WO2010131268A1 - Genetic variants for basal cell carcinoma, squamous cell carcinoma and cutaneous melanoma - Google Patents
Genetic variants for basal cell carcinoma, squamous cell carcinoma and cutaneous melanoma Download PDFInfo
- Publication number
- WO2010131268A1 WO2010131268A1 PCT/IS2010/050003 IS2010050003W WO2010131268A1 WO 2010131268 A1 WO2010131268 A1 WO 2010131268A1 IS 2010050003 W IS2010050003 W IS 2010050003W WO 2010131268 A1 WO2010131268 A1 WO 2010131268A1
- Authority
- WO
- WIPO (PCT)
- Prior art keywords
- cell carcinoma
- basal cell
- susceptibility
- markers
- allele
- Prior art date
- Legal status (The legal status is an assumption and is not a legal conclusion. Google has not performed a legal analysis and makes no representation as to the accuracy of the status listed.)
- Ceased
Links
Classifications
-
- C—CHEMISTRY; METALLURGY
- C12—BIOCHEMISTRY; BEER; SPIRITS; WINE; VINEGAR; MICROBIOLOGY; ENZYMOLOGY; MUTATION OR GENETIC ENGINEERING
- C12Q—MEASURING OR TESTING PROCESSES INVOLVING ENZYMES, NUCLEIC ACIDS OR MICROORGANISMS; COMPOSITIONS OR TEST PAPERS THEREFOR; PROCESSES OF PREPARING SUCH COMPOSITIONS; CONDITION-RESPONSIVE CONTROL IN MICROBIOLOGICAL OR ENZYMOLOGICAL PROCESSES
- C12Q1/00—Measuring or testing processes involving enzymes, nucleic acids or microorganisms; Compositions therefor; Processes of preparing such compositions
- C12Q1/68—Measuring or testing processes involving enzymes, nucleic acids or microorganisms; Compositions therefor; Processes of preparing such compositions involving nucleic acids
- C12Q1/6876—Nucleic acid products used in the analysis of nucleic acids, e.g. primers or probes
- C12Q1/6883—Nucleic acid products used in the analysis of nucleic acids, e.g. primers or probes for diseases caused by alterations of genetic material
- C12Q1/6886—Nucleic acid products used in the analysis of nucleic acids, e.g. primers or probes for diseases caused by alterations of genetic material for cancer
-
- G—PHYSICS
- G16—INFORMATION AND COMMUNICATION TECHNOLOGY [ICT] SPECIALLY ADAPTED FOR SPECIFIC APPLICATION FIELDS
- G16B—BIOINFORMATICS, i.e. INFORMATION AND COMMUNICATION TECHNOLOGY [ICT] SPECIALLY ADAPTED FOR GENETIC OR PROTEIN-RELATED DATA PROCESSING IN COMPUTATIONAL MOLECULAR BIOLOGY
- G16B20/00—ICT specially adapted for functional genomics or proteomics, e.g. genotype-phenotype associations
- G16B20/10—Ploidy or copy number detection
-
- G—PHYSICS
- G16—INFORMATION AND COMMUNICATION TECHNOLOGY [ICT] SPECIALLY ADAPTED FOR SPECIFIC APPLICATION FIELDS
- G16B—BIOINFORMATICS, i.e. INFORMATION AND COMMUNICATION TECHNOLOGY [ICT] SPECIALLY ADAPTED FOR GENETIC OR PROTEIN-RELATED DATA PROCESSING IN COMPUTATIONAL MOLECULAR BIOLOGY
- G16B20/00—ICT specially adapted for functional genomics or proteomics, e.g. genotype-phenotype associations
- G16B20/20—Allele or variant detection, e.g. single nucleotide polymorphism [SNP] detection
-
- C—CHEMISTRY; METALLURGY
- C12—BIOCHEMISTRY; BEER; SPIRITS; WINE; VINEGAR; MICROBIOLOGY; ENZYMOLOGY; MUTATION OR GENETIC ENGINEERING
- C12Q—MEASURING OR TESTING PROCESSES INVOLVING ENZYMES, NUCLEIC ACIDS OR MICROORGANISMS; COMPOSITIONS OR TEST PAPERS THEREFOR; PROCESSES OF PREPARING SUCH COMPOSITIONS; CONDITION-RESPONSIVE CONTROL IN MICROBIOLOGICAL OR ENZYMOLOGICAL PROCESSES
- C12Q2537/00—Reactions characterised by the reaction format or use of a specific feature
- C12Q2537/10—Reactions characterised by the reaction format or use of a specific feature the purpose or use of
- C12Q2537/143—Multiplexing, i.e. use of multiple primers or probes in a single reaction, usually for simultaneously analyse of multiple analysis
-
- C—CHEMISTRY; METALLURGY
- C12—BIOCHEMISTRY; BEER; SPIRITS; WINE; VINEGAR; MICROBIOLOGY; ENZYMOLOGY; MUTATION OR GENETIC ENGINEERING
- C12Q—MEASURING OR TESTING PROCESSES INVOLVING ENZYMES, NUCLEIC ACIDS OR MICROORGANISMS; COMPOSITIONS OR TEST PAPERS THEREFOR; PROCESSES OF PREPARING SUCH COMPOSITIONS; CONDITION-RESPONSIVE CONTROL IN MICROBIOLOGICAL OR ENZYMOLOGICAL PROCESSES
- C12Q2600/00—Oligonucleotides characterized by their use
- C12Q2600/106—Pharmacogenomics, i.e. genetic variability in individual responses to drugs and drug metabolism
-
- C—CHEMISTRY; METALLURGY
- C12—BIOCHEMISTRY; BEER; SPIRITS; WINE; VINEGAR; MICROBIOLOGY; ENZYMOLOGY; MUTATION OR GENETIC ENGINEERING
- C12Q—MEASURING OR TESTING PROCESSES INVOLVING ENZYMES, NUCLEIC ACIDS OR MICROORGANISMS; COMPOSITIONS OR TEST PAPERS THEREFOR; PROCESSES OF PREPARING SUCH COMPOSITIONS; CONDITION-RESPONSIVE CONTROL IN MICROBIOLOGICAL OR ENZYMOLOGICAL PROCESSES
- C12Q2600/00—Oligonucleotides characterized by their use
- C12Q2600/136—Screening for pharmacological compounds
-
- C—CHEMISTRY; METALLURGY
- C12—BIOCHEMISTRY; BEER; SPIRITS; WINE; VINEGAR; MICROBIOLOGY; ENZYMOLOGY; MUTATION OR GENETIC ENGINEERING
- C12Q—MEASURING OR TESTING PROCESSES INVOLVING ENZYMES, NUCLEIC ACIDS OR MICROORGANISMS; COMPOSITIONS OR TEST PAPERS THEREFOR; PROCESSES OF PREPARING SUCH COMPOSITIONS; CONDITION-RESPONSIVE CONTROL IN MICROBIOLOGICAL OR ENZYMOLOGICAL PROCESSES
- C12Q2600/00—Oligonucleotides characterized by their use
- C12Q2600/156—Polymorphic or mutational markers
-
- C—CHEMISTRY; METALLURGY
- C12—BIOCHEMISTRY; BEER; SPIRITS; WINE; VINEGAR; MICROBIOLOGY; ENZYMOLOGY; MUTATION OR GENETIC ENGINEERING
- C12Q—MEASURING OR TESTING PROCESSES INVOLVING ENZYMES, NUCLEIC ACIDS OR MICROORGANISMS; COMPOSITIONS OR TEST PAPERS THEREFOR; PROCESSES OF PREPARING SUCH COMPOSITIONS; CONDITION-RESPONSIVE CONTROL IN MICROBIOLOGICAL OR ENZYMOLOGICAL PROCESSES
- C12Q2600/00—Oligonucleotides characterized by their use
- C12Q2600/172—Haplotypes
-
- G—PHYSICS
- G16—INFORMATION AND COMMUNICATION TECHNOLOGY [ICT] SPECIALLY ADAPTED FOR SPECIFIC APPLICATION FIELDS
- G16B—BIOINFORMATICS, i.e. INFORMATION AND COMMUNICATION TECHNOLOGY [ICT] SPECIALLY ADAPTED FOR GENETIC OR PROTEIN-RELATED DATA PROCESSING IN COMPUTATIONAL MOLECULAR BIOLOGY
- G16B20/00—ICT specially adapted for functional genomics or proteomics, e.g. genotype-phenotype associations
Definitions
- SNPs single nucleotide polymorphisms
- Genetic risk is conferred by subtle differences in genes among individuals in a population. Genes differ between individuals most frequently due to single nucleotide polymorphisms (SNPs), although other variations are also important. SNPs are located on average every 1000 base pairs in the human genome. Accordingly, a typical human gene containing 250,000 base pairs may contain 250 different SNP. Only a minor number of SNPs are located in exons and alter the amino acid sequence of the protein encoded by the gene. Most SNPs may have little or no effect on gene function, while others may alter transcription, splicing, translation, or stability of the mRNA encoded by the gene. Additional genetic polymorphism in the human genome is caused by insertion, deletion, translocation, or inversion of either short or long stretches of DNA. Genetic polymorphisms conferring disease risk may therefore directly alter the amino acid sequence of proteins, may increase the amount of protein produced from the gene, or may decrease the amount of protein produced by the gene.
- Cutaneous basal cell carcinoma is the most common cancer amongst whites and incidence rates show an increasing trend.
- the average lifetime risk for Caucasians to develop BCC is approximately 30% [Roewert-Huber, et al., (2007), Br J Dermatol, 157 Suppl 2, 47-51].
- BCC can cause considerable morbidity and 40-50% of patients will develop new primary lesions within 5 years[Lear, et al., (2005), Clin Exp Dermatol, 30, 49-55].
- Indices of exposure to ultraviolet (UV) light are strongly associated with risk of BCC [Xu and Koo, (2006), Int J Dermatol, 45, 1275-83] .
- Photochemotherapy for skin conditions such as psoriasis with psoralen and UV irradiation (PUVA) have been associated with increased risk of SCC and BCC.
- Immunosuppressive treatments increase the incidence of both SCC and BCC, with the incidence rate of BCC in transplant recipients being up to 100 times the population risk [Hartevelt, et al., (1990), Transplantation, 49, 506-9; Lindelof, et al., (2000), Br J Dermatol, 143, 513-9] .
- BCCs may be particularly aggressive in immunosuppressed individuals.
- CM Cutaneous Melanoma
- CM is the sixth most commonly diagnosed cancer (excluding non-melanoma skin cancers). In the year 2008 it is estimated that 62,480 new cases of invasive CM will have been diagnosed in the U.S.A. and 8,420 people will have died from metastatic melanoma. A further 54,020 cases of in-situ CM are expected to be diagnosed during the year.
- CM CM is highly treatable by surgical excision, with 5 year survival rates over 90%.
- malignant melanoma has an exceptional ability to metastasize to almost every organ system in the body. Once it has done so, the prognosis is very poor.
- Median survival for disseminated (stage IV) disease is 7 1 Z. months, with no improvements in this figure for the past 22 years.
- early detection is of paramount importance in melanoma control.
- CM shows environmental and endogenous host risk factors, the latter including genetic factors. These factors interact with each other in complex ways.
- the major environmental risk factor is UV irradiation. Intense episodic exposures rather than total dose represent the major risk [Markovic, et al., (2007), Mayo Clin Proc, 82, 364-80] .
- the present invention is based on the discovery that certain genomic regions have for the first time been found to associate with risk of Basal Cell Carcinoma, Squamous Cell Carcinoma and Cutaneous Melanoma. Certain polymorphic markers in these regions have been found to be associated with Basal Cell Carcinoma, Squamous Cell Carcinoma and Cutaneous Melanoma.
- the present invention provides diagnostic and prognostic methods, kits and apparati that are useful in various applications of the invention.
- the invention provides a method of determining a susceptibility to a skin cancer selected from the group consisting of Basal Cell Carcinoma, Squamous Cell Carcinoma and Cutaneous Melanoma in a human individual, the method comprising obtaining sequence data about a human individual identifying at least one allele of at least one polymorphic marker, wherein different alleles of the at least one polymorphic marker are associated with different susceptibilities to the skin cancer in humans, and determining a susceptibility to the skin cancer from the sequence data, wherein the at least one polymorphic marker is selected from the group consisting of rsll586100, rslll70164, rs641615, rs2151280, rsl57935 and rsl6891982, and markers in linkage disequilibrium therewith.
- the invention provides a method of determining a susceptibility to Basal Cell Carcinoma in a human individual, the method comprising obtaining sequence data about a human individual identifying at least one allele of at least one polymorphic marker, wherein different alleles of the at least one polymorphic marker are associated with different susceptibilities to Basal Cell Carcinoma in humans, and determining a susceptibility to Basal Cell Carcinoma from the sequence data, wherein the at least one polymorphic marker is selected from the group consisting of rslll70164, rs641615, rs2151280, rsl57935 and rsl6891982, and markers in linkage disequilibrium therewith.
- the invention also relates to amethod of determining nucleic acid sequence data indicative of a susceptibility to Basal Cell Carcinoma, the method comprising: analyzing nucleic acid from a human individual to obtain nucleic acid data for at least one allele of at least one polymorphic marker selected from the group consisting of rslll70164, rs641615, rs2151280, rsl57935 and rsl6891982, and markers in linkage disequilibirium therewith; wherein different alleles of the at least one polymorphic marker are associated with different susceptibilities to Basal Cell Carcinoma in humans, and preparing a report containing the nucleic acid sequence data for said at least one allele of the at least one polymorphic marker, wherein said report is written in a computer readable medium, printed on paper, or displayed on a visual display.
- the invention provides a method of assessing a susceptibility to Basal Cell Carcinoma in a human individual, the method comprising (i) obtaining sequence information about the individual for at least one polymorphic marker selected from the group consisting of rslll70164, rs641615, rs2151280, rsl57935 and rsl6891982, wherein different alleles of the at least one polymorphic marker are associated with different susceptibilities to Basal Cell Carcinoma in humans; (M) identifying the presence or absence of at least one allele in the at least one polymorphic marker that correlates with increased occurrence of Basal Cell Carcinoma in humans;wherein determination of the presence of the at least one allele identifies the individual as having elevated susceptibility to Basal Cell Carcinoma, and wherein determination of the absence of the at least one allele identifies the individual as not having the elevated susceptibility.
- the invention also provides a method of determining a susceptibility to Basal Cell Carcinoma in a human individual, the method comprising obtaining sequence data about a human individual identifying at least one allele of at least one polymorphic marker, wherein different alleles of the at least one polymorphic marker are associated with different susceptibilities to Basal Cell Carcinoma in humans, and determining a susceptibility to Basal Cell Carcinoma from the sequence data, wherein the at least one polymorphic marker is a marker associated with the human KRT5 gene.
- the invention further provides a method of determining a susceptibility to Basal Cell Carcinoma in a human individual, the method comprising obtaining sequence data about a human individual identifying at least one allele of at least one polymorphic marker, wherein different alleles of the at least one polymorphic marker are associated with different susceptibilities to Basal Cell Carcinoma in humans, and determining a susceptibility to Basal Cell Carcinoma from the sequence data, wherein the at least one polymorphic marker is a marker associated with the human CDKN2A gene.
- the invention further provides a method of determining a susceptibility to Basal Cell Carcinoma in a human individual, the method comprising obtaining sequence data about a human individual identifying at least one allele of at least one polymorphic marker, wherein different alleles of the at least one polymorphic marker are associated with different susceptibilities to Basal Cell Carcinoma in humans, and determining a susceptibility to Basal Cell Carcinoma from the sequence data, wherein the at least one polymorphic marker is a marker associated with the human KLF14 gene.
- the invention also provides a method of determining a susceptibility to Basal Cell Carcinoma in a human individual, the method comprising obtaining sequence data about a human individual identifying at least one allele of at least one polymorphic marker, wherein different alleles of the at least one polymorphic marker are associated with different susceptibilities to Basal Cell Carcinoma in humans, and determining a susceptibility to Basal Cell Carcinoma from the sequence data, wherein the at least one polymorphic marker is a marker associated with the human SLC45A2 gene.
- Another aspect of the invention relates to a method of determining a susceptibility to Basal Cell Carcinoma in a human individual, the method comprising obtaining sequence data about a human individual identifying at least one allele of at least one polymorphic marker, wherein different alleles of the at least one polymorphic marker are associated with different susceptibilities to Basal Cell Carcinoma in humans, and determining a susceptibility to Basal Cell Carcinoma from the sequence data, wherein the at least one polymorphic marker is a marker within LD Block C12.
- the invention further provides a method of determining a susceptibility to Cutaneous Melanoma in a human individual, the method comprising obtaining sequence data about a human individual identifying at least one allele of at least one polymorphic marker, wherein different alleles of the at least one polymorphic marker are associated with different susceptibilities to Cutaneous Melanoma in humans, and determining a susceptibility to Cutaneous Melanoma from the sequence data, wherein the at least one polymorphic marker is selected from the group consisting of rsll586100, and markers in linkage disequilibrium therewith.
- the invention also relates to amino acid sequence data.
- another aspect provides a method of determining a susceptibility to Basal Cell Carcinoma in a human individual, the method comprising obtaining KRT5 amino acid sequence data about at least one encoded KRT5 protein of a human individual, identifying at least one polymorphic site associated with the KRT5 amino acid sequence, wherein different amino acids of the at least one polymorphic site are associated with different susceptibilities to Basal Cell Carcinoma in humans, and determining susceptibility to at Basal Cell Carcinoma from the amino acid sequence data.
- the invention further provides methods for identifying markers that are useful for assessing susceptibility to Basal Cell Carcinoma.
- another aspect of the invention relates to a method of identification of a marker for use in assessing susceptibility to Basal Cell Carcinoma in human individuals, the method comprising (a) identifying at least one polymorphic marker in linkage disequilibrium with at least one marker selected from the group consisting of rslll70164, rs641615, rs2151280, rsl57935 and rsl6891982; (b) obtaining sequence information about the at least one polymorphic marker in a group of individuals diagnosed with Basal Cell Carcinoma; and (c) obtaining sequence information about the at least one polymorphic marker in a group of control individuals; wherein determination of a significant difference in frequency of at least one allele in the at least one polymorphism in individuals diagnosed with Basal Cell Carcinoma as compared with the frequency of the at least one allele in the control group is indicative of
- the invention in another aspect provides a method of predicting prognosis of an individual diagnosed with Basal Cell Carcinoma, the method comprising obtaining sequence data about a human individual identifying at least one allele of at least one polymorphic marker selected from the group consisting of rslll70164, rs641615, rs2151280, rsl57935 and rsl6891982 f and markers in linkage disequilibrium therewith, wherein different alleles of the at least one polymorphic marker are associated with different susceptibilities to Basal Cell Carcinomas in humans, and predicting prognosis of Basal Cell Carcinoma from the sequence data.
- Another aspect relates to a method of assessing probability of response of a human individual to a therapeutic agent for preventing, treating and/or ameliorating symptoms associated with Basal Cell Carcinoma comprising obtaining sequence data about a human individual identifying at least one allele of at least one polymorphic marker selected from the group consisting of rsl 1170164, rs641615, rs2151280, rsl57935 and rsl6891982, and markers in linkage disequilibrium therewith, wherein different alleles of the at least one polymorphic marker are associated with different probabilities of response to the therapeutic agent in humans, and determining the probability of a positive response to the therapeutic agent from the sequence data.
- the therapeutic agent is a chemotherapy agent.
- kits One aspect provides a kit for assessing susceptibility to Basal Cell Carcinoma, the kit comprising reagents for selectively detecting at least one allele of at least one polymorphic marker in the genome of the individual, wherein the polymorphic marker is selected from the group consisting of rslll70164, rs641615, rs2151280, rsl57935 and rsl6891982, and markers in linkage disequilibrium therewith, and a collection of data comprising correlation data between the at least one polymorphism and susceptibility to Basal Cell Carcinoma.
- the invention furthermore provides use of an oligonucleotide probe in the manufacture of a diagnostic reagent for diagnosing and/or assessing a susceptibility to Basal Cell Carcinoma, wherein the probe is capable of hybridizing to a segment of a nucleic acid whose nucleotide sequence is given by any one of SEQ ID NO: 1-801, and wherein the segment is 15-400 nucleotides in length.
- One such application provides a computer-readable medium having computer executable instructions for determining susceptibility to Basal Cell Carcinoma, the computer readable medium comprising (i) data indicative of at least one polymorphic marker; and (ii) a routine stored on the computer readable medium and adapted to be executed by a processor to determine risk of developing Basal Cell Carcinoma for the at least one polymorphic marker, wherein the at least one polymorphic marker is selected from the group consisting of rsll l70164, rs641615, rs2151280, rsl57935 and rsl6891982, and markers in linkage disequilibrium therewith.
- Another computer-implemented aspect relates to an apparatus for determining a genetic indicator for Basal Cell Carcinoma, in a human individual, comprising (i) a processor; and (ii) a computer readable memory having computer executable instructions adapted to be executed on the processor to analyze marker and/or haplotype information for at least one human individual with respect to at least one polymorphic marker selected from the group consisting of rslll70164, rs641615, rs2151280, rsl57935 and rsl6891982, and markers in linkage disequilibrium therewith, and generate an output based on the marker or haplotype information, wherein the output comprises a measure of susceptibility of the at least one marker or haplotype as a genetic indicator of Basal Cell Carcinoma for the human individual.
- FIG 1 provides a diagram illustrating a computer-implemented system utilizing risk variants as described herein.
- FIG 2 shows the sequence of the Keratin 5 helix-initiating region.
- the figure shows the genomic DNA sequence (upper nucleic acid sequence), exonic sequences (lower nucleic acid sequence) and the protein sequence.
- Known EB-associated mutations are highlighted (nucleic acid-level mutations and protein-level mutations shown above nucleic acid sequence and protein sequences, respectively).
- Frameshifts and deletions are denoted by ,,f" and ,,d", respectively.
- the Head Domain extends to amino acid 168 and the IA Rod Domain extends between amion acids 169 and 203. The locations of Glyl38Glu and Asp 197GIu variants are indicated.
- FIG 3 A schematic view of the LD structure of the 9p21 CDKN2A/B region, locations of relevant genes and genome-wide association data for BCC and coronary artery disease (CAD).
- CAD coronary artery disease
- nucleic acid sequences are written left to right in a 5' to 3' orientation.
- Numeric ranges recited within the specification are inclusive of the numbers defining the range and include each integer or any non-integer fraction within the defined range.
- all technical and scientific terms used herein have the same meaning as commonly understood by the ordinary person skilled in the art to which the invention pertains. The following terms shall, in the present context, have the meaning as indicated:
- the marker can comprise any allele of any variant type found in the genome, including SNPs, mini- or microsatellites, translocations and copy number variations (insertions, deletions, duplications).
- Polymorphic markers can be of any measurable frequency in the population. For mapping of disease genes, polymorphic markers with population frequency higher than 5-10% are in general most useful. However, polymorphic markers may also have lower population frequencies, such as 1-5% frequency, or even lower frequency, in particular copy number variations (CNVs). The term shall, in the present context, be taken to include polymorphic markers with any population frequency.
- an “allele” refers to the nucleotide sequence of a given locus (position) on a chromosome.
- a polymorphic marker allele thus refers to the composition (i.e., sequence) of the marker on a chromosome.
- CEPH sample (Centre d'Etudes du Polymorphisme Humain, genomics repository, CEPH sample 1347-02) is used as a reference, the shorter allele of each microsatellite in this sample is set as 0 and all other alleles in other samples are numbered in relation to this reference.
- allele 1 is 1 bp longer than the shorter allele in the CEPH sample
- allele 2 is 2 bp longer than the shorter allele in the CEPH sample
- allele 3 is 3 bp longer than the lower allele in the CEPH sample
- allele -1 is 1 bp shorter than the shorter allele in the CEPH sample
- allele -2 is 2 bp shorter than the shorter allele in the CEPH sample, etc.
- Sequence conucleotide ambiguity as described herein is as proposed by IUPAC-IUB. These codes are compatible with the codes used by the EMBL, GenBank, and PIR databases.
- a nucleotide position at which more than one sequence is possible in a population is referred to herein as a "polymorphic site”.
- a "Single Nucleotide Polymorphism” or "SNP” is a DNA sequence variation occurring when a single nucleotide at a specific location in the genome differs between members of a species or between paired chromosomes in an individual. Most SNP polymorphisms have two alleles. Each individual is in this instance either homozygous for one allele of the polymorphism (i.e. both chromosomal copies of the individual have the same nucleotide at the SNP location), or the individual is heterozygous (i.e. the two sister chromosomes of the individual contain different nucleotides).
- the SNP nomenclature as reported herein refers to the official Reference SNP (rs) ID identification tag as assigned to each unique SNP by the National Center for Biotechnological Information (NCBI).
- a “variant”, as described herein, refers to a segment of DNA that differs from the reference DNA.
- a “marker” or a “polymorphic marker”, as defined herein, is a variant. Alleles that differ from the reference are referred to as “variant” alleles.
- a "microsatellite” is a polymorphic marker that has multiple small repeats of bases that are 2-8 nucleotides in length (such as CA repeats) at a particular site, in which the number of repeat lengths varies in the general population.
- An “indel” is a common form of polymorphism comprising a small insertion or deletion that is typically only a few nucleotides long.
- haplotype refers to a segment of genomic DNA that is characterized by a specific combination of alleles arranged along the segment.
- a haplotype comprises one member of the pair of alleles for each polymorphic marker or locus along the segment.
- the haplotype can comprise two or more alleles, three or more alleles, four or more alleles, or five or more alleles.
- Haplotypes are described herein in the context of the marker name and the allele of the marker in that haplotype, e.g., "1 rsl 1170164” refers to the 1 allele of marker rs7758851 being in the haplotype, and is equivalent to "rslll70164 allele 1".
- susceptibility refers to the proneness of an individual towards the development of a certain state (e.g., a certain trait, phenotype or disease), or towards being less able to resist a particular state than the average individual.
- the term encompasses both increased susceptibility and decreased susceptibility.
- particular alleles at polymorphic markers and/or haplotypes of the invention as described herein may be characteristic of increased susceptibility (i.e., increased risk) of Basal Cell Carcinoma, as characterized by a relative risk (RR) or odds ratio (OR) of greater than one for the particular allele or haplotype.
- the markers and/or haplotypes of the invention are characteristic of decreased susceptibility (i.e., decreased risk) of Basal Cell Carcinoma, as characterized by a relative risk of less than one.
- look-up table is a table that correlates one form of data to another form, or one or more forms of data to a predicted outcome to which the data is relevant, such as phenotype or trait.
- a look-up table can comprise a correlation between allelic data for at least one polymorphic marker and a particular trait or phenotype, such as a particular disease diagnosis, that an individual who comprises the particular allelic data is likely to display, or is more likely to display than individuals who do not comprise the particular allelic data.
- Look-up tables can be multidimensional, I.e. they can contain information about multiple alleles for single markers simultaneously, or the can contain information about multiple markers, and they may also comprise other factors, such as particulars about diseases diagnoses, racial information, biomarkers, biochemical measurements, therapeutic methods or drugs, etc.
- a "computer-readable medium” is an information storage medium that can be accessed by a computer using a commercially available or custom-made interface.
- Exemplary computer- readable media include memory (e.g., RAM, ROM, flash memory, etc.), optical storage media (e.g. , CD-ROM), magnetic storage media (e.g., computer hard drives, floppy disks, etc.), punch cards, or other commercially available media.
- Information may be transferred between a system of interest and a medium, between computers, or between computers and the computer- readable medium for storage or acess of stored information. Such transmission can be electrical, or by other available methods, such as IR links, wireless connections, etc.
- nucleic acid sample refers to a sample obtained from an individual that contains nucleic acid (DNA or RNA).
- the nucleic acid sample comprises genomic DNA.
- Such a nucleic acid sample can be obtained from any source that contains genomic DNA, including a blood sample, sample of amniotic fluid, sample of cerebrospinal fluid, or tissue sample from skin, muscle, buccal or conjunctival mucosa, placenta, gastrointestinal tract or other organs.
- BCC therapeutic agent or “Basal Cell Carcinoma therapeutic agen”, as described herien, refers to an agent that can be used to ameliorate or prevent symptoms associated with Basal Cell Carcinoma.
- BCC-associated nucleic acid or “Basal Cell Carcinoma-associated nucleic acid”, as described herein, refers to a nucleic acid that has been found to be associated to Basal Cell
- a BCC-associated nucleic acid refers to an LD-block found to be associated with BCC through at least one polymorphic marker located within the LD block.
- KRT5 refers to the human kertain 5 gene on chromosome 12ql3.
- CDKN2A refers to the human cyclin-dependent kinase inhibitor 2A gene on on chromosome 9p21.
- the gene is sometimes also called “CDKN2", “CDK4 inhibitor”, “"MTSl”, “TP16”, “pl6 (INK4)”, “pl6 (INK4A)”, “pl4(ARF)", “pl2”, or "pl6-gamma”.
- KLF14 refers to the human kruppel-like factor 14 gene on chromosome 7q32.
- the gene is also sometimes referred to as basic transcription element binding protein 5 ("BTEB5").
- SLC45A2 refers to the human solute carrier family 45, member 2, gene on chromosome 5pl3.
- the gene is sometimes also called membrane-associated transporter protein ("MATP”) or melanoma antigen aiml (“AIMl”).
- MATP membrane-associated transporter protein
- AIMl melanoma antigen aiml
- antisense agent or “antisense oligonucleotide” refers, as described herein, to molecules, or compositions comprising molecules, which include a sequence of purine an pyrimidine heterocyclic bases, supported by a backbone, which are effective to hydrogen bond to a corrresponding contiguous bases in a target nucleic acid sequence.
- the backbone is composed of subunit backbone moieties supporting the purine an pyrimidine hetercyclic bases at positions which allow such hydrogen bonding. These backbone moieties are cyclic moieties of 5 to 7 atoms in size, linked together by phosphorous-containing linkage units of one to three atoms in length.
- the antisense agent comprises an oligonucleotide molecule.
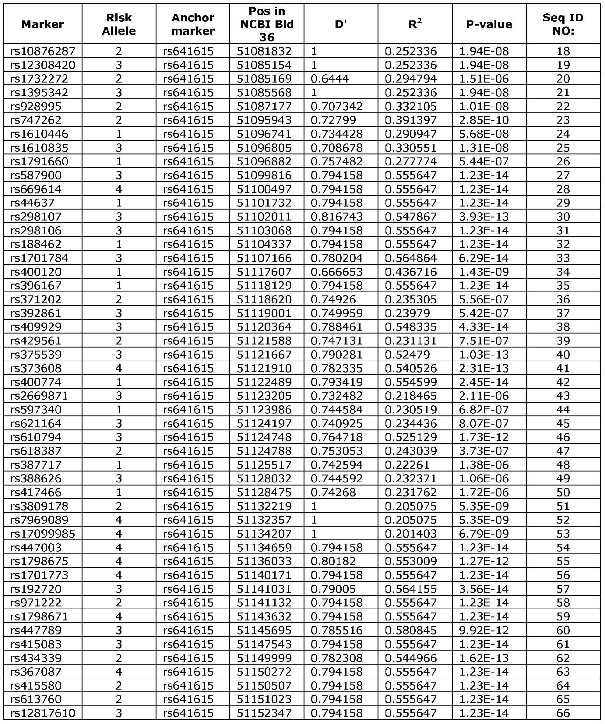
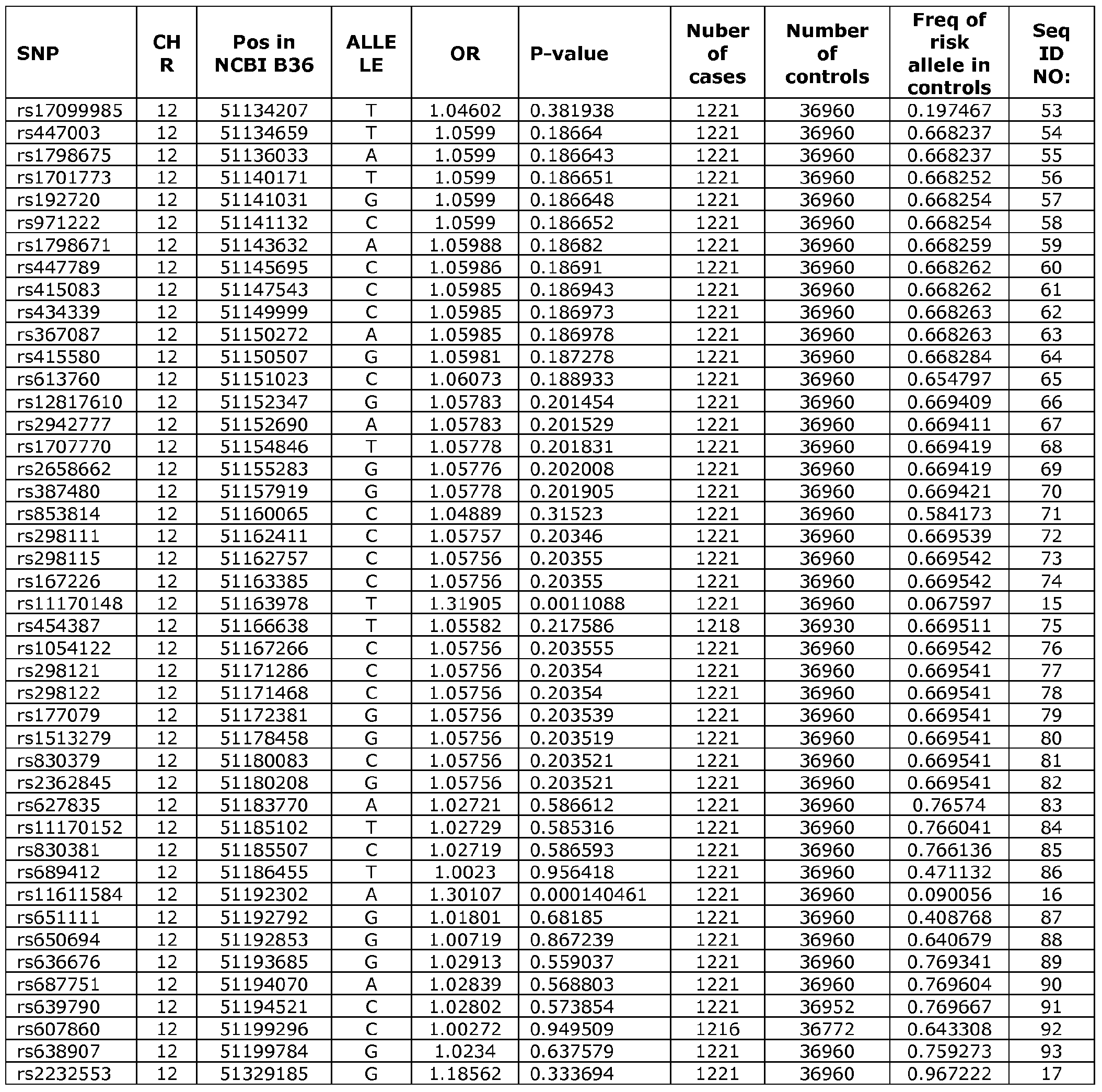
- LD Block C12 refers to the Linkage Disequilibrium (LD) block on Chromosome 12 between markers rsl0876279 and rs2232553, corresponding to position 51,012,062 - 51,329,185 of NCBI (National Center for Biotechnology Information) Build 36.
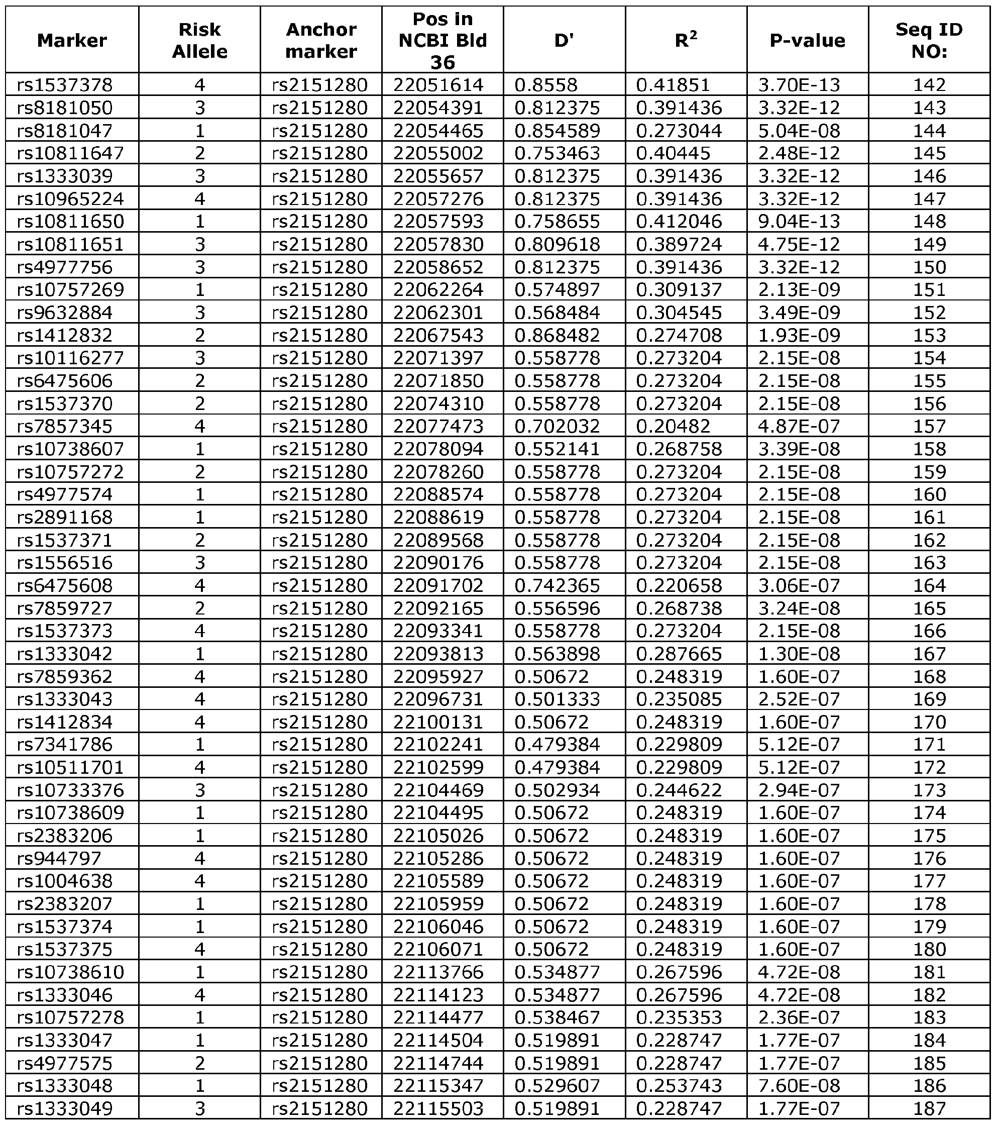
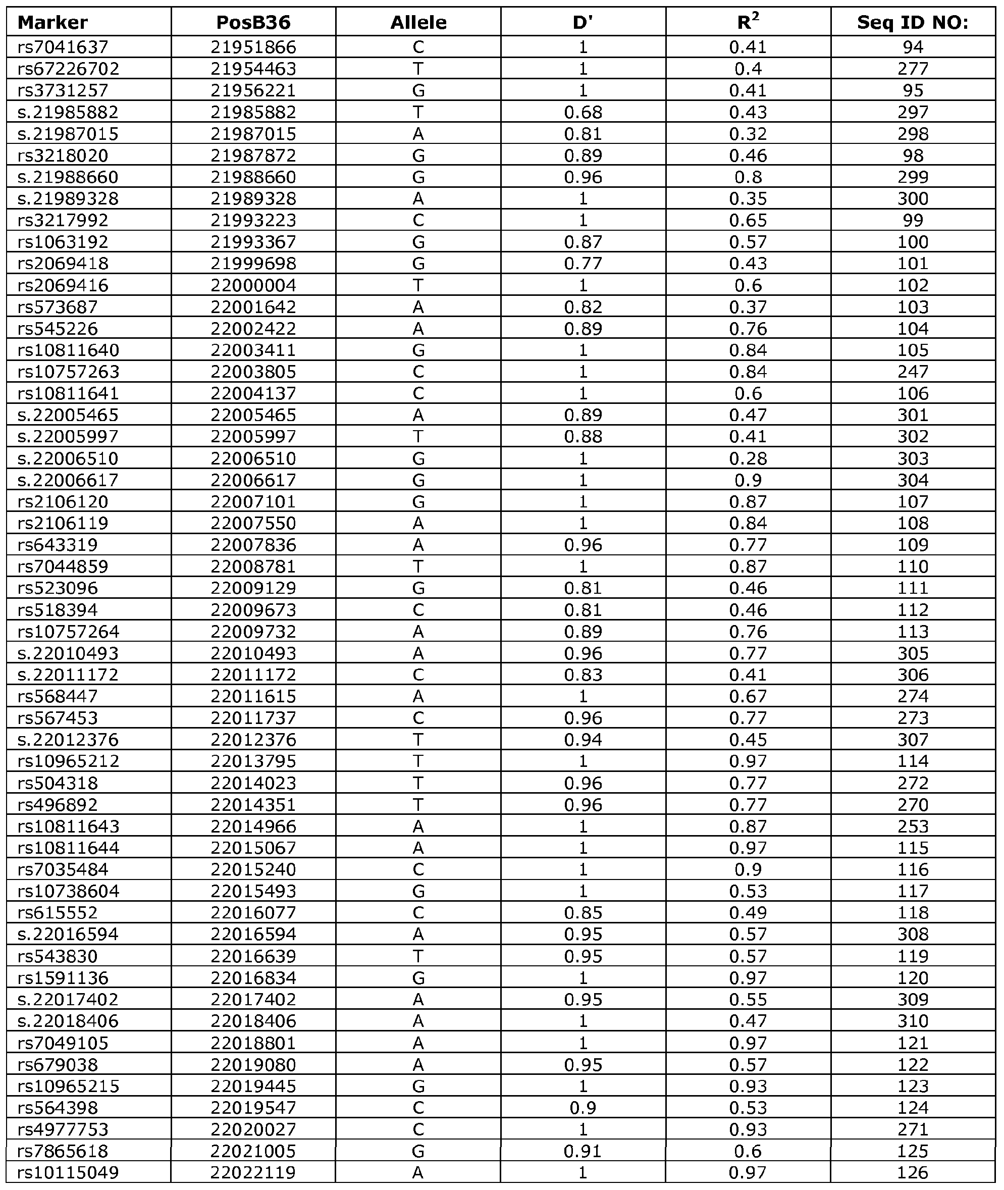
- LD Block C09 refers to the Linkage Disequilibrium (LD) block on Chromosome 9 between markers rs7041637 and rsl333049, corresponding to position 21,951,866 - 22,115,503 of NCBI (National Center for Biotechnology Information) Build 36.
- LD Block C07 refers to the Linkage Disequilibrium (LD) block on Chromosome 7 between markers rs7806539 and rsl57936, corresponding to position
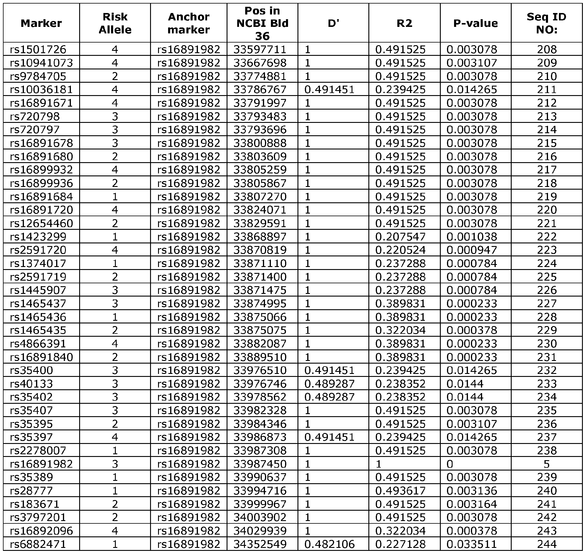
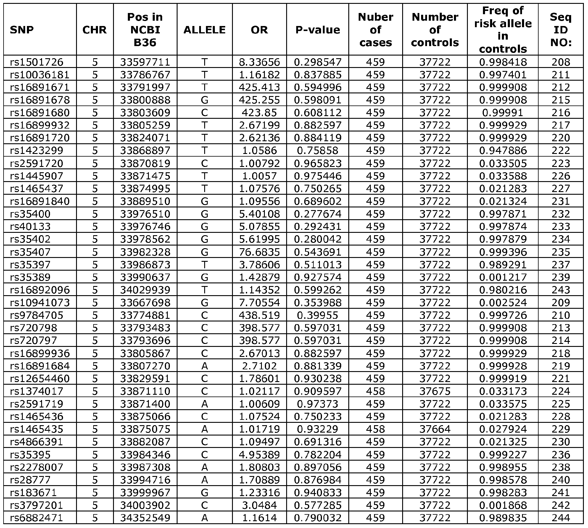
- LD Block C05 refers to the Linkage Disequilibrium (LD) block on Chromosome 5 between markers rsl501726 and rs6882471, corresponding to position 33,597,711 - 34,352,549 of NCBI (National Center for Biotechnology Information) Build 36.
- certain polymorphic variants are associated with risk of developing skin cancer conditions selected from the group consisting of Basal Cell Carcinoma (BCC), Squamous Cell Carcinoma (SCC) and Cutaneous Melanoma (CM) in humans.
- BCC Basal Cell Carcinoma
- SCC Squamous Cell Carcinoma
- CM Cutaneous Melanoma
- Certain alleles of certain polymorphic markers have been found to be present at increased frequency in individuals with diagnosis of Basal Cell Carcinoma, Squamous Cell Carcinoma and/or Cutaneous Melanoma compared with controls. These polymorphic markers are thus associated with risk of these skin cancer conditions.
- polymorphic markers described herein including markers in linkage disequilibrium with polymorphic markers shown to be associated with risk of these skin cancers, are contemplated to be useful as markers for determining susceptibility to these skin cancer conditions in humans. These markers are also useful in a range of diagnostic applications, as described further herein.
- association analysis has revealed a number of genetic locations that are associated with BCC. This includes a region on chromosome 12ql3 that includes markers rslll70164 and rs641615 (LD Block C12), a region on chromosome 9p21 that includes marker rs2151280 (LD Block C09), a region on chromosome 7q32 that includes marker rsl57935 (LD Block C07) and a region on chromosome 5pl3 that includes marker rsl6891982 (LD Block C05).
- locations associated with BCC include locations that contain the markers rs3828051, rs6697911, rs378437, rsl0493449, rs7882773, rs7879505, rsl877547, rslO493147, rsl55806, rslO29942, rs2025148, rsl2215077, rs2928579, rsl0957748, rsll777052, rsl0504624, rs4734443, rs9643254, rsl0120688, rs4745464, rsllO52833, rsl414622, rs7188879, rs4795430, rs916816, rslO871717, rs9956188, rs6047591, rs6035973, and rs738814.
- any one or a combination of these markers, or markers in linkage disequilibrium with any one of these markers, are useful in diagnostic and prognostic applications of the invention.
- a number of variants were shown to be associated with BCC.
- allele A of rslll70164, allele C of rs641615, allele C of rs2151280, allele T of rsl57935 and allele G of rsl6891982 are associated with increased risk of BCC, as illustrated in Example 1 herein.
- Exemplary surrogate variants (surrogate markers) of these variants are shown in Tables 14-17 herein. Further surrogate markers of markers rsl57935 and rs2151280 are provided in Tables 23 and 24 herein.
- rslll70164 SEQ ID NO: 1
- KRT5 keratin 5
- rs641615 SEQ ID NO:2
- the association signal on chromosome 9p21 resides within LD Block C09, and is captured by rs2151280 (SEQ ID NO:3).
- the signal on chromosome 7q32 resides within LD Block C07, captured by rsl57935 (SEQ ID NO:4), while the signal on chromosome 5pl3 is present within LD Block C05 and is captured by rsl6891982 (SEQ ID NO: 5).
- the signal on chromosome 5pl3 has further been found to be significantly associated with risk of Squamous Cell Carcinoma.
- the marker rsl6891982, and surrogate markers in linkage disequilibrium with rsl6891982, are thus useful in diagnostic and prognostic methods for Squamous Cell Carcinoma, as described herein.
- the invention provides a method of determining a susceptibility to Basal Cell Carcinoma in a human individual, the method comprising analyzing sequence data about a human individual for at least one polymorphic marker selected from the group consisting of rslll70164, rs641615, rs2151280, rsl57935 and rsl6891982, and markers in linkage disequilibrium therewith, wherein different alleles of the at least one polymorphic marker are associated with different susceptibilities to Basal Cell Carcinoma in humans, and determining a susceptibility to Basal Cell Carcinoma from the sequence data.
- Another aspect of the invention provides a method of determining a susceptibility to Squamous Cell Carcinoma in a human individual, the method comprising analyzing sequence data about a human individual for at least one polymorphic marker selected from the group consisting of rsl6891982, and markers in linkage disequilibrium therewith, wherein different alleles of the at least one polymorphic marker are associated with different susceptibilities to Squamous Cell Carcinoma in humans, and determining a susceptibility to Squamous Cell Carcinoma from the sequence data.
- Yet another aspect of the invention relates to a method of determining a susceptibility to Cutaneous Melanoma (CM) in a human individual, the method comprising analyzing sequence data about a human individual for at least one polymorphic marker selected from the group consisting of rsll586100, and markers in linkage disequilibrium therewith , wherein different alleles of the at least one polymorphic marker are associated with different susceptibilities to Cutaneous Melanoma in humans, and determining a susceptibility to Cutaneous Melanoma from the sequence data.
- CM Cutaneous Melanoma
- the sequence data is nucleic acid sequence data.
- nucleic acid sequence data is suitably obtained from a biological sample containing nucleic acid from the individual. Starting from a sample containing nucleic acid from an individual, it is possible by means well known to the skilled person to obtain sequence data about polymorphic markers.
- obtaining nucleic acid sequence data comprises a method that includes at least one procedure selected from amplifying nucleic acid from the biological sample; and performing a hybridization assay using a nucleic acid probe and nucleic acid, or amplified nucleic acid, from the sample.
- sequence data is from preexisting records.
- the sequence data is from a genotype dataset from the individual.
- analyzing sequence of the at least one polymorphic marker comprises determining the presence or absence of at least one allele of the at least one polymorphic marker.
- the sequence data may also in certain embodiments be protein or polypeptide sequence data.
- the method comprises steps of (i) obtaining a nucleic acid sample from an individual; (ii) determining the nucleic acid sequence of at least one polymorphic marker in the nucleic acid sample; and (iii) determining a susceptibility to prostate cancer from the nucleic acid sequence of the at least one polymorphic marker.
- the markers in linkage disequilibrium with rslll70164 are selected from the group consisting of rslll70164, rsl0876279, rslll70096, rsl0747639, rs5011450, rsl0506306, rslO59837, rs2298796, rsl610791, rslll70118, rslll70148, rsll611584, rs2232553, which are the markers listed in Table 14.
- any marker can be considered to be in linkage disequilibrium with itself.
- any anchor marker may suitably be included in a list of useful surrogate markers.
- markers in linkage disequilibrium with rslll70164 are selected from the group consisting of rslll70164, rsl0876279, rslll70096, rsl0747639, rs5011450, rsl0506306, rslO59837, rs2298796, rslll70118, rslll70148, and rsll611584.
- markers in linkage disequilibrium with rs641615 are selected from the group consisting of rs641615, rsl0876287, rsl2308420, rsl732272, rsl395342, rs928995, rs747262, rsl610446, rsl610835, rsl791660, rs587900, rs669614, rs44637, rs298107, rs298106, rsl88462, rsl701784, rs400120, rs396167, rs371202, rs392861, rs409929, rs429561, rs375539, rs373608, rs400774, rs2669871, rs597340, rs621164, rs610794, rs618387, rs387717,
- markers in linkage disequilibrium with rs2151280 are selected from the group consisting of rs2151280, rs7041637, rs3731257, rs3731211, rs7036656, rs3218020, rs3217992, rslO63192, rs2069418, rs2069416, rs573687, rs545226, rsl0811640, rslO811641, rs2106120, rs2106119, rs643319, rs7044859, rs523096, rs518394, rsl0757264, rslO965212, rslO811644, rs7035484, rsl0738604, rs615552, rs543830, rsl591136, rs7049105, rs679038, rslO96
- markers in linkage disequilibrium with rs2151280 are selected from the group consisting of rsl0757264, rs643319, rs7028570, rsl360590, rs7044859, rs2106119, rs2106120, rsl0115049, rs7049105, rsl591136, rslO965215, rslO965212, rsl0811640, rsl0120688, rs7035484, rslO811644, rslO965219, rs518394, rs573687, rslO63192, rs2069418, rsl360589, rs2069416, rsl333037, rs944801, rsl008878, rs7030641, rs3217992, rs7865618, rsl556515
- markers in linkage disequilibrium with rsl57935 are selected from the group consisting of rsl57935, rs7806539, rs7806692, rs7811523, rs7811176, rsll22619, rsll763341, rs6954253, rs6969957, rs7783327, rsl7789944, rs2075459, rsll766402, rs205755, rsl57928, rs4731717, rsl57930, rsl57931, rs3750176, rsl25124, rsl57936, which are the markers listed in Table 17.
- markers in linkage disequilibrium with rsl57935 are selected from the group consisting of rs7806539, rsl57931, rsl57930, rsl57936, rsl25124, rs3750176, rsl57928, rs7783327, rsll763341, rsll22619, rs4731717, rs7811176, rs7806692, rs6954253, rs7811523, rs6969957, rsl7789944, and rs205755.
- markers in linkage disequilibrium with rsl6891982 are selected from the group consisting of rsl6891982, rsl0036181, rsl0941073, rsl2654460, rsl374017, rsl423299, rsl445907, rsl465435, rsl465436, rsl465437, rsl501726, rsl6891671, rsl6891678, rsl6891680, rsl6891684, rsl6891720, rsl6891840, rsl6892096, rsl6899932, rsl6899936, rsl83671, rs2278007, rs2591719, rs2591720, rs28777, rs35389, rs35395, rs35397, rs35400,
- the invention also relates to method of determining a susceptibility to Basal Cell Carcinoma in a human individual, the method comprising obtaining sequence data about a human individual identifying at least one allele of at least one polymorphic marker, wherein different alleles of the at least one polymorphic marker are associated with different susceptibilities to Basal Cell Carcinoma in humans, and determining a susceptibility to Basal Cell Carcinoma from the sequence data, wherein the at least one polymorphic marker is selected from the group consisting of rslll70164, rs641615, rs2151280, rsl57935, rsl6891982, rs3828051, rs6697911, rs378437, rsl0493449, rs7882773, rs7879505, rsl877547, rslO493147, rsl55806, rslO29942, rs2025148, rs
- a useful surrogate marker in linkage disequilibrium with rsll586100 is selected from rs7806539, rsl57931, rsl57930, rsl57936, rsl25124, ⁇ S3750176, ⁇ S157928, ⁇ S7783327, ⁇ S11763341, rsll22619, rs4731717, rs7811176, rs7806692, rs6954253, rs7811523, rs6969957, rsl7789944, and rs205755.
- Polymorphisms that alter the amino acid sequence of an encoded protein or polypeptide may also be assessed at the amino acid level.
- determination of the presence of a Glutamic acid at position 138 and/or a Glutamic acid at position 197 in a KRT5 protein with sequence as set forth in SEQ ID NO: 245 is indicative of an increased susceptibility to Basal Cell Carcinoma.
- determination of the presence of a Phenylalanine at position 374 in a SLC45A2 protein is indicative of increased susceptibility to Basal Cell Carcinoma in an individual with the substitution.
- determination of the presence of a Phenylalanine at position 374 in a SLC45A2 protein is indicative of increased susceptibility to Squamous Cell Carcinoma.
- Surrogate markers in linkage disequilibrium with particular key markers can be selected based on certain values of the linkage disequilibrium measures D' and r 2 , as described further herein.
- markers that are in linkage disequilibrium with any one of the markers rsll586100, rslll70164, rs641615, rs2151280, rsl57935 and rsl6891982 are exemplified by the markers listed in Tables 14 - 18 and 23 - 24 herein, but the skilled person will appreciate that other markers in linkage disequilibrium with these markers may also be used in the diagnostic applications described herein.
- linkage disequilibrium is a continuous measure
- certain values of the LD measures D' and r 2 may be suitably chosen to define markers that are useful as surrogate markers in LD with the markers described herein.
- Numeric values of D' and r 2 may thus in certain embodiments be used to define suitable marker subsets that fulfill certain numerical cutoff values of D' and/or r 2 .
- markers in linkage disequilibrium with a particular anchor marker are in LD with the anchor marker characterized by numerical values of D' of greater than 0.8 and/or numerical values of r 2 of greater than 0.2.
- suitable markers in linkage disequilibrium are correlated with the anchor marker by values of r 2 greater than 0.2.
- suitable markers in linkage disequilibrium are correlated with the anchor marker by values of r 2 greater than 0.5.
- suitable markers in linkage disequilibrium are correlated with the anchor marker by values of r 2 greater than 0.8. In one preferred embodiment, suitable markers in linkage disequilibrium are correlated with the anchor marker by values of r 2 of 1.0. Such markers are perfect surrogates of the anchor marker, and will give identical association results, i.e. they provide identical genetic information as the anchor marker to which they are correlated.
- markers in linkage disequilibrium with a particular anchor marker may be in LD with the anchor marker as characterized by suitable numerical values of r 2 ; for example values of r 2 greater than 0.3, greater than 0.4, greater than 0.5, greater than 0.6, greater than 0.7, greater than 0.8, greater than 0.9, or greater than 0.95.
- Other numerical values of r 2 and/or D' may also be suitably selected to select markers that are in LD with the anchor marker. The stronger the LD, the more similar the association signal and/or the predictive risk by the surrogate marker will be to that of the anchor marker.
- Association data presented in Tables 20, 21 and 22 show exemplary results of association of surrogate markers in an Iceland sample set.
- Surrogate markers give different association signals because they are in different linkage disequilibrium with the underlying signal.
- the markers rsl57930, rsl57928 and rsll766402, which are all surrogate markers for rsl57935 give different association results to BCC.
- the strongest signal is observed for rsl57930 (OR 1.28, P-value 3.8E-7), while weaker association is devisved for rsl57928 (OR 1.22, P-value 1.22E-5) and rsll766402 (OR 1.11, P-value 0.08).
- sample size has an effect of the power to detect an underlying association. This power is exemplified by the apparent P-value of association determined using the particular sample. This does not mean that the inherent strength of each surrogate marker is affected, but is rather a manifestation of the relative strength of such markers in capturing the underlying association. The weaker the correlation to the anchor marker, the large a sample size will be needed to capture the underlying association with a particular statistical certainty.
- the markers useful in diagnostic and prognostic methods of the invention are selected from the group consisting of rsll586100, rslll70164, rs641615, rs2151280, rsl57935 and rsl6891982.
- the marker is rslll70164.
- the marker is rs641615.
- the marker is rs2151280.
- the markers is rsl57935.
- the markers is rsl6891982.
- the marker is rsll586100.
- the sequence data is amino acid sequence data.
- Polymorphic markers can result in alterations in the amino acid sequence of encoded polypeptide or protein sequence.
- the analysis of amino acid sequence data comprises determining the presence or absence of an amino acid substitution in the amino acid encoded by the at least one polymorphic marker.
- Sequence data can in certain embodiments be obtained by analyzing the amino acid sequence encoded by the at least one polymorphic marker in a biological sample obtained from the individual.
- determination of the presence of particular marker alleles or particular haplotypes is predictive of an increased susceptibility of Basal Cell Carcinoma, Squamous Cell Carcinoma and/or Cutaneous Melanoma in humans.
- determination of the presence of a marker allele selected from the group consisting of the A allele of rslll70164, the C allele of rs641615, the C allele of rs2151280, the T allele of rsl57935 and the G allele of rsl6891982 is indicative of increased susceptibility of Basal Cell Carcinoma in the individual. Individuals who are homozygous for at- ⁇ sk alleles or haplotypes are at particularly high risk.
- determination of the presence of the G allele of rsl6891982 is indicative of increased susceptibility of Squamous Cell Carcinoma in the individual.
- determination of the presence of the G allele of rsll586100 is indicative of increased susceptibility of Cutaneous Melanoma in the individual
- Measures of susceptibility or risk include measures such as relative risk (RR), odds ratio (OR), and absolute risk (AR), as described in more detail herein.
- increased susceptibility is reported as a risk of at least 1.10, 1.11, 1.12, 1.13, 1.14, 1.15, 1.16, 1.17, 1.18, 1.19, 1.20, 1.21, 1.22, 1.23, 1.24, 1.25, 1.26, 1.27, 1.28, 1.29, 1.30, 1.31, 1.32, 1.33, 1.34 or a risk of at least 1.35.
- Other numerical non-integer values between 0 and 1 are also possible to characterize the risk, and such numerical values are also within scope of the invention.
- determination of the presence of particular marker alleles or particular haplotypes is predictive of a decreased suscepbility of Basal Cell Carcinoma, Squamous Cell Carcinoma and/or Cutaneous Melanoma in humans.
- the alternate allele to an at-risk allele for a skin cancer selected from Basal Cell Carcinoma, Squamous Cell Carcinoma and Cutaneous Melanoma will be in decreased frequency in patients compared with controls.
- determination of the presence of the alternate allele is indicative of a decreased susceptibility of the skin cancer. Individuals who are homozygous for the alternate (protective) allele are at particularly decreased susceptibility or risk.
- an increase in frequency of the at least one allele in the at least one polymorphism in individuals diagnosed with the skin cancer, as compared with the frequency of the at least one allele in the control group is indicative of the at least one allele being useful for assessing increased susceptibility to the skin cancer.
- a decrease in frequency of the at least one allele in the at least one polymorphism in individuals diagnosed with a skin cancer selected from Basal Cell Carcinoma, Squamous Cell Carcinoma and Cutaneous Melanoma, as compared with the frequency of the at least one allele in the control sample is indicative of the at least one allele being useful for assessing decreased susceptibility to, or protection against, the skin cancer.
- sequence data can be obtained by analyzing a sample from an individual, or by analyzing information about specific markers in a genotype database.
- the sample is in certain embodiments a nucleic acid sample.
- Analyzing a sample from an individual may in certain embodiments include steps of isolating genomic nucleic acid from the sample, amplifying a segment of the genomic nucleic acid that contains at least one polymorphic marker, and determine sequence information about the at least one polymorphic marker. Amplification is preferably performed by Polymerase Chain Reaction (PCR) techniques.
- sequence data can be obtained through nucleic acid sequence information or amino acid sequence information from a preexisting record.
- a preexisting record can be any documentation, database or other form of data storage containing such information.
- Determination of a susceptibility or risk of a particular individual in general comprises comparison of the genotype information (sequence information) to a record or database providing a correlation about particular polymorphic marker(s) and susceptibility to Basal Cell Carcinoma, Squamous Cell Carcinoma and/or Cutaneous Melanoma.
- determining a susceptibility comprises comparing the sequence data to a database containing correlation data between the at least one polymorphic marker and susceptibility to Basal Cell Carcinoma, Squamous Cell Carcinoma and/or Cutaneous Melanoma.
- the database comprises at least one measure of susceptibility to Basal Cell Carcinoma, Squamous Cell Carcinoma and/or Cutaneous Melanoma for the at least one polymorphic marker.
- the database comprises a look-up table comprising at least one measure of susceptibility to Basal Cell Carcinoma, Squamous Cell Carcinoma and/or Cutaneous Melanoma for the at least one polymorphic marker.
- the measure of susceptibility may in the form of relative risk (RR), absolute risk (AR), percentage (%) or other convenient measure for describing genetic susceptibility of individuals.
- markers associated with the KRT5 gene are selected from the group consisting of rsll 170164 and rs641615, and markers in linkage disequilibrium therewith.
- markers associated with the CDKN2A gene are selected from the group consisting of rs2151280, and markers in linkage disequilibrium therewith.
