WO2011009059A2 - Method of treating or preventing cancer - Google Patents
Method of treating or preventing cancer Download PDFInfo
- Publication number
- WO2011009059A2 WO2011009059A2 PCT/US2010/042306 US2010042306W WO2011009059A2 WO 2011009059 A2 WO2011009059 A2 WO 2011009059A2 US 2010042306 W US2010042306 W US 2010042306W WO 2011009059 A2 WO2011009059 A2 WO 2011009059A2
- Authority
- WO
- WIPO (PCT)
- Prior art keywords
- compound
- alkyl
- carcinoma
- cancer
- akt
- Prior art date
- Legal status (The legal status is an assumption and is not a legal conclusion. Google has not performed a legal analysis and makes no representation as to the accuracy of the status listed.)
- Ceased
Links
- 0 C/C1=C\C=C\C/C=C(\*NS(=O)=O)/C=C1 Chemical compound C/C1=C\C=C\C/C=C(\*NS(=O)=O)/C=C1 0.000 description 1
- XSLCFAXOYJHHNT-UHFFFAOYSA-N C=CCc(cccc1)c1NS(c1ccc(C(F)(F)F)cc1)(=O)=O Chemical compound C=CCc(cccc1)c1NS(c1ccc(C(F)(F)F)cc1)(=O)=O XSLCFAXOYJHHNT-UHFFFAOYSA-N 0.000 description 1
- MCEZDZGCNWEVPO-HEHNFIMWSA-N CCOc(cc1)ccc1S(/N=C(\C=C1SCC(O)=O)/c2ccccc2C1=O)(=O)=O Chemical compound CCOc(cc1)ccc1S(/N=C(\C=C1SCC(O)=O)/c2ccccc2C1=O)(=O)=O MCEZDZGCNWEVPO-HEHNFIMWSA-N 0.000 description 1
- GOQNICQXPXAIOY-UHFFFAOYSA-N CCc1ccccc1CNS(c1ccc(C)cc1)(=O)=O Chemical compound CCc1ccccc1CNS(c1ccc(C)cc1)(=O)=O GOQNICQXPXAIOY-UHFFFAOYSA-N 0.000 description 1
- ZAXFMRJUHLIXLW-UHFFFAOYSA-N CN[S](C)([N]1(CC1)C1CC1)(=O)=O Chemical compound CN[S](C)([N]1(CC1)C1CC1)(=O)=O ZAXFMRJUHLIXLW-UHFFFAOYSA-N 0.000 description 1
- JGKRTKJJKNPDLH-UHFFFAOYSA-N COc(cc1)ccc1S(Nc1c(CC=C)cccc1)(=O)=O Chemical compound COc(cc1)ccc1S(Nc1c(CC=C)cccc1)(=O)=O JGKRTKJJKNPDLH-UHFFFAOYSA-N 0.000 description 1
- NAEOKZYYHWFPCK-UHFFFAOYSA-N Cc(cc1)ccc1S(Nc(cccc1)c1Br)(=O)=O Chemical compound Cc(cc1)ccc1S(Nc(cccc1)c1Br)(=O)=O NAEOKZYYHWFPCK-UHFFFAOYSA-N 0.000 description 1
Classifications
-
- A—HUMAN NECESSITIES
- A61—MEDICAL OR VETERINARY SCIENCE; HYGIENE
- A61K—PREPARATIONS FOR MEDICAL, DENTAL OR TOILETRY PURPOSES
- A61K31/00—Medicinal preparations containing organic active ingredients
- A61K31/095—Sulfur, selenium, or tellurium compounds, e.g. thiols
- A61K31/10—Sulfides; Sulfoxides; Sulfones
-
- A—HUMAN NECESSITIES
- A61—MEDICAL OR VETERINARY SCIENCE; HYGIENE
- A61K—PREPARATIONS FOR MEDICAL, DENTAL OR TOILETRY PURPOSES
- A61K31/00—Medicinal preparations containing organic active ingredients
- A61K31/16—Amides, e.g. hydroxamic acids
- A61K31/165—Amides, e.g. hydroxamic acids having aromatic rings, e.g. colchicine, atenolol, progabide
-
- A—HUMAN NECESSITIES
- A61—MEDICAL OR VETERINARY SCIENCE; HYGIENE
- A61K—PREPARATIONS FOR MEDICAL, DENTAL OR TOILETRY PURPOSES
- A61K31/00—Medicinal preparations containing organic active ingredients
- A61K31/33—Heterocyclic compounds
- A61K31/335—Heterocyclic compounds having oxygen as the only ring hetero atom, e.g. fungichromin
- A61K31/34—Heterocyclic compounds having oxygen as the only ring hetero atom, e.g. fungichromin having five-membered rings with one oxygen as the only ring hetero atom, e.g. isosorbide
- A61K31/343—Heterocyclic compounds having oxygen as the only ring hetero atom, e.g. fungichromin having five-membered rings with one oxygen as the only ring hetero atom, e.g. isosorbide condensed with a carbocyclic ring, e.g. coumaran, bufuralol, befunolol, clobenfurol, amiodarone
-
- A—HUMAN NECESSITIES
- A61—MEDICAL OR VETERINARY SCIENCE; HYGIENE
- A61K—PREPARATIONS FOR MEDICAL, DENTAL OR TOILETRY PURPOSES
- A61K31/00—Medicinal preparations containing organic active ingredients
- A61K31/33—Heterocyclic compounds
- A61K31/335—Heterocyclic compounds having oxygen as the only ring hetero atom, e.g. fungichromin
- A61K31/35—Heterocyclic compounds having oxygen as the only ring hetero atom, e.g. fungichromin having six-membered rings with one oxygen as the only ring hetero atom
-
- A—HUMAN NECESSITIES
- A61—MEDICAL OR VETERINARY SCIENCE; HYGIENE
- A61K—PREPARATIONS FOR MEDICAL, DENTAL OR TOILETRY PURPOSES
- A61K31/00—Medicinal preparations containing organic active ingredients
- A61K31/33—Heterocyclic compounds
- A61K31/38—Heterocyclic compounds having sulfur as a ring hetero atom
- A61K31/381—Heterocyclic compounds having sulfur as a ring hetero atom having five-membered rings
-
- A—HUMAN NECESSITIES
- A61—MEDICAL OR VETERINARY SCIENCE; HYGIENE
- A61K—PREPARATIONS FOR MEDICAL, DENTAL OR TOILETRY PURPOSES
- A61K31/00—Medicinal preparations containing organic active ingredients
- A61K31/33—Heterocyclic compounds
- A61K31/395—Heterocyclic compounds having nitrogen as a ring hetero atom, e.g. guanethidine or rifamycins
- A61K31/40—Heterocyclic compounds having nitrogen as a ring hetero atom, e.g. guanethidine or rifamycins having five-membered rings with one nitrogen as the only ring hetero atom, e.g. sulpiride, succinimide, tolmetin, buflomedil
- A61K31/403—Heterocyclic compounds having nitrogen as a ring hetero atom, e.g. guanethidine or rifamycins having five-membered rings with one nitrogen as the only ring hetero atom, e.g. sulpiride, succinimide, tolmetin, buflomedil condensed with carbocyclic rings, e.g. carbazole
-
- A—HUMAN NECESSITIES
- A61—MEDICAL OR VETERINARY SCIENCE; HYGIENE
- A61K—PREPARATIONS FOR MEDICAL, DENTAL OR TOILETRY PURPOSES
- A61K31/00—Medicinal preparations containing organic active ingredients
- A61K31/33—Heterocyclic compounds
- A61K31/395—Heterocyclic compounds having nitrogen as a ring hetero atom, e.g. guanethidine or rifamycins
- A61K31/41—Heterocyclic compounds having nitrogen as a ring hetero atom, e.g. guanethidine or rifamycins having five-membered rings with two or more ring hetero atoms, at least one of which being nitrogen, e.g. tetrazole
-
- A—HUMAN NECESSITIES
- A61—MEDICAL OR VETERINARY SCIENCE; HYGIENE
- A61K—PREPARATIONS FOR MEDICAL, DENTAL OR TOILETRY PURPOSES
- A61K31/00—Medicinal preparations containing organic active ingredients
- A61K31/33—Heterocyclic compounds
- A61K31/395—Heterocyclic compounds having nitrogen as a ring hetero atom, e.g. guanethidine or rifamycins
- A61K31/41—Heterocyclic compounds having nitrogen as a ring hetero atom, e.g. guanethidine or rifamycins having five-membered rings with two or more ring hetero atoms, at least one of which being nitrogen, e.g. tetrazole
- A61K31/425—Thiazoles
-
- A—HUMAN NECESSITIES
- A61—MEDICAL OR VETERINARY SCIENCE; HYGIENE
- A61K—PREPARATIONS FOR MEDICAL, DENTAL OR TOILETRY PURPOSES
- A61K31/00—Medicinal preparations containing organic active ingredients
- A61K31/33—Heterocyclic compounds
- A61K31/395—Heterocyclic compounds having nitrogen as a ring hetero atom, e.g. guanethidine or rifamycins
- A61K31/435—Heterocyclic compounds having nitrogen as a ring hetero atom, e.g. guanethidine or rifamycins having six-membered rings with one nitrogen as the only ring hetero atom
- A61K31/44—Non condensed pyridines; Hydrogenated derivatives thereof
-
- A—HUMAN NECESSITIES
- A61—MEDICAL OR VETERINARY SCIENCE; HYGIENE
- A61K—PREPARATIONS FOR MEDICAL, DENTAL OR TOILETRY PURPOSES
- A61K31/00—Medicinal preparations containing organic active ingredients
- A61K31/33—Heterocyclic compounds
- A61K31/395—Heterocyclic compounds having nitrogen as a ring hetero atom, e.g. guanethidine or rifamycins
- A61K31/54—Heterocyclic compounds having nitrogen as a ring hetero atom, e.g. guanethidine or rifamycins having six-membered rings with at least one nitrogen and one sulfur as the ring hetero atoms, e.g. sulthiame
- A61K31/5415—Heterocyclic compounds having nitrogen as a ring hetero atom, e.g. guanethidine or rifamycins having six-membered rings with at least one nitrogen and one sulfur as the ring hetero atoms, e.g. sulthiame ortho- or peri-condensed with carbocyclic ring systems, e.g. phenothiazine, chlorpromazine, piroxicam
-
- A—HUMAN NECESSITIES
- A61—MEDICAL OR VETERINARY SCIENCE; HYGIENE
- A61K—PREPARATIONS FOR MEDICAL, DENTAL OR TOILETRY PURPOSES
- A61K45/00—Medicinal preparations containing active ingredients not provided for in groups A61K31/00 - A61K41/00
- A61K45/06—Mixtures of active ingredients without chemical characterisation, e.g. antiphlogistics and cardiaca
-
- A—HUMAN NECESSITIES
- A61—MEDICAL OR VETERINARY SCIENCE; HYGIENE
- A61P—SPECIFIC THERAPEUTIC ACTIVITY OF CHEMICAL COMPOUNDS OR MEDICINAL PREPARATIONS
- A61P35/00—Antineoplastic agents
Definitions
- Cancer is a major world- wide health problem. Those afflicted with cancer suffer physically and emotionally and, unless treated in a timely manner, die an early death. There is also a tremendous burden on the families and friends of those afflicted as well as on society at large. Although many drugs are in use for cancer treatment, there is a desire for additional cancer treatment agents. In addition, there is a desire for a method to prevent cancer, delay or slow down its onset and/or progression, or to prevent the progression of precancerous lesions into cancer.
- Akt is at the nexus of many signaling pathways and is thought to be an important target for therapeutic intervention in cancer. Activation of Akt occurs through ligand binding to growth factor receptors, activation of various oncogenes such as Ras, Egfr and Her2 or inactivation of tumor suppressor genes such as PTEN. Akt activation has been detected in a high percentage of multiple tumor types, as well as many types of premalignant lesions. Thus, enhanced activation of Akt likely contributes to the pathogenesis and/or maintenance of a wide variety of human malignancies, which is supported by the poor clinical outcomes associated with Akt activation in many of these tumors.
- Akt is a serine/threonine kinase with diverse targets involved in protein synthesis, cell cycle progression and resistance to apoptosis. In vitro as well as clinical studies have suggested that Akt may be an important target for cancer therapy. Akt is constitutively active in NSCLC cell lines and promotes resistance to chemotherapy drugs and radiation in vitro. Activation and overexpression of Akt are often associated with resistance to chemotherapy or radiotherapy in patients as well. Phosphorylation of Akt at S473, a marker of Akt activation, has been correlated with poor clinical outcomes in many tumor types, including lung, melanoma, breast, prostate, endometrial, gastric, pancreatic, and brain cancers, as well as acute myelogenous leukemia.
- Akt inhibition Reversal of drug resistance coupled with Akt inhibition has been demonstrated in both cell-based studies and animal models by PI3K inhibitors and by PTEN overexpression in PTEN-null cells. Dominant- negative mutants of Akt were also shown to enhance cytotoxicity by chemotherapeutic agents suggesting an important role of Akt in drug resistance. Furthermore, inhibition of receptor tyrosine kinases, such as epidermal growth factor receptor, sensitizes cells to chemotherapy or radiotherapy through downregulation of the PI3K-Akt pathway.
- receptor tyrosine kinases such as epidermal growth factor receptor
- the invention provides a method for inhibiting mTOR, inhibiting Akt, activating AMPK, treating or preventing development of cancer, and/or preventing progression of premalignant lesions to cancer in an animal comprising administering to the animal an effective amount of a compound as described herein in greater detail.
- the method involves the use of these compounds as single agents or in combination with conventional cancer therapy such as chemotherapy, biological therapy, or radiation.
- the invention further provides novel compounds and pharmaceutical compositions for use in treating or preventing development of cancer or preventing the progression of
- the invention also provides a method of inhibiting CSFlR.
- one or more compounds of the invention have the ability to simultaneously inhibit Akt and activate AMPK, providing profound inhibition of mTOR and/or an anti-cancer effect.
- Fig. 1 depicts dose-dependent regulation of Akt/mTOR signaling by
- Non-small cell lung cancer cells H1703, A549, and Hl 57 were cultured in RPMI 5% FBS and treated with vehicle or increasing doses NSC743411 (Nl 1) for 24 hours. Whole cell lysates were harvested and western blot analysis was performed.
- Fig. 2 depicts time-dependent regulation of Akt/mTOR signaling by
- H1703 and Hl 155 (LKBl wild-type NSCLC cells) were cultured in RPMI 5% FBS and treated with vehicle or Nl 1 at indicated time points. Whole cell lysates were harvested and western blot analysis was performed. [0009] Fig. 3 follows protein levels over time in the presence of DMSO or
- NSC743411 H157 and A549 (LKBl -deficient NSCLC cells) were cultured in RPMI 5% FBS and treated with vehicle or Nl 1 at indicated time points. Whole cell lysates were harvested and western blot analysis was performed.
- FIG. 4 depicts biomarker analysis of aNSC743411 -treated H1703 xenograft. Xenograft tumors were harvested and frozen in liquid nitrogen. Samples were
- the numbers 1071, 1074, 1069, 1078, 1073, 1072, 1077, and 1079 are mouse identification numbers.
- Fig. 5 depicts the NCI 60 toxicity screen for NSC 743411, also known as Nl 1, a compound in accordance with the invention, showing growth inhibition at micro-molar concentrations in a broad range of cell lines and cell killing at micro-molar concentrations in many cell lines.
- Fig. 5A depicts the screen for leukemia.
- Fig. 5B depicts the screen for colon cancer.
- Fig. 5C depicts the screen for ovarian cancer.
- Fig. 5D depicts the screen for non-small cell lung cancer.
- Fig. 5E depicts the screen for CNS cancer.
- Fig. 5F depicts the screen for renal cancer.
- Fig. 5G depicts the screen for breast cancer.
- Fig. 5H depicts the screen for melanoma.
- Fig. 51 depicts the screen for prostate cancer.
- Fig. 6 A depicts cell death induced by NSC 743411 in H 1703 as assessed by propidium iodide uptake in accordance with an embodiment of the invention.
- Fig. 6B depicts minimal apoptosis is induced by NSC 743411 in Hl 703 as assessed by sub Gl cellular DNA content measured by flow cytometry.
- Fig. 6 C depicts the morphology of Hl 703 cells with 24 h treatment of NSC 743411 in accordance with an embodiment of the invention.
- Western blots of crude WBC lysates were prepared 4 h after IP injection of 3 mice with 25 mg/kg NSC 743411 and 3 mice with vehicle only.
- Fig. 8 depicts the fold change of tumor volume in mice after implantation of H 1703 cells and injection of NSC 743411, in accordance with an embodiment of the invention. Data is reported as fold change in tumor volume relative to first day of dosing. Note that after Day 31, only odd-numbered days were monitored.
- Fig. 9 depicts the percent change in body weight in mice after implantation of H1703 cells and injection of NSC 743411, in accordance with an embodiment of the invention. Data is reported as % change in body weight relative to first day of dosing. Note that after Day 31, only odd-numbered days were monitored.
- Fig. 10 depicts the cell morphology change of A549 or Hl 703 cells by sulfonamide-2 in accordance with an embodiment of the invention.
- Fig. 1OA depicts H1703 cells treated with DMSO only.
- Fig. 1OB depicts the morphology of H1703 cells treated with sulfonamide-2.
- Fig. 1OC depicts the morphology of A549 cells treated with DMSO only.
- Fig. 1OD depicts the morphology of A549 cells treated with sulfonamide-2.
- Fig. 11 depicts the GI50 values for cell growth inhibition by sulfonamide-2 as a function of compound concentration in ⁇ M, in accordance with an embodiment of the invention.
