WO2010100475A1 - Hydroxamic acid derivatives as gram-negative antibacterial agents - Google Patents
Hydroxamic acid derivatives as gram-negative antibacterial agents Download PDFInfo
- Publication number
- WO2010100475A1 WO2010100475A1 PCT/GB2010/050351 GB2010050351W WO2010100475A1 WO 2010100475 A1 WO2010100475 A1 WO 2010100475A1 GB 2010050351 W GB2010050351 W GB 2010050351W WO 2010100475 A1 WO2010100475 A1 WO 2010100475A1
- Authority
- WO
- WIPO (PCT)
- Prior art keywords
- phenyl
- mmol
- methyl
- alkyl
- compound
- Prior art date
- Legal status (The legal status is an assumption and is not a legal conclusion. Google has not performed a legal analysis and makes no representation as to the accuracy of the status listed.)
- Ceased
Links
- GYFNZOWEZLWSKE-UHFFFAOYSA-N COC(c1cc(-c(cc2)ccc2C#Cc2ccc(C=O)cc2)ncc1)=O Chemical compound COC(c1cc(-c(cc2)ccc2C#Cc2ccc(C=O)cc2)ncc1)=O GYFNZOWEZLWSKE-UHFFFAOYSA-N 0.000 description 2
- NHWINVGNJDLXPX-UHFFFAOYSA-N Brc(cc1)ccc1-c(cc1)cc2c1[nH]cc2 Chemical compound Brc(cc1)ccc1-c(cc1)cc2c1[nH]cc2 NHWINVGNJDLXPX-UHFFFAOYSA-N 0.000 description 1
- FPVFZVGMJORJNX-UHFFFAOYSA-N Brc1cc(-c(cc2)ccc2C#Cc2cccnc2)cc2c1cncc2 Chemical compound Brc1cc(-c(cc2)ccc2C#Cc2cccnc2)cc2c1cncc2 FPVFZVGMJORJNX-UHFFFAOYSA-N 0.000 description 1
- 0 CC(C)(*)CC(C)(C)C(*=C(*C=I=N)C(**)=O)=** Chemical compound CC(C)(*)CC(C)(C)C(*=C(*C=I=N)C(**)=O)=** 0.000 description 1
- GXBSQGRWJQKQHO-UHFFFAOYSA-N CC(N(C)c1cc(C(NO)=O)cc(-c(cc2)ccc2C#Cc2cccnc2)n1)=O Chemical compound CC(N(C)c1cc(C(NO)=O)cc(-c(cc2)ccc2C#Cc2cccnc2)n1)=O GXBSQGRWJQKQHO-UHFFFAOYSA-N 0.000 description 1
- PSUZUFSRSCKEQD-UHFFFAOYSA-N CC1(C)COB(c(cc2)ccc2C#C)OC1 Chemical compound CC1(C)COB(c(cc2)ccc2C#C)OC1 PSUZUFSRSCKEQD-UHFFFAOYSA-N 0.000 description 1
- KZNZSESTHUXEMC-UHFFFAOYSA-N CCCCOC(c1cc(-c(cc2)ccc2C#Cc2cccnc2)nc(N2CCOCC2)n1)=O Chemical compound CCCCOC(c1cc(-c(cc2)ccc2C#Cc2cccnc2)nc(N2CCOCC2)n1)=O KZNZSESTHUXEMC-UHFFFAOYSA-N 0.000 description 1
- AFXUHEPTXHFSCR-UHFFFAOYSA-N CCCCOC(c1cc(O)nc(Nc2ccccc2)n1)=O Chemical compound CCCCOC(c1cc(O)nc(Nc2ccccc2)n1)=O AFXUHEPTXHFSCR-UHFFFAOYSA-N 0.000 description 1
- UZUFXETWZNSRLT-UHFFFAOYSA-N CCCCOC(c1nc(NC2CCOCC2)nc(Br)c1)=O Chemical compound CCCCOC(c1nc(NC2CCOCC2)nc(Br)c1)=O UZUFXETWZNSRLT-UHFFFAOYSA-N 0.000 description 1
- WNXSXFBBEXNXCV-UHFFFAOYSA-N CCCCOC(c1nc(NCCOC)nc(O)c1)=O Chemical compound CCCCOC(c1nc(NCCOC)nc(O)c1)=O WNXSXFBBEXNXCV-UHFFFAOYSA-N 0.000 description 1
- NCIJHUDTYCRILD-UHFFFAOYSA-N CCCc(cc1)ccc1C#Cc1ccnc(C(OC)=O)c1 Chemical compound CCCc(cc1)ccc1C#Cc1ccnc(C(OC)=O)c1 NCIJHUDTYCRILD-UHFFFAOYSA-N 0.000 description 1
- YOTKSCAOAOTFOP-UHFFFAOYSA-N CCOC(c(cc(C)nc1)c1O)=O Chemical compound CCOC(c(cc(C)nc1)c1O)=O YOTKSCAOAOTFOP-UHFFFAOYSA-N 0.000 description 1
- JRXCVJKUKWMXMM-UHFFFAOYSA-N CCOC(c1cc(-c(cc2)ccc2OC)nc(Br)c1O)=O Chemical compound CCOC(c1cc(-c(cc2)ccc2OC)nc(Br)c1O)=O JRXCVJKUKWMXMM-UHFFFAOYSA-N 0.000 description 1
- UXPJEUNEIDYKKR-UHFFFAOYSA-N CCOC(c1cc(-c(cc2)ccc2[Br]=C)nc2c1cn[nH]2)=O Chemical compound CCOC(c1cc(-c(cc2)ccc2[Br]=C)nc2c1cn[nH]2)=O UXPJEUNEIDYKKR-UHFFFAOYSA-N 0.000 description 1
- AUYABDVTXTWBJI-UHFFFAOYSA-N CCOC(c1cc(-c2cccnc2)nc(Br)c1O)=O Chemical compound CCOC(c1cc(-c2cccnc2)nc(Br)c1O)=O AUYABDVTXTWBJI-UHFFFAOYSA-N 0.000 description 1
- PTTWEKJOTZWJOB-UHFFFAOYSA-N CCOc1cnc(-c2cnccc2)[o]1 Chemical compound CCOc1cnc(-c2cnccc2)[o]1 PTTWEKJOTZWJOB-UHFFFAOYSA-N 0.000 description 1
- IENVSVQENBHIQN-UHFFFAOYSA-N CN(C)Cc(cc1)ccc1C#Cc(cc1)ccc1-c1ccnc(C(NO)=O)c1 Chemical compound CN(C)Cc(cc1)ccc1C#Cc(cc1)ccc1-c1ccnc(C(NO)=O)c1 IENVSVQENBHIQN-UHFFFAOYSA-N 0.000 description 1
- MDSSVGIYOLRTGH-UHFFFAOYSA-N CN(C)Cc1ccc(COc(cc2)ccc2-c2nccc(C(NO)=O)c2)cc1 Chemical compound CN(C)Cc1ccc(COc(cc2)ccc2-c2nccc(C(NO)=O)c2)cc1 MDSSVGIYOLRTGH-UHFFFAOYSA-N 0.000 description 1
- XATDSESQZVGFLK-UHFFFAOYSA-N CN(C)Cc1ccc(COc(cc2)ccc2-c2nccc(C(OC)=O)c2)cc1 Chemical compound CN(C)Cc1ccc(COc(cc2)ccc2-c2nccc(C(OC)=O)c2)cc1 XATDSESQZVGFLK-UHFFFAOYSA-N 0.000 description 1
- UYUKODTTWILCPW-UHFFFAOYSA-N CN1CCC(CN(CC2)CCN2c2cc(C(OC)=O)cc(-c(cc3)ccc3C#Cc3cccnc3)n2)CC1 Chemical compound CN1CCC(CN(CC2)CCN2c2cc(C(OC)=O)cc(-c(cc3)ccc3C#Cc3cccnc3)n2)CC1 UYUKODTTWILCPW-UHFFFAOYSA-N 0.000 description 1
- IONMHHKDKPEQIX-UHFFFAOYSA-N CNc(c(C(NO)=O)c1)ncc1-c(cc1)ccc1C#Cc1cnccc1 Chemical compound CNc(c(C(NO)=O)c1)ncc1-c(cc1)ccc1C#Cc1cnccc1 IONMHHKDKPEQIX-UHFFFAOYSA-N 0.000 description 1
- UOOFKNHRVBAELK-UHFFFAOYSA-N COC(C1)CN1c1cc(C(NO)=O)cc(-c(cc2)ccc2C#Cc2cccnc2)n1 Chemical compound COC(C1)CN1c1cc(C(NO)=O)cc(-c(cc2)ccc2C#Cc2cccnc2)n1 UOOFKNHRVBAELK-UHFFFAOYSA-N 0.000 description 1
- WSUDYTKLUZVJFZ-UHFFFAOYSA-N COC(c(c(cncc1)c1cc1-c(cc2)ccc2C#Cc2ccc(CN3CCOCC3)cc2)c1N)=O Chemical compound COC(c(c(cncc1)c1cc1-c(cc2)ccc2C#Cc2ccc(CN3CCOCC3)cc2)c1N)=O WSUDYTKLUZVJFZ-UHFFFAOYSA-N 0.000 description 1
- QWPLSFRRQYGYTD-UHFFFAOYSA-N COC(c(cc(cn1)Br)c1F)=O Chemical compound COC(c(cc(cn1)Br)c1F)=O QWPLSFRRQYGYTD-UHFFFAOYSA-N 0.000 description 1
- JREGUGFYHPFLDE-UHFFFAOYSA-N COC(c(cccc1C#Cc2ccccc2)c1OC)=O Chemical compound COC(c(cccc1C#Cc2ccccc2)c1OC)=O JREGUGFYHPFLDE-UHFFFAOYSA-N 0.000 description 1
- YOEIZQNHGWEYLH-UHFFFAOYSA-N COC(c(cn1)cc(-c(cc2)ccc2C#Cc2ccc(CN3CCOCC3)nc2)c1F)=O Chemical compound COC(c(cn1)cc(-c(cc2)ccc2C#Cc2ccc(CN3CCOCC3)nc2)c1F)=O YOEIZQNHGWEYLH-UHFFFAOYSA-N 0.000 description 1
- GMDSARCBTDLJAJ-UHFFFAOYSA-N COC(c1cc(-c(cc2)ccc2-c2ccc(CNCCO)cc2)ncc1)=O Chemical compound COC(c1cc(-c(cc2)ccc2-c2ccc(CNCCO)cc2)ncc1)=O GMDSARCBTDLJAJ-UHFFFAOYSA-N 0.000 description 1
- PVVLQJVEVQORMR-UHFFFAOYSA-N COC(c1cc(-c(cc2)ccc2C#Cc2ccc(CN3CCOCC3)cc2)nc(NCc(cc2)ccc2OC)c1)=O Chemical compound COC(c1cc(-c(cc2)ccc2C#Cc2ccc(CN3CCOCC3)cc2)nc(NCc(cc2)ccc2OC)c1)=O PVVLQJVEVQORMR-UHFFFAOYSA-N 0.000 description 1
- ZVEOLYNVQHEOIP-UHFFFAOYSA-N COC(c1cc(-c(cc2)ccc2C#Cc2cccnc2)nc(N(C2)CC2O)c1)=O Chemical compound COC(c1cc(-c(cc2)ccc2C#Cc2cccnc2)nc(N(C2)CC2O)c1)=O ZVEOLYNVQHEOIP-UHFFFAOYSA-N 0.000 description 1
- OLUYBIILRPXEQH-UHFFFAOYSA-N COC(c1cc(-c(cc2)ccc2C#Cc2cccnc2)nc(NC(c2cccc(O)c2)=O)c1)=O Chemical compound COC(c1cc(-c(cc2)ccc2C#Cc2cccnc2)nc(NC(c2cccc(O)c2)=O)c1)=O OLUYBIILRPXEQH-UHFFFAOYSA-N 0.000 description 1
- JTNYDMHHPHRNAO-UHFFFAOYSA-N COC(c1cc(-c(cc2)ccc2C#Cc2cccnc2)nc(NCCN2CCOCC2)c1)=O Chemical compound COC(c1cc(-c(cc2)ccc2C#Cc2cccnc2)nc(NCCN2CCOCC2)c1)=O JTNYDMHHPHRNAO-UHFFFAOYSA-N 0.000 description 1
- FXAOUNNMQGDKDT-UHFFFAOYSA-N COC(c1cc(-c(cc2)ccc2C#Cc2cccnc2)nc(Nc2ccccc2)c1)=O Chemical compound COC(c1cc(-c(cc2)ccc2C#Cc2cccnc2)nc(Nc2ccccc2)c1)=O FXAOUNNMQGDKDT-UHFFFAOYSA-N 0.000 description 1
- QWPPGQXAXAIFDY-UHFFFAOYSA-N COC(c1cc(-c(cc2)ccc2C#Cc2cnccc2)cnc1N(C1)CC1O)=O Chemical compound COC(c1cc(-c(cc2)ccc2C#Cc2cnccc2)cnc1N(C1)CC1O)=O QWPPGQXAXAIFDY-UHFFFAOYSA-N 0.000 description 1
- AVRKKYJITKYIPB-UHFFFAOYSA-N COC(c1cc(-c(cc2)ccc2C#Cc2cnccc2)nc(NC(CC(CO)O)=O)c1)=O Chemical compound COC(c1cc(-c(cc2)ccc2C#Cc2cnccc2)nc(NC(CC(CO)O)=O)c1)=O AVRKKYJITKYIPB-UHFFFAOYSA-N 0.000 description 1
- FPYUJCFDICWVEB-UHFFFAOYSA-N COC(c1cc(-c(cc2)ccc2OCc2ccc(CN3CCOCC3)cc2)ncc1)=O Chemical compound COC(c1cc(-c(cc2)ccc2OCc2ccc(CN3CCOCC3)cc2)ncc1)=O FPYUJCFDICWVEB-UHFFFAOYSA-N 0.000 description 1
- YHIMYWNQYMDYJW-UHFFFAOYSA-N COC(c1cc(-c(cc2)ccc2OCc2ccncc2)ncc1)=O Chemical compound COC(c1cc(-c(cc2)ccc2OCc2ccncc2)ncc1)=O YHIMYWNQYMDYJW-UHFFFAOYSA-N 0.000 description 1
- DPZWBXVKGANLGN-UHFFFAOYSA-N COC(c1cc(-c(ccc(-c2ccccc2)c2)c2F)cnc1)=O Chemical compound COC(c1cc(-c(ccc(-c2ccccc2)c2)c2F)cnc1)=O DPZWBXVKGANLGN-UHFFFAOYSA-N 0.000 description 1
- MRPOBIWAZLKHHC-UHFFFAOYSA-N COC(c1cc(Cl)nc(N(CC2)CC2N)c1)=O Chemical compound COC(c1cc(Cl)nc(N(CC2)CC2N)c1)=O MRPOBIWAZLKHHC-UHFFFAOYSA-N 0.000 description 1
- QPESWGOUBZZNQZ-UHFFFAOYSA-N COC(c1nc(C#Cc2cccnc2)ccc1)=O Chemical compound COC(c1nc(C#Cc2cccnc2)ccc1)=O QPESWGOUBZZNQZ-UHFFFAOYSA-N 0.000 description 1
- QHKUVZXIJOMWQT-UHFFFAOYSA-N COCCN(CC1)CCN1c1nc(Cl)cc(C(OC)=O)c1 Chemical compound COCCN(CC1)CCN1c1nc(Cl)cc(C(OC)=O)c1 QHKUVZXIJOMWQT-UHFFFAOYSA-N 0.000 description 1
- QPCAJVKTSAWHDN-UHFFFAOYSA-N COCCNc(ncc(C#Cc1cnccc1)c1)c1C(NO)=O Chemical compound COCCNc(ncc(C#Cc1cnccc1)c1)c1C(NO)=O QPCAJVKTSAWHDN-UHFFFAOYSA-N 0.000 description 1
- QRZWSTBZQRKXTO-UHFFFAOYSA-N COCCNc(ncc(C(OC)=O)c1)c1-c(cc1)ccc1C#Cc1ccc(CN2CCOCC2)cc1 Chemical compound COCCNc(ncc(C(OC)=O)c1)c1-c(cc1)ccc1C#Cc1ccc(CN2CCOCC2)cc1 QRZWSTBZQRKXTO-UHFFFAOYSA-N 0.000 description 1
- ZMPGKGZMCOFUGJ-UHFFFAOYSA-N COc(c(-c(cc1)ccc1C#Cc1ccc(CN2CCOCC2)cc1)cc1c2cncc1)c2Br Chemical compound COc(c(-c(cc1)ccc1C#Cc1ccc(CN2CCOCC2)cc1)cc1c2cncc1)c2Br ZMPGKGZMCOFUGJ-UHFFFAOYSA-N 0.000 description 1
- FCSFOBGHPNBEME-UHFFFAOYSA-N COc(c(-c(cc1)ccc1C#Cc1cccnc1)nc(-c1cccnc1)c1)c1C(NO)=O Chemical compound COc(c(-c(cc1)ccc1C#Cc1cccnc1)nc(-c1cccnc1)c1)c1C(NO)=O FCSFOBGHPNBEME-UHFFFAOYSA-N 0.000 description 1
- DNCZQSKRAVDMBP-UHFFFAOYSA-N COc(c(-c(cc1)ccc1C#Cc1cccnc1)nc(Cc1ccccc1)c1)c1C(NO)=O Chemical compound COc(c(-c(cc1)ccc1C#Cc1cccnc1)nc(Cc1ccccc1)c1)c1C(NO)=O DNCZQSKRAVDMBP-UHFFFAOYSA-N 0.000 description 1
- YQAMXLGUYMKYIQ-UHFFFAOYSA-N COc(c(C(NO)=O)c1)ncc1-c(cc1)ccc1C#Cc1cccnc1 Chemical compound COc(c(C(NO)=O)c1)ncc1-c(cc1)ccc1C#Cc1cccnc1 YQAMXLGUYMKYIQ-UHFFFAOYSA-N 0.000 description 1
- YRHHEVLIDGQFSM-UHFFFAOYSA-N COc1cc(C(O)=O)cc(-c(cc2)ccc2C#Cc2ccc(CN3CCOCC3)cc2)n1 Chemical compound COc1cc(C(O)=O)cc(-c(cc2)ccc2C#Cc2ccc(CN3CCOCC3)cc2)n1 YRHHEVLIDGQFSM-UHFFFAOYSA-N 0.000 description 1
- SNCKOYYHBAQSJS-UHFFFAOYSA-N C[N](C)(C(c1cc(-c(cc2)ccc2C#Cc2ccc(CN3CCOCC3)cc2)nc(OCCOC)n1)=O)O Chemical compound C[N](C)(C(c1cc(-c(cc2)ccc2C#Cc2ccc(CN3CCOCC3)cc2)nc(OCCOC)n1)=O)O SNCKOYYHBAQSJS-UHFFFAOYSA-N 0.000 description 1
- SHXDGTDHQQEPHK-UHFFFAOYSA-N NC(CC1)CN1c(c(C(NO)=O)c1)ncc1-c(cc1)ccc1C#Cc1cnccc1 Chemical compound NC(CC1)CN1c(c(C(NO)=O)c1)ncc1-c(cc1)ccc1C#Cc1cnccc1 SHXDGTDHQQEPHK-UHFFFAOYSA-N 0.000 description 1
- YSZUJEBUZLAACJ-UHFFFAOYSA-N O=C(c1cc(-c(cc2)ncc2C#Cc2ccc(CN3CCOCC3)cc2)cnc1)NOC1OCCCC1 Chemical compound O=C(c1cc(-c(cc2)ncc2C#Cc2ccc(CN3CCOCC3)cc2)cnc1)NOC1OCCCC1 YSZUJEBUZLAACJ-UHFFFAOYSA-N 0.000 description 1
- GZXYOJMYJAEXED-UHFFFAOYSA-N O=C(c1cc(-c(ccc(-c2ccccc2)c2)c2F)ncc1)NOC1OCCCC1 Chemical compound O=C(c1cc(-c(ccc(-c2ccccc2)c2)c2F)ncc1)NOC1OCCCC1 GZXYOJMYJAEXED-UHFFFAOYSA-N 0.000 description 1
- JDARZTASUAOVFJ-UHFFFAOYSA-N OC(c1cc(-c(cc2)ncc2-c2ccccc2)cnc1)=O Chemical compound OC(c1cc(-c(cc2)ncc2-c2ccccc2)cnc1)=O JDARZTASUAOVFJ-UHFFFAOYSA-N 0.000 description 1
- JWLKPHOMARIZAB-UHFFFAOYSA-N ONC(c(cc1)ccc1-c1ccccc1)=O Chemical compound ONC(c(cc1)ccc1-c1ccccc1)=O JWLKPHOMARIZAB-UHFFFAOYSA-N 0.000 description 1
- RZYVFBKPQXWAPO-UHFFFAOYSA-N ONC(c(cc1)ccc1Oc1ccccc1)=O Chemical compound ONC(c(cc1)ccc1Oc1ccccc1)=O RZYVFBKPQXWAPO-UHFFFAOYSA-N 0.000 description 1
- LYQHVMLKJNFZFT-UHFFFAOYSA-N ONC(c1cc(-c(cc2)ccc2C#Cc2ccc(CN3CCOCC3)cc2)ccn1)=O Chemical compound ONC(c1cc(-c(cc2)ccc2C#Cc2ccc(CN3CCOCC3)cc2)ccn1)=O LYQHVMLKJNFZFT-UHFFFAOYSA-N 0.000 description 1
- QVCSAVRZZIZOIM-UHFFFAOYSA-N ONC(c1cc(-c(cc2)ccc2C#Cc2cccnc2)nc(N2CCCCC2)c1)=O Chemical compound ONC(c1cc(-c(cc2)ccc2C#Cc2cccnc2)nc(N2CCCCC2)c1)=O QVCSAVRZZIZOIM-UHFFFAOYSA-N 0.000 description 1
- CFKOVVOWYVWVAM-UHFFFAOYSA-N ONC(c1cc(-c(cc2)ccc2C#Cc2cccnc2)nc(N2CCOCC2)n1)=O Chemical compound ONC(c1cc(-c(cc2)ccc2C#Cc2cccnc2)nc(N2CCOCC2)n1)=O CFKOVVOWYVWVAM-UHFFFAOYSA-N 0.000 description 1
- WJALNMLEBJCQSW-UHFFFAOYSA-N ONC(c1cc(-c(cc2)ccc2C#Cc2cccnc2)nc(NC(c2cccnn2)=O)c1)=O Chemical compound ONC(c1cc(-c(cc2)ccc2C#Cc2cccnc2)nc(NC(c2cccnn2)=O)c1)=O WJALNMLEBJCQSW-UHFFFAOYSA-N 0.000 description 1
- BXRFOVKJPBKNBX-UHFFFAOYSA-N ONC(c1cc(-c(cc2)ccc2OCc2cccnc2)ncc1)=O Chemical compound ONC(c1cc(-c(cc2)ccc2OCc2cccnc2)ncc1)=O BXRFOVKJPBKNBX-UHFFFAOYSA-N 0.000 description 1
- HNULUZABNUCEJF-LICLKQGHSA-N ONC(c1cc(C#Cc2ccc(/C=N/O)cc2)ccn1)=O Chemical compound ONC(c1cc(C#Cc2ccc(/C=N/O)cc2)ccn1)=O HNULUZABNUCEJF-LICLKQGHSA-N 0.000 description 1
- SINFWKIMBWYRQJ-UHFFFAOYSA-N ONC(c1ccc(Cc2ccccc2)cc1)=O Chemical compound ONC(c1ccc(Cc2ccccc2)cc1)=O SINFWKIMBWYRQJ-UHFFFAOYSA-N 0.000 description 1
- JSBUYCVCKWIWIM-UHFFFAOYSA-N ONC(c1nc(cccc2)c2c(-c(cc2)ccc2C#Cc2cccnc2)c1)=O Chemical compound ONC(c1nc(cccc2)c2c(-c(cc2)ccc2C#Cc2cccnc2)c1)=O JSBUYCVCKWIWIM-UHFFFAOYSA-N 0.000 description 1
Classifications
-
- C—CHEMISTRY; METALLURGY
- C07—ORGANIC CHEMISTRY
- C07D—HETEROCYCLIC COMPOUNDS
- C07D213/00—Heterocyclic compounds containing six-membered rings, not condensed with other rings, with one nitrogen atom as the only ring hetero atom and three or more double bonds between ring members or between ring members and non-ring members
- C07D213/02—Heterocyclic compounds containing six-membered rings, not condensed with other rings, with one nitrogen atom as the only ring hetero atom and three or more double bonds between ring members or between ring members and non-ring members having three double bonds between ring members or between ring members and non-ring members
- C07D213/04—Heterocyclic compounds containing six-membered rings, not condensed with other rings, with one nitrogen atom as the only ring hetero atom and three or more double bonds between ring members or between ring members and non-ring members having three double bonds between ring members or between ring members and non-ring members having no bond between the ring nitrogen atom and a non-ring member or having only hydrogen or carbon atoms directly attached to the ring nitrogen atom
- C07D213/60—Heterocyclic compounds containing six-membered rings, not condensed with other rings, with one nitrogen atom as the only ring hetero atom and three or more double bonds between ring members or between ring members and non-ring members having three double bonds between ring members or between ring members and non-ring members having no bond between the ring nitrogen atom and a non-ring member or having only hydrogen or carbon atoms directly attached to the ring nitrogen atom with hetero atoms or with carbon atoms having three bonds to hetero atoms with at the most one bond to halogen, e.g. ester or nitrile radicals, directly attached to ring carbon atoms
- C07D213/78—Carbon atoms having three bonds to hetero atoms, with at the most one bond to halogen, e.g. ester or nitrile radicals
-
- C—CHEMISTRY; METALLURGY
- C07—ORGANIC CHEMISTRY
- C07C—ACYCLIC OR CARBOCYCLIC COMPOUNDS
- C07C259/00—Compounds containing carboxyl groups, an oxygen atom of a carboxyl group being replaced by a nitrogen atom, this nitrogen atom being further bound to an oxygen atom and not being part of nitro or nitroso groups
- C07C259/04—Compounds containing carboxyl groups, an oxygen atom of a carboxyl group being replaced by a nitrogen atom, this nitrogen atom being further bound to an oxygen atom and not being part of nitro or nitroso groups without replacement of the other oxygen atom of the carboxyl group, e.g. hydroxamic acids
- C07C259/10—Compounds containing carboxyl groups, an oxygen atom of a carboxyl group being replaced by a nitrogen atom, this nitrogen atom being further bound to an oxygen atom and not being part of nitro or nitroso groups without replacement of the other oxygen atom of the carboxyl group, e.g. hydroxamic acids having carbon atoms of hydroxamic groups bound to carbon atoms of six-membered aromatic rings
-
- C—CHEMISTRY; METALLURGY
- C07—ORGANIC CHEMISTRY
- C07D—HETEROCYCLIC COMPOUNDS
- C07D209/00—Heterocyclic compounds containing five-membered rings, condensed with other rings, with one nitrogen atom as the only ring hetero atom
- C07D209/02—Heterocyclic compounds containing five-membered rings, condensed with other rings, with one nitrogen atom as the only ring hetero atom condensed with one carbocyclic ring
- C07D209/04—Indoles; Hydrogenated indoles
- C07D209/08—Indoles; Hydrogenated indoles with only hydrogen atoms or radicals containing only hydrogen and carbon atoms, directly attached to carbon atoms of the hetero ring
-
- C—CHEMISTRY; METALLURGY
- C07—ORGANIC CHEMISTRY
- C07D—HETEROCYCLIC COMPOUNDS
- C07D213/00—Heterocyclic compounds containing six-membered rings, not condensed with other rings, with one nitrogen atom as the only ring hetero atom and three or more double bonds between ring members or between ring members and non-ring members
- C07D213/02—Heterocyclic compounds containing six-membered rings, not condensed with other rings, with one nitrogen atom as the only ring hetero atom and three or more double bonds between ring members or between ring members and non-ring members having three double bonds between ring members or between ring members and non-ring members
- C07D213/04—Heterocyclic compounds containing six-membered rings, not condensed with other rings, with one nitrogen atom as the only ring hetero atom and three or more double bonds between ring members or between ring members and non-ring members having three double bonds between ring members or between ring members and non-ring members having no bond between the ring nitrogen atom and a non-ring member or having only hydrogen or carbon atoms directly attached to the ring nitrogen atom
- C07D213/60—Heterocyclic compounds containing six-membered rings, not condensed with other rings, with one nitrogen atom as the only ring hetero atom and three or more double bonds between ring members or between ring members and non-ring members having three double bonds between ring members or between ring members and non-ring members having no bond between the ring nitrogen atom and a non-ring member or having only hydrogen or carbon atoms directly attached to the ring nitrogen atom with hetero atoms or with carbon atoms having three bonds to hetero atoms with at the most one bond to halogen, e.g. ester or nitrile radicals, directly attached to ring carbon atoms
- C07D213/78—Carbon atoms having three bonds to hetero atoms, with at the most one bond to halogen, e.g. ester or nitrile radicals
- C07D213/81—Amides; Imides
-
- C—CHEMISTRY; METALLURGY
- C07—ORGANIC CHEMISTRY
- C07D—HETEROCYCLIC COMPOUNDS
- C07D213/00—Heterocyclic compounds containing six-membered rings, not condensed with other rings, with one nitrogen atom as the only ring hetero atom and three or more double bonds between ring members or between ring members and non-ring members
- C07D213/02—Heterocyclic compounds containing six-membered rings, not condensed with other rings, with one nitrogen atom as the only ring hetero atom and three or more double bonds between ring members or between ring members and non-ring members having three double bonds between ring members or between ring members and non-ring members
- C07D213/04—Heterocyclic compounds containing six-membered rings, not condensed with other rings, with one nitrogen atom as the only ring hetero atom and three or more double bonds between ring members or between ring members and non-ring members having three double bonds between ring members or between ring members and non-ring members having no bond between the ring nitrogen atom and a non-ring member or having only hydrogen or carbon atoms directly attached to the ring nitrogen atom
- C07D213/60—Heterocyclic compounds containing six-membered rings, not condensed with other rings, with one nitrogen atom as the only ring hetero atom and three or more double bonds between ring members or between ring members and non-ring members having three double bonds between ring members or between ring members and non-ring members having no bond between the ring nitrogen atom and a non-ring member or having only hydrogen or carbon atoms directly attached to the ring nitrogen atom with hetero atoms or with carbon atoms having three bonds to hetero atoms with at the most one bond to halogen, e.g. ester or nitrile radicals, directly attached to ring carbon atoms
- C07D213/78—Carbon atoms having three bonds to hetero atoms, with at the most one bond to halogen, e.g. ester or nitrile radicals
- C07D213/81—Amides; Imides
- C07D213/82—Amides; Imides in position 3
-
- C—CHEMISTRY; METALLURGY
- C07—ORGANIC CHEMISTRY
- C07D—HETEROCYCLIC COMPOUNDS
- C07D215/00—Heterocyclic compounds containing quinoline or hydrogenated quinoline ring systems
- C07D215/02—Heterocyclic compounds containing quinoline or hydrogenated quinoline ring systems having no bond between the ring nitrogen atom and a non-ring member or having only hydrogen atoms or carbon atoms directly attached to the ring nitrogen atom
- C07D215/16—Heterocyclic compounds containing quinoline or hydrogenated quinoline ring systems having no bond between the ring nitrogen atom and a non-ring member or having only hydrogen atoms or carbon atoms directly attached to the ring nitrogen atom with hetero atoms or with carbon atoms having three bonds to hetero atoms with at the most one bond to halogen, e.g. ester or nitrile radicals, directly attached to ring carbon atoms
- C07D215/48—Carbon atoms having three bonds to hetero atoms with at the most one bond to halogen
-
- C—CHEMISTRY; METALLURGY
- C07—ORGANIC CHEMISTRY
- C07D—HETEROCYCLIC COMPOUNDS
- C07D231/00—Heterocyclic compounds containing 1,2-diazole or hydrogenated 1,2-diazole rings
- C07D231/54—Heterocyclic compounds containing 1,2-diazole or hydrogenated 1,2-diazole rings condensed with carbocyclic rings or ring systems
- C07D231/56—Benzopyrazoles; Hydrogenated benzopyrazoles
-
- C—CHEMISTRY; METALLURGY
- C07—ORGANIC CHEMISTRY
- C07D—HETEROCYCLIC COMPOUNDS
- C07D239/00—Heterocyclic compounds containing 1,3-diazine or hydrogenated 1,3-diazine rings
- C07D239/02—Heterocyclic compounds containing 1,3-diazine or hydrogenated 1,3-diazine rings not condensed with other rings
- C07D239/24—Heterocyclic compounds containing 1,3-diazine or hydrogenated 1,3-diazine rings not condensed with other rings having three or more double bonds between ring members or between ring members and non-ring members
- C07D239/28—Heterocyclic compounds containing 1,3-diazine or hydrogenated 1,3-diazine rings not condensed with other rings having three or more double bonds between ring members or between ring members and non-ring members with hetero atoms or with carbon atoms having three bonds to hetero atoms with at the most one bond to halogen, directly attached to ring carbon atoms
- C07D239/32—One oxygen, sulfur or nitrogen atom
- C07D239/42—One nitrogen atom
-
- C—CHEMISTRY; METALLURGY
- C07—ORGANIC CHEMISTRY
- C07D—HETEROCYCLIC COMPOUNDS
- C07D239/00—Heterocyclic compounds containing 1,3-diazine or hydrogenated 1,3-diazine rings
- C07D239/02—Heterocyclic compounds containing 1,3-diazine or hydrogenated 1,3-diazine rings not condensed with other rings
- C07D239/24—Heterocyclic compounds containing 1,3-diazine or hydrogenated 1,3-diazine rings not condensed with other rings having three or more double bonds between ring members or between ring members and non-ring members
- C07D239/28—Heterocyclic compounds containing 1,3-diazine or hydrogenated 1,3-diazine rings not condensed with other rings having three or more double bonds between ring members or between ring members and non-ring members with hetero atoms or with carbon atoms having three bonds to hetero atoms with at the most one bond to halogen, directly attached to ring carbon atoms
- C07D239/46—Two or more oxygen, sulphur or nitrogen atoms
- C07D239/48—Two nitrogen atoms
-
- C—CHEMISTRY; METALLURGY
- C07—ORGANIC CHEMISTRY
- C07D—HETEROCYCLIC COMPOUNDS
- C07D295/00—Heterocyclic compounds containing polymethylene-imine rings with at least five ring members, 3-azabicyclo [3.2.2] nonane, piperazine, morpholine or thiomorpholine rings, having only hydrogen atoms directly attached to the ring carbon atoms
- C07D295/04—Heterocyclic compounds containing polymethylene-imine rings with at least five ring members, 3-azabicyclo [3.2.2] nonane, piperazine, morpholine or thiomorpholine rings, having only hydrogen atoms directly attached to the ring carbon atoms with substituted hydrocarbon radicals attached to ring nitrogen atoms
- C07D295/14—Heterocyclic compounds containing polymethylene-imine rings with at least five ring members, 3-azabicyclo [3.2.2] nonane, piperazine, morpholine or thiomorpholine rings, having only hydrogen atoms directly attached to the ring carbon atoms with substituted hydrocarbon radicals attached to ring nitrogen atoms substituted by carbon atoms having three bonds to hetero atoms with at the most one bond to halogen, e.g. ester or nitrile radicals
- C07D295/155—Heterocyclic compounds containing polymethylene-imine rings with at least five ring members, 3-azabicyclo [3.2.2] nonane, piperazine, morpholine or thiomorpholine rings, having only hydrogen atoms directly attached to the ring carbon atoms with substituted hydrocarbon radicals attached to ring nitrogen atoms substituted by carbon atoms having three bonds to hetero atoms with at the most one bond to halogen, e.g. ester or nitrile radicals with the ring nitrogen atoms and the carbon atoms with three bonds to hetero atoms separated by carbocyclic rings or by carbon chains interrupted by carbocyclic rings
-
- C—CHEMISTRY; METALLURGY
- C07—ORGANIC CHEMISTRY
- C07D—HETEROCYCLIC COMPOUNDS
- C07D401/00—Heterocyclic compounds containing two or more hetero rings, having nitrogen atoms as the only ring hetero atoms, at least one ring being a six-membered ring with only one nitrogen atom
- C07D401/02—Heterocyclic compounds containing two or more hetero rings, having nitrogen atoms as the only ring hetero atoms, at least one ring being a six-membered ring with only one nitrogen atom containing two hetero rings
- C07D401/04—Heterocyclic compounds containing two or more hetero rings, having nitrogen atoms as the only ring hetero atoms, at least one ring being a six-membered ring with only one nitrogen atom containing two hetero rings directly linked by a ring-member-to-ring-member bond
-
- C—CHEMISTRY; METALLURGY
- C07—ORGANIC CHEMISTRY
- C07D—HETEROCYCLIC COMPOUNDS
- C07D401/00—Heterocyclic compounds containing two or more hetero rings, having nitrogen atoms as the only ring hetero atoms, at least one ring being a six-membered ring with only one nitrogen atom
- C07D401/02—Heterocyclic compounds containing two or more hetero rings, having nitrogen atoms as the only ring hetero atoms, at least one ring being a six-membered ring with only one nitrogen atom containing two hetero rings
- C07D401/10—Heterocyclic compounds containing two or more hetero rings, having nitrogen atoms as the only ring hetero atoms, at least one ring being a six-membered ring with only one nitrogen atom containing two hetero rings linked by a carbon chain containing aromatic rings
-
- C—CHEMISTRY; METALLURGY
- C07—ORGANIC CHEMISTRY
- C07D—HETEROCYCLIC COMPOUNDS
- C07D401/00—Heterocyclic compounds containing two or more hetero rings, having nitrogen atoms as the only ring hetero atoms, at least one ring being a six-membered ring with only one nitrogen atom
- C07D401/02—Heterocyclic compounds containing two or more hetero rings, having nitrogen atoms as the only ring hetero atoms, at least one ring being a six-membered ring with only one nitrogen atom containing two hetero rings
- C07D401/12—Heterocyclic compounds containing two or more hetero rings, having nitrogen atoms as the only ring hetero atoms, at least one ring being a six-membered ring with only one nitrogen atom containing two hetero rings linked by a chain containing hetero atoms as chain links
-
- C—CHEMISTRY; METALLURGY
- C07—ORGANIC CHEMISTRY
- C07D—HETEROCYCLIC COMPOUNDS
- C07D401/00—Heterocyclic compounds containing two or more hetero rings, having nitrogen atoms as the only ring hetero atoms, at least one ring being a six-membered ring with only one nitrogen atom
- C07D401/14—Heterocyclic compounds containing two or more hetero rings, having nitrogen atoms as the only ring hetero atoms, at least one ring being a six-membered ring with only one nitrogen atom containing three or more hetero rings
-
- C—CHEMISTRY; METALLURGY
- C07—ORGANIC CHEMISTRY
- C07D—HETEROCYCLIC COMPOUNDS
- C07D405/00—Heterocyclic compounds containing both one or more hetero rings having oxygen atoms as the only ring hetero atoms, and one or more rings having nitrogen as the only ring hetero atom
- C07D405/14—Heterocyclic compounds containing both one or more hetero rings having oxygen atoms as the only ring hetero atoms, and one or more rings having nitrogen as the only ring hetero atom containing three or more hetero rings
-
- C—CHEMISTRY; METALLURGY
- C07—ORGANIC CHEMISTRY
- C07D—HETEROCYCLIC COMPOUNDS
- C07D409/00—Heterocyclic compounds containing two or more hetero rings, at least one ring having sulfur atoms as the only ring hetero atoms
- C07D409/14—Heterocyclic compounds containing two or more hetero rings, at least one ring having sulfur atoms as the only ring hetero atoms containing three or more hetero rings
-
- C—CHEMISTRY; METALLURGY
- C07—ORGANIC CHEMISTRY
- C07D—HETEROCYCLIC COMPOUNDS
- C07D413/00—Heterocyclic compounds containing two or more hetero rings, at least one ring having nitrogen and oxygen atoms as the only ring hetero atoms
- C07D413/14—Heterocyclic compounds containing two or more hetero rings, at least one ring having nitrogen and oxygen atoms as the only ring hetero atoms containing three or more hetero rings
-
- C—CHEMISTRY; METALLURGY
- C07—ORGANIC CHEMISTRY
- C07D—HETEROCYCLIC COMPOUNDS
- C07D417/00—Heterocyclic compounds containing two or more hetero rings, at least one ring having nitrogen and sulfur atoms as the only ring hetero atoms, not provided for by group C07D415/00
- C07D417/14—Heterocyclic compounds containing two or more hetero rings, at least one ring having nitrogen and sulfur atoms as the only ring hetero atoms, not provided for by group C07D415/00 containing three or more hetero rings
-
- C—CHEMISTRY; METALLURGY
- C07—ORGANIC CHEMISTRY
- C07D—HETEROCYCLIC COMPOUNDS
- C07D471/00—Heterocyclic compounds containing nitrogen atoms as the only ring hetero atoms in the condensed system, at least one ring being a six-membered ring with one nitrogen atom, not provided for by groups C07D451/00 - C07D463/00
- C07D471/02—Heterocyclic compounds containing nitrogen atoms as the only ring hetero atoms in the condensed system, at least one ring being a six-membered ring with one nitrogen atom, not provided for by groups C07D451/00 - C07D463/00 in which the condensed system contains two hetero rings
- C07D471/04—Ortho-condensed systems
Definitions
- Treatment of Gram-negative infections is currently limited by both the agents available and the bacterial resistance to those agents.
- clinical treatment options have become severely limited, there is a growing medical need for the development of novel antibacterial agents.
- One such way to combat the continued spread of antibacterial resistance is to develop new antibacterials, particularly those with either a novel mechanism of action and/or containing new pharmacophoric groups.
- pathogens may include Pseudomonas aeruginosa, Acinetobacter baumannii, and Stenotrophomonas maltophilia.
- the outer membrane of Gram-negative bacteria may also contribute to the difficulty in treating infections caused by these pathogens by acting as an efficient permeability barrier, because the narrow porin channels limit the penetration of hydrophilic solutes and the low fluidity of the lipopolysaccharide leaflet decelerates the inward diffusion of lipophilic solutes.
- drug efflux pumps sometimes with unusually broad specificity, act as another factor to increase the general intrinsic resistance of Gram-negative bacteria. When their expression levels are increased, either in a response to an environmental or genetic change, they often result in significant resistance to a wide variety of antimicrobial agents.
- the present invention relates generally to the treatment of infections caused by Gram-negative bacteria, for example, by targeting Lipid A biosynthesis and/or LpxC- linked pathways. More specifically, the invention provides novel compounds, methods of use of these compounds in inhibiting UDP-3-0-(R-3 -hydroxy decanoyl)-N- acetylglucosamine deacetylase (LpxC), treating infections caused by Gram-negative bacteria, as well as methods of preparation of these compounds are also presented herein. Furthermore, pharmaceutical compositions, combination therapies, and uses thereof are also provided in the present application.
- Lipid A is the hydrophobic anchor of lipopolysaccharide (LPS) and forms the major lipid component of the outer monolayer of the outer membrane of Gram-negative bacteria. Moreover, Lipid A is required for bacterial growth and inhibition of its biosynthesis is lethal to the bacteria.
- LPS lipopolysaccharide
- LpxC catalyzes the first committed step in Lipid A biosynthesis, the removal of the N-acetyl group of UDP-3-0 — (R-S-hydroxymyristoy ⁇ -N-acetylglucosamine.
- inhibitors of LpxC have utility as antibacterial agents (Beall and Lutkenhaus 1987 J. Bacteriol. 169, 5408-5415; Young et al (1995) J. Biol. Chem. 270:30384-30391).
- LpxC is an attractive target for antibacterial drug discovery to identify novel inhibitors to treat infections caused by Gram-negative pathogens.
- n 0, 1 or 2;
- M is divalent radical selected from the group consisting Of -CH 2 -, C2-3alkenyl, and C 2 - 4 alkynyl;
- Xi is selected from the group consisting of N and CRi;
- X 2 is selected from the group consisting of N and CR 2 ;
- X3 is selected from the group consisting of N and CR3;
- X 4 is selected from the group consisting of N and CR 4 ;
- Ri is selected from the group consisting of H, methoxy, N-(Ci_3alkyl)amino, N ,N- (Ci_ 3 alkyl) 2 amino, -NH-(CH 2 ) 2 -O(Ci_ 3 alkyl), benzyl, phenyl, and phenoxy, wherein the benzyl, phenyl and phenoxy may be optionally substituted with methyl, or Ri and R 2 taken together with the ring to which they are attached form a bicyclic ring containing 0 to 3 heteroatoms;
- R 2 is selected from (i), (ii), or (iii)
- R 2 and R3 taken together with the ring to which they are attached form a bicyclic ring containing 0 to 3 heteroatoms;
- R a is selected from the group consisting of H and -Ci_ 3 alkyl;
- Rb is selected from the group consisting of -Ci_4alkyl, Ci_3alkoxy, phenyl, heterocyclyl, optionally substituted with Ci_3alkyl, Ci_3alkoxy, and heterocyclyl;
- R c is selected from the group consisting of Ci_ 6 alkyl, C 2 - 6 alkenyl, benzyl, phenyl, OH, C 3 _ 6 Cycloalkyl, N,N-(Ci_ 3 alkyl) 2 aminoalkyl, -CH 2 -O-CH 2 -aryl, and heterocyclyl each of which may be optionally substituted with 1-3 substituents independently selected from the group consisting of heterocyclyl, Ci_ 3 alkoxy, Ci_ 3 alkyl, OH, NH 2 , -SCH 3 , -C(NH)NH- OH, -CO 2 H, -NHC(O)O-C(CH 3 ), -C(O)CH 3 , and -NHC(O)CH 3 ;
- R 3 is selected from the group consisting of H, heterocyclyl, amino, -NHS(0)o- 2 - Ci_ 3 alkyl, -N(Ci_ 3 alkyl)S(O) 0 - 2 -Ci_ 3 alkyl, N-(Ci_ 3 alkyl)amino, -NH-(CH 2 ) 2 -O(Ci_ 3 alkyl), - NH-(CH 2 )i_ 2 -heterocyclyl, N,N-(Ci_ 3 alkyl) 2 aminoalkyl, -Ci_ 3 alkyl, and Ci_ 3 alkoxy each of which may be optionally substituted with OH, NH 2 , or Ci_ 3 alkyl, or R 2 and R 3 taken together with the ring to which they are attached form a bicyclic ring containing 0 to 3 heteroatoms;
- R 4 is selected from the group consisting of H, halogen, -NH 2 , N 5 N-(C 1- 3 alkyl) 2 amino, Ci_ 3 alkoxy, and -Ci_ 3 alkyl;
- R 5 is selected from the group consisting of aryl, -NH-phenyl, and heteroaryl, and which may be optionally substituted with 1 to 3 substituents independently selected from the group consisting of halogen and R 6 ;
- R 6 is selected from the group consisting of phenyl optionally substituted with 1-3 Ci_ 3 alkoxy or halogen, -O-CH 2 -phenyl, -O-phenyl, -CH 2 -O-phenyl, heterocyclyl, -O- CH 2 -heterocyclyl, hydroxyiminomethyl, -Ci_ 3 alkylheterocyclyl, Ci_ 3 alkyl, Ci_ 3 alkoxy, - C 2 _ 3 alkynylaryl, and -C 2 _ 3 alkynylheteroaryl, wherein R 6 is optionally substituted with - CH 2 NH-(CH 2 ) 2 .
- the invention provides a compound of formula HA:
- n 0, 1 or 2;
- M is divalent radical selected from the group consisting of Ci_ 3 alkyl, C 2 - 3 alkenyl, and C 2 - 3 alkynyl;
- Xi is selected from the group consisting of N and CRi;
- X 2 is selected from the group consisting of N and CH;
- X 3 is selected from the group consisting of N and CR 3 ;
- X 4 is selected from the group consisting of N and CH;
- Ri is selected from the group consisting of benzyl, heteroaryl, phenyl, and phenoxy, optionally substituted with methyl or -C 2 - 3 alkynylheteroaryl;
- R 3 is selected from the group consisting of H, C 1-3 alkyl, and Ci_ 3 alkoxy;
- R 5 is selected from the group consisting of H, aryl, and heteroaryl, and which may be optionally substituted with halogen, or a salt thereof, with the proviso that the compound is not
- An additional aspect of the invention provides a method of treating a Gram- negative bacterial infection.
- the method comprises administering to a subject, e.g., a human, diagnosed with, at risk for, or exhibiting symptoms of a bacterial infection, a pharmaceutical composition comprising a compound of the invention, such that the bacterial infection is treated.
- the invention provides a method of inhibiting UDP-3-0 — (R-S-hydroxymyristoy ⁇ -N-acetylglucosamine deacetylase (LpxC).
- the method comprises combining a compound of the invention (e.g., a compound of formula I, IA, IB, II or IIA) with LpxC under conditions such that Lipid A biosynthesis is inhibited.
- compositions which comprises a compound of the invention (e.g., a compound of formula I, IA, IB, II or IIA), or a pharmaceutically acceptable salt thereof, as described herein, in association with a pharmaceutically acceptable diluent or carrier.
- a compound of the invention e.g., a compound of formula I, IA, IB, II or IIA
- a pharmaceutically acceptable salt thereof as described herein, in association with a pharmaceutically acceptable diluent or carrier.
- the invention provides a compound of the invention (e.g., a compound of formula I, IA, IB, II or IIA), or a pharmaceutically acceptable salt thereof, as described herein, for use as a medicament.
- the invention pertains to the use of a compound of the invention (e.g., a compound of formula I, IA, IB, II or HA), or a pharmaceutically acceptable salt thereof, as described herein, for the manufacture of a medicament for the production of an LpxC inhibitory effect in a subject.
- the invention pertains to the use of a compound of the invention (e.g., a compound of formula I, IA, IB, II or HA), or a pharmaceutically acceptable salt thereof, as described herein, for the manufacture of a medicament for the production of a Gram-negative anti-bacterial effect in a subject.
- a compound of the invention e.g., a compound of formula I, IA, IB, II or HA
- a pharmaceutically acceptable salt thereof as described herein
- An additional aspect of the invention provides a method of preparation of a compound of the invention (e.g., a compound of formula I, IA, IB, II or HA), as defined in any one of the examples described herein.
- a compound of the invention e.g., a compound of formula I, IA, IB, II or HA
- the present invention provides novel compounds, pharmaceutical formulations including the compounds, methods of inhibiting UDP-3-0-(R-3 -hydroxy decanoyl)-N- acetylglucosamine deacetylase (LpxC), and methods of treating Gram-negative bacterial infections.
- the invention provides small molecule inhibitors of LpxC, pharmaceutical formulations containing such inhibitors, methods of treating patients with such pharmaceutical formulations, and methods of preparing such pharmaceutical formulations and inhibitors. Theses inhibitors can be used to treat Gram- negative infections of patients alone or in combination with other anti-bacterial agents.
- alkoxy represents an alkyl group as defined herein with the indicated number of carbon atoms attached through an oxygen bridge.
- alkoxy include, but are not limited to, methoxy, ethoxy, n-propoxy, i-propoxy, n-butoxy, s-butoxy, t-butoxy, n-pentoxy, and s-pentoxy.
- Particular alkoxy groups are methoxy, ethoxy, n-propoxy, i-propoxy, n-butoxy, s-butoxy, t-butoxy.
- alkylthio represent an alkyl group as defined above with the indicated number of carbon atoms attached through a sulfur bridge.
- alkylamino represents an alkyl group attached through an amino bridge.
- alkyl means a monovalent or divalent (e.g., alkylene) non-cyclic straight chain or branched, unsaturated or saturated hydrocarbon such as those containing from 1 to 10 carbon atoms, while the term “lower alkyl” has the same meaning as alkyl but contains from 1 to 6 carbon atoms. The term “higher alkyl” has the same meaning as alkyl but contains from 7 to 10 carbon atoms.
- saturated straight chain alkyls include methyl, ethyl, n-propyl, n-butyl, n-pentyl, n-hexyl, n-septyl, n-octyl, n- nonyl, and the like; while saturated branched alkyls include isopropyl, sec-butyl, isobutyl, tert-butyl, isopentyl, and the like.
- Unsaturated alkyls contain at least one double or triple bond between adjacent carbon atoms (referred to as an "alkenyl" or "alkynyl", respectively).
- Representative straight chain and branched alkenyls include ethylenyl, propylenyl, 1-butenyl, 2-butenyl, isobutylenyl, 1-pentenyl, 2-pentenyl, 3 -methyl- 1- butenyl, 2-methyl-2-butenyl, 2,3-dimethyl-2-butenyl, and the like; while representative straight chain and branched alkynyls include acetylenyl, propynyl, 1-butynyl, 2-butynyl, 1-pentynyl, 2-pentynyl, 3 -methyl- 1-butynyl, and the like. It would be understood by the skilled artisan that the alkyl moieties may be connected at any position in the hydrocarbon chain, e.g., resulting in isopropyl substituents or 1,1 -ethyl digeminal substitution.
- alkylene refers to an alkyl group that bridges two other groups.
- Representative alkyl bridging groups include methylene (i.e., -CH 2 -) and ethylene (i.e., - CH 2 CH 2 )-).
- Aryl means an aromatic carbocyclic monocyclic or polycyclic ring such as phenyl or naphthyl.
- arylalkyl means an alkyl having at least one alkyl hydrogen atom replaced with a aryl, such as benzyl, and the like.
- carbbocycloalkyl means an alkyl having at least one alkyl hydrogen atom replaced with a cycloalkyl, such as -CF ⁇ cyclopentyl.
- Non-aromatic mono or polycyclic alkyls are referred to herein as "cycloalkyls," or “carbocyclyl” groups.
- Representative saturated carbocyclyls include cyclopropyl, cyclobutyl, cyclopentyl, cyclohexyl, and the like; while unsaturated carbocyclyls include cyclopentenyl and cyclohexenyl, and the like.
- Gram-negative is art-recognized as those bacteria that do not retain crystal violet dye in the Gram staining protocol.
- Gram-negative bacteria describes one or more (i.e., a combination) of the following Acinetobacter baumannii, Acinetobacter haemolyticus, Actinobacillus actinomycetemcomitans, Aeromonas hydrophila, Bacteroides fragilis, Bacteroides theataioatamicron, Bacteroides distasonis, Bacteroides ovatus, Bacteroides vulgatus, Bordetella pertussis, Brucella melitensis, Burkholderia cepacia, Burkholderia pseudomallei, Burkholderia mallei Fusobacterium, Prevotella corporis, Prevotella intermedia, Prevotella endodontalis, Porphyromonas asaccharolytica, Campylobacter je
- the compounds of the present invention will be useful in treating one or more bacterial infections.
- the terms “infection” and “bacterial infection” may refer to a gynecological infection.
- the terms “infection” and “bacterial infection” may refer to a respiratory tract infection (RTI).
- the terms “infection” and “bacterial infection” may refer to a sexually transmitted disease.
- the terms “infection” and “bacterial infection” may refer to a urinary tract infection.
- the terms “infection” and “bacterial infection” may refer to acute exacerbation of chronic bronchitis (ACEB).
- ACEB chronic bronchitis
- the terms “infection” and “bacterial infection” may refer to cystic fibrosis (CF).
- the terms “infection” and “bacterial infection” may refer to acute otitis media.
- the terms “infection” and “bacterial infection” may refer to acute sinusitis.
- the terms “infection” and “bacterial infection” may refer to an infection caused by drug resistant bacteria.
- the terms “infection” and “bacterial infection” may refer to catheter-related sepsis.
- the terms “infection” and “bacterial infection” may refer to chancroid.
- the terms “infection” and “bacterial infection” may refer to Chlamydia.
- the terms “infection” and “bacterial infection” may refer to community-acquired pneumoniae (CAP).
- the terms “infection” and “bacterial infection” may refer to complicated skin and skin structure infection.
- the terms “infection” and “bacterial infection” may refer to uncomplicated skin and skin structure infection.
- the terms “infection” and “bacterial infection” may refer to endocarditis.
- the terms “infection” and “bacterial infection” may refer to febrile neutropenia.
- the terms “infection” and “bacterial infection” may refer to gonococcal cervicitis.
- the terms “infection” and “bacterial infection” may refer to gonococcal urethritis. In a further embodiment, the terms “infection” and “bacterial infection” may refer to hospital- acquired pneumonia (HAP). In still a further embodiment, the terms “infection” and “bacterial infection” may refer to osteomyelitis. In yet a further embodiment, the terms “infection” and “bacterial infection” may refer to sepsis. In one embodiment, the terms “infection” and “bacterial infection” may refer to syphilis. In yet another aspect, the terms “infection” and “bacterial infection” may refer to an infection caused by Gram- variable bacteria.
- heterocyclyl refers to a heterocarbocyclyl or a heteroaryl and the like
- heterocycloalkyl means an alkyl having at least one alkyl hydrogen atom replaced with a heterocyclyl.
- heteroaryl refers an aromatic heterocyclyl having 1 to 4 heteroatoms selected from the group consisting of nitrogen, oxygen and sulfur, and containing at least 1 carbon atom, including both mono- and polycyclic (e.g., fused) ring systems.
- heteroaryls are furyl, benzofuranyl, thiophenyl, benzothiophenyl, pyrrolyl, indolyl, isoindolyl, azaindolyl, pyridyl, quinolinyl, isoquinolinyl, oxazolyl, isooxazolyl, benzoxazolyl, pyrazolyl, imidazolyl, benzimidazolyl, thiazolyl, benzothiazolyl, isothiazolyl, pyridazinyl, pyrimidinyl, pyrazinyl, triazinyl, cinnolinyl, phthalazinyl, and quinazolinyl.
- heteroaryl includes N-alkylated derivatives such as a l-methylimidazol-5-yl substituent.
- Heterocarbocyclyl groups are carbocyclyls which contain from 1 to 4 heteroatoms independently selected from the group consisting of nitrogen, oxygen and sulfur which may be saturated or unsaturated (but not aromatic), monocyclic or polycyclic (e.g. , fused ring systems), and wherein the nitrogen and sulfur heteroatoms may be optionally oxidized, and the nitrogen heteroatom may be optionally quaternized.
- Heterocarbocyclyls include morpholinyl, pyrrolidinonyl, pyrrolidinyl, piperidinyl, hydantoinyl, valerolactamyl, oxiranyl, oxetanyl, tetrahydrofuranyl, tetrahydropyranyl, tetrahydropyridinyl, tetrahydroprimidinyl, tetrahydrothiophenyl, tetrahydrothiopyranyl, tetrahydropyrimidinyl, tetrahydrothiophenyl, tetrahydrothiopyranyl, and the like.
- heteroarylalkyl means an alkyl having at least one alkyl hydrogen atom replaced with a heteroaryl moiety, such as -ClHtpyridinyl, - CH 2 pyrimidinyl, and the like.
- Heterocarbocycloalkyl means an alkyl having at least one alkyl hydrogen atom replaced with a heterocyclyl, such as -CH 2 morpholinyl.
- the term "obtaining” is used herein to describe the act of acquiring, for example, a material necessary for the methods of the invention. The act of acquiring may include, for example, purchasing the material.
- the terms “prevent” and “preventing” include the prevention of the recurrence, spread or onset. It is not intended that the present invention be limited to complete prevention. In some embodiments, the onset is delayed, or the severity of the disease is reduced.
- salts refer to derivatives of the disclosed compounds where the parent compound is modified making acid or base salts thereof.
- salts include, but are not limited to, mineral or organic acid salts of basic residues such as amines, alkylamines, or dialkylamines; alkali or organic salts of acidic residues such as carboxylic acids; and the like.
- the salts are conventional nontoxic pharmaceutically acceptable salts including the quaternary ammonium salts of the parent compound formed, and non-toxic inorganic or organic acids.
- Particular salts include those derived from inorganic acids such as hydrochloric, hydrobromic, sulfuric, sulfamic, phosphoric, nitric and the like; and the salts prepared from organic acids such as acetic, propionic, succinic, glycolic, stearic, lactic, malic, tartaric, citric, ascorbic, pamoic, maleic, hydroxymaleic, phenylacetic, glutamic, benzoic, salicylic, sulfanilic, 2- acetoxybenzoic, fumaric, toluenesulfonic, methanesulfonic, ethane disulfonic, oxalic, isethionic, and the like.
- inorganic acids such as hydrochloric, hydrobromic, sulfuric, sulfamic, phosphoric, nitric and the like
- organic acids such as acetic, propionic, succinic, glycolic, stearic, lactic, malic,
- the pharmaceutically acceptable salts of the present invention can be synthesized from the parent compound that contains a basic or acidic moiety by conventional chemical methods.
- such salts can be prepared by reacting the free acid or base forms of these compounds with a stoichiometric amount of the appropriate base or acid in water or in an organic solvent, or in a mixture of the two; generally, nonaqueous media like ether, ethyl acetate, ethanol, isopropanol, or acetonitrile are particular embodiments.
- Lists of suitable salts are found in Remington's Pharmaceutical Sciences, 17th ed., Mack Publishing Company, Easton, Pa., 1985, p. 1418, the disclosure of which is hereby incorporated by reference.
- subject is intended to include organisms, e.g., prokaryotes and eukaryotes, which are capable of suffering from or afflicted with Gram-negative bacterial infections.
- subjects include mammals, e.g., humans, dogs, cows, horses, pigs, sheep, goats, cats, mice, rabbits, rats, and transgenic non-human animals.
- the subject is a human, e.g., a human suffering from, at risk of suffering from, or potentially capable of suffering from a Gram-negative bacterial infection.
- R a and R b in this context may be the same or different and independently hydrogen, halogen hydroxyl, alkyl, alkoxy, alkyl, amino, alkylamino, dialkylamino, carbocyclyl, carbocycloalkyl, heterocarbocyclyl, heterocarbocycloalkyl, aryl, arylalkyl, heteroaryl, heteroarylalkyl.
- n 0, 1 or 2;
- M is divalent radical selected from the group consisting Of -CH 2 -, C 2 _ 3 alkenyl, and C 2-4 alkynyl;
- Xi is selected from the group consisting of N and CRi;
- X 2 is selected from the group consisting of N and CR 2 ;
- X 3 is selected from the group consisting of N and CR 3 ;
- X 4 is selected from the group consisting of N and CR 4 ;
- Ri is selected from the group consisting of H, methoxy, N-(Ci_3alkyl)amino, N ,N-
- R a is selected from the group consisting of H and -Ci_ 3 alkyl
- R b is selected from the group consisting of -Ci_ 4 alkyl, C ⁇ alkoxy, phenyl, heterocyclyl, optionally substituted with Ci_3alkyl, Ci_3alkoxy, and heterocyclyl
- R c is selected from the group consisting of Ci_ 6 alkyl, C 2 - 6 alkenyl, benzyl, phenyl, OH, C 3 _ 6 Cycloalkyl, N,N-(Ci_ 3 alkyl) 2 aminoalkyl, -CH 2 -O-CH 2 -aryl, and heterocyclyl each of which may be optionally substituted with 1-3 substituents independently selected from the group consisting of heterocyclyl, d_ 3 alkoxy, d_ 3 alkyl, OH, NH 2 , -SCH 3 , -C(NH)NH- OH, -CO 2 H,
- R 3 is selected from the group consisting of H, heterocyclyl, amino, -NHS(0)o- 2 - Ci_ 3 alkyl, -N(Ci_ 3 alkyl)S(O) 0 - 2 -Ci_ 3 alkyl, N-(Ci_ 3 alkyl)amino, -NH-(CH 2 ) 2 -O(Ci_ 3 alkyl), - NH-(CH 2 )i_ 2 -heterocyclyl, N,N-(Ci_ 3 alkyl) 2 aminoalkyl, -Ci_ 3 alkyl, and Ci_ 3 alkoxy each of which may be optionally substituted with OH, NH 2 , or Ci_ 3 alkyl, or R 2 and R 3 taken together with the ring to which they are attached form a bicyclic ring containing 0 to 3 heteroatoms;
- R 4 is selected from the group consisting of H, halogen, -NH 2 , N 5 N-(C 1- 3 alkyl) 2 amino, Ci_ 3 alkoxy, and -Ci_ 3 alkyl;
- R 5 is selected from the group consisting of aryl, -NH-phenyl, and heteroaryl, and which may be optionally substituted with 1 to 3 substituents independently selected from the group consisting of halogen and R 6 ;
- R 6 is selected from the group consisting of phenyl optionally substituted with 1-3 Ci_ 3 alkoxy or halogen, -O-CH 2 -phenyl, -O-phenyl, -CH 2 -O-phenyl, heterocyclyl, -O- CH 2 -heterocyclyl, hydroxyiminomethyl, -Ci_ 3 alkylheterocyclyl, Ci_ 3 alkyl, Ci_ 3 alkoxy, - C 2 _ 3 alkynylaryl, and -C 2 _ 3 alkynylheteroaryl, wherein R 6 is optionally substituted with - CH 2 NH-(CH 2 ) 2 _ 3 -OH, N,N-(Ci_ 3 alkyl) 2 aminoalkyl, or -Ci_ 3 alkylheterocyclyl, or a salt thereof, with the proviso that if Xi is N, then R 2 and R 3 taken together with the ring to which
- M is divalent radical selected from the group consisting Of -CH 2 -, C2-3alkenyl, and
- Xi is selected from the group consisting of N and CRi;
- X 2 is selected from the group consisting of N and CR 2 ;
- X3 is selected from the group consisting of N and CR3;
- X 4 is selected from the group consisting of N and CR 4 ;
- Ri is selected from the group consisting of H, methoxy, -aminoalkyl (e.g., - aminomethyl), -NH-(CH 2 ) 2 -O(Ci_ 3 alkyl), benzyl, phenyl, and phenoxy, wherein the benzyl, phenyl and phenoxy may be optionally substituted with methyl, or Ri and R 2 taken together with the ring to which they are attached form a bicyclic ring containing 0 to 3 heteroatoms (e.g., isoquinolinyl, indolyl, indazolyl, or naphthyl); R 2 is selected from (i), (ii), or (iii)
- Ci_ 3 alkyl e.g., CH 3
- C 1-3 alkoxy e.g., methoxy
- N,N-(Ci_ 3 alkyl) 2 amino e.g., -N(CH 3 ) 2
- N-(Ci_ 3 alkyl)amino e.g., -NHCH 3
- Ci_ 3 alkoxy e.g.
- Ri and R 2 taken together with the ring to which they are attached form a bicyclic ring containing 0 to 3 heteroatoms, such as N, O or S (e.g., isoquinolinyl, indolyl, indazolyl, or naphthyl), or (iii) R 2 and R 3 taken together with the ring to which they are attached form a bicyclic ring containing 0 to 3 heteroatoms, such as N, O or S (e.g., isoquinolinyl, indolyl, indazolyl, or naphthyl);
- N, O or S e.g., isoquinolinyl, indolyl, indazolyl, or naphthyl
- R a is selected from the group consisting of H and -Ci_ 3 alkyl (e.g., CH 3 ); Rb is selected from the group consisting of -Ci_4alkyl (e.g., isopropyl), Ci_3alkoxy
- Ci_3alkoxy e.g., methoxy
- heterocyclyl e.g., morpholino or tetrahydropyranyl
- R c is selected from the group consisting of Ci_ 6 alkyl (e.g., methyl, isopropyl, or t- butyl), benzyl, and heterocyclyl (e.g. , pyridinyl, piperidinyl, or tetrahydropyranyl) optionally substituted with acetamido;
- Ci_ 6 alkyl e.g., methyl, isopropyl, or t- butyl
- heterocyclyl e.g. , pyridinyl, piperidinyl, or tetrahydropyranyl
- R3 is selected from the group consisting of H, morpholino, amino, N-(C 1- 3 alkyl)amino, -NH-(CH 2 ) 2 -O(Ci_ 3 alkyl), -Ci_ 3 alkyl, and Ci_ 3 alkoxy (e.g., methoxy), or R 2 and R 3 taken together with the ring to which they are attached form a bicyclic ring containing 0 to 3 heteroatoms, (e.g., isoquinolinyl, indolyl, indazolyl, or naphthyl); R 4 is selected from the group consisting of H, halogen (e.g., F), -NH 2 , Ci_ 3 alkoxy
- -Ci_ 3 alkyl e.g., CH 3
- R 5 is selected from the group consisting of aryl (e.g., phenyl), -NH-phenyl, and heteroaryl (e.g., pyridinyl), and which may be optionally substituted with 1 to 3 substituents independently selected from the group consisting of halogen and R 6 ;
- R 6 is selected from the group consisting of phenyl optionally substituted with 1-3
- Ci_ 3 alkoxy e.g., ethoxy or halogen, phenoxy, benzyloxy, heterocyclyl (e.g., piperidinyl or pyridinyl), hydroxyiminomethyl, -Ci_ 3 alkylheterocyclyl (e.g., -CH 2 -morpholino) Ci_ 3 alkyl (e.g., propyl), Ci_ 3 alkoxy (e.g., methoxy), -C 2 - 3 alkynylaryl (e.g., ethynylphenyl) and -C 2 - 3 alkynylheteroaryl (e.g., ethynylpyridyl, e.g., ethynylpyrid-3-yl), wherein R 6 is optionally substituted with -CH 2 NH-(CH 2 ) 2 - 3 -OH, N,N-(Ci_ 3 alkyl
- one of Xi, X 2 , X 3 or X 4 is N. In certain other embodiments of formula IB, two of Xi, X 2 , X 3 or X 4 is N. In certain embodiments of formula IB, Xi is CRi.
- Ri is phenyl or pyridinyl.
- M is ethynyl, e.g., wherein n is 1 or 2.
- n is 0, e.g., wherein R 5 is phenyl.
- R 2 and R 3 taken together with the ring to which they are attached do not form a quinoline or 1 ,6-napthyridine ring.
- R 6 is not 4-pyridyl.
- the compound of formula IB is not
- n 0, 1 or 2;
- M is divalent radical selected from the group consisting Of -CH 2 -, C2-3alkenyl, and C 2 - 4 alkynyl;
- Xi is selected from the group consisting of N and CRi;
- X 2 is selected from the group consisting of N and CR 2
- X 3 is selected from the group consisting of N and CR 3 ;
- X 4 is selected from the group consisting of N and CH;
- Ri is selected from the group consisting of H, benzyl, phenyl, and phenoxy, optionally substituted with methyl;
- R 2 is selected from the group consisting of H, hydroxyamino, phenylamino, and
- R 3 is selected from the group consisting of H, Ci_ 3 alkyl, and Ci_ 3 alkoxy, or R 2 and R 3 taken together with the ring to which they are attached form an isoquinoline ring;
- R 5 is selected from the group consisting of aryl and heteroaryl, and which may be optionally substituted with halogen or R 6 ;
- R 6 is selected from the group consisting of -C 2 _ 3 alkynylaryl (e.g., ethynylphenyl) and -C 2 _ 3 alkynylheteroaryl (e.g., ethynylpyridyl, e.g., ethynylpyrid-3-yl), optionally substituted with -Ci_ 3 alkylheterocyclyl (e.g., -CH 2 -morpholino), or a salt, e.g., pharmaceutically acceptable salt, thereof.
- -C 2 _ 3 alkynylaryl e.g., ethynylphenyl
- -C 2 _ 3 alkynylheteroaryl e.g., ethynylpyridyl, e.g., ethynylpyrid-3-yl
- one of Xi, X 2 , X 3 or X 4 is N. In certain other embodiments of formula IA, two of Xi, X 2 , X 3 or X 4 is N.
- Ri is phenyl or pyridinyl.
- M is ethynyl, e.g., wherein n is 1 or 2. In certain embodiments of formula IA, n is 0, e.g., wherein R 5 is phenyl.
- the compound of formula IA is not
- Another embodiment of the invention provides a compound of formula I,
- n 0, 1 or 2;
- M is divalent radical selected from the group consisting Of -CH 2 -, C2-3alkenyl, and C 2 - 4 alkynyl (e.g., ethynyl);
- Xi is selected from the group consisting of N and CRi;
- X 2 is selected from the group consisting of N and CH;
- X3 is selected from the group consisting of N and CR3;
- X 4 is selected from the group consisting of N and CH;
- Ri is selected from the group consisting of H, benzyl, phenyl, and phenoxy, optionally substituted with methyl;
- R-3 is selected from the group consisting of H, Ci_3alkyl (e.g., methyl), and Ci_ 3alkoxy (e.g., methoxy);
- R5 is selected from the group consisting of aryl (e.g. , phenyl) and heteroaryl (e.g. , pyridinyl), and which may be optionally substituted with halogen, or a salt, e.g. , pharmaceutically acceptable salt, thereof.
- aryl e.g. , phenyl
- heteroaryl e.g. , pyridinyl
- R5 is selected from the group consisting of aryl (e.g. , phenyl) and heteroaryl (e.g. , pyridinyl), and which may be optionally substituted with halogen, or a salt, e.g. , pharmaceutically acceptable salt, thereof.
- one of Xi, X 2 , X3 or X 4 is N. In certain other embodiments of formula I, two of Xi, X 2 , X3 or X 4 is N.
- Ri is phenyl or pyridinyl.
- M is ethynyl, e.g., wherein n is 1 or 2.
- the compound of formula I is not
- the invention provides a compound of formula HA:
- n 0, 1 or 2;
- M is divalent radical selected from the group consisting of Ci_ 3 alkyl, C 2 - 3 alkenyl, and C 2 - 3 alkynyl;
- Xi is selected from the group consisting of N and CRi;
- X 2 is selected from the group consisting of N and CH;
- X3 is selected from the group consisting of N and CR3;
- X 4 is selected from the group consisting of N and CH;
- Ri is selected from the group consisting of benzyl, heteroaryl, phenyl, and phenoxy, optionally substituted with methyl or -C 2 - 3 alkynylheteroaryl (e.g., ethynylpyridyl, e.g., ethynylpyrid-3-yl);
- R 3 is selected from the group consisting of H, Ci_ 3 alkyl, and Ci_ 3 alkoxy;
- R 5 is selected from the group consisting of H, aryl, and heteroaryl, and which may be optionally substituted with halogen, or a salt, e.g., pharmaceutically acceptable salt, thereof.
- one of Xi, X 2 , X 3 or X 4 is N. In certain other embodiments of formula HA, two of Xi, X 2 , X 3 or X 4 is N.
- Ri is phenyl or pyridinyl.
- M is ethynyl, e.g., wherein n is 1 or 2.
- the compound of formula IIA is not
- the invention provides a compound of formula II:
- M is divalent radical selected from the group consisting of C 1-3 alkyl, C 2 - 3 alkenyl, and C 2 - 3 alkynyl (e.g., ethynyl);
- Xi is selected from the group consisting of N and CRi;
- X 2 is selected from the group consisting of N and CH;
- X 3 is selected from the group consisting of N and CR 3 ;
- X 4 is selected from the group consisting of N and CH;
- Ri is selected from the group consisting of benzyl, phenyl, and phenoxy, optionally substituted with methyl;
- R 3 is selected from the group consisting of H, Ci_ 3 alkyl (e.g., methyl), and Ci_ 3 alkoxy (e.g., methoxy);
- R 5 is selected from the group consisting of H, aryl (e.g., phenyl), and heteroaryl (e.g., pyridinyl), and which may be optionally substituted with halogen, or a salt, e.g. , pharmaceutically acceptable salt, thereof.
- one of Xi, X 2 , X3 or X 4 is N. In certain other embodiments of formula II, two of Xi, X 2 , X3 or X 4 is N.
- Ri is phenyl or pyridinyl.
- M is ethynyl, e.g., wherein n is 1 or 2.
- the compound of formula II is not
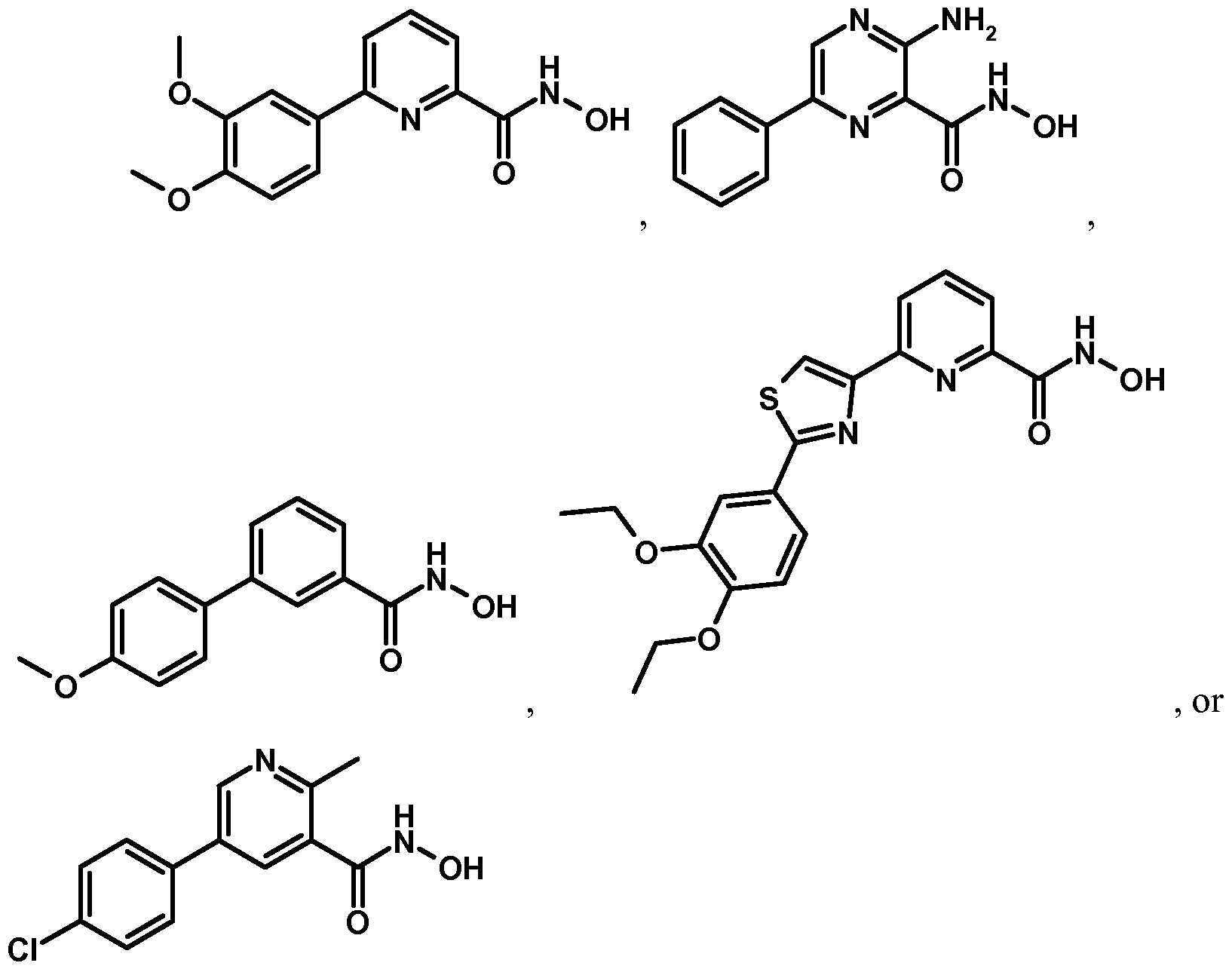
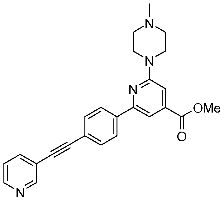
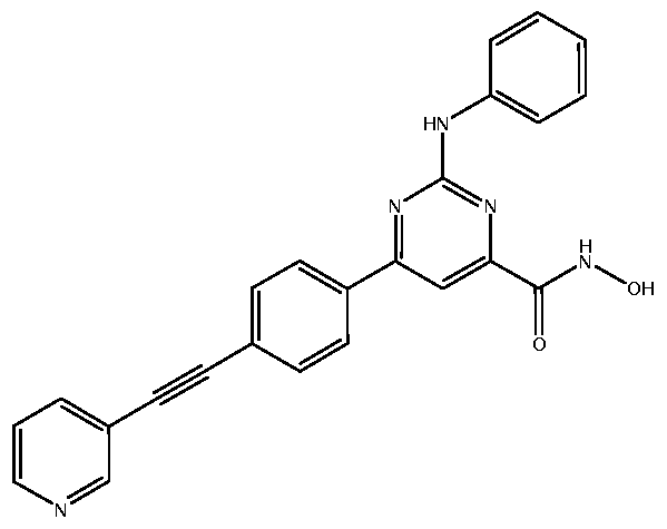
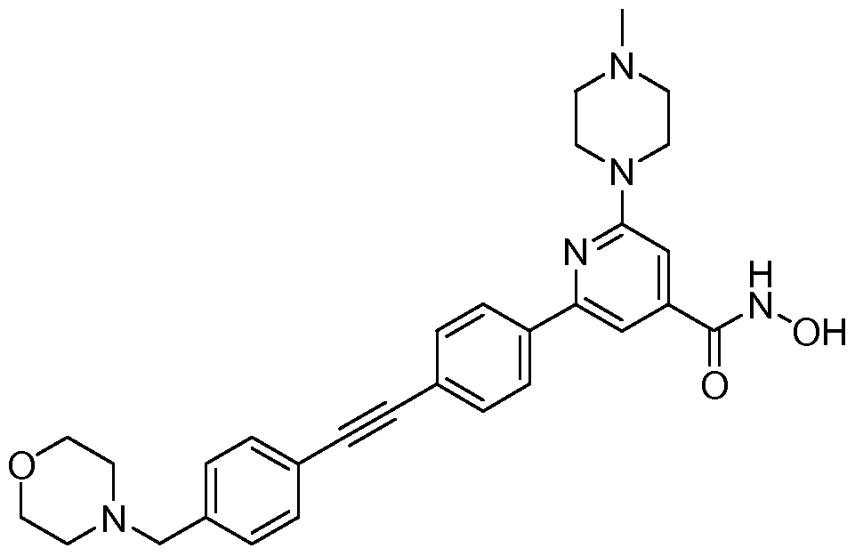
- Another embodiment of the invention provides a compound selected from the group consisting of any one or more of the compounds described in the Exemplification section, or a salt, e.g., a pharmaceutically acceptable salt, thereof.
- a salt e.g., a pharmaceutically acceptable salt
- the present invention is intended to include free bases, free acids, or alternative salts of these particular compounds.
- Additional embodiments comprise compositions and medicaments containing the same (including the aforementioned free bases, free acids, or alternative salts), as well as processes for the preparation and use of such compounds, compositions and medicaments.
- each of these compounds, and salts thereof are also intended to be separate embodiments, and in this regard, each species listed in the Exemplification, and salt thereof, should be considered to be an individual embodiment.
- the present invention is intended to include any novel compound or pharmaceutical composition described herein. It should also be understood that the compounds disclosed herein may exist in solid and solution form as tautomers, depending upon the particular compound and the particular composition in which the compound is contained.
- Certain embodiments of the present invention, and compounds described herein relate to inhibitors of UDP-3-0 — (R-S-hydroxymyristoy ⁇ -N-acetylglucosamine deacetylase (LpxC).
- the compounds of the invention for example, the species noted in the Exemplification section, are potentially useful in the treatment of diseases associated with inhibition of UDP-3-0 — (R-S-hydroxymyristoy ⁇ -N-acetylglucosamine deacetylase (LpxC), in particular in the treatment and/or prevention of Gram-negative bacterial infections. ///.
- An additional embodiment of the invention provides a method of treating a Gram- negative bacterial infection.
- the method comprises administering to a subject, e.g., a human, diagnosed with, at risk for, or exhibiting symptoms of a bacterial infection, a pharmaceutical composition comprising a compound of the invention, such that the bacterial infection is treated.
- a subject e.g., a human
- diagnosed with, at risk for, or exhibiting symptoms of a bacterial infection e.g., a human
- a pharmaceutical composition comprising a compound of the invention, such that the bacterial infection is treated.
- the subject is diagnosed with a bacterial infection.
- the Gram-negative bacterial infection is an infection caused by one or more of bacteria selected from the group consisting of Acinetobacter baumannii, Acinetobacter haemolyticus, Actinobacillus actinomycetemcomitans, Aeromonas hydrophila, Bacteroides fragilis, Bacteroides theataioatamicron, Bacteroides distasonis, Bacteroides ovatus, Bacteroides vulgatus, Bordetella pertussis, Brucella melitensis, Burkholderia cepacia, Burkholderia pseudomallei, Burkholderia mallei Fusobacterium, Prevotella corporis, Prevotella intermedia, Prevotella endodontalis, Porphyromonas asaccharolytica, Campylobacter jejuni, Campylobacter fetus, Campylobacter coli, Citrobacter freundii, Citrobacter koser
- the Gram-negative bacterial infection is an infection caused by one or more of bacteria selected from the group consisting of Acinetobacter baumannii, Bordetella pertussis, Burkholderia cepacia, Burkholderia pseudomallei, Burkholderia mallei, Campylobacter jejuni, Campylobacter coli, Enterobacter cloacae, Enterobacter aerogenes, Escherichia coli, Francisella tularensis, Haemophilus influenzae, Haemophilus ducreyi, Helicobacter pylori, Klebsiella pneumoniae, Legionella penumophila, Moraxella catarrhalis, Morganella morganii,
- Neisseria gonorrhoeae Neisseria meningitidis, Pasteurella multocida, Proteus mirabilis, Proteus vulgaris, Pseudomonas aeruginosa, Salmonella typhi, Serratia marcescens, Shigella flexneri, Shigella boydii, Shigella sonnei, Shigella dysenteriae, Stenotrophomonas maltophilia, Vibrio cholerae, and Chlamydia pneumoniae.
- the Gram-negative bacterial infection is an infection caused by one or more of bacteria selected from the group consisting of Acinetobacter baumannii, Bordetella pertussis, Burkholderia cepacia, Burkholderia pseudomallei, Burkholderia mallei, Campylobacter jejuni, Campylobacter coli, Enterobacter cloacae, Enterobacter aerogenes, Escherichia coli, Francisella tularensis, Haemophilus influenzae, Haemophilus ducreyi, Helicobacter pylori, Klebsiella pneumoniae, Legionella penumophila, Moraxella catarrhalis, Morganella morganii, Proteus mirabilis, Proteus vulgaris, Pseudomonas aeruginosa, Serratia marcescens, and Stenotrophomonas maltophilia.
- bacteria selected from the group consisting of Acinetobacter baumannii, Bordetella
- the invention provides a method of inhibiting UDP-3-0 — (R-S-hydroxymyristoy ⁇ -N-acetylglucosamine deacetylase (LpxC).
- the method comprises combining ⁇ e.g., in vivo addition, including administration to a subject, or in vitro analysis) a compound of the invention ⁇ e.g., a compound of formula I, IA, IB, II or IIA) with LpxC under conditions such that Lipid A biosynthesis is inhibited.
- Another embodiment of the invention provides a method of inhibiting the growth of one or more Gram-negative bacterium comprising administering to a subject a compound disclosed herein or a pharmaceutically acceptable salt thereof under conditions such that the growth of the Gram-negative bacterium is inhibited.
- the invention provides a compound of the invention
- the invention pertains to the use of a compound of the invention (e.g., a compound of formula I, IA, IB, II or HA), or a pharmaceutically acceptable salt thereof, as described herein, for the manufacture of a medicament for the production of an LpxC inhibitory effect in a subject.
- the invention pertains to the use of a compound of the invention (e.g., a compound of formula I, IA, IB, II or HA), or a pharmaceutically acceptable salt thereof, as described herein, for the manufacture of a medicament for the production of a Gram-negative anti-bacterial effect in a subject.
- the invention relates to the use of a compound of the invention (e.g., a compound of formula I, IA, IB, II or HA), or a pharmaceutically acceptable salt thereof for the manufacture of a medicament for preventing or treating a
- Gram-negative bacterial infection e.g., treating a Gram-negative bacterial infection.
- the present invention provides a compound of the invention (e.g., a compound of formula I, IA, IB, II or HA), or a pharmaceutically acceptable salt thereof, for use in the manufacture of a medicament for use in the inhibition of UDP-3-0 — (R-S-hydroxymyristoy ⁇ -N-acetylglucosamine deacetylase
- the compounds of the invention may be used in the methods of the invention as either a single agent by itself or in combination with other clinically relevant agents.
- One or more of these compounds could also prevent the potential anti-bacterial resistance mechanisms that may arise due to mutations in a set of genes.
- the treatment defined herein may be applied as a sole therapy or may involve, in addition to the compound of the invention, conventional therapies.
- Such conventional therapies may include one or more of the following suitable classes and substances: i) other antibacterial agents for example macrolides e.g. erythromycin, azithromycin or clarithromycin; quinolones e.g.
- ciprofloxacin or levofloxacin ⁇ -lactams e.g. penicillins e.g. amoxicillin or piperacillin; cephalosporins e.g. ceftriaxone or ceftazidime; carbapenems, e.g. meropenem or imipenem etc; aminoglycosides e.g. gentamicin or tobramycin; or oxazolidinones; ii) anti-infective agents for example, an antifungal triazole e.g. or amphotericin; iii) biological protein therapeutics for example antibodies, cytokines, bactericidal/permeability-increasing protein (BPI) products; and iv) efflux pump inhibitors.
- ⁇ -lactams e.g. penicillins e.g. amoxicillin or piperacillin
- cephalosporins e.g. ceftriax
- Such conjoint treatment may be achieved by way of the simultaneous, sequential or separate dosing of the individual components of the treatment.
- Such combination products employ the compounds of this invention, or pharmaceutically acceptable salts thereof, within the dosage range described hereinbefore and the other pharmaceutically active agent within its approved dosage range.
- a compound of Formula I, IA, IB, II or HA or a pharmaceutically acceptable salt thereof and a chemotherapeutic agent selected from: i) one or more additional antibacterial agents; ii) one or more anti-infective agents; iii) biological protein therapeutics for example antibodies, cytokines, bactericidal/permeability-increasing protein (BPI) products; or iv) one or more efflux pump inhibitors.
- An additional embodiment of the invention provides a method of preparation of a compound of the invention (e.g., a compound of formula I, IA, IB, II or HA), as defined in any one of the examples described herein.
- the method comprises a step of obtaining, e.g., providing, a compound used in the preparation.
- the invention relates to pharmaceutical composition comprising compounds disclosed herein and use in the prevention and/or treatment of Gram-negative bacterial infections.
- pharmaceutical compositions comprising compounds disclosed herein and use in the prevention and/or treatment of Gram-negative bacterial infections.
- Another embodiment of the invention provides a pharmaceutical composition which comprises a compound of the invention ⁇ e.g., a compound of formula I, IA, IB, II or IIA), or a pharmaceutically acceptable salt thereof, as described herein, in association with a pharmaceutically acceptable diluent or carrier.
- a pharmaceutical composition which comprises a compound of the invention ⁇ e.g., a compound of formula I, IA, IB, II or IIA), or a pharmaceutically acceptable salt thereof, as described herein, in association with a pharmaceutically acceptable diluent or carrier.
- compositions can take the form of solutions, suspensions, emulsion, tablets, pills, pellets, capsules, capsules containing liquids, powders, sustained-release formulations, suppositories, emulsions, aerosols, sprays, suspensions, or any other form suitable for use.
- Administration may be topical, i.e., substance is applied directly where its action is desired, enteral or oral, i.e., substance is given via the digestive tract, parenteral, i.e., substance is given by other routes than the digestive tract such as by injection.
- the active compound and optionally another therapeutic or prophylactic agent are formulated in accordance with routine procedures as pharmaceutical compositions adapted for intravenous administration to human beings.
- the active compound for intravenous administration are solutions in sterile isotonic aqueous buffer.
- the compositions can also include a solubilizing agent.
- Compositions for intravenous administration can optionally include a local anesthetic such as lignocaine to ease pain at the site of the injection.
- the ingredients are supplied either separately or mixed together in unit dosage form, for example, as a dry lyophilized powder or water free concentrate in a hermetically sealed container such as an ampoule.
- the active compound is to be administered by infusion, it can be dispensed, for example, with an infusion bottle containing sterile pharmaceutical grade water or saline.
- an ampoule of sterile water for injection or saline can be provided so that the ingredients can be mixed prior to administration.
- compositions for oral delivery can be in the form of tablets, lozenges, aqueous or oily suspensions, granules, powders, emulsions, capsules, syrups, or elixirs, for example.
- Orally administered compositions can contain one or more optional agents, for example, sweetening agents such as fructose, aspartame or saccharin; flavoring agents such as peppermint, oil of wintergreen, or cherry; coloring agents; and preserving agents, to provide a pharmaceutically palatable preparation.
- a time delay material such as glycerol monostearate or glycerol stearate can also be used.
- Oral compositions can include standard vehicles such as mannitol, lactose, starch, magnesium stearate, sodium saccharine, cellulose, magnesium carbonate, and the like. Such vehicles are of pharmaceutical grade in particular embodiments.
- compositions for use in accordance with the present invention can be formulated in conventional manner using one or more physiologically acceptable carriers or excipients.
- the compound and optionally another therapeutic or prophylactic agent and their physiologically acceptable salts and solvates can be formulated into pharmaceutical compositions for administration by inhalation or insufflation (either through the mouth or the nose) or oral, parenteral or mucosol (such as buccal, vaginal, rectal, sublingual) administration.
- parenteral or mucosol such as buccal, vaginal, rectal, sublingual
- local or systemic parenteral administration is used.
- compositions can take the form of, for example, tablets or capsules prepared by conventional means with pharmaceutically acceptable excipients such as binding agents (e.g., pregelatinised maize starch, polyvinylpyrrolidone or hydro xypropyl methylcellulose); fillers (e.g., lactose, microcrystalline cellulose or calcium hydrogen phosphate); lubricants (e.g., magnesium stearate, talc or silica); disintegrants (e.g., potato starch or sodium starch glycolate); or wetting agents (e.g., sodium lauryl sulphate).
- binding agents e.g., pregelatinised maize starch, polyvinylpyrrolidone or hydro xypropyl methylcellulose
- fillers e.g., lactose, microcrystalline cellulose or calcium hydrogen phosphate
- lubricants e.g., magnesium stearate, talc or silica
- disintegrants e.g., potato
- Liquid preparations for oral administration can take the form of, for example, solutions, syrups or suspensions, or they can be presented as a dry product for constitution with water or other suitable vehicle before use.
- Such liquid preparations can be prepared by conventional means with pharmaceutically acceptable additives such as suspending agents (e.g., sorbitol syrup, cellulose derivatives or hydrogenated edible fats); emulsifying agents (e.g., lecithin or acacia); non-aqueous vehicles (e.g., almond oil, oily esters, ethyl alcohol or fractionated vegetable oils); and preservatives (e.g., methyl or propyl-p-hydroxybenzoates or sorbic acid).
- suspending agents e.g., sorbitol syrup, cellulose derivatives or hydrogenated edible fats
- emulsifying agents e.g., lecithin or acacia
- non-aqueous vehicles e.g., almond oil, oily esters, ethy
- compositions can also contain buffer salts, flavoring, coloring and sweetening agents as appropriate.
- compounds or salts disclosed herein or can be administered as a pharmaceutical composition in which the pharmaceutical composition comprises between 0.1 -lmg, 1-10 mg, 10-50mg, 50-100mg, 100-500mg, or 500mg to 5 g of said compound or salt.
- NMR data when given, NMR data is in the form of delta values for major diagnostic protons, given in parts per million (ppm) relative to tetramethylsilane (TMS) as an internal standard, determined at 400 or 300 MHz using perdeuterio dimethyl sulphoxide (DMSO-d6) as solvent unless otherwise indicated;
- TMS tetramethylsilane
- DMSO-d6 perdeuterio dimethyl sulphoxide
- DIPEA ⁇ /, ⁇ /,-diisopropylethylamine Hunig's Base
- ISCO BOC tert-butoxycarbonyl
- Glass HPLC refers to a YMC-AQC 18 reverse phase HPLC Column with dimension 20mm/100 and 50mm/250 in water-CH 3 CN with 0.1% TFA, 0.1% formic acid, or 0.1% 1OmM ammonium acetate as mobile phase, obtained from Waters Corporation 34, Maple street, Milford, MA,USA.
- Materials Assay buffers consisted of 25 - 100 mM NaH2PO4, pH 6.5 - pH 7.5 or 25 - 100 mM BisTris pH 6.5 - 7.5, in the presence of 0.2 - 1 mg/mL BSA or 0.5 - 1 M Sucrose.
- the wild-type P. aeruginosa LpxC was derived from P. aeruginosa PAO 1 genomic DNA and subcloned into pET-30b. This protein was expressed and purified from the E. coli BL21(DE3) pLysS expression strain. (J.Bact. 1997, 179, 2029-2037).
- E. coli LpxC was cloned from E. coli MG1655 genomic DNA into pET-30b, and then expressed and purified from BL21(DE3pLysS) (Biochemistry 1999, 38, 1902-1911).
- Control assays were run using 25 mM EDTA as a 100% inhibition control and 2% DMSO as a 0% inhibition control. Reactions were allowed to proceed for 20 - 45 minutes until quenched with IX- 3X volume of 50 mM EDT A/0.5% acetic acid.
- IX- 3X volume 50 mM EDT A/0.5% acetic acid.
- 10 ⁇ L of quenched reaction mixture was injected onto a Shimadzu HPLC system interfaced to an API-4000 triple quadrupole mass spectrometer operating in MRM mode.
- Reaction product and unreacted substrate were eluted into the mass spectrometer with a gradient starting at 5% Acetonitrile, 95% 1OmM Ammonium Acetate/Water to 90% Acetonitrile, 10% 10 mM Ammonium acetate/Water.
- Deacetylated substrate was quantified during the HPLC run by monitoring abundance of fragment ions of the parent ion at m/z 734 produced in the mass spectrometer. Quantification of unreacted substrate was performed by monitoring fragment ions produced from the corresponding parent ion at m/z 776.
- 1,3,2-dioxaborinane (21 g, 66.47 mmol) and triethylamine (27.8 mL, 199.40 mmol) in acetonitrile (305 mL) was degassed with a stream of N2 for 5 minutes. After this time, 3- ethynylpyridine (7.20 g, 69.79 mmol), Pd(PPh 3 ) 2 Cl 2 (3.5 g, 4.99 mmol) and copper(I) iodide (0.633 g, 3.32 mmol) were added.
- the flask was then placed in a 60 0 C oil bath and was stirred for 2 h, until TLC indicated formation of a new product.
- the crude compound was purified by column chromatography (silica gel, 100-200 mesh) by using 1% ethyl acetate in pet-ether as mobile phase to provide 4- ((trimethylsilyl)ethynyl)benzaldehyde (5.2 g, 80%).
- This compound was taken up in methanol (100 mL), to which potassium carbonate (0.341 g, 2.47 mmol) was added at room temperature. The reaction mass was stirred for 2 h. The solvent was removed under reduced pressure and the residue was diluted with dichloromethane (50 mL).
- Methyl 2-chloro-6-[(4-methoxybenzyl)amino]pyridine-4-carboxylate (5 g, 0.016 mol), 3-((4-(5,5-dimethyl-l,3,2-dioxaborinan-2-yl)phenyl)ethynyl)pyridine (9.5 g, 0.033 mol) and sodium carbonate (2.6 g, 0.024 mol) were taken up in 1,4-dioxane (50 mL) and water (10 mL). The solution was degassed with a stream of N2 for 10 minutes.
- the crude product was purified by column chromatography (Silica gel, 100-200 mesh) using 1-2% ethyl acetate in pet-ether as mobile phase to provide 5-[(trimethylsilyl)ethynyl]pyridine-2-carbaldehyde (13 g, 79%) as brown solid.
- Oxalyl chloride (0.1 mL, 1.1 mmol) was added to a solution of 4-phenoxy benzoic acid (0.2Ig) in CH 2 Cl 2 (10 mL) containing 2 drops DMF. The reaction was stirred at RT for 2 hours followed by the addition of aqueous hydroxylamine (50%, 1 mL). The reaction was then stirred overnight and then concentrated to dryness. The residue was triturated with water and the resultant white solid was collected and purified by reverse phase HPLC. (Yield 45 mg)
- Example 5 and ethynylbenzene (1.1 eq.) in THF was purged with argon for 30 min. To this solution was added Pd(PPh 3 ) 2 Cl 2 (0.003 eq.) followed by CuI (0.1 eq.). The reaction mixture was cooled to 10 0 C followed by the addition of triethylamine (1.25 vol.). The reaction mixture was then heated to 80 0 C for 5 h. The reaction mixture was cooled to room temperature diluted with ethyl acetate (20 mL) and washed with water (15 mL). The aqueous layer was extracted with ethyl acetate (15 mL x 2).
- a solution of 5-chloro-2-methyl-nicotinic acid methyl ester (1.0 equiv.) is treated with 1 ,2-dimethoxyethane and 4-chlorophenyl boronic acid (1.05 eq.). This is followed by Pd(PPli3)4 (0.1 eq., Aldrich) at room temperature. After the reaction mixture is purged with Argon for 15 minutes, aqueous saturated NaHCO 3 (2.0 equiv.) is added and the resulting solution is purged with argon for another 10 min. The resulting reaction mixture is then heated under nitrogen atmosphere at 80 0 C for 4 h to produce the desired adduct.
- the crude product was purified by triturating with pet ether and filtered to provide JV-hydroxy-6- methoxy-5-(pyridin-3-ylethynyl)pyridine-3-carboxamide as an off- white solid (50 mg, 33%).
- Methyl 6-(phenylethynyl)picolinate (0.15 g, 0.64 mmol) and hydroxylamine, 50% aqueous (0.040 mL, 0.64 mmol) were combined in MeOH (2 mL) and allowed to stir at room temperature. After stirring overnight, LCMS indicated the reaction was complete. The reaction mixture was diluted with water and extracted three times with ethyl acetate. The organic portion was washed once with saturated sodium chloride. The combined organic extracts were dried over magnesium sulfate, filtered and evaporated to yield 0.071 g of the desired product as a yellow solid.
- step A To a solution of methyl 5-bromo-2-chloropyridine-3-carboxylate (Example 24, step A) (0.1 g, 0.4 mmol) in tetrahydrofuran (10 mL) was added methylamine solution (2.0 M in THF, 0.028 g, 0.80 mmol) at room temperature. The reaction mixture was then stirred at the same temperature for 18 h. The solvent was evaporated under reduced pressure and the residue was diluted with ethyl acetate (20 mL). The organic solution was washed with water (10 mL x 2). The aqueous layer was extracted with ethyl acetate (10 mL x 2).
- the argon atmosphere was then replaced with 1 :1 argon/hydrogen balloon atmosphere and a solution of 3- ethynylpyridine (0.20 g, 1.96 mmol) in dry acetonitrile (20 mL) was added over a period of 15 minutes at room temperature.
- the reaction mixture was then heated at 80 0 C for 6 h.
- the reaction was cooled to room temperature and the solvent was evaporated under reduced pressure.
- the crude product was purified by column chromatography (Silica gel, 100-20 mesh) using 1% methanol in chloroform as mobile phase to yield JV-hydroxy-2- (methylamino)-5-(pyridin-3-ylethynyl)pyridine-3-carboxamide as a white solid (0.010 g, 20%).
- Methyl 2-(phenylethynyl)isonicotinate was prepared from methyl 2- bromoisonicotinate and ethynylbenzene using the procedure described in Example 19, step A.
- the argon atmosphere was then replaced with 1 :1 argon/hydrogen balloon atmosphere and a solution of 3- ethynylpyridine (0.15 g, 1.5 mmol) in dry acetonitrile (20 mL) was added over a period of 15 min at room temperature.
- the reaction mixture was then heated at 80 0 C for 6 h.
- the reaction was cooled to room temperature and the solvent was evaporated under reduced pressure.
- the crude product was purified by column chromatography (Silica gel, 100-200 mesh) using 3% methanol in chloroform as the mobile phase to provide JV-hydroxy-6- (methylamino)-5-(pyridin-3-ylethynyl)pyridine-3-carboxamide as off-white solid (50 mg, 25%).
- the argon atmosphere was then replaced with 1 : 1 argon/hydrogen balloon atmosphere and a solution of 3-ethynylpyridine (0.19 g, 1.83 mmol) in dry acetonitrile (20 mL) was added over a period of 15 min at room temperature.
- the reaction mixture was heated at 80 0 C for 5 h.
- the reaction was then cooled to room temperature and the solvent was evaporated under reduced pressure.
- the residue was diluted with water (50 mL) and the precipitated solid was filtered, washed thoroughly with water (10 mL) and dried under vacuum to provide the crude compound.
- the crude product was purified by column chromatography (Silica gel, 100-200 mesh) using 30% ethyl acetate in pet ether as the mobile phase to provide methyl 6-[(2-methoxyethyl)amino]-5-(pyridin-3- ylethynyl)pyridine-3-carboxylate as a white solid (0.21 g, 44%).
- the crude product was purified by triturating with pet-ether and filtered to get JV-hydroxy-2- methoxy-5-(pyridin-3-ylethynyl)pyridine-3-carboxamide as an off-white solid (0.098 g, 47%).
- step A To a solution of methyl 5 -bromo ⁇ -chloropyridine-S -carboxylate (Example 24, step A) (0.13 g, 0.52 mmol) in tetrahydrofuran (1OmL) was added morpholine (0.067 g, 0.78 mmol) at room temperature. The reaction mixture was stirred for 18 h. The solvent was evaporated under reduced pressure and the residue was diluted with ethyl acetate (20 mL). The organic solution was washed with water (20 mL) and the aqueous layer was extracted with ethyl acetate (10 mL x 2).
- the crude product was purified by column chromatography (Silica gel, 100-200 mesh) using 70% ethyl acetate in pet ether as the mobile phase to provide JV-hydroxy-2- (morpholin-4-yl)-5-(pyridin-3-ylethynyl)pyridine-3-carboxamide as an off-white solid (0.10 g, 33%).
- step A To a solution of methyl 5 -bromo-2-chloropyridine-3 -carboxylate (Example 24, step A) (0.50 g, 2.0 mmol) in tetrahydrofuran (10 mL) was added methoxyethylamine (0.30 g, 4.0 mmol) at room temperature. The solution was stirred for 18 h. The solvent was evaporated under reduced pressure and the residue was diluted with ethyl acetate (20 mL). The organic solution was washed with water (20 mL) and the aqueous layer was extracted with ethyl acetate (10 mL x 2).
- the argon atmosphere was then replaced with 1 : 1 argon/hydrogen balloon atmosphere and a solution of 3-ethynylpyridine (0.19 g, 1.8 mmol) in dry acetonitrile (20 mL) was added over a period of 15 min at room temperature.
- the reaction mixture was heated at 80 0 C for 5 h.
- the reaction was cooled to room temperature and the solvent was evaporated under reduced pressure.
- Methyl 4-(pyridin-4-ylethynyl)picolinate was prepared from methyl 4- bromopicolinate and 4-ethynylpyridine, HCl salt using the procedure described in Example 19, step A.
- Methyl 4-((4-propylphenyl)ethynyl)picolinate was prepared from l-ethynyl-4- propylbenzene and methyl 4-bromopicolinate using the procedure described in Example 19, step A.
- N-Hydroxy-4-((4-propylphenyl)ethynyl)picolinamide was prepared from methyl
- Methyl 4-((4-methoxyphenyl)ethynyl)picolinate was prepared from l-ethynyl-4- methoxybenzene and methyl 4-bromopicolinate using the procedure described in Example 19, step A.
- N-Hydroxy-4-((4-methoxyphenyl)ethynyl)picolinamide was prepared from methyl 4-((4-methoxyphenyl)ethynyl)picolinate using the procedure described in Example 19, step B.
- Reverse phase HPLC (10-75% gradient elution with acetonitrile/water (0.1% trifluoroacetic acid) yielded the product as a trifluoroacetic acid salt.
- iV-Hydroxy-4-((4-(piperidin- 1 -yl)phenyl)ethynyl)picolinamide was prepared from methyl 4-((4-(piperidin-l-yl)phenyl)ethynyl)picolinate using the procedure described in Example 19, step B.
- Methyl 3 -(pyridin-3 -ylethynyl)benzoate was prepared from 3-ethynylpyridine and methyl 3-bromobenzoate using the procedure described in Example 19, step A.
- N-Hy droxy-3 -(pyridin-3 -ylethynyl)benzamide was prepared from methyl 3- (pyridin-3-ylethynyl)benzoate using the procedure described in Example 19, step B.
- N-hydroxy-2- [4-(pyridin-3 -ylethynyl)phenyl]pyridine-4-carboxamide was synthesized from methyl 2-[4-(pyridin-3-ylethynyl)phenyl]pyridine-4-carboxylate using the procedure described in Example 34.
- N-hydroxy-5 - [4-(pyridin-3 -ylethynyl)phenyl]pyridine-3 -carboxamide was synthesized from methyl 5-[4-(pyridin-3-ylethynyl)phenyl]pyridine-3-carboxylate using the procedure described in Example 34.
- Methyl 4-((4-formylphenyl)ethynyl)picolinate was prepared from 4- ethynylbenzaldehyde and methyl 4-bromopicolinate using the procedure described in Example 19, step A.
- N-hydroxy-4- [4-(pyridin-3 -ylethynyl)phenyl]pyridine-2-carboxamide was synthesized from methyl 4-[4-(pyridin-3-ylethynyl)phenyl]pyridine-2-carboxylate using the procedure described in Example 34.
- Methyl 2-chloro-6-methoxypyrimidine-4-carboxylate (0.097 g, 0.48 mmol) and aniline (0.046 mL, 0.50 mmol) were combined in n-BuOH (10 mL) and heated to 115 0 C. The reaction was stirred for 4 hours. LC-MS after 4 hours indicated addition of the aniline was complete. The solution was cooled to room temperature. HCl (4M) in Dioxane (0.120 mL, 0.48 mmol) was added and the reaction was heated to 115 0 C. LC- MS after 2 hours indicated formation of the desired product. The reaction mixture was diluted with water and extracted three times with ethyl acetate.
- Methyl 4-(pyridin-2-ylethynyl)picolinate was prepared from 2-ethynylpyridine and methyl 4-bromopicolinate using the procedure described in Example 19, step A.
- 2-Fluorobiphenyl-4-ylboronic acid (0.400 g, 1.85 mmol), methyl 4-bromopicolinate (0.4 g, 1.85 mmol), Cs 2 CO 3 (1.20 g, 3.70 mmol) and [1,1'- bis(diphenylphosphino)ferrocene]dichloropalladium(II) (0.134 g, 0.19 mmol) were combined in acetonitrile (6 mL)/water (3 mL) and heated to 60 0 C under argon. The reaction was then stirred for 2 hours. After this time, the reaction was cooled to room temperature and was diluted with water. The reaction mixture was extracted three times with ethyl acetate.
- JV-Hydroxy-3-(phenylethynyl)benzamide was prepared from methyl 3- (phenylethynyl)benzoate using the procedure described in Example 19, step B.
- Methyl 4-(4'-ethoxybiphenyl-4-yl)picolinate was prepared from 4'-ethoxybiphenyl-4- ylboronic acid and methyl 4-bromopicolinate using the procedure described in Example 41, step A.
- the reaction mixture was heated at 80 0 C for 2 h.
- the reaction was cooled to room temperature and the solvent was evaporated under reduced pressure.
- the residue was diluted with water (100 mL) and the precipitated solid was filtered, washed thoroughly with water (100 mL) and dried under vacuum to provide methyl 2-methoxy-3- (phenylethynyl)benzoate as yellow solid (0.14 g, 26%).
- Methyl 2-fluoro-3-(phenylethynyl)benzoate was prepared from methyl 3-bromo- 2-fluorobenzoate following the method described in Example 44 step A to yield the title compound as a solid.
- Methyl 2-methyl-3-(phenylethynyl)benzoate was prepared from methyl 3-bromo- 2-methylbenzoate following the method described in Example 44 step A to yield the title compound as a solid.
- Methyl 3 -bromo- 1-naphthoate (0.20 g, 0.75 mmol) was dissolved in 1.5 mL 1 N TBAF in THF to which 0.40 mL of ethynylbenzene was added. This was followed by 3 mg of bis(triphenylphosphine)palladium(II) dichloride. The reaction vessel was sealed and evacuated followed by filling with N 2 (repeated three times). The reaction was then heated at 80 0 C for 2 hours. LCMS analysis indicated conversion to the desired product. The reaction was cooled to room temperature and concentrated in vacuo. The crude reaction mixture was then dissolved in 20 mL ethyl acetate and washed with brine (3X).
- Butyl-6-hydroxy-2-[(2-methoxyethyl)amino]pyrimidine-4-carboxylate was prepared from methyl 2-chloro-6-methoxypyrimidine-4-carboxylate and methoxyethyl amine using the procedure described in Example 63, step B.
- Butyl-6-bromo-2-[(2-methoxyethyl)amino]pyrimidine-4-carboxylate was prepared from butyl 6-hydroxy-2-[(2-methoxyethyl)amino]pyrimidine-4-carboxylate using the procedure described in Example 63, step C.
- Butyl 2-[(2-methoxyethyl)amino]-6-(phenylethynyl)pyrimidine-4-carboxylate was prepared from butyl 6-bromo-2-[(2-methoxyethyl)amino]pyrimidine-4-carboxylate using the procedure described in Example 63, step D.
- ⁇ /-hydroxy-2-[(2-methoxyethyl)amino]-6-(phenylethynyl)pyrimidine-4- carboxamide was prepared from butyl 2-[(2-methoxyethyl)amino]-6- (phenylethynyl)pyrimidine-4-carboxylate using the procedure described in Example 63, step E.
- Butyl 2-(benzylamino)-6-hydroxypyrimidine-4-carboxylate was prepared from methyl 2-chloro-6-methoxypyrimidine-4-carboxylate and benzyl amine using the procedure described in Example 63, step B.
- Butyl 2-(benzylamino)-6-bromopyrimidine-4-carboxylate was prepared from butyl 2-(benzylamino)-6-hydroxypyrimidine-4-carboxylate using the procedure described in Example 63, step C.
- Butyl 2-(benzylamino)-6-(phenylethynyl)pyrimidine-4-carboxylate was prepared from butyl 2-(benzylamino)-6-bromopyrimidine-4-carboxylate using the procedure described in Example 63, step D.
- Methyl 2,6-dichloropyrimidine-4-carboxylate 0.5 g, 2.4 mmol
- 3-((4-(5,5-dimethyl- l,3,2-dioxaborinan-2-yl)phenyl)ethynyl)pyridine (0.35 g, 1.2 mmol, Method 2)
- K 2 CO 3 0.33 g, 2.4 mmol
- [l,4-bis(diphenylphospino)butane]palladium(II) dichloride 0.073 g, 0.12 mmol
- ⁇ /-Hydroxy-4-(phenylethynyl)quinoline-2-carboxamide was prepared from methyl 4-(phenylethynyl)quinoline-2-carboxylate using the procedure described in Example 19, step B.
- the product was isolated after reverse phase chromatography as a trifluoroacetic acid salt.
- Butyl 6-hydroxy-2-morpholinopyrimidine-4-carboxylate was prepared from methyl 2-chloro-6-methoxypyrimidine-4-carboxylate using the procedure described in Example 39, step B.
- ⁇ /-Hydroxy-2-morpholino-6-(4-(pyridin-3-ylethynyl)phenyl)pyrimidine-4- carboxamide was prepared from butyl 2-morpholino-6-(4-(pyridin-3- ylethynyl)phenyl)pyrimidine-4-carboxylate using the procedure described in Example 19, step B.
- Methyl 2-chloro-6-methoxypyrimidine-4-carboxylate (0.5 g, 2.47 mmol) and aniline (0.236 mL, 2.59 mmol) were combined in n-BuOH (10 mL) and heated to 115 0 C. The reaction was stirred for 4 hours. LC-MS after 4 hours indicated addition of the amine was complete. The solution was cooled to room temperature. HCl 4M in Dioxane (0.617 mL, 2.47 mmol) was added and the reaction mixture was heated to 115 0 C. LC- MS after 2 hours indicates formation of the desired product. The reaction mixture was diluted with water and extracted three times with ethyl acetate.
Landscapes
- Chemical & Material Sciences (AREA)
- Organic Chemistry (AREA)
- Pharmaceuticals Containing Other Organic And Inorganic Compounds (AREA)
Abstract
The invention relates to chemical compounds of formula (IB): or a salt thereof. In some embodiments, the invention relates to inhibitors of UDP-3-0 — (R-S-hydroxymyristoyl)-N-acetylglucosamine deacetylase (LpxC). In still further embodiments, the invention relates to pharmaceutical compositions comprising compounds disclosed herein and their use in the prevention and/or treatment of Gram- negative bacterial infections.
Description
NOVEL GRAM-NEGATIVE ANTI-BACTERIAL AGENTS
RELATED APPLICATIONS This application claims priority under 35 U. S. C. § 119(e) to U.S. Provisional
Application No. 61/156,694, filed on March 2, 2009; U.S. Provisional Application No. 61/185,013, filed on June 8, 2009; and U.S. Provisional Application No. 61/255079, filed on October 26, 2009; the entire contents of each of which are hereby expressly incorporated by reference in their entireties.
BACKGROUND
The frequency of antimicrobial resistance in Gram-negative bacterial pathogens, and its association with serious infectious diseases has increased significantly over the past years. This has resulted in significant morbidity and mortality, as well as an increased economic burden on the healthcare system. (Maragakis et al. 2008. Expert Rev. Anti Infect. Ther. 6:751-63).
Treatment of Gram-negative infections is currently limited by both the agents available and the bacterial resistance to those agents. In this regard, as clinical treatment options have become severely limited, there is a growing medical need for the development of novel antibacterial agents. One such way to combat the continued spread of antibacterial resistance is to develop new antibacterials, particularly those with either a novel mechanism of action and/or containing new pharmacophoric groups.
Additionally, there is an unmet medical need to develop antibacterials where there are presently limited agents or in infections where the pathogens are difficult to treat. Such pathogens may include Pseudomonas aeruginosa, Acinetobacter baumannii, and Stenotrophomonas maltophilia.
The outer membrane of Gram-negative bacteria may also contribute to the difficulty in treating infections caused by these pathogens by acting as an efficient permeability barrier, because the narrow porin channels limit the penetration of hydrophilic solutes and the low fluidity of the lipopolysaccharide leaflet decelerates the inward diffusion of lipophilic solutes. In addition, drug efflux pumps, sometimes with
unusually broad specificity, act as another factor to increase the general intrinsic resistance of Gram-negative bacteria. When their expression levels are increased, either in a response to an environmental or genetic change, they often result in significant resistance to a wide variety of antimicrobial agents.
As such, there is a need for novel compounds that treat infections caused by Gram-negative bacterial pathogens, and in particular, those that act by a novel mechanism of action and/or contain new pharmacophoric groups.
SUMMARY OF THE INVENTION
The present invention relates generally to the treatment of infections caused by Gram-negative bacteria, for example, by targeting Lipid A biosynthesis and/or LpxC- linked pathways. More specifically, the invention provides novel compounds, methods of use of these compounds in inhibiting UDP-3-0-(R-3 -hydroxy decanoyl)-N- acetylglucosamine deacetylase (LpxC), treating infections caused by Gram-negative bacteria, as well as methods of preparation of these compounds are also presented herein. Furthermore, pharmaceutical compositions, combination therapies, and uses thereof are also provided in the present application. Lipid A is the hydrophobic anchor of lipopolysaccharide (LPS) and forms the major lipid component of the outer monolayer of the outer membrane of Gram-negative bacteria. Moreover, Lipid A is required for bacterial growth and inhibition of its biosynthesis is lethal to the bacteria.
One of the key essential enzymes of bacterial Lipid A biosynthesis is LpxC. LpxC catalyzes the first committed step in Lipid A biosynthesis, the removal of the N-acetyl group of UDP-3-0 — (R-S-hydroxymyristoy^-N-acetylglucosamine. In view of the fact that LpxC is essential for Lipid A biosynthesis and inhibition of that biosynthetic pathway is lethal to bacteria, inhibitors of LpxC have utility as antibacterial agents (Beall and Lutkenhaus 1987 J. Bacteriol. 169, 5408-5415; Young et al (1995) J. Biol. Chem. 270:30384-30391). In addition, the absence of a homolog of LpxC from mammalian genomes reduces potential target-based toxicity of LpxC inhibitors in mammals. Hence, LpxC is an attractive target for antibacterial drug discovery to identify novel inhibitors to
treat infections caused by Gram-negative pathogens.
Accordingly, one aspect the invention provides a compound of formula IB:
M is divalent radical selected from the group consisting Of -CH2-, C2-3alkenyl, and C2-4alkynyl;
Xi is selected from the group consisting of N and CRi; X2 is selected from the group consisting of N and CR2;
X3 is selected from the group consisting of N and CR3;
X4 is selected from the group consisting of N and CR4;
Ri is selected from the group consisting of H, methoxy, N-(Ci_3alkyl)amino, N ,N- (Ci_3alkyl)2amino, -NH-(CH2)2-O(Ci_3alkyl), benzyl, phenyl, and phenoxy, wherein the benzyl, phenyl and phenoxy may be optionally substituted with methyl, or Ri and R2 taken together with the ring to which they are attached form a bicyclic ring containing 0 to 3 heteroatoms;
R2 is selected from (i), (ii), or (iii)
(i) selected from the group consisting of H, amino, halogen, Ci_3alkyl, Ci_ 3alkoxy, N,N-(Ci_3alkyl)2amino, N-(Ci_3alkyl)amino, hydroxyamino, benzyl, phenyl optionally substituted with halogen or Ci_3alkoxy, -NRa-(CH2)o-2-Rb, -O-(CH2)0-2-Rb, - NHC(O)-Rc, -N(Ci_3alkyl)C(O)-Rc, -NHC(O)NH-R0, -N(d_3alkyl)C(O)NH-Rc, - NHC(O)O-Rc, -N(Ci_3alkyl)C(O)O-Rc, -NHS(O)0-2-Rc, -N(Ci_3alkyl)S(0)o-2-Rc, and heterocyclyl optionally substituted with hydroxy, Ci_3alkoxy, Ci_3alkyl, amino, - C(O)OC(CH3)3, -C(O)N(CHs)2, -(CH2)i_3-N(Ci_3alkyl 3)2, -(CH2V3-O d_3alkyl, -(CH2)i_ 3-OH, or -(CH2)o-2-heterocyclyl optionally substituted with C^alkyl on the heterocyclyl,
(ii) Ri and R2 taken together with the ring to which they are attached form a bicyclic ring containing 0 to 3 heteroatoms, or
(iii) R2 and R3 taken together with the ring to which they are attached form a bicyclic ring containing 0 to 3 heteroatoms; Ra is selected from the group consisting of H and -Ci_3alkyl;
Rb is selected from the group consisting of -Ci_4alkyl, Ci_3alkoxy, phenyl, heterocyclyl, optionally substituted with Ci_3alkyl, Ci_3alkoxy, and heterocyclyl;
Rc is selected from the group consisting of Ci_6alkyl, C2-6alkenyl, benzyl, phenyl, OH, C3_6Cycloalkyl, N,N-(Ci_3alkyl)2aminoalkyl, -CH2-O-CH2-aryl, and heterocyclyl each of which may be optionally substituted with 1-3 substituents independently selected from the group consisting of heterocyclyl, Ci_3alkoxy, Ci_3alkyl, OH, NH2, -SCH3, -C(NH)NH- OH, -CO2H, -NHC(O)O-C(CH3), -C(O)CH3, and -NHC(O)CH3;
R3 is selected from the group consisting of H, heterocyclyl, amino, -NHS(0)o-2- Ci_3alkyl, -N(Ci_3alkyl)S(O)0-2-Ci_3alkyl, N-(Ci_3alkyl)amino, -NH-(CH2)2-O(Ci_3alkyl), - NH-(CH2)i_2-heterocyclyl, N,N-(Ci_3alkyl)2aminoalkyl, -Ci_3alkyl, and Ci_3alkoxy each of which may be optionally substituted with OH, NH2, or Ci_3alkyl, or R2 and R3 taken together with the ring to which they are attached form a bicyclic ring containing 0 to 3 heteroatoms;
R4 is selected from the group consisting of H, halogen, -NH2, N5N-(C1- 3alkyl)2amino, Ci_3alkoxy, and -Ci_3alkyl;
R5 is selected from the group consisting of aryl, -NH-phenyl, and heteroaryl, and which may be optionally substituted with 1 to 3 substituents independently selected from the group consisting of halogen and R6;
R6 is selected from the group consisting of phenyl optionally substituted with 1-3 Ci_3alkoxy or halogen, -O-CH2-phenyl, -O-phenyl, -CH2-O-phenyl, heterocyclyl, -O- CH2-heterocyclyl, hydroxyiminomethyl, -Ci_3alkylheterocyclyl, Ci_3alkyl, Ci_3alkoxy, - C2_3alkynylaryl, and -C2_3alkynylheteroaryl, wherein R6 is optionally substituted with - CH2NH-(CH2)2.3-OH, N,N-(Ci_3alkyl)2aminoalkyl, or
or a salt thereof, with the proviso that if Xi is N, then R2 and R3 taken together with the ring to which they are attached do not form a quinoline or 1 ,6-napthyridine ring;
with the proviso that if Xi is N, and R2 and R3 taken together with the ring to which they are attached form a napthyridine or quinazoline ring, then R6 is not 4-pyridyl; and with the proviso that the compound is not
In another aspect, the invention provides a compound of formula HA:
M is divalent radical selected from the group consisting of Ci_3alkyl, C2-3alkenyl, and C2-3alkynyl;
Xi is selected from the group consisting of N and CRi;
X2 is selected from the group consisting of N and CH; X3 is selected from the group consisting of N and CR3;
X4 is selected from the group consisting of N and CH;
Ri is selected from the group consisting of benzyl, heteroaryl, phenyl, and phenoxy, optionally substituted with methyl or -C2-3alkynylheteroaryl;
R3 is selected from the group consisting of H, C1-3alkyl, and Ci_3alkoxy; R5 is selected from the group consisting of H, aryl, and heteroaryl, and which may be optionally substituted with halogen, or a salt thereof, with the proviso that the compound is not
An additional aspect of the invention provides a method of treating a Gram- negative bacterial infection. The method comprises administering to a subject, e.g., a human, diagnosed with, at risk for, or exhibiting symptoms of a bacterial infection, a pharmaceutical composition comprising a compound of the invention, such that the bacterial infection is treated.
In yet another aspect, the invention provides a method of inhibiting UDP-3-0 — (R-S-hydroxymyristoy^-N-acetylglucosamine deacetylase (LpxC). The method comprises combining a compound of the invention (e.g., a compound of formula I, IA, IB, II or IIA) with LpxC under conditions such that Lipid A biosynthesis is inhibited.
Another aspect of the invention provides a pharmaceutical composition which comprises a compound of the invention (e.g., a compound of formula I, IA, IB, II or IIA), or a pharmaceutically acceptable salt thereof, as described herein, in association with a pharmaceutically acceptable diluent or carrier.
In an additional aspect, the invention provides a compound of the invention (e.g., a compound of formula I, IA, IB, II or IIA), or a pharmaceutically acceptable salt thereof, as described herein, for use as a medicament.
In yet another aspect, the invention pertains to the use of a compound of the invention (e.g., a compound of formula I, IA, IB, II or HA), or a pharmaceutically acceptable salt thereof, as described herein, for the manufacture of a medicament for the production of an LpxC inhibitory effect in a subject. In a further aspect, the invention pertains to the use of a compound of the invention (e.g., a compound of formula I, IA, IB, II or HA), or a pharmaceutically acceptable salt thereof, as described herein, for the manufacture of a medicament for the production of a Gram-negative anti-bacterial effect in a subject.
An additional aspect of the invention provides a method of preparation of a compound of the invention (e.g., a compound of formula I, IA, IB, II or HA), as defined in any one of the examples described herein.
DETAILED DESCRIPTION OF THE INVENTION The present invention provides novel compounds, pharmaceutical formulations including the compounds, methods of inhibiting UDP-3-0-(R-3 -hydroxy decanoyl)-N- acetylglucosamine deacetylase (LpxC), and methods of treating Gram-negative bacterial infections. In particular embodiments, the invention provides small molecule inhibitors of LpxC, pharmaceutical formulations containing such inhibitors, methods of treating patients with such pharmaceutical formulations, and methods of preparing such pharmaceutical formulations and inhibitors. Theses inhibitors can be used to treat Gram- negative infections of patients alone or in combination with other anti-bacterial agents.
The present invention, including compounds, methods, and pharmaceutical compositions/formulations will be described with reference to the following definitions that, for convenience, are set forth below.
/. Definitions
As used herein, "alkoxy" represents an alkyl group as defined herein with the indicated number of carbon atoms attached through an oxygen bridge. Examples of alkoxy include, but are not limited to, methoxy, ethoxy, n-propoxy, i-propoxy, n-butoxy, s-butoxy, t-butoxy, n-pentoxy, and s-pentoxy. Particular alkoxy groups are methoxy,
ethoxy, n-propoxy, i-propoxy, n-butoxy, s-butoxy, t-butoxy. Similarly, "alkylthio" represent an alkyl group as defined above with the indicated number of carbon atoms attached through a sulfur bridge. Similarly, "alkylamino" represents an alkyl group attached through an amino bridge. As used herein, "alkyl" means a monovalent or divalent (e.g., alkylene) non-cyclic straight chain or branched, unsaturated or saturated hydrocarbon such as those containing from 1 to 10 carbon atoms, while the term "lower alkyl" has the same meaning as alkyl but contains from 1 to 6 carbon atoms. The term "higher alkyl" has the same meaning as alkyl but contains from 7 to 10 carbon atoms. Representative saturated straight chain alkyls include methyl, ethyl, n-propyl, n-butyl, n-pentyl, n-hexyl, n-septyl, n-octyl, n- nonyl, and the like; while saturated branched alkyls include isopropyl, sec-butyl, isobutyl, tert-butyl, isopentyl, and the like. Unsaturated alkyls contain at least one double or triple bond between adjacent carbon atoms (referred to as an "alkenyl" or "alkynyl", respectively). Representative straight chain and branched alkenyls include ethylenyl, propylenyl, 1-butenyl, 2-butenyl, isobutylenyl, 1-pentenyl, 2-pentenyl, 3 -methyl- 1- butenyl, 2-methyl-2-butenyl, 2,3-dimethyl-2-butenyl, and the like; while representative straight chain and branched alkynyls include acetylenyl, propynyl, 1-butynyl, 2-butynyl, 1-pentynyl, 2-pentynyl, 3 -methyl- 1-butynyl, and the like. It would be understood by the skilled artisan that the alkyl moieties may be connected at any position in the hydrocarbon chain, e.g., resulting in isopropyl substituents or 1,1 -ethyl digeminal substitution.
The term "alkylene" refers to an alkyl group that bridges two other groups. Representative alkyl bridging groups include methylene (i.e., -CH2-) and ethylene (i.e., - CH2CH2)-). "Aryl" means an aromatic carbocyclic monocyclic or polycyclic ring such as phenyl or naphthyl.
As used herein, "arylalkyl" means an alkyl having at least one alkyl hydrogen atom replaced with a aryl, such as benzyl, and the like.
"Alkylsulfonyl" means an alkyl attached through a sulfonyl bridge (i.e., - S(=O)2alkyl) such as mesyl and the like.
As used herein, "carbocycloalkyl" means an alkyl having at least one alkyl hydrogen atom replaced with a cycloalkyl, such as -CF^cyclopentyl.
Non-aromatic mono or polycyclic alkyls are referred to herein as "cycloalkyls," or "carbocyclyl" groups. Representative saturated carbocyclyls include cyclopropyl, cyclobutyl, cyclopentyl, cyclohexyl, and the like; while unsaturated carbocyclyls include cyclopentenyl and cyclohexenyl, and the like.
The term "Gram-negative" is art-recognized as those bacteria that do not retain crystal violet dye in the Gram staining protocol. For example, as used herein, the term "Gram-negative bacteria" describes one or more (i.e., a combination) of the following Acinetobacter baumannii, Acinetobacter haemolyticus, Actinobacillus actinomycetemcomitans, Aeromonas hydrophila, Bacteroides fragilis, Bacteroides theataioatamicron, Bacteroides distasonis, Bacteroides ovatus, Bacteroides vulgatus, Bordetella pertussis, Brucella melitensis, Burkholderia cepacia, Burkholderia pseudomallei, Burkholderia mallei Fusobacterium, Prevotella corporis, Prevotella intermedia, Prevotella endodontalis, Porphyromonas asaccharolytica, Campylobacter jejuni, Campylobacter coli, Campylobacter fetus, Citrobacter freundii, Citrobacter koseri, Edwarsiella tarda, Eikenella corrodens, Enterobacter cloacae, Enterobacter aerogenes, Enterobacter agglomerans, Escherichia coli, Francisella tularensis, Haemophilus influenzae, Haemophilus ducreyi, Helicobacter pylori, Kingella kingae, Klebsiella pneumoniae, Klebsiella oxytoca, Klebsiella rhinoscleromatis, Klebsiella ozaenae, Legionella penumophila, Moraxella catarrhalis, Morganella morganii, Neisseria gonorrhoeae, Neisseria meningitidis, Pasteurella multocida, Plesiomonas shigelloides, Proteus mirabilis, Proteus vulgaris, Proteus penneri, Proteus myxofaciens, Providencia stuartii, Providencia rettgeri, Providencia alcalifaciens, Pseudomonas aeruginosa, Pseudomonas fluorescens, Salmonella typhi, Salmonella paratyphi, Serratia marcescens, Shigella flexneri, Shigella boydii, Shigella sonnei, Shigella dysenteriae, Stenotrophomonas maltophilia, Streptobacillus moniliformis, Vibrio cholerae, Vibrio parahaemolyticus, Vibrio vulnificus, Vibrio alginolyticus, Yersinia enterocolitica, Yersinia pestis, Yersinia pseudotuberculosis, Chlamydophila pneumoniae, Chlamydophila trachomatis, Ricketsia prowazekii, Coxiella burnetii, Ehrlichia chafeensis, or Bartonella hensenae.
Moreover, it is expected that the compounds of the present invention will be useful in treating one or more bacterial infections. In one embodiment, the terms "infection" and "bacterial infection" may refer to a gynecological infection. In another embodiment, the terms "infection" and "bacterial infection" may refer to a respiratory tract infection (RTI). In still another embodiment, the terms "infection" and "bacterial infection" may refer to a sexually transmitted disease. In yet another embodiment, the terms "infection" and "bacterial infection" may refer to a urinary tract infection. In a further embodiment, the terms "infection" and "bacterial infection" may refer to acute exacerbation of chronic bronchitis (ACEB). In still another embodiment, the terms "infection" and "bacterial infection" may refer to cystic fibrosis (CF). In still a further embodiment, the terms "infection" and "bacterial infection" may refer to acute otitis media. In yet a further embodiment, the terms "infection" and "bacterial infection" may refer to acute sinusitis. In one embodiment, the terms "infection" and "bacterial infection" may refer to an infection caused by drug resistant bacteria. In another embodiment, the terms "infection" and "bacterial infection" may refer to catheter-related sepsis. In still another embodiment, the terms "infection" and "bacterial infection" may refer to chancroid. In yet another embodiment, the terms "infection" and "bacterial infection" may refer to Chlamydia. In a further embodiment, the terms "infection" and "bacterial infection" may refer to community-acquired pneumoniae (CAP). In still a further embodiment, the terms "infection" and "bacterial infection" may refer to complicated skin and skin structure infection. In yet a further embodiment, the terms "infection" and "bacterial infection" may refer to uncomplicated skin and skin structure infection. In one embodiment, the terms "infection" and "bacterial infection" may refer to endocarditis. In another embodiment, the terms "infection" and "bacterial infection" may refer to febrile neutropenia. In still another embodiment, the terms "infection" and "bacterial infection" may refer to gonococcal cervicitis. In yet another embodiment, the terms "infection" and "bacterial infection" may refer to gonococcal urethritis. In a further embodiment, the terms "infection" and "bacterial infection" may refer to hospital- acquired pneumonia (HAP). In still a further embodiment, the terms "infection" and "bacterial infection" may refer to osteomyelitis. In yet a further embodiment, the terms "infection" and "bacterial infection" may refer to sepsis. In one embodiment, the terms
"infection" and "bacterial infection" may refer to syphilis. In yet another aspect, the terms "infection" and "bacterial infection" may refer to an infection caused by Gram- variable bacteria.
As used herein, a "heterocyclyl" refers to a heterocarbocyclyl or a heteroaryl and the like, and a "heterocycloalkyl" means an alkyl having at least one alkyl hydrogen atom replaced with a heterocyclyl.
As used herein, "heteroaryl" refers an aromatic heterocyclyl having 1 to 4 heteroatoms selected from the group consisting of nitrogen, oxygen and sulfur, and containing at least 1 carbon atom, including both mono- and polycyclic (e.g., fused) ring systems. Representative heteroaryls are furyl, benzofuranyl, thiophenyl, benzothiophenyl, pyrrolyl, indolyl, isoindolyl, azaindolyl, pyridyl, quinolinyl, isoquinolinyl, oxazolyl, isooxazolyl, benzoxazolyl, pyrazolyl, imidazolyl, benzimidazolyl, thiazolyl, benzothiazolyl, isothiazolyl, pyridazinyl, pyrimidinyl, pyrazinyl, triazinyl, cinnolinyl, phthalazinyl, and quinazolinyl. The term "heteroaryl" includes N-alkylated derivatives such as a l-methylimidazol-5-yl substituent.