- markers associated with the KLF14 gene are selected from the group consisting of rsl57935, and markers in linkage disequilibrium therewith.
- markers associated with the SLC45A2 gene are selected from the group consisting of rsl6891982, and markers in linkage disequilibrium therewith.
- Certain embodiments of the invention relate to markers located within the LD Block Cl 2, LD Block C09, LD Block C07 and/or LD Block C05 as defined herein. It is however also contemplated that surrogate markers useful for determining susceptibility to Basal Cell Carcinoma, Squamous Cell Carcinoma and/or Cutaneous Melanoma may be located outside these blocks as defined in physical terms (genomic locations).
- embodiments of the invention are not confined to surrogate markers located within the physical boundaries of the LD blocks as defined, but also include useful surrogate markers outside the physical boundaries of the LD blocks as defined, due to the surrogate markers being in LD with one or more of the markers shown herein to be associated with risk of Basal Cell Carcinoma.
- more than one polymorphic marker is analyzed. In certain embodiments, at least two polymorphic markers are analyzed. Thus, in certain embodiments, nucleic acid data about at least two polymorphic markers is obtained.
- a further step of analyzing at least one haplotype comprising two or more polymorphic markers is included.
- Another aspect of the invention relates to a method for determining a susceptibility to Basal Cell Carcinoma in a human individual, comprising determining the presence or absence of at least one allele of at least one polymorphic marker in a nucleic acid sample obtained from the individual, or in a genotype dataset from the individual, wherein the at least one polymorphic marker is selected from the group consisting of rslll70164, rs641615, rs2151280, rsl57935 and rsl6891982, and markers in linkage disequilibirium therewith, and wherein determination of the presence of the at least one allele is indicative of a susceptibility to Basal Cell Carcinoma.
- determination of the presence of an allele that correlates with Basal Cell Carcinoma is indicative of an increased susceptibility to Basal Cell Carcinoma.
- another aspect of the invention relates to a method for determining a susceptibility to Cutaneous Melanoma in a human individual, comprising determining the presence or absence of at least one allele of at least one polymorphic marker in a nucleic acid sample obtained from the individual, or in a genotype dataset from the individual, wherein the at least one polymorphic marker is selected from the group consisting of rsll586100, and markers in linkage disequilibirium therewith, and wherein determination of the presence of the at least one allele is indicative of a susceptibility to Cutaneous Melanoma.
- Another aspect of the invention relates to a method for determining a susceptibility to Squamous Cell Carcinoma in a human individual, comprising determining the presence or absence of at least one allele of at least one polymorphic marker in a nucleic acid sample obtained from the individual, or in a genotype dataset from the individual, wherein the at least one polymorphic marker is selected from the group consisting of rsl681982, and markers in linkage disequilibrium therewith, and wherein determination of the presence of the at least one allele is indicative of a susceptibility to Squamous Cell Carcinoma.
- the determining comprises analyzing nucleic acid in the sample using a method that includes at least one procedure selected from amplifying nucleic acid from the nucleic acid sample; and performing a hybridization assay using a nucleic acid probe and nucleic acid from the nucleic acid sample, or from the amplifying.
- a further step is included comprising displaying results from the analyzing of the sequence data indicative of a susceptibility to Basal Cell Carcinoma on a visual display selected from the group consisting of an electronic display and a printed report.
- risk alleles are particularly susceptible to the particular condition associated with risk alleles (e.g., Basal Cell Carcinoma, Squamous Cell Carcinoma and/or Cutaneous Melanoma).
- condition associated with risk alleles e.g., Basal Cell Carcinoma, Squamous Cell Carcinoma and/or Cutaneous Melanoma.
- individuals who do not carry such at-risk alleles are at a decreased susceptibility of developing the condition.
- SNPs such individuals will be homozygous for the alternate (protective) allele of the polymorphism.
- Determination of susceptibility is in some embodiments reported by a comparison with non- carriers of the at-risk allele(s) of polymorphic markers. In certain embodiments, susceptibility is reported based on a comparison with the general population, e.g. compared with a random selection of individuals from the population.
- polymorphic markers are detected by sequencing technologies. Obtaining sequence information about an individual identifies particular nucleotides in the context of a nucleic acid sequence. For SNPs, sequence information about a single unique sequence site is sufficient to identify alleles at that particular SNP. For markers comprising more than one nucleotide, sequence information about the genomic region of the individual that contains the polymorphic site identifies the alleles of the individual for the particular site. The sequence information can be obtained from a sample from the individual. In certain embodiments, the sample is a nucleic acid sample. In certain other embodiments, the sample is a protein sample.
- nucleic acid sequence Various methods for obtaining nucleic acid sequence are known to the skilled person, and all such methods are useful for practicing the invention.
- Sanger sequencing is a well-known method for generating nucleic acid sequence information.
- Recent methods for obtaining large amounts of sequence data have been developed, and such methods are also contemplated to be useful for obtaining sequence information. These include pyrosequencing technology (Ronaghi, M. et al. Anal Biochem 267:65-71 (1999); Ronaghi, et al. Biotechniques 25:876-878 (1998)), e.g. 454 pyrosequencing (Nyren, P., et al.
- a report is prepared containing nucleic acid sequence data for at least one marker.
- a report may be provided written in a computer readable medium, printed on paper, or displayed on a visual display.
- the visual display may be an electronic display or it may be in the form of a printed visual report.
- the genomic sequence within populations is not identical when individuals are compared. Rather, the genome exhibits sequence variability between individuals at many locations in the genome. Such variations in sequence are commonly referred to as polymorphisms, and there are many such sites within each genome
- the human genome exhibits sequence variations which occur on average every 500 base pairs.
- the most common sequence variant consists of base variations at a single base position in the genome, and such sequence variants, or polymorphisms, are commonly called Single Nucleotide Polymorphisms ("SNPs"). These SNPs are believed to have occurred in a single mutational event, and therefore there are usually two possible alleles possible at each SNPsite; the original allele and the mutated allele.
- a polymorphic microsatellite has multiple small repeats of bases (such as CA repeats, TG on the complimentary strand) at a particular site in which the number of repeat lengths varies in the general population.
- each version of the sequence with respect to the polymorphic site represents a specific allele of the polymorphic site.
- polymorphisms can comprise any number of specific alleles.
- the polymorphism is characterized by the presence of two or more alleles in any given population.
- the polymorphism is characterized by the presence of three or more alleles.
- the polymorphism is characterized by four or more alleles, five or more alleles, six or more alleles, seven or more alleles, nine or more alleles, or ten or more alleles. All such polymorphisms can be utilized in the methods and kits of the present invention, and are thus within the scope of the invention.
- SNPs Due to their abundance, SNPs account for a majority of sequence variation in the human genome. Over 6 million SNPs have been validated to date (http://www.ncbi. nlm.nih.gov/projects/SNP/snp_summary.cgi). However, CNVs are receiving increased attention. These large-scale polymorphisms (typically lkb or larger) account for polymorphic variation affecting a substantial proportion of the assembled human genome; known CNVs covery over 15% of the human genome sequence (Estivill, X Armengol; L., PIoS Genetics 3: 1787-99 (2007); http://projects.tcag. ca/variation/).
- CNVs are known to affect gene expression, phenotypic variation and adaptation by disrupting gene dosage, and are also known to cause disease (microdeletion and microduplication disorders) and confer risk of common complex diseases, including HIV-I infection and glomerulonephritis (Redon, R., et al. Nature 23:444-454 (2006)). It is thus possible that either previously described or unknown CNVs represent causative variants in linkage disequilibrium with the markers described herein to be associated with Basal Cell Carcinoma.
- Methods for detecting CNVs include comparative genomic hybridization (CGH) and genotyping, including use of genotyping arrays, as described by Carter (Nature Genetics 39:S16- S21 (2007)).
- CGH comparative genomic hybridization
- genotyping arrays as described by Carter (Nature Genetics 39:S16- S21 (2007)).
- the Database of Genomic Variants http://projects.tcag. ca/va ⁇ ation/) contains updated information about the location, type and size of described CNVs. The database currently contains data for over 15,000 CNVs.
- reference is made to different alleles at a polymorphic site without choosing a reference allele.
- a reference sequence can be referred to for a particular polymorphic site.
- the reference allele is sometimes referred to as the "wild-type” allele and it usually is chosen as either the first sequenced allele or as the allele from a "non-affected" individual (e.g., an individual that does not display a trait or disease phenotype).
- Alleles for SNP markers as referred to herein refer to the bases A, C, G or T as they occur at the polymorphic site in the SNP assay employed.
- the assay employed may be designed to specifically detect the presence of one or both of the two bases possible, i.e. A and G.
- a reference sequence is referred to for a particular sequence. Alleles that differ from the reference are sometimes referred to as "variant" alleles.
- a variant sequence refers to a sequence that differs from the reference sequence but is otherwise substantially similar. Alleles at the polymorphic genetic markers described herein are variants. Variants can include changes that affect a polypeptide.
- Sequence differences when compared to a reference nucleotide sequence, can include the insertion or deletion of a single nucleotide, or of more than one nucleotide, resulting in a frame shift; the change of at least one nucleotide, resulting in a change in the encoded amino acid; the change of at least one nucleotide, resulting in the generation of a premature stop codon; the deletion of several nucleotides, resulting in a deletion of one or more amino acids encoded by the nucleotides; the insertion of one or several nucleotides, such as by unequal recombination or gene conversion, resulting in an interruption of the coding sequence of a reading frame; duplication of all or a part of a sequence; transposition; or a rearrangement of a nucleotide sequence,.
- sequence changes can alter the polypeptide encoded by the nucleic acid.
- the change in the nucleic acid sequence causes a frame shift
- the frame shift can result in a change in the encoded amino acids, and/or can result in the generation of a premature stop codon, causing generation of a truncated polypeptide.
- a polymorphism associated with a disease or trait can be a synonymous change in one or more nucleotides (i.e., a change that does not result in a change in the amino acid sequence).
- Such a polymorphism can, for example, alter splice sites, affect the stability or transport of mRNA, or otherwise affect the transcription or translation of an encoded polypeptide.
- polypeptide encoded by the reference nucleotide sequence is the "reference” polypeptide with a particular reference amino acid sequence
- polypeptides encoded by variant alleles are referred to as "variant" polypeptides with variant amino acid sequences.
- a haplotype refers to a segment of DNA that is characterized by a specific combination of alleles arranged along the segment.
- a haplotype comprises one member of the pair of alleles for each polymorphic marker or locus .
- the haplotype can comprise two or more alleles, three or more alleles, four or more alleles, or five or more alleles, each allele corresponding to a specific polymorphic marker along the segment.
- Haplotypes can comprise a combination of various polymorphic markers, e.g., SNPs and microsatellites, having particular alleles at the polymorphic sites. The haplotypes thus comprise a combination of alleles at various genetic markers.
- Detecting specific polymorphic markers and/or haplotypes can be accomplished by methods known in the art for detecting sequences at polymorphic sites.
- standard techniques for genotyping for the presence of SNPs and/or microsatellite markers can be used, such as fluorescence-based techniques (e.g., Chen, X. et al., Genome Res. 9(5): 492-98 (1999) ; Kutyavin et al. , Nucleic Acid Res. 34:el28 (2006)), utilizing PCR, LCR, Nested PCR and other techniques for nucleic acid amplification.
- SNP genotyping include, but are not limited to, TaqMan genotyping assays and SNPIex platforms (Applied Biosystems), gel electrophoresis (Applied Biosystems), mass spectrometry (e.g., MassARRAY system from Sequenom), minisequencing methods, real-time PCR, Bio-Plex system (BioRad), CEQ and SNPstream systems (Beckman), array hybridization technology(e.g., Affymetrix GeneChip; Perlegen), BeadArray Technologies (e.g., Illumina GoldenGate and Infinium assays), array tag technology ⁇ e.g., Parallele), and endonuclease-based fluorescence hybridization technology (Invader; Third Wave) .
- TaqMan genotyping assays and SNPIex platforms Applied Biosystems
- Gel electrophoresis Applied Biosystems
- mass spectrometry e.g., MassARRAY system from Sequenom
- minisequencing methods miniseque
- Some of the available array platforms including Affymetrix SNP Array 6.0 and Illumina CNV370-Duo and IM BeadChips, include SNPs that tag certain CNVs. This allows detection of CNVs via surrogate SNPs included in these platforms.
- one or more alleles at polymorphic markers including microsatellites, SNPs or other types of polymorphic markers, can be identified.
- polymorphic markers are detected by sequencing technologies. Obtaining sequence information about an individual identifies particular nucleotides in the context of a sequence. For SNPs, sequence information about a single unique sequence site is sufficient to identify alleles at that particular SNP. For markers comprising more than one nucleotide, sequence information about the genomic region of the individual that contains the polymorphic site identifies the alleles of the individual for the particular site. The sequence information can be obtained from a sample from the individual. In certain embodiments, the sample is a nucleic acid sample. In certain other embodiments, the sample is a protein sample.
- nucleic acid sequence Various methods for obtaining nucleic acid sequence are known to the skilled person, and all such methods are useful for practicing the invention.
- Sanger sequencing is a well-known method for generating nucleic acid sequence information.
- Recent methods for obtaining large amounts of sequence data have been developed, and such methods are also contemplated to be useful for obtaining sequence information.
- These include pyrosequencing technology (Ronaghi, M. ⁇ t al. Anal Bioch ⁇ m 267:65-71 (1999); Ronaghi, et al. Biot ⁇ chniqu ⁇ s 25:876-878 (1998)), e.g. 454 pyrosequencing (Nyren, P., et al.
- genotypes of un-genotyped relatives For every un-genotyped case, it is possible to calculate the probability of the genotypes of its relatives given its four possible phased genotypes. In practice it may be preferable to include only the genotypes of the case's parents, children, siblings, half-siblings (and the half-sibling's parents), grand-parents, grand-children (and the grand-children's parents) and spouses. It will be assumed that the individuals in the small sub-pedigrees created around each case are not related through any path not included in the pedigree. It is also assumed that alleles that are not transmitted to the case have the same frequency - the population allele frequency. The probability of the genotypes of the case's relatives can then be computed by:
- ⁇ denotes the A allele's frequency in the cases. Assuming the genotypes of each set of relatives are independent, this allows us to write down a likelihood function for ⁇ :
- the likelihood function in (*) may be thought of as a pseudolikelihood approximation of the full likelihood function for ⁇ which properly accounts for all dependencies.
- genotyped cases and controls in a case-control association study are not independent and applying the case-control method to related cases and controls is an analogous approximation.
- the method of genomic control (Devlin, B. et al., Nat Genet 36, 1129-30; author reply 1131 (2004)) has proven to be successful at adjusting case-control test statistics for relatedness. We therefore apply the method of genomic control to account for the dependence between the terms in our pseudolikelihood and produce a valid test statistic.
- a disease ⁇ e.g., Basal Cell Carcinoma, Squamous Cell Carcinoma, Cutaneous Melanoma
- at least one specific allele at one or more polymorphic marker or haplotype conferring increased susceptibility (increased risk) for the disease is identified (i.e., at- ⁇ sk marker alleles or haplotypes).
- the at-risk marker or haplotype is one that confers an increased risk (increased susceptibility) of the disease.
- significance associated with a marker or haplotype is measured by a relative risk (RR).
- significance associated with a marker or haplotye is measured by an odds ratio (OR). In a further embodiment, the significance is measured by a percentage. In one embodiment, a significant increased risk is measured as a risk (relative risk and/or odds ratio) of at least 1.1, including but not limited to at least 1.10, at least 1.11, at least 1.12, at least 1.13, at least 1.14, at least 1.15, at least 1.16, at least 1.17, at least 1.18, at least 1.19, at least 1.20, at least 1.21, at least 1.22, at least 1.23, at least 1.24, at least 1.25, at least 1.26, at least 1.27, at least 1.28, at least 1.29, at least 1.30, at leat 1.35, at least 1.40, at least 1.50, at least 1.60, at least 1.70, at least 1.80, at least 1.90, and at least 2.0.
- a risk relative risk and/or odds ratio
- a risk (relative risk and/or odds ratio) of at least 1.10 is significant.
- a risk of at least 1.15 is significant.
- a risk of at least 1.20 is significant.
- a risk of at least 1.25 is significant.
- a risk of at least 1.30 is significant.
- a relative risk of at least 1.35 is significant.
- Other cutoffs are also contemplated, e.g., at least 1.15, 1.25, 1.35, and so on, and such cutoffs are also within scope of the present invention.
- a significant increase in risk is at least about 20%, including but not limited to about 25%, 30%, 35%, 40%, 45%, 50%, 55%, 60%, 65%, 70%, 75%, 80%, 85%, 90%, 95%, 100%, 150%, 200%, 300%, and 500%.
- a significant increase in risk is at least 20%.
- a significant increase in risk is at least 30%, at least 40%, at least 50%, at least 60%, at least 70%, at least 80%, at least 90% and at least 100%.
- Other cutoffs or ranges as deemed suitable by the person skilled in the art to characterize the invention are however also contemplated, and those are also within scope of the present invention.
- a significant increase in risk is characterized by a p-value, such as a p-value of less than 0.05, less than 0.01, less than 0.001, less than 0.0001, less than 0.00001, less than 0.000001, less than 0.0000001, less than 0.00000001, or less than 0.000000001.
- An at-risk polymorphic marker or haplotype as described herein is one where at least one allele of at least one marker or haplotype is more frequently present in an individual at risk for the disease (or trait) (affected), or diagnosed with the disease ⁇ e.g., BCC, SCC, CM), compared to the frequency of its presence in a comparison group (control), such that the presence of the marker or haplotype is indicative of susceptibility to the disease.
- the control group may in one embodiment be a population sample, i.e. a random sample from the general population.
- the control group is represented by a group of individuals who are disease- free. Such disease-free controls may in one embodiment be characterized by the absence of one or more specific disease-associated symptoms.
- the disesae-free controls are those that have not been diagnosed with the disease.
- the disease-free control group is characterized by the absence of one or more disease-specific risk factors.
- Such risk factors are in one embodiment at least one environmental risk factor.
- Representative environmental factors are natural products, minerals or other chemicals which are known to affect, or contemplated to affect, the risk of developing the specific disease or trait.
- Other environmental risk factors are risk factors related to lifestyle, including but not limited to food and drink habits, geographical location of main habitat, and occupational risk factors.
- the risk factors comprise at least one additional genetic risk factor.
- a simple test for correlation would be a Fisher-exact test on a two by two table.
- the two by two table is constructed out of the number of chromosomes that include both of the markers or haplotypes, one of the markers or haplotypes but not the other and neither of the markers or haplotypes.
- Other statistical tests of association known to the skilled person are also contemplated and are also within scope of the invention.
- an individual who is at a decreased susceptibility (i.e., at a decreased risk) for a disease or trait is an individual in whom at least one specific allele at one or more polymorphic marker or haplotype conferring decreased susceptibility for the disease or trait is identified.
- the marker alleles and/or haplotypes conferring decreased risk are also said to be protective.
- the protective marker or haplotype is one that confers a significant decreased risk (or susceptibility) of the disease or trait.
- significant decreased risk is measured as a relative risk (or odds ratio) of less than 0.95, including but not limited to less than 0.9, less than 0.8, less than 0.7, less than 0.6, less than 0.5, less than 0.4, less than 0.3, less than 0.2 and less than 0.1. In one particular embodiment, significant decreased risk is less than 0.7. In another embodiment, significant decreased risk is less than 0.5. In yet another embodiment, significant decreased risk is less than 0.3.
- the decrease in risk is at least 20%, including but not limited to at least 25%, at least 30%, at least 35%, at least 40%, at least 45%, at least 50%, at least 55%, at least 60%, at least 65%, at least 70%, at least 75%, at least 80%, at least 85%, at least 90%, at least 95% and at least 98%.
- a significant decrease in risk is at least about 30%.
- a significant decrease in risk is at least about 50%.
- the decrease in risk is at least about 70%.
- Other cutoffs or ranges as deemed suitable by the person skilled in the art to characterize the invention are however also contemplated, and those are also within scope of the present invention.
- markers with two alleles present in the population being studied such as SNPs
- the other allele of the marker will be found in decreased frequency in the group of individuals with the trait or disease, compared with controls.
- one allele of the marker (the one found in increased frequency in individuals with the trait or disease) will be the at-risk allele, while the other allele will be a protective allele.
- a genetic variant associated with a disease or a trait can be used alone to predict the risk of the disease for a given genotype.
- a biallelic marker such as a SNP
- Risk associated with variants at multiple loci can be used to estimate overall risk.
- For multiple SNP variants, there are k possible genotypes k 3" ⁇ 2 P ; where n is the number autosomal loci and p the number of gonosomal (sex chromosomal) loci.
- Overall risk assessment calculations for a plurality of risk variants usually assume that the relative risks of different genetic variants multiply, i.e. the overall risk (e.g.
- RR or OR associated with a particular genotype combination is the product of the risk values for the genotype at each locus. If the risk presented is the relative risk for a person, or a specific genotype for a person, compared to a reference population with matched gender and ethnicity, then the combined risk - is the product of the locus specific risk values - and which also corresponds to an overall risk estimate compared with the population. If the risk for a person is based on a comparison to non-carriers of the at risk allele, then the combined risk corresponds to an estimate that compares the person with a given combination of genotypes at all loci to a group of individuals who do not carry risk variants at any of those loci.
- the group of non-carriers of any at risk variant has the lowest estimated risk and has a combined risk ⁇ compared with itself ⁇ i.e., non-carriers) of 1.0, but has an overall risk, compare with the population, of less than 1.0. It should be noted that the group of non-carriers can potentially be very small, especially for large number of loci, and in that case, its relevance is correspondingly small.
- the multiplicative model is a parsimonious model that usually fits the data of complex traits reasonably well. Deviations from multiplicity have been rarely described in the context of common variants for common diseases, and if reported are usually only suggestive since very large sample sizes are usually required to be able to demonstrate statistical interactions between loci.
- genetic and non-genetic at-risk variants can be assessed under the multiplicative model to estimate combined risk, assuming that the non-genetic and genetic risk factors do not interact.
- the combined or overall risk associated with any plurality of variants associated with Basal Cell Carcinoma may be assessed.
- Linkage Disequilibrium refers to a non-random assortment of two genetic elements. For example, if a particular genetic element ⁇ e.g. , an allele of a polymorphic marker, or a haplotype) occurs in a population at a frequency of 0.50 (50%) and another element occurs at a frequency of 0.50 (50%), then the predicted occurrance of a person's having both elements is 0.25 (25%), assuming a random distribution of the elements.
- LD Linkage Disequilibrium
- Allele or haplotype frequencies can be determined in a population by genotyping individuals in a population and determining the frequency of the occurence of each allele or haplotype in the population. For populations of diploids, e.g., human populations, individuals will typically have two alleles or allelic combinations for each genetic element ⁇ e.g. , a marker, haplotype or gene).
- is defined in such a way that it is equal to 1 if just two or three of the possible haplotypes are present, and it is ⁇ 1 if all four possible haplotypes are present. Therefore, a value of
- the measure r 2 represents the statistical correlation between two sites, and takes the value of 1 if only two haplotypes are present.
- the r 2 measure is arguably the most relevant measure for association mapping, because there is a simple inverse relationship between r 2 and the sample size required to detect association between susceptibility loci and SNPs. These measures are defined for pairs of sites, but for some applications a determination of how strong LD is across an entire region that contains many polymorphic sites might be desirable (e.g., testing whether the strength of LD differs significantly among loci or across populations, or whether there is more or less LD in a region than predicted under a particular model) . Measuring LD across a region is not straightforward, but one approach is to use the measure r, which was developed in population genetics.
- a significant r 2 value between markers can be at least 0.1 such as at least 0.1, 0.15, 0.2, 0.25, 0.3, 0.35, 0.4, 0.45, 0.5, 0.55, 0.6, 0.65, 0.7, 0.75, 0.8, 0.85, 0.9, 0.91, 0.92, 0.93, 0.94, 0.95, 0.96, 0.97, 0.98, or at lesat 0.99.
- the significant r 2 value can be at least 0.2. In another preferred embodiment, the significant r 2 value is at least 0.5.
- linkage disequilibrium as described herein refers to linkage disequilibrium characterized by values of
- linkage disequilibrium represents a correlation between alleles of distinct markers. It is measured by correlation coefficient or
- Markers with values of r 2 of 1.0 are perfect surrogates for the reference (anchor) marker.
- linkage disequilibrium is defined in terms of values for both the r 2 and
- a significant linkage disequilibrium is defined as r 2 > 0.1 and
- a significant linkage disequilibrium is defined as r 2 > 0.2 and
- for determining linkage disequilibrium are also contemplated, and are also within the scope of the invention.
- Linkage disequilibrium can be determined in a single human population, as defined herein, or it can be determined in a collection of samples comprising individuals from more than one human population.
- LD is determined in a sample from one or more of the HapMap populations (Caucasian, african, Japanese, Chinese), as defined (http://www.hapmap.org).
- LD is determined in the CEU population of the HapMap samples.
- LD is determined in the YRI population.
- LD is determined in samples from the Icelandic population.
- Genomic LD maps have been generated across the genome, and such LD maps have been proposed to serve as framework for mapping disease-genes (Risch, N. & Merkiangas, K, Science 273: 1516-1517 (1996); Maniatis, N., et al., Proc Natl Acad Sci USA 99:2228-2233 (2002); Reich, DE et al, Nature 411 : 199-204 (2001)).
- blocks can be defined as regions of DNA that have limited haplotype diversity (see, e.g., Daly, M. et al., Nature Genet. 29:229-232 (2001); Patil, N. et al., Science 294: 1719-1723 (2001); Dawson, E. et al., Nature 4J8: 544-548 (2002); Zhang, K. et al., Proc. Natl. Acad. Sci. USA 99: 7335-7339 (2002)), or as regions between transition zones having extensive historical recombination, identified using linkage disequilibrium (see, e.g., Gabriel, S. B.
- the map reveals the enormous variation in recombination across the genome, with recombination rates as high as 10-60 cM/Mb in hotspots, while closer to 0 in intervening regions, which thus represent regions of limited haplotype diversity and high LD.
- the map can therefore be used to define haplotype blocks/LD blocks as regions flanked by recombination hotspots.
- haplotype block or "LD block” includes blocks defined by any of the above described characteristics, or other alternative methods used by the person skilled in the art to define such regions.
- Haplotype blocks (LD blocks) can be used to map associations between phenotype and haplotype status, using single markers or haplotypes comprising a plurality of markers.
- the main haplotypes can be identified in each haplotype block, and then a set of "tagging" SNPs or markers (the smallest set of SNPs or markers needed to distinguish among the haplotypes) can then be identified. These tagging SNPs or markers can then be used in assessment of samples from groups of individuals, in order to identify association between phenotype and haplotype. If desired, neighboring haplotype blocks can be assessed concurrently, as there may also exist linkage disequilibrium among the haplotype blocks.
- markers used to detect association thus in a sense represent "tags" for a genomic region (i.e., a haplotype block or LD block) that is associating with a given disease or trait, and as such are useful for use in the methods and kits of the present invention.
- One or more causative (functional) variants or mutations may reside within the region found to be associating to the disease or trait.
- the functional variant may be another SNP, a tandem repeat polymorphism (such as a minisatellite or a microsatellite), a transposable element, or a copy number variation, such as an inversion, deletion or insertion.
- Such variants in LD with the variants described herein may confer a higher relative risk (RR) or odds ratio (OR) than observed for the tagging markers used to detect the association.
- the present invention thus refers to the markers used for detecting association to the disease, as described herein, as well as markers in linkage disequilibrium with the markers.
- markers that are in LD with the markers and/or haplotypes of the invention, as described herein may be used as surrogate markers.
- the surrogate markers have in one embodiment relative risk (RR) and/or odds ratio (OR) values smaller than for the markers or haplotypes initially found to be associating with the disease, as described herein.
- the surrogate markers have RR or OR values greater than those initially determined for the markers initially found to be associating with the disease, as described herein.
- An example of such an embodiment would be a rare, or relatively rare (such as ⁇ 10% allelic population frequency) variant in LD with a more common variant (> 10% population frequency) initially found to be associating with the disease, such as the variants described herein. Identifying and using such markers for detecting the association discovered by the inventors as described herein can be performed by routine methods well known to the person skilled in the art, and are therefore within the scope of the present invention. Determination of haplotype frequency
- the frequencies of haplotypes in patient and control groups can be estimated using an expectation-maximization algorithm (Dempster A. et al., J. R. Stat. Soc. B, 39: 1-38 (1977)).
- An implementation of this algorithm that can handle missing genotypes and uncertainty with the phase can be used.
- the patients and the controls are assumed to have identical frequencies.
- a likelihood approach an alternative hypothesis is tested, where a candidate at-risk-haplotype, which can include the markers described herein, is allowed to have a higher frequency in patients than controls, while the ratios of the frequencies of other haplotypes are assumed to be the same in both groups.
- Likelihoods are maximized separately under both hypotheses and a corresponding 1-df likelihood ratio statistic is used to evaluate the statistical significance.
- a susceptibility region for example within an LD block
- association of all possible combinations of genotyped markers within the region is studied.
- the combined patient and control groups can be randomly divided into two sets, equal in size to the original group of patients and controls.
- the marker and haplotype analysis is then repeated and the most significant p-value registered is determined.
- This randomization scheme can be repeated, for example, over 100 times to construct an empirical distribution of p-values.
- a p-value of ⁇ 0.05 is indicative of a significant marker and/or haplotype association.
- haplotype analysis involves using likelihood-based inference applied to NEsted MOdels (Gretarsdottir S., et al., Nat. Genet. 35: 131-38 (2003)).
- the method is implemented in the program NEMO, which allows for many polymorphic markers, SNPs and microsatellites.
- the method and software are specifically designed for case-control studies where the purpose is to identify haplotype groups that confer different risks. It is also a tool for studying LD structures.
- maximum likelihood estimates, likelihood ratios and p-values are calculated directly, with the aid of the EM algorithm, for the observed data treating it as a missing-data problem.
- the Fisher exact test can be used to calculate two- sided p-values for each individual allele. Usually, all p-values are presented unadjusted for multiple comparisons unless specifically indicated.
- the presented frequencies are allelic frequencies as opposed to carrier frequencies.
- first and second-degree relatives can be eliminated from the patient list.
- the test can be repeated for association correcting for any remaining relatedness among the patients, by extending a variance adjustment procedure previously described (Risch, N. & Teng, J.
- the method of genomic controls (Devlin, B. & Roeder, K. Biometrics 55:997 (1999)) can also be used to adjust for the relatedness of the individuals and possible stratification. The differences are in general very small as expected. To assess the significance of single-marker association corrected for multiple testing we can carry out a randomization test using the same genotype data.
- Cohorts of patients and controls can be randomized and the association analysis redone multiple times (e.g., up to 500,000 times) and the p-value is the fraction of replications that produced a p-value for some marker allele that is lower than or equal to the p-value we observed using the original patient and control cohorts.
- relative risk and the population attributable risk (PAR) can be calculated assuming a multiplicative model (haplotype relative risk model) (Terwilliger, J. D. & Ott, ]., Hum. Hered. 42:337-46 (1992) and FaIk, CT. & Rubinstein, P, Ann. Hum. Genet. 51 (Pt 3): 227 -33 (1987)), i.e., that the risks of the two alleles/haplotypes a person carries multiply.
- haplotypes are independent, i.e., in Hardy-Weinberg equilibrium, within the affected population as well as within the control population.
- haplotype counts of the affecteds and controls each have multinomial distributions, but with different haplotype frequencies under the alternative hypothesis. Specifically, for two haplotypes, h, and h ⁇ , risk(/?,)/risk(/?
- An association signal detected in one association study may be replicated in a second cohort, ideally from a different population (e.g., different region of same country, or a different country) of the same or different ethnicity.
- the advantage of replication studies is that the number of tests performed in the replication study is usually quite small, and hence the less stringent the statistical measure that needs to be applied. For example, for a genome-wide search for susceptibility variants for a particular disease or trait using 300,000 SNPs, a correction for the 300,000 tests performed (one for each SNP) can be performed. Since many SNPs on the arrays typically used are correlated (i.e., in LD), they are not independent. Thus, the correction is conservative.
- the appropriate statistical test for significance is that for a single statistical test, i.e., P-value less than 0.05.
- Replication studies in one or even several additional case- control cohorts have the added advantage of providing assessment of the association signal in additional populations, thus simultaneously confirming the initial finding and providing an assessment of the overall significance of the genetic variant(s) being tested in human populations in general.
- the results from several case-control cohorts can also be combined to provide an overall assessment of the underlying effect.
- the methodology commonly used to combine results from multiple genetic association studies is the Mantel-Haenszel model (Mantel and Haenszel, J Natl Cancer Inst 22: 719-48 (1959)).
- the model is designed to deal with the situation where association results from different populations, with each possibly having a different population frequency of the genetic variant, are combined.
- the model combines the results assuming that the effect of the variant on the risk of the disease, a measured by the OR or RR, is the same in all populations, while the frequency of the variant may differ between the poplations.
- an absolute risk of developing a disease or trait defined as the chance of a person developing the specific disease or trait over a specified time-period.
- a woman's lifetime absolute risk of breast cancer is one in nine. That is to say, one woman in every nine will develop breast cancer at some point in their lives.
- Risk is typically measured by looking at very large numbers of people, rather than at a particular individual. Risk is often presented in terms of Absolute Risk (AR) and Relative Risk (RR).
- AR Absolute Risk
- RR Relative Risk
- Relative Risk is used to compare risks associating with two variants or the risks of two different groups of people. For example, it can be used to compare a group of people with a certain genotype with another group having a different genotype.
- a relative risk of 2 means that one group has twice the chance of developing a disease as the other group.
- the creation of a model to calculate the overall genetic risk involves two steps: i) conversion of odds-ratios for a single genetic variant into relative risk and ⁇ i) combination of risk from multiple variants in different genetic loci into a single relative risk value.
- allelic odds-ratio equals the risk factor:
- RR(aa) Pr(A
- aa)/Pr(A) (Pr(A
- allele A of the disease associated marker rslll70164 in the KRT5 gene has an allelic OR of 1.35 and a frequency (p) around 0.07 in non-Hispanic white populations.
- the genotype relative risk compared to genotype GG are estimated based on the multiplicative model.
- Population frequency of each of the three possible genotypes at this marker is:
- the average population risk relative to genotype GG (which is defined to have a risk of one) is:
- RR(gl,g2) RR(gl)RR(g2)
- gl,g2) Pr(A
- g2)/Pr(A) and Pr(gl,g2) Pr(gl)Pr(g2)
- the model applied is not expected to be exactly true since it is not based on an underlying bio-physical model.
- the multiplicative model has so far been found to fit the data adequately, i.e. no significant deviations are detected for many common diseases for which many risk variants have been discovered.
- the lifetime risk of an individual is derived by multiplying the overall genetic risk relative to the population with the average life-time risk of the disease in the general population of the same ethnicity and gender and in the region of the individual's geographical origin. As there are usually several epidemiologic studies to choose from when defining the general population risk, we will pick studies that are well-powered for the disease definition that has been used for the genetic variants.
- certain polymorphic markers and haplotypes comprising such markers are found to be useful for risk assessment of certain skin cancer types, such as Basal Cell Carcinoma, Squamous Cell Carcinoma and Cutaneous Melanoma.
- Risk assessment can involve the use of the markers for determining a susceptibility to these skin cancer conditions.
- Particular alleles of polymorphic markers e.g., SNPs
- SNPs polymorphic markers
- these marker alleles have predictive value for detecting the skin cancer, or a susceptibility to the skin cancer, in an individual.
- Tagging markers in linkage disequilibrium with at-risk variants (or protective variants) described herein can be used as surrogates for these markers (and/or haplotypes).
- Such surrogate markers can be located within a particular haplotype block or LD block (e.g., LD Block C12, LD Block C09, LD Block C07, LD Block C05).
- Such surrogate markers may also sometimes be located outside the physical boundaries of such a haplotype block or LD block, either in close vicinity of the LD block/haplotype block, but possibly also located in a more distant genomic location.
- Long-distance LD can for example arise if particular genomic regions (e.g. , genes) are in a functional relationship. For example, if two genes encode proteins that play a role in a shared metabolic pathway, then particular variants in one gene may have a direct impact on observed variants for the other gene. Let us consider the case where a variant in one gene leads to increased expression of the gene product. To counteract this effect and for example preserve overall flux of the particular pathway, this variant may have led to selection of one (or more) variants at a second gene that confers decreased expression levels of that gene.
- genomic regions e.g. , genes
- Markers with values of r 2 equal to 1 are perfect surrogates for the at-risk variants, i.e. genotypes for one marker perfectly predicts genotypes for the other. Markers with smaller values of r 2 than 1 can also be surrogates for the at-risk variant, or alternatively represent variants with relative risk values as high as or possibly even higher than the at-risk variant.
- the at-risk variant identified may not be the functional variant itself, but is in this instance in linkage disequilibrium with the true functional variant.
- the functional variant may for example be a tandem repeat, such as a minisatellite or a microsatellite, a transposable element (e.g., an AIu element), or a structural alteration, such as a deletion, insertion or inversion (sometimes also called copy number variations, or CNVs).
- the present invention encompasses the assessment of such surrogate markers for the markers as disclosed herein. Such markers are annotated, mapped and listed in public databases, as well known to the skilled person, or can alternatively be readily identified by sequencing the region or a part of the region identified by the markers of the present invention in a group of individuals, and identify polymorphisms in the resulting group of sequences.
- the person skilled in the art can readily and without undue experimentation identify and genotype surrogate markers in linkage disequilibrium with the markers and/or haplotypes as described herein.
- the tagging or surrogate markers in LD with the at-risk variants detected also have predictive value for detecting association to the disease, or a susceptibility to the disease, in an individual.
- These tagging or surrogate markers that are in LD with the markers of the present invention can also include other markers that distinguish among haplotypes, as these similarly have predictive value for detecting susceptibility to the particular disease.
- the present invention can in certain embodiments be practiced by assessing a sample comprising genomic DNA from an individual for the presence of variants described herein to be associated with Basal Cell Carcinoma, Squamous Cell Carcinoma and Cutaneous Melanoma.
- Such assessment typically steps that detect the presence or absence of at least one allele of at least one polymorphic marker, using methods well known to the skilled person and further described herein, and based on the outcome of such assessment, determine whether the individual from whom the sample is derived is at increased or decreased risk (increased or decreased susceptibility) of BCC, SCC and/or CM.
- Detecting particular alleles of polymorphic markers can in certain embodiments be done by obtaining nucleic acid sequence data about a particular human individual, that identifies at least one allele of at least one polymorphic marker. Different alleles of the at least one marker are associated with different susceptibility to the disease in humans.
- Obtaining nucleic acid sequence data can comprise nucleic acid sequence at a single nucleotide position, which is sufficient to identify alleles at SNPs.
- the nucleic acid sequence data can also comprise sequence at any other number of nucleotide positions, in particular for genetic markers that comprise multiple nuclotide positions, and can be anywhere from two to hundreds of thousands, possibly even millions, of nucleotides (in particular, in the case of copy number variations (CNVs)).
- the invention can be practiced utilizing a dataset comprising information about the genotype status of at least one polymorphic marker associated with a disease (or markers in linkage disequilibrium with at least one marker associated with the disease).
- a dataset containing information about such genetic status for example in the form of genotype counts at a certain polymorphic marker, or a plurality of markers (e.g., an indication of the presence or absence of certain at-risk alleles), or actual genotypes for one or more markers, can be queried for the presence or absence of certain at-risk alleles at certain polymorphic markers shown by the present inventors to be associated with the disease.
- a positive result for a variant (e.g., marker allele) associated with the disease is indicative of the individual from which the dataset is derived is at increased susceptibility (increased risk) of the disease.
- a polymorphic marker is correlated to BCC, CM and/or SCC by referencing genotype data for the polymorphic marker to a look-up table that comprises correlations between at least one allele of the polymorphism and BCC, CM and/or SCC.
- the table comprises a correlation for one polymorhpism.
- the table comprises a correlation for a plurality of polymorhpisms. In both scenarios, by referencing to a look-up table that gives an indication of a correlation between a marker and the disease, a risk for the disease, or a susceptibility to the disease, can be identified in the individual from whom the sample is derived.
- the correlation is reported as a statistical measure.
- the statistical measure may be reported as a risk measure, such as a relative risk (RR), an absolute risk (AR) or an odds ratio (OR).
- the markers described herein may be useful for risk assessment and diagnostic purposes, either alone or in combination. Results of risk assessment based on the markers described herein can also be combined with data for other genetic markers or risk factors for BCC, SCC and/or CM, to establish overall risk. Thus, even in cases where the increase in risk by individual markers is relatively modest, e.g. on the order of 10-30%, the association may have significant implications. Thus, relatively common variants may have significant contribution to the overall risk (Population Attributable Risk is high), or combination of markers can be used to define groups of individual who, based on the combined risk of the markers, is at significant combined risk of developing the disease.
- a plurality of variants is used for overall risk assessment.
- variants are in one embodiment selected from the variants as disclosed herein.
- Other embodiments include the use of the variants of the present invention in combination with other variants known to be useful for diagnosing a susceptibility to Basal Cell Carcinoma.
- such other variants are selected from the group consisting of rs2736100 on chromosome 5pl5.3 (Rafnar, T., et a/.
- any marker in linkage disequilibrium with any one of these markers may be used in such risk assessment.
- the genotype status of a plurality of markers and/or haplotypes is determined in an individual, and the status of the individual compared with the population frequency of the associated variants, or the frequency of the variants in clinically healthy subjects, such as age- matched and sex-matched subjects. Methods known in the art, such as multivariate analyses or joint risk analyses or other methods known to the skilled person, may subsequently be used to determine the overall risk conferred based on the genotype status at the multiple loci.
- the haplotype block structure of the human genome has the effect that a large number of variants (markers and/or haplotypes) in linkage disequilibrium with the variant originally associated with a disease or trait may be used as surrogate markers for assessing association to the disease or trait.
- the number of such surrogate markers will depend on factors such as the historical recombination rate in the region, the mutational frequency in the region (i.e., the number of polymorphic sites or markers in the region), and the extent of LD (size of the LD block) in the region.
- markers are usually located within the physical boundaries of the LD block or haplotype block in question as defined using the methods described herein, or by other methods known to the person skilled in the art.
- markers and/or haplotypes may in those cases be also used as surrogate markers and/or haplotypes for the markers and/or haplotypes physically residing within the haplotype block as defined.
- markers and haplotypes in LD are also within the scope of the invention, even if they are physically located beyond the boundaries of the haplotype block as defined.
- markers that are described herein e.g., the surrogate markers provided in Tables 14 - 18 and 23 - 24
- the opposite allele to the allele found to be in excess in patients is found in decreased frequency in controls.
- These markers and haplotypes in LD and/or comprising such markers are thus protective for the skin cancer, i.e. they confer a decreased risk or susceptibility of individuals carrying these markers and/or haplotypes developing the skin cancer.
- Certain variants of the present invention, including certain haplotypes comprise, in some cases, a combination of various genetic markers, e.g., SNPs and microsatellites. Detecting haplotypes can be accomplished by methods known in the art and/or described herein for detecting sequences at polymorphic sites. Furthermore, correlation between certain haplotypes or sets of markers and disease phenotype can be verified using standard techniques. A representative example of a simple test for correlation would be a Fisher-exact test on a two by two table.
- a marker allele or haplotype found to be associated with a skin cancer condition selected from the group consisting of Basal Cell Carcinoma, Squamous Cell Carcinoma and Cutaneous Melanoma is one in which the marker allele or haplotype is more frequently present in individuals at risk for the skin cancer condition or diagnosed with the skin cancer cond ⁇ tion(affected), compared to the frequency of its presence in healthy individuals (control), or in randombly selected individual from the population.
- At-risk markers in linkage disequilibrium with one or more skin cancer-associated markers described herein are tagging or surrogate markers that are more frequently present in individual at risk for, or diagnosed with, the skin cancer condition (affected), compared to the frequency of their presence in unaffected or healthy individuals (control) or in a randomly selected individual from the population, wherein the presence of certain at-risk alleles at the tagging or surrogate markers is indicative of increased susceptibility to the skin cancer.
- the methods and kits of the invention can be utilized from samples containing nucleic acid material (DNA or RNA) from any source and from any individual, or from genotype data derived from such samples.
- the individual is a human individual.
- the individual can be an adult, child, or fetus.
- the nucleic acid source may be any sample comprising nucleic acid material, including biological samples, or a sample comprising nucleic acid material derived therefrom.
- the present invention also provides for assessing markers and/or haplotypes in individuals who are members of a target population.
- Such a target population is in one embodiment a population or group of individuals at risk of developing Basal Cell Carcinoma, based for example on other genetic factors for Basal Cell Carcinoma, environmental factors ⁇ e.g., exposure to sunlight), or general health and/or lifestyle parameters (e.g. , history of Basal Cell Carcinoma or related diseases, previous diagnosis of Basal Cell Carcinoma, family history of Basal Cell Carcinoma).
- the invention provides for embodiments that include individuals from specific age subgroups, such as those over the age of 40, over age of 45, or over age of 50, 55, 60, 65, 70, 75, 80, or 85.
- Other embodiments of the invention pertain to other age groups, such as individuals aged less than 85, such as less than age 80, less than age 75, or less than age 70, 65, 60, 55, 50, 45, 40, 35, or age 30.
- Other embodiments relate to individuals with age at onset of Basal Cell Carcinomain any of the age ranges described in the above. It is also contemplated that a range of ages may be relevant in certain embodiments, such as age at onset at more than age 45 but less than age 60. Other age ranges are however also contemplated, including all age ranges bracketed by the age values listed in the above.
- the invention furthermore relates to individuals of either gender, males or females.
- the Icelandic population is a Caucasian population of Northern European ancestry.
- a large number of studies reporting results of genetic linkage and association in the Icelandic population have been published in the last few years. Many of those studies show replication of variants, originally identified in the Icelandic population as being associating with a particular disease, in other populations (Styrkarsdottir, U., et al. N Engl J Med 358:2355-65 (2008); Thorgeirsson, T., et al. Nature 452:638-42 (2008); Gudmundsson, J., et al. Nat Genet. 40:281-3 (2008); Stacey, S. N., et al., Nat Genet.
- Such embodiments relate to human subjects that are from one or more human population including, but not limited to, Caucasian populations, European populations, American populations, Eurasian populations, Asian populations, Central/South Asian populations, East Asian populations, Middle Eastern populations, African populations, Hispanic populations, and Oceanian populations.
- European populations include, but are not limited to, Swedish, Norwegian, Finnish, Russian, Danish, Icelandic, Irish, Kelt, English, Scottish, Dutch, Belgian, French, German, Spanish, Portuguese, Italian, Polish, Bulgarian, Slavic, Serbian, Laun, Czech, Greek and Vietnamese populations.
- the invention furthermore in other embodiments can be practiced in specific human populations that include Bantu, Mandenk, Yoruba, San, Mbuti Pygmy, Orcadian, Adygei, Russian, Sardinian, Tuscan, Mozabite, Bedouin, Druze, Vietnamese, Balochi, Brahui, Makrani, Sindhi, Pathan, Burusho, Hazara, Uygur, Kalash, Han, Dai, Daur, Hezhen, Lahu, Miao, Oroqen, She, Tujia, Tu, Xibo, Yi, Mongolan, Naxi, Cambodian, Japanese, Yakut, Melanesian, Papuan, Ka ⁇ tianan, Surui, Colmbian, Maya and Pima.
- the invention relates to Caucasian populations. In certain other embodiments, the invention relates to the Icelandic population.
- the racial contribution in individual subjects may be self-reported or it may be determined by genetic analysis. Genetic analysis of ancestry may be carried out using unlinked microsatellite markers such as those set out in Smith et al. ⁇ Am J Hum Genet 74, 1001-13 (2004)).
- the invention relates to markers and/or haplotypes identified in specific populations, as described in the above.
- measures of linkage disequilibrium (LD) may give different results when applied to different populations. This is due to different population history of different human populations as well as differential selective pressures that may have led to differences in LD in specific genomic regions.
- certain markers e.g. SNP markers, have different population frequency in different populations, or are polymorphic in one population but not in another. The person skilled in the art will however apply the methods available and as thought herein to practice the present invention in any given human population.
- This may include assessment of polymorphic markers in the LD region of the present invention, so as to identify those markers that give strongest association within the specific population.
- the at-risk variants of the present invention may reside on different haplotype background and in different frequencies in various human populations.
- the invention can be practiced in any given human population.
- the variants described herein in general do not, by themselves, provide an absolute identification of individuals who will develop skin cancer such as Basal Cell Carcinoma, Squamous Cell Carcinoma and Cutaneous Melanoma.
- the variants described herein do however indicate increased and/or decreased likelihood that individuals carrying the at-risk or protective variants of the invention will develop one of these skin cancers.
- the variants can be used to predict which individuals are more likely than others to develop skin cancer.
- the present inventors have discovered that certain variants confer increase risk of developing skin cancer, as supported by the statistically significant results presented in the Exemplification herein.
- This information is however extremely valuable in itself, as outlined in more detail in the below, as it can be used to, for example, initiate preventive measures at an early stage, perform regular physical exams to monitor the progress and/or appearance of symptoms, or to schedule exams at a regular interval to identify early symptoms, so as to be able to apply treatment at an early stage.
- a positive family history is a risk factor for Basal Cell Carcinoma [Hemminki, et al., (2003), Arch Dermatol, 139, 885-9; Vitasa, et al., (1990), Cancer, 65, 2811-7] suggesting an inherited component to the risk of BCC.
- Basal Cell Carcinoma Basal Cell Carcinoma
- Several rare genetic conditions have been associated with increased risks of BCC, including Nevoid Basal Cell Syndrome (Gorlin's Syndrome), Xeroderma Pigmentosum (XP), and Bazex's Syndrome.
- XP is underpinned by mutations in a variety of XP complementation group genes.
- Gorlin's Syndrome results from mutations in the PTCHl gene.
- variants in the CYP2D6 and GSTTl genes have been associated with BCC [Wong, et al., (2003), Bmj, 327, 794-8].
- Fair pigmentation traits are known risk factors for BCC and are thought act, at least in part, through a reduced protection from UV irradiation. Thus, genes underlying these fair pigmentation traits have been associated with risk. MClR, ASIP, and TYR have been shown to confer risk for BCC (Gudbjartsson et.al., Nature Genetics, 40:886-91 (2008)) [Bastiaens, et al., (2001), Am J Hum Genet, 68, 884-94; Han, et al., (2006), Int J Epidemiol, 35, 1514-21].
- pigmentation characteristics do not completely account for the effects of MClR, ASIP and TYR variants. This may be because self-reported pigmentation traits do not adequately reflect those aspects of pigmentation status that relate best to skin cancer risk. It amy also indicate that MClR, ASIP and TYR have risk-associated functions that are not directly related to easily observable pigmentation traits (Gudbjartsson et.al., Nature Genetics, 40:886-91
- the present invention pertains to methods of diagnosing, or aiding in the diagnosis of, Basal Cell Carcinoma or a susceptibility to Basal Cell Carcinoma, by detecting particular alleles at genetic markers that appear more frequently in subjects with Basal Cell Carcinoma or subjects who are susceptible to Basal Cell Carcinoma.
- the invention is a method of determining a susceptibility to Basal Cell Carcinoma by detecting at least one allele of at least one polymorphic marker (e.g., the markers described herein).
- the invention relates to a method of determining a susceptibility to Basal Cell Carcinoma by detecting at least one allele of at least one polymorphic marker.
- the present invention describes methods whereby detection of particular alleles of particular markers or haplotypes is indicative of a susceptibility to Basal Cell Carcinoma.
- Such prognostic or predictive assays can also be used to determine prophylactic treatment of a subject prior to the onset of symptoms of Basal Cell Carcinoma.
- the present invention pertains in some embodiments to methods of clinical applications of diagnosis, e.g., diagnosis of Basal Cell Carcinoma or susceptibility to Basal Cell Carcinoma performed by a medical professional.
- the invention pertains to methods of diagnosis or methods of determination of a susceptibility performed by a layman.
- the layman can be the customer of a genotyping service.
- the layman may also be a genotype service provider, who performs genotype analysis on a DNA sample from an individual, or a genotype dataset from an individual (e.g., dataset comprising sequence information about at least one polymorphic marker) in order to provide direct customer service related to genetic risk factors for particular traits or diseases, based on the genotype status of the individual (Ae., the customer).
- genotyping technologies including high-throughput genotyping of SNP markers, such as Molecular Inversion Probe array technology ⁇ e.g., Affymetrix GeneChip), and BeadArray Technologies (e.g., Illumina GoldenGate and Infinium assays) have made it possible for individuals to have their own genome assessed for up to one million SNPs simultaneously, at relatively little cost.
- the resulting genotype information which can be made available to the individual, can be compared to information about disease or trait risk associated with various SNPs, including information from public literature and scientific publications.
- the diagnostic application of disease-associated alleles as described herein can thus for example be performed by the individual, through analysis of his/her genotype data, by a health professional based on results of a clinical test, or by a third party, including the genotype service provider.
- the third party may also be service provider who interprets genotype information from the customer to provide service related to specific genetic risk factors, including the genetic markers described herein.
- the diagnosis or determination of a susceptibility of genetic risk can be made by health professionals, genetic counselors, third parties providing genotyping service, third parties providing risk assessment service or by the layman ⁇ e.g. , the individual), based on information about the genotype status of an individual and knowledge about the risk conferred by particular genetic risk factors (e.g., particular SNPs).
- diagnosis diagnosis or determination of a susceptibility of genetic risk
- the term “diagnosing”, “diagnose a susceptibility” and “determine a susceptibility” is meant to refer to any available diagnostic method, including those mentioned above.
- a sample containing genomic DNA from an individual is collected.
- sample can for example be a buccal swab, a saliva sample, a blood sample, or other suitable samples containing genomic DNA, as described further herein.
- the genomic DNA is then analyzed using any common technique available to the skilled person, such as high-throughput array technologies, to obtain sequence data about at least one polymorphic marker (e.g., genotype data).
- results from such genotyping are stored in a convenient data storage unit, such as a data carrier, including computer databases, data storage disks, or by other convenient data storage means.
- the computer database is an object database, a relational database or a post-relational database.
- Genotype data is subsequently analyzed for the presence of certain variants known to be susceptibility variants for a particular human conditions, such as the genetic variants described herein.
- Genotype data can be retrieved from the data storage unit using any convenient data query method.
- Calculating risk conferred by a particular genotype for the individual can be based on comparing the genotype of the individual to previously determined risk (expressed as a relative risk (RR) or and odds ratio (OR) or absolute risk (AR), for example) for the genotype, for example for an heterozygous or homozygous carrier of an at-risk variant.
- the calculated risk for the individual can be the relative risk for a person, or for a specific genotype of a person, compared to the average population with matched gender and ethnicity.
- the average population risk can be expressed as a weighted average of the risks of different genotypes, using results from a reference population, and the appropriate calculations to calculate the risk of a genotype group relative to the population can then be performed.
- the risk for an individual is based on a comparison of particular genotypes, for example heterozygous carriers of an at-risk allele of a marker compared with non-carriers of the at-risk allele.
- Using the population average may in certain embodiments be more convenient, since it provides a measure which is easy to interpret for the user, i.e. a measure that gives the risk for the individual, based on his/her genotype, compared with the average in the population.
- the calculated risk estimated can be made available to the customer via a website, preferably a secure website.
- a service provider will include in the provided service all of the steps of isolating genomic DNA from a sample provided by the customer, performing genotyping of the isolated DNA, calculating genetic risk based on the genotype data, and report the risk to the customer.
- the service provider will include in the service the interpretation of genotype data for the individual, i.e. , risk estimates for particular genetic variants based on the genotype data for the individual.
- the service provider may include service that includes genotyping service and interpretation of the genotype data, starting from a sample of isolated DNA from the individual (the customer).
- the present invention pertains to methods of determining a decreased susceptibility to Basal Cell Carcinoma, by detecting particular genetic marker alleles or haplotypes that appear less frequently in patients than in individual not diagnosed with Basal Cell Carcinoma or in the general population.
- marker alleles or haplotypes are associated with skin cancer, including Basal Cell Carcinoma (BCC), Squamous Cell Carcinoma (SCC) and Cutaneous Melanoma (CM).
- BCC Basal Cell Carcinoma
- SCC Squamous Cell Carcinoma
- CM Cutaneous Melanoma
- the marker allele or haplotype is one that confers a significant risk or susceptibility to the skin cancer.
- the invention relates to a method of determining a susceptibility to BCC, SCC and/or CM in a human individual, the method comprising determining the presence or absence of at least one allele of at least one polymorphic marker in a nucleic acid sample obtained from the individual.
- the invention pertains to methods of determining a susceptibility to BCC, SCC and/or CM in a human individual, by screening for at least one marker allele or haplotype.
- the marker allele or haplotype is more frequently present in a subject having, or who is susceptible to, BCC, SCC and/or CM (affected), as compared to the frequency of its presence in a healthy subject (control, such as population controls).
- the significance of association of the at least one marker allele or haplotype is characterized by a p value ⁇ 0.05.
- the significance of association is characterized by smaller p-values, such as ⁇ 0.01, ⁇ 0.001, ⁇ 0.0001, ⁇ 0.00001, ⁇ 0.000001, ⁇ 0.0000001, ⁇ 0.00000001 or ⁇ 0.000000001.
- the determination of the presence of the at least one marker allele or haplotype is indicative of a susceptibility to BCC, SCC and/or CM.
- These diagnostic methods involve determining whether particular alleles or haplotypes that are associated with risk of BCC, SCC and/or CM are present in particular individuals.
- Haplotypes described herein include combinations of alleles at various genetic markers (e.g. , SNPs, microsatellites or other genetic variants). The detection of particular genetic marker alleles can be performed by a variety of methods described herein and/or known in the art.
- genetic markers can be detected at the nucleic acid level (e.g., by direct nucleotide sequencing, or by other genotyping means known to the skilled in the art) or at the amino acid level if the genetic marker affects the coding sequence of a protein (e.g., by protein sequencing or by immunoassays using antibodies that recognize such a protein).
- the marker alleles or haplotypes of the present invention correspond to fragments of a genomic segments (e.g., genes) associated with BCC, SCC and/or CM. Such fragments encompass the DNA sequence of the polymorphic marker or haplotype in question, but may also include DNA segments in strong LD (linkage disequilibrium) with the marker or haplotype. In one embodiment, such segments comprises segments in LD with the marker or haplotype, e.g. as determined by a value of r 2 greater than 0.2 and/or
- determination of a susceptibility to BCC, SCC and/or CM is accomplished using hybridization methods, (see Current Protocols in Molecular Biology, Ausubel, F. et al., eds., John Wiley & Sons, including all supplements).
- the presence of a specific marker allele can be indicated by sequence-specific hybridization of a nucleic acid probe specific for the particular allele.
- the presence of more than one specific marker allele or a specific haplotype can be indicated by using several sequence-specific nucleic acid probes, each being specific for a particular allele.
- a sequence-specific probe can be directed to hybridize to genomic DNA, RNA, or cDNA.
- a “nucleic acid probe”, as used herein, can be a DNA probe or an RNA probe that hybridizes to a complementary sequence.
- One of skill in the art would know how to design such a probe so that sequence specific hybridization will occur only if a particular allele is present in a genomic sequence from a test sample.
- the invention can also be reduced to practice using any convenient genotyping method, including commercially available technologies and methods for genotyping particular polymorphic markers.
- a hybridization sample can be formed by contacting the test sample containing a disease -associated nucleic acid, such as a genomic DNA sample, with at least one nucleic acid probe.
- a probe for detecting mRNA or genomic DNA is a labeled nucleic acid probe that is capable of hybridizing to mRNA or genomic DNA sequences described herein.
- the nucleic acid probe can be, for example, a full-length nucleic acid molecule, or a portion thereof, such as an oligonucleotide of at least 15, 30, 50, 100, 250 or 400 nucleotides in length that is sufficient to specifically hybridize under stringent conditions to appropriate mRNA or genomic DNA.
- the nucleic acid probe can comprise all or a portion of the nucleotide sequence of LD Block C12, LD Block C09, LD Block C07 and/or LD Block C05, as described herein, optionally comprising at least one allele of a marker described herein, or at least one haplotype described herein, or the probe can be the complementary sequence of such a sequence.
- the nucleic acid probe is a portion of the nucleotide sequence of LD Block C12, LD Block C09, LD Block C07 and/or LD Block C05, as described herein, optionally comprising at least one allele of a marker described herein, or at least one allele of one polymorphic marker or haplotype comprising at least one polymorphic marker described herein, or the probe can be the complementary sequence of such a sequence.
- suitable probes for use in the diagnostic assays of the invention are described herein. Hybridization can be performed by methods well known to the person skilled in the art (see, e.g., Current Protocols in Molecular Biology, Ausubel, F.
- hybridization refers to specific hybridization, i.e., hybridization with no mismatches (exact hybridization).
- the hybridization conditions for specific hybridization are high stringency.
- Specific hybridization if present, is detected using standard methods. If specific hybridization occurs between the nucleic acid probe and the nucleic acid in the test sample, then the sample contains the allele that is complementary to the nucleotide that is present in the nucleic acid probe. The process can be repeated for any markers of the present invention, or markers that make up a haplotype of the present invention, or multiple probes can be used concurrently to detect more than one marker alleles at a time.
- a method utilizing a detection oligonucleotide probe comprising a fluorescent moiety or group at its 3' terminus and a quencher at its 5' terminus, and an enhancer oligonucleotide, is employed, as described by Kutyavin et al. (Nucleic Acid Res. 34:el28 (2006)).
- the fluorescent moiety can be Gig Harbor Green or Yakima Yellow, or other suitable fluorescent moieties.
- the detection probe is designed to hybridize to a short nucleotide sequence that includes the SNP polymorphism to be detected.
- the SNP is anywhere from the terminal residue to -6 residues from the 3' end of the detection probe.
- the enhancer is a short oligonucleotide probe which hybridizes to the DNA template 3' relative to the detection probe.
- the probes are designed such that a single nucleotide gap exists between the detection probe and the enhancer nucleotide probe when both are bound to the template.
- the gap creates a synthetic abasic site that is recognized by an endonuclease, such as Endonuclease IV.
- the enzyme cleaves the dye off the fully complementary detection probe, but cannot cleave a detection probe containing a mismatch.
- assessment of the presence of a particular allele defined by nucleotide sequence of the detection probe can be performed.
- the detection probe can be of any suitable size, although preferably the probe is relatively short. In one embodiment, the probe is from 5-100 nucleotides in length. In another embodiment, the probe is from 10-50 nucleotides in length, and in another embodiment, the probe is from 12-30 nucleotides in length. Other lengths of the probe are possible and within scope of the skill of the average person skilled in the art.
- the DNA template containing the SNP polymorphism is amplified by Polymerase Chain Reaction (PCR) prior to detection.
- PCR Polymerase Chain Reaction
- the amplified DNA serves as the template for the detection probe and the enhancer probe.
- modified bases including modified A and modified G.
- modified bases can be useful for adjusting the melting temperature of the nucleotide molecule (probe and/or primer) to the template DNA, for example for increasing the melting temperature in regions containing a low percentage of G or C bases, in which modified A with the capability of forming three hydrogen bonds to its complementary T can be used, or for decreasing the melting temperature in regions containing a high percentage of G or C bases, for example by using modified G bases that form only two hydrogen bonds to their complementary C base in a double stranded DNA molecule.
- modified bases are used in the design of the detection nucleotide probe. Any modified base known to the skilled person can be selected in these methods, and the selection of suitable bases is well within the scope of the skilled person based on the teachings herein and known bases available from commercial sources as known to the skilled person.
- a peptide nucleic acid (PNA) probe can be used in addition to, or instead of, a nucleic acid probe in the hybridization methods described herein.
- a PNA is a DNA mimic having a peptide-like, inorganic backbone, such as N-(2-am ⁇ noethyl)glycine units, with an organic base (A, G, C, T or U) attached to the glycine nitrogen via a methylene carbonyl linker (see, for example, Nielsen, P., et al., Bioconjug. Chem. 5: 3-7 (1994)).
