WO2010014744A1 - Inhibitors of hepatitis c virus infection - Google Patents
Inhibitors of hepatitis c virus infection Download PDFInfo
- Publication number
- WO2010014744A1 WO2010014744A1 PCT/US2009/052147 US2009052147W WO2010014744A1 WO 2010014744 A1 WO2010014744 A1 WO 2010014744A1 US 2009052147 W US2009052147 W US 2009052147W WO 2010014744 A1 WO2010014744 A1 WO 2010014744A1
- Authority
- WO
- WIPO (PCT)
- Prior art keywords
- absent
- amino
- compound
- formula
- methyl
- Prior art date
- Legal status (The legal status is an assumption and is not a legal conclusion. Google has not performed a legal analysis and makes no representation as to the accuracy of the status listed.)
- Ceased
Links
- YJEZULVVLMHNQE-VWLOTQADSA-N C=CCNC(N(CC1)CCN1[C@@H](Cc1ccccc1)c1cc(C2=NC(N)=C3N=CN=C3N2Cc2c[N-2]nn2)ccc1)=O Chemical compound C=CCNC(N(CC1)CCN1[C@@H](Cc1ccccc1)c1cc(C2=NC(N)=C3N=CN=C3N2Cc2c[N-2]nn2)ccc1)=O YJEZULVVLMHNQE-VWLOTQADSA-N 0.000 description 1
- BPFAWJPABOKEPP-RRPNLBNLSA-N CC(C)(C)NC(N(CC1)CCN1[C@H]([C@@H](c1ccccc1)[n]1nnc(CN2C3=NC=NC3=C(N)N=C2)c1)c1ccccc1)=O Chemical compound CC(C)(C)NC(N(CC1)CCN1[C@H]([C@@H](c1ccccc1)[n]1nnc(CN2C3=NC=NC3=C(N)N=C2)c1)c1ccccc1)=O BPFAWJPABOKEPP-RRPNLBNLSA-N 0.000 description 1
Classifications
-
- C—CHEMISTRY; METALLURGY
- C07—ORGANIC CHEMISTRY
- C07D—HETEROCYCLIC COMPOUNDS
- C07D401/00—Heterocyclic compounds containing two or more hetero rings, having nitrogen atoms as the only ring hetero atoms, at least one ring being a six-membered ring with only one nitrogen atom
- C07D401/14—Heterocyclic compounds containing two or more hetero rings, having nitrogen atoms as the only ring hetero atoms, at least one ring being a six-membered ring with only one nitrogen atom containing three or more hetero rings
-
- A—HUMAN NECESSITIES
- A61—MEDICAL OR VETERINARY SCIENCE; HYGIENE
- A61K—PREPARATIONS FOR MEDICAL, DENTAL OR TOILETRY PURPOSES
- A61K38/00—Medicinal preparations containing peptides
- A61K38/16—Peptides having more than 20 amino acids; Gastrins; Somatostatins; Melanotropins; Derivatives thereof
- A61K38/17—Peptides having more than 20 amino acids; Gastrins; Somatostatins; Melanotropins; Derivatives thereof from animals; from humans
- A61K38/19—Cytokines; Lymphokines; Interferons
- A61K38/20—Interleukins [IL]
- A61K38/2013—IL-2
-
- A—HUMAN NECESSITIES
- A61—MEDICAL OR VETERINARY SCIENCE; HYGIENE
- A61K—PREPARATIONS FOR MEDICAL, DENTAL OR TOILETRY PURPOSES
- A61K38/00—Medicinal preparations containing peptides
- A61K38/16—Peptides having more than 20 amino acids; Gastrins; Somatostatins; Melanotropins; Derivatives thereof
- A61K38/17—Peptides having more than 20 amino acids; Gastrins; Somatostatins; Melanotropins; Derivatives thereof from animals; from humans
- A61K38/19—Cytokines; Lymphokines; Interferons
- A61K38/20—Interleukins [IL]
- A61K38/204—IL-6
-
- A—HUMAN NECESSITIES
- A61—MEDICAL OR VETERINARY SCIENCE; HYGIENE
- A61K—PREPARATIONS FOR MEDICAL, DENTAL OR TOILETRY PURPOSES
- A61K38/00—Medicinal preparations containing peptides
- A61K38/16—Peptides having more than 20 amino acids; Gastrins; Somatostatins; Melanotropins; Derivatives thereof
- A61K38/17—Peptides having more than 20 amino acids; Gastrins; Somatostatins; Melanotropins; Derivatives thereof from animals; from humans
- A61K38/19—Cytokines; Lymphokines; Interferons
- A61K38/20—Interleukins [IL]
- A61K38/208—IL-12
-
- A—HUMAN NECESSITIES
- A61—MEDICAL OR VETERINARY SCIENCE; HYGIENE
- A61K—PREPARATIONS FOR MEDICAL, DENTAL OR TOILETRY PURPOSES
- A61K38/00—Medicinal preparations containing peptides
- A61K38/16—Peptides having more than 20 amino acids; Gastrins; Somatostatins; Melanotropins; Derivatives thereof
- A61K38/17—Peptides having more than 20 amino acids; Gastrins; Somatostatins; Melanotropins; Derivatives thereof from animals; from humans
- A61K38/19—Cytokines; Lymphokines; Interferons
- A61K38/21—Interferons [IFN]
-
- A—HUMAN NECESSITIES
- A61—MEDICAL OR VETERINARY SCIENCE; HYGIENE
- A61K—PREPARATIONS FOR MEDICAL, DENTAL OR TOILETRY PURPOSES
- A61K45/00—Medicinal preparations containing active ingredients not provided for in groups A61K31/00 - A61K41/00
- A61K45/06—Mixtures of active ingredients without chemical characterisation, e.g. antiphlogistics and cardiaca
-
- C—CHEMISTRY; METALLURGY
- C07—ORGANIC CHEMISTRY
- C07D—HETEROCYCLIC COMPOUNDS
- C07D213/00—Heterocyclic compounds containing six-membered rings, not condensed with other rings, with one nitrogen atom as the only ring hetero atom and three or more double bonds between ring members or between ring members and non-ring members
- C07D213/02—Heterocyclic compounds containing six-membered rings, not condensed with other rings, with one nitrogen atom as the only ring hetero atom and three or more double bonds between ring members or between ring members and non-ring members having three double bonds between ring members or between ring members and non-ring members
- C07D213/04—Heterocyclic compounds containing six-membered rings, not condensed with other rings, with one nitrogen atom as the only ring hetero atom and three or more double bonds between ring members or between ring members and non-ring members having three double bonds between ring members or between ring members and non-ring members having no bond between the ring nitrogen atom and a non-ring member or having only hydrogen or carbon atoms directly attached to the ring nitrogen atom
- C07D213/60—Heterocyclic compounds containing six-membered rings, not condensed with other rings, with one nitrogen atom as the only ring hetero atom and three or more double bonds between ring members or between ring members and non-ring members having three double bonds between ring members or between ring members and non-ring members having no bond between the ring nitrogen atom and a non-ring member or having only hydrogen or carbon atoms directly attached to the ring nitrogen atom with hetero atoms or with carbon atoms having three bonds to hetero atoms with at the most one bond to halogen, e.g. ester or nitrile radicals, directly attached to ring carbon atoms
- C07D213/72—Nitrogen atoms
- C07D213/75—Amino or imino radicals, acylated by carboxylic or carbonic acids, or by sulfur or nitrogen analogues thereof, e.g. carbamates
-
- C—CHEMISTRY; METALLURGY
- C07—ORGANIC CHEMISTRY
- C07D—HETEROCYCLIC COMPOUNDS
- C07D215/00—Heterocyclic compounds containing quinoline or hydrogenated quinoline ring systems
- C07D215/02—Heterocyclic compounds containing quinoline or hydrogenated quinoline ring systems having no bond between the ring nitrogen atom and a non-ring member or having only hydrogen atoms or carbon atoms directly attached to the ring nitrogen atom
- C07D215/04—Heterocyclic compounds containing quinoline or hydrogenated quinoline ring systems having no bond between the ring nitrogen atom and a non-ring member or having only hydrogen atoms or carbon atoms directly attached to the ring nitrogen atom with only hydrogen atoms or radicals containing only hydrogen and carbon atoms, directly attached to the ring carbon atoms
- C07D215/06—Heterocyclic compounds containing quinoline or hydrogenated quinoline ring systems having no bond between the ring nitrogen atom and a non-ring member or having only hydrogen atoms or carbon atoms directly attached to the ring nitrogen atom with only hydrogen atoms or radicals containing only hydrogen and carbon atoms, directly attached to the ring carbon atoms having only hydrogen atoms, hydrocarbon or substituted hydrocarbon radicals, attached to the ring nitrogen atom
-
- C—CHEMISTRY; METALLURGY
- C07—ORGANIC CHEMISTRY
- C07D—HETEROCYCLIC COMPOUNDS
- C07D249/00—Heterocyclic compounds containing five-membered rings having three nitrogen atoms as the only ring hetero atoms
- C07D249/02—Heterocyclic compounds containing five-membered rings having three nitrogen atoms as the only ring hetero atoms not condensed with other rings
- C07D249/04—1,2,3-Triazoles; Hydrogenated 1,2,3-triazoles
-
- C—CHEMISTRY; METALLURGY
- C07—ORGANIC CHEMISTRY
- C07D—HETEROCYCLIC COMPOUNDS
- C07D251/00—Heterocyclic compounds containing 1,3,5-triazine rings
- C07D251/02—Heterocyclic compounds containing 1,3,5-triazine rings not condensed with other rings
- C07D251/12—Heterocyclic compounds containing 1,3,5-triazine rings not condensed with other rings having three double bonds between ring members or between ring members and non-ring members
- C07D251/26—Heterocyclic compounds containing 1,3,5-triazine rings not condensed with other rings having three double bonds between ring members or between ring members and non-ring members with only hetero atoms directly attached to ring carbon atoms
- C07D251/40—Nitrogen atoms
- C07D251/48—Two nitrogen atoms
- C07D251/52—Two nitrogen atoms with an oxygen or sulfur atom attached to the third ring carbon atom
-
- C—CHEMISTRY; METALLURGY
- C07—ORGANIC CHEMISTRY
- C07D—HETEROCYCLIC COMPOUNDS
- C07D251/00—Heterocyclic compounds containing 1,3,5-triazine rings
- C07D251/02—Heterocyclic compounds containing 1,3,5-triazine rings not condensed with other rings
- C07D251/12—Heterocyclic compounds containing 1,3,5-triazine rings not condensed with other rings having three double bonds between ring members or between ring members and non-ring members
- C07D251/26—Heterocyclic compounds containing 1,3,5-triazine rings not condensed with other rings having three double bonds between ring members or between ring members and non-ring members with only hetero atoms directly attached to ring carbon atoms
- C07D251/40—Nitrogen atoms
- C07D251/54—Three nitrogen atoms
-
- C—CHEMISTRY; METALLURGY
- C07—ORGANIC CHEMISTRY
- C07D—HETEROCYCLIC COMPOUNDS
- C07D277/00—Heterocyclic compounds containing 1,3-thiazole or hydrogenated 1,3-thiazole rings
- C07D277/02—Heterocyclic compounds containing 1,3-thiazole or hydrogenated 1,3-thiazole rings not condensed with other rings
- C07D277/08—Heterocyclic compounds containing 1,3-thiazole or hydrogenated 1,3-thiazole rings not condensed with other rings having one double bond between ring members or between a ring member and a non-ring member
- C07D277/12—Heterocyclic compounds containing 1,3-thiazole or hydrogenated 1,3-thiazole rings not condensed with other rings having one double bond between ring members or between a ring member and a non-ring member with hetero atoms or with carbon atoms having three bonds to hetero atoms with at the most one bond to halogen, e.g. ester or nitrile radicals, directly attached to ring carbon atoms
- C07D277/18—Nitrogen atoms
-
- C—CHEMISTRY; METALLURGY
- C07—ORGANIC CHEMISTRY
- C07D—HETEROCYCLIC COMPOUNDS
- C07D295/00—Heterocyclic compounds containing polymethylene-imine rings with at least five ring members, 3-azabicyclo [3.2.2] nonane, piperazine, morpholine or thiomorpholine rings, having only hydrogen atoms directly attached to the ring carbon atoms
- C07D295/04—Heterocyclic compounds containing polymethylene-imine rings with at least five ring members, 3-azabicyclo [3.2.2] nonane, piperazine, morpholine or thiomorpholine rings, having only hydrogen atoms directly attached to the ring carbon atoms with substituted hydrocarbon radicals attached to ring nitrogen atoms
- C07D295/08—Heterocyclic compounds containing polymethylene-imine rings with at least five ring members, 3-azabicyclo [3.2.2] nonane, piperazine, morpholine or thiomorpholine rings, having only hydrogen atoms directly attached to the ring carbon atoms with substituted hydrocarbon radicals attached to ring nitrogen atoms substituted by singly bound oxygen or sulfur atoms
- C07D295/084—Heterocyclic compounds containing polymethylene-imine rings with at least five ring members, 3-azabicyclo [3.2.2] nonane, piperazine, morpholine or thiomorpholine rings, having only hydrogen atoms directly attached to the ring carbon atoms with substituted hydrocarbon radicals attached to ring nitrogen atoms substituted by singly bound oxygen or sulfur atoms with the ring nitrogen atoms and the oxygen or sulfur atoms attached to the same carbon chain, which is not interrupted by carbocyclic rings
-
- C—CHEMISTRY; METALLURGY
- C07—ORGANIC CHEMISTRY
- C07D—HETEROCYCLIC COMPOUNDS
- C07D295/00—Heterocyclic compounds containing polymethylene-imine rings with at least five ring members, 3-azabicyclo [3.2.2] nonane, piperazine, morpholine or thiomorpholine rings, having only hydrogen atoms directly attached to the ring carbon atoms
- C07D295/04—Heterocyclic compounds containing polymethylene-imine rings with at least five ring members, 3-azabicyclo [3.2.2] nonane, piperazine, morpholine or thiomorpholine rings, having only hydrogen atoms directly attached to the ring carbon atoms with substituted hydrocarbon radicals attached to ring nitrogen atoms
- C07D295/10—Heterocyclic compounds containing polymethylene-imine rings with at least five ring members, 3-azabicyclo [3.2.2] nonane, piperazine, morpholine or thiomorpholine rings, having only hydrogen atoms directly attached to the ring carbon atoms with substituted hydrocarbon radicals attached to ring nitrogen atoms substituted by doubly bound oxygen or sulphur atoms
- C07D295/104—Heterocyclic compounds containing polymethylene-imine rings with at least five ring members, 3-azabicyclo [3.2.2] nonane, piperazine, morpholine or thiomorpholine rings, having only hydrogen atoms directly attached to the ring carbon atoms with substituted hydrocarbon radicals attached to ring nitrogen atoms substituted by doubly bound oxygen or sulphur atoms with the ring nitrogen atoms and the doubly bound oxygen or sulfur atoms attached to the same carbon chain, which is not interrupted by carbocyclic rings
-
- C—CHEMISTRY; METALLURGY
- C07—ORGANIC CHEMISTRY
- C07D—HETEROCYCLIC COMPOUNDS
- C07D295/00—Heterocyclic compounds containing polymethylene-imine rings with at least five ring members, 3-azabicyclo [3.2.2] nonane, piperazine, morpholine or thiomorpholine rings, having only hydrogen atoms directly attached to the ring carbon atoms
- C07D295/04—Heterocyclic compounds containing polymethylene-imine rings with at least five ring members, 3-azabicyclo [3.2.2] nonane, piperazine, morpholine or thiomorpholine rings, having only hydrogen atoms directly attached to the ring carbon atoms with substituted hydrocarbon radicals attached to ring nitrogen atoms
- C07D295/12—Heterocyclic compounds containing polymethylene-imine rings with at least five ring members, 3-azabicyclo [3.2.2] nonane, piperazine, morpholine or thiomorpholine rings, having only hydrogen atoms directly attached to the ring carbon atoms with substituted hydrocarbon radicals attached to ring nitrogen atoms substituted by singly or doubly bound nitrogen atoms
- C07D295/125—Heterocyclic compounds containing polymethylene-imine rings with at least five ring members, 3-azabicyclo [3.2.2] nonane, piperazine, morpholine or thiomorpholine rings, having only hydrogen atoms directly attached to the ring carbon atoms with substituted hydrocarbon radicals attached to ring nitrogen atoms substituted by singly or doubly bound nitrogen atoms with the ring nitrogen atoms and the substituent nitrogen atoms attached to the same carbon chain, which is not interrupted by carbocyclic rings
-
- C—CHEMISTRY; METALLURGY
- C07—ORGANIC CHEMISTRY
- C07D—HETEROCYCLIC COMPOUNDS
- C07D295/00—Heterocyclic compounds containing polymethylene-imine rings with at least five ring members, 3-azabicyclo [3.2.2] nonane, piperazine, morpholine or thiomorpholine rings, having only hydrogen atoms directly attached to the ring carbon atoms
- C07D295/16—Heterocyclic compounds containing polymethylene-imine rings with at least five ring members, 3-azabicyclo [3.2.2] nonane, piperazine, morpholine or thiomorpholine rings, having only hydrogen atoms directly attached to the ring carbon atoms acylated on ring nitrogen atoms
- C07D295/18—Heterocyclic compounds containing polymethylene-imine rings with at least five ring members, 3-azabicyclo [3.2.2] nonane, piperazine, morpholine or thiomorpholine rings, having only hydrogen atoms directly attached to the ring carbon atoms acylated on ring nitrogen atoms by radicals derived from carboxylic acids, or sulfur or nitrogen analogues thereof
- C07D295/182—Radicals derived from carboxylic acids
- C07D295/192—Radicals derived from carboxylic acids from aromatic carboxylic acids
-
- C—CHEMISTRY; METALLURGY
- C07—ORGANIC CHEMISTRY
- C07D—HETEROCYCLIC COMPOUNDS
- C07D295/00—Heterocyclic compounds containing polymethylene-imine rings with at least five ring members, 3-azabicyclo [3.2.2] nonane, piperazine, morpholine or thiomorpholine rings, having only hydrogen atoms directly attached to the ring carbon atoms
- C07D295/16—Heterocyclic compounds containing polymethylene-imine rings with at least five ring members, 3-azabicyclo [3.2.2] nonane, piperazine, morpholine or thiomorpholine rings, having only hydrogen atoms directly attached to the ring carbon atoms acylated on ring nitrogen atoms
- C07D295/20—Heterocyclic compounds containing polymethylene-imine rings with at least five ring members, 3-azabicyclo [3.2.2] nonane, piperazine, morpholine or thiomorpholine rings, having only hydrogen atoms directly attached to the ring carbon atoms acylated on ring nitrogen atoms by radicals derived from carbonic acid, or sulfur or nitrogen analogues thereof
- C07D295/205—Radicals derived from carbonic acid
-
- C—CHEMISTRY; METALLURGY
- C07—ORGANIC CHEMISTRY
- C07D—HETEROCYCLIC COMPOUNDS
- C07D317/00—Heterocyclic compounds containing five-membered rings having two oxygen atoms as the only ring hetero atoms
- C07D317/02—Heterocyclic compounds containing five-membered rings having two oxygen atoms as the only ring hetero atoms having the hetero atoms in positions 1 and 2
- C07D317/06—Heterocyclic compounds containing five-membered rings having two oxygen atoms as the only ring hetero atoms having the hetero atoms in positions 1 and 2 condensed with carbocyclic rings or ring systems
-
- C—CHEMISTRY; METALLURGY
- C07—ORGANIC CHEMISTRY
- C07D—HETEROCYCLIC COMPOUNDS
- C07D403/00—Heterocyclic compounds containing two or more hetero rings, having nitrogen atoms as the only ring hetero atoms, not provided for by group C07D401/00
- C07D403/02—Heterocyclic compounds containing two or more hetero rings, having nitrogen atoms as the only ring hetero atoms, not provided for by group C07D401/00 containing two hetero rings
- C07D403/04—Heterocyclic compounds containing two or more hetero rings, having nitrogen atoms as the only ring hetero atoms, not provided for by group C07D401/00 containing two hetero rings directly linked by a ring-member-to-ring-member bond
-
- C—CHEMISTRY; METALLURGY
- C07—ORGANIC CHEMISTRY
- C07D—HETEROCYCLIC COMPOUNDS
- C07D403/00—Heterocyclic compounds containing two or more hetero rings, having nitrogen atoms as the only ring hetero atoms, not provided for by group C07D401/00
- C07D403/02—Heterocyclic compounds containing two or more hetero rings, having nitrogen atoms as the only ring hetero atoms, not provided for by group C07D401/00 containing two hetero rings
- C07D403/12—Heterocyclic compounds containing two or more hetero rings, having nitrogen atoms as the only ring hetero atoms, not provided for by group C07D401/00 containing two hetero rings linked by a chain containing hetero atoms as chain links
-
- C—CHEMISTRY; METALLURGY
- C07—ORGANIC CHEMISTRY
- C07D—HETEROCYCLIC COMPOUNDS
- C07D487/00—Heterocyclic compounds containing nitrogen atoms as the only ring hetero atoms in the condensed system, not provided for by groups C07D451/00 - C07D477/00
- C07D487/02—Heterocyclic compounds containing nitrogen atoms as the only ring hetero atoms in the condensed system, not provided for by groups C07D451/00 - C07D477/00 in which the condensed system contains two hetero rings
- C07D487/04—Ortho-condensed systems
Definitions
- HCV Hepatitis C virus
- HCV is a positive-stranded RNA virus. Based on a comparison of the deduced amino acid sequence and the extensive similarity in the 5' untranslated region, HCV has been classified as a separate genus in the Flaviviridae family. All members of the Flaviviridae family have enveloped virions that contain a positive stranded RNA genome encoding all known virus-specific proteins via translation of a single, uninterrupted, open reading frame.
- the single strand HCV RNA genome is approximately 9500 nucleotides in length and has a single open reading frame (ORP) encoding a single large polyprotein of about 3000 amino acids. In infected cells, this polyprotein is cleaved at multiple sites by cellular and viral proteases to produce the structural and non-structural (NS) proteins of the virus. In the case of HCV, the generation of mature nonstructural proteins is effected by two viral proteases.
- the viral genome also encodes a nuclease that catalyzes replication of viral RNA, in addition to other viral proteins, both functional and structural.
- the present invention is directed to compounds and formulations that are effective for treatment of Hepatits C virus (HCV) infections, such as in humans.
- HCV Hepatits C virus
- compounds of the invention "kill" the virus, i.e., interfere with viral functions necessary for replication and propagation of the virus in a mammalian host.
- compounds of the invention inhibit viral spread, reducing the virulence of the viral strain infecting a population of host cells, such as liver cells in a human patient.
- the invention is also directed to methods of treatment using compounds of the invention.
