WO2010070233A2 - Kit for coating keratin substances comprising a polysaccharide and a chemical crosslinking agent - Google Patents
Kit for coating keratin substances comprising a polysaccharide and a chemical crosslinking agent Download PDFInfo
- Publication number
- WO2010070233A2 WO2010070233A2 PCT/FR2009/052586 FR2009052586W WO2010070233A2 WO 2010070233 A2 WO2010070233 A2 WO 2010070233A2 FR 2009052586 W FR2009052586 W FR 2009052586W WO 2010070233 A2 WO2010070233 A2 WO 2010070233A2
- Authority
- WO
- WIPO (PCT)
- Prior art keywords
- composition
- compound
- weight
- acid
- polysaccharide
- Prior art date
- Legal status (The legal status is an assumption and is not a legal conclusion. Google has not performed a legal analysis and makes no representation as to the accuracy of the status listed.)
- Ceased
Links
Classifications
-
- A—HUMAN NECESSITIES
- A61—MEDICAL OR VETERINARY SCIENCE; HYGIENE
- A61Q—SPECIFIC USE OF COSMETICS OR SIMILAR TOILETRY PREPARATIONS
- A61Q1/00—Make-up preparations; Body powders; Preparations for removing make-up
- A61Q1/02—Preparations containing skin colorants, e.g. pigments
-
- A—HUMAN NECESSITIES
- A61—MEDICAL OR VETERINARY SCIENCE; HYGIENE
- A61K—PREPARATIONS FOR MEDICAL, DENTAL OR TOILETRY PURPOSES
- A61K8/00—Cosmetics or similar toiletry preparations
- A61K8/18—Cosmetics or similar toiletry preparations characterised by the composition
- A61K8/19—Cosmetics or similar toiletry preparations characterised by the composition containing inorganic ingredients
- A61K8/24—Phosphorous; Compounds thereof
-
- A—HUMAN NECESSITIES
- A61—MEDICAL OR VETERINARY SCIENCE; HYGIENE
- A61K—PREPARATIONS FOR MEDICAL, DENTAL OR TOILETRY PURPOSES
- A61K8/00—Cosmetics or similar toiletry preparations
- A61K8/18—Cosmetics or similar toiletry preparations characterised by the composition
- A61K8/30—Cosmetics or similar toiletry preparations characterised by the composition containing organic compounds
- A61K8/33—Cosmetics or similar toiletry preparations characterised by the composition containing organic compounds containing oxygen
- A61K8/37—Esters of carboxylic acids
-
- A—HUMAN NECESSITIES
- A61—MEDICAL OR VETERINARY SCIENCE; HYGIENE
- A61K—PREPARATIONS FOR MEDICAL, DENTAL OR TOILETRY PURPOSES
- A61K8/00—Cosmetics or similar toiletry preparations
- A61K8/18—Cosmetics or similar toiletry preparations characterised by the composition
- A61K8/30—Cosmetics or similar toiletry preparations characterised by the composition containing organic compounds
- A61K8/40—Cosmetics or similar toiletry preparations characterised by the composition containing organic compounds containing nitrogen
-
- A—HUMAN NECESSITIES
- A61—MEDICAL OR VETERINARY SCIENCE; HYGIENE
- A61K—PREPARATIONS FOR MEDICAL, DENTAL OR TOILETRY PURPOSES
- A61K8/00—Cosmetics or similar toiletry preparations
- A61K8/18—Cosmetics or similar toiletry preparations characterised by the composition
- A61K8/30—Cosmetics or similar toiletry preparations characterised by the composition containing organic compounds
- A61K8/49—Cosmetics or similar toiletry preparations characterised by the composition containing organic compounds containing heterocyclic compounds
- A61K8/4973—Cosmetics or similar toiletry preparations characterised by the composition containing organic compounds containing heterocyclic compounds with oxygen as the only hetero atom
-
- A—HUMAN NECESSITIES
- A61—MEDICAL OR VETERINARY SCIENCE; HYGIENE
- A61K—PREPARATIONS FOR MEDICAL, DENTAL OR TOILETRY PURPOSES
- A61K8/00—Cosmetics or similar toiletry preparations
- A61K8/18—Cosmetics or similar toiletry preparations characterised by the composition
- A61K8/30—Cosmetics or similar toiletry preparations characterised by the composition containing organic compounds
- A61K8/64—Proteins; Peptides; Derivatives or degradation products thereof
- A61K8/645—Proteins of vegetable origin; Derivatives or degradation products thereof
-
- A—HUMAN NECESSITIES
- A61—MEDICAL OR VETERINARY SCIENCE; HYGIENE
- A61K—PREPARATIONS FOR MEDICAL, DENTAL OR TOILETRY PURPOSES
- A61K8/00—Cosmetics or similar toiletry preparations
- A61K8/18—Cosmetics or similar toiletry preparations characterised by the composition
- A61K8/30—Cosmetics or similar toiletry preparations characterised by the composition containing organic compounds
- A61K8/64—Proteins; Peptides; Derivatives or degradation products thereof
- A61K8/65—Collagen; Gelatin; Keratin; Derivatives or degradation products thereof
-
- A—HUMAN NECESSITIES
- A61—MEDICAL OR VETERINARY SCIENCE; HYGIENE
- A61K—PREPARATIONS FOR MEDICAL, DENTAL OR TOILETRY PURPOSES
- A61K8/00—Cosmetics or similar toiletry preparations
- A61K8/18—Cosmetics or similar toiletry preparations characterised by the composition
- A61K8/72—Cosmetics or similar toiletry preparations characterised by the composition containing organic macromolecular compounds
- A61K8/73—Polysaccharides
- A61K8/731—Cellulose; Quaternized cellulose derivatives
-
- A—HUMAN NECESSITIES
- A61—MEDICAL OR VETERINARY SCIENCE; HYGIENE
- A61K—PREPARATIONS FOR MEDICAL, DENTAL OR TOILETRY PURPOSES
- A61K8/00—Cosmetics or similar toiletry preparations
- A61K8/18—Cosmetics or similar toiletry preparations characterised by the composition
- A61K8/72—Cosmetics or similar toiletry preparations characterised by the composition containing organic macromolecular compounds
- A61K8/73—Polysaccharides
- A61K8/735—Mucopolysaccharides, e.g. hyaluronic acid; Derivatives thereof
-
- A—HUMAN NECESSITIES
- A61—MEDICAL OR VETERINARY SCIENCE; HYGIENE
- A61K—PREPARATIONS FOR MEDICAL, DENTAL OR TOILETRY PURPOSES
- A61K8/00—Cosmetics or similar toiletry preparations
- A61K8/18—Cosmetics or similar toiletry preparations characterised by the composition
- A61K8/72—Cosmetics or similar toiletry preparations characterised by the composition containing organic macromolecular compounds
- A61K8/73—Polysaccharides
- A61K8/736—Chitin; Chitosan; Derivatives thereof
-
- A—HUMAN NECESSITIES
- A61—MEDICAL OR VETERINARY SCIENCE; HYGIENE
- A61K—PREPARATIONS FOR MEDICAL, DENTAL OR TOILETRY PURPOSES
- A61K8/00—Cosmetics or similar toiletry preparations
- A61K8/18—Cosmetics or similar toiletry preparations characterised by the composition
- A61K8/72—Cosmetics or similar toiletry preparations characterised by the composition containing organic macromolecular compounds
- A61K8/73—Polysaccharides
- A61K8/737—Galactomannans, e.g. guar; Derivatives thereof
-
- A—HUMAN NECESSITIES
- A61—MEDICAL OR VETERINARY SCIENCE; HYGIENE
- A61K—PREPARATIONS FOR MEDICAL, DENTAL OR TOILETRY PURPOSES
- A61K8/00—Cosmetics or similar toiletry preparations
- A61K8/18—Cosmetics or similar toiletry preparations characterised by the composition
- A61K8/72—Cosmetics or similar toiletry preparations characterised by the composition containing organic macromolecular compounds
- A61K8/84—Cosmetics or similar toiletry preparations characterised by the composition containing organic macromolecular compounds obtained by reactions otherwise than those involving only carbon-carbon unsaturated bonds
- A61K8/86—Polyethers
-
- A—HUMAN NECESSITIES
- A61—MEDICAL OR VETERINARY SCIENCE; HYGIENE
- A61K—PREPARATIONS FOR MEDICAL, DENTAL OR TOILETRY PURPOSES
- A61K2800/00—Properties of cosmetic compositions or active ingredients thereof or formulation aids used therein and process related aspects
- A61K2800/80—Process related aspects concerning the preparation of the cosmetic composition or the storage or application thereof
- A61K2800/88—Two- or multipart kits
-
- A—HUMAN NECESSITIES
- A61—MEDICAL OR VETERINARY SCIENCE; HYGIENE
- A61K—PREPARATIONS FOR MEDICAL, DENTAL OR TOILETRY PURPOSES
- A61K2800/00—Properties of cosmetic compositions or active ingredients thereof or formulation aids used therein and process related aspects
- A61K2800/80—Process related aspects concerning the preparation of the cosmetic composition or the storage or application thereof
- A61K2800/95—Involves in-situ formation or cross-linking of polymers
Definitions
- Kit for coating keratin materials comprising a polysaccharide and a chemical crosslinking agent
- the subject of the present invention is a cosmetic product, in particular a non-therapeutic make-up or care product for keratin materials comprising at least two compounds X and Y, which are capable of reacting together, at least one of the compounds being a polysaccharide.
- the products according to the invention may be make-up or skincare products for keratin materials, in particular skin, lips, eyelashes, eyebrows or nails.
- the product according to the invention can be a foundation, a blush or an eyeshadow, a concealer, a blush, a lipstick, a lip balm, a lip gloss, a lip pencil or with eyes, a mascara, an eyeliner or a product for making up the body, for coloring the skin, or for a treatment such as a care cream, a tinted cream, or a sun product.
- Makeup compositions such as lipsticks and foundations are commonly used to bring an aesthetic color to the lips or to the skin, especially to the face, or to camouflage skin discolorations.
- These makeup products generally contain water or a hydrophilic phase, fatty substances such as waxes and / or oils, and a particulate phase generally composed of fillers and / or pigments.
- compositions when they are applied to the skin, have the disadvantage of transferring, that is to say of being deposited at least in part, leaving traces, on certain supports with which they can be put in contact with each other. and especially a glass, a cup, a cigarette, a garment or the skin. It follows a poor persistence of the applied film, requiring regular renewal of the application of the foundation composition or lipstick.
- transfer problems are all the more important that the compositions comprise a high content of pigments, which is the case when the compositions are intended to mask dyschromias, problems of damaged skin, or imperfections of relief such as wrinkles or scars.
- the appearance of these unacceptable traces especially on the blouse collar can exclude some women from the use of this type of makeup.
- non-transfer cosmetic compositions called "non-transfer” which have the advantage of forming a deposit that does not transfer, at least in part, on the supports with which they are put in contact (glass, clothing, cigarette, tissue) and exhibiting good behavior over time, in particular color in the case of a makeup product.
- compositions whose properties hold and non-transfer can be controlled over time that is to say, compositions having an optimal hold during the day, and can be removed without effort at any time.
- compositions for coating eyelashes or mascaras it is known in particular anhydrous mascaras or low water content and / or water-soluble solvents, so-called “waterproof mascaras", formulated as a dispersion of waxes in solvents non-aqueous and have good resistance to water and / or sebum.
- the makeup film obtained after the application of these compositions is not sufficiently resistant to water, for bathing or showers for example, with tears or sweat.
- the mascara then tends to crumble in time: grains are deposited and unsightly marks appear around the eyes.
- the object of the present invention is to provide a novel way of formulating cosmetic compositions, in particular make-up or care compositions, making it possible to obtain a film deposited on keratin materials having good non-transfer properties, good holding properties in the time, especially with water and friction, and conferring a comfortable deposit on the skin, lips, eyelashes or nails.
- the inventors have discovered that it is possible to obtain such properties by using a system comprising a polysaccharide (compound X) and a crosslinking agent (compound Y) which polymerize in situ, at atmospheric pressure and at a temperature chosen according to of the system considered, so as to form a film adhering to the keratin materials without being tacky, said film may even be peelable under certain conditions.
- a system comprising a polysaccharide (compound X) and a crosslinking agent (compound Y) which polymerize in situ, at atmospheric pressure and at a temperature chosen according to of the system considered, so as to form a film adhering to the keratin materials without being tacky, said film may even be peelable under certain conditions.
- compound Y crosslinking agent
- Polymeric films formed in situ on keratin materials have very good adhesion properties, resistance to water or sebum, mechanical resistance to friction, and comfort.
- these compositions may have "second skin” characteristics, in that the deposition on the keratin materials is obtained by an in situ reaction, directly on the skin. The resulting film adapts perfectly to the morphology of the skin.
- compounds X and Y Before being applied to keratin materials, compounds X and Y may be present in the same composition or in two different compositions called first and second compositions.
- the compounds X and Y are present within the same composition, they will be in conditions capable of forming a film only after application to the keratin materials.
- the subject of the invention is a kit for coating keratin materials, comprising:
- At least one first composition comprising a compound X; at least one second composition comprising a compound Y; the compound X being a polysaccharide, said compounds X and Y reacting together by chemical crosslinking reaction in situ, at atmospheric pressure and ambient temperature so as to form a film.
- the kit for coating keratin materials according to the invention comprises:
- At least one first composition comprising a compound X
- the kit for coating keratin materials comprises:
- At least one first composition comprising a compound X
- At least one second composition comprising a compound Y; the compound X being a polysaccharide, said compounds X and Y reacting together by chemical crosslinking reaction in situ, at atmospheric pressure and ambient temperature so as to form a film, at least one of said first or second composition comprising at least one material dye, especially pulverulent, and in particular pigments and / or nacres in a total content of at least 5% by weight relative to the total weight of said composition.
- the kit for coating keratin materials according to the invention comprises:
- At least one first composition comprising a compound X
- at least one second composition comprising a compound Y
- the compound X being a polysaccharide, said compounds X and Y reacting together by chemical crosslinking reaction in situ, at atmospheric pressure and ambient temperature so as to form a film, and said compound X being present in a content of at least 1% by weight relative to the weight of the first composition or with respect to the total weight of the mixture of the first and the second composition.
- the film obtained on keratin materials is peelable.
- the first composition comprising compound X and the second composition comprising compound Y are packaged in separate packages.
- Each composition may be packaged separately in the same packaging article, for example a packaging and dispensing device being arranged to separately store the first and second compositions and comprising an adjustment member allowing a user to vary the relative proportion of the composition. less a composition in the mixture obtained, said relative proportion conditioning the properties of the mixture obtained, for example the properties of non-transfer or comfort.
- each of the first and second compositions may be packaged in a different packaging article.
- the compound X and the compound Y are introduced in a single composition.
- the subject of the present invention is, according to a second aspect, a cosmetic composition for coating keratin materials comprising at least one compound X and at least one compound Y, the compound X being a polysaccharide, the said compounds X and Y reacting together by chemical in situ crosslinking reaction after application of said composition to the keratin materials at room temperature so as to form a film.
- the film is formed after application of said composition to the keratin materials, in particular the skin, and evaporation of the continuous aqueous phase.
- the cosmetic composition for coating keratin materials comprises (i) at least one compound X and at least one compound Y, the compound X being a polysaccharide, the said compounds X and Y reacting together by an in situ chemical crosslinking reaction after application of said composition to the keratin materials, and (ii) at least one particulate phase comprising fillers, pigments and / or nacres in a content of at least 5% by weight relative to the total weight of said composition.
- the cosmetic composition for coating keratin materials comprises (i) at least one compound X and at least one compound Y, the compound X being a polysaccharide, the said compounds X and Y reacting together by an in situ chemical crosslinking reaction after application of said composition to the keratin materials, and (ii) at least one dyestuff, in particular pulverulent material, in particular pigments and / or nacres, in a total content of at least 5% by weight relative to the total weight of said composition.
- the cosmetic composition for coating keratin materials comprises at least one compound X and at least one compound Y, the compound X being a polysaccharide, the said compounds X and Y reacting together by a chemical crosslinking reaction in situ after application. of said composition on the materials keratin, and said compound X being present in a content of at least 1% by weight relative to the total weight of said composition.
- the subject of the invention is also, according to a third aspect, a cosmetic process for coating keratinous substances consisting of: a. mix extemporaneously:
- At least one first composition comprising a compound X
- At least one second composition comprising a compound Y; the compound X being a polysaccharide, said compounds X and Y reacting together by chemical crosslinking reaction in situ, at atmospheric pressure (and ambient temperature) so as to form a film, then b. to apply on said keratinous materials at least one layer of said mixture.
- the cosmetic process for coating keratin materials according to the invention consists in: a. mix extemporaneously:
- At least one first composition comprising a compound X; at least one second composition comprising a compound Y; the compound X being a polysaccharide, said compounds X and Y reacting together by chemical crosslinking reaction in situ, at atmospheric pressure (and ambient temperature) so as to form a film, at least one of said first or second composition comprising at least a particulate phase comprising fillers, pigments and / or nacres in a content of at least 5% by weight relative to the total weight of said composition, then b. to apply on said keratinous materials at least one layer of said mixture.
- the cosmetic process for coating keratin materials according to the invention consists in: a. mix extemporaneously:
- At least one first composition comprising a compound X; at least one second composition comprising a compound Y; the compound X being a polysaccharide, said compounds X and Y reacting together by chemical crosslinking reaction in situ, at atmospheric pressure (and ambient temperature) so as to form a film, at least one of said first or second composition comprising at least a dyestuff, especially pulverulent material, and in particular pigments and / or nacres in a total content of at least 5% by weight relative to the total weight of said composition, then b. to apply on said keratinous materials at least one layer of said mixture.
- the cosmetic process for coating keratin materials according to the invention consists in: a. mix extemporaneously:
- At least one first composition comprising a compound X; at least one second composition comprising a compound Y; the compound X being a polysaccharide, said compounds X and Y reacting together by chemical crosslinking reaction in situ, at atmospheric pressure (and ambient temperature) so as to form a film, and said compound X being present in the first composition in a content such that it is at least 1% by weight relative to the total weight of the mixture of the first and the second composition. then b. to apply on said keratinous materials at least one layer of said mixture.
- compound X and compound Y are applied via at least two separate compositions, each comprising one of the compounds.
- the present invention also relates to a cosmetic process for coating keratin materials, the method comprising applying to said keratin materials: a. at least one layer of a first composition comprising a compound X; b. at least one layer of a second composition comprising a compound Y; the compound X being a polysaccharide, said compounds X and Y reacting together by chemical crosslinking reaction in situ, at atmospheric pressure (and ambient temperature) so as to form a film.
- a cosmetic process for coating keratin materials comprises the application on said keratin materials: a. at least one layer of a first composition comprising a compound X; b. at least one layer of a second composition comprising a compound Y; the compound X being a polysaccharide, said compounds X and Y reacting together by chemical crosslinking reaction in situ, at atmospheric pressure (and ambient temperature) so as to form a film, at least one of said first or second composition comprising at least a particulate phase comprising fillers, pigments and / or nacres in a content of at least 5% by weight relative to the total weight of said composition.
- a cosmetic process for coating keratin materials comprises the application on said keratin materials: a. at least one layer of a first composition comprising a compound X; b. at least one layer of a second composition comprising a compound Y; the compound X being a polysaccharide, said compounds X and Y reacting together by chemical crosslinking reaction in situ, at atmospheric pressure (and ambient temperature) so as to form a film, at least one of said first or second composition comprising at least a dyestuff, especially pulverulent material, and in particular pigments and / or nacres in a total content of at least 5% by weight relative to the total weight of said composition.
- a cosmetic process for coating keratin materials comprises the application on said keratin materials: a. at least one layer of a first composition comprising a compound X; b. at least one layer of a second composition comprising a compound Y; the compound X being a polysaccharide, said compounds X and Y reacting together by chemical crosslinking reaction in situ, at atmospheric pressure (and ambient temperature) so as to form a film, and said compound X being present in the first composition in a content of at least 1% by weight relative to the total weight of said first composition.
- the process consists in applying at least one layer of the second composition comprising the compound Y to the keratin materials, and then depositing on the layer or layers of said second composition at least one layer of the first composition comprising the compound X .
- the subject of the invention is also the use of a composition or a kit as described above, for obtaining a film deposited on keratinous substances, having holding, non-transfer and / or comfort properties. improved.
- each composition comprises a cosmetically acceptable medium, ie a non-toxic medium that can be applied to human keratin materials and has a pleasant appearance, odor and feel.
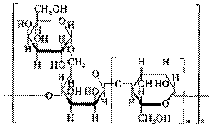
- the polysaccharides (compound X) present in the products according to the invention can in particular be chosen from polysaccharides derived from microorganisms, polysaccharides isolated from algae and polysaccharides from higher plants, possibly modified by chemical reactions.
- the polysaccharides are chosen from fructans, gellans, glucans, modified or non-modified starches (such as those derived, for example, from cereals such as wheat, corn or rice, from vegetables such as blond pea, from tubers such as potatoes or cassava), amylose, amylopectin, glycogen, dextrans, celluloses and their derivatives (methylcelluloses, hydroxyalkylcelluloses, ethylhydroxyethylcelluloses, carboxymethylcelluloses), mannans, xylans, lignins, arabans, galactans, galacturonans, chitin, chitosans, glucoronoxylans, arabinoxylans, xyloglucans, glucomannans , pectic acids and pectins, alginic acid and alginates, arabinogalactans, carrageenans, agars, glycosaminoglucans, gum arabic, Tragacanth gums
- polysaccharides may be modified chemically, in particular by urea, urethane groups, or by reaction of hydrolysis, oxidation, esterification, etherification, sulfation, phosphatation, amination, amidation, alkylation, or by several of these modifications.
- the derivatives obtained can be anionic, cationic, amphoteric or nonionic.
- Xanthan is a heteropolysaccharide produced on an industrial scale by the aerobic fermentation of the bacterium Xanthomonas campestris. Its structure consists of a main chain of ⁇ -D-glucose linked in ⁇ (1, 4), similar to cellulose. One in two glucose molecules carries a trisaccharide side chain consisting of ⁇ -D-mannose, ⁇ -D-glucuronic acid and terminal ⁇ -D-mannose. The residue mannose is usually acetylated on carbon 6. About 30% of terminal mannose residues carry a pyruvate group bound in chelated form between carbons 4 and 6.
- the glucuronic acids and charged pyruvic acids are ionizable, and therefore responsible for the nature anionic xanthan (negative charge up to pH 1).
- the contents of the pyruvate and acetate residues vary according to the strain of bacteria, the fermentation process, the conditions after fermentation and the purification steps. These groups can be neutralized in commercial products with Na + , K + or Ca 2+ ions (SATIA Company, 1986).
- the neutralized form can be converted to an acid form by ion exchange or by dialysis of an acidic solution.
- the xanthan gums have a molecular weight of between 1,000,000 and 50,000,000 and a viscosity of between 0.6 and 1.65 Pa.s for an aqueous composition containing 1% of xanthan gum (measured at 25 ° C. under the viscometer). Brookfield, LVT type at 60 rpm).
- Xanthan gum are represented for example by the products sold under the names Rhodicare by the company Rhodia Chimie, under the name SATIAXANE TM by the company Cargill Texturizing Solutions (for the food, cosmetic and pharmaceutical industry), under the name NOVAXAN TM the company ADM, and under the names Keltrol ® Kelzan ® and the CP-Kelco. pullulan
- Pullulan is a polysaccharide consisting of maltotriose units, known as ⁇ (1,4) - ⁇ (1,6) -glucan. Three units of glucose in maltotriose are connected via a glycosidic linkage at ⁇ (1, 4), while the consecutive maltotriose units are connected to each other by an ⁇ (1, 6) glycosidic linkage. Pullulan is produced by fermentation from starch by the mushroom Aureobasidium pullulans.
- the pullulan is for example produced under the reference Pullulan PF 20 by the Hayashibara group in Japan.
- Dextran is a neutral polysaccharide without charged group, biologically inert, prepared by fermentation of beet sugar containing only hydroxyl groups. It is synthesized from sucrose by fermentation in the presence of certain lactic acid bacteria, the most common being Leuconostoc mesenteroides and Streptococcus mutans.
- This connected polysaccharide consists of a succession of glucose molecules forming a chain of variable lengths.
- the main chain consists of glucose molecules linked together by glycosidic bonds in ⁇ (1, 6), and the branches are connected to the main chain by glycosidic bonds in ⁇ (1, 3) (and in some cases, in ⁇ (1, 2) and ⁇ (1, 4)).
- Dextran may in particular be in the form of dextran sulfate.
- Dextran is represented, for example, by the products sold under the name Dextran or Dextran T by the company Pharmacosmos, under the name Dextran 40 powder or Dextran 70 powder by the company Meito Sangyo Co.
- Dextran sulphate is marketed by the company PK Chemical A / S under the name Dextran sulphate.
- Succinoglycan is an extracellular polymer produced by bacterial fermentation, of high molecular weight and consisting of repeated units of octasaccharides (repetition of 8 sugars). These units are synthesized in the membranes of the microorganism related to isoprenoid lipids.
- the main chain contains 3 glucoses and 1 galactose, and the side chain contains 4 glucoses.
- the sugars are linked together by glycoside bonds ⁇ (1, 4) and ⁇ (1, 3).
- the pyruvate substituent is attached to the last glucose of the side chain, however, the succinate can be linked to one of the other 2 glucoses of the same side chain.
- the basic unit of said succinoglycans may contain residues of other organic acids, such as pyruvile or acetyl residues, as well as other sugars such as glucuronic acid and / or mannose.
- the molar ratios between glucose and such organic acid residues are generally between (5 to 8) / (0.01 to 2).
- the molar ratios between said other sugars and glucose are generally between (0 to 1) / (5 to 8).
- the succinoglycans can be obtained by microbial fermentation, for example by fermentation of a medium containing at least one carbon source, by means of a microorganism which preferably belongs to the genus Arthrobacter, such as Arthrobacter Stabilis, to the genus Agrobacterium, such as Agrobacterium tumefaciens, Agrobacterium radiobacter, or Agrobacterium rhizogenes, to the genus Rhizobium, to the genus Alcaligenes, such as Alcaligenes faecalis.
- the fermentation media comprising the carbon source and the methods of fermentation are extensively described in the literature.
- Succinoglycan is an anionic polysaccharide which has the particularity of having a helix-pelot transition, induced by a temperature change. This conformational transition is very cooperative, leading to a significant change in the rigidity of the polymer.
- Succinoglycans are, for example, sold under the name Rheozan by Rhodia.
- Scleroglucan is a branched, nonionic homopolysaccharide composed of ⁇ -D glucan units.
- the molecules consist of a main linear chain formed of D-glucose linked by ⁇ (1, 3) linkages and of which one in three is linked to a lateral D-glucose unit via a ⁇ bond (1, 6).
- polysaccharides are obtained by fermentation of a medium based on sugar and mineral salts, under the action of a Sclerotium-type microorganism, such as Sclerotium glucanium and Sclerotium rolfsii.
- Sclerotium-type microorganism such as Sclerotium glucanium and Sclerotium rolfsii.
- Scleroglucan is for example sold under the name AMIGEL by ALBAN MULLER, or under the name ACTIGUM TM CS by Cargill.
- alginic acid-based compound is meant in particular alginic acid, alginic acid derivatives and alginic acid salts (alginates) or derivatives thereof.
- the alginic acid-based compound is water soluble.
- Alginic acid a natural substance derived from brown algae or certain bacteria, is a polyuronic acid composed of 2 uronic acids linked by (1, 4) glycosidic linkages: ⁇ -D-Manuronic acid (M) and ⁇ -L-glucuronic acid (G), having the following chemical structures:
- the alginic acid is capable of forming water-soluble salts (alginates) with alkali metals such as sodium, potassium, lithium, lower amine and substituted ammonium cations such as methylamine, ethanolamine, diethanolamine, triethanolamine.
- alginates are capable of crosslinking with each other in the presence of complexing agents, by formation of ionic bonds between said complexing agents and the negatively charged group of the residue G.
- the formation of multiple crosslinks between several alginate molecules results in the formation of a matrix forming a gel insoluble in water.
- Alginic acid-based compounds having a weight average molecular weight of from 10,000 to 1,000,000, preferably from 15,000 to 500,000 and most preferably from 20,000 to 250,000, are preferably used.
- the alginic acid-based compound is a sodium or potassium alginate.
- alginates and derivatives are represented for example by the products sold under the names SATIALGINE TM, CECALGUM TM or ALGOGEL TM by the company Cargill products, under the name Protanal TM by the company FMC Biopolymer, under the name GRINDSTED ® Alginate by the company Danisco under the name KIMICA ALGIN KIMICA by the company, and under the name ® and Manucol Manugel ® by ISP.
- the compound X of the composition according to the invention may be a galactan, especially chosen from agar or carrageenans.
- Carrageenans are anionic polysaccharides constituting the cell walls of various red algae (Rhodophyceae) belonging to the families Gigartinacae, Hypneaceae, Furcellariaceae and Polyideaceae. They are generally obtained by hot aqueous extraction from natural strains of said algae. These linear polymers, formed by disaccharide units, are composed of two D-galactopyranose units alternately linked by ⁇ (1, 3) and ⁇ (1, 4) linkages. They are highly sulphated polysaccharides (20-50%) and the ⁇ -D-galactopyranosyl residues can be in 3,6-anhydro form.
- carrageenans which have an ester-sulfate group, iota-carrageenans which have two ester groups sulphate and lambda-carrageenans which have three ester-sulphate groups.
- the carrageenans have in particular the following chemical structures:
- Carrageenans consist essentially of potassium, sodium, magnesium, triethanolamine and / or calcium salts and sulfate esters of polysaccharides.
- Carrageenans are especially sold by Seppic under the name Solagum ®, the Gelymar under the name of Carragel ®, Carralact ® and Carrasol ® by Cargill, under the names SATIAGEL TM and satiagum TM, and CP-Kelco under the name GENULACTA ® , GENUGEL ® and GENUVISCO ® .
- Galactans Agar type are galactose polysaccharides contained in the cell wall of some of these species of red algae (rhodophycea). They are formed of a polymer group whose base skeleton is a chain ⁇ (1,3) D-galactopyranose and ⁇ (1,4) L 3-6 anhydrogalactose, these units repeating regularly and alternately. Differences within the agar family are due to the presence or absence of methylated or carboxyethylated solvated groups. These structures Hybrids are generally present as a variable percentage, depending on the species of algae and the season of harvest.
- the agar is a mixture of polysaccharides (agarose and agaropectin) of high molecular weight, between 40,000 and 300,000 g. mol "1. It is obtained by manufacturing algae extraction juice, usually by autoclaving, and treating these juices which include about 2% of agar to extract it.
- the agar is for example produced by the group B & V Agar Producers, under the name GoId Agar, Agarite and Grand Agar by the company Hispanagar, and under the names Agar-Agar, QSA (Quick Soluble Agar), and Puragar by the company Setexam .
- Furcellaran is obtained commercially from red algae Fur ⁇ llaria fasztigiata, mainly found in the northern seas of Europe. Its structure is very close to that of carrageenans. Furcellarane is for example produced by the company East-Agar.
- the compound X present in the composition according to the invention may be a glucosane, in particular chosen from native or modified starches, dextrins and derivatives, celluloses and derivatives or fructans.
- starches which can be used in the present invention are more particularly macromolecules in the form of polymers consisting of elementary units which are hydroglucose (dextrose) units, linked by ⁇ (1, 4) bonds, of chemical formula
- amylose and amylopectin vary according to the botanical origin of the starches. On average, a sample of native starch consists of about 25% amylose and 75% amylopectin. Sometimes, there is presence of phytoglycogen (between 0 and 20% of the starch), an analogue of amylopectin but branched every 10 to 15 glucose residues.
- the starch can be in the form of semi-crystalline granules: amylopectin is organized in sheets, amylose forms a less well-organized amorphous zone between the different layers.
- Amyloidosis is organized into a right helix with six glucoses per turn. It dissociates into assimilable glucose under the action of enzymes, amylases, more easily if it is in the form of amylopectin. Indeed, helical formation does not promote the accessibility of starch to enzymes.
- the starches are generally in the form of a white powder insoluble in cold water, the size of the elementary particles ranges from 3 to 100 microns. By treating it with hot water, we obtain the poisoning. It is used in the industry for its thickener and gelling properties.
- starch or amylose molecules used in the present invention may have as botanical origin cereals or tubers.
- starches or amyloses are for example chosen from starches or amyloses of maize, rice, cassava, tapioca, barley, potato, wheat, sorghum, pea.
- the native starches are represented for example by the products sold under the names C * Amilogel TM, Cargill Gel TM, C * Gel TM, Cargill Gum TM, DryGel TM, C * Pharm Gel TM by the company Cargill, under the name Starch of but by the company Roquette, and under the name Tapioca Pure by the company National Starch.
- the starches used in the composition of the invention may be modified by one or more of the following reactions: pregelatinization, degradation (acid hydrolysis, oxidation, dextrinization), substitution (esterification, etherification), crosslinking (esterification), bleaching.
- these reactions can be carried out as follows: - pregelatinization by bursting the starch granules (for example drying and cooking in a drying drum),
- crosslinking with functional agents capable of reacting with the hydroxyl groups of the starch molecules which will thus be bonded together (for example with glyceryl and / or phosphate groups)
- alkaline esterification for the grafting of functional groups in particular C 6 acyl (acetyl), hydroxyalkyl C 6 (hydroxyethyl, hydroxypropyl), carboxymethyl, octenylsuccinic.
- X denotes in particular alkali metals (for example sodium or potassium), alkaline earth metals (for example calcium, magnesium), ammonium salts, amine salts such as those of monoethanolamine, diethanolamine, triethanolamine, amino-3-propanediol-1,2, ammonium salts derived from basic amino acids such as lysine, arginine, sarcosine, ornithine, citrulline.
- alkali metals for example sodium or potassium
- alkaline earth metals for example calcium, magnesium
- ammonium salts amine salts such as those of monoethanolamine, diethanolamine, triethanolamine, amino-3-propanediol-1,2, ammonium salts derived from basic amino acids such as lysine, arginine, sarcosine, ornithine, citrulline.
- the phosphorus compounds may be, for example, sodium tripolyphosphate, sodium orthophosphate, phosphorus oxychloride or sodium trimetaphosphate.
- amphoteric starches these amphoteric starches contain one or more anionic groups and one or more cationic groups.
- the anionic and cationic groups may be bonded to the same reactive site of the starch molecule or to different reactive sites; preferably they are linked to the same reactive site.
- Anionic groups can be of carboxylic type, phosphate or sulfate and preferably carboxylic.
- the cationic groups may be of primary, secondary, tertiary or quaternary amine type.
- the amphoteric starches are in particular chosen from compounds of the following formulas:
- St-O represents a starch molecule
- R identical or different, represents a hydrogen atom or a methyl radical
- R ' identical or different, represents a hydrogen atom, a methyl radical or a -COOH group, n is an integer equal to 2 or 3,
- M identical or different, denotes a hydrogen atom, an alkali or alkaline earth metal such as Na, K, Li, NH 4, a quaternary ammonium or an organic amine,
- R represents a hydrogen atom or an alkyl radical having 1 to 18 carbon atoms. These compounds are described in particular in US Pat. Nos. 5,455,340 and 4,017,460, which are incorporated by reference.
- the starch molecules can be derived from all plant sources of starch, such as in particular corn, potato, oats, rice, tapioca, sorghum, barley or wheat. It is also possible to use the hydrolysates of the starches mentioned above.
- the modified starches are represented for example by the products sold under the names C * Tex-lnstant (pre-gelatinized adipate), C * StabiTex-lnstant (pre-gelatinized phosphate), C * PolarTex-Inactive (pre-gelatinized hydroxypropyl), C * Set (acid hydrolysis , oxidation), C * size (oxidation), C * BatterCrisp (oxidation), C * DrySet (dextrinization),
- oxidized starches use will be made in particular those marketed under the name C * size of the company Cargill.
- Cyclodextrins are a family of cyclic oligosaccharides composed of ⁇ (1, 4) -linked glucopyranose subunits. These natural products resulting from the degradation of starch by the bacterium Bacillus macerans, were discovered in 1891 by V Amsterdam. Three families are mainly used or studied the ⁇ -, ⁇ - and ⁇ -cyclodextrins according to which are formed of 6, 7 or 8 subunits (families of several tens of subunits were synthesized for research purposes).
- ⁇ -cyclodextrin The empirical formula of ⁇ -cyclodextrin is C42H70O35, so its molar mass is 1,134.98 g. mol "1 , its CAS number is 7585-39-9
- the cyclodextrins are in particular oligosaccharides of formula:
- x may be a number equal to 4 (which corresponds to ⁇ -cyclodextrin), to 5 ( ⁇ -cyclodextrin) or to 6 ( ⁇ -cyclodextrin).
- cyclodextrins can be obtained from natural cyclodextrins: the hydroxyl groups of the glucopyranose units can be amino, esterified or etherified. The synthesis of these derivatives is often intended to improve solubility.
- cyclodextrins are ⁇ -cyclodextrin (BCD, natural), hydroxypropyl- ⁇ -cyclodextrin (HPCD) and methyl- ⁇ -cyclodextrin (MCD).
- beta-cyclodextrin sold by Wacker under the name CAVAMAX W7 and a gamma-cyclodextrin sold by the company Wacker under the name CAVAMAX W8.
- cyclodextrin derivatives are, for example, methyl cyclodextrins, such as methyl-beta-cyclodextrin sold by the company Wacker under the name CAVASOL W7.
- the compound X according to the invention may also be a cellulose or a derivative thereof in particular ethers or cellulose esters (eg methylcellulose, carboxymethylcellulose, hydroxymethylcellulose, hydroxyethylcellulose, hydroxypropylcellulose, hydroxymethylpropylcellulose, cellulose acetate, cellulose nitrate, nitrocellulose) .
- ethers or cellulose esters eg methylcellulose, carboxymethylcellulose, hydroxymethylcellulose, hydroxyethylcellulose, hydroxypropylcellulose, hydroxymethylpropylcellulose, cellulose acetate, cellulose nitrate, nitrocellulose
- the invention may also contain a cellulosic associative polymer.
- the term "cellulosic compound” is intended to mean any polysaccharide compound having in its structure linear chains of anhydroglucopyranose (AGU) residues linked by glycosidic ⁇ (1, 4) linkages. The repetition pattern is the cellobiose dimer.
- the AGUs are in chair conformation and have 3 hydroxyl functions: 2 secondary alcohols (in position 2 and 3) and a primary alcohol (in position 6).
- the polymers thus formed combine with each other by intermolecular links of the hydrogen bonding type, thus conferring a fibrillar structure on the cellulose (approximately 1500 molecules per fiber).
- the degree of polymerization differs enormously depending on the origin of the cellulose; its value can vary from a few hundred to a few tens of thousands.
- Cellulose has the following chemical structure:
- the hydroxyl groups of the cellulose may partially or totally react with different chemical reagents to give cellulose derivatives having their own properties.
- the cellulose derivatives may be anionic, cationic, amphoteric or nonionic.
- these derivatives there are cellulose ethers, cellulose esters and cellulose ether esters.
- nonionic cellulose ethers mention may be made of alkylcelluloses such as methylcelluloses and ethylcelluloses; hydroxyalkylcelluloses such as hydroxymethylcelluloses, hydroxyethylcelluloses and hydroxypropylcelluloses; mixed hydroxyalkyl-alkylcellulose celluloses such as hydroxypropylmethylcelluloses, hydroxyethylmethylcelluloses, hydroxyethylethylcelluloses and hydroxybutylmethylcelluloses.
- alkylcelluloses such as methylcelluloses and ethylcelluloses
- hydroxyalkylcelluloses such as hydroxymethylcelluloses, hydroxyethylcelluloses and hydroxypropylcelluloses
- mixed hydroxyalkyl-alkylcellulose celluloses such as hydroxypropylmethylcelluloses, hydroxyethylmethylcelluloses, hydroxyethylethylcelluloses and hydroxybutylmethylcelluloses.
- anionic cellulose ethers mention may be made of carboxyalkylcelluloses and their salts.
- carboxymethylcelluloses, carboxymethylmethylcelluloses and carboxymethylhydroxyethylcelluloses and their sodium salts mention may be made of carboxymethylcelluloses, carboxymethylmethylcelluloses and carboxymethylhydroxyethylcelluloses and their sodium salts.
- cationic cellulose ethers mention may be made of quaternized hydroxyethylcelluloses which may or may not be crosslinked.
- the quaternizer may especially be glycidyltrimethylammonium chloride or a fatty amine such as laurylamine or stearylamine.
- Another cationic cellulose ether that may be mentioned is hydroxyethylcellulose hydroxypropyltrimethylammonium.
- the cellulose esters there are the inorganic esters of cellulose (cellulose nitrates, sulphates, or phosphates, etc.), the organic cellulose esters (cellulose monoacetates, triacetates, amidopropionates, acetatebutyrates, acetatepropionates or acetatetrimellitates). ) and mixed organic / inorganic cellulose esters such as cellulose acetate-butyrate sulphates and cellulose acetate propionates.
- the cellulose ether esters mention may be made of hydroxypropyl methylcellulose phthalates and ethylcellulose sulphates.
- the cellulosic compounds of the invention may be chosen from unsubstituted celluloses and substituted celluloses.
- Celluloses and derivatives are exemplified by the products sold under the names Avicel ® (microcrystalline cellulose, MCC) by FMC Biopolymers, under the name Cekol (carboxymethylcellulose) by the company Noviant (CP-Kelco), under the name Akucell AF (carboxymethylcellulose sodium) by Akzo Nobel under the name Methocel TM (cellulose ethers) and Ethocel TM (ethylcellulose) by Dow under the names Aqualon ® (carboxymethylcellulose and sodium carboxymethylcellulose), Benecel ® (methylcellulose) Blanose TM (carboxymethylcellulose), Culminai ® (methylcellulose, hydroxypropyl methylcellulose), Klucel ® (hydroxypropylcellulose), Polysurf ® (cetyl hydroxyethyl cellulose) and Natrosol ® CS (hydroxyethylcellulose) from Hercules Aqualon.
- Avicel ® microcrystalline cellulose, MCC
- Cekol carboxy
- the compound X present in the composition according to the invention may especially be a fructosan selected from among inulin and its derivatives (especially dicarboxy and carboxymethyl inulins).
- Fructans or fructosans are oligosaccharides or polysaccharides comprising a sequence of anhydrofructose units optionally associated with a plurality of different saccharide residues of fructose.
- the fructans can be linear or branched.
- the fructans can be products obtained directly from a plant or microbial source or products whose chain length has been modified (increased or reduced) by fractionation, synthesis or hydrolysis in particular enzymatic.
- the fructans generally have a degree of polymerization of from 2 to about 1000 and preferably from 2 to about 60.
- the second group also corresponds to linear fructoses but the fructose units are essentially linked by ⁇ (2,6) bonds. These products are levanes.
- the third group corresponds to mixed fructans, ie having ⁇ (2,6) and ⁇ (2,1) chains. These are essentially branched fructans than graminans.
- the preferred fructans in the compositions according to the invention are inulins.
- Inulin can be obtained for example from chicory, dahlia or Jerusalem artichokes.
- the inulin used in the composition according to the invention is obtained for example from chicory.
- polysaccharides, in particular inulins, used in the compositions according to the invention can be hydrophobically modified.
- they are obtained by grafting hydrophobic chains onto the hydrophilic backbone of the fructan.
- the hydrophobic chains capable of being grafted onto the main chain of the fructan can in particular be linear or branched hydrocarbon chains, saturated or unsaturated, having from 1 to 50 carbon atoms, such as the alkyl, arylalkyl, alkylaryl or alkylene groups; divalent cycloaliphatic groups or organopolysiloxane chains.
- These hydrocarbon or organopolysiloxane chains may in particular comprise one or more ester, amide, urethane, carbamate, thiocarbamate, urea, thiourea, and / or sulphonamide functions, such as especially methylenedicyclohexyl and isophorone; or divalent aromatic groups such as phenylene.
- the polysaccharide especially inulin, has a degree of polymerization of from 2 to about 1000 and preferably from 2 to about 60, and a degree of substitution of less than 2 on the basis of a fructose unit.
- the hydrophobic chains have at least one alkyl carbamate group of formula R-NH-CO- in which R is an alkyl group having from 1 to 22 carbon atoms.
- the hydrophobic chains are lauryl carbamate groups.
- the inulin used for this invention is represented, for example, by the products sold under the name Beneo TM inulin by the company Orafti, and under the name
- hydrophobic modified inulins that can be used in the compositions according to the invention include stearoyl inulin such as those sold under the names Lifidrem Inst by Engelhard and Rheopearl INS by Ciba; palmitoyl inulin; undecylenoyl inulin such as those sold under the names Lifidrem INUK and
- the polysaccharides that may be used according to the invention may be gums, for example cassia, karaya, konjac, tragacanth, acacia or arabic gum.
- Gum arabic Gum arabic of which the gum of Senegal (Acacia seyal, family Leguminosae) is the main variety, consists of a exudate of descending sap solidified, amalgamated naturally or by incision, on the trunk and at the foot of trees, of the family of acacias.
- Gum arabic is a highly branched acidic polysaccharide which is in the form of mixtures of potassium, magnesium and calcium salts.
- the monomeric elements of the free acid (arabic acid) are D-galactose, L-arabinose, L-rhamnose and D-glucuronic acid. It is assumed that gum arabic consists of at least two polysaccharide fractions of different structures. The higher molecular weight fraction contains a modest amount of amino acids but is critical for its properties. The indicated average molecular mass oscillates between
- Gum arabic is commercially available in the form of powder or unmilled crystals more or less round, yellow to white to yellowish brown in color.
- the outer surface of the crystals is matte and cracked and their breaks are glassy; they are also often crossed by fine cracks.
- the gum is bland and odorless. It is soluble in water, insoluble in alcohol.
- Gum arabic is characterized by three main fractions, an arabinogalactan (AG) fraction with a very small protein fraction, representing 88% of the gum and having a molecular weight of 250 000 Da, an arabinogalactan-protein complex (AGP) having a high molecular weight (1, 5.10 6 ) - protein complex (AGP) representing about 10% by weight of the gum, and a glycoprotein (G1) with a molecular weight of 200,000 Da, component 1, 2% of the gum.
- the carbohydrate blocks (AG) are linked together by a main polypeptide chain.
- the carbohydrate blocks consist of a ⁇ -linked (1, 3) -linked galactopyranose skeleton, with numerous branches bound to galactopyranose residues in ⁇ (1, 6) and containing arabinofuranose, arabinopyranose (Ara), rhamnopyranose (Rha) sugars. ), glucuronic acids (GIcA) and 4-O-methylglucoronic acid.
- Gum arabic can be precipitated in the presence of trivalent cations and by salts such as silicates, borates and mercuric nitrate.
- the gum arabic used for this invention is represented, for example, by the products sold under the name Eficacia TM by the company Colloides Naturels International, by the product sold under the name Gum Arabia Quick Gum Type 8074 by the company Max Haenelt, by the product sold under the name Arabian Gum Powder 396D sold by Alland & Robert, by the product sold under the name Ticamulsion B-2001 by the company TIC Gums.
- Gum tragacanth also known as tragacanth or dragon gum, is an exudate obtained from the dried mucilaginous sap of about twenty species of plants of the genus Astracantha (formerly Astragalus) originating in south-eastern Europe and Southwest Asia.
- This gum is a complex mixture of several polysaccharides.
- the two main fractions are tragacanthin (60-70%) and bassorine, also called “tragacanthic acid” (30-40%).
- tragacanthin dissolves to form a colloidal hydrosol, while the insoluble bassorine swells to form a gel.
- an adhesive paste is obtained.
- the constituent sugar residues of this arabinogalactan are 75% of L-arabinose, 12% of D-galactose, 3% of D-galacturonic acid methyl ester and L-rhamnose.
- the tragacanthic acid is water-soluble and consists of a (1,4) -linked ⁇ -D-galactopyranosyluronic acid backbone with short branches such as ⁇ -linked residues D-xylopyranose (1). 3), D-xylopyropyranosyl-1,2- ⁇ -1-dimers. ⁇ -linked fucopyranose (1, 3), and ⁇ -linked D-xylopyranose-1, 2-d-galactopyranose dimers (1, 3).
- the constituent sugars of gum tragacanth are therefore in relative proportions 43% of D-galacturonic acid, 40% of D-xylose, 10% of L-fucose and 4% of D-galactose.
- the average molecular mass of tragacanthic acid is of the order of 840 000 Da.
- Karaya gum is a partially acetylated, high molecular weight polysaccharide, exuded by trees of the species Sterculia (Urens and Setigera), is one of the least water-soluble natural gums. It swells to give a viscous colloidal dispersion.
- Karaya gum is a strongly acetylated acid polysaccharide, with a backbone consisting of alternating ⁇ -D-galacturonopyranosyluronic acid (1, 4) -related units and ⁇ -L-rhamnopyranosyl (1,2) -linked residues. Groups of ⁇ -D-galactopyranosyl and D-glucuronopyranosyluronic acid are connected to the oxygens (02 and 03) of the galacturonic acid residues, while half of the rhamnose residues are bound (in 04) to ⁇ -residues. D-galactopyranosyl at (1, 4). The molecule also has 13% by weight of acetyl groups. Karaya gum is poorly soluble in water, however, it swells easily in cold water to occupy several times its original volume, especially at small particle size ( ⁇ 200 mesh), giving a dispersion that appears homogeneous
- the karaya gum used for this invention is represented for example by the products sold under the names Gum Karaya Powder by the company Alland & Robert.
- Galactomannans guar, carob, fenugreek, tara gum
- derivatives phosphated guar, hydroxypropyl guar, ..
- Galactomannans are nonionic polysaccharides extracted from the albumen of leguminous seeds of which they constitute the reserve carbohydrate.
- Galactomannans are macromolecules consisting of a main chain of ⁇ (1, 4) -linked D-mannopyranose units, bearing lateral branches consisting of a single unit D-galactopyranose linked at ⁇ (1, 6) to the chain main.
- the different galactomannans are distinguished on the one hand by the proportion of ⁇ -D-galactopyranose units present in the polymer, and on the other hand by significant differences in terms of distribution of galactose units along the mannose chain.
- the mannose / galactose ratio (M / G) is of the order of 2 for guar gum, 3 for tara gum and 4 for locust bean gum.
- the guar molecule thus has on average twice as many branches as the carob. However, within the same sample, this ratio may vary depending on the fractions.
- Knowledge of the M / G ratio is one way of characterizing the sample although it does not inform the statistical distribution of galactosyl residues on the main chain.
- Tara gum is characterized by a more statistically random distribution of lateral chains while carob is characterized by a non-statistically random and non-regular distribution, with alternating unsubstituted blocks of intermediate length (smooth regions) and branched blocks (regions hairy). Guar flour has very few smooth regions, with very regular distribution of side chains of galactose.
- the galactomannans that can be used according to the invention contain primary and secondary hydroxyl groups, which, in principle, can be derived and substituted. At the industrial level, only hydroxyalkyl derivatives, carboxymethyl and cationic derivatives, as well as partially depolymerized grades, are commercially available.
- hydroxyalkyl derivatives which can be used according to the invention are obtained for example by treating galactomannans with ethylene or with propylene oxide in an alkaline medium. These derivatives differ from the raw material in their faster hydration kinetics and better solubility.
- the products that can be used according to the invention can also be carboxymethyl derivatives. These derivatives are obtained by "etherification" of a certain portion of the hydroxyl groups with hydrochloric acid or sodium chloroacetate. Unlike carboxymethylcelluloses, which are soluble only from degrees of substitution of 0.7 to 1.0, galactomannans (if not already soluble before chemical modification) become completely soluble at a degree of substitution of less than 0.05.
- the products that can be used according to the invention can also be cationic derivatives.
- Cationic derivatives are obtained by treating galactomannans with suitable organic amines such as 2-hydroxy-3-chloropropyltrimethylammonium chloride or its reaction product, 2,3-epoxypropyltrimethylammonium chloride, which is formed in an alkaline medium.
- the products that can be used according to the invention can be partially depolymerized galactomannans, thus having reduced viscosities. These depolymerizations are obtained by acid hydrolysis, oxidation, or enzymatic degradation.
- Guar gum is characterized by a mannose: galactose ratio of the order of 2: 1.
- the galactose group is regularly distributed along the mannose chain.
- guar gums that may be used according to the invention may be nonionic, cationic or anionic.
- chemically modified or unmodified nonionic guar gums can be used.
- Non unmodified nonionic guar gums are for example the products sold under the name VIDOGUM GH VIDOGUM G and Vidocrem by Unipektin company and under the name Jaguar by Rhodia under the name Meypro ® Guar by the company Danisco under the name VISCOGUM TM by the company Cargill, and under the name Supercol ® guar gum by the company Aqualon.
- the nonionic guar gums hydrolyzed used according to the invention are for example represented by the products sold under the name Meyprodor ® by the company Danisco.
- modified nonionic guar gums which can be used according to the invention are preferably modified with dC 6 hydroxyalkyl groups.
- hydroxyalkyl groups there may be mentioned by way of example, the hydroxymethyl, hydroxyethyl, hydroxypropyl and hydroxybutyl groups.
- guar gums are well known in the state of the art and may for example be prepared by reacting corresponding alkene oxides, such as, for example, propylene oxides, with guar gum so as to obtain a gum of guar modified with hydroxypropyl groups.
- the level of hydroxyalkylation which corresponds to the number of alkylene oxide molecules consumed by the number of free hydroxyl functions present on the guar gum, preferably varies from 0.4 to 1.2.
- nonionic guar gums optionally modified with hydroxyalkyl groups are for example sold under the trade names Jaguar HP 60, Jaguar HP 105 and Jaguar HP 120 (hydroxypropyl guar), by Rhodia, or under the name N-Hance ® HP (hydroxypropyl guar) by the company Aqualon.
- compositions according to the invention may also comprise a cationic galactomannan gum.
- the galactomannan gum is a cationic guar gum.
- the cationic galactomannan gums preferably have a cationic charge density less than or equal to 1.5 meq / g and more particularly between 0.1 and 1 meq./g.
- the charge density can be determined according to the Kjeldahl method. It generally corresponds to a pH of the order of 3 to 9.
- cationic galactomannan gum means any galactomannan gum containing cationic groups and / or ionizable groups in cationic groups.
- the preferred cationic groups are chosen from those comprising primary, secondary, tertiary and / or quaternary amine groups.
- the cationic galactomannan gums used generally have a weight average molecular weight of between about 500 and 5 ⁇ 10 6 , and preferably between about 10 3 and 3 ⁇ 10 6 .
- the cationic galactomannan gums that can be used according to the present invention are, for example, gums comprising trialkyl (d-C 4 ) ammonium cationic groups. Preferably, 2 to 30% by number of the hydroxyl functions of these gums carry trialkylammonium cationic groups.
- trialkylammonium groups there may be mentioned very particularly trimethylammonium and triethylammonium groups.
- these groups represent from 5 to 20% by weight of the total weight of the modified galactomannan gum.
- a guar gum comprising hydroxypropyltrimethylammonium groups, that is to say a gum modified for example by 2,3-epoxypropyltrimethylammonium chloride, is preferably used.
- galactomannan gums in particular guar gums modified with cationic groups, are products that are already known per se and are described, for example, in US Pat. Nos. 3,589,578 and 4,031,307. Such products are sold in particular under the US Pat. tradenames Jaguar EXCEL, Jaguar C13 S, Jaguar C 15, Jaguar C 17 and Jaguar C162 (guar hydroxypropyltrimonium chloride) by Rhodia under the name Amilan ® Guar (guar hydroxypropyltrimonium chloride) by Degussa and under the name N-Hance ® 3000 (Guar Hydroxypropyltrimonium Chloride) by Aqualon.