- the PNA probe can be designed to specifically hybridize to a molecule in a sample suspected of containing one or more particular marker alleles or haplotypes.
- a test sample containing genomic DNA obtained from the subject is collected and the polymerase chain reaction (PCR) is used to amplify a fragment comprising one ore more polymrphic marker or haplotype.
- PCR polymerase chain reaction
- identification of a particular marker allele or haplotype can be accomplished using a variety of methods ⁇ e.g., sequence analysis, analysis by restriction digestion, specific hybridization, single stranded conformation polymorphism assays (SSCP), electrophoretic analysis, etc.).
- expression analysis for example quantitative PCR (kinetic thermal cycling) is used to determine susceptibility.
- This technique can, for example, utilize commercially available technologies, such as TaqMan ® (Applied Biosystems, Foster City, CA) .
- the technique can assess the presence of an alteration in the expression or composition of a polypeptide or splicing variant(s). Further, the expression of the variant(s) can be quantified as physically or functionally different.
- restriction digestion in another embodiment, analysis by restriction digestion can be used to detect a particular allele if the allele results in the creation or elimination of a restriction site relative to a reference sequence.
- Restriction fragment length polymorphism (RFLP) analysis can be conducted, e.g., as described in Current Protocols in Molecular Biology, supra. The digestion pattern of the relevant DNA fragment indicates the presence or absence of the particular allele in the sample.
- Sequence analysis can also be used to detect specific alleles or haplotypes. Therefore, in one embodiment, determination of the presence or absence of a particular marker alleles or haplotypes comprises sequence analysis of a test sample of DNA or RNA obtained from a subject or individual. PCR or other appropriate methods can be used to amplify a portion of a nucleic acid that contains a polymorphic marker or haplotype, and the presence of specific alleles can then be detected directly by sequencing the polymorphic site (or multiple polymorphic sites in a haplotype) of the genomic DNA in the sample.
- arrays of oligonucleotide probes that are complementary to target nucleic acid sequence segments from a subject can be used to identify particular alleles at polymorphic sites.
- an oligonucleotide array can be used.
- Oligonucleotide arrays typically comprise a plurality of different oligonucleotide probes that are coupled to a surface of a substrate in different known locations. These arrays can generally be produced using mechanical synthesis methods or light directed synthesis methods that incorporate a combination of photolithographic methods and solid phase oligonucleotide synthesis methods, or by other methods known to the person skilled in the art (see, e.g., Bier, F. F., et al. Adv Biochem Eng
- nucleic acid analysis can be used to detect a particular allele at a polymorphic site.
- Representative methods include, for example, direct manual sequencing (Church and Gilbert, Proc. Natl. Acad. Sci. USA, 81 : 1991-1995
- restriction enzyme analysis Fravell, R., et al. , Cell, 15: 25-41 (1978); Geever, R., et al., Proc. Natl. Acad. Sci. USA, 78: 5081-5085 (1981)); heteroduplex analysis; chemical mismatch cleavage (CMC) (Cotton, R., et al., Proc. Natl. Acad. Sci. USA, 85:4397-4401 (1985)); RNase protection assays (Myers, R., et al., Science, 230: 1242-1246 (1985); use of polypeptides that recognize nucleotide mismatches, such as E. coli mutS protein; and allele-specific PCR.
- CMC chemical mismatch cleavage
- Myers, R., et al., Science, 230: 1242-1246 (1985) use of polypeptides that recognize nucleotide mismatches, such as E. coli mutS protein; and
- determination of disease susceptibility can be made by examining expression and/or composition of a polypeptide encoded by a particular nucleic acid in those instances where the genetic marker(s) or haplotype(s) of the present invention result in a change in the composition or expression of the polypeptide.
- determination of a susceptibility can be made by examining expression and/or composition of such a polypeptide in those instances where the genetic marker or haplotype of the present invention results in a change in the composition or expression of the polypeptide.
- Possible mechanisms affecting these genes include, e.g., effects on transcription, effects on RNA splicing, alterations in relative amounts of alternative splice forms of mRNA, effects on RNA stability, effects on transport from the nucleus to cytoplasm, and effects on the efficiency and accuracy of translation.
- the variants (markers or haplotypes) presented herein affect the expression of a gene selected from the group consisting of KRT5, CDKN2A, KLF14, and SLC45A2. It is well known that regulatory element affecting gene expression may be located far away, even as far as tenths or hundreds of kilobases away, from the promoter region of a gene. By assaying for the presence or absence of at least one allele of at least one polymorphic marker of the present invention, it is thus possible to assess the expression level of such nearby genes. It is thus contemplated that the detection of the markers or haplotypes of the present invention can be used for assessing expression for one or more of these genes.
- a variety of methods can be used for detecting protein expression levels, including enzyme linked immunosorbent assays (ELISA), Western blots, immunoprecipitations and immunofluorescence.
- ELISA enzyme linked immunosorbent assays
- a test sample from a subject is assessed for the presence of an alteration in the expression and/or an alteration in composition of the polypeptide encoded by a particular nucleic acid.
- An alteration in expression of a polypeptide encoded by the nucleic acid can be, for example, an alteration in the quantitative polypeptide expression (i.e., the amount of polypeptide produced).
- An alteration in the composition of a polypeptide encoded by the nucleic acid is an alteration in the qualitative polypeptide expression (e.g., expression of a mutant polypeptide or of a different splicing variant).
- diagnosis of a susceptibility is made by detecting a particular splicing variant, or a particular pattern of splicing variants.
- An "alteration" in the polypeptide expression or composition refers to an alteration in expression or composition in a test sample, as compared to the expression or composition of the polypeptide in a control sample.
- a control sample is a sample that corresponds to the test sample (e.g. , is from the same type of cells), and is from a subject who is not affected by, and/or who does not have a susceptibility to, a particular disease (e.g., BCC, SCC and/or CM).
- the control sample is from a subject who does not possess a marker allele or haplotype associated with BCC, SCC and/or CM, as described herein.
- the presence of one or more different splicing variants in the test sample, or the presence of significantly different amounts of different splicing variants in the test sample, as compared with the control sample, can also be indicative of a susceptibility to BCC, SCC and/or CM.
- An alteration in the expression or composition of the polypeptide in the test sample, as compared with the control sample, can be indicative of a specific allele in the instance where the allele alters a splice site relative to the reference in the control sample.
- Various means of examining expression or composition of a polypeptide encoded by a nucleic acid are known to the person skilled in the art and can be used, including spectroscopy, colorimetry, electrophoresis, isoelectric focusing, and immunoassays (e.g., David et al., U.S. Pat. No. 4,376,110) such as immunoblotting (see, e.g. , Current Protocols in Molecular Biology, particularly chapter 10, supra).
- an antibody e.g., an antibody with a detectable label
- Antibodies can be polyclonal or monoclonal.
- An intact antibody, or a fragment thereof e.g. , Fv, Fab, Fab', F(ab') 2
- the level or amount of a polypeptide in a test sample is compared with the level or amount of the polypeptide in a control sample.
- a level or amount of the polypeptide in the test sample that is higher or lower than the level or amount of the polypeptide in the control sample, such that the difference is statistically significant, is indicative of an alteration in the expression of the polypeptide encoded by the nucleic acid, and is diagnostic for a particular allele or haplotype responsible for causing the difference in expression.
- the composition of the polypeptide in a test sample is compared with the composition of the polypeptide in a control sample.
- both the level or amount and the composition of the polypeptide can be assessed in the test sample and in the control sample.
- determination of a susceptibility to Basal Cell Carcinoma is made by detecting at least one marker or haplotype of the present invention, in combination with an additional protein-based, RNA-based or DNA-based assay.
- Kits useful in the methods of the invention comprise components useful in any of the methods described herein, including for example, primers for nucleic acid amplification, hybridization probes, restriction enzymes (e.g., for RFLP analysis), allele-specific oligonucleotides, antibodies that bind to an altered polypeptide encoded by a nucleic acid of the invention as described herein (e.g.
- a genomic segment comprising at least one polymorphic marker and/or haplotype of the present invention) or to a non-altered (native) polypeptide encoded by a nucleic acid of the invention as described herein, means for amplification of a nucleic acid associated with Basal Cell Carcinoma, means for analyzing the nucleic acid sequence of a nucleic acid associated with BCC, SCC and/or CM, means for analyzing the amino acid sequence of a polypeptide encoded by a nucleic acid associated with BCC, SCC and/or CM, etc.
- kits can for example include necessary buffers, nucleic acid primers for amplifying nucleic acids of the invention (e.g., a nucleic acid segment comprising one or more of the polymorphic markers as described herein), and reagents for allele-specific detection of the fragments amplified using such primers and necessary enzymes (e.g., dna polymerase). Additionally, kits can provide reagents for assays to be used in combination with the methods of the present invention, e.g. , reagents for use with other diagnostic assays.
- the invention pertains to a kit for assaying a sample from a subject to detect a susceptibility to BCC, SCC and/or CM in a subject, wherein the kit comprises reagents necessary for selectively detecting at least one allele of at least one polymorphism of the present invention in the genome of the individual.
- the reagents comprise at least one contiguous oligonucleotide that hybridizes to a fragment of the genome of the individual comprising at least one polymorphism of the present invention.
- the reagents comprise at least one pair of oligonucleotides that hybridize to opposite strands of a genomic segment obtained from a subject, wherein each oligonucleotide primer pair is designed to selectively amplify a fragment of the genome of the individual that includes at least one polymorphism associated with risk of Basal Cell Carcinoma.
- the polymorphism is selected from the group consisting of rslll70164, rs641615, rs2151280, rsl57935 and rsl6891982, and polymorphic markers in linkage disequilibrium therewith.
- the polymorphism is selected from the group consisting of
- the fragment is at least 20 base pairs in size.
- oligonucleotides or nucleic acids e.g., oligonucleotide primers
- the kit comprises one or more labeled nucleic acids capable of allele-specific detection of one or more specific polymorphic markers or haplotypes, and reagents for detection of the label.
- Suitable labels include, e.g. , a radioisotope, a fluorescent label, an enzyme label, an enzyme co-factor label, a magnetic label, a spin label, an epitope label.
- the polymorphic marker or haplotype to be detected by the reagents of the kit comprises one or more markers, two or more markers, three or more markers, four or more markers or five or more markers selected from the markers described herein to be associated with susceptibility to SCC, CM and BCC.
- the markers are selected from the group consisting of the markers set forth in any one of the Tables 13-17 herein.
- the marker or haplotype to be detected comprises one or more markers, two or more markers, three or more markers, four or more markers or five or more markers selected from the group consisting of rsll586100, rslll70164, rs641615, rs2151280, rsl57935 and rsl6891982, and markers in linkage disequilibrium therewith.
- the marker or haplotype to be detected is selected from the group consisting of rslll70164, rs641615, rs2151280, rsl57935 and rsl6891982 .
- the kit comprises reagents for detecting no more than 100 polymorphic markers. In certain other embodiments, the kit comprises reagents for detecting no more than 20 polymorphic markers.
- Determination of the presence of a particular marker allele or haplotype is indicative of a susceptibility (increased susceptibility or decreased susceptibility) to a skin cancer selected from SCC, BCC and CM.
- determination of the presence of the marker or haplotype is indicative of response to a therapeutic agent for SCC, BCC and/or CM.
- the presence of the marker or haplotype is indicative of prognosis of SCC, BCC and/or CM.
- the presence of the marker or haplotype is indicative of progress of treatment of SCC, BCC and/or CM. Such treatment may include intervention by surgery, medication or by other means (e.g. , lifestyle changes).
- a pharmaceutical pack comprising a therapeutic agent and a set of instructions for administration of the therapeutic agent to humans diagnostically tested for one or more variants of the present invention, as disclosed herein.
- the therapeutic agent can be a small molecule drug, an antibody, a peptide, an antisense or RNAi molecule, or other therapeutic molecules.
- an individual identified as a carrier of at least one variant of the present invention is instructed to take a prescribed dose of the therapeutic agent.
- an individual identified as a homozygous carrier of at least one variant of the present invention is instructed to take a prescribed dose of the therapeutic agent.
- an individual identified as a non-carrier of at least one variant of the present invention is instructed to take a prescribed dose of the therapeutic agent.
- the kit further comprises a set of instructions for using the reagents comprising the kit.
- the kit further comprises a collection of data comprising correlation data between the polymorphic markers assessed by the kit and susceptibility to prostate cancer and/or colorectal cancer.
- BCC basal cell carcinoma
- the cure rate for this method, whether done by a plastic surgeon, family doctor, or dermatologist is dependent on the surgical margin. When standard surgical margin is applied (usually 4 mm or more), a high cure rate can be achieved with standard excision. The narrower the free margin (skin removed that is free of visible tumor) the higher the recurrence rate.
- Mohs surgery is an outpatient procedure in which the tumor is surgically excised and then immediately examined under a microscope. The base and edges are microscopically examined to verify sufficient margins before the surgical repair of the site. If the margins are insufficient, more is removed from the patient until the margins are sufficient. It is also used for squamous cell carcinoma; however, the cure rate is not as high as Mohs surgery for basal cell carcinoma.
- Chemotherapy Some superficial cancers respond to local therapy with 5-fluorouracil, a chemotherapy agent. Topical treatment with 5% Imiquimod cream, with five applications per week for six weeks has a reported 70-90% success rate at reducing, even removing, the tumour. Both Imiquimod and 5-fluorouracil has received FDA approval for the treatment of superficial basal cell carcinoma. Off label use of imiquimod on invasive basal cell carcinoma has been reported. Imiquimod may be used prior to surgery in order to reduce the size of the carcinoma. Chemotherapy often follows Mohs surgery to eliminate the residual superficial basal cell carcinoma after the invasive portion is removed. Imiquimod may also be used prior to Mohs surgery to remove the superficial component of the cancer.
- Radiation therapy is appropriate for all forms of BCC as adequate doses will eradicate the disease.
- radiotherapy is generally used in older patients who are not candidates for surgery, it is also used in cases where surgical excision will be disfiguring or difficult to reconstruct (especially on the tip of the nose, and the nostril rims).
- Cure rate can be as high as 95% for small tumor, or as low as 80% for large tumors.
- recurrent tumors after radiation are treated with surgery, and not with radiation. Further radiation treatment will further damage normal tissue, and the tumor might be resistant to further radiation.
- Photodynamic therapy is a new modality for treatment of basal-cell carcinoma, which is administrated by application of photosensitizers to the target area. When these molecules are activated by light, they become toxic, therefore killing the target cells. Methyl aminolevulinate is approved by EU as a photosensitizer since 2001. This therapy is also used in other skin cancer types.
- Cryosurgery is an old modality for the treatment of many skin cancers. When accurately utilized with a temperature probe and cryotherapy instruments, it can result in a high cure rate. Disadvantages include lack of margin control, tissue necrosis, over or under treatment of the tumor, and long recovery time. Several textbooks are published on the therapy, and a few physicians still apply the treatment to selected patients.
- Electrodessication and curettage or EDC is accomplished by using a round knife, or curette, to scrape away the soft cancer. The skin is then burned with an electric current. This further softens the skin, allowing for the knife to cut more deeply with the next layer of curettage. The cycle is repeated, with a safety margin of curettage of normal skin around the visible tumor. This cycle is repeated 3 to 5 times, and the free skin margin treated is usually 4 to 6 mm. Infiltrative or morpheaform BCCs can be difficult to eradicate with EDC. Generally, this method is used on cosmetically unimportant areas like the trunk. The cure rate is variable, depending on the aggressiveness of the EDC and the free margin treated.
- Prognosis is excellent if the appropriate method of treatment is used in early primary basal cell cancers. Recurrent cancers are much harder to cure, with a higher recurrent rate with any methods of treatment. Although basal cell carcinoma rarely metastasizes, it grows locally with invasion and destruction of local tissues. The cancer can impinge on vital structures and result in loss of extension or loss of function or rarely death. The vast majority of cases can be successfully treated before serious complications occur. The recurrence rate for the above treatment options ranges from 50% to 1% or less.
- the variants (markers and/or haplotypes) disclosed herein to confer increased risk of Basal Cell Carcinoma can also be used to identify novel therapeutic targets for Basal Cell Carcinoma.
- genes containing, or in linkage disequilibrium with, one or more of these variants, or their products e.g., KRT5, CDKN2A, KLF14, SLC45A2
- genes or their products that are directly or indirectly regulated by or interact with these variant genes or their products can be targeted for the development of therapeutic agents to treat Basal Cell Carcinoma, or prevent or delay onset of symptoms associated with Basal Cell Carcinoma.
- Therapeutic agents may comprise one or more of, for example, small non-protein and non-nucleic acid molecules, proteins, peptides, protein fragments, nucleic acids (DNA, RNA), PNA (peptide nucleic acids), or their derivatives or mimetics which can modulate the function and/or levels of the target genes or their gene products.
- small non-protein and non-nucleic acid molecules proteins, peptides, protein fragments, nucleic acids (DNA, RNA), PNA (peptide nucleic acids), or their derivatives or mimetics which can modulate the function and/or levels of the target genes or their gene products.
- nucleic acids and/or variants described herein, or nucleic acids comprising their complementary sequence may be used as antisense constructs to control gene expression in cells, tissues or organs.
- the methodology associated with antisense techniques is well known to the skilled artisan, and is for example described and reviewed in AntisenseDrug Technology: Principles, Strategies, and Applications, Crooke, ed., Marcel Dekker Inc., New York (2001).
- antisense agents are comprised of single stranded oligonucleotides (RNA or DNA) that are capable of binding to a complimentary nucleotide segment. By binding the appropriate target sequence, an RNA-RNA, DNA-DNA or RNA-DNA duplex is formed.
- the antisense oligonucleotides are complementary to the sense or coding strand of a gene. It is also possible to form a triple helix, where the antisense oligonucleotide binds to duplex DNA.
- antisense oligonucleotide binds to target RNA sites, activate intracellular nucleases (e.g., RnaseH or Rnase L), that cleave the target RNA.
- Blockers bind to target RNA, inhibit protein translation by steric hindrance of the ribosomes. Examples of blockers include nucleic acids, morpholino compounds, locked nucleic acids and methylphosphonates (Thompson, Drug Discovery Today, 7:912-917 (2002)).
- Antisense oligonucleotides are useful directly as therapeutic agents, and are also useful for determining and validating gene function, for example by gene knock-out or gene knock-down experiments. Antisense technology is further described in Lavery et al., Curr. Opin. Drug Discov. Devel. 6: 561-569 (2003), Stephens et al., Curr. Opin. MoI. Ther. 5: 118-122 (2003), Kurreck, Eur. J. Biochem. 270: 1628-44 (2003), Dias et al., MoI. Cancer Ter. 1 : 347-55 (2002), Chen, Methods MoI. Med. 75:621-636 (2003), Wang et al., Curr. Cancer Drug Targets 1 : 177-96 (2001), and Bennett, Antisense Nucleic Acid Drug. Dev. 12:215- 24 (2002).
- the antisense agent is an oligonucleotide that is capable of binding to a nucleotide segment of the target gene.
- Antisense nucleotides can be from 5-500 nucleotides in length, including 5-200 nucleotides, 5-100 nucleotides, 10-50 nucleotides, and 10-30 nucleotides. In certain preferred embodiments, the antisense nucleotides is from 14-50 nucleotides in length, includign 14-40 nucleotides and 14-30 nucleotides.
- the antisense nucleotide is capable of binding to a nucleotide segment of any one of LD Block C12, LD Block C09, LD Block C07 and LD Block C05, as described herein. In certain other embodiments, the antisense nucleotide is capable of binding to a nucleotide segment with sequence as set forth in any one of SEQ ID NO: 1-801 herein.
- the variants described herein can also be used for the selection and design of antisense reagents that are specific for particular variants. Using information about the variants described herein, antisense oligonucleotides or other antisense molecules that specifically target mRNA molecules that contain one or more variants of the invention can be designed. In this manner, expression of mRNA molecules that contain one or more variant of the present invention (markers and/or haplotypes) can be inhibited or blocked.
- the antisense molecules are designed to specifically bind a particular allelic form (i.e., one or several variants (alleles and/or haplotypes)) of the target nucleic acid, thereby inhibiting translation of a product originating from this specific allele or haplotype, but which do not bind other or alternate variants at the specific polymorphic sites of the target nucleic acid molecule.
- allelic form i.e., one or several variants (alleles and/or haplotypes)
- the molecules can be used for disease treatment.
- the methodology can involve cleavage by means of ribozymes containing nucleotide sequences complementary to one or more regions in the mRNA that attenuate the ability of the mRNA to be translated.
- Such mRNA regions include, for example, protein-coding regions, in particular protein-coding regions corresponding to catalytic activity, substrate and/or ligand binding sites, or other functional domains of a protein.
- RNA interference also called gene silencing, is based on using double-stranded RNA molecules (dsRNA) to turn off specific genes.
- dsRNA double-stranded RNA molecules
- siRNA small interfering RNA
- the siRNA molecules are typically about 20, 21, 22 or 23 nucleotides in length.
- one aspect of the invention relates to isolated nucleic acid molecules, and the use of those molecules for RNA interference, i.e. as small interfering RNA molecules (siRNA).
- the isolated nucleic acid molecules are 18-26 nucleotides in length, preferably 19-25 nucleotides in length, more preferably 20-24 nucleotides in length, and more preferably 21, 22 or 23 nucleotides in length.
- RNAi-mediated gene silencing originates in endogenously encoded primary microRNA (pri-miRNA) transcripts, which are processed in the cell to generate precursor miRNA (pre-miRNA). These miRNA molecules are exported from the nucleus to the cytoplasm, where they undergo processing to generate mature miRNA molecules (miRNA), which direct translational inhibition by recognizing target sites in the 3' untranslated regions of mRNAs, and subsequent mRNA degradation by processing P-bodies (reviewed in Kim & Rossi, Nature Rev. Genet. 8: 173-204 (2007)).
- pri-miRNA primary microRNA
- pre-miRNA precursor miRNA
- RNAi Clinical applications of RNAi include the incorporation of synthetic siRNA duplexes, which preferably are approximately 20-23 nucleotides in size, and preferably have 3' overlaps of 2 nucleotides. Knockdown of gene expression is established by sequence-specific design for the target mRNA. Several commercial sites for optimal design and synthesis of such molecules are known to those skilled in the art.
- siRNA molecules typically 25-30 nucleotides in length, preferably about 27 nucleotides
- shRNAs small hairpin RNAs
- siRNAs and shRNAs are substrates for in vivo processing, and in some cases provide more potent gene-silencing than shorter designs (Kim et al., Nature Biotechnol. 23: 222-226 (2005); Siolas et al., Nature Biotechnol. 23:227-231 (2005)).
- siRNAs provide for transient silencing of gene expression, because their intracellular concentration is diluted by subsequent cell divisions.
- expressed shRNAs mediate long-term, stable knockdown of target transcripts, for as long as transcription of the shRNA takes place (Marques et al., Nature Biotechnol. 23: 559-565 (2006); Brummelkamp et al., Science 296: 550-553 (2002)).
- RNAi molecules including siRNA, miRNA and shRNA
- the variants presented herein can be used to design RNAi reagents that recognize specific nucleic acid molecules comprising specific alleles and/or haplotypes (e.g., the alleles and/or haplotypes of the present invention), while not recognizing nucleic acid molecules comprising other alleles or haplotypes.
- RNAi reagents can thus recognize and destroy the target nucleic acid molecules.
- RNAi reagents can be useful as therapeutic agents (i.e., for turning off disease-associated genes or disease-associated gene variants), but may also be useful for characterizing and validating gene function (e.g., by gene knock-out or gene knockdown experiments).
- RNAi may be performed by a range of methodologies known to those skilled in the art. Methods utilizing non-viral delivery include cholesterol, stable nucleic acid-lipid particle (SNALP), heavy-chain antibody fragment (Fab), aptamers and nanoparticles. Viral delivery methods include use of lentivirus, adenovirus and adeno-associated virus.
- the siRNA molecules are in some embodiments chemically modified to increase their stability. This can include modifications at the 2' position of the ribose, including 2'-O-methylpurines and T- fluoropyrimidines, which provide resistance to Rnase activity. Other chemical modifications are possible and known to those skilled in the art.
- a genetic defect leading to increased predisposition or risk for development of a disease may be corrected permanently by administering to a subject carrying the defect a nucleic acid fragment that incorporates a repair sequence that supplies the normal/wild-type nucleotide(s) at the site of the genetic defect.
- site-specific repair sequence may concompass an RNA/DNA oligonucleotide that operates to promote endogenous repair of a subject's genomic DNA.
- the administration of the repair sequence may be performed by an appropriate vehicle, such as a complex with polyethelenimine, encapsulated in anionic liposomes, a viral vector such as an adenovirus vector, or other pharmaceutical compositions suitable for promoting intracellular uptake of the adminstered nucleic acid.
- an appropriate vehicle such as a complex with polyethelenimine, encapsulated in anionic liposomes, a viral vector such as an adenovirus vector, or other pharmaceutical compositions suitable for promoting intracellular uptake of the adminstered nucleic acid.
- the genetic defect may then be overcome, since the chimeric oligonucleotides induce the incorporation of the normal sequence into the genome of the subject, leading to expression of the normal/wild-type gene product.
- the replacement is propagated, thus rendering a permanent repair and alleviation of the symptoms associated with the disease or condition.
- the present invention provides methods for identifying compounds or agents that can be used to treat Basal Cell Carcinoma, Squamous Cell Carcinoma and/or Cutaneous Melanoma.
- the variants of the invention are useful as targets for the identification and/or development of therapeutic agents.
- such methods include assaying the ability of an agent or compound to modulate the activity and/or expression of a nucleic acid that includes, or is regulated by, at least one of the variants (markers and/or haplotypes) of the present invention, or the encoded product of the nucleic acid.
- the agent or compound modulates the activity of one or more of the KRT5 gene, the CDKN2A gene, the KLF14 gene or the SLC45A2 gene, or their encoded protein products. This in turn can be used to identify agents or compounds that inhibit or alter the undesired activity or expression of the encoded nucleic acid product. Assays for performing such experiments can be performed in cell- based systems or in cell-free systems, as known to the skilled person. Cell-based systems include cells naturally expressing the nucleic acid molecules of interest, or recombinant cells that have been genetically modified so as to express a certain desired nucleic acid molecule.
- Variant gene expression in a patient can be assessed by expression of a variant-containing nucleic acid sequence (for example, a gene containing at least one variant of the present invention, which can be transcribed into RNA containing the at least one variant, and in turn translated into protein), or by altered expression of a normal/wild-type nucleic acid sequence due to variants affecting the level or pattern of expression of the normal transcripts, for example variants in the regulatory or control region of the gene.
- Assays for gene expression include direct nucleic acid assays (mRNA), assays for expressed protein levels, or assays of collateral compounds involved in a pathway, for example a signal pathway.
- mRNA direct nucleic acid assays
- assays for expressed protein levels or assays of collateral compounds involved in a pathway, for example a signal pathway.
- the expression of genes that are up- or down-regulated in response to the signal pathway can also be assayed.
- One embodiment includes operably linking a reporter gene, such as luciferas
- Modulators of gene expression can in one embodiment be identified when a cell is contacted with a candidate compound or agent, and the expression of mRNA is determined. The expression level of mRNA in the presence of the candidate compound or agent is compared to the expression level in the absence of the compound or agent. Based on this comparison, candidate compounds or agents for treating Basal Cell Carcinoma can be identified as those modulating the gene expression of the variant gene.
- candidate compounds or agents for treating Basal Cell Carcinoma can be identified as those modulating the gene expression of the variant gene.
- expression of mRNA or the encoded protein is statistically significantly greater in the presence of the candidate compound or agent than in its absence, then the candidate compound or agent is identified as a stimulator or up-regulator of expression of the nucleic acid.
- nucleic acid expression or protein level is statistically significantly less in the presence of the candidate compound or agent than in its absence, then the candidate compound is identified as an inhibitor or down-regulator of the nucleic acid expression.
- the invention further provides methods of treatment using a compound identified through drug (compound and/or agent) screening as a gene modulator (i.e. stimulator and/or inhibitor of gene expression).
- a gene modulator i.e. stimulator and/or inhibitor of gene expression
- the variants of the present invention may determine the manner in which a therapeutic agent and/or method acts on the body, or the way in which the body metabolizes the therapeutic agent.
- the presence of a particular allele at a polymorphic site or haplotype is indicative of a different response, e.g. a different response rate, to a particular treatment modality.
- a patient diagnosed with a skin cancer selected from Basal Cell Carcinoma, Cutaneous Melanoma and Squamous Cell Carcinoma and carrying a certain allele at a polymorphic or haplotype of the present invention (e.g., the at-risk and protective alleles and/or haplotypes of the invention) would respond better to, or worse to, a specific therapeutic, drug and/or other therapy used to treat the skin cancer.
- the presence or absence of the marker allele or haplotype could aid in deciding what treatment should be used for a the patient.
- the presence of a marker or haplotype of the present invention may be assessed (e.g., through testing DNA derived from a blood sample, as described herein). If the patient is positive for a marker allele or haplotype (that is, at least one specific allele of the marker, or haplotype, is present), then the physician recommends one particular therapy, while if the patient is negative for the at least one allele of a marker, or a haplotype, then a different course of therapy may be recommended (which may include recommending that no immediate therapy, other than serial monitoring for progression of the disease, be performed).
- the patient's carrier status could be used to help determine whether a particular treatment modality should be administered.
- the value lies within the possibilities of being able to diagnose the disease at an early stage, to select the most appropriate treatment, and provide information to the clinician about prognosis/aggressiveness of the disease in order to be able to apply the most appropriate treatment.
- the present invention also relates to methods of monitoring progress or effectiveness of a treatment for skin cancer, including SCC, BCC and CM. This can be done based on the genotype and/or haplotype status of the markers and haplotypes of the present invention, i.e., by assessing the absence or presence of at least one at-risk allele of at least one polymorphic marker as disclosed herein, or by monitoring expression of genes that are associated with the variants (markers and haplotypes) of the present invention.
- the risk gene mRNA or the encoded polypeptide can be measured in a tissue sample (e.g., a peripheral blood sample, or a biopsy sample). Expression levels and/or mRNA levels can thus be determined before and during treatment to monitor its effectiveness. Alternatively, or concomitantly, the genotype and/or haplotype status of at least one risk variant is determined before and during treatment to monitor its effectiveness.
- biological networks or metabolic pathways related to the markers and haplotypes of the present invention can be monitored by determining mRNA and/or polypeptide levels. This can be done for example, by monitoring expression levels or polypeptides for several genes belonging to the network and/or pathway, in samples taken before and during treatment. Alternatively, metabolites belonging to the biological network or metabolic pathway can be determined before and during treatment. Effectiveness of the treatment is determined by comparing observed changes in expression levels/metabolite levels during treatment to corresponding data from healthy subjects.
- the markers of the present invention can be used to increase power and effectiveness of clinical trials.
- individuals who are carriers of at least one at-risk variant of the present invention may be more likely to respond favorably to a particular treatment modality.
- individuals who carry at-risk variants for gene(s) in a pathway and/or metabolic network for which a particular treatment (e.g., small molecule drug) is targeting are more likely to be responders to the treatment.
- individuals who carry certain at-risk variants associated with a gene whose expression and/or function is altered by the at-risk variant are more likely to be responders to a treatment modality targeting that gene, its expression or its gene product.
- This application can improve the safety of clinical trials, but can also enhance the chance that a clinical trial will demonstrate statistically significant efficacy, which may be limited to a certain sub-group of the population.
- one possible outcome of such a trial is that carriers of certain genetic variants, e.g., the markers and haplotypes of the present invention, are statistically significantly likely to show positive response to the therapeutic agent, i.e. experience alleviation of symptoms associated with Basal Cell Carcinoma, when taking the therapeutic agent or drug as prescribed.
- the markers and haplotypes of the present invention can be used for targeting the selection of pharmaceutical agents for specific individuals.
- Personalized selection of treatment modalities, lifestyle changes or combination of lifestyle changes and administration of particular treatment can be realized by the utilization of the at-risk variants of the present invention.
- the knowledge of an individual's status for particular markers of the present invention can be useful for selection of treatment options that target genes or gene products affected by the at-risk variants of the invention.
- Certain combinations of variants may be suitable for one selection of treatment options, while other gene variant combinations may target other treatment options.
- Such combination of variant may include one variant, two variants, three variants, or four or more variants, as needed to determine with clinically reliable accuracy the selection of treatment module.
- the methods and information described herein may be implemented, in all or in part, as computer executable instructions on known computer readable media.
- the methods described herein may be implemented in hardware.
- the method may be implemented in software stored in, for example, one or more memories or other computer readable medium and implemented on one or more processors.
- the processors may be associated with one or more controllers, calculation units and/or other units of a computer system, or implanted in firmware as desired.
- the routines may be stored in any computer readable memory such as in RAM, ROM, flash memory, a magnetic disk, a laser disk, or other storage medium, as is also known.
- this software may be delivered to a computing device via any known delivery method including, for example, over a communication channel such as a telephone line, the Internet, a wireless connection, etc., or via a transportable medium, such as a computer readable disk, flash drive, etc.
- a communication channel such as a telephone line, the Internet, a wireless connection, etc.
- a transportable medium such as a computer readable disk, flash drive, etc.
- the various steps described above may be implemented as various blocks, operations, tools, modules and techniques which, in turn, may be implemented in hardware, firmware, software, or any combination of hardware, firmware, and/or software.
- some or all of the blocks, operations, techniques, etc. may be implemented in, for example, a custom integrated circuit (IC), an application specific integrated circuit (ASIC), a field programmable logic array (FPGA), a programmable logic array (PLA), etc.
- the software When implemented in software, the software may be stored in any known computer readable medium such as on a magnetic disk, an optical disk, or other storage medium, in a RAM or ROM or flash memory of a computer, processor, hard disk drive, optical disk drive, tape drive, etc.
- the software may be delivered to a user or a computing system via any known delivery method including, for example, on a computer readable disk or other transportable computer storage mechanism.
- Certain aspects of the invention relate to computer-readable media having computer executable instructions for determining susceptibility to a skin cancer selected from Basal Cell Carcinoma, Squamous Cell Carcinoma and Cutaneous Melanoma, the computer readable medium comprising (i) data indicative of at least one polymorphic marker; (ii) a routine stored on the computer readable medium and adapted to be executed by a processor to determine risk of developing the skin cancer for the at least one polymorphic marker. Certain embodiments relate to the markers shown herein to be associated with risk of these skin cancer.
- the at least one polymorphic marker is selected from the group consisting of rslll70164, rs641615, rs2151280, rsl57935 and rsl6891982, and markers in linkage disequilibrium therewith.
- the at least one polymorphic marker is selected from the group consisting of rsll586100, and markers in linkage disequilbrium therewith.
- the at least one polymorphic marker is selected from the group consisting of rsl6891982, and markers in linkage disequilibrium therewith.
- Fig. 1 illustrates an example of a suitable computing system environment (apparatus) 100 on which a system for the steps of the claimed method and apparatus may be implemented.
- the computing system environment 100 is only one example of a suitable computing environment and is not intended to suggest any limitation as to the scope of use or functionality of the method or apparatus of the claims. Neither should the computing environment 100 be interpreted as having any dependency or requirement relating to any one or combination of components illustrated in the exemplary operating environment 100.
- the steps of the claimed method and system are operational with numerous other general purpose or special purpose computing system environments or configurations.
- Examples of well known computing systems, environments, and/or configurations that may be suitable for use with the methods or system of the claims include, but are not limited to, personal computers, server computers, hand-held or laptop devices, multiprocessor systems, microprocessor-based systems, set top boxes, programmable consumer electronics, network PCs, minicomputers, mainframe computers, distributed computing environments that include any of the above systems or devices, and the like.
- program modules include routines, programs, objects, components, data structures, etc. that perform particular tasks or implement particular abstract data types.
- the methods and apparatus may also be practiced in distributed computing environments where tasks are performed by remote processing devices that are linked through a communications network.
- program modules may be located in both local and remote computer storage media including memory storage devices.
- an exemplary system for implementing the steps of the claimed method and system includes a general purpose computing device in the form of a computer 110.
- Components of computer 110 may include, but are not limited to, a processing unit 120, a system memory 130, and a system bus 121 that couples various system components including the system memory to the processing unit 120.
- the system bus 121 may be any of several types of bus structures including a memory bus or memory controller, a peripheral bus, and a local bus using any of a variety of bus architectures.
- such architectures include Industry Standard Architecture (ISA) bus, Micro Channel Architecture (MCA) bus, Enhanced ISA (EISA) bus, Video Electronics Standards Association (VESA) local bus, and Peripheral Component Interconnect (PCI) bus also known as Mezzanine bus.
- ISA Industry Standard Architecture
- MCA Micro Channel Architecture
- EISA Enhanced ISA
- VESA Video Electronics Standards Association
- PCI Peripheral Component Interconnect
- Computer 110 typically includes a variety of computer readable media.
- Computer readable media can be any available media that can be accessed by computer 110 and includes both volatile and nonvolatile media, removable and non-removable media.
- Computer readable media may comprise computer storage media and communication media.
- Computer storage media includes both volatile and nonvolatile, removable and non-removable media implemented in any method or technology for storage of information such as computer readable instructions, data structures, program modules or other data.
- Computer storage media includes, but is not limited to, RAM, ROM, EEPROM, flash memory or other memory technology, CD-ROM, digital versatile disks (DVD) or other optical disk storage, magnetic cassettes, magnetic tape, magnetic disk storage or other magnetic storage devices, or any other medium which can be used to store the desired information and which can accessed by computer 110.
- Communication media typically embodies computer readable instructions, data structures, program modules or other data in a modulated data signal such as a carrier wave or other transport mechanism and includes any information delivery media.
- modulated data signal means a signal that has one or more of its characteristics set or changed in such a manner as to encode information in the signal.
- communication media includes wired media such as a wired network or direct-wired connection, and wireless media such as acoustic, RF, infrared and other wireless media. Combinations of the any of the above should also be included within the scope of computer readable media.
- the computer-readable medium may comprise data indicative of one or a plurality of polymorphic markers.
- the medium comprises data of at least one marker selected from the group consisting of rsll586100, rslll70164, rs641615, rs2151280, rsl57935 and rsl6891982, and markers in linkage disequilibrium therewith.
- the system memory 130 includes computer storage media in the form of volatile and/or nonvolatile memory such as read only memory (ROM) 131 and random access memory (RAM) 132.
- ROM read only memory
- RAM random access memory
- BIOS basic input/output system
- RAM 132 typically contains data and/or program modules that are immediately accessible to and/or presently being operated on by processing unit 120.
- Fig. 1 illustrates operating system 134, application programs 135, other program modules 136, and program data 137.
- the computer 110 may also include other removable/non-removable, volatile/nonvolatile computer storage media.
- Fig. 1 illustrates a hard disk drive 140 that reads from or writes to non-removable, nonvolatile magnetic media, a magnetic disk drive 151 that reads from or writes to a removable, nonvolatile magnetic disk 152, and an optical disk drive 155 that reads from or writes to a removable, nonvolatile optical disk 156 such as a CD ROM or other optical media.
- removable/non-removable, volatile/nonvolatile computer storage media that can be used in the exemplary operating environment include, but are not limited to, magnetic tape cassettes, flash memory cards, digital versatile disks, digital video tape, solid state RAM, solid state ROM, and the like.
- the hard disk drive 141 is typically connected to the system bus 121 through a non-removable memory interface such as interface 140, and magnetic disk drive 151 and optical disk drive 155 are typically connected to the system bus 121 by a removable memory interface, such as interface 150.
- hard disk drive 141 is illustrated as storing operating system 144, application programs 145, other program modules 146, and program data 147. Note that these components can either be the same as or different from operating system 134, application programs 135, other program modules 136, and program data 137. Operating system 144, application programs 145, other program modules 146, and program data 147 are given different numbers here to illustrate that, at a minimum, they are different copies.
- a user may enter commands and information into the computer 20 through input devices such as a keyboard 162 and pointing device 161, commonly referred to as a mouse, trackball or touch pad.
- Other input devices may include a microphone, joystick, game pad, satellite dish, scanner, or the like.
- These and other input devices are often connected to the processing unit 120 through a user input interface 160 that is coupled to the system bus, but may be connected by other interface and bus structures, such as a parallel port, game port or a universal serial bus (USB).
- a monitor 191 or other type of display device is also connected to the system bus 121 via an interface, such as a video interface 190.
- computers may also include other peripheral output devices such as speakers 197 and printer 196, which may be connected through an output peripheral interface 190.
- the computer 110 may operate in a networked environment using logical connections to one or more remote computers, such as a remote computer 180.
- the remote computer 180 may be a personal computer, a server, a router, a network PC, a peer device or other common network node, and typically includes many or all of the elements described above relative to the computer 110, although only a memory storage device 181 has been illustrated in Fig. 1.
- the logical connections depicted in Fig. 1 include a local area network (LAN) 171 and a wide area network (WAN) 173, but may also include other networks.
- LAN local area network
- WAN wide area network
- Such networking environments are commonplace in offices, enterprise-wide computer networks, intranets and the Internet.
- the computer 110 When used in a LAN networking environment, the computer 110 is connected to the LAN 171 through a network interface or adapter 170. When used in a WAN networking environment, the computer 110 typically includes a modem 172 or other means for establishing communications over the WAN 173, such as the Internet.
- the modem 172 which may be internal or external, may be connected to the system bus 121 via the user input interface 160, or other appropriate mechanism.
- program modules depicted relative to the computer 110, or portions thereof may be stored in the remote memory storage device.
- Fig. 1 illustrates remote application programs 185 as residing on memory device 181. It will be appreciated that the network connections shown are exemplary and other means of establishing a communications link between the computers may be used.
- the risk evaluation system and method, and other elements have been described as preferably being implemented in software, they may be implemented in hardware, firmware, etc., and may be implemented by any other processor.
- the elements described herein may be implemented in a standard multi-purpose CPU or on specifically designed hardware or firmware such as an application-specific integrated circuit (ASIC) or other hard-wired device as desired, including, but not limited to, the computer 110 of Fig. 1.
- ASIC application-specific integrated circuit
- the software routine may be stored in any computer readable memory such as on a magnetic disk, a laser disk, or other storage medium, in a RAM or ROM of a computer or processor, in any database, etc.
- this software may be delivered to a user or a diagnostic system via any known or desired delivery method including, for example, on a computer readable disk or other transportable computer storage mechanism or over a communication channel such as a telephone line, the internet, wireless communication, etc. (which are viewed as being the same as or interchangeable with providing such software via a transportable storage medium).
- the invention relates to computer-implemented applications using the polymorphic markers and haplotypes described herein, and genotype and/or disease-association data derived therefrom.
- Such applications can be useful for storing, manipulating or otherwise analyzing genotype data that is useful in the methods of the invention.
- One example pertains to storing genotype information derived from an individual on readable media, so as to be able to provide the genotype information to a third party (e.g.
- the individual a guardian of the individual, a health care provider or genetic analysis service provider
- the individual a guardian of the individual, a health care provider or genetic analysis service provider
- the individual e.g., a health care provider or genetic analysis service provider
- the individual e.g., a guardian of the individual, a health care provider or genetic analysis service provider
- the genotype data e.g., by comparing the genotype data to information about genetic risk factors contributing to increased susceptibility to the disease, and reporting results based on such comparison.
- computer-readable media suitably comprise capabilities of storing (i) identifier information for at least one polymorphic marker or a haplotype, as described herein; (ii) an indicator of the identity (e.g., presence or absence) of at least one allele of said at least one marker, or a haplotype, in individuals with a disease (e.g., a skin cancer); and (iii) an indicator of the risk associated with the marker allele or haplotype.
- the markers and haplotypes described herein to be associated with increased susceptibility (increased risk) of skin cancer are in certain embodiments useful for interpretation and/or analysis of genotype data.
- determination of the presence of an at- risk allele for a skin cancer such as BCC, SCC and CM, as shown herein, or determination of the presence of an allele at a polymorphic marker in LD with any such risk allele is indicative of the individual from whom the genotype data originates is at increased risk of the skin cancer.
- genotype data is generated for at least one polymorphic marker shown herein to be associated with the skin cancer, or a marker in linkage disequilibrium therewith.
- the genotype data is subsequently made available to a third party, such as the individual from whom the data originates, his/her guardian or representative, a physician or health care worker, genetic counsellor, or insurance agent, for example via a user interface accessible over the internet, together with an interpretation of the genotype data, e.g., in the form of a risk measure (such as an absolute risk (AR), risk ratio (RR) or odds ratio (OR)) for the disease.
- a risk measure such as an absolute risk (AR), risk ratio (RR) or odds ratio (OR)
- At-risk markers identified in a genotype dataset e.g., a dataset comprising sequence information from the individual
- results from the assessment of the risk conferred by the presence of such at-risk variants in the dataset are made available to the third party, for example via a secure web interface, or by other communication means.
- the results of such risk assessment can be reported in numeric form (e.g. , by risk values, such as absolute risk, relative risk, and/or an odds ratio, or by a percentage increase in risk compared with a reference), by graphical means, or by other means suitable to illustrate the risk to the individual from whom the genotype data is derived.
- nucleic acids and polypeptides described herein can be used in methods and kits of the present invention.
- An "isolated" nucleic acid molecule is one that is separated from nucleic acids that normally flank the gene or nucleotide sequence (as in genomic sequences) and/or has been completely or partially purified from other transcribed sequences (e.g., as in an RNA library).
- an isolated nucleic acid of the invention can be substantially isolated with respect to the complex cellular milieu in which it naturally occurs, or culture medium when produced by recombinant techniques, or chemical precursors or other chemicals when chemically synthesized.
- the isolated material will form part of a composition (for example, a crude extract containing other substances), buffer system or reagent mix.
- the material can be purified to essential homogeneity, for example as determined by polyacrylamide gel electrophoresis (PAGE) or column chromatography (e.g., HPLC).
- An isolated nucleic acid may also be a nucleic acid that has been obtained by PCR amplification of a particular segment of naturally occurring nucleic acid (e.g., a genomic DNA sample).
- An isolated nucleic acid molecule of the invention can comprise at least about 50%, at least about 80% or at least about 90% (on a molar basis) of all macromolecular species present.
- the term "isolated” also can refer to nucleic acid molecules that are separated from the chromosome with which the genomic DNA is naturally associated.
- the isolated nucleic acid molecule can contain less than about 250 kb, 200 kb, 150 kb, 100 kb, 75 kb, 50 kb, 25 kb, 10 kb, 5 kb, 4 kb, 3 kb, 2 kb, 1 kb, 0.5 kb or 0.1 kb of the nucleotides that flank the nucleic acid molecule in the genomic DNA of the cell from which the nucleic acid molecule is derived.
- nucleic acid molecule can be fused to other coding or regulatory sequences and still be considered isolated.
- recombinant DNA contained in a vector is included in the definition of "isolated” as used herein.
- isolated nucleic acid molecules include recombinant DNA molecules in heterologous host cells or heterologous organisms, as well as partially or substantially purified DNA molecules in solution.
- isolated nucleic acid molecules also encompass in vivo and in vitro RNA transcripts of the DNA molecules of the present invention.
- An isolated nucleic acid molecule or nucleotide sequence can include a nucleic acid molecule or nucleotide sequence that is synthesized chemically or by recombinant means.
- Such isolated nucleotide sequences are useful, for example, in the manufacture of the encoded polypeptide, as probes for isolating homologous sequences (e.g. , from other mammalian species), for gene mapping (e.g., by in situ hybridization with chromosomes), or for detecting expression of the gene in tissue ⁇ e.g., human tissue), such as by Northern blot analysis or other hybridization techniques.
- the invention also pertains to nucleic acid molecules that hybridize under high stringency hybridization conditions, such as for selective hybridization, to a nucleotide sequence described herein (e.g., nucleic acid molecules that specifically hybridize to a nucleotide sequence containing a polymorphic site associated with a marker or haplotype described herein).
- nucleic acid molecules can be detected and/or isolated by allele- or sequence-specific hybridization (e.g., under high stringency conditions).
- Stringency conditions and methods for nucleic acid hybridizations are well known to the skilled person (see, e.g. , Current Protocols in Molecular Biology, Ausubel, F. et al, John Wiley & Sons, (1998), and Kraus, M. and Aaronson, S., Methods Enzymol., 200: 546-556 (1991), the entire teachings of which are incorporated by reference herein.
- the length of a sequence aligned for comparison purposes is at least 30%, at least 40%, at least 50%, at least 60%, at least 70%, at least 80%, at least 90%, or at least 95%, of the length of the reference sequence.
- Another example of an algorithm is BLAT (Kent, W.J. Genome Res. 12: 656-64 (2002)).
- the percent identity between two amino acid sequences can be accomplished using the GAP program in the GCG software package (Accelrys, Cambridge, UK).
- the present invention also provides isolated nucleic acid molecules that contain a fragment or portion that hybridizes under highly stringent conditions to a nucleic acid that comprises, or consists of, the nucleotide sequence of LD Block C12, LD Block C09, LD Block C07, or LD Block C05, as described herein, or a nucleotide sequence comprising, or consisting of, the complement of the nucleotide sequence of LD Block C12, LD Block C09, LD Block C07, or LD Block C05, wherein the nucleotide sequence comprises at least one polymorphic allele contained in the markers and haplotypes described herein.
- the present invention also provides isolated nucleic acid molecules that contain a fragment or portion that hybridizes under highly stringent conditions to a nucleic acid that comprises, or consists of, the nucleotide sequence of any one of SEQ ID NO: 1-801, as described herein, or a nucleotide sequence comprising, or consisting of, the complement of the nucleotide sequence of any one of SEQ ID NO: 1-801, wherein the nucleotide sequence comprises at least one polymorphic allele contained in the markers and haplotypes described herein.
- the nucleic acid fragments of the invention are at least about 15, at least about 18, 20, 23 or 25 nucleotides, and can be 30, 40, 50, 100, 200, 500, 1000, 10,000 or more nucleotides in length.
- probes or primers are oligonucleotides that hybridize in a base- specific manner to a complementary strand of a nucleic acid molecule.
- probes and primers include polypeptide nucleic acids (PNA), as described in Nielsen, P. et al., Science 254: 1497-1500 (1991).
- PNA polypeptide nucleic acids
- a probe or primer comprises a region of nucleotide sequence that hybridizes to at least about 15, typically about 20-25, and in certain embodiments about 40, 50 or 75, consecutive nucleotides of a nucleic acid molecule.
- the probe or primer comprises at least one allele of at least one polymorphic marker or at least one haplotype described herein, or the complement thereof.
- a probe or primer can comprise 100 or fewer nucleotides; for example, in certain embodiments from 6 to 50 nucleotides, or, for example, from 12 to 30 nucleotides.
- the probe or primer is at least 70% identical, at least 80% identical, at least 85% identical, at least 90% identical, or at least 95% identical, to the contiguous nucleotide sequence or to the complement of the contiguous nucleotide sequence.
- the probe or primer is capable of selectively hybridizing to the contiguous nucleotide sequence or to the complement of the contiguous nucleotide sequence.
- the probe or primer further comprises a label, e.g. , a radioisotope, a fluorescent label, an enzyme label, an enzyme co-factor label, a magnetic label, a spin label, an epitope label.
- the nucleic acid molecules of the invention can be identified and isolated using standard molecular biology techniques well known to the skilled person.
- the amplified DNA can be labeled (e.g., radiolabeled, fluorescently labeled) and used as a probe for screening a cDNA library derived from human cells.
- the cDNA can be derived from mRNA and contained in a suitable vector.
- Corresponding clones can be isolated, DNA obtained following in vivo excision, and the cloned insert can be sequenced in either or both orientations by art- recognized methods to identify the correct reading frame encoding a polypeptide of the appropriate molecular weight. Using these or similar methods, the polypeptide and the DNA encoding the polypeptide can be isolated, sequenced and further characterized.
- the invention also provides antibodies which bind to an epitope comprising either a variant amino acid sequence (e.g., comprising an amino acid substitution) encoded by a variant allele or the reference amino acid sequence encoded by the corresponding non-variant or wild-type allele.
- the variant allele may for example be the Glyl38Glu substitution in a human KRT5 protein or a Aspl97Glu substitution in a human KRT5 protein with sequence as set forth in SEQ ID NO:245 herein.
- the variant allele may also be a Leu374Phe substitution in a human SLC45A2 protein.
- antibody refers to immunoglobulin molecules and immunologically active portions of immunoglobulin molecules, i.e., molecules that contain antigen-binding sites that specifically bind an antigen.
- a molecule that specifically binds to a polypeptide of the invention is a molecule that binds to that polypeptide or a fragment thereof, but does not substantially bind other molecules in a sample, e.g., a biological sample, which naturally contains the polypeptide.
- immunologically active portions of immunoglobulin molecules include F(ab) and F(ab') 2 fragments which can be generated by treating the antibody with an enzyme such as pepsin.
- the invention provides polyclonal and monoclonal antibodies that bind to a polypeptide of the invention.
- a monoclonal antibody composition thus typically displays a single binding affinity for a particular polypeptide of the invention with which it immunoreacts.
- Polyclonal antibodies can be prepared as described above by immunizing a suitable subject with a desired immunogen, e.g., polypeptide of the invention or a fragment thereof.
- a desired immunogen e.g., polypeptide of the invention or a fragment thereof.
- the antibody titer in the immunized subject can be monitored over time by standard techniques, such as with an enzyme linked immunosorbent assay (ELISA) using immobilized polypeptide.
- ELISA enzyme linked immunosorbent assay
- the antibody molecules directed against the polypeptide can be isolated from the mammal (e.g. , from the blood) and further purified by well-known techniques, such as protein A chromatography to obtain the IgG fraction.
- protein A chromatography to obtain the IgG fraction.
- antibody-producing cells when the antibody titers are highest, antibody-producing cells can be obtained from the subject and used to prepare monoclonal antibodies by standard techniques, such as the hybridoma technique originally described by Kohler and Milstein, Nature 256:495-497 (1975), the human B cell hybridoma technique (Kozbor et al., Immunol. Today 4: 72 (1983)), the EBV-hybridoma technique (Cole et al. , Monoclonal Antibodies and Cancer Therapy, Alan R. Liss,1985, Inc., pp. 77-96) or trioma techniques.
- standard techniques such as the hybridoma technique originally described by Kohler and Milstein, Nature 256:495-497 (1975), the human B cell hybridoma technique (Kozbor et al., Immunol. Today 4: 72 (1983)), the EBV-hybridoma technique (Cole et al. , Monoclonal Antibodies and Cancer Therapy, Alan R. Liss,
- hybridomas The technology for producing hybridomas is well known (see generally Current Protocols in Immunology (1994) Coligan et al., (eds.) John Wiley & Sons, Inc., New York, NY). Briefly, an immortal cell line (typically a myeloma) is fused to lymphocytes (typically splenocytes) from a mammal immunized with an immunogen as described above, and the culture supernatants of the resulting hybridoma cells are screened to identify a hybridoma producing a monoclonal antibody that binds a polypeptide of the invention.
- lymphocytes typically splenocytes
- a monoclonal antibody to a polypeptide of the invention can be identified and isolated by screening a recombinant combinatorial immunoglobulin library (e.g., an antibody phage display library) with the polypeptide to thereby isolate immunoglobulin library members that bind the polypeptide.
- Kits for generating and screening phage display libraries are commercially available ⁇ e.g., the Pharmacia Recombinant Phage Antibody System, Catalog No. 27-9400-01; and the Stratagene SurfZAPTM Phage Display Kit, Catalog No. 240612) .
- recombinant antibodies such as chimeric and humanized monoclonal antibodies, comprising both human and non-human portions, which can be made using standard recombinant DNA techniques, are within the scope of the invention.
- chimeric and humanized monoclonal antibodies can be produced by recombinant DNA techniques known in the art.
- antibodies of the invention can be used to isolate a polypeptide of the invention (e.g., a KRT5 protein, a CDKN2A protein, a KLF14 protein, or a SLC45A2 protein) by standard techniques, such as affinity chromatography or immunoprecipitation.
- a polypeptide-specific antibody can facilitate the purification of natural polypeptide from cells and of recombinantly produced polypeptide expressed in host cells.
- an antibody specific for a polypeptide of the invention can be used to detect the polypeptide (e.g., in a cellular lysate, cell supernatant, or tissue sample) in order to evaluate the abundance and pattern of expression of the polypeptide.
- Antibodies can be used diagnostically to monitor protein levels in tissue as part of a clinical testing procedure, e.g., to, for example, determine the efficacy of a given treatment regimen.
- the antibody can be coupled to a detectable substance to facilitate its detection. Examples of detectable substances include various enzymes, prosthetic groups, fluorescent materials, luminescent materials, bioluminescent materials, and radioactive materials.
- suitable enzymes include horseradish peroxidase, alkaline phosphatase, beta-galactosidase, or acetylcholinesterase;
- suitable prosthetic group complexes include streptavidin/biotin and avidin/biotin;
- suitable fluorescent materials include umbelliferone, fluorescein, fluorescein isothiocyanate, rhodamine, dichlorotriazinylamine fluorescein, dansyl chloride or phycoerythrin;
- an example of a luminescent material includes luminol;
- examples of bioluminescent materials include luciferase, luciferin, and aequorin, and examples of suitable radioactive material include 125 I, 131 I, 35 S Or 3 H.
- Antibodies may also be useful in pharmacogenomic analysis.
- antibodies against variant proteins encoded by nucleic acids according to the invention such as variant proteins that are encoded by nucleic acids that contain at least one polymorpic marker of the invention, can be used to identify individuals that require modified treatment modalities.
- Antibodies can furthermore be useful for assessing expression of variant proteins in disease states, such as in active stages of Basal Cell Carcinoma, or in an individual with a predisposition to Basal Cell Carcinoma related to the function of the protein.
- Antibodies specific for a variant protein of the present invention e.g, KRT5, CDKN2A, KLF14 and/or SLC45A2 can be used to screen for the presence of a variant protein, for example to screen for a predisposition to Basal Cell Carcinoma as indicated by the presence of the variant protein.
- Antibodies can be used in other methods. Thus, antibodies are useful as diagnostic tools for evaluating proteins, such as variant proteins of the invention, in conjunction with analysis by electrophoretic mobility, isoelectric point, tryptic or other protease digest, or for use in other physical assays known to those skilled in the art. Antibodies may also be used in tissue typing. In one such embodiment, a specific variant protein has been correlated with expression in a specific tissue type, and antibodies specific for the variant protein can then be used to identify the specific tissue type.
- Subcellular localization of proteins can also be determined using antibodies, and can be applied to assess aberrant subcellular localization of the protein in cells in various tissues. Such use can be applied in genetic testing, but also in monitoring a particular treatment modality. In the case where treatment is aimed at correcting the expression level or presence of the variant protein or aberrant tissue distribution or developmental expression of the variant protein, antibodies specific for the variant protein or fragments thereof can be used to monitor therapeutic efficacy. Antibodies are further useful for inhibiting variant protein function, for example by blocking the binding of a variant protein to a binding molecule or partner. Such uses can also be applied in a therapeutic context in which treatment involves inhibiting a variant protein's function.
- An antibody can be for example be used to block or competitively inhibit binding, thereby modulating (i.e., agonizing or antagonizing) the activity of the protein.
- Antibodies can be prepared against specific protein fragments containing sites required for specific function or against an intact protein that is associated with a cell or cell membrane.
- an antibody may be linked with an additional therapeutic payload, such as radionuclide, an enzyme, an immunogenic epitope, or a cytotoxic agent, including bacterial toxins (diphtheria or plant toxins, such as ricin).
- an additional therapeutic payload such as radionuclide, an enzyme, an immunogenic epitope, or a cytotoxic agent, including bacterial toxins (diphtheria or plant toxins, such as ricin).
- the in vivo half-life of an antibody or a fragment thereof may be increased by pegylation through conjugation to polyethylene glycol.
- kits for using antibodies in the methods described herein includes, but is not limited to, kits for detecting the presence of a variant protein in a test sample.
- kits for detecting the presence of a variant protein in a test sample comprises antibodies such as a labelled or labelable antibody and a compound or agent for detecting variant proteins in a biological sample, means for determining the amount or the presence and/or absence of variant protein in the sample, and means for comparing the amount of variant protein in the sample with a standard, as well as instructions for use of the kit.
- Cutaneous BCC is the most common cancer amongst people of European ancestry.
- the primary environmental risk factor for BCC is sun exposure, but genetics also plays a substantial role.
- Some of the sequence variants that confer susceptibility appear to operate through their association with fair pigmentation traits, common amongst Europeans, that result in reduced protection from the damaging effects of UV radiation.
- Other sequence variants have no obvious role in pigmentation or UV susceptibility but instead appear to operate in the contexts of growth and differentiation of the basal layers of the skin 1 4 .
- SNPs at three loci were then selected for further investigation: rslll70164 in the keratin 5 (KRT5) gene on 12ql3, rs2151280 near the CDKN2A and CDKN2B locus on 9p21, and rsl57935 on 7q32. These SNPs were genotyped additionally in case: control samples from Spain and U.S.A. and proved to be significantly associated with BCC risk. An overview of the samples used in the study is presented in Table 1, and data for the 29 SNPs that were not studied further at this stage are listed in
- the KRT5 gene product K5, and its heterodimeric partner K14, are the major keratins of basal epithelial cells, forming the intermediate filament (IF) cytoskeletal network. This network is crucial for the structural integrity of the basal cell layer 7 .
- LD linkage disequilibrium
- rslll70164 p.Glyl38Glu
- Glyl38 is highly conserved in vertebrates and the GIy to GIu change is physico-chemically non- conservative.
- p.Glyl38Glu has an impact on K5 structure and function.
- a battery of predictive tests designed to detect deleterious mutations (Table 7). Not all tests agreed, but the consensus was that p.Glyl38Glu is probably damaging. Panther, for example, returned a probability of 96.6% that the substitution is deleterious. Changes in exonic splicing enhancer activities were also predicted.
- Evidence that p.Aspl97Glu affects K5 protein structure was less clear cut, but Panther predicted a 93.1% probability of a deleterious change.
- EB Epidermolysis Bullosa
- K5 is comprised of a central ⁇ -helical rod flanked by non- helical head and tail domains. EB mutations tend to cluster around the helix-initiating and helix- terminating regions at either end of the rod 10 .
- the p.Glyl38Glu and p.Aspl97Glu variants occur at each end of the cluster of EB-causing mutations at the helix-initiating region ( Figure 2).
- the p.Glyl38Glu and p.Aspl97Glu variants were originally discovered during linkage searches for EB mutations, but were discounted as neutral polymorphisms 11 .
- subsequent reports indicate that when p.Glyl38Glu and p.Aspl97Glu occur as compound heterozygotes with high penetrance EB mutations, they may be associated with a more extreme EB phenotype 12 ' 13 .
- the keratin IF network plays a role in the transport of melanosomes within basal keratinocytes, moving them from the cell periphery to the perinuclear region where the melanin forms a protective nuclear cap. A failure of this melanin redistribution process may result in an increased susceptibility to UV damage without an apparent effect on overall pigmentation 14 .
- recent studies have suggested that in addition to its structural role, the keratin IF network may be involved in signalling events controlling cell growth, survival and response to genotoxic stress 14 ' 15 . In mice, differences in the expression of genes controlling epidermal keratinisation have been linked to skin cancer susceptibility 16 .
- a second BCC predisposition locus was identified in the LD block on 9p21 containing the cyclin dependent kinase inhibitor genes CDKN2A and CDKN2B, the tumour suppressor ARF and the non-coding RNA /4/VR/L 17 ' 18 ( Figure 3).
- CDKN2A is well known for its involvement in familial melanoma 19 .
- rsl0757278 in the CDKN2A/B LD block predisposes to coronary artery disease (CAD) and other vascular diseases ( Figure 3) 21 ' 22 .
- Another SNP (rslO811661) located adjacent to the CDKN2A/B LD block is associated with risk of type 2 diabetes (T2D) 23 25 .
- the T2D SNP rslO811661 is not in strong LD with either the BCC or the CAD SNPs.
- a third new BCC susceptibility locus was identified by rsl57935 on 7q32 within fragile site FRA7H 27 ' .
- the SNP does not affect risk of CM or SCC (Table 2) and there is no association with any pigmentation trait (Table 4).
