WO2010149414A1 - 5-mercapto-[1, 2, 4] triazolylmethyl-cyclopentanol compounds and their agricultural and pharmaceutical uses - Google Patents
5-mercapto-[1, 2, 4] triazolylmethyl-cyclopentanol compounds and their agricultural and pharmaceutical uses Download PDFInfo
- Publication number
- WO2010149414A1 WO2010149414A1 PCT/EP2010/055555 EP2010055555W WO2010149414A1 WO 2010149414 A1 WO2010149414 A1 WO 2010149414A1 EP 2010055555 W EP2010055555 W EP 2010055555W WO 2010149414 A1 WO2010149414 A1 WO 2010149414A1
- Authority
- WO
- WIPO (PCT)
- Prior art keywords
- cio
- compounds
- alkyl
- hydrogen
- phenyl
- Prior art date
- Legal status (The legal status is an assumption and is not a legal conclusion. Google has not performed a legal analysis and makes no representation as to the accuracy of the status listed.)
- Ceased
Links
- 0 *C(C(CCC1(*)*)C1(C[n]1ncnc1S*)O)c(c(I)c(c(Cl)c1I)I)c1I Chemical compound *C(C(CCC1(*)*)C1(C[n]1ncnc1S*)O)c(c(I)c(c(Cl)c1I)I)c1I 0.000 description 7
Classifications
-
- C—CHEMISTRY; METALLURGY
- C07—ORGANIC CHEMISTRY
- C07D—HETEROCYCLIC COMPOUNDS
- C07D249/00—Heterocyclic compounds containing five-membered rings having three nitrogen atoms as the only ring hetero atoms
- C07D249/02—Heterocyclic compounds containing five-membered rings having three nitrogen atoms as the only ring hetero atoms not condensed with other rings
- C07D249/08—1,2,4-Triazoles; Hydrogenated 1,2,4-triazoles
- C07D249/10—1,2,4-Triazoles; Hydrogenated 1,2,4-triazoles with hetero atoms or with carbon atoms having three bonds to hetero atoms with at the most one bond to halogen, e.g. ester or nitrile radicals, directly attached to ring carbon atoms
- C07D249/12—Oxygen or sulfur atoms
-
- A—HUMAN NECESSITIES
- A61—MEDICAL OR VETERINARY SCIENCE; HYGIENE
- A61P—SPECIFIC THERAPEUTIC ACTIVITY OF CHEMICAL COMPOUNDS OR MEDICINAL PREPARATIONS
- A61P31/00—Antiinfectives, i.e. antibiotics, antiseptics, chemotherapeutics
- A61P31/10—Antimycotics
-
- A—HUMAN NECESSITIES
- A61—MEDICAL OR VETERINARY SCIENCE; HYGIENE
- A61P—SPECIFIC THERAPEUTIC ACTIVITY OF CHEMICAL COMPOUNDS OR MEDICINAL PREPARATIONS
- A61P31/00—Antiinfectives, i.e. antibiotics, antiseptics, chemotherapeutics
- A61P31/12—Antivirals
-
- A—HUMAN NECESSITIES
- A61—MEDICAL OR VETERINARY SCIENCE; HYGIENE
- A61P—SPECIFIC THERAPEUTIC ACTIVITY OF CHEMICAL COMPOUNDS OR MEDICINAL PREPARATIONS
- A61P35/00—Antineoplastic agents
Definitions
- the present invention relates to novel triazole compounds of the formulae I and Il as defined below which carry a sulfur substituent, to agricultural compositions containing them, to their use as fungicides and to intermediate compounds used in the method of producing them.
- Plant disease damage to ornamental, vegetable, field, cereal, and fruit crops can cause significant reduction in productivity and thereby result in increased costs to the consumer.
- triazole compounds of the general formulae I and II defined below, and by the agriculturally acceptable salts of the compounds I and II.
- the present invention relates to triazole compounds of the formulae I and Il and to agriculturally useful salts thereof
- L 1 and L 4 independently of each other, are selected from hydrogen, bromine, iodine, Ci-Cio-alkyl, Ci-Cio-haloalkyl, Ci-Cio-alkoxy and Ci-Cio-haloalkoxy;
- L 2 and L 3 independently of each other, are selected from hydrogen, halogen, Ci-Cio-alkyl, Ci-Cio-haloalkyl, Ci-Cio-alkoxy and Ci-Cio-haloalkoxy;
- R 1 and R 2 are selected from hydrogen, Ci-Cio-alkyl, Ci-Cio-haloalkyl, Ci-Cio-alkoxy and Ci-Cio-haloalkoxy;
- R 3 is selected from hydrogen, Ci-Cio-alkyl, Ci-Cio-haloalkyl, Ci-Cio-alkoxy and Ci-Cio-haloalkoxy;
- R 4 is selected from hydrogen, Ci-Cio-alkyl, Ci-Cio-haloalkyl, C2-Cio-alkenyl, C2-Cio-haloalkenyl, C2-Cio-alkynyl, C2-Cio-haloalkynyl, C3-Cio-cycloalkyl, C3-Cio-halocycloalkyl, phenyl, phenyl-Ci-C4-alkyl, where the phenyl moiety in the 2 last-mentioned radicals may carry 1 , 2, 3, 4 or 5 substituents R 8 , and a 5- or 6-membered saturated, partially unsaturated or aromatic heterocyclic ring containing 1 , 2 or 3 heteroatoms selected from N, O and S as ring members, where the heterocyclic ring may carry 1 , 2 or 3 substituents R 8 ; or, in case n is 0, may also be selected from
- L 1 , L 2 , L 3 , L 4 , R 1 , R 2 and R 3 are as defined for formulae I and II;
- # is the attachment point to the remainder of the molecule
- R 5 is selected from hydrogen, Ci-Cio-alkyl, Ci-Cio-haloalkyl, Ci-Cio-alkoxy, Ci-Cio-haloalkoxy, Ci-Cio-aminoalkyl, C3-Cio-cycloalkyl, C3-C10- halocycloalkyl, phenyl, phenyl-Ci-C4-alkyl, phenoxy, where the phenyl moiety in the 3 last-mentioned radicals may carry 1 , 2, 3, 4 or 5 substituents R 8 , a 5- or 6-membered saturated, partially unsaturated or aromatic heterocyclic ring containing 1 , 2 or 3 heteroatoms selected from N, O and S as ring members, where the heterocyclic ring may carry 1 , 2 or 3 substituents R 8 , and NR 9 R 10 ;
- R 6 and R 7 are selected from Ci-Cio-alkyl, C1-C10- haloalkyl, C2-Cio-alkenyl, C2-Cio-haloalkenyl, C2-Cio-alkynyl, C2-C10- haloalkynyl, C3-Cio-cycloalkyl, C3-Cio-halocycloalkyl, Ci-Cio-alkoxy, Ci-Cio- haloalkoxy, Ci-C4-alkoxy-Ci-Cio-alkyl, Ci-C4-alkoxy-Ci-Cio-alkoxy, C1-C10- alkylthio, Ci-Cio-haloalkylthio, C2-Cio-alkenyloxy, C2-Cio-alkenylthio, C2-C10- alkynyloxy, C2-Cio-alkynylthio
- each R 8 is independently selected from halogen, nitro, CN, Ci-C4-alkyl, CrC 4 - haloalkyl, Ci-C 4 -alkoxy, Ci-C 4 -haloalkoxy and NR 13 R 14 ;
- R 9 is selected from hydrogen and Ci-Cs-alkyl
- R 10 is selected from hydrogen, Ci-Cs-alkyl, phenyl, and phenyl-Ci-C 4 -alkyl;
- R 9 and R 10 together form a linear C 4 - or Cs-alkylene bridge or a group -CH2CH2OCH2CH2- or -CH 2 CH 2 NR 15 CH 2 CH 2 -;
- R 11 is selected from hydrogen and Ci-Cs-alkyl
- R 12 is selected from hydrogen, d-Cs-alkyl, phenyl, and phenyl-Ci-C 4 -alkyl;
- R 11 and R 12 together form a linear C 4 - or Cs-alkylene bridge or a group
- R 13 independently of each occurrence is selected from hydrogen and Ci-Cs- alkyl
- R 14 independently of each occurrence is selected from hydrogen, d-Cs-alkyl, phenyl and phenyl-Ci-C 4 -alkyl;
- R 13 and R 14 together form a linear C 4 - or Cs-alkylene bridge or a group -CH 2 CH 2 OCH 2 CH 2 - or -CH 2 CH 2 NR 15 CH 2 CH 2 -;
- R 15 independently of each occurrence is selected from hydrogen and C1-C4- alkyl
- Q is O or S
- M is a metal cation equivalent or an ammonium cation of formula
- R a , R b , R c and R d independently of each other, are selected from hydrogen, Ci-Cio-alkyl, phenyl and benzyl, where the phenyl moiety in the 2 last-mentioned radicals may carry 1 , 2 or 3 substituents independently selected from halogen, CN, nitro, Ci-C 4 -alkyl, Ci-C 4 -haloalkyl, Ci-C 4 -alkoxy, Ci-C 4 -haloalkoxy and NR 13 R 14 ;
- n 0, 1 , 2 or 3; and (combined bond/dotted bond) is either a single or a double bond.
- the present invention also relates to triazole compounds of the formulae I and Il and to agriculturally useful salts thereof
- L 1 and L 4 independently of each other, are selected from hydrogen, bromine, iodine, Ci-Cio-alkyl, Ci-Cio-haloalkyl, Ci-Cio-alkoxy and Ci-Cio-haloalkoxy;
- L 2 and L 3 independently of each other, are selected from hydrogen, halogen, Ci-Cio-alkyl, Ci-Cio-haloalkyl, Ci-Cio-alkoxy and Ci-Cio-haloalkoxy;
- R 1 and R 2 are selected from hydrogen, Ci-Cio-alkyl, Ci-Cio-haloalkyl, Ci-Cio-alkoxy and Ci-Cio-haloalkoxy;
- R 3 is selected from hydrogen, Ci-Cio-alkyl, Ci-Cio-haloalkyl, Ci-Cio-alkoxy and Ci-Cio-haloalkoxy;
- R 4 is selected from hydrogen, Ci-Cio-alkyl, Ci-Cio-haloalkyl, C2-Cio-alkenyl, C2-Cio-haloalkenyl, C2-Cio-alkynyl, C2-Cio-haloalkynyl, C3-Cio-cycloalkyl, C3-Cio-halocycloalkyl, phenyl, phenyl-Ci-C4-alkyl, where the phenyl moiety in the 2 last-mentioned radicals may carry 1 , 2, 3, 4 or 5 substituents R 8 , and a 5- or 6-membered saturated, partially unsaturated or aromatic heterocyclic ring containing 1 , 2 or 3 heteroatoms selected from N, O and S as ring members, where the heterocyclic ring may carry 1 , 2 or 3 substituents R 8 ; or, in case n is 0, may also be selected from
- L 1 , L 2 , L 3 , L 4 , R 1 , R 2 and R 3 are as defined for formulae I and II;
- # is the attachment point to the remainder of the molecule
- R 5 is selected from hydrogen, Ci-Cio-alkyl, Ci-Cio-haloalkyl, Ci-Cio-alkoxy, Ci-Cio-haloalkoxy, Ci-Cio-aminoalkyl, C3-Cio-cycloalkyl, C3-C10- halocycloalkyl, phenyl, phenyl-Ci-C4-alkyl, phenoxy, where the phenyl moiety in the 3 last-mentioned radicals may carry 1 , 2, 3, 4 or 5 substituents R 8 , a 5- or 6-membered saturated, partially unsaturated or aromatic heterocyclic ring containing 1 , 2 or 3 heteroatoms selected from N, O and S as ring members, where the heterocyclic ring may carry 1 , 2 or 3 substituents
- R 6 and R 7 are selected from Ci-Cio-alkyl, Ci-Cio- haloalkyl, C2-Cio-alkenyl, C2-Cio-haloalkenyl, C2-Cio-alkynyl, C2-C10- haloalkynyl, C3-Cio-cycloalkyl, C3-Cio-halocycloalkyl, Ci-Cio-alkoxy, Ci-Cio- haloalkoxy, Ci-C4-alkoxy-Ci-Cio-alkyl, Ci-C4-alkoxy-Ci-Cio-alkoxy, C1-C10- alkylthio, Ci-Cio-haloalkylthio, C2-Cio-alkenyloxy, C2-Cio-alkenylthio, C2-C10- alkynyloxy, C2-Cio-alkynylthio
- each R 8 is independently selected from halogen, nitro, CN, Ci-C4-alkyl, C1-C4- haloalkyl, Ci-C 4 -alkoxy, Ci-C 4 -haloalkoxy and NR 13 R 14 ;
- R 9 is selected from hydrogen and Ci-Cs-alkyl
- R 10 is selected from Ci-Cs-alkyl, phenyl, and phenyl-Ci-C4-alkyl;
- R 9 and R 10 together form a linear C4- or Cs-alkylene bridge or a group -CH2CH2OCH2CH2- or -CH 2 CH 2 NR 15 CH 2 CH 2 -;
- R 11 is selected from hydrogen and Ci-Cs-alkyl
- R 12 is selected from d-Cs-alkyl, phenyl, and phenyl-Ci-C4-alkyl;
- R 11 and R 12 together form a linear C4- or Cs-alkylene bridge or a group -CH 2 CH 2 OCH 2 CH 2 - or -CH 2 CH 2 NR 15 CH 2 CH 2 -;
- R 13 independently of each occurrence is selected from hydrogen and Ci-Cs- alkyl
- R 14 independently of each occurrence is selected from d-Cs-alkyl, phenyl and phenyl-Ci-C4-alkyl;
- R 13 and R 14 together form a linear C4- or Cs-alkylene bridge or a group -CH 2 CH 2 OCH 2 CH 2 - or -CH 2 CH 2 NR 15 CH 2 CH 2 -;
- R 15 independently of each occurrence is selected from hydrogen and C1-C4- alkyl
- Q is O or S
- M is a metal cation equivalent or an ammonium cation of formula
- R a , R b , R c and R d independently of each other, are selected from hydrogen, Ci-Cio-alkyl, phenyl and benzyl, where the phenyl moiety in the 2 last-mentioned radicals may carry 1 , 2 or 3 substituents in- dependently selected from halogen, CN, nitro, Ci-C4-alkyl, Ci-C4-haloalkyl, Ci-C 4 -alkoxy, Ci-C 4 -haloalkoxy and NR 13 R 14 ;
- n 0, 1 , 2 or 3;
- the present invention also provides the use of triazole compounds of the formulae I and Il and/or their agriculturally useful salts for controlling harmful fungi.
- the invention further provides fungicidal compositions comprising these triazole compounds of the formulae I and/or Il (and/or also of the formula IV; see below) and/or their agriculturally acceptable salts and suitable carriers. Suitable agriculturally acceptable carriers are described below.
- the compounds I and Il can exist as one or more stereoisomers.
- the various stereoisomers include enantiomers, diastereomers, atropisomers and geometric isomers.
- one stereoisomer may be more active and/or may exhibit beneficial effects when enriched relative to the other stereoisomer(s) or when separated from the other stereoisomer(s). Additionally, the skilled artisan knows how to separate, enrich, and/or to selectively prepare said stereoisomers.
- the compounds of the invention may be present as a mixture of stereoisomers, e.g. a racemate, individual stereoisomers, or as an optically active form.
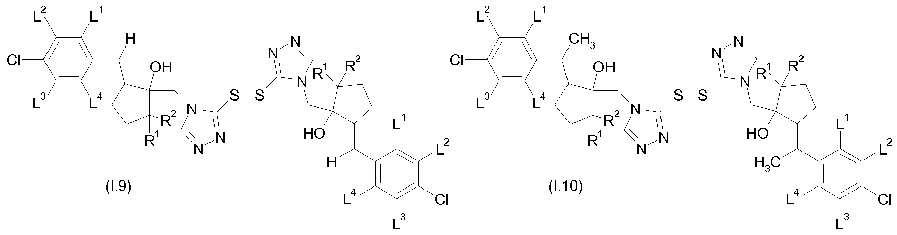
- the compounds of formulae IA and NA may be present as isomers with respect to the relative positions of the OH group and the group on the cyclopentane ring, which may be either cis or trans.
- the present invention encompasses both the cis isomers, the trans isomers and the mixtures thereof.
- preference is given to the cis isomers (compounds of formulae IA-cis and IIA-cis):
- Suitable agriculturally useful salts are especially the salts of those cations or the acid addition salts of those acids whose cations and anions, respectively, have no adverse effect on the fungicidal action of the compounds I and II.
- suitable cations are in particular the ions of the alkali metals, preferably sodium and potassium, of the alkaline earth metals, preferably calcium, magnesium and barium, and of the transition metals, preferably manganese, copper, zinc and iron, and also the ammonium ion which, if desired, may carry one to four Ci-C4-alkyl substituents and/or one phenyl or benzyl substituent, preferably diisopropylammonium, tetramethylammonium, tetrabutylammo- nium, trimethylbenzylammonium, furthermore phosphonium ions, sulfonium ions, preferably tri(Ci-C4-alkyl)sulfonium and sulfoxonium
- Anions of useful acid addition salts are primarily chloride, bromide, fluoride, hydrogen- sulfate, sulfate, dihydrogenphosphate, hydrogenphosphate, phosphate, nitrate, bicar- bonate, carbonate, hexafluorosilicate, hexafluorophosphate, benzoate, and also the anions of Ci-C4-alkanoic acids, preferably formate, acetate, propionate and butyrate. They can be formed by reacting I or Il with an acid of the corresponding anion, preferably hydrochloric acid, hydrobromic acid, sulfuric acid, phosphoric acid or nitric acid.
- C n -Cm indicates the number of carbon atoms possible in each case in the substituent or sub- stitutent moiety in question:
- Halogen fluorine, chlorine, bromine and iodine
- C2-C3-Alkyl is ethyl, n-propyl or isopropyl.
- Ci-C2-Alkyl is methyl or ethyl.
- CrC 4 -AIkVl is additionally also propyl, isopropyl, butyl, 1-methylpropyl (sec-butyl), 2-methylpropyl (isobutyl) or 1 ,1-dimethylethyl (tert-butyl).
- Ci-C ⁇ -Alkyl is additionally also, for example, pentyl, 1-methylbutyl, 2-methylbutyl, 3-methylbutyl, 2,2- dimethylpropyl, 1-ethylpropyl, 1 ,1-dimethylpropyl, 1 ,2-dimethylpropyl, hexyl, 1- methylpentyl, 2-methylpentyl, 3-methylpentyl, 4-methylpentyl, 1 ,1-dimethylbutyl, 1 ,2- dimethylbutyl, 1 ,3-dimethylbutyl, 2,2-dimethylbutyl, 2,3-dimethylbutyl, 3,3-dimethylbutyl, 1-ethylbutyl, 2-ethylbutyl, 1 ,1 ,2-trimethylpropyl, 1 ,2,2-trimethylpropyl, 1-ethyl-1- methylpropyl, or 1-ethyl-2-methylpropyl.
- d-Cs-Alkyl is additionally also, for example, heptyl, octyl, 2-ethylhexyl and positional isomers thereof.
- Ci-Cio-Alkyl is additionally also, for example, nonyl, decyl, 2-propylheptyl, 3-propylheptyl and positional isomers thereof.
- Haloalkyl straight-chain or branched alkyl groups having 1 to 2 (Ci-C2-haloalkyl), 1 to 3 (d-Cs-haloalkyl), 1 to 4 (Ci-C 4 -haloalkyl), 1 to 6 (Ci-C 6 -haloalkyl), 1 to 8 (CrC 8 - haloalkyl), 1 to 10 (Ci-Cio-haloalkyl) or 2 to 10 (C2-Cio-haloalkyl) carbon atoms (as mentioned above), where some or all of the hydrogen atoms in these groups may be replaced by halogen atoms as mentioned above: in particular Ci-C2-haloalkyl, such as chloromethyl, bromomethyl, dichloromethyl, trichloromethyl, fluoromethyl, difluoro- methyl, trifluoromethyl, chlorofluoromethyl, dichlorofluoromethyl, chlorodifluoromethyl, 1-chloroethy
- Ci-C3-Haloalkyl is additionally, for example, 1 ,1 ,1-trifluoroprop-2-yl, 3,3,3-trifluoropropyl or heptafluoropropyl.
- CrC 4 - Haloalkyl is additionally, for example, 1-chlorobuty, 2-chlorobutyl, 3-chlorobutyl or 4- chlorobutyl.
- Ci-Cio-Hydroxyalkyl straight-chain or branched alkyl groups having 1 to 2 (Ci-C 2 - hydroxyalkyl), 1 to 4 (Ci-C 4 -hydroxyalkyl), 2 to 4 (C 2 -C 4 -hydroxyalkyl), 1 to 6 (Ci-C 6 - hydroxyalkyl), 2 to 6 (C 2 -C 6 -hydroxyalkyl), 1 to 8 (Ci-C 8 -hydroxyalkyl), 2 to 8 (C 2 -C 8 - hydroxyalkyl), 1 to 10 (Ci-Cio-hydroxyalkyl) or 2 to 10 (C 2 -Cio-hydroxyalkyl) carbon atoms (as mentioned above), where at least one of the hydrogen atoms is replaced by a hydroxyl group, such as in 2-hydroxyethyl or 3-hydroxypropyl.
- Haloalkenyl and the haloalkenyl moieties in haloalkenyloxy, haloalkenylcarbonyl and the like unsaturated straight-chain or branched hydrocarbon radicals having 2 to 4 (C 2 - C 4 -haloalkenyl), 2 to 6 (C 2 -C 6 -haloalkenyl), 2 to 8 (C 2 -C 8 -haloalkenyl) or 2 to 10 (C 2 - Cio-haloalkenyl) carbon atoms and a double bond in any position (as mentioned above), where some or all of the hydrogen atoms in these groups may be replaced by halogen atoms as mentioned above, in particular fluorine, chlorine and bromine, for example chlorovinyl, chloroallyl and the like; Alkynyl and the alkynyl moieties in alkynyloxy, alkynylcarbonyl and the like: straight- chain or branched hydrocarbon groups having 2 to 4 (
- Ci-C2-Alkoxy is methoxy or ethoxy.
- C1-C4- Alkoxy is additionally, for example, n-propoxy, 1-methylethoxy (isopropoxy), butoxy,
- Ci-C ⁇ -Alkoxy is additionally, for example, pentoxy, 1-methylbutoxy, 2-methylbutoxy, 3-methylbutoxy, 1 ,1-dimethylpropoxy, 1 ,2-dimethylpropoxy, 2,2-dimethylpropoxy, 1-ethylpropoxy, hexoxy, 1-methylpentoxy, 2-methylpentoxy, 3-methylpentoxy, 4-methylpentoxy, 1 ,1-dimethylbutoxy, 1 ,2-dimethylbutoxy, 1 ,3-dimethylbutoxy, 2,2-dimethylbutoxy, 2,3-dimethylbutoxy, 3,3-dimethylbutoxy, 1-ethylbutoxy, 2-ethylbutoxy, 1 ,1 ,2-trimethylpropoxy, 1 ,2,2-trimethylpropoxy, 1-ethyl-1- methylpropoxy or 1-ethyl-2-methyl
- Ci-Cs-Alkoxy is additionally, for example, heptyloxy, octyloxy, 2-ethylhexyloxy and positional isomers thereof.
- Ci-Cio-Alkoxy is additionally, for example, nonyloxy, decyloxy and positional isomers thereof.
- C2-C10- Alkoxy is like Ci-Cio-alkoxy with the exception of methoxy.
- Ci-C2-Haloalkoxy an alkoxy radical as mentioned above which is partially or fully substituted by fluorine, chlorine, bromine and/or iodine, preferably by fluorine.
- Ci-C2-Haloalkoxy is, for example, OCH 2 F, OCHF 2 , OCF 3 , OCH 2 CI, OCHCI 2 , OCCI 3 , chlorofluoromethoxy, dichlorofluoromethoxy, chlorodifluoromethoxy, 2-fluoroethoxy, 2-chloroethoxy, 2-bromoethoxy, 2-iodoethoxy, 2,2-difluoroethoxy, 2,2,2-trifluoroethoxy, 2-chloro-2- fluoroethoxy, 2-chloro-2,2-difluoroethoxy, 2,2-dichloro-2-fluoroethoxy, 2,2,2-trichloroethoxy or OC 2 Fs Ci-C4-Haloalkoxy
- Ci-C6-Haloalkoxy is additionally, for example, 5-fluoropentoxy, 5-chloropentoxy, 5-brompentoxy, 5-iodopentoxy, undecafluoropentoxy, 6-fluorohexoxy, 6-chlorohexoxy, 6-bromohexoxy, 6-iodohexoxy or dodecafluorohexoxy.
- Alkenyloxy alkenyl as mentioned above which is attached via an oxygen atom, for example C 2 -Cio-alkenyloxy, such as 1-ethenyloxy, 1-propenyloxy, 2-propenyloxy, 1- methylethenyloxy, 1-butenyloxy, 2-butenyloxy, 3-butenyloxy, 1-methyl-1-propenyloxy, 2-methyl-1-propenyloxy, 1-methyl-2-propenyloxy, 2-methyl-2-propenyloxy, 1- pentenyloxy, 2-pentenyloxy, 3-pentenyloxy, 4-pentenyloxy, 1-methyl-1-butenyloxy, 2- methyl-1-butenyloxy, 3-methyl-1-butenyloxy, 1-methyl-2-butenyloxy, 2-methyl-2-butenyloxy, 3-methyl-1-butenyloxy, 1-methyl-2-butenyloxy, 2-methyl-2- butenyloxy, 3-methyl-2-butenyloxy, 1-methyl-3
- Haloalkenyloxy an alkenyloxy radical as mentioned above which is partially or fully substituted by fluorine, chlorine, bromine and/or iodine, preferably by fluorine.
- Alkynyloxy alkynyl as mentioned above which is attached via an oxygen atom, for example C2-Cio-alkynyloxy, such as 2-propynyloxy, 2-butynyloxy, 3-butynyloxy, 1-methyl- 2-propynyloxy, 2-pentynyloxy, 3-pentynyloxy, 4-pentynyloxy, 1-methyl-2-butynyloxy, 1- methyl-3-butynyloxy, 2-methyl-3-butynyloxy, 1 -ethyl-2-propynyloxy, 2-hexynyloxy, 3- hexynyloxy, 4-hexynyloxy, 5-hexynyloxy, 1-methyl-2-pentynyloxy, 1-methyl-3- pentynyloxy and the like;
- Haloalkynyloxy an alkynyloxy radical as mentioned above which is partially or fully substituted by fluorine, chlorine, bromine and/or iodine, preferably by fluorine.
- Cycloalkoxy cycloalkoxy as mentioned above which is attached via an oxygen atom, for example C3-Cio-cycloalkoxy or Cs-Cs-cycloalkoxy, such as cyclopropoxy, cyclopen- toxy, cyclohexoxy, cycloheptoxy, cyclooctoxy, cyclononyloxy, cyclodecyloxy and the like;
- Cycloalkenyloxy cycloalkenyloxy as mentioned above which is attached via an oxygen atom, for example C3-Cio-cycloalkenyloxy, Cs-Cs-cycloalkenyloxy or, preferably, Cs-C ⁇ - cycloalkenyloxy, such as cyclopent-1-enoxy, cyclopent-2-enoxy, cyclohex-1-enoxy and cyclohex-2-enoxy;
- Alkoxyalkyl alkyl as defined above having 1 to 10, 1 to 8, 1 to 6 or 1 to 4, in particular 1 to 3, carbon atoms, in which one hydrogen atom is replaced by an alkoxy group having 1 to 8, 1 to 6 or in particular 1 to 4 carbon atoms, for example methoxymethyl, 2- methoxyethyl, ethoxymethyl, 3-methoxypropyl, 3-ethoxypropyl and the like.
- Alkoxyalkoxy alkoxy as defined above having 1 to 10, 1 to 8, 1 to 6 or 1 to 4, in particular 1 to 3, carbon atoms, in which one hydrogen atom is replaced by an alkoxy group having 1 to 8, 1 to 6 or in particular 1 to 4 carbon atoms, for example 2-methoxyethoxy, 2-ethoxyethoxy, 3-methoxypropoxy, 3-ethoxypropoxy and the like.
- Alkylcarbonyl group of the formula R-CO- in which R is an alkyl group as defined above, for example Ci-Cio-alkyl, d-Cs-alkyl, Ci-C ⁇ -alkyl, Ci-C4-alkyl, Ci-C2-alkyl or C3- C4-alkyl. Examples are acetyl, propionyl and the like. Examples for C3-C4-alkylcarbonyl are propylcarbonyl, isopropylcarbonyl, n-butylcarbonyl, sec-butylcarbonyl, isobutylcar- bonyl and tert-butylcarbonyl.
- Alkoxycarbonyl group of the formula R-CO- in which R is an alkoxy group as defined above, for example Ci-Cio-alkoxy, Ci-Cs-alkoxy, Ci-C ⁇ -alkoxy, Ci-C4-alkoxy or C1-C2- alkoxy.
- Ci-C4-alkoxycarbonyl are methoxycarbonyl, ethoxycarbonyl, pro- poxycarbonyl, isopropoxycarbonyl, n-butoxycarbonyl, sec-butoxycarbonyl, isobutoxy- carbonyl and tert-butoxycarbonyl.
- Alkylsulfonyl group of the formula R-S(O)2- in which R is an alkyl group as defined above, for example Ci-Cio-alkyl, d-Cs-alkyl, Ci-C ⁇ -alkyl, Ci-C4-alkyl or Ci-C2-alkyl.
- Ci-C4-alkoxysulfonyl examples include methylsulfonyl, ethylsulfonyl, propylsulfonyl, isopropylsulfonyl, n-butylsulfonyl, sec-butylsulfonyl, isobutylsulfonyl and tert- butylsulfonyl.
- Alkylthio alkyl as defined above which is attached via a sulfur atom.
- Haloalkylthio haloalkyl as defined above which is attached via a sulfur atom.
- Alkenylthio alkenyl as defined above which is attached via a sulfur atom.
- Haloalkenylthio haloalkenyl as defined above which is attached via a sulfur atom.
- Alkynylthio alkynyl as defined above which is attached via a sulfur atom.
- Haloalkynylthio haloalkynyl as defined above which is attached via a sulfur atom.
- Cycloalkylthio cycloalkyl as defined above which is attached via a sulfur atom.
- Phanyl-Ci-C4-alkyl Ci-C4-alkyl (as defined above), where a hydrogen atom is replaced by a phenyl group, such as benzyl, phenethyl and the like.
- Phenyl-Ci-C4-alkoxy Ci-C4-alkoxy (as defined above), where one hydrogen atom is replaced by a phenyl group, such as benzyloxy, phenethyloxy and the like.
- 3-pyrrolidin-2,5-dionyl 3-isoxazolidinyl, 4-isoxazolidinyl, 5-isoxazolidinyl, 3-isothiazolidinyl, 4-isothiazolidinyl, 5-isothiazolidinyl, 3-pyrazolidinyl, 4-pyrazolidinyl, 5-pyrazolidinyl, 2-oxazolidinyl, 4-oxazolidinyl, 5-oxazolidinyl, 2-thiazolidinyl, 4-thiazolidinyl, 5-thiazolidinyl, 2-imidazolidinyl, 4-imidazolidinyl, 1 ,2,4-oxadiazolidin-3-yl, 1 ,2,4-oxadiazolidin-5-yl, 1 ,2,4-thiadiazolidin-3-yl,
- a seven-membered saturated or partially unsaturated heterocycle which contains one, two, three or four heteroatoms from the group consisting of oxygen, nitrogen and sulfur as ring members: for example mono- and bicyclic heterocycles having
- ring members which, in addition to carbon ring members, contain one to three nitrogen atoms and/or one oxygen or sulfur atom or one or two oxygen and/or sulfur atoms, for example tetra- and hexahydroazepinyl, such as 2,3,4,5-tetrahydro[1 H]azepin-1-, -2-, -3-, -4-, -5-, -6- or -7-yl, 3,4,5,6-tetrahydro[2H]azepin-2-, -3-, -A-, -5-, -6- or -7-yl,
- tetra- and hexahydroazepinyl such as 2,3,4,5-tetrahydro[1 H]azepin-1-, -2-, -3-, -4-, -5-, -6- or -7-yl, 3,4,5,6-tetrahydro[2H]azepin-2-, -3-, -A-, -5-, -6
- a five- or six-membered aromatic heterocycle which contains one, two, three or four heteroatoms from the group consisting of oxygen, nitrogen and sulfur, for example 5-membered heteroaryl which is attached via carbon and contains one to three nitrogen atoms or one or two nitrogen atoms and one sulfur or oxygen atom as ring members, such as 2-furyl, 3-furyl, 2-thienyl, 3-thienyl, 2-pyrrolyl, 3-pyrrolyl, 3-isoxazolyl, 4-isoxazolyl, 5-isoxazolyl, 3-isothiazolyl, 4-isothiazolyl, 5-isothiazolyl, 3-pyrazolyl, 4-pyrazolyl, 5-pyrazolyl, 2-oxazolyl, 4-oxazolyl, 5-oxazolyl, 2-thiazolyl, 4-thiazolyl, 5-thiazolyl, 2-imidazolyl, 4-imidazolyl, 1 ,2,4-oxadiazol-3-
- C2-C5-Alkylene divalent branched or preferably unbranched chains having 2 to 5 carbon atoms, for example CH 2 CH 2 , -CH(CH 3 )-, CH 2 CH 2 CH 2 , CH(CH 3 )CH 2 , CH 2 CH(CH 3 ), CH 2 CH 2 CH 2 CH 2 , CH 2 CH 2 CH 2 CH 2 CH 2 .
- the group -SM is more correctly spoken a group S " M + , where M + is a metal cation equivalent or an ammonium cation as defined above.
- M + is a metal cation equivalent or an ammonium cation as defined above.
- a metal cation equivalent is more correctly spoken 1/a M a+ , where a is the valence of the metal and is in general 1 , 2 or 3.
- L 2 and L 3 are selected from hydrogen, halogen, Ci-C4-alkyl, Ci-C4-haloalkyl, Ci-C4-alkoxy and C1-C4- haloalkoxy, more preferably from hydrogen, chlorine, methyl, ethyl, isopropyl, fluoro- methyl, difluoromethyl, trifluoromethyl, 2,2,2-trifluoroethyl, 1 ,1 ,2,2-tretrafluoroethyl, methoxy, ethoxy, fluoromethoxy, difluoromethoxy, trifluoromethoxy and 2,2,2- trifluoroethoxy, in particular from hydrogen, chlorine, methyl, fluoromethyl, difluoromethyl, trifluoromethyl, methoxy, fluoromethoxy, difluoromethoxy and trifluoromethoxy and specifically from hydrogen and chlorine.
- L 1 and L 4 are selected from hydrogen, Ci-C4-alkyl, Ci-C4-haloalkyl, Ci-C4-alkoxy and C1-C4- haloalkoxy, more preferably from hydrogen, Ci-C3-alkyl, fluoromethyl, difluoromethyl, trifluoromethyl, 2,2,2-trifluoroethyl, 1 ,1 ,2,2-tetrafluoroethyl, methoxy, ethoxy, fluoromethoxy, difluoromethoxy, trifluoromethoxy and 2,2,2-trifluoroethoxy, in particular from hydrogen, methyl, ethyl, isopropyl, trifluoromethyl, 2,2,2-trifluoroethyl, 1 ,1 ,2,2- tetrafluoroethyl, methoxy, ethoxy, trifluoromethoxy and 2,2,2-trifluoroethoxy, in particular from hydrogen, methyl, ethyl,
- At least one of L 1 and L 4 is not hydrogen.
- L 2 and L 3 are both hydrogen.
- At least one of L 1 and L 4 is not hydrogen and L 2 and L 3 are both hydrogen. According to an even more preferred embodiment one of L 1 and L 4 is not hydrogen and the remaining substituents L (i.e. L 2 , L 3 and either L 1 or L 4 ) are hydrogen.
- At least one of L 2 and L 3 is not hydrogen.
- L 1 and L 4 are both hydrogen.
- At least one of L 2 and L 3 is not hydrogen and L 1 and L 4 are both hydrogen. According to an even more preferred embodiment one of L 2 and L 3 is not hydrogen and the remaining substituents L (i.e. L 1 , L 4 and either L 2 or L 3 ) are hydrogen.
- At least one of L 1 and L 2 is not hydrogen and L 3 and L 4 are both hydrogen. According to an even more preferred embodiment one of L 1 and L 2 is not hydrogen and the remaining substituents L (i.e. L 3 , L 4 and either L 1 or L 2 ) are hydrogen.
- L 1 , L 2 , L 3 and L 4 are hydrogen.
- R 1 and R 2 are preferably selected from hydrogen, C1-C4- alkyl, Ci-C2-haloalkyl, Ci-C4-alkoxy and Ci-C2-haloalkoxy. More preferably, R 1 and R 2 , independently of each other, are selected from hydrogen, methyl, ethyl and trifluoro- methyl. Even more preferably, R 1 and R 2 , independently of each other, are selected from hydrogen and methyl. In particular, R 1 and R 2 are both methyl.
- R 3 is selected from hydrogen, Ci-C4-alkyl, Ci-C2-haloalkyl, Ci-C4-alkoxy and Ci-C2-haloalkoxy. More preferably, R 3 is selected from hydrogen, methyl, ethyl and trifluoromethyl. Even more preferably, R 3 is selected from hydrogen and methyl. In particular, R 3 is hydrogen.
- R 5 is spe- cifically C3-C4-alkyl, more specifically isopropyl, isobutyl or tert-butyl, and in the group -S(O)2R 5 , R 5 is specifically methyl.
- R 9 is hydrogen and R 10 is selected from hydrogen, Ci-C4-alkyl and phenyl, preferably from hydrogen and Ci-C4-alkyl.
- R 4 is selected from hydrogen, CN and methyl.
- R 4 is hydrogen.
- M is preferably selected from an alkali metal cation, an earth alkaline metal cation equivalent, a cation equivalent of Cu, Zn, Fe or Ni or an ammonium cation of formula (NR a R b R c R d ) + , wherein one of R a , R b , R c and R d is hydrogen and three of R a , R b , R c and R d , independently of each other, are selected from Ci-Cio-alkyl.
- M is selected from Li + , Na + , K + , /4Mg 2+ , a cation equivalent of Cu, Zn, Fe or Ni and an ammonium cation of formula (NR a R b R c R d ) + , wherein one of R a , R b , R c and R d is hydrogen and three of R a , R b , R c and R d , independently of each other, are selected from C1-C10- alkyl.
- M is selected from Na + , K + , YiMg 2+ , YiCu 2+ , YiZu 2+ , YiFe 2+ , /4Ni 2+ , triethylammonium and trimethylammonium.
- R 4a is hydrogen, Ci-C 4 -alkyl or C1-C4- haloalkyl, more particularly hydrogen or Ci-C 4 -alkyl and is specifically hydrogen.
- n 1
- n 2
- n is preferably O.
- Examples for preferred compound I and Il are compounds of formulae 1.1 to 1.16 and 11.1 to 11.8, where the variables have one of the general or, in particular, one of the preferred meanings given above.
- Examples of preferred compounds are the individual compounds compiled in the tables 1 to 688 below. Moreover, the meanings mentioned below for the individual variables in the tables are per se, independently of the combination in which they are mentioned, a particularly preferred embodiment of the sub- stituents in question.
- Tables 246 to 294 Compounds of the formula 1.6 in which the combination of R 1 , R 2 , L 1 , L 2 , L 3 and L 4 for a compound corresponds in each case to one row of Table A and R 4 is as defined in any of tables 1 to 49
- Table 402 Compounds of the formula 11.1 in which the combination of R 1 , R 2 , L 1 , L 2 , L 3 and L 4 for a compound corresponds in each case to one row of Table A and R 4a is methyl
- Table 410 Compounds of the formula 11.1 in which the combination of R 1 , R 2 , L 1 , L 2 , L 3 and L 4 for a compound corresponds in each case to one row of Table A and R 4a is phenyl
- Table 415 Compounds of the formula 11.1 in which the combination of R 1 , R 2 , L 1 , L 2 , L 3 and L 4 for a compound corresponds in each case to one row of Table A and R 4a is isopropylcar- bonyl
- Tables 509 to 544 Compounds of the formula 11.4 in which the combination of R 1 , R 2 , L 1 , L 2 , L 3 and L 4 for a compound corresponds in each case to one row of Table A and R 4a is as defined in any of tables 401 to 436
- Compounds of formulae I and Il can be prepared by one or more of the following methods and variations as described in schemes 1 to 13 and in the syntheses descriptions below.
- the variables are as defined above for formulae I and II.
- the triazolyl ring can be first deprotonated with a strong base, e.g.
- an organolithium base such as n-butyllithium, tert-butyllithium or sec-butyllithium, lithium diisopropyl amide, sodium hydride, sodium amide or potassium tert-butylate mixed with tetramethylethylene diamine (TMEDA), and then the resulting anion is reacted with elemental sulfur.
- Sulfur is generally used in powdered form.
- the reaction is generally carried out in an inert sol- vent, such as ethers, e.g. diethylether, methyl-tert-butylether, tetrahydrofuran or diox- ane, dimethoxyethane, liquid ammonia, dimethylsulfoxide or dimethylformamide.
- the reaction temperature is not very critical and can range, for example, from -70 to +50 0 C, preferably from -70 to 0 0 C.
- sulfurization can be carried out in the absence of a base by reacting 7 with elemental sulfur in a high-boiling solvent, such as N- methylpyrrolidinone, dioxane or N,N-dimethylformamide, while heating.
- a high-boiling solvent such as N- methylpyrrolidinone, dioxane or N,N-dimethylformamide
- the resulting mixture is hydrolyzed, e.g. by the addition of water or an aqueous acid, such as a mineral acid (e.g. dilute sulphuric acid or hydrochloric acid), acetic acid or ammoniumchloride, to give compound I.
- a mineral acid e.g. dilute sulphuric acid or hydrochloric acid
- acetic acid or ammoniumchloride e
- the triazole compound 7 can be prepared in analogy to known methods, such as described, for example, in EP-A-0267778.
- the oxirane compound 6 and [1 ,2,4]-1 H-triazole can be reacted in the presence of a base, such as an alkali metal hydride (e.g. sodium hydride, potassium hydride), an alkali metal hydroxide (e.g. sodium hydroxide, potassium hydroxide), or an alkali metal carbonate (e.g. sodium car- bonate, potassium carbonate, caesium carbonate).
- a base such as an alkali metal hydride (e.g. sodium hydride, potassium hydride), an alkali metal hydroxide (e.g. sodium hydroxide, potassium hydroxide), or an alkali metal carbonate (e.g. sodium car- bonate, potassium carbonate, caesium carbonate).
- a base such as an alkali metal hydride (e.g. sodium hydride
- Suitable solvents are, for example, toluene, N-methypyrrolidinone, ethers (e.g. diethyl ether, tetrahydrofuran), acetonitrile, or N,N-dimethylformamide.
- the oxirane 6 in turn can be prepared in analogy to known methods, such as de- scribed, for example, in EP-A-0267778, Org. Syn. 49, 78 (1968) or J. Am. Chem. Soc. 1975, 1353.
- the cyclopentanone 5 may be reacted with sulfonium ylide or an oxosulfonium ylide, such as dimethyloxosulfonium methylide or dimethylsulfonium methylide in a solvent.
- the oxirane 6 can be prepared in an epoxidation reaction in analogy to the method described in Tetrahedron Lett.
- a trimethylsulfonium salt such as trimethylsulfonium bromide, trimethylsulfonium iodide or methyltrimethylsulfonium sulfate
- a metal oxide such as alkaline metal oxides (e.g. sodium oxide, potassium oxide), alkaline earth metal oxides (e.g. magnesium oxide, calcium oxide, barium oxide) or zinc oxide
- alkali metal hydrides e.g. sodium hydride, potassium hydride
- alkali metal hydroxides e.g.
- alkali metal carbonates e.g. sodium carbonate, potassium carbonate, caesium carbonate
- a two-phase solid/liquid system comprising an organic solvent, such as toluene, N-methypyrrolidinone, ethers (e.g. diethyl ether, tetra- hydrofuran), acetonitrile or N,N-dimethylformamide.
- organic solvent such as toluene, N-methypyrrolidinone, ethers (e.g. diethyl ether, tetra- hydrofuran), acetonitrile or N,N-dimethylformamide.
- the oxirane 6 can be prepared in analogy to the method described in Tetrahedron 1985, 1259 by epoxidation of 5 with a trimethylsulfonium salt, such as trimethylsulfonium bromide, trimethylsulfo- nium iodide or methyltrimethylsulfonium sulfate, or a trimethylsulfoxonium salt, such as trimethylsulfoxonium bromide, trimethylsulfoxonium iodide or methyltrimethylsulfoxon- ium sulfate and potassium sulfate/aluminium oxide.
- a trimethylsulfonium salt such as trimethylsulfonium bromide, trimethylsulfo- iodide or methyltrimethylsulfoxon- ium sulfate
- potassium sulfate/aluminium oxide such as potassium sulfate/aluminium oxide.
- the cyclopentanone 5 can be obtained from the cyclopentanone 4 by ester hydrolysis and subsequent decarboxylation.
- Ester hydrolysis can be performed under standard conditions, such as basic hydrolysis using a suitable base, such as an alkali metal hy- droxide (e.g. sodium hydroxide, potassium hydroxide) or an alkali metal carbonate (e.g. sodium carbonate, potassium carbonate, caesium carbonate) in water.
- a suitable base such as an alkali metal hy- droxide (e.g. sodium hydroxide, potassium hydroxide) or an alkali metal carbonate (e.g. sodium carbonate, potassium carbonate, caesium carbonate) in water.
- Decarboxylation takes place when the resulting acid is heated in the presence of a base, e.g. one of the above-named bases.
- the cyclopentanone 4 can be prepared from the cyclopentanone 3 by reacting the latter with a compound R 2 X, wherein X is a leaving group, such as a halide (e.g. Cl, Br, I), a tosylate or a mesylate, in the presence of a base.
- Suitable bases are, for example, alkali metal alkoxides (e.g. sodium methoxide, potassium methoxide, sodium methox- ide, potassium ethoxide, potassium tert-butoxide) and alkali metal hydrides (e.g. so- dium hydride, potassium hydride).
- the reaction is generally carried out in a solvent, such as an alcohol (e.g. methanol, ethanol), an ether (e.g. diethyl ether, tetrahydrofu- ran), N-methylpyrrolidinone or N,N-dimethylformamide.
- the cyclopentanone 3 can be prepared from the cyclopentanone 1 by alkylating this with a compound 2, wherein Y is a leaving group, such as a halide (e.g. Cl, Br, I), a tosylate or a mesylate, in the presence of a base.
- Suitable bases are, for example, alkali metal alkoxides (e.g. sodium methoxide, potassium methoxide, sodium methoxide, potassium ethoxide, potassium tert-butoxide) and alkali metal hydrides (e.g. sodium hydride, potassium hydride).
- the reaction is generally carried out in a solvent, such as an alcohol (e.g. methanol, ethanol), an ether (e.g. diethyl ether, tetrahydrofuran), N- methylpyrrolidinone, N,N-dimethylformamide or dichloromethane.
- Compound 1 can be prepared in analogy to the method described in J. Org. Chem. 1983, 48(7), 1 125 as outlined in scheme 2 below.
- the adipic diester ⁇ is cyclized to 9 in a Dieckmann condensation in the presence of a base.
- Suitable bases are, for exam- pie, alkali metal alkoxides (e.g. sodium methoxide, potassium methoxide, sodium methoxide, potassium ethoxide, potassium tert-butoxide).
- the condensation is generally carried out in a suitable solvent, such as an alcohol (e.g. methanol, ethanol), an ether (e.g. diethyl ether, tetrahydrofuran) or N-methylpyrrolidinone.
- cycli- zation is carried out in the presence of a Lewis acid, such as aluminium trichloride or boron tribromide, a transition metal salt, such as silver salts, iron salts, copper salts, gold salts, cobalt salts, platinum salts (e.g. Ag2 ⁇ , AgCIO 4 , FeCb, NiCb, CuBr2, CuCb, Cu(OAc)2, CuSO 4 , CuI), and a base, especially an organolithium base (e.g. lithium diisopropyl amine), in a suitable solvent, such as an ether (e.g.
