WO2010105961A1 - Wasch- oder reinigungsmittel mit gegebenenfalls in situ erzeugtem bleichverstärkendem übergangsmetallkomplex - Google Patents
Wasch- oder reinigungsmittel mit gegebenenfalls in situ erzeugtem bleichverstärkendem übergangsmetallkomplex Download PDFInfo
- Publication number
- WO2010105961A1 WO2010105961A1 PCT/EP2010/053083 EP2010053083W WO2010105961A1 WO 2010105961 A1 WO2010105961 A1 WO 2010105961A1 EP 2010053083 W EP2010053083 W EP 2010053083W WO 2010105961 A1 WO2010105961 A1 WO 2010105961A1
- Authority
- WO
- WIPO (PCT)
- Prior art keywords
- acid
- formula
- weight
- cleaning
- compound
- Prior art date
- Legal status (The legal status is an assumption and is not a legal conclusion. Google has not performed a legal analysis and makes no representation as to the accuracy of the status listed.)
- Ceased
Links
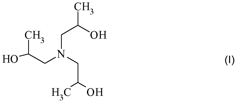
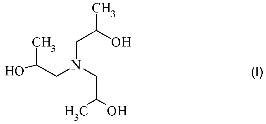
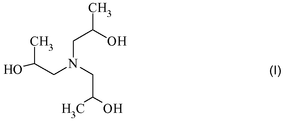
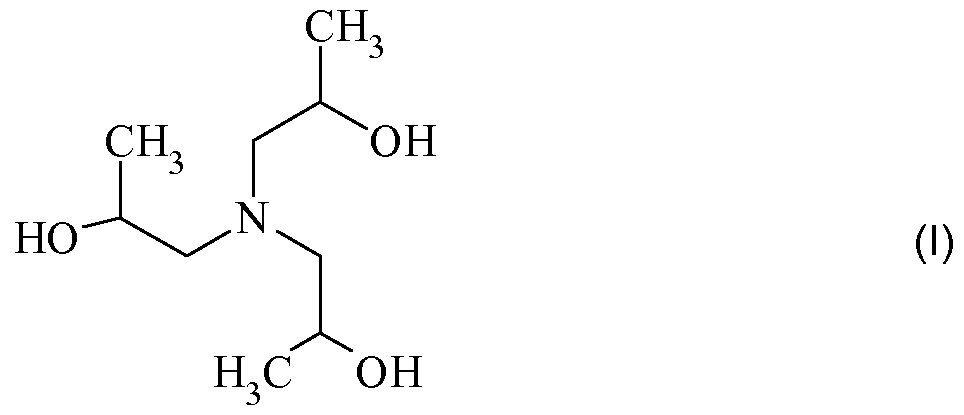
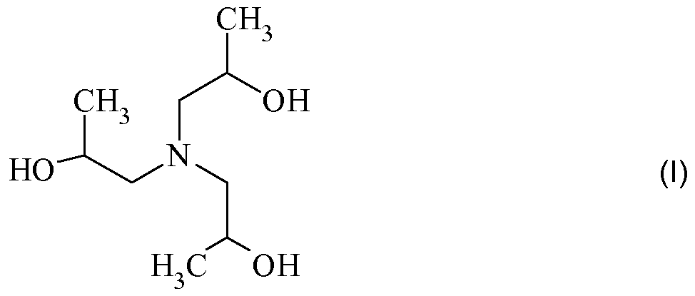
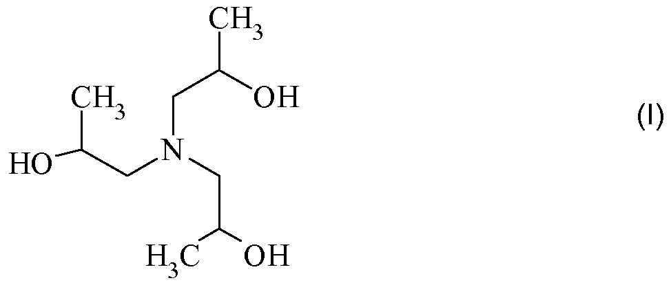
- SLINHMUFWFWBMU-UHFFFAOYSA-N CC(CN(CC(C)O)CC(C)O)O Chemical compound CC(CN(CC(C)O)CC(C)O)O SLINHMUFWFWBMU-UHFFFAOYSA-N 0.000 description 1
Classifications
-
- C—CHEMISTRY; METALLURGY
- C11—ANIMAL OR VEGETABLE OILS, FATS, FATTY SUBSTANCES OR WAXES; FATTY ACIDS THEREFROM; DETERGENTS; CANDLES
- C11D—DETERGENT COMPOSITIONS; USE OF SINGLE SUBSTANCES AS DETERGENTS; SOAP OR SOAP-MAKING; RESIN SOAPS; RECOVERY OF GLYCEROL
- C11D3/00—Other compounding ingredients of detergent compositions covered in group C11D1/00
- C11D3/16—Organic compounds
- C11D3/26—Organic compounds containing nitrogen
- C11D3/30—Amines; Substituted amines ; Quaternized amines
-
- C—CHEMISTRY; METALLURGY
- C11—ANIMAL OR VEGETABLE OILS, FATS, FATTY SUBSTANCES OR WAXES; FATTY ACIDS THEREFROM; DETERGENTS; CANDLES
- C11D—DETERGENT COMPOSITIONS; USE OF SINGLE SUBSTANCES AS DETERGENTS; SOAP OR SOAP-MAKING; RESIN SOAPS; RECOVERY OF GLYCEROL
- C11D3/00—Other compounding ingredients of detergent compositions covered in group C11D1/00
- C11D3/39—Organic or inorganic per-compounds
- C11D3/3902—Organic or inorganic per-compounds combined with specific additives
- C11D3/3905—Bleach activators or bleach catalysts
- C11D3/3932—Inorganic compounds or complexes
Definitions
- the present invention relates to the use of a particular alkanolamine which is capable of complexing with transition metal ions, or a suitably pre-formed transition metal complex for enhancing cleaning performance of detergents against soils, and detergents and cleaners containing the alkanolamine or complex.
- Inorganic peroxygen compounds particularly hydrogen peroxide and solid peroxygen compounds which dissolve in water to release hydrogen peroxide, such as sodium perborate and sodium carbonate perhydrate, have long been used as oxidizing agents for disinfecting and bleaching purposes.
- the oxidation effect of these substances in dilute solutions depends strongly on the temperature; Thus, for example, with H 2 O 2 or perborate in alkaline bleaching liquors only at temperatures above about 80 0 C, a sufficiently fast bleaching of soiled textiles.
- the oxidation effect of the inorganic peroxygen compounds can be improved by adding so-called bleach activators which are able to provide peroxycarboxylic acids under the abovementioned perhydrolysis conditions and for the numerous proposals, especially from the classes of N- or O-acyl compounds, for example reactive esters, polyacylated alkylenediamines, in particular N, N, N ', N' -Tetraacetylethylendiamin (TAED), acylated glycolurils, especially tetraacetylglycoluril, N-acylated hydantoins, hydrazides, triazoles, Hydrotriazine, urazoles, piperazine diketo-, sulfuryl amides and cyanurates, also Carboxylic anhydrides, in particular phthalic anhydride, carboxylic acid esters, in particular sodium nonanoyloxy-benzenesulfonate (NOBS), sodium isononan
- transition metal compounds for increasing the oxidation power of peroxygen compounds or atmospheric oxygen in detergents and cleaners has also been proposed on various occasions.
- the transition metal compounds proposed for this purpose include, for example, manganese, iron, cobalt, ruthenium or molybdenum-salene complexes, manganese, iron, cobalt, ruthenium or molybdenum carbonyl complexes, manganese, iron, cobalt, Ruthenium, molybdenum, titanium, vanadium and copper complexes with nitrogen-containing tripod ligands, and manganese complexes with polyazacycloalkane ligands, such as TACN.
- An object of the invention is accordingly the use of a bleach catalyst in the form of a complex of Ag, Au, Co, Cu, Fe, Mo, Mn, Ni, Pt, Rh, Ru, Ti, V and / or Zn with a ligand of the formula ( I),
- Further objects of the invention are a process for washing textiles and a process for cleaning hard surfaces, in particular for machine dishwashing, using a compound according to formula (I) or a bleach catalyst in the form of a complex of Ag, Au, Co, Cu , Fe, Mo, Mn, Ni, Pt, Rh, Ru, Ti, V and / or Zn with a ligand of the formula (I).
- the concentration of the compound of the formula (I) in the aqueous washing or cleaning liquor is 0.5 ⁇ mol / l to 1500 ⁇ mol / l, in particular 1 ⁇ mol / l to 300 ⁇ mol / l is.
- the concentration of Ag, Au, Co, Cu, Fe, Mo, Mn, Ni, Pt, Rh, Ru, Ti, V and / or Zn in the aqueous washing or cleaning liquor in the range of 0.1 .mu.mol / l to 500 .mu.mol / l, in particular 1 .mu.mol / l to 100 .mu.mol / l.
- Preferred peroxygen concentrations (calculated as H 2 O 2 ) in the washing or cleaning liquor are in the range from 0.001 g / l to 10 g / l, in particular 0.1 g / l to 1 g / l.
- the inventive use and the inventive method is preferably carried out at temperatures in the range of 10 0 C to 95 0 C, in particular 20 0 C to 40 0 C.
- the water hardness of the water used for preparing the aqueous washing or cleaning liquor is preferably in the range from 0 ° dH to 16 ° dH, in particular 0 ° dH to 3 ° dH.
- the use according to the invention and the method according to the invention is preferably carried out at pH values in the range from pH 5 to pH 12, in particular from pH 7 to pH 11.
- the uses according to the invention or the processes according to the invention can be realized particularly simply by the use of a washing or cleaning agent which contains a compound according to formula (I) or a bleach catalyst obtainable therefrom by complex formation with a transition metal ion mentioned.
- a washing or cleaning agent which contains a compound according to formula (I) or a bleach catalyst obtainable therefrom by complex formation with a transition metal ion mentioned.
- Detergents for cleaning textiles and agents for cleaning hard surfaces, in particular dishwashing detergents and among these preferably those for machine use, the surfactant and a compound of formula (I) or a bleach catalyst obtainable therefrom by complex formation with a transition metal ion mentioned in addition to customary compatible therewith Contain ingredients are therefore further objects of the invention.
- the use of the invention or the inventive method can also be carried out in the presence of peroxygen bleach or a composition of the invention may additionally contain peroxygen bleach.
- a bleach-catalyzing complex comprising a ligand of formula (I) may also contain other anion, neutral or cationic ligands such as H 2 O, NH 3 , organic anions such as citrate, oxalate, tartrate, formate, a C 2 _i 8 -Carboxylat, a Ci_i 8 alkyl sulfate, in particular methosulfate, or a corresponding alkanesulfonate, inorganic anions such as halide, in particular chloride, perchlorate, tetrafluoroborate, hexafluorophosphate, nitrate, hydrogen sulfate, hydroxide or hydroperoxide. It may also have bridging ligands, such as alkylenediamines, such that it optionally has two or three can be multi-core.
- organic anions such as citrate, oxalate, tartrate, formate, a C 2 _i 8 -Carboxy
- the agent additionally comprises an Ag, Au, Co, Cu, Fe, Mo, Mn, Ni, Pt, Rh, Ru , Ti, V and / or Zn salt and / or an Ag, Au, Co, Cu, Fe, Mo, Mn, Ni, Pt, Rh, Ru, Ti, V and / or Zn complex without a ligand which corresponds to the compound according to formula (I) contains.
- the molar ratio of said transition metal or the sum of said transition metals to the compound of formula (I) is preferably in the range of 0.001: 1 to 2: 1, especially 0.01: 1 to 1: 1.
- Preferred transition metals in the context of the use according to the invention, the process according to the invention and the agent according to the invention are Fe and Mn, in particular Mn.
- Peroxygen compounds optionally contained in the compositions are, in particular, organic peracids or persalts of organic acids, such as phthalimidopercaproic acid, perbenzoic acid or salts of diperdodecanedioic acid, hydrogen peroxide and inorganic salts which release hydrogen peroxide under the washing conditions, such as perborate, percarbonate and / or persilicate consideration.
- Hydrogen peroxide can also be produced by means of an enzymatic system, ie an oxidase and its substrate. If solid peroxygen compounds are to be used, they can be used in the form of powders or granules, which can also be enveloped in a manner known in principle.
- alkali metal percarbonate alkali metal perborate monohydrate, alkali metal perborate tetrahydrate or hydrogen peroxide in the form of aqueous solutions which contain from 3% by weight to 10% by weight of hydrogen peroxide.
- peroxygen compounds are present in amounts of up to 50% by weight, in particular from 5% by weight to 30% by weight, in detergents or cleaners according to the invention.
- compositions according to the invention which can be in the form of homogeneous solutions or suspensions in particular as pulverulent solids, in densified particle form, may contain, in principle, all known ingredients customary in such agents apart from the ligand or bleach catalyst to be used according to the invention.
- the agents according to the invention may, in particular, be builder substances, surface-active surfactants, water-miscible organic solvents, enzymes, sequestering agents, electrolytes, pH regulators, polymers with special effects, such as soil release polymers, dye transfer inhibitors, grayness inhibitors, wrinkle-reducing polymeric active ingredients and polymer-containing formulating agents, and others excipients such as optical brighteners, foam regulators, additional peroxygen activators, dyes and fragrances.
- An agent according to the invention can contain conventional antimicrobial agents in addition to the ingredients mentioned above to enhance the disinfecting action, for example against special germs.
- antimicrobial additives are contained in the disinfectants according to the invention preferably in amounts of up to 10 wt .-%, in particular from 0.1 wt .-% to 5 wt .-%.
- customary bleach activators which form peroxycarboxylic acids or peroxoimidic acids under perhydrolysis conditions and / or customary bleach-activating transition metal complexes can be used.
- the optional, especially in amounts of 0.5 wt .-% to 6 wt .-%, present component of the bleach activators includes the commonly used N- or O-acyl compounds, for example, polyacylated alkylenediamines, especially tetraacetylethylenediamine, acylated glycolurils, in particular tetraacetylglycoluril, N-acylated hydantoins, hydrazides, triazoles, urazoles, diketopiperazines, sulfuryl amides and cyanurates, furthermore carboxylic acid anhydrides, in particular phthalic acid anhydride, carboxylic acid esters, in particular sodium isononanoyl-phenolsulfonate, and acy
- Diacetyl-2,4-dioxohexahydro-1, 3,5-triazine, and / or formulated in particulate trialkylammonium acetonitrile is particularly preferred.
- Such bleach activators are preferably contained in detergents or cleaners in amounts of up to 8% by weight, in particular from 2% by weight to 6% by weight, based in each case on the total agent.
- compositions according to the invention may comprise one or more additional surfactants, in particular anionic surfactants, nonionic surfactants and mixtures thereof, but it is also possible for cationic and / or amphoteric surfactants to be present.
- additional surfactants in particular anionic surfactants, nonionic surfactants and mixtures thereof, but it is also possible for cationic and / or amphoteric surfactants to be present.
- Suitable nonionic surfactants are, in particular, alkyl glycosides and ethoxylation and / or propoxylation products of alkyl glycosides or linear or branched alcohols having in each case 12 to 18 C atoms in the alkyl moiety and 3 to 20, preferably 4 to 10, alkyl ether groups.
- ethoxylation and / or propoxylation products of N-alkylamines, vicinal diols, fatty acid esters and fatty acid amides which correspond to said long-chain alcohol derivatives with respect to the alkyl moiety and alkylphenols having from 5 to 12 carbon atoms in the alkyl radical.
- Suitable anionic surfactants are in particular soaps and those which contain sulfate or sulfonate groups with preferably alkali ions as cations.
- Usable soaps are preferably the alkali salts of the saturated or unsaturated fatty acids having 12 to 18 carbon atoms. Such fatty acids can also be used in incompletely neutralized form.
- Useful surfactants of the sulfate type include the salts of the sulfuric acid half-esters of fatty alcohols having 12 to 18 carbon atoms and the sulfation products of said nonionic surfactants having a low degree of ethoxylation.
- Suitable surfactants of the sulfonate type include linear alkylbenzenesulfonates having 9 to 14 carbon atoms in the alkyl moiety, alkanesulfonates having 12 to 18 carbon atoms, and olefin sulfonates having 12 to 18 carbon atoms, which are formed in the reaction of corresponding monoolefins with sulfur trioxide, and alpha-sulfofatty acid esters resulting from the sulfonation of fatty acid methyl or ethyl esters.
- Such surfactants are present in the cleaning or washing agents according to the invention in proportions of preferably 5 wt .-% to 50 wt .-%, in particular from 8 wt .-% to 30 wt .-%, while the disinfectant according to the invention as well as inventive cleaning agent preferably 0.1 wt .-% to 20 wt .-%, in particular 0.2 wt .-% to 5 wt .-% surfactants.
- compositions according to the invention may in particular comprise one or more of the cationic, textile-softening substances of the general formulas X, XI or II as cationic active substances having a textile-softening action XII contain:
- the cationic surfactants have customary anions in the charge balance necessary type and number, which can be selected in addition to, for example halides also from the anionic surfactants.
- quaternary ammonium compounds in particular C 12 alkyl -is- (hydroxyethyl) dimethylammonium, and preferably their halides, in particular chlorides, are used.
- An agent according to the invention preferably contains 0.5% by weight to 25% by weight, in particular 1% by weight to 15% by weight, of cationic surfactant.
- An agent according to the invention preferably contains at least one water-soluble and / or water-insoluble, organic and / or inorganic builder.
