WO2010073126A2 - Compounds useful in delivering anti-neoplastic therapy and diagnostic imaging to hypoxic cells and methods of use thereof - Google Patents
Compounds useful in delivering anti-neoplastic therapy and diagnostic imaging to hypoxic cells and methods of use thereof Download PDFInfo
- Publication number
- WO2010073126A2 WO2010073126A2 PCT/IB2009/007980 IB2009007980W WO2010073126A2 WO 2010073126 A2 WO2010073126 A2 WO 2010073126A2 IB 2009007980 W IB2009007980 W IB 2009007980W WO 2010073126 A2 WO2010073126 A2 WO 2010073126A2
- Authority
- WO
- WIPO (PCT)
- Prior art keywords
- group
- substituted
- agent
- compound
- unsubstituted
- Prior art date
- Legal status (The legal status is an assumption and is not a legal conclusion. Google has not performed a legal analysis and makes no representation as to the accuracy of the status listed.)
- Ceased
Links
- 0 CC(*)CC(C(*)=*=C)N Chemical compound CC(*)CC(C(*)=*=C)N 0.000 description 2
- GPKPUASWIHWYIQ-UHFFFAOYSA-N CC1CC2(CC2)CC1 Chemical compound CC1CC2(CC2)CC1 GPKPUASWIHWYIQ-UHFFFAOYSA-N 0.000 description 1
Classifications
-
- C—CHEMISTRY; METALLURGY
- C07—ORGANIC CHEMISTRY
- C07H—SUGARS; DERIVATIVES THEREOF; NUCLEOSIDES; NUCLEOTIDES; NUCLEIC ACIDS
- C07H15/00—Compounds containing hydrocarbon or substituted hydrocarbon radicals directly attached to hetero atoms of saccharide radicals
- C07H15/18—Acyclic radicals, substituted by carbocyclic rings
-
- A—HUMAN NECESSITIES
- A61—MEDICAL OR VETERINARY SCIENCE; HYGIENE
- A61K—PREPARATIONS FOR MEDICAL, DENTAL OR TOILETRY PURPOSES
- A61K41/00—Medicinal preparations obtained by treating materials with wave energy or particle radiation ; Therapies using these preparations
- A61K41/0038—Radiosensitizing, i.e. administration of pharmaceutical agents that enhance the effect of radiotherapy
-
- A—HUMAN NECESSITIES
- A61—MEDICAL OR VETERINARY SCIENCE; HYGIENE
- A61K—PREPARATIONS FOR MEDICAL, DENTAL OR TOILETRY PURPOSES
- A61K47/00—Medicinal preparations characterised by the non-active ingredients used, e.g. carriers or inert additives; Targeting or modifying agents chemically bound to the active ingredient
- A61K47/50—Medicinal preparations characterised by the non-active ingredients used, e.g. carriers or inert additives; Targeting or modifying agents chemically bound to the active ingredient the non-active ingredient being chemically bound to the active ingredient, e.g. polymer-drug conjugates
- A61K47/51—Medicinal preparations characterised by the non-active ingredients used, e.g. carriers or inert additives; Targeting or modifying agents chemically bound to the active ingredient the non-active ingredient being chemically bound to the active ingredient, e.g. polymer-drug conjugates the non-active ingredient being a modifying agent
- A61K47/54—Medicinal preparations characterised by the non-active ingredients used, e.g. carriers or inert additives; Targeting or modifying agents chemically bound to the active ingredient the non-active ingredient being chemically bound to the active ingredient, e.g. polymer-drug conjugates the non-active ingredient being a modifying agent the modifying agent being an organic compound
- A61K47/549—Sugars, nucleosides, nucleotides or nucleic acids
-
- A—HUMAN NECESSITIES
- A61—MEDICAL OR VETERINARY SCIENCE; HYGIENE
- A61K—PREPARATIONS FOR MEDICAL, DENTAL OR TOILETRY PURPOSES
- A61K49/00—Preparations for testing in vivo
- A61K49/0002—General or multifunctional contrast agents, e.g. chelated agents
-
- A—HUMAN NECESSITIES
- A61—MEDICAL OR VETERINARY SCIENCE; HYGIENE
- A61K—PREPARATIONS FOR MEDICAL, DENTAL OR TOILETRY PURPOSES
- A61K51/00—Preparations containing radioactive substances for use in therapy or testing in vivo
- A61K51/02—Preparations containing radioactive substances for use in therapy or testing in vivo characterised by the carrier, i.e. characterised by the agent or material covalently linked or complexing the radioactive nucleus
- A61K51/04—Organic compounds
- A61K51/041—Heterocyclic compounds
- A61K51/044—Heterocyclic compounds having nitrogen as a ring hetero atom, e.g. guanethidine, rifamycins
- A61K51/0453—Heterocyclic compounds having nitrogen as a ring hetero atom, e.g. guanethidine, rifamycins having five-membered rings with two or more ring hetero atoms, at least one of which being nitrogen, e.g. tetrazole
-
- A—HUMAN NECESSITIES
- A61—MEDICAL OR VETERINARY SCIENCE; HYGIENE
- A61K—PREPARATIONS FOR MEDICAL, DENTAL OR TOILETRY PURPOSES
- A61K51/00—Preparations containing radioactive substances for use in therapy or testing in vivo
- A61K51/02—Preparations containing radioactive substances for use in therapy or testing in vivo characterised by the carrier, i.e. characterised by the agent or material covalently linked or complexing the radioactive nucleus
- A61K51/04—Organic compounds
- A61K51/0491—Sugars, nucleosides, nucleotides, oligonucleotides, nucleic acids, e.g. DNA, RNA, nucleic acid aptamers
-
- A—HUMAN NECESSITIES
- A61—MEDICAL OR VETERINARY SCIENCE; HYGIENE
- A61K—PREPARATIONS FOR MEDICAL, DENTAL OR TOILETRY PURPOSES
- A61K51/00—Preparations containing radioactive substances for use in therapy or testing in vivo
- A61K51/02—Preparations containing radioactive substances for use in therapy or testing in vivo characterised by the carrier, i.e. characterised by the agent or material covalently linked or complexing the radioactive nucleus
- A61K51/04—Organic compounds
- A61K51/0497—Organic compounds conjugates with a carrier being an organic compounds
-
- A—HUMAN NECESSITIES
- A61—MEDICAL OR VETERINARY SCIENCE; HYGIENE
- A61P—SPECIFIC THERAPEUTIC ACTIVITY OF CHEMICAL COMPOUNDS OR MEDICINAL PREPARATIONS
- A61P35/00—Antineoplastic agents
-
- C—CHEMISTRY; METALLURGY
- C07—ORGANIC CHEMISTRY
- C07H—SUGARS; DERIVATIVES THEREOF; NUCLEOSIDES; NUCLEOTIDES; NUCLEIC ACIDS
- C07H15/00—Compounds containing hydrocarbon or substituted hydrocarbon radicals directly attached to hetero atoms of saccharide radicals
- C07H15/02—Acyclic radicals, not substituted by cyclic structures
-
- C—CHEMISTRY; METALLURGY
- C07—ORGANIC CHEMISTRY
- C07H—SUGARS; DERIVATIVES THEREOF; NUCLEOSIDES; NUCLEOTIDES; NUCLEIC ACIDS
- C07H15/00—Compounds containing hydrocarbon or substituted hydrocarbon radicals directly attached to hetero atoms of saccharide radicals
- C07H15/26—Acyclic or carbocyclic radicals, substituted by hetero rings
Definitions
- Radiosensitizers such as 2-nitroimidaoles (azomycins), quinoxaline 1,4-dioxides and triazine 1,4-dioxides are highly diffusible radiosensitizers that permeate hypoxic tissues, where they are bioreductively activated by single electron transfer and subsequently selectively bound within viable hypoxic cells.
- the reversibility of this single electron reduction in the presence of oxygen limits binding and toxicity to cells that are pathologically hypoxic (Bigalow, J. E. et al, Biochem Pharmacol 35:77 (1986)).
- This oxygen-dependent selectivity forms the basis for non- invasive (i.e., imaging) diagnosis of hypoxic tissue with radiolabeled radiosensitizers such as nitroimidazoles (Chapman J. D. et al, Cancer 43:456 (1981); Adams, G. E., Radiat Res 67:9 (1976)).
- Radiolabeled radiosensitizers such as nitroimidazoles (Chapman J. D. et al, Cancer 43:456 (1981); Adams, G. E., Radiat Res 67:9 (1976)).
- Nitroimidazole radiosensitizers are also used to overcome the "oxygen effect" through an oxygen mimicking process that results in radiosensitization through selective bioactivation and consequent binding (adduct formation) to hypoxic tissue components (Adams G. E. et al, Int J Radiat Biol 15:457 (1969)).
- hypoxic tissue is also ischemic. It is therefore equally important that the diagnostic/therapeutic agent is a facile tissue permeant, meaning that the molecules must be moderately lipophilic to diffuse across cell membranes. (Brown J. M. et al, Radiat Res 82:171 (1980)). However, if lipophilicity is too high, they will dissolve in lipoidal structures and also exhibit toxicities (e.g. neuropathies); if they are too hydrophilic, they tend to be cleared very rapidly via the kidney, severely reducing the amount of drug available for bioreductive activation and hypoxia- dependent binding.
- diagnostic/chemotherapeutic/radiochemotherapeutic agents that are transported into hypoxic cells via cellular mechanisms that are upregulated in response to hypoxia. Upregulation of transporter proteins will assist permeation of the diagnostic/chemotherapeutic/radiochemotherapeutic agents into hypoxic cells where they will be bioactively reduced and ultimately bound to hypoxic tissue macromolecules. This will result in increased concentration and residence time of these diagnostic/therapeutic agents in the hypoxic cells which would be particularly useful in cancer therapy and imaging hypoxic cells and tissues.
- the compounds and methods described herein possess described features and address the needs.
- Described herein are compounds that actively permeate cell membranes via specific hypoxia-upregulated transporters in hypoxic cells, get bioactively reduced intracellularly, and bind selectively to subcellular macromolecules. Chemically, these compounds are saccharides coupled to bioreductively activated drugs.
- the ATTORNEY DOCKET NO.: 24T04.2-130 compounds have numerous applications in diagnostic imaging and the therapeutic management of hypoxic cells and tissues (e.g., cancer).
- Figure 2 shows the syntheses of (3R,4S,5R,6R)-6-((3-(2-mtio-lH- imidazol-l-yl)-2-(4-nitrophenylsulfonyloxy)propoxy)methyl)tetrahydro- 2H-pyran-2,3,4,5-tetrayl tetraacetate (5) and related precursors.
- Figure 3 shows the syntheses of (3RAS,5S,6R)-6-((2-hydmxy-3-(2- nitro-lH-imidazol-l-yl)propoxy)methyl) tetrahydro-2H-pyran-2,3,4,5- tetraol (8) and (3#,4S,5S,6#)-6-((2-fluoro-3-(2-nitro-lH-imidazol-l- yl)propoxy)methyl)tetrahydro-2H-pyran-2,3,4,5-tetraol (11).
- Figure 4 shows the synthesis of (3/?,45,55,6/?)-6-(((£T)-3-(2-nitro- lH-imidazol- 1 -yl)allyloxy) methyl)tetrahydro-2H-pyran-2,3 ,4,5-tetraol (13).
- Figure 5A shows the syntheses of 3-(2-hydroxy-3- (((2tf,3S,4S,5tf,6S)-3,4,5-trihydroxy-6-methoxytetrahydro-2H-pyran-2- yl)methoxy)propylamino)benzo[e][l,2,4]triazine 1,4-dioxide (29) and 3-(2- hydroxy-3-(((2tf,3S,4S,5tf)-3,4,5,6-tetrahydroxytetrahydro-2H-pyran-2- yl)methoxy)propylamino)benzo[e][l,2,4]triazine 1,4-dioxide (30).
- Figure 5B shows the structure of 3-(3-(((3S,4S,5R,6R)-2-((3R,4S,5S,6R)-6- ((3-(l,4-dioxidobenzo[e][l,2,4]triazin-3-ylamino)-2-hydroxypropoxy)methyl)-
- Figures 6 shows the synthesis of benzo[e]l,2,4-triazine-3-chloro-l-oxide (27).
- Figure 7 shows the syntheses of 3-(2-hydroxy-2-(2-nitro-lH- imidazol-l-yl)ethylamino)-6-hydroxymethyl)tetrahydro-2H-pyran-2,4,5- triol ( 47) and 3-(2-fluoro-2-(2-nitro-lH-imidazol-l-yl)ethylamino)-6- hydroxymethyl)tetrahydro-2H-pyran-2,4,5-triol (50) and related precursors.
- the synthesis of compound 50 is being materialized.
- Figure 8 shows the radiosensitization of HeIa (A), EMT-6 (B) and
- Figure 9a, 9b and 9c show the radiosensitization of EMT-6, HeLa and M006 carcinoma cell lines, respectively by compound 13 (1.0 mM concentration) .
- Figures 10-12 show the MTT cytotoxicity assays with compounds
- Figure 13 shows selected examples of the structures of several metal chelating agents coordinated to ligands that can be incorporated into the compounds of the invention.
- Figures 14-16 show the inhibition of transport (GLUT-I and
- Ranges may be expressed herein as from “about” one particular value, and/or to "about” another particular value. When such a range is expressed, another aspect includes from the one particular value and/or to the other particular value. Similarly, when values are expressed as approximations, by use of the antecedent "about,” it will be understood that the particular value forms another aspect. It will be further understood that the endpoints of each of the ranges are significant both in relation to the other endpoint, and independently of the other endpoint.
- X and Y are present at a weight ratio of 2:5, and are present in such ratio regardless of whether additional components are contained in the compound.
- a weight percent of a component is based on the total weight of the formulation or composition in which the component is included. Variables such as A, B, a, b, c, d, D, n, R 1 , R 2 , R 3 , R 4 , R 5 , R 6 , R 10 , L, Q, S,
- T, U, X, X 1 , Y 1 , Y 2 , Z and Z 1 used throughout the application are the same ATTORNEY DOCKET NO.: 24T04.2-130 variables as previously defined, unless stated to the contrary.
- longer chain alkyl groups include, but are not limited to, an oleate group or a palmitate group.
- a "lower alkyl” group is an alkyl group containing from one to six carbon atoms.
- alkyl group' is not limited only to open-chain alkyl group, it also represents all possible substituted or unsubstituted acyclic/homocarbocyclic and hetero-carbocyclic groups, e.g., cyclopropyl, cyclobutyl, cyclopentyl, cyclohexyl, piperidinyl, oxyranyl groups.
- substituted alkyl group is a branched or unbranched saturated hydrocarbon group of 1 to 25 carbon atoms, such as methyl, ethyl, H-propyl, isopropyl, H-butyl, isobutyl, /-butyl, pentyl, hexyl, heptyl, octyl, decyl, tetradecyl, hexadecyl, eicosyl, tetracosyl and the like, where one of the hydrogen atoms is replaced with a non-carbon based group, or is replaced with a 'linker, L' as described later in this section which may be further substituted with substituted or unsubstituted alkyl or aryl (or other ) groups.
- non- carbon based groups include, but are not limited to, hydroxyl, alkoxy, amino, thiol, thioalkyl, halogen, aryl, and the like.
- examples of a 'linker' include 1,4-substituted or unsubstituted piperazine, but are not limited to this moiety, and cover all possible acyclic, homocarbocyclic and hetero-carbocyclic linkers.
- cycloalkyl group is a non-aromatic carbon-based ring composed of at least three carbon atoms.
- examples of cycloalkyl groups include, but are not limited to, cyclopropyl, cyclobutyl, cyclopentyl, cyclohexyl, etc.
- heterocycloalkyl group is a cycloalkyl group as defined above where at least one of the carbon atoms of the ring is substituted with a heteroatom such as, but not limited to, nitrogen, oxygen, sulphur, or phosphorus.
- the cycloalkyl group can be unsubstituted or substituted with groups such as, for example, alkyl, aryl, ester, keto, and the like.
- aryl group as used herein is any carbon-based aromatic group including, but not limited to, benzene, naphthalene, etc.
- aryl group also includes "heteroaryl group,” which is defined as an aromatic group that has at least one heteroatom incorporated within the ring of the aromatic group. Examples of heteroatoms include, but are not limited to, nitrogen, oxygen, sulfur, and phosphorus.
- the aryl group can be substituted with one or more groups including, but not limited to, alkyl, alicyclic, alkynyl, alkenyl, aryl, halide, nitro, amino, ester, ketone, aldehyde, hydroxy, carboxylic acid, alkoxy, thiol, or thioalkyl or be unsubstituted.
- the 'aryl' group can also be linked to the point of substitution through a 'linker' which is defined later in this section.
- halide as used herein is defined as F, Cl, Br, I, or At.
- substituted thiol as used herein is defined as a thiol group (SH) with the hydrogen atom replaced with a substituted or unsubstituted alkyl group, homo/heteroalicyclic group or an aryl group, and the substituted 'alkyl' groups may be linked to sulfur atom or via a linker.
- amino group as used herein is defined as an unsubstituted amino group (-NH 2 ) or a mono- or disubstituted amino group, where the amino group can be substituted with a substituted or unsubstituted alkyl group or an aryl ATTORNEY DOCKET NO.: 24T04.2-130 group and the substituted 'alkyl' groups may be linked to the nitrogen atom directly or via a linker.
- aryl sulfonate as used herein is defined by the formula
- saccharide as used herein is defined as a polyhydric aliphatic, homocarbocyclic or heterocarbocyclic moiety containing polyhydroxy substitutions.
- the saccharide may be unsubstituted or substituted.
- Substituted saccharides may have one or more of the hydroxyl groups replaced with other atoms/groups (e.g., halogen, O-alkoxy/aryloxy, thiol, S-alkyl/arylthiol, amino, or
- a residue of a chemical species refers to the moiety that is the resulting product of the chemical species in a particular reaction scheme or subsequent formulation or chemical product, regardless of whether the moiety is actually obtained from the chemical species.
- a monosaccharide that contains at least one -COOH group can be represented by the formula Y-COOH, where Y is the remainder (i.e., residue) of the monosaccharide molecule.
- VII-Xa and XII-XIV is a substituted or unsubstituted acyclic, homocarbocyclic or heterocarbocyclic moiety such as 1 ,4-piperazines that may be used to link the saccharide with the 'X', and/or to link the 'X' with the side chain 'Q', and/or to link any other 'aryl' or 'alkyl' groups in the formulae with the saccharides or the ATTORNEY DOCKET NO.: 24T04.2-130 substituents on the side chain 'Q', and/or to link any two carbons in the 'Q' as described in the coming pages of this invention.
- Examples of a 'linker' include 1,4- substituted or unsubstituted piperazines, but are not limited to this moiety, and cover all possible linkers.
- 'Q' as used herein is a branched or unbranched functional chain that contains a 'bioreductive arm' and is linked to the saccharide (transporter arm) via 'X' in the saccharide, directly or through a linker, contains multiple functional substituents and the 'therapeutic drug' (e.g., anti-neoplastic drug(s)) and/or the 'diagnostic functionality' (a radionuclide or a ligand containing the radionuclide).
- the 'therapeutic drug' e.g., anti-neoplastic drug(s)
- the 'diagnostic functionality' a radionuclide or a ligand containing the radionuclide.
- Q is represented below in the formulae I, Ia, II, Ha, and is part of the formulae VI-XIV.
- Y 1 and Y 2 are, independently, hydrogen, a substituted or unsubstituted alkyl group, an alkoxy group, an aryl group, or Y 1 and Y 2 collectively form an oxo group or a substituted or unsubstituted vinyl group; or Y 1 and Y 2 collectively forms a susbstituted or unsubstituted cycloalkyl group;
- Z comprises hydrogen, a halide, a hydroxyl group, a substituted or unsubstituted alkyl group, an alkyl sulfonate, an aryl sulfonate, a thiol, an alkyl ATTORNEY DOCKET NO.: 24T04.2-130 halide, a substituted thiol, a carboxy group, a substituted carboxy group, an amino group, an azide group, an ester, a chromophore, a fluorescent group, a radionuclide, diagnostic agent, chemotherapy (CT) agent, radiochemotherapy (XRCT) agent, or molecular radiotherapy (MRT) agent, where Z is directly bonded to carbon-a or Z is bonded to carbon-a via a linker as defined above;
- CT chemotherapy
- XRCT radiochemotherapy
- MRT molecular radiotherapy
- Z 1 comprises hydrogen, a halide, a hydroxyl group, an alkyl sulfonate, an aryl sulfonate, a thiol, an alkyl halide, a substituted thiol, a carboxy group, a substituted carboxy group, an amino group, an azide group, an ester, a fluorescent group, a radionuclide, diagnostic agent, CT agent, XRCT agent, or MRT agent, where Z 1 is directly bonded to carbon-d as defined above.
- D comprises O, S, a substituted or unsubstituted imino group, a substituted or unsubstituted phosphino group, or a substituted or unsubstituted ylide;
- T comprises a substituted or unsubstituted cycloalkyl group; n is from 0 to 10; B comprises a residue of a bioreductively activated agent; bond-b may or may not be present, wherein when bond-b is not present, the stereochemistry at carbon-a is substantially R, substantially S, or racemic; bond-c is syn or anti with respect to the saccharide; when b is not present, carbon-d is optionally asymmetric, wherein when carbon-d is asymmetric, the stereochemistry at carbon-d is substantially R, s bstantially S, or racemic.
- saccharides that are chemically coupled to "bioreductively activated agents" that can be delivered into hypoxic cells that are useful as hypoxia imaging agents, chemo therapeutic agents, and/or radiochemotherapeutic agents.
- the compounds have the formula III.
- a linker 'L' can be present between A (the saccharide) and Q (e.g., formula VII), between X and the side chain Q (e.g., formula VIII), or between any two carbon atoms in the side chain Q.
- the compounds have one saccharide A unit with two or more side chain Q attached to the saccharide A directly or via a linker L as represented by the formulae IX and X.
- the linker L can be located anywhere in the molecule (e.g., between A and X or between X and Q or anywhere in the side chain Q) as shown below.
- the order of linkage in two side chains for the formulae IX and X may be same or different, for example Q-X-L-A-L-X-Q or Q-X-L-A-X-L-Q.
- the compounds have two saccharide units linked to each other and the side chain Q' is attached via X, with or without a linker to each saccharide unit.
- These kinds of compounds represent formulae XI, XII, XIII and are shown above.
- An example of formula XI is depicted in Figure 5B, where two saccharide units A are joined by a Ci-Ci glycosidic linkage and the C6 positions of both saccharide units are substituted with the side chain 'Q'.
- 'A' is the 'transporter arm' and is a residue of a saccharide that has one of its -OH group replaced with a group 'X' , and the 'X' is bonded to any C-position of the saccharide.
- the saccharide facilitates the selective transport-assisted uptake of the compounds having the formulae VI-XIV.
- the saccharide helps increase the concentration of the compounds in the hypoxic cells.
- the saccharide can be a monosaccharide.
- monosaccharides useful herein include, but are not limited to, ribose, arabinose, deoxyribose, xylose, lyxose, ribulose, xylulose, glucose, galactose, mannose, gulose, idose, talose, allose, altrose, fructose, sorbose, tagatose, psicose, fucose, rhamnose, or carbocyclic or thio- substituted pentoses and hexoses.
- the saccharide is a disaccharide. Disaccharides are composed of two monosaccharide units bound together by a covalent glycosidic bond.
- disaccharides useful herein include, but are not limited to, sucrose, lactose, trehalose, or maltose.
- the saccharide includes an oligosaccharide or polysaccharide. Oligosaccharides and polysaccharides are composed of longer chains of monosaccharide units bound together by glycosidic bonds. The distinction between the two is based upon the number of monosaccharide units present in the chain. Oligosaccharides typically contain between two and nine monosaccharide units, and polysaccharides contain ten or more monosaccharide units.
- polysaccharides include, but are not limited to, glycogen, starch, cellulose, chitin, amylase, amylopectin, stachyose, inulin, dextrin or cyclodextrin.
- Polysaccharides also include glycosaminoglycans (GAGs) such as, for example, heparin, chondroitin sulfate, hyaluronan, heparan sulfate, dermatan sulfate, or keratan ATTORNEY DOCKET NO.: 24T04.2-130 sulfate.
- GAGs glycosaminoglycans
- Each 'A' in formulae VI-XIV can be composed of the same or different saccharide units.
- 'A' in formula VI can be composed of glucose and galactose units. If two or more saccharide units are present in 'A', they can be coupled to one another via a glycosidic linkage at any position in the saccharide. The glycosidic bond between two saccharide residues can be either axial or equatorial.
- saccharide is halogenated.
- the hydroxyl group at the 2, 3, or 4 position can be substituted with a halide (F, Cl, Br, I).
- the saccharide is 2-fluorodeoxy glucose, where coupling with additional components can occur at the 6-hydroxyl group.
- the group 'X' is part of the saccharide and is located at any carbon of the saccharide skeleton.
- 'X' normally represents the 'O' in saccharide 'A', but can be replaced with S, C, NR 1 , or PR 1 (a phosphorous group), wherein R 1 can be hydrogen, an alkyl group or a substituted alkyl group, a substituted carbonyl group, a substituted thiocarbonyl, a susbstituted imino group, or substituted or unsubstituted aryl group, or a ligand for coordinating an imaging or radiotherapeutic agent.
- R 1 can be hydrogen, an alkyl group or a substituted alkyl group, a substituted carbonyl group, a substituted thiocarbonyl, a susbstituted imino group, or substituted or unsubstituted aryl group, or a ligand for coordinating an imaging or radiotherapeutic agent.
