WO2011005911A1 - Method of laundering fabric using a compacted liquid laundry detergent composition - Google Patents
Method of laundering fabric using a compacted liquid laundry detergent composition Download PDFInfo
- Publication number
- WO2011005911A1 WO2011005911A1 PCT/US2010/041281 US2010041281W WO2011005911A1 WO 2011005911 A1 WO2011005911 A1 WO 2011005911A1 US 2010041281 W US2010041281 W US 2010041281W WO 2011005911 A1 WO2011005911 A1 WO 2011005911A1
- Authority
- WO
- WIPO (PCT)
- Prior art keywords
- less
- wash liquor
- laundry detergent
- water
- iso
- Prior art date
- Legal status (The legal status is an assumption and is not a legal conclusion. Google has not performed a legal analysis and makes no representation as to the accuracy of the status listed.)
- Ceased
Links
- 0 CC(*)(*N(*C(*)(*)O)*C(*)(*)O)O Chemical compound CC(*)(*N(*C(*)(*)O)*C(*)(*)O)O 0.000 description 2
Classifications
-
- C—CHEMISTRY; METALLURGY
- C11—ANIMAL OR VEGETABLE OILS, FATS, FATTY SUBSTANCES OR WAXES; FATTY ACIDS THEREFROM; DETERGENTS; CANDLES
- C11D—DETERGENT COMPOSITIONS; USE OF SINGLE SUBSTANCES AS DETERGENTS; SOAP OR SOAP-MAKING; RESIN SOAPS; RECOVERY OF GLYCEROL
- C11D3/00—Other compounding ingredients of detergent compositions covered in group C11D1/00
- C11D3/39—Organic or inorganic per-compounds
- C11D3/3902—Organic or inorganic per-compounds combined with specific additives
- C11D3/3905—Bleach activators or bleach catalysts
- C11D3/3907—Organic compounds
-
- C—CHEMISTRY; METALLURGY
- C11—ANIMAL OR VEGETABLE OILS, FATS, FATTY SUBSTANCES OR WAXES; FATTY ACIDS THEREFROM; DETERGENTS; CANDLES
- C11D—DETERGENT COMPOSITIONS; USE OF SINGLE SUBSTANCES AS DETERGENTS; SOAP OR SOAP-MAKING; RESIN SOAPS; RECOVERY OF GLYCEROL
- C11D2111/00—Cleaning compositions characterised by the objects to be cleaned; Cleaning compositions characterised by non-standard cleaning or washing processes
- C11D2111/10—Objects to be cleaned
- C11D2111/12—Soft surfaces, e.g. textile
-
- C—CHEMISTRY; METALLURGY
- C11—ANIMAL OR VEGETABLE OILS, FATS, FATTY SUBSTANCES OR WAXES; FATTY ACIDS THEREFROM; DETERGENTS; CANDLES
- C11D—DETERGENT COMPOSITIONS; USE OF SINGLE SUBSTANCES AS DETERGENTS; SOAP OR SOAP-MAKING; RESIN SOAPS; RECOVERY OF GLYCEROL
- C11D3/00—Other compounding ingredients of detergent compositions covered in group C11D1/00
- C11D3/39—Organic or inorganic per-compounds
- C11D3/3902—Organic or inorganic per-compounds combined with specific additives
- C11D3/3905—Bleach activators or bleach catalysts
- C11D3/3907—Organic compounds
- C11D3/3917—Nitrogen-containing compounds
- C11D3/392—Heterocyclic compounds, e.g. cyclic imides or lactames
-
- C—CHEMISTRY; METALLURGY
- C11—ANIMAL OR VEGETABLE OILS, FATS, FATTY SUBSTANCES OR WAXES; FATTY ACIDS THEREFROM; DETERGENTS; CANDLES
- C11D—DETERGENT COMPOSITIONS; USE OF SINGLE SUBSTANCES AS DETERGENTS; SOAP OR SOAP-MAKING; RESIN SOAPS; RECOVERY OF GLYCEROL
- C11D3/00—Other compounding ingredients of detergent compositions covered in group C11D1/00
- C11D3/39—Organic or inorganic per-compounds
- C11D3/3902—Organic or inorganic per-compounds combined with specific additives
- C11D3/3905—Bleach activators or bleach catalysts
- C11D3/3907—Organic compounds
- C11D3/3917—Nitrogen-containing compounds
- C11D3/3927—Quarternary ammonium compounds
Definitions
- the present invention relates to a method of laundering fabric.
- the method exhibits good bleach performance and has an excellent environmental profile.
- the inventors have found that by carefully controlling the logP o/w and Xso properties of the bleaching species to be incorporated into the laundry detergent composition, one can maintain a good bleaching performance whilst at the same time compact the formulation and the bleach system.
- the inventors herein provide a method of laundering fabric having a good bleach performance profile, whilst at the same time having a good environmental profile.
- the present invention relates to a method of laundering fabric as defined by the claims.
- the method of laundering fabric comprises the step of contacting a laundry detergent composition comprising a bleach ingredient to water to form a wash liquor, and laundering fabric in said wash liquor.
- the fabric may be contacted to the water prior to, or after, or simultaneous with, contacting the laundry detergent composition with water.
- the wash liquor is formed by contacting the laundry detergent to water in such an amount so that the concentration of laundry detergent composition in the wash liquor is from above Og/1 to 4g/l, preferably from 0.15g/l, and preferably to 3.5g/l, or to 3.0g/l, or to 2.5g/l, or to 2.0g/l, or to 1.5g/l, or even to 1.Og/1, or even to 0.5g/l.
- the method of laundering fabric is carried out in a front-loading automatic washing machine.
- the wash liquor formed and concentration of laundry detergent composition in the wash liquor is that of the main wash cycle. Any input of water during any optional rinsing step(s) that typically occurs when laundering fabric using a front- loading automatic washing machine is not included when determining the volume of the wash liquor.
- any suitable automatic washing machine may be used, although it is extremely highly preferred that a front-loading automatic washing machine is used.
- the wash liquor comprises 40 litres or less of water, preferably 35 litres or less, preferably 30 litres or less, preferably 25 litres or less, preferably 20 litres or less, preferably 15 litres or less, preferably 12 litres or less, preferably 10 litres or less, preferably 8 litres or less, or even 6 litres or less of water.
- the wash liquor comprises from above 0 to 15 litres, or from 1 litre, or from 2 litres, or from 3 litres, and preferably to 12 litres, or to 10 litres, or even to 8 litres of water.
- the wash liquor comprises from 1 litre, or from 2 litres, or from 3 litres, or from 4 litres, or even from 5 litres of water.
- CM3515/CB CM3515/CB
- the laundry detergent composition is contacted to from above 0 litres, preferably from above 1 litre, and preferably to 70 litres or less of water to form the wash liquor, or preferably to 40 litres or less of water, or preferably to 35 litres or less, or preferably to 30 litres or less, or preferably to 25 litres or less, or preferably to 20 litres or less, or preferably to 15 litres or less, or preferably to 12 litres or less, or preferably to 10 litres or less, or preferably to 8 litres or less, or even to 6 litres or less of water to form the wash liquor.
- the laundry detergent composition comprises a bleach ingredient, and optionally other detergent ingredients.
- the bleach ingredient is described in more detail below.
- the composition can be any liquid form, for example a liquid or gel form, or any combination thereof.
- the composition may be in any unit dose form, for example a pouch. However, it is extremely highly preferred for the composition to be in gel form.
- the composition is a fully finished laundry detergent composition.
- the composition is not just a component of a laundry detergent composition that can be incorporated into a laundry detergent composition: it is a fully finished laundry detergent composition. That said, it is within the scope of the present invention for an additional rinse additive composition (e.g. fabric conditioner or enhancer), or a main wash additive composition (e.g. bleach additive) to also be used in combination with the liquid laundry detergent composition during the method of the present invention. Although, it may be preferred for no bleach additive composition is used in combination with the laundry detergent composition during the method of the present invention.
- an additional rinse additive composition e.g. fabric conditioner or enhancer
- a main wash additive composition e.g. bleach additive
- the bleach ingredient has a logP o/w greater than 0, preferably greater than 0.5, preferably greater than 1.0, preferably greater than 1.5, preferably greater than 2.0, preferably greater than 2.5, preferably greater than 3.0, or even more preferably greater than 3.5.
- the method for determining logP o/w is described in more detail below.
- the bleach ingredient is capable of generating a bleaching species having a X S o of from 0.01 to about 0.30, preferably from 0.05 to about 0.25, even more preferably from about CM3515/CB
- bleaching ingredients having a dihydroisoquinolinium structure are capable of generating a bleaching species that has an oxaziridinium structure.
- the X S o is that of the oxaziridinium bleaching species.
- the inventors believe that controlling the electophilicity and hydrophobicity in this above described manner enables the bleach ingredient to be delivered substantially only to areas of the fabric that are more hydrophobic, and that contain electron rich soils, including visible chromophores, that are susceptible to bleaching by highly electrophilic oxidants.
- the bleaching ingredient is catalytic.
- a highly preferred bleach ingredient is a bleach catalyst that is capable of accepting an oxygen atom from a peroxyacid and/or salt thereof, and transferring the oxygen atom to an oxidizable substrate.
- Suitable bleach catalysts include, but are not limited to: iminium cations and polyions; iminium zwitterions; modified amines; modified amine oxides; N-sulphonyl imines; N-phosphonyl imines; N-acyl imines; thiadiazole dioxides; perfluoroimines; cyclic sugar ketones and mixtures thereof.
- Suitable iminium cations and polyions include, but are not limited to, N-methyl-3,4- dihydroisoquinolinium tetrafluoroborate, prepared as described in Tetrahedron (1992), 49(2), 423-38 (see, for example, compound 4, p. 433); N-methyl-3,4-dihydroisoquinolinium p-toluene sulphonate, prepared as described in U.S. Pat. 5,360,569 (see, for example, Column 11, Example 1); and N-octyl-3,4-dihydroisoquinolinium p-toluene sulphonate, prepared as described in U.S. Pat. 5,360,568 (see, for example, Column 10, Example 3).
- Suitable iminium zwitterions include, but are not limited to, N-(3-sulfopropyl)-3,4- dihydroisoquinolinium, inner salt, prepared as described in U.S. Pat. 5,576,282 (see, for example, Column 31, Example II); N-[2-(sulphooxy)dodecyl]-3,4-dihydroisoquinolinium, inner salt, prepared as described in U.S. Pat.
- Suitable modified amine oxygen transfer catalysts include, but are not limited to, 1,2,3,4- tetrahydro-2-methyl-l-isoquinolinol, which can be made according to the procedures described in Tetrahedron Letters (1987), 28(48), 6061-6064.
- transfer catalysts include, but are not limited to, sodium l-hydroxy-N-oxy-N-[2- (sulphooxy)decyl]-l,2,3,4-tetrahydroisoquinoline.
- Suitable N-sulphonyl imine oxygen transfer catalysts include, but are not limited to, 3- methyl-l,2-benzisothiazole 1,1 -dioxide, prepared according to the procedure described in the Journal of Organic Chemistry (1990), 55(4), 1254-61.
- Suitable N-phosphonyl imine oxygen transfer catalysts include, but are not limited to, [R- (E)]-N-[(2-chloro-5-nitrophenyl)methylene]-P-phenyl-P-(2,4,6-trimethylphenyl)- phosphinic amide, which can be made according to the procedures described in the Journal of the Chemical Society, Chemical Communications (1994), (22), 2569-70.
- Suitable N-acyl imine oxygen transfer catalysts include, but are not limited to, [N(E)J-N- (phenylmethylene)acetamide, which can be made according to the procedures described in Polish Journal of Chemistry (2003), 77(5), 577-590.
- Suitable thiadiazole dioxide oxygen transfer catalysts include but are not limited to, 3- methyl-4-phenyl-l,2,5-thiadiazole 1,1-dioxide, which can be made according to the procedures described in U.S. Pat. 5,753,599 (Column 9, Example 2).
- Suitable perfluoroimine oxygen transfer catalysts include, but are not limited to, (Z)- 2,2,3,3,4,4,4-heptafluoro-N-(nonafluorobutyl)butanimidoyl fluoride, which can be made according to the procedures described in Tetrahedron Letters (1994), 35(34), 6329-30.
- Suitable cyclic sugar ketone oxygen transfer catalysts include, but are not limited to, l,2:4,5-di-O-isopropylidene-D-erythro-2,3-hexodiuro-2,6-pyranose as prepared in U.S. Pat. 6,649,085 (Column 12, Example 1).
- the bleach catalyst comprises an iminium and/or carbonyl functional group and is typically capable of forming an oxaziridinium and/or dioxirane functional group upon acceptance of an oxygen atom, especially upon acceptance of an oxygen atom from a peroxyacid and/or salt thereof.
- the bleach catalyst comprises an oxaziridinium functional group and/or is capable of forming an oxaziridinium functional group upon acceptance of an oxygen atom, especially upon acceptance of an oxygen atom from a peroxyacid and/or salt thereof.
- the bleach catalyst comprises a cyclic iminium functional group, preferably wherein the cyclic moiety has a ring size of from five to eight atoms (including the nitrogen atom), preferably six atoms.
- the bleach catalyst comprises an aryliminium functional group, preferably a bi-cyclic aryliminium functional group, preferably a 3,4-dihydroisoquinolinium functional group.
- the imine functional group is a quaternary imine functional group CM3515/CB
- the bleach catalyst has a chemical structure corresponding to the following chemical formula
- n and m are independently from 0 to 4, preferably n and m are both 0; each R is independently selected from a substituted or unsubstituted radical selected from the group consisting of hydrogen, alkyl, cycloalkyl, aryl, fused aryl, heterocyclic ring, fused heterocyclic ring, nitro, halo, cyano, sulphonato, alkoxy, keto, carboxylic, and carboalkoxy radicals; and any two vicinal R 1 substituents may combine to form a fused aryl, fused carbocyclic or fused heterocyclic ring; each R 2 is independently selected from a substituted or unsubstituted radical independently selected from the group consisting of hydrogen, hydroxy, alkyl, cycloalkyl, alkaryl, aryl, aralkyl, alkylenes, heterocyclic ring, alkoxys, arylcarbonyl groups, carboxyalkyl groups and amide groups
- each R is independently selected from the group consisting of alkyl, aryl and heteroaryl, said moieties being substituted or unsubstituted, and whether substituted or unsubsituted said moieties having less than 21 carbons;
- each G is independently selected from the group consisting of CO, SO 2 , SO, PO and PO 2 ;
- R 9 and R 10 are independently selected from the group consisting of H and Ci-C 4 alkyl;
- R 11 and R 12 are independently selected from the CM3515/CB
- X if present, is a suitable charge balancing counterion, preferably X is present when R 4 is hydrogen, suitable X, include but are not limited to: chloride, bromide, sulphate, methosulphate, sulphonate, p-toluenesulphonate, borontetraflouride and phosphate.
- the bleach catalyst has a structure corresponding to general formula below:
- R 13 is a branched alkyl group containing from three to 24 carbon atoms (including the branching carbon atoms) or a linear alkyl group containing from one to 24 carbon atoms; preferably R 13 is a branched alkyl group containing from eight to 18 carbon atoms or linear alkyl group containing from eight to eighteen carbon atoms; preferably R 13 is selected from the group consisting of 2-ethylhexyl, 2-propylheptyl, 2-butyloctyl, 2-pentylnonyl, 2-hexyldecyl, n- dodecyl, n-tetradecyl, n-hexadecyl, n-octadecyl, iso-nonyl, iso-decyl, iso-tridecyl and iso- pentadecyl; preferably R 13 is selected from the group consisting of 2-butyloctyl, 2-p
- the bleach catalyst has a structure corresponding to general formula below or mixtures thereof.
- G is selected from -O-, -CH 2 O-, -(CH 2 ) 2 -, and -CH 2 -.
- R 1 is selected from H or Ci-C 4 alkyl. Suitable Ci-C 4 alkyl moieties include, but are not limited to methyl, ethyl, iso-propyl, and tert-butyl.
- Each R 2 is independently selected from C 4 -Cs alkyl, benzyl, 2-methylbenzyl, 3- methylbenzyl, 4-methylbenzyl, 4-ethylbenzyl, 4-iso-propylbenzyl and 4-tert-butylbenzyl.
- Suitable C 4 -Cs alkyl moieties include, but are not limited to n-butyl, n-pentyl, cyclopentyl, n- hexyl, cyclohexyl, cyclohexylmethyl, n-heptyl and octyl.
- G is selected from -O- and -CH 2 -.
- R 1 is selected from H, methyl, ethyl, iso-propyl, and tert-butyl.
- Each R is independently selected from C 4 -C 6 alkyl, benzyl, 2-methylbenzyl, 3-methylbenzyl, and 4-methylbenzyl.
- G is -CH 2 -, R 1 is H and each R 2 is independently selected from n-butyl, n-pentyl, n-hexyl, benzyl, 2-methylbenzyl, 3-methylbenzyl, and 4- methylbenzyl.
- bleaching ingredient is an oxaziridinium-based bleach catalyst having the formula:
- R 1 is selected from the group consisting of: H, a branched alkyl group containing from 3 to 24 carbons, and a linear alkyl group containing from 1 to 24 carbons; preferably, R 1 is a branched alkyl group comprising from 6 to 18 carbons, or a linear alkyl group comprising from 5 to 18 carbons, more preferably each R 1 is selected from the group consisting of: 2- propylheptyl, 2-butyloctyl, 2-pentylnonyl, 2-hexyldecyl, n-hexyl, n-octyl, n-decyl, n-dodecyl, n- tetradecyl, n-hexadecyl, n-octadecyl, iso-nonyl, iso-decyl, iso-tridecyl and iso-pentadecyl; R 2 is independently selected from
- the composition may comprises a source of hydrogen peroxide, preferably from above Owt% to 15wt%, preferably from lwt%, or from 2wt%, or from 3wt%, or from 4wt%, or from 5wt%, and preferably to 12wt% source of hydrogen peroxide.
- the wash liquor may comprise from above Og/1 to 0.5g/l hydrogen peroxide, preferably from O.Olg/1, and preferably to 0.4g/l, CM3515/CB
- the laundry detergent composition comprises a source of hydrogen peroxide in an amount such that during the method of the present invention from above Og to 1.5g, or to LOg, or to 0.8g, or to 0.6g, or to 0.5g, or to 0.4g source of hydrogen peroxide per litre of water is contacted to said water when forming the wash liquor.
- the source of hydrogen peroxide comprises from 10% to 100%, by weight of the source of hydrogen peroxide, of hydrogen peroxide.
- Preferred sources of hydrogen peroxide include sodium perborate in, preferably in mono- hydrate or tetra-hydrate form or mixtures thereof, sodium percarbonate. Especially preferred is sodium percarbonate.
- the sodium percarbonate can be in the form of a coated percarbonate particle that is suspended in the liquid composition.
- the percarbonate can be in the form of a suspended co-particle that additionally comprises a bleach activator such as tetra-ethylene diamine (TAED) and the bleach ingredient.
- TAED tetra-ethylene diamine
- a bleach activator at least partially, preferably completely, encloses the source of hydrogen peroxide.
- the composition preferably comprises detersive surfactant, preferably from 10wt% to 40wt%, preferably from 12wt%, or from 15wt%, or even from 18wt% detersive surfactant.
- the surfactant comprises alkyl benzene sulphonate and one or more detersive co- surfactants.
- the surfactant preferably comprises C 10 -C 13 alkyl benzene sulphonate and one or more co- surfactants.