- the closest RefSeq gene is KLF14, a Kruppel-like transcription factor that exhibits monoallelic maternal expression 28 .
- KLF14 is 167kb distal to rsl57935 and is separated from it by a region of high recombination.
- rsl57935 is located in introns of spliced RNAs (AK095549 and CR618431) that do not appear to encode any proteins.
- the LD block contains microRNAs miR-29a and miR-29b-l, that are involved in the regulation of DNA methyltransferases and p53-dependent apoptosis 30 ' 31 .
- miR-29a and miR-29b-l that are involved in the regulation of DNA methyltransferases and p53-dependent apoptosis 30 ' 31 .
- a nsSNP in the SLC45A2 (MATP) gene has recently been shown to confer susceptibility to melanoma in Spanish and French populations 5 ' 6 .
- the risk variant is the common, reference allele of p.Leu374Phe (rsl6891982). It is highly associated with fair pigmentation traits in Europeans and shows a pronounced north-south gradient in frequency 32 ' 33 .
- Holland CM Patients diagnosed with melanoma of the skin (ICD-O-3 code C44 and C80, morphology codes 8720-8790) in the period 2003-2007 were identified in the regional cancer registry held by the Comprehensive Cancer Centre East in Nijmegen, the Netherlands. This cancer centre keeps a population-based cancer registry and covers the Eastern part of the Netherlands, a region with 1.3 million inhabitants, one university clinic and 7 community hospitals. All patients diagnosed with melanoma at or before the age of 75 were invited to participate in the study. The invitation was done by the patients' treating physicians (dermatologists and general or plastic surgeons) who all agreed to collaborate in this study.
- Nijmegen Biomedical Study was based on an age-stratified random sample of the population of Nijmegen. From this group 1,832 male and female control individuals were selected and genotyped. Similar informed consent as described above was obtained from these controls.
- Austria CM After obtaining written informed consent, individuals attending the outpatient ward of the Department of Dermatology, Medical University of Vienna were invited to participate in the project. Subjects donated 3.4ml of peripheral blood for DNA extraction. Information regarding skin phototype, sun exposure history, and prior malignancies was assessed by interview questionnaire and from clinical records. In addition to the questionnaire, photographic documentation of the eyes, hair, back and arms (for assessment of nevi and sun exposure- related damage) was performed. Controls were recruited from individuals attending the Department of Dermatology for non-melanoma related conditions. All subjects were of self- reported Austrian or central European descent. All samples and data were coded and archived anonymously. The study was approved by the ethics committee of the Medical University of Vienna (project number 59/2007).
- Genotyping All Icelandic samples were typed using Illumina HumanHap300 or HumanCNV370- duo chips, or by Nanogen Centaurus single-track genotyping assays as described previously 1 .
- BCC 930 Icelandic cases were typed on Illumina chips and the remaining 903 samples were typed by Centaurus assay.
- non-Illumina SNPs approximately 1690 Icelandic BCC cases and 2,456 controls were genotyped using Centaurus assay. Primer sequences for Centaurus assays are available on request. Centaurus SNP assays were validated by genotyping the HapMap CEU samples and comparing genotypes with the published data. Assays were rejected if they showed > 1.5% mismatches with the HapMap data.
- Mutations in the KRT5 gene are numbered based on NP_000415 and the mRNA sequence is defined by NM_000424. Locations of Epidermolysis Bullosa variants and domain definitions for K5 were derived from the Human Intermediate Filament Database (http://www.interfil.org) 36 . Mutations in SLC45A2 are numbered based on NP_001012527.
- the ANRIL RNA is identified by DQ485453.
- Combining the Icelandic genealogy and the method of long range phasing 29 allowed us to determine the parental origins of the haplotypes in most of the Icelanders who were typed using an Illumina chip.
- long range phasing was accomplished through identifying individuals who shared a long haplotype (identical by descent) with the proband, people referred to as surrogate parents.
- surrogate parents In general, there would be a group of surrogate parents for one haplotype and another group for the other haplotype, although in some cases only surrogate parents for one of the two haplotypes could be identified.
- haplotype of the proband For each haplotype of the proband, we determined, using the genealogy, the shortest meiotic distance to a surrogate parent through the father (minimum paternal distance), and the shortest distance through the mother (minimum maternal distance). For example, if the minimum paternal distance is substantially less than the minimum maternal distance, then the haplotype is likely to be inherited paternally. Moreover, the parental origins of the two haplotypes can be reliably determined if strong evidence exists for one of the two haplotypes. In general, a score is created by combining the results from both haplotypes.
- ALLSCC Combined 946 35,574 NA NA 1.03 (0.9, 1.18) 0.63 0.29
- BCC cutaneous basal cell carcinoma SCC, cutaneous squamous cell carcinoma CM cutaneous melanoma (malignant or in situ) a P value for heterogeneity "Cases diagnosed with SCC without
- SNPs are coded to the allele that shows an OR of >1.0 in the Icelandic BCC case-control samples, regardless of frequency.
- P-values for Icelandic samples are combined data from lllumina and Centaurus genotypmg.
- SNPs were selected for follow-up at two different times during the GWAS. Some SNPs were selected using in-silico genotyping to increase power of the Icelandic GWAS, as described in Rafnar et al., Nat. Genet. 41 :221 -7 (2009). Data shown are from actual (not in-silico) genotyping only. SNPs that are highly correlated to the three confirmed BCC susceptibility variants rs1 1 1701674, rs2151280, and rs157935 are not included.
- Centaurus assay for a surrogate SNP (in parentheses) was employed to genotype the additional Icelandic BCC samples and the foreign samples Each surrogate SNP had an r 2 of 1 with the original SNP in the HapMap CELJ sample.
- Table 4 Association of BCC risk SNPs with pigmentation traits.
- Natural skin colour Light vs Medium 485 484 0.970 0.958 1.44 0.141 Natural skin colour: Light vs Dark 485 74 0.970 0.851 5.67 5.8 x 10 ⁇ 8 Natural skin colour 1 Medium vs Dark 484 74 0.958 0.851 3.95 5.6 x 10 ⁇ 6 Fitzpatrick: 1 & 2 vs 3 to 5 320 705 0.972 0.948 1.91 0.010
- Fitzpatrick 1 & 2 vs 3 to 5 200 145 0.973 0.900 3.93 5.8 x 10 ⁇ 5
- Fitzpatrick 1 & 2 vs 3 & 4 781 1 ,684 0.985 0.968 2.24 1.7 x 10 ⁇ 4 rs401681 TERT-CLPTM1L Iceland Blue vs Brown Eyes 4,767 632 0.533 0.533 1.00 0.984 Blue vs Hazel or Green Eyes 4,767 1 ,010 0.533 0.551 0.93 0.139 Blond vs Brown Hair 976 1 ,723 0.546 0.530 1.07 0.259 Red vs Non Red Hair 471 5,894 0.551 0.534 1.07 0.301 Fitzpatrick: 1 & 2 vs 3 & 4 2,324 3,815 0.541 0.532 1.04 0.340 Freckles: Present vs Absent 3,347 2,945 0.534 0.532 1.01 0.784
- b Uses the F-SNP database (http://compbio.cs.queensu.ca/F-SNP/) to provide integrated information about the functional effects of SNPs obtained from 16 different bioinformatic tools and databases. Functional effects are predicted and indicated at the splicing, transcriptional, translational and post-translational levels.
- c Panther estimates the likelihood of a particular nsSNP to cause a functional impact on the protein.
- subPSEC substitution position -specific evolutionary conservation
- e PolyPhen predicts the possible impact of an amino acid substitution on the structure and function of a human protein using straightforward physical and comparative considerations.
- 'Disease-associated nsSNPs are predicted by a support vector machine (SVM) trained on OMIM amino-acid variants and putatively neutral nsSNPs from dbSNP.
- SVM support vector machine
- Karchin R et al. Bioinformatics 21 (12):2814-20, 2005.
- the SNPeffect database uses sequence- and structure-based bioinformatics tools to predict the effect of non-synonymous SNPs on the molecular phenotype of proteins.
- SNPs3D assigns molecular functional effects of non-synonymous SNPs based on structure and sequence analysis. Peng Y and John M, J MoI Biol. 356(5)-1263-74, 2006. 'ESEfinder uses position weighted matrices to predict putative human exonic splicing enhancers (ESEs) Cartegni L, et al , Nucleic Acids Res 31 (13): 3568-3571 , 2003.
- EESEs putative human exonic splicing enhancers
- TFSEARCH searches highly correlated sequence fragments against the TFMATRIX transcription factor binding site profile database in TRANSFAC.
- Akiyama Y "TFSEARCH: Searching Transcription Factor Binding Sites", http://www.rwcp.or.jp/papia/ . °Heinemeyer T, et al., Nucleic Acids Res 26, 364-370, 1998.
- Table 8 LD relations between SNPs at 9p21 a
- Table 9 Conditional analysis of SNPs at 9p21 associated with BCC, CAD, or T2D a
- Basal Cell Carcinoma rs2151280 C 1.21 4.3 ⁇ 10 ⁇ 8 — 5.6 x 10 ⁇ 9 4.4 x 10 ⁇ 8 rs10757278 G 0.96 0.28 0.024 — 0.29 rs1081 1661 T 0.99 0.81 1 0.85 —
- Coronary Artery Disease rs2151280 C 0.91 1 .3 x 10 ⁇ 3 — 0.42 1 .1 x 10 ⁇ 3 rs10757278 G 1.23 4.7 x 10 ⁇ 12 6.8 x 10 ⁇ 1 ° — 3.4 x 10 ⁇ 12 rs1081 1661 T 0.97 0.38 0.3 0.23 —
- Type 2 Diabetes rs2151280 C 1.01 0.88 — 0.98 0.75 rs10757278 G 0.99 0.76 0.79 — 0.64 rs1081 1661 T 1.26 1 .1 x 10 ⁇ 4 1.0 x 10 ⁇ 4 1 .0 x 10 ⁇ 4 —
- Results are shown in Tables 20 - 22 below. As can be seen, a large portion of the surrogate markers do indeed show significant association to Basal Cell Carcinoma, Cutaneous Melanoma and/or Squamous Cell Melanoma. The smaller sample set compared with the extended data sets shown in Example 1 above however leads to less significant P-values of association than expected using the larger datasets.
- Tables 23 and 24 show further surrogate markers for rsl57935 (Table 23) and rs2151280 (Table 24), based on the Caucasian sample from the 1000 genomes project (http://www.1000genomes.org).
- Table 20 Association analysis by imputing data from Icelandic patients only for markers within Chromosomal regions 5pl3, 7q32, 9p21 and 12ql3 to Basal cell Carcinoma. Shown is; Marker name, Chromosome and position in NCBI Build 36, Risk allele, Odds ration and P-value, number of cases and controls respectively and frequency of risk allele in controls.
- Table 21 Association of markers on chromosome 5p32 with Squamous Cell Carcinoma. Results are obtained by imputing data from Icelandic patients only. Shown is; Marker name, Chromosome and position in NCBI Build 36, Risk allele, Odds ration and P-value, number of cases and controls respectively and frequency of risk allele in controls.
- Table 22 Association of markers on chromosome Ip36 with Cutaneous Melanoma. Results are obtained by imputing data from Icelandic patients only. Shown is; Marker name, Chromosome and position in NCBI Build 36, Risk allele, Odds ratio and P-value, number of cases and controls respectively and frequency of risk allele in controls.
Landscapes
- Health & Medical Sciences (AREA)
- Life Sciences & Earth Sciences (AREA)
- Engineering & Computer Science (AREA)
- Chemical & Material Sciences (AREA)
- Bioinformatics & Cheminformatics (AREA)
- Physics & Mathematics (AREA)
- Proteomics, Peptides & Aminoacids (AREA)
- Analytical Chemistry (AREA)
- Genetics & Genomics (AREA)
- General Health & Medical Sciences (AREA)
- Biophysics (AREA)
- Molecular Biology (AREA)
- Biotechnology (AREA)
- Spectroscopy & Molecular Physics (AREA)
- Evolutionary Biology (AREA)
- Medical Informatics (AREA)
- Theoretical Computer Science (AREA)
- Bioinformatics & Computational Biology (AREA)
- Organic Chemistry (AREA)
- Immunology (AREA)
- Zoology (AREA)
- Pathology (AREA)
- Wood Science & Technology (AREA)
- Hospice & Palliative Care (AREA)
- Microbiology (AREA)
- Oncology (AREA)
- Biochemistry (AREA)
- General Engineering & Computer Science (AREA)
- Measuring Or Testing Involving Enzymes Or Micro-Organisms (AREA)
Abstract
The present invention discloses genetic variants that have been found to be predictive of risk of Basal Cell Carcinoma, Squamous Cell Carcinoma and Cutaneous Melanoma. The invention provides methods of methods of disease prognosis, risk prediction and other methods pertaining to risk management of Basal Cell Carcinoma, Squamous Cell Carcinoma and Cutaneous Melanoma. The invention furthermore provides kits and computer systems for use in such methods.
Description
GENETIC VARIANTS FOR BASAL CELL CARCINOMA, SQUAMOUS CELL CARCINOMA AND CUTANEOUS MELANOMA
INTRODUCTION
Genetic risk is conferred by subtle differences in genes among individuals in a population. Genes differ between individuals most frequently due to single nucleotide polymorphisms (SNPs), although other variations are also important. SNPs are located on average every 1000 base pairs in the human genome. Accordingly, a typical human gene containing 250,000 base pairs may contain 250 different SNP. Only a minor number of SNPs are located in exons and alter the amino acid sequence of the protein encoded by the gene. Most SNPs may have little or no effect on gene function, while others may alter transcription, splicing, translation, or stability of the mRNA encoded by the gene. Additional genetic polymorphism in the human genome is caused by insertion, deletion, translocation, or inversion of either short or long stretches of DNA. Genetic polymorphisms conferring disease risk may therefore directly alter the amino acid sequence of proteins, may increase the amount of protein produced from the gene, or may decrease the amount of protein produced by the gene.
Cutaneous basal cell carcinoma (BCC) is the most common cancer amongst whites and incidence rates show an increasing trend. The average lifetime risk for Caucasians to develop BCC is approximately 30% [Roewert-Huber, et al., (2007), Br J Dermatol, 157 Suppl 2, 47-51]. Although it is rarely invasive, BCC can cause considerable morbidity and 40-50% of patients will develop new primary lesions within 5 years[Lear, et al., (2005), Clin Exp Dermatol, 30, 49-55]. Indices of exposure to ultraviolet (UV) light are strongly associated with risk of BCC [Xu and Koo, (2006), Int J Dermatol, 45, 1275-83] . In particular, chronic sun exposure (rather than intense episodic sun exposures as in melanoma) appears to be the major risk factor [Roewert-Huber, et al., (2007), Br J Dermatol, 157 Suppl 2, 47-51] . Squamous cell carcinoma of the skin (SCC) shares these risk factors, as well as several genetic risk factors with BCC [Xu and Koo, (2006), Int J Dermatol, 45, 1275-83; Bastiaens, et al., (2001), Am J Hum Genet, 68, 884-94; Han, et al., (2006), Int J Epidemiol, 35, 1514-21] . Photochemotherapy for skin conditions such as psoriasis with psoralen and UV irradiation (PUVA) have been associated with increased risk of SCC and BCC. Immunosuppressive treatments increase the incidence of both SCC and BCC, with the incidence rate of BCC in transplant recipients being up to 100 times the population risk [Hartevelt, et al., (1990), Transplantation, 49, 506-9; Lindelof, et al., (2000), Br J Dermatol, 143, 513-9] . BCCs may be particularly aggressive in immunosuppressed individuals.
As genetic polymorphisms conferring risk of Basal Cell Carcinoma and Squamous Cell Carcinoma are uncovered, genetic testing for such risk factors becomes increasingly important for clinical medicine. Examples of clinically important variants include apolipoprotein E testing to identify genetic carriers of the apoE4 polymorphism in dementia patients for the differential diagnosis of Alzheimer's disease, and of Factor V Leiden testing for predisposition to deep venous thrombosis. In the treatment of cancer, diagnosis of genetic variants in tumor cells is used for the selection of the most appropriate treatment regime for the individual patient. In breast cancer, genetic variation in estrogen receptor expression or heregulin type 2 (Her2) receptor tyrosine kinase expression determine if anti-estrogenic drugs (tamoxifen) or anti-Her2 antibody (Herceptin) will be incorporated into the treatment plan. In chronic myeloid leukemia (CML) diagnosis of the Philadelphia chromosome genetic translocation fusing the genes encoding the Bcr and AbI receptor tyrosine kinases indicates that Gleevec (STI571), a specific inhibitor of the Bcr-Abl kinase should be used for treatment of the cancer. For CML patients with such a genetic alteration, inhibition of the Bcr-Abl kinase leads to rapid elimination of the tumor cells and remission from leukemia.
Cutaneous Melanoma (CM) was once a rare cancer but has over the past 40 years shown rapidly increasing incidence rates. In the U.S.A. and Canada, CM incidence has increased at a faster rate than any other cancer except bronchogenic carcinoma in women. Until recently incidence rates increased at 5-7% a year, doubling the population risk every 10-15 years.
The current worldwide incidence is in excess of 130,000 new cases diagnosed each year [Parkin, et al., (2001), Int J Cancer, 94, 153-6.]. The incidence is highest in developed countries, particularly where fair-skinned people live in sunny areas. The highest incidence rates occur in Australia and New Zealand with approximately 36 cases per 100,000 per year. The U.S.A. has the second highest worldwide incidence rates with about 11 cases per 100,000. In Northern Europe rates of approximately 9-12 per 100,000 are typically observed, with the highest rates in the Nordic countries. Currently in the U.S.A., CM is the sixth most commonly diagnosed cancer (excluding non-melanoma skin cancers). In the year 2008 it is estimated that 62,480 new cases of invasive CM will have been diagnosed in the U.S.A. and 8,420 people will have died from metastatic melanoma. A further 54,020 cases of in-situ CM are expected to be diagnosed during the year.
Deaths from CM have also been on the increase although at lower rates than incidence. However, the death rate from CM continues to rise faster than for most cancers, except non- Hodgkin's lymphoma, testicular cancer and lung cancer in women [Lens and Dawes, (2004), Br J Dermatol, 150, 179-85.] . When identified early, CM is highly treatable by surgical excision, with 5 year survival rates over 90%. However, malignant melanoma has an exceptional ability to metastasize to almost every organ system in the body. Once it has done so, the prognosis is very poor. Median survival for disseminated (stage IV) disease is 7 1Z. months, with no
improvements in this figure for the past 22 years. Clearly, early detection is of paramount importance in melanoma control.
CM shows environmental and endogenous host risk factors, the latter including genetic factors. These factors interact with each other in complex ways. The major environmental risk factor is UV irradiation. Intense episodic exposures rather than total dose represent the major risk [Markovic, et al., (2007), Mayo Clin Proc, 82, 364-80] .
It has long been recognized that pigmentation characteristics such as light or red hair, blue eyes, fair skin and a tendency to freckle predispose for CM, with relative risks typically 1.5-2.5. Numbers of nevi represent strong risk factors for CM. Relative risks as high as 46-fold have been reported for individuals with >50 nevi. Dysplastic or clinically atypical nevi are also important risk factors with odds ratios that can exceed 30-fold [Xu and Koo, (2006), Int J Dermatol, 45, 1275-83] .
There is an unmet clinical need to identify individuals who are at increased risk of BCC, CM and/or SCC. Such individuals might be offered regular skin examinations to identify incipient tumours, and they might be counselled to avoid excessive UV exposure. Chemoprevention either using sunscreens or pharmaceutical agents [Bowden, (2004), Nat Rev Cancer, 4, 23-35.] might be employed. For individuals who have been diagnosed with BCC or SCC, knowledge of the underlying genetic predisposition may be useful in determining appropriate treatments and evaluating risks of recurrence and new primary tumours. Screening for susceptibility to BCC, CM or SCC might be important in planning the clinical management of transplant recipients and other immunosuppressed individuals.
SUMMARY OF THE INVENTION
The present invention is based on the discovery that certain genomic regions have for the first time been found to associate with risk of Basal Cell Carcinoma, Squamous Cell Carcinoma and Cutaneous Melanoma. Certain polymorphic markers in these regions have been found to be associated with Basal Cell Carcinoma, Squamous Cell Carcinoma and Cutaneous Melanoma. The present invention provides diagnostic and prognostic methods, kits and apparati that are useful in various applications of the invention.
In one aspect, the invention provides a method of determining a susceptibility to a skin cancer selected from the group consisting of Basal Cell Carcinoma, Squamous Cell Carcinoma and Cutaneous Melanoma in a human individual, the method comprising obtaining sequence data about a human individual identifying at least one allele of at least one polymorphic marker, wherein different alleles of the at least one polymorphic marker are associated with different
susceptibilities to the skin cancer in humans, and determining a susceptibility to the skin cancer from the sequence data, wherein the at least one polymorphic marker is selected from the group consisting of rsll586100, rslll70164, rs641615, rs2151280, rsl57935 and rsl6891982, and markers in linkage disequilibrium therewith.
In another aspect, the invention provides a method of determining a susceptibility to Basal Cell Carcinoma in a human individual, the method comprising obtaining sequence data about a human individual identifying at least one allele of at least one polymorphic marker, wherein different alleles of the at least one polymorphic marker are associated with different susceptibilities to Basal Cell Carcinoma in humans, and determining a susceptibility to Basal Cell Carcinoma from the sequence data, wherein the at least one polymorphic marker is selected from the group consisting of rslll70164, rs641615, rs2151280, rsl57935 and rsl6891982, and markers in linkage disequilibrium therewith.
The invention also relates to amethod of determining nucleic acid sequence data indicative of a susceptibility to Basal Cell Carcinoma, the method comprising: analyzing nucleic acid from a human individual to obtain nucleic acid data for at least one allele of at least one polymorphic marker selected from the group consisting of rslll70164, rs641615, rs2151280, rsl57935 and rsl6891982, and markers in linkage disequilibirium therewith; wherein different alleles of the at least one polymorphic marker are associated with different susceptibilities to Basal Cell Carcinoma in humans, and preparing a report containing the nucleic acid sequence data for said at least one allele of the at least one polymorphic marker, wherein said report is written in a computer readable medium, printed on paper, or displayed on a visual display.
In another aspect, the invention provides a method of assessing a susceptibility to Basal Cell Carcinoma in a human individual, the method comprising (i) obtaining sequence information about the individual for at least one polymorphic marker selected from the group consisting of rslll70164, rs641615, rs2151280, rsl57935 and rsl6891982, wherein different alleles of the at least one polymorphic marker are associated with different susceptibilities to Basal Cell Carcinoma in humans; (M) identifying the presence or absence of at least one allele in the at least one polymorphic marker that correlates with increased occurrence of Basal Cell Carcinoma in humans;wherein determination of the presence of the at least one allele identifies the individual as having elevated susceptibility to Basal Cell Carcinoma, and wherein determination of the absence of the at least one allele identifies the individual as not having the elevated susceptibility.
The invention also provides a method of determining a susceptibility to Basal Cell Carcinoma in a human individual, the method comprising obtaining sequence data about a human individual identifying at least one allele of at least one polymorphic marker, wherein different alleles of the at least one polymorphic marker are associated with different susceptibilities to Basal Cell Carcinoma in humans, and determining a susceptibility to Basal Cell Carcinoma from the
sequence data, wherein the at least one polymorphic marker is a marker associated with the human KRT5 gene.
The invention further provides a method of determining a susceptibility to Basal Cell Carcinoma in a human individual, the method comprising obtaining sequence data about a human individual identifying at least one allele of at least one polymorphic marker, wherein different alleles of the at least one polymorphic marker are associated with different susceptibilities to Basal Cell Carcinoma in humans, and determining a susceptibility to Basal Cell Carcinoma from the sequence data, wherein the at least one polymorphic marker is a marker associated with the human CDKN2A gene.
The invention further provides a method of determining a susceptibility to Basal Cell Carcinoma in a human individual, the method comprising obtaining sequence data about a human individual identifying at least one allele of at least one polymorphic marker, wherein different alleles of the at least one polymorphic marker are associated with different susceptibilities to Basal Cell Carcinoma in humans, and determining a susceptibility to Basal Cell Carcinoma from the sequence data, wherein the at least one polymorphic marker is a marker associated with the human KLF14 gene.
The invention also provides a method of determining a susceptibility to Basal Cell Carcinoma in a human individual, the method comprising obtaining sequence data about a human individual identifying at least one allele of at least one polymorphic marker, wherein different alleles of the at least one polymorphic marker are associated with different susceptibilities to Basal Cell Carcinoma in humans, and determining a susceptibility to Basal Cell Carcinoma from the sequence data, wherein the at least one polymorphic marker is a marker associated with the human SLC45A2 gene.
Another aspect of the invention relates to a method of determining a susceptibility to Basal Cell Carcinoma in a human individual, the method comprising obtaining sequence data about a human individual identifying at least one allele of at least one polymorphic marker, wherein different alleles of the at least one polymorphic marker are associated with different susceptibilities to Basal Cell Carcinoma in humans, and determining a susceptibility to Basal Cell Carcinoma from the sequence data, wherein the at least one polymorphic marker is a marker within LD Block C12.
The invention further provides a method of determining a susceptibility to Cutaneous Melanoma in a human individual, the method comprising obtaining sequence data about a human individual identifying at least one allele of at least one polymorphic marker, wherein different alleles of the at least one polymorphic marker are associated with different susceptibilities to Cutaneous Melanoma in humans, and determining a susceptibility to Cutaneous Melanoma from the
sequence data, wherein the at least one polymorphic marker is selected from the group consisting of rsll586100, and markers in linkage disequilibrium therewith.
The invention also relates to amino acid sequence data. Thus, another aspect provides a method of determining a susceptibility to Basal Cell Carcinoma in a human individual, the method comprising obtaining KRT5 amino acid sequence data about at least one encoded KRT5 protein of a human individual, identifying at least one polymorphic site associated with the KRT5 amino acid sequence, wherein different amino acids of the at least one polymorphic site are associated with different susceptibilities to Basal Cell Carcinoma in humans, and determining susceptibility to at Basal Cell Carcinoma from the amino acid sequence data.
The invention further provides methods for identifying markers that are useful for assessing susceptibility to Basal Cell Carcinoma. Thus, another aspect of the invention relates to a method of identification of a marker for use in assessing susceptibility to Basal Cell Carcinoma in human individuals, the method comprising (a) identifying at least one polymorphic marker in linkage disequilibrium with at least one marker selected from the group consisting of rslll70164, rs641615, rs2151280, rsl57935 and rsl6891982; (b) obtaining sequence information about the at least one polymorphic marker in a group of individuals diagnosed with Basal Cell Carcinoma; and (c) obtaining sequence information about the at least one polymorphic marker in a group of control individuals; wherein determination of a significant difference in frequency of at least one allele in the at least one polymorphism in individuals diagnosed with Basal Cell Carcinoma as compared with the frequency of the at least one allele in the control group is indicative of the at least one polymorphism being useful for assessing susceptibility to Basal Cell Carcinoma.
The invention in another aspect provides a method of predicting prognosis of an individual diagnosed with Basal Cell Carcinoma, the method comprising obtaining sequence data about a human individual identifying at least one allele of at least one polymorphic marker selected from the group consisting of rslll70164, rs641615, rs2151280, rsl57935 and rsl6891982f and markers in linkage disequilibrium therewith, wherein different alleles of the at least one polymorphic marker are associated with different susceptibilities to Basal Cell Carcinomas in humans, and predicting prognosis of Basal Cell Carcinoma from the sequence data.
Another aspect relates to a method of assessing probability of response of a human individual to a therapeutic agent for preventing, treating and/or ameliorating symptoms associated with Basal Cell Carcinoma comprising obtaining sequence data about a human individual identifying at least one allele of at least one polymorphic marker selected from the group consisting of rsl 1170164, rs641615, rs2151280, rsl57935 and rsl6891982, and markers in linkage disequilibrium therewith, wherein different alleles of the at least one polymorphic marker are associated with different probabilities of response to the therapeutic agent in humans, and determining the probability of a positive response to the therapeutic agent from the sequence data. In certain embodiments, the therapeutic agent is a chemotherapy agent.
The invention also provides kits. One aspect provides a kit for assessing susceptibility to Basal Cell Carcinoma, the kit comprising reagents for selectively detecting at least one allele of at least one polymorphic marker in the genome of the individual, wherein the polymorphic marker is selected from the group consisting of rslll70164, rs641615, rs2151280, rsl57935 and rsl6891982, and markers in linkage disequilibrium therewith, and a collection of data comprising correlation data between the at least one polymorphism and susceptibility to Basal Cell Carcinoma.
The invention furthermore provides use of an oligonucleotide probe in the manufacture of a diagnostic reagent for diagnosing and/or assessing a susceptibility to Basal Cell Carcinoma, wherein the probe is capable of hybridizing to a segment of a nucleic acid whose nucleotide sequence is given by any one of SEQ ID NO: 1-801, and wherein the segment is 15-400 nucleotides in length.
Computer-implemented applications are also provided. One such application provides a computer-readable medium having computer executable instructions for determining susceptibility to Basal Cell Carcinoma, the computer readable medium comprising (i) data indicative of at least one polymorphic marker; and (ii) a routine stored on the computer readable medium and adapted to be executed by a processor to determine risk of developing Basal Cell Carcinoma for the at least one polymorphic marker, wherein the at least one polymorphic marker is selected from the group consisting of rsll l70164, rs641615, rs2151280, rsl57935 and rsl6891982, and markers in linkage disequilibrium therewith.
Another computer-implemented aspect relates to an apparatus for determining a genetic indicator for Basal Cell Carcinoma, in a human individual, comprising (i) a processor; and (ii) a computer readable memory having computer executable instructions adapted to be executed on the processor to analyze marker and/or haplotype information for at least one human individual with respect to at least one polymorphic marker selected from the group consisting of rslll70164, rs641615, rs2151280, rsl57935 and rsl6891982, and markers in linkage disequilibrium therewith, and generate an output based on the marker or haplotype information, wherein the output comprises a measure of susceptibility of the at least one marker or haplotype as a genetic indicator of Basal Cell Carcinoma for the human individual.
It should be understood that all combinations of features described herein are contemplated, even if the combination of feature is not specifically found in the same sentence or paragraph herein. This includes in particular the use of all markers disclosed herein, alone or in combination, for analysis individually or in haplotypes, in all aspects of the invention as described herein.
BRIEF DESCRIPTION OF THE DRAWINGS
The foregoing and other objects, features and advantages of the invention will be apparent from the following more particular description of preferred embodiments of the invention.
FIG 1 provides a diagram illustrating a computer-implemented system utilizing risk variants as described herein.
FIG 2 shows the sequence of the Keratin 5 helix-initiating region. The figure shows the genomic DNA sequence (upper nucleic acid sequence), exonic sequences (lower nucleic acid sequence) and the protein sequence. Known EB-associated mutations are highlighted (nucleic acid-level mutations and protein-level mutations shown above nucleic acid sequence and protein sequences, respectively). Frameshifts and deletions are denoted by ,,f" and ,,d", respectively. The Head Domain extends to amino acid 168 and the IA Rod Domain extends between amion acids 169 and 203. The locations of Glyl38Glu and Asp 197GIu variants are indicated.
FIG 3: A schematic view of the LD structure of the 9p21 CDKN2A/B region, locations of relevant genes and genome-wide association data for BCC and coronary artery disease (CAD). (a) The pairwise correlation structure of a 300kb interval from 21.9Mb to 22.2Mb (NCBI Build 36) on 9p21. The upper plot (blue) shows the pairwise D ' values for SNPs with minor allele frequencies >5% from the HapMap v22 CEU dataset. The lower plot shows the corresponding r2 values, (b) Estimated recombination rates (saRR) in cM/Mb from the HapMap Phase II data, (c) location of RefSeq genes and the ANRIL transcript, (d) Locations of the SNPs giving the most significant signals for BCC, CAD and T2D. (e) Illumina chip-derived genome-wide association data for BCC (red dots) and CAD (blue dots). Note that the overall most significant CAD SNP rsl0757278 is not represented on the Illumina chip but is highly correlated with rslO116277 (D ' = 0.96, r2= 0.90 in HapMap CEU).
DETAILED DESCRIPTION
Definitions
Unless otherwise indicated, nucleic acid sequences are written left to right in a 5' to 3' orientation. Numeric ranges recited within the specification are inclusive of the numbers defining the range and include each integer or any non-integer fraction within the defined range. Unless defined otherwise, all technical and scientific terms used herein have the same meaning as commonly understood by the ordinary person skilled in the art to which the invention pertains.
The following terms shall, in the present context, have the meaning as indicated:
A "polymorphic marker", sometime referred to as a "marker", as described herein, refers to a genomic polymorphic site. Each polymorphic marker has at least two sequence variations characteristic of particular alleles at the polymorphic site. Thus, genetic association to a polymorphic marker implies that there is association to at least one specific allele of that particular polymorphic marker. The marker can comprise any allele of any variant type found in the genome, including SNPs, mini- or microsatellites, translocations and copy number variations (insertions, deletions, duplications). Polymorphic markers can be of any measurable frequency in the population. For mapping of disease genes, polymorphic markers with population frequency higher than 5-10% are in general most useful. However, polymorphic markers may also have lower population frequencies, such as 1-5% frequency, or even lower frequency, in particular copy number variations (CNVs). The term shall, in the present context, be taken to include polymorphic markers with any population frequency.
An "allele" refers to the nucleotide sequence of a given locus (position) on a chromosome. A polymorphic marker allele thus refers to the composition (i.e., sequence) of the marker on a chromosome. Genomic DNA from an individual contains two alleles (e.g., allele-specific sequences) for any given polymorphic marker, representative of each copy of the marker on each chromosome. Sequence codes for nucleotides used herein are: A = 1, C = 2, G = 3, T = 4. For microsatellite alleles, the CEPH sample (Centre d'Etudes du Polymorphisme Humain, genomics repository, CEPH sample 1347-02) is used as a reference, the shorter allele of each microsatellite in this sample is set as 0 and all other alleles in other samples are numbered in relation to this reference. Thus, e.g., allele 1 is 1 bp longer than the shorter allele in the CEPH sample, allele 2 is 2 bp longer than the shorter allele in the CEPH sample, allele 3 is 3 bp longer than the lower allele in the CEPH sample, etc., and allele -1 is 1 bp shorter than the shorter allele in the CEPH sample, allele -2 is 2 bp shorter than the shorter allele in the CEPH sample, etc.
Sequence conucleotide ambiguity as described herein is as proposed by IUPAC-IUB. These codes are compatible with the codes used by the EMBL, GenBank, and PIR databases.
A nucleotide position at which more than one sequence is possible in a population (either a natural population or a synthetic population, e.g., a library of synthetic molecules) is referred to herein as a "polymorphic site".
A "Single Nucleotide Polymorphism" or "SNP" is a DNA sequence variation occurring when a single nucleotide at a specific location in the genome differs between members of a species or between paired chromosomes in an individual. Most SNP polymorphisms have two alleles. Each individual is in this instance either homozygous for one allele of the polymorphism (i.e. both chromosomal copies of the individual have the same nucleotide at the SNP location), or the individual is heterozygous (i.e. the two sister chromosomes of the individual contain different nucleotides). The SNP nomenclature as reported herein refers to the official Reference SNP (rs) ID identification tag as assigned to each unique SNP by the National Center for Biotechnological Information (NCBI).
A "variant", as described herein, refers to a segment of DNA that differs from the reference DNA. A "marker" or a "polymorphic marker", as defined herein, is a variant. Alleles that differ from the reference are referred to as "variant" alleles.
A "microsatellite" is a polymorphic marker that has multiple small repeats of bases that are 2-8 nucleotides in length (such as CA repeats) at a particular site, in which the number of repeat lengths varies in the general population. An "indel" is a common form of polymorphism comprising a small insertion or deletion that is typically only a few nucleotides long.
A "haplotype," as described herein, refers to a segment of genomic DNA that is characterized by a specific combination of alleles arranged along the segment. For diploid organisms such as humans, a haplotype comprises one member of the pair of alleles for each polymorphic marker or locus along the segment. In a certain embodiment, the haplotype can comprise two or more alleles, three or more alleles, four or more alleles, or five or more alleles. Haplotypes are described herein in the context of the marker name and the allele of the marker in that haplotype, e.g., "1 rsl 1170164" refers to the 1 allele of marker rs7758851 being in the haplotype, and is equivalent to "rslll70164 allele 1". Furthermore, allelic codes in haplotypes are as for individual markers, i.e. I = A, 2 = C, 3 = G and 4 = T.
The term "susceptibility", as described herein, refers to the proneness of an individual towards the development of a certain state (e.g., a certain trait, phenotype or disease), or towards being less able to resist a particular state than the average individual. The term encompasses both
increased susceptibility and decreased susceptibility. Thus, particular alleles at polymorphic markers and/or haplotypes of the invention as described herein may be characteristic of increased susceptibility (i.e., increased risk) of Basal Cell Carcinoma, as characterized by a relative risk (RR) or odds ratio (OR) of greater than one for the particular allele or haplotype. Alternatively, the markers and/or haplotypes of the invention are characteristic of decreased susceptibility (i.e., decreased risk) of Basal Cell Carcinoma, as characterized by a relative risk of less than one.
The term "and/or" shall in the present context be understood to indicate that either or both of the items connected by it are involved. In other words, the term herein shall be taken to mean "one or the other or both".
The term "look-up table", as described herein, is a table that correlates one form of data to another form, or one or more forms of data to a predicted outcome to which the data is relevant, such as phenotype or trait. For example, a look-up table can comprise a correlation between allelic data for at least one polymorphic marker and a particular trait or phenotype, such as a particular disease diagnosis, that an individual who comprises the particular allelic data is likely to display, or is more likely to display than individuals who do not comprise the particular allelic data. Look-up tables can be multidimensional, I.e. they can contain information about multiple alleles for single markers simultaneously, or the can contain information about multiple markers, and they may also comprise other factors, such as particulars about diseases diagnoses, racial information, biomarkers, biochemical measurements, therapeutic methods or drugs, etc.
A "computer-readable medium", is an information storage medium that can be accessed by a computer using a commercially available or custom-made interface. Exemplary computer- readable media include memory (e.g., RAM, ROM, flash memory, etc.), optical storage media (e.g. , CD-ROM), magnetic storage media (e.g., computer hard drives, floppy disks, etc.), punch cards, or other commercially available media. Information may be transferred between a system of interest and a medium, between computers, or between computers and the computer- readable medium for storage or acess of stored information. Such transmission can be electrical, or by other available methods, such as IR links, wireless connections, etc.
A "nucleic acid sample" as described herein, refers to a sample obtained from an individual that contains nucleic acid (DNA or RNA). In certain embodiments, i.e. the detection of specific polymorphic markers and/or haplotypes, the nucleic acid sample comprises genomic DNA. Such a nucleic acid sample can be obtained from any source that contains genomic DNA, including a blood sample, sample of amniotic fluid, sample of cerebrospinal fluid, or tissue sample from skin, muscle, buccal or conjunctival mucosa, placenta, gastrointestinal tract or other organs.
The term "BCC therapeutic agent" or "Basal Cell Carcinoma therapeutic agen", as described herien, refers to an agent that can be used to ameliorate or prevent symptoms associated with Basal Cell Carcinoma.
The term "BCC-associated nucleic acid", or "Basal Cell Carcinoma-associated nucleic acid", as described herein, refers to a nucleic acid that has been found to be associated to Basal Cell
Carcinoma. This includes, but is not limited to, the markers and haplotypes described herein and markers and haplotypes in strong linkage disequilibrium (LD) therewith. In one embodiment, a BCC-associated nucleic acid refers to an LD-block found to be associated with BCC through at least one polymorphic marker located within the LD block.
The term "KRT5", as described herein, refers to the human kertain 5 gene on chromosome 12ql3.
The term "CDKN2A", as described herein, refers to the human cyclin-dependent kinase inhibitor 2A gene on on chromosome 9p21. The gene is sometimes also called "CDKN2", "CDK4 inhibitor", ""MTSl", "TP16", "pl6 (INK4)", "pl6 (INK4A)", "pl4(ARF)", "pl2", or "pl6-gamma".
The term "KLF14", as described herein, refers to the human kruppel-like factor 14 gene on chromosome 7q32. The gene is also sometimes referred to as basic transcription element binding protein 5 ("BTEB5").
The term "SLC45A2", as described herein, refers to the human solute carrier family 45, member 2, gene on chromosome 5pl3. The gene is sometimes also called membrane-associated transporter protein ("MATP") or melanoma antigen aiml ("AIMl").
The term "antisense agent" or "antisense oligonucleotide" refers, as described herein, to molecules, or compositions comprising molecules, which include a sequence of purine an pyrimidine heterocyclic bases, supported by a backbone, which are effective to hydrogen bond to a corrresponding contiguous bases in a target nucleic acid sequence. The backbone is composed of subunit backbone moieties supporting the purine an pyrimidine hetercyclic bases at positions which allow such hydrogen bonding. These backbone moieties are cyclic moieties of 5 to 7 atoms in size, linked together by phosphorous-containing linkage units of one to three atoms in length. In certain preferred embodiments, the antisense agent comprises an oligonucleotide molecule.
The term "LD Block C12", as described herein, refers to the Linkage Disequilibrium (LD) block on Chromosome 12 between markers rsl0876279 and rs2232553, corresponding to position 51,012,062 - 51,329,185 of NCBI (National Center for Biotechnology Information) Build 36.
The term "LD Block C09", as described herein, refers to the Linkage Disequilibrium (LD) block on Chromosome 9 between markers rs7041637 and rsl333049, corresponding to position 21,951,866 - 22,115,503 of NCBI (National Center for Biotechnology Information) Build 36.
The term "LD Block C07", as described herein, refers to the Linkage Disequilibrium (LD) block on Chromosome 7 between markers rs7806539 and rsl57936, corresponding to position
130,139,700 - 130,236,163 of NCBI (National Center for Biotechnology Information) Build 36.
The term "LD Block C05", as described herein, refers to the Linkage Disequilibrium (LD) block on Chromosome 5 between markers rsl501726 and rs6882471, corresponding to position 33,597,711 - 34,352,549 of NCBI (National Center for Biotechnology Information) Build 36.
Genomic locations associated with Basal Cell Carcinoma
It has been shown for the first time that certain polymorphic variants are associated with risk of developing skin cancer conditions selected from the group consisting of Basal Cell Carcinoma (BCC), Squamous Cell Carcinoma (SCC) and Cutaneous Melanoma (CM) in humans. Certain alleles of certain polymorphic markers have been found to be present at increased frequency in individuals with diagnosis of Basal Cell Carcinoma, Squamous Cell Carcinoma and/or Cutaneous Melanoma compared with controls. These polymorphic markers are thus associated with risk of these skin cancer conditions. The particular polymorphic markers described herein, including markers in linkage disequilibrium with polymorphic markers shown to be associated with risk of these skin cancers, are contemplated to be useful as markers for determining susceptibility to these skin cancer conditions in humans. These markers are also useful in a range of diagnostic applications, as described further herein.
Association analysis has revealed a number of genetic locations that are associated with BCC. This includes a region on chromosome 12ql3 that includes markers rslll70164 and rs641615 (LD Block C12), a region on chromosome 9p21 that includes marker rs2151280 (LD Block C09), a region on chromosome 7q32 that includes marker rsl57935 (LD Block C07) and a region on chromosome 5pl3 that includes marker rsl6891982 (LD Block C05). Other locations associated with BCC include locations that contain the markers rs3828051, rs6697911, rs378437, rsl0493449, rs7882773, rs7879505, rsl877547, rslO493147, rsl55806, rslO29942, rs2025148, rsl2215077, rs2928579, rsl0957748, rsll777052, rsl0504624, rs4734443, rs9643254, rsl0120688, rs4745464, rsllO52833, rsl414622, rs7188879, rs4795430, rs916816, rslO871717, rs9956188, rs6047591, rs6035973, and rs738814. As will be described in more detail in the following, any one or a combination of these markers, or markers in linkage disequilibrium with any one of these markers, are useful in diagnostic and prognostic applications of the invention.
Based on a genome-wide SNP association study of Basal Cell Carcinoma, a number of variants were shown to be associated with BCC. Thus, allele A of rslll70164, allele C of rs641615, allele C of rs2151280, allele T of rsl57935 and allele G of rsl6891982 are associated with increased risk of BCC, as illustrated in Example 1 herein. Exemplary surrogate variants (surrogate markers) of these variants are shown in Tables 14-17 herein. Further surrogate markers of markers rsl57935 and rs2151280 are provided in Tables 23 and 24 herein.
Association on chromosome 12ql3 is provided by two independent signals within LD Block C12. One signal is captured by rslll70164 (SEQ ID NO: 1), encoding a glycine to glutamic acid substitution in the keratin 5 (KRT5) protein (SEQ ID NO: 245); the other signal is captured by rs641615 (SEQ ID NO:2), which encodes an aspartic acid to glutamic acid substitution at position 197 in the KRT protein.
The association signal on chromosome 9p21 resides within LD Block C09, and is captured by rs2151280 (SEQ ID NO:3). The signal on chromosome 7q32 resides within LD Block C07, captured by rsl57935 (SEQ ID NO:4), while the signal on chromosome 5pl3 is present within LD Block C05 and is captured by rsl6891982 (SEQ ID NO: 5). The signal on chromosome 5pl3 has further been found to be significantly associated with risk of Squamous Cell Carcinoma. The marker rsl6891982, and surrogate markers in linkage disequilibrium with rsl6891982, are thus useful in diagnostic and prognostic methods for Squamous Cell Carcinoma, as described herein.
Association analysis has also revealed that rsl 1586100 on chromosome 1 is associated with risk of Cutaneous Melanoma. This marker, and markers in linkage disequilibrium therewith is therefore also useful in diagnostic and prognostic applications and screening methods for Cutaneous Melanoma. Such applications are in particular described for Basal Cell Carcinoma in the following, but are equally applicable for diagnostic applications for cutaneous melanoma. Such applications are therefore also within scope of the present invention.
Methods of determining susceptibility to Basal Cell Carcinoma, Squamous Cell Carcinoma and Cutaneous Melanoma
Accordingly, in one aspect the invention provides a method of determining a susceptibility to Basal Cell Carcinoma in a human individual, the method comprising analyzing sequence data about a human individual for at least one polymorphic marker selected from the group consisting of rslll70164, rs641615, rs2151280, rsl57935 and rsl6891982, and markers in linkage disequilibrium therewith, wherein different alleles of the at least one polymorphic marker are associated with different susceptibilities to Basal Cell Carcinoma in humans, and determining a susceptibility to Basal Cell Carcinoma from the sequence data.
Another aspect of the invention provides a method of determining a susceptibility to Squamous Cell Carcinoma in a human individual, the method comprising analyzing sequence data about a human individual for at least one polymorphic marker selected from the group consisting of rsl6891982, and markers in linkage disequilibrium therewith, wherein different alleles of the at least one polymorphic marker are associated with different susceptibilities to Squamous Cell Carcinoma in humans, and determining a susceptibility to Squamous Cell Carcinoma from the sequence data.
Yet another aspect of the invention relates to a method of determining a susceptibility to Cutaneous Melanoma (CM) in a human individual, the method comprising analyzing sequence data about a human individual for at least one polymorphic marker selected from the group consisting of rsll586100, and markers in linkage disequilibrium therewith , wherein different alleles of the at least one polymorphic marker are associated with different susceptibilities to Cutaneous Melanoma in humans, and determining a susceptibility to Cutaneous Melanoma from the sequence data.
In certain embodiments, the sequence data is nucleic acid sequence data. Such nucleic acid sequence data is suitably obtained from a biological sample containing nucleic acid from the individual. Starting from a sample containing nucleic acid from an individual, it is possible by means well known to the skilled person to obtain sequence data about polymorphic markers.
In certain embodiments, obtaining nucleic acid sequence data comprises a method that includes at least one procedure selected from amplifying nucleic acid from the biological sample; and performing a hybridization assay using a nucleic acid probe and nucleic acid, or amplified nucleic acid, from the sample.
It is also possible to obtain sequence data from preexisting records. In one embodiment, the sequence data is from a genotype dataset from the individual.
In certain embodiments, analyzing sequence of the at least one polymorphic marker comprises determining the presence or absence of at least one allele of the at least one polymorphic marker. The sequence data may also in certain embodiments be protein or polypeptide sequence data.
In certain embodiments, the method comprises steps of (i) obtaining a nucleic acid sample from an individual; (ii) determining the nucleic acid sequence of at least one polymorphic marker in the nucleic acid sample; and (iii) determining a susceptibility to prostate cancer from the nucleic acid sequence of the at least one polymorphic marker.
In certain embodiments, the markers in linkage disequilibrium with rslll70164 are selected from the group consisting of rslll70164, rsl0876279, rslll70096, rsl0747639, rs5011450,
rsl0506306, rslO59837, rs2298796, rsl610791, rslll70118, rslll70148, rsll611584, rs2232553, which are the markers listed in Table 14. The skilled person will appreciate that any marker can be considered to be in linkage disequilibrium with itself. Hence any anchor marker may suitably be included in a list of useful surrogate markers. In one preferred embodiment, markers in linkage disequilibrium with rslll70164 are selected from the group consisting of rslll70164, rsl0876279, rslll70096, rsl0747639, rs5011450, rsl0506306, rslO59837, rs2298796, rslll70118, rslll70148, and rsll611584.
In certain embodiments, markers in linkage disequilibrium with rs641615 are selected from the group consisting of rs641615, rsl0876287, rsl2308420, rsl732272, rsl395342, rs928995, rs747262, rsl610446, rsl610835, rsl791660, rs587900, rs669614, rs44637, rs298107, rs298106, rsl88462, rsl701784, rs400120, rs396167, rs371202, rs392861, rs409929, rs429561, rs375539, rs373608, rs400774, rs2669871, rs597340, rs621164, rs610794, rs618387, rs387717, rs388626, rs417466, rs3809178, rs7969089, rsl7099985, rs447003, rsl798675, rsl701773, rsl92720, rs971222, rsl798671, rs447789, rs415083, rs434339, rs367087, rs415580, rs613760, rsl2817610, rs2942777, rsl707770, rs2658662, rs387480, rs853814, rs298111, rs298115, rsl67226, rs454387, rslO54122, rs298121, rs298122, rsl77079, rsl513279, rs830379, rs2362845, rs627835, rslll70152, rs830381, rs689412, rs651111, rs650694, rs636676, rs687751, rs639790, rs607860, and rs638907, which are the markers listed in Table 15.
In certain embodiments, markers in linkage disequilibrium with rs2151280 are selected from the group consisting of rs2151280, rs7041637, rs3731257, rs3731211, rs7036656, rs3218020, rs3217992, rslO63192, rs2069418, rs2069416, rs573687, rs545226, rsl0811640, rslO811641, rs2106120, rs2106119, rs643319, rs7044859, rs523096, rs518394, rsl0757264, rslO965212, rslO811644, rs7035484, rsl0738604, rs615552, rs543830, rsl591136, rs7049105, rs679038, rslO965215, rs564398, rs7865618, rsl0115049, rs634537, rs2157719, rsl008878, rsl556515, rsl333037, rsl360590, rsl7694493, rsl412829, rsl360589, rs7028570, rs944801, rslO965219, rs7030641, rsl0120688, rs2184061, rsl537378, rs8181050, rs8181047, rslO811647, rsl333039, rsl0965224, rsl0811650, rslO811651, rs4977756, rsl0757269, rs9632884, rsl412832, rslO116277, rs6475606, rsl537370, rs7857345, rsl0738607, rsl0757272, rs4977574, rs2891168, rsl537371, rsl556516, rs6475608, rs7859727, rsl537373, rsl333042, rs7859362, rsl333043, rsl412834, rs7341786, rsl0511701, rsl0733376, rsl0738609, rs2383206, rs944797, rsl004638, rs2383207, rsl537374, rsl537375, rsl0738610, rsl333046, rsl0757278, rsl333047, rs4977575, rsl333048, and rsl333049, which are the markers listed in Table 16. In one preferred embodiment, markers in linkage disequilibrium with rs2151280 are selected from the group consisting of rsl0757264, rs643319, rs7028570, rsl360590, rs7044859, rs2106119, rs2106120, rsl0115049, rs7049105, rsl591136, rslO965215, rslO965212, rsl0811640, rsl0120688, rs7035484, rslO811644, rslO965219, rs518394, rs573687, rslO63192, rs2069418, rsl360589, rs2069416, rsl333037, rs944801, rsl008878,
rs7030641, rs3217992, rs7865618, rsl556515, rsl412829, rs2157719, rs634537, rs679038, rs543830, rs564398, rs523096, rs545226, rslO811641, rs615552, rs4977756, rs2184061, rsl537378, rs8181050, rsl333039, rsl0965224, rslO811651, rs3218020, rs3731211, rs7036656, and rsl0738604.
In certain embodiments, markers in linkage disequilibrium with rsl57935 are selected from the group consisting of rsl57935, rs7806539, rs7806692, rs7811523, rs7811176, rsll22619, rsll763341, rs6954253, rs6969957, rs7783327, rsl7789944, rs2075459, rsll766402, rs205755, rsl57928, rs4731717, rsl57930, rsl57931, rs3750176, rsl25124, rsl57936, which are the markers listed in Table 17. In one preferred embodiment, markers in linkage disequilibrium with rsl57935 are selected from the group consisting of rs7806539, rsl57931, rsl57930, rsl57936, rsl25124, rs3750176, rsl57928, rs7783327, rsll763341, rsll22619, rs4731717, rs7811176, rs7806692, rs6954253, rs7811523, rs6969957, rsl7789944, and rs205755.
In certain embodiments, markers in linkage disequilibrium with rsl6891982 are selected from the group consisting of rsl6891982, rsl0036181, rsl0941073, rsl2654460, rsl374017, rsl423299, rsl445907, rsl465435, rsl465436, rsl465437, rsl501726, rsl6891671, rsl6891678, rsl6891680, rsl6891684, rsl6891720, rsl6891840, rsl6892096, rsl6899932, rsl6899936, rsl83671, rs2278007, rs2591719, rs2591720, rs28777, rs35389, rs35395, rs35397, rs35400, rs35402, rs35407, rs3797201, rs40133, rs4866391, rs6882471, rs720797, rs720798, rs9784705, which are the markers listed in Table 18.
The invention also relates to method of determining a susceptibility to Basal Cell Carcinoma in a human individual, the method comprising obtaining sequence data about a human individual identifying at least one allele of at least one polymorphic marker, wherein different alleles of the at least one polymorphic marker are associated with different susceptibilities to Basal Cell Carcinoma in humans, and determining a susceptibility to Basal Cell Carcinoma from the sequence data, wherein the at least one polymorphic marker is selected from the group consisting of rslll70164, rs641615, rs2151280, rsl57935, rsl6891982, rs3828051, rs6697911, rs378437, rsl0493449, rs7882773, rs7879505, rsl877547, rslO493147, rsl55806, rslO29942, rs2025148, rsl2215077, rs2928579, rsl0957748, rsll777052, rsl0504624, rs4734443, rs9643254, rsl0120688, rs4745464, rsllO52833, rsl414622, rs7188879, rs4795430, rs916816, rslO871717, rs9956188, rs6047591, rs6035973, rs738814, and rsl 1586100, and markers in linkage disequilibrium therewith.
With respect to rsll586100, the marker has been found to be associated with susceptibility to Cutaneous Melanoma in humans. In certain embodiments, a useful surrogate marker in linkage disequilibrium with rsll586100 is selected from rs7806539, rsl57931, rsl57930, rsl57936,
rsl25124, ΓS3750176, ΓS157928, ΓS7783327, ΓS11763341, rsll22619, rs4731717, rs7811176, rs7806692, rs6954253, rs7811523, rs6969957, rsl7789944, and rs205755.
Polymorphisms that alter the amino acid sequence of an encoded protein or polypeptide may also be assessed at the amino acid level. In certain embodiments of the invention, determination of the presence of a Glutamic acid at position 138 and/or a Glutamic acid at position 197 in a KRT5 protein with sequence as set forth in SEQ ID NO: 245 is indicative of an increased susceptibility to Basal Cell Carcinoma. In one embodiment, determination of the presence of a Phenylalanine at position 374 in a SLC45A2 protein is indicative of increased susceptibility to Basal Cell Carcinoma in an individual with the substitution. In another embodiment, determination of the presence of a Phenylalanine at position 374 in a SLC45A2 protein is indicative of increased susceptibility to Squamous Cell Carcinoma.
Surrogate markers in linkage disequilibrium with particular key markers can be selected based on certain values of the linkage disequilibrium measures D' and r2, as described further herein. For example, markers that are in linkage disequilibrium with any one of the markers rsll586100, rslll70164, rs641615, rs2151280, rsl57935 and rsl6891982 are exemplified by the markers listed in Tables 14 - 18 and 23 - 24 herein, but the skilled person will appreciate that other markers in linkage disequilibrium with these markers may also be used in the diagnostic applications described herein. Further, the skilled person will appreciate that since linkage disequilibrium is a continuous measure, certain values of the LD measures D' and r2 may be suitably chosen to define markers that are useful as surrogate markers in LD with the markers described herein. Numeric values of D' and r2 may thus in certain embodiments be used to define suitable marker subsets that fulfill certain numerical cutoff values of D' and/or r2. In one embodiment, markers in linkage disequilibrium with a particular anchor marker (e.g., rsll586100, rslll70164, rs641615, rs2151280, rsl57935 or rsl6891982) are in LD with the anchor marker characterized by numerical values of D' of greater than 0.8 and/or numerical values of r2 of greater than 0.2. In one embodiment, suitable markers in linkage disequilibrium are correlated with the anchor marker by values of r2 greater than 0.2. In another embodiment, suitable markers in linkage disequilibrium are correlated with the anchor marker by values of r2 greater than 0.5. In yet another embodiment, suitable markers in linkage disequilibrium are correlated with the anchor marker by values of r2 greater than 0.8. In one preferred embodiment, suitable markers in linkage disequilibrium are correlated with the anchor marker by values of r2 of 1.0. Such markers are perfect surrogates of the anchor marker, and will give identical association results, i.e. they provide identical genetic information as the anchor marker to which they are correlated. In other embodiments, markers in linkage disequilibrium with a particular anchor marker may be in LD with the anchor marker as characterized by suitable numerical values of r2; for example values of r2 greater than 0.3, greater than 0.4, greater than 0.5, greater than 0.6, greater than 0.7, greater than 0.8, greater than 0.9, or greater than 0.95. Other numerical values of r2 and/or D' may also be suitably selected to select markers that are in
LD with the anchor marker. The stronger the LD, the more similar the association signal and/or the predictive risk by the surrogate marker will be to that of the anchor marker.
Association data presented in Tables 20, 21 and 22 (Example 2) show exemplary results of association of surrogate markers in an Iceland sample set. Surrogate markers give different association signals because they are in different linkage disequilibrium with the underlying signal. For example, the markers rsl57930, rsl57928 and rsll766402, which are all surrogate markers for rsl57935, give different association results to BCC. The strongest signal is observed for rsl57930 (OR 1.28, P-value 3.8E-7), while weaker association is oberved for rsl57928 (OR 1.22, P-value 1.22E-5) and rsll766402 (OR 1.11, P-value 0.08). All three are surrogates for rsl57935, but capture the underlying association signal to a varying degree - correlation values of r2 are 0.68, 0.56 and 0.31, respectively, for rsl57930, rsl57928 and rsll766402 with respect to rsl57935. It should also be noted that sample size has an effect of the power to detect an underlying association. This power is exemplified by the apparent P-value of association determined using the particular sample. This does not mean that the inherent strength of each surrogate marker is affected, but is rather a manifestation of the relative strength of such markers in capturing the underlying association. The weaker the correlation to the anchor marker, the large a sample size will be needed to capture the underlying association with a particular statistical certainty.
In certain preferred embodiments, the markers useful in diagnostic and prognostic methods of the invention are selected from the group consisting of rsll586100, rslll70164, rs641615, rs2151280, rsl57935 and rsl6891982. In one preferred embodiment, the marker is rslll70164. In another preferred embodiment, the marker is rs641615. In another preferred embodiment, the marker is rs2151280. In another preferred embodiment, the markers is rsl57935. In another preferred embodiment, the markers is rsl6891982. In another embodiment, the marker is rsll586100.
In certain embodiments of the invention, the sequence data is amino acid sequence data. Polymorphic markers can result in alterations in the amino acid sequence of encoded polypeptide or protein sequence. In certain embodiments, the analysis of amino acid sequence data comprises determining the presence or absence of an amino acid substitution in the amino acid encoded by the at least one polymorphic marker. Sequence data can in certain embodiments be obtained by analyzing the amino acid sequence encoded by the at least one polymorphic marker in a biological sample obtained from the individual.
In certain embodiments of the invention, determination of the presence of particular marker alleles or particular haplotypes is predictive of an increased susceptibility of Basal Cell Carcinoma, Squamous Cell Carcinoma and/or Cutaneous Melanoma in humans. In certain embodiments, determination of the presence of a marker allele selected from the group
consisting of the A allele of rslll70164, the C allele of rs641615, the C allele of rs2151280, the T allele of rsl57935 and the G allele of rsl6891982 is indicative of increased susceptibility of Basal Cell Carcinoma in the individual. Individuals who are homozygous for at-πsk alleles or haplotypes are at particularly high risk.
In certain embodiments, determination of the presence of the G allele of rsl6891982 is indicative of increased susceptibility of Squamous Cell Carcinoma in the individual.
In certain embodiments, determination of the presence of the G allele of rsll586100 is indicative of increased susceptibility of Cutaneous Melanoma in the individual
Measures of susceptibility or risk include measures such as relative risk (RR), odds ratio (OR), and absolute risk (AR), as described in more detail herein.
In certain embodiments, increased susceptibility is reported as a risk of at least 1.10, 1.11, 1.12, 1.13, 1.14, 1.15, 1.16, 1.17, 1.18, 1.19, 1.20, 1.21, 1.22, 1.23, 1.24, 1.25, 1.26, 1.27, 1.28, 1.29, 1.30, 1.31, 1.32, 1.33, 1.34 or a risk of at least 1.35. Other numerical non-integer values between 0 and 1 are also possible to characterize the risk, and such numerical values are also within scope of the invention.
In certain other embodiments, determination of the presence of particular marker alleles or particular haplotypes is predictive of a decreased suscepbility of Basal Cell Carcinoma, Squamous Cell Carcinoma and/or Cutaneous Melanoma in humans. For SNP markers with two alleles, the alternate allele to an at-risk allele for a skin cancer selected from Basal Cell Carcinoma, Squamous Cell Carcinoma and Cutaneous Melanoma will be in decreased frequency in patients compared with controls. Thus, determination of the presence of the alternate allele is indicative of a decreased susceptibility of the skin cancer. Individuals who are homozygous for the alternate (protective) allele are at particularly decreased susceptibility or risk.
To identify markers that are useful for assessing susceptibility to the skin cancer, it may be useful to compare the frequency of markers alleles in individuals with the skin cancer to control individuals. In one embodiment, an increase in frequency of the at least one allele in the at least one polymorphism in individuals diagnosed with the skin cancer, as compared with the frequency of the at least one allele in the control group is indicative of the at least one allele being useful for assessing increased susceptibility to the skin cancer.
In another embodiment, a decrease in frequency of the at least one allele in the at least one polymorphism in individuals diagnosed with a skin cancer selected from Basal Cell Carcinoma, Squamous Cell Carcinoma and Cutaneous Melanoma, as compared with the frequency of the at least one allele in the control sample is indicative of the at least one allele being useful for assessing decreased susceptibility to, or protection against, the skin cancer.
In general, sequence data can be obtained by analyzing a sample from an individual, or by analyzing information about specific markers in a genotype database. The sample is in certain embodiments a nucleic acid sample. Analyzing a sample from an individual may in certain embodiments include steps of isolating genomic nucleic acid from the sample, amplifying a segment of the genomic nucleic acid that contains at least one polymorphic marker, and determine sequence information about the at least one polymorphic marker. Amplification is preferably performed by Polymerase Chain Reaction (PCR) techniques. In certain embodiments, sequence data can be obtained through nucleic acid sequence information or amino acid sequence information from a preexisting record. Such a preexisting record can be any documentation, database or other form of data storage containing such information.