- Jaguar EXCEL Jaguar C13 S
- Jaguar C 15 Jaguar C 17
- Jaguar C162 guar hydroxypropyltrimonium chloride
- Amilan ® Guar guar hydroxypropyltrimonium chloride
- N-Hance ® 3000 Guar Hydroxypropyltrimonium Chloride
- the cationic galactomannan gum may represent from 0.001% to 10% by weight, preferably from 0.005% to 5% by weight, and still more preferably from 0.01% to 3% by weight, of the total weight of the composition.
- the anionic guar gums that may be used according to the invention are polymers containing groups derived from carboxylic, sulfonic, sulphene, phosphoric, phosphonic acid or pyruvic acid.
- the anionic group is a carboxylic acid group.
- the anionic group may also be in the form of an acid salt, especially a salt of sodium, calcium, lithium or potassium.
- anionic guar gums that can be used according to the invention are preferably carboxymethyl guar derivatives (carboxymethyl guar or carboxymethyl hydroxypropyl guar).
- Locust bean gum is extracted from carob tree seeds (Ceratonia siliqua), which is an evergreen tree native to Iran and Asia Minor but grown throughout the Mediterranean coast.
- Galactose sugars are also not evenly distributed along the chain, but tend to be grouped together in blocks.
- the chains have an irregular structure with "smooth" zones and alternately substituted zones.
- Locust bean gum useful in this invention can be chemically modified with the same chemical modifications as previously described for guar gum.
- the gum unmodified carob used in this invention is sold for example under the name Viscogum TM by Cargill under the name VIDOGUM L by Unipektin company, under the name Grinsted ® LBG by Danisco.
- the chemically modified carob gums which can be used in this invention can be represented, for example, by the cationic carob sold under the name Catinal CLB (carob Hydroxypropyltrimonium Chloride) by the company Toho.
- Catinal CLB carob Hydroxypropyltrimonium Chloride
- the tara gum for use in this invention can be chemically modified with the same chemical modifications as previously described for guar gum.
- the Tara gum that can be used in the context of this invention is sold, for example, under the name Vidogum SP by the company Unipektin.
- Glucomannans (konjac gum):
- Glucomannan is a high molecular weight polysaccharide (500,000 ⁇ Mgucomannan ⁇ 2,000,000), composed of D-mannose units and D-glucose with a branch every 50 or 60 units or so. It is found in wood but it is also the main constituent of Konjac gum.
- Konjac (Amorphophallus konjac) is a plant of the family Araceae.
- Pectins or more broadly pectic substances, are polysaccharides, attached to carbohydrates. These are substances of exclusively vegetable origin. Pectin is present in large quantities in some algae, in pips and zests of gooseberry, apple, quince, lemon. The pectins are extracted from the raw material by solubilization in hot acid medium and then by precipitation in alcohol. The precipitate is then washed with a sodium hydroxide solution to obtain the desired pH. Pectins are polymers of acidic polysaccharides. The pectins are linear polymers of ⁇ -D-galacturonic acid (at least 65%) bonded in position 1 and 4, with a certain proportion of carboxylic groups esterified with a methanol group.
- L-rhamnose D-glucose, D-galactose, L-arabinose, D-xylose
- the residues of L-rhamnose are found in all the pectins, integrated in the main chain in positions 1, 2. They are at the origin of the nonlinear character of the main chain (cf chemical structure). Their molecular weight is of the order of 10 5 g / mol.
- Uronic acid molecules have carboxyl functions. This function gives pectins the ability to exchange ions when they are in COO form. " Bivalent ions (calcium in particular) have the ability to form ionic bridges between two carboxyl groups of two different pectin molecules. In the natural state, a certain proportion of the carboxylic groups are esterified with a methanol group. The degree of natural esterification of a pectin can vary between 70 (apple, lemon) and 10% (strawberry) depending on the source used. From pectins of high degree of esterification, it is possible to hydrolyze the -COOCH 3 groups, in order to obtain weakly esterified pectins.
- HM pectins High methoxy
- LM Low Methoxy pectins having a degree of esterification of less than 50%
- amidated pectins the -OCH 3 group is substituted with a -NH 2 group.
- the degree of esterification influences the gelation properties of the HM pectins.
- the ester group is less hydrophilic than the acidic group, and therefore HM pectin (with a high degree of esterification) gels at a higher temperature than LM pectin (with a low degree of esterification). The difference is reflected in terms of fast, medium and slow gelation.
- pectins are marketed by the company Cargill under the name Unipectine TM, by the company CP-Kelco under the name GENU, by Danisco under the name GRINSTED Pectin.
- polysaccharides that may be used according to the invention, mention may also be made of polysaccharides originating from the animal kingdom. This is for example the case of chitin, chitosan and derivatives (chitosan-beta-glycerophosphate, carboxymethylchitine, etc.).
- Chitin is an amino sugar, polysaccharide, made of acetylglucosamine (N-acetyl-D-glucose-2-amino) groups linked together by a ⁇ -type bond (1, 4). It is this type of bond that links the glucose groups in the cellulose molecule.
- the chemical name of the molecule is PoIy N-acetyl-D-glucosamine, ⁇ (1, 4) -2-Acetamido
- Chitin is one of the constituents of the cuticle of insects, spiders and crustaceans, so it has a protective role. Associated with calcium carbonate, it becomes rigid and then forms the exoskeleton of crustaceans and all shelled animals such as snails.
- Chitosan is a polysaccharide composed of the random distribution of ⁇ (1,4) linked D-glucosamine (deacetylated unit) and N-acetyl-D-glucosamine (acetylated unit).
- the degree of acetylation is the percentage of acetylated units relative to the number of total units, it can be determined by infrared spectrometry with
- Chitosan is soluble in acidic medium unlike chitin which is insoluble. It is important to distinguish between the degree of acetylation (DA) and the degree of deacetylation (DD). One being the opposite of the other, that is to say that chitosan having a
- DD 85% has 15% of acetyl groups and 85% of amino groups on its chains.
- Chitin is a particularly effective moisturizing agent. Its advantage is twofold: it brings water and prevents dehydration. In addition, the great advantage of chitin and its derivatives is the persistence of this moisturizing power over time. Finally, chitosan forms on the surface of the skin a protective and tensor film, able to fix other active ingredients for the skin. Thus other moisturizing agents, sunscreens, organic acids or other active ingredients may be associated with chitin derivatives. Chitin would promote their effects.
- the products that can be used according to the invention are, for example, those sold by France-Chitine.
- Glycosaminoglycans GAG
- Hyaluronic acid chondroitin sulfate, dermatan sulfate, keratan sulfate or heparin and heparan sulfate may be mentioned in particular.
- polysaccharides that may be used according to the invention are also represented by glycosaminoglycans or glycosaminoglycans (GAGs). These polysaccharides have long been referred to as “acidic mucopolysaccharides” because of their high water retention capacity (“muco”), their carbohydrate nature (“polysaccharides”) and their acidity from their multiples. negative charges (“acids”).
- Glucosamine is either N-sulfated (GIcNS) or N-acetylated (GIcNac).
- GaINac N-acetylated
- GAG chains can be covalently linked to a protein to form proteoglycans.
- GAGs include chondroitin sulfate (elastic cartilage, hyaline cartilage, bone, dermis, cornea), dermatan sulfate (dermis, tendon, ligament, fibrous cartilage), keratan sulfate (cartilage, cornea), heparin / heparan sulfate ( liver, lung, aorta), and hyaluronic acid.
- Hyaluronic acid is a polymer of disaccharides, themselves composed of D-glucuronic acid and DN-acetylglucosamine, linked to each other by alternating glycoside bonds ⁇ (1, 4) and ⁇ (1, 3).
- the polymers of this repeating unit can have a size between 10 2 and 10 4 kDa in vivo.
- Hyaluronic acid is energy stable, partly because of the stereochemical aspects of the disaccharides that make it up.
- Hyaluronic acid is made up of about 50000 dissachable units, it is about the size of a bacterium and has a gel appearance.
- Hyaluronic acid is mainly obtained, industrially, by two different processes: extraction of rooster ridges (after grinding, chemical treatment and purification), or bacterial fermentation (the hyaluronic acid filaments are synthesized by genetically modified bacteria) .
- Sodium hyaluronate is the sodium salt of hyaluronic acid. Chondroitin sulfate, or chondroitin sulfate, is a glycosaminoglycan found in connective tissue.
- Chondroitin sulfate is a component of the cartilage matrix. Its function is to maintain osmotic pressure by absorbing water and helping to moisturize cartilage. It also contributes to the flexibility and elasticity of the bone. More importantly, it acts as a chondroprotective agent protecting the cartilage against enzymatic reactions and free radical damage (including nitric oxide released by chondrocytes).
- the basic unit of chondroitin sulfate is glucuronic acid ⁇ (1, 3) N-acetyl galactosamine 6 sulfate. Each unit is connected to the next by a link ⁇ (1, 4). Chondroitin sulfate varies in its composition depending on the animal species even if the basic structure is mainly unchanged.
- Heparin is a molecule that is part of the glycosaminoglycans (GAG).
- hyaluronic acid will be used.
- Xylans (or arabinoxylans) and derivatives
- the flour contains fragments of the primary walls of the starchy albumen of wheat; they belong essentially to a family of polysaccharides: arabinoxylans. These are polymers of xylose and arabinose, all grouped under the name "pentosans”.
- the wheat grain arabinoxylan is composed of residues of ⁇ -D-xylopyranose (Rodionova et al., 1992).
- Xylans consist of a main chain of ⁇ -linked (1, 4) -D-xylose units on which three substitutes are found (Rouau & Thibault, 1987): acidic units, ⁇ -L- arabinofuranose, side chains that may contain arabinose, xylose, galactose and glucuronic acid.
- Arabinoxylan generally consists of 1500-5000 residues of ⁇ -L-arabinofuranose and D-xylopyranose (Chaplin, 2004). The presence of arabinose side chains reduces the interaction between chains because of their hydrophilic and flexible furanose conformation (Chaplin, 2004).
- the compound X is a non-cationic oxidized polysaccharide of formula (I) and / or their salts of organic or inorganic carboxylic acids:
- P represents a polysaccharide chain consisting of monosaccharides comprising 5 carbon atoms or more than 5 carbon atoms, preferably 6 or more carbon atoms and more particularly 6 carbon atoms.
- M + n is greater than or equal to 1
- m is such that the degree of substitution of the polysaccharide by one or more aldehyde groups (DS (CHO)) is in the range of from 0.001 to 2, preferably from 0.005 to 1.5
- n is such as the degree of the substitution of the polysaccharide with one or more carboxyl groups (DS (COOH)) is in the range from 0 to 3, preferably from 0.001 to 2.7.
- degree of substitution DS (CHO) or DS (COOH) polysaccharides means the ratio between the number of oxidized carbons in an aldehyde or carboxyl group for all repeating units and the number of elemental monosaccharides (even open by pre-oxidation) constituting the polysaccharide.
- the CHO and COOH groups can be obtained during the oxidation of certain carbon atoms, for example in the C2, C3 or C6 position, of a saccharide unit with 6 carbon atoms.
- the oxidation can be C 2 and C 3, more particularly from 0.01% to 75% by number, and preferably from 0.1% to 50% by number of the cycles which may have been opened;
- the polysaccharide chain, represented by P, is preferably chosen from: fructans or fructosans, in particular inulin and graminane - glucans, in particular starch, carboxymethyl starch, pectin, amylopectin, amylose, cellulose and its alkyl, hydroxyalkyl or carboxyalkyl derivatives, such as carboxymethylcellulose, hydroxyethylcellulose, hydroxypropylcellulose, hydroxypropylmethylcellulose, methylcellulose; curdlane, dextran, pullulan; galactans, in particular agar-agar and carrageenans - hemicelluloses, in particular arabans, xylans, hexosans and polyuronides, mannan, guar, alginates, xanthanes and pentosans
- the oxidation can be carried out according to a process known in the art, for example according to the process described in patent FR 2842200 or FR 2854161 or in the article "Hydrophobic films from maize bran hemicelluloses" by E. Fredon et al., Carbohydrate Polymers 49, 2002, pp. 1-12, Industrial Crops and Products 7, 1997, pp. 45-52.
- These oxidation processes are simple to implement, effective, do not generate toxic byproducts or difficult to eliminate.
- a glucose unit polysaccharide is subjected to the action of a peroxide, preferably hydrogen peroxide and in the presence of a phthalocyanine-metal catalyst complex.
- a peroxide preferably hydrogen peroxide
- a phthalocyanine-metal catalyst complex preferably a tetrasulfophthalocyanine, designated FePcS, is used as the catalyst.
- the polysaccharide chain P is obtained by oxidation of cellulose, carboxymethylcellulose, hydroxyethylcellulose, hydroxypropylcellulose, hydroxypropylmethylcellulose, methylcellulose, starch, carboxymethyl starch, amylose, inulin, guar, xanthan, carrageenan, dextran or scleroglucan.
- amylose of maize a potato starch, a starch of wheat or rice,
- the non-cationic oxidized polysaccharide according to the invention is generally present in the composition in an amount ranging from 0.05 to 99% by weight relative to the total weight of the composition, preferably from 0.1 to 30% by weight, and better from 1 to 20% by weight relative to the total weight of the composition.
- the compound X is a polysaccharide prepared by microorganisms selected from xanthan, pullulan, dextran and dextran sulfate, succinoglycan, scleroglucan and their mixture.
- the compound X is a polysaccharide isolated from the algae chosen from galactans, furcellaran and their mixture.
- the compound X is a polysaccharide of higher plants selected from homogeneous polysaccharides consisting of a single species of oste and heterogeneous polysaccharides composed of several types of oste.
- the compound X is a homogeneous polysaccharide chosen from glucosans, fructosans and their mixture.
- the compound X is a glucosane chosen from native starches, modified starches, (cyclo) dextrin and its derivatives, cellulose and its derivatives.
- the compound X is a fructan selected from inulin and its derivatives such as in particular dicarboxy and carboxymethyl inulin.
- the compound X is a heterogeneous polysaccharide chosen from gums, galactomannans and their derivatives, LM and HM pectins and their derivatives, chitin, chitosan and their derivatives, glycosaminoglycans, xylans (poly C-5 ) and their derivatives.
- compound X is a gum chosen from cassia gums, acacia gum or gum arabic, karaya gum, konjac gum, gum tragacanth, and their mixture.
- the compound X is a galactomannan chosen from guar, carob, fenugreek, tara gum and their derivatives from phosphated guar, hydroxypropyl guar and their mixture.
- the compound X is a polysaccharide chosen from chitin, chitosan and derivatives, glycosaminoglycan, xylan and their mixture.
- the compound X is a glycosaminoglycan selected from hyaluronic acid, chondroitin sulfate, dermatan sulfate, keratan sulfate or heparin and heparan sulfate.
- the compound X is a glucosane, in particular a modified starch, and in particular an oxidized starch.
- the compound X is a galactomanane, in particular a locust bean gum.
- the compound X is a glycosaminoglycan, in particular hyaluronic acid.
- the compound X is an oxidized non-cationic polysaccharide of formula (I) as described above, in particular an oxidized starch.
- it will be an oxidized starch, in particular an amylose of corn, a potato starch, a wheat starch or a rice starch, obtained according to the process described in the patent application FR 2842200.
- the polysaccharide (s) (X) may be present in the composition according to the invention in a content ranging from 0.1 to 40% by weight, relative to the total weight of the composition, preferably from 1 to 40% by weight, more preferably 1 to 20% by weight, and more preferably 1 to 10% by weight.
- the polysaccharide (s) (X) will be present in the first composition in a content of at least 1% by weight relative to the total weight of said composition, in particular for the variants' single composition comprising X and Y and successive application of the first comprising X and the second composition comprising Y 'according to the invention
- the polysaccharide (s) (X) will be present in the first composition in a content such that it will be at least 1% by weight relative to the total weight of the mixture of the first and second composition, in particular for the extemporaneous mixing variant of the first composition comprising X and of the second composition comprising Y 'before application.
- the crosslinking agent (compound Y) according to the invention is a compound capable of reacting with the polysaccharide X by chemical crosslinking, that is to say by forming a covalent bond between the polysaccharide and the crosslinking agent.
- the crosslinking agent Y may belong to the group of aldehydes, anhydrous acids, isocyanates, thioisocyanates, azides, azolides, carboimides, epoxides, esters, glycidyl ethers, halogens, imidazoles, imidates, succinimides, succinimidyl esters, and mixtures thereof.
- crosslinking agents may be mentioned as examples:
- Polyethers such as polyethylene oxide (PEO), polysaccharides distinct from those chosen as agent X in the first composition
- Proteins modified or not, such as gelatin, caseins,
- the bases, acids or diacids of compounds of plant origin such as mucic acid,
- Amino acids such as lysine, (di-amino for example) or its didisocyanate, poly-lysines (Al and Ep),
- Phosphorus compounds such as, for example, sodium tripolyphosphate, sodium orthophosphate, phosphorus oxychloride or sodium trimetaphosphate, and mixtures thereof.
- the crosslinking agent Y is distinct from the xanthan gum.
- the crosslinking agent Y is chosen from: polyethers such as polyethylene oxide (PEO),
- polysaccharides distinct from those chosen as agent X in the first composition, proteins, modified or not, such as gelatin, caseins,
- EDC 1- (3-Dimethylaminopropyl) -3-ethylcarbodimide hydrochloride
- Phosphorus compounds such as, for example, sodium tripolyphosphate, sodium orthophosphate, phosphorus oxychloride or sodium trimetaphosphate.
- gelatin examples include gelatin marketed by the company under the GELATINA Gelatina reference ® gelatin, or Rousselot Rousselot PS of society.
- the crosslinking agent (Y) may be present in the composition according to the invention in a content ranging from 0.5% to 95% by weight relative to the total weight of the second composition, preferably from 1% to 90%. and better from 2% to 50%.
- polysaccharide (X) and crosslinking agent (Y) are chosen from:
- Carboxymethylcellulose with phosphorus compounds such as, for example, sodium tripolyphosphate, sodium orthophosphate, phosphorus oxychloride or sodium trimetaphosphate, modified starches, in particular oxidized starches, with gelatin or collagen
- the pairs will be chosen from:
- Carboxymethylcellulose with polyethers such as polyethylene oxide (PEO), chitosan with modified or unmodified polysaccharides, such as oxidized starch,
- PEO polyethylene oxide
- chitosan with modified or unmodified polysaccharides such as oxidized starch
- Modified starches in particular oxidized starches, with gelatin or collagen
- Hyaluronic acid with 1- (3-dimethylaminopropyl) -3-ethylcarbodimide In the case where the compound (s) X and / or Y are in gelled form at ambient temperature, a heating step may be necessary to fluidify them before mixing.
- At least one of the first or second compositions according to the invention comprises an aqueous phase.
- composition (s) according to the invention comprises (nen) t water.
- the water may be floral water such as cornflower water and / or mineral water such as VITTEL water, LUCAS water or LA ROCHE POSAY water and / or thermal water.
- composition (s) according to the invention may also comprise water-miscible organic solvents (at room temperature - 25 ° C.), for example monoalcohols having from 2 to 6 carbon atoms, such as ethanol, isopropanol; the polyols having in particular 2 to 20 carbon atoms, preferably having 2 to 10 carbon atoms, and preferably having 2 to 6 carbon atoms, such as glycerol, propylene glycol, butylene glycol, pentylene glycol hexylene glycol, dipropylene glycol, diethylene glycol; glycol ethers (having in particular from 3 to 16 carbon atoms) such as the mono, di or tri propylene glycol (C 1 -C 4) alkyl ethers, the mono (C 1 -C 4) alkyl ethers, di- or triethylene glycol, and mixtures thereof.
- monoalcohols having from 2 to 6 carbon atoms, such as ethanol, isopropanol
- the liquid fraction of the aqueous phase comprises in particular water and organic solvents miscible with water.
- the aqueous phase may be present in the composition according to the invention in a content ranging from 20% to 99% by weight, relative to the total weight of the composition, preferably ranging from 30% to 80% by weight. and preferably ranging from 40% to 60% by weight.
- composition (s) according to the invention may comprise a hydrophilic gelling agent distinct from the polysaccharides described above.
- hydrophilic gelling agents that can be used in the compositions according to the invention can be chosen from: homo or copolymers of acrylic or methacrylic acids or their salts and their esters and in particular the products sold under the names VERSICOL F ® or VERSICOL K ® by the company ALLIED COLLOID, UTRAHOLD 8 ® by CIBA-GEIGY, polyacrylic acids of SYNTHALEN K type,
- polyoxyethylenated AMPS / alkyl methacrylate copolymers crosslinked or otherwise, proteins such as proteins of plant origin such as wheat or soy proteins; proteins of animal origin such as keratins, for example keratin hydrolysates and keratin sulfonates;
- cellulose polymers such as hydroxyethylcellulose, hydroxypropylcellulose, methylcellulose, ethylhydroxyethylcellulose and carboxymethylcellulose, as well as the quaternized derivatives of cellulose;
- polymers of natural origin which may be modified, such as: arabic gums, guar gum, xanthan derivatives, karaya gum, locust bean gum, alginates and carrageenans (the alginates being preferably used in the presence of salts such as calcium chloride), glycoaminoglycans, hyaluronic acid and its derivatives, shellac resin, sandarac gum, dammars, elemis, copals, muccopolysaccharides such as chondroitin sulfate,
- acrylic polymers or copolymers such as polyacrylates or polymethacrylates
- vinyl polymers such as polyvinylpyrrolidones, copolymers of methylvinyl ether and of malic anhydride, the copolymer of vinyl acetate and crotonic acid, copolymers of vinylpyrrolidone and of vinyl acetate; copolymers of vinylpyrrolidone and caprolactam; polyvinyl alcohol;
- unmodified clays in particular montmorillonites, hectorites, smectites, bentones and laponites, and mixtures thereof.
- Some of these water-soluble gelling agents may also act as film-forming polymers.
- the water-soluble gelling polymer may be present in the composition according to the invention in a solids content ranging from 0.01% to 30% by weight, relative to the total weight of the composition, preferably from 0.05% to 20% by weight. % by weight, and more preferably from 0.1% to 10% by weight.
- composition (s) according to the invention may comprise a fatty phase comprising an oily phase.
- oily phase is meant all the oils present in the composition.
- the oily phase may comprise at least one oil chosen from volatile oils, non-volatile oils and their mixture.
- the composition according to the invention may comprise at least one non-volatile oil.
- non-volatile oil is meant an oil remaining on the skin at room temperature and atmospheric pressure for at least several hours and having in particular a vapor pressure of less than 0.13 Pa (0.01 mm Hg) at ambient temperature ( 25 ° C).
- These non-volatile oils may be hydrocarbon oils, in particular of animal or vegetable origin, silicone oils, or mixtures thereof.
- hydrocarbon-based oil means an oil containing mainly hydrogen and carbon atoms and optionally oxygen, nitrogen, sulfur and / or phosphorus atoms.
- the non-volatile oils may in particular be chosen from fluorinated hydrocarbon oils which may be fluorinated and / or non-volatile silicone oils.
- non-volatile hydrocarbon oil mention may notably be made of:
- hydrocarbon oils of vegetable origin such as triglycerides consisting of esters of fatty acids and of glycerol, the fatty acids of which may have chain lengths varying from C 4 to C 24 , the latter being linear or branched, saturated or unsaturated; these oils are in particular triglycerides of heptanoic acid or octanoic acid, or else the oils of wheat germ, sunflower, grape seed, sesame, maize, apricot, castor, shea, of avocado, olive, soya, sweet almond, palm, rapeseed, cotton, hazelnut, macadamia, jojoba, alfalfa, poppy, pumpkin, sesame, squash, rapeseed, cassis, evening primrose, millet, barley, quinoa, rye, safflower,nadooulier, passionflower, muscat rose; shea butter; or triglycerides of caprylic / capric acids such as those sold by St
- linear or branched hydrocarbons of mineral or synthetic origin such as petroleum jelly, polydecenes, hydrogenated polyisobutene such as Parleam®, squalane, paraffin oils, and mixtures thereof,
- R 1 COOR 2 oils of formula R 1 COOR 2 in which R 1 represents the residue of a linear or branched fatty acid comprising from 1 to 40 carbon atoms and R 2 represents a hydrocarbon chain, in particular a branched hydrocarbon chain, containing from 1 to 40 carbon atoms with the proviso that R 1 + R 2 is> 10, such as, for example, purcellin oil (cetostearyl octanoate), isopropyl myristate, isopropyl palmitate, C 1-2 benzoate benzoates 5 , hexyl laurate, diisopropyl adipate, isononyl isononanoate, isodecyl neopentanoate, 2-ethylhexyl palmitate, isostearyl isostearate, 2-hexyl-decyl laurate, 2-octyl-decyl palmitate, 2-octyl-dodecyl myristate
- liquids with a branched and / or unsaturated carbon chain having from 12 to 26 carbon atoms such as octyl dodecanol, isostearyl alcohol, oleic alcohol, 2-hexyldecanol or 2-butyloctanol, and 2- undecylpentadecanol,
- higher fatty acids such as oleic acid, linoleic acid, linolenic acid and mixtures thereof.
- the non-volatile silicone oils that may be used in the composition according to the invention may be non-volatile polydimethylsiloxanes (PDMS), polydimethylsiloxanes comprising pendant alkyl or alkoxy groups and / or silicone chain ends, groups each having from 2 to 24 atoms. carbon, phenyl silicones such as phenyl trimethicones, phenyl dimethicones, phenyl trimethylsiloxy diphenylsiloxanes, diphenyl dimethicones, diphenyl methyldiphenyl trisiloxanes, and mixtures thereof.
- PDMS non-volatile polydimethylsiloxanes
- phenyl silicones such as phenyl trimethicones, phenyl dimethicones, phenyl trimethylsiloxy diphenylsiloxanes, diphenyl dimethicones, diphenyl methyldiphenyl trisiloxanes,
- the non-volatile oils may be present in the composition according to the invention in a content ranging from 1% to 60% by weight, relative to the total weight of the composition, preferably ranging from 3% to 50% by weight, preferably ranging from from 5% to 35% by weight, and more preferably from 10% to 30% by weight.
- composition according to the invention may further comprise at least one volatile oil.
- volatile oil means any oil capable of evaporating on contact with the skin at ambient temperature and atmospheric pressure.
- volatile oils of the invention are volatile cosmetic oils which are liquid at ambient temperature and have a non-zero vapor pressure at ambient temperature and atmospheric pressure, in particular ranging from 0.13 Pa to 40,000 Pa (0.001 to 300 mm). Hg) and preferably ranging from 1.3 to 1300 Pa (0.01 to 10 mmHg).
- the volatile oil may be chosen from volatile hydrocarbon oils, volatile silicone oils, volatile fluoro oils, and mixtures thereof.
- the volatile oil is chosen from hydrocarbon oils.
- hydrocarbon-based oil means an oil containing mainly hydrogen and carbon atoms and optionally oxygen, nitrogen, sulfur and / or phosphorus atoms.
- Volatile hydrocarbon oils may be chosen from hydrocarbon oils having from 8 to 16 carbon atoms, and especially branched alkanes, C 8 -C 6 isoalkanes C 8 -C 6 of petroleum origin (also known as isoparaffins), isododecane (also called 2,2,4,4,6-pentamethylheptane), isohexadecane, and for example the oils sold under the trade names Isopars ® or Permethyls ® .
- volatile silicones for example volatile linear or cyclic silicone oils, in particular those having a viscosity ⁇ 5 centistokes (5 ⁇ 10 -6 m 2 / s), and having in particular from 2 to 10 silicon atoms, preferably 2 to 7 silicon atoms, these silicones optionally containing alkyl or alkoxy groups having from 1 to 10 carbon atoms,
- the volatile silicone oil that may be used in the invention may be mentioned octamethylcyclotetrasiloxane, decamethylcyclopentasiloxane, dodecamethylcyclohexasiloxane, heptamethylhexyltrisiloxane, heptamethyloctyltrisiloxane, hexamethylisiloxane, octamethyltrisiloxane, decamethyltetrasiloxane, dodecamethylpentasiloxane, and mixtures thereof.
- the volatile fluorinated oil does not usually have a flash point.
- fluorinated volatile oil mention may be made of nonafluoroethoxybutane, nonafluoromethoxybutane, decafluoropentane, tetradecafluorohexane and dodecafluoropentane, and mixtures thereof.
- the volatile oil may be present in the composition according to the invention in a content ranging from 1% to 40% by weight, relative to the total weight of the composition, preferably ranging from 3% to 30% by weight, preferably ranging from from 5% to 20% by weight, and more preferably from 5% to 10% by weight.
- the oily phase of the composition (s) according to the invention may be present in a total content ranging from 1% to 60% by weight, relative to the total weight of the composition, preferably ranging from 3% to 50%. by weight, preferably ranging from 5% to 35% by weight, and more preferably ranging from 10% to 30% by weight.
- composition (s) according to the invention may comprise at least one structuring agent of liquid fatty phase chosen from waxes, pasty fatty substances, semi-crystalline polymers, lipophilic gelling agents and mixtures thereof.
- composition (s) according to the invention may comprise at least one wax.
- the term "wax” is intended to mean a lipophilic fatty compound which is solid at room temperature (25 ° C.) and at atmospheric pressure (760 mmHg, ie 10 5 Pa), with a solid / liquid state change. reversible, having in particular a melting point greater than or equal to 30 ° C., in particular greater than or equal to 45 ° C., and up to 250 ° C., in particular up to 230 ° C., and in particular up to 120 ° C.
- the melting point values correspond, according to the invention, to the melting peak measured using a differential scanning calorimeter (DS C), for example the calorimeter sold under the name DSC 30 by the company METLER, with a rise in temperature of 5 or 10 0 C per minute.
- DS C differential scanning calorimeter
- the waxes within the meaning of the invention, may be those used generally in the cosmetic or dermatological fields. They can in particular be hydrocarbon, silicone and / or fluorinated, optionally comprising ester or hydroxyl functions. They can also be of natural or synthetic origin.
- waxes By way of illustration and not limitation of these waxes, mention may be made in particular of: - beeswax, lanolin wax, and insect waxes from China; rice wax, carnauba wax, candelilla wax, ouricury wax, cork fiber wax, sugar cane wax, japanese wax and sumach wax; montan wax, microcrystalline waxes, paraffin waxes, ozokerites, ceresin wax, lignite wax, polyethylene waxes, waxes obtained by Fisher-Tropsch synthesis, esters of fatty acids and the concrete glycerides at 40 ° C. and especially at more than 45 ° C.,
- waxes obtained by catalytic hydrogenation of animal or vegetable oils having linear or branched C8-C32 fatty chains especially hydrogenated jojoba oil, hydrogenated sunflower oil, hydrogenated castor oil, hydrogenated coconut oil and hydrogenated lanolin oil,
- silicone waxes or fluorinated waxes and mixtures thereof
- the wax (es) may be present in the composition (s) according to the invention in a content ranging from 1 to 15% by weight, relative to the total weight of the composition, preferably from 2 to 12% by weight, and more preferably from 4 to 9% by weight.
- composition (s) according to the invention may comprise at least pasty fatty substance.
- Pasty fatty substance is understood to mean a lipophilic fatty compound containing, at a temperature of 23 ° C., a liquid fraction and a solid fraction. Said pasty compound preferably has a hardness at 20 0 C ranging from 0.001 to 0.5 MPa, preferably from 0.002 to 0.4 MPa.
- the hardness is measured according to a method of penetration of a probe in a sample of compound and in particular using a texture analyzer (for example the
- the hardness measurement is carried out at 20 ° C. in the center of 5 samples.
- the cylinder is introduced into each sample at a pre-speed of 1 mm / s and then at a measurement speed of 0.1 mm / s, the penetration depth being 0.3 mm.
- the measured value of the hardness is that of the maximum peak.
- the liquid fraction of the pasty compound measured at 23 ° C. preferably represents 9 to 97% by weight of the compound. This liquid fraction at 23 ° C is preferably between 15 and
- the liquid fraction by weight of pasty compound at 23 ° C is equal to the ratio of the enthalpy of fusion consumed at 23 ° C on the heat of fusion of the pasty compound.
- the heat of fusion of the pasty compound is the enthalpy consumed by the compound to pass from the solid state to the liquid state.
- the pasty compound is said to be in the solid state when the entirety of its mass is in crystalline solid form.
- the pasty compound is said to be in a liquid state when all of its mass is in liquid form.
- the enthalpy of fusion of the pasty compound is equal to the area under the curve of the thermogram obtained using a differential scanning calorimeter (DS C), such as the calorimeter sold under the name MDSC 2920 by the company TA instrument, with a rise in temperature of 5 or 10 0 C per minute, according to the standard ISO 11357-3: 1999.
- DS C differential scanning calorimeter
- the enthalpy of fusion of the pasty compound is the amount of energy required to pass the compound from the solid state to the liquid state. It is expressed in J / g.
- the heat of fusion consumed at 23 ° C is the amount of energy absorbed by the sample to change from the solid state to the state that it has at 23 ° C consisting of a liquid fraction and a solid fraction.
- the liquid fraction of the pasty compound measured at 32 ° C is preferably 30 to 100% by weight of the compound, preferably 80 to 100%, more preferably 90 to 100% by weight of the compound.
- the temperature of the end of the melting range of the pasty compound is less than or equal to 32 ° C.
- the liquid fraction of the pasty compound measured at 32 ° C. is equal to the ratio of the enthalpy of fusion consumed at 32 ° C. to the heat of fusion of the pasty compound.
- the enthalpy of fusion consumed at 32 ° C. is calculated in the same way as the heat of fusion consumed at 23 ° C.
- Paste bodies are generally hydrocarbon compounds such as lanolines and their derivatives or PDMSs.
- composition (s) according to the invention may comprise at least one lipophilic gelling agent.
- the gelling agents that may be used in the compositions according to the invention may be organic or inorganic, polymeric or molecular lipophilic gelling agents.
- the optionally modified clays may be mentioned as hectorites modified with a fatty acid ammonium chloride C 1 0 -C 22, such as hectorite modified by chloride distearyl di-methyl ammonium such as, for example, that marketed under the name of Bentone 38V ® by the company ELEMENTIS. It is also possible to mention fumed silica optionally treated hydrophobic surface whose particle size is less than 1 micron. It is indeed possible to chemically modify the surface of the silica, by chemical reaction generating a decrease in the number of silanol groups present on the surface of the silica. In particular, it is possible to substitute silanol groups with hydrophobic groups: a hydrophobic silica is then obtained.
- the hydrophobic groups can be:
- silica trimethylsiloxyl groups, which are especially obtained by treatment of fumed silica in the presence of hexamethyldisilazane.
- Silicas thus treated are named "Silica Silylate” according to the CTFA (6 th edition, 1995). They are for example marketed under the references Aerosil R812 ® by Degussa, Cab-O-Sil TS-530 ® by the company Cabot;
- silica dimethyl Silylate is marketed under the references Aerosil R972 ® , and Aerosil R974 ® by the company DEGUSSA, CAB-O-SIL TS-610 ® and CAB-O-SIL TS-720 ® by CABOT.
- the hydrophobic fumed silica has in particular a particle size that can be nanometric to micrometric, for example ranging from about 5 to 200 nm.
- the polymeric organic lipophilic gelling agents are, for example elastomeric organopolysiloxanes partially or totally crosslinked, three-dimensional structure, such as those sold under the names KSG6 ®, KSG 16 ® and KSG 18 ® by the company Shin-Etsu, Trefil E-505C ® and Trefil E-506C ® by DOW-CORNING, Gransil SR-CYC ® , SR DMF10 ® , SR-DC556 ® , SR 5CYC gel ® , SR DMF 10 gel ® and SR DC 556 gel ® by the company GRANT INDUSTRIES, SF 1204 ® and JK 113 ® by the company GENERAL ELECTRIC; ethyl cellulose such as that sold under the name Ethocel ® by Dow Chemical; polycondensates of polyamide type resulting from the condensation between (oc) at least one acid selected from dicarboxylic acids comprising at least 32 carbon atoms
- Block copolymers of "diblock”, “triblock” or “radial” of the polystyrene / polyisoprene or polystyrene / polybutadiene type such as those marketed under the name Luvitol HSB ® by the company BASF, of the polystyrene / copoly (ethylene-propylene) such as those marketed under the trademark Kraton ® by the company Shell Chemical Co., or the polystyrene / copoly (ethylene-butylene), triblock and radial copolymers of the mixtures (star) in isododecane such as those sold by the PENRECO company under the name Versagel ® such as the mixture of butylene / ethylene / styrene triblock copolymer and star copolymer ethylene / propylene / styrene in isododecane (Versagel M 5960).
- esters of dextrin fatty acid such as dextrin palmitates, especially such as those sold under the names Rheopearl TL ® or Rheopearl KL ® by the company CHIBA FLOUR.
- the structuring agent of the oily phase may be present in the composition (s) according to the invention in a content ranging from 0.1% to 10% by weight, relative to the total weight of the composition, preferably in a content ranging from 0.5% to 7% by weight.
- composition (s) according to the invention may comprise a fatty phase formed of the oils and structuring agents described above, present in a content ranging from 5 to 50% by weight relative to the total weight of the composition. preferably from 10 to 40% by weight, and more preferably from 15 to 30% by weight.
- Film-forming polymer
- compositions according to the invention may comprise a film-forming polymer.
- film-forming polymer means a polymer capable of forming on its own or in the presence of an auxiliary film-forming agent, a continuous and adherent film on a support, in particular on keratin materials.
- the film-forming polymer may be present in a solids content (or active materials) ranging from 0.1% to 30% by weight relative to the total weight of each composition, preferably from 0.5% to 20% by weight. and better from 1% to 15% by weight.
- film-forming polymers that may be used in the compositions of the present invention, mention may be made of synthetic polymers, of radical type or of polycondensate type, polymers of natural origin, and mixtures thereof.
- radical-forming film-forming polymer is meant a polymer obtained by polymerization of unsaturated monomers, especially ethylenic monomers, each monomer being capable of homopolymerizing (unlike polycondensates).
- the radical-type film-forming polymers may in particular be polymers, or copolymers, vinylic polymers, in particular acrylic polymers.
- the vinyl film-forming polymers may result from the polymerization of ethylenically unsaturated monomers having at least one acidic group and / or esters of these acidic monomers and / or amides of these acidic monomers.
- ⁇ , ⁇ -ethylenic unsaturated carboxylic acids such as acrylic acid, methacrylic acid, crotonic acid, maleic acid, itaconic acid. It is preferable to use (meth) acrylic acid and crotonic acid, and more preferably (meth) acrylic acid.
- the acidic monomer esters are advantageously chosen from esters of (meth) acrylic acid (also called (meth) acrylates), in particular alkyl (meth) acrylates, in particular C 1 -C 30 alkyl, preferably C 1 -C 20 aryl, (meth) acrylates, in particular C 6 -C 10 aryl, hydroxyalkyl (meth) acrylates, in particular C 2 -C 6 hydroxyalkyl.
- esters of (meth) acrylic acid (also called (meth) acrylates) in particular alkyl (meth) acrylates, in particular C 1 -C 30 alkyl, preferably C 1 -C 20 aryl, (meth) acrylates, in particular C 6 -C 10 aryl, hydroxyalkyl (meth) acrylates, in particular C 2 -C 6 hydroxyalkyl.
- alkyl (meth) acrylates mention may be made of methyl methacrylate, ethyl methacrylate, butyl methacrylate, isobutyl methacrylate, 2-ethylhexyl methacrylate, lauryl methacrylate, cyclohexyl methacrylate.
- hydroxyalkyl (meth) acrylates mention may be made of hydroxyethyl acrylate, 2-hydroxypropyl acrylate, hydroxyethyl methacrylate and methacrylate of 2-hydroxypropyl acrylate. hydroxypropyl.
- aryl (meth) acrylates mention may be made of benzyl acrylate and phenyl acrylate.
- Particularly preferred (meth) acrylic acid esters are alkyl (meth) acrylates.
- the alkyl group of the esters can be either fluorinated or perfluorinated, ie some or all of the hydrogen atoms of the alkyl group are substituted by fluorine atoms.
- Amides of the acidic monomers include, for example, (meth) acrylamides, and especially N-alkyl (meth) acrylamides, in particular C 2 -C 12 alkyls.
- N-alkyl (meth) acrylamides mention may be made of N-ethyl acrylamide, Nt-butyl acrylamide, N-t-octyl acrylamide and N-undecylacrylamide.
- the vinyl film-forming polymers can also result from the homopolymerization or copolymerization of monomers chosen from vinyl esters and styrene monomers.
- these monomers can be polymerized with acidic monomers and / or their esters and / or their amides, such as those mentioned above.
- vinyl esters examples include vinyl acetate, vinyl neodecanoate, vinyl pivalate, vinyl benzoate and vinyl t-butyl benzoate.
- Styrene monomers include styrene and alpha-methyl styrene.
- film-forming polycondensates mention may be made of polyurethanes, polyesters, polyester amides, polyamides, and epoxy ester resins, polyureas.
- the polyurethanes may be chosen from anionic, cationic, nonionic or amphoteric polyurethanes, polyurethane-acrylics, poly-urethanes-polyvinylpyrrolidones, polyester-polyurethanes, polyether-polyurethanes, polyureas, polyurea-polyurethanes, and their polyurethanes. mixtures.
- the polyesters can be obtained, in known manner, by polycondensation of dicarboxylic acids with polyols, especially diols.
- the dicarboxylic acid can be aliphatic, alicyclic or aromatic.
- examples of such acids are: oxalic acid, malonic acid, dimethylmalonic acid, succinic acid, glutaric acid, adipic acid, pimelic acid, 2,2-acid.
- -dimethylglutaric acid azelaic acid, suberic acid, sebacic acid, fumaric acid, maleic acid, itaconic acid, phthalic acid, dodecanedioic acid, acid 1, 3- cyclohexanedicarboxylic acid, 1,4-cyclohexanedicarboxylic acid, isophthalic acid, terephthalic acid, 2,5-norbornane dicarboxylic acid, diglycolic acid, thiodipropionic acid, 2,5-naphthalenedicarboxylic acid, 2,6-naphthalenedicarboxylic acid.
- the dicarboxylic acid can be used alone or in combination with at least two dicarboxylic acid monomers. Among these monomers, phthalic acid, isophthalic acid and terephthalic acid are preferably chosen.
- the diol may be chosen from aliphatic, alicyclic and aromatic diols.
- a diol chosen from: ethylene glycol, diethylene glycol, triethylene glycol, 1,3-propanediol, cyclohexane dimethanol and 4-butanediol is preferably used.
- other polyols it is possible to use glycerol, pentaerythritol, sorbitol, trimethylolpropane.
- the polyester amides can be obtained in a similar manner to the polyesters by polycondensation of diacids with diamines or amino alcohols.
- the polyester may further comprise at least one monomer bearing at least one -SO 3 M group, with M representing a hydrogen atom, an ammonium ion NH 4 + or a metal ion, such as for example an ion Na + , Li + , K +, Mg 2+ , Ca 2+ , Cu 2+ , Fe 2+ , Fe 3+ .
- M representing a hydrogen atom, an ammonium ion NH 4 + or a metal ion, such as for example an ion Na + , Li + , K +, Mg 2+ , Ca 2+ , Cu 2+ , Fe 2+ , Fe 3+ .
- a bifunctional aromatic monomer comprising such a group -SO 3 M.
- the aromatic nucleus of the bifunctional aromatic monomer additionally bearing a -SO 3 M group as described above may be chosen for example from benzene, naphthalene, anthracene, diphenyl, oxydiphenyl, sulfonyldiphenyl and methylenediphenyl nuclei.
- An example of a bifunctional aromatic monomer also bearing an -SO 3 M group is sulfoisophthalic acid, sulfoterephthalic acid, sulphophthalic acid and 4-sulphonaphthalene-2,7-dicarboxylic acid.
- copolymers based on isophthalate / sulphoisophthalate and more particularly copolymers obtained by condensation of diethylene glycol, cyclohexane di-methanol, isophthalic acid, sulfoisophthalic acid.
- the polymers of natural origin may be chosen from shellac resin, sandarac gum, dammars, elemis, copals, cellulosic polymers, and mixtures thereof.
- the film-forming polymer may be a water-soluble polymer and may be present in an aqueous phase of the first and / or second composition; the polymer is solubilized in the aqueous phase of the composition.
- the film-forming polymer may be a polymer solubilized in a liquid fatty phase comprising organic oils or solvents such as those described above (it is said that the film-forming polymer is a polymer fat-soluble).
- the liquid fatty phase comprises a volatile oil, optionally mixed with a non-volatile oil, the oils may be chosen from the oils mentioned above.
- a fat-soluble polymer mention may be made of vinyl ester copolymers (the vinyl group being directly connected to the oxygen atom of the ester group and the vinyl ester having a saturated hydrocarbon radical, linear or branched, from 1 to 19 carbon atoms, linked to the carbonyl ester group) and from at least one other monomer which may be a vinyl ester (different from the vinyl ester already present), an ⁇ -olefin (having from 8 to 28 carbon atoms), an alkyl vinyl ether (the alkyl group of which contains 2 to 18 carbon atoms), or an allyl or methallyl ester (having a linear or branched, saturated hydrocarbon radical of 1 to 19 carbon atoms, bonded to the carbonyl ester group).
- vinyl ester copolymers the vinyl group being directly connected to the oxygen atom of the ester group and the vinyl ester having a saturated hydrocarbon radical, linear or branched, from 1 to 19 carbon atoms, linked to the carbonyl ester group
- copolymers may be crosslinked using crosslinking agents which may be of the vinyl type, or of the allyl or methallyl type, such as tetraallyloxyethane, divinylbenzene, divinyl octanedioate, divinyl dodecanedioate, and octadecanedioate. divinyl.
- crosslinking agents which may be of the vinyl type, or of the allyl or methallyl type, such as tetraallyloxyethane, divinylbenzene, divinyl octanedioate, divinyl dodecanedioate, and octadecanedioate. divinyl.
- copolymers examples include copolymers: vinyl acetate / allyl stearate, vinyl acetate / vinyl laurate, vinyl acetate / vinyl stearate, vinyl acetate / octadecene, vinyl acetate / octadecylvinylether , vinyl propionate / allyl laurate, vinyl propionate / vinyl laurate, vinyl stearate / octadecene-1, vinyl acetate / dodecene-1, vinyl stearate / ethyl vinyl ether, vinyl propionate / cetyl vinyl ether, stearate of vinyl vinyl / allyl acetate, 2,2-dimethyl-2 vinyl octanoate / vinyl laurate, 2,2-dimethyl-2-allyl pentanoate / vinyl laurate, vinyl dimethyl propionate / vinyl stearate, dimethyl allyl propionate / stea
- Liposoluble film-forming polymers that may also be mentioned include liposoluble copolymers, and in particular those resulting from the copolymerization of vinyl esters having from 9 to 22 carbon atoms or of alkyl acrylates or methacrylates, the alkyl radicals having from 10 to 20 carbon atoms.
- Such liposoluble copolymers may be chosen from copolymers of vinyl polycrystearate, vinyl polystearate crosslinked with divinylbenzene, diallyl ether or diallyl phthalate, copolymers of poly (meth) acrylate stearyl, vinyl polylaurate, lauryl poly (meth) acrylate, these poly (meth) acrylates can be crosslinked using dimethacrylate of the ethylene glycol or tetraethylene glycol.
- the liposoluble copolymers defined above are known and in particular described in application FR-A-2232303; they can have a weight average molecular weight ranging from 2,000 to 500,000 and preferably from 4,000 to 200,000.
- liposoluble homopolymers and in particular those resulting from the rhomopolymerization of vinyl esters having from 9 to 22 carbon atoms or of alkyl acrylates or methacrylates, the alkyl radicals having from 2 to 24 carbon atoms.
- the first and / or second composition of the process according to the invention comprises at least one film-forming polymer polyvinyl acetate.
- Liposoluble film-forming polymers that can be used in the invention also include polyalkylenes and especially copolymers of C2-C20 alkenes, such as polybutene, alkylcelluloses with a linear or branched alkyl radical, saturated or unsaturated, for example ethylcellulose and propylcellulose, copolymers of vinylpyrrolidone (VP) and in particular copolymers of vinylpyrrolidone and of C2 to C40 and better still of C3 to C20 alkene.
- C2-C20 alkenes such as polybutene, alkylcelluloses with a linear or branched alkyl radical, saturated or unsaturated, for example ethylcellulose and propylcellulose
- VP vinylpyrrolidone
- V vinylpyrrolidone
- a copolymer of VP which may be used in the invention, mention may be made of the copolymer of VP / vinyl acetate, VP / ethyl methacrylate, polyvinylpyrrolidone (PVP) butylated, VP / ethyl methacrylate / methacrylic acid, VP / eicosene, VP / hexadecene, VP / triacontene, VP / styrene, VP / acrylic acid / lauryl methacrylate.
- PVP polyvinylpyrrolidone
- silicone resins generally soluble or swellable in silicone oils, which are crosslinked polyorganosiloxane polymers.
- the nomenclature of the silicone resins is known under the name of "MDTQ", the resin being described according to the different siloxane monomeric units that it comprises, each of the letters "MDTQ” characterizing a type of unit.
- MDTQ polymethylsilsesquioxane resins
- siloxysilicate resins mention may be made of trimethylsiloxysilicate (TMS) resins such as those sold under the reference SR1000 by the company General Electric or under the reference TMS 803 by the company Wacker. Mention may also be made of timethylsiloxysilicate resins sold in a solvent such as cyclomethicone, sold under the name "KF-7312J” by the company Shin-Etsu, "DC 749", “DC 593” by the company Dow Corning.
- TMS trimethylsiloxysilicate
- silicone resin copolymers such as those mentioned above with polydimethylsiloxanes, such as the pressure-sensitive adhesive copolymers marketed by Dow Corning under the reference BIO-PSA and described in document US Pat. No. 5,162,410. or the silicone copolymers resulting from the reaction of a silicone resin, such as those described above, and a diorganosiloxane as described in document WO 2004/073626.
- silicone polymers may belong to the following two families: polyorganosiloxanes comprising at least two groups capable of establishing hydrogen interactions, these two groups being located in the polymer chain, and / or polyorganosiloxanes comprising at least two groups capable of establishing hydrogen interactions, these two groups being located on grafts or branches.
- the film-forming polymer is a film-forming linear ethylenic block polymer, which preferably comprises at least a first block and at least a second block having different glass transition temperatures (Tg), said first and second sequences being interconnected by an intermediate sequence comprising at least one constituent monomer of the first block and at least one constituent monomer of the second block.
- Tg glass transition temperatures
- the first and second sequences and the block polymer are incompatible with each other.
- the film-forming polymer may also be present in the first and / or second composition in the form of particles in dispersion in an aqueous phase or in a non-aqueous solvent phase, generally known as latex or pseudolatex.
- the techniques for preparing these dispersions are well known to those skilled in the art.
- Aqueous dispersions of film-forming polymer may be used include the acrylic dispersions sold under the names Neocryl XK-90 ®, ® Neocryl A-1070, Neocryl A-1090 ®, Neocryl BT-62 ®, Neocryl A-1079 and Neocryl ® A- 523 ® by the company AVECIA- Neoresins, Dow Latex 432 ® by the company Dow Chemical, Daitosol 5000 AD ® or Daitosol 5000 SJ ® by the company Daito Kasey Kogyo; Syntran 5760 ® by the company Interpolymer Allianz OPT by the company Rohm & Haas, aqueous dispersions of acrylic or styrene / acrylic polymers sold under the trade name Joncryl ® by the company Johnson Polymer, or the aqueous dispersions of polyurethane sold under the denominations Neorez R-981 ® and Neorez R-974 ® by the company AVECIA-NEORESINS,
- non-aqueous dispersions of film-forming polymer examples include the acrylic dispersions in isododecane, Mexomer PAP ® from the company Chimex, particle dispersions of a grafted ethylenic polymer, preferably an acrylic polymer, in a liquid fatty phase , the ethylenic polymer being advantageously dispersed in the absence of additional stabilizer at the surface of the particles as described in particular in WO 04/055081.
- compositions according to the invention may comprise a plasticizer promoting the formation of a film with the film-forming polymer.
- a plasticizer may be chosen from all compounds known to those skilled in the art as being capable of performing the desired function.
- a composition according to the invention may comprise at least one dyestuff, in a total content of at least 5% by weight relative to the total weight of said composition.
- a cosmetic composition in accordance with the invention may advantageously incorporate at least one dyestuff chosen from organic dyestuffs or inorganic, in particular of the type of pigments or pearlescent agents conventionally used in cosmetic, liposoluble or water-soluble compositions, of materials with specific optical effect, and their mixtures.
- a composition of the invention may comprise at least one pulverulent dyestuff in a content of at least 5% by weight relative to the total weight of said composition, in particular chosen from pigments, nacres, effect materials optical, and their mixtures.
- the composition comprises at least pigments and / or nacres in a content of at least 5% by weight relative to the total weight of said composition.
- At least one of the first or second compositions according to the invention comprises a colored powder phase comprising pigments, and / or pearlescent agents.
- this colored pulverulent phase represents at least 5% by weight relative to the total weight of said composition.
- pigments should be understood to mean inorganic or organic particles, which are insoluble in the liquid organic phase, intended to color and / or opacify the composition.
- the pigments may be inorganic or organic pigments.
- pigments it is possible to use metal oxides such as iron oxides (in particular those of yellow, red, brown or black color), titanium dioxides, cerium oxide, zirconium oxide and chromium oxide. ; manganese violet, blue ultramarine, prussian blue, ultramarine blue, ferric blue, and mixtures thereof. It is preferable to use pigments of iron oxides or of titanium dioxide.
- the pigments can be treated with a hydrophobic agent to make them compatible with the organic phase of the composition.
- the hydrophobic treatment agent may be chosen from silicones such as methicones, dimethicones and perfluoroalkylsilanes; fatty acids such as stearic acid; metal soaps such as aluminum dimyristate, hydrogenated tallow glutamate aluminum salt, perfluoroalkyl phosphates, perfluoroalkyl silanes, perfluoroalkyl silazanes, hexafluoropropylene polyoxides, polyorganosiloxanes comprising groups perfluoroalkyl perfluoropolyethers, amino acids; N-acyl amino acids or their salts; lecithin, isopropyl trisostearyl titanate, and mixtures thereof.
- the N-acyl amino acids may comprise an acyl group having from 8 to 22 carbon atoms, for example a 2-ethyl hexanoyl, caproyl, lauroyl, myristoyl, palmitoyl, stearoyl or cocoyl group.
- the salts of these compounds may be the aluminum, magnesium, calcium, zirconium, zinc, sodium or potassium salts.
- the amino acid can be for example lysine, glutamic acid, alanine
- alkyl mentioned in the compounds mentioned above denotes in particular an alkyl group having from 1 to 30 carbon atoms, preferably having from 5 to 16 carbon atoms.
- Hydrophobic treated pigments are described in particular in application EP-A-1086683.
- the pigments are present in the composition according to the invention in a content ranging from 1% to 30% by weight, relative to the total weight of the composition, preferably ranging from 5% to 20% by weight.
- the colored particulate phase of the invention may comprise nacres.
- nacres it is necessary to understand iridescent particles, in particular produced by certain shellfish in their shell or else synthesized, insoluble in the medium of the composition.
- the nacres may be chosen from white pearlescent pigments such as mica coated with titanium, or bismuth oxychloride, colored pearlescent pigments such as titanium mica with iron oxides, titanium mica with, for example, ferric blue or chromium oxide, titanium mica with an organic pigment of the aforementioned type as well as pearlescent pigments based on bismuth oxychloride.