- Fig. 1 IA depicts growth inhibition of A549 cells as a function of concentration of sulfonamide-2.
- Fig. 1 IB depicts growth inhibition of H 1703 cells as a function of concentration of sulfonamide-2.
- Fig. 12 depicts that sulfonamide-2 arrests the G2/M phase of cell growth, in accordance with an embodiment of the invention.
- Fig. 12A depicts the percentage of Hl 703 cells in G2/M cell cycle phase as a function of time.
- Fig. 12B and Fig. 12C depict the number of H1703 cells vs. fluorescence in the presence of DMSO or sulfonamide-2, respectively.
- Fig. 12D depicts the percentage of survival of A549 cells as a function of time.
- Fig. 12E and Fig. 12F depict the number of A549 cells vs. fluorescence in the presence of DMSO or sulfonamide-2, respectively.
- Fig. 13 depicts that sulfonamide-2 causes G2/M phase arrest and increases acetylated tubulin expression of A549 cells, in accordance with an embodiment of the invention.
- Fig. 13A depicts the morphology of A549 cells treated with DMSO only.
- Fig. 13B depicts the morphology of the cells treated with sulfonamide-2.
- Fig. 14 depicts the percentage of viable cells of H 1703 cells as a function of time. Cell death caused by sulfonamide-2 is shown by Trypan Blue staining, in accordance with an embodiment of the invention.
- Fig. 15A depicts the number of viable H1703 cells treated with sulfonamide-2 on day 5 in full serum condition as a function of its fluorescence and Fig. 15B depicts the morphology of the cells, in accordance with an embodiment of the invention.
- Fig. 16 depicts the percentage of nonapoptotic cell death of A549 cells with or without SiRNA, in accordance with an embodiment of the invention.
- the invention provides a method for inhibiting mTOR comprising administering an effective amount of a compound having one of the following structures:
- the present invention also provides a compound for inhibiting mTOR, wherein the compound has one of the above structures or a prodrug, salt, or solvate thereof.
- the compounds above or prodrugs, salts, or solvates thereof inhibit the activation of Akt, particularly Aktl in certain cancer cell types, hi an embodiment, the compounds inhibit the binding of Akt's pleckstrin homology (PH) domain to a
- AMPK AMP-activated protein kinase
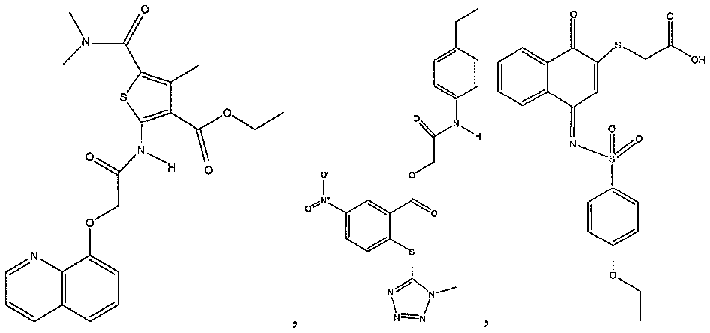
- preferred compounds include NSC
- NSC 743402 NSC 743403, NSC 743404, NSC 743407, NSC 743408, NSC 743409, NSC 743410, and NSC 743411. More preferred compounds include NSC 743404, NSC 743408, and NSC 743411, whose structures are set forth below, respectively. NSC 743411 is further preferred.
- the above compounds, or prodrugs, salts, or solvates thereof are targeted for use in the treatment of cancer, prevention of cancer, and in preventing the progress of development of precancerous lesions into cancer, wherein the cancer can be a cancer in any organ, for example, a cancer selected from the group consisting of glioma, thyroid carcinoma, breast carcinoma, small-cell lung carcinoma, non-small-cell carcinoma, gastric carcinoma, colon carcinoma, gastrointestinal stromal tumor, pancreatic carcinoma, bile duct carcinoma, CNS carcinoma, ovarian carcinoma, endometrial carcinoma, prostate carcinoma, renal carcinoma, anaplastic large-cell lymphoma, leukemia, multiple myeloma, mesothelioma, and melanoma, and combinations thereof, particularly a cancer selected from the group consisting of leukemia, non- small-cell carcinoma, breast carcinoma, colon carcinoma, CNS carcinoma, melanoma, ovarian carcinoma, renal carcinoma, and prostate carcinoma, more particularly, the cancer is a non-
- A is C 6 -C 20 aryl, C 6 -C 20 aryl C 1 -C 6 alkyl C 6 -C 20 aryl, heteroaryl, or
- heteroaryl C 1 -C 6 alkyl optionally further substituted, at the aryl, alkyl, or at the heteroaryl moiety, with one or more substituents selected from the group consisting of C 2 -C 6 alkenyl, halo, monohalo C 1 -C 6 alkyl, dihalo Ci-C 6 alkyl, trihalo Ci-C 6 alkyl, Cj-C 6 alkoxy, and hydroxy C]-C 6 alkyl;
- R 1 is selected from the group consisting Of C 1 -C 6 alkyl, monohalo Ci-C 6 alkyl, dihalo Ci-C 6 alkyl, trihalo Ci-C 6 alkyl, Ci-C 6 alkoxy, and nitro;
- R 2 is selected from the group consisting of hydrogen, C 2 -C 6 alkenyl, halo, monohalo Ci-C 6 alkyl, dihalo Ci-C 6 alkyl, trihalo Ci-C 6 alkyl, Ci-C 6 alkoxy, hydroxy C 1 - C 6 alkyl, and heterocyclyl which may be optionally substituted with a substituent selected from the group consisting of hydroxy, C 2 -C 6 alkenyl, and Ci-C 6 alkoxy carbonyl amino C 1 -C 6 alkyl;
- R 4 is selected from the group consisting of carboxy Ci-C 6 alkyl, carboxy Cj-C 6 alkoxy, and carboxy Ci-C 6 alkylthio;
- R 5 is hydrogen, C 6 -C 2O aryl which may be linked at one carbon atom or on two carbon atoms as fused, C 2 -C 6 alkenyl, halo, monohalo Q-C 6 alkyl, dihalo Ci-C 6 alkyl, trihalo Ci-C 6 alkyl, Ci-C 6 alkoxy, hydroxy Cj-C 6 alkyl, and heterocyclyl, which may be optionally substituted with a substituent selected from the group consisting of Ci-C 6 alkyl, halo, nitro, hydroxy, C 2 -C 6 alkenyl, and Ci-C 6 alkoxy carbonyl amino C]-C 6 alkyl; and a, b, c, d, and e are independently 0 to 6;
- the present invention provides a compound for inhibiting mTOR, wherein the compound is of formula (I), (II), (III), or (IV) above or a prodrug, salt, or solvate thereof.
- the compounds above or prodrugs, salts, or solvates thereof inhibit the activation of Akt, particularly Aktl in certain cancer cell types.
- the compounds inhibit the binding of Akt's pleckstrin homology (PH) domain to a phosphoinositide.
- the compounds above activate AMP-activated protein kinase (AMPK).
- AMPK AMP-activated protein kinase
- the above compounds, or prodrugs, salts, or solvates thereof are targeted for use in the treatment of cancer, prevention of cancer, and in preventing the progress of development of precancerous lesions into cancer, wherein the cancer can be a cancer in any organ, for example, a cancer selected from the group consisting of glioma, thyroid carcinoma, breast carcinoma, small-cell lung carcinoma, non-small-cell carcinoma, gastric carcinoma, colon carcinoma, gastrointestinal stromal tumor, pancreatic carcinoma, bile duct carcinoma, CNS carcinoma, ovarian carcinoma, endometrial carcinoma, prostate carcinoma, renal carcinoma, anaplastic large-cell lymphoma, leukemia, multiple myeloma, mesothelioma, and melanoma, and combinations thereof, particularly a cancer selected from the group consisting of leukemia, non-small-cell carcinoma, breast carcinoma, colon carcinoma, CNS carcinoma, melanoma, ovarian carcinoma, renal carcinoma, and prostate carcinoma, more particularly, the cancer is a non-
- the present invention also provides a compound of one of formulas (I)-(IV):
- A is C 6 -C 20 aryl, C 6 -C 20 aryl C 1 -C 6 alkyl C 6 -C 2O aryl, heteroaryl, or heteroaryl Ci-C 6 alkyl, optionally further substituted, at the aryl, alkyl, or at the heteroaryl moiety, with one or more substituents selected from the group consisting of C 2 -C 6 alkenyl, halo, monohalo Cj-C 6 alkyl, dihalo Ci-C 6 alkyl, trihalo Ci-C 6 alkyl, Ci-C 6 alkoxy, and hydroxy C 1 -C 6 alkyl;
- R 1 is selected from the group consisting of Ci-C 6 alkyl, monohalo Ci-C 6 alkyl, dihalo Ci-C 6 alkyl, trihalo C t -C 6 alkyl, Ci-C 6 alkoxy, and nitro;
- R 2 is selected from the group consisting of hydrogen, C 2 -C 6 alkenyl, halo, monohalo Cj-C 6 alkyl, dihalo C 1 -C 6 alkyl, trihalo Ci-C 6 alkyl, CrC 6 alkoxy, hydroxy C 1 - C 6 alkyl, and heterocyclyl which may be optionally substituted with a substituent selected from the group consisting of hydroxy, C 2 -C 6 alkenyl, and C 1 -C 6 alkoxy carbonyl amino Ci-C 6 alkyl;
- R 4 is selected from the group consisting of carboxy C]-C 6 alkyl, carboxy Cj-C 6 alkoxy, and carboxy Cj-C 6 alkylthio;
- R 5 is hydrogen, C 6 -C 20 aryl which may be linked at one carbon atom or on two carbon atoms as fused, C 2 -C 6 alkenyl, halo, monohalo Cj-C 6 alkyl, dihalo Cj-C 6 alkyl, trihalo Cj-C 6 alkyl, Cj-C 6 alkoxy, hydroxy Cj-C 6 alkyl, and heterocyclyl, which may be optionally substituted with a substituent selected from the group consisting of Cj-C 6 alkyl, halo, nitro, hydroxy, C 2 -C 6 alkenyl, and Cj-C 6 alkoxy carbonyl amino Ci-C 6 alkyl; and a, b, c, d, and e are independently 0 to 6;
- aryl refers to a mono, bi, or tricyclic carbocyclic ring system having one, two, or three aromatic rings, for example, phenyl, naphthyl, anthracenyl, or biphenyl.
- heteroaryl refers to a cyclic aromatic radical having from five to ten ring atoms of which at least one atom is O, S, or N, and the remaining atoms are carbon.
- heteroaryl radicals include indolyl, pyridyl, pyrazinyl, pyrimidinyl, pyrrolyl, pyrazolyl, imidazolyl, thiazolyl, oxazolyl, isooxazolyl, thiadiazolyl, oxadiazolyl, thiophenyl, furanyl, quinolinyl, and isoquinolinyl.
- the alkyl group is preferably a Ci -C 3 alkyl.
- alkyl group include methyl, ethyl, n-propyl, isopropyl, n-butyl, sec-butyl, isobutyl, tert-butyl, n-pentyl, isopentyl, n-hexyl, and the like. This definition also applies wherever 'alkyl" occurs such as in hydroxyalkyl, monohalo alkyl, dihalo alkyl, and trihalo alkyl.
- the alkenyl group is preferably a C 2 -C 4 alkenyl.
- alkenyl group include ethenyl, allyl, 2-propenyl, 1-butenyl, 2- butenyl, 1-pentenyl, 2-pentenyl, 3-pentenyl, 1-hexenyl, and the like.
- the alkoxy group is preferably a Ci-C 3 alkoxy.
- alkoxy group include methoxy, ethoxy, n-propoxy, isopropoxy, n- butoxy, sec-butoxy, isobutoxy, tert-butoxy, n-pentoxy, isopentoxy, n-hexoxy, and the like.
- halo refers to a halogen selected from the group consisting of fluorine, chlorine, bromine, and iodine, preferably chlorine or bromine.
- Heterocyclyl groups include heteroaryl groups described above and further include cyclic groups, saturated or unsaturated, having a hetero atom.
- heterocyclyl groups include indolyl, pyridyl, piperidinyl, piperazinyl, pyrazinyl, pyrolyl, pyranyl, tetrahydropyranyl, tetrahydrothiopyranyl, pyrrolidinyl, furanyl, tetrahydrofuranyl, thiophenyl, tetrahydrothiophenyl, purinyl, pyrimidinyl, thiazolyl, thiazolidinyl, thiazolinyl, oxazolyl, triazolyl, tetrazolyl, tetrazinyl, benzoxazolyl, morpholinyl, thiophorpholinyl, quinolinyl, and isoquinolinyl, each of
- R 1 is preferably hydrogen, methyl, ethyl, nitro, methoxy, ethoxy, or trifluoromethyl.
- R 2 is preferably allyl, bromo,
- R 4 is preferably carboxymethylthio or carboxyethylthio.
- R 5 is preferably phenyl or benzo.
- the alkyl, alkoxy, and alkylamino groups can be linear or branched.
- a substituent e.g., halo, amino, alkyl, hydroxyl, alkoxy, and others
- the aromatic ring hydrogen is replaced with the substituent and this can take place in any of the available hydrogens, e.g., 2, 3, 4, 5, and/or 6-position wherein the 1 -position is the point of attachment of the aryl group in the compound of the present invention.
- animal refers to any member of the animal kingdom.
- animal refers to a human, at any stage of development.
- animal includes mammals, birds, reptiles, amphibians, fish, and worms.
- the non-human animal is a mammal, e.g., a rodent, a mouse, a rat, a rabbit, a monkey, a dog, a cat, a sheep, cattle, a primate, or a pig.
- the animal may also be a transgenic animal, genetically engineered animal, or a clone.
- the method involves administering a compound of formula (I), or a prodrug, salt, or solvate thereof, wherein a, b, and c are 0.
- the method involves administering a compound of formula (I), or a prodrug, salt, or solvate thereof, wherein a, b, and c are 1.
- the method involves administering a compound of formula (I), or a prodrug, salt, or solvate thereof, wherein a is 0 and b and c are 0.
- the method involves administering a compound of formula (I), or a prodrug, salt, or solvate thereof, wherein a and c are 0 and b is 1.
- the method involves administering a compound of formula (II), or a prodrug, salt, or solvate thereof, wherein a, b, and c are 0.
- a specific example of compound of formula II includes:
- the invention also provides a pharmaceutical composition
- a pharmaceutical composition comprising a compound, prodrug, salt, or solvate described above and a pharmaceutically acceptable carrier.
- prodrug denotes a derivative of a compound, which derivative, when administered to warm-blooded animals, e.g. humans, is converted into the compound (drug).
- the enzymatic and/or chemical hydrolytic cleavage of the compounds of the present invention occurs in such a manner that the proven drug form (parent carboxylic acid drug) is released, and the moiety or moieties split off remain nontoxic or are metabolized so that nontoxic metabolic products are produced.
- Non-limiting examples include esters, amides, ethers, and carbonates.
- salts or “pharmaceutically acceptable salt” is intended to include nontoxic salts synthesized from the parent compound which contains a basic or acidic moiety by conventional chemical methods.
- such salts can be prepared by reacting the free acid or base forms of these compounds with a stoichiometric amount of the appropriate base or acid in water or in an organic solvent, or in a mixture of the two.
- nonaqueous media such as ether, ethyl acetate, ethanol, isopropanol, or acetonitrile are preferred.
- Lists of suitable salts are found in Remington 's Pharmaceutical Sciences, 18th ed., Mack Publishing Company, Easton, PA, 1990, p. 1445, and Journal of Pharmaceutical Science, 66, 2-19 (1977).
- they can be a salt of an alkali metal (e.g., sodium or potassium), alkaline earth metal (e.g., calcium), or ammonium of salt.
- the compounds of the various embodiments of the invention can be obtained from commercial sources or synthesized following procedures taught in the literature, for example, Zawaba, T. P., et al, J Am. Chem. Soc, 2005, 127, 11250-11251 and supplemental materials S1-S28; Zawaba, T. P., et al., Organic Letters, 2007, 9, 2035-2038 and S1-S28; Sherman, E. S., et al., Organic Letters, 2004, 6, 1573-1575 and Sl-SlO; Sherman, E. S., et al., J. Org. Chem., 2007, 72, 3896-3905 and S1-S36.
- the cancer is characterized by any suitable cell line, particularly A549 and H 1703 cell lines.
- the compound of formulas (I)-(IV) arrest the G2/M phase of the cancer cell cycle.
- the recitation of a range of 1-8 carbon atoms e.g., Ci-C 8
- 1-6 carbon atoms e.g., Ci-C 6
- 1-4 carbon atoms e.g., Cj-C 4
- 1-3 carbon atoms e.g., C 1 -C 3
- 2-8 carbon atoms e.g., C 2 -C 8
- any chemical group e.g., alkyl, haloalkyl, alkylamino, alkenyl, etc. referenced herein encompasses and specifically describes 1, 2, 3, 4, 5, 6, 7, or 8 carbon atoms, as
- any sub-range thereof e.g., 1-2 carbon atoms, 1-3 carbon atoms, 1- 4 carbon atoms, 1-5 carbon atoms, 1-6 carbon atoms, 1-7 carbon atoms, 1-8 carbon atoms, 2-3 carbon atoms, 2-4 carbon atoms, 2-5 carbon atoms, 2-6 carbon atoms, 2-7 carbon atoms, 2-8 carbon atoms, 3-4 carbon atoms, 3-5 carbon atoms, 3-6 carbon atoms, 3-7 carbon atoms, 3-8 carbon atoms, 4-5 carbon atoms, 4-6 carbon atoms, 4-7 carbon atoms, 4-8 carbon atoms, 5-6 carbon atoms, 5-7 carbon atoms, 5-8 carbon atoms, 6-7 carbon atoms, or 6-8 carbon atoms, as appropriate).