Determination of a susceptibility or risk of a particular individual in general comprises comparison of the genotype information (sequence information) to a record or database providing a correlation about particular polymorphic marker(s) and susceptibility to Basal Cell Carcinoma, Squamous Cell Carcinoma and/or Cutaneous Melanoma. Thus, in specific embodiments, determining a susceptibility comprises comparing the sequence data to a database containing correlation data between the at least one polymorphic marker and susceptibility to Basal Cell Carcinoma, Squamous Cell Carcinoma and/or Cutaneous Melanoma. In certain embodiments, the database comprises at least one measure of susceptibility to Basal Cell Carcinoma, Squamous Cell Carcinoma and/or Cutaneous Melanoma for the at least one polymorphic marker. In certain embodiments, the database comprises a look-up table comprising at least one measure of susceptibility to Basal Cell Carcinoma, Squamous Cell Carcinoma and/or Cutaneous Melanoma for the at least one polymorphic marker. The measure of susceptibility may in the form of relative risk (RR), absolute risk (AR), percentage (%) or other convenient measure for describing genetic susceptibility of individuals.
Certain embodiments of the invention relate to markers associated with a gene selected from the group consisting of the human KRT5 gene, the human CDKN2A gene, the human KLF14 gene, and the human SLC45A2 gene. Markers that are associated with one or more of these genes are in certain embodiments markers that are in linkage disequilibrium (LD) with at least one genetic marker within the gene. In certain embodiments, markers associated with the KRT5 gene are selected from the group consisting of rsll 170164 and rs641615, and markers in linkage disequilibrium therewith. In certain embodiments, markers associated with the CDKN2A gene are selected from the group consisting of rs2151280, and markers in linkage disequilibrium therewith. In certain embodiments, markers associated with the KLF14 gene are selected from the group consisting of rsl57935, and markers in linkage disequilibrium therewith. In certain embodiments, markers associated with the SLC45A2 gene are selected from the group consisting of rsl6891982, and markers in linkage disequilibrium therewith.
Certain embodiments of the invention relate to markers located within the LD Block Cl 2, LD Block C09, LD Block C07 and/or LD Block C05 as defined herein. It is however also contemplated that surrogate markers useful for determining susceptibility to Basal Cell Carcinoma, Squamous Cell Carcinoma and/or Cutaneous Melanoma may be located outside these blocks as defined in physical terms (genomic locations). Thus, other embodiments of the invention are not confined to surrogate markers located within the physical boundaries of the LD blocks as defined, but also include useful surrogate markers outside the physical boundaries of the LD blocks as defined, due to the surrogate markers being in LD with one or more of the markers shown herein to be associated with risk of Basal Cell Carcinoma.
In certain embodiments of the invention, more than one polymorphic marker is analyzed. In certain embodiments, at least two polymorphic markers are analyzed. Thus, in certain embodiments, nucleic acid data about at least two polymorphic markers is obtained.
In certain embodiments, a further step of analyzing at least one haplotype comprising two or more polymorphic markers is included.
Another aspect of the invention relates to a method for determining a susceptibility to Basal Cell Carcinoma in a human individual, comprising determining the presence or absence of at least one allele of at least one polymorphic marker in a nucleic acid sample obtained from the individual, or in a genotype dataset from the individual, wherein the at least one polymorphic marker is selected from the group consisting of rslll70164, rs641615, rs2151280, rsl57935 and rsl6891982, and markers in linkage disequilibirium therewith, and wherein determination of the presence of the at least one allele is indicative of a susceptibility to Basal Cell Carcinoma. In certain embodiments, determination of the presence of an allele that correlates with Basal Cell Carcinoma is indicative of an increased susceptibility to Basal Cell Carcinoma.
With respect to Cutaneous Melanoma, another aspect of the invention relates to a method for determining a susceptibility to Cutaneous Melanoma in a human individual, comprising determining the presence or absence of at least one allele of at least one polymorphic marker in a nucleic acid sample obtained from the individual, or in a genotype dataset from the individual, wherein the at least one polymorphic marker is selected from the group consisting of rsll586100, and markers in linkage disequilibirium therewith, and wherein determination of the presence of the at least one allele is indicative of a susceptibility to Cutaneous Melanoma.
Another aspect of the invention relates to a method for determining a susceptibility to Squamous Cell Carcinoma in a human individual, comprising determining the presence or absence of at least one allele of at least one polymorphic marker in a nucleic acid sample obtained from the individual, or in a genotype dataset from the individual, wherein the at least one polymorphic marker is selected from the group consisting of rsl681982, and markers in linkage
disequilibrium therewith, and wherein determination of the presence of the at least one allele is indicative of a susceptibility to Squamous Cell Carcinoma.
In one embodiment, the determining comprises analyzing nucleic acid in the sample using a method that includes at least one procedure selected from amplifying nucleic acid from the nucleic acid sample; and performing a hybridization assay using a nucleic acid probe and nucleic acid from the nucleic acid sample, or from the amplifying. In another embodiment, a further step is included comprising displaying results from the analyzing of the sequence data indicative of a susceptibility to Basal Cell Carcinoma on a visual display selected from the group consisting of an electronic display and a printed report.
Individuals who are homozygous for risk alleles are particularly susceptible to the particular condition associated with risk alleles (e.g., Basal Cell Carcinoma, Squamous Cell Carcinoma and/or Cutaneous Melanoma). On the other hand, individuals who do not carry such at-risk alleles are at a decreased susceptibility of developing the condition. For SNPs, such individuals will be homozygous for the alternate (protective) allele of the polymorphism.
Determination of susceptibility is in some embodiments reported by a comparison with non- carriers of the at-risk allele(s) of polymorphic markers. In certain embodiments, susceptibility is reported based on a comparison with the general population, e.g. compared with a random selection of individuals from the population.
In certain embodiments, polymorphic markers are detected by sequencing technologies. Obtaining sequence information about an individual identifies particular nucleotides in the context of a nucleic acid sequence. For SNPs, sequence information about a single unique sequence site is sufficient to identify alleles at that particular SNP. For markers comprising more than one nucleotide, sequence information about the genomic region of the individual that contains the polymorphic site identifies the alleles of the individual for the particular site. The sequence information can be obtained from a sample from the individual. In certain embodiments, the sample is a nucleic acid sample. In certain other embodiments, the sample is a protein sample.
Various methods for obtaining nucleic acid sequence are known to the skilled person, and all such methods are useful for practicing the invention. Sanger sequencing is a well-known method for generating nucleic acid sequence information. Recent methods for obtaining large amounts of sequence data have been developed, and such methods are also contemplated to be useful for obtaining sequence information. These include pyrosequencing technology (Ronaghi, M. et al. Anal Biochem 267:65-71 (1999); Ronaghi, et al. Biotechniques 25:876-878 (1998)), e.g. 454 pyrosequencing (Nyren, P., et al. Anal Biochem 208: 171-175 (1993)), Illumina/Solexa sequencing technology (http://www.illumina.com; see also Strausberg, RL, et al Drug Disc Today 13: 569-577 (2008)), and Supported Oligonucleotide Ligation and Detection Platform (SOLiD)
technology (Applied Biosystems, http://www.appliedbiosystems.com); Strausberg, RL, et al Drug Disc Today 13: 569-577 (2008).
Providing risk assessment results
Results of determination and/or analysis of sequence data from an individual are suitably reported in a convenient format. In certain embodiments, a report is prepared containing nucleic acid sequence data for at least one marker. Such a report may be provided written in a computer readable medium, printed on paper, or displayed on a visual display. The visual display may be an electronic display or it may be in the form of a printed visual report.
Assessment for markers and haplotypes
The genomic sequence within populations is not identical when individuals are compared. Rather, the genome exhibits sequence variability between individuals at many locations in the genome. Such variations in sequence are commonly referred to as polymorphisms, and there are many such sites within each genome For example, the human genome exhibits sequence variations which occur on average every 500 base pairs. The most common sequence variant consists of base variations at a single base position in the genome, and such sequence variants, or polymorphisms, are commonly called Single Nucleotide Polymorphisms ("SNPs"). These SNPs are believed to have occurred in a single mutational event, and therefore there are usually two possible alleles possible at each SNPsite; the original allele and the mutated allele. Due to natural genetic drift and possibly also selective pressure, the original mutation has resulted in a polymorphism characterized by a particular frequency of its alleles in any given population. Many other types of sequence variants are found in the human genome, including mini- and microsatellites, and insertions, deletions andinversions (also called copy number variations (CNVs)). A polymorphic microsatellite has multiple small repeats of bases (such as CA repeats, TG on the complimentary strand) at a particular site in which the number of repeat lengths varies in the general population. In general terms, each version of the sequence with respect to the polymorphic site represents a specific allele of the polymorphic site. These sequence variants can all be referred to as polymorphisms, occurring at specific polymorphic sites characteristic of the sequence variant in question. In general terms, polymorphisms can comprise any number of specific alleles. Thus in one embodiment of the invention, the polymorphism is characterized by the presence of two or more alleles in any given population. In another embodiment, the polymorphism is characterized by the presence of three or more alleles. In other embodiments, the polymorphism is characterized by four or more alleles, five or more alleles, six or more alleles, seven or more alleles, nine or more alleles, or ten or more
alleles. All such polymorphisms can be utilized in the methods and kits of the present invention, and are thus within the scope of the invention.
Due to their abundance, SNPs account for a majority of sequence variation in the human genome. Over 6 million SNPs have been validated to date (http://www.ncbi. nlm.nih.gov/projects/SNP/snp_summary.cgi). However, CNVs are receiving increased attention. These large-scale polymorphisms (typically lkb or larger) account for polymorphic variation affecting a substantial proportion of the assembled human genome; known CNVs covery over 15% of the human genome sequence (Estivill, X Armengol; L., PIoS Genetics 3: 1787-99 (2007); http://projects.tcag. ca/variation/). Most of these polymorphisms are however very rare, and on average affect only a fraction of the genomic sequence of each individual. CNVs are known to affect gene expression, phenotypic variation and adaptation by disrupting gene dosage, and are also known to cause disease (microdeletion and microduplication disorders) and confer risk of common complex diseases, including HIV-I infection and glomerulonephritis (Redon, R., et al. Nature 23:444-454 (2006)). It is thus possible that either previously described or unknown CNVs represent causative variants in linkage disequilibrium with the markers described herein to be associated with Basal Cell Carcinoma. Methods for detecting CNVs include comparative genomic hybridization (CGH) and genotyping, including use of genotyping arrays, as described by Carter (Nature Genetics 39:S16- S21 (2007)). The Database of Genomic Variants (http://projects.tcag. ca/vaπation/) contains updated information about the location, type and size of described CNVs. The database currently contains data for over 15,000 CNVs.
In some instances, reference is made to different alleles at a polymorphic site without choosing a reference allele. Alternatively, a reference sequence can be referred to for a particular polymorphic site. The reference allele is sometimes referred to as the "wild-type" allele and it usually is chosen as either the first sequenced allele or as the allele from a "non-affected" individual (e.g., an individual that does not display a trait or disease phenotype).
Alleles for SNP markers as referred to herein refer to the bases A, C, G or T as they occur at the polymorphic site in the SNP assay employed. The allele codes for SNPs used herein are as follows: 1= A, 2=C, 3=G, 4=1. The person skilled in the art will however realise that by assaying or reading the opposite DNA strand, the complementary allele can in each case be measured. Thus, for a polymorphic site (polymorphic marker) characterized by an A/G polymorphism, the assay employed may be designed to specifically detect the presence of one or both of the two bases possible, i.e. A and G. Alternatively, by designing an assay that is designed to detect the complimentary strand on the DNA template, the presence of the complementary bases T and C can be measured. Quantitatively (for example, in terms of risk estimates), identical results would be obtained from measurement of either DNA strand (+ strand or - strand).
Typically, a reference sequence is referred to for a particular sequence. Alleles that differ from the reference are sometimes referred to as "variant" alleles. A variant sequence, as used herein, refers to a sequence that differs from the reference sequence but is otherwise substantially similar. Alleles at the polymorphic genetic markers described herein are variants. Variants can include changes that affect a polypeptide. Sequence differences, when compared to a reference nucleotide sequence, can include the insertion or deletion of a single nucleotide, or of more than one nucleotide, resulting in a frame shift; the change of at least one nucleotide, resulting in a change in the encoded amino acid; the change of at least one nucleotide, resulting in the generation of a premature stop codon; the deletion of several nucleotides, resulting in a deletion of one or more amino acids encoded by the nucleotides; the insertion of one or several nucleotides, such as by unequal recombination or gene conversion, resulting in an interruption of the coding sequence of a reading frame; duplication of all or a part of a sequence; transposition; or a rearrangement of a nucleotide sequence,. Such sequence changes can alter the polypeptide encoded by the nucleic acid. For example, if the change in the nucleic acid sequence causes a frame shift, the frame shift can result in a change in the encoded amino acids, and/or can result in the generation of a premature stop codon, causing generation of a truncated polypeptide. Alternatively, a polymorphism associated with a disease or trait can be a synonymous change in one or more nucleotides (i.e., a change that does not result in a change in the amino acid sequence). Such a polymorphism can, for example, alter splice sites, affect the stability or transport of mRNA, or otherwise affect the transcription or translation of an encoded polypeptide. It can also alter DNA to increase the possibility that structural changes, such as amplifications or deletions, occur at the somatic level. The polypeptide encoded by the reference nucleotide sequence is the "reference" polypeptide with a particular reference amino acid sequence, and polypeptides encoded by variant alleles are referred to as "variant" polypeptides with variant amino acid sequences.
A haplotype refers to a segment of DNA that is characterized by a specific combination of alleles arranged along the segment. For diploid organisms such as humans, a haplotype comprises one member of the pair of alleles for each polymorphic marker or locus . In a certain embodiment, the haplotype can comprise two or more alleles, three or more alleles, four or more alleles, or five or more alleles, each allele corresponding to a specific polymorphic marker along the segment. Haplotypes can comprise a combination of various polymorphic markers, e.g., SNPs and microsatellites, having particular alleles at the polymorphic sites. The haplotypes thus comprise a combination of alleles at various genetic markers.
Detecting specific polymorphic markers and/or haplotypes can be accomplished by methods known in the art for detecting sequences at polymorphic sites. For example, standard techniques for genotyping for the presence of SNPs and/or microsatellite markers can be used, such as fluorescence-based techniques (e.g., Chen, X. et al., Genome Res. 9(5): 492-98 (1999) ; Kutyavin et al. , Nucleic Acid Res. 34:el28 (2006)), utilizing PCR, LCR, Nested PCR and other
techniques for nucleic acid amplification. Specific commercial methodologies available for SNP genotyping include, but are not limited to, TaqMan genotyping assays and SNPIex platforms (Applied Biosystems), gel electrophoresis (Applied Biosystems), mass spectrometry (e.g., MassARRAY system from Sequenom), minisequencing methods, real-time PCR, Bio-Plex system (BioRad), CEQ and SNPstream systems (Beckman), array hybridization technology(e.g., Affymetrix GeneChip; Perlegen), BeadArray Technologies (e.g., Illumina GoldenGate and Infinium assays), array tag technology {e.g., Parallele), and endonuclease-based fluorescence hybridization technology (Invader; Third Wave) . Some of the available array platforms, including Affymetrix SNP Array 6.0 and Illumina CNV370-Duo and IM BeadChips, include SNPs that tag certain CNVs. This allows detection of CNVs via surrogate SNPs included in these platforms. Thus, by use of these or other methods available to the person skilled in the art, one or more alleles at polymorphic markers, including microsatellites, SNPs or other types of polymorphic markers, can be identified.
In certain embodiments, polymorphic markers are detected by sequencing technologies. Obtaining sequence information about an individual identifies particular nucleotides in the context of a sequence. For SNPs, sequence information about a single unique sequence site is sufficient to identify alleles at that particular SNP. For markers comprising more than one nucleotide, sequence information about the genomic region of the individual that contains the polymorphic site identifies the alleles of the individual for the particular site. The sequence information can be obtained from a sample from the individual. In certain embodiments, the sample is a nucleic acid sample. In certain other embodiments, the sample is a protein sample.
Various methods for obtaining nucleic acid sequence are known to the skilled person, and all such methods are useful for practicing the invention. Sanger sequencing is a well-known method for generating nucleic acid sequence information. Recent methods for obtaining large amounts of sequence data have been developed, and such methods are also contemplated to be useful for obtaining sequence information. These include pyrosequencing technology (Ronaghi, M. βt al. Anal Biochβm 267:65-71 (1999); Ronaghi, et al. Biotβchniquβs 25:876-878 (1998)), e.g. 454 pyrosequencing (Nyren, P., et al. Anal Biochem 208: 171-175 (1993)), Illumina/Solexa sequencing technology (http://www.illumina.com; see also Strausberg, RL, et al Drug Disc Today 13: 569-577 (2008)), and Supported Oligonucleotide Ligation and Detection Platform (SOLiD) technology (Applied Biosystems, http://www.appliedbiosystems.com); Strausberg, RL, et al Drug Disc Today 13: 569-577 (2008).
It is possible to impute or predict genotypes for un-genotyped relatives of genotyped individuals. For every un-genotyped case, it is possible to calculate the probability of the genotypes of its relatives given its four possible phased genotypes. In practice it may be preferable to include only the genotypes of the case's parents, children, siblings, half-siblings (and the half-sibling's parents), grand-parents, grand-children (and the grand-children's parents) and spouses. It will
be assumed that the individuals in the small sub-pedigrees created around each case are not related through any path not included in the pedigree. It is also assumed that alleles that are not transmitted to the case have the same frequency - the population allele frequency. The probability of the genotypes of the case's relatives can then be computed by:
where θ denotes the A allele's frequency in the cases. Assuming the genotypes of each set of relatives are independent, this allows us to write down a likelihood function for θ:
L(θ) = Y[ Pr(genotypes of relatives of case i;θ) . (*)
This assumption of independence is usually not correct. Accounting for the dependence between individuals is a difficult and potentially prohibitively expensive computational task. The likelihood function in (*) may be thought of as a pseudolikelihood approximation of the full likelihood function for θ which properly accounts for all dependencies. In general, the genotyped cases and controls in a case-control association study are not independent and applying the case-control method to related cases and controls is an analogous approximation. The method of genomic control (Devlin, B. et al., Nat Genet 36, 1129-30; author reply 1131 (2004)) has proven to be successful at adjusting case-control test statistics for relatedness. We therefore apply the method of genomic control to account for the dependence between the terms in our pseudolikelihood and produce a valid test statistic.
Fisher's information can be used to estimate the effective sample size of the part of the pseudolikelihood due to un-genotyped cases. Breaking the total Fisher information, I, into the part due to genotyped cases, I3, and the part due to ungenotyped cases, I11, 1 = I3 + I11, and denoting the number of genotyped cases with Λ/, the effective sample size due to the ungenotyped cases is estimated by — N . g
It is also possible to impute genotypes for markers with no genotype data. For example, using the IMPUTE software (Marchini, J. et al. Nat Genet 39:906-13 (2007)) and the HapMap CEU data (for example NCBI Build 36 (dbl26b)) as reference (Frazer, K.A., et al. Nature 449:851-61 (2007)) it is possible to impute genotypes for ungenotyped markers in a cohort, provided that the markers have been typed in the HapMap dataset. This can be useful for extending genotype coverage.
In the present context, and individual who is at an increased susceptibility (i.e., increased risk) for a disease {e.g., Basal Cell Carcinoma, Squamous Cell Carcinoma, Cutaneous Melanoma), is
an individual in whom at least one specific allele at one or more polymorphic marker or haplotype conferring increased susceptibility (increased risk) for the disease is identified (i.e., at- πsk marker alleles or haplotypes). The at-risk marker or haplotype is one that confers an increased risk (increased susceptibility) of the disease. In one embodiment, significance associated with a marker or haplotype is measured by a relative risk (RR). In another embodiment, significance associated with a marker or haplotye is measured by an odds ratio (OR). In a further embodiment, the significance is measured by a percentage. In one embodiment, a significant increased risk is measured as a risk (relative risk and/or odds ratio) of at least 1.1, including but not limited to at least 1.10, at least 1.11, at least 1.12, at least 1.13, at least 1.14, at least 1.15, at least 1.16, at least 1.17, at least 1.18, at least 1.19, at least 1.20, at least 1.21, at least 1.22, at least 1.23, at least 1.24, at least 1.25, at least 1.26, at least 1.27, at least 1.28, at least 1.29, at least 1.30, at leat 1.35, at least 1.40, at least 1.50, at least 1.60, at least 1.70, at least 1.80, at least 1.90, and at least 2.0. In a particular embodiment, a risk (relative risk and/or odds ratio) of at least 1.10 is significant. In another particular embodiment, a risk of at least 1.15 is significant. In yet another embodiment, a risk of at least 1.20 is significant. In yet another embodiment, a risk of at least 1.25 is significant. In yet another embodiment, a risk of at least 1.30 is significant. In a further embodiment, a relative risk of at least 1.35 is significant. Other cutoffs are also contemplated, e.g., at least 1.15, 1.25, 1.35, and so on, and such cutoffs are also within scope of the present invention. In other embodiments, a significant increase in risk is at least about 20%, including but not limited to about 25%, 30%, 35%, 40%, 45%, 50%, 55%, 60%, 65%, 70%, 75%, 80%, 85%, 90%, 95%, 100%, 150%, 200%, 300%, and 500%. In one particular embodiment, a significant increase in risk is at least 20%. In other embodiments, a significant increase in risk is at least 30%, at least 40%, at least 50%, at least 60%, at least 70%, at least 80%, at least 90% and at least 100%. Other cutoffs or ranges as deemed suitable by the person skilled in the art to characterize the invention are however also contemplated, and those are also within scope of the present invention. In certain embodiments, a significant increase in risk is characterized by a p-value, such as a p-value of less than 0.05, less than 0.01, less than 0.001, less than 0.0001, less than 0.00001, less than 0.000001, less than 0.0000001, less than 0.00000001, or less than 0.000000001.
An at-risk polymorphic marker or haplotype as described herein is one where at least one allele of at least one marker or haplotype is more frequently present in an individual at risk for the disease (or trait) (affected), or diagnosed with the disease {e.g., BCC, SCC, CM), compared to the frequency of its presence in a comparison group (control), such that the presence of the marker or haplotype is indicative of susceptibility to the disease. The control group may in one embodiment be a population sample, i.e. a random sample from the general population. In another embodiment, the control group is represented by a group of individuals who are disease- free. Such disease-free controls may in one embodiment be characterized by the absence of one or more specific disease-associated symptoms. Alternatively, the disesae-free controls are those that have not been diagnosed with the disease. In another embodiment, the disease-free control
group is characterized by the absence of one or more disease-specific risk factors. Such risk factors are in one embodiment at least one environmental risk factor. Representative environmental factors are natural products, minerals or other chemicals which are known to affect, or contemplated to affect, the risk of developing the specific disease or trait. Other environmental risk factors are risk factors related to lifestyle, including but not limited to food and drink habits, geographical location of main habitat, and occupational risk factors. In another embodiment, the risk factors comprise at least one additional genetic risk factor.
As an example of a simple test for correlation would be a Fisher-exact test on a two by two table. Given a cohort of chromosomes, the two by two table is constructed out of the number of chromosomes that include both of the markers or haplotypes, one of the markers or haplotypes but not the other and neither of the markers or haplotypes. Other statistical tests of association known to the skilled person are also contemplated and are also within scope of the invention.
In other embodiments of the invention, an individual who is at a decreased susceptibility (i.e., at a decreased risk) for a disease or trait is an individual in whom at least one specific allele at one or more polymorphic marker or haplotype conferring decreased susceptibility for the disease or trait is identified. The marker alleles and/or haplotypes conferring decreased risk are also said to be protective. In one aspect, the protective marker or haplotype is one that confers a significant decreased risk (or susceptibility) of the disease or trait. In one embodiment, significant decreased risk is measured as a relative risk (or odds ratio) of less than 0.95, including but not limited to less than 0.9, less than 0.8, less than 0.7, less than 0.6, less than 0.5, less than 0.4, less than 0.3, less than 0.2 and less than 0.1. In one particular embodiment, significant decreased risk is less than 0.7. In another embodiment, significant decreased risk is less than 0.5. In yet another embodiment, significant decreased risk is less than 0.3. In another embodiment, the decrease in risk (or susceptibility) is at least 20%, including but not limited to at least 25%, at least 30%, at least 35%, at least 40%, at least 45%, at least 50%, at least 55%, at least 60%, at least 65%, at least 70%, at least 75%, at least 80%, at least 85%, at least 90%, at least 95% and at least 98%. In one particular embodiment, a significant decrease in risk is at least about 30%. In another embodiment, a significant decrease in risk is at least about 50%. In another embodiment, the decrease in risk is at least about 70%. Other cutoffs or ranges as deemed suitable by the person skilled in the art to characterize the invention are however also contemplated, and those are also within scope of the present invention.
The person skilled in the art will appreciate that for markers with two alleles present in the population being studied (such as SNPs), and wherein one allele is found in increased frequency in a group of individuals with a trait or disease in the population, compared with controls, the other allele of the marker will be found in decreased frequency in the group of individuals with the trait or disease, compared with controls. In such a case, one allele of the marker (the one found in
increased frequency in individuals with the trait or disease) will be the at-risk allele, while the other allele will be a protective allele.
A genetic variant associated with a disease or a trait can be used alone to predict the risk of the disease for a given genotype. For a biallelic marker, such as a SNP, there are 3 possible genotypes: homozygote for the at risk variant, heterozygote, and non carrier of the at risk variant. Risk associated with variants at multiple loci can be used to estimate overall risk. For multiple SNP variants, there are k possible genotypes k = 3" χ 2P; where n is the number autosomal loci and p the number of gonosomal (sex chromosomal) loci. Overall risk assessment calculations for a plurality of risk variants usually assume that the relative risks of different genetic variants multiply, i.e. the overall risk (e.g. , RR or OR) associated with a particular genotype combination is the product of the risk values for the genotype at each locus. If the risk presented is the relative risk for a person, or a specific genotype for a person, compared to a reference population with matched gender and ethnicity, then the combined risk - is the product of the locus specific risk values - and which also corresponds to an overall risk estimate compared with the population. If the risk for a person is based on a comparison to non-carriers of the at risk allele, then the combined risk corresponds to an estimate that compares the person with a given combination of genotypes at all loci to a group of individuals who do not carry risk variants at any of those loci. The group of non-carriers of any at risk variant has the lowest estimated risk and has a combined risk^ compared with itself {i.e., non-carriers) of 1.0, but has an overall risk, compare with the population, of less than 1.0. It should be noted that the group of non-carriers can potentially be very small, especially for large number of loci, and in that case, its relevance is correspondingly small.
The multiplicative model is a parsimonious model that usually fits the data of complex traits reasonably well. Deviations from multiplicity have been rarely described in the context of common variants for common diseases, and if reported are usually only suggestive since very large sample sizes are usually required to be able to demonstrate statistical interactions between loci.
By way of an example, let us consider the case where a total of five variants are assessed for determining risk of Basal Cell Carcinoma (e.g., rslll70164, rs641615, rs2151280, rsl57935 and rsl681982; any surrogate marker could also be used). The total number of theoretical genotypic combinations is then 3s = 243. Some of those genotypic classes are very rare, but are still possible, and should be considered for overall risk assessment. It is likely that the multiplicative model applied in the case of multiple genetic variant will also be valid in conjugation with non-genetic risk variants assuming that the genetic variant does not clearly correlate with the "environmental" factor. In other words, genetic and non-genetic at-risk variants can be assessed under the multiplicative model to estimate combined risk, assuming that the non-genetic and genetic risk factors do not interact.
Using the same quantitative approach, the combined or overall risk associated with any plurality of variants associated with Basal Cell Carcinoma may be assessed.
Linkage Disequilibrium
The natural phenomenon of recombination, which occurs on average once for each chromosomal pair during each meiotic event, represents one way in which nature provides variations in sequence (and biological function by consequence). It has been discovered that recombination does not occur randomly in the genome; rather, there are large variations in the frequency of recombination rates, resulting in small regions of high recombination frequency (also called recombination hotspots) and larger regions of low recombination frequency, which are commonly referred to as Linkage Disequilibrium (LD) blocks (Myers, S. et al., Biochem Soc Trans 34: 526- 530 (2006); Jeffreys, AJ., et al., Nature Genet 29: 217-222 (2001); May, CA. , et al., Nature Genet 31:272-275(2002)).
Linkage Disequilibrium (LD) refers to a non-random assortment of two genetic elements. For example, if a particular genetic element {e.g. , an allele of a polymorphic marker, or a haplotype) occurs in a population at a frequency of 0.50 (50%) and another element occurs at a frequency of 0.50 (50%), then the predicted occurrance of a person's having both elements is 0.25 (25%), assuming a random distribution of the elements. However, if it is discovered that the two elements occur together at a frequency higher than 0.25, then the elements are said to be in linkage disequilibrium, since they tend to be inherited together at a higher rate than what their independent frequencies of occurrence (e.g., allele or haplotype frequencies) would predict. Roughly speaking, LD is generally correlated with the frequency of recombination events between the two elements. Allele or haplotype frequencies can be determined in a population by genotyping individuals in a population and determining the frequency of the occurence of each allele or haplotype in the population. For populations of diploids, e.g., human populations, individuals will typically have two alleles or allelic combinations for each genetic element {e.g. , a marker, haplotype or gene).
Many different measures have been proposed for assessing the strength of linkage disequilibrium (LD; reviewed in Devlin, B. & Risch, N., Genomics 29:311-22 (1995))). Most capture the strength of association between pairs of biallelic sites. Two important pairwise measures of LD are r2 (sometimes denoted Δ2) and | D'| (Lewontin, R., Genetics 49:49-67 (1964); Hill, W. G. & Robertson, A. Theor. Appl. Genet. 22:226-231 (1968)). Both measures range from 0 (no disequilibrium) to 1 ('complete' disequilibrium), but their interpretation is slightly different. | D'| is defined in such a way that it is equal to 1 if just two or three of the possible haplotypes are present, and it is < 1 if all four possible haplotypes are present. Therefore, a value of | D'| that is < 1 indicates that historical recombination may have occurred between two sites (recurrent
mutation can also cause | D'| to be < 1, but for single nucleotide polymorphisms (SNPs) this is usually regarded as being less likely than recombination). The measure r2 represents the statistical correlation between two sites, and takes the value of 1 if only two haplotypes are present.
The r2 measure is arguably the most relevant measure for association mapping, because there is a simple inverse relationship between r2 and the sample size required to detect association between susceptibility loci and SNPs. These measures are defined for pairs of sites, but for some applications a determination of how strong LD is across an entire region that contains many polymorphic sites might be desirable (e.g., testing whether the strength of LD differs significantly among loci or across populations, or whether there is more or less LD in a region than predicted under a particular model) . Measuring LD across a region is not straightforward, but one approach is to use the measure r, which was developed in population genetics. Roughly speaking, r measures how much recombination would be required under a particular population model to generate the LD that is seen in the data. This type of method can potentially also provide a statistically rigorous approach to the problem of determining whether LD data provide evidence for the presence of recombination hotspots. For the methods described herein, a significant r2 value between markers can be at least 0.1 such as at least 0.1, 0.15, 0.2, 0.25, 0.3, 0.35, 0.4, 0.45, 0.5, 0.55, 0.6, 0.65, 0.7, 0.75, 0.8, 0.85, 0.9, 0.91, 0.92, 0.93, 0.94, 0.95, 0.96, 0.97, 0.98, or at lesat 0.99. In one preferred embodiment, the significant r2 value can be at least 0.2. In another preferred embodiment, the significant r2 value is at least 0.5. Alternatively, linkage disequilibrium as described herein, refers to linkage disequilibrium characterized by values of | D'| of at least 0.2, such as 0.3, 0.4, 0.5, 0.6, 0.7, 0.8, 0.85, 0.9, 0.95, 0.96, 0.97, 0.98, or at least 0.99. Thus, linkage disequilibrium represents a correlation between alleles of distinct markers. It is measured by correlation coefficient or | D'| (r2 up to 1.0 and | D'| up to 1.0). Markers with values of r2 of 1.0 are perfect surrogates for the reference (anchor) marker. In certain embodiments, linkage disequilibrium is defined in terms of values for both the r2 and | D'| measures. In one such embodiment, a significant linkage disequilibrium is defined as r2 > 0.1 and | D'| >0.8. In another embodiment, a significant linkage disequilibrium is defined as r2 > 0.2 and | D'| >0.9. Other combinations and permutations of values of r2 and | D'|for determining linkage disequilibrium are also contemplated, and are also within the scope of the invention. Linkage disequilibrium can be determined in a single human population, as defined herein, or it can be determined in a collection of samples comprising individuals from more than one human population. In one embodiment of the invention, LD is determined in a sample from one or more of the HapMap populations (Caucasian, african, Japanese, Chinese), as defined (http://www.hapmap.org). In one such embodiment, LD is determined in the CEU population of the HapMap samples. In another embodiment, LD is determined in the YRI population. In yet another embodiment, LD is determined in samples from the Icelandic population.
If all polymorphisms in the genome were independent at the population level (i.e., no LD), then every single one of them would need to be investigated in association studies, to assess all the different polymorphic states. However, due to linkage disequilibrium between polymorphisms, tightly linked polymorphisms are strongly correlated, which reduces the number of polymorphisms that need to be investigated in an association study to observe a significant association. Another consequence of LD is that many polymorphisms may give an association signal due to the fact that these polymorphisms are strongly correlated.
Genomic LD maps have been generated across the genome, and such LD maps have been proposed to serve as framework for mapping disease-genes (Risch, N. & Merkiangas, K, Science 273: 1516-1517 (1996); Maniatis, N., et al., Proc Natl Acad Sci USA 99:2228-2233 (2002); Reich, DE et al, Nature 411 : 199-204 (2001)).
It is now established that many portions of the human genome can be broken into series of discrete haplotype blocks containing a few common haplotypes; for these blocks, linkage disequilibrium data provides little evidence indicating recombination (see, e.g., Wall., J. D. and Pritchard, J. K., Nature Reviews Genetics 4: 587-597 (2003); Daly, M. et al., Nature Genet.
29:229-232 (2001); Gabriel, S. B. et al., Science 296:2225-2229 (2002); Patil, N. et al., Science 294: 1719-1723 (2001); Dawson, E. et al., Nature 418: 544-548 (2002); Phillips, M.S. et al., Nature Genet. 33:382-387 (2003)).
There are two main methods for defining these haplotype blocks: blocks can be defined as regions of DNA that have limited haplotype diversity (see, e.g., Daly, M. et al., Nature Genet. 29:229-232 (2001); Patil, N. et al., Science 294: 1719-1723 (2001); Dawson, E. et al., Nature 4J8: 544-548 (2002); Zhang, K. et al., Proc. Natl. Acad. Sci. USA 99: 7335-7339 (2002)), or as regions between transition zones having extensive historical recombination, identified using linkage disequilibrium (see, e.g., Gabriel, S. B. et al., Science 296: 2225-2229 (2002); Phillips, M.S. et al., Nature Genet. 33:382-387 (2003); Wang, N. et al., Am. J. Hum. Genet. 71 : 1227- 1234 (2002); Stumpf, M. P., and Goldstein, D. B., Curr. Biol. 13: 1-8 (2003)). More recently, a fine-scale map of recombination rates and corresponding hotspots across the human genome has been generated (Myers, S., et al., Science 310:321-32324 (2005); Myers, S. et al., Biochem Soc Trans 34: 526530 (2006)). The map reveals the enormous variation in recombination across the genome, with recombination rates as high as 10-60 cM/Mb in hotspots, while closer to 0 in intervening regions, which thus represent regions of limited haplotype diversity and high LD. The map can therefore be used to define haplotype blocks/LD blocks as regions flanked by recombination hotspots. As used herein, the terms "haplotype block" or "LD block" includes blocks defined by any of the above described characteristics, or other alternative methods used by the person skilled in the art to define such regions.
Haplotype blocks (LD blocks) can be used to map associations between phenotype and haplotype status, using single markers or haplotypes comprising a plurality of markers. The main haplotypes can be identified in each haplotype block, and then a set of "tagging" SNPs or markers (the smallest set of SNPs or markers needed to distinguish among the haplotypes) can then be identified. These tagging SNPs or markers can then be used in assessment of samples from groups of individuals, in order to identify association between phenotype and haplotype. If desired, neighboring haplotype blocks can be assessed concurrently, as there may also exist linkage disequilibrium among the haplotype blocks.
It has thus become apparent that for any given observed association to a polymorphic marker in the genome, it is likely that additional markers in the genome also show association. This is a natural consequence of the uneven distribution of LD across the genome, as observed by the large variation in recombination rates. The markers used to detect association thus in a sense represent "tags" for a genomic region (i.e., a haplotype block or LD block) that is associating with a given disease or trait, and as such are useful for use in the methods and kits of the present invention. One or more causative (functional) variants or mutations may reside within the region found to be associating to the disease or trait. The functional variant may be another SNP, a tandem repeat polymorphism (such as a minisatellite or a microsatellite), a transposable element, or a copy number variation, such as an inversion, deletion or insertion. Such variants in LD with the variants described herein may confer a higher relative risk (RR) or odds ratio (OR) than observed for the tagging markers used to detect the association. The present invention thus refers to the markers used for detecting association to the disease, as described herein, as well as markers in linkage disequilibrium with the markers. Thus, in certain embodiments of the invention, markers that are in LD with the markers and/or haplotypes of the invention, as described herein, may be used as surrogate markers. The surrogate markers have in one embodiment relative risk (RR) and/or odds ratio (OR) values smaller than for the markers or haplotypes initially found to be associating with the disease, as described herein. In other embodiments, the surrogate markers have RR or OR values greater than those initially determined for the markers initially found to be associating with the disease, as described herein. An example of such an embodiment would be a rare, or relatively rare (such as < 10% allelic population frequency) variant in LD with a more common variant (> 10% population frequency) initially found to be associating with the disease, such as the variants described herein. Identifying and using such markers for detecting the association discovered by the inventors as described herein can be performed by routine methods well known to the person skilled in the art, and are therefore within the scope of the present invention.
Determination of haplotype frequency
The frequencies of haplotypes in patient and control groups can be estimated using an expectation-maximization algorithm (Dempster A. et al., J. R. Stat. Soc. B, 39: 1-38 (1977)). An implementation of this algorithm that can handle missing genotypes and uncertainty with the phase can be used. Under the null hypothesis, the patients and the controls are assumed to have identical frequencies. Using a likelihood approach, an alternative hypothesis is tested, where a candidate at-risk-haplotype, which can include the markers described herein, is allowed to have a higher frequency in patients than controls, while the ratios of the frequencies of other haplotypes are assumed to be the same in both groups. Likelihoods are maximized separately under both hypotheses and a corresponding 1-df likelihood ratio statistic is used to evaluate the statistical significance.
To look for at-risk and protective markers and haplotypes within a susceptibility region, for example within an LD block, association of all possible combinations of genotyped markers within the region is studied. The combined patient and control groups can be randomly divided into two sets, equal in size to the original group of patients and controls. The marker and haplotype analysis is then repeated and the most significant p-value registered is determined. This randomization scheme can be repeated, for example, over 100 times to construct an empirical distribution of p-values. In a preferred embodiment, a p-value of <0.05 is indicative of a significant marker and/or haplotype association.
Haplotype Analysis
One general approach to haplotype analysis involves using likelihood-based inference applied to NEsted MOdels (Gretarsdottir S., et al., Nat. Genet. 35: 131-38 (2003)). The method is implemented in the program NEMO, which allows for many polymorphic markers, SNPs and microsatellites. The method and software are specifically designed for case-control studies where the purpose is to identify haplotype groups that confer different risks. It is also a tool for studying LD structures. In NEMO, maximum likelihood estimates, likelihood ratios and p-values are calculated directly, with the aid of the EM algorithm, for the observed data treating it as a missing-data problem.
Even though likelihood ratio tests based on likelihoods computed directly for the observed data, which have captured the information loss due to uncertainty in phase and missing genotypes, can be relied on to give valid p-values, it would still be of interest to know how much information had been lost due to the information being incomplete. The information measure for haplotype analysis is described in Nicolae and Kong (Technical Report 537, Department of Statistics,
University of Statistics, University of Chicago; Biometrics, 60(2) : 368-75 (2004)) as a natural extension of information measures defined for linkage analysis, and is implemented in NEMO.
For single marker association to a disease, the Fisher exact test can be used to calculate two- sided p-values for each individual allele. Usually, all p-values are presented unadjusted for multiple comparisons unless specifically indicated. The presented frequencies (for microsatellites, SNPs and haplotypes) are allelic frequencies as opposed to carrier frequencies. To minimize any bias due the relatedness of the patients who were recruited as families to the study, first and second-degree relatives can be eliminated from the patient list. Furthermore, the test can be repeated for association correcting for any remaining relatedness among the patients, by extending a variance adjustment procedure previously described (Risch, N. & Teng, J. Genome Res., 8: 1273-1288 (1998)) for sibships so that it can be applied to general familial relationships, and present both adjusted and unadjusted p-values for comparison. The method of genomic controls (Devlin, B. & Roeder, K. Biometrics 55:997 (1999)) can also be used to adjust for the relatedness of the individuals and possible stratification. The differences are in general very small as expected. To assess the significance of single-marker association corrected for multiple testing we can carry out a randomization test using the same genotype data. Cohorts of patients and controls can be randomized and the association analysis redone multiple times (e.g., up to 500,000 times) and the p-value is the fraction of replications that produced a p-value for some marker allele that is lower than or equal to the p-value we observed using the original patient and control cohorts.
For both single-marker and haplotype analyses, relative risk (RR) and the population attributable risk (PAR) can be calculated assuming a multiplicative model (haplotype relative risk model) (Terwilliger, J. D. & Ott, ]., Hum. Hered. 42:337-46 (1992) and FaIk, CT. & Rubinstein, P, Ann. Hum. Genet. 51 (Pt 3): 227 -33 (1987)), i.e., that the risks of the two alleles/haplotypes a person carries multiply. For example, if RR is the risk of A relative to a, then the risk of a person homozygote AA will be RR times that of a heterozygote Aa and RR2 times that of a homozygote aa. The multiplicative model has a nice property that simplifies analysis and computations — haplotypes are independent, i.e., in Hardy-Weinberg equilibrium, within the affected population as well as within the control population. As a consequence, haplotype counts of the affecteds and controls each have multinomial distributions, but with different haplotype frequencies under the alternative hypothesis. Specifically, for two haplotypes, h, and h}, risk(/?,)/risk(/?J) = (fι/ Pi)HfJ Pi)1 where f and p denote, respectively, frequencies in the affected population and in the control population. While there is some power loss if the true model is not multiplicative, the loss tends to be mild except for extreme cases. Most importantly, p-values are always valid since they are computed with respect to null hypothesis.
An association signal detected in one association study may be replicated in a second cohort, ideally from a different population (e.g., different region of same country, or a different country)
of the same or different ethnicity. The advantage of replication studies is that the number of tests performed in the replication study is usually quite small, and hence the less stringent the statistical measure that needs to be applied. For example, for a genome-wide search for susceptibility variants for a particular disease or trait using 300,000 SNPs, a correction for the 300,000 tests performed (one for each SNP) can be performed. Since many SNPs on the arrays typically used are correlated (i.e., in LD), they are not independent. Thus, the correction is conservative. Nevertheless, applying this correction factor requires an observed P-value of less than 0.05/300,000 = 1.7 x 10 7 for the signal to be considered significant applying this conservative test on results from a single study cohort. Obviously, signals found in a genome- wide association study with P-values less than this conservative threshold are a measure of a true genetic effect, and replication in additional cohorts is not necessarily from a statistical point of view. Importantly, however, signals with P-values that are greater than this threshold may also be due to a true genetic effect. Thus, since the correction factor depends on the number of statistical tests performed, if one signal (one SNP) from an initial study is replicated in a second case-control cohort, the appropriate statistical test for significance is that for a single statistical test, i.e., P-value less than 0.05. Replication studies in one or even several additional case- control cohorts have the added advantage of providing assessment of the association signal in additional populations, thus simultaneously confirming the initial finding and providing an assessment of the overall significance of the genetic variant(s) being tested in human populations in general.
The results from several case-control cohorts can also be combined to provide an overall assessment of the underlying effect. The methodology commonly used to combine results from multiple genetic association studies is the Mantel-Haenszel model (Mantel and Haenszel, J Natl Cancer Inst 22: 719-48 (1959)). The model is designed to deal with the situation where association results from different populations, with each possibly having a different population frequency of the genetic variant, are combined. The model combines the results assuming that the effect of the variant on the risk of the disease, a measured by the OR or RR, is the same in all populations, while the frequency of the variant may differ between the poplations. Combining the results from several populations has the added advantage that the overall power to detect a real underlying association signal is increased, due to the increased statistical power provided by the combined cohorts. Furthermore, any deficiencies in individual studies, for example due to unequal matching of cases and controls or population stratification will tend to balance out when results from multiple cohorts are combined, again providing a better estimate of the true underlying genetic effect.
Risk assessment and Diagnostics
Within any given population, there is an absolute risk of developing a disease or trait, defined as the chance of a person developing the specific disease or trait over a specified time-period. For example, a woman's lifetime absolute risk of breast cancer is one in nine. That is to say, one woman in every nine will develop breast cancer at some point in their lives. Risk is typically measured by looking at very large numbers of people, rather than at a particular individual. Risk is often presented in terms of Absolute Risk (AR) and Relative Risk (RR). Relative Risk is used to compare risks associating with two variants or the risks of two different groups of people. For example, it can be used to compare a group of people with a certain genotype with another group having a different genotype. For a disease, a relative risk of 2 means that one group has twice the chance of developing a disease as the other group. The risk presented is usually the relative risk for a person, or a specific genotype of a person, compared to the population with matched gender and ethnicity. Risks of two individuals of the same gender and ethnicity could be compared in a simple manner. For example, if, compared to the population, the first individual has relative risk 1.5 and the second has relative risk 0.5, then the risk of the first individual compared to the second individual is 1.5/0.5 = 3.
Risk Calculations
The creation of a model to calculate the overall genetic risk involves two steps: i) conversion of odds-ratios for a single genetic variant into relative risk and ιi) combination of risk from multiple variants in different genetic loci into a single relative risk value.
Deriving risk from odds-ratios
Most gene discovery studies for complex diseases that have been published to date in authoritative journals have employed a case-control design because of their retrospective setup. These studies sample and genotype a selected set of cases (people who have the specified disease condition) and control individuals. The interest is in genetic variants (alleles) which frequency in cases and controls differ significantly.
The results are typically reported in odds-ratios, that is the ratio between the fraction (probability) with the risk variant (carriers) versus the non-risk variant (non-carriers) in the groups of affected versus the controls, i.e. expressed in terms of probabilities conditional on the affection status:
OR = (Pr(c|A)/Pr(nc|A)) / (Pr(c|C)/Pr(nc| Q)
Sometimes it is however the absolute risk for the disease that we are interested in, i.e. the fraction of those individuals carrying the risk variant who get the disease or in other words the probability of getting the disease. This number cannot be directly measured in case-control studies, in part, because the ratio of cases versus controls is typically not the same as that in the general population. However, under certain assumption, we can estimate the risk from the odds- ratio.
It is well known that under the rare disease assumption, the relative risk of a disease can be approximated by the odds-ratio. This assumption may however not hold for many common diseases. Still, it turns out that the risk of one genotype variant relative to another can be estimated from the odds-ratio expressed above. The calculation is particularly simple under the assumption of random population controls where the controls are random samples from the same population as the cases, including affected people rather than being strictly unaffected individuals. To increase sample size and power, many of the large genome-wide association and replication studies used controls that were neither age-matched with the cases, nor were they carefully scrutinized to ensure that they did not have the disease at the time of the study. Hence, while not exactly, they often approximate a random sample from the general population. It is noted that this assumption is rarely expected to be satisfied exactly, but the risk estimates are usually robust to moderate deviations from this assumption.
Calculations show that for the dominant and the recessive models, where we have a risk variant carrier, "c", and a non-carrier, "nc", the odds-ratio of individuals is the same as the risk-ratio between these variants:
OR = Pr(A|c)/Pr(A| nc) = r
And likewise for the multiplicative model, where the risk is the product of the risk associated with the two allele copies, the allelic odds-ratio equals the risk factor:
OR = Pr(A|aa)/Pr(A| ab) = Pr(A|ab)/Pr(A| bb) = r
Here "a" denotes the risk allele and "b" the non-risk allele. The factor "r" is therefore the relative risk between the allele types.
For many of the studies published in the last few years, reporting common variants associated with complex diseases, the multiplicative model has been found to summarize the effect adequately and most often provide a fit to the data superior to alternative models such as the dominant and recessive models.
The risk relative to the average population risk
It is most convenient to represent the risk of a genetic variant relative to the average population since it makes it easier to communicate the lifetime risk for developing the disease compared with the baseline population risk. For example, in the multiplicative model we can calculate the relative population risk for variant "aa" as:
RR(aa) = Pr(A|aa)/Pr(A) = (Pr(A| aa)/Pr(A| bb))/(Pr(A)/Pr(A| bb)) = r2/(Pr(aa) r2 + Pr(ab) r + Pr(bb)) = r2/(p2 r2 + 2pq r + q2) = r2/R
Here "p" and "q" are the allele frequencies of "a" and "b" respectively. Likewise, we get that RR(ab) = r/R and RR(bb) = 1/R. The allele frequency estimates may be obtained from the publications that report the odds-ratios and from the HapMap database. Note that in the case where we do not know the genotypes of an individual, the relative genetic risk for that test or marker is simply equal to one.
As an example, for determining Basal Cell Carcinoma risk, allele A of the disease associated marker rslll70164 in the KRT5 gene has an allelic OR of 1.35 and a frequency (p) around 0.07 in non-Hispanic white populations. The genotype relative risk compared to genotype GG are estimated based on the multiplicative model.
For AA it is 1.35x 1.35 = 1.82; for AG it is simply the OR 1.35, and for GG it is 1.0 by definition.
The frequency of allele G is q = l - p = l - 0.07 = 0.93. Population frequency of each of the three possible genotypes at this marker is:
Pr(AA) = p2 = 0.005, Pr(AG) = 2pq = 0.13, and Pr(G) = q2 = 0.86
The average population risk relative to genotype GG (which is defined to have a risk of one) is:
R = 0.005x 1.82 + 0.13x 1.35 + 0.86x 1 = 1.04
Therefore, the risk relative to the general population (RR) for individuals who have one of the following genotypes at this marker is:
RR(AA) = 1.82/1.04 = 1.75, RR(AG) = 1.35/1.04 = 1.30, RR(GG) = 1/1.04 = 0.96.
Combining the risk from multiple markers
When genotypes of many SNP variants are used to estimate the risk for an individual, unless otherwise stated, a multiplicative model for risk can be assumed. This means that the combined genetic risk relative to the population is calculated as the product of the corresponding estimates for individual markers, e.g. for two markers gl and g2:
RR(gl,g2) = RR(gl)RR(g2)
The underlying assumption is that the risk factors occur and behave independently, i.e. that the joint conditional probabilities can be represented as products:
Pr(A|gl,g2) = Pr(A|gl)Pr(A| g2)/Pr(A) and Pr(gl,g2) = Pr(gl)Pr(g2)
Obvious violations to this assumption are markers that are closely spaced on the genome, i.e. in linkage disequilibrium such that the concurrence of two or more risk alleles is correlated. In such cases, we can use so called haplotype modeling where the odds-ratios are defined for all allele combinations of the correlated SNPs.
As is in most situations where a statistical model is utilized, the model applied is not expected to be exactly true since it is not based on an underlying bio-physical model. However, the multiplicative model has so far been found to fit the data adequately, i.e. no significant deviations are detected for many common diseases for which many risk variants have been discovered.
As an example, let us consider an individual who has genotype-specific risk relative to the population of 1.03, 1.30, 0.88, 0.94 and 1.10 at 5 hypothetical markers along with the risk relative to the population at each marker. Combined, the overall risk relative to the population for this individual is: 1.03x 1.30x 0.88x 0.94x 1.10 = 1.22. Overall genotype risk for any number of markers with any particular values of the risk measure may be combined in a similar fashion, i.e. by multiplying the risk contributed by each marker.
Adjusted life-time risk
The lifetime risk of an individual is derived by multiplying the overall genetic risk relative to the population with the average life-time risk of the disease in the general population of the same ethnicity and gender and in the region of the individual's geographical origin. As there are usually several epidemiologic studies to choose from when defining the general population risk,
we will pick studies that are well-powered for the disease definition that has been used for the genetic variants.
For example, for a particular disease, if the overall genetic risk relative to the population is 1.3 for a white male, and if the average life-time risk of the disease for individuals of his demographic is 10%, then the adjusted lifetime risk for him is 10% x 1.3 = 13%.
Note that since the average RR for a population is one, this multiplication model provides the same average adjusted life-time risk of the disease. Furthermore, since the actual life-time risk cannot exceed 100%, there must be an upper limit to the genetic RR.
Risk assessment.
As described herein, certain polymorphic markers and haplotypes comprising such markers are found to be useful for risk assessment of certain skin cancer types, such as Basal Cell Carcinoma, Squamous Cell Carcinoma and Cutaneous Melanoma. Risk assessment can involve the use of the markers for determining a susceptibility to these skin cancer conditions. Particular alleles of polymorphic markers (e.g., SNPs) are found more frequently in individuals with the skin cancer, than in individuals without diagnosis of the skin cancer. Therefore, these marker alleles have predictive value for detecting the skin cancer, or a susceptibility to the skin cancer, in an individual. Tagging markers in linkage disequilibrium with at-risk variants (or protective variants) described herein can be used as surrogates for these markers (and/or haplotypes). Such surrogate markers can be located within a particular haplotype block or LD block (e.g., LD Block C12, LD Block C09, LD Block C07, LD Block C05). Such surrogate markers may also sometimes be located outside the physical boundaries of such a haplotype block or LD block, either in close vicinity of the LD block/haplotype block, but possibly also located in a more distant genomic location.
Long-distance LD can for example arise if particular genomic regions (e.g. , genes) are in a functional relationship. For example, if two genes encode proteins that play a role in a shared metabolic pathway, then particular variants in one gene may have a direct impact on observed variants for the other gene. Let us consider the case where a variant in one gene leads to increased expression of the gene product. To counteract this effect and for example preserve overall flux of the particular pathway, this variant may have led to selection of one (or more) variants at a second gene that confers decreased expression levels of that gene. These two genes may be located in different genomic locations, possibly on different chromosomes, but variants within the genes are in apparent LD, not because of their shared physical location within a region of high LD, but rather due to evolutionary forces. Such LD is also contemplated and within scope of the present invention. The skilled person will appreciate that many other
scenarios of functional gene-gene interaction are possible, and the particular example discussed here represents only one such possible scenario.
Markers with values of r2 equal to 1 are perfect surrogates for the at-risk variants, i.e. genotypes for one marker perfectly predicts genotypes for the other. Markers with smaller values of r2 than 1 can also be surrogates for the at-risk variant, or alternatively represent variants with relative risk values as high as or possibly even higher than the at-risk variant. The at-risk variant identified may not be the functional variant itself, but is in this instance in linkage disequilibrium with the true functional variant. The functional variant may for example be a tandem repeat, such as a minisatellite or a microsatellite, a transposable element (e.g., an AIu element), or a structural alteration, such as a deletion, insertion or inversion (sometimes also called copy number variations, or CNVs). The present invention encompasses the assessment of such surrogate markers for the markers as disclosed herein. Such markers are annotated, mapped and listed in public databases, as well known to the skilled person, or can alternatively be readily identified by sequencing the region or a part of the region identified by the markers of the present invention in a group of individuals, and identify polymorphisms in the resulting group of sequences. As a consequence, the person skilled in the art can readily and without undue experimentation identify and genotype surrogate markers in linkage disequilibrium with the markers and/or haplotypes as described herein. The tagging or surrogate markers in LD with the at-risk variants detected, also have predictive value for detecting association to the disease, or a susceptibility to the disease, in an individual. These tagging or surrogate markers that are in LD with the markers of the present invention can also include other markers that distinguish among haplotypes, as these similarly have predictive value for detecting susceptibility to the particular disease.
The present invention can in certain embodiments be practiced by assessing a sample comprising genomic DNA from an individual for the presence of variants described herein to be associated with Basal Cell Carcinoma, Squamous Cell Carcinoma and Cutaneous Melanoma. Such assessment typically steps that detect the presence or absence of at least one allele of at least one polymorphic marker, using methods well known to the skilled person and further described herein, and based on the outcome of such assessment, determine whether the individual from whom the sample is derived is at increased or decreased risk (increased or decreased susceptibility) of BCC, SCC and/or CM. Detecting particular alleles of polymorphic markers can in certain embodiments be done by obtaining nucleic acid sequence data about a particular human individual, that identifies at least one allele of at least one polymorphic marker. Different alleles of the at least one marker are associated with different susceptibility to the disease in humans. Obtaining nucleic acid sequence data can comprise nucleic acid sequence at a single nucleotide position, which is sufficient to identify alleles at SNPs. The nucleic acid sequence data can also comprise sequence at any other number of nucleotide positions, in particular for genetic markers that comprise multiple nuclotide positions, and can be anywhere
from two to hundreds of thousands, possibly even millions, of nucleotides (in particular, in the case of copy number variations (CNVs)).
In certain embodiments, the invention can be practiced utilizing a dataset comprising information about the genotype status of at least one polymorphic marker associated with a disease (or markers in linkage disequilibrium with at least one marker associated with the disease). In other words, a dataset containing information about such genetic status, for example in the form of genotype counts at a certain polymorphic marker, or a plurality of markers (e.g., an indication of the presence or absence of certain at-risk alleles), or actual genotypes for one or more markers, can be queried for the presence or absence of certain at-risk alleles at certain polymorphic markers shown by the present inventors to be associated with the disease. A positive result for a variant (e.g., marker allele) associated with the disease, is indicative of the individual from which the dataset is derived is at increased susceptibility (increased risk) of the disease.
In certain embodiments of the invention, a polymorphic marker is correlated to BCC, CM and/or SCC by referencing genotype data for the polymorphic marker to a look-up table that comprises correlations between at least one allele of the polymorphism and BCC, CM and/or SCC. In some embodiments, the table comprises a correlation for one polymorhpism. In other embodiments, the table comprises a correlation for a plurality of polymorhpisms. In both scenarios, by referencing to a look-up table that gives an indication of a correlation between a marker and the disease, a risk for the disease, or a susceptibility to the disease, can be identified in the individual from whom the sample is derived. In some embodiments, the correlation is reported as a statistical measure. The statistical measure may be reported as a risk measure, such as a relative risk (RR), an absolute risk (AR) or an odds ratio (OR).
The markers described herein may be useful for risk assessment and diagnostic purposes, either alone or in combination. Results of risk assessment based on the markers described herein can also be combined with data for other genetic markers or risk factors for BCC, SCC and/or CM, to establish overall risk. Thus, even in cases where the increase in risk by individual markers is relatively modest, e.g. on the order of 10-30%, the association may have significant implications. Thus, relatively common variants may have significant contribution to the overall risk (Population Attributable Risk is high), or combination of markers can be used to define groups of individual who, based on the combined risk of the markers, is at significant combined risk of developing the disease.
Thus, in certain embodiments of the invention, a plurality of variants (genetic markers, biomarkers and/or haplotypes) is used for overall risk assessment. These variants are in one embodiment selected from the variants as disclosed herein. Other embodiments include the use of the variants of the present invention in combination with other variants known to be useful for diagnosing a susceptibility to Basal Cell Carcinoma. In certain embodiments, such other variants
are selected from the group consisting of rs2736100 on chromosome 5pl5.3 (Rafnar, T., et a/. Nat Genet 41 :221-7 (2009); rs7538876 on chromosome Ip36 and rs801114 on chromosome Iq42 (Stacey, SN et al. Nat Genet 40: 1313-18 (2008)). Alternatively, any marker in linkage disequilibrium with any one of these markers may be used in such risk assessment. In such embodiments, the genotype status of a plurality of markers and/or haplotypes is determined in an individual, and the status of the individual compared with the population frequency of the associated variants, or the frequency of the variants in clinically healthy subjects, such as age- matched and sex-matched subjects. Methods known in the art, such as multivariate analyses or joint risk analyses or other methods known to the skilled person, may subsequently be used to determine the overall risk conferred based on the genotype status at the multiple loci.
Assessment of risk based on such analysis may subsequently be used in the methods, uses and kits of the invention, as described herein.
As described in the above, the haplotype block structure of the human genome has the effect that a large number of variants (markers and/or haplotypes) in linkage disequilibrium with the variant originally associated with a disease or trait may be used as surrogate markers for assessing association to the disease or trait. The number of such surrogate markers will depend on factors such as the historical recombination rate in the region, the mutational frequency in the region (i.e., the number of polymorphic sites or markers in the region), and the extent of LD (size of the LD block) in the region. These markers are usually located within the physical boundaries of the LD block or haplotype block in question as defined using the methods described herein, or by other methods known to the person skilled in the art. However, sometimes marker and haplotype association is found to extend beyond the physical boundaries of the haplotype block as defined, as discussed in the above. Such markers and/or haplotypes may in those cases be also used as surrogate markers and/or haplotypes for the markers and/or haplotypes physically residing within the haplotype block as defined. As a consequence, markers and haplotypes in LD (typically characterized by inter-marker r2 values of greater than 0.1, such as r2 greater than 0.2, including r2 greater than 0.3, also including markers correlated by values for r2 greater than 0.4 or greater) with the markers and haplotypes of the present invention are also within the scope of the invention, even if they are physically located beyond the boundaries of the haplotype block as defined. This includes markers that are described herein (e.g., the surrogate markers provided in Tables 14 - 18 and 23 - 24), but may also include other markers that are in strong LD {e.g., characterized by r2 greater than 0.1 or 0.2 and/or | D'| > 0.8) with one or more of the surrogate markers provided in Tables 14 - 18 and 23 - 24.
For the SNP markers described herein, the opposite allele to the allele found to be in excess in patients (at-risk allele) is found in decreased frequency in controls. These markers and haplotypes in LD and/or comprising such markers, are thus protective for the skin cancer, i.e. they confer a decreased risk or susceptibility of individuals carrying these markers and/or haplotypes developing the skin cancer.
Certain variants of the present invention, including certain haplotypes comprise, in some cases, a combination of various genetic markers, e.g., SNPs and microsatellites. Detecting haplotypes can be accomplished by methods known in the art and/or described herein for detecting sequences at polymorphic sites. Furthermore, correlation between certain haplotypes or sets of markers and disease phenotype can be verified using standard techniques. A representative example of a simple test for correlation would be a Fisher-exact test on a two by two table.
In specific embodiments, a marker allele or haplotype found to be associated with a skin cancer condition selected from the group consisting of Basal Cell Carcinoma, Squamous Cell Carcinoma and Cutaneous Melanoma is one in which the marker allele or haplotype is more frequently present in individuals at risk for the skin cancer condition or diagnosed with the skin cancer condιtion(affected), compared to the frequency of its presence in healthy individuals (control), or in randombly selected individual from the population. In other embodiments, at-risk markers in linkage disequilibrium with one or more skin cancer-associated markers described herein are tagging or surrogate markers that are more frequently present in individual at risk for, or diagnosed with, the skin cancer condition (affected), compared to the frequency of their presence in unaffected or healthy individuals (control) or in a randomly selected individual from the population, wherein the presence of certain at-risk alleles at the tagging or surrogate markers is indicative of increased susceptibility to the skin cancer.
Study population
In a general sense, the methods and kits of the invention can be utilized from samples containing nucleic acid material (DNA or RNA) from any source and from any individual, or from genotype data derived from such samples. In preferred embodiments, the individual is a human individual. The individual can be an adult, child, or fetus. The nucleic acid source may be any sample comprising nucleic acid material, including biological samples, or a sample comprising nucleic acid material derived therefrom. The present invention also provides for assessing markers and/or haplotypes in individuals who are members of a target population. Such a target population is in one embodiment a population or group of individuals at risk of developing Basal Cell Carcinoma, based for example on other genetic factors for Basal Cell Carcinoma, environmental factors {e.g., exposure to sunlight), or general health and/or lifestyle parameters (e.g. , history of Basal Cell Carcinoma or related diseases, previous diagnosis of Basal Cell Carcinoma, family history of Basal Cell Carcinoma).