- a Lewis acid such as aluminium trichloride or boron tribromide
- a transition metal salt such as silver salts, iron salts, copper salts, gold salts, cobalt salts
- platinum salts e.g. Ag2 ⁇ , AgCIO 4 , FeCb, NiCb, CuBr2, CuCb, Cu(OAc)2, Cu
- X is a leaving group, such as a halide (e.g. Cl, Br, I), a tosylate or a mesylate, in the presence of a suitable base, such as an alkali metal alkoxide (e.g. sodium methoxide, potassium methoxide, sodium methoxide, potassium ethoxide, potassium tert-butoxide).
- a suitable solvent such as an alcohol (e.g. methanol, ethanol), an ether (e.g. diethyl ether, tetrahy- drofuran) or N-methylpyrrolidinone.
- compound 5 can also be prepared in analogy to the method described in EP-A-0329397 as outlined in scheme 3 below.
- the cyclopentanone 10 can be reacted with the benzaldehyde derivative 11 in an aldol condensation under standard conditions.
- the reaction is generally carried out under basic conditions, e.g. by using an alkali metal hydroxide (e.g. sodium hydroxide, potassium hydroxide), an alkali metal alkoxide (e.g. sodium methoxide, potassium methoxide, sodium ethoxide, potassium ethoxide, potassium tert-butoxide) or an alkali methal hydride (e.g.
- an alkali metal hydroxide e.g. sodium hydroxide, potassium hydroxide
- an alkali metal alkoxide e.g. sodium methoxide, potassium methoxide, sodium ethoxide, potassium ethoxide, potassium tert-butoxide
- a suitable solvent such as alcohols (e.g. methanol, ethanol, tert-butanol) or ethers (e.g. tetrahydrofuran).
- alcohols e.g. methanol, ethanol, tert-butanol
- ethers e.g. tetrahydrofuran
- Compound 10 can be prepared in analogy to the method described in Tetrahedron 1998, 54 (28), 8075 as outlined in scheme 4 below.
- 4-Chlorobutanal is reacted with an alkali metal cyanide M 1 CN, such as NaCN or KCN, to yield the corresponding cyanhy- drine, which is then O-protected to yield the cyanhydrine ether 13.
- Cyclization in the presence of a base especially an organolithium base (e.g. lithium diisopropyl amine) or sodium hexamethyldisilazane, in an ether solvent (e.g. diethyl ether, tetrahydronfuran) yields 14, which is selectively reduced first to 15, then to 16.
- Deprotection of the hy- droxyl group to 17 and oxidative ring enlargement finally yields 10.
- Suitable catalysts are rhodium complexes with phosphine ligands, which are mostly generated in situ from Rhodium compounds, such as Rh 2 ⁇ 3, RhCb, RhBr3, Rh 2 (SO 4 H (Rh(CO) 4 ) 4 , (Rh(CO) 2 CI) 2 , Rh(CH 3 CO 2 ) 3 , Rh(NOs) 3 or (Rh(C 8 Hi 2 CI) 2 , and phosphine salts, such as the sodium, potassium, calcium, barium, ammonium, tetramethylammi- noum or tetraethylammonium salts of triphenylphosphine, (sulfophenyl)diphenyl- phosphine, di(sulfophenyl)phenylphosphine or tri(sulfophenyl)phosphine.
- Rhodium compounds such as Rh 2 ⁇ 3, RhCb, RhBr3, Rh 2 (SO 4 H
- the reaction is generally carried out in a biphasic aqueous/organic solvent system.
- the addition reaction is carried out in a basic medium in order to facilitate deprotonation of the methylene group of the acetoacetate derivative 17.
- Suitable bases are for example water-soluble inorganic bases, such as alkali metal hydroxides (e.g. sodium hydroxide, potassium hydroxide), carbonates (e.g. sodium carbonate, potassium carbonate, caesium carbonate) or hydrogen carbonates (e.g. sodium hydrogen carbonate, potassium hydrogen carbonate, caesium hydrogen carbonate), which are used in aqueous solution.
- alkali metal hydroxides e.g. sodium hydroxide, potassium hydroxide
- carbonates e.g. sodium carbonate, potassium carbonate, caesium carbonate
- hydrogen carbonates e.g. sodium hydrogen carbonate, potassium hydrogen carbonate, caesium hydrogen carbonate
- Suitable bases are especially alkali metal alcoholates, such as sodium methanolate, sodium ethanolate or potassium tert-butylate in the respective alcohol.
- the deacylated compounds 21 and 22 are then hydrolyzed to the respective acids 23 and 24. Hydrolysis is generally carried out in a basic medium using, for exam- pie, the same bases as described above for the addition reaction.
- R' is an alkoxy group, it is more favourable to first hydrolyse the two ester groups and then to decarboxylate the resulting diacids to yield the monoacids 23 and 24. Hydroformylation of 23 and 24 using either formic acid and water or gaseous CO in the presence of a strong acid (e.g.
- hydrochloric acid, hydrobromic acid, nitric acid, sulfuric acid) or a strong base (sodium hydroxide, potassium hydroxide) as a catalyst yields the diacid 25.
- Cyclisation of 25 under acidic conditions (such as hydrochloric acid, hydrobromic acid, sulfuric acid, nitric acid) in a polar solvent, such as methanol, ethanol, isopropanol or tert-butanol, finally yields the cyclopentanone 10".
- the oxirane 6 can be prepared in analogy to the method described in Org. Syn. 40, 66, 1966, J. Org. Chem. 28, 1128, 1963 and Org. Syn. Coll. Vol. 4, 552, 1963 as outlined in scheme 6 below by first subjecting the cyclopentanone 5 to a Wittig reaction, thus yielding the corresponding exo- methylene compound 41 , and then subjecting this to an epoxidation reaction.
- the Wit- tig reaction can be carried out under standard conditions, such as the use of methyl- triphenylphosphonium bromide or iodide in the presence of an alkali metal base, such as n-butyllithium, sec-butyllithium or tert-butyllithium.
- Epoxidation can also be carried out with standard reagents, such as peracetic acid, perbenzoic acid meta- chloroperbenzoic acid, perphthalic acid and the like.
- Tebbe's reagent ((C 5 Hs) 2 TiCH 2 CIAI(CHs) 2 ).
- compound 7 can also be prepared in analogy to the method as outlined in scheme 7 below.
- epoxidation of cyclopentanone 12 which can be carried out as described in scheme 1 above, the resulting epoxide 26 can be reacted with [1 ,2,4]-1 H-triazole in analogy to the procedure described in scheme 1 for 6.
- Reduction of the resulting compound 27 can be carried out as a standard hydrogenation in the presence of a palladium or nickel catalyst, as described above for scheme 3, or can be carried out by using metal hydrides (e.g. sodium borohydride, lithium aluminium hydride) to yield 7.
- the cyclopentanone 12 can be prepared as described above in scheme 3.
- compound 7 can also be pre- pared in analogy to the method described in EP-A-0357404, EP-A-0576834 and EP-A- 0648751 as outlined in scheme 8 below.
- Alkylation of 28 with 2, wherein Y is a leaving group, such as a halide (e.g. Cl, Br, I), a tosylate or a mesylate, after deprotonation of the activated methylene group with a base in a suitable solvent yields 29.
- Suitable bases are for example alkali metal alkoxides (e.g.
- alkali metal hydrides e.g. sodium hydride, potassium hydride
- alkali metal carbonates e.g. sodium carbonate, potassium carbonate, caesium carbonate.
- Suitable solvents are for exam- pie alcohols (e.g. methanol, ethanol, tert-butanol), ethers (e.g. tetrahydrofuran), N, N- dimethylformamide or N-methylpyrrolidinone.
- R is Ci-C4-alkyl, especially methyl or ethyl
- an alcohol such as methanol, ethanol, propanol, isopropanol, butanol or tert-butanol, especially metha- nol or ethanol
- an acid e.g. hydrochloric acid, hydrobromic acid, sulfuric acid, p-toluenesulfonic acid
- a complex metal hydride such as sodium borohydride or lithium aluminium hydride
- hydrobromic acid, acetic acid results in 32, wherein A and B are Br or I.
- a and B are Br or I.
- Epoxidation of the cyclopentene double bond under standard conditions for example with peracetic acid, perbenzoic acid, m- chloroperbenzoic acid or perphthalic acid, yields 34, which is reduced to the diol 35, for example using a complex metal hydride, such as sodium borohydride or lithium aluminium hydride.
- a complex metal hydride such as sodium borohydride or lithium aluminium hydride.
- compound 36 can also be prepared in analogy to the method as outlined in scheme 9 below.
- the epoxide 6 is either first opened under acid conditions in water: e.g. hydrochloric acid, hydrobromic acid, acetic acid, sulfuric acid or p-toluenesulfonic acid, to give 35, which is then converted into 36 as described above for scheme 8, or 6 is directly opened to 36 by using a suitable source of Ch, Br or h
- compounds IA, wherein R 4 is H and n is 0 can also be prepared in analogy to the method described in WO 99/18088 as outlined in scheme 10 below.
- Epoxide opening of 6 with hydrazine optionally in the presence of an acid (e.g. hydrochloric acid, hydro- bromic acid, acetic acid, sulfuric acid or p-toluenesulfonic acid) or a base (e.g. triethyl- amine, diisopropylethylamine, sodium carbonate or potassium carbonate) in a suitable solvent, such as an alcohol (e.g.
- the semicarbazide is then converted into IA 1 via reaction with a formic acid alkyl ester (e.g. formic acid methyl ester, formic acid ethyl ester) in a solvent.
- Suitable solvents are, for example, alcohols (e.g.
- ethers e.g. diethyl ether, tetrahydrofuran, dioxane, 1 ,2-dimethoxyethane
- acetonitrile N,N-dimethylformamide, dimethylsulfoxide, toluene or xylene.
- 37 can be reacted with hydrogen thiocyanate and formaldehyde in a solvent.
- Suitable solvents are, for example, alcohols (e.g. methanol, ethanol, isopropanol, tert-butanol),
- triazolidinthione 39 is then oxidized using, for example, FeCb in an aqueous acid (e.g. hydrochloric acid) or oxygen in the presence of an alkali metal hydroxide (e.g. sodium hydroxide, potassium hydroxide) and elemental sulfur to IA 1 .
- aqueous acid e.g. hydrochloric acid
- an alkali metal hydroxide e.g. sodium hydroxide, potassium hydroxide
- elemental sulfur to IA 1 .
- 37 is reacted with a dialkyl ketone (e.g.
- Suitable solvents are, for example, alcohols (e.g. methanol, ethanol, isopropanol, tert-butanol), N-methylpyrrolidinone, ethers (e.g.
- the triazolidinthione 40 is then converted into IA 1 by reaction with formic acid in the presence of an acid (e.g. hydrochloric acid, hydrobromic acid, acetic acid, sulfuric acid, p-toluenesulfonic acid) or a metal oxide (e.g. amorphous TiO 2 ).
- an acid e.g. hydrochloric acid, hydrobromic acid, acetic acid, sulfuric acid, p-toluenesulfonic acid
- a metal oxide e.g. amorphous TiO 2
- compounds IA and IB, wherein R 4 is H and n is 0 can also be prepared in analogy to the method described in WO 99/18088 as outlined in scheme 11 below.
- Epoxide opening of 26 with hydrazine optionally in the presence of an acid (e.g. hydrochloric acid, hydrobromic acid, acetic acid, sulfuric acid or p-toluenesulfonic acid) or a base (e.g.
- a suitable solvent such as an alcohol (e.g. methanol, ethanol, isopropanol, tert-butanol), N-methylpyrrolidinone, an ether (e.g. diethyl ether, tetrahydrofuran, dioxane, 1 ,2-dimethoxyethane), acetonitrile, N,N-dimethyl- formamide or dimethylsulfoxide, yields 42.
- an alcohol e.g. methanol, ethanol, isopropanol, tert-butanol
- N-methylpyrrolidinone e.g. diethyl ether, tetrahydrofuran, dioxane, 1 ,2-dimethoxyethane
- ether e.g. diethyl ether, tetrahydrofuran, dioxane, 1 ,2-dimethoxyethane
- acetonitrile N,N-dimethyl- form
- a suitable solvent such as an alcohol (e.g. methanol, ethanol, isopropanol, tert-butanol), N- methylpyrrolidinone, an ether (e.g.
- the semicarbazide is then converted into IB 1 via reaction with a formic acid alkyl ester (e.g. formic acid methyl ester, formic acid ethyl ester) in a solvent.
- a formic acid alkyl ester e.g. formic acid methyl ester, formic acid ethyl ester
- solvents are, for example, alcohols (e.g. methanol, ethanol, isopropanol, tert-butanol), N-methylpyrrolidinone, ethers (e.g.
- Suitable solvents are, for example, alcohols (e.g. methanol, ethanol, isopropanol, tert-butanol), N-methylpyrrolidinone, ethers (e.g.
- triazolidinthione 44 is then oxidized using, for example, FeCb in aqueous acid (e.g. hydrochloric acid) or oxygen in the presence of an alkali metal hydroxide (e.g. sodium hydroxide, potassium hydroxide) and elemental sulfur to IB 1 .
- aqueous acid e.g. hydrochloric acid
- an alkali metal hydroxide e.g. sodium hydroxide, potassium hydroxide
- elemental sulfur to IB 1 .
- 42 is reacted with a dialkyl ketone (e.g.
- Suitable solvents are, for example, alcohols (e.g. methanol, ethanol, isopropanol, tert-butanol), N-methylpyrrolidinone, ethers (e.g.
- the triazolidinthione 45 is then converted into IB 1 by reaction with formic acid in the presence of an acid (e.g. hydrochloric acid, hydrobromic acid, acetic acid, sulfuric acid, p-toluenesulfonic acid) or a metal oxide (e.g. amorphous Ti ⁇ 2).
- IB 1 can be converted into IA 1 by hydrogenation using a palladium or nickel catalyst or by reduction with a complex metal hydride (e.g. sodium borohydride, lithium aluminium hydride)
- compounds IB, wherein R 4 is H and n is 0 can also be prepared as outlined in scheme 12 below by sulfurizing compound 27 in analogy to the method described for the conversion of 7 to IA 1 in scheme 1.
- Compounds 27 can be prepared as shown in scheme 7 or in scheme 13 below by either first opening the epoxide 26 under acidic conditions in water, e.g. hydrochloric acid, hydrobromic acid, acetic acid, sulfuric acid or p-toluenesulfonic acid, to give 46, which is then converted into 47 as described above for scheme 8, or by directly opening 26 to 47 by using a suitable source of Ch, Br or h 47 is then reacted with [1 ,2,4]- 1 H-triazole in analogy to the reaction of 6 described in scheme 1 to yield 27.
- water e.g. hydrochloric acid, hydrobromic acid, acetic acid, sulfuric acid or p-toluenesulfonic acid
- the benzylic compounds 2 and the carbonyl-substituted benzene compounds 11 used in the above reactions are either commercially available or can be produced by standard methods known to the skilled person.
- Suitable bases are, for example, alkali metal hydrides (e.g. sodium hydride, potassium hydride), alkali metal hydroxides (e.g. sodium hydroxide, potassium hydroxide), alkali metal carbonates (e.g. sodium carbonate, potassium carbonate, caesium carbonate), alkali metal alkoxides (e.g. sodium methoxide, potassium methoxide, sodium ethoxide, potassium ethoxide, potassium tert-butoxide) or organolithium bases (e.g.
- alkali metal hydrides e.g. sodium hydride, potassium hydride
- alkali metal hydroxides e.g. sodium hydroxide, potassium hydroxide
- alkali metal carbonates e.g. sodium carbonate, potassium carbonate, caesium carbonate
- alkali metal alkoxides e.g. sodium methoxide, potassium methoxide, sodium ethoxide, potassium ethoxide, potassium
- n-butyl lithium, sec-butyl lithium, tert-butyl lithium and lithium diisopropylamine. The reaction is generally carried out in a suitable solvent.
- suitable solvents are, for example, toluene, N- methylpyrrolidinone, ethers (e.g. diethyl ether, tetrahydrofuran, dioxane, 1 ,2- dimethoxyethane), acetonitrile, N,N-dimethylformamide or dimethylsulfoxide.
- alkoxide e.g. methoxide, ethoxide
- pentafluorophenoxide in the presence of a base.
- bases are, for example, alkali metal hydrides (e.g. sodium hydride, potassium hydride), alkali metal hydroxides (e.g. sodium hydroxide, potassium hydroxide), alkali metal carbonates (e.g. sodium carbonate, potassium carbonate, caesium carbonate), alkali metal alkoxides (e.g. sodium methoxide, potassium methoxide, sodium ethoxide, potassium ethoxide, potassium tert-butoxide) or organolithium bases (e.g.
- alkali metal hydrides e.g. sodium hydride, potassium hydride
- alkali metal hydroxides e.g. sodium hydroxide, potassium hydroxide
- alkali metal carbonates e.g. sodium carbonate, potassium carbonate, caesium carbonate
- n-butyl lithium, sec-butyl lithium, tert-butyl lithium, lithium diisopropylamine The reaction is generally carried out in a suitable solvent.
- suitable solvents are, for example, toluene, N-methylpyrrolidinone, ethers (e.g. diethyl ether, tetrahydrofuran, dioxane, 1 ,2-dimethoxyethane), acetonitrile, N,N-dimethylformamide or dimethylsulfoxide.
- Compounds of formulae IA and IB, wherein n is 0 and R 4 is -SO2R 5 may be prepared in analogy to the method described in DE-A-19620590 by reacting a compound IA' or IB' with a compound R 5 -SC"2-W, wherein R 5 has one of the above meanings and W is a good leaving group, such as a halide (e.g. Cl, Br, I), an alkoxide (e.g. methoxide, ethoxide) or pentafluorophenoxide, in the presence of a base.
- Suitable bases are, for example, alkali metal hydrides (e.g.
- alkali metal hydroxides e.g. sodium hydroxide, potassium hydroxide
- alkali metal carbonates e.g. sodium carbonate, potassium carbonate, caesium carbonate
- alkali metal alkoxides e.g. sodium methoxide, potassium methoxide, sodium ethoxide, potassium ethoxide, potassium tert-butoxide
- organolithium bases e.g. n-butyl lithium, sec-butyl lithium, tert- butyl lithium, lithium diisopropylamine.
- Suitable solvents are, for example, toluene, N-methylpyrrolidinone, ethers (e.g. diethyl ether, tetrahydrofuran, dioxane, 1 ,2-dimethoxyethane), acetonitrile, N, N- dimethylformamide or dimethylsulfoxide.
- ethers e.g. diethyl ether, tetrahydrofuran, dioxane, 1 ,2-dimethoxyethane
- acetonitrile N, N- dimethylformamide or dimethylsulfoxide.
- n 0 and R 4 is -CN
- n 0 and R 4 is -CN
- W is a good leaving group, such as a halide (e.g. Cl, Br, I)
- Suitable bases are, for example, alkali metal hydrides (e.g. sodium hydride, potassium hydride), alkali metal hydroxides (e.g. sodium hydroxide, potassium hydroxide), alkali metal carbonates (e.g.
- alkali metal alkoxides e.g. sodium methoxide, potas- sium methoxide, sodium ethoxide, potassium ethoxide, potassium tert-butoxide
- organolithium bases e.g. n-butyl lithium, sec-butyl lithium, tert-butyl lithium, lithium diisopropylamine.
- Suitable solvents are, for example, toluene, N-methylpyrrolidinone, ethers (e.g. diethyl ether, tetrahydrofuran, dioxane, 1 ,2-dimethoxyethane), acetonitrile, N,N-dimethylformamide or dimethylsulfoxide.
- Compounds of formulae IA and IB, wherein n is 0 and R 4 is M, may be prepared in analogy to the method described in DE-A-19617282 by reacting a compound IA' or IB' with an amine NR a R b R c , wherein R a , R b and R c are as defined above, or with a metal salt, such as sodium hydroxide, potassium hydroxide or copper acetate.
- a metal salt such as sodium hydroxide, potassium hydroxide or copper acetate.
- Suitable bases are, for example, alkali metal hydrides (e.g. sodium hydride, potassium hydride), alkali metal hydroxides (e.g. sodium hydroxide, potassium hydroxide), alkali metal carbonates (e.g. sodium carbonate, potassium carbonate, caesium carbonate), alkali metal alkoxides (e.g.
- organolithium bases e.g. n-butyl lithium, sec-butyl lithium, tert-butyl lithium, lithium diisopropylamine.
- the reaction is generally carried out in a suitable solvent. Suitable solvents are, for example, toluene, N- methylpyrrolidinone, ethers (e.g. diethyl ether, tetrahydrofuran, dioxane, 1 ,2- dimethoxyethane), acetonitrile, N,N-dimethylformamide or dimethylsulfoxide.
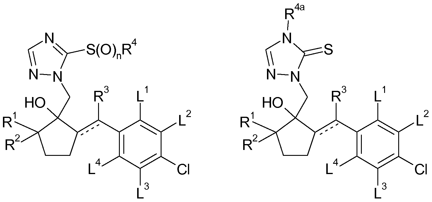
- Compounds of formulae IA and IB, wherein R 4 is hydrogen (or compounds NA and NB, wherein R 4a is hydrogen), can be prepared in analogy to the method described in WO 99/18078 by reacting a triazolidinthione 39 or 44 either with an oxidizing agent, optionally in the presence of a catalyst.
- Suitable oxidizing agents are, for example, oxygen, sulfur and potassium superoxide. Especially in case oxygen is used as oxidizing agent, it is advantageous to carry out the oxidation reaction in the presence of a catalyst.
- a suitable catalyst is, for example, a mixture of powdery sulfur and KOH.
- the reaction is generally carried out in a suitable solvent.
- Suitable solvents are, for example, aliphatic hydrocarbons (e.g.
- cycloaliphatic hydrocarbons e.g. cyclohexane
- aromatic hydrocarbons e.g. bemzene, toluene, the xylenes
- ethers e.g. diethylether, methyl-tert-butylether
- esters e.g. ethylecetate, propylacetate, n-butylacetate
- the oxidation of the triazolidinthione 39 or 44 may also be carried out with ferric chloride (FeCb) in an acidic aqueous solution in analogy to the method described in WO 01/46158.
- the reaction is generally carried out in a suitable solvent. Suitable solvents are, for example, ethanol, ethylacetate and mixtures of ethanol with toluene.
- the oxidation of the triazolidinthione 39 or 44 may also be carried out with formic acid, optionally in the presence of a catalyst, in analogy to the method described in WO 99/18086 or WO 99/18088.
- Suitable catalysts are, for example, acids, like hydrochloric acid, sulfuric acid or p-toluenesulfonic acid, and metal oxides, like amorphous titanium dioxide.
- the reaction is generally carried out in a suitable solvent.
- Suitable solvents are weakly polar solvents like, for example, alcohols such as propanol, butanol and pen- tanol, esters, like ethyl acetate, butyl acetate and isobutyl formate, ethers, like 1 ,2- dimethoxyethane, methyl-tert-butyl ether and methyl-tert-amylether, and formic acid used in excess.
- Compounds of formulae NA and NB, wherein R 4a is different from hydrogen can be prepared by reacting the NR 4a group, wherein R 4a is H, in analogy to the above- described conversion of compounds IA' and IB', wherein R 4 is H, into compounds, wherein R 4 is different from H.
- Compounds I, wherein n is 1 or 2 can be prepared from respective compounds, wherein n is 0 by oxidation.
- compounds I, wherein n is 2 can be prepared from compounds 7 or 27 by first deprotonating the triazolyl ring and then reacting with a sulfonyl chloride R 4 S ⁇ 2CI.
- Compounds I, wherein n is 3, can be prepared from com- pounds 7 or 27 by first deprotonating the triazolyl ring and then reacting with sulfuric acid chloride or a sulfuric ester chloride of formula R 4 OS ⁇ 2CI, wherein R 4 is selected from hydrogen, Ci-Cio-alkyl, Ci-Cio-haloalkyl, C2-Cio-alkenyl, C2-Cio-haloalkenyl, C2- Cio-alkynyl, C2-Cio-haloalkynyl, C3-Cio-cycloalkyl, C3-Cio-halocycloalkyl, phenyl, phenyl-Ci-C4-alkyl, where the phenyl moiety in the 2 last-mentioned radicals may be substituted as mentioned above, and a 5- or 6-membered saturated, partially unsaturated or aromatic heterocyclic ring containing 1 , 2 or 3 heteroatoms selected from
- reaction mixtures are worked up in the customary manner, for example by mixing with water, separating the phases, and, if appropriate, purifying the crude products by chromatography, for example on alumina or silica gel.
- Some of the intermediates and end products may be obtained in the form of colorless or pale brown viscous oils, which are freed or purified from volatile components under reduced pressure and at moderately elevated temperature. If the intermediates and end products are obtained as solids, they may be purified by recrystallization or digestion.
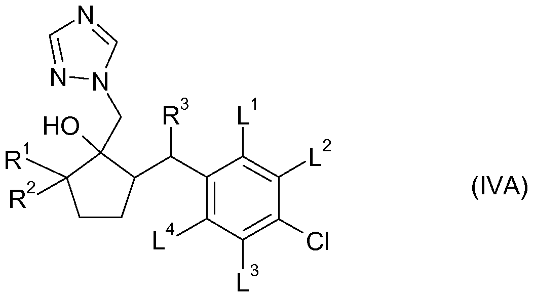
- a further aspect of the invention relates to compounds of formula IV
- R 1 , R 2 , R 3 , L 1 , L 2 , L 3 and L 4 have one of the general or, in particular, one of the preferred meanings given above for compounds I and II; except for the compound, wherein
- R 1 and R 2 are both methyl, R 3 is hydrogen, L 1 , L 3 and L 4 are hydrogen, L 2 is chlorine and is a double bond.
- Preferred compounds IV are compounds IVA
- R 1 , R 2 , R 3 , L 1 , L 2 , L 3 and L 4 have one of the general or, in particular, one of the preferred meanings given above for compounds I and II.
- compounds IV wherein R 1 , R 2 , R 3 , L 1 and L 4 have one of the general or, in particular, one of the preferred meanings given above for compounds I and Il and L 2 and L 3 are selected from hydrogen, fluorine, bromine, iodine, Ci-Cio-alkyl, Ci-Cio-haloalkyl, Ci-Cio-alkoxy and Ci-Cio-haloalkoxy.
- Particularly preferred compounds IV are compounds of formulae IV.1 to IV.8, wherein the combination of R 1 , R 2 , L 1 , L 2 , L 3 and L 4 corresponds in each case to one row in table A above.
- a further aspect of the invention relates to compounds of formula V
- R 1 , R 2 , R 3 , L 1 , L 2 , L 3 and L 4 have one of the general or, in particular, one of the preferred meanings given above for compounds I and Il preferably except for the compound, wherein R 1 and R 2 are both methyl, R 3 is hydrogen, L 1 , L 3 and L 4 are hydrogen, L 2 is chlorine and is a double bond.
- Preferred compounds V are compounds VA
- R 1 , R 2 , R 3 , L 1 , L 2 , L 3 and L 4 have one of the general or, in particular, one of the preferred meanings given above for compounds I and II.
- a further aspect of the invention relates to compounds of formula Vl
- R 1 , R 2 , R 3 , L 1 , L 2 , L 3 and L 4 have one of the general or, in particular, one of the preferred meanings given above for compounds I and II; preferably except for the compound, wherein
- R 1 and R 2 are both methyl, R 3 is hydrogen, L 1 , L 3 and L 4 are hydrogen, L 2 is chlorine and is a double bond.
- Preferred compounds Vl are compounds VIA
- R 1 , R 2 , R 3 , L 1 , L 2 , L 3 and L 4 have one of the general or, in particular, one of the preferred meanings given above for compounds I and II.
- a further aspect of the invention relates to compounds of formula VII
- R 1 , R 2 , R 3 , L 1 , L 2 , L 3 and L 4 have one of the general or, in particular, one of the preferred meanings given above for compounds I and Il and
- R 14 is H or C(O)OR 15 , where
- R 15 is selected from hydrogen, Ci-Cio-alkyl, Ci-Cio-haloalkyl, C3-Cio-cycloalkyl, C3-Cio-halocycloalkyl, phenyl, phenyl-Ci-C4-alkyl, where the phenyl moiety in the 2 last-mentioned radicals may carry 1 , 2, 3, 4 or 5 substituents R 8 , and a 5- or 6-membered saturated, partially unsaturated or aromatic heterocyclic ring containing 1 , 2 or 3 heteroatoms selected from N, O and S as ring members, where the heterocyclic ring may carry 1 , 2 or 3 substituents R 8 , where R 8 is as defined above.
- a further aspect of the invention relates to compounds of formula VIII
- R 1 , R 3 , L 1 , L 2 , L 3 and L 4 have one of the general or, in particular, one of the preferred meanings given above for compounds I and Il and R 14 is as defined above.
- Compounds VIII are valuable intermediates in the preparation of compounds I and Il (see compounds 3).
- a further aspect of the invention relates to compounds of formula IX
- R 1 , R 2 , R 3 , L 1 , L 2 , L 3 and L 4 have one of the general or, in particular, one of the preferred meanings given above for compounds I and II; except for the compound, wherein
- R 1 and R 2 are both methyl, R 3 is hydrogen, L 1 , L 3 and L 4 are hydrogen, L 2 is chlorine and is a double bond.
- the invention further refers to an agricultural composition
- an agricultural composition comprising at least one compound of formula I, Il and/or IV as defined above or an agriculturally acceptable salt thereof and a liquid or solid carrier.
- Suitable carriers, as well as auxiliaries and further active compounds which may also be contained in the composition of the invention are defined below.
- the compounds I and Il as well as IV and the compositions according to the invention, respectively, are suitable as fungicides. They are distinguished by an outstanding effectiveness against a broad spectrum of phytopathogenic fungi, including soil-borne fungi, which derive especially from the classes of the Plasmodiophoromycetes, Per- onosporomycetes (syn. Oomycetes), Chytridiomycetes, Zygomycetes, Ascomycetes, Basidiomycetes and Deuteromycetes (syn. Fungi imperfecti). Some are systemically effective and they can be used in crop protection as foliar fungicides, fungicides for seed dressing and soil fungicides. Moreover, they are suitable for controlling harmful fungi, which inter alia occur in wood or roots of plants.
- the compounds 1, 11 and IV and the compositions according to the invention are par- ticularly important in the control of a multitude of phytopathogenic fungi on various cultivated plants, such as cereals, e. g. wheat, rye, barley, triticale, oats or rice; beet, e. g. sugar beet or fodder beet; fruits, such as pomes, stone fruits or soft fruits, e. g.
- compounds I, Il and IV and compositions thereof, respectively are used for controlling a multitude of fungi on field crops, such as potatoes sugar beets, tobacco, wheat, rye, barley, oats, rice, corn, cotton, soybeans, rape, legumes, sunflowers, coffee or sugar cane; fruits; vines; ornamentals; or vegetables, such as cucumbers, tomatoes, beans or squashes.
- field crops such as potatoes sugar beets, tobacco, wheat, rye, barley, oats, rice, corn, cotton, soybeans, rape, legumes, sunflowers, coffee or sugar cane; fruits; vines; ornamentals; or vegetables, such as cucumbers, tomatoes, beans or squashes.
- plant propagation material is to be understood to denote all the generative parts of the plant such as seeds and vegetative plant material such as cuttings and tubers (e. g. potatoes), which can be used for the multiplication of the plant. This includes seeds, roots, fruits, tubers, bulbs, rhizomes, shoots, sprouts and other parts of plants, including seedlings and young plants, which are to be transplanted after germination or after emergence from soil. These young plants may also be protected before transplantation by a total or partial treatment by immersion or pouring.
- cultivación of plant propagation materials with compounds I, Il and IV and compositions thereof, respectively is used for controlling a multitude of fungi on cereals, such as wheat, rye, barley and oats; rice, corn, cotton and soybeans.
- cultivated plants is to be understood as including plants which have been modified by breeding, mutagenesis or genetic engineering including but not limiting to agricultural biotech products on the market or in development (cf. http://www.bio.org/speeches/pubs/er/agrLproducts.asp).
- Genetically modified plants are plants, which genetic material has been so modified by the use of recombinant DNA techniques that under natural circumstances cannot readily be obtained by cross breeding, mutations or natural recombination.
- one or more genes have been integrated into the genetic material of a genetically modified plant in order to improve certain properties of the plant.
- Such genetic modifications also include but are not Nm- ited to targeted post-translational modification of protein(s), oligo- or polypeptides e. g. by glycosylation or polymer additions such as prenylated, acetylated or farnesylated moieties or PEG moieties.
- HPPD hydroxyphenylpyruvate dioxygenase
- ALS acetolactate synthase
- sulfonyl ureas see e. g.
- EPSPS enolpyruvylshikimate-3-phosphate synthase
- GS glutamine synthetase
- EP-A 242 236, EP-A 242 246) or oxynil herbicides see e. g. US 5,559,024) as a result of conventional methods of breeding or genetic engineering.
- Several cultivated plants have been rendered tolerant to herbicides by conventional methods of breeding (mutagenesis), e. g. Clearfield ® summer rape (Canola, BASF SE, Germany) being tolerant to imidazolinones, e. g. imazamox.
- plants are also covered that, by the use of recombinant DNA techniques, are capable to synthesize one or more insecticidal proteins, especially those known from the bacterial genus Bacillus, particularly from Bacillus thuringiensis, such as ⁇ -endotoxins, e. g. CrylA(b), CrylA(c), CrylF, CrylF(a2), CryllA(b), CrylllA, CrylllB(bi ) or Cry ⁇ c; vegetative insecticidal proteins (VIP), e. g. VIP1 , VIP2, VIP3 or VIP3A; insec- ticidal proteins of bacteria colonizing nematodes, e. g. Photorhabdus spp.
- insecticidal proteins especially those known from the bacterial genus Bacillus, particularly from Bacillus thuringiensis, such as ⁇ -endotoxins, e. g. CrylA(b), CrylA(c), CrylF, CrylF(a
- toxins produced by animals such as scorpion toxins, arachnid toxins, wasp toxins, or other insect-specific neurotoxins
- toxins produced by fungi such Strep- tomycetes toxins, plant lectins, such as pea or barley lectins; agglutinins
- proteinase inhibitors such as trypsin inhibitors, serine protease inhibitors, patatin, cystatin or papain inhibitors
- ribosome-inactivating proteins (RIP) such as ricin, maize-RIP, abrin, luffin, saporin or bryodin
- steroid metabolism enzymes such as 3-hydroxysteroid oxidase, ecdysteroid-IDP-glycosyl-transferase, cholesterol oxidases, ecdysone inhibitors or HMG-CoA-reductase
- ion channel blockers such as blockers of sodium
- these insecticidal proteins or toxins are to be understood expressly also as pre-toxins, hybrid proteins, truncated or otherwise modified proteins.
- Hybrid proteins are characterized by a new combination of protein domains, (see, e. g. WO 02/015701 ).
- Further examples of such toxins or genetically modified plants capable of synthesizing such toxins are disclosed, e. g., in EP-A 374 753, WO 93/007278, WO 95/34656, EP-A 427 529, EP-A 451 878, WO 03/18810 und WO 03/52073.
- the methods for producing such genetically modified plants are generally known to the person skilled in the art and are described, e.
- insecticidal proteins contained in the genetically modified plants impart to the plants producing these proteins tolerance to harmful pests from all taxonomic groups of arthropods, especially to beetles (Coleoptera), two-winged insects (Diptera), and moths (Lepidoptera) and to nematodes (Nematoda).
- Genetically modified plants capable to synthesize one or more insecticidal proteins are, e.
- WO 03/018810 MON 863 from Monsanto Europe S.A., Belgium (corn cultivars producing the Cry3Bb1 toxin), IPC 531 from Monsanto Europe S.A., Belgium (cotton cultivars producing a modified version of the CryiAc toxin) and 1507 from Pioneer Overseas Corporation, Belgium (corn cultivars producing the Cry1 F toxin and PAT enzyme).
- plants are also covered that, by the use of recombinant DNA techniques, are capable to synthesize one or more proteins to increase the resistance or tolerance of those plants to bacterial, viral or fungal pathogens.
- proteins are the so-called "pathogenesis-related proteins" (PR proteins, see, e. g. EP-A 392 225), plant disease resistance genes (e. g. potato cultivars, which express resistance genes acting against Phytophthora infestans derived from the Mexican wild potato Solanum bulbocastanum) or T4-lysozym (e. g. potato cultivars capable of synthesizing these proteins with increased resistance against bacteria such as Erwinia amylvora).
- PR proteins pathogenesis-related proteins
- plant disease resistance genes e. g. potato cultivars, which express resistance genes acting against Phytophthora infestans derived from the Mexican wild potato Solanum bulbocastanum
- T4-lysozym e. g. potato cultivars capable of
- plants are also covered that, by the use of recombinant DNA techniques, are capable to synthesize one or more proteins to increase the productivity (e. g. bio mass production, grain yield, starch content, oil content or protein content), tolerance to drought, salinity or other growth-limiting environmental factors or tolerance to pests and fungal, bacterial or viral pathogens of those plants.
- productivity e. g. bio mass production, grain yield, starch content, oil content or protein content
- plants are also covered that, by the use of recombinant DNA techniques, contain a modified amount of substances of content or new substances of content, specifically to improve human or animal nutrition, e. g. oil crops that produce health- promoting long-chain omega-3 fatty acids or unsaturated omega-9 fatty acids (e. g. Nexera ® rape, DOW Agro Sciences, Canada).
- a modified amount of substances of content or new substances of content specifically to improve human or animal nutrition, e. g. oil crops that produce health- promoting long-chain omega-3 fatty acids or unsaturated omega-9 fatty acids (e. g. Nexera ® rape, DOW Agro Sciences, Canada).
- plants are also covered that, by the use of recombinant DNA techniques, contain a modified amount of substances of content or new substances of content, specifically to improve raw material production, e. g. potatoes that produce increased amounts of amylopectin (e. g. Amflora ® potato, BASF SE, Germany).
- a modified amount of substances of content or new substances of content specifically to improve raw material production, e. g. potatoes that produce increased amounts of amylopectin (e. g. Amflora ® potato, BASF SE, Germany).
- the compounds I, Il and IV and compositions thereof, respectively, are particularly suitable for controlling the following plant diseases:
- Albugo spp. (white rust) on ornamentals, vegetables (e. g. A. Candida) and sunflowers (e. g. A. tragopogonis); Altemaria spp. (Alternaria leaf spot) on vegetables, rape ⁇ A. brassicola or brassicae), sugar beets ⁇ A. tenuis), fruits, rice, soybeans, potatoes (e. g. A. solani or A. alternata), tomatoes (e. g. A. solani or A. alternata) and wheat; Aphano- myces spp. on sugar beets and vegetables; Ascochyta spp. on cereals and vegetables, e. g. A.
- tritici anthracnose
- Bipolaris and Drechslera spp. teleomorph: Cochliobolus spp.), e. g. Southern leaf blight (D. maydis) or Northern leaf blight ( ⁇ . zeicola) on corn, e. g. spot blotch ( ⁇ . sorokiniana) on cereals and e.g. B. oryzae on rice and turfs
- Blumeria (formerly Erysiphe) graminis (powdery mildew) on cereals (e. g.
- Botrytis cinerea (teleomorph: Botryotinia fuckeliana: grey mold) on fruits and berries (e. g. strawberries), vegetables (e. g. lettuce, carrots, celery and cabbages), rape, flowers, vines, forestry plants and wheat; Bremia lactucae (downy mildew) on lettuce; Ceratocystis (syn. Ophiostoma) spp. (rot or wilt) on broad- leaved trees and evergreens, e. g. C. ulmi (Dutch elm disease) on elms; Cercospora spp. (Cercospora leaf spots) on corn (e.g.
- Gray leaf spot C. zeae-maydis
- rice sugar beets (e. g. C. beticola), sugar cane, vegetables, coffee, soybeans (e. g. C. sojina or C. kikuchii) and rice
- Cladosporium spp. on tomatoes e. g. C. fulvum: leaf mold
- cereals e. g. C. herbarum (black ear) on wheat
- Cochliobolus anamorph: Helminthosporium of Bipolaris
- spp. (leaf spots) on corn (C. carbonum), cereals (e. g. C.
- sa- sakii sheath blight
- Corynespora cassiicola leaf spots
- Cycloconium spp. e. g. C. oleaginum on olive trees
- Cylindrocarpon spp. e. g. fruit tree canker or young vine decline, teleomorph: Nectria or Neonectria spp.
- liriodendri Neonectria liriodendri: Black Foot Disease) and ornamentals; Dematophora (teleomorph: Rosellinia) necatrix (root and stem rot) on soybeans; Diaporthe spp., e. g. D. phaseolorum (damping off) on soybeans; Drechslera (syn. Helminthosporium, teleomorph: Pyrenophora) spp. on corn, cereals, such as barley (e. g. D. teres, net blotch) and wheat (e. g. D. D.
- tritici-repentis tan spot), rice and turf; Esca (dieback, apoplexy) on vines, caused by Formitiporia (syn. Phellinus) punctata, F. mediterranea, Phaeomoniella chlamydospora (earlier Phaeo- acremonium chlamydosporum), Phaeoacremonium aleophilum and/or Botryosphaeria obtusa; Elsinoe spp. on pome fruits (E. pyri), soft fruits (E.
- Drechslera, teleomorph Cochliobolus) on corn, cereals and rice; Hemileia spp., e. g. H. vastatrix (coffee leaf rust) on coffee; lsariopsis clavispora (syn. Cladosporium vitis) on vines; Macrophomina phaseolina (syn. phaseoli) (root and stem rot) on soybeans and cotton; Microdochium (syn. Fusarium) nivale (pink snow mold) on cereals (e. g. wheat or barley); Microsphaera diffusa (powdery mildew) on soybeans; Monilinia spp., e. g. M.
- stem rot P. phaseoli, teleomorph: Diaporthe phaseolorum
- Physoderma maydis brown spots
- Phytophthora spp. wilt, root, leaf, fruit and stem root
- paprika and cucurbits e. g. P. capsici
- soybeans e. g. P. megasperma, syn. P. sojae
- potatoes and tomatoes e. g. P. infestans: late blight
- broad-leaved trees e. g. P.
- Plasmodiophora brassicae club root
- Plasmopara spp. e. g. P. viticola (grapevine downy mildew) on vines and P. halstedii on sunflowers
- Podosphaera spp. powdery mildew on rosa- ceous plants, hop, pome and soft fruits, e. g. P. leucotricha on apples
- Polymyxa spp. e. g. on cereals, such as barley and wheat (P. graminis) and sugar beets (P.
- Pseudocercosporella herpotrichoides eyespot, teleomorph: Tapesia yallundae
- Pseudoperonospora downy mildew
- Pseudopezicula tracheiphila red fire disease or , rotbrenner' , anamorph: Phialophora
- Puccinia spp. rusts
- oryzae (teleomorph: Magnaporthe grisea, rice blast) on rice and P. grisea on turf and cereals; Pythium spp. (damping-off) on turf, rice, corn, wheat, cotton, rape, sunflowers, soybeans, sugar beets, vegetables and various other plants (e. g. P. ultimum or P. aphanidermatum); Ramularia spp., e. g. R. collo-cygni (Ram ularia leaf spots, Physiological leaf spots) on barley and R. beticola on sugar beets; Rhizoctonia spp.
- R. solani root and stem rot
- R. so/an/ sheath blight
- R. cerealis Rhizoctonia spring blight
- Rhizopus stolonifer black mold, soft rot
- Rhynchosporium secalis scald
- seed rot or white mold on vegetables and field crops, such as rape, sunflowers (e. g. S. sclerotiorum) and soybeans (e. g. S. rolfsii or S. sclerotiorum); Septoria spp. on various plants, e. g. S. glycines (brown spot) on soy- beans, S. tritici (Septoria blotch) on wheat and S. (syn. Stagonospora) nodorum
- Thielaviopsis spp. black root rot
- tobacco, pome fruits, vegetables, soybeans and cotton e. g. T. basicola (syn. Chalara elegans)
- Tilletia spp. common bunt or stinking smut
- cereals such as e. g. T. tritici (syn. T. caries, wheat bunt) and T. controversa (dwarf bunt) on wheat
- Typhula incarnata grey snow mold
- Um- cystis spp. e. g. U.
- Ummyces spp. rust
- vegetables such as beans (e. g. U. appendiculatus, syn. U. phaseoli) and sugar beets (e. g. U. betae); Ustilago spp. (loose smut) on cereals (e. g. U. nuda and U. avaenae), corn (e. g. U. maydis: corn smut) and sugar cane; Venturia spp. (scab) on apples (e. g. V. inaequalis) and pears; and Verticillium spp. (wilt) on various plants, such as fruits and ornamentals, vines, soft fruits, vegetables and field crops, e. g. V. dahliae on straw- berries, rape, potatoes and tomatoes.
- Ummyces spp. rust
- vegetables such as beans (e. g. U. appendiculatus, syn. U. phaseoli) and sugar beets (
- the compounds I, Il and IV and compositions thereof, respectively, are also suitable for controlling harmful fungi in the protection of stored products or harvest and in the protection of materials.
- the term "protection of materials” is to be understood to denote the protection of technical and non-living materials, such as adhesives, glues, wood, paper and paperboard, textiles, leather, paint dispersions, plastics, colling lubricants, fiber or fabrics, against the infestation and destruction by harmful microorganisms, such as fungi and bacteria.
- Ascomycetes such as Ophio- stoma spp., Cerafocysf/s spp., Aureobasidium pullulans, Sclerophoma spp., Chae- tomium spp., Humicola spp., Petriella spp., Trichurus spp.; Basidiomycetes such as Coniophora spp., Coriolus spp., Gloeophyllum spp., Lentinus spp., Pleurotus spp., Po- ria spp., Serpula spp.
- Ascomycetes such as Ophio- stoma spp., Cerafocysf/s spp., Aureobasidium pullulans, Sclerophoma spp., Chae- tomium spp., Humicola spp., Petriella spp., Trichurus spp
- Candida spp. and Saccharomyces cerevisae Deuteromycetes such as Aspergillus spp., Cladosporium spp., Penicillium spp., Trichorma spp., Altemaria spp., Paecilomyces spp. and Zygomycetes such as Mucorspp., and in addition in the protection of stored products and harvest the following yeast fungi are worthy of note: Candida spp. and Saccharomyces cerevisae.
- the compounds I, Il and IV and compositions thereof, respectively, may be used for improving the health of a plant.
- the invention also relates to a method for improving plant health by treating a plant, its propagation material and/or the locus where the plant is growing or is to grow with an effective amount of compounds I, Il and/or IV and compositions thereof, respectively.
- plant health is to be understood to denote a condition of the plant and/or its products which is determined by several indicators alone or in combination with each other such as yield (e. g. increased biomass and/or increased content of valuable ingredients), plant vigor (e. g. improved plant growth and/or greener leaves ("greening effect")), quality (e. g. improved content or composition of certain ingredients) and tolerance to abiotic and/or biotic stress.
- yield e. g. increased biomass and/or increased content of valuable ingredients
- plant vigor e. g. improved plant growth and/or greener leaves ("greening effect")
- quality e. g. improved content or composition of certain ingredients
- tolerance to abiotic and/or biotic stress e. g. improved content or composition of certain ingredients
- the compounds of formula I, Il and IV can be present in different crystal modifications whose biological activity may differ. They are likewise subject matter of the present invention.
- the compounds I, Il and IV are employed as such or in form of compositions by treating the fungi or the plants, plant propagation materials, such as seeds, soil, surfaces, materials or rooms to be protected from fungal attack with a fungicidally effective amount of the active substances.
- the application can be carried out both before and after the infection of the plants, plant propagation materials, such as seeds, soil, surfaces, materials or rooms by the fungi.
- Plant propagation materials may be treated with compounds I, Il and/or IV as such or a composition comprising at least one compound I, Il and/or IV prophylactically either at or before planting or transplanting.