- the compounds, or a prodrugs, salts, or solvates thereof preferably inhibit the binding of Akt's pleckstrin homology (PH) domain to a phosphoinositide.
- the cancer can be any cancer in any organ, for example, a cancer is selected from the group consisting of glioma, thyroid carcinoma, breast carcinoma, small-cell lung carcinoma, non- small-cell carcinoma, gastric carcinoma, colon carcinoma, gastrointestinal stromal carcinoma, pancreatic carcinoma, bile duct carcinoma, CNS carcinoma, ovarian carcinoma, endometrial carcinoma, prostate carcinoma, renal carcinoma, anaplastic large-cell lymphoma, leukemia, multiple myeloma, mesothelioma, and melanoma, and combinations thereof.
- a cancer is selected from the group consisting of glioma, thyroid carcinoma, breast carcinoma, small-cell lung carcinoma, non- small-cell carcinoma, gastric carcinoma, colon carcinoma, gastrointestinal stromal carcinoma, pancreatic carcinoma, bile duct carcinoma, CNS carcinoma, ovarian carcinoma, endometrial carcinoma, prostate carcinoma, renal carcinoma, anaplastic large-cell lymphoma, leukemia, multiple myeloma, mesotheliom
- the method can be carried out in conjunction with another cancer therapy.
- the another cancer therapy comprises chemotherapy, radiation therapy, or biological therapy.
- the biological therapy involves administration of a protein, which may be an antibody or a recombinant protein.
- the combination therapy can be carried out such that the two therapies can be administered simultaneously or sequentially, and when administered sequentially, in any order, i.e., a radiation therapy, biological therapy, or a conventional chemotherapeutic agent first followed by the administration of the compound of the invention, or a compound of the invention administered first followed by radiation therapy, biological therapy, or administration of the conventional chemotherapeutic agent.
- the another cancer therapy comprises
- chemotherapy which could involve the administration of any suitable chemotherapy agent, for example, an agent selected from the group consisting of abarelix, aldesleukin, alemtuzumab, altretamine, amifostine, aminoglutethimide, anastrazole, arsenic trioxide, asparaginase, azacitidine, azathioprine, BCG vaccine, bevacizumab, bexarotene, bicalutamide, bleomycin sulfate, bortezomib, bromocriptine, busulfan, capecitabine, carboplatin, carmustine, cetuximab, chlorambucil, chloroquine phosphate, cladribine, cyclophosphamide, cyclosporine, cytarabine, dacarbazine, dactinomycin, daunorubicin hydrochloride, daunorubicin citrate liposomal, dexrazoxane
- the present invention further provides a method of treating an animal for a disease or adverse condition that responds to inhibiting the activity of CSFlR receptor comprising administering to the animal an effective amount of the compound of the formula or a prodrug, salt, or solvate thereof,
- diseases or the adverse condition include chronic myelomonocytic leukemia, Alzheimer's disease, and brain injury.
- the compounds, or prodrugs, salts, or solvates thereof can be administered as such or in the form of a pharmaceutical composition.
- the pharmaceutical composition comprises at least one compound, or a prodrug, salt, or solvate thereof, and a pharmaceutically acceptable carrier.
- the pharmaceutical composition may include two, three or more agents, at least one of which is a compound of the invention as described above, in combination with one or more conventional chemotherapeutic agents.
- the pharmaceutically acceptable carrier can be any of those conventionally used and is limited only by chemico-physical considerations, such as solubility and lack of reactivity with the compound, and by the route of administration. It will be appreciated by one of skill in the art that, in addition to the following described pharmaceutical compositions; the compounds, salts, or conjugates of the present invention can be formulated as inclusion complexes, such as cyclodextrin inclusion complexes, or liposomes.
- compositions described herein for example, vehicles, adjuvants, excipients, or diluents, are well known to those who are skilled in the art and are readily available to the public. It is preferred that the pharmaceutically acceptable carrier be one which is chemically inert to the active compounds and one which has no detrimental side effects or toxicity under the conditions of use.
- compositions of the present invention are merely exemplary and are in no way limiting.
- Formulations suitable for oral administration can consist of (a) liquid solutions, such as an effective amount of the compound, salt, or conjugate dissolved in diluents, such as water, saline, or orange juice; (b) capsules, sachets, tablets, lozenges, and troches, each containing a predetermined amount of the active ingredient, as solids or granules; (c) powders; (d) suspensions in an appropriate liquid; and (e) suitable emulsions.
- Liquid formulations may include diluents, such as water and alcohols, for example, ethanol, benzyl alcohol, and the polyethylene alcohols, either with or without the addition of a pharmaceutically acceptable surfactant, suspending agent, or emulsifying agent.
- diluents such as water and alcohols, for example, ethanol, benzyl alcohol, and the polyethylene alcohols, either with or without the addition of a pharmaceutically acceptable surfactant, suspending agent, or emulsifying agent.
- Capsule forms can be of the ordinary hard- or soft-shelled gelatin type containing, for example, surfactants, lubricants, and inert fillers, such as lactose, sucrose, calcium phosphate, and cornstarch.
- Tablet forms can include one or more of lactose, sucrose, mannitol, corn starch, potato starch, alginic acid, microcrystalline cellulose, acacia, gelatin, guar gum, colloidal silicon dioxide, croscarmellose sodium, talc, magnesium stearate, calcium stearate, zinc stearate, stearic acid, and other excipients, colorants, diluents, buffering agents, disintegrating agents, moistening agents, preservatives, flavoring agents, and pharmacologically compatible carriers.
- Lozenge forms can comprise the active ingredient in a flavor, usually sucrose and acacia or tragacanth, as well as pastilles comprising the active ingredient in an inert base, such as gelatin and glycerin, or sucrose and acacia, emulsions, gels, and the like containing, in addition to the active ingredient, such carriers as are known in the art.
- a flavor usually sucrose and acacia or tragacanth
- pastilles comprising the active ingredient in an inert base, such as gelatin and glycerin, or sucrose and acacia, emulsions, gels, and the like containing, in addition to the active ingredient, such carriers as are known in the art.
- the compounds, or prodrugs, salts, or solvates thereof, of the present invention can be made into aerosol formulations to be administered via inhalation.
- aerosol formulations can be placed into pressurized acceptable propellants, such as dichlorodifluoromethane, propane, nitrogen, and the like. They also may be formulated as pharmaceuticals for non-pressured preparations, such as in a nebulizer or an atomizer.
- Formulations suitable for parenteral administration include aqueous and nonaqueous, isotonic sterile injection solutions, which can contain anti-oxidants, buffers, bacteriostats, and solutes that render the formulation isotonic with the blood of the intended recipient, and aqueous and non-aqueous sterile suspensions that can include suspending agents, solubilizers, thickening agents, stabilizers, and preservatives.
- the compound, or a prodrug, salt, or solvate thereof can be administered in a physiologically acceptable diluent in a pharmaceutical carrier, such as a sterile liquid or mixture of liquids, including water, saline, aqueous dextrose and related sugar solutions, an alcohol, such as ethanol, isopropanol, or hexadecyl alcohol, glycols, such as propylene glycol or polyethylene glycol, glycerol ketals, such as 2,2-dimethyl-l,3-dioxolane-4-methanol, ethers, such as poly(ethyleneglycol) 400, an oil, a fatty acid, a fatty acid ester or glyceride, or an acetylated fatty acid glyceride with or without the addition of a pharmaceutically acceptable surfactant, such as a soap or a detergent, suspending agent, such as pectin, carbomers, methylcellulose, hydroxypropylmethylcellulose, or
- Oils which can be used in parenteral formulations include petroleum, animal, vegetable, or synthetic oils. Specific examples of oils include peanut, soybean, sesame, cottonseed, corn, olive, petrolatum, and mineral. Suitable fatty acids for use in parenteral formulations include oleic acid, stearic acid, and isostearic acid. Ethyl oleate and isopropyl myristate are examples of suitable fatty acid esters.
- Suitable soaps for use in parenteral formulations include fatty alkali metal, ammonium, and triethanolamine salts
- suitable detergents include (a) cationic detergents such as, for example, dimethyl dialkyl ammonium halides, and alkyl pyridinium halides, (b) anionic detergents such as, for example, alkyl, aryl, and olefin sulfonates, alkyl, olefin, ether, and monoglyceride sulfates, and sulfo succinates, (c) nonionic detergents such as, for example, fatty amine oxides, fatty acid alkanolamides, and polyoxyethylene-polypropylene copolymers, (d) amphoteric detergents such as, for example, alkyl-beta-aminopropionates, and 2-alkyl- imidazoline quaternary ammonium salts, and (3) mixtures thereof.
- the parenteral formulations will typically contain from about 0.5 to about 25% by weight of the compound, or a prodrug, salt, or solvate thereof, in solution. Suitable preservatives and buffers can be used in such formulations. In order to minimize or eliminate irritation at the site of injection, such compositions may contain one or more nonionic surfactants having a hydrophile-lipophile balance (HLB) of from about 12 to about 17. The quantity of surfactant in such formulations ranges from about 5 to about 15% by weight.
- HLB hydrophile-lipophile balance
- Suitable surfactants include polyethylene sorbitan fatty acid esters, such as sorbitan monooleate and the high molecular weight adducts of ethylene oxide with a hydrophobic base, formed by the condensation of propylene oxide with propylene glycol.
- the parenteral formulations can be presented in unit-dose or multi-dose sealed containers, such as ampoules and vials, and can be stored in a freeze-dried (lyophilized) condition requiring only the addition of the sterile liquid carrier, for example, water, for injections, immediately prior to use. Extemporaneous injection solutions and suspensions can be prepared from sterile powders, granules, and tablets of the kind previously described.
- the compounds, prodrugs, salts, or solvates thereof, may be made into injectable formulations.
- the requirements for effective pharmaceutical carriers for injectable compositions are well known to those of ordinary skill in the art. See
- the compounds, prodrugs, salts, or solvates thereof may be made into suppositories by mixing with a variety of bases, such as emulsifying bases or water- soluble bases.
- bases such as emulsifying bases or water- soluble bases.
- Formulations suitable for vaginal administration may be presented as pessaries, tampons, creams, gels, pastes, foams, or spray formulas containing, in addition to the active ingredient, such carriers as are known in the art to be appropriate.
- the compounds can be used in any suitable dose. Suitable doses and dosage regimens can be determined by conventional range finding techniques. Generally treatment is initiated with smaller dosages, which are less than the optimum dose.
- the dosage is increased by small increments until optimum effect under the circumstances is reached.
- the total daily dosage may be divided and administered in portions during the day if desired, hi proper doses and with suitable administration of certain compounds, the present invention provides for a wide range of responses.
- the dosages range from about 0.001 to about 1000 mg/kg body weight of the animal being treated/day.
- the compounds, products, salts, or solvates may be administered from about 100 mg/kg to about 300 mg/kg, from about 120 mg/kg to about 280 mg/kg, from about 140 mg/kg to about 260 mg/kg, from about 150 mg/kg to about 250 mg/kg, from about 160 mg/kg to about 240 mg/kg, of subject body weight per day, one or more times a day, to obtain the desired therapeutic effect.
- the compounds, prodrugs, salts, or solvates may be administered at a lower dosage, for example, from about 1 mg/kg to about 80 mg/kg, from about 5 mg/kg to about 70 mg/kg, from about 10 mg/kg to about 70 mg/kg, from about 10 mg/kg to about 60 mg/kg, from about 20 mg/kg to about 70 mg/kg, from about 20 nig/kg to about 60 mg/kg, of subject body weight per day, one or more times a day, to obtain the desired effect.
- the treatment can be prophylactic or therapeutic.
- preventing the progression is meant any degree (10, 20, 30, 40, 50, 60, 70, 80, 90% or more) in inhibition of the onset of cancer or progression of precancerous lesions into cancer, including complete inhibition.
- treatment is meant any degree (10, 20, 30, 40, 50, 60, 70, 80, 90% or more) in inhibition of the growth or metastasis of the cancer in the animal (e.g., human).
- NSCLC cell lines H157, H1703, H460, PC3 and MDA MB468 were grown and maintained in RPMI 1640 (Life Technologies, Gaithersburg, MD) plus 5 or 10% fetal bovine serum and 50 ug/mL gentamycin. For low serum conditions, the serum
- Antibodies for western blot analysis were purchased from Cell Signaling Technology (Beverly, MA) except total Akt antibody (BD biosciences, San Jose, CA). Secondary antibodies used for immunofluorescence were anti-mouse Alexa- fluor488 and anti-rabbit Alexa-fluor568 (Molecular Probes). AMPK antibody and secondary antibody were from Cell Signaling. IR dye-linked antibodies were from
- LY294002 was purchased from Calbiochem EMD
- PVDF polyvinylidene difluoride
- Detection of pS473 and total Akt were done simultaneously using two different primary antibody species and secondary antibodies of different wavelengths for simultaneous two- color detection using an Odyssey infrared scanner (Licor, Lincoln, NE). Immunoblot experiments were performed at least three times.
- NCI 60 Cell Line Screen Upon submission for testing, each compound was given a unique NSC number by the National Cancer Institute, Developmental
- Xenograft tumors were harvested and frozen in liquid nitrogen. Samples were homogenized, resuspended in RIPA lysis buffer, and western blot analysis performed (15 ⁇ g protein).
- Akt inhibition was calculated as the relative decrease in the pS473/total Akt ratio compared with the DMSO negative control, and was visibly apparent as a decrease in green signal (pS473). 21 of 105 (20%) compounds inhibited Akt
- Akt inhibitors 4 Akt activators were identified (data not shown). These 25 Akt inhibitors and activators were tested in another cell line with wild type PTEN (H1703). Surprisingly, two of the compounds that activated Akt in H157 cells inhibited Akt in Hl 703 cells (Table 1).
- Table 1 Akt inhibitors identified by in vitro screening on Hl 703, MB468, PC3, H460 and Hl 57 non-small cell lung cancer cell lines.
- a (-) indicates Akt inhibition and (n) indicates no change, as measured by change in S473 phosphorylation on western blots.
- GI50 and LC50 the average concentration ( ⁇ M) giving 50% growth inhibition (GI) or death (LC) in the NCI60 cell lines.
- NSC 743411 activates AMPK.
- AMPK and Akt are upstream of mTOR.
- AMPK Activation of AMPK negatively regulates mTOR independently of Akt inhibition, which also negatively regulates mTOR.
- Activation of AMPK and inhibition of Akt with NSC 743411 occur with similar dose- and time-dependence. Simultaneous inhibition of Akt and activation of AMPK would likely result in profound inhibition of mTOR and enhance the anticancer activity.
- NSC 743411 was the most potent compound tested in the NCI 60 cell line screen, (Fig. 5), while the composite dose-response curves were similar for NSC 743404 and NSC 743408. For the majority of the cell lines, NSC743411 exhibited little or no inhibition of proliferation at 1 ⁇ M, but had near complete growth inhibition or cytotoxicity at 10 ⁇ M. The average GI50 for NSC 743411 was approximately 4 ⁇ M; the average LC50 was 43.7 ⁇ M. However, more than 30% of the cell lines had total growth inhibition at doses of 10 ⁇ M or less (Fig 5, Table 1). Due to its superior broad-range cytotoxicity, NSC743411 was chosen for further investigation.
- NSC 743411 induces non-apoptotic cell death.
- H 1703 cells have high levels of constitutively active Akt and depend upon Akt for survival. Morphological changes consistent with cytotoxicity were apparent in multiple cell lines treated with NSC 743411, but Hl 703 appeared to be among the most sensitive.
- Hl 703 appeared to be among the most sensitive.
- NSC 743411 Inhibits At in a Dose- and Time-Dependent Manner. Since Akt inhibition was initially assessed at a single dose and time, additional studies were conducted to determine the dose and time dependence of Akt inhibition by NSC 743411. First, the efficacy of NSC 743411 was assessed in 5% FBS. NSC 743411 inhibited Akt equally well in 0.5% FBS or 5% FBS; thus, all subsequent experiments were performed in 5% FBS. Upon treatment of H1703 cells for 8 h with NSC 743411, Akt phosphorylation was decreased with concentrations as low as 10 ⁇ M.
- NSC 743411 decreased Akt phosphorylation without affecting total levels of Akt in four NSCLC cell lines (Table 1). Inhibition was observed as early as 6 h with 10 ⁇ M NSC743411, and was sustained for at least 24 hours after treatment, although many cells appeared dead at this time. At 20 uM, Akt inhibition was observed as early as 2h. To verify that loss of Akt phosphorylation on S473 was coupled with loss of Akt kinase activity, imrnunoblots were also probed with antibodies to assess phosphorylation of Akt downstream targets.
- GSK-3ab (S9/21) is a direct substrate of Akt, whereas pS6 (S235/236) is indirectly phosphorylated following Akt-dependent activation of mTOR and subsequently, S6-kinase.
- 4EBP-1 is another substrate of mTOR. Phosphorylation of each downstream substrate decreased
- NSC 743411 suppresses tumor growth in vivo and has limited toxicity in vivo. See Figs. 8 and 9. There is no statistical difference between vehicle and 5 mg/kg but there is between vehicle and 50 mg/kg.
- NSC 743411 does not inhibit Akt via the kinase domain. Akt inhibition by the lead compounds should not be via the Akt kinase domain since these compounds were specifically screened for binding to the PH domain.
- NSC 743404, NSC 743408 and NSC743411 were subjected to the Ambit Kineome scan 96, which tests inhibition of ATP binding to active sites of a panel of 96 kinases. This approach has been shown to be an excellent predictor of kinase inhibition by small molecules. None of the 3 lead compounds inhibited binding of ATP to Aktl or Akt2, as expected for a PH-domain selective inhibitor.