The invention provides for embodiments that include individuals from specific age subgroups, such as those over the age of 40, over age of 45, or over age of 50, 55, 60, 65, 70, 75, 80, or 85. Other embodiments of the invention pertain to other age groups, such as individuals aged
less than 85, such as less than age 80, less than age 75, or less than age 70, 65, 60, 55, 50, 45, 40, 35, or age 30. Other embodiments relate to individuals with age at onset of Basal Cell Carcinomain any of the age ranges described in the above. It is also contemplated that a range of ages may be relevant in certain embodiments, such as age at onset at more than age 45 but less than age 60. Other age ranges are however also contemplated, including all age ranges bracketed by the age values listed in the above. The invention furthermore relates to individuals of either gender, males or females.
The Icelandic population is a Caucasian population of Northern European ancestry. A large number of studies reporting results of genetic linkage and association in the Icelandic population have been published in the last few years. Many of those studies show replication of variants, originally identified in the Icelandic population as being associating with a particular disease, in other populations (Styrkarsdottir, U., et al. N Engl J Med 358:2355-65 (2008); Thorgeirsson, T., et al. Nature 452:638-42 (2008); Gudmundsson, J., et al. Nat Genet. 40:281-3 (2008); Stacey, S. N., et al., Nat Genet. 39:865-69 (2007); Helgadottir, A., et al., Science 316: 1491-93 (2007); Steinthorsdottir, V., et al., Nat Genet. 39:770-75 (2007); Gudmundsson, J., et al., Nat Genet. 39:631-37 (2007); Frayling, TM, Nature Reviews Genet 8:657-662 (2007); Amundadottir, L.T., et al., Nat Genet. 38: 652-58 (2006); Grant, S. F., et al., Nat Genet. 38:320-23 (2006)). Thus, genetic findings in the Icelandic population have in general been replicated in other populations, including populations from Africa and Asia.
It is thus believed that the markers of the present invention described herein to be associated with risk of Basal Cell Carcinoma will show similar association with the disease in other human populations. Particular embodiments comprising individual human populations are thus also contemplated and within the scope of the invention. Such embodiments relate to human subjects that are from one or more human population including, but not limited to, Caucasian populations, European populations, American populations, Eurasian populations, Asian populations, Central/South Asian populations, East Asian populations, Middle Eastern populations, African populations, Hispanic populations, and Oceanian populations. European populations include, but are not limited to, Swedish, Norwegian, Finnish, Russian, Danish, Icelandic, Irish, Kelt, English, Scottish, Dutch, Belgian, French, German, Spanish, Portuguese, Italian, Polish, Bulgarian, Slavic, Serbian, Bosnian, Czech, Greek and Turkish populations. The invention furthermore in other embodiments can be practiced in specific human populations that include Bantu, Mandenk, Yoruba, San, Mbuti Pygmy, Orcadian, Adygei, Russian, Sardinian, Tuscan, Mozabite, Bedouin, Druze, Palestinian, Balochi, Brahui, Makrani, Sindhi, Pathan, Burusho, Hazara, Uygur, Kalash, Han, Dai, Daur, Hezhen, Lahu, Miao, Oroqen, She, Tujia, Tu, Xibo, Yi, Mongolan, Naxi, Cambodian, Japanese, Yakut, Melanesian, Papuan, Kaπtianan, Surui, Colmbian, Maya and Pima. In certain embodiments, the invention relates to Caucasian populations. In certain other embodiments, the invention relates to the Icelandic population.
The racial contribution in individual subjects may be self-reported or it may be determined by genetic analysis. Genetic analysis of ancestry may be carried out using unlinked microsatellite markers such as those set out in Smith et al. {Am J Hum Genet 74, 1001-13 (2004)).
In certain embodiments, the invention relates to markers and/or haplotypes identified in specific populations, as described in the above. The person skilled in the art will appreciate that measures of linkage disequilibrium (LD) may give different results when applied to different populations. This is due to different population history of different human populations as well as differential selective pressures that may have led to differences in LD in specific genomic regions. It is also well known to the person skilled in the art that certain markers, e.g. SNP markers, have different population frequency in different populations, or are polymorphic in one population but not in another. The person skilled in the art will however apply the methods available and as thought herein to practice the present invention in any given human population. This may include assessment of polymorphic markers in the LD region of the present invention, so as to identify those markers that give strongest association within the specific population. Thus, the at-risk variants of the present invention may reside on different haplotype background and in different frequencies in various human populations. However, utilizing methods known in the art and the markers of the present invention, the invention can be practiced in any given human population.
Utility of Genetic Testing
The person skilled in the art will appreciate and understand that the variants described herein in general do not, by themselves, provide an absolute identification of individuals who will develop skin cancer such as Basal Cell Carcinoma, Squamous Cell Carcinoma and Cutaneous Melanoma. The variants described herein do however indicate increased and/or decreased likelihood that individuals carrying the at-risk or protective variants of the invention will develop one of these skin cancers. In other words, the variants can be used to predict which individuals are more likely than others to develop skin cancer. The present inventors have discovered that certain variants confer increase risk of developing skin cancer, as supported by the statistically significant results presented in the Exemplification herein. This information is however extremely valuable in itself, as outlined in more detail in the below, as it can be used to, for example, initiate preventive measures at an early stage, perform regular physical exams to monitor the progress and/or appearance of symptoms, or to schedule exams at a regular interval to identify early symptoms, so as to be able to apply treatment at an early stage.
A positive family history is a risk factor for Basal Cell Carcinoma [Hemminki, et al., (2003), Arch Dermatol, 139, 885-9; Vitasa, et al., (1990), Cancer, 65, 2811-7] suggesting an inherited component to the risk of BCC. Several rare genetic conditions have been associated with
increased risks of BCC, including Nevoid Basal Cell Syndrome (Gorlin's Syndrome), Xeroderma Pigmentosum (XP), and Bazex's Syndrome. XP is underpinned by mutations in a variety of XP complementation group genes. Gorlin's Syndrome results from mutations in the PTCHl gene. In addition, variants in the CYP2D6 and GSTTl genes have been associated with BCC [Wong, et al., (2003), Bmj, 327, 794-8].
Fair pigmentation traits are known risk factors for BCC and are thought act, at least in part, through a reduced protection from UV irradiation. Thus, genes underlying these fair pigmentation traits have been associated with risk. MClR, ASIP, and TYR have been shown to confer risk for BCC (Gudbjartsson et.al., Nature Genetics, 40:886-91 (2008)) [Bastiaens, et al., (2001), Am J Hum Genet, 68, 884-94; Han, et al., (2006), Int J Epidemiol, 35, 1514-21].
However, pigmentation characteristics do not completely account for the effects of MClR, ASIP and TYR variants. This may be because self-reported pigmentation traits do not adequately reflect those aspects of pigmentation status that relate best to skin cancer risk. It amy also indicate that MClR, ASIP and TYR have risk-associated functions that are not directly related to easily observable pigmentation traits (Gudbjartsson et.al., Nature Genetics, 40:886-91
(2008)) [Rees, (2006), J Invest Dermatol, 126, 1691-2]. This indicates that genetic testing for pigmentation trait associated variants may have increased utility in BCC screening over and above what can be obtained from observing patients' pigmentation phenotypes.
Diagnostic and screening methods
In certain embodiments, the present invention pertains to methods of diagnosing, or aiding in the diagnosis of, Basal Cell Carcinoma or a susceptibility to Basal Cell Carcinoma, by detecting particular alleles at genetic markers that appear more frequently in subjects with Basal Cell Carcinoma or subjects who are susceptible to Basal Cell Carcinoma. In particular embodiments, the invention is a method of determining a susceptibility to Basal Cell Carcinoma by detecting at least one allele of at least one polymorphic marker (e.g., the markers described herein). In other embodiments, the invention relates to a method of determining a susceptibility to Basal Cell Carcinoma by detecting at least one allele of at least one polymorphic marker. The present invention describes methods whereby detection of particular alleles of particular markers or haplotypes is indicative of a susceptibility to Basal Cell Carcinoma. Such prognostic or predictive assays can also be used to determine prophylactic treatment of a subject prior to the onset of symptoms of Basal Cell Carcinoma.
The present invention pertains in some embodiments to methods of clinical applications of diagnosis, e.g., diagnosis of Basal Cell Carcinoma or susceptibility to Basal Cell Carcinoma performed by a medical professional. In other embodiments, the invention pertains to methods
of diagnosis or methods of determination of a susceptibility performed by a layman. The layman can be the customer of a genotyping service. The layman may also be a genotype service provider, who performs genotype analysis on a DNA sample from an individual, or a genotype dataset from an individual (e.g., dataset comprising sequence information about at least one polymorphic marker) in order to provide direct customer service related to genetic risk factors for particular traits or diseases, based on the genotype status of the individual (Ae., the customer). Recent technological advances in genotyping technologies, including high-throughput genotyping of SNP markers, such as Molecular Inversion Probe array technology {e.g., Affymetrix GeneChip), and BeadArray Technologies (e.g., Illumina GoldenGate and Infinium assays) have made it possible for individuals to have their own genome assessed for up to one million SNPs simultaneously, at relatively little cost. The resulting genotype information, which can be made available to the individual, can be compared to information about disease or trait risk associated with various SNPs, including information from public literature and scientific publications. The diagnostic application of disease-associated alleles as described herein, can thus for example be performed by the individual, through analysis of his/her genotype data, by a health professional based on results of a clinical test, or by a third party, including the genotype service provider. The third party may also be service provider who interprets genotype information from the customer to provide service related to specific genetic risk factors, including the genetic markers described herein. In other words, the diagnosis or determination of a susceptibility of genetic risk can be made by health professionals, genetic counselors, third parties providing genotyping service, third parties providing risk assessment service or by the layman {e.g. , the individual), based on information about the genotype status of an individual and knowledge about the risk conferred by particular genetic risk factors (e.g., particular SNPs). In the present context, the term "diagnosing", "diagnose a susceptibility" and "determine a susceptibility" is meant to refer to any available diagnostic method, including those mentioned above.
In certain embodiments, a sample containing genomic DNA from an individual is collected. Such sample can for example be a buccal swab, a saliva sample, a blood sample, or other suitable samples containing genomic DNA, as described further herein. The genomic DNA is then analyzed using any common technique available to the skilled person, such as high-throughput array technologies, to obtain sequence data about at least one polymorphic marker (e.g., genotype data). Results from such genotyping are stored in a convenient data storage unit, such as a data carrier, including computer databases, data storage disks, or by other convenient data storage means. In certain embodiments, the computer database is an object database, a relational database or a post-relational database. The genotype data is subsequently analyzed for the presence of certain variants known to be susceptibility variants for a particular human conditions, such as the genetic variants described herein. Genotype data can be retrieved from the data storage unit using any convenient data query method. Calculating risk conferred by a particular genotype for the individual can be based on comparing the genotype of the individual to previously determined risk (expressed as a relative risk (RR) or and odds ratio (OR) or
absolute risk (AR), for example) for the genotype, for example for an heterozygous or homozygous carrier of an at-risk variant. The calculated risk for the individual can be the relative risk for a person, or for a specific genotype of a person, compared to the average population with matched gender and ethnicity. The average population risk can be expressed as a weighted average of the risks of different genotypes, using results from a reference population, and the appropriate calculations to calculate the risk of a genotype group relative to the population can then be performed. Alternatively, the risk for an individual is based on a comparison of particular genotypes, for example heterozygous carriers of an at-risk allele of a marker compared with non-carriers of the at-risk allele. Using the population average may in certain embodiments be more convenient, since it provides a measure which is easy to interpret for the user, i.e. a measure that gives the risk for the individual, based on his/her genotype, compared with the average in the population. The calculated risk estimated can be made available to the customer via a website, preferably a secure website.
In certain embodiments, a service provider will include in the provided service all of the steps of isolating genomic DNA from a sample provided by the customer, performing genotyping of the isolated DNA, calculating genetic risk based on the genotype data, and report the risk to the customer. In some other embodiments, the service provider will include in the service the interpretation of genotype data for the individual, i.e. , risk estimates for particular genetic variants based on the genotype data for the individual. In some other embodiments, the service provider may include service that includes genotyping service and interpretation of the genotype data, starting from a sample of isolated DNA from the individual (the customer).
Overall risk for multiple risk variants can be performed using standard methodology. For example, assuming a multiplicative model, i.e. assuming that the risk of individual risk variants multiply to establish the overall effect, allows for a straight-forward calculation of the overall risk for multiple markers.
In addition, in certain other embodiments, the present invention pertains to methods of determining a decreased susceptibility to Basal Cell Carcinoma, by detecting particular genetic marker alleles or haplotypes that appear less frequently in patients than in individual not diagnosed with Basal Cell Carcinoma or in the general population.
Diagnostic methods
As described and exemplified herein, particular marker alleles or haplotypes are associated with skin cancer, including Basal Cell Carcinoma (BCC), Squamous Cell Carcinoma (SCC) and Cutaneous Melanoma (CM). In one embodiment, the marker allele or haplotype is one that confers a significant risk or susceptibility to the skin cancer. In another embodiment, the
invention relates to a method of determining a susceptibility to BCC, SCC and/or CM in a human individual, the method comprising determining the presence or absence of at least one allele of at least one polymorphic marker in a nucleic acid sample obtained from the individual. In another embodiment, the invention pertains to methods of determining a susceptibility to BCC, SCC and/or CM in a human individual, by screening for at least one marker allele or haplotype. In another embodiment, the marker allele or haplotype is more frequently present in a subject having, or who is susceptible to, BCC, SCC and/or CM (affected), as compared to the frequency of its presence in a healthy subject (control, such as population controls). In certain embodiments, the significance of association of the at least one marker allele or haplotype is characterized by a p value < 0.05. In other embodiments, the significance of association is characterized by smaller p-values, such as < 0.01, <0.001, <0.0001, <0.00001, <0.000001, <0.0000001, <0.00000001 or <0.000000001.
In these embodiments, the determination of the presence of the at least one marker allele or haplotype is indicative of a susceptibility to BCC, SCC and/or CM. These diagnostic methods involve determining whether particular alleles or haplotypes that are associated with risk of BCC, SCC and/or CM are present in particular individuals. Haplotypes described herein include combinations of alleles at various genetic markers (e.g. , SNPs, microsatellites or other genetic variants). The detection of particular genetic marker alleles can be performed by a variety of methods described herein and/or known in the art. For example, genetic markers can be detected at the nucleic acid level (e.g., by direct nucleotide sequencing, or by other genotyping means known to the skilled in the art) or at the amino acid level if the genetic marker affects the coding sequence of a protein (e.g., by protein sequencing or by immunoassays using antibodies that recognize such a protein). The marker alleles or haplotypes of the present invention correspond to fragments of a genomic segments (e.g., genes) associated with BCC, SCC and/or CM. Such fragments encompass the DNA sequence of the polymorphic marker or haplotype in question, but may also include DNA segments in strong LD (linkage disequilibrium) with the marker or haplotype. In one embodiment, such segments comprises segments in LD with the marker or haplotype, e.g. as determined by a value of r2 greater than 0.2 and/or | D'| > 0.8).
In one embodiment, determination of a susceptibility to BCC, SCC and/or CM is accomplished using hybridization methods, (see Current Protocols in Molecular Biology, Ausubel, F. et al., eds., John Wiley & Sons, including all supplements). The presence of a specific marker allele can be indicated by sequence-specific hybridization of a nucleic acid probe specific for the particular allele. The presence of more than one specific marker allele or a specific haplotype can be indicated by using several sequence-specific nucleic acid probes, each being specific for a particular allele. A sequence-specific probe can be directed to hybridize to genomic DNA, RNA, or cDNA. A "nucleic acid probe", as used herein, can be a DNA probe or an RNA probe that hybridizes to a complementary sequence. One of skill in the art would know how to design such a probe so that sequence specific hybridization will occur only if a particular allele is present in a
genomic sequence from a test sample. The invention can also be reduced to practice using any convenient genotyping method, including commercially available technologies and methods for genotyping particular polymorphic markers.
To determine a susceptibility to a diseaes, a hybridization sample can be formed by contacting the test sample containing a disease -associated nucleic acid, such as a genomic DNA sample, with at least one nucleic acid probe. A non-limiting example of a probe for detecting mRNA or genomic DNA is a labeled nucleic acid probe that is capable of hybridizing to mRNA or genomic DNA sequences described herein. The nucleic acid probe can be, for example, a full-length nucleic acid molecule, or a portion thereof, such as an oligonucleotide of at least 15, 30, 50, 100, 250 or 400 nucleotides in length that is sufficient to specifically hybridize under stringent conditions to appropriate mRNA or genomic DNA. For example, the nucleic acid probe can comprise all or a portion of the nucleotide sequence of LD Block C12, LD Block C09, LD Block C07 and/or LD Block C05, as described herein, optionally comprising at least one allele of a marker described herein, or at least one haplotype described herein, or the probe can be the complementary sequence of such a sequence. In a particular embodiment, the nucleic acid probe is a portion of the nucleotide sequence of LD Block C12, LD Block C09, LD Block C07 and/or LD Block C05, as described herein, optionally comprising at least one allele of a marker described herein, or at least one allele of one polymorphic marker or haplotype comprising at least one polymorphic marker described herein, or the probe can be the complementary sequence of such a sequence. Other suitable probes for use in the diagnostic assays of the invention are described herein. Hybridization can be performed by methods well known to the person skilled in the art (see, e.g., Current Protocols in Molecular Biology, Ausubel, F. βt al., eds., John Wiley & Sons, including all supplements). In one embodiment, hybridization refers to specific hybridization, i.e., hybridization with no mismatches (exact hybridization). In one embodiment, the hybridization conditions for specific hybridization are high stringency.
Specific hybridization, if present, is detected using standard methods. If specific hybridization occurs between the nucleic acid probe and the nucleic acid in the test sample, then the sample contains the allele that is complementary to the nucleotide that is present in the nucleic acid probe. The process can be repeated for any markers of the present invention, or markers that make up a haplotype of the present invention, or multiple probes can be used concurrently to detect more than one marker alleles at a time.
In one preferred embodiment, a method utilizing a detection oligonucleotide probe comprising a fluorescent moiety or group at its 3' terminus and a quencher at its 5' terminus, and an enhancer oligonucleotide, is employed, as described by Kutyavin et al. (Nucleic Acid Res. 34:el28 (2006)). The fluorescent moiety can be Gig Harbor Green or Yakima Yellow, or other suitable fluorescent moieties. The detection probe is designed to hybridize to a short nucleotide sequence that includes the SNP polymorphism to be detected. Preferably, the SNP is anywhere from the
terminal residue to -6 residues from the 3' end of the detection probe. The enhancer is a short oligonucleotide probe which hybridizes to the DNA template 3' relative to the detection probe. The probes are designed such that a single nucleotide gap exists between the detection probe and the enhancer nucleotide probe when both are bound to the template. The gap creates a synthetic abasic site that is recognized by an endonuclease, such as Endonuclease IV. The enzyme cleaves the dye off the fully complementary detection probe, but cannot cleave a detection probe containing a mismatch. Thus, by measuring the fluorescence of the released fluorescent moiety, assessment of the presence of a particular allele defined by nucleotide sequence of the detection probe can be performed.
The detection probe can be of any suitable size, although preferably the probe is relatively short. In one embodiment, the probe is from 5-100 nucleotides in length. In another embodiment, the probe is from 10-50 nucleotides in length, and in another embodiment, the probe is from 12-30 nucleotides in length. Other lengths of the probe are possible and within scope of the skill of the average person skilled in the art.
In a preferred embodiment, the DNA template containing the SNP polymorphism is amplified by Polymerase Chain Reaction (PCR) prior to detection. In such an embodiment, the amplified DNA serves as the template for the detection probe and the enhancer probe.
Certain embodiments of the detection probe, the enhancer probe, and/or the primers used for amplification of the template by PCR include the use of modified bases, including modified A and modified G. The use of modified bases can be useful for adjusting the melting temperature of the nucleotide molecule (probe and/or primer) to the template DNA, for example for increasing the melting temperature in regions containing a low percentage of G or C bases, in which modified A with the capability of forming three hydrogen bonds to its complementary T can be used, or for decreasing the melting temperature in regions containing a high percentage of G or C bases, for example by using modified G bases that form only two hydrogen bonds to their complementary C base in a double stranded DNA molecule. In a preferred embodiment, modified bases are used in the design of the detection nucleotide probe. Any modified base known to the skilled person can be selected in these methods, and the selection of suitable bases is well within the scope of the skilled person based on the teachings herein and known bases available from commercial sources as known to the skilled person.
Alternatively, a peptide nucleic acid (PNA) probe can be used in addition to, or instead of, a nucleic acid probe in the hybridization methods described herein. A PNA is a DNA mimic having a peptide-like, inorganic backbone, such as N-(2-amιnoethyl)glycine units, with an organic base (A, G, C, T or U) attached to the glycine nitrogen via a methylene carbonyl linker (see, for example, Nielsen, P., et al., Bioconjug. Chem. 5: 3-7 (1994)). The PNA probe can be designed to
specifically hybridize to a molecule in a sample suspected of containing one or more particular marker alleles or haplotypes.
In one embodiment of the invention, a test sample containing genomic DNA obtained from the subject is collected and the polymerase chain reaction (PCR) is used to amplify a fragment comprising one ore more polymrphic marker or haplotype. As described herein, identification of a particular marker allele or haplotype can be accomplished using a variety of methods {e.g., sequence analysis, analysis by restriction digestion, specific hybridization, single stranded conformation polymorphism assays (SSCP), electrophoretic analysis, etc.). In another embodiment, expression analysis, for example quantitative PCR (kinetic thermal cycling) is used to determine susceptibility. This technique can, for example, utilize commercially available technologies, such as TaqMan® (Applied Biosystems, Foster City, CA) . The technique can assess the presence of an alteration in the expression or composition of a polypeptide or splicing variant(s). Further, the expression of the variant(s) can be quantified as physically or functionally different.
In another embodiment of the methods of the invention, analysis by restriction digestion can be used to detect a particular allele if the allele results in the creation or elimination of a restriction site relative to a reference sequence. Restriction fragment length polymorphism (RFLP) analysis can be conducted, e.g., as described in Current Protocols in Molecular Biology, supra. The digestion pattern of the relevant DNA fragment indicates the presence or absence of the particular allele in the sample.
Sequence analysis can also be used to detect specific alleles or haplotypes. Therefore, in one embodiment, determination of the presence or absence of a particular marker alleles or haplotypes comprises sequence analysis of a test sample of DNA or RNA obtained from a subject or individual. PCR or other appropriate methods can be used to amplify a portion of a nucleic acid that contains a polymorphic marker or haplotype, and the presence of specific alleles can then be detected directly by sequencing the polymorphic site (or multiple polymorphic sites in a haplotype) of the genomic DNA in the sample.
In another embodiment, arrays of oligonucleotide probes that are complementary to target nucleic acid sequence segments from a subject, can be used to identify particular alleles at polymorphic sites. For example, an oligonucleotide array can be used. Oligonucleotide arrays typically comprise a plurality of different oligonucleotide probes that are coupled to a surface of a substrate in different known locations. These arrays can generally be produced using mechanical synthesis methods or light directed synthesis methods that incorporate a combination of photolithographic methods and solid phase oligonucleotide synthesis methods, or by other methods known to the person skilled in the art (see, e.g., Bier, F. F., et al. Adv Biochem Eng
Biotechnol 109:433-53 (2008); Hoheisel, J. D., Nat Rev Genet 7:200-10 (2006); Fan, J. B., et al.
Methods Enzymol 410: 57-73 (2006); Raqoussis, J. & Elvidge, G., Expert Rev MoI Diagn 6: 145-52 (2006); Mockler, T. C, et al Genomics 85: 1-15 (2005), and references cited therein, the entire teachings of each of which are incorporated by reference herein). Many additional descriptions of the preparation and use of oligonucleotide arrays for detection of polymorphisms can be found, for example, in US 6,858,394, US 6,429,027, US 5,445,934, US 5,700,637, US
5,744,305, US 5,945,334, US 6,054,270, US 6,300,063, US 6,733,977, US 7,364,858, EP 619 321, and EP 373 203, the entire teachings of which are incorporated by reference herein.
Other methods of nucleic acid analysis that are available to those skilled in the art can be used to detect a particular allele at a polymorphic site. Representative methods include, for example, direct manual sequencing (Church and Gilbert, Proc. Natl. Acad. Sci. USA, 81 : 1991-1995
(1988); Sanger, F., et al. , Proc. Natl. Acad. Sa. USA, 74: 5463-5467 (1977); Beavis, et al., U.S. Patent No. 5,288,644); automated fluorescent sequencing; single-stranded conformation polymorphism assays (SSCP); clamped denaturing gel electrophoresis (CDGE); denaturing gradient gel electrophoresis (DGGE) (Sheffield, V., et al. , Proc. Natl. Acad. ScI. USA, 86:232-236 (1989)), mobility shift analysis (Orita, M., et al., Proc. Natl. Acad. Sci. USA, 86:2766-2770
(1989)), restriction enzyme analysis (Flavell, R., et al. , Cell, 15: 25-41 (1978); Geever, R., et al., Proc. Natl. Acad. Sci. USA, 78: 5081-5085 (1981)); heteroduplex analysis; chemical mismatch cleavage (CMC) (Cotton, R., et al., Proc. Natl. Acad. Sci. USA, 85:4397-4401 (1985)); RNase protection assays (Myers, R., et al., Science, 230: 1242-1246 (1985); use of polypeptides that recognize nucleotide mismatches, such as E. coli mutS protein; and allele-specific PCR.
In another embodiment of the invention, determination of disease susceptibility can be made by examining expression and/or composition of a polypeptide encoded by a particular nucleic acid in those instances where the genetic marker(s) or haplotype(s) of the present invention result in a change in the composition or expression of the polypeptide. Thus, determination of a susceptibility can be made by examining expression and/or composition of such a polypeptide in those instances where the genetic marker or haplotype of the present invention results in a change in the composition or expression of the polypeptide. Possible mechanisms affecting these genes include, e.g., effects on transcription, effects on RNA splicing, alterations in relative amounts of alternative splice forms of mRNA, effects on RNA stability, effects on transport from the nucleus to cytoplasm, and effects on the efficiency and accuracy of translation.
Thus, in another embodiment, the variants (markers or haplotypes) presented herein affect the expression of a gene selected from the group consisting of KRT5, CDKN2A, KLF14, and SLC45A2. It is well known that regulatory element affecting gene expression may be located far away, even as far as tenths or hundreds of kilobases away, from the promoter region of a gene. By assaying for the presence or absence of at least one allele of at least one polymorphic marker of the present invention, it is thus possible to assess the expression level of such nearby genes. It
is thus contemplated that the detection of the markers or haplotypes of the present invention can be used for assessing expression for one or more of these genes.
A variety of methods can be used for detecting protein expression levels, including enzyme linked immunosorbent assays (ELISA), Western blots, immunoprecipitations and immunofluorescence. A test sample from a subject is assessed for the presence of an alteration in the expression and/or an alteration in composition of the polypeptide encoded by a particular nucleic acid. An alteration in expression of a polypeptide encoded by the nucleic acid can be, for example, an alteration in the quantitative polypeptide expression (i.e., the amount of polypeptide produced). An alteration in the composition of a polypeptide encoded by the nucleic acid is an alteration in the qualitative polypeptide expression (e.g., expression of a mutant polypeptide or of a different splicing variant). In one embodiment, diagnosis of a susceptibility is made by detecting a particular splicing variant, or a particular pattern of splicing variants.
Both such alterations (quantitative and qualitative) can also be present. An "alteration" in the polypeptide expression or composition, as used herein, refers to an alteration in expression or composition in a test sample, as compared to the expression or composition of the polypeptide in a control sample. A control sample is a sample that corresponds to the test sample (e.g. , is from the same type of cells), and is from a subject who is not affected by, and/or who does not have a susceptibility to, a particular disease (e.g., BCC, SCC and/or CM). In one embodiment, the control sample is from a subject who does not possess a marker allele or haplotype associated with BCC, SCC and/or CM, as described herein. The presence of one or more different splicing variants in the test sample, or the presence of significantly different amounts of different splicing variants in the test sample, as compared with the control sample, can also be indicative of a susceptibility to BCC, SCC and/or CM. An alteration in the expression or composition of the polypeptide in the test sample, as compared with the control sample, can be indicative of a specific allele in the instance where the allele alters a splice site relative to the reference in the control sample. Various means of examining expression or composition of a polypeptide encoded by a nucleic acid are known to the person skilled in the art and can be used, including spectroscopy, colorimetry, electrophoresis, isoelectric focusing, and immunoassays (e.g., David et al., U.S. Pat. No. 4,376,110) such as immunoblotting (see, e.g. , Current Protocols in Molecular Biology, particularly chapter 10, supra).
For example, in one embodiment, an antibody (e.g., an antibody with a detectable label) can be used. Antibodies can be polyclonal or monoclonal. An intact antibody, or a fragment thereof (e.g. , Fv, Fab, Fab', F(ab')2) can be used. In one embodiment of this method, the level or amount of a polypeptide in a test sample is compared with the level or amount of the polypeptide in a control sample. A level or amount of the polypeptide in the test sample that is higher or lower than the level or amount of the polypeptide in the control sample, such that the difference is statistically significant, is indicative of an alteration in the expression of the
polypeptide encoded by the nucleic acid, and is diagnostic for a particular allele or haplotype responsible for causing the difference in expression. Alternatively, the composition of the polypeptide in a test sample is compared with the composition of the polypeptide in a control sample. In another embodiment, both the level or amount and the composition of the polypeptide can be assessed in the test sample and in the control sample.
In another embodiment, determination of a susceptibility to Basal Cell Carcinoma is made by detecting at least one marker or haplotype of the present invention, in combination with an additional protein-based, RNA-based or DNA-based assay.
Kits
Kits useful in the methods of the invention comprise components useful in any of the methods described herein, including for example, primers for nucleic acid amplification, hybridization probes, restriction enzymes (e.g., for RFLP analysis), allele-specific oligonucleotides, antibodies that bind to an altered polypeptide encoded by a nucleic acid of the invention as described herein (e.g. , a genomic segment comprising at least one polymorphic marker and/or haplotype of the present invention) or to a non-altered (native) polypeptide encoded by a nucleic acid of the invention as described herein, means for amplification of a nucleic acid associated with Basal Cell Carcinoma, means for analyzing the nucleic acid sequence of a nucleic acid associated with BCC, SCC and/or CM, means for analyzing the amino acid sequence of a polypeptide encoded by a nucleic acid associated with BCC, SCC and/or CM, etc. The kits can for example include necessary buffers, nucleic acid primers for amplifying nucleic acids of the invention (e.g., a nucleic acid segment comprising one or more of the polymorphic markers as described herein), and reagents for allele-specific detection of the fragments amplified using such primers and necessary enzymes (e.g., dna polymerase). Additionally, kits can provide reagents for assays to be used in combination with the methods of the present invention, e.g. , reagents for use with other diagnostic assays.
In one embodiment, the invention pertains to a kit for assaying a sample from a subject to detect a susceptibility to BCC, SCC and/or CM in a subject, wherein the kit comprises reagents necessary for selectively detecting at least one allele of at least one polymorphism of the present invention in the genome of the individual. In a particular embodiment, the reagents comprise at least one contiguous oligonucleotide that hybridizes to a fragment of the genome of the individual comprising at least one polymorphism of the present invention. In another embodiment, the reagents comprise at least one pair of oligonucleotides that hybridize to opposite strands of a genomic segment obtained from a subject, wherein each oligonucleotide primer pair is designed to selectively amplify a fragment of the genome of the individual that includes at least one polymorphism associated with risk of Basal Cell Carcinoma. In one such
embodiment, the polymorphism is selected from the group consisting of rslll70164, rs641615, rs2151280, rsl57935 and rsl6891982, and polymorphic markers in linkage disequilibrium therewith. In another embodiment, the polymorphism is selected from the group consisting of In yet another embodiment the fragment is at least 20 base pairs in size. Such oligonucleotides or nucleic acids (e.g., oligonucleotide primers) can be designed using portions of the nucleic acid sequence flanking polymorphisms (e.g., SNPs or microsatellites) that are associated with risk of Basal Cell Carcinoma. In another embodiment, the kit comprises one or more labeled nucleic acids capable of allele-specific detection of one or more specific polymorphic markers or haplotypes, and reagents for detection of the label. Suitable labels include, e.g. , a radioisotope, a fluorescent label, an enzyme label, an enzyme co-factor label, a magnetic label, a spin label, an epitope label.
In particular embodiments, the polymorphic marker or haplotype to be detected by the reagents of the kit comprises one or more markers, two or more markers, three or more markers, four or more markers or five or more markers selected from the markers described herein to be associated with susceptibility to SCC, CM and BCC. In one embodiment, the markers are selected from the group consisting of the markers set forth in any one of the Tables 13-17 herein. In another embodiment, the marker or haplotype to be detected comprises one or more markers, two or more markers, three or more markers, four or more markers or five or more markers selected from the group consisting of rsll586100, rslll70164, rs641615, rs2151280, rsl57935 and rsl6891982, and markers in linkage disequilibrium therewith. In another embodiment, the marker or haplotype to be detected is selected from the group consisting of rslll70164, rs641615, rs2151280, rsl57935 and rsl6891982 . In certain embodiments, the kit comprises reagents for detecting no more than 100 polymorphic markers. In certain other embodiments, the kit comprises reagents for detecting no more than 20 polymorphic markers.
Determination of the presence of a particular marker allele or haplotype is indicative of a susceptibility (increased susceptibility or decreased susceptibility) to a skin cancer selected from SCC, BCC and CM. In another embodiment, determination of the presence of the marker or haplotype is indicative of response to a therapeutic agent for SCC, BCC and/or CM. In another embodiment, the presence of the marker or haplotype is indicative of prognosis of SCC, BCC and/or CM. In yet another embodiment, the presence of the marker or haplotype is indicative of progress of treatment of SCC, BCC and/or CM. Such treatment may include intervention by surgery, medication or by other means (e.g. , lifestyle changes).
In a further aspect of the present invention, a pharmaceutical pack (kit) is provided, the pack comprising a therapeutic agent and a set of instructions for administration of the therapeutic agent to humans diagnostically tested for one or more variants of the present invention, as disclosed herein. The therapeutic agent can be a small molecule drug, an antibody, a peptide, an antisense or RNAi molecule, or other therapeutic molecules. In one embodiment, an
individual identified as a carrier of at least one variant of the present invention is instructed to take a prescribed dose of the therapeutic agent. In one such embodiment, an individual identified as a homozygous carrier of at least one variant of the present invention is instructed to take a prescribed dose of the therapeutic agent. In another embodiment, an individual identified as a non-carrier of at least one variant of the present invention is instructed to take a prescribed dose of the therapeutic agent.
In certain embodiments, the kit further comprises a set of instructions for using the reagents comprising the kit. In certain embodiments, the kit further comprises a collection of data comprising correlation data between the polymorphic markers assessed by the kit and susceptibility to prostate cancer and/or colorectal cancer.
Therapy
The following methods are most commonly employed in the treatment of basal cell carcinoma (BCC):
Standard surgical excision with either frozen section histology, or parafin embedded fixed tissue pathology. This is the preferred method for removal of most BCCs. The cure rate for this method, whether done by a plastic surgeon, family doctor, or dermatologist is dependent on the surgical margin. When standard surgical margin is applied (usually 4 mm or more), a high cure rate can be achieved with standard excision. The narrower the free margin (skin removed that is free of visible tumor) the higher the recurrence rate.
Mohs surgery (or Mohs micrographic surgery) is an outpatient procedure in which the tumor is surgically excised and then immediately examined under a microscope. The base and edges are microscopically examined to verify sufficient margins before the surgical repair of the site. If the margins are insufficient, more is removed from the patient until the margins are sufficient. It is also used for squamous cell carcinoma; however, the cure rate is not as high as Mohs surgery for basal cell carcinoma.
Chemotherapy. Some superficial cancers respond to local therapy with 5-fluorouracil, a chemotherapy agent. Topical treatment with 5% Imiquimod cream, with five applications per week for six weeks has a reported 70-90% success rate at reducing, even removing, the tumour. Both Imiquimod and 5-fluorouracil has received FDA approval for the treatment of superficial basal cell carcinoma. Off label use of imiquimod on invasive basal cell carcinoma has been reported. Imiquimod may be used prior to surgery in order to reduce the size of the carcinoma. Chemotherapy often follows Mohs surgery to eliminate the residual superficial basal cell
carcinoma after the invasive portion is removed. Imiquimod may also be used prior to Mohs surgery to remove the superficial component of the cancer.
Radiation: Radiation therapy is appropriate for all forms of BCC as adequate doses will eradicate the disease. Although radiotherapy is generally used in older patients who are not candidates for surgery, it is also used in cases where surgical excision will be disfiguring or difficult to reconstruct (especially on the tip of the nose, and the nostril rims). Cure rate can be as high as 95% for small tumor, or as low as 80% for large tumors. Usually, recurrent tumors after radiation are treated with surgery, and not with radiation. Further radiation treatment will further damage normal tissue, and the tumor might be resistant to further radiation.
Photodynamic Therapy: Photodynamic therapy is a new modality for treatment of basal-cell carcinoma, which is administrated by application of photosensitizers to the target area. When these molecules are activated by light, they become toxic, therefore killing the target cells. Methyl aminolevulinate is approved by EU as a photosensitizer since 2001. This therapy is also used in other skin cancer types.
Cryosurgery is an old modality for the treatment of many skin cancers. When accurately utilized with a temperature probe and cryotherapy instruments, it can result in a high cure rate. Disadvantages include lack of margin control, tissue necrosis, over or under treatment of the tumor, and long recovery time. Several textbooks are published on the therapy, and a few physicians still apply the treatment to selected patients.
Electrodessication and curettage or EDC is accomplished by using a round knife, or curette, to scrape away the soft cancer. The skin is then burned with an electric current. This further softens the skin, allowing for the knife to cut more deeply with the next layer of curettage. The cycle is repeated, with a safety margin of curettage of normal skin around the visible tumor. This cycle is repeated 3 to 5 times, and the free skin margin treated is usually 4 to 6 mm. Infiltrative or morpheaform BCCs can be difficult to eradicate with EDC. Generally, this method is used on cosmetically unimportant areas like the trunk. The cure rate is variable, depending on the aggressiveness of the EDC and the free margin treated.
Prognosis is excellent if the appropriate method of treatment is used in early primary basal cell cancers. Recurrent cancers are much harder to cure, with a higher recurrent rate with any methods of treatment. Although basal cell carcinoma rarely metastasizes, it grows locally with invasion and destruction of local tissues. The cancer can impinge on vital structures and result in loss of extension or loss of function or rarely death. The vast majority of cases can be successfully treated before serious complications occur. The recurrence rate for the above treatment options ranges from 50% to 1% or less.
The variants (markers and/or haplotypes) disclosed herein to confer increased risk of Basal Cell Carcinoma can also be used to identify novel therapeutic targets for Basal Cell Carcinoma. For example, genes containing, or in linkage disequilibrium with, one or more of these variants, or their products (e.g., KRT5, CDKN2A, KLF14, SLC45A2), as well as genes or their products that are directly or indirectly regulated by or interact with these variant genes or their products, can be targeted for the development of therapeutic agents to treat Basal Cell Carcinoma, or prevent or delay onset of symptoms associated with Basal Cell Carcinoma. Therapeutic agents may comprise one or more of, for example, small non-protein and non-nucleic acid molecules, proteins, peptides, protein fragments, nucleic acids (DNA, RNA), PNA (peptide nucleic acids), or their derivatives or mimetics which can modulate the function and/or levels of the target genes or their gene products.
The nucleic acids and/or variants described herein, or nucleic acids comprising their complementary sequence, may be used as antisense constructs to control gene expression in cells, tissues or organs. The methodology associated with antisense techniques is well known to the skilled artisan, and is for example described and reviewed in AntisenseDrug Technology: Principles, Strategies, and Applications, Crooke, ed., Marcel Dekker Inc., New York (2001). In general, antisense agents (antisense oligonucleotides) are comprised of single stranded oligonucleotides (RNA or DNA) that are capable of binding to a complimentary nucleotide segment. By binding the appropriate target sequence, an RNA-RNA, DNA-DNA or RNA-DNA duplex is formed. The antisense oligonucleotides are complementary to the sense or coding strand of a gene. It is also possible to form a triple helix, where the antisense oligonucleotide binds to duplex DNA.
Several classes of antisense oligonucleotide are known to those skilled in the art, including cleavers and blockers. The former bind to target RNA sites, activate intracellular nucleases (e.g., RnaseH or Rnase L), that cleave the target RNA. Blockers bind to target RNA, inhibit protein translation by steric hindrance of the ribosomes. Examples of blockers include nucleic acids, morpholino compounds, locked nucleic acids and methylphosphonates (Thompson, Drug Discovery Today, 7:912-917 (2002)). Antisense oligonucleotides are useful directly as therapeutic agents, and are also useful for determining and validating gene function, for example by gene knock-out or gene knock-down experiments. Antisense technology is further described in Lavery et al., Curr. Opin. Drug Discov. Devel. 6: 561-569 (2003), Stephens et al., Curr. Opin. MoI. Ther. 5: 118-122 (2003), Kurreck, Eur. J. Biochem. 270: 1628-44 (2003), Dias et al., MoI. Cancer Ter. 1 : 347-55 (2002), Chen, Methods MoI. Med. 75:621-636 (2003), Wang et al., Curr. Cancer Drug Targets 1 : 177-96 (2001), and Bennett, Antisense Nucleic Acid Drug. Dev. 12:215- 24 (2002).
In certain embodiments, the antisense agent is an oligonucleotide that is capable of binding to a nucleotide segment of the target gene. Antisense nucleotides can be from 5-500 nucleotides in
length, including 5-200 nucleotides, 5-100 nucleotides, 10-50 nucleotides, and 10-30 nucleotides. In certain preferred embodiments, the antisense nucleotides is from 14-50 nucleotides in length, includign 14-40 nucleotides and 14-30 nucleotides. In certain such embodiments, the antisense nucleotide is capable of binding to a nucleotide segment of any one of LD Block C12, LD Block C09, LD Block C07 and LD Block C05, as described herein. In certain other embodiments, the antisense nucleotide is capable of binding to a nucleotide segment with sequence as set forth in any one of SEQ ID NO: 1-801 herein.
The variants described herein can also be used for the selection and design of antisense reagents that are specific for particular variants. Using information about the variants described herein, antisense oligonucleotides or other antisense molecules that specifically target mRNA molecules that contain one or more variants of the invention can be designed. In this manner, expression of mRNA molecules that contain one or more variant of the present invention (markers and/or haplotypes) can be inhibited or blocked. In one embodiment, the antisense molecules are designed to specifically bind a particular allelic form (i.e., one or several variants (alleles and/or haplotypes)) of the target nucleic acid, thereby inhibiting translation of a product originating from this specific allele or haplotype, but which do not bind other or alternate variants at the specific polymorphic sites of the target nucleic acid molecule. As antisense molecules can be used to inactivate mRNA so as to inhibit gene expression, and thus protein expression, the molecules can be used for disease treatment. The methodology can involve cleavage by means of ribozymes containing nucleotide sequences complementary to one or more regions in the mRNA that attenuate the ability of the mRNA to be translated. Such mRNA regions include, for example, protein-coding regions, in particular protein-coding regions corresponding to catalytic activity, substrate and/or ligand binding sites, or other functional domains of a protein.
The phenomenon of RNA interference (RNAi) has been actively studied for the last decade, since its original discovery in C. elegans (Fire et al., Nature 391 :806-11 (1998)), and in recent years its potential use in treatment of human disease has been actively pursued (reviewed in Kim & Rossi, Nature Rev. Genet. 8: 173-204 (2007)). RNA interference (RNAi), also called gene silencing, is based on using double-stranded RNA molecules (dsRNA) to turn off specific genes. In the cell, cytoplasmic double-stranded RNA molecules (dsRNA) are processed by cellular complexes into small interfering RNA (siRNA). The siRNA guide the targeting of a protein-RNA complex to specific sites on a target mRNA, leading to cleavage of the mRNA (Thompson, Drug Discovery Today, 7:912-917 (2002)). The siRNA molecules are typically about 20, 21, 22 or 23 nucleotides in length. Thus, one aspect of the invention relates to isolated nucleic acid molecules, and the use of those molecules for RNA interference, i.e. as small interfering RNA molecules (siRNA). In one embodiment, the isolated nucleic acid molecules are 18-26 nucleotides in length, preferably 19-25 nucleotides in length, more preferably 20-24 nucleotides in length, and more preferably 21, 22 or 23 nucleotides in length.
Another pathway for RNAi-mediated gene silencing originates in endogenously encoded primary microRNA (pri-miRNA) transcripts, which are processed in the cell to generate precursor miRNA (pre-miRNA). These miRNA molecules are exported from the nucleus to the cytoplasm, where they undergo processing to generate mature miRNA molecules (miRNA), which direct translational inhibition by recognizing target sites in the 3' untranslated regions of mRNAs, and subsequent mRNA degradation by processing P-bodies (reviewed in Kim & Rossi, Nature Rev. Genet. 8: 173-204 (2007)).
Clinical applications of RNAi include the incorporation of synthetic siRNA duplexes, which preferably are approximately 20-23 nucleotides in size, and preferably have 3' overlaps of 2 nucleotides. Knockdown of gene expression is established by sequence-specific design for the target mRNA. Several commercial sites for optimal design and synthesis of such molecules are known to those skilled in the art.
Other applications provide longer siRNA molecules (typically 25-30 nucleotides in length, preferably about 27 nucleotides), as well as small hairpin RNAs (shRNAs; typically about 29 nucleotides in length). The latter are naturally expressed, as described in Amarzguioui et al.
(FEBS Lett. 579: 5974-81 (2005)). Chemically synthetic siRNAs and shRNAs are substrates for in vivo processing, and in some cases provide more potent gene-silencing than shorter designs (Kim et al., Nature Biotechnol. 23: 222-226 (2005); Siolas et al., Nature Biotechnol. 23:227-231 (2005)). In general siRNAs provide for transient silencing of gene expression, because their intracellular concentration is diluted by subsequent cell divisions. By contrast, expressed shRNAs mediate long-term, stable knockdown of target transcripts, for as long as transcription of the shRNA takes place (Marques et al., Nature Biotechnol. 23: 559-565 (2006); Brummelkamp et al., Science 296: 550-553 (2002)).
Since RNAi molecules, including siRNA, miRNA and shRNA, act in a sequence-dependent manner, the variants presented herein can be used to design RNAi reagents that recognize specific nucleic acid molecules comprising specific alleles and/or haplotypes (e.g., the alleles and/or haplotypes of the present invention), while not recognizing nucleic acid molecules comprising other alleles or haplotypes. These RNAi reagents can thus recognize and destroy the target nucleic acid molecules. As with antisense reagents, RNAi reagents can be useful as therapeutic agents (i.e., for turning off disease-associated genes or disease-associated gene variants), but may also be useful for characterizing and validating gene function (e.g., by gene knock-out or gene knockdown experiments).
Delivery of RNAi may be performed by a range of methodologies known to those skilled in the art. Methods utilizing non-viral delivery include cholesterol, stable nucleic acid-lipid particle (SNALP), heavy-chain antibody fragment (Fab), aptamers and nanoparticles. Viral delivery methods include use of lentivirus, adenovirus and adeno-associated virus. The siRNA molecules
are in some embodiments chemically modified to increase their stability. This can include modifications at the 2' position of the ribose, including 2'-O-methylpurines and T- fluoropyrimidines, which provide resistance to Rnase activity. Other chemical modifications are possible and known to those skilled in the art.
The following references provide a further summary of RNAi, and possibilities for targeting specific genes using RNAi : Kim & Rossi, Nat. Rev. Genet. 8: 173-184 (2007), Chen & Rajewsky, Nat. Rev. Genet. 8: 93-103 (2007), Reynolds, et al., Nat. Biotechnol. 22: 326-330 (2004), Chi et al., Proc. Natl. Acad. Sci. USA 100:6343-6346 (2003), Vickers et al., J. Biol. Chem. 278:7108- 7118 (2003), Agami, Curr. OpIn. Chem. Biol. 6:829-834 (2002), Lavery, et al., Curr. Opin. Drug Discov. Devel. 6: 561-569 (2003), Shi, Trends Genet. 19:9-12 (2003), Shuey et al., Drug Discov. Today 7: 1040-46 (2002), McManus et al., Nat. Rev. Genet. 3: 737-747 (2002), Xia et al, Nat. Biotechnol. 20: 1006-10 (2002), Plasterk et al., curr. Opin. Genet. Dev. 10: 562-7 (2000), Bosher et al., Nat. Cell Biol. 2: E31-6 (2000), and Hunter, Curr. Biol. 9: R440-442 (1999).
A genetic defect leading to increased predisposition or risk for development of a disease, such as Basal Cell Carcinoma, Squamous Cell Carcinoma or Cutaneous Melanoma, or a defect causing the disease, may be corrected permanently by administering to a subject carrying the defect a nucleic acid fragment that incorporates a repair sequence that supplies the normal/wild-type nucleotide(s) at the site of the genetic defect. Such site-specific repair sequence may concompass an RNA/DNA oligonucleotide that operates to promote endogenous repair of a subject's genomic DNA. The administration of the repair sequence may be performed by an appropriate vehicle, such as a complex with polyethelenimine, encapsulated in anionic liposomes, a viral vector such as an adenovirus vector, or other pharmaceutical compositions suitable for promoting intracellular uptake of the adminstered nucleic acid. The genetic defect may then be overcome, since the chimeric oligonucleotides induce the incorporation of the normal sequence into the genome of the subject, leading to expression of the normal/wild-type gene product. The replacement is propagated, thus rendering a permanent repair and alleviation of the symptoms associated with the disease or condition.
The present invention provides methods for identifying compounds or agents that can be used to treat Basal Cell Carcinoma, Squamous Cell Carcinoma and/or Cutaneous Melanoma. Thus, the variants of the invention are useful as targets for the identification and/or development of therapeutic agents. In certain embodiments, such methods include assaying the ability of an agent or compound to modulate the activity and/or expression of a nucleic acid that includes, or is regulated by, at least one of the variants (markers and/or haplotypes) of the present invention, or the encoded product of the nucleic acid. In certain embodiments, the agent or compound modulates the activity of one or more of the KRT5 gene, the CDKN2A gene, the KLF14 gene or the SLC45A2 gene, or their encoded protein products. This in turn can be used to identify agents or compounds that inhibit or alter the undesired activity or expression of the
encoded nucleic acid product. Assays for performing such experiments can be performed in cell- based systems or in cell-free systems, as known to the skilled person. Cell-based systems include cells naturally expressing the nucleic acid molecules of interest, or recombinant cells that have been genetically modified so as to express a certain desired nucleic acid molecule.
Variant gene expression in a patient can be assessed by expression of a variant-containing nucleic acid sequence (for example, a gene containing at least one variant of the present invention, which can be transcribed into RNA containing the at least one variant, and in turn translated into protein), or by altered expression of a normal/wild-type nucleic acid sequence due to variants affecting the level or pattern of expression of the normal transcripts, for example variants in the regulatory or control region of the gene. Assays for gene expression include direct nucleic acid assays (mRNA), assays for expressed protein levels, or assays of collateral compounds involved in a pathway, for example a signal pathway. Furthermore, the expression of genes that are up- or down-regulated in response to the signal pathway can also be assayed. One embodiment includes operably linking a reporter gene, such as luciferase, to the regulatory region of the gene(s) of interest.
Modulators of gene expression can in one embodiment be identified when a cell is contacted with a candidate compound or agent, and the expression of mRNA is determined. The expression level of mRNA in the presence of the candidate compound or agent is compared to the expression level in the absence of the compound or agent. Based on this comparison, candidate compounds or agents for treating Basal Cell Carcinoma can be identified as those modulating the gene expression of the variant gene. When expression of mRNA or the encoded protein is statistically significantly greater in the presence of the candidate compound or agent than in its absence, then the candidate compound or agent is identified as a stimulator or up-regulator of expression of the nucleic acid. When nucleic acid expression or protein level is statistically significantly less in the presence of the candidate compound or agent than in its absence, then the candidate compound is identified as an inhibitor or down-regulator of the nucleic acid expression.
The invention further provides methods of treatment using a compound identified through drug (compound and/or agent) screening as a gene modulator (i.e. stimulator and/or inhibitor of gene expression).
Methods of assessing probability of response to therapeutic agents, methods of monitoring progress of treatment and methods of treatment
As is known in the art, individuals can have differential responses to a particular therapy (e.g. , a therapeutic agent or therapeutic method). Pharmacogenomics addresses the issue of how
genetic variations (e.g., the variants (markers and/or haplotypes) of the present invention) affect drug response, due to altered drug disposition and/or abnormal or altered action of the drug. Thus, the basis of the differential response may be genetically determined in part. Clinical outcomes due to genetic variations affecting drug response may result in toxicity of the drug in certain individuals (e.g., carriers or non-carriers of the genetic variants of the present invention), or therapeutic failure of the drug. Therefore, the variants of the present invention may determine the manner in which a therapeutic agent and/or method acts on the body, or the way in which the body metabolizes the therapeutic agent.
Accordingly, in one embodiment, the presence of a particular allele at a polymorphic site or haplotype is indicative of a different response, e.g. a different response rate, to a particular treatment modality. This means that a patient diagnosed with a skin cancer selected from Basal Cell Carcinoma, Cutaneous Melanoma and Squamous Cell Carcinoma, and carrying a certain allele at a polymorphic or haplotype of the present invention (e.g., the at-risk and protective alleles and/or haplotypes of the invention) would respond better to, or worse to, a specific therapeutic, drug and/or other therapy used to treat the skin cancer. Therefore, the presence or absence of the marker allele or haplotype could aid in deciding what treatment should be used for a the patient. For example, for a newly diagnosed patient, the presence of a marker or haplotype of the present invention may be assessed (e.g., through testing DNA derived from a blood sample, as described herein). If the patient is positive for a marker allele or haplotype (that is, at least one specific allele of the marker, or haplotype, is present), then the physician recommends one particular therapy, while if the patient is negative for the at least one allele of a marker, or a haplotype, then a different course of therapy may be recommended (which may include recommending that no immediate therapy, other than serial monitoring for progression of the disease, be performed). Thus, the patient's carrier status could be used to help determine whether a particular treatment modality should be administered. The value lies within the possibilities of being able to diagnose the disease at an early stage, to select the most appropriate treatment, and provide information to the clinician about prognosis/aggressiveness of the disease in order to be able to apply the most appropriate treatment.
The present invention also relates to methods of monitoring progress or effectiveness of a treatment for skin cancer, including SCC, BCC and CM. This can be done based on the genotype and/or haplotype status of the markers and haplotypes of the present invention, i.e., by assessing the absence or presence of at least one at-risk allele of at least one polymorphic marker as disclosed herein, or by monitoring expression of genes that are associated with the variants (markers and haplotypes) of the present invention. The risk gene mRNA or the encoded polypeptide can be measured in a tissue sample (e.g., a peripheral blood sample, or a biopsy sample). Expression levels and/or mRNA levels can thus be determined before and during treatment to monitor its effectiveness. Alternatively, or concomitantly, the genotype and/or
haplotype status of at least one risk variant is determined before and during treatment to monitor its effectiveness.
Alternatively, biological networks or metabolic pathways related to the markers and haplotypes of the present invention can be monitored by determining mRNA and/or polypeptide levels. This can be done for example, by monitoring expression levels or polypeptides for several genes belonging to the network and/or pathway, in samples taken before and during treatment. Alternatively, metabolites belonging to the biological network or metabolic pathway can be determined before and during treatment. Effectiveness of the treatment is determined by comparing observed changes in expression levels/metabolite levels during treatment to corresponding data from healthy subjects.
In a further aspect, the markers of the present invention can be used to increase power and effectiveness of clinical trials. Thus, individuals who are carriers of at least one at-risk variant of the present invention may be more likely to respond favorably to a particular treatment modality. In one embodiment, individuals who carry at-risk variants for gene(s) in a pathway and/or metabolic network for which a particular treatment (e.g., small molecule drug) is targeting, are more likely to be responders to the treatment. In another embodiment, individuals who carry certain at-risk variants associated with a gene whose expression and/or function is altered by the at-risk variant, are more likely to be responders to a treatment modality targeting that gene, its expression or its gene product. This application can improve the safety of clinical trials, but can also enhance the chance that a clinical trial will demonstrate statistically significant efficacy, which may be limited to a certain sub-group of the population. Thus, one possible outcome of such a trial is that carriers of certain genetic variants, e.g., the markers and haplotypes of the present invention, are statistically significantly likely to show positive response to the therapeutic agent, i.e. experience alleviation of symptoms associated with Basal Cell Carcinoma, when taking the therapeutic agent or drug as prescribed.
In a further aspect, the markers and haplotypes of the present invention can be used for targeting the selection of pharmaceutical agents for specific individuals. Personalized selection of treatment modalities, lifestyle changes or combination of lifestyle changes and administration of particular treatment, can be realized by the utilization of the at-risk variants of the present invention. Thus, the knowledge of an individual's status for particular markers of the present invention, can be useful for selection of treatment options that target genes or gene products affected by the at-risk variants of the invention. Certain combinations of variants may be suitable for one selection of treatment options, while other gene variant combinations may target other treatment options. Such combination of variant may include one variant, two variants, three variants, or four or more variants, as needed to determine with clinically reliable accuracy the selection of treatment module.
Computer-implemented aspects
As understood by those of ordinary skill in the art, the methods and information described herein may be implemented, in all or in part, as computer executable instructions on known computer readable media. For example, the methods described herein may be implemented in hardware. Alternatively, the method may be implemented in software stored in, for example, one or more memories or other computer readable medium and implemented on one or more processors. As is known, the processors may be associated with one or more controllers, calculation units and/or other units of a computer system, or implanted in firmware as desired. If implemented in software, the routines may be stored in any computer readable memory such as in RAM, ROM, flash memory, a magnetic disk, a laser disk, or other storage medium, as is also known. Likewise, this software may be delivered to a computing device via any known delivery method including, for example, over a communication channel such as a telephone line, the Internet, a wireless connection, etc., or via a transportable medium, such as a computer readable disk, flash drive, etc.
More generally, and as understood by those of ordinary skill in the art, the various steps described above may be implemented as various blocks, operations, tools, modules and techniques which, in turn, may be implemented in hardware, firmware, software, or any combination of hardware, firmware, and/or software. When implemented in hardware, some or all of the blocks, operations, techniques, etc. may be implemented in, for example, a custom integrated circuit (IC), an application specific integrated circuit (ASIC), a field programmable logic array (FPGA), a programmable logic array (PLA), etc.
When implemented in software, the software may be stored in any known computer readable medium such as on a magnetic disk, an optical disk, or other storage medium, in a RAM or ROM or flash memory of a computer, processor, hard disk drive, optical disk drive, tape drive, etc.
Likewise, the software may be delivered to a user or a computing system via any known delivery method including, for example, on a computer readable disk or other transportable computer storage mechanism.
Certain aspects of the invention relate to computer-readable media having computer executable instructions for determining susceptibility to a skin cancer selected from Basal Cell Carcinoma, Squamous Cell Carcinoma and Cutaneous Melanoma, the computer readable medium comprising (i) data indicative of at least one polymorphic marker; (ii) a routine stored on the computer readable medium and adapted to be executed by a processor to determine risk of developing the skin cancer for the at least one polymorphic marker. Certain embodiments relate to the markers shown herein to be associated with risk of these skin cancer. In one embodiment relating to Basal Cell Carcinoma risk assessment, the at least one polymorphic marker is selected
from the group consisting of rslll70164, rs641615, rs2151280, rsl57935 and rsl6891982, and markers in linkage disequilibrium therewith. In another embodiment relating to determination of susceptibility to Cutaneous Melanoma, the at least one polymorphic marker is selected from the group consisting of rsll586100, and markers in linkage disequilbrium therewith. In another embodiment relating to determination of susceptibility to Squamous Cell Carcinoma, the at least one polymorphic marker is selected from the group consisting of rsl6891982, and markers in linkage disequilibrium therewith.
Fig. 1 illustrates an example of a suitable computing system environment (apparatus) 100 on which a system for the steps of the claimed method and apparatus may be implemented. The computing system environment 100 is only one example of a suitable computing environment and is not intended to suggest any limitation as to the scope of use or functionality of the method or apparatus of the claims. Neither should the computing environment 100 be interpreted as having any dependency or requirement relating to any one or combination of components illustrated in the exemplary operating environment 100.
The steps of the claimed method and system are operational with numerous other general purpose or special purpose computing system environments or configurations. Examples of well known computing systems, environments, and/or configurations that may be suitable for use with the methods or system of the claims include, but are not limited to, personal computers, server computers, hand-held or laptop devices, multiprocessor systems, microprocessor-based systems, set top boxes, programmable consumer electronics, network PCs, minicomputers, mainframe computers, distributed computing environments that include any of the above systems or devices, and the like.
The steps of the claimed method and system may be described in the general context of computer-executable instructions, such as program modules, being executed by a computer. Generally, program modules include routines, programs, objects, components, data structures, etc. that perform particular tasks or implement particular abstract data types. The methods and apparatus may also be practiced in distributed computing environments where tasks are performed by remote processing devices that are linked through a communications network. In both integrated and distributed computing environments, program modules may be located in both local and remote computer storage media including memory storage devices.
With reference to Fig. 1, an exemplary system for implementing the steps of the claimed method and system includes a general purpose computing device in the form of a computer 110. Components of computer 110 may include, but are not limited to, a processing unit 120, a system memory 130, and a system bus 121 that couples various system components including the system memory to the processing unit 120. The system bus 121 may be any of several types of bus structures including a memory bus or memory controller, a peripheral bus, and a
local bus using any of a variety of bus architectures. By way of example, and not limitation, such architectures include Industry Standard Architecture (ISA) bus, Micro Channel Architecture (MCA) bus, Enhanced ISA (EISA) bus, Video Electronics Standards Association (VESA) local bus, and Peripheral Component Interconnect (PCI) bus also known as Mezzanine bus.
Computer 110 typically includes a variety of computer readable media. Computer readable media can be any available media that can be accessed by computer 110 and includes both volatile and nonvolatile media, removable and non-removable media. By way of example, and not limitation, computer readable media may comprise computer storage media and communication media. Computer storage media includes both volatile and nonvolatile, removable and non-removable media implemented in any method or technology for storage of information such as computer readable instructions, data structures, program modules or other data. Computer storage media includes, but is not limited to, RAM, ROM, EEPROM, flash memory or other memory technology, CD-ROM, digital versatile disks (DVD) or other optical disk storage, magnetic cassettes, magnetic tape, magnetic disk storage or other magnetic storage devices, or any other medium which can be used to store the desired information and which can accessed by computer 110. Communication media typically embodies computer readable instructions, data structures, program modules or other data in a modulated data signal such as a carrier wave or other transport mechanism and includes any information delivery media. The term "modulated data signal" means a signal that has one or more of its characteristics set or changed in such a manner as to encode information in the signal. By way of example, and not limitation, communication media includes wired media such as a wired network or direct-wired connection, and wireless media such as acoustic, RF, infrared and other wireless media. Combinations of the any of the above should also be included within the scope of computer readable media. The computer-readable medium may comprise data indicative of one or a plurality of polymorphic markers. In certain embodiments, the medium comprises data of at least one marker selected from the group consisting of rsll586100, rslll70164, rs641615, rs2151280, rsl57935 and rsl6891982, and markers in linkage disequilibrium therewith.