- the co-surfactants preferably are selected from the group consisting of Ci 2 - Ci g alkyl ethoxylated alcohols, preferably having an average degree of ethoxylation of from 1 to 7; Ci 2 -Ci 8 alkyl ethoxylated sulphates, preferably having an average degree of ethoxylation of from 1 to 5; and mixtures thereof.
- Ci 2 - Ci g alkyl ethoxylated alcohols preferably having an average degree of ethoxylation of from 1 to 7
- Ci 2 -Ci 8 alkyl ethoxylated sulphates preferably having an average degree of ethoxylation of from 1 to 5
- mixtures thereof preferably having an average degree of ethoxylation of from 1 to 5
- other surfactant systems may be suitable for use in the present invention.
- Suitable detersive surfactants include anionic detersive surfactants, nonionic detersive surfactants, cationic detersive surfactants, zwitterionic detersive surfactants, amphoteric detersive surfactants and mixtures thereof.
- Suitable anionic detersive surfactants include: alkyl sulphates; alkyl sulphonates; alkyl phosphates; alkyl phosphonates; alkyl carboxylates; and mixtures thereof.
- the anionic surfactant can be selected from the group consisting of: C I0 -C I8 alkyl benzene sulphonates (LAS) CM3515/CB
- MLAS modified alkylbenzene sulphonate
- MES methyl ester sulphonate
- AOS alpha-olefin sulphonate
- Preferred anionic detersive surfactants include: linear or branched, substituted or unsubstituted alkyl benzene sulphonate detersive surfactants, preferably linear Cg-Cig alkyl benzene sulphonate detersive surfactants; linear or branched, substituted or unsubstituted alkyl benzene sulphate detersive surfactants; linear or branched, substituted or unsubstituted alkyl sulphate detersive surfactants, including linear Cg-Cig alkyl sulphate detersive surfactants, Ci-C 3 alkyl branched Cs-Cis alkyl sulphate detersive surfactants, linear or branched alkoxylated Cs-Cis alkyl sulphate detersive surfactants and mixtures thereof; linear or branched, substituted or unsubstituted alkyl sulphonate detersive surfactants; and mixtures thereof
- alkoxylated alkyl sulphate detersive surfactants are linear or branched, substituted or unsubstituted C 8 - I8 alkyl alkoxylated sulphate detersive surfactants having an average degree of alkoxylation of from 1 to 30, preferably from 1 to 10.
- the alkoxylated alkyl sulphate detersive surfactant is a linear or branched, substituted or CM3515/CB
- the alkoxylated alkyl sulphate detersive surfactant is a linear unsubstituted C 8 - I8 alkyl ethoxylated sulphate having an average degree of ethoxylation of from 3 to 7.
- Preferred anionic detersive surfactants are selected from the group consisting of: linear or branched, substituted or unsubstituted, Ci 2-I8 alkyl sulphates; linear or branched, substituted or unsubstituted, Cio- 1 3 alkylbenzene sulphonates, preferably linear Cio- 1 3 alkylbenzene sulphonates; and mixtures thereof. Highly preferred are linear Cio- 13 alkylbenzene sulphonates.
- linear Cio- 13 alkylbenzene sulphonates that are obtainable, preferably obtained, by sulphonating commercially available linear alkyl benzenes (LAB); suitable LAB include low 2- phenyl LAB, such as those supplied by Sasol under the tradename Isochem® or those supplied by Petresa under the tradename Petrelab®, other suitable LAB include high 2-phenyl LAB, such as those supplied by Sasol under the tradename Hyblene®.
- a suitable anionic detersive surfactant is alkyl benzene sulphonate that is obtained by DETAL catalyzed process, although other synthesis routes, such as HF, may also be suitable.
- Another suitable anionic detersive surfactant is alkyl ethoxy carboxylate.
- the anionic detersive surfactants are typically present in their salt form, typically being complexed with a suitable cation.
- Suitable counter-ions include Na + and K + , substituted ammonium such as Ci-C 6 alkanolammnonium preferably mono-ethanolamine (MEA) tri- ethanolamine (TEA), di-ethanolamine (DEA), and any mixtures thereof.
- Suitable cationic detersive surfactants include: alkyl pyridinium compounds; alkyl quaternary ammonium compounds; alkyl quaternary phosphonium compounds; alkyl ternary sulphonium compounds; and mixtures thereof.
- the cationic detersive surfactant can be selected from the group consisting of: alkoxylate quaternary ammonium (AQA) surfactants as described in more detail in US 6,136,769; dimethyl hydroxyethyl quaternary ammonium as described in more detail in US 6,004,922; polyamine cationic surfactants as described in more detail in WO 98/35002, WO 98/35003, WO 98/35004, WO 98/35005, and WO 98/35006; cationic ester surfactants as described in more detail in US 4,228,042, US 4,239,660, US 4,260,529 and US 6,022,844; amino surfactants as described in more detail in US 6,221,825 and WO 00/47708, specifically amido propyldimethyl amine; and mixtures thereof.
- Preferred cationic detersive surfactants are quaternary ammonium compounds having the general formula: CM3515/CB
- R is a linear or branched, substituted or unsubstituted C 6-I8 alkyl or alkenyl moiety
- Ri and R 2 are independently selected from methyl or ethyl moieties
- R 3 is a hydroxyl, hydroxymethyl or a hydroxyethyl moiety
- X is an anion which provides charge neutrality
- preferred anions include halides (such as chloride), sulphate and sulphonate.
- Preferred cationic detersive surfactants are mono-C ⁇ -is alkyl mono-hydroxyethyl di-methyl quaternary ammonium chlorides.
- Highly preferred cationic detersive surfactants are mono-Cg-io alkyl mono- hydroxyethyl di-methyl quaternary ammonium chloride, mono-Cio-i 2 alkyl mono-hydroxyethyl di-methyl quaternary ammonium chloride and mono-Cio alkyl mono-hydroxyethyl di-methyl quaternary ammonium chloride.
- the non-ionic detersive surfactant could be an alkyl polyglucoside and/or an alkyl alkoxylated alcohol.
- the non-ionic detersive surfactant is a linear or branched, substituted or unsubstituted C 8-I8 alkyl ethoxylated alcohol having an average degree of ethoxylation of from 1 to 10, more preferably from 3 to 7.
- Suitable zwitterionic and/or amphoteric detersive surfactants include alkanolamine sulpho-betaines.
- the composition comprise from Owt% to 10wt% zeolite builder, preferably to 8wt%,or to 6wt%, or to 4wt%, or even to 2wt% zeolite builder.
- the composition may even be substantially free of zeolite builder, substantially free means "no deliberately added".
- Typical zeolite builders are zeolite A, zeolite P and zeolite MAP.
- the composition comprise from Owt% to 10wt% phosphate builder, preferably to 8wt%,or to 6wt%, or to 4wt%, or even to 2wt% phosphate builder.
- composition may even be substantially free of phosphate builder, substantially free means "no deliberately added".
- a typical phosphate builder is sodium tri-polyphosphate
- the composition may comprise a source of alkalinity.
- a suitable source of alkalinity is a source of carbonate.
- Preferred sources of carbonate include sodium carbonate and/or sodium bicarbonate.
- a highly preferred source of carbonate is sodium carbonate.
- Sodium percarbonate may also be used as the source of carbonate.
- Other suitable sources of alkalinity include silicates, sources of hydroxide such as sodium hydroxide.
- the source of alkalinity may be in the form of a particle that is suspended within the liquid composition.
- the composition comprises a bleach activator.
- Suitable bleach activators are compounds which when used in conjunction with a hydrogen peroxide source leads to the in situ production of the peracid corresponding to the bleach activator.
- Various non limiting examples of bleach activators are disclosed in U.S. Patent 4,915,854, issued April 10, 1990 to Mao et al, and U.S. Patent 4,412,934.
- NOBS nonanoyloxybenzene sulfonate
- TAED activators are typical, and mixtures thereof can also be used. See also U.S. 4,634,551 for other typical bleaches and activators useful herein.
- Another suitable bleach activator is decanoyloxybenzenecarboxylic acid (DOBA).
- R 1 is an alkyl group containing from about 6 to about 12 carbon atoms
- R ⁇ is an alkylene containing from 1 to about 6 carbon atoms
- R ⁇ is H or alkyl, aryl, or alkaryl containing from about 1 to about 10 carbon atoms
- L is any suitable leaving group.
- a leaving group is any group that is displaced from the bleach activator as a
- a preferred leaving group is oxybenzenesulfonate.
- bleach activators of the above formulae include (6-octanamido- caproyl)oxybenzenesulfonate, (6-nonanamidocaproyl)oxybenzenesulfonate, (6-decanamido- caproyl)oxybenzenesulfonate, and mixtures thereof as described in U.S. Patent 4,634,551, incorporated herein by reference.
- Another class of bleach activators comprises the benzoxazin-type activators disclosed by Hodge et al in U.S. Patent 4,966,723, issued October 30, 1990, incorporated herein by reference.
- a highly preferred activator of the benzoxazin-type is:
- Still another class of preferred bleach activators includes the acyl lactam activators, especially acyl caprolactams and acyl valerolactams of the formulae:
- R" is H or an alkyl, aryl, alkoxyaryl, or alkaryl group containing from 1 to about 12 carbon atoms.
- Highly preferred lactam activators include benzoyl caprolactam, octanoyl caprolactam, 3,5,5-trimethylhexanoyl caprolactam, nonanoyl
- caprolactam decanoyl caprolactam, undecenoyl caprolactam, benzoyl valerolactam, octanoyl CM3515/CB
- valerolactam decanoyl valerolactam, undecenoyl valerolactam, nonanoyl valerolactam, 3,5,5- trimethylhexanoyl valerolactam and mixtures thereof.
- U.S. Patent 4,545,784 issued to Sanderson, October 8, 1985, incorporated herein by reference, which discloses acyl
- caprolactams including benzoyl caprolactam, adsorbed into sodium perborate.
- Highly preferred bleach activators are nonanoyloxybenzene sulfonate (NOBS) and/or tetraacetylethylenediamine (TAED) .
- NOBS nonanoyloxybenzene sulfonate
- TAED tetraacetylethylenediamine
- the weight ratio of bleach activator to source of hydrogen peroxide present in the laundry detergent composition is at least 0.5:1, at least 0.6:1, at least 0.7:1, 0.8:1, preferably at least 0.9:1, or 1.0:1.0, or even 1.2:1 or higher.
- Chelant may be but are not limited to the following: ethylene-diamine-tetraacetic acid (EDTA); diethylene triamine penta methylene phosphonic acid (DTPMP); hydroxy-ethane diphosphonic acid (HEDP); ethylenediamine N,N'-disuccinic acid (EDDS); methyl glycine di- acetic acid (MGDA); diethylene triamine penta acetic acid (DTPA); propylene diamine tetracetic acid (PDTA); 2-hydroxypyridine-N-oxide (HPNO); or methyl glycine diacetic acid (MGDA); glutamic acid N,N-diacetic acid (N,N-dicarboxymethyl glutamic acid tetrasodium salt (GLDA); nitrilotriacetic acid (NTA); 4,5-dihydroxy-m-benzenedisulfonic acid; citric acid; and any salts thereof.
- EDTA ethylene-diamine-tetraacetic acid
- the chelant are typically present at a level of from 0.1wt% to 10wt% by weight in the composition.
- the chelant may be in form of a solid particle that is suspended in the liquid composition.
- the composition preferably comprises less than 10wt%, or less than 5wt%, or less than 4wt% or less than 3wt% free water, or less than 2wt% free water, or less than lwt% free water, and may even be anhydrous, typically comprising no deliberately added free water.
- Free water is typically measured using Karl Fischer titration. 2g of the laundry detergent composition is extracted into 50ml dry methanol at room temperature for 20 minutes and analyse ImI of the methanol by Karl Fischer titration. CM3515/CB
- the composition may comprise a structurant selected from the group consisting of diglycerides and triglycerides, ethylene glycol distearate microcrystalline cellulose, cellulose- based materials, microfiber cellulose, biopolymers, xanthan gum, gellan gum, and mixtures thereof.
- a suitable structurant includes castor oil and its derivatives such as hydrogenated castor oil.
- the composition preferably comprises polymer.
- Suitable polymers are selected from amphilic alkoxylated grease cleaning polymer and random graft co-polymers. Such polymers are described in more detail below.
- Suitable polymers include polyamines, preferably polyethylene imines, most preferably alkoxylated polyethylene imines.
- Other suitable polymers include dye transfer inhibitors, such as polyvinyl pyrrolidone polymer, polyamine N-oxide polymer, copolymer of N-vinylpyrrolidone and N-vinylimidazole polymers.
- Non-polymeric dye transfer inhibitors may also be used, such as manganese phthalocyanine, peroxidases, and mixtures thereof.
- Amphiphilic alkoxylated grease cleaning polymers of the present invention refer to any alkoxylated polymers having balanced hydrophilic and hydrophobic properties such that they remove grease particles from fabrics and surfaces.
- Specific embodiments of the amphiphilic alkoxylated grease cleaning polymers of the present invention comprise a core structure and a plurality of alkoxylate groups attached to that core structure.
- the core structure may comprise a polyalkylenimine structure comprising, in condensed form, repeating units of formulae (I), (II), (III) and (IV):
- # in each case denotes one-half of a bond between a nitrogen atom and the free binding position of a group A 1 of two adjacent repeating units of formulae (I), (II), (III) or (IV); * in each case denotes one-half of a bond to one of the alkoxylate groups; and A 1 is independently selected from linear or branched C 2 -C 6 -alkylene; wherein the polyalkylenimine structure consists of 1 repeating unit of formula (I), x repeating units of formula (II), y repeating units of formula (III) and y+1 repeating units of formula (IV), wherein x and y in each case have a value in the range of from 0 to about 150; where the average weight average molecular weight, Mw, of the polyalkylenimine core structure is a value in the range of from about 60 to about 10,000 g/mol.
- the core structure may alternatively comprise a polyalkanolamine structure of the condensation products of at least one compound selected from N-(hydroxyalkyl)amines of formulae (La) and/or (Lb),
- A are independently selected from Ci-C 6 -alkylene;
- R 1 , R 1 *, R 2 , R 2 *, R 3 , R 3 *, R 4 , R 4 *, R 5 and R 5 * are independently selected from hydrogen, alkyl, cycloalkyl or aryl, wherein the last three mentioned radicals may be optionally substituted;
- R 6 is selected from hydrogen, alkyl, cycloalkyl or aryl, wherein the last three mentioned radicals may be optionally substituted.
- the plurality of alkylenoxy groups attached to the core structure are independently selected from alkylenoxy units of the formula (V)
- A in each case independently selected from 1,2-propylene, 1,2- butylene and 1,2-isobutylene;
- a 3 is 1,2-propylene;
- R is in each case independently selected from hydrogen and Ci-C 4 -alkyl;
- m has an average value in the range of from 0 to about 2;
- n has an CM3515/CB
- amphiphilic alkoxylated grease cleaning polymers may be selected from alkoxylated polyalkylenimines having an inner polyethylene oxide block and an outer polypropylene oxide block, the degree of ethoxylation and the degree of propoxylation not going above or below specific limiting values.
- Specific embodiments of the alkoxylated polyalkylenimines according to the present invention have a minimum ratio of polyethylene blocks to polypropylene blocks (n/p) of about 0.6 and a maximum of about 1.5(x+2y+l) 1/2 .
- Alkoxykated polyalkyenimines having an n/p ratio of from about 0.8 to about 1.2(x+2y+l) 1/2 have been found to have especially beneficial properties.
- the alkoxylated polyalkylenimines according to the present invention have a backbone which consists of primary, secondary and tertiary amine nitrogen atoms which are attached to one another by alkylene radicals A and are randomly arranged.
- Primary amino moieties which start or terminate the main chain and the side chains of the polyalkylenimine backbone and whose remaining hydrogen atoms are subsequently replaced by alkylenoxy units are referred to as repeating units of formulae (I) or (IV), respectively.
- Secondary amino moieties whose remaining hydrogen atom is subsequently replaced by alkylenoxy units are referred to as repeating units of formula (II).
- Tertiary amino moieties which branch the main chain and the side chains are referred to as repeating units of formula (III).
- cyclization can occur in the formation of the polyalkylenimine backbone, it is also possible for cyclic amino moieties to be present to a small extent in the backbone.
- Such polyalkylenimines containing cyclic amino moieties are of course alkoxylated in the same way as those consisting of the noncyclic primary and secondary amino moieties.
- the polyalkylenimine backbone consisting of the nitrogen atoms and the groups A 1 has an average molecular weight Mw of from about 60 to about 10,000 g/mole, preferably from about 100 to about 8,000 g/mole and more preferably from about 500 to about 6,000 g/mole.
- the sum (x+2y+l) corresponds to the total number of alkylenimine units present in one individual polyalkylenimine backbone and thus is directly related to the molecular weight of the polyalkylenimine backbone.
- the values given in the specification however relate to the number average of all polyalkylenimines present in the mixture.
- the sum (x+2y+2) corresponds to the total number amino groups present in one individual polyalkylenimine backbone.
- the radicals A 1 connecting the amino nitrogen atoms may be identical or different, linear or branched C 2 -C 6 -alkylene radicals, such as 1 ,2-ethylene, 1 ,2-propylene, 1,2-butylene, 1,2- isobutylene,l,2-pentanediyl, 1 ,2-hexanediyl or hexamethylen.
- a preferred branched alkylene is 1,2-propylene.
- Preferred linear alkylene are ethylene and hexamethylene.
- a more preferred alkylene is 1,2-ethylene.
- a 2 in each case is selected from 1,2-propylene, 1,2-butylene and 1,2-isobutylene; preferably A 2 is 1,2-propylene.
- a 3 is 1,2-propylene; R in each case is selected from hydrogen and Ci-C 4 -alkyl, such as methyl, ethyl, n-propyl, isopropyl, n-butyl, isobutyl and tert.-butyl; preferably R is hydrogen.
- the index m in each case has a value of 0 to about 2; preferably m is 0 or approximately 1; more preferably m is 0.
- the index n has an average value in the range of from about 20 to about 50, preferably in the range of from about 22 to about 40, and more preferably in the range of from about 24 to about 30.
- the index p has an average value in the range of from about 10 to about 50, preferably in the range of from about 11 to about 40, and more preferably in the range of from about 12 to about 30.
- the alkylenoxy unit of formula (V) is a non-random sequence of alkoxylate blocks.
- non-random sequence it is meant that the [-A 2 -O-] m is added first (i.e., closest to the bond to the nitrgen atom of the repeating unit of formula (I), (II), or (III)), the [- CH 2 -CH 2 -O-] n is added second, and the [-A 3 -O-] p is added third.
- This orientation provides the alkoxylated polyalkylenimine with an inner polyethylene oxide block and an outer polypropylene oxide block.
- alkylenoxy units of formula (V) The substantial part of these alkylenoxy units of formula (V) is formed by the ethylenoxy units -[CH 2 -CH 2 -O)I n - and the propylenoxy units -[CH 2 -CH 2 (CH 3 )-O] P -.
- the alkylenoxy units may additionally also have a small proportion of propylenoxy or butylenoxy units -[A -O] m -, i.e. the polyalkylenimine backbone saturated with hydrogen atoms may be reacted initially with small amounts of up to about 2 mol, especially from about 0.5 to about 1.5 mol, in particular CM3515/CB
- the amphiphilic alkoxylated grease cleaning polymers are present in the detergent and cleaning compositions of the present invention at levels ranging from about 0.05% to 10% by weight of the composition.
- Embodiments of the compositions may comprise from about 0.1% to about 5% by weight. More specifically, the embodiments may comprise from about 0.25 to about 2.5% of the grease cleaning polymer.