- R 1
- N and P can be linked to R 1 via an acyclic, homocarbocyclic or hetero-carbocyclic linker, e.g. susbstituted piperazines but not limited to piperazines only as described in previous section.
- an acyclic, homocarbocyclic or hetero-carbocyclic linker e.g. susbstituted piperazines but not limited to piperazines only as described in previous section.
- R 1 can be an imaging agent, a therapeutic agent, or a ATTORNEY DOCKET NO.: 24T04.2-130 ligand for coordinating the imaging agent or therapeutic agent.
- imaging agent is defined herein as any agent or compound that increases or enhances the ability of cells or tissue to be imaged or viewed using imaging techniques known in the art when compared to visualizing the cells or tissue without the imaging agent. Imaging agents known in the art can be used herein.
- the imaging agent comprises a chromophore, fluorophore, a denoptical dye, a MRI contrast agent, a PET probe, a SPECT probe, a CT contrast agent, a radiodiagnostic agent, or an ultrasound contrast agent.
- imaging agents useful in magnetic resonance imaging include Gd +3 , Eu +3 , Tm +3 , Dy +3 , Yb +3 , Mn +2 , or Fe +3 ions or complexes.
- imaging agents useful in PET and SPECT imaging include 55 Co, 64 Cu, 67 Cu, 47 Sc, 66 Ga, 68 Ga, 90 Y, 97 Ru, 99m Tc, 111 In, 109 Pd, 153 Sm, 177 Lu, 186 Re, 188 Re.
- the imaging agent is a radioisotope of a halide including, but not limited to, 18 F, 124 1, 12 1, 131 1, 7 Br, 7 Br, 77 Br, 82 Br, or 211 At.
- the complexing of the imaging agent to the ligand can be performed using known techniques.
- therapeutic agent is defined herein as any agent or compound that kills tumor cells or reduces and/or prevents the growth of a tumor.
- therapeutic agents include, but are not limited to, a chemotherapeutic (CT, e.g., carboplatin, cisplatin), a radiochemotherapeutic (XRCT, e.g. MISO, tirapazamine) agent or a molecular radiotherapy (MRT, e.g., [ 131 I]-IAZA and [ 131 I]-InIBG) agent.
- CT chemotherapeutic
- XRCT radiochemotherapeutic
- MRT molecular radiotherapy
- a single compound can act as an imaging agent and a therapeutic agent.
- the imaging agent can be covalently or non-covalently attached to 'X'.
- 'X' is oxygen, nitrogen, or sulfur
- the lone pair electrons can form a dative bond with a radiolabel. This is depicted as O ⁇ R 10 , S ⁇ R 10 , N(R : ) ⁇ R 10 , where the arrow indicates the dative bond between O, S, or N and the imaging agent or therapeutic agent R 10 .
- an imaging agent is coordinated to the compounds described herein as shown in formula IV and IVa, ATTORNEY DOCKET NO.: 24T04.2-130
- 'M' is chelating metal (e.g., a radiolabel such as Re, Lu, Tc but not limited to these metals)
- X -NR 1 , O, P or S
- Z -NH 2 , -NHR, -OH, -SH, - NH, -NR, -O or -S).
- X -NR 1 , O, P or S
- Z -NH 2 , -NHR, -OH, -SH, - NH, -NR, -O or -S.
- 'T' as indicated in the formula IVa and used herein the side chain 'Q' denotes a substituted or unsubstituted acyclic, homocarbocyclic or hetero-carbocyclic moiety e.g, susbstituted or unsubstituted cyclopropyl, cyclobutyl, cyclopentyl, cyclohexyl, piperidinyl, but is not limited to these descriptions in this application.
- 'Z 1 ' represents an H, substituted or unsubstituted alkyl, aryl, -OH, -NH, -NR 1 , SH, SR 1 but is not limited to these moieties.
- Few examples of chelating metal agents that can be bonded to compounds having the formulae III, IV and IVa are shown in Figure 13.
- R 1 in formulae VI-XIV can be a ligand for coordinating the imaging agent or therapeutic agent.
- the ligand is any agent that can form non- covalent bond (e.g., complexation, electrostatic, ionic, dipole-dipole, Lewis acid/base interaction) with the imaging agent or therapeutic agent.
- the ligand can possess a group that can form a covalent bond with the imaging agent or therapeutic agent.
- 'X' is NH
- the amino group can react with a carboxylic group on the ligand to produce an amide bond.
- the ligand comprises an acyclic or cyclic compound comprising at least one ATTORNEY DOCKET NO.: 24T04.2-130 heteroatom (e.g., oxygen, nitrogen, sulfur, phosphorous) that has lone -pair electrons capable of coordinating with the imaging agent.
- heteroatom e.g., oxygen, nitrogen, sulfur, phosphorous
- An example of an acyclic ligand includes ethylenediamine.
- cyclic ligands include diethylenetriaminepentaacetate (DTPA) or its derivatives, 1,4,7,10- tetraazadodecanetetraacetate (DOTA) and its derivatives, 1,4,7,10- tetraazadodecane-l,4,7-triacetate (D03A) and its derivatives, ethylenediaminetetraacetate (EDTA) and its derivatives, 1,4,7,10- tetraazacyclotridecanetetraacetic acid (TRITA) and its derivatives, 1,4,8,11- tetraazacyclotetradecane-l,4,8,ll-tetraacetic acid (TETA) and its derivatives, 1,4,7,10-tetraazadodecanetetramethylacetate (DOTMA) and its derivatives,
- DTPA diethylenetriaminepentaacetate
- D03A 1,4,7,10- tetraazadodecanetetraacetate
- EDTA ethylene
- D03MA 1,4,7, 10-tetraazadodecane-l,4,7-trimethylacetate
- D03MA N,N',N",N'"-tetraphosphonatomethyl-l,4,7,10-tetraazacyclododecane
- Y 1 and Y 2 are, independently, hydrogen, a substituted or unsubstituted alkyl group, an alkoxy group, an aryl group, or Y 1 and Y 2 collectively form an oxo group or a substituted or unsubstituted vinyl group; or Y 1 and Y 2 collectively forms a susbstituted or unsubstituted cycloalkyl group.
- Y 1 and Y 2 each are hydrogen. In another aspect, Y 1 and Y 2 form a susbstituted or unsubstituted vinyl group or an oxo group. In the case of the substituted vinyl group, one or both vinyl hydrogen atoms can be replaced with an alkyl group, an alkoxy group, or an aryl group.
- Y 1 and Y 2 form a substituted or unsubstituted vinyl group the vinyl linkage can further be reacted to obtain corresponding susbstituted or unsubstituted 'cycloaddition products', e.g., substituted or unsubstituted cyclopropyl and ATTORNEY DOCKET NO.: 24T04.2-130 cyclohexyl products, and is extended to unlimited cycloaddition products.
- Z can be hydrogen, a halide, a hydroxyl group, an aryl sulfonate, a thiol, a substituted thiol, an amino group, an azide group, an ester, or a fluorescent group, where Z is directly bonded to carbon-a or Z is bonded to carbon- a via a linker.
- the group Z can serve numerous roles depending upon the identity of the group.
- Z can be an imaging agent or therapeutic agent as defined herein.
- Z can be replaced with a radioisotope of a halide to produce a radiolabeled or radiotherapy (MRT) compound.
- MRT radiolabeled or radiotherapy
- radioisotopes examples include, but are not limited to, 18 F, 124 1, 125 I, 131 1, 75 Br, 76 Br, 77 Br, 82 Br, or 211 At.
- Z can include functional groups that can be readily substituted with a radioisotope; for example, when Z is a sulphonyl ester with an electron-withdrawing group (e.g., a nitro group), Z can be replaced with a radiohalogen. Techniques for replacing Z or groups present on Z with radioisotopes are known in the art.
- Z can be used to attach a ligand as described above for coordinating imaging agents or therapeutic agents.
- Z may be directly bonded to carbon-a as shown in formulae I, Ia, II and Ha or, in the alternative, can be indirectly bonded to carbon-a via a linker as defined above.
- the linker or linking group has functional groups that are capable of forming covalent bonds.
- Z when Z is a halide directly bonded to carbon-a, the compound can be reacted with a diol such as ethylene glycol, where the halide is replaced with one of the hydroxyl group.
- the linker is ZCH 2 CH 2 O-, where Z is a hydroxyl group derived from ethylene glycol.
- Examples of functional groups on the linker include -NH 2 , -NHNH 2 , -ONH 2 , -NH-C(O)NHNH 2 , -OH,- CO 2 H, or -SH but can be extended to other possibilities.
- Z 1 can be hydrogen, a halide, a hydroxyl group, an aryl sulfonate, a thiol, a substituted thiol, an amino group, an azide group, an ester, or a fluorescent group, where Z 1 is directly bonded to carbon-d. Further, depending on the chemical nature of Z 1 , it can have numerous roles. In other aspects, Z 1 can be an imaging agent or therapeutic agent as defined ATTORNEY DOCKET NO.: 24T04.2-130 herein. For example, Z 1 can be replaced with a radioisotope of a halide to produce a radiolabeled compound for imaging and MRT.
- Z 1 can include functional groups that can be readily substituted with a radioisotope; for example, when Z 1 is a sulphonyl ester with an electron- withdrawing group (e.g., a nitro group), Z 1 can be replaced with a radiohalogen. Techniques for replacing Z 1 or groups present on Z 1 with radioisotopes are known in the art. In other aspects, Z 1 can also be used to attach a ligand as described above for coordinating imaging agents to compounds as shown in the formulae Ia and Ha.
- Z 1 is directly bonded to carbon-d as shown in the formulae I, Ia, Ha, and Ha but, in the alternative, can be extended via coupling to a linker as defined herein.
- the linker or linking group has functional groups that are capable of forming covalent bonds.
- Z 1 is a halide directly bonded to carbon-d
- the compound can be reacted with a diol such as ethylene glycol, where the halide is replaced with one of the hydroxyl group.
- the linker can be Z 1 CH 2 CH 2 O-, where Z 1 is a hydroxyl group derived from ethylene glycol.
- Examples of functional groups on the linker include -NH 2 , -NHNH 2 , -ONH 2 , -NHC(O)NHNH 2 , -OH 5 -CO 2 H, or - SH but can be extended to other possibilities.
- Bond-b (i.e., —dashed line) may be present formulae I and Ia.
- bond-b When bond- b is present, a carbon-carbon double bond is present. In the case when bond-b is not present, a potential stereocenter is present at carbon-a.
- the stereochemistry at carbon-a can be substantially R, substantially S, or racemic, depending upon the reaction sequence and when bond-b is present, the E or Z stereoisomers or a mixture in any proportion may be present. In both cases, purification techniques can be used to separate the desired stereomer(s).
- bond-b is present, and n is from 0 to 10, 0 to 8, 0 to 6, 1 to 5, or 1 to 3.
- bond-b is not present, and n is from 0 to 10, 0 to 8, 0 to 6, 1 to 5, or 1 to 3.
- 'B' represents a bioreductively activated ATTORNEY DOCKET NO.: 24T04.2-130 agent that can participate in bioreductive activation and covalent binding of the compound to macromolecules in hypoxic cells, which leads to selective diagnostic/chemotherapeutic/radiochemotherapeutic/radiotherapy actions in hypoxic region e.g., imaging/chemo/radiosensitization/radiotherapy using an anti- neoplastic agent.
- the agent 'B' is a compound capable of undergoing reduction selectively in the hypoxic cell, which ultimately produces reductively activated species that can cleave or complex with DNA present in the hypoxic cell.
- reduction can be induced by irradiating the compound within the hypoxic cells.
- bioreductively activated agents include, but are not limited to, chemotherapeutic agents, radioisotopic agents, radiochemotherapeutic (MRT), RT, and chelating agents that, in some embodiments, carry a radioisotope or other metal agent or, in other embodiments, bind to an essential metal ion in the cancer cell.
- radionuclides useful as anti-neoplastic agents include, but are not limited to, Ytrium-90, Iodine-125, Iodine-131, and Phosphorous-32. In other aspects, the radionuclide can include iodoaryl groups bearing an Iodine-131.
- Other preferred anti-neoplastic agents include hydroxyurea and other ribonucleotide reductase inhibitors based on iron chelation such as Triapine (3-aminopyridine-2-carboxaldehyde thiosemicarabazone) and 5-HP (5-hydroxypyridine-2-carboxaldehyde thiosemicarbazone) .
- the bioreductively activated agent is a substituted or unsubstituted heterocyclic nucleus with optimal reduction potential necessary for bioreductive activation in hypoxic microenvironment e.g, optimally substituted or unsubstituted nitroimidazoles which not wishing to be bound by theory, radio- or chemosensitizing a nitroimidazole produces radical anions in the hypoxic cell, or an anti-neoplastic drug e.g., substituted or unsubstituted benzamides, acridines, anthracyclins, nitrosoureas, taxanes, semicarbazone, thiosemicarbazone, DNA alkylating agents, propylene amine oxime (PnAO) ligands, diaminodithiol (DADT) ligands, MAG3 ligands, copper and platinum complexes of the ATTORNEY DOCKET NO.: 24T04.2-130 semicarba
- the compounds described herein have the formulae V and Va:
- the chelating metal M is a radiotherapeutic agent (e.g., a radiolabel such as Re, Lu) bonded to the molecule via X 1 and Z or a diagnostic agent (e.g., Tc).
- a radiotherapeutic agent e.g., a radiolabel such as Re, Lu
- a diagnostic agent e.g., Tc
- the chelating metal M can be covalently or non-covalently attached to X 1 and/or Z.
- the compounds have the formula IIIA:
- X comprises O, S, NR 1 , O ⁇ R 10 , S ⁇ R 10 , N(R 1 ) ⁇ R 10 ,or a phosphorous group, wherein R 1 comprises hydrogen, a substituted or unsubstituted alkyl group, a keto group, or substituted or unsubstituted aryl group, or a ligand for coordinating an imaging agent, a chemotherapeutic (CT), a radiochemo therapeutic (XRCT) agent, or a molecular radiotherapy (MRT) agent;
- CT chemotherapeutic
- XRCT radiochemo therapeutic
- MRT molecular radiotherapy
- R 2 -R 5 (or R 6 depending on the location of side chain 'Q' as in example VI) comprises, independently, hydrogen, a substituted or unsubstituted alkyl group, a keto group, a substituted or unsubstituted aryl group, a substituted alkoxy group, a substituted or unsubstituted aryloxy group, or substituted aryl sulphonate;
- U comprises oxygen, sulfur, an imino, or phosphino group;
- Z comprises hydrogen, a halide, a hydroxyl group, an alkyl sulfonate, an aryl sulfonate, a thiol, an alkyl halide, a substituted thiol, a substituted or unsubstituted carboxy group, an amino group, an azide group, an ester, a fluorescent group, a radionuclide, diagnostic agent, CT agent, XRCT agent, or MRT agent, where Z is directly bonded to carbon a or Z is bonded to carbon a via a linker; n is from 0 to 10;
- B comprises a residue of a bioreductively activated agent e.g., an antineoplastic agent; or the pharmaceutically acceptable salt or ester thereof.
- a bioreductively activated agent e.g., an antineoplastic agent
- the compound has the formula IIIB :
- X comprises O, S, NR 1 , O ⁇ R 10 , S ⁇ R 10 , N(R 1 ) ⁇ R 10 ,or a phosphorous group, wherein R 1 comprises hydrogen, a substituted or unsubstituted alkyl group, a keto group, or substituted or unsubstituted aryl group, or a ligand for coordinating an imaging agent, a chemotherapeutic (CT), a radiochemotherapeutic (XRCT) agent, or a molecular radiotherapy (MRT) agent;
- CT chemotherapeutic
- XRCT radiochemotherapeutic
- MRT molecular radiotherapy
- R 10 comprises an imaging agent, CT, XRCT or a MRT agent
- R 2 , R 4 , R , and R comprises, independently, hydrogen, a substituted or unsubstituted alkyl group, a keto group, a substituted or unsubstituted aryl group, a substituted alkoxy group, a substituted or unsubstituted aryloxy group, or substituted aryl sulphonate;
- U comprises oxygen, sulfur, an imino, or phosphino group
- Z comprises hydrogen, a halide, a hydroxyl group, an alkyl sulfonate, an aryl sulfonate, a thiol, an alkyl halide, a substituted thiol, a substituted or unsubstituted carboxy group, an amino group, an azide group, an ester, a fluorescent group, a radionuclide, diagnostic agent, CT agent, XRCT agent, or MRT agent, where Z is directly bonded to carbon a or Z is bonded to carbon a via a linker; n is from 0 to 10;
- B comprises a residue of a bioreductively activated anti-neoplastic agent
- R 2 -R 5 in formula IIIB comprises, independently, hydrogen, acetyl, or benzoyl.
- Z in formula IIIB is a halide or a hydroxyl group and n is from 1 to 3.
- B in formula IIIB comprises a nitroimidazole.
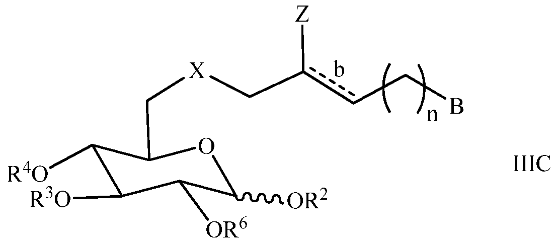
- the compound has the formula IIIC:
- X comprises O, S, NR 1 , O ⁇ R 10 , S ⁇ R 10 , N(R 1 ) ⁇ R 10 ,or a phosphorous group, wherein R 1 comprises hydrogen, a substituted or unsubstituted alkyl group, a substituted carbonyl group, a substituted thiocarbonyl group, a substituted imino group, or substituted or unsubstituted aryl group, or a ligand for coordinating an imaging agent;
- R 10 comprises an imaging agent
- R 2 , R 3 , R 4 , and R comprises, independently, hydrogen, a substituted or unsubstituted alkyl group, a keto group, a substituted or unsubstituted aryl group, a substituted alkoxy group, a substituted or unsubstituted aryloxy group, or substituted aryl sulphonate;
- Z comprises hydrogen, a halide (diagnostic or radio therapeutic), a hydroxyl group, an aryl sulfonate, a thiol, an alkyl halide, a substituted thiol, a substituted or unsubstituted carboxy group, an amino group, an azide group, an ester, a fluorescent group, a radionuclide, diagnostic agent, CT agent, XRCT agent, or MRT agent, where Z is directly bonded to carbon a or Z is bonded to carbon a via a ATTORNEY DOCKET NO.: 24T04.2-130 linker; n is from 0 to 10; bond b may or may not be present;
- B comprises a residue of a bioreductively activated agent; and the bond d is syn or anti, or the pharmaceutically acceptable salt or ester thereof.
- X in formula IIIC is oxygen
- R 2 , R 3 , R 4 , and R comprises, independently, independently, hydrogen, methyl, or acetyl
- Z in formula IIIC is fluorine, iodine, bromine, astatine, a hydroxyl group, an alkyl sulfonate, or an aryl sulfonate.
- B in formula IIIC comprises a residue of a quinazoline-1,4 dioxide, benzotriazin-l,4-dioxide, or quinoxaline, or a nitroimidazole, benzamides, acridines, anthracyclins, nitrosoureas, taxanes, semicarbazone, thiosemicarbazone, DNA alkylating agents, propylene amine oxime (PnAO) ligands, diaminodithiol (DADT) ligands, MAG3 ligands, copper and platinum complexes of the semicarbazones and thiosemicarbazones, and the ligands mentioned here.
- n is from 0 to 3.
- the compound has the formula HID:
- X comprises O, S, NR 1 , O ⁇ R 10 , S ⁇ R 10 , N(R 1 ) ⁇ R 10 ,or a phosphorous group, wherein R 1 comprises hydrogen, a substituted or unsubstituted alkyl group, a keto group, or substituted or unsubstituted aryl group, or a ligand for ATTORNEY DOCKET NO.: 24T04.2-130 coordinating an imaging agent, a MRT agent;
- R 10 comprises an imaging agent, CT agent, XRCT agent or MRT agent;
- R 2 , R 3 , R 5 , and R 6 comprises, independently, hydrogen, a substituted or unsubstituted alkyl group, a keto group, a substituted or unsubstituted aryl group, a substituted alkoxy group, a substituted or unsubstituted aryloxy group, or substituted aryl sulphonate;
- U comprises oxygen, sulfur, an imino, or phosphino group
- Z comprises hydrogen, a halide (diagnostic or radiotherapeutic), a hydroxyl group, an aryl sulfonate, a thiol, an alkyl halide, a substituted thiol, an amino group, an azide group, an ester, a fluorescent group, a radionuclide, diagnostic agent, CT agent, XRCT agent, or MRT agent, where Z is directly bonded to carbon a or Z is bonded to carbon a via a linker; n is from 0 to 10;
- B comprises a residue of a bioreductively activated anti-neoplastic agent; and the bond d is syn or anti, or the pharmaceutically acceptable salt or ester thereof.
- X is NR 1 , where R 1 comprises hydrogen, an alkyl group or a substituted alkyl group, a substituted carbonyl group, a substituted thiocarbonyl group, a substituted imino group, or substituted or unsubstituted aryl group, a ligand for coordinating an imaging agent; and R 2 -R 6 comprises, independently, hydrogen or acetyl.
- X is NR 1
- R 1 comprises hydrogen, an alkyl group or a substituted alkyl group, a substituted carbonyl group, a substituted thiocarbonyl group, a substituted imino group, or substituted or unsubstituted aryl group, a ligand for coordinating an imaging agent
- R 2 -R 5 comprises, independently, hydrogen or acetyl
- Z is a halide, a hydroxyl group, or a fluorescent group and n is from 1 to 3.
- B comprises a residue of a nitroimidazole, and bond c is syn or anti.
- the compound is represented by the formulae: ATTORNEY DOCKET NO.: 24T04.2-130
- X comprises O, S, NR 1 , O ⁇ R 10 , S ⁇ R 10 , N(R 1 ) ⁇ R 10 ,or a phosphorous group, wherein R 1 comprises hydrogen, a substituted or unsubstituted alkyl group, an alkoxy group, a substituted carbonyl group, a substituted thiocarbonyl group, a substituted imino group, or substituted or unsubstituted aryl group, or a ligand for coordinating an imaging or therapeutic agent;
- R 10 comprises an imaging agent, CT agent, XRCT agent, or MRT agent;
- L comprises a substituted or unsubstituted an acyclic group, homocarbocyclic group or heterocarbocyclic group
- Y 1 and Y 2 are, independently, hydrogen, a substituted or unsubstituted alkyl group, an alkoxy group, an aryl group, or Y 1 and Y 2 collectively form an oxo group or a substituted or unsubstituted vinyl group; or Y 1 and Y 2 collectively forms a susbstituted or unsubstituted cycloalkyl group;
- D comprises O, S, a substituted or unsubstituted imino group, a substituted or unsubstituted phosphino group, or a substituted or unsubstituted ylide;
- Z comprises hydrogen, a halide, a hydroxyl group, an aryl sulfonate, a thiol, a substituted thiol, an alkyl halide, an amino group, an azide group, an ester, a fluorescent group or a fluorophore, a diagnostic radionuclide, a radiotherapeutic radionuclide, where Z is directly bonded to carbon-a or Z is bonded to carbon-a via a linker; ATTORNEY DOCKET NO.: 24T04.2-130 n is from 0 to 10;
- B comprises a residue of a bioreductively activated agent; bond-b may or may not be present, wherein when bond-b is not present, the stereochemistry at carbon-a is substantially R, substantially S, or racemic, or the pharmaceutically acceptable salt or ester thereof.
- the compound is
- Representative pharmaceutically acceptable bases are ammonium hydroxide, sodium hydroxide, potassium hydroxide, lithium hydroxide, calcium hydroxide, magnesium hydroxide, ferrous hydroxide, zinc hydroxide, copper hydroxide, aluminum hydroxide, ferric hydroxide, isopropylamine, trimethylamine, diethylamine, triethylamine, tripropylamine, ethanolamine, 2- ATTORNEY DOCKET NO.: 24T04.2-130 dimethylaminoethanol, 2-diethylaminoethanol, lysine, arginine, histidine, and the like.
- the pharmaceutically acceptable salts are prepared by treating the free base with an appropriate amount of a pharmaceutically acceptable acid such as, for example, HCl and AcOH.
- the reaction is conducted in water, alone or in combination with an inert, water-miscible organic solvent, at a temperature of from about 0 0 C to about 100 0 C such as at room temperature.
- the molar ratio of compound to base used is chosen to provide the ratio desired for any particular salts.
- the starting material can be treated with approximately one equivalent of pharmaceutically acceptable base to yield a neutral salt.
- Ester derivatives are typically prepared as precursors to the acid form of the compounds-as illustrated in the examples below-and accordingly can serve as prodrugs. Generally, these derivatives will be lower alkyl esters such as methyl, ethyl, and the like.
- Amide derivatives -(CO)NH 2 , -(CO)NHR and -(CO)NR 2 , where R is an alkyl group defined above, can be prepared by reaction of the carboxylic acid-containing compound with ammonia or a substituted amine.
- Methods for producing the compounds having the formula I are provided in the Examples and Figures 2-6.
- the methods involve techniques known in the art. Standard techniques for purifying the compounds can be used and are described in the Examples below.
- the methods described in the Examples and Figures 2-6 provide a convenient approach to producing the compounds having the formula I and precursors thereof in high yields.