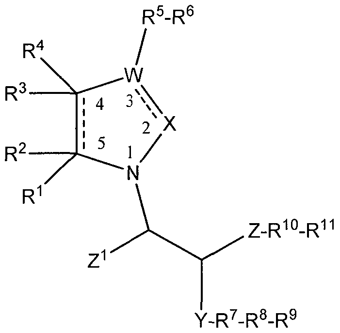
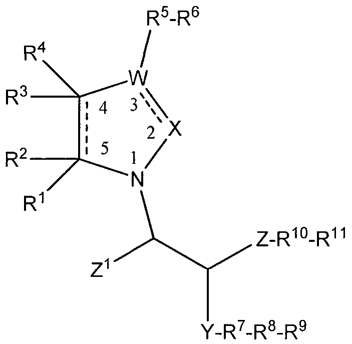
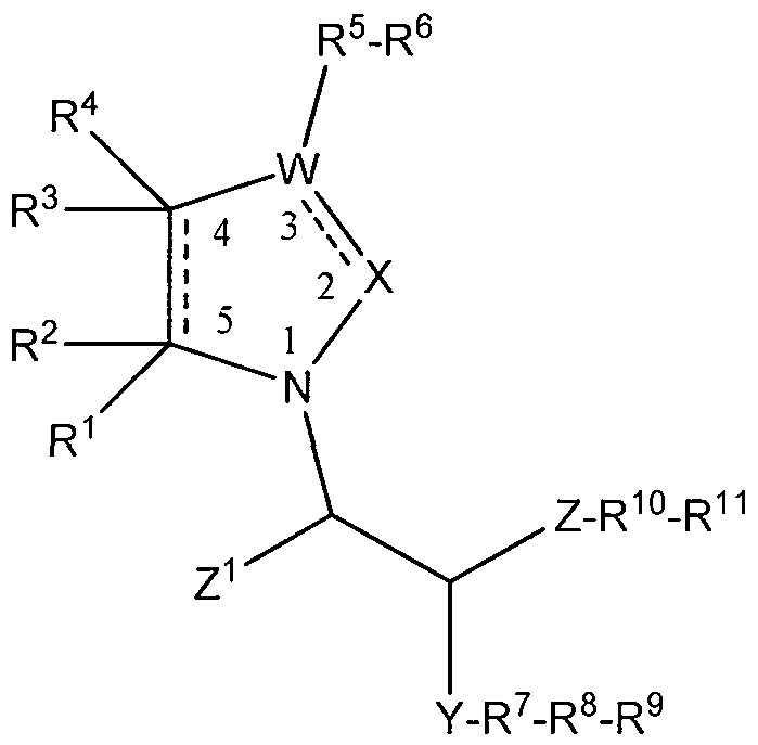
- the present invention provides a compound of formula (I) wherein
- W is N wherein W bears an R 5 -R 6 group as defined below, or W is a (Q- C 2 )alkylene wherein an R 5 -R 6 group are disposed on any carbon atom of the (Q-C 2 )alkylene or two R 5 -R 6 groups are disposed respectively on each carbon atom of a (C 2 )alkylene;
- X is N or is substituted or unsubstituted (Q-C 2 )alkylene; Y is NH, (Q-C 2 )alkylene-NH, hydroxyl, substituted or unsubstituted (Q-C 24 )alkylene, oxo wherein R 7 , R 8 and R 9 are absent, (C 3 -C 30 )heterocyclyl or (C 5 -C 3 o)heteroaryl, wherein the heterocyclyl or heteroaryl group can be substituted or unsubstituted;
- Z is carbonyl or is (C 6 -C 30 )aryl or (C 5 -C 30 )heteroaryl, wherein the aryl or heteroaryl group can be substituted or unsubstituted;
- R 3 is hydrogen, (C 6 -C 30 )aryl, or (d-C 24 )alkylene(C 3 - C 3 o)heterocyclyl(C 6 -C 3 o)aryl, wherein any aryl, alkylene, or heterocyclyl group can be substituted or unsubstituted; or
- R 5 is absent, hydrogen, (C,-C 24 )alkylene, carbonyl, thiocarbonyl, (C 6 - C 30 )aryl, or -SO 2 -;
- R 6 is absent, hydrogen, (C 6 -C 30 )aryl, (Ci-C 24 )alkoxy, oxy(C,- C 24 )alkynyl, -NH-(C, -C 24 )alkyl, -NH-(C, -C 24 )alkynyl, (C 5 -C 30 )heteroaryl(C 6 - C 30 )aryl, or -(C,-C 24 )alkylene(C 6 -C 30 )aryl;
- R 9 is absent, (C,-C 24 )alkyl, -NH(C,-C 24 )alkyl, amino, (C 6 -C 3 o)aryl, or (C 5 -C 30 )heteroaryl;
- R 10 is absent, NH, or O
- R 11 is absent, H, (Ci-Cg)cycloalkyl, or (C,-C 24 )alkyl; wherein any alkyl, alkynyl, alkylene, alkoxy, -NH-alkyl, -NH-alkynyl, alkylene-NH, aryl, cycloalkyl, heterocyclyl, or heteroaryl group can be optionally substituted on any carbon atom with one or more oxy, hydroxyl, halo, (C 6 -C 3 o)aryl, azido, amino, (C,-C 24 )alkynyl, nitro, cyano, (Ci-C 6 )alkoxy, or trifluoromethyl groups or any combination thereof and optionally exchanged at carbon with one or more oxy, imino, or thio groups; with the proviso that if Y is hydroxyl, or oxo, then R 7 , R 8 , and R 9 are each absent; with the proviso
- the present invention provides a compound of formula (II):
- X is nitrogen, oxygen, or CH;
- Y is nitrogen, oxygen, or (C 5 -C 3 o)heterocyclyl
- Z is nitrogen, -NH, or (C 5 -C 3 o)heteroaryl
- Ri is absent, carbonyl, (Ci-C 24 )alkylene, keto, or hydroxyl;
- R 2 is absent, oxy(Ci-C 24 )alkyl, or hydroxyl;
- R 3 is absent, -N-R a R b , or (d-C 24 )alkyl
- R 4 is absent, amino, hydroxyl, or (Ci-C 24 )alkyl
- R 5 is absent, (Ci-C 24 )alkylene, or (C 6 -C 3 o)aryl;
- R 6 is absent, (Ci-C 24 )alkynyl, azido, or (C 5 -C 30 )heterocyclyl(Ci- C 24 )alkyl(C 5 -C 30 )heteroaryl;
- R 7 is absent or (Ci-C 24 )alkylene
- R 8 is absent, (Ci-C 24 )alkylene, (Ci-C 24 )alkynyl, or azido;
- R a and R b are each independently hydrogen, (Ci-C 24 )alkyl, (C 6 -C 3 o)aryl, (C 6 -C 3 o)aryl(Ci-C 24 )alkyl, (C 5 -C 3 o)heteroaryl, (C 5 -C 30 )heteroaryl(Ci-C 24 )alkyl, (C 3 -C 3 o)heterocyclyl, or (C 3 -C 30 )heterocyclyl(Ci-C 24 )alkyl; any (Ci-C 24 )alkyl, (Ci-C 24 )alkylene, (C 6 -C 30 )aryl, (C 3 -C 30 )heterocyclyl, or (C 5 -C 3 o)heteroaryl can be optionally substituted on carbon with one or more oxy, hydroxyl, halogen, (C 6 -C 30 )aryl, nitro
- the present invention also provides a pharmaceutical composition.
- the pharmaceutical composition includes a pharmaceutically acceptable carrier; and a compound of the formula (I) or a compound of the formula (II), or a pharmaceutically acceptable salt, a prodrug, or a metabolite thereof.
- the pharmaceutical composition further includes one or more additional compounds having anti-Hepatitis C virus activity.
- the one or more additional compounds having anti-Hepatitis C virus activity can be interferon, ribavirin, or a combination thereof.
- the one or more additional compounds can be an inhibitor of a HCV protease, or an inhibitor of a HCV nuclease.
- the interferon includes interferon ⁇ 2b, pegylated interferon ⁇ , consensus interferon, interferon ⁇ 2a, lymphoblastoid interferon ⁇ , or a combination thereof.
- the one or more additional compounds having anti-Hepatitis C virus activity includes interleukin 2, interleukin 6, interleukin 12, interfering RNA, anti-sense RNA, imiqimod, ribavirin, an inosine 5'- monophospate dehydrogenase inhibitor, amantadine, rimantadine, or a combination thereof.
- the present invention further provides a method of treating an animal inflicted with Hepatitis C Virus infection.
- the method includes administering to an animal in need of such treatment an effective amount of a compound of the formula (I) or a compound of the formula (II), or a pharmaceutically acceptable salt, a solvate or a hydrate, a prodrug, or a metabolite thereof.
- the invention provides a method of treatment of an HCV infection in a host animal, such as a human patient, afflicted with an HCV strain that is resistant, or has developed resistance, to inhibitors of HCV viral protease or HCV viral nuclease.
- the protease(s) and nuclease(s) of viruses are targeted by many varieties of medicinal compounds, and it is possible, or even likely, that resistance to these mechanisms of action may develop among viral populations.
- the compounds of the invention target a viral component other than one of these enzyme systems, the inventors believe that cross-resistance is unlikely.
- the inventive compounds can be used in treatment of HCV strains that are already resistant, in treatment of HCV strains wherein development of protease or nuclease resistant strains is of concern, and in combination therapy comprising use of a protease inhibitor, a nuclease inhibitor, or both, in conjunction with a compound of the invention.
- the compounds of the invention can also be used to prevent viral spread in a population of cells that has been exposed to an inoculum of HCV.
- the compounds of the invention are believed to inhibit the transmission of the virus from an infected cell to an uninfected cell. Therefore, in various embodiments, a method of preventing viral spread is provided, comprising administering an effective amount of a compound of the invention to a patient exposed to an inoculum of HCV.
- the method further includes administering one or more additional compounds having anti-Hepatitis C virus activity prior to, after, or simultaneously with the compound of the formula (I) or formula (II) and a pharmaceutically acceptable salt, a prodrug, or a metabolite thereof.
- the one or more additional compounds having anti- Hepatitis C virus activity are an interferon, ribavirin, or a combination thereof.
- the one or more additional compounds can be an inhibitor of a HCV protease, or an inhibitor of a HCV nuclease.
- the interferon includes interferon ⁇ 2b, pegylated interferon ⁇ , consensus interferon, interferon ⁇ 2a, lymphoblastiod interferon ⁇ , or a combination thereof.
- the one or more additional compounds having anti-Hepatitis C virus activity includes interleukin 2, interleukin 6, interleukin 12, interfering RNA, anti-sense RNA, Imiqimod, ribavirin, an inosine 5'- monophospate dehydrogenase inhibitor, amantadine, rimantadine, or a combination thereof.
- the animal is a human.
- the present invention also provides a method of killing or inhibiting Hepatitis C Virus.
- the method includes contacting the
- Hepatitis C Virus with an effective amount of a compound of the formula (I) or a compound of the formula (II), or a pharmaceutically acceptable salt, a prodrug, or a metabolite thereof.
- the contacting is in vitro. In various embodiments, the contacting is in vivo.
- chemically feasible is meant a bonding arrangement or a compound where the generally understood rules of organic structure are not violated; for example a structure within a definition of a claim that would contain in certain situations a pentavalent carbon atom that would not exist in nature would be understood to not be within the claim.
- the structures disclosed herein, in all of their embodiments are intended to include only “chemically feasible” structures, and any recited structures that are not chemically feasible, for example in a structure shown with variable atoms or groups, are not intended to be disclosed or claimed herein.
- the presently disclosed subject matter relates to the use of a small molecule described herein for treating Hepatitis C Virus infection.
- a compound of the formula (I) or a compound of the formula (II) described herein the following terms have the following meanings, unless otherwise indicated.
- anti-Hepatitis C virus activity or "anti-HCV activity” means the compound is effective to inhibit the function of one or more targets selected from HCV metalloprotease, HCV serine protease, HCV polymerase, HCV helicase, HCV NS4B protein, HCV entry, HCV assembly, HCV egress, HCV NS 5 A protein, and IMPDH, or any other viral or cellular function necessary for viral spread and replication.
- anti-HCV activity refers to any bioactivity a compound may possess with respect to blocking the severity, symptoms, or transmission of the virus among animals, such as among human patients.
- the term “about” refers to a variation of 10 percent of the value specified; for example about 50 percent carries a variation from 45 to 55 percent.
- the term “and/or” refers to any one of the items, any combination of the items, or all of the items with which this term is associated.
- amine or “amino” includes primary, secondary, and tertiary amines having, e.g., the formula N(group) 3 wherein each group can independently be H or non-H, such as alkyl, aryl, and the like.
- Amines include but are not limited to R-NH 2 , for example, alkylamines, arylamines, alkylarylamines; R 2 NH wherein each R is independently selected, such as dialkylamines, diarylamines, aralkylamines, heterocyclylamines and the like; and R 3 N wherein each R is independently selected, such as trialkylamines, dialkylarylamines, alkyldiarylamines, triarylamines, and the like.
- the term also includes compounds of the form R' -NR 2 wherein the two "R" groups together with the amino nitrogen atom form a saturated or partically unsaturatured ring, such as a piperidinyl, morpholinyl, of pyrrolidinyl ring. Such rings are also referred to as “heterocyclyl” groups. A fully aromatic ring containing a nitrogen atom is referred to as a “heteroaryl”.
- amine also includes ammonium ions as used herein.
- An "amino" group is a substituent of the form -NH 2 , -NHR, -NR 2 , -NR 3 + , wherein each R is independently selected, and protonated forms of each.
- any compound substituted with an amino group can be viewed as an amine.
- An "ammonium” ion includes the unsubstituted ammonium ion NH 4 + , but unless otherwise specified, it also includes any protonated or quaternarized forms of amines. Thus, trimethylammonium hydrochloride and tetramethylammonium chloride are both ammonium ions, and amines, within the meaning herein.
- the term “azido” refers to N 3 .
- alkyl refers to a Ci-Ci 8 hydrocarbon containing normal, secondary, tertiary or cyclic carbon atoms. Examples are methyl, ethyl, 1-propyl, 2-propyl, 1-butyl, 2-methyl-l -propyl (iso-butyl, - CH 2 CH(CH 3 ) 2 ), 2-butyl (sec-butyl, -CH(CH 3 )CH 2 CH 3 ), 2-methyl-2-propyl (tert-butyl, -C(CH 3 ) 3 ), 1-pentyl, 2-pentyl, 3-pentyl, 2-methyl-2-butyl, 3- methyl-2-butyl, 3-methyl- 1-butyl, 2-methyl-l -butyl, 1-hexyl, 2-hexyl, 3- hexyl, 2-methyl-2-pentyl, 3-methyl-2-pentyl, 4-methyl-2-pentyl, 3-methyl- 3-p
- the alkyl can be a monovalent hydrocarbon radical, as described and exemplified above, or it can be a divalent hydrocarbon radical (i.e., alkylene).
- the alkyl can optionally be substituted with one or more alkoxy, halo, haloalkyl, hydroxy, hydroxyalkyl, aryl, heteroaryl, heterocycle, cycloalkyl, alkanoyl, alkoxy carbonyl, amino, imino, alkylamino, acylamino, nitro, trifluoromethyl, trifluoromethoxy, carboxy, carboxyalkyl, keto, thioxo, alkylthio, alkyl sulfinyl, alkylsulfonyl, cyano, acetamido, acetoxy, acetyl, benzamido, benzenesulfinyl, benzenesulfonamido, benzenesulfony
- the alkenyl can be a mono-valent hydrocarbon radical, as described and exemplified above, or it can be a divalent hydrocarbon radical (i.e., alkenylene).
- the alkenyl can optionally be substituted with one or more alkoxy, halo, haloalkyl, hydroxy, hydroxyalkyl, aryl, heteroaryl, heterocycle, cycloalkyl, alkanoyl, alkoxycarbonyl, amino, imino, alkylamino, acylamino, nitro, trifluoromethyl, trifluoromethoxy, carboxy, carboxyalkyl, keto, thioxo, alkylthio, alkylsulfinyl, alkylsulfonyl, cyano, acetamido, acetoxy, acetyl, benzamido, benzenesulfinyl, benzenesulfonamido, benzenesulfonyl, benzenesulfonylamino, benzoyl, benzoylamino, benzoyloxy, benzyl, benzyloxy, benzy
- alkylene refers to a saturated, branched or straight chain or cyclic hydrocarbon radical of 1 to aboutl8 carbon atoms, and having two monovalent radical centers derived by the removal of two hydrogen atoms from the same or different carbon atoms of a parent alkane.
- Typical alkylene radicals include, but are not limited to: methylene (-CH 2 -) 1,2-ethylene (-CH 2 CH 2 -), 1,3-propylene (-CH 2 CH 2 CH 2 -), 1,4-butylene (-CH 2 CH 2 CH 2 CH 2 -), and the like.
- the alkylene can be substituted with one or more alkoxy, halo, haloalkyl, hydroxy, hydroxyalkyl, aryl, heteroaryl, heterocycle, cycloalkyl, alkanoyl, alkoxycarbonyl, amino, imino, alkylamino, acylamino, nitro, trifluoromethyl, trifluoromethoxy, carboxy, carboxyalkyl, keto, thioxo, alkylthio, alkylsulfinyl, alkylsulfonyl, cyano, acetamido, acetoxy, acetyl, benzamido, benzenesulfinyl, benzenesulfonamido, benzenesulfonyl, benzenesulfonylamino, benzoyl, benzoylamino, benzoyloxy, benzyl, benzyloxy, benzyloxycarbon
- any of these can be referred to as a "substituted alkylene,” or the group (-CH 2 ) n - wherein n is 1 to about 18 can be referred to as an "unsubstituted alkylene.”
- the alkylene can optionally be at least partially unsaturated, thereby providing an alkenylene.
- alkenylene refers to an unsaturated, branched or straight chain or cyclic hydrocarbon radical of 2-18 carbon atoms, and having two monovalent radical centers derived by the removal of two hydrogen atoms from the same or two different carbon atoms of a parent alkene.
- the alkenylene can optionally be substituted with one or more alkoxy, halo, haloalkyl, hydroxy, hydroxyalkyl, aryl, heteroaryl, heterocycle, cycloalkyl, alkanoyl, alkoxycarbonyl, amino, imino, alkylamino, acylamino, nitro, trifluoromethyl, trifluoromethoxy, carboxy, carboxyalkyl, keto, thioxo, alkylthio, alkylsulfinyl, alkylsulfonyl, cyano, acetamido, acetoxy, acetyl, benzamido, benzenesulfinyl, benzenesulfonamido, benzenesulfonyl, benzenesulfonylamino, benzoyl, benzoylamino, benzoyloxy, benzyl, benzyloxy, benzy
- alkynyl refers to a monoradical branched or unbranched hydrocarbon chain, having a point of complete unsaturation (i.e., a carbon-carbon, sp triple bond).
- the alkynyl group can have from 2 to 10 carbon atoms, or 2 to 6 carbon atoms. In another embodiment, the alkynyl group can have from 2 to 4 carbon atoms.
- This term is exemplified by groups such as ethynyl, 1-propynyl, 2-propynyl, 1-butynyl, 2-butynyl, 3-butynyl, 1-hexynyl, 2-hexynyl, 3-hexynyl, 1-octynyl, and the like.
- the alkynyl can be unsubstituted or substituted.
- alkoxy refers to the group alkyl-O-, where alkyl is defined herein.
- Preferred alkoxy groups include, e.g., methoxy, ethoxy, /7-propoxy, zs ⁇ -propoxy, n-butoxy, fert-butoxy, sec-butoxy, rc-pentoxy, n- hexoxy, 1 ,2-dimethylbutoxy, and the like.
- the alkoxy can optionally be substituted with one or more halo, haloalkyl, hydroxy, hydroxyalkyl, aryl, heteroaryl, heterocycle, cycloalkyl, alkanoyl, alkoxycarbonyl, amino, imino, alkylamino, acylamino, nitro, trifluoromethyl, trifluoromethoxy, carboxy, carboxyalkyl, keto, thioxo, alkylthio, alkylsulfinyl, alkylsulfonyl, cyano, acetamido, acetoxy, acetyl, benzamido, benzenesulfinyl, benzenesulfonamido, benzenesulfonyl, benzenesulfonylamino, benzoyl, benzoylamino, benzoyloxy, benzyl, benzyloxy, benzyloxycarbonyl
- aryl refers to an unsaturated aromatic carbocyclic group of from 6 to 20 carbon atoms having a single ring (e.g., phenyl) or multiple condensed (fused) rings, wherein at least one ring is aromatic (e.g., naphthyl, dihydrophenanthrenyl, fluorenyl, or anthryl).
- Preferred aryls include phenyl, naphthyl and the like.
- the aryl can optionally be a divalent radical, thereby providing an arylene.
- the aryl can optionally be substituted with one or more alkyl, alkenyl, alkoxy, halo, haloalkyl, hydroxy, hydroxyalkyl, aryl, heteroaryl, heterocycle, cycloalkyl, alkanoyl, alkoxycarbonyl, amino, imino, alkylamino, acylamino, nitro, trifluoromethyl, trifluoromethoxy, carboxy, carboxyalkyl, keto, thioxo, alkylthio, alkylsulfinyl, alkylsulfonyl, cyano, acetamido, acetoxy, acetyl, benzamido, benzenesulfinyl, benzenesulfonamido, benzenesulfonyl, benzenesulfonylamino, benzoyl, benzoylamino, benzoyloxy, benzyl,
- bioavailability refers to the degree to which the pharmaceutically active agent becomes available to the target tissue after the agent's introduction into the body. Enhancement of the bioavailability of a pharmaceutically active agent can provide a more efficient and effective treatment for patients because, for a given dose, more of the pharmaceutically active agent should be available at the targeted tissue sites.
- cycloalkyl refers to cyclic alkyl groups of from 3 to 20 carbon atoms having a single cyclic ring or multiple condensed rings.
- Such cycloalkyl groups include, by way of example, single ring structures such as cyclopropyl, cyclobutyl, cyclopentyl, cyclooctyl, and the like, or multiple ring structures such as adamantanyl, and the like.
- the cycloalkyl can optionally be substituted with one or more alkyl, alkenyl, alkoxy, halo, haloalkyl, hydroxy, hydroxyalkyl, aryl, heteroaryl, heterocycle, cycloalkyl, alkanoyl, alkoxycarbonyl, amino, imino, alkylamino, acylamino, nitro, trifluoromethyl, trifluoromethoxy, carboxy, carboxyalkyl, keto, thioxo, alkylthio, alkylsulfinyl, alkylsulfonyl, cyano, acetamido, acetoxy, acetyl, benzamido, benzenesulfinyl, benzenesulfonamido, benzenesulfonyl, benzenesulfonylamino, benzoyl, benzoylamino, benzoyloxy, benzy
- the cycloalkyl can optionally be at least partially unsaturated, thereby providing a cycloalkenyl. Additionally, the cycloalkyl can optionally be a divalent radical, thereby providing a cycloalkylene.
- halo refers to fluoro, chloro, bromo, and iodo.
- halogen refers to fluorine, chlorine, bromine, and iodine.
- haloalkyl refers to alkyl as defined herein substituted by 1-4 halo groups as defined herein, which may be the same or different. Representative haloalkyl groups include, by way of example, trifluoromethyl, 3-fluorododecyl, 12,12,12-trifluorododecyl, 2-bromooctyl, 3- bromo-6-chloroheptyl, and the like.
- heteroaryl is defined herein as a monocyclic, bicyclic, or tricyclic ring system containing one, two, or three aromatic rings and containing at least one nitrogen, oxygen, or sulfur atom in an aromatic ring, and which can be unsubstituted or substituted.
- the heteroaryl can optionally be a divalent radical, thereby providing a heteroarylene.
- heteroaryl groups include, but are not limited to, 2H- pyrrolyl, 3H-indolyl, 4H-quinolizinyl, 4nH-carbazolyl, acridinyl, benzo[&]thienyl, benzothiazolyl, ⁇ -carbolinyl, carbazolyl, chromenyl, cinnaolinyl, dibenzo[b,d]furanyl, furazanyl, furyl, imidazolyl, imidizolyl, indazolyl, indolisinyl, indolyl, isobenzofuranyl, isoindolyl, isoquinolyl, isothiazolyl, isoxazolyl, naphthyridinyl, naptho[2,3- ⁇ ], oxazolyl, perimidinyl, phenanthridinyl, phenanthrolinyl, phenarsazinyl, phenaziny
- heteroaryl denotes a monocyclic aromatic ring containing five or six ring atoms containing carbon and 1, 2, 3, or 4 heteroatoms independently selected from the group non- peroxide oxygen, sulfur, and N(Z) wherein Z is absent or is H, O, alkyl, phenyl, or benzyl.
- heteroaryl denotes an ortho-fused bicyclic heterocycle of about eight to ten ring atoms derived therefrom, particularly a benz-derivative or one derived by fusing a propylene, or tetramethylene diradical thereto.
- the heteroaryl can optionally be substituted with one or more alkyl, alkenyl, alkoxy, halo, haloalkyl, hydroxy, hydroxyalkyl, aryl, heteroaryl, heterocycle, cycloalkyl, alkanoyl, alkoxycarbonyl, amino, imino, alkylamino, acylamino, nitro, trifluoromethyl, trifluoromethoxy, carboxy, carboxyalkyl, keto, thioxo, alkylthio, alkylsulfmyl, alkylsulfonyl, cyano, acetamido, acetoxy, acetyl, benzamido, benzenesulfinyl, benzenesulfonamido, benzenesulfonyl, benzenesulfonylamino, benzoyl, benzoylamino, benzoyloxy, benzyl, benz
- heterocycle is a monocyclic, bicyclic, or tricyclic group containing one or more heteroatoms selected from the group oxygen, nitrogen, and sulfur.
- heterocycle groups include 1 ,3-dihydrobenzofuran, 1 ,3-dioxolane, 1,4-dioxane, 1 ,4-dithiane, 2//-pyran, 2-pyrazoline, 4//-pyran, chromanyl, imidazolidinyl, imidazolinyl, indolinyl, isochromanyl, isoindolinyl, morpholine, piperazinyl, piperidine, piperidyl, pyrazolidine, pyrazolidinyl, pyrazolinyl, pyrrolidine, pyrroline, quinuclidine, and thiomorpholine.
- the heterocycle can optionally be a divalent radical, thereby providing a heterocyclene.
- the heterocycle can optionally be substituted with one or more alkyl, alkenyl, alkoxy, halo, haloalkyl, hydroxy, hydroxyalkyl, aryl, heteroaryl, heterocycle, cycloalkyl, alkanoyl, alkoxycarbonyl, amino, imino, alkylamino, acylamino, nitro, trifluoromethyl, trifluoromethoxy, carboxy, carboxyalkyl, keto, thioxo, alkylthio, alkylsulfinyl, alkylsulfonyl, cyano, acetamido, acetoxy, acetyl, benzamido, benzenesulf ⁇ nyl, benzenesulfonamido, benzenesulfonyl, benzenesulfonylamino, benzoyl, benzoylamino, benzoyloxy, benzyl,
- nitrogen heterocycles and heteroaryls include, but are not limited to, pyrrole, imidazole, pyrazole, pyridine, pyrazine, pyrimidine, pyridazine, indolizine, isoindole, indole, indazole, purine, quinolizine, isoquinoline, quinoline, phthalazine, naphthylpyridine, quinoxaline, quinazoline, cinnoline, pteridine, carbazole, carboline, phenanthridine, acridine, phenanthroline, isothiazole, phenazine, isoxazole, phenoxazine, phenothiazine, imidazolidine, imidazoline, piperidine, piperazine, indoline, morpholino, piperidinyl, tetrahydrofuranyl, and the like as well as N-alkoxy-nitrogen containing
- the imino can optionally be substituted with one or more alkyl, alkenyl, alkoxy, aryl, heteroaryl, heterocycle, or cycloalkyl.