- the random graft co-polymer comprises: (i) hydrophilic backbone comprising monomers selected from the group consisting of: unsaturated Ci-C 6 carboxylic acids, ethers, alcohols, aldehydes, ketones, esters, sugar units, alkoxy units, maleic anhydride, saturated polyalcohols such as glycerol, and mixtures thereof; and (ii) hydrophobic side chain(s) selected from the group consisting of: C 4 -C 25 alkyl group, polypropylene, polybutylene, vinyl ester of a saturated Ci-C 6 mono-carboxylic acid, Ci_C 6 alkyl ester of acrylic or methacrylic acid, and mixtures thereof.
- the polymer preferably has the general formula:
- X, Y and Z are capping units independently selected from H or a Ci -6 alkyl; each R 1 is independently selected from methyl and ethyl; each R 2 is independently selected from H and methyl; each R 3 is independently a Ci_ 4 alkyl; and each R 4 is independently selected from pyrrolidone and phenyl groups.
- the weight average molecular weight of the polyethylene oxide backbone is typically from about 1,000 g/mol to about 18,000 g/mol, or from about 3,000 g/mol to about 13,500 g/mol, or from about 4,000 g/mol to about 9,000 g/mol.
- the value of m, n, o, p and q is selected such that the pendant groups comprise, by weight of the polymer at least 50%, or from about 50% to about 98%, or from about 55% to about 95%, or from about 60% to about 90%.
- the polymer useful herein typically has a weight average molecular weight of from about 1,000 to about 100,000 g/mol, or preferably from about 2,500 g/mol to about 45,000 g/mol, or from about 7,500 g/mol to about 33,800 g/mol, or from about 10,000 g/mol to about 22,500 g/mol.
- Suitable soil release polymers include polymers comprising at least one monomer unit selected from saccharide, dicarboxylic acid, polyol and combinations thereof, in random or block configuration.
- Other suitable soil release polymers include ethylene terephthalate-based polymers and co-polymers thereof, preferably co-polymers of ethylene terephthalate and polyethylene oxide in random or block configuration.
- CM3515/CB CM3515/CB
- the composition may comprise anti-redeposition polymer, preferably from 0.1 wt% to 10wt% anti-redeposition polymer.
- Suitable anti-redeposition polymers include carboxylate polymers, such as polymers comprising at least one monomer selected from acrylic acid, maleic acid (or maleic anhydride), fumaric acid, itaconic acid, aconitic acid, mesaconic acid, citraconic acid, methylenemalonic acid, and any mixture thereof.
- Suitable carboxylate polymers include.
- Other suitable anti-redeposition polymers include polyethylene glycol, preferably having a molecular weight in the range of from 500 to 100,000 Da.
- composition may comprise from above 0wt% to 5wt%, by weight of the composition, of polymeric carboxylate.
- the polymeric carboxylate can sequester free calcium ions in the wash liquor.
- the carboxylate polymers can also act as soil dispersants and can provide an improved particulate stain removal cleaning benefit.
- the composition preferably comprises polymeric carboxylate.
- Preferred polymeric carboxylates include: polyacrylates, preferably having a weight average molecular weight of from 1,000Da to 20,000Da; co-polymers of maleic acid and acrylic acid, preferably having a molar ratio of maleic acid monomers to acrylic acid monomers of from 1:1 to 1:10 and a weight average molecular weight of from 10,000Da to 200,000Da, or preferably having a molar ratio of maleic acid monomers to acrylic acid monomers of from 0.3:1 to 3:1 and a weight average molecular weight of from 1,000Da to 50,000Da.
- composition may comprise deposition aid.
- deposition aids are
- polysaccharides preferably cellulosic polymers.
- suitable deposition aids include poly diallyl dimethyl ammonium halides (DADMAC), and co-polymers of DADMAC with vinyl pyrrolidone, acrylamides, imidazoles, imidazolinium halides, and mixtures thereof, in random or block configuration.
- DADMAC poly diallyl dimethyl ammonium halides
- Suitable deposition aids include cationic guar gum, cationic cellulose such as cationic hydoxyethyl cellulose, cationic starch, cationic polyacylamides, and mixtures thereof.
- the composition preferably comprises solvent.
- Preferred solvents include alcohols and/or glycols, preferably methanol, ethanol and/or propylene glycol.
- the composition comprises no or minimal amounts of methanol and ethanol and instead comprises relatively high amounts of propylene glycol, for improved enzyme stability.
- the composition comprises propylene glycol.
- Suitable solvents include C 4 -C 14 ethers and diethers, glycols, alkoxylated glycols, C 6 -C 16 glycol ethers, alkoxylated aromatic alcohols, aromatic alcohols, aliphatic branched alcohols, alkoxylated aliphatic branched alcohols, alkoxylated linear C 1 -C 5 alcohols, linear C 1 -C 5 alcohols, amines, Cg-Ci 4 alkyl and cycloalkyl hydrocarbons and halohydrocarbons, and mixtures thereof.
- Preferred solvents are selected from methoxy octadecanol, 2-(2-ethoxyethoxy)ethanol, benzyl alcohol, 2-ethylbutanol and/or 2- methylbutanol, 1-methylpropoxyethanol and/or 2- methylbutoxy ethanol, linear C 1 -C 5 alcohols such as methanol, ethanol, propanol, butyl diglycol ether (BDGE), butyltriglycol ether, tert-amyl alcohol, glycerol, isopropanol and mixtures thereof.
- BDGE butyl diglycol ether
- tert-amyl alcohol glycerol
- Particularly preferred solvents which can be used herein are butoxy propoxy propanol, butyl diglycol ether, benzyl alcohol, butoxypropanol, propylene glycol, glycerol, ethanol, methanol, isopropanol and mixtures thereof.
- Other suitable solvents include propylene glycol and diethylene glycol and mixtures thereof.
- Suitable visual signaling ingredients include any reflective and/or refractive material, preferably mica.
- Suitable lipases include those of bacterial or fungal origin. Chemically modified or protein engineered mutants are included. Examples of useful lipases include lipases from Humicola (synonym Thermomyces), e.g., from H. lanuginosa (T. lanuginosus) as described in EP 258 068 and EP 305 216 or from H. insolens as described in WO 96/13580, a Pseudomonas lipase, e.g., from P. alcaligenes or P. pseudoalcaligenes (EP 218 272), P. cepacia (EP 331 376), P. stutzeri (GB 1,372,034), P.
- the lipase may be a "first cycle lipase" such as those described in U.S. Patent 6,939,702 and US PA 2009/0217464.
- the lipase is a first-wash lipase, preferably a variant of the wild-type lipase from Thermomyces lanuginosus comprising T231R and N233R mutations.
- the wild-type sequence is the 269 amino acids (amino acids 23 - 291) of the Swissprot accession number Swiss-Prot 059952 (derived from Thermomyces lanuginosus (Humicola lanuginosa)).
- Preferred lipases would include those sold under the tradenames Lipex®, Lipolex® and Lipoclean® by Novozymes, Bagsvaerd, Denmark.
- the composition comprises a variant of Thermomyces lanuginosa lipase having >90% identity with the wild type amino acid and comprising substitution(s) at T231 and/or N233, preferably T231R and/or N233R.
- Suitable proteases include metalloproteases and/or serine proteases, including neutral or alkaline microbial serine proteases, such as subtilisins (EC 3.4.21.62).
- Suitable proteases include those of animal, vegetable or microbial origin. In one aspect, such suitable protease may be of microbial origin.
- the suitable proteases include chemically or genetically modified mutants of the aforementioned suitable proteases.
- the suitable protease may be a serine protease, such as an alkaline microbial protease or/and a trypsin-type protease.
- suitable neutral or alkaline proteases include:
- subtilisins (EC 3.4.21.62), including those derived from Bacillus, such as Bacillus lentus, B. alkalophilus, B. subtilis, B. amyloliquefaciens, Bacillus pumilus and Bacillus gibsonii described in US 6,312,936, US 5,679,630, US 4,760,025, US 7,262,042 and WO09/021867.
- trypsin-type or chymotrypsin-type proteases such as trypsin (e.g., of porcine or bovine origin), including the Fusarium protease described in WO 89/06270 and the chymotrypsin proteases derived from Cellumonas described in WO 05/052161 and WO 05/052146.
- metalloproteases including those derived from Bacillus amyloliquefaciens described in WO 07/044993.
- Preferred proteases include those derived from Bacillus gibsonii or Bacillus Lentus. Suitable commercially available protease enzymes include those sold under the trade names Alcalase®, Savinase®, Primase®, Durazym®, Polarzyme®, Kannase®, Liquanase®, CM3515/CB
- BLAP BLAP
- BLAP R BLAP with S3T + V4I + V199M + V205I + L217D
- BLAP X BLAP with S3T + V4I + V205I
- BLAP F49 BLAP with S3T + V4I + A194P + V199M + V205I + L217D
- the composition comprises a subtilisin protease selected from BLAP, BLAP R, BLAP X or BLAP F49.
- Suitable cellulases include those of bacterial or fungal origin. Chemically modified or protein engineered mutants are included. Suitable cellulases include cellulases from the genera Bacillus, Pseudomonas, Humicola, Fusarium, Thielavia, Acremonium, e.g., the fungal cellulases produced from Humicola insolens, Myceliophthora thermophila and Fusarium oxysporum disclosed in US 4,435,307, US 5,648,263, US 5,691,178, US 5,776,757 and WO 89/09259.
- cellulases are the alkaline or neutral cellulases having colour care benefits.
- Examples of such cellulases are cellulases described in EP 0 495 257, EP 0 531 372, WO 96/11262, WO 96/29397, WO 98/08940.
- Other examples are cellulase variants such as those described in WO 94/07998, EP 0 531 315, US 5,457,046, US 5,686,593, US 5,763,254, WO 95/24471, WO 98/12307 and PCT/DK98/00299.
- cellulases include CELLUZYME®, and CAREZYME® (Novozymes A/S), CLAZINASE®, and PURADAX HA® (Genencor International Inc.), and KAC-500(B)® (Kao Corporation).
- the cellulase can include microbial-derived endoglucanases exhibiting endo-beta-l,4-glucanase activity (E.C. 3.2.1.4), including a bacterial polypeptide endogenous to a member of the genus Bacillus which has a sequence of at least 90%, 94%, 97% and even 99% identity to the amino acid sequence SEQ ID NO:2 in US 7,141,403) and mixtures thereof.
- CM3515/CB microbial-derived endoglucanases exhibiting endo-beta-l,4-glucanase activity
- Suitable endoglucanases are sold under the tradenames Celluclean® and Whitezyme®
- the composition comprises a cleaning cellulase belonging to Glycosyl Hydrolase family 45 having a molecular weight of from 17kDa to 30 kDa, for example the endoglucanases sold under the tradename Biotouch® NCD, DCC and DCL (AB Enzymes, Darmstadt, Germany).
- Glycosyl Hydrolase family 45 having a molecular weight of from 17kDa to 30 kDa, for example the endoglucanases sold under the tradename Biotouch® NCD, DCC and DCL (AB Enzymes, Darmstadt, Germany).
- the composition comprises an amylase with greater than 60% identity to the AA560 alpha amylase endogenous to Bacillus sp. DSM 12649, preferably a variant of the AA560 alpha amylase endogenous to Bacillus sp. DSM 12649 having:
- Suitable commercially available amylase enzymes include Stainzyme® Plus,
- the composition comprises a choline oxidase enzyme such as the 59.1 kDa choline oxidase enzyme endogenous to Arthrobacter nicotianae, produced using the techniques disclosed in D. Ribitschef al., Applied Microbiology and Biotechnology, Volume 81, Number 5, pp875-886, (2009).
- a choline oxidase enzyme such as the 59.1 kDa choline oxidase enzyme endogenous to Arthrobacter nicotianae, produced using the techniques disclosed in D. Ribitschef al., Applied Microbiology and Biotechnology, Volume 81, Number 5, pp875-886, (2009).
- peroxidases/oxidases which include those of plant, bacterial or fungal origin. Chemically modified or protein engineered mutants are included. Examples of useful peroxidases include peroxidases from Coprinus, e.g., from C. cinereus, and variants thereof as those described in WO 93/24618, WO 95/10602, and WO 98/15257.
- peroxidases include GUARDZYME® (Novozymes A/S). CM3515/CB
- pectate lyases sold under the tradenames Pectawash®, Pectaway®; mannanases sold under the tradenames Mannaway® (all from Novozymes A/S, Bagsvaerd, Denmark), and Purabrite® (Genencor International Inc., Palo Alto, California); cutinases; phospholipases; and any mixture thereof.
- the alignment of two amino acid sequences is determined by using the Needle program from the EMBOSS package (http://emboss.org) version 2.8.0.
- the Needle program implements the global alignment algorithm described in Needleman, S. B. and Wunsch, C. D. (1970) J. MoI. Biol. 48, 443-453.
- the substitution matrix used is BLOSUM62, gap opening penalty is 10, and gap extension penalty is 0.5.
- the composition may comprise an enzyme stabilizer.
- Suitable enzyme stabilizers include polyols such as propylene glycol or glycerol, sugar or sugar alcohol, lactic acid, reversible protease inhibitor, boric acid, or a boric acid derivative, e.g., an aromatic borate ester, or a phenyl boronic acid derivative such as 4-formylphenyl boronic acid.
- the composition typically comprises buffer.
- buffers include mono- ethanolamine (MEA) and tri-ethanolamine (TEA).
- MAE mono- ethanolamine
- TEA tri-ethanolamine
- Borax may be used as a buffer, although preferably the composition is substantially free of borax, by substantially free it is typically meant no deliberately added borax is incorporated into the composition.
- composition may comprise hydrotrope.
- a preferred hydrotrope is monopropylene glycol.
- the composition typically comprises other detergent ingredients.
- Suitable detergent ingredients include: transition metal catalysts; enzymes such as amylases, carbohydrases, CM3515/CB
- hydroxyethoxycellulose or other alkyl or alkylalkoxy cellulose; and any combination thereof.
- Log P o/W is determined according to the method found in Brooke, D. N., Dobbs, A. J., Williams, N, Ecotoxicology and Environmental Safety (1986) 11(3): 251-260.
- the parameter Xso is determined according to the method described in Adam, W., Haas, W., Lohray, B. B. Journal of the American Chemical Society (1991) 113(16) 6202-6208.
Landscapes
- Chemical & Material Sciences (AREA)
- Inorganic Chemistry (AREA)
- Life Sciences & Earth Sciences (AREA)
- Engineering & Computer Science (AREA)
- Chemical Kinetics & Catalysis (AREA)
- Oil, Petroleum & Natural Gas (AREA)
- Wood Science & Technology (AREA)
- Organic Chemistry (AREA)
- Detergent Compositions (AREA)
Abstract
The present invention relates to a method of laundering fabric comprising the step of contacting a liquid laundry detergent composition comprising a bleach ingredient to water to form a wash liquor, and laundering fabric in said wash liquor, wherein the bleach ingredient has a logPo/w greater than about 0, wherein the bleach ingredient is capable of generating species having a XSO of from about 0.01 to about 0.30, wherein the laundry detergent is contacted to water in such an amount so that the concentration of the laundry detergent composition in the wash liquor is from above 0g/l to 4g/l, and wherein from 0.01kg to 2kg of fabric per litre of wash liquor is dosed into said wash liquor.
Description
METHOD OF LAUNDERING FABRIC USING A COMPACTED LIQUID LAUNDRY
DETERGENT COMPOSITION
FIELD OF THE INVENTION
The present invention relates to a method of laundering fabric. The method exhibits good bleach performance and has an excellent environmental profile.
BACKGROUND OF THE INVENTION
As one wishes to remove more and more chemistry from laundry detergent products, one must optimize the cleaning performance of what is left or suffer a severe reduction in cleaning performance. This is especially true for bleaching performance.
As one removes more and more hydrogen peroxide source, less hydrogen peroxide is available to be converted into a perhydroxyl anion, and in turn (in the presence of decreasing levels of bleach activators) less peracid is available to contribute to bleaching performance. In addition to this, as one removes more and more alkalinity source, the reserve alkalinity of the detergent product is reduced, which in turn means that that the pH of the wash liquor is likely to be lowered, which in turn reduces the proportion of hydrogen peroxide that exists as the perhydroxyl anion.
What remains constant though is the amount of fabric typically laundered during the washing process. So less bleach is used to clean the same amount of fabric. In addition, as well as being the substrate to be cleaned, this fabric brings in its own stress on the bleaching system, namely in the form of catalase, which is present in the fabric to be laundered, and rapidly catalyzes the decomposition of hydrogen peroxide to water and oxygen, thereby reducing the performance of the bleaching system.
The inventors have found that by carefully controlling the logPo/w and Xso properties of the bleaching species to be incorporated into the laundry detergent composition, one can maintain a good bleaching performance whilst at the same time compact the formulation and the bleach system.
The inventors herein provide a method of laundering fabric having a good bleach performance profile, whilst at the same time having a good environmental profile.
CM3515/CB
2
SUMMARY OF THE INVENTION
The present invention relates to a method of laundering fabric as defined by the claims.
DETAILED DESCRIPTION OF THE INVENTION
Method of laundering fabric
The method of laundering fabric comprises the step of contacting a laundry detergent composition comprising a bleach ingredient to water to form a wash liquor, and laundering fabric in said wash liquor. The fabric may be contacted to the water prior to, or after, or simultaneous with, contacting the laundry detergent composition with water.
Typically, the wash liquor is formed by contacting the laundry detergent to water in such an amount so that the concentration of laundry detergent composition in the wash liquor is from above Og/1 to 4g/l, preferably from 0.15g/l, and preferably to 3.5g/l, or to 3.0g/l, or to 2.5g/l, or to 2.0g/l, or to 1.5g/l, or even to 1.Og/1, or even to 0.5g/l.
Highly preferably, the method of laundering fabric is carried out in a front-loading automatic washing machine. In this embodiment, the wash liquor formed and concentration of laundry detergent composition in the wash liquor is that of the main wash cycle. Any input of water during any optional rinsing step(s) that typically occurs when laundering fabric using a front- loading automatic washing machine is not included when determining the volume of the wash liquor. Of course, any suitable automatic washing machine may be used, although it is extremely highly preferred that a front-loading automatic washing machine is used.
It is highly preferred for the wash liquor to comprise 40 litres or less of water, preferably 35 litres or less, preferably 30 litres or less, preferably 25 litres or less, preferably 20 litres or less, preferably 15 litres or less, preferably 12 litres or less, preferably 10 litres or less, preferably 8 litres or less, or even 6 litres or less of water. Preferably, the wash liquor comprises from above 0 to 15 litres, or from 1 litre, or from 2 litres, or from 3 litres, and preferably to 12 litres, or to 10 litres, or even to 8 litres of water. Most preferably, the wash liquor comprises from 1 litre, or from 2 litres, or from 3 litres, or from 4 litres, or even from 5 litres of water.
Typically from 0.01kg to 2kg of fabric per litre of wash liquor is dosed into said wash liquor. Typically from 0.01kg, or from 0.02kg, or from 0.03kg, or from 0.05kg, or from 0.07kg, or from 0.10kg, or from 0.12kg, or from 0.15kg, or from 0.18kg, or from 0.20kg, or from 0.22kg, or from 0.25kg fabric per litre of wash liquor is dosed into said wash liquor.
CM3515/CB
3
Preferably 5Og or less, more preferably 45g or less, or 4Og or less, or 35g or less, or 30g or less, or 25g or less, or 2Og or less, or even 15g or less, or even 1Og or less of laundry detergent composition is contacted to water to form the wash liquor.