"Heterocarbocyclyl" groups are carbocyclyls which contain from 1 to 4 heteroatoms independently selected from the group consisting of nitrogen, oxygen and sulfur which may be saturated or unsaturated (but not aromatic), monocyclic or polycyclic (e.g. , fused ring systems), and wherein the nitrogen and sulfur heteroatoms may be optionally oxidized, and the nitrogen heteroatom may be optionally quaternized. Heterocarbocyclyls include morpholinyl, pyrrolidinonyl, pyrrolidinyl, piperidinyl, hydantoinyl, valerolactamyl, oxiranyl, oxetanyl, tetrahydrofuranyl, tetrahydropyranyl, tetrahydropyridinyl, tetrahydroprimidinyl, tetrahydrothiophenyl, tetrahydrothiopyranyl, tetrahydropyrimidinyl, tetrahydrothiophenyl, tetrahydrothiopyranyl, and the like. As used herein, "heteroarylalkyl" means an alkyl having at least one alkyl hydrogen atom replaced with a heteroaryl moiety, such as -ClHtpyridinyl, - CH2pyrimidinyl, and the like.
"Heterocarbocycloalkyl" means an alkyl having at least one alkyl hydrogen atom replaced with a heterocyclyl, such as -CH2morpholinyl.
The term "obtaining" is used herein to describe the act of acquiring, for example, a material necessary for the methods of the invention. The act of acquiring may include, for example, purchasing the material.
The term "optionally substituted," as used herein, means that substitution is optional, and therefore it is possible for the designated atom to be unsubstituted. It should be understood that a hydrogen substituent cannot be substituted by an optional substituent.
As used herein, the terms "prevent" and "preventing" include the prevention of the recurrence, spread or onset. It is not intended that the present invention be limited to complete prevention. In some embodiments, the onset is delayed, or the severity of the disease is reduced.
As used herein, "salts" refer to derivatives of the disclosed compounds where the parent compound is modified making acid or base salts thereof. Examples of salts include, but are not limited to, mineral or organic acid salts of basic residues such as amines, alkylamines, or dialkylamines; alkali or organic salts of acidic residues such as carboxylic acids; and the like. In particular embodiment the salts are conventional nontoxic pharmaceutically acceptable salts including the quaternary ammonium salts of the parent compound formed, and non-toxic inorganic or organic acids. Particular salts include those derived from inorganic acids such as hydrochloric, hydrobromic, sulfuric, sulfamic, phosphoric, nitric and the like; and the salts prepared from organic acids such as acetic, propionic, succinic, glycolic, stearic, lactic, malic, tartaric, citric, ascorbic, pamoic, maleic, hydroxymaleic, phenylacetic, glutamic, benzoic, salicylic, sulfanilic, 2- acetoxybenzoic, fumaric, toluenesulfonic, methanesulfonic, ethane disulfonic, oxalic, isethionic, and the like. The pharmaceutically acceptable salts of the present invention can be synthesized from the parent compound that contains a basic or acidic moiety by conventional chemical methods. Generally, such salts can be prepared by reacting the free acid or base forms of these compounds with a stoichiometric amount of the appropriate base or acid in water or in an organic solvent, or in a mixture of the two; generally, nonaqueous media like ether, ethyl acetate, ethanol, isopropanol, or acetonitrile are particular embodiments. Lists of suitable salts are found in Remington's Pharmaceutical Sciences, 17th ed., Mack
Publishing Company, Easton, Pa., 1985, p. 1418, the disclosure of which is hereby incorporated by reference.
The term "subject" is intended to include organisms, e.g., prokaryotes and eukaryotes, which are capable of suffering from or afflicted with Gram-negative bacterial infections. Examples of subjects include mammals, e.g., humans, dogs, cows, horses, pigs, sheep, goats, cats, mice, rabbits, rats, and transgenic non-human animals. In certain embodiments, the subject is a human, e.g., a human suffering from, at risk of suffering from, or potentially capable of suffering from a Gram-negative bacterial infection.
The term "substituted" refers to a molecule wherein at least one hydrogen atom is replaced with a substituent. When substituted, one or more of the groups are "substituents." The molecule may be multiply substituted. In the case of an oxo substituent ("=O"), two hydrogen atoms are replaced. Example, substituents within this context may include halogen, hydroxy, alkyl, alkoxy, nitro, cyano, oxo, carbocyclyl, carbocycloalkyl, heterocarbocyclyl, heterocarbocycloalkyl, aryl, arylalkyl, heteroaryl, heteroarylalkyl, -NR3Rb, -NRaC(=O)Rb,
-NRaC(=O)ORb, - NRaSO2Rb, -C(=O)Ra, -C(=O)ORa, -C(=O)NRaRb, -OC(=O)NRaRb, -ORa, -SRa, -SORa, - S(=O)2Ra, -OS(=O)2Ra and -S(=O)2ORa. Ra and Rb in this context may be the same or different and independently hydrogen, halogen hydroxyl, alkyl, alkoxy, alkyl, amino, alkylamino, dialkylamino, carbocyclyl, carbocycloalkyl, heterocarbocyclyl, heterocarbocycloalkyl, aryl, arylalkyl, heteroaryl, heteroarylalkyl.
//. Compounds of the Invention
One embodiment of the invention provides a compound of formula IB:
M is divalent radical selected from the group consisting Of -CH2-, C2_3alkenyl, and C2-4alkynyl;
Xi is selected from the group consisting of N and CRi; X2 is selected from the group consisting of N and CR2; X3 is selected from the group consisting of N and CR3; X4 is selected from the group consisting of N and CR4; Ri is selected from the group consisting of H, methoxy, N-(Ci_3alkyl)amino, N ,N-
(Ci_3alkyl)2amino, -NH-(CH2)2-O(Ci_3alkyl), benzyl, phenyl, and phenoxy, wherein the benzyl, phenyl and phenoxy may be optionally substituted with methyl, or Ri and R2 taken together with the ring to which they are attached form a bicyclic ring containing 0 to 3 heteroatoms; R2 is selected from (i), (ii), or (iii)
(i) selected from the group consisting of H, amino, halogen, C1-3alkyl, Ci_ 3alkoxy, N,N-(Ci_3alkyl)2amino, N-(Ci_3alkyl)amino, hydroxyamino, benzyl, phenyl optionally substituted with halogen or Ci_3alkoxy, -NRa-(CH2)o-2-Rb, -O-(CH2)0-2-Rb, - NHC(O)-Rc, -N(Ci_3alkyl)C(O)-Rc, -NHC(O)NH-Rc, -N(Ci_3alkyl)C(O)NH-Rc, - NHC(O)O-Rc, -N(Ci_3alkyl)C(O)O-Rc, -NHS(O)0-2-Rc, -N(Ci_3alkyl)S(0)o-2-Rc, and heterocyclyl optionally substituted with hydroxy, Ci_3alkoxy, Ci_3alkyl, amino, - C(O)OC(CH3)3, -C(O)N(CHs)2, -(CH2)i_3-N(Ci_3alkyl 3)2, -(CH2V3-O Ci_3alkyl, -(CHz)1. 3-OH, or -(CH2)o-2-heterocyclyl optionally substituted with Ci_3alkyl on the heterocyclyl, (ii) Ri and R2 taken together with the ring to which they are attached form a bicyclic ring containing 0 to 3 heteroatoms, or
(iii) R2 and R3 taken together with the ring to which they are attached form a bicyclic ring containing 0 to 3 heteroatoms;
Ra is selected from the group consisting of H and -Ci_3alkyl; Rb is selected from the group consisting of -Ci_4alkyl, C^alkoxy, phenyl, heterocyclyl, optionally substituted with Ci_3alkyl, Ci_3alkoxy, and heterocyclyl;
Rc is selected from the group consisting of Ci_6alkyl, C2-6alkenyl, benzyl, phenyl, OH, C3_6Cycloalkyl, N,N-(Ci_3alkyl)2aminoalkyl, -CH2-O-CH2-aryl, and heterocyclyl each of which may be optionally substituted with 1-3 substituents independently selected from the group consisting of heterocyclyl, d_3alkoxy, d_3alkyl, OH, NH2, -SCH3, -C(NH)NH- OH, -CO2H, -NHC(O)O-C(CH3), -C(O)CH3, and -NHC(O)CH3;
R3 is selected from the group consisting of H, heterocyclyl, amino, -NHS(0)o-2- Ci_3alkyl, -N(Ci_3alkyl)S(O)0-2-Ci_3alkyl, N-(Ci_3alkyl)amino, -NH-(CH2)2-O(Ci_3alkyl), - NH-(CH2)i_2-heterocyclyl, N,N-(Ci_3alkyl)2aminoalkyl, -Ci_3alkyl, and Ci_3alkoxy each of which may be optionally substituted with OH, NH2, or Ci_3alkyl, or R2 and R3 taken together with the ring to which they are attached form a bicyclic ring containing 0 to 3 heteroatoms;
R4 is selected from the group consisting of H, halogen, -NH2, N5N-(C1- 3alkyl)2amino, Ci_3alkoxy, and -Ci_3alkyl;
R5 is selected from the group consisting of aryl, -NH-phenyl, and heteroaryl, and which may be optionally substituted with 1 to 3 substituents independently selected from the group consisting of halogen and R6;
R6 is selected from the group consisting of phenyl optionally substituted with 1-3 Ci_3alkoxy or halogen, -O-CH2-phenyl, -O-phenyl, -CH2-O-phenyl, heterocyclyl, -O- CH2-heterocyclyl, hydroxyiminomethyl, -Ci_3alkylheterocyclyl, Ci_3alkyl, Ci_3alkoxy, - C2_3alkynylaryl, and -C2_3alkynylheteroaryl, wherein R6 is optionally substituted with - CH2NH-(CH2)2_3-OH, N,N-(Ci_3alkyl)2aminoalkyl, or -Ci_3alkylheterocyclyl, or a salt thereof, with the proviso that if Xi is N, then R2 and R3 taken together with the ring to which they are attached do not form a quinoline or 1 ,6-napthyridine ring; with the proviso that if Xi is N, and R2 and R3 taken together with the ring to which they are attached form a napthyridine or quinazoline ring, then R6 is not 4-pyridyl; and with the proviso that the compound is not
Another embodiment of the invention provides a compound of formula IB:
wherein n is 0, 1 or 2; M is divalent radical selected from the group consisting Of -CH2-, C2-3alkenyl, and
C2-4alkynyl;
Xi is selected from the group consisting of N and CRi;
X2 is selected from the group consisting of N and CR2;
X3 is selected from the group consisting of N and CR3; X4 is selected from the group consisting of N and CR4;
Ri is selected from the group consisting of H, methoxy, -aminoalkyl (e.g., - aminomethyl), -NH-(CH2)2-O(Ci_3alkyl), benzyl, phenyl, and phenoxy, wherein the benzyl, phenyl and phenoxy may be optionally substituted with methyl, or Ri and R2 taken together with the ring to which they are attached form a bicyclic ring containing 0 to 3 heteroatoms (e.g., isoquinolinyl, indolyl, indazolyl, or naphthyl); R2 is selected from (i), (ii), or (iii)
(i) selected from the group consisting of H, amino, halogen (e.g., Br, or I), Ci_3alkyl (e.g., CH3), C1-3alkoxy (e.g., methoxy), N,N-(Ci_3alkyl)2amino (e.g., -N(CH3)2), N-(Ci_3alkyl)amino (e.g., -NHCH3), hydroxyamino, benzyl, phenyl optionally substituted with halogenO.g. , Cl or F) or Ci_3alkoxy (e.g. , methoxy), -NRa-(CH2)o-2-Rb, -0-(CH2)o-2- Rb, -NHC(O)-Rc, and heterocyclyl (e.g., morpholino, pyrrolidinyl, piperidinyl, pyridinyl, or piperazinyl) optionally substituted with hydroxy, Ci_3alkoxy, Ci_3alkyl, pyrimidine, amino, or -C(O)OC(CH3)3,
(ii) Ri and R2 taken together with the ring to which they are attached form a bicyclic ring containing 0 to 3 heteroatoms, such as N, O or S (e.g., isoquinolinyl, indolyl, indazolyl, or naphthyl), or
(iii) R2 and R3 taken together with the ring to which they are attached form a bicyclic ring containing 0 to 3 heteroatoms, such as N, O or S (e.g., isoquinolinyl, indolyl, indazolyl, or naphthyl);
Ra is selected from the group consisting of H and -Ci_3alkyl (e.g., CH3); Rb is selected from the group consisting of -Ci_4alkyl (e.g., isopropyl), Ci_3alkoxy
(e.g., methoxy), phenyl optionally substituted with Ci_3alkoxy (e.g., methoxy), and heterocyclyl (e.g., morpholino or tetrahydropyranyl);
Rc is selected from the group consisting of Ci_6alkyl (e.g., methyl, isopropyl, or t- butyl), benzyl, and heterocyclyl (e.g. , pyridinyl, piperidinyl, or tetrahydropyranyl) optionally substituted with acetamido;
R3 is selected from the group consisting of H, morpholino, amino, N-(C1- 3alkyl)amino, -NH-(CH2)2-O(Ci_3alkyl), -Ci_3alkyl, and Ci_3alkoxy (e.g., methoxy), or R2 and R3 taken together with the ring to which they are attached form a bicyclic ring containing 0 to 3 heteroatoms, (e.g., isoquinolinyl, indolyl, indazolyl, or naphthyl); R4 is selected from the group consisting of H, halogen (e.g., F), -NH2, Ci_3alkoxy
(e.g., methoxy), and -Ci_3alkyl (e.g., CH3)
R5 is selected from the group consisting of aryl (e.g., phenyl), -NH-phenyl, and heteroaryl (e.g., pyridinyl), and which may be optionally substituted with 1 to 3 substituents independently selected from the group consisting of halogen and R6; R6 is selected from the group consisting of phenyl optionally substituted with 1-3
Ci_3alkoxy (e.g., ethoxy) or halogen, phenoxy, benzyloxy, heterocyclyl (e.g., piperidinyl or pyridinyl), hydroxyiminomethyl, -Ci_3alkylheterocyclyl (e.g., -CH2-morpholino) Ci_ 3alkyl (e.g., propyl), Ci_3alkoxy (e.g., methoxy), -C2-3alkynylaryl (e.g., ethynylphenyl) and -C2-3alkynylheteroaryl (e.g., ethynylpyridyl, e.g., ethynylpyrid-3-yl), wherein R6 is optionally substituted with -CH2NH-(CH2)2-3-OH, N,N-(Ci_3alkyl)2ammoalkyl(e.g.,- CH2N(CH3)2), or -Ci_3alkylheterocyclyl (e.g., -CH2-morpholino), or a salt, e.g. , pharmaceutically acceptable salt, thereof.
In certain embodiments of formula IB, one of Xi, X2, X3 or X4 is N. In certain other embodiments of formula IB, two of Xi, X2, X3 or X4 is N. In certain embodiments of formula IB, Xi is CRi.
In certain embodiments of formula IB, Ri is phenyl or pyridinyl.
In certain embodiments of formula IB, M is ethynyl, e.g., wherein n is 1 or 2.
In certain embodiments of formula IB, n is 0, e.g., wherein R5 is phenyl.
In certain embodiments of the compounds of formula IB, when Xi is N, then R2 and R3 taken together with the ring to which they are attached do not form a quinoline or 1 ,6-napthyridine ring.
In certain embodiments of the compounds of formula IB, when Xi is N, and R2 and R3 taken together with the ring to which they are attached form a napthyridine or quinazoline ring, then R6 is not 4-pyridyl.
In certain embodiments, the compound of formula IB is not
In another embodiment of the invention provides a compound of formula IA,
IA wherein n is 0, 1 or 2;
M is divalent radical selected from the group consisting Of -CH2-, C2-3alkenyl, and C2-4alkynyl;
Xi is selected from the group consisting of N and CRi;
X2 is selected from the group consisting of N and CR2;
X3 is selected from the group consisting of N and CR3;
X4 is selected from the group consisting of N and CH;
Ri is selected from the group consisting of H, benzyl, phenyl, and phenoxy, optionally substituted with methyl; R2 is selected from the group consisting of H, hydroxyamino, phenylamino, and
N-methyl-piperazin-4-yl, or R2 and R3 taken together with the ring to which they are attached form an isoquinoline ring;
R3 is selected from the group consisting of H, Ci_3alkyl, and Ci_3alkoxy, or R2 and R3 taken together with the ring to which they are attached form an isoquinoline ring; R5 is selected from the group consisting of aryl and heteroaryl, and which may be optionally substituted with halogen or R6;
R6 is selected from the group consisting of -C2_3alkynylaryl (e.g., ethynylphenyl) and -C2_3alkynylheteroaryl (e.g., ethynylpyridyl, e.g., ethynylpyrid-3-yl), optionally substituted with -Ci_3alkylheterocyclyl (e.g., -CH2-morpholino), or a salt, e.g., pharmaceutically acceptable salt, thereof.
In certain embodiments of formula IA, one of Xi, X2, X3 or X4 is N. In certain other embodiments of formula IA, two of Xi, X2, X3 or X4 is N.
In certain embodiments of formula IA, Ri is phenyl or pyridinyl.
In certain embodiments of formula IA, M is ethynyl, e.g., wherein n is 1 or 2. In certain embodiments of formula IA, n is 0, e.g., wherein R5 is phenyl.
In certain embodiments, the compound of formula IA is not
Another embodiment of the invention provides a compound of formula I,
I wherein n is 0, 1 or 2;
M is divalent radical selected from the group consisting Of -CH2-, C2-3alkenyl, and C2-4alkynyl (e.g., ethynyl);
Xi is selected from the group consisting of N and CRi;
X2 is selected from the group consisting of N and CH; X3 is selected from the group consisting of N and CR3;
X4 is selected from the group consisting of N and CH;
Ri is selected from the group consisting of H, benzyl, phenyl, and phenoxy, optionally substituted with methyl;
R-3 is selected from the group consisting of H, Ci_3alkyl (e.g., methyl), and Ci_ 3alkoxy (e.g., methoxy);
R5 is selected from the group consisting of aryl (e.g. , phenyl) and heteroaryl (e.g. , pyridinyl), and which may be optionally substituted with halogen, or a salt, e.g. , pharmaceutically acceptable salt, thereof.
In certain embodiments of formula I, one of Xi, X2, X3 or X4 is N. In certain other embodiments of formula I, two of Xi, X2, X3 or X4 is N.
In certain embodiments of formula I, Ri is phenyl or pyridinyl.
In certain embodiments of formula I, M is ethynyl, e.g., wherein n is 1 or 2.
In certain embodiments, the compound of formula I is not
In another embodiment, the invention provides a compound of formula HA:
IIA
wherein n is 0, 1 or 2;
M is divalent radical selected from the group consisting of Ci_3alkyl, C2-3alkenyl, and C2-3alkynyl; Xi is selected from the group consisting of N and CRi;
X2 is selected from the group consisting of N and CH; X3 is selected from the group consisting of N and CR3; X4 is selected from the group consisting of N and CH; Ri is selected from the group consisting of benzyl, heteroaryl, phenyl, and phenoxy, optionally substituted with methyl or -C2-3alkynylheteroaryl (e.g., ethynylpyridyl, e.g., ethynylpyrid-3-yl);
R3 is selected from the group consisting of H, Ci_3alkyl, and Ci_3alkoxy; R5 is selected from the group consisting of H, aryl, and heteroaryl, and which may be optionally substituted with halogen, or a salt, e.g., pharmaceutically acceptable salt, thereof.
In certain embodiments of formula HA, one of Xi, X2, X3 or X4 is N. In certain other embodiments of formula HA, two of Xi, X2, X3 or X4 is N.
In certain embodiments of formula HA, Ri is phenyl or pyridinyl. In certain embodiments of formula HA, M is ethynyl, e.g., wherein n is 1 or 2. In certain embodiments, the compound of formula IIA is not
In another embodiment, the invention provides a compound of formula II:
II wherein n is 0, 1 or 2; M is divalent radical selected from the group consisting of C1-3alkyl, C2-3alkenyl, and C2-3alkynyl (e.g., ethynyl);
Xi is selected from the group consisting of N and CRi; X2 is selected from the group consisting of N and CH; X3 is selected from the group consisting of N and CR3;
X4 is selected from the group consisting of N and CH;
Ri is selected from the group consisting of benzyl, phenyl, and phenoxy, optionally substituted with methyl;
R3 is selected from the group consisting of H, Ci_3alkyl (e.g., methyl), and Ci_ 3alkoxy (e.g., methoxy);
R5 is selected from the group consisting of H, aryl (e.g., phenyl), and heteroaryl (e.g., pyridinyl), and which may be optionally substituted with halogen, or a salt, e.g. , pharmaceutically acceptable salt, thereof.
In certain embodiments of formula II, one of Xi, X2, X3 or X4 is N. In certain other embodiments of formula II, two of Xi, X2, X3 or X4 is N.
In certain embodiments of formula II, Ri is phenyl or pyridinyl.
In certain embodiments of formula II, M is ethynyl, e.g., wherein n is 1 or 2.
In certain embodiments, the compound of formula II is not
Another embodiment of the invention provides a compound selected from the group consisting of any one or more of the compounds described in the Exemplification section, or a salt, e.g., a pharmaceutically acceptable salt, thereof. Moreover, if such compound is represented as a salt, the present invention is intended to include free bases,
free acids, or alternative salts of these particular compounds. Additional embodiments comprise compositions and medicaments containing the same (including the aforementioned free bases, free acids, or alternative salts), as well as processes for the preparation and use of such compounds, compositions and medicaments. Moreover, it should be noted that each of these compounds, and salts thereof, are also intended to be separate embodiments, and in this regard, each species listed in the Exemplification, and salt thereof, should be considered to be an individual embodiment.
The ordinarily skilled artisan would understand that some compounds of the invention (e.g., Formula I, IA, IB, II or HA) may have chiral centers and/or geometric isomeric centers (E- and Z- isomers), and it is to be understood that the invention encompasses all such optical, diastereoisomers and geometric isomers. For example, all optical, diastereoisomers and geometric isomers of the compounds of the invention as described in the Exemplification section are intended to be included within the scope of the present invention It is also to be understood that certain compounds of Formula I, IA, IB, II or HA can exist in solvated as well as unsolvated forms such as, for example, hydrated forms. It is to be understood that the invention encompasses all such solvated forms.
Moreover, it should be understood that the present invention is intended to include any novel compound or pharmaceutical composition described herein. It should also be understood that the compounds disclosed herein may exist in solid and solution form as tautomers, depending upon the particular compound and the particular composition in which the compound is contained.
Certain embodiments of the present invention, and compounds described herein relate to inhibitors of UDP-3-0 — (R-S-hydroxymyristoy^-N-acetylglucosamine deacetylase (LpxC). Moreover, the compounds of the invention, for example, the species noted in the Exemplification section, are potentially useful in the treatment of diseases associated with inhibition of UDP-3-0 — (R-S-hydroxymyristoy^-N-acetylglucosamine deacetylase (LpxC), in particular in the treatment and/or prevention of Gram-negative bacterial infections.
///. Methods and Pharmaceutical Compositions of the Invention
A. Methods
An additional embodiment of the invention provides a method of treating a Gram- negative bacterial infection. The method comprises administering to a subject, e.g., a human, diagnosed with, at risk for, or exhibiting symptoms of a bacterial infection, a pharmaceutical composition comprising a compound of the invention, such that the bacterial infection is treated. In certain embodiments, the subject is diagnosed with a bacterial infection.
In certain embodiments, the Gram-negative bacterial infection is an infection caused by one or more of bacteria selected from the group consisting of Acinetobacter baumannii, Acinetobacter haemolyticus, Actinobacillus actinomycetemcomitans, Aeromonas hydrophila, Bacteroides fragilis, Bacteroides theataioatamicron, Bacteroides distasonis, Bacteroides ovatus, Bacteroides vulgatus, Bordetella pertussis, Brucella melitensis, Burkholderia cepacia, Burkholderia pseudomallei, Burkholderia mallei Fusobacterium, Prevotella corporis, Prevotella intermedia, Prevotella endodontalis, Porphyromonas asaccharolytica, Campylobacter jejuni, Campylobacter fetus, Campylobacter coli, Citrobacter freundii, Citrobacter koseri, Edwarsiella tarda, Eikenella corrodens, Enterobacter cloacae, Enterobacter aerogenes, Enterobacter agglomerans, Escherichia coli, Francisella tularensis, Haemophilus influenzae, Haemophilus ducreyi, Helicobacter pylori, Kingella kingae, Klebsiella pneumoniae, Klebsiella oxytoca, Klebsiella rhinoscleromatis, Klebsiella ozaenae, Legionella penumophila, Moraxella catarrhalis, Morganella morganii, Neisseria gonorrhoeae, Neisseria meningitidis, Pasteurella multocida, Plesiomonas shigelloides, Proteus mirabilis, Proteus vulgaris, Proteus penneri, Proteus myxofaciens, Providencia stuartii, Providencia rettgeri, Providencia alcalifaciens, Pseudomonas aeruginosa, Pseudomonas fluorescens, Salmonella typhi, Salmonella paratyphi, Serratia marcescens, Shigella flexneri, Shigella boydii, Shigella sonnei, Shigella dysenteriae, Stenotrophomonas maltophilia, Streptobacillus moniliformis, Vibrio cholerae, Vibrio parahaemolyticus,
Vibrio vulnificus, Vibrio alginolyticus, Yersinia enterocolitica, Yersinia pestis, Yersinia pseudotuberculosis, Chlamydia pneumoniae, Chlamydia trachomatis, Ricketsia prowazekii, Coxiella burnetii, Ehrlichia chafeensis, and Bartonella hensenae. For example, in a particular embodiment, the Gram-negative bacterial infection is an infection caused by one or more of bacteria selected from the group consisting of Acinetobacter baumannii, Bordetella pertussis, Burkholderia cepacia, Burkholderia pseudomallei, Burkholderia mallei, Campylobacter jejuni, Campylobacter coli, Enterobacter cloacae, Enterobacter aerogenes, Escherichia coli, Francisella tularensis, Haemophilus influenzae, Haemophilus ducreyi, Helicobacter pylori, Klebsiella pneumoniae, Legionella penumophila, Moraxella catarrhalis, Morganella morganii,
Neisseria gonorrhoeae, Neisseria meningitidis, Pasteurella multocida, Proteus mirabilis, Proteus vulgaris, Pseudomonas aeruginosa, Salmonella typhi, Serratia marcescens, Shigella flexneri, Shigella boydii, Shigella sonnei, Shigella dysenteriae, Stenotrophomonas maltophilia, Vibrio cholerae, and Chlamydia pneumoniae. In a specific embodiment, the Gram-negative bacterial infection is an infection caused by one or more of bacteria selected from the group consisting of Acinetobacter baumannii, Bordetella pertussis, Burkholderia cepacia, Burkholderia pseudomallei, Burkholderia mallei, Campylobacter jejuni, Campylobacter coli, Enterobacter cloacae, Enterobacter aerogenes, Escherichia coli, Francisella tularensis, Haemophilus influenzae, Haemophilus ducreyi, Helicobacter pylori, Klebsiella pneumoniae, Legionella penumophila, Moraxella catarrhalis, Morganella morganii, Proteus mirabilis, Proteus vulgaris, Pseudomonas aeruginosa, Serratia marcescens, and Stenotrophomonas maltophilia.
In yet another aspect, the invention provides a method of inhibiting UDP-3-0 — (R-S-hydroxymyristoy^-N-acetylglucosamine deacetylase (LpxC). The method comprises combining {e.g., in vivo addition, including administration to a subject, or in vitro analysis) a compound of the invention {e.g., a compound of formula I, IA, IB, II or IIA) with LpxC under conditions such that Lipid A biosynthesis is inhibited.
Another embodiment of the invention provides a method of inhibiting the growth of one or more Gram-negative bacterium comprising administering to a subject a
compound disclosed herein or a pharmaceutically acceptable salt thereof under conditions such that the growth of the Gram-negative bacterium is inhibited.
In an additional embodiment, the invention provides a compound of the invention
(e.g., a compound of formula I, IA, IB, II or HA), or a pharmaceutically acceptable salt thereof, as described herein, for use as a medicament.
In yet another embodiment, the invention pertains to the use of a compound of the invention (e.g., a compound of formula I, IA, IB, II or HA), or a pharmaceutically acceptable salt thereof, as described herein, for the manufacture of a medicament for the production of an LpxC inhibitory effect in a subject. In a further embodiment, the invention pertains to the use of a compound of the invention (e.g., a compound of formula I, IA, IB, II or HA), or a pharmaceutically acceptable salt thereof, as described herein, for the manufacture of a medicament for the production of a Gram-negative anti-bacterial effect in a subject.
In another embodiment, the invention relates to the use of a compound of the invention (e.g., a compound of formula I, IA, IB, II or HA), or a pharmaceutically acceptable salt thereof for the manufacture of a medicament for preventing or treating a
Gram-negative bacterial infection, e.g., treating a Gram-negative bacterial infection.
In an additional embodiment the present invention provides a compound of the invention (e.g., a compound of formula I, IA, IB, II or HA), or a pharmaceutically acceptable salt thereof, for use in the manufacture of a medicament for use in the inhibition of UDP-3-0 — (R-S-hydroxymyristoy^-N-acetylglucosamine deacetylase
(LpxC) activity.
The compounds of the invention (e.g., a compound of formula I, IA, IB, II or HA) may be used in the methods of the invention as either a single agent by itself or in combination with other clinically relevant agents. One or more of these compounds could also prevent the potential anti-bacterial resistance mechanisms that may arise due to mutations in a set of genes. For example, the treatment defined herein may be applied as a sole therapy or may involve, in addition to the compound of the invention, conventional therapies. Such conventional therapies may include one or more of the following suitable classes and substances:
i) other antibacterial agents for example macrolides e.g. erythromycin, azithromycin or clarithromycin; quinolones e.g. ciprofloxacin or levofloxacin; β-lactams e.g. penicillins e.g. amoxicillin or piperacillin; cephalosporins e.g. ceftriaxone or ceftazidime; carbapenems, e.g. meropenem or imipenem etc; aminoglycosides e.g. gentamicin or tobramycin; or oxazolidinones; ii) anti-infective agents for example, an antifungal triazole e.g. or amphotericin; iii) biological protein therapeutics for example antibodies, cytokines, bactericidal/permeability-increasing protein (BPI) products; and iv) efflux pump inhibitors.
Such conjoint treatment may be achieved by way of the simultaneous, sequential or separate dosing of the individual components of the treatment. Such combination products employ the compounds of this invention, or pharmaceutically acceptable salts thereof, within the dosage range described hereinbefore and the other pharmaceutically active agent within its approved dosage range.
Therefore, in a further aspect of the invention there is provided a compound of Formula I, IA, IB, II or HA, or a pharmaceutically acceptable salt thereof and a chemotherapeutic agent selected from: i) one or more additional antibacterial agents; ii) one or more anti-infective agents; iii) biological protein therapeutics for example antibodies, cytokines, bactericidal/permeability-increasing protein (BPI) products; or iv) one or more efflux pump inhibitors. An additional embodiment of the invention provides a method of preparation of a compound of the invention (e.g., a compound of formula I, IA, IB, II or HA), as defined in any one of the examples described herein. In particular embodiments, the method comprises a step of obtaining, e.g., providing, a compound used in the preparation.
In still further embodiments, the invention relates to pharmaceutical composition comprising compounds disclosed herein and use in the prevention and/or treatment of Gram-negative bacterial infections.
B. Pharmaceutical Compositions
Another embodiment of the invention provides a pharmaceutical composition which comprises a compound of the invention {e.g., a compound of formula I, IA, IB, II or IIA), or a pharmaceutically acceptable salt thereof, as described herein, in association with a pharmaceutically acceptable diluent or carrier.
The present pharmaceutical compositions can take the form of solutions, suspensions, emulsion, tablets, pills, pellets, capsules, capsules containing liquids, powders, sustained-release formulations, suppositories, emulsions, aerosols, sprays, suspensions, or any other form suitable for use.
Administration may be topical, i.e., substance is applied directly where its action is desired, enteral or oral, i.e., substance is given via the digestive tract, parenteral, i.e., substance is given by other routes than the digestive tract such as by injection.
In a particular embodiment, the active compound and optionally another therapeutic or prophylactic agent are formulated in accordance with routine procedures as pharmaceutical compositions adapted for intravenous administration to human beings. Typically, the active compound for intravenous administration are solutions in sterile isotonic aqueous buffer. Where necessary, the compositions can also include a solubilizing agent. Compositions for intravenous administration can optionally include a local anesthetic such as lignocaine to ease pain at the site of the injection. Generally, the ingredients are supplied either separately or mixed together in unit dosage form, for example, as a dry lyophilized powder or water free concentrate in a hermetically sealed container such as an ampoule. Where the active compound is to be administered by infusion, it can be dispensed, for example, with an infusion bottle containing sterile pharmaceutical grade water or saline. Where the active compound is administered by injection, an ampoule of sterile water for injection or saline can be provided so that the ingredients can be mixed prior to administration.
Compositions for oral delivery can be in the form of tablets, lozenges, aqueous or oily suspensions, granules, powders, emulsions, capsules, syrups, or elixirs, for example. Orally administered compositions can contain one or more optional agents, for example, sweetening agents such as fructose, aspartame or saccharin; flavoring agents such as
peppermint, oil of wintergreen, or cherry; coloring agents; and preserving agents, to provide a pharmaceutically palatable preparation. A time delay material such as glycerol monostearate or glycerol stearate can also be used. Oral compositions can include standard vehicles such as mannitol, lactose, starch, magnesium stearate, sodium saccharine, cellulose, magnesium carbonate, and the like. Such vehicles are of pharmaceutical grade in particular embodiments.
Compositions for use in accordance with the present invention can be formulated in conventional manner using one or more physiologically acceptable carriers or excipients. Thus, the compound and optionally another therapeutic or prophylactic agent and their physiologically acceptable salts and solvates can be formulated into pharmaceutical compositions for administration by inhalation or insufflation (either through the mouth or the nose) or oral, parenteral or mucosol (such as buccal, vaginal, rectal, sublingual) administration. In one embodiment, local or systemic parenteral administration is used. For oral administration, the compositions can take the form of, for example, tablets or capsules prepared by conventional means with pharmaceutically acceptable excipients such as binding agents (e.g., pregelatinised maize starch, polyvinylpyrrolidone or hydro xypropyl methylcellulose); fillers (e.g., lactose, microcrystalline cellulose or calcium hydrogen phosphate); lubricants (e.g., magnesium stearate, talc or silica); disintegrants (e.g., potato starch or sodium starch glycolate); or wetting agents (e.g., sodium lauryl sulphate). The tablets can be coated by methods well known in the art. Liquid preparations for oral administration can take the form of, for example, solutions, syrups or suspensions, or they can be presented as a dry product for constitution with water or other suitable vehicle before use. Such liquid preparations can be prepared by conventional means with pharmaceutically acceptable additives such as suspending agents (e.g., sorbitol syrup, cellulose derivatives or hydrogenated edible fats); emulsifying agents (e.g., lecithin or acacia); non-aqueous vehicles (e.g., almond oil, oily esters, ethyl alcohol or fractionated vegetable oils); and preservatives (e.g., methyl or propyl-p-hydroxybenzoates or sorbic acid). The preparations can also contain buffer salts, flavoring, coloring and sweetening agents as appropriate.
In some embodiments, compounds or salts disclosed herein or can be administered as a pharmaceutical composition in which the pharmaceutical composition comprises between 0.1 -lmg, 1-10 mg, 10-50mg, 50-100mg, 100-500mg, or 500mg to 5 g of said compound or salt.
EXEMPLIFICATION
The following descriptions of experiments, procedures, examples, and intermediates are intended to exemplify embodiments of the invention, and are in no way intended to be limiting.
Examples
The invention will now be illustrated by the following non-limiting examples in which, unless stated otherwise: (i) temperatures are given in degrees Celsius (0C); operations were carried out at room or ambient temperature, that is, at a temperature in the range of 18-25 0C unless otherwise indicated;
(ii) organic solutions were dried over anhydrous sodium sulphate; evaporation of solvent was carried out using a rotary evaporator under reduced pressure (600-4000 Pascals; 4.5-30mmHg) with a bath temperature of up to 60 0C;
(iii) in general, the course of reactions was followed by TLC or LC-MS and reaction times are given for illustration only;
(iv) final products had satisfactory proton nuclear magnetic resonance (NMR) spectra and/or mass spectral data; (v) yields are given for illustration only and are not necessarily those which can be obtained by diligent process development; preparations were repeated if more material was required;
(vi) when given, NMR data is in the form of delta values for major diagnostic protons, given in parts per million (ppm) relative to tetramethylsilane (TMS) as an internal standard, determined at 400 or 300 MHz using perdeuterio dimethyl sulphoxide (DMSO-d6) as solvent unless otherwise indicated;
(vii) chemical symbols have their usual meanings; SI units and symbols are used;
(viii) solvent ratios are given in volume: volume (v/v) terms; and
(ix) mass spectra were run with an electron energy of 70 electron volts in the chemical ionization (CI) mode using a direct exposure probe; where indicated ionization was effected by electron impact (EI), fast atom bombardment (FAB) or electrospray (ESP); values for m/z are given; generally, only ions which indicate the parent mass are reported; and unless otherwise stated, the mass ion quoted is (MH)+;
(x) where a synthesis is described as being analogous to that described in a previous example the amounts used are the millimolar ratio equivalents to those used in the previous example;
(xi) the following abbreviations have been used:
DMF Λ/,Λ/-dimethylformamide;
EtOAc ethyl acetate;
TFA trifluoroacetic acid;
DMSO dimethylsulphoxide;
DIPEA Λ/,Λ/,-diisopropylethylamine (Hunig's Base);
HATU N,N,N ,Λ/'-tetramethyl-O-(7-azabenzotriazol- 1 -yl)uronium hexafluorophosphate;
HBTU 2-( 1 H-benzotriazol- 1 -yl)- 1 , 1 ,3 ,3 ,-tetramethyluronium hexafluorophosphate;
HOBt 1-hydroxybenzotriazole hydrate;
EDC 1 -(3 -dimethylaminopropyl)-3 -ethylcarbodiimide hydrochloride;
DCM dichloromethane;
THF tetrahydrofuran;
MeOH methanol;
Et3N triethylamine;
MeCN Acetonitrile;
BOC tert-butoxycarbonyl
(xii) "ISCO" refers to normal phase flash column chromatography using prepacked silica gel cartridges used according to the manufacturers instruction obtained from ISCO, Inc, 4700 Superior Street Lincoln, NE, USA.
(xiii) "Gilson HPLC" refers to a YMC-AQC 18 reverse phase HPLC Column with dimension 20mm/100 and 50mm/250 in water-CH3CN with 0.1% TFA, 0.1% formic acid, or 0.1% 1OmM ammonium acetate as mobile phase, obtained from Waters Corporation 34, Maple street, Milford, MA,USA.
I. Biological Assays
LC-MS assay for P. aeruginosa LpxC.
Materials Assay buffers consisted of 25 - 100 mM NaH2PO4, pH 6.5 - pH 7.5 or 25 - 100 mM BisTris pH 6.5 - 7.5, in the presence of 0.2 - 1 mg/mL BSA or 0.5 - 1 M Sucrose. The wild-type P. aeruginosa LpxC was derived from P. aeruginosa PAO 1 genomic DNA and subcloned into pET-30b. This protein was expressed and purified from the E. coli BL21(DE3) pLysS expression strain. (J.Bact. 1997, 179, 2029-2037). E. coli LpxC was cloned from E. coli MG1655 genomic DNA into pET-30b, and then expressed and purified from BL21(DE3pLysS) (Biochemistry 1999, 38, 1902-1911).
Methods
Compounds in DMSO at indicated concentrations were incubated with 0.4 - 10 nM concentrations of Pseudomonas aeruginosa or E. coli LpxC for 15 minutes in assay buffer in polypropylene 96- or 384-well plates. Reactions were then initiated by addition of substrate (UDP-3-O-(R-3-hydroxydecanoyl)-N-acetylglucosamine (NuRx /Alberta Research Council 250 Karl Clark Road, Edmonton, Alberta, Canada), in assay buffer. Final assay concentrations of enzyme and substrate were .2 - 5 pM and 1 - 10 μM respectively.
Control assays were run using 25 mM EDTA as a 100% inhibition control and 2% DMSO as a 0% inhibition control. Reactions were allowed to proceed for 20 - 45 minutes until quenched with IX- 3X volume of 50 mM EDT A/0.5% acetic acid. For LC- MS analysis, 10 μL of quenched reaction mixture was injected onto a Shimadzu HPLC system interfaced to an API-4000 triple quadrupole mass spectrometer operating in MRM mode. Reaction product and unreacted substrate were eluted into the mass spectrometer with a gradient starting at 5% Acetonitrile, 95% 1OmM Ammonium Acetate/Water to 90% Acetonitrile, 10% 10 mM Ammonium acetate/Water.
Deacetylated substrate was quantified during the HPLC run by monitoring abundance of fragment ions of the parent ion at m/z 734 produced in the mass spectrometer. Quantification of unreacted substrate was performed by monitoring fragment ions produced from the corresponding parent ion at m/z 776.
The compounds in Table 1 below were tested according to an assay as described above, or as appropriately modified.
Table 1
II. Synthetic Exemplification
A. Methods of Preparation of Starting Material
Method 1
3-{[4-(4,4,5,5-tetramethyl-l,3,2-dioxaborolan-2-yl)phenyl]ethynyl}pyridine
To a degassed solution of 2-(4-iodophenyl)-4,4,5,5-tetramethyl-l,3,2- dioxaborolane (3.2 g, 9.7 mmol) in 30 niL dry acetonitrile was added Pd(PPlIs)2Cb (140 mg, 0.19 mmol) followed by CuI (18.5 mg, 0.096 mmol) and the reaction mixture was degassed for another 10 min. To this reaction mixture was added triethylamine (2.9 g,
29.1 mmol) followed by a solution of 3-ethynylpyridine (1.0 g, 9.7 mmol) in dry acetonitrile (20 mL) over a period of 15 min with stirring under nitrogen/argon atmosphere. The resulting reaction mixture was heated at 80 0C for 2 h. The reaction mass was cooled to room temperature, and diluted with water (50 mL). The precipitated solid was filtered, washed with water (100 mL), and then dried under vacuum to get the compound as yellow solid (2.5 g, 78% yield).
LC-MS: [M+H]+ 306.0
Mass: calculated for Ci9H20BNO2, 305.16 1H NMR (400 MHz, δ ppm, DMSO-d6): 8.8 (s, IH), 8.6 (s, IH), 7.82 (d, 3H), 7.55 (d,
2H), 7.3 (m, 2H), 1.4 (s, 12H).
Method 2 3-((4-(5,5-dimethyl-l,3,2-dioxaborinan-2-yl)phenyl)ethynyl)pyridine
A. 2-(4-iodophenyl)-5,5-dimethyl-l,3,2-dioxaborinane
In a round bottom flask, a mixture of 4-iodophenylboronic acid (15 g, 60.5 mmol), 2,2-dimethylpropane-l,3-diol (6.9 g, 66.6 mmol) and magnesium sulfate (72.9 g, 605 mmol) in DCM (300 mL) was stirred overnight at room temperature. After this time, the reaction was filtered and then concentrated to afford the desired product as a white solid (18.2 g, 95%). The crude material was carried forward with no further purification. 1H NMR (300 MHz, DMSO-d6) δ: ppm 7.74 (d, 2H); 7.46 (d, 2H); 3.75 (s, 4H); 0.95 (s, 6H).
B. 3-((4-(5,5-dimethyl-l,3,2-dioxaborinan-2-yl)phenyl)ethynyl)pyridine
In an oven dried round bottom flask, a solution of 2-(4-iodophenyl)-5,5-dimethyl-
1,3,2-dioxaborinane (21 g, 66.47 mmol) and triethylamine (27.8 mL, 199.40 mmol) in acetonitrile (305 mL) was degassed with a stream of N2 for 5 minutes. After this time, 3- ethynylpyridine (7.20 g, 69.79 mmol), Pd(PPh3)2Cl2 (3.5 g, 4.99 mmol) and copper(I) iodide (0.633 g, 3.32 mmol) were added. The flask was then placed in a 60 0C oil bath and was stirred for 2 h, until TLC indicated formation of a new product. The reaction was allowed to cool to room temperature and was then concentrated in vacuo. The resulting brown solid was dissolved in DCM and then impregnated on silica gel. The crude material was purified by silica gel chromatography (5-50% Ethyl Acetate in Hexanes) to afford the desired product as a yellow solid (16.2 g, 83%).
1U NMR (300 MHz, DMSO-d6) δ: ppm 8.77 (s, IH); 8.61 (d, IH); 7.98 (d, IH); 7.76 (d, 2H); 7.58 (d, 2H); 7.48 (dd, IH), 3.78 (s, 4H); 0.97 (s, 6H).
Method 3
4-((4-(5,5-dimethyl-l,3,2-dioxaborinan-2-yl)phenyl)ethynyl)benzaldehyde
A. 2-(4-iodophenyl)-5,5-dimethyl-l ,3,2-dioxaborinane
2-(4-iodophenyl)-5,5-dimethyl-l,3,2-dioxaborinane was prepared following the method described in Method 2 step A to yield 5.4 g (86% yield) of the title compound as an off-white solid.
LC-MS: [M+H]+ 316.12 Mass: calculated for C11H14BIO2, 315.95
B. 4-ethynylbenzaldehyde
A degassed solution of 4-bromobezaldehyde (6.0 g, 32.4 mmol) and triphenylphosphine (0.17 g, 0.65 mmol) in 60 mL of anhydrous triethylamine was added ethynyltrimethylsilane (26.7 mL, 48.6 mmol) followed by palladium (II) acetate (0.072 g, 0.32 mmol) at room temperature under argon atmosphere. The reaction mixture was heated at reflux for 2 h in sealed tube. The reaction mass was cooled to room temperature and the precipitated solid was filtered. The filtrate was concentrated to provide crude compound. The crude compound was purified by column chromatography (silica gel,
100-200 mesh) by using 1% ethyl acetate in pet-ether as mobile phase to provide 4- ((trimethylsilyl)ethynyl)benzaldehyde (5.2 g, 80%). This compound was taken up in methanol (100 mL), to which potassium carbonate (0.341 g, 2.47 mmol) was added at room temperature. The reaction mass was stirred for 2 h. The solvent was removed under reduced pressure and the residue was diluted with dichloromethane (50 mL). The organic solution was washed with water (50 mL), brine solution (25 mL), dried over anhydrous magnesium sulfate and evaporated under reduced pressure to get 4-ethynylbenzaldehyde as light brown solid (3.0 g, 94%).
LC-MS: [M+H]+ 131.2 Mass: calculated for C9H6O, 130.15
IH NMR (400 MHz, δ ppm, CDC13): δ 10.02 (s, IH), 7.85 (d, 2H), 7.65 (d, 2H), 3.29 (s, IH)
C. 4-((4-(5,5-dimethyl-l,3,2-dioxaborinan-2-yl)phenyl)ethynyl)benzaldehyde
To a argon purged solution of 2-(4-iodophenyl)-5,5-dimethyl-l,3,2-dioxaborinane (6.0 g, 18.98 mmol) in acetonitrile (60 mL) was added Pd(PPh3)2Cl2 (0.266 g, 0.3796 mmol), CuI (0.036 g, 0.1897 mmol) followed by triethylamine (7.89 mL, 56.96 mmol). The argon atmosphere was replaced by hydrogen/argon (~1 : 1). To this solution was added a solution of 4-ethynylbenzaldehyde (3.70 g, 28.48 mmol) in acetonitrile (20 mL) under argon/hydrogen atmosphere at room temperature. The reaction mixture was heated at 75 0C for 4 h. The solvent was evaporated under reduced pressure and the residue was diluted with water. The precipitated solid was filtered to provide 4-((4-(5,5-dimethyl- l,3,2-dioxaborinan-2-yl)phenyl)ethynyl)benzaldehyde (5.6 g, 93%) as off-white solid. LC-MS: [M+H]+ 319.0
Mass: calculated for C20Hi9BO3, 318.18
1H NMR (400 MHz, δ ppm, CDCl3): δ 10.02 (s, IH), 7.85 (d, 2H), 7.79 (d, 2H), 7.66 (d,
2H), 7.54 (d, 2H), 3.78 (s, 4H), 1.03 (s, 6H).
Method 4
4-(4-((4-(5,5-dimethyl-l,3,2-dioxaborinan-2-yl)phenyl)ethynyl)benzyl) morpholine
A. 4-((4-(5,5-dimethyl-l,3,2-dioxaborinan-2-yl)phenyl)ethynyl)benzaldehyde
4-((4-(5,5-Dimethyl-l,3,2-dioxaborinan-2-yl)phenyl)ethynyl)benzaldehyde was prepared following the method described in Method 3 steps A-C to yield 50.O g (99% yield) of the title compound as a yellow solid. LC-MS: [M+H]+ 319.0 1H NMR (400 MHz, CDCl3) δ: ppm 10.02 (s, IH), 7.95 (d, 2H), 7.79 (m, 4H), 7.66 (d, 2H), 3.78 (s, 4H), 1.00 (s, 6H).
B. 4-(4-((4-(5,5-Dimethyl-l,3,2-dioxaborinan-2-yl)phenyl)ethynyl)benzyl) morpholine
To a solution of 4-((4-(5,5-dimethyl-l,3,2-dioxaborinan-2- yl)phenyl)ethynyl)benzaldehyde (10.0 g, 31.4 mmol) in dichloroethane was added morpholine (8.22 g, 94.3 mmol) followed by acetic acid (0.180 mL, 3.14 mmol) and NaBH(OAc)3 (16.6 g, 78.7 mmol) at 00C. The reaction mixture was stirred at room temperature for 4 h. The reaction was quenched with ice-cold water and extracted with chloroform (200 mL x 2). The combined organic layers were washed with water (100 mL x 2), brine solution (50 mL), dried over anhydrous Na2SO4 and evaporated under reduced pressure to provide the crude compound. The crude compound was purified by triturating with chilled methanol (10 mL) for ~10 min. and filtered to provide 4-(4-((4- (5,5-dimethyl-l,3,2-dioxaborinan-2-yl)phenyl)ethynyl)benzyl)morpholine as light yellow solid (8.00 g, 65%). LC-MS: [M+H] + 390.00
1H NMR (400 MHz, DMSO-d6) δ: ppm 7.78 (d, 2H), 7.51 (d, 4H), 7.35 (d, 2H), 3.80 (s, 4H), 3.60 (m, 4H), 3.45(s, 2H), 2.40 (m, 4H), 1.00 (s, 6H).
Method 5
4-(4-((4-(4,4,5,5-Tetramethyl-l,3,2-dioxaborolan-2-yl)phenyl)ethynyl)benzyl) morpholine
A. 4-((4-(4,4,5,5-Tetramethyl-l,3,2-dioxaborolan-2-yl)phenyl)ethynyl) benzaldehyde
A solution of 4-iodobenzeneboronic acid pinacol ester (5.0 g, 15 mmol) and triethylamine (6.3 mL, 45.5 mmol) in acetonitrile (70 mL) was degassed and purged with nitrogen. Next, 4-ethynylbenzaldehyde (2.1 g, 16 mmol), Pd(PPhS)2Cl2 (1.1 g, 1.5 mmol)
and copper(I) iodide (0.14 g, 0.76 mmol) were added. The flask was placed in a preheated 60 0C oil bath and heated for 1.5 h. After cooling to room temperature, the mixture was concentrated in vacuo and purified by silica gel chromatography. 1H NMR [300 MHz, CDCl3] δ: ppm 10.03 (s, IH); 7.89 (s, IH); 7.87 (s, IH); 7.83 (s, IH); 7.81 (s, IH); 7.70 (s, IH); 7.67 (s, IH); 7.57 (s, IH); 7.55 (s, IH); 1.37 (s, 12H).
B. 4-(4-((4-(4,4,5,5-tetramethyl-l,3,2-dioxaborolan-2-yl)phenyl)ethynyl)benzyl) morpholine
(3.1 g, 9.2 mmol) was dissolved in THF (65 mL). Morpholine (2.4 mL, 28 mmol) was added, followed by the addition of two drops of glacial acetic acid. The mixture was stirred for 45 min at room temperature and then cooled to 0 0C. Sodium triacetoxyborohydride (5.9 g, 28 mmol) was added in portions and the resultant mixture was allowed to warm to room temperature, and then stirred overnight. The mixture was then cooled to 0 0C and 20 mL of half-saturated aq NaHCO3 was added. The mixture was diluted with ethyl acetate and the layers were separated. The organic layer was washed with water and then brine, dried over Na2SO4 and concentrated in vacuo. Purification by silica gel chromatography afforded the desired product. 1H NMR [300 MHz, DMSO-d6] δ: ppm 7.71 (s, IH); 7.69 (s, IH); 7.54 (m, 4H); 7.38 (s, IH); 7.35 (s, IH); 3.58 (m, 4H); 3.49 (s, 2H); 2.35 (m, 4H); 1.30 (s, 12H).
Method 6 Methyl 2-amino-6-[4-(pyridin-3-ylethynyl)phenyl]pyridine-4-carboxylate
A solution of methyl 2,6-dichloroisonicotinate (13 g, 0.06 mol),p- methoxybenzylamine (8.3 g, 0.06 mol) and DIPEA (21 ml, 0.12 mol) in NMP (125 ml) was stirred at 120 0C. After 5 h, LC-MS indicated complete consumption of starting material and formation of the desired product. The reaction was removed from the heat and cooled to room temperature. Water was added to the reaction solution, followed by extracting 3 times with ethyl acetate. The pooled organics were washed with saturated NaCl, dried over Na2SO4 filtered and concentrated in vacuo. The crude product was purified by silica gel chromatography (5% ethyl acetate in hexanes) to afford the desired product (5.2 g, 0.016 mol, 28%) as a white solid. LC-MS: [M+H]+ 307.3 Mass: calculated for Ci5Hi5ClN2O3, 306.74
1H NMR (400 MHz, DMSO-d6) δ: ppm 7.83 (t, IH); 7.25 (d, 2H); 6.99 (s, IH); 6.87 (d, 2H); 6.83 (s, IH); 4.39 (d, IH); 3.83 (s, 3H); 3.72 (s, 3H).
B . Methyl 2- [(4-methoxybenzyl)amino]-6- [4-(pyridin-3 -ylethynyl)phenyl] pyridine -4-carboxylate
Methyl 2-chloro-6-[(4-methoxybenzyl)amino]pyridine-4-carboxylate (5 g, 0.016 mol), 3-((4-(5,5-dimethyl-l,3,2-dioxaborinan-2-yl)phenyl)ethynyl)pyridine (9.5 g, 0.033
mol) and sodium carbonate (2.6 g, 0.024 mol) were taken up in 1,4-dioxane (50 mL) and water (10 mL). The solution was degassed with a stream of N2 for 10 minutes.
Pd(Ph3P)4 (1 g, 0.86 mmol) was added and the reaction was stirred at 100 0C for 14 h. LC-MS indicated complete consumption of starting material and formation of the hydrolyzed product (acid). The reaction was concentrated in vacuo and the crude residue was carried on without further purification. LC-MS: [M+H]+ 450.4 Mass: calculated for C28H23N3O3, 449.50
1H NMR (400 MHz, CDCl3) δ: ppm 8.79 (s, IH); 8.58 (m, IH); 8.09 (d, 2H); 7.86 (m, IH); 7.68 (m, 3H); 7.63 (d, IH); 7.34 (m, 4H); 7.05 (s, IH); 6.91 (d, 2H); 4.59 (d, 2H); 3.95 (s, 3H); 3.81 (s, 3H).
C . Methyl 2-amino-6- [4-(pyridin-3 -ylethynyl)phenyl]pyridine-4-carboxylate
4-carboxylate (5 g, 0.011 mol) was taken-up in TFA (50 mL) and stirred for 14 h at room temperature. LC-MS indicated complete consumption of starting material and formation of the benzyl deprotected product (amine). TFA was removed in vacuo and water was added to the reaction mixture. The reaction mixture was neutralized with sodium bicarbonate solution and extracted with DCM. The organic layer was washed with brine and dried over the anhydrous sodium sulfate and concentrated to obtain 3.6 g of the desired product, which was used in the next step without further purification. LC-MS: [M+H]+ 330.4 Mass: calculated for C20Hi5N3O2, 329.35
1H NMR (400 MHz, DMSO-d6) δ: ppm 8.78 (s, IH); 8.58 (m, IH); 8.09 (d, 2H); 8.0 (m, IH); 7.67 (d, 2H); 7.47 (m, 2H); 6.98 (s, IH); 6.5 (s, 2H); 3.87 (s, 3H).
Method 7
5-{[4-(5,5-Dimethyl-l,3,2-dioxaborinan-2-yl)phenyl]ethynyl}pyridine-2- carbaldehyde
A . 5-[(Trimethylsilyl)ethynyl]pyridine-2-carbaldehyde.
To an argon purged solution of 5-bromopyridine-2-carbaldehyde (15 g, 81 mmol) in triethylamine was added triphenylphosphine (0.42 g, 1.6 mmol) and palladium (II) acetate (0.18 g, 0.80 mmol) at room temperature. Trimethylsilylacetylene (17 mL, 121 mmol) was slowly added and the reaction mixture was stirred at 100 0C in sealed tube for 3.5 h. The reaction was cooled to room temperature, and the precipitated solid was isolated by filtration and washed with ethyl acetate. The filtrate was concentrated under reduced pressure to provide the crude product. The crude product was purified by column chromatography (Silica gel, 100-200 mesh) using 1-2% ethyl acetate in pet-ether as mobile phase to provide 5-[(trimethylsilyl)ethynyl]pyridine-2-carbaldehyde (13 g, 79%) as brown solid.
LC-MS: [M+H]+ 204.45
1H NMR (400 MHz, CDCI3) δ: ppm 10.06 (s, IH), 8.81 (s, IH), 7.89 (m, 2H), 0.28 (s,
9H).
To a solution of 5-[(trimethylsilyl)ethynyl]pyridine-2-carbaldehyde (13 g, 64 mmol) in methanol was added potassium carbonate (0.9 g, 6.4 mmol), followed by stirring at room temperature for 2 h. The reaction mixture was concentrated under reduced pressure (bath temperature below 40 0C). Ice cold water was added to the crude solid, the product precipitated, and the mixture was stirred for an additional 5 min at 0 0C. The precipitated solid was filtered and washed with water to provide 5- [(trimethylsilyl)ethynyl]pyridine-2-carbaldehyde (8 g, 95%) as light brown solid. LC-MS: [M+H]+ 132 1H NMR (400 MHz, CDCl3) δ: ppm 10.08 (s, IH), 8.86 (s, IH), 7.93 (m, 2H), 3.43 (s, IH).
C . 5 - { [4-(5 ,5 -Dimethyl- 1 ,3 ,2-dioxaborinan-2-yl)phenyl] ethynyl} pyridine -2- carbaldehyde
To an argon purged solution of 2-(4-iodophenyl)-5,5-dimethyl-l,3,2- dioxaborinane (Method 3, step A) (15 g, 48 mmol) in acetonitrile was added
PdCl2(PPh3)2 (0.7 g, 9.5 mmol) and CuI (0.09 g, 4.7 mmol) at room temperature. The resulting solution was stirred under argon for 10 min. Triethylamine (20 mL, 142 mmol) followed by 5-[(trimethylsilyl)ethynyl]pyridine-2-carbaldehyde (8.1 g, 62mmol) were
added and the reaction mixture was then stirred at 85 0C for 2 h. The reaction mixture was concentrated under reduced pressure and then ice-cold water was added. The precipitated solid was stirred as a suspension and was then filtered and washed with water followed by pet-ether to provide 5-{[4-(5,5-dimethyl-l,3,2-dioxaborinan-2- yl)phenyl]ethynyl}pyridine-2-carbaldehyde (15 g, 99%) as brown solid. LC-MS: [M+H]+ 320
1H NMR (400 MHz, CDCl3) δ: ppm 10.08 (s, IH), 8.89 (s, IH), 7.95 (m, 2H), 7.82 (d, 2H), 7.55 (d, 2H), 3.78 (s, 4H), 1.03 (s, 6H).
D. 4-[(5-{[4-(5,5-dimethyl-l,3,2-dioxaborinan-2-yl)phenyl]ethynyl}pyridin-2- yl)methyl]morpholine
To a solution of 5-{[4-(5,5-dimethyl-l,3,2-dioxaborinan-2- yl)phenyl]ethynyl}pyridine-2-carbaldehyde (15 g, 47 mmol) in 1 ,2-dichloroethane cooled to 5 0C, was sequentially added acetic acid (0.8 mL, 14 mmol), morpholine (12 mL, 141 mmol) and NaBH(OAc)3 (30 g, 141 mmol). The resulting solution was stirred at room temperature for 4h. The reaction mixture was then quenched with ice water (100 mL) and the aqueous layer was extracted with dichloromethane (2 x 10OmL). The combined organic layers were washed with brine solution, dried over Na2SO4 and concentrated to provide the crude product. The crude product was stirred with methanol (5 vol.) for 30 min. The precipitated solid was filtered and dried under vacuum to provide 4-[(5-{[4- (5,5-dimethyl-l,3,2-dioxaborinan-2-yl)phenyl]ethynyl}pyridin-2-yl)methyl]morpholine as brown solid (13 g, 71%). LC-MS: [M+H]+ 391
1U NMR (400 MHz, CDCl3) δ: ppm 8.71 (d, IH), 7.79 (m, 3H), 7.52 (d, 2H), 7.41 (d, IH), 3.76 (m, 8H), 3.67 (s, 2H), 2.52 (t, 4H) 1.03 (s, 6H).
B. Methods of Preparation of Compounds of Formulae I, IA, IB, and II
Example 1
Based on the procedure in J. Med. Chem. 1987, 30, 574-580, biphenyl-4-carbonyl chloride, (1.08g, 5 mmol) was treated with hydroxylamine hydrochloride (1.39g, 20 mmol, 4 eq.) and triethyl amine (4.2 rnL, 30 mmol, 6 eq.) to produce the desired product. The crude product was purified by silica gel chromatography. Yield 0.66 g LC-MS: [M+H]+ 214.1
Mass: calculated for CI3HHNO2, 213.08
Example 2
4-Benzylbenzoic acid (106 mg, 0.50 mmol), HATU (228 mg, 0.60 mmol) and Hunig's Base (0.305 mL, 1.75 mmol) were dissolved in DCM (5 mL). After stirring this reaction mixture for 15 min, hydroxylamine hydrochloride (38.2 mg, 0.55 mmol) was added. The reaction mixture was then stirred for overnight. The reaction mixture was concentrated in vacuo and was purified through reverse phase HPLC purification system to provide 29.5 mg of the desired product (26% yield). LC-MS: [M-I] 226
Mass: calculated for Ci4Hi3NO2, 227.09
1H NMR [400 MHz, δ ppm, DMSO-d6]: 3.98 (s, 2H, CH2), 7.16-7.32 (m, 7H, Ar-H), 7.66 (d, 2H), 8.96 (s, IH) , 11.11 (s, IH).
Example 3
Oxalyl chloride (0.1 mL, 1.1 mmol) was added to a solution of 4-phenoxy benzoic acid (0.2Ig) in CH2Cl2 (10 mL) containing 2 drops DMF. The reaction was stirred at RT for 2 hours followed by the addition of aqueous hydroxylamine (50%, 1 mL). The reaction was then stirred overnight and then concentrated to dryness. The residue was triturated with water and the resultant white solid was collected and purified by reverse phase HPLC. (Yield 45 mg)
LC-MS: [M-I] 228
Mass: calculated for CI3HHNO3, 229.07
1H NMR [400 MHz, δ ppm, DMSO-d6]: 7.00-7.07 (m, 2H), 7.09 (dof t, 2H), 7.22 (t, IH), 7.66 (m, 2H), 7.78 (dd, 2H), 8.99 (s, IH), 11.16 (s, IH)
Example 4
Oxalyl chloride (0.1 mL, 1.1 mmol) was added to a solution of 2-methoxy-4- benzyl-benzoic acid (0.19 g) in CH2C12 (10 mL) containing 2 drops DMF. The reaction was stirred at RT for 2 hours and aqueous hydroxylamine (50%, 1 mL) was added. The reaction was stirred overnight, and then concentrated to dryness. The residue was triturated with water and the resultant white solid was collected and purified by reverse phase HPLC. (Yield 190 mg) LC-MS: [M+H]+ 272 Mass: calculated for Ci6Hi7NO3, 271.12
1H NMR [400 MHz, δ ppm, DMSO-d6]: 2.25 (s, 3H), 3.80 (s, 3H), 3.91 (s, 2H), 6.82 (d, IH), 6.99 (s, IH), 7.11 (q, 4H), 7.68 (d, IH), 9.02 (s, IH), 10.52 (s, IH)
Example 5
A. Methyl 4-bromopyridine-2-carboxylate
To a solution of 4-bromopyridine-2-carboxylic acid (0.5 g, Apollo) in ethyl acetate (15 niL) was added TMS-diazomethane (3.7 mL, 2.0 M solution in hexane) over a period of 5 min. at 0 0C. The reaction mixture was warmed to room temperature and then stirred for 5 h. The solvent was evaporated and the crude product was purified by column chromatography (Neutral alumina) using 20% ethyl acetate in pet-ether as mobile phase to yield the product as a solid (yield 0.33 g). LC-MS: [M+2]+ 218.21 Mass: calculated for C7H6BrNO2, 216.04
1H NMR [400 MHz, δ ppm, DMSO-d6]: δ 8.61 (m, IH), 8.21 (m, IH), 7.97 (m, IH), 3.91 (s, 3 H)
B . 4-bromo-Λ/-hydroxypyridine-2-carboxamide
To a solution of methyl 4-bromopyridine-2-carboxylate (0.50 mmol) in methanol/THF (1 :1) was added aqueous 50% hydroxylamine (2 mL) followed by catalytic amount of KCN (~1 mg) and the resulting solution was stirred at room temperature for 3-5 h. The reaction mixture was quenched with aqueous 10% citric acid solution (~4 mL) and stirred for 15 min. The precipitated solid was filtered, washed with water and dried under vacuum to provide the crude product. The crude product was purified by triturating with diethyl ether for ~10 min. (30 mg). LC-MS: [M+2]+ 219.0
Mass: calculated for C6H5BrN2O2, 215.95, 217.95 1H NMR [400 MHz, δ ppm, DMSO-d6]: δ 9.4 (s, IH), 7.48 (d, IH), 8.01 (s, IH), 7.87 (m, IH)
Example 6
A. Methyl 4-(2-phenylethynyl)pyridine-2-carboxylate
A solution of 4-bromopyridine-2-carboxylic acid methyl ester (1.0 equiv.,
Example 5) and ethynylbenzene (1.1 eq.) in THF was purged with argon for 30 min. To this solution was added Pd(PPh3)2Cl2 (0.003 eq.) followed by CuI (0.1 eq.). The reaction mixture was cooled to 10 0C followed by the addition of triethylamine (1.25 vol.). The reaction mixture was then heated to 80 0C for 5 h. The reaction mixture was cooled to room temperature diluted with ethyl acetate (20 mL) and washed with water (15 mL). The aqueous layer was extracted with ethyl acetate (15 mL x 2). The combined organic layers were washed with brine solution (30 mL), dried over anhydrous MgSO4 and evaporated under reduced pressure to provide the crude product. The product was purified by column chromatography (Neutral alumina) using 50% ethyl acetate in pet- ether as mobile phase to yield the product as a solid (0.04 g, 64% yield). LC-MS: [M+H]+ 238.0 Mass: calculated for CI5HHNO2, 237.08
B . JV-hydroxy-3 -(pyridin-3 -ylethynyl)benzamide
To a solution of methyl 4-(2-phenylethynyl)pyridine-2-carboxylate (0.040 g, 0.17 mmol) in methanol/THF (1 :1) was added aqueous 50% hydroxylamine (2 niL) followed by catalytic amount of KCN (~1 mg) and the resulting solution was stirred at room temperature for 3-5 h. The reaction mixture was quenched with aqueous 10% citric acid solution (~4 mL) and stirred for 15 min. The precipitated solid was filtered, washed with water and dried under vacuum to provide the crude product. The crude product was purified by triturating with diethyl ether for ~10 min. and filtered. LC-MS: [M+H]+ 239.38 Mass: calculated for Ci4Hi0N2O2, 238.07
1H NMR [400 MHz, δ ppm, DMSO-d6]: δ 11.50 (s, IH), 9.28 (s, IH), 8.68 (s, IH), 8.09 (s, IH), 7.66 (m, 3H), 7.49 (m, 3H)
Example 7
A. Methyl 3,4'-bipyridine-2'-carboxylate
To a solution of methyl 4-bromopyridine-2-carboxylate (0.30 g, 1.123 mmol) in
1 ,2-dimethoxyethane was added pyridine-3-boronic acid (0.165 g, 1.347 mmol) followed
by Pd(PPli3)4 (0.064 g, 0.056 mmol) at room temperature and the reaction mixture was purged with argon for 15 min. To this reaction mixture was added aqueous saturated NaHCO3 and the resulting solution was purged with argon for another 10 min. The resulting reaction mixture was heated under nitrogen atmosphere at 80 0C for 4 h. The solvent was evaporated to dryness under reduced pressure. The residue was diluted with ethyl acetate (20 mL) and washed with water (20 mL). The aqueous layer was extracted with ethyl acetate (20 mL). The combined organic layers were washed with brine solution (20 mL), dried over anhydrous MgSO4 and evaporated under reduced pressure to provide the crude compound as a solid (0.126 g). LC-MS: [M+H]+ 215.33
Mass: calculated for Ci2Hi0N2O2, 214.07
B. JV-hydroxy-3,4'-bipyridine-2'-carboxamide
Methyl 3,4'-bipyridine-2'-carboxylate was treated with aqueous 50% hydroxylamine as in Example 6. LC-MS: [M+H]+ 216.34
Mass: calculated for CnH9N3O2, 215.07
1H NMR [400 MHz, δ ppm, DMSO-d6]: δ 11.48 (s, IH), 9.17 (s, IH), 9.05 (s, IH), 8.68
(m, 2H), 8.26 (m, 2H), 8.01 (m, IH), 7.58 (m, IH)
Example 8
To a mixture of methyl 5-bromonicotinate (0.50 g, 1.0 eq.), 3-ethynylpyridine (0.238 g, 1.0 eq.) and Pd(PPh3)2Cl2 (0.049 g, 0.03 eq.) was added TBAF (1 M sol. in THF) (4.6 mL, 2.0 equiv) at room temperature. The reaction mixture was heated under a nitrogen atmosphere at 60 0C for 2-4 h. The reaction mixture was then cooled to room temperature, diluted with ethyl acetate (50 mL) and washed with water (50 mL). The aqueous layer was extracted with ethyl acetate (20 mL x 2). The combined organic layers were washed with a brine solution (20 mL), dried over anhydrous MgSO4 and evaporated under reduced pressure to provide the crude product. The crude product was purified by column chromatography (Neutral alumina) using 20% ethyl acetate in pet-ether as mobile phase to yield pure product as a solid (0.12 g, 22% yield). LC-MS: [M+H]+ 239.1 Mass: calculated for Ci4Hi0N2O2, 238.25
1H NMR [400 MHz, δ ppm, DMSO-d6]: δ 9.18 (d, IH), 8.94 (d, IH), 8.83 (m, IH), 8.61 (m, IH), 8.45 (m, IH), 7.88 (m, IH), 7.36 (m, IH), 3.99 (s, 3 H)
B . N-hydroxy-5 -(pyridin-3 -ylethynyl)pyridine-3 -carboxamide
To a solution of methyl 5-(pyridin-3-ylethynyl)pyridine-3-carboxylate (0.12 g, 0.50 mmol) in methanol/THF (1 :1) was added aqueous 50% hydroxylamine (2 niL) followed by catalytic amount of KCN (~1 mg) and the resulting solution was stirred at room temperature for 3-5 h. The reaction mixture was quenched with aqueous 10% citric acid solution (~4 mL) and stirred for 15 min. The precipitated solid was filtered, washed with water and dried under vacuum to provide the crude product. The crude product was purified by triturating with diethyl ether for ~10 min. and filtered to yield product (30 mg, 25% yield). observed LC-MS: [M+H]+ 240.30
Mass: calculated for Ci3H9N3O2, 239.24,
1H NMR [400 MHz, δ ppm, DMSO-d6]: δ 11.47 (s, IH), 9.32 (s, IH), 8.91 (m, 2H), 8.82
(s, IH), 8.64 (d, IH), 8.29 (s, IH), 8.04 (d, IH), 7.59 (t, IH);
Example 9
A. Methyl 6-(pyridin-3-ylethynyl)pyridine-2-carboxylate
Starting with methyl 6-bromopyridine-2-carboxylate the title compound was synthesized in a two-reaction sequence as described for Example 8. LC-MS: [M+H]+ 239.29 Mass: calculated for Ci4Hi0N2O2, 238.07
1H NMR [400 MHz, δ ppm, DMSO-d6]: δ 8.84 (s, IH), 8.61 (m, IH), 8.13 (d, IH), 7.89 (m, 2H), 7.74 (d, IH), 7.33 (m, IH), 4.03 (s, 3 H)
The title compound was synthesized from methyl 6-(pyridin-3- ylethynyl)pyridine-2-carboxylate as described in Example 8. LC-MS: [M+H]+ 240.1
Mass: calculated for Ci3H9N3O2, 239.07
1H NMR [400 MHz, δ ppm, DMSO-d6]: δ 11.42 (s, IH), 9.14 (d, IH), 8.83 (m, IH), 8.66
(m, IH), 8.07 (m, 2H), 7.97 (m, IH), 7.87 (m, IH), 7.54 (m, IH);
Example 10
A. Methyl 2-(pyridin-3-ylethynyl)pyridine-4-carboxylate
Starting with methyl-2-bromoiso-nicotinate methyl 2-(pyridin-3- ylethynyl)pyridine-4-carboxylate was synthesized in a two-reaction sequence as described for Example 8.
LC-MS: [M+H]+ 239.1 Mass: calculated for Ci4Hi0N2O2, 238.07
1H NMR [400 MHz, δ ppm, DMSO-d6]: δ 8.86 (s, IH), 8.79 (d, IH), 8.62 (m, IH), 8.11 (s, IH), 7.91 (m, IH), 7.83 (m, IH), 7.33 (m, IH), 4.01 (s, 3 H)
The title compound was synthesized from methyl 2-(pyridin-3-ylethynyl) pyridine-4-carboxylate as described in Example 8. LC-MS: [M+H]+ 240.30 Mass: calculated for Ci3H9N3O2, 239.07
1H NMR [400 MHz, δ ppm, DMSO-d6]: δ 11.59 (s, IH), 9.45 (s, IH), 8.83 (s, IH), 8.75 (d, IH), 8.65 (m, IH), 8.07 (m, IH), 7.96 (s, IH), 7.76 (m, IH), 7.52 (m, IH)
Example 11
A. Methyl 3,3'-bipyridine-5-carboxylate
To a solution of methyl 5-bromonicotinate (0.2Og, 1.0 eq.) in toluene: ethanol was added pyridine-3-boronic acid (0.136 g, 1.2 eq.) acid at room temperature and the solution was purged with argon for 15 min. To this reaction mixture was added
Pd(dppf)2Cl2 (0.075 g, 0.1 eq.) and the resulting solution was purged with argon for another 10 min. Triethylamine (0.26 mL, 2.0 eq.) was then added to the reaction mixture, which was heated under nitrogen atmosphere at 80 0C for 24 h. The reaction mixture was cooled to room temperature, diluted with ethyl acetate (30 mL) and washed with water (50 mL). The aqueous layer was extracted with ethyl acetate (2 x 20 mL). The combined organic layers were washed with brine solution (20 mL), dried over anhydrous MgSO4 and evaporated under reduced pressure to provide the crude compound. The crude
product was purified by column chromatography (Silica gel, 100-200 mesh) using 1% methanol in chloroform as mobile phase to yield product as a solid (0.06 g, 30% yield). LC-MS: [M+H]+ 215.33 Mass: calculated for Ci2Hi0N2O2 214.23 1H NMR [400 MHz, δ ppm, DMSO-d6]: δ 9.26 (s, IH), 9.01 (s, IH), 8.90 (s, IH), 8.71 (d, IH), 8.50 (s, IH), 7.93 (d, IH), 7.44 (m, IH), 4.00 (s, 3 H)
B . N-hy droxy-3 , 3 '-bipyridine-5 -carboxamide
To a solution of methyl 3, 3 '-bipyridine-5 -carboxylate (130 mg, 0.60 mmol) in methanol/THF (1 :1) was added aqueous 50% hydroxylamine (2 mL) followed by catalytic amount of KCN (~1 mg). The resulting reaction mixture was stirred at room temperature for 6 h. The reaction mixture was quenched with aqueous 10% citric acid solution (~8 mL) and stirred for 15 min. at 0 0C. The precipitated solid was filtered, washed with water and dried under vacuum to provide the crude compound. The crude product was purified by column chromatography (silica gel, 100-200 mesh) using 10% methanol in chloroform as mobile phase to yield the product as a solid (70 mg , 54%). LC-MS: [M+H]+ 216.40 Mass calculated for CnH9N3O2, 215.21
1H NMR [400 MHz, δ ppm, DMSO-d6]: δ 11.49 (s, IH), 9.31 (s, IH), 9.09 (s, IH), 9.01 (s, IH), 8.94 (s, IH), 8.66 (m, IH), 8.42 (s, IH), 8.22 (m, IH), 7.57 (m, IH)
Example 12
A. Methyl 2,3'-bipyridine-4-carboxylate
To a solution of methyl 2-bromoiso-nicotinate (0.20 g, 1.0 eq.) in dioxane: water (2: 1) was added pyridine-3-boronic acid (0.136 g, 1.2 eq.) at room temperature and the solution was purged with argon for 15 min. To this reaction mixture was added Pd(dppf)2Cl2 (0.075 mg, 0.1 eq.), and the resulting solution was purged with argon for another 10 min. Cesium carbonate (0.60 g, 2.0 eq.) was added to this reaction mixture which was then heated under nitrogen atmosphere at 60 0C for 2 h. The reaction mixture was then cooled to room temperature, diluted with ethyl acetate (2 x 30 mL) and washed with water (50 mL). The aqueous layer was extracted with ethyl acetate (20 mL). The combined organic layers were washed with brine solution (20 mL), dried over anhydrous MgSO4 and evaporated under reduced pressure to provide the crude compound. The crude product was purified by column chromatography (Silica gel, 100-200 mesh) using 1% methanol in chloroform as mobile phase to yield the product as a solid (0.07 g, 35% yield). LC-MS: [M+H]+ 215.33
Mass: calculated for Ci2Hi0N2O2, 214.23
1H NMR [400 MHz, δ ppm, DMSO-d6]: δ 9.27 (m, IH), 8.86 (d, IH), 8.69 (d, IH), 8.37
(m, IH), 8.32 (s, IH), 7.84 (d, IH), 7.44 (m, IH), 4.01 (s, 3 H);
B. N-hydroxy-2,3'-bipyridine-4-carboxamide
Starting with methyl 2,3'-bipyridine-4-carboxylate, N-hydroxy-2,3'-bipyridine-4- carboxamide was synthesized as described for Example 11 , hydroxamate formation. LC-MS: [M+H]+ 216.0
Mass: calculated for CnH9N3O2, 215.07
1H NMR [400 MHz, δ ppm, DMSO-d6]: δ 11.63 (s, IH), 9.42 (s, IH), 9.29 (s, IH), 8.84
(m, IH), 8.68 (m, IH), 8.47 (m, IH), 8.29 (s, IH), 7.1 (m, IH), 7.57 (m, IH)
Example 13
A solution of 5-chloro-2-methyl-nicotinic acid methyl ester (1.0 equiv.) is treated with 1 ,2-dimethoxyethane and 4-chlorophenyl boronic acid (1.05 eq.). This is followed by Pd(PPli3)4 (0.1 eq., Aldrich) at room temperature. After the reaction mixture is purged with Argon for 15 minutes, aqueous saturated NaHCO3 (2.0 equiv.) is added and the resulting solution is purged with argon for another 10 min. The resulting reaction mixture is then heated under nitrogen atmosphere at 80 0C for 4 h to produce the desired adduct.
Treatment of the purified methyl ester with hydroxylamine as in Example 5 would result in the desired hydroxamate.
Example 14
Λ/-Hydroxy-4-(pyridin-3-ylethynyl)pyridine-2-carboxamide
To a solution of 4-bromopyridine-2-carboxylic acid (0.5 g, 2.5 mmol) in ethyl acetate (15 niL) was added TMS-diazomethane (3.7 mL, 7.4 mmol, 2.0 M solution in THF) over a period of 5 min at 0 0C. The reaction mixture was warmed to room temperature and stirred for 5 h. The solvent was evaporated under reduced pressure to provide the crude compound. The crude product was purified by column chromatography (Neutral alumina) using 20% ethyl acetate in pet-ether as mobile phase to provide methyl 4-bromopyridine-2-carboxylate as light yellow solid (0.33 g, 62%). LC-MS: [M+2]+ 218.21
Mass: calculated for C7H6BrNO2
1H NMR (400 MHz, DMSO-d6) δ: ppm 8.61 (m, IH), 8.21 (m, IH), 7.97 (m, IH), 3.91
(s, 3 H)
B. Methyl 4-(pyridin-3-ylethynyl)pyridine-2-carboxylate
A solution of methyl 4-bromopyridine-2-carboxylate (0.4 g, 1.9 mmol) and 3- ethynylpyridine (0.2 g, 2 mmol) in THF was purged with argon for 30 min. To this solution was added Pd(PPh3)2Cl2 (3.9 mg, 0.005 mmol) followed by CuI (35 mg, 0.19 mmol). The reaction mixture was cooled to 10 0C and triethylamine (0.8 mL, 5.6 mmol) was added. The resulting reaction mixture was heated at 80 0C for 5 h. The reaction mixture was cooled to room temperature, diluted with ethyl acetate (50 mL) and washed
with water (25 rnL). The aqueous layer was extracted with ethyl acetate (25 mL x 2) and the combined organic layers were washed with brine solution (30 mL), dried over anhydrous MgSO4 and evaporated under reduced pressure to provide the crude compound. The crude product was purified by column chromatography (Neutral alumina) using 50% ethyl acetate in pet-ether as mobile phase to yield methyl 4-(pyridin- 3-ylethynyl)pyridine-2-carboxylate as off-white solid (0.1 g, 23%). LC-MS: [M+H]+ 239.29 Mass calculated for Ci4Hi0N2O2
C. Λ/-Hydroxy-4-(pyridin-3-ylethynyl)pyridine-2-carboxamide
To a solution of methyl 4-(pyridin-3-ylethynyl)pyridine-2-carboxylate (60 mg, 0.25 mmol) in methanol/THF (1 :1) was added aqueous 50% hydroxylamine (1.0 mL) followed by a catalytic amount of KCN (~1 mg) and the resulting solution was stirred at room temperature for 3 h. The reaction mixture was quenched with aqueous 10% citric acid solution (~1 mL) and stirred for 15 min. The precipitated solid was filtered, washed with water and dried under vacuum to provide the crude product. The crude product was purified by triturating with diethylether to provide jV-hydroxy-4-(pyridin-3- ylethynyl)pyridine-2-carboxamide as off- white solid (22 mg, 37%). LC-MS: [M+H]+ 240.20 Mass: calculated for C13H9N3O2
1H NMR (400 MHz, DMSO-d6) δ: ppm 11.56 (s, IH), 9.20 (s, IH), 9.85 (bs, IH), 8.66 (m, 2H), 8.09 (m, 2H), 7.74 (m, IH), 7.52 (m, IH).
Example 15
JV-Hydroxy-5-(phenylethynyl)nicotinamide
5-(Phenylethynyl)nicotinic acid (0.25 g, 1.1 mmol) and trimethylsilyldiazomethane, 2N in hexanes (1.1 niL, 2.2 mmol) were combined in MeOH (2 mL) at 0 0C and then warmed to room temperature and stirred until a color change from light yellow to orange was observed. LC-MS immediately following addition indicated conversion to ester. Hydroxylamine, 50% aqueous (2 mL, 1.1 mmol) was added and the reaction was stirred at room temperature overnight. The reaction mixture was concentrated to an orange solid. Reverse phase HPLC (10%-60% acetonitrile/water, 0.1% TFA) afforded 0.036 g of the desired compound as a white solid. LC-MS: [M+H]+ 239
Mass: calculated for Ci4Hi0N2O2, 238.24
1H NMR (300 MHz, OMSO-d6) δ: ppm 7.48 (d, 3 H), 7.62 (d, 2 H), 8.25 (br. s., 1 H),
8.89 (br. s., 2 H), 9.26 - 9.42 (m, 1 H), 11.48 (br. s., 1 H).
Example 18
JV-Hydroxy-6-methoxy-5 -(pyridin-3 -ylethynyl)pyridine-3 -carboxamide
A. Methyl 5-bromo-6-chloropyridine-3-carboxylate
To a 0 0C solution of S-bromo-β-chloronicotinic acid (1.0 g, 4.2 mmol) in methanol :benzene (1 :1) (50 mL) was added trimethylsilyldiazomethane as a 2N solution in hexanes (3.2 mL, 6.5 mmol). The reaction was stirred for 60 min. The reaction mixture was concentrated under reduced pressure and the residue was diluted with ethyl acetate (40 mL), washed with water (10 mL x 2). The aqueous layer was extracted with ethyl acetate (50 mL x 2) and the combined organic layers were washed with brine solution (50 mL), dried over anhydrous MgSO4 and evaporated under reduced pressure to provide the crude compound. The crude compound was purified through a filter column (Silica gel, 100-200 mesh) to provide methyl 5-bromo-6-chloropyridine-3-carboxylate as an off-white solid (0.078 g, 74%). LC-MS: [M+H] + 251. 1H NMR (400 MHz, CDCl3) δ: ppm 9.00 (s, IH) 8.40 (s, IH), 3.90 (s, 3H).
B. Methyl 5-bromo-6-methoxypyridine-3-carboxylate
To a solution of methyl 5-bromo-6-chloropyridine-3-carboxylate (0.50 g, 2.0 mmol) in methanol (10 mL) was added freshly prepared sodium methoxide (0.057 g , 2.4 mmol) followed by stirring at room temperature for 1 h. The reaction mixture was quenched with 1 ml of acetic acid and concentrated under reduced pressure. The crude mixture was diluted with ethyl acetate (20 mL) and washed with water (20 mL). The aqueous layer was extracted with ethyl acetate (20 mL) and the combined organic layers were washed with brine solution (20 mL), dried over anhydrous MgSO4 and evaporated
under reduced pressure to provide the crude compound. The crude product was purified by washing with pet ether and filtered to yield methyl 5-bromo-6-methoxypyridine-3- carboxylate as an off-white solid (350 mg, 71% yield). LC-MS: [M+H] + 247.2. 1H NMR (400 MHz, CDCl3) δ: ppm 8.78 (bs, IH), 8.40 (bs, IH), 4.19 (s, 3H), 3.88 (s, 3H),
C . Methyl 6-methoxy-5 -(pyridin-3 -ylethynyl)pyridine-3 -carboxylate
To an argon purged solution of methyl 5 -bromo-6-methoxypyridine-3 -carboxylate
(0.45 g, 1.8 mmol) in 30 mL of dry acetonitrile was added Pd(PPh3)2C12 (0.06 mg, 0.09 mmol) followed by CuI (3.9 mg, 0.02 mmol). Triethylamine (0.77 mL, 5.5 mmol) was added to the reaction mixture and the solution was degassed for 15 min. The argon atmosphere was then replaced with 1 : 1 argon/hydrogen balloon atmosphere to which a solution of 3-ethynylpyridine (0.25 g, 2.4 mmol) in dry acetonitrile (20 mL) was added over a period of 15 min at room temperature. The reaction mixture was then heated at 80 0C for 4 h. The reaction was then cooled to room temperature and the solvent was evaporated under reduced pressure. The residue was diluted with water (50 mL) and the precipitated solid was filtered, washed thoroughly with water (10 mL) and dried under vacuum to provide methyl 6-methoxy-5 -(pyridin-3 -ylethynyl)pyridine-3 -carboxylate as a yellow solid (0.15 g, 31%). LC-MS: [M+H] + 269.2 1H NMR (400 MHz, CDC13): δ: ppm 8.80 (s, IH), 8.59 (m, IH), 8.35 (s, IH), 7.85 (m, 2H), 7.31 (m, IH), 4.11 (s, 3H) 3.93 (s, 3H).
To a solution of methyl 6-methoxy-5-(pyridin-3-ylethynyl)pyridine-3-carboxylate (0.15 g, 0.56 mmol) in methanol/THF (1 :1) was added aqueous 50% hydroxylamine (2 niL) followed by a catalytic amount of KCN (~1 mg). The resulting solution was stirred at room temperature for 3-5 h. The reaction mixture was quenched with aqueous 10% citric acid solution (~4 mL) and stirred for 15 min. The precipitated solid was filtered, washed with water and dried under vacuum to provide the crude product. The crude product was purified by triturating with pet ether and filtered to provide JV-hydroxy-6- methoxy-5-(pyridin-3-ylethynyl)pyridine-3-carboxamide as an off- white solid (50 mg, 33%).
LC-MS: [M+H]+ 270.3 1H NMR (400 MHz, DMSO-d6) δ: ppm 11.30 (bs, IH), 9.19 (bs, IH), 8.76 (d, IH), 8.61 (m, 2H), 8.26 (s, IH), 8.00 (d, IH), 7.49 (d, IH), 4.10 (s, 3H).
Example 19
JV-Hydroxy-6-(phenylethynyl)picolinamide
A. Methyl 6-(phenylethynyl)picolinate
Ethynylbenzene (0.24 g, 2.3 mmol), methyl 6-bromopicolinate (0.5 g, 2.3 mmol) and bis(triphenylphosphine)palladium(II)dichloride (0.05 g, 0.07 mmol) were combined in
TBAF, IM in THF (4.6 ml, 4.6 mmol) and heated to 60 0C under argon. The reaction was then stirred for 2 hours. The solution was cooled to room temperature. LCMS analysis indicated product formation. The reaction mixture was then diluted with water and extracted three times with ethyl acetate. The combined organic extracts were dried over magnesium sulfate, filtered and evaporated in vacuo to an oil. Normal phase silica gel column (50%- 100% dichloromethane/hexane) afforded 0.263 g of the desired compound as a light yellow solid (47 % yield). LC-MS: [M+2]+ 238 Mass: calculated for CI5HHNO2, 237.25 1H NMR (300 MHz, DMSO- d6) δ: ppm 3.91 (s, 3 H), 7.44 - 7.55 (m, 3 H), 7.61 - 7.71 (m, 2 H), 7.89 (dd, 1 H), 8.01 - 8.09 (m, 2 H).
B . JV-Hydroxy-6-(phenylethynyl)picolinamide
Methyl 6-(phenylethynyl)picolinate (0.15 g, 0.64 mmol) and hydroxylamine, 50% aqueous (0.040 mL, 0.64 mmol) were combined in MeOH (2 mL) and allowed to stir at room temperature. After stirring overnight, LCMS indicated the reaction was complete. The reaction mixture was diluted with water and extracted three times with ethyl acetate. The organic portion was washed once with saturated sodium chloride. The combined organic extracts were dried over magnesium sulfate, filtered and evaporated to yield 0.071 g of the desired product as a yellow solid. LC-MS: [M+H]+ 239 Mass: calculated for Ci4Hi0N2O2, 238.24 1H NMR (300 MHz, OMSO-d6) δ: ppm 7.44 - 7.53 (m, 3 H) 7.58 - 7.70 (m, 2 H) 7.79 7.87 (m, 1 H) 7.90 - 8.11 (m, 2 H) 9.13 (s, 1 H) 11.41 (s, 1 H).
Example 20
Λ/-Hydroxy-2-(methylamino)-5 -(pyridin-3 -ylethynyl)pyridine-3 -carboxamide
A. Methyl 5-bromo-2-(methylamino)pyridine-3-carboxylate
To a solution of methyl 5-bromo-2-chloropyridine-3-carboxylate (Example 24, step A) (0.1 g, 0.4 mmol) in tetrahydrofuran (10 mL) was added methylamine solution (2.0 M in THF, 0.028 g, 0.80 mmol) at room temperature. The reaction mixture was then stirred at the same temperature for 18 h. The solvent was evaporated under reduced pressure and the residue was diluted with ethyl acetate (20 mL). The organic solution was washed with water (10 mL x 2). The aqueous layer was extracted with ethyl acetate (10 mL x 2). The combined organic layers were washed with brine solution (20 mL), dried over anhydrous MgSO4 and evaporated under reduced pressure to provide crude compound. The crude product was purified by column chromatography (Silica gel, 100- 200 mesh) using 10% ethyl acetate in pet ether as mobile phase to provide methyl 5- bromo-2-(methylamino)pyridine-3-carboxylate as an off-white solid (0.078 g, 79%). LC-MS: [M+H] + 246.2
B . Methyl 2-(methylamino)-5 -(pyridin-3 -ylethynyl)pyridine-3 -carboxylate
To a solution of methyl 5-bromo-2-(methylamino)pyridine-3-carboxylate (0.40 g, 1.6 mmol) in 20 niL of dry acetonitrile was added Pd(PPh3)2Cl2 (0.11 mg, 0.16 mmol) followed by CuI (3.1 mg, 0.016 mmol). Triethylamine (0.69 mL, 4.9 mmol) was added to the reaction mixture and the solution was degassed for 15 min. The argon atmosphere was then replaced with 1 :1 argon/hydrogen balloon atmosphere and a solution of 3- ethynylpyridine (0.20 g, 1.96 mmol) in dry acetonitrile (20 mL) was added over a period of 15 minutes at room temperature. The reaction mixture was then heated at 80 0C for 6 h. The reaction was cooled to room temperature and the solvent was evaporated under reduced pressure. The residue was purified by column chromatography (Silica gel, 100- 200 mesh) using 80% ethyl acetate in pet ether as mobile phase to provide methyl 2- (methylamino)-5-(pyridin-3-ylethynyl)pyridine-3-carboxylate as yellow solid (0.050 g, 11%). LC-MS: [M+H] + 268.3
1H NMR (400 MHz, DMSO-d6) δ: ppm 8.80 (s, IH), 8.45 (m, 2H), 8.20 (s, IH), 7.80 (d, IH), 7.60 (m, IH), 7.20 (m, 3H), 3.80 (s, 3H), 3.00 (d, 3H).
C . Λ/-Hydroxy-2-(methylamino)-5 -(pyridin-3 -ylethynyl)pyridine-3 -carboxamide
To a solution of methyl 2-(methylamino)-5-(pyridin-3-ylethynyl)pyridine-3- carboxylate (0.05 g, crude, 0.19 mmol) in methanol/THF (1 :1) was added aqueous 50% hydroxylamine (1 mL) followed by a catalytic amount of KCN (~1 mg). The resulting solution was stirred at room temperature for 18 h. The reaction mixture was quenched with aqueous 10% citric acid solution (~2 mL) and stirred for 10 min. The precipitated solid was filtered, washed thoroughly with water and dried under vacuum to provide the crude product. The crude product was purified by column chromatography (Silica gel, 100-20 mesh) using 1% methanol in chloroform as mobile phase to yield JV-hydroxy-2- (methylamino)-5-(pyridin-3-ylethynyl)pyridine-3-carboxamide as a white solid (0.010 g, 20%).
LC-MS: [M+H] + 269.36
1H NMR (400 MHz, DMSO-d6) δ: ppm 11.20 (s, IH), 9.10 (s, IH), 8.70 (d, IH), 8.55 (m, IH), 8.39 (d, IH), 8.17 (d, IH), 7.9 (m, 2H), 7.45 (m, IH), 2.93 (d, 3H).
Example 21
Λ/-Hydroxy-2-(phenylethynyl)isonicotinamide
A. Methyl 2-(phenylethynyl)isonicotinate
Methyl 2-(phenylethynyl)isonicotinate was prepared from methyl 2- bromoisonicotinate and ethynylbenzene using the procedure described in Example 19, step A.
LC-MS: [M+2]+ 238 Mass: calculated for CI5HHNO2, 237.25
B . Λ/-Hydroxy-2-(phenylethynyl)isonicotinamide
Λ/-Hydroxy-2-(phenylethynyl)isonicotinamide was prepared from methyl 2-
(phenylethynyl)isonicotinate using the procedure described in Example 19, step B.
Reverse phase HPLC (10%-75% acetonitrile/water, 0.1% TFA) afforded the desired compound as a trifluoroacetate salt.
LC-MS: [M+2]+ 239 Mass: calculated for Ci4Hi0N2O2, 238.24
1H NMR (300 MHz, DMSO-J6) δ: ppm 7.40 - 7.55 (m, 3 H) 7.58 - 7.74 (m, 3 H) 7.92 (s,
1 H) 8.74 (d, J=4.90 Hz, 1 H) 9.39 (br. s., 1 H) 11.60 (s, 1 H)
Example 22
Λ/-Hydroxy-6-(methylamino)-5 -(pyridin-3 -ylethynyl)pyridine-3 -carboxamide
To a solution of methyl 5 -bromo-β-chloropyridine-S -carboxylate (Example 18, Step A) (0.50 g, 2.0 mmol) in tetrahydrofuran (1OmL) was added methylamine solution (0.124 g, 4.0 mmol, 2.0 M in THF). The reaction mixture was then stirred at room temperature for 18 h. The reaction mixture was concentrated under reduced pressure and the residue was diluted with ethyl acetate (20 mL) and washed with water (20 mL). The aqueous layer was extracted with ethyl acetate (20 mL) and the combined organic layers were washed with brine (20 mL), dried over anhydrous MgSO4 and concentrated under reduced pressure to provide the crude compound. The crude product was purified by column chromatography (Silica gel, 100-200 mesh) using 10% ethyl acetate in pet ether as mobile phase to provide methyl 5-bromo-6-(methylamino)pyridine-3-carboxylate as an off-white solid (0.45 g, 84 %). LC-MS: [M+H] + 246.2. 1H NMR (400 MHz, CDCl3) δ: Dppm 8.73 (bs, IH), 8.18 (s, IH), 5.48 (s, IH), 3.88 (s, 3H), 3.10 (d, 3H).
B . Methyl 6-(methylamino)-5 -(pyridin-3 -ylethynyl)pyridine-3 -carboxylate
To a solution of methyl 5 -bromo-6-(methylamino)pyridine-3 -carboxylate (0.30 g, 1.2 mmol) in 30 mL of dry acetonitrile was added Pd(PPh3)2Cl2 (0.085 mg, 0.12 mmol) followed by CuI (2.3 mg, 0.012 mmol). Triethylamine (0.52 mL, 3.7 mmol) was added
to the reaction mixture and the solution was degassed for 15 min. The argon atmosphere was then replaced with 1 :1 argon/hydrogen balloon atmosphere and a solution of 3- ethynylpyridine (0.15 g, 1.5 mmol) in dry acetonitrile (20 mL) was added over a period of 15 min at room temperature. The reaction mixture was then heated at 80 0C for 6 h. The reaction was cooled to room temperature and the solvent was evaporated under reduced pressure. The residue was diluted with water (50 mL) and the precipitated solid was filtered, washed thoroughly with water (10 mL) and dried under vacuum to provide methyl 6-(methylamino)-5-(pyridin-3-ylethynyl)pyridine-3-carboxylate as a yellow solid (0.20 g, 61%). LC-MS: [M+H] + 268.3
1H NMR (400 MHz, DMSO-d6) δ: ppm 8.57 (s, IH), 8.48 (s, IH), 8.09 (m, IH), 7.96 (d, IH), 7.50 (m, IH), 7.09 (m, IH), 3.98 (s, 3H), 2.96 (d, 3H).
C. Λ/-Hydroxy-6-(methylamino)-5-(pyridin-3-ylethynyl)pyridine-3- carboxamide
To a solution of methyl 6-(methylamino)-5-(pyridin-3-ylethynyl)pyridine-3- carboxylate (0.20 g, crude, 0.75 mmol) in methanol/THF (1 :1) was added aqueous 50% hydroxylamine (2 mL) followed by a catalytic amount of KCN (~1 mg). The resulting solution was stirred at room temperature for 3-5 h. The reaction mixture was quenched with aqueous 10% citric acid solution (~4 mL) and stirred for 15 min. The precipitated solid was filtered, washed with water and dried under vacuum to provide the crude product. The crude product was purified by column chromatography (Silica gel, 100-200 mesh) using 3% methanol in chloroform as the mobile phase to provide JV-hydroxy-6-
(methylamino)-5-(pyridin-3-ylethynyl)pyridine-3-carboxamide as off-white solid (50 mg, 25%).
LC-MS: [M+H] + 269.36
1H NMR (400 MHz, DMSO-d6): δ: ppm 11.01 (s, IH), 8.93 (s, IH), 8.85 (d, IH), 8.57 (dd, IH), 8.48 (d, IH), 8.09 (m, IH), 7.96 (d, IH), 7.50 (m, IH), 7.09 (m, IH), 2.96 (d, 3H).
Example 23
JV-hydroxy-6- [(2-methoxyethyl)amino] -5 -(pyridin-3 -ylethynyl)pyridine-3 - carboxamide
A. Methyl 5 -bromo-6- [(2-methoxyethyl)amino]pyridine-3 -carboxylate
To a solution of methyl 5 -bromo-ό-chloropyridine-S -carboxylate (Example 18, Step A) (0.50 g, 2.0 mmol) in tetrahydrofuran (1OmL) was added methoxyethylamine (0.30 g, 4.0 mmol). The reaction mixture was then stirred at room temperature for 18 h. The reaction mixture was evaporated under reduced pressure and the residue was diluted with ethyl acetate (20 mL) and washed with water (20 mL). The aqueous layer was extracted with ethyl acetate (20 mL) and the combined organic layers were washed with brine (20 mL), dried over anhydrous MgSO4 and evaporated under reduced pressure to provide the crude compound. The crude product was purified by column chromatography (Silica gel, 100-200 mesh) using 10% ethyl acetate in pet ether as the mobile phase to provide methyl 5-bromo-6-[(2-methoxyethyl)amino]pyridine-3- carboxylate as an off-white solid (0.45 g, 78%).
LC-MS: [M+H] + 290, 291.5
1H NMR (400 MHz, CDCl3) δ: ppm 8.78 (s, IH), 8.34(s, IH), 3.90 (s, 3H), 3.75 (m, 2H),
3.63 (m, 2H), 3.40 (s, 3H).
B. Methyl 6-[(2-methoxyethyl)amino]-5-(pyridin-3-ylethynyl)pyridine-3- carboxylate
To a solution of methyl 5-bromo-6-[(2-methoxyethyl)amino]pyridine-3- carboxylate (0.44 g, 1.5 mmol) in 30 niL of dry acetonitrile was added Pd(PPhS)2Cl2 (0.11 g, 0.15 mmol) followed by CuI (289 mg, 0.015 mmol). Triethylamine (0.64 mL, 4.6 mmol) was added to the reaction mixture and the solution was degassed for 15 min. The argon atmosphere was then replaced with 1 : 1 argon/hydrogen balloon atmosphere and a solution of 3-ethynylpyridine (0.19 g, 1.83 mmol) in dry acetonitrile (20 mL) was added over a period of 15 min at room temperature. The reaction mixture was heated at 80 0C for 5 h. The reaction was then cooled to room temperature and the solvent was evaporated under reduced pressure. The residue was diluted with water (50 mL) and the precipitated solid was filtered, washed thoroughly with water (10 mL) and dried under vacuum to provide the crude compound. The crude product was purified by column chromatography (Silica gel, 100-200 mesh) using 30% ethyl acetate in pet ether as the mobile phase to provide methyl 6-[(2-methoxyethyl)amino]-5-(pyridin-3- ylethynyl)pyridine-3-carboxylate as a white solid (0.21 g, 44%). LC-MS: [M+H]+ 312.6 Mass: calculated for Ci7Hi7N3O3, 311.5 1H NMR (400 MHz, DMSO-d6) δ: ppm 8.78 (s, IH), 8.77 (s, IH), 8.59 (d, IH), 8.29 (s, IH), 7.77 (d, IH), 7.32 (m, IH), 3.70 (m, 2H), 3.62 (m, 2H), 3.79 (s, 3H), 3.30 (s, 3H).
C . JV-hydroxy-6- [(2-methoxyethyl)amino] -5 -(pyridin-3 -ylethynyl)pyridine-3 - carboxamide
To a solution of methyl 6-[(2-methoxyethyl)amino]-5-(pyridin-3- ylethynyl)pyridine-3-carboxylate (0.20 g, 0.64 mmol) in methanol/THF (1 :1) was added aqueous 50% hydro xylamine (2 rnL) followed by a catalytic amount of KCN (~2 mg). The resulting solution was stirred at room temperature for 16 h. The reaction mixture was quenched with aqueous 10% citric acid solution (~6 mL) and stirred for 10 min. The precipitated solid was filtered, washed with water and dried under vacuum to provide the crude product. The crude product was purified by washing with n-pentane to provide N- hydroxy-6-[(2-methoxyethyl)amino]-5-(pyridin-3-ylethynyl)pyridine-3-carboxamide as an off-white solid (60 mg, 33% yield). LC-MS: [M+H] + 313.33 1H NMR (400 MHz, DMSO-d6) δ: ppm 11.00 (s, IH), 8.93 (s, IH), 8.82 (s, IH), 8.58 (d, IH), 8.45 (d, IH), 8.05 (m, IH) ,7.96 (s, IH), 7.48 (m, IH), 7.02 (m, IH), 3.62 (m, 2H), 3.50 (m, 2H), 3.26 (s, 3H).
Example 24
A. Methyl 5-bromo-2-chloropyridine-3-carboxylate
To a solution of S-bromo-l-chloropyridine-S-carboxylic acid (1.0 g, 4.2 mmol) in methanol :benzene (1 :1, 50 mL) was added trimethylsilyldiazomethane (3.2 mL, 6.5 mmol) at 0 0C. The reaction mixture was then stirred at 0 0C for 60 min. The reaction mixture was concentrated under reduced pressure. The residue was diluted with ethyl acetate (40 mL), washed with water (10 mL x 2). The aqueous layer was extracted with ethyl acetate (50 mL x 2). The combined organic layers were washed with brine solution (50 mL), dried over anhydrous MgSO4 and evaporated under reduced pressure to provide the crude product. The crude product was purified through a filter column (Silica gel, 100-200 mesh) to provide methyl 5-bromo-2-chloropyridine-3-carboxylate as an off- white solid (0.72 g, 69%). LC-MS: [M+H] + 251 1H NMR (400 MHz, CDCl3) δ: ppm 8.59 (s, IH) 8.35 (s, IH), 3.99 (s, 3H).
B. Methyl 5-bromo-2-methoxypyridine-3-carboxylate
To a solution of methyl 5-bromo-2-chloropyridine-3-carboxylate (0.50 g, 2.0 mmol) in methanol (10 mL) was added freshly prepared sodium methoxide (0.062 g sodium in methanol, 10 mL) at 00C over a period of 10 min. The reaction mixture was stirred at 00C for 3 h. The reaction was quenched with acetic acid (1 mL), warmed to room temperature and concentrated under reduced pressure. The residue was diluted with ethyl acetate (20 mL) and washed with water (20 mL). The aqueous layer was extracted with ethyl acetate (20 mL). The combined organic layers were washed with brine solution (20 mL), dried over anhydrous MgSO4 and concentrated under reduced pressure to provide the crude compound. The crude product was purified by triturating with pet ether and filtered to provide methyl 5-bromo-2-methoxypyridine-3-carboxylate as an off-white solid (0.25 g, 50%).
LC-MS: [M+2] + 248.2
1U NMR (400 MHz, CDCl3): δ: ppm 8.90 (bs, IH), 8.60 (bs, IH), 4.31 (s, 3H), 3.92 (s, 3H).
C . Methyl 2-methoxy-5 -(pyridin-3 -ylethynyl)pyridine-3 -carboxylate
To a room temperature solution of methyl 5-bromo-2-methoxypyridine-3- carboxylate (0.40 g, 1.6 mmol) in JV-tetra-butyl ammonium fluoride (1.3 g, 4.9 mmol, 1
M solution in THF) was added Pd(PPh3)2Cl2 (0.057 mg, 0.081 mmol) followed by 3- ethynylpyridine (0.184 g, 1.79 mmol) t. The reaction mixture was heated at 80 0C for 4 h. The reaction was then cooled to room temperature and the solvent was evaporated under reduced pressure. The residue was diluted with water (50 mL) and the precipitated solid was filtered, washed thoroughly with water (10 mL) and dried under vacuum to provide methyl 2-methoxy-5 -(pyridin-3 -ylethynyl)pyridine-3 -carboxylate as a yellow solid (0.11 g, 25%).
LC-MS: [M+H] + 269.2.
1H NMR (400 MHz, CDCl3) δ: ppm 8.80 (s, IH), 8.61 (d, IH), 8.5 (d, IH), 8.37 (m, IH), 7.81 (m, IH), 7.31 (m, IH), 4.11 (s, 3H), 3.8 (s, 3H).
To a solution of methyl 2-methoxy-5-(pyridin-3-ylethynyl)pyridine-3-carboxylate (0.21 g, 0.78 mmol) in methanol/THF (1 :1) was added aqueous 50% hydroxylamine (2 niL) followed by a catalytic amount of KCN (~2 mg). The resulting solution was stirred at room temperature for 8 h. The reaction mixture was quenched with aqueous 10% citric acid solution (~2 mL) and stirred for 10 min. The precipitated solid was filtered, washed thoroughly with water and dried under vacuum to provide the crude product. The crude product was purified by triturating with pet-ether and filtered to get JV-hydroxy-2- methoxy-5-(pyridin-3-ylethynyl)pyridine-3-carboxamide as an off-white solid (0.098 g, 47%).
LC-MS: [M+H] + 270.3
1H NMR (400 MHz, DMSO-d6) δ: ppm 10.87 (bs, IH), 9.30 (bs, IH), 8.77 (s, IH), 8.60 (m, IH), 8.52 (d, IH), 8.11 (d, IH), 8.00 (m, IH), 7.48 (m, IH), 3.96 (s, IH).
Example 25
A. Methyl 5-bromo-2-(morpholin-4-yl)pyridine-3-carboxylate
To a solution of methyl 5 -bromo^-chloropyridine-S -carboxylate (Example 24, step A) (0.13 g, 0.52 mmol) in tetrahydrofuran (1OmL) was added morpholine (0.067 g, 0.78 mmol) at room temperature. The reaction mixture was stirred for 18 h. The solvent was evaporated under reduced pressure and the residue was diluted with ethyl acetate (20 mL). The organic solution was washed with water (20 mL) and the aqueous layer was extracted with ethyl acetate (10 mL x 2). The combined organic layers were washed with brine solution (20 mL), dried over anhydrous MgSO4 and concentrated under reduced pressure to provide the crude compound. The crude product was purified by column chromatography (Silica gel, 100-200 mesh) using 12% ethyl acetate in pet ether as mobile phase to provide methyl 5-bromo-2-(morpholin-4-yl)pyridine-3-carboxylate as an off-white solid (0.060 g, 39%). LC-MS: [M+2] + 303.5 1H NMR (400 MHz, CDCl3) δ: ppm 8.30 (s, IH), 8.21 (s, IH), 3.92 (s, 3H), 3.85 (m, 4H), 3.40 (m, 4H).
B . Methyl 2-(morpholin-4-yl)-5 -(pyridin-3 -ylethynyl)pyridine-3 -carboxylate
To a solution of methyl 5 -bromo-2-(morpholin-4-yl)pyridine-3 -carboxylate (0.48 g, 1.6 mmol) in 30 mL of dry acetonitrile was added Pd(PPhS)2Cl2 (0.111 mg, 0.16 mmol) followed by CuI (3.0 mg, 0.015 mmol). Triethylamine (0.67 mL, 4.9 mmol) was added to the reaction mixture and the solution was degassed with argon for 15 min. The argon
atmosphere was then replaced with 1 :1 argon/hydrogen balloon atmosphere and a solution of 3-ethynylpyridine (0.197 g, 1.9 mmol) in dry acetonitrile (10 mL) was added over a period of 5 min at room temperature. The reaction mixture was heated at 80 0C for 5 h. The reaction was cooled to room temperature and the solvent was evaporated under reduced pressure. The residue was purified by column chromatography (100-200 mesh) using 80% ethyl acetate in pet-ether as mobile phase to provide methyl 2- (morpholin-4-yl)-5-(pyridin-3-ylethynyl)pyridine-3-carboxylate as a yellowish solid (0.35 g, 68%). LC-MS: [M+H] + 324.5 1H NMR (400 MHz, DMSO-d6) δ: ppm 8.80 (s, IH), 8.60 (d, IH), 8.40 (s, IH), 8.20 (m, IH), 7.80 (d, IH), 7.20 (m, IH), 3.89 (s, 3H), 3.80 (m, 4H), 3.40 (m, 4H),
C. Λ/-Hydroxy-2-(morpholin-4-yl)-5-(pyridin-3-ylethynyl)pyridine-3- carboxamide
To a solution of methyl 2-(morpholin-4-yl)-5-(pyridin-3-ylethynyl)pyridine-3- carboxylate (0.30 g, crude, 0.93 mmol) in methanol/THF (1 :1) was added aqueous 50% hydroxylamine (3 mL) followed by a catalytic amount of KCN (~3 mg). The resulting solution was stirred at room temperature for 18 h. The reaction mixture was quenched with aqueous 10% citric acid solution (~4 mL) and stirred for 15 min. The precipitated
solid was filtered, washed with water and dried under vacuum to provide the crude product. The crude product was purified by column chromatography (Silica gel, 100-200 mesh) using 70% ethyl acetate in pet ether as the mobile phase to provide JV-hydroxy-2- (morpholin-4-yl)-5-(pyridin-3-ylethynyl)pyridine-3-carboxamide as an off-white solid (0.10 g, 33%).
LC-MS: [M+H] + 325.5
1H NMR (400 MHz, DMSO-d6) δ: ppm 11.09 (s, IH), 9.22 (s, IH), 8.75 (s, IH), 8.56 (m,
IH), 8.40 (d, IH), 7.95 (d, IH), 7.65 (d, IH), 7.45 (m, IH), 3.65 (m, 4H), 3.44 (m, 4H).
Example 26
A. Methyl 5 -bromo-2- [(2-methoxyethyl)amino]pyridine-3 -carboxylate
To a solution of methyl 5 -bromo-2-chloropyridine-3 -carboxylate (Example 24, step A) (0.50 g, 2.0 mmol) in tetrahydrofuran (10 mL) was added methoxyethylamine (0.30 g, 4.0 mmol) at room temperature. The solution was stirred for 18 h. The solvent was evaporated under reduced pressure and the residue was diluted with ethyl acetate (20 mL). The organic solution was washed with water (20 mL) and the aqueous layer was extracted with ethyl acetate (10 mL x 2). The combined organic layers were washed with brine solution (20 mL), dried over anhydrous MgSO4 and evaporated under reduced pressure to provide the crude compound. The crude product was purified by column chromatography (Silica gel, 100-200 mesh) using 10% ethyl acetate in pet ether as mobile phase to provide methyl 5-bromo-2-[(2-methoxyethyl)amino]pyridine-3- carboxylate as off-white solid (0.44 g, 76%). LC-MS: [M+H] + 291.5
B . Methyl 2- [(2-methoxyethyl)amino] -5 -(pyridin-3 -ylethynyl)pyridine-3 - carboxylate
To a solution of methyl 5-bromo-2-[(2-methoxyethyl)amino]pyridine-3- carboxylate (0.44 g, 1.5 mmol) in 30 mL of dry acetonitrile was added Pd(PPhS)2Cl2 (0.11 mg, 0.15 mmol) followed by CuI (2.9 mg, 0.015 mmol). Triethylamine (0.64 mL, 4.5 mmol) was added to the reaction mixture and the solution was degassed for 15 min with argon. The argon atmosphere was then replaced with 1 : 1 argon/hydrogen balloon atmosphere and a solution of 3-ethynylpyridine (0.19 g, 1.8 mmol) in dry acetonitrile (20 mL) was added over a period of 15 min at room temperature. The reaction mixture was heated at 80 0C for 5 h. The reaction was cooled to room temperature and the solvent was evaporated under reduced pressure. The residue was purified by column chromatography (Silica gel, 100-200 mesh) using 30% ethyl acetate in pet ether as the mobile phase to provide methyl 2- [(2-methoxyethyl)amino] -5 -(pyridin-3 - ylethynyl)pyridine-3-carboxylate as an off- white solid (0.24 g, 51%). LC-MS: [M+H] + 312.6
1H NMR (400 MHz, DMSO-d6) δ: ppm 8.73 (s, IH), 8.53 (m, IH), 8.43 (m, 2H), 8.29 (m, IH), 7.81 (m, IH), 3.90 (s, 3H), 3.76 (m, 2H), 3.40 (s, 3H), 3.36 (m, 2H).
To a solution of methyl 2-[(2-methoxyethyl)amino]-5-(pyridin-3- ylethynyl)pyridine-3-carboxylate (0.20 g, crude, 0.64 mmol) in methanol/THF (1 :1) was added aqueous 50% hydroxylamine (2 rnL) followed by a catalytic amount of KCN (~2 mg). The resulting solution was stirred at room temperature for 16 h. The reaction mixture was quenched with aqueous 10% citric acid solution (~6 mL) and stirred for 10 min. The precipitated solid was filtered, washed thoroughly with water and dried under vacuum to provide the crude product. The crude product was purified by triturating with n-pentane to provide Λ/-hydroxy-2-[(2-methoxyethyl)amino]-5-(pyridin-3- ylethynyl)pyridine-3-carboxamide as an off- white solid (0.11 g, 35%). LC-MS: [M+H] + 313.33
1H NMR (400 MHz, CD3OD) δ: ppm 8.64 (s, IH), 8.48 (m, IH), 8.33 (s, IH), 7.92 (m, IH), 7.86 (s, IH), 7.44 (m, IH), 3.66 (m, 2H), 3.58 (m, 2H), 3.38 (s, 3H).
Example 27
Λ/-Hydroxy-4-(pyridin-4-ylethynyl)picolinamide
A. Methyl 4-(pyridin-4-ylethynyl)picolinate
Methyl 4-(pyridin-4-ylethynyl)picolinate was prepared from methyl 4- bromopicolinate and 4-ethynylpyridine, HCl salt using the procedure described in Example 19, step A. LC-MS: [M+2]+ 239 Mass: calculated for Ci4Hi0N2O2, 238.24
B . Λ/-Hydroxy-4-(pyridin-4-ylethynyl)picolinamide
Λ/-Hydroxy-4-(pyridin-4-ylethynyl)picolinamide was prepared from methyl 4-
(pyridin-4-ylethynyl)picolinate using the procedure described in Example 19, step B.
LC-MS: [M+2]+ 240
Mass: calculated for Ci3H9N3O2, 239.23
1H NMR (300 MHz, OMSO-d6) δ: ppm 7.63 (dd, 2 H), 7.77 (dd, 1 H), 8.09 (s, 1 H), 8.64 - 8.75 (m, 3 H), 9.21 (s, 1 H), 11.58 (s, 1 H).
Example 28
Λ/-hydroxy-4-((4-propylphenyl)ethynyl)picolinamide
Methyl 4-((4-propylphenyl)ethynyl)picolinate was prepared from l-ethynyl-4- propylbenzene and methyl 4-bromopicolinate using the procedure described in Example 19, step A.
LC-MS: [M+H]+ 280 Mass: calculated for Ci8Hi7NO2, 279.33
B . Λ/-Hydroxy-4-((4-propylphenyl)ethynyl)picolinamide
N-Hydroxy-4-((4-propylphenyl)ethynyl)picolinamide was prepared from methyl
4-((4-propylphenyl)ethynyl)picolinate using the procedure described in Example 19, step
B.
LC-MS: [M+H]+ 281
Mass: calculated for Ci7Hi6N2O2, 280.32 1H NMR (300 MHz, OMSO-d6) δ: ppm 0.89 (t, 3 H), 1.51 - 1.70 (m, 2 H), 2.61 (t, 2 H),
7.30 (d, 2 H), 7.52 - 7.62 (m, 2 H) 7.68 (dd , 1 H), 8.01 (s, 1 H), 8.63 (d, 1 H), 9.18 (s, 1
H), 11.53 (br. s., I H).
Example 29
Λ/-Hydroxy-4-((4-methoxyphenyl)ethynyl)picolinamide
Methyl 4-((4-methoxyphenyl)ethynyl)picolinate was prepared from l-ethynyl-4- methoxybenzene and methyl 4-bromopicolinate using the procedure described in Example 19, step A.
LC-MS: [M+H]+ 268 Mass: calculated for Ci6Hi3NO3, 267.28
B . Λ/-Hydroxy-4-((4-methoxyphenyl)ethynyl)picolinamide
N-Hydroxy-4-((4-methoxyphenyl)ethynyl)picolinamide was prepared from methyl 4-((4-methoxyphenyl)ethynyl)picolinate using the procedure described in Example 19, step B. Reverse phase HPLC (10-75% gradient elution with acetonitrile/water (0.1% trifluoroacetic acid) yielded the product as a trifluoroacetic acid salt. LC-MS: [M+H]+ 269
Mass: calculated for Ci5Hi2N2O3, 268.27
1H NMR (300 MHz, DMSO- d6) δ: ppm 3.81 (s, 3 H) 7.03 (d, 2 H), 7.49 - 7.70 (m, 3 H),
7.99 (s, 1 H), 8.61 (d, 1 H).
Example 30
Methyl 4-((4-(piperidin-l -yl)phenyl)ethynyl)picolinate
A. Methyl 4-((4-(piperidin-l-yl)phenyl)ethynyl)picolinate
Methyl 4-((4-(piperidin-l-yl)phenyl)ethynyl)picolinate was prepared from l-(4- ethynylphenyl)piperidine and methyl 4-bromopicolinate using the procedure described in Example 19, step A. LC-MS: [M+H]+ 321 Mass: calculated for C20H20N2O2, 320.29
B . JV-Hydroxy-4-((4-(piperidin- 1 -yl)phenyl)ethynyl)picolinamide
iV-Hydroxy-4-((4-(piperidin- 1 -yl)phenyl)ethynyl)picolinamide was prepared from methyl 4-((4-(piperidin-l-yl)phenyl)ethynyl)picolinate using the procedure described in Example 19, step B. LC-MS: [M+H]+ 322 Mass: calculated for Ci9Hi9N3O2, 321.27
1U NMR (300 MHz, DMSO-J6) δ: ppm 1.58 (br. s., 7 H), 3.29 (br. s., 4 H), 6.96 (m, 2 H), 7.44 (m, 2 H), 7.60 (dd, 1 H), 7.94 (s, 1 H), 8.58 (d, 1 H), 9.15 (s, 1 H), 11.49 (s, 1 H).
Example 31
4-((4-(Benzyloxy)phenyl)ethynyl)-N-hydroxypicolinamide
A. Methyl 4-((4-(benzyloxy)phenyl)ethynyl)picolinate
Methyl 4-((4-(benzyloxy)phenyl)ethynyl)picolinate was prepared from 1- (benzyloxy)-4-ethynylbenzene and methyl 4-bromopicolinate using the procedure described in Example 19, step A. LC-MS: [M+H]+ 344 Mass: calculated for C22Hi7NO3, 343.38
B. 4-((4-(Benzyloxy)phenyl)ethynyl)-N-hydroxypicolinamide
4-((4-(Benzyloxy)phenyl)ethynyl)-N-hydroxypicolinamide was prepared from methyl 4-((4-(benzyloxy)phenyl)ethynyl)picolinate using the procedure described in Example 19, step B.
LC-MS: [M+H]+ 345
Mass: calculated for C2IHi6N2O3, 344.36
1H NMR (300 MHz, DMSO- d6) δ: ppm 5.18 (s, 2 H), 7.11 (d, 2 H), 7.26 - 7.51 (m, 5 H),
7.57 - 7.69 (m, 3 H), 7.99 (s, 1 H), 8.62 (d, 1 H), 9.17 (d, 1 H), 11.52 (d, 1 H).
Example 32
TV-Hy droxy-3 -(pyridin-3 -ylethynyl)benzamide
A. Methyl 3 -(pyridin-3 -ylethynyl)benzoate
Methyl 3 -(pyridin-3 -ylethynyl)benzoate was prepared from 3-ethynylpyridine and methyl 3-bromobenzoate using the procedure described in Example 19, step A. LC-MS: [M+H]+ 238 Mass: calculated for CI5HHNO2, 237.25
B . N-Hy droxy-3 -(pyridin-3 -ylethynyl)benzamide
N-Hy droxy-3 -(pyridin-3 -ylethynyl)benzamide was prepared from methyl 3- (pyridin-3-ylethynyl)benzoate using the procedure described in Example 19, step B. LC-MS: [M+H]+ 239
Mass: calculated for Ci4Hi0N2O2, 238.24
1H NMR (300 MHz, DMSO-J6) δ: ppm 7.39 - 7.62 (m, 2 H), 7.64 - 7.88 (m, 2 H), 7.88
8.11 (m, 2 H), 8.61 (d, 1 H), 8.78 (s, 1 H), 9.16 (br. s., 1 H), 11.35 (br. s., 1 H).
Example 33
4-(Biphenyl-4-ylethynyl)-N-hydroxypicolinamide
A. Methyl 4-(biphenyl-4-ylethynyl)picolinate
Methyl 4-(biphenyl-4-ylethynyl)picolinate was prepared from 4-ethynylbiphenyl and methyl 4-bromopicolinate using the procedure described in Example 19, step A. LC-MS: [M+H]+ 314 Mass: calculated for C2iHi5NO2, 313.35
B . 4-(Biphenyl-4-ylethynyl)-N-hydroxypicolinamide
4-(Biphenyl-4-ylethynyl)-N-hydroxypicolinamide was prepared from methyl 4- (biphenyl-4-ylethynyl)picolinate using the procedure described in Example 19, step B. LC-MS: [M+H]+ 315
Mass: calculated for C20Hi4N2O2, 314.24
1H NMR (300 MHz, OMSO-d6) δ: ppm 7.36 - 7.57 (m, 4 H), 7.68 - 7.85 (m, 6 H), 8.05
(s, 1 H), 8.66 (d, 1 H), 9.19 (s, 1 H), 11.55 (br. s., 1 H).
Example 34
N-hydroxy-6-[4-(pyridin-3-ylethynyl)phenyl]pyridine-2-carboxamide
A. Methyl 6-[4-(pyridin-3-ylethynyl)phenyl]pyridine-2-carboxylate
To a degassed solution of cesium carbonate (1.8 g, 5.5 mmol) in 1 ,4-dioxane/water (30 rnL/ 5.0 rnL) was added methyl 6-bromo-2-pyridine carboxylate (300 mg, 1.38 mmol) followed by 3-{[4-(4,4,5,5-tetramethyl-l,3,2-dioxaborolan-2-yl)phenyl]ethynyl}pyridine (508 mg, 1.666 mmol, Method 2). The reaction mixture was degassed for another 10 min. and was added Pd(PPh3 )4 (80.2 mg, 0.069 mmol). The reaction mixture was heated under argon atmosphere at 90 0C for 4 h. The solvent was evaporated to dryness under reduced pressure. The residue was diluted with water (50 mL) and extracted with ethyl acetate (50 mL x 3). The combined organic layer was washed with brine solution (100 mL), dried over anhydrous magnesium sulfate and evaporated under reduced pressure to get crude compound as light yellow solid (0.126 g). The crude compound was purified by column chromatography (neutral alumina) using 60% ethyl acetate in pet-ether as mobile phase to get 110 mg as a light yellow solid. LC-MS: [M+H]+ 315.54 Mass: calculated for C20H14N2O2, 314.11
B . N-hydroxy-6- [4-(pyridin-3 -ylethynyl)phenyl]pyridine-2-carboxamide
To a solution of methyl 6-[4-(pyridin-3-ylethynyl)phenyl]pyridine-2-carboxylate
(0.11 g, 0.35 mmol) in 10 mL methanol/THF (1 :1) was added aqueous 50% hydroxylamine (2 mL) followed by catalytic amount of KCN (~5 mg) and the resulting
solution was stirred at room temperature for 18 h. The reaction mixture was quenched with aqueous 10% citric acid solution (~5 mL) and stirred for 15 min. The precipitated solid was filtered, washed with water and dried under vacuum to get crude product. The crude product was purified by preparative HPLC to yield an off-white solid (60 mg, 60.18 % yield).
LC-MS: [M+H]+ 316.29 Mass: calculated for Ci9Hi3N3O2, 315.1
1H NMR (400 MHz, δ Dppm, DMSO-d6): δ 11.59 (sb, IH), 9.19 (sb, IH), 8.8 (s, IH), 8.61 (d, IH), 8.48 (d, 2H), 8.24 (d, IH), 8.09 (m, 2H), 7.95 (d, IH), 7.72 (d, 2H), 7.51 (m, IH).
Example 35
N-hydroxy-2-[4-(pyridin-3-ylethynyl)phenyl]pyridine-4-carboxamide
A. Methyl 2-[4-(pyridin-3-ylethynyl)phenyl]pyridine-4-carboxylate
Methyl 2-[4-(pyridin-3-ylethynyl)phenyl]pyridine-4-carboxylate was synthesized from 3-{[4-(4,4,5,5-tetramethyl-l,3,2-dioxaborolan-2-yl)phenyl]ethynyl}pyridine (Method 2) using the procedure described in Example 34. LC-MS : [M+H]+ 315.43 for C20Hi4N2O2
B . N-hydroxy-2- [4-(pyridin-3 -ylethynyl)phenyl]pyridine-4-carboxamide
N-hydroxy-2- [4-(pyridin-3 -ylethynyl)phenyl]pyridine-4-carboxamide was synthesized from methyl 2-[4-(pyridin-3-ylethynyl)phenyl]pyridine-4-carboxylate using the procedure described in Example 34.
1H NMR (400 MHz, δ Dppm, DMSO-d6): δ 11.63 (sb, IH), 9.4 (sb, IH), 8.82 (m, 2H), 8.61 (d, IH), 8.2-8.3 (m, 3H), 8.0 (d, IH), 7.67-7.76 (m, 3H), 7.49 (m, IH). LC-MS: [M+H]+ 316.35 for Ci9Hi3N3O2
Example 36
N-hydroxy-5 - [4-(pyridin-3 -ylethynyl)phenyl]pyridine-3 -carboxamide
A. Methyl 5-[4-(pyridin-3-ylethynyl)phenyl]pyridine-3-carboxylate
Methyl 5-[4-(pyridin-3-ylethynyl)phenyl]pyridine-3-carboxylate was synthesized from 3-{[4-(4,4,5,5-tetramethyl-l,3,2-dioxaborolan-2-yl)phenyl]ethynyl}pyridine (Method 2) using the procedure described in Example 34. LC-MS: [M+H]+ 315.54 for C20Hi4N2O2
B . N-hydroxy-5 -[4-(pyridin-3 -ylethynyl)phenyl]pyridine-3 -carboxamide
N-hydroxy-5 - [4-(pyridin-3 -ylethynyl)phenyl]pyridine-3 -carboxamide was synthesized from methyl 5-[4-(pyridin-3-ylethynyl)phenyl]pyridine-3-carboxylate using the procedure described in Example 34.
1H NMR (400 MHz, δ ppm, DMSO-d6): δ 11.49 (sb, IH), 9.31 (sb, IH), 9.08 (s, IH), 8.92 (s, IH), 8.79 (s, IH), 8.61 (s, IH), 8.41 (s, IH), 7.74-8.01 (m, 5H), 7.52 (m, IH). LC-MS: [M+H]+ 316.35 for Ci9Hi3N3O2
Example 37
Λ/-Hydroxy-4-((4-((hydroxyimino)methyl)phenyl)ethynyl)picolinamide
A. Methyl 4-((4-formylphenyl)ethynyl)picolinate
Methyl 4-((4-formylphenyl)ethynyl)picolinate was prepared from 4- ethynylbenzaldehyde and methyl 4-bromopicolinate using the procedure described in Example 19, step A. LC-MS: [M+H]+ 266 Mass: calculated for CI6HHNO3, 265.26
B. Λ/-Hydroxy-4-((4-((hydroxyimino)methyl)phenyl)ethynyl)picolinamide
Λ/-Hydroxy-4-((4-((hydroxyimino)methyl)phenyl)ethynyl)picolinamide was prepared from methyl 4-((4-formylphenyl)ethynyl)picolinate using the procedure described in Example 19, step B. LC-MS: [M+H]+ 282 Mass: calculated for Ci5HnN3O3, 281.27
1H NMR (300 MHz, OMSO-d6) δ: ppm 7.62 - 7.77 (m, 5 H), 8.03 (s, 1 H), 8.20 (s, 1 H), 8.65 (d, 1 H), 9.19 (s, 1 H), 11.44 - 11.65 (m, 2 H).
Example 38 N-hydroxy-4- [4-(pyridin-3 -ylethynyl)phenyl]pyridine-2-carboxamide
A. Methyl 4-[4-(pyridin-3-ylethynyl)phenyl]pyridine-2-carboxylate
Methyl 4-[4-(pyridin-3-ylethynyl)phenyl]pyridine-2-carboxylate was synthesized from 3-{[4-(4,4,5,5-tetramethyl-l,3,2-dioxaborolan-2-yl)phenyl]ethynyl}pyridine (Method 1) using the procedure described in Example 34. LC-MS: [M+H]+ 315.43 for C20Hi4N2O2
B . N-hydroxy-4- [4-(pyridin-3 -ylethynyl)phenyl]pyridine-2-carboxamide
N-hydroxy-4- [4-(pyridin-3 -ylethynyl)phenyl]pyridine-2-carboxamide was synthesized from methyl 4-[4-(pyridin-3-ylethynyl)phenyl]pyridine-2-carboxylate using the procedure described in Example 34.
1H NMR (400 MHz, δ D Dppm, DMSO-d6): δ 11.60 (sb, IH), 9.2 (s, IH), 8.81 (s, IH), 8.61 (d,lH), 8.47 (d, 2H), 8.24 (d, IH), 8.05 (m, 2H),7.95 (d, IH), 7.73 (d, 2H),7.51 (m, IH)
LC-MS: [M+H]+ 316.35 for Ci9Hi3N3O2
Example 39
Λ/-Hydroxy-6-(hydroxyamino)-2-(phenylamino)pyrimidine-4-carboxamide
A. Methyl 2-chloro-6-methoxypyrimidine-4-carboxylate
To a solution of methyl 2,6-dichloropyrimidine-4-carboxylate (1.0 g, 4.8 mmol) in MeOH (5 mL) was added sodium methoxide, 0.5M solution in MeOH (8.7 mL, 4.4 mmol) and the reaction was stirred at room temperature. LC-MS after 15 minutes indicated the reaction was complete. The reaction mixture was diluted with water and extracted three times with ethyl acetate. The combined organic extracts were dried over
magnesium sulfate, filtered and evaporated to yield desired product as a white solid (0.86, 88%).
LC-MS: [M+H]+ 203.5 Mass: calculated for C7H7ClN2O3, 202.6 1H NMR (300 MHz, OMSO-d6) δ: ppm 3.88 - 3.92 (m, 3 H), 3.98 - 4.02 (m, 3 H), 7.43 (s, 1 H).
B. Butyl 6-hydroxy-2-(phenylamino)pyrimidine-4-carboxylate
Methyl 2-chloro-6-methoxypyrimidine-4-carboxylate (0.097 g, 0.48 mmol) and aniline (0.046 mL, 0.50 mmol) were combined in n-BuOH (10 mL) and heated to 115 0C. The reaction was stirred for 4 hours. LC-MS after 4 hours indicated addition of the aniline was complete. The solution was cooled to room temperature. HCl (4M) in Dioxane (0.120 mL, 0.48 mmol) was added and the reaction was heated to 115 0C. LC- MS after 2 hours indicated formation of the desired product. The reaction mixture was diluted with water and extracted three times with ethyl acetate. The combined organic extracts were dried over magnesium sulfate, filtered and evaporated to yield product as a white solid (0.106 g, 77%). LC-MS: [M+H]+ 288 Mass: calculated for Ci5Hi7N3O3, 287.31
C. Butyl 6-chloro-2-(phenylamino)pyrimidine-4-carboxylate
To a solution of n-butyl 6-hydroxy-2-(phenylamino)pyrimidine-4-carboxylate (0.10 g, 0.36 mmol), JV,iV-diethylaniline (0.03 ml, 0.18 mmol), and tetraethylammonium chloride (0.03 g, 0.18 mmol) in acetonitrile was added POCl3 (0.334 ml, 3.58 mmol). The reaction was then heated to 90 0C. The reaction mixture was allowed to cooled to room temperature and was concentrated in vacuo to yield a yellow oil. The residue was suspended in dichloromethane and washed twice with saturated sodium bicarbonate. The combined organic extracts were dried over magnesium sulfate, filtered and evaporated to yield product as an off white solid (0.13 g, >98%). LC-MS: [M+H]+ 306.7 Mass: calculated for Ci5Hi6ClN3O2, 305.76
D. Λ/-Hydroxy-6-(hydroxyamino)-2-(phenylamino)pyrimidine-4-carboxamide
Λ/-Hydroxy-6-(hydroxyamino)-2-(phenylamino)pyrimidine-4-carboxamide was prepared from butyl 6-chloro-2-(phenylamino)pyrimidine-4-carboxylate using the procedure described in Example 19, step B. The product was isolated as a trifluoroacetic acid salt after purification. LC-MS: [M+H]+ 262 Mass: calculated for C11H11N5O3, 261.24
1H NMR (300 MHz, DMSO-J6) δ: ppm 6.72 (br. s., 1 H), 7.00 (br. s., 1 H), 7.29 (t, 2 H), 7.70 (s, 2 H), 9.36 (br. s., 1 H).