- white pearlescent pigments such as mica coated with titanium, or bismuth oxychloride
- colored pearlescent pigments such as titanium mica with iron oxides, titanium mica with, for example, ferric blue or chromium oxide, titanium mica with an organic pigment of the aforementioned type as well as pearlescent pigments based on bismuth oxychloride.
- the nacres may be present in each of the compositions according to the invention in a content ranging from 0.5% to 30% by weight, relative to the total weight of the composition, preferably ranging from 1% to 20% by weight, and preferably ranging from 2% to 10% by weight.
- the cosmetic composition according to the invention may also contain at least one material with a specific optical effect.
- stabilized means devoid of effect of color variability with the angle of observation or in response to a change in temperature.
- this material may be chosen from particles with a metallic sheen, goniochromatic coloring agents, diffractive pigments, thermochromic agents, optical brighteners, and especially interferential fibers.
- these different materials can be combined to provide the simultaneous manifestation of two effects, or even a new effect according to the invention.
- the particles with a metallic sheen that can be used in the invention are in particular chosen from: particles of at least one metal and / or at least one metal derivative, the particles comprising an organic or inorganic substrate, monomatiere or multimaterial, coated with at least partially by at least one metal-reflecting layer comprising at least one metal and / or at least one metal derivative, and - mixtures of said particles.
- Metals that may be present in said particles, mention may be made, for example, of Ag, Au, Cu, Al, Ni, Sn, Mg, Cr, Mo, Ti, Zr, Pt, Va, Rb, W, Zn, Ge, Te. Se and their mixtures or alloys. Ag, Au, Cu, Al, Zn, Ni, Mo, Cr, and mixtures or alloys thereof (e.g., bronzes and brasses) are preferred metals.
- Metal derivatives means compounds derived from metals, in particular oxides, fluorides, chlorides and sulphides.
- these particles include aluminum particles, such as those sold under the names Starbrite 1200 EAC ® by Siberline and METALURE® ® by the company Eckart. Mention may also be made of copper metal powders or mixtures of alloys, such as the references 2844 sold by the company Radium Bronze, metallic pigments, such as aluminum or bronze, such as those sold under the trade names ROTOSAFE 700 ECKART company, the silica-coated aluminum particles marketed under the name VISIONAIRE BRIGHT SILVER by the company ECKART and the metal alloy particles, such as bronze powders (alloy copper and zinc) coated with silica marketed under the name of Visionaire Bright Natural GoId from Eckart. It may also be particles comprising a glass substrate such as those sold by the company NIPPON SHEET GLASS under the names MICROGLASS METASHINE.
- the goniochromatic coloring agent may be selected from, for example, interfering multilayer structures and liquid crystal coloring agents.
- Examples of symmetrical interferential multilayer structures that can be used in compositions produced in accordance with the invention are, for example, the following structures: Al / SiO 2 / Al / SiO 2 / Al, pigments having this structure being marketed by the company DUPONT DE NEMOURS; Cr / MgF 2 / AI / MgF 2 / Cr, pigments having this structure being marketed under the name CHROMAFLAIR by the company FLEX; MoS 2 / SiO 2 / Al / SiO 2 / MoS 2 ; Fe 2 O 3 ZSiO 2 ZAIZSiO 2 ZFe 2 O 3 , and Fe 2 O 3 ZSiO 2 ZFe 2 O 3 ZSiO 2 ZFe 2 O 3 , pigments having these structures being sold under the name SICOPEARL by the company BASF; MoS 2 ZSiO 2 Zmica-oxide ZSiO 2 ZMoS 2 ; Fe 2 O 3 ZSiO 2 Zmica-oxide Z
- pigments having these structures being marketed under the name XIRONA by MERCK (Darmstadt).
- these pigments may be the pigments with a silica structure, titanium oxide, tin oxide sold under the name Xirona Magic by the company Merck, pigments with a silica structure, and brown iron oxide sold under the name Xerona Indian Summer by the company Merck. and the pigments with a silica structureZincoxideZmicaZoxide of tin sold under the name XIRONA CARRIBEAN BLUE by the company MERCK.
- Pigments with a polymeric multilayer structure those marketed by the company 3M under the name COLOR GLITTER.
- liquid crystal goniochromatic particles can be used, for example, those sold by the company Chenix and those sold under the name Helicone® ® HC by Wacker.
- the optical effect materials may be present in each of the compositions according to the invention in a content ranging from 0.1% to 15% by weight, relative to the total weight of the composition, preferably ranging from 0.5% to 10% by weight. % by weight, and preferably ranging from 1% to 5% by weight.
- composition according to the invention may further comprise at least one hydro or liposoluble dye.
- fat-soluble dyes it is necessary to include generally organic compounds that are soluble in fats such as oils.
- water-soluble dyes it is necessary to include generally organic compounds soluble in water or water-miscible solvents.
- the fat-soluble dyes are, for example, Sudan Red, D & C Red No. 17, D & C Green No. 6, ⁇ -Carotene, Soybean Oil, Sudan Brown, D & C Yellow No. 11, Purple D & C. No. 2, D & C orange No. 5, yellow quinoline, annatto, bromoacids.
- the synthetic or natural water-soluble dyes are, for example, FDC Red 4, DC Red 6, DC Red 22, DC Red 28, DC Red 30, DC Red 33, DC Orange 4, DC Yellow 5, DC Yellow 6, DC Yellow 8, FDC Green 3, DC Green 5, FDC Blue 1, betanin (beet), carmine, copper chlorophyllin, methylene blue, anthocyanins (enocianin, black carrot, hibiscus, elderberry), caramel, riboflavin.
- composition according to the invention may comprise fillers.
- fillers it is necessary to include particles of any form, colorless or white, mineral or synthetic, insoluble in the medium of the composition regardless of the temperature at which the composition is manufactured.
- the fillers can be mineral or organic of any shape, platelet, spherical or oblong, irrespective of the crystallographic form (for example sheet, cubic, hexagonal, orthorhombic, etc.).
- the fillers may be present in each of the compositions according to the invention in a total content ranging from 0.05% to 40% by weight, relative to the total weight of the composition, preferably ranging from 1% to 25% by weight. and preferably ranging from 5% to 15% by weight.
- the pulverulent phase may be present in the composition according to the invention in a content ranging from 1 to 40% by weight, relative to the total weight of the composition, preferably from 5 to 40% by weight. According to a particular embodiment, the pulverulent phase represents at least 5% by weight relative to the total weight of said composition.
- the compositions according to the invention may also comprise a cosmetic additive such as surfactants, antioxidants, preservatives, perfumes, bactericidal or antiperspirant active agents, neutralizers, emollients, moisturizers, vitamins and filters in particular solar.
- composition (s) according to the invention may be independently in the form of a suspension, a dispersion, a solution, a gel, an emulsion, in particular an oil-in-water (O / W) emulsion, a wax-in water-in-oil (W / O), or multiple (W / O / E or polyol / H / E or H / E / H), in the form of cream, foam, dispersion of vesicles including ionic lipids or not, lotion biphasic or multiphase, powder, paste, including soft dough.
- O / W oil-in-water
- W / O wax-in water-in-oil
- W / E wax-in water-in-oil
- multiple W / O / E or polyol / H / E or H / E / H
- the compositions according to the invention have an aqueous continuous phase, and may preferably be in the form of an emulsion, in particular an oil-in-water (O / W) emulsion, a wax-in-water emulsion, or multiple (W / O / E or polyol / H / E), or aqueous solution.
- an emulsion in particular an oil-in-water (O / W) emulsion, a wax-in-water emulsion, or multiple (W / O / E or polyol / H / E), or aqueous solution.
- compositions according to the invention may be in the form of an emulsion, in particular an oil-in-water emulsion (O / W).
- compositions comprising compounds X and Y can in particular be in liquid, solid or pasty form. It may in particular act stick, powders, gels or liquids.
- the kit according to the invention may comprise: a first composition in pulverulent form associated with a second liquid composition; or a first liquid composition or gel associated with a second liquid composition, or a first liquid composition or gel associated with a second powder composition, or a first solid composition such as a stick associated with a second liquid composition, or first liquid composition or gel associated with a second composition sprayed with a spray.
- the second composition of the kit comprises the crosslinking agent Y
- it may be in a sprayed form, in particular by a spray.
- the method according to the invention can be advantageously used for the makeup of the skin, lips, eyelashes and / or nails depending on the nature of the ingredients used.
- the compositions of the process according to the invention can be independently present in the form of a solid foundation, a stick or a lipstick paste, a concealer product, or an eye or eye contour. liner, mascara, eye shadow, body make-up product or a skin coloring product.
- the first and second compositions are lipstick compositions.
- the first and second compositions are compositions for coating eyelashes or eyebrows and more particularly mascaras.
- the first and second compositions are compositions for coating the skin of the body or of the face, more particularly makeup compositions for the skin of the body or of the face, such as, for example, foundations or makeup compositions of the body.
- At least one of the two compositions of the kit according to the invention comprises an aqueous phase comprising water.
- said aqueous phase comprises water-miscible organic solvents chosen from monoalcohols having from 2 to 6 carbon atoms; the polyols having in particular from 2 to 20 carbon atoms, preferably having from 2 to 10 carbon atoms, and preferably having from 2 to 6 carbon atoms; glycol ethers having in particular from 3 to 16 carbon atoms; the (C 1 -C 4) alkyl ethers of mono-, di- or triethylene glycol, and mixtures thereof.
- said aqueous phase is present in the composition according to the invention in a content ranging from 20% to 99% by weight, relative to the total weight of the composition, preferably ranging from 30% to 80% by weight. % by weight, and preferably ranging from 40% to 60% by weight.
- At least one of the two compositions of the kit comprises a hydrophilic gelling agent distinct from the polysaccharides (X).
- the hydrophilic gelling agent is chosen from: homo- or copolymers of acrylic or methacrylic acids or their salts and esters, polyacrylic acids, copolymers of acrylic acid and acrylamide, sodium polymethacrylate, salts of polyhydroxycarboxylic acids, polyacrylic acid / alkyl acrylate copolymers, AMPS (partially neutralized with ammonia and highly crosslinked polyacrylamidomethyl propane sulfonic acid), AMPS / acrylamide copolymers, and AMPS / methacrylate copolymers of polyoxyethylenated alkyl (crosslinked or otherwise), proteins such as proteins of plant origin such as wheat proteins, soya; proteins of animal origin such as keratins, for example keratin hydrolysates and keratin sulfonates; cellulose polymers such as hydroxyethyl cellulose, hydroxypropyl cellulose, methyl cellulose, ethyl hydroxyethyl
- the water-soluble gelling polymer is present in the composition in a solids content ranging from 0.01% to 30% by weight, relative to the total weight of the composition, preferably from 0.05% to 20% by weight. weight, and more preferably from 0.1% to 10% by weight.
- At least one of the two compositions of the kit according to the invention comprises a fatty phase comprising an oily phase.
- the oily fatty phase comprises a non-volatile oil.
- non-volatile oil are chosen from hydrocarbon-based oils of vegetable origin, such as triglycerides consisting of esters of fatty acids and of glycerol, the fatty acids of which may have chain lengths.
- various C 4 to C 24 the latter may be linear or branched, saturated or unsaturated; these oils are in particular triglycerides of heptanoic acid or octanoic acid, or else the oils of wheat germ, sunflower, grape seed, sesame, maize, apricot, castor, shea, of avocado, olive, soya, sweet almond, palm, rapeseed, cotton, hazelnut, macadamia, jojoba, alfalfa, poppy, pumpkin, sesame, squash, rapeseed, cassis, evening primrose, millet, barley, quinoa, rye, safflower,nadooulier, passionflower, muscat rose; shea butter; or trig
- the volatile oil (s) are chosen from volatile hydrocarbon oils, volatile silicone oils, volatile fluorinated oils, and mixtures thereof.
- the oil phase comprises at least one volatile oil chosen from hydrocarbon oils having from 8 to 16 carbon atoms, and especially branched alkanes, C 8 -C 6 isoalkanes C 8 -C 6 d petroleum origin such as isododecane, isohexadecane; volatile silicones, for example volatile linear or cyclic silicone oils, chosen from octamethylcyclotetrasiloxane, decamethylcyclopentasiloxane, dodecamethylcyclohexasiloxane, heptamethylhexyltrisiloxane, heptamethyloctyltrisiloxane, hexamethyl disiloxane and octamethyltrisiloxane; decamethyltetrasiloxane, dodecamethylpentasiloxane and
- said oily phase is present in a total content ranging from 1% to 60% by weight, relative to the total weight of the composition, preferably ranging from 3% to 50% by weight, preferably ranging from 5% by weight. at 35% by weight, and more preferably from 10% to 30% by weight.
- At least one of the two compositions of the kit according to the invention comprises at least one wax.
- the wax is chosen from:
- the waxes obtained by catalytic hydrogenation of animal or vegetable oils having linear or branched C 8 -C 32 fatty chains especially jojoba oil hydrogenated, hydrogenated sunflower oil, hydrogenated castor oil, hydrogenated coconut oil and hydrogenated lanolin oil, silicone waxes or fluorinated waxes, and mixtures thereof
- the wax is present in a content ranging from 1 to 15% by weight, relative to the total weight of the composition, preferably from 2 to 12% by weight, and more preferably from 4 to 9% by weight.
- the invention is further illustrated by the examples described hereinafter. Unless otherwise indicated, the quantities indicated are expressed as a percentage by mass.
- Compound 1 Amylose of oxidized maize obtained by oxidation of maize amylose (Hylon VII) supplied by National Starch & Chemical. Compound 1 has a carbonyl content of 0.95 mmol / g and a carboxyl content of 2.63 mmol / g.
- Compound 2 oxidized potato starch obtained by oxidation to potato starch provided by Roquette (case no .: 9005-25-8). Compound 2 has a carbonyl content of 1.08 mmol / g and a carboxyl content of 1.4 mmol / g.
- Compound 3 oxidized potato starch obtained by oxidation to potato starch supplied by Roquette (case no .: 9005-25-8). Compound 3 has a carbonyl content of 0.99 mmol / g and a carboxyl content of 1.1 mmol / g.
- phase A1 The gelatin is first solubilized hot (90 ° C.) in distilled water (phase A1). The mixture is then placed in a water bath at 50 ° C., and the A2 phase is added. In parallel, the oily phase B is also brought to 50 ° C. It is added progressively in the phase (A1 + A2) to carry out the emulsion. When the emulsion obtained is homogeneous, phase C is added with stirring for 30 seconds. The composition is then applied.
- the resulting film is virtually dry after 6-7 minutes.
- the resulting film is cohesive, easily peelable, flexible and elastic. To the touch, the film is soft.
- compositions have been made in which compound 1 is replaced respectively by compound 2 or compound 3 (oxidized potato starches).
- compound 3 oxidized potato starches.
- the resulting film is cohesive and peelable.
- Composition A Gelatin 4%
- Composition B Oxidized starch 3% Preservatives q Water qs 100
- This composition is packaged in an aerosol / fogger.
- composition A A layer of the composition A is then applied to the skin of the face and then the composition B is sprayed on the assembly using the aerosol
- the film formed on the face by chemical crosslinking of the gelatin with the oxidized starch has a good resistance to water.
- This film can be removed easily by peeling by pulling with your fingers.
- Composition A A:
- phase A2 The constituents of the phase A2 are mixed and then the pigment paste is milled with the three-roll mill (3 passages).
- phase A1 at 25 ° C., benzyl alcohol is introduced, followed by polysaccharide (oxidized starch) with vigorous stirring (Rayneri, deflocculating blade, 700 rpm). The complete solubilization of the polysaccharide is awaited before the introduction of the pigment paste A2. Stir for 10 minutes at 700 rpm.
- Composition B Hyaluronic acid 3% Preservatives 0.2% Water qs 100
- composition of composition A and another 50/50 mixture of compositions A and B is applied to a glass plate at 37 ° C with the minimum thickness to wet the glass well.
Landscapes
- Health & Medical Sciences (AREA)
- Life Sciences & Earth Sciences (AREA)
- Animal Behavior & Ethology (AREA)
- General Health & Medical Sciences (AREA)
- Public Health (AREA)
- Veterinary Medicine (AREA)
- Birds (AREA)
- Epidemiology (AREA)
- Emergency Medicine (AREA)
- Chemical & Material Sciences (AREA)
- Inorganic Chemistry (AREA)
- Cosmetics (AREA)
Abstract
Description
Kit de revêtement des matières kératiniques comprenant un polysaccharide et un agent de réticulation chimique Kit for coating keratin materials comprising a polysaccharide and a chemical crosslinking agent
La présente invention a pour objet un produit cosmétique, en particulier de maquillage ou de soin non thérapeutique des matières kératiniques comprenant au moins deux composés X et Y, aptes à réagir ensemble, l'un au moins des composés étant un polysaccharide.The subject of the present invention is a cosmetic product, in particular a non-therapeutic make-up or care product for keratin materials comprising at least two compounds X and Y, which are capable of reacting together, at least one of the compounds being a polysaccharide.
Les produits selon l'invention peuvent être des produits de maquillage ou de soin des matières kératiniques, notamment de la peau, des lèvres, des cils, des sourcils ou des ongles. En particulier, le produit selon l'invention peut être un fond de teint, un fard à joues ou à paupières, un produit anticerne, un blush, un rouge à lèvres, un baume à lèvres, un brillant à lèvres, un crayon à lèvres ou à yeux, un mascara, un eye-liner ou encore un produit de maquillage du corps, de coloration de la peau, ou de soin tel qu'une crème de soin, une crème teintée, ou un produit solaire. Les compositions de maquillage telles que les rouges à lèvres et les fonds de teint sont couramment employées pour apporter une couleur esthétique aux lèvres ou à la peau, notamment au visage, ou encore pour camoufler les dyschromies de la peau. Ces produits de maquillage contiennent généralement de l'eau ou une phase hydrophile, des corps gras tels que des cires et/ou des huiles, et une phase particulaire généralement composée de charges et/ou de pigments.The products according to the invention may be make-up or skincare products for keratin materials, in particular skin, lips, eyelashes, eyebrows or nails. In particular, the product according to the invention can be a foundation, a blush or an eyeshadow, a concealer, a blush, a lipstick, a lip balm, a lip gloss, a lip pencil or with eyes, a mascara, an eyeliner or a product for making up the body, for coloring the skin, or for a treatment such as a care cream, a tinted cream, or a sun product. Makeup compositions such as lipsticks and foundations are commonly used to bring an aesthetic color to the lips or to the skin, especially to the face, or to camouflage skin discolorations. These makeup products generally contain water or a hydrophilic phase, fatty substances such as waxes and / or oils, and a particulate phase generally composed of fillers and / or pigments.
Ces compositions, lorsqu'elles sont appliquées sur la peau, présentent l'inconvénient de transférer, c'est-à-dire de se déposer au moins en partie, en laissant des traces, sur certains supports avec lesquels elles peuvent être mises en contact et notamment un verre, une tasse, une cigarette, un vêtement ou la peau. Il s'ensuit une persistance médiocre du film appliqué, nécessitant de renouveler régulièrement l'application de la composition de fond de teint ou de rouge à lèvres. Ces problématiques de transfert sont d'autant plus importantes que les compositions comprennent une teneur élevée en pigments, ce qui est le cas lorsque les compositions ont vocation à masquer des dyschromies, des problèmes de peaux lésées, ou des imperfections de relief comme les rides ou des cicatrices. Par ailleurs, l'apparition de ces traces inacceptables notamment sur les cols de chemisier peut écarter certaines femmes de l'utilisation de ce type de maquillage.These compositions, when they are applied to the skin, have the disadvantage of transferring, that is to say of being deposited at least in part, leaving traces, on certain supports with which they can be put in contact with each other. and especially a glass, a cup, a cigarette, a garment or the skin. It follows a poor persistence of the applied film, requiring regular renewal of the application of the foundation composition or lipstick. These transfer problems are all the more important that the compositions comprise a high content of pigments, which is the case when the compositions are intended to mask dyschromias, problems of damaged skin, or imperfections of relief such as wrinkles or scars. Moreover, the appearance of these unacceptable traces especially on the blouse collar can exclude some women from the use of this type of makeup.
On recherche donc des compositions cosmétiques dites « non transfert » qui présentent l'avantage de former un dépôt qui ne transfère pas, au moins en partie, sur les supports avec lesquels elles sont mises en contact (verre, vêtements, cigarette, tissus) et présentant une bonne tenue dans le temps, en particulier de la couleur dans le cas d'un produit de maquillage. Mieux encore, on recherche des compositions dont les propriétés de tenue et de non transfert peuvent être contrôlées au cours du temps, c'est-à-dire des compositions présentant une tenue optimale au cours de la journée, et pouvant être démaquillée sans effort à tout moment.We therefore seek cosmetic compositions called "non-transfer" which have the advantage of forming a deposit that does not transfer, at least in part, on the supports with which they are put in contact (glass, clothing, cigarette, tissue) and exhibiting good behavior over time, in particular color in the case of a makeup product. Better still, we are looking for compositions whose properties hold and non-transfer can be controlled over time, that is to say, compositions having an optimal hold during the day, and can be removed without effort at any time.
Pour limiter le transfert des compositions cosmétiques, il est connu d'employer des huiles volatiles. Ces huiles volatiles, lorsque présentes en grande quantité, rendent le produit de maquillage, tel que le fond de teint ou le rouge à lèvres, inconfortable pour l'utilisatrice : après évaporation de l'huile, le dépôt de maquillage confère une sensation de dessèchement et de tiraillement.To limit the transfer of cosmetic compositions, it is known to use volatile oils. These volatile oils, when present in large quantities, make the makeup product, such as the foundation or the lipstick, uncomfortable for the user: after evaporation of the oil, the makeup deposit gives a feeling of drying and tugging.
Dans le domaine des compositions de revêtement des cils ou mascaras, il est connu en particulier des mascaras anhydres ou à faible teneur en eau et/ou solvants hydrosolubles, dits « mascaras waterproof », formulés à l'état de dispersion de cires dans des solvants non aqueux et qui présentent une bonne résistance à l'eau et/ou au sébum.In the field of compositions for coating eyelashes or mascaras, it is known in particular anhydrous mascaras or low water content and / or water-soluble solvents, so-called "waterproof mascaras", formulated as a dispersion of waxes in solvents non-aqueous and have good resistance to water and / or sebum.
Toutefois, le film de maquillage obtenu après l'application de ces compositions n'est pas suffisamment résistant à l'eau, lors de baignades ou de douches par exemple, aux larmes ou à la sueur. Le mascara a alors tendance à s'effriter dans le temps : des grains se déposent et des traces inesthétiques apparaissent autour des yeux.However, the makeup film obtained after the application of these compositions is not sufficiently resistant to water, for bathing or showers for example, with tears or sweat. The mascara then tends to crumble in time: grains are deposited and unsightly marks appear around the eyes.
La présente invention a pour but de fournir une nouvelle voie de formulation de compositions cosmétiques, notamment de maquillage ou de soin, permettant d'obtenir un film déposé sur les matières kératiniques ayant de bonnes propriétés de non transfert, de bonnes propriétés de tenue dans le temps, en particulier à l'eau et aux frottements, et conférant un dépôt confortable sur la peau, les lèvres , les cils ou les ongles.The object of the present invention is to provide a novel way of formulating cosmetic compositions, in particular make-up or care compositions, making it possible to obtain a film deposited on keratin materials having good non-transfer properties, good holding properties in the time, especially with water and friction, and conferring a comfortable deposit on the skin, lips, eyelashes or nails.
Les inventeurs ont découvert qu'il est possible d'obtenir de telles propriétés en utilisant un système comprenant un polysaccharide (composé X) et un agent de réticulation (composé Y) qui polymérisent in situ, à pression atmosphérique et à une température choisie en fonction du système considéré, de façon à former un film adhérant aux matières kératiniques sans être collant, ledit film pouvant même être pelable dans certaines conditions. Ces composés présentent en outre l'intérêt d'être d'origine naturelle.The inventors have discovered that it is possible to obtain such properties by using a system comprising a polysaccharide (compound X) and a crosslinking agent (compound Y) which polymerize in situ, at atmospheric pressure and at a temperature chosen according to of the system considered, so as to form a film adhering to the keratin materials without being tacky, said film may even be peelable under certain conditions. These compounds also have the advantage of being of natural origin.
Les films polymériques formés in situ sur les matières kératiniques, présentent de très bonnes propriétés d'adhérence, de tenue à l'eau ou au sébum, de résistance mécanique aux frottements, et de confort. En outre, ces compositions peuvent présenter des caractéristiques de « seconde peau », en se sens que le dépôt sur les matières kératiniques est obtenu par une réaction in situ, directement sur la peau. Le film obtenu s'adapte donc parfaitement à la morphologie de la peau. Enfin, il est possible pour l'utilisatrice de moduler l'épaisseur du dépôt formé lorsqu'elle souhaite camoufler des irrégularités de relief de la peau telles que les rides ou les ridules.Polymeric films formed in situ on keratin materials, have very good adhesion properties, resistance to water or sebum, mechanical resistance to friction, and comfort. In addition, these compositions may have "second skin" characteristics, in that the deposition on the keratin materials is obtained by an in situ reaction, directly on the skin. The resulting film adapts perfectly to the morphology of the skin. Finally, it is possible for the user to modulate the thickness of the deposit formed when it wants to camouflage irregularities of relief of the skin such as wrinkles or fine lines.
Avant leur application sur les matières kératiniques, les composés X et Y peuvent être présents au sein d'une même composition ou de deux compositions distinctes appelées première et seconde compositions.Before being applied to keratin materials, compounds X and Y may be present in the same composition or in two different compositions called first and second compositions.
Dans le cas où les composés X et Y sont présents au sein d'une même composition, ils seront dans des conditions aptes à former un film seulement après application sur les matières kératiniques.In the case where the compounds X and Y are present within the same composition, they will be in conditions capable of forming a film only after application to the keratin materials.
Selon un premier aspect, l'invention a pour objet un kit de revêtement des matières kératiniques comprenant :According to a first aspect, the subject of the invention is a kit for coating keratin materials, comprising:
- au moins une première composition comprenant un composé X ; - au moins une seconde composition comprenant un composé Y ; le composé X étant un polysaccharide, lesdits composés X et Y réagissant ensemble par réaction de réticulation chimique in situ, à pression atmosphérique et température ambiante de façon à former un film.at least one first composition comprising a compound X; at least one second composition comprising a compound Y; the compound X being a polysaccharide, said compounds X and Y reacting together by chemical crosslinking reaction in situ, at atmospheric pressure and ambient temperature so as to form a film.
Selon un mode particulier de l'invention, le kit de revêtement des matières kératiniques selon l'invention comprend :According to a particular embodiment of the invention, the kit for coating keratin materials according to the invention comprises:
- au moins une première composition comprenant un composé X ;at least one first composition comprising a compound X;
- au moins une seconde composition comprenant un composé Y ; le composé X étant un polysaccharide, lesdits composés X et Y réagissant ensemble par réaction de réticulation chimique in situ, à pression atmosphérique et température ambiante de façon à former un film, l'une au moins desdites première ou seconde composition comprenant au moins une phase particulaire comprenant des charges, pigments et/ou nacres en une teneur d'au moins 5% en poids par rapport au poids total de ladite composition. En particulier, selon un mode particulier de l'invention, le kit de revêtement des matières kératiniques selon l'invention comprend :at least one second composition comprising a compound Y; the compound X being a polysaccharide, said compounds X and Y reacting together by chemical crosslinking reaction in situ, at atmospheric pressure and ambient temperature so as to form a film, at least one of said first or second composition comprising at least one phase particle comprising fillers, pigments and / or nacres in a content of at least 5% by weight relative to the total weight of said composition. In particular, according to a particular embodiment of the invention, the kit for coating keratin materials according to the invention comprises:
- au moins une première composition comprenant un composé X ;at least one first composition comprising a compound X;
- au moins une seconde composition comprenant un composé Y ; le composé X étant un polysaccharide, lesdits composés X et Y réagissant ensemble par réaction de réticulation chimique in situ, à pression atmosphérique et température ambiante de façon à former un film, l'une au moins desdites première ou seconde composition comprenant au moins une matière colorante, notamment pulvérulente, et en particulier des pigments et/ou nacres en une teneur totale d'au moins 5% en poids par rapport au poids total de ladite composition.at least one second composition comprising a compound Y; the compound X being a polysaccharide, said compounds X and Y reacting together by chemical crosslinking reaction in situ, at atmospheric pressure and ambient temperature so as to form a film, at least one of said first or second composition comprising at least one material dye, especially pulverulent, and in particular pigments and / or nacres in a total content of at least 5% by weight relative to the total weight of said composition.
Selon un autre mode particulier, le kit de revêtement des matières kératiniques selon l'invention comprend :According to another particular embodiment, the kit for coating keratin materials according to the invention comprises:
- au moins une première composition comprenant un composé X ; - au moins une seconde composition comprenant un composé Y ; le composé X étant un polysaccharide, lesdits composés X et Y réagissant ensemble par réaction de réticulation chimique in situ, à pression atmosphérique et température ambiante de façon à former un film, et ledit composé X étant présent en une teneur d'au moins 1 % en poids par rapport au poids de la première composition ou par rapport au poids total du mélange de la première et la seconde composition.at least one first composition comprising a compound X; at least one second composition comprising a compound Y; the compound X being a polysaccharide, said compounds X and Y reacting together by chemical crosslinking reaction in situ, at atmospheric pressure and ambient temperature so as to form a film, and said compound X being present in a content of at least 1% by weight relative to the weight of the first composition or with respect to the total weight of the mixture of the first and the second composition.
Selon un mode de réalisation de l'invention, le film obtenu sur les matières kératiniques est pelable.According to one embodiment of the invention, the film obtained on keratin materials is peelable.
De préférence, la première composition comprenant le composé X et la seconde composition comprenant le composé Y sont conditionnées dans des conditionnements séparés.Preferably, the first composition comprising compound X and the second composition comprising compound Y are packaged in separate packages.
Chaque composition peut être conditionnée séparément dans un même article de conditionnement par exemple un dispositif de conditionnement et de distribution étant agencé pour stocker séparément les première et deuxième compositions et comportant un organe de réglage permettant à un utilisateur de faire varier la proportion relative d'au moins une composition dans le mélange obtenu, ladite proportion relative conditionnant les propriétés du mélange obtenu, par exemple les propriétés de non transfert ou de confort. Alternativement, chacune des première et seconde compositions peut être conditionnée dans un article de conditionnement différent.Each composition may be packaged separately in the same packaging article, for example a packaging and dispensing device being arranged to separately store the first and second compositions and comprising an adjustment member allowing a user to vary the relative proportion of the composition. less a composition in the mixture obtained, said relative proportion conditioning the properties of the mixture obtained, for example the properties of non-transfer or comfort. Alternatively, each of the first and second compositions may be packaged in a different packaging article.
Selon une variante, le composé X et le composé Y sont introduits dans une seule composition.According to one variant, the compound X and the compound Y are introduced in a single composition.
C'est pourquoi la présente invention a pour objet, selon un deuxième aspect, une composition cosmétique de revêtement des matières kératiniques comprenant au moins un composé X et au moins un composé Y, le composé X étant un polysaccharide, lesdits composés X et Y réagissant ensemble par réaction de réticulation chimique in situ après application de ladite composition sur les matières kératiniques à température ambiante de façon à former un film. Selon cette alternative, le film est formé après application de ladite composition sur les matières kératiniques, en particulier la peau, et évaporation de la phase aqueuse continue.This is why the subject of the present invention is, according to a second aspect, a cosmetic composition for coating keratin materials comprising at least one compound X and at least one compound Y, the compound X being a polysaccharide, the said compounds X and Y reacting together by chemical in situ crosslinking reaction after application of said composition to the keratin materials at room temperature so as to form a film. According to this alternative, the film is formed after application of said composition to the keratin materials, in particular the skin, and evaporation of the continuous aqueous phase.
Selon un mode particulier, la composition cosmétique de revêtement des matières kératiniques comprend (i) au moins un composé X et au moins un composé Y, le composé X étant un polysaccharide, lesdits composés X et Y réagissant ensemble par réaction de réticulation chimique in situ après application de ladite composition sur les matières kératiniques, et (ii) au moins une phase particulaire comprenant des charges, pigments et/ou nacres en une teneur d'au moins 5% en poids par rapport au poids total de ladite composition.According to one particular embodiment, the cosmetic composition for coating keratin materials comprises (i) at least one compound X and at least one compound Y, the compound X being a polysaccharide, the said compounds X and Y reacting together by an in situ chemical crosslinking reaction after application of said composition to the keratin materials, and (ii) at least one particulate phase comprising fillers, pigments and / or nacres in a content of at least 5% by weight relative to the total weight of said composition.
Selon un mode particulier, la composition cosmétique de revêtement des matières kératiniques comprend (i) au moins un composé X et au moins un composé Y, le composé X étant un polysaccharide, lesdits composés X et Y réagissant ensemble par réaction de réticulation chimique in situ après application de ladite composition sur les matières kératiniques, et (ii) au moins une matière colorante, notamment pulvérulente, en particulier des pigments et/ou nacres, en une teneur totale d'au moins 5% en poids par rapport au poids total de ladite composition.According to one particular embodiment, the cosmetic composition for coating keratin materials comprises (i) at least one compound X and at least one compound Y, the compound X being a polysaccharide, the said compounds X and Y reacting together by an in situ chemical crosslinking reaction after application of said composition to the keratin materials, and (ii) at least one dyestuff, in particular pulverulent material, in particular pigments and / or nacres, in a total content of at least 5% by weight relative to the total weight of said composition.
Selon un autre mode particulier, la composition cosmétique de revêtement des matières kératiniques comprend au moins un composé X et au moins un composé Y, le composé X étant un polysaccharide, lesdits composés X et Y réagissant ensemble par réaction de réticulation chimique in situ après application de ladite composition sur les matières kératiniques, et ledit composé X étant présent en une teneur d'au moins 1 % en poids par rapport au poids total de ladite composition.According to another particular embodiment, the cosmetic composition for coating keratin materials comprises at least one compound X and at least one compound Y, the compound X being a polysaccharide, the said compounds X and Y reacting together by a chemical crosslinking reaction in situ after application. of said composition on the materials keratin, and said compound X being present in a content of at least 1% by weight relative to the total weight of said composition.
L'invention a encore pour objet, selon un troisième aspect un procédé cosmétique de revêtement des matières kératiniques consistant à : a. mélanger de façon extemporanée :The subject of the invention is also, according to a third aspect, a cosmetic process for coating keratinous substances consisting of: a. mix extemporaneously:
- au moins une première composition comprenant un composé X ;at least one first composition comprising a compound X;
- au moins une seconde composition comprenant un composé Y ; le composé X étant un polysaccharide, lesdits composés X et Y réagissant ensemble par réaction de réticulation chimique in situ, à pression atmosphérique (et température ambiante) de façon à former un film, puis b. à appliquer sur lesdites matières kératiniques au moins une couche dudit mélange.at least one second composition comprising a compound Y; the compound X being a polysaccharide, said compounds X and Y reacting together by chemical crosslinking reaction in situ, at atmospheric pressure (and ambient temperature) so as to form a film, then b. to apply on said keratinous materials at least one layer of said mixture.
Selon un mode de réalisation, le procédé cosmétique de revêtement des matières kératiniques selon l'invention consiste à : a. mélanger de façon extemporanée :According to one embodiment, the cosmetic process for coating keratin materials according to the invention consists in: a. mix extemporaneously:
- au moins une première composition comprenant un composé X ; - au moins une seconde composition comprenant un composé Y ; le composé X étant un polysaccharide, lesdits composés X et Y réagissant ensemble par réaction de réticulation chimique in situ, à pression atmosphérique (et température ambiante) de façon à former un film, l'une au moins desdites première ou seconde composition comprenant au moins une phase particulaire comprenant des charges, pigments et/ou nacres en une teneur d'au moins 5% en poids par rapport au poids total de ladite composition, puis b. à appliquer sur lesdites matières kératiniques au moins une couche dudit mélange.at least one first composition comprising a compound X; at least one second composition comprising a compound Y; the compound X being a polysaccharide, said compounds X and Y reacting together by chemical crosslinking reaction in situ, at atmospheric pressure (and ambient temperature) so as to form a film, at least one of said first or second composition comprising at least a particulate phase comprising fillers, pigments and / or nacres in a content of at least 5% by weight relative to the total weight of said composition, then b. to apply on said keratinous materials at least one layer of said mixture.
Selon un mode de réalisation, le procédé cosmétique de revêtement des matières kératiniques selon l'invention consiste à : a. mélanger de façon extemporanée :According to one embodiment, the cosmetic process for coating keratin materials according to the invention consists in: a. mix extemporaneously:
- au moins une première composition comprenant un composé X ; - au moins une seconde composition comprenant un composé Y ; le composé X étant un polysaccharide, lesdits composés X et Y réagissant ensemble par réaction de réticulation chimique in situ, à pression atmosphérique (et température ambiante) de façon à former un film, l'une au moins desdites première ou seconde composition comprenant au moins une matière colorante, notamment pulvérulente, et en particulier des pigments et/ou nacres en une teneur totale d'au moins 5% en poids par rapport au poids total de ladite composition, puis b. à appliquer sur lesdites matières kératiniques au moins une couche dudit mélange.at least one first composition comprising a compound X; at least one second composition comprising a compound Y; the compound X being a polysaccharide, said compounds X and Y reacting together by chemical crosslinking reaction in situ, at atmospheric pressure (and ambient temperature) so as to form a film, at least one of said first or second composition comprising at least a dyestuff, especially pulverulent material, and in particular pigments and / or nacres in a total content of at least 5% by weight relative to the total weight of said composition, then b. to apply on said keratinous materials at least one layer of said mixture.
Selon un autre mode de réalisation, le procédé cosmétique de revêtement des matières kératiniques selon l'invention consiste à : a. mélanger de façon extemporanée :According to another embodiment, the cosmetic process for coating keratin materials according to the invention consists in: a. mix extemporaneously:
- au moins une première composition comprenant un composé X ; - au moins une seconde composition comprenant un composé Y ; le composé X étant un polysaccharide, lesdits composés X et Y réagissant ensemble par réaction de réticulation chimique in situ, à pression atmosphérique (et température ambiante) de façon à former un film, et ledit composé X étant présent dans la première composition en une teneur telle qu'elle soit d'au moins 1% en poids par rapport au poids total du mélange de la première et la seconde composition. puis b. à appliquer sur lesdites matières kératiniques au moins une couche dudit mélange.at least one first composition comprising a compound X; at least one second composition comprising a compound Y; the compound X being a polysaccharide, said compounds X and Y reacting together by chemical crosslinking reaction in situ, at atmospheric pressure (and ambient temperature) so as to form a film, and said compound X being present in the first composition in a content such that it is at least 1% by weight relative to the total weight of the mixture of the first and the second composition. then b. to apply on said keratinous materials at least one layer of said mixture.
Selon une variante, le composé X et le composé Y sont appliqués via au moins deux compositions distinctes, chacune comprenant un des composés.Alternatively, compound X and compound Y are applied via at least two separate compositions, each comprising one of the compounds.
C'est pourquoi la présente invention a aussi pour objet un procédé cosmétique de revêtement des matières kératiniques, le procédé comprenant l'application sur lesdites matières kératiniques : a. d'au moins une couche d'une première composition comprenant un composé X; b. d'au moins une couche d'une seconde composition comprenant un composé Y ; le composé X étant un polysaccharide, lesdits composés X et Y réagissant ensemble par réaction de réticulation chimique in situ, à pression atmosphérique (et température ambiante) de façon à former un film.This is why the present invention also relates to a cosmetic process for coating keratin materials, the method comprising applying to said keratin materials: a. at least one layer of a first composition comprising a compound X; b. at least one layer of a second composition comprising a compound Y; the compound X being a polysaccharide, said compounds X and Y reacting together by chemical crosslinking reaction in situ, at atmospheric pressure (and ambient temperature) so as to form a film.
Selon un mode de réalisation, un procédé cosmétique de revêtement des matières kératiniques selon l'invention comprend l'application sur lesdites matières kératiniques : a. d'au moins une couche d'une première composition comprenant un composé X; b. d'au moins une couche d'une seconde composition comprenant un composé Y ; le composé X étant un polysaccharide, lesdits composés X et Y réagissant ensemble par réaction de réticulation chimique in situ, à pression atmosphérique (et température ambiante) de façon à former un film, l'une au moins desdites première ou seconde composition comprenant au moins une phase particulaire comprenant des charges, pigments et/ou nacres en une teneur d'au moins 5% en poids par rapport au poids total de ladite composition.According to one embodiment, a cosmetic process for coating keratin materials according to the invention comprises the application on said keratin materials: a. at least one layer of a first composition comprising a compound X; b. at least one layer of a second composition comprising a compound Y; the compound X being a polysaccharide, said compounds X and Y reacting together by chemical crosslinking reaction in situ, at atmospheric pressure (and ambient temperature) so as to form a film, at least one of said first or second composition comprising at least a particulate phase comprising fillers, pigments and / or nacres in a content of at least 5% by weight relative to the total weight of said composition.
Selon un mode de réalisation, un procédé cosmétique de revêtement des matières kératiniques selon l'invention comprend l'application sur lesdites matières kératiniques : a. d'au moins une couche d'une première composition comprenant un composé X; b. d'au moins une couche d'une seconde composition comprenant un composé Y ; le composé X étant un polysaccharide, lesdits composés X et Y réagissant ensemble par réaction de réticulation chimique in situ, à pression atmosphérique (et température ambiante) de façon à former un film, l'une au moins desdites première ou seconde composition comprenant au moins une matière colorante, notamment pulvérulente, et en particulier des pigments et/ou nacres en une teneur totale d'au moins 5% en poids par rapport au poids total de ladite composition.According to one embodiment, a cosmetic process for coating keratin materials according to the invention comprises the application on said keratin materials: a. at least one layer of a first composition comprising a compound X; b. at least one layer of a second composition comprising a compound Y; the compound X being a polysaccharide, said compounds X and Y reacting together by chemical crosslinking reaction in situ, at atmospheric pressure (and ambient temperature) so as to form a film, at least one of said first or second composition comprising at least a dyestuff, especially pulverulent material, and in particular pigments and / or nacres in a total content of at least 5% by weight relative to the total weight of said composition.
Selon un mode de réalisation, un procédé cosmétique de revêtement des matières kératiniques selon l'invention comprend l'application sur lesdites matières kératiniques : a. d'au moins une couche d'une première composition comprenant un composé X; b. d'au moins une couche d'une seconde composition comprenant un composé Y ; le composé X étant un polysaccharide, lesdits composés X et Y réagissant ensemble par réaction de réticulation chimique in situ, à pression atmosphérique (et température ambiante) de façon à former un film, et ledit composé X étant présent dans la première composition en une teneur d'au moins 1 % en poids par rapport au poids total de ladite première composition.According to one embodiment, a cosmetic process for coating keratin materials according to the invention comprises the application on said keratin materials: a. at least one layer of a first composition comprising a compound X; b. at least one layer of a second composition comprising a compound Y; the compound X being a polysaccharide, said compounds X and Y reacting together by chemical crosslinking reaction in situ, at atmospheric pressure (and ambient temperature) so as to form a film, and said compound X being present in the first composition in a content of at least 1% by weight relative to the total weight of said first composition.
Selon ce procédé, il possible d'appliquer sur les matières kératiniques au moins une couche de la première composition comprenant le composé X puis de déposer sur la ou les couches de ladite première composition au moins une couche de la seconde composition comprenant le composé Y.According to this method, it is possible to apply at least one layer of the first composition comprising the compound X to the keratin materials, and then to deposit on the layer or layers of said first composition at least one layer of the second composition comprising the compound Y.
Selon une variante, le procédé consiste à appliquer sur les matières kératiniques au moins une couche de la seconde composition comprenant le composé Y, puis à déposer sur la ou les couches de ladite seconde composition au moins une couche de la première composition comprenant le composé X.According to one variant, the process consists in applying at least one layer of the second composition comprising the compound Y to the keratin materials, and then depositing on the layer or layers of said second composition at least one layer of the first composition comprising the compound X .
On peut également appliquer en alternance sur les matières kératiniques plusieurs couches de chacune des première et seconde compositions.It is also possible to alternately apply to the keratin materials several layers of each of the first and second compositions.
L'invention a encore pour objet l'utilisation d'une composition ou d'un kit tels que décrits ci-dessus, pour obtenir un film déposé sur les matières kératiniques, présentant des propriétés de tenue, de non transfert et/ou de confort améliorées.The subject of the invention is also the use of a composition or a kit as described above, for obtaining a film deposited on keratinous substances, having holding, non-transfer and / or comfort properties. improved.
Bien entendu, chaque composition comprend un milieu cosmétiquement acceptable, c'est à dire un milieu non toxique et susceptible d'être appliqué sur les matières kératiniques d'êtres humains et d'aspect, d'odeur et de toucher agréables.Of course, each composition comprises a cosmetically acceptable medium, ie a non-toxic medium that can be applied to human keratin materials and has a pleasant appearance, odor and feel.
I. Polysaccharide (Composé X)I. Polysaccharide (Compound X)
Les polysaccharides (composé X) présents dans les produits selon l'invention peuvent notamment être choisis parmi les polysaccharides issus des microorganismes, les polysaccharides isolés des algues et les polysaccharides des végétaux supérieurs, éventuellement modifiés par des réactions chimiques.The polysaccharides (compound X) present in the products according to the invention can in particular be chosen from polysaccharides derived from microorganisms, polysaccharides isolated from algae and polysaccharides from higher plants, possibly modified by chemical reactions.
Les polysaccharides sont choisis parmi les fructanes, les gellanes, les glucanes, les amidons modifiés ou non (tels que ceux issus, par exemple, de céréales comme le blé, le maïs ou le riz, de légumes comme le pois blond, de tubercules comme les pommes de terre ou le manioc), l'amylose, l'amylopectine, le glycogène, les dextranes, les celluloses et leurs dérivés (méthylcelluloses, hydroxyalkylcelluloses, éthylhydroxyéthylcelluloses, carboxyméthyl-celluloses), les mannanes, les xylanes, les lignines, les arabanes, les galactanes, les galacturonanes, la chitine, les chitosanes, les glucoronoxylanes, les arabinoxylanes, les xyloglucanes, les glucomannanes, les acides pectiques et les pectines, l'acide alginique et les alginates, les arabinogalactanes, les carraghénanes, les agars, les glycosaminoglucanes, les gommes arabiques, les gommes Tragacanthe, les gommes Ghatti, les gommes Karaya, les gommes de caroube, les galactomannanes telles que les gommes de guar et leurs dérivés non ioniques (hydroxypropyl guar) et ioniques, les gommes de biopolysaccharides d'origine microbienne telles que les gommes de scléroglucane ou de xanthane, les mucopolysaccharides et notamment les chondroïtines sulfate et leurs mélanges.The polysaccharides are chosen from fructans, gellans, glucans, modified or non-modified starches (such as those derived, for example, from cereals such as wheat, corn or rice, from vegetables such as blond pea, from tubers such as potatoes or cassava), amylose, amylopectin, glycogen, dextrans, celluloses and their derivatives (methylcelluloses, hydroxyalkylcelluloses, ethylhydroxyethylcelluloses, carboxymethylcelluloses), mannans, xylans, lignins, arabans, galactans, galacturonans, chitin, chitosans, glucoronoxylans, arabinoxylans, xyloglucans, glucomannans , pectic acids and pectins, alginic acid and alginates, arabinogalactans, carrageenans, agars, glycosaminoglucans, gum arabic, Tragacanth gums, Ghatti gums, Karaya gums, locust bean gum, galactomannans such as guar gums and their nonionic (hydroxypropyl guar) and ionic derivatives, biopolysaccharide gums of microbial origin such as scleroglucan or xanthan gums, mucopolysaccharides, and especially chondroitin sulphates and mixtures thereof.
Ces polysaccharides peuvent être modifiés chimiquement, notamment par des groupements urée, uréthane, ou par réaction d'hydrolyse, d'oxydation, d'estérification, d'éthérification, de sulfatation, de phosphatation, d'amination, d'amidation, d'alkylation, ou par plusieurs de ces modifications. Les dérivés obtenus peuvent être anioniques, cationiques, amphotères ou non-ioniques.These polysaccharides may be modified chemically, in particular by urea, urethane groups, or by reaction of hydrolysis, oxidation, esterification, etherification, sulfation, phosphatation, amination, amidation, alkylation, or by several of these modifications. The derivatives obtained can be anionic, cationic, amphoteric or nonionic.
D'une manière générale, les composés de ce type, utilisables dans la présente invention, sont choisis parmi ceux qui sont notamment décrits dans "Encyclopedia of ChemicalIn general, the compounds of this type which can be used in the present invention are chosen from those described in particular in "Encyclopedia of Chemicals".
Technology, Kirk-Othmer, Third Edition, 1982, volume 3, pp. 896-900, et volume 15, ppTechnology, Kirk-Othmer, Third Edition, 1982, Volume 3, pp. 896-900, and volume 15, pp
439-458", dans "Polymers in Nature, par E. A. Mc GREGOR et C. T. GREENWOOD,439-458 ", in" Polymers in Nature, by E. A. Mc GREGOR and C. T. GREENWOOD,
Editions John Wiley & Sons, Chapter 6, pp 240-328, 1980", dans l'ouvrage de Robert L.Editions John Wiley & Sons, Chapter 6, pp 240-328, 1980 ", in Robert L.'s book.
DAVIDSON intitulé "Handbook of Water soluble gums and resins" édité chez Mc Graw HiII Book Company (1980) et dans Nndustrial Gums - Polysaccharides and their Derivatives,DAVIDSON entitled "Handbook of Water Soluble Gums and Resins" published by McGraw HiII Book Company (1980) and in Nndustrial Gums - Polysaccharides and their Derivatives,
Edité par Roy L. WHISTLER, Second Edition, Edition Académie Press Inc.", le contenu de ces trois ouvrages étant totalement inclus dans la présente demande à titre de référence.Edited by Roy L. WHISTLER, Second Edition, Academy Edition Press Inc., the contents of these three works are fully included in this application for reference.
1. Polysaccharides élaborés par des microorganismes1. Polysaccharides made by microorganisms
Xanthanexanthan
Le xanthane est un hétéropolysaccharide produit à l'échelle industrielle par la fermentation aérobie de la bactérie Xanthomonas campestris. Sa structure est constituée d'une chaîne principale de β-D-glucoses liés en β(1 ,4), semblable à la cellulose. Une molécule de glucose sur deux porte une chaîne latérale trisaccharidique composée d'un α-D-mannose, d'un acide β-D-glucuronique et d'un β-D-mannose terminal. Le résidu interne de mannose est généralement acétylé sur le carbone 6. Environ 30% des résidus mannose terminal portent un groupement pyruvate lié sous forme chélatée entre les carbones 4 et 6. Les acides glucuroniques et les acides pyruviques chargés sont ionisables, et donc responsables de la nature anionique du xanthane (charge négative jusqu'à pH 1 ). Le contenu des résidus pyruvate et acétate varie selon la souche de bactérie, le procédé de fermentation, les conditions après fermentation et les étapes de purification. Ces groupements peuvent être neutralisés dans les produits commerciaux avec des ions Na+, K+ ou Ca2+ (Société SATIA, 1986). La forme neutralisée peut être convertie en forme acide par échange d'ions ou par dialyse d'une solution acide.Xanthan is a heteropolysaccharide produced on an industrial scale by the aerobic fermentation of the bacterium Xanthomonas campestris. Its structure consists of a main chain of β-D-glucose linked in β (1, 4), similar to cellulose. One in two glucose molecules carries a trisaccharide side chain consisting of α-D-mannose, β-D-glucuronic acid and terminal β-D-mannose. The residue mannose is usually acetylated on carbon 6. About 30% of terminal mannose residues carry a pyruvate group bound in chelated form between carbons 4 and 6. The glucuronic acids and charged pyruvic acids are ionizable, and therefore responsible for the nature anionic xanthan (negative charge up to pH 1). The contents of the pyruvate and acetate residues vary according to the strain of bacteria, the fermentation process, the conditions after fermentation and the purification steps. These groups can be neutralized in commercial products with Na + , K + or Ca 2+ ions (SATIA Company, 1986). The neutralized form can be converted to an acid form by ion exchange or by dialysis of an acidic solution.
Structure chimique de l'unité de base du xanthane : β-Glc β-GlcChemical structure of the base unit of xanthan: β-Glc β-Glc
β-Man β-Man
Source : Christensen et al. (1993).Source: Christensen et al. (1993).
Les gommes de xanthane ont un poids moléculaire compris entre 1 000 000 à 50 000 000 et une viscosité comprise entre 0,6 à 1 ,65 Pa. s pour une composition aqueuse contenant 1 % de gomme xanthane (mesurée à 25 0C au viscosimètre Brookfield, type LVT à 60 tours par minute).The xanthan gums have a molecular weight of between 1,000,000 and 50,000,000 and a viscosity of between 0.6 and 1.65 Pa.s for an aqueous composition containing 1% of xanthan gum (measured at 25 ° C. under the viscometer). Brookfield, LVT type at 60 rpm).
Les gomme de xanthane sont représentées par exemple par les produits vendus sous les dénominations Rhodicare par la société RHODIA CHIMIE, sous la dénomination SATIAXANE™ par la société Cargill Texturizing Solutions (pour l'industrie alimentaire, cosmétique et pharmaceutique), sous la dénomination NOVAXAN ™ par la société ADM, et sous les dénominations Kelzan® et Keltrol® par la société CP-Kelco. PullulanXanthan gum are represented for example by the products sold under the names Rhodicare by the company Rhodia Chimie, under the name SATIAXANE ™ by the company Cargill Texturizing Solutions (for the food, cosmetic and pharmaceutical industry), under the name NOVAXAN ™ the company ADM, and under the names Keltrol ® Kelzan ® and the CP-Kelco. pullulan
Le Pullulan est un polysaccharide constitué d'unités maltotriose, connues sous le nom d'α(1 ,4)-α(1 ,6)-glucane. Trois unités de glucose dans le maltotriose sont connectées par une liaison glycosidiques en α(1 ,4), tandis que les unités maltotriose consécutives sont connectées l'une à l'autre par une liaison glycosidiques en α(1 ,6). Le Pullulan est produit par fermentation à partir de l'amidon, par le champignon Aureobasidium pullulans.Pullulan is a polysaccharide consisting of maltotriose units, known as α (1,4) -α (1,6) -glucan. Three units of glucose in maltotriose are connected via a glycosidic linkage at α (1, 4), while the consecutive maltotriose units are connected to each other by an α (1, 6) glycosidic linkage. Pullulan is produced by fermentation from starch by the mushroom Aureobasidium pullulans.
Structure chimique de l'unité de base du pullulan :Chemical structure of the pullulan base unit:
Pullulanpullulan
Lιnear p ro γ ymer of o( y1-6) r- ιnked matotrιose unιts) > Lιnear p ro γ y mer o ( y 1-6) r - ιnked matotrιose unites)>
Le pullulan est par exemple produit sous la référence Pullulan PF 20 par le groupe Hayashibara au Japon.The pullulan is for example produced under the reference Pullulan PF 20 by the Hayashibara group in Japan.