- the term "exchanged” is intended to indicate that in between two or more adjacent carbon atoms, and the hydrogen atoms to which they are attached (e.g., methyl (CH 3 ), methylene (CH 2 ), or methine (CH)), indicated in the expression using "interrupted” is inserted with a selection from the indicated group(s), provided that the each of the indicated atoms' normal valency is not exceeded, and that the interruption results in a stable compound.
- the term "isocyanato" refers to -NC.
- keto refers to (CO).
- any of the groups described herein, which contain one or more substituents it is understood, of course, that such groups do not contain any substitution or substitution patterns which are sterically impractical and/or synthetically non-feasible.
- the compounds of this disclosed subject matter include all stereochemical isomers arising from the substitution of these compounds.
- substituents within the compounds described herein are present to a recursive degree.
- "recursive substituent” means that a substituent may recite another instance of itself. Because of the recursive nature of such substituents, theoretically, a large number may be present in any given claim.
- One of ordinary skill in the art of medicinal chemistry and organic chemistry understands that the total number of such substituents is reasonably limited by the desired properties of the compound intended. Such properties include, by of example and not limitation, physical properties such as molecular weight, solubility or log P, application properties such as activity against the intended target, and practical properties such as ease of synthesis.
- Recursive substituents are an intended aspect of the disclosed subject matter.
- One of ordinary skill in the art of medicinal and organic chemistry understands the versatility of such substituents.
- the term "infection” refers to the invasion of the host by germs including viruses that reproduce and multiply, causing disease by local cell injury, release of poisons, or germ-antibody reaction in the cells.
- the infection can be in a mammal (e.g., human).
- the term “metabolite” refers to any compound of the formula (I) or formula (II) produced in vivo or in vitro from the parent drug, or its prodrugs.
- the term "patient” refers to a warm-blooded animal, and preferably a mammal, such as, for example, a cat, dog, horse, cow, pig, mouse, rat, or primate, including a human.
- the term "pharmaceutically acceptable” refers to those compounds, materials, compositions, and/or dosage forms that are, within the scope of sound medical judgment, suitable for use in contact with the tissues of human beings and animals without excessive toxicity, irritation, allergic response, or other problems or complications commensurate with a reasonable benefit/risk ratio.
- pharmaceutically acceptable salts refers to ionic compounds, wherein a parent non-ionic compound is modified by making acid or base salts thereof.
- examples of pharmaceutically acceptable salts include, but are not limited to, mineral or organic acid salts of basic residues such as amines; alkali or organic salts of acidic residues such as carboxylic acids; and the like.
- the pharmaceutically acceptable salts include conventional non-toxic salts and quaternary ammonium salts of the parent compound formed, for example, from non-toxic inorganic or organic acids.
- Non-toxic salts can include those derived from inorganic acids such as hydrochloric, hydrobromic, hydroiodic, sulfuric, sulfamic, phosphoric, nitric and the like.
- Salts prepared from organic acids can include those such as acetic, 2-acetoxybenzoic, ascorbic, benzenesulfonic, benzoic, citric, ethanesulfonic, ethane disulfonic, formic, fumaric, gentisinic, glucaronic, gluconic, glutamic, glycolic, hydroxymaleic, isethionic, isonicotinic, lactic, maleic, malic, mesylate or methanesulfonic, oxalic, pamoic (l,l '-methylene-bis-(2-hydroxy-3-naphthoate)), pantothenic, phenylacetic, propionic, salicylic, sulfanilic, toluenesulf
- Certain compounds can form pharmaceutically acceptable salts with various amino acids.
- pharmaceutically acceptable salts see, e.g., Berge et al., J. Pharm. Sci. 1977, 66( ⁇ ), 1-19, which is incorporated herein by reference.
- the pharmaceutically acceptable salts of the compounds described herein can be synthesized from the parent compound, which contains a basic or acidic moiety, by conventional chemical methods. Generally, such salts can be prepared by reacting the free acid or base forms of these compounds with a stoichiometric amount of the appropriate base or acid in water or in an organic solvent, or in a mixture of the two; generally, nonaqueous media like ether, ethyl acetate, ethanol, isopropanol, or acetonitrile are preferred. Lists of many suitable salts are found in Remington's Pharmaceutical Sciences, 17th ed., Mack
- One diastereomer of a compound disclosed herein may display superior activity compared with the other.
- separation of the racemic material can be achieved by HPLC using a chiral column or by a resolution using a resolving agent such as camphonic chloride as in Tucker et al., J. Med. Chem., 37, 2437 (1994).
- a chiral compound described herein may also be directly synthesized using a chiral catalyst or a chiral ligand, e.g., Huffman et al., J. Org. Chem., 60:1590 (1995).
- stable compound and “stable structure” are meant to indicate a compound that is sufficiently robust to survive isolation to a useful degree of purity from a reaction mixture, and formulation into an efficacious therapeutic agent. Only stable compounds are contemplated herein.
- prodrug refers to any pharmaceutically acceptable form of compound of the formula (I) or formula (II) which, upon administration to a patient, provides a compound of the formula (I) or formula (II).
- pharmaceutically acceptable prodrugs refer to a compound that is metabolized, for example hydrolyzed or oxidized, in the host to form a compound of the formula (I) or formula (II).
- Typical examples of prodrugs include compounds that have biologically labile protecting groups on a functional moiety of the active compound.
- Prodrugs include compounds that can be oxidized, reduced, aminated, deaminated, hydroxylated, dehydroxylated, hydrolyzed, dehydrolyzed, alkylated, dealkylated, acylated, deacylated, phosphorylated, dephosphorylated to produce the active compound.
- the compounds of the formula (I) or formula (II) possess antiviral activity against HCV, or are metabolized to a compound that exhibits such activity.
- substituted is intended to indicate that one or more hydrogens on the atom indicated in the expression using “substituted” is replaced with a selection from the indicated group(s), provided that the indicated atom's normal valency is not exceeded, and that the substitution results in a stable compound.
- Suitable indicated groups include, e.g., alkyl, alkenyl, alkylidenyl, alkenylidenyl, alkoxy, halo, haloalkyl, hydroxy, hydroxyalkyl, aryl, heteroaryl, heterocycle, cycloalkyl, alkanoyl, acyloxy, alkoxy carbonyl, amino, imino, alkylamino, acylamino, nitro, trifluoromethyl, trifluoromethoxy, carboxy, carboxyalkyl, keto, thioxo, alkylthio, alkylsulfinyl, alkylsulfonyl, cyano, acetamido, acetoxy, acetyl, benzamido, benzenesulfinyl, benzenesulfonamido, benzenesulfonyl, benzenesulfonylamino, benzoyl, be
- the term "therapeutically effective amount” is intended to include an amount of a compound described herein, or an amount of the combination of compounds described herein, e.g., to treat or prevent the disease or disorder, or to treat the symptoms of the disease or disorder, in a host.
- the combination of compounds is preferably a synergistic combination. Synergy, as described for example by Chou and Talalay, Adv. Enzyme ReguL, 22:27 (1984), occurs when the effect of the compounds when administered in combination is greater than the additive effect of the compounds when administered alone as a single agent. In general, a synergistic effect is most clearly demonstrated at suboptimal concentrations of the compounds. Synergy can be in terms of lower cytotoxicity, increased activity, or some other beneficial effect of the combination compared with the individual components.
- the phrase "complication associated with cirrhosis of the liver” refers to a disorder that is a sequellae of decompensated liver disease, i.e., or occurs subsequently to and as a result of development of liver fibrosis, and includes, but it not limited to, development of ascites, variceal bleeding, portal hypertension, jaundice, progressive liver insufficiency, encephalopathy, hepatocellular carcinoma, liver failure requiring liver transplantation, and liver- related mortality.
- a "hydrate” is a compound that exists in a composition with water molecules.
- the composition can include water in stoichiometic quantities, such as a monohydrate or a dihydrate, or can include water in random amounts.
- a “solvate” is a similar composition except that a solvent other that water replaces the water.
- a solvent other that water replaces the water For example, methanol or ethanol can form an “alcoholate", which can again be stoichiometic or non-stoichiometric.
- the terms “treating” or “treat” includes (i) preventing a pathologic condition from occurring (e.g., prophylaxis); (ii) inhibiting the pathologic condition or arresting its development; (iii) relieving the pathologic condition; and/or (iv) diminishing symptoms associated with the pathologic condition
- ⁇ g denotes microgram
- mg denotes milligram
- g denotes gram
- ⁇ L denotes microliter
- mL denotes milliliter
- L denotes liter
- nM denotes nanomolar
- ⁇ M denotes micromolar
- mM denotes millimolar
- M denotes molar
- nm denotes nanometer
- the invention as disclosed herein provides a compound, method and composition for the treatment of hepatitis C in humans or other host animals, that includes administering an effective HCV treatment amount of a compound of the formula (I) or formula (II) as described herein or a pharmaceutically acceptable salt, a prodrug, or a metabolite thereof, optionally in a pharmaceutically acceptable carrier.
- the compounds of this invention either possess antiviral (i.e., anti-Hepatitis C virus) activity, or are metabolized to a compound that exhibits such activity.
- a compound of the formula (I) or formula (II) further includes one or more additional compounds having anti-Hepatitis C virus activity.
- the one or more additional compounds having anti- Hepatitis C virus activity are an interferon, ribavirin, or a combination thereof.
- the interferon includes interferon ⁇ 2b, pegylated interferon ⁇ , consensus interferon, interferon ⁇ 2a, lymphoblastoid interferon ⁇ , or a combination thereof.
- the one or more additional compounds having anti-Hepatitis C virus activity includes interleukin 2, interleukin 6, interleukin 12, interfering RNA, anti-sense RNA, imiqimod, ribavirin, an inosine 5'- monophospate dehydrogenase inhibitor, amantadine, rimantadine, or a combination thereof.
- the one or more additional compounds having anti-Hepatitis C virus activity can be an inhibitor of a HCV protease, such as an inhibitor of the NS3 protease, or can be an inhibitor of a HCV nuclease, such as the NS5B nuclease.
- the present invention also provides a method of treating an animal inflicted with Hepatitis C Virus infection.
- the method includes administering to an animal in need of such treatment a compound of the formula (I) or a compound of the formula (II) and a pharmaceutically acceptable salt, a prodrug, or a metabolite thereof.
- the method further includes administering one or more additional compounds having anti-Hepatitis C virus activity prior to, after, or simultaneously with the compound of the formula (I) or formula (II) and a pharmaceutically acceptable salt, a prodrug, or a metabolite thereof.
- the one or more additional compounds having anti-Hepatitis C virus activity are an interferon, ribavirin, or a combination thereof.
- the interferon includes interferon ⁇ 2b, pegylated interferon ⁇ , consensus interferon, interferon ⁇ 2a, lymphoblastiod interferon ⁇ , or a combination thereof.
- the one or more additional compounds having anti-Hepatitis C virus activity includes interleukin 2, interleukin 6, interleukin 12, interfering RNA, anti-sense RNA, Imiqimod, ribavirin, an inosine 5'-monophospate dehydrogenase inhibitor, amantadine, rimantadine, or a combination thereof.
- the animal is a human.
- the present invention also provides a method of treating an animal inflicted with Hepatitis C Virus infection.
- the method includes contacting the Hepatitis C Virus with an amount of the compound of the formula (I) or a compound of the formula (II) a pharmaceutically acceptable salt, a prodrug, or a metabolite thereof effective to inhibit or kill the Hepatitis C Virus.
- the contacting is in vitro.
- the contacting is in vivo.
- the invention provides a method of treatment of an HCV infection in a host animal, such as a human patient, afflicted with an HCV strain that is resistant, or has developed resistance, to inhibitors of HCV viral protease or HCV viral nuclease.
- the protease(s) and nuclease(s) of viruses are targeted by many varieties of medicinal compounds, and it is possible, or even likely, that resistance to these mechanisms of action may develop among viral populations.
- the compounds of the invention target a viral component other than one of these enzyme systems, the inventors believe that cross-resistance is unlikely.
- the inventive compounds can be used in treatment of HCV strains that are already resistant, in treatment of HCV strains wherein development of protease or nuclease resistant strains is of concern, and in combination therapy comprising use of a protease inhibitor, a nuclease inhibitor, or both, in conjunction with a compound of the invention.
- the compounds of the invention can also be used to prevent viral spread in a population of cells that has been exposed to an inoculum of HCV.
- the compounds of the invention are believed to inhibit the transmission of the virus from an infected cell to an uninfected cell. Therefore, in various embodiments, a method of preventing viral spread is provided, comprising administering an effective amount of a compound of the invention to a patient exposed to an inoculum of HCV.
- the present invention provides a compound of formula (I)
- W is N wherein W bears an R -R group as defined below, or W is a (C 1 - C 2 )alkylene wherein an R 5 -R 6 group are disposed on any carbon atom of the (Ci-C 2 )alkylene or two R 3 -R 6 groups are disposed respectively on each carbon atom of a (C 2 )alkylene;
- X is N or is substituted or unsubstituted (Ci-C 2 )alkylene
- Y is NH, (Ci-C 2 )alkylene-NH, hydroxyl, substituted or unsubstituted (Ci-C 24 )alkylene, oxo wherein R 7 , R 8 and R 9 are absent, (C 3 -C 3 o)heterocyclyl or (C 5 -C 30 )heteroaryl, wherein the heterocyclyl or heteroaryl group can be substituted or unsubstituted;
- Z is carbonyl or is (C 6 -C 3 o)aryl or (C 5 -C 30 )heteroaryl, wherein the aryl or heteroaryl group can be substituted or unsubstituted;
- R 3 is hydrogen, (C 6 -C 30 )aryl, or (d-C 24 )alkylene(C 3 - C 3 o)heterocyclyl(C 6 -C 3 o)aryl, wherein any aryl, alkylene, or heterocyclyl group can be substituted or unsubstituted; or
- R 5 is absent, hydrogen, (C]-C 24 )alkylene, carbonyl, thiocarbonyl, (C 6 - C 30 )aryl, or -SO 2 -;
- R 6 is absent, hydrogen, (C 6 -C 30 )aryl, (Ci-C 2 4)alkoxy, oxy(Ci- C 24 )alkynyl, -NH-(C ,-C 24 )alkyl, -NH-(C ,-C 24 )alkynyl, (C 5 -C 30 )heteroaryl(C 6 - C 30 )aryl, or -(Ci-C 24 )alkylene(C 6 -C 30 )aryl;
- R 9 is absent, (Ci-C 24 )alkyl, -NH(Ci-C 24 )alkyl, amino, (C 6 -C 30 )aryl, or (C 5 -C 30 )heteroaryl;
- R 10 is absent, NH, or O
- R 11 is absent, H, (d-C 8 )cycloalkyl, or (d-C 24 )alkyl; wherein any alkyl, alkynyl, alkylene, alkoxy, -NH-alkyl, -NH-alkynyl, alkylene-NH, aryl, cycloalkyl, heterocyclyl, or heteroaryl group can be optionally substituted on any carbon atom with one or more oxy, hydroxyl, halo, (C 6 -C 30 )aryl, azido, amino, (Ci-C 24 )alkynyl, nitro, cyano, (Ci-C 6 )alkoxy, or trifluoromethyl groups or any combination thereof and optionally exchanged at carbon with one or more oxy, imino, or thio groups; with the proviso that if Y is hydroxyl, or oxo, then R 7 , R 8 , and R 9 are each absent; with the proviso that
- a group can be unsubstituted, i.e., bearing only hydrogen atoms, or can be substituted.
- any (Ci-C 24 )alkyl, (Ci- C 24 )alkylene, (C 6 -C 3 o)aryl, (C]-C 24 )cycloalkyl, (C 3 -C 3 o)heterocyclyl, or (C 5 - C 30 )heteroaryl can be substituted on carbon with one or more oxy, hydroxyl, halogen, (C 6 -C 30 )aryl, azido, (Ci-C 24 )alkyl, (Ci-C 24 )alkenyl, (Ci-C 24 )alkynyl, nitro, cyano, (Ci-C 6 )alkoxy, or trifluoromethyl groups or any combination thereof and any carbon atom thereof can be optionally exchanged with one or more oxy (-O-), imino
- the present invention also provides a pharmaceutically acceptable salt, a solvate or hydrate, a prodrug, or a metabolite, of compound of formula (I).
- the selection of substituents of Formula (I) would conform to the principles of chemical bonding, and compounds as described therein are intended to have chemically feasible bonding configurations and have sufficient stability to be isolated, purified, and administered to an animal such as a human patient, for example for treatement of a Hepatitis C infection.
- a compound of formula (I) if the bond between C 4 and C 5 is a double bond, and R 2 and R 4 are absent.
- C 2 )alkylene then X is (Ci-C 2 )alkylene, the optional double bond between W and X is absent, and Rj, R 3 , C-4 and C-5 form an (C 6 -C 3 o)aryl.
- C-4 and C-5 refer to the carbon atoms of formula (I) so labelled with the numerals 4 and 5, within the nitrogen-containing ring also including W and X.
- X is nitrogen
- W is nitrogen
- the optional double bond between X and W is present
- the bond between C-4 and C-5 is a double bond
- Ri is hydrogen
- R 2 and R 4 are each absent
- R 3 is (C 6 -C 30 )aryl, or (Q-C 24 )alkylene(C 5 -C 3 o)heterocyclyl(C 6 - C 30 )aryl.
- X is (Q-
- R 7 , R 8 , and R 9 are each absent.
- Y is NH
- R 7 is carbonyl, imino, or sulfonyl
- Rg is NH, amino, (C 6 -C 3 o)aryl, or (Q- C 24 )alkyl
- R 9 is absent, (Q-C 24 )alkyl, (C 6 -C 30 )aryl, or (C 5 -C 30 )heteroaryl.
- Y is (Q- C 24 )alkylene
- R 7 is NH
- R 8 is carbonyl or imino
- R 9 is -NH(Q- C 24 )alkyl or amino.
- a compound of formula (I) if Z is carbonyl, then Rio is NH or oxy, and Rn is (Q-C 24 )alkyl.
- Ri 0 and Rn are each absent.
- R 5 is absent or hydrogen, then R 6 is absent.
- R 5 is carbonyl or thiocarbonyl
- R 6 is (C 6 -C 30 )aryl, (C 5 -C 3 o)heteroaryl(C 6 -C 3 o)aryl, or oxy(C,-C 24 )alkyl.
- R 5 is (Ci- C 24 )alkylene
- R 6 is (C 6 -C 3 o)aryl.
- W is nitrogen or -CH 2 -;
- X is nitrogen or -CH 2 CH 2 ;
- Y is amino, NH, hydroxyl, -CH 2 -, or oxo;
- Z is carbonyl or phenyl;
- R 3 is hydrogen, methylene-N,N'-morpholino-p- fluorophenyl, methylene-N,N'-mo ⁇ holino-p-trifluoromethylphenyl, m- chlorophenyl, or o,p-difluorophenyl; or Ri, R 2 , R 3 , R 4 , C 4 , and C 5 form a phenyl;
- R 5 is absent, hydrogen, -CH 2 -, carbonyl, thiocarbonyl, p-benzyl-phenyl, p- fluorophenyl, or o,p-difluorophenyl;
- R 6 is absent, phenyl,
- X is nitrogen
- W is nitrogen
- the optional double bond between X and W is present
- the bond between C-4 and C-5 is a double bond
- Ri is hydrogen
- R 2 and R 4 are each absent
- R 3 is methylene-N,N'-mo ⁇ holino-p-fluorophenyl, methylene-N,N'- morpholino-p-trifluoromethylphenyl, m-chlorophenyl, or o,p-difluorophenyl.
- X is -CH 2 CH 2 -
- the bond between W and X is a single bond
- Ri, R 2 , R 3 and R 4 are each independently hydrogen.
- R 7 is carbonyl, imino, or sulfonyl
- Rg is NH, amino, phenyl, or methyl
- R 9 is absent, ethyl, octyl, hexyl, amino, o-fluorophenyl, p-methoxyphenyl, or 3- pyridinyl.
- R 7 is NH
- R 8 is carbonyl or imino
- R 9 is -NH-CH 2 CH 3 or amino.
- Ri 0 is NH or oxy
- Ri 1 is ethyl or hexyl.
- Ri 0 and Ri 1 are each absent.
- R 5 is carbonyl or thiocarbonyl
- R 6 is phenyl, p-fluorophenyl, oxy-t-butyl, 4-(o- nitrophenyl)-l,2,3-triazol-l-yl, or p-trifluoromethylphenyl.
- R 5 is -CH 2 -, then R 6 is phenyl.
- W is nitrogen;
- X is -CH 2 CH 2 -;
- Y is amino, hydroxyl, or oxo;
- Z is phenyl;
- Ri, R 2 , R 3 , and R 4 are each independently hydrogen; the dotted line between W and X indicates a single bond; the dotted line between C-4 and C-5 indicates a single bond;
- R 5 is -CH 2 -, carbonyl, thiocarbonyl, or p-fluorophenyl;
- R 6 is absent, phenyl, or oxy-t-butyl; and
- R 7 , R 8, R 9 , Rio, and Rn are each absent.
- W is nitrogen;
- X is -CH 2 CH 2 -;
- Y is NH or -CH 2 -;
- Z is phenyl;
- Ri, R 2 , R 3 , and R 4 are each independently hydrogen; the dotted line between W and X indicates a single bond; the dotted line between C-4 and C-5 indicates a single bond;
- R 5 is hydrogen, carbonyl, thiocarbonyl, or p-fluorophenyl;
- R 6 is absent, p- fluorophenyl, 4-(o-nitrophenyl)-l,2,3-triazol-l-yl, or oxy-t-butyl;
- R 7 is carbonyl, -NH, or imino;
- R 8 is amino, -NH, carbonyl, or imino;
- R 9 is absent, ethyl, octyl, cyclohexyl, amino, o-fluorophenyl, p-
- W is nitrogen; X is -CH 2 CH 2 -; Y is amino or NH; Z is carbonyl; Ri, R 2 , R 3 , and R 4 are each independently hydrogen; the dotted line between W and X indicates a single bond; the dotted line between C-4 and C-5 indicates a single bond; R 5 is p-benzyl -phenyl or p-fluorophenyl; R 6 is absent; R 7 is absent, carbonyl, -NH, or sulfonyl; R 8 is absent, -NH, or phenyl; R 9 is absent or cyclohexyl; Ri 0 is NH or oxy; and Ri 1 is ethyl or cyclohexyl.
- W is nitrogen; X is nitrogen; Y is amino; Z is phenyl; Rj, is hydrogen; R 2 and R 4 are each absent; R 3 is methylene-N,N'-morpholino-p-fluorophenyl, methylene- N,N'-morpholino-p-trifluoromethylphenyl, m-chlorophenyl, or o,p- difluorophenyl; the dotted line between W and X indicates a double bond; the dotted line between C-4 and C-5 indicates a double bond; and R 5 , R 6 , R 7 , R 8, R 9 , Ri 0 , and Rn are each absent.
- W is -
- X is -CH 2 CH 2 -;
- Y is 1,2,3-triazol-l-yl
- Z is phenyl
- R 6 is absent, oxy-t-butyl, -NH-t-butyl, -O-ethynyl, -NH-ethynyl, -NH-2- propynyl, -NH-3-chloropropyl, -NH-3-azidopropyl, -NH-3-bromopropyl, -NH- phenyl, -NH-benzyl, -t-butyl, methyl, methylchloro, methylazido, -t-butylchloro, phenyl, oxy-i-propyl, -CH(CH 2 Cl) 2 , or -CH(CH 2 N 3 ) 2 ;
- R 7 is methyl ene-4-yl
- R 8 is 6-azido-purin-3-yl, 6-hydroxy-purin-3-yl, 6-(l,3,4-triazol-l-yl)- purin-3-yl, 6-amino-8-azido-purin-3-yl, 6-amino-8-bromo-purin-3-yl, 6-amino- purin-3-yl, 6-amino-purin-9-yl, 6-(2-propynl-amino)-purin-9-yl, 6-amino-purin- 9-yl, or 6-(2-propynl-amino)-purin-3-yl.
- a compound of formula (I) In various embodimentsof a compound of formula (I),
- R 5 is hydrogen
- R 6 is absent
- R 8 is 6-amino-purin-9-yl or 6-amino-purin-3-yl.