- the water-soluble organic builder substances include polycarboxylic acids, in particular citric acid and sugar acids, monomeric and polymeric aminopolycarboxylic acids, in particular methylglycinediacetic acid, nitrilotriacetic acid and ethylenediaminetetraacetic acid and polyaspartic acid, polyphosphonic acids, in particular aminotris (methylenephosphonic acid), ethylenediaminetetrakis (methylenephosphonic acid) and 1-hydroxyethane-1, 1-diphosphonic acid, polymeric hydroxy compounds such as dextrin and polymeric (poly) carboxylic acids, in particular by oxidation of polysaccharides or dextrins accessible polycarboxylates, and / or polymeric acrylic acids, methacrylic acids, maleic acids and copolymers of these, which also small amounts of polymerizable siers
- the molecular weight of the homopolymers of unsaturated carboxylic acids is generally between 5,000 and 200,000, that of the copolymers between 2,000 and 200,000, preferably 50,000 to 120,000, in each case based on the free acid.
- a particularly preferred acrylic acid-maleic acid copolymer has a molecular weight of 50,000 to 100,000.
- Suitable, albeit less preferred, compounds of this class are copolymers of acrylic acid or methacrylic acid with vinyl ethers, such as vinylmethyl ethers, vinyl esters, ethylene, propylene and styrene, in which the proportion of the acid is at least 50% by weight.
- Terpolymers which contain two unsaturated acids and / or their salts as monomers and also vinyl alcohol and / or an esterified vinyl alcohol or a carbohydrate as the third monomer may also be used as water-soluble organic builder substances.
- the first acidic monomer or its salt is derived from a monoethylenically unsaturated C 3 -C 8 -carboxylic acid and preferably from a C 3 -C 4 -monocarboxylic acid, in particular from (meth) -acrylic acid.
- the second acidic monomer or its salt may be a derivative of a C 4 -C 8 -dicarboxylic acid, with maleic acid being particularly preferred, and / or a derivative of an allylsulfonic acid which is substituted in the 2-position by an alkyl or aryl radical.
- Such polymers generally have a relative Molecular weight between 1 000 and 200 000 on.
- Further preferred copolymers are those which have as monomers acrolein and acrylic acid / acrylic acid salts or vinyl acetate.
- the organic builder substances can be used, in particular for the preparation of liquid agents, in the form of aqueous solutions, preferably in the form of 30 to 50 percent by weight aqueous solutions. All of the acids mentioned are generally used in the form of their water-soluble salts, in particular their alkali metal salts.
- organic builder substances may be present in amounts of up to 40% by weight, in particular up to 25% by weight and preferably from 1% by weight to 8% by weight. Quantities close to the stated upper limit are preferably used in paste-form or liquid, in particular water-containing, agents according to the invention.
- Suitable water-soluble inorganic builder materials are, in particular, polymeric alkali metal phosphates, which may be in the form of their alkaline neutral or acidic sodium or potassium salts. Examples of these are tetrasodium diphosphate, disodium dihydrogen diphosphate, pentasodium triphosphate, so-called sodium hexametaphosphate and the corresponding potassium salts or mixtures of sodium and potassium salts. Crystalline or amorphous alkali metal aluminosilicates, in amounts of up to 50% by weight, preferably not more than 40% by weight, and in liquid agents, in particular from 1% by weight to 5% by weight, are particularly suitable as water-insoluble, water-dispersible inorganic builder materials. used.
- detergent grade crystalline sodium aluminosilicates especially zeolite A, P and optionally X.
- Quantities near the upper limit mentioned are preferably used in solid, particulate agents.
- suitable aluminosilicates have no particles with a particle size greater than 30 .mu.m and preferably consist of at least 80% by weight of particles having a size of less than 10 .mu.m.
- Their calcium binding capacity which can be determined according to the specifications of the German patent DE 24 12 837, is generally in the range of 100 to 200 mg CaO per gram.
- Suitable substitutes or partial substitutes for the said aluminosilicate are crystalline alkali silicates which may be present alone or in a mixture with amorphous silicates.
- the alkali metal silicates useful as builders in the compositions according to the invention preferably have a molar ratio of alkali metal oxide to SiO 2 of less than 0.95, in particular of 1: 1, 1 to 1: 12, and may be amorphous or crystalline.
- Preferred alkali metal silicates are the sodium silicates, in particular the amorphous sodium silicates, with a molar ratio of Na 2 O: SiO 2 of 1: 2 to 1: 2.8.
- the crystalline silicates which may be present alone or in admixture with amorphous silicates, are crystalline layer silicates with the general formula Na 2 Si x O 2x + I y H 2 O are used in which x, known as the modulus, an integer of 1, 9 to 4 and y is a number from 0 to 20 and preferred values for x are 2, 3 or 4.
- Preferred crystalline layered silicates are those in which x in the said general formula assumes the values 2 or 3. In particular, both ⁇ - and ⁇ -sodium disilicates (Na 2 Si 2 O 5 y H 2 O) are preferred.
- compositions according to the invention can be prepared from amorphous alkali silicates, practically anhydrous crystalline alkali silicates of the abovementioned general formula in which x is a number from 1, 9 to 2.1, can be used in inventive compositions.
- a crystalline sodium layer silicate with a modulus of 2 to 3 is used, as can be prepared from sand and soda. Crystalline sodium silicates with a modulus in the range of 1.9 to 3.5 are used in a further preferred embodiment of compositions according to the invention.
- a granular compound of alkali silicate and alkali carbonate is used, as is commercially available, for example, under the name Nabion® 15.
- the weight ratio of aluminosilicate to silicate is preferably 1:10 to 10: 1.
- the weight ratio of amorphous alkali metal silicate to crystalline alkali metal silicate is preferably 1: 2 to 2: 1 and especially 1: 1 to 2: 1.
- Builder substances are preferably present in the detergents or cleaners according to the invention in amounts of up to 60% by weight, in particular from 5% by weight to 40% by weight.
- an agent according to the invention has a water-soluble builder block.
- builder block is intended to express that the agents do not contain any further builder substances than those which are water-soluble, ie all builder substances contained in the agent are combined in the "block” characterized in this way, at most the amounts of Substances are excluded, which may be present as impurities or stabilizing additives in small amounts in the other ingredients of the products commercially.
- water-soluble is to be understood as meaning that the builder block dissolves without leaving a residue at the concentration which results from the use of the agent containing it under the usual conditions, preferably at least 15% by weight and up to 55% by weight in the agents according to the invention, which preferably consists of the components a) 5% by weight to 35% by weight of citric acid, alkali citrate and, in particular, 25% by weight to 50% by weight of water-soluble builder block b) up to 10% by weight of alkali metal silicate with a modulus in the range from 1.8 to 2.5, c) up to 2% by weight of phosphonic acid and / or alkali metal carbonate, which may also be replaced at least proportionally by alkali metal bicarbonate or alkali metal phosphonate, d) up to 50% by weight of alkali phosphate, and e) up to 10% by weight of polymeric polycarboxylate, wherein the quantities are based on the total detergent or cleaning agent. This also applies to all following quantities, unless
- the water-soluble Buderblock contains at least 2 of components b), c), d) and e) in amounts greater than 0% by weight.
- component a) are in a preferred embodiment of the invention means 15 wt .-% to 25 wt .-% alkali carbonate, which may be at least partially replaced by alkali metal bicarbonate, and up to 5 wt .-%, in particular 0.5 wt .-% to 2.5 wt .-% citric acid and / or alkali citrate contained.
- inventive compositions are as component a) 5 wt .-% to 25 wt .-%, in particular 5 wt .-% to 15 wt .-% citric acid and / or alkali citrate and up to 5 wt .-%, in particular 1 wt .-% to 5 wt .-% alkali carbonate, which may be at least partially replaced by alkali metal bicarbonate included. If both alkali metal carbonate and alkali metal bicarbonate are present, the component comprises a) alkali carbonate and alkali metal bicarbonate, preferably in a weight ratio of 10: 1 to 1: 1.
- component b) in a preferred embodiment of the composition according to the invention 1 wt .-% to 5 wt .-% alkali metal silicate with a modulus in the range of 1, 8 to 2.5 included.
- agents according to the invention contain from 0.05% by weight to 1% by weight of phosphonic acid and / or alkali metal phosphonate.
- Phosphonic acids are also understood as meaning optionally substituted alkylphosphonic acids, which may also have a plurality of phosphonic acid groups (so-called polyphosphonic acids).
- They are preferably selected from the hydroxy and / or aminoalkylphosphonic acids and / or their alkali salts, for example dimethylaminomethane diphosphonic acid, 3-aminopropane-1-hydroxy-1,1-diphosphonic acid, 1-amino-1-phenylmethane diphosphonic acid, 1 - Hydroxyethane-1, 1-diphosphonic acid, amino-tris (methylenephosphonic acid), N, N, N ', N'-ethylenediamine tetrakis (methylenephosphonic acid) and acylated derivatives of phosphorous acid, which can also be used in any mixtures.
- dimethylaminomethane diphosphonic acid 3-aminopropane-1-hydroxy-1,1-diphosphonic acid
- 1-amino-1-phenylmethane diphosphonic acid 1 - Hydroxyethane-1, 1-diphosphonic acid
- amino-tris methylenephosphonic acid
- alkali metal phosphate in particular trisodium polyphosphate, are contained.
- Alkaliphosphat is the summary term for the alkali metal (especially sodium and potassium) salts of the various phosphoric acids, in which one can distinguish metaphosphoric acids (HPO 3 ) n and orthophosphoric H 3 PO 4 in addition to high molecular weight representatives.
- the phosphates combine several advantages: they act as alkali carriers, preventing them Lime deposits on machine parts or Kalkinkrustationen in tissues and also contribute to the cleaning performance.
- Sodium dihydrogen phosphate, NaH 2 PO 4 exists as dihydrate (density 1, 91 like 3 , melting point 60 °) and as monohydrate (density 2.04 like 3 ). Both salts are white powders which are very slightly soluble in water and which lose the water of crystallization when heated and at 200 ° C. into the weak acid diphosphate (disodium hydrogen diphosphate, Na 2 H 2 P 2 O 7 ), at higher temperature in sodium trimetaphosphate (Na 3 P 3 O 9 ) and pass on Madrell's salt.
- NaH 2 PO 4 is acidic; It arises when phosphoric acid is adjusted to a pH of 4.5 with sodium hydroxide solution and the mash is sprayed.
- Potassium dihydrogen phosphate (potassium primary or monobasic potassium phosphate, potassium biphosphate, KDP), KH 2 PO 4 , is a white salt of density 2.33 '' 3 , has a melting point of 253 ° (decomposition to form (KPO 3 ) X , potassium polyphosphate) and is slightly soluble in water.
- Disodium hydrogen phosphate (secondary sodium phosphate), Na 2 HPO 4 , is a colorless, very slightly water-soluble crystalline salt.
- Disodium hydrogen phosphate is by neutralization of phosphoric acid with sodium carbonate solution under Use of phenolphthalein as an indicator
- Dipotassium hydrogen phosphate (secondary or dibasic potassium phosphate), K 2 HPO 4
- K 2 HPO 4 is an amorphous, white salt which is readily soluble in water
- Trisodium phosphate, sodium tertiary phosphate, Na 3 PO 4 are colorless crystals as Dode- cahydrat a density of 1, 62 like 3 and a melting point of 73-76 0 C (decomposition), as decahydrate (corresponding to 19-20% P 2 O 5 ) has a melting point of 100 0 C and in anhydrous form (corresponding to 39-40% P 2 O 5 ) a density of 2.536 "3 .
- Trisodium phosphate is readily soluble in water under alkaline reaction and is prepared by evaporating a solution of exactly 1 mole of disodium phosphate and 1 mole of NaOH.
- Tripotassium phosphate (tertiary or tri-basic potassium phosphate), K 3 PO 4 , is a white, deliquescent, granular powder with a density of 2.56 '3 , has a melting point of 1340 ° and is readily soluble in water with an alkaline reaction. It arises, for example, when heating Thomasschlacke with coal and potassium sulfate. Despite the higher price, the more soluble, therefore highly effective, potassium phosphates are often preferred over the corresponding sodium compounds in the detergent industry.
- Tetra sodium diphosphate (sodium pyrophosphate), Na 4 P 2 O 7 , exists in anhydrous form (density 2.534 '3 , melting point 988 °, also indicated 880 °) and as decahydrate (density 1, 815-1, 836 like ' 3 , Melting point 94 ° with loss of water).
- decahydrate Density 1, 815-1, 836 like ' 3 , Melting point 94 ° with loss of water.
- Na 4 P 2 O 7 is formed on heating of disodium phosphate to> 200 ° or by reacting phosphoric acid with soda in a stoichiometric ratio and dewatering the solution by spraying.
- the decahydrate complexes heavy metal salts and hardness agents and therefore reduces the hardness of the water.
- Potassium diphosphate (potassium pyrophosphate), K 4 P 2 O 7 , exists in the form of the trihydrate and is a colorless, hygroscopic powder with a density of 2.33% '3 , which is soluble in water, the pH being 1% Solution at 25 ° 10.4. Condensation of NaH 2 PO 4 or KH 2 PO 4 results in higher mol.
- Sodium and potassium phosphates in which one can distinguish cyclic representatives, the sodium or Kaliummetaphosphate and chain types, the sodium or Kaliumpolyphosphate. In particular, for the latter are a variety of names in use: fused or annealed phosphates, Graham's salt, Kurrolsches and Madrell's salt.
- All higher sodium and potassium phosphates are collectively referred to as condensed phosphates.
- NaO- [P (O) (ONa) -O ] n -Na with n 3.
- 100 g of water dissolve at room temperature about 17 g, at 60 ° about 20 g, at 100 ° around 32 g of the salt water-free salt; after two hours of heating the solution to 100 ° caused by hydrolysis about 8% orthophosphate and 15% diphosphate.
- pentasodium triphosphate In the preparation of pentasodium triphosphate, phosphoric acid is reacted with sodium carbonate solution or sodium hydroxide solution in a stoichiometric ratio and the solution is dehydrated by spraying. Similar to Graham's salt and sodium diphosphate, pentasodium triphosphate dissolves many insoluble metal compounds (including lime soaps, etc.). Pentakaliumtriphosphat, K 5 P 3 O 10 (potassium tripolyphosphate), for example, in the form of a 50 wt .-% solution (> 23% P 2 O 5 , 25% K 2 O) in the trade. The potassium polyphosphates are widely used in the washing and cleaning industry. There are also sodium potassium tripolyphosphates which can also be used in the context of the present invention. These arise, for example, when hydrolyzed sodium trimetaphosphate with KOH:
- component e) in a preferred embodiment of the composition according to the invention 1.5 to 5 wt .-% polymeric polycarboxylate, in particular selected from the polymerization or copolymerization of acrylic acid, methacrylic acid and / or maleic acid.
- polymeric polycarboxylate in particular selected from the polymerization or copolymerization of acrylic acid, methacrylic acid and / or maleic acid.
- homopolymers of acrylic acid and, among these, those having an average molecular weight in the range from 5,000 D to 15,000 D (PA standard).
- proteases which can be used in the compositions, apart from the abovementioned oxidase, those from the class of the proteases, lipases, cutinases, amylases, pullulanases, mannanases, cellulases, Hemicellulases, xylanases and peroxidases and mixtures thereof, for example proteases such as BLAP®, Optimase®, Opticlean®, Maxacal®, Maxapem®, Alcalase®, Esperase®, Savinase®, Durazym® and / or Purafect® OxP, amylases such as Termamyl ®, Amylase-LT®, Maxamyl®, Duramyl® and / or Purafect® OxAm, lipases such as Lipolase®, Lipomax®, Lumafast® and / or Lipozym®, cellulases such as Celluzyme® and / or Carezyme®.
- proteases such
- fungi or bacteria such as Bacillus subtilis, Bacillus licheniformis, Streptomyces griseus, Humicola lanuginosa, Humicola insolens, Pseudomonas pseudoalcaligenes or Pseudomonas cepacia derived enzymatic agents.
- the optionally used enzymes may be adsorbed to carriers and / or embedded in encapsulants to protect against premature inactivation. They are preferably present in the detergents, cleaners and disinfectants according to the invention in amounts of up to 10% by weight, in particular from 0.2% by weight to 2% by weight, particular preference being given to stabilizing enzymes which are stabilized against oxidative degradation become.
- the agent contains 5% by weight to 50% by weight, in particular 8-30% by weight of anionic and / or nonionic surfactant, up to 60% by weight, in particular 5-40% by weight.
- organic solvents which can be used in the compositions according to the invention, especially if they are in liquid or pasty form, are alcohols having 1 to 4 C atoms, in particular methanol, ethanol, isopropanol and tert-butanol, diols having 2 to 4 C atoms , in particular ethylene glycol and propylene glycol, and mixtures thereof and the derivable from said classes of compound ethers.
- Such water-miscible solvents are preferably present in the detergents according to the invention not more than 30% by weight, in particular from 6% by weight to 20% by weight.
- compositions of the invention system and environmentally friendly acids especially citric acid, acetic acid, tartaric acid, malic acid, lactic acid, glycolic acid, succinic acid, glutaric acid and / or Adipic acid, but also mineral acids, in particular sulfuric acid, or bases, in particular ammonium or alkali hydroxides.
- pH regulators are preferably not more than 20 wt .-%, in particular from 1, 2 wt .-% to 17 wt .-%, contained in the inventive compositions.
- Soil Release polymers often as “soil release” agents or because of their ability to render the treated surface, for example, the fiber, dirt repellent, as “Soil repellents” are, for example, nonionic or cationic cellulose derivatives.
- the particularly polyester-active soil release polymers include copolyesters of dicarboxylic acids, for example adipic acid, phthalic acid or terephthalic acid, diols, for example ethylene glycol or propylene glycol, and polydiols, for example polyethylene glycol or polypropylene glycol.