- the invention also relates to agrochemical compositions comprising a solvent or solid carrier and at least one compound IJI and/or IV and to the use for controlling harmful fungi.
- An agrochemical composition comprises a fungicidally effective amount of a compound I 1 II and/or IV.
- effective amount denotes an amount of the composition or of the compounds 1, 11 and/or IV, which is sufficient for controlling harmful fungi on cultivated plants or in the protection of materials and which does not result in a substantial damage to the treated plants. Such an amount can vary in a broad range and is dependent on various factors, such as the fungal species to be controlled, the treated cultivated plant or material, the climatic conditions and the specific compound used.
- the compounds I, Il and IV and salts thereof can be converted into customary types of agrochemical compositions, e. g. solutions, emulsions, suspensions, dusts, powders, pastes and granules.
- agrochemical compositions e. g. solutions, emulsions, suspensions, dusts, powders, pastes and granules.
- the composition type depends on the particular intended pur- pose; in each case, it should ensure a fine and uniform distribution of the compound according to the invention.
- composition types are suspensions (SC, OD, FS), emulsifiable concentrates (EC), emulsions (EW, EO, ES), pastes, pastilles, wettable powders or dusts (WP, SP, SS, WS, DP, DS) or granules (GR, FG, GG, MG), which can be water- soluble or wettable, as well as gel formulations for the treatment of plant propagation materials such as seeds (GF).
- composition types e. g. SC, OD, FS, EC, WG, SG, WP, SP, SS, WS, GF
- composition types such as DP, DS, GR, FG, GG and MG are usually used undiluted.
- compositions are prepared in a known manner (cf. US 3,060,084, EP-A 707 445 (for liquid concentrates), Browning: "Agglomeration", Chemical Engineering, Dec. 4, 1967, 147-48, Perry's Chemical Engineer's Handbook, 4 th Ed., McGraw-Hill, New York, 1963, pp. 8-57 et seq., WO 91/13546, US 4,172,714, US 4,144,050, US 3,920,442, US 5,180,587, US 5,232,701 , US 5,208,030, GB 2,095,558, US 3,299,566, Klingman: Weed Control as a Science (J.
- the agrochemical compositions may also comprise auxiliaries which are customary in agrochemical compositions.
- auxiliaries depend on the particular application form and active substance, respectively.
- auxiliaries are solvents, solid carriers, dispersants or emulsifiers (such as further solubilizers, protective colloids, surfactants and adhesion agents), or- ganic and inorganic thickeners, bactericides, anti-freezing agents, anti-foaming agents, if appropriate colorants and tackifiers or binders (e. g. for seed treatment formulations).
- Suitable solvents are water, organic solvents such as mineral oil fractions of medium to high boiling point, such as kerosene or diesel oil, furthermore coal tar oils and oils of vegetable or animal origin, aliphatic, cyclic and aromatic hydrocarbons, e.g. toluene, xylene, paraffin, tetrahydronaphthalene, alkylated naphthalenes or their derivatives, alcohols such as methanol, ethanol, propanol, butanol and cyclohexanol, glycols, ketones such as cyclohexanone and gamma-butyrolactone, fatty acid dimethylamides, fatty acids and fatty acid esters and strongly polar solvents, e. g. amines such as N- methylpyrrolidone.
- organic solvents such as mineral oil fractions of medium to high boiling point, such as kerosene or diesel oil, furthermore coal tar oils and oils of vegetable or animal origin,
- Solid carriers are mineral earths such as silicates, silica gels, talc, kaolins, limestone, lime, chalk, bole, loess, clays, dolomite, diatomaceous earth, calcium sulfate, magnesium sulfate, magnesium oxide, ground synthetic materials, fertilizers, such as, e. g., ammonium sulfate, ammonium phosphate, ammonium nitrate, ureas, and products of vegetable origin, such as cereal meal, tree bark meal, wood meal and nutshell meal, cellulose powders and other solid carriers.
- mineral earths such as silicates, silica gels, talc, kaolins, limestone, lime, chalk, bole, loess, clays, dolomite, diatomaceous earth, calcium sulfate, magnesium sulfate, magnesium oxide, ground synthetic materials, fertilizers, such as, e. g., ammonium sulfate, ammonium phosphat
- Suitable surfactants are alkali metal, alkaline earth metal and ammonium salts of aromatic sulfonic acids, such as ligninsoulfonic acid (Borresperse ® types, Borregard, Norway) phenolsulfonic acid, naphthalenesulfonic acid (Morwet ® types, Akzo Nobel, U.S.A.), dibutylnaphthalene- sulfonic acid (Nekal ® types, BASF, Germany), and fatty acids, alkylsulfonates, alkyl- arylsulfonates, alkyl sulfates, laurylether sulfates, fatty alcohol sulfates, and sulfated hexa-, hepta- and octadecanolates, sulfated fatty alcohol glycol ethers,
- aromatic sulfonic acids such as ligninsoulfonic acid (Borresperse
- methylcellulose g. methylcellulose
- hydrophobically modified starches polyvinyl alcohols (Mowiol ® types, Clariant, Switzer- land), polycarboxylates (Sokolan ® types, BASF, Germany), polyalkoxylates, polyvinyl- amines (Lupasol ® types, BASF, Germany), polyvinylpyrrolidone and the copolymers therof.
- thickeners i. e. compounds that impart a modified flowability to composi- tions, i. e. high viscosity under static conditions and low viscosity during agitation
- thickeners are polysaccharides and organic and anorganic clays such as Xanthan gum (Kelzan ® , CP Kelco, U.S.A.), Rhodopol ® 23 (Rhodia, France), Veegum ® (RT. Vanderbilt, U.S.A.) or Attaclay ® (Engelhard Corp., NJ, USA).
- Bactericides may be added for preservation and stabilization of the composition.
- suitable bactericides are those based on dichlorophene and benzylalcohol hemi formal (Proxel ® from ICI or Acticide ® RS from Thor Chemie and Kathon ® MK from Rohm & Haas) and isothiazolinone derivatives such as alkylisothiazolinones and ben- ziothiazolinones (Acticide ® MBS from Thor Chemie).
- Suitable anti-freezing agents are ethylene glycol, propylene glycol, urea and glycerin.
- anti-foaming agents examples include silicone emulsions (such as e. g. Silikon ® SRE, Wacker, Germany or Rhodorsil ® , Rhodia, France), long chain alcohols, fatty acids, salts of fatty acids, fluoroorganic compounds and mixtures thereof.
- Suitable colorants are pigments of low water solubility and water-soluble dyes. Examples to be mentioned und the designations rhodamin B, C. I. pigment red 112, C. I. solvent red 1 , pigment blue 15:4, pigment blue 15:3, pigment blue 15:2, pigment blue 15:1 , pigment blue 80, pigment yellow 1 , pigment yellow 13, pigment red 112, pigment red 48:2, pigment red 48:1 , pigment red 57:1 , pigment red 53:1 , pigment orange 43, pigment orange 34, pigment orange 5, pigment green 36, pigment green 7, pigment white 6, pigment brown 25, basic violet 10, basic violet 49, acid red 51 , acid red 52, acid red 14, acid blue 9, acid yellow 23, basic red 10, basic red 108.
- tackifiers or binders examples are polyvinylpyrrolidone, polyvinylacetates, polyvinyl alcohols and cellulose ethers (Tylose ® , Shin-Etsu, Japan). Powders, materials for spreading and dusts can be prepared by mixing or concomitantly grinding the compounds I and, if appropriate, further active substances, with at least one solid carrier.
- Granules e. g. coated granules, impregnated granules and homogeneous granules, can be prepared by binding the active substances to solid carriers.
- solid carriers are mineral earths such as silica gels, silicates, talc, kaolin, attaclay, limestone, lime, chalk, bole, loess, clay, dolomite, diatomaceous earth, calcium sulfate, magnesium sulfate, magnesium oxide, ground synthetic materials, fertilizers, such as, e.
- ammonium sulfate ammonium phosphate, ammonium nitrate, ureas
- products of vegetable origin such as cereal meal, tree bark meal, wood meal and nutshell meal, cellulose powders and other solid carriers.
- composition types are:
- a compound according to the invention 10 parts by weight of a compound according to the invention are dissolved in 90 parts by weight of water or in a water-soluble solvent.
- wetting agents or other auxiliaries are added.
- the active substance dissolves upon dilution with water. In this way, a composition having a content of 10% by weight of active substance is obtained.
- a compound according to the invention 20 parts by weight of a compound according to the invention are dissolved in 70 parts by weight of cyclohexanone with addition of 10 parts by weight of a dispersant, e. g. polyvinylpyrrolidone. Dilution with water gives a dispersion.
- the active substance content is 20% by weight.
- composition 15 parts by weight of a compound according to the invention are dissolved in 75 parts by weight of xylene with addition of calcium dodecylbenzenesulfonate and castor oil ethoxylate (in each case 5 parts by weight). Dilution with water gives an emulsion.
- the composition has an active substance content of 15% by weight.
- Emulsions (EW, EO, ES)
- a compound according to the invention 25 parts by weight of a compound according to the invention are dissolved in 35 parts by weight of xylene with addition of calcium dodecylbenzenesulfonate and castor oil ethoxylate (in each case 5 parts by weight).
- This mixture is introduced into 30 parts by weight of water by means of an emulsifying machine (Ultraturrax) and made into a homogeneous emulsion. Dilution with water gives an emulsion.
- the composition has an active substance content of 25% by weight.
- a compound according to the invention In an agitated ball mill, 20 parts by weight of a compound according to the invention are comminuted with addition of 10 parts by weight of dispersants and wetting agents and 70 parts by weight of water or an organic solvent to give a fine active substance sus- pension. Dilution with water gives a stable suspension of the active substance.
- the active substance content in the composition is 20% by weight.
- compositions 50 parts by weight of a compound according to the invention are ground finely with addition of 50 parts by weight of dispersants and wetting agents and prepared as water-dispersible or water-soluble granules by means of technical appliances (e. g. extrusion, spray tower, fluidized bed). Dilution with water gives a stable dispersion or solution of the active substance.
- the composition has an active substance content of 50% by weight.
- Water-dispersible powders and water-soluble powders 75 parts by weight of a compound according to the invention are ground in a rotor- stator mill with addition of 25 parts by weight of dispersants, wetting agents and silica gel. Dilution with water gives a stable dispersion or solution of the active substance.
- the active substance content of the composition is 75% by weight.
- a compound according to the invention 20 parts by weight of a compound according to the invention are comminuted with addition of 10 parts by weight of dispersants, 1 part by weight of a gelling agent wetters and 70 parts by weight of water or of an organic solvent to give a fine suspension of the active substance. Dilution with water gives a stable suspension of the active substance, whereby a composition with 20% (w/w) of active substance is obtained.
- Dustable powders 5 parts by weight of a compound according to the invention are ground finely and mixed intimately with 95 parts by weight of finely divided kaolin. This gives a dustable composition having an active substance content of 5% by weight.
- a compound according to the invention is ground finely and associated with 99.5 parts by weight of carriers.
- Current methods are extrusion, spray- drying or the fluidized bed. This gives granules to be applied undiluted having an active substance content of 0.5% by weight.
- the agrochemical compositions generally comprise between 0.01 and 95%, preferably between 0.1 and 90%, most preferably between 0.5 and 90%, by weight of active substance.
- the active substances are employed in a purity of from 90% to 100%, preferably from 95% to 100% (according to NMR spectrum).
- Water-soluble concentrates (LS), flowable concentrates (FS), powders for dry treatment (DS), water-dispersible powders for slurry treatment (WS), water-soluble powders (SS), emulsions (ES) emulsifiable concentrates (EC) and gels (GF) are usually employed for the purposes of treatment of plant propagation materials, particularly seeds.
- These compositions can be applied to plant propagation materials, particularly seeds, diluted or undiluted.
- the compositions in question give, after two-to-tenfold dilution, active substance concentrations of from 0.01 to 60% by weight, preferably from 0.1 to 40% by weight, in the ready-to-use preparations. Application can be carried out before or during sowing.
- Methods for applying or treating agrochemical compounds and com- positions thereof, respectively, on to plant propagation material, especially seeds are known in the art, and include dressing, coating, pelleting, dusting, soaking and in- furrow application methods of the propagation material.
- the compounds or the compositions thereof, respectively are applied on to the plant propagation material by a method such that germination is not induced, e. g. by seed dressing, pelleting, coating and dusting.
- a suspension-type (FS) composition is used for seed treatment.
- a FS composition may comprise 1-800 g/l of active substance, 1-200 g/l Surfactant, 0 to 200 g/l antifreezing agent, 0 to 400 g/l of binder, 0 to 200 g/l of a pigment and up to 1 liter of a solvent, preferably water.
- the active substances can be used as such or in the form of their compositions, e. g. in the form of directly sprayable solutions, powders, suspensions, dispersions, emulsions, oil dispersions, pastes, dustable products, materials for spreading, or granules, by means of spraying, atomizing, dusting, spreading, brushing, immersing or pouring.
- the application forms depend entirely on the intended purposes; it is intended to ensure in each case the finest possible distribution of the active substances according to the in- vention.
- Aqueous application forms can be prepared from emulsion concentrates, pastes or wettable powders (sprayable powders, oil dispersions) by adding water.
- emulsions, pastes or oil dispersions the substances, as such or dissolved in an oil or solvent, can be homogenized in water by means of a wetter, tackifier, dispersant or emulsifier.
- concentrates composed of active substance, wetter, tackifier, dispersant or emulsifier and, if appropriate, solvent or oil and such concentrates are suitable for dilution with water.
- the active substance concentrations in the ready-to-use preparations can be varied within relatively wide ranges. In general, they are from 0.0001 to 10%, preferably from 0.001 to 1 % by weight of active substance.
- the active substances may also be used successfully in the ultra-low-volume process (ULV), it being possible to apply compositions comprising over 95% by weight of active substance, or even to apply the active substance without additives.
- UUV ultra-low-volume process
- the amounts of active substances applied are, depending on the kind of effect desired, from 0.001 to 2 kg per ha, preferably from 0.005 to 2 kg per ha, more preferably from 0.05 to 0.9 kg per ha, in particular from 0.1 to 0.75 kg per ha.
- amounts of active substance of from 0.1 to 1000 g, preferably from 1 to 1000 g, more preferably from 1 to 100 g and most preferably from 5 to 100 g, per 100 kilogram of plant propagation material (preferably seed) are generally required.
- the amount of active substance applied depends on the kind of application area and on the desired effect. Amounts customarily applied in the protection of materials are, e. g., 0.001 g to 2 kg, preferably 0.005 g to 1 kg, of active substance per cubic meter of treated material.
- oils, wetters, adjuvants, herbicides, bactericides, other fungicides and/or pesticides may be added to the active substances or the compositions comprising them, if appropriate not until immediately prior to use (tank mix).
- These agents can be admixed with the compositions according to the invention in a weight ratio of 1 :100 to 100:1 , preferably 1 :10 to 10:1.
- Adjuvants which can be used are in particular organic modified polysiloxanes such as Break Thru S 240 ® ; alcohol alkoxylates such as Atplus 245 ® , Atplus MBA 1303 ® , PIu- rafac LF 300 ® and Lutensol ON 30 ® ; EO/PO block polymers, e. g. Pluronic RPE 2035 ® and Genapol B ® ; alcohol ethoxylates such as Lutensol XP 80 ® ; and dioctyl sulfosucci- nate sodium such as Leophen RA ® .
- organic modified polysiloxanes such as Break Thru S 240 ®
- alcohol alkoxylates such as Atplus 245 ® , Atplus MBA 1303 ® , PIu- rafac LF 300 ® and Lutensol ON 30 ®
- EO/PO block polymers e. g. Pluronic
- compositions according to the invention can, in the use form as fungicides, also be present together with other active substances, e. g. with herbicides, insecticides, growth regulators, fungicides or else with fertilizers, as pre-mix or, if appropriate, not until immediately prior to use (tank mix).
- active substances e. g. with herbicides, insecticides, growth regulators, fungicides or else with fertilizers, as pre-mix or, if appropriate, not until immediately prior to use (tank mix).
- azoles triazoles triazoles: azaconazole, bitertanol, bromuconazole, cyproconazole, difenocona- zole, diniconazole, diniconazole-M, epoxiconazole, fenbuconazole, fluquincona- zole, flusilazole, flutriafol, hexaconazole, imibenconazole, ipconazole, metcona- zole, myclobutanil, oxpoconazole, paclobutrazole, penconazole, propiconazole, prothioconazole, simeconazole, tebuconazole, tetraconazole, triadimefon, triadi- menol, triticonazole, uniconazole, 1-(4-chloro-phenyl)-2-([1 ,2,4]triazol-1-yl)- cycl
- D) heterocyclic compounds pyridines fluazinam, pyrifenox, 3-[5-(4-chloro-phenyl)-2,3-dimethyl-isoxazolidin- 3-yl]-pyridine, 3-[5-(4-methyl-phenyl)-2,3-dimethyl-isoxazolidin-3-yl]-pyridine,
- guanidines guanidine, dodine, dodine free base, guazatine, guazatine-acetate, iminoctadine, iminoctadine-triacetate, iminoctadine-tris(albesilate); antibiotics: kasugamycin, kasugamycin hydrochloride-hydrate, streptomycin, pol- yoxine, validamycin A; nitrophenyl derivates: binapacryl, dinobuton, dinocap, nitrthal-isopropyl, tecna- zen, organometal compounds: fentin salts, such as fentin-acetate, fentin chloride or fentin hydroxide; sulfur-containing heterocyclyl compounds: dithianon, isoprothiolane; organophosphorus compounds: edifenphos, fosetyl, fosetyl-aluminum, iproben- fos,
- growth regulators abscisic acid, amidochlor, ancymidol, 6-benzylaminopurine, brassinolide, butralin, chlormequat (chlormequat chloride), choline chloride, cyclanilide, daminozide, dikegulac, dimethipin, 2,6-dimethylpuridine, ethephon, flumetralin, flurprimidol, fluthiacet, forchlorfenuron, gibberellic acid, inabenfide, indole-3-acetic acid , maleic hydrazide, mefluidide, mepiquat (mepiquat chloride), naphthaleneacetic acid, N-6-benzyladenine, paclobu
- herbicides acetamides acetochlor, alachlor, butachlor, dimethachlor, dimethenamid, flufen- acet, mefenacet, metolachlor, metazachlor, napropamide, naproanilide, pethox- amid, pretilachlor, propachlor, thenylchlor; amino acid derivatives: bilanafos, glyphosate, glufosinate, sulfosate; aryloxyphenoxypropionat.es: clodinafop, cyhalofop-butyl, fenoxaprop, fluazifop, haloxyfop, metamifop, propaquizafop, quizalofop, quizalofop-P-tefuryl; Bipyridyls
- organo(thio)phosphates acephate, azamethiphos, azinphos-methyl, chlorpyrifos, chlorpyrifos-methyl, chlorfenvinphos, diazinon, dichlorvos, dicrotophos, dimethoa- te, disulfoton, ethion, fenitrothion, fenthion, isoxathion, malathion, methamido- phos, methidathion, methyl-parathion, mevinphos, monocrotophos, oxydemeton- methyl, paraoxon, parathion, phenthoate, phosalone, phosmet, phosphamidon, phorate, phoxim, pirimiphos-methyl, profenofos, prothiofos, sulprophos, tetra- chlorvinphos, terbufos, triazophos, trichlorfon; carba
- GABA antagonist compounds endosulfan, ethiprole, fipronil, vaniliprole, pyraflu- prole, pyriprole, 5-amino-1 -(2,6-dichloro-4-methyl-phenyl)-4-sulfinamoyl-
- 1 H-pyrazole-3-carbothioic acid amide macrocyclic lactone insecticides: abamectin, emamectin, milbemectin, lepimectin, spinosad, spinetoram; mitochondrial electron transport inhibitor (METI) I acaricides: fenazaquin, pyrida- ben, tebufenpyrad, tolfenpyrad, flufenerim;
- METI Il and III compounds acequinocyl, fluacyprim, hydramethylnon; Uncouplers: chlorfenapyr; oxidative phosphorylation inhibitors: cyhexatin, diafenthiuron, fenbutatin oxide, propargite; moulting disruptor compounds: cryomazine; mixed function oxidase inhibitors: piperonyl butoxide; - sodium channel blockers: indoxacarb, metaflumizone; others: benclothiaz, bifenazate, cartap, flonicamid, pyridalyl, pymetrozine, sulfur, thiocyclam, flubendiamide, chlorantraniliprole, cyazypyr (HGW86), cyenopyrafen, flupyrazofos, cyflumetofen, amidoflumet, imicyafos, bistrifluron, and pyrifluquina- zon.
- the present invention furthermore relates to agrochemical compositions comprising a mixture of at least one compound I, Il and/or IV (component 1 ) and at least one further active substance useful for plant protection, e. g. selected from the groups A) to I) (component 2), in particular one further fungicide, e. g. one or more fungicide from the groups A) to F), as described above, and if desired one suitable solvent or solid carrier.
- agrochemical compositions comprising a mixture of at least one compound I, Il and/or IV (component 1 ) and at least one further active substance useful for plant protection, e. g. selected from the groups A) to I) (component 2), in particular one further fungicide, e. g. one or more fungicide from the groups A) to F), as described above, and if desired one suitable solvent or solid carrier.
- combating harmful fungi with a mixture of compounds I, Il and/or IV and at least one fungicide from groups A) to F), as described above, is more efficient than combating those fungi with individ- ual compounds I, Il or IV or individual fungicides from groups A) to F).
- compounds I, Il and/or IV together with at least one active substance from groups A) to I) a synergistic effect can be obtained, i.e. more then simple addition of the individual effects is obtained (synergistic mixtures).
- applying the compounds I, Il and/or IV together with at least one further active substance is to be understood to denote that at least one compound of formula I, Il and/or IV and at least one further active substance occur simultaneously at the site of action (i.e. the harmful fungi to be controlled or their habitats such as infected plants, plant propagation materials, particularly seeds, surfaces, materials or the soil as well as plants, plant propagation materials, particularly seeds, soil, surfaces, materials or rooms to be protected from fungal attack) in a fungicidally effective amount.
- This can be obtained by applying the compounds I, Il and/or IV and at least one further active substance simultaneously, either jointly (e. g.
- compositions according to the invention comprising one compound I, Il or IV (component 1 ) and one further active substance (component 2), e. g.
- the weight ratio of component 1 and component 2 generally depends from the properties of the active substances used, usually it is in the range of from 1 :100 to 100:1 , regularly in the range of from 1 :50 to 50:1 , preferably in the range of from 1 :20 to 20:1 , more preferably in the range of from 1 :10 to 10:1 and in particular in the range of from 1 :3 to 3:1.
- the weight ratio of component 1 and component 2 depends from the properties of the active substances used, preferably it is in the range of from 1 :50 to 50:1 and particularly in the range of from 1 :10 to 10:1
- the weight ratio of compo- nent 1 and component 3 preferably is in the range of from 1 :50 to 50:1 and particularly in the range of from 1 :10 to 10:1.
- the components can be used individually or already partially or completely mixed with one another to prepare the composition according to the invention. It is also possible for them to be packaged and used further as combination composition such as a kit of parts.
- kits may include one or more, including all, components that may be used to prepare a subject agrochemical composition.
- kits may include one or more fungicide component(s) and/or an adjuvant component and/or an insecticide component and/or a growth regulator component and/or a her- bicde.
- One or more of the components may already be combined together or pre- formulated.
- the components may already be combined together and as such are packaged in a single container such as a vial, bottle, can, pouch, bag or canister.
- two or more components of a kit may be packaged separately, i. e., not pre- formulated.
- kits may include one or more separate containers such as vials, cans, bottles, pouches, bags or canisters, each container containing a separate component for an agrochemical composition.
- a component of the kit may be applied separately from or together with the further components or as a component of a combination composition according to the invention for preparing the composition according to the invention.
- the user applies the composition according to the invention usually from a predosage device, a knapsack sprayer, a spray tank or a spray plane.
- the agrochemical composition is made up with water and/or buffer to the desired application concentration, it being possible, if appropriate, to add further auxiliaries, and the ready-to-use spray liquor or the agrochemical composition according to the invention is thus obtained.
- 50 to 500 liters of the ready-to-use spray liquor are applied per hectare of agricultural useful area, preferably 100 to 400 liters.
- composition according to the invention such as parts of a kit or parts of a binary or ternary mixture may be mixed by the user himself in a spray tank and further auxiliaries may be added, if appropriate (tank mix).
- either individual components of the composition according to the invention or partially premixed components e. g. components comprising compounds I, Il and/or IV and/or active substances from the groups A) to I
- either individual components of the composition according to the invention or partially premixed components e. g. components comprising compounds I, Il and/or IV and/or active substances from the groups A) to I
- mixtures comprising a compound I, Il and/or IV (component 1 ) and at least one active substance selected from the strobilurines of group A) (component 2) and particularly selected from azoxystrobin, dimoxystrobin, fluoxastrobin, kresoxim-methyl, orysastrobin, picoxystrobin, pyraclostrobin and trifloxystrobin.
- mixtures comprising a compound I, Il and/or IV (component 1 ) and at least one active substance selected from the carboxamides of group B) (component 2) and particularly selected from bixafen, boscalid, sedaxane, fenhexamid, metalaxyl, isopyrazam, mefenoxam, ofurace, dimethomorph, flumorph, fluopicolid (pi- cobenzamid), zoxamide, carpropamid, mandipropamid and N-(3',4',5'-trifluorobiphenyl- 2-yl)-3-difluoromethyl-1-methyl-1 H-pyrazole-4-carboxamide.
- mixtures comprising a compound of formula I, Il and/or IV (component 1 ) and at least one active substance selected from the azoles of group C) (component 2) and particularly selected from cyproconazole, difenoconazole, epoxi- conazole, fluquinconazole, flusilazole, flutriafol, metconazole, myclobutanil, pencona- zole, propiconazole, prothioconazole, triadimefon, triadimenol, tebuconazole, tetra- conazole, triticonazole, prochloraz, cyazofamid, benomyl, carbendazim and eth- aboxam.
- mixtures comprising a compound I, Il and/or IV (component 1 ) and at least one active substance selected from the heterocyclic compounds of group D) (component 2) and particularly selected from fluazinam, cyprodinil, fenarimol, mepanipyrim, pyrimethanil, triforine, fludioxonil, dodemorph, fenpropimorph, tride- morph, fenpropidin, iprodione, vinclozolin, famoxadone, fenamidone, probenazole, pro- quinazid, acibenzolar-S-methyl, captafol, folpet, fenoxanil, quinoxyfen and 5-ethyl- 6-octyl-[1 ,2,4]triazolo[1 ,5-a]pyrimidine-7-ylamine.
- active substance selected from the heterocyclic compounds of group D) (component 2) and particularly selected from fluazinam,
- mixtures comprising a compound I, Il and/or IV (component 1 ) and at least one active substance selected from the carbamates of group E) (component 2) and particularly selected from mancozeb, metiram, propineb, thiram, iprovali- carb, benthiavalicarb and propamocarb.
- mixtures comprising a compound I, Il and/or IV (component 1 ) and at least one active substance selected from the fungicides given in group F)
- component 2 component 2 and particularly selected from dithianon, fentin salts, such as fentin acetate, fosetyl, fosetyl-aluminium, H3PO3 and salts thereof, chlorthalonil, dichlofluanid, thiophanat-methyl, copper acetate, copper hydroxide, copper oxychloride, copper sulfate, sulfur, cymoxanil, metrafenone and spiroxamine.
- fentin salts such as fentin acetate, fosetyl, fosetyl-aluminium, H3PO3 and salts thereof, chlorthalonil, dichlofluanid, thiophanat-methyl, copper acetate, copper hydroxide, copper oxychloride, copper sulfate, sulfur, cymoxanil, metrafenone and spiroxamine.
- the present invention furthermore relates to compositions comprising one compound I, Il and/or IV (component 1 ) and one further active substance (component 2), which further active substance is selected from the column "Component 2" of the lines B-1 to B-346 of Table B.
- a further embodiment relates to the compositions B-1 to B-346 listed in Table B, where a row of Table B corresponds in each case to a fungicidal composition comprising one of the in the present specification individualized compounds of formula I, Il or IV (component 1 ) and the respective further active substance from groups A) to I) (component 2) stated in the row in question.
- the compositions described comprise the active substances in synergistically effective amounts.
- Table B Composition comprising one indiviualized compound I, Il or IV and one further active substance from groups A) to I)
- B-1 10 one individualized compound I, I or IV 2-yl)-ethyl)-2,4-dichloro- nicotinamide
- component 2 The active substances referred to as component 2, their preparation and their activity against harmful fungi is known (cf.: http://www.alanwood.net/pesticides/); these substances are commercially available.
- the compounds described by IUPAC nomenclature, their preparation and their fungicidal activity are also known (cf. Can. J. Plant Sci.
- the mixtures of active substances can be prepared as compositions comprising besides the active ingredients at least one inert ingredient by usual means, e. g. by the means given for the compositions of compounds I, Il and/or IV.
- compositions containing compounds IJI and/or IV Concerning usual ingredients of such compositions reference is made to the explana- tions given for the compositions containing compounds IJI and/or IV.
- the mixtures of active substances according to the present invention are suitable as fungicides, as are the compounds of formula I, Il ad IV. They are distinguished by an outstanding effectiveness against a broad spectrum of phytopathogenic fungi, espe- cially from the classes of the Ascomycetes, Basidiomycetes, Deuteromycetes and Per- onosporomycetes (syn. Oomycetes ). In addition, it is referred to the explanations regarding the fungicidal activity of the compounds and the compositions containing compounds I, Il and/or IV respectively.
- a further aspect of the invention relates to seed, comprising at least compound of formula I, Il and/or IV, in an amount of from 0.1 g to 10 kg per 100 kg of seeds.
- the compounds I, Il and IV and pharmaceutically acceptable salts thereof are also suitable for treating diseases in men and animals, especially to their use as antimycot- ics, for treating cancer and for treating virus infections.
- antimycotic as distinguished from the term “fungicide”, refers to a medicament for combating zoopatho- genic or humanpathogenic fungi, i.e. for combating fungi in animals, especially in mamals and birds.
- a further aspect of the present invention relates to a medicament comprising at least one compound of the formulae I, Il and/or IV and/or at least one pharmaceutically acceptable salt thereof and a pharmaceutically acceptable carrier.
- Suitable pharmaceutically acceptable salts are especially physiologically tolerated salts of the compound I, Il and/or IV, in particular the acid addition salts with physiologically acceptable acids.
- suitable organic and inorganic acids are hydrochloric acid, hydrobromic acid, phosphoric acid, sulfuric acid, Ci-C4-alkylsulfonic acids, such as methanesulfonic acid, aromatic sulfonic acids, such as benzenesulfonic acid and toluenesulfonic acid, oxalic acid, maleic acid, fumaric acid, lactic acid, tartaric acid, adipic acid and benzoic acid.
- suitable acids are described, for example, in Fort suitse der Arzneistoffforschung, Volume 10, pages 224 ff., Birkhauser Verlag, Basle and Stuttgart, 1966, the entire contents of which is expressly incorporated herein by way of reference.
- Suitable carriers are, for example, solvents, carriers, excipients, binders and the like customarily used for pharmaceutical formulations, which are described below in an exemplary manner for individual types of administration.
- a further aspect of the present invention relates to the use of compounds I, Il and IV or of pharmaceutically acceptable salts thereof for preparing an antimycotic medicament; i.e. for preparing a medicament for the treatment and/or prophylaxis of infections with humanpathogenic and/or zoopathogenic fungi.
- Another aspect of the present invention relates to the use of compounds of formulae I, Il and/or IV or of pharmaceutically ac- ceptable salts thereof for preparing a medicament for the treatment of cancer.
- Another aspect of the present invention relates to the use of compounds of formulae I, Il and/or IV or of pharmaceutically acceptable salts thereof for preparing a medicament for the treatment or prophylaxis of virus infections.
- the compounds of formulae I, Il and IV and/or their pharmaceutically acceptable salts are suitable for the treatment, inhibiton or control of growth and/or propagation of tumor cells and the disorders associated therewith. Accordingly, they are suitable for cancer therapy in warm-blooded vertebrates, for example mammals and birds, in particular man, but also other mammals, in particular useful and domestic animals, such as dogs, cats, pigs, ruminants (cattle, sheep, goats, bison, etc.), horses and birds, such as chicken, turkey, ducks, geese, guineafowl and the like.
- the compounds of formulae I, Il and IV and/or their pharmaceutically acceptable salts are suitable for the therapy of cancer or cancerous disorders of the following organs: breast, lung, intestine, prostate, skin (melanoma), kidney, bladder, mouth, larynx, oesophagus, stomach, ovaries, pancreas, liver and brain or CNS.
- the compounds of formulae I, Il and IV and/or their pharmaceutically acceptable salts are suitable for the treatment of virus infections in warm-blooded vertebrates, for ex- ample mammals and birds, in particular man, but also other mammals, in particular useful and domestic animals, such as dogs, cats, pigs, ruminants (cattle, sheep, goats, bison, etc.), horses and birds, such as chicken, turkey, ducks, geese, guineafowl and the like. They are suitable for treating virus infections like retrovirus infections such as HIV and HTLV, influenza virus infection, rhinovirus infections, herpes and the like.
- the compounds according to the invention can be administered in a customary manner, for example orally, intravenously, intramuscularly or subcutaneously.
- the active compound can be mixed, for example, with an inert diluent or with an edible carrier; it can be embedded into a hard or soft gelatin capsule, it can be compressed to tablets or it can be mixed directly with the food/feed.
- the active compound can be mixed with excipients and administered in the form of indigestible tablets, buccal tablets, pastilles, pills, capsules, suspensions, potions, syrups and the like.
- Such preparations should contain at least 0.1 % of active compound.
- the composition of the preparation may, of course, vary. It usually comprises from 2 to 60% by weight of active compound, based on the total weight of the preparation in question (dosage unit).
- Preferred preparations of the compound I according to the invention comprise from 10 to 1000 mg of active compound per oral dosage unit.
- the tablets, pastilles, pills, capsules and the like may furthermore comprise the following components: binders, such as traganth, gum arabic, corn starch or gelatin, excipients, such as dicalcium phosphate, disintegrants, such as corn starch, potato starch, alginic acid and the like, glidants, such as magnesium stearate, sweeteners, such as sucrose, lactose or saccharin, and/or flavors, such as peppermint, vanilla and the like.
- binders such as traganth, gum arabic, corn starch or gelatin
- excipients such as dicalcium phosphate
- disintegrants such as corn starch, potato starch, alginic acid and the like
- glidants such as magnesium stearate
- sweeteners such as sucrose, lactose or saccharin
- flavors such as peppermint, vanilla and the like.
- Capsules may furthermore comprise a liquid carrier.
- syrups or potions may also comprise sugar (or other sweeteners), methyl- or propylparaben as preservative, a colorant and/or a flavor.
- sugar or other sweeteners
- methyl- or propylparaben as preservative
- a colorant or a flavor.
- the components of the active compound preparations must, of course, be pharmaceutically pure and nontoxic at the quantities employed.
- the active compounds can be formulated as preparations with a controlled release of active compound, for example as delayed-release preparations.
- the active compounds can also be administered parenterally or intraperitoneal ⁇ .
- Solutions or suspensions of the active compounds or their salts can be prepared with water using suitable wetting agents, such as hydroxypropylcellulose.
- Dispersions can also be prepared using glycerol, liquid polyethylene glycols and mixtures thereof in oils. Frequently, these preparations furthermore comprise a preservative to prevent the growth of microorganisms.
- Preparations intended for injections comprise sterile aqueous solutions and dispersions and also sterile powders for preparing sterile solutions and dispersions.
- the preparation has to be sufficiently liquid for injection. It has to be stable under the preparation and storage conditions and it has to be protected against contamination by microorganisms.
- the carrier may be a solvent or a dispersion medium, for example, water, etha- nol, a polyol (for example glycerol, propylene glycol or liquid polyethylene glycol), a mixture thereof and/or a vegetable oil.
Landscapes
- Health & Medical Sciences (AREA)
- Chemical & Material Sciences (AREA)
- Organic Chemistry (AREA)
- Life Sciences & Earth Sciences (AREA)
- Animal Behavior & Ethology (AREA)
- Pharmacology & Pharmacy (AREA)
- Chemical Kinetics & Catalysis (AREA)
- General Chemical & Material Sciences (AREA)
- Medicinal Chemistry (AREA)
- Nuclear Medicine, Radiotherapy & Molecular Imaging (AREA)
- Veterinary Medicine (AREA)
- Public Health (AREA)
- General Health & Medical Sciences (AREA)
- Oncology (AREA)
- Communicable Diseases (AREA)
- Virology (AREA)
- Plural Heterocyclic Compounds (AREA)
- Agricultural Chemicals And Associated Chemicals (AREA)
Abstract
The present invention relates to novel triazole compounds of the formulae (I) and (Il) as defined in the claims and description which carry a sulfur substituent, to agricultural compositions containing them, to their use as fungicides and to intermediate compounds used in the method of producing them.
Description
5-MERCAPTO- [I , 2 , 4 ] TRIAZOLYLMETHYL-CYCLOPENTANOL COMPOUNDS AND THEIR AGRICULTURAL AND PHARMACEUTICAL USES
Description
The present invention relates to novel triazole compounds of the formulae I and Il as defined below which carry a sulfur substituent, to agricultural compositions containing them, to their use as fungicides and to intermediate compounds used in the method of producing them.
The control of plant diseases caused by phythopathogenic fungi is extremely important for achieving high crop efficiency. Plant disease damage to ornamental, vegetable, field, cereal, and fruit crops can cause significant reduction in productivity and thereby result in increased costs to the consumer.
DE 19520098, DE 19617282, DE 19620407, DE 19620590 and WO 97/43269 describe sulfurized triazolyl derivatives. The compounds are used for combating harmful fungi.
There is a continuous need for new compounds which are more effective, less costly, less toxic, environmentally safer and/or have different modes of action.
Accordingly, it is an object of the present invention to provide compounds having a better fungicidal activity and/or a better crop plant compatibility.
Surprisingly, these objects are achieved by triazole compounds of the general formulae I and II, defined below, and by the agriculturally acceptable salts of the compounds I and II.
Accordingly, the present invention relates to triazole compounds of the formulae I and Il and to agriculturally useful salts thereof
(I) (H) where
L1 and L4, independently of each other, are selected from hydrogen, bromine, iodine, Ci-Cio-alkyl, Ci-Cio-haloalkyl, Ci-Cio-alkoxy and Ci-Cio-haloalkoxy;
L2 and L3, independently of each other, are selected from hydrogen, halogen, Ci-Cio-alkyl, Ci-Cio-haloalkyl, Ci-Cio-alkoxy and Ci-Cio-haloalkoxy;
with the proviso that at least one of L1, L2, L3 and L4 is not hydrogen;
R1 and R2, independently of each other, are selected from hydrogen, Ci-Cio-alkyl, Ci-Cio-haloalkyl, Ci-Cio-alkoxy and Ci-Cio-haloalkoxy;
R3 is selected from hydrogen, Ci-Cio-alkyl, Ci-Cio-haloalkyl, Ci-Cio-alkoxy and Ci-Cio-haloalkoxy;
R4 is selected from hydrogen, Ci-Cio-alkyl, Ci-Cio-haloalkyl, C2-Cio-alkenyl, C2-Cio-haloalkenyl, C2-Cio-alkynyl, C2-Cio-haloalkynyl, C3-Cio-cycloalkyl, C3-Cio-halocycloalkyl, phenyl, phenyl-Ci-C4-alkyl, where the phenyl moiety in the 2 last-mentioned radicals may carry 1 , 2, 3, 4 or 5 substituents R8, and a 5- or 6-membered saturated, partially unsaturated or aromatic heterocyclic ring containing 1 , 2 or 3 heteroatoms selected from N, O and S as ring members, where the heterocyclic ring may carry 1 , 2 or 3 substituents R8; or, in case n is 0, may also be selected from
L1, L2, L3, L4, R1, R2 and R3 are as defined for formulae I and II; and
# is the attachment point to the remainder of the molecule;
R4a is selected from hydrogen, Ci-Cio-alkyl, Ci-Cio-haloalkyl, C2-Cio-alkenyl, C2-Cio-haloalkenyl, C2-Cio-alkynyl, C2-Cio-haloalkynyl, C3-Cio-cycloalkyl, C3-Cio-halocycloalkyl, phenyl, phenyl-Ci-C4-alkyl, where the phenyl moiety in the 2 last-mentioned radicals may carry 1 , 2, 3, 4 or 5 substituents R8, a 5- or 6-membered saturated, partially unsaturated or aromatic heterocyclic ring containing 1 , 2 or 3 heteroatoms selected from N, O and S as ring members, where the heterocyclic ring may carry 1 , 2 or 3 substituents R8, -C(=O)R5, -C(=S)R5, -S(O)2R5, -CN, -P(=Q)R6R7 and M;
R5 is selected from hydrogen, Ci-Cio-alkyl, Ci-Cio-haloalkyl, Ci-Cio-alkoxy, Ci-Cio-haloalkoxy, Ci-Cio-aminoalkyl, C3-Cio-cycloalkyl, C3-C10- halocycloalkyl, phenyl, phenyl-Ci-C4-alkyl, phenoxy, where the phenyl moiety in the 3 last-mentioned radicals may carry 1 , 2, 3, 4 or 5 substituents R8, a 5- or 6-membered saturated, partially unsaturated or aromatic heterocyclic ring containing 1 , 2 or 3 heteroatoms selected from N, O and S as ring members, where the heterocyclic ring may carry 1 , 2 or 3 substituents R8, and NR9R10;
R6 and R7, independently of each other, are selected from Ci-Cio-alkyl, C1-C10- haloalkyl, C2-Cio-alkenyl, C2-Cio-haloalkenyl, C2-Cio-alkynyl, C2-C10- haloalkynyl, C3-Cio-cycloalkyl, C3-Cio-halocycloalkyl, Ci-Cio-alkoxy, Ci-Cio- haloalkoxy, Ci-C4-alkoxy-Ci-Cio-alkyl, Ci-C4-alkoxy-Ci-Cio-alkoxy, C1-C10- alkylthio, Ci-Cio-haloalkylthio, C2-Cio-alkenyloxy, C2-Cio-alkenylthio, C2-C10- alkynyloxy, C2-Cio-alkynylthio, C3-Cio-cycloalkoxy, C3-Cio-cycloalkylthio, phenyl, phenyl-Ci-C4-alkyl, phenoxy, phenylthio, phenyl-Ci-C4-alkoxy, and
NR11R12;
each R8 is independently selected from halogen, nitro, CN, Ci-C4-alkyl, CrC4- haloalkyl, Ci-C4-alkoxy, Ci-C4-haloalkoxy and NR13R14;
R9 is selected from hydrogen and Ci-Cs-alkyl;
R10 is selected from hydrogen, Ci-Cs-alkyl, phenyl, and phenyl-Ci-C4-alkyl;
or R9 and R10 together form a linear C4- or Cs-alkylene bridge or a group -CH2CH2OCH2CH2- or -CH2CH2NR15CH2CH2-;
R11 is selected from hydrogen and Ci-Cs-alkyl;
R12 is selected from hydrogen, d-Cs-alkyl, phenyl, and phenyl-Ci-C4-alkyl;
or R11 and R12 together form a linear C4- or Cs-alkylene bridge or a group
-CH2CH2OCH2CH2- or -CH2CH2NR15CH2CH2-;
R13 independently of each occurrence is selected from hydrogen and Ci-Cs- alkyl;
R14 independently of each occurrence is selected from hydrogen, d-Cs-alkyl, phenyl and phenyl-Ci-C4-alkyl;
or R13 and R14 together form a linear C4- or Cs-alkylene bridge or a group -CH2CH2OCH2CH2- or -CH2CH2NR15CH2CH2-;
R15 independently of each occurrence is selected from hydrogen and C1-C4- alkyl;
Q is O or S;
M is a metal cation equivalent or an ammonium cation of formula
(NRaRbRcRd)+, wherein Ra, Rb, Rc and Rd, independently of each other, are selected from hydrogen, Ci-Cio-alkyl, phenyl and benzyl, where the phenyl moiety in the 2 last-mentioned radicals may carry 1 , 2 or 3 substituents independently selected from halogen, CN, nitro, Ci-C4-alkyl, Ci-C4-haloalkyl, Ci-C4-alkoxy, Ci-C4-haloalkoxy and NR13R14;
n is 0, 1 , 2 or 3; and
(combined bond/dotted bond) is either a single or a double bond.
The present invention also relates to triazole compounds of the formulae I and Il and to agriculturally useful salts thereof
4a
R
(I) (H) where
L1 and L4, independently of each other, are selected from hydrogen, bromine, iodine, Ci-Cio-alkyl, Ci-Cio-haloalkyl, Ci-Cio-alkoxy and Ci-Cio-haloalkoxy;
L2 and L3, independently of each other, are selected from hydrogen, halogen, Ci-Cio-alkyl, Ci-Cio-haloalkyl, Ci-Cio-alkoxy and Ci-Cio-haloalkoxy;
with the proviso that at least one of L1, L2, L3 and L4 is not hydrogen;
R1 and R2, independently of each other, are selected from hydrogen, Ci-Cio-alkyl, Ci-Cio-haloalkyl, Ci-Cio-alkoxy and Ci-Cio-haloalkoxy;
R3 is selected from hydrogen, Ci-Cio-alkyl, Ci-Cio-haloalkyl, Ci-Cio-alkoxy and Ci-Cio-haloalkoxy;
R4 is selected from hydrogen, Ci-Cio-alkyl, Ci-Cio-haloalkyl, C2-Cio-alkenyl, C2-Cio-haloalkenyl, C2-Cio-alkynyl, C2-Cio-haloalkynyl, C3-Cio-cycloalkyl, C3-Cio-halocycloalkyl, phenyl, phenyl-Ci-C4-alkyl, where the phenyl moiety in the 2 last-mentioned radicals may carry 1 , 2, 3, 4 or 5 substituents R8, and a 5- or 6-membered saturated, partially unsaturated or aromatic heterocyclic ring containing 1 , 2 or 3 heteroatoms selected from N, O and S as ring members, where the heterocyclic ring may carry 1 , 2 or 3 substituents
R8; or, in case n is 0, may also be selected from
-C(=O)R5, -C(=S)R5, -S(O)2R5, -CN, -P(=Q)R6R7, M and a group of the formula III
L1, L2, L3, L4, R1, R2 and R3 are as defined for formulae I and II; and
# is the attachment point to the remainder of the molecule;
R4a is selected from hydrogen, Ci-Cio-alkyl, Ci-Cio-haloalkyl, C2-Cio-alkenyl, C2-Cio-haloalkenyl, C2-Cio-alkynyl, C2-Cio-haloalkynyl, C3-Cio-cycloalkyl, C3-Cio-halocycloalkyl, phenyl, phenyl-Ci-C4-alkyl, where the phenyl moiety in the 2 last-mentioned radicals may carry 1 , 2, 3, 4 or 5 substituents R8, a 5- or 6-membered saturated, partially unsaturated or aromatic heterocyclic ring containing 1 , 2 or 3 heteroatoms selected from N, O and S as ring members, where the heterocyclic ring may carry 1 , 2 or 3 substituents R8, -C(=O)R5, -C(=S)R5, -S(O)2R5, -CN, -P(=Q)R6R7 and M;
R5 is selected from hydrogen, Ci-Cio-alkyl, Ci-Cio-haloalkyl, Ci-Cio-alkoxy, Ci-Cio-haloalkoxy, Ci-Cio-aminoalkyl, C3-Cio-cycloalkyl, C3-C10- halocycloalkyl, phenyl, phenyl-Ci-C4-alkyl, phenoxy, where the phenyl moiety in the 3 last-mentioned radicals may carry 1 , 2, 3, 4 or 5 substituents R8, a 5- or 6-membered saturated, partially unsaturated or aromatic heterocyclic ring containing 1 , 2 or 3 heteroatoms selected from N, O and S as ring members, where the heterocyclic ring may carry 1 , 2 or 3 substituents
R8, and NR9R10;
R6 and R7, independently of each other, are selected from Ci-Cio-alkyl, Ci-Cio- haloalkyl, C2-Cio-alkenyl, C2-Cio-haloalkenyl, C2-Cio-alkynyl, C2-C10- haloalkynyl, C3-Cio-cycloalkyl, C3-Cio-halocycloalkyl, Ci-Cio-alkoxy, Ci-Cio- haloalkoxy, Ci-C4-alkoxy-Ci-Cio-alkyl, Ci-C4-alkoxy-Ci-Cio-alkoxy, C1-C10- alkylthio, Ci-Cio-haloalkylthio, C2-Cio-alkenyloxy, C2-Cio-alkenylthio, C2-C10-
alkynyloxy, C2-Cio-alkynylthio, C3-Cio-cycloalkoxy, C3-Cio-cycloalkylthio, phenyl, phenyl-Ci-C4-alkyl, phenoxy, phenylthio, phenyl-Ci-C4-alkoxy, and NR11R12;
each R8 is independently selected from halogen, nitro, CN, Ci-C4-alkyl, C1-C4- haloalkyl, Ci-C4-alkoxy, Ci-C4-haloalkoxy and NR13R14;
R9 is selected from hydrogen and Ci-Cs-alkyl;
R10 is selected from Ci-Cs-alkyl, phenyl, and phenyl-Ci-C4-alkyl;
or R9 and R10 together form a linear C4- or Cs-alkylene bridge or a group -CH2CH2OCH2CH2- or -CH2CH2NR15CH2CH2-;
R11 is selected from hydrogen and Ci-Cs-alkyl;
R12 is selected from d-Cs-alkyl, phenyl, and phenyl-Ci-C4-alkyl;
or R11 and R12 together form a linear C4- or Cs-alkylene bridge or a group -CH2CH2OCH2CH2- or -CH2CH2NR15CH2CH2-;
R13 independently of each occurrence is selected from hydrogen and Ci-Cs- alkyl;
R14 independently of each occurrence is selected from d-Cs-alkyl, phenyl and phenyl-Ci-C4-alkyl;
or R13 and R14 together form a linear C4- or Cs-alkylene bridge or a group -CH2CH2OCH2CH2- or -CH2CH2NR15CH2CH2-;
R15 independently of each occurrence is selected from hydrogen and C1-C4- alkyl;
Q is O or S;
M is a metal cation equivalent or an ammonium cation of formula
(NRaRbRcRd)+, wherein Ra, Rb, Rc and Rd, independently of each other, are selected from hydrogen, Ci-Cio-alkyl, phenyl and benzyl, where the phenyl moiety in the 2 last-mentioned radicals may carry 1 , 2 or 3 substituents in-
dependently selected from halogen, CN, nitro, Ci-C4-alkyl, Ci-C4-haloalkyl, Ci-C4-alkoxy, Ci-C4-haloalkoxy and NR13R14;
n is 0, 1 , 2 or 3; and
(combined bond/dotted bond) is either a single or a double bond.