Dextrane et sulfate de dextraneDextran and dextran sulfate
Le dextrane est un polysaccharide neutre sans groupe chargé, biologiquement inerte, préparé par fermentation du sucre de betterave contenant uniquement des groupements hydroxyles. Il est synthétisé à partir de saccharose par fermentation en présence de certaines bactéries d'acide lactique, les plus courantes étant Leuconostoc mesenteroides et Streptocoque mutans. Ce polysaccharide branché est constitué d'une succession de molécules de glucose formant une chaîne de longueurs variable. La chaîne principale est constituée de molécules de glucose liées entre elles par des liaisons glycosidiques en α(1 ,6), et les ramifications sont reliées à la chaine principale par des liaisons glycosidiques en α(1 ,3) (et dans quelques cas, en α(1 ,2) et en α(1 ,4)).Dextran is a neutral polysaccharide without charged group, biologically inert, prepared by fermentation of beet sugar containing only hydroxyl groups. It is synthesized from sucrose by fermentation in the presence of certain lactic acid bacteria, the most common being Leuconostoc mesenteroides and Streptococcus mutans. This connected polysaccharide consists of a succession of glucose molecules forming a chain of variable lengths. The main chain consists of glucose molecules linked together by glycosidic bonds in α (1, 6), and the branches are connected to the main chain by glycosidic bonds in α (1, 3) (and in some cases, in α (1, 2) and α (1, 4)).
Structure chimique du dextrane : Chemical structure of dextran:
II est possible d'obtenir à partir du dextrane natif par hydrolyse et purification, des fractions de dextrane de poids moléculaires différents. Le dextrane peut en particulier se présenter sous la forme de sulfate de dextrane.It is possible to obtain from the native dextran by hydrolysis and purification, dextran fractions of different molecular weights. Dextran may in particular be in the form of dextran sulfate.
Le dextrane est représenté par exemple par les produits vendus, sous la dénomination Dextran ou Dextran T par la société Pharmacosmos, sous la dénomination Dextran 40 powder ou Dextran 70 powder par la société Meito Sangyo Co. Le sulfate de dextrane est commercialisé par la société PK Chemical A/S sous la dénomination Dextran sulphate.Dextran is represented, for example, by the products sold under the name Dextran or Dextran T by the company Pharmacosmos, under the name Dextran 40 powder or Dextran 70 powder by the company Meito Sangyo Co. Dextran sulphate is marketed by the company PK Chemical A / S under the name Dextran sulphate.
Succinoglycanesuccinoglycane
Le succinoglycane est un polymère extracellulaire produit par fermentation bactérienne, de haut poids moléculaire et constitué d'unités répétées d'octasaccharides (répétition de 8 sucres). Ces unités sont synthétisées dans les membranes du microorganisme liées aux lipides isoprénoides. La chaine principale contient 3 glucoses et 1 galactose, et la chaine latérale contient 4 glucoses. Les sucres sont reliés entre eux par des liaisons glycosidiques β(1 ,4) et β(1 ,3). Le substituant pyruvate est attaché au dernier glucose de la chaine latérale, en revanche, le succinate peut être lié à l'un des 2 autres glucoses de la même chaine latérale. En outre, le motif de base des dits succinoglycanes peut contenir des restes d'autres acides organiques, tels que des reste pyruviles ou acétyles, ainsi que d'autres sucres comme l'acide glucuronique et/ou le mannose. Les rapports molaires entre le glucose et de tels restes d'acides organiques sont généralement compris entre (5 à 8) / (0,01 à 2). Les rapports molaires entre lesdits autres sucres et le glucose, sont généralement compris entre (0 à 1 ) / (5 à 8).Succinoglycan is an extracellular polymer produced by bacterial fermentation, of high molecular weight and consisting of repeated units of octasaccharides (repetition of 8 sugars). These units are synthesized in the membranes of the microorganism related to isoprenoid lipids. The main chain contains 3 glucoses and 1 galactose, and the side chain contains 4 glucoses. The sugars are linked together by glycoside bonds β (1, 4) and β (1, 3). The pyruvate substituent is attached to the last glucose of the side chain, however, the succinate can be linked to one of the other 2 glucoses of the same side chain. In addition, the basic unit of said succinoglycans may contain residues of other organic acids, such as pyruvile or acetyl residues, as well as other sugars such as glucuronic acid and / or mannose. The molar ratios between glucose and such organic acid residues are generally between (5 to 8) / (0.01 to 2). The molar ratios between said other sugars and glucose are generally between (0 to 1) / (5 to 8).
Les succinoglycanes peuvent être obtenus par fermentation microbienne, par exemple par fermentation d'un milieu comportant au moins une source carbonée, au moyen d'un microorganisme qui appartient de préférence au genre Arthrobacter, tel Arthrobacter Stabilis, au genre Agrobacterium , tels Agrobacterium tumefaciens, Agrobacterium radiobacter, ou Agrobacterium rhizogenes, au genre Rhizobium, au genre Alcaligenes, tels Alcaligenes faecalis. Les milieux de fermentation comportant la source carbonée ainsi que les procédés de fermentation sont abondamment décrits dans la littérature.The succinoglycans can be obtained by microbial fermentation, for example by fermentation of a medium containing at least one carbon source, by means of a microorganism which preferably belongs to the genus Arthrobacter, such as Arthrobacter Stabilis, to the genus Agrobacterium, such as Agrobacterium tumefaciens, Agrobacterium radiobacter, or Agrobacterium rhizogenes, to the genus Rhizobium, to the genus Alcaligenes, such as Alcaligenes faecalis. The fermentation media comprising the carbon source and the methods of fermentation are extensively described in the literature.
Le succinoglycane est un polysaccharide anionique qui présente la particularité de posséder une transition hélice-pelote, induite par un changement de température. Cette transition conformationnelle est très coopérative entrainant une modification importante de la rigidité du polymère.Succinoglycan is an anionic polysaccharide which has the particularity of having a helix-pelot transition, induced by a temperature change. This conformational transition is very cooperative, leading to a significant change in the rigidity of the polymer.
Les succinoglycanes sont par exemple commercialisés sous la dénomination Rheozan, par la société Rhodia.Succinoglycans are, for example, sold under the name Rheozan by Rhodia.
Scléroglucanescleroglucan
Le scléroglucane est un homopolysaccharide ramifié non ionique, constitué de motifs β-D glucane. Les molécules sont constituées d'une chaine linéaire principale formée de motifs D-glucose liées par des liaisons β(1 ,3) et dont un sur trois est lié à un motif D-glucose latéral par une liaison β(1 ,6).Scleroglucan is a branched, nonionic homopolysaccharide composed of β-D glucan units. The molecules consist of a main linear chain formed of D-glucose linked by β (1, 3) linkages and of which one in three is linked to a lateral D-glucose unit via a β bond (1, 6).
Structure chimique des scléroglucanes :Chemical structure of scleroglucans:
Ces polysaccharides sont obtenus par fermentation d'un milieu à base de sucre et de sels minéraux, sous l'action d'un microorganisme de type Sclerotium, tels que Sclerotium glucanium et Sclerotium rolfsii. Une description plus complète des scléroglucanes et de leur préparation peut être trouvée dans le document US 3,301 ,848.These polysaccharides are obtained by fermentation of a medium based on sugar and mineral salts, under the action of a Sclerotium-type microorganism, such as Sclerotium glucanium and Sclerotium rolfsii. A more complete description of scleroglucans and their preparation can be found in US 3,301,848.
Le scléroglucane est par exemple vendu sous la dénomination AMIGEL par la Société ALBAN MULLER, ou sous la dénomination ACTIGUM™ CS par la société Cargill.Scleroglucan is for example sold under the name AMIGEL by ALBAN MULLER, or under the name ACTIGUM ™ CS by Cargill.
2. Polysaccharides isolés des algues Composés à base d'acide alginique2. Polysaccharides isolated from algae Compounds based on alginic acid
Par « composé à base d'acide alginique », on entend en particulier l'acide alginique, les dérivés d'acide alginique et les sels d'acide alginique (alginates) ou desdits dérivés. De préférence, le composé à base d'acide alginique est hydrosoluble.By "alginic acid-based compound" is meant in particular alginic acid, alginic acid derivatives and alginic acid salts (alginates) or derivatives thereof. Preferably, the alginic acid-based compound is water soluble.
L'acide alginique, substance naturelle issue des algues brunes ou de certaines bactéries, est un acide polyuronique composé de 2 acides uroniques liés par des liaisons (1 , 4) glycosidiques : l'acide β-D-Manuronique (M) et l'acide α-L-glucuronique (G), présentant les structures chimiques suivantes :Alginic acid, a natural substance derived from brown algae or certain bacteria, is a polyuronic acid composed of 2 uronic acids linked by (1, 4) glycosidic linkages: β-D-Manuronic acid (M) and α-L-glucuronic acid (G), having the following chemical structures:
β-D-mannuronateβ-D-mannuronate
α-L-glucuronate α-L-glucuronate
L'acide alginique est apte à former des sels hydrosolubles (alginates) avec des métaux alcalins tels que le sodium, le potassium, le lithium, les cations d'aminé inférieures et d'ammonium substitués tels que la méthylamine, l'éthanolamine, la diéthanolamine, la triéthanolamine. Ces alginates sont hydrosolubles en milieu aqueux à pH=4 mais se dissocient en acide alginique à un pH inférieur à 4.The alginic acid is capable of forming water-soluble salts (alginates) with alkali metals such as sodium, potassium, lithium, lower amine and substituted ammonium cations such as methylamine, ethanolamine, diethanolamine, triethanolamine. These alginates are water-soluble in aqueous medium at pH = 4 but dissociate in alginic acid at a pH below 4.
Ces alginates sont aptes à réticuler entre eux en présence d'agents de complexation, par formation de liaisons ioniques entre lesdits agents complexants et le groupe chargé négativement du résidu G. La formation de multiples réticulations entre plusieurs molécules d'alginates entraîne la formation d'une matrice formant un gel insoluble dans l'eau. On utilise de préférence des composés à base d'acide alginique présentant une masse moléculaire moyenne en poids allant de 10 000 à 1 000 000, de préférence de 15 000 à 500 000 et mieux de 20 000 à 250 000.These alginates are capable of crosslinking with each other in the presence of complexing agents, by formation of ionic bonds between said complexing agents and the negatively charged group of the residue G. The formation of multiple crosslinks between several alginate molecules results in the formation of a matrix forming a gel insoluble in water. Alginic acid-based compounds having a weight average molecular weight of from 10,000 to 1,000,000, preferably from 15,000 to 500,000 and most preferably from 20,000 to 250,000, are preferably used.
Selon un mode de réalisation préféré, le composé à base d'acide alginique est un alginate de sodium ou de potassium.According to a preferred embodiment, the alginic acid-based compound is a sodium or potassium alginate.
Les alginates et dérivés sont représentés par exemple par les produits vendus sous les dénominations SATIALGINE™, CECALGUM™ ou ALGOGEL™ par la société Cargill products, sous la dénomination Protanal™ par la société FMC Biopolymer, sous la dénomination GRINDSTED® Alginate par la société Danisco, sous la dénomination KIMICA ALGIN par la société KIMICA, et sous la dénomination Manucol® et Manugel® par la société ISP.The alginates and derivatives are represented for example by the products sold under the names SATIALGINE ™, CECALGUM ™ or ALGOGEL ™ by the company Cargill products, under the name Protanal ™ by the company FMC Biopolymer, under the name GRINDSTED ® Alginate by the company Danisco under the name KIMICA ALGIN KIMICA by the company, and under the name ® and Manucol Manugel ® by ISP.
GalactannesGalactannes
Le composé X de la composition selon l'invention peut être un galactanne notamment choisi parmi l'agar ou les carraghénanes.The compound X of the composition according to the invention may be a galactan, especially chosen from agar or carrageenans.
Les carraghénanes sont des polysaccharides anioniques constituant les parois cellulaires de diverses algues rouges (Rhodophycées) appartenant aux familles de Gigartinacae, Hypneaceae, Furcellariaceae et Polyideaceae. ils sont généralement obtenus par extraction aqueuse à chaud à partir de souches naturelles desdites algues. Ces polymères linéaires, formés par des motifs disaccharides, sont composés par deux unités D-galactopyranoses liées alternativement par des liaisons α(1 ,3) et β(1 ,4). Ce sont des polysaccharides très sulfatés (20-50%) et les résidus α-D-galactopyranosyles peuvent être sous forme 3,6-anhydro. Selon le nombre et la position de groupements ester-sulfate sur le disaccharide de répétition de la molécule, on distingue plusieurs types de carraghénanes à savoir : les kappa-carraghénanes qui possèdent un groupement ester- sulfate, les iota-carraghénanes qui possèdent deux groupements ester-sulfate et les lambda-carraghénanes qui possèdent trois groupements ester-sulfate.Carrageenans are anionic polysaccharides constituting the cell walls of various red algae (Rhodophyceae) belonging to the families Gigartinacae, Hypneaceae, Furcellariaceae and Polyideaceae. they are generally obtained by hot aqueous extraction from natural strains of said algae. These linear polymers, formed by disaccharide units, are composed of two D-galactopyranose units alternately linked by α (1, 3) and β (1, 4) linkages. They are highly sulphated polysaccharides (20-50%) and the α-D-galactopyranosyl residues can be in 3,6-anhydro form. Depending on the number and the position of ester-sulfate groups on the repeating disaccharide of the molecule, there are several types of carrageenans namely: kappa-carrageenans which have an ester-sulfate group, iota-carrageenans which have two ester groups sulphate and lambda-carrageenans which have three ester-sulphate groups.
Les carraghénanes présentent notamment les structure chimique suivantes :The carrageenans have in particular the following chemical structures:
Kappa IotaKappa Iota
Lambdalambda
Les carraghénanes se composent essentiellement de sels de potassium, de sodium, de magnésium, de triéthanolamine et/ou de calcium et d'esters sulfates de polysaccharides.Carrageenans consist essentially of potassium, sodium, magnesium, triethanolamine and / or calcium salts and sulfate esters of polysaccharides.
Les propriétés physico-chimiques et les utilisations de ces polysaccharides en tant que gélifiants reposent sur leur capacité à établir des transitions conformationnelles pelote- hélice en fonction de l'environnement thermique et ionique [Kloareg et al. Oceanography and Marine Biology - An annual review 26 : 259-315 (1988)].The physico-chemical properties and uses of these polysaccharides as gelling agents rely on their ability to establish conformational platelet-helix transitions as a function of the thermal and ionic environment [Kloareg et al. Oceanography and Marine Biology - An Annual Review 26: 259-315 (1988)].
Les carraghénanes sont notamment commercialisés par la société Seppic sous le nom de Solagum® , par la société Gelymar sous la dénomination de Carragel®, Carralact®, et Carrasol®, par la société Cargill, sous les dénominations SATIAGEL™ et SATIAGUM™, et par la société CP-Kelco sous la dénomination GENULACTA®, GENUGEL® et GENUVISCO®.Carrageenans are especially sold by Seppic under the name Solagum ®, the Gelymar under the name of Carragel ®, Carralact ® and Carrasol ® by Cargill, under the names SATIAGEL ™ and satiagum ™, and CP-Kelco under the name GENULACTA ® , GENUGEL ® and GENUVISCO ® .
Les galactannes de type Agar sont des polysaccharides du galactose contenu dans la paroi cellulaire de certaines de ces espèces d'algues rouges (rhodophycées). Ils sont formés d'un groupe de polymère dont le squelette de base est une chaine β(1 ,3) D- galactopyranose et α(1 ,4) L 3-6 anhydrogalactose, ces unités se répétant régulièrement et alternativement. Les différences à l'intérieur de la famille des agars sont dues à la présence ou non de groupes solvatés méthylés ou carboxyethylés. Ces structures hybrides sont en général présentes en pourcentage variable, suivant les espèces d'algues et la saison de récolte.Galactans Agar type are galactose polysaccharides contained in the cell wall of some of these species of red algae (rhodophycea). They are formed of a polymer group whose base skeleton is a chain β (1,3) D-galactopyranose and α (1,4) L 3-6 anhydrogalactose, these units repeating regularly and alternately. Differences within the agar family are due to the presence or absence of methylated or carboxyethylated solvated groups. These structures Hybrids are generally present as a variable percentage, depending on the species of algae and the season of harvest.
L'agar-agar est un mélange de polysacharides (agarose et agaropectine) de masse moléculaire élevée, comprise entre 40 000 et 300 000 g. mol"1. Il est obtenu en fabricant des jus d'extraction d'algues, généralement par autoclavage, et en traitant ces jus qui comprennent environ 2 % d'agar-agar, afin d'extraire ce dernier.The agar is a mixture of polysaccharides (agarose and agaropectin) of high molecular weight, between 40,000 and 300,000 g. mol "1. It is obtained by manufacturing algae extraction juice, usually by autoclaving, and treating these juices which include about 2% of agar to extract it.
L'agar est par exemple produit par le groupe B&V Agar Producers, sous la dénomination GoId Agar, Agarite et Grand Agar par la société Hispanagar, et sous les dénominations Agar-Agar, QSA (Quick Soluble Agar), et Puragar par la société Setexam.The agar is for example produced by the group B & V Agar Producers, under the name GoId Agar, Agarite and Grand Agar by the company Hispanagar, and under the names Agar-Agar, QSA (Quick Soluble Agar), and Puragar by the company Setexam .
Furcellaranefurcellarane
Le furcellarane est obtenu commercialement à partir d'algues rouges Furœllaria fasztigiata, présentent principalement dans les mers du Nord de l'Europe. Sa structure est très proche de celle des carraghénanes. Le furcellarane est par exemple produit par la société Est-Agar.Furcellaran is obtained commercially from red algae Furœllaria fasztigiata, mainly found in the northern seas of Europe. Its structure is very close to that of carrageenans. Furcellarane is for example produced by the company East-Agar.
3. Polysaccharides des végétaux supérieurs3. Polysaccharides of higher plants
On distingue les polysaccharides homogènes (une seule espèce d'osés) et les hétérogènes composés de plusieurs types d'osés.We distinguish between homogeneous polysaccharides (a single species of dares) and heterogeneous compounds of several types of dares.
Polvsaccharides homogènesHomogeneous polysaccharides
1. Glucosanes1. Glucosans
Le composé X présent dans la composition selon l'invention peut être un glucosane, notamment choisi parmi les amidons natifs ou modifiés, les dextrines et dérivés, les celluloses et dérivés ou les fructosanes.The compound X present in the composition according to the invention may be a glucosane, in particular chosen from native or modified starches, dextrins and derivatives, celluloses and derivatives or fructans.
Amidons natifsNative starches
Les amidons utilisables dans la présente invention sont plus particulièrement des macromolécules sous forme de polymères constitués de motifs élémentaires qui sont des unités an hydroglucose (dextrose), liées par liaisons α(1 ,4), de formule chimiqueThe starches which can be used in the present invention are more particularly macromolecules in the form of polymers consisting of elementary units which are hydroglucose (dextrose) units, linked by α (1, 4) bonds, of chemical formula
(C6H10Os)n- Le nombre de ces motifs et leur assemblage permettent de distinguer l'amylose, molécule formée d'environ 600 à 1000 molécules de glucose chaînées linéairement, et l'amylopectine, polymère ramifié tous les 25 résidus glucoses environ (liaison α(1 ,6). La chaine totale peut faire entre 10000 et 100000 résidus glucoses. L'amidon est décrit en particulier dans "KIRK-OTHMER ENCYCLOPEDIA OF CHEMICAL TECHNOLOGY, 3eme édition, volume 21 , p.492-507, Wiley Interscience, 1983".(C 6 H 10 Os) n - The number of these motifs and their assembly make it possible to distinguish amylose, a molecule formed from about 600 to 1000 linearly chain-linked glucose molecules, and amylopectin, a branched polymer around every 25 glucose residues (α (1, 6) linkage.) The total chain can make between 10,000 and 100,000 residues. glucoses. starch is described in particular in "Kirk-Othmer ENCYCLOPEDIA OF CHEMICAL TECHNOLOGY, 3rd edition, volume 21, p.492-507, Wiley Interscience, 1983".
Structure chimique de l'amidon : DextroseChemical structure of starch: Dextrose
Amyloseamyloidosis
Amylopectineamylopectin
CH»OH CH.OHCH » OH CH.OH
/ // /
OO
- -
Les proportions relatives d'amylose et d'amylopectine, ainsi que leur degré de polymérisation, varient en fonction de l'origine botanique des amidons. En moyenne, un échantillon d'amidon natif est constitué d'environ 25 % d'amylose et de 75 % d'amylopectine. Parfois, il y a présence de phytoglycogène (entre 0 et 20 % de l'amidon), un analogue de l'amylopectine mais ramifié tous les 10 à 15 résidus glucose.The relative proportions of amylose and amylopectin, as well as their degree of polymerization, vary according to the botanical origin of the starches. On average, a sample of native starch consists of about 25% amylose and 75% amylopectin. Sometimes, there is presence of phytoglycogen (between 0 and 20% of the starch), an analogue of amylopectin but branched every 10 to 15 glucose residues.
L'amidon peut se présenter sous forme de granules semi-cristallines : l'amylopectine est organisée en feuillets, l'amylose forme une zone amorphe moins bien organisée entre les différents feuillets.The starch can be in the form of semi-crystalline granules: amylopectin is organized in sheets, amylose forms a less well-organized amorphous zone between the different layers.
L'amylose s'organise en une hélice droite à six glucoses par tour. Il se dissocie en glucose assimilable sous l'action d'enzymes, les amylases, d'autant plus facilement s'il se trouve sous forme d'amylopectine. En effet, la formation hélicoïdale ne favorise pas l'accessibilité de l'amidon aux enzymes.Amyloidosis is organized into a right helix with six glucoses per turn. It dissociates into assimilable glucose under the action of enzymes, amylases, more easily if it is in the form of amylopectin. Indeed, helical formation does not promote the accessibility of starch to enzymes.
Les amidons se présentent généralement sous la forme d'une poudre blanche insoluble dans l'eau froide, dont la taille des particules élémentaires va de 3 à 100 microns. En le traitant par l'eau chaude, on obtient l'empois. Il est exploité dans l'industrie pour ses propriétés d'épaississant et de gélifiant.The starches are generally in the form of a white powder insoluble in cold water, the size of the elementary particles ranges from 3 to 100 microns. By treating it with hot water, we obtain the poisoning. It is used in the industry for its thickener and gelling properties.
Les molécules d'amidons ou amyloses utilisés dans la présente invention peuvent avoir comme origine botanique les céréales ou encore les tubercules. Ainsi, les amidons ou amyloses sont par exemple choisis parmi les amidons ou amyloses de maïs, de riz, de manioc, de tapioca, d'orge, de pomme de terre, de blé, de sorgho, de pois.The starch or amylose molecules used in the present invention may have as botanical origin cereals or tubers. Thus, the starches or amyloses are for example chosen from starches or amyloses of maize, rice, cassava, tapioca, barley, potato, wheat, sorghum, pea.
Les amidons natifs sont représentés par exemple par les produits vendus sous les dénominations C*Amilogel™, Cargill Gel™, C* Gel™, Cargill Gum™, DryGel™, C*Pharm Gel™ par la société Cargill, sous la dénomination Amidon de mais par la société Roquette, et sous la dénomination Tapioca Pure par la société National Starch.The native starches are represented for example by the products sold under the names C * Amilogel ™, Cargill Gel ™, C * Gel ™, Cargill Gum ™, DryGel ™, C * Pharm Gel ™ by the company Cargill, under the name Starch of but by the company Roquette, and under the name Tapioca Pure by the company National Starch.
Amidons modifiésModified starches
Les amidons utilisés dans la composition de l'invention peuvent être modifiés par une ou plusieurs des réactions suivantes : prégélatinisation, dégradation (hydrolyse acide, oxydation, dextrinisation), substitution (estérification, éthérification), réticulation (estérification), blanchiment.The starches used in the composition of the invention may be modified by one or more of the following reactions: pregelatinization, degradation (acid hydrolysis, oxidation, dextrinization), substitution (esterification, etherification), crosslinking (esterification), bleaching.
De manière plus particulière, ces réactions peuvent être réalisées de la façon suivante : - prégélatinisation en faisant éclater les granules d'amidon (par exemple séchage et cuisson dans un tambour sécheur),More particularly, these reactions can be carried out as follows: - pregelatinization by bursting the starch granules (for example drying and cooking in a drying drum),
- hydrolyse acide engendrant une rétrogradation très rapide au refroidissement,acid hydrolysis giving rise to very rapid retrogression on cooling,
- oxydation par des oxydants forts (milieu alcalin, en présence d'hypochlorite de sodium NaOCI par exemple) conduisant à la dépolymérisation de la molécule d'amidon et à l'introduction de groupes carboxyle dans la molécule d'amidon (principalement oxydation du groupe hydroxyle en C6),- oxidation with strong oxidants (alkaline medium, in the presence of sodium hypochlorite NaOCI for example) leading to the depolymerization of the starch molecule and the introduction of carboxyl groups in the starch molecule (mainly oxidation of the group C 6 hydroxyl,
- dextrinisation en milieu acide à haute température (hydrolyse puis repolymérisation),dextrinisation in an acid medium at high temperature (hydrolysis then repolymerization),
- réticulation par des agents fonctionnels capables de réagir avec les groupes hydroxyle des molécules d'amidon qui vont ainsi être liées entre elles (par exemple avec des groupes glyceryl et/ou phosphate)crosslinking with functional agents capable of reacting with the hydroxyl groups of the starch molecules which will thus be bonded together (for example with glyceryl and / or phosphate groups)
- estérification en milieu alcalin pour le greffage de groupes fonctionnels, notamment acyl en CrC6 (acétyl), hydroxyalkylés en CrC6 (hydroxyéthyl, hydroxypropyl), carboxyméthyl, octénylsuccinique.alkaline esterification for the grafting of functional groups, in particular C 6 acyl (acetyl), hydroxyalkyl C 6 (hydroxyethyl, hydroxypropyl), carboxymethyl, octenylsuccinic.
On peut notamment obtenir par réticulation avec des composés phosphores, des phosphates de monoamidon ( du type Am-O-PO-(OX)2), des phosphates de diamidon ( du type Am-O-PO-(OX)-O-Am) ou même de triamidon (du type Am-O-PO- (0-Am)2) ou leurs mélanges.In particular, it is possible to obtain, by crosslinking with phosphorus compounds, mono-starch phosphates (of the Am-O-PO- (OX) 2 type ), diamidon phosphates (of the Am-O-PO- (OX) -O-Am type). ) or even triamidon (of the type Am-O-PO- (O-Am) 2 ) or their mixtures.
X désigne notamment les métaux alcalins (par exemple sodium ou potassium), les métaux alcalinoterreux (par exemple calcium, magnésium), les sels d'ammoniaque, les sels d'aminés comme ceux de la monoéthanolamine, la diéthanolamine, la triéthanolamine, l'amino-3 propanediol-1 ,2, les sels ammoniums issus des aminoacides basiques tels que la lysine, l'arginine, la sarcosine, l'ornithine, la citrulline.X denotes in particular alkali metals (for example sodium or potassium), alkaline earth metals (for example calcium, magnesium), ammonium salts, amine salts such as those of monoethanolamine, diethanolamine, triethanolamine, amino-3-propanediol-1,2, ammonium salts derived from basic amino acids such as lysine, arginine, sarcosine, ornithine, citrulline.
Les composés phosphores peuvent être par exemple du tripolyphosphate de sodium, de l'orthophosphate de sodium, de l'oxychlorure de phosphore ou du trimétaphosphate de sodium.The phosphorus compounds may be, for example, sodium tripolyphosphate, sodium orthophosphate, phosphorus oxychloride or sodium trimetaphosphate.
D'autres amidons oxydés sont décrit ultérieurement dans la description.Other oxidized starches are described later in the description.
Selon l'invention, on peut aussi utiliser des amidons amphotères, ces amidons amphotères contiennent un ou plusieurs groupements anioniques et un ou plusieurs groupements cationiques. Les groupements anioniques et cationiques peuvent être liés au même site réactif de la molécule d'amidon ou à des sites réactifs différents; de préférence ils sont liés au même site réactif. Les groupements anioniques peuvent être de type carboxylique, phosphate ou sulfate et de préférence carboxylique. Les groupements cationiques peuvent être de type aminé primaire, secondaire, tertiaire ou quaternaire. Les amidons amphotères sont notamment choisis parmi les composés de formules suivantes :According to the invention, it is also possible to use amphoteric starches, these amphoteric starches contain one or more anionic groups and one or more cationic groups. The anionic and cationic groups may be bonded to the same reactive site of the starch molecule or to different reactive sites; preferably they are linked to the same reactive site. Anionic groups can be of carboxylic type, phosphate or sulfate and preferably carboxylic. The cationic groups may be of primary, secondary, tertiary or quaternary amine type. The amphoteric starches are in particular chosen from compounds of the following formulas:
R' RR 'R
CH- CH-COOMCH-CH-COOM
//
St-O -(CH2)- N,St-O - (CH 2 ) - N,
CH- CH-COOMCH-CH-COOM
R' RR 'R
(I)(I)
COOM RCOOM R
CH CH-COOMCH CH-COOM
St-O -(CH2)-NSt-O - (CH 2 ) -N
\\
R"R "
(H)(H)
R' s / R"R 's / R "
N St-O-CH2 CH-COOM ,| N ) N St-O-CH 2 CH-COOM, | NOT )
R' s / R"R 's / R "
N St-O-CH — CH2-COOM ,|V) N St-O-CH - CH 2 -COOM, | V)
formules dans lesquelles :formulas in which:
St-O représente une molécule d'amidon, R, identique ou différent, représente un atome d'hydrogène ou un radical méthyle,St-O represents a starch molecule, R, identical or different, represents a hydrogen atom or a methyl radical,
R', identique ou différent, représente un atome d'hydrogène, un radical méthyle ou un groupement -COOH, n est un entier égal à 2 ou 3,R ', identical or different, represents a hydrogen atom, a methyl radical or a -COOH group, n is an integer equal to 2 or 3,
M, identique ou différent, désigne un atome d'hydrogène, un métal alcalin ou alcalinoterreux tels que Na, K, Li, NH4, un ammonium quaternaire ou une aminé organique,M, identical or different, denotes a hydrogen atom, an alkali or alkaline earth metal such as Na, K, Li, NH 4, a quaternary ammonium or an organic amine,
R" représente un atome d'hydrogène ou un radical alkyle ayant de 1 à 18 atomes de carbone. Ces composés sont notamment décrits dans les brevets US 5,455,340 et US 4,017,460 qui sont inclus à titre de référence.R "represents a hydrogen atom or an alkyl radical having 1 to 18 carbon atoms. These compounds are described in particular in US Pat. Nos. 5,455,340 and 4,017,460, which are incorporated by reference.
Les molécules d'amidons peuvent être issues de toutes les sources végétales d'amidon telles que notamment le maïs, la pomme de terre, l'avoine, le riz, le tapioca, le sorgho, l'orge ou le blé. On peut également utiliser les hydrolysats des amidons cités ci-dessus.The starch molecules can be derived from all plant sources of starch, such as in particular corn, potato, oats, rice, tapioca, sorghum, barley or wheat. It is also possible to use the hydrolysates of the starches mentioned above.
Les amidons modifiés sont représentés par exemple par les produits vendus sous les dénominations C*Tex-lnstant (adipate prégélatinisé), C*StabiTex-lnstant (phosphate prégélatinisé), C*PolarTex-lnstant (hydroxypropylé prégélatinisé), C*Set (hydrolyse acide, oxydation), C*size (oxydation), C*BatterCrisp (oxydation), C*DrySet (dextrinisation),The modified starches are represented for example by the products sold under the names C * Tex-lnstant (pre-gelatinized adipate), C * StabiTex-lnstant (pre-gelatinized phosphate), C * PolarTex-Inactive (pre-gelatinized hydroxypropyl), C * Set (acid hydrolysis , oxidation), C * size (oxidation), C * BatterCrisp (oxidation), C * DrySet (dextrinization),
C*Tex™ (adipate de diamidon acetylé), C*PolarTex™ (phosphate de diamidon hydroxypropylé), C* StabiTex™ (phosphate de diamidon, phosphate de diamidon acetylé) par la société Cargill, par les phosphates de diamidon ou des composés riches en phosphate de diamidon comme le produit proposé sous les références PREJEL VA-70-TC * Tex ™ (acetylated diamidon adipate), C * PolarTex ™ (hydroxypropylated diamidon phosphate), C * StabiTex ™ (diamidon phosphate, acetylated diamidon phosphate) by Cargill, diamidon phosphates or rich compounds in diamidon phosphate as the product proposed under the references PREJEL VA-70-T
AGGL (phosphate de diamidon de manioc hydroxypropylé gélatinisé) ou PREJEL TK1AGGL (hydroxypropylated manioc phosphate phosphate gelatinized) or PREJEL TK1
(phosphate de diamidon de manioc gélatinisé) ou PREJEL 200 (phosphate de diamidon de manioc acetylé gélatinisé) par la Société AVEBE ou STRUCTURE ZEA de NATIONAL STARCH (phosphate de diamidon de maïs gélatinisé).(Gelatinized cassava dihydrogen phosphate) or PREJEL 200 (gelatinized acetylated manioc diamidon phosphate) by the company AVEBE or STRUCTURE ZEA by NATIONAL STARCH (gelatinized cornstarch).
A titre d'exemples d'amidons oxydés, on utilisera notamment ceux commercialisés sous la dénomination C*size de la société Cargill.As examples of oxidized starches, use will be made in particular those marketed under the name C * size of the company Cargill.
(Cyclo)dextrine et dérivés(Cyclo) dextrin and derivatives
Les cyclodextrines sont une famille d'oligosaccharides cycliques composés de sous- unités glucopyranose liées en α(1 ,4). Ces produits naturels résultants de la dégradation de l'amidon par la bactérie Bacillus macerans, ont été découverts en 1891 par Villiers. Trois familles sont principalement utilisées ou étudiées les α-, β- et γ-cyclodextrines selon quelles sont formées de 6, 7 ou 8 sous unités (des familles de plusieurs dizaines de sous unités ont été synthétisées dans des buts de recherche).Cyclodextrins are a family of cyclic oligosaccharides composed of α (1, 4) -linked glucopyranose subunits. These natural products resulting from the degradation of starch by the bacterium Bacillus macerans, were discovered in 1891 by Villiers. Three families are mainly used or studied the α-, β- and γ-cyclodextrins according to which are formed of 6, 7 or 8 subunits (families of several tens of subunits were synthesized for research purposes).
La formule brute de la β-cyclodextrine est C42H70O35, sa masse molaire est donc de 1 134,98 g. mol"1, son numéro CAS est le 7585-39-9. Les cyclodextrines sont notamment des oligosaccharides de formule : The empirical formula of β-cyclodextrin is C42H70O35, so its molar mass is 1,134.98 g. mol "1 , its CAS number is 7585-39-9 The cyclodextrins are in particular oligosaccharides of formula:
dans laquelle x peut être un nombre égal à 4 (ce qui correspond à l'α-cyclodextrine), à 5 (β-cyclodextrine) ou à 6 (γ-cyclodextrine).in which x may be a number equal to 4 (which corresponds to α-cyclodextrin), to 5 (β-cyclodextrin) or to 6 (γ-cyclodextrin).
De nombreux dérivés peuvent être obtenus à partir des cyclodextrines naturelles : les groupements hydroxyles des unités glucopyranose peuvent être aminés, estérifiés ou éthérifiés. La synthèse de ces dérivés a souvent pour but d'améliorer la solubilité. Parmi les cyclodextrines les plus étudiées on trouve la β-cyclodextrine (BCD, naturelle), l'hydroxypropyl-β-cyclodextrine (HPCD) et la méthyl-β-cyclodextrine (MCD).Many derivatives can be obtained from natural cyclodextrins: the hydroxyl groups of the glucopyranose units can be amino, esterified or etherified. The synthesis of these derivatives is often intended to improve solubility. Among the most studied cyclodextrins are β-cyclodextrin (BCD, natural), hydroxypropyl-β-cyclodextrin (HPCD) and methyl-β-cyclodextrin (MCD).
On peut notamment utiliser une beta-cyclodextrine vendu par la société WACKER sous la dénomination CAVAMAX W7 et une gamma-cyclodextrine vendu par la société WACKER sous la dénomination CAVAMAX W8.It may especially be used a beta-cyclodextrin sold by Wacker under the name CAVAMAX W7 and a gamma-cyclodextrin sold by the company Wacker under the name CAVAMAX W8.
Les dérivés de cyclodextrines sont par exemple les méthyl cyclodextrines tels que la méthyl-beta-cyclodextrine commercialisée par la société WACKER sous la dénomination CAVASOL W7.The cyclodextrin derivatives are, for example, methyl cyclodextrins, such as methyl-beta-cyclodextrin sold by the company Wacker under the name CAVASOL W7.
Cellulose et dérivésCellulose and derivatives
Le composé X selon l'invention peut également être une cellulose ou l'un de ses dérivés notamment éthers ou esters de cellulose (ex : méthylcellulose, carboxyméthylcellulose, hydroxyméthylcellulose, hydroxyéthylcellulose, hydroxypropylcellulose, hydroxyméthylpropylcellulose, acétate de cellulose, nitrate de cellulose, nitrocellulose).The compound X according to the invention may also be a cellulose or a derivative thereof in particular ethers or cellulose esters (eg methylcellulose, carboxymethylcellulose, hydroxymethylcellulose, hydroxyethylcellulose, hydroxypropylcellulose, hydroxymethylpropylcellulose, cellulose acetate, cellulose nitrate, nitrocellulose) .
L'invention peut aussi contenir un polymère associatif cellulosique. Par composé cellulosique, on entend selon l'invention tout composé polysaccharidique possédant dans sa structure des enchaînements linéaires de résidus anhydroglucopyranose (AGU) unis par des liaisons glycosidiques β(1 ,4). Le motif de répétition est le dimère cellobiose. Les AGU se trouvent en conformation chaise et possèdent 3 fonctions hydroxyles : 2 alcools secondaires (en position 2 et 3) et un alcool primaire (en position 6). Les polymères ainsi formés s'associent entre eux par des liaisons intermoléculaires de type liaisons hydrogène, conférant ainsi une structure fibrillaire à la cellulose (environ 1500 molécules par fibre).The invention may also contain a cellulosic associative polymer. According to the invention, the term "cellulosic compound" is intended to mean any polysaccharide compound having in its structure linear chains of anhydroglucopyranose (AGU) residues linked by glycosidic β (1, 4) linkages. The repetition pattern is the cellobiose dimer. The AGUs are in chair conformation and have 3 hydroxyl functions: 2 secondary alcohols (in position 2 and 3) and a primary alcohol (in position 6). The polymers thus formed combine with each other by intermolecular links of the hydrogen bonding type, thus conferring a fibrillar structure on the cellulose (approximately 1500 molecules per fiber).
Le degré de polymérisation diffère énormément selon l'origine de la cellulose; sa valeur peut varier de quelques centaines à quelques dizaines de milliers.The degree of polymerization differs enormously depending on the origin of the cellulose; its value can vary from a few hundred to a few tens of thousands.
La cellulose présente la structure chimique suivante :Cellulose has the following chemical structure:
CellûBiôfδCellûBiôfδ
A, fA, f
J J ijtirciiïitώJ
Les groupements hydroxyles de la cellulose peuvent réagir partiellement ou totalement avec différents réactifs chimiques pour donner des dérivés cellulosiques possédant des propriétés propres. Les dérivés de celluloses peuvent être anioniques, cationiques, amphotères ou non-ioniques. Parmi ces dérivés, on distingue les éthers de celluloses, les esters de celluloses et les esters éthers de celluloses.The hydroxyl groups of the cellulose may partially or totally react with different chemical reagents to give cellulose derivatives having their own properties. The cellulose derivatives may be anionic, cationic, amphoteric or nonionic. Among these derivatives, there are cellulose ethers, cellulose esters and cellulose ether esters.
Parmi les éthers de cellulose non ioniques, on peut citer les alkylcelluloses telles que les méthylcelluloses et les éthylcelluloses ; les hydroxyalkylcelluloses telles que les hydroxyméthylcelluloses, les hydroxyéthylcelluloses et les hydroxypropylcelluloses ; les celluloses mixtes hydroxyalkyl-alkylcelluloses telles que les hydroxypropyl- méthylcelluloses, les hydroxyéthyl-méthylcelluloses, les hydroxyéthyl-éthylcelluloses et les hydroxybutyl-méthylcelluloses.Among the nonionic cellulose ethers, mention may be made of alkylcelluloses such as methylcelluloses and ethylcelluloses; hydroxyalkylcelluloses such as hydroxymethylcelluloses, hydroxyethylcelluloses and hydroxypropylcelluloses; mixed hydroxyalkyl-alkylcellulose celluloses such as hydroxypropylmethylcelluloses, hydroxyethylmethylcelluloses, hydroxyethylethylcelluloses and hydroxybutylmethylcelluloses.
Parmi les éthers de cellulose anioniques, on peut citer les carboxyalkylcelluloses et leurs sels. A titre d'exemple, on peut citer les carboxyméthylcelluloses, les carboxyméthylméthylcelluloses et les carboxyméthylhydroxyéthylcelluloses et leurs sels de sodium.Among the anionic cellulose ethers, mention may be made of carboxyalkylcelluloses and their salts. By way of example, mention may be made of carboxymethylcelluloses, carboxymethylmethylcelluloses and carboxymethylhydroxyethylcelluloses and their sodium salts.
Parmi les éthers de cellulose cationiques, on peut citer les hydroxyéthylcelluloses quaternisées réticulées ou non. Le quaternisant peut être notamment le chlorure de glycidyltriméthylammonium ou une aminé grasse telle que la laurylamine ou la stéarylamine. Comme autre éther de cellulose cationique, on peut citer rhydroxyéthylcellulosehydroxypropyltriméthylammonium. Parmi les esters de celluloses, on trouve les esters inorganiques de cellulose (nitrates, sulfates, ou phosphates de cellulose...), les esters organiques de cellulose (monoacétates, triacétates, amidopropionates, acétatebutyrates, acétatepropionates ou acétatetrimellitates de cellulose....) et les esters mixtes organique/inorganique de cellulose tels que les acétatebutyratesulfates et les acétatepropionatesulfates de cellulose. Parmi les esters éthers de cellulose, on peut citer les phtalates d'hydroxypropylméthylcellulose et les sulftates d'éthylcellulose.Among the cationic cellulose ethers, mention may be made of quaternized hydroxyethylcelluloses which may or may not be crosslinked. The quaternizer may especially be glycidyltrimethylammonium chloride or a fatty amine such as laurylamine or stearylamine. Another cationic cellulose ether that may be mentioned is hydroxyethylcellulose hydroxypropyltrimethylammonium. Among the cellulose esters, there are the inorganic esters of cellulose (cellulose nitrates, sulphates, or phosphates, etc.), the organic cellulose esters (cellulose monoacetates, triacetates, amidopropionates, acetatebutyrates, acetatepropionates or acetatetrimellitates). ) and mixed organic / inorganic cellulose esters such as cellulose acetate-butyrate sulphates and cellulose acetate propionates. Among the cellulose ether esters, mention may be made of hydroxypropyl methylcellulose phthalates and ethylcellulose sulphates.
Les composés cellulosiques de l'invention peuvent être choisis parmi les celluloses non substituées et les celluloses substituées.The cellulosic compounds of the invention may be chosen from unsubstituted celluloses and substituted celluloses.
Les celluloses et dérivés sont représentés par exemple par les produits vendus sous les dénominations Avicel® (microcristalline cellulose, MCC) par la société FMC Biopolymers, sous la dénomination Cekol (carboxyméthylcellulose) par la société Noviant (CP-Kelco), sous la dénomination Akucell AF (sodium carboxyméthylcellulose) par la société Akzo Nobel, sous la dénomination Methocel™ (éthers de cellulose) et Ethocel™ (éthylcellulose) par la société DOW, sous les dénominations Aqualon® (carboxyméthylcellulose et sodium carboxyméthylcellulose), Benecel® (méthylcellulose), Blanose™ (carboxyméthylcellulose), Culminai® (Méthylcellulose, hydroxypropyl méthylcellulose), Klucel® (hydroxypropylcellulose), Polysurf® (cétyl hydroxyéthylcellulose) et Natrosol® CS (hydroxyéthylcellulose) par la société Hercules Aqualon.Celluloses and derivatives are exemplified by the products sold under the names Avicel ® (microcrystalline cellulose, MCC) by FMC Biopolymers, under the name Cekol (carboxymethylcellulose) by the company Noviant (CP-Kelco), under the name Akucell AF (carboxymethylcellulose sodium) by Akzo Nobel under the name Methocel ™ (cellulose ethers) and Ethocel ™ (ethylcellulose) by Dow under the names Aqualon ® (carboxymethylcellulose and sodium carboxymethylcellulose), Benecel ® (methylcellulose) Blanose ™ (carboxymethylcellulose), Culminai ® (methylcellulose, hydroxypropyl methylcellulose), Klucel ® (hydroxypropylcellulose), Polysurf ® (cetyl hydroxyethyl cellulose) and Natrosol ® CS (hydroxyethylcellulose) from Hercules Aqualon.
2. Fructosanes2. Fructosanes
Le composé X présent dans la composition selon l'invention peut notamment être un fructosane choisi parmi l'inuline et ses dérivés (notamment dicarboxy et carboxyméthyl inulines).The compound X present in the composition according to the invention may especially be a fructosan selected from among inulin and its derivatives (especially dicarboxy and carboxymethyl inulins).
Les fructanes ou fructosanes sont des oligosaccharides ou des polysaccharides comprenant un enchaînement d'unités anhydrofructose éventuellement associé à un plusieurs résidus saccharidiques différents du fructose. Les fructanes peuvent être linéaires ou ramifiés. Les fructanes peuvent être des produits obtenus directement à partir d'une source végétale ou microbienne ou bien des produits dont la longueur de chaîne a été modifiée (augmentée ou réduite) par fractionnement, synthèse ou hydrolyse en particulier enzymatique. Les fructanes ont généralement un degré de polymérisation de 2 à environ 1000 et de préférence de 2 à environ 60. On distingue 3 groupes de fructanes. Le premier groupe correspond à des produits dont les unités fructose sont pour la plupart liées par des liaisons β(2,1 ).Ce sont des fructanes essentiellement linéaires tes que les inulines.Fructans or fructosans are oligosaccharides or polysaccharides comprising a sequence of anhydrofructose units optionally associated with a plurality of different saccharide residues of fructose. The fructans can be linear or branched. The fructans can be products obtained directly from a plant or microbial source or products whose chain length has been modified (increased or reduced) by fractionation, synthesis or hydrolysis in particular enzymatic. The fructans generally have a degree of polymerization of from 2 to about 1000 and preferably from 2 to about 60. There are 3 groups of fructans. The first group corresponds to products whose fructose units are mostly linked by β (2,1) linkages. These are essentially linear fructans such as inulin.
Le second groupe correspond également à des fructoses linéaires mais les unités fructose sont essentiellement liées par des liaisons β(2,6). Ces produits sont des levanes. Le troisième groupe correspond à des fructanes mixtes, c'est à dire ayant des enchainements β(2,6) et β(2,1 ). Ce sont des fructanes essentiellement ramifiés tes que les graminanes.The second group also corresponds to linear fructoses but the fructose units are essentially linked by β (2,6) bonds. These products are levanes. The third group corresponds to mixed fructans, ie having β (2,6) and β (2,1) chains. These are essentially branched fructans than graminans.
Les fructanes préférés dans les compositions selon l'invention sont les inulines. L'inuline peut être obtenue par exemple à partir de chicorée, de dahlia ou de topinambours. De préférence, l'inuline utilisée dans la composition selon l'invention est obtenue par exemple à partir de chicorée.The preferred fructans in the compositions according to the invention are inulins. Inulin can be obtained for example from chicory, dahlia or Jerusalem artichokes. Preferably, the inulin used in the composition according to the invention is obtained for example from chicory.
Les polysaccharides, en particulier les inulines, utilisés dans les compositions selon l'invention peuvent être modifiées hydrophobes. En particulier, elles sont obtenues par greffage de chaînes hydrophobes sur le squelette hydrophile du fructane.The polysaccharides, in particular inulins, used in the compositions according to the invention can be hydrophobically modified. In particular, they are obtained by grafting hydrophobic chains onto the hydrophilic backbone of the fructan.
Les chaînes hydrophobes susceptibles d'être greffées sur la chaîne principale du fructane peuvent notamment être des chaînes hydrocarbonées linéaires ou ramifiées, saturées ou insaturées, ayant de 1 à 50 atomes de carbone, telles que les groupements alkyle, arylalkyle, alkylaryle, alcoylène; des groupements divalents cycloaliphatiques ou des chaînes organopolysiloxanes. Ces chaînes hydrocarbonées ou organopolysiloxanes peuvent notamment comprendre une ou plusieurs fonctions ester, amide, uréthane, carbamate, thiocarbamate, urée, thio-urée, et/ou sulfonamide tels que notamment méthylènedicyclohexyl et isophorone ; ou des groupements divalents aromatiques tels que phénylène.The hydrophobic chains capable of being grafted onto the main chain of the fructan can in particular be linear or branched hydrocarbon chains, saturated or unsaturated, having from 1 to 50 carbon atoms, such as the alkyl, arylalkyl, alkylaryl or alkylene groups; divalent cycloaliphatic groups or organopolysiloxane chains. These hydrocarbon or organopolysiloxane chains may in particular comprise one or more ester, amide, urethane, carbamate, thiocarbamate, urea, thiourea, and / or sulphonamide functions, such as especially methylenedicyclohexyl and isophorone; or divalent aromatic groups such as phenylene.
En particulier, le polysaccharide, notamment de l'inuline, présente un degré de polymérisation de 2 à environ 1000 et de préférence de 2 à environ 60, et un degré de substitution inférieur à 2 sur la base d'une unité fructose.In particular, the polysaccharide, especially inulin, has a degree of polymerization of from 2 to about 1000 and preferably from 2 to about 60, and a degree of substitution of less than 2 on the basis of a fructose unit.
Selon un mode préféré de réalisation, les chaînes hydrophobes présentent au moins un groupement alkyle carbamate de formule R-NH-CO- dans laquelle R est groupement alkyle ayant de 1 à 22 atomes de carbone.According to a preferred embodiment, the hydrophobic chains have at least one alkyl carbamate group of formula R-NH-CO- in which R is an alkyl group having from 1 to 22 carbon atoms.
Selon un mode plus préféré de réalisation, les chaines hydrophobes sont des groupements lauryle carbamate. L'inuline utilisée pour cette invention est représentée par exemple par les produits vendus sous la dénomination Beneo™ inulin par la société Orafti, et sous la dénominationAccording to a more preferred embodiment, the hydrophobic chains are lauryl carbamate groups. The inulin used for this invention is represented, for example, by the products sold under the name Beneo ™ inulin by the company Orafti, and under the name
Frutafit® par la société Sensus. A titre illustratif et non limitatif des inulines modifiées hydrophobes pouvant être utilisées dans les compositions selon l'invention, on peut citer la stéaroyl inuline telle que celles vendues sous les dénominations Lifidrem INST par la société Engelhard et Rheopearl INS par la société Ciba ; la palmitoyl inuline ; l'undécylénoyl inuline telle que celles vendues sous les dénominations Lifidrem INUK etFrutafit® by Sensus. By way of nonlimiting illustration, hydrophobic modified inulins that can be used in the compositions according to the invention include stearoyl inulin such as those sold under the names Lifidrem Inst by Engelhard and Rheopearl INS by Ciba; palmitoyl inulin; undecylenoyl inulin such as those sold under the names Lifidrem INUK and
Lifidrem INUM par la société Engelhard; et l'inuline lauryl carbamate tel que celui vendu sous la dénomination INUTEC SP1 par la société Orafti.Lifidrem INUM by the company Engelhard; and inulin lauryl carbamate such as that sold under the name INUTEC SP1 by the company Orafti.
Polysaccharides hétérogènes :Heterogeneous polysaccharides:
Gommesgums
Les polysaccharides utilisables selon l'invention peuvent être des gommes comme par exemple la gomme de cassia, karaya, konjac, adragante, acacia ou arabique.The polysaccharides that may be used according to the invention may be gums, for example cassia, karaya, konjac, tragacanth, acacia or arabic gum.
Gomme arabique La gomme arabique dont la gomme du Sénégal (Acacia seyal, famille des Leguminosae) est la variété principale, consiste en un exsudât de sève descendante solidifié, amalgamé naturellement ou par incision, sur le tronc et au pied d'arbres, de la famille des acacias.Gum arabic Gum arabic, of which the gum of Senegal (Acacia seyal, family Leguminosae) is the main variety, consists of a exudate of descending sap solidified, amalgamated naturally or by incision, on the trunk and at the foot of trees, of the family of acacias.
La gomme arabique est un polysaccharide acide fortement ramifié qui se présente sous la forme de mélanges de sels de potassium, de magnésium et de calcium. Les éléments monomères de l'acide libre (acide arabique) sont le D-galactose, le L-arabinose, le L- rhamnose et l'acide D-glucuronique. On admet que les gommes arabiques se composent au moins de deux fractions de polysaccharides de structures différentes. La fraction de masse moléculaire supérieure contient une part d'acides aminés modeste mais déterminante pour ses propriétés. La masse moléculaire moyenne indiquée oscille entreGum arabic is a highly branched acidic polysaccharide which is in the form of mixtures of potassium, magnesium and calcium salts. The monomeric elements of the free acid (arabic acid) are D-galactose, L-arabinose, L-rhamnose and D-glucuronic acid. It is assumed that gum arabic consists of at least two polysaccharide fractions of different structures. The higher molecular weight fraction contains a modest amount of amino acids but is critical for its properties. The indicated average molecular mass oscillates between
200 et 300 kDa.200 and 300 kDa.
On trouve la gomme arabique dans le commerce sous forme de poudre ou de cristaux non moulus plus ou moins ronds de couleur jaune blanche à jaune brunâtre. La surface extérieure des cristaux est mate et fendillée et leurs cassures sont vitreuses ; elles sont souvent également traversées par de fines fissures. La gomme est fade et inodore. Elle est soluble dans l'eau, insoluble dans l'alcool. La gomme arabique est caractérisé par trois fractions principales, une fraction arabinogalactane (AG) avec très petite fraction protéique, représentant 88 % de la gomme et ayant d'une masse moléculaire de 250 000 Da, un complexe arabinogalactane - protéine (AGP) ayant une haute masse moléculaire (1 ,5.106) - complexe de protéine (AGP) représentant environ 10 % en poids de la gomme, et une glycoprotéine (Gl) avec une masse moléculaire de 200 000 Da, composant 1 ,2 % de la gomme. Les blocs de glucide (AG) sont liés ensemble par une chaîne de polypeptide principale. Les blocs de glucide sont constitués d'un squelette de galactopyranose liés en β(1 ,3), avec des nombreuses ramifications liées aux résidus galactopyranose en β(1 ,6) et contenant des sucres arabinofuranose, arabinopyranose (Ara), rhamnopyranose (Rha), des acides glucuroniques (GIcA) et de l'acide 4-O-methylglucoronique. La gomme arabique peut être précipitée en présence de cations trivalents et par des sels comme des silicates, borates et le nitrate de mercure.Gum arabic is commercially available in the form of powder or unmilled crystals more or less round, yellow to white to yellowish brown in color. The outer surface of the crystals is matte and cracked and their breaks are glassy; they are also often crossed by fine cracks. The gum is bland and odorless. It is soluble in water, insoluble in alcohol. Gum arabic is characterized by three main fractions, an arabinogalactan (AG) fraction with a very small protein fraction, representing 88% of the gum and having a molecular weight of 250 000 Da, an arabinogalactan-protein complex (AGP) having a high molecular weight (1, 5.10 6 ) - protein complex (AGP) representing about 10% by weight of the gum, and a glycoprotein (G1) with a molecular weight of 200,000 Da, component 1, 2% of the gum. The carbohydrate blocks (AG) are linked together by a main polypeptide chain. The carbohydrate blocks consist of a β-linked (1, 3) -linked galactopyranose skeleton, with numerous branches bound to galactopyranose residues in β (1, 6) and containing arabinofuranose, arabinopyranose (Ara), rhamnopyranose (Rha) sugars. ), glucuronic acids (GIcA) and 4-O-methylglucoronic acid. Gum arabic can be precipitated in the presence of trivalent cations and by salts such as silicates, borates and mercuric nitrate.