- Preferred soil release polyesters include those compounds which are formally accessible by esterification of two monomeric moieties, the first monomer being a dicarboxylic acid HOOC-Ph-COOH and the second monomer being a diol HO- (CHR 11 -) a OH, also known as polymeric Diol H- (O- (CHRi i-) a ) b OH may be present.
- Ph is an o-, m- or p-phenylene radical which can carry 1 to 4 substituents selected from alkyl radicals having 1 to 22 C atoms, sulfonic acid groups, carboxyl groups and mixtures thereof
- R 11 denotes hydrogen
- a is a number from 2 to 6
- b is a number from 1 to 300.
- the polyesters obtainable from these monomers both Mondiol- O- (CHR- ⁇ -
- the molar ratio of monomer diol units to polymer diol units is preferably 100: 1 to 1: 100, in particular 10: 1 to 1:10.
- the degree of polymerization b is preferably in the range from 4 to 200, in particular from 12 to 140.
- the molecular weight or the average molecular weight or the maximum of the molecular weight distribution of preferred soil release polyesters is in the range from 250 to 100,000, in particular from 500 to 50 000.
- the acid underlying the remainder Ph is preferably selected from terephthalic acid, isophthalic acid, phthalic acid, trimellitic acid, mellitic acid, the isomers of sulfophthalic acid, sulfoisophthalic acid and sulfoterephthalic acid and mixtures thereof. If their acid groups are not part of the ester bonds in the polymer, they are preferably in salt form, in particular as alkali or ammonium salt. Among these, the sodium and potassium salts are particularly preferable.
- acids having at least two carboxyl groups may be included in the soil release-capable polyester.
- these include, for example, alkylene and alkenylene dicarboxylic acids such as malonic acid, succinic acid, fumaric acid, maleic acid, glutaric acid, adipic acid, pimelic acid, suberic acid, azelaic acid and sebacic acid.
- the preferred diols HO- (CHR 11 -) a OH include those in which R 11 is hydrogen and a is a number from 2 to 6, and those in which a is 2 and R 11 is hydrogen and the alkyl radicals 1 to 10, in particular 1 to 3 C-atoms is selected.
- R 11 is hydrogen and a is a number from 2 to 6
- R 11 is hydrogen and the alkyl radicals 1 to 10, in particular 1 to 3 C-atoms is selected.
- those of the formula HO-CH 2 -CHR 11 -OH in which R 11 has the abovementioned meaning are particularly preferred.
- diol components are ethylene glycol, 1, 2-propylene glycol, 1, 3-propylene glycol, 1, 4-butanediol, 1, 5-pentanediol, 1, 6-hexanediol, 1, 8-octanediol, 1, 2-decanediol, 1, 2-dodecanediol and neopentyl glycol.
- Particularly preferred among the polymeric diols is polyethylene glycol having an average molecular weight in the range from 1000 to 6000. If desired, these polyesters may also be end-group-capped, with the end groups being pen alkyl groups having 1 to 22 carbon atoms and esters of monocarboxylic acids in question.
- the end groups may also be based on hydroxymonocarboxylic acids having 5 to 22 carbon atoms, which include, for example, hydroxyvaleric acid, hydroxycaproic acid, ricinoleic acid, their hydrogenation product hydroxystearic acid, and o-, m- and p-hydroxybenzoic acid.
- the hydroxymonocarboxylic acids may in turn be linked to one another via their hydroxyl group and their carboxyl group and thus be present several times in an end group.
- the number of hydroxymonocarboxylic acid units per end group is in the range from 1 to 50, in particular from 1 to 10.
- the color transfer inhibitors which are suitable for use in laundry detergents according to the invention include in particular polyvinylpyrrolidones, polyvinylimidazoles, polymeric N-oxides such as poly (vinylpyridine-N-oxide) and copolymers of vinylpyrrolidone with vinylimidazole and optionally other monomers.
- the inventive compositions for use in the textile laundry may contain anti-crease agents, since textile fabrics, in particular of rayon, wool, cotton and their mixtures, may tend to wrinkle, because the individual fibers are sensitive to bending, buckling, pressing and squeezing transverse to the fiber direction.
- anti-crease agents since textile fabrics, in particular of rayon, wool, cotton and their mixtures, may tend to wrinkle, because the individual fibers are sensitive to bending, buckling, pressing and squeezing transverse to the fiber direction.
- These include, for example, synthetic products based on fatty acids, fatty acid esters, fatty acid amides, alkylol esters, alkylol amides or fatty alcohols, which are usually reacted with ethylene oxide, or products based on lecithin or modified phosphoric acid ester.
- Graying inhibitors have the task of keeping suspended from the hard surface and in particular from the textile fiber suspended dirt in the fleet.
- Water-soluble colloids of mostly organic nature are suitable for this purpose, for example starch, glue, gelatin, salts of ether carboxylic acids or ether sulfonic acids of starch or cellulose or salts of acidic sulfuric acid esters of cellulose or starch.
- water-soluble polyamides containing acidic groups are suitable for this purpose.
- starch derivatives can be used, for example aldehyde starches.
- cellulose ethers such as carboxymethylcellulose (Na salt), methylcellulose, hydroxyalkylcellulose and mixed ethers, such as methylhydroxyethylcellulose, methylhydroxypropylcellulose, methylcarboxymethylcellulose and mixtures thereof, for example in amounts of from 0.1 to 5% by weight, based on the means used.
- the agents may contain optical brighteners, among these in particular derivatives of diaminostilbenedisulfonic acid or its alkali metal salts.
- optical brighteners among these in particular derivatives of diaminostilbenedisulfonic acid or its alkali metal salts.
- salts of 4,4'-bis (2-anilino-4-morpholino-1, 3,5-triazinyl-6-amino) stilbene-2,2'-disulphonic acid or similarly constructed compounds which are substituted for the morpholino Group carry a diethanolamino group, a methylamino group, an anilino group or a 2-methoxyethylamino group.
- brighteners of the substituted diphenylstyrene type may be present, for example, the alkali salts of 4,4'-bis (2-sulfostyryl) -diphenyl, 4,4'-bis (4-chloro-3-sulfostyryl) -diphenyl, or 4 - (4-chlorostyryl) -4 '- (2-sulfostyryl) -diphenyls. Mixtures of the aforementioned optical brightener can be used.
- foam inhibitors are, for example, soaps of natural or synthetic origin, which have a high proportion of C 18 -C 24 fatty acids.
- Suitable non-surfactant foam inhibitors are, for example, organopolysiloxanes and mixtures thereof with microfine, optionally signed silica and paraffins, waxes, microcrystalline waxes and mixtures thereof with silanated silicic acid or bis-fatty acid alkylenediamides. It is also advantageous to use mixtures of various foam inhibitors, for example those of silicones, paraffins or waxes.
- the foam inhibitors in particular silicone and / or paraffin-containing foam inhibitors, are bound to a granular, water-soluble or dispersible carrier substance.
- a granular, water-soluble or dispersible carrier substance In particular, mixtures of paraffins and bistearylethylenediamide are preferred.
- silver corrosion inhibitors are organic disulfides, dihydric phenols, trihydric phenols, optionally alkyl- or aminoalkyl-substituted triazoles such as benzotriazole and cobalt, manganese, titanium, zirconium, hafnium, vanadium or cerium salts and / or complexes in which the Metals in one of the oxidation states II, IM, IV, V or VI are present.
- the compound according to formula (I) or the correspondingly preformed complex may be present in the form of powders or as granules, which may optionally also be coated and / or colored and may contain conventional carrier materials and / or granulation aids. In the case of their use as granules, if desired, these may also contain further active substances, in particular bleach activator.
- compositions according to the invention presents no difficulties and can be carried out in a manner known in principle, for example by spray-drying or granulation, with peroxygen compound and bleach activator combination optionally being added later.
- a process comprising an extrusion step is preferred.
- Detergents, cleaners or disinfectants according to the invention in the form of aqueous or other conventional solvent-containing solutions are particularly advantageously prepared by simply mixing the ingredients, which can be added in bulk or as a solution in an automatic mixer. In a preferred embodiment of means for the particular machine cleaning of dishes, these are tablet-shaped.
- the primary washing power was determined in a miniaturized washing test. It was worked with a simplified wash liquor consisting of H 2 O 2 and catalyst.
- Aqueous solutions (M 1) of 0.35 g / l H 2 O 2 and 50 ⁇ mol / l Mn-tri-2-propanolamine complex prepared by heating a mixture of tri-2-propanolamine and Mn (III ) acetate in a molar ratio of 3: 1 in ethanol for 2 hours at 8O 0 C for use the entire ethanolic solution
- (V1) was 0.35 g / l H 2 O (2 and 50 mol / l Mn lll) acetate, whose pH values had been adjusted to pH 10.5 by means of NaOH.
Landscapes
- Chemical & Material Sciences (AREA)
- Life Sciences & Earth Sciences (AREA)
- Engineering & Computer Science (AREA)
- Chemical Kinetics & Catalysis (AREA)
- Oil, Petroleum & Natural Gas (AREA)
- Wood Science & Technology (AREA)
- Organic Chemistry (AREA)
- Inorganic Chemistry (AREA)
- Detergent Compositions (AREA)
Abstract
Die Reinigungsleistung von Wasch- und Reinigungsmitteln sollte verstärkt werden. Dies gelang durch die Verwendung eines Alkanolamins, welches zur Komplexbildung mit Übergangsmetallionen befähigt ist, oder eines entsprechend vorgebildeten Übergangsmetallkomplexes.
Description
Wasch- oder Reinigungsmittel mit gegebenenfalls in situ erzeugtem bleichverstärkendem Übergangsmetallkomplex
Die vorliegende Erfindung betrifft die Verwendung eines bestimmten Alkanolamins, welches zur Komplexbildung mit Übergangsmetallionen befähigt ist, oder einem entsprechend vorgebildeten Übergangsmetallkomplex zur Verstärkung der Reinigungsleistung von Wasch- und Reinigungsmitteln gegenüber Anschmutzungen sowie Wasch- und Reinigungsmittel, welche das Alkanolamin oder den Komplex enthalten.
Anorganische Persauerstoffverbindungen, insbesondere Wasserstoffperoxid und feste Persauer- stoffverbindungen, die sich in Wasser unter Freisetzung von Wasserstoffperoxid lösen, wie Natriumperborat und Natriumcarbonat-Perhydrat, werden seit langem als Oxidationsmittel zu Desin- fektions- und Bleichzwecken verwendet. Die Oxidationswirkung dieser Substanzen hängt in verdünnten Lösungen stark von der Temperatur ab; so erzielt man beispielsweise mit H2O2 oder Perborat in alkalischen Bleichflotten erst bei Temperaturen oberhalb von etwa 80 0C eine ausreichend schnelle Bleiche verschmutzter Textilien. Bei niedrigeren Temperaturen kann die Oxidationswirkung der anorganischen Persauerstoffverbindungen durch Zusatz sogenannter Bleichaktivatoren verbessert werden, die in der Lage sind, unter den angesprochenen Perhydrolysebedingungen Peroxocarbonsäuren zu liefern und für die zahlreiche Vorschläge, vor allem aus den Stoffklassen der N- oder O-Acylverbindungen, beispielsweise reaktive Ester, mehrfach acylierte Alkylendiamine, insbesondere N,N,N',N'-Tetraacetylethylendiamin (TAED), acylierte Glykolurile, insbesondere Tetraacetylglykoluril, N-acylierte Hydantoine, Hydrazide, Triazole, Hydrotriazine, Urazole, Diketo- piperazine, Sulfurylamide und Cyanurate, außerdem Carbonsäureanhydride, insbesondere Phthal- säureanhydrid, Carbonsäureester, insbesondere Natrium-nonanoyloxy-benzolsulfonat (NOBS), Natrium-isononanoyloxy-benzolsulfonat, O-acylierte Zuckerderivate, wie Pentaacetylglukose, und N-acylierte Lactame, wie N-Benzoylcaprolactam, in der Literatur bekannt geworden sind. Durch Zusatz dieser Substanzen kann die Bleichwirkung wäßriger Peroxidflotten so weit gesteigert werden, daß bereits bei Temperaturen um 60 0C im wesentlichen die gleichen Wirkungen wie mit der Peroxidflotte allein bei 95 0C eintreten.
Bei differenzierender Betrachtungsweise beobachtet man allerdings, dass beispielsweise unter Textilwaschbedingungen aber auch beim maschinellen Geschirrspülen solche Bleichaktivatoren, die relativ kurzkettige Peroxocarbonsäuren freisetzen (wichtigstes Beispiel hierfür ist TAED), eine besonders ausgeprägte Wirksamkeit gegenüber hydrophilen gefärbten Anschmutzungen aufweisen, während Bleichaktivatoren, die relativ längerkettige Peroxocarbonsäuren freisetzen (ein Beispiel hierfür ist NOBS), eine höhere Wirksamkeit gegenüber hydrophoben gefärbten Anschmutzungen besitzen. Im Wesentlichen um gemittelt über möglichst alle Anschmutzungen eine hohe
Bleichleistung zu erreichen wird verschiedentlich der Einsatz von Mischungen aus Bleichaktivatoren vorgeschlagen, die Peroxocarbonsäuren verschiedener Kettenlänge freisetzen.
Im Bemühen um energiesparende Wasch- und Bleichverfahren gewinnen in den letzten Jahren zudem Anwendungstemperaturen noch deutlich unterhalb 60 0C, insbesondere unterhalb 45 0C bis herunter zur Kaltwassertemperatur an Bedeutung.
Bei diesen niedrigen Temperaturen läßt die Wirkung der bisher bekannten Aktivatorverbindungen in der Regel erkennbar nach. Es hat deshalb nicht an Bestrebungen gefehlt, für diesen Temperaturbereich wirksamere Aktivatoren zu entwickeln. Dabei muß man allerdings in einzelnen Fällen feststellen, daß ein bei niedrigen Temperaturen hoch wirksamer Bleichaktivator seine Wirksamkeit im mittleren oder hohen Temperaturbereich, in dem bei hoher Anforderung an die Reinigungsleistung des Wasch- oder Reinigungsmittels durchaus ebenfalls noch eine Steigerung der Bleichleistung über diejenige des reinen Oxidationsmittels hinaus erwünscht sein kann, verliert.
Verschiedentlich ist auch der Einsatz von Übergangsmetallverbindungen, insbesondere Übergangsmetallkomplexen, zur Steigerung der Oxidationskraft von Persauerstoffverbindungen oder auch Luftsauerstoff in Wasch- und Reinigungsmitteln vorgeschlagen worden. Zu den für diesen Zweck vorgeschlagenen Übergangsmetallverbindungen gehören beispielsweise Mangan-, Eisen-, Cobalt-, Ruthenium- oder Molybdän-Salenkomplexe, Mangan-, Eisen-, Cobalt-, Ruthenium- oder Molybdän-Carbonylkomplexe, Mangan-, Eisen-, Cobalt-, Ruthenium-, Molybdän-, Titan-, Vanadium- und Kupfer-Komplexe mit stickstoffhaltigen Tripod-Liganden, und Mangan-Komplexe mit Polyazacycloalkan-Liganden, wie TACN.
Überraschenderweise wurde nun gefunden, daß bestimmte Komplexe, nämlich solche mit einem wie unten beschriebenen Liganden vom Alkanolamin-Typ, eine ausgezeichnete bleichverstärkende Wirkung aufweisen und die Reinigungsleistung von Wasch- und Reinigungsmitteln insbesondere gegenüber bleichbaren, aber auch gegenüber proteinhaltigen Anschmutzungen verstärken, ohne daß es beim Einsatz des Mittels beziehungsweise beim gemeinsamen Einsatz seiner vorstehend genannten Komponenten zu Schädigungen des so behandelten Textils kommt, die über das beim Einsatz marktüblicher Mittel auftretende Maß hinausgehen. Proteinhaltige Anschmutzungen sind normalerweise nicht oxidativ von Textilien entfernbar.
Ein Gegenstand der Erfindung ist demgemäß die Verwendung eines Bleichkatalysators in Form eines Komplexes von Ag, Au, Co, Cu, Fe, Mo, Mn, Ni, Pt, Rh, Ru, Ti, V und/oder Zn mit einem Liganden der Formel (I),
zur Verstärkung der Reinigungsleistung von Wasch- oder Reinigungsmitteln, insbesondere gegenüber bleichbaren und/oder proteinhaltigen Anschmutzungen.
Der erfindungsgemäß beabsichtigte Erfolg tritt auch auf, wenn man nicht den genannten Komplex, sondern lediglich den entsprechenden Liganden gemäß Formel (I) einsetzt und die zum Einsatz kommende Flotte mindestens ein gemanntes Übergangsmetallion enthält, wobei die Oxidations- stufe der genannten Metalle wegen des sich in der wäßrigen Flotte üblicherweise rasch einstellenden Redox-Gleichgewichtes unter den verschiedenen Oxidationsstufen normalerweise nicht wesentlich ist. Ein weiterer Gegenstand der Erfindung ist daher die Verwendung einer Verbindung gemäß Formel (I),
zur Verstärkung der Reinigungsleistung von Wasch- und Reinigungsmitteln, insbesondere gegenüber bleichbaren und/oder proteinhaltigen Anschmutzungen, in wäßriger, insbesondere tensidhalti- ger Flotte, die Ag-, Au-, Co-, Cu-, Fe-, Mo-, Mn-, Ni-, Pt-, Rh-, Ru-, Ti-, V- und/oder Zn-Ionen enthält.