Preferably, the laundry detergent composition is contacted to from above 0 litres, preferably from above 1 litre, and preferably to 70 litres or less of water to form the wash liquor, or preferably to 40 litres or less of water, or preferably to 35 litres or less, or preferably to 30 litres or less, or preferably to 25 litres or less, or preferably to 20 litres or less, or preferably to 15 litres or less, or preferably to 12 litres or less, or preferably to 10 litres or less, or preferably to 8 litres or less, or even to 6 litres or less of water to form the wash liquor.
Laundry detergent composition
The laundry detergent composition comprises a bleach ingredient, and optionally other detergent ingredients. The bleach ingredient is described in more detail below.
The composition can be any liquid form, for example a liquid or gel form, or any combination thereof. The composition may be in any unit dose form, for example a pouch. However, it is extremely highly preferred for the composition to be in gel form.
The composition is a fully finished laundry detergent composition. The composition is not just a component of a laundry detergent composition that can be incorporated into a laundry detergent composition: it is a fully finished laundry detergent composition. That said, it is within the scope of the present invention for an additional rinse additive composition (e.g. fabric conditioner or enhancer), or a main wash additive composition (e.g. bleach additive) to also be used in combination with the liquid laundry detergent composition during the method of the present invention. Although, it may be preferred for no bleach additive composition is used in combination with the laundry detergent composition during the method of the present invention.
Bleach ingredient
Typically, the bleach ingredient has a logPo/w greater than 0, preferably greater than 0.5, preferably greater than 1.0, preferably greater than 1.5, preferably greater than 2.0, preferably greater than 2.5, preferably greater than 3.0, or even more preferably greater than 3.5. The method for determining logPo/w is described in more detail below.
Typically, the bleach ingredient is capable of generating a bleaching species having a XSo of from 0.01 to about 0.30, preferably from 0.05 to about 0.25, even more preferably from about
CM3515/CB
0.10 to 0.20. The method for determining Xso is described in more detail below. For example, bleaching ingredients having a dihydroisoquinolinium structure are capable of generating a bleaching species that has an oxaziridinium structure. In this example, the XSo is that of the oxaziridinium bleaching species.
Without wishing to be bound by theory, the inventors believe that controlling the electophilicity and hydrophobicity in this above described manner enables the bleach ingredient to be delivered substantially only to areas of the fabric that are more hydrophobic, and that contain electron rich soils, including visible chromophores, that are susceptible to bleaching by highly electrophilic oxidants.
Preferably, the bleaching ingredient is catalytic. A highly preferred bleach ingredient is a bleach catalyst that is capable of accepting an oxygen atom from a peroxyacid and/or salt thereof, and transferring the oxygen atom to an oxidizable substrate. Suitable bleach catalysts include, but are not limited to: iminium cations and polyions; iminium zwitterions; modified amines; modified amine oxides; N-sulphonyl imines; N-phosphonyl imines; N-acyl imines; thiadiazole dioxides; perfluoroimines; cyclic sugar ketones and mixtures thereof.
Suitable iminium cations and polyions include, but are not limited to, N-methyl-3,4- dihydroisoquinolinium tetrafluoroborate, prepared as described in Tetrahedron (1992), 49(2), 423-38 (see, for example, compound 4, p. 433); N-methyl-3,4-dihydroisoquinolinium p-toluene sulphonate, prepared as described in U.S. Pat. 5,360,569 (see, for example, Column 11, Example 1); and N-octyl-3,4-dihydroisoquinolinium p-toluene sulphonate, prepared as described in U.S. Pat. 5,360,568 (see, for example, Column 10, Example 3).
Suitable iminium zwitterions include, but are not limited to, N-(3-sulfopropyl)-3,4- dihydroisoquinolinium, inner salt, prepared as described in U.S. Pat. 5,576,282 (see, for example, Column 31, Example II); N-[2-(sulphooxy)dodecyl]-3,4-dihydroisoquinolinium, inner salt, prepared as described in U.S. Pat. 5,817,614 (see, for example, Column 32, Example V); 2- [3-[(2-ethylhexyl)oxy]-2-(sulphooxy)propyl]-3,4-dihydroisoquinolinium, inner salt, prepared as described in WO05/047264 (see, for example, page 18, Example 8), and 2- [3 -[(2- butyloctyl)oxy]-2-(sulphooxy)propyl]-3,4-dihydroisoquinolinium, inner salt.
Suitable modified amine oxygen transfer catalysts include, but are not limited to, 1,2,3,4- tetrahydro-2-methyl-l-isoquinolinol, which can be made according to the procedures described in Tetrahedron Letters (1987), 28(48), 6061-6064. Suitable modified amine oxide oxygen
CM3515/CB
5
transfer catalysts include, but are not limited to, sodium l-hydroxy-N-oxy-N-[2- (sulphooxy)decyl]-l,2,3,4-tetrahydroisoquinoline.
Suitable N-sulphonyl imine oxygen transfer catalysts include, but are not limited to, 3- methyl-l,2-benzisothiazole 1,1 -dioxide, prepared according to the procedure described in the Journal of Organic Chemistry (1990), 55(4), 1254-61.
Suitable N-phosphonyl imine oxygen transfer catalysts include, but are not limited to, [R- (E)]-N-[(2-chloro-5-nitrophenyl)methylene]-P-phenyl-P-(2,4,6-trimethylphenyl)- phosphinic amide, which can be made according to the procedures described in the Journal of the Chemical Society, Chemical Communications (1994), (22), 2569-70.
Suitable N-acyl imine oxygen transfer catalysts include, but are not limited to, [N(E)J-N- (phenylmethylene)acetamide, which can be made according to the procedures described in Polish Journal of Chemistry (2003), 77(5), 577-590.
Suitable thiadiazole dioxide oxygen transfer catalysts include but are not limited to, 3- methyl-4-phenyl-l,2,5-thiadiazole 1,1-dioxide, which can be made according to the procedures described in U.S. Pat. 5,753,599 (Column 9, Example 2).
Suitable perfluoroimine oxygen transfer catalysts include, but are not limited to, (Z)- 2,2,3,3,4,4,4-heptafluoro-N-(nonafluorobutyl)butanimidoyl fluoride, which can be made according to the procedures described in Tetrahedron Letters (1994), 35(34), 6329-30.
Suitable cyclic sugar ketone oxygen transfer catalysts include, but are not limited to, l,2:4,5-di-O-isopropylidene-D-erythro-2,3-hexodiuro-2,6-pyranose as prepared in U.S. Pat. 6,649,085 (Column 12, Example 1).
Preferably, the bleach catalyst comprises an iminium and/or carbonyl functional group and is typically capable of forming an oxaziridinium and/or dioxirane functional group upon acceptance of an oxygen atom, especially upon acceptance of an oxygen atom from a peroxyacid and/or salt thereof. Preferably, the bleach catalyst comprises an oxaziridinium functional group and/or is capable of forming an oxaziridinium functional group upon acceptance of an oxygen atom, especially upon acceptance of an oxygen atom from a peroxyacid and/or salt thereof. Preferably, the bleach catalyst comprises a cyclic iminium functional group, preferably wherein the cyclic moiety has a ring size of from five to eight atoms (including the nitrogen atom), preferably six atoms. Preferably, the bleach catalyst comprises an aryliminium functional group, preferably a bi-cyclic aryliminium functional group, preferably a 3,4-dihydroisoquinolinium functional group. Typically, the imine functional group is a quaternary imine functional group
CM3515/CB
and is typically capable of forming a quaternary oxaziridinium functional group upon acceptance of an oxygen atom, especially upon acceptance of an oxygen atom from a peroxyacid and/or salt thereof.
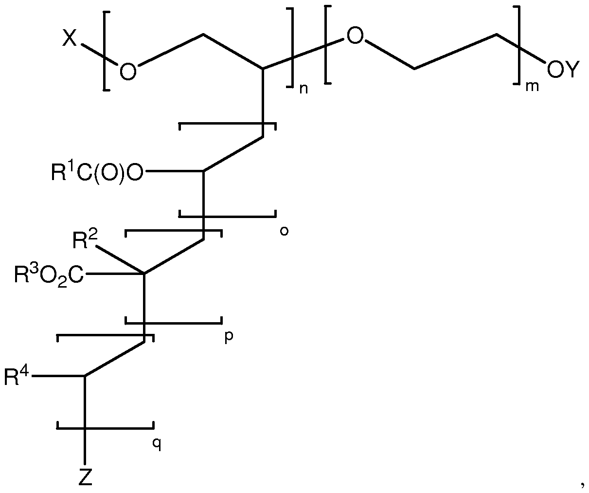
Preferably, the bleach catalyst has a chemical structure corresponding to the following chemical formula
wherein: n and m are independently from 0 to 4, preferably n and m are both 0; each R is independently selected from a substituted or unsubstituted radical selected from the group consisting of hydrogen, alkyl, cycloalkyl, aryl, fused aryl, heterocyclic ring, fused heterocyclic ring, nitro, halo, cyano, sulphonato, alkoxy, keto, carboxylic, and carboalkoxy radicals; and any two vicinal R1 substituents may combine to form a fused aryl, fused carbocyclic or fused heterocyclic ring; each R2 is independently selected from a substituted or unsubstituted radical independently selected from the group consisting of hydrogen, hydroxy, alkyl, cycloalkyl, alkaryl, aryl, aralkyl, alkylenes, heterocyclic ring, alkoxys, arylcarbonyl groups, carboxyalkyl groups and amide groups; any R may be joined together with any other of R to form part of a common ring; any geminal R2 may combine to form a carbonyl; and any two R2 may combine to form a substituted or unsubstituted fused unsaturated moiety; R3 is a Ci to C20 substituted or unsubstituted alkyl; R4 is hydrogen or the moiety Q1-A, wherein: Q is a branched or unbranched alkylene, t = 0 or 1 and A is an anionic group selected from the group consisting of OS(V, S(V, CO2 ", OCO2 ", OPO3 2", OPO3H" and OPO2 "; R5 is hydrogen or the moiety -CR11R12- Y-Gb-Yc- [(CR9R10)y-O]k-R8, wherein: each Y is independently selected from the group consisting of O, S,
N-H, or N-R ; and each R is independently selected from the group consisting of alkyl, aryl and heteroaryl, said moieties being substituted or unsubstituted, and whether substituted or unsubsituted said moieties having less than 21 carbons; each G is independently selected from the group consisting of CO, SO2, SO, PO and PO2; R9 and R10 are independently selected from the group consisting of H and Ci-C4 alkyl; R11 and R12 are independently selected from the
CM3515/CB
group consisting of H and alkyl, or when taken together may join to form a carbonyl; b = 0 or 1 ; c can = 0 or 1, but c must = 0 if b = 0; y is an integer from 1 to 6; k is an integer from 0 to 20; R6 is H, or an alkyl, aryl or heteroaryl moiety; said moieties being substituted or unsubstituted; and X, if present, is a suitable charge balancing counterion, preferably X is present when R4 is hydrogen, suitable X, include but are not limited to: chloride, bromide, sulphate, methosulphate, sulphonate, p-toluenesulphonate, borontetraflouride and phosphate.
In one embodiment of the present invention, the bleach catalyst has a structure corresponding to general formula below:
wherein R13 is a branched alkyl group containing from three to 24 carbon atoms (including the branching carbon atoms) or a linear alkyl group containing from one to 24 carbon atoms; preferably R13 is a branched alkyl group containing from eight to 18 carbon atoms or linear alkyl group containing from eight to eighteen carbon atoms; preferably R13 is selected from the group consisting of 2-ethylhexyl, 2-propylheptyl, 2-butyloctyl, 2-pentylnonyl, 2-hexyldecyl, n- dodecyl, n-tetradecyl, n-hexadecyl, n-octadecyl, iso-nonyl, iso-decyl, iso-tridecyl and iso- pentadecyl; preferably R13 is selected from the group consisting of 2-butyloctyl, 2-pentylnonyl, 2-hexyldecyl, iso-tridecyl and iso-pentadecyl.
In another embodiment of the present invention, the bleach catalyst has a structure corresponding to general formula below or mixtures thereof.
wherein: G is selected from -O-, -CH2O-, -(CH2)2-, and -CH2-. R1 is selected from H or Ci-C4 alkyl. Suitable Ci-C4 alkyl moieties include, but are not limited to methyl, ethyl, iso-propyl, and tert-butyl. Each R2 is independently selected from C4-Cs alkyl, benzyl, 2-methylbenzyl, 3- methylbenzyl, 4-methylbenzyl, 4-ethylbenzyl, 4-iso-propylbenzyl and 4-tert-butylbenzyl.
CM3515/CB
Suitable C4-Cs alkyl moieties include, but are not limited to n-butyl, n-pentyl, cyclopentyl, n- hexyl, cyclohexyl, cyclohexylmethyl, n-heptyl and octyl.
In one aspect of the invention G is selected from -O- and -CH2-. R1 is selected from H, methyl, ethyl, iso-propyl, and tert-butyl. Each R is independently selected from C4-C6 alkyl, benzyl, 2-methylbenzyl, 3-methylbenzyl, and 4-methylbenzyl.
In another aspect of the invention G is -CH2-, R1 is H and each R2 is independently selected from n-butyl, n-pentyl, n-hexyl, benzyl, 2-methylbenzyl, 3-methylbenzyl, and 4- methylbenzyl.
Preferably, bleaching ingredient is an oxaziridinium-based bleach catalyst having the formula:
wherein: R1 is selected from the group consisting of: H, a branched alkyl group containing from 3 to 24 carbons, and a linear alkyl group containing from 1 to 24 carbons; preferably, R1 is a branched alkyl group comprising from 6 to 18 carbons, or a linear alkyl group comprising from 5 to 18 carbons, more preferably each R1 is selected from the group consisting of: 2- propylheptyl, 2-butyloctyl, 2-pentylnonyl, 2-hexyldecyl, n-hexyl, n-octyl, n-decyl, n-dodecyl, n- tetradecyl, n-hexadecyl, n-octadecyl, iso-nonyl, iso-decyl, iso-tridecyl and iso-pentadecyl; R2 is independently selected from the group consisting of: H, a branched alkyl group comprising from 3 to 12 carbons, and a linear alkyl group comprising from 1 to 12 carbons; preferably R is independently selected from H and methyl groups; and n is an integer from 0 to 1.
Source of hydrogen peroxide
The composition may comprises a source of hydrogen peroxide, preferably from above Owt% to 15wt%, preferably from lwt%, or from 2wt%, or from 3wt%, or from 4wt%, or from 5wt%, and preferably to 12wt% source of hydrogen peroxide. The wash liquor may comprise from above Og/1 to 0.5g/l hydrogen peroxide, preferably from O.Olg/1, and preferably to 0.4g/l,
CM3515/CB
or even to 0.3g/l, or even to 0.2g/l, or even to O.lg/1. Preferably, the laundry detergent composition comprises a source of hydrogen peroxide in an amount such that during the method of the present invention from above Og to 1.5g, or to LOg, or to 0.8g, or to 0.6g, or to 0.5g, or to 0.4g source of hydrogen peroxide per litre of water is contacted to said water when forming the wash liquor.
Typically, the source of hydrogen peroxide comprises from 10% to 100%, by weight of the source of hydrogen peroxide, of hydrogen peroxide.
Preferred sources of hydrogen peroxide include sodium perborate in, preferably in mono- hydrate or tetra-hydrate form or mixtures thereof, sodium percarbonate. Especially preferred is sodium percarbonate. The sodium percarbonate can be in the form of a coated percarbonate particle that is suspended in the liquid composition. The percarbonate can be in the form of a suspended co-particle that additionally comprises a bleach activator such as tetra-ethylene diamine (TAED) and the bleach ingredient. Highly preferred, when a co-particle form is used, a bleach activator at least partially, preferably completely, encloses the source of hydrogen peroxide.
Detersive surfactant
The composition preferably comprises detersive surfactant, preferably from 10wt% to 40wt%, preferably from 12wt%, or from 15wt%, or even from 18wt% detersive surfactant. Preferably, the surfactant comprises alkyl benzene sulphonate and one or more detersive co- surfactants. The surfactant preferably comprises C10-C13 alkyl benzene sulphonate and one or more co- surfactants. The co-surfactants preferably are selected from the group consisting of Ci2- Ci g alkyl ethoxylated alcohols, preferably having an average degree of ethoxylation of from 1 to 7; Ci2-Ci8 alkyl ethoxylated sulphates, preferably having an average degree of ethoxylation of from 1 to 5; and mixtures thereof. However, other surfactant systems may be suitable for use in the present invention.
Suitable detersive surfactants include anionic detersive surfactants, nonionic detersive surfactants, cationic detersive surfactants, zwitterionic detersive surfactants, amphoteric detersive surfactants and mixtures thereof.
Suitable anionic detersive surfactants include: alkyl sulphates; alkyl sulphonates; alkyl phosphates; alkyl phosphonates; alkyl carboxylates; and mixtures thereof. The anionic surfactant can be selected from the group consisting of: CI0-CI8 alkyl benzene sulphonates (LAS)
CM3515/CB
10
preferably C10-C13 alkyl benzene sulphonates; C10-C20 primary, branched chain, linear-chain and random-chain alkyl sulphates (AS), typically having the following formula:
CH3(CH2)XCH2-OSO3 " M+ wherein, M is hydrogen or a cation which provides charge neutrality, preferred cations are sodium and ammonium cations, wherein x is an integer of at least 7, preferably at least 9; CiO-Ci8 secondary (2,3) alkyl sulphates, typically having the following formulae:
OSO3 " M+ OSO3 " M+
I I
CH3(CH2)X(CH)CH3 or CH3(CH2)V (CH)CH2CH3 wherein, M is hydrogen or a cation which provides charge neutrality, preferred cations include sodium and ammonium cations, wherein x is an integer of at least 7, preferably at least 9, y is an integer of at least 8, preferably at least 9; CiO-Ci8 alkyl alkoxy carboxylates; mid-chain branched alkyl sulphates as described in more detail in US 6,020,303 and US 6,060,443;
modified alkylbenzene sulphonate (MLAS) as described in more detail in WO 99/05243, WO 99/05242, WO 99/05244, WO 99/05082, WO 99/05084, WO 99/05241, WO 99/07656, WO 00/23549, and WO 00/23548; methyl ester sulphonate (MES); alpha-olefin sulphonate (AOS) and mixtures thereof.
Preferred anionic detersive surfactants include: linear or branched, substituted or unsubstituted alkyl benzene sulphonate detersive surfactants, preferably linear Cg-Cig alkyl benzene sulphonate detersive surfactants; linear or branched, substituted or unsubstituted alkyl benzene sulphate detersive surfactants; linear or branched, substituted or unsubstituted alkyl sulphate detersive surfactants, including linear Cg-Cig alkyl sulphate detersive surfactants, Ci-C3 alkyl branched Cs-Cis alkyl sulphate detersive surfactants, linear or branched alkoxylated Cs-Cis alkyl sulphate detersive surfactants and mixtures thereof; linear or branched, substituted or unsubstituted alkyl sulphonate detersive surfactants; and mixtures thereof.
Preferred alkoxylated alkyl sulphate detersive surfactants are linear or branched, substituted or unsubstituted C8-I8 alkyl alkoxylated sulphate detersive surfactants having an average degree of alkoxylation of from 1 to 30, preferably from 1 to 10. Preferably, the alkoxylated alkyl sulphate detersive surfactant is a linear or branched, substituted or
CM3515/CB
11
unsubstituted C8-I8 alkyl ethoxylated sulphate having an average degree of ethoxylation of from 1 to 10. Most preferably, the alkoxylated alkyl sulphate detersive surfactant is a linear unsubstituted C8-I8 alkyl ethoxylated sulphate having an average degree of ethoxylation of from 3 to 7.