- any of the compounds having the formula I can be combined with at least one pharmaceutically-acceptable carrier to produce a pharmaceutical composition.
- the pharmaceutical compositions can be prepared using techniques known in the art.
- the composition is prepared by admixing the compound having the formula I with a pharmaceutically-acceptable carrier.
- admixing is defined as mixing the two components together so that there is no chemical reaction or physical interaction.
- admixing also includes the chemical reaction or physical interaction between the compound having the ATTORNEY DOCKET NO.: 24T04.2-130 formula I and the pharmaceutically-acceptable carrier.
- Pharmaceutically-acceptable carriers are known to those skilled in the art. These most typically would be standard carriers for administration to humans, including solutions such as sterile water, saline, and buffered solutions at physiological pH.
- Molecules intended for pharmaceutical delivery may be formulated in a pharmaceutical composition.
- Pharmaceutical compositions may include carriers, thickeners, diluents, buffers, preservatives, surface active agents and the like in addition to the molecule of choice.
- Pharmaceutical compositions may also include one or more active ingredients such as antimicrobial agents, antiinflammatory agents, anesthetics, and the like.
- the pharmaceutical composition may be administered in a number of ways depending on whether local or systemic treatment is desired, and on the area to be treated. Administration may be topically (including ophthalmically, vaginally, rectally, intranasally).
- Preparations for administration include sterile aqueous or non-aqueous solutions, suspensions, and emulsions.
- non-aqueous carriers include water, alcoholic/aqueous solutions, emulsions or suspensions, including saline and buffered media.
- Parenteral vehicles if needed for collateral use of the disclosed compositions and methods, include sodium chloride solution, Ringer's dextrose, dextrose and sodium chloride, lactated Ringer's, or fixed oils.
- Intravenous vehicles if needed for collateral use of the disclosed compositions and methods, include fluid and nutrient replenishers, electrolyte replenishers (such as those based on Ringer's dextrose), and the like. Preservatives and other additives may also be present such as, for example, antimicrobials, anti-oxidants, chelating agents, and inert gases and the like.
- Formulations for topical administration may include ointments, lotions, creams, gels, drops, suppositories, sprays, liquids and powders.
- Conventional pharmaceutical carriers, aqueous, powder or oily bases, thickeners and the like may be necessary or desirable.
- active compound ATTORNEY DOCKET NO.: 24T04.2-130 in a specified case will vary according to the specific compound being utilized, the particular compositions formulated, the mode of application, the intended use (i.e., therapeutic (RT, MRT) or diagnostic (MRI or PET); etc) and the particular situs and mammal being treated. Dosages for a given host can be determined using conventional considerations, e.g. by customary comparison of the differential activities of the subject compounds and of a known agent, e.g., by means of an appropriate conventional pharmacological protocol. Physicians and formulators, skilled in the art of determining doses of pharmaceutical compounds, will have no problems determining dose according to standard recommendations (Physicians Desk Reference, Barnhart Publishing (1999).
- hypoxic cells are generally more resistant to cell death by radiation as compared to oxic cells.
- Oxic cells possess molecular oxygen that is able to interact with radiation- induced radicals in DNA, leading to irreversible fixation of the damage. Since hypoxic cells do not possess sufficient molecular oxygen levels to compete effectively with reducing species, much of the radiation- induced damage in hypoxic cells is repaired.
- Hypoxic cells are also resistant to a range of chemotherapeutic drugs and imaging agents, which limits the detection and treatment of tumors. Hypoxic cells effectively upregulate transport mechanisms for the compounds described herein. This results in an increase in the concentration and residence time of the anti-neoplastic agent, MRT agent and/or imaging agent in the hypoxic cells.
- the compounds described herein are effective in treating a tumor present in a subject.
- the term "treat” as used herein includes reducing the size of an existing tumor as well as preventing the growth and/or metastasis of an existing tumor.
- a variety of different squamous and non-squamous cancer cells and tissues can be treated with the compounds described herein including, but not limited to, acute lymphocytic leukemia, adult acute myeloid leukemia, adult non-Hodgkin's lymphoma, brain tumors, cervical cancers, childhood cancers, childhood sarcoma, chronic lymphocytic leukemia, chronic myeloid leukemia, esophageal cancer, ATTORNEY DOCKET NO.: 24T04.2-130 hairy cell leukemia, kidney cancer, liver cancer, multiple myeloma, neuroblastoma, oral cancer, pancreatic cancer, primary central nervous system lymphoma, skin cancer, head and neck cancers, and small-cell and non-small-cell lung cancer
- Childhood cancers amenable to compounds and methods described herein include but are not limited to brain stem glioma, cerebellar astrocytoma, cerebral astrocytoma, ependymoma, Ewing's sarcoma and family of tumors, germ cell tumor— extracranial, Hodgkin's disease, ALL, AML, liver cancer, medulloblastoma, neuroblastoma, non-Hodgkin's lymphoma, osteosarcoma, malignant fibrous histiocytoma of bone, retinoblastoma, rhabdomyosarcoma, soft tissue sarcoma, supratentorial primitive neuroectodermal and pineal tumors, unusual childhood cancers, visual pathway and hypothalamic glioma, and Wilms's tumor and other childhood kidney tumors.
- the compounds described herein can be activated to produce radicals once imported via upregulated transporters by the hypoxic cells.
- the anti-neoplastic agent is a nitroimidazole
- radio- or chemosensitization of the nitroimidazole produces radical anions in the cell.
- the radicals can permanently damage DNA present in the hypoxic cells, which can help reduce or prevent tumor growth.
- the cells can be exposed to irradiation by external beam radiotherapy (XRT) to generate radical species within the cell causing its death.
- XRT external beam radiotherapy
- the specific dose and duration of radiation will depend upon the compound chosen, and the species being treated.
- the radiation should be applied at a sufficient wavelength, dose and duration to maximize tumor damage, and, at the same time, to minimize the damage to the bone marrow and blood cells and/or other surrounding normoxic tissues.
- Sources of radiation useful herein include, but are not limited to, ultraviolet, infrared (IR), gamma-irradiation, x-ray and visible light.
- the radiation can be applied from about five minutes to about 48 hours after administering the compound to the subject in one single dose or fractionated doses as used by those experienced in the art.
- one or more quenchers can be administered ATTORNEY DOCKET NO.: 24T04.2-130 before, during or after the administration of the compounds described herein but prior to irradiation.
- Suitable quenchers include, but are not limited to, amifostine, glutathione, trolox, flavonoids, vitamin C, vitamin E, cysteine and ergothioneine and other non-toxic quenchers, and preferably vitamin E.
- the amount of the quencher administered will depend upon the specific quencher(s) chosen and can be determined by one skilled in the art. Administering one or more of the aforementioned quenchers is optional, and is complimentary to administering the compounds described herein.
- the compounds described herein can be co-administered in combination with other anti-cancer and anti-neoplastic agents.
- the dosages of the additional agent are either the standard dosages employed for those agents or are adjusted downward or upward from levels employed when that agent is used alone.
- the administration of a compound described herein permits the physician to treat tumors with existing drugs, but at a lower concentration or dose than is currently used, thus ameliorating the toxic side effects of such drugs, or at a higher concentration, due to the fact that the conjugate is less toxic than its un-conjugated counterpart.
- the compounds described herein can be used to MRT hypoxic tissue.
- the method comprises contacting the hypoxic tissue with a compound described herein, and (2) analyzing the MRT effects of hypoxic tissues.
- the compounds described herein can be labeled with therapeutic radioisotopes, for example but not limited to, 131 I- to deliver the therapeutic doses of radiations to the tumor cells.
- MRT molecular radioisotope therapy
- the radiation should be applied at a sufficient wavelength, dose and duration to maximize tumor damage, and, at the same time, to minimize the damage to the bone marrow and blood cells and/or other surrounding normoxic tissues.
- Sources of radiation useful herein include, but are not limited to, ultraviolet, infrared (IR), gamma-irradiation, x-ray and visible light.
- the radiation can be applied from about five minutes to about 48 hours after administering the compound to the subject in one single dose or fractionated doses as used by those experienced in the art.
- the MRT effects can be analyzed by positron emission tomography, (PET), single photon computer tomography (SPECT), autoradiography, identification of molecular biomarkers, or planar imaging.
- the compounds described herein can be used to image/diagnose hypoxic tissue.
- the method involves
- the compounds described herein can be labeled with an imaging agent that is readily detectable using techniques known in the art.
- an imaging agent that is readily detectable using techniques known in the art.
- PET positron emission tomography
- SPECT single photon emission computed tomography
- MRS nuclear magnetic resonance spectroscopy
- ATTORNEY DOCKET NO.: 24T04.2-130 magnetic resonance imaging (MRI) can also be used to detect the compounds when they are used in therapeutic concentrations.
- the imaging agent when the imaging agent is a fluorescent group, the fluorescent group can be detected by optical imaging, autoradiography, or fluorescence-based histology.
- the diagnostic method includes waiting a period of time such that a substantial amount of the labeled compound has been cleared from the less hypoxic or oxic cells such that a detectable amount of the labeled compound remains within the hypoxic cells.
- One skilled in the art will be capable of determining the appropriate amount of time with observation and as a function of administered dose, patient weight, patient age, patient sex, and suspected hypoxic cell location in the body.
- the amount and location of the hypoxic cells throughout the population of lesser hypoxic or oxic cells is determined by detecting the labeled compound.
- the determination of the extent and location of the compound in the cells provides for or permits the monitoring of regions of hypoxia, which correlates with the presence of a collection of cancerous cells or tumors.
- the compounds described herein may be administered orally, parenterally
- compositions may be in the form of solid, semi-solid or liquid dosage forms, such as, for example, tablets, suppositories, pills, capsules, powders, liquids, suspensions, or the like, preferably in unit dosage form suitable for single administration of a precise dosage.
- the compositions will include, as noted above, ATTORNEY DOCKET NO.: 24T04.2-130 an effective amount of the selected drug in combination with a pharmaceutically acceptable carrier and, in addition, may include other medicinal agents, pharmaceutical agents, carriers, adjuvants, diluents, etc.
- reaction conditions e.g., component concentrations, desired solvents, solvent mixtures, temperatures, pressures and other reaction ranges and conditions that can be used to optimize the product purity and yield obtained from the described process. Only reasonable and routine experimentation will be required to optimize such process conditions.
- the resultant solution was treated with Amberlyst A26 (OH " , 12 g) to adjust the pH of the solution to a value of 8.
- the ion-exchange resin was filtered off and the filtrate was liophilized to provide 3.6 g of a red solid, which was subjected to dry chromatography (Silica Gel for TLC, 5% MeOH - CHCl 3 ⁇ 30% MeOH - CHCl 3 ) to afford 30 as a red solid.
- 2-N-acryloyl-D-glucosamine (1.0 g, 4.29 mmol) was dissolve in 16 mL of pyridine-acetate anhydride (1:1) at 0 0 C, and than, the mixture was stirred under room temperature for 2 days. All solvents were removed in vacuo, the residue was purified by column chromatography on SiO 2 using hexane-ethyl acetate as eluents. Evaporation of the appropriate fraction yielded a white solid (1.6 g, 97%).
- Radiochemistry Procedures include the development of the radiolabeled compounds claimed, for example 3 H-, 14 C, 35 S, radiohalogenated (e.g., 18 F, 123/124/125/131 i but not limited to these radiohalogens), and metal chelated products of the compounds described in the application.
- the radiochemistry process development and isotopic labeling include substitution or exchange -based chemistries using conventional thermal radiolabeling techniques, microwave-assisted radiolabeling techniques, solid phase immobilized precursor-based radiochemistry techniques, and immobilized superparamagnetic precursor based radiochemistry development. These processes and the techniques used for the isotopic radiolabeling are claimed.
- radiolableing processes may vary with the structure of the target compound and the radionuclide to be incorporated in the molecule, and all future variations are also claimed.
- the radiohalogenation of compound 5 has been chosen as an example of radiochemistry development of these classes of compounds, and is described.
- EXAMPLE Radiohalogenation This process is exemplified by the development of F- 18 labeling process to synthesize 18 F-Il, but is not limited to the development of the compounds labeled only with F- 18 radionuclide. The process in its current form or with modified reaction parameters and process may be used to radiohalogenate other compounds described in this application, and is part of the radiochemistry process claims.
- a ATTORNEY DOCKET NO.: 24T04.2-130 typical (unoptimized) radiohalogenation procedure is exemplified below by the description of the synthesis of radiofluorinated 18 F-Il.
- the p ⁇ of the resulting solution was adjusted to 5-7 by using an appropriate buffer, for example citrate or phosphate but not limited to these, the impure 18 F-Il was loaded on a C-18 reverse phase ⁇ PLC column (25 cm X 0.9 cm) and eluted with 8% ethanol in sterile water (mobile phase). The pure product was collected at a retention time of -23 ( ⁇ 5%) min using a flow rate of 1.5 mlVmin. The standard product appeared at the same retention time using the described ⁇ PLC conditions, and was detected by a UV signal at 318 nm. The purity of the radiochemical product was found to be >98%.
- an appropriate buffer for example citrate or phosphate but not limited to these
- the impure 18 F-Il was loaded on a C-18 reverse phase ⁇ PLC column (25 cm X 0.9 cm) and eluted with 8% ethanol in sterile water (mobile phase).
- the pure product was collected at a retention time of -23 ( ⁇ 5%)
- Radiosensitization Studies Procedure Cell radiosensitization was determined using a 60 Co x-ray source together with a clonogenic survival assay (22). Radiosensitization potential of the compounds was studied against ⁇ ela, EMT-6 and M006X cancer cell lines.
- Carcinoma cells 300,000 cells in 3 mL DMEM/F12 medium per T60 petri dish) were individually incubated under 5% CO 2 in air at 37 0 C for 24 h. The dishes were assigned to either the control (normoxic) or hypoxic groups, the test substance (stock solution 10 mM in 95 % ethanol) was added to these groups to achieve a concentration of 100 ⁇ M and the incubation was allowed for 30 min.
- hypoxic group Those in the hypoxic group were de-gassed to hypoxia by 6 consecutive vacuum and nitrogen fill cycles in a vacuum chamber.
- the Petri dishes (hypoxic and normoxic controls) were incubated for 30 min on an oscillating shaker at R/T X 60 ATTORNEY DOCKET NO.: 24T04.2-130 cycles per min and then irradiated in a 60 Co ⁇ -irradiator at 0 (control), 4, 8, 12, 16 and 20 Gy in N 2 (hypoxic sub-group) and air chambers (normoxic sub-group).
- the cells were then recovered from each dish by two consecutive washes with PBS followed by the addition of trypsin (500 ⁇ L) and quenching with fresh medium (4.5 mL).
- Cells were trypsinized, centrifuged, and suspended in growth medium and the cell counts were readjusted to 8 x 10 3 cells/mL.
- the cells were seeded into 96- well plates at a count of 8xlO 2 cells/well and incubated in 37 0 C, 5%CU 2 for 24hours.
- the test compounds (stock solution 2 mM in 95 % ethanol) were added to the growth medium and exposed to the cells in 96-well plates at a final volume of 300 ⁇ L to produce the required dilution of the experimental design. Control wells were filled with 100 ⁇ L of medium. These plate groups were incubated for 3 days at 37 0 C in a humidified atmosphere containing 95% air and 5% CO 2 .
- test compounds to GLUT 1 and GLUT 2 transporters was measured by monitoring the abilities of test compounds to drive sugars across the membrane, potentially against its concentration gradient.
- plasmids containing each of the wild type GLUT isoform were linearized with Nhe I and transcribed in vitro with T7 polymerase mMESSAGE mMACHINETM (Ambion).
- T7 polymerase mMESSAGE mMACHINETM Ambion
- Adult female Xenopus laevis oocytes were injected with 10-50 nL ( ⁇ 20ng) GLUTl synthetic mRNA transcript and incubated for 3 - 5 days at 16-18 0 C prior to functional uptake assays.
- the concentration of RNA was determined using Bio- Rad SmartSpecTM3000machine.
- the influx experiments were performed at 20 0 C using 10-12 oocytes for each condition and 14 C labelled hexose at a specific activity of 4 ⁇ Ci/mL.
- Oocytes were washed with ice cold MBM to stop the incubation and then individual oocytes were placed in vials and dissolved in 0.5 mL 5% SDS for 30 min. Finally, scintillation fluid (5 mL) was added to each vial and radio activity measured using a Beckman LS6500 liquid scintillation counter. In all experiments the results were compared to the influx values obtained with water-injected oocytes as a control.
- a sterile saline solution of compound 11 (GAZ-F) was injected in increasing experimental doses (75 mg/kg, 150 mg/kg, 300 mg/kg and 900 mg/kg) in Balb/c mice (5 per group) intraperitoneally in order to determine the MTD of ATTORNEY DOCKET NO.: 24T04.2-130 compound 11, and the animals were evaluated for manifestations of acute toxicity using the M 102 Acute Toxicity Study Criteria outlined by Stanford Research Institute. The animals were weighed weekly and observed for clinical signs of toxicity and death for 2 weeks after the treatment. Tissue necropsy was performed at the end of the study and the data were recorded. MTD for the compound 11 was found to be >900 mg/kg in this experimental model.
Landscapes
- Health & Medical Sciences (AREA)
- Chemical & Material Sciences (AREA)
- Life Sciences & Earth Sciences (AREA)
- General Health & Medical Sciences (AREA)
- Organic Chemistry (AREA)
- Veterinary Medicine (AREA)
- Public Health (AREA)
- Animal Behavior & Ethology (AREA)
- Epidemiology (AREA)
- Pharmacology & Pharmacy (AREA)
- Medicinal Chemistry (AREA)
- Engineering & Computer Science (AREA)
- Molecular Biology (AREA)
- Biochemistry (AREA)
- Biotechnology (AREA)
- Proteomics, Peptides & Aminoacids (AREA)
- Genetics & Genomics (AREA)
- Physics & Mathematics (AREA)
- Optics & Photonics (AREA)
- Crystallography & Structural Chemistry (AREA)
- Bioinformatics & Cheminformatics (AREA)
- Chemical Kinetics & Catalysis (AREA)
- General Chemical & Material Sciences (AREA)
- Nuclear Medicine, Radiotherapy & Molecular Imaging (AREA)
- Medicines Containing Antibodies Or Antigens For Use As Internal Diagnostic Agents (AREA)
- Pharmaceuticals Containing Other Organic And Inorganic Compounds (AREA)
Abstract
Conjugate compounds comprising saccharides coupled to bioreductively activated drugs that permeate cell membranes via specific hypoxia- upregulated transporters in hypoxic cells and retain cytotoxic and rediosensitizmg activities. They are expected to be bioreductively activated intracellularly, and bind selectively to subcellular macromolecules. The compounds have numerous applications in diagnostic imaging and the therapeutic management of hypoxic cells and tissues, (e.g. cancer). Formula (13) and Formula (31).
Description
ATTORNEY DOCKET NO.: 24T04.2-130
COMPOUNDS USEFUL IN DELIVERING ANTI NEOPLASTIC
THERAPY AND DIAGNOSTIC IMAGING TO HYPOXIC CELLS AND
METHODS OF USE THEREOF
CROSS REFERENCE TO RELATED APPLICATION
This application claims priority upon U.S. provisional application Serial No. 61/139,669, filed December 22, 2008. This application is hereby incorporated by reference in its entirety for all of its teachings.
BACKGROUND Decreased oxygen levels in tumor cells increases their resistance to the damaging effects of ionizing radiations (Tomlinson R. H. et al, Br J Cancer 9:539 (1955)), an effect thought to greatly reduce the efficacy of conventional low linear energy transfer (low LET) radiation (e.g. X-ray) therapies (Brown J. M., Cancer Res 59:5863 (1999)). Radiosensitizers such as 2-nitroimidaoles (azomycins), quinoxaline 1,4-dioxides and triazine 1,4-dioxides are highly diffusible radiosensitizers that permeate hypoxic tissues, where they are bioreductively activated by single electron transfer and subsequently selectively bound within viable hypoxic cells. The reversibility of this single electron reduction in the presence of oxygen limits binding and toxicity to cells that are pathologically hypoxic (Bigalow, J. E. et al, Biochem Pharmacol 35:77 (1986)).
This oxygen-dependent selectivity forms the basis for non- invasive (i.e., imaging) diagnosis of hypoxic tissue with radiolabeled radiosensitizers such as nitroimidazoles (Chapman J. D. et al, Cancer 43:456 (1981); Adams, G. E., Radiat Res 67:9 (1976)). Nitroimidazole radiosensitizers are also used to overcome the "oxygen effect" through an oxygen mimicking process that results in radiosensitization through selective bioactivation and consequent binding (adduct formation) to hypoxic tissue components (Adams G. E. et al, Int J Radiat Biol 15:457 (1969)). In this process, the first-electron reduction is reversible in the presence of oxygen. Therefore, the ultimate degree of binding is dependent on the
ATTORNEY DOCKET NO.: 24T04.2-130 low concentrations of oxygen. Reducing equivalents (electrons) for this process are metabolically-derived (Bigalow J. E. et al, Biochem Pharmacol 35:77 (1986)), and therefore the adduct-based accumulation of azomycins is restricted to viable tissue that is (^-deficient, with no accumulation in necrotic cells and little accumulation and low toxicity in most normally-oxygenated cells.
Hypoxic tissue is also ischemic. It is therefore equally important that the diagnostic/therapeutic agent is a facile tissue permeant, meaning that the molecules must be moderately lipophilic to diffuse across cell membranes. (Brown J. M. et al, Radiat Res 82:171 (1980)). However, if lipophilicity is too high, they will dissolve in lipoidal structures and also exhibit toxicities (e.g. neuropathies); if they are too hydrophilic, they tend to be cleared very rapidly via the kidney, severely reducing the amount of drug available for bioreductive activation and hypoxia- dependent binding.
Thus, it would be desirable to have diagnostic/chemotherapeutic/radiochemotherapeutic agents that are transported into hypoxic cells via cellular mechanisms that are upregulated in response to hypoxia. Upregulation of transporter proteins will assist permeation of the diagnostic/chemotherapeutic/radiochemotherapeutic agents into hypoxic cells where they will be bioactively reduced and ultimately bound to hypoxic tissue macromolecules. This will result in increased concentration and residence time of these diagnostic/therapeutic agents in the hypoxic cells which would be particularly useful in cancer therapy and imaging hypoxic cells and tissues. The compounds and methods described herein possess described features and address the needs. SUMMARY
Described herein are compounds that actively permeate cell membranes via specific hypoxia-upregulated transporters in hypoxic cells, get bioactively reduced intracellularly, and bind selectively to subcellular macromolecules. Chemically, these compounds are saccharides coupled to bioreductively activated drugs. The
ATTORNEY DOCKET NO.: 24T04.2-130 compounds have numerous applications in diagnostic imaging and the therapeutic management of hypoxic cells and tissues (e.g., cancer). The advantages described below will be realized and attained by means of the elements and combinations particularly pointed out in the appended claims. It is to be understood that both the foregoing general description and the following detailed description are exemplary and explanatory only and are not restrictive.
BRIEF DESCRIPTION OF THE DRAWINGS
The accompanying drawings, which are incorporated in and constitute a part of this specification and the claims, illustrate several aspects described below. Abbreviations: GAZ-OH, Compound 8; GAZ-F, Compound 11; GAZ-V, Compound 13; IAZA, l-α-D-(5-deoxy-5-iodoarabinofuranosyl)-2-nitroimidazole. Figure 1 shows the structures of exemplary compounds of the invention. Figure 2 shows the syntheses of (3R,4S,5R,6R)-6-((3-(2-mtio-lH- imidazol-l-yl)-2-(4-nitrophenylsulfonyloxy)propoxy)methyl)tetrahydro- 2H-pyran-2,3,4,5-tetrayl tetraacetate (5) and related precursors.
Figure 3 shows the syntheses of (3RAS,5S,6R)-6-((2-hydmxy-3-(2- nitro-lH-imidazol-l-yl)propoxy)methyl) tetrahydro-2H-pyran-2,3,4,5- tetraol (8) and (3#,4S,5S,6#)-6-((2-fluoro-3-(2-nitro-lH-imidazol-l- yl)propoxy)methyl)tetrahydro-2H-pyran-2,3,4,5-tetraol (11).
Figure 4 shows the synthesis of (3/?,45,55,6/?)-6-(((£T)-3-(2-nitro- lH-imidazol- 1 -yl)allyloxy) methyl)tetrahydro-2H-pyran-2,3 ,4,5-tetraol (13).
Figure 5A shows the syntheses of 3-(2-hydroxy-3- (((2tf,3S,4S,5tf,6S)-3,4,5-trihydroxy-6-methoxytetrahydro-2H-pyran-2- yl)methoxy)propylamino)benzo[e][l,2,4]triazine 1,4-dioxide (29) and 3-(2- hydroxy-3-(((2tf,3S,4S,5tf)-3,4,5,6-tetrahydroxytetrahydro-2H-pyran-2- yl)methoxy)propylamino)benzo[e][l,2,4]triazine 1,4-dioxide (30).
Figure 5B shows the structure of 3-(3-(((3S,4S,5R,6R)-2-((3R,4S,5S,6R)-6- ((3-(l,4-dioxidobenzo[e][l,2,4]triazin-3-ylamino)-2-hydroxypropoxy)methyl)-
3,4,5-trihydroxytetrahydro-2H-pyran-2-yloxy)-4,5,6-trihydroxytetrahydro-2H-
ATTORNEY DOCKET NO.: 24T04.2-130 pyran-3-yl)methoxy)-2- hydroxypropylamino)benzo[e](l ,2,4)triazine 1 ,4-dioxide (31).