Example 40
Λ/-Hydroxy-4-(pyridin-2-ylethynyl)picolinamide
A. Methyl 4-(pyridin-2-ylethynyl)picolinate
Methyl 4-(pyridin-2-ylethynyl)picolinate was prepared from 2-ethynylpyridine and methyl 4-bromopicolinate using the procedure described in Example 19, step A. LC-MS: [M+H]+ 239 Mass: calculated for Ci4Hi0N2O2, 238.24
B . Λ/-Hydroxy-4-(pyridin-2-ylethynyl)picolinamide
Λ/-Hydroxy-4-(pyridin-2-ylethynyl)picolinamide was prepared from methyl 4-
(pyridin-2-ylethynyl)picolinate using the procedure described in Example 19, step B.
LC-MS: [M+H]+ 315
Mass: calculated for Ci3H9N3O2, 239.23
1H NMR (300 MHz, DMSO-J6) δ: ppm 6.43 (s, 1 H), 7.45 - 7.56 (m, 1 H), 7.72 - 7.83 (m, 2 H), 7.86 - 7.98 (m, 1 H), 8.06 (s, 1 H), 8.62 - 8.72 (m, 2 H).
Example 41
4-(2-Fluorobiphenyl-4-yl)-N-hydroxypicolinamide
2-Fluorobiphenyl-4-ylboronic acid (0.400 g, 1.85 mmol), methyl 4-bromopicolinate (0.4 g, 1.85 mmol), Cs2CO3 (1.20 g, 3.70 mmol) and [1,1'- bis(diphenylphosphino)ferrocene]dichloropalladium(II) (0.134 g, 0.19 mmol) were combined in acetonitrile (6 mL)/water (3 mL) and heated to 60 0C under argon. The reaction was then stirred for 2 hours. After this time, the reaction was cooled to room temperature and was diluted with water. The reaction mixture was extracted three times with ethyl acetate. The combined organic extracts were dried over magnesium sulfate, filtered and evaporated to a brown solid. Isco column (Silica Gel, 0%-50% ethyl acetate/dichloromethane) afforded the desired compound as a light yellow oil (0.451, 79%). LC-MS: [M+H]+ 308 Mass: calculated for Ci9Hi4FNO2, 307.32
B. 4-(2-Fluorobiphenyl-4-yl)-N-hydroxypicolinamide
4-(2-Fluorobiphenyl-4-yl)-N-hydroxypicolinamide was prepared from methyl 4- (2-fluorobiphenyl-4-yl)picolinate using the procedure described in Example 19, step B. The product was isolated as a trifluoroacetic acid salt after purification. LC-MS: [M+H]+ 309 Mass: calculated for Ci8Hi3FN2O2, 308.31
1H NMR (300 MHz, DMSO-J6) δ: ppm 7.40 - 7.58 (m, 3 H), 7.58 - 7.66 (m, 2 H), 7.71 (t, 1 H), 7.77 - 7.94 (m, 2 H), 7.94 - 8.04 (m, 1 H), 8.29 (s, 1 H), 8.69 (d, 1 H).
Example 42
JV-Hydroxy-3-(phenylethynyl)benzamide
A. Methyl 3-(phenylethynyl)benzoate
Methyl 3-(phenylethynyl)benzoate was prepared from ethynylbenzene and methyl 3- bromobenzoate using the procedure described in Example 19, step A. LC-MS: [M+H]+ 237 Mass: calculated for Ci6Hi2O2, 236.27
B . JV-Hydroxy-3 -(phenylethynyl)benzamide
JV-Hydroxy-3-(phenylethynyl)benzamide was prepared from methyl 3- (phenylethynyl)benzoate using the procedure described in Example 19, step B. LC-MS: [M+H]+ 238.2
Mass: calculated for CI5HHNO2, 237.25
1H NMR (300 MHz, DMSO-J6) δ: ppm 7.39 - 7.63 (m, 7 H), 7.70 (d, 1 H), 7.78 (d, 1 H),
7.92 (s, 1 H), 9.14 (s, 1 H), 11.32 (s, 1 H).
Example 43
4-(4'-Ethoxybiphenyl-4-yl)-JV-hydroxypicolinamide
Methyl 4-(4'-ethoxybiphenyl-4-yl)picolinate was prepared from 4'-ethoxybiphenyl-4- ylboronic acid and methyl 4-bromopicolinate using the procedure described in Example 41, step A.
LC-MS: [M+H]+ 334 Mass: calculated for C2iHi9NO3, 333.38
1H NMR (300 MHz, DMSO- d6) δ: ppm 1.36 (t, 3 H), 3.93 (s, 3 H), 4.06 - 4.13 (m, 2 H), 7.04 (m, 2 H), 7.70 (m, 2 H), 7.81 (m, 2 H), 7.94 (m, 2 H), 8.02 (dd, 1 H), 8.34 (s, 1 H), 8.78 (d, 1 H).
B . 4-(4'-Ethoxybiphenyl-4-yl)-JV-hydroxypicolinamide
4-(4'-Ethoxybiphenyl-4-yl)-N-hydroxypicolinamide was prepared from methyl 4- (4'-ethoxybiphenyl-4-yl)picolinate using the procedure described in Example 19, step B. LC-MS: [M+H]+ 335
Mass: calculated for Ci8Hi3FN2O2, 334.37
1H NMR (300 MHz, OMSO-d6) δ: ppm 1.36 (t, 3 H), 4.09 (q, 2 H), 7.05 (m, 2 H), 7.70 (m, 2 H), 7.81 (d, 2 H), 7.93 (d, 3 H), 8.26 (s, 1 H) 8.66 (d, 1 H), 9.15 (br. s., 1 H), 11.50 (br. s., 1 H).
Example 44
To a solution of methyl 3-bromo-2-methoxybenzoate (0.50 g, 2.0 mmol) in 30 mL of dry acetonitrile was added Pd(PPh3)2Cl2 (14 mg, 0.20 mmol) followed by CuI (3.9 mg, 0.02 mmol). Triethylamine (0.86 mL, 6.1 mmol) was added to the reaction mixture and the solution was degassed for 15 min. The argon atmosphere was then replaced with 1 : 1 argon/hydrogen balloon atmosphere and a solution of phenylacetylene (0.23 g, 2.2 mmol) in dry acetonitrile (20 mL) was added over a period of 15 min at room temperature. The reaction mixture was heated at 80 0C for 2 h. The reaction was cooled to room temperature and the solvent was evaporated under reduced pressure. The residue was diluted with water (100 mL) and the precipitated solid was filtered, washed thoroughly with water (100 mL) and dried under vacuum to provide methyl 2-methoxy-3- (phenylethynyl)benzoate as yellow solid (0.14 g, 26%). LC-MS: [M+H]+ 267.2 Mass: calculated for Ci7Hi4O3266.3 1H NMR (400 MHz, CDCl3) δ: ppm 7.74 (dd, IH), 7.65 (dd, IH), 7.54 (m, 2H), 7.37 (m, 3H), 4.08 (s, 3H), 3.93 (s, 3H).
B . JV-Hydroxy-2-methoxy-3 -(phenylethynyl)benzamide
To a solution of methyl 2-methoxy-3-(phenylethynyl)benzoate (0.130 g crude, 0.481 mmol) in methanol/THF (1 :1) was added aqueous 50% hydroxylamine (2 mL) followed by a catalytic amount of KCN (~1 mg). The resulting solution was stirred at room temperature for 3-5 h. The reaction mixture was quenched with aqueous 10% citric acid solution (~4 mL) and stirred for 15 min. The precipitated solid was filtered, washed
with water, and dried under vacuum to provide the crude compound. The crude compound was purified by triturating with diethyl ether for ~10 min. and filtered to yield N-hydroxy-2-methoxy-3-(phenylethynyl)benzamide as an off- white solid (0.065 g, 51% yield). LC-MS: [M+H]+ 268.4
Mass: calculated for Ci6Hi3NO3, 267.17
1H NMR (400 MHz, DMSO-d6): δ: ppm 10.83 (s, IH), 9.16 (s, IH), 7.56 (m, 3H), 7.44
(m, 4H), 7.20 (m, IH), 3.96 (s, 3H)
Example 45
A. Methyl 2-fluoro-3-(phenylethynyl)benzoate
Methyl 2-fluoro-3-(phenylethynyl)benzoate was prepared from methyl 3-bromo- 2-fluorobenzoate following the method described in Example 44 step A to yield the title compound as a solid.
LC-MS: [M+H]+ 255.1
Mass: calculated for CI6HHFO2, 254.26
1H NMR (400 MHz, δ Dppm, DMSO-d6): δ 7.89 (m, IH), 7.69 (m, IH), 7.56 (m, 2H), 7.37 (m, 3H), 7.17 (t, IH), 3.95 (s, 3H).
B . 2-Fluoro-Λ/-hydroxy-3 -(phenylethynyl)benzamide
2-Fluoro-iV-hydroxy-3-(phenylethynyl)benzamide was prepared from methyl 2- fluoro-3-(phenylethynyl)benzoate following the method described in Example 44 step B to yield the title compound as a solid. LC-MS: [M+H]+ 256.3 Mass: calculated for C15H10FNO2
1H NMR (400 MHz, DMSO-d6) δ: ppm 11.10 (s, IH), 9.32 (s, IH), 7.75 (m, IH), 7.65- 7.55 (m, 3H), 7.455 (m, 3H), 7.33 (t, IH)
Example 46
Λ/-Hydroxy-4-((4-(pyridin-3-yl)phenyl)ethynyl)picolinamide
A. Methyl 4-((trimethylsilyl)ethynyl)picolinate
To a suspension of methyl 4-bromopicolinate (1.0 g, 4.6 mmol), copper(I) iodide (0.035 g, 0.19 mmol), and bis(triphenylphosphine)palladium(II) dichloride (0.13 g, 0.19 mmol) in Et3N (15 ml) was added ethynyltrimethylsilane (0.98 ml, 6.9 mmol). The reaction was then heated to 105 0C. Once complete, the reaction mixture was cooled to room temperature and concentrated to yield a black oil. ISCO column (Silica Gel, 0%- 50% ethyl acetate/dichloromethane) afforded the desired product as a brown oil (1.05 g, 83%). LC-MS: [M+H]+ 234
Mass: calculated for Ci2Hi5NO2Si, 233.34
1U NMR (300 MHz, DMSO-J6) δ: ppm 0.26 (s, 9 H), 3.89 (s, 3 H), 7.68 (d, 1 H), 7.97 (s, 1 H), 8.72 (d, 1 H).
B. 4-((4-(Pyridin-3-yl)phenyl)ethynyl)picolinic acid
4-((4-(Pyridin-3-yl)phenyl)ethynyl)picolinic acid was prepared from 3-(4- bromophenyl)pyridine and methyl 4-((trimethylsilyl)ethynyl)picolinate using the procedure described in Example 19, step A. LC-MS: [M+H]+ 301 Mass: calculated for Ci9Hi2N2O2, 300.31
C . jV-Hydroxy-4-((4-(pyridin-3 -yl)phenyl)ethynyl)picolinamide
4-((4-(Pyridin-3-yl)phenyl)ethynyl)picolinic acid (0.097 g, 0.32 mmol) and trimethylsilyldiazomethane, 2N in hexane (0.32 mL, 0.7 mmol) were combined in MeOH (2 mL) at 0 0C and then warmed to room temperature and stirred for 15 min. LC-MS indicated conversion to the ester was -50% complete. Additional trimethylsilyldiazomethane, 2N in hexane (0.323 mL, 0.7 mmol) was added and a color change from light yellow to orange was observed. LC-MS immediately following addition indicated complete conversion to ester. Hydroxylamine, 50% aqueous (2 mL) was added and the reaction was stirred at room temperature overnight. The reaction mixture was concentrated to an orange solid. Reverse phase HPLC (10%-50%
acetonitrile/water) afforded the desired compound as a white solid (0.005 g, 3%). The product was isolated as a trifluoroacetic acid salt.
LC-MS: [M+H]+ 316
Mass: calculated for Ci9Hi3N3O2, 315.33
1H NMR (300 MHz, OMSO-d6) δ: ppm 7.7 (dd, 1 H), 7.8 (dd, 1 H), 7.8-7.93 (dd, 2 H),
8.07 (s, 1 H), 8.3 (d, 1 H), 8.66-8.7 (m, 2 H), 9.06 (s, 1 H), 11.56 (s, 1 H).
Example 47
A. Methyl 2-methyl-3-(phenylethynyl)benzoate
Methyl 2-methyl-3-(phenylethynyl)benzoate was prepared from methyl 3-bromo- 2-methylbenzoate following the method described in Example 44 step A to yield the title compound as a solid.
LC-MS: [M+H]+ 251.2
Mass: calculated for C17H14O2
1H NMR (400 MHz, DMSO-d6) δ: ppm 7.82 (m, IH), 7.64 (m, IH), 7.55 (m, 2H), 7.36 (m, 3H), 3.91 (m, 3H), 2.78 (m, 3H)
B . JV-Hydroxy-2-methyl-3 -(phenylethynyl)benzamide
Λ/-Hydroxy-2-methyl-3-(phenylethynyl)benzamide was prepared from methyl 2- methyl-3-(phenylethynyl)benzoate following the method described in Example 44 step B to yield the title compound as a solid. LC-MS: [M+H]+ 252.4 Mass: calculated for Ci6Hi3NO2, 251.09
1H NMR (400 MHz, DMSO-d6) δ: ppm 10.90 (s, IH), 9.15 (s, IH), 7.58 (m, 3H), 7.44 (m, 3H), 7.30 (m, 2H), 2.48 (s, 3H)
Example 49
Λ/-Hydroxy-6-(hydroxyamino)-2-(phenylamino)pyrimidine-4-carboxamide
A. Methyl 6-methoxy-2-(pyridin-4-yl)pyrimidine-4-carboxylate
4-ylboronic acid (0.45 g, 3.7 mmol), K3PO4 (0.52 g, 2.5 mmol) and palladium(II) acetate (0.055 g, 0.25 mmol)/dichlorobis(tricyclohexylphosphine)palladium(II) (0.18 g, 0.25 mmol) were combined in dioxane (10 mL)/water (3 mL), purged with argon and heated to 150 0C in the microwave for 30 min. The solution was cooled to room temperature. The reaction mixture was diluted with water and extracted three times with ethyl acetate. The combined organic extracts were dried over magnesium sulfate, filtered and evaporated. Normal phase silica gel column (0%-100% ethyl acetate/dichloromethane) afforded the desired compound as a light yellow solid (0.36 g, 80%). LC-MS: [M+H]+ 246 Mass: calculated for Ci2HnN3O3, 245.23
B . Λ/-Hydroxy-6-methoxy-2-(pyridin-4-yl)pyrimidine-4-carboxamide
Λ/-Hydroxy-6-methoxy-2-(pyridin-4-yl)pyrimidine-4-carboxamide was prepared from methyl 6-methoxy-2-(pyridin-4-yl)pyrimidine-4-carboxylate using the procedure described in Example 19, step B. LC-MS: [M+H]+ 247 Mass: calculated for C11H10N4O3, 246.22
1H NMR (300 MHz, DMSO-J6) δ: ppm 4.12 (s, 3 H), 7.34 (s, 1 H), 8.54 (d, 2 H), 8.79 (d, 2 H).
Example 51 iV-Hydroxy-3 -(phenylethynyl)- 1 -naphthamide
A. Methyl 3 -(phenylethynyl)- 1-naphthoate
Methyl 3 -bromo- 1-naphthoate (0.20 g, 0.75 mmol) was dissolved in 1.5 mL 1 N TBAF in THF to which 0.40 mL of ethynylbenzene was added. This was followed by 3 mg of bis(triphenylphosphine)palladium(II) dichloride. The reaction vessel was sealed
and evacuated followed by filling with N2 (repeated three times). The reaction was then heated at 80 0C for 2 hours. LCMS analysis indicated conversion to the desired product. The reaction was cooled to room temperature and concentrated in vacuo. The crude reaction mixture was then dissolved in 20 mL ethyl acetate and washed with brine (3X). The combined organic fractions were then dried over magnesium sulfate, filtered and concentrated in vacuo. The crude mixture was purified by preparatory HPLC (Gilson) in an 0-80% MeCN/Water (with 0.1 % TFA ) gradient over 15 minutes. 61 mg of the product ester was isolated (98% purity by LCMS UV). LC-MS : [M+H] 287.02 Mass Calculated for C20Hi4O2, 286.32
1H NMR (300 MHz, CD3OD) δ: ppm 8.82 (d, IH) ; 8.24 (d, 2H) ; 7.96 (d, IH) ; 7.55- 7.65 (m, 4H) ; 7.40 (m, 3H) ; 4.0 (s, 3H).
B. iV-Hydroxy-3 -(phenylethynyl)- 1 -naphthamide
Methyl 3-(phenylethynyl)-l-naphthoate was stirred overnight in a mixture of 1 mL MeOH and 1 mL 50% aqueous hydroxylamine at room temperature. After 14 hours the reaction was monitored by LCMS which indicated conversion to the desired hydroxamate. The crude mixture was then concentrated in vacuo and purified by preparatory HPLC (Gilson) in an 0-80% MeCN/Water (with 0.1 % TFA ) gradient over 15 minutes. 6.1 mg of iV-hydroxy-3 -(phenylethynyl)- 1 -naphthamide was isolated (92% purity by LCMS UV).
LC-MS : [M+H] 288 Mass Calculated for Ci9Hi3NO2, 287.31
1H NMR (300 MHz, CD3OD) δ: ppm 8.14 (d, 2H), 7.9 (m, IH), 7.47-7.64 (m, 5H), 7.35 (m,3H).
Example 52
2-amino-jV-hydroxy-5 -phenylpyridine-3 -carboxamide
A. Methyl 2-amino-5 -phenylpyridine-3 -carboxylate
To a solution of methyl 2-amino-5-bromopyridine-3 -carboxylate (0.250 g, 1.087 mmol) in 1 ,2-dimethoxy ethane was added phenyl boronic acid (0.145 g, 1.196 mmol, Avra) followed by Pd(PPh3 )4 (0.062 g, 0.054 mmol, Alfa Aesar) at room temperature and the reaction mixture was purged with argon for 15 min. To this reaction mixture was added (0.182 g, 2.17 mmol) aqueous saturated NaHCO3 and the resulting solution was purged with argon for another 10 min. The reaction mixture was then heated at 60 0C for 6 h. The solvent was evaporated to dryness under reduced pressure and the residue was diluted with ethyl acetate (20 mL). The organic solution was washed with water (10 mL x 2), and the aqueous solution was extracted with ethyl acetate (20 mL). The organic layer was washed with brine solution (20 mL), dried over anhydrous magnesium sulfate and evaporated under reduced pressure to obtain the crude compound. The crude compound was purified by column (Silica gel, 100-200 mesh) using 7% ethyl acetate in pet-ether as mobile phase to obtain the title compound as an off-white solid LC-MS : [M+H] 229.36 Mass Calculated for Ci3Hi2N2O2, 228.27
1H NMR (400 MHz, δ Dppm, DMSO-d6): δ 8.49 (d, IH), 8.37 (d, IH), 7.53 (d, 2H), 7.46 (t, 2H), 7.33 (t, IH), 6.72 (sb, 2H), 3.90 (S, IH).
B . 2-amino-Λ/-hydroxy-5 -phenylpyridine-3 -carboxamide
To a solution of methyl 2-amino-5-phenylpyridine-3-carboxylate (0.300 g, 1.3215 mmol) in methanol/THF (1 :1) was added aqueous 50% hydroxylamine (3 niL) followed by catalytic amount of KCN and the resulting solution was stirred at room temperature for 24 h. The reaction mixture was quenched with aqueous 10% citric acid solution (~4 mL) and stirred for 15 min. The reaction mass was extracted with ethyl acetate (50.0 mL x 3). The organic layer was washed with water, brine solution, dried over anhydrous magnesium sulfate and evaporated under reduced pressure to obtain the crude compound (280 mg). The crude compound was purified by preparative-HPLC to get title compound as a light brown solid. LC-MS : [M+H] 230.42 Mass Calculated for Ci2Hi2N3O2, 229.25
1H NMR (400 MHz, δ Dppm, DMSO-d6): δl l.20 (sb, IH), 9.01 (sb, IH), 8.40 (d, IH) 8.06 (d, IH), 7.61 (d, 2H), 7.41 (t, 2H), 7.29 (t, IH), 6.98 (sb, 2H).
Example 53 Λ/-hydroxy-2-[(2-methoxyethyl)amino]-6-(phenylethynyl)pyrimidine-4- carboxamide
A. Methyl-2-chloro-6-methoxypyrimidine-4-carboxylate
N"*N
O
To a 0 0C solution of methyl 2,6-dichloropyrimidine-4-carboxylate (6.00 g, 33.1 mmol) in methanol (100 mL) was added freshly prepared sodium methoxide (0.973 g, 40.0 mmol of sodium in 50 mL of methanol). The reaction mixture was stirred at the same temperature for 30 min. The reaction mixture was quenched with cold water and the solvent was evaporated under reduced pressure. The residue was diluted with ethyl acetate (200 mL) and washed with water (20 mL x 3). The aqueous layer was extracted with ethyl acetate (25 mL x 2). The combined organic layers were washed with brine solution (50 mL), dried over anhydrous MgSO4 and evaporated under reduced pressure to afford the title compound as an off- white solid (4.10 g, 71%). LC-MS: [M+H] + 203 Mass: calculated for C7H7ClN2O3, 202.3
1H NMR (400 MHz, CDCl3) δ: ppm 7.40 (s, IH); 4.00 (s, 3H); 3.90 (s, 3H).
B . Butyl-6-hydroxy-2- [(2-methoxyethyl)amino]pyrimidine-4-carboxylate
Butyl-6-hydroxy-2-[(2-methoxyethyl)amino]pyrimidine-4-carboxylate was prepared from methyl 2-chloro-6-methoxypyrimidine-4-carboxylate and methoxyethyl amine using the procedure described in Example 63, step B.
LC-MS: [M+H]+ 270.1
Mass: calculated for Ci2Hi9N3O4, 269.14
1H NMR (400 MHz, δ Dppm, DMSO-d6): δ 11.00 (s, IH), 6.89 (s, IH), 6.15 (s, IH), 4.20 (t, 2H), 3.45 (s, 4H), 3.3 (s, 3H), 1.64 (m, 2H), 1.40 (m, 2H), 0.98 (m, 3H).
C. Butyl 6-bromo-2-[(2-methoxyethyl)amino]pyrimidine-4-carboxylate
Butyl-6-bromo-2-[(2-methoxyethyl)amino]pyrimidine-4-carboxylate was prepared from butyl 6-hydroxy-2-[(2-methoxyethyl)amino]pyrimidine-4-carboxylate using the procedure described in Example 63, step C. LC-MS: [M+2]+ 334
Mass: calculated for Ci2Hi8BrN3O3, 332.19 1H NMR (400 MHz, δ Dppm, CDCl3): δ 7.30 (s, IH), 5.80 (sb, IH), 4.40 (t, 2H), 3.70 (sb, 2H), 3.67 (m, 2H), 3.50 (m, 2H), 3.40 (s, 3H), 1.80 (m, 2H), 1.40 (m, 2H), 1.00 (m, 3H).
D. Butyl 2-[(2-methoxyethyl)amino]-6-(phenylethynyl)pyrimidine-4- carboxylate
Butyl 2-[(2-methoxyethyl)amino]-6-(phenylethynyl)pyrimidine-4-carboxylate was prepared from butyl 6-bromo-2-[(2-methoxyethyl)amino]pyrimidine-4-carboxylate using the procedure described in Example 63, step D. LC-MS: [M+H]+ 354.2
Mass: calculated for C20H23N3O3, 353.17
1H NMR (400 MHz, δ Dppm, DMSO-d6): δ 7.60 (d, 2H), 7.40 (m, 4H), 5.80 (s, IH),
4.40 (t, 2H), 3.67 (m, 2H), 3.53 (m, 2H), 3.40 (s, 3H), 1.80 (m, 2H), 1.40 (m, 2H), 1.00 (t,
3H).
E. Λ/-hydroxy-2-[(2-methoxyethyl)amino]-6-(phenylethynyl)pyrimidine-4- carboxamide
Λ/-hydroxy-2-[(2-methoxyethyl)amino]-6-(phenylethynyl)pyrimidine-4- carboxamide was prepared from butyl 2-[(2-methoxyethyl)amino]-6- (phenylethynyl)pyrimidine-4-carboxylate using the procedure described in Example 63, step E.
LC-MS: [M+H] + 313.40 Mass: calculated for Ci6Hi6N4O3, 312.12
1H NMR (400 MHz, δ Dppm, DMSO-d6): δl l.52 (s, IH), 9.30 (s, IH), 7.64 (m, 2H), 7.48 (m, 3H), 7.13 (s, IH), 3.59 (m, 2H), 3.45 (m, 2H), 3.33 (s, 3H).
Example 54 2-(benzylamino)-Λ/-hydroxy-6-(phenylethynyl)pyrimidine-4-carboxamide
A. Methyl 2-chloro-6-methoxypyrimidine-4-carboxylate
To a 0 0C solution of methyl 2,6-dichloropyrimidine-4-carboxylate (6.00 g, 33.1 mmol) in methanol (100 mL) was added freshly prepared sodium methoxide (0.973 g, 40.0 mmol of sodium in 50 mL of methanol). The reaction mixture was stirred at the same temperature for 30 min. The reaction mixture was quenched with cold water and
the solvent was evaporated under reduced pressure. The residue was diluted with ethyl acetate (200 mL) and washed with water (20 mL x 3). The aqueous layer was extracted with ethyl acetate (25 mL x 2). The combined organic layers were washed with brine solution (50 mL), dried over anhydrous MgSO4 and evaporated under reduced pressure to afford the title compound as an off- white solid (4.10 g, 71%). LC-MS: [M+H] + 203 Mass: calculated for C7H7ClN2O3, 202.3 1H NMR (400 MHz, CDCl3) δ: ppm 7.40 (s, IH); 4.00 (s, 3H); 3.90 (s, 3H).
B. Butyl 2-(benzylamino)-6-hydroxypyrimidine-4-carboxylate
Butyl 2-(benzylamino)-6-hydroxypyrimidine-4-carboxylate was prepared from methyl 2-chloro-6-methoxypyrimidine-4-carboxylate and benzyl amine using the procedure described in Example 63, step B. LC-MS: [M+H]+ 302 Mass: calculated for Ci6Hi9N3O3, 301.14
1H NMR (400 MHz, δ Dppm, DMSO-d6): δ 11.8 (s, IH), 9.40 (s, IH), 9.00 (s, IH), δ 7.30 (m, 4H), 6.40 (m, IH), 4.68 (s, IH), 4.40 - 4.20 (m, 2H), 1.80 (m, 2H), 1.40 (m, 2H), 1.00 (m, 3H).
C. Butyl 2-(benzylamino)-6-bromopyrimidine-4-carboxylate
Butyl 2-(benzylamino)-6-bromopyrimidine-4-carboxylate was prepared from butyl 2-(benzylamino)-6-hydroxypyrimidine-4-carboxylate using the procedure described in Example 63, step C. LC-MS: [M+2]+ 364.24 Mass: calculated for Ci6Hi8BrN3O2, 363.06
1H NMR (400 MHz, δ Dppm, CDCl3): δ 7.30 (s, 6H), 5.80 (sb, IH), 4.68 (t, 2H), 4.40 (m, 2H), 1.80 (m, 2H), 1.40 (m, 2H), 1.00 (m, 3H).
D . Butyl 2-(benzylamino)-6-(phenylethynyl)pyrimidine-4-carboxylate
Butyl 2-(benzylamino)-6-(phenylethynyl)pyrimidine-4-carboxylate was prepared from butyl 2-(benzylamino)-6-bromopyrimidine-4-carboxylate using the procedure described in Example 63, step D. LC-MS: [M+H]+ 386.1 Mass: calculated for C24H23N3O3, 385.18
1H NMR (400 MHz, δ Dppm, DMSO-d6): δ 7.60 (d, 2H), 7.40 (m, 9H), 5.73 (m, IH), 4.73 (d, 2H), 4.40 (t, 2H), 1.80 (m, 2H), 1.45 (m, 2H), 1.00 (t, 3H).
E. 2-(benzylamino)-Λ/-hydroxy-6-(phenylethynyl)pyrimidine-4-carboxamide
2-(benzylamino)-Λ/-hydroxy-6-(phenylethynyl)pyrimidine-4-carboxamide was prepared from butyl 2-(benzylamino)-6-(phenylethynyl)pyrimidine-4-carboxylate using the procedure described in Example 63, step E. LC-MS: [M+H] + 345.42 Mass: calculated for C20Hi6N4O2, 344.13
1H NMR (400 MHz, δ Dppm, DMSO-d6): δ 11.52 (s, IH), 9.30 (s, IH), 8.20 (sb, IH), 7.64 (m, 2H), 7.51 (m, 3H), 7.35 (m, 4H), 7.23 (m, 2H), 4.70 (sb, 2H).
Example 55
N-hydroxy-2-(hydroxyamino)-6-(4-(pyridin-3-ylethynyl)phenyl)pyrimidine-4- carboxamide, trifluoroacetic acid salt
A. Methyl 2-chloro-6-(4-(pyridin-3-ylethynyl)phenyl)pyrimidine-4-carboxylate
Methyl 2,6-dichloropyrimidine-4-carboxylate (0.5 g, 2.4 mmol), 3-((4-(5,5-dimethyl- l,3,2-dioxaborinan-2-yl)phenyl)ethynyl)pyridine (0.35 g, 1.2 mmol, Method 2), K2CO3 (0.33 g, 2.4 mmol) and [l,4-bis(diphenylphospino)butane]palladium(II) dichloride (0.073 g, 0.12 mmol) were combined in dioxane (3 mL)/water (1 mL), purged with Argon and heated to 150 0C in the microwave. The reaction was stirred for 30 min. LC-MS after 30 minutes indicates reaction is complete as a mixture of ester and acid. The reaction mixture was diluted with water, neutralized with IN HCl, and extracted three times with
ethyl acetate. The combined organic extracts were dried over magnesium sulfate, filtered and evaporated. The solid was dissolved in MeOH and trimethylsilyldiazomethane (2.4 mL, 4.8 mmol) was added. LC-MS after 15 minutes indicated formation of the methyl ester was complete. The reaction mixture was diluted with water and extracted three times with ethyl acetate. The combined organic extracts were dried over magnesium sulfate, filtered and evaporated to a solid (0.2Og, 23.7% yield). LC-MS: [M+H]+ 350 Mass: calculated for Ci9Hi2ClN3O2, 349.77
B. N-hydroxy-2-(hydroxyamino)-6-(4-(pyridin-3-ylethynyl)phenyl)pyrimidine-
4-carboxamide, trifluoroacetic acid salt
Methyl 2-chloro-6-(4-(pyridin-3-ylethynyl)phenyl)pyrimidine-4-carboxylate (0.10 g, 0.29 mmol) and hydroxylamine, 50% aqueous (0.018 mL, 0.29 mmol) were combined in MeOH (2 mL) stirred at room temperature. LC-MS after stirring overnight indicated the reaction was complete. The reaction mixture was diluted with water and extracted three times with ethyl acetate. The combined organic extracts were dried over magnesium sulfate, filtered and evaporated. Reverse phase HPLC (10%-75% acetonitrile/water with 0.1% TFA) afforded the desired compound as a yellow solid (0.012g, 9.1% yield). Fluorine NMR indicates TFA salt. LC-MS: [M+H]+ 348
Mass: calculated for C18H13N5O3, 347.33
IH NMR (300 MHz, OMSO-d6) δ ppm 7.52 (dd, J=7.72, 4.90 Hz, 1 H) 7.68 (s, 1 H) 7.76 (d, J=7.54 Hz, 3 H) 8.06 (d, J=7.91 Hz, 1 H) 8.27 (dd, J=7.91, 5.84 Hz, 2 H) 8.63 (d, J=4.71 Hz, 1 H) 8.82 (s, 1 H)
19F NMR (282 MHz, OMSO-d6) d ppm -74.73
Example 56
2-(4-Bromophenyl)-6-(4-chlorophenyl)-Λ/-hydroxyisonicotinamide
2-(4-Bromophenyl)-6-(4-chlorophenyl)-Λ/-hydroxyisonicotinic acid (0.20 g, 0.51 mmol) was dissolved in 4 niL MeOH at room temperature followed by the addition of trimethylsilyldiazomethane (1 N in ether). The trimethylsilyldiazomethane solution was slowly added until a pale yellow color remained. The reaction was then stirred at room temperature for 1 hr and a solid started to precipitate. Hydroxylamine (50% aqueous, 1 mL) was then added to the reaction and stirring was continued overnight (ca. 18 hours). The crude mixture was then concentrated in vacuo and purified by preparatory HPLC (Gilson) in an 0-90% MeCN/Water (with 0.1 % TFA ) gradient over 15 minutes. 15.3 mg of 2-(4-bromophenyl)-6-(4-chlorophenyl)-N-hydroxyisonicotinamide was isolated. LC-MS : [M+H] 404.75 Mass Calculated for Ci8Hi2BrClN2O2, 403.66 1H NMR (300 MHz, CD3OD) δ: ppm 8.2 (d, 2H), 8.11 (m, 4H), 7.71 (d, 2H), 7.53 (d, 2H).
Example 57
Λ/-Hydroxy-4-(phenylethynyl)quinoline-2-carboxamide
A. Methyl 4-(phenylethynyl)quinoline-2-carboxylate
Methyl 4-(phenylethynyl)quinoline-2-carboxylate was prepared from ethynylbenzene and methyl 4-bromoquinoline-2-carboxylate using the procedure described in Example 19, step A. LC-MS: [M+H]+ 288 Mass: calculated for Ci9Hi3NO2, 287.31
B . N-Hy droxy-4-(phenylethynyl)quino line -2-carboxamide
Λ/-Hydroxy-4-(phenylethynyl)quinoline-2-carboxamide was prepared from methyl 4-(phenylethynyl)quinoline-2-carboxylate using the procedure described in Example 19, step B. The product was isolated after reverse phase chromatography as a trifluoroacetic acid salt.
LC-MS: [M+H]+ 289
Mass: calculated for Ci8Hi2N2O2, 288.30 1H NMR (300 MHz, DMSO-J6) δ: ppm 7.48 - 7.59 (m, 3 H); 7.76 - 8.00 (m, 4 H); 8.08 -
8.29 (m, 2 H); 8.43 (d, 1 H).
Example 58
JV-Hydroxy-6-(phenylethynyl)- 1 H-indazole-4-carboxamide
Methyl 6-bromo-lH-indazole-4-carboxylate (0.20 g, 0.87 mmol) was dissolved in
1.5 niL IN TBAF in THF to which 0.40 mL of ethynylbenzene was added. This was followed by 4 mg of bis(triphenylphosphine)palladium(II) dichloride. The reaction vessel was sealed and evacuated followed by filling with N2 (repeated three times). The reaction was then heated at 80 0C for 2 hours. The reaction was then cooled to room temperature. LCMS analysis indicated conversion to the desired product. The crude mixture was then concentrated in vacuo and purified by preparatory HPLC (Gilson) in a 0-90% MeCN/Water (with 0.1 % TFA ) gradient over 15 minutes. 0.22 g of 90% (purity by LCMS UV) methyl 6-(phenylethynyl)-lH-indazole-4-carboxylate was isolated. The isolated product was then stirred overnight in 1 mL MeOH containing 50% aqueous hydroxylamine. The reaction was concentrated in vacuo. The resulting residue was dissolved in 1 mL DMF and purified by preparatory HPLC (Gilson) in a 0-90% MeCN/Water (with 0.1 % TFA ) gradient over 15 minutes. 7.5 mg of JV-hydroxy-6- (phenylethynyl)-l H-indazole-4-carboxamide was isolated (97.2 % purity by LCMS UV).
JV-hydroxy-6-(phenylethynyl)- 1 H-indazole-4-carboxamide : LC-MS : [M+H] 277.96
Mass Calculated for Ci6HnN3O2, 277.28
1H NMR (300 MHz, CD3OD) δ: ppm 8.4 (s, IH), 7.9 (s, IH), 7.5-7.65 (m, 3H), 7.42 (bs,
3H).
Methyl 6-(phenylethynyl)-lH-indazole-4-carboxylate: LC-MS : [M+H] 276.99 Mass Calculated for Ci7Hi2N2O2, 276.29
1H NMR (300 MHz, DCD3OD) δ: ppm 8.5 (s, IH), 8.0 (d, 2H), 7.54 (m, 2H),7.42 (d, 3H), 4.07 (s, 3H).
Example 59
N-hydroxy-2-(4-methylpiperazin-l-yl)-6-(4-(pyridin-3-ylethynyl)phenyl)iso nicotinamide
A. Methyl 2-chloro-6-(4-methylpiperazin-l-yl)isonicotinate
A solution of methyl 2,6-dichloroisonicotinate (0.10 g, 0.49 mmol), 1- methylpiperazine (0.059 ml, 0.53 mmol) and Hunig's Base (0.170 ml, 0.97 mmol) in NMP (0.985 ml) is allowed to stir at 100 0C. After 2 h, LCMS indicated complete consumption of starting material and formation of the desired product. The reaction was removed from the heat and allowed to cool to room temperature. Water was added to the reaction solution and it was extracted 3 times with ethyl acetate. The pooled organics were washed with sat. NaCl, dried over MgSO4 filtered and concentrated. The crude product was purified by silica gel chromatography (10% Methanol in DCM with 1% NH4OH) to afford the desired product (74 mg, 0.27 mmol, 57%) as a yellow film.
LC-MS: [M+H]+ 270
Mass: calculated for Ci2Hi6ClN3O2, 269.73
1H NMR (300 MHz, CDCl3) δ: ppm 7.09 (m, 2H); 3.93 (s, 3H); 3.64 (m, 4H); 2.51 (m,
4H); 2.36 (s, 3H).
B . Methyl 2-(4-methylpiperazin- 1 -yl)-6-(4-(pyridin-3 -ylethynyl)phenyl)iso nicotinate
In a microwave vial, methyl 2-chloro-6-(4-methylpiperazin- 1 -yl)isonicotinate
(0.074 g, 0.27 mmol), 3-((4-(5,5-dimethyl-l,3,2-dioxaborinan-2- yl)phenyl)ethynyl)pyridine (0.088 g, 0.30 mmol, Method 2) and sodium carbonate (0.058 g, 0.55 mmol) were taken up in 1,4-dioxane (1.0 ml) and water (0.25 ml). The solution was degassed with a stream of N2 for 5 minutes. After this time, Pd(Ph3P)4 (0.032 g, 0.03 mmol) was added and the reaction was placed in a microwave and allowed to stir for 20 minutes at 150 0C. After this time, LC-MS indicated complete consumption of starting material and formation of the hydro lyzed product (acid). At this time, trimethylsilyldiazomethane in hexanes (0.686 ml, 1.37 mmol) was added to the crude reaction mixture and it was stirred at room temperature. After 30 min, LC-MS indicated conversion to the ester was not complete so additional trimethylsilyldiazomethane in hexanes (0.412 ml, 0.82 mmol) was added.
After an additional 30 min., trimethylsilyldiazomethane in hexanes (0.412 ml, 0.82 mmol) was added to the reaction mixture. After stirring for an additional 1 h the reaction was stopped. The reaction mixture was filtered through celite and washed with
water and ethyl acetate. The resulting solution was washed with sat. NaCl, dried over MgSO4, filtered and concentrated. LC-MS indicated 20% acid still remained. The crude residue was dissolved in 1 mL MeOH and trimethylsilyldiazomethane in hexanes (0.686 ml, 1.37 mmol) was added. The reaction was stirred at room temperature. After 20 min, LC-MS indicated complete consumption of acid and formation of methyl 2-(4- methylpiperazin-l-yl)-6-(4-(pyridin-3-ylethynyl)phenyl)isonicotinate. The reaction was concentrated and the crude residue was carried on as is, assuming quantitative yield. LC-MS: [M+H]+ 413 Mass: calculated for C25H24N4O2, 412.48
C . N-hydroxy-2-(4-methylpiperazin- 1 -yl)-6-(4-(pyridin-3 -ylethynyl)phenyl) isonicotinamide
To a solution of methyl 2-(4-methylpiperazin-l-yl)-6-(4-(pyridin-3- ylethynyl)phenyl)isonicotinate (111 mg, 0.27 mmol) in methanol (1.12 mL), hydroxylamine (50% aqueous solution) (165 μl, 2.70 mmol) was added and the reaction was stirred at room temperature for 2 days. After this time, LC-MS indicated formation of the desired product. The reaction was concentrated and the crude residue was taken up in DMSO for reverse phase purification (25-50% MeCN / 0.1% ammonium acetate in water). The clean fractions were pooled, concentrated and lyophilized overnight to afford the desired product as a yellow solid (12.9 mg, 0.030 mmol, 12 %). LC-MS: [M+H]+ 414
Mass: calculated for C24H23N5O2, 413.48
1H NMR (300 MHz, DMSO-d6) δ: ppm 1.91 (s, 3H); 2.25 (4H, m); 3.64 (m, 4H); 7.12 (s, IH); 7.52 (m, IH); 7.58 (s, IH); 7.71 (d, 2H); 8.03 (m, IH); 8.15 (d, 2H); 8.61 (m, IH); 8.80 (m, IH).
Example 60
Λ/-Hydroxy-2-morpholino-6-(4-(pyridin-3-ylethynyl)phenyl)pyrimidine-4- carboxamide
A. Butyl 6-hydroxy-2-morpholinopyrimidine-4-carboxylate
Butyl 6-hydroxy-2-morpholinopyrimidine-4-carboxylate was prepared from methyl 2-chloro-6-methoxypyrimidine-4-carboxylate using the procedure described in Example 39, step B. LC-MS: [M+H]+ 282 Mass: calculated for Ci3Hi9N3O4, 281.31
B. Butyl 6-bromo-2-morpholinopyrimidine-4-carboxylate
Butyl 6-hydroxy-2-morpholinopyrimidine-4-carboxylate (0.49 g, 1.7 mmol) and phosphorus oxybromide (0.45 g, 1.7 mmol) were combined in dichloroethane (5 mL) and
heated to 100 0C. LC-MS after 2 hours indicated the reaction was complete. The solution was allowed to cool to room temperature. The reaction was quenched with saturated sodium bicarbonate and extracted with ethyl acetate. The combined organic extracts were dried over magnesium sulfate, filtered and evaporated. Normal phase silica gel column (0%-25% ethyl acetate/dichloromethane) afforded the desired compound as a yellow solid (0.11 g, 95%). LC-MS: [M+H]+ 345 Mass: calculated for Ci3Hi8BrN3O3, 344.20
C. Butyl 2-morpholino-6-(4-(pyridin-3-ylethynyl)phenyl)pyrimidine-4- carboxylate
3-((4-(5,5-Dimethyl-l ,3,2-dioxaborinan-2-yl)phenyl)ethynyl)pyridine (0.091 g, 0.31 mmol, Method 2), butyl 6-bromo-2-morpholinopyrimidine-4-carboxylate (0.108 g, 0.31 mmol), Cs2CO3 (0.204 g, 0.63 mmol) and [1,1'- bis(diphenylphosphino)ferrocene]dichloropalladium(II) (0.023 g, 0.03 mmol) were combined in acetonitrile (6 mL)/water (3.00 mL) and heated to 60 0C under argon. The reaction was stirred for 2 hours. The solution was then cooled to room temperature. The reaction mixture was diluted with water and extracted three times with ethyl acetate. The combined organic extracts were dried over magnesium sulfate, filtered and evaporated to a brown solid. Normal phase silica gel column (0%-50% ethyl acetate/dichloromethane) afforded the desired compound as an off-white solid. LC-MS: [M+H]+ 443 Mass: calculated for C26H26N4O3, 442.51
D . Λ/-Hydroxy-2-morpholino-6-(4-(pyridin-3 -ylethynyl)phenyl)pyrimidine-4- carboxamide
Λ/-Hydroxy-2-morpholino-6-(4-(pyridin-3-ylethynyl)phenyl)pyrimidine-4- carboxamide was prepared from butyl 2-morpholino-6-(4-(pyridin-3- ylethynyl)phenyl)pyrimidine-4-carboxylate using the procedure described in Example 19, step B.
LC-MS: [M+H]+ 402 Mass: calculated for C22Hi9N5O3, 401.42
1H NMR (300 MHz, DMSO-J6) δ: ppm 3.71 (br. s., 4 H); 3.92 (br. s., 4 H); 7.49 (br. s., 1 H); 7.73 (br. s., 3 H); 8.03 (br. s., 1 H); 8.26 (br. s., 2 H); 8.62 (br. s., 1 H); 8.81 (d, 1 H).
Example 61
N-hydroxy-2-(phenylamino)-6-(4-(pyridin-3-ylethynyl)phenyl)pyrimidine-4- carboxamide, trifluoroacetic acid salt
A. Methyl 2-chloro-6-methoxypyrimidine-4-carboxylate
To a solution of methyl 2,6-dichloropyrimidine-4-carboxylate (6.73 g, 32.51 mmol) in MeOH (5 mL) was added sodium methoxide, 0.5M solution in MeOH (58.5 mL, 29.26 mmol) and the reaction was stirred at room temperature. LC-MS after 15 minutes indicated reaction was complete. The reaction mixture was diluted with water and extracted three times with ethyl acetate. The combined organic extracts were dried over magnesium sulfate, filtered and evaporated to yield desired product as a white solid (5.9g, 90% yield). Regiochemistry was confirmed by NMR. LC-MS: [M+H]+ 203 Mass: calculated for C7H7ClN2O3, 202.60 IH NMR (300 MHz, DMSO-J6) δ ppm 3.90 (s, 3 H) 4.01 (s, 3 H) 7.45 (s, 1 H)
B. N-butyl 6-hydroxy-2-(phenylamino)pyrimidine-4-carboxylate
Methyl 2-chloro-6-methoxypyrimidine-4-carboxylate (0.5 g, 2.47 mmol) and aniline (0.236 mL, 2.59 mmol) were combined in n-BuOH (10 mL) and heated to 115 0C. The reaction was stirred for 4 hours. LC-MS after 4 hours indicated addition of the amine was complete. The solution was cooled to room temperature. HCl 4M in Dioxane (0.617 mL, 2.47 mmol) was added and the reaction mixture was heated to 115 0C. LC- MS after 2 hours indicates formation of the desired product. The reaction mixture was diluted with water and extracted three times with ethyl acetate. The combined organic extracts were dried over magnesium sulfate, filtered and evaporated to a yellow solid (0.63g, 89% yield). LC-MS: [M+H]+ 288 Mass: calculated for Ci5Hi7N3O3, 287.31
C. N-butyl 6-bromo-2-(phenylamino)pyrimidine-4-carboxylate
N-Butyl 6-hydroxy-2-(phenylamino)pyrimidine-4-carboxylate (0.53 g, 1.84 mmol) and phosphorus oxybromide (0.529 g, 1.84 mmol) were combined in dichloroethane (5 mL) and heated to 100 0C. LC-MS after 1 hour indicated reaction was complete. The solution was cooled to room temperature. The reaction was quenched with saturated sodium bicarbonate and extracted with ethyl acetate. The combined organic extracts were dried over magnesium sulfate, filtered and evaporated. Silica gel column (50%- 100% dichloromethane/hexane) afforded the desired compound as a yellow solid (0.356g, 55% yield). LC-MS: [M+2]+ 352 Mass: calculated for Ci5Hi6BrN3O2, 350.21
D. N-Butyl 2-(phenylamino)-6-(4-(pyridin-3-ylethynyl)phenyl)pyrimidine-4- carboxylate
3-((4-(5,5-dimethyl-l,3,2-dioxaborinan-2-yl)phenyl)ethynyl)pyridine (0.13 g, 0.45 mmol, Method 2), butyl 6-bromo-2-(phenylamino)pyrimidine-4-carboxylate (0.16 g, 0.45 mmol), Cs2CO3 (0.25 g, 0.91 mmol) and [1,1'- bis(diphenylphosphino)ferrocene]dichloropalladium(II) (0.033 g, 0.05 mmol) were
combined in acetonitrile (6 mL)/water (3.00 mL) and heated to 60 0C under argon. The reaction was stirred for 2 hours. The solution was cooled to room temperature. The reaction mixture was diluted with water and extracted three times with ethyl acetate. The combined organic extracts were dried over magnesium sulfate, filtered and evaporated to a brown solid. Silica gel column (0%-50% ethyl acetate/dichloromethane) afforded the desired compound as an off-white solid (0.038, 18.7% yield). LC-MS: [M+H]+449 Mass: calculated for C28H24N4O2, 448.52
IH NMR (300 MHz, DMSO-J6) δ ppm 0.97 (t, J=7.44 Hz, 3 H) 1.38 - 1.55 (m, 2 H) 1.68 - 1.83 (m, 2 H) 4.38 (t, J=6.50 Hz, 2 H) 6.96 - 7.06 (m, 1 H) 7.34 (t, J=7.82 Hz, 2 H) 7.50 (dd, J=7.91, 4.90 Hz, 1 H) 7.80 (m, J=8.29 Hz, 2 H) 7.87 - 7.95 (m, 3 H) 7.99 - 8.07 (m, 1 H) 8.31 (m, J=8.48 Hz, 2 H) 8.62 (dd, J=4.80, 1.60 Hz, 1 H) 8.77 - 8.86 (m, 1 H) 10.12 (s, I H)
E. N-hydroxy-2-(phenylamino)-6-(4-(pyridin-3-ylethynyl)phenyl)pyrimidine
-4-carboxamide, trifluoroacetic acid salt
N-Butyl 2-(phenylamino)-6-(4-(pyridin-3-ylethynyl)phenyl)pyrimidine-4- carboxylate (0.038 g, 0.08 mmol) and hydroxylamine, 50% aqueous (2 mL) were combined in MeOH (2 mL) stirred at room temperature. LC-MS after stirring overnight indicated the reaction was complete. The reaction mixture was diluted with water and extracted three times with ethyl acetate. The combined organic extracts were dried over magnesium sulfate, filtered and evaporated. Reverse phase HPLC (10%-75% acetonitrile/water) afforded the desired compound as a yellow solid (0.0022g, 4.98% yield). Fluorine NMR indicates presence of TFA salt.
LC-MS: [M+H]+408
Mass: calculated for C24Hi7N5O2, 407.42
1H NMR (300 MHz, DMSO- d6) δ ppm 6.96 - 7.08 (m, 1 H) 7.35 (t, J=7.91 Hz, 2 H) 7.52
(dd, J=7.91, 4.90 Hz, 1 H) 7.73 - 7.92 (m, 5 H) 8.06 (dt, J=7.87, 1.81 Hz, 1 H) 8.31 (d,
J=8.48 Hz, 2 H) 8.64 (dd, J=4.90, 1.51 Hz, 1 H) 8.83 (d, J=I.51 Hz, 1 H) 9.87 (s, 1 H)
11.21 (br. s., I H)
19F NMR (282 MHz, DMSO-J6) d ppm -74.55
Example 62
4-Amino-Λ/-hydroxybiphenyl-3-carboxamide
To a solution of 2-amino-5-bromo-iV-hydroxybenzamide (Example 50) (0.30 g,
1.3 mmol) in methanol/THF (1 :1) was added aqueous 50% hydroxylamine (3 mL) followed by a catalytic amount of KCN. The resulting solution was stirred at room temperature for 24 h. The reaction mixture was quenched with aqueous 10% citric acid solution (~4 mL) and stirred for 15 min. The solution was extracted with ethyl acetate (50.0 mL x 3). The combined organic layers were washed with water, brine solution, dried over anhydrous MgSO4 and evaporated under reduced pressure to afford the crude compound (0.28 g). The crude compound was purified by preparative-HPLC to give the title compound as a light brown solid (70 mg, 23% yield). LC-MS: [M+H]+ 229.42 Mass: calculated for Ci3Hi2N2O2, 228.25
1H NMR (400 MHz, DMSO-d6) δ: ppm 11.02 (s, IH), 8.91 (bs, IH), 7.65 (d, IH), 7.62 (d, 2H), 7.48 (dd, IH), 7.39 (t, 2H), 7.24 (t, IH), 6.80 (d, IH), 6.21 (bs, 2H).
Example 63
Λ/-Hydroxy-2-{[2-(morpholin-4-yl) ethyl] amino} -6-(phenylethynyl) Pyrimidine- 4-carboxamide
A. Methyl 2-chloro-6-methoxypyrimidine-4-carboxylate
To O 0C a solution of methyl 2,6-dichloropyrimidine-4-carboxylate (6.00 g, 33.1 mmol) in methanol (100 mL) was added freshly prepared sodium methoxide (0.973 g, 40.0 mmol of sodium in 50 mL of methanol). The reaction mixture was stirred at the same temperature for 30 min. The reaction mixture was quenched with cold water and the solvent was evaporated under reduced pressure. The residue was diluted with ethyl acetate (200 mL) and washed with water (20 mL x 3). The aqueous layer was extracted with ethyl acetate (25 mL x 2). The combined organic layers were washed with brine solution (50 mL), dried over anhydrous MgSO4 and evaporated under reduced pressure to afford the title compound as an off- white solid (4.10 g, 71%). LC-MS: [M+H] + 203
Mass: calculated for C7H7ClN2O3, 202.3
1H NMR (400 MHz, CDCl3) δ: ppm 7.40 (s, IH); 4.00 (s, 3H); 3.90 (s, 3H).
B. Butyl 6-hydroxy-2-{[2-(morpholin-4-yl)ethyl]amino}pyrimidine-4- carboxylate
To a room temperature argon purged solution of methyl 2-chloro-6- methoxypyrimidine-4-carboxylate (0.500 g, 2.47 mmol) in n-butanol (20 mL) was added morpholineethylamine (0.353 g, 2.71 mmol). The reaction mixture was heated at 115 0C for 4 h. The reaction mixture was cooled to 0 0C and 4.0 M dioxane HCl solution (2mL, excess) was added. The reaction mixture was heated at 130 0C for 10 h. The solvent was evaporated under reduced pressure and the residue was diluted with hexanes. The precipitated solid was filtered to give butyl 6-hydroxy-2-{[2-(morpholin-4- yl)ethyl]amino}pyrimidine-4-carboxylate (0.270 g, 33%) as an off-white solid. LC-MS: [M+H]+ 325 Mass: calculated for Ci5H24N4O4, 324.3
1H NMR (400 MHz, , DMSO-d6)δ: ppm 11.8 (bs,lH), 7.2 (s, IH), 4.23 (m, 2H), 4.00 (m, 2H), 3.60 (m, 5H), 3.40 (m, 4H), 3.10 (m, 2H), 1.64 (m, 2H), 1.40 (m, 2H), 0.98 (m, 3H).
C. Butyl 6-bromo-2-{[2-(morpholin-4-yl)ethyl]amino}pyrimidine-4- carboxylate
To a 0 0C solution of butyl 6-hydroxy-2-{[2-(morpholin-4- yl)ethyl]amino}pyrimidine-4-carboxylate (0.40 g, 1.2 mmol) in 1 ,2-dichloroethane was added POBr3 (1.1 g, 3.7 mmol). The reaction mixture was allowed to come to room temperature and heated at 80 0C for 4 h under nitrogen atmosphere. The reaction mixture was cooled to room temperature, diluted with ethyl acetate (20 mL) and washed with aqueous sodium bicarbonate (20 mL) followed by water (20 mL). The aqueous layer was extracted with ethyl acetate (10 mL x 2). The combined organic layers were washed with brine solution (20 mL), dried over anhydrous MgSO4 and evaporated under reduced pressure to give the crude compound as light yellow solid (0.250 g). LC-MS: [M+2]+ 389
Mass: calculated for Ci5H23BrN4O3, 387.3
1H NMR (400 MHz, CDCl3) δ: ppm 7.2 (s, IH), 4.23 (m, 2H), 3.60 (m, 4H), 3.40 (m,
2H), 2.40 (m, 6H), 1.64 (m, 2H), 1.40 (m, 2H), 0.98 (m, 3H).
D. Butyl 2-{[2-(morpholin-4-yl)ethyl]amino}-6-(phenylethynyl) pyrimidine-
4-carboxylate
To a room temperature argon purged solution of butyl 6-bromo-2-{[2-(morpholin- 4-yl)ethyl] amino }pyrimidine-4-carboxylate (0.15 g, 0.39 mmol) in acetonitrile (20 mL) was added Pd(PPh3)2Cl2 (0.027 g, 0.038 mmol) followed by CuI (0.74 mg, 0.0030 mmol) and triethylamine (0.16 mL, 1.2 mmol). The argon atmosphere was replaced by hydrogen/argon (~1 : 1). To this solution was added a room temperature solution of phenylacetylene (0.043 g, 0.426 mmol) in acetonitrile (5 mL) under argon/hydrogen atmosphere. The reaction mixture was heated at 75 0C for 4 h. The solvent was evaporated under reduced pressure and the residue was diluted with water. The
precipitated solid was filtered to give butyl 2-{[2-(morpholin-4-yl)ethyl]amino}-6- (phenylethynyl) pyrimidine-4-carboxylate (0.10 g, 63%) as a yellowish brown solid. LC-MS: [M+H]+ 409 Mass: calculated for C23H28N4O3, 408.5 1H NMR (400 MHz, DMSO-d6) δ: ppm 7.4-7.60 (m, 5H), 7.19 (s, IH), 4.23 (m, 2H), 3.60 (m, 4H), 3.40 (m, 2H), 2.40 (m, 4H), 1.64 (m, 2H), 1.40 (m, 2H), 1.20 (m, 4H), 0.91 (m, 3H).
E. Λ/-Hydroxy-2-{[2-(morpholin-4-yl) ethyl] amino} -6-(phenylethynyl) Pyrimidine-4-carboxamide
To a solution of butyl 2-{[2-(morpholin-4-yl)ethyl]amino}-6-(phenylethynyl) pyrimidine-4-carboxylate (0.200 g, crude, 0.490 mmol) in methanol/THF (1 :1) was added aqueous 50% hydroxylamine (2 mL) followed by a catalytic amount of KCN (~1 mg). The resulting solution was stirred at room temperature for 18 h. The reaction mixture was quenched with aqueous 10% citric acid solution (~2 mL) and stirred for 15 min. The precipitated solid was filtered, washed with water and dried under vacuum to give the crude compound. The crude compound was purified by triturating with diethyl ether for -10 min. and filtered to yield an off-white solid (0.040 g, 18% yield). LC-MS: [M+H] + 368.46
Mass: calculated for Ci9H2IN5O3, 367.4,
1H NMR (400 MHz, DMSO-d6) δ: ppm 11.52 (s, IH), 9.40 (s, IH), 7.84 (s, IH), 7.65 (m, 2H), 7.50 (m, 3H), 7.23 (s, IH), 3.98 (d, 2H), 3.77-3.66 (m, 4H), 3.54 (m, 2H), 3.29 (m, 2H), 3.14 (m, 2H).
Example 64
Λ/-Hydroxy-4-(4-(pyridin-3-ylethynyl)phenyl)quinoline-2-carboxamide
A. Methyl 4-(4-(pyridin-3 -ylethynyl)phenyl)quinoline-2-carboxylate
Methyl 4-(4-(pyridin-3-ylethynyl)phenyl)quinoline-2-carboxylate was prepared from methyl 4-bromoquinoline-2-carboxylate and 3-((4-(5,5-dimethyl-l,3,2-dioxaborinan-2- yl)phenyl)ethynyl)pyridine (Method 2) using the procedure described in Example 41, step A.
LC-MS: [M+H]+ 365 Mass: calculated for C24Hi6N2O2, 364.4
B . JV-Hydroxy-4-(4-(pyridin-3 -ylethynyl)phenyl)quinoline-2-carboxamide
Λ/-Hydroxy-4-(4-(pyridin-3-ylethynyl)phenyl)quinoline-2-carboxamide was prepared from methyl 4-(4-(pyridin-3-ylethynyl)phenyl)quinoline-2-carboxylate using the procedure described in Example 19, step B. The desired product was isolated after reverse phase purification as a trifluoroacetic acid salt. LC-MS: [M+H]+ 366
Mass: calculated for C23Hi5N3O2, 365.38
1H NMR (300 MHz, DMSO-J6) δ: ppm 7.55 (d, J=4.90 Hz, 1 H); 7.64 - 7.78 (m, 4 H); 7.83 (d, 2 H); 7.88 - 8.01 (m, 3 H); 8.20 (d, 1 H); 8.65 (br. s., 1 H); 8.85 (br. s., 1 H); 11.63 (br. s., 1 H).
Example 65
N-hydroxy-6-(4-((4- (morpholinomethyl)phenyl)ethynyl)phenyl)picolinamide
A. Methyl 6-{4-[(4-formylphenyl)ethynyl]phenyl}pyridine-2-carboxylate
To a solution of methyl 6-bromopyridine-2-carboxylate (0.30 g, 1.39 mmol) in 1, 2-dimethoxyethane was added 4-((4-(5,5-dimethyl-l,3,2-dioxaborinan-2- yl)phenyl)ethynyl)benzaldehyde (0.551 g, 1.73 mmol, Method 3) followed by Pd(PPh3)4 (0.082 g, 0.069 mmol, Alfa Aesar) at room temperature and the reaction mixture was purged with argon for 15 min. To this reaction mixture was added aqueous NaHCO3 (0.232 g, 2.77 mmol) and the resulting solution was purged with argon for another 10 min. The reaction mixture was heated under nitrogen atmosphere at 80 0C for 4 h. The solvent was evaporated to dryness under reduced pressure and the residue was diluted with water (20 mL). The aqueous solution was extracted with ethyl acetate (20 mL x 2). The combined organic layer was washed with brine solution (20 mL), dried over anhydrous magnesium sulfate and evaporated under reduced pressure to get crude compound. The crude compound was purified by column chromatography (Silica gel, 100-200 mesh) by using 16% ethyl acetate in pet-ether as mobile phase to get title compound as a light yellow solid (0.195 g, 41%). LC-MS: [M+H]+ 342.40
Mass: calculated for C22Hi5NO3, 341.37
1H NMR (400 MHz, δ Dppm, DMSO-d6): δ 10.03 (s, IH), 8.09 (m, 3H), 7.92-7.89 (m, 5H), 7.69 (m, 4H), 4.04 (s, 3H), Mass: calculated for C26H24N2O3, 341.49. Observed LC- MS: [M+H]+ 342.
B . Methyl 6-(4-((4-(morpholinomethyl)phenyl)ethynyl)phenyl)picolinate
To a solution of methyl 6-{4-[(4-formylphenyl)ethynyl]phenyl}pyridine-2- carboxylate (0.25 g, crude, 0.73 mmol,) in dichloroethane was added morpholine (0.19 mL, 2.2 mmol) followed by acetic acid (0.041 mL, 0.73 mmol), and NaBH(OAc)3 (0.47 g, 2.2 mmol) at room temperature. The reaction mixture was stirred at room temperature for 5 h. The reaction mixture was quenched with aqueous sodium bicarbonate (~10 mL) and extracted with dichloromethane (20 mL x 2). The combined organic layer was washed with water (10 mL x 2), brine solution (10 mL), dried over anhydrous Na2SO4 and evaporated to yield crude compound. The crude compound was purified by triturating with n-pentane for ~10 min. and filtered to get title compound as a yellow solid (0.21O g, 69.5%). LC-MS: [M+H]+ 413 Mass: calculated for C26H24N2O3, 412.49
1H NMR (400 MHz, δ Dppm, DMSO-d6): δ 8.08 (m, 3H), 7.94 (d, 2H), 7.65 (d, 2H), 7.45 (d, 2H), 7.32 (d 2H), 4.04 (s, 3H) 3.73 (m, 4H), 3.52 (s, 2H), 2.46 (m, 4H).
C. N-hydroxy-6-(4-((4- (morpholinomethyl)phenyl)ethynyl)phenyl) picolinamide
To a solution of methyl 6-(4-((4-(morpholinomethyl)phenyl)ethynyl)phenyl) picolinate (0.19 g, 0.46mmol) in methanol/THF (1 :1) was added aqueous 50% hydroxylamine (2 niL) followed by catalytic amount of KCN (~1 mg) and the resulting solution was stirred at room temperature for 4-18 h. The reaction mixture was quenched with aqueous 10% citric acid solution (~2 mL) and stirred for 15 min. The precipitated solid was filtered, washed with water and dried under vacuum to obtain crude compound. The crude compound was purified by triturating 20% ethyl acetate in pet-ether for ~10 min. and filtered to yield title compound as off-white solid (0.120 g, 63.15% yield). LC-MS: [M+H]+ 414.46 Mass: calculated for C25H23N3O3, 413.48
1H NMR (400 MHz, δ Dppm, DMSO-d6): δ 11.56 (s, IH), 9.16 (s, IH), 8.45 (d, 2H), 8.22 (d, 2H), 8.06 (t, 3H), 7.94 (d, 2H), 7.67 (d, 2H), 7.56 (d, 2H), 7.41 (d, 2H), 3.59 (m, 4H), 3.51 (s, 2H), 2.38 (m, 4H).
Example 66
N-hydroxy-6-(phenylethynyl)- 1 H-indole-4-carboxamide
Methyl 6-bromo-lH-indole-4-carboxylate (0.20 g, 0.78 mmol) was dissolved in 1.5 mL 1 N TBAF in THF to which 0.40 mL of ethynylbenzene was added. This was
followed by 4 mg of bis(triphenylphosphine)palladium(II) dichloride. The reaction vessel was sealed and evacuated followed by filling with N2 (repeated three times). The reaction was then heated at 80 0C for 2 hours. The reaction was then cooled to room temperature. LCMS analysis indicated conversion to the desired product. The crude mixture was then concentrated in vacuo to an oil. The crude product was then redissolved in 1 mL MeOH to which 1 mL 50% aqueous hydroxylamine was added. The reaction was stirred overnight at room temperature. The reaction was then concentrated in vacuo. The crude residue was dissolved in 1 mL DMF and purified by preparatory HPLC (Gilson) in a 0-90% MeCN/Water (with 0.1% TFA) gradient over 15 minutes. 58.1 mg of N-hydroxy-6-(phenylethynyl)-lH-indole-4-carboxamide was isolated (83% purity by LCMS UV). LC-MS : [M+H] 277.14 Mass Calculated for Ci7Hi2N2O2, 276.29 1H NMR (300 MHz, CD3OD) δ: ppm 10.8 (s, IH), 7.96 (d, 2H), 7.91 (d, 2H), 7.62-7.77 (m, IH), 7.53-7.6 (m, IH), 7.31-7.45 (m, 2H), 6.52-6.56 (d, 2H).
Example 67
Λ/-Hydroxy-2-morpholino-6-(4-(pyridin-3-ylethynyl)phenyl)isonicotinamide
A. Methyl 2-chloro-6-morpholinoisonicotinate
A solution of methyl 2,6-dichloroisonicotinate (0.10 g, 0.49 mmol), morpholine (0.046 ml, 0.53 mmol) and Hunig's Base (0.17 ml, 0.97 mmol) in NMP (0.998 ml) was stirred overnight at 100 0C. After this time, LCMS indicated complete consumption of starting material and formation of the desired product. The reaction was removed from
the heat and allowed to cool. Water was added to the reaction and the resulting mixture was filtered. The isolated solid was washed with excess water and was then allowed to dry in the air to afford the desired product (79 mg, 63%) as an off-white solid. LC-MS: [M+H]+ 257 Mass: Calculated for CHHI3CIN2O3, 256.69
1H NMR (300 MHz, DMSO-d6) δ: ppm 7.17 (s, IH); 7.02 (s, IH); 3.87 (s, 3H); 3.68 (m, 4H); 3.50 (m, 4H).
B . Methyl 2-morpholino-6-(4-(pyridin-3 -ylethynyl)phenyl)isonicotinate
The title compound was synthesized as described for Example 59 step B from methyl 2-chloro-6-morpholinoisonicotinate and 3-((4-(5,5-dimethyl-l,3,2-dioxaborinan- 2-yl)phenyl)ethynyl)pyridine (Method 2). LC-MS: [M+H]+ 400 Mass: Calculated for C24H2IN3O3, 399.44
C. Λ/-Hydroxy-2-morpholino-6-(4-(pyridin-3- ylethynyl)phenyl)isonicotinamide
The title compound was synthesized as described for Example 59 step C from methyl 2-morpholino-6-(4-(pyridin-3-ylethynyl)phenyl)isonicotinate. LC-MS: [M+H]+ 401
Mass: Calculated for CHHI3CIN2O3, 400.43
1H NMR (300 MHz, DMSO-d6) δ: ppm 8.79 (s, IH); 8.60 (s, IH); 8.61 (s, IH); 8.15 (m,
2H); 8.01 (m, IH); 7.69 (m, 2H); 7.46 (m, IH); 7.12 (s, IH); 3.75 (m, 4H); 3.60 (m, 4H).
Example 68
2-(Dimethylamino)-N-hydroxy-6-(4-(pyridin-3-ylethynyl)phenyl)isonicotinamide trifluoroacetic acid salt
A. Methyl 2-chloro-6-(dimethylamino)isonicotinate
The title compound was synthesized as described for Example 59 step A from methyl 2,6-dichloroisonicotinate and dimethylamine in THF. LC-MS: [M+H]+ 215 Mass: Calculated for C9HnClN2O2, 214.65
1H NMR (300 MHz, CDCl3) δ: ppm 7.05 (s, IH); 6.98 (s, IH); 3.93 (s, 3H); 3.13 (S, 6H).
B . Methyl 2-(dimethylamino)-6-(4-(pyridin-3 -ylethynyl)phenyl)isonicotinate
In a microwave vial, methyl 2-chloro-6-(dimethylamino)isonicotinate (0.15 g, 0.69 mmol), 3-((4-(5,5-dimethyl-l,3,2-dioxaborinan-2-yl)phenyl)ethynyl)pyridine (0.20 g, 0.69 mmol, Method 2) and sodium carbonate (0.088 g, 0.83 mmol) were taken up in 1,4-dioxane (5.8 ml) and water (1.5 ml). The solution was degassed with a stream of N2 for 5 minutes. After this time, Pd(Ph3P)4 (0.023 g, 0.02 mmol) was added and the reaction was placed in a microwave and allowed to stir for 45 minutes at 100 0C. After this time, the reaction was filtered through celite and washed with ethyl acetate and water. The filtrate solution was washed with saturated NaCl and the organics were dried over MgSO4, filtered and concentrated. The crude material was purified by silica gel chromatography (5-75% ethyl acetate in hexanes) to afford the desired product (0.057 g, 23%) as a yellow film. LC-MS: [M+H]+ 358
Mass: Calculated for C22Hi9N3O2, 357.41
1H NMR (300 MHz, MeOD) δ: ppm 8.73 (m, IH); 8.53 (m, IH); 8.15 (d, 2H); 8.01 (m,
IH); 7.65 (m, 3H); 7.49 (m, IH); 7.15 (s, IH); 3.97 (s, 3H); 3.23 (s, 6H).
C. 2-(Dimethylamino)-N-hydroxy-6-(4-(pyridin-3- ylethynyl)phenyl)isonicotinamide, trifluoroacetic acid salt
A solution of methyl 2-(dimethylamino)-6-(4-(pyridin-3- ylethynyl)phenyl)isonicotinate (0.057 g, 0.16 mmol), hydroxylamine hydrochloride (0.017 g, 0.24 mmol) and sodium hydroxide (0.019 g, 0.48 mmol) in methanol (0.35 mL) and water (0.11 mL) was stirred at room temperature for 3 days. After this time, additional MeOH was added and the reaction was placed in a 50 0C heating block and was stirred for 5 h. After this time aqueous hydroxylamine (0.049 mL, 0.80 mmol) was added and the reaction was allowed to continue stirring at the same temperature overnight. LCMS indicated -20% desired product formation, but -20% starting material still remained in addition to hydrolyzed starting material. Additional aqueous hydroxylamine (0.049 mL, 0.80 mmol) was added and the reaction was allowed to continue stirring at 50 0C for 5 h, after which time LCMS indicated no progression of the reaction. NaOH, aq. (0.48 mL, 0.48 mmol) was added and the reaction was allowed to sit at room temperature overnight. After this time, LCMS indicated complete consumption of starting material. The reaction was concentrated and the brown residue was purified by reverse phase chromatography (10-50% Acetonitrile:0.1% TFA in water) to afford the desired product as a TFA salt (0.017 g, 23%). LC-MS: [M+H]+ 359 Mass: Calculated for C2IHi8N4O2, 358.39
1H NMR (300 MHz, DMSO-d6) δ: ppm 11.43 (s, IH); 8.81 (s, IH); 8.63 (m, IH); 8.18 (d, 2H); 8.04 (m, IH); 7.72 (m, 2H); 7.50 (m, 2H); 6.95 (s, IH); 3.16 (s, 6H). 19F NMR (282 MHz, DMSO-d6) δ: ppm -74.66.
Example 69
2-(4-(Benzyloxy)phenyl)-N-hydroxyisonicotinamide, trifluoroacetic acid salt
A. Methyl 2-(4-(benzyloxy)phenyl)isonicotinate
The title compound was synthesized as described for Example 68 step B from methyl 2-bromoisonicotinate and 4-(benzyloxy)phenylboronic acid. LC-MS: [M+2]+ 321 Mass: Calculated for C20Hi7NO3, 319.35
B. 2-(4-(Benzyloxy)phenyl)-N-hydroxyisonicotinamide, trifluoroacetic acid salt
A suspension of methyl 2-(4-(benzyloxy)phenyl)isonicotinate (0.22 g, 0.69 mmol) and hydroxylamine, aq. (0.21 ml, 3.5 mmol) in methanol (6.3 ml) was stirred at 50 0C. After 3 h, LCMS indicated trace product formation. Additional hydroxylamine, aq. (0.42 ml, 6.9 mmol) was added and the temperature was raised to 55 0C and the reaction was stirred overnight. In the morning, LCMS indicated formation of the desired product. The reaction was removed from the heat, allowed to cool to room temperature and was concentrated. The crude residue was purified by reverse phase chromatography (25-75% Acetonitrile:0.1% TFA in water) to afford the desired product (0.054 g, 18%) as a TFA salt.
LC-MS: [M+H]+ 321
Mass: Calculated for Ci9Hi6N2O3, 320.34
1H NMR (300 MHz, DMSO-d6) δ: ppm 5.19 (s, 2H); 7.16 (d, 2H); 7.40 (m, 3H); 7.48
(m,2H); 7.57 (d, 2H); 8.08 (d, 2H); 8.14 (s, IH); 8.74 (d, IH); 11.56 (s, IH). 19F NMR (282 MHz, DMSO-d6) δ: ppm -74.45.
Example 70
N-hydroxy-2-(4-(phenoxymethyl)phenyl)isonicotinamide, trifluoroacetic acid salt
A. Methyl 2-(4-(phenoxymethyl)phenyl)isonicotinate
The title compound was synthesized as described for Example 68 step B from methyl 2-bromoisonicotinate and 4-(phenoxymethyl)phenylboronic acid. LC-MS: [M+2]+ 321
Mass: Calculated for C20Hi7NO3, 319.35
B . N-hydroxy-2-(4-(phenoxymethyl)phenyl)isonicotinamide, trifluoroacetic acid salt
The title compound was synthesized as described for Example 69 step B from methyl 2-(4-(phenoxymethyl)phenyl)isonicotinate. The product was isolated as a TFA salts after reverse phase purification. LC-MS: [M+H]+ 321 Mass: Calculated for Ci9Hi6N2O3, 320.34
1H NMR (300 MHz, DMSO-d6) δ: ppm 5.19 (s, 2H); 6.95 (t, IH); 7.04 (m, 2H); 7.31 (m, 2H); 7.62 (m, 3H); 8.15 (d, 2H); 8.22 (s, IH) 8.79 (d, IH); 11.59 (s, IH). 19F NMR (282 MHz, DMSO-d6) δ: ppm -74.33.
Example 71
N-Hydroxy-5 -(phenylethynyl)- 1 H-indazole-7-carboxamide
Methyl 5 -(phenylethynyl)- lH-indazole-7-carboxalate (0.20 g, 0.78 mmol) was dissolved in 1.5 niL IN TBAF in THF to which 0.40 niL of ethynylbenzene was added. This was followed by 4 mg of bis(triphenylphosphine)palladium(II) dichloride. The reaction vessel was sealed and evacuated followed by filling with N2 (repeated three times). The reaction was then heated at 80 0C for 2 hours. The reaction was then cooled to room temperature. LCMS analysis indicated conversion to the desired product. The crude mixture was then concentrated in vacuo to an oil. The crude product was then redissolved in 1 mL MeOH to which 1 mL 50% aqueous hydroxylamine was added. The reaction was stirred overnight at room temperature. The reaction was then concentrated in vacuo. The crude residue was dissolved in 1 mL DMF and purified by preparatory HPLC (Gilson) in a 0-90% MeCN/Water (with 0.1 % TFA ) gradient over 15 minutes. Two purifications were required for this compound. 7.1 mg of iV-hydroxy-5- (phenylethynyl)-l H-indazole-7-carboxamide was isolated (92.7 % purity by LCMS UV). LC-MS : [M-I] 276.3
Mass Calculated for Ci6HnN3O2, 277.28
1H NMR (300 MHz, CD3OD) δ: ppm 8.18 (dd, 2H), 7.92 (d, IH), 7.54-7.57 (m, 2H),
7.38-7.41 (m, 3H).
Example 72
2-(Benzyl(methyl)amino)-N-hydroxy-6-(4-(pyridin-3-ylethynyl)phenyl)isonicotin amide
A. Methyl 2-(benzyl(methyl)amino)-6-chloroisonicotinate
The title compound was synthesized as described for Example 59 step A from methyl 2,6-dichloroisonicotinate and dimethylamine in THF. LC-MS: [M+H]+ 291
Mass: Calculated for Ci5Hi5ClN2O2, 290.74
1H NMR (300 MHz, CDCl3) δ: ppm 7.31 (m, 5H); 7.09 (s, IH); 6.99 (s, IH); 4.82 (s,
2H); 3.91 (s, 3H); 3.09 (s, 3H).
B. Methyl 2-(benzyl(methyl)amino)-6-(4-(pyridin-3-ylethynyl)phenyl)iso nicotinate
The title compound was synthesized as described for Example 68 step B from methyl 2-(benzyl(methyl)amino)-6-chloroisonicotinate and 3-((4-(5,5-dimethyl-l,3,2- dioxaborinan-2-yl)phenyl)ethynyl)pyridine (Method 2). LC-MS: [M+H]+ 434
Mass: Calculated for C28H23N3O2, 433.50
C . 2-(Benzyl(methyl)amino)-N-hydroxy-6-(4-(pyridin-3 -ylethynyl)phenyl)iso nicotinamide
The title compound was synthesized as described for Example 69 step B from methyl 2-(benzyl(methyl)amino)-6-(4-(pyridin-3-ylethynyl)phenyl)isonicotinate.
LC-MS: [M+H]+ 435
Mass: Calculated for C27H22N4O2, 434.49
1H NMR (300 MHz, DMSO-d6) δ: ppm 3.15 (s, 3H); 4.93 (s, 2H); 6.96 (s, IH); 7.28 (m,
5H); 7.48 (m, 2H); 7.68 (d, 2H); 8.00 (m IH); 8.13 (d, 2H); 8.59 (m, IH); 8.78 (m, IH); 9.21 (bs, 0.5H); 11.38 (bs, 0.5 H).
Example 73
Tert-Butyl 4-(4-(hydroxycarbamoyl)-6-(4-(pyridin-3-ylethynyl)phenyl)pyridin-2- yl)piperazine-l-carboxylate
The title compound was synthesized as described for Example 59 step A from methyl 2,6-dichloroisonicotinate and tert-butyl piperazine-1-carboxylate. 1H NMR (300 MHz, CDCl3) δ: ppm 7.14 (s, IH); 7.09 (s, IH); 3.93 (s, 3H); 3.59 (m, 8H); 1.50 (s, 9H).
B . Tert-Butyl 4-(4-(methoxycarbonyl)-6-(4-(pyridin-3 -ylethynyl)phenyl)pyridin- 2-yl)piperazine- 1 -carboxylate
The title compound was synthesized as described for Example 68 step B from methyl tert-butyl 4-(6-chloro-4-(methoxycarbonyl)pyridin-2-yl)piperazine- 1 -carboxylate and 3-((4-(5,5-dimethyl-l,3,2-dioxaborinan-2-yl)phenyl)ethynyl)pyridine (Method 2). LC-MS: [M+H]+ 499 Mass: Calculated for C29H30N4O4, 498.57
1H NMR (300 MHz, CD3OD) δ: ppm 8.73 (s, IH); 8.54 (d, IH); 8.12 (d, 2H); 8.02 (d, IH); 7.68 (m, 3H); 7.47 (m, IH); 7.29 (s, IH); 3.97 (s, 3H); 3.70 (m, 4H); 3.36 (m, 4H); 1.52 (s, 9H).
C. Tert-Butyi 4-(4-(hydroxycarbamoyl)-6-(4-(pyridin-3-ylethynyl)phenyl) pyridin-2-yl)piperazine- 1 -carboxylate
The title compound was synthesized as described for Example 69 step B from tert-butyi 4-(4-(methoxycarbonyl)-6-(4-(pyridin-3 -ylethynyl)phenyl)pyridin-2- yl)piperazine- 1 -carboxylate.
LC-MS: [M+H]+ 500
Mass: Calculated for C28H29N5O4, 499.56
1H NMR (300 MHz, DMSO-d6) δ: ppm 11.45 (s, IH); 9.29 (s, IH); 8.80 (s, IH); 8.61 (d, IH); 8.17 (d, 2H); 8.01 (d, IH); 7.72 (d, 2H); 7.59 (s, IH); 7.49 (m, IH); 7.13 (s, IH);
3.65 (m, 4H); 3.48 (m, 4H); 1.44 (s, 9H).
Example 74
Λ/-Hydroxy-2-(4-methoxybenzylamino)-6-(4-(pyridin-3-ylethynyl)phenyl) isonicotinamide, trifluoroacetic acid salt
The title compound was synthesized as described for Example 69 step B from methyl 2-(4-methoxybenzylamino)-6-(4-(pyridin-3-ylethynyl)phenyl)isonicotinate (Method 5, step B). The product was isolated as a TFA salt after reverse phase purification. LC-MS: [M+H]+ 451 Mass: Calculated for C27H22N4O3, 450.49
1H NMR (300 MHz, DMSO-d6) δ: ppm 11.37 (s, IH); 8.80 (s, IH); 8.62 (d, IH); 8.14 (d, 2H); 8.02 (m, IH); 7.70 (d, 2H); 7.50 (m, IH); 7.40 (s, IH); 7.33 (d, 2H); 6.88 (m, 3H); 4.54 (s, 2H); 3.71 (s, 3H). 19F NMR (282 MHz, DMSO-d6) δ: ppm -74.59.
Example 75
6-[4-({4-[(Dimethylamino)methyl]phenyl}ethynyl)phenyl]-7V-hydroxypyridine-2- carboxamide
A. Methyl 6-[4-( {4-[(dimethylamino)methyl]phenyl} ethynyl)phenyl] pyridine -2-carboxylate
To a 0 0C solution of N,Λ/-dimethylammoniumchloride (0.047 g, 0.59 mmol) in dichloroethane, JV-ethyldiisopropylamine (0.020 niL, 0.59 mmol) was added. The solution was stirred for 10 min in sealed tube. To the reaction mixture methyl 6-{4-[(4- formylphenyl)ethynyl]phenyl}pyridine-2-carboxylate (Example 65, Step A) (0.10 g, 0.293 mmol), followed by acetic acid (0.017 mL, 0.29 mmol) and NaBH(OAc> (0.12 g, 0.59 mmol) were added at room temperature and stirred for 4 h. The reaction was quenched with aqueous sodium bicarbonate (~10 mL) and extracted with dichloromethane (20 mL x 2). The combined organic layers were washed with water (10 mL x 2), brine solution (10 mL), dried over anhydrous Na2SCM and evaporated to provide the crude compound. The crude compound was purified by triturating with n-pentane to afford methyl 6-[4-( {4-[(dimethylamino)methyl]phenyl} ethynyl)phenyl]pyridine-2- carboxylate as yellow solid (0.079 g, 72%). LC-MS: [M+H]+ 371.28
Mass: Calculated for C24H22N2O2, 370.17
B. 6-[4-( {4-[(Dimethylamino)methyl]phenyl} ethyny l)pheny Y]-N- hydroxypyridine-2-carboxamide
To a solution of 6-[4-({4-[(dimethylamino)methyl]phenyl}ethynyl)phenyl] pyridine -2-carboxylate (0.11 g, 0.30 mmol) in methanol/THF (1 :1) was added aqueous 50% hydroxylamine (1.1 mL), followed by a catalytic amount of KCN (~1 mg). The
resulting solution was stirred at room temperature for 6 h. The reaction mixture was quenched with aqueous 10% citric acid solution (~2 mL) and stirred for 15 min. The precipitated solid was filtered, washed with water and dried under vacuum to give the crude compound. The crude compound was purified by triturating with 50% ethyl acetate in pet-ether to provide 6-[4-( {4-[(dimethylamino)methyl]phenyl} ethyny l)pheny Y]-N- hydroxypyridine-2 carboxamide as an off- white solid (0.041 g, 54%). LC-MS: [M+H]- 370.42
1H NMR (400 MHz, DMSO-d6) δ: ppm 11.57 (bs, IH), 9.2 (bs, IH), 8.45 (d, 2H), 8.23 (d, IH), 8.06 (t, IH), 7.94 (d, IH), 7.68 (d, 2H), 7.58 (d, 2H), 7.37 (d, 2H), 3.56 (s, 2H), 2.23 (s, 6H).
Example 76
N-hydroxy-5-(4-((4-(morpholinomethyl)phenyl)ethynyl)phenyl)nicotinamide
A. Methyl 5-{4-[(4-formylphenyl)ethynyl]phenyl}pyridine-3-carboxylate
The title compound was synthesized as described for Example 65 step A from Method 3 and 5-bromo nicotinic acid methyl ester. LC-MS: [M+H]+ 342.40 Mass: calculated for C22Hi5NO3, 341.37
The title compound was synthesized as described for Example 65 step B from methyl 5-{4-[(4-formylphenyl)ethynyl]phenyl}pyridine-3-carboxylate. LC-MS: [M+H]+ 413
Mass: calculated for C26H24N2O3, 412.49
C. N-hydroxy-5-(4-((4-(morpholinomethyl)phenyl)ethynyl)phenyl) nicotinamide
The title compound was synthesized as described for Example 65 step C from methyl 5-(4-((4-(morpholinomethyl)phenyl)ethynyl)phenyl)nicotinate. LC-MS: [M+H]+ 414.46 Mass: calculated for C25H23N3O3, 413.48
1H NMR (400 MHz, δ Dppm, DMSO-d6): δ 11.62 (sb, IH), 9.10 (sb, IH), 9.07 (d, IH), 8.91(d, IH), 8.40 (m, IH), 7.88 (d, 2H), 7.70 (d, 2H), 7.54 (d, 2H), 7.38 (d, 2H), 3.58 (m, 4H), 3.50 (s, 2H), 2.35 (m, 4H).
Example 77
N-hydroxy-2-(4-((4-(morpholinomethyl)phenyl)ethynyl)phenyl)isonicotinamide
The title compound was synthesized as described for Example 65 step A from Method 3 and methyl 2-bromopyridine-4-carboxylate. LC-MS: [M+H]+ 342.0 Mass: calculated for C22Hi5NO3, 341.37
B . Methyl 2-(4-((4-(morpholinomethyl)phenyl)ethynyl)phenyl)isonicotinate
The title compound was synthesized as described for Example 65 step B from methyl 2-{4-[(4-formylphenyl)ethynyl]phenyl}pyridine-4-carboxylate. LC-MS: [M+H]+ 413.46 Mass: calculated for C26H24N2O3, 412.49
C. N-hydroxy-2-(4-((4-(morpholinomethyl)phenyl)ethynyl)phenyl) isonicotinamide
The title compound was synthesized as described for Example 65 step C from methyl 2-(4-((4-(morpholinomethyl)phenyl)ethynyl)phenyl)isonicotinate.
LC-MS: [M+H]+ 414.46 Mass: calculated for C25H23N3O3, 413.48
1H NMR (400 MHz, δ Dppm, DMSO-d6): δ 11.62 (s, IH), 9.41 (s, IH), 8.81 (d, IH), 8.27 (s, IH), 8.19 (d, 2H), 7.75 (m, 3H), 7.58 (d, 2H), 7.39 (d, 2H), 3.58 (m, 4H), 3.50 (s, 2H), 2.36 (m, 4H).
Example 78
Λ/-Hydroxy-2-((2-methoxyethyl)(methyl)amino)-6-(4-(pyridin-3- ylethynyl)phenyl)isonicotinamide
A. Methyl 2-chloro-6-((2-methoxyethyl)(methyl)amino)isonicotinate
The title compound was synthesized as described for Example 59 step A from methyl 2,6-dichloroisonicotinate and 2-methoxy-N-methylethanamine.
LC-MS: [M+H]+ 259
Mass: Calculated for CHHI5CIN2O3, 258.70
1H NMR (300 MHz, CDCl3) δ: ppm 7.04 (s, IH); 6.98 (s, IH); 3.92 (s, 3H); 3.76 (m, 2H); 3.59 (m, 2H); 3.36 (s, 3H); 3.14 (s, 3H).
The title compound was synthesized as described for Example 68 step B from methyl 2-((2-methoxyethyl)(methyl)amino)-6-(4-(pyridin-3 - ylethynyl)phenyl)isonicotinate and 3-((4-(5,5-dimethyl-l,3,2-dioxaborinan-2- yl)phenyl)ethynyl)pyridine (Method 2). LC-MS: [M+H]+ 402 Mass: Calculated for C24H23N3O3, 401.46
C. 2-((2-Methoxyethyl)(methyl)amino)-6-(4-(pyridin-3-ylethynyl)phenyl)iso nicotinic acid
A solution of methyl 2-((2-methoxyethyl)(methyl)amino)-6-(4-(pyridin-3- ylethynyl)phenyl)isonicotinate (0.090 g, 0.22 mmol) in aqueous sodium hydroxide (1.1 ml, 1.1 mmol) and EtOH (1.1 ml) was stirred at room temperature. After 30 min., LCMS indicated complete consumption of starting material and formation of the desired acid. The reaction was concentrated to afford the crude material, which was carried on to the next step with no further purification. LC-MS: [M+H]+ 388
Mass: Calculated for C23H2IN3O3, 387.43
D . Λ/-Hydroxy-2-((2-methoxyethyl)(methyl)amino)-6-(4-(pyridin-3 - ylethynyl)phenyl)isonicotinamide
A solution of 2-((2-methoxyethyl)(methyl)amino)-6-(4-(pyridin-3- ylethynyl)phenyl)isonicotinic acid (85 mg, 0.22 mmol), hydroxylamine hydrochloride (23 mg, 0.33 mmol), HATU (0.13 g, 0.33 mmol) and Hunig's Base (0.38 ml, 2.2 mmol) was stirred overnight at room temperature. After this time additional hydroxylamine hydrochloride (15 mg, 0.22 mmol), HATU (84 mg, 0.22 mmol) and Hunig's Base (0.38 ml, 2.2 mmol) were added. The reaction temperature was raised to 55 0C. After 1 h, LCMS indicated the reaction was at ~50 % conversion. After an additional 1 h, reaction had not progressed. Additional hydroxylamine hydrochloride (46 mg, 0.66 mmol), HATU (0.25 g, 0.66 mmol) and Hunig's Base (0.19 ml, 1.1 mmol) were added and the reaction was stirred for an additional 4 h at 55 0C. After this time the reaction was allowed to sit overnight at room temperature. The reaction was concentrated and the crude residue was purified by reverse phase chromatography (20-35% MeCN/0.1% TFA in water). The isolated product was not pure so the material was re-purified by reverse phase chromatography (35-75% MeCN:0.1% 10 mmol ammonium acetate in water) to afford the desired product (6.9 mg, 8% over two steps). LC-MS: [M+H]+ 403 Mass: Calculated for C23H22N4O3, 402.45 1H NMR (300 MHz, DMSO-d6) δ: ppm 11.43 (s, IH); 9.24 (s, 2H); 8.79 (m, IH); 8.61 (m, IH); 8.16 (d, 2H); 8.03 (m, IH); 7.72 (d, 2H); 7.48 (m 2H); 6.93 (s, IH); 2.59 (m, 2H); 3.60 (m, 2H); 3.27 (s, 3H); 3.14 (s, 3H).
Example 79
jV-Hydroxy-6-(4-(pyridin-3 -ylethynyl)phenyl)-2-(4-(pyrimidin-2-yl)piperazin- 1 - yl)pyrimidine-4-carboxamide
A. Butyl 6-hydroxy-2-(4-(pyrimidin-2-yl)piperazin- 1 -yl)pyrimidine-4- carboxylate
Butyl 6-hydroxy-2-(4-(pyrimidin-2-yl)piperazin- 1 -yl)pyrimidine-4-carboxylate was prepared from methyl 2-chloro-6-methoxypyrimidine-4-carboxylate using the procedure described in Example 39, step B. LC-MS: [M+H]+ 359 Mass: calculated for CnH22N6O3, 358.39
B. Butyl 6-bromo-2-(4-(pyrimidin-2-yl)piperazin-l-yl)pyrimidine-4- carboxylate
Butyl 6-bromo-2-(4-(pyrimidin-2-yl)piperazin- 1 -yl)pyrimidine-4-carboxylate was prepared from butyl 6-hydroxy-2-(4-(pyrimidin-2-yl)piperazin-l-yl)pyrimidine-4- carboxylate using the procedure described in Example 60, step B. LC-MS: [M+H]+ 422 Mass: calculated for Ci7H2IBrN6O2, 421.29
C . 6-(4-(Pyridin-3 -ylethynyl)phenyl)-2-(4-(pyrimidin-2-yl)piperazin- 1 - yl)pyrimidine-4-carboxylic acid
6-(4-(Pyridin-3 -ylethynyl)phenyl)-2-(4-(pyrimidin-2-yl)piperazin- 1 - yl)pyrimidine-4-carboxylic acid was prepared from butyl 6-bromo-2-(4-(pyrimidin-2- yl)piperazin-l-yl)pyrimidine-4-carboxylate and 3 -((4-(5, 5 -dimethyl- 1,3, 2-dioxaborinan- 2-yl)phenyl)ethynyl)pyridine (Method 2) using the procedure described in Example 60, step C.
LC-MS: [M+H]+ 464 Mass: calculated for C26H2IN7O2, 463.49
D. Λ/-Hydroxy-6-(4-(pyridin-3-ylethynyl)phenyl)-2-(4-(pyrimidin-2- yl)piperazin- 1 -yl)pyrimidine-4-carboxamide
6-(4-(Pyridin-3 -ylethynyl)phenyl)-2-(4-(pyrimidin-2-yl)piperazin- 1 - yl)pyrimidine-4-carboxylic acid (0.018 g, 0.04 mmol) was suspended in MeOH (2 niL) and to this was added trimethylsilyldiazomethane (2.2 μL, 0.04 mmol). The reaction mixture was concentrated. The resulting residue and hydroxylamine, 50% aqueous (2.4 μL, 0.04 mmol) were combined in MeOH (2 mL) and allowed to stir at room temperature. After stirring overnight the reaction mixture was diluted with water and extracted three times with ethyl acetate. The combined organic extracts were dried over magnesium sulfate, filtered and evaporated. The solid was triturated with ether, filtered and dried (0.014 g, 75%). LC-MS: [M+H]+ 479 Mass: calculated for C26H22N8O2, 478.51 1H NMR (300 MHz, OMSO-d6) δ: ppm 3.87 (br. s., 4 H); 4.04 (br. s., 4 H); 6.68 (br. s., 1 H); 7.51 (br. s., 1 H); 7.66 (s, 1 H); 7.76 (d, 2 H); 8.05 (d, 1 H); 8.29 (d, 2 H); 8.42 (d, 2 H); 8.62 (d, 1 H); 8.82 (s, 1 H); 9.92 (br. s., 1 H); 11.59 (s, 1 H).
Example 80 N-hydroxy-4'-((4-(morpholinomethyl)phenyl)ethynyl)biphenyl-3-carboxamide
The title compound was synthesized as described for Example 65 step A from Method 3 and ethyl 3-bromobenzoate. LC-MS: [M+H]+ 355.41 Mass: calculated for C24Hi8O3, 354.41
1H NMR (400 MHz, δ Dppm, DMSO-d6): δ 10.03 (s, IH), 8.30 (s, IH), 8.06 (d, IH), 7.89 (d, 2H), 7.79 (d, IH), 7.69 (d, 6H), 7.54 (t, IH), 4.43 (q, 2H), 1.42 (t, 3H).
B . Ethyl 4'-((4-(morpholinomethyl)phenyl)ethynyl)biphenyl-3 -carboxylate
The title compound was synthesized as described for Example 65 step B from ethyl 4'-[(4-formylphenyl)ethynyl]biphenyl-3-carboxylate. LC-MS: [M+H]+ 426.49 Mass: calculated for C28H27NO3, 425.53
C . N-hydroxy-4'-((4-(morpholinomethyl)phenyl)ethynyl)biphenyl-3 - carboxamide
The title compound was synthesized as described for Example 65 step C from ethyl 4'-((4-(morpholinomethyl)phenyl)ethynyl)biphenyl-3-carboxylate.
LC-MS: [M+H]+ 412.49 Mass: calculated for C25H23N3O3, 412.49
1H NMR (400 MHz, δ Dppm, DMSO-d6): δ 11.34 (s, IH), 9.10 (s, IH), 8.08 (s, IH) 7.80 (m, 3H), 7.68 (d, 2H), 7.58 (m, 3H), 7.37 (d, 2H), 3.59 (m, 4H), 3.50 (d, 2H), 2.36 (m, 4H)
Example 81
Λ/-Hydroxy-2-(isopentylamino)-6-(4-(pyridin-3- ylethynyl)phenyl)isonicotinamide
A. Methyl 2,6-dichloropyridine-4-carboxylate
To a 0 0C solution of methyl 2,6-dichloropyridine-4-carboxylate (6.5 g, 33.9 mmol) in methanol (100 mL) was added freshly distilled thionylchloride (12.1 g, 102 mmol). The reaction mixture was stirred at reflux for 5 h. The volatiles were removed under reduced pressure. The resulting residue was diluted with ethyl acetate (200 mL), washed with water (100 mL x 2). The aqueous layer was extracted with ethyl acetate (50 mL x 2). The combined organic layers were washed with brine solution (50 mL), dried over anhydrous MgSO4 and evaporated under reduced pressure to provide methyl 2,6- dichloropyridine-4-carboxylate as an off- white solid (5.50 g, 80%). LC-MS: [M+H] + 206.46 1H NMR (400 MHz, CDCl3) δ: ppm 7.82 (s, 2H) 4.00 (s, 3H).
B. 2-Chloro-6-(3-methyl-butylamino)-isonicotinic acid methyl ester
To a room temperature solution of methyl 2,6-dichloropyridine-4-carboxylate (1.0 g, 4.87 mmol) in JV-methyl pyrrolidone (10 mL) was added 3-methylbutylamine (0.510 g, 5.85 mmol) followed by diisopropyl ethylamine (1.25 g, 9.76 mmol). The reaction mixture was heated at 100 0C for 2 h. The reaction mixture was cooled to room temperature and the solvent was evaporated under reduced pressure to afford the crude product. The crude product was purified by column chromatography (Silica gel, 100-200 mesh, 10% ethyl acetate in pet ether as mobile phase) to provide 2-chloro-6-(3-methyl- butylamino)-isonicotinic acid methyl ester (0.410 g, 33%) as a white solid. LC-MS: [M+H] + 257.47. 1H NMR (400 MHz, DMSO-d6) δ: ppm 7.07 (s, IH), 6.82 (s, IH), 4.75 (bs,lH), 3.99 (s, 3H), 3.30 (m, 2H), 1.77 (m, IH), 1.45 (m, 2H), 1.00 (m, 6H).
C . Methyl 2-(isopentylamino)-6-(4-(pyridin-3 -ylethynyl)phenyl)isonicotinate
To an argon purged solution of 2-chloro-6-(3-methyl-butylamino)-isonicotinic acid methyl ester (0.090 g, 0.35 mmol) in 4.0 mL of 1,4-dioxane: water (2:1) was added cesium carbonate (0.11 g, 0.35 mmol) followed by 3-((4-(5,5-dimethyl-l,3,2- dioxaborinan-2-yl)phenyl)ethynyl)pyridine (0.10 g, 0.35 mmol, Method 2) and Pd(PPri3)4 (40 mg, 0.035 mmol). The reaction mixture was irradiated in microwave at 100 0C for 30 min. The reaction mixture was evaporated to dryness under reduced pressure. The residue was diluted with ethyl acetate (50 mL) and washed with water (25 mL). The aqueous layer was extracted with ethyl acetate (50 mL x 2). The combined organic layer was washed with brine solution (50 mL), dried over anhydrous MgSO4 and evaporated under reduced pressure to give the crude compound. The crude product was purified by column chromatography (Silica gel, 100-200 mesh) using 10% ethyl acetate in pet ether as the mobile phase to provide methyl 2-(isopentylamino)-6-(4-(pyridin-3- ylethynyl)phenyl)isonicotinate as light yellow oil (0.040 g, 29%). LC-MS: [M+H] +: 400.2. Mass: calculated for C25H25N3O2, 399.5.
1H NMR (400 MHz, CDCl3) δ: ppm 8.85 (bs, IH), 8.61 (d, IH), 8.15 (d, 2H), 7.85 (d, IH), 7.65 (m, 3H), 7.38 (m, 2H), 7.00 (s, IH), 4.00 (s, 3H), 3.45 (t, 2H), 1.80 (m, IH), 1.60 (m, 2H), 1.00 (m, 6H).
D. Λ/-Hydroxy-2-(isopentylamino)-6-(4-(pyridin-3- ylethynyl)phenyl)isonicotin amide
To a solution of methyl 2-(isopentylamino)-6-(4-(pyridin-3- ylethynyl)phenyl)isonicotinate (0.070 g, 0.18 mmol) in 5 niL of methanol/THF (1 :1) was added aqueous 50% hydroxylamine (1.0 mL) followed by a catalytic amount of KCN (~3 mg). The resulting solution was stirred at room temperature for 18 h. The reaction mixture was quenched with aqueous 10% citric acid solution (~5 mL) and stirred for 15 min. The precipitated solid was filtered, washed with water and dried under vacuum to provide the crude product. The crude product was purified by washing with pet ether to afford 7V-hydroxy-2-(isopentylamino)-6-(4-(pyridin-3- ylethynyl)phenyl)isonicotinamide as yellow solid (30 mg, 43%). LC-MS: [M-I] + 399.42
1H NMR (400 MHz, δ Dppm, DMSO-d6) δ: ppm 11.37 (bs, IH), 9.20 (bs, IH), 8.78 (bs, IH), 8.61 (dd, IH), 8.15 (d, 2H), 8.00 (m, IH), 7.70 (d, 2H), 7.50 (m, IH), 7.38 (s, IH), 6.95 (t, IH), 6.80 (s, IH), 3.40 (m, 2H), 1.67 (m,lH), 1.45 (m, 2H), 0.98 (d, 6H).
Example 82
2-Amino-N-hydroxy-6-(4-(pyridin-3-ylethynyl)phenyl)isonicotinamide, trifluoro acetic acid salt
A solution of N-hydroxy-2-(4-methoxybenzylamino)-6-(4-(pyridin-3- ylethynyl)phenyl)isonicotinamide (0.030 g, 0.07 mmol, Example 74) in trifluoroacetic acid (0.257 ml, 3.33 mmol) was stirred at 50 0C. After 2 h the reaction was removed from the heat and concentrated. The crude material was purified by reverse phase chromatography (5-50% MeCN / 0.1% TFA in water) to afford the desired product (0.016 g, 54%) as the TFA salt.
LC-MS: [M+H]+ 331
Mass: Calculated for Ci9Hi4N4O2, 330.34
1H NMR (300 MHz, DMSO-d6) δ: ppm 11.46 (s, IH); 8.80 (s, IH); 8.63 (m, IH); 8.04
(m, 3H); 7.74 (m, 2H); 7.51 (m, IH); 7.40 (s, IH); 6.93 (s, IH).
Example 83
Λ/-Hydroxy-4-(4-phenoxyphenyl)picolinamide
A. Methyl 4-(4-phenoxyphenyl)picolinate
Methyl 4-(4-phenoxyphenyl)picolinate was prepared from 4-phenoxyphenylboronic acid and methyl 4-bromopicolinate using the procedure described in Example 41, step A. LC-MS: [M+H]+ 306 Mass: calculated for Ci9Hi5NO3, 305.33
B . N-Hydroxy-4-(4-phenoxyphenyl)picolinamide
N-Hydroxy-4-(4-phenoxyphenyl)picolinamide was prepared from methyl 4-(4- phenoxyphenyl)picolinate using the procedure described in Example 19, step B. LC-MS: [M+H]+ 307
Mass: calculated for Ci8Hi4N2O3, 306.32
1H NMR (300 MHz, DMSO- d6) δ: ppm 7.09-7.23 (m, 5 H); 7.41-7.46 (m, 2 H); 7.87 (m,
3 H); 8.21 (s, 1 H); 8.62 (s, 1 H); 9.16 (br. s., 1 H); 11.49 (br. s., 1 H).
Example 84
4-(4-(Benzyloxy)phenyl)-N-hydroxypicolinamide
A. Methyl 4-(4-(benzyloxy)phenyl)picolinate
Methyl 4-(4-(benzyloxy)phenyl)picolinate was prepared from 4-
(benzyloxy)phenylboronic acid and methyl 4-bromopicolinate using the procedure described in Example 41, step A. LC-MS: [M+H]+ 320 Mass: calculated for C20Hi7NO3, 319.35
B . 4-(4-(Benzyloxy)phenyl)-N-hydroxypicolinamide
4-(4-(Benzyloxy)phenyl)-N-hydroxypicolinamide was prepared from methyl 4-(4- (benzyloxy)phenyl)picolinate using the procedure described in Example 19, step B. LC-MS: [M+H]+ 321 Mass: calculated for Ci9Hi6N2O3, 320.34
1H NMR (300 MHz, DMSO- d6) δ: ppm 5.19 (s, 2 H); 7.16 (d, 2 H); 7.34-7.49 (m, 4 H); 7.81 (d, 3 H); 8.18 (s, 1 H); 8.58 (d, 1 H).
Example 85
JV-Hydroxy-6-(4-phenoxyphenyl)picolinamide
A. Methyl 6-(4-phenoxyphenyl)picolinate
Methyl 6-(4-phenoxyphenyl)picolinate was prepared from 4-phenoxyphenylboronic acid and methyl 6-bromopicolinate using the procedure described in Example 41, step A. LC-MS: [M+H]+ 306 Mass: calculated for Ci9Hi5NO3, 305.33
B . JV-Hydroxy-6-(4-phenoxyphenyl)picolinamide
JV-Hydroxy-6-(4-phenoxyphenyl)picolinamide was prepared from methyl 6-(4- phenoxyphenyl)picolinate using the procedure described in Example 19, step B. LC-MS: [M+H]+ 307
Mass: calculated for Ci8Hi4N2O3, 306.32
1H NMR (300 MHz, DMSO-J6) δ: ppm 6.42 (s, 1 H); 7.07-7.11 (m, 4 H); 7.20 (t, 1 H);
7.44 (t, 2 H); 7.87 (d, IH); 8.02 (t, 1 H); 8.10 (d, 1 H); 8.37 (d, 2 H).
Example 86
iV-Hydroxy-5 -(4-phenoxyphenyl)nicotinamide
Methyl 5-(4-phenoxyphenyl)nicotinate was prepared from 4-phenoxyphenylboronic acid and methyl 5-bromonicotinate using the procedure described in Example 41, step A. LC-MS: [M+H]+ 306 Mass: calculated for Ci9Hi5NO3, 305.33
B . JV-Hydroxy-5 -(4-phenoxyphenyl)nicotinamide
N-Hydroxy-5-(4-phenoxyphenyl)nicotinamide was prepared from methyl 5-(4- phenoxyphenyl)nicotinate using the procedure described in Example 19, step B. LC-MS: [M+H]+ 307 Mass: calculated for Ci8Hi4N2O3, 306.32
1H NMR (300 MHz, DMSO-J6) δ: ppm 7.03 - 7.24 (m, 5 H), 7.44 (t, 2 H), 7.82 (d, 2 H), 8.32 (t, 1 H), 8.87 (d, 1 H), 9.00 (d, 1 H).
Example 87
2-(3 - Aminopyrrolidin- 1 -yl)-N-hydroxy-6-(4-(pyridin-3 -ylethynyl)phenyl)iso nicotinamide, trifluoroacetic acid salt
A. Methyl 2-(3 -aminopyrrolidin- l-yl)-6-chloroisonicotinate
The title compound was synthesized as described for Example 59 step A from methyl 2,6-dichloroisonicotinate and pyrrolidin-3-amine. LC-MS: [M+H]+ 256
Mass: Calculated for CHHI4CIN3O2, 255.70
1H NMR (300 MHz, CDCl3) δ: ppm 7.03 (s, IH); 6.81 (s, IH); 3.92 (s, 3H); 3.73 (m,
3H); 3.54 (m, IH); 3.27 (m, IH); 2.20 (m, IH); 1.85 (m, IH).
B . Methyl 2-(3 -aminopyrrolidin- 1 -yl)-6-(4-(pyridin-3 -ylethynyl)phenyl)iso nicotinate
Methyl 2-(3 -aminopyrrolidin- l-yl)-6-chloroisonicotinate (0.13 g, 0.52 mmol), 3-
((4-(5, 5 -dimethyl- 1, 3, 2-dioxaborinan-2-yl)phenyl)ethynyl)pyridine (0.17 g, 0.58 mmol, Method 2), and sodium carbonate (0.067 g, 0.63 mmol) were added to a microwave vial. Degassed 1,4-dioxane (6.0 ml) and water (1.0 ml) were added, followed by Pd(Ph3P)4 (0.030 g, 0.030 mmol). The reaction was allowed to run in the microwave at 100 0C for 45 min. After this time the reaction mixture was filtered through celite and washed with ethyl acetate. The filtrate was washed with brine, dried over Na2SO4, filtered and concentrated. The crude material was carried on with no further purification. LC-MS: [M+H]+ 399 Mass: Calculated for C24H22N4O2, 398.46
C . 2-(3 - Aminopyrrolidin- 1 -yl)-N-hydroxy-6-(4-(pyridin-3 -ylethynyl)phenyl)iso nicotinamide, trifluoroacetic acid salt
The title compound was synthesized as described for Example 69 step B from methyl 2-(3 -aminopyrrolidin- 1 -yl)-6-(4-(pyridin-3-ylethynyl)phenyl)isonicotinate. The TFA salt was isolated after purification. LC-MS: [M+H]+ 400 Mass: Calculated for C23H20N4O3, 399.45
1H NMR (300 MHz, DMSO-d6) δ: ppm 11.50 (s, IH); 8.80 (s, IH); 8.62 (d, IH); 8.20 (d, 2H); 8.01 (m, 4H); 7.74 (d, 2H); 7.58 (s, IH); 8.52 (m, IH); 6.84 (s, IH); 3.99-3.59 (m, 5H); 2.39 (m, IH); 2.14 (m, IH).
Example 88
5 -(4-(Benzyloxy)phenyl)-N-hydroxynicotinamide
A. Methyl 5-(4-(benzyloxy)phenyl)nicotinate
(benzyloxy)phenylboronic acid and methyl 5-bromonicotinate using the procedure described in Example 41, step A. LC-MS: [M+H]+ 320 Mass: calculated for C20Hi7NO3, 319.35
B . 5 -(4-(Benzyloxy)phenyl)-N-hydroxynicotinamide
5-(4-(Benzyloxy)phenyl)-N-hydroxynicotinamide was prepared from methyl 5-
(4-(benzyloxy)phenyl)nicotinate using the procedure described in Example 19, step B.
LC-MS: [M+H]+ 321
Mass: calculated for Ci9Hi6N2O3, 320.34
1H NMR (300 MHz, DMSO- d6) δ: ppm 5.19 (s, 2 H), 7.17 (m, 2 H), 7.29 - 7.52 (m, 6 H), 7.74 (m, 2 H), 8.29 (br. s., 1 H), 8.83 (s, 1 H), 8.97 (s, 1 H).
Example 89
Λ/-Hydroxy-2-(isopentyloxy)-6-(4-(pyridin-3-ylethynyl)phenyl)isonicotinamide, trifluoroacetic acid salt
A. 2-Chloro-6-(isopentyloxy)isonicotinic acid
A solution of 2,6-dichloroisonicotinic acid (0.500 g, 2.60 mmol) in THF (8 mL) was cooled to 0 0C. A 1.0 M solution of potassium tert-butoxide in THF (5.73 mL, 5.73
mmol) was added and the mixture was stirred for 5 min. Next, 3-methylbutan-l-ol (0.34 mL, 3.13 mmol) was added dropwise. The mixture was stirred at 0 0C for 10 min and then stirred at room temperature overnight. After cooling the mixture to 0 0C, 1 M aq HCl was added to adjust the pH to 4. The mixture was then concentrated in vacuo, diluted with ethyl acetate and filtered. The filtrate was concentrated in vacuo to give the desired product, which was used without further purification. LC-MS: [M-I]+ 242.1 Mass: calculated for C11Hi4ClNO3, 243.69
1H NMR (300 MHz, DMSO-d6): δ 7.22 (s, IH); 6.96 (s, IH); 4.22 (t, 2H); 1.74 (m, IH); 1.59 (m, 2H); 0.93 (s, 3H); 0.91 (s, 3H).
B . 2-(Isopentyloxy)-6-(4-(pyridin-3 -ylethynyl)phenyl)isonicotinic acid
The 2-chloro-6-(isopentyloxy)isonicotinic acid (0.12 g, 0.50 mmol), 3-((4-(5,5- dimethyl- 1, 3, 2-dioxaborinan-2-yl)phenyl)ethynyl)pyridine (0.15 g, 0.5 mmol, Method 2), and 1,4-dioxane (4 mL) was combined and treated with a solution of cesium carbonate (0.55 g, 1.7 mmol) in water (1.0 mL). The mixture was degassed and purged with nitrogen. Pd(Ph3P)4 (58 mg, 0.05 mmol) was added and the mixture was heated at 100 0C overnight. The mixture was filtered through Celite and rinsed with ethyl acetate. The filtrate was treated with 1 M aq HCl to adjust the pH to 4. The filtrate was then concentrated in vacuo and purified by silica gel chromatography to afford the desired product.
LC-MS: [M+H]+ 387.1
Mass: calculated for C24H22N2O3, 386.44
1U NMR [300 MHz, DMSO-d6]: δ 13.77 (br s, IH); 8.80 (br s, IH); 8.62 (m, IH); 8.22 (s, IH); 8.19 (s, IH); 8.03 (m, IH); 7.95 (s, IH); 7.74 (s, IH); 7.71 (s, IH); 7.50 (dd, IH); 7.15 (s, IH); 4.47 (t, 2H); 1.81 (m, IH); 1.68 (m, 2H); 0.97 (s, 3H); 0.95 (s, 3H).
C . jV-Hydroxy-2-(isopentyloxy)-6-(4-(pyridin-3 -ylethynyl)phenyl)isonicotin amide, trifluoroacetic acid salt
A suspension of 2-(isopentyloxy)-6-(4-(pyridin-3-ylethynyl)phenyl)isonicotinic acid (22 mg, 0.06 mmol) in DMF (0.5 niL) was treated with 1-hydroxybenzotriazole (7.6 mg, 0.06 mmol), EDC (16.22 mg, 0.08 mmol) and hydroxylamine hydrochloride (10 mg, 0.14 mmol) and the mixture was then cooled to 0 0C. Diisopropylethylamine (0.04 mL, 0.21 mmol) was added and the mixture was stirred at 0 0C for 5 min. The ice bath was then removed and the mixture was stirred at room temperature overnight. Additional 1- hydroxybenzotriazole (7.6 mg, 0.06 mmol), EDC (16 mg, 0.08 mmol), hydroxylamine hydrochloride (10 mg, 0.14 mmol), and diisopropylethylamine (0.04 mL, 0.21 mmol) were added and the mixture was stirred at room temperature for 5 days. The mixture was diluted with 1 mL of water and extracted with CH2Cl2. The organic layer was dried over Na2SO4 and concentrated in vacuo. The residue was then treated with hydroxylamine hydrochloride (30 mg, 0.43 mmol), 2-(lH-benzo[d][l,2,3]triazol-l-yl)-l, 1,3,3- tetramethyluronium hexafluorophosphate(V) (68 mg, 0.18 mmol), triethylamine (0.083 ml, 0.60 mmol) and DMF (0.3 mL). The reaction was stirred at room temperature overnight. The mixture was diluted with 1 mL of water and extracted with CH2Cl2. The organic layer was dried over Na2SO4 and concentrated in vacuo. The residue was purified by reverse phase HPLC to afford the title compound as the TFA salt. LC-MS: [M+H]+ 402.2
Mass: calculated for C24H23N3O3, 401.46
1H NMR [300 MHz, CD3OD] δ: ppm 8.83 (br s, IH); 8.62 (br s, IH); 8.18 (m, 3H); 7.78 (s, IH); 7.68 (m, 3H); 7.02 (s, IH); 4.51 (t, 2H); 1.86 (m, IH); 1.73 (m, 2H); 1.02 (s, 3H); 1.00 (s, 3H). 19F NMR [282 MHz, CD3OD]δ: ppm -77.34
Example 90
Λ/-hydroxy-2-methoxy-6-(4-(pyridin-3-ylethynyl)phenyl)isonicotinamide
A. Methyl 2-methoxy-6-(4-(pyridin-3-ylethynyl)phenyl)isonicotinate
2-Chloro-6-methoxyisonicotinic acid (188 mg, 1.00 mmol), 3-((4-(5,5-dimethyl- l,3,2-dioxaborinan-2-yl)phenyl)ethynyl)pyridine (320 mg, 1.10 mmol, Method 2), and 1,4-dioxane (4 ml) were added to a microwave vessel. A solution of sodium carbonate (233 mg, 2.20 mmol) in water (0.8 mL) was added. The mixture was degassed and purged with nitrogen and Pd(Ph3P)4 (57.8 mg, 0.05 mmol) was added. The mixture was heated in the microwave at 100 0C for 75 min. A solution of 1 N aq HCl was added to the mixture to adjust the pH to 5. Ethyl acetate and water were added and the layers were separated. The organic layer was washed with brine, dried over Na2SO4 and concentrated in vacuo. Methanol (5 mL) was added and the resultant suspension was cooled to 0 0C. A 2.0 M solution of trimethylsilyldiazomethane in ether (1.0 mL, 2.00 mmol) was added and the mixture was stirred for 1 h. Additional trimethylsilyldiazomethane (2.0 M solution in ether) (1.0 mL, 2.00 mmol) was added and the mixture was stirred for 1 h. The mixture was concentrated in vacuo and purified by silica gel chromatography to afford the desired product.
B . JV-Hydroxy-2-methoxy-6-(4-(pyridin-3 -ylethynyl)phenyl)isonicotinamide
A suspension of methyl 2-methoxy-6-(4-(pyridin-3-ylethynyl)phenyl)iso nicotinate (56 mg, 0.16 mmol) in methanol (1.4 mL) was treated with a 50 wt% aq hydroxylamine solution (0.2 mL, 3.25 mmol). The suspension was placed in an oil bath preheated to 50 0C and heated overnight. The mixture was cooled to room temperature and concentrated in vacuo. The mixture was purified by reverse phase HPLC to afford the title compound. LC-MS: [M+H]+ 346.0
Mass: calculated for C20Hi5N3O3, 345.35
1H NMR (300 MHz, DMSO-d6) δ: ppm 11.56 (br s, IH); 9.37 (s, IH); 8.80 (s, IH); 8.61 (d, IH); 8.24 (s, IH); 8.21 (s, IH); 8.02 (d, IH); 7.91 (s, IH); 7.76 (s, IH); 7.73 (s, IH); 7.49 (dd, IH); 7.10 (s, IH); 4.01 (s, 3H).
Example 91
Λ/-hydroxy-6-[4-(pyridin-3-ylethynyl)phenyl]isoquinoline-8-carboxamide
A. Λ/-[(Z)-(2-bromo-4-iodophenyl)methylidene]-2,2-dimethoxyethanamine
To a solution of 2-bromo 4-iodobenzaldehyde (5.0 g, 16.1 mmol) in dry toluene (50 mL) was added aminoacetaldehyde dimethyl acetal (3.5 mL, 32.2 mmol) at room temperature. The reaction mixture was refluxed under Dean-Stark trap for 18 h. The
solvent was evaporated under reduced pressure to obtain the title compound (6.2 g, crude) as an off-white solid. LC-MS: [M, M+2]+ 399.7 Mass: calculated for CnHi3BrINO2, 398.04 1H NMR (400 MHz, δ ppm, CDCl3): δ 8.56 (s, IH), 7.94 (d, IH), 7.74 (d, IH), 7.67 (m, IH), 4.68 (t, IH), 3.81 (d, 2H), 3.42 (s, 6H).
B. 8-bromo-6-iodoisoquinoline
To a pre -heated solution of concentrated H2SO4 (12.0 mL) at 140 0C was added Λ/-[(Z)-(2-bromo-4-iodophenyl)methylidene]-2,2-dimethoxyethanamine (2.2 g, 5.5 mmol) portion- wise for 10 min. The reaction mixture was stirred at 140 0C for 1 h. The reaction mass was cooled to room temperature and poured into crushed ice, basified with aq. 50% NaOH solution to pH ~10 and extracted with dichloromethane (150 mL x 3). The combined organic layer was washed with water (50 mL x 2 ), brine solution (50 mL), dried over anhydrous Na2SO4 and evaporated to dryness to obtain black residue (crude compound). The crude compound was purified by column chromatography (Silica gel, 100-200 mesh) using 5% ethyl acetate in pet-ether as mobile phase to obtain the title compound (75 mg, 4%) as an off-white solid. LC-MS: [M+2]+ 335.9 Mass: calculated for C9H5BrIN, 333.96 1H NMR (400 MHz, δ ppm, CDCl3): δ 9.56 (s, IH), 8.64 (d, IH), 8.20 (s, IH), 8.13 (s, IH), 7.51 (d, IH)
C. 8-bromo-6-[4-(pyridin-3-ylethynyl)phenyl]isoquinoline
To an argon purged solution of 8-bromo-6-iodoisoquinoline (0.17 g, 0.51 mmol) in 1 ,2-dimethoxyethane (6.0 mL) was added NaHCO3 (0.064 mg, 0.76 mmol) in water (2.0 mL) followed by 3-((4-(5,5-dimethyl-l,3,2-dioxaborinan-2- yl)phenyl)ethynyl)pyridine (Method 2, 201 mg, 0.66 mmol) and Pd(PPh3)4 (30 mg, 0.025 mmol). The reaction mixture was heated at 85 0C for 6 h. The reaction mixture was cooled to room temperature, diluted with water (20 mL) and extracted with ethyl acetate (50 mL x 3). The combined organic layer was washed with brine solution (50 mL), dried over anhydrous Na2SO4 and evaporated under reduced pressure to get a black residue. The residue was purified by column chromatography (Silica gel, 100-200 mesh) using ethyl acetate as mobile phase to obtain the title compound (120 mg, 61%) as a yellow solid. LC-MS: [M+2]+ 387 Mass: calculated for C22Hi3BrN2, 385.27
1H NMR (400 MHz, δ ppm, CDCl3): δ 9.63 (s, IH), 8.80 (s, IH), 8.65 (d, IH), 8.58 (m, IH), 8.13 (d, IH), 7.99 (s, IH), 7.85 (m, IH), 7.7 (m, 3H), 7.52 (m, 2H), 7.32 (m, IH)
D. Methyl-6-[4-(pyridin-3-ylethynyl)phenyl]isoquinoline-8-carboxylate
To an argon purged solution of 8-bromo-6-[4-(pyridin-3- ylethynyl)phenyl]isoquinoline (0.17 g, 0.44 mmol) in methanol (4.0 rnL) and DMF (6.0 rnL) was added triethylamine (0.24 rnL, 1.76 mmol), Pd(OAc)2 (0.049 g, 0.22 mmol) followed by 1,1 '-bisdiphenylphosphino ferrocene (0.122 g, 0.22 mmol). The reaction mixture was transferred into a pressure bomb and filled with carbon monoxide (125 psi). The reaction mixture was stirred at room temperature for 48 h. The reaction mixture was filtered through celite pad, washed with ethyl acetate (20 mL). The filtrate was diluted with ethyl acetate (25 mL), washed with water (20 mL), brine solution (20 mL), dried over anhydrous Na2SO4 and evaporated to dryness to obtain crude compound. The crude compound was diluted with cold water (10 mL), stirred for 10 min. The precipitated solid was filtered, washed with cold water (5 mL) and dried under high vacuum to obtain the title compound (200 mg, crude) as an off-white solid with 75% LC-MS purity. LC-MS: [M+H]+ 365 Mass: calculated for C24Hi6N2O2, 364.4
E. Λ/-hydroxy-6-[4-(pyridin-3-ylethynyl)phenyl]isoquinoline-8-carboxamide
To a solution of methyl 6-[4-(pyridin-3-ylethynyl)phenyl]isoquinoline-8- carboxylate (0.16 g, 0.44 mmol) in methanol/THF (1 : 1) was added aqueous 50% hydroxylamine (3 mL) followed by catalytic amount of KCN (~1 mg) and the resulting solution was stirred at room temperature for 18 h. The reaction mixture was quenched with aqueous 10% citric acid solution (~2 mL) and stirred for 15 min. The precipitate was filtered, washed with water (10 mL) and dried under vacuum to get 200 mg of crude product. The crude product was purified by prep. HPLC (25 mg, 16% yield).
LC-MS: [M+H]+ 364.37 Mass: calculated for C23Hi5N3O2, 365.39
1H NMR (400 MHz, δ ppm, DMSO-d6): δ 11.49 (s, IH), 9.72 (s, IH), 9.45 (s, IH), 8.81 (d, IH), 8.62 (m, 3H), 8.24 (s, IH), 8.16 (m, IH), 8.14 (d, 3H), 7.81 (d, 2H), 7.51 (m, IH)
Example 92
2-(Benzylamino)-N-hydroxy-6-(4-(pyridin-3-ylethynyl)phenyl)isonicotinamide
A. Methyl 2-(benzylamino)-6-chloropyridine-4-carboxylate
To a stirred solution of methyl 2,6-dichloropyridine-4-carboxylate (Example 81, step A) (1.0 g, 4.9 mmol) in JV-methylpyrrolidone (10 mL) was added benzyl amine (0.628 g, 5.365 mmol) followed by diisopropylethylamine (1.3 g, 9.8 mmol). The reaction mixture was heated at 100 0C for 2 h. The reaction mixture was cooled to room temperature and the solvent was evaporated under reduced pressure to give the crude product. The crude product was purified by column chromatography (Silica gel, 100-200 mesh) using 30% ethyl acetate in pet ether as the mobile phase to afford methyl 2- (benzylamino)-6-chloropyridine-4-carboxylate (0.50 g, 37%) as yellow solid. LC-MS: [M+H] + 277.4.
1H NMR (400 MHz, DMSO-d6) δ: ppm 7.45 (m, 7H), 6.80 (s, IH), 4.45 (d, 2H), 3.99 (s, 3H).
B . Methyl 2-(benzylamino)-6-(4-(pyridin-3 -ylethynyl)phenyl)isonicotinate
To an argon purged solution of methyl 2-(benzylamino)-6-chloropyridine-4- carboxylate (0.40 g, 1.5 mmol) in 1,4-dioxane: water (2:1) (4.0 mL) was added cesium carbonate (0.47 g, 1.5 mmol) followed by 3-((4-(5,5-dimethyl-l,3,2-dioxaborinan-2- yl)phenyl)ethynyl)pyridine (0.63 g, 2.2 mmol, Method 2) and Pd(PPh3)4 (0.033 g, 0.29 mmol). The reaction mixture was irradiated in microwave at 100 0C for 40 min. The reaction mixture was evaporated to dryness under reduced pressure. The residue was diluted with ethyl acetate (50.00 mL) and washed with water (25 mL). The aqueous layer was extracted with ethyl acetate (50 mL x 2). The combined organic layers were washed with brine solution (50 mL), dried over anhydrous MgSO4 and evaporated under reduced pressure to give the crude compound. The crude product was purified by column chromatography (Silica gel, 100-200 mesh) using 30% ethyl acetate in pet ether as the mobile phase to afford methyl 2-(benzylamino)-6-(4-(pyridin-3- ylethynyl)phenyl)isonicotinate as light yellow oil (0.30 g, 49%). LC-MS: [M+H] +: 420
C . 2-(Benzylamino)-N-hydroxy-6-(4-(pyridin-3 -ylethynyl)phenyl)iso nicotinamide
To a solution of methyl 2-(benzylamino)-6-(4-(pyridin-3- ylethynyl)phenyl)isonicotinate (0.30 g, 0.72 mmol) in 10 niL of methanol/THF (1 :1) was added aqueous 50% hydroxylamine (3.0 mL) followed by a catalytic amount of KCN (~3 mg). The resulting solution was stirred at room temperature for 18 h. The reaction mixture was quenched with aqueous 10% citric acid solution (~5 mL) and stirred for 15 min. The precipitated solid was filtered, washed with water and dried under vacuum to give crude 2-(benzylamino)-N-hydroxy-6-(4-(pyridin-3- ylethynyl)phenyl)isonicotinamide as an off- white solid (0.100 g, 33%).
LC-MS: [M-I] + 419.37
1H NMR (400 MHz, DMSO-d6) δ: ppm 11.37 (bs, IH), 9.20 (bs, IH), 8.78 (s, IH), 8.61
(d, IH), 8.11 (d, 2H), 8.00 (d, IH), 7.65 (d, 2H), 7.40 (m, 2H), 7.41-7.30 (m, 5H), 7.20
(m, IH), 6.85 (s, IH), 4.66 (d, 2H).
Example 93
Λ/-Hydroxy-2-(4-(pyridin-3-ylethynyl)phenyl)-6-(tetrahydro-2H-pyran-4- ylamino)isonicotinamide
A. 2-Chloro-6-(tetrahydro-pyran-4-ylamino)-isonicotinic acid methyl ester
To a stirred solution of methyl 2,6-dichloropyridine-4-carboxylate (Example 81, step A) (0.700 g, 3.41 mmol) in JV-methylpyrrolidone (10 mL) was added A- aminotetrahydro-2H-pyran (0.517 g, 5.12 mmol) and diisopropylethylamine (0.880 mL, 5.12 mmol). The reaction mixture was heated at 100 0C for 2 h. The reaction mixture was cooled to room temperature and the solvent was evaporated under reduced pressure to afford the crude product. The crude product was purified by column chromatography (Silica gel, 100-200 mesh) using 30% ethyl acetate in pet ether as the mobile phase to give 2-chloro-6-(tetrahydro-pyran-4-ylamino)-isonicotinic acid methyl ester (0.300 g, 32% ) as a white solid. LC-MS: [M+H] + 271.0.
1H NMR (400 MHz, DMSO-d6) δ: ppm 7.98 (s, IH), 7.40 (d, IH), 6.99 (s, IH), 6.80 (s, IH), 3.80 (m, 5H), 3.40 (t, 2H), 1.80 (m, 2H), 1.40 (m, 2H).
B . Methyl 2-(4-(pyridin-3 -ylethynyl)phenyl)-6-(tetrahydro-2H-pyran-4- ylamino)isonicotinate
To an argon purged solution of 2-chloro-6-(tetrahydro-pyran-4-ylamino)- isonicotinic acid methyl ester (0.18 g, 0.43 mmol) in 1,4-dioxane: water (2:1) (4.0 mL) was added cesium carbonate (0.14 g, 0.43 mmol) followed by 3-((4-(5,5-dimethyl-l,3,2- dioxaborinan-2-yl)phenyl)ethynyl)pyridine (0.19 g, 0.64 mmol, Method 2) and Pd(PPri3)4 (0.050 mg, 0.04 mmol). The reaction mixture was irradiated in microwave at 100 0C for 30 min. The reaction mixture was evaporated to dryness under reduced pressure. The residue was diluted with ethyl acetate (5OmL) and washed with water (25 mL). The aqueous layer was extracted with ethyl acetate (50 mL x 2). The combined organic layers were washed with brine solution (50 mL), dried over anhydrous MgSO4 and evaporated under reduced pressure. The crude product was purified by column chromatography (Silica gel, 100-200 mesh) using 35% ethyl acetate in pet ether as the mobile phase to give methyl 2-(4-(pyridin-3-ylethynyl)phenyl)-6-(tetrahydro-2H-pyran- 4-ylamino)isonicotinate as a yellow solid (0.16 g, 89 %).LC-MS: [M+H] +: 414
C. Λ/-Hydroxy-2-(4-(pyridin-3-ylethynyl)phenyl)-6-(tetrahydro-2H-pyran-4- ylamino)isonicotinamide
To a solution of methyl 2-(4-(pyridin-3-ylethynyl)phenyl)-6-(tetrahydro-2H- pyran-4-ylamino)isonicotinate (0.16 g, 0.39 mmol) in 6 mL of methanol/THF (1 :1) was added aqueous 50% hydroxylamine (2.00 mL) followed by a catalytic amount of KCN (~3 mg). The resulting solution was stirred at room temperature for 18 h. The reaction mixture was quenched with aqueous 10% citric acid solution (~5 mL) and stirred for 15
min. The precipitated solid was filtered, washed with water and dried under vacuum to get afford the crude product. The crude product was purified by Prep-HPLC to give N- hydroxy-2-(4-(pyridin-3-ylethynyl)phenyl)-6-(tetrahydro-2H-pyran-4- ylamino)isonicotinamide as a yellow solid (80 mg, 32%). LC-MS: [M+H] + 415.0.
1H NMR (400 MHz, DMSO-d6) δ: ppm 11.37 (bs, IH), 9.20 (bs, IH), 8.80 (s, IH), 8.60 (d, IH), 8.20 (d, 2H), 8.00 (d, IH), 7.70 (d, 2H), 7.45 (m, IH), 7.40 (s, 1H),6.85 (m, 2H), 4.01 (bs, IH), 3.85 (m, 2H), 3.45 (t, 2H), 2.00 (d, 2H), 1.45 (m, 2H).
Example 94
N-Hydroxy-3 -methoxy-6-phenyl-2-(4-(pyridin-3 - ylethynyl)phenyl)iso nicotinamide
A. Ethyl 5-hydroxy-2-phenylpyridine-4-carboxylate
A solution of 5-ethoxy-2-phenyl-l, 3-oxazole (1.5 g, 7.9 mmol) in ethyl acrylate (0.95 mL, 8.7 mmol) was heated in a sealed tube at 100 0C for 48 h. The reaction mixture was cooled and the excess of ethyl acrylate was removed by distillation to produce a dark brown residue. The crude compound was purified by column chromatography (Silica gel, 100-200 mesh) using 6% ethyl acetate in pet ether as the mobile phase to afford ethyl 5-hydroxy-2-phenylpyridine-4-carboxylate (0.85 g, 44%). LC-MS: [M+H] + 244
1U NMR (400 MHz, CDCl3) δ: ppm 10.33 (s, IH), 8.57 (s, IH), 8.05 (s, IH), 7.95 (d, 2H), 7.4 (m, 3H), 4.52 (q, 2H), 1.56 (d, 3H).
B. Ethyl 2-bromo-3-hydroxy-6-phenylpyridine-4-carboxylate
To a solution of ethyl 5-hydroxy-2-phenylpyridine-4-carboxylate (0.85 g, 3.5 mmol) in DMF (10.0 niL) was added JV-bromosuccinimide (0.69 mg, 3.8 mmol). The solution was stirred at room temperature for 1 h. The reaction mixture was poured into cold water (50 mL). The mixture was extracted with diethyl ether (3x50 mL) and the combined organic layers were washed with brine (50 mL), dried over anhydrous Na2SO4, filtered and concentrated to afford ethyl 2-bromo-3-hydroxy-6-phenylpyridine-4- carboxylate (0.51 g, 45%) as an off-white solid.
LC-MS: [M, M+2]+ 322,324
1H NMR (400 MHz, CDCl3) δ: ppm 11.06 (s, IH), 8.04 (d, 2H), 7.95 (d, 2H), 7.46 (m, 2H), 4.55 (q, 2H), 1.48 (t, 3H).
To a solution of ethyl 2-bromo-3-hydroxy-6-phenylpyridine-4-carboxylate (0.5 g, 1.6 mmol) in 1 :1 methanol/THF (10 mL) at 0 0C was added TMS-diazomethane (0.46 niL, 9.3 mmol, 2.0 M solution in diethyl ether). The reaction mixture was allowed to warm to room temperature and stirred for 18 h. The solvent was evaporated under reduced pressure, and the resulting residue was dried under vacuum. The crude product was purified by column chromatography (Silica gel, 100-200 mesh) using 5% ethyl acetate in pet ether as the mobile phase to afford methyl 2-bromo-3-methoxy-6- phenylpyridine-4-carboxylate (0.22 g, 44%). LC-MS: [M, M+2]+ 322.39, 324.39 1H NMR (400 MHz, CDCl3) δ: ppm 7.97 (m, 3H), 7.45 (m, 3H), 4.06 (s, 6H).