Preferred anionic detersive surfactants are selected from the group consisting of: linear or branched, substituted or unsubstituted, Ci2-I8 alkyl sulphates; linear or branched, substituted or unsubstituted, Cio-13 alkylbenzene sulphonates, preferably linear Cio-13 alkylbenzene sulphonates; and mixtures thereof. Highly preferred are linear Cio-13 alkylbenzene sulphonates. Highly preferred are linear Cio-13 alkylbenzene sulphonates that are obtainable, preferably obtained, by sulphonating commercially available linear alkyl benzenes (LAB); suitable LAB include low 2- phenyl LAB, such as those supplied by Sasol under the tradename Isochem® or those supplied by Petresa under the tradename Petrelab®, other suitable LAB include high 2-phenyl LAB, such as those supplied by Sasol under the tradename Hyblene®. A suitable anionic detersive surfactant is alkyl benzene sulphonate that is obtained by DETAL catalyzed process, although other synthesis routes, such as HF, may also be suitable.
Another suitable anionic detersive surfactant is alkyl ethoxy carboxylate.
The anionic detersive surfactants are typically present in their salt form, typically being complexed with a suitable cation. Suitable counter-ions include Na+ and K+, substituted ammonium such as Ci-C6 alkanolammnonium preferably mono-ethanolamine (MEA) tri- ethanolamine (TEA), di-ethanolamine (DEA), and any mixtures thereof.
Suitable cationic detersive surfactants include: alkyl pyridinium compounds; alkyl quaternary ammonium compounds; alkyl quaternary phosphonium compounds; alkyl ternary sulphonium compounds; and mixtures thereof. The cationic detersive surfactant can be selected from the group consisting of: alkoxylate quaternary ammonium (AQA) surfactants as described in more detail in US 6,136,769; dimethyl hydroxyethyl quaternary ammonium as described in more detail in US 6,004,922; polyamine cationic surfactants as described in more detail in WO 98/35002, WO 98/35003, WO 98/35004, WO 98/35005, and WO 98/35006; cationic ester surfactants as described in more detail in US 4,228,042, US 4,239,660, US 4,260,529 and US 6,022,844; amino surfactants as described in more detail in US 6,221,825 and WO 00/47708, specifically amido propyldimethyl amine; and mixtures thereof. Preferred cationic detersive surfactants are quaternary ammonium compounds having the general formula:
CM3515/CB
12
(R)(Ri)(R2)(R3)N+ X wherein, R is a linear or branched, substituted or unsubstituted C6-I8 alkyl or alkenyl moiety, Ri and R2 are independently selected from methyl or ethyl moieties, R3 is a hydroxyl, hydroxymethyl or a hydroxyethyl moiety, X is an anion which provides charge neutrality, preferred anions include halides (such as chloride), sulphate and sulphonate. Preferred cationic detersive surfactants are mono-Cό-is alkyl mono-hydroxyethyl di-methyl quaternary ammonium chlorides. Highly preferred cationic detersive surfactants are mono-Cg-io alkyl mono- hydroxyethyl di-methyl quaternary ammonium chloride, mono-Cio-i2 alkyl mono-hydroxyethyl di-methyl quaternary ammonium chloride and mono-Cio alkyl mono-hydroxyethyl di-methyl quaternary ammonium chloride.
Suitable non-ionic detersive surfactant can be selected from the group consisting of: C8- Ci8 alkyl ethoxylates, such as, NEODOL® non-ionic surfactants from Shell; C6-Ci2 alkyl phenol alkoxylates wherein the alkoxylate units are ethyleneoxy units, propyleneoxy units or a mixture thereof; Ci2-Ci8 alcohol and C6-Ci2 alkyl phenol condensates with ethylene oxide/propylene oxide block polymers such as Pluronic® from BASF; Ci4-C22 mid-chain branched alcohols, BA, as described in more detail in US 6,150,322; Ci4-C22 mid-chain branched alkyl alkoxylates, BAEx, wherein x = from 1 to 30, as described in more detail in US 6,153,577, US 6,020,303 and US 6,093,856; alky lpoly saccharides as described in more detail in US 4,565,647, specifically alkylpolyglycosides as described in more detail in US 4,483,780 and US 4,483,779; polyhydroxy fatty acid amides as described in more detail in US 5,332,528, WO 92/06162, WO 93/19146, WO 93/19038, and WO 94/09099; ether capped poly(oxyalkylated) alcohol surfactants as described in more detail in US 6,482,994 and WO 01/42408; and mixtures thereof.
The non-ionic detersive surfactant could be an alkyl polyglucoside and/or an alkyl alkoxylated alcohol. Preferably the non-ionic detersive surfactant is a linear or branched, substituted or unsubstituted C8-I8 alkyl ethoxylated alcohol having an average degree of ethoxylation of from 1 to 10, more preferably from 3 to 7.
Suitable zwitterionic and/or amphoteric detersive surfactants include alkanolamine sulpho-betaines.
Zeolite builder
CM3515/CB
13
Preferably, the composition comprise from Owt% to 10wt% zeolite builder, preferably to 8wt%,or to 6wt%, or to 4wt%, or even to 2wt% zeolite builder. The composition may even be substantially free of zeolite builder, substantially free means "no deliberately added". Typical zeolite builders are zeolite A, zeolite P and zeolite MAP.
Phosphate builder
Preferably, the composition comprise from Owt% to 10wt% phosphate builder, preferably to 8wt%,or to 6wt%, or to 4wt%, or even to 2wt% phosphate builder. The
composition may even be substantially free of phosphate builder, substantially free means "no deliberately added". A typical phosphate builder is sodium tri-polyphosphate
Source of alkalinity
The composition may comprise a source of alkalinity. A suitable source of alkalinity is a source of carbonate. Preferred sources of carbonate include sodium carbonate and/or sodium bicarbonate. A highly preferred source of carbonate is sodium carbonate. Sodium percarbonate may also be used as the source of carbonate. Other suitable sources of alkalinity include silicates, sources of hydroxide such as sodium hydroxide. The source of alkalinity may be in the form of a particle that is suspended within the liquid composition.
Bleach activator
Preferably, the composition comprises a bleach activator. Suitable bleach activators are compounds which when used in conjunction with a hydrogen peroxide source leads to the in situ production of the peracid corresponding to the bleach activator. Various non limiting examples of bleach activators are disclosed in U.S. Patent 4,915,854, issued April 10, 1990 to Mao et al, and U.S. Patent 4,412,934. The nonanoyloxybenzene sulfonate (NOBS) and
tetraacetylethylenediamine (TAED) activators are typical, and mixtures thereof can also be used. See also U.S. 4,634,551 for other typical bleaches and activators useful herein. Another suitable bleach activator is decanoyloxybenzenecarboxylic acid (DOBA).
Highly preferred amido-derived bleach activators are those of the formulae:
R1N(RS)C(O)R2C(O)L or R1C(O)N(RS)R2C(O)L
CM3515/CB
14 wherein as used for these compounds R 1 is an alkyl group containing from about 6 to about 12 carbon atoms, R^ is an alkylene containing from 1 to about 6 carbon atoms, R^ is H or alkyl, aryl, or alkaryl containing from about 1 to about 10 carbon atoms, and L is any suitable leaving group. A leaving group is any group that is displaced from the bleach activator as a
consequence of the nucleophilic attack on the bleach activator by the hydroperoxide anion. A preferred leaving group is oxybenzenesulfonate.
Preferred examples of bleach activators of the above formulae include (6-octanamido- caproyl)oxybenzenesulfonate, (6-nonanamidocaproyl)oxybenzenesulfonate, (6-decanamido- caproyl)oxybenzenesulfonate, and mixtures thereof as described in U.S. Patent 4,634,551, incorporated herein by reference.
Another class of bleach activators comprises the benzoxazin-type activators disclosed by Hodge et al in U.S. Patent 4,966,723, issued October 30, 1990, incorporated herein by reference. A highly preferred activator of the benzoxazin-type is:
Still another class of preferred bleach activators includes the acyl lactam activators, especially acyl caprolactams and acyl valerolactams of the formulae:
wherein as used for these compounds R" is H or an alkyl, aryl, alkoxyaryl, or alkaryl group containing from 1 to about 12 carbon atoms. Highly preferred lactam activators include benzoyl caprolactam, octanoyl caprolactam, 3,5,5-trimethylhexanoyl caprolactam, nonanoyl
caprolactam, decanoyl caprolactam, undecenoyl caprolactam, benzoyl valerolactam, octanoyl
CM3515/CB
15
valerolactam, decanoyl valerolactam, undecenoyl valerolactam, nonanoyl valerolactam, 3,5,5- trimethylhexanoyl valerolactam and mixtures thereof. See also U.S. Patent 4,545,784, issued to Sanderson, October 8, 1985, incorporated herein by reference, which discloses acyl
caprolactams, including benzoyl caprolactam, adsorbed into sodium perborate.
Highly preferred bleach activators are nonanoyloxybenzene sulfonate (NOBS) and/or tetraacetylethylenediamine (TAED) .
It is highly preferred for a large amount of bleach activator relative to the source of hydrogen peroxide to be present in the laundry detergent composition. Preferably, the weight ratio of bleach activator to source of hydrogen peroxide present in the laundry detergent composition is at least 0.5:1, at least 0.6:1, at least 0.7:1, 0.8:1, preferably at least 0.9:1, or 1.0:1.0, or even 1.2:1 or higher.
Chelant
Chelant may be but are not limited to the following: ethylene-diamine-tetraacetic acid (EDTA); diethylene triamine penta methylene phosphonic acid (DTPMP); hydroxy-ethane diphosphonic acid (HEDP); ethylenediamine N,N'-disuccinic acid (EDDS); methyl glycine di- acetic acid (MGDA); diethylene triamine penta acetic acid (DTPA); propylene diamine tetracetic acid (PDTA); 2-hydroxypyridine-N-oxide (HPNO); or methyl glycine diacetic acid (MGDA); glutamic acid N,N-diacetic acid (N,N-dicarboxymethyl glutamic acid tetrasodium salt (GLDA); nitrilotriacetic acid (NTA); 4,5-dihydroxy-m-benzenedisulfonic acid; citric acid; and any salts thereof.
The chelant are typically present at a level of from 0.1wt% to 10wt% by weight in the composition. The chelant may be in form of a solid particle that is suspended in the liquid composition.
Free water
The composition preferably comprises less than 10wt%, or less than 5wt%, or less than 4wt% or less than 3wt% free water, or less than 2wt% free water, or less than lwt% free water, and may even be anhydrous, typically comprising no deliberately added free water. Free water is typically measured using Karl Fischer titration. 2g of the laundry detergent composition is extracted into 50ml dry methanol at room temperature for 20 minutes and analyse ImI of the methanol by Karl Fischer titration.
CM3515/CB
16
Structurant
The composition may comprise a structurant selected from the group consisting of diglycerides and triglycerides, ethylene glycol distearate microcrystalline cellulose, cellulose- based materials, microfiber cellulose, biopolymers, xanthan gum, gellan gum, and mixtures thereof. A suitable structurant includes castor oil and its derivatives such as hydrogenated castor oil.
Polymers
The composition preferably comprises polymer. Suitable polymers are selected from amphilic alkoxylated grease cleaning polymer and random graft co-polymers. Such polymers are described in more detail below. Suitable polymers include polyamines, preferably polyethylene imines, most preferably alkoxylated polyethylene imines. Other suitable polymers include dye transfer inhibitors, such as polyvinyl pyrrolidone polymer, polyamine N-oxide polymer, copolymer of N-vinylpyrrolidone and N-vinylimidazole polymers. Non-polymeric dye transfer inhibitors may also be used, such as manganese phthalocyanine, peroxidases, and mixtures thereof.
Amphiphilic alkoxylated grease cleaning polymer
Amphiphilic alkoxylated grease cleaning polymers of the present invention refer to any alkoxylated polymers having balanced hydrophilic and hydrophobic properties such that they remove grease particles from fabrics and surfaces. Specific embodiments of the amphiphilic alkoxylated grease cleaning polymers of the present invention comprise a core structure and a plurality of alkoxylate groups attached to that core structure.
The core structure may comprise a polyalkylenimine structure comprising, in condensed form, repeating units of formulae (I), (II), (III) and (IV):
(I) (IV)
CM3515/CB
17
wherein # in each case denotes one-half of a bond between a nitrogen atom and the free binding position of a group A1 of two adjacent repeating units of formulae (I), (II), (III) or (IV); * in each case denotes one-half of a bond to one of the alkoxylate groups; and A1 is independently selected from linear or branched C2-C6-alkylene; wherein the polyalkylenimine structure consists of 1 repeating unit of formula (I), x repeating units of formula (II), y repeating units of formula (III) and y+1 repeating units of formula (IV), wherein x and y in each case have a value in the range of from 0 to about 150; where the average weight average molecular weight, Mw, of the polyalkylenimine core structure is a value in the range of from about 60 to about 10,000 g/mol.
The core structure may alternatively comprise a polyalkanolamine structure of the condensation products of at least one compound selected from N-(hydroxyalkyl)amines of formulae (La) and/or (Lb),
wherein A are independently selected from Ci-C6-alkylene; R1, R1*, R2, R2*, R3, R3*, R4, R4*, R5 and R5* are independently selected from hydrogen, alkyl, cycloalkyl or aryl, wherein the last three mentioned radicals may be optionally substituted; and R6 is selected from hydrogen, alkyl, cycloalkyl or aryl, wherein the last three mentioned radicals may be optionally substituted.
The plurality of alkylenoxy groups attached to the core structure are independently selected from alkylenoxy units of the formula (V)
*+A-04d-CH 2-CH 2-04drA-0VR
(V)
wherein * in each case denotes one-half of a bond to the nitrogen atom of the repeating unit of formula (I), (II) or (IV); A is in each case independently selected from 1,2-propylene, 1,2- butylene and 1,2-isobutylene; A3 is 1,2-propylene; R is in each case independently selected from hydrogen and Ci-C4-alkyl; m has an average value in the range of from 0 to about 2; n has an
CM3515/CB
18
average value in the range of from about 20 to about 50; and p has an average value in the range of from about 10 to about 50.
Specific embodiments of the amphiphilic alkoxylated grease cleaning polymers may be selected from alkoxylated polyalkylenimines having an inner polyethylene oxide block and an outer polypropylene oxide block, the degree of ethoxylation and the degree of propoxylation not going above or below specific limiting values. Specific embodiments of the alkoxylated polyalkylenimines according to the present invention have a minimum ratio of polyethylene blocks to polypropylene blocks (n/p) of about 0.6 and a maximum of about 1.5(x+2y+l)1/2. Alkoxykated polyalkyenimines having an n/p ratio of from about 0.8 to about 1.2(x+2y+l)1/2 have been found to have especially beneficial properties.
The alkoxylated polyalkylenimines according to the present invention have a backbone which consists of primary, secondary and tertiary amine nitrogen atoms which are attached to one another by alkylene radicals A and are randomly arranged. Primary amino moieties which start or terminate the main chain and the side chains of the polyalkylenimine backbone and whose remaining hydrogen atoms are subsequently replaced by alkylenoxy units are referred to as repeating units of formulae (I) or (IV), respectively. Secondary amino moieties whose remaining hydrogen atom is subsequently replaced by alkylenoxy units are referred to as repeating units of formula (II). Tertiary amino moieties which branch the main chain and the side chains are referred to as repeating units of formula (III).
Since cyclization can occur in the formation of the polyalkylenimine backbone, it is also possible for cyclic amino moieties to be present to a small extent in the backbone. Such polyalkylenimines containing cyclic amino moieties are of course alkoxylated in the same way as those consisting of the noncyclic primary and secondary amino moieties.
The polyalkylenimine backbone consisting of the nitrogen atoms and the groups A1, has an average molecular weight Mw of from about 60 to about 10,000 g/mole, preferably from about 100 to about 8,000 g/mole and more preferably from about 500 to about 6,000 g/mole.
The sum (x+2y+l) corresponds to the total number of alkylenimine units present in one individual polyalkylenimine backbone and thus is directly related to the molecular weight of the polyalkylenimine backbone. The values given in the specification however relate to the number average of all polyalkylenimines present in the mixture. The sum (x+2y+2) corresponds to the total number amino groups present in one individual polyalkylenimine backbone.
CM3515/CB
19
The radicals A1 connecting the amino nitrogen atoms may be identical or different, linear or branched C2-C6-alkylene radicals, such as 1 ,2-ethylene, 1 ,2-propylene, 1,2-butylene, 1,2- isobutylene,l,2-pentanediyl, 1 ,2-hexanediyl or hexamethylen. A preferred branched alkylene is 1,2-propylene. Preferred linear alkylene are ethylene and hexamethylene. A more preferred alkylene is 1,2-ethylene.
The hydrogen atoms of the primary and secondary amino groups of the polyalkylenimine backbone are replaced by alkylenoxy units of the formula (V).
*+A-04d-CH 2-CH 2-04drA-0VR
(V)
In this formula, the variables preferably have one of the meanings given below:
A2 in each case is selected from 1,2-propylene, 1,2-butylene and 1,2-isobutylene; preferably A2 is 1,2-propylene. A3 is 1,2-propylene; R in each case is selected from hydrogen and Ci-C4-alkyl, such as methyl, ethyl, n-propyl, isopropyl, n-butyl, isobutyl and tert.-butyl; preferably R is hydrogen. The index m in each case has a value of 0 to about 2; preferably m is 0 or approximately 1; more preferably m is 0. The index n has an average value in the range of from about 20 to about 50, preferably in the range of from about 22 to about 40, and more preferably in the range of from about 24 to about 30. The index p has an average value in the range of from about 10 to about 50, preferably in the range of from about 11 to about 40, and more preferably in the range of from about 12 to about 30.
Preferably the alkylenoxy unit of formula (V) is a non-random sequence of alkoxylate blocks. By non-random sequence it is meant that the [-A2-O-]m is added first (i.e., closest to the bond to the nitrgen atom of the repeating unit of formula (I), (II), or (III)), the [- CH2-CH2-O-]n is added second, and the [-A3-O-]p is added third. This orientation provides the alkoxylated polyalkylenimine with an inner polyethylene oxide block and an outer polypropylene oxide block.
The substantial part of these alkylenoxy units of formula (V) is formed by the ethylenoxy units -[CH2-CH2-O)In- and the propylenoxy units -[CH2-CH2(CH3)-O]P-. The alkylenoxy units may additionally also have a small proportion of propylenoxy or butylenoxy units -[A -O]m-, i.e. the polyalkylenimine backbone saturated with hydrogen atoms may be reacted initially with small amounts of up to about 2 mol, especially from about 0.5 to about 1.5 mol, in particular
CM3515/CB
20
from about 0.8 to about 1.2 mol, of propylene oxide or butylene oxide per mole of NH- moieties present, i.e. incipiently alkoxylated.
This initial modification of the polyalkylenimine backbone allows, if necessary, the viscosity of the reaction mixture in the alkoxylation to be lowered. However, the modification generally does not influence the performance properties of the alkoxylated polyalkylenimine and therefore does not constitute a preferred measure.
The amphiphilic alkoxylated grease cleaning polymers are present in the detergent and cleaning compositions of the present invention at levels ranging from about 0.05% to 10% by weight of the composition. Embodiments of the compositions may comprise from about 0.1% to about 5% by weight. More specifically, the embodiments may comprise from about 0.25 to about 2.5% of the grease cleaning polymer.