La gomme arabique utilisée pour cette invention est représentée par exemple par les produits vendus sous la dénomination Eficacia™ par la société Colloïdes Naturels International, par le produit vendu sous la dénomination Gum Arabie quick Gum Type 8074 par la société Max Haenelt, par le produit vendu sous la dénomination Gomme Arabique Poudre 396D vendu par la société Alland & Robert, par le produit vendu sous la dénomination Ticamulsion B-2001 par la société TIC Gums.The gum arabic used for this invention is represented, for example, by the products sold under the name Eficacia ™ by the company Colloides Naturels International, by the product sold under the name Gum Arabia Quick Gum Type 8074 by the company Max Haenelt, by the product sold under the name Arabian Gum Powder 396D sold by Alland & Robert, by the product sold under the name Ticamulsion B-2001 by the company TIC Gums.
Gomme adraganteTragacanth
La gomme adragante, encore appelée tragacanthe ou gomme de dragon, est un exsudât obtenu à partir de la sève mucilagineuse séchée d'une vingtaine d'espèces de plantes du genre Astracantha (autrefois Astragalus) originaires du sud-est de l'Europe et du sud- ouest de l'Asie.Gum tragacanth, also known as tragacanth or dragon gum, is an exudate obtained from the dried mucilaginous sap of about twenty species of plants of the genus Astracantha (formerly Astragalus) originating in south-eastern Europe and Southwest Asia.
Cette gomme est un mélange complexe de plusieurs polysaccharides. Les deux fractions principales sont la tragacanthine (60-70%) et la bassorine, aussi appelée "acide tragacanthique" (30-40%). Au contact de l'eau, la tragacanthine se dissout pour former un hydrosol colloïdal, tandis que la bassorine insoluble gonfle pour former un gel. En utilisant une petite quantité d'eau, on obtient une pâte adhésive.This gum is a complex mixture of several polysaccharides. The two main fractions are tragacanthin (60-70%) and bassorine, also called "tragacanthic acid" (30-40%). In contact with water, tragacanthin dissolves to form a colloidal hydrosol, while the insoluble bassorine swells to form a gel. By using a small amount of water, an adhesive paste is obtained.
Les résidus de sucre constitutifs de cet arabinogalactane sont à 75 % du L-arabinose, à 12 % du D-galactose, à 3 % de l'acide méthyl ester D-galacturonique et du L-rhamnose. L'acide tragacanthique est soluble dans l'eau et est constitué d'un squelette d'acide α-D- galactopyranosyluronique lié en (1 ,4), avec des ramifications courtes telles que des résidus D-xylopyranose liés en β(1 ,3), des dimères D-xylopyropyranosyl-1 ,2- α-l- fucopyranose liés en β(1 ,3), et des dimères D-xylopyranose-1 ,2-d-galactopyranose liés en β(1 ,3).The constituent sugar residues of this arabinogalactan are 75% of L-arabinose, 12% of D-galactose, 3% of D-galacturonic acid methyl ester and L-rhamnose. The tragacanthic acid is water-soluble and consists of a (1,4) -linked α-D-galactopyranosyluronic acid backbone with short branches such as β-linked residues D-xylopyranose (1). 3), D-xylopyropyranosyl-1,2-α-1-dimers. β-linked fucopyranose (1, 3), and β-linked D-xylopyranose-1, 2-d-galactopyranose dimers (1, 3).
Les sucres constitutifs de la gomme adragante sont donc en proportions relatives 43 % d'acide D-galacturonique, 40 % de D-xylose, 10 % de L-fucose et 4% de D-galactose. La masse moléculaire moyenne de l'acide tragacanthique est de l'ordre de 840 000 Da.The constituent sugars of gum tragacanth are therefore in relative proportions 43% of D-galacturonic acid, 40% of D-xylose, 10% of L-fucose and 4% of D-galactose. The average molecular mass of tragacanthic acid is of the order of 840 000 Da.
Gomme karayaKaraya gum
La gomme Karaya est un polysaccharide partiellement acétylé, de haut poids moléculaire, exsudée par des arbres de l'espèce Sterculia {Urens et Setigera), est une des gommes naturelles les moins solubles dans l'eau. Elle gonfle pour donner une dispersion colloïdale visqueuse.Karaya gum is a partially acetylated, high molecular weight polysaccharide, exuded by trees of the species Sterculia (Urens and Setigera), is one of the least water-soluble natural gums. It swells to give a viscous colloidal dispersion.
La gomme karaya est un polysaccharide acide fortement acétylé, avec un squelette constitué d'une alternance de motifs d'acide a-D-galacturonopyranosyluronique liés en (1 ,4) et de résidus ot-L-rhamnopyranosyle liés en (1 ,2). Des groupements de β-D- galactopyranosyle et d'acide D-glucuronopyranosyluronique sont branchés sur les oxygènes (02 et 03) des résidus d'acides galacturonique, tandis que la moitié des résidus rhamnose sont liés (en 04) à des résidus β-D-galactopyranosyle en (1 ,4). La molécule a aussi 13 % en poids de groupes acétylé. La gomme karaya est peu soluble dans l'eau, cependant, elle se gonfle aisément dans l'eau froide pour occuper plusieurs fois son volume original, particulièrement à faible granulométrie particulaire (< 200 mesh), donnant une dispersion qui apparaît homogèneKaraya gum is a strongly acetylated acid polysaccharide, with a backbone consisting of alternating α-D-galacturonopyranosyluronic acid (1, 4) -related units and α-L-rhamnopyranosyl (1,2) -linked residues. Groups of β-D-galactopyranosyl and D-glucuronopyranosyluronic acid are connected to the oxygens (02 and 03) of the galacturonic acid residues, while half of the rhamnose residues are bound (in 04) to β-residues. D-galactopyranosyl at (1, 4). The molecule also has 13% by weight of acetyl groups. Karaya gum is poorly soluble in water, however, it swells easily in cold water to occupy several times its original volume, especially at small particle size (<200 mesh), giving a dispersion that appears homogeneous
La gomme karaya utilisée pour cette invention est représentée par exemple par les produits vendus sous les dénominations Gomme Karaya Poudre par la société Alland & Robert.The karaya gum used for this invention is represented for example by the products sold under the names Gum Karaya Powder by the company Alland & Robert.
Galactomannanes (guar, caroube, fenugrec, gomme tara) et dérivés (guar phosphaté, hydroxypropyl guar, ..) :Galactomannans (guar, carob, fenugreek, tara gum) and derivatives (phosphated guar, hydroxypropyl guar, ..):
Les galactomannanes sont des polyosides non ioniques extraits de l'albumen de graines de légumineuses dont ils constituent le glucide de réserve.Galactomannans are nonionic polysaccharides extracted from the albumen of leguminous seeds of which they constitute the reserve carbohydrate.
Les galactomannanes sont des macromolécules constituées d'une chaîne principale d'unités D-mannopyranose liées en β(1 ,4), portant des branchements latéraux constitués d'une seule unité D-galactopyranose liée en α(1 ,6) à la chaîne principale. Les différents galactomannanes se distinguent d'une part par la proportion d'unités α-D-galactopyranose présentes dans le polymère, et d'autre part par des différences significatives en terme de distribution des unités galactose le long la chaine de mannose.Galactomannans are macromolecules consisting of a main chain of β (1, 4) -linked D-mannopyranose units, bearing lateral branches consisting of a single unit D-galactopyranose linked at α (1, 6) to the chain main. The different galactomannans are distinguished on the one hand by the proportion of α-D-galactopyranose units present in the polymer, and on the other hand by significant differences in terms of distribution of galactose units along the mannose chain.
Le rapport mannose/galactose (M/G) est de l'ordre de 2 pour la gomme guar, de 3 pour la gomme tara et de 4 pour la gomme de caroube. La molécule de guar possède donc en moyenne deux fois plus de branchements que la caroube. Cependant, au sein d'un même échantillon, ce rapport peut varier selon les fractions. La connaissance du rapport M/G constitue un des moyens de caractériser l'échantillon bien qu'il n'informe pas sur la distribution statistique des résidus galactosyles sur la chaîne principale.The mannose / galactose ratio (M / G) is of the order of 2 for guar gum, 3 for tara gum and 4 for locust bean gum. The guar molecule thus has on average twice as many branches as the carob. However, within the same sample, this ratio may vary depending on the fractions. Knowledge of the M / G ratio is one way of characterizing the sample although it does not inform the statistical distribution of galactosyl residues on the main chain.
Les galactomannanes présentent la structure chimique suivante:Galactomannans have the following chemical structure:
m ≈ 3; toeust bcam gwm m ≈ 3; T&ta gui» m ≈ 3; toeust bcam gwm m ≈ 3; T & T mistletoe
La gomme tara est caractérisée par une distribution des chaines latérales plus statistiquement aléatoire tandis que la caroube est caractérisé par une distribution non statistiquement aléatoire et non régulière, avec une alternance de blocs non substitués de longueur intermédiaire (régions lisses) et de blocs ramifiés (régions chevelues). La farine de guar possède très peu de régions lisses, avec une distribution très régulières des chaines latérales de galactose.Tara gum is characterized by a more statistically random distribution of lateral chains while carob is characterized by a non-statistically random and non-regular distribution, with alternating unsubstituted blocks of intermediate length (smooth regions) and branched blocks (regions hairy). Guar flour has very few smooth regions, with very regular distribution of side chains of galactose.
Comme pour la cellulose, les galactomannanes utilisables selon l'invention contiennent des groupes hydroxyles primaires et secondaires, qui, en principe, peuvent être dérivés et substitués. Au niveau industriel, seuls les dérivés hydroxyalkyl, carboxyméthyl et des dérivées cationiques, ainsi que des qualités partiellement dépolymérisées, sont commercialisées.As for cellulose, the galactomannans that can be used according to the invention contain primary and secondary hydroxyl groups, which, in principle, can be derived and substituted. At the industrial level, only hydroxyalkyl derivatives, carboxymethyl and cationic derivatives, as well as partially depolymerized grades, are commercially available.
Les dérivés hydroxyalkyle utilisables selon l'invention sont obtenus par exemple en traitant les galactomannanes avec l'éthylène ou de l'oxyde de propylène en milieu alcalin. Ces dérivées diffèrent de la matière première par leur cinétique d'hydratation plus rapide et leur meilleure solubilité.The hydroxyalkyl derivatives which can be used according to the invention are obtained for example by treating galactomannans with ethylene or with propylene oxide in an alkaline medium. These derivatives differ from the raw material in their faster hydration kinetics and better solubility.
Les produits utilisables selon l'invention peuvent également être des dérivés carboxyméthylés. Ces dérivés sont obtenus par "éthérification" d'une certaine partie des groupes hydroxyle avec l'acide chlorhydrique ou le chloroacétate de sodium. À la différence des carboxyméthylcelluloses, qui sont solubles seulement à partir de degrés de substitution de 0,7 à 1 ,0, les galactomannanes (si non déjà solubles avant modification chimique) deviennent complètement solubles à un degré de substitution inférieur à 0,05.The products that can be used according to the invention can also be carboxymethyl derivatives. These derivatives are obtained by "etherification" of a certain portion of the hydroxyl groups with hydrochloric acid or sodium chloroacetate. Unlike carboxymethylcelluloses, which are soluble only from degrees of substitution of 0.7 to 1.0, galactomannans (if not already soluble before chemical modification) become completely soluble at a degree of substitution of less than 0.05.
Les produits utilisables selon l'invention peuvent également être des dérivés cationiques. Des dérivées cationiques sont obtenus par le traitement des galactomannanes avec des aminés organiques appropriées comme le chlorure de 2-hydroxy-3- chloropropyltriméthylammonium ou son produit de réaction le chlorure 2,3- époxypropyltrimethylammonium, qui se forme en milieu alcalin.The products that can be used according to the invention can also be cationic derivatives. Cationic derivatives are obtained by treating galactomannans with suitable organic amines such as 2-hydroxy-3-chloropropyltrimethylammonium chloride or its reaction product, 2,3-epoxypropyltrimethylammonium chloride, which is formed in an alkaline medium.
Enfin, les produits utilisables selon l'invention peuvent être des galactomannanes partiellement dépolymérisés, présentant de ce fait des viscosités réduites. Ces dépolymérisations sont obtenues par hydrolyse acide, oxydation, ou dégradation enzymatique.Finally, the products that can be used according to the invention can be partially depolymerized galactomannans, thus having reduced viscosities. These depolymerizations are obtained by acid hydrolysis, oxidation, or enzymatic degradation.
Guarguar
La gomme de guar est caractérisée par un ratio mannose : galactose de l'ordre de 2 : 1. Le groupement galactose est régulièrement distribué le long de la chaîne de mannose.Guar gum is characterized by a mannose: galactose ratio of the order of 2: 1. The galactose group is regularly distributed along the mannose chain.
Les gommes de guar utilisables selon l'invention peuvent être non ioniques, cationiques ou anioniques.The guar gums that may be used according to the invention may be nonionic, cationic or anionic.
Selon l'invention, on peut utiliser les gommes de guar non ioniques chimiquement modifiées ou non modifiées.According to the invention, chemically modified or unmodified nonionic guar gums can be used.
Les gommes de guar non ioniques non modifiées sont par exemple les produits vendus sous la dénomination Vidogum GH, Vidogum G et Vidocrem par la société Unipektin et sous la dénomination Jaguar par la société Rhodia, sous la dénomination Meypro®Guar par la société Danisco, sous la dénomination VISCOGUM™ par la société Cargill, et sous la dénomination Supercol® guar gum par la société Aqualon. Les gommes de guar non-ioniques hydrolysées utilisables selon l'invention sont par exemple représentées par les produits vendus sous la dénomination Meyprodor® par la société Danisco.Non unmodified nonionic guar gums are for example the products sold under the name VIDOGUM GH VIDOGUM G and Vidocrem by Unipektin company and under the name Jaguar by Rhodia under the name Meypro ® Guar by the company Danisco under the name VISCOGUM ™ by the company Cargill, and under the name Supercol ® guar gum by the company Aqualon. The nonionic guar gums hydrolyzed used according to the invention are for example represented by the products sold under the name Meyprodor ® by the company Danisco.
Les gommes de guar non-ioniques modifiées utilisables selon l'invention sont de préférence modifiées par des groupements hydroxyalkyle en d-C6.The modified nonionic guar gums which can be used according to the invention are preferably modified with dC 6 hydroxyalkyl groups.
Parmi les groupements hydroxyalkyle, on peut mentionner à titre d'exemple, les groupements hydroxyméthyle, hydroxyéthyle, hydroxypropyle et hydroxybutyle.Among the hydroxyalkyl groups, there may be mentioned by way of example, the hydroxymethyl, hydroxyethyl, hydroxypropyl and hydroxybutyl groups.
Ces gommes de guar sont bien connues de l'état de la technique et peuvent par exemple être préparées en faisant réagir des oxydes d'alcènes correspondants, tels que par exemple des oxydes de propylène, avec la gomme de guar de façon à obtenir une gomme de guar modifiée par des groupements hydroxypropyle.These guar gums are well known in the state of the art and may for example be prepared by reacting corresponding alkene oxides, such as, for example, propylene oxides, with guar gum so as to obtain a gum of guar modified with hydroxypropyl groups.
Le taux d'hydroxyalkylation, qui correspond au nombre de molécules d'oxyde d'alkylène consommées par le nombre de fonctions hydroxyle libres présentes sur la gomme de guar, varie de préférence de 0,4 à 1 ,2.The level of hydroxyalkylation, which corresponds to the number of alkylene oxide molecules consumed by the number of free hydroxyl functions present on the guar gum, preferably varies from 0.4 to 1.2.
De telles gommes de guar non-ioniques éventuellement modifiées par des groupements hydroxyalkyle sont par exemple vendues sous les dénominations commerciales Jaguar HP 60, Jaguar HP 105 et Jaguar HP 120 (hydroxypropyl guar), par la société Rhodia, ou sous la dénomination N-Hance® HP (hydroxypropyl guar) par la société AQUALON.Such nonionic guar gums optionally modified with hydroxyalkyl groups are for example sold under the trade names Jaguar HP 60, Jaguar HP 105 and Jaguar HP 120 (hydroxypropyl guar), by Rhodia, or under the name N-Hance ® HP (hydroxypropyl guar) by the company Aqualon.
Les compositions conformes à l'invention peuvent comprendre en outre une gomme de galactomannane cationique. De préférence la gomme de galactomannane est une gomme de guar cationique.The compositions according to the invention may also comprise a cationic galactomannan gum. Preferably the galactomannan gum is a cationic guar gum.
Les gommes de galactomannane cationiques ont de préférence une densité de charge cationique inférieure ou égale à 1 ,5 meq/g et plus particulièrement comprise entre 0,1 et 1 meq./g. La densité de charge peut être déterminée selon la méthode Kjeldahl. Elle correspond en général à un pH de l'ordre de 3 à 9.The cationic galactomannan gums preferably have a cationic charge density less than or equal to 1.5 meq / g and more particularly between 0.1 and 1 meq./g. The charge density can be determined according to the Kjeldahl method. It generally corresponds to a pH of the order of 3 to 9.
De manière générale, au sens de la présente invention, on entend par "gomme de galactomannane cationique" toute gomme de galactomannane contenant des groupements cationiques et/ou des groupements ionisables en groupements cationiques. Les groupements cationiques préférés sont choisis parmi ceux comportant des groupements aminé primaires, secondaires, tertiaires et/ou quaternaires.In general terms, within the meaning of the present invention, the term "cationic galactomannan gum" means any galactomannan gum containing cationic groups and / or ionizable groups in cationic groups. The preferred cationic groups are chosen from those comprising primary, secondary, tertiary and / or quaternary amine groups.
Les gommes de galactomannane cationiques utilisées ont généralement une masse moléculaire moyenne en poids comprise entre 500 et 5.106 environ, et de préférence comprise entre 103 et 3.106 environ.The cationic galactomannan gums used generally have a weight average molecular weight of between about 500 and 5 × 10 6 , and preferably between about 10 3 and 3 × 10 6 .
Les gommes de galactomannane cationiques utilisables selon la présente invention sont par exemple des gommes comportant des groupements cationiques trialkyl (d- C4) ammonium. De préférence, 2 à 30 % en nombre des fonctions hydroxyle de ces : gommes porte des groupements cationiques trialkylammonium.The cationic galactomannan gums that can be used according to the present invention are, for example, gums comprising trialkyl (d-C 4 ) ammonium cationic groups. Preferably, 2 to 30% by number of the hydroxyl functions of these gums carry trialkylammonium cationic groups.
Parmi ces groupements trialkylammonium, on peut tout particulièrement citer les groupements triméthylammonium et triéthylammonium.Among these trialkylammonium groups, there may be mentioned very particularly trimethylammonium and triethylammonium groups.
Encore plus préférentiellement, ces groupements représentent de 5 à 20 % en poids du poids total de la gomme de galactomannane modifiée.Even more preferentially, these groups represent from 5 to 20% by weight of the total weight of the modified galactomannan gum.
Selon l'invention, on utilise de préférence une gomme de guar comportant des groupements hydroxypropyl triméthylammonium, c'est à dire une gomme de modifiée guar par exemple par du chlorure de 2,3-époxypropyl triméthylammonium.According to the invention, a guar gum comprising hydroxypropyltrimethylammonium groups, that is to say a gum modified for example by 2,3-epoxypropyltrimethylammonium chloride, is preferably used.
Exemple de structure de guar cationique :Example of a cationic guar structure:
Ces gommes de galactomannane en particulier de guar modifiées par des groupements cationiques sont des produits déjà connus en eux-mêmes et sont par exemple décrits dans les brevets US 3 589 578 et US 4 031 307. De tels produits sont par ailleurs vendus notamment sous les dénominations commerciales de Jaguar EXCEL, Jaguar C13 S, Jaguar C 15, Jaguar C 17 et Jaguar C162 (Guar Hydroxypropyltrimonium Chloride) par la société Rhodia, sous la dénomination Amilan® Guar (Guar Hydroxypropyltrimonium Chloride) par la société Degussa, et sous la dénomination N-Hance® 3000 (Guar Hydroxypropyltrimonium Chloride) par la société Aqualon. These galactomannan gums, in particular guar gums modified with cationic groups, are products that are already known per se and are described, for example, in US Pat. Nos. 3,589,578 and 4,031,307. Such products are sold in particular under the US Pat. tradenames Jaguar EXCEL, Jaguar C13 S, Jaguar C 15, Jaguar C 17 and Jaguar C162 (guar hydroxypropyltrimonium chloride) by Rhodia under the name Amilan ® Guar (guar hydroxypropyltrimonium chloride) by Degussa and under the name N-Hance ® 3000 (Guar Hydroxypropyltrimonium Chloride) by Aqualon.
Selon l'invention, la gomme de galactomannane cationique peut représenter de 0,001 % à 10 % en poids, de préférence de 0,005 % à 5 % en poids, et encore plus préférentiellement de 0,01 % à 3 % en poids, du poids total de la composition.According to the invention, the cationic galactomannan gum may represent from 0.001% to 10% by weight, preferably from 0.005% to 5% by weight, and still more preferably from 0.01% to 3% by weight, of the total weight of the composition.
Les gommes de guar anioniques utilisables selon l'invention sont des polymères comportant des groupements dérivés d'acide carboxylique, sulfonique, sulfénique, phosphorique, phosphonique ou acide pyruvique. De préférence le groupement anionique est un groupement acide carboxylique. Le groupement anionique peu également se présenter sous forme d'un sel d'acide, notamment un sel de sodium, de calcium, de lithium ou de potassium.The anionic guar gums that may be used according to the invention are polymers containing groups derived from carboxylic, sulfonic, sulphene, phosphoric, phosphonic acid or pyruvic acid. Preferably the anionic group is a carboxylic acid group. The anionic group may also be in the form of an acid salt, especially a salt of sodium, calcium, lithium or potassium.
Les gommes de guar anioniques utilisables selon l'invention sont préférentiellement des dérivés de guar carboxyméthylés (carboxyméthyl guar ou carboxyméthyl hydroxypropyl guar).The anionic guar gums that can be used according to the invention are preferably carboxymethyl guar derivatives (carboxymethyl guar or carboxymethyl hydroxypropyl guar).
CaroubeCarob
La gomme de caroube est extraite des graines de caroubier (Ceratonia siliqua), qui est un arbre à feuillage persistant originaire de Syrie et d'Asie mineure, mais cultivé sur tout le littoral méditerranéen.Locust bean gum is extracted from carob tree seeds (Ceratonia siliqua), which is an evergreen tree native to Syria and Asia Minor but grown throughout the Mediterranean coast.
Les sucres galactose ne sont pas également régulièrement distribués le long de la chaîne, mais ont tendance à être groupés ensemble en blocs. Les chaînes ont une structure irrégulière avec des zones "lisses" et des zones substituées en alternance. La gomme de caroube utilisable dans cette invention peut être modifiée chimiquement, suivant les mêmes modifications chimiques que celles décrites précédemment pour la gomme de guar.Galactose sugars are also not evenly distributed along the chain, but tend to be grouped together in blocks. The chains have an irregular structure with "smooth" zones and alternately substituted zones. Locust bean gum useful in this invention can be chemically modified with the same chemical modifications as previously described for guar gum.
La gomme de caroube non modifiée utilisable dans cette invention est vendue par exemple sous la dénomination Viscogum™ par la société Cargill, sous la dénomination Vidogum L par la société Unipektin, sous la dénomination Grinsted® LBG par la société Danisco.The gum unmodified carob used in this invention is sold for example under the name Viscogum ™ by Cargill under the name VIDOGUM L by Unipektin company, under the name Grinsted ® LBG by Danisco.
Les gommes de caroube modifiée chimiquement utilisable dans cette invention peuvent être représentées par exemple par les caroubes cationiques vendues sous la dénomination Catinal CLB (caroube Hydroxypropyltrimonium Chloride) par la société Toho.The chemically modified carob gums which can be used in this invention can be represented, for example, by the cationic carob sold under the name Catinal CLB (carob Hydroxypropyltrimonium Chloride) by the company Toho.
Gomme TARATARA rubber
La gomme de tara utilisable dans cette invention peut être modifiée chimiquement, suivant les mêmes modifications chimiques que celles décrites précédemment pour la gomme de guar.The tara gum for use in this invention can be chemically modified with the same chemical modifications as previously described for guar gum.
La gomme Tara utilisable dans le cadre de cette invention est vendue par exemple sous la dénomination Vidogum SP par la société Unipektin.The Tara gum that can be used in the context of this invention is sold, for example, under the name Vidogum SP by the company Unipektin.
Glucomannanes (gomme de konjac):Glucomannans (konjac gum):
Le glucomannane est un polysaccharide de poids moléculaire élevé ( 500 000 < Mglucomannane < 2 000 000 ), composé d'unités de D-mannose et de D-glucose avec une ramification toutes les 50 ou 60 unités environ. On le trouve dans le bois mais c'est aussi le principal constituant de la gomme de Konjac. Le konjac (Amorphophallus konjac) est une plante de la famille des Araceae.Glucomannan is a high molecular weight polysaccharide (500,000 <Mgucomannan <2,000,000), composed of D-mannose units and D-glucose with a branch every 50 or 60 units or so. It is found in wood but it is also the main constituent of Konjac gum. Konjac (Amorphophallus konjac) is a plant of the family Araceae.
Structure chimique de la gomme de konjac : Les produits utilisables selon l'invention sont par exemple vendus sous la dénomination Propol® et Rheolex® par la société Shimizu.Chemical structure of konjac gum: The products used according to the invention are for example sold under the name ® and Propol Rheolex ® by the company Shimizu.
Pectines LM et HM, et dérivésLM and HM pectins, and derivatives
Les pectines, ou plus largement les substances pectiques, sont des polyosides, rattachées aux glucides. Ce sont des substances exclusivement d'origine végétale. La pectine est présente en grande quantité dans certaines algues, dans les pépins et les zestes de groseille, de pomme, de coing, de citron. Les pectines sont extraites de la matière première par solubilisation en milieu acide à chaud, puis par précipitation dans de l'alcool. Le précipité est ensuite lavé à l'aide d'une solution de soude pour obtenir le pH désiré. Les pectines sont des polymères de polysaccharides acides. Les pectines sont des polymères linéaires d'acide α-D-galacturonique (au moins 65 %) liés en position 1 et 4, avec une certaine proportion de groupes carboxyliques estérifiés avec un groupement méthanol. Environ 20 % des sucres constituant la molécule de pectine sont des sucres neutres (L-rhamnose, D-glucose, D-galactose, L-arabinose, D-xylose). Les résidus de L- rhamnose se trouvent dans toutes les pectines, intégrés à la chaîne principale en positions 1 ,2. Ils sont à l'origine du caractère non linéaire de la chaîne principale (cf. structure chimique). Leur poids moléculaire est de l'ordre de 105 g/mol.Pectins, or more broadly pectic substances, are polysaccharides, attached to carbohydrates. These are substances of exclusively vegetable origin. Pectin is present in large quantities in some algae, in pips and zests of gooseberry, apple, quince, lemon. The pectins are extracted from the raw material by solubilization in hot acid medium and then by precipitation in alcohol. The precipitate is then washed with a sodium hydroxide solution to obtain the desired pH. Pectins are polymers of acidic polysaccharides. The pectins are linear polymers of α-D-galacturonic acid (at least 65%) bonded in position 1 and 4, with a certain proportion of carboxylic groups esterified with a methanol group. About 20% of the sugars constituting the pectin molecule are neutral sugars (L-rhamnose, D-glucose, D-galactose, L-arabinose, D-xylose). The residues of L-rhamnose are found in all the pectins, integrated in the main chain in positions 1, 2. They are at the origin of the nonlinear character of the main chain (cf chemical structure). Their molecular weight is of the order of 10 5 g / mol.
Structure chimique (acide polygalacturonique) :Chemical structure (polygalacturonic acid):
Les molécules d'acide uroniques possèdent des fonctions carboxyles. Cette fonction confère aux pectines la capacité d'échanger des ions, lorsque ceux-ci sont sous forme COO". Les ions bivalents (calcium en particulier) ont la capacité de former des ponts ioniques entre deux groupements carboxyles de deux molécules de pectine différentes. A l'état naturel, une certaine proportion des groupes carboxyliques sont estérifiés par un groupe méthanol. Le degré d'estérification naturel d'une pectine peut varier entre 70 (pomme, citron) et 10 % (fraise) suivant la source utilisée. A partir de pectines de haut degré d'estérification, il est possible d'hydrolyser les groupement -COOCH3, afin d'obtenir des pectines faiblement estérifiées. Selon la proportion de monomères méthylés ou non, la chaîne est donc plus ou moins acide. On définit ainsi les pectines HM (High methoxy), ayant un degré d'estérification supérieur à 50 %, et les pectines LM (Low Methoxy), ayant un degré d'estérification inférieur à 50%. Dans le cas des pectines amidées, le groupement -OCH3 est substitué par un groupement -NH2.Uronic acid molecules have carboxyl functions. This function gives pectins the ability to exchange ions when they are in COO form. " Bivalent ions (calcium in particular) have the ability to form ionic bridges between two carboxyl groups of two different pectin molecules. In the natural state, a certain proportion of the carboxylic groups are esterified with a methanol group. The degree of natural esterification of a pectin can vary between 70 (apple, lemon) and 10% (strawberry) depending on the source used. From pectins of high degree of esterification, it is possible to hydrolyze the -COOCH 3 groups, in order to obtain weakly esterified pectins. Depending on the proportion of methylated monomers or not, the chain is therefore more or less acidic. HM pectins (High methoxy) having a degree of esterification greater than 50% and LM (Low Methoxy) pectins having a degree of esterification of less than 50% are thus defined. In the case of amidated pectins, the -OCH 3 group is substituted with a -NH 2 group.
Le degré d'estérification influence les propriétés de gélification des pectines HM. Le groupe ester est moins hydrophile que le groupe acide, et par conséquent une pectine HM (avec un haut degré d'estérification) gélifie à une température plus haute qu'une pectine LM (avec un bas degré d'estérification). La différence est reflétée en termes de gélification rapide, moyenne et lente.The degree of esterification influences the gelation properties of the HM pectins. The ester group is less hydrophilic than the acidic group, and therefore HM pectin (with a high degree of esterification) gels at a higher temperature than LM pectin (with a low degree of esterification). The difference is reflected in terms of fast, medium and slow gelation.
Les pectines sont notamment commercialisées par la société Cargill sous la dénomination Unipectine™, par la société CP-Kelco sous la dénomination GENU, par Danisco sous la dénomination GRINSTED Pectin.The pectins are marketed by the company Cargill under the name Unipectine ™, by the company CP-Kelco under the name GENU, by Danisco under the name GRINSTED Pectin.
Autres Polysaccharides :Other Polysaccharides:
Chitine, chitosane et dérivésChitin, chitosan and derivatives
Parmi les polysaccharides utilisables selon l'invention on peut également citer des polysaccharides issus du règne animal. C'est par exemple le cas de la chitine, du chitosane et dérivés (chitosan-beta-glycerophosphate, carboxymethylchitine, etc.).Among the polysaccharides that may be used according to the invention, mention may also be made of polysaccharides originating from the animal kingdom. This is for example the case of chitin, chitosan and derivatives (chitosan-beta-glycerophosphate, carboxymethylchitine, etc.).
La chitine est un sucre aminé, polysaccharide, fait de groupes d'acétylglucosamine (N- acétyl-D-glucose-2-aminé) reliés entre eux par une liaison du type β(1 ,4). C'est ce type de liaison qui relie les groupes de glucoses dans la molécule de cellulose.Chitin is an amino sugar, polysaccharide, made of acetylglucosamine (N-acetyl-D-glucose-2-amino) groups linked together by a β-type bond (1, 4). It is this type of bond that links the glucose groups in the cellulose molecule.
Le nom chimique de la molécule est le PoIy N-acétyl-D-glucosamine, β(1 ,4)-2-Acétamido-The chemical name of the molecule is PoIy N-acetyl-D-glucosamine, β (1, 4) -2-Acetamido
2-désoxy-D-glucose .2-deoxy-D-glucose.
La chitine est un des constituants de la cuticule des insectes, des araignées et des crustacés, elle a ainsi un rôle protecteur. Associée à du carbonate de calcium, elle devient rigide et forme alors l'exosquelette des crustacés et de tous les animaux à coquille tels que les escargots. Le chitosane est un polysaccharide composé de la distribution aléatoire de D- glucosamine liée en β(1 ,4) (unité désacétylée) et de N-acétyl-D-glucosamine (unité acétylée). Il est produit par désacétylation chimique (en milieu alcalin) ou enzymatique de la chitine, le composant de l'exosquelette des arthropodes (crustacés) ou de l'endosquelette des céphalopodes (calamars...) ou encore de la paroi des champignons. Cette matière première est déminéralisée par traitement à l'acide chlorhydrique, puis déprotéinée en présence de soude ou de potasse et enfin décolorée grâce à un agent oxydant.Chitin is one of the constituents of the cuticle of insects, spiders and crustaceans, so it has a protective role. Associated with calcium carbonate, it becomes rigid and then forms the exoskeleton of crustaceans and all shelled animals such as snails. Chitosan is a polysaccharide composed of the random distribution of β (1,4) linked D-glucosamine (deacetylated unit) and N-acetyl-D-glucosamine (acetylated unit). It is produced by chemical (alkaline) or enzymatic deacetylation of chitin, the component of the exoskeleton of arthropods (crustaceans) or the endoskeleton of cephalopods (calamari ...) or the wall of fungi. This raw material is demineralized by treatment with hydrochloric acid, then deproteinized in the presence of sodium hydroxide or potassium hydroxide and finally discolored with an oxidizing agent.
Structure chimique du chitosane :Chemical structure of chitosan:
Le degré d'acétylation (DA) est le pourcentage d'unités acétylées par rapport au nombre d'unités totales, il peut être déterminé par spectrométrie infrarouge à transformée deThe degree of acetylation (DA) is the percentage of acetylated units relative to the number of total units, it can be determined by infrared spectrometry with
Fourier (IR-TF) ou par un titrage par une base forte. La frontière entre chitosane et chitine correspond à un DA de 50% : en-deçà le composé est nommé chitosane, au-delà, chitine.Fourier (IR-TF) or by titration with a strong base. The border between chitosan and chitin corresponds to a DA of 50%: on the other hand, the compound is called chitosan, beyond, chitin.
Le chitosane est soluble en milieu acide contrairement à la chitine qui est insoluble. Il est important de faire la distinction entre le degré d'acétylation (DA) et le degré de déacétylation (DD). L'un étant l'inverse de l'autre c'est-à-dire que du chitosane ayant unChitosan is soluble in acidic medium unlike chitin which is insoluble. It is important to distinguish between the degree of acetylation (DA) and the degree of deacetylation (DD). One being the opposite of the other, that is to say that chitosan having a
DD de 85%, possède 15% de groupements acétyles et 85% de groupements aminés sur ses chaînes.DD 85%, has 15% of acetyl groups and 85% of amino groups on its chains.
La chitine est un agent hydratant particulièrement efficace. Son avantage est double : elle apporte de l'eau et évite la déshydratation. De plus, le grand avantage de la chitine et de ses dérivés est la persistance de ce pouvoir hydratant dans le temps. Enfin le chitosane forme à la surface de la peau un film protecteur et tenseur, capable de fixer d'autres principes actifs pour la peau. Ainsi d'autres agents hydratants, filtres solaires, des acides organiques ou d'autres principes actifs peuvent être associés aux dérivés de chitine. La chitine favoriserait leurs effets. Les produits utilisables selon l'invention sont par exemple ceux vendus par la société France-Chitine.Chitin is a particularly effective moisturizing agent. Its advantage is twofold: it brings water and prevents dehydration. In addition, the great advantage of chitin and its derivatives is the persistence of this moisturizing power over time. Finally, chitosan forms on the surface of the skin a protective and tensor film, able to fix other active ingredients for the skin. Thus other moisturizing agents, sunscreens, organic acids or other active ingredients may be associated with chitin derivatives. Chitin would promote their effects. The products that can be used according to the invention are, for example, those sold by France-Chitine.
Glycosaminoglycanes (GAG)Glycosaminoglycans (GAG)
On peut citer notamment l'acide hyaluronique, le chondroïtine sulfate, le dermatane sulfate, le kératane sulfate ou l'héparine et l'héparane sulfate.Hyaluronic acid, chondroitin sulfate, dermatan sulfate, keratan sulfate or heparin and heparan sulfate may be mentioned in particular.
Les polysaccharides utilisables selon l'invention sont également représentés par les glycosaminoglycanes ou glycosaminoglycannes (GAG). Ces polysaccharides ont longtemps été désignés sous le terme de "mucopolysaccharides acides" en raison de leur forte capacité de rétention de l'eau ("muco"), de leur nature glucidique ("polysaccharides") et de leur caractère acide provenant de leurs multiples charges négatives ("acides"). Il s'agit en effet de chaînes linéaires (non ramifiées) sulfatées composées de la répétition d'un diholoside de base contenant toujours une hexosamine (glucosamine (GIcN) ou galactosamine (GaIN)) et un autre ose (acide glucuronique (GIcA), acide iduronique (IdoA), galactose (GaI)). La glucosamine est soit N-sulfatée (GIcNS), soit N-acétylée (GIcNac). La galactosamine est toujours N-acétylée (GaINac).The polysaccharides that may be used according to the invention are also represented by glycosaminoglycans or glycosaminoglycans (GAGs). These polysaccharides have long been referred to as "acidic mucopolysaccharides" because of their high water retention capacity ("muco"), their carbohydrate nature ("polysaccharides") and their acidity from their multiples. negative charges ("acids"). It is indeed sulphated linear (unbranched) chains composed of the repetition of a basic diholoside always containing a hexosamine (glucosamine (GIcN) or galactosamine (GaIN)) and another monosaccharide (glucuronic acid (GIcA), iduronic acid (IdoA), galactose (GaI)). Glucosamine is either N-sulfated (GIcNS) or N-acetylated (GIcNac). Galactosamine is always N-acetylated (GaINac).
Ils forment d'importants composants des tissus conjonctifs et représentent environ 30 pour cent de la matière organique.They form important connective tissue components and account for about 30 percent of organic matter.
Les chaînes de GAG peuvent être liées par covalence à une protéine pour former des protéoglycanes.GAG chains can be covalently linked to a protein to form proteoglycans.
Les GAG comprennent le chondroïtine sulfate (cartilage élastique, cartilage hyalin, os, derme, cornée), le dermatane sulfate (derme, tendon, ligament, cartilage fibreux), le kératane sulfate (cartilage, cornée), l'héparine/héparane sulfate (foie, poumon, aorte), et l'acide hyaluronique.GAGs include chondroitin sulfate (elastic cartilage, hyaline cartilage, bone, dermis, cornea), dermatan sulfate (dermis, tendon, ligament, fibrous cartilage), keratan sulfate (cartilage, cornea), heparin / heparan sulfate ( liver, lung, aorta), and hyaluronic acid.
On distingue d'une part les polymères simples qui ne présentent que des résidus de GIcA le long de leur chaîne (acide hyaluronique, chondroïtine sulfate) et d'autre part les copolymères comprenant à la fois des résidus de GIcA et d'IdoA (héparine, héparane sulfate et dermatane sulfate). On distingue également les glucosaminoglycanes de structure [UA-GlcN]n et les galactosaminoglycanes de structure [UA-GalN]n. L'acide hyaluronique (du grec hyalos = vitreux + uronique parce qu'il a d'abord été isolé de l'humeur vitrée et qu'il possède un haut taux d'acide uronique) est un glycosaminoglycane réparti largement parmi les tissus conjonctif, épithélial et nerveux. On le trouve, par exemple, dans l'humeur vitrée et le liquide synovial. C'est l'un des principaux composants de la matrice extracellulaire. Il contribue de façon significative à la prolifération et à la migration des cellules. Il peut se trouver impliqué dans la progression de certaines tumeurs malignes.On the one hand, we distinguish simple polymers which only have GIcA residues along their chain (hyaluronic acid, chondroitin sulfate) and, on the other hand, copolymers comprising both residues of GIcA and IdoA (heparin). heparan sulfate and dermatan sulfate). There are also glucosaminoglycans of structure [UA-GlcN] n and galactosaminoglycans of structure [UA-GalN] n. Hyaluronic acid (from the Greek hyalos = vitreous + uronic because it was first isolated from the vitreous humor and has a high level of uronic acid) is a glycosaminoglycan distributed widely among the connective tissues, epithelial and nervous. It is found, for example, in vitreous humor and synovial fluid. It is one of the main components of the extracellular matrix. It contributes significantly to the proliferation and migration of cells. He may be involved in the progression of certain malignant tumors.
Il est associé à une fraction protéique pour former une mucoprotéine. L'acide hyaluronique est un polymère de disaccharides eux-mêmes composés d'acide D- glucuronique et de D-N-acétylglucosamine, liés entre eux par des liaisons glycosidiques alternées β(1 ,4) et β(1 ,3). Les polymères de cette unité récurrente peuvent avoir une taille entre 102 et 104 kDa in vivo.It is associated with a protein fraction to form a mucoprotein. Hyaluronic acid is a polymer of disaccharides, themselves composed of D-glucuronic acid and DN-acetylglucosamine, linked to each other by alternating glycoside bonds β (1, 4) and β (1, 3). The polymers of this repeating unit can have a size between 10 2 and 10 4 kDa in vivo.
Structure chimique de l'acide hyaluronique :Chemical structure of hyaluronic acid:
L'acide hyaluronique est stable du point de vue énergétique, en partie à cause des aspects stéréochimiques des disaccharides qui le composent.Hyaluronic acid is energy stable, partly because of the stereochemical aspects of the disaccharides that make it up.
L'acide hyaluronique est constituée d'environ 50000 unités dissacharidiques, elle est de la taille d'une bactérie et a un aspect de gel.Hyaluronic acid is made up of about 50000 dissachable units, it is about the size of a bacterium and has a gel appearance.
L'acide hyaluronique est principalement obtenu, de façon industrielle, par deux procédés différents : extraction de crêtes de coq (après broyage, traitement chimique et purification), ou fermentation bactérienne (les filaments d'acide hyaluronique sont synthétisés par des bactéries génétiquement modifiées).Hyaluronic acid is mainly obtained, industrially, by two different processes: extraction of rooster ridges (after grinding, chemical treatment and purification), or bacterial fermentation (the hyaluronic acid filaments are synthesized by genetically modified bacteria) .
Le hyaluronate de sodium est le sel sodique de l'acide hyaluronique. Le sulfate de chondroïtine, ou chondroïtine sulfate, est un glycosaminoglycane présent dans le tissu conjonctif.Sodium hyaluronate is the sodium salt of hyaluronic acid. Chondroitin sulfate, or chondroitin sulfate, is a glycosaminoglycan found in connective tissue.
Le sulfate de chondroïtine est un composant de la matrice du cartilage. Sa fonction est de maintenir la pression osmotique en absorbant l'eau et d'aider à hydrater le cartilage. Il contribue aussi à la flexibilité et à l'élasticité de l'os. Ce qui est encore plus important, c'est qu'il sert d'agent chondroprotecteur en protégeant le cartilage contre les réactions enzymatiques et contre les dommages dus aux radicaux libres (y compris le monoxyde d'azote largué par les chondrocytes). L'unité de base du chondroïtine sulfate est l'acide glucuronique β(1 ,3) N-acétyl galactosamine 6 sulfate. Chaque unité est reliée à la suivante par une liaison β(1 ,4). Le sulfate de chondroïtine varie dans sa composition en fonction des espèces animales même si la structure de base est principalement inchangée.Chondroitin sulfate is a component of the cartilage matrix. Its function is to maintain osmotic pressure by absorbing water and helping to moisturize cartilage. It also contributes to the flexibility and elasticity of the bone. More importantly, it acts as a chondroprotective agent protecting the cartilage against enzymatic reactions and free radical damage (including nitric oxide released by chondrocytes). The basic unit of chondroitin sulfate is glucuronic acid β (1, 3) N-acetyl galactosamine 6 sulfate. Each unit is connected to the next by a link β (1, 4). Chondroitin sulfate varies in its composition depending on the animal species even if the basic structure is mainly unchanged.
Structure chimique du sulfate de chondroïtine :Chemical structure of chondroitin sulfate:
L'héparine est une molécule qui fait partie des glycosaminoglycannes (GAG).Heparin is a molecule that is part of the glycosaminoglycans (GAG).
Elle est formée du dimère acide L-iduronique-2-O-sulfate (α(1 ,4) D-glucosamine-N- sulfate, 6-O-sulfate α(1 ,4). Structure chimique de l'héparine :It is formed of the dimer L-iduronic acid-2-O-sulfate (α (1,4) D-glucosamine-N-sulfate, 6-O-sulphate α (1,4) Chemical structure of heparin:
Selon un mode de réalisation préféré, on utilisera l'acide hyaluronique. According to a preferred embodiment, hyaluronic acid will be used.
Xylanes (ou arabinoxylanes) et dérivés La farine contient des fragments des parois primaires de l'albumen amylacé du blé; ils appartiennent essentiellement à une famille de polysaccharides : les arabinoxylanes. Il s'agit de polymères de xylose et d'arabinose, tous regroupés sous l'appellation «pentosanes». L'arabinoxylane du grain de blé est composé de résidus de β-D-xylopyranose (Rodionova et al., 1992). Les xylanes sont constitués d'une chaîne principale d'unités de D-xylose liées en β(1 ,4) et sur lesquelles on trouve trois substituts (Rouau & Thibault, 1987) : des unités acides, des unités de α-L-arabinofuranose, des chaînes latérales pouvant contenir de l'arabinose, du xylose, du galactose et de l'acide glucuronique. L'arabinoxylane est généralement constitué de 1500-5000 résidus d'α-L-arabinofuranose et de D- xylopyranose (Chaplin, 2004). La présence de chaînes latérales d'arabinose réduit l'interaction entre les chaînes à cause de leur conformation de type furanose hydrophile et flexible (Chaplin, 2004).Xylans (or arabinoxylans) and derivatives The flour contains fragments of the primary walls of the starchy albumen of wheat; they belong essentially to a family of polysaccharides: arabinoxylans. These are polymers of xylose and arabinose, all grouped under the name "pentosans". The wheat grain arabinoxylan is composed of residues of β-D-xylopyranose (Rodionova et al., 1992). Xylans consist of a main chain of β-linked (1, 4) -D-xylose units on which three substitutes are found (Rouau & Thibault, 1987): acidic units, α-L- arabinofuranose, side chains that may contain arabinose, xylose, galactose and glucuronic acid. Arabinoxylan generally consists of 1500-5000 residues of α-L-arabinofuranose and D-xylopyranose (Chaplin, 2004). The presence of arabinose side chains reduces the interaction between chains because of their hydrophilic and flexible furanose conformation (Chaplin, 2004).
Polvsaccharides oxydés non cationiquesNon-cationic oxidized polysaccharides
Selon un mode particulier de l'invention, le composé X est un polysaccharide oxydé non cationique de formule (I) ou/et leurs sels d'acides carboxyliques organiques ou inorganiques :According to a particular embodiment of the invention, the compound X is a non-cationic oxidized polysaccharide of formula (I) and / or their salts of organic or inorganic carboxylic acids:
P-(CHO)m (COOH)n (I) dans laquelle :P- (CHO) m (COOH) n (I) in which:
P représente une chaîne polysaccharidique constituée de monosaccharides comprenant 5 atomes de carbone ou plus de 5 atomes de carbone, de préférence 6 ou plus de 6 atomes de carbone et plus particulièrement 6 atomes de carbone." m + n est supérieur ou égal à 1 , m est tel que le degré de substitution du polysaccharide par un ou plusieurs groupements aldéhydes (DS(CHO)), est compris dans l'intervalle allant de 0,001 à 2, de préférence de 0,005 à 1 ,5. n est tel que le degré de substitution du polysaccharide par un ou plusieurs groupements carboxyles (DS(COOH)), est compris dans l'intervalle allant de 0 à 3, de préférence de 0,001 à 2,7. Par degré de substitution DS(CHO) ou DS (COOH) des polysaccharides selon l'invention, on entend le rapport entre le nombre de carbones oxydés en un groupement aldéhyde ou carboxyle pour tous les motifs répétitifs et le nombre de monosaccharides élémentaires (même ouverts par pré-oxydation) constituant le polysaccharide.P represents a polysaccharide chain consisting of monosaccharides comprising 5 carbon atoms or more than 5 carbon atoms, preferably 6 or more carbon atoms and more particularly 6 carbon atoms. "M + n is greater than or equal to 1, m is such that the degree of substitution of the polysaccharide by one or more aldehyde groups (DS (CHO)) is in the range of from 0.001 to 2, preferably from 0.005 to 1.5, n is such as the degree of the substitution of the polysaccharide with one or more carboxyl groups (DS (COOH)) is in the range from 0 to 3, preferably from 0.001 to 2.7. By degree of substitution DS (CHO) or DS (COOH) polysaccharides according to the invention means the ratio between the number of oxidized carbons in an aldehyde or carboxyl group for all repeating units and the number of elemental monosaccharides (even open by pre-oxidation) constituting the polysaccharide.
Les groupes CHO et COOH peuvent être obtenus lors de l'oxydation de certains atomes de carbone, par exemple en position C2, C3 ou C6, d'un motif saccharidique à 6 atomes de carbone. De préférence, l'oxydation peut se faire en C2 et en C3, plus particulièrement de 0,01 % à 75% en nombre, et de préférence de 0,1 % à 50% en nombre des cycles pouvant avoir été ouverts;The CHO and COOH groups can be obtained during the oxidation of certain carbon atoms, for example in the C2, C3 or C6 position, of a saccharide unit with 6 carbon atoms. Preferably, the oxidation can be C 2 and C 3, more particularly from 0.01% to 75% by number, and preferably from 0.1% to 50% by number of the cycles which may have been opened;
La chaîne polysaccharidique, représentée par P, est de préférence choisie parmi : les fructanes ou fructosanes, en particulier inuline et graminane - les glucanes, en particulier amidon, carboxyméthylamidon, pectine, amylopectine, amylose, cellulose et ses dérivés alkyles, hydroxyalkyles ou carboxyalkyles, telles que les carboxyméthylcellulose, hydroxyéthylcellulose, hydroxypropylcellulose, hydroxypropylméthylcellulose, méthylcellulose ; curdlane, dextrane, pullulane ; les galactanes, en particulier agar-agar et carraghénanes - les hémicelluloses, en particulier arabanes, xylanes, hexosanes et polyuronides les mannanes, les guar, les alginates, les xanthanes et les pentosanesThe polysaccharide chain, represented by P, is preferably chosen from: fructans or fructosans, in particular inulin and graminane - glucans, in particular starch, carboxymethyl starch, pectin, amylopectin, amylose, cellulose and its alkyl, hydroxyalkyl or carboxyalkyl derivatives, such as carboxymethylcellulose, hydroxyethylcellulose, hydroxypropylcellulose, hydroxypropylmethylcellulose, methylcellulose; curdlane, dextran, pullulan; galactans, in particular agar-agar and carrageenans - hemicelluloses, in particular arabans, xylans, hexosans and polyuronides, mannan, guar, alginates, xanthanes and pentosans
L'oxydation peut se faire selon un procédé connu dans la technique, par exemple selon le procédé décrit dans le brevet FR 2842200 ou FR 2854161 ou dans l'article « Hydrophobic films from maize bran hemicelluloses » de E. Fredon et al, Carbohydrate Polymers 49, 2002, pages 1 à 12, Industrial Crops and Products 7, 1997, pages 45-52,. Ces procédés d'oxydation sont simples à mettre en œuvre, efficaces, ne génèrent pas de sous-produits toxiques ou difficiles à éliminer.The oxidation can be carried out according to a process known in the art, for example according to the process described in patent FR 2842200 or FR 2854161 or in the article "Hydrophobic films from maize bran hemicelluloses" by E. Fredon et al., Carbohydrate Polymers 49, 2002, pp. 1-12, Industrial Crops and Products 7, 1997, pp. 45-52. These oxidation processes are simple to implement, effective, do not generate toxic byproducts or difficult to eliminate.
Ces procédés permettent de préparer un polysaccharide modifié par transformation des groupes hydroxyméthyles (CH2OH) en groupes acides carboxyliques (COOH) ou en groupes aldéhyde (CHO).These processes make it possible to prepare a modified polysaccharide by conversion of hydroxymethyl groups (CH 2 OH) to carboxylic acid groups (COOH) or aldehyde groups (CHO).
Parmi ces procédés d'oxydation, l'un des préférés est celui décrit dans la demande FR2842200. Dans ce procédé, un polysaccharide à unités glucose est soumis à l'action d'un peroxyde, de préférence le peroxyde d'hydrogène et en présence d'un complexe catalyseur phtalocyanine-métal. Selon un mode particulier, on utilise comme catalyseur une tétrasulfophtalocyanine, désignée FePcS.Among these oxidation processes, one of the preferred ones is that described in application FR2842200. In this process, a glucose unit polysaccharide is subjected to the action of a peroxide, preferably hydrogen peroxide and in the presence of a phthalocyanine-metal catalyst complex. In a particular embodiment, a tetrasulfophthalocyanine, designated FePcS, is used as the catalyst.
Plus préférentiellement, la chaîne polysaccharidique P, est obtenue par oxydation de cellulose, carboxyméthylcellulose, hydroxyéthylcellulose, hydroxypropylcellulose, hydroxypropylméthylcellulose, méthylcellulose, amidon, carboxyméthylamidon, amylose, inuline, guar, xanthane, carraghénane, dextrane ou scléroglucane.More preferably, the polysaccharide chain P is obtained by oxidation of cellulose, carboxymethylcellulose, hydroxyethylcellulose, hydroxypropylcellulose, hydroxypropylmethylcellulose, methylcellulose, starch, carboxymethyl starch, amylose, inulin, guar, xanthan, carrageenan, dextran or scleroglucan.
En particulier, il s'agira d'un amylose de maïs, d'un amidon de pomme de terre, d'un amidon de blé ou de riz,In particular, it will be an amylose of maize, a potato starch, a starch of wheat or rice,
Le polysaccharide oxydé non cationique selon l'invention est généralement présent dans la composition en une quantité allant de 0,05 à 99 % en poids par rapport au poids total de la composition, de préférence de 0,1 à 30% en poids, et mieux de 1 à 20% en poids par rapport au poids total de la composition.The non-cationic oxidized polysaccharide according to the invention is generally present in the composition in an amount ranging from 0.05 to 99% by weight relative to the total weight of the composition, preferably from 0.1 to 30% by weight, and better from 1 to 20% by weight relative to the total weight of the composition.
Selon un mode de réalisation particulier, le composé X est un polysaccharide élaboré par des microorganismes choisi parmi la xanthane, le pullulan, le dextran et sulfate de dextrane, le succinoglycane, le scléroglucane et leur mélange.According to a particular embodiment, the compound X is a polysaccharide prepared by microorganisms selected from xanthan, pullulan, dextran and dextran sulfate, succinoglycan, scleroglucan and their mixture.
Selon un autre mode, le composé X est un polysaccharide isolé des algues choisi parmi les galactannes, le furcellarane et leur mélange.According to another embodiment, the compound X is a polysaccharide isolated from the algae chosen from galactans, furcellaran and their mixture.
