically acceptable excipients, wherein the pramipexole is transiently linked to a hydrogel, the method comprising the step of
• contacting the composition of the present invention with a reconstitution solution.
Another aspect is a reconstituted composition comprising a therapeutically effective amount of a pramipexole hydrogel prodrug, and optionally one or more pharmaceutically acceptable excipients, wherein the pramipexole is transiently linked to a hydrogel obtainable by the method above.
Another aspect of the present invention is the method of manufacturing a dry composition of pramipexole hydrogel prodrug. In one embodiment, such suspension composition is made by
(i) admixing the pramipexole hydrogel prodrug with one or more excipients,
(ii) transfering amounts equivalent to single or multiple doses into a suitable container,
(iii) drying the composition in said container, and
(iv) sealing the container.
Suitable containers are vials, syringes, dual-chamber syringes, ampoules, and cartridges.
Another aspect is a kit of parts. When the administration device is simply a hypodermic syringe then the kit may comprise the syringe, a needle and a container comprising the dry pramipexole hydrogel prodrug composition for use with the syringe and a second container comprising the reconstitution solution. In more preferred embodiments, the injection device is other than a simple hypodermic syringe and so the separate container with reconstituted pramipexole hydrogel prodrug is adapted to engage with the injection device such that in use the liquid composition in the container is in fluid connection with the outlet of the injection device. Examples of administration devices include but are not limited to hypodermic syringes and pen injector devices. Particularly preferred injection devices are the pen injectors in which case the container is a cartridge, preferably a disposable cartridge.
A preferred kit of parts comprises a needle and a container containing the composition according to the present invention and optionally further containing a reconstitution solution, the container being adapted for use with the needle. Preferably, the container is a dual-chamber syringe.
In another aspect, the invention provides a cartridge containing a composition of pramipexole hydrogel prodrug as hereinbefore described for use with a pen injector device. The cartridge may contain a single dose or multiplicity of doses of pramipexole.
Another subject of the present invention is the use of the compositions comprising a carrier linked pramipexole prodrug (or a pharmaceutically acceptable salt thereof) as pharmaceuticals or medicaments, respectively. With respect of the use, the same definitions for the polymeric pramipexole prodrug (as well as for further fragments, moieties or substituents such as L1 or X1) as laid out above in the context of the prodrug as such apply.
Examples of diseases, which can be treated by employing the pharmaceutical compositions according to the present invention are dopamine receptor related diseases, including Parkinson's disease, neurological disorders, amyotrophic lateral sclerosis, compulsive behavior, bipolar disorders, Tourette's syndrome, depressive disorders, treatment resistant depression, fϊbromyalia or restless leg syndrome (RLS).
Preferred diseases to be treated are Parkinson's disease or RLS.
The use of the pharmaceutical compositions according to the present invention includes the prophylaxis and/or treatment of said diseases. The present invention also includes a method for producing a medicament for the prophylaxis and/or treatment of said diseases.
The present invention also includes a method of treating, controlling, delaying or preventing in a mammalian patient in need of the treatment of one or more conditions comprising administering to said patient a therapeutically effective amount of a pharmaceutical composition (or a pharmaceutically acceptable salt thereof) according to the present invention.
All compositions according to the present invention or the respective pharmaceutical compositions can be administered to animals, preferably to mammals, and in particular to humans. The pharmaceutical compositions can be administered as such or in mixtures with one another or in mixtures with other pharmaceuticals. The pharmaceutical compositions according to the present invention are administered in effective doses, which are known to a person skilled in the art. The following examples illustrate the invention without limitation. Examples Materials and Methods
2-Chlorotrityl chloride resin and Sieber amide resin were obtained from Merck Biosciences GmbH, Schwalbach/Ts, Germany. Boc-Gly-OH and Fmoc-Gly-OH were obtained from Merck KGaA, Darmstadt, Germany. Ac-GIu(OtBu)-OH was obtained from Bachem, Bubendorf, Switzerland. Mal-dPEG6-NHS-ester was obtained from celares
GmbH, Berlin, Germany. Amino 4-arm PEG5000 was obtained from JenKem Technology, Beijing, P. R. China. Amino 4-arm PEG2000 was obtained from CreativePEGWorks, Winston Salem, North Carolina, USA. Pramipexole dihydrochloride was obtained from Carbone Scientific Co., Ltd., Wuhan, China. Fmoc-PP-OH was obtained from Polypure AS, Oslo, Norway. Fmoc-Ado-OH was obtained from Polypeptide, Strasbourg, France. All other chemicals were obtained from Sigma-ALDRICH Chemie GmbH, Taufkirchen, Germany.
S-Tritylcysteamine was synthesized according to the literature: Di Maro, S. Pong, R.-C. Hsieh, J.-T. Ahn, J.-M. J. Med. Chem. 2008, 51(21), 6639-6641.
6-Tritylsulfanylhexane-l -amine was synthesized according to the literature: Raghunand, N. Jagadish, B. Trouard, T. P.; Galons, J.-P.; Gillies, R. J.; Mash, E. A. Magnetic Resonance in Medicine 2006, 55(6), 1272-1280. Solid phase synthesis was performed on 2-Chlorotrityl chloride resin with a loading of 1.1 - 1.0 mmol/g or Sieber amide resin with a loading of 0.64 - 0.62 mmol/g. Syringes equipped with polyethylene frits were used as reaction vessels.
Loading of the first amino acid to resins was performed according to manufacturer's instructions.
Fmoc deprotection:
For Fmoc protecting-group removal, the resin was agitated with 2/2/96 (v/v/v) piperidine/DBU/DMF (two times, 10 min each) at RT and washed with DMF (ten times).
Standard solid phase coupling conditions for acids:
Coupling of acids (aliphatic acids, Fmoc-amino acids) to free amino groups on resin was achieved by agitating resin with 2 eq of acid, 2 eq PyBOP and 4 eq DIEA in relation to free amino groups on resin (calculated based on theoretical loading of the resin) in DMF at RT. After 1 hour resin was washed with DMF (10 times).
3-maleimido propionic acid coupling:
Coupling of 3-maleimidopropionic acid to free amino groups on resin was achieved by agitating resin with 2 eq of acid, 2 eq DIC and 2 eq HOBt in relation to free amino groups in DMF at RT. After 30 min, the resin was washed with DMF (10 times).
Standard protocol for the synthesis of ureas on resin:
Synthesis of ureas starting from free amino groups on resin was achieved by agitating resin with 2.5 eq of bis(pentafluorophenyl) carbonate and 5 eq DIEA in relation to free amino groups in DCM at RT. After 45 min resin was washed with DMF (10 times). 1 eq of amine and 2.5 eq DIEA were dissolved in DCM. Mixture was added to resin and agitated for 75 min at RT. Resin was washed with DMF (10 times).
Cleavage protocol for Sieber amide resin:
Upon completed synthesis, the resin was washed with DCM (10 times), dried in vacuo and treated with 96/2/2 (v/v) DCM/TES/TFA (three times, 15 min each). Eluates were combined, volatiles were removed under a nitrogen stream and product was purified by RP-HPLC.
Cleavage protocol for 2-chlorotrityl chloride resin:
Upon completed synthesis, the resin was washed with DCM, dried in vacuo and treated three times for 30 minutes with 7/3 (v/v) DCM/HFIP. Eluates were combined, volatiles were removed under reduced pressure and product was purified by RP-HPLC.
RP-HPLC purification:
RP-HPLC was done on a 100x20 or a 100x40 mm C18 ReproSil-Pur 300 ODS-3 5μ column (Dr. Maisch, Ammerbuch, Germany) connected to a Waters 600 HPLC System and Waters 2487 Absorbance detector. Linear gradients of solution A (0.1% TFA in H2O) and solution B (0.1% TFA in acetonitrile) were used. HPLC fractions containing product were pooled and lyophilized.
HPLC-MS analytics:
Ultra performance liquid chromatography-electronspray ionization mass spectrometry (UPLC-ESI-MS) was performed on a Waters Acquity Ultra Performance LC instrument connected to a Thermo scientific LTQ Orbitrap Discovery instrument and spectra were, if necessary, interpreted by Thermo scientific software xcalibur.
In general the m/z signal corresponding to the most abundant isotope is given.
Mass spectra of polydisperse PEG products showed a series of (CH2CH2O)n moieties due to polydispersity of PEG starting materials. For easier interpretation only one single representative m/z signal is given in the examples.
Hydrogel free amino group quantifϊction:
The amount of amino groups was determined according to a method used for amino group quantification of solid phase synthesis resins (M. Gude, J. Ryf, P. D. White, Lett. Pept. ScL, 2002, 9, 203-206).
Quantification of pramipexole content in hydrogel linker pramipexole:
A 50 μl aliquot of Hydrogel-linker pramipexole in acetate pH 5 buffer was hydro lyzed by mixing with 1 ml of 1 M HCl and incubating for 72 h at 37 0C. Hydrolysate was diluted 1 :10 with 0.5 M phosphate buffer pH 7.4 and assayed for pramipexole content by means of SEC (Superdex75 5/150 GL column, GE Healthcare, eluent: 20 mM phosphate buffer pH 7.4, 150 mM NaCl, flow: 0.35 ml/min). Pramipexole signal at 3.35 ml was integrated (263 nm) and pramipexole content was calculated according to a pramipexole calibration curve.
Quantification of pramipexole in in vitro release studies:
In vitro release sample was vortexed and centrifuged. An aliquot was taken from the supernatant, diluted with eluent (20 mM phosphate buffer pH 7.4, 150 mM NaCl) and assayed for pramipexole content by SEC as described above.
Analysis of hydrogel degradation:
Hydrogel degradation was analysed by monitoring release of water soluble (backbone moieties containing) macromonomers from hydrogel by SEC. Sample preparation and SEC conditions are identical as given in "Quantification of pramipexole in in vitro release studies". Signals of macromonomers at 0.9 - 1.7 min were integrated (215 nm) and plotted versus time.
Quantification of pramipexole in rat plasma:
Quantification of pramipexole in rat plasma was performed by Liquid Chromatography
Tandem Mass Spectrometry using memantine as internal standard.
Quantifications were carried out using a Waters Acquity UPLC coupled to a Thermo LTQ Orbitrap Discovery mass spectrometer via an ESI probe and with Waters Amide (50 x 2.1 mm LD. , 1.7 μm particle size) as analytical column (mobile phase A: 10 mM ammonium bicarbonate pH 8.2, mobile phase B: acetonitrile, T = 30 0C). The gradient system comprised a linear gradient from 0.1 % B to 99 % B in 4 min, an isocratic washing phase with 99% B (1.0 min), and a reconditioning phase (2.9 min) with a flow rate of 0.25
mL/min. Detection of the ions was performed in the selected reaction monitoring (SRM) mode, monitoring the transition pairs at the m/z 212.1 precursor ion to the m/z 153.0 product ion for pramipexole and m/z 180.2 precursor ion to the m/z 164.2 product ion for the internal standard memantine.
Frozen plasma samples (~ 95 μL) were thawed on ice for 30 min before analysis. NaOH (50 μL, 0.5 M NaOH) was added and samples were spiked with 88 pg memantine HCl (20 μl of an aqueous memantine HCl solution c= 4.4 pg/ μL) and extracted twice with diethyl ether (2 x 500 μL). Technically the aqueous layer was frozen in a liquid nitrogen bath and the organic layer was transferred into a separate tube. Analyte and internal standard were re-extracted from the combined organic layers with 100 μL 0.1 N HCl. Samples were centrifugated and the aqueous layer was frozen in a liquid nitrogen bath. The organic phases were withdrawn and the remaining aqueous layers were lyophilized. Lyophilisates were dissolved in 10 mM ammonium formate pH 4.6 (60 μL) and 2 aliquots (2 x 15 μL) were injected into the HPLC-MS system, the first aliquot for pramipexole analysis, and the second for internal standard analysis.
The calibration curve was acquired by plotting the ratio (peak area pramipexole) : (peak area internal standard) against the nominal amount of calibration standards. The results were fitted to linear regression using standard software.
The ratios (peak area pramipexole) : (peak area internal standard) of the quantification experiments at different time points and the calibration curve were used to calculate the pramipexole concentration in rat plasma (ng mL"1).
Alternative in vitro linker hydrolysis and release of drug for PEG-linker conjugates: Compounds were dissolved in buffer (60 mM sodium phosphate, 3 mM EDTA, 0.01% Tween20, pH 7.4), solution was filtered through a 0.2 μm filter and incubated at 37 0C. Samples were taken at time intervals and analyzed by RP-HPLC at 263 nm and 280 nm and ESI-MS. UV-signals correlating to linker conjugate molecules were integrated and plotted against incubation time. In vitro linker hydrolysis and release of drug for HG-linker conjugates: Compounds were dissolved in buffer (60 mM sodium phosphate, 3 mM EDTA, 0.01% Tween20, pH 7.4) and incubated at 37 0C. At time intervals probes were agitated, centrifuged and samples (10-50 μL) were taken from the supernatant solution. Samples were diluted with buffer and analyzed by measurement of the absorption of released drug at 262 nm (0.15 < OD < 0.45). Calculated amounts of released drug were plotted against incubation time.
Curve-fitting software was applied to estimate the corresponding halftime of release.