Random graft co-polymer
The random graft co-polymer comprises: (i) hydrophilic backbone comprising monomers selected from the group consisting of: unsaturated Ci-C6 carboxylic acids, ethers, alcohols, aldehydes, ketones, esters, sugar units, alkoxy units, maleic anhydride, saturated polyalcohols such as glycerol, and mixtures thereof; and (ii) hydrophobic side chain(s) selected from the group consisting of: C4-C25 alkyl group, polypropylene, polybutylene, vinyl ester of a saturated Ci-C6 mono-carboxylic acid, Ci_C 6 alkyl ester of acrylic or methacrylic acid, and mixtures thereof.
The polymer preferably has the general formula:
CM3515/CB
21
wherein X, Y and Z are capping units independently selected from H or a Ci-6 alkyl; each R1 is independently selected from methyl and ethyl; each R2 is independently selected from H and methyl; each R3 is independently a Ci_4 alkyl; and each R4 is independently selected from pyrrolidone and phenyl groups. The weight average molecular weight of the polyethylene oxide backbone is typically from about 1,000 g/mol to about 18,000 g/mol, or from about 3,000 g/mol to about 13,500 g/mol, or from about 4,000 g/mol to about 9,000 g/mol. The value of m, n, o, p and q is selected such that the pendant groups comprise, by weight of the polymer at least 50%, or from about 50% to about 98%, or from about 55% to about 95%, or from about 60% to about 90%. The polymer useful herein typically has a weight average molecular weight of from about 1,000 to about 100,000 g/mol, or preferably from about 2,500 g/mol to about 45,000 g/mol, or from about 7,500 g/mol to about 33,800 g/mol, or from about 10,000 g/mol to about 22,500 g/mol.
Soil release polymers
Suitable soil release polymers include polymers comprising at least one monomer unit selected from saccharide, dicarboxylic acid, polyol and combinations thereof, in random or block configuration. Other suitable soil release polymers include ethylene terephthalate-based polymers and co-polymers thereof, preferably co-polymers of ethylene terephthalate and polyethylene oxide in random or block configuration.
CM3515/CB
22
Anti-redeposition polymers
The composition may comprise anti-redeposition polymer, preferably from 0.1 wt% to 10wt% anti-redeposition polymer. Suitable anti-redeposition polymers include carboxylate polymers, such as polymers comprising at least one monomer selected from acrylic acid, maleic acid (or maleic anhydride), fumaric acid, itaconic acid, aconitic acid, mesaconic acid, citraconic acid, methylenemalonic acid, and any mixture thereof. Suitable carboxylate polymers include. Other suitable anti-redeposition polymers include polyethylene glycol, preferably having a molecular weight in the range of from 500 to 100,000 Da.
Carboxylate polymers
It may be preferred for the composition to comprise from above 0wt% to 5wt%, by weight of the composition, of polymeric carboxylate. The polymeric carboxylate can sequester free calcium ions in the wash liquor. The carboxylate polymers can also act as soil dispersants and can provide an improved particulate stain removal cleaning benefit.
The composition preferably comprises polymeric carboxylate. Preferred polymeric carboxylates include: polyacrylates, preferably having a weight average molecular weight of from 1,000Da to 20,000Da; co-polymers of maleic acid and acrylic acid, preferably having a molar ratio of maleic acid monomers to acrylic acid monomers of from 1:1 to 1:10 and a weight average molecular weight of from 10,000Da to 200,000Da, or preferably having a molar ratio of maleic acid monomers to acrylic acid monomers of from 0.3:1 to 3:1 and a weight average molecular weight of from 1,000Da to 50,000Da.
Deposition aids
The composition may comprise deposition aid. Suitable deposition aids are
polysaccharides, preferably cellulosic polymers. Other suitable deposition aids include poly diallyl dimethyl ammonium halides (DADMAC), and co-polymers of DADMAC with vinyl pyrrolidone, acrylamides, imidazoles, imidazolinium halides, and mixtures thereof, in random or block configuration. Other suitable deposition aids include cationic guar gum, cationic cellulose such as cationic hydoxyethyl cellulose, cationic starch, cationic polyacylamides, and mixtures thereof.
CM3515/CB
23
Solvent
The composition preferably comprises solvent. Preferred solvents include alcohols and/or glycols, preferably methanol, ethanol and/or propylene glycol. Preferably, the composition comprises no or minimal amounts of methanol and ethanol and instead comprises relatively high amounts of propylene glycol, for improved enzyme stability. Preferably, the composition comprises propylene glycol.
Suitable solvents include C4-C14 ethers and diethers, glycols, alkoxylated glycols, C6-C16 glycol ethers, alkoxylated aromatic alcohols, aromatic alcohols, aliphatic branched alcohols, alkoxylated aliphatic branched alcohols, alkoxylated linear C1-C5 alcohols, linear C1-C5 alcohols, amines, Cg-Ci4 alkyl and cycloalkyl hydrocarbons and halohydrocarbons, and mixtures thereof.
Preferred solvents are selected from methoxy octadecanol, 2-(2-ethoxyethoxy)ethanol, benzyl alcohol, 2-ethylbutanol and/or 2- methylbutanol, 1-methylpropoxyethanol and/or 2- methylbutoxy ethanol, linear C1-C5 alcohols such as methanol, ethanol, propanol, butyl diglycol ether (BDGE), butyltriglycol ether, tert-amyl alcohol, glycerol, isopropanol and mixtures thereof. Particularly preferred solvents which can be used herein are butoxy propoxy propanol, butyl diglycol ether, benzyl alcohol, butoxypropanol, propylene glycol, glycerol, ethanol, methanol, isopropanol and mixtures thereof. Other suitable solvents include propylene glycol and diethylene glycol and mixtures thereof.
Visual signaling ingredients
Suitable visual signaling ingredients include any reflective and/or refractive material, preferably mica.
Lipase
Suitable lipases include those of bacterial or fungal origin. Chemically modified or protein engineered mutants are included. Examples of useful lipases include lipases from Humicola (synonym Thermomyces), e.g., from H. lanuginosa (T. lanuginosus) as described in EP 258 068 and EP 305 216 or from H. insolens as described in WO 96/13580, a Pseudomonas lipase, e.g., from P. alcaligenes or P. pseudoalcaligenes (EP 218 272), P. cepacia (EP 331 376), P. stutzeri (GB 1,372,034), P. fluorescens, Pseudomonas sp. strain SD 705 (WO 95/06720 and WO 96/27002), P. wisconsinensis (WO 96/12012), a Bacillus lipase, e.g., from B. subtilis
CM3515/CB
24
(Dartois et al. (1993), Biochemica et Biophysica Acta, 1131, 253-360), B. stearothermophilus (jp 64/744992) or B. pumilus (WO 91/16422).
The lipase may be a "first cycle lipase" such as those described in U.S. Patent 6,939,702 and US PA 2009/0217464. In one aspect, the lipase is a first-wash lipase, preferably a variant of the wild-type lipase from Thermomyces lanuginosus comprising T231R and N233R mutations. The wild-type sequence is the 269 amino acids (amino acids 23 - 291) of the Swissprot accession number Swiss-Prot 059952 (derived from Thermomyces lanuginosus (Humicola lanuginosa)). Preferred lipases would include those sold under the tradenames Lipex®, Lipolex® and Lipoclean® by Novozymes, Bagsvaerd, Denmark.
Preferably, the composition comprises a variant of Thermomyces lanuginosa lipase having >90% identity with the wild type amino acid and comprising substitution(s) at T231 and/or N233, preferably T231R and/or N233R.
Protease
Suitable proteases include metalloproteases and/or serine proteases, including neutral or alkaline microbial serine proteases, such as subtilisins (EC 3.4.21.62). Suitable proteases include those of animal, vegetable or microbial origin. In one aspect, such suitable protease may be of microbial origin. The suitable proteases include chemically or genetically modified mutants of the aforementioned suitable proteases. In one aspect, the suitable protease may be a serine protease, such as an alkaline microbial protease or/and a trypsin-type protease. Examples of suitable neutral or alkaline proteases include:
(a) subtilisins (EC 3.4.21.62), including those derived from Bacillus, such as Bacillus lentus, B. alkalophilus, B. subtilis, B. amyloliquefaciens, Bacillus pumilus and Bacillus gibsonii described in US 6,312,936, US 5,679,630, US 4,760,025, US 7,262,042 and WO09/021867.
(b) trypsin-type or chymotrypsin-type proteases, such as trypsin (e.g., of porcine or bovine origin), including the Fusarium protease described in WO 89/06270 and the chymotrypsin proteases derived from Cellumonas described in WO 05/052161 and WO 05/052146.
(c) metalloproteases, including those derived from Bacillus amyloliquefaciens described in WO 07/044993.
Preferred proteases include those derived from Bacillus gibsonii or Bacillus Lentus. Suitable commercially available protease enzymes include those sold under the trade names Alcalase®, Savinase®, Primase®, Durazym®, Polarzyme®, Kannase®, Liquanase®,
CM3515/CB
25
Liquanase Ultra®, Savinase Ultra®, Ovozyme®, Neutrase®, Everlase® and Esperase® by Novozymes A/S (Denmark), those sold under the tradename Maxatase®, Maxacal®,
Maxapem®, Properase®, Purafect®, Purafect Prime®, Purafect Ox®, FN3® , FN4®,
Excellase® and Purafect OXP® by Genencor International, those sold under the tradename Opticlean® and Optimase® by Solvay Enzymes, those available from Henkel/ Kemira, namely BLAP (sequence shown in Figure 29 of US 5,352,604 with the folowing mutations S99D + SlOl R + S103A + V104I + G159S, hereinafter referred to as BLAP), BLAP R (BLAP with S3T + V4I + V199M + V205I + L217D), BLAP X (BLAP with S3T + V4I + V205I) and BLAP F49 (BLAP with S3T + V4I + A194P + V199M + V205I + L217D) - all from Henkel/Kemira; and KAP (Bacillus alkalophilus subtilisin with mutations A230V + S256G + S259N) from Kao.
Preferably, the composition comprises a subtilisin protease selected from BLAP, BLAP R, BLAP X or BLAP F49.
Cellulase
Suitable cellulases include those of bacterial or fungal origin. Chemically modified or protein engineered mutants are included. Suitable cellulases include cellulases from the genera Bacillus, Pseudomonas, Humicola, Fusarium, Thielavia, Acremonium, e.g., the fungal cellulases produced from Humicola insolens, Myceliophthora thermophila and Fusarium oxysporum disclosed in US 4,435,307, US 5,648,263, US 5,691,178, US 5,776,757 and WO 89/09259.
Especially suitable cellulases are the alkaline or neutral cellulases having colour care benefits. Examples of such cellulases are cellulases described in EP 0 495 257, EP 0 531 372, WO 96/11262, WO 96/29397, WO 98/08940. Other examples are cellulase variants such as those described in WO 94/07998, EP 0 531 315, US 5,457,046, US 5,686,593, US 5,763,254, WO 95/24471, WO 98/12307 and PCT/DK98/00299.
Commercially available cellulases include CELLUZYME®, and CAREZYME® (Novozymes A/S), CLAZINASE®, and PURADAX HA® (Genencor International Inc.), and KAC-500(B)® (Kao Corporation).
In one aspect, the cellulase can include microbial-derived endoglucanases exhibiting endo-beta-l,4-glucanase activity (E.C. 3.2.1.4), including a bacterial polypeptide endogenous to a member of the genus Bacillus which has a sequence of at least 90%, 94%, 97% and even 99% identity to the amino acid sequence SEQ ID NO:2 in US 7,141,403) and mixtures thereof.
CM3515/CB
26
Suitable endoglucanases are sold under the tradenames Celluclean® and Whitezyme®
(Novozymes A/S, Bagsvaerd, Denmark).
Preferably, the composition comprises a cleaning cellulase belonging to Glycosyl Hydrolase family 45 having a molecular weight of from 17kDa to 30 kDa, for example the endoglucanases sold under the tradename Biotouch® NCD, DCC and DCL (AB Enzymes, Darmstadt, Germany).
Amylase
Preferably, the composition comprises an amylase with greater than 60% identity to the AA560 alpha amylase endogenous to Bacillus sp. DSM 12649, preferably a variant of the AA560 alpha amylase endogenous to Bacillus sp. DSM 12649 having:
(a) mutations at one or more of positions 9, 26, 149. 182, 186, 202, 257, 295, 299, 323, 339 and 345; and
(b) optionally with one or more, preferably all of the substitutions and/or deletions in the following positions: 118, 183, 184, 195, 320 and 458, which if present preferably comprise R118K, D183*, G184*, N195F, R320K and/or R458K.
Suitable commercially available amylase enzymes include Stainzyme® Plus,
Stainzyme®, Natalase, Termamyl®, Termamyl® Ultra, Liquezyme® SZ (all Novozymes, Bagsvaerd, Denmark) and Spezyme® AA or Ultraphlow (Genencor, Palo Alto, USA).
Choline oxidase
Preferably, the composition comprises a choline oxidase enzyme such as the 59.1 kDa choline oxidase enzyme endogenous to Arthrobacter nicotianae, produced using the techniques disclosed in D. Ribitschef al., Applied Microbiology and Biotechnology, Volume 81, Number 5, pp875-886, (2009).
Other enzymes
Other suitable enzymes are peroxidases/oxidases, which include those of plant, bacterial or fungal origin. Chemically modified or protein engineered mutants are included. Examples of useful peroxidases include peroxidases from Coprinus, e.g., from C. cinereus, and variants thereof as those described in WO 93/24618, WO 95/10602, and WO 98/15257.
Commercially available peroxidases include GUARDZYME® (Novozymes A/S).
CM3515/CB
27
Other preferred enzymes include: pectate lyases sold under the tradenames Pectawash®, Pectaway®; mannanases sold under the tradenames Mannaway® (all from Novozymes A/S, Bagsvaerd, Denmark), and Purabrite® (Genencor International Inc., Palo Alto, California); cutinases; phospholipases; and any mixture thereof.
Identity
The relativity between two amino acid sequences is described by the parameter
"identity". For purposes of the present invention, the alignment of two amino acid sequences is determined by using the Needle program from the EMBOSS package (http://emboss.org) version 2.8.0. The Needle program implements the global alignment algorithm described in Needleman, S. B. and Wunsch, C. D. (1970) J. MoI. Biol. 48, 443-453. The substitution matrix used is BLOSUM62, gap opening penalty is 10, and gap extension penalty is 0.5.
Enzyme stabilizer
The composition may comprise an enzyme stabilizer. Suitable enzyme stabilizers include polyols such as propylene glycol or glycerol, sugar or sugar alcohol, lactic acid, reversible protease inhibitor, boric acid, or a boric acid derivative, e.g., an aromatic borate ester, or a phenyl boronic acid derivative such as 4-formylphenyl boronic acid.
Buffers
The composition typically comprises buffer. Preferred buffers include mono- ethanolamine (MEA) and tri-ethanolamine (TEA). Borax may be used as a buffer, although preferably the composition is substantially free of borax, by substantially free it is typically meant no deliberately added borax is incorporated into the composition.
Hydrotropes
The composition may comprise hydrotrope. A preferred hydrotrope is monopropylene glycol.
Other detergent ingredients
The composition typically comprises other detergent ingredients. Suitable detergent ingredients include: transition metal catalysts; enzymes such as amylases, carbohydrases,
CM3515/CB
28
cellulases, laccases, lipases, bleaching enzymes such as oxidases and peroxidases, proteases, pectate lyases and mannanases; suds suppressing systems such as silicone based suds suppressors; brighteners; hueing agents; photobleach; fabric-softening agents such as clay, silicone and/or quaternary ammonium compounds; flocculants such as polyethylene oxide; dye transfer inhibitors such as polyvinylpyrrolidone, poly 4-vinylpyridine N-oxide and/or copolymer of vinylpyrrolidone and vinylimidazole; fabric integrity components such as oligomers produced by the condensation of imidazole and epichlorhydrin; soil dispersants and soil anti- redeposition aids such as alkoxylated polyamines and ethoxylated ethyleneimine polymers; anti- redeposition components such as polyesters; perfumes such as perfume microcapsules; soap rings; aesthetic particles; dyes; fillers such as sodium sulphate, although it is preferred for the composition to be substantially free of fillers; silicate salt such as sodium silicate, including 1.6R and 2.0R sodium silicate, or sodium metasilicate; co-polyesters of di-carboxylic acids and diols; cellulosic polymers such as methyl cellulose, carboxymethyl cellulose,
hydroxyethoxycellulose, or other alkyl or alkylalkoxy cellulose; and any combination thereof.
Method of determining logPn/w
Log Po/W is determined according to the method found in Brooke, D. N., Dobbs, A. J., Williams, N, Ecotoxicology and Environmental Safety (1986) 11(3): 251-260.
Method of determining Xso
The parameter Xso is determined according to the method described in Adam, W., Haas, W., Lohray, B. B. Journal of the American Chemical Society (1991) 113(16) 6202-6208.
CM3515/CB
29
EXAMPLES
15g of the following free-flowing liquid laundry detergent compositions were used to wash 3.0kg fabric in a Miele 3622 front-loading automatic washing machine (13L wash liquor volume, short wash cycle (Ih, 25mins), 15°C wash temperature).
30
* « Bcylcam" = 5,12-diethyl-l,5,8,12-tetraazo-bicyclo[6.6.2]hexadecane
The dimensions and values disclosed herein are not to be understood as being strictly limited to the exact numerical values recited. Instead, unless otherwise specified, each such dimension is intended to mean both the recited value and a functionally equivalent range surrounding that value. For example, a dimension disclosed as "40 mm" is intended to mean "about 40 mm."
Claims
1. A method of laundering fabric comprising the step of contacting a liquid laundry detergent composition comprising a bleach ingredient to water to form a wash liquor, and laundering fabric in said wash liquor, wherein the bleach ingredient has a logPo/w greater than 0, wherein the bleach ingredient is capable of generating species having a Xso of from 0.01 to 0.30, wherein the laundry detergent is contacted to water in such an amount so that the concentration of the laundry detergent composition in the wash liquor is from above Og/1 to 4g/l,
and wherein from 0.01kg to 2kg of fabric per litre of wash liquor is dosed into said wash liquor.
2. A method according to claim 1, wherein the bleach ingredient has a logPo/w of from 3.5 to 5.0.
3. A method according to any preceding claim, wherein the bleach ingredient is capable of generating a bleaching species having a Xso of from 0.10 to 0.15.
4. A method according to any preceding claim, wherein the bleach ingredient is a bleach catalyst having a structure corresponding to general formula below:
wherein: R1 is selected from the group consisting of: H, a branched alkyl group containing from 3 to 24 carbons, and a linear alkyl group containing from 1 to 24 carbons; preferably, R1 is a branched alkyl group comprising from 6 to 18 carbons, or a linear alkyl group comprising from 5 to 18 carbons, more preferably each R1 is selected from the group consisting of: 2- propylheptyl, 2-butyloctyl, 2-pentylnonyl, 2-hexyldecyl, n-hexyl, n-octyl, n-decyl, n-dodecyl, n- tetradecyl, n-hexadecyl, n-octadecyl, iso-nonyl, iso-decyl, iso-tridecyl and iso-pentadecyl; R is independently selected from the group consisting of: H, a branched alkyl group comprising from CM3515/CB
32
3 to 12 carbons, and a linear alkyl group comprising from 1 to 12 carbons; preferably R2 is independently selected from H and methyl groups; and n is an integer from 0 to 1.