- R 5 is -SO 2 -
- R 6 is methyl, 3-chloropropyl, or 3-azidopropyl
- R 8 is 6-amino-purin-3-yl
- R 5 is carbonyl or thiocarbonyl
- R 6 is -NH-benzyl, -t-butyl, methyl, O-methylchloro, methylazido, -t- butylchloro, phenyl, oxy-i-propyl, -O-ethynyl, -NH-ethynyl, -CH(CH 2 Cl) 2 , - CH(CH 2 N 3 ) 2 , oxy-t-butyl, -NH-phenyl, -NH-acetynyl, -NH-3-azidopropyl, - NH-3-bromopropyl, -NH-3-chloropropyl, -NH-2-propynyl, or -NH-t-butyl; and R 8 is 6-amino-purin-3-yl, 6-amino-8-azido-purin-3-yl, 6-amino-8-bromo- purin-3-yl, 6-(l,3,4-tri
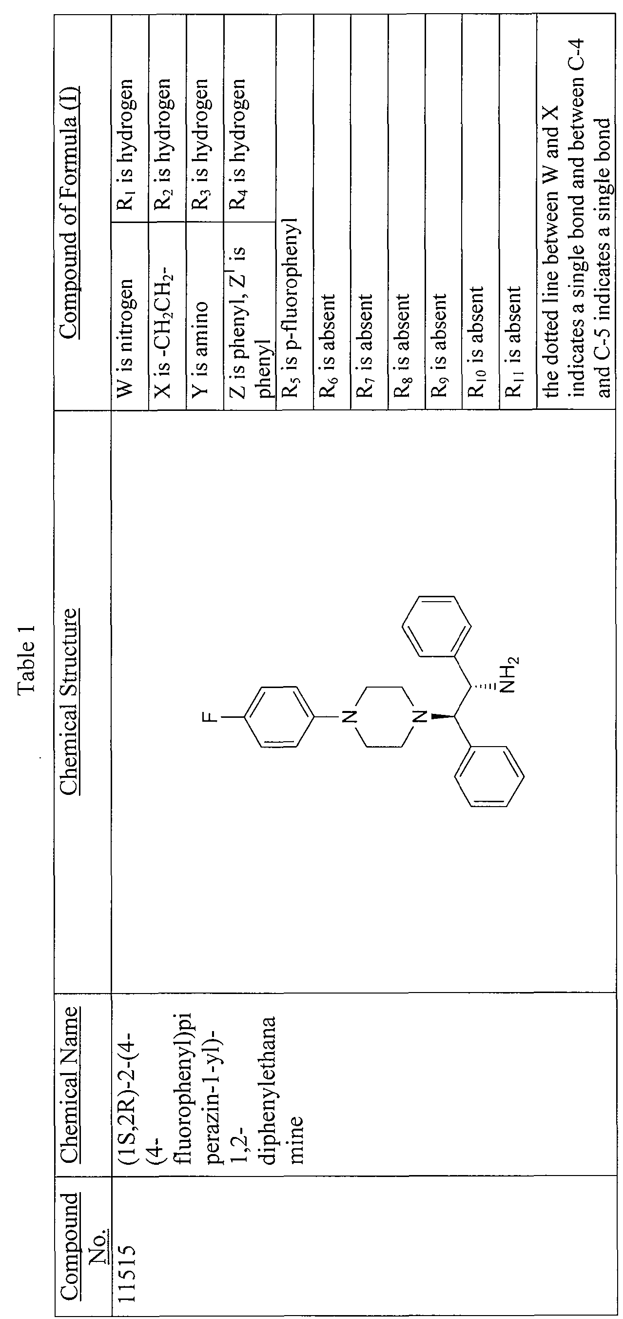
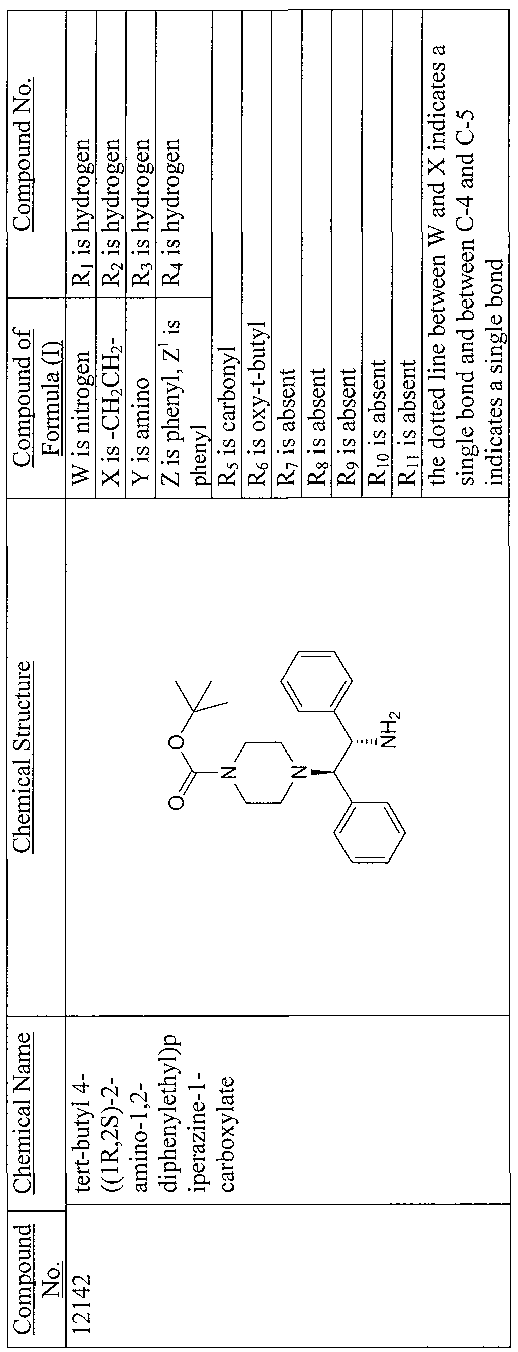
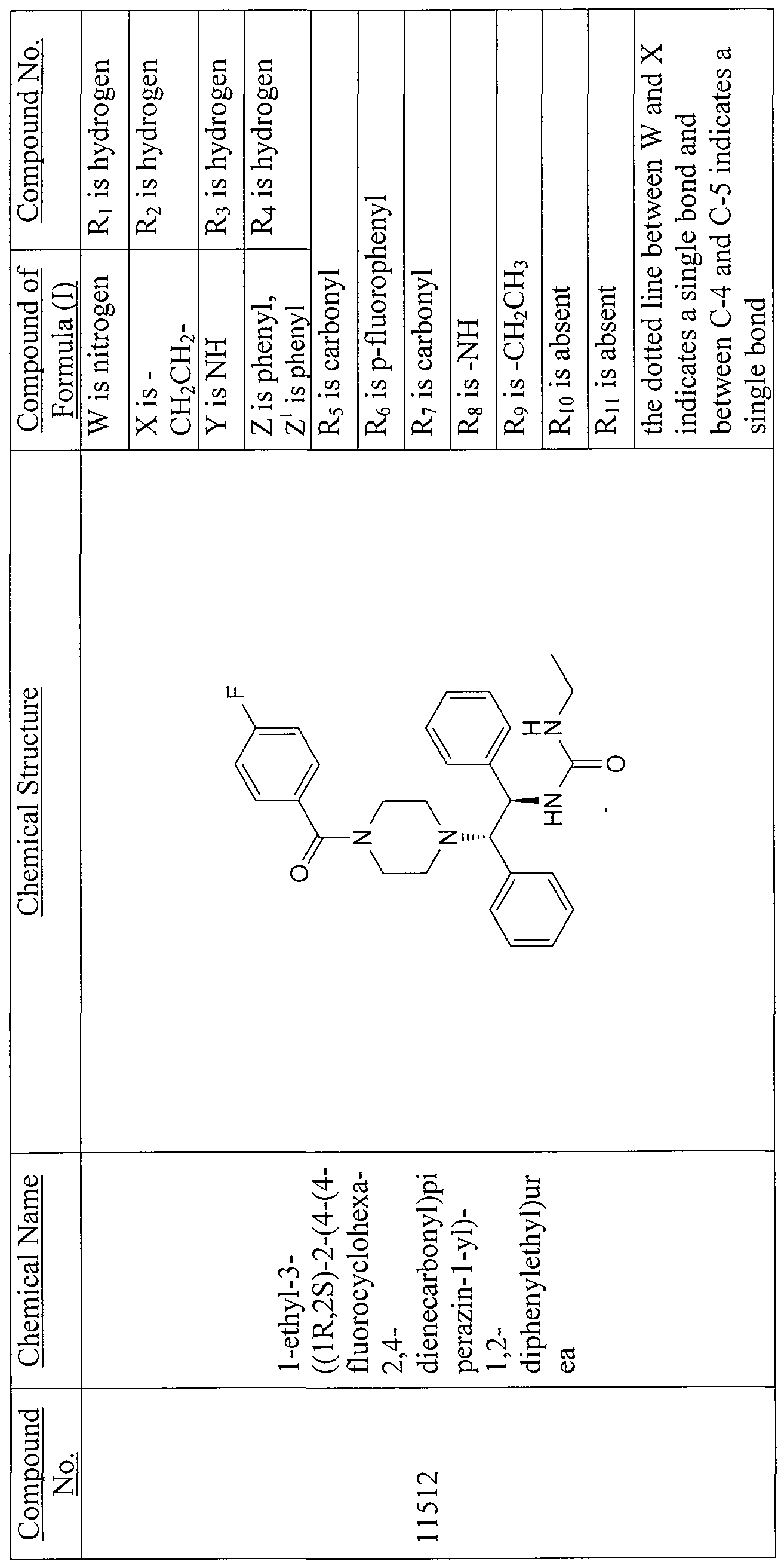
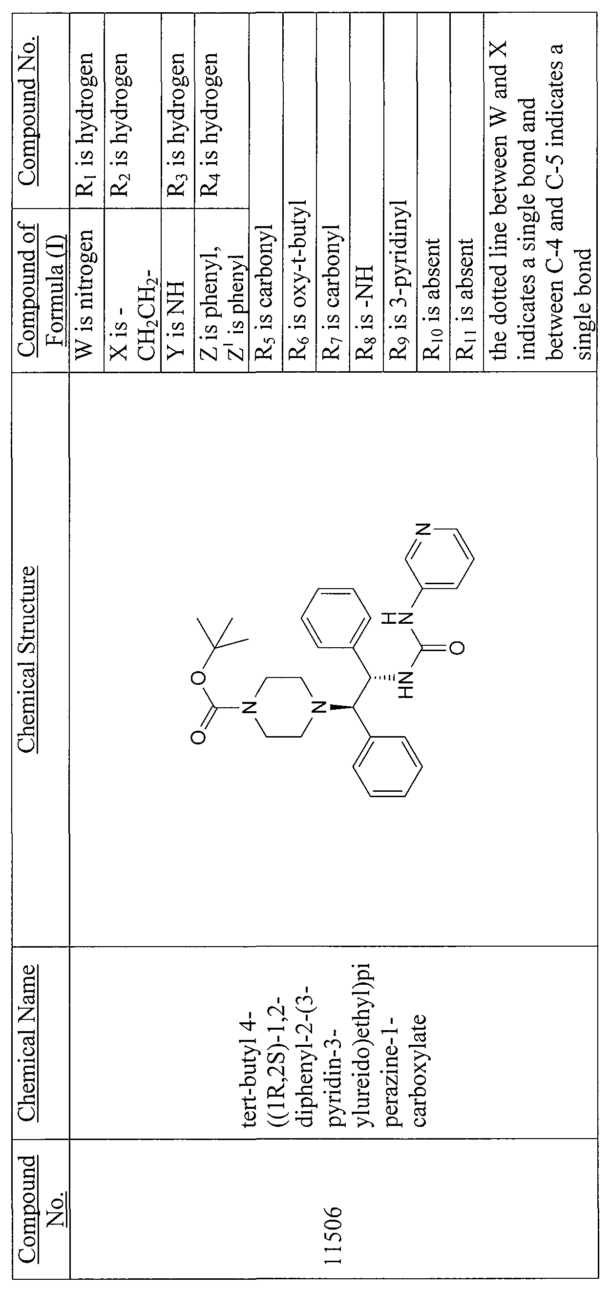
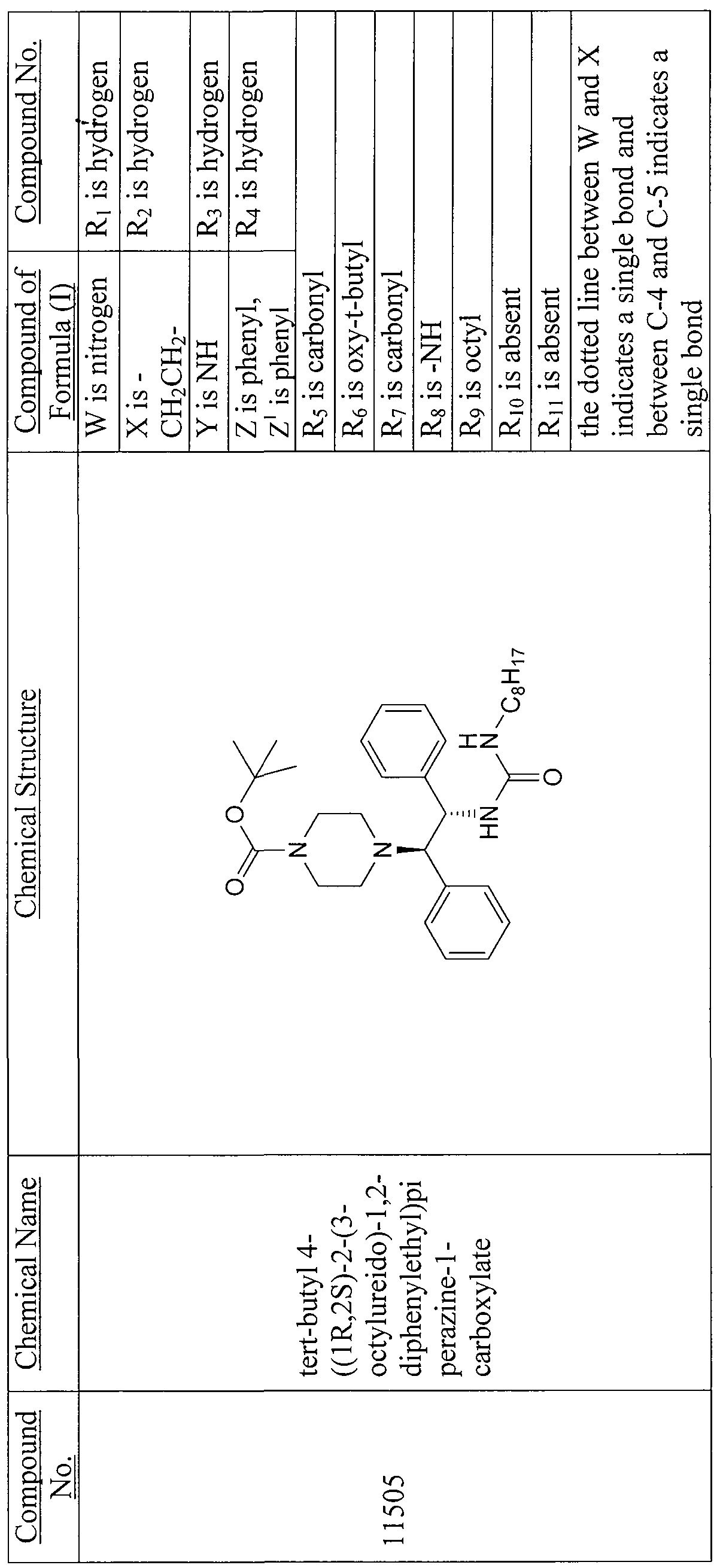
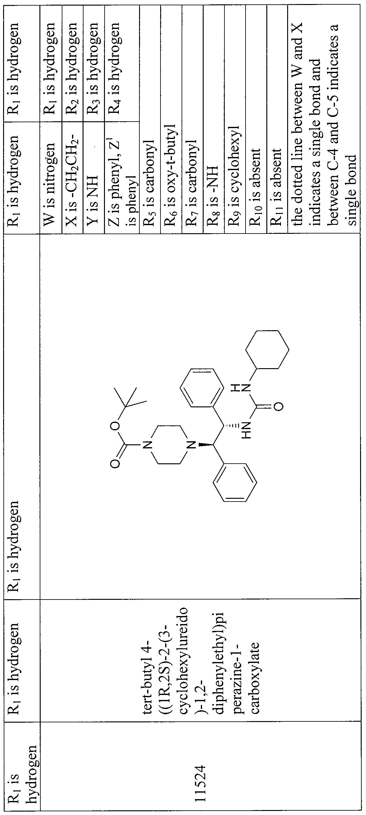
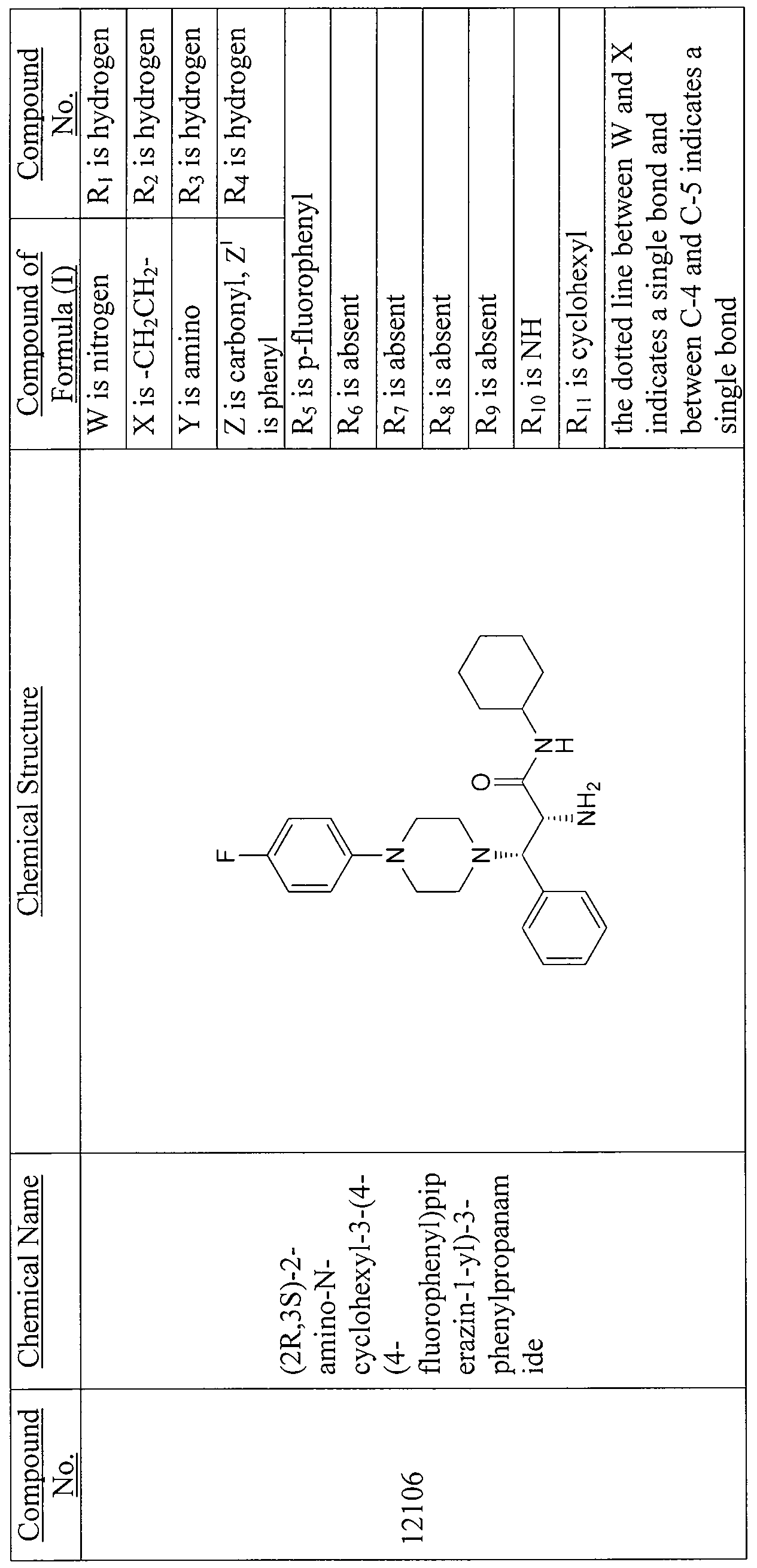
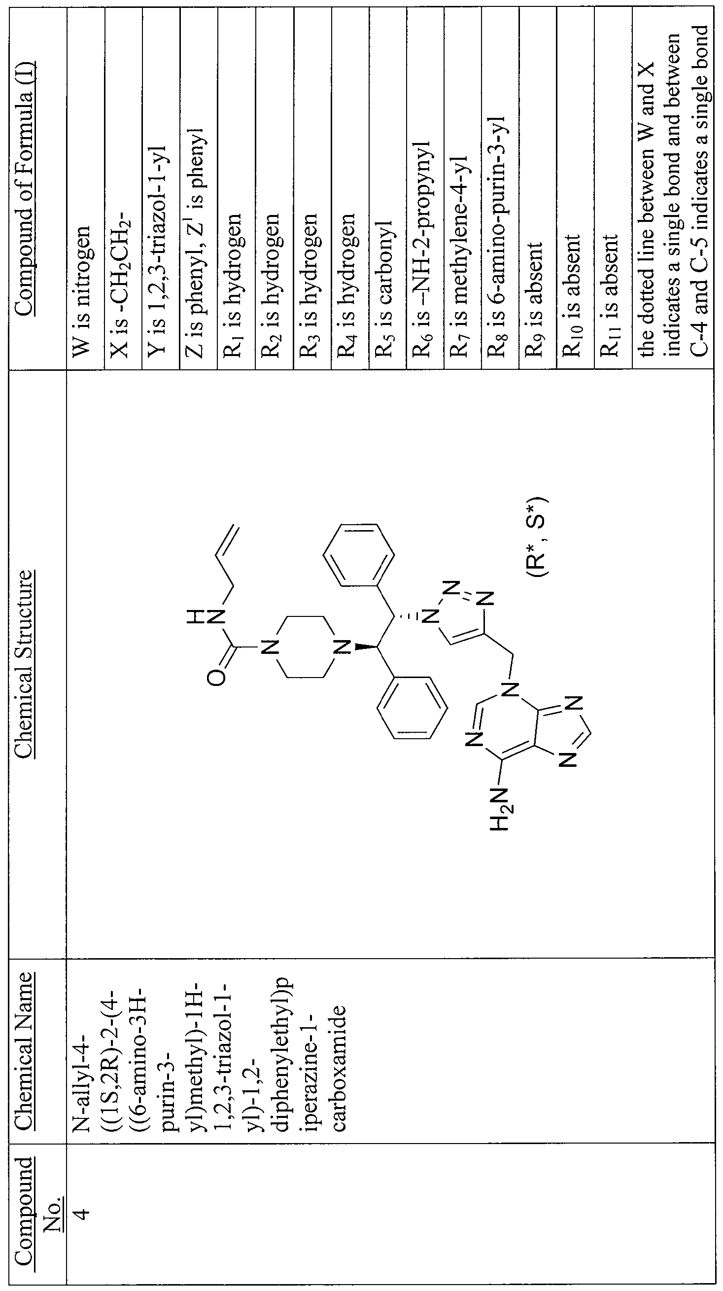
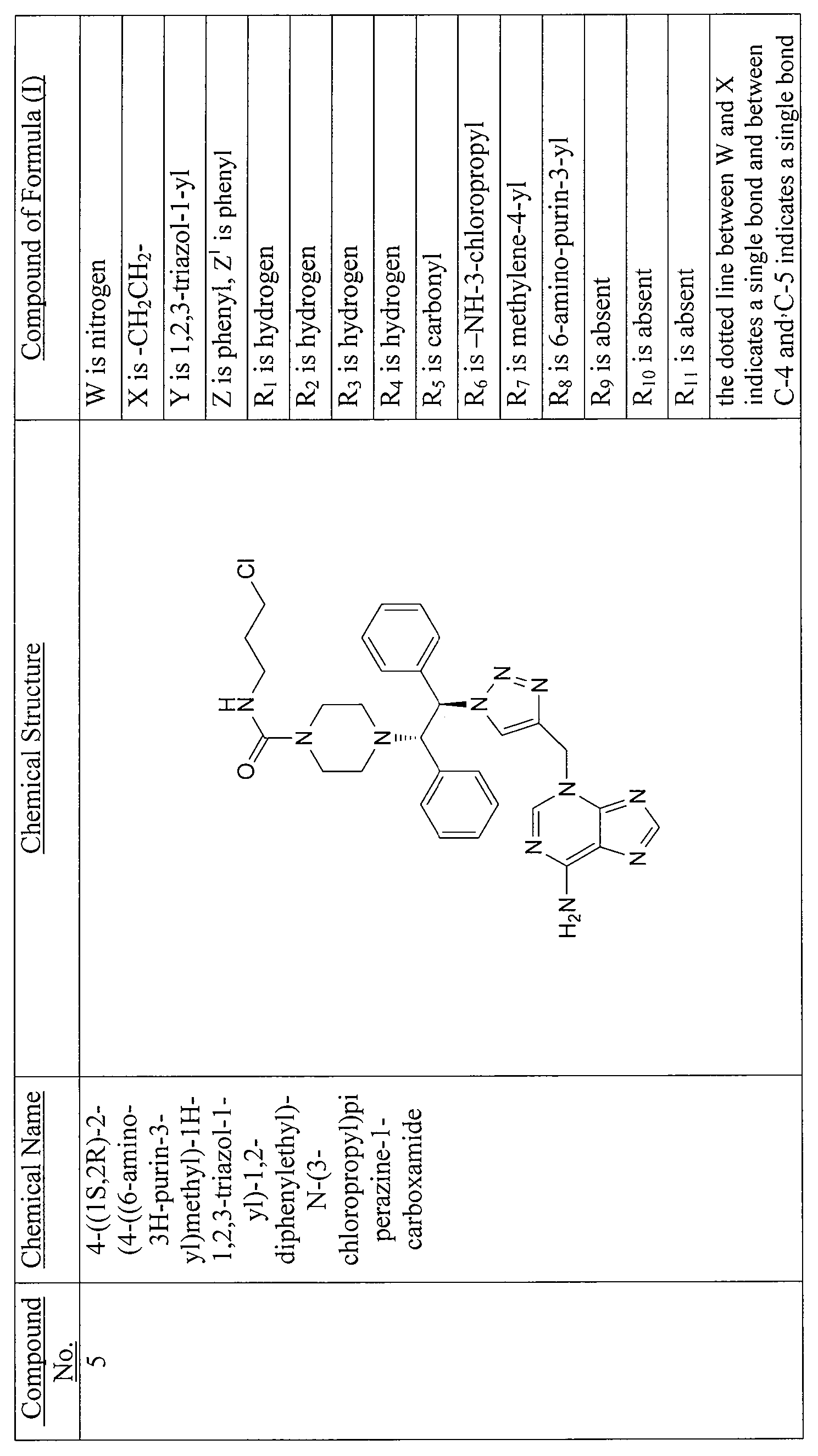
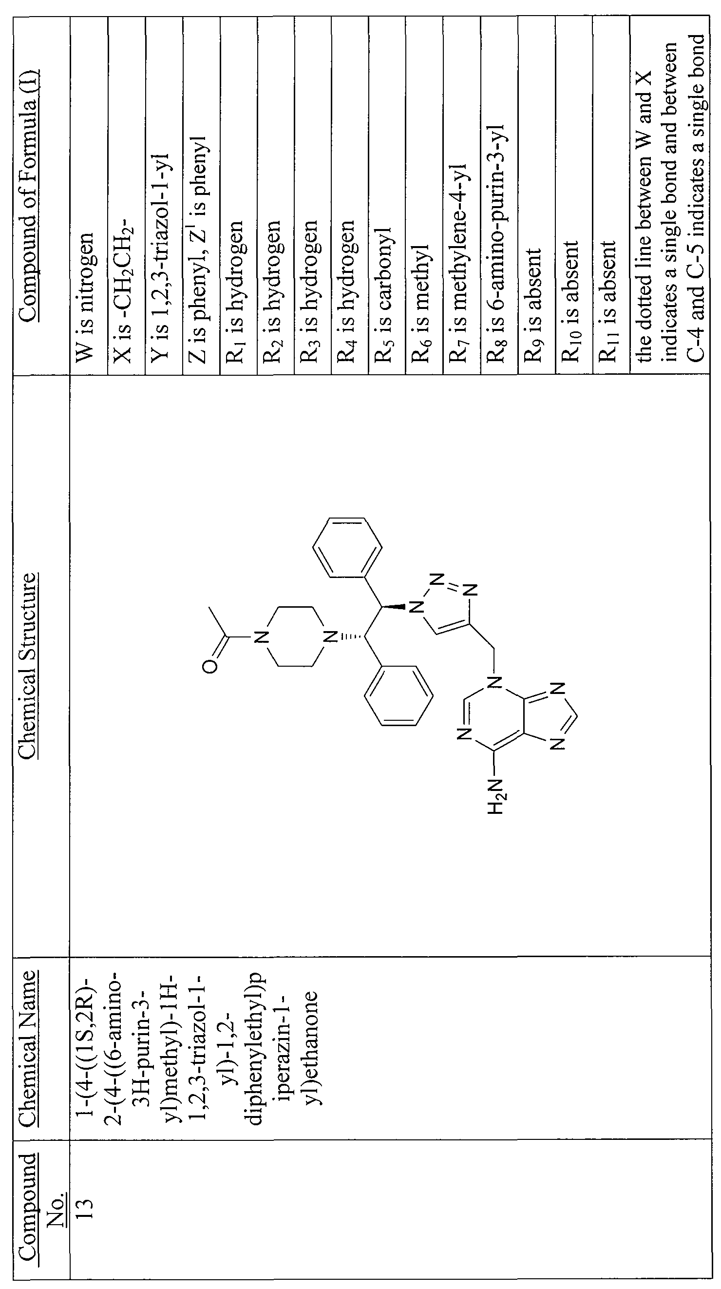
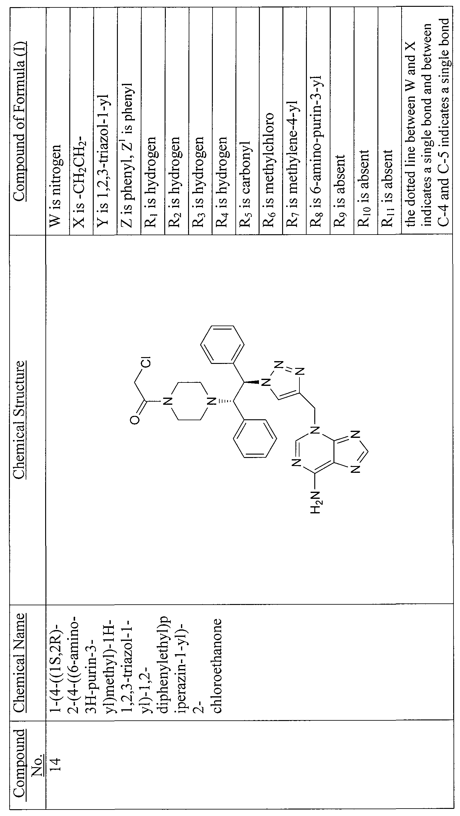
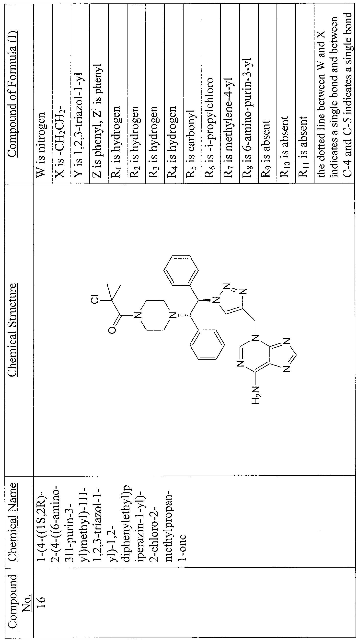
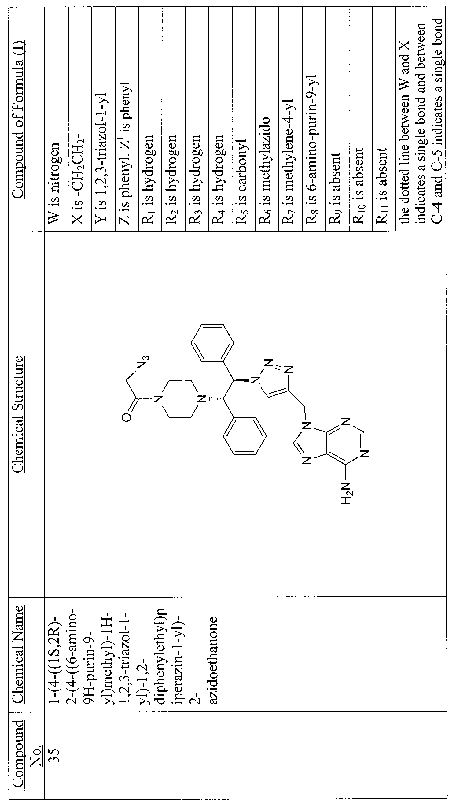
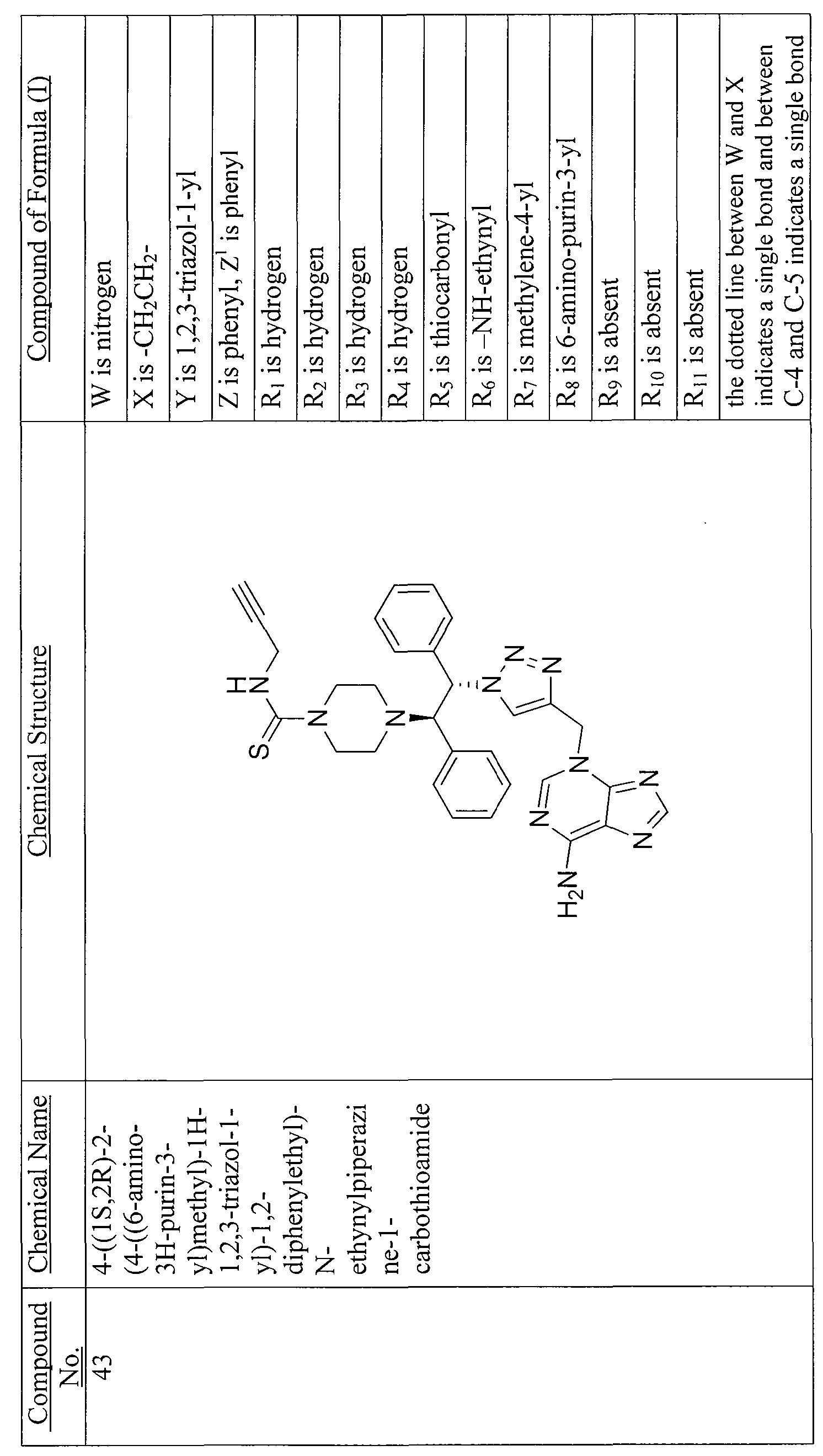
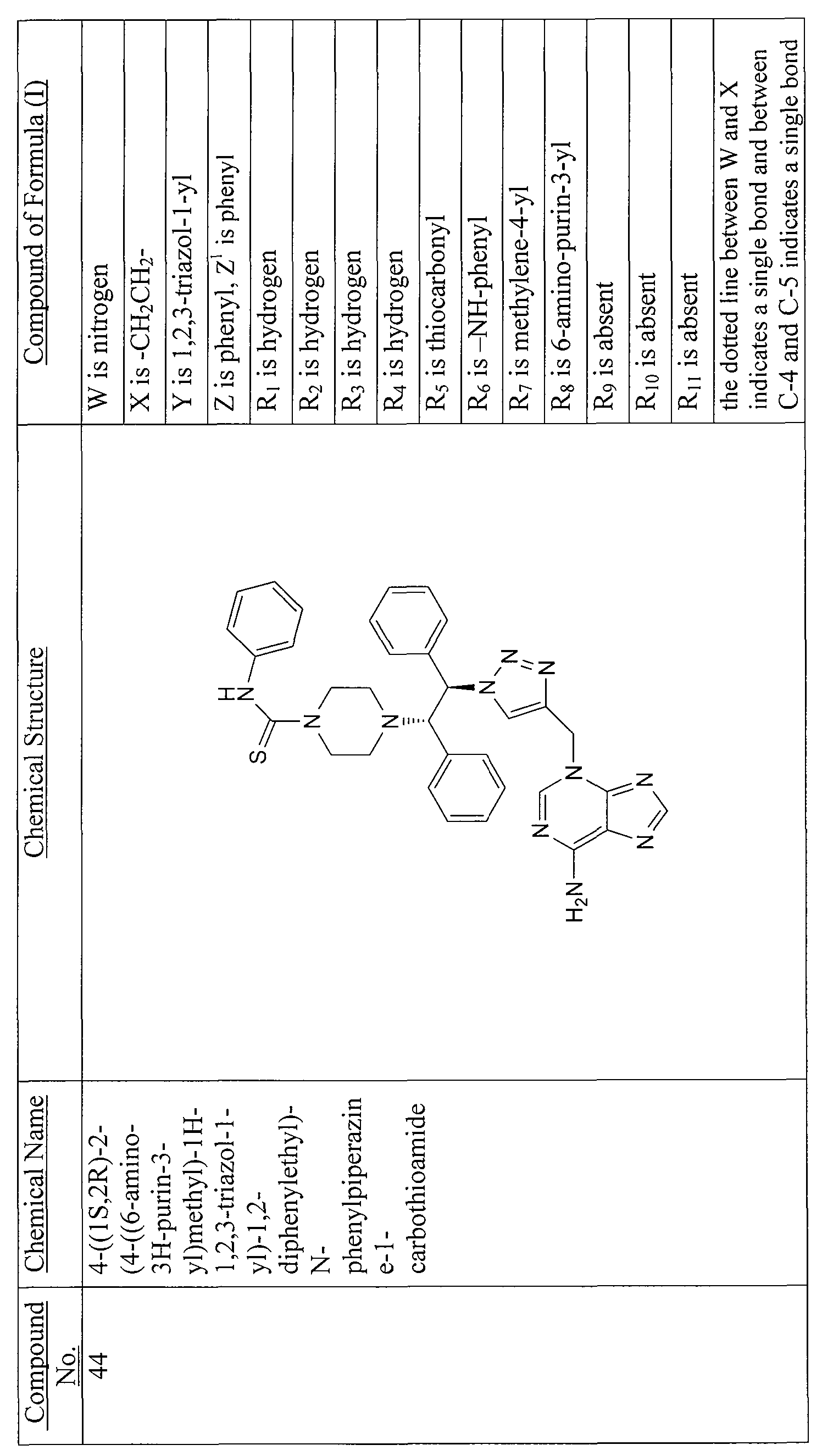
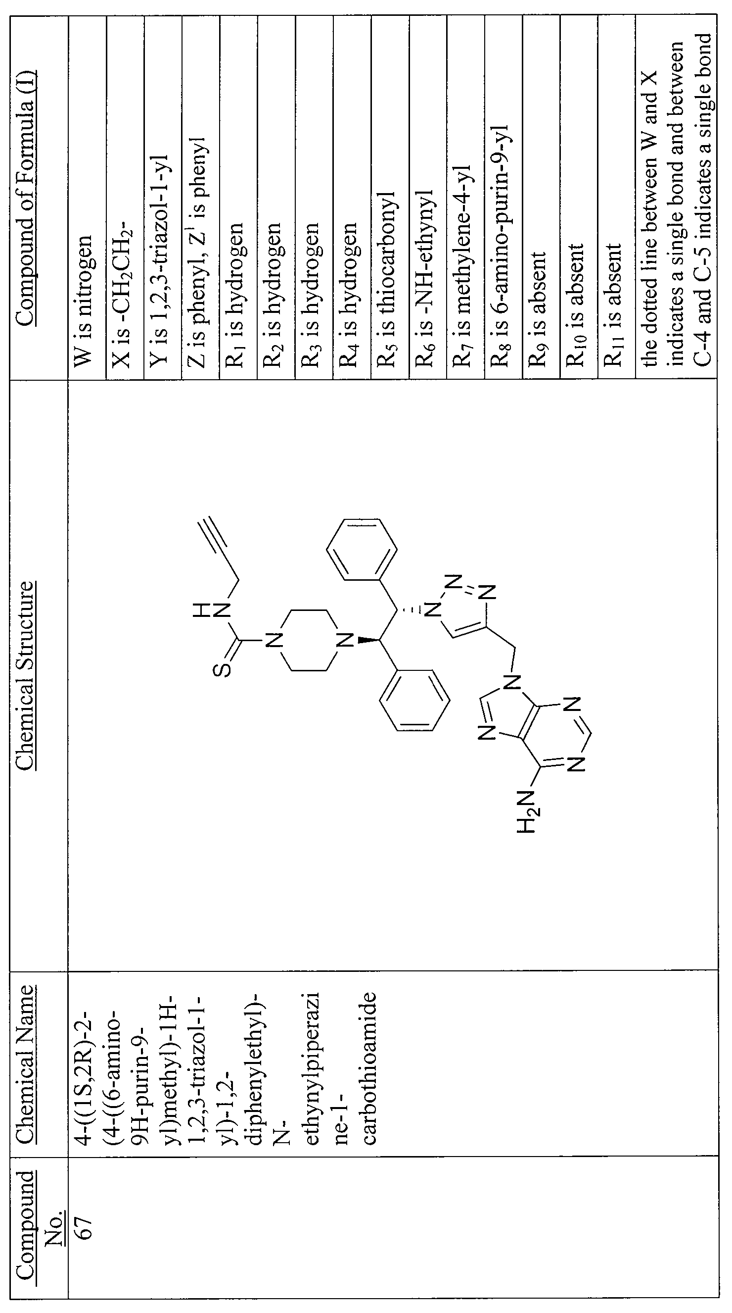
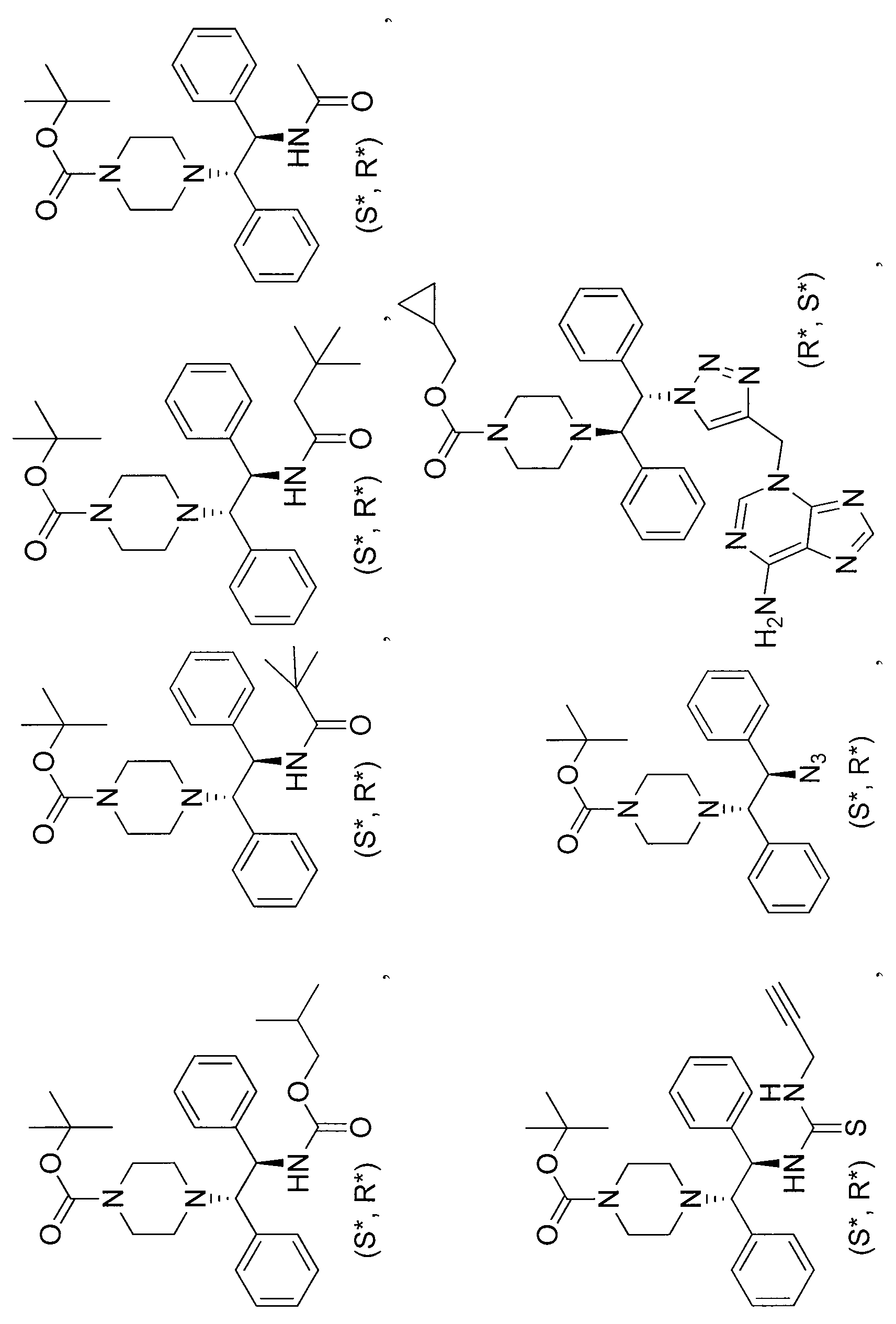
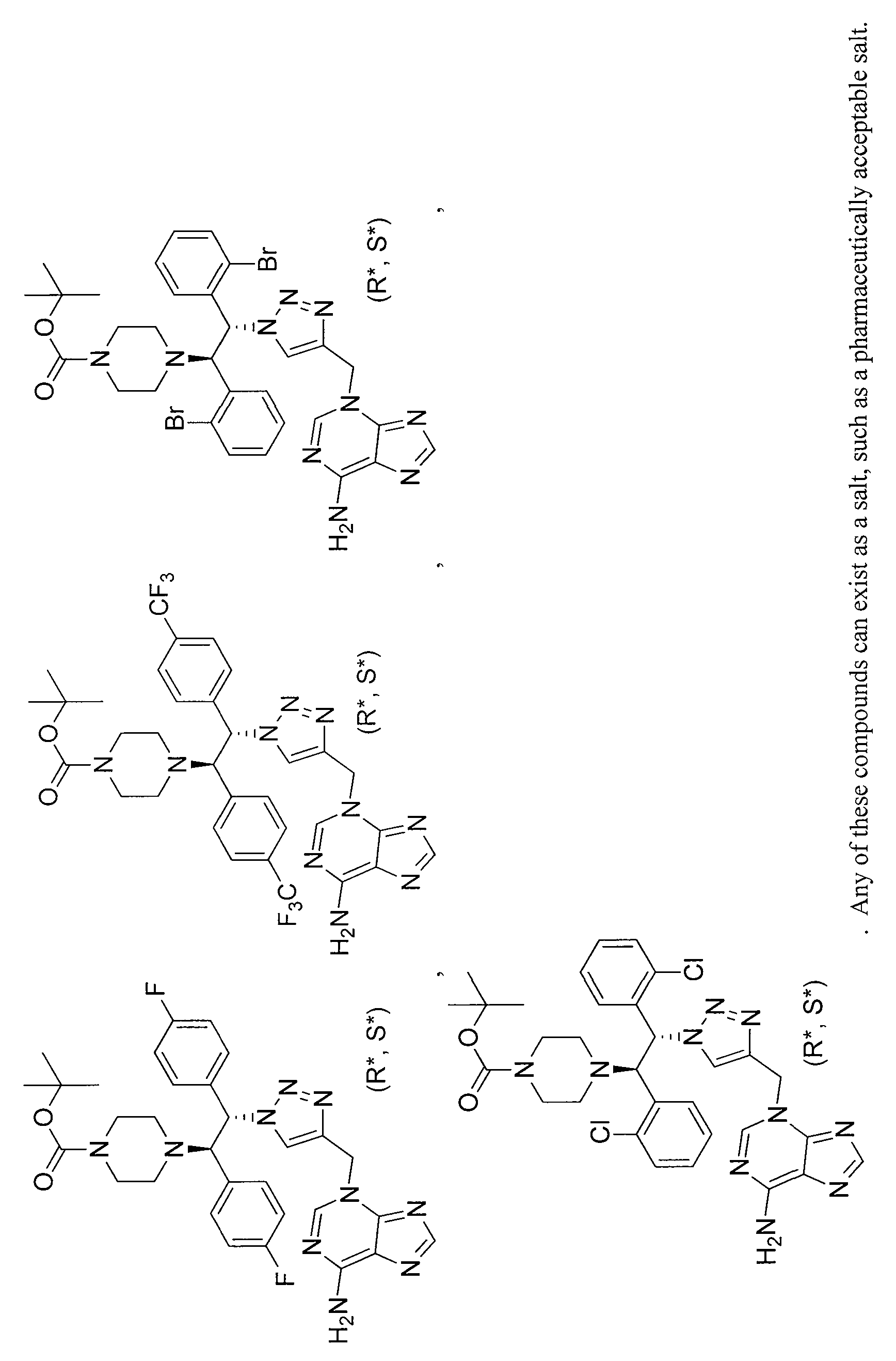
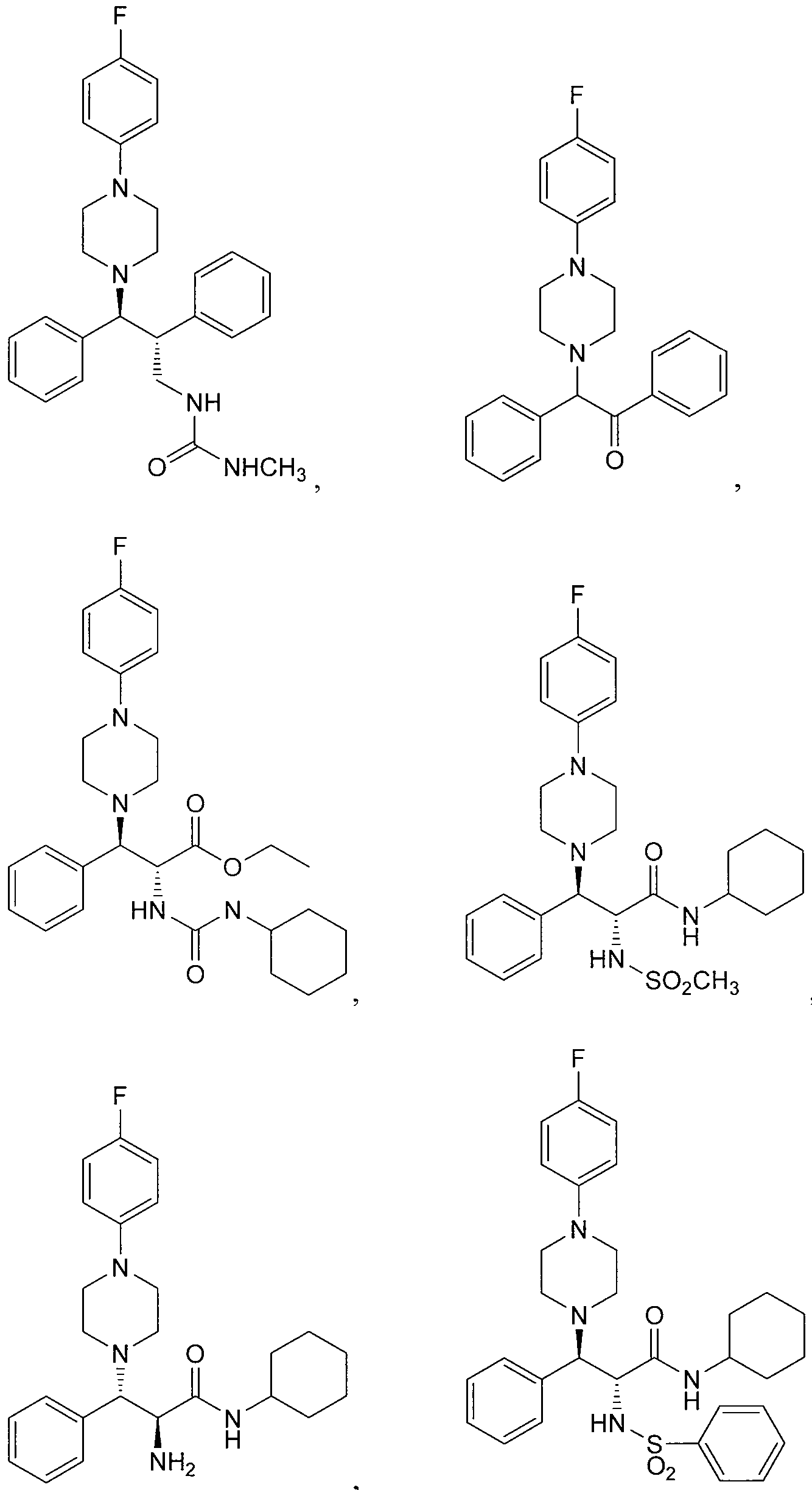
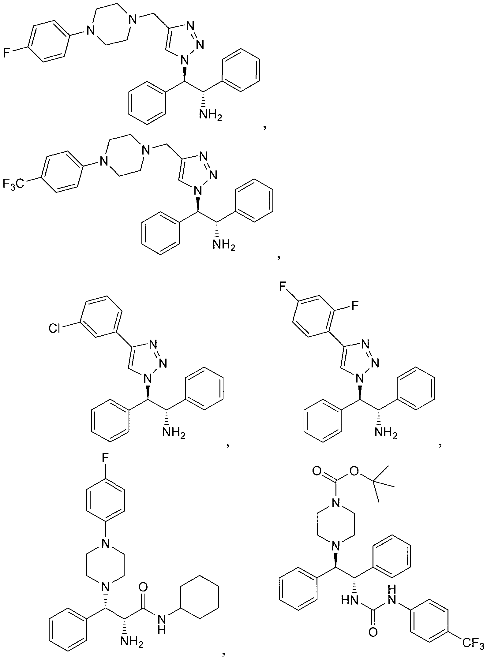
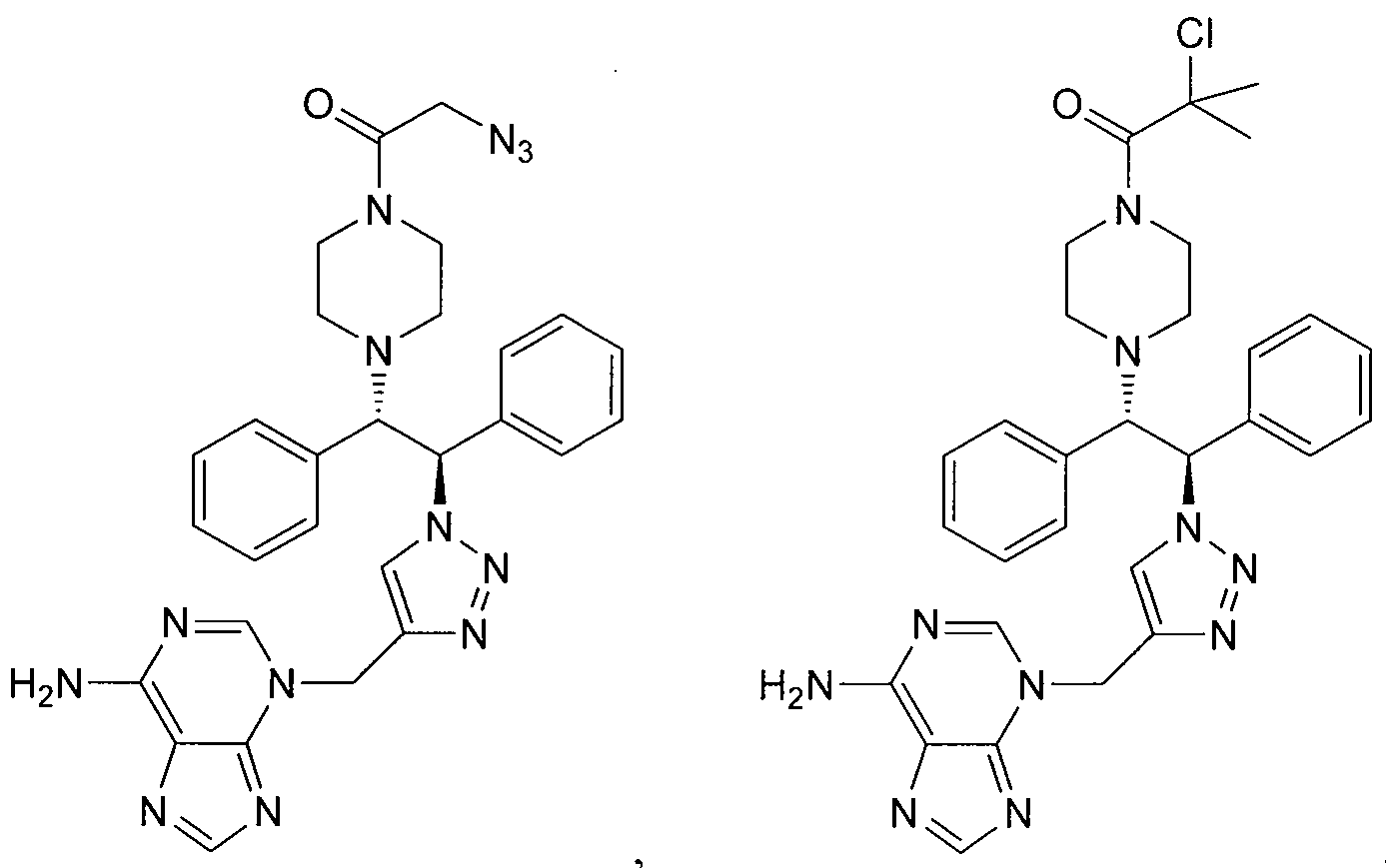
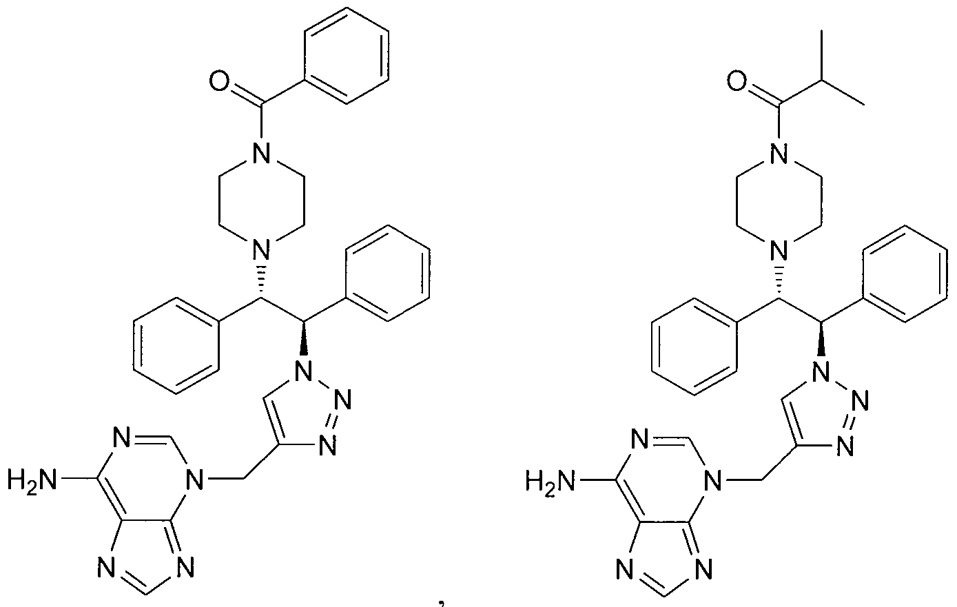
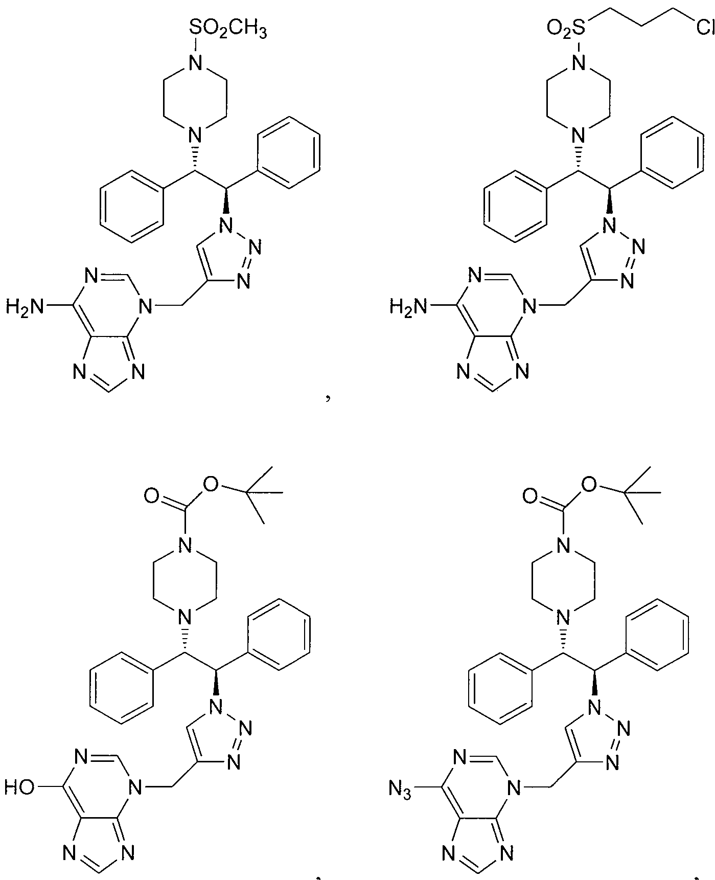
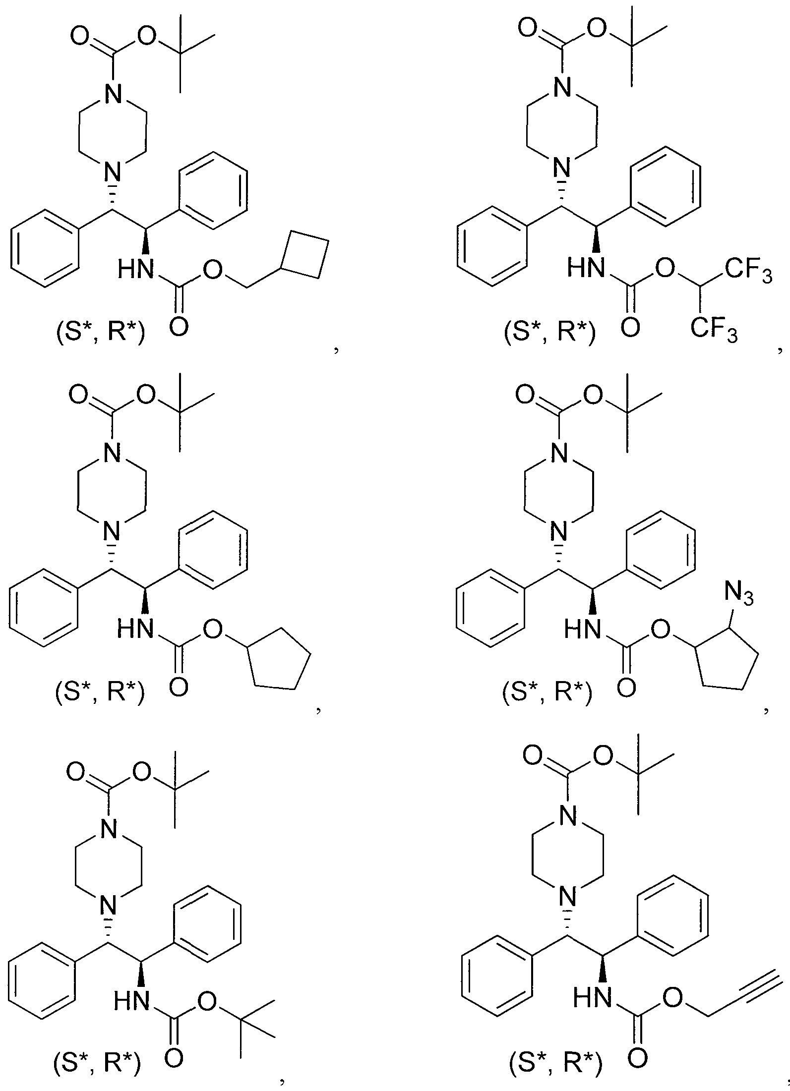
- the compound of formula (I) is any of the compounds whose structure is shown in Table 1.
- a compound of the invention of formula (I) can be any compound as shown in Table 1.
- X is -CH 2 CH 2 -;
- Y is 1,2,3-triazol-l-yl
- Z is phenyl
- R 6 is absent, oxy-t-butyl, -NH-t-butyl, -O-ethynyl, -NH-ethynyl, -NH-2- propynyl, -NH-3-chloropropyl, -NH-3-azidopropyl, -NH-3-bromopropyl, -NH- acetynyl, -NH-phenyl, -NH-benzyl, -t-butyl, methyl, O-methylchloro, methylazido, -t-butylchloro, phenyl, oxy-i-propyl, -CH(CH 2 Cl) 2 , or - CH(CH 2 Ns) 2 ;
- R 7 is methylene-4-yl; and R 8 is 6-azido-purin-3-yl, 6-hydroxy-purin-3-yl, 6-(l,3,4-triazol-l-yl)- purin-3-yl, 6-amino-8-azido-purin-3-yl, 6-amino-8-bromo-purin-3-yl, 6-amino- purin-3-yl, 6-amino-purin-9-yl, 6-(2-propynl-amino)-purin-9-yl, 6-amino-purin- 9-yl, or 6-(2-propynl-amino)-purin-3-yl.
- a compound of formula (I) is 6-azido-purin-3-yl, 6-hydroxy-purin-3-yl, 6-(l,3,4-triazol-l-yl)- purin-3-yl, 6-amino-8-azido-purin-3-yl, 6-amin
- R 5 is hydrogen
- R 6 is absent
- R 8 is 6-amino-purin-9-yl or 6-amino-purin-3-yl.
- R 5 is -SO 2 -;