Thus formulae I and Il are a consolidated way of representing the following structures which are also denominated as compounds of formulae IA, NA, IB and NB:
(IA) (HA)
(IB) (HB)
If in compounds IB R4 is a group of formula III, this is a group of formula 1MB
The present invention also provides the use of triazole compounds of the formulae I and Il and/or their agriculturally useful salts for controlling harmful fungi.
The invention further provides fungicidal compositions comprising these triazole compounds of the formulae I and/or Il (and/or also of the formula IV; see below) and/or their agriculturally acceptable salts and suitable carriers. Suitable agriculturally acceptable carriers are described below.
The compounds I and Il can exist as one or more stereoisomers. The various stereoisomers include enantiomers, diastereomers, atropisomers and geometric isomers. One skilled in the art will appreciate that one stereoisomer may be more active and/or may exhibit beneficial effects when enriched relative to the other stereoisomer(s) or when separated from the other stereoisomer(s). Additionally, the skilled artisan knows how to separate, enrich, and/or to selectively prepare said stereoisomers. The compounds of the invention may be present as a mixture of stereoisomers, e.g. a racemate, individual stereoisomers, or as an optically active form. In particular, the compounds of formulae IA and NA may be present as isomers with respect to the relative positions of the OH group and the group
on the cyclopentane ring, which may be either cis or trans. The present invention encompasses both the cis isomers, the trans isomers and the mixtures thereof. However, preference is given to the cis isomers (compounds of formulae IA-cis and IIA-cis):
(IA-cis) (IIA-cis)
Compounds I and Il can be understood as positional/double bond isomers of each other, at least in case the radicals R4/R4a are identical. In case R4 (and of course also R4a) is hydrogen, the respective compounds I and Il are tautomers.
Suitable agriculturally useful salts are especially the salts of those cations or the acid addition salts of those acids whose cations and anions, respectively, have no adverse effect on the fungicidal action of the compounds I and II. Thus, suitable cations are in particular the ions of the alkali metals, preferably sodium and potassium, of the alkaline earth metals, preferably calcium, magnesium and barium, and of the transition metals, preferably manganese, copper, zinc and iron, and also the ammonium ion which, if desired, may carry one to four Ci-C4-alkyl substituents and/or one phenyl or benzyl substituent, preferably diisopropylammonium, tetramethylammonium, tetrabutylammo- nium, trimethylbenzylammonium, furthermore phosphonium ions, sulfonium ions, preferably tri(Ci-C4-alkyl)sulfonium and sulfoxonium ions, preferably tri(Ci-C4-alkyl)sulf- oxonium.
Anions of useful acid addition salts are primarily chloride, bromide, fluoride, hydrogen- sulfate, sulfate, dihydrogenphosphate, hydrogenphosphate, phosphate, nitrate, bicar- bonate, carbonate, hexafluorosilicate, hexafluorophosphate, benzoate, and also the anions of Ci-C4-alkanoic acids, preferably formate, acetate, propionate and butyrate. They can be formed by reacting I or Il with an acid of the corresponding anion, preferably hydrochloric acid, hydrobromic acid, sulfuric acid, phosphoric acid or nitric acid.
In the definitions of the variables given in the formulae above, collective terms are used which are generally representative for the substituents in question. The term Cn-Cm indicates the number of carbon atoms possible in each case in the substituent or sub- stitutent moiety in question:
Halogen: fluorine, chlorine, bromine and iodine;
Alkyl and the alkyl moieities in alkoxy, alkylcarbonyl, alkylthiocarbonyl, alkylamino, dial- kylamino, alkylaminocarbonyl, dialkylaminocarbonyl, alkylthio, alkylsulfonyl and the like: saturated straight-chain or branched hydrocarbon radicals having 1 to 2 (Ci-C2-alkyl), 2 or 3 (C2-C3-alkyl), 1 to 4 (Ci-C4-alkyl), 1 to 6 (Ci-C6-alkyl), 1 to 8 (Ci-C8-alkyl) or 1 to 10 (Ci-Cio-alkyl) carbon atoms. C2-C3-Alkyl is ethyl, n-propyl or isopropyl. Ci-C2-Alkyl is methyl or ethyl. CrC4-AIkVl is additionally also propyl, isopropyl, butyl, 1-methylpropyl (sec-butyl), 2-methylpropyl (isobutyl) or 1 ,1-dimethylethyl (tert-butyl). Ci-Cβ-Alkyl is additionally also, for example, pentyl, 1-methylbutyl, 2-methylbutyl, 3-methylbutyl, 2,2- dimethylpropyl, 1-ethylpropyl, 1 ,1-dimethylpropyl, 1 ,2-dimethylpropyl, hexyl, 1- methylpentyl, 2-methylpentyl, 3-methylpentyl, 4-methylpentyl, 1 ,1-dimethylbutyl, 1 ,2- dimethylbutyl, 1 ,3-dimethylbutyl, 2,2-dimethylbutyl, 2,3-dimethylbutyl, 3,3-dimethylbutyl, 1-ethylbutyl, 2-ethylbutyl, 1 ,1 ,2-trimethylpropyl, 1 ,2,2-trimethylpropyl, 1-ethyl-1- methylpropyl, or 1-ethyl-2-methylpropyl. d-Cs-Alkyl is additionally also, for example, heptyl, octyl, 2-ethylhexyl and positional isomers thereof. Ci-Cio-Alkyl is additionally also, for example, nonyl, decyl, 2-propylheptyl, 3-propylheptyl and positional isomers thereof.
Haloalkyl: straight-chain or branched alkyl groups having 1 to 2 (Ci-C2-haloalkyl), 1 to 3 (d-Cs-haloalkyl), 1 to 4 (Ci-C4-haloalkyl), 1 to 6 (Ci-C6-haloalkyl), 1 to 8 (CrC8- haloalkyl), 1 to 10 (Ci-Cio-haloalkyl) or 2 to 10 (C2-Cio-haloalkyl) carbon atoms (as mentioned above), where some or all of the hydrogen atoms in these groups may be replaced by halogen atoms as mentioned above: in particular Ci-C2-haloalkyl, such as chloromethyl, bromomethyl, dichloromethyl, trichloromethyl, fluoromethyl, difluoro- methyl, trifluoromethyl, chlorofluoromethyl, dichlorofluoromethyl, chlorodifluoromethyl, 1-chloroethyl, 1-bromoethyl, 1-fluoroethyl, 2-fluoroethyl, 2,2-difluoroethyl, 2,2,2- trifluoroethyl, 2-chloro-2-fluoroethyl, 2-chloro-2,2-difluoroethyl, 2,2-dichloro-2- fluoroethyl, 2,2,2-trichloroethyl, or pentafluoroethyl. Ci-C3-Haloalkyl is additionally, for example, 1 ,1 ,1-trifluoroprop-2-yl, 3,3,3-trifluoropropyl or heptafluoropropyl. CrC4- Haloalkyl is additionally, for example, 1-chlorobuty, 2-chlorobutyl, 3-chlorobutyl or 4- chlorobutyl.
Ci-Cio-Hydroxyalkyl: straight-chain or branched alkyl groups having 1 to 2 (Ci-C2- hydroxyalkyl), 1 to 4 (Ci-C4-hydroxyalkyl), 2 to 4 (C2-C4-hydroxyalkyl), 1 to 6 (Ci-C6- hydroxyalkyl), 2 to 6 (C2-C6-hydroxyalkyl), 1 to 8 (Ci-C8-hydroxyalkyl), 2 to 8 (C2-C8- hydroxyalkyl), 1 to 10 (Ci-Cio-hydroxyalkyl) or 2 to 10 (C2-Cio-hydroxyalkyl) carbon atoms (as mentioned above), where at least one of the hydrogen atoms is replaced by a hydroxyl group, such as in 2-hydroxyethyl or 3-hydroxypropyl.
Alkenyl and the alkenyl moieties in alkenyloxy, alkenylcarbonyl and the like: monoun- saturated straight-chain or branched hydrocarbon radicals having 2 to 4 (C2-C4- alkenyl), 2 to 6 (C2-C6-alkenyl), 2 to 8 (C2-C8-alkenyl), 3 to 8 (C3-C8-alkenyl), 2 to 10 (C2-Cio-alkenyl) or 3 to 10 (C3-Cio-alkenyl) carbon atoms and a double bond in any position, for example C2-C6-alkenyl, such as ethenyl, 1-propenyl, 2-propenyl, 1- methylethenyl, 1-butenyl, 2-butenyl, 3-butenyl, 1-methyl-1-propenyl, 2-methyl-1- propenyl, 1-methyl-2-propenyl, 2-methyl-2-propenyl, 1-pentenyl, 2-pentenyl, 3- pentenyl, 4-pentenyl, 1-methyl-1-butenyl, 2-methyl-1-butenyl, 3-methyl-1-butenyl, 1- methyl-2-butenyl, 2-methyl-2-butenyl, 3-methyl-2-butenyl, 1-methyl-3-butenyl, 2-methyl- 3-butenyl, 3-methyl-3-butenyl, 1 ,1-dimethyl-2-propenyl, 1 ,2-dimethyl-1-propenyl, 1 ,2- dimethyl-2-propenyl, 1-ethyl-1-propenyl, 1-ethyl-2-propenyl, 1-hexenyl, 2-hexenyl, 3- hexenyl, 4-hexenyl, 5-hexenyl, 1-methyl-1 -pentenyl, 2-methyl-1 -pentenyl, 3-methyl-1- pentenyl, 4-methyl-1 -pentenyl, 1-methyl-2-pentenyl, 2-methyl-2-pentenyl, 3-methyl-2- pentenyl, 4-methyl-2-pentenyl, 1-methyl-3-pentenyl, 2-methyl-3-pentenyl, 3-methyl-3- pentenyl, 4-methyl-3-pentenyl, 1-methyl-4-pentenyl, 2-methyl-4-pentenyl, 3-methyl-4- pentenyl, 4-methyl-4-pentenyl, 1 ,1-dimethyl-2-butenyl, 1 ,1-dimethyl-3-butenyl, 1 ,2- dimethyl-1-butenyl, 1 ,2-dimethyl-2-butenyl, 1 ,2-dimethyl-3-butenyl, 1 ,3-dimethyl-1- butenyl, 1 ,3-dimethyl-2-butenyl, 1 ,3-dimethyl-3-butenyl, 2,2-dimethyl-3-butenyl, 2,3- dimethyl-1-butenyl, 2,3-dimethyl-2-butenyl, 2,3-dimethyl-3-butenyl, 3,3-dimethyl-1- butenyl, 3,3-dimethyl-2-butenyl, 1 -ethyl-1 -butenyl, 1-ethyl-2-butenyl, 1-ethyl-3-butenyl, 2-ethyl-1 -butenyl, 2-ethyl-2-butenyl, 2-ethyl-3-butenyl, 1 ,1 ,2-trimethyl-2-propenyl, 1- ethyl-1 -methyl-2-propenyl, 1 -ethyl-2-methyl-1 -propenyl, 1 -ethyl-2-methyl-2-propenyl and the like;
Haloalkenyl and the haloalkenyl moieties in haloalkenyloxy, haloalkenylcarbonyl and the like: unsaturated straight-chain or branched hydrocarbon radicals having 2 to 4 (C2- C4-haloalkenyl), 2 to 6 (C2-C6-haloalkenyl), 2 to 8 (C2-C8-haloalkenyl) or 2 to 10 (C2- Cio-haloalkenyl) carbon atoms and a double bond in any position (as mentioned above), where some or all of the hydrogen atoms in these groups may be replaced by halogen atoms as mentioned above, in particular fluorine, chlorine and bromine, for example chlorovinyl, chloroallyl and the like;
Alkynyl and the alkynyl moieties in alkynyloxy, alkynylcarbonyl and the like: straight- chain or branched hydrocarbon groups having 2 to 4 (C2-C4-alkynyl), 2 to 6 (C2-C6- alkynyl), 2 to 8 (C2-C8-alkynyl), 3 to 8 (C3-C8-alkynyl), 2 to 10 (C2-Cio-alkynyl) or 3 to 10 (C3-Cio-alkynyl) carbon atoms and one or two triple bonds in any position, for example C2-C6-alkynyl, such as ethynyl, 1-propynyl, 2-propynyl, 1-butynyl, 2-butynyl, 3-butynyl, 1-methyl-2-propynyl, 1-pentynyl, 2-pentynyl, 3-pentynyl, 4-pentynyl, 1-methyl-2-butynyl, 1-methyl-3-butynyl, 2-methyl-3-butynyl, 3-methyl-1-butynyl, 1 ,1-dimethyl-2-propynyl, 1-ethyl-2-propynyl, 1-hexynyl, 2-hexynyl, 3-hexynyl, 4-hexynyl, 5-hexynyl, 1-methyl-2- pentynyl, 1-methyl-3-pentynyl, 1-methyl-4-pentynyl, 2-methyl-3-pentynyl, 2-methyl-4- pentynyl, 3-methyl-1-pentynyl, 3-methyl-4-pentynyl, 4-methyl-1-pentynyl, 4-methyl-2- pentynyl, 1 ,1-dimethyl-2-butynyl, 1 ,1-dimethyl-3-butynyl, 1 ,2-dimethyl-3-butynyl, 2,2-dimethyl-3-butynyl, 3,3-dimethyl-1-butynyl, 1-ethyl-2-butynyl, 1-ethyl-3-butynyl, 2-ethyl-3-butynyl, 1-ethyl-1-methyl-2-propynyl and the like;
Haloalkynyl and the haloalkynyl moieties in haloalkynyloxy, haloalkynylcarbonyl and the like: unsaturated straight-chain or branched hydrocarbon radicals having 2 to 4 (C2- C4-haloalkynyl), 2 to 6 (C2-C6-haloalkynyl), 2 to 8 (C2-C8-haloalkynyl) or 2 to 10 (C2-C10- haloalkynyl) carbon atoms and one or two triple bonds in any position (as mentioned above), where some or all of the hydrogen atoms in these groups may be replaced by halogen atoms as mentioned above, in particular fluorine, chlorine and bromine;
Cycloalkyl and the cycloalkyl moieties in cycloalkoxy, cycloalkylcarbonyl and the like; monocyclic saturated hydrocarbon groups having 3 to 6 (Cs-Cβ-cycloalkyl), 3 to 8 (C3- Cs-cycloalkyl) or 3 to 10 (C3-Cio-cycloalkyl) carbon ring members, such as cyclopropyl, cyclobutyl, cyclopentyl, cyclohexyl, cycloheptyl, cyclooctyl, cyclononyl and cyclodecyl;
Halocycloalkyl and the halocycloalkyl moieties in halocycloalkoxy, halocycloalkylcar- bonyl and the like: monocyclic saturated hydrocarbon groups having 3 to 6 (C3-C6- halocycloalkyl), 3 to 8 (Cs-Cs-halocycloalkyl) or 3 to 10 (C3-Cio-halocycloalkyl) carbon ring members (as mentioned above) in which some or all of the hydrogen atoms may be replaced by halogen atoms as mentioned above, in particular fluorine, chlorine and bromine;
Alkoxy: an alkyl group attached via oxygen. Ci-C2-Alkoxy is methoxy or ethoxy. C1-C4- Alkoxy is additionally, for example, n-propoxy, 1-methylethoxy (isopropoxy), butoxy,
1-methylpropoxy (sec-butoxy), 2-methylpropoxy (isobutoxy) or 1 ,1-dimethylethoxy (tert- butoxy). Ci-Cβ-Alkoxy is additionally, for example, pentoxy, 1-methylbutoxy, 2-methylbutoxy, 3-methylbutoxy, 1 ,1-dimethylpropoxy, 1 ,2-dimethylpropoxy, 2,2-dimethylpropoxy, 1-ethylpropoxy, hexoxy, 1-methylpentoxy, 2-methylpentoxy,
3-methylpentoxy, 4-methylpentoxy, 1 ,1-dimethylbutoxy, 1 ,2-dimethylbutoxy, 1 ,3-dimethylbutoxy, 2,2-dimethylbutoxy, 2,3-dimethylbutoxy, 3,3-dimethylbutoxy, 1-ethylbutoxy, 2-ethylbutoxy, 1 ,1 ,2-trimethylpropoxy, 1 ,2,2-trimethylpropoxy, 1-ethyl-1- methylpropoxy or 1-ethyl-2-methylpropoxy. Ci-Cs-Alkoxy is additionally, for example, heptyloxy, octyloxy, 2-ethylhexyloxy and positional isomers thereof. Ci-Cio-Alkoxy is additionally, for example, nonyloxy, decyloxy and positional isomers thereof. C2-C10- Alkoxy is like Ci-Cio-alkoxy with the exception of methoxy.
Haloalkoxy: an alkoxy radical as mentioned above which is partially or fully substituted by fluorine, chlorine, bromine and/or iodine, preferably by fluorine. Ci-C2-Haloalkoxy is, for example, OCH2F, OCHF2, OCF3, OCH2CI, OCHCI2, OCCI3, chlorofluoromethoxy, dichlorofluoromethoxy, chlorodifluoromethoxy, 2-fluoroethoxy, 2-chloroethoxy, 2-bromoethoxy, 2-iodoethoxy, 2,2-difluoroethoxy, 2,2,2-trifluoroethoxy, 2-chloro-2- fluoroethoxy, 2-chloro-2,2-difluoroethoxy, 2,2-dichloro-2-fluoroethoxy, 2,2,2-trichloroethoxy or OC2Fs Ci-C4-Haloalkoxy is additionally, for example, 2-fluoropropoxy, 3-fluoropropoxy, 2,2-difluoropropoxy, 2,3-difluoropropoxy, 2-chloropropoxy, 3-chloropropoxy, 2,3-dichloropropoxy, 2-bromopropoxy, 3-bromopropoxy, 3,3,3-trifluoropropoxy, 3,3,3-trichloropropoxy, OCH2-C2F5, OCF2- C2F5, 1-(CH2F)-2-fluoroethoxy, 1-(CH2CI)-2-chloroethoxy, 1-(CH2Br)-2-bromoethoxy, 4-fluorobutoxy, 4-chlorobutoxy, 4-bromobutoxy or nonafluorobutoxy. Ci-C6-Haloalkoxy is additionally, for example, 5-fluoropentoxy, 5-chloropentoxy, 5-brompentoxy, 5-iodopentoxy, undecafluoropentoxy, 6-fluorohexoxy, 6-chlorohexoxy, 6-bromohexoxy, 6-iodohexoxy or dodecafluorohexoxy.
Alkenyloxy: alkenyl as mentioned above which is attached via an oxygen atom, for example C2-Cio-alkenyloxy, such as 1-ethenyloxy, 1-propenyloxy, 2-propenyloxy, 1- methylethenyloxy, 1-butenyloxy, 2-butenyloxy, 3-butenyloxy, 1-methyl-1-propenyloxy, 2-methyl-1-propenyloxy, 1-methyl-2-propenyloxy, 2-methyl-2-propenyloxy, 1- pentenyloxy, 2-pentenyloxy, 3-pentenyloxy, 4-pentenyloxy, 1-methyl-1-butenyloxy, 2- methyl-1-butenyloxy, 3-methyl-1-butenyloxy, 1-methyl-2-butenyloxy, 2-methyl-2- butenyloxy, 3-methyl-2-butenyloxy, 1-methyl-3-butenyloxy, 2-methyl-3-butenyloxy, 3- methyl-3-butenyl, 1 ,1-dimethyl-2-propenyloxy, 1 ,2-dimethyl-1-propenyloxy, 1 ,2- dimethyl-2-propenyloxy, 1-ethyl-1-propenyloxy, 1-ethyl-2-propenyloxy, 1-hexenyloxy, 2-hexenyloxy, 3-hexenyloxy, 4-hexenyloxy, 5-hexenyloxy, 1-methyl-1-pentenyloxy, 2-methyl-1-pentenyloxy, 3-methyl-1-pentenyloxy, 4-methyl-1-pentenyloxy, 1-methyl-2- pentenyloxy, 2-methyl-2-pentenyloxy, 3-methyl-2-pentenyloxy, 4-methyl-2-pentenyloxy, 1-methyl-3-pentenyloxy, 2-methyl-3-pentenyloxy, 3-methyl-3-pentenyloxy, 4-methyl-3- pentenyloxy, 1-methyl-4-pentenyloxy, 2-methyl-4-pentenyloxy, 3-methyl-4-pentenyloxy, 4-methyl-4-pentenyloxy, 1 ,1-dimethyl-2-butenyloxy, 1 ,1-dimethyl-3-butenyloxy,
1 ,2-dimethyl-1-butenyloxy, 1 ,2-dimethyl-2-butenyloxy, 1 ,2-dimethyl-3-butenyloxy, 1 ,3-dimethyl-1-butenyloxy, 1 ,3-dimethyl-2-butenyloxy, 1 ,3-dimethyl-3-butenyloxy, 2,2-dimethyl-3-butenyloxy, 2,3-dimethyl-1 -butenyloxy, 2,3-dimethyl-2-butenyloxy, 2,3-dimethyl-3-butenyloxy, 3,3-dimethyl-1 -butenyloxy, 3,3-dimethyl-2-butenyloxy, 1-ethyl-1 -butenyloxy, 1-ethyl-2-butenyloxy, 1-ethyl-3-butenyloxy, 2-ethyl-1 -butenyloxy, 2-ethyl-2-butenyloxy, 2-ethyl-3-butenyloxy, 1 ,1 ,2-trimethyl-2-propenyloxy, 1-ethyl-1- methyl-2-propenyloxy, 1-ethyl-2-methyl-1-propenyloxy and 1-ethyl-2-methyl-2- propenyloxy and the like;
Haloalkenyloxy: an alkenyloxy radical as mentioned above which is partially or fully substituted by fluorine, chlorine, bromine and/or iodine, preferably by fluorine.
Alkynyloxy: alkynyl as mentioned above which is attached via an oxygen atom, for example C2-Cio-alkynyloxy, such as 2-propynyloxy, 2-butynyloxy, 3-butynyloxy, 1-methyl- 2-propynyloxy, 2-pentynyloxy, 3-pentynyloxy, 4-pentynyloxy, 1-methyl-2-butynyloxy, 1- methyl-3-butynyloxy, 2-methyl-3-butynyloxy, 1 -ethyl-2-propynyloxy, 2-hexynyloxy, 3- hexynyloxy, 4-hexynyloxy, 5-hexynyloxy, 1-methyl-2-pentynyloxy, 1-methyl-3- pentynyloxy and the like;
Haloalkynyloxy: an alkynyloxy radical as mentioned above which is partially or fully substituted by fluorine, chlorine, bromine and/or iodine, preferably by fluorine.
Cycloalkoxy: cycloalkoxy as mentioned above which is attached via an oxygen atom, for example C3-Cio-cycloalkoxy or Cs-Cs-cycloalkoxy, such as cyclopropoxy, cyclopen- toxy, cyclohexoxy, cycloheptoxy, cyclooctoxy, cyclononyloxy, cyclodecyloxy and the like;
Cycloalkenyloxy: cycloalkenyloxy as mentioned above which is attached via an oxygen atom, for example C3-Cio-cycloalkenyloxy, Cs-Cs-cycloalkenyloxy or, preferably, Cs-Cβ- cycloalkenyloxy, such as cyclopent-1-enoxy, cyclopent-2-enoxy, cyclohex-1-enoxy and cyclohex-2-enoxy;
Alkoxyalkyl: alkyl as defined above having 1 to 10, 1 to 8, 1 to 6 or 1 to 4, in particular 1 to 3, carbon atoms, in which one hydrogen atom is replaced by an alkoxy group having 1 to 8, 1 to 6 or in particular 1 to 4 carbon atoms, for example methoxymethyl, 2- methoxyethyl, ethoxymethyl, 3-methoxypropyl, 3-ethoxypropyl and the like.
Alkoxyalkoxy: alkoxy as defined above having 1 to 10, 1 to 8, 1 to 6 or 1 to 4, in particular 1 to 3, carbon atoms, in which one hydrogen atom is replaced by an alkoxy group
having 1 to 8, 1 to 6 or in particular 1 to 4 carbon atoms, for example 2-methoxyethoxy, 2-ethoxyethoxy, 3-methoxypropoxy, 3-ethoxypropoxy and the like.
Alkylcarbonyl: group of the formula R-CO- in which R is an alkyl group as defined above, for example Ci-Cio-alkyl, d-Cs-alkyl, Ci-Cβ-alkyl, Ci-C4-alkyl, Ci-C2-alkyl or C3- C4-alkyl. Examples are acetyl, propionyl and the like. Examples for C3-C4-alkylcarbonyl are propylcarbonyl, isopropylcarbonyl, n-butylcarbonyl, sec-butylcarbonyl, isobutylcar- bonyl and tert-butylcarbonyl.
Alkoxycarbonyl: group of the formula R-CO- in which R is an alkoxy group as defined above, for example Ci-Cio-alkoxy, Ci-Cs-alkoxy, Ci-Cβ-alkoxy, Ci-C4-alkoxy or C1-C2- alkoxy. Examples for Ci-C4-alkoxycarbonyl are methoxycarbonyl, ethoxycarbonyl, pro- poxycarbonyl, isopropoxycarbonyl, n-butoxycarbonyl, sec-butoxycarbonyl, isobutoxy- carbonyl and tert-butoxycarbonyl.
Alkylsulfonyl: group of the formula R-S(O)2- in which R is an alkyl group as defined above, for example Ci-Cio-alkyl, d-Cs-alkyl, Ci-Cβ-alkyl, Ci-C4-alkyl or Ci-C2-alkyl. Examples for Ci-C4-alkoxysulfonyl are methylsulfonyl, ethylsulfonyl, propylsulfonyl, isopropylsulfonyl, n-butylsulfonyl, sec-butylsulfonyl, isobutylsulfonyl and tert- butylsulfonyl.
Alkylthio: alkyl as defined above which is attached via a sulfur atom.
Haloalkylthio: haloalkyl as defined above which is attached via a sulfur atom.
Alkenylthio: alkenyl as defined above which is attached via a sulfur atom.
Haloalkenylthio: haloalkenyl as defined above which is attached via a sulfur atom.
Alkynylthio: alkynyl as defined above which is attached via a sulfur atom.
Haloalkynylthio: haloalkynyl as defined above which is attached via a sulfur atom.
Cycloalkylthio: cycloalkyl as defined above which is attached via a sulfur atom.
Phanyl-Ci-C4-alkyl: Ci-C4-alkyl (as defined above), where a hydrogen atom is replaced by a phenyl group, such as benzyl, phenethyl and the like.
Phenyl-Ci-C4-alkoxy: Ci-C4-alkoxy (as defined above), where one hydrogen atom is replaced by a phenyl group, such as benzyloxy, phenethyloxy and the like.
3-, 4-, 5-, 6-, 7-, 8-, 9- or 10- membered saturated, partially unsaturated or aromatic heterocycle which contains 1 , 2, 3 or 4 heteroatoms from the group consisting of oxygen, nitrogen (as N or NR) and sulfur (as S, SO or SO2) and optionally 1 or 2 groups selected from C(=O) and C(=S) as ring members:
three-, four-, five- or six-membered saturated or partially unsaturated heterocycle (hereinbelow also referred to as heterocyclyl) which contains one, two, three or four heteroatoms from the group consisting of oxygen, nitrogen (as N or NR) and sulfur (as S, SO or SO2) and optionally 1 or 2 groups selected from C(=O) and C(=S) as ring members: for example monocyclic saturated or partially unsaturated heterocycles which, in addition to carbon ring members, contain one to three nitrogen atoms and/or one oxygen or sulfur atom or one or two oxygen and/or sulfur atoms and optionally 1 or 2 groups selected from C(=O) and C(=S), for example 2-oxiranyl, 2-thiiranyl, 1- or 2-aziridinyl, 1-, 2- or 3-azetidinyl, 2-tetrahydrofuranyl, 3-tetrahydrofuranyl, 3-tetrahydrofuran-2-onyl, 4-tetrahydrofuran-2-onyl, 5-tetrahydrofuran-2-onyl, 2-tetrahydrofuran-3-onyl, 4-tetrahydrofuran-3-onyl, 5-tetrahydrofuran-3-onyl, 2-tetrahydrothienyl,
3-tetrahydrothienyl, 3-tetrahydrothien-2-onyl, 4-tetrahydrothien-2-onyl, 5-tetrahydrothien-2-onyl, 2-tetrahydrothien-3-onyl, 4-tetrahydrothien-3-onyl, 5-tetrahydrothien-3-onyl, 2-pyrrolidinyl, 3-pyrrolidinyl, 1 -pyrrolidin-2-onyl, 3-pyrrolidin-2-onyl, 4-pyrrolidin-2-onyl, 5-pyrrolidin-2-onyl, 1 -pyrrolidin-3-onyl, 2-pyrrolidin-3-onyl, 4-pyrrolidin-3-onyl, 5-pyrrolidin-3-onyl, 1-pyrrolidin-2,5-dionyl,
3-pyrrolidin-2,5-dionyl, 3-isoxazolidinyl, 4-isoxazolidinyl, 5-isoxazolidinyl, 3-isothiazolidinyl, 4-isothiazolidinyl, 5-isothiazolidinyl, 3-pyrazolidinyl, 4-pyrazolidinyl, 5-pyrazolidinyl, 2-oxazolidinyl, 4-oxazolidinyl, 5-oxazolidinyl, 2-thiazolidinyl, 4-thiazolidinyl, 5-thiazolidinyl, 2-imidazolidinyl, 4-imidazolidinyl, 1 ,2,4-oxadiazolidin-3-yl, 1 ,2,4-oxadiazolidin-5-yl, 1 ,2,4-thiadiazolidin-3-yl,
1 ,2,4-thiadiazolidin-5-yl, 1 ,2,4-triazolidin-3-yl, 1 ,3,4-oxadiazolidin-2-yl, 1 ,3,4-thiadiazolidin-2-yl, 1 ,3,4-triazolidin-2-yl, 2,3-dihydrofur-2-yl, 2,3-dihydrofur- 3-yl, 2,4-dihydrofur-2-yl, 2,4-dihydrofur-3-yl, 2,3-dihydrothien-2-yl, 2,3-dihydrothien-3-yl, 2,4-dihydrothien-2-yl, 2,4-dihydrothien-3-yl, 2-pyrrolin-2-yl, 2-pyrrolin-3-yl, 3-pyrrolin-2-yl, 3-pyrrolin-3-yl, 2-isoxazolin-3-yl, 3-isoxazolin-3-yl,
4-isoxazolin-3-yl, 2-isoxazolin-4-yl, 3-isoxazolin-4-yl, 4-isoxazolin-4-yl, 2-isoxazolin-5-yl, 3-isoxazolin-5-yl, 4-isoxazolin-5-yl, 2-isothiazolin-3-yl, 3-isothiazolin-3-yl, 4-isothiazolin-3-yl, 2-isothiazolin-4-yl, 3-isothiazolin-4-yl, 4-isothiazolin-4-yl, 2-isothiazolin-5-yl, 3-isothiazolin-5-yl, 4-isothiazolin-5-yl, 2,3-dihydropyrazol-1-yl, 2,3-dihydropyrazol-2-yl, 2,3-dihydropyrazol-3-yl,
2,3-dihydropyrazol-4-yl, 2,3-dihydropyrazol-5-yl, 3,4-dihydropyrazol-1 -yl,
3,4-dihydropyrazol-3-yl, 3,4-dihydropyrazol-4-yl, 3,4-dihydropyrazol-5-yl, 4,5-dihydropyrazol-1 -yl, 4,5-dihydropyrazol-3-yl, 4,5-dihydropyrazol-4-yl, 4,5-dihydropyrazol-5-yl, 2,3-dihydrooxazol-2-yl, 2,3-dihydrooxazol-3-yl, 2,3-dihydrooxazol-4-yl, 2,3-dihydrooxazol-5-yl, 3,4-dihydrooxazol-2-yl, 3,4-dihydrooxazol-3-yl, 3,4-dihydrooxazol-4-yl, 3,4-dihydrooxazol-5-yl,
3,4-dihydrooxazol-2-yl, 3,4-dihydrooxazol-3-yl, 3,4-dihydrooxazol-4-yl, 2-piperidinyl, 3-piperidinyl, 4-piperidinyl, 1 ,3-dioxan-5-yl, 2-tetrahydropyranyl, 4-tetrahydropyranyl, 2-tetrahydrothienyl, 3-hexahydropyridazinyl, 4-hexahydropyridazinyl, 2-hexahydropyrimidinyl, 4-hexahydropyrimidinyl, 5-hexahydropyrimidinyl, 2-piperazinyl, 1 ,3,5-hexahydrotriazin-2-yl and
1 ,2,4-hexahydrotriazin-3-yl and also the corresponding -ylidene radicals;
a seven-membered saturated or partially unsaturated heterocycle which contains one, two, three or four heteroatoms from the group consisting of oxygen, nitrogen and sulfur as ring members: for example mono- and bicyclic heterocycles having
7 ring members which, in addition to carbon ring members, contain one to three nitrogen atoms and/or one oxygen or sulfur atom or one or two oxygen and/or sulfur atoms, for example tetra- and hexahydroazepinyl, such as 2,3,4,5-tetrahydro[1 H]azepin-1-, -2-, -3-, -4-, -5-, -6- or -7-yl, 3,4,5,6-tetrahydro[2H]azepin-2-, -3-, -A-, -5-, -6- or -7-yl,
2,3,4,7-tetrahydro[1 H]azepin-1-, -2-, -3-, -4-, -5-, -6- or -7-yl, 2,3,6,7-tetrahydro[1 H]azepin-1-, -2-, -3-, -4-, -5-, -6- or -7-yl, hexahydroazepin-1-, -2-, -3- or -4-yl, tetra- and hexahydrooxepinyl, such as 2,3,4,5-tetrahydro[1 H]oxepin-2-, -3-, -A-, -5-, -6- or -7-yl, 2,3,4,7-tetrahydro[1 H]oxepin-2-, -3-, -A-, -5-, -6- or -7-yl,
2,3,6,7-tetrahydro[1 H]oxepin-2-, -3-, -A-, -5-, -6- or -7-yl, hexahydroazepin-1-, -2-, -3- or -4-yl, tetra- and hexahydro-1 ,3-diazepinyl, tetra- and hexahydro-1 ,4-diazepinyl, tetra- and hexahydro-1 ,3-oxazepinyl, tetra- and hexahydro-1 ,4-oxazepinyl, tetra- and hexahydro-1 ,3-dioxepinyl, tetra- and hexahydro-1 ,4-dioxepinyl and the corresponding -ylidene radicals.
a five- or six-membered aromatic heterocycle (= heteroaromatic radical) which contains one, two, three or four heteroatoms from the group consisting of oxygen, nitrogen and sulfur, for example 5-membered heteroaryl which is attached via carbon and contains one to three nitrogen atoms or one or two nitrogen atoms and one sulfur or oxygen atom as ring members, such as 2-furyl, 3-furyl, 2-thienyl, 3-thienyl, 2-pyrrolyl, 3-pyrrolyl, 3-isoxazolyl, 4-isoxazolyl, 5-isoxazolyl, 3-isothiazolyl, 4-isothiazolyl, 5-isothiazolyl, 3-pyrazolyl, 4-pyrazolyl, 5-pyrazolyl, 2-oxazolyl, 4-oxazolyl, 5-oxazolyl, 2-thiazolyl, 4-thiazolyl, 5-thiazolyl, 2-imidazolyl, 4-imidazolyl, 1 ,2,4-oxadiazol-3-yl, 1 ,2,4-oxadiazol-5-yl, 1 ,2,4-thiadiazol-3-yl,
1 ,2,4-thiadiazol-5-yl, 1 ,2,4-triazol-3-yl, 1 ,3,4-oxadiazol-2-yl, 1 ,3,4-thiadiazol-2-yl
and 1 ,3,4-triazol-2-yl; 5-membered heteroaryl which is attached via nitrogen and contains one to three nitrogen atoms as ring members, such as pyrrol-1-yl, pyra- zol-1-yl, imidazol-1-yl, 1 ,2,3-triazol-1-yl and 1 ,2,4-triazol-1-yl; 6-membered heteroaryl, which contains one, two or three nitrogen atoms as ring members, such as pyridin-2-yl, pyridin-3-yl, pyridin-4-yl, 3-pyridazinyl, 4-pyridazinyl, 2-pyrimidinyl, 4-pyrimidinyl, 5-pyrimidinyl, 2-pyrazinyl, 1 ,3,5-triazin-2-yl and 1 ,2,4-triazin-3-yl;
C2-C5-Alkylene: divalent branched or preferably unbranched chains having 2 to 5 carbon atoms, for example CH2CH2, -CH(CH3)-, CH2CH2CH2, CH(CH3)CH2, CH2CH(CH3), CH2CH2CH2CH2, CH2CH2CH2CH2CH2.
The group -SM is more correctly spoken a group S"M+, where M+ is a metal cation equivalent or an ammonium cation as defined above. A metal cation equivalent is more correctly spoken 1/a Ma+, where a is the valence of the metal and is in general 1 , 2 or 3.
The statements below with respect to suitable and preferred features of the compounds according to the invention, especially with respect to their substituents R1, R2, R3, R4, R4a, R5, R6, R7, R8, R9, R10, R11, R12, R13, R14, R15, L1, L2, L3, L4, Ra, Rb, Rc, Rd, and the index n, and to their use, are valid both per se and, in particular, in every possible combination with one another.
In compounds IB and NB, preference is given to following isomers IB-1 and IIB-2
(IB-1 ) (IIB-2)
Accordingly, preference is given to following isomer IIIB-1 of group NIB
)
In a preferred embodiment of the invention, L2 and L3, independently of each other, are selected from hydrogen, halogen, Ci-C4-alkyl, Ci-C4-haloalkyl, Ci-C4-alkoxy and C1-C4- haloalkoxy, more preferably from hydrogen, chlorine, methyl, ethyl, isopropyl, fluoro- methyl, difluoromethyl, trifluoromethyl, 2,2,2-trifluoroethyl, 1 ,1 ,2,2-tretrafluoroethyl, methoxy, ethoxy, fluoromethoxy, difluoromethoxy, trifluoromethoxy and 2,2,2- trifluoroethoxy, in particular from hydrogen, chlorine, methyl, fluoromethyl, difluoromethyl, trifluoromethyl, methoxy, fluoromethoxy, difluoromethoxy and trifluoromethoxy and specifically from hydrogen and chlorine.
In a preferred embodiment of the invention, L1 and L4, independently of each other, are selected from hydrogen, Ci-C4-alkyl, Ci-C4-haloalkyl, Ci-C4-alkoxy and C1-C4- haloalkoxy, more preferably from hydrogen, Ci-C3-alkyl, fluoromethyl, difluoromethyl, trifluoromethyl, 2,2,2-trifluoroethyl, 1 ,1 ,2,2-tetrafluoroethyl, methoxy, ethoxy, fluoromethoxy, difluoromethoxy, trifluoromethoxy and 2,2,2-trifluoroethoxy, in particular from hydrogen, methyl, ethyl, isopropyl, trifluoromethyl, 2,2,2-trifluoroethyl, 1 ,1 ,2,2- tetrafluoroethyl, methoxy, ethoxy, trifluoromethoxy and 2,2,2-trifluoroethoxy and specifically from hydrogen and trifluoromethyl.
In a preferred embodiment of the invention at least one of L1 and L4 is not hydrogen.
In another preferred embodiment of the invention L2 and L3 are both hydrogen.
In a more preferred embodiment of the invention at least one of L1 and L4 is not hydrogen and L2 and L3 are both hydrogen. According to an even more preferred embodiment one of L1 and L4 is not hydrogen and the remaining substituents L (i.e. L2, L3 and either L1 or L4) are hydrogen.
In an alternative preferred embodiment of the invention at least one of L2 and L3 is not hydrogen.
In another alternative preferred embodiment of the invention L1 and L4 are both hydrogen.
In an alternative more preferred embodiment of the invention at least one of L2 and L3 is not hydrogen and L1 and L4 are both hydrogen. According to an even more preferred embodiment one of L2 and L3 is not hydrogen and the remaining substituents L (i.e. L1, L4 and either L2 or L3) are hydrogen.
In an alternative preferred embodiment of the invention at least one of L1 and L2 is not hydrogen and L3 and L4 are both hydrogen. According to an even more preferred embodiment one of L1 and L2 is not hydrogen and the remaining substituents L (i.e. L3, L4 and either L1 or L2) are hydrogen.
In particular, only one of L1, L2, L3 and L4 is not hydrogen.
Particularly preferred combinations of L1, L2, L3 and L4 are compiled in the table below:
R1 and R2, independently of each other, are preferably selected from hydrogen, C1-C4- alkyl, Ci-C2-haloalkyl, Ci-C4-alkoxy and Ci-C2-haloalkoxy. More preferably, R1 and R2, independently of each other, are selected from hydrogen, methyl, ethyl and trifluoro- methyl. Even more preferably, R1 and R2, independently of each other, are selected from hydrogen and methyl. In particular, R1 and R2 are both methyl.
Preferably, R3 is selected from hydrogen, Ci-C4-alkyl, Ci-C2-haloalkyl, Ci-C4-alkoxy and Ci-C2-haloalkoxy. More preferably, R3 is selected from hydrogen, methyl, ethyl and trifluoromethyl. Even more preferably, R3 is selected from hydrogen and methyl. In particular, R3 is hydrogen.
R5 in the groups -C(=O)R5 and -S(O)2R5 is preferably selected from Ci-C4-alkyl, C1-C2- haloalkyl, Ci-C4-alkoxy, Ci-C2-haloalkoxy, phenyl, phenoxy and NR9R10, more preferably from Ci-C4-alkyl, Ci-C2-haloalkyl, Ci-C4-alkoxy, Ci-C2-haloalkoxy and NR9R10 and even more preferably from Ci-C4-alkyl and NR9R10. In the group -C(=O)R5, R5 is spe- cifically C3-C4-alkyl, more specifically isopropyl, isobutyl or tert-butyl, and in the group -S(O)2R5, R5 is specifically methyl. Preferably, R9 is hydrogen and R10 is selected from hydrogen, Ci-C4-alkyl and phenyl, preferably from hydrogen and Ci-C4-alkyl.
R4 is preferably selected from hydrogen, Ci-C4-alkyl, -C(=O)R5, -S(O)2R5, -CN, M and a group of the formula III, where R5 has one of the above general meanings or, in particular, one of the above preferred meanings and M has one of the above general meanings or, in particular, one of the below-given preferred meanings.
R4 is more preferably selected from hydrogen, Ci-C4-alkyl, C3-C4-alkylcarbonyl, C1-C4- alkoxycarbonyl, -C(=O)N(H)Ci-C4-alkyl, Ci-C4-alkylsulfonyl, CN and a group of the formula III and even more preferably from hydrogen and Ci-C4-alkyl. In particular, R4 is selected from hydrogen, CN and methyl. Specifically, R4 is hydrogen.
M is preferably selected from an alkali metal cation, an earth alkaline metal cation equivalent, a cation equivalent of Cu, Zn, Fe or Ni or an ammonium cation of formula (NRaRbRcRd)+, wherein one of Ra, Rb, Rc and Rd is hydrogen and three of Ra, Rb, Rc and Rd, independently of each other, are selected from Ci-Cio-alkyl. More preferably, M is selected from Li+, Na+, K+, /4Mg2+, a cation equivalent of Cu, Zn, Fe or Ni and an ammonium cation of formula (NRaRbRcRd)+, wherein one of Ra, Rb, Rc and Rd is hydrogen
and three of Ra, Rb, Rc and Rd, independently of each other, are selected from C1-C10- alkyl. Even more preferably, M is selected from Na+, K+, YiMg2+, YiCu2+, YiZu2+, YiFe2+, /4Ni2+, triethylammonium and trimethylammonium.
In the group of formula III, the variables preferably have the same meanings as in the remainder of the molecule I. Thus, the remarks made above as to preferred meanings of the radicals apply to this moiety, too.
R4a is preferably selected from hydrogen, Ci-Cio-alkyl, Ci-C4-haloalkyl, phenyl, phenyl- Ci-C4-alkyl, and -C(=O)R5, where R5 has one of the above given general or, in particular, one of the above-given preferred meanings. More preferably, R4a is selected from hydrogen, Ci-C4-alkyl, Ci-C4-haloalkyl, phenyl, benzyl, -C(=O)R5 and -S(O)2R5, where R5 has one of the above given general or, in particular, one of the above-given preferred meanings, and more preferably from hydrogen, Ci-C4-alkyl, Ci-C4-haloalkyl and -S(O)2R5, where R5 has one of the above given general or, in particular, one of the above-given preferred meanings. In particular, R4a is hydrogen, Ci-C4-alkyl or C1-C4- haloalkyl, more particularly hydrogen or Ci-C4-alkyl and is specifically hydrogen.
If n is 1 , the oxygen atom is preferably bound via a double bond to the sulfur atom, the radical -S(O)n-R4 thus resulting in a group -S(=O)-R4. If n is 2, the two oxygen atoms are preferably both bound via a double bond to the sulfur atom, the radical -S(O)n-R4 thus resulting in a group -S(=O)2-R4. If n is 3, the radical -S(O)n-R4 is a group -S(=0)2- 0-R4.
n is preferably O.
Among compounds I and II, preference is given to compounds I. Among compounds I, preference is given to compounds IA.