- NSC 743408 and NSC743411 had no activity for any of the kinases on the panel, but NSC 743404 inhibited CSFlR binding to ATP by 97% but had no activity for other kinases.
- NSC743411 in Akt inhibition and cell killing in 10% fetal bovine serum suggests that it has potential for activity under physiological conditions, hi support of this, a small in vivo study showed that 25 mg/kg of NSC743411 can inhibit pS473-Akt in PBMCs 4 h after intraperitoneal injection in mice (Fig. 7) with no obvious adverse health effects.
- NSC 743411 only targets the PH domain of Aktl, and that active Aktl may be more important for survival of tumor cell lines than the other Akt family members, Akt2 and Akt3.
- Active Aktl has been shown to be oncogenic, and genetic deletion of Akt can prevent tumorigenesis in mice.
- a mutation in the PH domain of Aktl was described in breast, colorectal, and ovarian tumors and squamous cell carcinomas of the lung. This mutation causes increased localization of Aktl to the membrane and can transform fibroblasts in culture and cause leukemia in mice.
- deletion of Aktl alone can prevent tumor formation in mouse models suggesting that inhibition of Aktl may be a potential strategy for tumor prevention and therapy.
- the lead compound, NSC 743411 inhibited Akt phosphorylation, prevented phosphorylated Akt from localizing to the membrane and led to inhibition of growth and increased cell death in a variety of tumor types at physiologically achievable doses.
- This example illustrates the activity of a compound in accordance with an embodiment of the invention.
- Compounds designated as sulfonamide- 1 to sulfonamide- 12, sulfamide-1 to sulfamide-8, and sultam-1 to sultam-3 were tested on Hl 57, A549, and H1703 cell lines.
- H157 is a lung adenocarcinoma cell line with P-Akt+, p53 codon 285 CAG- AAG;
- A549 is a lung adenocarcinoma cell line, P-Akt-, p53 wild type;
- H157 is a lung squamous carcinoma cell line, P-Akt+, p53 nonsense mutation at codon 298.
- the cells were exposed for 2 hours at 25 ⁇ M of the compounds. Iramunoblotting results are shown in Tables 2-3. The sultam compounds either activated or showed no inhibition of Akt.
- FIG. 10-16 This example illustrates some other properties of sulfonamide-2 as shown in Figures 10-16.
- the compound inhibited the growth of A549 cells as shown by the change in cell morphology depicted in Fig. 10.
- the GI50 values are shown in Fig, 11.
- the sulfonamide also arrests the G2/M phase of cell growth as shown in Fig. 12.
- the sulfonamide causes G2/M phase arrest and increases acetylated tubulin expression of A549 cells as shown in Fig. 13.
- the sulfonamide also caused nonapoptotic cell death on Hl 703 cells (p53-) as shown in Figs. 14-16. It is believed that the cell death results from abnormal mitosis, thus causing mitotic catastrophe.
- NSC 743404 was put through an Ambit kineome (kinase) screen and it was found that the compound had significant activity against CSFlR, 6.3% of control. The compound was tested at 10 ⁇ M.
Landscapes
- Health & Medical Sciences (AREA)
- Animal Behavior & Ethology (AREA)
- Public Health (AREA)
- Pharmacology & Pharmacy (AREA)
- Veterinary Medicine (AREA)
- Life Sciences & Earth Sciences (AREA)
- Chemical & Material Sciences (AREA)
- General Health & Medical Sciences (AREA)
- Medicinal Chemistry (AREA)
- Epidemiology (AREA)
- Chemical Kinetics & Catalysis (AREA)
- General Chemical & Material Sciences (AREA)
- Nuclear Medicine, Radiotherapy & Molecular Imaging (AREA)
- Organic Chemistry (AREA)
- Pharmaceuticals Containing Other Organic And Inorganic Compounds (AREA)
Abstract
Disclosed is a method for inhibiting Akt, activating AMPK, inhibiting mTOR, treating or preventing development of cancer, and/or preventing progression of premalignant lesions to cancer in an animal comprising administering to the animal an effective amount of a compound as described herein, for example, NSC 743411, whose formula is set forth below. The method involves the use of these compounds as single agents or in combination with conventional chemotherapy, biological therapy, or radiation therapy. The invention further provides novel compounds and pharmaceutical compositions for use in treating or preventing development of cancer or preventing the progression of premalignant lesions into cancer. Also disclosed is a method of inhibiting CSF1R.
Description
METHOD OF TREATING OR PREVENTING CANCER
CROSS-REFERENCE TO A RELATED APPLICATION
[0001] The present application claims the benefit of U.S. provisional patent application No. 61/226,328, filed July 17, 2009, the disclosure of which is incorporated by reference.
BACKGROUND OF THE INVENTION
[0002] Cancer is a major world- wide health problem. Those afflicted with cancer suffer physically and emotionally and, unless treated in a timely manner, die an early death. There is also a tremendous burden on the families and friends of those afflicted as well as on society at large. Although many drugs are in use for cancer treatment, there is a desire for additional cancer treatment agents. In addition, there is a desire for a method to prevent cancer, delay or slow down its onset and/or progression, or to prevent the progression of precancerous lesions into cancer.
[0003] Akt is at the nexus of many signaling pathways and is thought to be an important target for therapeutic intervention in cancer. Activation of Akt occurs through ligand binding to growth factor receptors, activation of various oncogenes such as Ras, Egfr and Her2 or inactivation of tumor suppressor genes such as PTEN. Akt activation has been detected in a high percentage of multiple tumor types, as well as many types of premalignant lesions. Thus, enhanced activation of Akt likely contributes to the pathogenesis and/or maintenance of a wide variety of human malignancies, which is supported by the poor clinical outcomes associated with Akt activation in many of these tumors.
[0004] Akt is a serine/threonine kinase with diverse targets involved in protein synthesis, cell cycle progression and resistance to apoptosis. In vitro as well as clinical studies have suggested that Akt may be an important target for cancer therapy. Akt is constitutively active in NSCLC cell lines and promotes resistance to chemotherapy drugs and radiation in vitro. Activation and overexpression of Akt are often associated with resistance to chemotherapy or radiotherapy in patients as well. Phosphorylation of Akt at S473, a marker of Akt activation, has been correlated with poor clinical outcomes in many tumor types, including lung, melanoma, breast, prostate, endometrial, gastric, pancreatic, and brain cancers, as well as acute myelogenous leukemia. Reversal of drug resistance
coupled with Akt inhibition has been demonstrated in both cell-based studies and animal models by PI3K inhibitors and by PTEN overexpression in PTEN-null cells. Dominant- negative mutants of Akt were also shown to enhance cytotoxicity by chemotherapeutic agents suggesting an important role of Akt in drug resistance. Furthermore, inhibition of receptor tyrosine kinases, such as epidermal growth factor receptor, sensitizes cells to chemotherapy or radiotherapy through downregulation of the PI3K-Akt pathway.
[0005] Thus, there is a desire for providing a method for treating or preventing the development of cancer or preventing the progression of precancerous lesions into cancer that employs an Akt inhibitor.
BRIEF SUMMARY OF THE INVENTION
[0006] The invention provides a method for inhibiting mTOR, inhibiting Akt, activating AMPK, treating or preventing development of cancer, and/or preventing progression of premalignant lesions to cancer in an animal comprising administering to the animal an effective amount of a compound as described herein in greater detail. The method involves the use of these compounds as single agents or in combination with conventional cancer therapy such as chemotherapy, biological therapy, or radiation. The invention further provides novel compounds and pharmaceutical compositions for use in treating or preventing development of cancer or preventing the progression of
premalignant lesions into cancer. The invention also provides a method of inhibiting CSFlR. Advantageously, one or more compounds of the invention have the ability to simultaneously inhibit Akt and activate AMPK, providing profound inhibition of mTOR and/or an anti-cancer effect.
BRIEF DESCRIPTION OF THE DRAWINGS
[0007] Fig. 1 depicts dose-dependent regulation of Akt/mTOR signaling by
NSC743411. Non-small cell lung cancer cells (H1703, A549, and Hl 57) were cultured in RPMI 5% FBS and treated with vehicle or increasing doses NSC743411 (Nl 1) for 24 hours. Whole cell lysates were harvested and western blot analysis was performed.
[0008] Fig. 2 depicts time-dependent regulation of Akt/mTOR signaling by
NSC743411. H1703 and Hl 155 (LKBl wild-type NSCLC cells) were cultured in RPMI 5% FBS and treated with vehicle or Nl 1 at indicated time points. Whole cell lysates were harvested and western blot analysis was performed.
[0009] Fig. 3 follows protein levels over time in the presence of DMSO or
NSC743411. H157 and A549 (LKBl -deficient NSCLC cells) were cultured in RPMI 5% FBS and treated with vehicle or Nl 1 at indicated time points. Whole cell lysates were harvested and western blot analysis was performed.
[0010] Fig. 4 depicts biomarker analysis of aNSC743411 -treated H1703 xenograft. Xenograft tumors were harvested and frozen in liquid nitrogen. Samples were
homogenized, resuspended in RTPA lysis buffer, and western blot analysis performed (15μg protein). The numbers 1071, 1074, 1069, 1078, 1073, 1072, 1077, and 1079 are mouse identification numbers.
[0011] Fig. 5 depicts the NCI 60 toxicity screen for NSC 743411, also known as Nl 1, a compound in accordance with the invention, showing growth inhibition at micro-molar concentrations in a broad range of cell lines and cell killing at micro-molar concentrations in many cell lines. Fig. 5A depicts the screen for leukemia. Fig. 5B depicts the screen for colon cancer. Fig. 5C depicts the screen for ovarian cancer. Fig. 5D depicts the screen for non-small cell lung cancer. Fig. 5E depicts the screen for CNS cancer. Fig. 5F depicts the screen for renal cancer. Fig. 5G depicts the screen for breast cancer. Fig. 5H depicts the screen for melanoma. Fig. 51 depicts the screen for prostate cancer.
[0012] Fig. 6 A depicts cell death induced by NSC 743411 in H 1703 as assessed by propidium iodide uptake in accordance with an embodiment of the invention. Fig. 6B depicts minimal apoptosis is induced by NSC 743411 in Hl 703 as assessed by sub Gl cellular DNA content measured by flow cytometry. Fig. 6 C depicts the morphology of Hl 703 cells with 24 h treatment of NSC 743411 in accordance with an embodiment of the invention.
[0013] Fig. 7 depicts in vivo inhibition of Akt phosphorylation, i.e., the levels of pS473 or pS6 normalized to total Akt + Standard deviation (p=0.31) in accordance with an embodiment of the invention. Western blots of crude WBC lysates were prepared 4 h after IP injection of 3 mice with 25 mg/kg NSC 743411 and 3 mice with vehicle only.
[0014] Fig. 8 depicts the fold change of tumor volume in mice after implantation of H 1703 cells and injection of NSC 743411, in accordance with an embodiment of the invention. Data is reported as fold change in tumor volume relative to first day of dosing. Note that after Day 31, only odd-numbered days were monitored.
[0015] Fig. 9 depicts the percent change in body weight in mice after implantation of H1703 cells and injection of NSC 743411, in accordance with an embodiment of the invention. Data is reported as % change in body weight relative to first day of dosing. Note that after Day 31, only odd-numbered days were monitored.
[0016] Fig. 10 depicts the cell morphology change of A549 or Hl 703 cells by sulfonamide-2 in accordance with an embodiment of the invention. Fig. 1OA depicts H1703 cells treated with DMSO only. Fig. 1OB depicts the morphology of H1703 cells treated with sulfonamide-2. Fig. 1OC depicts the morphology of A549 cells treated with DMSO only. Fig. 1OD depicts the morphology of A549 cells treated with sulfonamide-2.
[0017] Fig. 11 depicts the GI50 values for cell growth inhibition by sulfonamide-2 as a function of compound concentration in μM, in accordance with an embodiment of the invention. Fig. 1 IA depicts growth inhibition of A549 cells as a function of concentration of sulfonamide-2. Fig. 1 IB depicts growth inhibition of H 1703 cells as a function of concentration of sulfonamide-2.
[0018] Fig. 12 depicts that sulfonamide-2 arrests the G2/M phase of cell growth, in accordance with an embodiment of the invention. Fig. 12A depicts the percentage of Hl 703 cells in G2/M cell cycle phase as a function of time. Fig. 12B and Fig. 12C depict the number of H1703 cells vs. fluorescence in the presence of DMSO or sulfonamide-2, respectively. Fig. 12D depicts the percentage of survival of A549 cells as a function of time. Fig. 12E and Fig. 12F depict the number of A549 cells vs. fluorescence in the presence of DMSO or sulfonamide-2, respectively.
[0019] Fig. 13 depicts that sulfonamide-2 causes G2/M phase arrest and increases acetylated tubulin expression of A549 cells, in accordance with an embodiment of the invention. Fig. 13A depicts the morphology of A549 cells treated with DMSO only. Fig. 13B depicts the morphology of the cells treated with sulfonamide-2.
[0020] Fig. 14 depicts the percentage of viable cells of H 1703 cells as a function of time. Cell death caused by sulfonamide-2 is shown by Trypan Blue staining, in accordance with an embodiment of the invention.
[0021] Fig. 15A depicts the number of viable H1703 cells treated with sulfonamide-2 on day 5 in full serum condition as a function of its fluorescence and Fig. 15B depicts the morphology of the cells, in accordance with an embodiment of the invention.
[0022] Fig. 16 depicts the percentage of nonapoptotic cell death of A549 cells with or without SiRNA, in accordance with an embodiment of the invention.
DETAILED DESCRIPTION OF THE INVENTION
[0023] In accordance with an embodiment, the invention provides a method for inhibiting mTOR comprising administering an effective amount of a compound having one of the following structures:
or a prodrug, salt, or solvate thereof.
[0024] In an embodiment, the present invention also provides a compound for inhibiting mTOR, wherein the compound has one of the above structures or a prodrug, salt, or solvate thereof.
[0025] The compounds above or prodrugs, salts, or solvates thereof inhibit the activation of Akt, particularly Aktl in certain cancer cell types, hi an embodiment, the
compounds inhibit the binding of Akt's pleckstrin homology (PH) domain to a
phosphoinositide. In another embodiment, the compounds above activate AMP-activated protein kinase (AMPK).
[0026] Among the compounds listed above, preferred compounds include NSC
743402, NSC 743403, NSC 743404, NSC 743407, NSC 743408, NSC 743409, NSC 743410, and NSC 743411. More preferred compounds include NSC 743404, NSC 743408, and NSC 743411, whose structures are set forth below, respectively. NSC 743411 is further preferred.
[0027] The above compounds, or prodrugs, salts, or solvates thereof, are targeted for use in the treatment of cancer, prevention of cancer, and in preventing the progress of development of precancerous lesions into cancer, wherein the cancer can be a cancer in any organ, for example, a cancer selected from the group consisting of glioma, thyroid carcinoma, breast carcinoma, small-cell lung carcinoma, non-small-cell carcinoma, gastric carcinoma, colon carcinoma, gastrointestinal stromal tumor, pancreatic carcinoma, bile duct carcinoma, CNS carcinoma, ovarian carcinoma, endometrial carcinoma, prostate carcinoma, renal carcinoma, anaplastic large-cell lymphoma, leukemia, multiple myeloma, mesothelioma, and melanoma, and combinations thereof, particularly a cancer selected from the group consisting of leukemia, non- small-cell carcinoma, breast carcinoma, colon carcinoma, CNS carcinoma, melanoma, ovarian carcinoma, renal carcinoma, and prostate carcinoma, more particularly, the cancer is a non- small-cell carcinoma, for example, a non-small-cell carcinoma characterized by a cell line selected from the group consisting of Hl 703, MB468, PC3, H460, and Hl 57.
[0028] In accordance with another embodiment, the invention provides a method for inhibiting mTOR comprising administering an effective amount of a compound of formula (I), (II), (III), or (IV):
R3 (H) wherein
O
heteroaryl C1-C6 alkyl, optionally further substituted, at the aryl, alkyl, or at the heteroaryl moiety, with one or more substituents selected from the group consisting of C2-C6 alkenyl,
halo, monohalo C1-C6 alkyl, dihalo Ci-C6 alkyl, trihalo Ci-C6 alkyl, Cj-C6 alkoxy, and hydroxy C]-C6 alkyl;
R1 is selected from the group consisting Of C1-C6 alkyl, monohalo Ci-C6 alkyl, dihalo Ci-C6 alkyl, trihalo Ci-C6 alkyl, Ci-C6 alkoxy, and nitro;
R2 is selected from the group consisting of hydrogen, C2-C6 alkenyl, halo, monohalo Ci-C6 alkyl, dihalo Ci-C6 alkyl, trihalo Ci-C6 alkyl, Ci-C6 alkoxy, hydroxy C1- C6 alkyl, and heterocyclyl which may be optionally substituted with a substituent selected from the group consisting of hydroxy, C2-C6 alkenyl, and Ci-C6 alkoxy carbonyl amino C1-C6 alkyl;
R4 is selected from the group consisting of carboxy Ci-C6 alkyl, carboxy Cj-C6 alkoxy, and carboxy Ci-C6 alkylthio;
R5 is hydrogen, C6-C2O aryl which may be linked at one carbon atom or on two carbon atoms as fused, C2-C6 alkenyl, halo, monohalo Q-C6 alkyl, dihalo Ci-C6 alkyl, trihalo Ci-C6 alkyl, Ci-C6 alkoxy, hydroxy Cj-C6 alkyl, and heterocyclyl, which may be optionally substituted with a substituent selected from the group consisting of Ci-C6 alkyl, halo, nitro, hydroxy, C2-C6 alkenyl, and Ci-C6 alkoxy carbonyl amino C]-C6 alkyl; and a, b, c, d, and e are independently 0 to 6;
or a prodrug, salt, or solvate thereof.