- R 6 is methyl, 3-chloropropyl, or 3-azidopropyl
- R 8 is 6-amino-purin-3-yl
- R 5 is carbonyl or thicarbonyl
- R 6 is -NH-benzyl, -t-butyl, methyl, -O-ethynyl, -NH-ethynyl, O- methylchloro, methylazido, -t-butylchloro, phenyl, oxy-i-propyl, -CH(CH 2 Cl) 2 , -CH(CH 2 N 3 ) 2 , oxy-t-butyl, -NH-phenyl, -NH-acetynyl, -NH-3-azidopropyl, - NH-3-bromopropyl, -NH-3-chloropropyl, -NH-2-propynyl, or -NH-t-butyl; and
- R 8 is 6-amino-purin-3-yl, 6-amino-8-azido-purin-3-yl, 6-amino-8-bromo- purin-3-yl, 6-(l,3,4-triazol-l-yl)-purin-3-yl, 6-hydroxy-purin-3-yl, 6-azido- purin-3-yl, 6-amino-purin-9-yl, or 6-(2-propynl-amino)-purin-3-yl.
- the compound is isopropyl 4-((l S,2R)-2-(4-((6-amino-3H-purin-3-yl)methyl)-lH-l,2,3- triazol- 1 -yl)- 1 ,2-diphenylethyl)piperazine- 1 -carboxylate;
- the present invention provides a compound of formula (II):
- X is nitrogen, oxygen, or CH;
- Y is nitrogen, oxygen, or (C 5 -C 3 o)heterocyclyl;
- Z is nitrogen, -NH, or (C 5 -C 3 o)heteroaryl;
- Ri is absent, carbonyl, (Ci-C 24 )alkylene, keto, or hydroxyl;
- R 2 is absent, oxy(Ci-C 24 )alkyl, or hydroxyl;
- R 3 is absent, -N-R a R b , or (Ci-C 24 )alkyl;
- R 4 is absent, amino, hydroxyl, or (Ci-C 24 )alkyl;
- R 5 is absent, (Ci-C 24 )alkylene, or (C 6 -C 30 )aryl;
- R 6 is absent, (Ci-C 24 )alkynyl, azido, or (C 5 -C 30 )heterocyclyl(Ci- C 24 )alkyl(C 5 -C 30 )heteroaryl;
- R 7 is absent or (Ci-C 24 )alkylene
- R 8 is absent, (Ci-C 24 )alkylene, (Ci-C 24 )alkynyl, or azido;
- R a and R b are each independently hydrogen, (Ci-C 24 )alkyl, (C 6 -C 30 )aryl,
- any (C]-C 24 )alkyl, (Ci-C 24 )alkylene, (C 6 -C 30 )aryl, (C 3 -C 30 )heterocyclyl, or (C 5 -C 30 )heteroaryl can be optionally substituted on carbon with one or more oxy, hydroxyl, halogen, (C 6 -C 30 )aryl, nitro, cyano, (Ci-C 6 )alkoxy, or trifluoromethyl groups or any combination thereof and optionally exchanged on carbon with one or more
- R 6 is absent, (C)-C 24 )alkynyl, or (C 5 -C 3 o)heterocyclyl(Ci-C 24 )alkyl(C 5 - C 30 )heteroaryl, and R 7 and Rg are each absent; with the proviso that if Z is (C 5 -C 3 o)heterocyclyl, then R 5 , R 6 , R 7 , and R 8 are each absent; or a pharmaceutically acceptable salt, a solvate or hydrate, a prodrug, or a metabolite thereof.
- X is nitrogen, oxygen, or CH.
- Y is nitrogen, oxygen, or (C 5 -C 3 o)heterocyclyl.
- Z is nitrogen, -NH, or (C 5 -C 30 )heteroaryl.
- Ri is absent, carbonyl, (Ci-C 24 )alkylene, keto, or hydroxyl.
- R 2 is absent, oxy(Ci-C 24 )alkyl, or hydroxyl.
- R 3 is absent, -N-R 3 R b , or (Ci-C 24 )alkyl.
- R 4 is absent, amino, hydroxyl, or (Ci-C 24 )alkyl.
- R 5 is absent, (Ci-C 24 )alkylene, or (C 6 -C 3 o)aryl.