Weitere Gegenstände der Erfindung sind ein Verfahren zum Waschen von Textilien und ein Verfahren zum Reinigen harter Oberflächen, insbesondere zum maschinellen Reinigen von Geschirr, unter Einsatz einer Verbindung gemäß Formel (I) oder eines Bleichkatalysators in Form eines Komplexes von Ag, Au, Co, Cu, Fe, Mo, Mn, Ni, Pt, Rh, Ru, Ti, V und/oder Zn mit einem Liganden
der Formel (I).
Im Rahmen der erfindungsgemäßen Verwendung und des erfindungsgemäßen Verfahrens ist bevorzugt, wenn die Konzentration der Verbindung gemäß Formel (I) in der wäßrigen Wasch- beziehungsweise Reinigungsflotte 0,5 μmol/l bis 1500 μmol/l, insbesondere 1 μmol/l bis 300 μmol/l beträgt. Vorzugsweise liegt die Konzentration an Ag, Au, Co, Cu, Fe, Mo, Mn, Ni, Pt, Rh, Ru, Ti, V und/oder Zn in der wäßrigen Wasch- beziehungsweise Reinigungsflotte im Bereich von 0,1 μmol/l bis 500 μmol/l, insbesondere 1 μmol/l bis 100 μmol/l. Bevorzugte Persauerstoffkonzentrationen (berechnet als H2O2) in der Wasch- beziehungsweise Reinigungsflotte liegen im Bereich von 0,001 g/l bis 10 g/l, insbesondere 0,1 g/l bis 1 g/l. Die erfindungsgemäße Verwendung und das erfindungsgemäße Verfahren wird vorzugsweise bei Temperaturen im Bereich von 10 0C bis 95 0C, insbesondere 20 0C bis 40 0C durchgeführt. Die Wasserhärte des zur Zubereitung der wäßrigen Wasch- beziehungsweise Reinigungsflotte zum Einsatz kommenden Wassers liegt vorzugsweise im Bereich von 0°dH bis 16°dH, insbesondere 0°dH bis 3°dH. Die erfindungsgemäße Verwendung und das erfindungsgemäße Verfahren wird vorzugsweise bei pH-Werten im Bereich von pH 5 bis pH 12, insbesondere von pH 7 bis pH 11 durchgeführt.
Die erfindungsgemäßen Verwendungen beziehungsweise die erfindungsgemäßen Verfahren können besonders einfach durch den Einsatz eines Wasch- oder Reinigungsmittels, das eine Verbindung gemäß Formel (I) oder einen durch Komplexbildung mit einem genannten Übergangsmetallion aus dieser zugänglichen Bleichkatalysator enthält, realisiert werden. Waschmittel zur Reinigung von Textilien und Mittel zur Reinigung harter Oberflächen, insbesondere Geschirrspülmittel und unter diesen vorzugsweise solche für den maschinellen Einsatz, die Tensid und eine Verbindung gemäß Formel (I) oder einen durch Komplexbildung mit einem genannten Übergangsmetallion aus dieser zugänglichen Bleichkatalysator neben üblichen damit verträglichen Inhaltsstoffen enthalten, sind daher weitere Gegenstände der Erfindung. Obgleich der erfindungsgemäße Erfolg sich bereits bei Anwesenheit von Luftsauerstoff als alleinigem Oxidationsmittel einstellt, kann die erfindungsgemäße Verwendung beziehungsweise das erfindungsgemäße Verfahren auch in Gegenwart von persauerstoffhaltigem Bleichmittel vorgenommen werden beziehungsweise ein erfindungsgemäßes Mittel kann zusätzlich auch persauerstoffhaltiges Bleichmittel enthalten.
Ein bleichkatalysierender Komplex, der einen Liganden gemäß Formel (I) aufweist, kann außerdem weitere Anion-, Neutral- oder Kationliganden enthalten, wie beispielsweise H2O, NH3, organische Anionen, wie beispielsweise Citrat, Oxalat, Tartrat, Formiat, ein C2_i8-Carboxylat, ein Ci_i8-Alkyl- sulfat, insbesondere Methosulfat, oder ein entsprechendes Alkansulfonat, anorganische Anionen, wie beispielsweise Halogenid, insbesondere Chlorid, Perchlorat, Tetrafluoroborat, Hexafluo- rophosphat, Nitrat, Hydrogensulfat, Hydroxid oder Hydroperoxid. Er kann auch verbrückende Liganden, wie beispielsweise Alkylendiamine, aufweisen, so dass er gegebenenfalls zwei- oder
mehrkerning sein kann.
Vorzugsweise ist in erfindungsgemäßen Mitteln 0,01 Gew.-% bis 2 Gew.-%, insbesondere 0,1 Gew.-% bis 1 Gew.-% der Verbindung gemäß Formel (I) enthalten. Wenn eine Verbindung gemäß Formel (I) enthalten ist, ist bevorzugt, dass das Mittel zusätzlich ein Ag-, Au-, Co-, Cu-, Fe-, Mo-, Mn-, Ni-, Pt-, Rh-, Ru-, Ti-, V- und/oder Zn-SaIz und/oder einen Ag-, Au-, Co-, Cu-, Fe-, Mo-, Mn-, Ni-, Pt-, Rh-, Ru-, Ti-, V- und/oder Zn-Komplex ohne einen Liganden, welcher der Verbindung gemäß Formel (I) entspricht, enthält. Dann liegt das Molverhältnis des genannten Übergangsmetalls oder der Summe der genannten Übergangsmetalle zu der Verbindung gemäß Formel (I) vorzugsweise im Bereich von 0,001 :1 bis 2:1 , insbesondere 0,01 :1 bis 1 :1. In einer weiteren bevorzugten Ausgestaltung erfindungsgemäßer Mittel sind in diesen 0,05 Gew.-% bis 1 Gew.-%, insbesondere 0,1 Gew.-% bis 0,5 Gew.-% an bleichkatalysierendem Komplex, der einen Liganden gemäß Formel (I) aufweist, enthalten. Bevorzugte Übergangsmetalle im Rahmen der erfindungsgemäßen Verwendung, des erfindungsgemäßen Verfahrens und des erfindungsgemäßen Mittels sind Fe und Mn, insbesondere Mn.
Als in den Mitteln gegebenenfalls enthaltene Persauerstoffverbindungen kommen insbesondere organische Persäuren beziehungsweise persaure Salze organischer Säuren, wie Phthalimidoper- capronsäure, Perbenzoesäure oder Salze der Diperdodecandisäure, Wasserstoffperoxid und unter den Waschbedingungen Wasserstoffperoxid abgebende anorganische Salze, wie Perborat, Per- carbonat und/oder Persilikat, in Betracht. Wasserstoffperoxid kann dabei auch mit Hilfe eines en- zymatischen Systems, das heißt einer Oxidase und ihres Substrats, erzeugt werden. Sofern feste Persauerstoffverbindungen eingesetzt werden sollen, können diese in Form von Pulvern oder Granulaten verwendet werden, die auch in im Prinzip bekannter Weise umhüllt sein können. Besonders bevorzugt wird Alkalipercarbonat, Alkaliperborat-Monohydrat, Alkaliperborat-Tetrahydrat oder Wasserstoffperoxid in Form wäßriger Lösungen, die 3 Gew.-% bis 10 Gew.-% Wasserstoffperoxid enthalten, eingesetzt. Vorzugsweise sind Persauerstoffverbindungen in Mengen von bis zu 50 Gew.-%, insbesondere von 5 Gew.-% bis 30 Gew.-%, in erfindungsgemäßen Wasch- oder Reinigungsmitteln vorhanden.
Die erfindungsgemäßen Mittel, die als insbesondere pulverförmige Feststoffe, in nachverdichteter Teilchenform, als homogene Lösungen oder Suspensionen vorliegen können, können außer dem erfindungsgemäß zu verwendenden Liganden beziehungsweise Bleichkatalysator im Prinzip alle bekannten und in derartigen Mitteln üblichen Inhaltsstoffe enthalten. Die erfindungsgemäßen Mittel können insbesondere Buildersubstanzen, oberflächenaktive Tenside, wassermischbare organische Lösungsmittel, Enzyme, Sequestrierungsmittel, Elektrolyte, pH-Regulatoren, Polymere mit Spezial- effekten, wie soil release-Polymere, Farbübertragungsinhibitoren, Vergrauungsinhibitoren, knitterreduzierende polymere Wirkstoffe und formerhaltende polymere Wirkstoffe, und weitere Hilfsstoffe,
wie optische Aufheller, Schaumregulatoren, zusätzliche Persauerstoff-Aktivatoren, Färb- und Duftstoffe enthalten.
Ein erfindungsgemäßes Mittel kann zur Verstärkung der Desinfektionswirkung, beispielsweise gegenüber speziellen Keimen, zusätzlich zu den bisher genannten Inhaltsstoffen übliche antimikro- bielle Wirkstoffe enthalten. Derartige antimikrobielle Zusatzstoffe sind in den erfindungsgemäßen Desinfektionsmitteln vorzugsweise in Mengen bis zu 10 Gew.-%, insbesondere von 0,1 Gew.-% bis 5 Gew.-%, enthalten.
Zusätzlich zu der erfindungsgemäß zu verwendenden Substanz können übliche Bleichaktivatoren, die unter Perhydrolysebedingungen Peroxocarbonsäuren oder Peroxoimidsäuren bilden, und/oder übliche die Bleiche aktivierende Übergangsmetallkomplexe eingesetzt werden. Die fakultativ, insbesondere in Mengen von 0,5 Gew.-% bis 6 Gew.-%, vorhandene Komponente der Bleichaktivatoren umfaßt die üblicherweise verwendeten N- oder O-Acylverbindungen, beispielsweise mehrfach acylierte Alkylendiamine, insbesondere Tetraacetylethylendiamin, acylierte Glykolurile, insbesondere Tetraacetylglykoluril, N-acylierte Hydantoine, Hydrazide, Triazole, Urazole, Diketopiperazine, Sulfurylamide und Cyanurate, außerdem Carbonsäureanhydride, insbesondere Phthalsäureanhy- drid, Carbonsäureester, insbesondere Natrium-isononanoyl-phenolsulfonat, und acylierte Zuckerderivate, insbesondere Pentaacetylglukose, sowie kationische Nitrilderivate wie Trimethyl- ammoniumacetonitril-Salze. Die Bleichaktivatoren können zur Vermeidung der Wechselwirkung mit den Perverbindungen bei der Lagerung in bekannter Weise mit Hüllsubstanzen überzogen beziehungsweise granuliert worden sein, wobei mit Hilfe von Carboxymethylcellulose granuliertes Tetraacetylethylendiamin mit mittleren Korngrößen von 0,01 mm bis 0,8 mm, granuliertes 1 ,5-Diacetyl- 2,4-dioxohexahydro-1 ,3,5-triazin, und/oder in Teilchenform konfektioniertes Trialkylammonium- acetonitril besonders bevorzugt ist. In Wasch- oder Reinigungsmitteln sind derartige Bleichaktivatoren vorzugsweise in Mengen bis zu 8 Gew.-%, insbesondere von 2 Gew.-% bis 6 Gew.-%, jeweils bezogen auf gesamtes Mittel, enthalten.
Die erfindungsgemäßen Mittel können ein oder mehrere zusätzliche Tenside enthalten, wobei insbesondere anionische Tenside, nichtionische Tenside und deren Gemische in Frage kommen, aber auch kationische und/oder amphotere Tenside enthalten sein können. Geeignete nichtionische Tenside sind insbesondere Alkylglykoside und Ethoxylierungs- und/oder Propoxylierungs- produkte von Alkylglykosiden oder linearen oder verzweigten Alkoholen mit jeweils 12 bis 18 C- Atomen im Alkylteil und 3 bis 20, vorzugsweise 4 bis 10 Alkylethergruppen. Weiterhin sind entsprechende Ethoxylierungs- und/oder Propoxylierungsprodukte von N-Al kyl-am inen, vicinalen Diolen, Fettsäureestern und Fettsäureamiden, die hinsichtlich des Alkylteils den genannten langkettigen Alkoholderivaten entsprechen, sowie von Alkylphenolen mit 5 bis 12 C-Atomem im Alkylrest brauchbar.
Geeignete anionische Tenside sind insbesondere Seifen und solche, die Sulfat- oder Sulfonat- Gruppen mit bevorzugt Alkaliionen als Kationen enthalten. Verwendbare Seifen sind bevorzugt die Alkalisalze der gesättigten oder ungesättigten Fettsäuren mit 12 bis 18 C-Atomen. Derartige Fettsäuren können auch in nicht vollständig neutralisierter Form eingesetzt werden. Zu den brauchbaren Tensiden des Sulfat-Typs gehören die Salze der Schwefelsäurehalbester von Fettalkoholen mit 12 bis 18 C-Atomen und die Sulfatierungsprodukte der genannten nichtionischen Tenside mit niedrigem Ethoxylierungsgrad. Zu den verwendbaren Tensiden vom Sulfonat-Typ gehören lineare Alkylbenzolsulfonate mit 9 bis 14 C-Atomen im Alkylteil, Alkansulfonate mit 12 bis 18 C-Atomen, sowie Olefinsulfonate mit 12 bis 18 C-Atomen, die bei der Umsetzung entsprechender Monoolefine mit Schwefeltrioxid entstehen, sowie alpha-Sulfofettsäureester, die bei der Sulfonierung von Fettsäuremethyl- oder -ethylestern entstehen.
Derartige Tenside sind in den erfindungsgemäßen Reinigungs- oder Waschmitteln in Mengenanteilen von vorzugsweise 5 Gew.-% bis 50 Gew.-%, insbesondere von 8 Gew.-% bis 30 Gew.-%, enthalten, während die erfindungsgemäßen Desinfektionsmittel wie auch erfindungsgemäße Reinigungsmittel vorzugsweise 0,1 Gew.-% bis 20 Gew.-%, insbesondere 0,2 Gew.-% bis 5 Gew.-% Tenside, enthalten.
Die erfindungsgemäßen Mittel, insbesondere wenn es sich bei ihnen um solche handelt, die für die Behandlung von Textilien vorgesehen sind, können als kationische Aktivsubstanzen mit textil- weichmachender Wirkung insbesondere einen oder mehrere der kationischen, textilweichmachen- den Stoffe der allgemeinen Formeln X, Xl oder XII enthalten:
R1
R1-N(+)-(CH2)n-T-R2 (X)
(CH2)n-T-R2
R1 R1-N(+)-(CH2)n-CH-CH2 (Xl)
I 1 I I
R1 T T
R2 R2
R1
R3-N(+)-(CH2)n-T-R2 (XII)
R4
worin jede Gruppe R1 unabhängig voneinander ausgewählt ist aus C-|.6-Alkyl-, -Alkenyl- oder -Hydroxyalkylgruppen; jede Gruppe R2 unabhängig voneinander ausgewählt ist aus C8-28-Alkyl- oder -Alkenylgruppen; R3 = R1 oder (CH2)n-T-R2; R4 = R1 oder R2 oder (CH2)n-T-R2; T = -CH2-, -O- CO- oder -CO-O- und n eine ganze Zahl von 0 bis 5 ist. Die kationischen Tenside weisen übliche Anionen in zum Ladungsausgleich notwendiger Art und Anzahl auf, wobei diese neben beispielsweise Halogeniden auch aus den anionischen Tensiden ausgewählt werden können. In bevorzugten Ausführungsformen der vorliegenden Erfindung kommen als kationische Tenside Hydroxyalkyl-trialkyl-ammonium-verbindungen, insbesondere C12-is- Alkyl(hydroxyethyl)dimethylammoniumverbindungen, und vorzugsweise deren Halogenide, insbesondere Chloride, zum Einsatz. Ein erfindungsgemäßes Mittel enthält vorzugsweise 0,5 Gew.-% bis 25 Gew.-%, insbesondere 1 Gew.-% bis 15 Gew.-% kationisches Tensid.
Ein erfindungsgemäßes Mittel enthält vorzugsweise mindestens einen wasserlöslichen und/oder wasserunlöslichen, organischen und/oder anorganischen Builder. Zu den wasserlöslichen organischen Buildersubstanzen gehören Polycarbonsäuren, insbesondere Citronensäure und Zuckersäuren, monomere und polymere Aminopolycarbonsäuren, insbesondere Methylglycindiessig- säure, Nitrilotriessigsäure und Ethylendiamintetraessigsäure sowie Polyasparaginsäure, Polyphosphonsäuren, insbesondere Aminotris(methylenphosphonsäure), Ethylendiamintetrakis(methylen- phosphonsäure) und 1-Hydroxyethan-1 ,1-diphosphonsäure, polymere Hydroxyverbindungen wie Dextrin sowie polymere (Poly-)carbonsäuren, insbesondere durch Oxidation von Polysacchariden beziehungsweise Dextrinen zugänglichen Polycarboxylate, und/oder polymere Acrylsäuren, Methacrylsäuren, Maleinsäuren und Mischpolymere aus diesen, die auch geringe Anteile polymeri- sierbarer Substanzen ohne Carbonsäurefunktionalität einpolymerisiert enthalten können. Die relative Molekülmasse der Homopolymeren ungesättiger Carbonsäuren liegt im allgemeinen zwischen 5 000 und 200 000, die der Copolymeren zwischen 2 000 und 200 000, vorzugsweise 50 000 bis 120 000, jeweils bezogen auf freie Säure. Ein besonders bevorzugtes Acrylsäure-Maleinsäure- Copolymer weist eine relative Molekülmasse von 50 000 bis 100 000 auf. Geeignete, wenn auch weniger bevorzugte Verbindungen dieser Klasse sind Copolymere der Acrylsäure oder Methacryl- säure mit Vinylethern, wie Vinylmethylethern, Vinylester, Ethylen, Propylen und Styrol, in denen der Anteil der Säure mindestens 50 Gew.-% beträgt. Als wasserlösliche organische Buildersubstanzen können auch Terpolymere eingesetzt werden, die als Monomere zwei ungesättigte Säuren und/oder deren Salze sowie als drittes Monomer Vinylalkohol und/oder einem veresterten Vinyl- alkohol oder ein Kohlenhydrat enthalten. Das erste saure Monomer beziehungsweise dessen Salz leitet sich von einer monoethylenisch ungesättigten C3-C8-Carbonsäure und vorzugsweise von einer C3-C4-Monocarbonsäure, insbesondere von (Meth)-acrylsäure ab. Das zweite saure Monomer beziehungsweise dessen Salz kann ein Derivat einer C4-C8-Dicarbonsäure, wobei Maleinsäure besonders bevorzugt ist, und/oder ein Derivat einer Allylsulfonsäure, die in 2-Stellung mit einem Alkyl- oder Arylrest substituiert ist, sein. Derartige Polymere weisen im allgemeinen eine relative
Molekülmasse zwischen 1 000 und 200 000 auf. Weitere bevorzugte Copolymere sind solche, die als Monomere Acrolein und Acrylsäure/Acrylsäuresalze beziehungsweise Vinylacetat aufweisen. Die organischen Buildersubstanzen können, insbesondere zur Herstellung flüssiger Mittel, in Form wäßriger Lösungen, vorzugsweise in Form 30- bis 50-gewichtsprozentiger wäßriger Lösungen eingesetzt werden. Alle genannten Säuren werden in der Regel in Form ihrer wasserlöslichen Salze, insbesondere ihre Alkalisalze, eingesetzt.