Example 1
Synthesis of linker pramipexole conjugate (Ib)
1a
S-Tritylcysteamine (100 mg, 0.313 mmol), succinic anhydride (323 mg, 3.130 mmol) and
DIEA (273 μL, 1.567 mmol) were dissolved in dry DCM (2.2 mL) and agitated for 30 min at RT. The mixture was acidified by addition of AcOH (0.7 mL), diluted with diethyl ether and washed twice with water. The organic phase was dried over
MgSO4, the solvent was evaporated under reduced pressure.
Yield: 95 mg (0.226 mmol).
MS: m/z 442.1 = [M+Na]+ (MW calculated = 419.6 g/mol).
1b
Acid Ia (30 mg, 0.072 mmol), PyBOP (45 mg, 0.086 mmol) and JV-methyl morpholine (79 μL, 0.715 mmol) were dissolved in DMSO (1 mL). Pramipexole dihydrochloride (81 mg, 0.286 mmol) was added and the mixture was stirred for 16 h. The reaction was quenched by addition of acetic acid and the mixture was diluted with 3.5 mL acetonirile/water 1/1 +
0.1% TFA. The trityl protected intermediate of Ib was purified by RP-HPLC. After lyophilisation 21 mg (0.029 mmol) of the TFA salt were obtained.
MS: m/z 613.4 = [M+H]+ (MW calculated = 612.9 g/mol).
For trityl deprotection the lyophilisate was dissolved in HFIP (2 mL), TES (20 μL) was added, and the mixture was incubated for 10 min. Volatiles were evaporated and Ib was purified by RP-HPLC.
Yield: 12 mg (0.025 mmol, TFA salt).
MS: m/z 371.2 = [M+H]+ (MW calculated = 370.5).
Example 2
Synthesis of linker pramipexole conjugate (2b)
2a
2a was synthesized as described for Ia except for the use of 6-tritylsulfanylhexane-l- amine instead of S-tritylcysteamine.
Yield: 170 mg (0.226 mmol).
MS: m/z 498.2 = [M+Na]+, (MW calculated = 475.7 g/mol).
2b
2b was synthesized as described for Ib except for the use of 2a instead of Ia.
2b: Yield: 3.5 mg (0.006 mmol, TFA salt).
MS: m/z 427.2 = [M+H]+ (MW calculated = 426.7 g/mol).
Example 3
Synthesis of linker pramipexole conjugate (3b)
3a was synthesized as described for 2a except for the use of l,4-dioxane-2,6-dione instead of succinic anhydride.
Yield: 117 mg (0.237 mmol).
MS: m/z 983.4 = [2M+H]+ (MW calculated = 491.7 g/mol).
Synthesis of linker pramipexole intermediate (3b)
3b
3b was synthesized as described for Ib except for the use of 3a instead of Ia. The coupling of pramipexole was completed within 30 min.
3b: Yield: 4.5 mg (0.008 mmol, TFA salt).
MS: m/z 443.2 = [M+H]+ (MW calculated = 442.7 g/mol).
Example 4
Synthesis of linker pramipexol conjugate (4b)
4a was synthesized as described for 2a except for the use of tert-butyl 2,6- dioxomorpholine-4-carboxylate instead of succinic anhydride.
Yield: 148 mg (0.250 mmol).
MS: m/z 591.3 = [M+H]+ (MW calculated = 590.8 g/mol).
Synthesis of linker pramipexole conjugate (4b)
4b
4b was synthesized as described for Ib except for the use of 4a instead of Ia. The coupling of pramipexole was completed within 40 min. 38 mg (0.042mmol, TFA salt) of the coupling product were isolated after RP-HPLC purification and lyophilisation.
MS: m/z 784.4 = [M+H]+ (MW calculated = 784.1 g/mol).
11 mg of the intermediate were used for deprotection of the thiol. For protecting group removal the intermediate was dissolved in 1.2 mL HFIP/TFA (1/1), 48 μL of TES/water
(1/1) was added, and the solution was agitated for 1.5 h. Volatiles were removed and the product was purified by RP-HPLC.
Yield: 7.7 mg (0.011 mmol, double TFA salt).
MS: m/z 442.2 = [M+H]+ (MW calculated = 441.7 g/mol).
Example 5
Synthesis of linker pramipexole conjugate (5c)
5a
Boc-Gly-OH (659 mg, 3.76 mmol), PyBOP (2.35 g, 4.51 mmol) and JV-methyl morpholine (4.14 mL, 37.6 mmol) were dissolved in DMSO (20 mL). Pramipexole dihydrochloride (2.14 g, 7.52 mmol) was added, and the mixture was stirred for 1 h. The solution was diluted with 300 mL 1 M NaOH solution, saturated with NaCl, and extracted with DCM (8 x 70 mL). The combined organic phases were dried over MgSO4, the solvent was evaporated under reduced pressure, and the residue purified by RP-HPLC. After lyophilisation 721 mg (1.49 mmol, TFA salt) of the Boc protected derivative were obtained.
MS: m/z 369.2 = [M+H]+ (MW calculated = 368.5 g/mol).
For deprotection the intermediate was dissolved in 3 M methanolic HCl (10 mL), concentrated aqueous HCl (400 μL) were added, and the mixture was agitated for 4 h. The solvent was removed under reduced pressure and the residue was dried in vacuo.
Yield: 490 mg (1.44 mmol, double HCl salt).
MS: m/z 269.1 = [M+H]+ (MW calculated = 268.4 g/mol). Synthesis of intermediate (5b)
6-Tritylsulfanylhexane-l -amine (1.21 g, 3.22 mmol) and /?-nitrophenyl chloro formate (0.78 g, 3.86 mmol) were suspended in dry THF (15 mL). DIEA (841 μL, 4.83 mmol) was
added, and the resulting solution was stirred at RT for 2 h. After acidification by addition of acetic acid the solvent was evaporated under reduced pressure, and the residue was purified by RP-HPLC.
Yield: 1.21 g (2.25 mmol)
MS: m/z 563.2 = [M+Na]+ (MW calculated = 540.7 g/mol).
Synthesis of linker pramipexole conjugate (5c)
5c
Carbamate 5b (801 mg, 1.48 mmol) was dissolved in DMSO (4.4 mL) and added dropwise to a stirred solution of 5a (490 mg, 1.44 mmol) and DIEA (800 μL, 4.60 mmol) in DMSO (7 mL) within 30 min. The mixture was agitated for 4.5 h at RT. The solution was diluted with 0.5 M NaOH solution (300 mL) and extracted with DCM (6 x 70 mL). The combined organic phases were dried over MgSO4, the solvent was evaporated under reduced pressure, and the conjugate was purified by RP-HPLC to obtain 254 mg (0.323 mmol, TFA salt) of the trityl protected intermediate.
MS: m/z 670.3 = [M+H]+ (MW calculated = 670.0 g/mol).
For deprotection the intermediate (248 mg, 0.32 mmol) was incubated in HFIP (6 mL) and TES (240 μL) for 30 min at RT. Volatiles were evaporated, and the residue was purified by
RP-HPLC.
Yield: 167 mg (0.31 mmol, TFA salt).
MS: m/z 428.2 = [M+H]+ (MW calculated = 427.6 g/mol). Example 6
Synthesis of linker pramipexole conjugate (6)
For the synthesis of intermediate 6 glutaric acid anhydride (401 mg, 3.52 mmol), pramipexole dihydrochloride (200 mg, 0.70 mmol), and pyridine (567 μL, 7.04 mmol) were dissolved in dry DMSO (2 mL). The mixture was stirred for 18 hours. The mixture was acidified by addition of acetic acid and 6 was purified by RP-HPLC.
Yield: 191 mg (0.43 mmol, TFA salt).
MS: m/z 326.2 = [M+H]+ (MW calculated = 325.4 g/mol).
Example 7
Synthesis of OEG-carrier (7) glycinamide
Maleimide-dPEGβ-NHS-ester (75 mg, 0.125 mmol) was dissolved in 7/3 acetonitrile/water (3 mL). 0.5 M phosphate buffer pH 7.0 (300 μL) and glycinamide hydrochloride (41 mg, 0.374 mmol) were added, and the solution was agitated for 30 min at RT. The mixture was diluted by addition of water (3 mL) and 7 was purified by RP-HPLC.
Yield: 54 mg (0.096 mmol).
MS: m/z 561.3 = [M+H]+ (MW calculated = 560.6 g/mol). Example 8
Synthesis of OEG-carrier on resin (8)
1.Fmoc-deprotection
2.Fmoc-Phe-OH coupling
3. Fmoc-deprotection
4.Fmoc-Ado-OH coupling
5. Fmoc-deprotection
6.Fmoc-Ado-OH coupling
.NHFmoc ' Fmoc-deprotecfcn
8
PEG-carrier 8 was synthesized on Sieber amide resin (600 mg, 0.38 mmol) by loading the resin with Fmoc-Phe-OH, Fmoc-deprotection, coupling with Fmoc-8-amino-3,6-dioxa- octanoic acid, Fmoc-deprotection, second coupling with Fmoc-8-amino-3,6-dioxa-octanoic acid and Fmoc-deprotection as depicted above and described in "Materials and Methods".
Product formation was confirmed by MS analysis after cleavage of fmoc protected product (step 6) from a small amount of resin as described in "Materials and Methods" .
MS: m/z 677.3 = [M+H]+ (MW calculated = 676.8 g/mol). Example 9 (carrier linked pramipexole prodrugs)
9a
7 (4.5 mg, 0.008 mmol) and Ib (2 mg, 0.004 mmol) were dissolved in 1/1 acetonitrile/water (197 μL). 0.5 M phosphate buffer pH 7.4 (23 μL) was added and the solution agitated for 10 min at RT. The mixture was acidified by addition of acetic acid, diluted with water (200 μL), and 9a was purified by RP-HPLC.
Yield: 3.2 mg (0.003 mmol, TFA salt).
MS: m/z 931.4 = [M+H]+ (MW calculated = 931.2 g/mol).
9b was synthesized as described for 9a except for the use of 2b (1.8 mg, 0.003 mmol) instead of Ib.
Yield: 3.3 mg (0.003 mmol, TFA salt).
MS: m/z 987.5 = [M+H]+ (MW calculated = 987.3 g/mol).
9c was synthesized as described for 9a except for the use of 3b (2 mg, 0.004 mmol) instead of Ib.
Yield: 4.2 mg (0.004 mmol, TFA salt).
MS: m/z 1003.5 = [M+H]+ (MW calculated = 1003.3 g/mol).
9d was synthesized as described for 9a except for the use of 4b (2 mg, 0.003 mmol) instead of Ib.
Yield: 1.8 mg (0.0015 mmol, double TFA salt).
MS: m/z 1002.5 = [M+H]+ (MW calculated = 1002.3 g/mol).
9e was synthesized as described for 9a except for the use of 5c (2 mg, 0.004 mmol) instead of Ib.
Yield: 3.4 mg (0.003 mmol, TFA salt).
MS: m/z 988.5 = [M+H]+ (MW calculated = 988.2 g/mol).
Example 11 (carrier linked pramipexole prodrug)
11
10
OEG-carrier 10 was synthesized on 2-chlorotrityl chloride resin (362 mg, 0.365 mmol) by loading the resin with Fmoc-Ado-OH, Fmoc deprotection, coupling with Fmoc-Ado-OH, Fmoc deprotection, coupling with 2-(2-(2-methoxyethoxy)ethoxy)acetic acid, and cleavage from the resin as described in "Materials and Methods". Crude 10 was used in the next step without further purification.
Yield: 141 mg (0.301 mmol).
MS: m/z 469.2 = [M+H]+, (MW calculated = 468.5 g/mol).
Synthesis of OEG linker pramipexole conjugate (11)
For the synthesis of conjugate 11 PEG-carrier 10 (19.6 mg, 0.041 mmol), PyBOP (26 mg,
0.050 mmol) and JV-methyl morpholine (37 μL, 0.335 mmol) were dissolved in DMSO
(300 μL). Pramipexole dihydrochloride (35 mg, 0.122 mmol) was added and the mixture was agitated at RT for 24 hours. 11 was purified by RP-HPLC.
Yield: 14.6 mg (0.019 mmol, TFA salt).
MS: m/z 662.3 = [M+H]+ (MW calculated = 661.8 g/mol).
Example 12
Synthesis of backbone reagents (12g) and (12h)
Backbone reagent 12g was synthesized from Amino 4-ami PEG5000 12a according to the following scheme:
[ I Boc-Lys(Boc)-OH r ] HCI Dioxane/MeOH r -i pEG1250 NH, ► PEG1250 LyS(BoC)2 ► PEG1250K LyS(NH2)J
2 J4 L j4 L . . -I4
12a 12b 12c
Boc-Lys(Boc)-OH , , HCI Dioxane/MeOH r -i Boc-Lys(Boc)-OH
.. PEG1250 LysLysJBoc). .. PEG1250 LysLysJNH,). -
EDC L J4 L 2 2 4 J4 EDC
12d 12e
HCI Dioxane/MeOH
PEG1250 LysLys2Lys4(Boc)β I - I PEG1250 LysLys2Lys4(NH2;
12f 4 12g
For synthesis of compound 12b, 4-Arm-PEG5000 tetraamine 12a (MW ca. 5200 g/mol, 5.20 g, 1.00 mmol, HCl salt) was dissolved in 20 niL of DMSO (anhydrous). Boc- Lys(Boc)-OH (2.17 g, 6.25 mmol) in 5 mL of DMSO (anhydrous), EDC HCl (1.15 g, 6.00 mmol), HOBt-H2O (0.96 g, 6.25 mmol), and collidine (5.20 mL, 40 mmol) were added. The reaction mixture was stirred for 30 min at RT.