[0029] In another embodiment, the present invention provides a compound for inhibiting mTOR, wherein the compound is of formula (I), (II), (III), or (IV) above or a prodrug, salt, or solvate thereof.
[0030] The compounds above or prodrugs, salts, or solvates thereof inhibit the activation of Akt, particularly Aktl in certain cancer cell types. In an embodiment, the compounds inhibit the binding of Akt's pleckstrin homology (PH) domain to a phosphoinositide. In another embodiment, the compounds above activate AMP-activated protein kinase (AMPK).
[0031] The above compounds, or prodrugs, salts, or solvates thereof, are targeted for use in the treatment of cancer, prevention of cancer, and in preventing the progress of development of precancerous lesions into cancer, wherein the cancer can be a cancer in any organ, for example, a cancer selected from the group consisting of glioma, thyroid carcinoma, breast carcinoma, small-cell lung carcinoma, non-small-cell carcinoma, gastric carcinoma, colon carcinoma, gastrointestinal stromal tumor, pancreatic carcinoma, bile
duct carcinoma, CNS carcinoma, ovarian carcinoma, endometrial carcinoma, prostate carcinoma, renal carcinoma, anaplastic large-cell lymphoma, leukemia, multiple myeloma, mesothelioma, and melanoma, and combinations thereof, particularly a cancer selected from the group consisting of leukemia, non-small-cell carcinoma, breast carcinoma, colon carcinoma, CNS carcinoma, melanoma, ovarian carcinoma, renal carcinoma, and prostate carcinoma, more particularly, the cancer is a non- small-cell carcinoma, for example, a non-small-cell carcinoma characterized by a cell line selected from the group consisting of H1703, MB468, PC3, H460, and H157.
[0032] The present invention also provides a compound of one of formulas (I)-(IV):
(H) wherein
wherein A is C6-C20 aryl, C6-C20 aryl C1-C6 alkyl C6-C2O aryl, heteroaryl, or heteroaryl Ci-C6 alkyl, optionally further substituted, at the aryl, alkyl, or at the heteroaryl moiety, with one or more substituents selected from the group consisting of C2-C6 alkenyl, halo, monohalo Cj-C6 alkyl, dihalo Ci-C6 alkyl, trihalo Ci-C6 alkyl, Ci-C6 alkoxy, and hydroxy C1-C6 alkyl;
R1 is selected from the group consisting of Ci-C6 alkyl, monohalo Ci-C6 alkyl, dihalo Ci-C6 alkyl, trihalo Ct-C6 alkyl, Ci-C6 alkoxy, and nitro;
R2 is selected from the group consisting of hydrogen, C2-C6 alkenyl, halo, monohalo Cj-C6 alkyl, dihalo C1-C6 alkyl, trihalo Ci-C6 alkyl, CrC6 alkoxy, hydroxy C1- C6 alkyl, and heterocyclyl which may be optionally substituted with a substituent selected from the group consisting of hydroxy, C2-C6 alkenyl, and C1-C6 alkoxy carbonyl amino Ci-C6 alkyl;
R4 is selected from the group consisting of carboxy C]-C6 alkyl, carboxy Cj-C6 alkoxy, and carboxy Cj-C6 alkylthio;
R5 is hydrogen, C6-C20 aryl which may be linked at one carbon atom or on two carbon atoms as fused, C2-C6 alkenyl, halo, monohalo Cj-C6 alkyl, dihalo Cj-C6 alkyl, trihalo Cj-C6 alkyl, Cj-C6 alkoxy, hydroxy Cj-C6 alkyl, and heterocyclyl, which may be optionally substituted with a substituent selected from the group consisting of Cj-C6 alkyl, halo, nitro, hydroxy, C2-C6 alkenyl, and Cj-C6 alkoxy carbonyl amino Ci-C6 alkyl; and a, b, c, d, and e are independently 0 to 6;
or a prodrug, salt, or solvate thereof;
with the provisos that:
(a) in formula (I), when all of a, b, and c are 0 or 1 or when at least one of a, b, and c is 0 and at least one of the other is less than 2, and R2 is alkenyl, then R1 is not hydrogen, alkyl, halogen, alkoxy, nitro, or trifluoromethoxy;
(b) in formula (II), when R3 is (i) and R2 is alkenyl, then R1 is not alkyl; when R3 is (ii) and R1 is ethoxy, R4 is carboxy alkyl thio, R5 is not benzo; when R3 is (iii) optionally substituted heterocyclyl and R1 is alkyl, then the substituted heterocyclyl is not an indole substituted with alkoxycarbonyl amino alkyl;
(c) in formula (III), when R2 is hydrogen and d is 1 , then R1 is not hydrogen; and when R2 is hydrogen and d is 0, then R1 is not alkoxy; and
(d) in formula (FV), when R2 is hydrogen and e is 0, then R1 is not alkyl or alkoxy; and when R2 is hydrogen and e is 1, then R1 is not alkyl.
[0033] In accordance with any of the embodiments of the invention, the term "aryl" refers to a mono, bi, or tricyclic carbocyclic ring system having one, two, or three aromatic rings, for example, phenyl, naphthyl, anthracenyl, or biphenyl.
[0034] In accordance with the invention, the term "heteroaryl" refers to a cyclic aromatic radical having from five to ten ring atoms of which at least one atom is O, S, or N, and the remaining atoms are carbon. Examples of heteroaryl radicals include indolyl,
pyridyl, pyrazinyl, pyrimidinyl, pyrrolyl, pyrazolyl, imidazolyl, thiazolyl, oxazolyl, isooxazolyl, thiadiazolyl, oxadiazolyl, thiophenyl, furanyl, quinolinyl, and isoquinolinyl.
[0035] In accordance with an embodiment, the alkyl group is preferably a Ci -C3 alkyl. Examples of alkyl group include methyl, ethyl, n-propyl, isopropyl, n-butyl, sec-butyl, isobutyl, tert-butyl, n-pentyl, isopentyl, n-hexyl, and the like. This definition also applies wherever 'alkyl" occurs such as in hydroxyalkyl, monohalo alkyl, dihalo alkyl, and trihalo alkyl.
[0036] In accordance with an embodiment, the alkenyl group is preferably a C2-C4 alkenyl. Examples of alkenyl group include ethenyl, allyl, 2-propenyl, 1-butenyl, 2- butenyl, 1-pentenyl, 2-pentenyl, 3-pentenyl, 1-hexenyl, and the like.
[0037] In accordance with an embodiment, the alkoxy group is preferably a Ci-C3 alkoxy. Examples of alkoxy group include methoxy, ethoxy, n-propoxy, isopropoxy, n- butoxy, sec-butoxy, isobutoxy, tert-butoxy, n-pentoxy, isopentoxy, n-hexoxy, and the like.
[0038] The term "halo" refers to a halogen selected from the group consisting of fluorine, chlorine, bromine, and iodine, preferably chlorine or bromine.
[0039] Heterocyclyl groups include heteroaryl groups described above and further include cyclic groups, saturated or unsaturated, having a hetero atom. Examples of heterocyclyl groups include indolyl, pyridyl, piperidinyl, piperazinyl, pyrazinyl, pyrolyl, pyranyl, tetrahydropyranyl, tetrahydrothiopyranyl, pyrrolidinyl, furanyl, tetrahydrofuranyl, thiophenyl, tetrahydrothiophenyl, purinyl, pyrimidinyl, thiazolyl, thiazolidinyl, thiazolinyl, oxazolyl, triazolyl, tetrazolyl, tetrazinyl, benzoxazolyl, morpholinyl, thiophorpholinyl, quinolinyl, and isoquinolinyl, each of which may be optionally substituted with a substituent selected from the group consisting of Ci-C6 alkyl, halo, nitro, hydroxy, C2-C6 alkenyl, and Ci-C6 alkoxy carbonyl amino alkyl.
[0040] In any of the embodiments above, R1 is preferably hydrogen, methyl, ethyl, nitro, methoxy, ethoxy, or trifluoromethyl.
[0041] In any of the embodiments above, R2 is preferably allyl, bromo,
hydroxymethyl, indolylmethyl, or indolylethyl.
[0042] In any of the embodiments above, R4 is preferably carboxymethylthio or carboxyethylthio.
[0043] In any of the embodiments above, R5 is preferably phenyl or benzo.
[0044] The alkyl, alkoxy, and alkylamino groups can be linear or branched. When an aryl group is substituted with a substituent, e.g., halo, amino, alkyl, hydroxyl, alkoxy, and others, the aromatic ring hydrogen is replaced with the substituent and this can take place in any of the available hydrogens, e.g., 2, 3, 4, 5, and/or 6-position wherein the 1 -position is the point of attachment of the aryl group in the compound of the present invention.
[0045] The term "animal" refers to any member of the animal kingdom. In embodiments, "animal" refers to a human, at any stage of development. In embodiments, "animal" includes mammals, birds, reptiles, amphibians, fish, and worms. In certain embodiments, the non-human animal is a mammal, e.g., a rodent, a mouse, a rat, a rabbit, a monkey, a dog, a cat, a sheep, cattle, a primate, or a pig. The animal may also be a transgenic animal, genetically engineered animal, or a clone.
[0046] In accordance with an embodiment of the invention, the method involves administering a compound of formula (I), or a prodrug, salt, or solvate thereof, wherein a, b, and c are 0. In another embodiment, the method involves administering a compound of formula (I), or a prodrug, salt, or solvate thereof, wherein a, b, and c are 1. In a further embodiment, the method involves administering a compound of formula (I), or a prodrug, salt, or solvate thereof, wherein a is 0 and b and c are 0. In yet another embodiment, the method involves administering a compound of formula (I), or a prodrug, salt, or solvate thereof, wherein a and c are 0 and b is 1.
[0047] In another embodiment, the method involves administering a compound of formula (II), or a prodrug, salt, or solvate thereof, wherein a, b, and c are 0.
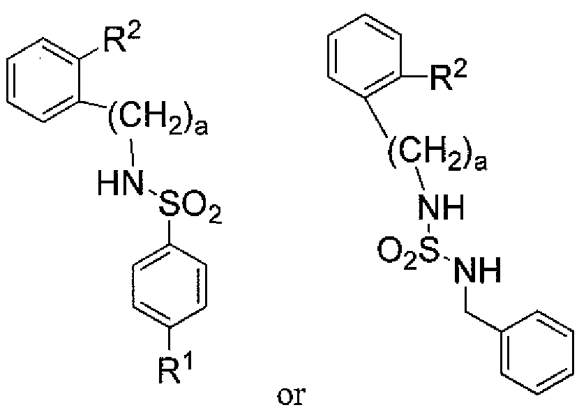
[0048] Examples of compounds of formula I include those of the structures
wherein a, R1, and R2 are defined above.
md sulfamide-7 ; particularly sulfonamide-2
[0050] A specific example of compound of formula II includes:
su!fonamicfe-8
[0051] Specific examples of compounds of formula III include:
sulfamicle-4 mά sulfamide-8
sultam-1 ; sultam-2 ? and sultam-3
[0053] The invention also provides a pharmaceutical composition comprising a compound, prodrug, salt, or solvate described above and a pharmaceutically acceptable carrier.
[0054] The term "prodrug" denotes a derivative of a compound, which derivative, when administered to warm-blooded animals, e.g. humans, is converted into the compound (drug). The enzymatic and/or chemical hydrolytic cleavage of the compounds
of the present invention occurs in such a manner that the proven drug form (parent carboxylic acid drug) is released, and the moiety or moieties split off remain nontoxic or are metabolized so that nontoxic metabolic products are produced. Non-limiting examples include esters, amides, ethers, and carbonates.
[0055] The phrase "salt" or "pharmaceutically acceptable salt" is intended to include nontoxic salts synthesized from the parent compound which contains a basic or acidic moiety by conventional chemical methods. Generally, such salts can be prepared by reacting the free acid or base forms of these compounds with a stoichiometric amount of the appropriate base or acid in water or in an organic solvent, or in a mixture of the two. Generally, nonaqueous media such as ether, ethyl acetate, ethanol, isopropanol, or acetonitrile are preferred. Lists of suitable salts are found in Remington 's Pharmaceutical Sciences, 18th ed., Mack Publishing Company, Easton, PA, 1990, p. 1445, and Journal of Pharmaceutical Science, 66, 2-19 (1977). For example, they can be a salt of an alkali metal (e.g., sodium or potassium), alkaline earth metal (e.g., calcium), or ammonium of salt.
[0056] The compounds of the various embodiments of the invention can be obtained from commercial sources or synthesized following procedures taught in the literature, for example, Zawaba, T. P., et al, J Am. Chem. Soc, 2005, 127, 11250-11251 and supplemental materials S1-S28; Zawaba, T. P., et al., Organic Letters, 2007, 9, 2035-2038 and S1-S28; Sherman, E. S., et al., Organic Letters, 2004, 6, 1573-1575 and Sl-SlO; Sherman, E. S., et al., J. Org. Chem., 2007, 72, 3896-3905 and S1-S36.
[0057] In embodiments involving compounds of formulas (I)-(IV), or prodrugs, salts, or solvates thereof, the cancer is characterized by any suitable cell line, particularly A549 and H 1703 cell lines. Preferably, the compound of formulas (I)-(IV) arrest the G2/M phase of the cancer cell cycle.
[0058] Whenever a range of the number of atoms in a structure is indicated (e.g., a C]- Cg, C]-C6, C1-C4, or C]-C3 alkyl, haloalkyl, alkylamino, alkenyl, etc.), it is specifically contemplated that any sub-range or individual number of carbon atoms falling within the indicated range also can be used. Thus, for instance, the recitation of a range of 1-8 carbon atoms (e.g., Ci-C8), 1-6 carbon atoms (e.g., Ci-C6), 1-4 carbon atoms (e.g., Cj-C4), 1-3 carbon atoms (e.g., C1-C3), or 2-8 carbon atoms (e.g., C2-C8) as used with respect to any chemical group (e.g., alkyl, haloalkyl, alkylamino, alkenyl, etc.) referenced herein
encompasses and specifically describes 1, 2, 3, 4, 5, 6, 7, or 8 carbon atoms, as
appropriate, as well as any sub-range thereof (e.g., 1-2 carbon atoms, 1-3 carbon atoms, 1- 4 carbon atoms, 1-5 carbon atoms, 1-6 carbon atoms, 1-7 carbon atoms, 1-8 carbon atoms, 2-3 carbon atoms, 2-4 carbon atoms, 2-5 carbon atoms, 2-6 carbon atoms, 2-7 carbon atoms, 2-8 carbon atoms, 3-4 carbon atoms, 3-5 carbon atoms, 3-6 carbon atoms, 3-7 carbon atoms, 3-8 carbon atoms, 4-5 carbon atoms, 4-6 carbon atoms, 4-7 carbon atoms, 4-8 carbon atoms, 5-6 carbon atoms, 5-7 carbon atoms, 5-8 carbon atoms, 6-7 carbon atoms, or 6-8 carbon atoms, as appropriate).
[0059] In any of the above embodiments of the invention, the compounds, or a prodrugs, salts, or solvates thereof, preferably inhibit the binding of Akt's pleckstrin homology (PH) domain to a phosphoinositide.
[0060] In any of the embodiments of the invention, the cancer can be any cancer in any organ, for example, a cancer is selected from the group consisting of glioma, thyroid carcinoma, breast carcinoma, small-cell lung carcinoma, non- small-cell carcinoma, gastric carcinoma, colon carcinoma, gastrointestinal stromal carcinoma, pancreatic carcinoma, bile duct carcinoma, CNS carcinoma, ovarian carcinoma, endometrial carcinoma, prostate carcinoma, renal carcinoma, anaplastic large-cell lymphoma, leukemia, multiple myeloma, mesothelioma, and melanoma, and combinations thereof.
[0061] In any of the embodiments above, the method can be carried out in conjunction with another cancer therapy. For example, the another cancer therapy comprises chemotherapy, radiation therapy, or biological therapy. In an embodiment, the biological therapy involves administration of a protein, which may be an antibody or a recombinant protein. The combination therapy can be carried out such that the two therapies can be administered simultaneously or sequentially, and when administered sequentially, in any order, i.e., a radiation therapy, biological therapy, or a conventional chemotherapeutic agent first followed by the administration of the compound of the invention, or a compound of the invention administered first followed by radiation therapy, biological therapy, or administration of the conventional chemotherapeutic agent.
[0062] In a particular embodiment, the another cancer therapy comprises
chemotherapy, which could involve the administration of any suitable chemotherapy agent, for example, an agent selected from the group consisting of abarelix, aldesleukin, alemtuzumab, altretamine, amifostine, aminoglutethimide, anastrazole, arsenic trioxide,
asparaginase, azacitidine, azathioprine, BCG vaccine, bevacizumab, bexarotene, bicalutamide, bleomycin sulfate, bortezomib, bromocriptine, busulfan, capecitabine, carboplatin, carmustine, cetuximab, chlorambucil, chloroquine phosphate, cladribine, cyclophosphamide, cyclosporine, cytarabine, dacarbazine, dactinomycin, daunorubicin hydrochloride, daunorubicin citrate liposomal, dexrazoxane, docetaxel, doxorubicin hydrochloride, doxorubicin hydrochloride liposomal, epirubicin hydrochloride, estramustine phosphate sodium, etoposide, estretinate, exemestane, floxuridine, fludarabine phosphate, fluorouracil, fluoxymesterone, flutamide, fulvestrant, gefitinib, gemcitabine hydrochloride, gemtuzumab ozogamicin, goserelin acetate, hydroxyurea, idarubicin hydrochloride, ifosfamide, imtinib mesylate, interferon alfa-2a, interferon alfa- 2b, irinotecan hydrochloride trihydrate, letrozole, leucovorin calcium, leuprolide acetate, levamisole hydrochloride, lomustine, lymphocyte immune anti-thymocyte globulin (equine), mechlorethamine hydrochloride, medoxyprogestone acetate, melphalan, mercaptopurine, mesna, methotrexate, mitomycin, mitotane, mitoxantrone hydrochloride, nilutamide, oxaliplatin, paclitaxel, pegaspargase, pentostatin, plicamycin, porfimer sodium, procarbazine hydrochloride, streptozocin, tamoxifen citrate, temozolomide, teniposide, testolactone, testosterone propionate, thioguanine, thiotepa, topotecan hydrochloride, tretinoin, uracil mustard, valrubicin, vinblastine sulfate, vincristine sulfate, and vinorelbine.