D. Methyl 3-methoxy-6-phenyl-2-(4-(pyridin-3- ylethynyl)phenyl)iso nicotinate
To an argon purged solution of methyl 2-bromo-3-methoxy-6-phenylpyridine-4- carboxylate (0.22 g, 0.68 mmol) in 1 ,4-dioxane/water (10 mL/2.0 mL) was added cesium carbonate (0.89 g, 2.7 mmol) followed by 3-((4-(5,5-dimethyl-l,3,2-dioxaborinan-2- yl)phenyl)ethynyl)pyridine (0.24 g, 0.82 mmol, Method 2) and Pd(PPh3)4 (39 mg, 0.031 mmol). The reaction mixture was heated under argon atmosphere at 90 0C for 4 h. The solvent was evaporated to dryness under reduced pressure. The residue was diluted with ethyl acetate (100 mL) and washed with water (50 mL). The aqueous layer was extracted with ethyl acetate (50 mL x 2) and the combined organic layers were washed with brine solution (50 mL), dried over anhydrous MgSO4 and evaporated under reduced pressure to afford crude methyl 3-methoxy-6-phenyl-2-(4-(pyridin-3- ylethynyl)phenyl)isonicotinate as a light yellow solid (0.21 g, 73%). LC-MS: [M+H]+ 421.39
E . JV-Hydroxy-3 -methoxy-6-phenyl-2-(4-(pyridin-3 - ylethynyl)phenyl)iso nicotinamide
To a solution of methyl 3-methoxy-6-phenyl-2-(4-(pyridin-3- ylethynyl)phenyl)isonicotinate (0.2 g, 0.48 mmol, crude) in 3 mL methanol/THF (1 :1) was added aqueous 50% hydroxylamine (2.0 mL) followed by a catalytic amount of KCN (~5 mg). The resulting solution was stirred at room temperature for 3 h. The reaction mixture was quenched with aqueous 10% citric acid solution (~2 mL) and stirred for 15 min. The precipitated solid was filtered, washed with water and dried under vacuum to
afford iV-hydroxy-3 -methoxy-6-phenyl-2-(4-(pyridin-3 -ylethynyl)phenyl)isonicotinamide (20 mg, 7%) as an off-white solid. LC-MS: [M+H]+ 422.40
1H NMR (400 MHz, DMSO-d6) δ: ppm 11.15 (s, IH), 9.4 (s, IH), 8.8 (s, IH), 8.6 (d, IH), 8.15 (m, 5H), 7.9 (s, IH), 7.77 (d, 2H), 7.52 (m, 4H), 3.65 (s, 3H).
Example 95
JV-Hydroxy-2-(piperazin- 1 -yl)-6-(4-(pyridin-3 -ylethynyl)phenyl)isonicotinamide, trifluoro acetic acid salt
Tert-Butyl 4-(4-(hydroxycarbamoyl)-6-(4-(pyridin-3-ylethynyl)phenyl)pyridin-2- yl)piperazine-l-carboxylate (0.035 g, 0.07 mmol, Example 73) was treated with HCl, 4M in dioxane (0.35 rnL, 1.40 mmol). The solution was allowed to stand overnight at room temperature. There was no conversion to desired product so the solvent was evaporated and MeOH (2.0 mL) was added. The solid dissolved and 1 h later LCMS indicated clean conversion to the desired product. After sitting for an additional hour, solid precipitated from the solution. The mixture was filtered and the solid was washed with excess MeOH and allowed to dry in the air overnight. The solid was combined with the filtrate and treated with triethylamine (0.39 mL, 2.8 mmol). The solution was concentrated and the resulting solid was purified by reverse phase chromatography (5-75% MeCN/0.1% TFA in water) to afford the desired product (0.019 g, 53 %) as a TFA salt. LC-MS: [M+H]+ 400
Mass: Calculated for C23H2IN5O2, 399.45
1H NMR (300 MHz, DMSO-d6) δ: ppm 11.48 (s, IH); 8.79 (m, 2H); 8.61 (d, IH); 8.18 (d, 2H); 8.02 (m, IH); 7.72 (d, 2H); 7.67 (s, IH); 7.50 (dd, IH); 7.22 (s, IH); 3.87 (bs, 4H); 3.26 (bs, 4H).
Example 96
JV-Hydroxy-6- [4-(pyridin-3 -ylethynyl)phenyl]pyridine-3 -carboxamide
A. Methyl 6- [4-(pyridin-3 -ylethynyl)phenyl]pyridine-3 -carboxylate
To an argon purged solution of 6-bromo-nicotinic acid methyl ester (200 mg, 0.93 mmol) in 1 ,4-dioxane/water (15 mL/ 2.0 mL) was added cesium carbonate (1.2 g, 3.72 mmol) followed by 3-((4-(5,5-dimethyl-l,3,2-dioxaborinan-2-yl)phenyl)ethynyl)pyridine (0.32 g, 1.1 mmol, Method 2) and Pd(PPh3)4 (53.5 mg, 0.046 mmol). The reaction mixture was heated under argon atmosphere at 90 0C for 4 h. The solvent was evaporated to dryness under reduced pressure. The residue was diluted with ethyl acetate (100 mL) and washed with water (50 mL). The aqueous layer was extracted with ethyl acetate (50 mL x 2). The combined organic layers were washed with brine solution (50 mL), dried over anhydrous MgSO4 and concentrated under reduced pressure to afford the crude compound as a light yellow oil (0.295 g). LC-MS: [M+H]+ 315.4
To a solution of methyl 6-[4-(pyridin-3-ylethynyl)phenyl]pyridine-3-carboxylate (0.27 g, 0.86 mmol, crude) in methanol/THF (5 rnL) was added aqueous 50% hydroxylamine (3.0 mL) followed by a catalytic amount of KCN (~5 mg) The resulting solution was stirred at room temperature for 18 h. The reaction mixture was quenched with aqueous 10% citric acid solution (~3 mL) and stirred for 15 min. The precipitated solid was filtered, washed with water and dried under vacuum to provide the crude product. The crude product was purified by preparative HPLC to yield a yellow solid (30 mg, 10%).
LC-MS: [M+H]+ 316.42
1H NMR (400 MHz, DMSO-d6) δ: ppm 11.45 (s, IH), 9.24 (s, IH), 9.02 (s, IH), 8.8 (s, IH), 8.6 (d, IH), 8.2 (m, 4H), 8.03 (d, IH), 7.75 (d, 2H), 7.5 (m, IH).
Example 97 Λ/-Hydroxy-6-{4-[(4-{[(3-hydroxypropyl)amino]methyl}phenyl)ethynyl]phenyl} pyridine -2-carboxamide
A. Methyl 6-{4-[(4-{[(3-hydroxypropyl)amino]methyl}phenyl)ethynyl]phenyl} pyridine -2-carboxylate
To a solution of methyl 6-{4-[(4-formylphenyl)ethynyl]phenyl}pyridine-2- carboxylate (0.15 g, 0.44 mmol) in dichloroethane was added 3-aminopropanol (0.07 g, 088 mmol) followed by acetic acid (0.03 mL, 0.44 mmol) and NaBH(OAc)3 (0.28 g, 1.4 mmol) at room temperature. The reaction mixture was stirred at room temperature for 4 h. The reaction mixture was quenched with aqueous NaHCO3 (~10 mL) and extracted with dichloromethane (20 mL x 2). The combined organic layer was washed with water (10 mL x 2), brine solution (10 mL), dried over anhydrous Na2SO4 and evaporated to give the crude product. The crude product was purified by triturating with n-pentane to yield methyl 6-(4- {4-[(3-Hydroxypropylamino)-methyl]-phenylethynyl} -phenyl)- pyridine-carboxylate as a yellow solid (0.08 g, 46%). LC-MS: [M+H]+401.21.
B. N-Hydroxy-6-{4-[(4-{[(3hydroxypropyl)amino]methyl}phenyl)ethynyl] phenyl}pyridine-2-carboxamide
To a solution of methyl-6-(4-{4-[(3-Hydroxy-propylamino)-methyl]- phenylethynyl}-phenyl)-pyridine-2-carboxylate (0.07 g, 0.30 mmol) in methanol/THF (1 :1) was added aqueous 50% hydroxylamine (1.2 mL) followed by a catalytic amount of KCN (~1 mg). The resulting solution was stirred at room temperature for 6 h. The reaction mixture was quenched with aqueous 10% citric acid solution (~2 mL) and stirred for 15 min. The precipitated solid was filtered, washed with water and dried under vacuum to obtain the crude compound. The crude compound was purified by triturating in pet-ether to provide JV-hydroxy-6- {4-[(4-{[(3- hydroxypropyl)amino]methyl}phenyl)ethynyl]phenyl}pyridine-2-carboxamide as an off-white solid (0.01 g, 13%). LC-MS: [M+H]- 402.51
1U NMR (400 MHz, DMSO-d6) δ: ppm 11.55 (s, IH), 9.20 (s, IH), 8.44 (d, 2H), 8.22 (d, IH), 8.08 (t, IH), 7.94 (d, IH), 7.67 (d, 2H), 7.54 (d, 2H), 7.40 (d, 2H), 3.72 (s, 2H), 3.48 (t, 2H), 2.57 (t, 2H), 1.60 (m, 2H).
Example 98
Λ/-Hydroxy-2-(methylamino)-6-[4-(pyridin-3-ylethynyl)phenyl]pyridine-4- carboxamide
A. 2-Chloro-6-methylamino-isonicotinic acid methyl ester
To a stirred solution of methyl 2,6-dichloropyridine-4-carboxylate (Example 81, step A) (1.0 g, 4.9 mmol) in JV-methylpyrrolidone (5 mL) was added 2.0 M methylamine solution in tetrahydrofuran (4.8 mL, 9.8 mmol) at room temperature. The reaction mixture was heated at 100 0C for 4 h in sealed tube. The reaction mixture was cooled to room temperature and the solvent was evaporated under reduced pressure to obtain the crude product. The crude product was then purified by column chromatography (Silica gel, 100-200 mesh) using 10% ethyl acetate in pet ether to yield 2-chloro-6-methylamino- isonicotinic acid methyl ester (0.17 g, 17%) as a light yellow solid. LC-MS: [M+H] + 201
To a degassed solution of cesium carbonate (0.27 g, 0.83 mmol) in 1,4-dioxane: water (2:1) (4.0 rnL) was added 2-chloro-6-methylamino-isonicotinic acid methyl ester (0.17 g, 0.83 mmol) followed by 3 -((4-(5, 5 -dimethyl- 1,3, 2-dioxaborinan-2- yl)phenyl)ethynyl)pyridine (0.36 g, 1.3 mmol, Method 2). Pd(PPh3)4 (0.098 g, 0.08 mmol) was added to the reaction mixture and the solution was degassed for 30 min. The reaction mixture was irradiated under microwave at 100 0C for 30 min. The reaction mixture was evaporated to dryness under reduced pressure. The residue was diluted with ethyl acetate (50 mL) and washed with water (25 mL). The aqueous layer was extracted with ethyl acetate (50 mL x 2). The combined organic layers were washed with brine solution (50 mL), dried over anhydrous MgSO4 and evaporated under reduced pressure to yield the crude compound. The crude product was purified by column chromatography (Silica gel, 100-200 mesh) using 25% ethyl acetate in pet ether to yield methyl 2- (methylamino)-6-[4-(pyridin-3-ylethynyl)phenyl]pyridine-4-carboxylate as a yellow solid (208 mg, 73%). MS: [M+H] +: 344.4. Mass: calculated for C2IHnN3O2, 343.39
To a solution of methyl 2-(methylamino)-6-[4-(pyridin-3- ylethynyl)phenyl]pyridine-4-carboxylate (0.21 g, 0.59 mmol) in 6 mL methanol:THF (1 :1) was added 50% aqueous hydroxylamine (1 mL) followed by a catalytic amount of KCN (~3 mg). The resulting solution was stirred at room temperature for 18 h. The reaction mixture was quenched with aqueous 10% citric acid solution (~5 mL) and stirred for 15 min. The precipitated solid was filtered, washed with water and dried under vacuum to yield the crude product. The crude product was washed with 50% ethyl acetate in pet ether to yield Λ/-hydroxy-2-(methylamino)-6-[4-(pyridin-3- ylethynyl)phenyl]pyridine-4-carboxamide as a white solid (100 mg, 49%). LC-MS: [M-I] + 343.41
1H NMR (400 MHz, DMSO-d6) δ: ppm 11.37 (s, IH), 9.19 (s, IH), 8.77 (s, IH), 8.58 (d, IH), 8.14(d, 2H), 8.00 (d, IH), 7.69 (d, 2H), 7.45 (m, 2H), 6.90 (m, 1H),6.79 (s, IH), 2.88 (d, 3H).
Example 100
Λ/-Hydroxy-4-(4-((4-(morpholinomethyl)phenyl)ethynyl)phenyl)quinoline-2- carboxamide
A. Methyl 4-(4-((4-(morpholinomethyl)phenyl)ethynyl)phenyl)quinoline-2- carboxylate
4-(4-((4-(5,5-dimethyl-l,3,2-dioxaborinan-2-yl)phenyl)ethynyl)benzyl)morpholine (0.320 g, 0.79 mmol, Method 4), 4-bromoquinoline-2-carboxylic acid (0.20 g, 0.79 mmol), CS2CO3 (0.52 g, 1.6 mmol) and [l,r-bis(diphenylphosphino)ferrocene]dichloropalladium(II) (0.057 g, 0.08 mmol) were combined in acetonitrile (6 mL)/water (3 mL) and heated to 60 0C under argon. The reaction was stirred for 2 hours. The solution was cooled to room temperature. The reaction mixture was diluted with water and extracted three times with ethyl acetate. The combined organic extracts were dried over magnesium sulfate, filtered and evaporated to a brown solid. The solid was dissolved in MeOH and to this trimethylsilyldiazomethane, 2M in hexane (0.397 mL, 0.79 mmol) was added. LC-MS after 15 minutes indicates reaction is complete. The reaction mixture was diluted with water and extracted three times with ethyl acetate. The combined organic extracts were dried over magnesium sulfate, filtered and evaporated. Normal phase silica gel column (0%-100% ethyl acetate/dichloromethane) afforded the desired compound as a light yellow solid (0.062, 17%).
LC-MS: [M+H]+ 463.5 Mass: calculated for C30H26N2O3, 462.54
B. Λ/-Hydroxy-4-(4-((4-(morpholinomethyl)phenyl)ethynyl)phenyl)quinoline- 2-carboxamide
Λ/-Hydroxy-4-(4-((4-(morpholinomethyl)phenyl)ethynyl)phenyl)quinoline-2- carboxamide was prepared from methyl 4-(4-((4-
(morpholinomethyl)phenyl)ethynyl)phenyl)quinoline-2-carboxylate using the procedure described in Example 19, step B. The product was isolated as a trifluoroacetic acid salt after purification
LC-MS: [M+H]+ 464 Mass: calculated for C29H25N3O3, 463.53
1H NMR (300 MHz, OMSO-d6) δ: ppm 3.17 (br. s., 5 H), 3.96 (br. s., 3 H), 4.39 (br. s., 2 H), 7.59 (d, 3 H), 7.65 - 7.84 (m, 7 H), 7.85 - 8.02 (m, 3 H), 8.20 (d, 1 H), 11.65 (br. s., 1 H).
Example 101
N-hydroxy-2-(piperidin- 1 -yl)-6-(4-(pyridin-3 -ylethynyl)phenyl)isonicotinamide, trifluoroacetic acid salt
A. Methyl 2-chloro-6-(piperidin-l-yl)isonicotinate
The title compound was synthesized as described for Example 59 step A from methyl 2,6-dichloroisonicotinate and piperidine. LC-MS: [M+H]+ 255
Mass: Calculated for Ci2Hi5ClN2O2, 254.71
1H NMR (300 MHz, CDCl3) δ: ppm 7.09 (s, IH); 7.03 (s, IH); 3.92 (s, 3H); 3.61 (m, 4H); 1.66 (m, 6H).
To a microwave vial, methyl 2-chloro-6-(piperidin-l-yl)isonicotinate (0.18 g, 0.69 mmol), 3-((4-(5,5-dimethyl-l,3,2-dioxaborinan-2-yl)phenyl)ethynyl)pyridine (0.22 g, 0.76 mmol, Method 2), and sodium carbonate (0.087 g, 0.82 mmol) were added. Degassed 1,4-dioxane (6.0 ml) and water (1.0 ml) were added to the reaction, followed by Pd(Ph3P)4 (0.040 g, 0.030 mmol). The reaction was then heated in the microwave at 100 0C for 45 min. After this time the reaction was filtered through celite, washed with ethyl acetate and concentrated. The crude material was purified by silica gel chromatography (0-50% ethyl acetate in hexanes) to afford the desired product (0.23 g, 84%).
LC-MS: [M+H]+ 398 Mass: Calculated for C24H22N4O2, 397.47
C . JV-Hydroxy-2-(piperidin- 1 -yl)-6-(4-(pyridin-ylethynyl)phenyl)isonicotin amide, trifluoroacetic acid salt
The title compound was synthesized as described for Example 69 step B from methyl 2-(piperidin-l-yl)-6-(4-(pyridin-3-ylethynyl)phenyl)isonicotinate. The TFA salt was isolated after purification. LC-MS: [M+H]+ 399 Mass: Calculated for C24H22N4O2, 398.46
1H NMR (300 MHz, DMSO-d6) δ: ppm 11.43 (s, IH); 8.81 (s, IH); 8.61 (d, IH); 8.16 (d, 2H); 8.06 (d, IH); 7.69 (d, 2H); 7.50 (m, 2H); 7.09(s, IH); 3.66 (m, 4H); 1.62 (m, 6H).
Example 102 JV-Hydroxy-2-(4-methoxypiperidin- 1 -yl)-6-(4-(pyridin-3 -ylethynyl)phenyl)iso nicotinamide, trifluoroacetic acid salt
A. Methyl 2-chloro-6-(4-methoxypiperidin-l-yl)isonicotinate
The title compound was synthesized as described for Example 59 step A from methyl 2,6-dichloroisonicotinate and 4-methoxypiperidine. LC-MS: [M+H]+ 286 Mass: Calculated for Ci3Hi7ClN2O3, 284.74
1H NMR (300 MHz, CDCl3) δ: ppm 7.10 (s, IH); 7.05 (s, IH); 3.94 (m, 5H); 3.47 (m, IH); 3.38 (m, 5H); 1.94 (m, 2H); 1.63 (m, 2H).
The title compound was synthesized as described for Example 101 step B from methyl 2-chloro-6-(piperidin-l-yl)isonicotinate and 3-((4-(5,5-dimethyl-l,3,2- dioxaborinan-2-yl)phenyl)ethynyl)pyridine (Method 2). LC-MS: [M+H]+ 428 Mass: Calculated for C26H25N3O3, 427.50.
C . JV-Hydroxy-2-(4-methoxypiperidin- 1 -yl)-6-(4-(pyridin-3 -ylethynyl)phenyl) isonicotinamide, trifluoroacetic acid salt
The title compound was synthesized as described for Example 69 step B from 2- (4-methoxypiperidin-l-yl)-6-(4-(pyridin-3-ylethynyl)phenyl)isonicotinate. The TFA salt was isolated after purification. LC-MS: [M+H]+ 429 Mass: Calculated for C25H24N4O3, 428.48
1H NMR (300 MHz, DMSO-d6) δ: ppm 11.44 (s, IH); 8.81 (s, IH); 8.63 (d, IH); 8.17 (d, 2H); 8.06 (d, IH); 7.72 (d, 2H); 7.53 (m, 2H); 7.13 (s, IH); 4.11 (m, 2H); 3.47 (m, IH); 3.30 (m, 5H); 1.97 (m, 2H); 1.50 (m, 2H).
Example 103
Λ/-Hydroxy-2-(3 -methoxypiperidin- 1 -yl)-6-(4-(pyridin-3 -ylethynyl)phenyl)iso nicotinamide trifluoroacetic acid salt
A. Methyl 2-chloro-6-(3 -methoxypiperidin- 1 -yl)isonicotinate
The title compound was synthesized as described for Example 59 step A from methyl 2,6-dichloroisonicotinate and 3-methoxypiperidine. LC-MS: [M+H]+ 285 Mass: Calculated for Ci3Hi7ClN2O3, 284.74
1H NMR (300 MHz, CDCl3) δ: ppm 7.11 (s, IH); 7.05 (s, IH); 4.03 (m, IH); 3.92 (s, 3H); 3.78 (m, IH); 3.42 (s, 3H); 3.33 (m, 3H); 2.00 (m, IH); 1.88 (m, IH); 1.58 (m, 2H).
B . Methyl 2-(3 -methoxypiperidin- 1 -yl)-6-(4-(pyridin-3 -ylethynyl)phenyl)iso nicotinate
The title compound was synthesized as described for Example 101 step B from methyl 2-chloro-6-(3-methoxypiperidin-l-yl)isonicotinate and 3-((4-(5,5-dimethyl-l,3,2- dioxaborinan-2-yl)phenyl)ethynyl)pyridine (Method 2). LC-MS: [M+H]+ 428 Mass: Calculated for C26H25N3O3, 427.50.
C. Λ/-Hydroxy-2-(3-methoxypiperidin-l-yl)-6-(4-(pyridin-3-ylethynyl)phenyl) isonicotinamide, trifluoroacetic acid salt
The title compound was synthesized as described for Example 69 step B from methyl-2-(3 -methoxypiperidin- 1 -yl)-6-(4-(pyridin-3 -ylethynyl)phenyl)isonicotinate . The
TFA salt was isolated after purification.
LC-MS: [M+H]+ 429
Mass: Calculated for C25H24N4O3, 428.48
1H NMR (300 MHz, DMSO-d6) δ: ppm 11.44 (s, IH); 8.81 (s, IH); 8.63 (d, IH); 8.17 (d, 2H); 8.05(m, IH); 7.73 (m, 2H); 7.51 (m, 2H); 7.06 (d, IH); 4.14 (m, 2H); 3.91 (m, IH);
3.30 (m, 5H); 1.98 (m, IH); 1.78 (m, IH); 1.52 (m, 2H).
Example 104 jV-Hydroxy-2-(4-(pyridin-3 -ylethynyl)phenyl)-6-(pyrrolidin- 1 -yl)isonicotinamide
A. Methyl 2-chloro-6-(pyrrolidin-l-yl)isonicotinate
The title compound was synthesized as described for Example 59 step A from methyl 2,6-dichloroisonicotinate and pyrrolidine. LC-MS: [M+H]+ 241
Mass: Calculated for CHHI3CIN2O2, 240.69
1H NMR (300 MHz, CDCl3) δ: ppm 7.03 (s, IH); 6.85 (s, IH); 3.93 (s, 3H); 3.51 (m, 4H); 2.03 (m, 4H).
B . Methyl 2-(4-(pyridin-3 -ylethynyl)phenyl)-6-(pyrrolidin- 1 -yl)isonicotinate
The title compound was synthesized as described for Example 101 step B from methyl 2-chloro-6-(pyrrolidin-l-yl)isonicotinate and 3-((4-(5,5-dimethyl-l,3,2- dioxaborinan-2-yl)phenyl)ethynyl)pyridine (Method 2). LC-MS: [M+H]+ 384 Mass: Calculated for C24H2IN3O2, 383.44.
The title compound was synthesized as described for Example 69 step B from methyl 2-(4-(pyridin-3-ylethynyl)phenyl)-6-(pyrrolidin-l-yl)isonicotinate. The TFA salt was isolated after purification. LC-MS: [M+H]+ 385 Mass: Calculated for C23H20N4O2, 384.43
1H NMR (300 MHz, DMSO-d6) δ: ppm 11.43 (s, IH); 8.81 (s, IH); 8.62 (d, IH); 8.16 (m, 2H); 8.05 (m, IH); 7.71 (m, 2H); 7.47 (m, 2H); 6.77 (d, 2H); 3.52 (m, 4H); 1.99 (m, 4H).
Example 105
Λ/-Hydroxy-2-(2-morpholinoethoxy)-6-(4-(pyridin-3 ylethynyl)phenyl)isonicotin amide
A. Methyl 2-chloro-6-(2-morpholinoethoxy)isonicotinate
A solution of 2,6-dichloroisonicotinic acid (0.50 g, 2.6 mmol) in THF (2 mL) was cooled to 0 0C. A 1.0 M solution of potassium tert-butoxide in THF (6.5 mL, 6.5 mmol) was added and the mixture was stirred for 5 min. 2-Morpholinoethanol (0.47 mL, 3.9 mmol) was added dropwise, the ice bath was removed, and the mixture was stirred at room temperature for 2 days. A solution of 1 M aq HCl was added to adjust the pH to 4.
Ethyl acetate and water were added and the layers were separated. The aqueous layer was lyophilized to give a solid residue which was then diluted with MeOH (5 mL) and cooled to 0 0C. A 2.0 M solution of trimethylsilyldiazomethane in ether was added (3.9 mL, 7.8 mmol) and the mixture was stirred for 1 h. An additional 1.4 mL of a 2.0 M solution of trimethylsilyldiazomethane in ether was added and the mixture was stirred for 1 h. After concentrating the mixture in vacuo, ethyl acetate and water were added and the layers were separated. The organic layer was washed with water, brine, dried over Na2SO4, and concentrated in vacuo to yield the desired product, which was used without further purification.
1H NMR [300 MHz, CDCl3] δ: ppm 7.36 (s, IH); 7.17 (s, IH); 4.41 (m, 2H); 3.86 (s, 3H); 3.65 (m, 4H); 2.71 (m, 2H); 2.50 (m, 4H).
B. Methyl 2-(2-morpholinoethoxy)-6-(4-(pyridin-3 ylethynyl)phenyl)iso nicotinate
Methyl 2-chloro-6-(2-morpholinoethoxy)isonicotinate (0.21 g, 0.69 mmol) and 3-((4-(5,5-dimethyl-l,3,2-dioxaborinan-2-yl)phenyl)ethynyl)pyridine (0.22 g, 0.76 mmol, Method 2) were combined in a microwave vessel and purged and degassed with nitrogen. A solution of sodium carbonate (0.093 g, 0.88 mmol) in water (0.6 mL) was added, followed by the addition of 1 ,4-dioxane (3 mL). The vessel was purged and degassed with nitrogen. Pd(Ph3P)4 (0.04 g, 0.03 mmol) was added and the vessel was purged and degassed with nitrogen again. The vessel was heated in the microwave for 1 h at 100 0C. The mixture was cooled to room temperature and concentrated in vacuo. The mixture was diluted with CH2Cl2 and filtered through C elite. The filtrate was concentrated in vacuo and then purified by silica gel chromatography. Further
purification was performed by trituration with a mixture of CH2Cl2 and hexanes to afford the desired product.
1H NMR [300 MHz, DMSO-d6] δ: ppm 8.80 (s, IH); 8.62 (m, IH); 8.23 (s, IH); 8.21 (s, IH); 8.03 (m, IH); 7.97 (s, IH); 7.74 (s, IH); 7.72 (s, IH); 7.50 (m, IH); 7.20 (s, IH); 4.57 (m, 2H); 3.92 (s, 3H); 3.57 (m, 4H); 2.76 (m, 2H); 2.50 (m, 4H).
C . Λ/-Hydroxy-2-(2-morpholinoethoxy)-6-(4-(pyridin-3 -ylethynyl)phenyl) isonicotinamide, trifluoroacetic acid salt
A suspension of methyl 2-(2-morpholinoethoxy)-6-(4-(pyridin-3- ylethynyl)phenyl)isonicotinate (0.23 g, 0.52 mmol) in methanol (2 mL) was treated with 50 wt% aq hydroxylamine solution (0.636 ml, 10.37 mmol). The suspension was placed in an oil bath preheated to 50 0C and heated for 2 h. An additional 2 mL of MeOH was added and the mixture was heated for 2 days. After cooling to room temperature, the mixture was concentrated in vacuo, and then purified by reverse phase HPLC to afford the title compound as the TFA salt. LC-MS: [M+H]+ 445.2 Mass: calculated for C25H24N4O4, 444.48 1H NMR [300 MHz, DMSO-d6] δ: ppm 11.64 (br s, IH); 10.28 (br s, IH); 8.80 (s, IH); 8.63 (s, IH); 8.24 (s, IH); 8.22 (s, IH); 8.02 (m, 2H); 7.77 (s, IH); 7.75 (s, IH); 7.50 (m, IH); 7.19 (s, IH); 4.82 (m, 2H); 3.97 (m, 2H); 3.65 (m, 6H); 3.26 (m, 2H).
Example 106
Λ/-Hydroxy-2-(2-methoxyethylamino)-6-(4-(pyridin-3-ylethynyl)phenyl)iso nicotinamide, trifluoroacetic acid salt
A. Methyl 2-chloro-6-(2-methoxyethylamino)isonicotinate
The title compound was synthesized as described for Example 59 step A from methyl 2,6-dichloroisonicotinate and 2-methoxyethanamine.
1H NMR (300 MHz, CDCl3) δ: ppm 7.09 (s, IH); 6.90 (s, IH); 3.92 (s, 3H); 3.58 (m, 4H); 3.39 (s, 3H).
B . Methyl 2-(2-methoxyethylamino)-6-(4-(pyridin-3 -ylethynyl)phenyl)iso nicotinate
The title compound was synthesized as described for Example 68 step B from methyl 2-chloro-6-(2-methoxyethylamino)isonicotinate and 3 -((4-(5, 5 -dimethyl- 1,3,2- dioxaborinan-2-yl)phenyl)ethynyl)pyridine (Method 2). LC-MS: [M+H]+ 388
Mass: Calculated for C23H2IN3O3, 387.43
1H NMR (300 MHz, CDCl3) δ: ppm 8.80 (s, IH); 8.56 (m, IH); 8.06 (m, 2H); 7.85 (d, IH); 7.62 (m, 3H); 7.31 (dd, IH); 7.00 (s, IH); 3.96 (s, 3H); 3.66 (s, 2H); 3.53 (s, 2H); 3.42 (s, 3H).
C . Λ/-Hydroxy-2-(2-methoxyethylamino)-6-(4-(pyridin-3 -ylethynyl)phenyl) isonicotinamide, trifluoroacetic acid salt
The title compound was synthesized as described for Example 69 step B from methyl 2-(2-methoxyethylamino)-6-(4-(pyridin-3-ylethynyl)phenyl)isonicotinate. The
TFA salt was isolated after purification.
LC-MS: [M+H]+ 389
Mass: Calculated for C22H20N4O3, 388.42 1H NMR (300 MHz, DMSO-d6) δ: ppm 8.82 (s, IH); 8.62 (d, IH); 8.07 (m, 3H); 7.55
(m, 2H); 7.37 (s, IH); 7.18 (d, IH); 6.92 (s, IH); 3.57 (m, 4H); 3.31 (s, 3H).
Example 107
Λ/-Hydroxy-2-(4-methylpiperazin-l-yl)-6-(4-((4-(morpholinomethyl)phenyl) ethynyl)phenyl)isonicotinamide, trifluoroacetic acid salt
A. Methyl 2-(4-methylpiperazin- 1 -yl)-6-(4-((4-(morpholinomethyl)phenyl) ethynyl)phenyl)isonicotinate
The title compound was synthesized as described for Example 68 step B from methyl 2-chloro-6-(4-methylpiperazin-l-yl)isonicotinate (Example 59, step A) and 4-(4- ((4-(5,5-dimethyl-l,3,2-dioxaborinan-2-yl)phenyl)ethynyl)benzyl)morpholine (Method
4).
LC-MS: [M+H]+ 511
Mass: Calculated for C3IH34N4O3, 510.63
1H NMR (300 MHz, CDCl3) δ: ppm 8.05 (d, 2H); 7.68 (s, IH); 7.62 (d, 2H); 7.51 (d,
2H); 7.34 (d, 2H); 7.22 (s, IH); 3.97 (s, 3H); 3.78 (m, 7H); 3.53 (m, 2H); 2.64 (m, 3H);
2.47 (m, 6H); 1.56 (m, 3H).
B . JV-Hydroxy-2-(4-methylpiperazin- 1 -yl)-6-(4-((4-(morpholinomethy l)phenyl) ethynyl)phenyl)isonicotinamide, trifluoroacetic acid salt
The title compound was synthesized as described for Example 69 step B from methyl 2-(4-methylpiperazin- 1 -yl)-6-(4-((4-(morpholinomethyl)phenyl)ethynyl) phenyl)isonicotinate. The TFA salt was isolated after purification. LC-MS: [M+H]+ 512 Mass: Calculated for C30H33N5O3, 511.61
1H NMR (300 MHz, DMSO-d6) δ: ppm 11.50 (s, IH); 10.32 (m, IH); 10.12 (m, IH); 8.18 (d, 2H); 7.69 (m, 5H); 7.60 (d, 2H); 7.26 (s, IH); 4.59 (m, 2H); 4.369 (s, 2H); 3.97 (m, 2H); 3.67 (m, 2H); 3.54 (m, 2H); 3.20 (m, 8H); 2.87 (s, 3H). 19F NMR (282 MHz, DMSO-d6) δ: ppm -74.94.
Example 108
Λ/-Hydroxy-2-(2-morpholinoethylamino)-6-(4-(pyridin-3- ylethynyl)phenyl) isonicotinamide
A. Methyl 2-chloro-6-{[2-(morpholin-4-yl)ethyl]amino}pyridine-4- carboxylate
To a stirred solution of methyl 2,6-dichloropyridine-4-carboxylate (Example 81, step A) (1.0 g, 4.87 mmol) in JV-methylpyrrolidone (10 mL) was added morpholinoethylamine (0.70 g, 5.4 mmol) followed by diisopropylethylamine (1.3 g, 9.8 mmol) at room temperature. The reaction mixture was heated at 100 0C for 2 h. The reaction mixture was cooled to room temperature and the solvent was evaporated under reduced pressure to yield the crude product. The crude product was purified by column chromatography (Silica gel, 100-200 mesh) using 60% ethyl acetate in pet ether as the
mobile phase to yield methyl 2-chloro-6-{[2-(morpholin-4-yl)ethyl] amino }pyridine-4- carboxylate as an off-white solid (0.66 g, 45%). LC-MS: [M+H] + 300.4
1H NMR (400 MHz, DMSO-d6) δ: ppm 7.60 (s, IH), 7.00 (s, IH), 5.40 (br. s., IH), 3.99 (s, 3H), 3.60 (m, 4H), 3.40 (m, 2H), 2.60 (m, 2H), 2.43 (m, 4H).
B. 2-(2-Morpholin-4-yl-ethylamino)-6-(4-pyridin-3-ylethynyl-phenyl)- isonicotinic acid methyl ester
To an argon purged solution of methyl 2-chloro-6-{[2-(morpholin-4- yl)ethyl]amino}pyridine-4-carboxylate (0.10 g, 0.34 mmol) in 4 mL of 1,4-dioxane: water (2:1) was added cesium carbonate (0.11 g, 0.34 mmol) followed by 3-((4-(5,5- dimethyl-l,3,2-dioxaborinan-2-yl)phenyl)ethynyl)pyridine (0.10 g, 0.34 mmol, Method 2) and Pd(PPh3 )4 (0.04 g, 0.03 mmol). The reaction mixture was heated in the microwave at 100 0C for 30 min. The reaction mixture was evaporated to dryness under reduced pressure. The residue was diluted with ethyl acetate (50 mL) and washed with water (25 mL). The aqueous layer was extracted with ethyl acetate (50 mL x 2). The combined organic layers were washed with brine solution (50 mL), dried over anhydrous MgSO4 and evaporated under reduced pressure to obtain the crude compound. The crude product was purified by column chromatography (Silica gel, 100-200 mesh) using 50% ethyl acetate in pet ether as the mobile phase to yield 2-(2-morpholin-4-yl- ethylamino)-6-(4-pyridin-3-ylethynyl-phenyl)-isonicotinic acid methyl ester as a light yellow oil (0.04 g, 26%).
LC-MS: [M+H] +: 443.2.
C. Λ/-Hydroxy-2-(2-morpholinoethylamino)-6-(4-(pyridin-3- ylethynyl) phenyl)isonicotinamide
To a solution of 2-(2-morpholin-4-yl-ethylamino)-6-(4-pyridin-3-ylethynyl- phenyl)-isonicotinic acid methyl ester (0.10 g, crude) in 6 rnL methanol/THF (1 :1) was added aqueous 50% hydroxylamine (1.2 rnL) followed by a catalytic amount of KCN (~3 mg) and the resulting solution was stirred at room temperature for 8 h. The reaction mixture was quenched with aqueous 10% citric acid solution (~5 mL) and stirred for 15 min. The precipitated solid was filtered, washed with water and dried under vacuum to obtain the crude product. The crude product was purified by preparative HPLC to yield an off-white solid (0.03 g, 30%). LC-MS: [M-I] + 442.21
1H NMR (400 MHz, DMSO-d6) δ: ppm 11.37 (br. s., IH), 9.20 (br. s., IH), 8.78 (s, IH), 8.61 (br. s., IH), 8.14 (d, 2H), 8.00 (d, IH), 7.65 (d, 2H), 7.50 (m, IH), 7.41 (m, IH), 6.85 (br. s., 2H), 3.63 (m, 4H), 3.55 (m, 2H), 2.66 (m, 2H), 2.40 (m, 4H).
Example 109 iV-Hydroxy-3 -methoxy-6-(4-methoxyphenyl)-2-(4-(pyridin-3 - ylethynyl)phenyl)isonicotinamide
A. Ethyl 5-hydroxy-2-(4-methoxyphenyl)pyridine-4-carboxylate
A solution of 5-ethoxy-2-(4-methoxy phenyl)- 1, 3 -oxazole (0.8 g, 3.6 mmol) in ethyl acrylate (0.43 ml, 4.01 mmol) was heated in a sealed tube at 100 0C for 48 h. The reaction mixture was cooled and the excess ethyl acrylate was distilled off to obtain a dark brown residue. The crude compound was purified by column chromatography (Silica gel, 100-200 mesh) using 4% ethyl acetate in pet ether as the mobile phase to yield ethyl 5-hydroxy-2-(4-methoxyphenyl)pyridine-4-carboxylate (0.30 g, 29%). LC-MS: [M+H]+ , 274.4
1H NMR (400 MHz, CDCl3) δ: ppm 10.25 (s, IH), 8.53 (s, IH), 7.95 (m, 3H), 7.0 (d, 2H), 4.51 (q, 2H), 3.86 (s, 3H), 1.49 (t, 3H).
B. Ethyl 2-bromo-3-hydroxy-6-(4-methoxyphenyl)pyridine-4-carboxylate
To a solution of ethyl 5-hydroxy-2-(4-methoxyphenyl)pyridine-4-carboxylate
(0.29 g, 1.1 mmol) in DMF (3.0 mL) was added N-bromosuccinimide (0.21 g, 1.2 mmol). The solution was stirred at room temperature for 30 min. The reaction mixture was poured into cold water (25 mL), extracted with diethyl ether (3 x 50 mL). The combined
organic layers were washed with brine (50 mL), dried over anhydrous Na2SO4 and evaporated under reduced pressure to obtain crude compound. The crude product was purified by column chromatography (Silica gel, 100-200 mesh) using 5% ethyl acetate in pet ether as the mobile phase to yield ethyl 2-bromo-3-hydroxy-6-(4- methoxyphenyl)pyridine-4-carboxylate (60 mg, 16%). LC-MS: [M, M+2]+ 352.2, 354.2
1H NMR (400 MHz, CDCl3) δ: ppm 10.96 (s, IH), 7.9 (m, 3H), 6.98 (d, 2H), 4.52 (q, 2H), 3.86 (s, 3H), 1.49 (t, 3H).
C . Ethyl 2-bromo-3 -methoxy-6-(4-methoxyphenyl)pyridine-4-carboxylate
To a solution of ethyl 2-bromo-3-hydroxy-6-(4-methoxyphenyl)pyridine-4- carboxylate (60 mg, 0.17 mmol) in MeOH/THF (2 mL) at 0 0C was added trimethylsilyldiazomethane (0.4 mL, 0.86 mmol, 2.0 M sol. in diethyl ether) and the mixture was stirred at room temperature for 18 h. The reaction mixture was diluted with ethyl acetate (10 mL) followed by water (5 mL). The organic layer was washed with brine solution, dried over Na2SO4, filtered and evaporated under reduced pressure to obtain the crude product (65 mg). LC-MS: [M, M+2]+ 366.2, 364.2
D . Ethyl 3 -methoxy-6-(4-methoxyphenyl)-2-(4-(pyridin-3 -ylethynyl)phenyl) isonicotinate
To an argon purged solution of degassed solution of ethyl 2-bromo-3-methoxy-6- (4-methoxyphenyl)pyridine-4-carboxylate (60 mg, 0.16 mmol) in 1 ,4-dioxane/water (5 mL/2 mL) was added cesium carbonate (0.21 g, 0.66 mmol), 3-((4-(5,5-dimethyl-l,3,2- dioxaborinan-2-yl)phenyl)ethynyl)pyridine (57 mg, 0.20 mmol, Method 2) and Pd(PPri3)4 (9.5 mg, 0.008 mmol). The reaction mixture was heated under argon atmosphere at 90 0C for 4 h. The solvent was evaporated to dryness under reduced pressure. The residue was diluted with ethyl acetate (25 mL) and washed with water (25 mL). The aqueous layer was extracted with ethyl acetate (25 mL x 2) and the combined organic layers were washed with brine solution (25 mL), dried over anhydrous MgSO4 and evaporated under reduced pressure to obtain the crude product (70 mg). LC-MS: [M+H]+ 465.4
E. Λ/-Hydroxy-3-methoxy-6-(4-methoxyphenyl)-2-(4-(pyridin-3-ylethynyl) phenyl)isonicotinamide
To a solution of ethyl 3-methoxy-6-(4-methoxyphenyl)-2-(4-(pyridin-3- ylethynyl)phenyl)isonicotinate (70 mg, 0.15 mmol) in 1 niL methanol/THF (1 :1) was added aqueous 50% hydroxylamine (0.5 mL) followed by a catalytic amount of KCN (~5 mg). The resulting solution was stirred at room temperature for 4 h. The reaction mixture was quenched with aqueous 10% citric acid solution (~1 mL), diluted with water (2 mL) and stirred for 15 min. The resulting solid was filtered, washed with water (5 mL) and dried under vacuum. The crude product was triturated with diethyl ether (2 mL), filtered, washed with ether, dried under vacuum to yield the desired product (25 mg, 33%) as an off-white solid. LC-MS: [M + H]+ , 452.49
1H NMR (400 MHz, DMSO-d6) δ: ppm 11.15 (s, IH), 9.4 (s, IH), 8.8 (s, IH), 8.62 (d, IH), 8.1 (m, 5H), 7.8 (m, 3H), 7.5 (d, IH), 7.05 (d, 2H), 3.82 (s, 3H), 3.63 (s, 3H).
Example 110
6-Benzyl-JV-hydroxy-3 -methoxy-2-(4-(pyridin-3 -ylethynyl)phenyl) isonicotinamide
A. Ethyl 2-benzyl-5-hydroxypyridine-4-carboxylate
A solution of 2-benzyl-5-ethoxy-l,3-oxazole (0.8 g, 3.9 mmol) in ethyl acrylate (0.46 mL, 4.3 mmol) was heated in a sealed tube at 100 0C for 48 h. The reaction mixture was cooled and the excess ethyl acrylate was distilled off to obtain a dark brown residue. The crude compound was purified by column chromatography (Silica gel, 100-200 mesh) using 4% ethyl acetate in pet ether as the mobile phase to yield ethyl 2-benzyl-5- hydroxypyridine-4-carboxylate (0.48 g, 47%). LC-MS: [M+H]+ 258.4 1H NMR (400 MHz, CDCl3) δ: ppm 10.16 (s, IH), 8.43 (s, IH), 7.46 (s, IH), 7.2-7.3 (m, 5H), 4.4 (q, 2H), 4.11 (s, 2H), 1.42 (t, 3H).
B. Ethyl 6-benzyl-2-bromo-3-hydroxypyridine-4-carboxylate
To a solution of ethyl 2-benzyl-5-hydroxypyridine-4-carboxylate (0.47 g, 1.8 mmol) in DMF (5.0 mL) was added JV-bromosuccinimide (0.33 g, 2.0 mmol). The solution was stirred at room temperature for 30 min. The reaction mixture was poured into cold water (25 mL) and the precipitated solid was filtered off and dried under vacuum to yield ethyl 6-benzyl-2-bromo-3-hydroxypyridine-4-carboxylate (0.55 g, 90%). LC-MS: [M, M+2]+ 336.3, 338.3
1U NMR (400 MHz, CDCI3) δ: ppm 10.92 (s, IH), 8.02 (s, IH), 7.20-7.39 (m, 5H), 4.4 (q, 2H), 4.1 (s, 2H), 1.4 (t, 3H).
C. Ethyl 6-benzyl-2-bromo-3-methoxypyridine-4-carboxylate
To a solution of ethyl 6-benzyl-2-bromo-3-hydroxypyridine-4-carboxylate (0.55 g, 1.6 mmol) in MeOH/THF (5 niL) at 0 0C was added trimethylsilyldiazomethane (4.0 niL, 8.2 mmol, 2.0 M solution in diethyl ether). The reaction mixture was brought to room temperature and stirred for 18 h. The reaction mixture was diluted with ethyl acetate (50 mL) followed by water (20 mL). The organic layer was washed with brine solution, dried over Na2SO4, filtered and evaporated under reduced pressure to provide crude ethyl 6-benzyl-2-bromo-3-methoxypyridine-4-carboxylate (0.22 g). LC-MS: [M+H]+ 350.2, 352.2
D . Ethyl 6-benzyl-3 -methoxy-2-(4-(pyridin-3 -ylethynyl)phenyl)isonicotinate
To an argon purged solution of ethyl 6-benzyl-2-bromo-3-methoxypyridine-4- carboxylate (0.55 g, 1.6 mmol, crude) in 1 ,4-dioxane/water (10 mL/ 2 mL) was added
cesium carbonate (1.3 g, 4.0 mmol) followed by 3 -((4-(5, 5 -dimethyl- 1,3, 2-dioxaborinan- 2-yl)phenyl)ethynyl)pyridine (0.35 g, 1.2 mmol, Method 2) and Pd(PPh3)4 (58 mg, 0.05 mmol). The reaction mixture was heated under argon atmosphere at 90 0C for 4 h. The solvent was evaporated to dryness under reduced pressure. The residue was diluted with ethyl acetate (50 mL) and washed with water (50 mL). The aqueous layer was extracted with ethyl acetate (25 mL x 2). The combined organic layers were washed with brine (25 mL), dried over anhydrous MgSO4 and evaporated under reduced pressure to obtain crude ethyl 6-benzyl-3-methoxy-2-(4-(pyridin-3-ylethynyl)phenyl)isonicotinate (0.6 g). LC-MS: [M+H]+ 449.4 1H NMR (400 MHz, CDCl3) δ: ppm 8.8 (s, IH), 8.57 (d, IH), 8.0 (d, 2H), 7.83 (dd, IH), 7.64 (d, 2H), 7.23-7.34 (m, 8H), 4.4 (q, 2H), 4.2 (s, 2H), 3.57 (s, 3H), 1.4 (t, 3H).
E . 6-Benzyl-JV-hydroxy-3 -methoxy-2-(4-(pyridin-3 -ylethynyl)phenyl) isonicotinamide
To a solution of ethyl 6-benzyl-3-methoxy-2-(4-(pyridin-3- ylethynyl)phenyl)isonicotinate (0.6 g, 1.1 mmol) in 5 niL methanol/THF (1 :1) was added aqueous 50% hydroxylamine (6.0 niL) followed by a catalytic amount of KCN (~5 mg). The resulting solution was stirred at room temperature for 18 h. The reaction mixture was quenched with aqueous 10% citric acid solution (~5 niL), diluted with water (50 mL) and extracted with ethyl acetate (3x50 mL). The combined organic layers were washed with brine solution (25 mL), dried over anhydrous MgSO4 and evaporated under reduced pressure to yield the crude product. The crude product was purified by preparative HPLC to obtain the desired product (50 mg, 7%) as an off- white solid. LC-MS: [M + H]+ , 436.5
1H NMR (400 MHz, DMSO-d6) δ: ppm 11.05 (s, IH), 9.32 (s, IH), 8.79 (s, IH), 8.61 (d, IH), 8.0 (m, 3H), 7.71 (d, 2H), 7.48 (dd, IH), 7.25 (m, 6H), 4.13 (s, 2H), 3.55 (s, 3H).
Example 111 Λ/-Hydroxy-2-(2-morpholinoethoxy)-6-(4-((4-(morpholinomethyl)phenyl) ethynyl) phenyl)isonicotinamide, trifluoroacetic acid salt
A. Methyl 2-(2-morpholinoethoxy)-6-(4-((4 (morpholinomethyl)phenyl) ethynyl)phenyl) isonicotinate
Methyl 2-chloro-6-(2-morpholinoethoxy)isonicotinate (0.20 g, 0.68 mmol) and 4-(4-((4-(4,4,5,5-tetramethyl-l,3,2-dioxaborolan-2-yl)phenyl)ethynyl)benzyl)morpholine (0.268 g, 0.66 mmol, Method 5) were combined in a microwave vessel. A solution of
sodium carbonate (0.09 g, 0.85 mmol) in water (0.6 mL) was added, followed by the addition of 1,4-dioxane (3 mL). The vessel was degassed and purged with nitrogen. The Pd(Ph3P)4 (0.039 g, 0.03 mmol) was added and the vessel was degassed and purged with nitrogen. The vessel was heated in the microwave for 1 h at 100 0C. After cooling to room temperature, the mixture was diluted with CH2Cl2 and filtered through Celite. The filtrate was concentrated in vacuo and purified by silica gel chromatography to afford the desired product.
B. Λ/-Hydroxy-2-(2-morpholinoethoxy)-6-(4-((4-(morpholinomethyl)phenyl) ethynyl) phenyl)isonicotinamide, trifluoroacetic acid salt
A suspension of methyl 2-(2-morpholinoethoxy)-6-(4-((4-(morpholinomethyl) phenyl)ethynyl)phenyl)isonicotinate (0.37 g, 0.68 mmol) in methanol (5 mL) was treated with a 50 wt% aq hydroxylamine solution. (0.83 mL, 13.5 mmol). The suspension was placed in an oil bath preheated to 50 0C and heated overnight. The mixture was cooled to room temperature and concentrated in vacuo. Purification by reverse phase HPLC gave the title compound as the TFA salt. LC-MS: [M+H]+ 543.2 Mass: calculated for C3IH34N4O5, 542.63
1H NMR [300 MHz, DMSO-d6]: δ 11.63 (br s, IH); 10.28 (br s, 1.5 H); 9.44 (br s, 0.5 H); 8.23 (s, IH); 8.20 (s, IH); 7.98 (s, IH); 7.71 (m, 4H); 7.58 (s, IH); 7.56 (s, IH); 7.19 (s, IH); 4.80 (m, 2H); 4.38 (m, 2H); 4.20-3.00 (m, 18H).
19 F NMR [282 MHz, DMSO-d6] δ: ppm -74.06
Example 112
Λ/-Hydroxy-2-(3 -hydroxypyrrolidin- 1 -yl)-6-(4-(pyridin-3 -ylethynyl)phenyl) isonicotinamide, trifluoroacetic acid salt
A. Methyl 2-chloro-6-(3 -hydroxypyrrolidin- 1 -yl)isonicotinate
The title compound was synthesized as described for Example 59 step A from methyl 2,6-dichloroisonicotinate and pyrrolidin-3-ol.
LC-MS: [M+H]+ 257
Mass: Calculated for CHHI3CIN2O3, 256.69
1H NMR (300 MHz, CDCl3) δ: ppm 7.06 (s, IH); 6.84 (s, IH); 4.64 (m, IH); 3.93 (s, 3H); 3.64 (m, 4H); 2.14 (m, 2H); 1.62 (m, IH).
B . Methyl 2-(3 -hydroxypyrrolidin- 1 -yl)-6-(4-(pyridin-3 -ylethynyl)phenyl) isonicotinate
The title compound was synthesized as described for Example 101 step B from methyl 2-chloro-6-(3 -hydroxypyrrolidin- 1 -yl)isonicotinate and 3 -((4-(5 ,5 -dimethyl- l,3,2-dioxaborinan-2-yl)phenyl)ethynyl)pyridine (Method 2). LC-MS: [M+H]+ 400 Mass: Calculated for C24H2IN3O3, 399.44.
C . iV-Hydroxy-2-(3 -hydroxypyrrolidin- 1 -yl)-6-(4-(pyridin-3 -ylethynyl)phenyl) isonicotinamide, trifluoroacetic acid salt
The title compound was synthesized as described for Example 69 step B from 2-
(3-hydroxypyrrolidin-l-yl)-6-(4-(pyridin-3-ylethynyl)phenyl)isonicotinate. The TFA salt was isolated after purification.
LC-MS: [M+H]+ 401 Mass: Calculated for C23H20N4O3, 400.43
1H NMR (300 MHz, DMSO-d6) δ: ppm 11.44 (s, IH); 8.81 (s, IH); 8.61 (d, IH); 8.19
(m, 2H); 8.03 (d, IH); 7.72 (d, 2H); 7.51 (m, 2H); 6.76 (s, IH); 4.43-3.47 (m, 6H); 2.06-
1.95 (m, 2H).
Example 113
JV-Hydroxy-4- {4-[(4- {[(3-hydroxypropyl)amino]methyl}phenyl) ethynyl]phenyl}pyridine-2-carboxamide
To an argon purged solution of 4- {[4-(5, 5 -dimethyl- 1,3, 2-dioxaborinan-2- yl)phenyl]ethynyl}benzaldehyde (Method 3, step C, 2.4 g, 7.6 mmol) in 40 mL of 1,4- Dioxane:water (3:1) was added CS2CO3 (6.7 g, 20.8 mmol) followed by methyl-4-bromo- 2-pyridinecarboxylate (1.5g, 6.99 mmol) and Pd(PPh3)4 (0.40 g, 0.35 mmol). The reaction mixture was heated under nitrogen atmosphere at 80 0C for 4 h. The solvent was evaporated to dryness under reduced pressure and the residue was diluted with water (100 mL) and extracted with ethyl acetate (100 mL x 2). The combined organic layers were washed with brine solution (50 mL), dried over anhydrous MgSO4 and evaporated under reduced pressure to obtain crude compound. The crude compound was purified by column chromatography (Silica gel, 100-200 mesh) by using 15% ethyl acetate in pet- ether as the mobile phase to yield the desired product as a pale yellow solid (0.85 g, 37%). LC-MS: [M+H]+ 342.40
1H NMR (400 MHz, CDCI3) δ: ppm 10.04 (s, IH), 8.82 (d, IH), 8.40 (m, IH), 7.90 (d, 2H), 7.74(m, 7H), 4.06 (s, 3H).
B. Methyl 4-{4-[(4-{[(3-hydroxypropyl)amino]methyl}phenyl)ethynyl] phenyl}pyridine-2-carboxylate
To a solution of methyl 2-{4-[(4-formylphenyl)ethynyl]phenyl}pyridine-4- carboxylate (0.20 g, 0.58 mmol) in dichloroethane was added 3-aminopropanol (0.09 g, 1.17 mmol) followed by acetic acid (0.033 mL, 0.58 mmol) and NaBH(OAc)3 (0.37 g, 1.75 mmol) at room temperature. The reaction mixture was stirred at room temperature for 4 h. The reaction mixture was quenched with aqueous NaHCO3 (~10 mL) and extracted with dichloromethane (20 mL x 2). The combined organic layers were washed with water (10 mL x 2), brine solution (10 mL), dried over anhydrous Na2SO4 and evaporated to obtain the crude product. The crude product was purified by triturating with n-pentane to yield the desired product as a yellow solid (0.12 g, 52%). LC-MS: [M+H]+401.21.
C. Λ/-Hydroxy-4-{4-[(4-{[(3-hydroxypropyl)amino]methyl}phenyl)ethynyl] phenyl}pyridine-2-carboxamide
To a solution of methyl 4-{4-[(4-{[(3-hydroxypropyl)amino]methyl} phenyl)ethynyl]phenyl}pyridine-2-carboxylate (0.12 g, 0.30 mmol) in methanol/THF (1 :1) was added aqueous 50% hydroxylamine (1.2 mL) followed by a catalytic amount of KCN (~1 mg). The resulting solution was stirred at room temperature for 6 h. The reaction mixture was quenched with aqueous 10% citric acid solution (~2 mL) and stirred for 15 min. The precipitated solid was filtered, washed with water and dried under vacuum to obtain the crude product. The crude product was purified by triturating in pet- ether to yield the desired product as an off- white solid (0.11 g, 91%). LC-MS: [M+H]" 402.51 1H NMR (400 MHz, DMSO-d6) δ: Dppm 8.68 (d, IH), 8.25 (d, IH), 7.95 (d, 3H), 7.73 (d, 2H), 7.62 (d, 2H), 7.48 (d, 2H), 3.96 (m, 2H), 3.48 (s, 2H), 2.77 (m, 2H), 1.60 (m, 2H).
Example 114
Λ/-Hydroxy-2-phenylamino-6-(4-pyridin-3-ylethynyl-phenyl)-isonicotinamide
A. 2-Chloro-6-phenylamino-isonicotinic acid methyl ester
To an argon purged solution of methyl 2,6-dichloropyridine-4-carboxylate (1.0 g, 4.9 mmol) in 1,4-dioxane (40 mL) was added cesium carbonate (1.6 g, 4.9 mmol) followed by aniline (0.68 g, 7.3 mmol), xantphos (280 mg, 0.49 mmol) and Pd(OAc)2
(0.11 g, 0.45 mmol). The reaction mixture was heated in the microwave at 100 0C for 30 min. The reaction mixture was evaporated to dryness under reduced pressure. The residue was diluted with ethyl acetate (50 mL) and washed with water (25 mL). The aqueous layer was extracted with ethyl acetate (50 mL x 2) and the combined organic layers were washed with brine solution (50 mL), dried over anhydrous MgSO4 and evaporated under reduced pressure to obtain the crude product. The crude product was purified by column chromatography (Silica gel, 100-200 mesh) using 25% ethyl acetate in pet ether to yield the desired product as a light yellow oil (0.4 g, 31%). MS: [M+H] + 263.7.
To an argon purged solution of 2-chloro-6-phenylamino-isonicotinic acid methyl ester (0.4 g, 1.5 mmol) in 4.0 rnL of 1, 4-dioxane: water (2:1) was added cesium carbonate (0.5 g, 1.5 mmol) followed by 3-((4-(5,5-dimethyl-l,3,2-dioxaborinan-2- yl)phenyl)ethynyl)pyridine (0.67 g, 2.3 mmol, Method 2) and Pd(PPh3)4 (0.18 g, 0.15 mmol). The reaction mixture was irradiated in microwave at 100 0C for 30 min. The reaction mixture was evaporated to dryness under reduced pressure. The residue was diluted with ethyl acetate (50 mL) and washed with water (25 mL). The aqueous layer was extracted with ethyl acetate (50 mL x 2). The combined organic layers were washed with brine solution (50 mL), dried over anhydrous MgSO4 and evaporated under reduced pressure to obtain the crude product. The crude product was purified by column chromatography (Silica gel, 100-200 mesh) using 30% ethyl acetate in pet ether to yield the desired product as a yellow solid (0.2 g, 32%). MS: [M+H] +: 406.2.
To a solution of methyl 2-(phenylamino)-6-[4-(pyridin-3- ylethynyl)phenyl]pyridine-4-carboxylate (0.1 g, 0.25 mmol) in 8 mL methanol/THF (1 :1) was added aqueous 50% hydroxylamine (1.50 mL) followed by a catalytic amount of KCN (~3 mg). The resulting solution was stirred at room temperature for 18 h. The reaction mixture was quenched with aqueous 10% citric acid solution (~5 mL) and stirred for 15 min. The precipitated solid was filtered, washed with water and dried under vacuum to obtain the crude product. The crude product was purified by washing with 50% ethyl acetate in pet ether (10.0 mL) to yield the desired product as a yellow solid (35 mg, 31%).
LC-MS: [M+H] + 407.5
1H NMR (400 MHz, DMSO-d6) δ: ppm 11.37 (br. s., IH), 9.4 (s, IH), 9.25(s, IH), 8.80 (s, IH), 8.60 (d, IH), 8.20(d, 2H), 8.00 (d, IH), 7.80 (m, 4H), 7.65 (s, IH), 7.50 (m, 1H),7.35 (t, 2H), 7.25 (s, IH), 6.99 (t,lH).
Example 115
6-(2-Fluorophenyl)-N-hydroxy-3 -methoxy-2-(4-(pyridin-3 - ylethynyl)phenyl) isonicotinamide
A. Ethyl 2-(2-fluorophenyl)-5-hydroxypyridine-4-carboxylate
A solution of 5-ethoxy-2-(2-fluorophenyl)- 1,3-oxazole (0.8 g, 3.4 mmol) in ethyl acrylate (0.46 niL, 4.2 mmol) was heated in a sealed tube at 100 0C for 48 h. The reaction mixture was cooled and the excess ethyl acrylate was distilled off to obtain a dark brown residue. The crude compound was purified by column chromatography (Silica gel, 100-200 mesh) using 4% ethyl acetate in pet ether as the mobile phase to yield the desired product (195 mg, 20 %). LC-MS: [M+H]+ 262.44 1H NMR (400 MHz, CDCl3)δ: ppm 10.43 (s, IH), 8.59 (s, IH), 8.15 (s, IH), 7.96 (t, IH), 7.35 (m, IH), 7.25 (m, IH), 7.18 (m, IH), 4.49 (q, 2H), 1.43 (t, 3H).
B . Ethyl 2-bromo-6-(2-fluorophenyl)-3 -hydroxypyridine-4-carboxylate
To a solution of ethyl 2-(2-fluorophenyl)-5 -hydroxypyridine-4-carboxylate (0.19 g, 0.73 mmol) in DMF (2.0 mL) was added N-bromosuccinimide (0.14 g, 0.8 mmol).
The reaction mixture was stirred at room temperature for 30 min. The reaction mixture was poured into cold water (10 mL) and the resulting precipitate was filtered and washed
with water (5 mL). The isolated solid was dried under vacuum to obtain the product
(0.21 g, 85 %).
LC-MS: [M, M+2] + 340.33, 342.33
1H NMR (400 MHz, CDCl3) δ: ppm 11.18 (s, IH), 8.16 (s, IH), 8.0 (m, 2H), 7.11-7.39
(m, 2H), 4.49 (q, 2H), 1.4 (t, 3H).
C . Ethyl 2-bromo-6-(2-fluorophenyl)-3 -methoxypyridine-4-carboxylate
To a solution of ethyl 2-bromo-6-(2-fluorophenyl)-3-hydroxypyridine-4- carboxylate (0.21 g, 0.62 mmol) in MeOH/THF (5 mL) at 0 °C was added trimethylsilyldiazomethane (1.5 mL, 3.1 mmol, 2.0 M solution in diethyl ether) and the reaction was stirred at room temperature for 18 h. The reaction mixture was diluted with ethyl acetate (25 mL) followed by water (10 mL) and the layers were separated. The organic layer was washed with brine solution, dried over Na2SO4, filtered and evaporated under reduced pressure to obtain product (0.22 g). LC-MS: [M+H]+ 354.2, 356.2
D . Ethyl 6-(2-fluorophenyl)-3 -methoxy-2-(4-(pyridin-3 -ylethynyl)phenyl) isonicotinate
To an argon purged solution of ethyl 2-bromo-6-(2-fluorophenyl)-3- methoxypyridine-4-carboxylate (0.22 g, 0.62 mmol, crude) in 1 ,4-dioxane/water (10 mL/ 2.0 mL) was added cesium carbonate (0.44 g, 1.4 mmol) followed by 3-((4-(5,5- dimethyl- 1, 3, 2-dioxaborinan-2-yl)phenyl)ethynyl)pyridine (0.12 g, 0.41 mmol, Method 2) and Pd(PPh3 )4 (19.5 mg, 0.017 mmol). The reaction mixture was heated under argon atmosphere at 90 0C for 4 h. The solvent was evaporated to dryness under reduced pressure. The residue was diluted with ethyl acetate (100 mL) and washed with water (50 mL). The aqueous layer was extracted with ethyl acetate (50 mL x 2) and the combined organic layers were washed with brine solution (50 mL), dried over anhydrous MgSO4 and evaporated under reduced pressure to yield the desired product (0.22 g). LC-MS: [M+H]+ 453.4
E. 6-(2-Fluorophenyl)-N-hydroxy-3-methoxy-2-(4-(pyridin-3- ylethynyl)phenyl)isonicotinamide
To a solution of ethyl 6-(2-fluorophenyl)-3-methoxy-2-(4-(pyridin-3- ylethynyl)phenyl)isonicotinate (0.21 g, 0.46 mmol, crude) in 3 mL methanol/THF (1 :1) was added aqueous 50% hydroxylamine (2.0 mL) followed by a catalytic amount of KCN (~5 mg). The resulting solution was stirred at room temperature for 18 h. The reaction mixture was quenched with aqueous 10% citric acid solution (~2 mL), stirred for 15 min, diluted with water (25 mL) and then extracted with ethyl acetate (3x50 mL). The
combined organic layers were washed with brine solution (25 mL), dried over anhydrous MgSO4 and evaporated under reduced pressure to obtain the crude product. The crude product was purified by preparative HPLC to yield the desired product (45 mg, 17%) as an off-white solid. LC-MS: [M + H]+ 440.4
1H NMR (400 MHz, DMSO-d6) δ: ppm 11.16 (s, IH), 9.4 (s, IH), 8.8 (s, IH), 8.6 (d, IH), 8.08 (m, 4H), 7.76 (m, 3H), 7.52 (m, 2H), 7.39 (m, 2H), 3.67 (s, 3H)
Example 116 Λ/-Hydroxy-3-methoxy-6-methyl-2-[4-(pyridin-3-ylethynyl)phenyl]pyridine-4- carboxamide
A. Ethyl 2-methyloxazole-5-carboxylate
0^ O.
\ NV -^ //
To a suspension OfP2Os (19.5 g, 138 mmol) in chloroform (100 mL) was added a solution of ethyl acetoamidoacetate (5.0 g, 34.44 mmol) in chloroform (50 mL). The resulting suspension was heated at reflux temperature for 16 h. The reaction mixture was cooled to 0 0C and to this was added 20% aq. NaOH solution (100 mL) dropwise over 30 min. The reaction mixture was then stirred at room temperature for 1 h. The organic layer was separated, washed with water (100 mL), brine (100 mL), dried over anhydrous Na2SO4 and the solvent was evaporated under reduced pressure, dried under vacuum to yield product (2.1 g, 48%). LC-MS: [M+H]+ 128.32 1H NMR (400 MHz, CDCl3) δ: ppm 5.93 (s, IH), 4.07 (m, 2H), 2.32 (s, 3H), 1.41 (m, 3H).
A solution of ethyl 2-methyloxazole-5-carboxylate (1.0 g, 7.9 mmol) in ethyl acrylate (0.94 niL, 8.7 mmol) was heated in a sealed tube at 100 0C for 48 h. The reaction mixture was cooled and the excess ethyl acrylate was distilled off to obtain a dark brown residue. The crude compound was purified by column chromatography (Silica gel, 100- 200 mesh) using 5% ethyl acetate in pet ether as the mobile phase to yield the desired product (0.5 g, 35%). LC-MS: [M+H]+ 182.2
1H NMR (400 MHz, CDCl3) δ: ppm 10.08 (s, IH), 8.38 (s, IH), 7.46 (s, IH), 4.44 (m, 2H), 2.51 (s, 3H), 1.44 (m, 3H).
C. Ethyl 2-bromo-3-hydroxy-6-methylpyridine-4-carboxylate
To a solution of ethyl 5-hydroxy-2-methylpyridine-4-carboxylate (0.5 g, 2.8 mmol) in DMF (5.0 mL) was added N-bromosuccinimide (0.54 g, 3.0 mmol). The solution was stirred at room temperature for 30 min. The reaction mixture was poured into cold water (25 mL) and the precipitated solid was filtered, washed with water (25 mL) and dried under vacuum to yield the desired product (0.55 g, 78%) as an off-white solid.
LC-MS: [M, M+2]+ 260.2, 262.2
1H NMR (400 MHz, CDCI3) δ: ppm 10.82 (s, IH), 7.45 (s, IH), 4.46 (m, 2H), 2.5 (s, 3H),
1.44 (m, 3H).
D. Ethyl 2-bromo-3-methoxy-6-methylpyridine-4-carboxylate
To a solution of ethyl 2-bromo-3-hydroxy-6-methylpyridine-4-carboxylate (0.5 g, 1.9 mmol) in acetone (20 mL) was added potassium carbonate (0.53 g, 3.8 mmol) followed by dimethyl sulfate (0.35 mL, 3.8 mmol). The reaction mixture was heated at reflux for 2 h. The reaction mixture was cooled to room temperature and the inorganic salts were filtered, washed with acetone and the filtrate was evaporated to dryness. The crude residue was diluted with water (25 mL) and extracted with ethyl acetate (2 x 50 mL). The combined organic layers were washed with brine (25 mL), dried over anhydrous Na2SO4, and evaporated under reduced pressure to yield the desired product (0.51 g).
LC-MS: [M, M+2]+ 274.2, 276.2
1H NMR (400 MHz, CDCl3) δ: ppm 7.38 (s, IH), 4.42 (m, 2H), 3.93 (s, 3H), 2.54 (s, 3H), 1.41 (m, 3H)
E . Ethyl 3 -methoxy-6-methyl-2- [4-(pyridin-3 -ylethynyl)phenyl]pyridine-4- carboxylate
To an argon purged solution of ethyl 2-bromo-3-methoxy-6-methylpyridine-4- carboxylate (0.5 g, 1.8 mmol, crude) in 1 ,4-dioxane/water (10 mL/ 2.0 mL) was added cesium carbonate (2.4 g, 7.3 mmol) followed by 3 -((4-(5, 5 -dimethyl- 1,3, 2-dioxaborinan- 2-yl)phenyl)ethynyl)pyridine (0.64 g, 2.2 mmol, Method 2) and Pd(PPh3)4 (0.11 g, 0.09
mmol). The reaction mixture was heated under argon atmosphere at 90 0C for 4 h. The solvent was evaporated to dryness under reduced pressure. The residue was diluted with ethyl acetate (50 mL) and washed with water (50 mL). The aqueous layer was extracted with ethyl acetate (25 mL x 2). The combined organic layers were washed with brine solution (25 mL), dried over anhydrous MgSO4 and evaporated under reduced pressure to obtain the crude product. The crude product was purified by column chromatography (Silica gel, 100-200 mesh) 15% ethyl acetate in pet ether as the mobile phase to yield the desired product (0.5 g, 70%). LC-MS: [M+H]+ 373.43 1H NMR (400 MHz, CDCl3) δ: ppm 8.79 (s, IH), 8.56 (d, IH), 7.97 (d, 2H), 7.83 (m, IH), 7.64 (d, 2H), 7.38 (s, IH), 7.3 (m, IH), 4.44 (m, 2H), 3.57 (s, 3H), 2.61 (s, 3H), 1.43 (m, 3H).
F . JV-Hydroxy-3 -methoxy-6-methyl-2- [4-(pyridin-3 -ylethynyl)phenyl]pyridine- 4-carboxamide
To a solution of ethyl 3-methoxy-6-methyl-2-[4-(pyridin-3- ylethynyl)phenyl]pyridine-4-carboxylate (0.5 g, 1.3 mmol) in 10 mL methanol/THF (1 :1) was added aqueous 50% hydroxylamine (5.0 mL) followed by a catalytic amount of KCN (~5 mg). The resulting solution was stirred at room temperature for 24 h. The reaction mixture was quenched with aqueous 10% citric acid solution (~5 mL) and the resulting precipitate was filtered, washed with water and dried under vacuum to yield the desired product (310 mg, 65%).
LC-MS: [M+H]+ 360.4
1H NMR (400 MHz, DMSO-d6) δ: ppm 11.04 (s, IH), 9.33 (s, IH), 8.79 (d, IH), 8.61 (d, IH), 7.97 (m, 3H), 7.71 (d, 2H), 7.48 (m, IH), 7.23 (s, IH), 3.55 (s, 3H), 2.51 (s, 3H).
Example 118
Λ/-Hydroxy-2-(pyridin-3-yl)-6-(4-(pyridin-3-ylethynyl)phenyl)pyrimidine-4- carboxamide
A. Methyl 6-methoxy-2-(pyridin-3-yl)pyrimidine-4-carboxylate
Methyl 6-methoxy-2-(pyridin-3-yl)pyrimidine-4-carboxylate was prepared from methyl 2-chloro-6-methoxypyrimidine-4-carboxylate and pyridin-3-ylboronic acid using the procedure described in Example 49, step A. LC-MS: [M+H]+ 246 Mass: calculated for Ci2HnN3O3, 245.23
B. Methyl 6-hydroxy-2-(pyridin-3-yl)pyrimidine-4-carboxylate
Methyl 6-methoxy-2-(pyridin-3-yl)pyrimidine-4-carboxylate (1.34 g, 5.5 mmol) and HBr, 33 wt% in glacial acetic acid (4.50 mL) were combined in ethyl acetate (5 mL)
and heated to reflux. LC-MS after 2 hours indicated mostly product formation. The reaction mixture was cooled to room temperature and the resulting precipitate was filtered and dried.
LC-MS: [M+H]+ 232
Mass: calculated for CnH9N3O3, 231.21
C. Methyl 6-chloro-2-(pyridin-3-yl)pyrimidine-4-carboxylate
Methyl 6-chloro-2-(pyridin-3-yl)pyrimidine-4-carboxylate was prepared from methyl 6-hydroxy-2-(pyridin-3-yl)pyrimidine-4-carboxylate using the procedure described in Example 39, step C. LC-MS: [M+H]+ 250.6 Mass: calculated for CnH8ClN3O2, 249.65
D. Methyl 2-(pyridin-3-yl)-6-(4-(pyridin-3-ylethynyl)phenyl)pyrimidine-4- carboxylate
Methyl 2-(pyridin-3 -yl)-6-(4-(pyridin-3 -ylethynyl)pheny l)pyrimidine-4- carboxylate was prepared from methyl 6-chloro-2-(pyridin-3-yl)pyrimidine-4-carboxylate
and 3-((4-(5,5-dimethyl-l,3,2-dioxaborinan-2-yl)phenyl)ethynyl)pyridine (Method 2) using the procedure described in Example 100, step A.
LC-MS: [M+H]+ 393
Mass: calculated for C24Hi6N4O2, 392.41
E . JV-Hydroxy-2-(pyridin-3 -yl)-6-(4-(pyridin-3 -ylethynyl)phenyl)pyrimidine-4- carboxamide
jV-Hydroxy-2-(pyridin-3 -yl)-6-(4-(pyridin-3 -ylethynyl)phenyl)pyrimidine-4- carboxamide was prepared from methyl 2-(pyridin-3-yl)-6-(4-(pyridin-3- ylethynyl)phenyl)pyrimidine-4-carboxylate using the procedure described in Example 19, step B. After purification by reverse-phase HPLC, the product was isolated as a trifluoroacetic acid salt. LC-MS: [M+H]+ 394
Mass: calculated for C23Hi5N5O2, 393.4
1H NMR (300 MHz, DMSO-J6) δ: ppm 7.53 (br. s., 1 H), 7.79 (d, 4 H), 8.06 (d, 1 H),
8.43 - 8.61 (m, 4 H), 9.32 (d, 2 H), 12.08 (br. s., 1 H).
Example 119
Λ/-Hydroxy-6-(4-((4-(morpholinomethyl)phenyl)ethynyl)phenyl)-2-(pyridin-3- yl)pyrimidine-4-carboxamide
A. Methyl 6-(4-((4-(morpholinomethyl)pheny l)ethynyl)phenyl)-2-(pyridin-3 - yl)pyrimidine-4-carboxylate
Methyl 6-(4-((4-(morpholinomethyl)phenyl)ethynyl)phenyl)-2-(pyridin-3- yl)pyrimidine-4-carboxylate was prepared from methyl 6-chloro-2-(pyridin-3- yl)pyrimidine-4-carboxylate and 4-(4-((4-(5, 5 -dimethyl- 1,3, 2-dioxaborinan-2- yl)phenyl)ethynyl)benzyl)morpholine (Method 4) using the procedure described in Example 100, step A. LC-MS: [M+H]+ 491.5 Mass: calculated for C30H26N4O3, 490.55
B. Λ/-Hydroxy-6-(4-((4-(morpholinomethyl)phenyl)ethynyl)phenyl)-2- (pyridin-3-yl)pyrimidine-4-carboxamide
Λ/-Hydroxy-6-(4-((4-(morpholinomethyl)phenyl)ethynyl)phenyl)-2-(pyridin-3- yl)pyrimidine-4-carboxamide was prepared from methyl 6-(4-((4- (morpholinomethyl)phenyl)ethynyl)phenyl)-2-(pyridin-3-yl)pyrimidine-4-carboxylate
using the procedure described in Example 19, step B. After purification by reverse-phase HPLC, the product was isolated as a trifluoroacetic acid salt. LC-MS: [M+H]+ 492.5 Mass: calculated for C29H25N5O3, 491.54 1H NMR (300 MHz, DMSO-J6) δ: ppm 3.26 (br. s., 4 H), 3.64 (br. s., 2 H), 3.96 (br. s., 2 H), 4.41 (br. s., 2 H), 7.48 - 7.64 (m, 2 H), 7.64 - 7.87 (m, 5 H), 8.43 - 8.60 (m, 3 H), 8.84 (br. s., 1 H), 9.19 (d, 1 H), 9.96 (br. s., 1 H), 12.08 (br. s., 1 H).
Example 120 Λ/-Hydroxy-2-(2-methoxyethoxy)-6-(4-((4-(morpholinomethyl)phenyl)ethynyl) phenyl)isonicotinamide, trifluoroacetic acid salt
A. 2-Chloro-6-(2-methoxyethoxy)isonicotinic acid
A solution of 2,6-dichloroisonicotinic acid (0.500 g, 2.60 mmol) in THF (2 mL) was cooled to 0 0C. A solution of 1.0 M potassium tert-butoxide in THF (6.51 mL, 6.51 mmol) was added and the mixture was stirred for 5 min. 2-Methoxyethanol (0.308 mL, 3.91 mmol) was added dropwise, the ice bath was removed, and the mixture was stirred at room temperature until the 2,6-dichloroisonicotinic acid was consumed as indicated by LCMS analysis. A solution of 1 M aq HCl was added to adjust the pH to 4. The mixture was concentrated in vacuo and then lyophilized to give the desired product, which was used without further purification.
1H NMR [300 MHz, DMSO-d6] δ: ppm 7.25 (s, IH); 6.99 (s, IH); 4.32 (m, 2H); 3.64 (m, 2H); 3.29 (s, 3H).
2-Chloro-6-(2-methoxyethoxy)isonicotinic acid (158 mg, 0.68 mmol) and 4-(4-((4-(4,4,5,5-tetramethyl-l,3,2-dioxaborolan-2-yl)phenyl)ethynyl)benzyl)morpholine (272 mg, 0.67 mmol, Method 5) were combined in a microwave vessel. A solution of sodium carbonate (163 mg, 1.54 mmol) in water (0.6 mL) was added, followed by the addition of 1,4-dioxane (3 mL). The vessel was then purged and degassed with nitrogen. Pd(Ph3P)4 (39.3 mg, 0.03 mmol) was added and the vessel was purged and degassed with nitrogen. The vessel was heated in the microwave for 1 h at 100 0C. After cooling to room temperature, the mixture was diluted with CH2Cl2 and filtered through Celite. The filtrate was concentrated in vacuo and then purified by silica gel chromatography to give the desired product. LC-MS: [M+H]+ 473.2 Mass: calculated for C28H28N2O5, 472.53
C. 2-(2-Methoxyethoxy)-6-(4-((4-(morpholinomethyl)phenyl) ethynyl)phenyl)-N-(tetrahydro-2H-pyran-2-yloxy)isonicotinamide
2-(2-Methoxyethoxy)-6-(4-((4-(morpholinomethyl)phenyl)ethynyl)phenyl) isonicotinic acid (80 mg, 0.17 mmol) was dissolved in DMF (0.5 mL). Benzotriazol-1- yloxytris(dimethylamino)phosphonium hexafluorophosphate (BOP) (102 mg, 0.23 mmol) and O-(tetrahydro-2H-pyran-2-yl)hydroxylamine (29.7 mg, 0.25 mmol) were added, followed by the addition of triethylamine (0.24 mL, 1.69 mmol). The mixture was stirred at room temperature overnight. The mixture was diluted with water and ethyl acetate and the layers were separated. The aqueous layer was extracted with ethyl acetate and the combined organic layers were dried over Na2SO4 and concentrated in vacuo. Purification by silica gel chromatography afforded the desired product. LC-MS: [M+H]+ 572.2 Mass: calculated for C33H37N3O6, 571.66
D. Λ/-Hydroxy-2-(2-methoxyethoxy)-6-(4-((4-(morpholinomethyl)phenyl) ethynyl) phenyl)isonicotinamide, trifluoroacetic acid salt
2-(2-Methoxyethoxy)-6-(4-((4-(morpholinomethyl)phenyl)ethynyl)phenyl)-Λ/- (tetrahydro-2H-pyran-2-yloxy)isonicotinamide (70.2 mg, 0.12 mmol) was dissolved in dioxane (1 mL). A solution of 4 M hydrochloric acid in dioxane (0.1 mL, 0.40 mmol) was added and the mixture was stirred for 1.5 h. After concentration in vacuo, the residue was purified by reverse phase HPLC to afford the title compound as the TFA salt. LC-MS: [M+H]+ 488.2 Mass: calculated for C28H29N3O5, 487.55
1U NMR [300 MHz, DMSO-d6] δ: ppm 11.55 (s, IH); 10.14 (br s, IH); 9.38 (br s, IH); 8.21 (s, IH); 8.18 (s, IH); 7.90 (s, IH); 7.71 (m, 4H); 7.57 (m, 2H); 7.09 (s, IH); 4.56 (m, 2H); 4.39 (m, 2H); 3.95 (m, 2H); 3.73 (m, 2H); 3.70-3.00 (m, 9H). 19F NMR [282 MHz, DMSO-d6] δ: ppm -73.67
Example 121
4-[4-({4-[(Dimethylamino)methyl]phenyl}ethynyl)phenyl]-7V-hydroxypyridine-2- carboxamide
A. Methyl 4-[4-( {4-[(dimethylamino)methyl]phenyl} ethynyl)phenyl]pyridine-2- carboxylate
To a solution of Λf,Λ/-dimethylammoniumchloride (0.095 g, 1.2 mmol) in dichloroethane, cooled to 0 0C, was added the JV-ethyldiisopropylamine (0.20 niL, 1.2 mmol) and the mixture was stirred for lOmin in a sealed tube. To the reaction mixture was added methyl 4-{4-[(4-formylphenyl)ethynyl]phenyl}pyridine-2-carboxylate (Example 113, step B) (0.20 g, 0.58 mmol) followed by acetic acid (0.033 mL, 0.58 mmol) and NaBH(OAc)3 (0.25 g, 1.2 mmol). The mixture was stirred at room temperature for 4 h. The reaction was quenched with aqueous sodium bicarbonate (~10 mL) and extracted with dichloromethane (20 mL x 2). The combined organic layers were washed with water (10 mL x 2), brine solution (10 mL), dried over anhydrous Na2SO4 and concentrated to provide the crude compound. The crude compound was purified by triturating with n-pentane to provide methyl 4-[4-({4-
[(dimethylamino)methyl]phenyl}ethynyl)phenyl]pyridine-2-carboxylate as a yellow solid (0.11 g, 51%).
LC-MS: [M+H]+ 371.28
1H NMR (400 MHz, DMSO-d6) δ: ppm 8.80 (d, IH), 8.34 (s, IH), 8.03 (d, IH), 7.96 (d,
2H), 7.73 (d, 2H), 7.56 (d, 2H), 7.37 (d, 2H), 3.48 (s, 2H), 3.92 (s, 3H), 2.17 (s, 6H).
B. 4-[4-({4-[(Dimethylamino)methyl]phenyl}ethynyl)phenyl]-Λ/- hydroxypyridine-2-carboxamide
To a solution of methyl 4-[4-({4-[(dimethylamino)methyl]phenyl} ethynyl)phenyl]pyridine-2-carboxylate (0.11 g, 0.30 mmol) in methanol/THF (1 :1) was added aqueous 50% hydroxylamine (1.1 mL) followed by a catalytic amount of KCN (~1 mg). The resulting solution was stirred at room temperature for 6 h. The reaction mixture was quenched with aqueous 10% citric acid solution (~2 mL) and stirred for 15 min. The precipitated solid was filtered, washed with water and dried under vacuum to give the crude product. The crude product was purified by triturating with 50% ethyl acetate in pet-ether to afford 4-[4-({4-[(dimethylamino)methyl]phenyl}ethynyl)phenyl]- JV-hydroxypyridine-2-carboxamide as off-white solid (0.060 g, 55%). LC-MS: [M-I]" 370.42 Mass: calculated for C23H2IN3O2, 371.43
1H NMR (400 MHz, DMSO-d6) δ: ppm 11.49 (bs, IH), 8.68 (d, IH), 8.25 (d, IH), 8.15 (s, IH), 7.95 (d, 3H), 7.72 (d, 2H), 7.56 (d, 2H), 7.38 (d, 2H), 3.46 (s, 2H), 2.18 (s, 6H).
Example 122 Λ/-Hydroxy-2-methoxy-6-(4-((4-(morpholinomethyl)phenyl)ethynyl)phenyl) isonicotinamide, hydrochloride salt
A. 2-Methoxy-6-(4-((4-(morpholinomethyl)phenyl)ethynyl)phenyl)isonicotinic acid
2-Chloro-6-methoxyisonicotinic acid (0.188 g, 1 mmol), 4-(4-((4-(5,5-dimethyl- l,3,2-dioxaborinan-2-yl)phenyl)ethynyl)benzyl)morpholine (0.389 g, 1.00 mmol,
Method 4), and 1,4-dioxane (4 mL) were combined in a microwave vessel. A solution of sodium carbonate (0.324 g, 3.06 mmol) in water (1.0 mL) was added. The mixture was degassed and purged with nitrogen. Pd(Ph3P)4 (0.058 g, 0.05 mmol) was added. The mixture was heated in the microwave at 100 0C for 1 h. After cooling to room temperature, the mixture was filtered through Celite and rinsed with ethyl acetate. The filtrate was treated with 1 N aq HCl until the pH was 1. The layers of the filtrate were separated. The aqueous layer was extracted with CH2Cl2 and 10% MeOH/CH2Cl2. The organic layers were combined and concentrated in vacuo. The residue was diluted with a small amount Of CH2Cl2 and then treated with hexanes. The resultant solid was collected and dried to give the desired product, which was used without further purification. LC-MS: [M+H]+ 429.1 Mass: calculated for C26H24N2O4, 428.48
B. 2-Methoxy-6-(4-((4-(morpholinomethyl)phenyl)ethynyl)phenyl)-N- (tetrahydro-2H-pyran-2-yloxy)isonicotinamide
2-Methoxy-6-(4-((4-(morpholinomethyl)phenyl)ethynyl)phenyl)isonicotinic acid (0.20 g, 0.48 mmol) was dissolved in DMF (1.5 niL). Benzotriazol-1- yloxytris(dimethylamino)phosphonium hexafluorophosphate (BOP) (0.29 g, 0.65 mmol) and O-(tetrahydro-2H-pyran-2-yl)hydroxylamine (84 mg, 0.71 mmol) were added, followed by the addition of triethylamine (0.66 ml, 4.8 mmol). The mixture was stirred at room temperature overnight. Water and ethyl acetate were added and the layers were separated. The aqueous layer was extracted with ethyl acetate and the combined organic layers were then washed with brine, dried over Na2SO4 and concentrated in vacuo. Purification by silica gel chromatography afforded the desired product. LC-MS: [M+H]+ 528.3 Mass: calculated for C3IH33N3O5, 527.61
C. Λ/-Hydroxy-2-methoxy-6-(4-((4-(morpholinomethyl)phenyl)ethynyl)phenyl) isonicotinamide, hydrochloride salt
2-Methoxy-6-(4-((4-(morpholinomethyl)phenyl)ethynyl)phenyl)-N-(tetrahydro- 2H-pyran-2-yloxy)isonicotinamide (62 mg, 0.12 mmol) was dissolved in dioxane (1 niL). A solution of 4 M hydrochloric acid in dioxane (0.1 rnL, 0.40 mmol) was added and the mixture was stirred at room temperature overnight. Ether was added and the volume was reduced under a stream of nitrogen; this step was repeated several times. The resultant yellow solid was triturated with ether and hexanes and then dried under vacuum at 50 0C to give the title compound as the HCl salt. LC-MS: [M+H]+ 444.2 Mass: calculated for C26H25N3O4, 443.49 1H NMR [300 MHz, DMSO-d6] δ: ppm 11.59 (br s, IH); 11.09 (br s, IH); 8.23 (s, IH); 8.21 (s, IH); 7.92 (s, IH); 7.70 (m, 6H); 7.10 (s, IH); 4.37 (m, 2H); 4.01 (s, 3H); 3.95 (m, 2H); 3.77 (m, 2H); 3.24 (m, 2H); 3.12 (m, 2H).
Example 123 Λ/-Hydroxy-2-(2-morpholinoethylamino)-6-(4-((4-
(morpholinomethyl)phenyl)ethynyl)phenyl)isonicotinamide, trifluoroacetic acid salt
A. Methyl 2-chloro-6-(2-morpholinoethylamino)isonicotinate
The title compound was synthesized as described for Example 59 step A from methyl 2,6-dichloroisonicotinate and 2-morpholinoethanamine. LC-MS: [M+H]+ 300
Mass: Calculated for Ci3Hi8ClN3O3, 299.75
B. Methyl 2-(2-morpholinoethylamino)-6-(4-((4- (morpholinomethyl)phenyl)ethynyl)phenyl)isonicotinate
A scintillation vial was charged with methyl 2-chloro-6-(2- morpholinoethylamino)isonicotinate (0.27 g, 0.90 mmol), 4-(4-((4-(4,4,5,5-tetramethyl- l,3,2-dioxaborolan-2-yl)phenyl)ethynyl)benzyl)morpholine (0.36 g, 0.90 mmol, Method 5), sodium carbonate (0.19 g, 1.8 mmol), 1,4-dioxane (7.5 ml) and water (1.5 ml). The mixture was degassed with a stream of N2 for 5 minutes. After this time Pd(Ph3P)4
(0.052 g, 0.05 mmol) was added and the reaction was placed in a 80 0C heating block and was stirred overnight at 80 0C. After this time, the reaction was removed from the heat and allowed to cool. The reaction was filtered through celite and diluted with ethyl acetate. The filtrate was washed with brine, dried over MgSO4, filtered and concentrated.
The crude material was purified by silica gel chromatography (0-10% MeOH in DCM with 1% NH4OH) to afford the desired product (0.209 g, 42%).
LC-MS: [M+H]+ 541 Mass: Calculated for C32H36N4O4, 540.65
1H NMR (300 MHz, CDCl3) δ: ppm 8.05 (d, 2H); 7.61 (m, 3H); 7.52 (d, 2H); 7.35 (d,
2H); 7.26 (m, IH); 6.99 (s, IH); 3.96 (3, 3H); 3.73 (m, 7H); 3.53 (m, 3H); 2.55 (m, 9H);
1.91 (m, IH); 1.57 (m, 2H).
C. Λ/-Hydroxy-2-(2-morpholinoethylamino)-6-(4-((4-(morpholinomethyl) phenyl)ethynyl)phenyl)isonicotinamide, trifluoroacetic acid salt
The title compound was synthesized as described for Example 69 step B from methyl 2-(2-morpholinoethylamino)-6-(4-((4-(morpholinomethyl)phenyl)ethynyl)phenyl) isonicotinate. The TFA salt was isolated after purification. LC-MS: [M+H]+ 542 Mass: Calculated for C31H35N5O4, 541.64
1H NMR (300 MHz, CDCl3) δ: ppm 11.45 (s, IH); 8.16 (d, 2H); 7.68 (m, 4H); 7.58 (m, 2H); 7.50 (s, IH); 7.17 (m, IH); 6.90 (s, IH); 4.40 (bs, 4H); 3.98-3.15 (bs, 20H). 19F NMR (282 MHz, DMSO-d6) δ: ppm -73.98.
Example 124 Λ/-Hydroxy-2-(4-((6-(morpholinomethyl)pyridin-3 -yl)ethynyl)phenyl) isonicotinamide, trifluoroacetic acid salt
Methyl 2-bromoisonicotinate (0.115 g, 0.53 mmol), 4-((5-((4-(5,5-dimethyl-l,3,2- dioxaborinan-2-yl)phenyl)ethynyl)pyridin-2-yl)methyl)morpholine (0.200 g, 0.51 mmol, Method 7), and 1 ,4-dioxane (2 mL) were combined in a microwave vessel. A solution of sodium carbonate (0.092 g, 0.87 mmol) in water (0.5 mL) was added. The mixture was degassed and purged with nitrogen. Pd(Ph3P)4 (0.030 g, 0.03 mmol) was added. The mixture was heated in the microwave at 100 0C for 1 h. The mixture was cooled to room temperature and filtered through Celite, rinsing with ethyl acetate and CH2Cl2. The filtrate was concentrated in vacuo and then diluted with ethyl acetate and water. The layers were separated and the organic layer was washed with brine, dried over Na2SO4, and concentrated in vacuo. Purification by silica gel chromatography afforded the desired product. LC-MS: [M+H]+ 414.4 Mass: calculated for C25H23N3O3, 413.47 1H NMR [300 MHz, DMSO-d6] δ: ppm 8.91 (d, IH); 8.72 (m, IH); 8.37 (s, IH); 8.24 (s, IH); 8.21 (s, IH); 7.99 (dd, IH); 7.83 (d, IH); 7.74 (s, IH); 7.71 (s, IH); 7.53 (m, IH); 3.94 (s, 3H); 3.61 (m, 6H); 2.43 (m, 4H).
B . Λ/-Hydroxy-2-(4-((6-(morpholinomethyl)pyridin-3 -yl)ethynyl)phenyl) isonicotinamide, trifluoroacetic acid salt
A suspension of methyl 2-(4-((6-(morpholinomethyl)pyridin-3- yl)ethynyl)phenyl)isonicotinate (128 mg, 0.31 mmol) in methanol (2 mL) was treated with 50 wt% aq hydroxylamine solution (0.5 ml, 8.16 mmol). The reaction flask was placed in an oil bath preheated to 35 0C and heated for 24 h. After concentrated in vacuo, the residue was purified by reverse phase HPLC to afford the title compound as the TFA salt.
LC-MS: [M+H]+ 415.2 Mass: calculated for C24H22N4O3, 414.46
1H NMR [300 MHz, DMSO-d6] δ: ppm 11.64 (br s, IH); 8.91 (br s, IH), 8.82 (d, IH); 8.29 (s, IH); 8.25 (s, IH); 8.23 (s, IH); 8.17 (dd, IH); 7.78 (s, IH); 7.75 (s, IH); 7.69 (d, IH); 7.63 (d, IH); 4.57 (s, 2H); 3.85 (m, 4H); 3.29 (m, 4H).
19 F NMR [282 MHz, DMSO-d6] δ: ppm -74.24
Example 125
Λ/-Hydroxy-2-[(2-methylpropanoyl)amino]-6-[4-(pyridin-3- ylethynyl)phenyl]pyridine-4-carboxamide
A. Methyl 2- [(2-methylpropanoyl)amino] -6- [4-(pyridin-3 -ylethynyl)phenyl] pyridine -4-carboxylate
The title compound was synthesized as described for Example 126 step A from methyl 2-amino-6-[4-(pyridin-3-ylethynyl)phenyl]pyridine-4-carboxylate (Method 6) and isobutyryl chloride. LC-MS: [M+H]+ 400.4 Mass: calculated for C24H2IN3O3, 399.44
B . Λ/-Hydroxy-2-[(2-methylpropanoyl)amino] -6- [4-(pyridin-3 -ylethynyl)phenyl] pyridine-4-carboxamide
The title compound was synthesized as described for Example 126 step B from methyl 2- [(2-methylpropanoyl)amino] -6- [4-(pyridin-3 -ylethynyl)phenyl]pyridine-4- carboxylate. LC-MS: [M+H]+ 401.4 Mass: calculated for C23H20N4O3, 400.42
1H NMR (400 MHz, CD3OD) δ: ppm 8.73 (s, IH); 8.53 (m, IH); 8.42 (s, IH); 8.19 (m, 2H); 8.01 (m, IH); 7.92 (s, IH); 7.69 (m, 2H); 7.49 (m, IH); 2.80 (m, IH); 1.23-1.29 (m, 6H).
Example 126
2-(Acetylamino)-Λ/-hydroxy-6-[4-(pyridin-3-ylethynyl)phenyl]pyridine-4- carboxamide
A. Methyl 2-(acetylamino)-6-[4-(pyridin-3-ylethynyl)phenyl]pyridine-4- carboxylate
To a solution of methyl 2-amino-6-[4-(pyridin-3-ylethynyl)phenyl]pyridine-4- carboxylate (Method 6) (20 mg, 0.06 mmol) and DIPEA (0.02 mL, 0.12 mmol) in DCM (2 mL) was added acetyl chloride (5.2 mg, 0.07 mmol) at 0 0C and stirred for 14 h. LC- MS indicated complete consumption of starting material and formation of the acetylated product. The reaction mixture was added to water and extracted with DCM. The organic layer was washed with brine and dried over anhydrous sodium sulfate and concentrated to obtain 20 mg of the crude residue, which was taken for the next step without further purification. LC-MS: [M+H]+ 372.4 Mass: calculated for C22HnN3O3, 371.38
Hydroxylamine hydrochloride (18 mg, 0.26 mmol) and KOH (29 mg, 0.53 mmol) were added to a solution of methyl 2-(acetylamino)-6-[4-(pyridin-3- ylethynyl)phenyl]pyridine-4-carboxylate (20 mg, 0.053 mmol) in methanol (0.5 mL). The reaction was stirred at room temperature for 2 days. After this time, LC-MS indicated formation of the desired product. The reaction was concentrated and the crude residue was taken up in DMSO for reverse phase purification. The clean fractions were pooled, concentrated and lyophilized overnight to afford 11 mg of the desired product as a yellow solid. LC-MS: [M+H]+ 373.4
Mass: calculated for C2IHi6N4O3, 372.37
1H NMR (400 MHz, CD3OD) δ: ppm 8.73 (s, IH); 8.54 (d, IH); 8.40 (s, IH); 8.17 (m, 2H); 8.02 (d, 2H); 7.92 (s, IH); 7.69 (m, 2H); 7.48 (m, IH); 2.23 (s, 3H).
Example 127
2-[(2,2-Dimethylpropanoyl)amino]-Λ/-hydroxy-6-[4-(pyridin-3- ylethynyl)phenyl]pyridine-4-carboxamide
A. Methyl 2-[(2,2-dimethylpropanoyl)amino]-6-[4-(pyridin-3-ylethynyl)phenyl] pyridine -4-carboxylate
The title compound was synthesized as described for Example 126 step A from Methyl 2-amino-6-[4-(pyridin-3-ylethynyl)phenyl]pyridine-4-carboxylate (Method 6) and pivaloyl chloride. LC-MS: [M+H]+ 414.5 Mass: calculated for C25H23N3O3, 413.46
1H NMR (400 MHz, DMSO-d6) δ: ppm 8.80 (s, IH); 8.77 (s, IH); 8.58 (d, IH); 8.22 (s, IH); 8.05 (m, 3H); 7.86 (m, IH); 7.68 (d, 2H); 7.31 (m, IH); 3.98 (s, 3H); 1.38 (s, 9H).
B. 2-[(2,2-Dimethylpropanoyl)amino]-Λ/-hydroxy-6-[4-(pyridin-3- ylethynyl)phenyl]pyridine-4-carboxamide
The title compound was synthesized as described for Example 126 step B from methyl 2-[(2,2-dimethylpropanoyl)amino]-6-[4-(pyridin-3-ylethynyl)phenyl]pyridine-4- carboxylate. LC-MS: [M+H]+ 415.4 Mass: calculated for C24H22N4O3, 414.45
1H NMR (400 MHz, DMSO-d6) δ: ppm 9.90 (bs, IH); 8.80 (d, IH); 8.62 (m, IH); 8.38 (s, IH); 8.25 (m, 2H); 8.03 (m, 2H); 7.75 (m, 2H); 7.50 (m, IH); 1.29 (s, 9H).
Example 128 Λ/-Hydroxy-2-[(phenylacetyl)amino]-6-[4-(pyridin-3- ylethynyl)phenyl]pyridine-4-carboxamide
A. Methyl 2-[(phenylacetyl)amino]-6-[4-(pyridin-3-ylethynyl)phenyl] pyridine -4-carboxylate
The title compound was synthesized as described for Example 126 step A from
Methyl 2-amino-6-[4-(pyridin-3-ylethynyl)phenyl]pyridine-4-carboxylate (Method 6) and phenylacetyl chloride. LC-MS: [M+H]+ 448.5 Mass: calculated for C28H2IN3O3, 447.48
B. N-Hydroxy-2-[(phenylacetyl)amino]-6-[4-(pyridin-3-ylethynyl)phenyl] pyridine-4-carboxamide
The title compound was synthesized as described for Example 126 step B from methyl 2-[(phenylacetyl)amino]-6-[4-(pyridin-3-ylethynyl)phenyl]pyridine-4- carboxylate. LC-MS: [M+H]+ 449.4 Mass: calculated for C27H20N4O3, 448.47
1H NMR (400 MHz, CD3OD) δ: ppm 8.73 (m, IH); 8.53 (dd, IH); 8.39 (s, IH); 8.17 (d, 2H); 8.01 (m, IH); 7.92 (s, IH); 7.69 (d, 2H); 7.49 (m, IH); 7.39 (d, 2H); 7.35 (m, 2H); 7.27 (m, IH); 3.81 (s, 2H).
Example 129
N- {4-(hydroxycarbamoyl)-6- [4-(pyridin-3 -ylethynyl)phenyl]pyridin-2- yl} pyridine-3 -carboxamide
A. Methyl 2-[(pyridin-3-ylcarbonyl)amino]-6-[4-(pyridin-3-ylethynyl)phenyl] pyridine -4-carboxylate
The title compound was synthesized as described for Example 126 step A from Methyl 2-amino-6-[4-(pyridin-3-ylethynyl)phenyl]pyridine-4-carboxylate (Method 6) and nicotinoyl chloride. LC-MS: [M+H]+ 435.5 Mass: calculated for C26Hi8N4O3, 434.44
1H NMR (400 MHz, DMSO-d6) δ: ppm 9.18 (s, IH); 8.80 (d, 2H); 8.67 (s, IH); 8.62 (m, IH); 8.47 (m, IH); 8.27 (d, 2H); 8.18 (s, IH); 8.01 (d, IH); 7.98 (m, IH); 7.76 (d, 2H); 7.66 (m, IH); 7.53 (m, IH); 3.96 (s, 3H).
B . N- {4-(Hydroxycarbamoyl)-6- [4-(pyridin-3 -ylethynyl)phenyl]pyridin-2- yl} pyridine-3 -carboxamide
The title compound was synthesized as described for Example 126 step B from methyl 2-[(pyridin-3-ylcarbonyl)amino]-6-[4-(pyridin-3-ylethynyl)phenyl]pyridine-4- carboxylate.
LC-MS: [M+H]+ 436.4
Mass: calculated for C25Hi7N5O3, 435.43
1H NMR (400 MHz, DMSO-d6) δ: ppm 11.24 (bs, IH); 9.18 (s, IH); 8.80 (d, 2H); 8.62 (d, IH); 8.53 (s, IH); 8.39 (d, IH); 8.27 (d, 2H); 8.09 (s, IH); 8.01 (d, IH); 7.79 (d, 2H); 7.59 (d, IH); 7.50 (m, IH).
Example 130
2- { [( 1 - Acetylpiperidin-4-yl)carbonyl] amino } -jV-hydroxy-6-[4-(pyridin-3 - ylethynyl)phenyl]pyridine-4-carboxamide
A. Methyl 2- { [( 1 -acetylpiperidin-4-yl)carbonyl] amino } -6- [4-(pyridin-3 - ylethynyl)phenyl]pyridine-4-carboxylate
Methyl 2-amino-6-[4-(pyridin-3-ylethynyl)phenyl]pyridine-4-carboxylate (Method 6) and 1-acetylisonipecotoyl chloride. LC-MS: [M+H]+ 483.5 Mass: calculated for C28H26N4O4, 482.53 1H NMR (400 MHz, DMSO-d6) δ: ppm 10.83 (s, IH); 8.80 (d, IH); 8.62 (m, 2H); 8.32 (s, IH); 8.21 (d, 2H); 8.08 (d, IH); 8.01 (m, IH); 7.76 (d, 2H); 7.49 (m, IH); 4.40 (m, IH); 3.94 (s, 3H); 3.90 (m, IH); 3.09 (m, IH); 2.81 (m, IH); 2.61 (m, IH); 2.02 (s, 3H); 1.88 (m, IH); 1.62 (m, IH); 1.46 (m, IH).
B . 2- { [( 1 - Acetylpiperidin-4-yl)carbonyl] amino } -jV-hydroxy-6-[4-(pyridin-3 - ylethynyl)phenyl]pyridine-4-carboxamide
The title compound was synthesized as described for Example 126 step B from methyl 2-{[(l-acetylpiperidin-4-yl)carbonyl]amino}-6-[4-(pyridin-3- ylethynyl)phenyl]pyridine-4-carboxylate. LC-MS: [M+H]+ 484.4 Mass: calculated for C27H25N5O4, 483.51
1H NMR (400 MHz, DMSO-d6) δ: ppm 11.5 (bs, IH); 10.73 (s, IH); 9.5 (bs, IH); 8.80 (d, IH); 8.62 (t, IH); 8.42 (s, IH); 8.19 (m, 2H); 8.01 (m, 2H); 7.77 (d, 2H); 7.49 (m, IH); 4.43 (m, IH); 3.90 (m, IH); 3.09 (m, IH); 2.81 (m, IH); 2.61 (m, IH); 2.02 (s, 3H); 1.88 (m, IH); 1.62 (m, IH); 1.47 (m, IH).
Example 131
Λ/-Hydroxy-6-[4-(pyridin-3-ylethynyl)phenyl]-2-(tetrahydro-2H-pyran-4- ylamino)pyrimidine-4-carboxamide
A. Butyl 6-hydroxy-2-(tetrahydro-2H-pyran-4-ylamino)pyrimidine-4- carboxylate
To an argon purged solution of methyl 2-chloro-6-methoxypyrimidine-4- carboxylate (0.500 g, 2.48 mmol) in n-butanol (10 rnL) was added tetrahydro-pyran-4- ylamine (0.239 g, 2.71 mmol) and the mixture was heated at 130 0C for 4 h. The reaction mixture was cooled to 0 0C and 4.0 M HCl in dioxane (5.0 mL) was added. The reaction mixture was heated at 115 0C for 5 h. The solvent was evaporated under reduced pressure and the residue was diluted with hexane. The precipitated solid was filtered to provide crude butyl 6-hydroxy-2-(tetrahydro-2H-pyran-4-ylamino)pyrimidine-4- carboxylate as an off-white solid (750 mg). LC-MS: [M+H]+ : 296.4
B. Butyl 6-bromo-2-{[2-(morpholin-4-yl)ethyl]amino}pyrimidine-4- carboxylate
To a 0 0C solution of butyl 6-hydroxy-2-(tetrahydro-2H-pyran-4- ylamino)pyrimidine-4-carboxylate (0.75 g, 2.54 mmol, crude) in 1 ,2-dichloroethane was added POBr3 (0.602 mg, 2.038 mmol, Aldrich). The reaction mixture was allowed to warm to room temperature and then heated at 80 0C for 4 h under nitrogen atmosphere. The reaction mixture was cooled to room temperature, diluted with ethyl acetate (100
niL) and washed with aqueous sodium bicarbonate (20 rnL) and water (50 rnL). The aqueous layer was extracted with ethyl acetate (50 mL x 2). The combined organic layers were washed with brine solution (50 mL), dried over anhydrous MgSO4 and evaporated under reduced pressure to provide butyl 6-bromo-2-{[2-(morpholin-4- yl)ethyl]amino}pyrimidine-4-carboxylate as an off-white solid (0.23 g). LC-MS: [M+H]+ : 358.4, 360.4
C . Butyl 6- [4-(pyridin-3 -ylethynyl)phenyl] -2-(tetrahydro-2H-pyran-4- ylamino)pyrimidine-4-carboxylate
To an argon purged solution of butyl 6-bromo-2-{[2-(morpholin-4- yl)ethyl]amino}pyrimidine-4-carboxylate (200 mg, 0.558 mmol) in 1 ,4-dioxane/water
(15 mL/ 2.0 mL) was added cesium carbonate (0.727 g, 2.23 mmol) followed by 3-((4-
(5,5-dimethyl-l,3,2-dioxaborinan-2-yl)phenyl)ethynyl)pyridine (0.162 mg, 0.67 mmol,
Method 2) Pd(PPh3 )4 (32.2 mg, 0.0279 mmol). The reaction mixture was heated under argon atmosphere at 90 0C for 4 h. The solvent was evaporated to dryness under reduced pressure. The residue was diluted with ethyl acetate (100 mL) and washed with water (50 mL). The aqueous layer was extracted with ethyl acetate (50 mL x 2). The combined organic layers were washed with brine solution (50 mL), dried over anhydrous MgSO4 and evaporated under reduced pressure to provide butyl 6-[4-(pyridin-3- ylethynyl)phenyl]-2-(tetrahydro-2H-pyran-4-ylamino)pyrimidine-4-carboxylate as a yellow solid (220 mg).
LC-MS: [M+H]+ : 457.5
D. Λ/-Hydroxy-6-[4-(pyridin-3-ylethynyl)phenyl]-2-(tetrahydro-2H-pyran-4- ylamino)pyrimidine-4-carboxamide
To a solution of butyl 6-[4-(pyridin-3-ylethynyl)phenyl]-2-(tetrahydro-2H-pyran- 4-ylamino)pyrimidine-4-carboxylate (0.2 g, 0.438 mmol) in 3 mL methanol/THF (1 :1) was added aqueous 50% hydroxylamine (2.0 mL) followed by a catalytic amount of KCN (~5 mg). The resulting solution was stirred at room temperature for 4 h. The reaction mixture was quenched with aqueous 10% citric acid solution (~5 mL) and stirred for 15 min. The precipitated solid was filtered, washed with water and dried under vacuum to give the crude product. The crude product was purified by preparative HPLC to yield N- hydroxy-6-[4-(pyridin-3-ylethynyl)phenyl]-2-(tetrahydro-2H-pyran-4- ylamino)pyrimidine-4-carboxamide as a light brown solid (50 mg). LC-MS: [M+H]+ ,416.48
1H NMR (400 MHz, DMSO-d6) δ: ppm 11.44 (bs, IH), 9.31 (s, IH), 8.8 (s, IH), 8.62 (s, IH), 8.2 (d, 2H), 8.03 (d, IH), 7.75 (d, 2H), 7.55 (m, 2H), 4.31 (bs, IH), 3.9 (d, 2H), 3.5 (t, 2H), 1.85 (m, 2H), 1.53 (m, 2H).
Example 132
A. Methyl 2-chloro-6-[(2-methoxyethyl)amino]pyrimidine-4-carboxylate
To a clear solution of methyl 2,6-dichloropyrimidine-4-carboxylate (1.0 g, 4.85 mmol) in tetrahydrofuran was added methoxyethylamine (0.546 g, 7.28 mmol) at 0 °C. The reaction mixture was then stirred at room temperature for 6 h. The solvent was evaporated under reduced pressure and the residue was diluted with ethyl acetate (50 mL x 2). The organic layer was washed with water (50 mL x 2) and the aqueous layer was extracted with ethyl acetate (50 mL x X). The combined organic layers were washed with brine solution (20 mL) dried over anhydrous MgSO4 and evaporated under reduced pressure to give the crude product. The crude product was purified by column chromatography (Silica gel, 100-200 mesh) using 12% ethyl acetate in pet ether as the mobile phase to provide methyl 2-chloro-6-[(2-methoxyethyl)amino]pyrimidine-4- carboxylate as a white solid (0.780 g, 66%). LC-MS: [M+H]+ 246.40
1H NMR (400 MHz, CDCl3) δ: ppm 7.04 (s, IH), 3.96 (s, 3H), 3.58 (t, 2H), 3.56 (t, 2H), 3.38 (s, 3H).
B . Methyl 6- [(2-methoxyethyl)amino] -2- [4-(pyridin-3 -ylethynyl)phenyl] pyrimidine-4-carboxylate
To an argon purged solution OfK3PO4 (1.039 g, 5.714 mmol) in 1,4-dioxane was added 3-((4-(5,5-dimethyl-l,3,2-dioxaborinan-2-yl)phenyl)ethynyl)pyridine (1.04 g, 3.57 mmol, Method 2) followed by methyl 2-chloro-6-[(2-methoxyethyl)amino]pyrimidine-4- carboxylate (0.700 g, 2.86 mmol), Pd(OAc)2 (0.032 g, 0.142 mmol) and Bis(tri-tert- butylphosphine)palladium(O) (0.073 g, 0.142 mmol). The reaction mixture was heated under argon atmosphere at 100-1100C for 12 h. The solvent was evaporated to dryness under reduced pressure. The residue was diluted with ethyl acetate (2x150 mL) and washed with water (100 mL) and brine solution (50 mL). The organic layer was separated, dried over MgSO4 and evaporated under reduced pressure to give the crude product. The crude product was purified by column chromatography (Silica gel, 100-200 mesh) using 12% ethyl acetate in chloroform as the mobile phase to provide methyl 6- [(2-methoxyethyl)amino]-2-[4-(pyridin-3-ylethynyl)phenyl]pyrimidine-4-carboxylate as a white solid (0.420 g, 38%) LC-MS: [M+H]+ 389.48
1H NMR (400 MHz, CDCl3) δ: ppm 8.79 (s, IH), 8.57 (d, IH), 8.47 (d, 2H), 7.85 (d, IH), 7.64 (d, 2H), 7.32 (m, IH), 7.03 (s, IH), 4.00 (s, 3H), 3.77 (m, 2H), 3.52 (m, 2H), 3.42 (s, 3H).
C . Λ/-Hydroxy-6-[(2-methoxyethyl)amino] -2- [4-(pyridin-3 -ylethynyl)phenyl] pyrimidine-4-carboxamide
To a solution of methyl 6-[(2-methoxyethyl)amino]-2-[4-(pyridin-3- ylethynyl)phenyl]pyrimidine-4-carboxylate (0.400 g, 1.030 mmol) in methanol/THF (1 :1) was added aqueous 50% hydroxylamine (4.0 niL) followed by a catalytic amount of KCN (~2 mg). The resulting solution was stirred at room temperature for 3 h. The reaction mixture was quenched with aqueous 10% citric acid solution (~2 mL) and stirred for 15 min. The precipitated solid was filtered, washed with chilled water and dried under vacuum for 3 h to provide Λ/-hydroxy-6-[(2-methoxyethyl)amino]-2-[4-(pyridin-3- ylethynyl)phenyl]pyrimidine-4-carboxamide as a white solid (0.310 g, 77%). LC-MS: [M+H]+ 390.42.
1H NMR (400 MHz, DMSO-d6) δ: ppm 11.58 (bs, IH), 9.22 (bs, IH), 8.80 (d, IH), 8.65 (m, 3H), 8.04 (d, IH), 8.02 (bs, IH), 7.70 (d, 2H), 7.49 (m, IH), 7.03 (s, IH), 3.68 (m, 2H), 3.56 (m, 2H), 3.34 (s, 3H).
Example 133 iV-Hydroxy-5 -(4- { [6-(morpholin-4-ylmethyl)pyridin-3 -yl] ethynyl} phenyl) pyridine- 3-carboxamide
To an argon purged solution of methyl-5-bromonicotinate (0.13 g, 0.6 mmol) in 1,4-dioxane/water (10 rnL/ 2.0 mL) was added Cs2CO3 (0.59 g, 1.8 mmol) followed by 4- [(5-{[4-(5,5-dimethyl-l,3,2-dioxaborinan-2-yl)phenyl]ethynyl}pyridin-2- yl)methyl]morpholine (0.26 g, 0.66 mmol, Method 7) and Pd(PPh3)4 (0.035g, 0.03 mmol). The reaction mixture was heated under argon atmosphere at 800C for 4h. The solvent was evaporated to dryness under reduced pressure. The residue was diluted with ethyl acetate (50 mL) and washed with water (50 mL). The aqueous layer was extracted with ethyl acetate (50 mL x 2) and the combined organic layers were washed with brine solution (50 mL), dried over anhydrous MgSO4 and evaporated under reduced pressure to provide crude methyl 5-(4-{[6-(morpholin-4-ylmethyl)pyridin-3- yl]ethynyl}phenyl)pyridine-3-carboxylate (0.230 g, 92%). LC-MS: [M+H]+ 414
Mass: calculated for C25H23N3O3, 413.48
B . JV-Hydroxy-5 -(4- { [6-(morpholin-4-ylmethyl)pyridin-3 -yl] ethynyl} phenyl) pyridine- 3-carboxamide
To a solution of methyl 5-(4-{[6-(morpholin-4-ylmethyl)pyridin-3- yl]ethynyl}phenyl)pyridine-3-carboxylate (0.22g, 0.53 mmol) in THF/Methanol (1 :1) was added aqueous 50% hydroxylamine (2 niL) followed by a catalytic amount of KCN (~2 mg). The resulting solution was stirred at room temperature for 20 h. The reaction mixture was quenched with aqueous 10% citric acid solution (~2 mL) and stirred for 15 min. The precipitated solid was filtered, washed thoroughly with water and dried under vacuum to give the crude product. The crude product was purified by triturating with pet-ether and filtered to provide Λ/-hydroxy-5-(4-{[6-(morpholin-4-ylmethyl)pyridin-3- yl]ethynyl}phenyl)pyridine- 3-carboxamide (0.07 g, 31%) a as white solid. LC-MS: [M+H]+ 415.47
1H NMR (400 MHz, DMSO-d6): δ: ppm 11.48 (s, IH), 9.29 (s, IH), 9.08 (d, IH), 8.92 (d, IH), 8.71 (s, IH), 8.41 (s, IH), 7.98 (m, 3H), 7.74 (m, 2H), 7.53 (d, IH), 3.61 (m, 6H), 2.43 (m, 4H).
Example 134
Λ/-Hydroxy-2-(methylamino)-6-(4-(pyridin-3-ylethynyl)phenyl)pyrimidine -A- carboxamide
A. Butyl 6-hydroxy-2-(methylamino)pyrimidine-4-carboxylate
To an argon purged solution of methyl 2-chloro-6-methoxypyrimidine-4- carboxylate (1.Og, 4.95 mmol) in n-butanol (20 mL) was added methylamine (2.7 ml, 1.0 M solution in THF, 5.44 mmol). The mixture was heated at 100 0C for 4 h in a sealed tube. The reaction mixture was cooled to 0 0C and 4.0 M HCl in dioxane (5.0 mL) was added. The reaction mixture was heated at 130 0C for 6 h. The solvent was evaporated under reduced pressure to give crude butyl 6-hydroxy-2-(methylamino)pyrimidine-4- carboxylate (1.2 g)
LC-MS: [M+H] + 226.3
B. Butyl 6-bromo-2-(methylamino)pyrimidine-4-carboxylate
To a 0 0C solution of butyl 6-hydroxy-2-(methylamino)pyrimidine-4-carboxylate (1.2 g, 5.33 mmol, crude) in 1 ,2-dichloroethane was added POBr3 (1.45 g, 5.05 mmol, Aldrich). The reaction mixture was brought to room temperature and then heated at 80 0C for 4 h under nitrogen atmosphere. The reaction mixture was cooled to room temperature, diluted with ethyl acetate (100 mL) and washed with aqueous sodium bicarbonate (25 mL) followed by water (50 mL). The aqueous layer was extracted with ethyl acetate (50 mL x 2). The combined organic layer was washed with brine solution (50 mL), dried over anhydrous MgSO4 and evaporated under reduced pressure to provide crude butyl 6-bromo-2-(methylamino)pyrimidine-4-carboxylate (0.250 g). LC-MS: [M, M+2] + 288.2, 290.2
C . Butyl 2-(methylamino)-6-(4-(pyridin-3 -ylethynyl)phenyl)pyrimidine-4- carboxylate
To an argon purged solution of butyl 6-bromo-2-(methylamino)pyrimidine-4- carboxylate (250 mg, 0.868 mmol, crude) in 1 ,4-dioxane/water (15 mL/ 1.0 mL) was
added cesium carbonate (1.13 g, 3.47 mmol) followed by 3-((4-(5,5-dimethyl-l,3,2- dioxaborinan-2-yl)phenyl)ethynyl)pyridine (303 mg, 1.04 mmol, Method 2) and Pd(PPli3)4 (50.1 mg, 0.043 mmol). The reaction mixture was heated under argon atmosphere at 90 0C for 4 h. The solvent was evaporated to dryness under reduced pressure. The residue was diluted with ethyl acetate (100 mL) and washed with water (50 mL). The aqueous layer was extracted with ethyl acetate (50 mL x 2). The combined organic layers were washed with brine solution (50 mL), dried over anhydrous MgSO4 and evaporated under reduced pressure to provide crude butyl 2-(methylamino)-6-(4- (pyridin-3-ylethynyl)phenyl)pyrimidine-4-carboxylate as a light yellow oil (0.35 g). LC-MS: [M+H]+ 387.46
D . Λ/-Hydroxy-2-(methylamino)-6-(4-(pyridin-3 -ylethynyl)phenyl)pyrimidine -4-carboxamide
To a solution of butyl 2-(methylamino)-6-(4-(pyridin-3- ylethynyl)phenyl)pyrimidine-4-carboxylate (0.35 g, 0.91 mmol) in 3 mL methanol/THF (1 :1) was added aqueous 50% hydroxylamine (3.0 mL) followed by a catalytic amount of KCN (~5 mg). The resulting solution was stirred at room temperature for 18 h. The reaction mixture was quenched with aqueous 10% citric acid solution (~5 mL), diluted with water (25 mL), and extracted with ethyl acetate (3 x 50 mL). The combined organic layers were washed with brine (25 mL), dried over anhydrous MgSO4 and evaporated to dryness to give the crude product. The crude product was purified by preparative HPLC to yield Λ/-hydroxy-2-(methylamino)-6-(4-(pyridin-3 -ylethynyl)phenyl)pyrimidine-4- carboxamide as a yellow solid (40 mg). LC-MS: [M+H]+ 346.43
1H NMR (400 MHz, DMSO-d6) δ: ppm 11.4 (bs, IH), 9.3 (bs, IH), 8.8 (s, IH), 8.62 (dd, IH), 8.21 (bs, 2H), 8.02 (d, IH), 7.75 (d, 2H), 7.5 (m, 3H), 2.95 (s, 3H)
Example 135 Λ/-hydroxy-2-[4-(pyridin-3-ylethynyl)phenyl]-6-[(tetrahydro-2H-pyran-4- ylcarbonyl)amino]pyridine-4-carboxamide
A. Methyl 2- [4-(pyridin-3 -ylethynyl)phenyl] -6- [(tetrahydro-2/f-pyran-4- ylcarbonyl)amino]pyridine-4-carboxylate
The title compound was synthesized as described for Example 126 step A from
Methyl 2-amino-6-[4-(pyridin-3-ylethynyl)phenyl]pyridine-4-carboxylate (Method 6) and tetrahydro-2H-pyran-4-carbonyl chloride. LC-MS: [M+H]+ 442.5 Mass: calculated for C26H23N3O4, 441.47
1H NMR (300 MHz, CDCl3) δ: ppm 8.80 (s, IH); 8.73 (d, IH); 8.58 (m, IH); 8.21 (s, IH); 8.10-8.02 (m, 3H); 7.86 (d, IH); 7.68 (d, 2H); 7.34 (m, IH); 4.12 (m, 2H); 3.99 (s, 3H); 3.5 (m, 2H); 2.62 (m, IH); 2.05 (m, 4H).
B . JV-Hydroxy-2- [4-(pyridin-3 -ylethynyl)phenyl] -6-[(tetrahydro-2H-pyran-4- ylcarbonyl)amino]pyridine-4-carboxamide
The title compound was synthesized as described for Example 126 step B from methyl 2-[4-(pyridin-3-ylethynyl)phenyl]-6-[(tetrahydro-2H-pyran-4- ylcarbonyl)amino]pyridine-4-carboxylate. LC-MS: [M+H]+ 443.4
Mass: calculated for C25H22N4O4, 442.46
1H NMR (400 MHz, DMSO-d6) δ: ppm 10.17 (s, IH); 8.80 (s, IH); 8.62 (m, IH); 8.42 (s, IH); 8.20 (d, 2H); 8.02 (m, IH); 7.97 (s, IH); 7.76 (d, 2H); 7.50 (m, IH); 3.92 (m, 2H); 3.34 (m, 2H); 2.83 (m, IH); 1.69 (m, 4H).
Example 136
JV-Hydroxy-6-(piperazin- 1 -yl)-2-(4-(pyridin-3 -ylethynyl)phenyl)pyrimidine-4- carboxamide
A. Methyl 6-[4-(tert-butoxycarbonyl)piperazin-l-yl]-2-chloropyrimidine-4- carboxylate
To a solution of methyl 2,6-dichloropyrimidine-4-carboxylate (1.0 g, 4.85 mmol) and triethylamine (0.774 g, 3.76 mmol) in tetrahydrofuran was added N-Boc piperazine (0.700 g, 3.76 mmol) at 0 0C. The reaction mixture was then stirred at room temperature for 6 h. The solvent was evaporated under reduced pressure and the residue was diluted with ethyl acetate (150 mL). The organic solution was washed with water (50 mL x 2) and the aqueous layer was extracted with ethyl acetate (50 mL x 2). The combined organic layers were washed with brine solution (20 mL) dried over anhydrous MgSO4 and evaporated under reduced pressure to give the crude compound. The crude compound was purified by column chromatography (Silica gel, 100-200 mesh) using 12% ethyl acetate in pet ether as the mobile phase to provide methyl 6-[4-(tert- butoxycarbonyl)piperazin-l-yl]-2-chloropyrimidine-4-carboxylate as a white solid (0.850 g, 79%). LC-MS: [M+H]+ 357.9. 1H NMR (400 MHz, CDCl3): δ: Dppm 7.02 (s, IH), 3.97 (s, 3H), 3.82 (m, 4H), 3.73 (m, 4H), 1.61 (s, 9H).
B. Methyl 6-(4-(tert-butoxycarbonyl)piperazin- 1 -yl)-2-(4-(pyridin-3- ylethynyl)phenyl)pyrimidine-4-carboxylate
To an argon purged solution OfKsPO4 (1.13 g, 5.34 mmol) in 1,4-dioxane was added 3-((4-(5,5-dimethyl-l,3,2-dioxaborinan-2-yl)phenyl)ethynyl)pyridine (0.970 g, 3.40 mmol, Method 2) followed by methyl 6-[4-(te/t-butoxycarbonyl)piperazin-l-yl]-2- chloropyrimidine-4-carboxylate (0.950 g, 2.67 mmol), Pd(OAc)2 (0.029 g, 0.133 mmol) and Bis(tri-tert-butylphosphine)palladium(0) (0.068 g, 0.133 mmol). The reaction mixture was heated under argon atmosphere at 100-110 0C for 12 h. The solvent was evaporated to dryness under reduced pressure. The residue was diluted with ethyl acetate (2x150 mL) and washed with water (100 mL) followed by brine solution (50 mL). The organic layer was separated, dried over MgSO4 and evaporated under reduced pressure to give the crude product. The crude product was purified by column chromatography
(Silica gel, 100-200 mesh) using 18% ethyl acetate in chloroform as the mobile phase to provide methyl 6-(4-(tert-butoxycarbonyl)piperazin- 1 -yl)-2-(4-(pyridin-3- ylethynyl)phenyl)pyrimidine-4-carboxylate as a pale yellow solid (0.370 g, 28%). LC-MS: [M+H]+ 500.46. 1H NMR (400 MHz, CDCl3) δ: ppm 8.80 (s, 2H), 8.57 (d, IH), 8.46(d, 2H), 7.85 (d, IH), 7.64 (d, 2H), 7.32 (m, IH) 7.22 (s, IH), 4.02 (s, 3H), 3.83 (m, 4H), 3.61 (m, 4H), 1.57 (s, 9H).
C . Methyl 6-(piperazin- 1 -yl)-2-(4-(pyridin-3 -ylethynyl)phenyl)pyrimidine-4- carboxylate
To a solution of methyl 6-(4-(tert-butoxycarbonyl)piperazin-l-yl)-2-(4-(pyridin-3- ylethynyl)phenyl)pyrimidine-4-carboxylate (0.250 g, 0.501 mmol) in dichloromethane was added trifluoroacetic acid (0.171 g, 1.503 mmol) at 00C and the reaction mixture was then stirred at room temperature for 12 h. The reaction mixture was quenched with cold water and made alkaline to pH = 8 with saturated aqueous NaHCO3 solution and the solution was extracted with dichloromethane (50 mL x 2). The organic layer was washed with water (50 mL) followed by brine solution (50 mL). The organic layer was dried over MgSO4, filtered and evaporated under reduced pressure to provide methyl 6- (piperazin- 1 -yl)-2-(4-(pyridin-3 -ylethynyl)phenyl)pyrimidine-4-carboxylate (0.113 g, 57%).
LC-MS: [M+H]+ 400.43.
1H NMR (400 MHz, CDCl3) δ: ppm 8.80 (s, IH), 8.57 (d, IH), 8.46(d, 2H), 7.85 (d, IH), 7.64 (d, 2H), 7.32 (m, IH), 7.22 (s, IH), 4.02 (s, 3H), 3.83 (m, 4H), 3.04 (m, 4H).
D . JV-Hydroxy-6-(piperazin- 1 -yl)-2-(4-(pyridin-3 -ylethynyl)phenyl)pyrimidine- 4-carboxamide
To a solution of methyl 6-(piperazin-l-yl)-2-(4-(pyridin-3- ylethynyl)phenyl)pyrimidine-4-carboxylate (0.110 g, 0.275 mmol) in methanol/THF (1 :1) was added aqueous 50% hydroxylamine (1.1 mL) followed by a catalytic amount of KCN (~1 mg) and the resulting solution was stirred at room temperature for 3 h. The reaction mixture was quenched with aqueous 10% citric acid solution (~2 mL) and stirred for 15 min. The precipitated solid was filtered and washed with chilled water and dried under
vacuum for 3 h to provide JV-hydroxy-6-(piperazin-l-yl)-2-(4-(pyridin-3- ylethynyl)phenyl)pyrimidine-4-carboxamide as white solid (0.062 g, 55%). LC-MS: [M+H]+ 401.50.
1H NMR (400 MHz, DMSO-d6) δ: ppm 11.74 (bs, IH) 8.82 (bs, IH), 8.62 (m, 3H), 8.10 (d, IH), 7.70 (d, 2H), 7.50 (t, IH), 7.20 (s, 1H),7.22 (s, IH ),3.80 (bs 4H),3.05 (bs, 4H).
Example 137
Λ/-Hydroxy-6-(isopentylamino)-2-(4-(pyridin-3-ylethynyl)phenyl)pyrimidine 4- carboxamide
A. Methyl 2-chloro-6-[(3-methylbutyl)amino]pyrimidine-4-carboxylate
To a clear solution of methyl 2,6-dichloropyrimidine-4-carboxylate (1.0 g, 4.85 mmol) in tetrahydrofuran was added 3-methylbutylamine (0.634 g, 7.28 mmol) at 00C and the reaction mixture was then stirred at room temperature for 6 h. The solvent was evaporated under reduced pressure and the residue was diluted with ethyl acetate (150 mL). The organic solution was washed with water (50 mL x 2) and the aqueous layer was extracted with ethyl acetate (50 mL x 2). The combined organic layers were washed with brine solution (20 mL) dried over anhydrous MgSO4 and evaporated under reduced pressure to give the crude product. The crude product was purified by column chromatography (Silica gel, 100-200 mesh) using 12% ethyl acetate in pet ether as the mobile phase to provide methyl 2-chloro-6-[(3-methylbutyl)amino]pyrimidine-4- carboxylate as yellow solid (0.710 g, 57%). LC-MS: [M+H]+ 258.48
1U NMR (400 MHz, CDCl3) δ: Dppm 7.01 (s, IH), 3.97 (s, 3H), 3.40 (m, 2H), 1.58 (m, IH), 1.55 (m, 2H), 0.97 (d, 6H).
B . Methyl 6-(isopentylamino)-2-(4-(pyridin-3 -ylethynyl)phenyl)pyrimidine- 4- carboxylate
To an argon purged solution OfK3PO4 (1.15 g, 5.447 mmol) in 1,4-dioxane was added 3-((4-(5,5-dimethyl-l,3,2-dioxaborinan-2-yl)phenyl)ethynyl)pyridine (0.990 g, 3.40 mmol, Method 2) followed by methyl 2-chloro-6-[(3- methylbutyl)amino]pyrimidine-4-carboxylate (0.700 g, 2.72 mmol), Pd(OAc)2 (0.030 g, 0.136 mmol) and Bis(tri-tert-butylphosphine)palladium(0) (0.069 g, 0.136 mmol). The reaction mixture was heated under argon atmosphere at 100-1100C for 12 h. The solvent was evaporated to dryness under reduced pressure. The residue was diluted with ethyl acetate (2x150 mL) and washed with water (100 mL) followed by brine solution (50 mL). The organic layer was separated, dried over MgSO4 and evaporated under reduced pressure to give the crude product. The crude compound was purified by column chromatography (Silica gel, 100-200 mesh) using 18% ethyl acetate in chloroform as the mobile phase to provide methyl 6-(isopentylamino)-2-(4-(pyridin-3- ylethynyl)phenyl)pyrimidine-4- carboxylate as pale yellow solid (0.280 g, 26%). LC-MS: [M+H]+ 401.50.
1U NMR (400 MHz, CDCl3) δ: ppm 8.79 (s, 2H), 8.46 (d, 2H), 7.85 (d, IH), 7.64 (d, 2H), 7.26 (m, IH), 6.99 (s, IH), 4.01 (s, 3H), 3.75 (d, 2H), 1.76 (m, IH), 1.68 (m, 2H), 1.00 (d, 6H).
C . Λ/-Hydroxy-6-(isopentylamino)-2-(4-(pyridin-3 -ylethynyl)phenyl)pyrimidine
4-carboxamide
To a solution of methyl 6-(isopentylamino)-2-(4-(pyridin-3- ylethynyl)phenyl)pyrimidine-4- carboxylate (0.250 g, 0.229 mmol) in methanol/THF (1 :1) was added aqueous 50% hydroxylamine (2.5 niL) followed by a catalytic amount of KCN (~2 mg). The resulting solution was stirred at room temperature for 3 h. The reaction mixture was quenched with aqueous 10% citric acid solution (~2 mL) and stirred for 15 min. The precipitated solid was filtered, washed with chilled water and dried under vacuum for 3 h to give Λ/-hydroxy-6-(isopentylamino)-2-(4-(pyridin-3- ylethynyl)phenyl)pyrimidine 4-carboxamide as a yellow solid (0.140 g, 56% yield). LC-MS: [M+H]+ 402.51 1H NMR (400 MHz, DMSO-d6) δ: ppm 11.52 (bs, IH), 9.18 (bs, IH), 8.78 (s,
IH), 8.61 (m, 3H), 8.04 (d, IH), 7.69 (d, 2H), 7.51 (m, IH), 6.98 (s, IH), 3.63 (m, 2H), 1.76 (m, IH), 1.51 (m, 2H), 0.95 (d, 6H).
Example 138
6-(Benzylamino)-Λ/-hydroxy-2-(4-(pyridin-3-ylethynyl)phenyl) pyrimidine-4- carboxamide
A. Methyl 6-(benzylamino)-2-chloropyrimidine-4-carboxylate
To a clear solution of methyl 2,6-dichloropyrimidine-4-carboxylate (1.0 g, 4.85 mmol) in tetrahydrofuran was added benzyl amine (0.571 g, 5.34 mmol) at 0 0C and the reaction mixture was then stirred at room temperature for 6 h. The solvent was evaporated under reduced pressure and the residue was diluted with ethyl acetate (150 mL x 2). The organic layer was washed with water (100 mL) and the aqueous layer was extracted with ethyl acetate (20 mL x 2). The combined organic layers were washed with brine solution (50 mL), dried over anhydrous MgSO4 and evaporated under reduced pressure to give the crude compound. The crude compound was purified by column chromatography (Silica gel, 100-200 mesh) using 10% ethyl acetate in pet ether as the mobile phase to provide methyl 6-(benzylamino)-2-chloropyrimidine-4-carboxylate as a yellow solid (0.810 g, 60%) LC-MS: [M+H]+ 278.42 1H NMR (400 MHz, CDCl3) δ: ppm 7.39 (m, 5H), 7.04 (s, IH), 4.68 (s, 2H), 3.94 (s, 3H).