The reaction mixture was diluted with 1200 mL of dichloromethane and washed with 600 mL of 0.1 N H2SO4 (2 x), brine (1 x), 0.1 M NaOH (2 x), and 1/1 (v/v) brine/water (4 x). Aqueous layers were reextracted with 500 mL of DCM. Organic phases were dried over Na2SO4, filtered and evaporated to give 6.3 g of crude product 12b as colorless oil. Compound 12b was purified by RP-HPLC.
Yield 3.85 g (59%) colorless glassy product 12b.
MS: m/z 1294.4 = [M+5H]5+ (m/z of [M+5H]5+ calculated for a 4-Arm-PEG containing a total of 107 ethylene glycol units = 1294.6).
Compound 12c was obtained by stirring of 3.40 g of compound 12b (0.521 mmol) in 5 mL of methanol and 9 mL of 4 N HCl in dioxane at RT for 15 min. Volatiles were removed in vacuo. The product was used in the the next step without further purification.
MS: m/z 1151.9 = [M+5H]5+ (m/z calculated = 1152.0).
For synthesis of compound 12d, 3.26 g of compound 12c (0.54 mmol) were dissolved in 15 mL of DMSO (anhydrous). 2.99 g Boc-Lys(Boc)-OH (8.64 mmol) in 15 mL DMSO (anhydrous), 1.55 g EDC HCl (8.1 mmol), 1.24 g HOBt-H2O (8.1 mmol), and 5.62 mL of collidine (43 mmol) were added. The reaction mixture was stirred for 30 min at RT.
Reaction mixture was diluted with 800 rnL DCM and washed with 400 mL of 0.1 N H2SO4 (2 x), brine (1 x), 0.1 M NaOH (2 x), and 1/1 (v/v) brine/water (4 x). Aqueous layers were reextracted with 800 mL of DCM. Organic phases were dried with Na2SO4, filtered and evaporated to give a glassy crude product.
Product was dissolved in DCM and precipitated with cooled (- 18 0C) diethylether. This procedure was repeated twice and the precipitate was dried in vacuo.
Yield: 4.01 g (89%) colorless glassy product 12d, which was used in the next step without further purification.
MS: m/z 1405.4 = [M+6H]6+ (m/z calculated = 1405.4).
Compound 12e was obtained by stirring a solution of compound 12d (3.96 g, 0.47 mmol) in 7 mL of methanol and 20 mL of 4 N HCl in dioxane at RT for 15 min. Volatiles were removed in vacuo. The product was used in the the next step without further purification. MS: m/z 969.6 = [M+7H]7+ (m/z calculated = 969.7).
For the synthesis of compound 12f, compound 12e (3.55 g, 0.48 mmol) was dissolved in 20 mL of DMSO (anhydrous). Boc-Lys(Boc)-OH (5.32 g, 15.4 mmol) in 18.8 mL of DMSO (anhydrous), EDC HCl (2.76 g, 14.4 mmol), HOBt-H2O (2.20 g, 14.4 mmol), and 10.0 mL of collidine (76.8 mmol) were added. The reaction mixture was stirred for 60 min at RT.
The reaction mixture was diluted with 800 mL of DCM and washed with 400 mL of 0.1 N H2SO4 (2 x), brine (1 x), 0.1 M NaOH (2 x), and 1/1 (v/v) brine/water (4 x). Aqueous layers were reextracted with 800 mL of DCM. Organic phases were dried over Na2SO4, filtered and evaporated to give crude product 12f as colorless oil.
Product was dissolved in DCM and precipitated with cooled (- 18 0C) diethylther. This step was repeated twice and the precipitate was dried in vacuo.
Yield 4.72 g (82%) colourless glassy product If which was used in the next step without further purification.
MS: m/z 1505.3 = [M+8H]8+ (m/z calculated = 1505.4).
Backbone reagent 12g was obtained by stirring a solution of compound 12f (MW ca 12035 g/mol, 4.72 g, 0,39 mmol) in 20 mL of methanol and 40 mL of 4 N HCl in dioxane at RT for 30 min. Volatiles were removed in vacuo.
Yield 3.91 g (100 %), glassy product backbone reagent 12g.
MS: m/z 977.2 = [M+9H] 9y++ (m/z calculated = 977.4)
Synthesis of backbone reagent 12h
PEG500 LysLys2Lys4(NH2)
12h
Backbone reagent 12h was synthesized as described for 12g except for the use of 4-arm PEG2000 instead of 4-arm PEG5000.
MS: m/z 719.4 = [M+8H]8+ (calculated = 719.5).
Example 13
Synthesis of crosslinker reagents (13d), (13e), and (13f)
Crosslinker reagent 13d was prepared from adipic acid mono benzyl ester (English, Arthur R. et al, Journal of Medicinal Chemistry, 1990, 33(1), 344-347) and PEG2000 according to the following scheme:
A solution of PEG2000 (13a) (11.0 g, 5.5 mmol) and benzyl adipate half-ester (4.8 g, 20.6 mmol) in dichloromethane (90.0 mL) was cooled to 00C. Dicyclohexylcarbodiimide (4.47 g, 21.7 mmol) was added followed by a catalytic amount of DMAP (5 mg) and the solution was stirred and allowed to reach RT overnight (12 h). The flask was stored at +4°C for 5 h. The solid was filtered and the solvent completely removed by destination in vacuo. The residue was dissolved in 1000 mL 1/1 (v/v) ether/ethyl acetate and stored at RT for 2 hours while a small amount of a flaky solid was formed. The solid was removed by filtration through a pad of Celite®. The solution was stored in a tightly closed flask at -300C in the freezer for 12 h until crystallisation was complete. The crystalline product was filtered through a glass frit and washed with cooled ether (-300C). The filter cake was dried in vacuo. Yield: 11.6 g (86 %) 13b as a colorless solid.The product was used without further purification in the next step.
MS: m/z 813.1 = [M+3H]3+ (m/z of [M+3H]3+ calculated for n =44: 813.3)
In a 500 niL glass autoclave PEG2000-bis-adipic acid-bis-benzyl ester 13b (13.3 g, 5.5 mmol) was dissolved in ethyl acetate (180 rnL) and 10% Palladium on charcoal (0.4 g) was added. The solution was hydrogenated at 6 bar, 400C until consumption of hydrogen had ceased (5-12 h). Catalyst was removed by filtration through a pad of Celite® and the solvent was evaporated in vacuo. Yield: 12.3 g (quantitative) 13c as yellowish oil. The product was used without further purification in the next step.
MS: m/z 753.1 = [M+3H]3+ (calculated = 753.2)
A solution of PEG2000-bis-adipic acid half ester 13c (9.43 g, 4.18 mmol), N- hydroxysuccinimide (1.92 g, 16.7 mmol) and DCC (3.44 g, 16.7 mmol) in 75 mL of DCM
(anhydrous) was stirred over night at RT. The reaction mixture was cooled to 0 0C and precipitate was filtered off. DCM was evaporated and the residue was recystallized from
THF.
Yield: 8.73 g (85%) crosslinker reagent 13d as colorless solid.
MS: m/z 817.8 = [M+3H]3+ (calculated = 817.9).
Synthesis of 13e
MS: m/z 764.4 = [M+3H]3+ (calculated = 764.5).
Synthesis of 13f
n ~ 1 4
13f was synthesized as described for 13d except for the use of PEG600 instead of
PEG2000
MS: m/z 997.5 = [M+H]+ (calculated = 997.8) Synthesis of 13 g
13g n ~ 22
13g was synthesized as described for 13d except for the use of PEGlOOO instead of PEG2000
MS: m/z 697.4 = [M+2H]2+ (calculated = 697.3)
Example 14
Preparation of hydrogel beads (14a), (14b), and (14c) containing free amino groups
A solution of 300 mg 12g and 900 mg 13d in 10.8 rnL DMSO was added to a solution of 100 mg Arlacel P 135 in 60 mL heptane. The mixture was stirred at 700 rpm with a custom metal stirrer for 10 min at RT to form a suspension. 1.1 mL N,N,N',N'-tertramethylene diamine (TMEDA) was added to effect polymerization. After 2 h, the stirrer speed was reduced to 400 rpm and the mixture was stirred for additional 16 h. 1.6 mL of acetic acid were added and then after 10 min 50 mL of water were added. After 5 min, the stirrer was stopped and the aqueous phase was drained.
For bead size fractionation, the water-hydrogel suspension was wet-sieved on 75, 50, 40, 32 and 20 μm steel sieves. Bead fractions that were retained on the 32, 40, and 50 μm sieves were pooled and washed 3 times with water, 10 times with ethanol and dried for 16 h at 0.1 mbar to give 14a as a white powder. 14b was prepared as described for 14a except for the use of 322 mg 12h, 350 mg 13f, 2.9 ml DMSO, 1.6 ml TMEDA, 2.4 ml acetic acid and a stirring speed of 1000 rpm.
14c was prepared as described for 14a except for the use of 300 mg 12g, 810 mg 13e, 6.3 ml DMSO, 1.1 ml TMEDA, 1.6 ml acetic acid and a stirring speed of 1000 rpm.
14d was prepared as described for 14a except for the use of 900 mg 12g, 886 mg 13g, 300 mg Arlacel P135, 6.7 ml DMSO, 3.2 ml TMEDA, 5 ml acetic acid and a stirring speed of 1500 rpm. 14e was prepared as described for 14a except for the use of 900 mg 12g, 1476 mg 13d, 320 mg Arlacel P135, 8.0 ml DMSO, 3.2 ml TMEDA, 5 ml acetic acid and a stirring speed of 1500 rpm.
Content of amino groups in hydrogel beads was determined as described in "Materials and Methods"
Example 15
Preparation of maleimide functionalized hydrogel beads (15a) and (15b) and determination of maleimide substitution
A solution of 600 mg Mal-dPEG6-NHS (1.0 mmol) in 4.5 mL 2/1 (v/v) acetonitrile/water was added to 200 mg dry hydrogel beads 14a. 500 μL sodium phosphate buffer (pH 7.4, 0.5 M) was added and the suspension was agitated for 30 min at RT. Beads 15a were washed five times each with 2/1 (v/v) acetonitrile/water, methanol and 1/1/0.001 (v/v/v/) acetonitrile/water/TFA.
For determination of maleimide content, an aliquot of hydrogel beads 15a was lyophilized and weighed out. Another aliquot of hydrogel beads 15a was reacted with excess mercaptoethanol (in 50 mM sodium phosphate buffer, 30 min at RT), and mercaptoethanol consumption was detected by Ellman test (Ellman, G. L. et al., Biochem. Pharmacol., 1961, 7, 88-95). Maleimide content was determined to be 0.27 mmol/g dry hydrogel.
15b was prepared by coupling 3-Maleimidopropionic acid to 14b as described in "Materials and Methods". After coupling, beads 15b were washed five times each with 2/1 (v/v) acetonitrile/water, methanol and 1/1/0.001 (v/v/v/) acetonitrile/water/TFA.
Maleimide content 15b: 0.9 mmol/g
Example 16 (carrier linked pramipexole prodrugs)
Synthesis of hydrogel-linker-pramipexole conjugate (16a) and (16b)
16a / 16b
Maleimide-derivatized hydrogel microparticles 15a (100 μL. loading 30 μmol/mL, 3 μmol) were reacted with compound 5c (2.3 mg, 4.3 μmol) in 1/1 acetonitrile/water (420 μL) and 0.5 M phosphate buffer pH 7.4 (52 μL) for 10 min at RT. The hydrogel was washed 20 times with 1/1 acetonitrile/water. Remaining maleimides where reacted with 2- mercaptoethanol (34 μL, 0.48 mmol) in 1/1 acetonitrile/water (3 mL) and 0.5 M phosphate buffer pH 7.4 (0.4 mL) for 10 min at RT. The loaded hydrogel was washed 20 times with 1/1 acetonitrile/water, and 20 times with phosphate buffer pH 7.4.
Pramipexole loading 16a: 27 mg/g High loaded pramipexole linker hydrogel 16b was prepared as described above except for the use of 88 mg 5c and 100 mg 15b.
Pramipexole loading 16b: 152 mg/g
Example 17
Synthesis of glycyl-pramipexole(boc) (17b)
17a
Derivative 17a was synthesized by dissolving pramipexole dihydrochloride (400 mg, 1.41 mmol) and BoC2O (307 mg, 1.41 mmol) in DMSO (5 mL). DIEA (735 μL, 4.22 mmol) was added and the solution was stirred for three hours at rt. The product was purified by RP-HPLC.
Yield: 422 mg (0.99 mmol, TFA salt).
MS: m/z 312.2 = [M+H]+ (MW calculated = 311.5 g/mol).
17b
17a (50 mg, 0.118 mmol), Fmoc-Gly-OH (52 mg, 0.176 mmol) and PyBOP (104 mg,
0.200 mmol) were dissolved in DMSO (200 μL). DIEA (90 μL, 0.517 mmol) was added and the solution was agitated for 15 hours. The Fmoc-protected intermediate was purified by RP-HPLC.
Yield: 72 mg (0.12 mmol).
MS: m/z 591.3 = [M+H]+ (MW calculated = 590.8 g/mol).
For deprotection the intermediate was dissolved in piperidine/DBU/DMF (2/2/96) and stirred for 30 min at RT. Product 17b was purified by RP-HPLC.
Yield: 30.6 mg (0.06 mmol, TFA salt).