Figures 6 shows the synthesis of benzo[e]l,2,4-triazine-3-chloro-l-oxide (27). Figure 7 shows the syntheses of 3-(2-hydroxy-2-(2-nitro-lH- imidazol-l-yl)ethylamino)-6-hydroxymethyl)tetrahydro-2H-pyran-2,4,5- triol ( 47) and 3-(2-fluoro-2-(2-nitro-lH-imidazol-l-yl)ethylamino)-6- hydroxymethyl)tetrahydro-2H-pyran-2,4,5-triol (50) and related precursors. The synthesis of compound 50 is being materialized. Figure 8 shows the radiosensitization of HeIa (A), EMT-6 (B) and
M006 (C) carcinoma cell lines by compound 11 (0.5 mM concentration).
Figure 9a, 9b and 9c show the radiosensitization of EMT-6, HeLa and M006 carcinoma cell lines, respectively by compound 13 (1.0 mM concentration) . Figures 10-12 show the MTT cytotoxicity assays with compounds
11, 8, and IAZA, respectively.
Figure 13 shows selected examples of the structures of several metal chelating agents coordinated to ligands that can be incorporated into the compounds of the invention. Figures 14-16 show the inhibition of transport (GLUT-I and
GLUT-2) of C- 14 labeled hexose by several compounds of the invention.
DETAILED DESCRIPTION
Before the present compounds, compositions, and methods are disclosed and described, it is to be understood that the aspects described below are not limited to specific compounds, synthetic methods, or uses as such may, of course, vary. It is also to be understood that the terminology used herein is for the purpose of describing particular aspects only and is not intended to be limiting.
In this specification and in the claims that follow, reference will be made to a number of terms that shall be defined to have the following meanings:
ATTORNEY DOCKET NO.: 24T04.2-130
It must be noted that, as used in the specification and the appended claims, the singular forms "a," "an" and "the" include plural referents unless the context clearly dictates otherwise. Thus, for example, reference to "a pharmaceutical carrier" includes mixtures of two or more such carriers, and the like. "Optional" or "optionally" means that the subsequently described event or circumstance can or cannot occur, and that the description includes instances where the event or circumstance occurs and instances where it does not. For example, the phrase "optionally substituted lower alkyl" means that the lower alkyl group can or can not be substituted and that the description includes both unsubstituted lower alkyl and lower alkyl where there is substitution.
Ranges may be expressed herein as from "about" one particular value, and/or to "about" another particular value. When such a range is expressed, another aspect includes from the one particular value and/or to the other particular value. Similarly, when values are expressed as approximations, by use of the antecedent "about," it will be understood that the particular value forms another aspect. It will be further understood that the endpoints of each of the ranges are significant both in relation to the other endpoint, and independently of the other endpoint.
References in the specification and concluding claims to parts by weight, of a particular element or component in a composition or article, denote the weight relationship between the element or component and any other elements or components in the composition or article for which a part by weight is expressed. Thus, in a compound containing 2 parts by weight of component X and 5 parts by weight component Y, X and Y are present at a weight ratio of 2:5, and are present in such ratio regardless of whether additional components are contained in the compound.
A weight percent of a component, unless specifically stated to the contrary, is based on the total weight of the formulation or composition in which the component is included. Variables such as A, B, a, b, c, d, D, n, R1, R2, R3, R4, R5, R6, R10, L, Q, S,
T, U, X, X1, Y1, Y2, Z and Z1 used throughout the application are the same
ATTORNEY DOCKET NO.: 24T04.2-130 variables as previously defined, unless stated to the contrary.
The term "substantially" with respect to the stereochemistry at carbon-a, and, where applicable, carbon-d refers to greater than 95%, greater than 97%, greater than 98%, greater than 99%, greater than 99.5%, or 100% of one enantiomer with respect to the other enantiomer. The terms "R" and "S" with respect to the stereochemistry at carbon-a are also referred to in the art as "D" and "L," respectively. The term "substantially" as defined above also applies to diastereoisomers, where a compound can be a substantially pure diastereoisomer. The term "alkyl group" as used herein is a branched or unbranched saturated hydrocarbon group of 1 to 25 carbon atoms, such as methyl, ethyl,
H-propyl, isopropyl, H-butyl, isobutyl, /-butyl, pentyl, hexyl, heptyl, octyl, decyl, tetradecyl, hexadecyl, eicosyl, tetracosyl and the like that is directly susbstituted or linked through a homo or hetero 'linker' at the point of substitution. Examples of longer chain alkyl groups include, but are not limited to, an oleate group or a palmitate group. A "lower alkyl" group is an alkyl group containing from one to six carbon atoms. The term 'alkyl group' is not limited only to open-chain alkyl group, it also represents all possible substituted or unsubstituted acyclic/homocarbocyclic and hetero-carbocyclic groups, e.g., cyclopropyl, cyclobutyl, cyclopentyl, cyclohexyl, piperidinyl, oxyranyl groups. The term "substituted alkyl group" as used herein is a branched or unbranched saturated hydrocarbon group of 1 to 25 carbon atoms, such as methyl, ethyl, H-propyl, isopropyl, H-butyl, isobutyl, /-butyl, pentyl, hexyl, heptyl, octyl, decyl, tetradecyl, hexadecyl, eicosyl, tetracosyl and the like, where one of the hydrogen atoms is replaced with a non-carbon based group, or is replaced with a 'linker, L' as described later in this section which may be further substituted with substituted or unsubstituted alkyl or aryl (or other ) groups. Examples of non- carbon based groups include, but are not limited to, hydroxyl, alkoxy, amino, thiol, thioalkyl, halogen, aryl, and the like. Examples of a 'linker' include 1,4-substituted or unsubstituted piperazine, but are not limited to this moiety, and cover all possible acyclic, homocarbocyclic and hetero-carbocyclic linkers.
ATTORNEY DOCKET NO.: 24T04.2-130
The term "cycloalkyl group" as used herein is a non-aromatic carbon-based ring composed of at least three carbon atoms. Examples of cycloalkyl groups include, but are not limited to, cyclopropyl, cyclobutyl, cyclopentyl, cyclohexyl, etc. The term "heterocycloalkyl group" is a cycloalkyl group as defined above where at least one of the carbon atoms of the ring is substituted with a heteroatom such as, but not limited to, nitrogen, oxygen, sulphur, or phosphorus. The cycloalkyl group can be unsubstituted or substituted with groups such as, for example, alkyl, aryl, ester, keto, and the like.
The term "aryl group" as used herein is any carbon-based aromatic group including, but not limited to, benzene, naphthalene, etc. The term "aryl group" also includes "heteroaryl group," which is defined as an aromatic group that has at least one heteroatom incorporated within the ring of the aromatic group. Examples of heteroatoms include, but are not limited to, nitrogen, oxygen, sulfur, and phosphorus. The aryl group can be substituted with one or more groups including, but not limited to, alkyl, alicyclic, alkynyl, alkenyl, aryl, halide, nitro, amino, ester, ketone, aldehyde, hydroxy, carboxylic acid, alkoxy, thiol, or thioalkyl or be unsubstituted. The 'aryl' group can also be linked to the point of substitution through a 'linker' which is defined later in this section.
The term "vinyl group" as used herein is defined as =C(R)(R'), where R and R' are hydrogen. The term "substituted vinyl group" as used herein is defined as =C(R)(R'), where at least one of R and R' is alkyl, homo/heteroalicyclic, alkynyl, alkenyl, aryl, halide, nitro, amino, ester, ketone, aldehyde, hydroxy, carboxylic acid, alkoxy, thiol, or thioalkyl.
The term "halide" as used herein is defined as F, Cl, Br, I, or At. The term "substituted thiol" as used herein is defined as a thiol group (SH) with the hydrogen atom replaced with a substituted or unsubstituted alkyl group, homo/heteroalicyclic group or an aryl group, and the substituted 'alkyl' groups may be linked to sulfur atom or via a linker.
The term "amino group" as used herein is defined as an unsubstituted amino group (-NH2) or a mono- or disubstituted amino group, where the amino group can be substituted with a substituted or unsubstituted alkyl group or an aryl
ATTORNEY DOCKET NO.: 24T04.2-130 group and the substituted 'alkyl' groups may be linked to the nitrogen atom directly or via a linker.
The term "aryl sulfonate" as used herein is defined by the formula
RS(O)2θ-, where R is an aryl or alkyl or substituted alkyl group as defined herein. The term "phosphino" as used herein is represented by =PR, where R is hydrogen or an organic group such as, for example, alkyl, aryl, ester, keto, and the like.
The term "imino" as used herein is represented by =NR, where R is hydrogen or an organic group such as, for example, alkyl, aryl, ester, keto, and the like.
The term "ylide" as used herein is represented by =CRR', where R and R' are, independently, hydrogen or an organic group such as, for example, alkyl, aryl, ester, keto, and the like.
The term "saccharide" as used herein is defined as a polyhydric aliphatic, homocarbocyclic or heterocarbocyclic moiety containing polyhydroxy substitutions. The saccharide may be unsubstituted or substituted. Substituted saccharides may have one or more of the hydroxyl groups replaced with other atoms/groups (e.g., halogen, O-alkoxy/aryloxy, thiol, S-alkyl/arylthiol, amino, or
N-susbstituted alkyl/arylamino). A residue of a chemical species, as used in the specification and concluding claims, refers to the moiety that is the resulting product of the chemical species in a particular reaction scheme or subsequent formulation or chemical product, regardless of whether the moiety is actually obtained from the chemical species.
For example, a monosaccharide that contains at least one -COOH group can be represented by the formula Y-COOH, where Y is the remainder (i.e., residue) of the monosaccharide molecule.
The term 'linker', as used herein and represented by 'L' in the formulae
VII-Xa and XII-XIV, is a substituted or unsubstituted acyclic, homocarbocyclic or heterocarbocyclic moiety such as 1 ,4-piperazines that may be used to link the saccharide with the 'X', and/or to link the 'X' with the side chain 'Q', and/or to link any other 'aryl' or 'alkyl' groups in the formulae with the saccharides or the
ATTORNEY DOCKET NO.: 24T04.2-130 substituents on the side chain 'Q', and/or to link any two carbons in the 'Q' as described in the coming pages of this invention. Examples of a 'linker' include 1,4- substituted or unsubstituted piperazines, but are not limited to this moiety, and cover all possible linkers.
The term 'Q' as used herein is a branched or unbranched functional chain that contains a 'bioreductive arm' and is linked to the saccharide (transporter arm) via 'X' in the saccharide, directly or through a linker, contains multiple functional substituents and the 'therapeutic drug' (e.g., anti-neoplastic drug(s)) and/or the 'diagnostic functionality' (a radionuclide or a ligand containing the radionuclide). In one aspect, Q is represented below in the formulae I, Ia, II, Ha, and is part of the formulae VI-XIV.
IA
II IIA wherein Y1 and Y2 are, independently, hydrogen, a substituted or unsubstituted alkyl group, an alkoxy group, an aryl group, or Y1 and Y2 collectively form an oxo group or a substituted or unsubstituted vinyl group; or Y1 and Y2 collectively forms a susbstituted or unsubstituted cycloalkyl group;
Z comprises hydrogen, a halide, a hydroxyl group, a substituted or unsubstituted alkyl group, an alkyl sulfonate, an aryl sulfonate, a thiol, an alkyl
ATTORNEY DOCKET NO.: 24T04.2-130 halide, a substituted thiol, a carboxy group, a substituted carboxy group, an amino group, an azide group, an ester, a chromophore, a fluorescent group, a radionuclide, diagnostic agent, chemotherapy (CT) agent, radiochemotherapy (XRCT) agent, or molecular radiotherapy (MRT) agent, where Z is directly bonded to carbon-a or Z is bonded to carbon-a via a linker as defined above;
Z1 comprises hydrogen, a halide, a hydroxyl group, an alkyl sulfonate, an aryl sulfonate, a thiol, an alkyl halide, a substituted thiol, a carboxy group, a substituted carboxy group, an amino group, an azide group, an ester, a fluorescent group, a radionuclide, diagnostic agent, CT agent, XRCT agent, or MRT agent, where Z1 is directly bonded to carbon-d as defined above.
D comprises O, S, a substituted or unsubstituted imino group, a substituted or unsubstituted phosphino group, or a substituted or unsubstituted ylide;
T comprises a substituted or unsubstituted cycloalkyl group; n is from 0 to 10; B comprises a residue of a bioreductively activated agent; bond-b may or may not be present, wherein when bond-b is not present, the stereochemistry at carbon-a is substantially R, substantially S, or racemic; bond-c is syn or anti with respect to the saccharide; when b is not present, carbon-d is optionally asymmetric, wherein when carbon-d is asymmetric, the stereochemistry at carbon-d is substantially R, s bstantially S, or racemic.
Described herein are saccharides that are chemically coupled to "bioreductively activated agents" that can be delivered into hypoxic cells that are useful as hypoxia imaging agents, chemo therapeutic agents, and/or radiochemotherapeutic agents. In one aspect, the compounds have the formula III.
A compound comprising the formulae VI-XIV, where A comprises a saccharide coupled to the side chain Q with or without a linker L:
ATTORNEY DOCKET NO.: 24T04.2-130
IX X
or a pharmaceutically acceptable salt or ester thereof. Each component of formula VI-XIV is described in detail below.
In certain aspects, a linker 'L'can be present between A (the saccharide) and Q (e.g., formula VII), between X and the side chain Q (e.g., formula VIII), or between any two carbon atoms in the side chain Q. In another aspect, the compounds have one saccharide A unit with two or more side chain Q attached to the saccharide A directly or via a linker L as represented by the formulae IX and X. The linker L can be located anywhere in the molecule (e.g., between A and X or between X and Q or anywhere in the side chain Q) as shown below.
The order of linkage in two side chains for the formulae IX and X may be same or different, for example Q-X-L-A-L-X-Q or Q-X-L-A-X-L-Q. In another
ATTORNEY DOCKET NO.: 24T04.2-130 aspect, the compounds have two saccharide units linked to each other and the side chain Q' is attached via X, with or without a linker to each saccharide unit. These kinds of compounds represent formulae XI, XII, XIII and are shown above. An example of formula XI is depicted in Figure 5B, where two saccharide units A are joined by a Ci-Ci glycosidic linkage and the C6 positions of both saccharide units are substituted with the side chain 'Q'.
Referring to the formulae above, 'A' is the 'transporter arm' and is a residue of a saccharide that has one of its -OH group replaced with a group 'X' , and the 'X' is bonded to any C-position of the saccharide. The saccharide facilitates the selective transport-assisted uptake of the compounds having the formulae VI-XIV. In addition to imparting selective uptake, the saccharide helps increase the concentration of the compounds in the hypoxic cells. In one aspect, the saccharide can be a monosaccharide. Examples of monosaccharides useful herein include, but are not limited to, ribose, arabinose, deoxyribose, xylose, lyxose, ribulose, xylulose, glucose, galactose, mannose, gulose, idose, talose, allose, altrose, fructose, sorbose, tagatose, psicose, fucose, rhamnose, or carbocyclic or thio- substituted pentoses and hexoses. In another aspect, the saccharide is a disaccharide. Disaccharides are composed of two monosaccharide units bound together by a covalent glycosidic bond. Examples of disaccharides useful herein include, but are not limited to, sucrose, lactose, trehalose, or maltose. In a further aspect, the saccharide includes an oligosaccharide or polysaccharide. Oligosaccharides and polysaccharides are composed of longer chains of monosaccharide units bound together by glycosidic bonds. The distinction between the two is based upon the number of monosaccharide units present in the chain. Oligosaccharides typically contain between two and nine monosaccharide units, and polysaccharides contain ten or more monosaccharide units. Examples of polysaccharides include, but are not limited to, glycogen, starch, cellulose, chitin, amylase, amylopectin, stachyose, inulin, dextrin or cyclodextrin. Polysaccharides also include glycosaminoglycans (GAGs) such as, for example, heparin, chondroitin sulfate, hyaluronan, heparan sulfate, dermatan sulfate, or keratan
ATTORNEY DOCKET NO.: 24T04.2-130 sulfate.
Each 'A' in formulae VI-XIV can be composed of the same or different saccharide units. For example, 'A' in formula VI can be composed of glucose and galactose units. If two or more saccharide units are present in 'A', they can be coupled to one another via a glycosidic linkage at any position in the saccharide. The glycosidic bond between two saccharide residues can be either axial or equatorial.
In certain aspects, saccharide is halogenated. For example, the hydroxyl group at the 2, 3, or 4 position can be substituted with a halide (F, Cl, Br, I). In one aspect, the saccharide is 2-fluorodeoxy glucose, where coupling with additional components can occur at the 6-hydroxyl group.
The group 'X' is part of the saccharide and is located at any carbon of the saccharide skeleton. 'X' normally represents the 'O' in saccharide 'A', but can be replaced with S, C, NR1, or PR1 (a phosphorous group), wherein R1 can be hydrogen, an alkyl group or a substituted alkyl group, a substituted carbonyl group, a substituted thiocarbonyl, a susbstituted imino group, or substituted or unsubstituted aryl group, or a ligand for coordinating an imaging or radiotherapeutic agent. For example, any of the hydroxyl groups present in the saccharide can be substituted with the 'X' group. When 'X' is O', it can be substituted with phosphorous as represented below, and when 'X' is a phosphorous group (phosphine), the phosphorous group can be PR1, where R1 is defined above,
In addition, when X is NR1 or PR1, N and P can be linked to R1 via an acyclic, homocarbocyclic or hetero-carbocyclic linker, e.g. susbstituted piperazines but not limited to piperazines only as described in previous section.
In certain aspects, R1 can be an imaging agent, a therapeutic agent, or a
ATTORNEY DOCKET NO.: 24T04.2-130 ligand for coordinating the imaging agent or therapeutic agent. The term "imaging agent" is defined herein as any agent or compound that increases or enhances the ability of cells or tissue to be imaged or viewed using imaging techniques known in the art when compared to visualizing the cells or tissue without the imaging agent. Imaging agents known in the art can be used herein. In one aspect, the imaging agent comprises a chromophore, fluorophore, a denoptical dye, a MRI contrast agent, a PET probe, a SPECT probe, a CT contrast agent, a radiodiagnostic agent, or an ultrasound contrast agent. In one aspect, imaging agents useful in magnetic resonance imaging include Gd+3, Eu+3, Tm+3, Dy+3, Yb+3, Mn+2, or Fe+3 ions or complexes. In another aspect, imaging agents useful in PET and SPECT imaging include 55Co, 64Cu, 67Cu, 47Sc, 66Ga, 68Ga, 90Y, 97Ru, 99mTc, 111In, 109Pd, 153Sm, 177Lu, 186Re, 188Re. In other aspects, the imaging agent is a radioisotope of a halide including, but not limited to, 18F, 1241, 12 1, 1311, 7 Br, 7 Br, 77Br, 82Br, or 211At. The complexing of the imaging agent to the ligand can be performed using known techniques.
The term "therapeutic agent" is defined herein as any agent or compound that kills tumor cells or reduces and/or prevents the growth of a tumor. Examples of therapeutic agents include, but are not limited to, a chemotherapeutic (CT, e.g., carboplatin, cisplatin), a radiochemotherapeutic (XRCT, e.g. MISO, tirapazamine) agent or a molecular radiotherapy (MRT, e.g., [131I]-IAZA and [131I]-InIBG) agent. In certain aspects, a single compound can act as an imaging agent and a therapeutic agent.
Depending upon the nature of 'X' and the imaging agent, the imaging agent can be covalently or non-covalently attached to 'X'. For example, when 'X' is oxygen, nitrogen, or sulfur, the lone pair electrons can form a dative bond with a radiolabel. This is depicted as O→ R10, S→ R10, N(R:)→ R10, where the arrow indicates the dative bond between O, S, or N and the imaging agent or therapeutic agent R10. In one aspect, an imaging agent is coordinated to the compounds described herein as shown in formula IV and IVa,
ATTORNEY DOCKET NO.: 24T04.2-130
where 'M' is chelating metal (e.g., a radiolabel such as Re, Lu, Tc but not limited to these metals), X = -NR1, O, P or S, and Z = -NH2, -NHR, -OH, -SH, - NH, -NR, -O or -S). In this aspect, when 'X' is O, P or S, a dative bond is formed with M. Alternatively, when 'X' is -NR1, a bond is formed between nitrogen and M. Similarly, with respect to the bond between Z and M, this can be a dative bond (Z = -NH2, -NHR, -OH, -SH) or a covalent bond (Z = -NH, -NR1, -O or -S). 'T' as indicated in the formula IVa and used herein the side chain 'Q' denotes a substituted or unsubstituted acyclic, homocarbocyclic or hetero-carbocyclic moiety e.g, susbstituted or unsubstituted cyclopropyl, cyclobutyl, cyclopentyl, cyclohexyl, piperidinyl, but is not limited to these descriptions in this application. 'Z1 ' represents an H, substituted or unsubstituted alkyl, aryl, -OH, -NH, -NR1, SH, SR1 but is not limited to these moieties. Few examples of chelating metal agents that can be bonded to compounds having the formulae III, IV and IVa are shown in Figure 13.
In other aspects, R1 in formulae VI-XIV can be a ligand for coordinating the imaging agent or therapeutic agent. The ligand is any agent that can form non- covalent bond (e.g., complexation, electrostatic, ionic, dipole-dipole, Lewis acid/base interaction) with the imaging agent or therapeutic agent. Alternatively, the ligand can possess a group that can form a covalent bond with the imaging agent or therapeutic agent. For example, when 'X' is NH, the amino group can react with a carboxylic group on the ligand to produce an amide bond.
A number of different ligands known in the art can be used herein. In one aspect, the ligand comprises an acyclic or cyclic compound comprising at least one
ATTORNEY DOCKET NO.: 24T04.2-130 heteroatom (e.g., oxygen, nitrogen, sulfur, phosphorous) that has lone -pair electrons capable of coordinating with the imaging agent. An example of an acyclic ligand includes ethylenediamine. Examples of cyclic ligands include diethylenetriaminepentaacetate (DTPA) or its derivatives, 1,4,7,10- tetraazadodecanetetraacetate (DOTA) and its derivatives, 1,4,7,10- tetraazadodecane-l,4,7-triacetate (D03A) and its derivatives, ethylenediaminetetraacetate (EDTA) and its derivatives, 1,4,7,10- tetraazacyclotridecanetetraacetic acid (TRITA) and its derivatives, 1,4,8,11- tetraazacyclotetradecane-l,4,8,ll-tetraacetic acid (TETA) and its derivatives, 1,4,7,10-tetraazadodecanetetramethylacetate (DOTMA) and its derivatives,
1,4,7, 10-tetraazadodecane-l,4,7-trimethylacetate (D03MA) and its derivatives, N,N',N",N'"-tetraphosphonatomethyl-l,4,7,10-tetraazacyclododecane (DOTP) and its derivatives, 1 ,4,7, 10-tetraazacyclododecane-l ,4,7, 10-tetrakis(methylene methylphosphonic acid) (DOTMP) and its derivatives, 1,4,7,10- tetraazacyclododecane-l,4,7,10-tetrakis(methylene phenylphosphonic acid) (DOTPP) and its derivatives. The term "derivative" is defined herein as the corresponding salt and ester thereof of the chelating agent. Figure 13 shows exemplary structures of several imaging agents coordinated to ligands that can be incorporated into the compounds described herein. Turning to side-chain 'Q' in formulae VI-XIV, Y1 and Y2 are, independently, hydrogen, a substituted or unsubstituted alkyl group, an alkoxy group, an aryl group, or Y1 and Y2 collectively form an oxo group or a substituted or unsubstituted vinyl group; or Y1 and Y2 collectively forms a susbstituted or unsubstituted cycloalkyl group. In one aspect, Y1 and Y2 each are hydrogen. In another aspect, Y1 and Y2 form a susbstituted or unsubstituted vinyl group or an oxo group. In the case of the substituted vinyl group, one or both vinyl hydrogen atoms can be replaced with an alkyl group, an alkoxy group, or an aryl group. In addition, when Y1 and Y2 form a substituted or unsubstituted vinyl group the vinyl linkage can further be reacted to obtain corresponding susbstituted or unsubstituted 'cycloaddition products', e.g., substituted or unsubstituted cyclopropyl and
ATTORNEY DOCKET NO.: 24T04.2-130 cyclohexyl products, and is extended to unlimited cycloaddition products.
With respect to 'Z' , Z can be hydrogen, a halide, a hydroxyl group, an aryl sulfonate, a thiol, a substituted thiol, an amino group, an azide group, an ester, or a fluorescent group, where Z is directly bonded to carbon-a or Z is bonded to carbon- a via a linker. The group Z can serve numerous roles depending upon the identity of the group. In other aspects, Z can be an imaging agent or therapeutic agent as defined herein. For example, Z can be replaced with a radioisotope of a halide to produce a radiolabeled or radiotherapy (MRT) compound. Examples of such radioisotopes include, but are not limited to, 18F, 1241, 125I, 1311, 75Br, 76Br, 77Br, 82Br, or 211At. In other aspects, Z can include functional groups that can be readily substituted with a radioisotope; for example, when Z is a sulphonyl ester with an electron-withdrawing group (e.g., a nitro group), Z can be replaced with a radiohalogen. Techniques for replacing Z or groups present on Z with radioisotopes are known in the art. In other aspects, Z can be used to attach a ligand as described above for coordinating imaging agents or therapeutic agents.