[0063] The present invention further provides a method of treating an animal for a disease or adverse condition that responds to inhibiting the activity of CSFlR receptor comprising administering to the animal an effective amount of the compound of the formula or a prodrug, salt, or solvate thereof,
so that the disease or the adverse condition is treated. Examples of such disease or adverse condition include chronic myelomonocytic leukemia, Alzheimer's disease, and brain injury.
[0064] In accordance with the embodiments of the invention, the compounds, or prodrugs, salts, or solvates thereof, can be administered as such or in the form of a pharmaceutical composition. The pharmaceutical composition comprises at least one compound, or a prodrug, salt, or solvate thereof, and a pharmaceutically acceptable carrier. Advantageously, the pharmaceutical composition may include two, three or more agents, at least one of which is a compound of the invention as described above, in combination with one or more conventional chemotherapeutic agents.
[0065] The pharmaceutically acceptable carrier can be any of those conventionally used and is limited only by chemico-physical considerations, such as solubility and lack of reactivity with the compound, and by the route of administration. It will be appreciated by one of skill in the art that, in addition to the following described pharmaceutical compositions; the compounds, salts, or conjugates of the present invention can be formulated as inclusion complexes, such as cyclodextrin inclusion complexes, or liposomes.
[0066] The pharmaceutically acceptable carriers described herein, for example, vehicles, adjuvants, excipients, or diluents, are well known to those who are skilled in the art and are readily available to the public. It is preferred that the pharmaceutically acceptable carrier be one which is chemically inert to the active compounds and one which has no detrimental side effects or toxicity under the conditions of use.
[0067] The choice of carrier will be determined in part by the particular active agent, as well as by the particular method used to administer the composition. Accordingly, there is a wide variety of suitable formulations of the pharmaceutical composition of the present invention. The following formulations for topical, oral, aerosol, parenteral, subcutaneous, intravenous, intraarterial, intramuscular, intratumoral, peritumoral, interperitoneal, intrathecal, rectal, and vaginal administration are merely exemplary and are in no way limiting.
[0068] Formulations suitable for oral administration can consist of (a) liquid solutions, such as an effective amount of the compound, salt, or conjugate dissolved in diluents, such as water, saline, or orange juice; (b) capsules, sachets, tablets, lozenges, and troches, each
containing a predetermined amount of the active ingredient, as solids or granules; (c) powders; (d) suspensions in an appropriate liquid; and (e) suitable emulsions. Liquid formulations may include diluents, such as water and alcohols, for example, ethanol, benzyl alcohol, and the polyethylene alcohols, either with or without the addition of a pharmaceutically acceptable surfactant, suspending agent, or emulsifying agent. Capsule forms can be of the ordinary hard- or soft-shelled gelatin type containing, for example, surfactants, lubricants, and inert fillers, such as lactose, sucrose, calcium phosphate, and cornstarch. Tablet forms can include one or more of lactose, sucrose, mannitol, corn starch, potato starch, alginic acid, microcrystalline cellulose, acacia, gelatin, guar gum, colloidal silicon dioxide, croscarmellose sodium, talc, magnesium stearate, calcium stearate, zinc stearate, stearic acid, and other excipients, colorants, diluents, buffering agents, disintegrating agents, moistening agents, preservatives, flavoring agents, and pharmacologically compatible carriers. Lozenge forms can comprise the active ingredient in a flavor, usually sucrose and acacia or tragacanth, as well as pastilles comprising the active ingredient in an inert base, such as gelatin and glycerin, or sucrose and acacia, emulsions, gels, and the like containing, in addition to the active ingredient, such carriers as are known in the art.
[0069] The compounds, or prodrugs, salts, or solvates thereof, of the present invention, alone or in combination with other suitable components, can be made into aerosol formulations to be administered via inhalation. These aerosol formulations can be placed into pressurized acceptable propellants, such as dichlorodifluoromethane, propane, nitrogen, and the like. They also may be formulated as pharmaceuticals for non-pressured preparations, such as in a nebulizer or an atomizer.
[0070] Formulations suitable for parenteral administration include aqueous and nonaqueous, isotonic sterile injection solutions, which can contain anti-oxidants, buffers, bacteriostats, and solutes that render the formulation isotonic with the blood of the intended recipient, and aqueous and non-aqueous sterile suspensions that can include suspending agents, solubilizers, thickening agents, stabilizers, and preservatives. The compound, or a prodrug, salt, or solvate thereof, can be administered in a physiologically acceptable diluent in a pharmaceutical carrier, such as a sterile liquid or mixture of liquids, including water, saline, aqueous dextrose and related sugar solutions, an alcohol, such as ethanol, isopropanol, or hexadecyl alcohol, glycols, such as propylene glycol or
polyethylene glycol, glycerol ketals, such as 2,2-dimethyl-l,3-dioxolane-4-methanol, ethers, such as poly(ethyleneglycol) 400, an oil, a fatty acid, a fatty acid ester or glyceride, or an acetylated fatty acid glyceride with or without the addition of a pharmaceutically acceptable surfactant, such as a soap or a detergent, suspending agent, such as pectin, carbomers, methylcellulose, hydroxypropylmethylcellulose, or carboxymethylcellulose, or emulsifying agents and other pharmaceutical adjuvants.
[0071] Oils, which can be used in parenteral formulations include petroleum, animal, vegetable, or synthetic oils. Specific examples of oils include peanut, soybean, sesame, cottonseed, corn, olive, petrolatum, and mineral. Suitable fatty acids for use in parenteral formulations include oleic acid, stearic acid, and isostearic acid. Ethyl oleate and isopropyl myristate are examples of suitable fatty acid esters. Suitable soaps for use in parenteral formulations include fatty alkali metal, ammonium, and triethanolamine salts, and suitable detergents include (a) cationic detergents such as, for example, dimethyl dialkyl ammonium halides, and alkyl pyridinium halides, (b) anionic detergents such as, for example, alkyl, aryl, and olefin sulfonates, alkyl, olefin, ether, and monoglyceride sulfates, and sulfo succinates, (c) nonionic detergents such as, for example, fatty amine oxides, fatty acid alkanolamides, and polyoxyethylene-polypropylene copolymers, (d) amphoteric detergents such as, for example, alkyl-beta-aminopropionates, and 2-alkyl- imidazoline quaternary ammonium salts, and (3) mixtures thereof.
[0072] The parenteral formulations will typically contain from about 0.5 to about 25% by weight of the compound, or a prodrug, salt, or solvate thereof, in solution. Suitable preservatives and buffers can be used in such formulations. In order to minimize or eliminate irritation at the site of injection, such compositions may contain one or more nonionic surfactants having a hydrophile-lipophile balance (HLB) of from about 12 to about 17. The quantity of surfactant in such formulations ranges from about 5 to about 15% by weight. Suitable surfactants include polyethylene sorbitan fatty acid esters, such as sorbitan monooleate and the high molecular weight adducts of ethylene oxide with a hydrophobic base, formed by the condensation of propylene oxide with propylene glycol. The parenteral formulations can be presented in unit-dose or multi-dose sealed containers, such as ampoules and vials, and can be stored in a freeze-dried (lyophilized) condition requiring only the addition of the sterile liquid carrier, for example, water, for injections,
immediately prior to use. Extemporaneous injection solutions and suspensions can be prepared from sterile powders, granules, and tablets of the kind previously described.
[0073] The compounds, prodrugs, salts, or solvates thereof, may be made into injectable formulations. The requirements for effective pharmaceutical carriers for injectable compositions are well known to those of ordinary skill in the art. See
Pharmaceutics and Pharmacy Practice, J. B. Lippincott Co., Philadelphia, Pa., Banker and Chalmers, eds., pages 238-250 (1982), snά ASHP Handbook on Injectable Drugs, Toissel, 4th ed., pages 622-630 (1986).
[0074] Additionally, the compounds, prodrugs, salts, or solvates thereof may be made into suppositories by mixing with a variety of bases, such as emulsifying bases or water- soluble bases. Formulations suitable for vaginal administration may be presented as pessaries, tampons, creams, gels, pastes, foams, or spray formulas containing, in addition to the active ingredient, such carriers as are known in the art to be appropriate.
[0075] The compounds can be used in any suitable dose. Suitable doses and dosage regimens can be determined by conventional range finding techniques. Generally treatment is initiated with smaller dosages, which are less than the optimum dose.
Thereafter, the dosage is increased by small increments until optimum effect under the circumstances is reached. For convenience, the total daily dosage may be divided and administered in portions during the day if desired, hi proper doses and with suitable administration of certain compounds, the present invention provides for a wide range of responses. Typically the dosages range from about 0.001 to about 1000 mg/kg body weight of the animal being treated/day.
[0076] For example, in embodiments, the compounds, products, salts, or solvates may be administered from about 100 mg/kg to about 300 mg/kg, from about 120 mg/kg to about 280 mg/kg, from about 140 mg/kg to about 260 mg/kg, from about 150 mg/kg to about 250 mg/kg, from about 160 mg/kg to about 240 mg/kg, of subject body weight per day, one or more times a day, to obtain the desired therapeutic effect. In preventing the development or preventing the progression of precancerous lesions into cancer, the compounds, prodrugs, salts, or solvates may be administered at a lower dosage, for example, from about 1 mg/kg to about 80 mg/kg, from about 5 mg/kg to about 70 mg/kg, from about 10 mg/kg to about 70 mg/kg, from about 10 mg/kg to about 60 mg/kg, from
about 20 mg/kg to about 70 mg/kg, from about 20 nig/kg to about 60 mg/kg, of subject body weight per day, one or more times a day, to obtain the desired effect.
[0077] The treatment can be prophylactic or therapeutic. By "preventing the progression" is meant any degree (10, 20, 30, 40, 50, 60, 70, 80, 90% or more) in inhibition of the onset of cancer or progression of precancerous lesions into cancer, including complete inhibition. By "treatment" is meant any degree (10, 20, 30, 40, 50, 60, 70, 80, 90% or more) in inhibition of the growth or metastasis of the cancer in the animal (e.g., human).
[0078] The following examples further illustrate the invention but, of course, should not be construed as in any way limiting its scope.
EXAMPLE 1
[0079] This example demonstrates the various methods and materials employed in the present invention and the biological activities of compounds in accordance with an embodiment of the invention.
[0080] NSCLC cell lines H157, H1703, H460, PC3 and MDA MB468 were grown and maintained in RPMI 1640 (Life Technologies, Gaithersburg, MD) plus 5 or 10% fetal bovine serum and 50 ug/mL gentamycin. For low serum conditions, the serum
concentration was reduced to 0.1% FBS.
[0081] Reagents. Antibodies for western blot analysis were purchased from Cell Signaling Technology (Beverly, MA) except total Akt antibody (BD biosciences, San Jose, CA). Secondary antibodies used for immunofluorescence were anti-mouse Alexa- fluor488 and anti-rabbit Alexa-fluor568 (Molecular Probes). AMPK antibody and secondary antibody were from Cell Signaling. IR dye-linked antibodies were from
Invitrogen (Carlsbad, CA). LY294002 was purchased from Calbiochem EMD
Biosciences, hie. (La Jolla, CA), recombinant human EGF from R & D Systems
(Minneapolis, MN) and 105 compounds identified in the in silico screen were procured through ChemNavigator (San Diego, CA). All other chemicals were purchased from Sigma-Aldrich (St. Louis, MO).
[0082] Pharmacologic Treatments. For secondary screening in H157, cells were plated at 5.0 x 105 cells/well in 6-well plates in RPMI containing 5% FBS. Each well was rinsed with and changed to RPMI containing 0.1% FBS immediately prior to treatment, hi
all experiments, DMSO was added to one sample as a negative control and LY294002 as the positive control.
[0083] Immunoblotting. Cell extracts were prepared in 4% SDS. Lysates were sonicated for 15s with a Vibra Cell sonicator. Lysates were size separated by
polyacrylamide gel electrophoresis and transferred to polyvinylidene difluoride (PVDF) membranes. Membranes were blocked for 10 min in Li-Cor Blocking Buffer (Lincoln, NE) and incubated with primary antibody diluted in the same plus 0.05% triton XlOO. Primary antibodies were detected using an IR dye-linked antibodies (Invitrogen).
Detection of pS473 and total Akt were done simultaneously using two different primary antibody species and secondary antibodies of different wavelengths for simultaneous two- color detection using an Odyssey infrared scanner (Licor, Lincoln, NE). Immunoblot experiments were performed at least three times.
[0084] NCI 60 Cell Line Screen. Upon submission for testing, each compound was given a unique NSC number by the National Cancer Institute, Developmental
Therapeutics Program. Tested compounds were identified by this number in all future experiments. Methods for evaluation of cell growth inhibition in the NCI 60 cell line panel were published previously (Kumar et al, Oncogene 24: 7493-7501; Luo et al., Cancer Cell 4: 257-262, 2003). Briefly, the compounds were dissolved in DMSO, diluted into RPMI 1640 + 5% fetal bovine serum, and added to 96-well plates containing cell lines that were previously cultured for 24 hours. After a 48-hour incubation with the inhibitors, the media were removed, and the cells were fixed and stained with sulforhodamine B.
Unbound dye was removed with five washes of 1% acetic acid, and the plates were allowed to air dry. The dye was resolubilized in Tris buffer, and the absorbance at 515 run was measured. The concentration that produced 50% growth inhibition compared with a DMSO control (GI50), total growth inhibition (or 0% growth) compared with a DMSO control (TGI), and the concentration that produced death of 50% of the cells present at the start of the experiment (LC50) were determined.
[0085] Apoptosis and Death Assays. After treatment of cells for varying times, floating cells were collected and added to adherent cells following harvest by
trypsinization. An aliquot was stained with 5 μg/ml propidium iodide and at 10,000 cells per sample were analyzed by flow cytometry. Remaining cells were fixed in 70% ethanol overnight, rinsed with PBS and incubated with propidium iodide (5 μg/ml) supplemented
with RNAase A (30 μg/ml) for 30 min at room temperature for 5 min followed by flow cytometry using a Becton Dickinson FAC Sort (San Jose, CA). Sub-2N DNA population percent was determined by gating using FlowJo software (Tree Star, Inc. Ashland, OR).
[0086] Translocation Assays. Hl 57 cells seeded on cover slips in 6-well plates were treated with potential Akt inhibitors for 4 hours in 0.5% FBS and 100 ng/ml EGF was added to activate Akt 15 min prior to fixation with 10% neutral buffered formalin for 20 min. After fixation, cells were stored in 70% ethanol at 4 0C overnight. Prior to staining, cells were washed 4 times with PBS, blocked in 2% BSA for 30 min, and probed with pS473 mouse monoclonal antibody and total Akt rabbit polyclonal antibody for 4h at room temp in 0.5% BSA, 0.05% tween in PBS. After washing, cover slips were stained with fluorescent secondary antibodies and Dapi to stain nuclei. Fluorescence was visualized with laser scanning confocal microscopy (Zeiss, Thornwood, NY).
[0087] In vivo biomarker validation. Studies were done under an approved National Cancer Institute animal study proposal in accordance with the Guide for the Care and Use of Laboratory Animals. Three 6-week-old A/ J female mice were injected with a single intraperitoneal dose of 25 mg/kg NSC 743411. Drug was dissolved in DMSO at 100 mg/ml and diluted 1 :40 in 5% Tween 80, 5% PEG 4000. Three matched mice received a single dose of the vehicle only. At 4h, 8h and 24h after injection 3 drops of blood were bled from the mandibular vein into 1 ml of ice-cold ACK lysing buffer. After 5 min incubation on ice, cells were pelleted and lysed with 50 μl of SDS lysis buffer, sonicated and subjected to Western blot analysis as above.
[0088] In vivo tumor studies. Studies were done under an approved National Cancer Institute animal study proposal in accordance with the Guide for the Care and Use of Laboratory Animals. Six-week old, athymic nude mice were implanted with 1x107 H 1703 cells (w/ 50% matrigel) in the right flank. Tumors were allowed to grow for 27 days. Animals were randomized into three groups: Vehicle (10% DMSO, 5% PEG 4000, 5% Tween-80 in saline), 5mg/kg, AND 50mg/kg (n=3 per group). Drug was dissolved in DMSO at 100 mg/ml and diluted 1:40 in 5% Tween 8O5 5% PEG 4000. Daily
intraperitoneal injections of vehicle or NSC 743411 were administered for 5 days (Day 27 through Day 31). Tumor volume and body weight were monitored using standard techniques.
[0089] Xenograft tumors were harvested and frozen in liquid nitrogen. Samples were homogenized, resuspended in RIPA lysis buffer, and western blot analysis performed (15 μg protein).
[0090] Ambit Kineome scan. High throughput screening for kinase domain
interactions was performed for NSC 743404, NSC 743408 and NSC 743411 using Kineome scan 96 as described previously (Karaman et al,, Biotechnol 26: 127-132, 2008).