- R 6 is absent, (Ci-C 24 )alkynyl, azido, (C 5 -C 30 )heteroaryl(C 6 -C 30 )aryl, or (C 5 - C 3 o)heterocyclyl(Ci-C 24 )alkyl(C 5 -C 3 o)heteroaryl.
- R 7 is absent or (Ci- C 24 )alkylene.
- R 8 is absent, (C
- R 3 and R b are each independently hydrogen, (Ci-C 24 )alkyl, (C 6 -C 30 )aryl, (C 6 -
- Any (Ci-C 24 )alkyl, (Ci-C 24 )alkylene, (C 6 -C 3 o)aryl, (C 3 -C 3 o)heterocyclyl, or (C 5 -C 30 )heteroaryl can be optionally substituted on carbon with one or more oxy, hydroxyl, halogen, (C 6 -C 30 )aryl, nitro, cyano, (Ci-C 6 )alkoxy, or trifluoromethyl groups or any combination thereof and optionally exchanged on carbon with one or more oxo, imino, or thio groups.
- the present invention also provides a pharmaceutically acceptable salt, a solvate or hydrate, a prodrug, or a metabolite thereof, of compound of formula (II).
- Ri is carbonyl or (Ci-C 24 )alkylene and R 2 is oxy(Ci-C 24 )alkyl or hydroxyl.
- X is CH
- Ri is hydroxyl or keto and R 2 is absent.
- R 3 is (C]-C 24 )alkyl and R 4 is amino, hydroxyl, or (Ci-C 2 4)alkyl.
- R 3 is -N-R 3 R b or (Q-C ⁇ alkyl and R 4 is absent.
- R 5 and R 7 are each independently (C[-C 24 )alkylene and R 6 and R 8 are each independently (C]-C 24 )alkynyl or azido.
- R 5 is (Ci-C 24 )alkylene or (C 6 -C 30 )aryl
- R 6 is absent, (C]-C 24 )alkynyl, (C 5 - C 3 o)heteroaryl(C 6 -C 3 o)aryl, or (C 5 -C 30 )heterocyclyl(Ci-C 24 )alkyl(C 5 - C 3 o)heteroaryl
- R 7 and R 8 are each absent.
- R 5 , R 6 , R 7 , and R 8 are each absent.
- X can be nitrogen, oxygen, or CH;
- Y is nitrogen, oxygen, piperidyl, morpholino, 4- hydroxyethylpiperazinyl, or 4-hydroxypiperidyl;
- Z is nitrogen, -NH, 1-methyl- pyrrol-2-yl, or l-methyl-indole-3-yl;
- Ri is absent, carbonyl, -CH 2 CH 2 -, keto, or hydroxyl;
- R 2 is absent, oxy-t-butyl, or hydroxyl;
- R 3 is absent, dimethylamino, or methyl;
- R 4 is absent, amino, hydroxyl, or methyl;
- R 5 is absent, -CH 2 CH 2 -, A- ethynylphenyl, or o
- a compound of formula (II) if X is nitrogen, then Ri is carbonyl or -CH 2 CH 2 - and R 2 is oxy-t-butyl or hydroxyl. In various embodiments of a compound of formula (II), if Y is nitrogen, then R 3 is methyl and R 4 is amino, hydroxyl, or methyl.
- R 3 is dimethylamino or methyl and R 4 is absent.
- R 3 and R 4 are each absent.
- R 5 and R 7 are each independently -CH 2 CH 2 -, R 6 and R 8 are each independently -C ⁇ CH or azido.
- Z is NH, then
- R 5 is -CH 2 CH 2 - or o-trifluoromethylphenyl
- R 6 is absent, -C ⁇ CH, or N-(3-(lH- l,2,3-triazol-yl)propyl)benzenesulfonamide
- R 7 and R 8 are each absent.
- R 5 , R 6 , R 7 , and R 8 are each absent.