MS: m/z 369.2 = [M+H]+ (MW calculated = 368.5 g/mol).
Example 18
18
Pramipexole dihydrochloride (200 mg, 0.704 mmol), diglycol anhydride (82 mg, 0.704 mmol) and pyridine (199 μL, 2.462 mmol) were dissolved in DMSO (2 mL) and stirred at
RT for three hours. Product 18 was purified by RP-HPLC.
Yield: 107.7 mg (0.244 mmol, TFA salt).
MS: m/z 328.1 = [M+H]+ (MW calculated = 327.4 g/mol).
Example 19
19a
OEG-carrier-resin 19a was synthesized on Sieber amide resin (242 mg, 0.167 mmol) by loading resin with Fmoc-Phe-OH, followed by a sequence of Fmoc deprotection and coupling of the Fmoc-protected amino acids Fmoc-PP-OH and Fmoc-Ala-OH as described in "Materials and Methods".
19b
19b was synthesized by coupling Fmoc-beta-Ala-OH to loaded resin 19a, and subsequent Fmoc deprotection according to procedures in "Materials and Methods".
Product identity was confirmed by cleavage of a small amount of resin as described in "Materials and Methods".
19c
19c was synthesized by coupling of Fmoc-Ala-OH to loaded resin 19a, and subsequent Fmoc deprotection according to procedures in "Materials and Methods".
Product formation was confirmed by MS analysis after cleavage of product from a small amount of resin as described in "Materials and Methods".
MS: m/z 906.5 = [M+H]+ (MW calculated = 906.1 g/mol).
Example 20 (carrier linked pramipexole prodrug)
20
OEG-linker pramipexole conjugate 20 was synthesized by coupling 6 (5.4 mg, 0.012 mmol) to OEG-carrier resin 19b (25 mg, 0.012 mmol) with PyBOP (7.5 mg, 0.014 mmol) and DIEA (7.1 μL, 0.041 mmol) in DMF (0.8 mL). Product 20 was cleaved from the resin as described in "Materials and Methods" and purified by RP-HPLC.
Yield: 3.9 mg (0.003 mmol, TFA salt).
MS: m/z 1213.7 = [M+H]+ (MW calculated = 1213.5 g/mol). Example 21 (carrier linkend pramipexole prodrug)
21
11a (18.4mg, 0.039 mmol) and 5a (27 mg, 0.079 mmol) were dissolved in DMSO (300 μL). DIEA (100 μL, 0.576 mmol) and PyBOP (45 mg, 0.079 mmol) were added and the solution was agitated for 1 hour at RT. Product 21 was purified by RP-HPLC.
Yield: 32.9 mg (0.039 mmol, TFA salt).
MS: m/z 719.4 = [M+H]+ (MW calculated = 718.9 g/mol). Example 22 (carrier linked pramipexole prodrug)
22b
22a
Intermediate 22a was synthesized on 2-Chlorotrityl chloride resin by loading the resin with Fmoc-Ado-OH, Fmoc deprotection, urea formation with 17b and cleavage from the resin as described in "Materials and Methods". Product 22a was purified by RP-HPLC.
Yield: 15.3 mg (0.027 mmol).
MS: m/z 558.3 = [M+H]+ (MW calculated = 557.7 g/mol).
Synthesis of OEG-linker pramipexole conjugate 22b
Resin 19b (36 mg, 0.018 mmol) was reacted with 22a (10 mg, 0.018 mmol), PyBOP (11.2 mg, 0.022 mmol) and DIEA (7.5 μL, 0.043 mmol) in DMF (400 μL). Product 22b was obtained by cleavage from resin as described in "Materials and Methods" and RP-HPLC purification.
Yield: 17.3 mg (0.012 mmol, TFA salt).
MS: m/z 1345.7 = [M+H]+ (MW calculated = 1345.6 g/mol).
Example 23 (carrier linked pramipexole prodrug)
Synthesis of OEG-linker pramipexole conjugate (23)
.,Ph H
O O O O
23 23 was synthesized by coupling of resin 19b (20 mg, 0.010 mmol) with Fmoc-sarcosine,
Fmoc deprotection, coupling with 18 and cleavage from the resin as described in
"Materials and Methods". Product 23 was purified by RP-HPLC.
Yield: 7 mg (0.005 mmol, TFA salt).
MS: m/z 1286.7 = [M+H]+ (MW calculated = 1286.6 g/mol).
Example 24 (carrier linked pramipexole prodrug)
24b
24a
Intermediate 24a was synthesized by reacting pramipexole dihydrochloride (50 mg, 0.176 mmol) with 3,6-dioxa-suberic acid (31 mg, 0.176 mmol) by addition of PyBOP (110 mg, 0.211 mmol) and JV-methyl morpholine (85μL, 0.774 mmol) in DMSO (800 μL). The solution was stirred for one hour at RT and the product was purified by PR-HPLC.
Yield: 22 mg (0.045 mmol, TFA salt).
MS: m/z 372.2 = [M+H]+ (MW calculated = 371.5 g/mol).
Synthesis of OEG linker pramipexole conjugate 24b
OEG-carrier-resin 8 (19 mg, 0.009 mmol substitution) was coupled with 24a (11 mg, 0.023 mmol) with PyBOP (14 mg, 0.028 mmol) and DIEA (13 μL, 0.074 mmol) in DMF (400 μL). Product 24b was obtained by cleavage from the resin as described in "Materials and
Methods" and RP-HPLC purification.
Yield: 6.1 mg (0.007 mmol, TFA salt).
MS: m/z 808.4 = [M+H]+ (MW calculated = 808.0 g/mol).
Example 25
25b
Synthesis of linker intermediate-resin 25a
σC
25a
Intermediate 25a was synthesized on 2-Chlorotrityl chloride resin by loading the resin with Fmoc-Ado-OH, Fmoc deprotection, coupling with Fmoc-sarcosine and Fmoc deprotection and as depicted above and described in "Materials and Methods".
Synthesis of conjugate (25b)
Linker intermediate-resin 25a (1.359 g, 0.433 mmol) was agitated with diglycol anhydride
(81 mg, 0.701 mmol) and pyridine (141 μL, 1.76 mmol) in DMF (1.6 mL) at RT for two hours. The resin was washed with DMF (10 x) and DCM (10 x) and dried under reduced pressure. A solution of 17a (276 mg, 0.650 mmol), PyBOP (270 mg, 0.520 mmol) and DIEA (339 μL, 1.949 mmol) in DMSO (3 mL) was added and agitated for two hours. The resin was washed with DMF (10 x) and DCM (10 x) and the boc-protected intermediate was cleaved from the resin as described in "Materials and Methods". Volatiles were removed under reduced pressure, the residue was taken up in 1/1 TFA/DCM and stirred for 30 min. Product 25b was purified by RP-HPLC.
Yield: 94 mg (0.162 mmol, HCl salt).
MS: m/z 544.2 = [M+H]+ (MW calculated = 543.6 g/mol). Example 26 (carrier linked pramipexole prodrug)
26
Hydrogel beads 14d containing free amino groups (320.5 mg, loading 0.99 mmol/g, 317.3 μmol) were reacted with compound 25b (460 mg, 793 μmol), PyBOP (462 mg, 888 μmol) and collidine (210 μL, 1.587 mmol) in DMF (3.5 mL) for 2.5 hours at RT. The loaded hydrogel was washed 10 times with DMF, 10 times with 1/1 acetonitrile/water, 8 times with phosphate buffer pH 7.4 and again 10 times with 1/1 acetonitrile/water.
Pramipexole loading: 125 mg/g
Example 27
Release kinetics in vitro
Release of drug molecule was effected by hydrolysis in buffer at pH 7.4 and 37°C.
9a, 9b, 9c, 9d, 9e, lib, 20, 21, 22b, 23, 24b, 33, and 35 respectively, were dissolved in buffer (60 rnM sodium phosphate, 3 mM EDTA, 0.01% Tween20, pH 7.4), solution was filtered through a 0.2 μm filter and incubated at 37 0C. Samples were taken at time intervals and analyzed by RP-HPLC at 263 nm and 280 nm and ESI-MS. UV-signals correlating to linker conjugate molecules were integrated and plotted against incubation time. Curve-fitting software was applied to estimate the corresponding half time of release
16a, 16b, 26, 30, and 31 respectively, were suspended in buffer (60 mM sodium phosphate, 3 mM EDTA, 0.01% Tween20, pH 7.4) and incubated at 37 0C. At time intervals samples were vortexed and centrifuged. Aliquots (10-50 μL) were taken from the supernatant solution, and analyzed by measurement of the absorption of released drug at 263 nm. Calculated amounts of released drug were plotted against incubation time.
Alternatively, amount of released pramipexole was determined by size exclusion chromatography as described in "Materials and Methods".
Curve-fitting software was applied to estimate the corresponding half time of release.
Compound ti/2 buffer A (pH 7.4)
9a 1.2 d
9b 3.7 d
9c 1.3 d
9d 1.1 d
9e 4.3 d
11 19 d
16a 5.1 d
16b 15 d
20 12O d
21 22 d
22b 3.4 d
23 13 d
24b 20 d
26 14 d
30 1O d
31 14 d
33 12 d
35 51 d
Example 28 (Further hydrogel modification)
Synthesis of Ado-modified hydrogels (28a), (28b), and (28c) and Lys-modified hydrogel (28d)
Hydrogel 14a, 14b, and 14c, respectively, in a syringe equipped with a polypropylene frit was washed with 1% diisopropylethylamine solution in DMF and ten times with DMF. Fmoc-Ado-OH coupling was then performed by agitating 14a, 14b, and 14c, respectively, with 3.5 eq of Fmoc-Ado-OH, 3.5 eq of PyBOP and 8.75 eq of DIPEA in DMF (using 0.2 mmol/mL fmoc-Ado-OH concentration). After 45 min, hydrogel was washed with DMF (10 times), then with DCM (10 times).
Fmoc-deprotection was achieved by agitating the hydrogel two times with a 96/2/2 DMF/piperidine/DBU (v/v) solution for 5 min each. 28a, 28b, and 28c, respectively, was then washed with DMF (10 times) and ethanol (10 times) and finally dried in vacuo. Synthesis of Lys-modified hydrogel (28d, 28e):
O
Hydrogek
N
H NH2
Hydrogel 14a in a syringe equipped with a polypropylene frit was washed with 1% diisopropylethylamine solution in DMF and ten times with DMF.
Fmoc-Lys(Fmoc)-OH coupling was then performed by agitating 14a with 3.5 eq of Fmoc- Lys(Fmoc)-OH, 3.5 eq of PyBOP and 8.75 eq of DIPEA in DMF (using 0.2 mmol/mL
Fmoc-Lys-OH concentration). After 45 min, hydrogel was washed with DMF (10 times), then with DCM (10 times).
Fmoc-deprotection was achieved by agitating the hydrogel two times with a 96/2/2 DMF/piperidine/DBU (v/v) solution for 5 min each. 28d was then washed with DMF (10 times) and ethanol (10 times) and finally dried in vacuo.
Hydrogel 28e was obtained as described for 28d except for the use of hydrogel 14e as starting material. Example 29
Synthesis of pramipexole linker conjugate (29)
1 Fmoc-Ava-OH loading
2 Fmoc deprotection
3 Urea formation
29
Intermediate 29 was synthesized on 420 mg 2-Chlorotrityl chloride resin. Resin loading with Fmoc-Ava-OH, Fmoc deprotection, urea formation by using 17b and cleavage of 29 from resin was performed as described in "Material and Methods". Boc deprotection was achieved by dissolving crude product in TFA and stirring for 10 min at RT. TFA was removed under a stream of nitrogen and product 29 was purified by RP-HPLC.
Yield: 160 mg (0.258 mmol, HCl salt).
MS: m/z 412.2 = [M+H]+ (MW calculated = 411.5 g/mol).
Example 30 (carrier linked pramipexole prodrug)
Synthesis of hydrogel-linker-pramipexole conjugate (30)
Hydrogel beads 14d containing free amino groups (145 mg, loading 1.18 mmol/g, 298 μmol) were reacted with compound 29 (324 mg, 732 μmol), PyBOP (421 mg, 809 μmol) and collidine (191 μL, 1.45 mmol) in DMF (3 mL) for 2.5 hours at RT. The
loaded hydrogel was washed 10 times with DMF, 10 times with 1/1 acetonitrile/water, 8 times with phosphate buffer pH 7.4 and again 10 times with 1/1 acetonitrile/water.
Pramipexole loading: 148 mg/g Example 31 (carrier linked pramipexole prodrug)
31
Hydrogel beads 28e containing free amino groups (669 mg, loading 1.48 mmol/g, 0.99 μmol) were reacted with compound 25b (1.14 g, 1.99 mmol), PyBOP (1.16 mg, 2.23 μmol) and collidine (525 μL, 3.98 mmol) in DMF (9 mL) for 2.5 hours at RT. The loaded hydrogel was washed 10 times with DMF, 10 times with 1/1 acetonitrile/water, 8 times with phosphate buffer pH 7.4 and again 10 times with 1/1 acetonitrile/water.
Pramipexole loading: 110 mg/g
Example 32
Synthesis of linker pramipexol conjugate (32c)
Intermediate 32a was synthesized by reacting boc-pramipexole 17a (150 mg, 0.482 mmol) with Fmoc-Gln(Trt)-OH (353 mg, 0.482 mmol) by addition of PyBOP (376 mg, 0.722 mmol) and DIPEA (168μL, 0.963 mmol) in DCM (2 mL). The solution was stirred for 3 h at RT. Volatiles were removed in vacuo and the product was purified by PR-HPLC.