The system memory 130 includes computer storage media in the form of volatile and/or nonvolatile memory such as read only memory (ROM) 131 and random access memory (RAM) 132. A basic input/output system 133 (BIOS), containing the basic routines that help to transfer information between elements within computer 110, such as during start-up, is typically stored in ROM 131. RAM 132 typically contains data and/or program modules that are immediately accessible to and/or presently being operated on by processing unit 120. By way of example, and not limitation, Fig. 1 illustrates operating system 134, application programs 135, other program modules 136, and program data 137.
The computer 110 may also include other removable/non-removable, volatile/nonvolatile computer storage media. By way of example only, Fig. 1 illustrates a hard disk drive 140 that
reads from or writes to non-removable, nonvolatile magnetic media, a magnetic disk drive 151 that reads from or writes to a removable, nonvolatile magnetic disk 152, and an optical disk drive 155 that reads from or writes to a removable, nonvolatile optical disk 156 such as a CD ROM or other optical media. Other removable/non-removable, volatile/nonvolatile computer storage media that can be used in the exemplary operating environment include, but are not limited to, magnetic tape cassettes, flash memory cards, digital versatile disks, digital video tape, solid state RAM, solid state ROM, and the like. The hard disk drive 141 is typically connected to the system bus 121 through a non-removable memory interface such as interface 140, and magnetic disk drive 151 and optical disk drive 155 are typically connected to the system bus 121 by a removable memory interface, such as interface 150.
The drives and their associated computer storage media discussed above and illustrated in Fig. 1, provide storage of computer readable instructions, data structures, program modules and other data for the computer 110. In Fig. 1, for example, hard disk drive 141 is illustrated as storing operating system 144, application programs 145, other program modules 146, and program data 147. Note that these components can either be the same as or different from operating system 134, application programs 135, other program modules 136, and program data 137. Operating system 144, application programs 145, other program modules 146, and program data 147 are given different numbers here to illustrate that, at a minimum, they are different copies. A user may enter commands and information into the computer 20 through input devices such as a keyboard 162 and pointing device 161, commonly referred to as a mouse, trackball or touch pad. Other input devices (not shown) may include a microphone, joystick, game pad, satellite dish, scanner, or the like. These and other input devices are often connected to the processing unit 120 through a user input interface 160 that is coupled to the system bus, but may be connected by other interface and bus structures, such as a parallel port, game port or a universal serial bus (USB). A monitor 191 or other type of display device is also connected to the system bus 121 via an interface, such as a video interface 190. In addition to the monitor, computers may also include other peripheral output devices such as speakers 197 and printer 196, which may be connected through an output peripheral interface 190.
The computer 110 may operate in a networked environment using logical connections to one or more remote computers, such as a remote computer 180. The remote computer 180 may be a personal computer, a server, a router, a network PC, a peer device or other common network node, and typically includes many or all of the elements described above relative to the computer 110, although only a memory storage device 181 has been illustrated in Fig. 1. The logical connections depicted in Fig. 1 include a local area network (LAN) 171 and a wide area network (WAN) 173, but may also include other networks. Such networking environments are commonplace in offices, enterprise-wide computer networks, intranets and the Internet.
When used in a LAN networking environment, the computer 110 is connected to the LAN 171 through a network interface or adapter 170. When used in a WAN networking environment, the computer 110 typically includes a modem 172 or other means for establishing communications over the WAN 173, such as the Internet. The modem 172, which may be internal or external, may be connected to the system bus 121 via the user input interface 160, or other appropriate mechanism. In a networked environment, program modules depicted relative to the computer 110, or portions thereof, may be stored in the remote memory storage device. By way of example, and not limitation, Fig. 1 illustrates remote application programs 185 as residing on memory device 181. It will be appreciated that the network connections shown are exemplary and other means of establishing a communications link between the computers may be used.
Although the forgoing text sets forth a detailed description of numerous different embodiments of the invention, it should be understood that the scope of the invention is defined by the words of the claims set forth at the end of this patent. The detailed description is to be construed as exemplary only and does not describe every possibly embodiment of the invention because describing every possible embodiment would be impractical, if not impossible. Numerous alternative embodiments could be implemented, using either current technology or technology developed after the filing date of this patent, which would still fall within the scope of the claims defining the invention.
While the risk evaluation system and method, and other elements, have been described as preferably being implemented in software, they may be implemented in hardware, firmware, etc., and may be implemented by any other processor. Thus, the elements described herein may be implemented in a standard multi-purpose CPU or on specifically designed hardware or firmware such as an application-specific integrated circuit (ASIC) or other hard-wired device as desired, including, but not limited to, the computer 110 of Fig. 1. When implemented in software, the software routine may be stored in any computer readable memory such as on a magnetic disk, a laser disk, or other storage medium, in a RAM or ROM of a computer or processor, in any database, etc. Likewise, this software may be delivered to a user or a diagnostic system via any known or desired delivery method including, for example, on a computer readable disk or other transportable computer storage mechanism or over a communication channel such as a telephone line, the internet, wireless communication, etc. (which are viewed as being the same as or interchangeable with providing such software via a transportable storage medium).
Thus, many modifications and variations may be made in the techniques and structures described and illustrated herein without departing from the spirit and scope of the present invention. Thus, it should be understood that the methods and apparatus described herein are illustrative only and are not limiting upon the scope of the invention.
Accordingly, the invention relates to computer-implemented applications using the polymorphic markers and haplotypes described herein, and genotype and/or disease-association data derived therefrom. Such applications can be useful for storing, manipulating or otherwise analyzing genotype data that is useful in the methods of the invention. One example pertains to storing genotype information derived from an individual on readable media, so as to be able to provide the genotype information to a third party (e.g. , the individual, a guardian of the individual, a health care provider or genetic analysis service provider), or for deriving information from the genotype data, e.g., by comparing the genotype data to information about genetic risk factors contributing to increased susceptibility to the disease, and reporting results based on such comparison.
In certain embodiments, computer-readable media suitably comprise capabilities of storing (i) identifier information for at least one polymorphic marker or a haplotype, as described herein; (ii) an indicator of the identity (e.g., presence or absence) of at least one allele of said at least one marker, or a haplotype, in individuals with a disease (e.g., a skin cancer); and (iii) an indicator of the risk associated with the marker allele or haplotype.
The markers and haplotypes described herein to be associated with increased susceptibility (increased risk) of skin cancer, are in certain embodiments useful for interpretation and/or analysis of genotype data. Thus in certain embodiments, determination of the presence of an at- risk allele for a skin cancer such as BCC, SCC and CM, as shown herein, or determination of the presence of an allele at a polymorphic marker in LD with any such risk allele, is indicative of the individual from whom the genotype data originates is at increased risk of the skin cancer. In one such embodiment, genotype data is generated for at least one polymorphic marker shown herein to be associated with the skin cancer, or a marker in linkage disequilibrium therewith. The genotype data is subsequently made available to a third party, such as the individual from whom the data originates, his/her guardian or representative, a physician or health care worker, genetic counsellor, or insurance agent, for example via a user interface accessible over the internet, together with an interpretation of the genotype data, e.g., in the form of a risk measure (such as an absolute risk (AR), risk ratio (RR) or odds ratio (OR)) for the disease. In another embodiment, at-risk markers identified in a genotype dataset (e.g., a dataset comprising sequence information from the individual) derived from an individual are assessed and results from the assessment of the risk conferred by the presence of such at-risk variants in the dataset are made available to the third party, for example via a secure web interface, or by other communication means. The results of such risk assessment can be reported in numeric form (e.g. , by risk values, such as absolute risk, relative risk, and/or an odds ratio, or by a percentage increase in risk compared with a reference), by graphical means, or by other means suitable to illustrate the risk to the individual from whom the genotype data is derived.
Nucleic acids and polypeptides
The nucleic acids and polypeptides described herein can be used in methods and kits of the present invention. An "isolated" nucleic acid molecule, as used herein, is one that is separated from nucleic acids that normally flank the gene or nucleotide sequence (as in genomic sequences) and/or has been completely or partially purified from other transcribed sequences (e.g., as in an RNA library). For example, an isolated nucleic acid of the invention can be substantially isolated with respect to the complex cellular milieu in which it naturally occurs, or culture medium when produced by recombinant techniques, or chemical precursors or other chemicals when chemically synthesized. In some instances, the isolated material will form part of a composition (for example, a crude extract containing other substances), buffer system or reagent mix. In other circumstances, the material can be purified to essential homogeneity, for example as determined by polyacrylamide gel electrophoresis (PAGE) or column chromatography (e.g., HPLC). An isolated nucleic acid may also be a nucleic acid that has been obtained by PCR amplification of a particular segment of naturally occurring nucleic acid (e.g., a genomic DNA sample). An isolated nucleic acid molecule of the invention can comprise at least about 50%, at least about 80% or at least about 90% (on a molar basis) of all macromolecular species present. With regard to genomic DNA, the term "isolated" also can refer to nucleic acid molecules that are separated from the chromosome with which the genomic DNA is naturally associated. For example, the isolated nucleic acid molecule can contain less than about 250 kb, 200 kb, 150 kb, 100 kb, 75 kb, 50 kb, 25 kb, 10 kb, 5 kb, 4 kb, 3 kb, 2 kb, 1 kb, 0.5 kb or 0.1 kb of the nucleotides that flank the nucleic acid molecule in the genomic DNA of the cell from which the nucleic acid molecule is derived.
The nucleic acid molecule can be fused to other coding or regulatory sequences and still be considered isolated. Thus, recombinant DNA contained in a vector is included in the definition of "isolated" as used herein. Also, isolated nucleic acid molecules include recombinant DNA molecules in heterologous host cells or heterologous organisms, as well as partially or substantially purified DNA molecules in solution. "Isolated" nucleic acid molecules also encompass in vivo and in vitro RNA transcripts of the DNA molecules of the present invention. An isolated nucleic acid molecule or nucleotide sequence can include a nucleic acid molecule or nucleotide sequence that is synthesized chemically or by recombinant means. Such isolated nucleotide sequences are useful, for example, in the manufacture of the encoded polypeptide, as probes for isolating homologous sequences (e.g. , from other mammalian species), for gene mapping (e.g., by in situ hybridization with chromosomes), or for detecting expression of the gene in tissue {e.g., human tissue), such as by Northern blot analysis or other hybridization techniques.
The invention also pertains to nucleic acid molecules that hybridize under high stringency hybridization conditions, such as for selective hybridization, to a nucleotide sequence described herein (e.g., nucleic acid molecules that specifically hybridize to a nucleotide sequence containing a polymorphic site associated with a marker or haplotype described herein). Such nucleic acid molecules can be detected and/or isolated by allele- or sequence-specific hybridization (e.g., under high stringency conditions). Stringency conditions and methods for nucleic acid hybridizations are well known to the skilled person (see, e.g. , Current Protocols in Molecular Biology, Ausubel, F. et al, John Wiley & Sons, (1998), and Kraus, M. and Aaronson, S., Methods Enzymol., 200: 546-556 (1991), the entire teachings of which are incorporated by reference herein.
The percent identity of two nucleotide or amino acid sequences can be determined by aligning the sequences for optimal comparison purposes {e.g., gaps can be introduced in the sequence of a first sequence). The nucleotides or amino acids at corresponding positions are then compared, and the percent identity between the two sequences is a function of the number of identical positions shared by the sequences (i.e., % identity = # of identical positions/total # of positions x 100). In certain embodiments, the length of a sequence aligned for comparison purposes is at least 30%, at least 40%, at least 50%, at least 60%, at least 70%, at least 80%, at least 90%, or at least 95%, of the length of the reference sequence. The actual comparison of the two sequences can be accomplished by well-known methods, for example, using a mathematical algorithm. A non-limiting example of such a mathematical algorithm is described in Karlin, S. and Altschul, S., Proc. Natl. Acad. ScI. USA, 90: 5873-5877 (1993). Such an algorithm is incorporated into the NBLAST and XBLAST programs (version 2.0), as described in Altschul, S. et al. , Nucleic Acids Res., 25: 3389-3402 (1997). When utilizing BLAST and Gapped BLAST programs, the default parameters of the respective programs {e.g., NBLAST) can be used. See the website on the world wide web at ncbi.nlm.nih.gov. In one embodiment, parameters for sequence comparison can be set at score=100, wordlength = 12, or can be varied (e.g. , W=5 or W=20). Another example of an algorithm is BLAT (Kent, W.J. Genome Res. 12: 656-64 (2002)).
Other examples include the algorithm of Myers and Miller, CABIOS (1989), ADVANCE and ADAM as described in Torellis, A. and Robotti, C, Comput. Appl. Biosci. 10:3-5 (1994); and FASTA described in Pearson, W. and Lipman, D., Proc. Natl. Acad. Sci. USA, 85:2444-48 (1988).
In another embodiment, the percent identity between two amino acid sequences can be accomplished using the GAP program in the GCG software package (Accelrys, Cambridge, UK).
The present invention also provides isolated nucleic acid molecules that contain a fragment or portion that hybridizes under highly stringent conditions to a nucleic acid that comprises, or consists of, the nucleotide sequence of LD Block C12, LD Block C09, LD Block C07, or LD Block C05, as described herein, or a nucleotide sequence comprising, or consisting of, the complement
of the nucleotide sequence of LD Block C12, LD Block C09, LD Block C07, or LD Block C05, wherein the nucleotide sequence comprises at least one polymorphic allele contained in the markers and haplotypes described herein. The present invention also provides isolated nucleic acid molecules that contain a fragment or portion that hybridizes under highly stringent conditions to a nucleic acid that comprises, or consists of, the nucleotide sequence of any one of SEQ ID NO: 1-801, as described herein, or a nucleotide sequence comprising, or consisting of, the complement of the nucleotide sequence of any one of SEQ ID NO: 1-801, wherein the nucleotide sequence comprises at least one polymorphic allele contained in the markers and haplotypes described herein. The nucleic acid fragments of the invention are at least about 15, at least about 18, 20, 23 or 25 nucleotides, and can be 30, 40, 50, 100, 200, 500, 1000, 10,000 or more nucleotides in length.
The nucleic acid fragments of the invention are used as probes or primers in assays such as those described herein. "Probes" or "primers" are oligonucleotides that hybridize in a base- specific manner to a complementary strand of a nucleic acid molecule. In addition to DNA and RNA, such probes and primers include polypeptide nucleic acids (PNA), as described in Nielsen, P. et al., Science 254: 1497-1500 (1991). A probe or primer comprises a region of nucleotide sequence that hybridizes to at least about 15, typically about 20-25, and in certain embodiments about 40, 50 or 75, consecutive nucleotides of a nucleic acid molecule. In one embodiment, the probe or primer comprises at least one allele of at least one polymorphic marker or at least one haplotype described herein, or the complement thereof. In particular embodiments, a probe or primer can comprise 100 or fewer nucleotides; for example, in certain embodiments from 6 to 50 nucleotides, or, for example, from 12 to 30 nucleotides. In other embodiments, the probe or primer is at least 70% identical, at least 80% identical, at least 85% identical, at least 90% identical, or at least 95% identical, to the contiguous nucleotide sequence or to the complement of the contiguous nucleotide sequence. In another embodiment, the probe or primer is capable of selectively hybridizing to the contiguous nucleotide sequence or to the complement of the contiguous nucleotide sequence. Often, the probe or primer further comprises a label, e.g. , a radioisotope, a fluorescent label, an enzyme label, an enzyme co-factor label, a magnetic label, a spin label, an epitope label.
The nucleic acid molecules of the invention, such as those described above, can be identified and isolated using standard molecular biology techniques well known to the skilled person. The amplified DNA can be labeled (e.g., radiolabeled, fluorescently labeled) and used as a probe for screening a cDNA library derived from human cells. The cDNA can be derived from mRNA and contained in a suitable vector. Corresponding clones can be isolated, DNA obtained following in vivo excision, and the cloned insert can be sequenced in either or both orientations by art- recognized methods to identify the correct reading frame encoding a polypeptide of the appropriate molecular weight. Using these or similar methods, the polypeptide and the DNA encoding the polypeptide can be isolated, sequenced and further characterized.
Antibodies
The invention also provides antibodies which bind to an epitope comprising either a variant amino acid sequence (e.g., comprising an amino acid substitution) encoded by a variant allele or the reference amino acid sequence encoded by the corresponding non-variant or wild-type allele. The variant allele may for example be the Glyl38Glu substitution in a human KRT5 protein or a Aspl97Glu substitution in a human KRT5 protein with sequence as set forth in SEQ ID NO:245 herein. The variant allele may also be a Leu374Phe substitution in a human SLC45A2 protein. The term "antibody" as used herein refers to immunoglobulin molecules and immunologically active portions of immunoglobulin molecules, i.e., molecules that contain antigen-binding sites that specifically bind an antigen. A molecule that specifically binds to a polypeptide of the invention is a molecule that binds to that polypeptide or a fragment thereof, but does not substantially bind other molecules in a sample, e.g., a biological sample, which naturally contains the polypeptide. Examples of immunologically active portions of immunoglobulin molecules include F(ab) and F(ab')2 fragments which can be generated by treating the antibody with an enzyme such as pepsin. The invention provides polyclonal and monoclonal antibodies that bind to a polypeptide of the invention. The term "monoclonal antibody" or "monoclonal antibody composition", as used herein, refers to a population of antibody molecules that contain only one species of an antigen binding site capable of immunoreacting with a particular epitope of a polypeptide of the invention. A monoclonal antibody composition thus typically displays a single binding affinity for a particular polypeptide of the invention with which it immunoreacts.
Polyclonal antibodies can be prepared as described above by immunizing a suitable subject with a desired immunogen, e.g., polypeptide of the invention or a fragment thereof. The antibody titer in the immunized subject can be monitored over time by standard techniques, such as with an enzyme linked immunosorbent assay (ELISA) using immobilized polypeptide. If desired, the antibody molecules directed against the polypeptide can be isolated from the mammal (e.g. , from the blood) and further purified by well-known techniques, such as protein A chromatography to obtain the IgG fraction. At an appropriate time after immunization, e.g. , when the antibody titers are highest, antibody-producing cells can be obtained from the subject and used to prepare monoclonal antibodies by standard techniques, such as the hybridoma technique originally described by Kohler and Milstein, Nature 256:495-497 (1975), the human B cell hybridoma technique (Kozbor et al., Immunol. Today 4: 72 (1983)), the EBV-hybridoma technique (Cole et al. , Monoclonal Antibodies and Cancer Therapy, Alan R. Liss,1985, Inc., pp. 77-96) or trioma techniques. The technology for producing hybridomas is well known (see generally Current Protocols in Immunology (1994) Coligan et al., (eds.) John Wiley & Sons, Inc., New York, NY). Briefly, an immortal cell line (typically a myeloma) is fused to lymphocytes (typically splenocytes) from a mammal immunized with an immunogen as described above, and
the culture supernatants of the resulting hybridoma cells are screened to identify a hybridoma producing a monoclonal antibody that binds a polypeptide of the invention.
Any of the many well known protocols used for fusing lymphocytes and immortalized cell lines can be applied for the purpose of generating a monoclonal antibody to a polypeptide of the invention (see, e.g. , Current Protocols in Immunology, supra; Galfre et ai, Nature 266: 55052 (1977); R. H. Kenneth, in Monoclonal Antibodies: A New Dimension In Biological Analyses, Plenum Publishing Corp., New York, New York (1980); and Lemer, Yale J. Biol. Med. 54:387-402 (1981)). Moreover, the ordinarily skilled worker will appreciate that there are many variations of such methods that also would be useful.
Alternative to preparing monoclonal antibody-secreting hybridomas, a monoclonal antibody to a polypeptide of the invention can be identified and isolated by screening a recombinant combinatorial immunoglobulin library (e.g., an antibody phage display library) with the polypeptide to thereby isolate immunoglobulin library members that bind the polypeptide. Kits for generating and screening phage display libraries are commercially available {e.g., the Pharmacia Recombinant Phage Antibody System, Catalog No. 27-9400-01; and the Stratagene SurfZAP™ Phage Display Kit, Catalog No. 240612) . Additionally, examples of methods and reagents particularly amenable for use in generating and screening antibody display library can be found in, for example, U.S. Patent No. 5,223,409; PCT Publication No. WO 92/18619; PCT Publication No. WO 91/17271; PCT Publication No. WO 92/20791; PCT Publication No. WO 92/15679; PCT Publication No. WO 93/01288; PCT Publication No. WO 92/01047; PCT
Publication No. WO 92/09690; PCT Publication No. WO 90/02809; Fuchs et al. , Bio/Technology 9: 1370-1372 (1991); Hay et al., Hum. Antibod. Hybridomas 3:81-85 (1992); Huse et al., Science 246: 1275-1281 (1989); and Griffiths et al., EMBO J. 12:725-734 (1993).
Additionally, recombinant antibodies, such as chimeric and humanized monoclonal antibodies, comprising both human and non-human portions, which can be made using standard recombinant DNA techniques, are within the scope of the invention. Such chimeric and humanized monoclonal antibodies can be produced by recombinant DNA techniques known in the art.
In general, antibodies of the invention (e.g., a monoclonal antibody) can be used to isolate a polypeptide of the invention (e.g., a KRT5 protein, a CDKN2A protein, a KLF14 protein, or a SLC45A2 protein) by standard techniques, such as affinity chromatography or immunoprecipitation. A polypeptide-specific antibody can facilitate the purification of natural polypeptide from cells and of recombinantly produced polypeptide expressed in host cells. Moreover, an antibody specific for a polypeptide of the invention can be used to detect the polypeptide (e.g., in a cellular lysate, cell supernatant, or tissue sample) in order to evaluate the abundance and pattern of expression of the polypeptide. Antibodies can be used diagnostically
to monitor protein levels in tissue as part of a clinical testing procedure, e.g., to, for example, determine the efficacy of a given treatment regimen. The antibody can be coupled to a detectable substance to facilitate its detection. Examples of detectable substances include various enzymes, prosthetic groups, fluorescent materials, luminescent materials, bioluminescent materials, and radioactive materials. Examples of suitable enzymes include horseradish peroxidase, alkaline phosphatase, beta-galactosidase, or acetylcholinesterase; examples of suitable prosthetic group complexes include streptavidin/biotin and avidin/biotin; examples of suitable fluorescent materials include umbelliferone, fluorescein, fluorescein isothiocyanate, rhodamine, dichlorotriazinylamine fluorescein, dansyl chloride or phycoerythrin; an example of a luminescent material includes luminol; examples of bioluminescent materials include luciferase, luciferin, and aequorin, and examples of suitable radioactive material include 125I, 131I, 35S Or 3H.
Antibodies may also be useful in pharmacogenomic analysis. In such embodiments, antibodies against variant proteins encoded by nucleic acids according to the invention, such as variant proteins that are encoded by nucleic acids that contain at least one polymorpic marker of the invention, can be used to identify individuals that require modified treatment modalities.
Antibodies can furthermore be useful for assessing expression of variant proteins in disease states, such as in active stages of Basal Cell Carcinoma, or in an individual with a predisposition to Basal Cell Carcinoma related to the function of the protein. Antibodies specific for a variant protein of the present invention (e.g, KRT5, CDKN2A, KLF14 and/or SLC45A2) can be used to screen for the presence of a variant protein, for example to screen for a predisposition to Basal Cell Carcinoma as indicated by the presence of the variant protein.
Antibodies can be used in other methods. Thus, antibodies are useful as diagnostic tools for evaluating proteins, such as variant proteins of the invention, in conjunction with analysis by electrophoretic mobility, isoelectric point, tryptic or other protease digest, or for use in other physical assays known to those skilled in the art. Antibodies may also be used in tissue typing. In one such embodiment, a specific variant protein has been correlated with expression in a specific tissue type, and antibodies specific for the variant protein can then be used to identify the specific tissue type.
Subcellular localization of proteins, including variant proteins, can also be determined using antibodies, and can be applied to assess aberrant subcellular localization of the protein in cells in various tissues. Such use can be applied in genetic testing, but also in monitoring a particular treatment modality. In the case where treatment is aimed at correcting the expression level or presence of the variant protein or aberrant tissue distribution or developmental expression of the variant protein, antibodies specific for the variant protein or fragments thereof can be used to monitor therapeutic efficacy.
Antibodies are further useful for inhibiting variant protein function, for example by blocking the binding of a variant protein to a binding molecule or partner. Such uses can also be applied in a therapeutic context in which treatment involves inhibiting a variant protein's function. An antibody can be for example be used to block or competitively inhibit binding, thereby modulating (i.e., agonizing or antagonizing) the activity of the protein. Antibodies can be prepared against specific protein fragments containing sites required for specific function or against an intact protein that is associated with a cell or cell membrane. For administration in vivo, an antibody may be linked with an additional therapeutic payload, such as radionuclide, an enzyme, an immunogenic epitope, or a cytotoxic agent, including bacterial toxins (diphtheria or plant toxins, such as ricin). The in vivo half-life of an antibody or a fragment thereof may be increased by pegylation through conjugation to polyethylene glycol.
The present invention further relates to kits for using antibodies in the methods described herein. This includes, but is not limited to, kits for detecting the presence of a variant protein in a test sample. One preferred embodiment comprises antibodies such as a labelled or labelable antibody and a compound or agent for detecting variant proteins in a biological sample, means for determining the amount or the presence and/or absence of variant protein in the sample, and means for comparing the amount of variant protein in the sample with a standard, as well as instructions for use of the kit.
The present invention will now be exemplified by the following non-limiting examples.
EXAMPLE 1
Cutaneous BCC is the most common cancer amongst people of European ancestry. The primary environmental risk factor for BCC is sun exposure, but genetics also plays a substantial role. Some of the sequence variants that confer susceptibility appear to operate through their association with fair pigmentation traits, common amongst Europeans, that result in reduced protection from the damaging effects of UV radiation. Other sequence variants have no obvious role in pigmentation or UV susceptibility but instead appear to operate in the contexts of growth and differentiation of the basal layers of the skin 1 4.
We previously used Illumina microarrays to conduct a genome-wide SNP association scan (GWAS) for common BCC risk variants. We discovered susceptibility variants at Ip36, Iq42 and 5pl5 [TERT-CLPTM1L)1A . Here, we selected a further 32 high-ranking SNPs from the GWAS and investigated them by genotyping an additional sample of Icelanders diagnosed with BCC (903 cases) and a BCC case:control sample from Eastern Europe. SNPs at three loci were then selected for further investigation: rslll70164 in the keratin 5 (KRT5) gene on 12ql3, rs2151280 near the CDKN2A and CDKN2B locus on 9p21, and rsl57935 on 7q32. These SNPs were genotyped additionally in case: control samples from Spain and U.S.A. and proved to be significantly associated with BCC risk. An overview of the samples used in the study is presented in Table 1, and data for the 29 SNPs that were not studied further at this stage are listed in
Table 3. We also queried whether the three novel BCC variants were concomitantly associated with squamous cell carcinoma (SCC), cutaneous melanoma (CM) and fair pigmentation traits. We then used the same approach to investigate recently described variants in SLC45A2 and TERT- CLPTMlL^.
After genotyping the Icelandic and foreign replication samples, a combined OR of 1.35 (P = 2.1 x 10~9) was detected from rslll70164[A], specifying a p.Glyl38Glu substitution in KRT5 (Table 2). Since this P value is below the Bonferroni threshold for genome-wide significance (P = 1.6 x 10~7) and the association replicated consistently in different populations (OR = 1.49, P = 4.6 x 10~6 in the non-Icelandic samples), we concluded that the p.Glyl38Glu substitution confers susceptibility to BCC. The KRT5 gene product K5, and its heterodimeric partner K14, are the major keratins of basal epithelial cells, forming the intermediate filament (IF) cytoskeletal network. This network is crucial for the structural integrity of the basal cell layer7.
Some sequence variants simultaneously affect risks of BCC, SCC and CM. This is especially true of certain variants controlling pigmentation traits and this most probably reflects the fact that reduced protection from UV radiation is a risk factor for all three cancer types1'3. Combining the Icelandic and U.S. data for SCC revealed an OR of 1.25 (P = 0.012) for rslll70164[A] (Table 2), providing suggestive evidence of a concomitant risk of SCC. We also searched for an association with CM in 3,932 cases and 39,276 controls from Iceland, Sweden, Holland, Austria,
Spain and Italy. Despite the large sample size, there was no evidence to indicate that p.Glyl38Glu affects the risk of CM (Table 2).
The absence of a CM risk associated with p.Glyl38Glu led us to expect that the variant would not affect pigmentation characteristics. We looked for evidence of association with eye colour, hair colour, freckles, and sun sensitivity, using self-reported data from approximately 6,200 Icelanders who had been genotyped on the Illumina platform8'9. There was no evidence of an association with any of these traits (Table 4). Moreover, we did not observe any difference in frequency of rslll70164[A] between patients with BCC lesions at typically sun-exposed (head and arms) and unexposed (trunk and legs) body sites (P = 0.09). Taken together, these data suggest that the p.Glyl38Glu variant affects BCC susceptibility through mechanisms other than those related to obvious pigmentation characteristics.
We expanded our investigation of KRT5 to include six more exonic polymorphisms that are frequent in Europeans, including three additional non-synonymous SNPs. Two of the nsSNPs returned nominally significant signals: p.Aspl97Glu (rs641615) and p.Gly543Ser (rsll549949)(Table 5). For both of them, the risk of BCC was associated with the common allele. The signal from p.Gly543Ser lost significance when the number of tests performed was taken into consideration. The association between p.Aspl97Glu and BCC susceptibility gave a combined OR of 1.21 (P = 2.2 x 10~5)(Table 6). SNP rs641615 is in the same linkage disequilibrium (LD) block as rslll70164 (p.Glyl38Glu) although the variant frequencies differ markedly (D ' = 1.00, r2= 0.03). In a multivariate conditional analysis, the signal from p.Aspl97Glu remained significant when adjusted for the effect of p.Glyl38Glu (Table 6). The findings indicate that these two KRT5 mutations affect risk of BCC independently. However we cannot exclude the possibility that another, unobserved variant that is in LD with both variants is responsible for the BCC susceptibility. The signal from p.Gly543Ser also retained its nominal significance when adjusted for the joint effects of p.Glyl38Glu and p.Aspl97Glu (Table 5) raising the possibility, as yet unproven, of a third independent risk variant in the KRT5 gene.
Glyl38 is highly conserved in vertebrates and the GIy to GIu change is physico-chemically non- conservative. In order to evaluate whether p.Glyl38Glu has an impact on K5 structure and function, we employed a battery of predictive tests designed to detect deleterious mutations (Table 7). Not all tests agreed, but the consensus was that p.Glyl38Glu is probably damaging. Panther, for example, returned a probability of 96.6% that the substitution is deleterious. Changes in exonic splicing enhancer activities were also predicted. Evidence that p.Aspl97Glu affects K5 protein structure was less clear cut, but Panther predicted a 93.1% probability of a deleterious change. Evidence that p.Gly543Ser affects the protein structure was weak (Table 7).
Some rare mutations in the basal cell keratins K5 and K14 cause Epidermolysis Bullosa (EB), a blistering condition in which the basal cell layer ruptures and breaks away from the underlying dermis10. Various forms of EB exist, ranging from mild blistering conditions to lethal failures of dermatogenesis. As with all keratins, K5 is comprised of a central α-helical rod flanked by non- helical head and tail domains. EB mutations tend to cluster around the helix-initiating and helix- terminating regions at either end of the rod10. The p.Glyl38Glu and p.Aspl97Glu variants occur at each end of the cluster of EB-causing mutations at the helix-initiating region (Figure 2). The p.Glyl38Glu and p.Aspl97Glu variants were originally discovered during linkage searches for EB mutations, but were discounted as neutral polymorphisms11. However, subsequent reports indicate that when p.Glyl38Glu and p.Aspl97Glu occur as compound heterozygotes with high penetrance EB mutations, they may be associated with a more extreme EB phenotype12'13.
How might variations in KRT5 lead to increased risk of BCC? One possibility is that the intracellular transport and distribution of melanin might be affected. The keratin IF network plays a role in the transport of melanosomes within basal keratinocytes, moving them from the cell periphery to the perinuclear region where the melanin forms a protective nuclear cap. A failure of this melanin redistribution process may result in an increased susceptibility to UV damage without an apparent effect on overall pigmentation14. Alternatively, recent studies have suggested that in addition to its structural role, the keratin IF network may be involved in signalling events controlling cell growth, survival and response to genotoxic stress14'15. In mice, differences in the expression of genes controlling epidermal keratinisation have been linked to skin cancer susceptibility16.
A second BCC predisposition locus was identified in the LD block on 9p21 containing the cyclin dependent kinase inhibitor genes CDKN2A and CDKN2B, the tumour suppressor ARF and the non-coding RNA /4/VR/L17'18(Figure 3). After replication studies the main SNP, rs2151280[C], gave a combined OR of 1.19 (P = 6.9 x 10~9)(Table 2). CDKN2A is well known for its involvement in familial melanoma19. UV irradiation of skin results in increased expression of CDKN2A in both melanocytes and keratinocytes, suggesting that the pathway may be important in the protection of both cell types from the oncogenic effects of UV 20. Curiously, no risk of CM was associated with rs2151280 (OR = 1.01, 95% CI 0.95-1.07) and we saw no evidence of a risk of SCC (Table 2). There was no association between rs2151280 and any of the pigmentation traits tested (Table 4).
Previous reports have indicated that rsl0757278 in the CDKN2A/B LD block predisposes to coronary artery disease (CAD) and other vascular diseases (Figure 3)21'22. Another SNP (rslO811661) located adjacent to the CDKN2A/B LD block, is associated with risk of type 2 diabetes (T2D)23 25. The CAD SNP is in moderate LD with the BCC SNP rs2151280 (Table 8) and the risk alleles are inversely correlated (r = —0.53). The T2D SNP rslO811661 is not in strong LD with either the BCC or the CAD SNPs. We genotyped rsl0757278 and rslO811661 in the
Icelandic BCC case: control set. Similarly, we investigated the data from our CAD and T2D GWAS studies22'26 for associations with rs2151280. The CAD SNP rsl0757278 and the T2D SNP rslO811661 showed no significant association with BCC risk and the BCC SNP rs2151280 was not associated with risk of T2D (Table 9). The rs2151280[C] allele showed a nominal association with reduced risk of CAD (OR = 0.91, P = 1.3 x 10~3) but this signal disappeared after adjustment for the effect of rsl0757278 (residual P = 0.42, Table 9). The simplest interpretation of these findings is that three distinct signals exist, conferring separate risks of BCC, CAD, and T2D. This implies that in addition to the high-penetrance melanoma susceptibility variants in CDKN2A, at least three independent risk variants are present at 9p21 each one having a quite distinct phenotypic effect.
A third new BCC susceptibility locus was identified by rsl57935 on 7q32 within fragile site FRA7H 27 '. On replication, the T allele gave an OR of 1.23 (P= 5.7 x 10"10)(Table 2). The SNP does not affect risk of CM or SCC (Table 2) and there is no association with any pigmentation trait (Table 4). There are no RefSeq genes in the LD block containing rsl57935. The closest RefSeq gene is KLF14, a Kruppel-like transcription factor that exhibits monoallelic maternal expression28. KLF14 is 167kb distal to rsl57935 and is separated from it by a region of high recombination. By combining the Icelandic genealogy with the method of long range phasing29, we were able to determine the parental origins of the haplotypes in most of the Icelandic cases and controls who were genotyped with an Illumina chip (see Methods). Relative to the controls, we observed that most of the excess of the T allele came from the paternal allele (Table 2). Relative to the G allele, the T allele was estimated to have a risk of 1.40 (P = 1.5 x 10~6) when inherited paternally. By comparison, when inherited maternally, the corresponding estimated relative risk was 1.09 and not significant (P = 0.18). Whether the effect of the T allele depends on parental origin was tested directly by examining the counts of the ordered heterozygous TG (first allele paternal, second allele maternal) and GT genotypes in cases. If there is no parent-of-origin effect, the two counts should be the same. Here, within cases, 237 TG heterozygotes were observed versus 182 GT heterozygotes, giving a P of 0.0095 after adjustment for relatedness (see Methods). These results suggest that the increased BCC risk conferred by the T allele is mainly through the paternal allele and is probably related to the imprinting at this locus. Within the LD block, rsl57935 is located in introns of spliced RNAs (AK095549 and CR618431) that do not appear to encode any proteins. The LD block contains microRNAs miR-29a and miR-29b-l, that are involved in the regulation of DNA methyltransferases and p53-dependent apoptosis30'31. Clearly, further investigation of this locus is warranted and any mechanistic model should consider that although KLF14 is expressed from the maternal allele, the increased BCC risk appears to associate with the paternal allele.
A nsSNP in the SLC45A2 (MATP) gene has recently been shown to confer susceptibility to melanoma in Spanish and French populations5'6. The risk variant is the common, reference allele of p.Leu374Phe (rsl6891982). It is highly associated with fair pigmentation traits in Europeans
and shows a pronounced north-south gradient in frequency32'33. Here, we confirmed the association with fair pigmentation using samples from Iceland, Eastern Europe, Spain and the U.S.A., observing strong associations with all traits except red hair and freckles (Table 4). We also confirmed the association with CM risk, noting that its effect (in terms of OR point estimate) was less in Iceland than abroad {Phet for Iceland vs foreign samples = 0.059, I2 = 72%, Table 10). We have previously remarked that other pigmentation-associated variants tend to confer less relative risk of CM in Iceland than in other countries3. This may be a result of little sun exposure amongst Icelanders.
In line with the notion that variants associated with both CM and pigmentation traits are expected to confer cross-risk of non-melanoma skin cancers, we found that p.Leu374Phe confers significant risk of BCC and SCC (Table 10). Again, we noted that the effect of the variant on BCC risk in Iceland was less than abroad (Phet for Iceland ^s foreign samples = 5.0 x 10~3, I2 = 87%, Table 10). A second variant in SLC45A2, p.Glu272Lys, showed at least nominal association with all three cancer types (Table 11) however conditional analysis showed that this effect was entirely attributable to the linked p.Leu374Phe variant (Table 12).
In summary we have identified new loci that are associated with BCC but not with CM or pigmentation traits. These new susceptibility loci suggest previously unrecognized roles for cytokeratins, CDKN2A/B, microRNAs and KLF14 in the pathogenesis of BCC and highlight the importance of taking parent of origin of the risk variant into account. As might be expected for a genetic factor strongly associated with fair pigmentation, the SLC45A2 p.Leu374Phe variant exhibits cross-risk of BCC, SCC, and CM. In addition we have confirmed the inverse association between rs401681[C] and risks of BCC and CM, that may be related to the different biologies of the progenitor cell types. Even without including the high frequency SLC45A2 variant, we estimate a joint population attributable risk of 74% for the BCC susceptibility loci we report here, together with the previously known BCC susceptibility variants in ASIP, TYR, MClR, Ip36,lq42 and TERT-CLPTMlLlr3'Λ{Jab\e 13). Thus, these sequence variants play some role in the majority of cases of BCC.
METHODS:
Subjects: Approval for the study was granted by the Icelandic National Bioethics Committee, the Icelandic Data Protection Authority, and by local ethics committees for each of the foreign replication sample sets. The sample sets from Iceland, Eastern Europe, U.S.A., Sweden, and the Spanish CM patients and controls have been described previously (Table 1). All Icelandic BCC, SCC, and CM cases had histologically confirmed diagnoses recorded by the Icelandic Cancer Registry, which has a nationwide catchment.
Spain BCC: BCC cases were recruited from the Oncology Department of Zaragoza Hospital between September 2007 and December 2008. Patients with histologically proven invasive basal cell carcinoma were eligible to participate in the study. The median time interval from BCC diagnosis to collection of blood samples was 14 months (range 1-53 months). Median age at diagnosis was 69 years (range 21-91).
Holland CM: Patients diagnosed with melanoma of the skin (ICD-O-3 code C44 and C80, morphology codes 8720-8790) in the period 2003-2007 were identified in the regional cancer registry held by the Comprehensive Cancer Centre East in Nijmegen, the Netherlands. This cancer centre keeps a population-based cancer registry and covers the Eastern part of the Netherlands, a region with 1.3 million inhabitants, one university clinic and 7 community hospitals. All patients diagnosed with melanoma at or before the age of 75 were invited to participate in the study. The invitation was done by the patients' treating physicians (dermatologists and general or plastic surgeons) who all agreed to collaborate in this study. Informed consent was obtained for the collection of questionnaire data on lifestyle including sun exposure, medical history, and family history, the collection of two 10 ml blood samples, possible linkage to population and disease registries (cancer registry, mortality registry, hospital information systems, and the Dutch demographic register), collection of additional clinical data from their medical records, and the retention of identifying information for a duration of 25 years. The Comprehensive Cancer Centre East collects clinical and pathology data of all patients in the cancer registry. In the Netherlands, lifestyle information, family history of cancer, reproductive and medical history as well as blood samples are available from a group of 6,700 population controls. These controls were collected in a survey in 2002-2003 by the Radboud University Nijmegen Medical Centre. This survey, The Nijmegen Biomedical Study, was based on an age-stratified random sample of the population of Nijmegen. From this group 1,832 male and female control individuals were selected and genotyped. Similar informed consent as described above was obtained from these controls.
Austria CM: After obtaining written informed consent, individuals attending the outpatient ward of the Department of Dermatology, Medical University of Vienna were invited to participate in the project. Subjects donated 3.4ml of peripheral blood for DNA extraction. Information regarding skin phototype, sun exposure history, and prior malignancies was assessed by interview questionnaire and from clinical records. In addition to the questionnaire, photographic documentation of the eyes, hair, back and arms (for assessment of nevi and sun exposure- related damage) was performed. Controls were recruited from individuals attending the Department of Dermatology for non-melanoma related conditions. All subjects were of self- reported Austrian or central European descent. All samples and data were coded and archived anonymously. The study was approved by the ethics committee of the Medical University of Vienna (project number 59/2007).
Italy CM: Melanoma cases consisted of 389 patients hospitalized for surgical treatment of melanoma at the Melanoma and Sarcoma Surgery Unit of the Fondazione IRCCS Istituto Nazionale Tumori, Milan between May 2006 and June 2007. A further 177 melanoma cases were
patients with advanced melanomas recruited for experimental immunotherapy trials in the same surgical unit between 1998 and 2008. Controls were healthy donors from the Immunohematology and Transfusion Medicine Department, Fondazione IRCCS Istituto Nazionale Tumori. All subjects were of Italian or European origin.
Genotyping: All Icelandic samples were typed using Illumina HumanHap300 or HumanCNV370- duo chips, or by Nanogen Centaurus single-track genotyping assays as described previously1. For BCC, 930 Icelandic cases were typed on Illumina chips and the remaining 903 samples were typed by Centaurus assay. For non-Illumina SNPs, approximately 1690 Icelandic BCC cases and 2,456 controls were genotyped using Centaurus assay. Primer sequences for Centaurus assays are available on request. Centaurus SNP assays were validated by genotyping the HapMap CEU samples and comparing genotypes with the published data. Assays were rejected if they showed > 1.5% mismatches with the HapMap data. Approximately 10% of Icelandic case samples that were genotyped on the Illumina platform were also genotyped using the Centaurus assays and the observed mismatch rate was less than 0.5%. All samples from foreign cohorts were typed using the same Centaurus assays at the deCODE Genetics facility. Clustering algorithms were applied and manual editing was carried out in the same way as for the Icelandic samples. Two standard DNA samples and water blanks were included on every plate. Heterogeneity tests were used to monitor for deviant results originating from particular cohorts and the Phet values are shown in the relevant results tables.
Accession Numbers: Mutations in the KRT5 gene are numbered based on NP_000415 and the mRNA sequence is defined by NM_000424. Locations of Epidermolysis Bullosa variants and domain definitions for K5 were derived from the Human Intermediate Filament Database (http://www.interfil.org)36. Mutations in SLC45A2 are numbered based on NP_001012527. The ANRIL RNA is identified by DQ485453.
Statistical Analysis: We calculated the OR for each SNP allele or haplotype assuming the multiplicative model; i.e. assuming that the relative risks of the two alleles that a person carries multiply. Allelic frequencies and OR are presented for the markers. The associated P values were calculated with the standard likelihood ratio χ2 statistic. Confidence intervals were calculated assuming that the estimate of OR has a log-normal distribution. For SNPs that were in strong LD, whenever the genotype of one SNP was missing for an individual, the genotype of the correlated SNPs were used to impute genotypes through a likelihood approach as previously described1. Some of the Icelandic patients and controls are related to each other, causing the χ2 statistic to have a mean > 1. We estimated the inflation factor by simulating genotypes through the Icelandic genealogy and corrected the χ2 statistics for Icelandic OR's accordingly. The correction factors used were 1.20 for BCC, 1.07 for CM, 1.05 for SCC, 1.21 for CAD and 1.33 for T2D. Joint analyses of multiple case-control replication groups were carried out using a Mantel- Haenszel model in which the groups were allowed to have different population frequencies for
alleles or genotypes but were assumed to have common relative risks. The tests of heterogeneity were performed by comparing the null hypothesis of the effect being the same in all populations to the alternative hypothesis of each population having a different effect using a likelihood ratio test. I2 lies between 0% and 100% and describes the proportion of total variation in study estimates that is due to heterogeneity37. We calculated genotype specific ORs, by estimating the genotype frequencies in the population assuming Hardy-Weinberg equilibrium. No significant deviations from the multiplicative model were observed. The joint population attributable risk (Joint PAR) for combinations of variants was calculated as:
Joint PAR = 1- ( U1^n (1 -PAR1)) where PAR1 corresponds to the individual PAR for the ith SNP calculated under the multiplicative model and assuming no epistatic interactions between SNPs and n is the number of variants considered. All P values are reported as two-sided.
Combining the Icelandic genealogy and the method of long range phasing29 allowed us to determine the parental origins of the haplotypes in most of the Icelanders who were typed using an Illumina chip. In particular, long range phasing was accomplished through identifying individuals who shared a long haplotype (identical by descent) with the proband, people referred to as surrogate parents. In general, there would be a group of surrogate parents for one haplotype and another group for the other haplotype, although in some cases only surrogate parents for one of the two haplotypes could be identified. For each haplotype of the proband, we determined, using the genealogy, the shortest meiotic distance to a surrogate parent through the father (minimum paternal distance), and the shortest distance through the mother (minimum maternal distance). For example, if the minimum paternal distance is substantially less than the minimum maternal distance, then the haplotype is likely to be inherited paternally. Moreover, the parental origins of the two haplotypes can be reliably determined if strong evidence exists for one of the two haplotypes. In general, a score is created by combining the results from both haplotypes. For the 1,118 cases and 34,869 controls in the BCC parent-of- origin analysis, only ten rsl57935 heterozygotes in cases and 335 heterozygotes in controls had undetermined parental origins. To avoid bias, these individuals were included to estimate frequencies of the T allele in parental and maternal chromosomes for cases and controls, and likelihood approaches were used to properly take the incomplete information into account. Maximum likelihood and likelihood ratio tests were used to test/estimate the effect of the T allele when transmitted paternally and when transmitted maternally. To directly test whether the T allele confers an effect that depends on parental origin, we tested whether the number of ordered TG heterozygotes (237) within the cases is more that the number of ordered GT heterozygotes (182). A binomial test gave a two-sided P of 0.0083. Even though stratification is not an issue here, a variance adjustment is still needed to account for relatedness. Using genomic control, we converted the binomial P to a 1-df χ2 statistic and divided it by 1.04, the adjustment factor, resulting in a P of 0.0096. By contrast, the number of TG heterozygotes and GT heterozygotes in controls showed no significance difference (7452 versus 7419, P = 0.80).
REFERENCES:
1. Stacey, S.N. et al. Common variants on Ip36 and Iq42 are associated with cutaneous basal cell carcinoma but not with melanoma or pigmentation traits. Nat Genet 40, 1313-
8 (2008).
2. Epstein, E. H. Basal cell carcinomas: attack of the hedgehog. Nat Rev Cancer 8, 743-54 (2008).
3. Gudbjartsson, D. F. et al. ASIP and TYR pigmentation variants associate with cutaneous melanoma and basal cell carcinoma. Nat Genet (2008).
4. Rafnar, T. et al. Sequence variants at the TERT-CLPTM1L locus associate with many cancer types. Nat Genet (2009).
5. Guedj, M. et al. Variants of the MATP/SLC45A2 gene are protective for melanoma in the French population. Hum Mutat 29, 1154-60 (2008). 6. Fernandez, L. P. et al. SLC45A2: a novel malignant melanoma-associated gene. Hum
Mutat 29, 1161-7 (2008).
7. Moll, R., Divo, M. & Langbein, L. The human keratins: biology and pathology. Hlstochem Cell Biol 129, 705-33 (2008).
8. Sulem, P. et al. Two newly identified genetic determinants of pigmentation in Europeans. Nat Genet (2008).
9. Sulem, P. et al. Genetic determinants of hair, eye and skin pigmentation in Europeans. Nat Genet 39, 1443-52 (2007).
10. Uitto, J ., Richard, G. & McGrath, J. A. Diseases of epidermal keratins and their linker proteins. Exp Cell Res 313, 1995-2009 (2007). 11. Chan, Y. M., Yu, Q. C, Fine, J. D. & Fuchs, E. The genetic basis of Weber-Cockayne epidermolysis bullosa simplex. Proc Natl Acad Sci U S A 90, 7414-8 (1993). 12. Kowalewski, C. et al. A novel autosomal partially dominant mutation designated G476D in the keratin 5 gene causing epidermolysis bullosa simplex Weber-Cockayne type: a family study with a genetic twist. Int J MoI Med 20, 75-8 (2007). 13. Shurman, D. et al. Epidermolysis Bullosa Simplex with mottled pigmentation: mutation analysis in the first reported Hispanic pedigree with the largest single generation of affected individuals to date. Eur J Dermatol 16, 132-5 (2006).
14 Magin, T.M., Vijayaraj, P. & Leube, R. E. Structural and regulatory functions of keratins.
Exp Cell Res 313, 2021-32 (2007).
15 Kim, S., Wong, P. & Coulombe, P. A. A keratin cytoskeletal protein regulates protein synthesis and epithelial cell growth. Nature 441, 362-5 (2006).
16 Quigley, D. A. et al. Genetic architecture of mouse skin inflammation and tumour susceptibility. Nature (2009).
17 Kim, W. Y. & Sharpless, N. E. The regulation of INK4/ARF in cancer and aging. Cell 127,
265-75 (2006). 18 Pasmant, E. et al. Characterization of a germ-line deletion, including the entire INK4/ARF locus, in a melanoma-neural system tumor family: identification of ANRIL, an antisense noncoding RNA whose expression coclusters with ARF. Cancer Res 67, 3963-9 (2007).
19 Lin, J., Hocker, T. L., Singh, M. & Tsao, H. Genetics of melanoma predisposition. BrJ
Dermatol 159, 286-91 (2008). 20 Pavey, S., Conroy, S., Russell, T. & Gabrielli, B. Ultraviolet radiation induces pl6CDKN2A expression in human skin. Cancer Res 59, 4185-9 (1999).
21 Helgadottir, A. et al. The same sequence variant on 9p21 associates with myocardial infarction, abdominal aortic aneurysm and intracranial aneurysm. Nat Genet 40, 217-24
(2008).
22 Helgadottir, A. et al. A common variant on chromosome 9p21 affects the risk of myocardial infarction. Science 316, 1491-3 (2007).
23 Saxena, R. et al. Genome-wide association analysis identifies loci for type 2 diabetes and triglyceride levels. Science 316, 1331-6 (2007).
24 Scott, LJ. et al. A genome-wide association study of type 2 diabetes in Finns detects multiple susceptibility variants. Science 316, 1341-5 (2007).
25 Zeggini, E. et al. Replication of genome-wide association signals in UK samples reveals risk loci for type 2 diabetes. Science 316, 1336-41 (2007).
26. Steinthorsdottir, V. et al. A variant in CDKALl influences insulin response and risk of type 2 diabetes. Nat Genet 39, 770-5 (2007).
27. Mishmar, D. et al. Molecular characterization of a common fragile site (FRA7H) on human chromosome 7 by the cloning of a simian virus 40 integration site. Proc Natl Acad Sci U S /1 95, 8141-6 (1998).
28. Parker-Katiraee, L. et al. Identification of the imprinted KLF14 transcription factor undergoing human-specific accelerated evolution. PLoS Genet 3, e65 (2007).
29. Kong, A. et al. Detection of sharing by descent, long-range phasing and haplotype imputation. Nat Genet 40, 1068-75 (2008). 30. Park, S.Y., Lee, J. H., Ha, M., Nam, J. W. & Kim, V.N. miR-29 miRNAs activate p53 by targeting p85 alpha and CDC42. Nat Struct MoI Biol 16, 23-9 (2009). 31. Fabbri, M. et al. MicroRNA-29 family reverts aberrant methylation in lung cancer by targeting DNA methyltransferases 3A and 3B. Proc Natl Acad Sci U S A 104, 15805-10
(2007). 32. Graf, J., Hodgson, R. & van Daal, A. Single nucleotide polymorphisms in the MATP gene are associated with normal human pigmentation variation. Hum Mutat 25, 278-84
(2005). 33. Yuasa, I. et al. Distribution of the F374 allele of the SLC45A2 (MATP) gene and founder- haplotype analysis. Ann Hum Genet 70, 802-11 (2006). 34. Han, J. et al. A Prospective Study of Telomere Length and the Risk of Skin Cancer. J
Invest Dermatol (2008). 35. Bataille, V. et al. Nevus size and number are associated with telomere length and represent potential markers of a decreased senescence in vivo. Cancer Epidemiol
Biomarkers Prev 16, 1499-502 (2007). 36. Szeverenyi, I. et al. The Human Intermediate Filament Database: comprehensive information on a gene family involved in many human diseases. Hum Mutat 29, 351-60
(2008). 37. Higgins, J. P. & Thompson, S. G. Quantifying heterogeneity in a meta-analysis. Stat Med
21, 1539-58 (2002).
Table 1 : Overview of the sample sets used in this study
Sample Set Disease/Phenotype Cases Controls Type Location Reference
Iceland BCC Basal Cell Carcinoma 1 ,843 34,998 Registry Ascertained Case:Control Nationwide, Iceland 1
Eastern Europe BCC Basal Cell Carcinoma 528 533 Multi-center Hospital-based Case:Control Hungary, Romania, Slovakia 2
Spain BCC Basal Cell Carcinoma 186 1 ,758 Hospital-Based Case:Control Zaragoza, Spam 3
U.S.A. BCC Basal Cell Carcinoma 930 849 Population-Based Case:Control New Hampshire, U.S.A. 4
Iceland SCC Squamous Cell Carcinoma 438 34,998 Registry Ascertained Case:Control Nationwide, Iceland 1
U.S.A. SCC Squamous Cell Carcinoma 710 849 Population-Based Case:Control New Hampshire, U.S.A. 4
Iceland CM Cutaneous Melanoma 589 34,998 Registry Ascertained Case:Control Nationwide, Iceland 1
Holland CM Cutaneous Melanoma 749 1 ,831 Registry Ascertained Case:Control Eastern Netherlands 3
Sweden CM Cutaneous Melanoma 1 ,065 2,631 Hospital-Based Case:Control Stockholm, Sweden 5
Austria CM Cutaneous Melanoma 152 376 Hospital-Based Case:Control Vienna, Austria 3
Italy CM Cutaneous Melanoma 564 368 Hospital-Based Case:Control Milan, Italy 3
Spain CM Cutaneous Melanoma 816 1 ,703 Multi-center Hospital-based Case:Control Valencia and Zaragoza, Spain 5
Iceland Pigmentation Pigmentation Traits 6,200 NA Population-Based Self Reported Questionnaire Nationwide, Iceland 6
Iceland CAD Coronary Artery Disease 3,065 27,610 Population-Based Case:Control Nationwide, Iceland 7
Iceland T2D Type 2 Diabetes 1 ,465 27,610 Population-Based Case:Control Nationwide, Iceland 8
References:
(1 ) Stacey, S.N. et al. Nat Genet 40, 1313-8 (2008)
(2) Scherer, D et al. Int. J. Cancer 122, 1787-1793 (2008)
(3) This paper
(4) Welsh, M. M. et al. Carcinogenesis 29, 1950-4 (2008)
(5) Gudbjartsson, D. F. et al. Nat Genet 40, 886-91 (2008)
(6) Sulem, P. et al. Nat Genet 39, 1443-52 (2007)
(7) Helgadottir, A. et al. Science 316, 1491 -3 (2007)
(8) Steinthorsdottir, V. et al. Nat Genet 39, 770-5 (2007)
Table 2 Association of SNPs in KRT5, 9p21 and 7q32 loci with basal cell carcinoma, squamous cell carcinoma and cutaneous melanoma
Number Frequency
SNP Allele Locus Sample Group Cases Controls Cases Controls OR 95% Cl P D a rhet rs11170164 A KRT5 GIy 138GIu Iceland BCC 1,833 34,845 0.109 0.086 1.29 (1.14, 1.46) 4.4x10~5
Eastern Europe BCC 525 532 0.122 0.073 1.75 (1.31,2.35) 1.6x10~4
U.S. BCC 930 849 0.097 0.071 1.40 (1.1, 1.77) 6.1 x10~3
Spain BCC 185 1,689 0065 0.052 1.28 (0.81,2.01) 0.29
All Non-Icelandic BCC 1,640 3,070 NA NA 1.49 (1.26,1.77) 4.6x10~6 0.38
All BCC Combined 3,473 37,915 NA NA 1.35 (1.23,1.5) 2.1 x10~9 0.29
Iceland SCCb 434 34,845 0.111 0.086 1.31 (1.05, 1.64) 1.8x10~2
U.S. SCC 710 849 0.082 0.071 1.16 (0.89, 1.51) 0.27
ALLSCC Combined 1,144 35,694 NA NA 1.25 (1.05, 1.48) 1.2x10~2 0.49
ALLCM0 Combined 3,932 39,643 NA NA 1.03 (0.92,1.15) 0.58 0.11 rs2151280 C 9p21 CDKN2A/B Iceland BCC 1,831 34,998 0.581 0.531 1.22 (1.13, 1.31) 7.6x10~8
Eastern Europe BCC 525 524 0.548 0.517 1.13 (0.95, 1.34) 0.16
U.S. BCC 871 826 0537 0.505 1.13 (099, 1.3) 6.8 x 10~2
Spain BCC 185 1,687 0.514 0.486 1.12 (0.9, 1.38) 0.32
All Non-Icelandic BCC 1,581 3,037 NA NA 1.13 (1.03,1.24) 1.2x10~2 0.99
All BCC Combined 3,412 38,035 NA NA 1.19 (1.12,1.26) 6.9x10~9 0.65
Iceland SCCb 437 34,998 0.534 0.531 1.01 (0.9, 1.13) 0.87
U.S. SCC 642 826 0.532 0.505 1.11 (0.96, 1.29) 0.15
ALLSCC Combined 1,079 35,824 NA NA 1.05 (0.96,1.15) 0.31 0.31
ALLCMC Combined 3,897 39,779 NA NA 1.01 (0.95,1.07) 0.74 0.88 rs 157935 T 7q32 Iceland BCC 1,832 34,963 0.722 0.675 1.25 (1.15, 1.35) 3.6x10~8
Eastern Europe BCC 526 530 0.723 0.693 1.16 (0.96, 1.4) 0.13
U.S. BCCd 723 611 0.740 0.691 1.27 (1.07, 1.5) 5.6x10~3
Spain BCC 183 1,703 0730 0.718 1.06 (0.83, 1.35) 0.63
All Non-Icelandic BCC 1,432 2,844 NA NA 1.18 (1.06,1.32) 3.2x10~3 0.47
All BCC Combined 3,264 37,807 NA NA 1.23 (1.15,1.31) 5.7X10-10 0.55
Iceland SCCb 433 34,963 0.666 0.675 0.96 (0.79, 1.17) 0.66
U.S. SCCd 513 611 0.712 0.691 1.11 (0.92, 1.34) 0.28
ALLSCC Combined 946 35,574 NA NA 1.03 (0.9, 1.18) 0.63 0.29
ALLCMC Combined 3,921 39,770 NA NA 1.00 (0.94, 1.06) 0.94 0.35
BCC Paternal Allele6 1 ,1 18f 34,8699 0.745 0.676 1.40 (1.22, 1.60) 1.5 x 10~6
BCC Maternal Allele6 1 ,1 18f 34,8699 0.694 0.675 1.09 (0.96, 1.25) 0.18
BCC, cutaneous basal cell carcinoma SCC, cutaneous squamous cell carcinoma CM cutaneous melanoma (malignant or in situ) aP value for heterogeneity "Cases diagnosed with SCC without
BCC Contributing CM sample groups (and approximate numbers) were from Iceland (589 cases, 34,998 controls), Holland (749 cases, 1 ,831 controls), Sweden (1 ,065 cases, 540 controls), Austria (152 cases, 376 controls), Spain (816 cases, 1 ,703 controls) and Italy (564 cases, 368 controls) d SNP rs157935 could not be typed in the U S BCC and SCC samples so a surrogate SNP, rs125124, was used (r2=1 0 in HapMap CEU) Frequency and OR are given for the rs125124[C] allele e Analysis based on Icelandic cases and controls who were typed by an lllumina chip and for whom the Icelandic genealogy and long-range phasing haplotypes were used to determine parental origins of alleles ' Number of paternal/maternal alleles examined in cases g Number of paternal/maternal alleles examined in controls
Table 3 (A): BCC association data from Iceland and Eastern Europe
Number Frequency
SNPa Allele3 Chromosome Position B36 Sample Group Cases Controls Cases Controls OR P rs3828051 4 1 30,970,386 Iceland BCC 1 ,826 34,989 0.66 0.63 1.14 6.6 x 10"4 rs3828051 4 1 30,970,386 Eastern Europe BCC 518 519 0.67 0.69 0.92 0.37 rs3828051 4 1 30,970,386 Combined BCC NA NA NA NA 1.1 1 4.7 x 10"3 rs669791 1 3 1 47,680,191 Iceland BCC 1 ,823 34,958 0.94 0.92 1.26 1.9 x 10"3 rs669791 1 3 1 47,680,191 Eastern Europe BCC 525 533 0.93 0.94 0.80 0.19 rs669791 1 3 1 47,680,191 Combined BCC NA NA NA NA 1.18 1.9 x 10"2 rs378437 1 1 55,782,058 Iceland BCC 1 ,835 34,988 0.26 0.24 1.14 2.3 x 10"3 rs378437 1 1 55,782,058 Eastern Europe BCC 525 528 0.24 0.23 1.06 0.57 rs378437 1 1 55,782,058 Combined BCC NA NA NA NA 1.13 2.4 x 10"3 rs 10493449 4 1 69,016,132 Iceland BCC 1 ,843 34,929 0.96 0.95 1.29 4.7 x 10 3 rs 10493449 4 1 69,016,132 Eastern Europe BCC 526 527 0.92 0.92 0.96 0.81 rs 10493449 4 1 69,016,132 Combined BCC NA NA NA NA 1.21 1.7 x 10"2 rs7882773 (rs7879505) 2 (3) 1 169,370,268 Iceland BCC 1 ,829 34,942 0.80 0.78 1.1 1 1.0 x 10"2
(rs7879505) (3) 1 169,370,268 Eastern Europe BCC 516 531 0.76 0.75 1.03 0.76 rs7882773 (rs7879505) 2 (3) 1 169,370,268 Combined BCC NA NA NA NA 1.10 1.2 x 10"2 rs 1877547 1 3 19,006,688 Iceland BCC 1 ,834 34,997 0.21 0.20 1.12 1.0 x 10"2 rs 1877547 1 3 19,006,688 Eastern Europe BCC 527 530 0.20 0.21 0.93 0.55 rs 1877547 1 3 19,006,688 Combined BCC NA NA NA NA 1.10 3.0 x 10"2 rs10493147 4 4 128,956,949 Iceland BCC 1 ,825 34,888 0.79 0.77 1.15 2.5 x 10"3 rs10493147 4 4 128,956,949 Eastern Europe BCC 523 527 0.82 0.83 0.95 0.65 rs10493147 4 4 128,956,949 Combined BCC NA NA NA NA 1.12 7.6 x 10"3 rs155806 2 5 140,330,024 Iceland BCC 1 ,833 34,985 0.15 0.13 1.17 3.6 x 10"3 rs155806 2 5 140,330,024 Eastern Europe BCC 522 523 0.14 0.12 1.13 0.36 rs155806 2 5 140,330,024 Combined BCC NA NA NA NA 1.16 2.4 x 10"3 rs 1029942 2 5 148,290,344 Iceland BCC 1 ,827 34,910 0.10 0.08 1.26 3.2 x 10"4 rs 1029942 2 5 148,290,344 Eastern Europe BCC 521 517 0.05 0.04 1.22 0.40 rs 1029942 2 5 148,290,344 Combined BCC NA NA NA NA 1.26 2.2 x 10"4 rs2025148 (rs 12215077) 3 (3) 6 1 10,159,573 Iceland BCC 1 ,815 34,622 0.68 0.65 1.12 2.9 x 10 3
(rs12215077) (3) 6 1 10,159,573 Eastern Europe BCC 525 522 0.63 0.63 1.00 1.00 rs2025148 (rs12215077) 3 (3) 6 1 10,159,573 Combined BCC NA NA NA NA 1.10 4.7 x 10"3 rs2928579 2 8 6,597,571 Iceland BCC 1 ,825 34,975 0.75 0.73 1.13 3.1 x 10"3
rs2928579 2 8 6,597,571 Eastern Europe BCC 524 528 0.76 0.77 0.94 0.57 rs2928579 2 8 6,597,571 Combined BCC NA NA NA NA 1.1 1 1.1 x 10"2 rs10957748 4 8 76,101 ,956 Iceland BCC 1 ,829 34,990 0.34 0.31 1.13 2.0 x 10"3 rs10957748 4 8 76,101 ,956 Eastern Europe BCC 525 530 0.31 0.31 1.00 0.96 rs10957748 4 8 76,101 ,956 Combined BCC NA NA NA NA 1.1 1 3.7 x 10"3 rs11777052 4 8 76,1 14,776 Iceland BCC 1 ,820 34,527 0.15 0.13 1.21 3.6 x 10"4 rs11777052 4 8 76,1 14,776 Eastern Europe BCC 527 530 0.13 0.13 1.01 0.95 rs11777052 4 8 76,1 14,776 Combined BCC NA NA NA NA 1.20 4.8 x 10"4 rs10504624 1 8 77,612,552 Iceland BCC 1 ,830 34,967 0.96 0.94 1.53 1.0 x 10"7 rs10504624 1 8 77,612,552 Eastern Europe BCC 526 531 0.95 0.94 1.33 0.14 rs10504624 1 8 77,612,552 Combined BCC NA NA NA NA 1.49 4.7 x 10"7 rs4734443 4 8 101 ,081 ,597 Iceland BCC 1 ,826 34,941 0.47 0.43 1.18 7.0 x 10"6 rs4734443 4 8 101 ,081 ,597 Eastern Europe BCC 521 524 0.43 0.43 0.98 0.83 rS4734443 4 8 101 ,081 ,597 Combined BCC NA NA NA NA 1.15 4.0 x 10"5 rs9643254 1 8 131 ,534,904 Iceland BCC 1 ,831 35,000 0.18 0.16 1.13 1.2 x 10"2 rs9643254 1 8 131 ,534,904 Eastern Europe BCC 526 529 0.15 0.12 1.22 0.13 rs9643254 1 8 131 ,534,904 Combined BCC NA NA NA NA 1.14 3.9 x 10"3 rs10120688 3 9 22,046,499 Iceland BCC 1 ,833 34,939 0.56 0.52 1.20 1.2 x 10"6 rs10120688 3 9 22,046,499 Eastern Europe BCC 527 531 0.54 0.52 1.08 0.36 rs10120688 3 9 22,046,499 Combined BCC NA NA NA NA 1.18 1.4 x 10"6 rs4745464 3 9 77,701 ,839 Iceland BCC 1 ,830 34,989 0.51 0.48 1.13 7.7 x 10"4 rs4745464 3 9 77,701 ,839 Eastern Europe BCC 526 525 0.49 0.49 1.01 0.90 rs4745464 3 9 77,701 ,839 Combined BCC NA NA NA NA 1.1 1 1.6 x 10 3 rs11052833 1 12 33,719,589 Iceland BCC 1 ,819 34,737 0.87 0.85 1.19 1.3 x 10"3 rs11052833 1 12 33,719,589 Eastern Europe BCC 526 525 0.84 0.82 1.12 0.35 rs11052833 1 12 33,719,589 Combined BCC NA NA NA NA 1.18 9.2 x 10"4 rs1414622 2 13 96,006,899 Iceland BCC 1 ,833 34,984 0.08 0.06 1.26 9.6 x 10"4 rs1414622 2 13 96,006,899 Eastern Europe BCC 528 533 0.07 0.06 1.17 0.39 rs1414622 2 13 96,006,899 Combined BCC NA NA NA NA 1.25 7.1 x 10"4 rs7188879 4 16 78,364,890 Iceland BCC 1 ,831 34,954 0.98 0.97 1.59 1.2 x 10"4 rs7188879 4 16 78,364,890 Eastern Europe BCC 527 530 0.94 0.93 1.16 0.43 rs7188879 4 16 78,364,890 Combined BCC NA NA NA NA 1.44 2.6 x 10"4 rs4795430 3 17 23,724,597 Iceland BCC 1 ,827 34,753 0.96 0.95 1.25 1.1 x 10"2 rs4795430 3 17 23,724,597 Eastern Europe BCC 527 525 0.96 0.94 1.38 0.1 1
rs4795430 3 17 23,724,597 Combined BCC NA NA NA NA 1.27 3.0 x 10"3 rs916816 3 17 52,547,487 Iceland BCC 1 ,789 33,962 0.46 0.42 1.16 6.4 x 10"5 rs916816 3 17 52,547,487 Eastern Europe BCC 526 524 0.45 0.45 0.99 0.93 rs916816 3 17 52,547,487 Combined BCC NA NA NA NA 1.15 1.5 x 10"4 rs10871717 2 18 69,242,535 Iceland BCC 1 ,837 34,995 0.70 0.67 1.12 5.8 x 10"3 rs10871717 2 18 69,242,535 Eastern Europe BCC 526 529 0.65 0.65 1.03 0.78 rs10871717 2 18 69,242,535 Combined BCC NA NA NA NA 1.1 1 7.5 x 10"3 rs9956188 3 18 69,245,992 Iceland BCC 1 ,829 34,913 0.72 0.70 1.12 6.7 x 10"3 rs9956188 3 18 69,245,992 Eastern Europe BCC 523 532 0.70 0.69 1.04 0.67 rs9956188 3 18 69,245,992 Combined BCC NA NA NA NA 1.1 1 7.6 x 10"3 rs6047591 1 20 2, 171 ,481 Iceland BCC 1 ,834 34,994 0.61 0.58 1.12 2.6 x 10"3 rs6047591 1 20 2, 171 ,481 Eastern Europe BCC 525 530 0.59 0.53 1.23 2.0 x 10 2 rs6047591 1 20 2, 171 ,481 Combined BCC NA NA NA NA 1.14 2.3 x 10"4 rs6035973 3 20 2, 188,926 Iceland BCC 1 ,827 34,937 0.62 0.59 1.14 6.2 x 10"4 rs6035973 3 20 2, 188,926 Eastern Europe BCC 524 521 0.62 0.60 1.1 1 0.26 rs6035973 3 20 2, 188,926 Combined BCC NA NA NA NA 1.14 3.3 x 10"4 rs738814 1 22 23,232,606 Iceland BCC 1 ,837 34,978 0.57 0.54 1.15 1.7 x 10"4 rs738814 1 22 23,232,606 Eastern Europe BCC 527 516 0.56 0.56 1.03 0.79 rs738814 1 22 23,232,606 Combined BCC NA NA NA NA 1.13 3.1 x 10"4
SNPs are coded to the allele that shows an OR of >1.0 in the Icelandic BCC case-control samples, regardless of frequency. P-values for Icelandic samples are combined data from lllumina and Centaurus genotypmg. SNPs were selected for follow-up at two different times during the GWAS. Some SNPs were selected using in-silico genotyping to increase power of the Icelandic GWAS, as described in Rafnar et al., Nat. Genet. 41 :221 -7 (2009). Data shown are from actual (not in-silico) genotyping only. SNPs that are highly correlated to the three confirmed BCC susceptibility variants rs1 1 1701674, rs2151280, and rs157935 are not included. aFor some of the SNPs on the lllumina chip, it proved impossible to generate a functioning Centaurus assay. In these cases a Centaurus assay for a surrogate SNP (in parentheses) was employed to genotype the additional Icelandic BCC samples and the foreign samples Each surrogate SNP had an r2 of 1 with the original SNP in the HapMap CELJ sample.