Particular compounds IA are the following:
5-(2-methyl-4-chloro-benzyl)-1 -(5-mercapto-[1 ,2,4]triazol-1 -ylmethyl)-2,2- dimethylcyclopentanol;
5-(2-trifluoromethyl-4-chloro-benzyl)-1 -(5-mercapto-[1 ,2,4]triazol-1 -ylmethyl)-2,2- dimethylcyclopentanol;
5-(2-trifluoromethoxy-4-chloro-benzyl)-1 -(5-mercapto-[1 ,2,4]triazol-1 -ylmethyl)-2,2- dimethylcyclopentanol;
5-(3-methyl-4-chloro-benzyl)-1 -(5-mercapto-[1 ,2,4]triazol-1 -ylmethyl)-2,2- dimethylcyclopentanol;
5-(3-trifluoromethyl-4-chloro-benzyl)-1 -(5-mercapto-[1 ,2,4]triazol-1 -ylmethyl)-2,2- dimethylcyclopentanol;
5-(3-trifluoromethoxy-4-chloro-benzyl)-1 -(5-mercapto-[1 ,2,4]triazol-1 -ylmethyl)-2,2- dimethylcyclopentanol; and 5-(3,4-dichloro-benzyl)-1 -(5-mercapto-[1 ,2,4]triazol-1 -ylmethyl)-2,2- dimethylcyclopentanol.
Examples for preferred compound I and Il are compounds of formulae 1.1 to 1.16 and 11.1 to 11.8, where the variables have one of the general or, in particular, one of the preferred meanings given above. Examples of preferred compounds are the individual compounds compiled in the tables 1 to 688 below. Moreover, the meanings mentioned below for the individual variables in the tables are per se, independently of the combination in which they are mentioned, a particularly preferred embodiment of the sub- stituents in question.
I 5) (Il 6) (Il 7) I 8)
Table 1
Compounds of the formula 1.1 in which the combination of R1, R2, L1, L2, L3 and L4 for a compound corresponds in each case to one row of Table A and R4 is H
Table 2 Compounds of the formula 1.1 in which the combination of R1, R2, L1, L2, L3 and L4 for a compound corresponds in each case to one row of Table A and R4 is methyl
Table 3
Compounds of the formula 1.1 in which the combination of R1, R2, L1, L2, L3 and L4 for a compound corresponds in each case to one row of Table A and R4 is ethyl Table 4
Compounds of the formula 1.1 in which the combination of R1, R2, L1, L2, L3 and L4 for a compound corresponds in each case to one row of Table A and R4 is propyl
Table 5
Compounds of the formula 1.1 in which the combination of R1, R2, L1, L2, L3 and L4 for a compound corresponds in each case to one row of Table A and R4 is isopropyl
Table 6
Compounds of the formula 1.1 in which the combination of R1, R2, L1, L2, L3 and L4 for a compound corresponds in each case to one row of Table A and R4 is n-butyl
Table 7 Compounds of the formula 1.1 in which the combination of R1, R2, L1, L2, L3 and L4 for a compound corresponds in each case to one row of Table A and R4 is sec-butyl
Table 8
Compounds of the formula 1.1 in which the combination of R1, R2, L1, L2, L3 and L4 for a compound corresponds in each case to one row of Table A and R4 is isobutyl Table 9
Compounds of the formula 1.1 in which the combination of R1, R2, L1, L2, L3 and L4 for a compound corresponds in each case to one row of Table A and R4 is tert-butyl
Table 10
Compounds of the formula 1.1 in which the combination of R1, R2, L1, L2, L3 and L4 for a compound corresponds in each case to one row of Table A and R4 is phenyl
Table 11
Compounds of the formula 1.1 in which the combination of R1, R2, L1, L2, L3 and L4 for a compound corresponds in each case to one row of Table A and R4 is 4-methylphenyl
Table 12 Compounds of the formula 1.1 in which the combination of R1, R2, L1, L2, L3 and L4 for a compound corresponds in each case to one row of Table A and R4 is Li+
Table 13
Compounds of the formula 1.1 in which the combination of R1, R2, L1, L2, L3 and L4 for a compound corresponds in each case to one row of Table A and R4 is Na+
Table 14
Compounds of the formula 1.1 in which the combination of R1, R2, L1, L2, L3 and L4 for a compound corresponds in each case to one row of Table A and R4 is K+
Table 15 Compounds of the formula 1.1 in which the combination of R1, R2, L1, L2, L3 and L4 for a compound corresponds in each case to one row of Table A and R4 is YiMg2+
Table 16
Compounds of the formula 1.1 in which the combination of R1, R2, L1, L2, L3 and L4 for a compound corresponds in each case to one row of Table A and R4 is /4Cu2+ Table 17
Compounds of the formula 1.1 in which the combination of R1, R2, L1, L2, L3 and L4 for a compound corresponds in each case to one row of Table A and R4 is /4Zn2+
Table 18
Compounds of the formula 1.1 in which the combination of R1, R2, L1, L2, L3 and L4 for a compound corresponds in each case to one row of Table A and R4 is /4Fe2+
Table 19
Compounds of the formula 1.1 in which the combination of R1, R2, L1, L2, L3 and L4 for a compound corresponds in each case to one row of Table A and R4 is VzNi2+
Table 20 Compounds of the formula 1.1 in which the combination of R1, R2, L1, L2, L3 and L4 for a compound corresponds in each case to one row of Table A and R4 is NH(CH3)3+
Table 21
Compounds of the formula 1.1 in which the combination of R1, R2, L1, L2, L3 and L4 for a compound corresponds in each case to one row of Table A and R4 is NH(C2H5)3+ Table 22
Compounds of the formula 1.1 in which the combination of R1, R2, L1, L2, L3 and L4 for a compound corresponds in each case to one row of Table A and R4 is
Table 23 Compounds of the formula 1.1 in which the combination of R1, R2, L1, L2, L3 and L4 for a compound corresponds in each case to one row of Table A and R4 is NH(CH(CHs)2)3+
Table 24
Compounds of the formula 1.1 in which the combination of R1, R2, L1, L2, L3 and L4 for a compound corresponds in each case to one row of Table A and R4 is
Table 25
Compounds of the formula 1.1 in which the combination of R1, R2, L1, L2, L3 and L4 for a compound corresponds in each case to one row of Table A and R4 is methylcarbonyl
Table 26
Compounds of the formula 1.1 in which the combination of R1, R2, L1, L2, L3 and L4 for a compound corresponds in each case to one row of Table A and R4 is ethylcarbonyl
Table 27
Compounds of the formula 1.1 in which the combination of R1, R2, L1, L2, L3 and L4 for a compound corresponds in each case to one row of Table A and R4 is propylcarbonyl
Table 28
Compounds of the formula 1.1 in which the combination of R1, R2, L1, L2, L3 and L4 for a compound corresponds in each case to one row of Table A and R4 is isopropylcarbonyl
Table 29 Compounds of the formula 1.1 in which the combination of R1 , R2, L1 , L2, L3 and L4 for a compound corresponds in each case to one row of Table A and R4 is methoxycarbonyl
Table 30
Compounds of the formula 1.1 in which the combination of R1, R2, L1, L2, L3 and L4 for a compound corresponds in each case to one row of Table A and R4 is ethoxycarbonyl Table 31
Compounds of the formula 1.1 in which the combination of R1, R2, L1, L2, L3 and L4 for a compound corresponds in each case to one row of Table A and R4 is propoxycarbonyl
Table 32
Compounds of the formula 1.1 in which the combination of R1, R2, L1, L2, L3 and L4 for a compound corresponds in each case to one row of Table A and R4 is isopropoxycar- bonyl
Table 33
Compounds of the formula 1.1 in which the combination of R1, R2, L1, L2, L3 and L4 for a compound corresponds in each case to one row of Table A and R4 is phenoxycarbonyl Table 34
Compounds of the formula 1.1 in which the combination of R1, R2, L1, L2, L3 and L4 for a compound corresponds in each case to one row of Table A and R4 is methylaminocar- bonyl
Table 35 Compounds of the formula 1.1 in which the combination of R1, R2, L1, L2, L3 and L4 for a compound corresponds in each case to one row of Table A and R4 is ethylaminocar- bonyl
Table 36
Compounds of the formula 1.1 in which the combination of R1, R2, L1, L2, L3 and L4 for a compound corresponds in each case to one row of Table A and R4 is propylaminocar- bonyl
Table 37
Compounds of the formula 1.1 in which the combination of R1, R2, L1, L2, L3 and L4 for a compound corresponds in each case to one row of Table A and R4 is isopropylamino- carbonyl
Table 38 Compounds of the formula 1.1 in which the combination of R1, R2, L1, L2, L3 and L4 for a compound corresponds in each case to one row of Table A and R4 is phenylaminocar- bonyl
Table 39
Compounds of the formula 1.1 in which the combination of R1, R2, L1, L2, L3 and L4 for a compound corresponds in each case to one row of Table A and R4 is methylsulfonyl
Table 40
Compounds of the formula 1.1 in which the combination of R1, R2, L1, L2, L3 and L4 for a compound corresponds in each case to one row of Table A and R4 is ethylsulfonyl
Table 41 Compounds of the formula 1.1 in which the combination of R1 , R2, L1 , L2, L3 and L4 for a compound corresponds in each case to one row of Table A and R4 is propylsulfonyl
Table 42
Compounds of the formula 1.1 in which the combination of R1, R2, L1, L2, L3 and L4 for a compound corresponds in each case to one row of Table A and R4 is isopropylsulfonyl Table 43
Compounds of the formula 1.1 in which the combination of R1, R2, L1, L2, L3 and L4 for a compound corresponds in each case to one row of Table A and R4 is phenylsulfonyl
Table 44
Compounds of the formula 1.1 in which the combination of R1, R2, L1, L2, L3 and L4 for a compound corresponds in each case to one row of Table A and R4 is methoxysulfonyl
Table 45
Compounds of the formula 1.1 in which the combination of R1, R2, L1, L2, L3 and L4 for a compound corresponds in each case to one row of Table A and R4 is ethoxysulfonyl
Table 46 Compounds of the formula 1.1 in which the combination of R1, R2, L1, L2, L3 and L4 for a compound corresponds in each case to one row of Table A and R4 is propoxysulfonyl
Table 47
Compounds of the formula 1.1 in which the combination of R1, R2, L1, L2, L3 and L4 for a compound corresponds in each case to one row of Table A and R4 is isopropoxysul- fonyl
Table 48
Compounds of the formula 1.1 in which the combination of R1, R2, L1, L2, L3 and L4 for a compound corresponds in each case to one row of Table A and R4 is phenoxysulfonyl
Table 49
Compounds of the formula 1.1 in which the combination of R1, R2, L1, L2, L3 and L4 for a compound corresponds in each case to one row of Table A and R4 is CN
Tables 50 to 98
Compounds of the formula 1.2 in which the combination of R1, R2, L1, L2, L3 and L4 for a compound corresponds in each case to one row of Table A and R4 is as defined in any of tables 1 to 49
Tables 99 to 147
Compounds of the formula 1.3 in which the combination of R1, R2, L1, L2, L3 and L4 for a compound corresponds in each case to one row of Table A and R4 is as defined in any of tables 1 to 49
Tables 148 to 196
Compounds of the formula 1.4 in which the combination of R1, R2, L1, L2, L3 and L4 for a compound corresponds in each case to one row of Table A and R4 is as defined in any of tables 1 to 49 Tables 197 to 245
Compounds of the formula 1.5 in which the combination of R1, R2, L1, L2, L3 and L4 for a compound corresponds in each case to one row of Table A and R4 is as defined in any of tables 1 to 49
Tables 246 to 294 Compounds of the formula 1.6 in which the combination of R1, R2, L1, L2, L3 and L4 for a compound corresponds in each case to one row of Table A and R4 is as defined in any of tables 1 to 49
Tables 295 to 343
Compounds of the formula 1.7 in which the combination of R1, R2, L1, L2, L3 and L4 for a compound corresponds in each case to one row of Table A and R4 is as defined in any of tables 1 to 49
Tables 344 to 392
Compounds of the formula 1.8 in which the combination of R1, R2, L1, L2, L3 and L4 for a compound corresponds in each case to one row of Table A and R4 is as defined in any of tables 1 to 49
Table 393
Compounds of the formula 1.9 in which the combination of R1, R2, L1, L2, L3 and L4 for a compound corresponds in each case to one row of Table A
Table 394 Compounds of the formula 1.10 in which the combination of R1, R2, L1, L2, L3 and L4 for a compound corresponds in each case to one row of Table A
Table 395
Compounds of the formula 1.11 in which the combination of R1, R2, L1, L2, L3 and L4 for a compound corresponds in each case to one row of Table A
Table 396
Compounds of the formula 1.12 in which the combination of R1, R2, L1, L2, L3 and L4 for a compound corresponds in each case to one row of Table A
Table 397 Compounds of the formula 1.13 in which the combination of R1 , R2, L1 , L2, L3 and L4 for a compound corresponds in each case to one row of Table A
Table 398
Compounds of the formula 1.14 in which the combination of R1, R2, L1, L2, L3 and L4 for a compound corresponds in each case to one row of Table A Table 399
Compounds of the formula 1.15 in which the combination of R1, R2, L1, L2, L3 and L4 for a compound corresponds in each case to one row of Table A
Table 400
Compounds of the formula 1.16 in which the combination of R1, R2, L1, L2, L3 and L4 for a compound corresponds in each case to one row of Table A
Table 401
Compounds of the formula 11.1 in which the combination of R1, R2, L1, L2, L3 and L4 for a compound corresponds in each case to one row of Table A and R4a is H
Table 402 Compounds of the formula 11.1 in which the combination of R1, R2, L1, L2, L3 and L4 for a compound corresponds in each case to one row of Table A and R4a is methyl
Table 403
Compounds of the formula 11.1 in which the combination of R1, R2, L1, L2, L3 and L4 for a compound corresponds in each case to one row of Table A and R4a is ethyl Table 404
Compounds of the formula 11.1 in which the combination of R1, R2, L1, L2, L3 and L4 for a compound corresponds in each case to one row of Table A and R4a is propyl
Table 405
Compounds of the formula 11.1 in which the combination of R1, R2, L1, L2, L3 and L4 for a compound corresponds in each case to one row of Table A and R4a is isopropyl
Table 406
Compounds of the formula 11.1 in which the combination of R1, R2, L1, L2, L3 and L4 for a compound corresponds in each case to one row of Table A and R4a is n-butyl
Table 407 Compounds of the formula 11.1 in which the combination of R1, R2, L1, L2, L3 and L4 for a compound corresponds in each case to one row of Table A and R4a is sec-butyl
Table 408
Compounds of the formula 11.1 in which the combination of R1, R2, L1, L2, L3 and L4 for a compound corresponds in each case to one row of Table A and R4a is isobutyl
Table 409
Compounds of the formula 11.1 in which the combination of R1, R2, L1, L2, L3 and L4 for a compound corresponds in each case to one row of Table A and R4a is tert-butyl
Table 410 Compounds of the formula 11.1 in which the combination of R1, R2, L1, L2, L3 and L4 for a compound corresponds in each case to one row of Table A and R4a is phenyl
Table 41 1
Compounds of the formula 11.1 in which the combination of R1, R2, L1, L2, L3 and L4 for a compound corresponds in each case to one row of Table A and R4a is 4-methylphenyl Table 412
Compounds of the formula 11.1 in which the combination of R1, R2, L1, L2, L3 and L4 for a compound corresponds in each case to one row of Table A and R4a is methylcarbonyl
Table 413
Compounds of the formula 11.1 in which the combination of R1, R2, L1, L2, L3 and L4 for a compound corresponds in each case to one row of Table A and R4a is ethylcarbonyl
Table 414
Compounds of the formula 11.1 in which the combination of R1, R2, L1, L2, L3 and L4 for a compound corresponds in each case to one row of Table A and R4a is propylcarbonyl
Table 415 Compounds of the formula 11.1 in which the combination of R1, R2, L1, L2, L3 and L4 for a compound corresponds in each case to one row of Table A and R4a is isopropylcar- bonyl
Table 416
Compounds of the formula 11.1 in which the combination of R1, R2, L1, L2, L3 and L4 for a compound corresponds in each case to one row of Table A and R4a is methoxycarbonyl
Table 417
Compounds of the formula 11.1 in which the combination of R1, R2, L1, L2, L3 and L4 for a compound corresponds in each case to one row of Table A and R4a is ethoxycarbonyl
Table 418 Compounds of the formula 11.1 in which the combination of R1, R2, L1, L2, L3 and L4 for a compound corresponds in each case to one row of Table A and R4a is propoxycarbonyl
Table 419
Compounds of the formula 11.1 in which the combination of R1, R2, L1, L2, L3 and L4 for a compound corresponds in each case to one row of Table A and R4a is isopropoxycar- bonyl
Table 420
Compounds of the formula 11.1 in which the combination of R1, R2, L1, L2, L3 and L4 for a compound corresponds in each case to one row of Table A and R4a is phenoxycarbonyl
Table 421
Compounds of the formula 11.1 in which the combination of R1, R2, L1, L2, L3 and L4 for a compound corresponds in each case to one row of Table A and R4a is methylamino- carbonyl
Table 422 Compounds of the formula 11.1 in which the combination of R1, R2, L1, L2, L3 and L4 for a compound corresponds in each case to one row of Table A and R4a is ethylaminocar- bonyl
Table 423
Compounds of the formula 11.1 in which the combination of R1, R2, L1, L2, L3 and L4 for a compound corresponds in each case to one row of Table A and R4a is propylaminocar- bonyl
Table 424
Compounds of the formula 11.1 in which the combination of R1, R2, L1, L2, L3 and L4 for a compound corresponds in each case to one row of Table A and R4a is isopropylamino- carbonyl
Table 425
Compounds of the formula 11.1 in which the combination of R1, R2, L1, L2, L3 and L4 for a compound corresponds in each case to one row of Table A and R4a is phenylamino- carbonyl Table 426
Compounds of the formula 11.1 in which the combination of R1, R2, L1, L2, L3 and L4 for a compound corresponds in each case to one row of Table A and R4a is methylsulfonyl
Table 427
Compounds of the formula 11.1 in which the combination of R1, R2, L1, L2, L3 and L4 for a compound corresponds in each case to one row of Table A and R4a is ethylsulfonyl
Table 428
Compounds of the formula 11.1 in which the combination of R1, R2, L1, L2, L3 and L4 for a compound corresponds in each case to one row of Table A and R4a is propylsulfonyl
Table 439 Compounds of the formula 11.1 in which the combination of R1, R2, L1, L2, L3 and L4 for a compound corresponds in each case to one row of Table A and R4a is isopropylsulfonyl
Table 430
Compounds of the formula 11.1 in which the combination of R1, R2, L1, L2, L3 and L4 for a compound corresponds in each case to one row of Table A and R4a is phenylsulfonyl Table 431
Compounds of the formula 11.1 in which the combination of R1, R2, L1, L2, L3 and L4 for a compound corresponds in each case to one row of Table A and R4a is methoxysulfonyl
Table 432
Compounds of the formula 11.1 in which the combination of R1, R2, L1, L2, L3 and L4 for a compound corresponds in each case to one row of Table A and R4a is ethoxysulfonyl
Table 433
Compounds of the formula 11.1 in which the combination of R1, R2, L1, L2, L3 and L4 for a compound corresponds in each case to one row of Table A and R4a is propoxysulfonyl
Table 434
Compounds of the formula 11.1 in which the combination of R1, R2, L1, L2, L3 and L4 for a compound corresponds in each case to one row of Table A and R4a is isopropoxysul- fonyl Table 435
Compounds of the formula 11.1 in which the combination of R1, R2, L1, L2, L3 and L4 for a compound corresponds in each case to one row of Table A and R4a is phenoxysulfonyl
Table 436
Compounds of the formula 11.1 in which the combination of R1, R2, L1, L2, L3 and L4 for a compound corresponds in each case to one row of Table A and R4a is CN
Tables 437 to 472
Compounds of the formula 11.2 in which the combination of R1, R2, L1, L2, L3 and L4 for a compound corresponds in each case to one row of Table A and R4a is as defined in any of tables 401 to 436 Tables 473 to 508
Compounds of the formula 11.3 in which the combination of R1, R2, L1, L2, L3 and L4 for a compound corresponds in each case to one row of Table A and R4a is as defined in any of tables 401 to 436
Tables 509 to 544 Compounds of the formula 11.4 in which the combination of R1, R2, L1, L2, L3 and L4 for a compound corresponds in each case to one row of Table A and R4a is as defined in any of tables 401 to 436
Tables 545 to 580
Compounds of the formula 11.5 in which the combination of R1, R2, L1, L2, L3 and L4 for a compound corresponds in each case to one row of Table A and R4a is as defined in any of tables 401 to 436
Tables 581 to 616
Compounds of the formula 11.6 in which the combination of R1, R2, L1, L2, L3 and L4 for a compound corresponds in each case to one row of Table A and R4a is as defined in any of tables 401 to 436
Tables 617 to 652
Compounds of the formula 11.7 in which the combination of R1, R2, L1, L2, L3 and L4 for a compound corresponds in each case to one row of Table A and R4a is as defined in any of tables 401 to 436
Tables 653 to 688
Compounds of the formula 11.8 in which the combination of R1, R2, L1, L2, L3 and L4 for a compound corresponds in each case to one row of Table A and R4a is as defined in any of tables 401 to 436
Table A
Compounds of formulae I and Il can be prepared by one or more of the following methods and variations as described in schemes 1 to 13 and in the syntheses descriptions below. The variables are as defined above for formulae I and II.
Compounds of formula IA, wherein R4 is H and n is 0 (= compounds IA') (or compounds NA, wherein R4a is H), can be prepared by sulfurizing the corresponding triazole derivative 7 as outlined in scheme 1. Sulfurization can be carried out in analogy to known processes, for example as described in WO 96/38423. For instance, the triazolyl ring can be first deprotonated with a strong base, e.g. an organolithium base, such as n-butyllithium, tert-butyllithium or sec-butyllithium, lithium diisopropyl amide, sodium hydride, sodium amide or potassium tert-butylate mixed with tetramethylethylene diamine (TMEDA), and then the resulting anion is reacted with elemental sulfur. Sulfur is generally used in powdered form. The reaction is generally carried out in an inert sol- vent, such as ethers, e.g. diethylether, methyl-tert-butylether, tetrahydrofuran or diox- ane, dimethoxyethane, liquid ammonia, dimethylsulfoxide or dimethylformamide. The reaction temperature is not very critical and can range, for example, from -70 to +50 0C, preferably from -70 to 00C. Alternatively, sulfurization can be carried out in the absence of a base by reacting 7 with elemental sulfur in a high-boiling solvent, such as N- methylpyrrolidinone, dioxane or N,N-dimethylformamide, while heating. After completion of the reaction, the resulting mixture is hydrolyzed, e.g. by the addition of water or an aqueous acid, such as a mineral acid (e.g. dilute sulphuric acid or hydrochloric acid), acetic acid or ammoniumchloride, to give compound I.
The triazole compound 7 can be prepared in analogy to known methods, such as described, for example, in EP-A-0267778. For instance, the oxirane compound 6 and [1 ,2,4]-1 H-triazole can be reacted in the presence of a base, such as an alkali metal hydride (e.g. sodium hydride, potassium hydride), an alkali metal hydroxide (e.g. sodium hydroxide, potassium hydroxide), or an alkali metal carbonate (e.g. sodium car- bonate, potassium carbonate, caesium carbonate). The reaction is suitably carried out in a solvent. Suitable solvents are, for example, toluene, N-methypyrrolidinone, ethers (e.g. diethyl ether, tetrahydrofuran), acetonitrile, or N,N-dimethylformamide.
The oxirane 6 in turn can be prepared in analogy to known methods, such as de- scribed, for example, in EP-A-0267778, Org. Syn. 49, 78 (1968) or J. Am. Chem. Soc. 1975, 1353. For instance, the cyclopentanone 5 may be reacted with sulfonium ylide or an oxosulfonium ylide, such as dimethyloxosulfonium methylide or dimethylsulfonium methylide in a solvent. Alternatively, the oxirane 6 can be prepared in an epoxidation reaction in analogy to the method described in Tetrahedron Lett. 23, 5283 (1982) or in EP-A-0655443 by subjecting 5 to the reaction with a trimethylsulfonium salt, such as trimethylsulfonium bromide, trimethylsulfonium iodide or methyltrimethylsulfonium sulfate, in the presence of a metal oxide, such as alkaline metal oxides (e.g. sodium oxide, potassium oxide), alkaline earth metal oxides (e.g. magnesium oxide, calcium oxide, barium oxide) or zinc oxide, and optionally a base, such as alkali metal hydrides
(e.g. sodium hydride, potassium hydride), alkali metal hydroxides (e.g. sodium hydroxide, potassium hydroxide), alkali metal carbonates (e.g. sodium carbonate, potassium carbonate, caesium carbonate) in a two-phase solid/liquid system comprising an organic solvent, such as toluene, N-methypyrrolidinone, ethers (e.g. diethyl ether, tetra- hydrofuran), acetonitrile or N,N-dimethylformamide. Alternatively, the oxirane 6 can be prepared in analogy to the method described in Tetrahedron 1985, 1259 by epoxidation of 5 with a trimethylsulfonium salt, such as trimethylsulfonium bromide, trimethylsulfo- nium iodide or methyltrimethylsulfonium sulfate, or a trimethylsulfoxonium salt, such as trimethylsulfoxonium bromide, trimethylsulfoxonium iodide or methyltrimethylsulfoxon- ium sulfate and potassium sulfate/aluminium oxide.
The cyclopentanone 5 can be obtained from the cyclopentanone 4 by ester hydrolysis and subsequent decarboxylation. Ester hydrolysis can be performed under standard conditions, such as basic hydrolysis using a suitable base, such as an alkali metal hy- droxide (e.g. sodium hydroxide, potassium hydroxide) or an alkali metal carbonate (e.g. sodium carbonate, potassium carbonate, caesium carbonate) in water. Decarboxylation takes place when the resulting acid is heated in the presence of a base, e.g. one of the above-named bases.
The cyclopentanone 4 can be prepared from the cyclopentanone 3 by reacting the latter with a compound R2X, wherein X is a leaving group, such as a halide (e.g. Cl, Br, I), a tosylate or a mesylate, in the presence of a base. Suitable bases are, for example, alkali metal alkoxides (e.g. sodium methoxide, potassium methoxide, sodium methox- ide, potassium ethoxide, potassium tert-butoxide) and alkali metal hydrides (e.g. so- dium hydride, potassium hydride). The reaction is generally carried out in a solvent, such as an alcohol (e.g. methanol, ethanol), an ether (e.g. diethyl ether, tetrahydrofu- ran), N-methylpyrrolidinone or N,N-dimethylformamide.
The cyclopentanone 3 can be prepared from the cyclopentanone 1 by alkylating this with a compound 2, wherein Y is a leaving group, such as a halide (e.g. Cl, Br, I), a tosylate or a mesylate, in the presence of a base. Suitable bases are, for example, alkali metal alkoxides (e.g. sodium methoxide, potassium methoxide, sodium methoxide, potassium ethoxide, potassium tert-butoxide) and alkali metal hydrides (e.g. sodium hydride, potassium hydride). The reaction is generally carried out in a solvent, such as an alcohol (e.g. methanol, ethanol), an ether (e.g. diethyl ether, tetrahydrofuran), N- methylpyrrolidinone, N,N-dimethylformamide or dichloromethane.
Compound 1 can be prepared in analogy to the method described in J. Org. Chem. 1983, 48(7), 1 125 as outlined in scheme 2 below. The adipic diester β is cyclized to 9 in a Dieckmann condensation in the presence of a base. Suitable bases are, for exam- pie, alkali metal alkoxides (e.g. sodium methoxide, potassium methoxide, sodium methoxide, potassium ethoxide, potassium tert-butoxide). The condensation is generally carried out in a suitable solvent, such as an alcohol (e.g. methanol, ethanol), an ether (e.g. diethyl ether, tetrahydrofuran) or N-methylpyrrolidinone. Alternatively, cycli- zation is carried out in the presence of a Lewis acid, such as aluminium trichloride or boron tribromide, a transition metal salt, such as silver salts, iron salts, copper salts, gold salts, cobalt salts, platinum salts (e.g. Ag2θ, AgCIO4, FeCb, NiCb, CuBr2, CuCb, Cu(OAc)2, CuSO4, CuI), and a base, especially an organolithium base (e.g. lithium diisopropyl amine), in a suitable solvent, such as an ether (e.g. diethyl ether, tetrahydrofuran), toluene, N-methylpyrrolidinone or dichloromethane. 9 is then reacted with a compound R1X, wherein X is a leaving group, such as a halide (e.g. Cl, Br, I), a tosylate or a mesylate, in the presence of a suitable base, such as an alkali metal alkoxide (e.g. sodium methoxide, potassium methoxide, sodium methoxide, potassium ethoxide, potassium tert-butoxide). The alkylation reaction is generally carried out in a suitable solvent, such as an alcohol (e.g. methanol, ethanol), an ether (e.g. diethyl ether, tetrahy- drofuran) or N-methylpyrrolidinone.
As an alternative to the process described in scheme 1 , compound 5 can also be prepared in analogy to the method described in EP-A-0329397 as outlined in scheme 3 below. The cyclopentanone 10 can be reacted with the benzaldehyde derivative 11 in an aldol condensation under standard conditions. The reaction is generally carried out under basic conditions, e.g. by using an alkali metal hydroxide (e.g. sodium hydroxide, potassium hydroxide), an alkali metal alkoxide (e.g. sodium methoxide, potassium methoxide, sodium ethoxide, potassium ethoxide, potassium tert-butoxide) or an alkali methal hydride (e.g. sodium hydride, potassium hydride), in a suitable solvent, such as alcohols (e.g. methanol, ethanol, tert-butanol) or ethers (e.g. tetrahydrofuran). Reduction of the aldol condensate 12 under standard hydrogenation conditions, e.g. using a palladium or nickel catalyst, yields 5.
Scheme 3
Compound 10 can be prepared in analogy to the method described in Tetrahedron 1998, 54 (28), 8075 as outlined in scheme 4 below. 4-Chlorobutanal is reacted with an alkali metal cyanide M1CN, such as NaCN or KCN, to yield the corresponding cyanhy- drine, which is then O-protected to yield the cyanhydrine ether 13. Cyclization in the presence of a base, especially an organolithium base (e.g. lithium diisopropyl amine) or sodium hexamethyldisilazane, in an ether solvent (e.g. diethyl ether, tetrahydronfuran) yields 14, which is selectively reduced first to 15, then to 16. Deprotection of the hy- droxyl group to 17 and oxidative ring enlargement finally yields 10.
10
Compound 10, wherein R1 is CH3 (= 10") can be alternatively prepared in analogy to the method described in WO 95/09830 as outlined in scheme 5 below. Catalytical C-C- coupling of the butadiene derivative 18 to the acetoacetate derivative 17, wherein R' is d-Cβ-alkyl or Ci-Cβ-alkoxy and R is Ci-Cβ-alkyl, yields the double bond isomers 19 and 20. Suitable catalysts are rhodium complexes with phosphine ligands, which are mostly generated in situ from Rhodium compounds, such as Rh2θ3, RhCb, RhBr3, Rh2(SO4H (Rh(CO)4)4, (Rh(CO)2CI)2, Rh(CH3CO2)3, Rh(NOs)3 or (Rh(C8Hi2CI)2, and phosphine salts, such as the sodium, potassium, calcium, barium, ammonium, tetramethylammi- noum or tetraethylammonium salts of triphenylphosphine, (sulfophenyl)diphenyl- phosphine, di(sulfophenyl)phenylphosphine or tri(sulfophenyl)phosphine. The reaction is generally carried out in a biphasic aqueous/organic solvent system. Advantageously, the addition reaction is carried out in a basic medium in order to facilitate deprotonation of the methylene group of the acetoacetate derivative 17. Suitable bases are for example water-soluble inorganic bases, such as alkali metal hydroxides (e.g. sodium hydroxide, potassium hydroxide), carbonates (e.g. sodium carbonate, potassium carbonate, caesium carbonate) or hydrogen carbonates (e.g. sodium hydrogen carbonate, potassium hydrogen carbonate, caesium hydrogen carbonate), which are used in aqueous solution. In case R' is an alkyl group, the resulting compounds 19 and 20 are subjected to a basic deacylation. Suitable bases are especially alkali metal alcoholates, such as sodium methanolate, sodium ethanolate or potassium tert-butylate in the respective alcohol. The deacylated compounds 21 and 22 are then hydrolyzed to the respective acids 23 and 24. Hydrolysis is generally carried out in a basic medium using, for exam- pie, the same bases as described above for the addition reaction. In case R' is an alkoxy group, it is more favourable to first hydrolyse the two ester groups and then to decarboxylate the resulting diacids to yield the monoacids 23 and 24. Hydroformylation of 23 and 24 using either formic acid and water or gaseous CO in the presence of a
strong acid (e.g. hydrochloric acid, hydrobromic acid, nitric acid, sulfuric acid) or a strong base (sodium hydroxide, potassium hydroxide) as a catalyst yields the diacid 25. Cyclisation of 25 under acidic conditions (such as hydrochloric acid, hydrobromic acid, sulfuric acid, nitric acid) in a polar solvent, such as methanol, ethanol, isopropanol or tert-butanol, finally yields the cyclopentanone 10".
Scheme 5
21 22
ester CH, O CH, O hydrolysis CO
R' OH R' OH
23 24
As an alternative to the process described in scheme 1 , the oxirane 6 can be prepared in analogy to the method described in Org. Syn. 40, 66, 1966, J. Org. Chem. 28, 1128, 1963 and Org. Syn. Coll. Vol. 4, 552, 1963 as outlined in scheme 6 below by first subjecting the cyclopentanone 5 to a Wittig reaction, thus yielding the corresponding exo- methylene compound 41 , and then subjecting this to an epoxidation reaction. The Wit- tig reaction can be carried out under standard conditions, such as the use of methyl- triphenylphosphonium bromide or iodide in the presence of an alkali metal base, such as n-butyllithium, sec-butyllithium or tert-butyllithium. Epoxidation can also be carried out with standard reagents, such as peracetic acid, perbenzoic acid meta- chloroperbenzoic acid, perphthalic acid and the like. Olefination (i.e. transformation of the C=O into a C=CHb group) of 5 can alternatively be achieved by the use of Tebbe's reagent ((C5Hs)2TiCH2CIAI(CHs)2).
Scheme 6
As an alternative to the process described in scheme 1 , compound 7 can also be prepared in analogy to the method as outlined in scheme 7 below. After epoxidation of cyclopentanone 12, which can be carried out as described in scheme 1 above, the resulting epoxide 26 can be reacted with [1 ,2,4]-1 H-triazole in analogy to the procedure described in scheme 1 for 6. Reduction of the resulting compound 27 can be carried out as a standard hydrogenation in the presence of a palladium or nickel catalyst, as described above for scheme 3, or can be carried out by using metal hydrides (e.g. sodium borohydride, lithium aluminium hydride) to yield 7. The cyclopentanone 12 can be prepared as described above in scheme 3.
Scheme 7
27
As an alternative to the process described in scheme 1 , compound 7 can also be pre- pared in analogy to the method described in EP-A-0357404, EP-A-0576834 and EP-A- 0648751 as outlined in scheme 8 below. Alkylation of 28 with 2, wherein Y is a leaving group, such as a halide (e.g. Cl, Br, I), a tosylate or a mesylate, after deprotonation of the activated methylene group with a base in a suitable solvent yields 29. Suitable bases are for example alkali metal alkoxides (e.g. sodium methoxide, potassium meth- oxide, sodium ethoxide, potassium ethoxide, potassium tert-butoxide), alkali metal hydrides (e.g. sodium hydride, potassium hydride) or alkali metal carbonates (e.g. sodium carbonate, potassium carbonate, caesium carbonate). Suitable solvents are for exam-
pie alcohols (e.g. methanol, ethanol, tert-butanol), ethers (e.g. tetrahydrofuran), N, N- dimethylformamide or N-methylpyrrolidinone. Transformation into the corresponding enol ether 30, wherein R is Ci-C4-alkyl, especially methyl or ethyl, with an alcohol (such as methanol, ethanol, propanol, isopropanol, butanol or tert-butanol, especially metha- nol or ethanol) in the presence of an acid (e.g. hydrochloric acid, hydrobromic acid, sulfuric acid, p-toluenesulfonic acid) and subsequent reduction, for example with a complex metal hydride, such as sodium borohydride or lithium aluminium hydride, yields the cyclohexenone 31. Halogenation with bromine or iodine in the presence of an acid (e.g. hydrobromic acid, acetic acid) results in 32, wherein A and B are Br or I. This is then subjected to a Favorskii rearrangement with an alkali metal alkoholate, such as sodium methoxide, sodium ethoxide, potassium methoxide or potassium eth- oxide, in the corresponding alcohol (i.e. M3 = e.g. Na or K; R' = e.g. methyl, ethyl) to give the ester-subsituted cyclopentene 33. Epoxidation of the cyclopentene double bond under standard conditions, for example with peracetic acid, perbenzoic acid, m- chloroperbenzoic acid or perphthalic acid, yields 34, which is reduced to the diol 35, for example using a complex metal hydride, such as sodium borohydride or lithium aluminium hydride. After transformation of the hydroxyl group bound to the methylene group into a leaving group, such as a halide (e.g. Cl, Br, I), a tosylate or a mesylate, the resulting compound 36 (D = leaving group, e.g. a halide (e.g. Cl, Br, I), a tosylate or a mesylate) is reacted with [1 ,2,4]-1 H-triazole in analogy to the reaction of 6 described in scheme 1 to give compound 7.
Scheme 8
Favorskii halogenation rearrangement
epoxidation
As an alternative to the process described in scheme 1 , compound 36 can also be prepared in analogy to the method as outlined in scheme 9 below. The epoxide 6 is either first opened under acid conditions in water: e.g. hydrochloric acid, hydrobromic acid, acetic acid, sulfuric acid or p-toluenesulfonic acid, to give 35, which is then converted into 36 as described above for scheme 8, or 6 is directly opened to 36 by using a suitable source of Ch, Br or h
Scheme 9
As an alternative to the process described in scheme 1 , compounds IA, wherein R4 is H and n is 0 (or compounds NA, wherein R4a is H), can also be prepared in analogy to the method described in WO 99/18088 as outlined in scheme 10 below. Epoxide opening of 6 with hydrazine; optionally in the presence of an acid (e.g. hydrochloric acid, hydro- bromic acid, acetic acid, sulfuric acid or p-toluenesulfonic acid) or a base (e.g. triethyl- amine, diisopropylethylamine, sodium carbonate or potassium carbonate) in a suitable solvent, such as an alcohol (e.g. methanol, ethanol, isopropanol, tert-butanol), N- methylpyrrolidinone, an ether (e.g. diethyl ether, tetrahydrofuran, dioxane, 1 ,2- dimethoxyethane), acetonitrile, N,N-dimethylformamide or dimethylsulfoxide, yields 37. This is then converted into the semicarbazide 38 by reaction with a thiocyanate, such as sodium thiocyanate, potassium thiocyanate or ammonium thiocyanate (i.e. M+ = e.g. Na+, K+, NH4 +), in a suitable solvent, such as an alcohol (e.g. methanol, ethanol, isopropanol, tert-butanol), N-methylpyrrolidinone, an ether (e.g. diethyl ether, tetrahydrofuran, dioxane, 1 ,2-dimethoxyethane), acetonitrile, N,N-dimethylformamide, dimethylsul- foxide, toluene or xylene. The semicarbazide is then converted into IA1 via reaction with a formic acid alkyl ester (e.g. formic acid methyl ester, formic acid ethyl ester) in a solvent. Suitable solvents are, for example, alcohols (e.g. methanol, ethanol, isopropanol, tert-butanol), N-methylpyrrolidinone, ethers (e.g. diethyl ether, tetrahydrofuran, dioxane, 1 ,2-dimethoxyethane), acetonitrile, N,N-dimethylformamide, dimethylsulfoxide, toluene or xylene. Alternatively, 37 can be reacted with hydrogen thiocyanate and formaldehyde in a solvent. Suitable solvents are, for example, alcohols (e.g. methanol, ethanol, isopropanol, tert-butanol), N-methylpyrrolidinone, ethers (e.g. diethyl ether, tetrahydrofuran, dioxane, 1 ,2-dimethoxyethane), acetonitrile, N,N-dimethylformamide, dimethylsulfoxide, toluene or xylene. The resulting triazolidinthione 39 is then oxidized using, for example, FeCb in an aqueous acid (e.g. hydrochloric acid) or oxygen in the presence of an alkali metal hydroxide (e.g. sodium hydroxide, potassium hydroxide) and elemental sulfur to IA1. In a yet further alternative, 37 is reacted with a dialkyl ketone (e.g. acetone, diethylketone, methyl ethyl ketone) and a thiocyanate (e.g. sodium thiocyanate, potassium thiocyanate, ammonium thiocyanate) in a solvent to give the triazolidinthione 40. Suitable solvents are, for example, alcohols (e.g. methanol, ethanol, isopropanol, tert-butanol), N-methylpyrrolidinone, ethers (e.g. diethyl ether, tetrahydrofuran, dioxane, 1 ,2-dimethoxyethane), acetonitrile, N,N-dimethylformamide, dimethylsulfoxide, toluene or xylene. The triazolidinthione 40 is then converted into IA1 by reaction with formic acid in the presence of an acid (e.g. hydrochloric acid, hydrobromic acid, acetic acid, sulfuric acid, p-toluenesulfonic acid) or a metal oxide (e.g. amorphous TiO2).
As an alternative to the process described in scheme 1 , compounds IA and IB, wherein R4 is H and n is 0 (= compounds IA and IB') (or compounds NA and NB, wherein R4a is H), can also be prepared in analogy to the method described in WO 99/18088 as outlined in scheme 11 below. Epoxide opening of 26 with hydrazine; optionally in the presence of an acid (e.g. hydrochloric acid, hydrobromic acid, acetic acid, sulfuric acid or p-toluenesulfonic acid) or a base (e.g. triethylamine, diisopropylethylamine, sodium carbonate or potassium carbonate) in a suitable solvent, such as an alcohol (e.g. methanol, ethanol, isopropanol, tert-butanol), N-methylpyrrolidinone, an ether (e.g. diethyl ether, tetrahydrofuran, dioxane, 1 ,2-dimethoxyethane), acetonitrile, N,N-dimethyl- formamide or dimethylsulfoxide, yields 42. This is then converted into the semicarba- zide 43 by reaction with a thiocyanate, such as sodium thiocyanate, potassium thiocy- anate or ammonium thiocyanate (i.e. M+ = e.g. Na+, K+, NH4 +), in a suitable solvent, such as an alcohol (e.g. methanol, ethanol, isopropanol, tert-butanol), N- methylpyrrolidinone, an ether (e.g. diethyl ether, tetrahydrofuran, dioxane, 1 ,2- dimethoxyethane), acetonitrile, N,N-dimethylformamide, dimethylsulfoxide, toluene or xylene. The semicarbazide is then converted into IB1 via reaction with a formic acid
alkyl ester (e.g. formic acid methyl ester, formic acid ethyl ester) in a solvent. Suitable solvents are, for example, alcohols (e.g. methanol, ethanol, isopropanol, tert-butanol), N-methylpyrrolidinone, ethers (e.g. diethyl ether, tetrahydrofuran, dioxane, 1 ,2- dimethoxyethane), acetonitrile, N,N-dimethylformamide, dimethylsulfoxide, toluene or xylene. Alternatively, 42 can be reacted with hydrogen thiocyanate and formaldehyde in a solvent. Suitable solvents are, for example, alcohols (e.g. methanol, ethanol, isopropanol, tert-butanol), N-methylpyrrolidinone, ethers (e.g. diethyl ether, tetrahydrofuran, dioxane, 1 ,2-dimethoxyethane), acetonitrile, N,N-dimethylformamide, dimethylsulfoxide, toluene or xylene. The resulting triazolidinthione 44 is then oxidized using, for example, FeCb in aqueous acid (e.g. hydrochloric acid) or oxygen in the presence of an alkali metal hydroxide (e.g. sodium hydroxide, potassium hydroxide) and elemental sulfur to IB1. In a yet further alternative, 42 is reacted with a dialkyl ketone (e.g. acetone, diethylketone, methyl ethyl ketone) and a thiocyanate (e.g. sodium thiocyanate, potassium thiocyanate, ammonium thiocyanate) in a solvent to give the triazolidinthione 45. Suitable solvents are, for example, alcohols (e.g. methanol, ethanol, isopropanol, tert-butanol), N-methylpyrrolidinone, ethers (e.g. diethyl ether, tetrahydrofuran, dioxane, 1 ,2-dimethoxyethane), acetonitrile, N,N-dimethylformamide, dimethylsulfoxide, toluene or xylene. The triazolidinthione 45 is then converted into IB1 by reaction with formic acid in the presence of an acid (e.g. hydrochloric acid, hydrobromic acid, acetic acid, sulfuric acid, p-toluenesulfonic acid) or a metal oxide (e.g. amorphous Tiθ2). IB1 can be converted into IA1 by hydrogenation using a palladium or nickel catalyst or by reduction with a complex metal hydride (e.g. sodium borohydride, lithium aluminium hydride)
Scheme 1 1
As an alternative to the process described in scheme 1 1 , compounds IB, wherein R4 is H and n is 0 (= compounds IB') (or compounds NB, wherein R4a is H), can also be prepared as outlined in scheme 12 below by sulfurizing compound 27 in analogy to the method described for the conversion of 7 to IA1 in scheme 1.
Scheme 12
Compounds 27 can be prepared as shown in scheme 7 or in scheme 13 below by either first opening the epoxide 26 under acidic conditions in water, e.g. hydrochloric
acid, hydrobromic acid, acetic acid, sulfuric acid or p-toluenesulfonic acid, to give 46, which is then converted into 47 as described above for scheme 8, or by directly opening 26 to 47 by using a suitable source of Ch, Br or h 47 is then reacted with [1 ,2,4]- 1 H-triazole in analogy to the reaction of 6 described in scheme 1 to yield 27.
Scheme 13
The benzylic compounds 2 and the carbonyl-substituted benzene compounds 11 used in the above reactions are either commercially available or can be produced by standard methods known to the skilled person.
Compounds of formulae IA and IB, wherein R4 is different from hydrogen and n is 0, can be prepared from compounds IA' and IB' (wherein R4 = H and n = 0).
Compounds of formulae IA and IB, wherein n is 0 and R4 is Ci-Cio-alkyl, C1-C10- haloalkyl, C2-Cio-alkenyl, C2-Cio-haloalkenyl, C2-Cio-alkynyl, C2-Cio-haloalkynyl, C3-C10- cycloalkyl, C3-Cio-halocycloalkyl, phenyl, phenyl-Ci-C4-alkyl, where the phenyl moiety in the 2 last-mentioned radicals may be substituted as described above, and a 5- or 6- membered saturated, partially unsaturated or aromatic heterocyclic ring containing 1 , 2 or 3 heteroatoms selected from N, O and S as ring members, where the heterocyclic ring may be substituted as described above, may be prepared in analogy to the method described in DE-A-19520098 by reacting a compound IA' or IB' with a compound R4- LG, where R4 has one of the above meanings and LG is a leaving group, such as a halide (e.g. Cl, Br, I), a tosylate or a mesylate, in the presence of a base. Suitable bases are, for example, alkali metal hydrides (e.g. sodium hydride, potassium hydride), alkali metal hydroxides (e.g. sodium hydroxide, potassium hydroxide), alkali metal carbonates (e.g. sodium carbonate, potassium carbonate, caesium carbonate), alkali metal alkoxides (e.g. sodium methoxide, potassium methoxide, sodium ethoxide, potassium ethoxide, potassium tert-butoxide) or organolithium bases (e.g. n-butyl lithium,
sec-butyl lithium, tert-butyl lithium and lithium diisopropylamine.). The reaction is generally carried out in a suitable solvent. Suitable solvents are, for example, toluene, N- methylpyrrolidinone, ethers (e.g. diethyl ether, tetrahydrofuran, dioxane, 1 ,2- dimethoxyethane), acetonitrile, N,N-dimethylformamide or dimethylsulfoxide.