Yield: 417 mg (0.461 mmol).
MS: m/z 926.4 = [M+Na]+ (calculated = 904.2 g/mol).
Synthesis of pramipexole intermediate 32b
For Fmoc deprotection 32a (417 mg, 0.461 mmol) was dissolved in 3 rnL piperidine/DBU/DMF (2/2/96) and stirred for 60 min at RT. Product 32b was purified by RP-HPLC.
Yield: 151 mg (0.192 mmol, TFA salt).
MS: m/z 682.3 = [M+H]+ (calculated = 681.9 g/mol).
Synthesis of pramipexole intermediate 32c
Intermediate 32c was synthesized by reacting boc-pramipexole 32b (124 mg, 0.156 mmol) with glutaric anhydride (27 mg, 0.234 mmol) and pyridine (138 μl, 1.71 mmol) in DCM (2 mL). The solution was stirred for 3 h at RT. Volatiles were removed in vacuo and 32c was purified by PR-HPLC.
Yield: 89 mg (0.112 mmol).
MS: m/z 796.4 = [M+H]+ (calculated = 796.0 g/mol).
Example 33 (carrier linked pramipexole prodrug)
Synthesis of OEG-linker pramipexole conjugate (33)
33 was synthesized on Sieber amide resin (89 mg, 0.056 mmol). All reactions were performed as described in "Materials and Methods". In brief, the following steps were performed: 1. resin loading with Fmoc-PP-OH, 2. Fmoc-deprotection, 3. coupling of Fmoc-PP-OH, 4. Fmoc-deprotection, 5. coupling of Fmoc- AIa-OH, 6. Fmoc-deprotection, 7. coupling of 32c, 8. cleavage from resin. 33 was purified by RP-HPLC.
Yield: 50 mg (0.027 mmol).
MS: m/z 1723.0 = [M+H]+ (calculated = 1723.1 g/mol).
Example 34
17a
34b
Synthesis of pramipexole intermediate 34a
Intermediate 34a was synthesized by reacting boc-pramipexole 17a (150 mg, 0.482 mmol) with Ac-GIu(OtBu)-OH (142 mg, 0.578 mmol) by addition of PyBOP (376 mg, 0.722 mmol) and DIPEA (168μL, 0.963 mmol) in DCM (2 mL). The solution was stirred for 3 h at RT. Volatiles were removed in vacuo and the product was purified by PR-HPLC.
Yield: 179 mg (0.333 mmol).
MS: m/z 539.3 = [M+H]+ (calculated = 538.7 g/mol). Synthesis of pramipexole intermediate 34b
For saponification of tBu ester 34a (179 mg, 0.33 mmol) was dissolved in 4 mL methanol.
3 mL water and 75 mg LiOH were added. Mixture was stirred for 2 h at 65 0C in a pressure vessel. 200 μl AcOH were added and product 34b was purified by RP-HPLC.
Yield: 142 mg (0.294 mmol).
MS: m/z 483.2 = [M+H]+ (calculated = 482.6 g/mol).
Example 35 (carrier linked pramipexole prodrug)
35 was synthesized similar to 33 except that 34b was used instead of 32c. 35 was purified by RP-HPLC.
Yield: 12.4 mg (0.008 mmol).
MS: m/z 1651.9 = [M+H]+ (calculated = 1652.0 g/mol).
Example 36: Pramipexole release kinetics and hydrogel degradation kinetics
Pramipexole linker hydrogel 30 was incubated in pH 7.4 buffer at 37 0C as described in Example 27. Hydrogel degradation over 150 days was monitored by SEC as described in "Materials and Methods". Result: During lag phase of hydrogel degradation (60 days) approx. 90 % of pramipexole is released due to matched pramipexole prodrug linker kinetics and hydrogel degradation kinetics. Hydrogel degradation was complete after 150 days, Fig. 2.
Example 37: Single Dose Pharmacokinetics of Pramipexole
The pharmacokinetics of 30 were determined by measuring the plasma pramipexole concentration after subcutaneous application of a single dose into rats.
One group consisting of 5 male Wistar rats (200-250 g) was used to study the plasma pramipexole levels over a period of 28 days. Each of the animals received a single subcutaneous injection of 600 μL suspension of 30 in acetate buffer pH 5, containing 2.5 mg pramipexole. Per animal and time point 200 μL of blood was withdrawn sublingually to obtain 100 μL Li-Heparin plasma. Samples were collected before application and after 4 h, 1, 2, 3, 6, 8, 10, 14, 17, 21, 24 and 28 days postinjection. Plasma samples were frozen within 15 min after blood withdrawal and stored at -800C until assayed.
Averaged plasma pramipexole concentrations for each time point were obtained by calculating the mean of the 5 animals used.
A sustained release of pramipexole over 28 days without burst was observed after a single subcutaneous injection, Fig. 3.
Example 38: Repeated Dose Pharmacokinetics of Pramipexole
The pharmacokinetics of 26 were determined by measuring the plasma pramipexole concentration after subcutaneous application of three repeated doses into rats.
One group consisting of 5 male Wistar rats (200-250 g) was used to study the plasma pramipexole levels over a period of 38 days. At days 0, 7 and 14 each of the animals received a subcutaneous injection of 500 μl suspension of 26 in acetate buffer pH 5,
containing 1.7 mg pramipexole. Per animal and time point 200 μL of blood was withdrawn sublingually to obtain 100 μL Li-Heparin plasma. Samples were collected before application and after 4 h, 1 d; 4 d; 7 d; 7d+4h, 8d, 1 Id, 14d, 14d+4h, 15d, 18d, 21d, 24d, 28d, 3 Id, 35d and 38d days postinjection. Plasma samples were frozen within 15 min after blood withdrawal and stored at -800C until assayed.
Averaged plasma pramipexole concentrations for each time point were obtained by calculating the mean of the 5 animals used.
A sustained release of pramipexole with low peak to trough ratios was observed after three repeated subcutaneous injections Fig. 4.
Example 39: Single Dose Short Time Pharmacokinetics of Pramipexole (burst analysis)
The pharmacokinetics of 31 were determined by measuring the plasma pramipexole concentration after subcutaneous application of a single dose into rats.
One group consisting of 3 male Wistar rats (200-250 g) was used to study the plasma pramipexole levels over a period of 24 hours. Each of the animals received a single subcutaneous injection of a suspension of 31 in acetate buffer pH 5. A dose of 6.3 mg pramipexole/ kg (4.5 mg pramipexole/ml) was used. Per animal and time point 200 μL of blood was withdrawn sublingually to obtain 100 μL Li-Heparin plasma. Samples were collected before application and after 5 min, 30 min, 90 min, 4 h and 24 h. Plasma samples were frozen within 15 min after blood withdrawal and stored at -800C until assayed.
Averaged plasma pramipexole concentrations for each time point were obtained by calculating the mean of the 3 animals used.
A burstless release of pramipexole over 24 hours was observed after a single dose subcutaneous injection Fig 5.
Example 40: 30 G needle test
Hydrogel suspension 26 was washed ten times with formulation buffer (10 mM succinate buffer pH 5.0, 85 g trehalose dihydrate/L, 0.3 % (weight) Pluronic F68). Hydrogel was left settling at 4 0C for 1 day and the supernatant was removed in order to obtain a dense
suspension. The total volume of the dense suspension was determined (2.6 mL), and the suspension was lyophilized.
The lyophilization cake was reconstituted by addition of water to give a total volume of 2.6 mL. The suspension was homogenized by means of a vortexer. Suspension was drawn into two 1 mL Luer-lock syringes via a 20 G needle (0.9 mL each). The needle was exchanged to a 30 G needle. The suspension was ejected from one syringe manually. The suspension passed the needle without blocking.
The second syringe was stored horizontally at 4 0C for two weeks prior to syringeability test. Stored TransCon Hydrogel Pramipexole also passed the 30 G needle without blocking.
Example 41: Stability test
Hydrogel suspension 26 was washed ten times with formulation buffer (10 mM succinate buffer pH 5.0, 85 g trehalose dihydrate/L, 0.3 % (weight) Pluronic F68). Hydrogel was left settling at 4 0C for 1 day and the supernatant was removed in order to obtain a dense suspension. Aliquots of 34 μL TransCon Hydrogel Pramipexole suspension (containing
0.447 mg pramipexole each) were transferred in 1.5 mL Eppendorf tubes. Tubes were frozen in liquid nitrogen and lyophilized over night at RT and 0.05 mbar. Lyophilized Hydrogel Pramipexole samples were stored at 40 0C.
At a given time aliquots were reconstituted by addition of water to obtain a total volume of 100 μL. Samples were vortexed and centrifuged. The supernatant was assayed for liberated pramipexole by SEC as described in "Materials and Methods".
Result: After 7 months 0.22 % pramipexole was liberated.
Example 101
Synthesis of linker reagent (101a)
S-tritylcysteamine (100 mg, 0.313 mmol), succinic anhydride (323 mg, 3.130 mmol) and DIEA (273 μL, 1.567 mmol) were dissolved in dry DCM (2.2 mL) and agitated for 30 min at RT. The mixture was acidified by addition of AcOH (0.7 mL), diluted with diethyl ether and washed twice with water. The organic phase was dried over MgSO4, the solvent was evaporated under reduced pressure.
Yield: 95 mg (0.226 mmol).
MS: m/z 442.1 = [M+Na]+ (MW calculated = 419.6 g/mol).
101b
Acid 101a (30 mg, 0.072 mmol), PyBOP (45 mg, 0.086 mmol) and JV-methyl morpholine
(79 μL, 0.715 mmol) were dissolved in DMSO (1 mL). Pramipexole dihydrochloride (81 mg, 0.286 mmol) was added and the mixture was stirred for 16 h. The reaction was quenched by addition of acetic acid and the mixture was diluted with 3.5 mL acetonirile/water 1/1 + 0.1% TFA. The trityl protected intermediate of 101b was purified by RP-HPLC. After lyophilisation 21 mg (0.029 mmol) of the TFA salt were obtained.
MS: m/z 613.4 = [M+H]+, (MW calculated = 612.9 g/mol).
For trityl deprotection the lyophilisate was dissolved in HFIP (2 mL), TES (20 μL) was added, and the mixture was incubated for 10 min. Volatiles were evaporated and 101b was purified by RP-HPLC.
Yield: 12 mg (0.025 mmol, TFA salt).
MS: m/z 371.2 = [M+H]+, 741.3 = [2M+H]+ (MW calculated = 370.5 g/mol). Example 102
102a
102a was synthesized as described for 101a except for the use of 6-tritylsulfanylhexane-l- amine instead of S-trityl cysteamine.
Yield: 170 mg (0.226 mmol).
MS: m/z 498.2 = [M+Na]+, 951.4 = [2M+H]+ (MW calculated = 475.7 g/mol).
102b
102b was synthesized as described for 101b except for the use of 102a instead of 101a. 4.8 mg (0.006 mmol, TFA salt) of the trityl protected intermediate were obtained after RP- HPLC and lyophilisation prior trityl deprotection.
MS: m/z 669.3 = [M+H]+, 691.4 = [M+Na]+ (MW calculated = 668.9 g/mol).
102b:Yield: 3.5 mg (0.006 mmol, TFA salt).
MS: m/z 427.2 = [M+H]+, 449.2 = [M+Na]+ (MW calculated = 426.7 g/mol).
Example 103
Synthesis of linker reagent (103a)
4-methoxytήty{ chloride (3 g, 9.71 mmol) was dissolved in DCM (20 mL) and added dropwise to a solution of ethylenediamine (6.5 mL, 97.1 mmol) in DCM (20 mL). After 2 h the solution was poured into diethyl ether (300 mL) and washed three times with brine/0.1 M NaOH solution 30/1 (3 x 50 mL) and once with brine (50 mL). The organic phase was dried over Na2SO4 and volatiles were removed under reduced pressure to obtain the Mmt-protected intermediate (3.18 g, 9.56 mmol).
The intermediate (3.18 g, 9.56 mmol) was dissolved in dry DCM (30 mL). 6-
Tritylsulfanyl-hexanoic acid (4.48 g, 11.47 mmol), PyBOP (5.67 g, 11.47 mmol) and DIEA (5.0 mL, 28.68 mmol) were added and the mixture was agitated 30 min at RT. The
solution was diluted with diethyl ether (250 rnL) and washed three times with brine/0.1 M
NaOH solution 30/1 (3 x 50 rnL) and once with brine (50 rnL). The organic phase was dried over Na2SO4 and volatiles were removed under reduced pressure. The product was purified by flash chromatography.
Yield: 5.69 g (8.09 mmol).
MS: m/z 705.4 = [M+H]+ (MW calculated = 705.0 g/mol).
Synthesis of linker reagent (103b)
1.BH3 THF
103b
103a (3.19 g, 4.53 mmol) was dissolved in dry THF (50 mL), BH3-THF (1 M solution, 8.5 mL, 8.5 mmol) was added dropwise and the solution was stirred 16 hours at RT. Further BH3-THF (I M solution, 14 mL, 14 mmol) were added and agitated 16 hours at RT. The reaction was quenched by addition of methanol (8.5 mL), JV,iV-dimethyl- ethylenediamine (3 mL, 27.2 mmol), and the solution was stirred for three hours at 90 0C. The mixture was diluted with ethyl acetate (300 mL) at RT, washed with saturated, aqueous Na2CO3 solution (2 x 100 mL) and saturated, aqueous NaHCO3 solution (2 x 100 mL). The organic phase was dried over Na2SO4 and volatiles were evaporated at reduced pressure to obtain the crude amine intermediate (3.22 g).