- X, Y, and Z are each independently nitrogen; Ri is carbonyl; R 2 is oxy-t-butyl; R 3 is methyl; R 4 is amino, hydroxyl, or methyl; R 5 and R 7 are each independently-CH 2 CH 2 -; and R 6 and R 8 are each independently -C ⁇ CH or N 3 .
- X is oxygen; Y is morpholino; Z is -NH; Ri, R 2 , R 3 , R 4 , R 6 , R 7 , and R 8 are each absent; and R 5 is 4-ethynylphenyl or o-trifluoromethylphenyl.
- X is CH; Y is A- hydroxypiperidyl; Z is l-methyl-indole-3-yl; Ri is hydroxyl; and R 2 R 3 , R 4 , R 5 , R 6 , R 7 , and R 8 are each absent.
- X is nitrogen; Y is oxygen; Z is nitrogen or -NH; Ri is carbonyl; R 2 is oxy-t-butyl; R 3 is dimethylamino or methyl; R 4 is absent; R 5 is-CH 2 CH 2 -; R 6 is -C ⁇ CH, or N 3 ; R 7 is absent or -CH 2 CH 2 -; and R 8 is absent or N 3 .
- X is nitrogen; Y is 4-hydroxyethylpiperazinyl; Z is l-methyl-pyrrol-2-yl; Ri is -CH 2 CH 2 -; R 2 is hydroxyl; and R 3 , R 4 , R 5 , R 6 , R 7 , and R 8 are each absent.
- X, Y, and Z are each independently nitrogen; Ri is carbonyl; R 2 is oxy-t-butyl; R 3 methyl; R 4 is hydroxyl; R 5 is -CH 2 CH 2 -; R 6 is N-(3-(lH-l,2,3-triazol- yl)propyl)benzenesulfonamide; and R 7 and R 8 are each absent.
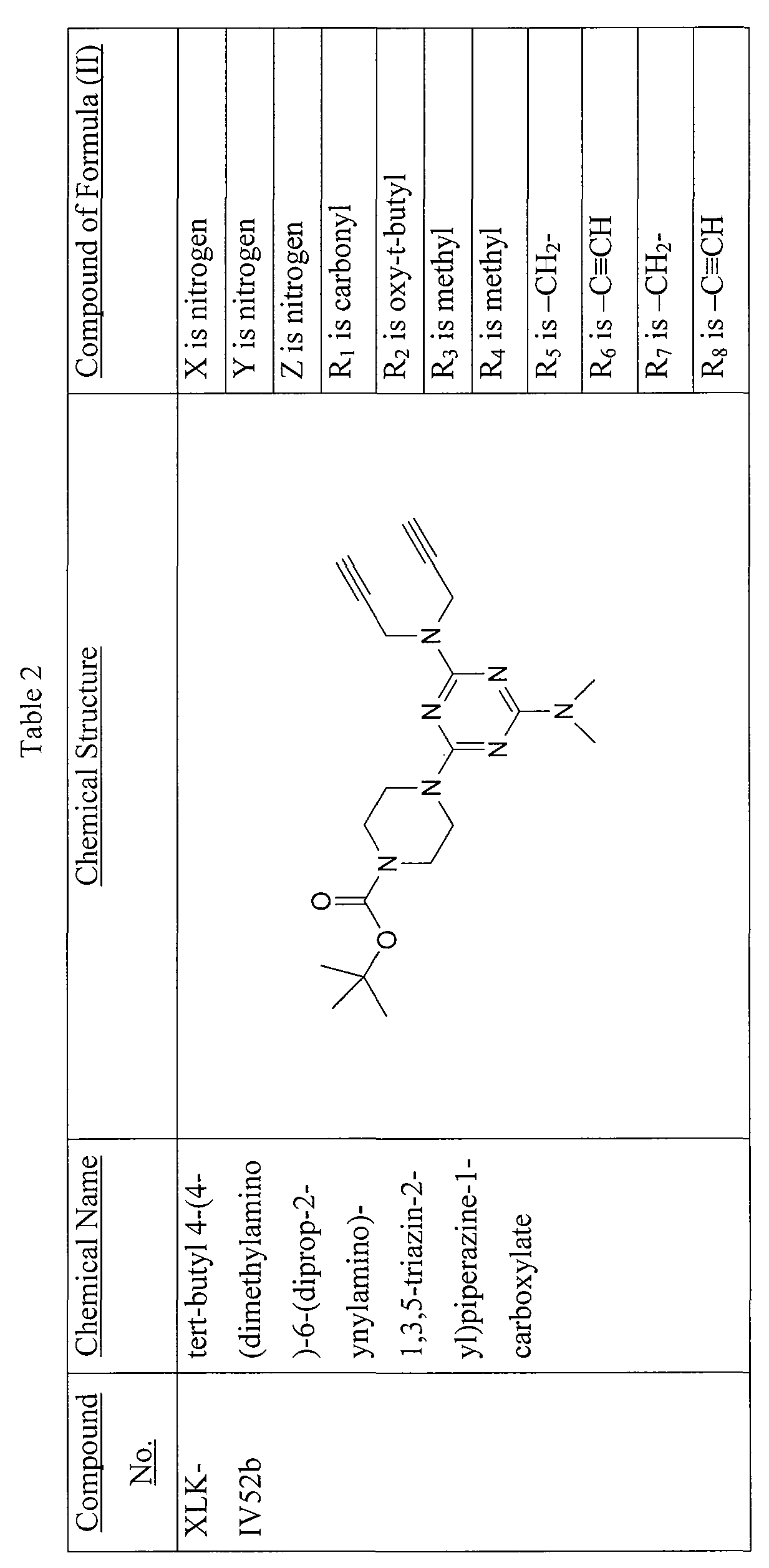
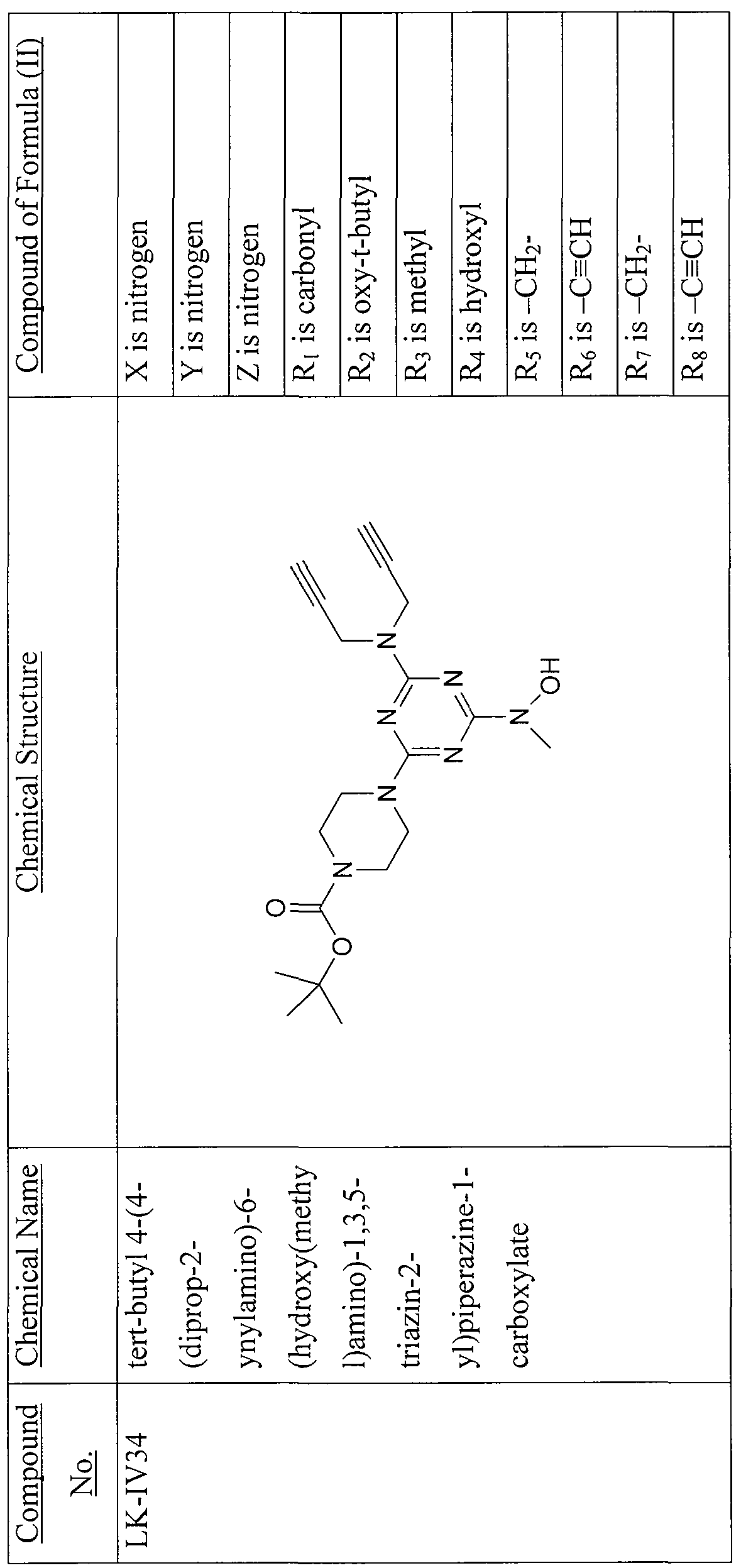
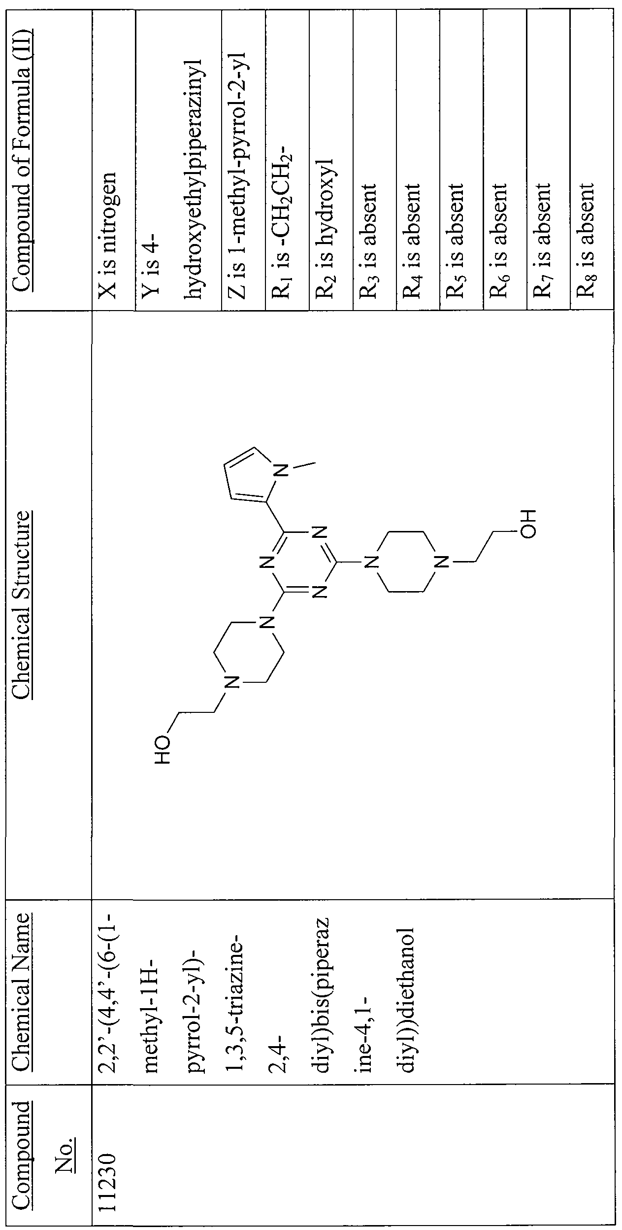
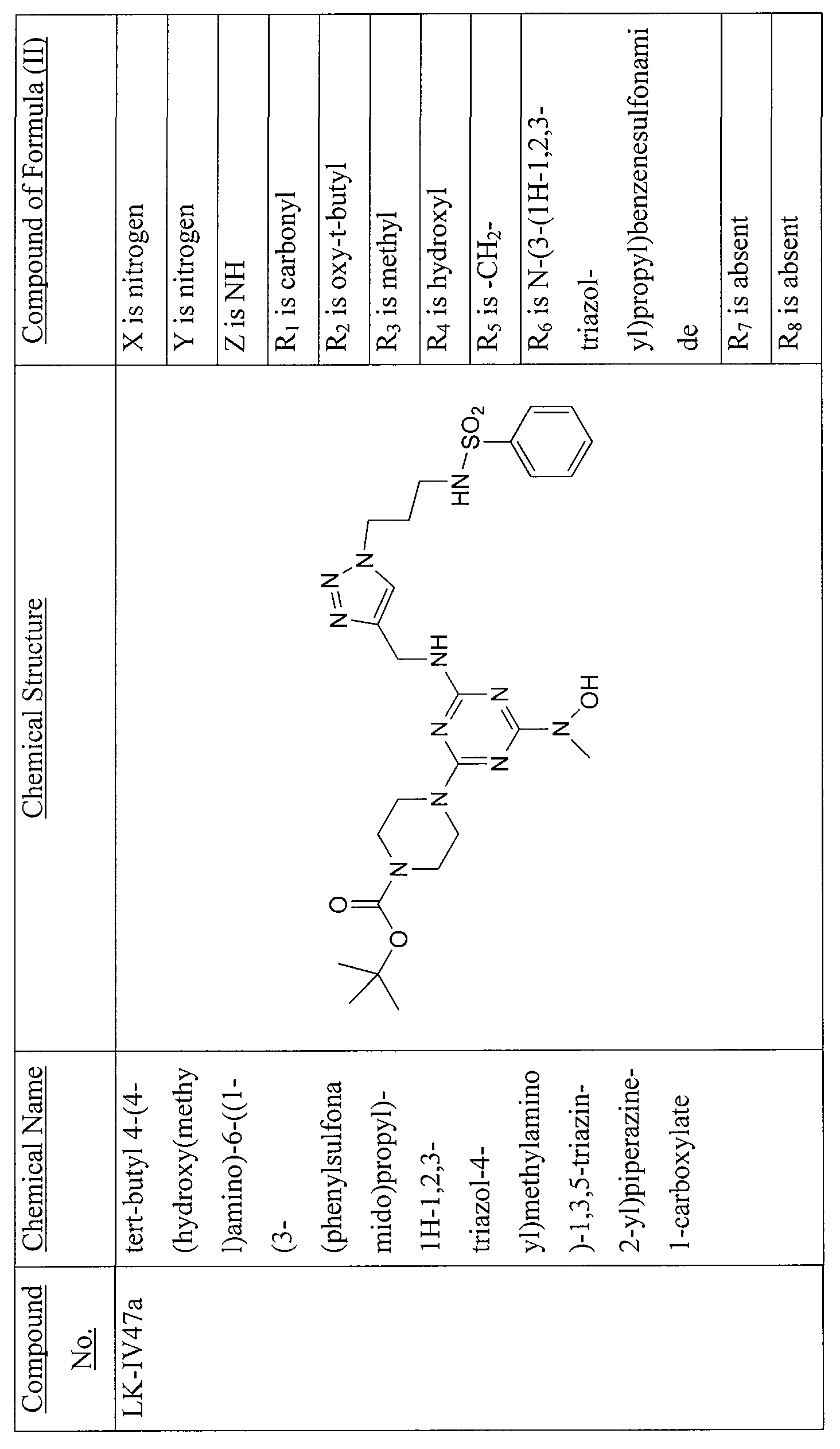
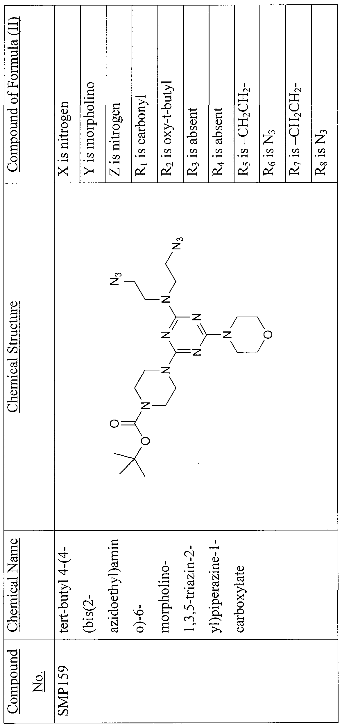
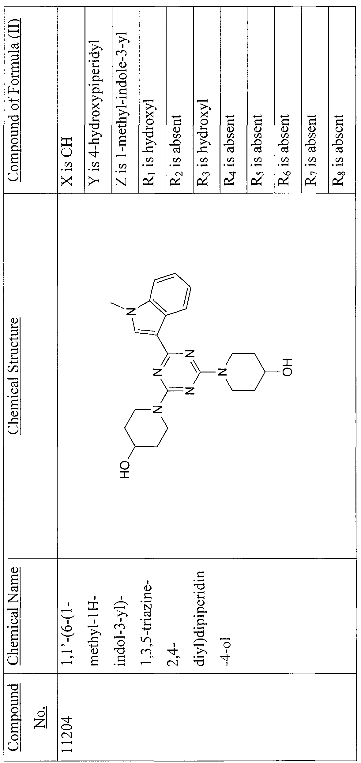
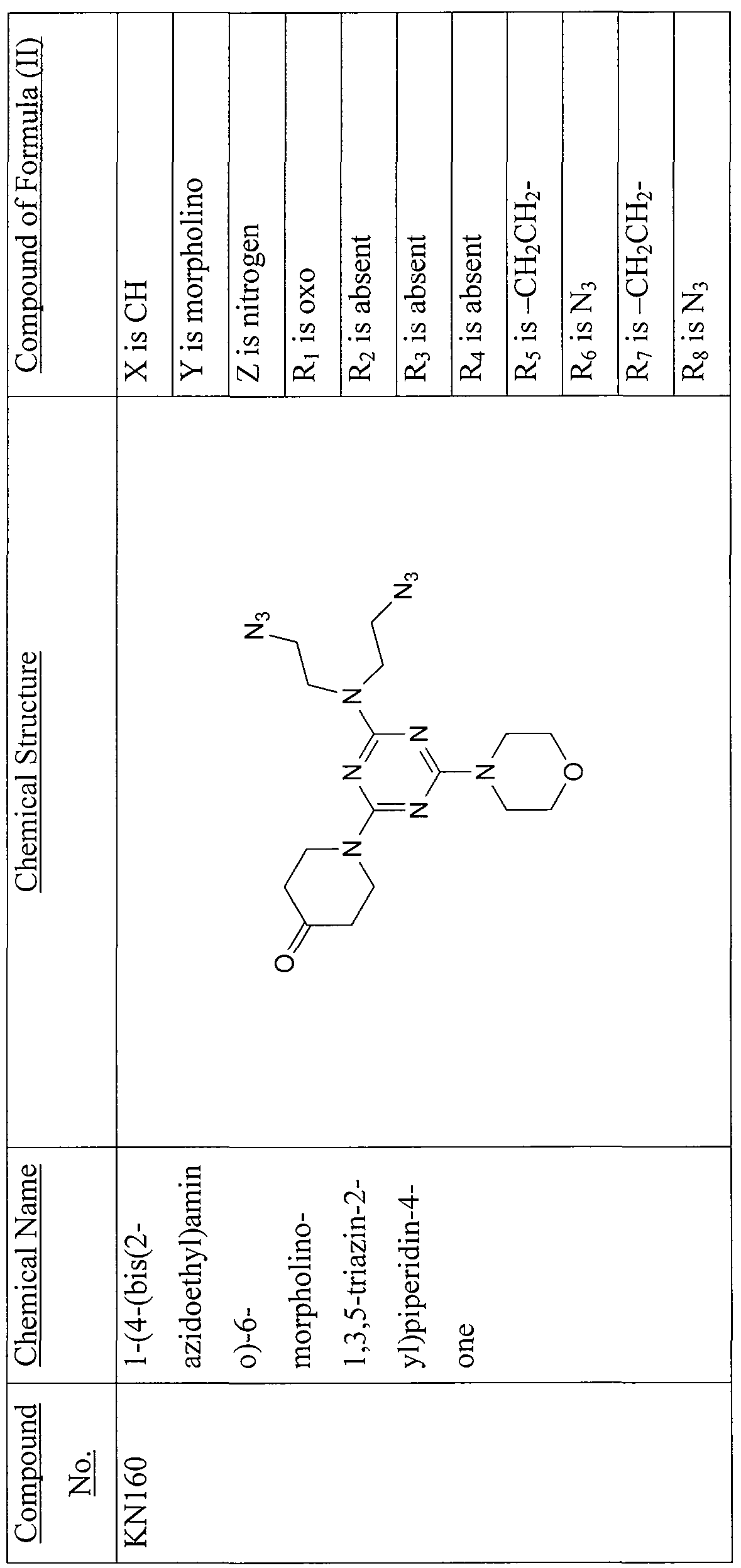
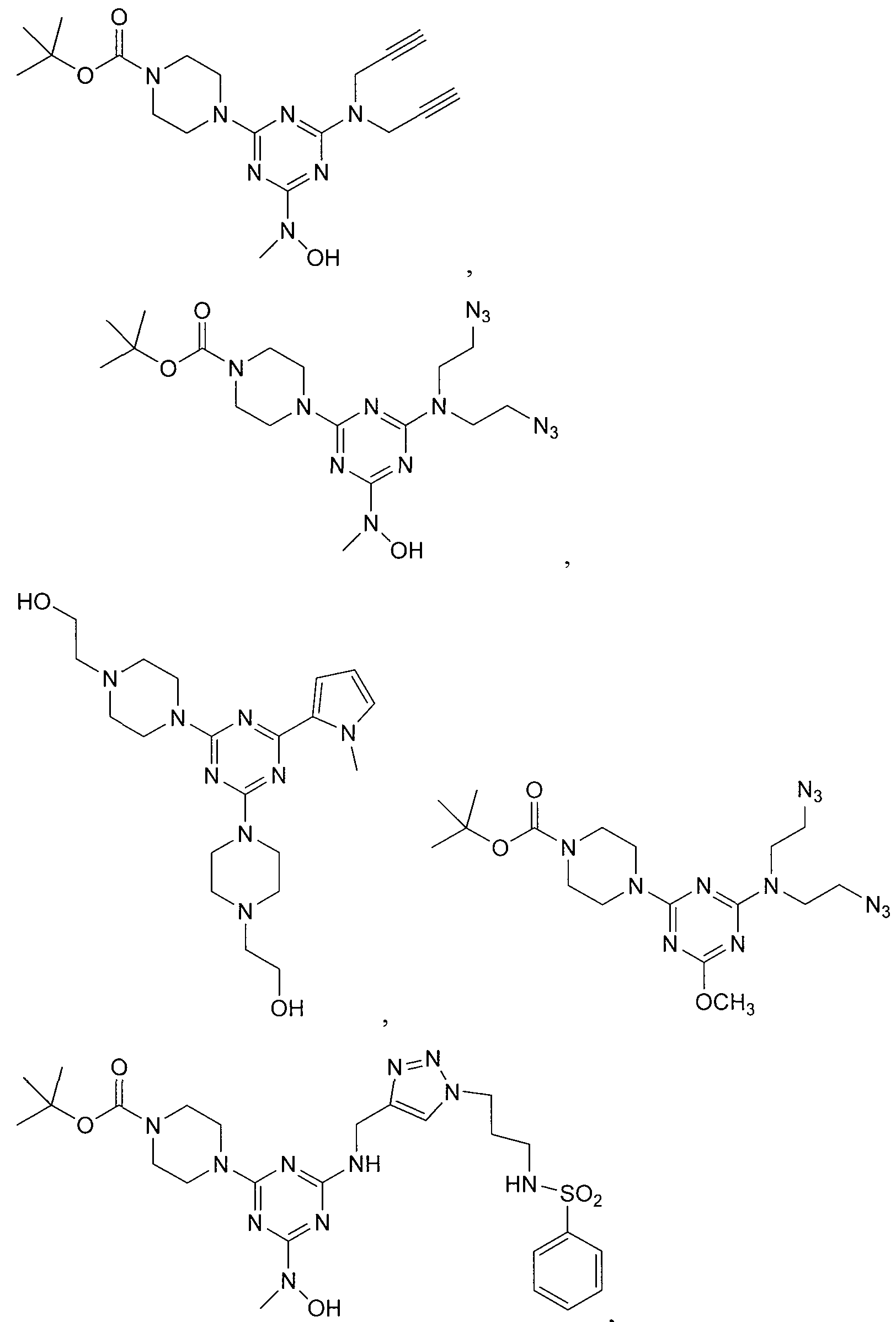
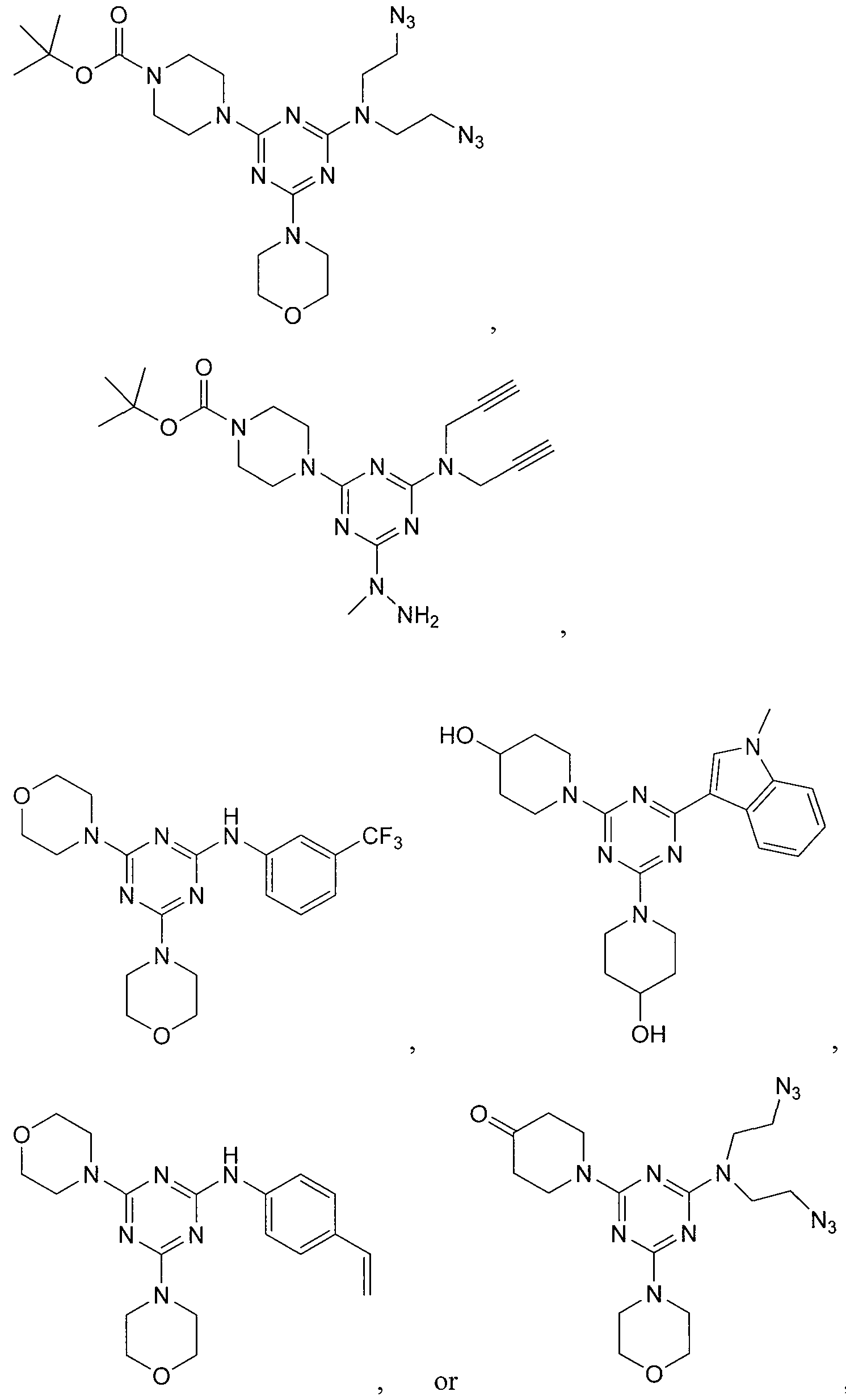
- the compound of formula (II) is any of the compounds whose structure is shown in Table 2.