B. Methyl 6-(benzylamino)-2-(4-(pyridin-3-ylethynyl)phenyl)pyrimidine-4- carboxylate
To an argon purged solution OfKsPO4 (1.22 g, 5.78 mmol) in 1,4-dioxane was added 3-((4-(5,5-dimethyl-l,3,2-dioxaborinan-2-yl)phenyl)ethynyl)pyridine (1.05 g, 3.61 mmol, Method 2) followed by methyl 6-(benzylamino)-2-chloropyrimidine-4- carboxylate (0.800 g, 2.89 mmol), Pd(OAc)2 (0.032 g, 0.144 mmol) and Bis(tri-tert- butylphosphine)palladium(O) (0.073 g, 0.144 mmol). The reaction mixture was heated under argon atmosphere at 100-110 0C for 12 h. The solvent was evaporated to dryness under reduced pressure. The residue was diluted with ethyl acetate (2x150 mL) and the solution was washed with water (100 mL) followed by brine solution (50 mL). The organic layer was separated, dried over MgSO4 and evaporated under reduced pressure to give the crude product. The crude compound was purified by column chromatography (Silica gel, 100-200 mesh) using 15% ethyl acetate in chloroform as the mobile phase to provide methyl 6-(benzylamino)-2-(4-(pyridin-3-ylethynyl)phenyl)pyrimidine-4- carboxylate as a white solid (0.480 g, 39%). LC-MS: [M+H]+ 421.45
1H NMR (400 MHz, DMSO-d6) δ: ppm 8.79 (s, IH), 8.61 (d, IH), 8.43 (m, 3H), 8.03 (d, IH), 7.71 (d, 2H), 7.50 (m, IH), 7.41-7.33 (m, 4H), 7.26 (m, IH) , 7.03 (s, IH), 4.74 (s, 2H), 3.89 (s, 3H).
C. 6-(Benzylamino)-Λ/-hydroxy-2-(4-(pyridin-3-ylethynyl)phenyl) pyrimidine-4-carboxamide
To a solution of methyl 6-(benzylamino)-2-(4-(pyridin-3- ylethynyl)phenyl)pyrimidine-4-carboxylate (0.400 g, 0.229 mmol) in methanol/THF (1 :1) was added aqueous 50% hydroxylamine (4.0 niL) followed by a catalytic amount of KCN (~2 mg) and the resulting solution was stirred at room temperature for 2 h. The reaction mixture was quenched with aqueous 10% citric acid solution (~2 mL) and stirred for 15 min. The precipitated solid was filtered, washed with chilled water and dried under vacuum for 3 h to provide 6-(benzylamino)-iV-hydroxy-2-(4-(pyridin-3- ylethynyl)phenyl)pyrimidine-4-carboxamide as a white solid (0.180 g, 45%). LC-MS: [M+H]+ 422.46.
1H NMR (400 MHz, DMSO-d6) δ: ppm 11.59 (bs, IH) 9.23 (bs, IH) 8.79 (s, IH), 8.64 (m, 3H), 8.37 (m, IH), 8.03 (d, IH), 7.68 (d, 2H), 7.50-7.24 (m, 5H), 7.06 (s, IH), 4.74 (s, 2H).
Example 139
Λ/-Hydroxy-6-(2-morpholinoethylamino)-2-(4-(pyridin-3-lethynyl)phenyl) pyrimidine-4-carboxamide
A. Methyl 2-chloro-6- {[2-(morpholin-4-yl)ethyl] amino }pyrimidine-4- carboxylate
To a solution of methyl 2,6-dichloropyrimidine-4-carboxylate (1.0 g, 4.85 mmol) in tetrahydrofuran was added 4-(2-aminoethyl)morpholine (0.947 g, 7.28 mmol) at 00C and the reaction mixture was then stirred at room temperature for 6 h. The solvent was evaporated under reduced pressure and the residue was diluted with ethyl acetate (50 mL x 4). The organic solution was washed with water (20 mL x 2) and the aqueous layer was extracted with ethyl acetate (20 mL x X). The combined organic layers were washed with brine solution (20 mL), dried over anhydrous MgSO4 and evaporated under reduced pressure to give the crude compound. The crude compound was purified by column chromatography (Silica gel, 100-200 mesh) using 2% methanol in chloroform as the mobile phase to provide methyl 2-chloro-6-{[2-(morpholin-4-yl)ethyl]amino}pyrimidine- 4-carboxylate as a yellow solid (0.700 g, 48%). LC-MS: [M+H]+ 301.44
B . Methyl 6-(2-morpholinoethylamino)-2-(4-(pyridin-3 -ylethynyl)phenyl) pyrimidine-4-carboxylate
To an argon purged solution OfKsPO4 (0.846 g, 3.99 mmol) in 1,4-dioxane was added 3-((4-(5,5-dimethyl-l,3,2-dioxaborinan-2-yl)phenyl)ethynyl)pyridine (0.725 g, 2.49 mmol, Method 2) followed by methyl 2-chloro-6-{[2-(morpholin-4- yl)ethyl]amino}pyrimidine-4-carboxylate (0.600 g, 2.00 mmol), Pd(OAc)2 (0.022 g, 0.099 mmol) and Bis(tri-tert-butylphosphine)palladium(0) (0.050 g, 0.099 mmol). The reaction mixture was heated under argon atmosphere at 100-1100C for 12 h. The solvent was evaporated to dryness under reduced pressure. The residue was diluted with ethyl acetate (2x150 mL) and washed with water (100 mL) and brine solution (50 mL). The organic layer was separated, dried over MgSO4 and evaporated under reduced pressure to give the crude product. The crude compound was purified by column chromatography (Silica gel, 100-200 mesh) by using 3% methanol in chloroform as the mobile phase to provide methyl 6-(2-morpholinoethylamino)-2-(4-(pyridin-3- ylethynyl)phenyl)pyrimidine-4-carboxylate as a yellow white solid (0.305 g, 34%). LC-MS: [M+H]+ 444.49
C . Λ/-Hydroxy-6-(2-morpholinoethylamino)-2-(4-(pyridin-3 -lethynyl)phenyl) pyrimidine-4-carboxamide
To a solution of methyl 6-(2-morpholinoethylamino)-2-(4-(pyridin-3- ylethynyl)phenyl)pyrimidine-4-carboxylate (0.300 g, 0.229 mmol) in methanol/THF (1 :1) was added aqueous 50% hydroxylamine (3.0 mL) followed by a catalytic amount of KCN (~1 mg). The resulting solution was stirred at room temperature for 3 h. The reaction
mixture was quenched with aqueous 10% citric acid solution (~2 rnL) and stirred for 15 min, extracted with ethyl acetate and washed with brine solution. The combined organic layer was dried over MgSO4, filtered and evaporated under reduced pressure to give the crude product. The crude product was purified by Preparative HPLC to provide N- hydroxy-6-(2-morpholinoethylamino)-2-(4-(pyridin-3-lethynyl)phenyl)pyrimidine-4- carboxamide (0.062 g, 21%). LC-MS: [M+H]+ 445.50
1H NMR (400 MHz, DMSO-d6) δ: ppm 11.574 (bs, IH) 9.22 (bs, IH) 8.80 (d, IH), 8.65 (m, 3H), 8.03 (d, IH), 7.81 (m, IH), 7.70 (d, 2H), 7.50 (m, IH), 7.03 (s, IH), 3.59 (m, 6H) 2.56-2.45 (m, 6H).
Example 140
N-Hydroxy-2-[(2-methoxyethyl)amino]-6-[4-(pyridin-3-ylethynyl)phenyl] pyrimidine-4-carboxamide
A. Butyl 6-hydroxy-2-[(2-methoxyethyl)amino]pyrimidine-4-carboxylate
To an argon purged solution of methyl 2-chloro-6-methoxypyrimidine-4- carboxylate (1.0 g, 5.0 mmol) in n-butanol (20 mL) was added 2-methoxy-ethylamine (0.4 g, 5.4 mmol) and the mixture was heated at 130 0C for 5 h. The reaction mixture was cooled to 0 0C and 4.0 M HCl in dioxane (5.0 mL) was added. The reaction mixture was heated at 115 0C for 4 h. The solvent was evaporated under reduced pressure, dried
under vacuum to give 1.1 g of crude butyl 6-hydroxy-2-[(2- methoxyethyl)amino]pyrimidine-4-carboxylate. LC-MS: [M+H]+ 270.3
B. Butyl 6-bromo-2-[(2-methoxyethyl)amino]pyrimidine-4-carboxylate
To a solution of butyl 6-hydroxy-2-[(2-methoxyethyl)amino]pyrimidine-4- carboxylate (1.1 g, 4.08 mmol, crude) in 1 ,2-dichloroethane was added POBr3 (0.49 g, 1.8 mmol, Aldrich) at 0 0C. The reaction mixture was allowed to warm to room temperature and then was heated at 80 0C for 4 h under nitrogen atmosphere. The reaction mixture was cooled to room temperature, diluted with ethyl acetate (100 mL) and washed with aqueous sodium bicarbonate (25 mL) and water (50 mL). The aqueous layer was extracted with ethyl acetate (50 mL x 2). The combined organic layers were washed with brine solution (50 mL), dried over anhydrous MgSO4 and evaporated under reduced pressure to give crude butyl 6-bromo-2-[(2-methoxyethyl)amino]pyrimidine-4- carboxylate as a light yellow oil (0.250 g). LC-MS: [M,M+2]+ 332.4,334.4
C . Butyl 2- [(2-methoxyethyl)amino]-6- [4-(pyridin-3 -ylethynyl)phenyl] pyrimidine-4-carboxylate
To an argon purged solution of crude butyl 6-bromo-2-[(2- methoxyethyl)amino]pyrimidine-4-carboxylate (250 mg, 0.753 mmol) in 1,4- dioxane/water (15 mL/ 1.0 mL) was added cesium carbonate (0.98 g, 3.01 mmol) followed by 3-((4-(5,5-dimethyl-l,3,2-dioxaborinan-2-yl)phenyl)ethynyl)pyridine (263 mg, 0.903 mmol, Method 2) and Pd(PPh3)4 (43.5 mg, 0.037 mmol). The reaction mixture was heated under argon atmosphere at 90 0C for 4 h. The solvent was evaporated to dryness under reduced pressure. The residue was diluted with ethyl acetate (100 mL) and washed with water (50 mL). The aqueous layer was extracted with ethyl acetate (50 mL x 2). The combined organic layers were washed with brine solution (50 mL), dried over anhydrous MgSO4 and evaporated under reduced pressure to give crude butyl 2-[(2- methoxyethyl)amino]-6-[4-(pyridin-3-ylethynyl)phenyl]pyrimidine-4-carboxylate as a light yellow oil (0.3 g). LC-MS: [M+H] +, 431.52
D. Λ/-Hydroxy-2-[(2-methoxyethyl)amino]-6-[4-(pyridin-3-ylethynyl)phenyl] pyrimidine-4-carboxamide
To a solution of butyl 2-[(2-methoxyethyl)amino]-6-[4-(pyridin-3- ylethynyl)phenyl]pyrimidine-4-carboxylate (0.3 g, 0.69 mmol) in 3 niL methanol/THF (1 :1) was added aqueous 50% hydroxylamine (3.0 niL) followed by a catalytic amount of KCN (~5 mg). The resulting solution was stirred at room temperature for 18 h. The reaction mixture was quenched with aqueous 10% citric acid solution (~5 mL), diluted with water (25 mL) and extracted with ethyl acetate (3x25 mL). The combined organic layer was washed with brine solution (25 mL), dried over anhydrous MgSO4 and evaporated to dryness to give the crude product. The crude product was purified by preparative HPLC to provide Λ/-hydroxy-2-[(2-methoxyethyl)amino]-6-[4-(pyridin-3- ylethynyl)phenyl]pyrimidine-4-carboxamide as a light yellow solid (15 mg). LC-MS: [M+H]+ 390.42 1H NMR (400 MHz, DMSO-d6) δ: ppm 11.4 (bs, IH), 9.3 (bs, IH), 8.8 (s, IH), 8.62 (d, IH), 8.22 (m, 2H), 8.03 (d, IH), 7.75 (d, 2H), 7.57 (s, IH), 7.48 (m, 2H), 3.65 (m, 2H), 3.50 (m, 2H), 3.38 (s, 3H).
Example 141
Λ/-Hydroxy-2-{[2-(morpholin-4-yl)ethyl]amino}-6-[4-(pyridin-3- ylethynyl)phenyl]pyrimidine-4-carboxamide
A. Butyl 2- { [2-(morpholin-4-yl)ethyl] amino } -6-[4-(pyridin-3 -ylethynyl) phenyl]pyrimidine-4-carboxylate
To an argon purged solution of butyl 6-bromo-2-{[2-(morpholin-4- yl)ethyl]amino}pyrimidine-4-carboxylate (Example 63, step C) (0.40 g, 1.0 mmol) in 1,4- dioxane/water (20 mL/ 2.0 mL) was added cesium carbonate (1.3 g, 4.1 mmol) followed by 3-{[4-(5,5-dimethyl-l,3,2-dioxaborinan-2-yl)phenyl]ethynyl}pyridine (0.36 g, 1.2 mmol, Method 2) and Pd(PPlIs)4 (60 mg, 0.051 mmol). The reaction mixture was heated under argon atmosphere at 80 0C for 3 h. The solvent was evaporated to dryness under reduced pressure. The residue was diluted with ethyl acetate (100 mL) and washed with water (50 mL). The aqueous layer was extracted with ethyl acetate (50 mL x 2). The combined organic layers were washed with brine solution (50 mL), dried over anhydrous MgSO4 and evaporated under reduced pressure to give crude butyl 2-{[2-(morpholin-4- yl)ethyl]amino}-6-[4-(pyridin-3-ylethynyl)phenyl]pyrimidine-4-carboxylate as a light yellow solid (0.41 g). LC-MS: [M+H] + , 486.48
B. Λ/-Hydroxy-2-{[2-(morpholin-4-yl)ethyl]amino}-6-[4-(pyridin-3- ylethynyl)phenyl]pyrimidine-4-carboxamide
To a solution of butyl 2-{[2-(morpholin-4-yl)ethyl]amino}-6-[4-(pyridin-3- ylethynyl)phenyl]pyrimidine-4-carboxylate (0.4 g, crude) in 3 rnL methanol/THF (1 :1) was added aqueous 50% hydroxylamine (4.0 rnL) followed by a catalytic amount of KCN (~5 mg). The resulting solution was stirred at room temperature for 4 h. The reaction mixture was quenched with aqueous 10% citric acid solution (~5 mL) and stirred for 15 min. The precipitated solid was filtered, washed with water and dried under vacuum to provide the crude product. The crude product was purified by preparative HPLC to yield JV-hydroxy-2- { [2-(morpholin-4-yl)ethyl] amino } -6-[4-(pyridin-3 - ylethynyl)phenyl]pyrimidine-4-carboxamide as an off-white solid (110 mg). LC-MS: [M+H]+ 445.50 1H NMR (400 MHz, DMSO-d6) δ: ppm 11.3 (bs, IH), 8.80 (s, IH), 8.62 (d, IH), 8.2 (m, 2H), 8.14 (s, IH), 8.03 (d, IH), 7.75 (d, 2H), 7.57 (s, IH), 7.5 (m, 1H),7.35 (bs, IH), 3.59 (m, 8H), 2.5 (m, 4 H).
Example 142
Methyl 6-bromo-lH-indazole-4-carboxylate (200 mg, 0.78 mmol) was dissolved in 4 mL of 20% water/dioxane to which 4-(4-((4-(5,5-dimethyl-l,3,2-dioxaborinan-2- yl)phenyl)ethynyl)benzyl)morpholine (Method 4) (100 mg, 0.78 mmol) was added. This was followed by 5 mg OfPd(Ph3P) 4 and sodium carbonate (82 mg). The reaction vessel was sealed and evacuated and then filled with N2 (repeated three times). The reaction was then heated at 150 0C for 30 minutes in a microwave reactor. The reaction was then cooled to room temperature. LCMS analysis indicated conversion to the desired product. The crude mixture was then concentrated in vacuo to an oil. The crude product was then redissolved in 2 mL MeOH to which 1 mL 50% aqueous hydroxylamine was added with 10 mg sodium methoxide. The reaction was stirred two days at room temperature. The reaction was then concentrated in vacuo followed by dissolving in 2 mL DMF and purifying by preparatory HPLC (Gilson) in a 0-65% MeCN/Water (with 0.1 % TFA ) gradient over 15 minutes to give 16.6 mg of N-hydroxy-6-(4-((4- (morpholinomethyl)phenyl)ethynyl)phenyl)-lH-indazole-4-carboxamide (99 % purity by LCMS UV). LC-MS : [M+H] 452.95 Mass Calculated for C27H24N4O3, 452.50 1H NMR (300 MHz, CD3OD) δ: ppm 8.4 (s, IH), 7.96 (s, IH), 7.83 (m, 3H), 7.7 (m, 4H), 7.54 (m, 2H), 4.4 (s, 2H), 4.0-4.12 (bs, 2H), 3.7-3.85 (bs, 2H), 3.12-3.5 (m, 4H).
Example 143
7V-Hydroxy-2-[(4-methoxybenzyl)amino]-6-(4-{[4-(morpholin-4- ylmethyl)phenyl]ethynyl}phenyl)pyrimidine-4-carboxamide
A. Butyl 6-hydroxy-2-[(4-methoxybenzyl)amino]pyrimidine-4-carboxylate
To an argon purged solution of methyl 2-chloro-6-methoxypyrimidine-4- carboxylate (3.O g, 14.8 mmol) in n-butanol (40 mL) was added /?-methoxybenzyl amine (2.23 g, 16.3 mmol). The mixture was stirred at room temperature and then heated at 130 0C for 4 h. The reaction mixture was cooled to 0 0C and 4.0 M HCl in dioxane (30.0 mL) was added. The mixture was heated at 135 0C for 10 h. The solvent was evaporated under reduced pressure and the residue was diluted with hexane. The precipitated solid was filtered to give 4.7O g of crude butyl 6-hydroxy-2-[(4- methoxybenzyl)amino]pyrimidine-4-carboxylate as an off-white solid. LC-MS: [M+H]+ 332.5.
B. Butyl 6-bromo-2-[(4-methoxybenzyl)amino]pyrimidine-4-carboxylate
To a solution of butyl 6-hydroxy-2-[(4-methoxybenzyl)amino]pyrimidine-4- carboxylate (25.0 g, 90.7 mmol) in 1 ,2-dichloroethane was added POBr3 (51.00 g, 181
mmol) at 0 0C. The reaction mixture was allowed to warm to room temperature and then was heated at 100 0C for 4 h under nitrogen atmosphere. The reaction mixture was cooled to room temperature, diluted with ethyl acetate (100 mL) and washed with aqueous sodium bicarbonate (50 mL) followed by water (50 mL). The aqueous layer was extracted with ethyl acetate (100 mL x 2). The combined organic layers were washed with brine solution (100 mL), dried over anhydrous MgSO4 and evaporated under reduced pressure to give crude butyl 6-bromo-2-[(4-methoxybenzyl)amino]pyrimidine-4- carboxylate as light yellow solid (8.78 g, 30 %). LC-MS: [M+2]+ 394, 396. 1H NMR (400 MHz, CDCl3) δ: ppm 7.25 (m, 3H), 6.80 (m, 2H), 4.60 (d, 2H), 4.40 (m, 2H), 3.80 (s, 3H), 1.64 (m, 2H), 1.40 (m, 2H), 0.98 (m, 3H),
C. Butyl 2-[(4-methoxybenzyl)amino]-6-(4-{[4-(morpholin-4- ylmethyl)phenyl]ethynyl}phenyl)pyrimidine-4-carboxylate
To an argon purged solution of 6-bromo-2-[(4-methoxybenzyl)amino]pyrimidine-
4-carboxylate (8.70 g, 22.1 mmol) in 1,4-dioxane (180 mL) was added cesium carbonate (7.17 g, 22.1 mmol), followed by 4-(4-((4-(5,5-dimethyl-l,3,2-dioxaborinan-2- yl)phenyl)ethynyl)benzyl)morpholine (8.59 g, 22.1 mmol, Method 4) and Pd(PPh3)4 (2.55 g , 2.21 mmol). The reaction mixture was heated under argon atmosphere at 80 0C for 6 h. The solvent was evaporated to dryness under reduced pressure. The residue was diluted with ethyl acetate (100 mL) and washed with water (50 mL). The aqueous layer was extracted with ethyl acetate (50 mL x 2). The combined organic layers were washed
with brine solution (50 mL), dried over anhydrous MgSO4 and concentrated under reduced pressure to provide butyl 2-[(4-methoxybenzyl)amino]-6-(4-{[4-(morpholin-4- ylmethyl)phenyl]ethynyl}phenyl)pyrimidine-4-carboxylate as a light yellow solid (12.00 g)- LC-MS: [M+H]+ : 591.2.
1H NMR (400 MHz, CDCl3) δ: ppm 8.11 (d, 2H), 7.60 (m, 6H), 7.40 (m, 2H), 6.80 (m, 2H), 4.80 (d, 2H), 4.40 (m, 2H), 3.80 (s, 3H), 3.65 (m, 4H), 3.45 (s, 2H), 2.45 (m, 4H), 1.64 (m, 2H), 1.40 (m, 2H), 0.98 (m, 3H).
D. Λ/-Hydroxy-2-[(4-methoxybenzyl)amino]-6-(4-{[4-(morpholin-4- ylmethyl)phenyl]ethynyl}phenyl)pyrimidine-4-carboxamide
To a solution of butyl 2-[(4-methoxybenzyl)amino]-6-(4-{[4-(morpholin-4- ylmethyl)phenyl]ethynyl}phenyl)pyrimidine-4-carboxylate (0.160 g, crude) in 6 mL methanol/THF (1 :1) was added aqueous 50% hydroxylamine (2.0 mL) followed by a catalytic amount of KCN (~5 mg) and the resulting solution was stirred at room temperature for 18 h. The reaction mixture was quenched with aqueous 10% citric acid solution (~5 mL) and stirred for 15 min. The precipitated solid was filtered, washed with water and dried under vacuum to give N-hydroxy-2-[(4-methoxybenzyl)amino]-6-(4-{[4- (morpholin-4-ylmethyl)phenyl]ethynyl}phenyl)pyrimidine-4-carboxamide as a white solid (100 mg, 68%).
LC-MS: [M+H]+ 550.58
1U NMR (400 MHz, DMSO-d6) δ: ppm 11.40 (bs, IH), 9.27 (bs, IH), 8.20 (d, 2H), 8.00 (bs, IH), 7.70 (d, 2H), 7.54 (d, 3H), 7.30-7.40 (m, 4H), 6.80 (d, 2H), 4.60 (bs, 2H), 3.75 (s, 3H), 3.60 (m, 4H), 3.45 (s,2H), 2.40 (m, 4H).
Example 144
JV-hydroxy-2-(4- { [4-(pyrrolidin- 1 -ylmethyl)phenyl] ethynyl} phenyl)pyridine-4- carboxamide
A. Methyl 2- {4-[(4-formylphenyl)ethynyl]phenyl}pyridine-4-carboxylate
To a degassed solution of cesium carbonate (13.5 g, 41.7 mmol) in 1,4- dioxane/water (80 rnL/ 5 rnL) was added methyl 2-bromoisonicotinate (3.0 g, 13.9 mmol) followed by 4-((4-(5,5-dimethyl-l,3,2-dioxaborinan-2- yl)phenyl)ethynyl)benzaldehyde (Method 4 step A) (5.3 g, 16.7 mmol). The reaction mixture was degassed for another 10 min and to this was added Pd (PPh3 )4 (0.8 g, 0.69 mmol) and the resulting solution was degassed for 15 min. The reaction mixture was heated under argon atmosphere at 9O0C for 4 h. The solvent was evaporated to dryness under reduced pressure. The residue was diluted with water (50 mL) and stirred for 15 min. The resulting precipitate was filtered, washed with water (20 mL) and dried under vacuum. The crude compound was purified by column chromatography (Silica gel, 100- 200 mesh) using 20% ethyl acetate in pet ether as mobile phase to obtain methyl 2- {4- [(4-formylphenyl)ethynyl]phenyl}pyridine-4-carboxylate (2.1 g, 44.3%). LC-MS: [M+l] + 342.3 Mass: calculated for C22Hi5NO3, 341.37 1H NMR (400 MHz, δ ppm, CDCl3): δ 10.03 (s, IH), 8.86 (d, IH), 8.33 (s, IH), 8.01 (d, IH), 8.10 (d, 2H), 7.89 (d, 2H), 7.80 (d, IH), 7.70 (m, 4H), 4.0 (s, 3H).
B. Methyl 2-(4-{[4-(pyrrolidin-l-ylmethyl) phenyl]ethynyl}phenyl)pyridine-4- carboxylate
To a solution of methyl 2-{4-[(4-formylphenyl)ethynyl]phenyl}pyridine-4- carboxylate (0.35 g, 1.02 mmol) in 1 ,2-dichloroethane at 0 0C was added pyrrolidine (0.22 g, 3.08 mmol) followed by acetic acid (1 drop) and stirred for 30 min. NaBH(OAc)3 (0.65 g, 3.08 mmol) was added in small portions over 15 min and the reaction mixture was allowed to warm to room temperature and the reaction was stirred for 18 h. The reaction mixture was quenched with ice cold water and extracted with dichloromethane (50 mL x 2). The combined organic layer was washed with water ( 25 mL), brine solution (25 mL), dried over anhydrous Na2SO4 and evaporated under reduced pressure to obtain methyl 2-(4-{[4-(pyrrolidin-l-ylmethyl) phenyl]ethynyl}phenyl)pyridine-4-carboxylate (325 mg, crude). LC-MS: [M+l] + 397.4 Mass: calculated for C26H24N2O2, 396.49
C. Λ/-hydroxy-2-(4-{[4-(pyrrolidin-l-ylmethyl) phenyl]ethynyl}phenyl)pyridine-
4-carboxamide
To a solution of methyl 2-(4-{[4-(pyrrolidin-l-ylmethyl) phenyl]ethynyl}phenyl)pyridine-4-carboxylate (320 mg, 0.8 mmol) in 3 niL methanol/THF (1 :1) was added aqueous 50% hydroxylamine (3.0 mL) followed by catalytic amount of KCN (~5 mg) and the resulting solution was stirred at room temperature for 18 h. The reaction mixture was quenched with aqueous 10% citric acid solution (~3 mL), diluted with water (10 mL) and extracted with ethyl acetate (50 mL x 2). The combined organic layer was washed with brine solution (25 mL), dried over anhydrous magnesium sulfate and evaporated under reduced pressure to obtain crude compound. The crude compound was purified by preparative HPLC to obtain JV-hydroxy- 2-(4-{[4-(pyrrolidin-l-ylmethyl) phenyl]ethynyl}phenyl)pyridine-4-carboxamide (45 mg, 11.25%)
LC-MS: [M-H] +, 396.5 Mass: calculated for C25H23N3O2, 397.5 1H NMR (400 MHz, δ ppm, DMSO-d6): δ 11.6 (sb, 2H), 9.2 (sb, IH), 8.8 (d, IH), 8.28 (s, IH), 8.21 (d, 2H), 7.68 (m, 3H), 7.59 (d, 2H), 7.48 (d, 2H), 3.93 (s, 2H), 2.76 (m, 4H), 1.81 (m, 4H).
Example 145 6-(4-Bromophenyl)-Λ/-hydroxy-lH-pyrazolo[3,4-b]pyridine-4-carboxamide, trifluoroacetic acid salt
A. Ethyl 6-(4-bromophenyl)-lH-pyrazolo[3,4-b]pyridine-4-carboxylate
A microwave vial was charged with lH-pyrazol-5 -amine (0.090 g, 1.1 mmol), ethyl 2-oxopropanoate (0.13 ml, 1.1 mmol), and 4-bromobenzaldehyde (0.20 g, 1.1 mmol). Ethanol (0.80 ml) was added to the vial, followed by two drops of concentrated HCl. The vial was sealed and the reaction was allowed to run in the microwave at 150 0C
for 20 minutes. The reaction mixture was concentrated and the crude product purified by silica gel chromatography (0-10% MeOH in DCM with 1% NH4OH) to afford desired product (10 mg, 3%). LC-MS: [M+2]+ 348 Mass: Calculated for Ci5Hi2BrN3O2, 346.18
1H NMR (300 MHz, CDCl3) δ: ppm 8.52 (s, IH); 8.26 (s, IH); 7.98 - 8.11 (m, 2H); 7.62 - 7.77 (m, 2H); 4.58 (q, 2H); 1.54 (t, 3H).
B. 6-(4-Bromophenyl)-Λ/-hydroxy-lH-pyrazolo[3,4-b]pyridine-4-carboxamide, trifluoroacetic acid salt
Ethyl 6-(4-bromophenyl)-lH-pyrazolo[3,4-b]pyridine-4-carboxylate (0.010 g, 0.03 mmol) and hydroxylamine solution (50% wt. in H2O) (0.089 ml, 1.4 mmol) were combined in a mixture of MeOH (0.50 ml) and THF (0.20 ml). The reaction was stired at 50 0C for 2 h and the reaction was warmed to 60 0C and stirred for 8 h and cooled to room temperature and stirred for 3 days. After this time, the reaction was concentrated and purified by reverse phase chromatography (10-75% MeCN/0.1% TFA in water) to yield the desired product (2.2 mg, 17%) as a TFA salt. LC-MS: [M+2]+ 335 Mass: Calculated for Ci3H9BrN4O2, 333.14
1H NMR (300 MHz, DMSO-d6) δ: ppm 13.90 (s, IH); 11.65 (s, IH); 9.43 (d, IH); 8.34 (s, IH); 8.15 (d, 2H); 8.04 (s, IH); 7.78 (d, 2H). 19F NMR (282 MHz, DMSO-d6) δ: ppm -73.41
Example 146
2-amino-jV-hydroxy-6-(4- { [6-(morpholin-4-ylmethyl)pyridin-3 - yl]ethynyl}phenyl)pyridine-4-carboxamide
A. methyl 2-[(4-methoxybenzyl)amino]-6-(4-{[6-(morpholin-4- ylmethyl)pyridin-3-yl]ethynyl}phenyl)pyridine-4-carboxylate
The title compound was synthesized as described for Example 236 step B from 4-[(5-{[4-(5,5-dimethyl-l,3,2-dioxaborinan-2-yl)phenyl]ethynyl}pyridin-2- yl)methyl]morpholine (Method 7) and Methyl 2-chloro-6-[(4- methoxybenzyl)amino]pyridine-4-carboxylate (Example 236 step A). LC-MS: [M+l]+ 549.6 Mass: calculated for C33H32N4O4, 548.63
B. methyl 2-amino-6-(4-{[6-(morpholin-4-ylmethyl)pyridin-3- yl]ethynyl}phenyl)pyridine-4-carboxylate
The title compound was synthesized as described for Example 255 step A from methyl 2- [(4-methoxybenzyl)amino] -6-(4- { [6-(morpholin-4-ylmethyl)pyridin-3 - yl] ethynyl} phenyl)pyridine-4-carboxylate . LC-MS: [M+l]+ 429.5 Mass: calculated for C25H24N4O3, 428.48
C. 2-amino-Λ/-hydroxy-6-(4-{[6-(morpholin-4-ylmethyl)pyridin-3- yl]ethynyl}phenyl)pyridine-4-carboxamide
The title compound was synthesized as described for Example 236 step C from methyl 2-amino-6-(4-{[6-(morpholin-4-ylmethyl)pyridin-3-yl]ethynyl}phenyl)pyridine- 4-carboxylate LC-MS: [M+l]+ 430.5 Mass: calculated for C24H23N5O3, 429.47
1H NMR (400 MHz, DMSO) δ: ppm 8.68 (d, IH); 8.07 (d, 2H); 7.95 (t, IH); 7.66 (d, 2H); 7.51 (d, IH); 7.37 (s, IH); 6.79 (s, IH); 6.33 (s, 2H); 3.61 (s, 2H); 3.58 (m, 4H); 2.41 (m, 4H).
Example 147
Λ/-hydroxy-2-(4-{[6-(morpholin-4-ylmethyl)pyridin-3-yl]ethynyl}phenyl)-6- [(tetrahydro-2H-pyran-4-ylcarbonyl)amino]pyridine-4-carboxamide
A. methyl 2-(4-{[6-(morpholin-4-ylmethyl)pyridin-3-yl]ethynyl}phenyl)-6- [(tetrahydro-2H-pyran-4-ylcarbonyl)amino]pyridine-4-carboxylate
The title compound was synthesized as described for Example 249 step A from methyl 2-amino-6-(4-{[6-(morpholin-4-ylmethyl)pyridin-3-yl]ethynyl}phenyl)pyridine- 4-carboxylate (Example 146 step B) and Tetrahydro-2H-pyran-4-carbonyl chloride. LC-MS: [M+l]+ 541.6 Mass: calculated for C3IH32N4O5, 540.60
B. Λ/-hydroxy-2-(4-{[6-(morpholin-4-ylmethyl)pyridin-3-yl]ethynyl}phenyl)- 6-[(tetrahydro-2H-pyran-4-ylcarbonyl)amino]pyridine-4-carboxamide
The title compound was synthesized as described for Example 236 step C from methyl 2-(4- { [6-(morpholin-4-ylmethyl)pyridin-3 -yl] ethynyl} phenyl)-6- [(tetrahydro-2H- pyran-4-ylcarbonyl)amino]pyridine-4-carboxylate LC-MS: [M+l]+ 542.6 Mass: calculated for C30H31N5O5, 541.59
1H NMR (400 MHz, DMSO) δ: ppm 10.67 (s, IH); 8.69 (d, IH); 8.42 (s, IH); 8.18 (d, 2H); 7.97 (t, 2H); 7.73 (d, 2H); 7.51 (d, IH); 3.90 (d, 2H); 3.62 (s, 2H); 3.58 (m, 4H); 2.81 (m, IH); 2.42 (m, 4H); 1.65 (m, 4H).
Example 148
(E)-2-(2-(biphenyl-4-yl)vinyl)-N-hydroxyisonicotinamide
A. (£)-2-(2-(biphenyl-4-yl)vinyl)isonicotinic acid
7>α/?5-2-(4-biphenyl)vinylboronic acid (0.224 g, 1.00 mmol) and 2- bromoisonicotinic acid (0.202 g, 1 mmol) were combined and degassed/flushed with N2. The 1,4-dioxane (4 mL) and a solution of sodium carbonate (0.286 g, 2.70 mmol) in water (1 mL) were added. The mixture was degassed/purged with N2 again. The Pd(PPh3)4 (0.058 g, 0.05 mmol) was added. The mixture was degassed/purged with N2. The reaction mixture was heated to 100 0C overnight. After cooling to RT, aq 1 N HCl was added until the pH was 4. The resultant solid was collected and washed with several portions of water and washed once with ether to yield the title compound. LC-MS: [M+l]+ 302.1 Mass: Calculated for C20Hi5NO2, 301.34
B . (£)-2-(2-(biphenyl-4-yl)vinyl)-N-(tetrahydro-2/f-pyran-2- yloxy)isonicotinamide
(tetrahydro-2/f-pyran-2-yl)hydroxylamine (0.128 g, 1.10 mmol), and HATU (0.416 g, 1.10 mmol) were combined. DMF (2 mL) was added, followed by the dropwise addition of triethylamine (0.32 mL, 2.19 mmol). After 3 h, LC-MS indicated that the reaction was complete. The reaction mixture was concentrated in vacuo, and water was added. Upon standing, a solid formed. The solid was collected, rinsed with water, and dried under vacuum to yield the title compound. LC-MS: [M-I]" 399.3 Mass: Calculated for C25H24N2O3, 400.47
The (£)-2-(2-(biphenyl-4-yl)vinyl)-Λ/-(tetrahydro-2H-pyran-2- yloxy)isonicotinamide (0.062 g, 0.15 mmol) was dissolved in dioxane (1 niL). A solution of 4 M hydrochloric acid in dioxane (0.387 rnL, 1.55 mmol) was added. Immediately, a precipitate formed. After 30 min, LC-MS indicated that the reaction was complete. Ether was added and the volume of the reaction mixture was reduced under a stream of N2. The solid was collected, rinsed with ether, and dried under vacuum to yield the title compound as the HCl salt.
LC-MS: [M+l]+ 317.1 Mass: Calculated for C20Hi6N2O2, 316.35
1H NMR (300 MHz, DMSO-d6) δ: ppm 8.76 (d, IH); 8.18 (s, IH); 7.96 (d, IH); 7.76 (m,
7H); 7.51 (m, 3H); 7.40 (m, IH).
13C NMR (75 MHz, DMSO-d6) δ: ppm 160.2, 153.0, 145.6, 144.2, 141.2, 139.2, 137.0,
134.5, 129.0, 128.2, 127.9, 127.2, 126.6, 122.6, 120.63, 120.57.
Example 153
JV-hydroxy-2- [(3 -methylbutyl)amino] -6-(phenylethynyl)pyrimidine-4- carboxamide
A. butyl 6-hydroxy-2-[(3-methylbutyl)amino]pyrimidine-4-carboxylate
The title compound was prepared using the procedure described in Example 63, step B.
LC-MS: [M+H]+ 282
Mass: calculated for Ci4H23N3O3, 281
1H NMR (400 MHz, δ ppm, DMSO-d6): δ 11.00 (s, IH) 6.00 (s, IH), 4.22 (m, 2H), 3.36
(m, 2H), 1.68 (m, 4H), 1.45 (m, 4H), 0.99 (m, 9H).
B . butyl 6-bromo-2- [(3 -methylbutyl)amino]pyrimidine-4-carboxylate
The title compound was prepared using the procedure described in Example 63, step C.
LC-MS: [M+2]+ 344.3 Mass: calculated for Ci4H22BrN3O2, 342
1H NMR (400 MHz, δ ppm, CDCl3): δ 7.20 (s, IH), 4.30 (t, 2H), 3.36 (m, 2H), 1.68 (m, 4H), 1.45 (m, 4H), 0.99 (m, 9H).
C. butyl 2-[(3-methylbutyl)amino]-6-(phenylethynyl)pyrimidine-4- carboxylate
The title compound was prepared using the procedure described in Example 63, step D.
LC-MS: [M+H]+ 366
Mass: calculated for C22H27N3O2, 365
1H NMR (400 MHz, δ ppm, DMSO-d6): δ 7.60 (d, 2H), 7.40 (m, 4H), 5.41 (sb, IH), 4.40
(t, 2H), 3.56 (m, 2H), 1.82 (m, 3H), 1.55 (m, 4H), 1.00 (m, 9H).
D . JV-hydroxy-2- [(3 -methylbutyl)amino] -6-(phenylethynyl)pyrimidine-4- carboxamide
The title compound was prepared using the procedure described in Example 63, step E.
LC-MS: [M+H] + 325.4
Mass: calculated for Ci8H20N4O2, 324
1H NMR (400 MHz, δ ppm, DMSO-d6): δ 11.52 (s, IH), 9.30 (sb, IH), 7.63 (m, 2H),
7.50 (m, 3H), 7.10 (s, IH), 3.40 (s, 2H), 1.65 (m, IH), 1.41 (m, 2H), 0.91 (d, 6H).
Example 154
Λ/-hydroxy-4-(4-{[4-(morpholin-4-ylmethyl)phenyl]ethynyl}phenyl)pyridine-2- carboxamide
To an argon purged solution of 4- {[4-(5, 5 -dimethyl- 1,3, 2-dioxaborinan-2- yl)phenyl]ethynyl}benzaldehyde (2.42g, 7.638 mmol, Method 3) in 40.OmL of 1,4- dioxane and water (3:1) was added CS2CO3 (6.7Og, 20.8 mmol) followed by methyl-4- bromo-2-pyridinecarboxylate (1.5g, 6.99 mmol) and Pd(PPh3)4 (0.401 g, 0.347 mmol). The reaction mixture was heated under nitrogen atmosphere at 80 0C for 4 h. The solvent was evaporated to dryness under reduced pressure. The residue was diluted with water (100 mL) and extracted with ethyl acetate (100 mL x 2). The combined organic layer was washed with brine solution (50 mL), dried over anhydrous MgSO4 and evaporated under reduced pressure to obtain crude compound. The crude compound was purified by column chromatography (Silica gel, 100-200 mesh) by using 15% ethyl acetate in pet- ether as mobile phase to obtain the desired product (0.85 g, 37%). LC-MS: [M+l]+ 342.40
1H NMR (400 MHz, δ ppm, CDCl3): δ 10.04 (s, IH), 8.82 (d, IH), 8.40 (m, IH), 7.90 (d, 2H), 7.74(m, 7H), 4.06 (s, 3H).
B. Methyl 4-(4- {[4-(morpholin-4-ylmethyl)phenyl]ethynyl}phenyl)pyridine- 2-carboxylate
To a solution of methyl 4-{4-[(4-formylphenyl)ethynyl]phenyl}pyridine-2- carboxylate (0.200 g, 0.586 mmol) in dichloroethane was added morpholine (0.076 g, 0.879 mmol) followed by acetic acid (0.033 mL, 0.586 mmol) and NaBH(OAc)3 (0.248 g, 1.173 mmol) at room temperature. The reaction mixture was stirred at room temperature for 4 h. The reaction mixture was quenched with aqueous sodium bicarbonate (~10 mL) and extracted with dichloromethane (20 mL x 2). The combined organic layer was washed with water (10 mL x 2), brine solution (10 mL), dried over anhydrous Na2SO4 and evaporated. The crude compound was purified by triturating with n-pentane to yield the target compound (0.120 g, 50%). LC-MS: [M+l] + 413 1H NMR (400 MHz, δ ppm, DMSO-d6): δ 8.80 (d, IH), 8.34 (s, IH), 8.03 (d, IH), 7.96 (d, 2H), 7.73 (d, 2H), 7.56 (d, 2H), 7.40 (d, 2H), 3.93 (s, 3H), 3.59 (m, 4H), 3.32 (s, 2H), 2.50 (m, 4H).
C. Λ/-hydroxy-4-(4-{[4-(morpholin-4-ylmethyl)phenyl]ethynyl}phenyl)pyridine-2- carboxamide
To a solution of methyl 4-(4-{[4-(morpholin-4-ylmethyl)phenyl]ethynyl}phenyl) pyridine-2-carboxylate (0.120 g, 0.291 mmol) in methanol/THF (1 :1) was added aqueous 50% hydroxylamine (1.2mL) followed by catalytic amount of KCN (~1 mg) and the resulting solution was stirred at room temperature for 4h. The reaction mixture was
quenched with aqueous 10% citric acid solution (~2 mL) and stirred for 15 min. The precipitated solid was filtered, washed with water and dried under vacuum. The crude compound was purified by triturating with 10% ethyl acetate in pet-ether to yield the target compound (0.080 g, 66%). LC-MS: [M+l]+ 414.46
1H NMR (400 MHz, δ ppm, DMSO-d6): δ 11.49 (s, IH), 9.22 (s, IH), 8.67 (d, IH), 8.24 (s, IH), 7.94 (d, 3H), 7.72 (d, 2H), 7.56 (d, 2H), 7.39 (d, 2H), 3.59 (m, 4H), 3.50 (s, 2H), 2.50 (m, 4H).
Example 155
6-(4-(benzyloxy)phenyl)-N-hydroxypicolinamide
A. methyl 6-(4-(benzyloxy)phenyl)picolinate
4-(benzyloxy)phenylboronic acid (0.528 g, 2.31 mmol),methyl 6-bromopicolinate (0.50 g, 2.31 mmol), Cs2CO3 (1.51 g, 4.63 mmol) and [l,l'-bis(diphenylphosphino) ferrocene] dichloropalladium(ii) (0.167 g, 0.23 mmol) were combined in acetonitrile (6 mL)/water (3.00 mL) and heated to 60 0C under argon. The reaction was stirred for 2 hours. The solution was cooled to room temperature. The reaction mixture was diluted with water and extracted three times with ethyl acetate. The combined organic extracts were dried over magnesium sulfate, filtered and evaporated to a tan solid. LC-MS: [M+l]+ 320 Mass calculated for C20Hi7NO3, 319
B . 6-(4-(benzyloxy)phenyl)-N-hydroxypicolinamide
methyl 6-(4-(benzyloxy)phenyl)picolinate (0.809 g, 2.53 mmol) and hydroxylamine, 50% aqueous (0.155 niL, 2.53 mmol) were combined in MeOH (2 mL) stirred at room temperature. LC/MS after stirring overnight indicates the reaction is complete. The reaction mixture was diluted with water and extracted three times with ethyl acetate. The combined organic extracts were dried over magnesium sulfate, filtered and evaporated.
The solid was triturated with ether, filtered and dried.
LC-MS: [M+l]+ 321
Mass calculated for Ci9Hi6N2O3, 320
1H NMR (400 MHz, δ ppm, DMSO-d6): 5.20 (s, 2 H) 7.11 (m, J=8.29 Hz, 2 H) 7.28 -
7.57 (m, 6 H) 7.84 (d, J=7.54 Hz, 1 H) 7.95 (br. s., 1 H) 8.02 - 8.14 (m, 1 H) 8.31 (m,
J=8.10 Hz, 2 H) 9.13 (br. s., 1 H) 11.49 (br. s., 1 H)
Example 156
N-hydroxy-5-(4-((4-(morpholinomethyl)phenyl)ethynyl)phenyl)-lH-indazole-7- carboxamide
A. Methyl 5-(4-((4-(morpholinomethyl)phenyl)ethynyl)phenyl)-lH-indazole-
Methyl S-bromo-lH-indazole-V-carboxylate (200 mg, 0.78 mmol) was added to 3-((4-(borinan-2-yl)phenyl)ethynyl)morpholinotoluene (100 mg, 0.78 mmol) and sodium carbonate (83 mg, 1.56 mmol) in 1,4 dioxane (5 mL) and water (1 mL). This was followed by the addition of Pd(Ph3P)4 (4 mg, catalytic) and degassing the reaction vessel by evacuating and purging with N2 (X 3). The reaction was then heated to 1500C in a microwave under N2 for 30 min. The reaction was cooled and analyzed by LCMS, which indicated conversion to the desired product. The crude reaction mixture was purified by preparative HPLC with a 0-65% MeCNZH2O gradient containing 0.1 % TFA to provide 45 mg of the target compound. Mass calculated for C28H25N3O3, 451.5 LC-MS: [M+l]+ 452
B . N-hydroxy-5 -(4-((4-(morpholinomethyl)phenyl)ethynyl)phenyl)- 1 H-indazole-
7-carboxamide
Methyl 5 -(4-((4-(morpholinomethyl)phenyl)ethynyl)phenyl)- 1 H-indazole-7-carboxylate was dissolved in 2 mL MeOH followed by 2 niL 50% aqueous hydroxylamine. Upon addition of the hydroxylamine, a solid precipitated. 4 mL THF was added to redissolve the precipitate. This was followed by about 5 mg solid NaOMe. The reaction was then stirred at RT overnight. The reaction was concentrated in vacuo and dissolved in 2 mL DMF. The crude reaction was purified by reverse phase HPLC with a 0-65% gradient of MeCN/water containing 0.1 % TFA over 15 minutes, isolated desired product, 12. 6 mg.
Mass calculated for C27H24N4O3, 452.50 LC-MS: [M+l]+ 453.4
1H NMR (300 MHz, MeOD -d4) δ ppm: 2.6-2.7 (s, 2H), 3.25 (s,2H), 3.7-4.0 (s, 4H), 4.3-4.4 (s, NH), 7.5-7.6 (m, 2H), 7.6-7.7 (m, 4H), 7.7-7.8 (m, 3H), 7.86 (s, IH), 8.12 (s, IH), 8.23 (s, IH), 8.29,(s, IH).
Example 157 2-(4-((3 -((dimethylamino)methyl)phenyl)ethynyl)phenyl)-Λ/-hydroxyiso nicotinamide
A. 3-((4-(4,4,5,5-tetramethyl-l,3,2-dioxaborolan-2-yl)phenyl)ethynyl) benzaldehyde
A solution of 4-iodobenzeneboronic acid pinacol ester (2.54 g, 7.68 mmol) and triethylamine (3.2 mL, 23.05 mmol) in acetonitrile (35 mL) was degassed/purged with N2. The 3-ethynylbenzaldehyde (1.00 g, 7.68 mmol), Pd(PPh3)2Cl2 (0.539 g, 0.77 mmol) and copper(I) iodide (0.073 g, 0.38 mmol) were added. The reaction mixture was heated to 60 0C overnight. After cooling to RT, the mixture was concentrated in vacuo. The
residue was diluted with CH2Cl2 and filtered through celite. The filtrate was concentrated in vacuo and then purified by silica gel chromatography (0-25% EtOAc/hexanes) to afford the title compound.
1H NMR (300 MHz, DMSO-d6) δ: ppm 10.04 (s, IH); 8.10 (s, IH); 7.93 (m, 2H); 7.70 (m, 3H); 7.61 (m, 2H); 1.31 (s, 12H).
B. methyl 2-(4-((3-formylphenyl)ethynyl)phenyl)isonicotinate
Methyl 2-bromoisonicotinate (0.500 g, 2.31 mmol), 3-((4-(4,4,5,5-tetramethyl- l,3,2-dioxaborolan-2-yl)phenyl)ethynyl)benzaldehyde (0.769 g, 2.31 mmol), and 1,4- dioxane (8 mL) were combined in a microwave-safe vessel. A solution of sodium carbonate (0.417 g, 3.93 mmol) in water (2 mL) was added. The mixture was degassed/purged with N2. The Pd(PPh3 )4 (0.134 g, 0.12 mmol) was added. The reaction mixture was heated in the microwave at 100 0C for 1 h. The mixture was cooled to RT, filtered through celite and rinsed with EtOAc. The filtrate was transferred to a separatory funnel and the layers were separated. The organic layer was concentrated in vacuo and purified by silica gel chromatography (0-10% MeOH/CH2Cl2) to yield the title compound. LC-MS: [M+l]+ 342.2 Mass: Calculated for C22Hi5NO3, 341.36
C . methyl 2-(4-((3 -((dimethylamino)methyl)phenyl)ethynyl)phenyl)isonicotinate
Methyl 2-(4-((3-formylphenyl)ethynyl)phenyl)isonicotinate (135 mg, 0.40 mmol) was dissolved in THF (2 niL). A solution of 2.0 M dimethylamine in THF (0.6 niL, 1.19 mmol) was added followed by the addition of two drops of glacial acetic acid. The mixture was stirred for 45 min at RT and then was cooled to 0 0C. Sodium triacetoxyborohydride (251 mg, 1.19 mmol) was added in portions. After complete addition, the ice bath was removed and the reaction mixture was stirred at RT overnight. After re-cooling the mixture to 0 0C, 15 mL of aq NaHCO3 was added. The mixture was diluted with EtOAc and the layers were separated. The organic layer was washed with brine, dried over Na2SO4, and concentrated in vacuo to give the title compound which was used without additional purification. LC-MS: [M+l]+ 371.2 Mass: Calculated for C24H22N2O2, 370.44
D . 2-(4-((3 -((dimethylamino)methyl)phenyl)ethynyl)phenyl)-N- hydroxyisonicotinamide
A solution of methyl 2-(4-((3-((dimethylamino)methyl)phenyl)ethynyl) phenyl)isonicotinate (147 mg, 0.40 mmol) in methanol (2 mL) was treated with 50 wt% aq hydroxylamine (0.61 mL, 9.92 mmol). The mixture was heated to 35 0C overnight.
After cooling to RT, the mixture was concentrated in vacuo and purified by silica gel chromatography (0-20% MeOH/CH2Cl2 with 2% NH4OH) to give the title compound. LC-MS: [M+l]+ 372.1 Mass: Calculated for C23H2IN3O2, 371.43 1H NMR (300 MHz, DMSO-d6) δ: ppm 8.81 (d, IH); 8.28 (s, IH); 8.20 (m, 2H); 7.70 (m, 3H); 7.50 (m, 2H); 7.39 (m, 2H); 3.46 (s, 2H); 2.19 (s, 6H).
Example 158
2-amino-Λ/-hydroxy-5-[4-(pyridin-3-ylethynyl)phenyl]pyridine-3-carboxamide
A. methyl 2-amino-5-[4-(pyridin-3-ylethynyl)phenyl]pyridine-3-carboxylate
Methyl 2-amino-5-bromopyridine-3-carboxylate (100 mg, 0.43 mmol) and 3-{[4- (5,5-dimethyl-l,3,2-dioxaborinan-2-yl)phenyl]ethynyl}pyridine (Method 2) (176 mg, 0.61 mmol) were treated with an acetonitrile and water mixture (4:1, 1.5 mL) and the solution was purged with Argon for 10 min. To this solution was added Tris(dibenzylideneacetone)dipalladium(O) [Pd2(dba)3] (19.8 mg, 0.021 mmol), X-Phos [(2-dicyclohexylphosphino)-2',4',6'-tri-isopropyl-l,r-biphenyl] ( (20.4 mg, 0.043 mmol) and Na2CO3 (64 mg, 0.60 mmol) and the mixture was heated at 70 0C under sealed tube conditions for 14 h. The solid in the reaction mixture was filtered and washed with ethyl acetate and water. The layers of the filtrate were separated and the aq. layer was extracted with ethyl acetate (10 mL x 2). The combined organic layers were washed with brine, dried over anhydrous Na2SO4, filtered and concentrated under vacuum. The residue was re-precipitated with Methyl-tert-butyl ether (MTBE) to yield 50 mg of the title compound.
LC-MS: [M+l]+ 330.4
Mass: calculated for C20Hi5N3O2, 329.35
B . 2-amino-iV-hydroxy-5 -[4-(pyridin-3 -ylethynyl)phenyl]pyridine-3 - carboxamide
The title compound was synthesized as described for Example 208 step D from methyl 2-amino-5-[4-(pyridin-3-ylethynyl)phenyl]pyridine-3-carboxylate. LC-MS: [M+l]+ 331.4 Mass: calculated for Ci9Hi4N4O2, 330.34
1H NMR (400 MHz, DMSO) δ: ppm 8.71 (d, IH); 8.52 (m, IH); 8.42 (d, IH); 8.09 (d, IH); 7.99 (m, IH); 7.63 (m, 4H); 7.49 (m, IH).
Example 159
N- {4-(hydroxycarbamoyl)-6- [4-(pyridin-3 -ylethynyl)phenyl]pyridin-2- yl}pyrazine-2-carboxamide
A. Methyl 2-[(pyrazin-2-ylcarbonyl)amino]-6-[4-(pyridin-3- ylethynyl)phenyl]pyridine-4-carboxylate
The title compound was synthesized as described for Example 126 step A from Methyl 2-amino-6-[4-(pyridin-3-ylethynyl)phenyl]pyridine-4-carboxylate (Method 6) and Pyrazine-2-carbonyl chloride. LC-MS: [M+l]+ 436.4 Mass: calculated for C25Hi7N5O3, 435.43
1H NMR (300 MHz, CDCl3) δ: ppm 10.38 (s, IH); 9.57 (s, IH); 8.91 (m, 3H); 8.69 (s, IH); 8.60 (s, IH); 8.13 (m, 3H); 7.93 (d, IH); 7.69 (d, 2H); 7.39 (m, IH); 4.0 (s, 3H).
B. Λ/-{4-(hydroxycarbamoyl)-6-[4-(pyridin-3-ylethynyl)phenyl]pyridin-2- yl}pyrazine-2-carboxamide
The title compound was synthesized as described for Example 126 step B from methyl 2- [(pyrazin-2-ylcarbonyl)amino] -6- [4-(pyridin-3 -ylethynyl)phenyl]pyridine-4- carboxylate. LC-MS: [M+l]+ 437.4
Mass: calculated for C24Hi6N6O3, 436.42
1H NMR (400 MHz, DMSO-d6) δ: ppm 11.68 (s, IH); 10.61 (s, IH); 9.43 (m, 2H); 9.01 (s, IH); 8.88 (s, IH); 8.80 (s, IH); 8.61 (m, 2H); 8.27 (d, 2H); 8.13 (s, IH); 8.02 (d, IH); 7.77 (m, 2H); 7.50 (m, IH).
Example 160
Tert-butyl 4-(6-(hydroxycarbamoyl)-2-(4-(pyridin-3-ylethynyl)phenyl)pyrimidin- 4-yl) piperazine-1-carboxylate
A. Methyl 6-[4-(te/t-butoxycarbonyl)piperazin- 1 -yl]-2-chloropyrimidine-4- carboxylate
To a solution of methyl 2,6-dichloropyrimidine-4-carboxylate (1.0 g, 4.854 mmol), triethylamine (0.774 g, 3.758 mmol) in tetrahydrofuran was added N-boc piperazine (0.700 g, 3.758 mmol) at 00C and the reaction mixture was stirred at room temperature for 6 h. The solvent was evaporated under reduced pressure and the residue was diluted with ethyl acetate (150 mL). The organic portion was washed with water (50 mL x 2) and the aqueous layer was extracted with ethyl acetate (50 mL x X). The combined organic layer was washed with brine solution (20 mL) dried over anhydrous MgSO4 and evaporated under reduced pressure to yield crude compound. The crude compound was purified by column chromatography (Silica gel, 100-200 mesh) using 12% ethyl acetate in pet ether as mobile phase to get referenced compound as a white solid (0.850 g, 78.8%). LC-MS: [M+l]+ 357.9
1H NMR (400 MHz, δ ppm, CDCl3): 7.02 (s, IH), 3.97(s, 3H), 3.82 (m, 4H), 3.73 (m, 4H), 1.61 (s, 9H).
B . Methyl 6-(4-(tert-butoxycarbonyl)piperazin- 1 -yl)-2-(4-(pyridin-3 - ylethynyl)phenyl)pyrimidine-4-carboxylate
To an argon purged solution OfK3PO4 (1.13 g, 5.337 mmol) in 1,4-dioxane was added -((4-(5,5-dimethyl-l,3,2-dioxaborinan-2-yl)phenyl)ethynyl)pyridine (0.970 g, 3.404 mmol, Method 2) followed by 6-[4-(te/t-butoxycarbonyl)piperazin-l-yl]-2- chloropyrimidine-4-carboxylate (0.950 g, 2.668 mmol), Pd(OAc)2 (0.029 g, 0.133 mmol) and bis(tri-tert-butylphosphine)palladium(0) (0.068 g, 0.133 mmol). The reaction mixture was heated under argon atmosphere at 1000C for 12 h. The solvent was evaporated to dryness under reduced pressure. The residue was diluted with ethyl acetate (2x150 mL) and washed with water (100 mL) followed by brine solution (50 mL).The organic layer was separated, dried over MgSO4 and evaporated under reduced pressure to obtain crude product. The crude compound was purified by column chromatography (Silica gel, 100- 200 mesh) using 18% ethyl acetate in chloroform as mobile phase to yield the title compound as a pale yellow solid (0.370 g, 27.7%). LC-MS: [M+l]+ 500.46
1H NMR (400 MHz, δ ppm, CDCl3): δ 8.80 (s, 2H), 8.57 (d, IH), 8.46(d, 2H), 7.85 (d, IH), 7.64 (d, 2H), 7.32 (m, IH) 7.22 (s, IH), 4.02 (s, 3H), 3.83 (m, 4H), 3.61 (m, 4H), 1.57 (s, 9H).
C. Tert-butyl 4-(6-(hydroxycarbamoyl)-2-(4-(pyridin-3-ylethynyl)phenyl) pyrimidin-4-yl)piperazine- 1 -carboxylate
To a solution of methyl 6-(4-(tert-butoxycarbonyl)piperazin-l-yl)-2-(4-(pyridin-3- ylethynyl)phenyl)pyrimidine-4-carboxylate (0.120 g, 0.2404 mmol) in methanol/THF (1 :1) was added aqueous 50% hydroxylamine (1.0 niL) followed by catalytic amount of KCN (~1 mg) and the resulting solution was stirred at room temperature for 4 h. The reaction mixture was quenched with aqueous 10% citric acid solution (~2 mL) and stirred for 15 min. The precipitated solid was filtered, washed with chilled water and dried under vacuum for 3 h to yield the target compound as a solid (0.140 g, 56.0%). LC-MS: [M+l]+ 501.42
1H NMR (400 MHz, δ ppm, DMSO-d6): δ 11.74 (sb, IH) 9.28 (sb, IH) 8.80 (s, IH), 8.68 (m, 3H), 8.04 (d, IH), 7.70 (d, 2H), 7.51 (m, 1H),7.22 (s, IH ), 3.81 (m, 4H), 3.48 (m, 4H), 1.43 (s, 9H).
Example 161
2-amino-N-hydroxy-6-(4-{[4-(morpholin-4-ylmethyl)phenyl]ethynyl}phenyl) pyrimidine-4-carboxamide
A. Butyl-2-amino-6-(4-{[4-(morpholin-4-ylmethyl)phenyl]ethynyl}phenyl) pyrimidine-4-carboxylate.
A solution of butyl 2-[(4-methoxybenzyl)amino]-6-(4-{[4-(morpholin-4- ylmethyl)phenyl] ethynyl}phenyl)pyrimidine-4-carboxylate (3.00 g, 5.08 mmol) in trifluoroacetic acid (18.50 niL, 241.57 mmol) was heated at 60 0C for 6 h under nitrogen atmosphere. The reaction mixture was evaporated under reduced pressure and the crude product was treated with sat. NaHCO3 (20.00 mL, pH ~ 8).The precipitated solid was filtered and washed with pet-ether to yield the desired compound (1.5 g, 65.21%) as a solid.
LC-MS: [M+l]+ 471.56
1H NMR (400 MHz, δ ppm, DMSO-d6): δ 8.15 (d,2H), 7.7 (s, IH), 7.60 (m, 4H), 7.40 (d, 2H), 5.40 (sb, 2H), 4.40 (t, 2H), 4.20 (s, 2H), 4.00 (m, 4H), 3.00 (sb, 4H), 1.80 (m, 2H), 1.45 (m, 2H), 0.98 (m, 3H).
B. 2-amino-Λ/-hydroxy-6-(4-{[4-(morpholin-4-ylmethyl)phenyl]ethynyl}phenyl) pyrimidine-4-carboxamide
To a solution of butyl 2-amino-6-(4-{[4-(morpholin-4-ylmethyl)phenyl]ethynyl} phenyl) pyrimidine-4-carboxylate (0.090 g, 0.19 mmol) in 4 niL methanol/THF (1 :1) was added 50% aqueous hydroxylamine (2.0 niL) followed by catalytic amount of KCN (~5 mg) and the resulting solution was stirred at room temperature for 18 h. The reaction mixture was quenched with aqueous 10% citric acid solution (~5 mL) and stirred for 15 min. The precipitated solid was filtered, washed with water and 50% ethyl acetate:Pet- ether, and dried under vacuum to get the title compound as a white solid (40 mg, 48%). LC-MS: [M+l]+ 430.45
1H NMR (400 MHz, δ ppm, DMSO-d6): δ 11.20 (sb, IH), 9.20 (sb, IH), 8.20 (d, 2H), 7.70 (d, 2H), 7.55 (m, 3H), 7.40 (d, 2H), 6.90 (sb, 2H), 3.60 (m, 4H), 3.55 (s, 2H), 2.40 (sb, 4H).
Example 162
Λ/-hydroxy-2-(4-{[4-(piperidin-l-ylmethyl)phenyl]ethynyl}phenyl)pyridine-4- carboxamide
A. Methyl 2-(4-{[4-(piperidin-l-ylmethyl) phenyl]ethynyl}phenyl)pyridine-4- carboxylate
To a solution of methyl 2-{4-[(4-formylphenyl)ethynyl]phenyl}pyridine-4- carboxylate (0.35 g, 1.02 mmol) in 1 ,2-dichloroethane at 00C was added piperidine (0.26 g, 3.079 mmol) followed by acetic acid (1 drop) and stirred for 30 min. NaBH(OAc)3 (0.65 g, 3.08 mmol) was added in small portions over 15 min and the reaction mixture was warmed to room temperature and stirred for 18 h. The reaction mixture was quenched with cold water and extracted with dichloromethane (50 mL x 2). The combined organic layer was washed with water (25 mL), brine solution (25 mL), dried over anhydrous Na2SO4 and evaporated under reduced pressure to yield the desired compound (380 mg, crude). The crude compound was carried to the next step without further purification.
LC-MS: [M +H] +, 411.51
Mass: calculated for C27H26N2O2, 410.52
B . JV-hydroxy-2-(4- { [4-(piperidin- 1 -ylmethyl) phenyl] ethynyl} phenyl)pyridine- 4-carboxamide
To a solution of methyl 2-(4-{[4-(piperidin-l-ylmethyl)phenyl]ethynyl}phenyl) pyridine -4-carboxylate (380 mg, 0.96 mmol) in 5 mL methanol/THF (1 :1) was added 50% aqueous hydroxylamine (4.0 mL) followed by catalytic amount of KCN (~5 mg) and the resulting solution was stirred at room temperature for 18 h. The reaction mixture was quenched with aqueous 10% citric acid solution (~3 mL), diluted with water (10 mL) and extracted with ethyl acetate (50 mL x 2). The combined organic layer was washed with brine solution (25 mL), dried over anhydrous magnesium sulfate and evaporated under reduced pressure to yield crude compound. The crude compound was purified by reverse phase preparative HPLC to obtain the desired compound (90 mg, 21% ) LC-MS: [M-H] +, 411.51
Mass: calculated for C26H25N3O2, 410.52
1H NMR (400 MHz, δ ppm, DMSO-d6): δ 11.7 (sb, 2H), 8.81 (d, IH), 8.27-8.21 (m, 4H), 7.68 (m, 3H), 7.54 (d, 2H), 7.37 (d, 2H), 3.50 (s, 2H), 2.36 (m, 4H), 1.56 (m, 4H), 1.40 (d, 2H).
Example 163
JV-hydroxy-2- [( 1 ,2-oxazol-5 -ylcarbonyl)amino] -6- [4-(pyridin-3 -ylethynyl)phenyl] pyridine-4-carboxamide
A. Methyl 2-[(l,2-oxazol-5-ylcarbonyl)amino]-6-[4-(pyridin-3- ylethynyl)phenyl]pyridine-4-carboxylate
The title compound was synthesized as described for Example 126 step A from Methyl 2-amino-6-[4-(pyridin-3-ylethynyl)phenyl]pyridine-4-carboxylate (Method 6) and Isoxazole-5-carbonyl chloride. LC-MS: [M+l]+ 425.4 Mass: calculated for C24Hi6N4O4, 424.40
1H NMR (400 MHz, DMSO-d6) δ: ppm 11.53 (s, IH); 8.85 (d, IH); 8.79 (d, IH); 8.59 (m, 2H); 8.29 (m, 2H); 8.19 (s, IH); 8.01 (m, IH); 7.76 (d, 2H); 7.54 (s, IH); 7.53 (m, IH); 3.95 (s, 3H).
B. Λ/-hydroxy-2-[(l,2-oxazol-5-ylcarbonyl)amino]-6-[4-(pyridin-3- ylethynyl)phenyl]pyridine-4-carboxamide
The title compound was synthesized as described for Example 126 step B from methyl 2-[(l,2-oxazol-5-ylcarbonyl)amino]-6-[4-(pyridin-3-ylethynyl)phenyl]pyridine-4- carboxylate. LC-MS: [M+l]+ 426.4 Mass: calculated for C23Hi5N5O4, 425.39
1H NMR (400 MHz, DMSO-d6) δ: ppm 11.65 (bs, IH); 11.42 (s, IH); 9.94 (bs, IH); 8.86 (d, IH); 8.81 (s, IH); 8.63 (d, IH); 8.45 (s, IH); 8.28 (m, 2H); 8.12 (s, IH); 8.03 (m, IH); 7.79 (d, 2H); 7.53 (m, 2H).
Example 164
2-[(N,Λ/-dimethylglycyl)amino]-Λ/-hydroxy-6-[4-(pyridin-3-ylethynyl)phenyl] pyridine-4-carboxamide
A. Methyl 2- [(N,Λ/-dimethylglycyl)amino] -6- [4-(pyridin-3 -ylethynyl)phenyl] pyridine -4-carboxylate
The title compound was synthesized as described for Example 126 step A from Methyl 2-amino-6-[4-(pyridin-3-ylethynyl)phenyl]pyridine-4-carboxylate (Method 6) and Dimethylaminoacetyl chloride hydrochloride. LC-MS: [M+l]+ 415.5 Mass: calculated for C24H22N4O3, 414.45
B . 2- [(N,Λ/-dimethylglycyl)amino]-Λ/-hydroxy-6- [4-(pyridin-3 - ylethynyl)phenyl]pyridine-4-carboxamide
The title compound was synthesized as described for Example 126 step B from methyl 2-[(N,Λ/-dimethylglycyl)amino]-6-[4-(pyridin-3-ylethynyl)phenyl]pyridine-4- carboxylate LC-MS: [M+l]+ 416.4 Mass: calculated for C23H2IN5O3, 415.44 1H NMR (400 MHz, DMSO-d6) δ: ppm l l.82 (bs, IH); 10.12 (s, IH); 8.79 (m, IH); 8.61 (d, IH); 8.43 (s, IH); 8.20 (m, 2H); 8.02 (m, 2H); 7.75 (m, 2H); 7.48 (m, 2H); 3.18 (s, 2H); 2.32 (s, 6H).
Example 165
2- { [(benzyloxy)acetyl] amino } -JV-hydroxy-6- [4-(pyridin-3 -ylethynyl)phenyl] pyridine-4-carboxamide
A. Methyl 2-{[(benzyloxy)acetyl]amino}-6-[4-(pyridin-3-ylethynyl)phenyl] pyridine -4-carboxylate
The title compound was synthesized as described for Example 126 step A from Methyl 2-amino-6-[4-(pyridin-3-ylethynyl)phenyl]pyridine-4-carboxylate (Method 6) and Benzyloxyacetyl chloride. LC-MS: [M+l]+ 478.5 Mass: calculated for C29H23N3O4, 477.51
B . 2- { [(benzyloxy)acetyl] amino } -jV-hydroxy-6-[4-(pyridin-3 - ylethynyl)phenyl]pyridine-4-carboxamide
The title compound was synthesized as described for Example 126 step B from methyl 2-{[(benzyloxy)acetyl]amino}-6-[4-(pyridin-3-ylethynyl)phenyl]pyridine-4- carboxylate LC-MS: [M+l]+ 479.5 Mass: calculated for C28H22N4O4, 478.49
1H NMR (400 MHz, DMSO-d6) δ: ppm 11.64 (bs, IH); 10.35 (s, IH); 9.25 (s, IH); 8.78 (s, IH); 8.61 (d, IH); 8.41 (s, IH); 8.20 (d, 2H); 8.02 (m, 2H); 7.75 (d, 2H); 7.50 (m, IH); 7.41 (m, 4H); 7.31 (m, IH); 4.64 (s, 2H); 4.24 (s, 2H).
Example 166
4-(4-(Hydroxycarbamoyl)-6-(4-(pyridin-3-ylethynyl)phenyl)pyridin-2-yl)-N,Λ/- dimethylpiperazine-1-carboxamide, trifluoroacetic acid salt
A. Methyl 2-chloro-6-(4-(dimethylcarbamoyl)piperazin-l-yl)isonicotinate
A scintillation vial was charged with Λ/,Λ/-dimethylpiperazine-l-carboxamide (0.12 g, 0.73 mmol) and a solution of methyl 2,6-dichloroisonicotinate (0.15 g, 0.73 mmol) and Hunig's Base (0.25 rnL, 1.5 mmol) in 1,4-dioxane (3.5 mL) was added. The reaction was stirred at 80 0C for 18 h. After this time, LCMS indicated clean conversion to the desired product. The reaction was concentrated to afford crude product. LC-MS: [M+l]+ 327 Mass: Calculated for Ci4Hi9ClN4O3, 326.78
B. Methyl 2-(4-(dimethylcarbamoyl)piperazin-l-yl)-6-(4-(pyridin-3- ylethynyl)phenyl)isonicotinate
Methyl 2-chloro-6-(4-(dimethylcarbamoyl)piperazin-l-yl)isonicotinate (0.24 g, 0.73 mmol), 3-((4-(5,5-dimethyl-l,3,2-dioxaborinan-2-yl)phenyl)ethynyl)pyridine (0.23 g, 0.80 mmol, Method 2), and sodium carbonate (0.16 g, 1.5 mmol) were combined in 1,4-dioxane (6.1 ml) and water (1.2 ml). The solution was degassed with a stream of N2 for 5 minutes and then PS-Pd(Ph3P)4 (0.93 mmol/g loading) (0.79 g, 0.070 mmol) was added. The suspension was stirred overnight at 80 0C. In the morning, the reaction was filtered and the solid was washed with ethyl acetate and water. The filtrate layers were separated and the organics were dried over MgSO4, filtered and concentrated to afford crude desired product (82 mg, 24%). LC-MS: [M+l]+ 470 Mass: Calculated for C27H27N5O3, 469.53
C. 4-(4-(Hydroxycarbamoyl)-6-(4-(pyridin-3-ylethynyl)phenyl)pyridin-2-yl)-
Λ/,Λ/-dimethylpiperazine-l-carboxamide, trifluoroacetic acid salt
A solution of methyl 2-(4-(dimethylcarbamoyl)piperazin-l-yl)-6-(4-(pyridin-3- ylethynyl)phenyl)isonicotinate (0.083 g, 0.18 mmol) and hydroxylamine solution (50% wt. in H2O) (0.54 ml, 8.8 mmol) in MeOH (1.2 ml) was stirred overnight at 60 0C. In the morning, the reaction was removed from the heat and concentrated. The crude sample was purified by reverse phase chromatography (MeCN/0.1% formic acid in water). Then again, by reverse phase chromatography (5-95% MeCN/0.1% TFA in water) to afford clean desired product (2.3 mg, 2 %) as the TFA salt. LC-MS: [M+l]+ 471 Mass: Calculated for C26H26N6O3, 470.52
1H NMR (300 MHz, DMSO-d6) δ: ppm 11.44 (s, IH); 8.80 (s, IH); 8.60 (m, IH); 8.18 (d, 2H); 8.03 (m, IH); 7.71 (m, 2H); 7.58 (m, IH); 7.49 (m, IH); 7.10 (m, IH), 3.67-3.27 (bs, 8H); 2.81 (s, 6H). 19F NMR (282 MHz, DMSO-d6) δ: ppm -73.87
Example 167
2-(Biphenyl-4-yl)-Λ/-hydroxy-6-(4-methylpiperazin-l-yl)isonicotinamide, trifluoroacetic acid salt
A. Methyl 2-(biphenyl-4-yl)-6-(4-methylpiperazin- 1 -yl)isonicotinate
A microwave vial was charged with methyl 2-chloro-6-(4-methylpiperazin-l- yl)isonicotinate (0.15 g, 0.56 mmol, Example 59, step A), biphenyl-4-ylboronic acid (0.13 g, 0.67 mmol) and CsF (0.20 g, 1.3 mmol). MeOH (5.6 ml) was added and the reaction mixture was degassed with a stream of N2 for 5 minutes. After this time, Pd(Ph3P)4 (0.032 g, 0.030 mmol) was added and the reaction was heated in the microwave for 45 minutes at 120 0C. After this time LCMS indicated complete consumption of starting material and formation of the desired product. The reaction was filtered. The filtrate was concentrated to afford clean desired product as a yellow solid. The isolated solid was washed with water and allowed to dry to afford additional desired product.
LC-MS: [M+l]+ 388 Mass: Calculated for C24H25N3O2, 387.47
B. 2-(Biphenyl-4-yl)-Λ/-hydroxy-6-(4-methylpiperazin- 1 -yl)isonicotinamide, trifluoroacetic acid salt
A solution of methyl 2-(biphenyl-4-yl)-6-(4-methylpiperazin-l-yl)isonicotinate
(0.22 g, 0.56 mmol) and hydroxylamine solution (50% wt. in H2O) (0.86 ml, 14 mmol) was to stirred overnight at 60 0C. After this time, LCMS indicated formation of the
desired product. The reaction was removed from the heat, allowed to cool to room temperature and was then concentrated. The crude sample was purified by reverse phase chromatography (5-95% MeCN/0.1% TFA in water) to afford clean desired product (0.14 g, 48%) as the TFA salt. LC-MS: [M+l]+ 389
Mass: Calculated for C23H24N4O2, 388.46
1H NMR (300 MHz, DMSO-d6) δ: ppm 11.47 (s, IH); 9.83 (s, IH); 9.30 (s, IH); 8.19 (d, 2H); 7.78 (m, 4H); 7.67 (s, IH); 7.51 (m, 2H); 7.40 (m, IH); 7.23 (s, IH); 4.58 (m, 2H); 3.59-3.13 (bs, 6H); 2.88 (s, 3H). 19F NMR (282 MHz, DMSO-d6) δ: ppm -73.68.
Example 168
Λ/-hydroxy-2-(4-((3-(morpholinomethyl)phenyl)ethynyl)phenyl)isonicotinamide
A. Methyl 2-(4-((3 -(morpholinomethyl)phenyl)ethynyl)phenyl)isonicotinate
The title compound was synthesized as described for Example 157 step C from methyl 2-(4-((3-formylphenyl)ethynyl)phenyl)isonicotinate (135 mg, 0.40 mmol) and morpholine (0.103 mL, 1.19 mmol). LC-MS: [M+l]+ 413.2 Mass: Calculated for C26H24N2O3, 412.48
B . JV-hydroxy-2-(4-((3 -(morpholinomethyl)phenyl)ethynyl) phenyl)isonicotinamide
A solution of methyl 2-(4-((3 (morpholinomethyl)phenyl)ethynyl)phenyl) isonicotinate (163 mg, 0.40 mmol) in methanol (2 mL) was treated with 50 wt% aq hydroxylamine (0.61 mL, 9.88 mmol). The mixture was heated to 35 0C overnight. After cooling to RT, the mixture was concentrated in vacuo and purified by silica gel chromatography (0-10% MeOHZCH2Cl2). Additional purification was performed by reverse-phase HPLC to give the title compound as a TFA salt. The TFA salt was diluted with 5% MeOH/CH2Cl2 and then treated with solid-supported trisamine (MP-trisamine) to give the title compound as the free base. LC-MS: [M+l]+ 414.2 Mass: Calculated for C25H23N3O3, 413.47
1H NMR (300 MHz, DMSO-d6) δ: ppm 11.59 (br s, IH); 9.37 (br s, IH); 8.81 (d, IH); 8.28 (s, IH); 8.20 (m, 2H); 7.70 (m, 3H); 7.53 (s, IH); 7.48 (m, IH); 7.40 (m, 2H); 3.59 (m, 4H); 3.50 (s, 2H); 2.37 (m, 4H).
13C NMR (75 MHz, DMSO-d6) δ: ppm 161.8, 155.1, 149.8, 143.3, 138.6, 138.5, 131.8, 131.75, 130.0, 129.5, 129.0, 128.7, 126.7, 126.3, 122.9, 122.0, 119.9, 117.1, 90.7, 89.1, 66.2, 66.0, 61.8, 53.1, 53.0.
Example 169 iV-Hydroxy-2-(4-(pyridin-3 -ylethynyl)phenyl)-6-(4-(pyridin-3 -ylmethyl) piperazin-l-yl)isonicotinamide, formic acid salt
A. Methyl 2-chloro-6-(4-(pyridin-3-ylmethyl)piperazin- 1 -yl)isonicotinate
A solution of methyl 2,6-dichloroisonicotinate (0.20 g, 0.97 mmol), l-(pyridin-3- ylmethyl)piperazine (0.26 g, 1.5 mmol) and Hunig's Base (0.51 mL, 2.9 mmol) in NMP (2.4 mL) was stirred overnight at 100 0C. After this time, LCMS indicated consumption of starting material and formation of the desired product. The reaction was quenched by the addition of water. The resulting mixture was then extracted with ethyl acetate three times. The organics were pooled and concentrated to afford the crude desired product, which was carried on to the next step with no further purification. LC-MS: [M+l]+ 347 Mass: Calculated for Ci7Hi9ClN4O2, 346.81
B . Methyl 2-(4-(pyridin-3 -ylethynyl)phenyl)-6-(4-(pyridin-3 -y lmethyl)piperazin- 1 -yl)isonicotinate
A vial was charged with 3 -((4-(5, 5 -dimethyl- 1,3, 2-dioxaborinan-2- yl)phenyl)ethynyl)pyridine (0.20 g, 0.68 mmol, Method 2) and sodium carbonate (0.12 g, 1.1 mmol). A solution of methyl 2-chloro-6-(4-(pyridin-3-ylmethyl)piperazin-l-
yl)isonicotinate (0.20 g, 0.57 mmol) in degassed 1,4-dioxane (5.0 niL) was added followed by water (1.0 niL). Lastly, Pd(Ph3P)4 (0.035 g, 0.030 mmol) was added and the reaction was stirred at 80 0C under N2 overnight. The reaction was concentrated to afford the crude desired product, which was carried on to the next step with no purification, assuming quantitative yield. LC-MS: [M+l]+ 490 Mass: Calculated for C30H27N5O2, 489.57
C . iV-Hydroxy-2-(4-(pyridin-3 -ylethynyl)phenyl)-6-(4-(pyridin-3 -ylmethyl) piperazin-l-yl)isonicotinamide, formic acid salt
A solution of methyl 2-(4-(pyridin-3-ylethynyl)phenyl)-6-(4-(pyridin-3- ylmethyl)piperazin-l-yl)isonicotinate (0.28 g, 0.57 mmol)) and hydroxylamine solution (50% wt. in H2O) (1.0 mL, 16 mmol) in MeOH (1.0 mL) was stirred at 60 0C overnight. After this time the reaction was concentrated. The crude reaction mixture was purified by reverse phase chromatography (5-65% MeCN/0.1% formic acid in water) to afford the desired product (0.022 g, 8%) as the formic acid salt. LC-MS: [M+l]+ 491 Mass: Calculated for C29H26N6O2, 490.56
1H NMR (300 MHz, DMSO-d6) δ: ppm 8.79 (m, IH); 8.61 (m, IH); 8.54 (s, IH); 8.50 (m, IH); 8.15 (d, 2H); 8.01 (m, IH); 7.77 (m, IH); 7.70 (d, 2H); 7.56 (s, IH); 7.49 (m, IH); 7.39 (m, IH); 7.10 (s, IH); 3.65 (bs, 4H); 3.59 (s, 2H); 3.31 (bs, 4H).
Example 170 iV-Hydroxy-2-(4-(( 1 -methylpiperidin-4-yl)methyl)piperazin- 1 -yl)-6-(4-(pyridin-3 - ylethynyl)phenyl)isonicotinamide, formic acid salt
A. Methyl 2-chloro-6-(4-(( 1 -methylpiperidin-4-yl)methyl)piperazin- 1 - yl)isonicotinate
A solution of methyl 2,6-dichloroisonicotinate (0.20 g, 0.97 mmol), 1-((1- methylpiperidin-4-yl)methyl)piperazine (0.29 g, 1.5 mmol) and Hunig's Base (0.51 mL, 2.9 mmol) in NMP (2.4 mL) was stirred overnight at 100 0C. After this time, LCMS indicated consumption of starting material and formation of the desired product. The reaction was quenched by the addition of water. The resulting mixture was then extracted with ethyl acetate three times. The organics were pooled and concentrated to afford the crude desired product, which was carried on to the next step with no further purification. LC-MS: [M+l]+ 367 Mass: Calculated for Ci8H27ClN4O2, 366.89
B. Methyl 2-(4-((l-methylpiperidin-4-yl)methyl)piperazin-l-yl)-6-(4-(pyridin-3- ylethynyl)phenyl)isonicotinate
A vial was charged with 3 -((4-(5, 5 -dimethyl- 1,3, 2-dioxaborinan-2- yl)phenyl)ethynyl)pyridine (0.098 g, 0.34 mmol, Method 2) and sodium carbonate (0.059 g, 0.56 mmol). A solution of methyl 2-chloro-6-(4-((l-methylpiperidin-4- yl)methyl)piperazin-l-yl)isonicotinate (0.10 g, 0.28 mmol) in degassed 1,4-dioxane (2.8 mL) was added followed by water (0.56 mL). Lastly, Pd(Ph3P)4 (0.016 g, 0.010 mmol) was added and the reaction was stirred at 80 0C under N2 overnight. In the morning, the reaction was concentrated to afford the crude desired product. LC-MS: [M+l]+ 510 Mass: Calculated for C31H35N5O2, 509.64
C. Λ/-Hydroxy-2-(4-((l-methylpiperidin-4-yl)methyl)piperazin-l-yl)-6-(4- (pyridin-3-ylethynyl)phenyl)isonicotinamide, formic acid salt
A solution of methyl 2-(4-((l-methylpiperidin-4-yl)methyl)piperazin-l-yl)-6-(4- (pyridin-3-ylethynyl)phenyl)isonicotinate (0.14 g, 0.28 mmol)) and hydroxylamine solution (50% wt. in H2O) (1.0 niL, 16 mmol) in MeOH (1.0 mL) was stirred at 60 °C overnight. After this time the reaction was concentrated. The crude reaction mixture was purified by reverse phase chromatography (5-65% MeCN/0.1% formic acid in water) to afford the desired product (5.51 mg, 4%) as the formic acid salt. LC-MS: [M+l]+ 511
Mass: Calculated for C30H34N6O2, 510.63
1H NMR (300 MHz, DMSO-d6) δ: ppm 8.79 (s, IH); 8.60 (m, IH); 8.21 (s, IH); 8.15 (s, 2H); 8.02 (m, IH); 7.71 (d, 2H); 7.55 (s, IH); 7.49 (m, IH); 7.10 (s, IH); 3.63 (m, 4H); 3.51 (m, 2H); 2.75 (m, 4H); 2.41-1.12 (m, 12H).
Example 172
JV-Hydroxy-2-(4-(2-hydroxyethy l)piperazin- 1 -yl)-6-(4-(pyridin-3 - ylethynyl)phenyl)isonicotinamide, formic acid salt
A. Methyl 2-chloro-6-(4-(2-hydroxyethyl)piperazin- 1 -yl)isonicotinate
A solution of methyl 2,6-dichloroisonicotinate (0.20 g, 0.97 mmol), 2-(piperazin- l-yl)ethanol (0.19 g, 1.5 mmol) and Hunig's Base (0.51 mL, 2.9 mmol) in NMP (2.4 mL) was stirred overnight at 100 0C. After this time, LCMS indicated consumption of starting material and formation of the desired product. The reaction was quenched by the addition of water. The resulting mixture was then extracted with ethyl acetate three times. The organics were pooled and concentrated to afford the crude desired product. LC-MS: [M+2]+ 302
Mass: Calculated for Ci3Hi8ClN3O3, 299.75
B. Methyl 2-(4-(2-hydroxyethyl)piperazin-l-yl)-6-(4-(pyridin-3- ylethynyl)phenyl)isonicotinate
A vial was charged with 3 -((4-(5, 5 -dimethyl- 1,3, 2-dioxaborinan-2- yl)phenyl)ethynyl)pyridine (0.13 g, 0.46 mmol, Method 2) and sodium carbonate (0.081 g, 0.76 mmol). A solution of methyl 2-chloro-6-(4-(2-hydroxyethyl)piperazin-l- yl)isonicotinate (0.114 g, 0.38 mmol) in degassed 1,4-dioxane (3.8 mL) was added followed by water (0.76 mL). Lastly, Pd(Ph3P)4 (0.022 g, 0.020 mmol) was added and the reaction was stirred at 80 0C under N2 overnight. In the morning, the reaction was concentrated to afford the crude desired product. LC-MS: [M+l]+ 443
Mass: Calculated for C26H26N4O3, 442.51
C . JV-Hydroxy-2-(4-(2-hydroxyethyl)piperazin- 1 -yl)-6-(4-(pyridin-3 - ylethynyl)phenyl)isonicotinamide, formic acid salt
A solution of methyl 2-(4-(2-hydroxyethyl)piperazin-l-yl)-6-(4-(pyridin-3- ylethynyl)phenyl)isonicotinate (0.17 g, 0.38 mmol)) and hydroxylamine solution (50% wt. in H2O) (1.0 niL, 16 mmol) in MeOH (1.0 mL) was stirred at 60 °C overnight. After this time the reaction was concentrated. The crude reaction mixture was purified by reverse phase chromatography (5-65% MeCN/0.1% formic acid in water) to afford the desired product (0.012 g, 7%) as the formic acid salt. LC-MS: [M+ 1]+ 444
Mass: Calculated for C25H25N5O3, 443.50 1H NMR (300 MHz, DMSO-d6) δ: ppm 8.79 (m, IH); 8.61 (m, IH); 8.16 (d, 2H); 8.02 (m, IH); 7.71 (d, 2H); 7.56 (s, IH); 7.48 (m, IH); 7.10 (s, IH); 4.43 (bs, IH); 3.63-3.56 (m, 8H); 2.54 (m, 4H).
Example 174 JV-Hydroxy-2-(4-(3 -hydroxypropyl)piperazin- 1 -yl)-6-(4-(pyridin-3 - ylethynyl)phenyl)isonicotinamide, formic acid salt
A. Methyl 2-chloro-6-(4-(3-hydroxypropyl)piperazin-l-yl)isonicotinate
A solution of methyl 2,6-dichloroisonicotinate (0.20 g, 0.97 mmol), 3-(piperazin- l-yl)propan-l-ol (0.21 g, 1.5 mmol) and Hunig's Base (0.51 mL, 2.9 mmol) in NMP (2.4 mL) was stirred overnight at 100 0C. After this time, LCMS indicated consumption of starting material and formation of the desired product. The reaction was quenched by the addition of water. The resulting mixture was then extracted with ethyl acetate three times. The organics were pooled and concentrated to afford the crude desired product. LC-MS: [M+l]+ 314 Mass: Calculated for Ci4H20ClN3O3, 313.78
B . Methyl 2-(4-(3 -hydroxypropyl)piperazin- 1 -yl)-6-(4-(pyridin-3 -ylethynyl) phenyl)isonicotinate
A vial was charged with 3 -((4-(5, 5 -dimethyl- 1,3, 2-dioxaborinan-2- yl)phenyl)ethynyl)pyridine (0.19 g, 0.54 mmol, Method 2) and sodium carbonate (0.11 g, 1.1 mmol). A solution of methyl 2-chloro-6-(4-(3-hydroxypropyl)piperazin-l-
yl)isonicotinate (0.17 g, 0.54 mmol) in degassed 1,4-dioxane (5.0 niL) was added followed by water (1.0 niL). Lastly, Pd(Ph3P)4 (0.031 g, 0.030 mmol) was added and the reaction was stirred at 80 0C under N2 overnight. In the morning, the reaction was concentrated to afford the crude desired product.
LC-MS: [M+l]+ 457
Mass: Calculated for C27H28N4O3, 456.54
C . JV-Hydroxy-2-(4-(3 -hy droxypropyl)piperazin- 1 -yl)-6-(4-(pyridin-3 - ylethynyl)phenyl) isonicotinamide, formic acid salt
A solution of methyl 2-(4-(3-hydroxypropyl)piperazin-l-yl)-6-(4-(pyridin-3- ylethynyl)phenyl)isonicotinate (0.25 g, 0.54 mmol)) and hydroxylamine solution (50% wt. in water) (1.0 mL, 16 mmol) in MeOH (1.0 mL) was stirred at 60 0C overnight. After this time the reaction was concentrated. The crude reaction mixture was purified by reverse phase chromatography (5-65% MeCN/0.1% formic acid in water) to afford the desired product (0.016 g, 6%) as the formic acid salt.
LC-MS: [M+l]+ 458
Mass: Calculated for C26H27N5O3, 457.52
1H NMR (300 MHz, DMSO-d6) δ: ppm 8.79 (s, IH); 8.62 (m, IH); 8.24 (s, IH); 8.16 (d, 2H); 8.02 (m, IH); 7.71 (d, 2H); 7.57 (s, IH); 7.49 (m, IH); 7.11 (s, IH); 3.64 (bs, 5H);
3.48 (m, 5H); 2.41 (m, 3H); 1.64 (m, 2H).
Example 176
Λ/-Hydroxy-2-(4-(2-methoxyethyl)piperazin- 1 -yl)-6-(4-(pyridin-3 - ylethynyl)phenyl)isonicotinamide, formic acid salt
A. Methyl 2-chloro-6-(4-(2-methoxyethyl)piperazin- 1 -yl)isonicotinate
A solution of methyl 2,6-dichloroisonicotinate (0.20 g, 0.97 mmol), l-(2- methoxyethyl)piperazine (0.21 g, 1.5 mmol) and Hunig's Base (0.51 mL, 2.9 mmol) in NMP (2.4 mL) was stirred overnight at 100 0C. After this time, LCMS indicated consumption of starting material and formation of the desired product. The reaction was quenched by the addition of water. The resulting mixture was then extracted with ethyl acetate three times. The organics were pooled and concentrated to afford the crude desired product. LC-MS: [M+l]+ 314 Mass: Calculated for Ci4H20ClN3O3, 313.78
B. Methyl 2-(4-(2-methoxyethyl)piperazin-l-yl)-6-(4-(pyridin-3- ylethynyl)phenyl) isonicotinate
A vial was charged with 3 -((4-(5, 5 -dimethyl- 1,3, 2-dioxaborinan-2- yl)phenyl)ethynyl)pyridine (0.16 g, 0.54 mmol, Method 2) and sodium carbonate (0.095 g, 0.90 mmol). A solution of methyl 2-chloro-6-(4-(2-methoxyethyl)piperazin-l- yl)isonicotinate (0.14 g, 0.45 mmol) in degassed 1,4-dioxane (4.5 mL) was added followed by water (0.9 mL). Pd(Ph3P)4 (0.026 g, 0.020 mmol) was added and the reaction was stirred at 80 0C under N2 overnight. The reaction was concentrated to afford the crude desired product. LC-MS: [M+l]+ 457 Mass: Calculated for C27H28N4O3, 456.54
C. Λ/-Hydroxy-2-(4-(2-methoxyethyl)piperazin- 1 -yl)-6-(4-(pyridin-3- ylethynyl)phenyl) isonicotinamide, formic acid salt
A solution of methyl 2-(4-(2-methoxyethyl)piperazin-l-yl)-6-(4-(pyridin-3- ylethynyl)phenyl)isonicotinate (0.21 g, 0.45 mmol)) and hydroxylamine solution (50% wt. in water) (1.0 rnL, 16 mmol) in MeOH (1.0 mL) was stirred at 60 0C overnight. After this time the reaction was concentrated. The crude reaction mixture was purified by reverse phase chromatography (5-65% MeCN/0.1% formic acid in water) to afford the desired product (0.018 g, 9%) as the formic acid salt. LC-MS: [M+l]+ 458
Mass: Calculated for C26H27N5O3, 457.52 1H NMR (300 MHz, DMSO-d6) δ: ppm 8.79 (s, IH); 8.61 (m, IH); 8.28 (s, IH); 8.16 (d, 2H); 8.02 (m, IH); 7.71 (d, 2H); 7.56 (s, IH); 7.49 (m, IH); 7.10 (s, IH); 3.62 (m, 4H); 3.51-3.25 (m, 7H); 2.55 (m, 4H).
Example 178 Λ/-hydroxy-3-methoxy-2-[4-(pyridin-3-ylethynyl) phenyl] -6-(thiophen-2-yl) pyridine-4-carboxamide
To a solution of thiophene 2-carboxylic acid (11.0 g, 85.8 mmol) in THF (200 ml) at 0 0C was added EDCHCl (19.6 g, 103 mmol) and HOBt (15.7 g, 103 mmol). The reaction mixture was stirred for 1 h and glycine ethyl ester hydrochloride (14.3 g, 103 mmol) was added followed by diisopropylethylamine (22.1 g, 171 mmol). The reaction mixture was warmed to room temperature and stirred at room temperature for 18 h. The reaction was diluted with cold water (100 mL), extracted with ethyl acetate (200 mL x 3).
The combined organic layer was washed with brine solution (100 mL) dried over anhydrous Na2SO4 and evaporated to dryness. The crude compound was triturated with pet-ether (100 mL), washed with pet ether (50 mL) and dried under vacuum to obtain the desired compound (15.9 g, 86.88%) as a solid.
LC-MS: [M+H] +, 214.20
Mass: calculated for C9HnNO3S, 213.26 1H NMR (400 MHz, δ ppm, CDCl3): δ 7.70 (d, IH), 7.56 (d, IH), 7.08 (t, IH), 6.60 (sb,
IH), 4.28-4.20 (m, 4H), 1.28 (t, 3H).
B. 5-ethoxy-2-(thiophen-2-yl)-l, 3-oxazole
To a solution of triphenylphosphine (38.6 g, 147 mmol) in dichloromethane (300 mL) was added iodine (37.6 g, 147 mmol) followed by dropwise addition of triethylamine (29.8 g, 294 mmol) and stirred for 30 min at room temperature. A solution of ethyl N- (thiophen-2-ylcarbonyl)glycinate (15.7 g, 73.7 mmol) in dichloromethane (50 mL) was
added to the above reaction mixture over a period of 30 min and stirred at room temperature for 18 h. The reaction mixture was diluted with water (200 mL) and the organic layer was separated. The organic layer was washed with aq. 10% sodium metabisulfite solution (200 mL), water (200 mL) and brine (200 mL), then dried over anhydrous Na2SO4 and evaporated to dryness to obtain the crude compound. The crude compound was purified by column chromatography (Silica gel, 100-200 mesh) using 5% ethyl acetate in pet ether as eluent to obtain the desired compound (7.1 g, 50%). LC-MS: [M+H] +, 196.10 Mass: calculated for C9H9NO2S, 195.24 1H NMR (400 MHz, δ ppm, CDCl3): δ 7.50 (d, IH), 7.34 (d, IH), 7.06 (t, IH), 6.16 (s, IH), 4.17 (q, 2H), 1.46 (t, 3H).
C. ethyl 5-hydroxy-2-(thiophen-2-yl) pyridine -4-carboxylate
A solution of 5-ethoxy-2-(thiophen-2-yl)-l,3-oxazole (3.5 g, 17.9 mmol) in ethyl acrylate (1.97 g, 19.74 mmol) was heated in a sealed tube at 1000C for 48 h. The reaction mixture was cooled and the reaction was concentrated to remove excess ethyl acrylate. The crude compound was purified by column chromatography (Silica gel, 100-200 mesh) using 2% ethyl acetate in pet-ether as mobile phase to yield the desired compound (0.65g,
15%) as a solid.
LC-MS: [M+H] +, 250.42
Mass: calculated for CI2HHNO3S, 249.29 1H NMR (400 MHz, δ ppm, CDCl3): δ 10.29 (s, IH), 8.45 (s, IH), 7.95 (s, IH), 7.48 (dd,
IH), 7.33 (dd, IH), 7.09 (m, IH), 4.50 (q, 2H), 1.47 (t, 3H).
D. ethyl 2-bromo-3-hydroxy-6-(thiophen-2-yl) pyridine-4-carboxylate
To a solution of ethyl 5-hydroxy-2-(thiophen-2-yl) pyridine-4-carboxylate (0.65 g, 2.61 mmol) in DMF (10.0 mL) was added N-bromosuccinimide (0.51 g, 2.87 mmol). The solution was stirred at room temperature for 30 min. The reaction mixture was poured into cold water (50 mL) and stirred for 15 min. The precipitated solid was filtered, washed with water (20 mL) and dried under vacuum to obtain ethyl 2-bromo-3- hydroxy-6-(thiophen-2-yl)pyridine-4-carboxylate (0.6 g, 70.5%) as yellow solid. LC-MS: [M, M+2]+ , 328.26, 330.26 Mass: calculated for Ci2Hi0BrNO3S, 328.19
1H NMR (400 MHz, δ ppm, CDCl3): δ 10.32 (s, IH), 8.41 (s, IH), 7.87 (s, IH), 7.20 (d, IH), 7.09 (d, IH), 4.50 (q, 4H), 4.50 (q, 2H), 1.47 (t, 3H)
E. ethyl 2-bromo-3-methoxy-6-(thiophen-2-yl) pyridine-4-carboxylate,
To a solution of ethyl 2-bromo-3-hydroxy-6-(thiophen-2-yl)pyridine-4- carboxylate, (0.6 g, 1.55 mmol) in 1 :1 methanol/THF (15 mL) at 00C was added TMS- diazomethane (4.58 mL, 9.17 mmol, 2.0 M solution in diethyl ether). The reaction mixture was brought to room temperature and stirred for 18 h. The solvent was
evaporated under reduced pressure, diluted with water (25 mL), extracted with ethyl acetate (50 mL x 2). The combined organic layer was washed with brine (25 mL), dried over anhydrous Na2SO4 and dried under vacuum to get ethyl 2-bromo-3-methoxy-6- (thiophen-2-yl)pyridine-4-carboxylate (220 mg, 35.4%). LC-MS: [M, M+2]+, 342.23, 344.23
Mass: calculated for Ci3Hi2BrNO3S, 342.21
1H NMR (400 MHz, δ ppm, CDCl3): δ 8.35 (s, IH), 7.83 (s, IH), 7.22 (d, IH), 7.40 (d,
IH), 4.40 (q, 2H), 4.0 (s, 3H), 1.40 (t, 3H).
F . ethyl 3 -methoxy-2- [4-(pyridin-3 -ylethynyl) phenyl] -6-(thiophen-2-yl) pyridine-4-carboxylate
To a degassed solution of cesium carbonate (0.76 g, 2.34 mmol) in 1,4- dioxane/water (20 mL/1.0 mL) was added methyl 2-bromo-3-methoxy-6-(thiophen-2- yl)pyridine-4-carboxylate (0.2 g, 0.58 mmol) followed by 3-((4-(5, 5-dimethyl-l, 3, 2- dioxaborinan-2-yl) phenyl)ethynyl)pyridine (0.2 g, 0.7 mmol). The reaction mixture was degassed for another 10 min and Pd (PPh3)4 (33.8 mg, 0.0314 mmol) was added. The reaction mixture was heated under argon atmosphere at 9O0C for 4 h. The solvent was evaporated to dryness under reduced pressure. The residue was diluted with ethyl acetate (100 mL) and washed with water (50 mL). The aqueous layer was extracted with ethyl acetate (50 mL x 2). The combined organic layer was washed with brine solution (50 mL), dried over anhydrous magnesium sulfate, filtered through a pad of celite and evaporated under reduced pressure to obtain ethyl 3-methoxy-2-[4-(pyridin-3- ylethynyl)phenyl]-6-(thiophen-2-yl)pyridine-4-carboxylate (0.29 g, crude).
LC-MS: [M+l]+ 441.41
Mass: calculated for C26H20N2O3S, 440.52
G. Λ/-hydroxy-3-methoxy-2-[4-(pyridin-3-ylethynyl) phenyl]-6-(thiophen-2-yl) pyridine-4-carboxamide
To a solution of methyl 3-methoxy-2-[4-(pyridin-3-ylethynyl)phenyl]-6- (thiophen-2-yl)pyridine-4-carboxylate (0.29 g, 0.68 mmol, crude) in 3 mL methanol/THF (1 :1) was added aqueous 50% hydroxylamine (2.0 mL) followed by catalytic amount of KCN (~5 mg) and the resulting solution was stirred at room temperature for 18 h. The reaction mixture was quenched with aqueous 10% citric acid solution (~2 mL) and stirred for 15 min. The precipitated solid was filtered, washed with water and dried under vacuum to get JV-hydroxy-3 -methoxy-2- [4-(pyridin-3 -ylethynyl)phenyl] -6-(thiophen-2- yl)pyridine-4-carboxamide (150 mg, 53%). LC-MS: [M+H]+, 428.38 Mass: calculated for C24HnN3O3S, 427.49
1H NMR (400 MHz, δ ppm, DMSO-d6): δ 11.0 (sb, IH), 9.40 (sb, IH), 8.78 (d, IH), 8.60 (dd, IH), 8.45 (s, IH), 8.0 (m, 2H), 7.80 (m, 3H), 7.65 (m, 3H), 7.49 (m, IH), 3.96 (s, 3H).
Example 179
2-[(cyclopentylcarbamoyl) amino]-Λ/-hydroxy-6-(4-{[4-(morpholin-4- ylmethyl) phenyl] ethynyl} phenyl) pyrimidine-4-carboxamide
A. methyl 2-chloro-6-methoxypyrimidine-4-carboxylate
To a solution of methyl 2, 6-dichloropyrimidine-4-carboxylate (6.0 g, 33.13 mmol) in methanol (100 mL) was added freshly prepared sodium methoxide (0.973 g, 40.0 mmol of sodium in 50 mL of methanol) at 00C and the reaction mixture was stirred at the same temperature for 30 min. The reaction mixture was quenched with cold water and the solvent was evaporated under reduced pressure. The residue was diluted with ethyl acetate (200 mL), washed with water (100 mL x 2). The aqueous layer was extracted with ethyl acetate (50 mL x 2). The combined organic layer was washed with brine solution (50 mL), dried over anhydrous magnesium sulfate and evaporated under reduced pressure to yield methyl 2-chloro-6-methoxypyrimidine-4-carboxylate as off- white solid (4.10 g, 70.63%). LC-MS: [M+l] + 203 Mass: calculated for C7H7ClN2O3, 202.3 1H NMR (400 MHz, δ ppm, CDCl3): δ 7.40 (s, IH) 4.00 (s, 3H), 3.90 (s, 3H)
B. butyl 6-hydroxy-2-[(4-methoxybenzyl) amino] pyrimidine-4-carboxylate
To an argon purged solution of methyl 2-chloro-6-methoxypyrimidine-4- carboxylate (3.0 g, 14.80 mmol) in n-butanol (40 rnL) was added /?-methoxy benzyl amine (2.23 g, 16.28 mmol) at room temperature. The reaction mixture was heated at 13O0C for 4 h. The reaction mixture was cooled to O0C and 4.0 M dioxane HCL solution (30.0 ml) was added. The reaction mixture was heated at 1350C for 1O h. The solvent was evaporated under reduced pressure and the residue was diluted with hexane. The precipitated solid was filtered to yield 4.70 g of crude butyl 6-hydroxy-2-[(4- methoxybenzyl) amino] pyrimidine-4-carboxylate as an off-white solid. Mass: calculated for Ci7H2IN3O4, 331.3 Observed LC-MS: [M+ 1] + 332.5.
C. Butyl 6-bromo-2-[(4-methoxybenzyl) amino] pyrimidine-4-carboxylate
To a solution of butyl 6-hydroxy-2-[(4-methoxybenzyl) amino] pyrimidine-4- carboxylate (25.00 g, 90.66 mmol, crude) in 1, 2-dichloroethane was added POBr3 (51.00 g, 181.22 mmol) at O0C. The reaction mixture was allowed to come to room temperature and heated at 1000C for 4 h under nitrogen atmosphere. The reaction mixture was cooled to room temperature, diluted with ethyl acetate (100 mL) and washed with aqueous sodium bicarbonate (50 mL) followed by water (50 mL). The aqueous layer was extracted with ethyl acetate (100 mL x 2). The combined organic layer was washed with brine solution (100 mL), dried over anhydrous magnesium sulfate and evaporated under reduced pressure to yield butyl 6-bromo-2-[(4-methoxybenzyl)amino]pyrimidine-4- carboxylate as a light yellow solid (8.78 g, 30.2 %). 1H NMR (400 MHz, δ ppm, CDCl3): δ 7.25 (m, 3H), 6.80 (m, 2H), 4.60 (d, 2H), 4.40 (m, 2H), 3.80 (s, 3H), 1.64 (m, 2H), 1.40 (m, 2H), 0.98 (m, 3H). Mass: calculated for CnH20BrN3O3, 394.27 Observed LC-MS: [M, M+2] + 394.22, 396.2.
C. butyl 2-[(4-methoxybenzyl) amino]-6-(4-{[4-(morpholin-4-ylmethyl) phenyl] ethynyl} phenyl) pyrimidine-4-carboxylate
To a degassed solution of cesium carbonate (7.17 g, 22.08 mmol) in l,4-dioxanel80 rnL was added butyl 6-bromo-2-[(4-methoxybenzyl)amino]pyrimidine-4-carboxylate (8.70 g, 22.08 mmol) followed by 4-(4-((4-(5, 5-dimethyl-l, 3, 2-dioxaborinan-2-yl) phenyl) ethynyl) benzyl) morpholine (8.59 g, 22.08 mmol). The reaction mixture was degassed for another 30 min, added Pd(PPh3 )4 (2.55 g , 2.208 mmol) and the resulting solution was once again degassed for 30 min. The reaction mixture was heated under argon atmosphere at 8O0C for 6 h. The solvent was evaporated to dryness under reduced pressure. The residue was diluted with ethyl acetate (100 mL) and washed with water (50 mL). The aqueous layer was extracted with ethyl acetate (50 mL x 2). The combined organic layer was washed with brine solution (50 mL), dried over anhydrous magnesium sulfate and evaporated under reduced pressure to get butyl 2-[(4-methoxybenzyl)amino]- 6-(4- {[4-(morpholin-4-ethly)phenyl]ethynyl}phenyl)pyrimidine-4-carboxylate as light yellow solid (12.00 g).
Mass: calculated for C36H38N4O4, 590.2.
LC-MS: [M+l]+ : 591.2
1H NMR (400 MHz, δ ppm, CDCl3): 5 8.11 (d, 2H), 7.60 (m, 6H), 7.40 (m, 2H), 6.80 (m, 2H), 4.80 (d, 2H), 4.40 (m, 2H), 3.80 (s, 3H), 3.65 (m, 4H), 3.45 (s, 2H), 2.45 (m, 4H), 1.64 (m, 2H), 1.40 (m, 2H), 0.98 (m, 3H).
D. butyl 2-amino-6-(4- {[4-(morpholin-4-ylmethyl)phenyl]ethynyl}phenyl) pyrimidine-4-carboxylate
To a solution of 4-(4-((4-(5, 5-dimethyl-l,3,2-dioxaborinan-2-yl) phenyl) ethynyl) benzyl) morpholine (3.00 g, 5.08 mmol) in CH2Cl2 was added trifluoroacetic acid (18.50 niL, 241.57 mmol) at O0C. The reaction mixture was allowed to attain room temperature and heated to 6O0C for 6 h under nitrogen atmosphere. The reaction mixture was then cooled to room temperature, and concentrated under reduced pressure. The crude compound was basified with saturated NaHCO3 (20.00 mL) to pH ~ 8, the precipitated solid was filtered and washed with pet- ether to yield butyl 2-amino-6-(4-{[4- (morpholin-4-ylmethyl)phenyl]ethynyl}phenyl)pyrimidine-4-carboxylate (1.5 g, 65.21%) as a yellow solid Mass: calculated for C28H30N4O3, 470.58. LC-MS: [M+l] + 471.56.
1H NMR (400 MHz, δ ppm, DMSO-d6): δ 8.15 (d,2H), 7.7 (s, IH), 7.60 (m, 4H), 7.40 (d, 2H), 5.40 (sb, 2H), 4.40 (t, 2H), 4.20 (s, 2H), 4.00 (m, 4H), 3.00 (sb, 4H), 1.80 (m, 2H), 1.45 (m, 2H), 0.98 (m, 3H).
E. butyl 2-[(cyclopentylcarbamoyl)amino]-6-(4-{[4-(morpholin-4- ylmethyl)phenyl]ethynyl}phenyl)pyrimidine-4-carboxylate
To a solution of butyl 2-amino-6-(4-{[4-(morpholin-4-ylmethyl)phenyl]ethynyl} phenyl)pyrimidine-4-carboxylate (0.300 g, 0.636 mmol) and cyclopentylisocyanate (0.423 g, 3.816mmol) in DMF (4 mL) was added pyridine (0.3mL) and irradiated in microwave at 9O0C for 2.0 h. The reaction mixture was diluted with water and extracted ethyl acetate (3 x 20 mL). The organic layer was washed with water (20 mL). The combined organic extracts were dried over magnesium sulfate, filtered and evaporated.
The crude compound was purified by Prep-HPLC to obtain 100 mg of butyl 2- [(cyclopentylcarbamoyl) amino]-6-(4-{[4-(morpholin-4-ylmethyl) phenyl] ethynyl} phenyl) pyrimidine-4-carboxylate as a solid.
Mass: calculated for C34H39N5O4, 581. LC-MS: [M+l] + 582.5
1H NMR (400 MHz, δ ppm, CDCl3): δ 9.2 (m, IH), 8.10 (d, 2H), 7.99 (s, IH), 7.70 (d, 2H), 7.53 (d, 2H),7.38 (d, 2H), 4.43 (t, 2H), 4.3 (m, IH), 3.7 (m, 4H), 3.53 (s, 2H), 2.45
(m, 4H), 2.10 (m, 2H), 1.8 (m, 4H), 1.6 (m, 4H), 1.4 (m, 2H), 1.00 (t, 3H).
F. 2- [(cyclopentylcarbamoyl) amino]-Λ/-hydroxy-6-(4-{[4-(morpholin-4- ylmethyl) phenyl] ethynyl} phenyl) pyrimidine-4-carboxamide
To a solution of butyl 2-[(ethylcarbamoyl)amino]-6-(4-{[4-(morpholin-4- ylmethyl)phenyl]ethynyl}phenyl)pyrimidine-4-carboxylate (70 mg, 0.129 mmol) in 5 niL methanol/THF (1 :1) was added aqueous 50% hydroxylamine (2.0 mL) followed by catalytic amount of KCN (~5 mg) and the resulting solution was stirred at room temperature for 18 h. The reaction mixture was quenched with aqueous 10% citric acid solution (~3 mL), diluted with water (10 mL) and solid was filtered and washed with water and pet ether obtained 25.0 mg of 2-[(cyclopentylcarbamoyl)amino]-N-hydroxy-6- (4-{[4-(morpholin-4-ylmethyl)phenyl]ethynyl}phenyl)pyrimidine-4-carboxamide as a white solid .
Mass: calculated for C30H32N6O4, 540. LC-MS: [M-I-I] + 541.45.
1H NMR (400 MHz, δ ppm, DMSO-d6): δ 9.80 (s, IH), 9.00 (d, IH), 8.20 (d, 2H), 7.99 (s, IH), 7.70 (d, 2H), 7.53 (d, 2H),7.38 (d, 2H), 6.60 (s, IH), 4.09 (m, IH), 3.6 (m, 4H), 3.56 (s, 2H), 2.45 (m, 4H), 1.99 (m, 2H), 1.65 (m, 2H), 1.6 (m, 4H).
Example 180
Λ/-hydroxy-6-(4-{[4-(morpholin-4-ylmethyl)phenyl]ethynyl}phenyl)-2-[(propan-2- ylcarbamoyl)amino]pyrimidine-4-carboxamide
A. butyl 6-(4- {[4-(morpholin-4-ylmethyl)phenyl]ethynyl}phenyl)-2-[(propan-2- ylcarbamoyl)amino]pyrimidine-4-carboxylate
To a solution of Butyl 2-amino-6-(4-{[4-(morpholin-4-ylmethyl)phenyl]ethynyl} phenyl)pyrimidine-4-carboxylate (0.300 g, 0.636 mmol) and isopropylisocyanate (0.217 g, 2.55 mmol) in DMF (4 mL) was added pyridine (0.3mL) and irradiated in microwave at 9O0C for 1.0 h. The reaction mixture was diluted with water and extracted with ethyl acetate (3 x 20 mL). The organic layer was washed with water (20 mL) and the combined organic layers were dried over magnesium sulfate, filtered and evaporated. The crude compound was purified by Prep-HPLC to obtain 120 mg of butyl 6-(4-{[4- (morpholin-4-ylmethyl)phenyl]ethynyl}phenyl)-2-[(propan-2- ylcarbamoyl)amino]pyrimidine-4-carboxylate as a white solid. Mass: calculated for C32H37N5O4, 555. LC-MS: [M+l] + 556.6
B. N-hydroxy-6-(4-{[4-(morpholin-4-ylmethyl)phenyl]ethynyl}phenyl)-2-
[(propan-2-ylcarbamoyl)amino]pyrimidine-4-carboxamide
To a solution of butyl 6-(4-{[4-(morpholin-4-ylmethyl)phenyl]ethynyl}phenyl)-2- [(propan-2-ylcarbamoyl)amino]pyrimidine-4-carboxylate (70 mg, 0.129 mmol) in 5 niL methanol/THF (1 :1) was added aqueous 50% hydroxylamine (2.0 mL) followed by catalytic amount of KCN (~5 mg) and the resulting solution was stirred at room temperature for 18 h. The reaction mixture was quenched with aqueous 10% citric acid solution (~3 mL), diluted with water (10 mL) and solid was filtered and washed with water and pet ether obtained 25.0 mg of Λ/-hydroxy-6-(4-{[4-(morpholin-4- ylmethyl)phenyl]ethynyl}phenyl)-2-[(propan-2-ylcarbamoyl)amino]pyrimidine-4- carboxamide as a white solid . Mass: calculated for C2SH30N6O4, 514. LC-MS: [M+l] + 515.51
1H NMR (400 MHz, δ ppm, DMSO-d6): δ 9.75 (s, IH), 8.82 (d, IH), 8.23 (d, 2H), 8.14 (bs, IH), 7.93 (bs, IH), 7.76 (d, 2H), 7.56 (d, 2H), 7.42 (d, 2H), 3.83 (m, IH), 3.6 (m, 6H), 2.4 (m, 4H), 1.20 (d, 6H).
Example 182 jV-hydroxy-2-{[(l -methyl- lH-imidazol-4-yl)sulfonyl]amino}-6-[4-(pyridin-3- ylethynyl)phenyl]pyridine-4-carboxamide
A. methyl 2-{[(l-methyl-lH-imidazol-4-yl)sulfonyl]amino}-6-[4-(pyridin-3- ylethynyl)phenyl]pyridine-4-carboxylate
To a solution of Methyl 2-amino-6-[4-(pyridin-3-ylethynyl)phenyl]pyridine-4- carboxylate (Method 6) (200 mg, 0.60 mmol) in pyridine (10 mL) was added 1-methyl-
lH-imidazole-4-sulfonyl chloride (274 mg, 1.51 mmol) at 0 0C. After the complete addition of the sulfonyl chloride the reaction mixture was heated at 120 0C in microwave for 20 min. The reaction mixture was concentrated and MeOH (25 mL) was added to the concentrate. A pale brown solid precipitated and the precipitate was filtered and washed with methanol to give the title compound which was used without further purification. LC-MS: [M+l]+ 474.5 Mass: calculated for C24Hi9N5O4S, 473.50
1H NMR (300 MHz, DMSO-d6) δ: ppm 11.35 (s, IH); 8.79 (s, IH); 8.60 (s, IH); 8.09 (m, IH); 8.06 (m, 2H); 8.00 (m, IH); 7.94 (s, IH); 7.71 (m, 3H); 7.46 (m, 2H); 3.90 (s, 3H); 3.65 (s, 3H).
B. N-hydroxy-2-{[(l -methyl- lH-imidazol-4-yl)sulfonyl]amino}-6-[4-(pyridin-3- ylethynyl)phenyl]pyridine-4-carboxamide
The title compound was synthesized as described for Example 126 step B from methyl 2- { [( 1 -methyl- lH-imidazol-4-yl)sulfonyl] amino } -6- [4-(pyridin-3 - ylethynyl)phenyl]pyridine-4-carboxylate.
LC-MS: [M+l]+ 475.4 Mass: calculated for C23Hi8N6O4S, 474.49
1H NMR (400 MHz, DMSO-d6) δ: ppm 11.50 (bs, IH); 11.27 (bs, IH); 9.33 (s, IH); 8.78 (t, IH); 8.61 (m, IH); 8.05 (m, 4H); 7.83 (s, IH); 7.71 (m, 3H); 7.48 (m, IH); 7.30 (s, IH); 3.65 (s, 3H).
Example 183
JV-hydroxy-2- { [3 -(methylsulfanyl)propanoyl] amino } -6- [4-(pyridin-3 - ylethynyl)phenyl]pyridine-4-carboxamide
A. methyl 2- { [3 -(methylsulfanyl)propanoyl] amino } -6- [4-(pyridin-3 - ylethynyl)phenyl]pyridine-4-carboxylate
The title compound was synthesized as described for Example 126 step A from Methyl 2-amino-6-[4-(pyridin-3-ylethynyl)phenyl]pyridine-4-carboxylate (Method 6) and 3-Methylthiopropionyl chloride. LC-MS: [M+l]+ 432.4 Mass: calculated for C24H2IN3O3S, 431.50
1H NMR (400 MHz, DMSO-d6) δ: ppm 10.92 (s, IH); 8.80 (s, IH); 8.61 (d, 2H); 8.22 (d, 2H); 8.09 (s, IH); 8.01 (q, IH); 7.75 (d, 2H); 7.50 (q, IH); 3.94 (s, 3H); 2.78 (s, 4H); 2.10 (s, 3H).
B . N-hydroxy-2- { [3 -(methylsulfanyl)propanoyl] amino } -6- [4-(pyridin-3 - ylethynyl)phenyl]pyridine-4-carboxamide
The title compound was synthesized as described for Example 126 step B from methyl 2-{[3-(methylsulfanyl)propanoyl]amino}-6-[4-(pyridin-3- ylethynyl)phenyl]pyridine-4-carboxylate LC-MS: [M+l]+ 433.4 Mass: calculated for C23H20N4O3S, 432.49
1H NMR (400 MHz, DMSO-d6) δ: ppm 11.56 (s, IH); 10.77 (s, IH); 8.79 (d, IH); 8.60 (m, IH); 8.42 (s, IH); 8.21 (d, 2H); 8.02 (d, IH); 7.97 (s, IH); 7.75 (d, 2H); 7.49 (m, IH); 2.76 (s, 4H); 2.09 (s, 3H).
Example 184
2-acetamido-N-hydroxy-6-(4-((4-(morpholinomethyl)phenyl)ethynyl)phenyl) pyrimidine-4-carboxamide
A. Methyl 2-(N-acetylacetamido)-6-(4-((4-(morpholinomethyl)phenyl) ethynyl)phenyl)pyrimidine-4-carboxylate
To a solution of methyl 2-amino-6-(4-((4-(morpholinomethyl)phenyl) ethynyl)phenyl) pyrimidine-4-carboxylate (0.20 g, 0.47 mmol) in pyridine (5 mL) was added acetyl chloride (0.033 mL, 0.47 mmol) and the reaction was stirred at room temperature. LC/MS after 15 minutes indicated the reaction was complete. The reaction mixture was filtered and the solid was washed with water and dried. Mass: calculated for C29H28N4O5, 512.6. LC-MS: [M+l] + 513.3
B. 2-acetamido-N-hydroxy-6-(4-((4-(morpholinomethyl)phenyl)ethynyl)phenyl) pyrimidine-4-carboxamide
To a solution of methyl 2-(N-acetylacetamido)-6-(4-((4-(morpholinomethyl) phenyl) ethynyl)phenyl) pyrimidine-4-carboxylate (0.155 g, 0.30 mmol) in MeOH (2 mL) was added hydroxylamine, 50 wt% in water (0.463 mL, 7.56 mmol) and the reaction was stirred at room temperature. LC/MS indicated formation of product. The reaction mixture was diluted with water and extracted three times with ethyl acetate. The organic portion was washed twice with saturated sodium chloride. The combined organic extracts were dried over magnesium sulfate, filtered and evaporated to yield a solid. Mass: calculated for C26H25N5O4, 471.5 LC-MS: [M+l] + 472
1H NMR (300 MHz, DMSO-J6) δ ppm 2.31 - 2.43 (m, 7 H) 3.51 (s, 2 H) 3.54 - 3.64 (m, 4 H) 7.39 (d, J=7.93 Hz, 2 H) 7.51 - 7.60 (m, 2 H) 7.71 (m, 2 H) 8.09 (s, 1 H) 8.31 (m, J=8.31 Hz, 2 H) 10.64 (br. s., 1 H)
Example 185
N-hydroxy-6-methoxy-2-(4-((4-(morpholinomethyl)phenyl)ethynyl)phenyl) pyrimidine-4-carboxamide
A. Methyl 2'-amino-6-methoxy-2,5'-bipyrimidine-4-carboxylate
Methyl 2-chloro-6-methoxypyrimidine-4-carboxylate (0.4 g, 1.97 mmol), 2- aminopyrimidin-5-ylboronic acid (0.274 g, 1.97 mmol), K2PO4 (0.419 g, 1.97 mmol) and palladium(II) acetate (0.044 g, 0.20 mmol)/dichlorobis(tricyclohexylphosphine) palladium(II) (0.146 g, 0.20 mmol) were combined in dioxane (12 mL)/water (4.00 mL) and heated to 120 0C under argon in the microwave for 30 min. The solution was cooled to room temperature then filtered to remove palladium. The filtrate was diluted with EtOAc and the resulting solid was filtered off. The filtrate was diluted with water and extracted three times with ethyl acetate. The combined organic extracts were dried over magnesium sulfate, filtered and evaporated. Mass: calculated for C11H11N5O3, 261.2 LC-MS: [M+l] + 262
B. Methyl 2'-amino-6-bromo-2,5'-bipyrimidine-4-carboxylate
Methyl 2'-amino-6-methoxy-2,5'-bipyrimidine-4-carboxylate (0.199 g, 0.76 mmol) and HBr, 33 wt % in glacial acetic acid (0.627 mL, 3.81 mmol) were combined in EtOAc (5 mL) and heated to reflux. After 2 hours the reaction mixture was diluted with water, neutralized with NaHCO3 and extracted three times with ethyl acetate. The combined organic extracts were dried over magnesium sulfate, filtered and evaporated. Mass: calculated for C7H7BrN2O3, 247.05 LC-MS: [M+l] + 248
C. Methyl 6-methoxy-2-(4-((4-(morpholinomethyl)phenyl)ethynyl)phenyl) pyrimidine-4-carboxylate
4-(4-((4-(5,5-dimethyl-l,3,2-dioxaborinan-2-yl)phenyl)ethynyl)benzyl) morpholine (0.276 g, 0.71 mmol), methyl 2-bromo-6-methoxypyrimidine-4-carboxylate (0.175 g, 0.71 mmol), CS2CO3 (0.462 g, 1.42 mmol) and [1,1 '- bis(diphenylphosphino)ferrocene]dichloropalladium(II) (0.051 g, 0.07 mmol) were combined in acetonitrile (12 mL)/water (1 mL) and heated to 40 0C under argon. The reaction was stirred for 10 min. The solution was cooled to room temperature. The reaction mixture was diluted with water and extracted three times with ethyl acetate. The combined organic extracts were dried over magnesium sulfate, filtered and evaporated to
a solid. Normal phase silica gel column (0%-100% ethyl acetate/dichloromethane) afforded the desired compound as a solid. Mass: calculated for C26H25N3O4, 443.5 LC-MS: [M+l] + 444
D. N-hydroxy-6-methoxy-2-(4-((4-(morpholinomethyl)phenyl)ethynyl)phenyl) pyrimidine-4-carboxamide
To a solution of methyl 6-methoxy-2-(4-((4-(morpholinomethyl)phenyl)ethynyl) phenyl)pyrimidine-4-carboxylate (0.084 g, 0.19 mmol) in MeOH (2 mL) was added hydroxylamine, 50 wt% in water (0.290 mL, 4.74 mmol) and the reaction was stirred at room temperature overnight. The reaction mixture was concentrated. Reverse phase C18 column (10%-75% acetonitrile/water) afforded the desired product as a solid. Mass: calculated for C25H24N4O4, 444.5 LC-MS: [M+l] + 445
1H NMR (300 MHz, DMSO-J6) δ ppm 2.31 - 2.42 (m, 4 H) 3.51 (s, 2 H) 3.54 - 3.63 (m, 4 H) 4.11 (s, 3 H) 7.24 (s, 1 H) 7.39 (m, J=8.12 Hz, 2 H) 7.56 (m, J=8.12 Hz, 2 H) 7.70 (m, J=8.50 Hz, 2 H) 8.70 (m, J=8.50 Hz, 2 H) 9.37 (br. s., 1 H) 11.82 (br. s., 1 H)
Example 186
2-(cyclopropanecarboxamido)-N-hydroxy-6-(4-((4-(morpholinomethyl)phenyl) ethynyl)phenyl)pyrimidine-4-carboxamide
To a solution of methyl 2-amino-6-(4-((4-(morpholinomethyl)phenyl) ethynyl)phenyl) pyrimidine-4-carboxylate (0.20 g, 0.47 mmol) in Pyridine (5 mL) was added cyclopropanecarbonyl chloride (0.043 mL, 0.47 mmol) and the reaction was stirred at room temperature. After 15 minutes the reaction mixture was diluted with water and extracted twice with ethyl acetate. The organic portion was washed twice with water. The combined organic extracts were dried over magnesium sulfate, filtered and evaporated to a yellow oil which solidified upon standing.
Furthermore, to a solution of methyl 2-(cyclopropanecarboxamido)-6-(4-((4- (morpholinomethyl)phenyl)ethynyl)phenyl)pyrimidine-4-carboxylate (0.196 g, 0.39 mmol) in MeOH (2 mL) was added hydroxylamine, 50wt% in water (0.605 mL, 9.87 mmol) and the reaction was stirred at room temperature. After stirring 6 hours the reaction mixture was diluted with water and extracted three times with ethyl acetate. The organic portion was washed twice with saturated sodium chloride. The combined organic extracts were dried over magnesium sulfate, filtered and evaporated to a light yellow solid. Mass: calculated for C28H27N5O4, 497.6 LC-MS: [M+l] + 498.4
1H NMR (300 MHz, DMSO-J6) δ ppm 0.81 - 0.93 (m, 5 H) 2.33 - 2.44 (m, 4 H) 3.52 (s, 2 H) 3.55 - 3.63 (m, 4 H) 7.39 (d, J=8.12 Hz, 2 H) 7.56 (d, J=8.12 Hz, 2 H) 7.73 (d, J=8.31 Hz, 2 H) 8.08 (s, 1 H) 8.32 (d, J=8.50 Hz, 2 H) 11.01 (s, I H)
Example 187
JV-hydroxy-2- [(methylsulfonyl)amino] -5 -[4-(pyridin-3 -ylethynyl)phenyl]pyridine- 3-carboxamide
A. methyl 2-amino-5-bromopyridine-3-carboxylate
A solution of 2-amino-5-bromopyridine-3-carboxylic acid (10 g, 0.048 mol) in methanol (100 mL) was cooled to 0 0C and thionyl chloride (12.7 mL, 0.17 mol) was added. The reaction was stirred at room temperature for 1 h. The reaction mixture was then refluxed at 70 0C for 48 h. The reaction mixture was concentrated and diluted with cold water, neutralized with aq. NaHCO3 (10%) and extracted with ethyl acetate (3 x 150 mL). The combined organic layers were washed with brine, dried over anhydrous sodium sulfate and concentrated to afford 3 g of the desired product. LC-MS: [M+l]+ 232.1 Mass: calculated for C7H7BrN2O2, 231.04 1H NMR (400 MHz, CDCl3) δ: ppm 8.23 (d, IH); 8.26 (d, IH); 3.91 (s, 3H).
B. Methyl 2-amino-5-[4-(pyridin-3-ylethynyl)phenyl]pyridine-3-carboxylate
Methyl 2-amino-5-bromopyridine-3-carboxylate (5 g, 21.6 mmol), 3-{[4-(5,5- dimethyl-l,3,2-dioxaborinan-2-yl)phenyl]ethynyl}pyridine (6.29 g, 21.6 mmol) and
sodium carbonate (4.59 g, 43.3 mmol) were taken up in 1,4-dioxane: water (9:1, 50 mL). The solution was degassed with a stream of N2 for 10 minutes. After this time, Pd(Ph3P)4 (2.49 g, 2.16 mmol) was added and the reaction was stirred at 95 0C for 14 h. LC-MS indicated formation of the desired product. Reaction mixture was diluted with ethyl acetate and filtered. The filtrate was washed with brine, dried over anhydrous sodium sulphate and concentrated. The residue thus obtained was subjected to silica gel (230-400 mesh) column chromatography for purification (10-30% Ethyl acetate in Hexanes) to afford 2 g of desired product. LC-MS: [M+l]+ 330.4 Mass: calculated for C20Hi5N3O2, 329.35
C . Methyl 2- [(methylsulfonyl)amino] -5 - [4-(pyridin-3 -ylethynyl)phenyl]pyridine- 3-carboxylate
To a solution of methyl 2-amino-5-[4-(pyridin-3-ylethynyl)phenyl]pyridine-3- carboxylate (0.25 g, 0.76 mmol) in pyridine (0.25 mL) was added methane sulfonyl chloride (0.5 mL, 6.5 mmol) at room temperature and stirred for 1 h. LC-MS indicated formation of the acetylated product. The reaction mixture was added to cold water and extracted with ethyl acetate (3 x 10 mL). The organic layer was washed with brine and dried over the anhydrous sodium sulfate and concentrated to obtain 0.25 g of the residue, which was taken for the next step without further purification. LC-MS: [M+l]+ 408.4 Mass: calculated for C2IHnN3O4S, 407.44
D. Λ/-hydroxy-2-[(methylsulfonyl)amino]-5-[4-(pyridin-3-ylethynyl)phenyl] pyridine-3 -carboxamide
To a solution of methyl 2-[(methylsulfonyl)amino]-5-[4-(pyridin-3- ylethynyl)phenyl]pyridine-3-carboxylate (0.25 g, 0.61 mmol) in Methanol :THF (1 :1, 2.5 niL), aq. hydroxylamine (50%, 2.5 niL) was added and the reaction was stirred at room temperature for 5 h. After this time, LC-MS indicated formation of the desired product. The reaction was concentrated and the crude residue was taken up in DMSO for reverse phase purification. The clean fractions were pooled, concentrated and lyophilized overnight to afford 13 mg of the desired product as off- white solid. LC-MS: [M+l]+ 409.4 Mass: calculated for C20Hi6N4O4S, 408.43
1H NMR (400 MHz, DMSO) δ: ppm 11.88 (s, IH); 11.15 (s, IH); 9.58 (s, IH); 8.86 (m, IH); 8.78 (s, IH); 8.59 (m, IH); 8.45 (s, IH); 8.00 (m, IH); 7.87 (m, IH); 7.74 (m, 2H); 7.48 (m, IH); 3.32 (s, 3H).
Example 188
Λ/-hydroxy-2-{[(3-methoxyphenyl)carbonyl]amino}-6-[4-(pyridin-3- ylethynyl)phenyl]pyridine-4-carboxamide
A. methyl 2- { [(3 -methoxyphenyl)carbonyl] amino } -6- [4-(pyridin-3 - ylethynyl)phenyl]pyridine-4-carboxylate
The title compound was synthesized as described for Example 126 step A from Methyl
2-amino-6-[4-(pyridin-3-ylethynyl)phenyl]pyridine-4-carboxylate (Method 6) and 3-
Methoxybenzoyl chloride.
LC-MS: [M+l]+ 464.5
Mass: calculated for C28H2IN3O4, 463.48
1H NMR (400 MHz, DMSO-d6) δ: ppm 11.03 (s, IH); 8.80 (s, IH); 8.68 (s, IH); 8.62 (q, IH); 8.31 (d, 2H); 8.17 (d, IH); 8.02 (m, IH); 7.76 (d, 2H); 7.64 (d, IH); 7.63 (m, IH); 7.49 (m, IH); 7.2 (q, IH); 3.97 (s, 3H); 3.87 (s, 3H).
B . JV-hydroxy-2- { [(3 -methoxyphenyl)carbonyl]amino } -6- [4-(pyridin-3 - ylethynyl)phenyl]pyridine-4-carboxamide
The title compound was synthesized as described for Example 126 step B from methyl 2- { [(3 -methoxyphenyl)carbonyl] amino } -6-[4-(pyridin-3 - ylethynyl)phenyl]pyridine-4-carboxylate
LC-MS: [M+l]+ 465.5
Mass: calculated for C27H20N4O4, 464.47
1H NMR (400 MHz, DMSO-dg) δ: ppm 10.94 (s, IH); 8.80 (s, IH); 8.61 (q, IH); 8.51 (s, IH); 8.27 (m, 2H); 8.07 (s, IH); 8.01 (m, IH); 7.78 (d, 2H); 7.62 (m, 2H); 7.48 (m, 2H); 7.20 (q, IH); 3.87 (s, 3H).
Example 189
2- [(butylsulfonyl)amino] -JV-hydroxy-6- [4-(pyridin-3 -ylethynyl)phenyl]pyridine- 4-carboxamide
A. methyl 2-[(butylsulfonyl)amino]-6-[4-(pyridin-3-ylethynyl)phenyl]pyridine-4- carboxylate
The title compound was synthesized as described for Example 126 step A from Methyl 2-amino-6-[4-(pyridin-3-ylethynyl)phenyl]pyridine-4-carboxylate (Method 6) and 1-Butanesulfonyl Chloride. LC-MS: [M+l]+ 450.5 Mass: calculated for C24H23N3O4S, 449.52
B. 2-[(butylsulfonyl)amino]-N-hydroxy-6-[4-(pyridin-3-ylethynyl)phenyl] pyridine-4-carboxamide
The title compound was synthesized as described for Example 126 step B from methyl 2-[(butylsulfonyl)amino]-6-[4-(pyridin-3-ylethynyl)phenyl]pyridine-4- carboxylate LC-MS: [M+l]+ 451.5 Mass: calculated for C23H22N4O4S, 450.51
1H NMR (400 MHz, DMSO-d6) δ: ppm 10.50 (bs, 2H); 8.78 (s, IH); 8.60 (d, IH); 8.14 (d, 2H); 8.00 (m, IH); 7.87 (s, IH); 7.74 (m, 2H); 7.54 (m, IH); 7.47 (m, IH); 7.18 (s, IH); 3.57 (t, 2H); 1.70 (m, 2H); 1.38 (m, 2H); 0.82 (t, 3H).