Z may be directly bonded to carbon-a as shown in formulae I, Ia, II and Ha or, in the alternative, can be indirectly bonded to carbon-a via a linker as defined above. In general, the linker or linking group has functional groups that are capable of forming covalent bonds. For example, when Z is a halide directly bonded to carbon-a, the compound can be reacted with a diol such as ethylene glycol, where the halide is replaced with one of the hydroxyl group. Thus, in one aspect, the linker is ZCH2CH2O-, where Z is a hydroxyl group derived from ethylene glycol. Examples of functional groups on the linker (prior to interaction with other components) include -NH2, -NHNH2, -ONH2, -NH-C(O)NHNH2, -OH,- CO2H, or -SH but can be extended to other possibilities.
With respect to 'Z1 ' in these formulae, Z1 can be hydrogen, a halide, a hydroxyl group, an aryl sulfonate, a thiol, a substituted thiol, an amino group, an azide group, an ester, or a fluorescent group, where Z1 is directly bonded to carbon-d. Further, depending on the chemical nature of Z1, it can have numerous roles. In other aspects, Z1 can be an imaging agent or therapeutic agent as defined
ATTORNEY DOCKET NO.: 24T04.2-130 herein. For example, Z1 can be replaced with a radioisotope of a halide to produce a radiolabeled compound for imaging and MRT. Examples of such radioisotopes include, but are not limited to, 18F, 1241, 1251, 1311, 75Br, 76Br, 77Br, 82Br, or 211At. In other aspects, Z1 can include functional groups that can be readily substituted with a radioisotope; for example, when Z1 is a sulphonyl ester with an electron- withdrawing group (e.g., a nitro group), Z1 can be replaced with a radiohalogen. Techniques for replacing Z1 or groups present on Z1 with radioisotopes are known in the art. In other aspects, Z1 can also be used to attach a ligand as described above for coordinating imaging agents to compounds as shown in the formulae Ia and Ha.
Z1 is directly bonded to carbon-d as shown in the formulae I, Ia, Ha, and Ha but, in the alternative, can be extended via coupling to a linker as defined herein. In general, the linker or linking group has functional groups that are capable of forming covalent bonds. For example, when Z1 is a halide directly bonded to carbon-d, the compound can be reacted with a diol such as ethylene glycol, where the halide is replaced with one of the hydroxyl group. Thus, in one aspect, the linker can be Z1CH2CH2O-, where Z1 is a hydroxyl group derived from ethylene glycol. Examples of functional groups on the linker (prior to interaction with other components) include -NH2, -NHNH2, -ONH2, -NHC(O)NHNH2, -OH5-CO2H, or - SH but can be extended to other possibilities.
Bond-b (i.e., —dashed line) may be present formulae I and Ia. When bond- b is present, a carbon-carbon double bond is present. In the case when bond-b is not present, a potential stereocenter is present at carbon-a. The stereochemistry at carbon-a can be substantially R, substantially S, or racemic, depending upon the reaction sequence and when bond-b is present, the E or Z stereoisomers or a mixture in any proportion may be present. In both cases, purification techniques can be used to separate the desired stereomer(s). In one aspect, bond-b is present, and n is from 0 to 10, 0 to 8, 0 to 6, 1 to 5, or 1 to 3. In other aspects, bond-b is not present, and n is from 0 to 10, 0 to 8, 0 to 6, 1 to 5, or 1 to 3. Referring to formulae VI-XIV, 'B' represents a bioreductively activated
ATTORNEY DOCKET NO.: 24T04.2-130 agent that can participate in bioreductive activation and covalent binding of the compound to macromolecules in hypoxic cells, which leads to selective diagnostic/chemotherapeutic/radiochemotherapeutic/radiotherapy actions in hypoxic region e.g., imaging/chemo/radiosensitization/radiotherapy using an anti- neoplastic agent. For example, the agent 'B' is a compound capable of undergoing reduction selectively in the hypoxic cell, which ultimately produces reductively activated species that can cleave or complex with DNA present in the hypoxic cell. As will be described below, reduction can be induced by irradiating the compound within the hypoxic cells. Examples of bioreductively activated agents that can be used herein include, but are not limited to, chemotherapeutic agents, radioisotopic agents, radiochemotherapeutic (MRT), RT, and chelating agents that, in some embodiments, carry a radioisotope or other metal agent or, in other embodiments, bind to an essential metal ion in the cancer cell. Examples of radionuclides useful as anti-neoplastic agents include, but are not limited to, Ytrium-90, Iodine-125, Iodine-131, and Phosphorous-32. In other aspects, the radionuclide can include iodoaryl groups bearing an Iodine-131. Other preferred anti-neoplastic agents include hydroxyurea and other ribonucleotide reductase inhibitors based on iron chelation such as Triapine (3-aminopyridine-2-carboxaldehyde thiosemicarabazone) and 5-HP (5-hydroxypyridine-2-carboxaldehyde thiosemicarbazone) .
In other aspects, the bioreductively activated agent is a substituted or unsubstituted heterocyclic nucleus with optimal reduction potential necessary for bioreductive activation in hypoxic microenvironment e.g, optimally substituted or unsubstituted nitroimidazoles which not wishing to be bound by theory, radio- or chemosensitizing a nitroimidazole produces radical anions in the hypoxic cell, or an anti-neoplastic drug e.g., substituted or unsubstituted benzamides, acridines, anthracyclins, nitrosoureas, taxanes, semicarbazone, thiosemicarbazone, DNA alkylating agents, propylene amine oxime (PnAO) ligands, diaminodithiol (DADT) ligands, MAG3 ligands, copper and platinum complexes of the
ATTORNEY DOCKET NO.: 24T04.2-130 semicarbazones and thiosemicarbazones, and the ligands mentioned here; benzotriazine 1,4-dioxides such as tirapazamine or quinazolin 1,4-dioxides. Benzotriazine 1,4-dioxides and quinoxaline 1,4-dioxides can produce neutral radicals that can also react with DNA present in the hypoxic cells.
In one aspect, the compounds described herein have the formulae V and Va:
In this aspect, the chelating metal M is a radiotherapeutic agent (e.g., a radiolabel such as Re, Lu) bonded to the molecule via X1 and Z or a diagnostic agent (e.g., Tc). Depending upon the natures of Z and X1, a component of anti-neoplastic agent B or the side chain 'Q', the chelating metal M can be covalently or non-covalently attached to X1 and/or Z. For example, when X1 = -NB or -NR1B, the lone pair electrons can form a dative bond with M as described above. Few examples of chelating metal agent M, but not limited to these examples, that can be bonded to compounds having the formulae V and Va are shown in Figure 13.
In one aspect, the compounds have the formula IIIA:
X comprises O, S, NR1, O→R10, S→R10, N(R1) →R10,or a phosphorous group, wherein R1 comprises hydrogen, a substituted or unsubstituted alkyl group, a keto group, or substituted or unsubstituted aryl group, or a ligand for coordinating an imaging agent, a chemotherapeutic (CT), a radiochemo therapeutic (XRCT) agent, or a molecular radiotherapy (MRT) agent;
R2-R5 (or R6 depending on the location of side chain 'Q' as in example VI) comprises, independently, hydrogen, a substituted or unsubstituted alkyl group, a keto group, a substituted or unsubstituted aryl group, a substituted alkoxy group, a substituted or unsubstituted aryloxy group, or substituted aryl sulphonate; U comprises oxygen, sulfur, an imino, or phosphino group;
Z comprises hydrogen, a halide, a hydroxyl group, an alkyl sulfonate, an aryl sulfonate, a thiol, an alkyl halide, a substituted thiol, a substituted or unsubstituted carboxy group, an amino group, an azide group, an ester, a fluorescent group, a radionuclide, diagnostic agent, CT agent, XRCT agent, or MRT agent, where Z is directly bonded to carbon a or Z is bonded to carbon a via a linker; n is from 0 to 10;
B comprises a residue of a bioreductively activated agent e.g., an antineoplastic agent; or the pharmaceutically acceptable salt or ester thereof.
In one aspect, the compound has the formula IIIB :
ATTORNEY DOCKET NO.: 24T04.2-130
X comprises O, S, NR1, O→R10, S→R10, N(R1) →R10,or a phosphorous group, wherein R1 comprises hydrogen, a substituted or unsubstituted alkyl group, a keto group, or substituted or unsubstituted aryl group, or a ligand for coordinating an imaging agent, a chemotherapeutic (CT), a radiochemotherapeutic (XRCT) agent, or a molecular radiotherapy (MRT) agent;
R10 comprises an imaging agent, CT, XRCT or a MRT agent;
R2, R4, R , and R comprises, independently, hydrogen, a substituted or unsubstituted alkyl group, a keto group, a substituted or unsubstituted aryl group, a substituted alkoxy group, a substituted or unsubstituted aryloxy group, or substituted aryl sulphonate;
U comprises oxygen, sulfur, an imino, or phosphino group;
Z comprises hydrogen, a halide, a hydroxyl group, an alkyl sulfonate, an aryl sulfonate, a thiol, an alkyl halide, a substituted thiol, a substituted or unsubstituted carboxy group, an amino group, an azide group, an ester, a fluorescent group, a radionuclide, diagnostic agent, CT agent, XRCT agent, or MRT agent, where Z is directly bonded to carbon a or Z is bonded to carbon a via a linker; n is from 0 to 10;
B comprises a residue of a bioreductively activated anti-neoplastic agent; and
99
ATTORNEY DOCKET NO.: 24T04.2-130 the bond d is syn or anti, or the pharmaceutically acceptable salt or ester thereof.
In one aspect, R2-R5 in formula IIIB comprises, independently, hydrogen, acetyl, or benzoyl. In another aspect, Z in formula IIIB is a halide or a hydroxyl group and n is from 1 to 3. In a further aspect, B in formula IIIB comprises a nitroimidazole.
In another aspect, the compound has the formula IIIC:
wherein X comprises O, S, NR1, O→R10, S→R10, N(R1) →R10,or a phosphorous group, wherein R1 comprises hydrogen, a substituted or unsubstituted alkyl group, a substituted carbonyl group, a substituted thiocarbonyl group, a substituted imino group, or substituted or unsubstituted aryl group, or a ligand for coordinating an imaging agent;
R10 comprises an imaging agent; R2, R3, R4, and R comprises, independently, hydrogen, a substituted or unsubstituted alkyl group, a keto group, a substituted or unsubstituted aryl group, a substituted alkoxy group, a substituted or unsubstituted aryloxy group, or substituted aryl sulphonate;
Z comprises hydrogen, a halide (diagnostic or radio therapeutic), a hydroxyl group, an aryl sulfonate, a thiol, an alkyl halide, a substituted thiol, a substituted or unsubstituted carboxy group, an amino group, an azide group, an ester, a fluorescent group, a radionuclide, diagnostic agent, CT agent, XRCT agent, or MRT agent, where Z is directly bonded to carbon a or Z is bonded to carbon a via a
ATTORNEY DOCKET NO.: 24T04.2-130 linker; n is from 0 to 10; bond b may or may not be present;
B comprises a residue of a bioreductively activated agent; and the bond d is syn or anti, or the pharmaceutically acceptable salt or ester thereof.
In one aspect, X in formula IIIC is oxygen, and R2, R3, R4, and R comprises, independently, independently, hydrogen, methyl, or acetyl. In another aspect, Z in formula IIIC is fluorine, iodine, bromine, astatine, a hydroxyl group, an alkyl sulfonate, or an aryl sulfonate. In one aspect, B in formula IIIC comprises a residue of a quinazoline-1,4 dioxide, benzotriazin-l,4-dioxide, or quinoxaline, or a nitroimidazole, benzamides, acridines, anthracyclins, nitrosoureas, taxanes, semicarbazone, thiosemicarbazone, DNA alkylating agents, propylene amine oxime (PnAO) ligands, diaminodithiol (DADT) ligands, MAG3 ligands, copper and platinum complexes of the semicarbazones and thiosemicarbazones, and the ligands mentioned here. In a further aspect, n is from 0 to 3.
In another aspect, the compound has the formula HID:
wherein X comprises O, S, NR1, O→R10, S→R10, N(R1) →R10,or a phosphorous group, wherein R1 comprises hydrogen, a substituted or unsubstituted alkyl group, a keto group, or substituted or unsubstituted aryl group, or a ligand for
ATTORNEY DOCKET NO.: 24T04.2-130 coordinating an imaging agent, a MRT agent;
R10 comprises an imaging agent, CT agent, XRCT agent or MRT agent;
R2, R3, R5, and R6 comprises, independently, hydrogen, a substituted or unsubstituted alkyl group, a keto group, a substituted or unsubstituted aryl group, a substituted alkoxy group, a substituted or unsubstituted aryloxy group, or substituted aryl sulphonate;
U comprises oxygen, sulfur, an imino, or phosphino group;
Z comprises hydrogen, a halide (diagnostic or radiotherapeutic), a hydroxyl group, an aryl sulfonate, a thiol, an alkyl halide, a substituted thiol, an amino group, an azide group, an ester, a fluorescent group, a radionuclide, diagnostic agent, CT agent, XRCT agent, or MRT agent, where Z is directly bonded to carbon a or Z is bonded to carbon a via a linker; n is from 0 to 10;
B comprises a residue of a bioreductively activated anti-neoplastic agent; and the bond d is syn or anti, or the pharmaceutically acceptable salt or ester thereof.
In one aspect, with respect to formula IIIA-IIID, X is NR1, where R1 comprises hydrogen, an alkyl group or a substituted alkyl group, a substituted carbonyl group, a substituted thiocarbonyl group, a substituted imino group, or substituted or unsubstituted aryl group, a ligand for coordinating an imaging agent; and R2-R6 comprises, independently, hydrogen or acetyl. In other aspects, X is NR1, R1 comprises hydrogen, an alkyl group or a substituted alkyl group, a substituted carbonyl group, a substituted thiocarbonyl group, a substituted imino group, or substituted or unsubstituted aryl group, a ligand for coordinating an imaging agent; R2-R5 comprises, independently, hydrogen or acetyl; Z is a halide, a hydroxyl group, or a fluorescent group and n is from 1 to 3. In a further aspect, B comprises a residue of a nitroimidazole, and bond c is syn or anti.
In one aspect, the compound is represented by the formulae:
ATTORNEY DOCKET NO.: 24T04.2-130
wherein X comprises O, S, NR1, O→R10, S→R10, N(R1) →R10,or a phosphorous group, wherein R1 comprises hydrogen, a substituted or unsubstituted alkyl group, an alkoxy group, a substituted carbonyl group, a substituted thiocarbonyl group, a substituted imino group, or substituted or unsubstituted aryl group, or a ligand for coordinating an imaging or therapeutic agent;
R10 comprises an imaging agent, CT agent, XRCT agent, or MRT agent;
L comprises a substituted or unsubstituted an acyclic group, homocarbocyclic group or heterocarbocyclic group; Y1 and Y2 are, independently, hydrogen, a substituted or unsubstituted alkyl group, an alkoxy group, an aryl group, or Y1 and Y2 collectively form an oxo group or a substituted or unsubstituted vinyl group; or Y1 and Y2 collectively forms a susbstituted or unsubstituted cycloalkyl group;
D comprises O, S, a substituted or unsubstituted imino group, a substituted or unsubstituted phosphino group, or a substituted or unsubstituted ylide;
Z comprises hydrogen, a halide, a hydroxyl group, an aryl sulfonate, a thiol, a substituted thiol, an alkyl halide, an amino group, an azide group, an ester, a fluorescent group or a fluorophore, a diagnostic radionuclide, a radiotherapeutic radionuclide, where Z is directly bonded to carbon-a or Z is bonded to carbon-a via a linker;
ATTORNEY DOCKET NO.: 24T04.2-130 n is from 0 to 10;
B comprises a residue of a bioreductively activated agent; bond-b may or may not be present, wherein when bond-b is not present, the stereochemistry at carbon-a is substantially R, substantially S, or racemic, or the pharmaceutically acceptable salt or ester thereof. In another aspect, the compound is
(3R,4S,5R,6Λ)-6-((3-(2-nitro-lH-imidazol-l-yl)-2-(4- nitrophenylsulfonyloxy)propoxy) methyl)tetrahydro-2H-pyran-2,3,4,5-tetrayl tetraacetate (5); 3#,4S,5S,6#)-6-((2-hydroxy-3-(2-mtro-lH4midazol-l-yl)propoxy) methyl) tetrahydro-2H-pyran-2,3,4,5-tetraol (8);
(3JR,45',55',6JR)-6-((2-fluoro-3-(2-nitro-lH-imidazol-l-yl)propoxy)methyl) tetrahydro-2H-pyran-2,3,4,5-tetraol (ll);
(3R,4S,5S,6R)-6-(((£)-3-(2-nitro-lH-imidazol-l- yl)allyloxy)methyl)tetrahydro-2H-pyran-2,3,4,5-tetraol (13);
3-(2-Ηydroxy-3-(((2#,3S,4S,5#,6S)-3,4,5-trihydroxy-6-methoxytetrahydro- 2H-pyran-2-yl)methoxy)propylamino)benzo[e][l,2,4]triazine 1,4-dioxide (29); or
3-(2-Ηydroxy-3-(((2#,3S,4S,5#)-3,4,5,6-tetrahydroxytetrahydro-2H-pyran- 2-yl)methoxy)propylamino)benzo[e][l,2,4]triazine 1,4-dioxide (30). Any of the compounds described herein can be the pharmaceutically acceptable salt or ester thereof. Pharmaceutically acceptable salts are prepared by treating the free acid with an appropriate amount of a pharmaceutically acceptable base. Representative pharmaceutically acceptable bases are ammonium hydroxide, sodium hydroxide, potassium hydroxide, lithium hydroxide, calcium hydroxide, magnesium hydroxide, ferrous hydroxide, zinc hydroxide, copper hydroxide, aluminum hydroxide, ferric hydroxide, isopropylamine, trimethylamine, diethylamine, triethylamine, tripropylamine, ethanolamine, 2-
ATTORNEY DOCKET NO.: 24T04.2-130 dimethylaminoethanol, 2-diethylaminoethanol, lysine, arginine, histidine, and the like. In other aspects, the pharmaceutically acceptable salts are prepared by treating the free base with an appropriate amount of a pharmaceutically acceptable acid such as, for example, HCl and AcOH. In one aspect, the reaction is conducted in water, alone or in combination with an inert, water-miscible organic solvent, at a temperature of from about 0 0C to about 100 0C such as at room temperature. The molar ratio of compound to base used is chosen to provide the ratio desired for any particular salts. For preparing, for example, the ammonium salts of the free acid starting material, the starting material can be treated with approximately one equivalent of pharmaceutically acceptable base to yield a neutral salt.
Ester derivatives are typically prepared as precursors to the acid form of the compounds-as illustrated in the examples below-and accordingly can serve as prodrugs. Generally, these derivatives will be lower alkyl esters such as methyl, ethyl, and the like. Amide derivatives -(CO)NH2, -(CO)NHR and -(CO)NR2, where R is an alkyl group defined above, can be prepared by reaction of the carboxylic acid-containing compound with ammonia or a substituted amine.
Methods for producing the compounds having the formula I are provided in the Examples and Figures 2-6. The methods involve techniques known in the art. Standard techniques for purifying the compounds can be used and are described in the Examples below. The methods described in the Examples and Figures 2-6 provide a convenient approach to producing the compounds having the formula I and precursors thereof in high yields.
In one aspect, any of the compounds having the formula I can be combined with at least one pharmaceutically-acceptable carrier to produce a pharmaceutical composition. The pharmaceutical compositions can be prepared using techniques known in the art. In one aspect, the composition is prepared by admixing the compound having the formula I with a pharmaceutically-acceptable carrier. The term "admixing" is defined as mixing the two components together so that there is no chemical reaction or physical interaction. The term "admixing" also includes the chemical reaction or physical interaction between the compound having the
ATTORNEY DOCKET NO.: 24T04.2-130 formula I and the pharmaceutically-acceptable carrier.
Pharmaceutically-acceptable carriers are known to those skilled in the art. These most typically would be standard carriers for administration to humans, including solutions such as sterile water, saline, and buffered solutions at physiological pH.
Molecules intended for pharmaceutical delivery may be formulated in a pharmaceutical composition. Pharmaceutical compositions may include carriers, thickeners, diluents, buffers, preservatives, surface active agents and the like in addition to the molecule of choice. Pharmaceutical compositions may also include one or more active ingredients such as antimicrobial agents, antiinflammatory agents, anesthetics, and the like.
The pharmaceutical composition may be administered in a number of ways depending on whether local or systemic treatment is desired, and on the area to be treated. Administration may be topically (including ophthalmically, vaginally, rectally, intranasally).
Preparations for administration include sterile aqueous or non-aqueous solutions, suspensions, and emulsions. Examples of non-aqueous carriers include water, alcoholic/aqueous solutions, emulsions or suspensions, including saline and buffered media. Parenteral vehicles, if needed for collateral use of the disclosed compositions and methods, include sodium chloride solution, Ringer's dextrose, dextrose and sodium chloride, lactated Ringer's, or fixed oils. Intravenous vehicles, if needed for collateral use of the disclosed compositions and methods, include fluid and nutrient replenishers, electrolyte replenishers (such as those based on Ringer's dextrose), and the like. Preservatives and other additives may also be present such as, for example, antimicrobials, anti-oxidants, chelating agents, and inert gases and the like.
Formulations for topical administration may include ointments, lotions, creams, gels, drops, suppositories, sprays, liquids and powders. Conventional pharmaceutical carriers, aqueous, powder or oily bases, thickeners and the like may be necessary or desirable.
It will be appreciated that the actual preferred amounts of active compound
ATTORNEY DOCKET NO.: 24T04.2-130 in a specified case will vary according to the specific compound being utilized, the particular compositions formulated, the mode of application, the intended use (i.e., therapeutic (RT, MRT) or diagnostic (MRI or PET); etc) and the particular situs and mammal being treated. Dosages for a given host can be determined using conventional considerations, e.g. by customary comparison of the differential activities of the subject compounds and of a known agent, e.g., by means of an appropriate conventional pharmacological protocol. Physicians and formulators, skilled in the art of determining doses of pharmaceutical compounds, will have no problems determining dose according to standard recommendations (Physicians Desk Reference, Barnhart Publishing (1999).
The compounds described herein are effective in delivering anti-neoplastic agents, MRT agents and/or imaging agents to hypoxic cells. With respect to cancer treatment, hypoxic cells are generally more resistant to cell death by radiation as compared to oxic cells. Oxic cells possess molecular oxygen that is able to interact with radiation- induced radicals in DNA, leading to irreversible fixation of the damage. Since hypoxic cells do not possess sufficient molecular oxygen levels to compete effectively with reducing species, much of the radiation- induced damage in hypoxic cells is repaired. Hypoxic cells are also resistant to a range of chemotherapeutic drugs and imaging agents, which limits the detection and treatment of tumors. Hypoxic cells effectively upregulate transport mechanisms for the compounds described herein. This results in an increase in the concentration and residence time of the anti-neoplastic agent, MRT agent and/or imaging agent in the hypoxic cells.
The compounds described herein are effective in treating a tumor present in a subject. The term "treat" as used herein includes reducing the size of an existing tumor as well as preventing the growth and/or metastasis of an existing tumor. A variety of different squamous and non-squamous cancer cells and tissues can be treated with the compounds described herein including, but not limited to, acute lymphocytic leukemia, adult acute myeloid leukemia, adult non-Hodgkin's lymphoma, brain tumors, cervical cancers, childhood cancers, childhood sarcoma, chronic lymphocytic leukemia, chronic myeloid leukemia, esophageal cancer,
ATTORNEY DOCKET NO.: 24T04.2-130 hairy cell leukemia, kidney cancer, liver cancer, multiple myeloma, neuroblastoma, oral cancer, pancreatic cancer, primary central nervous system lymphoma, skin cancer, head and neck cancers, and small-cell and non-small-cell lung cancer. Childhood cancers amenable to compounds and methods described herein include but are not limited to brain stem glioma, cerebellar astrocytoma, cerebral astrocytoma, ependymoma, Ewing's sarcoma and family of tumors, germ cell tumor— extracranial, Hodgkin's disease, ALL, AML, liver cancer, medulloblastoma, neuroblastoma, non-Hodgkin's lymphoma, osteosarcoma, malignant fibrous histiocytoma of bone, retinoblastoma, rhabdomyosarcoma, soft tissue sarcoma, supratentorial primitive neuroectodermal and pineal tumors, unusual childhood cancers, visual pathway and hypothalamic glioma, and Wilms's tumor and other childhood kidney tumors.
In certain aspects, the compounds described herein can be activated to produce radicals once imported via upregulated transporters by the hypoxic cells. For example, when the anti-neoplastic agent is a nitroimidazole, radio- or chemosensitization of the nitroimidazole produces radical anions in the cell. As described above, the radicals can permanently damage DNA present in the hypoxic cells, which can help reduce or prevent tumor growth. For example, after accumulation of the compound in the hypoxic cells, the cells can be exposed to irradiation by external beam radiotherapy (XRT) to generate radical species within the cell causing its death. The specific dose and duration of radiation will depend upon the compound chosen, and the species being treated. In case of XRT, the radiation should be applied at a sufficient wavelength, dose and duration to maximize tumor damage, and, at the same time, to minimize the damage to the bone marrow and blood cells and/or other surrounding normoxic tissues. Sources of radiation useful herein include, but are not limited to, ultraviolet, infrared (IR), gamma-irradiation, x-ray and visible light. The radiation can be applied from about five minutes to about 48 hours after administering the compound to the subject in one single dose or fractionated doses as used by those experienced in the art.