Derartige organische Buildersubstanzen können gewünschtenfalls in Mengen bis zu 40 Gew.-%, insbesondere bis zu 25 Gew.-% und vorzugsweise von 1 Gew.-% bis 8 Gew.-% enthalten sein. Mengen nahe der genannten Obergrenze werden vorzugsweise in pastenförmigen oder flüssigen, insbesondere wasserhaltigen, erfindungsgemäßen Mitteln eingesetzt.
Als wasserlösliche anorganische Buildermaterialien kommen insbesondere polymere Alkaliphosphate, die in Form ihrer alkalischen neutralen oder sauren Natrium- oder Kaliumsalze vorliegen können, in Betracht. Beispiele hierfür sind Tetranatriumdiphosphat, Dinatriumdihydrogendiphos- phat, Pentanatriumtriphosphat, sogenanntes Natriumhexametaphosphat sowie die entsprechenden Kaliumsalze beziehungsweise Gemische aus Natrium- und Kaliumsalzen. Als wasserunlösliche, wasserdispergierbare anorganische Buildermaterialien werden insbesondere kristalline oder amorphe Alkalialumosilikate, in Mengen von bis zu 50 Gew.-%, vorzugsweise nicht über 40 Gew.-% und in flüssigen Mitteln insbesondere von 1 Gew.-% bis 5 Gew.-%, eingesetzt. Unter diesen sind die kristallinen Natriumalumosilikate in Waschmittelqualität, insbesondere Zeolith A, P und gegebenenfalls X, bevorzugt. Mengen nahe der genannten Obergrenze werden vorzugsweise in festen, teil- chenförmigen Mitteln eingesetzt. Geeignete Alumosilikate weisen insbesondere keine Teilchen mit einer Korngröße über 30 μm auf und bestehen vorzugsweise zu wenigstens 80 Gew.-% aus Teilchen mit einer Größe unter 10 μm. Ihr Calciumbindevermögen, das nach den Angaben der deutschen Patentschrift DE 24 12 837 bestimmt werden kann, liegt in der Regel im Bereich von 100 bis 200 mg CaO pro Gramm.
Geeignete Substitute beziehungsweise Teilsubstitute für das genannte Alumosilikat sind kristalline Alkalisilikate, die allein oder im Gemisch mit amorphen Silikaten vorliegen können. Die in den erfindungsgemäßen Mitteln als Gerüststoffe brauchbaren Alkalisilikate weisen vorzugsweise ein molares Verhältnis von Alkalioxid zu SiO2 unter 0,95, insbesondere von 1 :1 ,1 bis 1 :12 auf und können amorph oder kristallin vorliegen. Bevorzugte Alkalisilikate sind die Natriumsilikate, insbesondere die amorphen Natriumsilikate, mit einem molaren Verhältnis Na2O:SiO2 von 1 :2 bis 1 :2,8. Als kristalline Silikate, die allein oder im Gemisch mit amorphen Silikaten vorliegen können, werden vorzugsweise kristalline Schichtsilikate der allgemeinen Formel Na2SixO2x+I y H2O eingesetzt, in der x, das sogenannte Modul, eine Zahl von 1 ,9 bis 4 und y eine Zahl von 0 bis 20 ist und bevorzugte Werte für x 2, 3 oder 4 sind. Bevorzugte kristalline Schichtsilikate sind solche, bei denen x in
der genannten allgemeinen Formel die Werte 2 oder 3 annimmt. Insbesondere sind sowohl ß- als auch δ-Natriumdisilikate (Na2Si2O5 y H2O) bevorzugt. Auch aus amorphen Alkalisilikaten hergestellte, praktisch wasserfreie kristalline Alkalisilikate der obengenannten allgemeinen Formel, in der x eine Zahl von 1 ,9 bis 2,1 bedeutet, können in erfindungsgemäßen Mitteln eingesetzt werden. In einer weiteren bevorzugten Ausführungsform erfindungsgemäßer Mittel wird ein kristallines Natriumschichtsilikat mit einem Modul von 2 bis 3 eingesetzt, wie es n aus Sand und Soda hergestellt werden kann. Kristalline Natriumsilikate mit einem Modul im Bereich von 1 ,9 bis 3,5 werden in einer weiteren bevorzugten Ausführungsform erfindungsgemäßer Mittel eingesetzt. In einer bevorzugten Ausgestaltung erfindungsgemäßer Mittel setzt man ein granuläres Compound aus Alkalisilikat und Alkalicarbonat ein, wie es zum Beispiel unter dem Namen Nabion® 15 im Handel erhältlich ist. Falls als zusätzliche Buildersubstanz auch Alkalialumosilikat, insbesondere Zeolith, vorhanden ist, beträgt das Gewichtsverhältnis Alumosilikat zu Silikat, jeweils bezogen auf wasserfreie Aktivsubstanzen, vorzugsweise 1 :10 bis 10:1. In Mitteln, die sowohl amorphe als auch kristalline Alkalisilikate enthalten, beträgt das Gewichtsverhältnis von amorphem Alkalisilikat zu kristallinem Alkalisilikat vorzugsweise 1 :2 bis 2:1 und insbesondere 1 :1 bis 2:1.
Buildersubstanzen sind in den erfindungsgemäßen Wasch- oder Reinigungsmitteln vorzugsweise in Mengen bis zu 60 Gew.-%, insbesondere von 5 Gew.-% bis 40 Gew.-%, enthalten.
In einer bevorzugten Ausgestaltung der Erfindung weist ein erfindungsgemäßes Mittel einen wasserlöslichen Builderblock auf. Durch die Verwendung des Begriffes „Builderblock" soll hierbei ausgedrückt werden, daß die Mittel keine weiteren Buildersubstanzen enthalten als solche, die wasserlöslich sind, das heißt sämtliche in dem Mittel enthaltenen Buildersubstanzen sind in dem so charakterisierten „Block" zusammengefasst, wobei allenfalls die Mengen an Stoffen ausgenommen sind, die als Verunreinigungen beziehungsweise stabilisierende Zusätze in geringen Mengen in den übrigen Inhaltsstoffen der Mittel handelsüblicherweise enthalten sein können. Unter dem Begriff „wasserlöslich" soll dabei verstanden werden, daß sich der Builderblock bei der Konzentration, die sich durch die Einsatzmenge des ihn enthaltenden Mittels bei den üblichen Bedingungen ergibt, rückstandsfrei löst. Vorzugsweise sind mindestens 15 Gew.-% und bis zu 55 Gew.-%, insbesondere 25 Gew.-% bis 50 Gew.-% an wasserlöslichem Builderblock in den erfindungsgemäßen Mitteln enthalten. Dieser setzt sich vorzugsweise zusammen aus den Komponenten a) 5 Gew.-% bis 35 Gew.-% Citronensäure, Alkalicitrat und/oder Alkalicarbonat, welches auch zumindest anteilig durch Alkalihydrogencarbonat ersetzt sein kann, b) bis zu 10 Gew.-% Alkalisilikat mit einem Modul im Bereich von 1 ,8 bis 2,5, c) bis zu 2 Gew.-% Phosphonsäure und/oder Alkaliphosphonat, d) bis zu 50 Gew.-% Alkaliphosphat, und e) bis zu 10 Gew.-% polymerem Polycarboxylat,
wobei die Mengenangaben sich auf das gesamte Wasch- beziehungsweise Reinigungsmittel beziehen. Dies gilt auch für alle folgenden Mengenangaben, sofern nicht ausdrücklich anders angegeben.
In einer bevorzugten Ausführungsform erfindungsgemäßer Mittel enthält der wasserlösliche BuN- derblock mindestens 2 der Komponenten b), c), d) und e) in Mengen größer 0 Gew.-%.
Hinsichtlich der Komponente a) sind in einer bevorzugten Ausführungsform erfindungsgemäßer Mittel 15 Gew.-% bis 25 Gew.-% Alkalicarbonat, welches zumindest anteilig durch Alkalihydrogen- carbonat ersetzt sein kann, und bis zu 5 Gew.-%, insbesondere 0,5 Gew.-% bis 2,5 Gew.-% Citro- nensäure und/oder Alkalicitrat enthalten. In einer alternativen Ausführungsform erfindungsgemäßer Mittel sind als Komponente a) 5 Gew.-% bis 25 Gew.-%, insbesondere 5 Gew.-% bis 15 Gew.-% Citronensäure und/oder Alkalicitrat und bis zu 5 Gew.-% , insbesondere 1 Gew.-% bis 5 Gew.-% Alkalicarbonat, welches zumindest anteilig durch Alkalihydrogencarbonat ersetzt sein kann, enthalten. Falls sowohl Alkalicarbonat wie auch Alkalihydrogencarbonat vorhanden sind, weist die Komponte a) Alkalicarbonat und Alkalihydrogencarbonat vorzugsweise im Gewichtsverhältnis von 10:1 bis 1 :1 auf.
Hinsichtlich der Komponente b) sind in einer bevorzugten Ausführungsform erfindungsgemäßer Mittel 1 Gew.-% bis 5 Gew.-% Alkalisilikat mit einem Modul im Bereich von 1 ,8 bis 2,5 enthalten.
Hinsichtlich der Komponente c) sind in einer bevorzugten Ausführungsform erfindungsgemäßer Mittel 0,05 Gew.-% bis 1 Gew.-% Phosphonsäure und/oder Alkaliphosphonat enthalten. Unter Phosphonsäuren werden dabei auch gegebenenfalls substituierte Alkylphosphonsäuren verstanden, die auch mehrere Phosphonsäuregruppierungen aufweisen könne (sogenannte Polyphosphonsäuren). Bevorzugt werden sie ausgewählt aus den Hydroxy- und/oder Aminoalkylphosphon- säuren und/oder deren Alkalisalzen, wie zum Beispiel Dimethylaminomethandiphosphonsäure, 3- Aminopropan-1-hydroxy-1 ,1-diphosphonsäure, 1-Amino-1-phenyl-methandiphosphonsäure, 1- Hydroxyethan-1 ,1-diphosphonsäure, Amino-tris(methylenphosphonsäure), N,N,N',N'-Ethylendi- amin-tetrakis(methylenphosphonsäure) und acylierte Derivate der phosphorigen Säure, die auch in beliebigen Mischungen eingesetzt werden können.
Hinsichtlich der Komponente d) sind in einer bevorzugten Ausführungsform erfindungsgemäßer Mittel 15 Gew.-% bis 35 Gew.-% Alkaliphosphat, insbesondere Trinatriumpolyphosphat, enthalten. Alkaliphosphat ist dabei die summarische Bezeichnung für die Alkalimetall- (insbesondere Natrium- und Kalium-) -Salze der verschiedenen Phosphorsäuren, bei denen man Metaphosphorsäuren (HPO3)n und Orthophosphorsäure H3PO4 neben höhermolekularen Vertretern unterscheiden kann. Die Phosphate vereinen dabei mehrere Vorteile in sich: Sie wirken als Alkaliträger, verhindern
Kalkbeläge auf Maschinenteilen bzw. Kalkinkrustationen in Geweben und tragen überdies zur Reinigungsleistung bei. Natriumdihydrogenphosphat, NaH2PO4, existiert als Dihydrat (Dichte 1 ,91 gern 3, Schmelzpunkt 60°) und als Monohydrat (Dichte 2,04 gern 3). Beide Salze sind weiße, in Wasser sehr leicht lösliche Pulver, die beim Erhitzen das Kristallwasser verlieren und bei 2000C in das schwach saure Diphosphat (Dinatriumhydrogendiphosphat, Na2H2P2O7), bei höherer Temperatur in Natiumtrimetaphosphat (Na3P3O9) und Madrellsches Salz übergehen. NaH2PO4 reagiert sauer; es entsteht, wenn Phosphorsäure mit Natronlauge auf einen pH-Wert von 4,5 eingestellt und die Maische versprüht wird. Kaliumdihydrogenphosphat (primäres oder einbasiges Kaliumphosphat, Kaliumbiphosphat, KDP), KH2PO4, ist ein weißes Salz der Dichte 2,33 gern'3, hat einen Schmelzpunkt 253° (Zersetzung unter Bildung von (KPO3)X, Kaliumpolyphosphat) und ist leicht löslich in Wasser. Dinatriumhydrogenphosphat (sekundäres Natriumphosphat), Na2HPO4, ist ein farbloses, sehr leicht wasserlösliches kristallines Salz. Es existiert wasserfrei und mit 2 Mol. (Dichte 2,066 gern"3, Wasserverlust bei 95°), 7 Mol. (Dichte 1 ,68 gern"3, Schmelzpunkt 48° unter Verlust von 5 H2O) und 12 Mol. Wasser (Dichte 1 ,52 gern"3, Schmelzpunkt 35° unter Verlust von 5 H2O), wird bei 100° wasserfrei und geht bei stärkerem Erhitzen in das Diphosphat Na4P2O7 über. Dinatriumhydrogenphosphat wird durch Neutralisation von Phosphorsäure mit Sodalösung unter Verwendung von Phenolphthalein als Indikator hergestellt. Dikaliumhydrogenphosphat (sekundäres od. zweibasiges Kaliumphosphat), K2HPO4, ist ein amorphes, weißes Salz, das in Wasser leicht löslich ist. Trinatriumphosphat, tertiäres Natriumphosphat, Na3PO4, sind farblose Kristalle, die als Dode- cahydrat eine Dichte von 1 ,62 gern 3 und einen Schmelzpunkt von 73-760C (Zersetzung), als De- cahydrat (entsprechend 19-20% P2O5) einen Schmelzpunkt von 1000C und in wasserfreier Form (entsprechend 39-40% P2O5) eine Dichte von 2,536 gern"3 aufweisen. Trinatriumphosphat ist in Wasser unter alkalischer Reaktion leicht löslich und wird durch Eindampfen einer Lösung aus genau 1 Mol Dinatriumphosphat und 1 Mol NaOH hergestellt. Trikaliumphosphat (tertiäres oder drei- basiges Kaliumphosphat), K3PO4, ist ein weißes, zerfließliches, körniges Pulver der Dichte 2,56 gern'3, hat einen Schmelzpunkt von 1340° und ist in Wasser mit alkalischer Reaktion leicht löslich. Es entsteht z.B. beim Erhitzen von Thomasschlacke mit Kohle und Kaliumsulfat. Trotz des höheren Preises werden in der Reinigungsmittel-Industrie die leichter löslichen, daher hochwirksamen, Kaliumphosphate gegenüber entsprechenden Natrium-Verbindungen vielfach bevorzugt. Tetra- natriumdiphosphat (Natriumpyrophosphat), Na4P2O7, existiert in wasserfreier Form (Dichte 2,534 gern'3, Schmelzpunkt 988°, auch 880° angegeben) und als Decahydrat (Dichte 1 ,815-1 ,836 gern'3, Schmelzpunkt 94° unter Wasserverlust). Bei Substanzen sind farblose, in Wasser mit alkalischer Reaktion lösliche Kristalle. Na4P2O7 entsteht beim Erhitzen von Dinatriumphosphat auf >200° oder indem man Phosphorsäure mit Soda im stöchiometrischem Verhältnis umsetzt und die Lösung durch Versprühen entwässert. Das Decahydrat komplexiert Schwermetall-Salze und Härtebildner und verringert daher die Härte des Wassers. Kaliumdiphosphat (Kaliumpyrophosphat), K4P2O7, existiert in Form des Trihydrats und stellt ein farbloses, hygroskopisches Pulver mit der Dichte 2,33 gern'3 dar, das in Wasser löslich ist, wobei der pH-Wert der 1 %igen Lösung bei 25° 10,4 beträgt.