Example 190 2-({[2-(acetylamino)-4-methyl-l,3-thiazol-5-yl]sulfonyl}amino)-Λ/-hydroxy-6-[4-
(pyridin-3-ylethynyl)phenyl]pyridine-4-carboxamide
A. methyl 2-({[2-(acetylamino)-4-methyl-l,3-thiazol-5-yl]sulfonyl}amino)-6-[4- (pyridin-3-ylethynyl)phenyl]pyridine-4-carboxylate
The title compound was synthesized as described for Example 182 step A from Methyl 2-amino-6-[4-(pyridin-3-ylethynyl)phenyl]pyridine-4-carboxylate (Method 6) and 2-Acetamido-4-methyl-5-thiazolesulfonyl chloride. LC-MS: [M+l]+ 548.4 Mass: calculated for C26H2IN5O5S2, 547.60
B . 2-( { [2-(acetylamino)-4-methyl- 1 ,3 -thiazol-5 -yl] sulfonyl} amino)-N-hydroxy- 6- [4-(pyridin-3 -ylethynyl)phenyl]pyridine-4-carboxamide
The title compound was synthesized as described for Example 126 step B from methyl 2-({[2-(acetylamino)-4-methyl-l,3-thiazol-5-yl]sulfonyl}amino)-6-[4-(pyridin-3- ylethynyl)phenyl]pyridine-4-carboxylate
LC-MS: [M+l]+ 549.4
Mass: calculated for C25H20N6O5S2, 548.59
1H NMR (400 MHz, DMSO-d6) δ: ppm 12.45 (bs, IH); 11.66 (bs, IH); 11.51 (bs, IH); 9.33 (s, IH); 8.79 (s, IH); 8.60 (d, IH); 8.09 (d, 2H); 8.02 (d, IH); 7.82 (s, IH); 7.66 (d, 2H); 7.48 (m, IH); 7.23 (s, IH); 2.46 (s, 3H); 2.12 (s, 3H).
Example 191
6-(furan-2-yl)-Λ/-hydroxy-3-methoxy-2-[4-(pyridin-3-ylethynyl) phenyl] pyridine- 4-carboxamide
A. ethyl JV-(furan-2-ylcarbonyl) glycinate
To a solution of furan-2-carboxylic acid (10.0 g, 85.83 mmol) in dichloromethane
(300 niL) at 00C was added EDCHCl (20.4 g, 107.14 mmol) and HOBt (16.4 g, 107.14 mmol). The reaction mixture was stirred for 1 h and glycine ethyl ester hydrochloride (14.9 g, 107.14 mmol) was added followed by diisopropyl ethylamine (23.05 g, 178.4 mmol). The reaction mixture was stirred at room temperature for 18 h and diluted with cold water (100 mL). The organic layer was separated, washed with brine (100 mL), dried over anhydrous Na2SO4 and evaporated to dryness to get the crude compound. The crude compound was triturated with pet ether (100 mL), filtered the solid product, washed with pet-ether (50 mL) and dried under vacuum to obtain ethyl JV-(furan-2- ylcarbonyl)glycinate (15.1 g, 85.8%). LC-MS: [M+H]+, 198.42
Mass: calculated for C9HnNO4, 197.19
1H NMR (400 MHz, δ ppm, DMSO-d6): δ 7.46 (d, IH), 7.14 (d, IH), 6.88 (sb, IH), 6.50
To a solution of triphenylphosphine (39.89 g, 152.28 mmol) in dichloromethane (200 niL) was added iodine (38.64 g, 152.28 mmol) followed by dropwise addition of triethylamine (30.8 g, 304.56 mmol) and stirred for 30 min at room temperature. A solution of ethyl JV-(furan-2-ylcarbonyl)glycinate (15.7 g, 73.7 mmol) in dichloromethane (50 ml) was added to the above reaction mixture over a period of 30 min and stirred at room temperature for 24 h. The reaction mixture was diluted with water (200 mL), separated the organic layer and washed with aq. 10% sodium metabisulfϊte solution (150 mL), water (150 mL) and brine (100 mL), dried over anhydrous Na2SO4 and evaporated to dryness to obtain the crude compound. The crude compound was purified by column chromatography (Silica gel, 100-200 mesh) using 10% ethyl acetate in pet ether as mobile phase to obtain 5-ethoxy-2-(furan-2-yl)-l, 3-oxazole (7.0 g, 50%). LC-MS: [M+H]+, 180.37
Mass: calculated for C9H9NO3, 179.18
1H NMR (400 MHz, δ ppm, DMSO-d6): δ 7.49 (d, IH), 6.83 (d, IH), 6.48 (m, IH), 6.20
(s, IH), 4.20 (q, 2H), 1.45 (t, 3H)
C. ethyl 2-(furan-2-yl)-5-hydroxypyridine-4-carboxylate
A solution of 5-ethoxy-2-(furan-2-yl)-l, 3-oxazole (2.5 g, 13.96 mmol) in ethyl acrylate (1.39 g, 13.96 mmol) was heated in a sealed tube at 100 0C for 36 h. The reaction mixture was cooled and concentrated to remove excess ethyl acrylate. The crude compound was purified by column chromatography (Silica gel, 100-200 mesh) using 2%
ethyl acetate in pet ether as mobile phase to yield ethyl 2-(furan-2-yl)-5-hydroxypyridine-
4-carboxylate (1.4 g, 43%).
LC-MS: [M+H] +, 234.39
Mass: calculated for CI2HHNO4, 233.23
1H NMR (400 MHz, δ ppm, CDCl3): δ 10.33 (s, IH), 8.47 (s, IH), 8.0 (s, IH), 7.49 (d,
IH), 6.92 (d, IH), 6.51 (d, IH), 4.49(q, 2H), 1.47 (t, 3H).
D. ethyl 2-bromo-6-(furan-2-yl)-3-hydroxyisonicotinate
2.14 mmol) in DMF (10.0 rnL) was added N-bromosuccinimide (0.42 g, 2.36 mmol). The solution was stirred at room temperature for 1 h. The reaction mixture was poured into cold water (50 mL), extracted with ethyl acetate (50 mL x 2). The combined organic layer was washed with brine (25 mL), dried over anhydrous Na2SO4 evaporated to dryness to obtain ethyl 2-bromo-6-(furan-2-yl)-3-hydroxyisonicotinate (0.61 g, 91%). LC-MS: [M, M+2]+ , 312.2,314.2 Mass: calculated for Ci2Hi0BrNO4, 312.12
1H NMR (400 MHz, δ ppm, CDCl3): δ 10.40 (s, IH), 8.45 (s, IH), 7.95 (s, IH), 6.88 (d, IH), 6.43 (d, IH), 4.50 (q, 2H), 1.48 (t, 3H).
E. ethyl 2-bromo-6-(furan-2-yl)-3-methoxypyridine-4-carboxylate
To a solution of ethyl 2-bromo-6-(furan-2-yl)-3-hydroxyisonicotinate (0.6 g, 1.9 mmol) in 1 :1 methanol/THF (15 mL) at 00C was added TMS-diazomethane (4.8 niL, 9.6 mmol, 2.0 M solution in diethyl ether). The reaction mixture was brought to room temperature and stirred for 18 h. The solvent was evaporated under reduced pressure, diluted with water (25 mL), extracted with ethyl acetate (50 mL x 2). The combined organic layer was washed with brine (25 mL), dried over anhydrous Na2SO4 and dried under vacuum to yield crude ethyl 2-bromo-6-(furan-2-yl)-3-methoxypyridine-4- carboxylate (110 mg). LC-MS: [M, M+2]+ 326.29, 328.29 Mass: calculated for Ci3Hi2BrNO4, 326.15
1H NMR (400 MHz, δ ppm, CDCl3): δ 8.39 (s, IH), 7.91 (s, IH), 6.90 (d, IH), 6.44 (d, IH), 4.40 (q, 2H), 4.0 (s, 3H), 1.40 (t, 3H).
F . ethyl 6-(furan-2-yl)-3 -methoxy-2- [4-(pyridin-3 -ylethynyl)phenyl]pyridine-4- carboxylate
To a degassed solution of cesium carbonate (0.4 g, crude, 1.22 mmol) in 1,4- dioxane/water (5 mL/ 1.0 mL) was added methyl 2-bromo-6-(furan-2-yl)-3- methoxypyridine-4-carboxylate (0.1 g, 0.3 mmol) followed by 3-((4-(5, 5-dimethyl-l, 3, 2-dioxaborinan-2-yl) phenyl)ethynyl)pyridine (0.1 g, 0.36 mmol). The reaction mixture was degassed for another 10 min and was added Pd (PPh3)4 (17.7 mg, 0.015 mmol) and the resulting solution was degassed for another 10 min. The reaction mixture was heated under argon atmosphere at 9O0C for 4 h. The solvent was evaporated to dryness under reduced pressure. The residue was diluted with ethyl acetate (25 mL) and washed with water (10 mL). The aqueous layer was extracted with ethyl acetate (25 mL x 2) and the
combined organic layer was washed with brine solution (10 mL), dried over anhydrous magnesium sulfate , filtered through a pad of celite and evaporated under reduced pressure to yield crude ethyl 6-(furan-2-yl)-3-methoxy-2-[4-(pyridin-3- ylethynyl)phenyl]pyridine-4-carboxylate (0.12 g).
LC-MS: [M+l]+ 425.40
Mass: calculated for C26H20N2O4, 424.46
G. 6-(furan-2-yl)-Λ/-hydroxy-3-methoxy-2-[4-(pyridin-3-ylethynyl) phenyl] pyridine-4-carboxamide
To a solution of methyl 6-(furan-2-yl)-3-methoxy-2-[4-(pyridin-3- ylethynyl)phenyl]pyridine-4-carboxylate (0.1 g, 0.24 mmol, crude) in 3 mL methanol/THF (1 :1) was added aqueous 50% hydroxylamine (1.5 mL) followed by catalytic amount of KCN (~5 mg) and the resulting solution was stirred at room temperature for 4 h. The reaction mixture was quenched with aqueous 10% citric acid solution (~2 mL) and stirred for 15 min. The precipitated solid was filtered, washed with water and dried under vacuum to get 6-(furan-2-yl)-Λ/-hydroxy-3-methoxy-2-[4-(pyridin- 3-ylethynyl)phenyl]pyridine-4-carboxamide (40 mg, 40%). LC-MS: [M-H]+, 412.44 Mass: calculated for C24HnN3O4, 411.42
1H NMR (400 MHz, δ ppm, DMSO-d6): δ 10.96 (sb, IH), 9.34 (sb, IH), 8.78 (d, IH), 8.60 (d, IH), 8.53 (s, IH), 8.0 (d, IH), 7.92 (m, 3H), 7.67 (dd, 2H), 7.48 (m, IH), 7.26 (d, IH), 7.18 (d, IH), 4.0 (s, 3H).
Example 192
Λ/-hydroxy-5-methoxy-6-[4-(pyridin-3-ylethynyl) phenyl] -2, 3 '-bipyridine-4- carboxamide
A. ethyl JV-(pyridin-3-ylcarbonyl) glycinate
To a solution of nicotinic acid (10.0 g, 81.3 mmol) in THF (200 ml) at 00C was added EDCHCl (18.6 g, 97.56 mmol) and HOBt (14.9 g, 97.56 mmol). The reaction mixture was stirred for 1 h and glycine ethyl ester hydrochloride (13.6 g, 97.56 mmol) was added followed by diisopropyl ethylamine (21.01 g, 162.6 mmol). The reaction mixture stirred at room temperature for 18 h. The reaction was diluted with cold water (100 mL), extracted with ethyl acetate (200 mL x 2). The combined organic layer was washed with brine (100 mL), dried over anhydrous Na2SO4 and evaporated under reduced pressure. The crude compound was purified by column chromatography (Silica gel, 100-200 mesh) using 25% ethyl acetate in pet ether as eluent to obtain ethyl N- (pyridin-3-ylcarbonyl)glycinate (11.2 g, 66.2%). LC-MS: [M+H]+, 209.20 Mass: calculated for Ci0Hi2N2O3, 208.22 1H NMR (400 MHz, δ ppm, CDC13): δ 9.04 (d, IH), 8.75 (m, IH), 8.15 (dd, IH), 7.40 (m, IH), 6.80 (sb, IH), 4.30 (m, 4H), 1.34 (t, 3H).
B. 3-(5-ethoxy-l, 3 -oxazol-2-yl) pyridine
To a solution of triphenylphosphine (27.4 g, 104.8 mmol) in dichloromethane (200 mL) was added iodine (26.59 g, 104.8 mmol) followed by dropwise addition of triethylamine (21.2 g, 209.6 mmol) and stirred for 30 min at room temperature. A
solution of ethyl JV-(pyridin-3-ylcarbonyl)glycinate (10.9 g, 52.4 mmol) in dichloromethane (50 mL) was added to the above reaction mixture over a period of 30 min and stirred at room temperature for 24 h. The reaction mixture was diluted with water (100 mL) and separated the organic layer. The organic layer was washed with aq. 10% sodium metabisulfite solution (200 mL), water (150 mL) and brine (100 mL), dried over anhydrous Na2SO4 and evaporated to dryness. The crude compound was dissolved in ethyl acetate (200 mL), washed with 10% HCl (50 mL), separated the organic layer. The aq. layer was cooled and basified with saturated bicarbonate solution, extracted with ethyl acetate (100 ml x 2). The combined organic layer was washed with brine (50 mL), dried over anhydrous Na2SO4 and evaporated under reduced pressure to obtain 3-(5-ethoxy- 1 , 3-oxazol-2-yl) pyridine (4.O g, 40%). LC-MS: [M+H]+, 191.37 Mass: calculated for CiOHi0N2O2, 190.20 1H NMR (400 MHz, δ ppm, CDC13): δ 9.15 (d, IH), 8.61 (m, IH), 8.17 (dd, IH), 7.37 (m, IH), 6.25 (s, IH), 4.20 (q, 4H), 1.48 (t, 3H).
C. ethyl 5-hydroxy-2, 3'-bipyridine-4-carboxylate
A solution of 3-(5-ethoxy-l,3-oxazol-2-yl)pyridine (2.5 g, 13.15 mmol) in ethyl acrylate (1.3 g, 13.156 mmol) was heated in a sealed tube at 1000C for 48 h. The reaction mixture was cooled and concentrated to remove excess of ethyl acrylate. The crude compound was purified by column chromatography (Silica gel, 100-200 mesh) using 20% ethyl acetate in pet ether as mobile phase to get ethyl 5-hydroxy-2,3'-bipyridine-4- carboxylate (0.3 g, 10%). LC-MS : [M+H] +, 245.46
Mass: calculated for Ci3Hi2N2O3, 244.25
1U NMR (400 MHz, δ ppm, CDCl3): δ 10.42 (s, IH), 9.15 (s, IH), 8.60 (m, 2H), 8.26 (dd, IH), 8.08 (s, IH), 7.41 (m, IH), 4.50(q, 2H), 1.47 (t, 3H).
D. ethyl 6-bromo-5-hydroxy-2, 3'-bipyridine-4-carboxylate
To a solution of ethyl 5-hydroxy-2, 3'-bipyridine-4-carboxylate (0.26 g, 1.06 mmol) in DMF (10.0 niL) was added N-bromosuccinimide (0.21 g, 1.17 mmol). The solution was stirred at room temperature for 1 h. The reaction mixture was poured into cold water (50 mL), and extracted with ethyl acetate (50 mL x 2). The combined organic layer was washed with brine (25 mL), dried over anhydrous Na2SO4 evaporated to dryness to obtain ethyl 6-bromo-5-hydroxy-2,3'-bipyridine-4-carboxylate (0.3 g, 88.2%).
LC-MS: [M, M+2]+ , 323.27, 325.27
Mass: calculated for Ci3HnBrN2O3, 323.15
1H NMR (400 MHz, δ ppm, CDCl3): δ 11.20 (sb, IH), 9.13 (s, IH), .8.63 (d, IH), 8.28 (dd, IH), 8.06 (s, IH), 7.39 (m, IH), 4.54 (q, 2H), 1.47 (t, 3H).
E. ethyl 6-bromo-5-methoxy-2,3'-bipyridine-4-carboxylate
To a solution of ethyl 6-bromo-5-hydroxy-2,3'-bipyridine-4-carboxylate (0.26 g, 0.8 mmol) in 1 : 1 methanol/THF (5 mL) at 00C was added TMS-diazomethane (0.8 mL, 1.6 mmol, 2.0 M solution in diethyl ether). The reaction mixture was brought to room temperature and stirred for 18 h. The solvent was evaporated under reduced pressure,
diluted with water (25 mL), extracted with ethyl acetate (50 mL x 2). The combined organic layer was washed with brine (25 mL), dried over anhydrous Na2SO4 and dried under vacuum to get crude ethyl 6-bromo-5-methoxy-2, 3'-bipyridine-4-carboxylate
(0.30 g).
LC-MS: [M, M+2]+ ,337.26, 339.26
Mass: calculated for Ci4Hi3BrN2O3, 337.18
F. ethyl 5-methoxy-6-[4-(pyridin-3-ylethynyl) phenyl]-2, 3'-bipyridine-4- carboxylate
To a degassed solution of cesium carbonate (0.58 g, crude, 1.78 mmol) in 1,4- dioxane/water (5 mL/ 1.0 mL) was added ethyl 6-bromo-5-methoxy-2,3'-bipyridine-4- carboxylate (0.15 g, 0.3 mmol, crude) followed by 3-((4-(5, 5-dimethyl-l, 3, 2- dioxaborinan-2-yl) phenyl)ethynyl) pyridine (0.15 g, 0.53 mmol). The reaction mixture was degassed for another 10 min and Pd (PPh3)4 (25.7 mg, 0.02 mmol) was added and the resulting solution was degassed for 10 min. The reaction mixture was heated under argon atmosphere at 9O0C for 4 h. The solvent was evaporated to dryness under reduced pressure. The residue was diluted with ethyl acetate (25 mL) and washed with water (10 mL). The aqueous layer was extracted with ethyl acetate (25 mL x 2). The combined organic layer was washed with brine solution (10 mL), dried over anhydrous magnesium sulfate , filtered through a pad of celite and evaporated under reduced pressure to get crude ethyl 5 -methoxy-6- [4-(pyridin-3 -y lethynyl)phenyl] -2,3 '-bipyridine-4-carboxylate (0.3 g). LC-MS: [M+l]+ 436.37 Mass: calculated for C27H2iN3O3, 435.49
G. Λ/-hydroxy-5-methoxy-6-[4-(pyridin-3-ylethynyl) phenyl]-2, 3'-bipyridine-4- carboxamide
To a solution of ethyl 5-methoxy-6-[4-(pyridin-3-ylethynyl)phenyl]-2,3'- bipyridine-4-carboxylate (0.15 g, 0.24 mmol, crude) in 3 rnL methanol/THF (1 :1) was added aqueous 50% hydroxylamine (1.5 rnL) followed by catalytic amount of KCN (~5 mg) and the resulting solution was stirred at room temperature for 18 h. The reaction mixture was quenched with aqueous 10% citric acid solution (~2 mL) and stirred for 15 min. The precipitated solid was filtered, washed with water and dried under vacuum to get Λ/-hydroxy-5-methoxy-6-[4-(pyridin-3-ylethynyl)phenyl]-2,3'-bipyridine-4- carboxamide, (15 mg). LC-MS: [M-H]+, 423.39 Mass: calculated for C25Hi8N4O3, 422.45
1H NMR (400 MHz, δ ppm, DMSO-d6): δ 11.20 (sb, IH), 9.47 (sb, IH), 9.34 (s, IH), 8.81 (s, IH), 8.65-8.51 (m, 3H), 8.13-8.02 (m, 4H), 7.76 (d, 2H), 7.55 (m, 2H), 3.67 (s, 3H).
Example 193
JV-hydroxy-2- { [(3 -methoxyphenyl)carbamoyl] amino } -6-(4- { [4-(morpholin-4- ylmethyl)phenyl]ethynyl}phenyl)pyrimidine-4-carboxamide
A. butyl 2- { [(3 -methoxyphenyl)carbamoyl] amino } -6-(4- { [4-(morpholin-4- ylmethyl)phenyl]ethynyl}phenyl)pyrimidine-4-carboxylate
To a solution of butyl 2-amino-6-(4-{[4-(morpholin-4-ylmethyl)phenyl] ethynyl}phenyl)pyrimidine-4-carboxylate (0.300 g, 0.638 mmol) and p- methoxybenzylisocyanate (0.280 g, 1.914mmol) in DMF (4 niL) was added a drop of pyridine (0.1 rnL) and irradiated in microwave at 9O0C for 1.0 h. The reaction mixture was diluted with water and extracted with ethyl acetate (3 x 20 mL). The organic layer was washed with water (20 mL), dried over magnesium sulfate, filtered and evaporated to get the crude compound. The crude compound was purified by Prep-HPLC to get 110 mg of butyl 2- { [(3 -methoxyphenyl)carbamoyl] amino } -6-(4- { [4-(morpholin-4- ylmethyl)phenyl]ethynyl}phenyl)pyrimidine-4-carboxylate as a white solid. Mass: calculated for C36H37N5O5, 619.7. LC-MS: [M+l] + 620.7. 1H NMR (400 MHz, δ ppm, DMSO-d6): δ 11.60 (sb, IH), 8.10 (d, 2H), 8.05 (s, IH), 7.50 (d, 2H), 7.60 (s, IH), 7.56 (d, 2H), 7.45 (s, IH), 7.45 (d, 2H), 6.65 (d, IH), 4.40 (t, 2H), 3.98 (s, 3H), 3.80 (m, 4H), 3.50 (s, 2H), 2.40( m,4H), 1.80 (m, 2H), 1.45 (m, 2H), 0.98 (m, 3H).
B . N-hydroxy-2- { [(3 -methoxyphenyl)carbamoyl] amino } -6-(4- { [4-(morpholin-4- ylmethyl)phenyl]ethynyl}phenyl)pyrimidine-4-carboxamide
To a solution of butyl 2-{[(3-methoxyphenyl)carbamoyl]amino}-6-(4-{[4- (morpholin-4-ylmethyl)phenyl]ethynyl}phenyl)pyrimidine-4-carboxylate (100 mg, 0.16 mmol) in 15 niL methanol/THF (1 :1) was added aqueous 50% hydroxylamine (2.0 niL) followed by catalytic amount of KCN (~5 mg) and the resulting solution was stirred at room temperature for 18 h. The reaction mixture was quenched with aqueous 10% citric acid solution (~3 mL), diluted with water (10 mL) and extracted with 10% methanol: chloroform (50 mL x 2). The combined organic layer was washed with brine solution (25 mL), dried over anhydrous magnesium sulfate and evaporated under reduced pressure. The crude compound was purified by Prep-HPLC to obtain N-hydroxy-2-{[(3- methoxyphenyl)carbamoyl] amino } -6-(4- { [4-(morpholin-4- ylmethyl)phenyl]ethynyl}phenyl)pyrimidine-4-carboxamide Mass: calculated for C32H30N6O5, 578. LC-MS: [M+l] + 579.48
1H NMR (400 MHz, δ ppm, DMSO-d6): δ 11.4 (bs, IH), 10.28 (s, IH), 8.30 (d, 2H), 8.14 (s, 2H), 8.04 (s, IH), 7.8 (d, 2H), 7.54 (d, 2H), 7.2 (d, 2H), 7.23 (m, 2H), 7.18 (d, IH), 6.63 (d, IH), 3.8 (s, 3H), 3.6 (m, 6H), 2.4 (m, 4H).
Example 194 JV-hydroxy-2- { [( 1 -methyl- lH-indol-4-yl)carbamoyl]amino} -6-(4- { [4-(morpholin-
4-ylmethyl)phenyl]ethynyl}phenyl)pyrimidine-4-carboxamide
A. butyl 2- { [( 1 -methyl- 1 H-indol-4-yl)carbamoyl] amino } -6-(4- { [4-(morpholin-4- ylmethyl)phenyl]ethynyl}phenyl)pyrimidine-4-carboxylate
To a solution of butyl 2-amino-6-(4-{[4-(morpholin-4-ylmethyl)phenyl]ethynyl}phenyl) pyrimidine-4-carboxylate (0.300 g, 0.638 mmol) and 4-Isocyanio-l -methyl- lH-indole (0.438 g, 2.544 mmol) in DMF (4 mL) was added pyridine (0.1 mL) and irradiated in microwave at 9O0C for 2.0 h. The reaction mixture was diluted with water and extracted with ethyl acetate (3 x 20 mL). The organic layer was washed with water (20 mL). The combined organic extract was dried over magnesium sulfate, filtered and evaporated. The crude compound was purified by column chromatography (silica gel, 100-200 mesh) using 60% ethyl acetate in pet-ether as mobile phase to yield 220 mg of butyl 2-{[(l- methyl- lH-indol-4-yl)carbamoyl]amino} -6-(4- { [4-(morpholin-4- ylmethyl)phenyl]ethynyl}phenyl)pyrimidine-4-carboxylate as a solid. Mass: calculated for CSgH38N6O4, 642. LC-MS: [M+l] + 643.78.
B . Λ/-hydroxy-2- { [( 1 -methyl- l/f-indol-4-yl)carbamoyl] amino } -6-(4- { [4-
(morpholin-4-ylmethyl)phenyl]ethynyl}phenyl)pyrimidine-4-carboxamide
To a solution of butyl 2-{[(l-methyl-lH-indol-4-yl)carbamoyl]amino}-6-(4-{[4- (morpholin-4-ylmethyl)phenyl]ethynyl}phenyl)pyrimidine-4-carboxylate (220 mg, 0.34 mmol) in 15 niL methanol/THF (1 :1) was added aqueous 50% hydroxylamine (2.0 niL) followed by catalytic amount of KCN (~5 mg) and the resulting solution was stirred at room temperature for 18 h. The reaction mixture was quenched with aqueous 10% citric acid solution (~3 mL), diluted with water (10 mL) and extracted with 10% methanol: chloroform (50 mL x 2). The combined organic layer was washed with brine solution (25 mL), dried over anhydrous magnesium sulfate and evaporated under reduced pressure. The crude compound was purified by Prep-HPLC to obtain 25 mg JV-hydroxy-2-{[(l- methyl- lH-indol-4-yl)carbamoyl]amino} -6-(4- { [4-(morpholin-4- ylmethyl)phenyl]ethynyl}phenyl)pyrimidine-4-carboxamide. Mass: calculated for C34H31N7O4, 601 LC-MS: [M+l] + 602.72. 1H NMR (400 MHz, δ ppm, DMSO-d6): δ 11.19 (bs, IH), 10.32 (bs, IH), 8.3 (m, 3H), 8.0 (bs, IH), 7.82 (d, IH), 7.67 (d, 2H), 7.58 (d, 2H), 7.4 (d, 2H), 7.3 (d, IH), 7.2-7.1 (m, 2H), 6.8 (bs, IH), 3.8 (s, 3H), 3.6 (m, 6H), 2.4 (m, 4H).
Example 195
(R)-2-(3 -Aminopyrrolidin- 1 -yl)-Λ/-hydroxy-6-(4-((4-(morpholinomethyl)phenyl) ethynyl)phenyl)isonicotinamide, trifluoroacetic acid salt
A. (i?)-Methyl 2-(3 -aminopyrrolidin- l-yl)-6-chloroisonicotinate
A solution of methyl 2,6-dichloroisonicotinate (0.30 g, 1.5 mmol), (i?)-pyrrolidin- 3-amine (0.17 ml, 2.0 mmol) and Hunig's Base (0.51 ml, 2.9 mmol) in NMP (3.0 ml) was stirred at 100 0C for 2 h. After this time, LCMS indicated consumption of starting material and formation of the desired product. The reaction was quenched by the
addition of water. The solution was extracted three times with ethyl acetate. The organics were pooled, washed with brine, dried over MgSO4, filtered and concentrated. The crude material was purified by silica gel chromatography (0-10% MeOH in DCM with 1% NH4OH) to afford clean desired product (0.19 g, 51%). LC-MS: [M+l]+ 256
Mass: Calculated for CHHI4CIN3O2, 255.70
1H NMR (300 MHz, CDCl3) δ: ppm 7.03 (s, IH); 6.81 (s, IH); 3.92 (s, 3H); 3.73 (m,
3H); 3.52 (m, IH); 3.25 (m, IH); 2.21 (m, IH); 1.84 (m, IH).
B. (i?)-M ethyl 2-(3-aminopyrrolidin-l-yl)-6-(4-((4-(morpholinomethyl)phenyl) ethynyl)phenyl)isonicotinate
A microwave vial was charged with (i?)-methyl 2-(3-aminopyrrolidin-l-yl)-6- chloroisonicotinate (0.19 g, 0.74 mmol), 4-(4-((4-(5, 5 -dimethyl- 1,3, 2-dioxaborinan-2- yl)phenyl)ethynyl)benzyl)morpholine (0.32 g, 0.81 mmol, Method 4) and sodium carbonate (0.16 g, 1.5 mmol). Dioxane (6.0 ml) and water (1.0 ml) were added and the solution was degassed for 5 minutes with a stream of N2. After this time, Pd(Ph3P)4 (0.043 g, 0.04 mmol) was added. The reaction was sealed and then allowed to run in the microwave for 45 minutes at 100 0C. The reaction was diluted with ethyl acetate and filtered through celite. The filtrate was washed with brine and then concentrated. The isolated crude material was carried on to the next step with no further purification, assuming quantitative yield. LC-MS: [M+l]+ 497 Mass: Calculated for C30H32N4O3, 496.60
C . (R)-2-(3 -Aminopyrrolidin- 1 -yl)-Λ/-hydroxy-6-(4-((4-(morpholinomethyl) phenyl)ethynyl)phenyl)isonicotinamide, trifluoroacetic acid salt
A solution of (7?)-methyl 2-(3 -aminopyrrolidin- l-yl)-6-(4-((4-
(morpholinomethyl)phenyl)ethynyl)phenyl)isonicotinate (0.37 g, 0.74 mmol) and hydroxylamine solution (50% wt. in H2O) (1.1 ml, 19 mmol) in MeOH (3.1 ml) and THF
(3.1 ml) was stirred at 60 0C for 5 h and then sit at room temperature for three days.
After this time, LCMS indicated clean formation of the desired product. The reaction was concentrated and purified by reverse phase chromatography (5-50% MeCN/0.1%
TFA in water) to afford clean desired product (0.069 g, 0.11 mmol, 15%) as a TFA salt.
LC-MS: [M+l]+ 498
Mass: Calculated for C29H3IN5O3, 497.59
1H NMR (300 MHz, DMSO-d6) δ: ppm 11.47 (s, IH); 10.02 (bs, IH); 8.15 (d, 2H); 8.07 (bs, 2H); 7.69 (d, 4H); 7.56 (m, 3H); 6.84 (s, IH); 4.38 (bs, 2H); 4.0-3.59 (bs, 9H); 3.26-
3.14 (m, 4H); 2.39 (m, IH); 2.14 (m, IH).
19F NMR (282 MHz, DMSO-d6) δ: ppm -73.51
Example 196
2-(3 -aminopyrrolidin- 1 -yl)-JV-hydroxy-5 - [4-(pyridin-3 -ylethynyl)phenyl]pyridine-3 - carboxamide
A. methyl 2-(3 -aminopyrrolidin- 1 -yl)-5-[4-(pyridin-3-ylethynyl)phenyl]pyridine- 3-carboxylate
The title compound was synthesized as described for Example 208 step C from methyl 2-fluoro-5-[4-(pyridin-3-ylethynyl)phenyl]pyridine-3-carboxylate and 3- Aminopyrrolidine dihydrochloride. LC-MS: [M+l]+ 399.5 Mass: calculated for C24H22N4O2, 398.45
B . 2-(3 -aminopyrrolidin- 1 -yl)-N-hydroxy-5 - [4-(pyridin-3 -ylethynyl)phenyl] pyridine-3 -carboxamide
The title compound was synthesized as described for Example 208 step D from methyl 2-(3 -aminopyrrolidin- 1 -yl)-5 -[4-(pyridin-3 -ylethynyl)phenyl]pyridine-3 - carboxylate LC-MS: [M+l]+ 400.5 Mass: calculated for C23H2IN5O2, 399.44
1H NMR (400 MHz, DMSO-d6) δ: ppm 8.75 (s, IH); 8.57 (m, IH); 8.13 (s, IH); 8.03 (d, 2H); 7.97 (m, IH); 7.61 (m, 3H); 7.47 (m, IH); 3.50 (m, 2H); 3.41 (m, 2H); 3.00 (m, IH); 2.44 (m, 2H); 2.00 (m, IH); 1.68 (m, IH).
Example 197 iV-hydroxy-2-(3 -hydroxyazetidin- 1 -yl)-5- [4-(pyridin-3 -ylethynyl)phenyl]pyridine- 3-carboxamide
A. methyl 2-(3-hydroxyazetidin-l-yl)-5-[4-(pyridin-3-ylethynyl)phenyl]pyridine-
3-carboxylate
The title compound was synthesized as described for Example 208 step C from methyl 2-fluoro-5-[4-(pyridin-3-ylethynyl)phenyl]pyridine-3-carboxylate and 3- Hydroxyazetidine hydrochloride . LC-MS: [M+l]+ 386.5 Mass: calculated for C23Hi9N3O3, 385.41
B . N-hydroxy-2-(3 -hydroxyazetidin- 1 -yl)-5 - [4-(pyridin-3 -ylethynyl)phenyl] pyridine-3 -carboxamide
The title compound was synthesized as described for Example 208 step D from methyl 2-(3 -hydroxyazetidin- 1 -yl)-5-[4-(pyridin-3-ylethynyl)phenyl]pyridine-3- carboxylate. LC-MS: [M+l]+ 387.4
Mass: calculated for C22Hi8N4O3, 386.40
1H NMR (400 MHz, DMSO-d6) δ: ppm 8.75 (d, IH); 8.57 (q, IH); 8.01 (m, 3H); 7.84 (s, IH); 7.61 (m, 3H); 7.46 (q, IH); 5.62 (bs, IH); 4.50 (m, IH); 4.20 (m, 2H); 3.66 (m, 2H); 1.67 (s, 3H); 1.59 (s, 3H).
Example 198
2-amino-N-hydroxy-6-(4-{[4-(morpholin-4-ylmethyl)phenyl]ethynyl} phenyl)pyridine-4-carboxamide
A. 4'-bromobiphenyl-4-carbaldehyde
l-Bromo-4-iodobenzene (2 g, 7 mmol), 4-formylphenyl boronic acid (1.15 g, 7.7 mmol) and sodium carbonate (0.89 g, 8.4 mol) were treated with Toluene (10 mL), Ethanol (1 mL) and water (2 mL). The solution was degassed with a stream of N2 for 10 minutes. After this time, Pd(Ph3P)4 (0.39 g, 0.35 mmol) was added and the reaction was stirred at 100 0C for 14 h. LC-MS indicated formation of the desired product. The reaction was concentrated and the crude residue obtained was dissolved in ethyl acetate and the layers were separated. The organic layer was washed with water, brine, and dried over anhydrous sodium sulphate. The solvent was removed and the crude product was purified by silica gel chromatography (2-5% ethyl acetate in hexanes) to afford 2.1 g of the title compound. LC-MS: [M+l]+ 261.2 & 263.2 Mass: calculated for Ci3H9BrO, 261.11
To a solution of 4'-bromobiphenyl-4-carbaldehyde (1.9 g, 7.27 mmol) in dioxane (20 niL) was added Bis(pinacolato)diboron (2.33 g, 8.73 mmol). The solution was degassed with a stream of N2 for 10 minutes. After this time, Pd(dppf)2Cl2 (0.59 g, 0.72 mmol) and potassium acetate (2.4 g, 25.4 mmol) was added and the reaction was re fluxed at 100 0C for 6 h. LC-MS indicated complete consumption of starting material. The reaction was concentrated and the crude residue obtained was dissolved in ethyl acetate and the layers were separated. The organic layer was washed with water, brine, and dried over anhydrous sodium sulphate. The solvent was removed and the crude product was purified by silica gel chromatography (5-10% ethyl acetate in hexanes) to afford 2 g of the title compound. LC-MS: [M+l]+ 309.4 Mass: calculated for Ci9H2IBO3, 308.17
C. methyl 2-(4'-formylbiphenyl-4-yl)pyridine-4-carboxylate
Methyl-2-bromopyridine-4-carboxylate (1.05 g, 4.87 mmol), 4'-(4,4,5,5- tetramethyl-l,3,2-dioxaborolan-2-yl)biphenyl-4-carbaldehyde (1.5 g, 4.87 mmol) and sodium carbonate (1.03 g, 9.74 mol) were treated with Toluene:water (9:1, 15 mL). The solution was degassed with a stream of N2 for 10 minutes. After this time, Pd(Ph3P)4 (0.27 g, 0.24 mmol) was added and the reaction was stirred at 100 ° C for 14 h. LC-MS indicated formation of the desired product. The reaction was concentrated and the crude residue obtained was dissolved in ethyl acetate and the layers were separated. The
organic layer was washed with water, brine, and dried over anhydrous sodium sulphate.
The solvent was removed and the crude product was purified by silica gel chromatography (5%-20% ethyl acetate in hexanes) to afford 1.05 g of the title compound.
LC-MS: [M+l]+ 318.3
Mass: calculated for C20Hi5NO3, 317.33
D. methyl 2-(4'- {[(2-hydroxyethyl)amino]methyl}biphenyl-4-yl)pyridine-4- carboxylate
To a solution of methyl 2-(4'-formylbiphenyl-4-yl)pyridine-4-carboxylate (100 mg, 0.315 mmol) in DCM (2 mL) was added 2-Aminoethanol (57 mg, 0.94 mmol) and the mixture was stirred at 0 ° C for 20 min. To the mixture was added NaBH(OAc)3 (0.19 g, 0.94 mmol) and acetic acid (18.9 mg, 0.315 mmol) at 0 0C and the mixture was stirred for 1 h. The reaction mixture was poured into an ice-cold solution of sodium bicarbonate and extracted with ethyl acetate (3 x 30 mL). The organic layer was washed with brine, dried over anhydrous sodium sulfate and concentrated to obtain 100 mg of the title compound. LC-MS: [M+l]+ 363.4 Mass: calculated for C22H22N2O3, 362.42
To a solution of methyl 2-(4'-{[(2-hydroxyethyl)amino]methyl}biphenyl-4- yl)pyridine-4-carboxylate (100 mg, 0.27 mmol) in methanol (2 mL), aq. Hydroxylamine (50%, 2 mL) was added and the reaction was stirred at room temperature for 14 h. After this time, LC-MS indicated formation of the desired product. The reaction was concentrated and the crude residue was taken up in DMSO for reverse phase purification. The clean fractions were pooled, concentrated and lyophilized overnight to afford 6 mg of the title compound as a pale brown solid. LC-MS: [M+l]+ 364.4 Mass: calculated for C21H21N3O3, 363.40
1H NMR (400 MHz, DMSO) δ: ppm 8.78 (d, IH); 8.25 (s, IH); 8.20 (d, 2H); 7.82 (d, 2H); 7.70 (d, 2H); 7.64 (d, IH); 7.44 (d, 2H); 4.50 (t, IH); 3.76 (s, 2H); 3.47 (d, 2H); 2.59 (t, 2H).
Example 199
N,3-dihydroxy-6-methyl-2-(4-{[4-(morpholin-4-ylmethyl)phenyl]ethynyl} phenyl)pyridine-4-carboxamide
A. 5-ethoxy-2-methyl-l,3-oxazole
0^ O
M N— 1J
To a vigorously stirred suspension Of P2Os (19.5 g, 137.78 mmol) in chloroform (100 mL) was added a solution of ethylacetamidoacetate (5.0 g, 34.44 mmol) in chloroform (50 mL).and heated at reflux for 20 h. The reaction mixture was cooled to
00C and added dropwise 20% aq. NaOH solution (100 ml) for 30 min and stirred for 1 h.
The organic layer was separated and washed with water (50 mL), brine (50 mL), dried over anhydrous Na2SO4 and the solvent was evaporated to dryness to obtain 5-ethoxy-2- methyl-l,3-oxazole (2.2 g, 50.3%).
LC-MS: [M+H] +, 128.32
Mass: calculated for C6H9NO2, 127.14
1H NMR (400 MHz, δ ppm, CDCl3): δ 5.93 (s, IH), 4.07 (m, 2H), 2.32 (s, 3H), 1.41 (m,
3H).
B. Ethyl 5-hydroxy-2-methylpyridine-4-carboxylate
A solution of 5-ethoxy-2-methyl-l, 3-oxazole (2.2 g, 17.30 mmol) in ethylacrylate
(1.90 g, 19.03 mmol) was heated in a sealed tube at 1000C for 48 h. The reaction mixture was cooled and distilled off excess of ethylacrylate to obtain dark brown residue. The crude compound was purified by column chromatography (Silica gel, 100-200 mesh) using 3% ethyl acetate in pet ether as mobile phase to get ethyl 5-hydroxy-2- methylpyridine-4-carboxylate (2.0 g, 63.8%).
LC-MS: [M+H] +, 182.2
Mass: calculated for C9H11NO3, 181.19
1H NMR (400 MHz, δ ppm, CDCl3): δ 10.08 (s, IH), 8.38 (s, IH), 7.46 (s, IH), 4.44 (m, 2H), 2.51 (s, 3H), 1.44 (m, 3H).
C. ethyl 2-bromo-3 -hydro xy-6-methylpyridine-4-carboxylate
To a solution of ethyl 5-hydroxy-2-methylpyridine-4-carboxylate (2.0 g, 11.04 mmol) in DMF (15.0 mL) at 00C was added N-bromosuccinimide (2.16 g, 12.14 mmol)
and stirred at room temperature for 1 h. The reaction mixture was poured into cold water (50 mL), stirred for 10 min, filtered the precipitated solid, washed with water (20 mL) and dried under vacuum to obtain ethyl 2-bromo-3-hydroxy-6-methylpyridine-4- carboxylate (2.6 g, 90%) as off- white solid. LC-MS : [M, M+2] :260.2, 262.2
Mass: calculated for C9H10BrNO3, 260.09
1H NMR (400 MHz, δ ppm, CDCl3): δ 10.82 (s, IH), 7.45 (s, IH), 4.46 (m, 2H), 2.5 (s,
3H), 1.44 (m, 3H)
D. ethyl 3-hydroxy-6-methyl-2-(4-{[4-(morpholin-4-ylmethyl)phenyl]ethynyl} phenyl)pyridine-4-carboxylate
To a degassed solution of cesium carbonate (0.5 g, 1.54 mmol) in 1,4- dioxane/water (5 mL/ 1.0 mL) was added ethyl 2-bromo-3-hydroxy-6-methylpyridine-4- carboxylate (0.40 g, 1.46 mmol) followed by 4-(4-{[4-(5,5-dimethyl-l,3,2-dioxaborinan- 2-l)phenyl]ethynyl}benzyl)morpholine (0.36 g, 0.92 mmol). The reaction mixture was degassed for another 10 min and was added Pd (PPh3)4 (44 mg, 0.04 mmol) and the resulting solution was degassed for 10 min. The reaction mixture was heated under argon atmosphere at 6O0C for 4 h. The solvent was evaporated to dryness under reduced pressure. The residue was diluted with ethyl acetate (25 mL) and washed with water (10 mL). The aqueous layer was then extracted with ethyl acetate (25 mL x 2). The combined organic layer was washed with brine solution (10 mL), dried over anhydrous magnesium sulfate and evaporated under reduced pressure to get crude compound. The crude compound was purified by column chromatography (Silica gel, 100-200 mesh) using 20% ethyl acetate in pet ether as mobile phase to get ethyl 3-hydroxy-6-methyl-2-(4-{[4- (morpholin-4-ylmethyl)phenyl]ethynyl}phenyl)pyridine-4-carboxylate (0.2 g, 57%).
LC-MS: [M+l]+ , 457.50
Mass: calculated for C28H28N2O4, 456.55
E. N,3-dihydroxy-6-methyl-2-(4-{[4-(morpholin-4-ylmethyl)phenyl]ethynyl} phenyl)pyridine-4-carboxamide
To a solution of ethyl 3-hydroxy-6-methyl-2-(4-{[4-(morpholin-4- ylmethyl)phenyl]ethynyl}phenyl)pyridine-4-carboxylate (0.20 g, 0.44 mmol) in 4 rnL methanol/THF (1 :1) was added aqueous 50% hydroxylamine (3.0 mL) followed by catalytic amount of KCN (~5 mg) and the resulting solution was stirred at room temperature for 18 h. The reaction mixture was quenched with aqueous 10% citric acid solution (~3 mL), stirred for 10 min. The precipitated solid was filtered, washed with water, and dried under vacuum. The crude compound was triturated with diethyl ether, filtered and dried under vacuum to obtain N,3-dihydroxy-6-methyl-2-(4-{[4-(morpholin- 4-ylmethyl)phenyl]ethynyl}phenyl)pyridine-4-carboxamide (90 mg, 46%). LC-MS: [M-H]+, 442.41 Mass: calculated for C26H25N3O4, 443.51
1H NMR (400 MHz, δ ppm, DMSO-d6): δ 12.80 (sb, IH), 12.10 (sb, IH), 9.75 (sb, IH), 8.10 (d, 2H), 7.62 (d, 2H), 7.54 (d, 2H), 7.49 (s, IH), 7.38 (d, 2H), 3.60 (sb, 4H), 3.53 (s, 2H), 2.47 (s, 3H), 2.39 (sb, 4H).
Example 200
2- [(ethylcarbamoyl)amino] -JV-hydroxy-6-(4- { [4-(morpholin-4- ylmethyl)phenyl]ethynyl}phenyl)pyrimidine-4-carboxamide
A. butyl 2-[(ethylcarbamoyl)amino]-6-(4- {[4-(morpholin-4-ylmethyl)phenyl] ethynyl}phenyl)pyrimidine-4-carboxylate
To a solution of butyl 2-amino-6-(4-{[4-(morpholin-4-ylmethyl)phenyl]ethynyl} phenyl)pyrimidine-4-carboxylate (0.300 g, 0.636 mmol) and ethylisocyanate (0.226 g, 3.184mmol) in DMF (4 mL) was added a drop of pyridine (0.3 mL) and irradiated in microwave at 90 0C for 2.0 h. The reaction mixture was diluted with water and extracted with ethyl acetate (3 x 20 mL) The organic layer was washed with water (20 mL), dried over magnesium sulfate, filtered and evaporated. The crude compound was purified by Prep-HPLC to obtain 120 mg of butyl 2-[(ethylcarbamoyl) amino] -6-(4-{[4-(morpho lin- 4-ylmethyl) phenyl] ethynyl} phenyl) pyrimidine-4-carboxylate as a white solid. Mass: calculated for C3IH35N5O4, 541. LC-MS: [M+l] + 542.5
B. 2-[(ethylcarbamoyl)amino]-N-hydroxy-6-(4-{[4-(morpholin-4-ylmethyl) phenyl]ethynyl}phenyl)pyrimidine-4-carboxamide
To a solution of butyl 2-[(ethylcarbamoyl)amino]-6-(4-{[4-(morpholin-4- ylmethyl)phenyl]ethynyl}phenyl)pyrimidine-4-carboxylate (70 mg, 0.129 mmol) in 5 niL methanol/THF (1 :1) was added aqueous 50% hydroxylamine (2.0 mL) followed by catalytic amount of KCN (~5 mg) and the resulting solution was stirred at room temperature for 18 h. The reaction mixture was quenched with aqueous 10% citric acid solution (~3 mL), diluted with water (10 mL) and solid was filtered and washed with water and pet ether obtain 2-[(ethylcarbamoyl)amino]-Λ/-hydroxy-6-(4-{[4-(morpholin-4- ylmethyl)phenyl]ethynyl}phenyl)pyrimidine-4-carboxamide 25.0 mg as a white solid . Mass: calculated for C27H28N6O4, 500. LC-MS: [M+l] + 501.47.
1H NMR (400 MHz, δ ppm, DMSO-d6): δ 11.60 (bs, IH), 9.80 (s, IH), 9.60 (bs, IH), 8.60 (bs, IH), 8.30 (d, 2H), 8.00 (s, IH), 7.73 (d, 2H), 7.58 (d, 2H), 7.40 (d, 2H), 3.60 (m, 6H), 3.20 (m, 2H), 2.40 (m, 4H), 1.10 (t, 3H).
Example 201
Λ/-hydroxy-6-(4-{[4-(morpholin-4-ylmethyl)phenyl]ethynyl}phenyl)-2-[(prop-2- en- 1 -ylcarbamoyl)amino]pyrimidine-4-carboxamide
A. butyl 6-(4- {[4-(morpholin-4-ylmethyl)phenyl]ethynyl}phenyl)-2-[(prop-2-en- 1 -ylcarbamoyl)amino]pyrimidine-4-carboxylate
To a solution of butyl 2-amino-6-(4-{[4-(morpholin-4-ylmethyl)phenyl]ethynyl} phenyl)pyrimidine-4-carboxylate (0.500 g, 1.063 mmol) and allyl isocyanate (0.530 g, 6.382 mmol) in DMF (20 mL) was added pyridine (0.53mL) and irradiated in microwave
at 9O0C for 1.0 h. The reaction mixture was diluted with water and extracted with ethyl acetate (3 x 60 mL) The organic layer was washed with water (50 mL), dried over magnesium sulfate, filtered and evaporated to yield the crude compound 400 mg of butyl 6-(4- { [4-(morpholin-4-ylmethyl)phenyl] ethynyl} phenyl)-2- [(prop-2-en- 1 - ylcarbamoyl)amino]pyrimidine-4-carboxylate as a white solid. Mass: calculated for C32H35N5O4, 553. LC-MS: [M+l] + 554.67
B. N-hydroxy-6-(4-{[4-(morpholin-4-ylmethyl)phenyl]ethynyl}phenyl)-2-[(prop- 2-en- 1 -ylcarbamoyl)amino]pyrimidine-4-carboxamide
To a solution of butyl 6-(4-{[4-(morpholin-4-ylmethyl)phenyl]ethynyl}phenyl)-2- [(prop-2-en-l-ylcarbamoyl)amino]pyrimidine-4-carboxylate (70 mg, 0.129 mmol) in 5 mL methanol/THF (1 :1) was added aqueous 50% hydroxylamine (2.0 mL) followed by catalytic amount of KCN (~5 mg) and the resulting solution was stirred at room temperature for 18 h. The reaction mixture was quenched with aqueous 10% citric acid solution (~3 mL), diluted with water (10 mL) and solid was filtered and washed with water and pet ether obtained 25.0 mg of N-hydroxy-6-(4-{[4-(morpholin-4- ylmethyl)phenyl]ethynyl}phenyl)-2-[(prop-2-en-l-ylcarbamoyl)amino]pyrimidine-4- carboxamide as a white solid .
Mass: calculated for C28H28N6O4, 512.
LC-MS: [M+l] + 513.49
1H NMR (400 MHz, δ ppm, DMSO-d6): δ 11.6 (s, IH), 9.92 (s, IH), 9.53 (s, IH), 8.7 (m,
IH), 8.23 (d, 2H), 7.9 (s, IH), 7.75 (d, 2H), 7.7 (d, 2H), 7.4 (d, 2H), 5.98 (m, IH), 5.2 (d, IH), 5.10 (d, IH), 3.95 (m, 2H), 3.6 (m, 6H), 2.4 (m, 4H).
Example 202 jV-hydroxy-2-{4-[(4-{[(3-hydroxypropyl) amino] methyl} phenyl) ethynyl] phenyl} pyridine-4-carboxamide
A. Methyl 2-{4-[(4-{[(3-hydroxypropyl)amino]methyl}phenyl)ethynyl] phenyl}pyridine-4-carboxylate
To a solution of methyl 2-{4-[(4-formylphenyl)ethynyl]phenyl}pyridine-4- carboxylate (0.5 g, 1.46 mmol) in 1,2-dichloroethane at 00C was added 3-amino-propan- l-ol (0.33 g, 4.39 mmol) followed by acetic acid (1 drop) and stirred for 30 min. NaBH(OAc)3 (0.93 g, 4.39 mmol) was added in small portions for 15 min. The reaction mixture was allowed to warm to room temperature and stirred for 18 h. The reaction mixture was quenched with ice cold water and extracted with dichloromethane (50 mL x 2). The combined organic layer was washed with water (25 mL), brine solution (25 mL), dried over anhydrous Na2SO4 and evaporated under reduced pressure to get crude compound. The crude compound was purified by preparative HPLC to obtain methyl 2- (4-[(4-{[(3-hydroxypropyl) amino] methyl} phenyl) ethynyl] phenyl} pyridine-4- carboxylate (180 mg, 31%). LC-MS: [M+l] + 401.50
Mass: calculated for C25H24N2O3, 400.48
1H NMR (400 MHz, δ ppm, DMSO-d6): δ 8.91 (d, IH), 8.37(s, IH), 8.23 (d, 2H), 7.82 (dd, IH), 7.71 (d, 2H), 7.63 (m, 4H),4.08 (s, 2H), 3.95 (s, 3H), 3.47 (t, 2H), 2.86 (t, 2H), 1.78 (t, 2H).
B. JV-hydroxy-2-{4-[(4-{[(3-hydroxypropyl) amino] methyl} phenyl) ethynyl] phenyl} pyridine-4-carboxamide
To a solution of methyl 2-{4-[(4-{[(3-hydroxypropyl)amino]methyl}phenyl) ethynyl]phenyl}pyridine-4-carboxylate (0.17 g, 0.42 mmol) in 3 niL methanol/THF (1 :1) was added aqueous 50% hydroxylamine (1.5 mL) followed by catalytic amount of KCN (~5 mg) and the resulting solution was stirred at room temperature for 18 h. The reaction mixture was quenched with aqueous 10% citric acid solution (~3 mL) and stirred for 15 min. The precipitated solid was filtered, washed with water, and dried under vacuum to obtain JV-hydroxy-2- {4-[(4- {[(3-hydroxypropyl)amino]methyl}phenyl)ethynyl] phenyl}pyridine-4-carboxamide (50 mg, 29.4%). LC-MS: [M-H] +, 400.43
Mass: calculated for C24H23N3O3, 401.47
1H NMR (400 MHz, δ ppm, DMSO-d6): δ 8.82 (d, IH), 8.27-8.21 (m, 3H), 7.7 (m, 3H),
7.6 (d, 2H), 7.48 (d, 2H), 3.95 (s, 2H), 3.47 (t, 2H), 2.76 (t, 2H), 1.67 (t, 2H).
Example 203
N-hydroxy-6-(4-((4-(morpholinomethyl)phenyl)ethynyl)phenyl)-lH-indole-4- carboxamide
A. Methyl 6-(4-((4-(morpholinomethyl)phenyl)ethynyl)phenyl)- 1 H-indole-4- carboxylate
Methyl β-bromo-lH-indole^-carboxylate (200 mg, 0.42 mmol) was added to 3- ((4-(borinan-2-yl)phenyl)ethynyl)morpholinotoluene (200 mg, 0.78 mmol) and sodium carbonate (44 mg, 0.42 mmol) in 1,4 dioxane (4 mL) and water (1 mL). This was followed by the addition of Pd(Ph3P)4 (5 mg, catalytic) and degassing the reaction vessel by evacuating and purging with N2 (3X). The reaction was then heated to 110 0C overnight. Upon cooling, LCMS analysis indicated conversion to the desired product. The reaction was cooled and analyzed by LCMS, which indicated conversion to the desired product. The crude reaction mixture was purified by preparative HPLC with a 0-75% MeCN/H2O gradient containing 0.1 % TFA to provide 53 mg of the ester. Mass calculated for C29H26N2O3, 450.5 LC-MS: [M+l]+ 451.3
B . N-hydroxy-6-(4-((4-(morpholinomethyl)phenyl)ethynyl)phenyl)- 1 H-indole-4- carboxamide
Methyl 6-(4-((4-(morpholinomethyl)phenyl)ethynyl)phenyl)- 1 H-indole-4- carboxylate (28 mg, 0.06 mmol) was dissolved in 1 mL methanol to which 1 mL 50%
aqueous hydroxylamine was added, 1 mL THF was added to help with solubility. The reaction was then stirred at room temperature. To the reaction was added 10 mg solid NaOMe. The reaction was stirred at 500C for 2 more days, -40% conversion was observed. The reaction was concentrated in vacuo, dissolved in 2 mL DMF and purified by Gilson preparative HPLC with a 0-60% MeCN gradient containing 0.1 % TFA to provide 4.3 mg of the desired product. Mass calculated for C28H25N3O3, 452.5 LC-MS: [M+l]+ 453.4
Example 204
Λ/-Hydroxy-5-(2-methoxyethylamino)-2-(4-(pyridin-3-ylethynyl)phenyl) isonicotinamide
A. Methyl 2-bromo-5-fluoroisonicotinate
To a flask containing MeOH (15 ml), sulfuric acid (0.49 ml, 9.1 mmol) was added dropwise, followed by 2-bromo-5-fluoroisonicotinic acid (1.0 g, 4.6 mmol). The reaction was stirred at 60 0C for 24 h. After this time, the reaction was removed from the heat and allowed to cool to room temperature. The reaction was concentrated to afford a yellow residue. Water was added to the residue and the mixture was filtered. The isolated solid was washed with excess water and allowed to dry to give clean desired product (0.813 g,
54%) as a H2SO4 salt.
LC-MS: [M+2]+ 236
Mass: Calculated for C7H5BrFNO2, 234.02 1H NMR (300 MHz, DMSO-d6) δ: ppm 8.67 (s, IH); 8.00 (s, IH); 3.90 (s, 3H).
A microwave vial was charged with methyl 2-bromo-5-fluoroisonicotinate (0.10 g, 0.43 mmol), 3-((4-(5,5-dimethyl-l,3,2-dioxaborinan-2-yl)phenyl)ethynyl)pyridine (0.14 g, 0.47 mmol, Method 2) and sodium carbonate (0.091 g, 0.85 mmol). 1,4- Dioxane (3.6 ml) and water (0.71 ml) were added and the mixture was degassed with a stream of N2 for 5 minutes. After this time, Pd(Ph3P)4 (0.025 g, 0.02 mmol) was added and the reaction was sealed. The reaction was allowed to run in the microwave at 100 0C for 45 minutes. After this time, the reaction was diluted with ethyl acetate and filtered through celite. The filtrate was washed with brine, dried over MgSO4, filtered and concentrated. The resulting crude material was purified by silica gel chromatography (5- 75% ethyl acetate in Hexanes) to provide clean desired product (0.098 g, 69%). LC-MS: [M+2]+ 334
Mass: Calculated for C20Hi3FN2O2, 332.33 1H NMR (300 MHz, DMSO-d6) δ: ppm 8.89 (s, IH); 8.80 (s, IH); 8.61 (d, IH); 8.36 (d, IH); 8.19 (d, 2H); 8.02 (d, IH); 7.74 (d, 2H); 7.50 (m, IH); 3.96 (s, 3H). 19F NMR (282 MHz, DMSO-d6) δ: ppm -128.7
C . Methyl 5 -(2-methoxyethylamino)-2-(4-(pyridin-3 -ylethynyl)phenyl) isonicotinate
A solution of methyl 5-fluoro-2-(4-(pyridin-3-ylethynyl)phenyl)isonicotinate (0.098 g, 0.29 mmol), 2-methoxyethanamine (0.028 ml, 0.32 mmol) and Hunig's Base (0.11 ml, 0.65 mmol) in NMP (2.8 ml) was stirred for 5 h at 100 0C. After this time the reaction was allowed to cool to room temperature and was quenched by the addition of water. The solution was extracted three times with ethyl acetate. The organics were pooled, washed with Brine, dried over MgSO4, filtered and concentrated to afford the crude product. Analysis of the crude reaction mixture showed starting material was still present. The crude residue was taken up in NMP (2.81 ml) and (2-methoxyethanamine (0.028 ml, 0.32 mmol) and Hunig's Base (0.113 ml, 0.65 mmol) were added. The reaction was then allowed to stir overnight at 100 0C. After this time the reaction was quenched with water and was worked-up as previously described. The isolated crude material was carried on to the next step with no further purification. LC-MS: [M+l]+ 388
Mass: Calculated for C23H2IN3O3, 387.43
D . JV-Hydroxy-5 -(2-methoxyethylamino)-2-(4-(pyridin-3 -ylethynyl)phenyl) isonicotinamide
A solution of methyl 5-(2-methoxyethylamino)-2-(4-(pyridin-3- ylethynyl)phenyl)isonicotinate (0.20 g, 0.52 mmol) and hydroxylamine solution (50% wt. in H2O) (1.6 ml, 26 mmol) in MeOH (3.2 ml) was stirred overnight at 60 0C. After stirring overnight, additional hydroxylamine solution (50% wt. in H2O) (0.316 ml, 10.32 mmol) was added to the reaction and stirring was continued for 6 h. The reaction was removed from the heat, allowed to cool to room temperature and was concentrated. The crude reaction mixture was purified by reverse phase chromatography (MeCN/0.1% TFA
in water) to afford 70% pure product. The product was re-purified by reverse phase chromatography (5-95% MeCN/0.1% 10 mmol NH4OAc in water) to give clean desired product (3.1 mg, 2%). LC-MS: [M+l]+ 389 Mass: Calculated for C22H20N4O3, 388.42
1H NMR (300 MHz, DMSO-d6) δ: ppm 11.51 (s, IH); 9.24 (s, IH); 8.77 (d, IH); 8.59 (m, IH); 8.31 (s, IH); 8.07 (d, 2H); 7.99 (m, IH); 7.95 (s, IH); 7.65 (d, 2H); 7.56 (bs, IH); 7.48 (m, IH); 3.58 (m, 2H); 3.47 (m, 2H); 3.32 (s, 3H).
Example 205
Λ/-hydroxy-3-methoxy-6-methyl-2-(4-{[4-(morpholin-4-ylmethyl) phenyl]ethynyl}phenyl)pyridine-4-carboxamide
A. 5-ethoxy-2-methyl-l,3-oxazole
O. O N^
To a vigorously stirred suspension Of P2O5 (19.5 g, 137.78 mmol) in chloroform
(100 mL) was added a solution of ethylacetamidoacetate (5.0 g, 34.44 mmol) in chloroform (50 mL).and heated at reflux for 20 h. The reaction mixture was cooled to
00C and added dropwise 20% aq. NaOH solution (100 ml) for 30 min and stirred for 1 h. The organic layer was separated and washed with water (50 mL), brine (50 mL), dried over anhydrous Na2SO4 and the solvent was evaporated to dryness to obtain 5-ethoxy-2- methyl-l,3-oxazole (2.2 g, 50.3%).
LC-MS: [M+H] +, 128.32
Mass: calculated for C6H9NO2, 127.14 1H NMR (400 MHz, δ ppm, CDCl3): δ 5.93 (s, IH), 4.07 (m, 2H), 2.32 (s, 3H), 1.41 (m,
3H).
A solution of 5-ethoxy-2-methyl-l, 3-oxazole (2.2 g, 17.30 mmol) in ethylacrylate (1.90 g, 19.03 mmol) was heated in a sealed tube at 1000C for 48 h. The reaction mixture was cooled and concentrated to remove excess ethylacrylate. The crude compound was purified by column chromatography (Silica gel, 100-200 mesh) using 3% ethyl acetate in pet ether as mobile phase to get ethyl 5-hydroxy-2-methylpyridine-4-carboxylate (2.O g, 63.8%).
LC-MS: [M+H] +, 182.2 Mass: calculated for C9HnNO3, 181.19 1H NMR (400 MHz, δ ppm, CDCl3): δ 10.08 (s, IH), 8.38 (s, IH), 7.46 (s, IH), 4.44 (m, 2H), 2.51 (s, 3H), 1.44 (m, 3H).
C. ethyl 2-bromo-3-hydroxy-6-methylpyridine-4-carboxylate
To a solution of ethyl 5-hydroxy-2-methylpyridine-4-carboxylate (2.0 g, 11.04 mmol) in DMF (15.0 mL) at 00C was added N-bromosuccinimide (2.16 g, 12.14 mmol) and stirred at room temperature for 1 h. The reaction mixture was poured into cold water (50 mL), and stirred for 10 min. The precipitated solid was filtered, washed with water (20 mL) and dried under vacuum to obtain ethyl 2-bromo-3-hydroxy-6-methylpyridine-4- carboxylate (2.6 g, 90%) as an off-white solid. LC-MS: [M, M+2]:260.2, 262.2 Mass: calculated for C9Hi0BrNO3, 260.09
1H NMR (400 MHz, δ ppm, CDCl3): δ 10.82 (s, IH), 7.45 (s, IH), 4.46 (m, 2H), 2.5 (s, 3H), 1.44 (m, 3H)
D. ethyl 2-bromo-3-methoxy-6-methylpyridine-4-carboxylate
To a solution of ethyl 2-bromo-3-hydroxy-6-methylpyridine-4-carboxylate (1.50 g, 5.77 mmol) in acetone (5 mL) was added K2CO3 (1.6 g, 11.53 mmol) followed by dimethyl sulphate (1.1 ml, 11.53 mmol) and heated at reflux for 2 h. The reaction mixture was cooled to room temperature and triethylamine (3.0 mL) was added. The reaction mixture was then stirred for 10 min, the inorganic salts were filtered and washed with ethyl acetate, and the filtrate was evaporated to dryness. The residue was dissolved in ethyl acetate ( 100 mL), washed with 1 N HCl ( 10 mL), saturated NaHCO3 (20 mL), water (25 mL) followed by brine (25 mL), dried over anhydrous Na2SO4 and evaporated under reduced pressure to obtain ethyl 2-bromo-3-methoxy-6-methylpyridine-4-carboxylate (1.45 g, 91%) as a oily liquid. LC-MS: [M, M+2]+:274.2, 276.2 Mass: calculated for Ci0Hi2BrNO3, 274.12
1H NMR (400 MHz, δ ppm, CDCl3): δ 7.38 (s, IH), 4.42 (m, 2H), 3.93 (s, 3H), 2.54 (s, 3H), 1.41 (m, 3H).
E. ethyl 3-methoxy-6-methyl-2-(4-{[4-(morpholin-4-ylmethyl) phenyl]ethynyl}phenyl)pyridine-4-carboxylate
To a degassed solution of cesium carbonate (1.9 g, 5.83 mmol) in 1,4- dioxane/water (10 mL/ 2.0 mL) was added ethyl 2-bromo-3-methoxy-6-methylpyridine-
4-carboxylate (0.40 g, 1.46 mmol) followed by 4-(4-{[4-(5,5-dimethyl-l,3,2- dioxaborinan-2-l)phenyl]ethynyl}benzyl)morpholine (0.68 g, 1.75 mmol). The reaction mixture was degassed for another 10 min and to the reaction mixture was added Pd
(PPh3)4 (84 mg, 0.07 mmol). The resulting solution was degassed for 10 min. The reaction mixture was then heated under argon atmosphere at 9O0C for 4 h. The solvent was evaporated to dryness under reduced pressure. The residue was diluted with ethyl acetate (25 mL) and washed with water (10 mL). The aqueous layer was extracted with ethyl acetate (25 mL x 2). The combined organic layer was washed with brine solution
(10 mL), dried over anhydrous magnesium sulfate and evaporated under reduced pressure. The crude compound was purified by column chromatography (Silica gel, 100-
200 mesh) using 25% ethyl acetate in pet ether as mobile phase to yield ethyl 3-methoxy-
6-methyl-2-(4-{[4-(morpholin-4-ylmethyl)phenyl]ethynyl}phenyl)pyridine-4-carboxylate
(0.25 g, 36%).
LC-MS: [M+l]+: 471.39
Mass: calculated for C29H30N2O4, 470.57
1H NMR (400 MHz, δ ppm, CDCl3): δ 7.96 (d, 2H), 7.63 (d, 2H), 7.53 (d, 2H), 7.39 (s,
IH), 7.35 (d, 2H), 4.45 (m, 2H), 3.74 (m, 4H), 3.58 (s, 3H), 3.54 (d, 2H), 2.63 (s, 3H),
2.47 (sb, 4H), 1.45 (t, 3H).
F. N-hydroxy-3-methoxy-6-methyl-2-(4- {[4-(morpholin-4-ylmethyl) phenyl]ethynyl}phenyl)pyridine-4-carboxamide
To a solution of ethyl 3-methoxy-6-methyl-2-(4-{[4-(morpholin-4- ylmethyl)phenyl]ethynyl}phenyl)pyridine -4-carboxylate (0.20 g, 0.42 mmol) in 5 mL methanol/THF (1 :1) was added aqueous 50% hydroxylamine (3.0 mL) followed by catalytic amount of KCN (~5 mg) and the resulting solution was stirred at room
temperature for 18 h. The reaction mixture was quenched with aqueous 10% citric acid solution (~3 mL), diluted with water (10 mL) and extracted with ethyl acetate (50 mL x 2). The combined organic layer was washed with brine solution (25 mL), dried over anhydrous magnesium sulfate and evaporated under reduced pressure to get crude compound. The crude compound was purified by preparative HPLC to obtain JV-hydroxy- 3-methoxy-6-methyl-2-(4-{[4-(morpholin-4-ylmethyl) phenyl] ethynyl}pheny l)pyridine- 4-carboxamide (60 mg, 30%). LC-MS: [M-H]+, 457.45 Mass: calculated for C27H27N3O4, 456.53 1H NMR (400 MHz, δ ppm, DMSO-d6): δ 11.05 (s, IH), 9.35 (s, IH), 7.94 (d, 2H), 7.65 (d, 2H), 7.54 (d, 2H), 7.38 (d, 2H), 7.22 (s, IH), 3.58 (m, 4H), 3.54 (s, 3H), 3.51 (s, 2H), 2.5 (s, 3H), 2.36 (sb, 4H).
Example 206
JV-hydroxy-6-(4- { [4-(morpholin-4-ylmethyl)phenyl] ethynyl} phenyl)-2-( { [6- (morpholin-4-yl)pyridin-2-yl]carbamoyl}amino)pyrimidine-4-carboxamide
A. butyl 6-(4-{[4-(morpholin-4-ylmethyl)phenyl]ethynyl}phenyl)-2-({[6-
(morpholin-4-yl)pyridin-2-yl]carbamoyl}amino)pyrimidine-4-carboxylate
To a solution of butyl 2-amino-6-(4-{[4-(morpholin-4-ylmethyl)phenyl]ethynyl} phenyl)pyrimidine-4-carboxylate (0.300 g, 0.638 mmol) and 4-(6-isocyanatopyrid-2-
yl)morpholine (0.528 g, 2.522 mmol) in DMF (4 niL) was added pyridine (0.1 mL) and heated in microwave at 9O0C for 2.0 h. The reaction mixture was diluted with water and extracted with 10% methanolxhloroform (3 x 20 mL). The organic layer was washed with water (20 mL), separated, dried over magnesium sulfate, filtered and evaporated to get the crude compound. The crude compound was purified by Prep-HPLC to get 220 mg of butyl 6-(4-{[4-(morpholin-4-ylmethyl)phenyl]ethynyl}phenyl)-2-({[6-(morpholin-4- yl)pyridin-2- yl] carbamoyl} amino)pyrimidine-4-carboxylate as a solid. Mass: calculated for C38H4IN7O5, 675. LC-MS: [M+l] + 676.59. 1H NMR (400 MHz, δ ppm, DMSO-d6): δ 8.32 (m, 4H), 8.12 (s, IH), 7.88 (m, 2H), 7.62 (m, 4H), 7.4 (m, 3H), 6.55 (m, 2H), 4.4 (t, 2H), 3.8 (m, 10H), 3.4 (m, 5H), 2.4 (m, 4H), 1.8 (m, 2H), 1.43 (m, 2H), 1.0 (t, 3H).
B . JV-hydroxy-6-(4- { [4-(morpholin-4-ylmethyl)phenyl] ethynyl} phenyl)-2-( { [6- (morpholin-4-yl)pyridin-2-yl]carbamoyl} amino)pyrimidine-4-carboxamide
To a solution of butyl 6-(4-{[4-(morpholin-4-ylmethyl)phenyl]ethynyl}phenyl)-2- ({[6-(morpholin-4-yl)pyridin-2-yl]carbamoyl}amino)pyrimidine-4-carboxylate (60 mg, 0.08 mmol) in 5 mL methanol/THF (1 :1) was added aqueous 50% hydroxylamine (2.0 mL) followed by catalytic amount of KCN (~5 mg) and the resulting solution was stirred at room temperature for 18 h. The reaction mixture was quenched with aqueous 10% citric acid solution (~3 mL), diluted with water (10 mL) and extracted with 10% methanol: chloroform (50 mL x 2). The combined organic layer was washed with brine
solution (25 niL), dried over anhydrous magnesium sulfate and evaporated under reduced pressure to get crude compound. The crude compound was purified by Prep-HPLC to obtain 35 mg Λ/-hydroxy-6-(4-{[4-(morpholin-4-ylmethyl)phenyl]ethynyl}phenyl)-2- ({[6-(morpholin-4-yl)pyridin-2-yl]carbamoyl}amino)pyrimidine-4-carboxamide. Mass: calculated for C34H34N8O5, 634. LC-MS: [M+l] + 635.53
1H NMR (400 MHz, δ ppm, DMSO-d6): δ 11.4 (bs, IH), 11.3 (s, IH), 9.5 (s, IH), 8.35 (d, 2H), 8.00 (s, IH), 7.67 (d, 2H), 7.4-7.6 (m, 6H), 6.45 (d, IH), 3.8-3.6 (m, 10H), 3.4 (m, 4H), 2.4 (m, 4H).
Example 207
Λ/-hydroxy-2-(4-{[4-(piperazin-l-ylmethyl) phenyl] ethynyl} phenyl) pyridine-4- carboxamide
A. tert-butyl 4-[4-({4-[4-(methoxycarbonyl) pyridin-2-yl] phenyl} ethynyl) benzyl] piperazine-1-carboxylate
To a solution of methyl 2-{4-[(4-formylphenyl)ethynyl]phenyl}pyridine-4- carboxylate (1.0 g, 2.93 mmol) in 1,2-dichloroethane at 00C was added N-boc piperazine (1.63 g, 8.79 mmol) followed by acetic acid (1 drop) and stirred for 30 min. NaBH(OAc)3 (1.86 g, 8.79 mmol) was added in small portions for 15 min. The reaction mixture was allowed to warm to room temperature and stirred for 18 h. The reaction mixture was quenched with ice cold water and extracted with dichloromethane (50 mL x 2). The combined organic layer was washed with water (25 mL), brine solution (25 mL), dried over anhydrous Na2SO4 and evaporated under reduced pressure to get to obtain tert-butyl 4-[4-({4-[4-(methoxycarbonyl)pyridin-2-yl]phenyl}ethynyl)benzyl]piperazine-l- carboxylate (650 mg, 43.3%).
LC-MS: [M+l] + 512.50
Mass: calculated for C31H33N3O4, 511.63
B. tert-butyi 4-[4-({4-[4-(hydroxycarbamoyl)pyridin-2-yl] phenyl} ethynyl) benzyl] piperazine-1-carboxylate
To a solution of tert-butyl 4-[4-({4-[4-(methoxycarbonyl)pyridin-2- yl]phenyl}ethynyl)benzyl]piperazine-l-carboxylate (0.65 g, 1.27 mmol) in 3 rnL methanol/THF (1 :1) was added aqueous 50% hydroxylamine (1.5 mL) followed by catalytic amount of KCN (~5 mg) and the resulting solution was stirred at room temperature for 18 h. The reaction mixture was quenched with aqueous 10% citric acid solution (~3 mL), stirred for 15 min, the precipitated solid was filtered, washed with water and dried under vacuum to obtain tert-butyi 4-[4-({4-[4- (hydroxycarbamoyl)pyridin-2-yl]phenyl}ethynyl)benzyl]piperazine-l-carboxylate (0.45 g, 69.2%).
LC-MS: [M-H] +, 511.45
Mass: calculated for C30H32N4O4, 512.61
1H NMR (400 MHz, δ ppm, DMSO-d6): δ 9.4(sb, 2H), 8.82 (d, IH), 8.27 (s, IH), 8.21 (d, 2H), 7.68(m, 3H), 7.56 (d, 2H), 7.4 (d, 2H), 3.52 (s, 3H), 3.32 (m, 4H), 2.32 (t, 4H),
1.4 (s, 9H).
C. Λ/-hydroxy-2-(4-{[4-(piperazin-l-ylmethyl) phenyl] ethynyl} phenyl) pyridine-4-carboxamide
To a solution of tert-butyi 4-[4-({4-[4-(hydroxycarbamoyl)pyridin-2- yl]phenyl}ethynyl)benzyl]piperazine-l-carboxylate (0.25 g, 0.48 mmol) in dichloromethane (10 ml) at 00C was added trifluoroacetic acid (0.1 ml, 1.46 mmol) and stirred at room temperature for 18 h. The solvent was evaporated to dryness and the residue was diluted with cold water (5 ml), basified with aq. 10% NaHCO3 solution, and the precipitated solid was filtered, washed with water and dried under vacuum. The crude compound was purified by preparative HPLC to obtain JV-hydroxy-2-(4-{[4-(piperazin-l- ylmethyl) phenyl] ethynyl} phenyl) pyridine -4-carboxamide (42 mg, 21%). LC-MS: [M-H] +, 411.44
Mass: calculated for C25H24N4O2, 412.50
1H NMR (400 MHz, δ ppm, DMSO-d6): 8.81 (d, IH), 8.27 (m, 2H), 8.21 (d, 2H),
7.68(m, 3H), 7.56 (d, 2H), 7.4 (d, 2H), 3.52 (s, 2H), 2.87 (m, 4H), 2.42 (m, 4H).
Example 208
Λ/-hydroxy-2-(methylamino)-5-[4-(pyridin-3-ylethynyl)phenyl]pyridine-3- carboxamide
A. methyl 5-bromo-2-fluoropyridine-3-carboxylate
To a solution of 5-bromo-2-fluoropyridine-3-carboxylic acid (3.5 g, 0.016 mol) in methanol (35 mL) was added concentrated sulfuric acid (0.5 mL). The reaction mixture was refluxed at 70 0C for 14 h. After 14 h, TLC indicated complete consumption of starting material and formation of non-polar product. The reaction was removed from the
heat and allowed to cool to room temperature. Water was added to the reaction solution and it was extracted 3 times with ethyl acetate. The pooled organics were washed with sat. NaCl, dried over Na2SO4, filtered, and concentrated to give 3.4 g of the desired product as a colorless liquid. 1H NMR (400 MHz, CD3OD) δ: ppm 8.46 (d, 2H); 7.98 (d, 2H); 3.97 (s, 3H).
B . methyl 2-fluoro-5 - [4-(pyridin-3 -ylethynyl)phenyl]pyridine-3 -carboxylate
Methyl 5 -bromo-2-fluoropyridine-3 -carboxylate (1 g, 4.2 mmol), 3-((4-(5,5- dimethyl- 1, 3, 2-dioxaborinan-2-yl)phenyl)ethynyl)pyridine (Method 2) (1.36 g, 4.7 mmol) and sodium carbonate (2.59 g, 0.024 mol) were suspended in 1,4-dioxane (9 mL) and water (1 mL). The solution was degassed with a stream of N2 for 10 minutes. After this time, Pd(Ph3P)4 (0.48 g, 0.42 mmol) was added and the reaction was stirred at 100 0C for 14 h. LC-MS indicated complete consumption of starting material and formation of the desired product. The reaction mixture was diluted with ethyl acetate, filtered and concentrated. The residue was re-crystallized with methyl-t-butyl ether to afford 0.5 g of the title compound. LC-MS: [M+l]+ 333.4 Mass: calculated for C20Hi3FN2O2, 332.32
A solution of methyl 2-fluoro-5-[4-(pyridin-3-ylethynyl)phenyl]pyridine-3- carboxylate (0.15 g, 0.45 mmol), Methylamine (0.016 g, 0.5 mmol) and K2CO3 (0.086 g, 0.67 mmol) in DMSO (1.5 ml) was stirred at RT for 14 h. After 14 h, LCMS indicated complete consumption of starting material and formation of the desired product. Water was added to the reaction solution and it was extracted 3 times with ethyl acetate. The pooled organics were washed with sat. NaCl, dried over Na2SO4, filtered, and concentrated. The crude product was purified by silica gel chromatography (5% ethyl acetate in hexanes) to afford 0.1 g of the title compound as a pale yellow solid. LC-MS: [M+l]+ 344.4 Mass: calculated for C2IHnN3O2, 343.37
D . N-hydroxy-2-(methylamino)-5 - [4-(pyridin-3 -ylethynyl)phenyl]pyridine-3 - carboxamide
To a solution of methyl 2-(methylamino)-5-[4-(pyridin-3-ylethynyl)phenyl] pyridine-3-carboxylate (0.1 g, 0.29 mmol) in methanol (0.5 mL) and aq. hydroxylamine (50%, 1 mL), NaOMe (23 mg, 0.43 mmol) was added and the reaction was stirred at room temperature for 14 h. After this time, LC-MS indicated formation of the desired product. The reaction was concentrated and the crude residue was taken up in DMSO for
reverse phase purification. The clean fractions were pooled, concentrated and lyophilized overnight to afford 24 mg of the title compound as a yellow solid. LC-MS: [M+l]+ 345.4 Mass: calculated for C20Hi6N4O2, 344.36 1H NMR (400 MHz, DMSO-d6) δ: ppm 11.40 (bs, IH); 9.20 (bs, IH); 8.76 (s, IH); 8.59 (m, IH); 8.21 (s, IH); 8.05 (d, 2H); 7.99 (m, IH); 7.94 (s, IH); 7.64 (d, 2H); 7.46 (q, IH); 7.38 (q, IH); 2.93 (d, 3H).
Example 209 JV-hydroxy-2- { [2-(morpholin-4-yl)ethyl] amino } -5 -[4-(pyridin-3 -ylethynyl) phenyl]pyridine-3 -carboxamide
A. methyl 2- { [2-(morpholin-4-yl)ethyl] amino } -5 - [4-(pyridin-3 -ylethynyl) phenyl]pyridine-3 -carboxylate
The title compound was synthesized as described for Example 208 step C from methyl 2-fluoro-5-[4-(pyridin-3-ylethynyl)phenyl]pyridine-3 -carboxylate and 2- morpholin-4-yl-ethyl-amine. LC-MS: [M+l]+ 443.5 Mass: calculated for C26H26N4O3, 442.50
B . N-hydroxy-2- { [2-(morpholin-4-yl)ethyl] amino } -5 - [4-(pyridin-3 -ylethynyl) phenyl]pyridine-3 -carboxamide
The title compound was synthesized as described for Example 208 step D from methyl 2- { [2-(morpholin-4-yl)ethyl] amino } -5 - [4-(pyridin-3 -ylethynyl)phenyl]pyridine-3 - carboxylate
LC-MS: [M+l]+ 444.5
Mass: calculated for C25H25N5O3, 443.49
1H NMR (400 MHz, CD3OD) δ: ppm 8.72 (s, IH); 8.53 (m, IH); 8.52 (bs, IH); 8.24 (s,
IH); 7.99 (m, IH); 7.95 (d, 2H); 7.82 (s, IH); 7.64 (d, 2H); 7.48 (m, IH); 3.76 (m, 4H);
3.48 (m, 2H); 2.71 (m, 2H); 2.57 (m, 4H).
Example 210
Λ/-hydroxy-2-(4-methylpiperazin-l-yl)-5-[4-(pyridin-3-ylethynyl)phenyl]pyridine- 3-carboxamide
A. methyl 2-(4-methylpiperazin- 1 -yl)-5-[4-(pyridin-3-ylethynyl)phenyl]pyridine- 3 -carboxylate
The title compound was synthesized as described for Example 208 step C from methyl 2-fluoro-5-[4-(pyridin-3-ylethynyl)phenyl]pyridine-3-carboxylate and 1- Methylpiperazine . LC-MS: [M+l]+ 413.5 Mass: calculated for C25H24N4O2, 412.48
B. N-hydroxy-2-(4-methylpiperazin- 1 -yl)-5-[4-(pyridin-3-ylethynyl) phenyl]pyridine-3 -carboxamide
The title compound was synthesized as described for Example 208 step D from methyl 2-(4-methylpiperazin- 1 -yl)-5 - [4-(pyridin-3 -ylethynyl)phenyl]pyridine-3 - carboxylate LC-MS: [M+l]+ 414.5 Mass: calculated for C24H23N5O2, 413.47
1H NMR (400 MHz, DMSO-d6) δ: ppm 11.40 (bs, IH); 9.20 (bs, IH); 8.76 (s, IH); 8.59 (m, IH); 8.21 (s, IH); 8.05 (d, 2H); 7.99 (m, IH); 7.94 (s, IH); 7.64 (d, 2H); 7.46 (q, IH); 7.38 (q, IH); 2.93 (d, 3H).
Example 211
2-(dimethylamino)-Λ/-hydroxy-5 - [4-(pyridin-3 -ylethynyl)phenyl]pyridine-3 - carboxamide
The title compound was synthesized as described for Example 208 step C from methyl 2-fluoro-5-[4-(pyridin-3-ylethynyl)phenyl]pyridine-3-carboxylate and N ,N- dimethylamine hydrochloride.
LC-MS: [M+l]+ 358.4
Mass: calculated for C22Hi9N3O2, 357.40
B . 2-(dimethylamino)-N-hydroxy-5 - [4-(pyridin-3 -ylethynyl)phenyl]pyridine-3 - carboxamide
The title compound was synthesized as described for Example 208 step D from methyl 2-(dimethylamino)-5-[4-(pyridin-3-ylethynyl)phenyl]pyridine-3-carboxylate. LC-MS: [M+l]+ 359.4 Mass: calculated for C2iHi8N4O2, 358.39
1H NMR (400 MHz, DMSO-d6) δ: ppm 11.09 (s, IH); 9.24 (s, IH); 8.76 (d, IH); 8.59 (q, IH); 8.33 (s, IH); 8.06 (d, 2H); 7.99 (m, IH); 7.69 (s, IH); 7.64 (d, 2H); 7.47 (q, IH); 2.92 (s, 6H).
Example 212
Λ/-hydroxy-2-[(methylsulfonyl)amino]-6-[4-(pyridin-3-ylethynyl)phenyl]pyridine- 4-carboxamide
A. methyl 2-[(methylsulfonyl)amino]-6-[4-(pyridin-3-ylethynyl)phenyl]pyridine- 4-carboxylate
To a solution of Methyl 2-amino-6-[4-(pyridin-3-ylethynyl)phenyl]pyridine-4- carboxylate (Method 6) (200 mg, 0.60 mmol) in pyridine (10 rnL) was added Methane Sulphonyl Chloride (185 mg, 1.1 mmol) at -40 0C. After the complete addition of the sulfonyl chloride the reaction mixture was stirred at room temperature for 2 h. The reaction mixture was concentrated and the residue was subjected to silica gel chromatography using hexanes and ethyl acetate as eluent (0-50% Ethyl acetate in hexanes) to obtain 192 mg of the desired product. LC-MS: [M+l]+ 408.4 Mass: calculated for C2IHnN3O4S, 407.44
1H NMR (300 MHz, DMSO-d6) δ: ppm 11.05 (s, IH); 8.79 (s, IH); 8.18 (m, IH); 8.01 (m, 2H); 7.73 (m, 2H); 7.61 (m, 2H); 7.49 (m, IH); 7.38 (s, IH); 6.75 (m, IH); 3.93 (s, 3H); 3.43 (s, 3H).
B . N-hydroxy-2- [(methylsulfony l)amino]-6- [4-(pyridin-3 -ylethynyl)phenyl] pyridine-4-carboxamide
The title compound was synthesized as described for Example 126 step B from methyl 2-[(methylsulfonyl)amino]-6-[4-(pyridin-3-ylethynyl)phenyl]pyridine-4- carboxylate LC-MS: [M+l]+ 409.4 Mass: calculated for C20Hi6N4O4S, 408.43
1H NMR (400 MHz, DMSO-d6) δ: ppm 11.26 (bs, IH); 9.39 (bs, IH); 8.79 (t, IH); 8.62 (q, IH); 8.17 (d, 2H); 8.01 (m, IH); 7.90 (s, IH); 7.76 (d, 2H); 7.49 (m, IH); 7.21 (s, IH); 3.41 (s, 3H).
Example 213
2- [(ethylcarbamoyl)amino]-jV-hydroxy-6- [4-(pyridin-3 - ylethynyl)phenyl]pyridine-4-carboxamide
A. methyl 2-[(ethylcarbamoyl)amino]-6-[4-(pyridin-3-ylethynyl)phenyl]pyridine-
4-carboxylate
To a solution of Methyl 2-amino-6-[4-(pyridin-3-ylethynyl)phenyl]pyridine-4- carboxylate (Method 6) (100 mg, 0.3 mmol) in CHCl3 (10 niL) was added ethyl isocyanate (64 mg, 0.9 mmol) and the mixture was heated at 120 0C in microwave for 2 h. LC-MS indicated complete consumption of starting material and formation of the urea product. The reaction mixture was added to water and extracted with CHCl3. The organic layer was washed with brine and dried over the anhydrous sodium sulfate and concentrated to obtain 94 mg of the title compound, which was taken for the next step without further purification. LC-MS: [M+l]+ 401.4 Mass: calculated for C23H20N4O3, 400.42
B . 2- [(ethylcarbamoyl)amino] -N-hydroxy-6-[4-(pyridin-3 -ylethynyl) phenyl]pyridine-4-carboxamide
To a solution of methyl 2-[(ethylcarbamoyl)amino]-6-[4-(pyridin-3- ylethynyl)phenyl]pyridine-4-carboxylate (94 mg, 0.23 mmol) in methanol (0.5 mL), Hydroxylamine hydrochloride (72 mg, 1.04 mmol) and KOH (29 mg, 0.53 mmol) were added and the reaction was stirred at room temperature for 2 days. After this time, LC- MS indicated formation of the desired product. The reaction was concentrated and the crude residue was taken up in DMSO for reverse phase purification. The clean fractions were pooled, concentrated and lyophilized overnight to afford 35 mg of the desired product.
LC-MS: [M+l]+ 402.4 Mass: calculated for C22Hi9N5O3, 401.41
1H NMR (400 MHz, DMSO) δ: ppm 9.46 (s, IH); 8.78 (s, IH); 8.60 (s, IH); 8.07 (d, 2H); 8.00 (d, IH); 7.82 (s, IH); 7.76 (m, 3H); 7.56 (m, 4H); 3.22 (q, 2H); 1.12 (t, 3H).
Example 214 JV-hydroxy-2- [(propan-2-ylcarbamoyl)amino]-6- [4-(pyridin-3 - ylethynyl)phenyl]pyridine-4-carboxamide
A. methyl 2-[(propan-2-ylcarbamoyl)amino]-6-[4-(pyridin-3-ylethynyl) phenyl]pyridine-4-carboxylate
The title compound was synthesized as described for Example 213 step A from
Methyl 2-amino-6-[4-(pyridin-3-ylethynyl)phenyl]pyridine-4-carboxylate (Method 6) and Isopropyl isocyanate. LC-MS: [M+l]+ 415.5 Mass: calculated for C24H22N4O3, 414.45
B . N-hydroxy-2- [(propan-2-ylcarbamoyl)amino] -6-[4-(pyridin-3 -y lethynyl) phenyl]pyridine-4-carboxamide
The title compound was synthesized as described for Example 213 step B from methyl 2-[(propan-2-ylcarbamoyl)amino]-6-[4-(pyridin-3-ylethynyl)phenyl]pyridine-4- carboxylate. LC-MS: [M+l]+ 416.5 Mass: calculated for C23H2IN5O3, 415.44
1H NMR (400 MHz, DMSO) δ: ppm 11.51 (bs, IH); 9.41 (s, IH); 8.78 (d, IH); 8.60 (q, IH); 8.07 (m, IH); 8.02 (d, 2H); 8.00 (m, IH); 7.74 (m, 4H); 7.48 (m, IH); 3.83 (m, IH); 1.17 (d, 6H).
Example 215
JV-hydroxy-2- { [(3 -methoxyphenyl)carbamoyl] amino } -6-[4-(pyridin-3 - ylethynyl)phenyl]pyridine-4-carboxamide
A. methyl 2-{[(3-methoxyphenyl)carbamoyl]amino}-6-[4-(pyridin-3- ylethynyl)phenyl]pyridine-4-carboxylate
The title compound was synthesized as described for Example 213 step A from Methyl 2-amino-6-[4-(pyridin-3-ylethynyl)phenyl]pyridine-4-carboxylate (Method 6) and 3-Methoxyphenyl isocyanate. LC-MS: [M+l]+ 479.5 Mass: calculated for C28H22N4O4, 478.49
B . N-hydroxy-2- { [(3 -methoxyphenyl)carbamoyl] amino } -6- [4-(pyridin-3 - ylethynyl)phenyl]pyridine-4-carboxamide
The title compound was synthesized as described for Example 213 step B from methyl 2- { [(3 -methoxyphenyl)carbamoyl]amino } -6- [4-(pyridin-3 -ylethynyl) phenyl]pyridine-4-carboxylate.
LC-MS: [M+l]+ 480.5
Mass: calculated for C27H2IN5O4, 479.48 1H NMR (400 MHz, DMSO) δ: ppm 10.10 (s, IH); 9.70 (s, IH); 8.79 (d, IH); 8.61 (m, IH); 8.14 (d, 2H); 8.00 (m, 2H); 7.86 (s, IH); 7.78 (d, 2H); 7.49 (q, IH); 7.23 (q, 2H); 6.97 (d, IH); 6.60 (m, IH); 3.75 (s, 3H).
Example 216 Λ/-Hydroxy-2-(4-(2-morpholinoethyl)piperazin-l-yl)-6-(4-(pyridin-3- ylethynyl)phenyl)isonicotinamide
A solution of methyl 2,6-dichloroisonicotinate (0.20 g, 0.97 mmol), 4-(2- (piperazin-l-yl)ethyl)morpholine (0.29 g, 1.5 mmol) and Hunig's Base (0.51 mL, 2.91 mmol) in NMP (2.4 mL) was stirred overnight at 100 0C. After this time, LCMS indicated consumption of starting material and formation of the desired product. The reaction was quenched by the addition of water. The resulting mixture was then extracted with ethyl acetate three times. The organics were pooled and concentrated to afford the crude desired product, which was carried on to the next step with no further purification. LC-MS: [M+l]+ 369 Mass: Calculated for Ci7H25ClN4O3, 368.86
B. Methyl 2-(4-(2-morpholinoethyl)piperazin- 1 -yl)-6-(4-(pyridin-3-ylethynyl) phenyl)isonicotinate
A vial was charged with 3 -((4-(5, 5 -dimethyl- 1,3, 2-dioxaborinan-2- yl)phenyl)ethynyl)pyridine (0.18 g, 0.64 mmol, Method 2) and sodium carbonate (0.11 g, 1.1 mmol). A solution of methyl 2-chloro-6-(4-(2-morpholinoethyl)piperazin-l- yl)isonicotinate (0.20 g, 0.50 mmol) in degassed 1,4-dioxane (5.0 mL) was added followed by water (1.0 mL). Lastly, Pd(Ph3P)4 (0.031 g, 0.030 mmol) was added and the reaction was stirred at 80 0C under N2 overnight. In the morning, the reaction was concentrated to afford the crude desired product, which was carried on to the next step with no purification, assuming quantitative yield. LC-MS: [M+l]+ 512 Mass: Calculated for C30H33N5O3, 511.61
C. Λ/-Hydroxy-2-(4-(2-morpholinoethyl)piperazin- 1 -yl)-6-(4-(pyridin-3- ylethynyl)phenyl)isonicotinamide
A solution of methyl 2-(4-(2-morpholinoethyl)piperazin-l-yl)-6-(4-(pyridin-3- ylethynyl)phenyl)isonicotinate (0.27 g, 0.53 mmol) and hydroxylamine solution (50% wt. in H2O) (1.0 mL, 16 mmol) in MeOH (1.0 mL) was stirred at 60 0C overnight. After this time the reaction was concentrated. The crude reaction mixture was purified by reverse phase chromatography (5-65% MeCN/0.1% formic acid in water) to afford 65% pure desired product. The desired product was re-purified by reverse phase chromatography two more times (MeCN/0.1% TFA in water and then MeCN/0.1% 10 mmol NH4OAc in water) to give clean desired product (3.0 mg, 1%).
LC-MS: [M+l]+ 513
Mass: Calculated for C29H32N6O3, 512.60
1H NMR (300 MHz, DMSO-d6) δ: ppm 11.41 (bs, IH); 9.23 (s, IH); 8.79 (d, IH); 8.61 (m, IH); 8.15 (d, 2H); 8.02 (m, IH); 7.70 (d, 2H); 7.55 (s, IH); 7.49 (m, IH); 7.10 (s, IH); 3.62 (m, 4H); 3.57 (m, 4H); 2.57-2.39 (m, 12H).
Example 217
Λ/-Hydroxy-2-(4-(phenylethynyl)phenyl)isonicotinamide
A. 5,5-Dimethyl-2-(4-(phenylethynyl)phenyl)-l,3,2-dioxaborinane
A solution of 2-(4-iodophenyl)-5, 5 -dimethyl- 1,3, 2-dioxaborinane (30 g, 96 mmol, Method 2, Step A) and triethylamine (40 mL, 4.8 mmol) in acetonitrile (300 mL) was degassed with a stream of N2 for 10 minutes. After this time, 3-ethynylbenzene (15 g, 143 mmol), Pd(PPh3)2Cl2 (3.3 g, 4.7 mmol) and copper(I) iodide (0.9 g, 4.7 mmol) were added. The reaction mixture was at stirred at 60 0C for 5 h. The reaction was allowed to cool to room temperature and was then concentrated. The resulting brown solid was subjected to silica gel (230-400 mesh) column chromatography (2-15% ethyl acetate in Hexanes) to afford the desired product (22 g, 79%) as a pale yellow solid. GC-MS: [M] 290
Mass: calculated for Ci9Hi9BO2, 290.16
1H NMR (400 MHz, CDCl3) δ: ppm 7.79 (d, 2H); 7.54 (m, 4H); 7.35 (m, 3H); 3.78 (s,
4H); 1.04 (s, 6H).
A microwave vial was charged with methyl 2-bromoisonicotinate (0.15 g, 0.69 mmol), 5,5-dimethyl-2-(4-(phenylethynyl)phenyl)-l,3,2-dioxaborinane (0.24 g, 0.83 mmol) and CsF (0.25 g, 1.7 mmol). MeOH (7.0 ml) was added and the reaction mixture was degassed with a stream of N2 for 5 minutes. Pd(Ph3P)4 (0.040 g, 0.03 mmol) was added and the vial was sealed. The reaction was allowed to run in the microwave for 30 minutes at 120 0C. After this time LCMS indicated complete consumption of starting material and formation of the desired product. The reaction was concentrated and purified by silica gel chromatography (0-50% ethyl acetate in hexanes) afforded clean desired product (0.189 g, 87%). LC-MS: [M+l]+ 314 Mass: Calculated for C2iHi5NO2, 313.35
1H NMR (300 MHz, CDCl3) δ: ppm 8.87 (d, IH); 8.34 (s, IH); 8.10 (d, 2H); 7.82 (m, IH); 7.68 (d, 2H); 7.58 (m, 2H); 7.39 (m, 3H); 4.02 (s, 3H).
C . Λ/-Hydroxy-2-(4-(phenylethynyl)phenyl)isonicotinamide
A solution of methyl 2-(4-(phenylethynyl)phenyl)isonicotinate (0.19 g, 0.60 mmol) and hydroxylamine solution (50% wt. in H2O) (1.8 ml, 30 mmol) in MeOH (4.0 ml)/THF (0.50 ml) was stirred at 60 0C for 5 h and then at room temperature overnight. After this time LCMS indicated complete consumption of starting material and formation of the desired product. The reaction was filtered and the crude product was isolated as a
yellow solid. The material was purified by reverse phase chromatography (35-50% MeCN/0.1% 10 mmol NH4OAc in water) to give clean desired product (0.028 g, 15%). LC-MS: [M+l]+ 315
Mass: Calculated for C20Hi4N2O2, 314.34 1H NMR (300 MHz, DMSO-d6) δ: ppm 11.53 (bs, IH); 9.36 (bs, IH); 8.81 (d, IH); 8.27 (s, IH); 8.20 (d, 2H); 7.64 - 7.75 (m, 3H); 7.54 -7.64 (m, 2H); 7.39 - 7.51 (m, 3H).
Example 218
N-hydroxy-2-(2-(hydroxymethyl)morpholino)-6-(4-(pyridin-3-ylethynyl) phenyl)isonicotinamide
A. Methyl 2-chloro-6-(2-(hydroxymethyl)morpholino)isonicotinate
Methyl 2,6-dichloroisonicotinate (.25 g, 1.21 mmol), morpholin-2-ylmethanol (0.21 g, 1.82 mmol) were combined in N-methyl-2-pyrrolidone (2.57 ml) and heated to 100 0C. LC/MS after 4 hours indicated reaction was complete. The reaction was quenched with water on ice and extracted with ethyl acetate. The combined organic extracts were washed with brine, dried over magnesium sulfate, filtered and evaporated. Normal phase silica gel column (0% to 10% methanol/ dichloromethane with 1% ammonium hydroxide) afforded the desired compound (0.117g, 34%). LC-MS: [M+l]+ 286.9 Mass: calculated for Ci2Hi5ClN2O4, 286.71
Methyl 2-chloro-6-(2-(hydroxymethyl)morpholino)isonicotinate (.12 g, 0.41 mmol), 3-((4-(5,5-dimethyl-l,3,2-dioxaborinan-2-yl)phenyl)ethynyl)pyridine (0.13 g, 0.45 mmol) and sodium carbonate (0.087 g, 0.82 mmol) were combined in 1,4-dioxane (3.40 ml) and water (0.68 ml). The reaction was degassed with a stream of nitrogen gas. Tetrakis(triphenylphosphine)palladium(0) (0.024 g, 0.02 mmol) was added after 5 minutes and the reaction was sealed. The reaction was heated to 100 0C in the microwave. LC/MS after 2 hours indicated reaction was complete. The reaction was diluted with ethyl acetate and filtered through celite. The filtrate was washed with brine. The organics were dried over magnesium sulfate, filtered and evaporated. Normal phase silica gel column (0%-100% ethyl acetate/hexanes) afforded the desired product (0.051 g, 29% yield). LC-MS: [M+l]+ 430.1 Mass: calculated for C25H23N3O4, 429.47
C. N-hydroxy-2-(2-(hydroxymethyl)morpholino)-6-(4-(pyridin-3-ylethynyl) phenyl)isonicotinamide
Methyl 2-(2-(hydroxymethyl)morpholino)-6-(4-(pyridin-3-ylethynyl)phenyl) isonicotinate (.051 g, 0.12 mmol) and hydroxylamine, 50% aqueous (0.18 ml, 2.97 mmol) were combined in methanol (0.50 ml) and tetrahydrofuran (0.50 ml) and heated to 60 0C. LC/MS after 7 hours indicated reaction was complete. The reaction was evaporated. Reverse phase HPLC purification (5%-50% acetonitrile / 0.1% trifluoroacetic acid in water) afforded the desired product as a solid (0.034 g, 66%). LC-MS: [M+l]+ 431.1 Mass: calculated for C24H22N4O4, 430.46
1H NMR (300 MHz, DMSO-J6) δ ppm 2.86 - 3.05 (m, 1 H) 3.41 - 3.58 (m, 5 H) 3.93 - 4.05 (m, 2 H) 4.17 - 4.39 (m, 2 H) 7.12 (s, 1 H) 7.49 (dd, J=7.93, 4.91 Hz, 1 H) 7.59 (s, 1 H) 7.70 (d, J=8.50 Hz, 2 H) 8.02 (dt, J=7.74, 1.89 Hz, 1 H) 8.10 - 8.21 (m, 2 H) 8.61 (dd, J=4.82, 1.61 Hz, 1 H) 8.74 - 8.87 (m, 1 H) 11.43 (br. s., 1 H)
Example 219 2-{[(2,3-dihydroxypropyl)carbamoyl]amino}-Λ/-hydroxy-6-(4-{[4-(morpholin-4- ylmethyl)phenyl]ethynyl}phenyl)pyrimidine-4-carboxamide
A. butyl 2-{[(2,3-dihydroxypropyl)carbamoyl]amino}-6-(4-{[4-(morpholin-4- ylmethyl)phenyl]ethynyl}phenyl)pyrimidine-4-carboxylate
To a solution of butyl 6-(4-{[4-(morpholin-4-ylmethyl)phenyl]ethynyl}phenyl)-2- [(prop-2-en-l-ylcarbamoyl)amino]pyrimidine-4-carboxylate (0.400 g, 0.723 mmol) and 4-methylmorphline N-oxide (0.215 g, 1.591 mmol) in acetone: water :THF(1 :1 :2) (20
niL) at O0C, was added a premixed solution of 2.5 % osiumtetraoxide in tert-butanol (91.92 mg, 0.361 mmol) and stirred at ambient temperature for 48 h. The reaction mixture was diluted with water and extracted with 10% methanol: chloroform (3 x 20 mL). The organic layer was washed with water (20 mL), separated, and dried over magnesium sulfate, filtered and evaporated to get the crude compound. The crude compound was purified by column using 2% methanol: chloroform to get 220 mg of butyl 2-{[(2,3-dihydroxypropyl)carbamoyl]amino}-6-(4-{[4-(morpholin-4- ylmethyl)phenyl]ethynyl}phenyl)pyrimidine-4-carboxylate as a solid. Mass: calculated for C32H37N5O6, 587. LC-MS: [M+l] + 588.55
B . 2- { [(2,3 -dihydroxypropyl)carbamoyl] amino } -JV-hydroxy-6-(4- { [4- (morpholin-4-ylmethyl)phenyl]ethynyl}phenyl)pyrimidine-4-carboxamide
To a solution of butyl 2-{[(2,3-dihydroxypropyl)carbamoyl]amino}-6-(4-{[4- (morpholin-4-ylmethyl)phenyl]ethynyl}phenyl)pyrimidine-4-carboxylate (120 mg, 0.20 mmol) in 5 mL methanol/THF (1 :1) was added aqueous 50% hydroxylamine (2.0 mL) followed by catalytic amount of KCN (~5 mg) and the resulting solution was stirred at room temperature for 18 h. The reaction mixture was quenched with aqueous 10% citric acid solution (~3 mL), diluted with water (10 mL) and extracted with 10% methanol: chloroform (50 mL x 2). The combined organic layer was washed with brine solution (25 mL), dried over anhydrous magnesium sulfate and evaporated under reduced pressure to get crude compound. The crude compound was purified by Prep-HPLC to obtain 30 mg
2-{[(2,3-dihydroxypropyl)carbamoyl]amino}-Λ/-hydroxy-6-(4-{[4-(morpholin-4- ylmethyl)phenyl]ethynyl}phenyl)pyrimidine-4-carboxamide Mass: calculated for C2SH30N6Oe, 546. LC-MS: [M+l] + 547.55
1H NMR (400 MHz, δ ppm, DMSO-d6): δ 11.32 (s, IH), 9.82 (s, IH), 9.5 (s, IH), 9.0 (s, IH), 8.40 (d, 2H), 8.00 (s, IH), 7.8 (m, 2H), 7.6 (m, 2H), 7.4 (m, 2H), 5.2 (bs, IH), 4.8 (bs, IH), 3.6 (m, 6H), 3.4-3.6 (m, 4H), 3.2 (m, IH), 2.4 (m, 2H).
Example 220
N-hydroxy-6-[4-(pyridin-3-ylethynyl)phenyl]pyrimidine-4-carboxamide
A. methyl 2-chloro-6-methoxypyrimidine-4-carboxylate
To a freshly prepared sodium methoxide (0.36 g, 15.94 mmol of sodium in 50 mL of methanol) at 0 0C was added methyl 2, 6-dichloropyrimidine-4-carboxylate (3.0 g, 14.49 mmol) in methanol (50 mL) over 30 min and the reaction mixture was stirred at the same temperature for Ih. The reaction mixture was quenched with cold water (50 mL) and extracted with ethyl acetate (100 mL x 2). The combined organic layer was washed with brine solution (50 mL), dried over anhydrous magnesium sulfate and evaporated under reduced pressure to yield methyl 2-chloro-6-methoxypyrimidine-4-carboxylate (2.2 g, 75%) as an off-white solid. LC-MS: [M+l] + 203 Mass: calculated for C7H7ClN2O3, 202.6 1H NMR (400 MHz, δ ppm, CDCl3): δ 7.37(s, IH), 4.70 (s, 3H), 4.0 (s, 3H)
B. methyl 6-methoxypyrimidine-4-carboxylate
A mixture of methyl 2-chloro-6-methoxypyrimidine-4-carboxylate (1.0 g, 4.95 mmol), ammonium formate (2.0 g) and 20% Pd/C (0.2 g) in anhydrous methanol (50 ml) was heated at reflux for 2.5 h. The reaction mixture was cooled to room temperature, filtered through a pad of celite and washed with methanol. The filtrate was evaporated to dryness under reduced pressure to get crude compound. The crude compound was purified by column chromatography (silica gel, 100-200 mesh) using 14% ethyl acetate in pet-ether as mobile phase to get methyl 6-methoxypyrimidine-4-carboxylate (0.48 g, 57%) as white solid. LC-MS: [M+l] +: 169.2 Mass: calculated for C7H8N2O3, 168.15
1H NMR (400 MHz, δ ppm, CDCl3): δ 8.91 (d, IH), 7.45 (d, IH), 4.05 (s, 3H), 4.02 (s, 3H)
C. Butyl 6-hydroxypyrimidine-4-carboxylate
To an argon purged solution of methyl 6-methoxypyrimidine-4-carboxylate (0.45 g, 2.67 mmol) in n-butanol (20 mL) was added dioxane/HCl (5 ml) and heated at 120 0C for 2 h. The solvent was evaporated under reduced pressure and the residue was diluted with water, cooled and basified with 10% aq.NaHCO3, extracted with dichloromethane (50 ml x 2). The combined organic layer was washed with brine solution (25 ml), dried
over anhydrous Na2SO4 and evaporated to dryness to obtain butyl 6-hydroxypyrimidine- 4-carboxylate (0.33 g, 62%). LC-MS: [M+l] +: 197.47 Mass: calculated for C9Hi2N2O3, 196.21 1H NMR (400 MHz, δ ppm, DMSO-d6): δ 12.9 (sb, IH), 8.27 (s, IH), 6.85 (d, IH), 4.25 (m, 2H), 1.64 (m, 2H), 1.39 (m, 2H), 0.92 (m, 3H).
D. Butyl 6-bromopyrimidine-4-carboxylate
1, 2-dichloroethane was added POBr3 (0.96 g, 3.36 mmol) at 0 0C. The reaction mixture was brought to room temperature and heated at reflux for 8 h. The reaction mixture was cooled to room temperature, quenched with cold water, basifϊed with 10% aq. NaHCO3 and extracted with dichloromethane (25 ml x 2). The combined organic layer was washed with brine solution (20 mL), dried over anhydrous magnesium sulfate and evaporated under reduced pressure to obtain butyl 6-bromopyrimidine-4-carboxylate (0.28 g, 96%). LC-MS: [M+2] + 261.0 Mass: calculated for C9HnBrN2O2, 259.10 1H NMR (400 MHz, δ ppm, CDCl3): δ 9.13 (s, IH), 8.21 (s, IH), 4.45 (t, 2H), 1.81 (m, 2H), 1.47 (m, 2H), 0.98 (m, 3H).
E. Butyl 6-[4-(pyridin-3-ylethynyl)phenyl]pyrimidine-4-carboxylate
To a degassed solution of cesium carbonate (0.34 g, 1.04 mmol) in 1,4-dioxane (15 mL) was added butyl 6-bromopyrimidine-4-carboxylate (0.27 g, 1.04 mmol)
followed by 3-((4-(5, 5 -dimethyl- 1, 3, 2-dioxaborinan-2-yl) phenyl) ethynyl) pyridine (0.36 g, 1.25 mmol). The reaction mixture was degassed for another 10 min. and Pd (PPli3)4 (59.6 mg, 0.051 mmol) was added. The resulting solution was degassed for 10 min. The reaction mixture was heated under argon atmosphere at 80 0C for 4 h. The solvent was evaporated to dryness under reduced pressure. The residue was diluted with ethyl acetate (100 mL) and washed with water (50 mL). The aqueous layer was extracted with ethyl acetate (50 mL x 2). The combined organic layer was washed with brine solution (50 mL), dried over anhydrous magnesium sulfate and evaporated under reduced pressure to get crude compound. The crude compound was purified by column chromatography (silica gel, 100-200 mesh) using 50% ethyl acetate in pet-ether as mobile phase to get butyl 6-[4-(pyridin-3-ylethynyl)phenyl]pyrimidine-4-carboxylate (0.21 g, 78%) as a yellow solid. LC-MS: [M+l] + 358.40 Mass: calculated for C22Hi9N3O2, 357.42 1H NMR (400 MHz, δ ppm, CDCl3): δ 9.44 (s, IH), 8.80 (s, IH), 8.58 (m, IH), 8.44 (s, IH), 8.21 (d, 2H), 7.85 (d, IH), 7.72 (d, 2H), 7.33 (m, IH), 4.49 (t, 2H), 1.85 (m, 2H), 1.49 (m, 2H), 1.04 (m, 3H)
F . N-hydroxy-6- [4-(pyridin-3 -ylethynyl)phenyl]pyrimidine-4-carboxamide
To a solution of butyl 6-[4-(pyridin-3-ylethynyl)phenyl]pyrimidine-4-carboxylate (0.15 g, 0.42 mmol) in 4 mL methanol/THF (1 :1) was added aqueous 50% hydroxylamine (1.5 mL) followed by catalytic amount of KCN (~2 mg) and the resulting solution was stirred at room temperature for 2 h. The reaction mixture was quenched with aqueous 10% citric acid solution (~5 mL) and stirred for 15 min. The precipitated solid was filtered, washed with water and dried under vacuum to get crude product. The crude product was
triturated with diethyl ether to obtain N-hydroxy-6-[4-(pyridin-3- ylethynyl)phenyl]pyrimidine-4-carboxamide (60 mg, 45%) as an off-white solid. LC-MS: [M+l]+ 317.42 Mass: calculated for Ci8Hi2N4O2, 316.32 1H NMR (400 MHz, δ ppm, DMSO-d6): δ 11.85 (s, IH), 9.42 (s, IH), 9.34 (s, IH), 8.81 (s, IH), 8.63 (d, IH), 8.5 (s, IH), 8.38 (d, 2H), 8.04 (d, IH), 7.79 (d, 2H), 7.51 (d, IH).
Example 221
2-[4-({4-[(dimethylamino)methyl]phenyl}ethynyl)phenyl]-Λ/-hydroxypyridine-4- carboxamide
A. methyl 2-[4-({4-[(dimethylamino) methyl] phenyl} ethynyl) phenyl] pyridine- 4-carboxylate
To a solution of methyl 2-{4-[(4-formylphenyl)ethynyl]phenyl}pyridine-4- carboxylate (0.3 g, 0.88 mmol) in 1,2-dichloroethane (20 ml) at 00C was added diethylamine solution in THF (0.8 ml, 1.76 mmol) and stirred for 10 min. Na(OAc)3BHs (0.46 g, 2.19 mmol) was added in small portions for 15 min and the reaction mixture was allowed to warm to room temperature and stirred for 6 h. The reaction mixture was quenched with ice cold water and extracted with dichloromethane (50 mL x 3). The combined organic layer was washed with water (25 mL), brine solution (25 mL), dried over anhydrous Na2SO4 and evaporated under reduced pressure to get the crude compound. The crude compound was purified by column chromatography (Silica gel, 100-200 mesh) using 1% methanol in chloroform as eluent to obtain methyl 2-[4-({4- [(dimethylamino)methyl]phenyl}ethynyl)phenyl]pyridine-4-carboxylate (0.16 mg, 49.23%) as white solid.
LC-MS: [M-H] +, 369.21 Mass: calculated for C24H22N2O2, 370.46
1H NMR (400 MHz, δ ppm, DMSO-d6): δ 8.8 (d, IH), 8.35 (s, IH), 8.1 (d, 2H), 7.8 (d, IH), 7.7 (d, 2H), 7.5 (d, 2H), 7.3 (d, 2H), 4.0 (s, 3H), 3.4 (s, 2H), 2.23 (s, 6H).
B. 2-[4-({4-[(dimethylamino) methyl] phenyl} ethynyl) phenyl]-N- hydroxypyridine-4-carboxamide
To a solution of methyl 2-[4-({4-[(dimethylamino)methyl]phenyl} ethynyl) phenyl]pyridine-4-carboxylate (0.16 g, 0.43 mmol) in 10 mL methanol/THF (1 :1) was added aqueous 50% hydroxylamine (2.0 mL) followed by catalytic amount of KCN (~5 mg) and the resulting solution was stirred at room temperature for 18 h. The reaction mixture was quenched with aqueous 10% citric acid solution (~3 mL) and stirred for 15 min. The precipitated solid was then filtered, washed with water and dried under vacuum. The crude compound was triturated with chloroform to obtain 2-[4-({4- [(dimethylamino) methyl] phenyl} ethynyl) phenyl]-JV-hydroxypyridine-4-carboxamide (80 mg, 50%) as white solid LC-MS: [M-H] +, 370.41 Mass: calculated for C23H2iN3O2, 371.44
1H NMR (400 MHz, δ ppm, DMSO-d6): δ 8.81 (d, IH), 8.27 (s, IH), 8.20 (m, 3H), 7.71 (m, 3H), 7.68 (d, 2H), 7.38 (d, 2H), 3.46 (s, 2H), 2.18(s, 6H).
Example 222 5-amino-Λ/-hydroxy-2-[4-(pyridin-3-ylethynyl)phenyl]pyridine-4-carboxamide
A. methyl 5-amino-2-[4-(pyridin-3-ylethynyl)phenyl]pyridine-4-carboxylate
The title compound was synthesized as described for Example 158 step A from methyl 5-amino-2-chloropyridine-4-carboxylate and 3-{[4-(5,5-dimethyl-l,3,2- dioxaborinan-2-yl)phenyl]ethynyl}pyridine (Method 2). LC-MS: [M+l]+ 330.4 Mass: calculated for C20Hi5N3O2, 329.35
B . 5 -amino-N-hydroxy-2- [4-(pyridin-3 -ylethynyl)phenyl]pyridine-4- carboxamide
The title compound was synthesized as described for Example 208 step D from methyl 5-amino-2-[4-(pyridin-3-ylethynyl)phenyl]pyridine-4-carboxylate. LC-MS: [M+l]+ 331.4 Mass: calculated for Ci9Hi4N4O2, 330.34
1H NMR (400 MHz, DMSO) δ: ppm 9.17 (m, IH); 8.76 (s, IH); 8.58 (m, IH); 8.24 (s, IH); 8.04 (d, 2H); 7.98 (m, IH); 7.91 (s, IH); 7.63 (d, 2H); 7.47 (m, IH); 6.64 (s, 2H).
Example 223
Λ/-hydroxy-2-({[4-(Λ/-hydroxycarbamimidoyl)phenyl]carbonyl}amino)-6-[4- (pyridin-3-ylethynyl)phenyl]pyridine-4-carboxamide
A. methyl 2- { [(4-cyanophenyl)carbonyl] amino } -6- [4-(pyridin-3 - ylethynyl)phenyl]pyridine-4-carboxylate
The title compound was synthesized as described for Example 126 step A from Methyl 2-amino-6-[4-(pyridin-3-ylethynyl)phenyl]pyridine-4-carboxylate (Method 6) and 4-Cyanobenzoyl chloride. LC-MS: [M+l]+ 459.4 Mass: calculated for C28Hi8N4O3, 458.46
1 H NMR (400 MHz, DMSO-d6) δ: ppm 11.38 (s, IH); 8.80 (s, IH); 8.66 (s, IH); 8.61 (d,
IH); 8.28 (d, 2H); 8.18 (m, 2H); 8.03 (m, 3H); 7.75 (d, 2H); 7.49 (q, IH); 3.96 (s, 3H).
B . JV-hydroxy-2-( { [4-(Λ/-hydroxycarbamimidoyl)phenyl] carbonyl} amino)-6- [4- (pyridin-3-ylethynyl)phenyl]pyridine-4-carboxamide
The title compound was synthesized as described for Example 126 step B from methyl 2- { [(4-cyanophenyl)carbonyl] amino } -6- [4-(pyridin-3 -ylethynyl)phenyl]pyridine- 4-carboxylate. LC-MS: [M+l]+ 493.5 Mass: calculated for C27H20N6O4, 492.48
1H NMR (400 MHz, MeOD) δ: ppm 8.73 (d, IH); 8.56 (d, IH); 8.54 (q, IH); 8.21 (d, 2H); 8.14 (bs, IH); 7.07 (d, 2H); 7.99 (m, 2H); 7.84 (d, 2H); 7.71 (d, 2H); 7.49 (q, IH).
Example 224 N-hydroxy-6-(4-(pyridin-3-ylethynyl)phenyl)-lH-indole-4-carboxamide
A. Methyl 6-(4-(pyridin-3-ylethynyl)phenyl)-lH-indole-4-carboxylate
Methyl 6-bromo-lH-indole-4-carboxylate (200 mg, 0.79 mmol) was added to 3- ((4-(5, 5 -dimethyl- 1, 3, 2-dioxaborinan-2-yl)phenyl)ethynyl)pyridine (Method 2) (229 mg, 0.79 mmol) and sodium carbonate (83 mg, 0.79 mmol) in 1,4 dioxane (6 mL) and water (1 mL). This was followed by the addition of Pd(Ph3P)4 (5 mg, catalytic) and degassing the reaction vessel by evacuating and purging with N2. The reaction was then heated to 100 0C overnight. Upon cooling, LCMS analysis indicated conversion to the desired product. The crude reaction mixture was purified by preparative HPLC to provide 35 mg of the target compound. Mass calculated for C23Hi6N2O2, 352.3 LC-MS: [M+l]+ 353.0
B. N-hydroxy-6-(4-(pyridin-3-ylethynyl)phenyl)-lH-indole-4-carboxamide
Methyl 6-(4-(pyridin-3-ylethynyl)phenyl)-lH-indole-4-carboxylate (37 mg, 0.06 mmol) was dissolved in 1 mL methanol to which 1 mL 50% aqueous hydroxylamine was added. To the reaction was added 3 mg solid NaOMe. The reaction was stirred at room temperature overnight; conversion was confirmed by LCMS analysis. The reaction was concentrated in vacuo, dissolved in 2 mL DMF and purified by Gilson preparative HPLC with a 0-95% MeCN gradient containing 0.1 % TFA to provide 8.1 mg of the desired product.
Mass calculated for C22Hi5N3O2, 353.37 LC-MS: [M+l]+ 354.1
1H NMR (300 MHz, MeOD -d4) δ ppm: 6.8-6.9 (s, IH), 7.4-7.5 (d, IH), 7.5-7.7 (m, 4H), 7.8-8.0 (m, 3H), 8.1-8.2 (d, IH), 8.5-8.7 (m, IH), 8.7-8.9 (s, IH)
Example 225 Λ/-hydroxy-2-[4-(pyridin-3-ylethynyl)phenyl]-6-[(pyridin-3- ylsulfonyl)amino]pyridine-4-carboxamide
A. methyl 2-[4-(pyridin-3-ylethynyl)phenyl]-6-[(trimethylsilyl)amino]pyridine-4- carboxylate
To a solution of methyl 2-amino-6-[4-(pyridin-3-ylethynyl)phenyl]pyridine-4- carboxylate (Method 6) (400 mg, 1.2 mmol) in benzene (10 niL) was added TMSCl (4 niL) and TEA (8 mL) at room temperature. The reaction mixture was placed in a sealed tube and heated at 80 0C for 24 h. The solvents were removed under vacuum and the residue was taken for the next step without further purification.
B. methyl 2-[4-(pyridin-3-ylethynyl)phenyl]-6-[(pyridin-3- ylsulfonyl)amino]pyridine-4-carboxylate
The title compound was synthesized as described for Example 182 step A from methyl 2-[4-(pyridin-3-ylethynyl)phenyl]-6-[(trimethylsilyl)amino]pyridine-4- carboxylate and Pyridine-3-sulfonyl chloride hydrochloride. LC-MS: [M+l]+ 471.5 Mass: calculated for C25Hi8N4O4S, 470.49
C . N-hydroxy-2- [4-(pyridin-3 -ylethynyl)phenyl] -6- [(pyridin-3 -ylsulfonyl)amino] pyridine-4-carboxamide
The title compound was synthesized as described for Example 126 step B from methyl 2- [4-(pyridin-3 -ylethynyl)phenyl] -6-[(pyridin-3 -ylsulfonyl)amino]pyridine-4- carboxylate LC-MS: [M+l]+ 472.4
Mass: calculated for C24Hi7N5O4S, 471.48
1H NMR (400 MHz, DMSO-d6) δ: ppm 11.77 (bs, IH); 11.53 (s, IH); 9.36 (s, IH); 9.14 (d, IH); 8.79 (m, 2H); 8.61 (m, IH); 8.36 (d, IH); 8.02 (m, IH); 7.93 (d, 2H); 7.85 (s, IH); 7.71 (d, 2H); 7.63 (m, IH); 7.50 (m, IH); 7.24 (s, IH).
Example 226
Λ/-hydroxy-2-{[(2-methoxyethyl)carbamoyl]amino}-6-[4-(pyridin-3- ylethynyl)phenyl]pyridine-4-carboxamide
A. methyl 2-{[(2-methoxyethyl)carbamoyl]amino}-6-[4-(pyridin-3- ylethynyl)phenyl]pyridine-4-carboxylate
The title compound was synthesized as described for Example 213 step A from Methyl 2-amino-6-[4-(pyridin-3-ylethynyl)phenyl]pyridine-4-carboxylate (Method 6) and 1 -isocyanato-2-methoxyethane. LC-MS: [M+l]+ 431.5 Mass: calculated for C24H22N4O4, 430.45
B . N-hydroxy-2- { [(2-methoxyethyl)carbamoyl] amino } -6- [4-(pyridin-3 - ylethynyl)phenyl]pyridine-4-carboxamide
The title compound was synthesized as described for Example 213 step B from methyl 2- { [(2-methoxyethyl)carbamoyl]amino } -6- [4-(pyridin-3 - ylethynyl)phenyl]pyridine-4-carboxylate. LC-MS: [M+l]+ 432.5 Mass: calculated for C23H2iN5O4, 431.44
1H NMR (400 MHz, DMSO) δ: ppm 11.52 (s, IH); 9.59 (s, IH); 9.32 (s, IH); 8.79 (s, IH); 8.60 (m, IH); 8.25 (s, IH); 8.10 (d, 2H); 8.00 (m, IH); 7.78 (s, IH); 7.73 (m, 3H); 7.48 (m, IH); 3.45 (t, 2H); 3.39 (q, 2H); 3.31 (s, 3H).
Example 227
JV-hydroxy-2- [(pyridin-3 -ylcarbamoyl)amino] -6-[4-(pyridin-3 - ylethynyl)phenyl]pyridine-4-carboxamide
A. methyl 2-[(pyridin-3-ylcarbamoyl)amino]-6-[4-(pyridin-3- ylethynyl)phenyl]pyridine-4-carboxylate
The title compound was synthesized as described for Example 213 step A from Methyl 2-amino-6-[4-(pyridin-3-ylethynyl)phenyl]pyridine-4-carboxylate (Method 6) and 3-isocyanatopyridine. LC-MS: [M+l]+ 450.5 Mass: calculated for C26Hi9N5O3, 449.46
B . N-hydroxy-2- [(pyridin-3 -ylcarbamoyl)amino] -6-[4-(pyridin-3 - ylethynyl)phenyl]pyridine-4-carboxamide
The title compound was synthesized as described for Example 213 step B from methyl 2- [(pyridin-3 -ylcarbamoyl)amino] -6-[4-(pyridin-3 -ylethynyl)phenyl]pyridine-4- carboxylate. LC-MS: [M+l]+ 451.5 Mass: calculated for C25Hi8N6O3, 450.44
1H NMR (400 MHz, DMSO) δ: ppm 10.30 (s, IH); 9.90 (s, IH); 8.80 (s, IH); 8.65 (s, IH); 8.61 (d, 2H); 8.24 (d, IH); 8.15 (s, IH); 8.01 (s, 2H); 7.89 (s, IH); 7.78 (d, 2H); 7.49 (m, IH); 7.37 (m, IH).
Example 228
JV-hydroxy-2- [4-(pyridin-3 -ylethynyl)phenyl] -6- { [(tetrahydrofuran-2- ylmethyl)carbamoyl] amino } pyridine-4-carboxamide
A. methyl 2-[4-(pyridin-3-ylethynyl)phenyl]-6- {[(tetrahydrofuran-2- ylmethyl)carbamoyl] amino } pyridine -4-carboxylate
The title compound was synthesized as described for Example 213 step A from Methyl 2-amino-6-[4-(pyridin-3-ylethynyl)phenyl]pyridine -4-carboxylate (Method 6) and 2-(isocyanatomethyl)tetrahydrofuran. LC-MS: [M+l]+ 457.5
Mass: calculated for C26H24N4O4, 456.49
B . N-hydroxy-2- [4-(pyridin-3 -ylethynyl)phenyl] -6- { [(tetrahydrofuran-2- ylmethyl)carbamoyl] amino } pyridine-4-carboxamide
The title compound was synthesized as described for Example 213 step B from methyl 2-[4-(pyridin-3-ylethynyl)phenyl]-6-{[(tetrahydrofuran-2- ylmethyl)carbamoyl] amino } pyridine-4-carboxylate . LC-MS: [M+l]+ 458.5 Mass: calculated for C25H23N5O4, 457.48
1H NMR (400 MHz, DMSO) δ: ppm 11.50 (s, IH); 9.62 (s, IH); 9.34 (s, IH); 8.80 (d, IH); 8.61 (q, IH); 8.35 (s, IH); 8.16 (d, 2H); 8.02 (d, IH); 7.80 (s, IH); 7.73 (m, 3H); 7.50 (m, IH); 3.94 (m, IH); 3.82 (m, IH); 3.68 (m, IH); 3.42 (m, IH); 3.23 (m, IH); 1.80 (m, 3H); 1.50 (m, IH).
Example 229
Λ/-hydroxy-2-{[(2-methoxyphenyl)carbamoyl]amino}-6-[4-(pyridin-3- ylethynyl)phenyl]pyridine-4-carboxamide
A. methyl 2-{[(2-methoxyphenyl)carbamoyl]amino}-6-[4-(pyridin-3- ylethynyl)phenyl]pyridine-4-carboxylate
The title compound was synthesized as described for Example 213 step A from Methyl 2-amino-6-[4-(pyridin-3-ylethynyl)phenyl]pyridine-4-carboxylate (Method 6) and 2-Methoxyphenyl isocyanate. LC-MS: [M+l]+ 479.5 Mass: calculated for C28H22N4O4, 478.49
B . N-hydroxy-2- { [(2-methoxyphenyl)carbamoyl] amino } -6- [4-(pyridin-3 - ylethynyl)phenyl]pyridine-4-carboxamide
The title compound was synthesized as described for Example 213 step B from methyl 2- { [(2-methoxyphenyl)carbamoyl] amino } -6- [4-(pyridin-3 -ylethynyl)phenyl] pyridine -4-carboxylate. LC-MS: [M+l]+ 480.5 Mass: calculated for C27H2IN5O4, 479.48 1H NMR (400 MHz, DMSO) δ: ppm 11.60 (s, IH); 10.20 (s, 2H); 9.36 (s, IH); 8.79 (d, IH); 8.60 (q, IH); 8.14 (m, 3H); 8.00 (m, IH); 7.83 (s, 2H); 7.77 (d, 2H); 7.49 (q, IH); 7.02 (m, 2H); 6.92 (m, IH); 3.68 (s, 3H).
Example 230 JV-hydroxy-2- [(2-methoxyethyl)amino] -5 -[4-(pyridin-3 -ylethynyl)phenyl] pyridine-3 -carboxamide
A. methyl 2- [(2-methoxyethyl)amino] -5 - [4-(pyridin-3 -ylethynyl)phenyl] pyridine-3 -carboxylate
The title compound was synthesized as described for Example 208 step C from methyl 2-fluoro-5-[4-(pyridin-3-ylethynyl)phenyl]pyridine-3-carboxylate and 2-
Methoxy ethy lamine .
LC-MS: [M+l]+ 388.4
Mass: calculated for C23H2IN3O3, 387.43
B . N-hydroxy-2- [(2-methoxyethyl)amino] -5 - [4-(pyridin-3 -ylethynyl)phenyl] pyridine-3 -carboxamide
The title compound was synthesized as described for Example 208 step D from methyl 2- [(2-methoxyethyl)amino] -5 -[4-(pyridin-3 -ylethynyl)phenyl]pyridine-3 - carboxylate. LC-MS: [M+l]+ 389.5 Mass: calculated for C22H20N4O3, 388.41
1H NMR (400 MHz, DMSO) δ: ppm 8.71 (d, IH); 8.52 (m, IH); 8.26 (s, IH); 7.99 (m, IH); 7.95 (d, 2H); 7.82 (s, IH); 7.63 (d, 2H); 7.48 (q, IH); 3.68 (t, 2H); 3.50 (t, 2H); 3.41 (s, 3H).
Example 231
Λ/-hydroxy-2-{[(2-methoxybenzyl)carbamoyl]amino}-6-[4-(pyridin-3- ylethynyl)phenyl]pyridine-4-carboxamide
A. methyl 2-{[(2-methoxybenzyl)carbamoyl]amino}-6-[4-(pyridin-3- ylethynyl)phenyl]pyridine-4-carboxylate
The title compound was synthesized as described for Example 213 step A from Methyl 2-amino-6-[4-(pyridin-3-ylethynyl)phenyl]pyridine-4-carboxylate (Method 6) and 1 -(isocyanatomethyl)-2-methoxybenzene . LC-MS: [M+l]+ 493.5 Mass: calculated for C29H24N4O4, 492.52
B . N-hydroxy-2- { [(2-methoxybenzyl)carbamoyl] amino } -6-[4-(pyridin-3 - ylethynyl)phenyl]pyridine-4-carboxamide
The title compound was synthesized as described for Example 213 step B from methyl 2- { [(2-methoxybenzyl)carbamoyl] amino } -6-[4-(pyridin-3 - ylethynyl)phenyl]pyridine-4-carboxylate. LC-MS: [M+l]+ 494.5 Mass: calculated for C28H23N5O4, 493.51
1H NMR (400 MHz, DMSO) δ: ppm 11.50 (bs, IH); 9.60 (s, IH); 8.79 (s, IH); 8.61 (d, IH); 8.18 (s, IH); 8.00 (m, 2H); 7.77 (m, 2H); 7.67 (d, 2H); 7.49 (q, IH); 7.28 (t, 2H); 7.03 (m, IH); 6.92 (m, IH); 436.00 (s, 2H); 3.75 (s, 3H).
Example 232 Λ/-hydroxy-4-(4-((4-(morpholinomethyl)phenyl)ethynyl)phenyl)quinazoline-2- carboxamide
A. 4-(4-((4-(morpholinomethyl)phenyl)ethynyl)phenyl)quinazoline-2-carboxylic acid
Ethyl 4-chloroquinazoline-2-carboxylate (0.200 g, 0.85 mmol), 4-(4-((4-(5,5- dimethyl-l,3,2-dioxaborinan-2-yl)phenyl)ethynyl)benzyl)morpholine (Method 4) (0.329 g, 0.85 mmol), and 1,4-dioxane (4 mL) were added to a microwave-safe vessel. A solution of sodium carbonate (0.152 g, 1.44 mmol) in water (1 mL) was added. The mixture was degassed/purged with N2. Solid-supported Pd(PPh3) 4 (0.08 mmol, 0.727 g OfPS-PPh3-Pd from Biotage) was added. The mixture was heated in the microwave at 100 0C for 1 h. The reaction mixture was diluted with additional dioxane and water and then filtered through celite and rinsed with EtOAc. The filtrate was concentrated in
vacuo. The resultant solid was triturated with EtOAc. Water was added to the solid, followed by the addition of 1 N aq HCl until the pH was 5. The solid was collected and dried under vacuum to give the title compound which was used without additional purification.
LC-MS: [M+l]+ 450.1
Mass: Calculated for C28H23N3O3, 449.50
B. 4-(4-((4-(morpholinomethyl)phenyl)ethynyl)phenyl)-N-(tetrahydro-2H-pyran- 2-yloxy)quinazoline-2-carboxamide
The 4-(4-((4-(morpholinomethyl)phenyl)ethynyl)phenyl)quinazoline-2-carboxylic acid (0.127 g, 0.28 mmol) was dissolved in DMF (1 mL). Benzotriazol-1- yloxytris(dimethylamino)phosphonium hexafluorophosphate (BOP, 0.170 g, 0.38 mmol) and O-(tetrahydro-2H-pyran-2-yl)hydroxylamine (0.050 g, 0.42 mmol) were added, followed by the addition of triethylamine (0.39 mL, 2.83 mmol). The reaction mixture was stirred at RT overnight. Water was added and the resultant solid was collected, dried under vacuum, and purified by silica gel chromatography (0-10% MeOH/CH2Cl2). Additional purification was performed by reverse-phase HPLC (20-95% CH3CN/ 10 mM aq NH4OAc) to give the title compound. LC-MS: [M+l]+ 549.3 Mass: Calculated for C33H32N4O4, 548.63
C. Λ/-hydroxy-4-(4-((4-(morpholinomethyl)phenyl)ethynyl)phenyl)quinazoline-2- carboxamide
The 4-(4-((4-(morpholinomethyl)phenyl)ethynyl)phenyl)-N-(tetrahydro-2H- pyran-2-yloxy)quinazoline-2-carboxamide (10 mg, 0.02 mmol) was dissolved in dioxane (0.5 mL). A solution of 4 M hydrochloric acid in dioxane (0.1 mL, 0.40 mmol) was added dropwise. Immediately, a precipitate formed. The reaction mixture was stirred at RT overnight. Ether was added and the volume of the reaction mixture was reduced under a stream of nitrogen; this step was repeated several times. The solid was collected and dried under vacuum to give the title compound as the HCl salt. LC-MS: [M+l]+ 465.2 Mass: Calculated for C28H24N4O3, 464.52 1H NMR (300 MHz, DMSO-d6) δ: ppm 8.18 (m, 3H); 8.00 (m, 2H); 7.86 (m, 3H); 7.72 (m, 4H); 4.38 (s, 2H); 3.90 (m, 4H); 3.25 (m, 2H); 3.12 (m, 2H).