Table 3 (B): Association of rs11586100 With Cutaneous Melanoma
Number Frequency
SNP Allele Chromosome Position B36 Sample Group Cases Controls Cases Controls OR P rs1 1586100 3 1 23,537,098 Iceland CM 588 34,996 0.770 0.724 1 .28 3.23 x 10~4 rs1 1586100 3 1 23,537,098 Holland CM 736 1 ,832 0.772 0.735 1 .22 6.25 x 10~3 rs1 1586100 3 1 23,537,098 Sweden CM 1048 535 0.731 0.691 1 .22 1 .78 x 10"2 rs1 1586100 3 1 23,537,098 Austria CM 149 359 0.778 0.756 1 .13 0.446 rs1 1586100 3 1 23,537,098 Italy CM 561 365 0.703 0.715 0.94 0.583 rs1 1586100 3 1 23,537,098 Spain CM 712 1 ,691 0.732 0.716 1 .09 0.249 rs11586100 3 1 23,537,098 Combined CM NA NA NA NA 1.17 8.3 x 106
Table 4: Association of BCC risk SNPs with pigmentation traits.
Phenotypes Compared Number Frequency
SNP Allele Locus Sample Groupa (Pheno A vs Pheno B) Pheno A Pheno B Pheno A Pheno B OR P rs1 1 170164 KRTO GIyI 38GIu Iceland Blue vs Brown Eyes 4,652 610 0.086 0.093 0.92 0.450 Blue vs Hazel or Green Eyes 4,652 995 0.086 0.087 0.99 0.903 Blond vs Brown Hair 953 1 ,669 0.095 0.081 1.19 0.089 Red vs Non Red Hair 460 5,749 0.096 0.085 1.14 0.285 Fitzpatrick: 1 & 2 vs 3 & 4 2,268 3,722 0.082 0.088 0.92 0.212 Freckles: Present vs Absent 3,259 2,879 0.088 0.084 1.05 0.432 rs641615 KRTO Asp197GIu lcelandb Blue vs Brown Eyes 577 64 0.757 0.805 0.76 0.224 Blue vs Hazel or Green Eyes 577 99 0.757 0.778 0.89 0.531 Blond vs Brown Hair 131 184 0.752 0.753 1.00 0.982 Red vs Non Red Hair 65 674 0.708 0.774 0.71 0.096 Fitzpatrick1 1 & 2 vs 3 & 4 270 438 0.767 0.759 1.04 0.746 Freckles: Present vs Absent 370 370 0.753 0.780 0.86 0.219 rs2151280 9p21 CDKN2A/B Iceland Blue vs Brown Eyes 4,665 615 0.538 0.524 1.06 0.356 Blue vs Hazel or Green Eyes 4,665 996 0.538 0.516 1.10 0.064 Blond vs Brown Hair 954 1 ,680 0.557 0.521 1.15 0.014 Red vs Non Red Hair 464 5,765 0.530 0.534 0.99 0.834 Fitzpatrick: 1 & 2 vs 3 & 4 2,275 3,735 0.534 0.534 1.00 0.968 Freckles: Present vs Absent 3,272 2,886 0.538 0.530 1.03 0.369 rs 157935 7q32 Iceland Blue vs Brown Eyes 4,657 615 0.688 0.685 1.02 0.795 Blue vs Hazel or Green Eyes 4,657 993 0.688 0.671 1.08 0.140 Blond vs Brown Hair 951 1 ,675 0.671 0.686 0.93 0.267 Red vs Non Red Hair 464 5,754 0.676 0.686 0.95 0.523 Fitzpatrick: 1 & 2 vs 3 & 4 2,268 3,730 0.684 0.685 1.00 0.918 Freckles: Present vs Absent 3,269 2,877 0.687 0.684 1.01 0.792 rs16891982 SLC45A2 Leu374Phe Iceland0 Blue vs Brown Eyes 989 108 0.986 0.944 4.25 2.2 x 10
Blue vs Hazel or Green Eyes 989 206 0.986 0.971 2.17 0.037
Blond vs Brown Hair 233 329 0.994 0.960 6.35 1.7 x 10
Red vs Non Red Hair 107 1 ,195 0.986 0.980 1.44 0.796 Fitzpatrick- 1 & 2 vs 3 & 4 484 766 0.989 0.975 2.27 0.018 Freckles: Present vs Absent 705 599 0.984 0.976 1.50 0.162
Eastern Europe Natural skin colour: Light vs Medium 485 484 0.970 0.958 1.44 0.141 Natural skin colour: Light vs Dark 485 74 0.970 0.851 5.67 5.8 x 10~8 Natural skin colour1 Medium vs Dark 484 74 0.958 0.851 3.95 5.6 x 10~6 Fitzpatrick: 1 & 2 vs 3 to 5 320 705 0.972 0.948 1.91 0.010
Spam Light vs Dark Eyes 208 324 0.957 0.934 1.57 0.108 Blond vs Brown Hair 99 402 0.980 0.938 3.23 9.3 x 10~3 Red vs Non Red Hair 22 501 0.886 0.946 0.44 0.134
Fitzpatrick: 1 & 2 vs 3 to 5 200 145 0.973 0.900 3.93 5.8 x 10~5
U.S.A. Blue (or Gray) vs Brown (or Black)
Eyes 1 ,082 583 0.983 0.958 2.52 2.6 x 10~5
Blue (or Gray) vs Green (or Hazel)
Eyes 1 ,082 731 0.983 0.969 1.83 7.2 x 10~3
Blond vs Brown (Dark or Black) Hair 400 876 0.980 0.959 2.10 4.5 x 10~3 Red vs Non Red Hair 166 2,230 0.979 0.972 1.33 0.452 Freckles on the arm: Many vs None 282 1 ,147 0.975 0.964 1.46 0.181 Freckles on the face: Many vs None 262 1 ,060 0.975 0.967 1.34 0.321
Freckles on the shoulders: Many vs None 262 1 ,195 0.983 0.965 2.08 0.023
Natural skin colour of non sun- exposed areas: Light vs Medium 1 ,792 598 0.982 0.946 3.01 1.7 x 10~9
Reaction to acute sun exposure: Severe Sunburn vs Tanned 184 306 0.981 0.930 3.90 1.5 x 10~4
Reaction to chronic sun exposure: No Tan vs Deeply Tanned 188 542 0.992 0.945 7.14 6.3 x 10~6
Fitzpatrick: 1 & 2 vs 3 & 4 781 1 ,684 0.985 0.968 2.24 1.7 x 10~4 rs401681 TERT-CLPTM1L Iceland Blue vs Brown Eyes 4,767 632 0.533 0.533 1.00 0.984 Blue vs Hazel or Green Eyes 4,767 1 ,010 0.533 0.551 0.93 0.139 Blond vs Brown Hair 976 1 ,723 0.546 0.530 1.07 0.259 Red vs Non Red Hair 471 5,894 0.551 0.534 1.07 0.301 Fitzpatrick: 1 & 2 vs 3 & 4 2,324 3,815 0.541 0.532 1.04 0.340 Freckles: Present vs Absent 3,347 2,945 0.534 0.532 1.01 0.784
a For all sample groups, both cases and controls were used in the analysis except for Spain, where pigmentation data were available from melanoma cases only. b Icelandic numbers are lower for these SNPs than the others because they are not represented on the lllumina chips and, for rs641615, only BCC cases and controls were genotyped.
Table 5: Association of exonic SNPs in KRT5 with basal cell carcinoma in combined Icelandic, Eastern European and Spanish sample sets
Number Frequency
SNP Allele Variant Cases Controls Controls3 OR P rs12821071 C 5' UTR 2,384 4,705 0.19 1.04 0.42 rs641615 C Asp197Glu 2,384 4,681 0.74 1.21 2.2 x 10~5 rs4761924 T Thr355Thr 2,387 4,681 0.86 1.03 0.62 rs 1 1549950 A Ser528Gly 2,593 36,799 0.85 1.00 0.99 rs1 1549949b G Gly543Ser 2,386 4,601 0.85 1.12 3.8 x 10~2 rs6603 T 3' UTR 2,581 37,237 0.15 1.02 0.71
3 Frequency for the combined sample groups is given as the simple arithmetic mean of the frequencies in each individual group OR and P for rs1 1549949 were 1 15 and 1 5 x 10 respectively, when adjusted for the joint effects of rs1 1170164 (GIyI 38GIu) and rs641615 (Asp197Glu)
Table 6. rs641615 Asp197Glu is associated with BCC independently of rs11170164 Gly138Glu rs641615[Cl
Number Frequency rs641615FCf Unadjusted Adjusted for rs11170164
Sample Group Cases Controls Cases Controls OR 95% Cl P OR residual P
Iceland BCC 1674 2462 0.79 0.76 1.17 (1.05, 1.30) 3.8x10~3 1.13 3.5x10~2
Eastern Europe BCC 528 532 0.77 0.72 1.31 (1.08, 1.60) 6.9 x 10~3 1.24 3.7x10~2
Spain BCC 182 1687 076 0.71 1.26 (0.99, 1.62) 6.2 x 10~2 124 87 x 10~3
All BCC Combined" 2384 4681 NA NA 1.21 (1.11,1.32) 2.2x10~5 1.17 1.0x10~3
1 Note that increased BCC risk is associated with the reference (Asp) allele of the Asp197Glu mutation encoded by rs641615
055 for unadjusted ORs
Table 7: Bioinformatic analysis of KRT5 exonic variants
SNP: Analysis Type rs12821071 rs11170164 rs641615 rs4761924 rs 11549950 rs11549949 rs6603 aa variation 5' UTR Gly138Glu Asp197Glu Thr355Thr Ser528Gly Gly543Ser 3' UTR
PhastCons_28waya Conservation not conserved conserved conserved not conserved not conserved not conserved not conserved
F-Scoreb Structure / Conservation 0.500 0.888 0.923 0.195 1.000 0.500 0
Panther subPSECc Structure / Conservation -6.355 -5.597 -3.480 no entry
Panther Pdeleterious0 Structure / Conservation 0.966 0.931 0.618 no entry
SIFTd Structure / Conservation damaging tolerated tolerated tolerated
PolyPhene Structure / Conservation probably damaging benign benign benign
LS-SNP* Structure / Conservation benign benign benign benign
SNPeffect9 Structure / Conservation benign deleterious deleterious deleterious
SNPs3Dh Structure / Conservation benign benign no entry no entry
ESEfinder1 Exonic splicing enhancer changed changed changed not changed changed
ESRSearch1 Exonic splicing enhancer changed changed changed changed changed
PESX k Exonic splicing enhancer changed changed not changed not changed not changed
RESCUE-ESE1 Exonic splicing enhancer changed changed not changed not changed not changed
Consite"1 Transcription factor site changed
TFSearchn ° Transcription factor site changed not changed
Carries out multiple alignments of 28 vertebrate species and returns measures of evolutionary conservation using a phylogenetic hidden Markov model (phylo-HMM). Siepel A, et al., Genome Res 15:1034-1050, 2005. bUses the F-SNP database (http://compbio.cs.queensu.ca/F-SNP/) to provide integrated information about the functional effects of SNPs obtained from 16 different bioinformatic tools and databases. Functional effects are predicted and indicated at the splicing, transcriptional, translational and post-translational levels. cPanther estimates the likelihood of a particular nsSNP to cause a functional impact on the protein. It calculates subPSEC (substitution position -specific evolutionary conservation) score based on an alignment of evolutionarily related proteins. It then calculates Pdeleterious, the probability that a given variant will have a deleterious effect on protein function, such that a subPSEC score of -3 corresponds to a Pdeleterious of 0.5. Brunham LR, et al. PLoS Genet 1 (6) 2005: e83. doi:10.1371 /journal. pgen.0010083. dSIFT predicts whether an amino acid substitution affects protein function based on sequence homology and the physical properties of amino acids. Ng PC and Henikoff S, Nucleic Acids Res. 31 (13): 3812-4, 2003. ePolyPhen predicts the possible impact of an amino acid substitution on the structure and function of a human protein using straightforward physical and comparative considerations. Ramensky, V, et al. Nucleic Acids Res 30(17): 3894-900, 2002. 'Disease-associated nsSNPs are predicted by a support vector machine (SVM) trained on OMIM amino-acid variants and putatively neutral nsSNPs from dbSNP. Karchin R, et al. Bioinformatics 21 (12):2814-20, 2005. gThe SNPeffect database uses sequence- and structure-based bioinformatics tools to predict the effect of non-synonymous SNPs on the molecular phenotype of proteins. Reumers J, et al., Bioinformatics 22:2183-2185, 2006. hSNPs3D assigns molecular functional effects of non-synonymous SNPs based on structure and sequence analysis. Peng Y and John M, J MoI Biol. 356(5)-1263-74, 2006. 'ESEfinder uses position weighted matrices to predict putative human exonic splicing enhancers (ESEs) Cartegni L, et al , Nucleic Acids Res 31 (13): 3568-3571 , 2003. 'ESRSearch uses the evolutionary conservation of wobble positions between human and mouse orthologous exons and the analysis of the overabundance of sequence motifs, compared with their random expectation, given by their codon relative frequency, to predict ESEs. Goren A, et al., MoI Cell. 22(6):769-81 , 2006. kPESX compares the frequency of all 65536 8-mers in internal non-coding exons against their adjacent pseudo exons and in internal non-coding exons against 5'UTR of intronless genes to predict ESEs. Zhang XH and Chasm LA, Genes Dev 18(1 1 ):1241 -1250, 2004. 'Specific hexanucleotide sequences were identified as candidate ESEs on the basis that they have both significantly higher frequency of occurrence in exons than in introns and also significantly higher frequency in exons with weak (non-consensus) splice sites than in exons with strong (consensus) splice sites. Fairbrother WG, et al., Science 297(5583):1007-13, 2002. ""Explores transcription factor binding sites shared by two genomic sequences, http://asp.ii. uib.no :8090/cgι- bin/CONSITE/consite . "TFSEARCH searches highly correlated sequence fragments against the TFMATRIX transcription factor binding site profile database in TRANSFAC. Akiyama Y: "TFSEARCH: Searching Transcription Factor Binding Sites", http://www.rwcp.or.jp/papia/ . °Heinemeyer T, et al., Nucleic Acids Res 26, 364-370, 1998.
Table 8: LD relations between SNPs at 9p21 a
SNP Combination D' r2 rs2151280 vs rs10757278 0.56 0.28 rs2151280 vs rs1081 1661 0.098 0.0018 rs 10757278 vs rs 1081 1661 0.099 0.0017
1 LD determined from 26,710 Icelandic Controls
Table 9: Conditional analysis of SNPs at 9p21 associated with BCC, CAD, or T2Da
Residual P values adjusted for:
SNP Allele OR P (unadjusted) rs2151280 rs 10757278 rs1081 1661
Basal Cell Carcinoma rs2151280 C 1.21 4.3 χ 10~8 — 5.6 x 10~9 4.4 x 10~8 rs10757278 G 0.96 0.28 0.024 — 0.29 rs1081 1661 T 0.99 0.81 1 0.85 —
Coronary Artery Disease rs2151280 C 0.91 1 .3 x 10~3 — 0.42 1 .1 x 10~3 rs10757278 G 1.23 4.7 x 10~12 6.8 x 10~1° — 3.4 x 10~12 rs1081 1661 T 0.97 0.38 0.3 0.23 —
Type 2 Diabetes rs2151280 C 1.01 0.88 — 0.98 0.75 rs10757278 G 0.99 0.76 0.79 — 0.64 rs1081 1661 T 1.26 1 .1 x 10~4 1.0 x 10~4 1 .0 x 10~4 —
Associations were tested using 1 ,872 BCC cases, 3,056 CAD cases, 1 ,465 T2D cases and 27,610 controls, all of Icelandic origin Individuals with known diagnoses of BCC, CAD or T2D were excluded from the control group All P values were corrected for potential familial relatedness Only one of the three variants (rs2151280) is represented on the lllumina chips Genotypes for rs10757278 and rs10811661 were either generated by Centaurus genotyping or were imputed from lllumina chip data using correlated (r2>0 6) SNPs Only individuals for whom genotypes or imputed genotypes for all three SNPs were available were included in the analysis
Table 10. Association of SLC45A2 Leu374Phe rs16891982[G] with BCC, SCC and CM
Number Frequency
Sample Group Cases Controls Cases Controls ORa 95% Cl P Phet
Iceland BCC 1,690 2,456 0.987 0.982 1.38 (0.97, 1.96) 7.3x10~2
U.S. BCC 927 843 0.984 0.953 2.99 (2.00, 4.47) 8.9x10~8
Eastern Europe BCC 523 522 0.967 0.945 1.67 (1.09,2.55) 1.8x10~2
Spain BCC 186 1,672 0.917 0.829 2.27 (1.61,3.20) 3.0x10~6
All BCC Combined 3,326 5,493 NA NA 1.97 (1.63, 2.38) 1.6x10~12 0.026
Iceland SCCb 420 2,456 0.992 0.982 2.22 (1.11,4.42) 2.3x10~2
U.S. SCC 699 843 0.984 0.953 2.94 (1.90,4.54) 1.2 x 10~6
All SCC Combined 1,119 3,299 NA NA 2.71 (1.88,3.92) 1.0x10~7 0.5
Iceland CM 555 2,456 0.988 0.982 1.58 (0.90, 2.76) 0.11
Holland CM 747 1,777 0.990 0.975 2.56 (1.56,4.20) 2.0x10~4
Sweden CM 1,061 541 0.988 0.957 3.58 (2.23, 5.75) 1.4 x 10~7
Austria CM 152 376 0.984 0.964 2.23 (0.92, 5.42) 7.7 x 10~2
Italy CM 560 367 0949 0.900 206 (1.44, 295) 7.7 x 10~5
Spain CM 805 1,672 0.935 0.829 2.95 (2.42, 3.60) 8.5 x 10~27
All CM Combined 3,880 7,189 NA NA 2.95 (2.42, 3.60) 8.3x10~39 0.15 a Note that increased risk is associated with the reference (Leu) allele of the Leu374Phe mutation encoded by rs16891982 "Cases diagnosed with SCC without BCC
Table 11 : Association of SLC45A2 Glu272l_ys rs26722[C] with BCC, SCC and CM
Number Frequency
Sample Group Cases Controls Cases Controls ORa 95% Cl P Phet
Iceland BCC 1675 2487 0.99 0.99 0.97 (0.64, 1.48) 0.89
Eastern Europe BCC 524 531 0.99 0.98 1 78 (0 93, 3.39) 0 08
Spain BCC 92 1699 0.97 0.93 2.89 (1 .35, 6.18) 6.1 x 10~3
All BCC Combined 2291 4717 NA NA 1.37 (0.99, 1.88) 0.056 0.031
Iceland SCCb 416 2487 1.00 0.99 2 58 (0 93, 7.13) 0.068
Iceland CM 558 2487 1.00 0.99 2.07 (0.9, 4.79) 0.089
Holland CM 735 1772 0.99 0.99 1 58 (0 81 , 3.08) 0 18
Sweden CM 1053 545 0.99 0.98 1 .95 (1 , 3.79) 0.049
Austria CM 151 374 0.98 0.98 1 .01 (0.38, 2.67) 0.98
Italy CM 563 366 0.97 0.96 1 22 (0 75, 1.98) 0 42
Spain CM 813 1699 0.97 0.93 2.35 (1.78, 3.1 ) 1.5 x 10~9
All CM Combined 3873 8942 NA NA 1.90 (1 .55, 2.32) 6.0 x 10~1° 0.19 a Note that increased risk is associated with the reference (GIu) allele of the Glu272Lys mutation encoded by rs26722 Cases diagnosed with SCC without BCC
Table 12: Adjusted associations of SLC45A2 variants with BCC and CM
SNP Allele Variant Sample Groupa Adjusted OR 95% Cl residual P rs16891982 adjusted for rs26722: rs16891982 G Leu374Phe All BCC Combined 1.78 (1.31 , 2.43) 2.7 x 1 C
All CM Combined 3.05 (2.53, 3 68) 5.9 x 10 rs26722 adjusted for rs16891982: rs26722 C Glu272Lys All BCC Combined 0.92 (0.56, 1 .49) 0.73
All CM Combined 0.74 (0.56, 0 98) 0.03 a Analysis was restricted to those samples which had been genotyped for both SNPs
Table 13: Estimates of population attributable risk (PAR) for BCC
Locus PAR (%)
KRT5 5
9p21 17
7q32 25
ASlP" 4
TYFf 7
MC1Ff b 10
1 p36a 17
1q42a 17
TERT-CLPTM1L 18
Joint PAR, all variants 74 aThe PAR estimates for these loci have been published previously Gudbjartsson, D. F. et al. Nat Genet 40, 886-91 (2008); Stacey, S.N. et al. Nat Genet 40, 1313-8 (2008). bJoιnt PAR for the four common strong red-hair color MC1R variants D84E, R151 C, R16OW and D294H
Table 14. Surrogate markers (based on HapMap CEU sample set, http://www.hapmap.org) on Chromosome 12ql3 with r2>0.2 to rslll70164. Shown is, Surrogate marker name, the allele that is correlated with πsk-allele of the anchor-marker, the anchor marker, position of the surrogate marker in NCBI Build 36, D', r2, and P-value of the correlation between the markers Allelic codes are A = 1, C = 2, G = 3, T = 4.
Table 15. Surrogate markers (based on HapMap CEU sample set; http://www.hapmap.org) on Chromosome 12ql3 with r2>0.2 to rs641615. Shown is; Surrogate marker name, the anchor marker, the allele that is correlated with risk-allele of the anchor-marker, position of the surrogate marker in NCBI Build 36, D', r2, and P-value of the correlation between the markers. Allelic codes are A = 1, C = 2, G = 3, T = 4.
Table 16. Surrogate markers (based on HapMap CEU sample set; http://www.hapmap.org) on Chromosome 9p21 with r2>0.2 to rs2151280. Shown is; Surrogate marker name, the anchor marker, the allele that is correlated with risk-allele of the anchor-marker, position of the surrogate marker in NCBI Build 36, D', r2, and P-value of the correlation between the markers. Allelic codes are A = 1, C = 2, G = 3, T = 4.
Table 17. Surrogate markers (based on HapMap CEU sample set; http://www.hapmap.org) on Chromosome 7q32 with r2>0.2 to rsl57935. Shown is; Surrogate marker name, the allele that is correlated with risk-allele of the anchor-marker,the anchor marker, position of the surrogate marker in NCBI Build 36, D', r2, and P-value of the correlation between the markers. Allelic codes are A = 1, C = 2, G = 3, T = 4.
Table 18. Surrogate markers (based on HapMap CEU sample set; http://www.hapmap.org) on Chromosome 5pl3 with r2>0.2 to rsl6891982. Shown is; Surrogate marker name, the allele that is correlated with risk-allele of the anchor-marker, the anchor marker, position of the surrogate marker in NCBI Build 36, D', r2, and P-value of the correlation between the markers. Allelic codes are A = 1, C = 2, G = 3, T = 4.
Table 19. BCC Association analysis using Icelandic data for markers within Chromosomal regions 5pl3, 7q32, 9p21 and 12ql3. Shown is Marker name, Chromosome and position in NCBI Build 36, Risk allele, Odds ration and P-value, number and frequencies of cases and controls respectively.
EXAMPLE 2
Association of surrogate markers was investigated by imputation of genotype data in Icelandi. Using the IMPUTE software (Marchini, J. et al. Nat Genet 39: 906-13 (2007)) and the HapMap CEU data (for example NCBI Build 36 (dbl26b)) as reference (Frazer, K.A., et al. Nature 449:851-61 (2007)) genotypes for ungenotyped were imputed and association of the markers investigated.
Results are shown in Tables 20 - 22 below. As can be seen, a large portion of the surrogate markers do indeed show significant association to Basal Cell Carcinoma, Cutaneous Melanoma and/or Squamous Cell Melanoma. The smaller sample set compared with the extended data sets shown in Example 1 above however leads to less significant P-values of association than expected using the larger datasets.
Tables 23 and 24 show further surrogate markers for rsl57935 (Table 23) and rs2151280 (Table 24), based on the Caucasian sample from the 1000 genomes project (http://www.1000genomes.org).
Table 20. Association analysis by imputing data from Icelandic patients only for markers within Chromosomal regions 5pl3, 7q32, 9p21 and 12ql3 to Basal cell Carcinoma. Shown is; Marker name, Chromosome and position in NCBI Build 36, Risk allele, Odds ration and P-value, number of cases and controls respectively and frequency of risk allele in controls.
Table 21. Association of markers on chromosome 5p32 with Squamous Cell Carcinoma. Results are obtained by imputing data from Icelandic patients only. Shown is; Marker name, Chromosome and position in NCBI Build 36, Risk allele, Odds ration and P-value, number of cases and controls respectively and frequency of risk allele in controls.
Table 22. Association of markers on chromosome Ip36 with Cutaneous Melanoma. Results are obtained by imputing data from Icelandic patients only. Shown is; Marker name, Chromosome and position in NCBI Build 36, Risk allele, Odds ratio and P-value, number of cases and controls respectively and frequency of risk allele in controls.
Table 23. Surrogate markers on Chromosome 7q32 with r2>0.2 to rsl57935 selected from the publically available 1000 Genomes project (http://www.1000genomes.org). Markers that have not been assigned rs names are identified by their position in NCBI Build 36 of the human genome assembly. Shown are the marker names, and their position in NCBI Build36, risk alleles for the surrogate markers, i.e. alleles that are correlated with the corresponding allele of the anchor marker, rsl57935-T. Linkage disequilibrium measures D' and R2, and finally Seq ID NO. Allelic codes are A = 1, C = 2, G = 3, T = 4.
Table 24. Surrogate markers on Chromosome 9p21 with r2>0.2 to rs2151280 selected from the publically available 1000 Genomes project (http://www.1000genomes.org). Markers that have not been assigned rs names are identified by their position in NCBI Build 36 of the human genome assembly. Shown are the marker names, and their position in NCBI Build36, risk alleles for the surrogate markers, i.e. alleles that are correlated with the corresponding allele of the anchor marker, rs2151280-C. Linkage disequilibrium measures D' and R2, and finally Seq ID NO. Allelic codes are A = 1, C = 2, G = 3, T = 4.
Claims
1. A method of determining a susceptibility to Basal Cell Carcinoma in a human individual, the method comprising :
analyzing sequence data about a human individual for at least one polymorphic marker selected from the group consisting of rsl 1170164, rs641615, rs2151280, rsl57935 and rsl6891982, and markers in linkage disequilibrium therewith, wherein different alleles of the at least one polymorphic marker are associated with different susceptibilities to Basal Cell Carcinoma in humans, and
determining a susceptibility to Basal Cell Carcinoma from the sequence data.
2. The method of claim 1, wherein the sequence data is nucleic acid sequence data.
3. The method of claim 2, wherein the nucleic acid sequence data is obtained from a biological sample containing nucleic acid from the individual.
4. The method of claim 3, wherein obtaining nucleic acid sequence data comprises a method that includes at least one procedure selected from amplifying nucleic acid from the biological sample; and performing a hybridization assay using a nucleic acid probe and nucleic acid, or amplified nucleic acid, from the sample.
5. The method of claim 1 or claim 2, wherein the sequence data is from a genotype dataset from the individual .
6. The method of any one of the preceding claims, wherein analyzing sequence of the at least one polymorphic marker comprises determining the presence or absence of at least one allele of the at least one polymorphic marker.
7. The method of any one of the preceding claims, wherein determination of a susceptibility comprises comparing the sequence data to a database containing correlation data between the at least one polymorphic marker and susceptibility to Basal Cell Carcinoma.
8. The method of any one of the previous claims, wherein the obtaining sequence data comprises obtaining sequence information from a preexisting record.
9. The method of any one of the preceding claims, wherein markers in linkage disequilibrium with rsl ll70164 are selected from the group consisting of rslll70164, rsl0876279,
rslll70096, rsl0747639, rs5011450, rsl0506306, rslO59837, rs2298796, rsl610791, rslll70118, rslll70148, rsll611584, rs2232553.
10. The method of any one of the claims 1-8, wherein markers in linkage disequilibrium with rs641615 are selected from the group consisting of rs641615, rsl0876287, rsl2308420, rsl732272, rsl395342, rs928995, rs747262, rsl610446, rsl610835, rsl791660, rs587900, rs669614, rs44637, rs298107, rs298106, rsl88462, rsl701784, rs400120, rs396167, rs371202, rs392861, rs409929, rs429561, rs375539, rs373608, rs400774, rs2669871, rs597340, rs621164, rs610794, rs618387, rs387717, rs388626, rs417466, rs3809178, rs7969089, rsl7099985, rs447003, rsl798675, rsl701773, rsl92720, rs971222, rsl798671, rs447789, rs415083, rs434339, rs367087, rs415580, rs613760, rsl2817610, rs2942777, rsl707770, rs2658662, rs387480, rs853814, rs298111, rs298115, rsl67226, rs454387, rslO54122, rs298121, rs298122, rsl77079, rsl513279, rs830379, rs2362845, rs627835, rslll70152, rs830381, rs689412, rs651111, rs650694, rs636676, rs687751, rs639790, rs607860, and rs638907.
11. The method of any one of the claims 1-8, wherein the markers in linkage disequilibrium with rs2151280 are selected from the group consisting of rs2151280, rs7041637, rs3731257, rs3731211, rs7036656, rs3218020, rs3217992, rslO63192, rs2069418, rs2069416, rs573687, rs545226, rsl0811640, rslO811641, rs2106120, rs2106119, rs643319, rs7044859, rs523096, rs518394, rsl0757264, rslO965212, rslO811644, rs7035484, rsl0738604, rs615552, rs543830, rsl591136, rs7049105, rs679038, rslO965215, rs564398, rs7865618, rsl0115049, rs634537, rs2157719, rsl008878, rsl556515, rsl333037, rsl360590, rsl7694493, rsl412829, rsl360589, rs7028570, rs944801, rslO965219, rs7030641, rsl0120688, rs2184061, rsl537378, rs8181050, rs8181047, rslO811647, rsl333039, rsl0965224, rsl0811650, rslO811651, rs4977756, rsl0757269, rs9632884, rsl412832, rslO116277, rs6475606, rsl537370, rs7857345, rsl0738607, rsl0757272, rs4977574, rs2891168, rsl537371, rsl556516, rs6475608, rs7859727, rsl537373, rsl333042, rs7859362, rsl333043, rsl412834, rs7341786, rsl0511701, rsl0733376, rsl0738609, rs2383206, rs944797, rsl004638, rs2383207, rsl537374, rsl537375, rsl0738610, rsl333046, rsl0757278, rsl333047, rs4977575, rsl333048, and rsl333049.
12. The method of any one of the claims 1-8, wherein markers in linkage disequilibrium with rsl57935 are selected from the group consisting of rsl57935, rs7806539, rs7806692, rs7811523, rs7811176, rsll22619, rsll763341, rs6954253, rs6969957, rs7783327, rsl7789944, rs2075459, rsll766402, rs205755, rsl57928, rs4731717, rsl57930, rsl57931, rs3750176, rsl25124, rsl57936.
13. The method of any one of the claims 1 - 8, wherein markers in linkage disequilibrium with rsl6891982 are selected from the group consisting of rsl6891982, rsl0036181, rsl0941073, rsl2654460, rsl374017, rsl423299, rsl445907, rsl465435, rsl465436, rsl465437, rsl501726, rsl6891671, rsl6891678, rsl6891680, rsl6891684, rsl6891720, rsl6891840, rsl6892096, rsl6899932, rsl6899936, rsl83671, rs2278007, rs2591719, rs2591720, rs28777, rs35389, rs35395, rs35397, rs35400, rs35402, rs35407, rs3797201, rs40133, rs4866391, rs6882471, rs720797, rs720798, rs9784705.
14. The method of claim 1, wherein the sequence data is amino acid sequence data.
15. The method of claim 15, comprising determining the presence or absence of an ammo acid substitution in the amino acid sequence encoded by the polymorphic marker.
16. The method of claim 15, wherein the amino acid substitution is selected from the group consisting of a Aspl97Glu substitution in a KRT5 protein and a Leu374Phe substitution in a SLC45A2 protein.
17. A method of determining a susceptibility to Basal Cell Carcinoma in a human individual, the method comprising :
obtaining sequence data about a human individual identifying at least one allele of at least one polymorphic marker, wherein different alleles of the at least one polymorphic marker are associated with different susceptibilities to Basal Cell Carcinoma in humans, and
determining a susceptibility to Basal Cell Carcinoma from the sequence data,
wherein the at least one polymorphic marker is selected from the group consisting of rs3828051, rs6697911, rs378437, rsl0493449, rs7882773, rs7879505, rsl877547, rslO493147, rsl55806, rslO29942, rs2025148, rsl2215077, rs2928579, rsl0957748, rsl l777052, rsl0504624, rs4734443, rs9643254, rsl0120688, rs4745464, rsllO52833, rsl414622, rs7188879, rs4795430, rs916816, rslO871717, rs9956188, rs6047591, rs6035973, rs738814, and rsll586100, and markers in linkage disequilibrium therewith.
18. A method for determining a susceptibility to Basal Cell Carcinoma in a human individual, comprising determining the presence or absence of at least one allele of at least one polymorphic marker in a nucleic acid sample obtained from the individual, or in a genotype dataset from the individual, wherein the at least one polymorphic marker is selected from the group consisting of rsl l l70164, rs641615, rs2151280, rsl57935 and rsl6891982, and markers in linkage disequilibrium therewith, and wherein determination of the presence of the at least one allele is indicative of a susceptibility to Basal Cell Carcinoma.
19. The method of claim 18, wherein the determining comprises analyzing nucleic acid in the sample using a method that includes at least one procedure selected from amplifying nucleic acid from the nucleic acid sample; and performing a hybridization assay using a nucleic acid probe and nucleic acid from the nucleic acid sample, or from the amplifying.
20. The method of any one of the preceding claims, further comprising displaying results from the analyzing of the sequence data indicative of a susceptibility to Basal Cell Carcinoma on a visual display selected from the group consisting of an electronic display and a printed report.
21. The method of any one of the preceding claims, wherein determination of the presence of at least one at-risk allele in the sequence data is predictive of an increased susceptibility of
Basal Cell Carcinoma in the individual.
22. The method of claim 21, wherein the presence of the at least one at-risk allele is indicative of increased susceptibility to Basal Cell Carcinoma with a relative risk of at least 1.15, at least 1.20, at least 1.25, at least 1.30, or at least 1.35.
23. The method of claim 21 or claim 22, wherein the at least one allele is selected from the group consisting of the A allele of rslll70164, the C allele of rs641615, the C allele of rs2151280, the T allele of rsl57935 and the G allele of rsl6891982.
24. The method of any one of the claims 1-20, wherein determination of the absence of an at- risk allele is indicative of a decreased susceptibility to Basal Cell Carcinoma in the individual.
25. The method of any one of the previous claims, further comprising reporting the susceptibility to at least one entity selected from the group consisting of the individual, a guardian of the individual, a genetic service provider, a physician, a medical organization, and a medical insurer.
26. A method of assessing a susceptibility to Basal Cell Carcinoma in a human individual, comprising
i. obtaining sequence information about the individual for at least one polymorphic marker selected from the group consisting of rslll70164, rs641615, rs2151280, rsl57935 and rsl6891982, wherein different alleles of the at least one polymorphic marker are associated with different susceptibilities to Basal Cell Carcinoma in humans;
ii. identifying the presence or absence of at least one allele in the at least one polymorphic marker that correlates with increased occurrence of Basal Cell Carcinoma in humans;
wherein determination of the presence of the at least one allele identifies the individual as having elevated susceptibility to Basal Cell Carcinoma, and
wherein determination of the absence of the at least one allele identifies the individual as not having the elevated susceptibility.
27. The method of claim 26, wherein the at least one polymorphic marker is selected from the group consisting of rsl ll70164, rs641615, rs2151280, rsl57935 and rsl6891982, and markers in linkage disequilibrium therewith.
28. A method of determining a susceptibility to Basal Cell Carcinoma in a human individual, the method comprising :
obtaining sequence data about a human individual identifying at least one allele of at least one polymorphic marker, wherein different alleles of the at least one polymorphic marker are associated with different susceptibilities to Basal Cell Carcinoma in humans, and
determining a susceptibility to Basal Cell Carcinoma from the sequence data,
wherein the at least one polymorphic marker is a marker associated with the human KRT5 gene.
29. The method of claim 28, wherein the at least one polymorphic marker is selected from the group consisting of rsl ll70164 and rs641615, and markers in linkage disequilibrium therewith.
30. A method of determining a susceptibility to Basal Cell Carcinoma in a human individual, the method comprising :
obtaining sequence data about a human individual identifying at least one allele of at least one polymorphic marker, wherein different alleles of the at least one polymorphic marker are associated with different susceptibilities to Basal Cell Carcinoma in humans, and
determining a susceptibility to Basal Cell Carcinoma from the sequence data,
wherein the at least one polymorphic marker is a marker associated with the human
CDKN2A gene.
31. The method of claim 30, wherein the at least one polymorphic marker is selected from the group consisting of rs2151280, and markers in linkage disequilibrium therewith.
32. A method of determining a susceptibility to Basal Cell Carcinoma in a human individual, the method comprising :
obtaining sequence data about a human individual identifying at least one allele of at least one polymorphic marker, wherein different alleles of the at least one polymorphic marker are associated with different susceptibilities to Basal Cell Carcinoma in humans, and
determining a susceptibility to Basal Cell Carcinoma from the sequence data,
wherein the at least one polymorphic marker is a marker associated with the human KLF14 gene.
33. The method of claim 32, wherein the at least one polymorphic marker is selected from the group consisting of rsl57935, and markers in linkage disequilibrium therewith.
34. A method of determining a susceptibility to Basal Cell Carcinoma in a human individual, the method comprising :
obtaining sequence data about a human individual identifying at least one allele of at least one polymorphic marker, wherein different alleles of the at least one polymorphic marker are associated with different susceptibilities to Basal Cell Carcinoma in humans, and
determining a susceptibility to Basal Cell Carcinoma from the sequence data,
wherein the at least one polymorphic marker is a marker associated with the human SLC45A2 gene.
35. The method of claim 34, wherein the at least one polymorphic marker is selected from the group consisting of rsl6891982, and markers in linkage disequilibrium therewith.
36. A method of determining a susceptibility to Basal Cell Carcinoma in a human individual, the method comprising :
obtaining sequence data about a human individual identifying at least one allele of at least one polymorphic marker, wherein different alleles of the at least one polymorphic marker are associated with different susceptibilities to Basal Cell Carcinoma in humans, and
determining a susceptibility to Basal Cell Carcinoma from the sequence data,
wherein the at least one polymorphic marker is a marker within LD Block C12.
37. The method of claim 36, wherein the at least one polymorphic marker is selected from the group consisting of rslll70164 and rs641615, and markers in linkage disequilibrium therewith.
38. A method of determining a susceptibility to Basal Cell Carcinoma in a human individual, the method comprising :
obtaining KRT5 amino acid sequence data about at least one encoded KRT5 protein of a human individual,
identifying at least one polymorphic site in the KRT5 amino acid sequence, wherein different amino acids of the at least one polymorphic site are associated with different susceptibilities to Basal Cell Carcinoma in humans, and
determining susceptibility to at Basal Cell Carcinoma from the amino acid sequence data.
39. The method of claim 38, wherein determination of the presence of a Glutamic acid at position 138 and/or a Glutamic acid at position 197 in a KRT5 protein with sequence as set forth in SEQ ID NO: 245 is indicative of an increased susceptibility to Basal Cell Carcinoma.
40. The method of claim 38, wherein determination of the presence of a Glutamic acid at position 138 and a Glutamic acid at position 197 in a KRT5 protein with sequence as set forth in SEQ ID NO: 245 is indicative of an increased susceptibility to Basal Cell Carcinoma.
41. A method of identification of a marker for use in assessing susceptibility to Basal Cell Carcinoma in human individuals, the method comprising
a. identifying at least one polymorphic marker in linkage disequilibrium with at least one marker selected from the group consisting of rslll70164, rs641615, rs2151280, rsl57935 and rsl6891982;
b. obtaining sequence information about the at least one polymorphic marker in a group of individuals diagnosed with Basal Cell Carcinoma; and
c. obtaining sequence information about the at least one polymorphic marker in a group of control individuals;
wherein determination of a significant difference in frequency of at least one allele in the at least one polymorphism in individuals diagnosed with Basal Cell Carcinoma as compared with the frequency of the at least one allele in the control group is indicative of the at least one polymorphism being useful for assessing susceptibility to Basal Cell Carcinoma.
42. The method of Claim 41, wherein an increase in frequency of the at least one allele in the at least one polymorphism in individuals diagnosed with Basal Cell Carcinoma, as compared with the frequency of the at least one allele in the control group, is indicative of the at least one polymorphism being useful for assessing increased susceptibility to Basal Cell Carcinoma.
43. The method of Claim 41, wherein a decrease in frequency of the at least one allele in the at least one polymorphism in individuals diagnosed with Basal Cell Carcinoma, as compared with the frequency of the at least one allele in the control group, is indicative of the at least one polymorphism being useful for assessing decreased susceptibility to, or protection against, Basal Cell Carcinoma.
44. A method of predicting prognosis of an individual diagnosed with Basal Cell Carcinoma, the method comprising
obtaining sequence data about a human individual identifying at least one allele of at least one polymorphic marker selected from the group consisting of rslll70164, rs641615, rs2151280, rsl57935 and rsl6891982, and markers in linkage disequilibrium therewith, wherein different alleles of the at least one polymorphic marker are associated with different susceptibilities to Basal Cell Carcinomas in humans, and
predicting prognosis of Basal Cell Carcinoma from the sequence data.
45. A method of assessing probability of response of a human individual to a therapeutic agent for preventing, treating and/or ameliorating symptoms associated with Basal Cell Carcinoma comprising :
obtaining sequence data about a human individual identifying at least one allele of at least one polymorphic marker selected from the group consisting of rslll70164, rs641615, rs2151280, rsl57935 and rsl6891982, and markers in linkage disequilibrium therewith, wherein different alleles of the at least one polymorphic marker are associated with different probabilities of response to the therapeutic agent in humans, and
determining the probability of a positive response to the therapeutic agent from the sequence data.
46. The method of claim 45, wherein the therapeutic agent is a chemotherapy agent.
47. A kit for assessing susceptibility to Basal Cell Carcinoma, the kit comprising :
reagents for selectively detecting at least one allele of at least one polymorphic marker in the genome of the individual, wherein the polymorphic marker is selected from the group consisting of rslll70164, rs641615, rs2151280, rsl57935 and rsl6891982, and markers in linkage disequilibrium therewith, and
a collection of data comprising correlation data between the at least one polymorphism and susceptibility to Basal Cell Carcinoma.
48. The kit of claim 47, wherein the collection of data is on a computer-readable medium.
49. The kit of claim 47 or claim 48, wherein the kit comprises reagents for detecting no more than 100 alleles in the genome of the individual.
50. The kit of claim 49, wherein the kit comprises reagents for detecting no more than 20 alleles in the genome of the individual.
51. Use of an oligonucleotide probe in the manufacture of a diagnostic reagent for diagnosing and/or assessing a susceptibility to Basal Cell Carcinoma, wherein the probe is capable of hybridizing to a segment of a nucleic acid whose nucleotide sequence is given by any one of SEQ ID NO: 1-801, and wherein the segment is 15-400 nucleotides in length.
52. The use of claim 51, wherein the segment of the nucleic acid to which the probe is capable of hybridizing comprises a polymorphic site.
53. The use of claim 52, wherein the polymorphic site is selected from the group consisting of markers rslll70164, rs641615, rs2151280, rsl57935 and rsl6891982, and markers in linkage disequilibrium therewith.
54. A computer-readable medium having computer executable instructions for determining susceptibility to Basal Cell Carcinoma, the computer readable medium comprising :
data indicative of at least one polymorphic marker;
a routine stored on the computer readable medium and adapted to be executed by a processor to determine risk of developing Basal Cell Carcinoma for the at least one polymorphic marker;
wherein the at least one polymorphic marker is selected from the group consisting of rslll70164, rs641615, rs2151280, rsl57935 and rsl6891982, and markers in linkage disequilibrium therewith.
55. The computer-readable medium of claim 54, wherein the medium contains data indicative of at least two polymorphic markers.
56. An apparatus for determining a genetic indicator for Basal Cell Carcinoma, in a human individual, comprising:
a processor;
a computer readable memory having computer executable instructions adapted to be executed on the processor to analyze marker and/or haplotype information for at least one human individual with respect to at least one polymorphic marker selected from the group consisting of rslll70164, rs641615, rs2151280, rsl57935 and rsl6891982, and markers in linkage disequilibrium therewith, and generate an output based on the marker or haplotype information, wherein the output comprises a measure of susceptibility of the at least one marker or haplotype as a genetic indicator of Basal Cell Carcinoma for the human individual.
58. The apparatus according to Claim 56, wherein the computer readable memory further comprises data indicative of the risk of developing Basal Cell Carcinoma associated with at least one allele of at least one polymorphic marker or at least one haplotype, and wherein a risk measure for the human individual is based on a comparison of the at least one marker and/or haplotype status for the human individual to the risk of Basal Cell Carcinoma associated with the at least one allele of the at least one polymorphic marker or the at least one haplotype.
59. The apparatus according to Claim 56, wherein the computer readable memory further comprises data indicative_of the frequency of at least one allele of at least one polymorphic marker or at least one haplotype in a plurality of individuals diagnosed with Basal Cell Carcinoma, and data indicative of the frequency of at the least one allele of at least one polymorphic marker or at least one haplotype in a plurality of reference individuals, and wherein risk of developing Basal Cell Carcinoma is based on a comparison of the frequency of the at least one allele or haplotype in individuals diagnosed with Basal Cell Carcinoma and reference individuals.
60. The apparatus according to any one of the Claims 56 - 59, wherein the risk measure is characterized by an Odds Ratio (OR) or a Relative Risk (RR) .
61. A method of determining a susceptibility to Cutaneous Melanoma in a human individual, the method comprising :
analyzing sequence data about a human individual for at least one polymorphic marker selected from the group consisting of rsl l586100, and markers in linkage disequilibrium therewith, wherein different alleles of the at least one polymorphic marker are associated with different susceptibilities to Cutaneous Melanoma in humans, and
determining a susceptibility to Cutaneous Melanoma from the sequence data.
62. A method of determining a susceptibility to Squamous Cell Carcinoma in a human individual, the method comprising :
analyzing sequence data about a human individual for at least one polymorphic marker selected from the group consisting of rsl6891982, and markers in linkage disequilibrium therewith, wherein different alleles of the at least one polymorphic marker are associated with different susceptibilities to Squamous Cell Carcinoma in humans, and
determining a susceptibility to Squamous Cell Carcinoma from the sequence data.
63. The method of claim 61 or claim 62, wherein the sequence data is nucleic acid sequence data.
64. The method of claim 63, wherein the nucleic acid sequence data is obtained from a biological sample containing nucleic acid from the individual.
65. The method of claim 64, wherein obtaining nucleic acid sequence data comprises a method that includes at least one procedure selected from amplifying nucleic acid from the biological sample; and performing a hybridization assay using a nucleic acid probe and nucleic acid, or amplified nucleic acid, from the sample.
66. The method of any one of claims 61 - 65, wherein the sequence data is from a genotype dataset from the individual.
67. The method of any one of the claims 61 - 66, wherein analyzing sequence of the at least one polymorphic marker comprises determining the presence or absence of at least one allele of the at least one polymorphic marker.
68. The method of any one of the claims 61 - 67, wherein determination of a susceptibility comprises comparing the sequence data to a database containing correlation data between the at least one polymorphic marker and susceptibility to Cutaneous Melanoma and/or Squamous Cell Carcinoma.
69. The method of any one of the claims 61 - 68, wherein the obtaining sequence data comprises obtaining sequence information from a preexisting record.
70. A method of determining a susceptibility to Squamous Cell Carcinoma in a human individual, the method comprising :
obtaining SLC45A2 amino acid sequence data from a biological sample about at least one encoded SLC45A2 protein of the human individual,
identifying at least one polymorphic site in the SLC45A2 amino acid sequence, wherein different amino acids of the at least one polymorphic site are associated with different susceptibilities to Squamous Cell Carcinoma in humans, and
determining susceptibility to at Squamous Cell Carcinoma from the amino acid sequence data.
71. The method of claim 70, wherein the polymorphic site is Leu374Phe.
72. The method, kit, use, medium or apparatus according to any one of the preceding claims, wherein linkage disequilibrium between markers is characterized by particular numerical values of the linkage disequilibrium measures r2 and/or | D'| .
73. The method, kit, use, medium or apparatus according to any of the preceding claims, wherein linkage disequilibrium between markers is characterized by values of r2 of at least 0.2.
74. The method, kit, use, medium or apparatus according to any of the preceding claims, wherein linkage disequilibrium between markers is characterized by values of r2 of at least
0.5.
75. The method, kit, use, medium or apparatus according to any of the preceding claims, wherein the individual is of European ancestry.
76. The method, kit, use, medium or apparatus according to any of the preceding claims, wherein the individual is of Caucasian ancestry.
Applications Claiming Priority (2)
| Application Number | Priority Date | Filing Date | Title |
|---|---|---|---|
| IS8820 | 2009-05-11 | ||
| IS8820 | 2009-05-11 |
Publications (1)
| Publication Number | Publication Date |
|---|---|
| WO2010131268A1 true WO2010131268A1 (en) | 2010-11-18 |
Family
ID=43084683
Family Applications (1)
| Application Number | Title | Priority Date | Filing Date |
|---|---|---|---|
| PCT/IS2010/050003 Ceased WO2010131268A1 (en) | 2009-05-11 | 2010-05-11 | Genetic variants for basal cell carcinoma, squamous cell carcinoma and cutaneous melanoma |
Country Status (1)
| Country | Link |
|---|---|
| WO (1) | WO2010131268A1 (en) |
Cited By (3)
| Publication number | Priority date | Publication date | Assignee | Title |
|---|---|---|---|---|
| WO2013034645A1 (en) * | 2011-09-06 | 2013-03-14 | INSERM (Institut National de la Santé et de la Recherche Médicale) | Methods and kits for predicting the risk of having a melanoma in a subject |
| CN107893107A (en) * | 2017-11-30 | 2018-04-10 | 深圳美因医学检验实验室 | A kind of fluorescence quantitative PCR detection system and its application for melanoma gene screening |
| EP4116435A1 (en) * | 2021-07-08 | 2023-01-11 | Universidad de Granada | In vitro method for the diagnosis and/or prognosis of malignant melanoma |
Citations (4)
| Publication number | Priority date | Publication date | Assignee | Title |
|---|---|---|---|---|
| WO2008102380A1 (en) * | 2007-02-21 | 2008-08-28 | Decode Genetics Ehf | Genetic susceptibility variants associated with cardiovascular disease |
| WO2009047809A2 (en) * | 2007-10-12 | 2009-04-16 | Decode Genetics Ehf | Sequence variants for inferring human pigmentation patterns |
| WO2009065944A1 (en) * | 2007-11-21 | 2009-05-28 | Assistance Publique - Hopitaux De Paris | In vitro method for diagnosing skin cancer |
| WO2010004589A2 (en) * | 2008-07-07 | 2010-01-14 | Decode Genetics Ehf | Genetic variants predictive of cancer risk in humans |
-
2010
- 2010-05-11 WO PCT/IS2010/050003 patent/WO2010131268A1/en not_active Ceased
Patent Citations (4)
| Publication number | Priority date | Publication date | Assignee | Title |
|---|---|---|---|---|
| WO2008102380A1 (en) * | 2007-02-21 | 2008-08-28 | Decode Genetics Ehf | Genetic susceptibility variants associated with cardiovascular disease |
| WO2009047809A2 (en) * | 2007-10-12 | 2009-04-16 | Decode Genetics Ehf | Sequence variants for inferring human pigmentation patterns |
| WO2009065944A1 (en) * | 2007-11-21 | 2009-05-28 | Assistance Publique - Hopitaux De Paris | In vitro method for diagnosing skin cancer |
| WO2010004589A2 (en) * | 2008-07-07 | 2010-01-14 | Decode Genetics Ehf | Genetic variants predictive of cancer risk in humans |
Non-Patent Citations (3)
| Title |
|---|
| GUDBJARTSSON, D.F. ET AL.: "ASIP and TYR pigmentation variants associate with cutaneous melanoma and basal cell carcinoma", NATURE GENETICS, vol. 40, no. 7, July 2008 (2008-07-01), pages 886 - 891 * |
| STACEY, S.N. ET AL.: "Common variants on 1p36 and 1q42 are associated with cutaneous basal cell carcinoma but not with melanoma or pigmentation traits", NATURE GENETICS, vol. 40, no. 11, November 2008 (2008-11-01), pages 1313 - 1318 * |
| STACEY, S.N. ET AL.: "New common variants affecting susceptibility to basal cell carcinoma", NATURE GENETICS, vol. 41, no. 8, August 2009 (2009-08-01), pages 909 - 914 * |
Cited By (4)
| Publication number | Priority date | Publication date | Assignee | Title |
|---|---|---|---|---|
| WO2013034645A1 (en) * | 2011-09-06 | 2013-03-14 | INSERM (Institut National de la Santé et de la Recherche Médicale) | Methods and kits for predicting the risk of having a melanoma in a subject |
| CN107893107A (en) * | 2017-11-30 | 2018-04-10 | 深圳美因医学检验实验室 | A kind of fluorescence quantitative PCR detection system and its application for melanoma gene screening |
| EP4116435A1 (en) * | 2021-07-08 | 2023-01-11 | Universidad de Granada | In vitro method for the diagnosis and/or prognosis of malignant melanoma |
| WO2023281061A1 (en) * | 2021-07-08 | 2023-01-12 | Universidad De Granada | In vitro method for the diagnosis and/or prognosis of malignant melanoma |
Similar Documents
| Publication | Publication Date | Title |
|---|---|---|
| US8580501B2 (en) | Genetic variants on chr 5p12 and 10q26 as markers for use in breast cancer risk assessment, diagnosis, prognosis and treatment | |
| EP2329037B1 (en) | Genetic variants predictive of cancer risk | |
| US8951735B2 (en) | Genetic variants for breast cancer risk assessment | |
| US20120122698A1 (en) | Genetic Variants Predictive of Cancer Risk in Humans | |
| EP2247755B1 (en) | Susceptibility variants for lung cancer | |
| US20110117545A1 (en) | Genetic variants on chr2 and chr16 as markers for use in breast cancer risk assessment, diagnosis, prognosis and treatment | |
| US20110269143A1 (en) | Genetic Variants as Markers for Use in Urinary Bladder Cancer Risk Assessment, Diagnosis, Prognosis and Treatment | |
| US20110020320A1 (en) | Genetic Variants Contributing to Risk of Prostate Cancer | |
| WO2013065072A1 (en) | Risk variants of prostate cancer | |
| US20140248615A1 (en) | Genetic variants on chr 11q and 6q as markers for prostate and colorectal cancer predisposition | |
| EP2681337B1 (en) | Brip1 variants associated with risk for cancer | |
| WO2010131268A1 (en) | Genetic variants for basal cell carcinoma, squamous cell carcinoma and cutaneous melanoma | |
| WO2011095999A1 (en) | Genetic variants for predicting risk of breast cancer |
Legal Events
| Date | Code | Title | Description |
|---|---|---|---|
| 121 | Ep: the epo has been informed by wipo that ep was designated in this application |
Ref document number: 10774648 Country of ref document: EP Kind code of ref document: A1 |
|
| NENP | Non-entry into the national phase |
Ref country code: DE |
|
| 122 | Ep: pct application non-entry in european phase |
Ref document number: 10774648 Country of ref document: EP Kind code of ref document: A1 |