5. A method according to claim 4, wherein R13 is selected from the group consisting of 2- ethylhexyl, 2-propylheptyl, 2-butyloctyl, 2-pentylnonyl, 2-hexyldecyl, n-dodecyl, n-tetradecyl, n-hexadecyl, n-octadecyl, iso-nonyl, iso-decyl, iso-tridecyl and iso-pentadecyl.
6. A method according to any preceding claim, wherein the composition comprises from above Owt% to 15wt% source of hydrogen peroxide, and wherein from O.lg to 1.5g source of hydrogen peroxide per litre of water is contacted to said water when forming said wash liquor.
7. A method according to any preceding claim, wherein the composition comprises:
(a) detersive surfactant;
(b) from Owt% to less than 20wt% water;
(c) from Owt% to less than 10wt% sequestrant;
(d) from Owt% to less than 10wt% fatty acid;
(e) from Owt% to less than 5wt% source of boron;
(f) from Owt% to less than 10wt% zeolite;
(g) from Owt% to less than 10wt% phosphate;
(h) optionally, an amine neutralized detersive surfactant; and
(i) optionally other detergent ingredients.
8. A method according to any preceding claim, wherein the composition comprises from 4wt% to 15wt% water, and is substantially free of boron, zeolite and phosphate.
9. A method according to any preceding claim, wherein 18g or less of laundry detergent composition is contacted to water to form the wash liquor.
10. A method according to any preceding claim, wherein the laundry detergent composition is contacted to 15 litres or less of water to form the wash liquor. CM3515/CB
33
11. A method according to any preceding claim, wherein the laundry detergent is contacted to water in such an amount so that the concentration of laundry detergent composition in the wash liquor is from 0.2g/l to 3g/l.
12. A method according to any preceding claim, wherein at least 0.2kg fabric per litre of wash liquor is dosed into said wash liquor.
13. A method according to any preceding claim, wherein the method is carried out using a front- loading automatic washing machine.
14. A liquid laundry detergent composition suitable for use in the method according to any preceding claim, wherein the composition comprises:
(a) bleach ingredient having a logPo/w no greater than 0,and wherein the bleach ingredient is capable of generating species having a Xso of from 0.01 to 0.30,
(b) detersive surfactant;
(c) from 0wt% to less than 20wt% water;
(d) from 0wt% to less than 10wt% sequestrant;
(e) from 0wt% to less than 10wt% fatty acid;
(f) from 0wt% to less than 5wt% source of boron;
(g) from 0wt% to less than 10wt% zeolite;
(h) from 0wt% to less than 10wt% phosphate;
(i) optionally, an amine neutralized detersive surfactant; and
(j) optionally other detergent ingredients.
Priority Applications (2)
| Application Number | Priority Date | Filing Date | Title |
|---|---|---|---|
| EP10732593A EP2451922A1 (en) | 2009-07-09 | 2010-07-08 | Method of laundering fabric using a compacted liquid laundry detergent composition |
| US12/873,499 US20110005004A1 (en) | 2009-07-09 | 2010-09-01 | Method of laundering fabric using a compacted liquid laundry detergent composition |
Applications Claiming Priority (6)
| Application Number | Priority Date | Filing Date | Title |
|---|---|---|---|
| US22414509P | 2009-07-09 | 2009-07-09 | |
| US61/224,145 | 2009-07-09 | ||
| US32541910P | 2010-04-19 | 2010-04-19 | |
| US32539510P | 2010-04-19 | 2010-04-19 | |
| US61/325,395 | 2010-04-19 | ||
| US61/325,419 | 2010-04-19 |
Related Child Applications (1)
| Application Number | Title | Priority Date | Filing Date |
|---|---|---|---|
| US12/873,499 Continuation US20110005004A1 (en) | 2009-07-09 | 2010-09-01 | Method of laundering fabric using a compacted liquid laundry detergent composition |
Publications (1)
| Publication Number | Publication Date |
|---|---|
| WO2011005911A1 true WO2011005911A1 (en) | 2011-01-13 |
Family
ID=42562949
Family Applications (1)
| Application Number | Title | Priority Date | Filing Date |
|---|---|---|---|
| PCT/US2010/041281 Ceased WO2011005911A1 (en) | 2009-07-09 | 2010-07-08 | Method of laundering fabric using a compacted liquid laundry detergent composition |
Country Status (2)
| Country | Link |
|---|---|
| EP (1) | EP2451922A1 (en) |
| WO (1) | WO2011005911A1 (en) |
Cited By (2)
| Publication number | Priority date | Publication date | Assignee | Title |
|---|---|---|---|---|
| EP2556140A1 (en) * | 2010-04-06 | 2013-02-13 | The Procter & Gamble Company | Optimized release of bleaching systems in laundry detergents |
| CN112695063A (en) * | 2019-10-22 | 2021-04-23 | 中国科学院大连化学物理研究所 | Enzymatic synthesis method of nicotinamide cytosine dinucleotide and application thereof |
Citations (87)
| Publication number | Priority date | Publication date | Assignee | Title |
|---|---|---|---|---|
| GB1372034A (en) | 1970-12-31 | 1974-10-30 | Unilever Ltd | Detergent compositions |
| US4228042A (en) | 1978-06-26 | 1980-10-14 | The Procter & Gamble Company | Biodegradable cationic surface-active agents containing ester or amide and polyalkoxy group |
| US4239660A (en) | 1978-12-13 | 1980-12-16 | The Procter & Gamble Company | Detergent composition comprising a hydrolyzable cationic surfactant and specific alkalinity source |
| US4260529A (en) | 1978-06-26 | 1981-04-07 | The Procter & Gamble Company | Detergent composition consisting essentially of biodegradable nonionic surfactant and cationic surfactant containing ester or amide |
| US4412934A (en) | 1982-06-30 | 1983-11-01 | The Procter & Gamble Company | Bleaching compositions |
| US4435307A (en) | 1980-04-30 | 1984-03-06 | Novo Industri A/S | Detergent cellulase |
| US4483779A (en) | 1982-04-26 | 1984-11-20 | The Procter & Gamble Company | Detergent compositions comprising polyglycoside and polyethoxylate surfactants and anionic fluorescer |
| US4483780A (en) | 1982-04-26 | 1984-11-20 | The Procter & Gamble Company | Detergent compositions containing polyglycoside and polyethoxylate detergent surfactants |
| US4545784A (en) | 1983-04-14 | 1985-10-08 | Interox Chemicals Limited | Particulate sodium perborate monohydrate containing adsorbed activator |
| US4565647A (en) | 1982-04-26 | 1986-01-21 | The Procter & Gamble Company | Foaming surfactant compositions |
| US4634551A (en) | 1985-06-03 | 1987-01-06 | Procter & Gamble Company | Bleaching compounds and compositions comprising fatty peroxyacids salts thereof and precursors therefor having amide moieties in the fatty chain |
| EP0218272A1 (en) | 1985-08-09 | 1987-04-15 | Gist-Brocades N.V. | Novel lipolytic enzymes and their use in detergent compositions |
| EP0258068A2 (en) | 1986-08-29 | 1988-03-02 | Novo Nordisk A/S | Enzymatic detergent additive |
| US4760025A (en) | 1984-05-29 | 1988-07-26 | Genencor, Inc. | Modified enzymes and methods for making same |
| EP0305216A1 (en) | 1987-08-28 | 1989-03-01 | Novo Nordisk A/S | Recombinant Humicola lipase and process for the production of recombinant humicola lipases |
| JPS6474992A (en) | 1987-09-16 | 1989-03-20 | Fuji Oil Co Ltd | Dna sequence, plasmid and production of lipase |
| WO1989006270A1 (en) | 1988-01-07 | 1989-07-13 | Novo-Nordisk A/S | Enzymatic detergent |
| EP0331376A2 (en) | 1988-02-28 | 1989-09-06 | Amano Pharmaceutical Co., Ltd. | Recombinant DNA, bacterium of the genus pseudomonas containing it, and process for preparing lipase by using it |
| WO1989009259A1 (en) | 1988-03-24 | 1989-10-05 | Novo-Nordisk A/S | A cellulase preparation |
| US4915854A (en) | 1986-11-14 | 1990-04-10 | The Procter & Gamble Company | Ion-pair complex conditioning agent and compositions containing same |
| US4966723A (en) | 1988-02-11 | 1990-10-30 | Bp Chemicals Limited | Bleach activators in detergent compositions |
| WO1991016422A1 (en) | 1990-04-14 | 1991-10-31 | Kali-Chemie Aktiengesellschaft | Alkaline bacillus lipases, coding dna sequences therefor and bacilli which produce these lipases |
| WO1992006162A1 (en) | 1990-09-28 | 1992-04-16 | The Procter & Gamble Company | Detergent containing alkyl sulfate and polyhydroxy fatty acid amide surfactants |
| EP0495257A1 (en) | 1991-01-16 | 1992-07-22 | The Procter & Gamble Company | Compact detergent compositions with high activity cellulase |
| EP0531372A1 (en) | 1990-05-09 | 1993-03-17 | Novo Nordisk As | PREPARATION OF CELLULASE COMPRISING AN ENDOGLUCANASE ENZYME. |
| EP0531315A1 (en) | 1990-05-09 | 1993-03-17 | Novo Nordisk As | ENZYME CAPABLE OF DEGRADING CELLULOSE OR HEMICELLULOSE. |
| WO1993019146A1 (en) | 1992-03-16 | 1993-09-30 | The Procter & Gamble Company | Fluid compositions containing polyhydroxy fatty acid amides |
| WO1993019038A1 (en) | 1992-03-26 | 1993-09-30 | The Procter & Gamble Company | Process for reducing the levels of fatty acid contaminants in polyhydroxy fatty acid amide surfactants |
| WO1993024618A1 (en) | 1992-06-01 | 1993-12-09 | Novo Nordisk A/S | Peroxidase variants with improved hydrogen peroxide stability |
| WO1994007998A1 (en) | 1992-10-06 | 1994-04-14 | Novo Nordisk A/S | Cellulase variants |
| WO1994009099A1 (en) | 1992-10-13 | 1994-04-28 | The Procter & Gamble Company | Fluid compositions containing polyhydroxy fatty acid amides |
| US5332528A (en) | 1990-09-28 | 1994-07-26 | The Procter & Gamble Company | Polyhydroxy fatty acid amides in soil release agent-containing detergent compositions |
| US5352604A (en) | 1989-08-25 | 1994-10-04 | Henkel Research Corporation | Alkaline proteolytic enzyme and method of production |
| US5360568A (en) | 1993-11-12 | 1994-11-01 | Lever Brothers Company, Division Of Conopco, Inc. | Imine quaternary salts as bleach catalysts |
| US5360569A (en) | 1993-11-12 | 1994-11-01 | Lever Brothers Company, Division Of Conopco, Inc. | Activation of bleach precursors with catalytic imine quaternary salts |
| WO1995006720A1 (en) | 1993-08-30 | 1995-03-09 | Showa Denko K.K. | Novel lipase, microorganism producing the lipase, process for producing the lipase, and use of the lipase |
| WO1995010602A1 (en) | 1993-10-13 | 1995-04-20 | Novo Nordisk A/S | H2o2-stable peroxidase variants |
| WO1995024471A1 (en) | 1994-03-08 | 1995-09-14 | Novo Nordisk A/S | Novel alkaline cellulases |
| WO1996011262A1 (en) | 1994-10-06 | 1996-04-18 | Novo Nordisk A/S | An enzyme and enzyme preparation with endoglucanase activity |
| WO1996012012A1 (en) | 1994-10-14 | 1996-04-25 | Solvay S.A. | Lipase, microorganism producing same, method for preparing said lipase and uses thereof |
| WO1996013580A1 (en) | 1994-10-26 | 1996-05-09 | Novo Nordisk A/S | An enzyme with lipolytic activity |
| WO1996027002A1 (en) | 1995-02-27 | 1996-09-06 | Novo Nordisk A/S | Novel lipase gene and process for the production of lipase with the use of the same |
| WO1996029397A1 (en) | 1995-03-17 | 1996-09-26 | Novo Nordisk A/S | Novel endoglucanases |
| US5576282A (en) | 1995-09-11 | 1996-11-19 | The Procter & Gamble Company | Color-safe bleach boosters, compositions and laundry methods employing same |
| US5648263A (en) | 1988-03-24 | 1997-07-15 | Novo Nordisk A/S | Methods for reducing the harshness of a cotton-containing fabric |
| US5679630A (en) | 1993-10-14 | 1997-10-21 | The Procter & Gamble Company | Protease-containing cleaning compositions |
| WO1998008940A1 (en) | 1996-08-26 | 1998-03-05 | Novo Nordisk A/S | A novel endoglucanase |
| WO1998012307A1 (en) | 1996-09-17 | 1998-03-26 | Novo Nordisk A/S | Cellulase variants |
| WO1998015257A1 (en) | 1996-10-08 | 1998-04-16 | Novo Nordisk A/S | Diaminobenzoic acid derivatives as dye precursors |
| US5753599A (en) | 1996-12-03 | 1998-05-19 | Lever Brothers Company, Division Of Conopco, Inc. | Thiadiazole dioxides as bleach enhancers |
| WO1998035003A1 (en) | 1997-02-11 | 1998-08-13 | The Procter & Gamble Company | Detergent compound |
| WO1998035002A1 (en) | 1997-02-11 | 1998-08-13 | The Procter & Gamble Company | Cleaning compositions |
| WO1998035006A1 (en) | 1997-02-11 | 1998-08-13 | The Procter & Gamble Company | Liquid cleaning composition |
| WO1998035004A1 (en) | 1997-02-11 | 1998-08-13 | The Procter & Gamble Company | Solid detergent compositions |
| WO1998035005A1 (en) | 1997-02-11 | 1998-08-13 | The Procter & Gamble Company | A cleaning composition |
| US5817614A (en) | 1996-08-29 | 1998-10-06 | Procter & Gamble Company | Color-safe bleach boosters, compositions and laundry methods employing same |
| WO1999005082A1 (en) | 1997-07-21 | 1999-02-04 | The Procter & Gamble Company | Improved processes for making alkylbenzenesulfonate surfactants and products thereof |
| WO1999005084A1 (en) | 1997-07-21 | 1999-02-04 | The Procter & Gamble Company | Process for making alkylbenzenesulfonate surfactants from alcohols and products thereof |
| WO1999005244A1 (en) | 1997-07-21 | 1999-02-04 | The Procter & Gamble Company | Improved alkyl aryl sulfonate surfactants |
| WO1999005243A1 (en) | 1997-07-21 | 1999-02-04 | The Procter & Gamble Company | Detergent compositions containing mixtures of crystallinity-disrupted surfactants |
| WO1999005242A1 (en) | 1997-07-21 | 1999-02-04 | The Procter & Gamble Company | Improved alkylbenzenesulfonate surfactants |
| WO1999005241A1 (en) | 1997-07-21 | 1999-02-04 | The Procter & Gamble Company | Cleaning products comprising improved alkylarylsulfonate surfactants prepared via vinylidene olefins and processes for preparation thereof |
| WO1999007656A2 (en) | 1997-08-08 | 1999-02-18 | The Procter & Gamble Company | Improved processes for making surfactants via adsorptive separation and products thereof |
| US6004922A (en) | 1996-05-03 | 1999-12-21 | The Procter & Gamble Company | Laundry detergent compositions comprising cationic surfactants and modified polyamine soil dispersents |
| US6020303A (en) | 1996-04-16 | 2000-02-01 | The Procter & Gamble Company | Mid-chain branched surfactants |
| US6022844A (en) | 1996-03-05 | 2000-02-08 | The Procter & Gamble Company | Cationic detergent compounds |
| WO2000023549A1 (en) | 1998-10-20 | 2000-04-27 | The Procter & Gamble Company | Laundry detergents comprising modified alkylbenzene sulfonates |
| WO2000023548A1 (en) | 1998-10-20 | 2000-04-27 | The Procter & Gamble Company | Laundry detergents comprising modified alkylbenzene sulfonates |
| US6060443A (en) | 1996-04-16 | 2000-05-09 | The Procter & Gamble Company | Mid-chain branched alkyl sulfate surfactants |
| US6093856A (en) | 1996-11-26 | 2000-07-25 | The Procter & Gamble Company | Polyoxyalkylene surfactants |
| WO2000047708A1 (en) | 1999-02-10 | 2000-08-17 | The Procter & Gamble Company | Low density particulate solids useful in laundry detergents |
| US6136769A (en) | 1996-05-17 | 2000-10-24 | The Procter & Gamble Company | Alkoxylated cationic detergency ingredients |
| US6150322A (en) | 1998-08-12 | 2000-11-21 | Shell Oil Company | Highly branched primary alcohol compositions and biodegradable detergents made therefrom |
| US6221825B1 (en) | 1996-12-31 | 2001-04-24 | The Procter & Gamble Company | Thickened, highly aqueous liquid detergent compositions |
| WO2001042408A2 (en) | 1999-12-08 | 2001-06-14 | The Procter & Gamble Company | Ether-capped poly(oxyalkylated) alcohol surfactants |
| US6312936B1 (en) | 1997-10-23 | 2001-11-06 | Genencor International, Inc. | Multiply-substituted protease variants |
| US6482994B2 (en) | 1997-08-02 | 2002-11-19 | The Procter & Gamble Company | Ether-capped poly(oxyalkylated) alcohol surfactants |
| US6649085B2 (en) | 2000-11-25 | 2003-11-18 | Clariant Gmbh | Cyclic sugar ketones as catalysts for peroxygen compounds |
| WO2005047264A1 (en) | 2003-11-06 | 2005-05-26 | The Procter & Gamble Company | Process for producing dihydroisoquinoline zwitterions |
| WO2005052146A2 (en) | 2003-11-19 | 2005-06-09 | Genencor International, Inc. | Serine proteases, nucleic acids encoding serine enzymes and vectors and host cells incorporating same |
| US6939702B1 (en) | 1999-03-31 | 2005-09-06 | Novozymes A/S | Lipase variant |
| US7141403B2 (en) | 2001-06-06 | 2006-11-28 | Novozymes A/S | Endo-beta-1,4-glucanases |
| WO2007044993A2 (en) | 2005-10-12 | 2007-04-19 | Genencor International, Inc. | Use and production of storage-stable neutral metalloprotease |
| US7262042B2 (en) | 2001-12-20 | 2007-08-28 | Henkel Kommanditgesellschaft Auf Aktien (Henkel Kgaa) | Alkaline protease from Bacillus gibsonii (DSM 14393) and washing and cleaning products comprising said alkaline protease |
| WO2009021867A2 (en) | 2007-08-10 | 2009-02-19 | Henkel Ag & Co. Kgaa | Agents containing proteases |
| WO2009060421A2 (en) * | 2009-03-05 | 2009-05-14 | The Procter & Gamble Company | Organic catalyst with enhanced enzyme compatiblity |
| US20090217464A1 (en) | 2008-02-29 | 2009-09-03 | Philip Frank Souter | Detergent composition comprising lipase |
-
2010
- 2010-07-08 EP EP10732593A patent/EP2451922A1/en not_active Withdrawn
- 2010-07-08 WO PCT/US2010/041281 patent/WO2011005911A1/en not_active Ceased
Patent Citations (95)
| Publication number | Priority date | Publication date | Assignee | Title |
|---|---|---|---|---|