The amine (3.22 g) and boc2θ (2.97 g, 13.69 mmol) were dissolved in DCM (1O mL). DIEA (3.95 mL, 22.65 mmol) was added and the mixture was agitated at RT for 30 min. The mitxture was purified by flash chromatography to obtain the crude boc- and Mmt- protected product (3.0 g).
MS: m/z 791.4 = [M+H]+, 519.3 = [M-Mmt+H]+ (MW calculated = 791.1 g/mol).
0.4 M aqueous HCl (48 mL) was added to a solution of the intermediate (3.0 g) in acetonitrile (45 mL). The mixture was diluted furhter with acetonitrile (10 mL) and stirred one hour at RT. After completed reaction the pH was adjusted to 5.5 by addition of 5 M
NaOH solution. Acetonitrile was removed under reduced pressure and the aqueous solution was extracted with DCM (4 x 100 mL). The combined organic phases were dried over
Na2SO4 and volatiles were removed under reduced pressure.
Yield: 2.52 g (3.19 mmol).
MS: m/z 519.3 = [M+H]+ (MW calculated = 518.8 g/mol).
103c
1 (PfpO)2CO
3-chlorotrιtyl chloride resin
103c was synthesized on 2-chlorotrityl chloride resin (130 mg, 0.129 mmol) by loading of the resin with Fmoc-Gly-OH, Fmoc deprotection, on-resin urea formation using 103b as amine, cleavage from the resin and purification via RP-HPLC as depicted above and described in "Materials and Methods".
Yield: 36 mg (0.057 mmol).
MMSS:: mm//zz 6622(0.3 = [M+H]+, 624.3 = [M+Na]+, 1239.6 = [2M+H]+ (MW calculated = 619.3 g/mol).
103d
103c (30 mg, 0.048 mmol), PyBOP (30 mg, 0.058 mmol) and JV-methyl morpholine (53 μL, 0.484 mmol) were dissolved in DMSO (800 μL). Pramipexole dihydrochloride (55 mg, 0.194 mmol) was added and the mixture was stirred for 8 h. The reaction was quenched by addition of acetic acid, diluted with 4 mL acetonitrile/water 1/1 + 0.1% TFA and the trityl and boc-protected intermediate was purified by RP-HPLC. After lyophilisation 11.8 mg (0.013 mmol, TFA salt) of the protected substance were obtained. MS: m/z 813.4 = [M+H]+, 1626.8 = [2M+H]+ (MW calculated = 813.1 g/mol).
For deprotection the lyophilisate was dissolved in 1.2 mL HFIP/TFA (1/1), 48 μL of TES/water (1/1) was added, and the solution was agitated for 1.5 h. Volatiles were removed and the product was purified by RP-HPLC.
Yield: 7 mg (0.010 mmol, double TFA salt).
MS: m/z 236.1 = [M+2H]2+, 471.3 = [M+H]+, 941.5 = [2M+H]+ (MW calculated = 470.7 g/mol). Example 104
Synthesis of linker reagent (104a)
H
.N^ ^^ ^\ JDH
o o
104a
104a was synthesized as described for 102a except for the use of l,4-dioxane-2,6-dione instead of succinic anhydride.
Yield: 117 mg (0.237 mmol).
MS: m/z 983.4 = [2M+H]+ (MW calculated = 491.7 g/mol).
104b
104b was synthesized as described for 101b except for the use of 104a instead of 101a. The coupling of pramipexole was completed within 30 min.
Prior trityl deprotection 38 mg (0.048mmol, TFA salt) of the intermediate were isolated after RP-HPLC purification and lyophilisation.
MS: m/z 685.2 = [M+H]+, 1369.4 = [2M+H]+ (MW calculated = 685.0 g/mol).
10 mg of the intermediate were used for deprotection of the thiol.
104b: Yield: 4.5 mg (0.008 mmol, TFA salt).
MS: m/z 443.2 = [M+H]+, 465.2 = [M+Na]+ (MW calculated = 442.7 g/mol).
Example 105
Synthesis of linker reagent (105a)
Nk ^\ ^\ ^OH
TrtS'
O boc O
105a
105a was synthesized as described for 102a except for the use of tert-butyi 2,6- dioxomorpholine-4-carboxylate instead of succinic anhydride.
Yield: 148 mg (0.250 mmol).
MS: m/z 591.3 = [M+H]+, 1181.6 = [2M+H]+ (MW calculated = 590.8 g/mol).
105b
105b was synthesized as described for 103d except for the use of 105a instead of 103c.
The coupling of pramipexole was completed within 40 min.
Prior trityl deprotection 38 mg (0.042mmol, TFA salt) of the intermediate were isolated after RP-HPLC purification and lyophilisation.
MS: m/z 784.4 = [M+H]+, 1568.8 = [2M+H]+ (MW calculated = 784.1 g/mol).
11 mg of the intermediate were used for deprotection of the thiol.
105b: Yield: 7.7 mg (0.011 mmol, double TFA salt).
MS: m/z 442.2 = [M+H]+, 464.2 = [M+Na]+ (MW calculated = 441.7 g/mol).
Example 106
106a
Boc-Gly-OH (659 mg, 3.76 mmol), PyBOP (2.35 g, 4.51 mmol) and JV-methyl morpholine (4.14 niL, 37.6 mmol) were dissolved in DMSO (20 mL). Pramipexole dihydrochloride (2.14 g, 7.52 mmol) was added, and the mixture was stirred for 1 h. The solution was diluted with 300 mL 1 M NaOH solution, saturated with NaCl, and extracted with DCM (8 x 70 mL). The combined organic phases were dried over MgSO4, the solvent was evaporated under reduced pressure, and the residue purified by RP-HPLC. After lyophilisation 721 mg (1.49 mmol, TFA salt) of the Boc protected derivative were obtained.
MS: m/z 369.2 = [M+H]+ (MW calculated = 368.5 g/mol).
For deprotection the intermediate was dissolved in 3 M methanolic HCl (10 mL), concentrated aqueous HCl (400 μL) were added, and the mixture was agitated for 4 h. The solvent was removed under reduced pressure and the residue was dried in vacuo.
Yield: 490 mg (1.44 mmol, double HCl salt).
MS: m/z 269.1 = [M+H]+ (MW calculated = 268.4 g/mol).
Synthesis of linker pramipexole intermediate (106b)
106b
6-Tritylsulfanylhexane-l -amine (1.21 g, 3.22 mmol) and /?-nitrophenyl chloro formate (0.78 g, 3.86 mmol) were suspended in dry THF (15 mL). DIEA (841 μL, 4.83 mmol) was added, and the resulting solution was stirred at RT for 2 h. After acidification by addition of acetic acid the solvent was evaporated under reduced pressure, and the residue was purified by RP-HPLC. 1.21 g (2.25 mmol) /?-nitrophenyl carbamate were obtained after lyophilisation.
MS: m/z 563.2 = [M+Na]+ (MW calculated = 540.7 g/mol).
The carbamate (801 mg, 1.48 mmol) was dissolved in DMSO (4.4 mL) and added dropwise to a stirred solution of 106a (490 mg, 1.44 mmol) and DIEA (800 μL, 4.60 mmol) in DMSO (7 mL) within 30 min. The mixture was agitated for 4.5 h at RT. The solution was diluted with 0.5 M NaOH solution (300 mL) and extracted with DCM (6 x 70 mL). The combined organic phases were dried over MgSO4, the solvent was evaporated under reduced pressure, and the conjugate was purified by RP-HPLC to obtain 254 mg (0.323 mmol, TFA salt) of the trityl protected intermediate.
MS: m/z 670.3 = [M+H]+ (MW calculated = 670.0 g/mol).
For deprotection the intermediate (248 mg, 0.32 mmol) was incubated in HFIP (6 mL) and TES (240 μL) for 30 min at RT. Volatiles were evaporated, and the residue was purified by RP-HPLC.
Yield: 167 mg (0.31 mmol, TFA salt).
MS: m/z 428.2 = [M+H]+ (MW calculated = 427.6 g/mol).
Example 107 (PEG carrier)
Synthesis of PEG-carrier (107) glycinamide
107
Maleimide-dPEGβ-NHS-ester (75 mg, 0.125 mmol) was dissolved in 7/3 acetonitrile/water (3 mL). 0.5 M phosphate buffer pH 7.0 (300 μL) and glycinamide hydrochloride (41 mg,
0.374 mmol) were added, and the solution was aggitated 30 min at rt. The mixture was diluted by addtion of water (3 mL) and purified by RP-HPLC.
Yield: 54 mg (0.096 mmol).
MS: m/z 561.3 = [M+H]+ (MW calculated = 560.6 g/mol).
Example 108 (carrier linked pramipexole prodrug)
107 (4.5 mg, 0.008 mmol) and 101b (2 mg, 0.004 mmol) were dissolved in 1/1 acetonitrile/water (197 μL). 0.5 M phosphate buffer pH 7.4 (23 μL) was added and the solution was agitated for 10 min at RT. The mixture was acidified by addition of acetic acid, diluted with water (200 μL), and the product was purified by RP-HPLC.
Yield: 3.2 mg (0.003 mmol, TFA salt).
MS: m/z 931.4 = [M+H]+ (MW calculated = 931.2 g/mol).
Example 109 (carrier linked pramipexole prodrug)
109 109 was synthesized as described for 108 except for the use of 102b (1.8 mg, 0.003 mmol) instead of 101b.
Yield: 3.3 mg (0.003 mmol, TFA salt).
MS: m/z 987.5 = [M+H]+ (MW calculated = 987.3 g/mol).
Example 110 (carrier linked pramipexole prodrug)
110
110 was synthesized as described for 108 except for the use of 103d (2 mg, 0.003 mmol) instead of 101b.
Yield: 2.4 mg (0.002 mmol, double TFA salt).
MS: m/z 1031.5 = [M+H]+ (MW calculated = 1031.3 g/mol).
Example 111 (carrier linked pramipexole prodrug)
111
111 was synthesized as described for 108 except for the use of 104b (2 mg, 0.004 mmol) instead of 101b.
Yield: 4.2 mg (0.004 mmol, TFA salt).
MS: m/z 1003.5 = [M+H]+ (MW calculated = 1003.3 g/mol).
Example 112 (carrier linked pramipexole prodrug)
112
112 was synthesized as described for 108 except for the use of 105b (2 mg, 0.003 mmol) instead of 101b.
Yield: 1.8 mg (0.0015 mmol, double TFA salt).
MS: m/z 1002.5 = [M+H]+ (MW calculated = 1002.3 g/mol).
Example 113 (carrier linked pramipexole prodrug)
113
113 was synthesized as described for 108 except for the use of 106b (2 mg, 0.004 mmol) instead of 101b.
Yield: 3.4 mg (0.003 mmol, TFA salt).
MS: m/z 988.5 = [M+H]+ (MW calculated = 988.2 g/mol).
Example 114 (carrier linked pramipexole prodrug)
Synthesis of hydrogel-linker-pramipexole conj ugate (114)
114
Maleimide-derivatized hydrogel microparticles 15a (100 μL. loading 30 μmol/mL, 3 μmol) were reacted with compound 106b (2.3 mg, 4.3 μmol) in 1/1 acetonitrile/water (420 μL) and 0.5 M phosphate buffer pH 7.4 (52 μL) for 10 min at RT. The hydrogel was washed 20 times with 1/1 acetonitrile/water. Remaining maleimides where reacted with 2- mercaptoethanol (34 μL, 0.48 mmol) in 1/1 acetonitrile/water (3 mL) and 0.5 M phosphate buffer pH 7.4 (0.4 mL) for 10 min at RT. The loaded hydrogel was washed 20 times with 1/1 acetonitrile/water, and 20 times with phosphate buffer pH 7.4.
Example 115
Synthesis of linker pramipexole intermediate (115a)
Pramipexole dihydrochloride (134 mg, 0.47 mmol) and DIEA (246 μL, 1.41 mmol) were dissolved in DMSO (3 rnL). Phthalic anhydride (35 mg, 0.24 mmol) was added, and after
30 min the solution was acidified by addition of acetic acid (250 μL) and diluted with 9/1 acetonitrile/water (7 mL). The product was purified by RP-HPLC.
Yield: 90 mg (0.19 mmol, TFA salt).
MS: m/z 360.1 = [M+H]+, 719.3 = [2M+H]+ (MW calculated = 359.5 g/mol).
Synthesis of linker pramipexole intermediate (115b)
115b
115a (50 mg, 0.139 mmol), PyBOP (87 mg, 0.167 mmol) and DIEA (0.742 μL, 0.556 mmol) were dissolved in DMSO. 103b (288 mg, 0.556 mmol) was added and the solution was stirred ant RT for 30 min. The reaction was quenched by acidification with acetic acid (100 μL) and diluted with 9/1 acetonitrile/water (6 mL). The trityl- and boc-protected intermediate was purified by RP-HPLC to obtain 84 mg (0.086 mmol, TFA salt) of the substance after lyophilisation.
MS: m/z 860.4 = [M+H]+, 1720.8 = [2M+H]+ (MW calculated = 860.2 g/mol).