Selon un autre mode, le composé X est un polysaccharide des végétaux supérieurs choisi parmi les polysaccharides homogènes constitués d'une seule espèce d'osés et les polysaccharides hétérogènes composés de plusieurs types d'osés.In another embodiment, the compound X is a polysaccharide of higher plants selected from homogeneous polysaccharides consisting of a single species of oste and heterogeneous polysaccharides composed of several types of oste.
Selon un mode particulier, le composé X est un polysaccharide homogène choisi parmi les glucosanes, les fructosanes et leur mélange.According to one particular embodiment, the compound X is a homogeneous polysaccharide chosen from glucosans, fructosans and their mixture.
Selon une variante, le composé X est un glucosane choisi parmi les amidons natifs, les amidons modifiés, la (cyclo)dextrine et ses dérivés, la cellulose et ses dérivés.According to one variant, the compound X is a glucosane chosen from native starches, modified starches, (cyclo) dextrin and its derivatives, cellulose and its derivatives.
Selon une autre variante, le composé X est un fructosane choisi parmi l'inuline et ses dérivés tels que notamment le dicarboxy et carboxyméthyl inuline. Selon un mode particulier, le composé X est un polysaccharide hétérogène choisi parmi les gommes, les galactomannanes et leurs dérivés, les pectines LM et HM et leurs dérivés, les chitine, chitosan et leurs dérivés, les glycosaminoglycanes, les xylanes (poly C-5) et leurs dérivés.According to another variant, the compound X is a fructan selected from inulin and its derivatives such as in particular dicarboxy and carboxymethyl inulin. According to a particular embodiment, the compound X is a heterogeneous polysaccharide chosen from gums, galactomannans and their derivatives, LM and HM pectins and their derivatives, chitin, chitosan and their derivatives, glycosaminoglycans, xylans (poly C-5 ) and their derivatives.
En particulier, le composé X est une gomme choisie parmi les gommes de cassia, la gomme d'acacia ou gomme arabique, la gomme de Karaya, la gomme de konjac, la gomme adragante, et leur mélange.In particular, compound X is a gum chosen from cassia gums, acacia gum or gum arabic, karaya gum, konjac gum, gum tragacanth, and their mixture.
Selon un autre mode, le composé X est une galactomannane choisie parmi le guar, le caroube, le fenugrec, la gomme de tara et leurs dérivés parmi le guar phosphaté, l'hydroxypropyl guar, et leur mélange.In another embodiment, the compound X is a galactomannan chosen from guar, carob, fenugreek, tara gum and their derivatives from phosphated guar, hydroxypropyl guar and their mixture.
Selon encore un autre mode, le composé X est un polysaccharide choisi parmi la chitine, le chitosan et dérivés, les clycosaminoglycane, les xylanes et leur mélange.According to yet another embodiment, the compound X is a polysaccharide chosen from chitin, chitosan and derivatives, glycosaminoglycan, xylan and their mixture.
Selon un mode particulier, le composé X est un glycosaminoglycane choisi parmi l'acide hyaluronique, le chondroïtine sulfate, le dermatane sulfate, le kératane sulfate ou l'héparine et l'héparane sulfate.In a particular embodiment, the compound X is a glycosaminoglycan selected from hyaluronic acid, chondroitin sulfate, dermatan sulfate, keratan sulfate or heparin and heparan sulfate.
Selon un mode de réalisation particulier, le composé X est un glucosane, en particulier un amidon modifié, et notamment un amidon oxydé.According to a particular embodiment, the compound X is a glucosane, in particular a modified starch, and in particular an oxidized starch.
Selon un autre mode de réalisation particulier, le composé X est une galactomanane, en particulier une gomme de caroube.According to another particular embodiment, the compound X is a galactomanane, in particular a locust bean gum.
Selon un autre mode de réalisation particulier, le composé X est un glycosaminoglycane, en particulier l'acide hyaluronique.According to another particular embodiment, the compound X is a glycosaminoglycan, in particular hyaluronic acid.
Selon un mode particulier de l'invention, le composé X est un polysaccharide non cationique oxydé de formule (I) telle décrite précédemment, en particulier un amidon oxydé. En particulier, il s'agira d'un amidon oxydé, en particulier un amylose de maïs, un amidon de pomme de terre, un amidon de blé ou un amidon de riz, obtenu selon le procédé décrit dans la demande de brevet FR 2842200. Le ou les polysaccharides (X) peu(ven)t être présent(s) dans la composition selon l'invention en une teneur allant de 0,1 à 40 % en poids, par rapport au poids total de la composition, de préférence de 1 à 40% en poids, de préférence encore de 1 à 20 % en poids, et mieux de 1 à 10 % en poids.According to one particular embodiment of the invention, the compound X is an oxidized non-cationic polysaccharide of formula (I) as described above, in particular an oxidized starch. In particular, it will be an oxidized starch, in particular an amylose of corn, a potato starch, a wheat starch or a rice starch, obtained according to the process described in the patent application FR 2842200. The polysaccharide (s) (X) may be present in the composition according to the invention in a content ranging from 0.1 to 40% by weight, relative to the total weight of the composition, preferably from 1 to 40% by weight, more preferably 1 to 20% by weight, and more preferably 1 to 10% by weight.
Selon un mode particulier, le ou les polysaccharides (X) seront présents dans la première composition en une teneur d'au moins 1 % en poids par rapport au poids total de ladite composition, en particulier pour les variantes 'composition unique comprenant X et Y' et 'application successive de la première comprenant X et de la seconde composition comprenant Y' selon l'inventionAccording to a particular embodiment, the polysaccharide (s) (X) will be present in the first composition in a content of at least 1% by weight relative to the total weight of said composition, in particular for the variants' single composition comprising X and Y and successive application of the first comprising X and the second composition comprising Y 'according to the invention
Selon un autre mode de réalisation, le ou les polysaccharides (X) seront présents dans la première composition en une teneur telle qu'elle sera d'au moins 1 % en poids par rapport au poids total du mélange de la première et de la seconde composition, en particulier pour la variante 'mélange extemporané de la première composition comprenant X et de la seconde composition comprenant Y' avant application.According to another embodiment, the polysaccharide (s) (X) will be present in the first composition in a content such that it will be at least 1% by weight relative to the total weight of the mixture of the first and second composition, in particular for the extemporaneous mixing variant of the first composition comprising X and of the second composition comprising Y 'before application.
II. L'agent de réticulation (composé Y)II. The crosslinking agent (compound Y)
L'agent de réticulation (composé Y) selon l'invention est un composé apte à réagir avec le polysaccharide X par réticulation chimique, c'est-à-dire par formation de liaison covalente entre le polysaccharide et l'agent de réticulation.The crosslinking agent (compound Y) according to the invention is a compound capable of reacting with the polysaccharide X by chemical crosslinking, that is to say by forming a covalent bond between the polysaccharide and the crosslinking agent.
L'agent de réticulation Y peut appartenir au groupe des aldéhydes, acides anhydriques, isocyanates, thioisocyanates, azides, azolides, carboimides, époxydes, esters, glycidyl ethers, halogènes, imidazoles, imidates, succinimides, succinimidyl esters, et leurs mélanges.The crosslinking agent Y may belong to the group of aldehydes, anhydrous acids, isocyanates, thioisocyanates, azides, azolides, carboimides, epoxides, esters, glycidyl ethers, halogens, imidazoles, imidates, succinimides, succinimidyl esters, and mixtures thereof.
De manière non limitative, on peut citer à titre d'exemple des agents de réticulations suivants :By way of non-limiting example, the following crosslinking agents may be mentioned as examples:
Les esters de l'acide adipique de formule R-(CH2VR avec R= COOCOCH3,The esters of adipic acid of formula R- (CH 2 VR with R = COOCOCH 3 ,
L'épichlorohydrine, L'éthylène glycol diglycidyl éther,Epichlorohydrin, ethylene glycol diglycidyl ether,
La benzoquinone,Benzoquinone,
L'anhydride maléique, L'idéhyde glutaraldéhyde de formule OHC-(CH2)3-CHO,Maleic anhydride Idéhyde glutaraldehyde of formula OHC- (CH 2 ) 3 -CHO,
Le formaldéhyde,Formaldehyde,
Le 1-(3-diméthylaminopropyl)-3-éthylcarbodimide hydrochloride (EDC),1- (3-Dimethylaminopropyl) -3-ethylcarbodimide hydrochloride (EDC),
Les polyéthers tels que l'oxyde de polyéthylène (PEO), Les polysaccharides distincts de ceux choisis comme agent X dans la première compositionPolyethers such as polyethylene oxide (PEO), polysaccharides distinct from those chosen as agent X in the first composition
Les protéines, modifiés ou non telles que la gélatine, les caséines,Proteins, modified or not, such as gelatin, caseins,
Les sucres tels que les saccharoses,Sugars such as sucrose,
Les bases, Les acides ou diacides de composés d'origine végétale tels que l'acide mucique,The bases, acids or diacids of compounds of plant origin such as mucic acid,
Les aminoacides tels que la lysine, (di-amino par exemple) ou son didisocyanate, les poly-lysines (Al et Ep),Amino acids such as lysine, (di-amino for example) or its didisocyanate, poly-lysines (Al and Ep),
Les composés phosphores, tels que par exemple du tripolyphosphate de sodium, de l'orthophosphate de sodium, de l'oxychlorure de phosphore ou du trimétaphosphate de sodium, et leur mélange.Phosphorus compounds, such as, for example, sodium tripolyphosphate, sodium orthophosphate, phosphorus oxychloride or sodium trimetaphosphate, and mixtures thereof.
Selon un mode particulier, l'agent de réticulation Y est distinct de la gomme de xanthane.According to one particular embodiment, the crosslinking agent Y is distinct from the xanthan gum.
Selon un mode préféré de réalisation, l'agent de réticulation Y est choisi parmi : Les polyéthers tels que l'oxyde de polyéthylène (PEO),According to a preferred embodiment, the crosslinking agent Y is chosen from: polyethers such as polyethylene oxide (PEO),
Les polysaccharides distincts de ceux choisis comme agent X dans la première composition, Les protéines, modifiés ou non telles que la gélatine, les caséines,The polysaccharides distinct from those chosen as agent X in the first composition, proteins, modified or not, such as gelatin, caseins,
Le 1-(3-diméthylaminopropyl)-3-éthylcarbodimide hydrochloride (EDC), Les composés phosphores, tels que par exemple du tripolyphosphate de sodium, de l'orthophosphate de sodium, de l'oxychlorure de phosphore ou du trimétaphosphate de sodium.1- (3-Dimethylaminopropyl) -3-ethylcarbodimide hydrochloride (EDC). Phosphorus compounds, such as, for example, sodium tripolyphosphate, sodium orthophosphate, phosphorus oxychloride or sodium trimetaphosphate.
A titre d'exemples de gélatines, on peut citer la gélatine commercialisée par la société GELATINA sous la référence Gelatina® gélatine, ou la Rousselot PS de la société Rousselot. L'agent de réticulation (Y) peut être présent dans la composition selon l'invention en une teneur allant de 0,5% à 95% en poids par rapport au poids total de la seconde composition, de préférence de 1% à 90% et mieux de 2% à 50%.Examples of gelatin include gelatin marketed by the company under the GELATINA Gelatina reference ® gelatin, or Rousselot Rousselot PS of society. The crosslinking agent (Y) may be present in the composition according to the invention in a content ranging from 0.5% to 95% by weight relative to the total weight of the second composition, preferably from 1% to 90%. and better from 2% to 50%.
En particulier, les couples préférés polysaccharide (X) et agent de réticulation (Y) sont choisis parmi :In particular, the preferred pairs of polysaccharide (X) and crosslinking agent (Y) are chosen from:
Le carboxyméthylcellulose avec les polyéthers tels que l'oxyde de polyéthylène (PEO), - le chitosan avec les polysaccharides, modifiés ou non, tels que l'amidon oxydé, les galactomananes (guar, caroube) avec l'épichlorohydrine, les amidons avec l'adipate (R-(CH2VR avec R= COOCOCH3) en milieu alcalin, Les amidons avec les composés phosphores, tels que par exemple du tripolyphosphate de sodium, de l'orthophosphate de sodium, de l'oxychlorure de phosphore ou du trimétaphosphate de sodium,Carboxymethylcellulose with polyethers such as polyethylene oxide (PEO), - chitosan with modified or unmodified polysaccharides, such as oxidized starch, galactomananes (guar, carob) with epichlorohydrin, starches with adipate (R- (CH 2 VR with R = COOCOCH 3 ) in an alkaline medium, starches with phosphorus compounds, such as, for example, sodium tripolyphosphate, sodium orthophosphate, phosphorus oxychloride or sodium trimetaphosphate,
La carboxyméthylcellulose avec les composés phosphores, tels que par exemple du tripolyphosphate de sodium, de l'orthophosphate de sodium, de l'oxychlorure de phosphore ou du trimétaphosphate de sodium, Les amidons modifiés, en particulier les amidons oxydés, avec la gélatine ou le collagèneCarboxymethylcellulose with phosphorus compounds, such as, for example, sodium tripolyphosphate, sodium orthophosphate, phosphorus oxychloride or sodium trimetaphosphate, modified starches, in particular oxidized starches, with gelatin or collagen
L'acide hyaluronique avec les amidons modifiés, en particulier les amidons oxydésHyaluronic acid with modified starches, especially oxidized starches
L'acide hyaluronique avec le 1-(3-diméthylaminopropyl)-3-éthylcarbodimide hydrochloride (EDC), - La carboxyméthylcellulose avec le 1-(3-diméthylaminopropyl)-3- éthylcarbodimide hydrochloride (EDC)Hyaluronic acid with 1- (3-dimethylaminopropyl) -3-ethylcarbodimide hydrochloride (EDC), - carboxymethylcellulose with 1- (3-dimethylaminopropyl) -3-ethylcarbodimide hydrochloride (EDC)
De préférence encore, les couples seront choisis parmi :More preferably, the pairs will be chosen from:
Le carboxyméthylcellulose avec les polyéthers tels que l'oxyde de polyéthylène (PEO), le chitosan avec les polysaccharides, modifiés ou non, tels que l'amidon oxydé,Carboxymethylcellulose with polyethers such as polyethylene oxide (PEO), chitosan with modified or unmodified polysaccharides, such as oxidized starch,
Les amidons modifiés, en particulier les amidons oxydés, avec la gélatine ou le collagèneModified starches, in particular oxidized starches, with gelatin or collagen
L'acide hyaluronique avec les amidons modifiés, en particulier les amidons oxydésHyaluronic acid with modified starches, especially oxidized starches
L'acide hyaluronique avec le 1-(3-diméthylaminopropyl)-3-éthylcarbodimide Dans le cas où le(s) composé(s) X et/ou Y sont sous forme gélifiés à température ambiante, une étape de chauffage pourra être nécessaire pour les fluidifier avant mélange.Hyaluronic acid with 1- (3-dimethylaminopropyl) -3-ethylcarbodimide In the case where the compound (s) X and / or Y are in gelled form at ambient temperature, a heating step may be necessary to fluidify them before mixing.
Phase aqueuseAqueous phase
Selon un mode particulier, l'une au moins des première ou seconde compositions selon l'invention comprend une phase aqueuse.According to one particular embodiment, at least one of the first or second compositions according to the invention comprises an aqueous phase.
En particulier, la ou les composition(s) selon l'invention compren(nen)t de l'eau. L'eau peut être une eau florale telle que l'eau de bleuet et/ou une eau minérale telle que l'eau de VITTEL, l'eau de LUCAS ou l'eau de LA ROCHE POSAY et/ou une eau thermale.In particular, the composition (s) according to the invention comprises (nen) t water. The water may be floral water such as cornflower water and / or mineral water such as VITTEL water, LUCAS water or LA ROCHE POSAY water and / or thermal water.
La ou les composition(s) selon l'invention peu(ven)t également comprendre des solvants organiques miscibles à l'eau (à température ambiante - 25 0C) comme par exemple les monoalcools ayant de 2 à 6 atomes de carbone tels que l'éthanol, l'isopropanol ; les polyols ayant notamment de 2 à 20 atomes de carbones, de préférence ayant de 2 à 10 atomes de carbone, et préférentiellement ayant de 2 à 6 atomes de carbone, tels que le glycérol, le propylène glycol, le butylène glycol, le pentylène glycol, l'hexylène glycol, le dipropylène glycol, le diéthylène glycol ; les éthers de glycol (ayant notamment de 3 à 16 atomes de carbone) tels que les alkyl(C-|-C4)éther de mono, di- ou tri propylène glycol, les alkyl(C-|-C4)éthers de mono, di- ou triéthylène glycol, et leurs mélanges.The composition (s) according to the invention may also comprise water-miscible organic solvents (at room temperature - 25 ° C.), for example monoalcohols having from 2 to 6 carbon atoms, such as ethanol, isopropanol; the polyols having in particular 2 to 20 carbon atoms, preferably having 2 to 10 carbon atoms, and preferably having 2 to 6 carbon atoms, such as glycerol, propylene glycol, butylene glycol, pentylene glycol hexylene glycol, dipropylene glycol, diethylene glycol; glycol ethers (having in particular from 3 to 16 carbon atoms) such as the mono, di or tri propylene glycol (C 1 -C 4) alkyl ethers, the mono (C 1 -C 4) alkyl ethers, di- or triethylene glycol, and mixtures thereof.
La fraction liquide de la phase aqueuse comprend notamment l'eau et les solvants organiques miscibles à l'eau.The liquid fraction of the aqueous phase comprises in particular water and organic solvents miscible with water.
De préférence, la phase aqueuse peut être présente dans la composition selon l'invention en une teneur allant de 20 % à 99 % en poids, par rapport au poids total de la composition, de préférence allant de 30 % à 80 % en poids, et préférentiellement allant de 40 % à 60 % en poids.Preferably, the aqueous phase may be present in the composition according to the invention in a content ranging from 20% to 99% by weight, relative to the total weight of the composition, preferably ranging from 30% to 80% by weight. and preferably ranging from 40% to 60% by weight.
Gélifiant hydrophile La ou les composition(s) selon l'invention peu(ven)t comprendre un gélifiant hydrophile distinct des polysaccharides décrits précédemment.Hydrophilic gelling agent The composition (s) according to the invention may comprise a hydrophilic gelling agent distinct from the polysaccharides described above.
Bien entendu, l'homme du métier veillera à choisir un agent gélifiant qui n'interagira pas avec le polysaccharide et/ou l'agent de complexation déjà présents dans la composition.Of course, those skilled in the art will take care to choose a gelling agent that will not interact with the polysaccharide and / or the complexing agent already present in the composition.
Les gélifiants hydrophiles utilisables dans les compositions selon l'invention peuvent être choisi parmi : - les homo- ou copolymères d'acides acrylique ou méthacrylique ou leurs sels et leurs esters et en particulier les produits vendus sous les dénominations VERSICOL F® ou VERSICOL K® par la société ALLIED COLLOID, UTRAHOLD 8® par la société CIBA- GEIGY, les acides polyacryliques de type SYNTHALEN K,The hydrophilic gelling agents that can be used in the compositions according to the invention can be chosen from: homo or copolymers of acrylic or methacrylic acids or their salts and their esters and in particular the products sold under the names VERSICOL F ® or VERSICOL K ® by the company ALLIED COLLOID, UTRAHOLD 8 ® by CIBA-GEIGY, polyacrylic acids of SYNTHALEN K type,
- les copolymères d'acide acrylique et d'acrylamide vendus sous la forme de leur sel de sodium sous les dénominations RETEN® par la société HERCULES, le polyméthacrylate de sodium vendu sous la dénomination DARVAN N°7® par la société VANDERBILT, les sels de sodium d'acides polyhydroxycarboxyliques vendus sous la dénomination HYDAGEN F® par la société HENKEL,- copolymers of acrylic acid and of acrylamide sold in the form of their sodium salt under the names Reten ® by the company Hercules, the sodium polymethacrylate sold under the name Darvan 7 ® by the company Vanderbilt, salts sodium hydroxide of polyhydroxycarboxylic acids sold under the name HYDAGEN F ® by Henkel,
- les copolymères acide polyacryliques/acrylates d'alkyle de type PEMULEN, - l'AMPS (Acide polyacrylamidométhyl propane sulfonique neutralisé partiellement à l'ammoniaque et hautement réticulé) commercialisé par la société CLARIANT,polyacrylic acid / alkyl acrylate copolymers of the PEMULEN type; AMPS (polyacrylamidomethyl propanesulfonic acid partially neutralized with ammonia and highly crosslinked) marketed by the company CLARIANT,
- les copolymères AMPS/acrylamide de type SEPIGEL® ou SIMULGEL® commercialisés par la société SEPPIC, et- copolymers AMPS / acrylamide type Sepigel ® or SIMULGEL ® marketed by SEPPIC, and
- les copolymères AMPS/méthacrylates d'alkyle polyoxyéthylénés (réticulés ou non), - les protéines comme les protéines d'origine végétale telles que les protéines de blé, de soja ; les protéines d'origine animale tels que les kératines, par exemples les hydrolysats de kératine et les kératines sulfoniques;polyoxyethylenated AMPS / alkyl methacrylate copolymers (crosslinked or otherwise), proteins such as proteins of plant origin such as wheat or soy proteins; proteins of animal origin such as keratins, for example keratin hydrolysates and keratin sulfonates;
- les polymères de cellulose tels que l'hydroxyéthylcellulose, l'hydroxypropylcellulose, la méthylcellulose, l'éthylhydroxyéthylcellulose, la carboxyméthylcellulose, ainsi que les dérivés quaternisés de la cellulose;cellulose polymers such as hydroxyethylcellulose, hydroxypropylcellulose, methylcellulose, ethylhydroxyethylcellulose and carboxymethylcellulose, as well as the quaternized derivatives of cellulose;
- les polymères d'origine naturelle, éventuellement modifiés, tels que : les gommes arabiques, la gomme de guar, les dérivés du xanthane, la gomme de karaya, la gomme de caroube, les alginates et les carraghénanes (les alginates étant utilisées de préférence en présence de sels comme par exemple le chlorure de calcium), les glycoaminoglycanes, l'acide hyaluronique et ses dérivés, la résine shellac, la gomme de sandaraque, les dammars, les élémis, les copals, les muccopolysaccharides tels les chondroïtines sulfate,polymers of natural origin, which may be modified, such as: arabic gums, guar gum, xanthan derivatives, karaya gum, locust bean gum, alginates and carrageenans (the alginates being preferably used in the presence of salts such as calcium chloride), glycoaminoglycans, hyaluronic acid and its derivatives, shellac resin, sandarac gum, dammars, elemis, copals, muccopolysaccharides such as chondroitin sulfate,
- les polymères ou copolymères acryliques, tels que les polyacrylates ou les polyméthacrylates ;acrylic polymers or copolymers, such as polyacrylates or polymethacrylates;
- les polymères vinyliques, comme les polyvinylpyrrolidones, les copolymères de l'éther méthylvinylique et de l'anhydride malique, le copolymère de l'acétate de vinyle et de l'acide crotonique, les copolymères de vinylpyrrolidone et d'acétate de vinyle ; les copolymères de vinylpyrrolidone et de caprolactame ; l'alcool polyvinylique ;vinyl polymers, such as polyvinylpyrrolidones, copolymers of methylvinyl ether and of malic anhydride, the copolymer of vinyl acetate and crotonic acid, copolymers of vinylpyrrolidone and of vinyl acetate; copolymers of vinylpyrrolidone and caprolactam; polyvinyl alcohol;
- l'acide désoxyribonucléïque ;deoxyribonucleic acid;
- les argiles non modifiées et notamment les montmorillonites, les hectorites, les smectites, les bentones, les laponites, et leurs mélanges.unmodified clays, in particular montmorillonites, hectorites, smectites, bentones and laponites, and mixtures thereof.
Certains de ces gélifiants hydrosolubles peuvent également jouer le rôle de polymères filmogènes.Some of these water-soluble gelling agents may also act as film-forming polymers.
Le polymère gélifiant hydrosoluble peut être présent dans la composition selon l'invention en une teneur en matières sèches allant de 0,01% à 30% en poids, par rapport au poids total de la composition, de préférence de 0,05% à 20% en poids, et plus préférentiellement de 0,1 % à 10% en poids.The water-soluble gelling polymer may be present in the composition according to the invention in a solids content ranging from 0.01% to 30% by weight, relative to the total weight of the composition, preferably from 0.05% to 20% by weight. % by weight, and more preferably from 0.1% to 10% by weight.
Phase grasseFatty phase
La ou les composition(s) selon l'invention peu(ven)t comprendre une phase grasse comprenant une phase huileuse.The composition (s) according to the invention may comprise a fatty phase comprising an oily phase.
Par phase huileuse, on entend l'ensemble des huiles présentes dans la composition.By oily phase is meant all the oils present in the composition.
La phase huileuse peut comprendre au moins une huile choisie parmi les huiles volatiles, les huiles non volatiles et leur mélange.The oily phase may comprise at least one oil chosen from volatile oils, non-volatile oils and their mixture.
Selon un mode préféré de réalisation, la composition selon l'invention peut comprendre au moins une huile non volatile.According to a preferred embodiment, the composition according to the invention may comprise at least one non-volatile oil.
Par "huile non volatile", on entend une huile restant sur la peau à température ambiante et pression atmosphérique au moins plusieurs heures et ayant notamment une pression de vapeur inférieure à 0,13 Pa (0,01 mm de Hg) à température ambiante (25°C). Ces huiles non volatiles peuvent être des huiles hydrocarbonées notamment d'origine animale ou végétale, des huiles siliconées, ou leurs mélanges. On entend par "huile hydrocarbonée", une huile contenant principalement des atomes d'hydrogène et de carbone et éventuellement des atomes d'oxygène, d'azote, de soufre et/ou de phosphore.By "non-volatile oil" is meant an oil remaining on the skin at room temperature and atmospheric pressure for at least several hours and having in particular a vapor pressure of less than 0.13 Pa (0.01 mm Hg) at ambient temperature ( 25 ° C). These non-volatile oils may be hydrocarbon oils, in particular of animal or vegetable origin, silicone oils, or mixtures thereof. The term "hydrocarbon-based oil" means an oil containing mainly hydrogen and carbon atoms and optionally oxygen, nitrogen, sulfur and / or phosphorus atoms.
Les huiles non volatiles peuvent notamment être choisies parmi les huiles hydrocarbonées le cas échéant fluorées et/ou les huiles siliconées non volatiles.The non-volatile oils may in particular be chosen from fluorinated hydrocarbon oils which may be fluorinated and / or non-volatile silicone oils.
Comme huile hydrocarbonée non volatile, on peut notamment citer :As non-volatile hydrocarbon oil, mention may notably be made of:
- les huiles hydrocarbonées d'origine animale,- hydrocarbon oils of animal origin,
- les huiles hydrocarbonées d'origine végétale telles que les triglycérides constitués d'esters d'acides gras et de glycérol dont les acides gras peuvent avoir des longueurs de chaînes variées de C4 à C24, ces dernières pouvant être linéaires ou ramifiées, saturées ou insaturées ; ces huiles sont notamment des triglycérides d'acide heptanoïque ou d'acide octanoïque, ou bien encore les huiles de germe de blé, de tournesol, de pépins de raisin, de sésame, de maïs, d'abricot, de ricin, de karité, d'avocat, d'olive, de soja, d'amande douce, de palme, de colza, de coton, de noisette, de macadamia, de jojoba, de luzerne, de pavot, de potimarron, de sésame, de courge, de colza, de cassis, d'onagre, de millet, d'orge, de quinoa, de seigle, de carthame, de bancoulier, de passiflore, de rosier muscat ; le beurre de karité ; ou encore les triglycérides des acides caprylique/caprique comme ceux vendus par la société Stéarineries Dubois ou ceux vendus sous les dénominations Miglyol 810®, 812® et 818® par la société Dynamit Nobel,hydrocarbon oils of vegetable origin, such as triglycerides consisting of esters of fatty acids and of glycerol, the fatty acids of which may have chain lengths varying from C 4 to C 24 , the latter being linear or branched, saturated or unsaturated; these oils are in particular triglycerides of heptanoic acid or octanoic acid, or else the oils of wheat germ, sunflower, grape seed, sesame, maize, apricot, castor, shea, of avocado, olive, soya, sweet almond, palm, rapeseed, cotton, hazelnut, macadamia, jojoba, alfalfa, poppy, pumpkin, sesame, squash, rapeseed, cassis, evening primrose, millet, barley, quinoa, rye, safflower, bancoulier, passionflower, muscat rose; shea butter; or triglycerides of caprylic / capric acids such as those sold by Stéarineries Dubois or those sold under the names Miglyol 810 ®, 812 ® and 818 ® by Dynamit Nobel,
- les éthers de synthèse ayant de 10 à 40 atomes de carbone ;synthetic ethers having from 10 to 40 carbon atoms;
- les hydrocarbures linéaires ou ramifiés, d'origine minérale ou synthétique tels que la vaseline, les polydécènes, le polyisobutène hydrogéné tel que le Parleam ®, le squalane, les huiles de paraffine, et leurs mélanges,linear or branched hydrocarbons of mineral or synthetic origin, such as petroleum jelly, polydecenes, hydrogenated polyisobutene such as Parleam®, squalane, paraffin oils, and mixtures thereof,
- les esters de synthèse comme les huiles de formule R1COOR2 dans laquelle Ri représente le reste d'un acide gras linéaire ou ramifié comportant de 1 à 40 atomes de carbone et R2 représente une chaîne hydrocarbonée notamment ramifiée contenant de 1 à 40 atomes de carbone à condition que Ri + R2 soit > 10, comme par exemple l'huile de Purcellin (octanoate de cétostéaryle), le myristate d'isopropyle, le palmitate d'isopropyle, les benzoates d'alcools en Ci2 à Ci5, le laurate d'hexyle, l'adipate de diisopropyle, l'isononanoate d'isononyle, le néopentanoate d'isodecyl, le palmitate de 2-éthyl-hexyle, l'isostéarate d'isostéaryle, le laurate de 2-hexyl-décyle, le palmitate de 2-octyl-décyle, le myristate de 2-octyl-dodécyle, des heptanoates, octanoates, décanoates ou ricinoléates d'alcools ou de polyalcools comme le dioctanoate de propylène glycol ; les esters hydroxylés comme le lactate d'isostéaryle, le malate de di-isostéaryle, le lactate de 2- octyl-dodécyle ; les esters de polyols et les esters du pentaérythritol,synthetic esters such as oils of formula R 1 COOR 2 in which R 1 represents the residue of a linear or branched fatty acid comprising from 1 to 40 carbon atoms and R 2 represents a hydrocarbon chain, in particular a branched hydrocarbon chain, containing from 1 to 40 carbon atoms with the proviso that R 1 + R 2 is> 10, such as, for example, purcellin oil (cetostearyl octanoate), isopropyl myristate, isopropyl palmitate, C 1-2 benzoate benzoates 5 , hexyl laurate, diisopropyl adipate, isononyl isononanoate, isodecyl neopentanoate, 2-ethylhexyl palmitate, isostearyl isostearate, 2-hexyl-decyl laurate, 2-octyl-decyl palmitate, 2-octyl-dodecyl myristate, heptanoates, octanoates, decanoates or ricinoleates of alcohols or polyalcohols such as propylene glycol dioctanoate; hydroxylated esters such as isostearyl lactate, di-isostearyl malate, 2-octyl-dodecyl lactate; polyol esters and pentaerythritol esters,
- les alcools gras liquides à température ambiante à chaîne carbonée ramifiée et/ou insaturée ayant de 12 à 26 atomes de carbone comme l'octyl dodécanol, l'alcool isostéarylique, l'alcool oléique, le 2-hexyldécanol, le 2-butyloctanol, et le 2- undécylpentadécanol,at room temperature liquids with a branched and / or unsaturated carbon chain having from 12 to 26 carbon atoms, such as octyl dodecanol, isostearyl alcohol, oleic alcohol, 2-hexyldecanol or 2-butyloctanol, and 2- undecylpentadecanol,
- les acides gras supérieurs tels que l'acide oléique, l'acide linoléique, l'acide linolénique et leurs mélanges.higher fatty acids such as oleic acid, linoleic acid, linolenic acid and mixtures thereof.
Les huiles de silicone non volatiles utilisables dans la composition selon l'invention peuvent être les polydiméthylsiloxanes (PDMS) non volatiles, les polydiméthylsiloxanes comportant des groupements alkyle ou alcoxy pendants et/ou en bouts de chaîne siliconée, groupements ayant chacun de 2 à 24 atomes de carbone, les silicones phénylées comme les phényl triméthicones, les phényl diméthicones, les phényl triméthylsiloxy diphénylsiloxanes, les diphényl diméthicones, les diphényl méthyldiphényl trisiloxanes, et leurs mélanges.The non-volatile silicone oils that may be used in the composition according to the invention may be non-volatile polydimethylsiloxanes (PDMS), polydimethylsiloxanes comprising pendant alkyl or alkoxy groups and / or silicone chain ends, groups each having from 2 to 24 atoms. carbon, phenyl silicones such as phenyl trimethicones, phenyl dimethicones, phenyl trimethylsiloxy diphenylsiloxanes, diphenyl dimethicones, diphenyl methyldiphenyl trisiloxanes, and mixtures thereof.
Les huiles non volatiles peuvent être présentes dans la composition selon l'invention en une teneur allant de 1 % à 60 % en poids, par rapport au poids total de la composition, de préférence allant de 3 % à 50 % en poids, préférentiellement allant de 5 % à 35 % en poids, et plus préférentiellement allant de 10 % à 30 % en poids.The non-volatile oils may be present in the composition according to the invention in a content ranging from 1% to 60% by weight, relative to the total weight of the composition, preferably ranging from 3% to 50% by weight, preferably ranging from from 5% to 35% by weight, and more preferably from 10% to 30% by weight.
La composition selon l'invention peut comprendre en outre au moins une huile volatile.The composition according to the invention may further comprise at least one volatile oil.
Par « huile volatile », on entend au sens de l'invention toute huile susceptible de s'évaporer au contact de la peau, à température ambiante et pression atmosphérique. Les huiles volatiles de l'invention sont des huiles cosmétiques volatiles, liquides à température ambiante, ayant une pression de vapeur non nulle, à température ambiante et pression atmosphérique, allant en particulier de 0,13 Pa à 40.000 Pa (0,001 à 300 mm de Hg) et de préférence allant de 1 ,3 à 1300 Pa (0,01 à 10 mm de Hg). L'huile volatile peut être choisie parmi les huiles volatiles hydrocarbonées, les huiles volatiles siliconées, les huiles volatiles fluorées, et leurs mélanges.For the purposes of the invention, the term "volatile oil" means any oil capable of evaporating on contact with the skin at ambient temperature and atmospheric pressure. The volatile oils of the invention are volatile cosmetic oils which are liquid at ambient temperature and have a non-zero vapor pressure at ambient temperature and atmospheric pressure, in particular ranging from 0.13 Pa to 40,000 Pa (0.001 to 300 mm). Hg) and preferably ranging from 1.3 to 1300 Pa (0.01 to 10 mmHg). The volatile oil may be chosen from volatile hydrocarbon oils, volatile silicone oils, volatile fluoro oils, and mixtures thereof.
Selon un mode préféré de réalisation, l'huile volatile est choisie parmi les huiles hydrocarbonées.According to a preferred embodiment, the volatile oil is chosen from hydrocarbon oils.
On entend par "huile hydrocarbonée", une huile contenant principalement des atomes d'hydrogène et de carbone et éventuellement des atomes d'oxygène, d'azote, de soufre et/ou de phosphore.The term "hydrocarbon-based oil" means an oil containing mainly hydrogen and carbon atoms and optionally oxygen, nitrogen, sulfur and / or phosphorus atoms.
Les huiles hydrocarbonées volatiles peuvent être choisies parmi les huiles hydrocarbonées ayant de 8 à 16 atomes de carbone, et notamment les alcanes ramifiés en C8-Ci6 comme les isoalcanes en C8-Ci6 d'origine pétrolière (appelées aussi isoparaffines) comme l'isododécane (encore appelé 2,2,4,4,6-pentaméthylheptane), l'isohexadécane, et par exemple les huiles vendues sous les noms commerciaux d'lsopars®ou de Permethyls®.Volatile hydrocarbon oils may be chosen from hydrocarbon oils having from 8 to 16 carbon atoms, and especially branched alkanes, C 8 -C 6 isoalkanes C 8 -C 6 of petroleum origin (also known as isoparaffins), isododecane (also called 2,2,4,4,6-pentamethylheptane), isohexadecane, and for example the oils sold under the trade names Isopars ® or Permethyls ® .
Comme huiles volatiles, on peut aussi utiliser les silicones volatiles, comme par exemple les huiles de silicones linéaires ou cycliques volatiles, notamment celles ayant une viscosité < 5 centistokes (5 x 10"6 m2/s), et ayant notamment de 2 à 10 atomes de silicium, de préférence de 2 à 7 atomes de silicium, ces silicones comportant éventuellement des groupes alkyle ou alkoxy ayant de 1 à 10 atomes de carbone. Comme huile de silicone volatile utilisable dans l'invention, on peut citer notamment l'octaméthyl cyclotétrasiloxane, le décaméthyl cyclopentasiloxane, le dodécaméthyl cyclohexasiloxane, l'heptaméthyl hexyltrisiloxane, l'heptaméthyloctyl trisiloxane, l'hexaméthyl disiloxane, l'octaméthyl trisiloxane, le décaméthyl tétrasiloxane, le dodécaméthyl pentasiloxane et leurs mélanges.As volatile oils, it is also possible to use volatile silicones, for example volatile linear or cyclic silicone oils, in particular those having a viscosity <5 centistokes (5 × 10 -6 m 2 / s), and having in particular from 2 to 10 silicon atoms, preferably 2 to 7 silicon atoms, these silicones optionally containing alkyl or alkoxy groups having from 1 to 10 carbon atoms, For example, the volatile silicone oil that may be used in the invention may be mentioned octamethylcyclotetrasiloxane, decamethylcyclopentasiloxane, dodecamethylcyclohexasiloxane, heptamethylhexyltrisiloxane, heptamethyloctyltrisiloxane, hexamethylisiloxane, octamethyltrisiloxane, decamethyltetrasiloxane, dodecamethylpentasiloxane, and mixtures thereof.
L'huile volatile fluorée n'a généralement pas de point éclair.The volatile fluorinated oil does not usually have a flash point.
Comme huile volatile fluorée, on peut citer le nonafluoroéthoxybutane, le nonafluorométhoxybutane, le décafluoropentane, le tétradécafluorohexane, le dodécafluoropentane, et leurs mélanges.As fluorinated volatile oil, mention may be made of nonafluoroethoxybutane, nonafluoromethoxybutane, decafluoropentane, tetradecafluorohexane and dodecafluoropentane, and mixtures thereof.
L'huile volatile peut être présente dans la composition selon l'invention en une teneur allant de 1 % à 40 % en poids, par rapport au poids total de la composition, de préférence allant de 3 % à 30 % en poids, préférentiellement allant de 5 % à 20 % en poids, et plus préférentiellement allant de 5 % à 10 % en poids. La phase huileuse de la ou des composition(s) selon l'invention peut être présente en une teneur totale allant de 1 % à 60 % en poids, par rapport au poids total de la composition, de préférence allant de 3 % à 50 % en poids, préférentiellement allant de 5 % à 35 % en poids, et plus préférentiellement allant de 10 % à 30 % en poids.The volatile oil may be present in the composition according to the invention in a content ranging from 1% to 40% by weight, relative to the total weight of the composition, preferably ranging from 3% to 30% by weight, preferably ranging from from 5% to 20% by weight, and more preferably from 5% to 10% by weight. The oily phase of the composition (s) according to the invention may be present in a total content ranging from 1% to 60% by weight, relative to the total weight of the composition, preferably ranging from 3% to 50%. by weight, preferably ranging from 5% to 35% by weight, and more preferably ranging from 10% to 30% by weight.
Agent structurantStructuring agent
La ou les composition(s) selon l'invention peu(ven)t comprendre au moins un agent structurant de phase grasse liquide choisi parmi les cires, les corps gras pâteux, les polymères semi-cristallins, les gélifiants lipophiles et leurs mélanges.The composition (s) according to the invention may comprise at least one structuring agent of liquid fatty phase chosen from waxes, pasty fatty substances, semi-crystalline polymers, lipophilic gelling agents and mixtures thereof.
Cireswaxes
La ou les composition(s) selon l'invention peu(ven)t comprendre au moins une cire.The composition (s) according to the invention may comprise at least one wax.
Par "cire", au sens de la présente invention, on entend un composé gras lipophile, solide à température ambiante (25°C) et pression atmosphérique (760 mm Hg, soit 105 Pa), à changement d'état solide/liquide réversible, ayant en particulier une température de fusion supérieure ou égale à 300C, notamment supérieure ou égale à 45°C, et pouvant aller jusqu'à 250 0C, notamment jusqu'à 230 0C, et en particulier jusqu'à 120 0C.For the purposes of the present invention, the term "wax" is intended to mean a lipophilic fatty compound which is solid at room temperature (25 ° C.) and at atmospheric pressure (760 mmHg, ie 10 5 Pa), with a solid / liquid state change. reversible, having in particular a melting point greater than or equal to 30 ° C., in particular greater than or equal to 45 ° C., and up to 250 ° C., in particular up to 230 ° C., and in particular up to 120 ° C.
En portant la cire à sa température de fusion, il est possible de la rendre miscible aux huiles et de former un mélange homogène microscopiquement, mais en rétablissant la température du mélange à la température ambiante, on obtient une recristallisation de la cire dans les huiles du mélange.By bringing the wax to its melting temperature, it is possible to render it miscible with oils and to form a homogeneous mixture microscopically, but by restoring the temperature of the mixture to room temperature, a recrystallization of the wax in the oils of the mixed.
Les valeurs de point de fusion correspondent, selon l'invention, au pic de fusion mesurée à l'aide d'un calorimètre à balayage différentiel (D. S. C), par exemple le calorimètre vendu sous la dénomination DSC 30 par la société METLER, avec une montée en température de 5 ou 10 0C par minute.The melting point values correspond, according to the invention, to the melting peak measured using a differential scanning calorimeter (DS C), for example the calorimeter sold under the name DSC 30 by the company METLER, with a rise in temperature of 5 or 10 0 C per minute.
Les cires, au sens de l'invention, peuvent être celles utilisées généralement dans les domaines cosmétiques ou dermatologiques. Elles peuvent notamment être hydrocarbonées, siliconées et/ou fluorées, comportant éventuellement des fonctions ester ou hydroxyle. Elles peuvent être également d'origine naturelle ou synthétique.The waxes, within the meaning of the invention, may be those used generally in the cosmetic or dermatological fields. They can in particular be hydrocarbon, silicone and / or fluorinated, optionally comprising ester or hydroxyl functions. They can also be of natural or synthetic origin.
A titre illustratif et non limitatif de ces cires, on peut notamment citer : - la cire d'abeilles, la cire de lanoline, et les cires d'insectes de Chine ; la cire de riz, la cire de Carnauba, la cire de Candellila, la cire d'Ouricury, la cire de fibres de liège, la cire de canne à sucre, la cire du Japon et la cire de sumac; la cire de montan, les cires microcristallines, les cires de paraffine, les ozokérites, la cire de cérésine, la cire de lignite, les cires de polyéthylène, les cires obtenues par la synthèse de Fisher-Tropsch, les esters d'acides gras et les glycérides concrets à 40 0C et notamment à plus de 45 0C,By way of illustration and not limitation of these waxes, mention may be made in particular of: - beeswax, lanolin wax, and insect waxes from China; rice wax, carnauba wax, candelilla wax, ouricury wax, cork fiber wax, sugar cane wax, japanese wax and sumach wax; montan wax, microcrystalline waxes, paraffin waxes, ozokerites, ceresin wax, lignite wax, polyethylene waxes, waxes obtained by Fisher-Tropsch synthesis, esters of fatty acids and the concrete glycerides at 40 ° C. and especially at more than 45 ° C.,
- les cires obtenues par hydrogénation catalytique d'huiles animales ou végétales ayant des chaînes grasses, linéaires ou ramifiées, en C8-C32, notamment l'huile de jojoba hydrogénée, l'huile de tournesol hydrogénée, l'huile de ricin hydrogénée, l'huile de coprah hydrogénée et l'huile de lanoline hydrogénée,the waxes obtained by catalytic hydrogenation of animal or vegetable oils having linear or branched C8-C32 fatty chains, especially hydrogenated jojoba oil, hydrogenated sunflower oil, hydrogenated castor oil, hydrogenated coconut oil and hydrogenated lanolin oil,
- les cires de silicones ou les cires fluorées, et leurs mélangessilicone waxes or fluorinated waxes, and mixtures thereof
La (ou les) cire(s) peu(ven)t être présente(s) dans la ou les composition(s) selon l'invention en une teneur allant de 1 à 15 % en poids, par rapport au poids total de la composition, de préférence de 2 à 12% en poids, et mieux de 4 à 9 % en poids.The wax (es) may be present in the composition (s) according to the invention in a content ranging from 1 to 15% by weight, relative to the total weight of the composition, preferably from 2 to 12% by weight, and more preferably from 4 to 9% by weight.
Corps gras pâteuxPasty fat
La ou les composition(s) selon l'invention peu(ven)t comprendre au moins corps gras pâteux.The composition (s) according to the invention may comprise at least pasty fatty substance.
Par corps gras pâteux, on entend un composé gras lipophile comportant à la température de 23°C une fraction liquide et une fraction solide. Ledit composé pâteux a de préférence une dureté à 200C allant de 0,001 à 0,5 MPa, de préférence de 0,002 à 0,4 MPa.Pasty fatty substance is understood to mean a lipophilic fatty compound containing, at a temperature of 23 ° C., a liquid fraction and a solid fraction. Said pasty compound preferably has a hardness at 20 0 C ranging from 0.001 to 0.5 MPa, preferably from 0.002 to 0.4 MPa.
La dureté est mesurée selon une méthode de pénétration d'une sonde dans un échantillon de composé et en particulier à l'aide d'un analyseur de texture (par exemple leThe hardness is measured according to a method of penetration of a probe in a sample of compound and in particular using a texture analyzer (for example the
TA-XT2i de chez Rhéo) équipé d'un cylindre en inox de 2 mm de diamètre. La mesure de dureté est effectuée à 200C au centre de 5 échantillons. Le cylindre est introduit dans chaque échantillon à une pré-vitesse de 1 mm/s puis à une vitesse de mesure de 0,1 mm/s, la profondeur de pénétration étant de 0,3 mm. La valeur relevée de la dureté est celle du pic maximum.TA-XT2i from Rhéo) equipped with a stainless steel cylinder 2 mm in diameter. The hardness measurement is carried out at 20 ° C. in the center of 5 samples. The cylinder is introduced into each sample at a pre-speed of 1 mm / s and then at a measurement speed of 0.1 mm / s, the penetration depth being 0.3 mm. The measured value of the hardness is that of the maximum peak.
La fraction liquide du composé pâteux mesurée à 23°C représente de préférence 9 à 97% en poids du composé. Cette fraction liquide à 23°C représente de préférence entre 15 etThe liquid fraction of the pasty compound measured at 23 ° C. preferably represents 9 to 97% by weight of the compound. This liquid fraction at 23 ° C is preferably between 15 and
85%, de préférence encore entre 40 et 85% en poids. La fraction liquide en poids du composé pâteux à 23°C est égale au rapport de l'enthalpie de fusion consommée à 23°C sur l'enthalpie de fusion du composé pâteux.85%, more preferably between 40 and 85% by weight. The liquid fraction by weight of pasty compound at 23 ° C is equal to the ratio of the enthalpy of fusion consumed at 23 ° C on the heat of fusion of the pasty compound.
L'enthalpie de fusion du composé pâteux est l'enthalpie consommée par le composé pour passer de l'état solide à l'état liquide. Le composé pâteux est dit à l'état solide lorsque l'intégralité de sa masse est sous forme solide cristalline. Le composé pâteux est dit à l'état liquide lorsque l'intégralité de sa masse est sous forme liquide. L'enthalpie de fusion du composé pâteux est égale à l'aire sous la courbe du thermogramme obtenu à l'aide d'un calorimètre à balayage différentiel (D. S. C), tel que le calorimètre vendu sous la dénomination MDSC 2920 par la société TA instrument, avec une montée en température de 5 ou 100C par minute, selon la norme ISO 11357-3:1999. L'enthalpie de fusion du composé pâteux est la quantité d'énergie nécessaire pour faire passer le composé de l'état solide à l'état liquide. Elle est exprimée eu J/g. L'enthalpie de fusion consommée à 23°C est la quantité d'énergie absorbée par l'échantillon pour passer de l'état solide à l'état qu'il présente à 23°C constitué d'une fraction liquide et d'une fraction solide.The heat of fusion of the pasty compound is the enthalpy consumed by the compound to pass from the solid state to the liquid state. The pasty compound is said to be in the solid state when the entirety of its mass is in crystalline solid form. The pasty compound is said to be in a liquid state when all of its mass is in liquid form. The enthalpy of fusion of the pasty compound is equal to the area under the curve of the thermogram obtained using a differential scanning calorimeter (DS C), such as the calorimeter sold under the name MDSC 2920 by the company TA instrument, with a rise in temperature of 5 or 10 0 C per minute, according to the standard ISO 11357-3: 1999. The enthalpy of fusion of the pasty compound is the amount of energy required to pass the compound from the solid state to the liquid state. It is expressed in J / g. The heat of fusion consumed at 23 ° C is the amount of energy absorbed by the sample to change from the solid state to the state that it has at 23 ° C consisting of a liquid fraction and a solid fraction.
La fraction liquide du composé pâteux mesurée à 32°C représente de préférence de 30 à 100% en poids du composé, de préférence de 80 à 100%, de préférence encore de 90 à 100% en poids du composé. Lorsque la fraction liquide du composé pâteux mesurée à 32°C est égale à 100%, la température de la fin de la plage de fusion du composé pâteux est inférieure ou égale à 32°C.The liquid fraction of the pasty compound measured at 32 ° C is preferably 30 to 100% by weight of the compound, preferably 80 to 100%, more preferably 90 to 100% by weight of the compound. When the liquid fraction of the pasty compound measured at 32 ° C. is equal to 100%, the temperature of the end of the melting range of the pasty compound is less than or equal to 32 ° C.
La fraction liquide du composé pâteux mesurée à 32°C est égale au rapport de l'enthalpie de fusion consommée à 32°C sur l'enthalpie de fusion du composé pâteux. L'enthalpie de fusion consommée à 32°C est calculée de la même façon que l'enthalpie de fusion consommée à 23°C.The liquid fraction of the pasty compound measured at 32 ° C. is equal to the ratio of the enthalpy of fusion consumed at 32 ° C. to the heat of fusion of the pasty compound. The enthalpy of fusion consumed at 32 ° C. is calculated in the same way as the heat of fusion consumed at 23 ° C.
Les corps pâteux sont généralement des composés hydrocarbonés comme les lanolines et leurs dérivés ou encore des PDMS.Paste bodies are generally hydrocarbon compounds such as lanolines and their derivatives or PDMSs.
Gélifiants lipophilesLipophilic gelling agents
La ou les composition(s) selon l'invention peu(ven)t comprendre au moins un gélifiants lipophiles.The composition (s) according to the invention may comprise at least one lipophilic gelling agent.
Les gélifiants utilisables dans les compositions selon l'invention peuvent être des gélifiants lipophiles organiques ou minéraux, polymériques ou moléculaires.The gelling agents that may be used in the compositions according to the invention may be organic or inorganic, polymeric or molecular lipophilic gelling agents.
Comme gélifiant lipophile minéral, on peut citer les argiles éventuellement modifiées comme les hectorites modifiées par un chlorure d'ammonium d'acide gras en C10 à C22, comme l'hectorite modifiée par du chlorure de di-stéaryl di-méthyl ammonium telle que, par exemple, celle commercialisée sous la dénomination de Bentone 38V® par la société ELEMENTIS. On peut également citer la silice pyrogénée éventuellement traitée hydrophobe en surface dont la taille des particules est inférieure à 1 μm. Il est en effet possible de modifier chimiquement la surface de la silice, par réaction chimique générant une diminution du nombre de groupes silanol présents à la surface de la silice. On peut notamment substituer des groupes silanol par des groupements hydrophobes : on obtient alors une silice hydrophobe. Les groupements hydrophobes peuvent être :As the mineral lipophilic gelling agent, the optionally modified clays may be mentioned as hectorites modified with a fatty acid ammonium chloride C 1 0 -C 22, such as hectorite modified by chloride distearyl di-methyl ammonium such as, for example, that marketed under the name of Bentone 38V ® by the company ELEMENTIS. It is also possible to mention fumed silica optionally treated hydrophobic surface whose particle size is less than 1 micron. It is indeed possible to chemically modify the surface of the silica, by chemical reaction generating a decrease in the number of silanol groups present on the surface of the silica. In particular, it is possible to substitute silanol groups with hydrophobic groups: a hydrophobic silica is then obtained. The hydrophobic groups can be:
- des groupements triméthylsiloxyle, qui sont notamment obtenus par traitement de silice pyrogénée en présence de l'hexaméthyldisilazane. Des silices ainsi traitées sont dénommées « Silica silylate » selon le CTFA (6eme édition, 1995). Elles sont par exemple commercialisées sous les références Aerosil R812® par la société DEGUSSA, CAB-O-SIL TS-530® par la société CABOT,trimethylsiloxyl groups, which are especially obtained by treatment of fumed silica in the presence of hexamethyldisilazane. Silicas thus treated are named "Silica Silylate" according to the CTFA (6 th edition, 1995). They are for example marketed under the references Aerosil R812 ® by Degussa, Cab-O-Sil TS-530 ® by the company Cabot;
- des groupements diméthylsilyloxyle ou polydiméthylsiloxane, qui sont notamment obtenus par traitement de silice pyrogénée en présence de polydiméthylsiloxane ou du diméthyldichlorosilane. Des silices ainsi traitées sont dénommées "Silica diméthyl silylate" selon le CTFA (6eme édition, 1995). Elles sont par exemple commercialisées sous les références Aerosil R972®, et Aerosil R974® par la société DEGUSSA, CAB-O-SIL TS- 610® et CAB-O-SIL TS-720® par la société CABOT.dimethylsilyloxyl or polydimethylsiloxane groups, which are especially obtained by treating fumed silica in the presence of polydimethylsiloxane or dimethyldichlorosilane. Silicas thus treated are called "Silica dimethyl Silylate" according to the CTFA (6 th edition, 1995). They are for example marketed under the references Aerosil R972 ® , and Aerosil R974 ® by the company DEGUSSA, CAB-O-SIL TS-610 ® and CAB-O-SIL TS-720 ® by CABOT.
La silice pyrogénée hydrophobe présente en particulier une taille de particules pouvant être nanométrique à micrométrique, par exemple allant d'environ de 5 à 200 nm.The hydrophobic fumed silica has in particular a particle size that can be nanometric to micrometric, for example ranging from about 5 to 200 nm.