Compounds of formulae IA and IB, wherein n is 0 and R4 is -C(=O)R5 or -C(=S)R5, may be prepared in analogy to the method described in DE-A-19617461 by reacting a compound IA' or IB' with a compound R5-C(=0)-W, R5-C(=S)-W, R5'-N=C=O or R5'-N=C=S, wherein R5 has one of the above meanings, R5' is Ci-Cio-alkyl or Ci-Cio-haloalkyl and W is a good leaving group, such as a halide (e.g. Cl, Br, I), an alkoxide (e.g. methoxide, ethoxide) or pentafluorophenoxide, in the presence of a base. Suitable bases are, for example, alkali metal hydrides (e.g. sodium hydride, potassium hydride), alkali metal hydroxides (e.g. sodium hydroxide, potassium hydroxide), alkali metal carbonates (e.g. sodium carbonate, potassium carbonate, caesium carbonate), alkali metal alkoxides (e.g. sodium methoxide, potassium methoxide, sodium ethoxide, potassium ethoxide, potassium tert-butoxide) or organolithium bases (e.g. n-butyl lithium, sec-butyl lithium, tert-butyl lithium, lithium diisopropylamine). The reaction is generally carried out in a suitable solvent. Suitable solvents are, for example, toluene, N-methylpyrrolidinone, ethers (e.g. diethyl ether, tetrahydrofuran, dioxane, 1 ,2-dimethoxyethane), acetonitrile, N,N-dimethylformamide or dimethylsulfoxide.
Compounds of formulae IA and IB, wherein n is 0 and R4 is -SO2R5, may be prepared in analogy to the method described in DE-A-19620590 by reacting a compound IA' or IB' with a compound R5-SC"2-W, wherein R5 has one of the above meanings and W is a good leaving group, such as a halide (e.g. Cl, Br, I), an alkoxide (e.g. methoxide, ethoxide) or pentafluorophenoxide, in the presence of a base. Suitable bases are, for example, alkali metal hydrides (e.g. sodium hydride, potassium hydride), alkali metal hydroxides (e.g. sodium hydroxide, potassium hydroxide), alkali metal carbonates (e.g. sodium carbonate, potassium carbonate, caesium carbonate), alkali metal alkoxides (e.g. sodium methoxide, potassium methoxide, sodium ethoxide, potassium ethoxide, potassium tert-butoxide) or organolithium bases (e.g. n-butyl lithium, sec-butyl lithium, tert- butyl lithium, lithium diisopropylamine). The reaction is generally carried out in a suitable solvent. Suitable solvents are, for example, toluene, N-methylpyrrolidinone, ethers (e.g. diethyl ether, tetrahydrofuran, dioxane, 1 ,2-dimethoxyethane), acetonitrile, N, N- dimethylformamide or dimethylsulfoxide.
Compounds of formulae IA and IB, wherein n is 0 and R4 is -CN, may be prepared in analogy to the method described in DE-A-19620407 by reacting a compound IA' or IB' with a compound CN-W, wherein W is a good leaving group, such as a halide (e.g. Cl,
Br, I), in the presence of a base. Suitable bases are, for example, alkali metal hydrides (e.g. sodium hydride, potassium hydride), alkali metal hydroxides (e.g. sodium hydroxide, potassium hydroxide), alkali metal carbonates (e.g. sodium carbonate, potassium carbonate, caesium carbonate), alkali metal alkoxides (e.g. sodium methoxide, potas- sium methoxide, sodium ethoxide, potassium ethoxide, potassium tert-butoxide) or organolithium bases (e.g. n-butyl lithium, sec-butyl lithium, tert-butyl lithium, lithium diisopropylamine). The reaction is generally carried out in a suitable solvent. Suitable solvents are, for example, toluene, N-methylpyrrolidinone, ethers (e.g. diethyl ether, tetrahydrofuran, dioxane, 1 ,2-dimethoxyethane), acetonitrile, N,N-dimethylformamide or dimethylsulfoxide.
Compounds of formulae IA and IB, wherein n is 0 and R4 is M, may be prepared in analogy to the method described in DE-A-19617282 by reacting a compound IA' or IB' with an amine NRaRbRc, wherein Ra, Rb and Rc are as defined above, or with a metal salt, such as sodium hydroxide, potassium hydroxide or copper acetate.
Compounds of formulae IA and IB, wherein n is 0 and R4 is a group of formula III, may be prepared in analogy to the method described in WO 97/43269 by reacting a compound IA' or IB' with a halogen, especially iodine, in the presence of a base. Suitable bases are, for example, alkali metal hydrides (e.g. sodium hydride, potassium hydride), alkali metal hydroxides (e.g. sodium hydroxide, potassium hydroxide), alkali metal carbonates (e.g. sodium carbonate, potassium carbonate, caesium carbonate), alkali metal alkoxides (e.g. sodium methoxide, potassium methoxide, sodium ethoxide, potassium ethoxide, potassium tert-butoxide) or organolithium bases (e.g. n-butyl lithium, sec-butyl lithium, tert-butyl lithium, lithium diisopropylamine). The reaction is generally carried out in a suitable solvent. Suitable solvents are, for example, toluene, N- methylpyrrolidinone, ethers (e.g. diethyl ether, tetrahydrofuran, dioxane, 1 ,2- dimethoxyethane), acetonitrile, N,N-dimethylformamide or dimethylsulfoxide.
Compounds of formulae IA and IB, wherein n is 0 and R4 is -P(=Q)R6R7, may be prepared in analogy to the method described in WO 99/05149.
Compounds of formulae IA and IB, wherein R4 is hydrogen (or compounds NA and NB, wherein R4a is hydrogen), can be prepared in analogy to the method described in WO 99/18078 by reacting a triazolidinthione 39 or 44 either with an oxidizing agent, optionally in the presence of a catalyst. Suitable oxidizing agents are, for example, oxygen, sulfur and potassium superoxide. Especially in case oxygen is used as oxidizing agent, it is advantageous to carry out the oxidation reaction in the presence of a catalyst. A suitable catalyst is, for example, a mixture of powdery sulfur and KOH. The reaction is
generally carried out in a suitable solvent. Suitable solvents are, for example, aliphatic hydrocarbons (e.g. pentane, hexane), cycloaliphatic hydrocarbons (e.g. cyclohexane), aromatic hydrocarbons (e.g. bemzene, toluene, the xylenes), ethers (e.g. diethylether, methyl-tert-butylether), and esters (e.g. ethylecetate, propylacetate, n-butylacetate).
The oxidation of the triazolidinthione 39 or 44 may also be carried out with ferric chloride (FeCb) in an acidic aqueous solution in analogy to the method described in WO 01/46158. The reaction is generally carried out in a suitable solvent. Suitable solvents are, for example, ethanol, ethylacetate and mixtures of ethanol with toluene.
The oxidation of the triazolidinthione 39 or 44 may also be carried out with formic acid, optionally in the presence of a catalyst, in analogy to the method described in WO 99/18086 or WO 99/18088. Suitable catalysts are, for example, acids, like hydrochloric acid, sulfuric acid or p-toluenesulfonic acid, and metal oxides, like amorphous titanium dioxide. The reaction is generally carried out in a suitable solvent. Suitable solvents are weakly polar solvents like, for example, alcohols such as propanol, butanol and pen- tanol, esters, like ethyl acetate, butyl acetate and isobutyl formate, ethers, like 1 ,2- dimethoxyethane, methyl-tert-butyl ether and methyl-tert-amylether, and formic acid used in excess.
Compounds of formulae NA and NB, wherein R4a is different from hydrogen, can be prepared by reacting the NR4a group, wherein R4a is H, in analogy to the above- described conversion of compounds IA' and IB', wherein R4 is H, into compounds, wherein R4 is different from H.
Compounds I, wherein n is 1 or 2, can be prepared from respective compounds, wherein n is 0 by oxidation. Alternatively, compounds I, wherein n is 2, can be prepared from compounds 7 or 27 by first deprotonating the triazolyl ring and then reacting with a sulfonyl chloride R4Sθ2CI. Compounds I, wherein n is 3, can be prepared from com- pounds 7 or 27 by first deprotonating the triazolyl ring and then reacting with sulfuric acid chloride or a sulfuric ester chloride of formula R4OSθ2CI, wherein R4 is selected from hydrogen, Ci-Cio-alkyl, Ci-Cio-haloalkyl, C2-Cio-alkenyl, C2-Cio-haloalkenyl, C2- Cio-alkynyl, C2-Cio-haloalkynyl, C3-Cio-cycloalkyl, C3-Cio-halocycloalkyl, phenyl, phenyl-Ci-C4-alkyl, where the phenyl moiety in the 2 last-mentioned radicals may be substituted as mentioned above, and a 5- or 6-membered saturated, partially unsaturated or aromatic heterocyclic ring containing 1 , 2 or 3 heteroatoms selected from N, O and S, wherein the heterocyclic ring may be substituted as mentioned above.
If individual compounds cannot be prepared via the above-described routes, they can be prepared by derivatization of other compounds I and Il or by customary modifications of the synthesis routes described.
The reaction mixtures are worked up in the customary manner, for example by mixing with water, separating the phases, and, if appropriate, purifying the crude products by chromatography, for example on alumina or silica gel. Some of the intermediates and end products may be obtained in the form of colorless or pale brown viscous oils, which are freed or purified from volatile components under reduced pressure and at moderately elevated temperature. If the intermediates and end products are obtained as solids, they may be purified by recrystallization or digestion.
A further aspect of the invention relates to compounds of formula IV
wherein R1, R2, R3, L1, L2, L3 and L4 have one of the general or, in particular, one of the preferred meanings given above for compounds I and II; except for the compound, wherein
R1 and R2 are both methyl, R3 is hydrogen, L1, L3 and L4 are hydrogen, L2 is chlorine and is a double bond.
Preferred compounds IV are compounds IVA
wherein R1, R2, R3, L1, L2, L3 and L4 have one of the general or, in particular, one of the preferred meanings given above for compounds I and II.
Alternatively preferred are compounds IV, wherein R1, R2, R3, L1 and L4 have one of the general or, in particular, one of the preferred meanings given above for compounds I and Il and L2 and L3 are selected from hydrogen, fluorine, bromine, iodine, Ci-Cio-alkyl, Ci-Cio-haloalkyl, Ci-Cio-alkoxy and Ci-Cio-haloalkoxy.
Compounds IV are on the one side valuable intermediates in the preparation of compounds I and Il (see compounds 7 and 27), but on the other side show a remarkable fungicidal activity, too.
Particularly preferred compounds IV are compounds of formulae IV.1 to IV.8, wherein the combination of R1, R2, L1, L2, L3 and L4 corresponds in each case to one row in table A above.
(IV 5) (IV 6) (IV 7) (IV 8)
A further aspect of the invention relates to compounds of formula V
wherein R1, R2, R3, L1, L2, L3 and L4 have one of the general or, in particular, one of the preferred meanings given above for compounds I and Il preferably except for the compound, wherein
R1 and R2 are both methyl, R3 is hydrogen, L1, L3 and L4 are hydrogen, L2 is chlorine and is a double bond.
Preferred compounds V are compounds VA
wherein R1, R2, R3, L1, L2, L3 and L4 have one of the general or, in particular, one of the preferred meanings given above for compounds I and II.
Compounds V are valuable intermediates in the preparation of compounds I and Il (see compounds 6 and 26).
A further aspect of the invention relates to compounds of formula Vl
wherein R1, R2, R3, L1, L2, L3 and L4 have one of the general or, in particular, one of the preferred meanings given above for compounds I and II; preferably except for the compound, wherein
R1 and R2 are both methyl, R3 is hydrogen, L1, L3 and L4 are hydrogen, L2 is chlorine and is a double bond.
Preferred compounds Vl are compounds VIA
wherein R1, R2, R3, L1, L2, L3 and L4 have one of the general or, in particular, one of the preferred meanings given above for compounds I and II.
Compounds Vl are valuable intermediates in the preparation of compounds I and Il (see compounds 41 )
A further aspect of the invention relates to compounds of formula VII
wherein R1, R2, R3, L1, L2, L3 and L4 have one of the general or, in particular, one of the preferred meanings given above for compounds I and Il and
R14 is H or C(O)OR15, where
R15 is selected from hydrogen, Ci-Cio-alkyl, Ci-Cio-haloalkyl, C3-Cio-cycloalkyl, C3-Cio-halocycloalkyl, phenyl, phenyl-Ci-C4-alkyl, where the phenyl moiety in the 2 last-mentioned radicals may carry 1 , 2, 3, 4 or 5 substituents R8, and a 5- or 6-membered saturated, partially unsaturated or aromatic heterocyclic ring containing 1 , 2 or 3 heteroatoms selected from N, O and S as ring members, where the heterocyclic ring may carry 1 , 2 or 3 substituents R8, where R8 is as defined above.
Compounds VII are valuable intermediates in the preparation of compounds I and Il (see compounds 4).
A further aspect of the invention relates to compounds of formula VIII
wherein R1, R3, L1, L2, L3 and L4 have one of the general or, in particular, one of the preferred meanings given above for compounds I and Il and R14 is as defined above.
Compounds VIII are valuable intermediates in the preparation of compounds I and Il (see compounds 3).
A further aspect of the invention relates to compounds of formula IX
wherein R1, R2, R3, L1, L2, L3 and L4 have one of the general or, in particular, one of the preferred meanings given above for compounds I and II; except for the compound, wherein
R1 and R2 are both methyl, R3 is hydrogen, L1, L3 and L4 are hydrogen, L2 is chlorine and is a double bond.
Compounds IX are valuable intermediates in the preparation of compounds I and Il (see compounds 5 and 12).
As a matter of course, the above proviso for compounds I and Il (namely that at least one of L1, L2, L3 and L4 is not hydrogen), is valid for compounds IV, IVA, V, VA, Vl, VIA, VII1 VIII and IX, too.
The invention further refers to an agricultural composition comprising at least one compound of formula I, Il and/or IV as defined above or an agriculturally acceptable salt thereof and a liquid or solid carrier. Suitable carriers, as well as auxiliaries and further active compounds which may also be contained in the composition of the invention are defined below.
The compounds I and Il as well as IV and the compositions according to the invention, respectively, are suitable as fungicides. They are distinguished by an outstanding effectiveness against a broad spectrum of phytopathogenic fungi, including soil-borne fungi, which derive especially from the classes of the Plasmodiophoromycetes, Per- onosporomycetes (syn. Oomycetes), Chytridiomycetes, Zygomycetes, Ascomycetes, Basidiomycetes and Deuteromycetes (syn. Fungi imperfecti). Some are systemically effective and they can be used in crop protection as foliar fungicides, fungicides for
seed dressing and soil fungicides. Moreover, they are suitable for controlling harmful fungi, which inter alia occur in wood or roots of plants.
The compounds 1, 11 and IV and the compositions according to the invention are par- ticularly important in the control of a multitude of phytopathogenic fungi on various cultivated plants, such as cereals, e. g. wheat, rye, barley, triticale, oats or rice; beet, e. g. sugar beet or fodder beet; fruits, such as pomes, stone fruits or soft fruits, e. g. apples, pears, plums, peaches, almonds, cherries, strawberries, raspberries, blackberries or gooseberries; leguminous plants, such as lentils, peas, alfalfa or soybeans; oil plants, such as rape, mustard, olives, sunflowers, coconut, cocoa beans, castor oil plants, oil palms, ground nuts or soybeans; cucurbits, such as squashes, cucumber or melons; fiber plants, such as cotton, flax, hemp or jute; citrus fruit, such as oranges, lemons, grapefruits or mandarins; vegetables, such as spinach, lettuce, asparagus, cabbages, carrots, onions, tomatoes, potatoes, cucurbits or paprika; lauraceous plants, such as avocados, cinnamon or camphor; energy and raw material plants, such as corn, soybean, rape, sugar cane or oil palm; corn; tobacco; nuts; coffee; tea; bananas; vines (table grapes and grape juice grape vines); hop; turf; natural rubber plants or ornamental and forestry plants, such as flowers, shrubs, broad-leaved trees or evergreens, e. g. conifers; and on the plant propagation material, such as seeds, and the crop material of these plants.
Preferably, compounds I, Il and IV and compositions thereof, respectively are used for controlling a multitude of fungi on field crops, such as potatoes sugar beets, tobacco, wheat, rye, barley, oats, rice, corn, cotton, soybeans, rape, legumes, sunflowers, coffee or sugar cane; fruits; vines; ornamentals; or vegetables, such as cucumbers, tomatoes, beans or squashes.
The term "plant propagation material" is to be understood to denote all the generative parts of the plant such as seeds and vegetative plant material such as cuttings and tubers (e. g. potatoes), which can be used for the multiplication of the plant. This includes seeds, roots, fruits, tubers, bulbs, rhizomes, shoots, sprouts and other parts of plants, including seedlings and young plants, which are to be transplanted after germination or after emergence from soil. These young plants may also be protected before transplantation by a total or partial treatment by immersion or pouring.
Preferably, treatment of plant propagation materials with compounds I, Il and IV and compositions thereof, respectively, is used for controlling a multitude of fungi on cereals, such as wheat, rye, barley and oats; rice, corn, cotton and soybeans.
The term "cultivated plants" is to be understood as including plants which have been modified by breeding, mutagenesis or genetic engineering including but not limiting to agricultural biotech products on the market or in development (cf. http://www.bio.org/speeches/pubs/er/agrLproducts.asp). Genetically modified plants are plants, which genetic material has been so modified by the use of recombinant DNA techniques that under natural circumstances cannot readily be obtained by cross breeding, mutations or natural recombination. Typically, one or more genes have been integrated into the genetic material of a genetically modified plant in order to improve certain properties of the plant. Such genetic modifications also include but are not Nm- ited to targeted post-translational modification of protein(s), oligo- or polypeptides e. g. by glycosylation or polymer additions such as prenylated, acetylated or farnesylated moieties or PEG moieties.
Plants that have been modified by breeding, mutagenesis or genetic engineering, e. g. have been rendered tolerant to applications of specific classes of herbicides, such as hydroxyphenylpyruvate dioxygenase (HPPD) inhibitors; acetolactate synthase (ALS) inhibitors, such as sulfonyl ureas (see e. g. US 6,222,100, WO 01/82685, WO 00/26390, WO 97/41218, WO 98/02526, WO 98/02527, WO 04/106529, WO 05/20673, WO 03/14357, WO 03/13225, WO 03/14356, WO 04/16073) or imida- zolinones (see e. g. US 6,222,100, WO 01/82685, WO 00/026390, WO 97/41218, WO 98/002526, WO 98/02527, WO 04/106529, WO 05/20673, WO 03/014357, WO 03/13225, WO 03/14356, WO 04/16073); enolpyruvylshikimate-3-phosphate synthase (EPSPS) inhibitors, such as glyphosate (see e. g. WO 92/00377); glutamine synthetase (GS) inhibitors, such as glufosinate (see e.g. EP-A 242 236, EP-A 242 246) or oxynil herbicides (see e. g. US 5,559,024) as a result of conventional methods of breeding or genetic engineering. Several cultivated plants have been rendered tolerant to herbicides by conventional methods of breeding (mutagenesis), e. g. Clearfield® summer rape (Canola, BASF SE, Germany) being tolerant to imidazolinones, e. g. imazamox. Genetic engineering methods have been used to render cultivated plants, such as soybean, cotton, corn, beets and rape, tolerant to herbicides such as glyphosate and glufosinate, some of which are commercially available under the trade names RoundupReady® (glyphosate-tolerant, Monsanto, U.S.A.) and LibertyLink® (glufosinate- tolerant, Bayer CropScience, Germany).
Furthermore, plants are also covered that, by the use of recombinant DNA techniques, are capable to synthesize one or more insecticidal proteins, especially those known from the bacterial genus Bacillus, particularly from Bacillus thuringiensis, such as δ-endotoxins, e. g. CrylA(b), CrylA(c), CrylF, CrylF(a2), CryllA(b), CrylllA, CrylllB(bi ) or Cryθc; vegetative insecticidal proteins (VIP), e. g. VIP1 , VIP2, VIP3 or VIP3A; insec-
ticidal proteins of bacteria colonizing nematodes, e. g. Photorhabdus spp. or Xenor- habdus spp.; toxins produced by animals, such as scorpion toxins, arachnid toxins, wasp toxins, or other insect-specific neurotoxins; toxins produced by fungi, such Strep- tomycetes toxins, plant lectins, such as pea or barley lectins; agglutinins; proteinase inhibitors, such as trypsin inhibitors, serine protease inhibitors, patatin, cystatin or papain inhibitors; ribosome-inactivating proteins (RIP), such as ricin, maize-RIP, abrin, luffin, saporin or bryodin; steroid metabolism enzymes, such as 3-hydroxysteroid oxidase, ecdysteroid-IDP-glycosyl-transferase, cholesterol oxidases, ecdysone inhibitors or HMG-CoA-reductase; ion channel blockers, such as blockers of sodium or calcium channels; juvenile hormone esterase; diuretic hormone receptors (helicokinin receptors); stilben synthase, bibenzyl synthase, chitinases or glucanases. In the context of the present invention these insecticidal proteins or toxins are to be understood expressly also as pre-toxins, hybrid proteins, truncated or otherwise modified proteins. Hybrid proteins are characterized by a new combination of protein domains, (see, e. g. WO 02/015701 ). Further examples of such toxins or genetically modified plants capable of synthesizing such toxins are disclosed, e. g., in EP-A 374 753, WO 93/007278, WO 95/34656, EP-A 427 529, EP-A 451 878, WO 03/18810 und WO 03/52073. The methods for producing such genetically modified plants are generally known to the person skilled in the art and are described, e. g., in the publications mentioned above. These insecticidal proteins contained in the genetically modified plants impart to the plants producing these proteins tolerance to harmful pests from all taxonomic groups of arthropods, especially to beetles (Coleoptera), two-winged insects (Diptera), and moths (Lepidoptera) and to nematodes (Nematoda). Genetically modified plants capable to synthesize one or more insecticidal proteins are, e. g., described in the publications mentioned above, and some of them are commercially available such as YieldGard® (corn cultivars producing the CryiAb toxin), YieldGard® Plus (corn cultivars producing Cry1 Ab and Cry3Bb1 toxins), Starlink® (corn cultivars producing the Cry9c toxin), Her- culex® RW (corn cultivars producing Cry34Ab1 , Cry35Ab1 and the enzyme Phosphi- nothricin-N-Acetyltransferase [PAT]); NuCOTN® 33B (cotton cultivars producing the Cry1 Ac toxin), Bollgard® I (cotton cultivars producing the CryiAc toxin), Bollgard® Il (cotton cultivars producing CryiAc and Cry2Ab2 toxins); VIPCOT® (cotton cultivars producing a VIP-toxin); NewLeaf® (potato cultivars producing the Cry3A toxin); Bt- Xtra®, NatureGard®, KnockOut®, BiteGard®, Protecta®, Bt 1 1 (e. g. Agrisure® CB) and Bt176 from Syngenta Seeds SAS, France, (corn cultivars producing the CryiAb toxin and PAT enyzme), MIR604 from Syngenta Seeds SAS, France (corn cultivars producing a modified version of the Cry3A toxin, c.f. WO 03/018810), MON 863 from Monsanto Europe S.A., Belgium (corn cultivars producing the Cry3Bb1 toxin), IPC 531 from Monsanto Europe S.A., Belgium (cotton cultivars producing a modified version of the
CryiAc toxin) and 1507 from Pioneer Overseas Corporation, Belgium (corn cultivars producing the Cry1 F toxin and PAT enzyme).
Furthermore, plants are also covered that, by the use of recombinant DNA techniques, are capable to synthesize one or more proteins to increase the resistance or tolerance of those plants to bacterial, viral or fungal pathogens. Examples of such proteins are the so-called "pathogenesis-related proteins" (PR proteins, see, e. g. EP-A 392 225), plant disease resistance genes (e. g. potato cultivars, which express resistance genes acting against Phytophthora infestans derived from the Mexican wild potato Solanum bulbocastanum) or T4-lysozym (e. g. potato cultivars capable of synthesizing these proteins with increased resistance against bacteria such as Erwinia amylvora). The methods for producing such genetically modified plants are generally known to the person skilled in the art and are described, e. g., in the publications mentioned above.
Furthermore, plants are also covered that, by the use of recombinant DNA techniques, are capable to synthesize one or more proteins to increase the productivity (e. g. bio mass production, grain yield, starch content, oil content or protein content), tolerance to drought, salinity or other growth-limiting environmental factors or tolerance to pests and fungal, bacterial or viral pathogens of those plants.
Furthermore, plants are also covered that, by the use of recombinant DNA techniques, contain a modified amount of substances of content or new substances of content, specifically to improve human or animal nutrition, e. g. oil crops that produce health- promoting long-chain omega-3 fatty acids or unsaturated omega-9 fatty acids (e. g. Nexera® rape, DOW Agro Sciences, Canada).
Furthermore, plants are also covered that, by the use of recombinant DNA techniques, contain a modified amount of substances of content or new substances of content, specifically to improve raw material production, e. g. potatoes that produce increased amounts of amylopectin (e. g. Amflora® potato, BASF SE, Germany).
The compounds I, Il and IV and compositions thereof, respectively, are particularly suitable for controlling the following plant diseases:
Albugo spp. (white rust) on ornamentals, vegetables (e. g. A. Candida) and sunflowers (e. g. A. tragopogonis); Altemaria spp. (Alternaria leaf spot) on vegetables, rape {A. brassicola or brassicae), sugar beets {A. tenuis), fruits, rice, soybeans, potatoes (e. g. A. solani or A. alternata), tomatoes (e. g. A. solani or A. alternata) and wheat; Aphano- myces spp. on sugar beets and vegetables; Ascochyta spp. on cereals and vegetables,
e. g. A. tritici (anthracnose) on wheat and A. hordei on barley; Bipolaris and Drechslera spp. (teleomorph: Cochliobolus spp.), e. g. Southern leaf blight (D. maydis) or Northern leaf blight (β. zeicola) on corn, e. g. spot blotch (β. sorokiniana) on cereals and e.g. B. oryzae on rice and turfs; Blumeria (formerly Erysiphe) graminis (powdery mildew) on cereals (e. g. on wheat or barley); Botrytis cinerea (teleomorph: Botryotinia fuckeliana: grey mold) on fruits and berries (e. g. strawberries), vegetables (e. g. lettuce, carrots, celery and cabbages), rape, flowers, vines, forestry plants and wheat; Bremia lactucae (downy mildew) on lettuce; Ceratocystis (syn. Ophiostoma) spp. (rot or wilt) on broad- leaved trees and evergreens, e. g. C. ulmi (Dutch elm disease) on elms; Cercospora spp. (Cercospora leaf spots) on corn (e.g. Gray leaf spot: C. zeae-maydis), rice, sugar beets (e. g. C. beticola), sugar cane, vegetables, coffee, soybeans (e. g. C. sojina or C. kikuchii) and rice; Cladosporium spp. on tomatoes (e. g. C. fulvum: leaf mold) and cereals, e. g. C. herbarum (black ear) on wheat; Claviceps purpurea (ergot) on cereals; Cochliobolus (anamorph: Helminthosporium of Bipolaris) spp. (leaf spots) on corn (C. carbonum), cereals (e. g. C. sativus, anamorph: B. sorokiniana) and rice (e. g. C. miy- abeanus, anamorph: H. oryzae); Colletotrichum (teleomorph: Glomerella) spp. (anthracnose) on cotton (e. g. C. gossypii), corn (e. g. C. graminicola: Anthracnose stalk rot), soft fruits, potatoes (e. g. C. coccodes: black dot), beans (e. g. C. lindemuthianum) and soybeans (e. g. C. truncatum or C. gloeosporioides); Corticium spp., e. g. C. sa- sakii (sheath blight) on rice; Corynespora cassiicola (leaf spots) on soybeans and ornamentals; Cycloconium spp., e. g. C. oleaginum on olive trees; Cylindrocarpon spp. (e. g. fruit tree canker or young vine decline, teleomorph: Nectria or Neonectria spp.) on fruit trees, vines (e. g. C. liriodendri, teleomorph: Neonectria liriodendri: Black Foot Disease) and ornamentals; Dematophora (teleomorph: Rosellinia) necatrix (root and stem rot) on soybeans; Diaporthe spp., e. g. D. phaseolorum (damping off) on soybeans; Drechslera (syn. Helminthosporium, teleomorph: Pyrenophora) spp. on corn, cereals, such as barley (e. g. D. teres, net blotch) and wheat (e. g. D. tritici-repentis: tan spot), rice and turf; Esca (dieback, apoplexy) on vines, caused by Formitiporia (syn. Phellinus) punctata, F. mediterranea, Phaeomoniella chlamydospora (earlier Phaeo- acremonium chlamydosporum), Phaeoacremonium aleophilum and/or Botryosphaeria obtusa; Elsinoe spp. on pome fruits (E. pyri), soft fruits (E. veneta: anthracnose) and vines (E ampelina: anthracnose); Entyloma oryzae (leaf smut) on rice; Epicoccum spp. (black mold) on wheat; Erysiphe spp. (powdery mildew) on sugar beets (E. betae), vegetables (e. g. E. pisi), such as cucurbits (e. g. E. cichoracearum), cabbages, rape (e. g. E. cruciferarum); Eutypa lata (Eutypa canker or dieback, anamorph: Cytosporina lata, syn. Libertella blepharis) on fruit trees, vines and ornamental woods; Exserohilum (syn. Helminthosporium) spp. on corn (e. g. E. turcicum); Fusarium (teleomorph: Gib- berella) spp. (wilt, root or stem rot) on various plants, such as F. graminearum or F. culmorum (root rot, scab or head blight) on cereals (e. g. wheat or barley), F. oxy-
sporum on tomatoes, F. solani on soybeans and F. verticillioides on corn; Gaeumanno- myces graminis (take-all) on cereals (e. g. wheat or barley) and corn; Gibberella spp. on cereals (e. g. G. zeae) and rice (e. g. G. fujikuroi: Bakanae disease); Glomerella cingulata on vines, pome fruits and other plants and G. gossypii on cotton; Grain- staining complex on rice; Guignardia bidwellii (black rot) on vines; Gymnosporangium spp. on rosaceous plants and junipers, e. g. G. sabinae (rust) on pears; Helmintho- sporium spp. (syn. Drechslera, teleomorph: Cochliobolus) on corn, cereals and rice; Hemileia spp., e. g. H. vastatrix (coffee leaf rust) on coffee; lsariopsis clavispora (syn. Cladosporium vitis) on vines; Macrophomina phaseolina (syn. phaseoli) (root and stem rot) on soybeans and cotton; Microdochium (syn. Fusarium) nivale (pink snow mold) on cereals (e. g. wheat or barley); Microsphaera diffusa (powdery mildew) on soybeans; Monilinia spp., e. g. M. laxa, M. fructicola and M. fructigena (bloom and twig blight, brown rot) on stone fruits and other rosaceous plants; Mycosphaerella spp. on cereals, bananas, soft fruits and ground nuts, such as e. g. M. graminicola (anamorph: Septoria tritici, Septoria blotch) on wheat or M. fijiensis (black Sigatoka disease) on bananas; Peronospora spp. (downy mildew) on cabbage (e. g. P. brassicae), rape (e. g. P. parasitica), onions (e. g. P. destructor), tobacco (P. tabacina) and soybeans (e. g. P. manshurica); Phakopsora pachyrhizi and P. meibomiae (soybean rust) on soybeans; Phialophora spp. e. g. on vines (e. g. P. tracheiphila and P. tetraspora) and soybeans (e. g. P. gregata: stem rot); Phoma lingam (root and stem rot) on rape and cabbage and P. betae (root rot, leaf spot and damping-off) on sugar beets; Phomopsis spp. on sunflowers, vines (e. g. P. viticola: can and leaf spot) and soybeans (e. g. stem rot: P. phaseoli, teleomorph: Diaporthe phaseolorum); Physoderma maydis (brown spots) on corn; Phytophthora spp. (wilt, root, leaf, fruit and stem root) on various plants, such as paprika and cucurbits (e. g. P. capsici), soybeans (e. g. P. megasperma, syn. P. sojae), potatoes and tomatoes (e. g. P. infestans: late blight) and broad-leaved trees (e. g. P. ramorum: sudden oak death); Plasmodiophora brassicae (club root) on cabbage, rape, radish and other plants; Plasmopara spp., e. g. P. viticola (grapevine downy mildew) on vines and P. halstedii on sunflowers; Podosphaera spp. (powdery mildew) on rosa- ceous plants, hop, pome and soft fruits, e. g. P. leucotricha on apples; Polymyxa spp., e. g. on cereals, such as barley and wheat (P. graminis) and sugar beets (P. betae) and thereby transmitted viral diseases; Pseudocercosporella herpotrichoides (eyespot, teleomorph: Tapesia yallundae) on cereals, e. g. wheat or barley; Pseudoperonospora (downy mildew) on various plants, e. g. P. cubensis on cucurbits or P. humili ou hop; Pseudopezicula tracheiphila (red fire disease or , rotbrenner' , anamorph: Phialophora) on vines; Puccinia spp. (rusts) on various plants, e. g. P. triticina (brown or leaf rust), P. striiformis (stripe or yellow rust), P. hordei (dwarf rust), P. graminis (stem or black rust) or P. recondita (brown or leaf rust) on cereals, such as e. g. wheat, barley or rye, and asparagus (e. g. P. asparagi); Pyrenophora (anamorph: Drechslera) tritici-
repentis (tan spot) on wheat or P. teres (net blotch) on barley; Pyricularia spp., e. g. P. oryzae (teleomorph: Magnaporthe grisea, rice blast) on rice and P. grisea on turf and cereals; Pythium spp. (damping-off) on turf, rice, corn, wheat, cotton, rape, sunflowers, soybeans, sugar beets, vegetables and various other plants (e. g. P. ultimum or P. aphanidermatum); Ramularia spp., e. g. R. collo-cygni (Ram ularia leaf spots, Physiological leaf spots) on barley and R. beticola on sugar beets; Rhizoctonia spp. on cotton, rice, potatoes, turf, corn, rape, potatoes, sugar beets, vegetables and various other plants, e. g. R. solani (root and stem rot) on soybeans, R. so/an/ (sheath blight) on rice or R. cerealis (Rhizoctonia spring blight) on wheat or barley; Rhizopus stolonifer (black mold, soft rot) on strawberries, carrots, cabbage, vines and tomatoes; Rhynchosporium secalis (scald) on barley, rye and triticale; Sarocladium oryzae and S. attenuatum (sheath rot) on rice; Sclerotinia spp. (stem rot or white mold) on vegetables and field crops, such as rape, sunflowers (e. g. S. sclerotiorum) and soybeans (e. g. S. rolfsii or S. sclerotiorum); Septoria spp. on various plants, e. g. S. glycines (brown spot) on soy- beans, S. tritici (Septoria blotch) on wheat and S. (syn. Stagonospora) nodorum
(Stagonospora blotch) on cereals; Uncinula (syn. Erysiphe) necator (powdery mildew, anamorph: Oidium tuckeri) on vines; Setospaeria spp. (leaf blight) on corn (e. g. S. turcicum, syn. Helminthosporium turcicum) and turf; Sphacelotheca spp. (smut) on corn, (e. g. S. miliaria: head smut), sorghum und sugar cane; Sphaerotheca fuliginea (powdery mildew) on cucurbits; Spongospora subterranea (powdery scab) on potatoes and thereby transmitted viral diseases; Stagonospora spp. on cereals, e. g. S. nodorum (Stagonospora blotch, teleomorph: Leptosphaeria [syn. Phaeosphaeria] nodorum) on wheat; Synchytrium endobioticum on potatoes (potato wart disease); Taphrina spp., e. g. T. deformans (leaf curl disease) on peaches and T. pruni (plum pocket) on plums; Thielaviopsis spp. (black root rot) on tobacco, pome fruits, vegetables, soybeans and cotton, e. g. T. basicola (syn. Chalara elegans); Tilletia spp. (common bunt or stinking smut) on cereals, such as e. g. T. tritici (syn. T. caries, wheat bunt) and T. controversa (dwarf bunt) on wheat; Typhula incarnata (grey snow mold) on barley or wheat; Um- cystis spp., e. g. U. occulta (stem smut) on rye; Ummyces spp. (rust) on vegetables, such as beans (e. g. U. appendiculatus, syn. U. phaseoli) and sugar beets (e. g. U. betae); Ustilago spp. (loose smut) on cereals (e. g. U. nuda and U. avaenae), corn (e. g. U. maydis: corn smut) and sugar cane; Venturia spp. (scab) on apples (e. g. V. inaequalis) and pears; and Verticillium spp. (wilt) on various plants, such as fruits and ornamentals, vines, soft fruits, vegetables and field crops, e. g. V. dahliae on straw- berries, rape, potatoes and tomatoes.
The compounds I, Il and IV and compositions thereof, respectively, are also suitable for controlling harmful fungi in the protection of stored products or harvest and in the protection of materials. The term "protection of materials" is to be understood to denote
the protection of technical and non-living materials, such as adhesives, glues, wood, paper and paperboard, textiles, leather, paint dispersions, plastics, colling lubricants, fiber or fabrics, against the infestation and destruction by harmful microorganisms, such as fungi and bacteria. As to the protection of wood and other materials, the par- ticular attention is paid to the following harmful fungi: Ascomycetes such as Ophio- stoma spp., Cerafocysf/s spp., Aureobasidium pullulans, Sclerophoma spp., Chae- tomium spp., Humicola spp., Petriella spp., Trichurus spp.; Basidiomycetes such as Coniophora spp., Coriolus spp., Gloeophyllum spp., Lentinus spp., Pleurotus spp., Po- ria spp., Serpula spp. and Tyromyces spp., Deuteromycetes such as Aspergillus spp., Cladosporium spp., Penicillium spp., Trichorma spp., Altemaria spp., Paecilomyces spp. and Zygomycetes such as Mucorspp., and in addition in the protection of stored products and harvest the following yeast fungi are worthy of note: Candida spp. and Saccharomyces cerevisae.
The compounds I, Il and IV and compositions thereof, respectively, may be used for improving the health of a plant. The invention also relates to a method for improving plant health by treating a plant, its propagation material and/or the locus where the plant is growing or is to grow with an effective amount of compounds I, Il and/or IV and compositions thereof, respectively.
The term "plant health" is to be understood to denote a condition of the plant and/or its products which is determined by several indicators alone or in combination with each other such as yield (e. g. increased biomass and/or increased content of valuable ingredients), plant vigor (e. g. improved plant growth and/or greener leaves ("greening effect")), quality (e. g. improved content or composition of certain ingredients) and tolerance to abiotic and/or biotic stress. The above identified indicators for the health condition of a plant may be interdependent or may result from each other.
The compounds of formula I, Il and IV can be present in different crystal modifications whose biological activity may differ. They are likewise subject matter of the present invention.
The compounds I, Il and IV are employed as such or in form of compositions by treating the fungi or the plants, plant propagation materials, such as seeds, soil, surfaces, materials or rooms to be protected from fungal attack with a fungicidally effective amount of the active substances. The application can be carried out both before and after the infection of the plants, plant propagation materials, such as seeds, soil, surfaces, materials or rooms by the fungi.
Plant propagation materials may be treated with compounds I, Il and/or IV as such or a composition comprising at least one compound I, Il and/or IV prophylactically either at or before planting or transplanting.
The invention also relates to agrochemical compositions comprising a solvent or solid carrier and at least one compound IJI and/or IV and to the use for controlling harmful fungi.
An agrochemical composition comprises a fungicidally effective amount of a compound I1 II and/or IV. The term "effective amount" denotes an amount of the composition or of the compounds 1, 11 and/or IV, which is sufficient for controlling harmful fungi on cultivated plants or in the protection of materials and which does not result in a substantial damage to the treated plants. Such an amount can vary in a broad range and is dependent on various factors, such as the fungal species to be controlled, the treated cultivated plant or material, the climatic conditions and the specific compound used.
The compounds I, Il and IV and salts thereof can be converted into customary types of agrochemical compositions, e. g. solutions, emulsions, suspensions, dusts, powders, pastes and granules. The composition type depends on the particular intended pur- pose; in each case, it should ensure a fine and uniform distribution of the compound according to the invention.
Examples for composition types are suspensions (SC, OD, FS), emulsifiable concentrates (EC), emulsions (EW, EO, ES), pastes, pastilles, wettable powders or dusts (WP, SP, SS, WS, DP, DS) or granules (GR, FG, GG, MG), which can be water- soluble or wettable, as well as gel formulations for the treatment of plant propagation materials such as seeds (GF).
Usually the composition types (e. g. SC, OD, FS, EC, WG, SG, WP, SP, SS, WS, GF) are employed diluted. Composition types such as DP, DS, GR, FG, GG and MG are usually used undiluted.
The compositions are prepared in a known manner (cf. US 3,060,084, EP-A 707 445 (for liquid concentrates), Browning: "Agglomeration", Chemical Engineering, Dec. 4, 1967, 147-48, Perry's Chemical Engineer's Handbook, 4th Ed., McGraw-Hill, New York, 1963, pp. 8-57 et seq., WO 91/13546, US 4,172,714, US 4,144,050, US 3,920,442, US 5,180,587, US 5,232,701 , US 5,208,030, GB 2,095,558, US 3,299,566, Klingman: Weed Control as a Science (J. Wiley & Sons, New York, 1961 ), Hance et al.: Weed
Control Handbook (8th Ed., Blackwell Scientific, Oxford, 1989) and Mollet, H. and Grubemann, A.: Formulation technology (Wiley VCH Verlag, Weinheim, 2001 ).
The agrochemical compositions may also comprise auxiliaries which are customary in agrochemical compositions. The auxiliaries used depend on the particular application form and active substance, respectively.
Examples for suitable auxiliaries are solvents, solid carriers, dispersants or emulsifiers (such as further solubilizers, protective colloids, surfactants and adhesion agents), or- ganic and inorganic thickeners, bactericides, anti-freezing agents, anti-foaming agents, if appropriate colorants and tackifiers or binders (e. g. for seed treatment formulations).
Suitable solvents are water, organic solvents such as mineral oil fractions of medium to high boiling point, such as kerosene or diesel oil, furthermore coal tar oils and oils of vegetable or animal origin, aliphatic, cyclic and aromatic hydrocarbons, e.g. toluene, xylene, paraffin, tetrahydronaphthalene, alkylated naphthalenes or their derivatives, alcohols such as methanol, ethanol, propanol, butanol and cyclohexanol, glycols, ketones such as cyclohexanone and gamma-butyrolactone, fatty acid dimethylamides, fatty acids and fatty acid esters and strongly polar solvents, e. g. amines such as N- methylpyrrolidone.
Solid carriers are mineral earths such as silicates, silica gels, talc, kaolins, limestone, lime, chalk, bole, loess, clays, dolomite, diatomaceous earth, calcium sulfate, magnesium sulfate, magnesium oxide, ground synthetic materials, fertilizers, such as, e. g., ammonium sulfate, ammonium phosphate, ammonium nitrate, ureas, and products of vegetable origin, such as cereal meal, tree bark meal, wood meal and nutshell meal, cellulose powders and other solid carriers.
Suitable surfactants (adjuvants, wtters, tackifiers, dispersants or emulsifiers) are alkali metal, alkaline earth metal and ammonium salts of aromatic sulfonic acids, such as ligninsoulfonic acid (Borresperse® types, Borregard, Norway) phenolsulfonic acid, naphthalenesulfonic acid (Morwet® types, Akzo Nobel, U.S.A.), dibutylnaphthalene- sulfonic acid (Nekal® types, BASF, Germany), and fatty acids, alkylsulfonates, alkyl- arylsulfonates, alkyl sulfates, laurylether sulfates, fatty alcohol sulfates, and sulfated hexa-, hepta- and octadecanolates, sulfated fatty alcohol glycol ethers, furthermore condensates of naphthalene or of naphthalenesulfonic acid with phenol and formaldehyde, polyoxy-ethylene octylphenyl ether, ethoxylated isooctylphenol, octylphenol, nonylphenol, alkylphenyl polyglycol ethers, tributylphenyl polyglycol ether, tristearyl- phenyl polyglycol ether, alkylaryl polyether alcohols, alcohol and fatty alcohol/ethylene
oxide condensates, ethoxylated castor oil, polyoxyethylene alkyl ethers, ethoxylated polyoxypropylene, lauryl alcohol polyglycol ether acetal, sorbitol esters, lignin-sulfite waste liquors and proteins, denatured proteins, polysaccharides (e. g. methylcellulose), hydrophobically modified starches, polyvinyl alcohols (Mowiol® types, Clariant, Switzer- land), polycarboxylates (Sokolan® types, BASF, Germany), polyalkoxylates, polyvinyl- amines (Lupasol® types, BASF, Germany), polyvinylpyrrolidone and the copolymers therof.
Examples for thickeners (i. e. compounds that impart a modified flowability to composi- tions, i. e. high viscosity under static conditions and low viscosity during agitation) are polysaccharides and organic and anorganic clays such as Xanthan gum (Kelzan®, CP Kelco, U.S.A.), Rhodopol® 23 (Rhodia, France), Veegum® (RT. Vanderbilt, U.S.A.) or Attaclay® (Engelhard Corp., NJ, USA).
Bactericides may be added for preservation and stabilization of the composition. Examples for suitable bactericides are those based on dichlorophene and benzylalcohol hemi formal (Proxel® from ICI or Acticide® RS from Thor Chemie and Kathon® MK from Rohm & Haas) and isothiazolinone derivatives such as alkylisothiazolinones and ben- zisothiazolinones (Acticide® MBS from Thor Chemie).
Examples for suitable anti-freezing agents are ethylene glycol, propylene glycol, urea and glycerin.
Examples for anti-foaming agents are silicone emulsions (such as e. g. Silikon® SRE, Wacker, Germany or Rhodorsil®, Rhodia, France), long chain alcohols, fatty acids, salts of fatty acids, fluoroorganic compounds and mixtures thereof.
Suitable colorants are pigments of low water solubility and water-soluble dyes. Examples to be mentioned und the designations rhodamin B, C. I. pigment red 112, C. I. solvent red 1 , pigment blue 15:4, pigment blue 15:3, pigment blue 15:2, pigment blue 15:1 , pigment blue 80, pigment yellow 1 , pigment yellow 13, pigment red 112, pigment red 48:2, pigment red 48:1 , pigment red 57:1 , pigment red 53:1 , pigment orange 43, pigment orange 34, pigment orange 5, pigment green 36, pigment green 7, pigment white 6, pigment brown 25, basic violet 10, basic violet 49, acid red 51 , acid red 52, acid red 14, acid blue 9, acid yellow 23, basic red 10, basic red 108.
Examples for tackifiers or binders are polyvinylpyrrolidone, polyvinylacetates, polyvinyl alcohols and cellulose ethers (Tylose®, Shin-Etsu, Japan).
Powders, materials for spreading and dusts can be prepared by mixing or concomitantly grinding the compounds I and, if appropriate, further active substances, with at least one solid carrier.
Granules, e. g. coated granules, impregnated granules and homogeneous granules, can be prepared by binding the active substances to solid carriers. Examples of solid carriers are mineral earths such as silica gels, silicates, talc, kaolin, attaclay, limestone, lime, chalk, bole, loess, clay, dolomite, diatomaceous earth, calcium sulfate, magnesium sulfate, magnesium oxide, ground synthetic materials, fertilizers, such as, e. g., ammonium sulfate, ammonium phosphate, ammonium nitrate, ureas, and products of vegetable origin, such as cereal meal, tree bark meal, wood meal and nutshell meal, cellulose powders and other solid carriers.