For deprotection the intermediate was dissolved in HFIP (2.5 mL). TFA (2.5 mL), water (100 μL), and TES (100 μL) were added successively and the solution was agitated at RT for 30 min. Volatiles were removed and the residue was purified by RP-HPLC.
115b Yield: 30 mg (0.040 mmol, double TFA salt).
MS: m/z 518.3 = [M+H]+, 1035.5 = [2M+H]+ (MW calculated = 517.8 g/mol).
Example 116 (carrier linked pramipexole prodrug) Synthesis of PEG-pramipexole conjugate 116
116 116 was synthesised as described for 108 except for the use of 115b (2 mg, 0.004 mmol) instead of 101b.
Yield: 4 mg (0.004 mmol, double TFA salt).
MS: m/z 539.8 = [M+2H]+, 1078.5 = [M+H]+ (MW calculated = 1078.4 g/mol). Example 117 (carrier linked pramipexole prodrug)
Synthesis of hydrogel-linker-pramipexole conjugate 117
117
In accordance with example 114 maleimide-functionalized hydrogel microparticles were synthesized as described in EP 1 625 856 Al.
Maleimide-derivatized hydrogel microparticles (100 μL. loading 30 μmol/mL, 3 μmol) were reacted with compound 115b (2.6 mg, 3.5 μmol) in 1/1 acetonitrile/water (230 μL)
and 0.5 M phosphate buffer pH 7.4 (23 μL) for 18 min at RT. The loaded hydrogel was washed five times with 1/1 acetonitrile/water, and five times with phosphate buffer pH 7.4.
Example 118
Release kinetics in vitro
Release of drug molecule was effected by hydrolysis in buffer at pH 7.4 and 37°C.
108, 109, 110, 111, 112, 113, and 116 respectively, were dissolved in buffer (60 mM sodium phosphate, 3 mM EDTA, 0.01% Tween20, pH 7.4), solution was filtered through a 0.2 μm filter and incubated at 37 0C. Samples were taken at time intervals and analyzed by RP-HPLC at 263 nm and 280 nm and ESI-MS. UV-signals correlating to linker conjugate molecules were integrated and plotted against incubation time. Curve-fitting software was applied to estimate the corresponding half time of release 114, and 117 respectively, were suspended in buffer (60 mM sodium phosphate, 3 mM EDTA, 0.01% Tween20, pH 7.4) and incubated at 37 0C. At time intervals samples were vortexed and centrifuged. Aliquots (10-50 μL) were taken from the supernatant solution, and analyzed by measurement of the absorption of released drug at 263 nm. Calculated amounts of released drug were plotted against incubation time.
Alternatively, amount of released pramipexole was determined by size exclusion chromatography as described in "Materials and Methods".
Curve-fitting software was applied to estimate the corresponding half time of release.
Fig. 1 additionally depicts the in vitro release kinetics of the polymeric carrier linked pramipexole prodrug of example 114. The x-axis shows the time [unit: days].
Table 1
Compound t1/2 buffer A (pH 7.4)
108 1.2 d
109 3.7 d
110 <12 h
111 1.3 d
112 1.1 d
113 4.3 d
114 5.1 d
116 7.9 d
117 23 d
Abbreviations:
AcOH acetic acid
Ado 8-amino-3,6-dioxa-octanoic acid
Ava 5 -amino valeric acid
Boc t-butyloxycarbonyl
DBU l,3-diazabicyclo[5.4.0]undecene
DCC dicyclohexylcarbodiimide
DCM dichloromethane
DIC diisopropyl carbodiimide
DIEA diisopropylethylamine
DMAP dimethylamino-pyridine
DMF N,N-dimethylformamide
DMSO dimethylsulfoxide
EDC 1 -Ethyl-3 -(3 -dimethylaminopropyl)carbodiimid
EDTA ethylenediaminetetraacetic acid
EG ethylene glycol
ESI electrospray ionization
EtOH ethanol
eq stoichiometric equivalent
Fmoc 9-fluorenylmethoxycarbonyl
Fmoc-PP-OH Fmoc-aminoethyl-undecaethyleneoxide-propionic acid
HATU O-(7-Azabenzotriazol- 1 -yl)-N,N,N',N'-tetramethyluronium hexafluorophosphate
HFIP hexafluoroisopropanol
HLB hydrophilic-lipophilic balance
HOBt N-hydroxybenzotriazole
LCMS mass spectrometry-coupled liquid chromatography
MaI 3-maleimido propionyl
Mal-dPEGg-NHS N-(3-maleimidopropyl)-21 -ammo-4,7, 10,13,16,19-hexaoxa heneicosanoic acid NHS ester
MS mass spectrum / mass spectrometry
n. d. not determined
NHS N-hydroxy succinimide
OEG Oligo(ethylene glycol)
PEG poly(ethylene glycol)
PyBOP benzotriazole- 1 -yl-oxy-tris-pyrrolidino-phosphonium
hexafluorophosphate
RP-HPLC reversed-phase high performance liquid chromatography
RT room temperature
TCP 2-chlorotrityl chloride resin
TES triethylsilane
TFA trifluoroacetic acid
THF tetrahydrofurane
TMEDA N5N5N ',N', tetramethyl ethylene diamine
Trt trityl
UPLC ultra performance liquid chromatography
UV ultraviolet
VIS visual
Claims
1. An injectable sustained release pharmaceutical composition comprising a carrier linked pramipexole prodrug at a concentration of 10-100 mg/mL based on
quantitative release of free pramipexole.
2. The composition according to claim 1, wherein the concentration is 15-50 mg/mL, preferably 15-35 mg/mL.
3. The composition according to claim 1 or 2, wherein the composition releases
pramipexole in therapeutic levels for a time period of 1 day up to 1 month, preferably 1 day up to 2 weeks, most preferably 1 day up to 1 week.
4. The composition according to any of claims 1 to 3, wherein in the carrier linked
pramipexole prodrug pramipexole is transiently linked to the carrier.
5. The composition according to any of claims 1 and 4, wherein the carrier is a polymer having a molecular weight of > 500 g/mol.
6. The composition according to any of claims 1 to 5, which is an injectable solution, injectable microspheres, an injectable gel, or an implant.
7. The composition according to claim 6, which is an injectable solution or an
injectable microsphere suspension with a particle diameter of 10 to 1000 microns, preferably 15 to 100 microns.
8. The composition according to any of claims 1 to 7, wherein the carrier is a polymer selected from 2-methacryloyl-oxyethyl phosphoyl cholins, hydrogels, PEG-based hydrogels, poly(acrylic acids), poly(acrylates), poly(acrylamides), poly(alkyloxy) polymers, poly(amides), poly(amidoamines), poly(amino acids), poly(anhydrides), poly(aspartamides), poly(butyric acids), poly(glycolic acids), polybutylene terephthalates, poly(caprolactones), poly(carbonates), poly(cyanoacrylates), poly(dimethylacrylamides), poly(esters), poly(ethylenes), poly(ethyleneglycols), poly(ethylene oxides), poly(ethyl phosphates), poly(ethyloxazolines), poly(glycolic acids), poly(hydroxyethyl acrylates), poly(hydroxyethyloxazolines), poly(hydroxymethacrylates), poly(hydroxypropylmethacrylamides), poly(hydroxypropyl methacrylates), poly(hydroxypropyloxazolines), poly(iminocarbonates), poly(lactic acids), poly(lactic-co-glycolic acids), poly(methacrylamides), poly(methacrylates), poly(methyloxazolines), poly(organophosphazenes), poly(ortho esters), poly(oxazolines), poly(propylene glycols), poly(siloxanes), poly(urethanes), poly(vinyl alcohols), poly(vinyl amines), poly(vinylmethylethers), poly(vinylpyrrolidones), silicones, celluloses, carbomethyl celluloses, hydroxypropyl methylcelluloses, chitins, chitosans, dextrans, dextrins, gelatins, hyaluronic acids and derivatives, mannans, pectins, rhamnogalacturonans, starches, hydroxyalkyl starches, hydroxyethyl starches and other carbohydrate-based polymers, xylans, and copolymers thereof.
9. The composition according to claim 8, wherein the polymer is polyethylene glycol or a polyethylene glycol-based hydrogel, preferably polyethylene glycol-based hydrogel microparticles with a particle diameter of 10 to 1000 microns, preferably 15 to 100 microns.
10. The composition according to claim 9, wherein the polymer is a polyethylene glycol- based hydrogel with a particle diameter of 10 to 1000 microns, preferably 15 to 100 microns.
11. The composition of any of claims 1 to 10, wherein the prodrug can be administered by injection through a needle smaller than 0.6 mm inner diameter.
12. The composition of claim 11 , wherein the needle is smaller than 0.3 mm inner
diameter.
13. The composition of claim 11, wherein the needle is smaller than 0.25 mm.
14. The composition according to any of claims 1 to 13 characterized by an essentially burstless in vitro release profile.
15. The composition according to any of claims 1 to 14 characterized by a strong in vitro-in vivo correlation.
16. The composition according to any of claims 1-15, wherein the pharmaceutical
composition is dry.
17. The composition according to claim 16, wherein the composition was dried by
lyophilization.
18. A pharmaceutical composition according to any of claims 1-17, wherein the pramipexole hydrogel prodrug is sufficiently dosed in the composition to provide a therapeutically effective amount of pramipexole for at least three days in one application.
19. A composition according to any of claims 1-18, wherein the composition is a single dose composition.
20. A composition according to any of claims 1-18, wherein the composition is a
multiple dose composition.
21. A container comprising the pharmaceutical composition according to any of claims 1-20.
22. A container according to claim 21, wherein the container is a dual-chamber syringe.
23. A suspension comprising the pharmaceutical composition according to any of claims 1-15 or 18-20.
24. A method of preparing a suspension according to claim 23, comprising the steps of reconstituting the dry composition according to claim 16 or 17 by adding
reconstitution solution.
25. A kit of parts, comprising a needle and a container containing reconstitution solution and the dry composition according to claim 16 or 17 for use with the needle.
26. A kit of parts according to claim 25, wherein the container is a dual-chamber syringe and wherein one of the two chambers of the dual-chamber syringe contains the dry composition and the second chamber of said dual-chamber syringe contains the reconstitution solution.
27. The composition according to any of claims 1 to 20 for use as pharmaceutical.
28. The use of a composition according to any of claims 1 or 20 for prophylaxis and/or treatment of dopamine receptor related diseases, including Parkinson's disease, neurological disorders, amyotrophic lateral sclerosis, compulsive behavior, bipolar disorders, Tourette's syndrome, depressive disorders, treatment resistant depression, fϊbromyalia or restless leg syndrome (RLS).