Durch Kondensation des NaH2PO4 bzw. des KH2PO4 entstehen höhermol. Natrium- und Kalium- phosphate, bei denen man cyclische Vertreter, die Natrium- bzw. Kaliummetaphosphate und kettenförmige Typen, die Natrium- bzw. Kaliumpolyphosphate, unterscheiden kann. Insbesondere für letztere sind eine Vielzahl von Bezeichnungen in Gebrauch: Schmelz- oder Glühphosphate, Grahamsches Salz, Kurrolsches und Madrellsches Salz. Alle höheren Natrium- und Kaliumphosphate werden gemeinsam als kondensierte Phosphate bezeichnet. Das technisch wichtige Penta- natriumtriphosphat, Na5P3O10 (Natriumtripolyphosphat), ist ein wasserfrei oder mit 6 H2O kristallisierendes, nicht hygroskopisches, weißes, wasserlösliches Salz der allgemeinen Formel NaO- [P(O)(ONa)-O]n-Na mit n=3. In 100 g Wasser lösen sich bei Zimmertemperatur etwa 17 g, bei 60° ca. 20 g, bei 100° rund 32 g des kristallwasserfreien Salzes; nach zweistündigem Erhitzen der Lösung auf 100° entstehen durch Hydrolyse etwa 8% Orthophosphat und 15% Diphosphat. Bei der Herstellung von Pentanatriumtriphosphat wird Phosphorsäure mit Sodalösung oder Natronlauge im stöchiometrischen Verhältnis zur Reaktion gebracht und die Lsg. durch Versprühen entwässert. Ähnlich wie Grahamsches Salz und Natriumdiphosphat löst Pentanatriumtriphosphat viele unlösliche Metall-Verbindungen (auch Kalkseifen usw.). Pentakaliumtriphosphat, K5P3O10 (Kaliumtripo- lyphosphat), kommt beispielsweise in Form einer 50 Gew.-%-igen Lösung (> 23% P2O5, 25% K2O) in den Handel. Die Kaliumpolyphosphate finden in der Wasch- und Reinigungsmittel-Industrie breite Verwendung. Weiter existieren auch Natriumkaliumtripolyphosphate, welche ebenfalls im Rahmen der vorliegenden Erfindung einsetzbar sind. Diese entstehen beispielsweise, wenn man Natriumtrimetaphosphat mit KOH hydrolysiert:
(NaPOs)3 + 2 KOH ^ Na3K2P3Oi0 + H2O
Diese sind erfindungsgemäß genau wie Natriumtripolyphosphat, Kaliumtripolyphosphat oder Mischungen aus diesen beiden einsetzbar; auch Mischungen aus Natriumtripolyphosphat und Natri- umkaliumtripolyphosphat oder Mischungen aus Kaliumtripolyphosphat und Natriumkaliumtripoly- phosphat oder Gemische aus Natriumtripolyphosphat und Kaliumtripolyphosphat und Natriumkali- umtripolyphosphat sind erfindungsgemäß einsetzbar.
Hinsichtlich der Komponente e) sind in einer bevorzugten Ausführungsform erfindungsgemäßer Mittel 1 ,5 Gew.-% bis 5 Gew.-% polymeres Polycarboxylat, insbesondere ausgewählt aus den Polymerisations- beziehungsweise Copolymerisationsprodukten von Acrylsäure, Methacrylsäure und/oder Maleinsäure enthalten. Unter diesen sind die Homopolymere der Acrylsäure und unter diesen wiederum solche mit einer mittleren Molmasse im Bereich von 5 000 D bis 15 000 D (PA- Standard) besonders bevorzugt.
Als in den Mitteln verwendbare Enzyme kommen außer der obengenannten Oxidase solche aus der Klasse der Proteasen, Lipasen, Cutinasen, Amylasen, Pullulanasen, Mannanasen, Cellulasen,
Hemicellulasen, Xylanasen und Peroxidasen sowie deren Gemische in Frage, beispielsweise Proteasen wie BLAP®, Optimase®, Opticlean®, Maxacal®, Maxapem®, Alcalase®, Esperase®, Savinase®, Durazym® und/oder Purafect® OxP, Amylasen wie Termamyl®, Amylase-LT®, Maxamyl®, Duramyl® und/oder Purafect® OxAm, Lipasen wie Lipolase®, Lipomax®, Lumafast® und/oder Lipozym®, Cellulasen wie Celluzyme® und/oder Carezyme®. Besonders geeignet sind aus Pilzen oder Bakterien, wie Bacillus subtilis, Bacillus licheniformis, Streptomyces griseus, Humicola lanuginosa, Humicola insolens, Pseudomonas pseudoalcaligenes oder Pseudomonas cepacia gewonnene enzymatische Wirkstoffe. Die gegebenenfalls verwendeten Enzyme können an Trägerstoffen adsorbiert und/oder in Hüllsubstanzen eingebettet sein, um sie gegen vorzeitige Inaktivierung zu schützen. Sie sind in den erfindungsgemäßen Wasch-, Reinigungs- und Desinfektionsmitteln vorzugsweise in Mengen bis zu 10 Gew.-%, insbesondere von 0,2 Gew.-% bis 2 Gew.-%, enthalten, wobei besonders bevorzugt gegen oxidativen Abbau stabilisierte Enzyme eingesetzt werden.
In einer bevorzugten Ausführungsform der Erfindung enthält das Mittel 5 Gew.-% bis 50 Gew.-%, insbesondere 8 - 30 Gew.-% anionisches und/oder nichtionisches Tensid, bis zu 60 Gew.-%, insbesondere 5 - 40 Gew.-% Buildersubstanz und 0,2 Gew.-% bis 2 Gew.-% Enzym, ausgewählt aus den Proteasen, Lipasen, Cutinasen, Amylasen, Pullulanasen, Mannanasen, Cellulasen, Oxidasen und Peroxidasen sowie deren Gemischen.
Zu den in den erfindungsgemäßen Mitteln, insbesondere wenn sie in flüssiger oder pastöser Form vorliegen, verwendbaren organischen Lösungsmitteln gehören Alkohole mit 1 bis 4 C-Atomen, insbesondere Methanol, Ethanol, Isopropanol und tert.-Butanol, Diole mit 2 bis 4 C-Atomen, insbesondere Ethylenglykol und Propylenglykol, sowie deren Gemische und die aus den genannten Verbindungsklassen ableitbaren Ether. Derartige wassermischbare Lösungsmittel sind in den erfindungsgemäßen Waschmitteln vorzugsweise nicht über 30 Gew.-%, insbesondere von 6 Gew.-% bis 20 Gew.-%, vorhanden.
Zur Einstellung eines gewünschten, sich durch die Mischung der übrigen Komponenten nicht von selbst ergebenden pH-Werts können die erfindungsgemäßen Mittel System- und umweltverträgliche Säuren, insbesondere Citronensäure, Essigsäure, Weinsäure, Äpfelsäure, Milchsäure, Glykol- säure, Bernsteinsäure, Glutarsäure und/oder Adipinsäure, aber auch Mineralsäuren, insbesondere Schwefelsäure, oder Basen, insbesondere Ammonium- oder Alkalihydroxide, enthalten. Derartige pH-Regulatoren sind in den erfindungsgemäßen Mitteln vorzugsweise nicht über 20 Gew.-%, insbesondere von 1 ,2 Gew.-% bis 17 Gew.-%, enthalten.
Schmutzablösevermögende Polymere, die oft als "Soil Release"-Wirkstoffe oder wegen ihres Vermögens, die behandelte Oberfläche, zum Beispiel der Faser, schmutzabstoßend auszurüsten, als
"Soil Repellents" bezeichnet werden, sind beispielsweise nichtionische oder kationische Cellulose- derivate. Zu den insbesondere polyesteraktiven schmutzablösevernnögenden Polymeren gehören Copolyester aus Dicarbonsäuren, beispielsweise Adipinsäure, Phthalsäure oder Terephthalsäure, Diolen, beispielsweise Ethylenglykol oder Propylenglykol, und Polydiolen, beispielsweise Polyethy- lenglykol oder Polypropylenglykol. Zu den bevorzugt eingesetzten schmutzablösevernnögenden Polyestern gehören solche Verbindungen, die formal durch Veresterung zweier Monomerteile zugänglich sind, wobei das erste Monomer eine Dicarbonsäure HOOC-Ph-COOH und das zweite Monomer ein Diol HO-(CHR11-)aOH, das auch als polymeres Diol H-(O-(CHRi i-)a)bOH vorliegen kann, ist. Darin bedeutet Ph einen o-, m- oder p-Phenylenrest, der 1 bis 4 Substituenten, ausgewählt aus Alkylresten mit 1 bis 22 C-Atomen, Sulfonsäuregruppen, Carboxylgruppen und deren Mischungen, tragen kann, R11 Wasserstoff, einen Alkylrest mit 1 bis 22 C-Atomen und deren Mischungen, a eine Zahl von 2 bis 6 und b eine Zahl von 1 bis 300. Vorzugsweise liegen in den aus diesen erhältlichen Polyestern sowohl Monomerdioleinheiten -O-(CHR-ι-|-)aO- als auch Polymerdiol- einheiten -(O-(CHR11-)a)bO- vor. Das molare Verhältnis von Monomerdioleinheiten zu Polymerdiol- einheiten beträgt vorzugsweise 100:1 bis 1 :100, insbesondere 10:1 bis 1 :10. In den Polymerdiol- einheiten liegt der Polymerisationsgrad b vorzugsweise im Bereich von 4 bis 200, insbesondere von 12 bis 140. Das Molekulargewicht beziehungsweise das mittlere Molekulargewicht oder das Maximum der Molekulargewichtsverteilung bevorzugter schmutzablösevermögender Polyester liegt im Bereich von 250 bis 100 000, insbesondere von 500 bis 50 000. Die dem Rest Ph zugrundeliegende Säure wird vorzugsweise aus Terephtalsäure, Isophthalsäure, Phthalsäure, Trimellithsäure, Mellithsäure, den Isomeren der Sulfophthalsäure, Sulfoisophthalsäure und Sulfoterephtalsäure sowie deren Gemischen ausgewählt. Sofern deren Säuregruppen nicht Teil der Esterbindungen im Polymer sind, liegen sie vorzugsweise in Salzform, insbesondere als Alkali- oder Ammoniumsalz vor. Unter diesen sind die Natrium- und Kaliumsalze besonders bevorzugt. Gewünschtenfalls können statt des Monomers HOOC-Ph-COOH geringe Anteile, insbesondere nicht mehr als 10 Mol-% bezogen auf den Anteil an Ph mit der oben gegebenen Bedeutung, anderer Säuren, die mindestens zwei Carboxylgruppen aufweisen, im schmutzablösevermögenden Polyester enthalten sein. Zu diesen gehören beispielsweise Alkylen- und Alkenylendicarbonsäuren wie Malonsäure, Bernsteinsäure, Fumarsäure, Maleinsäure, Glutarsäure, Adipinsäure, Pimelinsäure, Korksäure, Azelainsäure und Sebacinsäure. Zu den bevorzugten Diolen HO-(CHR11-)aOH gehören solche, in denen R11 Wasserstoff und a eine Zahl von 2 bis 6 ist, und solche, in denen a den Wert 2 aufweist und R11 unter Wasserstoff und den Alkylresten mit 1 bis 10, insbesondere 1 bis 3 C-Atomen ausgewählt wird. Unter den letztgenannten Diolen sind solche der Formel HO-CH2-CHR11-OH, in der R11 die obengenannte Bedeutung besitzt, besonders bevorzugt. Beispiele für Diolkomponenten sind Ethylenglykol, 1 ,2-Propylenglykol, 1 ,3-Propylenglykol, 1 ,4-Butandiol, 1 ,5-Pentandiol, 1 ,6-Hexandiol, 1 ,8- Octandiol, 1 ,2-Decandiol, 1 ,2-Dodecandiol und Neopentylglykol. Besonders bevorzugt unter den polymeren Diolen ist Polyethylenglykol mit einer mittleren Molmasse im Bereich von 1000 bis 6000. Gewünschtenfalls können diese Polyester auch endgruppenverschlossen sein, wobei als Endgrup-
pen Alkylgruppen mit 1 bis 22 C-Atomen und Ester von Monocarbonsäuren in Frage kommen. Den über Esterbindungen gebundenen Endgruppen können Alkyl-, Alkenyl- und Arylmonocarbonsäuren mit 5 bis 32 C-Atomen, insbesondere 5 bis 18 C-Atomen, zugrundeliegen. Zu diesen gehören VaIe- riansäure, Capronsäure, Önanthsäure, Caprylsäure, Pelargonsäure, Caprinsäure, Undecansäure, Undecensäure, Laurinsäure, Lauroleinsäure, Tridecansäure, Myristinsäure, Myristoleinsäure, Pentadecansäure, Palmitinsäure, Stearinsäure, Petroselinsäure, Petroselaidinsäure, Ölsäure, Linolsäure, Linolaidinsäure, Linolensäure, Eläostearinsäure, Arachinsäure, Gadoleinsäure, Arachi- donsäure, Behensäure, Erucasäure, Brassidinsäure, Clupanodonsäure, Lignocerinsäure, Cerotin- säure, Melissinsäure, Benzoesäure, die 1 bis 5 Substituenten mit insgesamt bis zu 25 C-Atomen, insbesondere 1 bis 12 C-Atomen tragen kann, beispielsweise tert.-Butylbenzoesäure. Den Endgruppen können auch Hydroxymonocarbonsäuren mit 5 bis 22 C-Atomen zugrundeliegen, zu denen beispielsweise Hydroxyvaleriansäure, Hydroxycapronsäure, Ricinolsäure, deren Hydrierungsprodukt Hydroxystearinsäure sowie o-, m- und p-Hydroxybenzoesäure gehören. Die Hydroxymonocarbonsäuren können ihrerseits über ihre Hydroxylgruppe und ihre Carboxylgruppe miteinander verbunden sein und damit mehrfach in einer Endgruppe vorliegen. Vorzugsweise liegt die Anzahl der Hydroxymonocarbonsäureeinheiten pro Endgruppe, das heißt ihr Oligomerisierungsgrad, im Bereich von 1 bis 50, insbesondere von 1 bis 10. In einer bevorzugten Ausgestaltung der Erfindung werden Polymere aus Ethylenterephthalat und Polyethylenoxid-terephthalat, in denen die PoIy- ethylenglykol-Einheiten Molgewichte von 750 bis 5000 aufweisen und das Molverhältnis von Ethylenterephthalat zu Polyethylenoxid-terephthalat 50:50 bis 90:10 beträgt, allein oder in Kombination mit Cellulosederivaten verwendet.
Zu den für den Einsatz in erfindungsgemäßen Mitteln für die Wäsche von Textilien in Frage kommenden Farbübertragungsinhibitoren gehören insbesondere Polyvinylpyrrolidone, Polyvinylimida- zole, polymere N-Oxide wie Poly-(vinylpyridin-N-oxid) und Copolymere von Vinylpyrrolidon mit Vinylimidazol und gegebenenfalls weiteren Monomeren.
Die erfindungsgemäßen Mittel zum Einsatz in der Textilwäsche können Knitterschutzmittel enthalten, da textile Flächengebilde, insbesondere aus Reyon, Wolle, Baumwolle und deren Mischungen, zum Knittern neigen können, weil die Einzelfasern gegen Durchbiegen, Knicken, Pressen und Quetschen quer zur Faserrichtung empfindlich sind. Hierzu zählen beispielsweise synthetische Produkte auf der Basis von Fettsäuren, Fettsäureestern, Fettsäureamiden, -alkylolestern, -alkylol- amiden oder Fettalkoholen, die meist mit Ethylenoxid umgesetzt sind, oder Produkte auf der Basis von Lecithin oder modifizierter Phosphorsäureester.
Vergrauungsinhibitoren haben die Aufgabe, den von der harten Oberfläche und insbesondere von der Textilfaser abgelösten Schmutz in der Flotte suspendiert zu halten. Hierzu sind wasserlösliche Kolloide meist organischer Natur geeignet, beispielsweise Stärke, Leim, Gelatine, Salze von Ether-
carbonsäuren oder Ethersulfonsäuren der Stärke oder der Cellulose oder Salze von sauren Schwefelsäureestern der Cellulose oder der Stärke. Auch wasserlösliche, saure Gruppen enthaltende Polyamide sind für diesen Zweck geeignet. Weiterhin lassen sich andere als die obengenannten Stärkederivate verwenden, zum Beispiel Aldehydstärken. Bevorzugt werden Cellulose- ether, wie Carboxymethylcellulose (Na-SaIz), Methylcellulose, Hydroxyalkylcellulose und Misch- ether, wie Methylhydroxyethylcellulose, Methylhydroxypropylcellulose, Methylcarboxymethylcellulo- se und deren Gemische, beispielsweise in Mengen von 0,1 bis 5 Gew.-%, bezogen auf die Mittel, eingesetzt.
Die Mittel können optische Aufheller, unter diesen insbesondere Derivate der Diaminostilbendisul- fonsäure beziehungsweise deren Alkalimetallsalze, enthalten. Geeignet sind zum Beispiel Salze der 4,4'-Bis(2-anilino-4-morpholino-1 ,3,5-triazinyl-6-amino)stilben-2,2'-disulfonsäure oder gleichartig aufgebaute Verbindungen, die anstelle der Morpholino-Gruppe eine Diethanolaminogruppe, eine Methylaminogruppe, eine Anilinogruppe oder eine 2-Methoxyethylaminogruppe tragen. Weiterhin können Aufheller vom Typ der substituierten Diphenylstyryle anwesend sein, zum Beispiel die Alkalisalze des 4,4'-Bis(2-sulfostyryl)-diphenyls, 4,4'-Bis(4-chlor-3-sulfostyryl)-diphenyls, oder 4- (4-Chlorstyryl)-4'-(2-sulfostyryl)-diphenyls. Auch Gemische der vorgenannten optischen Aufheller können verwendet werden.