Examples for composition types are:
1. Composition types for dilution with water
i) Water-soluble concentrates (SL, LS)
10 parts by weight of a compound according to the invention are dissolved in 90 parts by weight of water or in a water-soluble solvent. As an alternative, wetting agents or other auxiliaries are added. The active substance dissolves upon dilution with water. In this way, a composition having a content of 10% by weight of active substance is obtained.
ii) Dispersible concentrates (DC)
20 parts by weight of a compound according to the invention are dissolved in 70 parts by weight of cyclohexanone with addition of 10 parts by weight of a dispersant, e. g. polyvinylpyrrolidone. Dilution with water gives a dispersion. The active substance content is 20% by weight.
iii) Emulsifiable concentrates (EC)
15 parts by weight of a compound according to the invention are dissolved in 75 parts by weight of xylene with addition of calcium dodecylbenzenesulfonate and castor oil ethoxylate (in each case 5 parts by weight). Dilution with water gives an emulsion. The composition has an active substance content of 15% by weight.
iv) Emulsions (EW, EO, ES)
25 parts by weight of a compound according to the invention are dissolved in 35 parts by weight of xylene with addition of calcium dodecylbenzenesulfonate and castor oil
ethoxylate (in each case 5 parts by weight). This mixture is introduced into 30 parts by weight of water by means of an emulsifying machine (Ultraturrax) and made into a homogeneous emulsion. Dilution with water gives an emulsion. The composition has an active substance content of 25% by weight.
v) Suspensions (SC, OD, FS)
In an agitated ball mill, 20 parts by weight of a compound according to the invention are comminuted with addition of 10 parts by weight of dispersants and wetting agents and 70 parts by weight of water or an organic solvent to give a fine active substance sus- pension. Dilution with water gives a stable suspension of the active substance. The active substance content in the composition is 20% by weight.
vi) Water-dispersible granules and water-soluble granules (WG, SG)
50 parts by weight of a compound according to the invention are ground finely with addition of 50 parts by weight of dispersants and wetting agents and prepared as water-dispersible or water-soluble granules by means of technical appliances (e. g. extrusion, spray tower, fluidized bed). Dilution with water gives a stable dispersion or solution of the active substance. The composition has an active substance content of 50% by weight.
vii) Water-dispersible powders and water-soluble powders (WP, SP, SS, WS) 75 parts by weight of a compound according to the invention are ground in a rotor- stator mill with addition of 25 parts by weight of dispersants, wetting agents and silica gel. Dilution with water gives a stable dispersion or solution of the active substance. The active substance content of the composition is 75% by weight.
viii) Gel (GF)
In an agitated ball mill, 20 parts by weight of a compound according to the invention are comminuted with addition of 10 parts by weight of dispersants, 1 part by weight of a gelling agent wetters and 70 parts by weight of water or of an organic solvent to give a fine suspension of the active substance. Dilution with water gives a stable suspension of the active substance, whereby a composition with 20% (w/w) of active substance is obtained.
2. Composition types to be applied undiluted
ix) Dustable powders (DP, DS)
5 parts by weight of a compound according to the invention are ground finely and mixed intimately with 95 parts by weight of finely divided kaolin. This gives a dustable composition having an active substance content of 5% by weight.
x) Granules (GR, FG, GG, MG)
0.5 parts by weight of a compound according to the invention is ground finely and associated with 99.5 parts by weight of carriers. Current methods are extrusion, spray- drying or the fluidized bed. This gives granules to be applied undiluted having an active substance content of 0.5% by weight.
xi) ULV solutions (UL)
10 parts by weight of a compound according to the invention are dissolved in 90 parts by weight of an organic solvent, e. g. xylene. This gives a composition to be applied undiluted having an active substance content of 10% by weight.
The agrochemical compositions generally comprise between 0.01 and 95%, preferably between 0.1 and 90%, most preferably between 0.5 and 90%, by weight of active substance. The active substances are employed in a purity of from 90% to 100%, preferably from 95% to 100% (according to NMR spectrum).
Water-soluble concentrates (LS), flowable concentrates (FS), powders for dry treatment (DS), water-dispersible powders for slurry treatment (WS), water-soluble powders (SS), emulsions (ES) emulsifiable concentrates (EC) and gels (GF) are usually employed for the purposes of treatment of plant propagation materials, particularly seeds. These compositions can be applied to plant propagation materials, particularly seeds, diluted or undiluted. The compositions in question give, after two-to-tenfold dilution, active substance concentrations of from 0.01 to 60% by weight, preferably from 0.1 to 40% by weight, in the ready-to-use preparations. Application can be carried out before or during sowing. Methods for applying or treating agrochemical compounds and com- positions thereof, respectively, on to plant propagation material, especially seeds, are known in the art, and include dressing, coating, pelleting, dusting, soaking and in- furrow application methods of the propagation material. In a preferred embodiment, the compounds or the compositions thereof, respectively, are applied on to the plant propagation material by a method such that germination is not induced, e. g. by seed dressing, pelleting, coating and dusting.
In a preferred embodiment, a suspension-type (FS) composition is used for seed treatment. Typcially, a FS composition may comprise 1-800 g/l of active substance,
1-200 g/l Surfactant, 0 to 200 g/l antifreezing agent, 0 to 400 g/l of binder, 0 to 200 g/l of a pigment and up to 1 liter of a solvent, preferably water.
The active substances can be used as such or in the form of their compositions, e. g. in the form of directly sprayable solutions, powders, suspensions, dispersions, emulsions, oil dispersions, pastes, dustable products, materials for spreading, or granules, by means of spraying, atomizing, dusting, spreading, brushing, immersing or pouring. The application forms depend entirely on the intended purposes; it is intended to ensure in each case the finest possible distribution of the active substances according to the in- vention.
Aqueous application forms can be prepared from emulsion concentrates, pastes or wettable powders (sprayable powders, oil dispersions) by adding water. To prepare emulsions, pastes or oil dispersions, the substances, as such or dissolved in an oil or solvent, can be homogenized in water by means of a wetter, tackifier, dispersant or emulsifier. Alternatively, it is possible to prepare concentrates composed of active substance, wetter, tackifier, dispersant or emulsifier and, if appropriate, solvent or oil, and such concentrates are suitable for dilution with water.
The active substance concentrations in the ready-to-use preparations can be varied within relatively wide ranges. In general, they are from 0.0001 to 10%, preferably from 0.001 to 1 % by weight of active substance.
The active substances may also be used successfully in the ultra-low-volume process (ULV), it being possible to apply compositions comprising over 95% by weight of active substance, or even to apply the active substance without additives.
When employed in plant protection, the amounts of active substances applied are, depending on the kind of effect desired, from 0.001 to 2 kg per ha, preferably from 0.005 to 2 kg per ha, more preferably from 0.05 to 0.9 kg per ha, in particular from 0.1 to 0.75 kg per ha.
In treatment of plant propagation materials such as seeds, e. g. by dusting, coating or drenching seed, amounts of active substance of from 0.1 to 1000 g, preferably from 1 to 1000 g, more preferably from 1 to 100 g and most preferably from 5 to 100 g, per 100 kilogram of plant propagation material (preferably seed) are generally required.
When used in the protection of materials or stored products, the amount of active substance applied depends on the kind of application area and on the desired effect.
Amounts customarily applied in the protection of materials are, e. g., 0.001 g to 2 kg, preferably 0.005 g to 1 kg, of active substance per cubic meter of treated material.
Various types of oils, wetters, adjuvants, herbicides, bactericides, other fungicides and/or pesticides may be added to the active substances or the compositions comprising them, if appropriate not until immediately prior to use (tank mix). These agents can be admixed with the compositions according to the invention in a weight ratio of 1 :100 to 100:1 , preferably 1 :10 to 10:1.
Adjuvants which can be used are in particular organic modified polysiloxanes such as Break Thru S 240®; alcohol alkoxylates such as Atplus 245®, Atplus MBA 1303®, PIu- rafac LF 300® and Lutensol ON 30®; EO/PO block polymers, e. g. Pluronic RPE 2035® and Genapol B®; alcohol ethoxylates such as Lutensol XP 80®; and dioctyl sulfosucci- nate sodium such as Leophen RA®.
The compositions according to the invention can, in the use form as fungicides, also be present together with other active substances, e. g. with herbicides, insecticides, growth regulators, fungicides or else with fertilizers, as pre-mix or, if appropriate, not until immediately prior to use (tank mix).
Mixing the compounds I, Il and/or IV or the compositions comprising them in the use form as fungicides with other fungicides results in many cases in an expansion of the fungicidal spectrum of activity being obtained or in a prevention of fungicide resistance development. Furthermore, in many cases, synergistic effects are obtained.
The following list of active substances, in conjunction with which the compounds according to the invention can be used, is intended to illustrate the possible combinations but does not limit them:
A) strobilurins azoxystrobin, dimoxystrobin, enestroburin, fluoxastrobin, kresoxim-methyl, meto- minostrobin, orysastrobin, picoxystrobin, pyraclostrobin, pyribencarb, triflox- ystrobin, 2-(2-(6-(3-chloro-2-methyl-phenoxy)-5-fluoro-pyrimidin-4-yloxy)-phenyl)- 2-methoxyimino-N-methyl-acetamide, 3-methoxy-2-(2-(N-(4-methoxy-phenyl)- cyclopropane-carboximidoylsulfanylmethyl)-phenyl)-acrylic acid methyl ester, methyl (2-chloro-5-[1-(3-methylbenzyloxyimino)ethyl]benzyl)carbamate and 2-(2- (3-(2,6-dichlorophenyl)-1-methyl-allylideneaminooxymethyl)-phenyl)-2- methoxyimino-N-methyl-acetamide; B) carboxamides
carboxanilides: benalaxyl, benalaxyl-M, benodanil, bixafen, boscalid, carboxin, fenfuram, fenhexamid, flutolanil, furametpyr, isopyrazam, isotianil, kiralaxyl, me- pronil, metalaxyl, metalaxyl-M (mefenoxam), ofurace, oxadixyl, oxycarboxin, pen- thiopyrad, sedaxane, tecloftalam, thifluzamide, tiadinil, 2-amino-4-methyl- thiazole-5-carboxanilide, 2-chloro-N-(1 ,1 ,3-trimethyl-indan-4-yl)-nicotinamide, N-
(3\4\5'-trifluorobiphenyl-2-yl)-3-difluoromethyl-1-methyl-1 H-pyrazole- 4-carboxamide, N-(4'-trifluoromethylthiobiphenyl-2-yl)-3-difluoromethyl-1-methyl- 1 H-pyrazole-4-carboxamide, N-(2-(1 ,3-dimethyl-butyl)-phenyl)-1 ,3-dimethyl-5- fluoro-1 H-pyrazole-4-carboxamide and N-(2-(1 ,3,3-trimethyl-butyl)-phenyl)-1 ,3- dimethyl-5-fluoro-1 H-pyrazole-4-carboxamide; carboxylic morpholides: dimethomorph, flumorph, pyrimorph; benzoic acid amides: flumetover, fluopicolide, fluopyram, zoxamide, N-(3-Ethyl-
3,5,5-trimethyl-cyclohexyl)-3-formylamino-2-hydroxy-benzamide; other carboxamides: carpropamid, dicyclomet, mandiproamid, oxytetracyclin, silthiofarm and N-(6-methoxy-pyridin-3-yl) cyclopropanecarboxylic acid amide;
C) azoles triazoles: azaconazole, bitertanol, bromuconazole, cyproconazole, difenocona- zole, diniconazole, diniconazole-M, epoxiconazole, fenbuconazole, fluquincona- zole, flusilazole, flutriafol, hexaconazole, imibenconazole, ipconazole, metcona- zole, myclobutanil, oxpoconazole, paclobutrazole, penconazole, propiconazole, prothioconazole, simeconazole, tebuconazole, tetraconazole, triadimefon, triadi- menol, triticonazole, uniconazole, 1-(4-chloro-phenyl)-2-([1 ,2,4]triazol-1-yl)- cycloheptanol; imidazoles: cyazofamid, imazalil, pefurazoate, prochloraz, triflumizol; - benzimidazoles: benomyl, carbendazim, fuberidazole, thiabendazole; others: ethaboxam, etridiazole, hymexazole and 2-(4-chloro-phenyl)-N-[4-(3,4-di- methoxy-phenyl)-isoxazol-5-yl]-2-prop-2-ynyloxy-acetamide;
D) heterocyclic compounds pyridines: fluazinam, pyrifenox, 3-[5-(4-chloro-phenyl)-2,3-dimethyl-isoxazolidin- 3-yl]-pyridine, 3-[5-(4-methyl-phenyl)-2,3-dimethyl-isoxazolidin-3-yl]-pyridine,
2,3,5,6-tetra-chloro-4-methanesulfonyl-pyridine, 3,4,5-trichloropyridine-2,6-di- carbonitrile, N-(1-(5-bromo-3-chloro-pyridin-2-yl)-ethyl)-2,4-dichloronicotinamide,
N-[(5-bromo-3-chloro-pyridin-2-yl)-methyl]-2,4-dichloro-nicotinamide; pyrimidines: bupirimate, cyprodinil, diflumetorim, fenarimol, ferimzone, mepani- pyrim, nitrapyrin, nuarimol, pyrimethanil; piperazines: triforine; pyrroles: fenpiclonil, fludioxonil; morpholines: aldimorph, dodemorph, dodemorph-acetate, fenpropimorph, tride- morph;
piperidines: fenpropidin; dicarboximides: fluoroimid, iprodione, procymidone, vinclozolin; non-aromatic 5-membered heterocycles: famoxadone, fenamidone, flutianil, oc- thilinone, probenazole, 5-amino-2-isopropyl-3-oxo-4-ortho-tolyl-2,3-dihydro- pyrazole-1-carbothioic acid S-allyl ester; others: acibenzolar-S-methyl, amisulbrom, anilazin, blasticidin-S, captafol, cap- tan, chinomethionat, dazomet, debacarb, diclomezine, difenzoquat, difenzoquat- methylsulfate, fenoxanil, Folpet, oxolinic acid, piperalin, proquinazid, pyroquilon, quinoxyfen, triazoxide, tricyclazole, 2-butoxy-6-iodo-3-propylchromen-4-one, 5- chloro-1 -(4,6-dimethoxy-pyrimidin-2-yl)-2-methyl-1 H-benzoimidazole, 5-chloro-
7-(4-methylpiperidin-1 -yl)-6-(2,4,6-trifluorophenyl)-[1 ,2,4]triazolo[1 ,5-a]pyrimidine and 5-ethyl-6-octyl-[1 ,2,4]triazolo[1 ,5-a]pyrimidine-7-ylamine;
E) carbamates thio- and dithiocarbamates: ferbam, mancozeb, maneb, metam, methasulpho- carb, metiram, propineb, thiram, zineb, ziram; carbamates: benthiavalicarb, diethofencarb, iprovalicarb, propamocarb, propamo- carb hydrochlorid, valiphenal and N-(1-(1-(4-cyano-phenyl)ethanesulfonyl)-but-2- yl) carbamic acid-(4-fluorophenyl) ester;
F) other active substances - guanidines: guanidine, dodine, dodine free base, guazatine, guazatine-acetate, iminoctadine, iminoctadine-triacetate, iminoctadine-tris(albesilate); antibiotics: kasugamycin, kasugamycin hydrochloride-hydrate, streptomycin, pol- yoxine, validamycin A; nitrophenyl derivates: binapacryl, dinobuton, dinocap, nitrthal-isopropyl, tecna- zen, organometal compounds: fentin salts, such as fentin-acetate, fentin chloride or fentin hydroxide; sulfur-containing heterocyclyl compounds: dithianon, isoprothiolane; organophosphorus compounds: edifenphos, fosetyl, fosetyl-aluminum, iproben- fos, phosphorous acid and its salts, pyrazophos, tolclofos-methyl; organochlorine compounds: chlorothalonil, dichlofluanid, dichlorophen, flusul- famide, hexachlorobenzene, pencycuron, pentachlorphenole and its salts, phthalide, quintozene, thiophanate-methyl, tolylfluanid, N-(4-chloro-2-nitro- phenyl)-N-ethyl-4-methyl-benzenesulfonamide; - inorganic active substances: Bordeaux mixture, copper acetate, copper hydroxide, copper oxychloride, basic copper sulfate, sulfur; others: biphenyl, bronopol, cyflufenamid, cymoxanil, diphenylamin, metrafenone, mildiomycin, oxin-copper, prohexadione-calcium, spiroxamine, tolylfluanid, N- (cyclopropylmethoxyimino-(6-difluoro-methoxy-2,3-difluoro-phenyl)-methyl)-2-
phenyl acetamide, N'-(4-(4-chloro-3-trifluoromethyl-phenoxy)-2,5-dimethyl- phenyl)-N-ethyl-N-methyl formamidine, N'-(4-(4-fluoro-3-trifluoromethyl-phenoxy)- 2,5-dimethyl-phenyl)-N-ethyl-N-methyl formamidine, N'-(2-methyl-5- trifluoromethyl-4-(3-trimethylsilanyl-propoxy)-phenyl)-N-ethyl-N-methyl forma- midine, N'-(5-difluoromethyl-2-methyl-4-(3-trimethylsilanyl-propoxy)-phenyl)-N- ethyl-N-methyl formamidine,
2-{1-[2-(5-methyl-3-trifluoromethyl-pyrazole-1-yl)-acetyl]-piperidin-4-yl}-thiazole-4- carboxylic acid methyl-(1 ,2,3,4-tetrahydro-naphthalen-1-yl)-amide, 2-{1-[2-(5- methyl-3-trifluoromethyl-pyrazole-1-yl)-acetyl]-piperidin-4-yl}-thiazole-4-carboxylic acid methyl-(R)-1 ,2,3,4-tetrahydro-naphthalen-1-yl-amide, acetic acid 6-tert-butyl-
8-fluoro-2,3-dimethyl-quinolin-4-yl ester and methoxy-acetic acid 6-tert-butyl-8- fluoro-2,3-dimethyl-quinolin-4-yl ester. G) growth regulators abscisic acid, amidochlor, ancymidol, 6-benzylaminopurine, brassinolide, butralin, chlormequat (chlormequat chloride), choline chloride, cyclanilide, daminozide, dikegulac, dimethipin, 2,6-dimethylpuridine, ethephon, flumetralin, flurprimidol, fluthiacet, forchlorfenuron, gibberellic acid, inabenfide, indole-3-acetic acid , maleic hydrazide, mefluidide, mepiquat (mepiquat chloride), naphthaleneacetic acid, N-6-benzyladenine, paclobutrazol, prohexadione (prohexadione-calcium), prohydrojasmon, thidiazuron, triapenthenol, tributyl phosphorotrithioate,
2,3,5-tri-iodobenzoic acid , trinexapac-ethyl and uniconazole; H) herbicides acetamides: acetochlor, alachlor, butachlor, dimethachlor, dimethenamid, flufen- acet, mefenacet, metolachlor, metazachlor, napropamide, naproanilide, pethox- amid, pretilachlor, propachlor, thenylchlor; amino acid derivatives: bilanafos, glyphosate, glufosinate, sulfosate; aryloxyphenoxypropionat.es: clodinafop, cyhalofop-butyl, fenoxaprop, fluazifop, haloxyfop, metamifop, propaquizafop, quizalofop, quizalofop-P-tefuryl; Bipyridyls: diquat, paraquat; - (thio)carbamates: asulam, butylate, carbetamide, desmedipham, dimepiperate, eptam (EPTC), esprocarb, molinate, orbencarb, phenmedipham, prosulfocarb, pyributicarb, thiobencarb, triallate; cyclohexanediones: butroxydim, clethodim, cycloxydim, profoxydim, sethoxydim, tepraloxydim, tralkoxydim; - dinitroanilines: benfluralin, ethalfluralin, oryzalin, pendimethalin, prodiamine, triflu- ralin; diphenyl ethers: acifluorfen, aclonifen, bifenox, diclofop, ethoxyfen, fomesafen, lactofen, oxyfluorfen; hydroxybenzonitriles: bomoxynil, dichlobenil, ioxynil;
imidazolinones: imazamethabenz, imazamox, imazapic, imazapyr, imazaquin, imazethapyr; phenoxy acetic acids: clomeprop, 2,4-dichlorophenoxyacetic acid (2,4-D), 2,4- DB, dichlorprop, MCPA, MCPA-thioethyl, MCPB, Mecoprop; - pyrazines: chloridazon, flufenpyr-ethyl, fluthiacet, norflurazon, pyridate; pyridines: aminopyralid, clopyralid, diflufenican, dithiopyr, fluridone, fluroxypyr, picloram, picolinafen, thiazopyr; sulfonyl ureas: amidosulfuron, azimsulfuron, bensulfuron, chlorimuron-ethyl, chlorsulfuron, cinosulfuron, cyclosulfamuron, ethoxysulfuron, flazasulfuron, fluce- tosulfuron, flupyrsulfuron, foramsulfuron, halosulfuron, imazosulfuron, iodosulfu- ron, mesosulfuron, metsulfuron-methyl, nicosulfuron, oxasulfuron, primisulfuron, prosulfuron, pyrazosulfuron, rimsulfuron, sulfometuron, sulfosulfuron, thifensulfu- ron, triasulfuron, tribenuron, trifloxysulfuron, triflusulfuron, tritosulfuron, 1-((2- chloro-6-propyl-imidazo[1 ,2-b]pyridazin-3-yl)sulfonyl)-3-(4,6-dimethoxy-pyrimidin- 2-yl)urea; triazines: ametryn, atrazine, cyanazine, dimethametryn, ethiozin, hexazinone, metamitron, metribuzin, prometryn, simazine, terbuthylazine, terbutryn, triaziflam; ureas: chlorotoluron, daimuron, diuron, fluometuron, isoproturon, linuron, metha- benzthiazuron,tebuthiuron; - other acetolactate synthase inhibitors: bispyribac-sodium, cloransulam-methyl, diclosulam, florasulam, flucarbazone, flumetsulam, metosulam, ortho-sulfamuron, penoxsulam, propoxycarbazone, pyribambenz-propyl, pyribenzoxim, pyriftalid, pyriminobac-methyl, pyrimisulfan, pyrithiobac, pyroxasulfone, pyroxsulam; others: amicarbazone, aminotriazole, anilofos, beflubutamid, benazolin, bencar- bazone,benfluresate, benzofenap, bentazone, benzobicyclon, bromacil, bromo- butide, butafenacil, butamifos, cafenstrole, carfentrazone, cinidon-ethlyl, chlor- thal, cinmethylin, clomazone, cumyluron, cyprosulfamide, dicamba, difenzoquat, diflufenzopyr, Drechslera monoceras, endothal, ethofumesate, etobenzanid, fen- trazamide, flumiclorac-pentyl, flumioxazin, flupoxam, flurochloridone, flurtamone, indanofan, isoxaben, isoxaflutole, lenacil, propanil, propyzamide, quinclorac, quinmerac, mesotrione, methyl arsonic acid, naptalam, oxadiargyl, oxadiazon, oxaziclomefone, pentoxazone, pinoxaden, pyraclonil, pyraflufen-ethyl, pyrasulfo- tole, pyrazoxyfen, pyrazolynate, quinoclamine, saflufenacil, sulcotrione, sulfentra- zone, terbacil, tefuryltrione, tembotrione, thiencarbazone, topramezone, 4- hydroxy-3-[2-(2-methoxy-ethoxymethyl)-6-trifluoromethyl-pyridine-3-carbonyl]- bicyclo[3.2.1]oct-3-en-2-one, (3-[2-chloro-4-fluoro-5-(3-methyl-2,6-dioxo-4- trifluoromethyl-3,6-dihydro-2H-pyrimidin-1-yl)-phenoxy]-pyridin-2-yloxy)-acetic a- cid ethyl ester, 6-amino-5-chloro-2-cyclopropyl-pyrimidine-4-carboxylic acid methyl ester, 6-chloro-3-(2-cyclopropyl-6-methyl-phenoxy)-pyridazin-4-ol, 4-
amino-3-chloro-6-(4-chloro-phenyl)-5-fluoro-pyridine-2-carboxylic acid, 4-amino- 3-chloro-6-(4-chloro-2-fluoro-3-methoxy-phenyl)-pyridine-2-carboxylic acid methyl ester, and 4-amino-3-chloro-6-(4-chloro-3-dimethylamino-2-fluoro-phenyl)- pyridine-2-carboxylic acid methyl ester. insecticides organo(thio)phosphates: acephate, azamethiphos, azinphos-methyl, chlorpyrifos, chlorpyrifos-methyl, chlorfenvinphos, diazinon, dichlorvos, dicrotophos, dimethoa- te, disulfoton, ethion, fenitrothion, fenthion, isoxathion, malathion, methamido- phos, methidathion, methyl-parathion, mevinphos, monocrotophos, oxydemeton- methyl, paraoxon, parathion, phenthoate, phosalone, phosmet, phosphamidon, phorate, phoxim, pirimiphos-methyl, profenofos, prothiofos, sulprophos, tetra- chlorvinphos, terbufos, triazophos, trichlorfon; carbamates: alanycarb, aldicarb, bendiocarb, benfuracarb, carbaryl, carbofuran, carbosulfan, fenoxycarb, furathiocarb, methiocarb, methomyl, oxamyl, pirimicarb, propoxur, thiodicarb, triazamate; pyrethroids: allethrin, bifenthrin, cyfluthrin, cyhalothrin, cyphenothrin, cyperme- thrin, alpha-cypermethrin, beta-cypermethrin, zeta-cypermethrin, deltamethrin, esfenvalerate, etofenprox, fenpropathrin, fenvalerate, imiprothrin, lambda- cyhalothrin, permethrin, prallethrin, pyrethrin I and II, resmethrin, silafluofen, tau- fluvalinate, tefluthrin, tetramethrin, tralomethrin, transfluthrin, profluthrin, dimeflu- thrin; insect growth regulators: a) chitin synthesis inhibitors: benzoylureas: chlorfluazu- ron, cyramazin, diflubenzuron, flucycloxuron, flufenoxuron, hexaflumuron, lufenu- ron, novaluron, teflubenzuron, triflumuron; buprofezin, diofenolan, hexythiazox, etoxazole, clofentazine; b) ecdysone antagonists: halofenozide, methoxyfenozi- de, tebufenozide, azadirachtin; c) juvenoids: pyriproxyfen, methoprene, fenoxycarb; d) lipid biosynthesis inhibitors: spirodiclofen, spiromesifen, spirotetramat; nicotinic receptor agonists/antagonists compounds: clothianidin, dinotefuran, imi- dacloprid, thiamethoxam, nitenpyram, acetamiprid, thiacloprid, 1-(2-chloro- thiazol-5-ylmethyl)-2-nitrimino-3,5-dimethyl-[1 ,3,5]triazinane;
GABA antagonist compounds: endosulfan, ethiprole, fipronil, vaniliprole, pyraflu- prole, pyriprole, 5-amino-1 -(2,6-dichloro-4-methyl-phenyl)-4-sulfinamoyl-
1 H-pyrazole-3-carbothioic acid amide; macrocyclic lactone insecticides: abamectin, emamectin, milbemectin, lepimectin, spinosad, spinetoram; mitochondrial electron transport inhibitor (METI) I acaricides: fenazaquin, pyrida- ben, tebufenpyrad, tolfenpyrad, flufenerim;
METI Il and III compounds: acequinocyl, fluacyprim, hydramethylnon; Uncouplers: chlorfenapyr;
oxidative phosphorylation inhibitors: cyhexatin, diafenthiuron, fenbutatin oxide, propargite; moulting disruptor compounds: cryomazine; mixed function oxidase inhibitors: piperonyl butoxide; - sodium channel blockers: indoxacarb, metaflumizone; others: benclothiaz, bifenazate, cartap, flonicamid, pyridalyl, pymetrozine, sulfur, thiocyclam, flubendiamide, chlorantraniliprole, cyazypyr (HGW86), cyenopyrafen, flupyrazofos, cyflumetofen, amidoflumet, imicyafos, bistrifluron, and pyrifluquina- zon.
The present invention furthermore relates to agrochemical compositions comprising a mixture of at least one compound I, Il and/or IV (component 1 ) and at least one further active substance useful for plant protection, e. g. selected from the groups A) to I) (component 2), in particular one further fungicide, e. g. one or more fungicide from the groups A) to F), as described above, and if desired one suitable solvent or solid carrier. Those mixtures are of particular interest, since many of them at the same application rate show higher efficiencies against harmful fungi. Furthermore, combating harmful fungi with a mixture of compounds I, Il and/or IV and at least one fungicide from groups A) to F), as described above, is more efficient than combating those fungi with individ- ual compounds I, Il or IV or individual fungicides from groups A) to F). By applying compounds I, Il and/or IV together with at least one active substance from groups A) to I) a synergistic effect can be obtained, i.e. more then simple addition of the individual effects is obtained (synergistic mixtures).
According to this invention, applying the compounds I, Il and/or IV together with at least one further active substance is to be understood to denote that at least one compound of formula I, Il and/or IV and at least one further active substance occur simultaneously at the site of action (i.e. the harmful fungi to be controlled or their habitats such as infected plants, plant propagation materials, particularly seeds, surfaces, materials or the soil as well as plants, plant propagation materials, particularly seeds, soil, surfaces, materials or rooms to be protected from fungal attack) in a fungicidally effective amount. This can be obtained by applying the compounds I, Il and/or IV and at least one further active substance simultaneously, either jointly (e. g. as tank-mix) or sper- ately, or in succession, wherein the time interval between the individual applications is selected to ensure that the active substance applied first still occurs at the site of action in a sufficient amount at the time of application of the further active substance(s). The order of application is not essential for working of the present invention.
In binary mixtures, i.e. compositions according to the invention comprising one compound I, Il or IV (component 1 ) and one further active substance (component 2), e. g. one active substance from groups A) to I), the weight ratio of component 1 and component 2 generally depends from the properties of the active substances used, usually it is in the range of from 1 :100 to 100:1 , regularly in the range of from 1 :50 to 50:1 , preferably in the range of from 1 :20 to 20:1 , more preferably in the range of from 1 :10 to 10:1 and in particular in the range of from 1 :3 to 3:1.
In ternary mixtures, i.e. compositions according to the invention comprising one com- pound I, Il and/or IV (component 1 ) and a first further active substance (component 2) and a second further active substance (component 3), e. g. two active substances from groups A) to I), the weight ratio of component 1 and component 2 depends from the properties of the active substances used, preferably it is in the range of from 1 :50 to 50:1 and particularly in the range of from 1 :10 to 10:1 , and the weight ratio of compo- nent 1 and component 3 preferably is in the range of from 1 :50 to 50:1 and particularly in the range of from 1 :10 to 10:1.
The components can be used individually or already partially or completely mixed with one another to prepare the composition according to the invention. It is also possible for them to be packaged and used further as combination composition such as a kit of parts.
In one embodiment of the invention, the kits may include one or more, including all, components that may be used to prepare a subject agrochemical composition. E. g., kits may include one or more fungicide component(s) and/or an adjuvant component and/or an insecticide component and/or a growth regulator component and/or a her- bicde. One or more of the components may already be combined together or pre- formulated. In those embodiments where more than two components are provided in a kit, the components may already be combined together and as such are packaged in a single container such as a vial, bottle, can, pouch, bag or canister. In other embodiments, two or more components of a kit may be packaged separately, i. e., not pre- formulated. As such, kits may include one or more separate containers such as vials, cans, bottles, pouches, bags or canisters, each container containing a separate component for an agrochemical composition. In both forms, a component of the kit may be applied separately from or together with the further components or as a component of a combination composition according to the invention for preparing the composition according to the invention.
The user applies the composition according to the invention usually from a predosage device, a knapsack sprayer, a spray tank or a spray plane. Here, the agrochemical composition is made up with water and/or buffer to the desired application concentration, it being possible, if appropriate, to add further auxiliaries, and the ready-to-use spray liquor or the agrochemical composition according to the invention is thus obtained. Usually, 50 to 500 liters of the ready-to-use spray liquor are applied per hectare of agricultural useful area, preferably 100 to 400 liters.
According to one embodiment, individual components of the composition according to the invention such as parts of a kit or parts of a binary or ternary mixture may be mixed by the user himself in a spray tank and further auxiliaries may be added, if appropriate (tank mix).
In a further embodiment, either individual components of the composition according to the invention or partially premixed components, e. g. components comprising compounds I, Il and/or IV and/or active substances from the groups A) to I), may be mixed by the user in a spray tank and further auxiliaries and additives may be added, if appropriate (tank mix).
In a further embodiment, either individual components of the composition according to the invention or partially premixed components, e. g. components comprising compounds I, Il and/or IV and/or active substances from the groups A) to I), can be applied jointly (e. .g. after tankmix) or consecutively.
Preference is also given to mixtures comprising a compound I, Il and/or IV (component 1 ) and at least one active substance selected from the strobilurines of group A) (component 2) and particularly selected from azoxystrobin, dimoxystrobin, fluoxastrobin, kresoxim-methyl, orysastrobin, picoxystrobin, pyraclostrobin and trifloxystrobin.
Preference is also given to mixtures comprising a compound I, Il and/or IV (component 1 ) and at least one active substance selected from the carboxamides of group B) (component 2) and particularly selected from bixafen, boscalid, sedaxane, fenhexamid, metalaxyl, isopyrazam, mefenoxam, ofurace, dimethomorph, flumorph, fluopicolid (pi- cobenzamid), zoxamide, carpropamid, mandipropamid and N-(3',4',5'-trifluorobiphenyl- 2-yl)-3-difluoromethyl-1-methyl-1 H-pyrazole-4-carboxamide.
Preference is given to mixtures comprising a compound of formula I, Il and/or IV (component 1 ) and at least one active substance selected from the azoles of group C) (component 2) and particularly selected from cyproconazole, difenoconazole, epoxi-
conazole, fluquinconazole, flusilazole, flutriafol, metconazole, myclobutanil, pencona- zole, propiconazole, prothioconazole, triadimefon, triadimenol, tebuconazole, tetra- conazole, triticonazole, prochloraz, cyazofamid, benomyl, carbendazim and eth- aboxam.
Preference is also given to mixtures comprising a compound I, Il and/or IV (component 1 ) and at least one active substance selected from the heterocyclic compounds of group D) (component 2) and particularly selected from fluazinam, cyprodinil, fenarimol, mepanipyrim, pyrimethanil, triforine, fludioxonil, dodemorph, fenpropimorph, tride- morph, fenpropidin, iprodione, vinclozolin, famoxadone, fenamidone, probenazole, pro- quinazid, acibenzolar-S-methyl, captafol, folpet, fenoxanil, quinoxyfen and 5-ethyl- 6-octyl-[1 ,2,4]triazolo[1 ,5-a]pyrimidine-7-ylamine.
Preference is also given to mixtures comprising a compound I, Il and/or IV (component 1 ) and at least one active substance selected from the carbamates of group E) (component 2) and particularly selected from mancozeb, metiram, propineb, thiram, iprovali- carb, benthiavalicarb and propamocarb.
Preference is also given to mixtures comprising a compound I, Il and/or IV (component 1 ) and at least one active substance selected from the fungicides given in group F)
(component 2) and particularly selected from dithianon, fentin salts, such as fentin acetate, fosetyl, fosetyl-aluminium, H3PO3 and salts thereof, chlorthalonil, dichlofluanid, thiophanat-methyl, copper acetate, copper hydroxide, copper oxychloride, copper sulfate, sulfur, cymoxanil, metrafenone and spiroxamine.
Accordingly, the present invention furthermore relates to compositions comprising one compound I, Il and/or IV (component 1 ) and one further active substance (component 2), which further active substance is selected from the column "Component 2" of the lines B-1 to B-346 of Table B.
A further embodiment relates to the compositions B-1 to B-346 listed in Table B, where a row of Table B corresponds in each case to a fungicidal composition comprising one of the in the present specification individualized compounds of formula I, Il or IV (component 1 ) and the respective further active substance from groups A) to I) (component 2) stated in the row in question. Preferably, the compositions described comprise the active substances in synergistically effective amounts.
Table B: Composition comprising one indiviualized compound I, Il or IV and one further active substance from groups A) to I)
B-25 one individualized compound I, Il or IV Furametpyr
B-26 one individualized compound I, Il or IV Isopyrazam
B-27 one individualized compound I, Il or IV lsotianil
B-28 one individualized compound I, Il or IV Kiralaxyl
B-29 one individualized compound I, Il or IV Mepronil
B-30 one individualized compound I, Il or IV Metalaxyl
B-31 one individualized compound I, Il or IV Metalaxyl-M
B-32 one individualized compound I, Il or IV Ofurace
B-33 one individualized compound I, Il or IV Oxadixyl
B-34 one individualized compound I, Il or IV Oxycarboxin
B-35 one individualized compound I, Il or IV Penthiopyrad
B-36 one individualized compound I, Il or IV Sedaxane
B-37 one individualized compound I, Il or IV Tecloftalam
B-38 one individualized compound I, Il or IV Thifluzamide
B-39 one individualized compound I, Il or IV Tiadinil
2-Amino-4-methyl-thiazole-5-
B-40 one individualized compound I, Il or IV carboxylic acid anilide
2-Chloro-N-(1 ,1 ,3-trimethyl-
B-41 one individualized compound I, Il or IV indan-4-yl)-nicotinamide
N-(3',4',5'-trifluorobiphenyl-
B-42 one individualized compound I, Il or IV 2-yl)-3-difluoromethyl-1-methyl- 1 H-pyrazole-4-carboxamide
N-(4'-trifluoromethylthiobi- phenyl-2-yl)-3-difluoromethyl-1-
B-43 one individualized compound I, Il or IV methyl-1 H-pyrazole-4- carboxamide
N-(2-(1 ,3-dimethyl-butyl)-
B-44 one individualized compound I, Il or IV phenyl)-1 ,3-dimethyl-5-fluoro- 1 H-pyrazole-4-carboxamide
N-(2-(1 ,3,3-trimethyl-butyl)-
B-45 one individualized compound I, Il or IV phenyl)-1 ,3-dimethyl-5-fluoro- 1 H-pyrazole-4-carboxamide
B-46 one individualized compound I, Il or IV Dimethomorph
B-47 one individualized compound I, Il or IV Flumorph
B-48 one individualized compound I, Il or IV Pyrimorph
B-49 one individualized compound I, Il or IV Flumetover
B-50 one individualized compound I, Il or IV Fluopicolide
Mixture Component 1 Component 2
B-51 one individualized compound I, Il or IV Fluopyram
B-52 one individualized compound I, Il or IV Zoxamide
N-(3-Ethyl-3,5,5-trimethyl-
B-53 one individualized compound I, Il or IV cyclohexyl)-3-formylamino-2- hydroxy-benzamide
B-54 one individualized compound I, Il or IV Carpropamid
B-55 one individualized compound I, Il or IV Diclocymet
B-56 one individualized compound I, Il or IV Mandipropamid
B-57 one individualized compound I, Il or IV Oxytetracyclin
B-58 one individualized compound I, Il or IV Silthiofam
N-(6-methoxy-pyridin-3-yl)
B-59 one individualized compound I, Il or IV cyclopropanecarboxylic acid amide
B-60 one individualized compound I, Il or IV Azaconazole
B-61 one individualized compound I, Il or IV Bitertanol
B-62 one individualized compound I, Il or IV Bromuconazole
B-63 one individualized compound I, Il or IV Cyproconazole
B-64 one individualized compound I, Il or IV Difenoconazole
B-65 one individualized compound I, Il or IV Diniconazole
B-66 one individualized compound I, Il or IV Diniconazole-M
B-67 one individualized compound I, Il or IV Epoxiconazole
B-68 one individualized compound I, Il or IV Fenbuconazole
B-69 one individualized compound I, Il or IV Fluquinconazole
B-70 one individualized compound I, Il or IV Flusilazole
B-71 one individualized compound I, Il or IV Flutriafol
B-72 one individualized compound I, Il or IV Hexaconazol
B-73 one individualized compound I, Il or IV Imibenconazole
B-74 one individualized compound I, Il or IV Ipconazole
B-75 one individualized compound I, Il or IV Metconazole
B-76 one individualized compound I, Il or IV Myclobutanil
B-77 one individualized compound I, Il or IV Oxpoconazol
B-78 one individualized compound I, Il or IV Paclobutrazol
B-79 one individualized compound I, Il or IV Penconazole
B-80 one individualized compound I, Il or IV Propiconazole
B-81 one individualized compound I, Il or IV Prothioconazole
B-82 one individualized compound I, Il or IV Simeconazole
B-83 one individualized compound I, Il or IV Tebuconazole
Mixture Component 1 Component 2
B-84 one individualized compound I, Il or IV Tetraconazole
B-85 one individualized compound I, Il or IV Triadimefon
B-86 one individualized compound I, Il or IV Triadimenol
B-87 one individualized compound I, Il or IV Triticonazole
B-88 one individualized compound I, Il or IV Uniconazole
1-(4-Chloro-phenyl)-2-
B-89 one individualized compound I, Il or IV ([1 ,2,4]triazol-1-yl)- cycloheptanol
B-90 one individualized compound I, Il or IV Cyazofamid
B-91 one individualized compound I, Il or IV Imazalil
B-92 one individualized compound I, Il or IV Imazalil-sulfate
B-93 one individualized compound I, Il or IV Pefurazoate
B-94 one individualized compound I, Il or IV Prochloraz
B-95 one individualized compound I, Il or IV Triflumizole
B-96 one individualized compound I, Il or IV Benomyl
B-97 one individualized compound I, Il or IV Carbendazim
B-98 one individualized compound I, Il or IV Fuberidazole
B-99 one individualized compound I, Il or IV Thiabendazole
B-100 one individualized compound I, Il or IV Ethaboxam
B-101 one individualized compound I, Il or IV Etridiazole
B-102 one individualized compound I, Il or IV Hymexazole
2-(4-Chloro-phenyl)-N-[4-(3,4-
B-103 one individualized compound I, Il or IV dimethoxy-phenyl)-isoxazol-5- yl]-2-prop-2-ynyloxy-acetamide
B-104 one individualized compound I, Il or IV Fluazinam
B-105 one individualized compound I, Il or IV Pyrifenox
3-[5-(4-Chloro-phenyl)-2,3-
B-106 one individualized compound I, Il or IV dimethyl-isoxazolidin-3-yl]- pyridine
3-[5-(4-Methyl-phenyl)-2,3-
B-107 one individualized compound I, Il or IV dimethyl-isoxazolidin-3-yl]- pyridine
2,3,5,6-Tetrachloro-4-
B-108 one individualized compound I, Il or IV methanesulfonyl-pyridine
3,4,5-Trichloro-pyridine-2,6-
B-109 one individualized compound I, Il or IV dicarbonitrile
Mixture Component 1 Component 2
N-(1 -(5-Bromo-3-chloro-pyridin-
B-1 10 one individualized compound I, I or IV 2-yl)-ethyl)-2,4-dichloro- nicotinamide
N-((5-Bromo-3-chloro-pyridin-2-
B-1 11 one individualized compound I, I or IV yl)-methyl)-2,4-dichloro- nicotinamide
B-1 12 one individualized compound I, I or IV Bupirimate
B-1 13 one individualized compound I, I or IV Cyprodinil
B-1 14 one individualized compound I, I or IV Diflumetorim
B-1 15 one individualized compound I, I or IV Fenarimol
B-1 16 one individualized compound I, I or IV Ferimzone
B-1 17 one individualized compound I, I or IV Mepanipyrim
B-1 18 one individualized compound I, I or IV Nitrapyrin
B-1 19 one individualized compound I, I or IV Nuarimol
B-120 one individualized compound I, I or IV Pyrimethanil
B-121 one individualized compound I, I or IV Triforine
B-122 one individualized compound I, I or IV Fenpiclonil
B-123 one individualized compound I, I or IV Fludioxonil
B-124 one individualized compound I, l or IV Aldimorph
B-125 one individualized compound I, I or IV Dodemorph
B-126 one individualized compound I, I or IV Dodemorph-acetate
B-127 one individualized compound I, I or IV Fenpropimorph
B-128 one individualized compound I, I or IV Tridemorph
B-129 one individualized compound I, I or IV Fenpropidin
B-130 one individualized compound I, I or IV Fluoroimid
B-131 one individualized compound I, I or IV lprodione
B-132 one individualized compound I, I or IV Procymidone
B-133 one individualized compound I, I or IV Vinclozolin
B-134 one individualized compound I, I or IV Famoxadone
B-135 one individualized compound I, I or IV Fenamidone
B-136 one individualized compound I, I or IV Flutianil
B-137 one individualized compound I, I or IV Octhilinone
B-138 one individualized compound I, I or IV Probenazole
5-Amino-2-iso-propyl-4-ortho-
B-139 one individualized compound I, I or IV tolyl-2,3-dihydro-pyrazole-1 - carbothioic acid S-allyl ester
B-140 one individualized compound I, I or IV Acibenzolar-S-methyl
Mixture Component 1 Component 2
B-141 one individualized compound I, Il or IV Amisulbrom
B-142 one individualized compound I, Il or IV Anilazin
B-143 one individualized compound I, Il or IV Blasticidin-S
B-144 one individualized compound I, Il or IV Captafol
B-145 one individualized compound I, Il or IV Captan
B-146 one individualized compound I, Il or IV Chinomethionat
B-147 one individualized compound I, Il or IV Dazomet
B-148 one individualized compound I, Il or IV Debacarb
B-149 one individualized compound I, Il or IV Diclomezine
B-150 one individualized compound I, Il or IV Difenzoquat,
B-151 one individualized compound I, Il or IV Difenzoquat-methylsulfate
B-152 one individualized compound I, Il or IV Fenoxanil
B-153 one individualized compound I, Il or IV Folpet
B-154 one individualized compound I, Il or IV Oxolinsaure
B-155 one individualized compound I, Il or IV Piperalin
B-156 one individualized compound I, Il or IV Proquinazid
B-157 one individualized compound I, Il or IV Pyroquilon
B-158 one individualized compound I, Il or IV Quinoxyfen
B-159 one individualized compound I, Il or IV Triazoxid
B-160 one individualized compound I, Il or IV Tricyclazole
2-Butoxy-6-iodo-3-propyl-
B-161 one individualized compound I, Il or IV chromen-4-one
5-Chloro-1 -(4,6-dimethoxy-
B-162 one individualized compound I, Il or IV pyrimidin-2-yl)-2-methyl-1 H- benzoimidazole
5-Chloro-7-(4-methyl-piperidin-
B-163 one individualized compound I, Il or IV 1-yl)-6-(2,4,6-trifluoro-phenyl)- [1 ,2,4]triazolo[1 ,5-a]pyrimidine
5-ethyl-6-octyl-
B-164 one individualized compound I, Il or IV [1 ,2,4]triazolo[1 ,5-a]pyrimidine- 7-ylamine
B-165 one individualized compound I, Il or IV Ferbam
B-166 one individualized compound I, Il or IV Mancozeb
B-167 one individualized compound I, Il or IV Maneb
B-168 one individualized compound I, Il or IV Metam
B-169 one individualized compound I, Il or IV Methasulphocarb
B-170 one individualized compound I, Il or IV Metiram
Mixture Component 1 Component 2
B-171 one individualized compound I, I or IV Propineb
B-172 one individualized compound I, I or IV Thiram
B-173 one individualized compound I, I or IV Zineb
B-174 one individualized compound I, I or IV Zi ram
B-175 one individualized compound I, I or IV Diethofencarb
B-176 one individualized compound I, I or IV Benthiavalicarb
B-177 one individualized compound I, I or IV Iprovalicarb
B-178 one individualized compound I, I or IV Propamocarb
B-179 one individualized compound I, I or IV Propamocarb hydrochlorid
B-180 one individualized compound I, I or IV Valiphenal
N-(1-(1-(4- cyanophenyl)ethanesulfonyl)-
B-181 one individualized compound I, I or IV but-2-yl) carbamic acid-(4- fluorophenyl) ester
B-182 one individualized compound I, I or IV Dodine
B-183 one individualized compound I, I or IV Dodine free base
B-184 one individualized compound I, I or IV Guazatine
B-185 one individualized compound I, I or IV Guazatine-acetate
B-186 one individualized compound I, I or IV lminoctadine
B-187 one individualized compound I, I or IV Iminoctadine-triacetate
B-188 one individualized compound I, I or IV Iminoctadine-tris(albesilate)
B-189 one individualized compound I, I or IV Kasugamycin
Kasugamycin-hydrochloride-
B-190 one individualized compound I, I or IV hydrate
B-191 one individualized compound I, I or IV Polyoxine
B-192 one individualized compound I, I or IV Streptomycin
B-193 one individualized compound I, I or IV Validamycin A
B-194 one individualized compound I, I or IV Binapacryl
B-195 one individualized compound I, I or IV Dicloran
B-196 one individualized compound I, I or IV Dinobuton
B-197 one individualized compound I, I or IV Dinocap
B-198 one individualized compound I, I or IV Nitrothal-isopropyl
B-199 one individualized compound I, I or IV Tecnazen
B-200 one individualized compound I, I or IV Fentin salts
B-201 one individualized compound I, I or IV Dithianon
B-202 one individualized compound I, I or IV lsoprothiolane
B-203 one individualized compound I, I or IV Edifenphos
Mixture Component 1 Component 2
B-204 one individualized compound I, Il or IV Fosetyl, Fosetyl-aluminium
B-205 one individualized compound I, Il or IV lprobenfos
Phosphorous acid (H3PO3) and
B-206 one individualized compound I, Il or IV derivatives
B-207 one individualized compound I, Il or IV Pyrazophos
B-208 one individualized compound I, Il or IV Tolclofos-methyl
B-209 one individualized compound I, Il or IV Chlorothalonil
B-210 one individualized compound I, Il or IV Dichlofluanid
B-211 one individualized compound I, Il or IV Dichlorophen
B-212 one individualized compound I, Il or IV Flusulfamide
B-213 one individualized compound I, Il or IV Hexachlorbenzene
B-214 one individualized compound I, Il or IV Pencycuron
B-215 one individualized compound I, Il or IV Pentachlorophenol and salts
B-216 one individualized compound I, Il or IV Phthalide
B-217 one individualized compound I, Il or IV Quintozene
B-218 one individualized compound I, Il or IV Thiophanate Methyl
B-219 one individualized compound I, Il or IV Tolylfluanid
N-(4-chloro-2-nitro-phenyl)-N-
B-220 one individualized compound I, Il or IV ethyl-4-methyl- benzenesulfonamide
B-221 one individualized compound I, Il or IV Bordeaux mixture
B-222 one individualized compound I, Il or IV Copper acetate
B-223 one individualized compound I, Il or IV Copper hydroxide
B-224 one individualized compound I, Il or IV Copper oxychloride
B-225 one individualized compound I, Il or IV basic Copper sulfate
B-226 one individualized compound I, Il or IV Sulfur
B-227 one individualized compound I, Il or IV Biphenyl
B-228 one individualized compound I, Il or IV Bronopol
B-229 one individualized compound I, Il or IV Cyflufenamid
B-230 one individualized compound I, Il or IV Cymoxanil
B-231 one individualized compound I, Il or IV Diphenylamin
B-232 one individualized compound I, N or IV Metrafenone
B-233 one individualized compound I, Il or IV Mildiomycin
B-234 one individualized compound I, Il or IV Oxin-copper
B-235 one individualized compound I, Il or IV Prohexadione calcium
B-236 one individualized compound I, Il or IV Spiroxamine
B-249 one individualized compound I, Il or IV Carbosulfan
B-250 one individualized compound I, Il or IV Methomylthiodicarb
B-251 one individualized compound I, Il or IV Bifenthrin
B-252 one individualized compound I, Il or IV Cyfluthrin
B-253 one individualized compound I, Il or IV Cypermethrin
B-254 one individualized compound I, Il or IV alpha-Cypermethrin
B-255 one individualized compound I, Il or IV zeta-Cypermethrin
B-256 one individualized compound I, Il or IV Deltamethrin
B-257 one individualized compound I, Il or IV Esfenvalerate
B-258 one individualized compound I, Il or IV Lambda-cyhalothrin
B-259 one individualized compound I, Il or IV Permethrin
B-260 one individualized compound I, Il or IV Tefluthrin
B-261 one individualized compound I, Il or IV Diflubenzuron
B-262 one individualized compound I, Il or IV Flufenoxuron
B-263 one individualized compound I, Il or IV Lufenuron
B-264 one individualized compound I, Il or IV Teflubenzuron
B-265 one individualized compound I, Il or IV Spirotetramate
B-266 one individualized compound I, Il or IV Clothianidin
B-267 one individualized compound I, Il or IV Dinotefuran
B-268 one individualized compound I, Il or IV lmidacloprid
B-269 one individualized compound I, Il or IV Thiamethoxam
B-270 one individualized compound I, Il or IV Acetamiprid
B-271 one individualized compound I, Il or IV Thiacloprid
B-272 one individualized compound I, Il or IV Endosulfan
B-273 one individualized compound I, Il or IV Fipronil
B-274 one individualized compound I, Il or IV Abamectin
B-275 one individualized compound I, Il or IV Emamectin
B-276 one individualized compound I, Il or IV Spinosad
B-277 one individualized compound I, Il or IV Spinetoram
B-278 one individualized compound I, Il or IV Hydramethylnon
B-279 one individualized compound I, Il or IV Chlorfenapyr
B-280 one individualized compound I, Il or IV Fenbutatin oxide
B-281 one individualized compound I, Il or IV Indoxacarb
B-282 one individualized compound I, Il or IV Metaflumizone
B-283 one individualized compound I, Il or IV Flonicamid
B-284 one individualized compound I, Il or IV Lubendiamide
B-285 one individualized compound I, Il or IV Chlorantraniliprole
Mixture Component 1 Component 2
B-286 one individualized compound I, Il or IV Cyazypyr (HGW86)
B-287 one individualized compound I, Il or IV Cyflumetofen
B-288 one individualized compound I, Il or IV Acetochlor
B-289 one individualized compound I, Il or IV Dimethenamid
B-290 one individualized compound I, Il or IV metolachlor
B-291 one individualized compound I, Il or IV Metazachlor
B-292 one individualized compound I, Il or IV Glyphosate
B-293 one individualized compound I, Il or IV Glufosinate
B-294 one individualized compound I, Il or IV Sulfosate
B-295 one individualized compound I, Il or IV Clodinafop
B-296 one individualized compound I, Il or IV Fenoxaprop
B-297 one individualized compound I, Il or IV Fluazifop
B-298 one individualized compound I, Il or IV Haloxyfop
B-299 one individualized compound I, Il or IV Paraquat
B-300 one individualized compound I, Il or IV Phenmedipham
B-301 one individualized compound I, Il or IV Clethodim
B-302 one individualized compound I, Il or IV Cycloxydim
B-303 one individualized compound I, Il or IV Profoxydim
B-304 one individualized compound I, Il or IV Sethoxydim
B-305 one individualized compound I, Il or IV Tepraloxydim
B-306 one individualized compound I, Il or IV Pendimethalin
B-307 one individualized compound I, Il or IV Prodiamine
B-308 one individualized compound I, Il or IV Trifluralin
B-309 one individualized compound I, Il or IV Acifluorfen
B-310 one individualized compound I, Il or IV Bromoxynil
B-311 one individualized compound I, Il or IV Imazamethabenz
B-312 one individualized compound I, Il or IV Imazamox
B-313 one individualized compound I, Il or IV Imazapic
B-314 one individualized compound I, Il or IV Imazapyr
B-315 one individualized compound I, Il or IV Imazaquin
B-316 one individualized compound I, Il or IV Imazethapyr
2,4-Dichlorophenoxyacetic acid
B-317 one individualized compound I, Il or IV (2,4-D)
B-318 one individualized compound I, Il or IV Chloridazon
B-319 one individualized compound I, Il or IV Clopyralid
B-320 one individualized compound I, Il or IV Fluroxypyr
B-321 one individualized compound I, Il or IV Picloram
Mixture Component 1 Component 2
B-322 one individualized compound I, Il or IV Picolinafen
B-323 one individualized compound I, Il or IV Bensulfuron
B-324 one individualized compound I, Il or IV Chlorimuron-ethyl
B-325 one individualized compound I, Il or IV Cyclosulfamuron
B-326 one individualized compound I, Il or IV lodosulfuron
B-327 one individualized compound I, Il or IV Mesosulfuron
B-328 one individualized compound I, Il or IV Metsulfuron-methyl
B-329 one individualized compound I, Il or IV Nicosulfuron
B-330 one individualized compound I, Il or IV Rimsulfuron
B-331 one individualized compound I, Il or IV Triflusulfuron
B-332 one individualized compound I, Il or IV Atrazine
B-333 one individualized compound I, Il or IV Hexazinone
B-334 one individualized compound I, Il or IV Diuron
B-335 one individualized compound I, Il or IV Florasulam
B-336 one individualized compound I, Il or IV Pyroxasulfone
B-337 one individualized compound I, Il or IV Bentazone
B-338 one individualized compound I, Il or IV Cinidon-ethlyl
B-339 one individualized compound I, Il or IV Cinmethylin
B-340 one individualized compound I, Il or IV Dicamba
B-341 one individualized compound I, Il or IV Diflufenzopyr
B-342 one individualized compound I, Il or IV Quinclorac
B-343 one individualized compound I, Il or IV Quinmerac
B-344 one individualized compound I, Il or IV Mesotrione
B-345 one individualized compound I, Il or IV Saflufenacil
B-346 one individualized compound I, Il or IV Topramezone
The active substances referred to as component 2, their preparation and their activity against harmful fungi is known (cf.: http://www.alanwood.net/pesticides/); these substances are commercially available. The compounds described by IUPAC nomenclature, their preparation and their fungicidal activity are also known (cf. Can. J. Plant Sci. 48(6), 587-94, 1968; EP-A 141 317; EP-A 152 031 ; EP-A 226 917; EP-A 243 970; EP-A 256 503; EP-A 428 941 ; EP-A 532 022; EP-A 1 028 125; EP-A 1 035 122; EP-A 1 201 648; EP-A 1 122 244, JP 2002316902; DE 19650197; DE 10021412; DE 102005009458; US 3,296,272; US 3,325,503; WO 98/46608; WO 99/14187; WO 99/24413; WO 99/27783; WO 00/29404; WO 00/46148; WO 00/65913; WO 01/54501 ; WO 01/56358; WO 02/22583; WO 02/40431 ; WO 03/10149; WO 03/1 1853; WO 03/14103; WO 03/16286; WO 03/53145; WO 03/61388; WO 03/66609;
WO 03/74491 ; WO 04/49804; WO 04/83193; WO 05/120234; WO 05/123689; WO 05/123690; WO 05/63721 ; WO 05/87772; WO 05/87773; WO 06/15866; WO 06/87325; WO 06/87343; WO 07/82098; WO 07/90624).