29. The use according to claim 28 for prophylaxis and/or treatment of Parkinsons 's disease or RLS.
Applications Claiming Priority (6)
| Application Number | Priority Date | Filing Date | Title |
|---|---|---|---|
| EP09167030.7 | 2009-07-31 | ||
| EP09167030 | 2009-07-31 | ||
| EP09172340.3 | 2009-10-06 | ||
| EP09172340 | 2009-10-06 | ||
| EP09180526.7 | 2009-12-23 | ||
| EP09180526 | 2009-12-23 |
Publications (1)
| Publication Number | Publication Date |
|---|---|
| WO2011012723A1 true WO2011012723A1 (en) | 2011-02-03 |
Family
ID=42651484
Family Applications (1)
| Application Number | Title | Priority Date | Filing Date |
|---|---|---|---|
| PCT/EP2010/061164 Ceased WO2011012723A1 (en) | 2009-07-31 | 2010-07-30 | Injectable sustained release compositions comprising a pramipexole prodrug |
Country Status (1)
| Country | Link |
|---|---|
| WO (1) | WO2011012723A1 (en) |
Cited By (18)
| Publication number | Priority date | Publication date | Assignee | Title |
|---|---|---|---|---|
| WO2015081891A1 (en) | 2013-12-06 | 2015-06-11 | Baikang (Suzhou) Co., Ltd | Bioreversable promoieties for nitrogen-containing and hydroxyl-containing drugs |
| KR101546713B1 (en) | 2013-06-19 | 2015-08-24 | (주)국전약품 | Process for the preparation of pramipexole |
| WO2018060310A1 (en) * | 2016-09-29 | 2018-04-05 | Ascendis Pharma Bone Diseases A/S | Dosage regimen for a controlled-release pth compound |
| WO2018060312A1 (en) * | 2016-09-29 | 2018-04-05 | Ascendis Pharma Bone Diseases A/S | Pth compounds with low peak-to-trough ratios |
| JP2018522835A (en) * | 2015-06-05 | 2018-08-16 | サノフイ | Prodrugs containing GLP-1 / glucagon dual agonist linker hyaluronic acid conjugates |
| CN108685858A (en) * | 2017-04-08 | 2018-10-23 | 沈阳药科大学 | A kind of injection Pramipexole sustained release preparation and preparation method thereof |
| US10751417B2 (en) | 2017-04-20 | 2020-08-25 | Novartis Ag | Sustained release delivery systems comprising traceless linkers |
| CN111728956A (en) * | 2020-07-06 | 2020-10-02 | 济南大学 | A kind of pramipexole sustained-release microsphere and preparation method thereof |
| US11028123B2 (en) | 2018-04-10 | 2021-06-08 | Sanofi-Aventis Deutschland Gmbh | Capping of unprotected amino groups during peptide synthesis |
| US11116816B2 (en) | 2014-10-22 | 2021-09-14 | Extend Biosciences, Inc. | Therapeutic vitamin d conjugates |
| WO2021238232A1 (en) * | 2020-05-23 | 2021-12-02 | 常州市第四制药厂有限公司 | Pramipexole hydrochloride oral solution |
| US11389541B2 (en) | 2018-10-03 | 2022-07-19 | Novartis Ag | Sustained delivery of angiopoetin-like 3 polypeptides |
| US11560402B2 (en) | 2018-04-10 | 2023-01-24 | Sanofi-Aventis Deutschland Gmbh | Method for cleavage of solid phase-bound peptides from the solid phase |
| US11793861B2 (en) | 2016-03-01 | 2023-10-24 | Ascendis Pharma Bone Diseases A/S | PTH prodrugs |
| CN117338725A (en) * | 2023-09-18 | 2024-01-05 | 山东泰合医药科技有限公司 | A pretreatment method and an analysis method for pharmaceutical microsphere preparations |
| US12233115B2 (en) | 2022-09-30 | 2025-02-25 | Extend Biosciences, Inc. | Long-acting parathyroid hormone |
| US12403182B2 (en) | 2019-02-11 | 2025-09-02 | Ascendis Pharma Bone Diseases A/S | Liquid pharmaceutical formulations of PTH conjugates |
| US12453778B2 (en) | 2016-09-29 | 2025-10-28 | Ascendis Pharma Bone Diseases A/S | Incremental dose finding in controlled-release PTH compounds |
Citations (6)
| Publication number | Priority date | Publication date | Assignee | Title |
|---|---|---|---|---|
| US20030171303A1 (en) * | 2002-02-19 | 2003-09-11 | Gallop Mark A. | Methods for synthesis of prodrugs from 1-acyl-alkyl derivatives and compositions thereof |
| WO2004089375A1 (en) | 2003-03-31 | 2004-10-21 | Titan Pharmaceuticals, Inc. | Implantable polymeric device for sustained release of dopamine agonist |
| WO2006003014A2 (en) | 2004-07-05 | 2006-01-12 | Complex Biosystems Gmbh | Hydrogel polymeric conjugates of a prodrug |
| EP1625856A1 (en) | 2004-08-13 | 2006-02-15 | Complex Biosystems GmbH | Hydrogel polymeric conjugates of a prodrug |
| US7227028B2 (en) | 2003-12-30 | 2007-06-05 | Xenoport, Inc. | Synthesis of acyloxyalkyl carbamate prodrugs and intermediates thereof |
| US20080260846A1 (en) | 2004-09-21 | 2008-10-23 | Shandong Luye Pharmaceutical Co., Ltd. | Long Acting Sustained-Release Formulation Containing Dopamine Receptor Agonist and the Preparation Method Thereof |
-
2010
- 2010-07-30 WO PCT/EP2010/061164 patent/WO2011012723A1/en not_active Ceased
Patent Citations (7)
| Publication number | Priority date | Publication date | Assignee | Title |
|---|---|---|---|---|
| US20030171303A1 (en) * | 2002-02-19 | 2003-09-11 | Gallop Mark A. | Methods for synthesis of prodrugs from 1-acyl-alkyl derivatives and compositions thereof |
| US6927036B2 (en) | 2002-02-19 | 2005-08-09 | Xero Port, Inc. | Methods for synthesis of prodrugs from 1-acyl-alkyl derivatives and compositions thereof |
| WO2004089375A1 (en) | 2003-03-31 | 2004-10-21 | Titan Pharmaceuticals, Inc. | Implantable polymeric device for sustained release of dopamine agonist |
| US7227028B2 (en) | 2003-12-30 | 2007-06-05 | Xenoport, Inc. | Synthesis of acyloxyalkyl carbamate prodrugs and intermediates thereof |
| WO2006003014A2 (en) | 2004-07-05 | 2006-01-12 | Complex Biosystems Gmbh | Hydrogel polymeric conjugates of a prodrug |
| EP1625856A1 (en) | 2004-08-13 | 2006-02-15 | Complex Biosystems GmbH | Hydrogel polymeric conjugates of a prodrug |
| US20080260846A1 (en) | 2004-09-21 | 2008-10-23 | Shandong Luye Pharmaceutical Co., Ltd. | Long Acting Sustained-Release Formulation Containing Dopamine Receptor Agonist and the Preparation Method Thereof |
Non-Patent Citations (5)
| Title |
|---|
| DI MARO; S. PONG; R.-C. HSIEH; J.-T. AHN; J.-M. J., MED. CHEM., vol. 51, no. 21, 2008, pages 6639 - 6641 |
| ELLMAN, G. L. ET AL., BIOCHEM. PHARMACOL., vol. 7, 1961, pages 88 - 95 |
| ENGLISH, ARTHUR R. ET AL., JOURNAL OF MEDICINAL CHEMISTRY, vol. 33, no. 1, 1990, pages 344 - 347 |
| M. GUDE; J. RYF; P. D. WHITE, LETT. PEPT. SCI., vol. 9, 2002, pages 203 - 206 |
| RAGHUNAND, N. JAGADISH; B. TROUARD, T. P.; GALONS, J.-P.; GILLIES, R. J.; MASH, E. A., MAGNETIC RESONANCE IN MEDICINE, vol. 55, no. 6, 2006, pages 1272 - 1280 |
Cited By (38)
| Publication number | Priority date | Publication date | Assignee | Title |
|---|---|---|---|---|
| KR101546713B1 (en) | 2013-06-19 | 2015-08-24 | (주)국전약품 | Process for the preparation of pramipexole |
| US10626156B2 (en) | 2013-12-06 | 2020-04-21 | Jie Han | Bioreversable promoieties for nitrogen-containing and hydroxyl-containing drugs |
| US20150246958A1 (en) * | 2013-12-06 | 2015-09-03 | Baikang (Suzhou) Co., Ltd | Bioreversable promoieties for nitrogen-containing and hydroxyl-containing drugs |
| EP3077008A4 (en) * | 2013-12-06 | 2017-08-16 | Baikang (Suzhou) Co., Ltd | Bioreversable promoieties for nitrogen-containing and hydroxyl-containing drugs |
| US12528852B2 (en) | 2013-12-06 | 2026-01-20 | Jie Han | Bioreversable promoieties for nitrogen-containing and hydroxyl-containing drugs |
| WO2015081891A1 (en) | 2013-12-06 | 2015-06-11 | Baikang (Suzhou) Co., Ltd | Bioreversable promoieties for nitrogen-containing and hydroxyl-containing drugs |
| US11116816B2 (en) | 2014-10-22 | 2021-09-14 | Extend Biosciences, Inc. | Therapeutic vitamin d conjugates |
| US12076366B2 (en) | 2014-10-22 | 2024-09-03 | Extend Biosciences, Inc. | Therapeutic vitamin D conjugates |
| JP2018522835A (en) * | 2015-06-05 | 2018-08-16 | サノフイ | Prodrugs containing GLP-1 / glucagon dual agonist linker hyaluronic acid conjugates |
| US11793861B2 (en) | 2016-03-01 | 2023-10-24 | Ascendis Pharma Bone Diseases A/S | PTH prodrugs |
| US12214020B2 (en) | 2016-03-01 | 2025-02-04 | Ascendis Pharma Bone Diseases A/S | PTH prodrugs |
| IL265591B1 (en) * | 2016-09-29 | 2023-08-01 | Ascendis Pharma Bone Diseases As | Dosing regimen for a controlled-release pth compound |
| EP4218795A3 (en) * | 2016-09-29 | 2023-08-30 | Ascendis Pharma Bone Diseases A/S | Pth compounds with low peak-to-trough ratios |
| IL265601B2 (en) * | 2016-09-29 | 2025-09-01 | Ascendis Pharma Bone Diseases As | PTH compounds with low peak-to-trough ratios |
| US12295989B2 (en) | 2016-09-29 | 2025-05-13 | Ascendis Pharma Bone Diseases A/S | Controlled-release PTH compound |
| IL265601B1 (en) * | 2016-09-29 | 2025-05-01 | Ascendis Pharma Bone Diseases As | PTH compounds with low peak-to-trough ratios |
| US11590207B2 (en) | 2016-09-29 | 2023-02-28 | Ascendis Pharma Bone Diseases A/S | Dosage regimen for a controlled-release PTH compound |
| US11918628B2 (en) | 2016-09-29 | 2024-03-05 | Ascendis Pharma Bone Diseases A/S | Controlled-release PTH compound |
| WO2018060310A1 (en) * | 2016-09-29 | 2018-04-05 | Ascendis Pharma Bone Diseases A/S | Dosage regimen for a controlled-release pth compound |
| US11759504B2 (en) | 2016-09-29 | 2023-09-19 | Ascendis Pharma Bone Diseases A/S | PTH compounds with low peak-to-trough ratios |
| US12453778B2 (en) | 2016-09-29 | 2025-10-28 | Ascendis Pharma Bone Diseases A/S | Incremental dose finding in controlled-release PTH compounds |
| IL265591B2 (en) * | 2016-09-29 | 2023-12-01 | Ascendis Pharma Bone Diseases As | Dosing regimen for a controlled-release PTH compound |
| US11857603B2 (en) | 2016-09-29 | 2024-01-02 | Ascendis Pharma Bone Diseases A/S | PTH compounds with low peak-to-trough ratios |
| WO2018060312A1 (en) * | 2016-09-29 | 2018-04-05 | Ascendis Pharma Bone Diseases A/S | Pth compounds with low peak-to-trough ratios |
| EP4275677A3 (en) * | 2016-09-29 | 2024-01-10 | Ascendis Pharma Bone Diseases A/S | Dosage regimen for a controlled-release pth compound |
| US11890326B2 (en) | 2016-09-29 | 2024-02-06 | Ascendis Pharma Bone Diseases A/S | Controlled-release PTH compound |
| CN108685858A (en) * | 2017-04-08 | 2018-10-23 | 沈阳药科大学 | A kind of injection Pramipexole sustained release preparation and preparation method thereof |
| US10751417B2 (en) | 2017-04-20 | 2020-08-25 | Novartis Ag | Sustained release delivery systems comprising traceless linkers |
| US12433949B2 (en) | 2017-04-20 | 2025-10-07 | Novartis Ag | Sustained release delivery systems comprising traceless linkers |
| US11560402B2 (en) | 2018-04-10 | 2023-01-24 | Sanofi-Aventis Deutschland Gmbh | Method for cleavage of solid phase-bound peptides from the solid phase |
| US11028123B2 (en) | 2018-04-10 | 2021-06-08 | Sanofi-Aventis Deutschland Gmbh | Capping of unprotected amino groups during peptide synthesis |
| US11389541B2 (en) | 2018-10-03 | 2022-07-19 | Novartis Ag | Sustained delivery of angiopoetin-like 3 polypeptides |
| US12403182B2 (en) | 2019-02-11 | 2025-09-02 | Ascendis Pharma Bone Diseases A/S | Liquid pharmaceutical formulations of PTH conjugates |
| WO2021238232A1 (en) * | 2020-05-23 | 2021-12-02 | 常州市第四制药厂有限公司 | Pramipexole hydrochloride oral solution |
| CN111728956A (en) * | 2020-07-06 | 2020-10-02 | 济南大学 | A kind of pramipexole sustained-release microsphere and preparation method thereof |
| US12233115B2 (en) | 2022-09-30 | 2025-02-25 | Extend Biosciences, Inc. | Long-acting parathyroid hormone |
| CN117338725B (en) * | 2023-09-18 | 2024-04-09 | 山东泰合医药科技有限公司 | A pretreatment method for drug microsphere preparation and an analysis method |
| CN117338725A (en) * | 2023-09-18 | 2024-01-05 | 山东泰合医药科技有限公司 | A pretreatment method and an analysis method for pharmaceutical microsphere preparations |
Similar Documents
| Publication | Publication Date | Title |
|---|---|---|
| WO2011012723A1 (en) | Injectable sustained release compositions comprising a pramipexole prodrug | |
| US20120191039A1 (en) | Carrier linked pramipexole prodrugs | |
| US20130053405A1 (en) | Carrier linked paliperidone prodrugs | |
| EP2616102B1 (en) | Prodrugs comprising an exendin linker conjugate | |
| US8758780B2 (en) | Subcutaneous paliperidone composition | |
| CA2769540C (en) | Long acting insulin composition | |
| EP2459228B1 (en) | Prodrugs comprising an insulin linker conjugate | |
| EP2459227B1 (en) | Prodrugs containing an aromatic amine connected by an amide bond to a carrier | |
| US20130030359A1 (en) | Dipeptide-based prodrug linkers for aromatic amine-containing drugs | |
| HK1171654B (en) | Long acting insulin composition | |
| HK1171654A (en) | Long acting insulin composition |
Legal Events
| Date | Code | Title | Description |
|---|---|---|---|
| 121 | Ep: the epo has been informed by wipo that ep was designated in this application |
Ref document number: 10739606 Country of ref document: EP Kind code of ref document: A1 |
|
| DPE1 | Request for preliminary examination filed after expiration of 19th month from priority date (pct application filed from 20040101) | ||
| NENP | Non-entry into the national phase |
Ref country code: DE |
|
| 122 | Ep: pct application non-entry in european phase |
Ref document number: 10739606 Country of ref document: EP Kind code of ref document: A1 |








































































