It is also contemplated that one or more quenchers can be administered
ATTORNEY DOCKET NO.: 24T04.2-130 before, during or after the administration of the compounds described herein but prior to irradiation. Suitable quenchers include, but are not limited to, amifostine, glutathione, trolox, flavonoids, vitamin C, vitamin E, cysteine and ergothioneine and other non-toxic quenchers, and preferably vitamin E. The amount of the quencher administered will depend upon the specific quencher(s) chosen and can be determined by one skilled in the art. Administering one or more of the aforementioned quenchers is optional, and is complimentary to administering the compounds described herein.
In certain aspects, the compounds described herein can be co-administered in combination with other anti-cancer and anti-neoplastic agents. When employed in combination with one of these agents, the dosages of the additional agent are either the standard dosages employed for those agents or are adjusted downward or upward from levels employed when that agent is used alone. Thus, the administration of a compound described herein permits the physician to treat tumors with existing drugs, but at a lower concentration or dose than is currently used, thus ameliorating the toxic side effects of such drugs, or at a higher concentration, due to the fact that the conjugate is less toxic than its un-conjugated counterpart. The determination of the exact dosages for a given patient varies and depends upon a number of factors including the drug combination employed, the particular disease being treated, and the condition and prior history of the patient, but is within the skill of the ordinarily skilled artisan in view of the teachings herein.
In one aspect, the compounds described herein can be used to MRT hypoxic tissue. The method comprises contacting the hypoxic tissue with a compound described herein, and (2) analyzing the MRT effects of hypoxic tissues. For example, the compounds described herein can be labeled with therapeutic radioisotopes, for example but not limited to, 131I- to deliver the therapeutic doses of radiations to the tumor cells. These compounds, once imported via upregulated transporters in to the hypoxic cells will bind to the hypoxic cells through bioreductive moieties, for example nitroimidazole, and exert cell killing by molecular radioisotope therapy (MRT) just like, but not limited to, radioiodine
ATTORNEY DOCKET NO.: 24T04.2-130 therapy of thyroid cancers . MRT can be executed alone or together with external beam radiosensitization, as described above, where the radicals can permanently damage DNA present in the hypoxic cells helping in reduction or prevention of tumor growth. The specific dose and duration of MRT will depend upon the compound and the therapeutic radioisotope chosen, and the species being treated. In case of complimentary XRT, the radiation should be applied at a sufficient wavelength, dose and duration to maximize tumor damage, and, at the same time, to minimize the damage to the bone marrow and blood cells and/or other surrounding normoxic tissues. Sources of radiation useful herein include, but are not limited to, ultraviolet, infrared (IR), gamma-irradiation, x-ray and visible light. The radiation can be applied from about five minutes to about 48 hours after administering the compound to the subject in one single dose or fractionated doses as used by those experienced in the art. The MRT effects can be analyzed by positron emission tomography, (PET), single photon computer tomography (SPECT), autoradiography, identification of molecular biomarkers, or planar imaging.
In another aspect, the compounds described herein can be used to image/diagnose hypoxic tissue. In one aspect, the method involves
(a) administering to the patients an effective amount of at least one of the compounds described herein, wherein the compound includes an imaging agent;
(b) waiting a period of time such that a substantial amount of labeled compound has been cleared from less hypoxic or oxic cells such that a detectable amount of the labeled compound remains within hypoxic cells; and
(c) determining the extent and location of hypoxic cells throughout the population of cells by detecting the labeled compound.
As described above, the compounds described herein can be labeled with an imaging agent that is readily detectable using techniques known in the art. For example, when the compound is labeled with one or more radioisotopes, positron emission tomography (PET), single photon emission computed tomography (SPECT), planar imaging, nuclear magnetic resonance spectroscopy (MRS), and
ATTORNEY DOCKET NO.: 24T04.2-130 magnetic resonance imaging (MRI) can also be used to detect the compounds when they are used in therapeutic concentrations.
In other aspects, when the imaging agent is a fluorescent group, the fluorescent group can be detected by optical imaging, autoradiography, or fluorescence-based histology.
In the case of diagnostic applications, preferential localization of the labeled compounds described herein in hypoxic cells as compared to less hypoxic or oxic cells permits the compound to accumulate in hypoxic cells in order to facilitate the detection of the labeled product in those cells. In one aspect, following the administration of an effective amount of the labeled compound to a subject such that the labeled compound accumulates preferentially in hypoxic tissues, the diagnostic method includes waiting a period of time such that a substantial amount of the labeled compound has been cleared from the less hypoxic or oxic cells such that a detectable amount of the labeled compound remains within the hypoxic cells. One skilled in the art will be capable of determining the appropriate amount of time with observation and as a function of administered dose, patient weight, patient age, patient sex, and suspected hypoxic cell location in the body.
Once this period of time has passed, the amount and location of the hypoxic cells throughout the population of lesser hypoxic or oxic cells is determined by detecting the labeled compound. The determination of the extent and location of the compound in the cells provides for or permits the monitoring of regions of hypoxia, which correlates with the presence of a collection of cancerous cells or tumors. The compounds described herein may be administered orally, parenterally
(e.g., intravenously), by intramuscular injection, or by intraperitoneal injection, or by inhalation or the like. Depending on the intended mode of administration, the pharmaceutical compositions may be in the form of solid, semi-solid or liquid dosage forms, such as, for example, tablets, suppositories, pills, capsules, powders, liquids, suspensions, or the like, preferably in unit dosage form suitable for single administration of a precise dosage. The compositions will include, as noted above,
ATTORNEY DOCKET NO.: 24T04.2-130 an effective amount of the selected drug in combination with a pharmaceutically acceptable carrier and, in addition, may include other medicinal agents, pharmaceutical agents, carriers, adjuvants, diluents, etc.
EXAMPLES The following examples are put forth so as to provide those of ordinary skill in the art with a complete disclosure and description of how the compounds, compositions, and methods described and claimed herein are made and evaluated, and are intended to be purely exemplary and are not intended to limit the scope of what the inventors regard as their invention. Efforts have been made to ensure accuracy with respect to numbers (e.g., amounts, temperature, etc.) but some errors and deviations should be accounted for. Unless indicated otherwise, parts are parts by weight, temperature is in 0C or is at ambient temperature, and pressure is at or near atmospheric. There are numerous variations and combinations of reaction conditions, e.g., component concentrations, desired solvents, solvent mixtures, temperatures, pressures and other reaction ranges and conditions that can be used to optimize the product purity and yield obtained from the described process. Only reasonable and routine experimentation will be required to optimize such process conditions.
Exemplary structures of compounds useful herein and synthesized below are provided in Figure 1.
I. Synthetic Procedures
Synthesis of (3Λ,45,5Λ,6Λ)-6-((3-(2-nitro-lH-imidazol-l-yl)-2-(4- nitrophenylsulfonyloxy)propoxy)methyl)tetrahydro-2H-pyran-2,3,4,5-tetrayl tetraacetate (5) The synthesis of compound 5 is depicted in Figure 2 and carried out using the following synthetic procedures.
(25,3/?,45,5Λ,6Λ)-3,4,5-tris(benzyloxy)-2-methoxy-6-((oxiran-2- ylmethoxy)methyl)tetrahydro-2H-pyran (2). To a stirred cooled (ca. 00C)
ATTORNEY DOCKET NO.: 24T04.2-130 suspension of NaH (4.53 g, 60% in mineral oil, 0.113 mol) in anhydrous DMF (75 mL), a solution of methyl 2,3,4-tri-O-benzyl-α-D-glucopyranoside (1) (35.0 g, 0.0754 mol) in DMF (60 mL) was added dropwise at 0° ÷ +5°C. The resultant mixture was allowed to warm up to RT (1 h) and cooled down to +5°C. Epibromohydrin (15.5 g, 0.113 Mol) was added dropwise at +5° ÷ +100C and the reaction mixture was stirred for 20 h at RT. EtOAc (300 mL) was added to the reaction mixture. The resultant mixture was washed with water (3 x 150 mL), 0.5M citric acid (2 x 100 mL), saturated aqueous NaHCO3 (100 mL), brine (200 mL) and dried over MgSO4. Filtration and removal of the solvent from the filtrate under reduced pressure provided 41.1 g of yellow oil, which was subjected to dry chromatography (Silica Gel for TLC, 5% EtOAc - hexanes → 30% EtOAc - hexanes) to afford product 2 as colorless oil. Yield: 31.3 g (85%); 1H NMR. l-(2-Nitro-lH-imidazol-l-yl)-3-(((2Λ,3Λ,45,5Λ,65)-3,4,5-tris(benzyloxy)-6- methoxytetrahydro-2H-pyran-2-yl)methoxy)propan-2-ol (3). A stirred suspension of 2-nitroimidazole (3.62 g, 32 mmol) and CS2CO3 (1.04 g, 3.2 mmol) in a solution of compound 2 (16.66 g, 32 mmol) in ethanol (310 mL) was heated to reflux for 27 h. After cooling to RT, the clear yellow reaction solution was evaporated under reduced pressure and the yellow semi-solid residue was treated with EtOAc (300 mL). The resultant mixture was filtered through a pad of Silica Gel (for TLC) and the solvent from the filtrate was removed under reduced pressure to provide 19.7 g of a yellow semisolid, which was subjected to dry chromatography (Silica Gel for TLC, 20% EtOAc - hexanes → 80% EtOAc - hexanes) to afford product 3 as a yellow solid. Yield: 15.9 g (78%); 1H NMR; MS (electrospray), m/Z: 634 (M+). l-(2-nitro-lH-imidazol-l-yl)-3-(((2Λ,3Λ,45,5Λ,65)-3,4,5-tris(benzyloxy)-6- methoxytetrahydro-2H-pyran-2-yl)methoxy)propan-2-yl 4- nitrobenzenesulfonate (4). To a stirred cooled (ca. -10 0C) solution of compound 3 (13.93 g, 22 mmol) and 4-nitrobenzenesulfonyl chloride (5.85 g, 26.4 mmol) in anhydrous CΗ2CI2 (60 mL) a solution of 4-(dimethylamino)pyridine (2.69 g, 22 mmol) and triethylamine (4.45 g, 44 mmol) in CH2CI2 (60 mL) was added
ATTORNEY DOCKET NO.: 24T04.2-130 dropwise at -100C and the reaction mixture was kept at ca. -80C for 14 h. After warming to RT, the reaction mixture was washed with water (3 x 100 mL), IN HCl (100 mL) and dried over MgSO4. Filtration through a pad of Silica Gel (for TLC) and removal of the solvent from the filtrate under reduced pressure provided product 4 as a yellowish solid. Yield: 17.7 g (98%); 1H NMR.
(3Λ,45,5Λ,6Λ)-6-((3-(2-nitro-lH-imidazol-l-yl)-2-(4- nitrophenylsulfonyloxy)propoxy)methyl)tetrahydro-2H-pyran-2,3,4,5-tetrayl tetraacetate (5). To a stirred cooled (ca. -40 0C) solution of compound 4 (1.64 g, 2 mmol) in acetic anhydride (20 mL) trimethylsilyl trifluoromethanesulfonate (4.0 g, 18 mmol) was added dropwise at the same temperature. The reaction solution was allowed to warm up to +14°C and stirred for additional 4 h at this temperature. After cooling to -5°C, the dark reaction solution was diluted with cold EtOAc (100 mL) and poured in a cold (00C) saturated aqueous NaΗCθ3 (100 mL). The organic phase was separated off and washed with saturated aqueous NaHCθ3 (5 x 100 mL), brine (100 mL) and dried over MgSO4. Filtration through a pad of Silica Gel (for TLC) and removal of the solvent from the filtrate under reduced pressure provided 2.2 g of red oil, which was subjected to dry chromatography (Silica Gel for TLC, 20% EtOAc - hexanes → 70% EtOAc - hexanes) to afford 1.32 g product 3 as a yellow solid. An additional purification of 3 by dry chromatography (Silica Gel for TLC, toluene → 40% EtOAc - toluene) provided 0.894 g of 3. The final purification was made by preparative HPLC (Ci8 reverse phase, MeCN - gradient 0.1% CF3CO2H in H2O). Yield: 0.512 g (36%); 1H NMR; MS (electrospray), m/Z: 703 (M+); Elemental Analysis: Calcd for C26H30N4O17S: C, 44.45; H, 4.30; N, 7.97. Found: C, 44.17; H, 4.39; N, 7.75; HPLC: 99.16% purity. (3Λ,45,55,6Λ)-6-((2-hydroxy-3-(2-nitro-lH-imidazol-l-yl)propoxy)methyl) tetrahydro-2H-pyran-2,3,4,5-tetraol (8) and (3fl,4S,5S,6fl)-6-((2-fluoro-3-(2- nitro-lH-imidazol-l-yl)propoxy)methyl)tetrahydro-2H-pyran-2,3,4,5-tetraol
(11)
The synthesis of compounds 8 and 11 is depicted in Figure 3 and carried out using the following synthetic procedures.
ATTORNEY DOCKET NO.: 24T04.2-130
3/?,45,55,6/?)-6-((2-hydroxy-3-(2-nitro-lH-imidazol-l-yl)propoxy) methyl) tetrahydro-2H-pyran-2,3,4,5-tetraol (8) - This synthesis proceeded through following path. l-(2-nitro-lH-imidazol-l-yl)-3-(((2K,3/?,45,5/?,65)-3,4,5-tris(benzyloxy)-6- methoxy tetrahydro-2H-pyran-2-yl)methoxy)propan-2-yl acetate (6). To a stirred cooled (ca. 0 0C) solution of alcohol 3 (15.51 g, 24.5 mmol) in anhydrous pyridine (60 mL) acetic anhydride (3.75 g, 36.7 mmol) was added dropwise at +3° ÷ +5 0C. The yellow reaction solution was allowed to warm up to RT and was stirred for 20 h. EtOAc (300 mL) was added to the reaction solution. The resultant mixture was washed with water (3 x 100 mL), 2N HCl (2 x 100 mL), saturated aqueous NaHCO3 (100 mL), brine (150 mL) and dried over MgSO4. Filtration through a pad of Silica Gel (for TLC) and removal of the solvent from the filtrate under reduced pressure provided product 6 as a yellow semi-solid. Yield: 16.4 g (99%); 1H NMR. (3/?,45,5Λ,6Λ)-6-((2-acetoxy-3-(2-nitro-lH-imidazol-l- yl)propoxy)methyl)tetrahydro-2H-pyran-2,3,4,5-tetrayl tetraacetate (7). To a stirred cooled (ca. -40 0C) solution of compound 6 (16.4 g, 24.3 mmol) in acetic anhydride (243 mL) trimethylsilyl trifluoromethanesulfonate (59.3 g, 267 mmol) was added dropwise at the same temperature. The reaction solution was allowed to warm up to RT and stirred for additional 18 h. After cooling to -100C, the dark reaction solution was diluted with cold EtOAc (700 mL) and poured in a cold (00C) saturated aqueous NaΗCθ3 (500 mL). The resultant mixture was stirred for 0.5 h at RT. The organic phase was separated off and washed with saturated aqueous NaHCO3 (10 x 300 mL), brine (500 mL) and dried over MgSO4. Filtration through a pad of Silica Gel (for TLC) and removal of the solvent from the filtrate under reduced pressure provided 23.3 g of dark oil, which was subjected to dry chromatography (Silica Gel for TLC, 30% EtOAc - hexanes → 80% EtOAc - hexanes) to afford 11.09 g of product 7 as a yellow solid. An additional purification of 7 by dry chromatography (Silica Gel for TLC, 5% MeCN - toluene → 35% MeCN - toluene) provided 7 as a yellowish solid. Yield: 7.91 g (58%); 1H
ATTORNEY DOCKET NO.: 24T04.2-130
NMR; MS (electrospray), m/Z: 560 (M+ + 1); Elemental Analysis: Calcd for C22H29N3Oi4: C, 47.23; H, 5.22; N, 7.51. Found: C, 47.49; H, 5.13; N, 7.59; HPLC: 97.89% (combined chemical purity for all diastereomers).
(3Λ,45,55,6Λ)-6-((2-hydroxy-3-(2-nitro-lH-imidazol-l-yl)propoxy)methyl) tetrahydro-2H-pyran-2,3,4,5-tetraol (8). Compound 7 (5.595 g, 10 mmol) was dissolved in 0.1M NaOH in methanol (600 niL). After 20 min of stirring at RT, the reaction solution was treated with Dowex 50Wx4-200 (H+, 18.6 g) to adjust the pH of the solution to a value of 5. The ion-exchange resin was filtered off and the filtrate was evaporated under reduced pressure to dryness to provide 2.46 g of a yellow solid, was subjected to dry chromatography (Silica Gel for TLC, 5% MeOH - CHCl3 → 30% MeOH - CHCl3) to afford product 8 as a yellow solid. Yield: 2.18 g (62%); 1H NMR: 08-022-56; MS (electrospray), m/Z: 350 (M+ + 1); Elemental Analysis: Calcd for Ci2H19N3O9 H2O: C, 39.24; H, 5.76; N, 11.44. Found: C, 38.90; H, 5.85; N, 11.16; HPLC purity (combined for all diastereomers) 97.23%.
Synthesis of (3#,4S,5S,6#)-6-((2-fluoro-3-(2-nitro-lH-imidazol-l- yl)propoxy)methyl) tetrahydro-2H-pyran-2,3,4,5-tetraol (11) was achieved by following procedures. l-(2-fluoro-3-(((2/?,3Λ,45,5Λ,65)-3,4,5-tris(benzyloxy)-6-methoxytetrahydro- 2H-pyran-2-yl)methoxy)propyl)-2-nitro-lH-imidazole (9). To a stirred cooled (ca. -200C) solution of alcohol 3 (8.50 g, 13.4 mmol) in anhydrous TΗF (250 niL) DAST (3.24 g, 20.1 mmol) was added dropwise at the same temperature. The reaction solution was allowed to warm up to RT and was stirred for 20 h. After cooling to -100C, the reaction was quenched with MeOH (20 mL). The resultant solution was evaporated under reduced pressure and the residual red oil was dissolved in EtOAc (250 mL). The resulting solution was washed with saturated aqueous NaHCO3 (250 mL), brine (250 mL) and dried over MgSO4. Filtration through a pad of Silica Gel (for TLC) and removal of the solvent from the filtrate under reduced pressure provided 8.9 g of red oil, which was subjected to dry
ATTORNEY DOCKET NO.: 24T04.2-130 chromatography (Silica Gel for TLC, 20% EtOAc - hexanes → 50% EtOAc - hexanes) to afford product 9 as yellowish oil. Yield: 6.62 g (78%); 1H NMR.
(3fl,4S,5fl,6/0-6-((2-fluoro-3-(2-nitro-lH-imidazol-l- yl)propoxy)methyl)tetrahydro-2H-pyran-2,3,4,5-tetrayl tetraacetate (10). To a stirred cooled (ca. -400C) solution of compound 9 (6.62 g, 10.4 mmol) in acetic anhydride (117 mL) trimethylsilyl trifluoromethanesulfonate (25.5 g, 114.6 mmol) was added dropwise at the same temperature. The reaction solution was allowed to warm up to RT and stirred for additional 14 h. After cooling to -100C, the dark reaction solution was diluted with cold EtOAc (400 mL) and poured in a cold (00C) saturated aqueous NaHCO3 (500 mL). The resultant mixture was stirred for 0.5 h at RT. The organic phase was separated off and washed with saturated aqueous NaHCO3 (10 x 200 mL), brine (200 mL) and dried over MgSO4. Filtration through a pad of Silica Gel (for TLC) and removal of the solvent from the filtrate under reduced pressure provided 8.9 g of dark oil, which was subjected to dry chromatography (Silica Gel for TLC, 30% EtOAc - hexanes → 80% EtOAc - hexanes) to afford 3.69 g of product 10 as a yellow solid. Another purification of this material by dry chromatography (Silica Gel for TLC, 5% MeCN - toluene — > 30% MeCN - toluene) provided 10 as pure yellow solid. Yield: 2.92 g (54%); 1H NMR; 19F NMR; MS (electrospray), m/Z: 520 (M+ + 1); Elemental Analysis: Calcd for C20H26FN3Oi2: C, 46.25; H, 5.05; N, 8.09. Found: C, 46.26; H, 5.06; N, 8.02; HPLC: 95.88% Combined chemical purity for all diastereomers together.
(3Λ,45,55,6Λ)-6-((2-fluoro-3-(2-nitro-lH-imidazol-l-yl)propoxy)methyl) tetrahydro-2H-pyran-2,3,4,5-tetraol (11). Compound 6 (2.66 g, 5.12 mmol) was dissolved in 0.1M NaOH in methanol (256 mL). After 20 min of stirring at RT, the reaction solution was treated with Dowex 50Wx4-200 (H+, 20 g) to adjust the pH of the solution to a value of 5. The ion-exchange resin was filtered off and the filtrate was evaporated under reduced pressure to dryness to provide 1.43 g of a yellowish solid, was subjected to dry chromatography (Silica Gel for TLC, 2% MeOH - CHCl3 → 25% MeOH - CHCl3) to afford product 11 as a pale solid. Yield: 1.26 g (70%); 1H NMR; 19F NMR; MS (electrospray), m/Z: 352 (M+ + 1);
ATTORNEY DOCKET NO.: 24T04.2-130
Elemental Analysis: Calcd for Ci2H18FN3O8 0.5H2O: C, 40.00; H, 5.32; N, 11.66. Found: C, 39.81; H, 5.63; N, 11.24; HPLC: 98.44% Combined chemical purity for all diastereomers.
(3Λ,45,55,6Λ)-6-(((£)-3-(2-nitro-lH-imidazol-l-yl)allyloxy) methyl)tetrahydro-2H-pyran-2,3,4,5-tetraol (13) The synthesis of compound 13 is depicted in Figure 4 and carried out using the following synthetic procedures.
(3/?,45,5Λ,6Λ)-6-(((£)-3-(2-nitro-lH-imidazol-l-yl)allyloxy)methyl)tetrahydro- 2H-pyran-2,3,4,5-tetrayl tetraacetate (12). To a stirred solution of nosylate 5 (7.25 g 10.3 mmol) in anhydrous acetonitrile (50 niL), DBU (3.14 g, 20.6 mmol) was added dropwise at RT. The dark reaction solution was stirred for 22.5 h and concentrated under reduced pressure. The dark oily residue was treated with EtOAc (200 mL) and water (100 mL). The organic phase was separated off and washed with water (2 x 100 mL), IN HCl (50 mL), saturated aqueous NaHCO3 (100 mL), brine (100 mL). After drying over MgSO4, the resultant solution was filtered through a pad of Silica Gel (for TLC) and the solvent from the filtrate was removed under reduced pressure to provide 3.8 g of a yellowish solid, which was subjected to dry chromatography (Silica Gel for TLC, 5% MeCN - toluene — > 30% MeCN - toluene) to afford olefin 12 as a yellowish solid; Yield: 1.425 g (28%); 1H NMR. (3Λ,45,55,6Λ)-6-(((£)-3-(2-nitro-lH-imidazol-l-yl)allyloxy)methyl)tetrahydro-
2H-pyran-2,3,4,5-tetraol (13). Compound 12 (1.358 g, 2.72 mmol) was dissolved in 0.1M NaOH in methanol (136 mL). After 20 min of stirring at RT, the reaction solution was treated with Dowex 50Wx4-200 (H+, 5 g) to adjust the pH of the solution to a value of 5. The ion-exchange resin was filtered off and the filtrate was evaporated under reduced pressure to dryness to provide 0.716 g of a yellowish solid, was subjected to column chromatography (Silica Gel SG60, 2% MeOH - CHCl3 → 30% MeOH - CHCl3) to afford product 13 as a pale solid. Yield: 0.55 g (61%); 1H NMRa; MS (electrospray), m/Z: 332 (M+); Elemental Analysis: Calcd for Ci2H17N3O84/5 H2O: C, 41.69; H, 5.42; N, 12.16. Found: C, 41.71; H, 5.12; N,
ATTORNEY DOCKET NO.: 24T04.2-130
12.02; HPLC: 95.41% total chemical purity for two anomers. The position of the double bond adjacent to the imidazole ring was confirmed by NOE experiments.
3-(2-Hydroxy-3-(((2Λ,35,45,5Λ,65)-3,4,5-trihydroxy-6-methoxytetrahydro- 2H-pyran-2-yl)methoxy)propylamino)benzo[e][l,2,4]triazine l,4-dioxide (29) and 3-(2-Ηydroxy-3-(((2Λ,35,45,5Λ)-3,4,5,6-tetrahydroxytetrahydro-2H- pyran-2-yl)methoxy)propylamino)benzo[e] [l,2,4]triazine 1,4-dioxide (30)
The synthesis of compounds 29 and 30 are depicted in Figures 5 and 6 and are carried out using following synthetic procedures.
(25,3/?,45,5Λ,6Λ)-3,4,5-tris(benzyloxy)-2-methoxy-6-((oxiran-2- ylmethoxy)methyl) tetrahydro-2H-pyran (22). This product was prepared as described in Figure 2. l-Azido-3-(((2Λ,3Λ,45,5Λ,65)-3,4,5-tris(benzyloxy)-6-methoxytetrahydro-2H- pyran-2-yl)methoxy)propan-2-ol (23) Compound 22 (48.8 g, 1 eq), NaN3 (4.5 eq) and NH4Cl (2.5 eq) were refluxed in MeOH-H2O for 18 h. The impure product after purification gave pure 23 (49.4 g, 93% yield) as yellow oil. l-Azido-3-(((2Λ,3Λ,45,5Λ,65)-3,4,5-tris(benzyloxy)-6-methoxytetrahydro-2H- pyran-2-yl)methoxy)propan-2-yl acetate (24). Compound 23 (1.677 g, 1 eq) was dissolved in pyridine and Ac2O (1.5 eq) was added to it. The mixture was stirred at 22 0C for 16 h and, after purification, yielded pure acetate 24 (1.79 g, 99% yield) as pale oil.