| GB1372034A (en) | 1970-12-31 | 1974-10-30 | Unilever Ltd | Detergent compositions |
| US4228042A (en) | 1978-06-26 | 1980-10-14 | The Procter & Gamble Company | Biodegradable cationic surface-active agents containing ester or amide and polyalkoxy group |
| US4260529A (en) | 1978-06-26 | 1981-04-07 | The Procter & Gamble Company | Detergent composition consisting essentially of biodegradable nonionic surfactant and cationic surfactant containing ester or amide |
| US4239660A (en) | 1978-12-13 | 1980-12-16 | The Procter & Gamble Company | Detergent composition comprising a hydrolyzable cationic surfactant and specific alkalinity source |
| US4435307A (en) | 1980-04-30 | 1984-03-06 | Novo Industri A/S | Detergent cellulase |
| US4483779A (en) | 1982-04-26 | 1984-11-20 | The Procter & Gamble Company | Detergent compositions comprising polyglycoside and polyethoxylate surfactants and anionic fluorescer |
| US4483780A (en) | 1982-04-26 | 1984-11-20 | The Procter & Gamble Company | Detergent compositions containing polyglycoside and polyethoxylate detergent surfactants |
| US4565647B1 (en) | 1982-04-26 | 1994-04-05 | Procter & Gamble | Foaming surfactant compositions |
| US4565647A (en) | 1982-04-26 | 1986-01-21 | The Procter & Gamble Company | Foaming surfactant compositions |
| US4412934A (en) | 1982-06-30 | 1983-11-01 | The Procter & Gamble Company | Bleaching compositions |
| US4545784A (en) | 1983-04-14 | 1985-10-08 | Interox Chemicals Limited | Particulate sodium perborate monohydrate containing adsorbed activator |
| US4760025A (en) | 1984-05-29 | 1988-07-26 | Genencor, Inc. | Modified enzymes and methods for making same |
| US4634551A (en) | 1985-06-03 | 1987-01-06 | Procter & Gamble Company | Bleaching compounds and compositions comprising fatty peroxyacids salts thereof and precursors therefor having amide moieties in the fatty chain |
| EP0218272A1 (en) | 1985-08-09 | 1987-04-15 | Gist-Brocades N.V. | Novel lipolytic enzymes and their use in detergent compositions |
| EP0258068A2 (en) | 1986-08-29 | 1988-03-02 | Novo Nordisk A/S | Enzymatic detergent additive |
| US4915854A (en) | 1986-11-14 | 1990-04-10 | The Procter & Gamble Company | Ion-pair complex conditioning agent and compositions containing same |
| EP0305216A1 (en) | 1987-08-28 | 1989-03-01 | Novo Nordisk A/S | Recombinant Humicola lipase and process for the production of recombinant humicola lipases |
| JPS6474992A (en) | 1987-09-16 | 1989-03-20 | Fuji Oil Co Ltd | Dna sequence, plasmid and production of lipase |
| WO1989006270A1 (en) | 1988-01-07 | 1989-07-13 | Novo-Nordisk A/S | Enzymatic detergent |
| US4966723A (en) | 1988-02-11 | 1990-10-30 | Bp Chemicals Limited | Bleach activators in detergent compositions |
| EP0331376A2 (en) | 1988-02-28 | 1989-09-06 | Amano Pharmaceutical Co., Ltd. | Recombinant DNA, bacterium of the genus pseudomonas containing it, and process for preparing lipase by using it |
| US5691178A (en) | 1988-03-22 | 1997-11-25 | Novo Nordisk A/S | Fungal cellulase composition containing alkaline CMC-endoglucanase and essentially no cellobiohydrolase |
| WO1989009259A1 (en) | 1988-03-24 | 1989-10-05 | Novo-Nordisk A/S | A cellulase preparation |
| US5648263A (en) | 1988-03-24 | 1997-07-15 | Novo Nordisk A/S | Methods for reducing the harshness of a cotton-containing fabric |
| US5776757A (en) | 1988-03-24 | 1998-07-07 | Novo Nordisk A/S | Fungal cellulase composition containing alkaline CMC-endoglucanase and essentially no cellobiohydrolase and method of making thereof |
| US5352604A (en) | 1989-08-25 | 1994-10-04 | Henkel Research Corporation | Alkaline proteolytic enzyme and method of production |
| WO1991016422A1 (en) | 1990-04-14 | 1991-10-31 | Kali-Chemie Aktiengesellschaft | Alkaline bacillus lipases, coding dna sequences therefor and bacilli which produce these lipases |
| US5763254A (en) | 1990-05-09 | 1998-06-09 | Novo Nordisk A/S | Enzyme capable of degrading cellulose or hemicellulose |
| US5457046A (en) | 1990-05-09 | 1995-10-10 | Novo Nordisk A/S | Enzyme capable of degrading cellullose or hemicellulose |
| EP0531315A1 (en) | 1990-05-09 | 1993-03-17 | Novo Nordisk As | ENZYME CAPABLE OF DEGRADING CELLULOSE OR HEMICELLULOSE. |
| EP0531372A1 (en) | 1990-05-09 | 1993-03-17 | Novo Nordisk As | PREPARATION OF CELLULASE COMPRISING AN ENDOGLUCANASE ENZYME. |
| US5686593A (en) | 1990-05-09 | 1997-11-11 | Novo Nordisk A/S | Enzyme capable of degrading cellulose or hemicellulose |
| US5332528A (en) | 1990-09-28 | 1994-07-26 | The Procter & Gamble Company | Polyhydroxy fatty acid amides in soil release agent-containing detergent compositions |
| WO1992006162A1 (en) | 1990-09-28 | 1992-04-16 | The Procter & Gamble Company | Detergent containing alkyl sulfate and polyhydroxy fatty acid amide surfactants |
| EP0495257A1 (en) | 1991-01-16 | 1992-07-22 | The Procter & Gamble Company | Compact detergent compositions with high activity cellulase |
| WO1993019146A1 (en) | 1992-03-16 | 1993-09-30 | The Procter & Gamble Company | Fluid compositions containing polyhydroxy fatty acid amides |
| WO1993019038A1 (en) | 1992-03-26 | 1993-09-30 | The Procter & Gamble Company | Process for reducing the levels of fatty acid contaminants in polyhydroxy fatty acid amide surfactants |
| WO1993024618A1 (en) | 1992-06-01 | 1993-12-09 | Novo Nordisk A/S | Peroxidase variants with improved hydrogen peroxide stability |
| WO1994007998A1 (en) | 1992-10-06 | 1994-04-14 | Novo Nordisk A/S | Cellulase variants |
| WO1994009099A1 (en) | 1992-10-13 | 1994-04-28 | The Procter & Gamble Company | Fluid compositions containing polyhydroxy fatty acid amides |
| WO1995006720A1 (en) | 1993-08-30 | 1995-03-09 | Showa Denko K.K. | Novel lipase, microorganism producing the lipase, process for producing the lipase, and use of the lipase |
| WO1995010602A1 (en) | 1993-10-13 | 1995-04-20 | Novo Nordisk A/S | H2o2-stable peroxidase variants |
| US5679630A (en) | 1993-10-14 | 1997-10-21 | The Procter & Gamble Company | Protease-containing cleaning compositions |
| US5360568A (en) | 1993-11-12 | 1994-11-01 | Lever Brothers Company, Division Of Conopco, Inc. | Imine quaternary salts as bleach catalysts |
| US5360569A (en) | 1993-11-12 | 1994-11-01 | Lever Brothers Company, Division Of Conopco, Inc. | Activation of bleach precursors with catalytic imine quaternary salts |
| WO1995024471A1 (en) | 1994-03-08 | 1995-09-14 | Novo Nordisk A/S | Novel alkaline cellulases |
| WO1996011262A1 (en) | 1994-10-06 | 1996-04-18 | Novo Nordisk A/S | An enzyme and enzyme preparation with endoglucanase activity |
| WO1996012012A1 (en) | 1994-10-14 | 1996-04-25 | Solvay S.A. | Lipase, microorganism producing same, method for preparing said lipase and uses thereof |
| WO1996013580A1 (en) | 1994-10-26 | 1996-05-09 | Novo Nordisk A/S | An enzyme with lipolytic activity |
| WO1996027002A1 (en) | 1995-02-27 | 1996-09-06 | Novo Nordisk A/S | Novel lipase gene and process for the production of lipase with the use of the same |
| WO1996029397A1 (en) | 1995-03-17 | 1996-09-26 | Novo Nordisk A/S | Novel endoglucanases |
| US5576282A (en) | 1995-09-11 | 1996-11-19 | The Procter & Gamble Company | Color-safe bleach boosters, compositions and laundry methods employing same |
| US6022844A (en) | 1996-03-05 | 2000-02-08 | The Procter & Gamble Company | Cationic detergent compounds |
| US6020303A (en) | 1996-04-16 | 2000-02-01 | The Procter & Gamble Company | Mid-chain branched surfactants |
| US6060443A (en) | 1996-04-16 | 2000-05-09 | The Procter & Gamble Company | Mid-chain branched alkyl sulfate surfactants |
| US6004922A (en) | 1996-05-03 | 1999-12-21 | The Procter & Gamble Company | Laundry detergent compositions comprising cationic surfactants and modified polyamine soil dispersents |
| US6136769A (en) | 1996-05-17 | 2000-10-24 | The Procter & Gamble Company | Alkoxylated cationic detergency ingredients |
| WO1998008940A1 (en) | 1996-08-26 | 1998-03-05 | Novo Nordisk A/S | A novel endoglucanase |
| US5817614A (en) | 1996-08-29 | 1998-10-06 | Procter & Gamble Company | Color-safe bleach boosters, compositions and laundry methods employing same |
| WO1998012307A1 (en) | 1996-09-17 | 1998-03-26 | Novo Nordisk A/S | Cellulase variants |
| WO1998015257A1 (en) | 1996-10-08 | 1998-04-16 | Novo Nordisk A/S | Diaminobenzoic acid derivatives as dye precursors |
| US6153577A (en) | 1996-11-26 | 2000-11-28 | The Procter & Gamble Company | Polyoxyalkylene surfactants |
| US6093856A (en) | 1996-11-26 | 2000-07-25 | The Procter & Gamble Company | Polyoxyalkylene surfactants |
| US5753599A (en) | 1996-12-03 | 1998-05-19 | Lever Brothers Company, Division Of Conopco, Inc. | Thiadiazole dioxides as bleach enhancers |
| US6221825B1 (en) | 1996-12-31 | 2001-04-24 | The Procter & Gamble Company | Thickened, highly aqueous liquid detergent compositions |
| WO1998035003A1 (en) | 1997-02-11 | 1998-08-13 | The Procter & Gamble Company | Detergent compound |
| WO1998035005A1 (en) | 1997-02-11 | 1998-08-13 | The Procter & Gamble Company | A cleaning composition |
| WO1998035006A1 (en) | 1997-02-11 | 1998-08-13 | The Procter & Gamble Company | Liquid cleaning composition |
| WO1998035004A1 (en) | 1997-02-11 | 1998-08-13 | The Procter & Gamble Company | Solid detergent compositions |
| WO1998035002A1 (en) | 1997-02-11 | 1998-08-13 | The Procter & Gamble Company | Cleaning compositions |
| WO1999005243A1 (en) | 1997-07-21 | 1999-02-04 | The Procter & Gamble Company | Detergent compositions containing mixtures of crystallinity-disrupted surfactants |
| WO1999005084A1 (en) | 1997-07-21 | 1999-02-04 | The Procter & Gamble Company | Process for making alkylbenzenesulfonate surfactants from alcohols and products thereof |
| WO1999005242A1 (en) | 1997-07-21 | 1999-02-04 | The Procter & Gamble Company | Improved alkylbenzenesulfonate surfactants |
| WO1999005082A1 (en) | 1997-07-21 | 1999-02-04 | The Procter & Gamble Company | Improved processes for making alkylbenzenesulfonate surfactants and products thereof |
| WO1999005244A1 (en) | 1997-07-21 | 1999-02-04 | The Procter & Gamble Company | Improved alkyl aryl sulfonate surfactants |
| WO1999005241A1 (en) | 1997-07-21 | 1999-02-04 | The Procter & Gamble Company | Cleaning products comprising improved alkylarylsulfonate surfactants prepared via vinylidene olefins and processes for preparation thereof |
| US6482994B2 (en) | 1997-08-02 | 2002-11-19 | The Procter & Gamble Company | Ether-capped poly(oxyalkylated) alcohol surfactants |
| WO1999007656A2 (en) | 1997-08-08 | 1999-02-18 | The Procter & Gamble Company | Improved processes for making surfactants via adsorptive separation and products thereof |
| US6312936B1 (en) | 1997-10-23 | 2001-11-06 | Genencor International, Inc. | Multiply-substituted protease variants |
| US6150322A (en) | 1998-08-12 | 2000-11-21 | Shell Oil Company | Highly branched primary alcohol compositions and biodegradable detergents made therefrom |
| WO2000023548A1 (en) | 1998-10-20 | 2000-04-27 | The Procter & Gamble Company | Laundry detergents comprising modified alkylbenzene sulfonates |
| WO2000023549A1 (en) | 1998-10-20 | 2000-04-27 | The Procter & Gamble Company | Laundry detergents comprising modified alkylbenzene sulfonates |
| WO2000047708A1 (en) | 1999-02-10 | 2000-08-17 | The Procter & Gamble Company | Low density particulate solids useful in laundry detergents |
| US6939702B1 (en) | 1999-03-31 | 2005-09-06 | Novozymes A/S | Lipase variant |
| WO2001042408A2 (en) | 1999-12-08 | 2001-06-14 | The Procter & Gamble Company | Ether-capped poly(oxyalkylated) alcohol surfactants |
| US6649085B2 (en) | 2000-11-25 | 2003-11-18 | Clariant Gmbh | Cyclic sugar ketones as catalysts for peroxygen compounds |
| US7141403B2 (en) | 2001-06-06 | 2006-11-28 | Novozymes A/S | Endo-beta-1,4-glucanases |
| US7262042B2 (en) | 2001-12-20 | 2007-08-28 | Henkel Kommanditgesellschaft Auf Aktien (Henkel Kgaa) | Alkaline protease from Bacillus gibsonii (DSM 14393) and washing and cleaning products comprising said alkaline protease |
| WO2005047264A1 (en) | 2003-11-06 | 2005-05-26 | The Procter & Gamble Company | Process for producing dihydroisoquinoline zwitterions |
| WO2005052161A2 (en) | 2003-11-19 | 2005-06-09 | Genencor International, Inc. | Serine proteases, nucleic acids encoding serine enzymes and vectors and host cells incorporating same |
| WO2005052146A2 (en) | 2003-11-19 | 2005-06-09 | Genencor International, Inc. | Serine proteases, nucleic acids encoding serine enzymes and vectors and host cells incorporating same |
| WO2007044993A2 (en) | 2005-10-12 | 2007-04-19 | Genencor International, Inc. | Use and production of storage-stable neutral metalloprotease |
| WO2009021867A2 (en) | 2007-08-10 | 2009-02-19 | Henkel Ag & Co. Kgaa | Agents containing proteases |
| US20090217464A1 (en) | 2008-02-29 | 2009-09-03 | Philip Frank Souter | Detergent composition comprising lipase |
| WO2009060421A2 (en) * | 2009-03-05 | 2009-05-14 | The Procter & Gamble Company | Organic catalyst with enhanced enzyme compatiblity |
Non-Patent Citations (11)
| Title |
|---|
| ADAM, W.; HAAS, W.; LOHRAY, B. B., JOURNAL OF THE AMERICAN CHEMICAL SOCIETY, vol. 113, no. 16, 1991, pages 6202 - 6208 |
| BROOKE, D. N.; DOBBS, A. J.; WILLIAMS, N, ECOTOXICOLOGY AND ENVIRONMENTAL SAFETY, vol. 11, no. 3, 1986, pages 251 - 260 |
| D. RIBITSCH ET AL., APPLIED MICROBIOLOGY AND BIOTECHNOLOGY, vol. 81, no. 5, 2009, pages 875 - 886 |
| DARTOIS ET AL., BIOCHEMICA ET BIOPHYSICA ACTA, vol. 1131, 1993, pages 253 - 360 |
| JOURNAL OF ORGANIC CHEMISTRY, vol. 55, no. 4, 1990, pages 1254 - 61 |
| JOURNAL OF THE CHEMICAL SOCIETY, CHEMICAL COMMUNICATIONS, 1994, pages 2569 - 70 |
| NEEDLEMAN, S. B.; WUNSCH, C. D., J. MOL. BIOL., vol. 48, 1970, pages 443 - 453 |
| POLISH JOURNAL OF CHEMISTRY, vol. 77, no. 5, 2003, pages 577 - 590 |
| TETRAHEDRON LETTERS, vol. 28, no. 48, 1987, pages 6061 - 6064 |
| TETRAHEDRON LETTERS, vol. 35, no. 34, 1994, pages 6329 - 30 |
| TETRAHEDRON, vol. 49, no. 2, 1992, pages 423 - 38 |
Cited By (3)
| Publication number | Priority date | Publication date | Assignee | Title |
|---|---|---|---|---|
| EP2556140A1 (en) * | 2010-04-06 | 2013-02-13 | The Procter & Gamble Company | Optimized release of bleaching systems in laundry detergents |
| CN112695063A (en) * | 2019-10-22 | 2021-04-23 | 中国科学院大连化学物理研究所 | Enzymatic synthesis method of nicotinamide cytosine dinucleotide and application thereof |
| CN112695063B (en) * | 2019-10-22 | 2022-10-04 | 中国科学院大连化学物理研究所 | Method for enzymatic synthesis of nicotinamide cytosine dinucleotide and its application |
Also Published As
| Publication number | Publication date |
|---|---|
| EP2451922A1 (en) | 2012-05-16 |
Similar Documents
| Publication | Publication Date | Title |
|---|---|---|
| EP2292725B1 (en) | Method of laundering fabrics at low temperature | |
| US8541354B2 (en) | Catalytic laundry detergent composition comprising relatively low levels of water-soluble electrolyte | |
| US20110005006A1 (en) | Method of Laundering Fabric Using a Compacted Laundry Detergent Composition | |
| US8211848B2 (en) | Catalytic laundry detergent composition comprising relatively low levels of water-soluble electrolyte | |
| US20110257060A1 (en) | Laundry detergent composition comprising bleach particles that are suspended within a continuous liquid phase | |
| EP2365056B1 (en) | Composition comprising polyethylene glycol polymer and amylase | |
| WO2011156297A2 (en) | Compacted liquid laundry detergent composition comprising lipase of bacterial origin | |
| US20110257062A1 (en) | Liquid laundry detergent composition comprising a source of peracid and having a ph profile that is controlled with respect to the pka of the source of peracid | |
| US20110099725A1 (en) | Method of laundring fabric using a compacted laundry detergent composition | |
| EP2395071A1 (en) | Solid detergent composition comprising lipase of bacterial origin | |
| US20110005004A1 (en) | Method of laundering fabric using a compacted liquid laundry detergent composition | |
| US8586521B2 (en) | Method of laundering fabrics at low temperature | |
| EP2561058A1 (en) | Method of laundering fabric using a compacted liquid laundry detergent composition | |
| US20110005005A1 (en) | Method of laundring fabric using a compacted laundry detergent composition | |
| EP2451922A1 (en) | Method of laundering fabric using a compacted liquid laundry detergent composition | |
| EP2561062A1 (en) | Detergent composition | |
| EP2570475A1 (en) | Detergent composition comprising peptidoglycan-digesting enzyme |
Legal Events
| Date | Code | Title | Description |
|---|---|---|---|
| 121 | Ep: the epo has been informed by wipo that ep was designated in this application |
Ref document number: 10732593 Country of ref document: EP Kind code of ref document: A1 |
|
| NENP | Non-entry into the national phase |
Ref country code: DE |
|
| WWE | Wipo information: entry into national phase |
Ref document number: 2010732593 Country of ref document: EP |