Les gélifiants lipophiles organiques polymériques sont par exemple les organopolysiloxanes élastomériques partiellement ou totalement réticulés, de structure tridimensionnelle, comme ceux commercialisés sous les dénominations de KSG6®, KSG 16® et de KSG 18® par la société SHIN-ETSU, de Trefil E-505C® et Trefil E-506C® par la société DOW-CORNING, de Gransil SR-CYC®, SR DMF10®, SR-DC556®, SR 5CYC gel®, SR DMF 10 gel® et de SR DC 556 gel® par la société GRANT INDUSTRIES, de SF 1204® et de JK 113® par la société GENERAL ELECTRIC ; l'éthylcellulose comme celle vendue sous la dénomination Ethocel® par la société DOW CHEMICAL ; les polycondensats de type polyamide résultant de la condensation entre (oc) au moins un acide choisi parmi les acides dicarboxyliques comprenant au moins 32 atomes de carbone tels que les acides gras dimères et (β) un alkylène diamine et en particulier l'éthylène diamine, dans lequel le polymère polyamide comprend au moins un groupe acide carboxylique terminal estérifié ou amidifié avec au moins un mono alcool ou une mono aminé comprenant de 12 à 30 atomes de carbone linéaires et saturés, et en particulier, les copolymères d'éthylène diamine/dilinoléate de stéaryle tel que celui commercialisé sous la dénomination Uniclear 100 VG® par la société ARIZONA CHEMICAL ; les polyamides siliconés du type polyorganosiloxane tels que ceux décrits dans les documents US-A-5 874 069, US-A-5,919,441 , US-A-6,051 ,216 et US-A-5,981 ,680 comme par exemple ceux commercialisés sous la référence Dow Corning 2-8179 et Dow Corning 2-8178 Gellant par la société DOW CORNING ; les galactommananes comportant de un à six, et en particulier de deux à quatre, groupes hydroxyle par ose, substitués par une chaîne alkyle saturée ou non, comme la gomme de guar alkylée par des chaînes alkyle en Ci à C6, et en particulier en Ci à C3 et leurs mélanges. Les copolymères séquences de type "dibloc", "tribloc" ou "radial" du type polystyrène/polyisoprène, polystyrène/polybutadiène tels que ceux commercialisés sous la dénomination Luvitol HSB® par la société BASF, du type polystyrène/copoly(éthylène- propylène) tels que ceux commercialisés sous la dénomination de Kraton® par la société SHELL CHEMICAL CO ou encore du type polystyrène/copoly(éthylène-butylène), les mélanges de copolymères tribloc et radial (en étoile) dans l'isododécane tels que ceux commercialisé par la société PENRECO sous la dénomination Versagel® comme par exemple le mélange de copolymère tribloc butylène/éthylène/styrène et de copolymère étoile éthylène/propylène/styrène dans l'isododécane (Versagel M 5960).The polymeric organic lipophilic gelling agents are, for example elastomeric organopolysiloxanes partially or totally crosslinked, three-dimensional structure, such as those sold under the names KSG6 ®, KSG 16 ® and KSG 18 ® by the company Shin-Etsu, Trefil E-505C ® and Trefil E-506C ® by DOW-CORNING, Gransil SR-CYC ® , SR DMF10 ® , SR-DC556 ® , SR 5CYC gel ® , SR DMF 10 gel ® and SR DC 556 gel ® by the company GRANT INDUSTRIES, SF 1204 ® and JK 113 ® by the company GENERAL ELECTRIC; ethyl cellulose such as that sold under the name Ethocel ® by Dow Chemical; polycondensates of polyamide type resulting from the condensation between (oc) at least one acid selected from dicarboxylic acids comprising at least 32 carbon atoms such as dimeric fatty acids and (β) an alkylene diamine and in particular ethylene diamine, wherein the polyamide polymer comprises at least one group terminal carboxylic acid esterified or amidated with at least one monohydric alcohol or a monoamino comprising from 12 to 30 linear and saturated carbon atoms, and in particular ethylene diamine / stearyl dilinoleate copolymers such as the one sold under the name Uniclear 100 VG ® by the company ARIZONA CHEMICAL; silicone polyamides of the polyorganosiloxane type, such as those described in documents US-A-5,874,069, US-A-5,919,441, US-A-6,051,216 and US-A-5,981,680, for example those sold under the reference Dow Corning 2-8179 and Dow Corning 2-8178 Gellant by Dow Corning; galactomannans comprising from one to six, particularly two to four hydroxyl groups per saccharide, substituted with a saturated alkyl chain or not, such as guar gum alkylated with alkyl chains to C 6, and in particular C 1 to C 3 and mixtures thereof. Block copolymers of "diblock", "triblock" or "radial" of the polystyrene / polyisoprene or polystyrene / polybutadiene type such as those marketed under the name Luvitol HSB ® by the company BASF, of the polystyrene / copoly (ethylene-propylene) such as those marketed under the trademark Kraton ® by the company Shell Chemical Co., or the polystyrene / copoly (ethylene-butylene), triblock and radial copolymers of the mixtures (star) in isododecane such as those sold by the PENRECO company under the name Versagel ® such as the mixture of butylene / ethylene / styrene triblock copolymer and star copolymer ethylene / propylene / styrene in isododecane (Versagel M 5960).
Parmi les gélifiants lipophiles pouvant être utilisés dans les compositions selon l'invention, on peut encore citer les esters de dextrine et d'acide gras, tels que les palmitates de dextrine, notamment tels que ceux commercialisés sous les dénominations Rheopearl TL® ou Rheopearl KL® par la société CHIBA FLOUR.Among the gelling agents that may be used in the compositions according to the invention, mention may also be esters of dextrin fatty acid, such as dextrin palmitates, especially such as those sold under the names Rheopearl TL ® or Rheopearl KL ® by the company CHIBA FLOUR.
L'agent structurant de la phase huileuse peut être présent dans la ou les composition(s) selon l'invention en une teneur allant de 0,1 % à 10 % en poids, par rapport au poids total de la composition, de préférence en une teneur allant de 0,5 % à 7 % en poids.The structuring agent of the oily phase may be present in the composition (s) according to the invention in a content ranging from 0.1% to 10% by weight, relative to the total weight of the composition, preferably in a content ranging from 0.5% to 7% by weight.
La ou les composition(s) selon l'invention peu(ven)t comprendre une phase grasse formée des huiles et des agents structurants décrits précédemment, présente en une teneur allant de 5 à 50 % en poids par rapport au poids total de la composition, de préférence de 10 à 40 % en poids, et plus préférentiellement de 15 à 30 % en poids. Polymère filmogèneThe composition (s) according to the invention may comprise a fatty phase formed of the oils and structuring agents described above, present in a content ranging from 5 to 50% by weight relative to the total weight of the composition. preferably from 10 to 40% by weight, and more preferably from 15 to 30% by weight. Film-forming polymer
Au moins l'une des compositions selon l'invention peut comprendre un polymère filmogène. Selon la présente invention, on entend par "polymère filmogène", un polymère apte à former à lui seul ou en présence d'un agent auxiliaire de filmification, un film continu et adhérent sur un support, notamment sur les matières kératiniques.At least one of the compositions according to the invention may comprise a film-forming polymer. According to the present invention, the term "film-forming polymer" means a polymer capable of forming on its own or in the presence of an auxiliary film-forming agent, a continuous and adherent film on a support, in particular on keratin materials.
Le polymère filmogène peut être présent en une teneur en matières sèches (ou matières actives) allant de 0,1 % à 30 % en poids par rapport au poids total de chaque composition, de préférence de 0,5 % à 20 % en poids, et mieux de 1 % à 15 % en poids.The film-forming polymer may be present in a solids content (or active materials) ranging from 0.1% to 30% by weight relative to the total weight of each composition, preferably from 0.5% to 20% by weight. and better from 1% to 15% by weight.
Parmi les polymères filmogènes utilisables dans les compositions de la présente invention, on peut citer les polymères synthétiques, de type radicalaire ou de type polycondensat, les polymères d'origine naturelle, et leurs mélanges. Par polymère filmogène radicalaire, on entend un polymère obtenu par polymérisation de monomères à insaturation notamment éthylénique, chaque monomère étant susceptible de s'homopolymériser (à l'inverse des polycondensats).Among the film-forming polymers that may be used in the compositions of the present invention, mention may be made of synthetic polymers, of radical type or of polycondensate type, polymers of natural origin, and mixtures thereof. By radical-forming film-forming polymer is meant a polymer obtained by polymerization of unsaturated monomers, especially ethylenic monomers, each monomer being capable of homopolymerizing (unlike polycondensates).
Les polymères filmogènes de type radicalaire peuvent être notamment des polymères, ou des copolymères, vinyliques, notamment des polymères acryliques. Les polymères filmogènes vinyliques peuvent résulter de la polymérisation de monomères à insaturation éthylénique ayant au moins un groupement acide et/ou des esters de ces monomères acides et/ou des amides de ces monomères acides.The radical-type film-forming polymers may in particular be polymers, or copolymers, vinylic polymers, in particular acrylic polymers. The vinyl film-forming polymers may result from the polymerization of ethylenically unsaturated monomers having at least one acidic group and / or esters of these acidic monomers and / or amides of these acidic monomers.
Comme monomère porteur de groupement acide, on peut utiliser des acides carboxyliques insaturés α,β-éthyléniques tels que l'acide acrylique, l'acide méthacrylique, l'acide crotonique, l'acide maléique, l'acide itaconique. On utilise de préférence l'acide (méth)acrylique et l'acide crotonique, et plus préférentiellement l'acide (méth)acrylique. Les esters de monomères acides sont avantageusement choisis parmi les esters de l'acide (méth)acrylique (encore appelé les (méth)acrylates), notamment des (méth)acrylates d'alkyle, en particulier d'alkyle en CrC30, de préférence en CrC20, des (méth)acrylates d'aryle, en particulier d'aryle en C6-Ci0, des (méth)acrylates d'hydroxyalkyle, en particulier d'hydroxyalkyle en C2-C6 .As monomer bearing an acid group, it is possible to use α, β-ethylenic unsaturated carboxylic acids such as acrylic acid, methacrylic acid, crotonic acid, maleic acid, itaconic acid. It is preferable to use (meth) acrylic acid and crotonic acid, and more preferably (meth) acrylic acid. The acidic monomer esters are advantageously chosen from esters of (meth) acrylic acid (also called (meth) acrylates), in particular alkyl (meth) acrylates, in particular C 1 -C 30 alkyl, preferably C 1 -C 20 aryl, (meth) acrylates, in particular C 6 -C 10 aryl, hydroxyalkyl (meth) acrylates, in particular C 2 -C 6 hydroxyalkyl.
Parmi les (méth)acrylates d'alkyle, on peut citer le méthacrylate de méthyle, le méthacrylate d'éthyle, le méthacrylate de butyle, le méthacrylate d'isobutyle, le méthacrylate d'éthyl-2 hexyle, le méthacrylate de lauryle, le méthacrylate de cyclohexyle. Parmi les (méth)acrylates d'hydroxyalkyle, on peut citer l'acrylate d'hydroxyéthyle, l'acrylate de 2-hydroxypropyle, le méthacrylate d'hydroxyéthyle, le méthacrylate de 2- hydroxypropyle.Among the alkyl (meth) acrylates, mention may be made of methyl methacrylate, ethyl methacrylate, butyl methacrylate, isobutyl methacrylate, 2-ethylhexyl methacrylate, lauryl methacrylate, cyclohexyl methacrylate. Among the hydroxyalkyl (meth) acrylates, mention may be made of hydroxyethyl acrylate, 2-hydroxypropyl acrylate, hydroxyethyl methacrylate and methacrylate of 2-hydroxypropyl acrylate. hydroxypropyl.
Parmi les (méth)acrylates d'aryle, on peut citer l'acrylate de benzyle et l'acrylate de phényle.Among the aryl (meth) acrylates, mention may be made of benzyl acrylate and phenyl acrylate.
Les esters de l'acide (méth)acrylique particulièrement préférés sont les (méth)acrylates d'alkyle.Particularly preferred (meth) acrylic acid esters are alkyl (meth) acrylates.
Selon la présente invention, le groupement alkyle des esters peut être soit fluoré, soit perfluoré, c'est-à-dire qu'une partie ou la totalité des atomes d'hydrogène du groupement alkyle sont substitués par des atomes de fluor.According to the present invention, the alkyl group of the esters can be either fluorinated or perfluorinated, ie some or all of the hydrogen atoms of the alkyl group are substituted by fluorine atoms.
Comme amides des monomères acides, on peut par exemple citer les (méth)acrylamides, et notamment les N-alkyl (méth)acrylamides, en particulier d'alkyl en C2-C12. Parmi les N- alkyl (méth)acrylamides, on peut citer le N-éthyl acrylamide, le N-t-butyl acrylamide, le N- t-octyl acrylamide et le N-undécylacrylamide.Amides of the acidic monomers include, for example, (meth) acrylamides, and especially N-alkyl (meth) acrylamides, in particular C 2 -C 12 alkyls. Among the N-alkyl (meth) acrylamides, mention may be made of N-ethyl acrylamide, Nt-butyl acrylamide, N-t-octyl acrylamide and N-undecylacrylamide.
Les polymères filmogènes vinyliques peuvent également résulter de l'homopolymérisation ou de la copolymérisation de monomères choisis parmi les esters vinyliques et les monomères styrèniques. En particulier, ces monomères peuvent être polymérisés avec des monomères acides et/ou leurs esters et/ou leurs amides, tels que ceux mentionnés précédemment.The vinyl film-forming polymers can also result from the homopolymerization or copolymerization of monomers chosen from vinyl esters and styrene monomers. In particular, these monomers can be polymerized with acidic monomers and / or their esters and / or their amides, such as those mentioned above.
Comme exemple d'esters vinyliques, on peut citer l'acétate de vinyle, le néodécanoate de vinyle, le pivalate de vinyle, le benzoate de vinyle et le t-butyl benzoate de vinyle. Comme monomères styrèniques, on peut citer le styrène et l'alpha-méthyl styrène.Examples of vinyl esters include vinyl acetate, vinyl neodecanoate, vinyl pivalate, vinyl benzoate and vinyl t-butyl benzoate. Styrene monomers include styrene and alpha-methyl styrene.
Parmi les polycondensats filmogènes, on peut citer les polyuréthanes, les polyesters, les polyesters amides, les polyamides, et les résines époxyesters, les polyurées.Among the film-forming polycondensates, mention may be made of polyurethanes, polyesters, polyester amides, polyamides, and epoxy ester resins, polyureas.
Les polyuréthanes peuvent être choisis parmi les polyuréthanes anioniques, cationiques, non-ioniques ou amphotères, les polyuréthanes-acryliques, les poly-uréthanes- polyvinylpirrolidones, les polyester-polyuréthanes, les polyéther-polyuréthanes, les polyurées, les polyurée-polyuréthanes, et leurs mélanges.The polyurethanes may be chosen from anionic, cationic, nonionic or amphoteric polyurethanes, polyurethane-acrylics, poly-urethanes-polyvinylpyrrolidones, polyester-polyurethanes, polyether-polyurethanes, polyureas, polyurea-polyurethanes, and their polyurethanes. mixtures.
Les polyesters peuvent être obtenus, de façon connue, par polycondensation d'acides dicarboxyliques avec des polyols, notamment des diols.The polyesters can be obtained, in known manner, by polycondensation of dicarboxylic acids with polyols, especially diols.
L'acide dicarboxylique peut être aliphatique, alicyclique ou aromatique. On peut citer comme exemple de tels acides : l'acide oxalique, l'acide malonique, l'acide diméthylmalonique, l'acide succinique, l'acide glutarique, l'acide adipique, l'acide pimélique, l'acide 2,2-diméthylglutarique, l'acide azélaïque, l'acide subérique, l'acide sébacique, l'acide fumarique, l'acide maléique, l'acide itaconique, l'acide phtalique, l'acide dodécanedioïque, l'acide 1 ,3-cyclohexanedicarboxylique, l'acide 1 ,4- cyclohexanedicarboxylique, l'acide isophtalique, l'acide téréphtalique, l'acide 2,5- norbornane dicarboxylique, l'acide diglycolique, l'acide thiodipropionique, l'acide 2,5- naphtalènedicarboxylique, l'acide 2,6-naphtalènedicarboxylique. Ces monomères acide dicarboxylique peuvent être utilisés seuls ou en combinaison d'au moins deux monomères acide dicarboxylique. Parmi ces monomères, on choisit préférentiellement l'acide phtalique, l'acide isophtalique, l'acide téréphtalique.The dicarboxylic acid can be aliphatic, alicyclic or aromatic. Examples of such acids are: oxalic acid, malonic acid, dimethylmalonic acid, succinic acid, glutaric acid, adipic acid, pimelic acid, 2,2-acid. -dimethylglutaric acid, azelaic acid, suberic acid, sebacic acid, fumaric acid, maleic acid, itaconic acid, phthalic acid, dodecanedioic acid, acid 1, 3- cyclohexanedicarboxylic acid, 1,4-cyclohexanedicarboxylic acid, isophthalic acid, terephthalic acid, 2,5-norbornane dicarboxylic acid, diglycolic acid, thiodipropionic acid, 2,5-naphthalenedicarboxylic acid, 2,6-naphthalenedicarboxylic acid. These acid monomers The dicarboxylic acid can be used alone or in combination with at least two dicarboxylic acid monomers. Among these monomers, phthalic acid, isophthalic acid and terephthalic acid are preferably chosen.
Le diol peut être choisi parmi les diols aliphatiques, alicycliques, aromatiques. On utilise de préférence un diol choisi parmi : l'éthylène glycol, le diéthylène glycol, le triéthylène glycol, le 1 ,3-propanediol, le cyclohexane diméthanol, le 4-butanediol. Comme autres polyols, on peut utiliser le glycérol, le pentaérythritol, le sorbitol, le triméthylol propane. Les polyesters amides peuvent être obtenus de manière analogue aux polyesters, par polycondensation de diacides avec des diamines ou des amino alcools. Comme diamine, on peut utiliser l'éthylènediamine, l'hexaméthylènediamine, la meta- ou para- phénylènediamine. Comme aminoalcool, on peut utiliser la monoéthanolamine. Le polyester peut en outre comprendre au moins un monomère portant au moins un groupement -SO3M, avec M représentant un atome d'hydrogène, un ion ammonium NH4 + ou un ion métallique, comme par exemple un ion Na+, Li+, K+, Mg2+, Ca2+, Cu2+, Fe2+, Fe3+. On peut utiliser notamment un monomère aromatique bifonctionnel comportant un tel groupement -SO3M.The diol may be chosen from aliphatic, alicyclic and aromatic diols. A diol chosen from: ethylene glycol, diethylene glycol, triethylene glycol, 1,3-propanediol, cyclohexane dimethanol and 4-butanediol is preferably used. As other polyols, it is possible to use glycerol, pentaerythritol, sorbitol, trimethylolpropane. The polyester amides can be obtained in a similar manner to the polyesters by polycondensation of diacids with diamines or amino alcohols. As the diamine, there can be used ethylenediamine, hexamethylenediamine, meta- or para-phenylenediamine. As aminoalcohol, monoethanolamine can be used. The polyester may further comprise at least one monomer bearing at least one -SO 3 M group, with M representing a hydrogen atom, an ammonium ion NH 4 + or a metal ion, such as for example an ion Na + , Li + , K +, Mg 2+ , Ca 2+ , Cu 2+ , Fe 2+ , Fe 3+ . In particular, it is possible to use a bifunctional aromatic monomer comprising such a group -SO 3 M.
Le noyau aromatique du monomère aromatique bifonctionnel portant en outre un groupement -SO3M tel que décrit ci-dessus peut être choisi par exemple parmi les noyaux benzène, naphtalène, anthracène, diphényl, oxydiphényl, sulfonyldiphényl, méthylènediphényl. On peut citer comme exemple de monomère aromatique bifonctionnel portant en outre un groupement -SO3M : l'acide sulfoisophtalique, l'acide sulfotéréphtalique, l'acide sulfophtalique, l'acide 4-sulfonaphtalène-2,7-dicarboxylique. On préfère utiliser des copolymères à base d'isophtalate/sulfoisophtalate, et plus particulièrement des copolymères obtenus par condensation de di-éthylèneglycol, cyclohexane di-méthanol, acide isophtalique, acide sulfoisophtalique.The aromatic nucleus of the bifunctional aromatic monomer additionally bearing a -SO 3 M group as described above may be chosen for example from benzene, naphthalene, anthracene, diphenyl, oxydiphenyl, sulfonyldiphenyl and methylenediphenyl nuclei. An example of a bifunctional aromatic monomer also bearing an -SO 3 M group is sulfoisophthalic acid, sulfoterephthalic acid, sulphophthalic acid and 4-sulphonaphthalene-2,7-dicarboxylic acid. It is preferred to use copolymers based on isophthalate / sulphoisophthalate, and more particularly copolymers obtained by condensation of diethylene glycol, cyclohexane di-methanol, isophthalic acid, sulfoisophthalic acid.
Les polymères d'origine naturelle, éventuellement modifiés, peuvent être choisis parmi la résine shellac, la gomme de sandaraque, les dammars, les élémis, les copals, les polymères cellulosiques, et leurs mélanges.The polymers of natural origin, optionally modified, may be chosen from shellac resin, sandarac gum, dammars, elemis, copals, cellulosic polymers, and mixtures thereof.
Selon un premier mode de réalisation de l'invention, le polymère filmogène peut être un polymère hydrosoluble et peut être présent dans une phase aqueuse de la première et/ou seconde composition ; le polymère est donc solubilisé dans la phase aqueuse de la composition.According to a first embodiment of the invention, the film-forming polymer may be a water-soluble polymer and may be present in an aqueous phase of the first and / or second composition; the polymer is solubilized in the aqueous phase of the composition.
Selon une autre variante, le polymère filmogène peut être un polymère solubilisé dans une phase grasse liquide comprenant des huiles ou solvants organiques tels que ceux décrits précédemment (on dit alors que le polymère filmogène est un polymère liposoluble). De préférence, la phase grasse liquide comprend une huile volatile, éventuellement en mélange avec une huile non volatile, les huiles pouvant être choisies parmi les huiles citées précédemment.According to another variant, the film-forming polymer may be a polymer solubilized in a liquid fatty phase comprising organic oils or solvents such as those described above (it is said that the film-forming polymer is a polymer fat-soluble). Preferably, the liquid fatty phase comprises a volatile oil, optionally mixed with a non-volatile oil, the oils may be chosen from the oils mentioned above.
A titre d'exemple de polymère liposoluble, on peut citer les copolymères d'ester vinylique (le groupe vinylique étant directement relié à l'atome d'oxygène du groupe ester et l'ester vinylique ayant un radical hydrocarboné saturé, linéaire ou ramifié, de 1 à 19 atomes de carbone, lié au carbonyle du groupe ester ) et d'au moins un autre monomère qui peut être un ester vinylique (différent de l'ester vinylique déjà présent), une α-oléfine (ayant de 8 à 28 atomes de carbone), un alkylvinyléther (dont le groupe alkyl comporte de 2 à 18 atomes de carbone), ou un ester allylique ou méthallylique (ayant un radical hydrocarboné saturé, linéaire ou ramifié, de 1 à 19 atomes de carbone, lié au carbonyle du groupe ester). Ces copolymères peuvent être réticulés à l'aide de réticulants qui peuvent être soit du type vinylique, soit du type allylique ou méthallylique, tels que le tétraallyloxyéthane, le divinylbenzène, l'octanedioate de divinyle, le dodécanedioate de divinyle, et l'octadécanedioate de divinyle.As an example of a fat-soluble polymer, mention may be made of vinyl ester copolymers (the vinyl group being directly connected to the oxygen atom of the ester group and the vinyl ester having a saturated hydrocarbon radical, linear or branched, from 1 to 19 carbon atoms, linked to the carbonyl ester group) and from at least one other monomer which may be a vinyl ester (different from the vinyl ester already present), an α-olefin (having from 8 to 28 carbon atoms), an alkyl vinyl ether (the alkyl group of which contains 2 to 18 carbon atoms), or an allyl or methallyl ester (having a linear or branched, saturated hydrocarbon radical of 1 to 19 carbon atoms, bonded to the carbonyl ester group). These copolymers may be crosslinked using crosslinking agents which may be of the vinyl type, or of the allyl or methallyl type, such as tetraallyloxyethane, divinylbenzene, divinyl octanedioate, divinyl dodecanedioate, and octadecanedioate. divinyl.
Comme exemples de ces copolymères, on peut citer les copolymères : acétate de vinyle/stéarate d'allyle, l'acétate de vinyle/laurate de vinyle, acétate de vinyle/stéarate de vinyle, acétate de vinyle/octadécène, acétate de vinyle/octadécylvinyléther, propionate de vinyle/laurate d'allyle, propionate de vinyle/laurate de vinyle, stéarate de vinyle/octadécène-1 , acétate de vinyle/dodécène-1 , stéarate de vinyle/éthylvinyléther, propionate de vinyle/cétyl vinyle éther, stéarate de vinyle/acétate d'allyle, diméthyl-2, 2 octanoate de vinyle/laurate de vinyle, diméthyl-2, 2 pentanoate d'allyle/laurate de vinyle, diméthyl propionate de vinyle/stéarate de vinyle, diméthyl propionate d'allyle/stéarate de vinyle, propionate de vinyle/stéarate de vinyle, réticulé avec 0,2 % de divinyl benzène, diméthyl propionate de vinyle/laurate de vinyle, réticulé avec 0,2 % de divinyl benzène, acétate de vinyle/octadécyl vinyl éther, réticulé avec 0,2 % de tétraallyloxyéthane, acétate de vinyle/stéarate d'allyle, réticulé avec 0,2 % de divinyl benzène, acétate de vinyle/octadécène-1 réticulé avec 0,2 % de divinyl benzène et propionate d'allyle/stéarate d'allyle réticulé avec 0,2 % de divinyl benzène.Examples of such copolymers include copolymers: vinyl acetate / allyl stearate, vinyl acetate / vinyl laurate, vinyl acetate / vinyl stearate, vinyl acetate / octadecene, vinyl acetate / octadecylvinylether , vinyl propionate / allyl laurate, vinyl propionate / vinyl laurate, vinyl stearate / octadecene-1, vinyl acetate / dodecene-1, vinyl stearate / ethyl vinyl ether, vinyl propionate / cetyl vinyl ether, stearate of vinyl vinyl / allyl acetate, 2,2-dimethyl-2 vinyl octanoate / vinyl laurate, 2,2-dimethyl-2-allyl pentanoate / vinyl laurate, vinyl dimethyl propionate / vinyl stearate, dimethyl allyl propionate / stearate vinyl propionate / vinyl stearate, crosslinked with 0.2% divinyl benzene, vinyl dimethyl propionate / vinyl laurate, cross-linked with 0.2% divinyl benzene, vinyl acetate / octadecyl vinyl ether, crosslinked with 0.2% of tetraal lyloxyethane, vinyl acetate / allyl stearate, crosslinked with 0.2% divinyl benzene, vinyl acetate / octadecene-1 crosslinked with 0.2% divinyl benzene and allyl propionate / allyl stearate cross-linked with 0 2% divinyl benzene.
Comme polymères filmogènes liposolubles, on peut également citer les copolymères liposolubles, et en particulier ceux résultant de copolymérisation d'esters vinyliques ayant de 9 à 22 atomes de carbone ou d'acrylates ou de méthacrylates d'alkyle, les radicaux alkyles ayant de 10 à 20 atomes de carbone.Liposoluble film-forming polymers that may also be mentioned include liposoluble copolymers, and in particular those resulting from the copolymerization of vinyl esters having from 9 to 22 carbon atoms or of alkyl acrylates or methacrylates, the alkyl radicals having from 10 to 20 carbon atoms.
De tels copolymères liposolubles peuvent être choisis parmi les copolymères de polystéarate de vinyle, de polystéarate de vinyle réticulé à l'aide de divinylbenzène, de diallyléther ou de phtalate de diallyle, les copolymères de poly(méth)acrylate de stéaryle, de polylaurate de vinyle, de poly(méth)acrylate de lauryle, ces poly(méth)acrylates pouvant être réticulés à l'aide de diméthacrylate de l'éthylène glycol ou de tétraéthylène glycol. Les copolymères liposolubles définis précédemment sont connus et notamment décrits dans la demande FR-A-2232303 ; ils peuvent avoir un poids moléculaire moyen en poids allant de 2.000 à 500.000 et de préférence de 4.000 à 200.000.Such liposoluble copolymers may be chosen from copolymers of vinyl polycrystearate, vinyl polystearate crosslinked with divinylbenzene, diallyl ether or diallyl phthalate, copolymers of poly (meth) acrylate stearyl, vinyl polylaurate, lauryl poly (meth) acrylate, these poly (meth) acrylates can be crosslinked using dimethacrylate of the ethylene glycol or tetraethylene glycol. The liposoluble copolymers defined above are known and in particular described in application FR-A-2232303; they can have a weight average molecular weight ranging from 2,000 to 500,000 and preferably from 4,000 to 200,000.
On peut également citer les homopolymères liposolubles, et en particulier ceux résultant de rhomopolymérisation d'esters vinyliques ayant de 9 à 22 atomes de carbone ou d'acrylates ou de méthacrylates d'alkyle, les radicaux alkyles ayant de 2 à 24 atomes de carbone.Mention may also be made of liposoluble homopolymers, and in particular those resulting from the rhomopolymerization of vinyl esters having from 9 to 22 carbon atoms or of alkyl acrylates or methacrylates, the alkyl radicals having from 2 to 24 carbon atoms.
Comme exemples d'homopolymères liposolubles, on peut citer notamment: les polylaurate de vinyle et le poly(méth)acrylates de lauryle, ces poly(méth)acrylates pouvant être réticulés à l'aide de diméthacrylate de l'éthylène glycol ou de tétraéthylène glycol. Selon un mode de réalisation avantageux, la première et/ou la seconde composition du procédé selon l'invention comprend au moins un polymères filmogène polylaurate de vinyle.As examples of liposoluble homopolymers, there may be mentioned in particular: vinyl polylaurate and lauryl poly (meth) acrylates, these poly (meth) acrylates being capable of being crosslinked by means of ethylene glycol dimethacrylate or tetraethylene glycol . According to an advantageous embodiment, the first and / or second composition of the process according to the invention comprises at least one film-forming polymer polyvinyl acetate.
Comme polymères filmogènes liposolubles utilisables dans l'invention, on peut également citer les polyalkylènes et notamment les copolymères d'alcènes en C2-C20, comme le polybutène, les alkylcelluloses avec un radical alkyle linéaire ou ramifié, saturé ou non en C1 à C8 comme l'éthylcellulose et la propylcellulose, les copolymères de la vinylpyrolidone (VP) et notamment les copolymères de la vinylpyrrolidone et d'alcène en C2 à C40 et mieux en C3 à C20. A titre d'exemple de copolymère de VP utilisable dans l'invention, on peut citer le copolymère de VP/acétate vinyle, VP/méthacrylate d'éthyle, la polyvinylpyrolidone (PVP) butylée, VP/méthacrylate d'éthyle/acide méthacrylique, VP/eicosène, VP/hexadécène, VP/triacontène, VP/styrène, VP/acide acrylique/méthacrylate de lauryle. On peut également citer les résines de silicone, généralement solubles ou gonflables dans les huiles de silicone, qui sont des polymères de polyorganosiloxanes réticulés. La nomenclature des résines de silicone est connue sous le nom de "MDTQ", la résine étant décrite en fonction des différentes unités monomèriques siloxane qu'elle comprend, chacune des lettres "MDTQ" caractérisant un type d'unité. A titre d'exemples de résines polymethylsilsesquioxanes commercialement disponibles, on peut citer celles qui sont commercialisés : par la société Wacker sous la référence Resin MK tels que la Belsil PMS MK : par la société SHIN-ETSU sous les références KR-220L. Comme résines siloxysilicates, on peut citer les résines trimethylsiloxysilicate (TMS) telles que celle commercialisées sous la référence SR1000 par la société General Electric ou sous la référence TMS 803 par la société Wacker. On peut encore citer les résines timéthylsiloxysilicate commercialisées dans un solvant tel que la cyclomethicone, vendues sous la dénomination "KF-7312J" par la société Shin-Etsu, "DC 749", "DC 593" par la société Dow Corning.Liposoluble film-forming polymers that can be used in the invention also include polyalkylenes and especially copolymers of C2-C20 alkenes, such as polybutene, alkylcelluloses with a linear or branched alkyl radical, saturated or unsaturated, for example ethylcellulose and propylcellulose, copolymers of vinylpyrrolidone (VP) and in particular copolymers of vinylpyrrolidone and of C2 to C40 and better still of C3 to C20 alkene. By way of example of a copolymer of VP which may be used in the invention, mention may be made of the copolymer of VP / vinyl acetate, VP / ethyl methacrylate, polyvinylpyrrolidone (PVP) butylated, VP / ethyl methacrylate / methacrylic acid, VP / eicosene, VP / hexadecene, VP / triacontene, VP / styrene, VP / acrylic acid / lauryl methacrylate. Mention may also be made of silicone resins, generally soluble or swellable in silicone oils, which are crosslinked polyorganosiloxane polymers. The nomenclature of the silicone resins is known under the name of "MDTQ", the resin being described according to the different siloxane monomeric units that it comprises, each of the letters "MDTQ" characterizing a type of unit. As examples of commercially available polymethylsilsesquioxane resins, mention may be made of those sold: by the company Wacker under the reference Resin MK such as Belsil PMS MK: by the company SHIN-ETSU under the references KR-220L. As siloxysilicate resins, mention may be made of trimethylsiloxysilicate (TMS) resins such as those sold under the reference SR1000 by the company General Electric or under the reference TMS 803 by the company Wacker. Mention may also be made of timethylsiloxysilicate resins sold in a solvent such as cyclomethicone, sold under the name "KF-7312J" by the company Shin-Etsu, "DC 749", "DC 593" by the company Dow Corning.
On peut aussi citer des copolymères de résines de silicone telles que celles citées ci- dessus avec des polydiméthylsiloxanes, comme les copolymères adhésifs sensibles à la pression commercialisés par la société Dow Corning sous la référence BIO-PSA et décrits dans le document US 5 162 410 ou encore les copolymères siliconés issus de la réaction d'un résine de silicone, telle que celles décrite plus haut, et d'un diorganosiloxane tels que décrits dans le document WO 2004/073626.Mention may also be made of silicone resin copolymers such as those mentioned above with polydimethylsiloxanes, such as the pressure-sensitive adhesive copolymers marketed by Dow Corning under the reference BIO-PSA and described in document US Pat. No. 5,162,410. or the silicone copolymers resulting from the reaction of a silicone resin, such as those described above, and a diorganosiloxane as described in document WO 2004/073626.
On peut également utiliser les polyamides siliconés du type polyorganosiloxane tels que ceux décrits dans les documents US-A-5 874 069, US-A-5,919,441 , US-A-6,051 ,216 etIt is also possible to use polyorganosiloxane-type silicone polyamides such as those described in documents US-A-5 874 069, US-A-5,919,441, US-A-6,051, 216 and
US-A-5,981 ,680.U.S.-A-5,981,680.
Ces polymères siliconés peuvent appartenir aux deux familles suivantes : des polyorganosiloxanes comportant au moins deux groupes capables d'établir des interactions hydrogène, ces deux groupes étant situés dans la chaîne du polymère, et/ou des polyorganosiloxanes comportant au moins deux groupes capables d'établir des interactions hydrogène, ces deux groupes étant situés sur des greffons ou ramifications.These silicone polymers may belong to the following two families: polyorganosiloxanes comprising at least two groups capable of establishing hydrogen interactions, these two groups being located in the polymer chain, and / or polyorganosiloxanes comprising at least two groups capable of establishing hydrogen interactions, these two groups being located on grafts or branches.
Selon un mode de réalisation de l'invention, le polymère filmogène est un polymère éthylénique séquence linéaire filmogène, qui comprend de préférence au moins une première séquence et au moins une deuxième séquence ayant des températures de transition vitreuse (Tg) différentes, lesdites première et deuxième séquences étant reliées entre elles par une séquence intermédiaire comprenant au moins un monomère constitutif de la première séquence et au moins un monomère constitutif de la deuxième séquence. Avantageusement, les première et deuxième séquences et du polymère séquence sont incompatibles l'une avec l'autre.According to one embodiment of the invention, the film-forming polymer is a film-forming linear ethylenic block polymer, which preferably comprises at least a first block and at least a second block having different glass transition temperatures (Tg), said first and second sequences being interconnected by an intermediate sequence comprising at least one constituent monomer of the first block and at least one constituent monomer of the second block. Advantageously, the first and second sequences and the block polymer are incompatible with each other.
De tels polymères sont décrits par exemple dans les documents EP 1411069 ouSuch polymers are described for example in EP 1411069 or
WO04/028488.WO04 / 028488.
Le polymère filmogène peut être également présent dans la première et/ou seconde composition sous la forme de particules en dispersion dans une phase aqueuse ou dans une phase solvant non aqueuse, connue généralement sous le nom de latex ou pseudolatex. Les techniques de préparation de ces dispersions sont bien connues de l'homme du métier.The film-forming polymer may also be present in the first and / or second composition in the form of particles in dispersion in an aqueous phase or in a non-aqueous solvent phase, generally known as latex or pseudolatex. The techniques for preparing these dispersions are well known to those skilled in the art.
Comme dispersion aqueuse de polymère filmogène, on peut utiliser les dispersions acryliques vendues sous les dénominations Neocryl XK-90®, Neocryl A-1070®, Neocryl A- 1090®, Neocryl BT-62®, Neocryl A-1079® et Neocryl A-523® par la société AVECIA- NEORESINS, Dow Latex 432® par la société DOW CHEMICAL, Daitosol 5000 AD® ou Daitosol 5000 SJ® par la société DAITO KASEY KOGYO; Syntran 5760® par la société Interpolymer, Allianz OPT par la société ROHM & HAAS, les dispersions aqueuses de polymères acryliques ou styrène/acrylique vendues sous le nom de marque JONCRYL® par la société JOHNSON POLYMER ou encore les dispersions aqueuses de polyuréthane vendues sous les dénominations Neorez R-981 ® et Neorez R-974® par la société AVECIA-NEORESINS, les Avalure UR-405®, Avalure UR-410®, Avalure UR-425®, Avalure UR-450®, Sancure 875®, Sancure 861 ®, Sancure 878® et Sancure 2060® par la société GOODRICH, Impranil 85® par la société BAYER, Aquamere H-1511 ® par la société HYDROMER ; les sulfopolyesters vendus sous le nom de marque Eastman AQ® par la société Eastman Chemical Products, les dispersions vinyliques comme le Mexomère PAM® de la société CHIMEX et leurs mélanges.Aqueous dispersions of film-forming polymer may be used include the acrylic dispersions sold under the names Neocryl XK-90 ®, ® Neocryl A-1070, Neocryl A-1090 ®, Neocryl BT-62 ®, Neocryl A-1079 and Neocryl ® A- 523 ® by the company AVECIA- Neoresins, Dow Latex 432 ® by the company Dow Chemical, Daitosol 5000 AD ® or Daitosol 5000 SJ ® by the company Daito Kasey Kogyo; Syntran 5760 ® by the company Interpolymer Allianz OPT by the company Rohm & Haas, aqueous dispersions of acrylic or styrene / acrylic polymers sold under the trade name Joncryl ® by the company Johnson Polymer, or the aqueous dispersions of polyurethane sold under the denominations Neorez R-981 ® and Neorez R-974 ® by the company AVECIA-NEORESINS, Avalure UR-405 ® , Avalure UR-410 ® , Avalure UR-425 ® , Avalure UR-450 ® , Sancure 875 ® , Sancure 861 ® , Sancure 878 ® and Sancure 2060 ® by the company GOODRICH, Impranil 85 ® by the company BAYER, Aquamere H-1511 ® by the company HYDROMER; sulphopolyesters sold under the brand name Eastman AQ ® by Eastman Chemical Products, vinyl dispersions, Mexomere PAM ® from Chimex, and mixtures thereof.
Comme exemples de dispersions non aqueuses de polymère filmogène, on peut citer les dispersions acryliques dans l'isododécane comme le Mexomère PAP® de la société CHIMEX, les dispersions de particules d'un polymère éthylénique greffé, de préférence acrylique, dans une phase grasse liquide, le polymère éthylénique étant avantageusement dispersé en l'absence de stabilisant additionnel en surface des particules telles que décrite notamment dans le document WO 04/055081.Examples of non-aqueous dispersions of film-forming polymer include the acrylic dispersions in isododecane, Mexomer PAP ® from the company Chimex, particle dispersions of a grafted ethylenic polymer, preferably an acrylic polymer, in a liquid fatty phase , the ethylenic polymer being advantageously dispersed in the absence of additional stabilizer at the surface of the particles as described in particular in WO 04/055081.
Les compositions selon l'invention peuvent comprendre un agent plastifiant favorisant la formation d'un film avec le polymère filmogène. Un tel agent plastifiant peut être choisi parmi tous les composés connus de l'homme du métier comme étant susceptibles de remplir la fonction recherchée.The compositions according to the invention may comprise a plasticizer promoting the formation of a film with the film-forming polymer. Such a plasticizer may be chosen from all compounds known to those skilled in the art as being capable of performing the desired function.
MATIERES COLORANTESCOLORING MATERIALS
Une composition selon l'invention peut comprendre au moins une matière colorante, en une teneur totale d'au moins 5% en poids par rapport au poids total de ladite composition.A composition according to the invention may comprise at least one dyestuff, in a total content of at least 5% by weight relative to the total weight of said composition.
Une composition cosmétique conforme à l'invention peut, avantageusement, incorporer au moins une matière colorante choisie parmi des matières colorantes organiques ou inorganiques, notamment de type pigments ou nacres classiquement utilisés dans les compositions cosmétiques, liposolubles ou hydrosolubles, des matériaux à effet optique spécifique, et leurs mélanges.A cosmetic composition in accordance with the invention may advantageously incorporate at least one dyestuff chosen from organic dyestuffs or inorganic, in particular of the type of pigments or pearlescent agents conventionally used in cosmetic, liposoluble or water-soluble compositions, of materials with specific optical effect, and their mixtures.
Avantageusement, une composition de l'invention peut comprendre au moins une matière colorante pulvérulente en une teneur d'au moins 5% en poids par rapport au poids total de ladite composition, en particulier choisie parmi les pigments, les nacres, les matériaux à effet optique, et leurs mélanges.Advantageously, a composition of the invention may comprise at least one pulverulent dyestuff in a content of at least 5% by weight relative to the total weight of said composition, in particular chosen from pigments, nacres, effect materials optical, and their mixtures.
En particulier, la composition comprend au moins des pigments et/ou des nacres en une teneur d'au moins 5% en poids par rapport au poids total de ladite composition.In particular, the composition comprises at least pigments and / or nacres in a content of at least 5% by weight relative to the total weight of said composition.
Matières colorantes pulvérulentesPulverulent dyestuffs
L'une au moins des première ou seconde compositions selon l'invention comprend une phase pulvérulente colorée comprenant des pigments, et/ou des nacres.At least one of the first or second compositions according to the invention comprises a colored powder phase comprising pigments, and / or pearlescent agents.
Selon un mode particulier, cette phase pulvérulente colorée représente au moins 5% en poids par rapport au poids total de ladite composition.According to one particular embodiment, this colored pulverulent phase represents at least 5% by weight relative to the total weight of said composition.
Par « pigments », il faut comprendre des particulesτ minérales ou organiques, insolubles dans la phase organique liquide, destinées à colorer et/ou opacifier la composition.The term "pigments" should be understood to mean inorganic or organic particles, which are insoluble in the liquid organic phase, intended to color and / or opacify the composition.
Les pigments peuvent être des pigments minéraux ou organiques. Comme pigments, on peut utiliser les oxydes métalliques comme les oxydes de fer (notamment ceux de couleur jaune, rouge, brun, noir), les dioxydes de titane, l'oxyde de cérium, l'oxyde de zirconium, l'oxyde de chrome ; le violet de manganèse, l'ultramarine bleue, le bleu de prusse, le bleu outremer, le bleu ferrique, et leurs mélanges. On utilise de préférence des pigments d'oxydes de fer ou de dioxyde de titane.The pigments may be inorganic or organic pigments. As pigments, it is possible to use metal oxides such as iron oxides (in particular those of yellow, red, brown or black color), titanium dioxides, cerium oxide, zirconium oxide and chromium oxide. ; manganese violet, blue ultramarine, prussian blue, ultramarine blue, ferric blue, and mixtures thereof. It is preferable to use pigments of iron oxides or of titanium dioxide.
Les pigments peuvent être traités avec un agent hydrophobe pour les rendre compatible avec la phase organique de la composition. L'agent de traitement hydrophobe peut être choisi parmi les silicones comme les méthicones, les diméthicones, les perfluoroalkylsilanes ; les acides gras comme l'acide stéarique ; les savons métalliques comme le dimyristate d'aluminium, le sel d'aluminium du glutamate de suif hydrogéné, les perfluoroalkyl phosphates, les perfluoroalkyl si lanes, les perfluoroalkyl silazanes, les polyoxydes d'hexafluoropropylène, les polyorganosiloxanes comprenant des groupes perfluoroalkylles perfluoropolyéthers, les acides aminés ; les acides aminés N-acylés ou leurs sels ; la lécithine, le trisostéaryle titanate d'isopropyle, et leurs mélanges. Les acides aminés N-acylés peuvent comprendre un groupe acyle ayant de 8 à 22 atomes de carbones, comme par exemple un groupe 2-éthyl hexanoyle, caproyle, lauroyle, myristoyle, palmitoyle, stéaroyle, cocoyle. Les sels de ces composés peuvent être les sels d'aluminium, de magnésium, de calcium, de zirconium, de zinc, de sodium, de potassium. L'acide aminé peut être par exemple la lysine, l'acide glutamique, l'alanineThe pigments can be treated with a hydrophobic agent to make them compatible with the organic phase of the composition. The hydrophobic treatment agent may be chosen from silicones such as methicones, dimethicones and perfluoroalkylsilanes; fatty acids such as stearic acid; metal soaps such as aluminum dimyristate, hydrogenated tallow glutamate aluminum salt, perfluoroalkyl phosphates, perfluoroalkyl silanes, perfluoroalkyl silazanes, hexafluoropropylene polyoxides, polyorganosiloxanes comprising groups perfluoroalkyl perfluoropolyethers, amino acids; N-acyl amino acids or their salts; lecithin, isopropyl trisostearyl titanate, and mixtures thereof. The N-acyl amino acids may comprise an acyl group having from 8 to 22 carbon atoms, for example a 2-ethyl hexanoyl, caproyl, lauroyl, myristoyl, palmitoyl, stearoyl or cocoyl group. The salts of these compounds may be the aluminum, magnesium, calcium, zirconium, zinc, sodium or potassium salts. The amino acid can be for example lysine, glutamic acid, alanine
Le terme alkyl mentionné dans les composés cités précédemment désigne notamment un groupe alkyle ayant de 1 à 30 atomes de carbone, de préférence ayant de 5 à 16 atomes de carbone.The term alkyl mentioned in the compounds mentioned above denotes in particular an alkyl group having from 1 to 30 carbon atoms, preferably having from 5 to 16 carbon atoms.
Des pigments traités hydrophobes sont notamment décrits dans la demande EP-A- 1086683.Hydrophobic treated pigments are described in particular in application EP-A-1086683.
Les pigments sont présents, dans la composition selon l'invention, en une teneur allant de 1 % à 30 % en poids, par rapport au poids total de la composition, préférentiellement allant de 5% à 20% en poids.The pigments are present in the composition according to the invention in a content ranging from 1% to 30% by weight, relative to the total weight of the composition, preferably ranging from 5% to 20% by weight.
Outre les pigments, la phase particulaire colorée de l'invention peut comprendre des nacres.In addition to the pigments, the colored particulate phase of the invention may comprise nacres.
Par « nacres », il faut comprendre des particules irisées, notamment produites par certains mollusques dans leur coquille ou bien synthétisées, insolubles dans le milieu de la composition.By "nacres", it is necessary to understand iridescent particles, in particular produced by certain shellfish in their shell or else synthesized, insoluble in the medium of the composition.
Les nacres peuvent être choisies parmi les pigments nacrés blancs tels que le mica recouvert de titane, ou d'oxychlorure de bismuth, les pigments nacrés colorés tels que le mica titane avec des oxydes de fer, le mica titane avec notamment du bleu ferrique ou de l'oxyde de chrome, le mica titane avec un pigment organique du type précité ainsi que les pigments nacrés à base d'oxychlorure de bismuth.The nacres may be chosen from white pearlescent pigments such as mica coated with titanium, or bismuth oxychloride, colored pearlescent pigments such as titanium mica with iron oxides, titanium mica with, for example, ferric blue or chromium oxide, titanium mica with an organic pigment of the aforementioned type as well as pearlescent pigments based on bismuth oxychloride.
Les nacres peuvent être présents dans chacune des compositions selon l'invention en une teneur allant de 0,5 % à 30 % en poids, par rapport au poids total de la composition, de préférence allant de 1 % à 20 % en poids, et préférentiellement allant de 2 % à 10 % en poids. La composition cosmétique selon l'invention peut également contenir au moins un matériau à effet optique spécifique.The nacres may be present in each of the compositions according to the invention in a content ranging from 0.5% to 30% by weight, relative to the total weight of the composition, preferably ranging from 1% to 20% by weight, and preferably ranging from 2% to 10% by weight. The cosmetic composition according to the invention may also contain at least one material with a specific optical effect.
Cet effet est différent d'un simple effet de teinte conventionnel, c'est-à-dire unifié et stabilisé tel que produit par les matières colorantes classiques, comme, par exemple, les pigments monochromatiques. Au sens de l'invention, « stabilisé » signifie dénué d'effet de variabilité de la couleur avec l'angle d'observation ou encore en réponse à un changement de température.This effect is different from a simple conventional hue effect, i.e. unified and stabilized as produced by conventional dyestuffs, such as, for example, monochromatic pigments. For the purposes of the invention, "stabilized" means devoid of effect of color variability with the angle of observation or in response to a change in temperature.
Par exemple, ce matériau peut être choisi parmi les particules à reflet métallique, les agents de coloration goniochromatiques, les pigments diffractants, les agents thermochromes, les agents azurants optiques, ainsi que les fibres, notamment, interférentielles. Bien entendu, ces différents matériaux peuvent être associés de manière à procurer la manifestation simultanée de deux effets, voire d'un nouvel effet conforme à l'invention.For example, this material may be chosen from particles with a metallic sheen, goniochromatic coloring agents, diffractive pigments, thermochromic agents, optical brighteners, and especially interferential fibers. Of course, these different materials can be combined to provide the simultaneous manifestation of two effects, or even a new effect according to the invention.
Les particules à reflet métallique utilisables dans l'invention sont en particulier choisies parmi : les particules d'au moins un métal et/ou d'au moins un dérivé métallique, les particules comportant un substrat organique ou minéral, monomatière ou multimatériaux, recouvert au moins partiellement par au moins une couche à reflet métallique comprenant au moins un métal et/ou au moins un dérivé métallique, et - les mélanges desdites particules.The particles with a metallic sheen that can be used in the invention are in particular chosen from: particles of at least one metal and / or at least one metal derivative, the particles comprising an organic or inorganic substrate, monomatiere or multimaterial, coated with at least partially by at least one metal-reflecting layer comprising at least one metal and / or at least one metal derivative, and - mixtures of said particles.
Parmi les métaux pouvant être présents dans lesdites particules, on peut citer par exemple Ag, Au, Cu, Al, Ni, Sn, Mg, Cr, Mo, Ti, Zr, Pt, Va, Rb, W, Zn, Ge, Te, Se et leurs mélanges ou alliages. Ag, Au, Cu, Al, Zn, Ni, Mo, Cr, et leurs mélanges ou alliages (par exemple, les bronzes et les laitons) sont des métaux préférés. Par « dérivés métalliques », on désigne des composés dérivés de métaux, notamment, des oxydes, des fluorures, des chlorures et des sulfuresAmong the metals that may be present in said particles, mention may be made, for example, of Ag, Au, Cu, Al, Ni, Sn, Mg, Cr, Mo, Ti, Zr, Pt, Va, Rb, W, Zn, Ge, Te. Se and their mixtures or alloys. Ag, Au, Cu, Al, Zn, Ni, Mo, Cr, and mixtures or alloys thereof (e.g., bronzes and brasses) are preferred metals. "Metal derivatives" means compounds derived from metals, in particular oxides, fluorides, chlorides and sulphides.
A titre illustratif de ces particules, on peut citer des particules d'aluminium, telles que celles commercialisées sous les dénominations STARBRITE 1200 EAC® par la société SIBERLINE et METALURE® par la société ECKART. On peut également citer les poudres métalliques de cuivre ou des mélanges d'alliages, telles les références 2844 commercialisées par la société RADIUM BRONZE, les pigments métalliques, comme l'aluminium ou le bronze, tels que ceux commercialisés sous les dénominations ROTOSAFE 700 de la société ECKART, les particules d'aluminium enrobé de silice commercialisées sous la dénomination VISIONAIRE BRIGHT SILVER de la société ECKART et les particules d'alliage métallique, comme des poudres de bronze (alliage cuivre et zinc) enrobé de silice commercialisées sous la dénomination de Visionaire Bright Natural GoId de la société Eckart. II peut encore s'agir de particules comportant un substrat de verre comme celles commercialisées par la société NIPPON SHEET GLASS sous les dénominations MICROGLASS METASHINE.Illustrative of these particles include aluminum particles, such as those sold under the names Starbrite 1200 EAC ® by Siberline and METALURE® ® by the company Eckart. Mention may also be made of copper metal powders or mixtures of alloys, such as the references 2844 sold by the company Radium Bronze, metallic pigments, such as aluminum or bronze, such as those sold under the trade names ROTOSAFE 700 ECKART company, the silica-coated aluminum particles marketed under the name VISIONAIRE BRIGHT SILVER by the company ECKART and the metal alloy particles, such as bronze powders (alloy copper and zinc) coated with silica marketed under the name of Visionaire Bright Natural GoId from Eckart. It may also be particles comprising a glass substrate such as those sold by the company NIPPON SHEET GLASS under the names MICROGLASS METASHINE.
L'agent de coloration goniochromatique peut être choisi, par exemple, parmi les structures multicouches interférentielles et les agents de coloration à cristaux liquides.The goniochromatic coloring agent may be selected from, for example, interfering multilayer structures and liquid crystal coloring agents.