(2/?,3/?,45,5/?,6/?)-6-((2-acetoxy-3-azidopropoxy)methyl)tetrahydro-2H-pyran- 2,3,4,5-tetrayl tetraacetate (25). Compound 24 (1.79 g), trimethylsilyl triflate (11 chemical equivalents) and Ac2O (lleq) were reacted at 22 0C for 19.5 h. The impure product, after purification, yielded pure acetate 25 (0.16 g, 11% yield) was isolated as pale oil after column chromatography.
(2fl,3S,4S,5fl,6S)-2-((3-amino-2-hydroxypropoxy)methyl)-6- methoxytetrahydro-2H-pyran-3,4,5-triol hydrochloride (26). This compound was synthesized either from compound 23 or compound 25 by catalytic reduction.
ATTORNEY DOCKET NO.: 24T04.2-130 in 1N.HC1 solution in methanol. The synthesis is described starting from compound 23.
Compound 23 (48 g, 1 eq) and Pd/C (0.2 eq) were taken in IN HCl (255.5 mL) and MeOH (1000 mL) and H2 (1 atm) was bubbled through this solution for 5 days. The contents were filtered and the solvents were evaporated to afford 26 as a white hygroscopic hydrochloride salt (27.3 g, ca. 100% yield).
Synthesis of Compound 27. Compound 27 was synthesized as represented in Figure 6 and as described below. l-(2-Nitrophenyl)urea (32a). 2-Nitrophenylisocyanate (23.0 g) was dissolved in CH2Cl2 (500 mL) and cooled down to -20 0C. Anhydrous NH3 was bubbled through this solution for 30 min, and then the solvent was evaporated. The reaction afforded 23.0 g (90.6%) of pure 32a.
Benzo[e][l,2,4]triazine-2-hydroxy-l-oxide (33a). Compound 32a (24 g) was treated with 30% aqueous NaOH at 100 0C for 2h, and then NaOH was neutralized by Amberlyst H+ resin. Chromatographic purification of the impure solid afforded 8.0 g (37%) of pure 33a.
Benzo[e][l,2,4]triazine-3-chloro-l-oxide (27). Compound 33a (8.0 g) was refluxed in POCI3 (32 mL) for Ih, and then excess POCI3 was removed by evaporation. Chromatographic purification of the impure solid afforded 7.66 g (85.1%) of pure 27. 1H NMR, MS and C, H, N analyses confirm to the structure of product 27.
3-(2-Hydroxy-3-(((2Λ,35,45,5Λ,65)-3,4,5-trihydroxy-6-methoxytetrahydro- 2H-pyran-2-yl)methoxy)propylamino)benzo[e][l,2,4]triazine 1-oxide (28). Compound 27 (9.71 g, 1 eq), compound 26 (1.5 eq) and NaHCO3 (4.9 eq) were refluxed in iso-PrOH / H2O for 3.5 h. A crude material (37.8 g), containing mostly the desirable product 28 was isolated as a bright yellow solid. Compound 28 (17.8 g, 90% purity, 80.8% yield) was isolated as a bright yellow solid after column purification.
ATTORNEY DOCKET NO.: 24T04.2-130
3-(2-Hydroxy-3-(((2Λ,35,45,5Λ,65)-3,4,5-trihydroxy-6-methoxytetrahydro- 2H-pyran-2-yl)methoxy)propylamino)benzo[e][l,2,4]triazine 1,4-dioxide (29). Compound 28 (16.38 g, 1 eq), m-chloroperbenzoic acid (1.8 eq) were dissolved in CHCl3 and reacted initially at 0 0C, and then at 22 0C for 17 h. The solvent was evaporated after the reaction was over and the crude mixture was purified on a column that afforded 6.61 g (49.5%) of the desired product 29. The structure of 29 was confirmed by MS.
3-(2-Hydroxy-3-(((2Λ,35,45,5Λ)-3,4,5,6-tetrahydroxytetrahydro-2H-pyran-2- yl)methoxy)propylamino)benzo[e][l,2,4]triazine 1,4-dioxide (30). Compound 29 (4.43 g, 10.34 mmol) was dissolved in 12N HCl (120.6 mL). After 16 h of stirring at RT, the acid was removed under reduced pressure (2-3 mm Hg) at a bath temperature of 40- 45 0C and the yellow solid residue (5.2 g) was dissolved in deionized water (150 mL). The resultant solution was treated with Amberlyst A26 (OH", 12 g) to adjust the pH of the solution to a value of 8. The ion-exchange resin was filtered off and the filtrate was liophilized to provide 3.6 g of a red solid, which was subjected to dry chromatography (Silica Gel for TLC, 5% MeOH - CHCl3 → 30% MeOH - CHCl3) to afford 30 as a red solid. Yield: 1.50 g (35%).The chemical structure of 30 was confirmed by 1H NMR, MS (electrospray), m/Z: 415 (M+ + 1) and elemental analysis (Calcd for C16H22N4O9 7/5 H2O: C, 43.72; H, 5.69; N, 12.75. Found: C, 43.98; H, 5.63; N, 12.05). HPLC analysis of the product demonstrated 96.41% chemical purity for combined diastereomers.
3-(3-(((35,45,5Λ,6Λ)-2-((3Λ,45,55,6Λ)-6-((3-(l,4-dioxidobenzo[e][l,2,4]triazin- 3-ylamino)-2-hydroxypropoxy)methyl)-3,4,5-trihydroxytetrahydro-2H-pyran- 2-yloxy)-4,5,6-trihydroxytetrahydro-2H-pyran-3-yl)methoxy)-2- hydroxypropylamino)benzo[e](l,2,4)triazine 1,4-dioxide (31).
Compound 31 was formed as a secondary product during the synthesis of compound 30, and was isolated. The structure of this compound was confirmed by 1H NMR and MS (m/Z: 811, calc. FW for C32H42N8Oi7: 810.72) analyses.
ATTORNEY DOCKET NO.: 24T04.2-130
Compounds related to formula II have been synthesized according to the plan shown in Figure 7, and the syntheses of representative compounds are described below.
3-(Allylamino)-6-(hydroxymethyl)tetrahydro-2H-pyran-2,4,5-triol (35) D-glucosamine hydrochloride (36.Og, 0.167 mol), NaNO2 (0.7g, 10 mmol) and Na2CO3 (42g, 0.304 mol) were dissolved in H2O (100 niL). The mixture was cooled in an ice bath and acryloyl chloride (18g, 0.199 mol) was added to this mixture dropwise with stirring. After all acryloyl chloride was added, stirring was continued at 00C for 4h. The ice bath was removed and let the mixture to come to room temperature for overnight. Ethanol (IL) was added and filtered, the filtrate was added 4L of ether and stood at 00C. The white crystals were formed and collected on a filter (35 g). TLC (SiO2) Rf 0.80 (eluants 7:3 isopropyl ether-water); 1H-NMR (D2O, 300 MHz) δ 6.00 ~ 6.31(3H), 5.76 ~ 5.79(1H); 4.72 ~ 4.79(1H); 3.43 ~ 3.98(3H); 13C-NMR (D2O, 75MHz) δ 167.85, 167.48, 128.67, 128.39, 126.80, 126.64, 93.71, 89.63, 74.78, 72.67, 70.39, 69.50, 68.87, 68.65, 59.50, 56.24, 55.64, 53.00.
6-(Acetoxymethyl)-3-(allylamino)tetrahydro-2H-pyran-2,4,5-triyl triacetate
(38)
2-N-acryloyl-D-glucosamine (1.0 g, 4.29 mmol) was dissolve in 16 mL of pyridine-acetate anhydride (1:1) at 0 0C, and than, the mixture was stirred under room temperature for 2 days. All solvents were removed in vacuo, the residue was purified by column chromatography on SiO2 using hexane-ethyl acetate as eluents. Evaporation of the appropriate fraction yielded a white solid (1.6 g, 97%). TLC (SiO2) Rf 0.30 ( eluants 1:2 hexanes-ethyl acetate); 1H-NMR (CDCI3, 300 MHz) δ 6.213 ~ 6.308(2H), 5.973 ~ 6.064(1H), 5.680 ~ 5.740(2H), 5.151 ~ 5.328(2H), 4.519 ~ 4.596(1H), 4.243 ~ 4.298(1H), 3.981 ~ 4.108(2H), 2.035 ~ 2.191(12H). 13C-NMR (CDCI3, 75MHz) δ 171.77, 170.59, 168.97, 168.40, 165.11, 129.72, 127.93, 90.58, 70.65, 69.74, 67.43, 61.54, 51.22, 20.99, 20.93, 20.71, 20.58.
6-(Acetoxymethyl)-3-oxirane-2-ylmethylamino)tetrahydro-2H-pyran-2,4,5-
ATTORNEY DOCKET NO.: 24T04.2-130 triyl triacetate (41)
1, 3, 4, 6-tetra-O-acetyl-2-N-acryloyl-D-glucosamine (0.5g, 1.25mmol) was dissolved in 45 mL of CH2CI2. To the solution 3-chloroperbenzoric acid (77%, 1.0 g) was added, the mixture was continued to stir at room temperature for 3 d. After removal of the solvent in vacuo, the residue was purified by column chromatography on SiO2 using hexane-ethyl acetate as eluents. Evaporation of the appropriate fraction yielded a white solid (0.2 g, 19%). TLC (SiO2) Rf 0.27 (( eluants 1:2 hexanes-ethyl acetate); 1H-NMR (CDCI3, 300 MHz) δ 6.14 ~ 6.15(1H), 5.68 ~ 5.74(1H), 5.18 ~ 5.30(2H), 3.78 ~ 4.48(4H), 3.41 ~ 3.43(1H), 2.96 ~ 2.99(1H), 2.61 ~ 2.64(1H), 2.01 ~ 2.22(12H); 13C-NMR (CDCI3, 75MHz) δ 171.61, 171.14, 170.56, 168.99, 168.42, 129.72, 127.97, 90.41, 69.94, 69.63, 67.33, 61.47, 50.24, 2.95, 20.90, 20.73, 20.60. ES-MS (in positive ionization) m/z calcd for Ci7H23NOnNa 440.36 (M + Na), measured 440.1.
6-(Acetoxymethyl)-3-(2-hydroxy-2-(2-nitro-lH-imidazol-l yl)ethylamino)tetrahydro-2H-pyran-2,4,5-triyl triacetate (44)
1, 3, 4, 6-tetra-O-acetyl-2-N-(2, 3-epoxypropionyl)-D-glucosamine (0.8g, 1.92 mmol), Proto-Sponge (0.71 g) was dissolved in 1OmL of DMF, 2- Νitroimidazole (0.38 g, 3.36 mmol) were added, and the mixture was stirred at 80 0C for 36 h. The solvent were removed in vacuo, the residue was purified purified by column chromatography on SiO2 using hexane-ethyl acetate as eluents.
Evaporation of the appropriate fraction yielded a white solid (0.2 g, 19%); TLC (SiO2) Rf 0.25 ( eluants 5:5:1 hexanes-ethyl acetate-methanol); 1H-NMR (CDCI3, 300 MHz) δ 7.92(1H), 6.99 ~ 7.19(2H), 6.10 ~ 6.15(1H), 5.03 ~ 5.2(10H), 1.98 ~ 2.16(12H); 13C-NMR (CDCI3, 75MHz) δ 171.26, 170.53, 169.12, 168.88, 145.00, 127.12, 123.00, 90.21, 70.77, 70.39, 69.91, 67.54, 61.54, 52.42, 51.24, 21.06,
20.95, 20.71, 20.58. ES-MS (in positive ionization) m/z calcd for C22H26N4Oi3Na 553.44 (M + Na), measured 553.1.
3-(2-Hydroxy-2-(2-nitro-lH-imidazol-l-yl)ethylamino)-6- (hydroxymethyl)tetrahydro-2H-pyran-2,4,5-triol (47)
ATTORNEY DOCKET NO.: 24T04.2-130
NaOMe-MeOH (1 M, 3 mL) was added to a stirred solution of 1, 3, 4, 6- tetra-O-acetyl-2-N-[2v-hydroxyl-3v-(2 -nitroimdazolepropionyl)]-D-glucosamine (60 mg, 0.11 mmol) in dry CH2CCI2 (20 mL), and the reaction was allowed to stand at room temperature for 30 h. H2O (3 mL) was added to dissolve precipitates, and the reaction was left to stir for a further 1 h, during which time the precipitate dissolved. The reaction was neutralized with Amberlite IR- 120 (H+ form) ion- exchange resin and filtered. The solvents were removed in vacuo, and the resultant glass was dissolved in H2O and freeze-dried to give a white fluff (31 mg, 76%).
II. Radiochemistry Procedures These processes include the development of the radiolabeled compounds claimed, for example 3H-, 14C, 35S, radiohalogenated (e.g., 18F, 123/124/125/131i but not limited to these radiohalogens), and metal chelated products of the compounds described in the application. The radiochemistry process development and isotopic labeling include substitution or exchange -based chemistries using conventional thermal radiolabeling techniques, microwave-assisted radiolabeling techniques, solid phase immobilized precursor-based radiochemistry techniques, and immobilized superparamagnetic precursor based radiochemistry development. These processes and the techniques used for the isotopic radiolabeling are claimed. These radiolableing processes may vary with the structure of the target compound and the radionuclide to be incorporated in the molecule, and all future variations are also claimed. The radiohalogenation of compound 5 has been chosen as an example of radiochemistry development of these classes of compounds, and is described.
EXAMPLE: Radiohalogenation This process is exemplified by the development of F- 18 labeling process to synthesize 18F-Il, but is not limited to the development of the compounds labeled only with F- 18 radionuclide. The process in its current form or with modified reaction parameters and process may be used to radiohalogenate other compounds described in this application, and is part of the radiochemistry process claims. A
ATTORNEY DOCKET NO.: 24T04.2-130 typical (unoptimized) radiohalogenation procedure is exemplified below by the description of the synthesis of radiofluorinated 18F-Il.
(3Λ,45,55,6Λ)-6-((2-[18F]-fluoro-3-(2-nitro-lH-imidazol-l-yl)propoxy)methyl) tetrahydro-2H-pyran-2,3,4,5-tetraol (18F-Il). Compound 5 (5 ± 1 mg), pre- dissolved in an appropriate solvent (1 mL) was reacted with an anhydrous potassium 18F-fluoride - Kryptofix-2.2.2 (K18F-K-2.2.2) complex (generated by using a definite composition of eluent containing potassium carbonate, 3.5 mg in 100 μL sterile water, and Kryptofix-2.2.2., 15 mg in 900 μL acetonitrile to elute 18F- fluoride) at 100 0C for 5 min. The solvent was evaporated at 55 0C, the reaction mixture was cooled down, and then treated with 0.1N. NaOH aqueous solution to remove the acetyl (protective) groups. The pΗ of the resulting solution was adjusted to 5-7 by using an appropriate buffer, for example citrate or phosphate but not limited to these, the impure 18F-Il was loaded on a C-18 reverse phase ΗPLC column (25 cm X 0.9 cm) and eluted with 8% ethanol in sterile water (mobile phase). The pure product was collected at a retention time of -23 (±5%) min using a flow rate of 1.5 mlVmin. The standard product appeared at the same retention time using the described ΗPLC conditions, and was detected by a UV signal at 318 nm. The purity of the radiochemical product was found to be >98%.
III. Radiosensitization Studies Procedure: Cell radiosensitization was determined using a 60Co x-ray source together with a clonogenic survival assay (22). Radiosensitization potential of the compounds was studied against Ηela, EMT-6 and M006X cancer cell lines. Carcinoma cells (300,000 cells in 3 mL DMEM/F12 medium per T60 petri dish) were individually incubated under 5% CO2 in air at 37 0C for 24 h. The dishes were assigned to either the control (normoxic) or hypoxic groups, the test substance (stock solution 10 mM in 95 % ethanol) was added to these groups to achieve a concentration of 100 μM and the incubation was allowed for 30 min. Those in the hypoxic group were de-gassed to hypoxia by 6 consecutive vacuum and nitrogen fill cycles in a vacuum chamber. The Petri dishes (hypoxic and normoxic controls) were incubated for 30 min on an oscillating shaker at R/T X 60
ATTORNEY DOCKET NO.: 24T04.2-130 cycles per min and then irradiated in a 60Co γ-irradiator at 0 (control), 4, 8, 12, 16 and 20 Gy in N2 (hypoxic sub-group) and air chambers (normoxic sub-group). The cells were then recovered from each dish by two consecutive washes with PBS followed by the addition of trypsin (500 μL) and quenching with fresh medium (4.5 mL). Cells were then plated at densities from 100 to 15000 cells/5 mL medium for normoxic conditions and 100 & 5000 cells/5 mL medium for hypoxic conditions. The cells were incubated for 10 to 14 days at 37 0C under 5% CO2, then stained with methylene blue or crystal violet in ethanol, clones counted and surviving fractions were calculated. Tests were done in triplicate. The results are shown in Figures 8 and 9. Preliminary in vitro radiosensitization studies with two molecules (11 and 13) demonstrated significant potential against HeIa, EMT-6 and M006X cancer cell lines (Oxygen enhancement ratio ranging from >2 - -3.0) at concentrations ranging from 0.5-1 mM concentration, which is superior to IAZA or FAZA. IV. Cytotoxicity Studies with (MTT assay)
Cells were trypsinized, centrifuged, and suspended in growth medium and the cell counts were readjusted to 8 x 103 cells/mL. The cells were seeded into 96- well plates at a count of 8xlO2 cells/well and incubated in 37 0C, 5%CU2 for 24hours. The test compounds (stock solution 2 mM in 95 % ethanol) were added to the growth medium and exposed to the cells in 96-well plates at a final volume of 300 μL to produce the required dilution of the experimental design. Control wells were filled with 100 μL of medium. These plate groups were incubated for 3 days at 37 0C in a humidified atmosphere containing 95% air and 5% CO2. At the end of incubation, 50 μL solution of 3-(4,5-dimethyl-2-thiazolyl)-2,5-diphenyl-2H tetrazolium bromide (MTT), pre-dissolved in PBS (5mg/mL), filtered through a 0.45 μm membrane and diluted 1:5 in pre- warmed medium, was added to each well. The plates were incubated at 37 0C for 4 hours. The medium was then removed from the wells and 150 μL of dimethylsulfoxide was added to each well. The plates were placed on a shaker for 15 min to dissolved the formazan crystal and then read immediately at 540 nm on a scanning multi-wall spectrophotometer.
ATTORNEY DOCKET NO.: 24T04.2-130
The results of this assay are reported in Figures 10-12. In vitro cytotoxicity studies with two molecules against EMT-6, HeIa, M006, Kbalb and Kbabl-STK cells using MTT-assay indicated that compound 8 has almost similar cytotoxic effects as IAZA. V. Transport Studies
The interaction of test compounds to GLUT 1 and GLUT 2 transporters was measured by monitoring the abilities of test compounds to drive sugars across the membrane, potentially against its concentration gradient. Briefly, plasmids containing each of the wild type GLUT isoform were linearized with Nhe I and transcribed in vitro with T7 polymerase mMESSAGE mMACHINE™ (Ambion). Adult female Xenopus laevis oocytes were injected with 10-50 nL (~20ng) GLUTl synthetic mRNA transcript and incubated for 3 - 5 days at 16-18 0C prior to functional uptake assays. The concentration of RNA was determined using Bio- Rad SmartSpec™3000machine. The influx experiments were performed at 20 0C using 10-12 oocytes for each condition and 14C labelled hexose at a specific activity of 4μCi/mL. Oocytes were washed with ice cold MBM to stop the incubation and then individual oocytes were placed in vials and dissolved in 0.5 mL 5% SDS for 30 min. Finally, scintillation fluid (5 mL) was added to each vial and radio activity measured using a Beckman LS6500 liquid scintillation counter. In all experiments the results were compared to the influx values obtained with water-injected oocytes as a control.
Compounds 8, 11, 13 and 31 have been tested for their GLUTs -1 and -2 assisted transport inhibition kinetics of C- 14 labeled hexose, and all four compounds demonstrated inhibition of hexose transport in to the oocytes with compound 13 and 31 being the most potent. Results are shown in Figures 14-16.
VI. Maximum Tolerated Dose (MTD) of 11
A sterile saline solution of compound 11 (GAZ-F) was injected in increasing experimental doses (75 mg/kg, 150 mg/kg, 300 mg/kg and 900 mg/kg) in Balb/c mice (5 per group) intraperitoneally in order to determine the MTD of
ATTORNEY DOCKET NO.: 24T04.2-130 compound 11, and the animals were evaluated for manifestations of acute toxicity using the M 102 Acute Toxicity Study Criteria outlined by Stanford Research Institute. The animals were weighed weekly and observed for clinical signs of toxicity and death for 2 weeks after the treatment. Tissue necropsy was performed at the end of the study and the data were recorded. MTD for the compound 11 was found to be >900 mg/kg in this experimental model.
Throughout this application, various publications are referenced. The disclosures of these publications in their entireties are hereby incorporated by reference into this application in order to more fully describe the compounds, compositions and methods described herein.
Various modifications and variations can be made to the compounds, compositions and methods described herein. Other aspects of the compounds, compositions and methods described herein will be apparent from consideration of the specification and practice of the compounds, compositions and methods disclosed herein. It is intended that the specification and examples be considered as exemplary.
Claims
1. A compound comprising the formulae VI-XIV, where A comprises a saccharide coupled to the side chain Q with or without a linker L:
IX X or a pharmaceutically acceptable salt or ester thereof; wherein A comprises a residue of a saccharide;
X comprises O, S, NR1, O→R10, S→R10, a phosphorous group, wherein R1 comprises hydrogen, a substituted or unsubstituted alkyl group, a substituted carbonyl group, a substituted thiocarbonyl group, a substituted imino group, or substituted or unsubstituted aryl group, or a ligand for coordinating an imaging agent or a ATTORNEY DOCKET NO.: 24T04.2-130 therapeutic agent;
R10 comprises an imaging agent or a therapeutic agent; wherein linker L comprises a substituted or unsubstituted acyclic group, homocarbocyclic group or heterocarbocyclic group; Q is represented by the formulae:
IA
II IIA wherein Y1 and Y2 are, independently, hydrogen, a substituted or unsubstituted alkyl group, an alkoxy group, an aryl group, or Y1 and Y2 collectively form an oxo group or a substituted or unsubstituted vinyl group; or Y1 and Y2 collectively forms a susbstituted or unsubstituted cycloalkyl group;
Z comprises hydrogen, a halide, a hydroxyl group, a substituted or unsubstituted alkyl group, an alkyl sulfonate, an aryl sulfonate, a thiol, an alkyl halide, a substituted thiol, a carboxy group, a substituted carboxy group, an amino group, an azide group, an ester, a chromophore, a fluorescent group, a diagnostic agent, an imaging agent or a therapeutic agent, where Z is directly bonded to carbon-a or Z is bonded to carbon-a ATTORNEY DOCKET NO.: 24T04.2-130 via a linker as defined above;
Z1 comprises hydrogen, a halide, a hydroxyl group, an alkyl sulfonate, an aryl sulfonate, a thiol, an alkyl halide, a substituted thiol, a carboxy group, a substituted carboxy group, an amino group, an azide group, an ester, a fluorescent group, a diagnostic agent, an imaging agent or a therapeutic agent, where Z1 is directly bonded to carbon-d as defined above.
D comprises O, S, a substituted or unsubstituted imino group, a substituted or unsubstituted phosphino group, or a substituted or unsubstituted ylide;
T comprises a substituted or unsubstituted cycloalkyl group; n is from 0 to 10;
B comprises a residue of a bioreductively activated agent; bond-b may or may not be present, wherein when bond-b is not present, the stereochemistry at carbon-a is substantially R, substantially S, or racemic; bond-c is syn or anti with respect to the saccharide; when b is not present, carbon-d is optionally asymmetric, wherein when carbon-d is asymmetric, the stereochemistry at carbon-d is substantially R, substantially S, or racemic.
2. The compound of claim 1, wherein the imaging agent comprises chromophore, fluorophore, a denoptical dye, a MRI contrast agent, a PET probe, a SPECT probe, a CT contrast agent, radiodiagnostic agent, or an ultrasound contrast agent.
3. The compound of claim 2, wherein the radiodiagnostic comprises 18F, 124I, 125I, 1311, 75Br, 76Br, 77Br, 82Br, 83Br, or 211At, or any combination thereof. ATTORNEY DOCKET NO.: 24T04.2-130
4. The compound of claim 1, wherein the therapeutic agent comprises a chemotherapeutic (CT), a radiochemo therapeutic (XRCT) agent or a molecular radiotherapy (MRT) agent.
5. The compound of claim 4, wherein the radiotherapy (MRT) agent comprises a therapeutic radionuclide comprising n I, 1311, 7 Br or 211At, or any combination thereof.
6. The compound in any previous claim, wherein the saccharide is a monosaccharide, disaccharide, or a polysaccharide.
7. The compound in any previous claim, wherein two identical or different saccharide units A are coupled to each other via a glycosidic linkage at any position.