Example 233
N-hydroxy-2-(3-morpholinoazetidin-l-yl)-6-(4-(pyridin-3- ylethynyl)phenyl)isonicotinamide
Methyl 2-chloro-6-(3-morpholinoazetidin-l-yl)isonicotinate was prepared from methyl 2,6-dichloroisonicotinate and 4-(azetidin-3-yl)morpholine using the procedure described in Example 218, step A. LC-MS: [M+l]+ 312.0 Mass: calculated for Ci4Hi8ClN3O3, 311.76
B . Methyl 2-(3 -morpholinoazetidin- 1 -yl)-6-(4-(pyridin-3 -ylethynyl)phenyl) isonicotinate
Methyl 2-(3 -morpholinoazetidin- 1 -yl)-6-(4-(pyridin-3 -ylethynyl)phenyl) isonicotinate was prepared from methyl 2-chloro-6-(3 -morpholinoazetidin- 1- yl)isonicotinate using the procedure described in Example 218, step B. LC-MS: [M+l]+ 455.1 Mass: calculated for C27H26N4O3, 454.52
B. N-hydroxy-2-(3-morpholinoazetidin- 1 -yl)-6-(4-(pyridin-3-ylethynyl)phenyl) isonicotinamide
N-hydroxy-2-(3 -morpholinoazetidin- 1 -yl)-6-(4-(pyridin-3 -ylethynyl)pheny 1) isonicotinamide was prepared from methyl 2-(3-morpholinoazetidin-l-yl)-6-(4-(pyridin- 3-ylethynyl)phenyl)isonicotinate using the procedure described in Example 218, step C. LC-MS: [M+l]+ 456.3 Mass: calculated for C26H25N5O3, 455.51 1H NMR (300 MHz, MeOD) δ ppm 3.40 (br. s., 3 H) 3.98 (br. s., 4 H) 4.25 - 4.54 (m, 6 H) 6.81 (d, J=0.94 Hz, 1 H) 7.52 (s, 1 H) 7.60 (dd, J=7.93, 5.10 Hz, 1 H) 7.63 - 7.69 (m, 2 H) 8.05 - 8.17 (m, 3 H) 8.59 (dd, J=5.10, 1.51 Hz, 1 H) 8.79 (d, J=I.51 Hz, 1 H)
Example 234 Λ/-hydroxy-2-[2-(morpholin-4-yl) ethoxy]-6-(4-{[4-(morpholin-4- ylmethyl)phenyl]ethynyl}phenyl)pyrimidine-4-carboxamide
A. methyl 2-chloro-6-(4-{[4-(morpholin-4-ylmethyl) phenyl] ethynyl} phenyl) pyrimidine-4-carboxylate
To an argon purged solution of 2,6-Dichloro-pyrimidine-4-carboxylic acid methyl ester (2.0 g, 9.66 mmol) and 4-(4-{[4-(5, 5 -dimethyl- 1, 3, 2-dioxaborinan-2-yl) phenyl] ethynyl} benzyl) morpholine (3.75 g, 9.66 mmol) in 1, 4-dioxane (50 mL) was added K3PO4 (6.15 g, 28.98 mmol), Pd (OA) 2 (0.21 g, 0.96 mmol) and PdCl2 (PCy3)2 . The reaction mixture was heated at 600C for 2 h. The reaction mixture was cooled to room temperature and filtered through a pad of celite and the filtrate was evaporated under reduced pressure and the residue was diluted with water (50 mL) and extracted with ethyl acetate (50 mL x 3). The combined organic layer was washed with brine solution (50 mL), dried over anhydrous Na2SO4 and the solvent was evaporated under reduced pressure to get crude compound. The crude compound was triturated with n- pentane, filtered, and dried under vacuum to obtain (1.4 g) of methyl 2-chloro-6-(4-{[4- (morpholin-4-ylmethyl)phenyl]ethynyl}phenyl)pyrimidine-4-carboxylate. LC-MS: [M-2] 448.39, 450.41, 451.35 Mass: calculated for C25H22ClN3O3, 447.
1H NMR (400 MHz, δ ppm, CDCl3): δ 8.37 (s, IH), 8.20 (d, 2H), 7.69 (d, 2H), 7.53 (d, 2H), 7.36 (d, 2H), 4.07 (s, 3H), 3.77 (m, 4H), 3.52 (s, 2H), 2.46 (m, 4H).
B. 2-[2-(morpholin-4-yl)ethoxy]-6-(4-{[4-(morpholin-4-ylmethyl)phenyl] ethynyl}phenyl)pyrimidine-4-carboxylic acid
To a solution of morpholinoethanol (0.117 g, 0.89 mmol) in THF (20 mL) under nitrogen atmosphere was added 60% NaH (71 mg, 1.79 mmol) followed by methyl 2- chloro-6-(4-{[4-(morpholin-4-ylmethyl) phenyl] ethynyl} phenyl) pyrimidine-4- carboxylate (0.2 g, 0.47 mmol) and heated to reflux for 15 min. The reaction mixture was cooled to room temperature, quenched with cold water (10 mL) and extracted with 10% methanol/chloroform (25 mL x 3). The combined organic layer was washed with water (25 mL), brine (25 mL) and dried over anhydrous Na2SO4 . The solvent was evaporated under reduced pressure to get 2-[2-(morpholin-4-yl)ethoxy]-6-(4-{[4-(morpholin-4- ylmethyl)phenyl]ethynyl}phenyl)pyrimidine-4-carboxylic acid (0.15 g, crude) LC-MS: [M-H]" 527.31 Mass: calculated for C30H32N4O5, 528
C. methyl 2-[2-(morpholin-4-yl)ethoxy]-6-(4- {[4-(morpholin-4-ylmethyl)phenyl] ethynyl}phenyl)pyrimidine-4-carboxylate
To a stirred solution of 2-[2-(morpholin-4-yl)ethoxy]-6-(4-{[4-(morpholin-4- ylmethyl)phenyl]ethynyl}phenyl)pyrimidine-4-carboxylic acid (0.1 g, 0.31 mmol) in methanol (3 mL) under nitrogen atmosphere was added TMS-diazomethane (0.42ml, 0.852 mmol) and stirred at room temperature for 4 h. The solvent was evaporated under reduced pressure and the residue was diluted with water (10 mL) and extracted with ethyl acetate (25 mL x 2). The combined organic layer was washed with water (10 mL) followed by brine (25 mL), dried over anhydrous Na2SO4 and the solvent was evaporated to get methyl 2-[2-(morpholin-4-yl)ethoxy]-6-(4-{[4-(morpholin-4- ylmethyl)phenyl]ethynyl}phenyl)pyrimidine-4-carboxylate (0.12 g, crude). LC-MS: [M+H]+ 543.22 Mass: calculated for C31H34N4O5, 542
D. N-hydroxy-2-[2-(morpholin-4-yl) ethoxy]-6-(4- { [4-(morpholin-4-ylmethyl) phenyl]ethynyl}phenyl)pyrimidine-4-carboxamide
To a solution of methyl 2-[2-(morpholin-4-yl)ethoxy]-6-(4-{[4-(morpholin-4- ylmethyl)phenyl]ethynyl}phenyl)pyrimidine-4-carboxylate (0.12 g, crude) in 10 rnL methanol/THF (1 :1) was added aqueous 50% hydroxylamine (3.0 mL) followed by catalytic amount of KCN (5 mg) and the resulting solution was stirred at room temperature for 18 h. The reaction mixture was quenched with 10% citric acid solution (3 ml), stirred for 10 min, diluted with water (5 mL) and extracted with 10% methanol/chloroform (25 mL x 2). The combined organic layer was dried over anhydrous Na2SO4 and evaporated under vacuum to get crude compound. The crude compound was purified by preparative HPLC to obtain JV-hydroxy-2-[2-(morpholin-4-yl) ethoxy]-6-(4- {[4-(morpholin-4-ylmethyl)phenyl]ethynyl}phenyl)pyrimidine-4-carboxamide (20 mg) as a white solid. LC-MS: [M-H] + 542.45 Mass: calculated for C30H33N5O5, 543.21
1H NMR (400 MHz, δ ppm, DMSO.d6): δ 11.72 (s, IH), 9.4 (bs, IH), 8.3 (d, 2H), 8.13 (d, 2H), 7.74 (d, 2H), 7.54 (d, 2H), 7.43 (d, 2H), 4.6 (m, 2H), 3.45 (m, 10H), 2.68 (m, 2H), 2.38 (m,4H).
Example 235 jV-hydroxy-2-{[(l -methyl- lH-pyrazol-4-yl)sulfonyl]amino}-6-[4-(pyridin-3- ylethynyl)phenyl]pyridine-4-carboxamide
A. Methyl 2- { [(I -methyl- lH-pyrazol-4-yl)sulfonyl] amino} -6- [4-(pyridin-3- ylethynyl)phenyl]pyridine-4-carboxylate
The title compound was synthesized as described for Example 182 step A from Methyl 2-amino-6-[4-(pyridin-3-ylethynyl)phenyl]pyridine-4-carboxylate (Method 6) and 1 -Methyl- lH-pyrazole-4-sulfonyl chloride. LC-MS: [M+l]+ 474.5 Mass: calculated for C24Hi9N5O4S, 473.50
B . N-hydroxy-2- { [( 1 -methyl- 1 H-pyrazol-4-yl)sulfonyl]amino } -6- [4-(pyridin-3 - ylethynyl)phenyl]pyridine-4-carboxamide
The title compound was synthesized as described for Example 126 step B from methyl 2- { [( 1 -methyl- lH-pyrazol-4-yl)sulfonyl]amino } -6- [4-(pyridin-3 - ylethynyl)phenyl]pyridine-4-carboxylate LC-MS: [M+l]+ 475.5 Mass: calculated for C23Hi8N6O4S, 474.49
1H NMR (400 MHz, DMSO-d6) δ: ppm 11.52 (bs, IH); 11.29 (bs, IH); 9.35 (s, IH); 8.79 (s, IH); 8.61 (d, IH); 8.37 (s, IH); 8.11 (d, 2H); 8.02 (d, IH); 7.85 (d, 2H); 7.76 (d, 2H); 7.49 (m, IH); 7.25 (s, IH); 3.81 (s, 3H).
Example 236
Λ/-hydroxy-2-[(4-methoxybenzyl)amino]-6-(4-{[4-(morpholin-4- ylmethyl)phenyl]ethynyl}phenyl)pyridine-4-carboxamide
A. Methyl 2-chloro-6-[(4-methoxybenzyl)amino]pyridine-4-carboxylate
A solution of methyl 2,6-dichloroisonicotinate (12.5 g, 0.06 mol), p- methoxybenzylamine (8.32 g, 0.06 mol) and DIPEA (20.7 ml, 0.12 mol) in NMP (125 ml) was stirred at 120 0C. After 5 h, LCMS indicated complete consumption of starting material and formation of the desired product. The reaction was removed from the heat and allowed to cool to room temperature. Water was added to the reaction solution and it was extracted 3 times with ethyl acetate. The pooled organics were washed with sat. NaCl, dried over Na2SO4, filtered and concentrated. The crude product was purified by silica gel chromatography (5% ethyl acetate in hexanes) to afford the desired product (5.2 g, 0.016 mol, 28%) as a white solid. LC-MS: [M+l]+ 307.3
Mass: calculated for Ci5Hi5ClN2O3, 306.74
1H NMR (400 MHz, DMSO-d6) δ: ppm 7.83 (t, IH); 7.25 (d, 2H); 6.99 (s, IH); 6.87 (d,
2H); 6.83 (s, IH); 4.39 (d, IH); 3.83 (s, 3H); 3.72 (s, 3H).
B. methyl 2-[(4-methoxybenzyl)amino]-6-(4-{[4-(morpholin-4-ylmethyl)phenyl] ethynyl}phenyl)pyridine-4-carboxylate
Methyl 2-chloro-6-[(4-methoxybenzyl)amino]pyridine-4-carboxylate (1.57 g, 5.1 mmol), 4-(4-{[4-(5,5-dimethyl-l,3,2-dioxaborinan-2-yl)phenyl]ethynyl} benzyl)morpholine (Method 4, 2.2 g, 5.6 mmol) and sodium carbonate (0.94 g, 8.84 mol) were taken up in 1,4-dioxane (20 mL) and water (4 mL). The solution was degassed with a stream of N2 for 10 minutes. After this time, Pd(Ph3P)4 (0.8 g, 0.51 mmol) was added
and the reaction was stirred at 120 0C in microwave for 1 h. LC-MS indicated complete consumption of starting material. The reaction was concentrated, the crude residue obtained was dissolved in ethyl acetate and the organic layer was washed with water, brine, dried over anhydrous sodium sulphate and concentrated. The crude product was purified by silica gel chromatography (20-30% ethyl acetate in hexanes) to afford 2.5 g of the desired product. LC-MS: [M+l]+ 548.6 Mass: calculated for C34H33N3O4, 547.64
C. N-hydroxy-2-[(4-methoxybenzyl)amino]-6-(4-{[4-(morpholin-4-ylmethyl) phenyl]ethynyl}phenyl)pyridine-4-carboxamide
To a solution of methyl 2-[(4-methoxybenzyl)amino]-6-(4-{[4-(morpholin-4- ylmethyl)phenyl]ethynyl}phenyl)pyridine-4-carboxylate (100 mg, 0.18 mmol) in methanol (0.5 mL), Hydroxylamine hydrochloride (72 mg, 1.04 mmol) was added. The reaction was stirred at room temperature for 2 days. After this time, LC-MS indicated formation of the desired product. The reaction was concentrated and the crude residue was taken up in DMSO for reverse phase purification. The clean fractions were pooled, concentrated and lyophilized overnight to afford 28 mg of the desired product. LC-MS: [M+l]+ 549.6 Mass: calculated for C33H32N4O4, 548.63
1H NMR (400 MHz, DMSO) δ: ppm 11.30 (bs, IH); 9.20 (bs, IH); 8.16 (s, IH); 8.09 (d, 2H); 7.62 (d, 2H); 7.53 (d, 2H); 7.42 (s, IH); 7.37 (d, 2H); 7.30 (d, 2H); 6.86 (m, 3H); 4.53 (d, 2H); 3.70 (s, 3H); 3.57 (t, 4H); 3.49 (s, 3H); 2.35 (s, 4H).
Example 237
N-hydroxy-2-methyl-6-(4-((4-(morpholinomethyl)phenyl)ethynyl)phenyl) isonicotinamide
A. Methyl 2-methyl-6-(4-((4-(morpholinomethyl)phenyl)ethynyl)phenyl) isonicotinate
4-(4-((4-(5,5-dimethyl-l,3,2-dioxaborinan-2-yl)phenyl)ethynyl)benzyl) morpholine (0.56 g, 1.44 mmol), methyl 2-bromo-6-methylisonicotinate (0.331 g, 1.44 mmol), CS2CO3 (0.937 g, 2.88 mmol) and [l,l'-bis(diphenylphosphino)ferrocene] dichloropalladium(ii) (0.104 g, 0.14 mmol) were combined in acetonitrile (12 mL)/water (2 mL) and heated to 60 0C under argon. After 2 hours the solution was cooled to room temperature. The reaction mixture was diluted with water and extracted three times with ethyl acetate. The combined organic extracts were dried over magnesium sulfate, filtered and evaporated. Normal phase silica gel column (0%-75% ethyl acetate/dichloromethane) afforded the desired compound as a solid.
LC-MS: [M-H] + 427
Mass: calculated for C27H26N2O3, 426.5
1U NMR (300 MHz, DMSO-J6) d ppm 0.96 (s, 2 H) 2.36 (d, J=3.97 Hz, 3 H) 2.65 (s, 2 H) 3.44 - 3.53 (m, 2 H) 3.54 - 3.64 (m, 3 H) 3.77 (s, 1 H) 3.93 (s, 2 H) 7.33 - 7.41 (m, 2 H) 7.46 - 7.60 (m, 3 H) 7.63 - 7.76 (m, 3 H) 8.07 - 8.27 (m, 2 H)
B. N-hydroxy-2-methyl-6-(4-((4-(morpholinomethyl)phenyl) ethynyl)phenyl) isonicotinamide
To a solution of methyl 2-methyl-6-(4-((4-(morpholinomethyl)phenyl)ethynyl) phenyl)isonicotinate (0.066 g, 0.15 mmol) in MeOH (2 mL) was added hydroxylamine, 50 wt% in water (0.237 mL, 3.87 mmol) and the reaction was stirred at room temperature. LC/MS after stirring 6 hours indicates formation of product. The reaction mixture was diluted with water and extracted three times with ethyl acetate. The organic portion was washed twice with saturated sodium chloride. The combined organic extracts were dried over magnesium sulfate, filtered and evaporated to a solid. Reverse phase HPLC (10%-75% acetonitrile/water with 0.1% TFA) afforded the desired compound as a solid. 19F NMR indicates the presence of TFA salt. LC-MS: [M-H] + 428 Mass: calculated for C26H25N3O3, 427.50 1H NMR (300 MHz, DMSO-J6) δ ppm 2.61 (s, 3 H) 3.14-3.25 (m., 4 H) 3.68 (m., 4 H) 4.40 (s., 2 H) 7.58 (d, J=7.36 Hz, 3 H) 7.71 (d, J=8.12 Hz, 4 H) 8.08 (s, 1 H) 8.20 (d, J=8.12 Hz, 2 H) 10.05 (br. s., 1 H) 11.55 (br. s., 1 H) 19F NMR (282 MHz, DMSO-J6) δ ppm -74.41 (s)
Example 238
2-(2-((dimethylamino)methyl)morpholino)-N-hydroxy-6-(4-(pyridin-3- ylethynyl)phenyl)isonicotinamide
A. Methyl-2-chloro-6-(2-((dimethylamino)methyl)morpholino)isonicotinate
Methyl 2-chloro-6-(2-((dimethylamino)methyl)morpholino)isonicotinate was prepared from methyl 2,6-dichloroisonicotinate and N,N-dimethyl- 1 -(morpholin-2- yl)methanamine using the procedure described in Example 218, step A. LC-MS: [M+l]+ 314.0 Mass: calculated for Ci4H20ClN3O3, 313.78
B. Methyl-2-(2-((dimethylamino)methyl)morpholino)-6-(4-(pyridin-3- ylethynyl)phenyl)isonicotinate
Methyl 2-(2-((dimethylamino)methyl)morpholino)-6-(4-(pyridin-3- ylethynyl)phenyl) isonicotinate was prepared from methyl 2-chloro-6-(2- ((dimethylamino)methyl) morpholino)isonicotinate using the procedure described in Example 218, step B.
LC-MS: [M+l]+ 457.2
Mass: calculated for C27H28N4O3, 456.54
C . 2-(2-((dimethylamino)methyl)morpholino)-N-hydroxy-6-(4-(pyridin-3 - ylethynyl)phenyl)isonicotinamide
2-(2-((dimethylamino)methyl)morpholino)-N-hydroxy-6-(4-(pyridin-3- ylethynyl)phenyl) isonicotinamide was prepared from methyl 2-(2-
((dimethylamino)methyl)morpholino)-6-(4-(pyridin-3-ylethynyl)phenyl)isonicotinate using the procedure described in Example 218, step C.
LC-MS: [M+l]+ 458.3
Mass: calculated for C26H27N5O3, 457.52 1H NMR (300 MHz, MeOD) δ ppm 2.86 (dd, J=12.65, 10.39 Hz, 1 H) 3.05 - 3.19 (m, 1
H) 3.42 (d, J=10.39 Hz, 6 H) 3.65 - 3.92 (m, 3 H) 4.07 - 4.18 (m, 1 H) 4.23 - 4.49 (m, 3
H) 7.36 (d, J=0.76 Hz, 1 H) 7.51 - 7.59 (m, 1 H) 7.63 - 7.70 (m, 2 H) 7.78 (d, J=0.76 Hz,
1 H) 8.08 (dt, J=8.03, 1.75 Hz, 1 H) 8.11 - 8.18 (m, 2 H) 8.57 (dd, J=5.00, 1.61 Hz, 1 H)
8.76 (dd, J=2.08, 0.76 Hz, I H)
Example 239
N-hydroxy-2-(3 -methoxyazetidin- l-yl)-6-(4-(pyridin-3- ylethynyl)phenyl)isonicotinamide A. Methyl 2-chloro-6-(3 -methoxyazetidin- l-yl)isonicotinate
Methyl 2-chloro-6-(3-methoxyazetidin-l-yl)isonicotinate was prepared from methyl 2,6-dichloroisonicotinate and 3-methoxyazetidine using the procedure described in Example 218, step A. LC-MS: [M+l]+ 257.0 Mass: calculated for CHHI3CIN2O3, 256.69
B . Methyl 2-(3 -methoxyazetidin- 1 -yl)-6-(4-(pyridin-3 -ylethynyl)phenyl) isonicotinate
Methyl 2-(3-methoxyazetidin- 1 -yl)-6-(4-(pyridin-3-ylethynyl)phenyl) isonicotinate was prepared from methyl 2-chloro-6-(3-methoxyazetidin-l-yl)isonicotinate using the procedure described in Example 218, step B. LC-MS: [M+l]+ 457.2 Mass: calculated for C27H28N4O3, 456.54
C. N-hydroxy-2-(3-methoxyazetidin- 1 -yl)-6-(4-(pyridin-3-ylethynyl)phenyl) isonicotinamide
N-hydroxy-2-(3 -methoxyazetidin- 1 -yl)-6-(4-(pyridin-3 -ylethynyl)phenyl) isonicotinamide was prepared from methyl 2-(3 -methoxyazetidin- l-yl)-6-(4-(pyridin-3- ylethynyl)phenyl)isonicotinate using the procedure described in Example 218, step C. LC-MS: [M+l]+ 401.1 Mass: calculated for C26H27N5O3, 400.43
1H NMR (300 MHz, DMSO-J6) δ ppm 3.28 (s, 3 H) 3.88 (dd, J=9.35, 3.87 Hz, 2 H) 4.22 - 4.32 (m, 2 H) 4.33 - 4.43 (m, 1 H) 6.72 (d, J=0.76 Hz, 1 H) 7.45 - 7.58 (m, 2 H) 7.66 - 7.79 (m, 2 H) 8.05 (d, J=7.93 Hz, 1 H) 8.15 (d, J=8.50 Hz, 2 H) 8.62 (dd, J=4.91, 1.51 Hz, 1 H) 8.81 (d, J=I.89 Hz, 1 H) 11.41 (br. s., 1 H)
Example 240
N-hydroxy-6-(4-{[4-(morpholin-4-ylmethyl)phenyl]ethynyl}phenyl) isoquinoline-8-carboxamide
A. Λ/-[(Z)-(2-bromo-4-iodophenyl)methylidene]-2,2-dimethoxyethanamine
To a solution of 2-bromo 4-iodobenzaldehyde (5.0 g, 16.1 mmol) in dry toluene (50 ml) was added aminoacetaldehyde dimethyl acetal (3.47 ml, 32.2 mmol) at room temperature. The reaction mixture was refluxed with a Dean-Stark trap for 18 h. The solvent was evaporated under reduced pressure to yield JV-[(Z)-(2-bromo-4- iodophenyl)methylidene]-2,2-dimethoxyethanamine (6.2 g, crude) as a brown solid. LC-MS: [M, M+2]+ 400.71, 402.71. Mass: calculated for CnHi3BrINO2, 398.04
1H NMR (400 MHz, δ ppm, CDCl3): δ 8.56 (s, IH), 7.94 (d, IH), 7.74 (d, IH), 7.67 (m, IH), 4.68 (t, IH), 3.81 (d, 2H), 3.42 (s, 6H).
B. 8-bromo-6-iodoisoquinoline
To a pre-heated solution of cone. H2SO4 (12.0 ml) at 140 0C was added N-[(Z)-(2- bromo-4-iodophenyl)methylidene]-2,2-dimethoxyethanamine (2.2 g, 5.52 mmol) in portions over 10 min. The reaction mixture was stirred at 140 0C for 1 h. The reaction mixture was cooled to room temperature and poured into crushed ice, basifϊed with aq. 50% NaOH solution to pH ~10 and extracted with dichloromethane (150 mL x 3). The combined organic layers were washed with water (50 mL x 2 ), brine solution (50 mL), dried over anhydrous Na2SO4 and evaporated to dryness to obtain black residue (crude compound). The crude compound was purified by column chromatography (Silica gel, 100-200 mesh) using 5% ethyl acetate in pet-ether as mobile phase to yield 8-bromo-6- iodoisoquinoline (75 mg, 4%) as a light brown solid.
LC-MS: [M, M+2]+ 335.92.337.92 Mass: calculated for C9H5BrIN, 333.96
1H NMR (400 MHz, δ ppm, CDCl3): δ 9.56 (s, IH), 8.64 (d, IH), 8.20 (s, IH), 8.13 (s, IH), 7.51 (d, IH)
C. 8-bromo-6-(4-{[4-(morpholin-4-ylmethyl)phenyl]ethynyl}phenyl)isoquinoline
To an argon purged solution of 8-bromo-6-iodoisoquinoline (0.15 g, 0.45 mmol) in 1 ,2-dimethoxyethane (10.0 mL) was added aq; NaHCO3 (0.056 mg, 0.67 mmol, in 2 mL water) followed by 4-(4-((4-(5, 5 -dimethyl- 1,3, 2-dioxaborinan-2- yl)phenyl)ethynyl)benzyl)morpholine (209 mg, 0.54 mmol) and Pd(PPlIs)4 (26 mg, 0.02 mmol) . The reaction mixture was heated under argon at 85 0C for 3 h. The reaction mixture was cooled to room temperature, diluted with water (20 mL) and extracted with ethyl acetate (50 mL x 3). The combined organic layer was washed with brine solution (50 mL), dried over anhydrous Na2SO4 and evaporated under reduced pressure to provide a black residue. The residue was purified by column chromatography (Silica gel, 100-200 mesh) using ethyl acetate as mobile phase to provide 8-bromo-6-(4-{[4-(morpholin-4- ylmethyl)phenyl]ethynyl}phenyl)isoquinoline (150 mg, 69 %) as a solid. LC-MS: [M, M+2]+ 484.35,486.35 Mass: calculated for C28H23BrN2O, 483.41
To an argon purged solution of 8-bromo-6-(4-{[4-(morpholin-4-ylmethyl)phenyl] ethynyl}phenyl)isoquinoline (0.200 g, 0.41 mmol) in methanol (6.0 mL) and DMF (10.0 mL) was added triethylamine (0.23 ml, 1.65 mmol) , Pd(OAc)2 (0.05 g, 0.2 mmol) followed by 1,1 '-bisdiphenylphosphino ferrocene (0.115 g, 0.2 mmol). The reaction mixture was transferred into a pressure bomb and filled with carbon monoxide (125 psi) and heated at 1000C for 5 h. The reaction mixture was cooled to room temperature, diluted with ethyl acetate (100 mL) and washed with water (50 mL). The aqueous layer was further extracted with ethyl acetate (50 mL x 2) and the combined organic layers were washed with brine solution (50 mL), dried over anhydrous MgSO4, filtered through a pad of celite and evaporated under reduced pressure to provide crude compound. The crude compound was purified by column chromatography (Silica gel, 100-200 mesh) using 2% methanol in chloroform as eluent to provide Methyl 6-(4-{[4-(morpholin-4- ylmethyl)phenyl]ethynyl}phenyl)isoquinoline-8-carboxylate (220 mg, crude) as semi solid with 59% LC-MS purity. LC-MS: [M+l]+ 463.4. Mass: calculated for C30H26N2O3, 462.55 1H NMR (400 MHz, δ ppm, CDCl3): δ 10.31 (s, IH), 8.66 (d, IH), 8.59 (s, IH), 8.22 (s, IH), 7.7 (m, 5H), 7.56 (m, 2H), 7.38 (m, 2H), 4.11 (s, 3H), 3.8 (m, 6H), 2.71 (sb, 4H)
E. N-hydroxy-6-(4-{[4-(morpholin-4-ylmethyl)phenyl]ethynyl}phenyl) isoquinoline-8-carboxamide
To a solution of Methyl 6-(4-{[4-(morpholin-4-ylmethyl)phenyl]ethynyl}phenyl) isoquinoline-8-carboxylate (0.200 g, 0.43 mmol) in methanol/THF (1 :1) was added aqueous 50% hydroxylamine (4 niL) followed by catalytic amount of KCN (~2 mg) and the resulting solution was stirred at room temperature for 24 h. The reaction mixture was quenched with aqueous 10% citric acid solution (~3 mL) and stirred for 15 min. The precipitated solid was filtered, washed with water (10 ml) and dried under vacuum to provide 200 mg of crude product. The crude product was purified by prep. HPLC to provide N-hydroxy-6-(4- { [4-(morpholin-4-ylmethyl)phenyl]ethynyl}phenyl) isoquinoline-8-carboxamide (10 mg, 5% yield). LC-MS: [M-I]" 462.43 Mass: calculated for C29H25N3O3/^.54 1H NMR (400 MHz, δ ppm, DMSO-d6): δ 11.42 (s, IH), 9.62 (s, IH), 9.44 (s, IH), 8.6 (d, IH), 8.47 (s, IH), 8.08 (s, IH), 7.99 (m, 3H), 7.74 (d, 2H), 7.56 (d, 2H), 7.39 (d, 2H), 3.58 (m, 4H), 3.5 (s, 2H), 2.37 (sb, 4H)
Example 241
Λ/-hydroxy-2-(2-methoxyethoxy)-6-(4-{[4-(morpholin-4-ylmethyl)phenyl] ethynyl} phenyl) pyrimidine-4-carboxamide
A. 2-(2-methoxyethoxy)-6-(4- { [4-(morpholin-4-ylmethyl)phenyl]ethynyl} phenyl)pyrimidine-4-carboxylic acid
To a stirred solution of methyl 2-chloro-6-(4-{[4-(morpholin-4-ylmethyl) phenyl] ethynyl} phenyl) pyrimidine-4-carboxylate (500 mg, 1.118 mmol ) in anhydrous THF (50 rnL) at -40 0C was potassium tert-butoxide (376.16 mg, 3.355 mmol), methoxy ethanol (170 mg, 2.236 mmol) was stirred at RT for overnight . The reaction mixture was quenched with cold water (10 mL) and extracted with 10% methanol/chloroform (25 mL x 2). The combined organic layer was washed with water (5 mL) brine solution (5 mL) and dried over Na2SO4, evaporated the solvent was evaporated under vacuum to afford crude compound. The crude compound was purified by column chromatography using silica gel (100- 200 mesh), solvent gradient of 20% MeOH: chloroform as eluent to afford 120 mg of 2-(2-methoxyethoxy)-6-(4-{[4-(morpholin-4-ylmethyl)phenyl]ethynyl} phenyl)pyrimidine-4-carboxylic acid. LC-MS: [M+H]+ 474.46 Mass: calculated for C27H27N3O5, 473
1H NMR (400 MHz, δ ppm, DMSO.d6): δ 8.4 (m, 2H), 8.09 (bs, IH), 7.72 (d, 2H), 7.6 (d, 2H), 7.42 (d, 2H), 3.6 (m, 4H), 3.52 (s, 2H), 3.2 (s, 3H), 2.4 (m, 4H).
B. 2-(2-methoxyethoxy)-6-(4-{[4-(morpholin-4-ylmethyl)phenyl]ethynyl} phenyl)-N-(tetrahydro-2H-pyran-4-yloxy)pyrimidine-4-carboxamide
To a stirred solution of 2-(2-methoxyethoxy)-6-(4-{[4-(morpholin-4-ylmethyl) phenyl]ethynyl}phenyl)pyrimidine-4-carboxylic acid (50 mg, 0.10 mmol) in anhydrous THF (20 rnL) under nitrogen atmosphere at 00C was added HBTU (79.65 mg, 0.210 mmol), DIPEA (27.14 mg, 0.210 mmol) followed by the addition of OTHP hydroxyl amine (14.76 mg, 0.126 mmol). The reaction mixture was stirred at RT for 5 h. The reaction mixture was quenched with water (10 mL) and extracted with 10% methanol/chloroform (25 mL x 2). The combined organic layer was washed with water (10 mL) followed by brine (10 mL), dried over Na2SO4 , filtered and the solvent was evaporated under vacuum to get 2-(2-methoxyethoxy)-6-(4-{[4-(morpholin-4- ylmethyl)phenyl]ethynyl}phenyl)-Λ/-(tetrahydro-2H-pyran-4-yloxy)pyrimidine-4- carboxamide (60 mg, crude) as brown liquid. LC-MS: [M+H]+ 573.42 Mass: calculated for C32H36N4O6, 572.
C. N-hydroxy-2-(2-methoxyethoxy)-6-(4-{[4-(morpholin-4-ylmethyl)phenyl] ethynyl}phenyl)pyrimidine-4-carboxamide.
A solution of 2-(2-methoxyethoxy)-6-(4- {[4-(morpholin-4-ylmethyl)phenyl] ethynyl}phenyl)-Λ/-(tetrahydro-2H-pyran-4-yloxy)pyrimidine-4-carboxamide (0.2 g, 0.34 mmol) in acetic acid: THF: water (4: 1 :2 rnL) at room temperature under nitrogen atmosphere and heated to 60 0C for overnight. The solvent was evaporated under vacuum to afford crude product. The crude product was purified by prep-HPLC to afford 15 mg ofΛ/-hydroxy-2-(2-methoxyethoxy)-6-(4-{[4-(morpholin-4-ylmethyl)phenyl]ethynyl} phenyl)pyrimidine-4-carboxamide as brown semi solid. LC-MS: [M+H] + 489.57 Mass: calculated for C27H28N4O5, .488.21
1H NMR (400 MHz, δ ppm, DMSO.dg): δ 9.4 (bs, 2H), 8.32 (d, 2H), 8.10 (s, IH), 7.73 (d, 2H), 7.57 (d, 2H), 7.40 (d, 2H), 4.65 (bs, IH), 4.10 (bs, 2H), 3.70 (bs, IH), 3.4-3.6 (m, 6H), 2.35 (m, 4H).
Example 242
JV-hydroxy-2- { [(4-hydroxyphenyl)carbonyl] amino } -6- [4-(pyridin-3 - ylethynyl)phenyl]pyridine-4-carboxamide
A. methyl 2-{[(4-hydroxyphenyl)carbonyl]amino}-6-[4-(pyridin-3- ylethynyl)phenyl]pyridine-4-carboxylate
The title compound was synthesized as described for Example 126 step A from Methyl 2-amino-6-[4-(pyridin-3-ylethynyl)phenyl]pyridine-4-carboxylate (Method 6) and 4-(chlorocarbonyl)phenyl acetate. LC-MS: [M+l]+ 450.4 Mass: calculated for C27Hi9N3O4, 449.45
B . JV-hydroxy-2- { [(4-hydroxyphenyl)carbonyl]amino } -6- [4-(pyridin-3 - ylethynyl)phenyl]pyridine-4-carboxamide
The title compound was synthesized as described for Example 126 step B from methyl 2- { [(4-hydroxyphenyl)carbonyl] amino } -6-[4-(pyridin-3 - ylethynyl)phenyl]pyridine-4-carboxylate LC-MS: [M+l]+ 451.4 Mass: calculated for C26Hi8N4O4, 450.44 1H NMR (400 MHz, DMSO-d6) δ: ppm 10.64 (s, IH); 10.30 (bs, IH); 9.40 (bs, IH); 8.77 (d, IH); 8.61 (m, IH); 8.48 (s, IH); 8.27 (d, IH); 7.99 (m, 4H); 7.77 (dd, 2H); 7.48 (dd, IH); 6.87 (d, 2H).
Example 243 tert-butyi {4-(hydroxycarbamoyl)-6-[4-(pyridin-3-ylethynyl)phenyl]pyridin-2- yl} carbamate
A. methyl 2-[(tert-butoxycarbonyl)amino]-6-[4-(pyridin-3- ylethynyl)phenyl]pyridine-4-carboxylate
To a solution of Methyl 2-amino-6-[4-(pyridin-3-ylethynyl)phenyl]pyridine-4- carboxylate (Method 6) (100 mg, 0.3 mmol) in t-butanol (1 niL) was added di-t- butyldicarbonate (0.1 g, 0.45 mmol), triethylamine (0.05 mL) and dimethyl aminopyridine (4 mg, 0.03 mmol). The mixture was refluxed at 100°C for 2 hours. After this time, LC-MS indicated formation of the desired product. The reaction was concentrated and the crude residue was diluted with ethyl acetate and washed with water. The organic layer was dried using anhydrous sodium sulphate and concentrated to get 0.1 g of the crude product, which was purified by column chromatography to get 80 mg of the pure product as a pale yellow solid. LC-MS: [M+l]+ 430.5 Mass: calculated for C25H23N3O4, 429.46
1H NMR (400 MHz, CD3OD) δ: ppm 8.73 (d, IH); 8.53 (m, IH); 8.34 (s, IH); 8.12 (d, 2H); 8.00 (m, IH); 7.85 (s, IH); 7.71 (d, 2H); 7.48 (m, IH); 4.00 (s, 3H); 1.47 (s, 9H).
B . tert-butyl {4-(hydroxycarbamoyl)-6- [4-(pyridin-3 -ylethynyl)phenyl]pyridin-2- yl} carbamate
The title compound was synthesized as described for Example 269 step F from methyl 2- [(tert-butoxycarbonyl)amino] -6- [4-(pyridin-3 -ylethynyl)phenyl]pyridine-4- carboxylate.
LC-MS: [M+l]+ 431.5
Mass: calculated for C24H22N4O4, 430.45
1H NMR (400 MHz, DMSO) δ: ppm 10.04 (s, IH); 9.3 (s, IH); 8.78 (d, IH); 8.60 (m, IH); 8.47 (s, IH); 8.18 (d, 2H); 8.12 (s, IH); 8.00 (m, IH); 7.91 (s, IH); 7.73 (d, 2H); 7.50 (m, IH); 1.50 (s, 9H).
Example 244
N-hydroxy-2-(3 -hydroxyazetidin- 1 -yl)-6-(4-(pyridin-3 -ylethynyl)phenyl) isonicotinamide
A. Methyl 2-chloro-6-(3 -hydroxyazetidin- 1 -yl)isonicotinate
Methyl 2-chloro-6-(3-hydroxyazetidin-l-yl)isonicotinate was prepared from methyl 2,6-dichloroisonicotinate and azetidin-3-ol using the procedure described in Example 218, step A. LC-MS: [M+l]+ 243.0 Mass: calculated for C10H11CIN2O3, 242.66
B . Methyl 2-(3 -hydro xyazetidin- 1 -yl)-6-(4-(pyridin-3 -ylethynyl)phenyl) isonicotinate
Methyl 2-(3 -hydroxyazetidin- 1 -yl)-6-(4-(pyridin-3 -ylethynyl)phenyl)isonicotinate was prepared from methyl 2-chloro-6-(3 -hydroxyazetidin- l-yl)isonicotinate using the procedure described in Example 218, step B. LC-MS: [M+l]+ 386.2 Mass: calculated for C23Hi9N3O3, 385.42
C . N-hydroxy-2-(3 -hydroxyazetidin- 1 -yl)-6-(4-(pyridin-3 -ylethynyl)phenyl) isonicotinamide
N-hydroxy-2-(3 -hydroxyazetidin- 1 -yl)-6-(4-(pyridin-3 -ylethynyl)phenyl) isonicotinamide was prepared from methyl 2-(3 -hydroxyazetidin- l-yl)-6-(4-(pyridin-3- ylethynyl)phenyl)isonicotinate using the procedure described in Example 218, step C. LC-MS: [M+l]+ 387.2 Mass: calculated for C22Hi8N4O3, 386.40
1H NMR (300 MHz, DMSO-J6) δ ppm 3.80 (dd, J=8.88, 4.53 Hz, 1 H) 4.20 - 4.37 (m, 2 H) 4.58 - 4.70 (m, 1 H) 7.45 - 7.61 (m, 2 H) 7.66 - 7.79 (m, 1 H) 7.71 (d, J=8.50 Hz, 2 H) 8.06 (t, J=9.16 Hz, 1 H) 8.14 (d, J=8.50 Hz, 2 H) 8.62 (d, J=4.72 Hz, 1 H) 8.81 (br. s., 1 H) 11.42 (br. s., 1 H)
Example 245
5 -(3 -fluorobiphenyl-4-yl)-N-hydroxynicotinamide
A. 2-chloro-6-(4-((4-(morpholinomethyl)phenyl)ethynyl)phenyl)isonicotinic acid
2,6-dichloroisonicotinic acid (0.524 g, 2.73 mmol) and 4-(4-((4-(4,4,5,5- tetramethyl-l,3,2-dioxaborolan-2-yl)phenyl)ethynyl)benzyl)morpholine (1.1 g, 2.73 mmol) were suspended in DMSO (22.100 mL). Na2CO3 (3.90 mL, 7.79 mmol) was added to the reaction mixture. The reaction was purged with N2. PdCl2(dppf) (0.190 g, 0.26 mmol) was then added to the reaction mixture. Reaction was not in solution so dioxane (5 mL) was added to the reaction mixture. Solution was stirred at 1000C thermally for Ih. The reaction was diluted with EtOAc and washed three times with water. The organic layer was dried over Na2SO4, filtered, and concentrated under reduced pressure. Product was carried on to the next reaction without purification. 770mgs (68.5%) of the desired product was obtained. LC-MS: [M+l]+ 308.2 Mass: calculated for C25H2iClN2O3, 433.1
B. Tetrahydro-2H-pyran-2-yl2-chloro-6-(4-((4-(morpholinomethyl)phenyl) ethynyl)phenyl) isonicotinate
Tetrahydro-2H-pyran-2-yl 2-chloro-6-(4-((4-(morpholinomethyl)phenyl)ethynyl) phenyl) isonicotinate was prepared from 2-chloro-6-(4-((4-(morpholinomethyl)phenyl) ethynyl)phenyl)isonicotinic acid (700 mg, 1.62 mmol) using the procedure described in
Example 246, step B. 93.4mgs (10.86%) of the desired product was obtained.
LC-MS: [M+l]+ 532.2
Mass: calculated for C30H30ClN3O4, 531.19
C. 2-(2-(4-methylpiperazin-l-yl)ethoxy)-6-(4-((4-(morpholinomethyl)phenyl) ethynyl)phenyl)-N-(tetrahydro-2H-pyran-2-yloxy)isonicotinamide
2-chloro-6-(4-((4-(morpholinomethyl)phenyl)ethynyl)phenyl)-N-(tetrahydro-2H- pyran-2-yloxy)isonicotinamide (93.4 mg, 0.18 mmol) and 2-(4-methylpiperazin-l- yl)ethanol (25.3 mg, 0.18 mmol) were combined in DMF (1.756 mL). The reaction mixture was stirred at room temperature followed by the addition of potassium tert- butoxide (0.048 mL, 0.39 mmol). The reaction was heated at 1000C for one hour and then at room temperature for 16 hours. The reaction was diluted with EtOAc and washed three times with water. The organic layer was dried over Na2SO4, filtered, and concentrated under reduced pressure. Crude material was purified on a normal phase silica gel column using Hexanes/EtOAc with a gradient of 0-50%. Pure fractions were combined and concentrated under reduced pressure. 52.7mgs (46.9%) of the desired product was obtained. LC-MS: [M+l]+ 640.5 Mass: calculated for C37H45FN5O5, 639.78
D. N-hydroxy-2-(2-(4-methylpiperazin-l-yl)ethoxy)-6-(4-((4-
(morpholinomethyl)phenyl)ethynyl)phenyl)isonicotinamide
2-(2-(4-methylpiperazin-l-yl)ethoxy)-6-(4-((4-(morpholinomethyl)phenyl) ethynyl) phenyl)-N-(tetrahydro-2H-pyran-2-yloxy)isonicotinamide (52.7 mg, 0.08 mmol) was dissolved in dioxane (3 niL). HCl, 4N in dioxane (100 μl, 3.29 mmol) was added to the reaction mixture. Reaction was diluted with EtOAc and washed twice with sodium bicarbonate. The organic layer was dried over Na2SO4, filtered, and concentrated under reduced pressure and dried under vacuum oven for 72 hours. 9.0 mgs (26.4%) of the desired product was obtained. LC-MS: [M+l]+ 556.3
Mass: calculated for C32H37N5O4, 555.67
1H NMR (300 MHz, DMSO-J6) δ ppm 8.61 (br. s., 1 H) 8.07 (d, J=8.50 Hz, 2 H) 7.83 (s, 1 H) 7.64 (d, J=8.50 Hz, 2 H) 7.54 (m, J=8.12 Hz, 2 H) 7.38 (m, J=8.12 Hz, 2 H) 6.96 (s, 1 H) 4.46 (t, J=6.04 Hz, 2 H) 3.54 - 3.64 (m, 4 H) 3.50 (s, 2 H) 2.69 - 2.77 (m, 2 H) 2.31 - 2.41 (m, 7 H) 2.24 - 2.31 (m, 3 H) 2.14 (s, 3 H) 1.09 - 1.21 (m, 2 H)
Example 246
JV-hydroxy-2-[2-(4-methylpiperazin-l-yl) ethoxy]-6-(4-{[4-(morpholin-4- ylmethyl) phenyl] ethynyl} phenyl) pyrimidine-4-carboxamide
A. 2-[2-(4-methylpiperazin-l-yl) ethoxy]-6-(4-{[4-(morpholin-4-ylmethyl) phenyl] ethynyl} phenyl) pyrimidine-4-carboxylic acid
To a stirred solution of Λ/-hydroxy-2-[2-(morpholin-4-yl) ethoxy]-6-(4-{[4- (morpholin-4-ylmethyl)phenyl]ethynyl}phenyl)pyrimidine-4-carboxamide (0.1 g, 0.22 mmol) in anhydrous THF (5 rnL) at -40 0C was added potassium tert-butoxide (75.21 mg, 0.67 mmol), N-methyl piperazinylethanol (96.77 mg, 0.67 mmol) and stirred at RT overnight . The reaction mixture was quenched with cold water (10 mL) and extracted with 10% methanol/chloroform (25 mL x 2). The combined organic layer was washed with water (5 mL), brine solution (5 mL) and dried over Na2SO4, evaporated under reduced pressure to get 2-[2-(4-methylpiperazin-l-yl) ethoxy]-6-(4-{[4-(morpholin-4- ylmethyl) phenyl] ethynyl} phenyl) pyrimidine-4-carboxylic acid (60 mg, crude). LC-MS: [M-H]+ 542.57 Mass: calculated for C3IH35N5O4, 541
B. 2-[2-(4-methylpiperazin-l-yl) ethoxy]-6-(4-{[4-(morpholin-4-ylmethyl) phenyl] ethynyl} phenyl)-JV-(tetrahydro-2H-pyran-4-yloxy) pyrimidine-4-carboxamide
To a stirred solution of 2-[2-(4-methylpiperazin-l-yl) ethoxy]-6-(4-{[4- (morpholin-4-ylmethyl) phenyl] ethynyl} phenyl) pyrimidine-4-carboxylic acid (0.15 g, 0.27 mmol) in anhydrous THF (20 rnL) under nitrogen atmosphere at 00C was added HBTU (0.31 g, 0.83 mmol), DIPEA (0.11 g, 0.83 mmol), which was stirred at room temperature for 15 min and then OTHP hydroxyl amine (97.40 mg, 0.83 mmol) was added and stirred at RT for 5 h. The reaction mixture was quenched with water (10 mL) and extracted with 10% methanol/chloroform (25 mL x 2). The combined organic layer was washed with water (10 mL) followed by brine (10 mL) and dried over Na2SO4. The organic layer was then filtered and the solvent was evaporated under vacuum to get 2-[2- (4-methylpiperazin-l-yl) ethoxy]-6-(4-{[4-(morpholin-4-ylmethyl) phenyl] ethynyl} phenyl)-JV-(tetrahydro-2H-pyran-4-yloxy) pyrimidine-4-carboxamide (200 mg, crude) as white semi solid. LC-MS: [M+H] +641.64
Mass: calculated for C36H44N6O5, 640.
C. JV-hydroxy-2-[2-(4-methylpiperazin-l-yl) ethoxy]-6-(4-{[4-(morpholin-4- ylmethyl) phenyl] ethynyl} phenyl) pyrimidine-4-carboxamide
A solution of 2-[2-(4-methylpiperazin-l-yl) ethoxy]-6-(4-{[4-(morpholin-4- ylmethyl) phenyl] ethynyl} phenyl)-JV-(tetrahydro-2H-pyran-4-yloxy) pyrimidine-4- carboxamide (0.2 g, 0.31 mmol) in acetic acid: THF: water (4: 1 :2 rnL) at room temperature under nitrogen atmosphere was heated to 600C for 16 h. The solvent was evaporated under vacuum to afford 10 mg of iV-hydroxy-2-[2-(4-methylpiperazin-l-yl) ethoxy]-6-(4-{[4-(morpholin-4-ylmethyl) phenyl] ethynyl} phenyl) pyrimidine-4- carboxamide.
LC-MS: [M-H] " 555.42
Mass: calculated for CSiH36N6O4, 556.
1H NMR (400 MHz, δ ppm, DMSO.d6): δ 11.65 (bs, IH), 9.40 (bs, IH), 8.3 (d, 2H), 8.1
(d, IH), 7.72 (d, 2H), 7.55 (d, 2H), 7.38 (d, 2H), 4.60 (m, IH), 3.62 (m, 6H), 2.8 (m, 2H), 2.42 (m, 8H).
Example 247
2- { [(3 ,5 -dimethyl- 1 ,2-oxazol-4-yl)sulfonyl]amino } -JV-hydroxy-6- [4-(pyridin-3 - ylethynyl)phenyl]pyridine-4-carboxamide
A. methyl 2-{[(3,5-dimethyl-l,2-oxazol-4-yl)sulfonyl]amino}-6-[4-(pyridin-3- ylethynyl)phenyl]pyridine-4-carboxylate
The title compound was synthesized as described for Example 182 step A from methyl 2-amino-6-[4-(pyridin-3-ylethynyl)phenyl]pyridine-4-carboxylate (Method 6) and 3,5-Dimethylisoxazole-4-sulphonyl chloride. LC-MS: [M+l]+ 489.5 Mass: calculated for C25H20N4O5S, 488.51
B. 2-{[(3,5-dimethyl-l,2-oxazol-4-yl)sulfonyl]amino}-Λ/-hydroxy-6-[4-(pyridin- 3-ylethynyl)phenyl]pyridine-4-carboxamide
The title compound was synthesized as described for Example 126 step B from methyl 2-{[(3,5-dimethyl-l,2-oxazol-4-yl)sulfonyl]amino}-6-[4-(pyridin-3- ylethynyl)phenyl]pyridine-4-carboxylate LC-MS: [M+l]+ 490.5 Mass: calculated for C24Hi9N5O5S, 489.50
1H NMR (400 MHz, DMSO-d6) δ: ppm 11.35 (bs, IH); 9.19 (bs, IH); 8.78 (s, IH); 8.58 (d, IH); 8.00 (d, IH); 7.88 (d, 2H); 7.65 (d, 2H); 7.47 (q, 2H); 6.95 (s, IH); 2.56 (s, 3H); 2.25 (s, 3H).
Example 248
JV-hydroxy-2- { [(3 -hydroxyphenyl)carbonyl] amino } -6- [4-(pyridin-3 - ylethynyl)phenyl]pyridine-4-carboxamide
A. methyl 2- { [(3 -hydroxyphenyl)carbonyl] amino } -6- [4-(pyridin-3 - ylethynyl)phenyl]pyridine-4-carboxylate
The title compound was synthesized as described for Example 126 step A from methyl 2-amino-6-[4-(pyridin-3-ylethynyl)phenyl]pyridine-4-carboxylate (Method 6) and 3-(chlorocarbonyl)phenyl acetate. LC-MS: [M+l]+ 450.4 Mass: calculated for C27Hi9N3O4, 449.45
B. JV-hydroxy-2- { [(3 -hydroxyphenyl)carbonyl] amino } -6- [4-(pyridin-3 - ylethynyl)phenyl]pyridine-4-carboxamide
The title compound was synthesized as described for Example 126 step B from methyl 2- { [(3 -hydroxyphenyl)carbonyl] amino } -6-[4-(pyridin-3 -ylethynyl)phenyl] pyridine -4-carboxylate LC-MS: [M+l]+ 451.5 Mass: calculated for C26Hi8N4O4, 450.44
1H NMR (400 MHz, DMSO-d6) δ: ppm 10.81 (s, IH); 9.80 (bs, IH); 8.79 (d, IH); 8.60 (m, IH); 8.48 (d, IH); 8.26 (d, 2H); 8.05 (s, IH); 8.02 (t, IH); 7.76 (d, 2H); 7.50 (m, 2H); 7.41 (d, IH); 7.33 (t, IH); 7.01 (dd, IH); 6.50 (bs, IH).
Example 249
Λ/-[4-(hydroxycarbamoyl)-6-(4-{[4-(morpholin-4- ylmethyl)phenyl]ethynyl}phenyl)pyridin-2-yl]pyrazine-2-carboxamide
A. Methyl 2-(4- {[4-(morpholin-4-ylmethyl)phenyl]ethynyl}phenyl)-6-[(pyrazin- 2-ylcarbonyl)amino]pyridine-4-carboxylate
To a solution of methyl 2-amino-6-(4-{[4-(morpholin-4-ylmethyl)phenyl] ethynyl}phenyl)pyridine -4-carboxylate (Example 255 step A) (100 mg, 0.234 mmol) and DIPEA (0.06 mL, 0.46 mmol) in DCM (2 mL) was added pyrazine-2-carbonyl chloride (46 mg, 0.26 mmol) at 0 0C. The mixture was stirred at room temperature for 14 h. LC-MS indicated complete consumption of starting material and formation of the acetylated product. The reaction mixture was added to water and extracted with DCM. The organic layer was washed with brine and dried over the anhydrous sodium sulfate
and concentrated to obtain 88 mg of the title compound, which was taken to the next step without further purification. LC-MS: [M+l]+ 534.5 Mass: calculated for C3IH27N5O4, 533.57
B . N- [4-(hydroxycarbamoyl)-6-(4- { [4-(morpholin-4-ylmethyl)phenyl] ethynyl}phenyl)pyridin-2-yl]pyrazine-2-carboxamide
The title compound was synthesized as described for Example 236 step C from methyl 2-(4-{[4-(morpholin-4-ylmethyl)phenyl]ethynyl}phenyl)-6-[(pyrazin-2- ylcarbonyl)amino]pyridine-4-carboxylate LC-MS: [M+l]+ 535.6 Mass: calculated for C30H26N6O4, 534.56
1H NMR (400 MHz, DMSO) δ: ppm 11.80 (bs, IH); 10.62 (s, IH); 9.40 (m, 2H); 9.02 (m, 2H); 8.58 (s, IH); 8.26 (m, IH); 8.14 (s, 2H); 7.73 (m, 2H); 7.56 (m, 2H); 7.39 (m, 2H); 3.58 (m, 4H); 3.37 (s, 2H); 2.34 (m, 4H).
Example 250
2-(acetylamino)-N-hydroxy-6-(4-{[4-(morpholin-4-ylmethyl)phenyl]ethynyl}phenyl) pyridine-4-carboxamide
A. methyl 2-(acetylamino)-6-(4-{[4-(morpholin-4-ylmethyl)phenyl]ethynyl} phenyl)pyridine-4-carboxylate
The title compound was synthesized as described for Example 249 step A from methyl 2-amino-6-(4-{[4-(morpholin-4-ylmethyl)phenyl]ethynyl}phenyl)pyridine-4- carboxylate (Example 255 step A) and acetyl chloride. LC-MS: [M+l]+ 470.5 Mass: calculated for C28H27N3O4, 469.53
B. 2-(acetylamino)-N-hydroxy-6-(4-{[4-(morpholin-4-ylmethyl)phenyl]ethynyl} phenyl)pyridine-4-carboxamide
The title compound was synthesized as described for Example 236 step C from methyl 2-(acetylamino)-6-(4-{[4-(morpholin-4-ylmethyl)phenyl]ethynyl}phenyl) pyridine -4-carboxylate LC-MS: [M+l]+ 471.5 Mass: calculated for C27H26N4O4, 470.51
1H NMR (400 MHz, DMSO) δ: ppm 10.69 (s, IH); 8.39 (s, IH); 8.17 (d, 2H); 7.95 (s, IH); 7.71 (d, 2H); 7.54 (d, 2H); 7.39 (d, 2H); 3.58 (m, 4H); 3.50 (s, 2H); 2.36 (m, 4H); 2.15 (s, 3H).
Example 251
2-(3-fluorobiphenyl-4-yl)-N-hydroxyisonicotinamide
A. 2-(3-fluorobiphenyl-4-yl)isonicotinic acid
2-(3-fluorobiphenyl-4-yl)-4,4,5,5-tetramethyl-l,3,2-dioxaborolane (250 mg, 0.84 mmol) and methyl 2-bromoisonicotinate (181 mg, 0.84 mmol) were dissolved in dioxane (4 mL). Na2CO3 (0.922 mL, 1.84 mmol) was added to the reaction mixture which was then purged with N2. Pd(PPh3 )4 (48.4 mg, 0.04 mmol) was added to the reaction mixture and then the reaction was heated thermally at 1000C for Ih in an oil bath. The reaction was diluted with EtOAc and washed three times with water. The organic layer was dried over Na2SO4, filtered, and concentrated under reduced pressure. Product is shown to be hydrolyzed during the Suzuki, giving the acid. LC-MS: [M+l]+ 294.0
Mass: calculated for Ci8Hi2NO2, 293.29
B . Tetrahydro-2H-pyran-2-yl 2-(3 -fluorobiphenyl-4-yl)isonicotinate
To a stirred reaction of 2-(3-fluorobiphenyl-4-yl)isonicotinic acid (150 mg, 0.51 mmol) in DMF (3196 μl) was added BOP (308 mg, 0.70 mmol). Reaction was stirred at room temperature for 10 min. O-(tetrahydro-2H-pyran-2-yl)hydroxylamine (90 mg, 0.77 mmol) was then added followed by the addition of triethylamine (214 μl, 1.53 mmol). The reaction was stirred for 16 hours at RT. The reaction was diluted with EtOAc and washed three times with water. The organic layer was dried over Na2SO4, filtered, and concentrated under reduced pressure. Crude material was purified on a normal phase column using Hexanes/EtOAc with a gradient of 0-60%. Pure fractions were combined and concentrated under reduced pressure. 124mgs (61.8%) of the desired product was obtained.
LC-MS: [M+l]+ 393.2 Mass: calculated for C23H2IFN2O3, 392.42
C. 2-(3-fluorobiphenyl-4-yl)-N-hydroxyisonicotinamide
2-(3 -fluorobiphenyl-4-yl)-N-(tetrahydro-2H-pyran-2-yloxy)isonicotinamide ( 124 mg, 0.32 mmol) was taken up in dioxane (3 mL). HCl, 4M in dioxane (500 μL, 2.00 mmol) was added to the reaction mixture. The reaction mixture was spun at room temperature for 20 min. The reaction was then washed with sodium bicarbonate to free base the product. The organic layer was concentrated under reduced pressure to yield a solid. 53.5mgs (55.9%) of the desired product was obtained. LC-MS: [M+l]+ 309.1
Mass: calculated for Ci8Hi3FN2O2, 308.31
1U NMR (300 MHz, DMSO-J6) δ ppm 11.60 (br. s., 1 H) 9.37 (br. s., 1 H) 8.83 (d, J=5.10 Hz, 1 H) 8.32 (s, 1 H) 8.00 - 8.14 (m, 2 H) 7.60 - 7.76 (m, 4 H) 7.39 - 7.57 (m, 3 H).
Example 252
2-(biphenyl-4-yl)-N-hydroxyisonicotinamide
A. Methyl 2-(biphenyl-4-yl)isonicotinate
(0.30 g, 1.53 mmol) and cesium fluoride (0.46 g, 3.06 mmol) were combined in methanol (6.94 ml). The reaction was degassed with a stream of nitrogen gas. Tetrakis(triphenylphosphine)palladium(0) (0.05 g, 0.04 mmol) was added after 5 minutes and the reaction was sealed. The reaction was heated to 120 0C in the microwave. After 30 minutes, LC/MS indicated reaction was complete. The reaction was diluted with ethyl acetate and filtered through celite. The filtrate was washed with brine. The organics were dried over magnesium sulfate, filtered and evaporated. Normal phase silica gel column (0%-100% ethyl acetate/hexanes) afforded the desired product as a solid (0.310 g, 77% yield). LC-MS: [M+l]+ 290.7
Mass: calculated for Ci9Hi5NO2, 289.33
B . 2-(biphenyl-4-yl)-N-hydroxyisonicotinamide
Methyl 2-(biphenyl-4-yl)isonicotinate (0.31 g, 1.07 mmol) and hydroxylamine, 25% aqueous (1.64 ml, 26.8 mmol) were combined in methanol (4.54 ml) and tetrahydrofuran (4.54 ml). The reaction was heated to 60 0C. LC/MS after 5 hours indicated that the reaction was complete. Reverse phase HPLC purification (25-75% acetonitrile / water with 0.1% TFA) afforded the desired product as a solid (0.075g, 24%). LC-MS: [M+l]+ 291.0 Mass: calculated for Ci8Hi4N2O2, 290.32
1H NMR (300 MHz, DMSO-J6) δ ppm 7.36 - 7.46 (m, 1 H) 7.46 - 7.56 (m, 2 H) 7.66 (dd, J=5.00, 1.42 Hz, 1 H) 7.72 - 7.81 (m, 2 H) 7.81 - 7.89 (m, 2 H) 8.15 - 8.33 (m, 3 H) 8.81 (d, J=5.10 Hz, 1 H) 11.61 (br. s., 1 H)
Example 253
2-(2-fluorobiphenyl-4-yl)-N-hydroxyisonicotinamide
A. Methyl 2-(2-fluorobiphenyl-4-yl)isonicotinate
Methyl 2-(2-fluorobiphenyl-4-yl)isonicotinate was prepared from biphenyl-4- ylboronic acid using the procedure described in Example 252, Step A. LC-MS: [M+l]+ 308.1 Mass: calculated for Ci9Hi4FNO2, 307.32
2-(2-fluorobiphenyl-4-yl)-N-hydroxyisonicotinamide was prepared from methyl 2-(2-fluorobiphenyl-4-yl)isonicotinate using the procedure described in Example 252, Step B.
LC-MS: [M+l]+ 309.0 Mass: calculated for Ci8Hi4N2O2, 308.31
1H NMR (300 MHz, DMSO-J6) δ ppm 7.37 - 7.58 (m, 3 H) 7.58 - 7.80 (m, 5 H) 7.99 - 8.16 (m, 3 H) 8.32 (s, 1 H) 8.83 (d, J=4.91 Hz, 1 H) 9.37 (s, 1 H) 11.60 (s, 1 H)
Example 254
JV-hydroxy-2- { [(2-hydroxyphenyl)carbonyl] amino } -6- [4-(pyridin-3 - ylethynyl)phenyl]pyridine-4-carboxamide
A. methyl 2-{[(2-hydroxyphenyl)carbonyl]amino}-6-[4-(pyridin-3- ylethynyl)phenyl]pyridine-4-carboxylate
The title compound was synthesized as described for Example 126 step A from methyl 2-amino-6-[4-(pyridin-3-ylethynyl)phenyl]pyridine-4-carboxylate (Method 6) and 2-(chlorocarbonyl)phenyl acetate. LC-MS: [M+l]+ 450.4
Mass: calculated for C27Hi9N3O4, 449.45
B . JV-hydroxy-2- { [(2-hydroxyphenyl)carbonyl]amino } -6- [4-(pyridin-3 - ylethynyl)phenyl]pyridine-4-carboxamide
The title compound was synthesized as described for Example 126 step B from methyl 2-{[(2-hydroxyphenyl)carbonyl]amino}-6-[4-(pyridin-3-ylethynyl)phenyl] pyridine -4-carboxylate. LC-MS: [M+l]+ 451.4 Mass: calculated for C26Hi8N4O4, 450.44
1H NMR (400 MHz, DMSO-d6) δ: ppm 11.47 (s, IH); 8.80 (d, IH); 8.61 (m, 2H); 8.21 (d, 2H); 8.05 (m, 3H); 7.77 (d, 2H); 7.49 (m, IH); 7.45 (m, IH); 7.04 (d, 2H); 6.98 (t, IH).
Example 255
2-amino-N-hydroxy-6-(4-{[4-(morpholin-4-ylmethyl)phenyl]ethynyl}phenyl) pyridine-4-carboxamide
A. methyl 2-amino-6-(4-{[4-(morpholin-4-ylmethyl)phenyl]ethynyl}phenyl) pyridine -4-carboxylate
Methyl 2-[(4-methoxybenzyl)amino]-6-(4-{[4-(morpholin-4-ylmethyl)phenyl] ethynyl}phenyl)pyridine-4-carboxylate (Example 236, step B) (1.2 g, 2.19 mmol) was taken up in TFA (15 mL) and stirred for 14 h at room temperature. After this time, LC- MS indicated complete consumption of starting material and formation of the product. TFA was removed under vacuum and water was added to the residue. The residue was neutralized with sodium bicarbonate solution and extracted with DCM. The organic layer was washed with sat. NaCl, and dried over the anhydrous sodium sulfate. The solution was concentrated to obtain 0.85 g of the desired product, which was taken for the next step without further purification. LC-MS: [M+l]+ 428.5 Mass: calculated for C26H25N3O3, 427.49
B. 2-amino-N-hydroxy-6-(4-{[4-(morpholin-4-ylmethyl)phenyl]ethynyl}phenyl) pyridine-4-carboxamide
The title compound was synthesized as described for Example 236 step C from methyl 2-amino-6-(4-{[4-(morpholin-4-ylmethyl)phenyl]ethynyl}phenyl)pyridine-4- carboxylate LC-MS: [M+l]+ 429.6
Mass: calculated for C25H24N4O3, 428.48
1H NMR (400 MHz, DMSO) δ: ppm 11.36 (s, IH); 9.17 (d, IH); 8.06 (d, 2H); 7.63 (d, 2H); 7.53 (d, 2H); 7.37 (s, 2H); 6.79 (s, IH); 6.33 (s, 2H); 3.58 (m, 4H); 3.37 (m, 2H); 2.35 (m, 4H).
Example 256
5 -(3 -fluorobiphenyl-4-yl)-N-hydroxynicotinamide
A. methyl 5-(3-fluorobiphenyl-4-yl)nicotinate
2-(3-fluorobiphenyl-4-yl)-4,4,5,5-tetramethyl-l,3,2-dioxaborolane (250 mg, 0.84 mmol) and methyl 5-bromonicotinate (181 mg, 0.84 mmol) were dissolved in dioxane (4 mL). Na2CO3 (0.922 mL, 1.84 mmol) was added to the reaction mixture which was then purged with N2. Pd(PPh3)4 (48.4 mg, 0.04 mmol) was added to the mixture and then the reaction was heated thermally at 1000C for Ih in an oil bath. The reaction was diluted with EtOAc and washed three times with water. The organic layer was dried over Na2SO4, filtered, and concentrated under reduced pressure. Product was carried on to the next reaction without purification. LC-MS: [M+l]+ 308.2 Mass: calculated for Ci9Hi4FNO2, 307.32
B. 5-(3-fluorobiphenyl-4-yl)nicotinic acid
Methyl 5-(3-fluorobiphenyl-4-yl)nicotinate (180 mg, 0.59 mmol) was dissolved in THF (3 ml). IN LiOH (500 μl) is added to the reaction mixture. The reaction is stirred at room temperature for 1 hour. Reaction mixture was concentrated under reduced pressure and brought on to the next reaction as crude material. 150mgs (87%) of the desired product was obtained. LC-MS: [M+l]+ 294.0 Mass: calculated for Ci8Hi2FNO2, 293.29
C . 5 -(3 -fluorobiphenyl-4-yl)-N-(tetrahydro-2H-pyran-2-yloxy Nicotinamide
5 -(3 -fluorobiphenyl-4-yl)-N-(tetrahydro-2H-pyran-2-yloxy Nicotinamide was prepared from 5-(3-fluorobiphenyl-4-yl)nicotinic acid (150 mg, 0.51 mmol) using the procedure described in Example 246, step B. 160mgs (80%) of the desired product was obtained.
LC-MS: [M+l]+ 393.2 Mass: calculated for C23H2IFN2O3, 392.42
5-(3-fluorobiphenyl-4-yl)-N-hydroxynicotinamide was prepared from 5-(3- fluorobiphenyl-4-yl)-N-(tetrahydro-2H-pyran-2-yloxy)nicotinamide (100 mg, 0.25 mmol) using the procedure described in Example 251, step C. 28.2mgs (35.9%) of the desired product was obtained. LC-MS: [M+l]+ 309.1 Mass: calculated for Ci8Hi3FN2O2, 308.31
1H NMR (300 MHz, DMSO-J6) δ ppm 8.98 (d, J=I.89 Hz, 1 H) 8.92 (d, J=I.70 Hz, 1 H) 8.40 (t, J=I.98 Hz, 1 H) 7.58 - 7.83 (m, 5 H) 7.37 - 7.57 (m, 3 H)
Example 257
4-( {4-(hydroxycarbamoyl)-6- [4-(pyridin-3 -ylethynyl)phenyl]pyridin-2- yl}carbamoyl)benzoic acid
A. Methyl 2-({[4-(tert-butoxycarbonyl)phenyl]carbonyl}amino)-6-[4-(pyridin-3- ylethynyl)phenyl]pyridine-4-carboxylate
To a solution of methyl 2-amino-6-[4-(pyridin-3-ylethynyl)phenyl]pyridine-4- carboxylate (Method 6) (200 mg, 0.6 mmol) in DCM (4 mL) was added 4-(tert-
butoxycarbonyl)benzoic acid (271 mg, 1.21 mmol), Λ/-methyl-2-chloropyridinium iodide (388 mg, 1.5 mmol), and DIPEA (0.5 mL, 3.03 mmol). The reaction was stirred at room temperature for 14 h. After this time, UPLC indicated formation of the desired product. The reaction mixture was concentrated and the crude residue was purified by silica gel (230-400 mesh) chromatography using ethyl acetate-hexanes (5%-40% of ethyl acetate in hexanes). The clean fractions were pooled and concentrated to afford 95 mg of the desired product as a pale yellow solid. LC-MS: [M+l]+ 534.6 Mass: calculated for C32H27N3O5, 533.57
1H NMR (400 MHz, DMSO-d6) δ: ppm 11.3 (s, IH); 8.80 (d, IH); 8.68 (d, IH); 8.61 (q, IH); 8.27 (q, 2H); 8.18 (m, 2H); 8.15 (s, IH); 8.05 (m, 4H); 7.76 (d, 2H); 7.5 (q, IH); 3.97 (s, 3H); 1.56 (s, 9H).
B . tert-butyl 4-( {4-(hydroxycarbamoyl)-6- [4-(pyridin-3 -ylethynyl)phenyl] pyridin-2-yl} carbamoyl)benzoate
The title compound was synthesized as described for Example 126 step B from methyl 2-( { [4-(te/t-butoxycarbonyl)phenyl] carbonyl} amino)-6- [4-(pyridin-3 - ylethynyl)phenyl]pyridine-4-carboxylate LC-MS: [M+l]+ 535.5 Mass: calculated for C32H27N3O5, 534.56
C . 4-( {4-(hydroxycarbamoyl)-6- [4-(pyridin-3 -ylethynyl)phenyl]pyridin-2- yl}carbamoyl)benzoic acid
To tert-butyl 4-( {4-(hydroxycarbamoyl)-6-[4-(pyridin-3-ylethynyl)phenyl] pyridin-2-yl}carbamoyl)benzoate (80 mg, 0.14 mmol) was added TFA (2 mL) and the mixture was stirred for 1 h. TFA was removed under vacuum and the residue was subjected to prep-HPLC for purification to afford 7.51 mg of the desired product as a pale brown solid. LC-MS: [M+l]+ 479.5 Mass: calculated for C27Hi8N4O5, 478.45
1H NMR (400 MHz, DMSO-d6) δ: ppm l l.09 (bs, IH); 8.79 (s, IH); 8.61 (m, IH); 8.51 (m, IH); 8.28 (m, 2H); 8.18 (m, 6H); 7.75 (m, 2H); 7.49 (m, IH).
Example 258
JV-hydroxy-2- [( lH-pyrazol-3 -ylcarbonyl)amino] -6- [4-(pyridin-3 -ylethynyl) phenyl]pyridine-4-carboxamide
A. Methyl 2-[(lH-pyrazol-3-ylcarbonyl)amino]-6-[4-(pyridin-3- ylethynyl)phenyl]pyridine-4-carboxylate
The title compound was synthesized as described for Example 126 step A from methyl 2-amino-6-[4-(pyridin-3-ylethynyl)phenyl]pyridine-4-carboxylate (Method 6) and pyrazole-3-carbonyl chloride. LC-MS: [M+l]+ 424.5 Mass: calculated for C24Hi7N5O3, 423.42
1H NMR (400 MHz, DMSO-d6) δ: ppm 13.62 (s, IH); 10.04 (s, IH); 8.81 (s, IH); 8.67 (s, IH); 8.61 (d, IH); 8.28 (d, 2H); 8.15 (s, IH); 8.03 (d, IH); 7.98 (s, IH); 7.74 (d, 2H); 7.50 (q, IH); 6.91 (m, IH); 6.77 (s, IH).
B. N-hydroxy-2-[(lH-pyrazol-3-ylcarbonyl)amino]-6-[4-(pyridin-3- ylethynyl)phenyl]pyridine-4-carboxamide
The title compound was synthesized as described for Example 126 step B from methyl 2-[(lH-pyrazol-3-ylcarbonyl)amino]-6-[4-(pyridin-3-ylethynyl)phenyl]pyridine- 4-carboxylate LC-MS: [M+l]+ 425.4 Mass: calculated for C23Hi6N6O3, 424.41
1H NMR (400 MHz, DMSO-d6) δ: ppm 13.64 (bs, IH); 9.9 (bs, IH); 8.79 (s, IH); 8.61 (t, IH); 8.5 (s, IH); 8.27 (d, 2H); 8.02 (m, 2H); 7.95 (s, IH); 7.75 (d, 2H); 7.49 (q, IH); 6.91 (s, IH).
Example 260
Cyclopentyl {4-(hydroxycarbamoyl)-6- [4-(pyridin-3 -ylethynyl)phenyl]pyridin-2- yl} carbamate
A. Methyl 2-{[(cyclopentyloxy)carbonyl]amino}-6-[4-(pyridin-3- ylethynyl)phenyl]pyridine-4-carboxylate
The title compound was synthesized as described for Example 262 step A from methyl 2-amino-6-[4-(pyridin-3-ylethynyl)phenyl]pyridine-4-carboxylate (Method 6) and cyclopentyl chloroformate. LC-MS: [M+l]+ 432.4 Mass: calculated for C24H2IN3O5, 431.44
B. Cyclopentyl {4-(hydroxycarbamoyl)-6-[4-(pyridin-3-ylethynyl)phenyl] pyridin-2-yl} carbamate
The title compound was synthesized as described for Example 262 step B from methyl 2-{[(cyclopentyloxy)carbonyl]amino}-6-[4-(pyridin-3-ylethynyl)phenyl]pyridine- 4-carboxylate. LC-MS: [M+l]+ 443.5 Mass: calculated for C25H22N4O4, 442.46
1H NMR (400 MHz, DMSO) δ: ppm 10.27 (s, IH); 9.40 (bs, IH); 8.78 (t, IH); 8.60 (d, IH); 8.19 (d, 2H); 8.13 (s, IH); 8.00 (m, IH); 7.93 (s, IH); 7.74 (d, 2H); 7.48 (m, IH); 5.13 (s, IH); 1.88 (m, 2H); 1.70 (m, 4H); 1.60 (m, 2H).
Example 261
Λ/-hydroxy-2-[(hydroxycarbamoyl)amino]-6-[4-(pyridin-3-ylethynyl)phenyl] pyridine-4-carboxamide
A. methyl 2-{[(4-methoxyphenoxy)carbonyl]amino}-6-[4-(pyridin-3- ylethynyl)phenyl]pyridine-4-carboxylate
The title compound was synthesized as described for Example 262 step A from methyl 2-amino-6-[4-(pyridin-3-ylethynyl)phenyl]pyridine-4-carboxylate (Method 6) and 4-Methoxyphenyl chloro formate. LC-MS: [M+l]+ 480.5
Mass: calculated for C28H2iN3O5, 479.48
B . N-hydroxy-2- [(hydroxycarbamoyl)amino] -6- [4-(pyridin-3 -ylethynyl)phenyl] pyridine-4-carboxamide
The title compound was synthesized as described for Example 262 step B from methyl 2-{[(4-methoxyphenoxy)carbonyl]amino}-6-[4-(pyridin-3-ylethynyl)phenyl] pyridine -4-carboxylate. LC-MS: [M+l]+ 390.5 Mass: calculated for C20Hi5N5O4, 389.36 1H NMR (400 MHz, DMSO) δ: ppm 9.44 (bs, IH); 9.24 (bs, IH); 8.88 (m, IH); 8.78 (m, IH); 8.60 (m, IH); 8.15 (m, 3H); 8.01 (m, IH); 7.90 (s, IH); 7.73 (d, 2H); 7.48 (m, IH).
Example 262
Prop-2-en- 1 -yl {4-(hydroxycarbamoyl)-6- [4-(pyridin-3 -ylethynyl)phenyl]pyridin- 2-yl} carbamate
A. Methyl 2-{[(prop-2-en-l-yloxy)carbonyl]amino}-6-[4-(pyridin-3- ylethynyl)phenyl]pyridine-4-carboxylate
To a solution of methyl 2-amino-6-[4-(pyridin-3-ylethynyl)phenyl]pyridine-4- carboxylate (Method 6) (200 mg, 0.6 mmol) in pyridine (2 rnL) at 0 0C was added allyl chloroformate (364 mg, 3.0 mmol). The mixture was then stirred at room temperature for 14 h. LC-MS indicated complete consumption of starting material and formation of the desired product. The reaction mixture was poured into ice-cold water and the resultant solid was filtered and washed with water. Purification by silica gel chromatography (20% ethyl acetate in hexanes) afforded 100 mg of the desired product as a pale yellow solid.
LC-MS: [M+l]+ 414.4 Mass: calculated for C24Hi9N3O4, 413.42
B. Prop-2-en-l-yl {4-(hydroxycarbamoyl)-6-[4-(pyridin-3-ylethynyl)phenyl] pyridin-2-yl} carbamate
To a solution of methyl 2-{[(prop-2-en-l-yloxy)carbonyl]amino}-6-[4-(pyridin-3- ylethynyl)phenyl]pyridine-4-carboxylate (100 mg, 0.24 mmol) in methanol (0.5 mL), aqueous hydroxylamine (50%, 2 mL) was added and the reaction was stirred at room
temperature for 14 h. After this time, LC-MS indicated formation of the desired product. The reaction was concentrated and the crude residue was taken up in DMSO for reverse phase purification. The clean fractions were pooled, concentrated, and lyophilized overnight to afford 18 mg of the desired product as a yellow solid. LC-MS: [M+l]+ 415.5
Mass: calculated for C23Hi8N4O4, 414.41
1H NMR (400 MHz, DMSO) δ: ppm 11.56 (s, IH); 10.52 (s, IH); 9.34 (s, IH); 8.78 (d, IH); 8.60 (m, IH); 8.19 (d, 2H); 8.15 (s, IH); 7.99 (m, IH); 7.94 (s, IH); 7.74 (d, 2H); 7.48 (m, IH); 6.00 (m, IH); 5.40 (d, IH); 5.23 (d, IH); 4.66 (d, 2H).
Example 263
Benzyl {4-(hydroxycarbamoyl)-6- [4-(pyridin-3 -ylethynyl)phenyl]pyridin-2- yl} carbamate
A. Methyl 2-{[(benzyloxy)carbonyl]amino}-6-[4-(pyridin-3-ylethynyl)phenyl] pyridine -4-carboxylate
The title compound was synthesized as described for Example 262 step A from methyl 2-amino-6-[4-(pyridin-3-ylethynyl)phenyl]pyridine-4-carboxylate (Method 6) and benzyl chloroformate. LC-MS: [M+l]+ 464.5 Mass: calculated for C28H2IN3O4, 463.48
A. Benzyl {4-(hydroxycarbamoyl)-6- [4-(pyridin-3 -ylethynyl)phenyl]pyridin-2- yl} carbamate
The title compound was synthesized as described for Example 262 step B from methyl 2-{[(benzyloxy)carbonyl]amino}-6-[4-(pyridin-3-ylethynyl)phenyl]pyridine-4- carboxylate. LC-MS: [M+l]+ 465.5 Mass: calculated for C27H20N4O4, 464.47
1H NMR (400 MHz, DMSO) δ: ppm 10.57 (s, IH); 9.34 (s, IH); 8.78 (d, IH); 8.60 (m, IH); 8.19 (d, 2H); 8.16 (s, IH); 8.00 (m, IH); 7.95 (s, IH); 7.74 (d, 2H); 7.42 (m, 6H); 5.22 (s, 2H).
Example 264 jV-hydroxy-5 -phenyl-2,3 '-bipyridine-5 '-carboxamide
A. Methyl 5-chloro-2,3'-bipyridine-5'-carboxylate
The 5-(methoxycarbonyl)pyridin-3-ylboronic acid (0.724 g, 4 mmol), 2-bromo-5- chloropyridine (0.770 g, 4.00 mmol), and 1,4-dioxane (12 mL) were added to a sealed
tube. A solution of sodium carbonate (0.721 g, 6.80 mmol) in water (3 rnL) was added. The mixture was degassed/purged with N2. The Pd(PPtLs)4 (0.231 g, 0.20 mmol) was added. The sealed tube was heated at 110 0C for 1 h. After cooling to RT and concentrated in vacuo, the residue was purified by silica gel chromatography (0-10% MeOH/CH2Cl2) to give the title compound. LC-MS: [M+l]+ 249.1, [M+2]+ 250.9 Mass: Calculated for Ci2H9ClN2O2, 248.67
1H NMR (300 MHz, DMSO-d6) δ: ppm 9.49 (d, IH); 9.15 (d, IH); 8.90 (t, IH); 8.80 (m, IH); 8.25 (d, IH); 8.11 (dd, IH); 3.94 (s, 3H).
B. 5-phenyl-2,3'-bipyridine-5'-carboxylic acid
Methyl 5-chloro-2,3'-bipyridine-5'-carboxylate (0.118 g, 0.47 mmol) and phenylboronic acid (0.069 g, 0.57 mmol) were added to a sealed tube. A solution of sodium carbonate (0.086 g, 0.81 mmol) in water (0.5 mL) was added. The mixture was degassed/purged with N2. The Pd(PPh3 )4 (0.027 g, 0.02 mmol) was added, followed by the addition of 1 ,4-dioxane (2 mL). The sealed tube was heated to 110 0C for 1 h. The mixture was cooled to RT and 2 M aq lithium hydroxide (0.475 mL, 0.95 mmol) was added and the mixture was heated to 110 0C for 10 min. The reaction mixture was filtered through filter paper and rinsed with dioxane, CH2Cl2 and MeOH. The filtrate was then concentrated in vacuo. The residue was diluted with CH2Cl2 and the layers were separated. The organic layer was washed with water and brine, dried over Na2SO4 and concentrated in vacuo to give the title compound as a solid which was used without additional purification. LC-MS: [M+l]+ 277.0 Mass: Calculated for Ci7Hi2N2O2, 276.29
C. 5-phenyl-Λ/-(tetrahydro-2H-pyran-2-yloxy)-2,3'-bipyridine-5'-carboxamide
The 5-phenyl-2,3'-bipyridine-5'-carboxylic acid (0.130 g, 0.47 mmol) was dissolved in DMF (2 mL). Benzotriazol-l-yloxytris(dimethylamino)phosphonium hexafluorophosphate (BOP, 0.283 g, 0.64 mmol) and O-(tetrahydro-2H-pyran-2- yl)hydroxylamine (0.083 g, 0.71 mmol) were added, followed by the addition of triethylamine (0.66 mL, 4.70 mmol). The reaction mixture was stirred at RT overnight. Water and EtOAc were added and the layers were separated. The aq layer was extracted with EtOAc and the combined organic layers were dried over Na2SO4 and concentrated in vacuo.
Purification by silica gel chromatography gave the title compound. LC-MS: [M+l]+ 376.2 Mass: Calculated for C22H2IN3O3, 375.42
D . JV-hydroxy-5 -phenyl-2,3 '-bipyridine-5 '-carboxamide
The 5-phenyl-Λ/-(tetrahydro-2H-pyran-2-yloxy)-2,3'-bipyridine-5'-carboxamide (0.050 g, 0.13 mmol) was suspended in dioxane (1.5 mL). A solution of 4 M hydrochloric acid in dioxane (0.33 mL, 1.33 mmol) was added dropwise and the reaction mixture was stirred at RT overnight. Ether was added and the volume of the reaction mixture was reduced under a stream of nitrogen; this step was repeated several times. The solid/gum was collected, rinsed with ether, and then purified by reverse-phase HPLC (5-95% CH3CN/10 mM aq NH4OAc) to give the title compound.
LC-MS: [M+l]+ 292.0 Mass: Calculated for Ci7Hi3N3O2, 291.30
1H NMR (300 MHz, DMSO-d6) δ: ppm 9.44 (s, IH); 9.07 (s, IH); 8.97 (s, IH); 8.81 (s, IH); 8.25 (m, 2H); 7.83 (m, 2H); 7.51 (m, 3H).
Example 265
7-amino-N-hydroxy-6-[4-(pyridin-3-ylethynyl)phenyl]isoquinoline-8- carboxamide
A. 8-bromoisoquinolin-7-amine
To a solution of 7-amino isoquinoline (3.5 g, 24.3 mmol) in dry DMF (50 mL) at 0 0C was added N-bromo succinimide (4.3 g, 24.3 mmol) in small portions for 15 min. The reaction mixture was allowed to warm to room temperature and stirred for 3 h. The reaction mixture was then added to ice water (100 mL), stirred for 15 min, and the precipitated solid was filtered, washed with water (20 mL) and dried under vacuum. The crude compound was purified by column chromatography (Silica gel, 100-200 mesh) by using 15% ethyl acetate in pet-ether as mobile phase to obtain 8-bromoisoquinolin-7- amine as pale brown solid (2.3 g, 42.5%%). LC-MS: [M, M+2] +, 223.33, 225.33 Mass: calculated for C9H7BrN2, 223.07
1H NMR (400 MHz, δ ppm, dmso-d6): δ 9.48 (s, IH), 8.5 (d, IH), 7.71 (m, 2H), 6.68 (d, IH), 6.53 (s, 2H)
To a solution of 8-bromoisoquinolin-7-amine (1.0 g, 4.5 mmol) in methanol/DCM (20 niL/5 niL) was added NaHCO3 (0.75 g, 8.96 mmol) at 0 0C followed by dropwise addition of Benzyltrimethylammonium dichloroiodate (1.56 g, 4.5 mmol) in dichloromethane (5 mL) for 15 min. The solution was stirred at room temperature for 18 h. The reaction mixture was poured into cold water (50 mL), stirred for 15 min, and the precipitated solid was filtered, washed with water (20 mL) and dried under vacuum to obtain 8-bromo-6-iodoisoquinolin-7-amine as a brown solid (1.2 g, 76.9%). LC-MS: [M, M+2] +, 349.1, 351.1 Mass: calculated for C9H6BriN2, 348.97
1H NMR (400 MHz, δ ppm, dmso-d6): δ 9.61 (s, IH), 8.6 (d, IH), 8.14 (s, IH), 7.72 (d, IH), 6.55 (s, 2H)
C. 8-bromo-6-[4-(pyridin-3-ylethynyl)phenyl]isoquinolin-7-amine
To an argon purged solution of 8-bromo-6-iodoisoquinolin-7-amine (1.2 g, 3.4 mmol) in 1 ,4-dioxane/water (20 mL/ 5.0 mL) was added cesium carbonate (4.5 g, 13.8 mmol) followed by 3-((4-(5,5-dimethyl-l,3,2-dioxaborinan-2-yl)phenyl)ethynyl)pyridine (1.0 g, 3.43 mmol, Method 2) and added Pd(PPh3)4 (0.19 g, 0.17 mmol). The reaction mixture was heated under argon atmosphere at 90 0C for 4 h. The reaction mixture was cooled to room temperature and filtered through celite. The filtrate was evaporated to
dryness under reduced pressure to obtain a reddish brown residue. The residue was suspended in EtOAc and washed with brine solution (50 mL), dried over anhydrous MgSO4, and evaporated under reduced pressure to provide crude compound. The crude compound was purified by column chromatography (Silica gel, 100-200 mesh) by using 1% methanol in chloroform as mobile phase to provide 8-bromo-6-[4-(pyridin-3- ylethynyl)phenyl]isoquinolin-7-amine as a brown solid (0.92 g, 67.1%). LC-MS: [M, M+2]+ 401.37,403.37 Mass: calculated for C22Hi4BrN3, 400.28
1H NMR (400 MHz, δ ppm, dmso-d6): δ 9.63 (s, IH), 8.8 (s, IH), 8.6 (m, 2H), 8.01 (d, IH), 7.8-7.7 (m, 4H), 7.61 (d, 2H), 7.52 (m, IH), 6.26 (sb, 2H)
D. Methyl 7-amino-6-[4-(pyridin-3-ylethynyl)phenyl]isoquinoline-8-carboxylate
To an argon purged solution of 8-bromo-6-[4-(pyridin-3- ylethynyl)phenyl]isoquinolin-7-amine (0.4 g, 1.0 mmol) in DMF/methanol (15 mL/ 10 mL) was added Pd (OAc)2 (0.12 g, 0.5 mmol), 1,1 '-bisdiphenylphosphino ferrocene (0.27 g, 0.5 mmol) followed by TEA (0.4 g, 4.0 mmol) in a pressure bomb. The reaction mixture was degassed for another 10 min, flushed twice with CO gas and filled with CO gas (150 psi) and heated at 100 0C for 48 h. The reaction mixture was cooled to room temperature, diluted with ethyl acetate (100 mL) and washed with water (50 mL). The aqueous layer was further extracted with ethyl acetate (50 mL x 2) and the combined organic layer was washed with brine solution (50 mL), dried over anhydrous MgSO4, filtered through a pad of celite and evaporated under reduced pressure to obtain crude compound. The crude compound was purified by preparative HPLC to obtain Methyl 7-
amino-6-[4-(pyridin-3-ylethynyl)phenyl]isoquinoline-8-carboxylate as a yellow solid (0.31 g, 81.7%). LC-MS: [M+l]+ 380.29 Mass: calculated for C24HnN3O2, 379.42 1H NMR (400 MHz, δ ppm, DMSO-d6): δ 9.72 (s, IH), 8.8 (d, 2H), 8.62-8.55 (m, 2H), 8.13 (s, IH), 8.01 (d, IH), 7.74 (d, 2H), 7.6 (d, 2H), 7.51 (m, IH), 6.97 (sb, 2H), 3.83 (s, 3H)
E. 7-amino-N-hydroxy-6-[4-(pyridin-3-ylethynyl)phenyl]isoquinoline-8- carboxamide
To a solution of methyl 7-amino-6-[4-(pyridin-3-ylethynyl)phenyl]isoquinoline-8- carboxylate (90 mg, 0.23 mmol) in 7 rnL methanol/THF (1 :1) was added aqueous 50% hydroxylamine (4.0 mL) followed by catalytic amount of KCN (~5 mg) and the resulting solution was stirred at room temperature for 72 h. The reaction mixture was quenched with aqueous 10% citric acid solution (~2 mL), diluted with water (10 mL) and extracted with 10% methanol in chloroform (20 mL x 2). The combined organic layer was washed with sat. NaCl solution (10 mL), dried over anhydrous MgSO4 and evaporated under reduced pressure to obtain crude compound. The crude compound was purified by preparative HPLC to obtain 7-amino-N-hydroxy-6-[4-(pyridin-3- ylethynyl)phenyl]isoquinoline-8-carboxamide as a pale yellow solid (14 mg, 15.5%). LC-MS: [M-H]+, 379.34 Mass: calculated for C23Hi6N4O2, 380.41
1H NMR (400 MHz, δ ppm, DMSO-d6): δ 10.97 (sb, IH), 9.68 (s, IH), 9.01 (s, IH), 8.8 (s, IH), 8.61 (s, IH), 8.47 (s, IH), 8.24 (d, IH), 8.02 (d, IH), 7.75-7.6 (m, 5H), 7.5 (t, IH), 6.5 (sb, 2H)
Example 266
JV-hydroxy-2-methoxy-5 - [4-(pyridin-3 -ylethynyl)phenyl]pyridine-3 -carboxamide
A. methyl 2-methoxy-5 - [4-(pyridin-3 -ylethynyl)phenyl]pyridine-3 -carboxylate
To a solution of methyl 2-fluoro-5-[4-(pyridin-3-ylethynyl)phenyl]pyridine-3- carboxylate (Example 208 step B) (0.1 g, 0.3 mmol) in methanol (10 mL) was added sodium methoxide (0.019 g, 0.36 mmol). The mixture was stirred at room temperature for 14 h. The reaction mixture was diluted with ethyl acetate (30 mL) and the organic layer was washed with water, brine, and dried over anhydrous sodium sulphate. The solvent was removed and the crude product was taken for the next step without further purification. LC-MS: [M+l]+ 345.4 Mass: calculated for C2IHi6N2O3, 344.36
The title compound was synthesized as described for Example 208 step D from methyl 2-methoxy-5 - [4-(pyridin-3 -ylethynyl)phenyl]pyridine-3 -carboxylate. LC-MS: [M+l]+ 346.4 Mass: calculated for C20Hi5N3O3, 345.35
1H NMR (400 MHz, DMSO) δ: ppm 9.33 (s, IH); 8.77 (s, IH); 8.59 (s, 2H); 8.12 (d, 2H); 8.00 (m, 2H); 7.69 (d, 2H); 7.48 (m, IH); 3.98 (s, 3H).
Example 267 Λ/-hydroxy-2-(2-methoxyethoxy)-5-[4-(pyridin-3-ylethynyl)phenyl]pyridine-3- carboxamide
A. 2-(2-methoxyethoxy)-5 - [4-(pyridin-3 -ylethynyl)phenyl]pyridine-3 -carboxylic acid
To a solution of methyl 2-fluoro-5-[4-(pyridin-3-ylethynyl)phenyl]pyridine-3- carboxylate (Example 208 step B) (0.1 g, 0.3 mmol) in THF (10 mL) was added sodium 2-methoxyethanolate (0.019 g, 0.36 mmol) [Prepared from NaH (0.06 mg, 0.36 mmol) and 2-methoxyethanol (0.032 g, 0.4 mmol) in THF (1 mL) at 0 0C for 15 min]. The mixture was stirred at room temperature for 6 h. The reaction mixture was poured into
ice-cold water and diluted with ethyl acetate (30 mL). The aqueous layer was acidified with IN HCl and extracted with ethyl acetate and the combined organic layers were washed with water, sat. NaCl, and then dried over anhydrous sodium sulphate. The solvent was removed and the crude product was taken for the next step without further purification.
LC-MS: [M-I]" 373.4
Mass: calculated for C22Hi8N2O4, 374.38
B . 2-(2-methoxy ethoxy)-5 - [4-(pyridin-3 -ylethynyl)phenyl] -N-(tetrahydro-2H- pyran-2-yloxy)pyridine-3 -carboxamide
3-carboxylic acid (50 mg, 0.13 mmol) in DMSO (0.5 mL) was added O-(tetrahydro-2H- pyran-2-yl)hydroxylamine (46 mg, 0.4 mmol) and 2-chloro-l-methyl-pyridinium iodide
(67 mg, 0.26 mmol). The mixture was cooled to 0 0C. DIPEA (33 mg, 0.26 mmol) and
DMAP (2 mg) were added and the reaction was stirred at room temperature for 2 h.
After this time, LC-MS indicated formation of the desired product. The reaction mixture was poured into water and diluted with ethyl acetate (30 mL) and the organic layer was washed with water, sat. NaCl, and then dried over anhydrous sodium sulphate. The solvent was removed and the crude product was taken for the next step without further purification.
LC-MS: [M+l]+ 474.5
Mass: calculated for C27H27N3O5, 473.52
C . N-hydroxy-2-(2-methoxyethoxy)-5 - [4-(pyridin-3 -ylethynyl)phenyl]pyridine- 3-carboxamide
To a solution of 2-(2-methoxyethoxy)-5-[4-(pyridin-3-ylethynyl)phenyl]-JV- (tetrahydro-2H-pyran-2-yloxy)pyridine-3-carboxamide (40 mg, 0.1 mmol) in methanol (1 niL) was added 4N HCl (0.4 niL) and the mixture was stirred at room temperature for 1 h. The solvents were removed and the residue that was obtained was washed with water. The crude residue was taken up in methanol for prep-TLC purification to afford 8 mg of the desired product as an off- white solid. LC-MS: [M+l]+ 390.5
Mass: calculated for C22Hi9N3O4, 389.40
1H NMR (400 MHz, DMSO) δ: ppm 10.84 (s, IH); 9.42 (bs, IH); 8.80 (m, IH); 8.62 (s, 2H); 8.12 (d, 2H); 8.04 (s, IH); 8.02 (m, IH); 7.68 (d, 2H); 7.49 (m, IH); 4.39 (t, 2H); 3.71 (t, 2H); 3.37 (s, 3H).
Example 268
Λ/-hydroxy-2-(4-{[4-(morpholin-4-ylmethyl)phenyl]ethynyl}phenyl)-6- [(tetrahydro-2H-pyran-4-ylcarbonyl)amino]pyridine-4-carboxamide
A. Methyl 2-(4-{[4-(morpholin-4-ylmethyl)phenyl]ethynyl}phenyl)-6-
[(tetrahydro-2H-pyran-4-ylcarbonyl)amino]pyridine-4-carboxylate
The title compound was synthesized as described for Example 249 step A from methyl 2-amino-6-(4-{[4-(morpholin-4-ylmethyl)phenyl]ethynyl}phenyl)pyridine-4- carboxylate (Example 255 step A) and tetrahydro-2H-pyran-4-carbonyl chloride. LC-MS: [M+l]+ 540.6 Mass: calculated for C32H33N3O5, 539.62
B. Λ/-hydroxy-2-(4-{[4-(morpholin-4-ylmethyl)phenyl]ethynyl}phenyl)-6- [(tetrahydro-2H-pyran-4-ylcarbonyl)amino]pyridine-4-carboxamide
The title compound was synthesized as described for Example 236 step C from methyl 2-(4-{[4-(morpholin-4-ylmethyl)phenyl]ethynyl}phenyl)-6-[(tetrahydro-2H- pyran-4-ylcarbonyl)amino]pyridine-4-carboxylate . LC-MS: [M+l]+ 541.7 Mass: calculated for C3IH32N4O5, 540.60
1H NMR (400 MHz, DMSO) δ: ppm 11.55 (s, IH); 10.68 (s, IH); 9.34 (s, IH); 8.41 (s, IH); 8.16 (d, 2H); 7.95 (s, IH); 7.70 (d, 2H); 7.53 (d, 2H); 7.37 (d, 2H); 3.91 (m, 2H); 3.58 (m, 4H); 3.36 (s, 2H); 2.80 (m, IH); 2.35 (m, 4H); 1.64 (m, 4H).
Example 269
2-[acetyl(methyl)amino]-N-hydroxy-6-[4-(pyridin-3-ylethynyl)phenyl]pyridine-4- carboxamide
A. Methyl 2-chloro-6-[(4-methoxybenzyl)amino]pyridine-4-carboxylate
A solution of methyl 2,6-dichloroisonicotinate (12.5 g, 0.06 mol), p- methoxybenzylamine (8.32 g, 0.06 mol) and DIPEA (20.7 ml, 0.12 mol) in NMP (125 ml) was stirred at 120 0C. After 5 h, LCMS indicated complete consumption of starting material and formation of the desired product. The reaction was removed from the heat and allowed to cool to room temperature. Water was added to the reaction solution and it was extracted 3 times with ethyl acetate. The pooled organics were washed with sat.
NaCl, dried over Na2SO4, filtered and concentrated. The crude product was purified by silica gel chromatography (5% ethyl acetate in hexanes) to afford the desired product (5.2 g, 0.016 mol, 28%) as a white solid.
LC-MS: [M+l]+ 307.3
Mass: calculated for Ci5Hi5ClN2O3, 306.74
1H NMR (400 MHz, DMSO-d6) δ: ppm 7.83 (t, IH); 7.25 (d, 2H); 6.99 (s, IH); 6.87 (d,
2H); 6.83 (s, IH); 4.39 (d, IH); 3.83 (s, 3H); 3.72 (s, 3H).
Methyl 2-chloro-6-[(4-methoxybenzyl)amino]pyridine-4-carboxylate (5 g, 0.016 mol), 3-((4-(5,5-dimethyl-l,3,2-dioxaborinan-2-yl)phenyl)ethynyl)pyridine (9.49 g, 0.033 mol) and sodium carbonate (2.59 g, 0.024 mol) were taken up in 1,4-dioxane (50 mL) and water (10 mL). The solution was degassed with a stream of N2 for 10 minutes.
After this time, Pd(Ph3P)4 (1 g, 0.86 mmol) was added and the reaction was stirred at 100
0C for 14 h. LC-MS indicated complete consumption of starting material. The reaction mixture was concentrated and the crude residue was carried on without further purification.
LC-MS: [M+l]+ 450.4
Mass: calculated for C28H23N3O3, 449.50
1H NMR (400 MHz, CDCl3) δ: ppm 8.79 (s, IH); 8.58 (m, IH); 8.09 (d, 2H); 7.86 (m,
IH); 7.68 (m, 3H); 7.63 (d, IH); 7.34 (m, 4H); 7.05 (s, IH); 6.91 (d, 2H); 4.59 (d, 2H);
3.95 (s, 3H); 3.81 (s, 3H).
C . Methyl 2- [(4-methoxybenzyl)(methyl)amino] -6- [4-(pyridin-3 -ylethynyl) phenyl]pyridine-4-carboxylate
To the stirred solution of methyl-2-[(4-methoxybenzyl)amino]-6-[4-(pyridin-3- ylethynyl)phenyl]pyridine-4-carboxylate (0.1 g, 0.3 mmol) in DMSO was added
potassium carbonate (0.57 g, 0.4 mmol) and methyl iodide (0.071 g, 0.3 mmol) at 0 0C. The mixture was stirred at room temperature for 14 h. After this time, LC-MS indicated formation of the desired product. The reaction mixture was quenched with ice water. The solid that was obtained was filtered and dried to afford 100 mg of desired product. LC-MS: [M+l]+ 464.5 Mass: calculated for C29H25N3O3, 463.52
D. Methyl 2-(methylamino)-6-[4-(pyridin-3-ylethynyl)phenyl]pyridine-4- carboxylate
Methyl 2- [(4-methoxybenzyl)(methyl)amino]-6- [4-(pyridin-3 - ylethynyl)phenyl]pyridine-4-carboxylate (0.1 g,0.29 mmol) was treated with TFA and was stirred at room temperature for 14 h. The reaction mixture was concentrated under vacuum to remove excess TFA and then the residue was quenched with ice. The solid obtained was filtered, washed with water and hexanes and dried to get 0.05g of the desired product as a yellow solid. LC-MS: [M+l]+ 344.4 Mass: calculated for C2IHnN3O2, 343.37
1H NMR (400 MHz, CD3OD) δ: ppm 9.23 (s, IH); 8.88 (d, IH); 8.69 (d, IH); 8.09 (m, 2H); 7.72 (d, 2H); 7.56 (d, IH); 7.10 (d, IH); 4.44 (s, 3H); 3.94 (s, 3H).
E . Methyl 2- [acetyl(methyl)amino]-6- [4-(pyridin-3 -ylethynyl)phenyl]pyridine-4- carboxylate
To the stirred solution of methyl 2-[methylamino]-6-[4-(pyridin-3-ylethynyl) phenyl]pyridine-4-carboxylate (0.1 g, 0.29 mmol) in pyridine (10 mL) was added acetyl chloride (0.04 g,0.4 mmol) at 0 0C and the mixture was stirred for 30 min. The reaction mixture was then concentrated under vacuum and was quenched with ice. The solid obtained was filtered and dried to get 0.08 g of the desired product as a yellow solid. LC-MS: [M+l]+ 386.4 Mass: calculated for C23Hi9N3O3, 385.41
1H NMR (400 MHz, DMSO) δ: ppm 10.87 (s, IH); 9.40 (s, IH); 9.01 (d, IH); 8.75 (d, IH); 8.59 (s, IH); 8.27 (d, 2H); 8.20 (m, IH); 8.10 (s, IH); 7.81 (d, 2H); 4.36 (s, 3H); 3.94 (s, 3H); 2.17 (s, 3H).
F. 2-[acetyl(methyl)amino]-N-hydroxy-6-[4-(pyridin-3-ylethynyl)phenyl] pyridine-4-carboxamide
To the solution of methyl 2-[acetyl(methyl)amino]-6-[4-(pyridin-3- ylethynyl)phenyl]pyridine-4-carboxylate (80 mg, 0.20 mmol) in methanol (0.5 mL) and THF(0.5 mL) was added aqueous hydroxy lamine (0.8 mL). The mixture was stirred at room temperature for 14 h. After this time, LC-MS indicated formation of the desired product. The reaction mixture was concentrated and the crude residue was taken up in
DMSO for reverse phase purification. The clean fractions were pooled, concentrated, and lyophilized overnight to afford 15 mg of the desired product as a yellow solid. LC-MS: [M+l]+ 387.5 Mass: calculated for C22Hi8N4O3, 386.40 1H NMR (400 MHz, DMSO) δ: ppm 10.71 (s, IH); 9.00 (s, IH); 8.73 (d, IH); 8.40 (s, IH); 8.23 (d, 2H); 8.15 (m, IH); 7.98 (s, IH); 7.80 (d, 2H); 4.35 (s, 3H); 2.15 (s, 3H).
Example 270
7-amino-jV-hydroxy-6-(4- {[4-(morpholin-4- yl- methyl)phenyl]ethynyl} phenyl)isoquinoline-8-carboxamide
A. 8-bromo-6-(4-{[4-(morpholin-4-ylmethyl)phenyl]ethynyl}phenyl)isoquinolin- 7-amine
To an argon purged solution of 8-bromo-6-iodoisoquinolin-7-amine (0.5 g, 1.4 mmol) in 1 ,4-dioxane/water (20 mL/ 5.0 mL) was added cesium carbonate (1.86 g, 5.7 mmol) followed by 4-(4-((4-(5,5-dimethyl-l,3,2-dioxaborinan-2-yl)phenyl)ethynyl) benzyl)morpholine (0.67 g, 1.7 mmol). Pd (PPh3 )4 (82 mg, 0.07 mmol) was then added to the reaction mixture. The reaction mixture was heated under argon atmosphere at 70 0C for 3 h. The reaction mixture was cooled to room temperature, filtered through celite, and the filtrate was evaporated to dryness under reduced pressure to give a solid. The solid was suspended in EtOAc, washed with brine solution (50 mL), dried over anhydrous MgSO4, and evaporated under reduced pressure to obtain crude compound. The crude compound was purified by column chromatography (Silica gel, 100-200 mesh) by using 1% methanol in chloroform as mobile phase to provide 8-bromo-6-(4-{[4-
(morpholin-4-ylmethyl)phenyl]ethynyl}phenyl)isoquinolin-7-amine as a solid (0.32 g, 45%).
LC-MS: [M,M+2]+.499.46, 501.46 Mass: calculated for C28H24BrN3O, 498.43
B. Methyl-7-amino-6-(4-{[4-(morpholin-4-ylmethyl)phenyl]ethynyl}phenyl) isoquinoline-8-carboxylate
A solution of 8-bromo-6-(4-{[4-(morpholin-4-ylmethyl)phenyl]ethynyl}phenyl) isoquinolin-7-amine (0.3 g, 0.6 mmol) in DMF /methanol (15 rnL/ 10 mL) was degassed with nitrogen. To this solution was added Pd (OAc) 2 (73.6 g, 0.3 mmol), and 1,1 '- bisdiphenylphosphinoferrocene (167 mg, 0.3 mmol), followed by TEA (0.33 ml, 2.4 mmol) in a pressure bomb. The reaction mixture was degassed for another 10 min, flushed twice with CO gas and filled with CO gas (150 psi) and heated at 100 °C for 48 h. The reaction mixture was cooled to room temperature, diluted with ethyl acetate (100 mL), and washed with water (50 mL). The aqueous layer was further extracted with ethyl acetate (50 mL x 2) and the combined organic layer was washed with sat. NaCl solution (50 mL). The solution was then dried over anhydrous MgSO4, filtered through a pad of celite, and evaporated under reduced pressure to obtain crude compound. The crude compound was purified by preparative HPLC to obtain methyl 7-amino-6-(4-{[4- (morpholin-4-ylmethyl)phenyl]ethynyl}phenyl)isoquinoline-8-carboxylate as a yellow solid (0.14 g, 48.7%). LC-MS: [M+l]+: 478.49
Mass: calculated for C30H27N3O3, 477.57
1U NMR (400 MHz, δ ppm, CDCl3): δ 9.44 (s, IH), 9.0 (d, IH), 8.6 (d, IH), 8.36 (s, IH), 8.26 (s, IH), 7.68 (d, 2H), 7.5 (m, 4H), 7.37 (d, 2H), 5.2 (sb, 2H), 3.95 (s, 3H),3.76 (t, 4H), 3.6 (s, 2H), 2.54 (t, 4H)
C. 7-amino-N-hydroxy-6-(4-{[4-(morpholin-4-yl- methyl)phenyl]ethynyl} phenyl)isoquinoline-8-carboxamide
To a solution of methyl 7-amino-6-(4-{[4-(morpholin-4-ylmethyl)phenyl] ethynyl}phenyl)isoquinoline-8-carboxylate (0.13 g, 0.27 mmol) in 5 niL methanol/THF (1 :1) was added aqueous 50% hydroxylamine (4.0 niL) followed by catalytic amount of KCN (~5 mg) and the resulting solution was stirred at room temperature for 48 h. The reaction mixture was quenched with aqueous 10% citric acid solution (~2 mL), diluted with water (10 mL) and extracted with 10% methanol in chloroform (25 mL x 2). The combined organic layer was washed with brine solution (10 mL), dried over anhydrous MgSO4, and evaporated under reduced pressure to provide crude compound. The crude compound was purified by preparative HPLC to obtain 7-amino-iV-hydroxy-6-(4-{[4- (morpholin-4-yl- methyl)phenyl]ethynyl}phenyl)isoquinoline-8-carboxamide as an off- white solid (12 mg, 9.2%). LC-MS: [M- H]+ 477.42
Mass: calculated for C29H26N4O3, 478.56
1H NMR (400 MHz, δ ppm, DMSO-d6): δ 10.96 (sb, IH), 9.67 (s, 1H),9.O (sb, IH), 8.46 (d, IH), 8.22-8.16 (m, 2H), 7.7-7.58 (m, 6H), 7.4 (d, 2H), 6.46 (s, 2H), 3.58 (t, 4H), 3.5 (s, 2H),2.36 (m, 4H)
Example 271 iV-hydroxy-5 -methoxy-2- [4-(pyridin-3 -ylethynyl)phenyl]pyridine-4-carboxamide
A. Methyl 5 -fluoro-2- [4-(pyridin-3 -ylethynyl)phenyl]pyridine-4-carboxylate
The title compound was synthesized as described for Example 208 step B from methyl 2-bromo-5-fluoropyridine-4-carboxylate and 3-((4-(5,5-dimethyl-l,3,2- dioxaborinan-2-yl)phenyl)ethynyl)pyridine (Method 2). LC-MS: [M+l]+ 333.3 Mass: calculated for C20Hi3FN2O2, 332.32
B . methyl 5 -methoxy-2- [4-(pyridin-3 -ylethynyl)phenyl]pyridine-4-carboxylate
The title compound was synthesized as described for Example 266 step A from methyl 5-fluoro-2-[4-(pyridin-3-ylethynyl)phenyl]pyridine-4-carboxylate. LC-MS: [M+l]+ 345.4 Mass: calculated for C2iHi6N2O3, 344.36
C . jV-hydroxy-5 -methoxy-2- [4-(pyridin-3 -ylethynyl)phenyl]pyridine-4- carboxamide
The title compound was synthesized as described for Example 208 step D from methyl 5-methoxy-2-[4-(pyridin-3-ylethynyl)phenyl]pyridine-4-carboxylate. LC-MS: [M+l]+ 346.4 Mass: calculated for C2OHi5N3O3, 345.35
1H NMR (400 MHz, DMSO) δ: ppm 9.29 (s, IH); 8.79 (m, IH); 8.67 (d, IH); 8.60 (q, IH); 8.26 (d, IH); 8.00 (m, IH); 7.82 (d, 2H); 7.70 (d, 2H); 7.49 (m, IH); 3.98 (s, 3H).
Example 272
N- {4-(hydroxycarbamoyl)-6- [4-(pyridin-3 -ylethynyl)phenyl]pyridin-2- yl} pyridazine-3 -carboxamide
A. Methyl 2-[(pyridazin-3 -ylcarbonyl)amino] -6- [4-(pyridin-3 -ylethynyl)phenyl] pyridine -4-carboxylate
The title compound was synthesized as described for Example 126 step A from methyl 2-amino-6-[4-(pyridin-3-ylethynyl)phenyl]pyridine-4-carboxylate (Method 6) and pyridazine-3 -carbonyl chloride. LC-MS: [M+l]+ 436.4
Mass: calculated for C25Hi7N5O3, 435.43
B. Λ/-{4-(hydroxycarbamoyl)-6-[4-(pyridin-3-ylethynyl)phenyl]pyridin-2-yl} pyridazine-3 -carboxamide
The title compound was synthesized as described for Example 126 step B from methyl 2- [(pyridazin-3 -ylcarbonyl)amino]-6- [4-(pyridin-3 -ylethynyl)phenyl]pyridine-4- carboxylate. LC-MS: [M+l]+ 437.4 Mass: calculated for C24Hi6N6O3, 436.42
1H NMR (400 MHz, DMSO-d6) δ: ppm 10.91 (bs, IH); 9.53 (d, IH); 8.81 (s, IH); 8.61 (m, 2H); 8.42 (d, IH); 8.27 (m, 2H); 8.15 (d, IH); 8.03 (m, 2H); 7.76 (d, 2H); 7.50 (m, IH).
Example 273
Λ/-hydroxy-2-[(morpholin-4-ylacetyl)amino]-6-[4-(pyridin-3- ylethynyl)phenyl]pyridine-4-carboxamide
The title compound was synthesized as described for Example 126 step A from methyl 2-amino-6-[4-(pyridin-3-ylethynyl)phenyl]pyridine-4-carboxylate (Method 6) and morpholin-4-ylacetyl chloride. LC-MS: [M+l]+ 457.4 Mass: calculated for C26H24N4O4, 456.49
B . JV-hydroxy-2- [(morpholin-4-ylacetyl)amino] -6- [4-(pyridin-3 -ylethynyl) phenyl]pyridine-4-carboxamide
The title compound was synthesized as described for Example 126 step B from methyl 2- [(morpholin-4-ylacetyl)amino] -6- [4-(pyridin-3 -ylethynyl)phenyl]pyridine-4- carboxylate LC-MS: [M+l]+ 458.4
Mass: calculated for C25H23N5O4, 457.48
1H NMR (400 MHz, DMSO-dg) δ: ppm 11.57 (bs, IH); 10.29 (s, IH); 9.37 (s, IH); 8.81 (s, IH); 8.62 (s, IH); 8.43 (s, IH); 8.21 (d, 2H); 8.02 (m, 2H); 7.77 (d, 2H); 7.50 (m, IH); 3.65 (t, 4H); 3.27 (s, 2H); 2.57 (t, 4H).
Example 274
2-methoxyethyl {4-(hydroxycarbamoyl)-6-[4-(pyridin-3-ylethynyl)phenyl] pyridin-2-yl} carbamate
A. methyl 2-{[(2-methoxyethoxy)carbonyl]amino}-6-[4-(pyridin-3-ylethynyl) phenyl]pyridine-4-carboxylate
The title compound was synthesized as described for Example 262 step A from methyl 2-amino-6-[4-(pyridin-3-ylethynyl)phenyl]pyridine-4-carboxylate (Method 6) and 2-methoxyethyl carbonochloridate. LC-MS: [M+l]+ 432.4 Mass: calculated for C24H2IN3O5, 431.44
B. 2-methoxyethyl {4-(hydroxycarbamoyl)-6-[4-(pyridin-3-ylethynyl)phenyl] pyridin-2-yl} carbamate
The title compound was synthesized as described for Example 262 step B from methyl 2- [(2-methylpropanoyl)amino] -6- [4-(pyridin-3 -ylethynyl)phenyl]pyridine-4- carboxylate. LC-MS: [M+l]+ 433.4 Mass: calculated for C23H20N4O5, 432.42
1H NMR (400 MHz, DMSO) δ: ppm 11.50 (bs, IH); 10.47 (s, IH); 9.31 (bs, IH); 8.77 (d, IH); 8.59 (m, IH); 8.18 (d, 2H); 8.13 (s, IH); 8.00 (m, IH); 7.93 (s, IH); 7.73 (d, 2H); 7.48 (m, IH); 4.26 (t, 2H); 3.58 (t, 2H); 3.29 (s, 3H).
Example 275
5-(2-fluoro-4-((4-(morpholinomethyl)phenyl)ethynyl)phenyl)-N- hydroxynicotinamide
A. 4-((4-chloro-3-fluorophenyl)ethynyl)benzaldehyde
A solution of 4-bromo-l-chloro-2-fluorobenzene (0.487 mL, 4.00 mmol), 4- ethynylbenzaldehyde (0.521 g, 4 mmol) and triethylamine (1.673 mL, 12.00 mmol) in acetonitrile (20 mL) was degassed/purged with N2. Next, Pd(PPh3)2Cl2 (0.562 g, 0.80
mmol) and copper(I) iodide (0.076 g, 0.40 mmol) were added. The reaction mixture was heated to 60 0C for 2 h. While still hot, the reaction mixture was filtered through celite and rinsed with CH2Cl2. The filtrate was concentrated in vacuo and then purified by silica gel chromatography (100% CH2Cl2; then 10-75% EtOAc/hexanes) to give the title compound.
1H NMR (300 MHz, DMSO-d6) δ: ppm 10.05 (s, IH); 7.99 (m, IH); 7.96 (m, IH); 7.81 (m, IH); 7.78 (m, IH); 7.74-7.66 (m, 2H); 7.49 (ddd, IH). 19F NMR (282 MHz, DMSO-d6) δ: ppm -115.1
B. 4-(4-((4-chloro-3-fluorophenyl)ethynyl)benzyl)morpholine
A solution of 4-((4-chloro-3-fluorophenyl)ethynyl)benzaldehyde (0.100 g, 0.39 mmol) in THF (2 mL) was treated with morpholine (0.1 mL, 1.16 mmol) and one drop of glacial acetic acid. The mixture was stirred for 10 min at RT and then was cooled to 0 0C. Sodium triacetoxyborohydride (0.246 g, 1.16 mmol) was added in portions over the course of 5 min. The ice bath was allowed to warm to RT and the reaction mixture was stirred at RT overnight. The reaction mixture was re-cooled to 0 0C and treated with half-saturated aq NaHCO3. Ethyl acetate was added and the layers were separated. The organic layer was washed with half-saturated NaHCO3, water, brine, dried over Na2SO4, and then concentrated in vacuo. The residue was purified by silica gel chromatography (0-75% EtOAc/hexanes) to give the title compound. LC-MS: [M+l]+ 330.1, [M+2]+ 332.0 Mass: Calculated for Ci9Hi7ClFNO, 329.80
C. 5-(2-fluoro-4-((4-(morpholinomethyl)phenyl)ethynyl)phenyl)nicotinic acid
A mixture of 4-(4-((4-chloro-3-fluorophenyl)ethynyl)benzyl)morpholine (0.093 g, 0.28 mmol) in n-butanol (2 mL) was placed in a sealed tube. 5- (methoxycarbony^pyridin-S-ylboronic acid (0.102 g, 0.56 mmol) and anhydrous potassium phosphate tribasic (0.120 g, 0.56 mmol) was added. The sealed tube was then degassed/flushed with N2 several times. The 2-dicyclohexylphosphino-2',6'-dimethoxy- l,l'-biphenyl (S-Phos, 0.023 g, 0.06 mmol), and Pd2dba3 (0.013 g, 0.01 mmol) were added together in one portion. The sealed tube was degassed/flushed with N2. An additional 2 mL of n-butanol was added and the sealed tube was then heated to 100 0C overnight. After cooling to RT, the mixture was diluted with EtOAc, filtered through filter paper and rinsed with EtOAc, CH2Cl2 and MeOH. The filtrate was concentrated in vacuo, diluted with water and treated with 1 N aq HCl until the pH was 4. The resultant solid was collected and rinsed with water and ether. LC-MS indicated that the solid was a mixture of the desired title compound and the corresponding /? -butyl ester. The solid was diluted with THF (3 mL), treated with 2 M aq LiOH (1 mL), and the resultant solution was stirred for 3 h. The solution was then concentrated in vacuo, diluted with water and treated with 1 N aq HCl until the pH was 4. The resultant solid was collected and rinsed with water and ether to give the title compound which was used without additional purification. LC-MS: [M+l]+ 417 Mass: Calculated for C25H2iFN2O3, 416.44
D . 5 -(2-fluoro-4-((4-(morpholinomethyl)phenyl)ethynyl)phenyl)-N-(tetrahydro- 2H-pyran-2-yloxy)nicotinamide
The 5 -(2-fluoro-4-((4-(morpholinomethyl)phenyl)ethynyl)phenyl)nicotinic acid (0.117 g, 0.28 mmol), O-(tetrahydro-2H-pyran-2-yl)hydroxylamine (0.066 g, 0.56 mmol), and HATU (0.214 g, 0.56 mmol) were combined. DMF (1 mL) was added to give a solution. Triethylamine (0.16 mL, 1.12 mmol) was added dropwise and the mixture was stirred at RT for 4.5 h. The reaction mixture was loaded directly onto silica gel and purified by silica gel chromatography (0-10% MeOHZCH2Cl2). Additional purification by reverse-phase HPLC (35%-95% CH3CN/10 mM aq NH4OAc) gave the title compound.
LC-MS: [M+l]+ 516.2 Mass: Calculated for C30H30FN3O4, 515.58
1H NMR (300 MHz, CDCl3) δ: ppm 8.96 (m, 3H); 8.29 (m, IH); 7.53 (m, 2H); 7.45 (m, 2H); 7.37 (m, 3H); 5.13 (m, IH); 4.03 (m, IH); 3.72 (m, 5H); 3.56 (s, 2H); 2.49 (m, 4H); 1.78 (m, 6H).
19 F NMR (282 MHz, CDCl3) δ: ppm -117.4
E . 5 -(2-fluoro-4-((4-(morpholinomethyl)phenyl)ethynyl)phenyl)-Λ/- hydroxynicotinamide
A solution of 5-(2-fluoro-4-((4-(morpholinomethyl)phenyl)ethynyl)phenyl)-iV- (tetrahydro-2H-pyran-2-yloxy Nicotinamide (16.3 mg, 0.03 mmol) in dioxane (1 mL) was treated with 4 M hydrochloric acid in dioxane (0.08 mL, 0.32 mmol). Immediately, a
precipitate formed. The reaction was stirred for 1 h at RT. Ether was added and the volume of the reaction mixture was reduced under a stream of nitrogen; this step was repeated several times. The reaction mixture was concentrated in vacuo and the resultant white powder was dried under vacuum to give the title compound as the HCl salt. LC-MS: [M+l]+ 432.2
Mass: Calculated for C25H22FN3O3, 431.46
1H NMR (300 MHz, DMSO-d6) δ: ppm 11.49 (br s, IH); 8.96 (m, 2H); 8.36 (m, IH); 7.80-7.56 (m, 7H); 4.37 (m, 2H); 3.87 (m, 4H); 3.22 (m, 2H); 3.08 (m, 2H). 19F NMR (282 MHz, DMSO-d6) δ: ppm -117.3
Example 276
Λ/-hydroxy-2-(4-{[4-(morpholin-4-ylmethyl)benzyl]oxy}phenyl)pyridine-4- carboxamide
A. Methyl 2-(4-hydroxyphenyl)pyridine-4-carboxylate
Methyl 2-bromopyridine-4-carboxylate (0.25 g, 1.15 mmol), A- hydroxyphenylboronic acid (0.19 g, 1.38 mmol) and sodium carbonate (0.147 g, 1.38 mmol) were dissolved in 1,4-dioxane: water (9:1, 2.5 mL). The solution was degassed with a stream of N2 for 5 minutes. After this time, Pd(Ph3P)4 (66 mg, 0.057 mmol) was added and the reaction was stirred at 90 0C for 14 h. LC-MS indicated complete consumption of starting material and formation of the desired product. The reaction was concentrated, water (5 mL) was added to the residue and it was extracted 3 times with ethyl acetate. The pooled organics were washed with saturated aqueous NaCl, dried over Na2SO4, filtered and concentrated. The crude product was purified by silica gel chromatography (20% ethyl acetate in hexanes) to afford 80 mg of the title compound as a pale yellow solid.
LC-MS: [M+l]+ 230.3
Mass: calculated for CI3HHNO3, 229.23
B. 4-(bromomethyl)benzaldehyde
To a solution 4-(bromomethyl)benzonitrile (1 g, 5.1 mmol) in toluene (10 mL) at 0 0C was added DiBAL-H (IM in Toluene) (7.6 mL), the mixture was stirred at 0 0C for 1 h. The reaction was quenched with the addition of 1.5 N HCl solution at 0 0C and extracted with ethyl acetate (2 x 50 mL). The organic layer was washed with saturated aqueous NaCl, dried over Na2SO4, filtered and concentrated. The crude product was purified by re-precipitating in 10% hexanes and DCM to afford 0.6 g of the title compound.
C. methyl 2- {4-[(4-formylbenzyl)oxy]phenyl}pyridine-4-carboxylate
To a stirred solution of methyl 2-(4-hydroxyphenyl)pyridine-4-carboxylate (0.13 g, 0.56 mmol) in DMSO (2 mL) was added potassium carbonate (0.094 g, 0.68 mmol) and 4-(bromomethyl)benzaldehyde (0.11 g, 0.56 mmol) at O0C. The mixture was stirred at room temperature for 14 h. After this time, LC-MS indicated formation of the desired product. The reaction mixture was quenched with ice water and extracted with ethyl acetate (2 x 20 mL). The organic layer was washed with saturated aqueous NaCl, dried over Na2SO4, filtered and concentrated. The crude product was purified by re- precipitating in 10% ether and DCM to afford 0.12 g of the title compound. LC-MS: [M+l]+ 348.4 Mass: calculated for C21H17NO4, 347.36
D. methyl 2-(4-{[4-(morpholin-4-ylmethyl)benzyl]oxy}phenyl)pyridine-4- carboxylate
To a solution of methyl 2-{4-[(4-formylbenzyl)oxy]phenyl}pyridine-4- carboxylate (25 mg, 0.07 mmol) and morpholine (13 mg, 0.14 mmol) in DCM (0.5 mL) at 0 0C was added sodium triacetoxyborohydride (45 mg, 0.21 mmol) and acetic acid (12.9 mg, 0.21 mmol). The mixture was stirred for 1 h. The reaction mixture was poured into ice-cold NaHCO3 solution and extracted with ethyl acetate (2 x 10 mL). The organic layer was washed with saturated aqueous NaCl, dried over Na2SO4, filtered and concentrated to afford 20 mg of the title compound which was used without further purification. LC-MS: [M+l]+ 419.5 Mass: calculated for C25H26N2O4, 418.48
E. N-hydroxy-2-(4-{[4-(morpholin-4-ylmethyl)benzyl]oxy}phenyl)pyridine-4- carboxamide
To a solution of methyl 2-(4-{[4-(morpholin-4-ylmethyl)benzyl]oxy}phenyl) pyridine -4-carboxylate (50 mg, 0.12 mmol) in methanol (0.5 mL), hydroxylamine hydrochloride (18 mg, 0.26 mmol) and KOH (29 mg, 0.53 mmol) were added. The reaction was stirred at room temperature for 14 h. After this time, LC-MS indicated formation of the desired product. The reaction was concentrated and the crude residue was taken up in DMSO for reverse phase HPLC purification. The clean fractions were
pooled, concentrated and lyophilized overnight to afford 20 mg of the title compound as a yellow solid.
LC-MS: [M+l]+ 420.4
Mass: calculated for C24H25N3O4, 419.47 1H NMR (400 MHz, DMSO) δ: ppm 8.69 (d, IH); 8.18 (s, IH); 8.08 (s, IH); 7.97 (d, 2H); 7.56 (m, 3H); 7.47 (d, 2H); 7.13 (d, 2H); 5.21 (s, 2H); 3.98 (s, 2H); 3.80 (m, 4H); 2.90 (m, 4H).
Example 277 JV-hydroxy-2- [4-(pyridin-4-ylethynyl)phenyl]pyridine-4-carboxamide
A. 4-{[4-(5,5-dimethyl-l,3,2-dioxaborinan-2-yl)phenyl]ethynyl}pyridine
A solution of 4-ethynylpyridine (0.65 g, 6.32 mmol) and 2-(4-iodophenyl)-5,5- dimethyl- 1, 3, 2-dioxaborinane (Method 2 step A) (2 g, 6.32 mmol) in acetonitrile (20 mL) was degassed with a stream of N2 for 15 minutes. After this time, Pd(Ph3P)2Cl2 (0.44 g, 0.63 mmol), CuI (0.06 g, 0.31 mmol) and TEA (1.75 mL, 1.26 mmol) was added and the reaction was stirred at 80 0C for 14 h. LC-MS indicated formation of the desired product. The reaction was concentrated and the crude residue obtained was dissolved in ethyl acetate and the layers were separated. The organic layer was washed with water, brine, and dried over anhydrous sodium sulphate. The solvent was removed and the crude product was purified by silica gel chromatography (20-30% ethyl acetate in hexanes) to afford 0.7 g of the title compound. LC-MS: [M+l]+ 292.2 Mass: calculated for Ci8Hi8BNO2, 291.15
B . methyl 2- [4-(pyridin-4-ylethynyl)phenyl]pyridine-4-carboxylate
A solution of methyl-2-bromopyridine-4-carboxylate (0.74 g, 3.43 mmol) and 4- {[4-(5,5-dimethyl-l,3,2-dioxaborinan-2-yl)phenyl]ethynyl}pyridine (1 g, 3.43 mmol) in 1,4-dioxane (10 mL) and water (2 mL) was degassed with a stream of N2 for 10 minutes. After this time, Pd(Ph3P)4 (0.39 g, 0.34 mmol) and sodium carbonate (0.55 g, 5.14 mmol) were added and the reaction was stirred at 100 0C for 14 h. LC-MS indicated formation of the desired product. The reaction was concentrated and the crude residue obtained was dissolved in ethyl acetate and the layers were separated. The organic layer was washed with water, brine, and dried over anhydrous sodium sulphate. The solvent was removed and the crude product was purified by silica gel chromatography (20-30% ethyl acetate in hexanes) to afford 0.25 g of the title compound. LC-MS: [M+l]+ 315.3 Mass: calculated for C20Hi4N2O2, 314.33
C . JV-hydroxy-2- [4-(pyridin-4-ylethynyl)phenyl]pyridine-4-carboxamide
To a solution of methyl 2-[4-(pyridin-4-ylethynyl)phenyl]pyridine-4-carboxylate (100 mg, 0.79 mmol) in THF:methanol (1 :1, 3 mL), aqueous hydroxylamine (50%, 2 mL) was added and the reaction was stirred at room temperature for 14 h. After this time, LC-MS indicated formation of the desired product. The reaction was concentrated and the crude residue was taken up in DMSO for reverse phase HPLC purification. The
clean fractions were pooled and concentrated to afford 20 mg of the title compound as a pale yellow solid.
LC-MS: [M+l]+ 316.3
Mass: calculated for Ci9Hi3N3O2, 315.32 1H NMR (400 MHz, DMSO) δ: ppm 8.83 (d, IH); 8.65 (t, 2H); 8.30 (s, IH); 8.23 (d, 2H); 7.78 (d, 2H); 7.69 (m, IH); 7.56 (d, 2H).
Example 278
7-(dimethylamino)-N-hydroxy-6-(4-{[4-(morpholin-4-ylmethyl)phenyl] ethynyl} phenyl) isoquinoline-8-carboxamide
A. methyl 7-(dimethylamino)-6-(4- {[4-(morpholin-4-ylmethyl)phenyl]ethynyl} phenyl)isoquinoline-8-carboxylate
To a solution of 7-amino-6-(4- { [4-(morpholin-4-ylmethyl)phenyl]ethynyl} phenyl)isoquinoline-8-carboxylate (100 mg, 0.21 mmol) in 99% formic acid (2.0 mL) was added paraformaldehyde (62.8 mg, 2.09 mmol). The reaction mixture was heated at 100 0C for 4 h. The reaction mixture was cooled to room temperature and added to ice water (10 mL), basified with saturated NaHCO3 solution, extracted with ethyl acetate (25 mL x 2). The combined organic layer was washed with brine solution (10 mL), dried over anhydrous MgSO4 and evaporated under reduced pressure to provide crude methyl 7-(dimethylamino)-6-(4-{[4-(morpholin-4-ylmethyl)phenyl]ethynyl}phenyl)isoquinoline- 8-carboxylate intermediate as a yellow solid (90 mg, 85.7%). Mass: calculated for C32H3iN3O3, 505.62 LC-MS: [M+l]+: 506.6
B . 7-(dimethylamino)-N-hydroxy-6-(4- { [4-(morpholin-4-ylmethyl)phenyl] ethynyl}phenyl)isoquinoline-8-carboxamide
To a solution of 7-(dimethylamino)-6-(4-{[4-(morpholin-4-ylmethyl)phenyl] ethynyl}phenyl)isoquinoline-8-carboxylate (80 mg, 0.16 mmol) in 2 niL methanol/THF (1 :1) was added aqueous 50% hydroxylamine (1.5 mL) followed by catalytic amount of KCN (~5 mg) and the resulting solution was stirred at room temperature for 18 h. The reaction mixture was quenched with aqueous 10% citric acid solution (~2 mL), diluted with water (10 ml) and extracted with 10% methanol in chloroform (25 mL x 2). The combined organic layer was washed with brine solution (10 mL), dried over anhydrous MgSO4 and evaporated under reduced pressure to obtain the crude compound. The crude compound was purified by preparative HPLC to obtain 7-(dimethylamino)-iV-hydroxy-6- (4-{[4-(morpholin-4-ylmethyl)phenyl]ethynyl}phenyl)isoquinoline-8-carboxamide as a yellow solid (12 mg, 15%). Mass: calculated for C3IH30N4O3, 506.61 LC-MS: [M+l] + 507.57
1H NMR (400 MHz, δ ppm, DMSO-d6): δ 11.2 (s, IH), 9.55 (s, IH), 9.24 (s, IH), 8.57 (d, IH), 8.17 (m, IH), 7.69-7.62 (m, 3H), 7.75 (d, 2H), 7.47-7.40 (m, 4H), 3.6 (m, 4H), 3.58 (s, 2H), 2.8 (s, 6H), 2.37 (m, 4H)
Example 279
7-(dimethylamino)-N-hydroxy-6-[4-(pyridin-3-ylethynyl)phenyl]isoquinoline-8- carboxamide
A. methyl 7-(dimethylamino)-6-[4-(pyridin-3-ylethynyl)phenyl]isoquinoline- carboxylate
To a solution of methyl 7-amino-6-[4-(pyridin-3-ylethynyl)phenyl]isoquinoline-8- carboxylate (250 mg, 0.66 mmol) in 99% formic acid (5.0 mL) was added paraformaldehyde (198 mg, 6.6 mmol). The reaction mixture was heated at 100 0C for 6 h. The reaction mixture was cooled to room temperature, diluted with ice water (20 mL), basifϊed with saturated aqueous NaHCO3 solution and extracted with ethyl acetate (50 mL x 2). The combined organic layer was washed with brine solution (10 mL), dried over anhydrous MgSO4 and evaporated under reduced pressure to obtain crude compound.