Insbesondere beim Einsatz in maschinellen Wasch- beziehungsweise Reinigungsverfahren kann es von Vorteil sein, den Mitteln übliche Schauminhibitoren zuzusetzen. Als Schauminhibitoren eignen sich beispielsweise Seifen natürlicher oder synthetischer Herkunft, die einen hohen Anteil an C18-C24-Fettsäuren aufweisen. Geeignete nichttensidartige Schauminhibitoren sind beispielsweise Organopolysiloxane und deren Gemische mit mikrofeiner, gegebenenfalls signierter Kieselsäure sowie Paraffine, Wachse, Mikrokristallinwachse und deren Gemische mit silanierter Kieselsäure oder Bisfettsäurealkylendiamiden. Mit Vorteilen werden auch Gemische aus verschiedenen Schauminhibitoren verwendet, zum Beispiel solche aus Silikonen, Paraffinen oder Wachsen. Vorzugsweise sind die Schauminhibitoren, insbesondere Silikon- und/oder Paraffin-haltige Schauminhibitoren, an eine granuläre, in Wasser lösliche beziehungsweise dispergierbare Trägersubstanz gebunden. Insbesondere sind dabei Mischungen aus Paraffinen und Bistearylethylendiamid bevorzugt.
In erfindungsgemäßen Mitteln können außerdem Wirkstoffe zur Vermeidung des Anlaufens von Gegenständen aus Silber, sogenannte Silberkorrosionsinhibitoren, eingesetzt werden. Bevorzugte Silberkorrosionsschutzmittel sind organische Disulfide, zweiwertige Phenole, dreiwertige Phenole, gegebenenfalls alkyl- oder aminoalkylsubstituierte Triazole wie Benzotriazol sowie Cobalt-, Mangan-, Titan-, Zirkonium-, Hafnium-, Vanadium- oder Cersalze und/oder -komplexe, in denen die genannten Metalle in einer der Oxidationsstufen II, IM, IV, V oder VI vorliegen.
Die Verbindung gemäß Formel (l)oder der entsprechend vorgebildete Komplex können in Form von Pulvern oder als Granulate, die auch gegebenenfalls gecoatet und/oder gefärbt sein können und übliche Trägermaterialien und/oder Granulationshilfsmittel enthalten können, vorliegen. Im Fall ihres Einsatzes als Granulate können diese gewünschtenfalls auch weitere Aktivstoffe, insbesondere Bleichaktivator, enthalten.
Die Herstellung erfindungsgemäßer fester Mittel bietet keine Schwierigkeiten und kann in im Prinzip bekannter Weise, zum Beispiel durch Sprühtrocknen oder Granulation, erfolgen, wobei Per- sauerstoffverbindung und Bleichaktivatorkombination gegebenenfalls später zugesetzt werden. Zur Herstellung erfindungsgemäßer Mittel mit erhöhtem Schüttgewicht, insbesondere im Bereich von 650 g/l bis 950 g/l, ist ein einen Extrusionschritt aufweisendes Verfahren bevorzugt. Erfindungsgemäße Wasch-, Reinigungs- oder Desinfektionsmittel in Form wäßriger oder sonstige übliche Lösungsmittel enthaltender Lösungen werden besonders vorteilhaft durch einfaches Mischen der Inhaltsstoffe, die in Substanz oder als Lösung in einen automatischen Mischer gegeben werden können, hergestellt. In einer bevorzugten Ausführung von Mitteln für die insbesondere maschinelle Reinigung von Geschirr sind diese tablettenförmig.
Beispiele
Die Primärwaschkraft wurde in einem miniaturisierten Waschtest bestimmt. Es wurde mit einer vereinfachten Waschlauge bestehend aus H2O2 und Katalysator gearbeitet. Zum Einsatz kamen wäßrige Lösungen (M 1 ) von 0,35 g/l H2O2 und 50 μmol/l Mn-Tri-2-propanolamin-Komplex (hergestellt durch Erwärmen einer Mischung aus Tri-2-propanolamin und Mn(lll)acetat im molaren Verhältnis 3:1 in Ethanol für 2 Stunden auf 8O0C; zum Einsatz kam die gesamte ethanolische Lösung) oder (V1 ) von 0,35 g/l H2O2 und 50 μmol/l Mn(lll)acetat, deren pH-Werte jeweils mittels NaOH auf pH 10,5 eingestellt worden waren.
Für die Messung der Primärwaschleistung wurden Baumwollsubstrate, die mit einer standardisierten Teeanschmutzung versehen worden war, 30 Minuten bei 30 0C in der jeweiligen Lösung behandelt. Das behandelte Stoffsubstrat wurde unter fließendem Wasser ausgewaschen und anschließend getrocknet und farbvermessen. In der nachfolgenden Tabelle ist der Helligkeitswert der Baumwollmeßstücke als Mittelwert von 5fach-Bestimmungen angegeben.
Claims
1. Wasch- oder Reinigungsmittel, dadurch gekennzeichnet, daß es ein Tensid und eine Verbindung gemäß Formel (I),
neben üblichen damit verträglichen Inhaltsstoffen enthält.
2. Mittel nach Anspruch 1 , dadurch gekennzeichnet, dass es zusätzlich ein Ag-, Au-, Co-, Cu-, Fe-, Mo-, Mn-, Ni-, Pt-, Rh-, Ru-, Ti-, V- und/oder Zn-SaIz und/oder einen Ag-, Au-, Co-, Cu-, Fe-, Mo-, Mn-, Ni-, Pt-, Rh-, Ru-, Ti-, V- und/oder Zn-Komplex ohne einen Liganden, welcher der Verbindung gemäß Formel (I) entspricht, enthält.
3. Mittel nach Anspruch 1 oder 2, dadurch gekennzeichnet, dass es 0,01 Gew.-% bis 2 Gew.-%, insbesondere 0,1 Gew.-% bis 1 Gew.-% der Verbindung gemäß Formel (I) enthält.
4. Mittel nach einem der Ansprüche 1 bis 3, dadurch gekennzeichnet, dass das Molverhältnis der Übergangsmetalle zu der Verbindung gemäß Formel (I) vorzugsweise im Bereich von 0,001 :1 bis 2:1 , insbesondere 0,01 :1 bis 1 :1 liegt.
5. Wasch- oder Reinigungsmittel, dadurch gekennzeichnet, daß es ein Tensid und einen durch Komplexbildung mit Ag, Au, Co, Cu, Fe, Mo, Mn, Ni, Pt, Rh, Ru, Ti, V und/oder Zn aus einer Verbindung gemäß Formel (I),
6. Mittel nach einem der Ansprüche 1 bis 5, dadurch gekennzeichnet, daß es zusätzlich bis zu 50 Gew.-%, insbesondere von 5 Gew.-% bis 30 Gew.-% einer Persauerstoffverbindung enthält.
7. Mittel nach Anspruch 6, dadurch gekennzeichnet, daß die Persauerstoffverbindung ausgewählt wird aus der Gruppe umfassend Wasserstoffperoxid, Alkaliperborat, Alkalipercarbonat und deren Mischungen.
8. Verwendung einer Verbindung gemäß Formel (I),
zur Verstärkung der Reinigungsleistung von Wasch- und Reinigungsmitteln in wäßriger, insbesondere tensidhaltiger Flotte, die Ag-, Au-, Co-, Cu-, Fe-, Mo-, Mn-, Ni-, Pt-, Rh-, Ru-, Ti-, V- und/oder Zn-Ionen enthält.
9. Verwendung eines Bleichkatalysators in Form eines Komplexes von Ag, Au, Co, Cu, Fe, Mo, Mn, Ni, Pt, Rh, Ru, Ti, V und/oder Zn mit einem Liganden der Formel (I),
zur Verstärkung der Reinigungsleistung von Wasch- oder Reinigungsmitteln
10. Verwendung nach Anspruch 8 oder 9, dadurch gekennzeichnet, daß das Wasch- oder Reinigungsmittel eine Persauerstoffverbindung enthält.
11. Verfahren zum Waschen von Textilien unter Einsatz einer Verbindung gemäß Formel (I)
oder eines Bleichkatalysators in Form eines Komplexes von Ag, Au, Co, Cu, Fe, Mo, Mn, Ni, Pt, Rh, Ru, Ti, V und/oder Zn mit einem Liganden der Formel (I).
12. Verfahren zum Reinigen harter Oberflächen, insbesondere zum maschinellen Reinigen von Geschirr, unter Einsatz einer Verbindung gemäß Formel (I)
13. Mittel nach einem der Ansprüche 5 bis 8, Verwendung nach Anspruch 9 oder 10 oder Verfahren nach Anspruch 11 oder 12, dadurch gekennzeichnet, dass der bleichkatalysierende Komplex, der einen Liganden gemäß Formel (I) aufweist, weitere Anion-, Neutral- oder Kationliganden, insbesondere H2O, NH3, organische Anionen, wie Citrat, Oxalat, Tartrat, Formiat, ein C2-i8-Carboxylat, ein Ci_i8-Alkylsulfat, insbesondere Methosulfat, oder ein entsprechendes Al- kansulfonat, anorganische Anionen, wie Halogenid, insbesondere Chlorid, Perchlorat, Tetrafluoroborat, Hexafluorophosphat, Nitrat, Hydrogensulfat, Hydroxid oder Hydroperoxid, oder verbrückende Liganden, wie Alkylendiamine, enthält.
Applications Claiming Priority (2)
| Application Number | Priority Date | Filing Date | Title |
|---|---|---|---|
| DE200910001691 DE102009001691A1 (de) | 2009-03-20 | 2009-03-20 | Wasch- oder Reinigungsmittel mit gegebenenfalls in situ erzeugtem bleichverstärkendem Übergangsmetallkomplex |
| DE102009001691.0 | 2009-03-20 |
Publications (1)
| Publication Number | Publication Date |
|---|---|
| WO2010105961A1 true WO2010105961A1 (de) | 2010-09-23 |
Family
ID=42133629
Family Applications (1)
| Application Number | Title | Priority Date | Filing Date |
|---|---|---|---|
| PCT/EP2010/053083 Ceased WO2010105961A1 (de) | 2009-03-20 | 2010-03-11 | Wasch- oder reinigungsmittel mit gegebenenfalls in situ erzeugtem bleichverstärkendem übergangsmetallkomplex |
Country Status (2)
| Country | Link |
|---|---|
| DE (1) | DE102009001691A1 (de) |
| WO (1) | WO2010105961A1 (de) |
Cited By (56)
| Publication number | Priority date | Publication date | Assignee | Title |
|---|---|---|---|---|
| WO2011134809A1 (en) | 2010-04-26 | 2011-11-03 | Novozymes A/S | Enzyme granules |
| WO2012101149A1 (en) | 2011-01-26 | 2012-08-02 | Novozymes A/S | Storage-stable enzyme granules |
| WO2012175401A2 (en) | 2011-06-20 | 2012-12-27 | Novozymes A/S | Particulate composition |
| WO2012175708A2 (en) | 2011-06-24 | 2012-12-27 | Novozymes A/S | Polypeptides having protease activity and polynucleotides encoding same |
| WO2013001087A2 (en) | 2011-06-30 | 2013-01-03 | Novozymes A/S | Method for screening alpha-amylases |
| WO2013007594A1 (en) | 2011-07-12 | 2013-01-17 | Novozymes A/S | Storage-stable enzyme granules |
| WO2013024021A1 (en) | 2011-08-15 | 2013-02-21 | Novozymes A/S | Polypeptides having cellulase activity and polynucleotides encoding same |
| WO2013041689A1 (en) | 2011-09-22 | 2013-03-28 | Novozymes A/S | Polypeptides having protease activity and polynucleotides encoding same |
| WO2013076269A1 (en) | 2011-11-25 | 2013-05-30 | Novozymes A/S | Subtilase variants and polynucleotides encoding same |
| WO2013092635A1 (en) | 2011-12-20 | 2013-06-27 | Novozymes A/S | Subtilase variants and polynucleotides encoding same |
| WO2013110766A1 (en) | 2012-01-26 | 2013-08-01 | Novozymes A/S | Use of polypeptides having protease activity in animal feed and detergents |
| WO2013120948A1 (en) | 2012-02-17 | 2013-08-22 | Novozymes A/S | Subtilisin variants and polynucleotides encoding same |
| WO2013131964A1 (en) | 2012-03-07 | 2013-09-12 | Novozymes A/S | Detergent composition and substitution of optical brighteners in detergent compositions |
| WO2013167581A1 (en) | 2012-05-07 | 2013-11-14 | Novozymes A/S | Polypeptides having xanthan degrading activity and polynucleotides encoding same |
| WO2013189972A2 (en) | 2012-06-20 | 2013-12-27 | Novozymes A/S | Use of polypeptides having protease activity in animal feed and detergents |
| WO2014096259A1 (en) | 2012-12-21 | 2014-06-26 | Novozymes A/S | Polypeptides having protease activiy and polynucleotides encoding same |
| WO2014183921A1 (en) | 2013-05-17 | 2014-11-20 | Novozymes A/S | Polypeptides having alpha amylase activity |
| WO2014207227A1 (en) | 2013-06-27 | 2014-12-31 | Novozymes A/S | Subtilase variants and polynucleotides encoding same |
| WO2014207224A1 (en) | 2013-06-27 | 2014-12-31 | Novozymes A/S | Subtilase variants and polynucleotides encoding same |
| WO2015001017A2 (en) | 2013-07-04 | 2015-01-08 | Novozymes A/S | Polypeptides having anti-redeposition effect and polynucleotides encoding same |
| EP2832853A1 (de) | 2013-07-29 | 2015-02-04 | Henkel AG&Co. KGAA | Waschmittelzusammensetzung mit Proteasevarianten |
| WO2015049370A1 (en) | 2013-10-03 | 2015-04-09 | Novozymes A/S | Detergent composition and use of detergent composition |
| WO2015134737A1 (en) | 2014-03-05 | 2015-09-11 | Novozymes A/S | Compositions and methods for improving properties of cellulosic textile materials with xyloglucan endotransglycosylase |
| WO2015134729A1 (en) | 2014-03-05 | 2015-09-11 | Novozymes A/S | Compositions and methods for improving properties of non-cellulosic textile materials with xyloglucan endotransglycosylase |
| WO2015150457A1 (en) | 2014-04-01 | 2015-10-08 | Novozymes A/S | Polypeptides having alpha amylase activity |
| WO2015189371A1 (en) | 2014-06-12 | 2015-12-17 | Novozymes A/S | Alpha-amylase variants and polynucleotides encoding same |
| WO2016079305A1 (en) | 2014-11-20 | 2016-05-26 | Novozymes A/S | Alicyclobacillus variants and polynucleotides encoding same |
| EP3106508A1 (de) | 2015-06-18 | 2016-12-21 | Henkel AG & Co. KGaA | Reinigungsmittelzusammensetzung mit subtilasevarianten |
| WO2017064269A1 (en) | 2015-10-14 | 2017-04-20 | Novozymes A/S | Polypeptide variants |
| WO2017064253A1 (en) | 2015-10-14 | 2017-04-20 | Novozymes A/S | Polypeptides having protease activity and polynucleotides encoding same |
| WO2017207762A1 (en) | 2016-06-03 | 2017-12-07 | Novozymes A/S | Subtilase variants and polynucleotides encoding same |
| WO2018011277A1 (en) | 2016-07-13 | 2018-01-18 | Novozymes A/S | Bacillus cibi dnase variants |
| EP3309249A1 (de) | 2013-07-29 | 2018-04-18 | Novozymes A/S | Proteasevarianten und polynukleotide zur codierung davon |
| EP3321360A2 (de) | 2013-01-03 | 2018-05-16 | Novozymes A/S | Alpha-amylase-varianten und polynukleotide zur codierung davon |
| EP3453757A1 (de) | 2013-12-20 | 2019-03-13 | Novozymes A/S | Polypeptide mit proteaseaktivität und polynukleotide, die für diese kodieren |
| WO2019081724A1 (en) | 2017-10-27 | 2019-05-02 | Novozymes A/S | VARIANTS OF DNASE |
| WO2019084349A1 (en) | 2017-10-27 | 2019-05-02 | The Procter & Gamble Company | DETERGENT COMPOSITIONS COMPRISING POLYPEPTIDE VARIANTS |
| WO2019201793A1 (en) | 2018-04-17 | 2019-10-24 | Novozymes A/S | Polypeptides comprising carbohydrate binding activity in detergent compositions and their use in reducing wrinkles in textile or fabric. |
| EP3608403A2 (de) | 2014-12-15 | 2020-02-12 | Henkel AG & Co. KGaA | Reinigungsmittelzusammensetzung mit subtilasevarianten |
| EP3611260A1 (de) | 2013-07-29 | 2020-02-19 | Novozymes A/S | Proteasevarianten und polynukleotide zur codierung davon |
| EP3620505A1 (de) * | 2018-09-07 | 2020-03-11 | Henkel AG & Co. KGaA | Mischmetall-kolloide als bleichverstärkendes mittel |
| EP3690037A1 (de) | 2014-12-04 | 2020-08-05 | Novozymes A/S | Subtilasevarianten und polynukleotide zur codierung davon |
| WO2020188095A1 (en) | 2019-03-21 | 2020-09-24 | Novozymes A/S | Alpha-amylase variants and polynucleotides encoding same |
| WO2020207944A1 (en) | 2019-04-10 | 2020-10-15 | Novozymes A/S | Polypeptide variants |
| EP3739029A1 (de) | 2014-07-04 | 2020-11-18 | Novozymes A/S | Subtilasevarianten und polynukleotide zur codierung davon |
| EP3786269A1 (de) | 2013-06-06 | 2021-03-03 | Novozymes A/S | Alpha-amylase-varianten und polynukleotide zur codierung davon |
| WO2021037895A1 (en) | 2019-08-27 | 2021-03-04 | Novozymes A/S | Detergent composition |
| WO2021053127A1 (en) | 2019-09-19 | 2021-03-25 | Novozymes A/S | Detergent composition |