[0091] Cell-based screening. 105 compounds were identified by in silico screening as potential inhibitors of Akt. The test compounds were subjected to a cell-based secondary screen where levels of phosphorylated and total Akt were assessed in NSCLC cell lines. Hl 57 cells were chosen as the initial test cell line due to high levels of endogenous active Akt, which is likely related to absent PTEN function. The test compounds (10 μM) were incubated on cells for 2 hr, because this time is adequate for >80% inhibition of S473 phosphorylation in H157 cells by other inhibitors of the pathway. Cells were cultured in 0.5% FBS to minimize potential loss from protein binding. Each set of experiments included a DMSO (solvent) negative control, and the PI3K inhibitor, LY294002, as a positive control. Akt inhibition was calculated as the relative decrease in the pS473/total Akt ratio compared with the DMSO negative control, and was visibly apparent as a decrease in green signal (pS473). 21 of 105 (20%) compounds inhibited Akt
phosphorylation in this secondary screen, which is a large improvement over random screening protocols. In addition to Akt inhibitors, 4 Akt activators were identified (data not shown). These 25 Akt inhibitors and activators were tested in another cell line with wild type PTEN (H1703). Surprisingly, two of the compounds that activated Akt in H157 cells inhibited Akt in Hl 703 cells (Table 1).
[0092] Table 1. Akt inhibitors identified by in vitro screening on Hl 703, MB468, PC3, H460 and Hl 57 non-small cell lung cancer cell lines. A (-) indicates Akt inhibition and (n) indicates no change, as measured by change in S473 phosphorylation on western blots. GI50 and LC50, the average concentration (μM) giving 50% growth inhibition (GI) or death (LC) in the NCI60 cell lines.
NSC # Hl703 MB468 PC3 H460 Hl57 GI50 LC50
743402 - n 30 >100
743403 n - 97.7 >100
743404 + n n 18.2 91.2
743405 - n >100 >100
743406 n - >100 >100
743407 - - 41.7 97.7
743408 - n 13.5 91.2
743409 - + 24.5 97.7
743410 - n >100 >100
743411 + + 3.98 43.7
[0093] NSC 743411 activates AMPK. AMPK and Akt are upstream of mTOR.
Activation of AMPK negatively regulates mTOR independently of Akt inhibition, which also negatively regulates mTOR. Activation of AMPK and inhibition of Akt with NSC 743411 occur with similar dose- and time-dependence. Simultaneous inhibition of Akt and activation of AMPK would likely result in profound inhibition of mTOR and enhance the anticancer activity.
[0094] Anticancer Activity and PH-domain specificity. To assess the potential utility of these compounds as cancer therapeutics, the 10 compounds above were screened for growth inhibition and cell killing in the NCI 60 cell line panel. Three compounds, NSC 743404, NSC 743408 and NSC743411 were effective at inhibiting the growth of all of the cell lines, with the GI50s in the low micro-molar range for most cell lines (Table 1). In untreated cells, pS473-Akt is predominantly cytoplasmic but upon growth factor stimulation, Akt is translocated to the cell membrane due to binding of PIP 3 to its PH- domain. To assess the effects of the lead compounds on Akt translocation, EGF was added to Hl 57 cells and the localization of phosphorylated Akt was assessed using
immunofluorescence. Each lead compound (NSC 743404, NSC 743408 and NSC
743411) prevented membrane association of active Akt in response to EGF5 similar to the effects of LY294002. Inhibition of active Akt localization by LY294002 works indirectly through the PH domain by decreasing phosphoinositide levels. This suggested that the test compounds are working either directly or indirectly through the PH-domain of Akt since inhibition by other mechanisms would not be expected to alter the membrane localization.
[0095] NSC 743411 was the most potent compound tested in the NCI 60 cell line screen, (Fig. 5), while the composite dose-response curves were similar for NSC 743404 and NSC 743408. For the majority of the cell lines, NSC743411 exhibited little or no inhibition of proliferation at 1 μM, but had near complete growth inhibition or cytotoxicity at 10 μM. The average GI50 for NSC 743411 was approximately 4 μM; the average LC50 was 43.7 μM. However, more than 30% of the cell lines had total growth inhibition at doses of 10 μM or less (Fig 5, Table 1). Due to its superior broad-range cytotoxicity, NSC743411 was chosen for further investigation.
[0096] NSC 743411 induces non-apoptotic cell death. H 1703 cells have high levels of constitutively active Akt and depend upon Akt for survival. Morphological changes consistent with cytotoxicity were apparent in multiple cell lines treated with NSC 743411, but Hl 703 appeared to be among the most sensitive. By 24 h, nearly 50% of cells were dead as measured by propidium iodide staining, which requires membrane permeability that is absent in viable cells (Fig. 6A). However, less than 5% percent of cells were apoptotic at this time, as measured by sub-Gl DNA content on flow cytometry (Fig. 6B). Morphologically, cells treated with NSC 743411 for 24 h were retractile and rounded, although mostly still attached, with prominent membrane blebs (Fig. 6C). By 48 h, nearly all of the cells were dead although there was no increase in apoptotic cells (Figs. 6A and B).
[0097] NSC 743411 Inhibits At in a Dose- and Time-Dependent Manner. Since Akt inhibition was initially assessed at a single dose and time, additional studies were conducted to determine the dose and time dependence of Akt inhibition by NSC 743411. First, the efficacy of NSC 743411 was assessed in 5% FBS. NSC 743411 inhibited Akt equally well in 0.5% FBS or 5% FBS; thus, all subsequent experiments were performed in 5% FBS. Upon treatment of H1703 cells for 8 h with NSC 743411, Akt phosphorylation was decreased with concentrations as low as 10 μM. NSC 743411 decreased Akt
phosphorylation without affecting total levels of Akt in four NSCLC cell lines (Table 1). Inhibition was observed as early as 6 h with 10 μM NSC743411, and was sustained for at least 24 hours after treatment, although many cells appeared dead at this time. At 20 uM, Akt inhibition was observed as early as 2h. To verify that loss of Akt phosphorylation on S473 was coupled with loss of Akt kinase activity, imrnunoblots were also probed with antibodies to assess phosphorylation of Akt downstream targets. GSK-3ab (S9/21) is a direct substrate of Akt, whereas pS6 (S235/236) is indirectly phosphorylated following Akt-dependent activation of mTOR and subsequently, S6-kinase. 4EBP-1 is another substrate of mTOR. Phosphorylation of each downstream substrate decreased
concomitantly and commensurately with Akt inhibition. 4EBP 1 dephosphorylation leads to an increase in electrophoretic mobility. Only a small amount of Parp cleavage, a marker for apoptosis, was observed, consistent with mostly non-apoptotic cell death induced by NSC743411 (Fig. 6B).
[0098] Inhibition of Akt in vivo. Preliminary experiments were performed with NSC 743411 to test for in vivo inhibition of Akt phosphorylation. Three mice were injected with a single dose of 25 mg/kg NSC 743411 intraperitoneally. PBMC lysates showed decreased Akt phosphorylation 4 h after NSC743411 injection as compared with vehicle- injected mice (Fig. 7), suggesting that the compound is bioavailable. However, due to the small sample size, this inhibition was not statistically significant. No adverse health effects of the drug were observed either acutely or up to one month following injection.
[0099] NSC 743411 suppresses tumor growth in vivo and has limited toxicity in vivo. See Figs. 8 and 9. There is no statistical difference between vehicle and 5 mg/kg but there is between vehicle and 50 mg/kg.
[0100] NSC 743411 does not inhibit Akt via the kinase domain. Akt inhibition by the lead compounds should not be via the Akt kinase domain since these compounds were specifically screened for binding to the PH domain. To confirm this, NSC 743404, NSC 743408 and NSC743411 were subjected to the Ambit Kineome scan 96, which tests inhibition of ATP binding to active sites of a panel of 96 kinases. This approach has been shown to be an excellent predictor of kinase inhibition by small molecules. None of the 3 lead compounds inhibited binding of ATP to Aktl or Akt2, as expected for a PH-domain selective inhibitor. In addition, upstream activators of Akt such as PI3K, EGFR and HER2 also were not inhibited, suggesting that Akt inhibition is not due to inhibition of
upstream activators. Overall, NSC 743408 and NSC743411 had no activity for any of the kinases on the panel, but NSC 743404 inhibited CSFlR binding to ATP by 97% but had no activity for other kinases.
[0101] Compare analysis. The large amount of data obtained with the NCI 60 cell lines allows comparisons of new data sets with existing data sets on over 100,000 drugs and molecular targets. Using the COMPARE algorithm on the NCI website, NSC 743411 sensitivity did not correlate significantly with pS473-Akt but did correlate significantly with Aktl protein levels (data set MT1368) (Pearson correlation coefficients: 0.291 NSC 743411 GI50 vs. Aktl, 0.356 NSC 743411 TGI vs. Aktl, 0.327 NSC 743411 LC50 vs. Aktl). The modeling and in silico screening were done using the PH domain of Aktl which is consistent with Aktl being a target of NSC743411. Since pS473-Akt represents active Aktl, Akt2 and Akt3, the lack of correlation with total pS473-Akt is not inconsistent with NSC743411 targeting the PH domain of Aktl.
[0102] Eleven compounds were chosen for further testing based on Akt inhibition in multiple cell lines. However, NCI 60 toxicity testing yielded only 3 compounds with the desired growth inhibition or cytotoxic activity in the 3-day assay. This may be due to instability of the compounds in culture, resulting in transient Akt inhibition and consequent limited cell growth inhibition and death. A time course for Akt inhibition was performed with NSC 743411 , the most toxic in the NCI 60 screen, which showed prolonged Akt inhibition coupled with substantial cell killing occurring within 24 hours. Although NSC743411 elicited substantial cell death by 24 h in culture, little classical apoptosis was observed (Fig. 6B). Notably, the activity of NSC743411 in Akt inhibition and cell killing in 10% fetal bovine serum suggests that it has potential for activity under physiological conditions, hi support of this, a small in vivo study showed that 25 mg/kg of NSC743411 can inhibit pS473-Akt in PBMCs 4 h after intraperitoneal injection in mice (Fig. 7) with no obvious adverse health effects.
[0103] Inhibition of Akt by a PH-domain-directed compound could prevent membrane localization of pS473-Akt, which was in fact observed after treatment of cells with NSC743411. Cytoplasmic localization was also reduced, coupled with intense nuclear staining suggesting that NSC 743411 also effects nuclear/cytoplasmic transport of active Akt. Nuclear Akt has been shown to localize with nuclear PML bodies where it is dephosphorylated by co-localized PP2A. Lack of inhibition of Aktl or Akt2 in the Ambit
Kineome scan also suggests that inhibition is mediated through a domain other than the kinase domain. This assay also suggested that Akt inhibition is not mediated indirectly through inhibition of upstream components since PBK, and upstream activators of PI3K, were not affected by NSC743411. This data is consistent with specificity of NSC 743411 for the PH domain of Akt.
[0104] The widespread use of the NCI 60 cell lines and the considerable molecular target information available for those cell lines makes the NCI 60 database a valuable resource to look for molecular correlates to drug sensitivity. The finding that NSC743411 toxicity correlated with Aktl protein levels is consistent with NSC 743411 targeting Aktl. Even though NSC 743411 toxicity did not correlate significantly with pS473-Akt levels, other in vitro data support the PH domain specificity of this compound. EGF treatment leads to primarily membrane localization of active Akt in H 157 cells, which is inhibited by NSC743411. However, the relative contribution of active Aktl, 2 and 3 to total active Akt in untreated and EGF-treated cells in unknown. It is possible that NSC 743411 only targets the PH domain of Aktl, and that active Aktl may be more important for survival of tumor cell lines than the other Akt family members, Akt2 and Akt3. Active Aktl has been shown to be oncogenic, and genetic deletion of Akt can prevent tumorigenesis in mice. A mutation in the PH domain of Aktl was described in breast, colorectal, and ovarian tumors and squamous cell carcinomas of the lung. This mutation causes increased localization of Aktl to the membrane and can transform fibroblasts in culture and cause leukemia in mice. Conversely, deletion of Aktl alone can prevent tumor formation in mouse models suggesting that inhibition of Aktl may be a potential strategy for tumor prevention and therapy.
[0105] The lead compound, NSC 743411 , inhibited Akt phosphorylation, prevented phosphorylated Akt from localizing to the membrane and led to inhibition of growth and increased cell death in a variety of tumor types at physiologically achievable doses.
EXAMPLE 2
[0106] This example illustrates the activity of a compound in accordance with an embodiment of the invention. Compounds designated as sulfonamide- 1 to sulfonamide- 12, sulfamide-1 to sulfamide-8, and sultam-1 to sultam-3 were tested on Hl 57, A549, and H1703 cell lines. H157 is a lung adenocarcinoma cell line with P-Akt+, p53 codon 285 CAG- AAG; A549 is a lung adenocarcinoma cell line, P-Akt-, p53 wild type; H157 is a
lung squamous carcinoma cell line, P-Akt+, p53 nonsense mutation at codon 298. The cells were exposed for 2 hours at 25 μM of the compounds. Iramunoblotting results are shown in Tables 2-3. The sultam compounds either activated or showed no inhibition of Akt.
[0107] Table 2. Akt inhibiting activity of sulfonamides (1 to 12): + means activation; - means inhibition; S means no change in Akt.
[0108] Table 3. Akt inhibiting activity of sulfamides (1 to 8): + means activation; means inhibition; S means no change in Akt
EXAMPLE 3
[0109] This example illustrates some other properties of sulfonamide-2 as shown in Figures 10-16. The compound inhibited the growth of A549 cells as shown by the change in cell morphology depicted in Fig. 10. The GI50 values are shown in Fig, 11. The sulfonamide also arrests the G2/M phase of cell growth as shown in Fig. 12. The sulfonamide causes G2/M phase arrest and increases acetylated tubulin expression of A549 cells as shown in Fig. 13. The sulfonamide also caused nonapoptotic cell death on Hl 703 cells (p53-) as shown in Figs. 14-16. It is believed that the cell death results from abnormal mitosis, thus causing mitotic catastrophe.
EXAMPLE 4
[0110] This example illustrates a biological activity of a compound in accordance with an embodiment of the invention. NSC 743404 was put through an Ambit kineome
(kinase) screen and it was found that the compound had significant activity against CSFlR, 6.3% of control. The compound was tested at 10 μM.
[0111] All references, including publications, patent applications, and patents, cited herein are hereby incorporated by reference to the same extent as if each reference were individually and specifically indicated to be incorporated by reference and were set forth in its entirety herein.
[0112] The use of the terms "a" and "an" and "the" and similar referents in the context of describing the invention (especially in the context of the following claims) are to be construed to cover both the singular and the plural, unless otherwise indicated herein or clearly contradicted by context. The terms "comprising," "having," "including," and "containing" are to be construed as open-ended terms (i.e., meaning "including, but not limited to,") unless otherwise noted. Recitation of ranges of values herein are merely intended to serve as a shorthand method of referring individually to each separate value falling within the range, unless otherwise indicated herein, and each separate value is incorporated into the specification as if it were individually recited herein, All methods described herein can be performed in any suitable order unless otherwise indicated herein or otherwise clearly contradicted by context. The use of any and all examples, or exemplary language (e.g., "such as") provided herein, is intended merely to better illuminate the invention and does not pose a limitation on the scope of the invention unless otherwise claimed. No language in the specification should be construed as indicating any non-claimed element as essential to the practice of the invention.
[0113] Preferred embodiments of this invention are described herein, including the best mode known to the inventors for carrying out the invention. Variations of those preferred embodiments may become apparent to those of ordinary skill in the art upon reading the foregoing description. The inventors expect skilled artisans to employ such variations as appropriate, and the inventors intend for the invention to be practiced otherwise than as specifically described herein. Accordingly, this invention includes all modifications and equivalents of the subject matter recited in the claims appended hereto as permitted by applicable law. Moreover, any combination of the above-described elements in all possible variations thereof is encompassed by the invention unless otherwise indicated herein or otherwise clearly contradicted by context.
Claims
1. A compound for inhibiting mTOR, wherein the compound has one of the following structures:
or a prodrug, salt, or solvate thereof.
2. The compound of claim 1, wherein the compound has one of the following structures:
3, The compound of claim 2, wherein the compound is:
4. The compound of any one of claims 1 to 3, wherein the compound inhibits Akt by inhibiting the binding of Akt's pleckstrin homology (PH) domain to a
phosphoinositide.
5. The compound of any one of claims 1 to 3, wherein the compound activates AMP-activated protein kinase (AMPK).
6. The compound of any one of claims 1 to 5, wherein the compound inhibits Akt and activates AMPK,
7. The compound of any one of claims 1 to 6, wherein the compound treats or prevents development of cancer or prevents progression of premalignant lesions to cancer in an animal.
8. The compound of claim 7, wherein the cancer is selected from the group consisting of glioma, thyroid carcinoma, breast carcinoma, small-cell lung carcinoma, non- small-cell carcinoma, gastric carcinoma, colon carcinoma, gastrointestinal stromal tumor, pancreatic carcinoma, bile duct carcinoma, CNS carcinoma, ovarian carcinoma, endometrial carcinoma, prostate carcinoma, renal carcinoma, anaplastic large-cell lymphoma, leukemia, multiple myeloma, mesothelioma, and melanoma, and combinations thereof.
9. The compound of claim 8, wherein the cancer is selected from the group consisting of leukemia, non-small-cell carcinoma, breast carcinoma, colon carcinoma, CNS carcinoma, melanoma, ovarian carcinoma, renal carcinoma, and prostate carcinoma.