The mixtures of active substances can be prepared as compositions comprising besides the active ingredients at least one inert ingredient by usual means, e. g. by the means given for the compositions of compounds I, Il and/or IV.
Concerning usual ingredients of such compositions reference is made to the explana- tions given for the compositions containing compounds IJI and/or IV.
The mixtures of active substances according to the present invention are suitable as fungicides, as are the compounds of formula I, Il ad IV. They are distinguished by an outstanding effectiveness against a broad spectrum of phytopathogenic fungi, espe- cially from the classes of the Ascomycetes, Basidiomycetes, Deuteromycetes and Per- onosporomycetes (syn. Oomycetes ). In addition, it is referred to the explanations regarding the fungicidal activity of the compounds and the compositions containing compounds I, Il and/or IV respectively.
A further aspect of the invention relates to seed, comprising at least compound of formula I, Il and/or IV, in an amount of from 0.1 g to 10 kg per 100 kg of seeds.
The compounds I, Il and IV and pharmaceutically acceptable salts thereof are also suitable for treating diseases in men and animals, especially to their use as antimycot- ics, for treating cancer and for treating virus infections. The term "antimycotic", as distinguished from the term "fungicide", refers to a medicament for combating zoopatho- genic or humanpathogenic fungi, i.e. for combating fungi in animals, especially in mamals and birds.
Thus, a further aspect of the present invention relates to a medicament comprising at least one compound of the formulae I, Il and/or IV and/or at least one pharmaceutically acceptable salt thereof and a pharmaceutically acceptable carrier.
Suitable pharmaceutically acceptable salts are especially physiologically tolerated salts of the compound I, Il and/or IV, in particular the acid addition salts with physiologically acceptable acids. Examples of suitable organic and inorganic acids are hydrochloric acid, hydrobromic acid, phosphoric acid, sulfuric acid, Ci-C4-alkylsulfonic acids, such as methanesulfonic acid, aromatic sulfonic acids, such as benzenesulfonic acid and toluenesulfonic acid, oxalic acid, maleic acid, fumaric acid, lactic acid, tartaric acid,
adipic acid and benzoic acid. Further suitable acids are described, for example, in Fortschritte der Arzneimittelforschung, Volume 10, pages 224 ff., Birkhauser Verlag, Basle and Stuttgart, 1966, the entire contents of which is expressly incorporated herein by way of reference.
Suitable carriers are, for example, solvents, carriers, excipients, binders and the like customarily used for pharmaceutical formulations, which are described below in an exemplary manner for individual types of administration.
A further aspect of the present invention relates to the use of compounds I, Il and IV or of pharmaceutically acceptable salts thereof for preparing an antimycotic medicament; i.e. for preparing a medicament for the treatment and/or prophylaxis of infections with humanpathogenic and/or zoopathogenic fungi. Another aspect of the present invention relates to the use of compounds of formulae I, Il and/or IV or of pharmaceutically ac- ceptable salts thereof for preparing a medicament for the treatment of cancer. Another aspect of the present invention relates to the use of compounds of formulae I, Il and/or IV or of pharmaceutically acceptable salts thereof for preparing a medicament for the treatment or prophylaxis of virus infections.
The compounds of formulae I, Il and IV and/or their pharmaceutically acceptable salts are suitable for the treatment, inhibiton or control of growth and/or propagation of tumor cells and the disorders associated therewith. Accordingly, they are suitable for cancer therapy in warm-blooded vertebrates, for example mammals and birds, in particular man, but also other mammals, in particular useful and domestic animals, such as dogs, cats, pigs, ruminants (cattle, sheep, goats, bison, etc.), horses and birds, such as chicken, turkey, ducks, geese, guineafowl and the like.
The compounds of formulae I, Il and IV and/or their pharmaceutically acceptable salts are suitable for the therapy of cancer or cancerous disorders of the following organs: breast, lung, intestine, prostate, skin (melanoma), kidney, bladder, mouth, larynx, oesophagus, stomach, ovaries, pancreas, liver and brain or CNS.
The compounds of formulae I, Il and IV and/or their pharmaceutically acceptable salts are suitable for the treatment of virus infections in warm-blooded vertebrates, for ex- ample mammals and birds, in particular man, but also other mammals, in particular useful and domestic animals, such as dogs, cats, pigs, ruminants (cattle, sheep, goats, bison, etc.), horses and birds, such as chicken, turkey, ducks, geese, guineafowl and the like. They are suitable for treating virus infections like retrovirus infections such as HIV and HTLV, influenza virus infection, rhinovirus infections, herpes and the like.
The compounds according to the invention can be administered in a customary manner, for example orally, intravenously, intramuscularly or subcutaneously. For oral administration, the active compound can be mixed, for example, with an inert diluent or with an edible carrier; it can be embedded into a hard or soft gelatin capsule, it can be compressed to tablets or it can be mixed directly with the food/feed. The active compound can be mixed with excipients and administered in the form of indigestible tablets, buccal tablets, pastilles, pills, capsules, suspensions, potions, syrups and the like. Such preparations should contain at least 0.1 % of active compound. The composition of the preparation may, of course, vary. It usually comprises from 2 to 60% by weight of active compound, based on the total weight of the preparation in question (dosage unit). Preferred preparations of the compound I according to the invention comprise from 10 to 1000 mg of active compound per oral dosage unit.
The tablets, pastilles, pills, capsules and the like may furthermore comprise the following components: binders, such as traganth, gum arabic, corn starch or gelatin, excipients, such as dicalcium phosphate, disintegrants, such as corn starch, potato starch, alginic acid and the like, glidants, such as magnesium stearate, sweeteners, such as sucrose, lactose or saccharin, and/or flavors, such as peppermint, vanilla and the like. Capsules may furthermore comprise a liquid carrier. Other substances which modify the properties of the dosage unit may also be used. For example, tablets, pills and capsules may be coated with schellack, sugar or mixtures thereof. In addition to the active compound, syrups or potions may also comprise sugar (or other sweeteners), methyl- or propylparaben as preservative, a colorant and/or a flavor. The components of the active compound preparations must, of course, be pharmaceutically pure and nontoxic at the quantities employed. Furthermore, the active compounds can be formulated as preparations with a controlled release of active compound, for example as delayed-release preparations.
The active compounds can also be administered parenterally or intraperitoneal^. Solutions or suspensions of the active compounds or their salts can be prepared with water using suitable wetting agents, such as hydroxypropylcellulose. Dispersions can also be prepared using glycerol, liquid polyethylene glycols and mixtures thereof in oils. Frequently, these preparations furthermore comprise a preservative to prevent the growth of microorganisms.
Preparations intended for injections comprise sterile aqueous solutions and dispersions and also sterile powders for preparing sterile solutions and dispersions. The preparation has to be sufficiently liquid for injection. It has to be stable under the preparation
and storage conditions and it has to be protected against contamination by microorganisms. The carrier may be a solvent or a dispersion medium, for example, water, etha- nol, a polyol (for example glycerol, propylene glycol or liquid polyethylene glycol), a mixture thereof and/or a vegetable oil.
The invention is further illustrated by the following, non-limiting examples.
I. Synthesis examples
1. 5-(2-Trifluoromethyl-4-chloro-benzyl)-1 -(5-mercapto-[1 ,2,4]triazol-1 -ylmethyl)-2,2- dimethylcyclopentanol;
1.1 Aldol reaction
A mixture of 2,2-dimethylcyclopentanone (4.00 g, 35.66 mmol) and 4-2-trifluomethyl-4- chlorobenzaldehyde (7.44 g, 35.66 mmol) in 60 ml. ethanol was cooled to 0 0C. 10% NaOH (45 ml.) was added dropwise and the mixture stirred for 1.5 h at room temperature. The mixture was concentrated under reduced pressure and 10% HCI was added (20 ml_). The aqueous phase was extracted with CH2CI2 (3 x 50 ml_). The combined organic extracts were washed with 10% HCI (20 ml_), dried over MgSO4, filtered and evaporated under vacuum. The crude aldol product (9.0 g) was used without any further purification for the next reaction.
1.2 Hydrogenation
The product obtained in step 1.1 (9.0 g) was hydrogenated under standard conditions in THF (200 ml.) in the presence of activated Raney-Nickel (10 mol %) (previously washed with THF) over 10 h at room temperature. The reaction mixture was filtered over Celite and the filtrate was dried over MgSO4. Removal of the solvent in vacuo afforded the crude product (5.0 g) which was used without any further purification for the next reaction.
1.3 5-(2-Trifluoromethyl-4-chloro-benzyl)-1 -([1 ,2,4]triazol-1 -ylmethyl)-2,2- dimethylcyclopentanol
To sodium hydride (1.85 g, 73.44 mmol) in N-methylpyrolidione (25 ml.) was added trimethylsulfoxonium iodide (6.92 g, 31.48 mmol) under inert atmosphere portion wise and stirred (until hydrogen gas liberation stops). Subsequently, powdered [1 ,2,4]-
triazole (2.92 g, 42.39 mmol) was slowly added and stirring was continued for 30 min. Addition of the intermediate from step 1.2 (5.00 g, 19.94 mmol) and isopropanol (25ml_) followed. The reaction mixture was stirred for an additional 4 h at 100 0C. Water was added (30 ml.) and the aqueous phase was extracted with MTBE (3 x 50 ml_). The combined organic extracts were washed with water (30 ml.) and brine (30 ml_), dried over MgSO4 and evaporated under vacuum. The crude product was purified by flash chromatography (silica gel, cyclohexane: ethyl acetate 95:5 to 60:40) to afford the title product (0.73 g, 12%).
1H NMR (400 MHz, CDCI3) δ 8.17 (s, 1 H), 8.00 (s, 1 H), 7.60 (d, 1 H), 7.40 (dd, 1 H), 7.30 (d, 1 H), 4.30 (dd, 2H), 4.00 (bs, 1 H), 2.90-2.70 (m, 2H), 2.30-2.40 (m, 1 H), 1.85- 1.50 (m, 3H), 1.35-1.25 (m, 1 H), 1.00 (s, 3H), 0.50 (s, 3H).
1.4 5-(2-Trifluoromethyl-4-chloro-benzyl)-1 -(5-mercapto-[1 ,2,4]triazol-1 -ylmethyl)-2,2- dimethylcyclopentanol
A solution of the product obtained in step 1.3 (1.28 g, 3.30 mmol) in THF (20 ml.) cooled at -78 0C was added 1.6 M n-BuLi in hexane (4.94 ml_, 7.91 mmol) and stirring was continued for 10 min. Subsequently, sulphur (0.22 g, 6.59 mmol) was added and stirring was continued for an additional 1.5 h. Upon reaction completion saturated
NH4CI solution was added and the aqueous phase was extracted with ethyl acetate (2 x 30 ml_). The combined organic extracts were washed with water, dried over MgSO4 and the solvent was removed under reduced pressure. The crude product was purified by flash chromatography (silica gel, cyclohexane:ethyl acetate 95:5 to 60:40) to afford the title product (0.66 g, 48%).
1H NMR (400 MHz, CDCI3) δ 12.3 (bs, 1 H7.85 (s, 1 H), 7.60 (d, 1 H), 7.45-7.30 (m, 2H), 4.40 (dd, 2H), 4.00 (bs, 1 H), 2.90-2.70 (m, 2H), 2.55-2.40 (m, 1 H), 1.30-1.85 (m, 4H), 1.10 (s, 3H), 0.82 (s, 3H).
HPLC-MS ret. time (mass): 3.827 min (420)
The compound of example 2 was prepared analogously.
2. 5-(3,4-Dichloro-benzyl)-1 -(5-mercapto-[1 ,2,4]triazol-1 -ylmethyl)-2,2- dimethylcyclopentanol
HPLC-MS ret. time (mass): 3.857 min (386)
II. Examples of the action against harmful fungi
The fungicidal action of the compounds of the formulae I and Il was demonstrated by the following experiments:
A) Greenhouse tests
The active substances were formulated separately or together as a stock solution com- prising 25 mg of active substance which was made up to 10 ml using a mixture of acetone and/or dimethyl sulfoxide (DMSO) and the emulsifier Wettol EM 31 (wetting agent having emulsifying and dispersing action based on ethoxylated alkylphenols) in a volume ratio of solvent/emulsifier of 99 to 1. This solution was then made up to 100 ml using water. This stock solution was diluted with the solvent/emulsifier/water mixture described to the active substance concentration given below.
Use example 1 : Curative action against soybean rust on soybean caused by Phakop- sora pachyrhizi
Leaves of potted soybean seedlings were inoculated with a spore suspension of soybean rust (Phakopsora pachyrhizi). The plants were then placed in a chamber with high atmospheric humidity (90 to 95%), at 20-240C, for 24 hours. During this time, the spores germinated and the germinal tubes penetrated into the leaf tissue. The test plants were then further cultivated in the greenhouse at temperatures between 23 and 27°C and at 60 to 80% relative atmospheric humidity. After two days, the plants were sprayed to runoff point with the above-described aqueous solution having the concentration of active substance stated below. After drying of the suspension, the plants were cultivated in the greenhouse at temperatures between 23 and 27°C and at 60 to 80% relative atmospheric humidity for a further 10 days. The extent of the rust development on the leaves was then determined visually.
Use example 2: Protective action against Septoria blotch on wheat caused by Septoria tritici
Leaves of potted wheat seedlings were sprayed to runoff point with an aqueous suspension having the concentration of active substance stated below. 24 hours after drying of the suspension the treated plants were inoculated with a suspension of spores of Septoria tritici. The plants were then placed in a chamber with high atmospheric humidity (nearly 100 %), at 18-22°C, for 4 days and then at ca. 70% relative atmospheric humidity at 18-22°C. After 21 days, the extent of the rust development on the leaves was determined visually as % of the entire leaves' surface.
Claims
1. Triazole compounds of the formulae I and Il
(I) (H) where
L1 and L4, independently of each other, are selected from hydrogen, bromine, iodine, Ci-Cio-alkyl, Ci-Cio-haloalkyl, Ci-Cio-alkoxy and Ci-Cio-haloalkoxy;
L2 and L3, independently of each other, are selected from hydrogen, halogen, Ci-Cio-alkyl, Ci-Cio-haloalkyl, Ci-Cio-alkoxy and Ci-Cio-haloalkoxy;
with the proviso that at least one of L1, L2, L3 and L4 is not hydrogen;
R1 and R2, independently of each other, are selected from hydrogen, Ci-Cio-alkyl, Ci-Cio-haloalkyl, Ci-Cio-alkoxy and Ci-Cio-haloalkoxy;
R3 is selected from hydrogen, Ci-Cio-alkyl, Ci-Cio-haloalkyl, Ci-Cio-alkoxy and Ci-Cio-haloalkoxy;
R4 is selected from hydrogen, Ci-Cio-alkyl, Ci-Cio-haloalkyl, C2-Cio-alkenyl, C2-Cio-haloalkenyl, C2-Cio-alkynyl, C2-Cio-haloalkynyl, C3-Cio-cycloalkyl, C3-Cio-halocycloalkyl, phenyl, phenyl-Ci-C4-alkyl, where the phenyl moiety in the 2 last-mentioned radicals may carry 1 , 2, 3, 4 or 5 substituents R8, and a 5- or 6-membered saturated, partially unsaturated or aromatic heterocyclic ring containing 1 , 2 or 3 heteroatoms selected from N, O and S as ring members, where the heterocyclic ring may carry 1 , 2 or 3 substituents R8; or, in case n is 0, may also be selected from -C(=O)R5, -C(=S)R5, -S(O)2R5, -CN, -P(=Q)R6R7, M and a group of the formula III
L1, L2, L3, L4, R1, R2 and R3 are as defined for formulae I and II; and
# is the attachment point to the remainder of the molecule;
R4a is selected from hydrogen, Ci-Cio-alkyl, Ci-Cio-haloalkyl, C2-Cio-alkenyl, C2-Cio-haloalkenyl, C2-Cio-alkynyl, C2-Cio-haloalkynyl, C3-Cio-cycloalkyl, C3-Cio-halocycloalkyl, phenyl, phenyl-Ci-C4-alkyl, where the phenyl moiety in the 2 last-mentioned radicals may carry 1 , 2, 3, 4 or 5 substituents R8, a 5- or 6-membered saturated, partially unsaturated or aromatic heterocyclic ring containing 1 , 2 or 3 heteroatoms selected from N, O and S as ring members, where the heterocyclic ring may carry 1 , 2 or 3 substituents R8, -C(=O)R5, -C(=S)R5, -S(O)2R5, -CN, -P(=Q)R6R7 and M;
R5 is selected from hydrogen, Ci-Cio-alkyl, Ci-Cio-haloalkyl, Ci-Cio-alkoxy, Ci-Cio-haloalkoxy, Ci-Cio-aminoalkyl, C3-Cio-cycloalkyl, C3-C10- halocycloalkyl, phenyl, phenyl-Ci-C4-alkyl, phenoxy, where the phenyl moiety in the 3 last-mentioned radicals may carry 1 , 2, 3, 4 or 5 substituents R8, a 5- or 6-membered saturated, partially unsaturated or aromatic heterocyclic ring containing 1 , 2 or 3 heteroatoms selected from N, O and S as ring members, where the heterocyclic ring may carry 1 , 2 or 3 substituents R8, and NR9R10;
R6 and R7, independently of each other, are selected from Ci-Cio-alkyl, Ci-Cio- haloalkyl, C2-Cio-alkenyl, C2-Cio-haloalkenyl, C2-Cio-alkynyl, C2-C10- haloalkynyl, C3-Cio-cycloalkyl, C3-Cio-halocycloalkyl, Ci-Cio-alkoxy, Ci-Cio- haloalkoxy, Ci-C4-alkoxy-Ci-Cio-alkyl, Ci-C4-alkoxy-Ci-Cio-alkoxy, C1-C10- alkylthio, Ci-Cio-haloalkylthio, C2-Cio-alkenyloxy, C2-Cio-alkenylthio, C2-C10- alkynyloxy, C2-Cio-alkynylthio, C3-Cio-cycloalkoxy, C3-Cio-cycloalkylthio, phenyl, phenyl-Ci-C4-alkyl, phenoxy, phenylthio, phenyl-Ci-C4-alkoxy, and NR11R12.
each R8 is independently selected from halogen, nitro, CN, Ci-C4-alkyl, C1-C4- haloalkyl, Ci-C4-alkoxy, Ci-C4-haloalkoxy and NR13R14;
R9 is selected from hydrogen and Ci-Cs-alkyl;
R10 is selected from hydrogen, Ci-Cs-alkyl, phenyl, and phenyl-Ci-C4-alkyl;
or R9 and R10 together form a linear C4- or Cs-alkylene bridge or a group -CH2CH2OCH2CH2- or -CH2CH2NR15CH2CH2-;
R11 is selected from hydrogen and Ci-Cs-alkyl;
R12 is selected from hydrogen, d-Cs-alkyl, phenyl, and phenyl-Ci-C4-alkyl;
or R11 and R12 together form a linear C4- or Cs-alkylene bridge or a group -CH2CH2OCH2CH2- or -CH2CH2NR15CH2CH2-;
R13 independently of each occurrence is selected from hydrogen and Ci-Cs- alkyl;
R14 independently of each occurrence is selected from hydrogen, d-Cs-alkyl, phenyl and phenyl-Ci-C4-alkyl;
or R13 and R14 together form a linear C4- or Cs-alkylene bridge or a group -CH2CH2OCH2CH2- or -CH2CH2NR15CH2CH2-;
R15 independently of each occurrence is selected from hydrogen and C1-C4- alkyl;
Q is O or S;
M is a metal cation equivalent or an ammonium cation of formula
(NRaRbRcRd)+, wherein Ra, Rb, Rc and Rd, independently of each other, are selected from hydrogen, Ci-Cio-alkyl, phenyl and benzyl, where the phenyl moiety in the 2 last-mentioned radicals may carry 1 , 2 or 3 substituents in- dependently selected from halogen, CN, nitro, Ci-C4-alkyl, Ci-C4-haloalkyl, Ci-C4-alkoxy, Ci-C4-haloalkoxy and NR13R14;
n is 0, 1 , 2 or 3; and
is a single or double bond;
and the agriculturally acceptable salts thereof.
2. The compounds of formulae I and Il as claimed in claim 1 , where L2 and L3, independently of each other, are selected from hydrogen, halogen, Ci-C4-alkyl, CrC4- haloalkyl, Ci-C4-alkoxy and Ci-C4-haloalkoxy.
3. The compounds of formulae I and Il as claimed in claim 2, where L2 and L3, inde- pendently of each other, are selected from hydrogen, chlorine, methyl, CHbF,
CHF2, CF3, methoxy, OCH2F, OCHF2 and OCF3.
4. The compounds of formulae I and Il as claimed in claim 3, where L2 and L3, independently of each other, are selected from hydrogen and chlorine.
5. The compounds of formulae I and Il as claimed in any of the preceding claims, where L1 and L4, independently of each other, are selected from hydrogen, CrC4- alkyl, Ci-C4-haloalkyl, Ci-C4-alkoxy and Ci-C4-haloalkoxy.
6. The compounds of formulae I and Il as claimed in claim 5, where L1 and L4, independently of each other, are selected from hydrogen, methyl, CH2F, CHF2, CF3, methoxy, OCH2F, OCHF2 and OCF3.
7. The compounds of formulae I and Il as claimed in claim 6, where L1 and L4, inde- pendently of each other, are selected from hydrogen and CF3.
8. The compounds of formulae I and Il as claimed in any of the preceding claims, where only one of L1, L2, L3 and L4 is not hydrogen.
9. The compounds of formulae I and Il as claimed in any of the preceding claims, where R1 and R2, independently of each other, are selected from hydrogen, methyl, ethyl and trifluoromethyl and are preferably both methyl.
10. The compounds of formulae I and Il as claimed in any of the preceding claims, where R3 is selected from hydrogen, methyl, ethyl and trifluoromethyl and is preferably hydrogen.
1 1. The compounds of formulae I and Il as claimed in any of the preceding claims, where R5 is selected from Ci-C4-alkyl, Ci-C2-haloalkyl, Ci-C4-alkoxy, C1-C2- haloalkoxy, phenyl, phenoxy and NR9R10, where R9 is hydrogen and R10 is selected from hydrogen, Ci-C4-alkyl and phenyl.
12. The compounds of formulae I and Il as claimed in any of the preceding claims, where R4 is selected from hydrogen, Ci-C4-alkyl, -C(=O)R5, -S(O)2R5, -CN, M and a group of the formula III.
13. The compounds of formulae I and Il as claimed in any of claim 12, where R4 is selected from hydrogen, Ci-C4-alkyl, C3-C4-alkylcarbonyl, Ci-C4-alkoxycarbonyl, -
C(=O)N(H)Ci-C4-alkyl, Ci-C4-alkylsulfonyl, CN and a group of the formula III.
14. The compounds of formulae I and Il as claimed in claim 13, where R4 is hydrogen, CN or methyl.
15. The compounds of formulae I and Il as claimed in any of the preceding claims, where R4a is selected from hydrogen, Ci-C4-alkyl and Ci-C4-haloalkyl.
16. The compounds of formulae I and Il as claimed in any of the preceding claims, where n is 0.
17. Compounds of formula IV
wherein R1, R2, R3, L1, L2, L3 and L4 are as defined in any of claims 1 to 10; except for the compound, wherein
R1 and R2 are both methyl, R3 is hydrogen, L1, L3 and L4 are hydrogen, L2 is chlorine and is a double bond.
18. Compounds of formula IVA
19. Compounds of formula V
20. Compounds of formula Vl
21. Compounds of formula VII
wherein R1, R2, R3, L1, L2, L3 and L4 are as defined in any of claims 1 to 10; and R14 is H or C(O)OR15, where R15 is selected from hydrogen, Ci-Cio-alkyl, Ci-Cio-haloalkyl, C3-C10- cycloalkyl, C3-Cio-halocycloalkyl, phenyl, phenyl-Ci-C4-alkyl, where the phenyl moiety in the 2 last-mentioned radicals may carry 1 , 2, 3, 4 or 5 substituents R8, and a 5- or 6-membered saturated, partially unsaturated or aromatic heterocyclic ring containing 1 , 2 or 3 heteroa- toms selected from N, O and S as ring members, where the heterocyclic ring may carry 1 , 2 or 3 substituents R8, where R8 is as defined in claim 1.
22. Compounds of formula VIII
23. Compounds of formula IX
wherein R1, R2, R3, L1, L2, L3 and L4 are as defined in any of claims 1 to 10 except for the compound, wherein
R1 and R2 are both methyl, R3 is hydrogen, L1, L3 and L4 are hydrogen, L2 is chlorine and is a double bond.
24. An agricultural composition comprising at least one compound of formula I, Il and/or IV as defined in any of claims 1 to 18 or an agriculturally acceptable salt thereof and a liquid or solid carrier.
25. The use of a compound of formula I, Il and/or IV as defined in any of claims 1 to 18 for controlling harmful fungi.
26. A method for controlling harmful fungi, wherein the fungi, their habitat or the ma- terials or plants to be protected against fungal attack, or the soil or propagation material are treated with an effective amount of at least compound of formula I, Il and/or IV, where compounds IJI and IV are as defined in any of claims 1 to 18.
27. Seed, comprising at least compound of formula I, Il and/or IV, where compounds I, Il and IV are as defined in any of claims 1 to 18, in an amount of from 0.1 g to
10 kg per 100 kg of seeds.
28. A pharmaceutical composition comprising at least one compound of formula I, Il and/or IV as defined in any of claims 1 to 15 or a pharmaceutically acceptable salt thereof and at least one pharmaceutically acceptable carrier.
29. The use of a compound of formula I, Il or IV as defined in any of claims 1 to 18 or a pharmaceutically acceptable salt thereof for preparing a medicament for the treatment of cancer or virus infections or for preparing an antimycotic medica- ment.
30. A method for treating cancer or virus infections or for combating zoopathogenic or humanpathogenic fungi, which comprises treating an individual in need thereof with at least one compound of formula 1 , 11 and/or IV as defined in any of claims 1 to 18, with at least one pharmaceutically acceptable salt thereof or with a pharmaceutical composition as defined in claim 28.
Applications Claiming Priority (2)
| Application Number | Priority Date | Filing Date | Title |
|---|---|---|---|
| EP09158756 | 2009-04-24 | ||
| EP09158756.8 | 2009-04-24 |
Publications (1)
| Publication Number | Publication Date |
|---|---|
| WO2010149414A1 true WO2010149414A1 (en) | 2010-12-29 |
Family
ID=41719228
Family Applications (1)
| Application Number | Title | Priority Date | Filing Date |
|---|---|---|---|
| PCT/EP2010/055555 Ceased WO2010149414A1 (en) | 2009-04-24 | 2010-04-26 | 5-mercapto-[1, 2, 4] triazolylmethyl-cyclopentanol compounds and their agricultural and pharmaceutical uses |
Country Status (3)
| Country | Link |
|---|---|
| AR (1) | AR076427A1 (en) |
| TW (1) | TW201041514A (en) |
| WO (1) | WO2010149414A1 (en) |
Cited By (5)
| Publication number | Priority date | Publication date | Assignee | Title |
|---|---|---|---|---|
| WO2012165499A1 (en) * | 2011-05-31 | 2012-12-06 | 株式会社クレハ | Triazole compound and use thereof |
| WO2013084770A1 (en) * | 2011-12-05 | 2013-06-13 | 株式会社クレハ | Azole derivative, method for producing azole derivative, intermediate compound, drug for agricultural and horticultural applications, and industrial material protectant |
| WO2015141867A1 (en) | 2014-03-20 | 2015-09-24 | Mitsui Chemicals Agro, Inc. | Plant disease control composition and method for controlling plant disease by application of same |
| JPWO2013157311A1 (en) * | 2012-04-18 | 2015-12-21 | 株式会社クレハ | Method for producing triazolylmethylcycloalkanol derivative and composition containing triazolylmethylcycloalkanol derivative |
| EP3040073A4 (en) * | 2013-08-27 | 2017-07-12 | Sinochem Corporation | Applications of substituent benzyloxy group containing ether compounds for preparing antitumor drugs |
Citations (12)
| Publication number | Priority date | Publication date | Assignee | Title |
|---|---|---|---|---|
| JPS6341476A (en) * | 1986-08-08 | 1988-02-22 | Kureha Chem Ind Co Ltd | Novel tricyclic azole derivative, production thereof and agricultural and horticultural fungicide containing said derivative as active ingredient |
| EP0267778A2 (en) * | 1986-11-10 | 1988-05-18 | Kureha Kagaku Kogyo Kabushiki Kaisha | Azole derivatives useful in controlling plant diseases and regulating plant growth |
| EP0378953A1 (en) * | 1988-12-29 | 1990-07-25 | Rhone-Poulenc Agrochimie | Benzylidene azolyl methyl cycloalkane and its use as a fungicide |
| EP0433780A1 (en) * | 1989-12-16 | 1991-06-26 | BASF Aktiengesellschaft | Substituted azolylmethylcycloalkanols and fungicides containing them |
| EP0655443A2 (en) * | 1993-11-11 | 1995-05-31 | Kureha Chemical Industry Co., Ltd. | Process for the preparation of azolylmethylcycloalkanol derivatives |
| DE19520096A1 (en) * | 1995-06-01 | 1996-12-05 | Bayer Ag | Cycloalkane benzylidene derivatives |
| DE19520098A1 (en) * | 1995-06-01 | 1996-12-05 | Bayer Ag | Triazolylmethyl-cyclopentanols |
| DE19617461A1 (en) * | 1996-05-02 | 1997-11-06 | Bayer Ag | Acylmercapto triazolyl derivatives |
| DE19617282A1 (en) * | 1996-04-30 | 1997-11-06 | Bayer Ag | Triazolyl mercaptide |
| DE19619544A1 (en) * | 1996-05-15 | 1997-11-20 | Bayer Ag | Triazolyl disulfides |
| DE19620590A1 (en) * | 1996-05-22 | 1997-11-27 | Bayer Ag | Sulfonyl-mercapto-triazolyl derivatives |
| DE19620407A1 (en) * | 1996-05-21 | 1997-11-27 | Bayer Ag | Thiocyano-triazolyl derivatives |
-
2010
- 2010-04-26 WO PCT/EP2010/055555 patent/WO2010149414A1/en not_active Ceased
- 2010-04-26 TW TW099113195A patent/TW201041514A/en unknown
- 2010-04-26 AR ARP100101397A patent/AR076427A1/en unknown
Patent Citations (12)
| Publication number | Priority date | Publication date | Assignee | Title |
|---|---|---|---|---|
| JPS6341476A (en) * | 1986-08-08 | 1988-02-22 | Kureha Chem Ind Co Ltd | Novel tricyclic azole derivative, production thereof and agricultural and horticultural fungicide containing said derivative as active ingredient |
| EP0267778A2 (en) * | 1986-11-10 | 1988-05-18 | Kureha Kagaku Kogyo Kabushiki Kaisha | Azole derivatives useful in controlling plant diseases and regulating plant growth |
| EP0378953A1 (en) * | 1988-12-29 | 1990-07-25 | Rhone-Poulenc Agrochimie | Benzylidene azolyl methyl cycloalkane and its use as a fungicide |
| EP0433780A1 (en) * | 1989-12-16 | 1991-06-26 | BASF Aktiengesellschaft | Substituted azolylmethylcycloalkanols and fungicides containing them |
| EP0655443A2 (en) * | 1993-11-11 | 1995-05-31 | Kureha Chemical Industry Co., Ltd. | Process for the preparation of azolylmethylcycloalkanol derivatives |
| DE19520096A1 (en) * | 1995-06-01 | 1996-12-05 | Bayer Ag | Cycloalkane benzylidene derivatives |
| DE19520098A1 (en) * | 1995-06-01 | 1996-12-05 | Bayer Ag | Triazolylmethyl-cyclopentanols |
| DE19617282A1 (en) * | 1996-04-30 | 1997-11-06 | Bayer Ag | Triazolyl mercaptide |
| DE19617461A1 (en) * | 1996-05-02 | 1997-11-06 | Bayer Ag | Acylmercapto triazolyl derivatives |
| DE19619544A1 (en) * | 1996-05-15 | 1997-11-20 | Bayer Ag | Triazolyl disulfides |
| DE19620407A1 (en) * | 1996-05-21 | 1997-11-27 | Bayer Ag | Thiocyano-triazolyl derivatives |
| DE19620590A1 (en) * | 1996-05-22 | 1997-11-27 | Bayer Ag | Sulfonyl-mercapto-triazolyl derivatives |
Non-Patent Citations (10)
| Title |
|---|
| CAN. J. PLANT SCI., vol. 48, no. 6, 1968, pages 587 - 94 |
| J. AM. CHEM. SOC., 1975, pages 1353 |
| J. ORG. CHEM., vol. 28, 1963, pages 1128 |
| J. ORG. CHEM., vol. 48, no. 7, 1983, pages 1125 |
| ORG. SYN. COLL., vol. 4, 1963, pages 552 |
| ORG. SYN., vol. 40, 1966, pages 66 |
| ORG. SYN., vol. 49, 1968, pages 78 |
| TETRAHEDRON LETT., vol. 23, 1982, pages 5283 |
| TETRAHEDRON, 1985, pages 1259 |
| TETRAHEDRON, vol. 54, no. 28, 1998, pages 8075 |
Cited By (7)
| Publication number | Priority date | Publication date | Assignee | Title |
|---|---|---|---|---|
| WO2012165499A1 (en) * | 2011-05-31 | 2012-12-06 | 株式会社クレハ | Triazole compound and use thereof |
| JPWO2012165499A1 (en) * | 2011-05-31 | 2015-02-23 | 株式会社クレハ | Triazole compounds and use thereof |
| US9253983B2 (en) | 2011-05-31 | 2016-02-09 | Kureha Corporation | Triazole compound and use thereof |
| WO2013084770A1 (en) * | 2011-12-05 | 2013-06-13 | 株式会社クレハ | Azole derivative, method for producing azole derivative, intermediate compound, drug for agricultural and horticultural applications, and industrial material protectant |
| JPWO2013157311A1 (en) * | 2012-04-18 | 2015-12-21 | 株式会社クレハ | Method for producing triazolylmethylcycloalkanol derivative and composition containing triazolylmethylcycloalkanol derivative |
| EP3040073A4 (en) * | 2013-08-27 | 2017-07-12 | Sinochem Corporation | Applications of substituent benzyloxy group containing ether compounds for preparing antitumor drugs |
| WO2015141867A1 (en) | 2014-03-20 | 2015-09-24 | Mitsui Chemicals Agro, Inc. | Plant disease control composition and method for controlling plant disease by application of same |
Also Published As
| Publication number | Publication date |
|---|---|
| TW201041514A (en) | 2010-12-01 |
| AR076427A1 (en) | 2011-06-08 |
Similar Documents
| Publication | Publication Date | Title |
|---|---|---|
| CA2950812C (en) | Substituted [1,2,4]triazole compounds and their use to combat phytopathogenic fungi | |
| AU2015238666B2 (en) | Substituted [1,2,4]triazole and imidazole compounds as fungicides | |
| CA2762512A1 (en) | Triazole compounds carrying a sulfur substituent | |
| US20120088664A1 (en) | Antifungal 1,2,4-triazolyl derivatives having a 5-sulfur subtituent | |
| WO2010146116A1 (en) | Triazole compounds carrying a sulfur substituent | |
| WO2010146115A1 (en) | Triazole compounds carrying a sulfur substituent | |
| WO2011006886A2 (en) | Azole compounds carrying a sulfur substituent xiv | |
| EP3151669A1 (en) | Use of substituted oxadiazoles for combating phytopathogenic fungi | |
| EP2440535A1 (en) | Antifungal 1,2,4-triazolyl derivatives having a 5- sulfur substituent | |
| US20120088660A1 (en) | Antifungal 1,2,4-triazolyl Derivatives | |
| EP2871960A1 (en) | Substituted thiadiazoles and their use as fungicides | |
| US20120108422A1 (en) | Antifungal 1,2,4-triazolyl Derivatives | |
| WO2010149414A1 (en) | 5-mercapto-[1, 2, 4] triazolylmethyl-cyclopentanol compounds and their agricultural and pharmaceutical uses | |
| EP2402337A1 (en) | Pyrazolopyridine compounds | |
| WO2014009293A1 (en) | New substituted thiadiazoles and their use as fungicides | |
| EP2402344A1 (en) | Pyrazole fused bicyclic compounds | |
| WO2010122167A1 (en) | 5 -mercapto- [1, 2, 4] triazolylmethyl-cyclopentanol compounds and their agricultural and pharmaceutical uses | |
| EP2699090A1 (en) | 3,4-disubstituted pyrrole 2,5-diones and their use as fungicides | |
| WO2010122171A1 (en) | 5-heteroarylmethyl-i- (b-mercapto- [1,2, 4 -triazolylmethyl) -cyclopentanol as fungicides | |
| WO2010122169A1 (en) | 5-mercapto- [1,2, 4] triazole compounds and their agricultural and pharmaceutical uses | |
| WO2010122170A1 (en) | 5-mercapto- [1,2,4] triazolylmethyl-cyclopentanol compounds and their agricultural and pharmaceuti al uses | |
| WO2010149758A1 (en) | Antifungal 1, 2, 4-triazolyl derivatives | |
| EP2401915A1 (en) | Pyrazolopyridine compounds | |
| EP2402339A1 (en) | Pyrazolopyridine compounds | |
| EP2402340A1 (en) | Pyrazolopyridine compounds |
Legal Events
| Date | Code | Title | Description |
|---|---|---|---|
| 121 | Ep: the epo has been informed by wipo that ep was designated in this application |
Ref document number: 10719744 Country of ref document: EP Kind code of ref document: A1 |
|
| NENP | Non-entry into the national phase |
Ref country code: DE |
|
| 122 | Ep: pct application non-entry in european phase |
Ref document number: 10719744 Country of ref document: EP Kind code of ref document: A1 |





































