| WO2021064068A1 (en) | 2019-10-03 | 2021-04-08 | Novozymes A/S | Polypeptides comprising at least two carbohydrate binding domains |
| EP3872175A1 (de) | 2015-06-18 | 2021-09-01 | Novozymes A/S | Subtilasevarianten und polynukleotide zur codierung davon |
| EP3878960A1 (de) | 2014-07-04 | 2021-09-15 | Novozymes A/S | Subtilasevarianten und polynukleotide zur codierung davon |
| EP3892708A1 (de) | 2020-04-06 | 2021-10-13 | Henkel AG & Co. KGaA | Reinigungszusammensetzungen mit dispersinvarianten |
| WO2022074037A2 (en) | 2020-10-07 | 2022-04-14 | Novozymes A/S | Alpha-amylase variants |
| WO2022171780A2 (en) | 2021-02-12 | 2022-08-18 | Novozymes A/S | Alpha-amylase variants |
| WO2022268885A1 (en) | 2021-06-23 | 2022-12-29 | Novozymes A/S | Alpha-amylase polypeptides |
| WO2024131880A2 (en) | 2022-12-23 | 2024-06-27 | Novozymes A/S | Detergent composition comprising catalase and amylase |
Citations (7)
| Publication number | Priority date | Publication date | Assignee | Title |
|---|---|---|---|---|
| US3075855A (en) * | 1958-03-31 | 1963-01-29 | Gen Electric | Copper plating process and solutions |
| DE2412837A1 (de) | 1973-04-13 | 1974-10-31 | Henkel & Cie Gmbh | Verfahren zum waschen und reinigen der oberflaechen von festen werkstoffen, insbesondere von textilien, sowie mittel zur durchfuehrung des verfahrens |
| US4857114A (en) * | 1987-04-13 | 1989-08-15 | Amway Corporation | Floor polish remover |
| US5322635A (en) * | 1991-05-16 | 1994-06-21 | H.E.R.C. Incorporated | Soap compositions of carboxylic acids and amines useful in removal and prevention of scale |
| US5432217A (en) * | 1994-08-08 | 1995-07-11 | Siltech Inc | Process for treatment of vinyl and rubber |
| EP1050575A2 (de) * | 1999-05-03 | 2000-11-08 | Rwe-Dea Aktiengesellschaft Für Mineraloel Und Chemie | Alkalische Wasch- und Reinigungsmittelzusammensetzung enthaltend Alkylbenzolsulfonate und Alkanolamine |
| US6462008B1 (en) * | 1999-03-05 | 2002-10-08 | Case Western Reserve University | Detergent compositions comprising photobleaching delivery systems |
-
2009
- 2009-03-20 DE DE200910001691 patent/DE102009001691A1/de not_active Withdrawn
-
2010
- 2010-03-11 WO PCT/EP2010/053083 patent/WO2010105961A1/de not_active Ceased
Patent Citations (7)
| Publication number | Priority date | Publication date | Assignee | Title |
|---|---|---|---|---|
| US3075855A (en) * | 1958-03-31 | 1963-01-29 | Gen Electric | Copper plating process and solutions |
| DE2412837A1 (de) | 1973-04-13 | 1974-10-31 | Henkel & Cie Gmbh | Verfahren zum waschen und reinigen der oberflaechen von festen werkstoffen, insbesondere von textilien, sowie mittel zur durchfuehrung des verfahrens |
| US4857114A (en) * | 1987-04-13 | 1989-08-15 | Amway Corporation | Floor polish remover |
| US5322635A (en) * | 1991-05-16 | 1994-06-21 | H.E.R.C. Incorporated | Soap compositions of carboxylic acids and amines useful in removal and prevention of scale |
| US5432217A (en) * | 1994-08-08 | 1995-07-11 | Siltech Inc | Process for treatment of vinyl and rubber |
| US6462008B1 (en) * | 1999-03-05 | 2002-10-08 | Case Western Reserve University | Detergent compositions comprising photobleaching delivery systems |
| EP1050575A2 (de) * | 1999-05-03 | 2000-11-08 | Rwe-Dea Aktiengesellschaft Für Mineraloel Und Chemie | Alkalische Wasch- und Reinigungsmittelzusammensetzung enthaltend Alkylbenzolsulfonate und Alkanolamine |
Cited By (69)
| Publication number | Priority date | Publication date | Assignee | Title |
|---|---|---|---|---|
| WO2011134809A1 (en) | 2010-04-26 | 2011-11-03 | Novozymes A/S | Enzyme granules |
| EP2840134A1 (de) | 2010-04-26 | 2015-02-25 | Novozymes A/S | Enzymkörnchen |
| WO2012101149A1 (en) | 2011-01-26 | 2012-08-02 | Novozymes A/S | Storage-stable enzyme granules |
| WO2012175401A2 (en) | 2011-06-20 | 2012-12-27 | Novozymes A/S | Particulate composition |
| WO2012175708A2 (en) | 2011-06-24 | 2012-12-27 | Novozymes A/S | Polypeptides having protease activity and polynucleotides encoding same |
| WO2013001087A2 (en) | 2011-06-30 | 2013-01-03 | Novozymes A/S | Method for screening alpha-amylases |
| EP4026901A2 (de) | 2011-06-30 | 2022-07-13 | Novozymes A/S | Verfahren zum screening von alpha-amylasen |
| EP3543333A2 (de) | 2011-06-30 | 2019-09-25 | Novozymes A/S | Verfahren zum screening von alpha-amylasen |
| WO2013007594A1 (en) | 2011-07-12 | 2013-01-17 | Novozymes A/S | Storage-stable enzyme granules |
| WO2013024021A1 (en) | 2011-08-15 | 2013-02-21 | Novozymes A/S | Polypeptides having cellulase activity and polynucleotides encoding same |
| WO2013041689A1 (en) | 2011-09-22 | 2013-03-28 | Novozymes A/S | Polypeptides having protease activity and polynucleotides encoding same |
| WO2013076269A1 (en) | 2011-11-25 | 2013-05-30 | Novozymes A/S | Subtilase variants and polynucleotides encoding same |
| WO2013092635A1 (en) | 2011-12-20 | 2013-06-27 | Novozymes A/S | Subtilase variants and polynucleotides encoding same |
| WO2013110766A1 (en) | 2012-01-26 | 2013-08-01 | Novozymes A/S | Use of polypeptides having protease activity in animal feed and detergents |
| WO2013120948A1 (en) | 2012-02-17 | 2013-08-22 | Novozymes A/S | Subtilisin variants and polynucleotides encoding same |
| WO2013131964A1 (en) | 2012-03-07 | 2013-09-12 | Novozymes A/S | Detergent composition and substitution of optical brighteners in detergent compositions |
| WO2013167581A1 (en) | 2012-05-07 | 2013-11-14 | Novozymes A/S | Polypeptides having xanthan degrading activity and polynucleotides encoding same |
| WO2013189972A2 (en) | 2012-06-20 | 2013-12-27 | Novozymes A/S | Use of polypeptides having protease activity in animal feed and detergents |
| WO2014096259A1 (en) | 2012-12-21 | 2014-06-26 | Novozymes A/S | Polypeptides having protease activiy and polynucleotides encoding same |
| EP3321360A2 (de) | 2013-01-03 | 2018-05-16 | Novozymes A/S | Alpha-amylase-varianten und polynukleotide zur codierung davon |
| WO2014183921A1 (en) | 2013-05-17 | 2014-11-20 | Novozymes A/S | Polypeptides having alpha amylase activity |
| EP3786269A1 (de) | 2013-06-06 | 2021-03-03 | Novozymes A/S | Alpha-amylase-varianten und polynukleotide zur codierung davon |
| WO2014207227A1 (en) | 2013-06-27 | 2014-12-31 | Novozymes A/S | Subtilase variants and polynucleotides encoding same |
| WO2014207224A1 (en) | 2013-06-27 | 2014-12-31 | Novozymes A/S | Subtilase variants and polynucleotides encoding same |
| WO2015001017A2 (en) | 2013-07-04 | 2015-01-08 | Novozymes A/S | Polypeptides having anti-redeposition effect and polynucleotides encoding same |
| EP3309249A1 (de) | 2013-07-29 | 2018-04-18 | Novozymes A/S | Proteasevarianten und polynukleotide zur codierung davon |
| EP3613853A1 (de) | 2013-07-29 | 2020-02-26 | Novozymes A/S | Proteasevarianten und polynukleotide zur codierung davon |
| EP4477734A2 (de) | 2013-07-29 | 2024-12-18 | Novozymes A/S | Proteasevarianten und polynukleotide zur codierung davon |
| EP2832853A1 (de) | 2013-07-29 | 2015-02-04 | Henkel AG&Co. KGAA | Waschmittelzusammensetzung mit Proteasevarianten |
| EP3339436A1 (de) | 2013-07-29 | 2018-06-27 | Henkel AG & Co. KGaA | Waschmittelzusammensetzung mit proteasevarianten |
| EP3611260A1 (de) | 2013-07-29 | 2020-02-19 | Novozymes A/S | Proteasevarianten und polynukleotide zur codierung davon |
| WO2015049370A1 (en) | 2013-10-03 | 2015-04-09 | Novozymes A/S | Detergent composition and use of detergent composition |
| EP3453757A1 (de) | 2013-12-20 | 2019-03-13 | Novozymes A/S | Polypeptide mit proteaseaktivität und polynukleotide, die für diese kodieren |
| WO2015134729A1 (en) | 2014-03-05 | 2015-09-11 | Novozymes A/S | Compositions and methods for improving properties of non-cellulosic textile materials with xyloglucan endotransglycosylase |
| WO2015134737A1 (en) | 2014-03-05 | 2015-09-11 | Novozymes A/S | Compositions and methods for improving properties of cellulosic textile materials with xyloglucan endotransglycosylase |
| WO2015150457A1 (en) | 2014-04-01 | 2015-10-08 | Novozymes A/S | Polypeptides having alpha amylase activity |
| WO2015189371A1 (en) | 2014-06-12 | 2015-12-17 | Novozymes A/S | Alpha-amylase variants and polynucleotides encoding same |
| EP3878960A1 (de) | 2014-07-04 | 2021-09-15 | Novozymes A/S | Subtilasevarianten und polynukleotide zur codierung davon |
| EP3739029A1 (de) | 2014-07-04 | 2020-11-18 | Novozymes A/S | Subtilasevarianten und polynukleotide zur codierung davon |
| WO2016079305A1 (en) | 2014-11-20 | 2016-05-26 | Novozymes A/S | Alicyclobacillus variants and polynucleotides encoding same |
| EP3690037A1 (de) | 2014-12-04 | 2020-08-05 | Novozymes A/S | Subtilasevarianten und polynukleotide zur codierung davon |
| US10760036B2 (en) | 2014-12-15 | 2020-09-01 | Henkel Ag & Co. Kgaa | Detergent composition comprising subtilase variants |
| EP4530348A2 (de) | 2014-12-15 | 2025-04-02 | Henkel AG & Co. KGaA | Waschmittelzusammensetzung mit subtilasevarianten |
| EP3608403A2 (de) | 2014-12-15 | 2020-02-12 | Henkel AG & Co. KGaA | Reinigungsmittelzusammensetzung mit subtilasevarianten |
| EP3872175A1 (de) | 2015-06-18 | 2021-09-01 | Novozymes A/S | Subtilasevarianten und polynukleotide zur codierung davon |
| EP3106508A1 (de) | 2015-06-18 | 2016-12-21 | Henkel AG & Co. KGaA | Reinigungsmittelzusammensetzung mit subtilasevarianten |
| EP4071244A1 (de) | 2015-06-18 | 2022-10-12 | Novozymes A/S | Subtilasevarianten und polynukleotide zur codierung davon |
| WO2017064253A1 (en) | 2015-10-14 | 2017-04-20 | Novozymes A/S | Polypeptides having protease activity and polynucleotides encoding same |
| WO2017064269A1 (en) | 2015-10-14 | 2017-04-20 | Novozymes A/S | Polypeptide variants |
| EP4324919A2 (de) | 2015-10-14 | 2024-02-21 | Novozymes A/S | Polypeptidvarianten |
| WO2017207762A1 (en) | 2016-06-03 | 2017-12-07 | Novozymes A/S | Subtilase variants and polynucleotides encoding same |
| EP3950941A2 (de) | 2016-07-13 | 2022-02-09 | Novozymes A/S | Dnase-polypeptidvarianten |
| WO2018011276A1 (en) | 2016-07-13 | 2018-01-18 | The Procter & Gamble Company | Bacillus cibi dnase variants and uses thereof |
| WO2018011277A1 (en) | 2016-07-13 | 2018-01-18 | Novozymes A/S | Bacillus cibi dnase variants |
| WO2019084349A1 (en) | 2017-10-27 | 2019-05-02 | The Procter & Gamble Company | DETERGENT COMPOSITIONS COMPRISING POLYPEPTIDE VARIANTS |
| WO2019081721A1 (en) | 2017-10-27 | 2019-05-02 | Novozymes A/S | VARIANTS OF DNASE |
| WO2019081724A1 (en) | 2017-10-27 | 2019-05-02 | Novozymes A/S | VARIANTS OF DNASE |
| WO2019201793A1 (en) | 2018-04-17 | 2019-10-24 | Novozymes A/S | Polypeptides comprising carbohydrate binding activity in detergent compositions and their use in reducing wrinkles in textile or fabric. |
| EP3620505A1 (de) * | 2018-09-07 | 2020-03-11 | Henkel AG & Co. KGaA | Mischmetall-kolloide als bleichverstärkendes mittel |
| WO2020188095A1 (en) | 2019-03-21 | 2020-09-24 | Novozymes A/S | Alpha-amylase variants and polynucleotides encoding same |
| WO2020207944A1 (en) | 2019-04-10 | 2020-10-15 | Novozymes A/S | Polypeptide variants |
| WO2021037895A1 (en) | 2019-08-27 | 2021-03-04 | Novozymes A/S | Detergent composition |
| WO2021053127A1 (en) | 2019-09-19 | 2021-03-25 | Novozymes A/S | Detergent composition |
| WO2021064068A1 (en) | 2019-10-03 | 2021-04-08 | Novozymes A/S | Polypeptides comprising at least two carbohydrate binding domains |
| EP3892708A1 (de) | 2020-04-06 | 2021-10-13 | Henkel AG & Co. KGaA | Reinigungszusammensetzungen mit dispersinvarianten |
| WO2022074037A2 (en) | 2020-10-07 | 2022-04-14 | Novozymes A/S | Alpha-amylase variants |
| WO2022171780A2 (en) | 2021-02-12 | 2022-08-18 | Novozymes A/S | Alpha-amylase variants |
| WO2022268885A1 (en) | 2021-06-23 | 2022-12-29 | Novozymes A/S | Alpha-amylase polypeptides |
| WO2024131880A2 (en) | 2022-12-23 | 2024-06-27 | Novozymes A/S | Detergent composition comprising catalase and amylase |
Also Published As
| Publication number | Publication date |
|---|---|
| DE102009001691A1 (de) | 2010-09-23 |
Similar Documents
| Publication | Publication Date | Title |
|---|---|---|
| EP2440641B1 (de) | Nanopartikuläres mangandioxid | |
| WO2010105961A1 (de) | Wasch- oder reinigungsmittel mit gegebenenfalls in situ erzeugtem bleichverstärkendem übergangsmetallkomplex | |
| EP2802644B1 (de) | Acylhydrazone als bleichverstärkende wirkstoffe | |
| WO2010105962A1 (de) | Wasch- oder reinigungsmittel mit gegebenenfalls in situ erzeugtem bleichverstärkendem übergangsmetallkomplex | |
| EP2737042B1 (de) | Wasch- oder reinigungsmittel mit elektrochemisch aktivierbarer mediatorverbindung | |
| EP3134500A1 (de) | Wasch- oder reinigungsmittel mit elektrochemisch aktivierbarer anionischer mediatorverbindung | |
| EP2504418B1 (de) | Wasch- oder reinigungsmittel mit gegebenenfalls in situ erzeugtem bleichverstärkendem übergangsmetallkomplex | |
| EP2504419B1 (de) | Wasch- oder reinigungsmittel mit gegebenenfalls in situ erzeugtem bleichverstärkendem übergangsmetallkomplex | |
| EP1749084B1 (de) | Bleichverstärkerkombination für den einsatz in wasch- und reinigungsmitteln | |
| EP1747259A1 (de) | Waschmittel mit gegebenenfalls in situ erzeugtem bleichverstärkendem übergangsmetallkomplex | |
| EP2440644A1 (de) | Schonendes bleichmittel | |
| EP2411498B1 (de) | Schonendes bleichmittel | |
| EP2304014A1 (de) | Textilschonendes waschmittel | |
| WO2010108784A1 (de) | Schonendes bleichmittel | |
| EP2411495A1 (de) | Schonendes bleichmittel | |
| EP3095845A1 (de) | Acylhydrazone als bleichverstärkende wirkstoffe | |
| EP3440181A1 (de) | N-methylpiperidingruppen-haltige acylhydrazone | |
| WO2016045966A1 (de) | Proteinhaltige waschmittel | |
| DE102008045297A1 (de) | Textilschonendes Waschmittel | |
| DE102008024800A1 (de) | Textilschonendes Waschmittel |
Legal Events
| Date | Code | Title | Description |
|---|---|---|---|
| 121 | Ep: the epo has been informed by wipo that ep was designated in this application |
Ref document number: 10707305 Country of ref document: EP Kind code of ref document: A1 |
|
| NENP | Non-entry into the national phase |
Ref country code: DE |
|
| 122 | Ep: pct application non-entry in european phase |
Ref document number: 10707305 Country of ref document: EP Kind code of ref document: A1 |