10. The compound of claim 9, wherein the cancer is a non- small-cell carcinoma.
11. The compound of claim 10, wherein the non-small-cell carcinoma is characterized by a cell line selected from the group consisting of Hl 703, MB468, PC3, H460, and H157.
12. A compound for inhibiting mTOR, wherein the compound is of formula (I), (II), (III), or (IV):
wherein A is C6-C20 aryl, C6-C20 aryl Ci-C6 alkyl C6-C20 aryl, heteroaryl, or heteroaryl Ci-C6 alkyl, optionally further substituted, at the aryl, alkyl, or at the heteroaryl moiety, with one or more substituents selected from the group consisting Of C2-C6 alkenyl, halo, monohalo Ci-C6 alkyl, dihalo C1-C6 alkyl, trihalo Ci-C6 alkyl, C]-C6 alkoxy, and hydroxy Ci-C6 alkyl;
R1 is selected from the group consisting of Ci-C6 alkyl, monohalo Cj-C6 alkyl, dihalo Ci-C6 alkyl, trihalo C]-C6 alkyl, C]-C6 alkoxy, and nitro; R2 is selected from the group consisting of hydrogen, C2-C6 alkenyl, halo, monohalo C1-C6 alkyl, dihalo Ci-C6 alkyl, trihalo C]-C6 alkyl, Q-C6 alkoxy, hydroxy C1- C6 alkyl, and heterocyclyl which may be optionally substituted with a substituent selected from the group consisting of hydroxy, C2-C6 alkenyl, and Ci-C6 alkoxy carbonyl amino Ci-C6 alkyl;
R4 is selected from the group consisting of carboxy Ci-C6 alkyl, carboxy Ci-C6 alkoxy, and carboxy Cs-C6 alkylthio;
R5 is hydrogen, C6-C20 aryl which may be linked at one carbon atom or on two carbon atoms as fused, C2-C6 alkenyl, halo, monohalo Ci-C6 alkyl, dihalo Ci-C6 alkyl, trihalo Ci-C6 alkyl, Ci-C6 alkoxy, hydroxy CrC6 alkyl, and heterocyclyl, which may be optionally substituted with a substituent selected from the group consisting of Ci -C6 alkyl, halo, nitro, hydroxy, C2-C6 alkenyl, and Ci-C6 alkoxy carbonyl amino Ci-C6 alkyl; and a, b, c, d, and e are independently 0 to 6;
or a prodrug, salt, or solvate thereof.
13. The compound of claim 12, wherein the compound of formula (I) has a, b, and c as 0 or a, b, and c as 1.
14. The compound of claim 12, wherein the compound of formula (I) has a as 1 and b and c as 0 or a and c as 0 and b as 1.
15. The compound of claim 12, wherein the compound of formula (II) has a, b, and c as 0.
16. The compound of claim 12, wherein the compound of formula (II) has R1
17. The compound of claim 16, wherein R4 is carboxymethylthio and R5 is benzo.
19. The compound of claim 18, wherein the compound is
20. The compound of claim 12, wherein the compound of formula (I) has the structure
21. The compound of claim 20, wherein the compound is
22. The compound of claim 12, wherein the compound is
23. The compound of any one of claims 12 to 22, wherein the compound inhibits Akt by inhibiting the binding of Akt's pleckstrin homology (PH) domain to a phospho inositide .
24. The compound of any one of claims 12 to 22, wherein the compound activates AMP-activated protein kinase (AMPK).
25. The compound of any one of claims 12 to 24, wherein the compound inhibits Akt and activates AMPK.
26. The compound of any one of claims 12 to 25, wherein the compound treats or prevents development of cancer or prevents progression of premalignant lesions to cancer in an animal.
27. The compound of claim 26, wherein the tumor is characterized by cell line A549 or H1703.
28. The compound of any one of claims 12 to 27, wherein the compound administered arrests the G2/M phase of the tumor cell cycle.
29. The compound of claim 28, wherein the compound is:
suifonamide-2
30. The compound of claim 26, wherein the cancer is selected from the group consisting of glioma, thyroid carcinoma, breast carcinoma, small-cell lung carcinoma, non- small-cell carcinoma, gastric carcinoma, colon carcinoma, gastrointestinal stromal tumor, pancreatic carcinoma, bile duct carcinoma, CNS carcinoma, ovarian carcinoma, endometrial carcinoma, prostate carcinoma, renal carcinoma, anaplastic large-cell lymphoma, leukemia, multiple myeloma, mesothelioma, and melanoma, and combinations thereof.
31. The compound of claim 7 or 26, which is for administration in conjunction with another cancer therapy.
32. The compound of claim 31 , wherein the another cancer therapy comprises chemotherapy, radiation therapy, or biological therapy.
33. The compound of claim 32, wherein the biological therapy involves administration of a protein.
34. The compound of claim 33, wherein the protein is an antibody or recombinant protein.
35. The compound of claim 31 , wherein the another cancer therapy comprises chemotherapy.
36. The compound of claim 35 , wherein the another cancer therapy involves the administration of an agent selected from the group consisting of abarelix, aldesleukin, alemtuzumab, altretamine, amifostine, amino glutethimide, anastrazole, arsenic trioxide, asparaginase, azacitidine, azathioprine, BCG vaccine, bevacizumab, bexarotene, bicalutamide, bleomycin sulfate, bortezomib, bromocriptine, busulfan, capecitabine, carboplatin, carmustine, cetuximab, chlorambucil, chloroquine phosphate, cladribine, cyclophosphamide, cyclosporine, cytarabine, dacarbazine, dactinomycin, daunorubicui hydrochloride, daunorubicin citrate liposomal, dexrazoxane, docetaxel, doxorubicin hydrochloride, doxorubicin hydrochloride liposomal, epirubicin hydrochloride, estramustine phosphate sodium, etoposide, estretinate, exemestane, floxuridine, fludarabine phosphate, fluorouracil, fluoxymesterone, flutamide, fulvestrant, gefitinib, gemcitabine hydrochloride, gemtuzumab ozogamicin, goserelin acetate, hydroxyurea, idarubicin hydrochloride, ifosfamide, imtinib mesylate, interferon alfa-2a, interferon alfa- 2b, irinotecan hydrochloride trihydrate, letrozole, leucovorin calcium, leuprolide acetate, levamisole hydrochloride, lomustine, lymphocyte immune anti-thymocyte globulin (equine), mechlorethamine hydrochloride, medoxyprogestone acetate, melphalan, mercaptopurine, mesna, methotrexate, mitomycin, mitotane, mitoxantrone hydrochloride, nilutamide, oxaliplatin, paclitaxel, pegaspargase, pentostatin, plicamycin, porfimer sodium, procarbazine hydrochloride, strep tozocin, tamoxifen citrate, temozolomide, teniposide, testolactone, testosterone propionate, thioguanine, thiotepa, topotecan hydrochloride, tretinoin, uracil mustard, valrubicin, vinblastine sulfate, vincristine sulfate, and vinorelbine.
37. A compound for treating an animal for a disease or adverse condition that responds to inhibiting the activity of CSFlR receptor, wherein the compound is of the formula
38. The compound of claim 37, wherein the disease or adverse condition is chronic myelomonocytic leukemia, Alzheimer's disease, or brain injury.
39. A compound of one of formulas (I)-(IV) :
R1
"V-/ ^ wherein
wherein A is C6-C20 aryl, C6-C20 aryl C1-C6 alkyl C6-C2O aryl, heteroaryl, or heteroaryl C]-C6 alkyl, optionally further substituted, at the aryl, alkyl, or at the heteroaryl moiety, with one or more substituents selected from the group consisting Of C2-C6 alkenyl, halo, monohalo Cj-C6 alkyl, dihalo C1-C6 alkyl, trihalo CrC6 alkyl, Ci-C6 alkoxy, and hydroxy C1-C6 alkyl;
R1 is selected from the group consisting of C1 -C6 alkyl, monohalo C1-C6 alkyl, dihalo C1-C6 alkyl, trihalo C1-C6 alkyl, Ci-C6 alkoxy, and nitro;
R2 is selected from the group consisting of hydrogen, C2-C6 alkenyl, halo, monohalo C1-C6 alkyl, dihalo C1-C6 alkyl, trihalo Ci-C6 alkyl, Ci-C6 alkoxy, hydroxy C1- C6 alkyl, and heterocyclyl which may be optionally substituted with a substituent selected from the group consisting of hydroxy, C2-C6 alkenyl, and Ci-C6 alkoxy carbonyl amino CrC6 alkyl;
R4 is selected from the group consisting of carboxy Ci-C6 alkyl, carboxy Ci-C6 alkoxy, and carboxy Ci-C6 alkylthio;
R5 is hydrogen, C6-C20 aryl which may be linked at one carbon atom or on two carbon atoms as fused, C2-C6 alkenyl, halo, monohalo Ci-C6 alkyl, dihalo Ci-C6 alkyl, trihalo Ci-C6 alkyl, CrC6 alkoxy, hydroxy Cj-C6 alkyl, and heterocyclyl, which may be optionally substituted with a substituent selected from the group consisting of Cr C6 alkyl, halo, nitro, hydroxy, C2-C6 alkenyl, and CrC6 alkoxy carbonyl amino CrC6 alkyl; and a, b, c, d, and e are independently 0 to 6;
or a prodrug, salt, or solvate thereof;
with the provisos that:
(a) in formula (I), when all of a, b, and c are 0 or 1 or when at least one of a, b, and c is 0 and at least one of the other is less than 2, and R2 is alkenyl, then R1 is not hydrogen, alkyl, halogen, alkoxy, nitro, or trifluoromethoxy;
(b) in formula (II), when R3 is (i) and R2 is alkenyl, then R1 is not alkyl; when R3 is (ii) and R1 is ethoxy, R4 is carboxy alkyl thio, R5 is not benzo; when R3 is (iii) optionally substituted heterocyclyl and R1 is alkyl, then the substituted heterocyclyl is not an indole substituted with alkoxycarbonyl amino alkyl;
(c) in formula (III), when R2 is hydrogen and d is 1, then R1 is not hydrogen; and when R2 is hydrogen and d is 0, then R1 is not alkoxy; and
(d) in formula (IV), when R2 is hydrogen and e is 0, then R1 is not alkyl or alkoxy; and when R2 is hydrogen and e is 1 , then R1 is not alkyl.
40. A pharmaceutical composition comprising a compound, prodrug, salt, or solvate of claim 39 and a pharmaceutically acceptable carrier.
Applications Claiming Priority (2)
| Application Number | Priority Date | Filing Date | Title |
|---|---|---|---|
| US22632809P | 2009-07-17 | 2009-07-17 | |
| US61/226,328 | 2009-07-17 |
Publications (2)
| Publication Number | Publication Date |
|---|---|
| WO2011009059A2 true WO2011009059A2 (en) | 2011-01-20 |
| WO2011009059A3 WO2011009059A3 (en) | 2011-04-21 |
Family
ID=42668073
Family Applications (1)
| Application Number | Title | Priority Date | Filing Date |
|---|---|---|---|
| PCT/US2010/042306 Ceased WO2011009059A2 (en) | 2009-07-17 | 2010-07-16 | Method of treating or preventing cancer |
Country Status (1)
| Country | Link |
|---|---|
| WO (1) | WO2011009059A2 (en) |
Cited By (2)
| Publication number | Priority date | Publication date | Assignee | Title |
|---|---|---|---|---|
| WO2023178355A1 (en) * | 2022-03-18 | 2023-09-21 | WU, Lester, J. | Combination therapy for treating cancer |
| WO2024031753A1 (en) * | 2022-08-09 | 2024-02-15 | 苏州大学 | Indoline compound and preparation method therefor |
Family Cites Families (9)
| Publication number | Priority date | Publication date | Assignee | Title |
|---|---|---|---|---|
| US4845128A (en) * | 1984-06-27 | 1989-07-04 | Eli Lilly And Company | N([(4-trifluoromethylphenyl)amino]carbonyl)benzene sulfonamides |
| US5116874A (en) * | 1985-09-23 | 1992-05-26 | Eli Lilly And Company | Anti-tumor method and compounds |
| US5234955A (en) * | 1991-12-20 | 1993-08-10 | Eli Lilly And Company | Antitumor compositions and methods of treatment |
| CA2110524A1 (en) * | 1992-12-10 | 1994-06-11 | Gerald Burr Grindey | Antitumor compositions and methods of treatment |
| AU2004284030A1 (en) * | 2003-10-27 | 2005-05-06 | S*Bio Pte Ltd | Acylurea connected and sulfonylurea connected hydroxamates |
| EP1859797A4 (en) * | 2005-02-28 | 2011-04-13 | Eisai R&D Man Co Ltd | Novel concomitant use of sulfonamide compound with anti-cancer agent |
| US8673910B2 (en) * | 2008-06-30 | 2014-03-18 | H. Lee Moffitt Cancer Center And Research Institute | Proteasome inhibitors for selectively inducing apoptosis in cancer cells |
| CA2760929C (en) * | 2009-05-04 | 2018-01-02 | Agios Pharmaceuticals, Inc. | Pkm2 activators for use in the treatment of cancer |
| US8329904B2 (en) * | 2009-05-12 | 2012-12-11 | Hoffmann-La Roche Inc. | Azacyclic derivatives |
-
2010
- 2010-07-16 WO PCT/US2010/042306 patent/WO2011009059A2/en not_active Ceased
Non-Patent Citations (8)
| Title |
|---|
| JOURNAL OF PHARMACEUTICAL SCIENCE, vol. 66, 1977, pages 2 - 19 |
| KARAMAN ET AL., BIOTECHNOL, vol. 26, 2008, pages 127 - 132 |
| KUMAR ET AL., ONCOGENE, vol. 24, pages 7493 - 7501 |
| LUO ET AL., CANCER CELL, vol. 4, 2003, pages 257 - 262 |
| SHERMAN, E. S. ET AL., J. ORG. CHEM., vol. 72, 2007, pages 3896 - 3905 |
| SHERMAN, E. S. ET AL., ORGANIC LETTERS, 2004, pages 1573S1 - 1575S10 |
| ZAWABA, T. P. ET AL., J. AM. CHEM. SOC., vol. 127, 2005, pages 11250 - 11251 |
| ZAWABA, T. P. ET AL., ORGANIC LETTERS, vol. 9, 2007, pages 2035S1 - 2038S28 |
Cited By (3)
| Publication number | Priority date | Publication date | Assignee | Title |
|---|---|---|---|---|
| WO2023178355A1 (en) * | 2022-03-18 | 2023-09-21 | WU, Lester, J. | Combination therapy for treating cancer |
| US12409158B2 (en) | 2022-03-18 | 2025-09-09 | Gongwin Biopharm Co., Ltd | Combination therapy for treating cancer |
| WO2024031753A1 (en) * | 2022-08-09 | 2024-02-15 | 苏州大学 | Indoline compound and preparation method therefor |
Also Published As
| Publication number | Publication date |
|---|---|
| WO2011009059A3 (en) | 2011-04-21 |
Similar Documents
| Publication | Publication Date | Title |
|---|---|---|
| KR102124392B1 (en) | Compounds for the treatment of mtor pathway related diseases | |
| EP3265093A1 (en) | Tricyclic kinase inhibitors of melk and methods of use | |
| EP4275759B1 (en) | Quinoline derivatives as chromobox (cbx) protein inhibitors for treating cancer | |
| US9937217B2 (en) | Method of inhibiting ABCG2 and related treatments | |
| EP3283463A1 (en) | Dimeric quinacrine derivatives as autophagy inhibitors for cancer therapy | |
| KR20220062363A (en) | Phospholipid Ether Conjugates as Cancer Targeting Drug Carriers | |
| US20180250261A1 (en) | Method for treating cancer with a stat3 pathway inhibitor and kinase inhibitor | |
| US12496346B2 (en) | Phospholipid-flavagline conjugates and methods of using the same for targeted cancer therapy | |
| WO2018204370A1 (en) | Cx3cr1 small molecule antagonists, and methods using same | |
| KR20180006919A (en) | How to treat cancer | |
| WO2011009059A2 (en) | Method of treating or preventing cancer | |
| EP3773544B1 (en) | Phospholipid-flavagline conjugates and methods of using the same for targeted cancer therapy | |
| US9314448B2 (en) | Method of inhibiting ABCG2 and other treatment methods | |
| WO2023158514A1 (en) | Cancer treatment by combined inhibition of polo-like kinase and microtubule polymerization | |
| WO2014149084A2 (en) | Ddx3 as a biomarker for cancer and methods related thereto | |
| US10849912B2 (en) | Method of sensitizing cancer cells to the cytotoxic effects of apoptosis inducing ligands in cancer treatment | |
| EA047198B1 (en) | PHOSPHOLIPID-FLAVAGLIN CONJUGATES AND METHODS OF THEIR APPLICATION FOR TARGETED ANTI-CANCER THERAPY | |
| Salaroglio et al. | New Tetrahydroisoquinoline Derivatives Overcome Pgp Activity in Brain-Blood Barrier and Glioblastoma Multiforme | |
| US20040077621A1 (en) | Antioxidants | |
| HK40075720A (en) | Phospholipid ether conjugates as cancer-targeting drug vehicles | |
| HK40043232B (en) | Phospholipid-flavagline conjugates and methods of using the same for targeted cancer therapy |
Legal Events
| Date | Code | Title | Description |
|---|---|---|---|
| 121 | Ep: the epo has been informed by wipo that ep was designated in this application |
Ref document number: 10737173 Country of ref document: EP Kind code of ref document: A2 |
|
| NENP | Non-entry into the national phase |
Ref country code: DE |
|
| 122 | Ep: pct application non-entry in european phase |
Ref document number: 10737173 Country of ref document: EP Kind code of ref document: A2 |








