8. The compound of claim 7, wherein the glycosidic bond between two saccharide residues is either axial or equatorial.
9. The compound in any previous claim, wherein the saccharide is a monosaccharide, and the monosaccharide comprises ribose, arabinose, deoxyribose, xylose, lyxose, ribulose, xylulose, glucose, galactose, mannose, gulose, idose, talose, allose, altrose, fructose, sorbose, tagatose, psicose, fucose, rhamnose, or carbocyclic substituted pentoses and hexoses.
10. The compound in any previous claim, wherein each A is composed of the same monosaccharide units or two or more different monosaccharide units.
11. The compound in any previous claim, wherein the saccharide has one or more hydroxyl groups substituted with a halogen.
12. The compound in any previous claim, wherein group X is located at C2, C3, C4 or C6 position of the saccharide.
13. The compound of claim 12, wherein the saccharide is glucose or mannose.
14. The compound in any previous claim, wherein the saccharide is halogenated. ATTORNEY DOCKET NO.: 24T04.2-130
15. The compound in any previous claim, wherein Y1 and Y2 each are hydrogen, form a susbstituted or unsubstituted vinyl group, form an oxo group, or form a substituted or unsubstituted cycloalkyl group.
16. The compound in any previous claim, wherein Z is a hydroxyl group, a susbstituted hydroxyl group, a substituted or unsubstituted amino group, a substituted or unsubstituted mercapto group, a substituted or unsubstituted carboxy group or any isotopic form of a halide, diagnostic or radio therapeutic.
17. The compound in any previous claim, wherein Z1 is a hydroxyl group, a susbstituted hydroxyl group, a substituted or unsubstituted amino group, a substituted or unsubstituted mercapto group, a substituted or unsubstituted carboxy group, or any isotopic form of a halide, diagnostic or radio therapeutic.
18. The compound in any previous claim, wherein bond-b is present, and n is from O to 5.
19. The compound in any previous claim, wherein bond-b is not present, and n is from 0 to 5.
20. The compound in any previous claim, wherein the bioreductively activated agent comprises a substituted or unsubstituted heterocyclic compound capable of undergoing bioreduction within a hypoxic cell.
21. The compound in any previous claim, wherein the bioreductively activated agent comprises a chemotherapeutic agent, a radiodiagnostic agent, a radiochemotherapeutic agent, a MRT agent, or a chelating agent.
22. The compound in any previous claim, wherein the bioreductively activated agent comprises an anti-neoplastic agent, wherein the anti-neoplastic agent comprises a substituted or unsubstituted quinazoline 1,4-dioxide or quinoxaline, a substituted or unsubstituted triazinel,4-dioxide, or a substituted or unsubstituted nitroimidazole, benzamides, acridines, anthracyclins, nitrosoureas, taxanes, semicarbazone, thiosemicarbazone, ATTORNEY DOCKET NO.: 24T04.2-130
DNA alkylating agents, propylene amine oxime (PnAO) ligands, diaminodithiol (DADT) ligands, MAG3 ligands, copper and platinum complexes of semicarbazones and thiosemicarbazones.
23. The compound in any previous claim, wherein Z is a halide, a hydroxyl group, a fluorescent group, a radiodiagnostic radionuclide, a MRT radionuclide, or a chromophore and n is from 1 to 3.
24. The compound in any previous claim, wherein B comprises a radiotherapeutic (MRT) isotope- substituted moiety comprising a residue of an anti-neoplastic drug.
25. The compound in any previous claim, wherein bond c is syn.
26. The compound in any previous claim, wherein bond c is anti.
27. The compound of claim 1, wherein the compound comprises the formula IIIA
wherein X comprises O, S, NR1, O→R10, S→R10, N(R1) →R10,or a phosphorous group, wherein R1 comprises hydrogen, a substituted or unsubstituted alkyl group, a keto group, or substituted or unsubstituted aryl group, or a ligand for coordinating an imaging agent or a therapeutic agent
R2-R5 (or R6 depending on the location of side chain 'Q' as in example VI) comprises, independently, hydrogen, a substituted or unsubstituted alkyl group, a keto group, a substituted or unsubstituted aryl group, a substituted ATTORNEY DOCKET NO.: 24T04.2-130 alkoxy group, a substituted or unsubstituted aryloxy group, or substituted aryl sulphonate;
U comprises oxygen, sulfur, an imino group, or a phosphino group;
Z comprises hydrogen, a halide, a hydroxyl group, an alkyl sulfonate, an aryl sulfonate, a thiol, an alkyl halide, a substituted thiol, a substituted or unsubstituted carboxy group, an amino group, an azide group, an ester, a fluorescent group, a radionuclide, diagnostic agent, CT agent, XRCT agent, or MRT agent, where Z is directly bonded to carbon a or Z is bonded to carbon a via a linker; n is from 0 to 10;
B comprises a residue of a bioreductively activated agent e.g., an antineoplastic agent; or the pharmaceutically acceptable salt or ester thereof.
28. The compound of claim 1, wherein the compound comprises the formula IIIB
X comprises O, S, NR1, O→R10, S→R10, N(R1) →R10,or a phosphorous group, wherein R1 comprises hydrogen, a substituted or unsubstituted alkyl group, a keto group, or substituted or unsubstituted aryl group, or a ligand ATTORNEY DOCKET NO.: 24T04.2-130 for coordinating an imaging agent or a therapeutic agent; U comprises oxygen, sulfur, an imino, or phosphino group; R10 comprises an imaging agent or a therapeutic agent;
R2, R4, R5, and R6 comprises, independently, hydrogen, a substituted or unsubstituted alkyl group, a keto group, a substituted or unsubstituted aryl group, a substituted alkoxy group, a substituted or unsubstituted aryloxy group, or substituted aryl sulphonate;
Z comprises hydrogen, a halide, a hydroxyl group, an alkyl sulfonate, an aryl sulfonate, a thiol, an alkyl halide, a substituted thiol, a substituted or unsubstituted carboxy group, an amino group, an azide group, an ester, a fluorescent group, a radionuclide, diagnostic agent, CT agent, XRCT agent, or MRT agent, where Z is directly bonded to carbon a or Z is bonded to carbon a via a linker; n is from 0 to 10; B comprises a residue of a bioreductively activated anti-neoplastic agent; and the bond d is syn or anti, or the pharmaceutically acceptable salt or ester thereof.
29. The compound of claim 28, wherein R2-R5 comprises, independently, hydrogen, acetyl, or benzoyl.
30. The compound in claims 28 or 29, wherein Z is a halide or a hydroxyl group and n is from 1 to 3.
31. The compound in any of claims 28-30, wherein B comprises a nitroimidazole, taxane or tirapazamine.
32. The compound in any of claims 28-30, wherein bond d is syn.
33. The compounds in any of claims 28-30, wherein bond d is anti. ATTORNEY DOCKET NO.: 24T04.2-130
34. The compound of claim 1, wherein the compound comprises the formula line
wherein X comprises O, S, NR1, O→R10, S→R10, N(R1) →R10,or a phosphorous group, wherein R1 comprises hydrogen, a substituted or unsubstituted alkyl group, a substituted carbonyl group, a substituted thiocarbonyl group, a substituted imino group, or substituted or unsubstituted aryl group, or a ligand for coordinating an imaging agent;
R10 comprises an imaging agent or a therapeutic agent;
R2, R3, R4, and R6 comprises, independently, hydrogen, a substituted or unsubstituted alkyl group, a keto group, a substituted or unsubstituted aryl group, a substituted alkoxy group, a substituted or unsubstituted aryloxy group, or substituted aryl sulphonate;
Z comprises hydrogen, a halide (diagnostic or radiotherapeutic), a hydroxyl group, an alkyl sulfonate, an aryl sulfonate, a thiol, an alkyl halide, a substituted thiol, a substituted or unsubstituted carboxy group, an amino group, an azide group, an ester, a fluorescent group, a radionuclide, diagnostic agent, CT agent, XRCT agent, or MRT agent, where Z is directly bonded to carbon a or Z is bonded to carbon a via a linker; n is from 0 to 10; bond b may or may not be present;
B comprises a residue of a bioreductively activated agent; and the bond d is syn or anti, ATTORNEY DOCKET NO.: 24T04.2-130 or the pharmaceutically acceptable salt or ester thereof.
35. The compound of claim 34, wherein X is oxygen, and R2, R3, R4, and R comprises, independently, independently, hydrogen, methyl, or acetyl.
36. The compound in claims 34 or 35, wherein Z is fluorine, iodine, bromine, astatine, a hydroxyl group, an alkyl sulfonate, or an aryl sulfonate.
37. The compound in any of claims 34-36, wherein B comprises a residue of a quinazoline-1,4 dioxide, benzotriazin-l,4-dioxide, or quinoxaline, a nitroimidazole, benzamides, acridines, anthracyclins, nitrosoureas, taxanes, semicarbazone, thiosemicarbazone, DNA alkylating agents, propylene amine oxime (PnAO) ligands, diaminodithiol (DADT) ligands, MAG3 ligands, copper and platinum complexes of semicarbazones and thiosemicarbazones.
38. The compound in any of claims 34-37, wherein bond b is present, and n is from O to 3.
39. The compound in any of claims 34-37, wherein bond b is not present, and n is from 0 to 3.
40. The compounds of claim 1, wherein the compound comprises the formula HID
wherein X comprises O, S, NR1, O→R10, S→R10, N(R1) →R10,or a phosphorous group, wherein R1 comprises hydrogen, a substituted or ATTORNEY DOCKET NO.: 24T04.2-130 unsubstituted alkyl group, a keto group, or substituted or unsubstituted aryl group, or a ligand for coordinating an imaging agent or a therapeutic agent;
R10 comprises an imaging agent or a therapeutic agent;
R2, R3, R , and R comprises, independently, hydrogen, a substituted or unsubstituted alkyl group, a keto group, a substituted or unsubstituted aryl group, a substituted alkoxy group, a substituted or unsubstituted aryloxy group, an alkyl sulphonate, or substituted aryl sulphonate;
U comprises oxygen, sulfur, an imino, or phosphino group;
Z comprises hydrogen, a halide (diagnostic or radiotherapeutic), a hydroxyl group, an alkyl sulphonate, an aryl sulfonate, a thiol, an alkyl halide, a substituted thiol, an amino group, an azide group, a substituted or unsubstituted carboxy group, an ester, a fluorescent group, a radionuclide, diagnostic agent, CT agent, XRCT agent, or MRT agent, where Z is directly bonded to carbon a or Z is bonded to carbon a via a linker; n is from 0 to 10;
B comprises a residue of a bioreductively activated anti-neoplastic agent; and the bond d is syn or anti, or the pharmaceutically acceptable salt or ester thereof.
41. A compound comprising a saccharide unit with two or more side chains Q bonded to them as represented by the formulae IX, X and Xa are claimed with all claims described in claims 28-40: wherein X comprises O, S, NR1, O→R10, S→R10, N(R1) →R10,or a phosphorous group, wherein R1 comprises hydrogen, a substituted or unsubstituted alkyl group, a substituted carbonyl group, a substituted thiocarbonyl group, a substituted imino group, or substituted or unsubstituted aryl group, or a ligand for coordinating an imaging agent, a radionuclide, diagnostic agent, CT agent, XRCT agent, or MRT agent; and ATTORNEY DOCKET NO.: 24T04.2-130
R10 comprises an imaging agent or a or a therapeutic agent;
R2, R3, R , and R comprises, independently, hydrogen, a substituted or unsubstituted alkyl group, a substituted carbonyl group, a substituted thiocarbonyl group, a substituted imino group, an alkyl halide, a substituted or unsubstituted aryl group, a substituted alkoxy group, a substituted or unsubstituted aryloxy group, or substituted aryl sulphonate;
Z comprises hydrogen, a halide (diagnostic or radiotherapeutic), a hydroxyl group, an aryl sulfonate, a thiol, a substituted thiol, an amino group, a substituted or unsubstituted carboxy group, an azide group, an ester, a fluorescent group or a fluorophore, a diagnostic radionuclide, a radiotherapeutic radionuclide, where Z is directly bonded to carbon-a or Z is bonded to carbon-a via a linker; n is from 0 to 10;
B comprises a residue of a susbstituted or unsubstituted suitable bioreductively activated moiety or a functional group e.g., an antineoplastic agent; bond-b may or may not be present, wherein when bond-b is not present, the stereochemistry at carbon-a is substantially R, substantially S, or racemic, or the pharmaceutically acceptable salt or ester thereof.
42. The compound of claim 1, wherein the compound is represented by the formulae:
ATTORNEY DOCKET NO.: 24T04.2-130
wherein X comprises O, S, NR1, O→R10, S→R10, N(R1) →R10,or a phosphorous group, wherein R1 comprises hydrogen, a substituted or unsubstituted alkyl group, an alkoxy group, a substituted carbonyl group, a substituted thiocarbonyl group, a substituted imino group, or substituted or unsubstituted aryl group, or a ligand for coordinating an imaging or therapeutic agent;
R10 comprises an imaging agent or a therapeutic agent;
L comprises a substituted or unsubstituted acyclic group, homocarbocyclic group or heterocarbocyclic group;
Y1 and Y2 are, independently, hydrogen, a substituted or unsubstituted alkyl group, an alkoxy group, an aryl group, or Y1 and Y2 collectively form an oxo group or a substituted or unsubstituted vinyl group; or Y1 and Y2 collectively forms a susbstituted or unsubstituted cycloalkyl group;
D comprises O, S, a substituted or unsubstituted imino group, a substituted or unsubstituted phosphino group, or a substituted or unsubstituted ylide;
Z comprises hydrogen, a halide, a hydroxyl group, an alkyl sulfonate, an aryl sulfonate, a thiol, a substituted thiol, an alkyl halide, an amino group, an azide group, an ester, a fluorescent group or a fluorophore, a diagnostic radionuclide, a radiotherapeutic radionuclide, where Z is directly bonded to carbon-a or Z is bonded to carbon-a via a linker; ATTORNEY DOCKET NO.: 24T04.2-130 n is from 0 to 10;
B comprises a residue of a bioreductively activated agent; bond-b may or may not be present, wherein when bond-b is not present, the stereochemistry at carbon-a is substantially R, substantially S, or racemic, or the pharmaceutically acceptable salt or ester thereof.
43. The compound of claim 1, wherein the compound is
(3R,4S,5R,6R)-6-((3-(2-nitro-lH-imidazol-l-yl)-2-(4- nitrophenylsulfonyloxy)propoxy) methyl)tetrahydro-2H-pyran-2, 3,4,5- tetrayl tetraacetate; 3fl,4S,5S,6fl)-6-((2-hydroxy-3-(2-nitro-lH-imidazoM-yl)propoxy) methyl) tetrahydro-2H-pyran-2,3 ,4,5-tetraol;
(3R,4S,5S,6R)-6-((2-fluoro-3-(2-nitro-lH-imidazol-l- yl)propoxy)methyl) tetrahydro-2H-pyran-2,3,4,5-tetraol;
(3R,4S,5S,6R)-6-(((£)-3-(2-nitro-lH-imidazol-l- yl)allyloxy)methyl)tetrahydro-2H-pyran-2,3,4,5-tetraol;
3-(2-Ηydroxy-3-(((2#,3S,4S,5#,6S)-3,4,5-trihydroxy-6- methoxytetrahydro-2H-pyran-2- yl)methoxy)propylamino)benzo[e][l,2,4]triazine 1,4-dioxide; or
3-(2-Ηydroxy-3-(((2#,3S,4S,5#)-3,4,5,6-tetrahydroxytetrahydro- 2H-pyran-2-yl)methoxy)propylamino)benzo[e] [ 1 ,2,4]triazine 1 ,4-dioxide.
44. A pharmaceutical composition comprising a compound in any of claims 1- 43 and a pharmaceutically acceptable carrier.
45. A method for delivering a bioreductively activated agent into a hypoxic cell comprising contacting the cell with a compound or composition in any of claims 1-44.
46. A method for treating a tumor comprising contacting the tumor with a compound or composition in any of claims 1-44. ATTORNEY DOCKET NO.: 24T04.2-130
47. A method for imaging hypoxic tissue, the method comprising (1) contacting the hypoxic tissue with the compounds or compositions in claims 1-44, and (2) detecting the radiolabel.
48. A method for MRT of hypoxic tissue, the method comprising contacting the hypoxic tissue with the compounds or compositions in claims 1-45, and
(2) analyzing the MRT effects of hypoxic tissues.
49. The method of claim 48, wherein the MRT effects are analyzed by positron emission tomography, (PET), single photon computer tomography (SPECT), autoradiography, identification of molecular biomarkers, magnetic resonance imaging, or planar imaging.
50. A method for imaging hypoxic tissue, the method comprising (1) contacting the hypoxic tissue with the compound or composition in any of claims 1-44, wherein the compound comprises a fluorescent group, and (2) detecting the fluorescent group.
51. The method of claim 50, wherein the fluorescent group is detected by optical imaging, autoradiography, or fluorescence-based histology.
52. A method for imaging hypoxic tissue, the method comprising (1) contacting the hypoxic tissue with the compound or composition in any of claims 1-44 and (2) detecting the compound by magnetic resonance imaging and magnetic resonance spectroscopy.
Applications Claiming Priority (2)
| Application Number | Priority Date | Filing Date | Title |
|---|---|---|---|
| US13966908P | 2008-12-22 | 2008-12-22 | |
| US61/139,669 | 2008-12-22 |
Publications (2)
| Publication Number | Publication Date |
|---|---|
| WO2010073126A2 true WO2010073126A2 (en) | 2010-07-01 |
| WO2010073126A3 WO2010073126A3 (en) | 2010-08-19 |
Family
ID=42288191
Family Applications (1)
| Application Number | Title | Priority Date | Filing Date |
|---|---|---|---|
| PCT/IB2009/007980 Ceased WO2010073126A2 (en) | 2008-12-22 | 2009-12-22 | Compounds useful in delivering anti-neoplastic therapy and diagnostic imaging to hypoxic cells and methods of use thereof |
Country Status (1)
| Country | Link |
|---|---|
| WO (1) | WO2010073126A2 (en) |
Cited By (8)
| Publication number | Priority date | Publication date | Assignee | Title |
|---|---|---|---|---|
| WO2016164921A1 (en) * | 2015-04-10 | 2016-10-13 | The Regents Of The University Of California | Pet imaging tracer for imaging prostate cancer |
| CN110551226A (en) * | 2019-07-30 | 2019-12-10 | 大连理工大学 | Tertiary amine type nitrogenous glycan derivative with controllably-switched hydrophilic and hydrophobic properties and preparation method and application thereof |
| EP3684781A4 (en) * | 2017-09-19 | 2022-06-29 | The Governors of the University of Alberta | Bioreductively-activated compounds, their prodrugs, radiopharmaceuticals, the compositions, and their applications in multimodal theranostic management of hypoxia diseases including cancer |
| US11697666B2 (en) | 2021-04-16 | 2023-07-11 | Gilead Sciences, Inc. | Methods of preparing carbanucleosides using amides |
| US11767337B2 (en) | 2020-02-18 | 2023-09-26 | Gilead Sciences, Inc. | Antiviral compounds |
| US12030903B2 (en) | 2020-02-18 | 2024-07-09 | Gilead Sciences, Inc. | Antiviral compounds |
| US12054507B2 (en) | 2020-02-18 | 2024-08-06 | Gilead Sciences, Inc. | Antiviral compounds |
| US12116380B2 (en) | 2021-08-18 | 2024-10-15 | Gilead Sciences, Inc. | Phospholipid compounds and methods of making and using the same |
Family Cites Families (3)
| Publication number | Priority date | Publication date | Assignee | Title |
|---|---|---|---|---|
| US5721265A (en) * | 1994-08-05 | 1998-02-24 | Sri International | Fluorinated 2-nitroimidazole analogs for detecting hypoxic tumor cells |
| ZA200507752B (en) * | 2003-03-28 | 2007-01-31 | Threshold Pharmaceuticals Inc | Compositions and methods for treating cancer |
| GB0421294D0 (en) * | 2004-09-24 | 2004-10-27 | Angiogene Pharm Ltd | Bioreductively-activated prodrugs |
-
2009
- 2009-12-22 WO PCT/IB2009/007980 patent/WO2010073126A2/en not_active Ceased
Cited By (9)
| Publication number | Priority date | Publication date | Assignee | Title |
|---|---|---|---|---|
| WO2016164921A1 (en) * | 2015-04-10 | 2016-10-13 | The Regents Of The University Of California | Pet imaging tracer for imaging prostate cancer |
| EP3684781A4 (en) * | 2017-09-19 | 2022-06-29 | The Governors of the University of Alberta | Bioreductively-activated compounds, their prodrugs, radiopharmaceuticals, the compositions, and their applications in multimodal theranostic management of hypoxia diseases including cancer |
| CN110551226A (en) * | 2019-07-30 | 2019-12-10 | 大连理工大学 | Tertiary amine type nitrogenous glycan derivative with controllably-switched hydrophilic and hydrophobic properties and preparation method and application thereof |
| US11767337B2 (en) | 2020-02-18 | 2023-09-26 | Gilead Sciences, Inc. | Antiviral compounds |
| US12030903B2 (en) | 2020-02-18 | 2024-07-09 | Gilead Sciences, Inc. | Antiviral compounds |
| US12054507B2 (en) | 2020-02-18 | 2024-08-06 | Gilead Sciences, Inc. | Antiviral compounds |
| US12264173B2 (en) | 2020-02-18 | 2025-04-01 | Gilead Sciences, Inc. | Antiviral compounds |
| US11697666B2 (en) | 2021-04-16 | 2023-07-11 | Gilead Sciences, Inc. | Methods of preparing carbanucleosides using amides |
| US12116380B2 (en) | 2021-08-18 | 2024-10-15 | Gilead Sciences, Inc. | Phospholipid compounds and methods of making and using the same |
Also Published As
| Publication number | Publication date |
|---|---|
| WO2010073126A3 (en) | 2010-08-19 |
Similar Documents
| Publication | Publication Date | Title |
|---|---|---|
| ES2674910T3 (en) | Efficient synthesis of chelators for nuclear imaging and radiotherapy: Compositions and applications | |
| WO2010073126A2 (en) | Compounds useful in delivering anti-neoplastic therapy and diagnostic imaging to hypoxic cells and methods of use thereof | |
| Holland et al. | Functionalized bis (thiosemicarbazonato) complexes of zinc and copper: synthetic platforms toward site-specific radiopharmaceuticals | |
| Patra et al. | Chemical approach to positional isomers of glucose–platinum conjugates reveals specific cancer targeting through glucose-transporter-mediated uptake in vitro and in vivo | |
| Bononi et al. | Glycoconjugated metal complexes as cancer diagnostic and therapeutic agents | |
| KR101313712B1 (en) | Conjugates for dual imaging and radiochemotherapy: composition, manufacturing, and applications | |
| US7001888B2 (en) | Compositions and methods for treating cancer | |
| KR100784120B1 (en) | Ethylenedicysteine (EC) -drug Conjugates | |
| CA2682064C (en) | Compositions for targeted imaging and therapy | |
| EP2257315B1 (en) | Contrast agents for applications including perfusion imaging | |
| Kumar et al. | Design, synthesis, and preliminary biological evaluation of 6-O-glucose–azomycin adducts for diagnosis and therapy of hypoxic tumors | |
| KR20140052027A (en) | Folate conjugates of albumin-binding entities | |
| CA2649869C (en) | Compositions and methods for cellular imaging and therapy | |
| CA3076259A1 (en) | Bioreductively-activated compounds, their prodrugs, radiopharmaceuticals, the compositions, and their applications in multimodal theranostic management of hypoxia diseases including cancer | |
| Singh et al. | Synthesis and preliminary evaluation of a 99m Tc labelled deoxyglucose complex {[99m Tc] DTPA-bis (DG)} as a potential SPECT based probe for tumor imaging | |
| Ocakoglu et al. | Evaluation of cancer imaging potential and photodynamic therapy efficacy of copper (II) benzyloxypheophorbide-a | |
| EP1881000A1 (en) | Conjugates of 2-fluoro-2-deoxy-glucose and their uses as anti cancer agents | |
| Mikata et al. | Metal Complexes of Carbohydrate‐targeted Ligands in Medicinal Inorganic Chemistry | |
| Uppal et al. | Design, synthesis and biological evaluation of choline based SPECT imaging agent: Ga (III)-DO3A-EA-Choline | |
| Kumar et al. | [99mTc] Technetium labelled PnAo-azomycin glucuronides: a novel class of imaging markers of tissue hypoxia | |
| RU2730507C1 (en) | Compound for diagnosing tumours expressing psma and composition based thereon | |
| WO2025193796A1 (en) | Ros-activatable prodrugs of doxazolidine as novel cancer therapy paradigm | |
| KR20240072200A (en) | Method for preparing 18F-labeled silyl-fluoride compounds | |
| EP4651911A1 (en) | New senescence tracer generation | |
| HK1132672B (en) | Efficient synthesis of chelators for nuclear imaging and radiotherapy: compositions and applications |
Legal Events
| Date | Code | Title | Description |
|---|---|---|---|
| 121 | Ep: the epo has been informed by wipo that ep was designated in this application |
Ref document number: 09834199 Country of ref document: EP Kind code of ref document: A2 |
|
| NENP | Non-entry into the national phase |
Ref country code: DE |
|
| 122 | Ep: pct application non-entry in european phase |
Ref document number: 09834199 Country of ref document: EP Kind code of ref document: A2 |




