Des exemples de structures multicouche interférentielles symétriques utilisables dans des compositions réalisées conformément à l'invention sont, par exemple, les structures suivantes : AI/Siθ2/AI/Siθ2/AI, des pigments ayant cette structure étant commercialisés par la société DUPONT DE NEMOURS ; Cr/MgF2/AI/MgF2/Cr, des pigments ayant cette structure étant commercialisés sous la dénomination CHROMAFLAIR par la société FLEX ; MoS2/SiO2/AI/Siθ2/MoS2 ; Fe2O3ZSiO2ZAIZSiO2ZFe2O3, et Fe2O3ZSiO2ZFe2O3ZSiO2ZFe2O3, des pigments ayant ces structures étant commercialisés sous la dénomination SICOPEARL par la société BASF ; MoS2ZSiO2Zmica-oxydeZSiO2ZMoS2 ; Fe2O3ZSiO2Zmica-oxydeZSiO2ZFe2O3 ; TiO2ZSiO2ZTiO2 et TiO2ZAI2O3ZTiO2 ; SnOZTiO2ZSiO2ZTiO2ZSnO ; Fe2O3ZSiO2ZFe2O3 ;Examples of symmetrical interferential multilayer structures that can be used in compositions produced in accordance with the invention are, for example, the following structures: Al / SiO 2 / Al / SiO 2 / Al, pigments having this structure being marketed by the company DUPONT DE NEMOURS; Cr / MgF 2 / AI / MgF 2 / Cr, pigments having this structure being marketed under the name CHROMAFLAIR by the company FLEX; MoS 2 / SiO 2 / Al / SiO 2 / MoS 2 ; Fe 2 O 3 ZSiO 2 ZAIZSiO 2 ZFe 2 O 3 , and Fe 2 O 3 ZSiO 2 ZFe 2 O 3 ZSiO 2 ZFe 2 O 3 , pigments having these structures being sold under the name SICOPEARL by the company BASF; MoS 2 ZSiO 2 Zmica-oxide ZSiO 2 ZMoS 2 ; Fe 2 O 3 ZSiO 2 Zmica-oxide ZSiO 2 ZFe 2 O 3 ; TiO 2 ZSiO 2 ZTiO 2 and TiO 2 ZAl 2 O 3 ZTiO 2 ; SnOZTiO 2 ZSiO 2 ZTiO 2 ZSnO; Fe 2 O 3 ZSiO 2 ZFe 2 O 3 ;
Sn0ZmicaZTi02ZSi02ZTi02ZmicaZSn0, des pigments ayant ces structures étant commercialisés sous la dénomination XIRONA par la société MERCK (Darmstadt). A titre d'exemple, ces pigments peuvent être les pigments de structure siliceZoxyde de titaneZoxyde d'étain commercialisés sous le nom XIRONA MAGIC par la société MERCK, les pigments de structure siliceZoxyde de fer brun commercialisés sous le nom XIRONA INDIAN SUMMER par la société MERCK et les pigments de structure siliceZoxyde de titaneZmicaZoxyde d'étain commercialisés sous le nom XIRONA CARRIBEAN BLUE par la société MERCK. On peut encore citer les pigments INFINITE COLORS de la société SHISEIDO. Selon l'épaisseur et la nature des différentes couches, on obtient différents effets. Ainsi, avec la structure Fe2O3ZSiO2ZAIZ SiO2ZFe2O3 on passe du doré-vert au gris- rouge pour des couches de SiO2 de 320 à 350 nm ; du rouge au doré pour des couches de SiO2 de 380 à 400 nm ; du violet au vert pour des couches de SiO2 de 410 à 420 nm ; du cuivre au rouge pour des couches de SiO2 de 430 à 440 nm.Sn0ZmicaZTi0 2 ZSi0 2 ZTi0 2 ZmicaZSn0, pigments having these structures being marketed under the name XIRONA by MERCK (Darmstadt). By way of example, these pigments may be the pigments with a silica structure, titanium oxide, tin oxide sold under the name Xirona Magic by the company Merck, pigments with a silica structure, and brown iron oxide sold under the name Xerona Indian Summer by the company Merck. and the pigments with a silica structureZincoxideZmicaZoxide of tin sold under the name XIRONA CARRIBEAN BLUE by the company MERCK. Mention may also be made of the INFINITE COLORS pigments from SHISEIDO. Depending on the thickness and nature of the different layers, different effects are obtained. Thus, with the Fe 2 O 3 ZSiO 2 ZAIZ SiO 2 ZFe 2 O 3 structure, gold-green to gray-red is passed for SiO 2 layers of 320 to 350 nm; from red to golden for SiO 2 layers of 380 to 400 nm; from violet to green for SiO 2 layers from 410 to 420 nm; from copper to red for SiO 2 layers from 430 to 440 nm.
On peut citer, à titre d'exemple de pigments à structure multicouche polymérique, ceux commercialisés par la société 3M sous la dénomination COLOR GLITTER.Mention may be made, by way of example of pigments with a polymeric multilayer structure, those marketed by the company 3M under the name COLOR GLITTER.
Comme particules goniochromatiques à cristaux liquides, on peut utiliser, par exemple, celles vendues par la société CHENIX, ainsi que celle commercialisées sous la dénomination HELICONE® HC par la société WACKER. Les matériaux à effet optique peuvent être présents dans chacune des compositions selon l'invention en une teneur allant de 0,1 % à 15 % en poids, par rapport au poids total de la composition, de préférence allant de 0,5 % à 10 % en poids, et préférentiellement allant de 1 % à 5 % en poids.As liquid crystal goniochromatic particles, can be used, for example, those sold by the company Chenix and those sold under the name Helicone® ® HC by Wacker. The optical effect materials may be present in each of the compositions according to the invention in a content ranging from 0.1% to 15% by weight, relative to the total weight of the composition, preferably ranging from 0.5% to 10% by weight. % by weight, and preferably ranging from 1% to 5% by weight.
Autres matières colorantesOther coloring matters
La composition selon l'invention peut en outre comprendre au moins un colorant hydro ou liposoluble.The composition according to the invention may further comprise at least one hydro or liposoluble dye.
Par « colorants liposolubles », il faut comprendre des composés généralement organiques solubles dans les corps gras comme les huiles.By "fat-soluble dyes", it is necessary to include generally organic compounds that are soluble in fats such as oils.
Par « colorants hydrosolubles », il faut comprendre des composés généralement organiques solubles dans l'eau ou les solvants miscibles à l'eau.By "water-soluble dyes" it is necessary to include generally organic compounds soluble in water or water-miscible solvents.
Les colorants liposolubles sont par exemple le rouge Soudan, le D&C Red n° 17, le D&C Green n° 6, le β-carotène, l'huile de soja, le brun Soudan, le D&C Yellow n° 1 1 , le D&C Violet n° 2, le D&C orange n° 5, le jaune quinoléine, le rocou, les bromoacides.The fat-soluble dyes are, for example, Sudan Red, D & C Red No. 17, D & C Green No. 6, β-Carotene, Soybean Oil, Sudan Brown, D & C Yellow No. 11, Purple D & C. No. 2, D & C orange No. 5, yellow quinoline, annatto, bromoacids.
Les colorants hydrosolubles synthétiques ou naturels sont par exemple le FDC Red 4, le DC Red 6, le DC Red 22, le DC Red 28, le DC Red 30, le DC Red 33, le DC Orange 4, le DC Yellow 5, le DC Yellow 6, le DC Yellow 8, le FDC Green 3, le DC Green 5, le FDC Blue 1 , la bétanine (betterave), le carmin, la chlorophylline cuivrée, le bleu de méthylène, les anthocyanines (enocianine, carotte noire, hibiscus, sureau), le caramel, la riboflavine.The synthetic or natural water-soluble dyes are, for example, FDC Red 4, DC Red 6, DC Red 22, DC Red 28, DC Red 30, DC Red 33, DC Orange 4, DC Yellow 5, DC Yellow 6, DC Yellow 8, FDC Green 3, DC Green 5, FDC Blue 1, betanin (beet), carmine, copper chlorophyllin, methylene blue, anthocyanins (enocianin, black carrot, hibiscus, elderberry), caramel, riboflavin.
CHARGESOutre les matières colorantes décrites précédemment, la composition selon l'invention peut comprendre des charges.CHARGESIn addition to the dyestuffs described above, the composition according to the invention may comprise fillers.
Par charges, il faut comprendre des particules de toute forme, incolores ou blanches, minérales ou de synthèse, insolubles dans le milieu de la composition quelle que soit la température à laquelle la composition est fabriquée.By fillers, it is necessary to include particles of any form, colorless or white, mineral or synthetic, insoluble in the medium of the composition regardless of the temperature at which the composition is manufactured.
Les charges peuvent être minérales ou organiques de toute forme, plaquettaires, sphériques ou oblongues, quelle que soit la forme cristallographique (par exemple feuillet, cubique, hexagonale, orthorombique, etc). On peut citer le talc, le mica, la silice, le kaolin, les poudres de polyamide (Nylon®) , les poudres de poly-β-alanine, les poudres de polyéthylène, les polyméthacrylates de métyle, les poudres de polyuréthane telle que la poudre de copolymère de diisocyanate d'hexaméthylène et de triméthylol hexyl lactone vendue sous les dénominations PLASTIC POWDER D-400 par la société TOSHIKI, les poudres de polymères de tétrafluoroéthylène (Téflon®), la lauroyl-lysine, l'amidon, le nitrure de bore, les copolymères de chlorure de polyvinylidène/acrylonitrile, de copolymères d'acide acrylique, les poudres de résine de silicone, en particulier les poudres de silsesquioxane (poudres de résine de silicone notamment décrites dans le brevet EP 293795 ; Tospearls® de Toshiba, par exemple), les particules de polyorganosiloxanes élastomères, le carbonate de calcium précipité, le carbonate et l'hydro-carbonate de magnésium, l'hydroxyapatite, les microsphères de silice creuses, les microcapsules de verre ou de céramique, les savons métalliques dérivés d'acides organiques carboxyliques ayant de 8 à 22 atomes de carbone, de préférence de 12 à 18 atomes de carbone, par exemple le stéarate de zinc, de magnésium ou de lithium, le laurate de zinc, le myristate de magnésium ; le sulfate de baryum et leurs mélanges.The fillers can be mineral or organic of any shape, platelet, spherical or oblong, irrespective of the crystallographic form (for example sheet, cubic, hexagonal, orthorhombic, etc.). Talc, mica, silica, kaolin, polyamide (Nylon®) powders, poly-β-alanine powders, polyethylene powders, polymethyl methacrylates, polyurethane powders such as the hexamethylene diisocyanate and trimethylol hexyl lactone copolymer powder sold under the names PLASTIC POWDER D-400 by the company TOSHIKI, tetrafluoroethylene polymer powders (Teflon®), lauroyl-lysine, starch, boron nitride, polyvinylidene chloride / acrylonitrile copolymers, copolymers of acrylic acid, silicone resin powders, in particular silsesquioxane powders (silicone resin powders, in particular described in patent EP 293795, Toshiba Tospearls®, for example), elastomeric polyorganosiloxane particles, precipitated calcium carbonate , magnesium carbonate and hydro-carbonate, hydroxyapatite, hollow silica microspheres, glass or ceramic microcapsules, metal arrays derived from organic carboxylic acids having 8 to 22 carbon atoms, preferably 12 to 18 carbon atoms, for example zinc, magnesium or lithium stearate, zinc laurate, magnesium myristate; barium sulphate and their mixtures.
Les charges peuvent être présentes dans chacune des compositions selon l'invention en une teneur totale allant de 0,05 % à 40 % en poids, par rapport au poids total de la composition, de préférence allant de 1 % à 25 % en poids, et préférentiellement allant de 5 % à 15 % en poids.The fillers may be present in each of the compositions according to the invention in a total content ranging from 0.05% to 40% by weight, relative to the total weight of the composition, preferably ranging from 1% to 25% by weight. and preferably ranging from 5% to 15% by weight.
La phase pulvérulente peut être présente dans la composition selon l'invention en une teneur allant de 1 à 40 % en poids, par rapport au poids total de la composition, de préférence de 5 à 40 % en poids. Selon un mode particulier, la phase pulvérulente représente au moins 5% en poids par rapport au poids total de ladite composition. Les compositions selon l'invention peuvent également comprendre un additif cosmétique tel que les tensioactifs, les antioxydants, les conservateurs, les parfums, les actifs bactéricides ou anti-transpirants, les neutralisants, les émollients, les hydratants, les vitamines et des filtres en particulier solaires.The pulverulent phase may be present in the composition according to the invention in a content ranging from 1 to 40% by weight, relative to the total weight of the composition, preferably from 5 to 40% by weight. According to a particular embodiment, the pulverulent phase represents at least 5% by weight relative to the total weight of said composition. The compositions according to the invention may also comprise a cosmetic additive such as surfactants, antioxidants, preservatives, perfumes, bactericidal or antiperspirant active agents, neutralizers, emollients, moisturizers, vitamins and filters in particular solar.
Bien entendu, l'homme du métier veillera à choisir ce ou ces éventuels composés complémentaires, et/ou leur quantité, de manière telle que les propriétés avantageuses de la composition correspondante selon l'invention ne soient pas, ou substantiellement pas, altérées par l'adjonction envisagée, notamment de manière à ne pas interférer avec la réaction entre les composés X et Y. GaléniqueOf course, a person skilled in the art will take care to choose this or these optional additional compounds, and / or their quantity, in such a way that the advantageous properties of the corresponding composition according to the invention are not, or not substantially, impaired by the contemplated addition, in particular so as not to interfere with the reaction between compounds X and Y. galenic
La ou les compositions selon l'invention peu(ven)t se présenter indépendamment sous forme de suspension, de dispersion, de solution, de gel, d'émulsion, notamment émulsion huile-dans-eau (H/E), cire-dans-eau ou eau-dans-huile (E/H), ou multiple (E/H/E ou polyol/H/E ou H/E/H), sous forme de crème, de mousse, de dispersion de vésicules notamment de lipides ioniques ou non, de lotion biphasé ou multiphase, de poudre, de pâte, notamment de pâte souple.The composition (s) according to the invention may be independently in the form of a suspension, a dispersion, a solution, a gel, an emulsion, in particular an oil-in-water (O / W) emulsion, a wax-in water-in-oil (W / O), or multiple (W / O / E or polyol / H / E or H / E / H), in the form of cream, foam, dispersion of vesicles including ionic lipids or not, lotion biphasic or multiphase, powder, paste, including soft dough.
Selon un mode préféré de réalisation, les compositions selon l'invention présentent une phase continue aqueuse, et peuvent de préférence se présenter sous forme d'émulsion, notamment émulsion huile-dans-eau (H/E), cire-dans-eau, ou multiple (E/H/E ou polyol/H/E), ou de solution aqueuse.According to a preferred embodiment, the compositions according to the invention have an aqueous continuous phase, and may preferably be in the form of an emulsion, in particular an oil-in-water (O / W) emulsion, a wax-in-water emulsion, or multiple (W / O / E or polyol / H / E), or aqueous solution.
Selon un mode plus préféré de réalisation, les compositions selon l'invention peuvent se présenter sous forme d'émulsion, notamment émulsion huile-dans-eau (H/E).According to a more preferred embodiment, the compositions according to the invention may be in the form of an emulsion, in particular an oil-in-water emulsion (O / W).
Les compositions comprenant les composés X et Y peuvent notamment se présenter sous forme liquide, solide ou pâteuse. Il peut notamment d'agit de stick, de poudres, de gels ou de liquides.The compositions comprising compounds X and Y can in particular be in liquid, solid or pasty form. It may in particular act stick, powders, gels or liquids.
Selon un mode particulier de réalisation, le kit selon l'invention peut comprendre : une première composition sous forme pulvérulente associée à une seconde composition liquide ; ou une première composition liquide ou gel associée à une seconde composition liquide ;ou une première composition liquide ou gel associée à une seconde composition pulvérulente, ou - une première composition solide telle qu'un stick associée à une seconde composition liquide, ou première composition liquide ou gel associée à une seconde composition pulvérisée par un spray.According to a particular embodiment, the kit according to the invention may comprise: a first composition in pulverulent form associated with a second liquid composition; or a first liquid composition or gel associated with a second liquid composition, or a first liquid composition or gel associated with a second powder composition, or a first solid composition such as a stick associated with a second liquid composition, or first liquid composition or gel associated with a second composition sprayed with a spray.
Selon un autre mode préféré de réalisation, lorsque la seconde composition du kit comprend l'agent de réticulation Y, elle peut se présenter sous une forme pulvérisée, notamment par un spray. Le procédé selon l'invention peut être avantageusement utilisé pour le maquillage de la peau, des lèvres, des cils et/ou des ongles selon la nature des ingrédients utilisés. En particulier, les compositions du procédé selon l'invention peu(ven)t se présenter indépendamment sous forme de fond de teint solide, de bâton ou pâte de rouge à lèvres, de produit anti-cernes, ou contours des yeux, d'eye liner, de mascara, d'ombre à paupières, de produit de maquillage du corps ou encore un produit de coloration de la peau.According to another preferred embodiment, when the second composition of the kit comprises the crosslinking agent Y, it may be in a sprayed form, in particular by a spray. The method according to the invention can be advantageously used for the makeup of the skin, lips, eyelashes and / or nails depending on the nature of the ingredients used. In particular, the compositions of the process according to the invention can be independently present in the form of a solid foundation, a stick or a lipstick paste, a concealer product, or an eye or eye contour. liner, mascara, eye shadow, body make-up product or a skin coloring product.
Selon un mode de réalisation, les première et seconde compositions sont des compositions de rouge à lèvres.According to one embodiment, the first and second compositions are lipstick compositions.
Selon un autre mode de réalisation, les première et seconde compositions, sont des compositions de revêtement des cils ou des sourcils et plus particulièrement des mascaras.According to another embodiment, the first and second compositions are compositions for coating eyelashes or eyebrows and more particularly mascaras.
Selon un autre mode de réalisation, préféré, les première et seconde compositions sont des compositions de revêtement de la peau du corps ou du visage plus particulièrement des compositions de maquillage de la peau du corps ou du visage telles que par exemple des fonds de teint ou des compositions de maquillage du corps.According to another preferred embodiment, the first and second compositions are compositions for coating the skin of the body or of the face, more particularly makeup compositions for the skin of the body or of the face, such as, for example, foundations or makeup compositions of the body.
L'homme du métier pourra choisir la forme galénique appropriée, ainsi que sa méthode de préparation, sur la base de ses connaissances générales, en tenant compte d'une part de la nature des constituants utilisés, notamment de leur solubilité dans le support, et d'autre part de l'application envisagée pour chaque composition.Those skilled in the art may choose the appropriate dosage form, as well as its method of preparation, on the basis of its general knowledge, taking into account, on the one hand, the nature of the constituents used, in particular their solubility in the support, and on the other hand, the intended application for each composition.
Selon un mode particulier, l'une au moins des deux compositions du kit selon l'invention comprend une phase aqueuse comprenant de l'eau.According to one particular embodiment, at least one of the two compositions of the kit according to the invention comprises an aqueous phase comprising water.
Selon un mode particulier de l'invention, ladite phase aqueuse comprend des solvants organiques miscibles à l'eau choisi parmi les monoalcools ayant de 2 à 6 atomes de carbone ; les polyols ayant notamment de 2 à 20 atomes de carbones, de préférence ayant de 2 à 10 atomes de carbone, et préférentiellement ayant de 2 à 6 atomes de carbone ; les éthers de glycol ayant notamment de 3 à 16 atomes de carbone ; les alkyl(C-|-C4)éthers de mono, di- ou triéthylène glycol, et leurs mélanges. Selon un mode particulier de l'invention, ladite phase aqueuse est présente dans la composition selon l'invention en une teneur allant 20 % à 99 % en poids, par rapport au poids total de la composition, de préférence allant de 30 % à 80 % en poids, et préférentiellement allant de 40 % à 60 % en poids.According to one particular embodiment of the invention, said aqueous phase comprises water-miscible organic solvents chosen from monoalcohols having from 2 to 6 carbon atoms; the polyols having in particular from 2 to 20 carbon atoms, preferably having from 2 to 10 carbon atoms, and preferably having from 2 to 6 carbon atoms; glycol ethers having in particular from 3 to 16 carbon atoms; the (C 1 -C 4) alkyl ethers of mono-, di- or triethylene glycol, and mixtures thereof. According to one particular embodiment of the invention, said aqueous phase is present in the composition according to the invention in a content ranging from 20% to 99% by weight, relative to the total weight of the composition, preferably ranging from 30% to 80% by weight. % by weight, and preferably ranging from 40% to 60% by weight.
Selon un autre mode particulier de l'invention, l'une au moins des deux compositions du kit comprend un gélifiant hydrophile distinct des polysaccharides (X).According to another particular embodiment of the invention, at least one of the two compositions of the kit comprises a hydrophilic gelling agent distinct from the polysaccharides (X).
En particulier, le gélifiant hydrophile est choisi parmi : les homo- ou copolymères d'acides acrylique ou méthacrylique ou leurs sels et leurs esters, les acides polyacryliques, les copolymères d'acide acrylique et d'acrylamide, le polyméthacrylate de sodium, les sels de sodium d'acides polyhydroxycarboxyliques, les copolymères acide polyacryliques/acrylates d'alkyle, l'AMPS (Acide polyacrylamidométhyl propane sulfonique neutralisé partiellement à l'ammoniaque et hautement réticulé), les copolymères AMPS/acrylamide, et les copolymères AMPS/méthacrylates d'alkyle polyoxyéthylénés (réticulés ou non), les protéines comme les protéines d'origine végétale telles que les protéines de blé, de soja ; les protéines d'origine animale tels que les kératines, par exemples les hydrolysats de kératine et les kératines sulfoniques ; les polymères de cellulose tels que l'hydroxyéthylcellulose, l'hydroxypropylcellulose, la méthylcellulose, l'éthylhydroxyéthylcellulose, la carboxyméthylcellulose, ainsi que les dérivés quaternisés de la cellulose ; les polymères d'origine naturelle, éventuellement modifiés, tels que : les gommes arabiques, la gomme de guar, les dérivés du xanthane, la gomme de karaya, la gomme de caroube, les alginates et les carraghénanes (les alginates étant utilisées de préférence en présence de sels comme par exemple le chlorure de calcium), les glycoaminoglycanes, l'acide hyaluronique et ses dérivés, la résine shellac, la gomme de sandaraque, les dammars, les élémis, les copals, les muccopolysaccharides tels les chondroïtines sulfate, les polymères ou copolymères acryliques, les polymères vinyliques, comme les polyvinylpyrrolidones, les copolymères de l'éther méthylvinylique et de l'anhydride malique, le copolymère de l'acétate de vinyle et de l'acide crotonique, les copolymères de vinylpyrrolidone et d'acétate de vinyle ; les copolymères de vinylpyrrolidone et de caprolactame ; l'alcool polyvinylique ; l'acide désoxyribonucléïque ; les muccopolysaccharides tels les chondroïtines sulfate, les argiles non modifiées et notamment les montmorillonites, les hectorites, les smectites, les bentones, les laponites, et leurs mélanges.In particular, the hydrophilic gelling agent is chosen from: homo- or copolymers of acrylic or methacrylic acids or their salts and esters, polyacrylic acids, copolymers of acrylic acid and acrylamide, sodium polymethacrylate, salts of polyhydroxycarboxylic acids, polyacrylic acid / alkyl acrylate copolymers, AMPS (partially neutralized with ammonia and highly crosslinked polyacrylamidomethyl propane sulfonic acid), AMPS / acrylamide copolymers, and AMPS / methacrylate copolymers of polyoxyethylenated alkyl (crosslinked or otherwise), proteins such as proteins of plant origin such as wheat proteins, soya; proteins of animal origin such as keratins, for example keratin hydrolysates and keratin sulfonates; cellulose polymers such as hydroxyethyl cellulose, hydroxypropyl cellulose, methyl cellulose, ethyl hydroxyethyl cellulose, carboxymethyl cellulose, and quaternized cellulose derivatives; polymers of natural origin, which may be modified, such as: gum arabic, guar gum, xanthan derivatives, karaya gum, locust bean gum, alginates and carrageenans (the alginates being used preferably in presence of salts such as calcium chloride), glycoaminoglycans, hyaluronic acid and its derivatives, shellac resin, sandarac gum, dammars, elemis, copals, muccopolysaccharides such as chondroitin sulfate, polymers or acrylic copolymers, vinyl polymers, such as polyvinylpyrrolidones, copolymers of methylvinyl ether and malic anhydride, copolymer of vinyl acetate and crotonic acid, copolymers of vinylpyrrolidone and vinyl acetate; copolymers of vinylpyrrolidone and caprolactam; polyvinyl alcohol; deoxyribonucleic acid; mucopolysaccharides such as chondroitin sulphate, unmodified clays and especially montmorillonites, hectorites, smectites, bentones, laponites, and mixtures thereof.
De préférence, le polymère gélifiant hydrosoluble est présent dans la composition en une teneur en matières sèches allant de 0,01 % à 30% en poids, par rapport au poids total de la composition, de préférence de 0,05% à 20% en poids, et plus préférentiellement de 0,1 % à 10% en poids.Preferably, the water-soluble gelling polymer is present in the composition in a solids content ranging from 0.01% to 30% by weight, relative to the total weight of the composition, preferably from 0.05% to 20% by weight. weight, and more preferably from 0.1% to 10% by weight.
Selon un mode particulier de l'invention, l'une au moins des deux compositions du kit selon l'invention comprend une phase grasse comprenant une phase huileuse.According to a particular embodiment of the invention, at least one of the two compositions of the kit according to the invention comprises a fatty phase comprising an oily phase.
Selon un mode préféré, la phase grasse huileuse comprend une huile non volatile.In a preferred embodiment, the oily fatty phase comprises a non-volatile oil.
En particulier, la ou les huile(s) non volatile(s) sont choisies parmi les huiles hydrocarbonées d'origine végétale telles que les triglycérides constitués d'esters d'acides gras et de glycérol dont les acides gras peuvent avoir des longueurs de chaînes variées de C4 à C24, ces dernières pouvant être linéaires ou ramifiées, saturées ou insaturées ; ces huiles sont notamment des triglycérides d'acide heptanoïque ou d'acide octanoïque, ou bien encore les huiles de germe de blé, de tournesol, de pépins de raisin, de sésame, de maïs, d'abricot, de ricin, de karité, d'avocat, d'olive, de soja, d'amande douce, de palme, de colza, de coton, de noisette, de macadamia, de jojoba, de luzerne, de pavot, de potimarron, de sésame, de courge, de colza, de cassis, d'onagre, de millet, d'orge, de quinoa, de seigle, de carthame, de bancoulier, de passiflore, de rosier muscat ; le beurre de karité ; ou encore les triglycérides des acides caprylique/caprique comme ceux vendus par la société Stéarineries Dubois ou ceux vendus sous les dénominations Miglyol 810®, 812® et 818® par la société Dynamit Nobel, et leur mélange.In particular, the non-volatile oil (s) are chosen from hydrocarbon-based oils of vegetable origin, such as triglycerides consisting of esters of fatty acids and of glycerol, the fatty acids of which may have chain lengths. various C 4 to C 24 , the latter may be linear or branched, saturated or unsaturated; these oils are in particular triglycerides of heptanoic acid or octanoic acid, or else the oils of wheat germ, sunflower, grape seed, sesame, maize, apricot, castor, shea, of avocado, olive, soya, sweet almond, palm, rapeseed, cotton, hazelnut, macadamia, jojoba, alfalfa, poppy, pumpkin, sesame, squash, rapeseed, cassis, evening primrose, millet, barley, quinoa, rye, safflower, bancoulier, passionflower, muscat rose; shea butter; or triglycerides of caprylic / capric acids such as those sold by Stéarineries Dubois or those sold under the names Miglyol 810 ®, 812 ® and 818 ® by Dynamit Nobel, and mixtures thereof.
En particulier, la ou les huile(s) volatile(s) sont choisies parmi les huiles volatiles hydrocarbonées, les huiles volatiles siliconées, les huiles volatiles fluorées, et leurs mélanges. Selon un mode de réalisation, la phase huileuse comprend au moins une huile volatile choisie parmi les huiles hydrocarbonées ayant de 8 à 16 atomes de carbone, et notamment les alcanes ramifiés en C8-Ci6 comme les isoalcanes en C8-Ci6 d'origine pétrolière comme l'isododécane, l'isohexadécane ; les silicones volatiles, comme par exemple les huiles de silicones linéaires ou cycliques volatiles, choisies parmi l'octaméthyl cyclotétrasiloxane, le décaméthyl cyclopentasiloxane, le dodécaméthyl cyclohexasiloxane, l'heptaméthyl hexyltrisiloxane, l'heptaméthyloctyl trisiloxane, l'hexaméthyl disiloxane, l'octaméthyl trisiloxane, le décaméthyl tétrasiloxane, le dodécaméthyl pentasiloxane et leurs mélanges.In particular, the volatile oil (s) are chosen from volatile hydrocarbon oils, volatile silicone oils, volatile fluorinated oils, and mixtures thereof. According to one embodiment, the oil phase comprises at least one volatile oil chosen from hydrocarbon oils having from 8 to 16 carbon atoms, and especially branched alkanes, C 8 -C 6 isoalkanes C 8 -C 6 d petroleum origin such as isododecane, isohexadecane; volatile silicones, for example volatile linear or cyclic silicone oils, chosen from octamethylcyclotetrasiloxane, decamethylcyclopentasiloxane, dodecamethylcyclohexasiloxane, heptamethylhexyltrisiloxane, heptamethyloctyltrisiloxane, hexamethyl disiloxane and octamethyltrisiloxane; decamethyltetrasiloxane, dodecamethylpentasiloxane and mixtures thereof.
Selon un mode particulier, ladite phase huileuse est présente en une teneur totale allant de 1 % à 60 % en poids, par rapport au poids total de la composition, de préférence allant de 3 % à 50 % en poids, préférentiellement allant de 5 % à 35 % en poids, et plus préférentiellement allant de 10 % à 30 % en poids.According to one particular embodiment, said oily phase is present in a total content ranging from 1% to 60% by weight, relative to the total weight of the composition, preferably ranging from 3% to 50% by weight, preferably ranging from 5% by weight. at 35% by weight, and more preferably from 10% to 30% by weight.
Selon un mode de réalisation particulier de l'invention, l'une au moins des deux compositions du kit selon l'invention comprend au moins une cire.According to a particular embodiment of the invention, at least one of the two compositions of the kit according to the invention comprises at least one wax.
En particulier, la cire est choisie parmi :In particular, the wax is chosen from:
- la cire d'abeilles, la cire de lanoline, et les cires d'insectes de Chine ; la cire de riz, la cire de Carnauba, la cire de Candellila, la cire d'Ouricury, la cire de fibres de liège, la cire de canne à sucre, la cire du Japon et la cire de sumac; la cire de montan, les cires microcristallines, les cires de paraffine, les ozokérites, la cire de cérésine, la cire de lignite, les cires de polyéthylène, les cires obtenues par la synthèse de Fisher-Tropsch, les esters d'acides gras et les glycérides concrets à 40 0C et notamment à plus de 55 0C, les cires obtenues par hydrogénation catalytique d'huiles animales ou végétales ayant des chaînes grasses, linéaires ou ramifiées, en C8-C32, notamment l'huile de jojoba hydrogénée, l'huile de tournesol hydrogénée, l'huile de ricin hydrogénée, l'huile de coprah hydrogénée et l'huile de lanoline hydrogénée, les cires de silicones ou les cires fluorées, et leurs mélanges- beeswax, lanolin wax, and insect waxes from China; rice wax, carnauba wax, candelilla wax, ouricury wax, cork fiber wax, sugar cane wax, japanese wax and sumach wax; montan wax, microcrystalline waxes, paraffin waxes, ozokerites, ceresin wax, lignite wax, polyethylene waxes, waxes obtained by Fisher-Tropsch synthesis, esters of fatty acids and the concrete glycerides at 40 ° C. and especially at more than 55 ° C., the waxes obtained by catalytic hydrogenation of animal or vegetable oils having linear or branched C 8 -C 32 fatty chains, especially jojoba oil hydrogenated, hydrogenated sunflower oil, hydrogenated castor oil, hydrogenated coconut oil and hydrogenated lanolin oil, silicone waxes or fluorinated waxes, and mixtures thereof
En particulier, la cire est présente en une teneur allant de 1 à 15 % en poids, par rapport au poids total de la composition, de préférence de 2 à 12% en poids, et mieux de 4 à 9 % en poids. L'invention est illustrée plus en détails par les exemples décrits ci-après. Sauf indication contraire, les quantités indiquées sont exprimées en pourcentage massique.In particular, the wax is present in a content ranging from 1 to 15% by weight, relative to the total weight of the composition, preferably from 2 to 12% by weight, and more preferably from 4 to 9% by weight. The invention is further illustrated by the examples described hereinafter. Unless otherwise indicated, the quantities indicated are expressed as a percentage by mass.
EXEMPLESEXAMPLES
Exemple 1 : Composition de teint H/EEXAMPLE 1 Composition of O / W Complexion
Préparation de polysaccharides oxydés Trois polysaccharides oxydés non cationiques, respectivement un amylose de maïs oxydé, et deux amidons de pomme de terre oxydés, ont été synthétisés par oxydation des polysaccharides non oxydés correspondants dans l'eau en présence de peroxyde d'hydrogène et d'un catalyseur tétrasulfophtalocyanine de fer, à 58°C. Une telle méthode d'oxydation est décrite dans la demande FR-A-2842200, à titre d'exemple comme dans l'exemple 2.Preparation of Oxidized Polysaccharides Three non-cationic oxidized polysaccharides, respectively an amylose of oxidized corn, and two oxidized potato starches, were synthesized by oxidation of the corresponding non-oxidized polysaccharides in water in the presence of hydrogen peroxide and iron tetrasulfophthalocyanine catalyst at 58 ° C. Such an oxidation method is described in Application FR-A-2842200, by way of example as in Example 2.
Composé 1 : amylose de maïs oxydé obtenu par oxydation d'amylose de maïs (Hylon VII) fourni par la société National Starch & Chemical. Le composé 1 a une teneur en carbonyle de 0.95 mmole/g et une teneur en carboxyle de 2.63 mmole/g.Compound 1: Amylose of oxidized maize obtained by oxidation of maize amylose (Hylon VII) supplied by National Starch & Chemical. Compound 1 has a carbonyl content of 0.95 mmol / g and a carboxyl content of 2.63 mmol / g.
Composé 2 : amidon de pomme de terre oxydé obtenu par oxydation à d'amidon de pomme de terre fourni par la société Roquette (cas n° : 9005-25-8). Le composé 2 a une teneur en carbonyle de 1.08 mmole/g et une teneur en carboxyle de 1.4 mmole/g.Compound 2: oxidized potato starch obtained by oxidation to potato starch provided by Roquette (case no .: 9005-25-8). Compound 2 has a carbonyl content of 1.08 mmol / g and a carboxyl content of 1.4 mmol / g.
Composé 3 : amidon de pomme de terre oxydé obtenu par oxydation à d'amidon de pomme de terre fourni par la société Roquette (cas n° : 9005-25-8). Le composé 3 a une teneur en carbonyle de 0.99 mmole/g et une teneur en carboxyle de 1.1 1 mmole/g.Compound 3: oxidized potato starch obtained by oxidation to potato starch supplied by Roquette (case no .: 9005-25-8). Compound 3 has a carbonyl content of 0.99 mmol / g and a carboxyl content of 1.1 mmol / g.
La gélatine est tout d'abord solubilisée à chaud (900C) dans l'eau distillée (phase A1 ). Le mélange est ensuite placé au bain marie à 500C, et la phase A2 est ajoutée. En parallèle, la phase B huileuse est également portée à 500C. Elle est ajoutée progressivement dans la phase (A1 +A2) pour réaliser l'émulsion. Lorsque l'émulsion obtenue est homogène, la phase C est ajoutée sous agitation pendant 30 secondes. La composition est ensuite appliquée.The gelatin is first solubilized hot (90 ° C.) in distilled water (phase A1). The mixture is then placed in a water bath at 50 ° C., and the A2 phase is added. In parallel, the oily phase B is also brought to 50 ° C. It is added progressively in the phase (A1 + A2) to carry out the emulsion. When the emulsion obtained is homogeneous, phase C is added with stirring for 30 seconds. The composition is then applied.
Le film obtenu est pratiquement sec après 6-7 minutes. Le film obtenu est cohésif, facilement pelable, souple et élastique. Au toucher, le film est doux.The resulting film is virtually dry after 6-7 minutes. The resulting film is cohesive, easily peelable, flexible and elastic. To the touch, the film is soft.
D'autres compositions ont été réalisées, dans lesquelles le composé 1 est remplacé respectivement par le composé 2 ou le composé 3 (amidons de pomme de terre oxydés). Le film obtenu est cohésif et pelable.Other compositions have been made in which compound 1 is replaced respectively by compound 2 or compound 3 (oxidized potato starches). The resulting film is cohesive and peelable.
Exemple 2 : Kit de fond de teintExample 2: Foundation Kit
Composition A : Gélatine 4%Composition A: Gelatin 4%
Cire d'abeille 10% oxyde de fer noir 0,05% oxyde de fer rouge 0,34% oxyde de fer jaune 1 ,03% Bleu d'outremer 0,23% Conservateurs 0,45% Simethicone (anti mousse) 0,13% Cetyl phosphate de potassium (Amphisol K de Roche) 4% Eau Qsp 100Beeswax 10% iron oxide black 0.05% iron oxide red 0.34% iron oxide yellow 1, 03% Ultramarine blue 0.23% Preservatives 0.45% Simethicone (anti-foam) 0.13% Cetyl potassium phosphate (Rock Amphisol K) 4% Water Qs 100
Composition B Amidon oxydé 3% Conservateurs qs Eau qsp 100Composition B Oxidized starch 3% Preservatives q Water qs 100
Cette composition est conditionnée dans un aérosol/brumisateur.This composition is packaged in an aerosol / fogger.
On applique sur la peau du visage une couche de la composition A puis on vaporise sur l'ensemble la composition B à l'aide de l'aérosolA layer of the composition A is then applied to the skin of the face and then the composition B is sprayed on the assembly using the aerosol
Le film formé sur le visage par réticulation chimique de la gélatine avec l'amidon oxydé présente une bonne tenue à l'eau.The film formed on the face by chemical crosslinking of the gelatin with the oxidized starch has a good resistance to water.
Ce film peut se démaquiller facilement par pelage en tirant dessus avec les doigts.This film can be removed easily by peeling by pulling with your fingers.
Exemple 3 : Kit de fond de teintExample 3: Foundation Kit
Composition A :Composition A:
EAU DESIONISEE 81 ,2WATER DESIONIZED 81, 2
AMYLOSE DE MAÏS OXYDEAMYLOSE OF OXIDE CORN
A1 (composé 1 tel que décrit à l'exemple 1 ) 2A1 (compound 1 as described in Example 1) 2
ALCOOL BENZYLIQUE 0,8BENZYL ALCOHOL 0.8
GLYCEROL 5GLYCEROL 5
EAU DESIONISEE 6DESIONIZED WATER 6
OXYDE DE FER JAUNE (Cl:YELLOW IRON OXIDE (Cl:
77492) 0,8777492) 0.87
A2 OXYDE DE FER ROUGE (Cl:A2 RED IRON OXIDE (Cl:
77491 ) 0,477491) 0.4
OXYDE DE FER NOIR ( CI:BLACK IRON OXIDE (CI:
77499 ) 0,1 177499) 0.1 1
OXYDE DE TITANE (ANATASE 3,62 NON TRAITE) (CI: 77891 )TITANIUM OXIDE (ANATASE 3.62 NOT PROCESSED) (CI: 77891)
Mode préparatoirePreparatory mode
On mélange les constituants de la phase A2, puis on broie la pâte pigmentaire à la tricylindre (3 passages). Dans la phase A1 à 25°C, on introduit l'alcool benzylique puis le polysaccharide (amidon oxydé) sous forte agitation (Rayneri, pale défloculeuse, 700 tr/min). On attend la solubilisation complète du polysaccharide avant l'introduction de la pâte pigmentaire A2. On laisser agiter pendant 10 minutes à 700 tr/min.The constituents of the phase A2 are mixed and then the pigment paste is milled with the three-roll mill (3 passages). In phase A1 at 25 ° C., benzyl alcohol is introduced, followed by polysaccharide (oxidized starch) with vigorous stirring (Rayneri, deflocculating blade, 700 rpm). The complete solubilization of the polysaccharide is awaited before the introduction of the pigment paste A2. Stir for 10 minutes at 700 rpm.
Composition B : Acide hyaluronique 3% Conservateurs 0.2% Eau qsp 100Composition B: Hyaluronic acid 3% Preservatives 0.2% Water qs 100
Mise en œuyre des films (étalement sur plaque de verre à 37°C) :Embossing the films (spread on a glass plate at 37 ° C.):
On applique sur une plaque de verre à 37°C la composition A et sur une autre plaque de verre un mélange 50/50 de compositions A et B, avec l'épaisseur minimale pour bien mouiller le verre.A composition of composition A and another 50/50 mixture of compositions A and B is applied to a glass plate at 37 ° C with the minimum thickness to wet the glass well.
On observe d'une part les caractéristiques du film et d'autre part les propriétés de non transfert (sur un mouchoir) et les propriétés de résistance à l'eau et/ou sébum respectivement. Les résultats de ces observations sont renseignés dans le tableau ci- dessous :The characteristics of the film are observed on the one hand and the properties of non-transfer (on a tissue) and the properties of resistance to water and / or sebum, respectively. The results of these observations are indicated in the table below:
Observations des filmsObservations of the films
Ces résultats montrent que la mise en œuvre d'une composition comprenant un polysaccharide (amidon oxydé) associée à une composition comprenant un agent de réticulation chimique (acide hyaluronique) permet d'obtenir à la fois un film cohésif, pelable, non collant, avec de très bonnes propriétés de non transfert et une résistance améliorée à l'eau et au sébum. These results show that the implementation of a composition comprising a polysaccharide (oxidized starch) associated with a composition comprising a chemical crosslinking agent (hyaluronic acid) makes it possible to obtain both a cohesive, peelable, non-tacky film with very good non-transfer properties and improved resistance to water and sebum.
Claims
Applications Claiming Priority (4)
| Application Number | Priority Date | Filing Date | Title |
|---|---|---|---|
| FR0858861 | 2008-12-19 | ||
| FR0858861A FR2940115B1 (en) | 2008-12-19 | 2008-12-19 | KERATINIC MATERIAL COATING KIT COMPRISING A POLYSACCHARIDE AND A CHEMICAL CROSSLINKING AGENT |
| US14099208P | 2008-12-29 | 2008-12-29 | |
| US61/140,992 | 2008-12-29 |
Publications (2)
| Publication Number | Publication Date |
|---|---|
| WO2010070233A2 true WO2010070233A2 (en) | 2010-06-24 |
| WO2010070233A3 WO2010070233A3 (en) | 2012-05-10 |
Family
ID=40996721
Family Applications (1)
| Application Number | Title | Priority Date | Filing Date |
|---|---|---|---|
| PCT/FR2009/052586 Ceased WO2010070233A2 (en) | 2008-12-19 | 2009-12-17 | Kit for coating keratin substances comprising a polysaccharide and a chemical crosslinking agent |
Country Status (2)
| Country | Link |
|---|---|
| FR (1) | FR2940115B1 (en) |
| WO (1) | WO2010070233A2 (en) |
Cited By (2)
| Publication number | Priority date | Publication date | Assignee | Title |
|---|---|---|---|---|
| CN106668869A (en) * | 2016-12-11 | 2017-05-17 | 戴琪 | Preparation method of film coating material |
| KR20200056457A (en) * | 2017-10-27 | 2020-05-22 | 훔볼트-우니베르지테트 추 베를린 | Photoacoustic method comprising measuring light with a predefined wavelength range to determine the properties of a heterogeneous sample |
Citations (19)
| Publication number | Priority date | Publication date | Assignee | Title |
|---|---|---|---|---|
| US3301848A (en) | 1962-10-30 | 1967-01-31 | Pillsbury Co | Polysaccharides and methods for production thereof |
| US3589578A (en) | 1968-01-20 | 1971-06-29 | Monforts Fa A | Tension-relieving device for stretchable sheet material |
| FR2232303A1 (en) | 1973-06-08 | 1975-01-03 | Oreal | |
| US4017460A (en) | 1975-12-10 | 1977-04-12 | National Starch And Chemical Corporation | Novel starch ethers |
| US4031307A (en) | 1976-05-03 | 1977-06-21 | Celanese Corporation | Cationic polygalactomannan compositions |
| EP0293795A1 (en) | 1987-05-29 | 1988-12-07 | Toshiba Silicone Company, Ltd. | Makeup or cosmetic composition |
| US5162410A (en) | 1990-04-13 | 1992-11-10 | Dow Corning Corporation | Hot-melt silicon pressure sensitive adhesives with phenyl-containing siloxane fluid additive and related methods and articles |
| US5455340A (en) | 1994-02-02 | 1995-10-03 | National Starch And Chemical Investment Holding Corporation | Starches modified with amino-multicarboxylates |
| US5874069A (en) | 1997-01-24 | 1999-02-23 | Colgate-Palmolive Company | Cosmetic composition containing silicon-modified amides as thickening agents and method of forming same |
| US5919441A (en) | 1996-04-01 | 1999-07-06 | Colgate-Palmolive Company | Cosmetic composition containing thickening agent of siloxane polymer with hydrogen-bonding groups |
| US5981680A (en) | 1998-07-13 | 1999-11-09 | Dow Corning Corporation | Method of making siloxane-based polyamides |
| US6051216A (en) | 1997-08-01 | 2000-04-18 | Colgate-Palmolive Company | Cosmetic composition containing siloxane based polyamides as thickening agents |
| EP1086683A1 (en) | 1999-09-22 | 2001-03-28 | L'oreal | Gel composition and its use in cosmetic compositions and the like |
| FR2842200A1 (en) | 2002-07-12 | 2004-01-16 | Centre Nat Rech Scient | PROCESS FOR OBTAINING MODIFIED POLYSACCHARIDES |
| WO2004028488A2 (en) | 2002-09-26 | 2004-04-08 | L'oréal | Glossy liquid composition comprising a sequenced polymer |
| EP1411069A2 (en) | 2002-09-26 | 2004-04-21 | L'oreal | Block copolymers and cosmetic compositions containing such polymers |
| WO2004055081A2 (en) | 2002-12-12 | 2004-07-01 | L'oreal | Composition for coating keratin fibres, comprising a dispersion of polymer particles |
| WO2004073626A2 (en) | 2003-02-14 | 2004-09-02 | Revlon Consumer Products Corporation | Cosmetic compositions containing siloxane polymers |
| FR2854161A1 (en) | 2003-04-28 | 2004-10-29 | Centre Nat Rech Scient | Crystalline polysaccharide derivatives in the form of water-insoluble aggregates of microcrystals, for use e.g. as viscosity modifiers or super-absorbers, manufactured by controlled oxidation of primary alcohol groups |
Family Cites Families (7)
| Publication number | Priority date | Publication date | Assignee | Title |
|---|---|---|---|---|
| FR1548652A (en) * | 1967-10-27 | 1968-12-06 | ||
| US4055554A (en) * | 1976-09-10 | 1977-10-25 | National Starch And Chemical Corporation | Gel strength enhancer for gelatin compositions including an oxidized polysaccharide |
| FR2636339B1 (en) * | 1988-09-09 | 1992-07-17 | Auge Pier | AQUEOUS GEL BASED ON HYALURONIC ACID AND DEOXYRIBONUCLEIC ACID FOR USE IN COSMETICS, AND PREPARATION METHOD |
| JPH0421620A (en) * | 1990-05-16 | 1992-01-24 | Japan Metals & Chem Co Ltd | Two-part type pack cosmetic |
| JP2002241220A (en) * | 2001-02-19 | 2002-08-28 | Pola Chem Ind Inc | Thermesthesia alginic pack |
| US20040219124A1 (en) * | 2003-05-01 | 2004-11-04 | Gupta Shyam K. | Cosmetic and Pharmaceutical Masks Based on Ion-Pair Delivery System |
| MXPA05013213A (en) * | 2003-06-11 | 2006-03-09 | Procter & Gamble | Preparation-at-use device comprising pre-formed hydrogel product. |
-
2008
- 2008-12-19 FR FR0858861A patent/FR2940115B1/en not_active Expired - Fee Related
-
2009
- 2009-12-17 WO PCT/FR2009/052586 patent/WO2010070233A2/en not_active Ceased
Patent Citations (19)
| Publication number | Priority date | Publication date | Assignee | Title |
|---|---|---|---|---|
| US3301848A (en) | 1962-10-30 | 1967-01-31 | Pillsbury Co | Polysaccharides and methods for production thereof |
| US3589578A (en) | 1968-01-20 | 1971-06-29 | Monforts Fa A | Tension-relieving device for stretchable sheet material |
| FR2232303A1 (en) | 1973-06-08 | 1975-01-03 | Oreal | |
| US4017460A (en) | 1975-12-10 | 1977-04-12 | National Starch And Chemical Corporation | Novel starch ethers |
| US4031307A (en) | 1976-05-03 | 1977-06-21 | Celanese Corporation | Cationic polygalactomannan compositions |
| EP0293795A1 (en) | 1987-05-29 | 1988-12-07 | Toshiba Silicone Company, Ltd. | Makeup or cosmetic composition |
| US5162410A (en) | 1990-04-13 | 1992-11-10 | Dow Corning Corporation | Hot-melt silicon pressure sensitive adhesives with phenyl-containing siloxane fluid additive and related methods and articles |
| US5455340A (en) | 1994-02-02 | 1995-10-03 | National Starch And Chemical Investment Holding Corporation | Starches modified with amino-multicarboxylates |
| US5919441A (en) | 1996-04-01 | 1999-07-06 | Colgate-Palmolive Company | Cosmetic composition containing thickening agent of siloxane polymer with hydrogen-bonding groups |
| US5874069A (en) | 1997-01-24 | 1999-02-23 | Colgate-Palmolive Company | Cosmetic composition containing silicon-modified amides as thickening agents and method of forming same |
| US6051216A (en) | 1997-08-01 | 2000-04-18 | Colgate-Palmolive Company | Cosmetic composition containing siloxane based polyamides as thickening agents |
| US5981680A (en) | 1998-07-13 | 1999-11-09 | Dow Corning Corporation | Method of making siloxane-based polyamides |
| EP1086683A1 (en) | 1999-09-22 | 2001-03-28 | L'oreal | Gel composition and its use in cosmetic compositions and the like |
| FR2842200A1 (en) | 2002-07-12 | 2004-01-16 | Centre Nat Rech Scient | PROCESS FOR OBTAINING MODIFIED POLYSACCHARIDES |
| WO2004028488A2 (en) | 2002-09-26 | 2004-04-08 | L'oréal | Glossy liquid composition comprising a sequenced polymer |
| EP1411069A2 (en) | 2002-09-26 | 2004-04-21 | L'oreal | Block copolymers and cosmetic compositions containing such polymers |
| WO2004055081A2 (en) | 2002-12-12 | 2004-07-01 | L'oreal | Composition for coating keratin fibres, comprising a dispersion of polymer particles |
| WO2004073626A2 (en) | 2003-02-14 | 2004-09-02 | Revlon Consumer Products Corporation | Cosmetic compositions containing siloxane polymers |
| FR2854161A1 (en) | 2003-04-28 | 2004-10-29 | Centre Nat Rech Scient | Crystalline polysaccharide derivatives in the form of water-insoluble aggregates of microcrystals, for use e.g. as viscosity modifiers or super-absorbers, manufactured by controlled oxidation of primary alcohol groups |
Non-Patent Citations (8)
| Title |
|---|
| "KIRK-OTHMER ENCYCLOPEDIA OF CHEMICAL TECHNOLOGY", vol. 21, 1983, WILEY INTERSCIENCE, pages: 492 - 507 |
| "l'Industrial Gums - Polysaccharides and their Derivatives", EDITION ACADEMIC PRESS INC |
| E. A. MC GREGOR; C. T. GREENWOOD: "Polymers in Nature", vol. 15, JOHN WILEY & SONS, pages: 439 - 458 |
| E. FREDON ET AL.: "Hydrophobic films from maize bran hemicelluloses", CARBOHYDRATE POLYMERS, vol. 49, 2002, pages 1 - 12, XP004341983, DOI: doi:10.1016/S0144-8617(01)00312-5 |
| INDUSTRIAL CROPS AND PRODUCTS, vol. 7, 1997, pages 45 - 52 |
| KIRK-OTHMER: "Encyclopedia of Chemical Technology", vol. 3, 1982, pages: 896 - 900 |
| KLOAREG ET AL., OCEANOGRAPHY AND MARINE BIOLOGY - AN ANNUAL REVIEW, vol. 26, 1988, pages 259 - 315 |
| ROBERT L. DAVIDSON: "Handbook of Water soluble gums and resins", 1980, MC GRAW HILL BOOK COMPANY, pages: 240 - 328 |
Cited By (3)
| Publication number | Priority date | Publication date | Assignee | Title |
|---|---|---|---|---|
| CN106668869A (en) * | 2016-12-11 | 2017-05-17 | 戴琪 | Preparation method of film coating material |
| KR20200056457A (en) * | 2017-10-27 | 2020-05-22 | 훔볼트-우니베르지테트 추 베를린 | Photoacoustic method comprising measuring light with a predefined wavelength range to determine the properties of a heterogeneous sample |
| KR102207022B1 (en) | 2017-10-27 | 2021-01-22 | 훔볼트-우니베르지테트 추 베를린 | Optoacoustic method comprising measuring light having a predefined wavelength range to determine the properties of a heterogeneous sample |
Also Published As
| Publication number | Publication date |
|---|---|
| FR2940115B1 (en) | 2012-06-15 |
| FR2940115A1 (en) | 2010-06-25 |
| WO2010070233A3 (en) | 2012-05-10 |
Similar Documents
| Publication | Publication Date | Title |
|---|---|---|
| WO2010070234A2 (en) | Kit for coating keratin substances comprising a polysaccharide and an ionic or dative complexing agent | |
| EP2958540B1 (en) | Gel-type cosmetic composition | |
| JP6446539B2 (en) | Gel-type cosmetic composition with improved durability | |
| CN105163807B (en) | Gel type cosmetic composition | |
| JP2020125305A (en) | Gel/gel type compositions based on hydrophobically coated pigments and liquid fatty acid and/or glycol compounds | |
| FR3028758A1 (en) | COSMETIC COMPOSITION OF GEL / GEL TYPE COMPRISING A SYNTHETIC PHYLLOSILICATE | |
| FR3067934B1 (en) | GELIFIED COMPOSITION COMPRISING A DISPERSION OF SOLID AGGREGATES. | |
| EP3193659B1 (en) | Novel care and/or makeup device comprising a composition of gel/gel architecture | |
| FR3090325A1 (en) | GEL / GEL TYPE COMPOSITION COMPRISING BORON NITRIDE PARTICLES AND AT LEAST ONE ENCAPSULATED PIGMENT | |
| WO2017129237A1 (en) | Gel-gel composition containing salicylic acid, one alkanolamine and pigments | |
| WO2019002307A1 (en) | Gel-gel composition comprising a wax in the crystalline state | |
| FR3060382A1 (en) | GEL / GEL TYPE COMPOSITION COMPRISING A FLOWING LOAD AND A COMPOSITE PIGMENT BASED ON NON-SPHERIC ALUMINA, METAL OXIDE AND SURFACE TREATING AGENT | |
| WO2010070233A2 (en) | Kit for coating keratin substances comprising a polysaccharide and a chemical crosslinking agent | |
| FR3045334A1 (en) | GEL / GEL TYPE COMPOSITION BASED ON HYDROPHOBIC COATED PIGMENTS AND A LIQUID FATTY ACID | |
| FR3045337A1 (en) | GEL / GEL TYPE COMPOSITION BASED ON HYDROPHOBIC COATED PIGMENTS, A PARTICULAR GLYCOL COMPOUND AND AT LEAST ONE POLAR OIL | |
| WO2016030851A1 (en) | Gel/gel composition containing an anti-perspirant active agent | |
| FR3075053A1 (en) | PIGMENT-BASED GEL / GEL-TYPE COMPOSITION OF AT LEAST ONE C3-C8 SATURATED LINEAR DIHYDROXYALKAN OF FREE-FORM SALICYLIC ACID | |
| FR3136664A1 (en) | Composition comprising at least one glycolipid, at least one ascorbic acid analogue and at least two polyols, and use and method using the composition | |
| FR3136666A1 (en) | Composition comprising at least one glycolipid, at least one carboxyvinyl polymer and at least one polysaccharide polymer at a certain content |
Legal Events
| Date | Code | Title | Description |
|---|---|---|---|
| 121 | Ep: the epo has been informed by wipo that ep was designated in this application |
Ref document number: 09805723 Country of ref document: EP Kind code of ref document: A2 |
|
| NENP | Non-entry into the national phase |
Ref country code: DE |
|
| 122 | Ep: pct application non-entry in european phase |
Ref document number: 09805723 Country of ref document: EP Kind code of ref document: A2 |
