The crude compound was purified by column chromatography (Silica gel, 100-200 mesh) by using 10% ethyl acetate in pet ether as mobile phase to provide methyl 7- (dimethylamino)-6-[4-(pyridin-3-ylethynyl)phenyl]isoquinoline-8-carboxylate as yellow solid (0.17 g, 63.4%). Mass: calculated for C26H2IN3O2, 407.48 LC-MS: [M+l]+: 408.5
1H NMR (400 MHz, δ ppm, CDCl3): δ 9.6 (s, IH), 8.8 (m, 2H), 8.6 (m, 2H), 8.3 (s, IH), 7.86 (d, IH), 7.67 (d, 2H), 7.32 (m, 3H), 3.96 (s, 3H), 2.86 (s, 6H)
B. 7-(dimethylamino)-N-hydroxy-6-[4-(pyridin-3-ylethynyl)phenyl]isoquinoline-
8-carboxamide
To a solution of methyl 7-(dimethylamino)-6-[4-(pyridin-3-ylethynyl)phenyl] isoquinoline-8-carboxylate (0.15 g, 0.37 mmol) in 2 mL methanol/THF (1 :1) was added aqueous 50% hydroxylamine (1.5 mL) followed by catalytic amount of KCN (~5 mg) and the resulting solution was stirred at room temperature for 18 h. The reaction mixture was quenched with aqueous 10% citric acid solution (~2 mL), the precipitated solid was filtered, washed with water (10 mL) and dried under vacuum provide crude compound. The crude compound was purified by preparative HPLC to obtain 7-(dimethylamino)-iV- hydroxy-6-[4-(pyridin-3-ylethynyl)phenyl]isoquinoline-8-carboxamide as a yellow solid (40 mg, 26.6%).
Mass: calculated for C25H20N4O2, 408.46 LC-MS: [M+l]+: 409.49
1H NMR (400 MHz, δ Dppm, DMSO-d6): δ 11.18 (sb, IH), 9.55 (s, IH), 9.24 (s, IH), 8.80 (s, IH), 8.61 (m, 2H), 8.17 (d, IH), 8.02 (d, IH), 7.75 (d, 2H), 7.66 (s, IH), 7.5 (m, 3H), 2.82 (s, 6H)
Example 280
Λ/-hydroxy-2-{4-[(4-{[(2-hydroxyethyl)amino]methyl}benzyl)oxy]phenyl} pyridine-4-carboxamide
The title compound was synthesized as described for Example 276 step D from methyl 2-{4-[(4-formylbenzyl)oxy]phenyl}pyridine-4-carboxylate and ethanol amine. LC-MS: [M+l]+ 393.5 Mass: calculated for C23H24N2O4, 392.44
B. Λ/-hydroxy-2-{4-[(4-{[(2-hydroxyethyl)amino]methyl}benzyl)oxy] phenyl}pyridine-4-carboxamide
The title compound was synthesized as described for Example 276 step E from methyl 2-{4-[(4-{[(2-hydroxyethyl)amino]methyl}benzyl)oxy]phenyl}pyridine-4- carboxylate LC-MS: [M+l]+ 394.4 Mass: calculated for C22H23N3O4, 393.43
1H NMR (400 MHz, DMSO) δ: ppm 8.70 (d, IH); 8.22 (s, IH); 8.12 (s, IH); 8.06 (d, 2H); 7.55 (d, IH); 7.43 (d, 2H); 7.38 (d, 2H); 7.13 (d, 2H); 5.16 (s, 2H); 3.80 (s, 2H); 3.49 (m, 2H); 2.63 (m, 2H).
Example 281
Λ/-hydroxy-2-[4-(pyridin-4-yl)phenyl]pyridine-4-carboxamide
A. 4-(4-bromophenyl)pyridine
l-Bromo-4-iodobenzene (1 g, 3.5 mmol), pyridine-4-boronic acid (0.47 g, 3.8 mmol) and sodium carbonate (0.56 g, 5.25 mol) were treated with dioxane (10 rnL) and water (2 mL). The solution was degassed with a stream of N2 for 10 minutes. After this time, Pd(Ph3P)4 (0.4 g, 0.35 mmol) was added and the reaction was stirred at 100 0C for 14 h. LC-MS indicated formation of the desired product. The reaction was concentrated and the crude residue obtained was purified by silica gel chromatography (20-30% ethyl acetate in hexanes) to afford 0.4 g of the desired product. LC-MS: [M+l]+ 234.1 & 236.1 Mass: calculated for CnH8BrN, 234.09
B. 4-[4-(4,4,5,5-tetramethyl-l,3,2-dioxaborolan-2-yl)phenyl]pyridine
To the solution of 4-(4-bromophenyl)pyridine (0.5 g, 2.1 mmol) in dioxane (10 mL) was added bis(pinacolato)diboron (0.65 g, 2.5 mmol). The solution was degassed with a stream of N2 for 10 minutes. After this time, Pd(dppf)2Cl2 (0.17 g, 0.2 mmol) and potassium acetate (0.3 g, 3.0 mmol) were added and the reaction was refluxed at 100 0C for 14 h. LC-MS indicated complete consumption of starting material. The reaction mixture was concentrated and the crude residue was purified by silica gel chromatography (5-10% ethyl acetate in hexanes) to afford 0.4 g of the desired product. LC-MS: [M+l]+ 282.1 Mass: calculated for Ci7H20BNO2, 281.15
Methyl-2-bromopyridine-4-carboxylate (0.16 g, 0.76 mmol), 4-[4-(4,4,5,5- tetramethyl-l,3,2-dioxaborolan-2-yl)phenyl]pyridine (0.2 g, 0.76 mmol) and sodium carbonate (0.1 g, 0.92 mmol) were treated with dioxane:water (4:1, 5 mL). The solution was degassed with a stream of N2 for 10 minutes. After this time, Pd(Ph3P)4 (0.08 g, 0.07 mmol) was added and the reaction was stirred at 100 ° C for 14 h. LC-MS indicated formation of the desired product. The reaction was concentrated and the crude residue was purified by silica gel chromatography (20%-30% ethyl acetate in hexanes) to afford 0.1 g of the desired product. LC-MS: [M+l]+ 291.3
Mass: calculated for Ci8Hi4N2O2, 290.31
D. N-hydroxy-2-[4-(pyridin-4-yl)phenyl]pyridine-4-carboxamide
To a solution of methyl 2-[4-(pyridin-4-yl)phenyl]pyridine-4-carboxylate (100 mg, 0.34 mmol) in THF:methanol (1 :1, 5 mL), aqueous hydroxylamine (50%, 2 mL) was added and the reaction was stirred at room temperature for 14 h. After this time, LC-MS indicated formation of the desired product. The reaction was concentrated and the crude residue was taken up in DMSO for reverse phase purification. The clean fractions were pooled, concentrated and lyophilized overnight to afford 20 mg of the desired product as off-white solid. LC-MS: [M+l]+ 292.3 Mass: calculated for Ci7Hi3N3O2, 291.30
1H NMR (400 MHz, DMSO) δ: ppm 8.80 (m, IH); 8.67 (m, 2H); 8.28 (m, 2H); 7.99 (m, 2H); 7.81 (m, 2H); 7.68 (m, IH).
Example 282
7V-hydroxy-5-((4-(morpholinomethyl)phenyl)ethynyl)-2,3'-bipyridine-5'- carboxamide
A. 5-((4-(morpholinomethyl)phenyl)ethynyl)-2,3'-bipyridine-5'-carboxylic acid
The 4-(4-((6-bromopyridin-3-yl)ethynyl)benzyl)morpholine (0.080 g, 0.22 mmol), 5-(methoxycarbonyl)pyridin-3-ylboronic acid (0.081 g, 0.45 mmol) and anhydrous tribasic potassium phosphate (0.095 g, 0.45 mmol) were added to a sealed tube. The 2-dicyclohexylphosphino-2',6'-dimethoxy-l,r-biphenyl (S-Phos, 0.018 g, 0.04 mmol), and Pd2dba3 (10 mg, 0.01 mmol) were added. The sealed tube was degassed/flushed with N2. The n-butanol (2 mL) was added and the sealed tube was heated to 100 0C overnight. After cooling to RT, 2 M aqueous lithium hydroxide (0.6 mL, 1.20 mmol) was added and the mixture was stirred for several minutes. The mixture was filtered through filter paper, rinsed with MeOH, and concentrated in vacuo. The residue was diluted with water and treated with 1 N aqueous HCl until the pH was 4. The resultant solid was collected and rinsed with water and ether to give the title compound which was used without additional purification. LC-MS: [M+l]+ 400.0 Mass: Calculated for C24H2IN3O3, 399.44
B . 5 -((4-(morpholinomethyl)phenyl)ethynyl)-N-(tetrahydro-2H-pyran-2-yloxy)- 2,3'-bipyridine-5'-carboxamide
The 5-((4-(morpholinomethyl)phenyl)ethynyl)-2,3'-bipyridine-5'-carboxylic acid (0.096 g, 0.24 mmol), O-(tetrahydro-2H-pyran-2-yl)hydroxylamine (0.056 g, 0.48 mmol), and HATU (0.183 g, 0.48 mmol) were combined. DMF (1 mL) was added to give a suspension. Triethylamine (0.139 ml, 0.96 mmol) was added dropwise. Upon complete addition, the reaction mixture became a clear solution which was stirred at RT overnight. The reaction mixture was loaded directly onto silica gel and purified by silica gel chromatography (0-10% MeOH/CH2Cl2).
1H NMR (300 MHz, CDCl3) D : ppm 9.29 (d, IH); 9.01 (d, IH); 8.80 (m, IH); 8.67 (t, IH); 7.88 (dd, IH); 7.75 (d, IH); 7.52 (d, 2H); 7.35 (d, 2H); 5.16 (s, IH); 4.02 (m, IH); 3.71 (m, 4H); 3.64 (m, IH); 3.51 (s, 2H); 2.45 (m, 4H); 1.88 (m, 3H); 1.61 (m, 3H).
C . 5 -((4-(morpholinomethyl)phenyl)ethynyl)-N-(tetrahydro-2H-pyran-2-yloxy)- 2,3'-bipyridine-5'-carboxamide
A solution of 5-((4-(morpholinomethyl)phenyl)ethynyl)-Λ/-(tetrahydro-2H-pyran- 2-yloxy)-2,3'-bipyridine-5'-carboxamide (0.120 g, 0.24 mmol) in dioxane (2 mL) was treated with 4 M hydrochloric acid in dioxane (0.602 mL, 2.41 mmol). Immediately, a precipitate formed. The reaction mixture was stirred overnight at RT. Ether was added and the volume of the reaction mixture was reduced under a stream of nitrogen; this step was repeated several times. The reaction mixture was concentrated in vacuo and then dried under vacuum to give the title compound as the HCl salt. LC-MS: [M+l]+ 415.2
Mass: Calculated for C24H22N4O3, 414.46
1H NMR (300 MHz, DMSO-d6) δ: ppm 11.52 (br s, IH); 9.45 (d, IH); 9.02 (d, IH); 8.93 (m, IH); 8.88 (m, IH); 8.26 (d, IH); 8.17 (dd, IH); 7.72 (m, 4H); 4.37 (s, 2H); 3.88 (m, 4H); 3.23 (m, 2H); 3.10 (m, 2H).
Example 283
6-(biphenyl-4-yl)-Λ/-hydroxyisoquinoline-8-carboxamide
A. 6-(biphenyl-4-yl)-8-bromoisoquinoline
To an argon purged solution of 8-bromo-6-iodoisoquinoline (250 mg, 0.75 mmol) in dioxane (15.0 mL) was added Cs2CO3 (244 mg, 0.75 mmol) and stirred for 5 min. To the above solution biphenylboronic ester (209 mg, 0.75 mmol) was added followed by Pd(PPri3)4 (43 mg, 0.04 mmol). The resulting reaction mixture was stirred at 1000C for 6 h. The reaction mixture was concentrated, diluted with water (20 mL) and extracted with ethyl acetate (20 mL x 3). The combined organic layer was washed with brine solution (50 mL), dried over anhydrous Na2SO4 and concentrated to the desired compound as a solid 400 mg (crude). The crude product was taken to the next step without further purification.
Mass: calculated for C21H14BrN, 360.26 LC-MS: [M,M+2]+. 360.26, 362.3
To an argon purged solution of 6-(biphenyl-4-yl)-8-bromoisoquinoline (400 mg , crude, 1.11 mmol) in methanol (7 rnL) and DMF (15.0 mL) was added triethylamine (0.62 ml, 4.44 mmol), Pd(OAc)2 (136 mg, 0.55 mmol) followed by 1,1 '- bisdiphenylphosphinoferrocene (308 mg, 0.55 mmol). The reaction mixture was transferred into a pressure bomb and filled with carbon monoxide (125 psi) and heated at 1000C for 5 h. The reaction mixture was cooled to room temperature, filtered through a celite bed and washed with ethyl acetate. The filtrate was diluted with ethyl acetate (20 mL) and washed with water (50 mL). The aqueous layer was extracted with ethyl acetate and the combined organic layer was washed with brine, dried over anhydrous Na2SO4, filtered, and concentrated under reduced pressure to obtain the crude product. The crude compound was purified by column chromatography (Silica gel, 100-200 mesh) using 22% ethyl acetate in pet-ether as eluent to yield the desired compound (150 mg) as a solid Mass: calculated for C23H17NO2, 339.40 LC-MS: [M+l]+:340.45
1H NMR (400 MHz, δ ppm, CDCl3): δ 10.28 (s, IH), 8.65 (d, IH), 8.61 (s, IH), 8.23 (s, IH), 7.84 (m, 2H), 7.76 (m, 3H), 7.67 (m, 2H), 7.5 (m, 2H), 7.41 (m, IH), 4.1 (s, 3H).
C. 6-(biphenyl-4-yl)-N-hydroxyisoquinoline-8-carboxamide
To a solution of methyl-6-(biphenyl-4-yl)isoquinoline-8-carboxylate (150 mg, 0.44 mmol) in methanol/THF (1 :1)(5 ml) was added aqueous 50% hydroxylamine (2 niL) followed by catalytic amount of KCN (3 mg) and the resulting solution was stirred at room temperature for 48 h. The reaction mixture was quenched with aqueous 10% citric acid solution (~3 mL) and stirred at 00C for 10 min. The precipitated solid was filtered, washed with water (10 mL), and dried under vacuum to yield the crude product. The crude product was purified by preparatory HPLC to obtain the title compound (10 mg) as a solid. Mass: calculated for C22H16N2O2: 340.39 LC-MS: [M+l]+ 341.46
1H NMR (400 MHz, δ ppm, DMSO-d6): δ 9.62 (s, IH), 8.60 (d, IH), 8.47 (s, IH), 8.1 (s, IH), 8.03 (d, 2H), 7.97 (d, IH), 7.89 (d, 2H), 7.78 (d, 2H), 7.52 (m, 2H), 7.42 (m, IH).
Example 284
Λ/-hydroxy-7-methoxy-6-(4-{[4-(morpholin-4-ylmethyl) phenyl] ethynyl} phenyl) isoquinoline-8-carboxamide
To a stirred solution of 3-methoxybenzaldehyde (1.0 g, 7.344 mmol) in toluene (10 ml) was added aminoacetaldehyde dimethylacetal (1.158 g, 11.017 mmol) at room temperature. The reaction mixture was refluxed under Dean-Stark trap for 5 h. and subsequently cooled to 5 0C under nitrogen atmosphere. Trifluoroacetic anhydride (4.626 g, 22.03 mmol)and boron trifluoride etherate (3.126 g, 22.03 mmol) was added subsequently and at such a rate the internal temperature was maintained below 10 0C. The reaction mixture was stirred at room temperature for 3 days. The resulting reaction mixture was diluted with ice, 2N hydrochloric acid was added and the organic layer was
extracted with IN hydrochloric acid. The resulting reaction mixture containing the aqueous extracts was basified to pH 9 by adding concentrated aqueous ammonia. The organic layer was extracted with ethyl acetate and dried over Na2SO4 and the solvent was evaporated under vacuum to afford the 300 mg of 7-methoxyisoquinoline as a brown liquid with 93.76 % LC-MS purity. Mass: calculated for Ci0H9NO, 159.19 LC-MS: [M+l] + 160.2
1H NMR (400 MHz, δ ppm, CDCl3): δ 9.2 (6, IH), 8.4 (d, IH), 7.7 (d, IH), 7.6 (d, IH), 7.3 (dd, IH), 7.2 (d, IH), 4.0 (s, 3H).
B. 8-bromo-7-methoxyisoquinoline
To a stirred solution of 7-methoxyisoquinoline (1.0 g, 6.281 mmol) in dry dimethylformamide at room temperature under nitrogen atmosphere, cooled to 00C was added N-bromosuccinamide and stirred for overnight. The progress of the reaction mixture was monitored through TLC. The reaction mixture was diluted with water and extracted with ethyl acetate, the organic layer was washed with water followed by brine solution, dried over anhydrous Na2SO4, filtered and evaporated under vacuum to afford a brown liquid. The crude compound was purified by column chromatography over silica gel using solvent gradient of 20 % ethyl acetate/ pet ether to afford 220 mg of 8-bromo-7- methoxyisoquinoline as a white solid with 93.36% LC-MS purity. Mass: calculated for Ci0H8BrNO, 238.09 LC-MS: [M, M+2] + 238.35, 240.38 1H NMR (400 MHz, δ Dppm, CDCl3): δ 9.60 (s, IH), 8.52 (d, IH), 7.8 (d, IH), 7.4-7.6 (m, 2H), 4.06 (s, 3H).
To a stirred solution of 8-bromo-7-methoxyisoquinoline (2.13 g, 8.949 mmol) in water was added K2CO3 (3.70 g, 26.84 mmol) followed by iodine (6.81 g, 26.84 mmol). The reaction mixture was heated in a sealed tube at 1300C for 5 h. The progress of the reaction was monitored by TLC. The reaction mixture was cooled to room temperature, diluted with water (100 mL) followed by sodium thiosulfate solution and was stirred for 10 min. The reaction mixture was extracted with ethyl acetate and washed with brine solution. The organic layer was separated, dried over anhydrous Na2SO4, filtered and evaporated under vacuum to afford the crude product. The obtained crude product was purified through column chromatography over silica gel (100-200 mesh) using solvent gradient of 20% ethyl acetate/pet ether to afford 800 mg, (24.6 %) of 8-bromo-6-iodo-7- methoxyisoquinoline as a white solid with 98.50 % LC-MS purity. Mass: calculated for Ci0H7BrINO, 363.98 LC-MS: [M, M+2] + .364.11, 366.13
1H NMR (400 MHz, δ ppm, CDCl3): δ 9.5 (s, IH), 8.9 (s, IH), 8.0 (d, IH), 7.45 (d, IH), 4.0 (s, 3H).
D. 8-bromo-7-methoxy-6-(4-{[4-(morpholin-4-ylmethyl)phenyl]ethynyl} phenyl)isoquinoline
20
To an argon purged solution of 8-bromo-6-iodo-7-methoxyisoquinoline (100 mg, 0.271 mmol) in dioxane (10 rnL) was added 4-(4-((4-(5, 5 -dimethyl- 1, 3, 2-dioxaborinan-2- yl)phenyl)ethynyl)benzyl)morpholine (105 mg, 0.271 mmol), Pd(PPlIs)4 (62 mg, 0.054mmol) and cesium carbonate (176 mg 0.542 mmol). The resulting reaction mixture was heated to 800C for 6 h. The progress of the reaction was monitored through TLC and indicated the presence of starting material in minor concentrations. The reaction mixture was cooled to room temperature and filtered through celite bed and the bed was further washed with methanol. The filtrate was evaporated under vacuum to afford crude product. The crude product was dissolved in ethyl acetate and washed with water followed by brine solution. The organic layer was separated, dried over anhydrous
Na2SO4 , filtered and evaporated under vacuum to afford the crude product. The crude compound was purified by column chromatography over silica gel (100- 200 mesh) using solvent gradient of 50% EtO Ac/pet ether as eluent to afford 100 mg of 8-bromo-7- methoxy-6-(4-{[4-(morpholin-4-ylmethyl)phenyl]ethynyl}phenyl)isoquinoline with 66.86 % LC-MS purity.
Mass: calculated for C29H25BrN2O2, 513.14
LC-MS: [M, M+2] + 513.36, 515.63
1H NMR (400 MHz, δ ppm, CDCl3): 9.55 (s, IH), 8.42 (s, IH), 7.6-7.9 (m, 8H), 7.2 -7.4
(m, 4H), 4.0 (s, 3H), 3.81 (s, IH), 3.6 (m, 4H), 2.32 (m, 4H).
E. methyl 7-methoxy-6-(4-{[4-(morpholin-4-ylmethyl) phenyl] ethynyl} phenyl) isoquinoline-8-carboxylate
To a stirred solution of 8-bromo-7-methoxy-6-(4-{[4-(morpholin-4-ylmethyl) phenyl]ethynyl}phenyl)isoquinoline (150 mg, 0.292 mmol) in DMF/MeOH (3/2 mL) at
room temperature under nitrogen was added triethylamine (118 mg, 1.169 mmol), palladium acetate (35.69 , 0.146 mmol), and l^-bis-diphenylphosphino ferrocene(80. 92 mg, 0.146mmol). The reaction mixture was transferred into a pressure bomb and filled with carbon monoxide (250 psi) and heated at 1100C for 4 h. The progress of the reaction was monitored by TLC indicates the absence of starting material. The reaction mixture was cooled to room temperature, filtered through celite bed which was washed with 10 % MeOH/chloroform and the solvent was evaporated completely to afford the crude product. The crude compound was purified by column chromatography over silica gel (100- 200 mesh) using solvent gradient of EtO Ac/pet ether as eluent to afford 100 mg of methyl- 7-methoxy 6(4- {[4-(morpholin-4-ylmethyl)phenyl]ethynyl}phenyl)isoquinoline- 8-carboxylate as a brown semi solid with 66% LC-MS purity. Mass: calculated for C3IH28N2O4, 492 LC-MS: [M+l] + 493
F. JV-hydroxy-7-methoxy-6-(4- {[4-(morpholin-4-ylmethyl) phenyl] ethynyl} phenyl)isoquinoline-8-carboxamide
To a solution of methyl-7-methoxy-6-(4-{[4-(morpholin-4-ylmethyl)phenyl] ethynyl} phenyl) isoquinoline-8-carboxylate (0.100 g, 0.20 mmol) in methanol/THF (1 :1) was added aqueous 50% hydroxylamine (2 mL) followed by catalytic amount of KCN (~2 mg) and the resulting solution was stirred at room temperature for 48 h. The reaction mixture was quenched with aqueous 10% citric acid solution (~3 mL) and stirred for 15 min. The solid precipitated was filtered, washed with water (10 ml) and dried under vacuum to get 60 mg of crude product. The crude product was purified by prep. HPLC to get title compound (10 mg).
Mass: calculated for C30H27N3O4, 493.57 LC-MS: M-H]:492.53
1H NMR (400 MHz, δ ppm, DMSO d6): δ 12.8 (bs, IH), 11.00 (s, IH), 9.4 (s, IH), 8.4 (bs, IH), 8.13 (bs, IH), 7.9 (d, IH), 7.7-7.8 (m, 3H), 7.6 (m, 4H), 7.4 (bs, 2H), 3.89 (s, 3H), 3.4-3.6 (m, 5H), 2.4 (m, 4H).
Example 285
Λ/-hydroxy-2-[4-(pyridin-3-ylmethoxy)phenyl]pyridine-4-carboxamide
A. methyl 2-[4-(pyridin-3-ylmethoxy)phenyl]pyridine-4-carboxylate
The title compound was synthesized as described for Example 276 step C from methyl 2-(4-hydroxyphenyl)pyridine-4-carboxylate and 3-(Bromomethyl)pyridine. LC-MS: [M+l]+ 321.4 Mass: calculated for Ci9Hi6N2O3, 320.34
B . N-hydroxy-2- [4-(pyridin-3 -ylmethoxy)phenyl]pyridine-4-carboxamide (
The title compound was synthesized as described for Example 276 step E from methyl 2-{4-[(4-{[4-(2-hydroxyethyl)piperazin-l-yl]methyl}benzyl)oxy]phenyl} pyridine -4-carboxylate. LC-MS: [M+l]+ 322.3 Mass: calculated for Ci8Hi5N3O3, 321.33
1H NMR (400 MHz, DMSO) δ: ppm 11.57 (s, IH); 9.34 (s, IH); 8.71 (m, 2H); 8.55 (s, IH); 8.12 (d, 2H); 8.08 (d, 2H); 7.89 (d, IH); 7.55 (d, IH); 7.42 (m, IH); 7.17 (d, 2H); 5.23 (s, 2H).
Example 286
Λ/-hydroxy-2-[4-(pyridin-4-ylmethoxy)phenyl]pyridine-4-carboxamide
A. methyl 2-[4-(pyridin-4-ylmethoxy)phenyl]pyridine-4-carboxylate
The title compound was synthesized as described for Example 276 step C from methyl 2-(4-hydroxyphenyl)pyridine-4-carboxylate and 4-(bromomethyl)pyridine hydrobromide.
LC-MS: [M+l]+ 321.4
Mass: calculated for Ci9Hi6N2O3, 320.34
B . N-hydroxy-2- [4-(pyridin-4-ylmethoxy)phenyl]pyridine-4-carboxamide
The title compound was synthesized as described for Example 276 step E from methyl 2- [4-(pyridin-4-ylmethoxy)phenyl]pyridine-4-carboxylate LC-MS: [M+l]+ 322.3
Mass: calculated for Ci8Hi5N3O3, 321.33
1H NMR (400 MHz, DMSO) δ: ppm 11.56 (s, IH); 9.34 (s, IH); 8.72 (d, IH); 8.59 (d, 2H); 8.14 (s, IH); 8.09 (d, 2H); 7.56 (d, IH); 7.47 (d, 2H); 7.16 (d, 2H); 5.28 (s, 2H).
Example 287
Λ/-hydroxy-2-[4-(lH-indol-5-yl)phenyl]pyridine-4-carboxamide
A. 5-(4-bromophenyl)-lH-indole
l-Bromo-4-iodobenzene (1 g, 3.5 mmol), 5-indolylboronic acid (0.62 g, 3.8 mmol) and sodium carbonate (0.56 g, 5.25 mol) were treated with dioxane (10 rnL) and water (2 mL). The solution was degassed with a stream of N2 for 10 minutes. After this time, Pd(Ph3P)4 (0.4 g, 0.35 mmol) was added and the reaction was stirred at 100 0C for 14 h. LC-MS indicated formation of the desired product. The reaction was concentrated and the crude residue obtained was purified by silica gel chromatography (20-30% ethyl acetate in hexanes) to afford 0.5 g of the desired product. LC-MS: [M+l]+ 272.1 & 274.1 Mass: calculated for Ci4Hi0BrN, 272.13
B. 5-[4-(4,4,5,5-tetramethyl-l,3,2-dioxaborolan-2-yl)phenyl]-lH-indole
To the solution of 5-(4-bromophenyl)-lH-indole (0.25 g, 0.9 mmol) in dioxane (10 mL) was added bis(pinacolato)diboron (0.28 g, 1.0 mmol). The solution was degassed with a stream of N2 for 10 minutes. After this time, Pd(dppf)2Cl2 (0.08 g, 0.1 mmol) and potassium acetate (0.15 g, 1.5 mmol) were added and the reaction was refluxed at 100 0C for 14 h. LC-MS indicated complete consumption of starting material.
The reaction mixture was concentrated and the crude residue was purified by silica gel chromatography (10-15% ethyl acetate in hexanes) to afford 0.15 g of the desired product.
LC-MS: [M+l]+ 320.2 Mass: calculated for C20H22BNO2, 319.20
C. methyl 2-[4-(lH-indol-5-yl)phenyl]pyridine-4-carboxylate
Methyl-2-bromopyridine-4-carboxylate (0.1 g, 0.46 mmol), 5-[4-(4 ,4,5,5- tetramethyl-l,3,2-dioxaborolan-2-yl)phenyl]-lH-indole (0.15 g, 0.46 mmol) and sodium carbonate (0.06 g, 0.55 mmol) were treated with Dioxane:water (4:1, 5 mL). The solution was degassed with a stream of N2 for 10 minutes. After this time, Pd(Ph3P)4 (0.05 g, 0.046 mmol) was added and the reaction was stirred at 100 ° C for 14 h. LC-MS indicated formation of the desired product. The reaction was concentrated and the crude residue was purified by silica gel chromatography (20%-30% ethyl acetate in hexanes) to afford 0.075 g of the desired product. LC-MS: [M+l]+ 329.4 Mass: calculated for C2iHi6N2O2, 328.36
D. N-hydroxy-2-[4-(lH-indol-5-yl)phenyl]pyridine-4-carboxamide
To a solution of methyl 2-[4-(lH-indol-5-yl)phenyl]pyridine-4-carboxylate (70 mg, 0.21 mmol) in THF:methanol (1 :1, 5 mL), aqueous hydroxylamine (50%, 2 mL) was
added and the reaction was stirred at room temperature for 14 h. After this time, LC-MS indicated formation of the desired product. The reaction was concentrated and the crude residue was taken up in DMSO for reverse phase purification. The clean fractions were pooled, concentrated and lyophilized overnight to afford 22 mg of the desired product as an off-white solid. LC-MS: [M+l]+ 330.3 Mass: calculated for C20Hi5N3O2, 329.35
1H NMR (400 MHz, DMSO) δ: ppm 11.20 (s, IH); 8.79 (d, IH); 8.26 (s, IH); 8.21 (d, 2H); 7.93 (s, IH); 7.84 (d, 2H); 7.65 (d, IH); 7.50 (s, 2H); 7.40 (m, IH); 6.51 (s, IH).
Example 288
2-amino-N-hydroxy-6-(4-{[4-(morpholin-4-ylmethyl)phenyl]ethynyl}phenyl) pyridine-4-carboxamide
A. methyl 2-[4-({4-[(dimethylamino)methyl]benzyl}oxy)phenyl]pyridine-4- carboxylate
The title compound was synthesized as described for Example 276 step D from methyl 2-{4-[(4-formylbenzyl)oxy]phenyl}pyridine-4-carboxylate, triethylamine and N,N-dimethylamine hydrochloride. LC-MS: [M+l]+ 428.5 Mass: calculated for C26H25N3O3, 427.49
The title compound was synthesized as described for Example 276 step E from methyl 2-[4-({4-[(dimethylamino)methyl]benzyl}oxy)phenyl]pyridine-4-carboxylate LC-MS: [M+l]+ 378.4 Mass: calculated for C22H23N3O3, 377.43
1H NMR (400 MHz, DMSO) δ: ppm 9.36 (s, IH); 8.75 (s, IH); 8.09 (m, 3H); 7.51 (s, 3H); 7.44 (d, 3H); 7.17 (m, 2H); 5.22 (s, 2H); 3.87 (s, 2H); 2.44 (s, 6H).
Example 289 2-( { [(4S)-2,2-dimethyl- 1 ,3-dioxolan-4-yl]carbonyl} amino)-JV-hydroxy-6-[4-
(pyridin-3-ylethynyl)phenyl]pyridine-4-carboxamide
(4S)-2,2-dimethyl-l ,3-dioxolane-4-carbonyl chloride
To a solution of (45)-2,2-dimethyl-l,3-dioxolane-4-carboxylic acid (0.5 g, 3 mmol) in CHCl3 (10 mL) was added oxalyl chloride (2 mL, 6 eq.). The mixture was stirred at room temperature for 3 h. The solvents were removed and the solid obtained was dried under vacuum and was taken for the next step without further purification.
B. (S)-methyl 2-(2,2-dimethyl-l,3-dioxolane-4-carboxamido)-6-(4-(pyridin-3- ylethynyl)phenyl)isonicotinate
To a solution of Methyl 2-amino-6-[4-(pyridin-3-ylethynyl)phenyl]pyridine-4- carboxylate (Method 6) (400 mg, 1.214 mmol) and propylphosphonic anhydride (T3P) (1.54 mL, 2.42 mmol) in pyridine (4 mL) was added (4S)-2,2-dimethyl-l,3-dioxolane-4- carbonyl chloride (355 mg, 2.43 mmol) at 0 0C. The mixture was then stirred at room temperature for 6 h. LC-MS indicated complete consumption of starting material and formation of the desired product. The reaction mixture was concentrated and the residue was subjected to purification by silica gel chromatography using hexanes and Ethyl acetate as eluent (0-40% Ethyl acetate in hexanes) to obtain 225 mg of methyl 2- [(pyridazin-3-ylcarbonyl)amino]-6-[4-(pyridin-3-ylethynyl)phenyl]pyridine-4- carboxylate. LC-MS: [M+l]+ 458.5 Mass: calculated for C26H23N3O5, 457.47
1H NMR (400 MHz, DMSO-d6) δ: ppm 10.44 (s, IH); 8.79 (t, IH); 8.61 (m, IH); 8.55 (s, IH); 8.22 (d, 2H); 8.13 (d, IH); 8.02 (m, IH); 7.74 (d, 2H); 7.50 (m, IH); 4.78 (q, IH); 4.27 (q, IH); 4.10 (m, IH); 3.95 (s, 3H); 1.48 (s, 3H); 1.38 (s, 3H).
C. 2-({[(4S)-2,2-dimethyl-l,3-dioxolan-4-yl]carbonyl}amino)-N-hydroxy-6-[4- (pyridin-3-ylethynyl)phenyl]pyridine-4-carboxamide
To a solution of (S)-methyl 2-(2,2-dimethyl-l,3-dioxolane-4-carboxamido)-6-(4- (pyridin-3-ylethynyl)phenyl)isonicotinate (225 mg, 0.49 mmol) in THF:Methanol (1 :1, 5 niL), aqueous hydroxylamine (50%, 5 mL) was added and the reaction was stirred at room temperature for 14 h. After this time, LC-MS indicated formation of the desired product. The reaction mixture was concentrated and the crude residue was taken up in DMSO for reverse phase purification. The clean fractions were pooled, concentrated and lyophilized overnight to afford 40 mg of the desired product as a white solid. LC-MS: [M+l]+ 459.4 Mass: calculated for C25H22N4O5, 458.46
1H NMR (400 MHz, DMSO-d6) δ: ppm 10.22 (bs, IH); 8.78 (s, IH); 8.60 (d, IH); 8.39 (s, IH); 8.19 (d, 2H); 8.02 (m, 2H); 7.75 (d, 2H); 7.48 (m, IH); 4.77 (m, IH); 4.27 (t, IH); 4.09 (m, IH); 1.48 (s, 3H); 1.37 (s, 3H).
Example 290
2-(but-3 -enoylamino)-jV-hydroxy-6- [4-(pyridin-3 -ylethynyl)phenyl]pyridine-4- carboxamide
To a solution of Methyl 2-amino-6-[4-(pyridin-3-ylethynyl)phenyl]pyridine-4- carboxylate (Method 6) (400 mg, 1.214 mmol) in pyridine (4 rnL) was added but-3-enoyl chloride (355 mg, 2.43 mmol) at 0 0C. The mixture was stirred at room temperature for 6 h. LC-MS indicated complete consumption of starting material and formation of the desired product. The reaction mixture was concentrated and the residue was subjected to silica gel chromatography using hexanes and ethyl acetate as eluent (0-40% ethyl acetate in hexanes) to obtain 225 mg of the desired product. LC-MS: [M+l]+ 398.4 Mass: calculated for C24Hi9N3O3, 397.42
B. 2-(but-3-enoylamino)-N-hydroxy-6-[4-(pyridin-3-ylethynyl)phenyl]pyridine- 4-carboxamide
The title compound was synthesized as described for Example 289 step C from methyl 2-(but-3-enoylamino)-6-[4-(pyridin-3-ylethynyl)phenyl]pyridine-4-carboxylate. LC-MS: [M+l]+ 399.4
Mass: calculated for C23Hi8N4O3, 398.41
1H NMR (400 MHz, DMSO-dg) δ: ppm 10.72 (s, IH); 8.78 (s, IH); 8.60 (d, IH); 8.39 (s, IH); 8.18 (d, 2H); 8.01 (m, IH); 7.96 (s, IH); 7.75 (d, 2H); 7.59 (d, IH); 6.00 (m, IH); 5.18 (m, 2H); 3.24 (m, 2H).
Example 291
Λ/-hydroxy-2-[4-(pyrimidin-5-ylethynyl)phenyl]pyridine-4-carboxamide
A. 2-(4-ethynylphenyl)-5,5-dimethyl-l ,3,2-dioxaborinane
To a solution of 4-ethynylphenylboronic acid (5 g, 30.8 mmol), 2,2- dimethylpropane-l,3-diol (3.2 g, 31 mmol) and magnesium sulfate (41 g, 300 mmol) in DCM (200 mL) was stirred at room temperature for 14 h. The reaction mixture was filtered and the filtrate was concentrated to afford 6.5 g of the desired product and was taken to next step without further purification.
B. 5-{[4-(5,5-dimethyl-l,3,2-dioxaborinan-2-yl)phenyl]ethynyl}pyrimidine
The title compound was synthesized as described for Example 277 step A from 2-(4-ethynylphenyl)-5,5-dimethyl-l,3,2-dioxaborinane and 5-bromopyrimidine. LC-MS: [M+l]+ 241.1 (boronic acid) Mass: calculated for Ci7Hi7BN2O2, 292.14
C . methyl 2- [4-(pyrimidin-5 -ylethynyl)phenyl]pyridine-4-carboxylate
The title compound was synthesized as described for Example 277 step B from 5 - { [4-(5 ,5 -dimethyl- 1 ,3 ,2-dioxaborinan-2-yl)phenyl] ethynyl} pyrimidine and methyl-2- bromopyridine-4-carboxylate. LC-MS: [M+l]+ 316.3 Mass: calculated for Ci9Hi3N3O2, 315.32
D . JV-hydroxy-2- [4-(pyrimidin-5 -ylethynyl)phenyl]pyridine-4-carboxamide
The title compound was synthesized as described for Example 277 step C from methyl 2-[4-(pyrimidin-5-ylethynyl)phenyl]pyridine-4-carboxylate. LC-MS: [M+l]+ 317.3 Mass: calculated for CIgHi2N4O2, 316.31
1 H NMR (400 MHz, DMSO) δ: ppm 9.21 (s, IH); 8.94 (s, 2H); 8.81 (d, IH); 8.28 (s,
IH); 8.21 (d, 2H); 7.76 (d, 2H); 7.71 (m, IH).
Example 292 Λ/2-(fert-butoxycarbonyl)-Λ/-{4-(hydroxycarbamoyl)-6-[4-(pyridin-3- ylethynyl)phenyl]pyridin-2-yl}-L-leucinamide
A. methyl 2-{[N-(tert-butoxycarbonyl)-L-leucyl]amino}-6-[4-(pyridin-3- ylethynyl)phenyl]pyridine-4-carboxylate
The title compound was synthesized as described for Example 297 step C from methyl 2-amino-6-[4-(pyridin-3-ylethynyl)phenyl]pyridine-4-carboxylate (Method 6) and Boc-L-leucine. LC-MS: [M+l]+ 543.5 Mass: calculated for C3IH34N4O5, 542.62
ylethynyl)phenyl]pyridin-2-yl}-L-leucinamide
The title compound was synthesized as described for Example 289 step C from methyl 2- { [JV-(te/t-butoxycarbonyl)-L-leucyl] amino } -6- [4-(pyridin-3 - ylethynyl)phenyl]pyridine-4-carboxylate. LC-MS: [M+l]+ 544.5
Mass: calculated for C30H33N5O5, 543.61
1H NMR (400 MHz, DMSO-dg) δ: ppm 10.70 (s, IH); 8.78 (d, IH); 8.60 (m, IH); 8.38 (s, IH); 8.20 (d, 2H); 7.99 (m, 2H); 7.75 (d, 2H); 7.48 (m, IH); 7.15 (d, IH); 4.20 (m, IH); 3.46 (m, IH); 1.68 (m, IH); 1.53 (m, IH); 1.31 (s, 9H); 0.90 (d, 6H).
Example 293
6-(biphenyl-4-yl)-N-hydroxy-lH-pyrazolo[3,4-b]pyridine-4-carboxamide
A. Ethyl 6-(biphenyl-4-yl)-lH-pyrazolo[3,4-b]pyridine-4-carboxylate
lH-pyrazol-3 -amine (228 mg, 2.74 mmol), ethyl 2-oxopropanoate (0.305 mL, 2.74 mmol), and biphenyl-4-carbaldehyde (500 mg, 2.74 mmol) were combined in EtOH (2.5 mL) in a microwave vial. 2 drops of HCl were added to the reaction. The reaction vessel was sealed and heated in the microwave at 1500C for 20 min. Reaction was concentrated in vacuo and brought on as the crude mixture. LC-MS: [M+l]+ 344.2 Mass: calculated for C2IHnN3O2, 343.4
B. 6-(biphenyl-4-yl)-N-hydroxy-lH-pyrazolo[3,4-b]pyridine-4-carboxamide
Ethyl 6-(biphenyl-4-yl)-lH-pyrazolo[3,4-b]pyridine-4-carboxylate (940 mg, 2.74 mmol) was dissolved in ethanol (2.3 niL). Hydroxylamine (4186 μl, 68.44 mmol) was added to the reaction mixture. The reaction was heated at 500C for 36 hours. Reaction was then concentrated under reduced pressure. The reaction was purified on the Gilson HPLC using a reverse phase column. Water/ACN with a 4mm Ammonium Formate modifier was the solvent system. Product was eluted with a gradient of 5-95%. Pure fractions were combined and lyophilized. 16.7mgs (1.87%) desired product was obtained.
LC-MS: [M+l]+ 331.1 Mass: calculated for Ci9Hi4N4O2, 330.34
1H NMR (300 MHz, DMSO-J6) δ ppm 13.88 (br. s., 1 H) 9.43 (br. s., 1 H) 8.33 (d, J=4.34 Hz, 2 H) 8.30 (s, 1 H) 8.09 (s, 1 H) 7.85 - 7.92 (m, 2 H) 7.76 - 7.81 (m, 2 H) 7.49 - 7.55 (m, 2 H) 7.39 - 7.45 (m, 2 H)
Example 294
2- [(3 ,4-dihydroxybutanoyl)amino] -JV-hydroxy-6- [4-(pyridin-3 -ylethynyl)phenyl] pyridine-4-carboxamide
A. methyl 2-[(3,4-dihydroxybutanoyl)amino]-6-[4-(pyridin-3- ylethynyl)phenyl]pyridine-4-carboxylate
Methyl 2-(but-3-enoylamino)-6-[4-(pyridin-3-ylethynyl)phenyl]pyridine-4- carboxylate (Example 290, Step A) (167 mg, 0.42 mmol) was added to a solution of OsO4 (0.17 niL, 2.5% solution in 2-methyl-2-propanol) and NMO (98 mg, 0.84 mmol) in ^-BuOH-THF-H2O (9:3:1, 13 mL). The mixture was stirred at room temperature for 12 h. After 12 h, 40% of the desired product was observed by UPLC. Additional NMO (98 mg, 0.84 mmol) was added and the reaction mixture was stirred at room temperature for 12 h. Complete disappearance of the starting material and 55% of the desired product and 11% of the N-oxide product was observed by UPLC. Aqueous saturated NaHSO3 (5 mL) was added to the reaction mixture, the mixture was stirred for 1 h, and then extracted with DCM (2 x 50 mL). The combined organic layers were washed with brine (25 mL), dried (Na2SO4), filtered, and evaporated under reduced pressure to afford 180 mg of the crude product. LC-MS: [M+l]+ 432.4 Mass: calculated for C24H2IN3O5, 431.44
B . 2- [(3 ,4-dihydroxybutanoyl)amino] -N-hydroxy-6-[4-(pyridin-3 -ylethynyl) phenyl]pyridine-4-carboxamide
The title compound was synthesized as described for Example 289 step C from methyl 2-[(3,4-dihydroxybutanoyl)amino]-6-[4-(pyridin-3-ylethynyl)phenyl]pyridine-4- carboxylate LC-MS: [M+l]+ 433.4 Mass: calculated for C23H20N4O5, 432.42
1H NMR (400 MHz, DMSO-d6) δ: ppm 11.51 (bs, IH); 10.61 (s, IH); 9.40 (bs, IH); 8.79 (d, IH); 8.62 (m, IH); 8.45 (s, IH); 8.20 (d, 2H); 8.01 (m, IH); 7.98 (s, IH); 7.76 (d, 2H); 7.50 (d, IH); 4.88 (d, IH); 4.69 (t, IH); 3.97 (m, IH); 3.42 (m, IH); 3.31 (m, IH); 2.57 (m, 2H).
Example 295 tert-butyi [(2S)-l-({4-(hydroxycarbamoyl)-6-[4-(pyridin-3-ylethynyl)phenyl] pyridin-2-yl} amino)- 1 -oxopropan-2-yl] carbamate
A. methyl 2-{[N-(tert-butoxycarbonyl)-L-alanyl]amino}-6-[4-(pyridin-3- ylethynyl)phenyl]pyridine-4-carboxylate
The title compound was synthesized as described for Example 297 step C from methyl 2-amino-6-[4-(pyridin-3-ylethynyl)phenyl]pyridine-4-carboxylate (Method 6) and N-(tert-butoxycarbonyl)-L-alanine. LC-MS: [M+l]+ 432.4 Mass: calculated for C24H2IN3O5, 431.44
B . tert-hvXy\ [(2S)- 1 -( {4-(hydroxycarbamoyl)-6- [4-(pyridin-3 -ylethynyl) phenyl]pyridin-2-yl} amino)- 1 -oxopropan-2-yl]carbamate
The title compound was synthesized as described for Example 289 step C from methyl 2- { [JV-(te/t-butoxycarbonyl)-L-alanyl] amino } -6- [4-(pyridin-3 -ylethynyl)phenyl] pyridine -4-carboxylate LC-MS: [M+l]+ 502.5 Mass: calculated for C27H27N5O5, 501.53
1H NMR (400 MHz, DMSO-d6) δ: ppm 10.63 (bs, IH); 8.78 (s, IH); 8.59 (d, IH); 8.39 (m, IH); 8.17 (m, 2H); 8.00 (m, 2H); 7.75 (d, 2H); 7.70 (m, 2H); 7.47 (m, IH); 7.20 (m, IH); 4.26 (m, IH); 1.33 (m, 3H); 1.24 (s, 9H).
Example 296
Λ/-{4-(hydroxycarbamoyl)-6-[4-(pyridin-3-ylethynyl)phenyl]pyridin-2-yl}-L- leucinamide
A. N- {4-(hydroxycarbamoyl)-6-[4-(pyridin-3-ylethynyl)phenyl]pyridin-2-yl} -L- leucinamide
To a solution Λ/2-(tert-butoxycarbonyl)-N-{4-(hydroxycarbamoyl)-6-[4-(pyridin- 3-ylethynyl)phenyl]pyridin-2-yl}-L-leucinamide (100 mg, 0.18 mmol) in MeOH (1 niL) was added methanolic hydrochloride solution (1 rnL) and the mixture was stirred for 1 h. The reaction mixture was concentrated and the crude residue was taken up in DMSO for reverse phase purification. The clean fractions were pooled, concentrated and lyophilized overnight to afford 7 mg of the desired product as a white solid. LC-MS: [M+l]+ 444.5 Mass: calculated for C25H25N5O3, 443.49
1H NMR (400 MHz, DMSO-d6) δ: ppm 8.78 (d, IH); 8.59 (m, IH); 8.44 (s, IH); 8.19 (d, 2H); 8.01 (m, 2H); 7.74 (d, 2H); 7.48 (m, IH); 3.45 (m, IH); 1.88 (s, IH); 1.78 (m, IH); 1.51 (m, IH); 1.37 (m, IH); 0.94 (d, 6H).
Example 297
Λ/-hydroxy-2-{[(25)-2-hydroxypropanoyl]amino}-6-[4-(pyridin-3-ylethynyl) phenyl]pyridine-4-carboxamide
To a solution of methyl (25)-2-hydroxypropanoate (5 g, 0.048 mol) and imidazole (6.35 g, 0.096 mol) in DCM (50 mL) was added t-butyldimethylsilyl chloride (8.68 g, 0.057 mol) at 0 0C and the mixture was stirred for 2 h. The reaction mixture was diluted with water and the organic layer was separated, dried over anhydrous sodium sulphate and concentrated in vacuo. The residue was subjected to purification by silica gel chromatography using hexanes and ethyl acetate as eluent (0-5% ethyl acetate in hexanes) to obtain 4.8 g of the methyl (25)-2-{[ter£-butyl(dimethyl)silyl]oxy}propanoate.
1H NMR (400 MHz, DMSO-d6) δ: ppm 4.35 (q, IH); 3.72 (s, 3H); 1.40 (d, 3H); 0.90 (s, 9H); 0.10 (s, 3H); 0.08 (s, 3H).
To a solution of methyl (25)-2-{[tert-butyl(dimethyl)silyl]oxy}propanoate (1.54 g, 7.07 mmol) in methanol:THF: water (1 :1 :1, 10 rnL) was added LiOfLH2O (254 mg, 0.106 mmol) and the mixture was heated to 50 0C for 14 h. The solvents were removed under vacuum and acidified with 5% citric acid solution at 0 0C. The precipitate formed was filtered and dried under vacuum to give 0.98 g of the desired product and was taken for the next step without further purification.
C. methyl 2-{[(2S)-2-{[tert-butyl(dimethyl)silyl]oxy}propanoyl]amino}-6-[4- (pyridin-3 -ylethynyl)phenyl]pyridine-4-carboxylate
To a solution of methyl 2-amino-6-[4-(pyridin-3-ylethynyl)phenyl]pyridine-4- carboxylate (Method 6) (1 g, 3.036 mmol) and (2S)-2-{[tert- butyl(dimethyl)silyl]oxy}propanoic acid (1.35 g, 6.07 mmol) in pyridine (20 mL) was added propylphosphonic anhydride (T3P) (4.84 mL, 7.59 mmol) at 0 0C. The reaction mixture was stirred at room temperature for 6 h. LC-MS indicated complete consumption of starting material and formation of the desired product. The reaction mixture was concentrated and the residue was subjected to silica gel chromatography using hexanes and ethyl acetate as eluent (0-15% ethyl acetate in hexanes) to obtain 435 mg of methyl 2-{[(25)-2-{[fert-butyl(dimethyl)silyl]oxy}propanoyl]amino}-6-[4-(pyridin-3- ylethynyl)phenyl]pyridine-4-carboxylate. LC-MS: [M+l]+ 516.5 Mass: calculated for C29H33N3O4Si, 515.67
1H NMR (400 MHz, DMSO-d6) δ: ppm 9.35 (s, IH); 8.80 (s, IH); 8.70 (d, IH); 8.58 (m, IH); 8.13 (s, IH); 8.07 (d, 2H); 7.87 (m, IH); 7.67 (d, 2H); 7.35 (m, IH); 4.38 (q, IH); 3.99 (s, 3H); 1.52 (s, 3H); 1.04 (t, 9H); 0.20 (s, 3H); 0.19 (s, 3H).
D. methyl 2-{[(2S)-2-hydroxypropanoyl]amino}-6-[4-(pyridin-3- ylethynyl)phenyl]pyridine-4-carboxylate
To a solution of methyl 2-{[(25)-2-{[tert-butyl(dimethyl)silyl]oxy}propanoyl] amino}-6-[4-(pyridin-3-ylethynyl)phenyl]pyridine-4-carboxylate (435 mg, 0.8 mmol) in THF at 0 0C was added TBAF (IM, 0.92 mL, 0.93 mmol) and the mixture was stirred at 0 0C for 30 min. LC-MS indicated complete consumption of starting material and formation of the desired product. The reaction mixture was concentrated and dissolved in DCM (30 mL). The organic layer was washed with water, dried over anhydrous sodium sulphate and concentrated under vacuum to give the title compound which was used without further purification. LC-MS: [M+l]+ 402.4 Mass: calculated for C23Hi9N3O4, 401.41
E. Λ/-hydroxy-2-{[(2S)-2-hydroxypropanoyl]amino}-6-[4-(pyridin-3- ylethynyl)phenyl]pyridine-4-carboxamide
The title compound was synthesized as described for Example 289 step C from methyl 2- {[(25)-2-hydroxypropanoyl]amino}-6-[4-(pyridin-3-ylethynyl)phenyl]pyridine- 4-carboxylate LC-MS: [M+l]+ 403.4
Mass: calculated for C22Hi8N4O4, 402.40
1H NMR (400 MHz, DMSO-d6) δ: ppm 11.57 (bs, IH); 9.88 (s, IH); 9.38 (bs, IH); 8.80 (d, IH); 8.61 (q, IH); 8.43 (s, IH); 8.21 (d, 2H); 8.02 (t, 2H); 7.75 (d, 2H); 7.50 (m, IH); 5.97 (d, IH); 4.29 (t, IH); 1.35 (d, 3H).
Example 298
2-(4-(( 1 H-indol-5 -yl)ethynyl)phenyl)-N-hydroxyisonicotinamide
4-Ethynylphenylboronic acid (4.24 g, 29.02 mmol), magnesium sulfate (34.9 g, 290 mmol), and 2,2-dimethylpropane-l,3-diol (3.32 g, 31.9 mmol) were combined in anhydrous dichloromethane (200 ml) and stirred overnight at room temperature. The reaction mixture was filtered and washed with dichloromethane (200 ml) and the filtrate was concentrated in vacuo to yield a solid that was placed in the vacuum oven at 50 0C overnight to afford the desired product as a solid (6.27 g, quantitative). Mass: calculated for Ci3Hi5BO2, 214.07
1U NMR (300 MHz, CHLOROFORM-J) d ppm 1.03 (s, 6 H) 3.12 (s, 1 H) 3.78 (s, 4 H) 7.48 (d, 2 H) 7.76 (d, 2 H)
B. 5-((4-(5,5-dimethyl-l,3,2-dioxaborinan-2-yl)phenyl)ethynyl)-lH-indole
2-(4-ethynylphenyl)-5,5-dimethyl-l,3,2-dioxaborinane (1.5 g, 7.0 mmol) was placed in a round bottom flask followed by evacuation/backfill with N (X3). The reaction vessel was placed under static vacuum and acetonitrile (28 mL) was added followed by triethylamine (2.9 ml, 21 mmol). The solution was degassed by bubbling N through the solution for ~5 min and copper(I) iodide (67 mg, 0.35 mmol), trans- dichlorobis(triphenylphosphine)palladium (II) (0.49 g, 0.70 mmol), and 5-iodo-lH-indole (1.70 g, 7.01 mmol) were added followed by evacuation/backfill with N (X3). The reaction was placed in a preheated 60 0C oil bath with stirring overnight. The reaction was cooled to room temperature and was then filtered through a pad of celite. The resulting solid was washed with dichloromethane (100 mL). The filtrate was concentrated in vacuo to yield an oil. Normal phase silica gel column (0-30% ethyl acetate/hexanes) afforded the desired product as a solid (1.72 g, 74.3 %).
Mass: calculated for C2IH20BNO2, 329.20 1H NMR (300 MHz, CHLOROFORM-J) d ppm 1.05 - 1.06 (m, 6 H) 1.23 - 1.34 (m, IH)
3.76 - 3.85 (m, 5 H) 6.54 - 6.61 (m, 1 H) 7.22 - 7.27 (m, IH) 7.36 - 7.42 (m, 2 H) 7.55 (d,
2 H) 7.80 (d, 2 H) 7.89 (s, 1 H) 8.22 (br. s., 1 H)
C. Methyl 2-(4-((lH-indol-5-yl)ethynyl)phenyl)isonicotinate
5-((4-(5,5-dimethyl-l,3,2-dioxaborinan-2-yl)phenyl)ethynyl)-lH-indole (0.50 g, 1.5 mmol) and methyl 2-bromoisonicotinate (0.328 g, 1.52 mmol) were combined followed by evacuation/refill with N2 (X3). 1,4-dioxane (33.5 mL) was added followed by purging with N2 for ~5 min. A solution of sodium carbonate (0.435 g, 4.10 mmol) in water (8.38 ml) was added followed by tetrakis(triphenylphosphine)palladium(0) (0.09 g, 0.08 mmol). The reaction mixture was then placed in a preheated oil bath with stirring at 100 0C. LCMS after 2h indicates the reaction is complete. The reaction was cooled to room temperature and trimethylsilyldiazomethane (7.59 ml, 15.2 mmol) was added with stirring for 20 min. The reaction mixture was dry loaded on to SiO2 and normal phase silica gel column (0-40% ethyl acetate/hexanes) afforded the desired product as a solid (0.46 g, 86 %). LC-MS: [M+l]+ 353 Mass: calculated for C23Hi6N2O2, 352.39
1H NMR (300 MHz, CHLOROFORM-J) d ppm 8.83 - 8.91 (m, 1 H) 8.35 (s, 1 H) 8.24 (br. s., 1 H) 8.10 (d, 2 H) 7.91 (s, 1 H) 7.78 - 7.84 (m, 1 H) 7.69 (d, 2 H) 7.38 - 7.43 (m, 2H) 6.55 - 6.63 (m, 1 H) 4.02 (s, 3 H)
D . 2-(4-(( 1 H-indol-5 -yl)ethynyl)phenyl)-N-hydroxyisonicotinamide
Methyl 2-(4-((l H-indol-5 -yl)ethynyl)phenyl)isonicotinate (146 mg, 0.410 mmol) and methanol (1.0 mL) were combined with stirring under N2 atmosphere to yield a
suspension of solid. A 25% aqueous solution of hydroxylamine (1.26 mL, 20.6 mmol) was added with stirring and the reaction mixture was placed in a preheated 50 0C oil bath. LCMS after 3 h indicates the reaction is complete. The reaction mixture was concentrated. Reverse phase C18 column (20-80% Water/acetonitrile - TFA) afforded the desired product as a solid (50 mg, 26.0 %) LC-MS: [M+l]+ 354 Mass: calculated for C22Hi5N3O2, 353.37 19F NMR (282 MHz, MeOD) d ppm -74.4 ppm.
1H NMR (300 MHz, DMSO-J6) d ppm 11.61 (br. s., I H) 11.31 (br. s., 1 H) 8.71 - 8.91 (m, 1 H) 8.28 (s, 1 H) 8.17 (d, 2 H) 7.75 - 7.87 (m, 1 H) 7.56 - 7.75 (m, 3 H) 7.35 - 7.49 (m, 2 H) 7.17 - 7.35 (m, 1 H) 6.38 - 6.58 (m, 1 H)
Example 300 N-hydroxy-6-(2-methoxyethylamino)-5 -(4-((4-(morpholinomethyl)phenyl) ethynyl)phenyl)nicotinamide
A. Methyl 5-bromo-6-fluoronicotinate
Methyl S-bromo-ό-chloronicotinate (8 g, 31.9 mmol) was dissolved in anhydrous acetonitrile (100 mL) at room temperature and the reaction purged with N2 for 30 minutes. This was followed by tetraphenylphosphonium bromide (8.5 g, 20.29 mmol) and then potassium fluoride (7.42 g, 128 mmol). The reaction purged with N2 for an additional 30 minutes. The reaction was then heated to 80 0C and stirred for 2.5 days. The reaction was cooled to room temperature and filtered, washing with 30 mL anhydrous acetonitrile and then concentrated in vacuo. The crude product was then
purified by silica gel chromatography (ISCO) using a 0-10% gradient (EtOAC/Hexanes) to provide 5.64 g of the desired compound. LC-MS: [M+l]+ 234.0 Mass: calculated for C7H5BrFNO2, 232.95 1H NMR (300 MHz, DMSO -d6) δ ppm: 3.30 (s, 3H), 8.67-8.71 (dd, IH), 8.75-8.76 (dd, IH) 19F NMR (282.4 MHz, DMSO -d6) δ ppm: 60.69
B . Methyl 6-fluoro-5 -(4-((4-(morpholinomethyl)phenyl)ethynyl)phenyl) nicotinate
4-(4-((4-(5,5-dimethyl-l,3,2-dioxaborinan-2-yl)phenyl)ethynyl)benzyl) morpholine (0.499 g, 1.28 mmol), methyl 5-bromo-6-fluoronicotinate (0.3 g, 1.28 mmol), 1 , r-bis(diphenylphosphino)ferrocene-palladium dichloride (0.105 g, 0.13 mmol) and CS2CO3 (0.835 g, 2.56 mmol) were combined in acetonitrile (6 mL)/water (3.00 mL) and heated to 60 0C under argon. The reaction was stirred for 1 hour. The solution was cooled to room temperature. The reaction mixture was diluted with water and extracted three times with ethyl acetate. The combined organic extracts were dried over magnesium sulfate, filtered and evaporated to a solid. Normal phase silica gel column (0%-50% ethyl acetate/dichloromethane) afforded the desired compound as an oil. Mass: calculated for C26H23FN2O3, 430.5
LC-MS: M+H]: 431
1H NMR (400 MHz, δ ppm, DMSO d6): δ 8.8 (s, IH), 8.5 (dd, IH), 8.7-8.8 (m, 5H), 7.5
(d, 2H), 7.4 (d, 2H), 3.9 (s, 3H), 3.6 (m, 4H), 3.5 (s, 2H), 2.4 (m, 4H).
C. Methyl 6-(2-methoxyethylamino)-5-(4-((4-(morpholinomethyl)phenyl) ethynyl)phenyl)nicotinate
To a solution of methyl 6-fluoro-5-(4-((4-(morpholinomethyl)phenyl)ethynyl) phenyl)nicotinate (0.080 g, 0.19 mmol) in DMF (2 mL) was added DIEA (0.049 mL, 0.28 mmol) and 2-methoxyethylamine (0.016 mL, 0.19 mmol) and the reaction was heated in the microwave for 30min at 60 0C. The reaction mixture was diluted with water and extracted three times with ethyl acetate. The organic portion was washed three times with water. The combined organic extracts were dried over magnesium sulfate, filtered and evaporated to a solid.
Mass: calculated for C29H3IN3O4, 485.57 LC-MS: M+H]: 486
D . N-hydroxy-6-(2-methoxyethy lamino)-5 -(4-((4-(morpholinomethyl)phenyl) ethynyl)phenyl)nicotinamide
To a solution of methyl 6-(2-methoxyethylamino)-5-(4-((4-(morpholinomethyl) phenyl)ethynyl) phenyl)nicotinate (0.068 g, 0.14 mmol) in MeOH (2 mL) was added hydroxylamine, 50 wt% in water (0.215 mL, 3.50 mmol) and the reaction was stirred at room temperature. After stirring overnight no product formation was observed. Additional hydroxylamine, 50 wt% in water (0.215 mL, 3.50 mmol) was added and the reaction was heated at 45 0C for 48 hours. The reaction mixture was concentrated to an oil. Reverse phase HPLC (10%-60% acetonitrile/water) afforded the desired compound as a solid.
Mass: calculated for C2SH30N4O4, 486.6 LC-MS: M+H]: 487
1H NMR (300 MHz, DMSO-J6) δ ppm 3.24 (s, 6 H) 3.47 (d, J=5.09 Hz, 3 H) 4.40 (br. s., 3 H) 6.37 (br. s., 1 H) 7.55 (dd, J=14.88, 7.91 Hz, 4 H) 7.63 - 7.75 (m, 5 H) 8.46 (d, J=I.88 Hz, 1 H) 10.05 (br. s., 1 H) 11.02 (br. s., 1 H)
19 F NMR (282 MHz, DMSO-J6) d ppm -74.36
Example 301
Λ/-hydroxy-3-methoxy-6-methyl-2-(4-{[6-(morpholin-4-ylmethyl)pyridin-3- yl]ethynyl}phenyl)pyridine-4-carboxamide
A. Ethyl 3-methoxy-6-methyl-2-(4-{[6-(morpholin-4-ylmethyl) pyridin-3- yl]ethynyl}phenyl)pyridine-4-carboxylate
To a degassed solution of cesium carbonate (1.9 g, 5.83 mmol) in 1,4- dioxane/water (10 rnL/ 2.0 mL) was added ethyl 2-bromo-3-methoxy-6-methylpyridine- 4-carboxylate (0.40 g, 1.46 mmol) followed by 4-[(5-{[4-(5,5-dimethyl-l,3,2- dioxaborinan-2-yl)phenyl]ethynyl}pyridin-2-yl)methyl]morpholine (0.68 g, 1.75 mmol). The reaction mixture was degassed for another 10 min and Pd(PPh3)4 (84 mg, 0.07 mmol) was added. The resulting solution was degassed for 10 min. The reaction mixture was heated under argon atmosphere at 9O0C for 4 h. The solvent was evaporated to dryness under reduced pressure. The residue was diluted with ethyl acetate (25 mL) and washed with water (10 mL). The aqueous layer was extracted with ethyl acetate (25 mL x 2) and the combined organic layer was washed with brine solution (10 mL), dried over anhydrous magnesium sulfate and evaporated under reduced pressure to provide the crude compound. The crude compound was purified by column chromatography (Silica gel, 100-200 mesh) using 60% ethyl acetate in pet ether as mobile phase to get ethyl 3- methoxy-6-methyl-2-(4-{[6-(morpholin-4-ylmethyl)pyridin-3-yl]ethynyl}phenyl) pyridine -4-carboxylate (0.56 g, 81%). LC-MS: [M+l]+ , 472.40 Mass: calculated for C28H29N3O4, 471.56 1H NMR (400 MHz, δ ppm, CDCl3): δ 8.74 (d, IH), 7.96 (d, 2H), 7.81 (m, IH), 7.63 (m, 2H), 7.43 (m, IH), 7.38 (s, IH), 4.44 (m, 2H), 3.75 (m, 4H), 3.68 (s, 2H), 3.56 (s, 3H), 2.61 (s, 3H), 2.53 (m, 4H), 1.43 (m, 3H).
B . JV-hydroxy-3 -methoxy-6-methyl-2-(4- { [6-(morpholin-4-ylmethyl) pyridin-3 - yl]ethynyl}phenyl)pyridine-4-carboxamide
To a solution of ethyl 3-methoxy-6-methyl-2-(4-{[6-(morpholin-4- ylmethyl)pyridin-3-yl]ethynyl}phenyl)pyridine-4-carboxylate (0.30 g, 0.64 mmol) in 10 niL methanol/THF (1 :1) was added aqueous 50% hydroxylamine (3.0 niL) followed by catalytic amount of KCN (~5 mg) and the resulting solution was stirred at room temperature for 18 h. The reaction mixture was quenched with aqueous 10% citric acid solution (~3 mL), diluted with water (10 mL) and extracted with ethyl acetate (50 mL x 2). The combined organic layer was washed with brine solution (25 mL), dried over anhydrous magnesium sulfate and evaporated under reduced pressure to get crude compound. The crude compound was triturated with diethyl ether, filtered and dried under vacuum to obtain Λ/-hydroxy-3-methoxy-6-methyl-2-(4-{[6-(morpholin-4- ylmethyl)pyridin-3-yl]ethynyl}phenyl)pyridine-4-carboxamide (0.1 g). LC-MS: [M-H]+, 459.47 Mass: calculated for C26H26N4O4, 458.52 1H NMR (400 MHz, δ ppm, DMSO-d6): δ 11.05 (sb, IH), 9.35 (sb, IH), 8.71 (s, IH),
7.97 (m, 3H), 7.69 (d, 2H), 7.53 (d, IH), 7.23 (s, IH), 3.63 (s, 2H), 3.60 (sb, 4H), 3.55 (s, 3H), 2.43 (sb, 4H).
Example 305 N-hydroxy-2-[4-( {4-[ 1 -(morpholin-4-yl)ethyl]phenyl} ethynyl)phenyl]pyridine-4- carboxamide
To a solution of l-(4-{[4-(5,5-dimethyl-l,3,2-dioxaborinan-2-yl)phenyl]ethynyl} phenyl)ethanone (3.0 g, 9.0 mmol) and morpholine (2.36 g, 27.1 mmol) was added titanium isopropoxide (16.0 ml, 54.2 mmol) and stirred at room temperature for 4 h. The reaction mixture was cooled 0 0C and added anhydrous methanol (50 ml) dropwise for 15 min, stirred for 1 h. Then added NaCNBH3 (1.13 g, 18.0 mmol) in portions and stirred at RT for 1O h. The reaction mass was diluted with cold water (50 ml) and extracted with ethyl acetate (100 ml x 2). The combined organic layer was washed with brine (50 ml), dried over anhydrous Na2SO4 and evaporated under reduced pressure to get crude compound. The crude compound was triturated with pet ether to obtain 4-[l-(4-{[4-(5,5- dimethyl-1 ,3,2-dioxaborinan-2-yl)phenyl]ethynyl}phenyl)ethyl]morpholine (2.5 g, 68.6%) as light yellow solid. LC-MS: [M+l]+ , 356.30 (corresponding to boronic acid) Mass: calculated for C27H26N2O3, 426.52
1H NMR (400 MHz, δ ppm, DMSO-d6): δ 8.92 (d, IH), 8.38 (s, IH), 8.24 (d, 2H), 8.01 (d, 2H), 7.84 (d, IH), 7.75 (m, 4H), 3.95 (s, 3H), 2.61 (s, 3H).
B . methyl 2- [4-( {4- [ 1 -(morpholin-4-yl)ethyl]phenyl} ethynyl)phenyl]pyridine-4- carboxylate
To a degassed solution of cesium carbonate (0.14 g, 0.44 mmol) in 1,4-dioxane (10 rnL) was added methyl 2-bromoisonicotinate (0.048 g, 0.22 mmol) followed by 4-[l- (4-{[4-(5,5-dimethyl-l,3,2-dioxaborinan-2-yl)phenyl]ethynyl}phenyl)ethyl]morpholine (0.09 g, 0.22 mmol). The reaction mixture was degassed for another 10 min and was added Pd(PPh3)4 (0.025 g, 0.9 mmol) and the resulting solution was degassed for 15 min. The reaction mixture was heated under argon atmosphere at 90 0C for 3 h. The reaction mixture was cooled to RT, diluted with water (10 mL) and extracted with ethyl acetate (20 ml x 2). The combined organic layer was washed with brine (10 ml), dried over anhydrous Na2SO4 and evaporated under reduced pressure to get methyl 2-[4-({4-[l- (morpholin-4-yl)ethyl]phenyl}ethynyl)phenyl]pyridine-4-carboxylate (0.1 g, crude). The crude compound was as such carried for the next stage without further purification.
LC-MS: [M+l]+ , 427.50 Mass: calculated for C27H26N2O3, 426.52
C. N-hydroxy-2-[4-( {4-[ 1 -(morpholin-4-yl)ethyl]phenyl} ethynyl)phenyl] pyridine-4-carboxamide
To a solution of methyl 2-[4-({4-[l-(morpholin-4-yl)ethyl]phenyl}ethynyl) phenyl]pyridine-4-carboxylate (0.10 g, crude, 0.23 mmol) in 2 mL methanol/THF (1 :1) was added aqueous 50% hydroxylamine (1.0 mL) followed by catalytic amount of KCN (~2 mg) and the resulting solution was stirred at room temperature for 3.5 h. The reaction mixture was quenched with aqueous 10% citric acid solution (~3 mL), diluted with water (10 ml) and extracted with ethyl acetate (20 ml x 2). The combined organic layer was washed with brine, dried over anhydrous Na2SO4 and evaporated under reduced pressure
to get the crude compound. The crude compound was purified by preparative HPLC to obtain N-hydroxy-2-[4-( {4-[ 1 -(morpholin-4-yl)ethyl]phenyl} ethynyl)phenyl]pyridine-4- carboxamide (20 mg, 20%) as a brown solid. LC-MS: [M +H]+, 428.50 Mass: calculated for C26H25N3O3, 427.51
1H NMR (400 MHz, δ ppm, DMSO-d6): δ 8.75 (sb, IH), 8.26 (sb, IH), 8.17 (d, 2H), 7.70 (d, 3H), 7.55 (d, 2H), 7.39 (d, 2H), 3.56 (m, 4H), 3.40 (m, IH), 2.32 (sb, 2H), 2.27 (m, 2H), 1.29 (d, 3H).
Example 306
6-(dimethylamino)-N-hydroxy-5-(4-((6-(morpholinomethyl)pyridin-3- yl)ethynyl)phenyl)nicotinamide
6-(dimethylamino)-N-hydroxy-5-(4-((6-(morpholinomethyl)pyridin-3- yl)ethynyl)phenyl)nicotinamide was prepared from methyl 6-fluoro-5-(4-((6- (morpholinomethyl)pyridin-3-yl)ethynyl)phenyl)nicotinate and dimethylamine using the procedure described in Example 308, step B. Product was isolated as a TFA salt. LC-MS: [M+l]+ 458 Mass: calculated for C26H27N5O3, 457
1H NMR (300 MHz, DMSO-d6) d ppm 2.75 (s, 7 H) 3.30 (br. s., 4 H) 3.86 (br. s., 4 H) 4.57 (s, 2 H) 7.52 - 7.64 (m, 3 H) 7.66 - 7.72 (m, 2 H) 7.85 (d, J=2.27 Hz, 1 H) 8.14 (dd, J=8.03, 2.17 Hz, 1 H) 8.53 (d, J=2.27 Hz, 1 H) 8.89 (dd, J=2.17, 0.85 Hz, 1 H)
119T NMR (282 MHz, DMSO-d6) d ppm -74.64
Example 307
N-hydroxy-6-(methylamino)-5-(4-((6-(morpholinomethyl)pyridin-3- yl)ethynyl)phenyl)nicotinamide
N-hydroxy-6-(methylamino)-5 -(4-((6-(morpholinomethyl)pyridin-3 - yl)ethynyl)phenyl)nicotinamide was prepared from methyl 6-fluoro-5-(4-((6- (morpholinomethyl)pyridin-3-yl)ethynyl)phenyl)nicotinate and methylamine using the procedure described in Example 308, step B. Product was isolated as a TFA salt.
LC-MS: [M+ 1]+ 444
Mass: calculated for C25H25N5O3, 443
1H NMR (300 MHz, DMSO-d6) d ppm 2.85 (br. s., 3 H) 3.28 (br. s., 4 H) 3.85 (br. s., 4 H) 4.55 (s, 2 H) 7.50 - 7.57 (m, 2 H) 7.61 (d, J=8.12 Hz, 1 H) 7.66 - 7.75 (m, 3 H) 8.15
(dd, J=8.03, 2.17 Hz, 1 H) 8.48 (d, J=2.27 Hz, 1 H) 8.82 - 8.94 (m, 1 H)
19F NMR (282 MHz, DMSO-d6) d ppm -74.20
Example 308
N-hydroxy-6-(isopropylamino)-5-(4-((6-(morpholinomethyl)pyridin-3- yl)ethynyl)phenyl)nicotinamide
A. Methyl 6-fluoro-5 -(4-((6-(morpholinomethyl)pyridin-3 -yl)ethynyl)phenyl) nicotinate
Methyl 5-bromo-6-fluoronicotinate (0.6 g, 2.56 mmol), 4-((5-((4-(5,5-dimethyl- l,3,2-dioxaborinan-2-yl)phenyl)ethynyl)pyridin-2-yl)methyl)morpholine (1.001 g, 2.56 mmol) and cesium carbonate (1.67 g, 5.13 mmol) were combined in acetonitrile (11.39 ml) and water (5.70 ml). The reaction was degassed with a stream of nitrogen gas for 10 minutes. l,r-bis(diphenylphosphino)ferrocene-palladium dichloride (0.19 g, 0.26 mmol) was then added to the reaction. The reaction was heated to 60 0C. LC/MS after 2 hours indicated reaction was complete. The reaction was quenched with water and extracted with ethyl acetate. The combined organics were dried over sodium sulfate and evaporated. Normal phase silica gel column purification (0-20% methanol / dichloromethane with 2% ammonium hydroxide) afforded the desired product (0.97g, 88%). LC-MS: [M+l]+ 432.3
Mass: calculated for C25H22FN3O3, 431.46
B. N-hydroxy-6-(isopropylamino)-5-(4-((6-(morpholinomethyl)pyridin-3- yl)ethynyl)phenyl)nicotinamide
Methyl 6-fluoro-5 -(4-((6-(morpholinomethyl)pyridin-3 -yl)ethynyl)phenyl) nicotinate (0.10 g, 0.22 mmol), propan-2-amine (0.02 niL, 0.22 mmol) and DIEA (0.06 niL, 0.34 mmol) were combined in DMF (2 ml). The reaction was heated to 85 0C in the microwave. LC/MS after 30 minutes indicated reaction was complete. The reaction was diluted with methanol (6 mL). Hydroxylamine, 50% aqueous (4 mL, 0.22 mmol) and sodium methoxide (0.01 g, 0.22 mmol) were added to the reaction. The reaction was allowed stir at room temperature overnight. The reaction was concentrated in vacuo. Reverse phase HPLC purification (15-26% acetonitrile / 0.1% TFA in water) afforded the desired product as a solid (0.05Og, 38%). LC-MS: [M+l]+ 472.3
Mass: calculated for C27H29N5O3, 471.55
1H NMR (300 MHz, DMSO-J6) δ ppm 1.15 (d, J=6.42 Hz, 6 H) 3.29 (br. s., 4 H) 3.86 (br. s., 4 H) 4.21 - 4.37 (m, 1 H) 4.56 (s, 2 H) 7.51 - 7.59 (m, 2 H) 7.59 - 7.65 (m, 1 H) 7.65 - 7.76 (m, 3 H) 8.14 (dd, J=8.03, 2.17 Hz, 1 H) 8.46 (d, J=2.27 Hz, 1 H) 8.89 (d, J=I.89 Hz, 1 H) 10.11 (br. s., 1 H) 10.97 (br. s., 1 H)
Example 309
6-(diethylamino)-N-hydroxy-5-(4-((6-(morpholinomethyl)pyridin-3- yl)ethynyl)phenyl)nicotinamide
A. 6-(diethylamino)-N-hydroxy-5-(4-((6-(morpholinomethyl)pyridin-3- yl)ethynyl)phenyl)nicotinamide
6-(diethylamino)-N-hydroxy-5-(4-((6-(morpholinomethyl)pyridin-3- yl)ethynyl)phenyl) nicotinamide was prepared from methyl 6-fluoro-5-(4-((6-
(morpholinomethyl)pyridin-3-yl)ethynyl)phenyl)nicotinate and diethylamine using the procedure described in Example 308, step B. LC-MS: [M+l]+ 486.3 Mass: calculated for C28H3IN5O3, 485.58 1H NMR (300 MHz, DMSO-J6) δ ppm 0.94 (t, J=6.99 Hz, 6 H) 3.09 - 3.38 (m, 8 H) 3.85 (br. s., 4 H) 4.57 (s, 2 H) 7.48 - 7.73 (m, 6 H) 7.78 (d, J=2.27 Hz, 1 H) 8.14 (dd, J=8.03, 2.17 Hz, 1 H) 8.53 (d, J=2.27 Hz, 1 H) 8.88 (d, J=1.89 Hz, 1 H) 10.14 (br. s., 1 H) 11.06 (br. s., 1 H)
Example 310
6-(tert-butylamino)-N-hydroxy-5-(4-((6-(morpholinomethyl)pyridin-3- yl)ethynyl)phenyl)nicotinamide
A. 6-(tert-butylamino)-N-hydroxy-5 -(4-((6-(morpholinomethyl)pyridin-3 - yl)ethynyl) phenyl)nicotinamide
6-(tert-butylamino)-N-hydroxy-5-(4-((6-(morpholinomethyl)pyridin-3- yl)ethynyl)phenyl) nicotinamide was prepared from methyl 6-fluoro-5-(4-((6- (morpholinomethyl)pyridin-3-yl)ethynyl)phenyl)nicotinate and 2-methylpropan-2-amine using the procedure described in Example 308, step B. LC-MS: [M+l]+ 486.3 Mass: calculated for C28H3IN5O3, 485.58
1H NMR (300 MHz, DMSO- dβ) δ ppm 1.26 - 1.48 (m, 10 H) 3.10 - 3.43 (m, 4 H) 3.84 (br. s., 4 H) 4.56 (s, 3 H) 5.20 (s, 1 H) 7.48 - 7.84 (m, 6 H) 8.15 (dd, J=8.03, 2.17 Hz, 1 H) 8.48 (d, J=2.46 Hz, 1 H) 8.89 (d, J=I.32 Hz, 1 H) 10.95 (br. s., 1 H)
Example 312
N-hydroxy-6-(4-((4-(morpholinomethyl)phenyl)ethynyl)phenyl)-lH- pyrazolo[3,4-b]pyridine-4-carboxamide
A. Ethyl 6-(4-iodophenyl)-lH-pyrazolo[3,4-b]pyridine-4-carboxylate
lH-pyrazol-3 -amine (1.791 g, 21.55 mmol), 4-iodobenzaldehyde (5 g, 21.55 mmol), and ethyl 2-oxopropanoate (2.395 ml, 21.55 mmol) were suspended in ethanol
(14 ml). 4 drops of HCl was added to the reaction mixture. The reaction was then heated in the microwave at 1500C for 20 min., and two regioisomers formed. The crude sample was purified using reverse phase HPLC with a 0.1%TFA modifier. The pure fractions were concentrated in vacuo. 2D NMR was taken to verify isomer assignment. 1.1 g (13%) of the desired product was obtained. 1.25 g (14.75%) of the second regioisomer was isolated. LC-MS: [M+l]+ 394.0 Mass: calculated for Ci5Hi2IN3O2, 393.18
1H NMR (300 MHz, DMSO-J6) □ ppm 14.09 (br. s., 1 H) 8.40 (s, 1 H) 8.19 (s, 1 H) 7.90 - 8.05 (m, 4 H) 4.49 (q, J=7.05 Hz, 2 H) 1.45 (t, J=7.08 Hz, 3 H)
B . Ethyl 6-(4-((4-(morpholinomethyl)phenyl)ethynyl)phenyl)- 1 H-pyrazolo [3 ,4- b]pyridine-4-carboxylate
Ethyl 6-(4-iodophenyl)-lH-pyrazolo[3,4-b]pyridine-4-carboxylate (200 mg, 0.51 mmol) suspended in acetonitrile (2 mL) and stirred under nitrogen. DMF (1.5 rnL) added to aid solvation. 4-(4-ethynylbenzyl)morpholine (102 mg, 0.51 mmol) added to the reaction mixture, followed by the addition of copper (I) iodide (4.84 mg, 0.03 mmol). TEA (0.213 mL, 1.53 mmol) was added. Reaction was purged twice and flushed with nitrogen. Trans-dichlorobis(triphenylphosphine)palladium (II) (35.7 mg, 0.05 mmol) was added and the reaction mixture was heated to 600C. After one hour, reaction was removed from heat. The crude mixture was purified on normal phase Cl 8 column
(eluted with water/ACN with 0.1%TFA modifier (5-95%) over 20 min). Pure fractions were combined and lyophilized overnight. 100 mg (42.1 %) of desired product collected. LC-MS: [M+l]+ 465.3 Mass: calculated for C2SH26N4O3, 466.53 1H NMR (300 MHz, DMSO-J6) δ ppm 14.11 (br. s., 1 H) 9.95 (br. s., 1 H) 8.43 (s, 1 H) 8.24 - 8.33 (m, 3 H) 7.74 (t, J=8.78 Hz, 4 H) 7.58 (d, J=S .12 Hz, 2 H) 4.51 (q, J=7.11 Hz, 2 H) 4.40 (br. s., 2 H) 3.98 (d, J=12.65 Hz, 2 H) 3.65 (t, J=I 1.14 Hz, 2 H) 3.27 (br. s., 2 H) 1.46 (t, J=7.08 Hz, 3 H).
C. 6-(4-((4-(morpholinomethyl)phenyl)ethynyl)phenyl)-lH-pyrazolo[3,4- b]pyridine-4-carboxylic acid
Ethyl 6-(4-((4-(morpholinomethyl)phenyl)ethynyl)phenyl)- 1 H-pyrazolo [3,4- b]pyridine-4-carboxylate (100 mg, 0.21 mmol) was dissolved in tetrahydrofuran (3 niL). LiOH (1 niL, 2.00 mmol) (2M) was added to the reaction mixture. The reaction was stirred at RT for 2 hours. The reaction was diluted with EtOAc. IN HCl added to acidify the water. Water layer extracted 3x with EtOAc. Organic layers were combined, dried over Na2SO4, filtered, and concentrated under reduced pressure. 90mg (96%) of desired product was isolated. The material was carried on crude to the next reaction. LC-MS: [M+l]+ 439.3 Mass: calculated for C26H22N4O3, 438.48
D. 6-(4-((4-(morpholinomethyl)phenyl)ethynyl)phenyl)-N-(tetrahydro-2H-pyran- 2-yloxy)-l H-pyrazolo [3, 4-b]pyridine-4-carboxamide
6-(4-((4-(morpholinomethyl)phenyl)ethynyl)phenyl)-l H-pyrazolo [3, 4-b]pyridine- 4-carboxylic acid (90 mg, 0.21 mmol) dissolved in DMF (2mL). BOP (123 mg, 0.28 mmol) added to the reaction. Reaction stirred at room temperature for 10 min. O- (tetrahydro-2H-pyran-2-yl)hydroxylamine (36.1 mg, 0.31 mmol) was added to the reaction mixture followed by TEA (0.286 mL, 2.05 mmol). After stirring for 4h at room temperature the crude reaction mixture was purified on a C 18 reverse-phase column using water/ ACN with a 0.1%TFA modifier (gradient 5-70% over 20min and then ramped to 100% over another lOmin). Pure fractions were combined and lyophilized overnight. 1 OOmg (91 %) of desired product obtained. LC-MS: [M+l]+ 538.3
Mass: calculated for C31H31N5O4, 537.6
E. N-hydroxy-6-(4-((4-(morpholinomethyl)phenyl)ethynyl)phenyl)-lH- pyrazolo[3,4-b]pyridine-4-carboxamide
6-(4-((4-(morpholinomethyl)phenyl)ethynyl)phenyl)-N-(tetrahydro-2H-pyran-2- yloxy)-lH-pyrazolo[3,4-b]pyridine-4-carboxamide (100 mg, 0.19 mmol) dissolved in dioxane (3 rnL). HCl 4M in dioxane (6.46 μL, 0.19 mmol) added to the reaction. Reaction was stirred at room temperature for 4h. Reaction was concentrated under reduced pressure. Dioxane was added and the resulting solid was filtered and dried. Solid was dried in the vacuum oven over the weekend. 22mg (26.6%) of desired product obtained. LC-MS: [M+l]+ 454.2
Mass: calculated for C26H23N5O3, 453.4
1H NMR (300 MHz, DMSO-J6) d ppm 13.92 (br. s., 1 H) 11.70 (br. s., 1 H) 10.98 (br. s., 1 H) 8.36 (s, 1 H) 8.30 (d, J=8.12 Hz, 2 H) 8.10 (s, 1 H) 7.76 (d, J=8.31 Hz, 2 H) 7.69 (br. s., 5 H) 4.38 (br. s., 2 H) 3.95 (d, J=12.84 Hz, 3 H) 3.71 - 3.87 (m, 4 H) 3.25 (d, J=12.28 Hz, 3 H) 3.13 (br. s., 3 H)
1H NMR (D2O) (300 MHz, DMSO-J6) d ppm 8.33 (s, 1 H) 8.26 (d, J=8.31 Hz, 2 H) 8.05 (s, 1 H) 7.72 (dd, J=17.09, 8.03 Hz, 4 H) 7.54 - 7.63 (m, 2 H) 4.37 (s, 2 H) 3.94 (br. s., 3 H) 3.21 (br. s., 5 H)
Incorporation By Reference
The entire contents of all patents, published patent applications and other references cited herein are hereby expressly incorporated herein in their entireties by reference.
Equivalents
Those skilled in the art will recognize, or be able to ascertain using no more than routine experimentation, numerous equivalents to the specific procedures described herein. Such equivalents were considered to be within the scope of this invention and are covered by the following claims. Moreover, any numerical or alphabetical ranges provided herein are intended to include both the upper and lower value of those ranges. In addition, any listing or grouping is intended, at least in one embodiment, to represent a shorthand or convenient manner of listing independent embodiments; as such, each member of the list should be considered a separate embodiment.
Claims
1. A compound of formula IB:
IB wherein n is 0, 1 or 2;
M is divalent radical selected from the group consisting Of -CH2-, C2-3alkenyl, and C2-4alkynyl; Xi is selected from the group consisting of N and CRi;
X2 is selected from the group consisting of N and CR2;
X3 is selected from the group consisting of N and CR3;
X4 is selected from the group consisting of N and CR4;
Ri is selected from the group consisting of H, methoxy, N-(Ci_3alkyl)amino, N ,N- (Ci_3alkyl)2amino, -NH-(CH2)2-O(Ci_3alkyl), benzyl, phenyl, and phenoxy, wherein the benzyl, phenyl and phenoxy may be optionally substituted with methyl, or Ri and R2 taken together with the ring to which they are attached form a bicyclic ring containing 0 to 3 heteroatoms;
R2 is selected from (i), (ii), or (iii) (i) selected from the group consisting of H, amino, halogen, Ci_3alkyl, Ci_
3alkoxy, N,N-(Ci_3alkyl)2amino, N-(Ci_3alkyl)amino, hydroxyamino, benzyl, phenyl optionally substituted with halogen or d_3alkoxy, -NRa-(CH2)o-2-Rb, -O-(CH2)0-2-Rb, - NHC(O)-Rc, -N(Ci_3alkyl)C(O)-Rc, -NHC(O)NH-Rc, -N(Ci_3alkyl)C(O)NH-Rc, - NHC(O)O-Rc, -N(Ci_3alkyl)C(O)O-Rc, -NHS(O)0-2-Rc, -N(Ci_3alkyl)S(0)o-2-Rc, and heterocyclyl optionally substituted with hydroxy, Ci_3alkoxy, Ci_3alkyl, amino, - C(O)OC(CHs)3, -C(O)N(CHs)2, -(CH2)L3-N(C i_3alkyl 3)2, -(CH2)L3-O Ci_3alkyl, -(CH2)L 3-OH, or -(CH2)o_2-heterocyclyl optionally substituted with Ci_3alkyl on the heterocyclyl, (ii) Ri and R2 taken together with the ring to which they are attached form a bicyclic ring containing 0 to 3 heteroatoms, or (iii) R2 and R3 taken together with the ring to which they are attached form a bicyclic ring containing 0 to 3 heteroatoms;
Ra is selected from the group consisting of H and -Ci_3alkyl; Rb is selected from the group consisting of -Ci_4alkyl, Ci_3alkoxy, phenyl, heterocyclyl, optionally substituted with Ci_3alkyl, Ci_3alkoxy, and heterocyclyl; Rc is selected from the group consisting of Ci_6alkyl, C2_6alkenyl, benzyl, phenyl,
OH, C3_6Cycloalkyl, N,N-(Ci_3alkyl)2aminoalkyl, -CH2-O-CH2-aryl, and heterocyclyl each of which may be optionally substituted with 1-3 substituents independently selected from the group consisting of heterocyclyl, Ci_3alkoxy, Ci_3alkyl, OH, NH2, -SCH3, -C(NH)NH- OH, -CO2H, -NHC(O)O-C(CH3), -C(O)CH3, and -NHC(O)CH3; R3 is selected from the group consisting of H, heterocyclyl, amino, -NHS(0)o-2-
Ci_3alkyl, -N(Ci.3alkyl)S(0)o.2-CL3alkyl, N-(Ci_3alkyl)amino, -NH-(CH2)2-O(Ci_3alkyl), - NH-(CH2)i_2-heterocyclyl, N,N-(Ci_3alkyl)2aminoalkyl, -Ci_3alkyl, and Ci_3alkoxy each of which may be optionally substituted with OH, NH2, or Ci_3alkyl, or R2 and R3 taken together with the ring to which they are attached form a bicyclic ring containing O to 3 heteroatoms;
R4 is selected from the group consisting of H, halogen, -NH2, N5N-(C1- 3alkyl)2amino, Ci_3alkoxy, and -Ci_3alkyl;
R5 is selected from the group consisting of aryl, -NH-phenyl, and heteroaryl, and which may be optionally substituted with 1 to 3 substituents independently selected from the group consisting of halogen and R6;
R6 is selected from the group consisting of phenyl optionally substituted with 1-3 Ci_3alkoxy or halogen, -O-CH2-phenyl, -O-phenyl, -CH2-O-phenyl, heterocyclyl, -O- CH2-heterocyclyl, hydroxyiminomethyl, -Ci_3alkylheterocyclyl, Ci_3alkyl, Ci_3alkoxy, - C2_3alkynylaryl, and -C2_3alkynylheteroaryl, wherein R6 is optionally substituted with - CH2NH-(CH2)2_3-OH, N,N-(Ci.3alkyl)2aminoalkyl, or or a salt thereof, with the proviso that if Xi is N, then R2 and R3 taken together with the ring to which they are attached do not form a quinoline or 1 ,6-napthyridine ring; with the proviso that if Xi is N, and R2 and R3 taken together with the ring to which they are attached form a napthyridine or quinazoline ring, then R6 is not 4-pyridyl; and with the proviso that the compound is not
2. The compound of claim 1 , wherein one of Xi, X2, X3 or X4 is N.
3. The compound of claim 1, wherein two of Xi, X2, X3 or X4 is N.
4. The compound of claim 1 , wherein Xi is CRi .
5. The compound of any one of claims 1-4, wherein Ri is phenyl or pyridinyl.
6. The compound of any one of claims 1-4, wherein M is ethynyl.
7. The compound of claim 6, wherein n is 1 or 2.
8. The compound of claim 1 , wherein n is 0.
9. The compound of claim 8, wherein R5 is phenyl.
10. A compound of formula HA:
wherein n is 0, 1 or 2; M is divalent radical selected from the group consisting of Ci_3alkyl, C2-3alkenyl, and C2-3alkynyl;
Xi is selected from the group consisting of N and CRi; X2 is selected from the group consisting of N and CH; X3 is selected from the group consisting of N and CR3; X4 is selected from the group consisting of N and CH;
Ri is selected from the group consisting of benzyl, heteroaryl, phenyl, and phenoxy, optionally substituted with methyl or -C2-3alkynylheteroaryl;
R3 is selected from the group consisting of H, Ci_3alkyl, and Ci_3alkoxy; R5 is selected from the group consisting of H, aryl, and heteroaryl, and which may be optionally substituted with halogen, or a salt thereof, with the proviso that the compound is not
11. The compound of claim 10, wherein one of Xi , X2, X3 or X4 is N.
12. The compound of claim 10, wherein two of Xi, X2, X3 or X4 is N.
13. The compound of any one of claims 10-12, wherein Ri is phenyl or pyridinyl.
14. The compound of any one of claims 10-12, wherein M is ethynyl.
15. The compound of claim 14, wherein n is 1 or 2.
16. A method of treating a Gram-negative bacterial infection comprising administering to a subject diagnosed with, at risk for, or exhibiting symptoms of a bacterial infection, a pharmaceutical composition comprising a compound of any one of claims 1-15, such that the bacterial infection is treated.
17. The method of claim 16, wherein the Gram-negative bacterial infection is an infection caused by one or more of bacterium selected from the group consisting of Acinetobacter baumannii, Acinetobacter haemolyticus, Actinobacillus actinomycetemcomitans, Aeromonas hydrophila, Bacteroides fragilis, Bacteroides theataioatamicron, Bacteroides distasonis, Bacteroides ovatus, Bacteroides vulgatus, Bordetella pertussis, Brucella melitensis, Burkholderia cepacia, Burkholderia pseudomallei, Burkholderia mallei Fusobacterium, Prevotella corporis, Prevotella intermedia, Prevotella endodontalis, Porphyromonas asaccharolytica, Campylobacter jejuni, Campylobacterfetus, Citrobacter freundii, Citrobacter koseri, Edwarsiella tarda, Eikenella corrodens, Enterobacter cloacae, Enterobacter aerogenes, Enterobacter agglomerans, Escherichia coli, Francisella tularensis, Haemophilus influenzae, Haemophilus ducreyi, Helicobacter pylori, Kingella kingae, Klebsiella pneumoniae, Klebsiella oxytoca, Klebsiella rhinoscleromatis, Klebsiella ozaenae, Legionella penumophila, Moraxella catarrhalis, Morganella morganii, Neisseria gonorrhoeae, Neisseria meningitidis, Pasteurella multocida, Plesiomonas shigelloides, Proteus mirabilis, Proteus vulgaris, Proteus penneri, Proteus myxofaciens, Providencia stuartii, Providencia rettgeri, Providencia alcalifaciens, Pseudomonas aeruginosa, Pseudomonas fluorescens, Salmonella typhi, Salmonella paratyphi, Serratia marcescens, Shigella flexneri, Shigella boydii, Shigella sonnei, Shigella dysenteriae, Stenotrophomonas maltophilia, Streptobacillus moniliformis, Vibrio cholerae, Vibrio parahaemolyticus, Vibrio vulnificus, Vibrio alginolyticus, Yersinia enterocolitica, Yersinia pestis, Yersinia pseudotuberculosis, Chlamydia pneumoniae, Chlamydia trachomatis, Ricketsia prowazekii, Coxiella burnetii, Ehrlichia chafeensis, and Bartonella hensenae.
18. The method of claim 16, wherein the Gram-negative bacterial infection is an infection caused by one or more of bacterium selected from the group consisting of Acinetobacter baumannii, Bordetella pertussis, Burkholderia cepacia, Burkholderia pseudomallei, Burkholderia mallei, Campylobacter jejuni, Campylobacter coli, Enterobacter cloacae, Enterobacter aerogenes, Escherichia coli, Francisella tularensis, Haemophilus influenzae, Haemophilus ducreyi, Helicobacter pylori, Klebsiella pneumoniae, Legionella penumophila, Moraxella catarrhalis, Morganella morganii, Neisseria gonorrhoeae, Neisseria meningitidis, Pasteurella multocida, Proteus mirabilis, Proteus vulgaris, Pseudomonas aeruginosa, Salmonella typhi, Serratia marcescens, Shigella flexneri, Shigella boydii, Shigella sonnei, Shigella dysenteriae, Stenotrophomonas maltophilia, Vibrio cholerae, and Chlamydia pneumoniae.
19. The method of claim 16, wherein the Gram-negative bacterial infection is an infection caused by one or more of bacterium selected from the group consisting of
Acinetobacter baumannii, Bordetella pertussis, Burkholderia cepacia, Burkholderia pseudomallei, Burkholderia mallei, Campylobacter jejuni, Campylobacter coli, Enterobacter cloacae, Enterobacter aerogenes, Escherichia coli, Francisella tularensis, Haemophilus influenzae, Haemophilus ducreyi, Helicobacter pylori, Klebsiella pneumoniae, Legionella penumophila, Moraxella catarrhalis, Morganella morganii, Proteus mirabilis, Proteus vulgaris, Pseudomonas aeruginosa, Serratia marcescens, and Stenotrophomonas maltophilia.
20. The method of claim 16-19, wherein said subject is diagnosed with a bacterial infection.
21. The method of claim 16 or 17, wherein said subject is a human.
22. A method of inhibiting UDP-3 -O — (R-3 -hydroxymyristoy^-N-acetylglucosamine deacetylase (LpxC) comprising combining a compound of any one of claims 1-15 with
LpxC under conditions such that Lipid A biosynthesis is inhibited.
23. A pharmaceutical composition which comprises a compound of the formula IB, HA, or a pharmaceutically acceptable salt thereof, as claimed in any one of claims 1-15, in association with a pharmaceutically acceptable diluent or carrier.
24. A compound of the formula IB, HA, or a pharmaceutically acceptable salt thereof, as claimed in any one of claims 1-15, for use as a medicament.
25. The use of a compound of the formula IB, HA, or a pharmaceutically acceptable salt thereof, as claimed in any one of claims 1-15, for the manufacture of a medicament for the production of an LpxC inhibitory effect in a subject.
26. The use of a compound of the formula IB, HA, or a pharmaceutically acceptable salt thereof, as claimed in any one of claims 1-15 for the manufacture of a medicament for the production of a Gram-negative anti-bacterial effect in a subject.
27. A method of preparation a compound of formula IB or HA, or a pharmaceutically acceptable salt thereof, as defined in any one of the examples described herein.
Applications Claiming Priority (6)
| Application Number | Priority Date | Filing Date | Title |
|---|---|---|---|
| US15669409P | 2009-03-02 | 2009-03-02 | |
| US61/156,694 | 2009-03-02 | ||
| US18501309P | 2009-06-08 | 2009-06-08 | |
| US61/185,013 | 2009-06-08 | ||
| US25507909P | 2009-10-26 | 2009-10-26 | |
| US61/255,079 | 2009-10-26 |
Publications (1)
| Publication Number | Publication Date |
|---|---|
| WO2010100475A1 true WO2010100475A1 (en) | 2010-09-10 |
Family
ID=42077661
Family Applications (1)
| Application Number | Title | Priority Date | Filing Date |
|---|---|---|---|
| PCT/GB2010/050351 Ceased WO2010100475A1 (en) | 2009-03-02 | 2010-03-01 | Hydroxamic acid derivatives as gram-negative antibacterial agents |
Country Status (1)
| Country | Link |
|---|---|
| WO (1) | WO2010100475A1 (en) |
Cited By (64)
| Publication number | Priority date | Publication date | Assignee | Title |
|---|---|---|---|---|
| WO2012071186A1 (en) * | 2010-11-24 | 2012-05-31 | Allergan, Inc. | Modulators of s1p receptors |
| CN102827022A (en) * | 2012-09-21 | 2012-12-19 | 西华大学 | 2-acetoxy-N-(4-methoxyphenyl) benzamide and preparation method and application thereof |
| WO2013057251A3 (en) * | 2011-10-21 | 2013-06-06 | F. Hoffmann-La Roche Ag | Heteroaryl hydroxamic acid derivatives and their use in the treatment, amelioration or prevention of a viral disease |
| US8536186B2 (en) | 2008-08-04 | 2013-09-17 | Chdi Foundation, Inc. | Certain kynurenine-3-monooxygenase inhibitors, pharmaceutical compositions, and methods of use thereof |
| US8624034B2 (en) | 2011-03-07 | 2014-01-07 | Pfizer Inc. | Fluoro-pyridinone derivatives useful as antibacterial agents |
| WO2013188848A3 (en) * | 2012-06-15 | 2014-02-20 | The Regents Of The University Of California | Antiviral compounds and methods of use |
| US8664401B2 (en) | 2009-12-16 | 2014-03-04 | Pfizer Inc. | N-linked hydroxamic acid derivatives useful as antibacterial agents |
| US8722686B2 (en) | 2008-09-19 | 2014-05-13 | Pfizer Inc. | Hydroxamic acid derivatives useful as antibacterial agents |
| US8748466B2 (en) | 2011-04-08 | 2014-06-10 | Pfizer Inc. | Isoxazole derivatives useful as antibacterial agents |
| WO2014121883A1 (en) * | 2013-02-07 | 2014-08-14 | Merck Patent Gmbh | Substituted acetylene derivatives and their use as positive allosteric modulators of mglur4 |
| US8809333B2 (en) | 2011-04-08 | 2014-08-19 | Pfizer Inc. | Imidazole, pyrazole, and triazole derivatives useful as antibacterial agents |
| WO2014165075A1 (en) | 2013-03-12 | 2014-10-09 | Achaogen, Inc. | Antibacterial agents |
| US8883785B2 (en) | 2010-01-25 | 2014-11-11 | Chdi Foundation, Inc. | Certain kynurenine-3-monooxygenase inhibitors, pharmaceutical compositions, and methods of use thereof |
| WO2015036964A1 (en) | 2013-09-13 | 2015-03-19 | Actelion Pharmaceuticals Ltd | Antibacterial 2h-indazole derivatives |
| US9056832B2 (en) | 2010-09-17 | 2015-06-16 | Purdue Pharma L.P. | Pyridine compounds and the users thereof |
| US9403758B2 (en) | 2012-05-10 | 2016-08-02 | Achaogen, Inc. | Antibacterial agents |
| US9428464B2 (en) | 2011-08-30 | 2016-08-30 | Chdi Foundation, Inc. | Kynurenine-3-monooxygenase inhibitors, pharmaceutical compositions, and methods of use thereof |
| CN106068263A (en) * | 2014-02-21 | 2016-11-02 | 弗洛斯特生物科技有限公司 | Antimitotic amides for the treatment of cancer and proliferative diseases |
| US9493449B2 (en) | 2013-03-15 | 2016-11-15 | Purdue Pharma L.P. | Carboxamide derivatives and use thereof |
| US9617256B2 (en) | 2007-06-12 | 2017-04-11 | Achaogen, Inc. | Antibacterial agents |
| EP3190103A1 (en) * | 2016-01-08 | 2017-07-12 | Rijksuniversiteit Groningen | Inhibitors of the pd-1/pd-l1 protein/protein interaction |
| US9738604B2 (en) | 2010-09-03 | 2017-08-22 | Duke University | Ethynylbenzene derivatives |
| WO2017155909A1 (en) | 2016-03-07 | 2017-09-14 | The Global Alliance For Tb Drug Development, Inc. | Antibacterial compounds and uses thereof |
| WO2017160925A1 (en) * | 2016-03-16 | 2017-09-21 | Kalyra Pharmaceuticals, Inc. | Analgesic compounds |
| WO2017212385A1 (en) | 2016-06-06 | 2017-12-14 | Pfizer Inc. | Substituted carbonucleoside derivatives useful as anticancer agents |
| WO2017223349A1 (en) | 2016-06-23 | 2017-12-28 | Achaogen, Inc. | Antibacterial agents |
| CN107522595A (en) * | 2017-09-08 | 2017-12-29 | 山西新元太新材料科技发展有限公司 | A kind of process for preparing resorcinol |
| CN107556201A (en) * | 2017-09-08 | 2018-01-09 | 山西新元太新材料科技发展有限公司 | A kind of process for preparing m-aminophenol |
| US9908851B2 (en) | 2013-08-16 | 2018-03-06 | Duke University | 2-piperidinyl substituted N,3-dihydroxybutanamides |
| US9981918B2 (en) | 2011-08-30 | 2018-05-29 | Chdi Foundation, Inc. | Kynurenine-3-monooxygenase inhibitors, pharmaceutical compositions, and methods of use thereof |
| USRE47009E1 (en) | 2011-02-01 | 2018-08-28 | The Children's Hospital Of Philadelphia | HDAC inhibitors and therapeutic methods using the same |
| GB2562777A (en) * | 2017-05-25 | 2018-11-28 | Taisho Pharmaceutical Co Ltd | Novel alpha-amino amide derivatives |
| US10189786B2 (en) | 2013-08-16 | 2019-01-29 | Duke University | Antibacterial compounds |
| AU2014348422B2 (en) * | 2013-11-15 | 2019-02-14 | The Wistar Institute Of Anatomy And Biology | EBNA1 inhibitors and their method of use |
| US10258621B2 (en) | 2014-07-17 | 2019-04-16 | Chdi Foundation, Inc. | Methods and compositions for treating HIV-related disorders |
| US10442763B2 (en) | 2015-05-14 | 2019-10-15 | The Wistar Institute Of Anatomy And Biology | EBNA1 inhibitors and methods using same |
| US10450273B2 (en) | 2016-08-29 | 2019-10-22 | Novartis Ag | N-(pyridin-2-yl)pyridine-sulfonamide derivatives and their use in the treatment of disease |
| US10611747B2 (en) | 2015-11-09 | 2020-04-07 | Forge Therapeutics, Inc. | Pyrone based compounds for treating bacterial infections |
| US10647664B2 (en) | 2013-08-16 | 2020-05-12 | Duke University | Substituted hydroxamic acid compounds |
| WO2020178316A1 (en) * | 2019-03-05 | 2020-09-10 | Aziende Chimiche Riunite Angelini Francesco - A.C.R.A.F. S.P.A. | 5- or 7-azaindazoles as beta-lactamase inhibitors |
| CN111825620A (en) * | 2020-07-17 | 2020-10-27 | 河南科技大学 | A kind of carbamate derivative and its preparation method and application |
| CN111867600A (en) * | 2018-03-15 | 2020-10-30 | 辉瑞大药厂 | Pyridone and pyrimidinone phosphates and borates used as antibacterial agents |
| US10875832B2 (en) | 2015-11-09 | 2020-12-29 | Forge Therapeutics, Inc. | Substituted pyrimidines for treating bacterial infections |
| US11021471B2 (en) | 2017-05-10 | 2021-06-01 | Forge Therapeutics, Inc. | Antibacterial compounds |
| US11046658B2 (en) | 2018-07-02 | 2021-06-29 | Incyte Corporation | Aminopyrazine derivatives as PI3K-γ inhibitors |
| US11059817B2 (en) | 2015-09-23 | 2021-07-13 | The Regents Of The University Of California | Potent antiviral pyrazolopyridine compounds |
| US11096909B2 (en) | 2016-04-06 | 2021-08-24 | University Of Oulu | Compounds for use in the treatment of cancer |
| US11242338B2 (en) | 2018-05-17 | 2022-02-08 | The Wistar Institute | EBNA1 inhibitor crystalline forms, and methods of preparing and using same |
| CN114163438A (en) * | 2021-12-13 | 2022-03-11 | 无锡捷化医药科技有限公司 | Preparation method of 2-methyl-3-carbonyl pyrazolo [4,3-c ] pyridine-7-carboxylic acid hydrochloride |
| WO2022053661A2 (en) | 2020-09-14 | 2022-03-17 | Eurochem Antwerpen | Pyrazolo[3,4-b]pyridine-4-carboxamide nitrification inhibitor |
| US11319289B2 (en) * | 2017-03-13 | 2022-05-03 | Gwangju Institute Of Science And Technology | 5-hydroxy pyridine-based compound for use as P2X1 and P2X3 receptor antagonist and pharmaceutical composition comprising same |
| US11407740B2 (en) | 2018-09-20 | 2022-08-09 | Forge Therapeutics, Inc. | Antibacterial compounds |
| WO2023011574A1 (en) * | 2021-08-05 | 2023-02-09 | 浙江海正药业股份有限公司 | Aromatic acetylene derivative, and preparation method therefor and use thereof |
| WO2023011573A1 (en) * | 2021-08-05 | 2023-02-09 | 浙江海正药业股份有限公司 | Aromatic acetylene derivative, preparation method therefor, and use thereof |
| CN116239524A (en) * | 2021-12-07 | 2023-06-09 | 浙江工业大学 | Arylpyridine compound and preparation method and application thereof |
| US11731962B2 (en) | 2020-03-25 | 2023-08-22 | Blacksmith Medicines, Inc. | LpxC inhibitor and methods of making |
| EP4242195A1 (en) | 2022-03-09 | 2023-09-13 | EuroChem Antwerpen | Use of pyrazolo[3,4-b]pyridine compounds as nitrification inhibitor |
| WO2023169964A1 (en) | 2022-03-09 | 2023-09-14 | Eurochem Antwerpen | Use of pyrazolo[3,4-b]pyridine compounds as nitrification inhibitor |
| CN116924959A (en) * | 2022-03-30 | 2023-10-24 | 山东大学 | HDAC11 subtype selective inhibitor and preparation method and application thereof |
| WO2023222115A1 (en) * | 2022-05-20 | 2023-11-23 | 四川汇宇制药股份有限公司 | Hydroxyamide derivative and use thereof |
| US11926616B2 (en) | 2018-03-08 | 2024-03-12 | Incyte Corporation | Aminopyrazine diol compounds as PI3K-γ inhibitors |
| WO2024067812A1 (en) * | 2022-09-28 | 2024-04-04 | 浙江海正药业股份有限公司 | Aromatic acetylene derivative, preparation method therefor, and use thereof |
| CN118496153A (en) * | 2023-04-23 | 2024-08-16 | 广西大学 | New compound extracted from endophytic metabolites of Camellia chrysantha and preparation method thereof |
| US12187754B2 (en) | 2021-09-28 | 2025-01-07 | Blacksmith Medicines, Inc. | LpxC inhibitors and uses thereof |
Citations (2)
| Publication number | Priority date | Publication date | Assignee | Title |
|---|---|---|---|---|
| WO1997042179A1 (en) * | 1996-05-07 | 1997-11-13 | Merck & Co., Inc. | Antibacterial agents |
| WO2008105515A1 (en) * | 2007-02-28 | 2008-09-04 | Taisho Pharmaceutical Co., Ltd. | Novel hydroxamic acid derivative |
-
2010
- 2010-03-01 WO PCT/GB2010/050351 patent/WO2010100475A1/en not_active Ceased
Patent Citations (2)
| Publication number | Priority date | Publication date | Assignee | Title |
|---|---|---|---|---|
| WO1997042179A1 (en) * | 1996-05-07 | 1997-11-13 | Merck & Co., Inc. | Antibacterial agents |
| WO2008105515A1 (en) * | 2007-02-28 | 2008-09-04 | Taisho Pharmaceutical Co., Ltd. | Novel hydroxamic acid derivative |
Non-Patent Citations (7)
| Title |
|---|
| "Based on the procedure", J. MED. CHEM., vol. 30, 1987, pages 574 - 580 |
| "Remington's Pharmaceutical Sciences, 17th ed.,", MACK PUBLISHING COMPANY, pages: 1418 |
| BEALL; LUTKENHAUS, J. BACTERIOL., vol. 169, 1987, pages 5408 - 5415 |
| BIOCHEMISTRY, vol. 38, 1999, pages 1902 - 1911 |
| J.BACT., vol. 179, 1997, pages 2029 - 2037 |
| MARAGAKIS ET AL., EXPERT REV. ANTI INFECT. THER., vol. 6, 2008, pages 751 - 63 |
| YOUNG ET AL., J. BIOL. CHEM., vol. 270, 1995, pages 30384 - 30391 |
Cited By (113)
| Publication number | Priority date | Publication date | Assignee | Title |
|---|---|---|---|---|
| US9617256B2 (en) | 2007-06-12 | 2017-04-11 | Achaogen, Inc. | Antibacterial agents |
| US9145373B2 (en) | 2008-08-04 | 2015-09-29 | Chdi Foundation, Inc. | Certain kynurenine-3-monooxygenase inhibitors, pharmaceutical compositions, and methods of use thereof |
| US8536186B2 (en) | 2008-08-04 | 2013-09-17 | Chdi Foundation, Inc. | Certain kynurenine-3-monooxygenase inhibitors, pharmaceutical compositions, and methods of use thereof |
| US8722686B2 (en) | 2008-09-19 | 2014-05-13 | Pfizer Inc. | Hydroxamic acid derivatives useful as antibacterial agents |
| US9340493B2 (en) | 2008-09-19 | 2016-05-17 | Pfizer Inc. | Hydroxamic acid derivatives useful as antibacterial agents |
| US9018384B2 (en) | 2009-12-16 | 2015-04-28 | Pfizer Inc. | N-link hydroxamic acid derivatives useful as antibacterial agents |
| US9180123B2 (en) | 2009-12-16 | 2015-11-10 | Pfizer Inc. | N-link hydroxamic acid derivatives useful as antibacterial agents |
| US8664401B2 (en) | 2009-12-16 | 2014-03-04 | Pfizer Inc. | N-linked hydroxamic acid derivatives useful as antibacterial agents |
| US8846933B2 (en) | 2009-12-16 | 2014-09-30 | Pfizer Inc. | N-link hydroxamic acid derivatives useful as antibacterial agents |
| US8883785B2 (en) | 2010-01-25 | 2014-11-11 | Chdi Foundation, Inc. | Certain kynurenine-3-monooxygenase inhibitors, pharmaceutical compositions, and methods of use thereof |
| US9738604B2 (en) | 2010-09-03 | 2017-08-22 | Duke University | Ethynylbenzene derivatives |
| US10597361B2 (en) | 2010-09-03 | 2020-03-24 | Duke University | Ethynylbenzene derivatives |
| US9611222B2 (en) | 2010-09-17 | 2017-04-04 | Purdue Pharma L.P. | Pyridine compounds and the uses thereof |
| US9056832B2 (en) | 2010-09-17 | 2015-06-16 | Purdue Pharma L.P. | Pyridine compounds and the users thereof |
| US9079864B2 (en) | 2010-11-24 | 2015-07-14 | Allergan, Inc. | Modulators of S1P receptors |
| WO2012071186A1 (en) * | 2010-11-24 | 2012-05-31 | Allergan, Inc. | Modulators of s1p receptors |
| USRE47009E1 (en) | 2011-02-01 | 2018-08-28 | The Children's Hospital Of Philadelphia | HDAC inhibitors and therapeutic methods using the same |
| AU2017202477B2 (en) * | 2011-02-01 | 2018-12-13 | The Board Of Trustees Of The University Of Illinois | HDAC inhibitors and therapeutic methods using the same |
| EP2670733B1 (en) * | 2011-02-01 | 2019-04-10 | The Board of Trustees of the University of Illionis | N-hydroxybenzamide derivatives as hdac inhibitors and therapeutic methods using the same |
| US8624034B2 (en) | 2011-03-07 | 2014-01-07 | Pfizer Inc. | Fluoro-pyridinone derivatives useful as antibacterial agents |
| US8779148B2 (en) | 2011-03-07 | 2014-07-15 | Pfizer Inc. | Fluoro-pyridinone derivatives useful as antibacterial agents |
| US8809333B2 (en) | 2011-04-08 | 2014-08-19 | Pfizer Inc. | Imidazole, pyrazole, and triazole derivatives useful as antibacterial agents |
| US8748466B2 (en) | 2011-04-08 | 2014-06-10 | Pfizer Inc. | Isoxazole derivatives useful as antibacterial agents |
| US9981918B2 (en) | 2011-08-30 | 2018-05-29 | Chdi Foundation, Inc. | Kynurenine-3-monooxygenase inhibitors, pharmaceutical compositions, and methods of use thereof |
| US9428464B2 (en) | 2011-08-30 | 2016-08-30 | Chdi Foundation, Inc. | Kynurenine-3-monooxygenase inhibitors, pharmaceutical compositions, and methods of use thereof |
| CN103958475A (en) * | 2011-10-21 | 2014-07-30 | 弗·哈夫曼-拉罗切有限公司 | Heteroaryl hydroxamic acid derivatives and their use in the treatment, alleviation or prevention of viral diseases |
| CN103958475B (en) * | 2011-10-21 | 2015-11-25 | 弗·哈夫曼-拉罗切有限公司 | Heteroaryl hydroxamic acid derivatives and their use in the treatment, alleviation or prevention of viral diseases |
| WO2013057251A3 (en) * | 2011-10-21 | 2013-06-06 | F. Hoffmann-La Roche Ag | Heteroaryl hydroxamic acid derivatives and their use in the treatment, amelioration or prevention of a viral disease |
| JP2014530837A (en) * | 2011-10-21 | 2014-11-20 | エフ. ホフマン−エルエーロシュ アーゲー | Heteroarylhydroxamic acid derivatives and their use in the treatment, amelioration or prevention of viral diseases |
| US9701622B2 (en) | 2012-05-10 | 2017-07-11 | Achaogen, Inc. | Antibacterial agents |
| US9403758B2 (en) | 2012-05-10 | 2016-08-02 | Achaogen, Inc. | Antibacterial agents |
| WO2013188848A3 (en) * | 2012-06-15 | 2014-02-20 | The Regents Of The University Of California | Antiviral compounds and methods of use |
| CN102827022A (en) * | 2012-09-21 | 2012-12-19 | 西华大学 | 2-acetoxy-N-(4-methoxyphenyl) benzamide and preparation method and application thereof |
| WO2014121883A1 (en) * | 2013-02-07 | 2014-08-14 | Merck Patent Gmbh | Substituted acetylene derivatives and their use as positive allosteric modulators of mglur4 |
| JP2016507537A (en) * | 2013-02-07 | 2016-03-10 | メルク パテント ゲゼルシャフト ミット ベシュレンクテル ハフツングMerck Patent Gesellschaft mit beschraenkter Haftung | Substituted acetylene derivatives and their use as positive allosteric modulators of mGluR4 |
| US9879004B2 (en) | 2013-02-07 | 2018-01-30 | Merck Patent Gmbh | Substituted acetylene derivatives and their use as positive allosteric modulators of mGluR4 |
| CN104955809B (en) * | 2013-02-07 | 2018-12-11 | 普雷斯特威克化学公司 | The purposes of substituted acetylene-derivative and its positive allosteric modulators as mGluR4 |
| AU2014214324B2 (en) * | 2013-02-07 | 2018-07-19 | Prexton Therapeutics Sa | Substituted acetylene derivatives and their use as positive allosteric modulators of mGluR4 |
| CN104955809A (en) * | 2013-02-07 | 2015-09-30 | 默克专利股份公司 | Substituted acetylene derivatives and their use as positive allosteric modulators of mglur4 |
| WO2014165075A1 (en) | 2013-03-12 | 2014-10-09 | Achaogen, Inc. | Antibacterial agents |
| AU2014235063B2 (en) * | 2013-03-15 | 2017-05-04 | Purdue Pharma L.P. | Carboxamide derivatives and use thereof |
| US9493449B2 (en) | 2013-03-15 | 2016-11-15 | Purdue Pharma L.P. | Carboxamide derivatives and use thereof |
| US10005768B2 (en) | 2013-03-15 | 2018-06-26 | Purdue Pharma L.P. | Carboxamide derivatives and use thereof |
| US10189786B2 (en) | 2013-08-16 | 2019-01-29 | Duke University | Antibacterial compounds |
| US10647664B2 (en) | 2013-08-16 | 2020-05-12 | Duke University | Substituted hydroxamic acid compounds |
| US9908851B2 (en) | 2013-08-16 | 2018-03-06 | Duke University | 2-piperidinyl substituted N,3-dihydroxybutanamides |
| US9802901B2 (en) | 2013-09-13 | 2017-10-31 | Idorsia Pharmaceuticals Ltd | Antibacterial 2H-indazole derivatives |
| WO2015036964A1 (en) | 2013-09-13 | 2015-03-19 | Actelion Pharmaceuticals Ltd | Antibacterial 2h-indazole derivatives |
| JP2020196723A (en) * | 2013-11-15 | 2020-12-10 | ザ ウィスター インスティテュート オブ アナトミー アンド バイオロジー | Ebna1 inhibitors and their methods of use |
| US11242317B2 (en) | 2013-11-15 | 2022-02-08 | The Wistar Institute Of Anatomy And Biology | EBNA1 inhibitors and their method of use |
| US10421718B2 (en) | 2013-11-15 | 2019-09-24 | The Wistar Institute Of Anatomy And Biology | EBNA1 inhibitors and their method of use |
| US12258314B2 (en) | 2013-11-15 | 2025-03-25 | The Wistar Institute Of Anatomy And Biology | EBNA1 inhibitors and their method of use |
| AU2014348422B2 (en) * | 2013-11-15 | 2019-02-14 | The Wistar Institute Of Anatomy And Biology | EBNA1 inhibitors and their method of use |
| US10016398B2 (en) * | 2014-02-21 | 2018-07-10 | Frost Biologic, Inc. | Antimitotic amides for the treatment of cancer and proliferative disorders |
| US11129813B2 (en) | 2014-02-21 | 2021-09-28 | Frost Biologic, Inc. | Antimitotic amides for the treatment of cancer and proliferative disorders |
| US10772872B2 (en) | 2014-02-21 | 2020-09-15 | Frost Biologic, Inc. | Antimitotic amides for the treatment of cancer and proliferative disorders |
| US12383533B2 (en) | 2014-02-21 | 2025-08-12 | Frost Biologic, Inc. | Antimitotic amides for the treatment of cancer and proliferative disorders |
| US20170172984A1 (en) * | 2014-02-21 | 2017-06-22 | Frost Biologic, Inc. | Antimitotic amides for the treatment of cancer and proliferative disorders |
| CN106068263A (en) * | 2014-02-21 | 2016-11-02 | 弗洛斯特生物科技有限公司 | Antimitotic amides for the treatment of cancer and proliferative diseases |
| US10258621B2 (en) | 2014-07-17 | 2019-04-16 | Chdi Foundation, Inc. | Methods and compositions for treating HIV-related disorders |
| US10442763B2 (en) | 2015-05-14 | 2019-10-15 | The Wistar Institute Of Anatomy And Biology | EBNA1 inhibitors and methods using same |
| US11912659B2 (en) | 2015-05-14 | 2024-02-27 | The Wistar Institute Of Anatomy And Biology | EBNA1 inhibitors and methods using same |
| US10981867B2 (en) | 2015-05-14 | 2021-04-20 | The Wistar Institute Of Anatomy And Biology | EBNA1 inhibitors and methods using same |
| US11059817B2 (en) | 2015-09-23 | 2021-07-13 | The Regents Of The University Of California | Potent antiviral pyrazolopyridine compounds |
| US11787799B2 (en) | 2015-09-23 | 2023-10-17 | The Regents Of The University Of California | Potent antiviral pyrazolopyridine compounds |
| US10611747B2 (en) | 2015-11-09 | 2020-04-07 | Forge Therapeutics, Inc. | Pyrone based compounds for treating bacterial infections |
| US10875832B2 (en) | 2015-11-09 | 2020-12-29 | Forge Therapeutics, Inc. | Substituted pyrimidines for treating bacterial infections |
| EP3190103A1 (en) * | 2016-01-08 | 2017-07-12 | Rijksuniversiteit Groningen | Inhibitors of the pd-1/pd-l1 protein/protein interaction |
| WO2017118762A1 (en) * | 2016-01-08 | 2017-07-13 | Rijksuniversiteit Groningen | Inhibitors of the pd-1/pd-l1 protein/protein interaction |
| WO2017155909A1 (en) | 2016-03-07 | 2017-09-14 | The Global Alliance For Tb Drug Development, Inc. | Antibacterial compounds and uses thereof |
| EP4148053A1 (en) | 2016-03-07 | 2023-03-15 | The Global Alliance for TB Drug Development, Inc. | Antibacterial compounds and uses thereof |
| WO2017160925A1 (en) * | 2016-03-16 | 2017-09-21 | Kalyra Pharmaceuticals, Inc. | Analgesic compounds |
| US11096909B2 (en) | 2016-04-06 | 2021-08-24 | University Of Oulu | Compounds for use in the treatment of cancer |
| WO2017212385A1 (en) | 2016-06-06 | 2017-12-14 | Pfizer Inc. | Substituted carbonucleoside derivatives useful as anticancer agents |
| WO2017223349A1 (en) | 2016-06-23 | 2017-12-28 | Achaogen, Inc. | Antibacterial agents |
| US11066369B2 (en) | 2016-08-29 | 2021-07-20 | Novartis Ag | N-(pyridin-2-yl)pyridine-sulfonamide derivatives and their use in the treatment of disease |
| US10450273B2 (en) | 2016-08-29 | 2019-10-22 | Novartis Ag | N-(pyridin-2-yl)pyridine-sulfonamide derivatives and their use in the treatment of disease |
| US11319289B2 (en) * | 2017-03-13 | 2022-05-03 | Gwangju Institute Of Science And Technology | 5-hydroxy pyridine-based compound for use as P2X1 and P2X3 receptor antagonist and pharmaceutical composition comprising same |
| US11021471B2 (en) | 2017-05-10 | 2021-06-01 | Forge Therapeutics, Inc. | Antibacterial compounds |
| GB2562777A (en) * | 2017-05-25 | 2018-11-28 | Taisho Pharmaceutical Co Ltd | Novel alpha-amino amide derivatives |
| CN107522595A (en) * | 2017-09-08 | 2017-12-29 | 山西新元太新材料科技发展有限公司 | A kind of process for preparing resorcinol |
| CN107556201A (en) * | 2017-09-08 | 2018-01-09 | 山西新元太新材料科技发展有限公司 | A kind of process for preparing m-aminophenol |
| US11926616B2 (en) | 2018-03-08 | 2024-03-12 | Incyte Corporation | Aminopyrazine diol compounds as PI3K-γ inhibitors |
| US12365668B2 (en) | 2018-03-08 | 2025-07-22 | Incyte Corporation | Aminopyrazine diol compounds as PI3K-y inhibitors |
| CN111867600A (en) * | 2018-03-15 | 2020-10-30 | 辉瑞大药厂 | Pyridone and pyrimidinone phosphates and borates used as antibacterial agents |
| US12116359B2 (en) | 2018-05-17 | 2024-10-15 | The Wistar Institute | EBNA1 inhibitor crystalline forms, and methods of preparing and using same |
| US11242338B2 (en) | 2018-05-17 | 2022-02-08 | The Wistar Institute | EBNA1 inhibitor crystalline forms, and methods of preparing and using same |
| US12421197B2 (en) | 2018-07-02 | 2025-09-23 | Incyte Corporation | Aminopyrazine derivatives as PI3K-γ inhibitors |
| US11046658B2 (en) | 2018-07-02 | 2021-06-29 | Incyte Corporation | Aminopyrazine derivatives as PI3K-γ inhibitors |
| US12325699B2 (en) | 2018-09-20 | 2025-06-10 | Blacksmith Medicines, Inc. | Antibacterial compounds |
| US11407740B2 (en) | 2018-09-20 | 2022-08-09 | Forge Therapeutics, Inc. | Antibacterial compounds |
| WO2020178316A1 (en) * | 2019-03-05 | 2020-09-10 | Aziende Chimiche Riunite Angelini Francesco - A.C.R.A.F. S.P.A. | 5- or 7-azaindazoles as beta-lactamase inhibitors |
| US11731962B2 (en) | 2020-03-25 | 2023-08-22 | Blacksmith Medicines, Inc. | LpxC inhibitor and methods of making |
| CN111825620B (en) * | 2020-07-17 | 2022-02-15 | 河南科技大学 | A kind of carbamate derivative and its preparation method and application |
| CN111825620A (en) * | 2020-07-17 | 2020-10-27 | 河南科技大学 | A kind of carbamate derivative and its preparation method and application |
| WO2022053661A2 (en) | 2020-09-14 | 2022-03-17 | Eurochem Antwerpen | Pyrazolo[3,4-b]pyridine-4-carboxamide nitrification inhibitor |
| CN116323610A (en) * | 2020-09-14 | 2023-06-23 | 欧洲化学安特卫普公司 | Pyrazolo[3,4-b]pyridine-4-carboxamide nitration inhibitor |
| BE1028575B1 (en) * | 2020-09-14 | 2022-11-30 | Eurochem Antwerpen | Pyrazolo[3,4-b]pyridine-4-carboxamide nitrification inhibitor |
| WO2022053661A3 (en) * | 2020-09-14 | 2022-04-21 | Eurochem Antwerpen | Pyrazolo[3,4-b]pyridine-4-carboxamide nitrification inhibitor |
| BE1028575A1 (en) | 2020-09-14 | 2022-03-23 | Eurochem Antwerpen | Pyrazolo[3,4-b]pyridine-4-carboxamide nitrification inhibitor |
| WO2023011573A1 (en) * | 2021-08-05 | 2023-02-09 | 浙江海正药业股份有限公司 | Aromatic acetylene derivative, preparation method therefor, and use thereof |
| JP2024528245A (en) * | 2021-08-05 | 2024-07-26 | 浙江海正薬業股▲ふん▼有限公司 | Aromatic acetylene derivatives, their production method and uses |
| JP7700363B2 (en) | 2021-08-05 | 2025-06-30 | 浙江海正薬業股▲ふん▼有限公司 | Aromatic acetylene derivatives, their production method and uses |
| WO2023011574A1 (en) * | 2021-08-05 | 2023-02-09 | 浙江海正药业股份有限公司 | Aromatic acetylene derivative, and preparation method therefor and use thereof |
| US12187754B2 (en) | 2021-09-28 | 2025-01-07 | Blacksmith Medicines, Inc. | LpxC inhibitors and uses thereof |
| CN116239524A (en) * | 2021-12-07 | 2023-06-09 | 浙江工业大学 | Arylpyridine compound and preparation method and application thereof |
| CN114163438A (en) * | 2021-12-13 | 2022-03-11 | 无锡捷化医药科技有限公司 | Preparation method of 2-methyl-3-carbonyl pyrazolo [4,3-c ] pyridine-7-carboxylic acid hydrochloride |
| WO2023169964A1 (en) | 2022-03-09 | 2023-09-14 | Eurochem Antwerpen | Use of pyrazolo[3,4-b]pyridine compounds as nitrification inhibitor |
| EP4242195A1 (en) | 2022-03-09 | 2023-09-13 | EuroChem Antwerpen | Use of pyrazolo[3,4-b]pyridine compounds as nitrification inhibitor |
| CN116924959A (en) * | 2022-03-30 | 2023-10-24 | 山东大学 | HDAC11 subtype selective inhibitor and preparation method and application thereof |
| WO2023222115A1 (en) * | 2022-05-20 | 2023-11-23 | 四川汇宇制药股份有限公司 | Hydroxyamide derivative and use thereof |
| WO2024067812A1 (en) * | 2022-09-28 | 2024-04-04 | 浙江海正药业股份有限公司 | Aromatic acetylene derivative, preparation method therefor, and use thereof |
| CN118496153A (en) * | 2023-04-23 | 2024-08-16 | 广西大学 | New compound extracted from endophytic metabolites of Camellia chrysantha and preparation method thereof |
Similar Documents
| Publication | Publication Date | Title |
|---|---|---|
| WO2010100475A1 (en) | Hydroxamic acid derivatives as gram-negative antibacterial agents | |
| AU2020257055B2 (en) | Cot modulators and methods of use thereof | |
| JP7212693B2 (en) | Bridged Bicyclic Compounds as Farnesoid X Receptor Modulators | |
| CN106459042B (en) | Antifibrotic pyridones | |
| JP6759100B2 (en) | Therapeutic inhibitor compound | |
| KR100908155B1 (en) | Tetrahydronaphthyridine derivatives useful as histamine H3 receptor ligands | |
| US8637513B2 (en) | Heterocycle phenyl amide T-type calcium channel antagonists | |
| CN104428293B (en) | Adjust the benzimidazole of TNF α | |
| KR100928849B1 (en) | Alkyne-aryl phosphodiesterase-4 inhibitors | |
| JP6137193B2 (en) | Novel pyridinone and pyrimidinone derivatives as factor XIa inhibitors | |
| US8653109B2 (en) | Substituted bipyridine derivatives and their use as adenosine receptor ligands | |
| CN110041316B (en) | TAM family kinase/and CSF1R kinase inhibitors and their uses | |
| JP2024056742A (en) | Novel inhibitors prepared from quinoline derivatives | |
| NO314758B1 (en) | Substituted N - [(aminiminomethyl or aminomethyl) phenyl] propylamides | |
| AU2013331505A1 (en) | Phenyl linked quinolinyl modulators of ROR-gamma-t | |
| JP2022532719A (en) | ACSS2 inhibitor and its usage | |
| KR19990071520A (en) | Pyrido [2,3-D] pyrimidine derivatives and pharmaceutical compositions thereof | |
| AU2017217931B2 (en) | Halo-substituted piperidines as orexin receptor modulators | |
| CN112661754A (en) | Polycyclic compound for inhibiting RNA helicase DHX33 | |
| KR20240157631A (en) | 2-Aminoimidazole derivatives as PRMT5 inhibitors | |
| CN115109061B (en) | Tricyclic compounds | |
| JP2024505708A (en) | new compound | |
| RU2802283C2 (en) | New inhibitor based on a quinoline derivative | |
| CN118974035A (en) | 2-Aminoimidazole derivatives as PRMT5 inhibitors | |
| AU2003217433A1 (en) | Substituted pyridinones as modulators of p38 map kinase |
Legal Events
| Date | Code | Title | Description |
|---|---|---|---|
| 121 | Ep: the epo has been informed by wipo that ep was designated in this application |
Ref document number: 10707647 Country of ref document: EP Kind code of ref document: A1 |
|
| NENP | Non-entry into the national phase |
Ref country code: DE |
|
| 122 | Ep: pct application non-entry in european phase |
Ref document number: 10707647 Country of ref document: EP Kind code of ref document: A1 |



















































































































































































































































































































































































































































































































































































































































































































































































































