- the present disclosure encompasses all stereochemical isomeric forms, or mixtures thereof, which possess the ability to inhibit HCV protease.
- Enantiomers of the present disclosure may be resolved by methods known to those skilled in the art, for example, by formation of diastereoisomeric salts which may be separated by crystallization, gas-liquid or liquid chromatography, or selective reaction of one enantiomer with an enantiomer-specific reagent. It should be appreciated that where the desired enantiomer is converted into another chemical entity by a separation technique, then an additional step is required to form the desired enantiomeric form.
- specific enantiomers may be synthesized by asymmetric synthesis using optically active reagents, substrates, catalysts or solvents, or by converting one enantiomer into the other by asymmetric transformation.
- Certain compounds of the present disclosure may also exist in different stable conformational forms which may be separable. Torsional asymmetry due to restricted rotation about an asymmetric single bond, for example because of steric hindrance or ring strain, may permit separation of different conformers.
- the present disclosure includes each conformational isomer of these compounds and mixtures thereof.
- Certain compounds of the present disclosure may exist in zwitterionic form and the present disclosure includes each zwitterionic form of these compounds and mixtures thereof.
- the compounds of this disclosed subject matter are formulated with conventional carriers and excipients, which should be selected in accord with ordinary practice.
- Tablets should contain excipients, glidants, fillers, binders and the like.
- Aqueous formulations are prepared in sterile form, and when intended for delivery by other than oral administration generally should be isotonic. All formulations should optionally contain excipients such as those set forth in the Handbook of Pharmaceutical Excipients, 5 th Ed.; Rowe, Sheskey, and Owen, Eds.; American Pharmacists Association; Pharmaceutical Press: Washington, DC, 2006.
- Excipients include ascorbic acid and other antioxidants, chelating agents such as EDTA, carbohydrates such as dextrin, hydroxyalkylcellulose, hydroxyalkylmethylcellulose, stearic acid and the like.
- the pH of the formulations ranges from about 3 to about 11, but is ordinarily about 7 to 10. While it is possible for the active ingredients to be administered alone it may be preferable to present them as pharmaceutical formulations.
- the formulations, for human use, of the disclosed subject matter include at least one active ingredient, as above defined, together with one or more acceptable carriers therefor and optionally other therapeutic ingredients.
- the carrier(s) should be "acceptable” in the sense of being compatible with the other ingredients of the formulation and physiologically innocuous to the recipient thereof.
- the formulations include those suitable for the foregoing administration routes.
- the formulations may conveniently be presented in unit dosage form and may be prepared by any of the methods well known in the art of pharmacy. Techniques and formulations generally are found in Remington's
- Such methods include the step of bringing into association the active ingredient with the carrier which constitutes one or more accessory ingredients.
- the formulations are prepared by uniformly and intimately bringing into association the active ingredient with liquid carriers, finely divided solid carriers, or both, and then, if necessary, shaping the product.
- Formulations of the presently disclosed subject matter suitable for oral administration may be presented as discrete units such as capsules, cachets, or tablets each containing a predetermined amount of the active ingredient; as a powder or granules; as a solution or a suspension in an aqueous or non-aqueous liquid; or as an oil-in-water liquid emulsion or a water-in-oil liquid emulsion.
- the active ingredient may also be administered as a bolus, electuary, or paste.
- a tablet is made by compression or molding, optionally with one or more accessory ingredients.
- Compressed tablets may be prepared by compressing in a suitable machine the active ingredient in a free-flowing form such as a powder or granules, optionally mixed with a binder, lubricant, inert diluent, preservative, surface active or dispersing agent.
- Molded tablets may be made by molding in a suitable machine a mixture of the powdered active ingredient moistened with an inert liquid diluent.
- the tablets may optionally be coated or scored and optionally are formulated so as to provide slow or controlled release of the active ingredient therefrom.
- the formulations are preferably applied as a topical ointment or cream containing the active ingredient(s) in an amount of, for example, 0.075 to 20% w/w (including active ingredient(s) in a range between 0.1% and 20% in increments of 0.1% w/w such as 0.6% w/w, 0.7% w/w, etc.), preferably 0.2 to 15% w/w and most preferably 0.5 to 10% w/w.
- the active ingredients may be employed with either a paraffmic or a water-miscible ointment base.
- the active ingredients may be formulated in a cream with an oil-in-water cream base.
- the aqueous phase of the cream base may include, for example, at least 30% w/w of a polyhydric alcohol, i.e., an alcohol having two or more hydroxyl groups such as propylene glycol, butane 1 ,3-diol, mannitol, sorbitol, glycerol and polyethylene glycol (including PEG 400) and mixtures thereof.
- the topical formulations may desirably include a compound which enhances absorption or penetration of the active ingredient through the skin or other affected areas. Examples of such dermal penetration enhancers include dimethyl sulphoxide and related analogs.
- the oily phase of the emulsions of this disclosed subject matter may be constituted from known ingredients in a known manner. While the phase may include merely an emulsifier (otherwise known as an emulgent), it desirably includes a mixture of at least one emulsifier with a fat or an oil or with both a fat and an oil. Preferably, a hydrophilic emulsifier is included together with a lipophilic emulsifier which acts as a stabilizer. It is also preferred to include both an oil and a fat.
- the emulsif ⁇ er(s) with or without stabilizer(s) make up the so-called emulsifying wax
- the wax together with the oil and fat make up the so-called emulsifying ointment base which forms the oily dispersed phase of the cream formulations.
- Emulgents and emulsion stabilizers suitable for use in the formulation of the disclosed subject matter include TWEEN 60, SPAN 80, cetostearyl alcohol, benzyl alcohol, myristyl alcohol, glyceryl mono-stearate and sodium lauryl sulfate.
- the choice of suitable oils or fats for the formulation is based on achieving the desired cosmetic properties.
- the cream should preferably be a non-greasy, non-staining and washable product with suitable consistency to avoid leakage from tubes or other containers.
- Straight or branched chain, mono- or dibasic alkyl esters such as di-isoadipate, isocetyl stearate, propylene glycol diester of coconut fatty acids, isopropyl myristate, decyl oleate, isopropyl palmitate, butyl stearate, 2-ethylhexyl palmitate or a blend of branched chain esters known as Crodamol CAP may be used, the last three being preferred esters. These may be used alone or in combination depending on the properties required. Alternatively, high melting point lipids such as white soft paraffin and/or liquid paraffin or other mineral oils are used.
- compositions according to the presently disclosed subject matter include one or more compounds of the disclosed subject matter together with one or more pharmaceutically acceptable carriers or excipients and optionally other therapeutic agents.
- Pharmaceutical formulations containing the active ingredient may be in any form suitable for the intended method of administration.
- tablets, troches, lozenges, aqueous or oil suspensions, dispersible powders or granules, emulsions, hard or soft capsules, syrups or elixirs may be prepared.
- Compositions intended for oral use may be prepared according to any method known to the art for the manufacture of pharmaceutical compositions and such compositions may contain one or more agents including sweetening agents, flavoring agents, coloring agents and preserving agents, in order to provide a palatable preparation.
- Tablets containing the active ingredient in admixture with non- toxic pharmaceutically acceptable excipient which are suitable for manufacture of tablets are acceptable.
- excipients may be, for example, inert diluents, such as calcium or sodium carbonate, lactose, lactose monohydrate, croscarmellose sodium, povidone, calcium or sodium phosphate; granulating and disintegrating agents, such as maize starch, or alginic acid; binding agents, such as cellulose, microcrystalline cellulose, starch, gelatin or acacia; and lubricating agents, such as magnesium stearate, stearic acid or talc.
- inert diluents such as calcium or sodium carbonate, lactose, lactose monohydrate, croscarmellose sodium, povidone, calcium or sodium phosphate
- granulating and disintegrating agents such as maize starch, or alginic acid
- binding agents such as cellulose, microcrystalline cellulose, starch,
- Tablets may be uncoated or may be coated by known techniques including microencapsulation to delay disintegration and adsorption in the gastrointestinal tract and thereby provide a sustained action over a longer period.
- a time delay material such as glyceryl monostearate or glyceryl distearate alone or with a wax may be employed.
- Formulations for oral use may be also presented as hard gelatin capsules where the active ingredient is mixed with an inert solid diluent, for example calcium phosphate or kaolin, or as soft gelatin capsules wherein the active ingredient is mixed with water or an oil medium, such as peanut oil, liquid paraffin, or olive oil.
- an inert solid diluent for example calcium phosphate or kaolin
- an oil medium such as peanut oil, liquid paraffin, or olive oil.
- Aqueous suspensions of the disclosed subject matter contain the active materials in admixture with excipients suitable for the manufacture of aqueous suspensions.
- excipients include a suspending agent, such as sodium carboxymethylcellulose, methylcellulose, hydroxypropyl methylcelluose, sodium alginate, polyvinylpyrrolidone, gum tragacanth and gum acacia, and dispersing or wetting agents such as a naturally occurring phosphatide (e.g., lecithin), a condensation product of an alkylene oxide with a fatty acid (e.g., polyoxyethylene stearate), a condensation product of ethylene oxide with a long chain aliphatic alcohol (e.g., heptadecaethyleneoxycetanol), a condensation product of ethylene oxide with a partial ester derived from a fatty acid and a hexitol anhydride (e.g., polyoxyethylene sorbitan monooleate).
- the aqueous suspension may also contain one or more preservatives such as ethyl or n-propyl p-hydroxy-benzoate, one or more coloring agents, one or more flavoring agents and one or more sweetening agents, such as sucrose or saccharin.
- Oil suspensions may be formulated by suspending the active ingredient in a vegetable oil, such as arachis oil, olive oil, sesame oil, or coconut oil, or in a mineral oil such as liquid paraffin.
- the oral suspensions may contain a thickening agent, such as beeswax, hard paraffin, or cetyl alcohol. Sweetening agents, such as those set forth above, and flavoring agents may be added to provide a palatable oral preparation. These compositions may be preserved by the addition of an antioxidant such as ascorbic acid.
- Dispersible powders and granules of the disclosed subject matter suitable for preparation of an aqueous suspension by the addition of water provide the active ingredient in admixture with a dispersing or wetting agent, a suspending agent, and one or more preservatives.
- a dispersing or wetting agent and suspending agents are exemplified by those disclosed above. Additional excipients, for example sweetening, flavoring and coloring agents, may also be present.
- the pharmaceutical compositions of the disclosed subject matter may also be in the form of oil-in-water emulsions.
- the oily phase may be a vegetable oil, such as olive oil or arachis oil, a mineral oil, such as liquid paraffin, or a mixture of these.
- Suitable emulsifying agents include naturally- occurring gums, such as gum acacia and gum tragacanth, naturally occurring phosphatides, such as soybean lecithin, esters or partial esters derived from fatty acids and hexitol anhydrides, such as sorbitan monooleate, and condensation products of these partial esters with ethylene oxide, such as polyoxyethylene sorbitan monooleate.
- the emulsion may also contain sweetening and flavoring agents.
- Syrups and elixirs may be formulated with sweetening agents, such as glycerol, sorbitol, or sucrose. Such formulations may also contain a demulcent, a preservative, a flavoring or a coloring agent.
- the pharmaceutical compositions of the disclosed subject matter may be in the form of a sterile injectable preparation, such as a sterile injectable aqueous or oleaginous suspension. This suspension may be formulated according to the known art using those suitable dispersing or wetting agents and suspending agents which have been mentioned above.
- the sterile injectable preparation may also be a sterile injectable solution or suspension in a non-toxic parenterally acceptable diluent or solvent, such as a solution in 1,3-butane-diol or prepared as a lyophilized powder.
- a non-toxic parenterally acceptable diluent or solvent such as a solution in 1,3-butane-diol or prepared as a lyophilized powder.
- sterile fixed oils may conventionally be employed as a solvent or suspending medium.
- any bland fixed oil may be employed including synthetic mono- or diglycerides.
- fatty acids such as oleic acid may likewise be used in the preparation of injectables.
- a time-release formulation intended for oral administration to humans may contain approximately 1 to 1000 mg of active material compounded with an appropriate and convenient amount of carrier material which may vary from about 5 to about 95% of the total compositions (weight: weight).
- the pharmaceutical composition can be prepared to provide easily measurable amounts for administration.
- an aqueous solution intended for intravenous infusion may contain from about 3 to 500 ⁇ g of the active ingredient per milliliter of solution in order that infusion of a suitable volume at a rate of about 30 mL/hr can occur.
- Formulations suitable for administration to the eye include eye drops wherein the active ingredient is dissolved or suspended in a suitable carrier, especially an aqueous solvent for the active ingredient.
- the active ingredient is preferably present in such formulations in a concentration of 0.5 to 20%, advantageously 0.5 to 10% particularly about 1.5% w/w.
- Formulations suitable for topical administration in the mouth include lozenges including the active ingredient in a flavored basis, typically sucrose and acacia or tragacanth; pastilles including the active ingredient in an inert basis such as gelatin and glycerin, or sucrose and acacia; and mouthwashes including the active ingredient in a suitable liquid carrier.
- Formulations for rectal administration may be presented as a suppository with a suitable base including for example cocoa butter or a salicylate.
- Formulations suitable for intrapulmonary or nasal administration have a particle size for example in the range of 0.1 to 500 microns (including particle sizes in a range between 0.1 and 500 microns in increments microns such as 0.5, 1, 30 microns, 35 microns, etc.), which is administered by rapid inhalation through the nasal passage or by inhalation through the mouth so as to reach the alveolar sacs.
- Suitable formulations include aqueous or oily solutions of the active ingredient.
- Formulations suitable for aerosol or dry powder administration may be prepared according to conventional methods and may be delivered with other therapeutic agents such as compounds heretofore used in the treatment or prophylaxis of a given condition.
- Formulations suitable for vaginal administration may be presented as pessaries, tampons, creams, gels, pastes, foams or spray formulations containing in addition to the active ingredient such carriers as are known in the art to be appropriate.
- Formulations suitable for parenteral administration include aqueous and non-aqueous sterile injection solutions which may contain anti-oxidants, buffers, bacteriostats and solutes which render the formulation isotonic with the blood of the intended recipient; and aqueous and non-aqueous sterile suspensions which may include suspending agents and thickening agents.
- formulations are presented in unit-dose or multi-dose containers, for example sealed ampoules and vials, and may be stored in a freeze-dried
- sterile liquid carrier for example water for injection
- sterile liquid carrier for example water for injection
- Extemporaneous injection solutions and suspensions are prepared from sterile powders, granules and tablets of the kind previously described.
- Preferred unit dosage formulations are those containing a daily dose or unit daily sub-dose, as herein above recited, or an appropriate fraction thereof, of the active ingredient.
- formulations of this disclosed subject matter may include other agents conventional in the art having regard to the type of formulation in question, for example those suitable for oral administration may include flavoring agents.
- compositions including one or more compounds of the disclosed subject matter formulated for sustained or controlled release.
- Effective dose of active ingredient depends at least on the nature of the condition being treated, toxicity, whether the compound is being used prophylactically (lower doses), the method of delivery, and the pharmaceutical formulation, and should be determined by the clinician using conventional dose escalation studies. It can be expected to be from about 0.0001 to about 100 mg/kg body weight per day, typically, from about 0.01 to about 10 mg/kg body weight per day, more typically, from about 0.01 to about 5 mg/kg body weight per day, and more typically, from about 0.05 to about 0.5 mg/kg body weight per day.
- the daily candidate dose for an adult human of approximately 70 kg body weight should range from 1 mg to 1000 mg, preferably between 5 mg and 500 mg, and may take the form of single or multiple doses.
- the compounds of the presently disclosed subject matter may be applied in conjunction with one or more inert or active ingredients.
- One or more compounds of the disclosed subject matter are administered by any route appropriate to the condition to be treated. Suitable routes include oral, rectal, nasal, topical (including buccal and sublingual), vaginal and parenteral (including subcutaneous, intramuscular, intravenous, intradermal, intrathecal and epidural), and the like. It should be appreciated that the preferred route may vary with for example the condition of the recipient. An advantage of some of the compounds of this disclosed subject matter is that they are orally bioavailable and can be dosed orally.
- Active ingredients of the disclosed subject matter can also be used in combination with other active ingredients. Such combinations are selected based on the condition to be treated, cross-reactivities of ingredients and pharmaco- properties of the combination.
- any compound of the disclosed subject matter with one or more other active ingredients in a unitary dosage form for simultaneous or sequential administration to a patient.
- the combination therapy may be administered as a simultaneous or sequential regimen.
- the combination When administered sequentially, the combination may be administered in two or more administrations.
- the combination therapy may provide "synergy” and "synergistic effect,” i.e., the effect achieved when the active ingredients used together is greater than the sum of the effects that results from using the compounds separately.
- a synergistic effect may be attained when the active ingredients are: (1) co- formulated and administered or delivered simultaneously in a combined formulation; (2) delivered by alternation or in parallel as separate formulations; or (3) by some other regimen.
- a synergistic effect may be attained when the compounds are administered or delivered sequentially, e.g., in separate tablets, pills, or capsules, or by different injections in separate syringes.
- an effective dosage of each active ingredient is administered sequentially, i.e., serially
- effective dosages of two or more active ingredients are administered together.
- kits useful in the presently disclosed subject matter which include a therapeutically effective amount of a pharmaceutical composition that includes a compound of component (a) and one or more compounds of component (b), in one or more sterile containers, are also within the ambit of the presently disclosed subject matter. Sterilization of the container may be carried out using conventional sterilization methodology well known to those skilled in the art.
- Component (a) and component (b) may be in the same sterile container or in separate sterile containers.
- the sterile containers or materials may include separate containers, or one or more multi-part containers, as desired.
- Component (a) and component (b) may be separate, or physically combined into a single dosage form or unit as described above.
- kits may further include, if desired, one or more of various conventional pharmaceutical kit components, such as for example, one or more pharmaceutically acceptable carriers, additional vials for mixing the components, etc., as should be readily apparent to those skilled in the art.
- kit components such as for example, one or more pharmaceutically acceptable carriers, additional vials for mixing the components, etc., as should be readily apparent to those skilled in the art.
- Instructions, either as inserts or as labels, indicating quantities of the components to be administered, guidelines for administration, and/or guidelines for mixing the components, may also be included in the kit.
- compositions described herein are generally useful in treatment of an of HCV infection. Whether a subject method is effective in treating an HCV infection can be determined by a reduction in viral load, a reduction in time to seroconversion (virus undetectable in patient serum), an increase in the rate of sustained viral response to therapy, a reduction of morbidity or mortality in clinical outcomes, or other indicator of disease response.
- an effective amount of a compound of Formula I or Formula II, and optionally one or more additional antiviral agents is an amount that is effective to reduce viral load or achieve a sustained viral response to therapy.
- Whether a subject method is effective in treating an HCV infection can be determined by measuring viral load, or by measuring a parameter associated with HCV infection, including, but not limited to, liver fibrosis, elevations in serum transaminase levels, and necroinflammatory activity in the liver.
- the method involves administering an effective amount of a compound of Formula I or Formula II, optionally in combination with an effective amount of one or more additional antiviral agents.
- an effective amount of a compound of Formula I or Formula II, and optionally one or more additional antiviral agents is an amount that is effective to reduce viral titers to undetectable levels, e.g., to about 1000 to about 5000, to about 500 to about 1000, or to about 100 to about 500 genome copies/mL serum.
- an effective amount of a compound of Formula I or Formula II, and optionally one or more additional antiviral agents is an amount that is effective to reduce viral load to lower than 100 genome copies/mL serum.
- an effective amount of a compound of Formula I or Formula II, and optionally one or more additional antiviral agents is an amount that is effective to achieve a 1.5-log, a 2-log, a 2.5-log, a 3-log, a 3.5-log, a 4-log, a 4.5-log, or a 5-log reduction in viral titer in the serum of the individual.
- the choice and regimen for administration of an effective amount of compound of Formula I or Formula II, and optionally one or more additional antiviral agents should be within the discretion and wisdom of the patient's attending physician.
- Guidelines for administration include, for example, dose ranges of from about 0.001 mg to about 100 mg/kg of patient body weight of a compound of Formula I or Formula II, preferably a dose range of about 5 ⁇ g to about 50 mg/kg of patient body weight of a compound of Formula I or Formula II, and optionally one or more additional antiviral agents, preferably from about 0.001 mg to about 100 mg/kg of patient body weight, more preferably from about 5 ⁇ g to about 50 mg/kg of patient body weight.
- an effective amount of a compound of Formula I or Formula II, and optionally one or more additional antiviral agents is an amount that is effective to achieve a sustained viral response, e.g., non- detectable or substantially non-detectable HCV RNA (e.g., less than about 500, less than about 400, less than about 200, or less than about 100 genome copies per milliliter serum) is found in the patient's serum for a period of at least about one month, at least about two months, at least about three months, at least about four months, at least about five months, or at least about six months following cessation of therapy.
- a sustained viral response e.g., non- detectable or substantially non-detectable HCV RNA (e.g., less than about 500, less than about 400, less than about 200, or less than about 100 genome copies per milliliter serum) is found in the patient's serum for a period of at least about one month, at least about two months, at least about three months, at least about four months, at least about five months
- a subject method is effective in treating an HCV infection can be determined by measuring a parameter associated with HCV infection, such as liver fibrosis. Methods of determining the extent of liver fibrosis are discussed in detail below.
- the level of a serum marker of liver fibrosis indicates the degree of liver fibrosis. As one non-limiting example, levels of serum alanine aminotransferase
- an effective amount of a compound of Formula I or Formula II, and optionally one or more additional antiviral agents is an amount effective to reduce ALT levels to less than about 45 IU/ml serum.
- a therapeutically effective amount of a compound of Formula I or Formula II, and optionally one or more additional antiviral agents is an amount that is effective to reduce a serum level of a marker of liver fibrosis by at least about 10%, at least about 20%, at least about 25%, at least about 30%, at least about 35%, at least about 40%, at least about 45%, at least about 50%, at least about 55%, at least about 60%, at least about 65%, at least about 70%, at least about 75%, or at least about 80%, or more, compared to the level of the marker in an untreated individual, or to a placebo-treated individual.
- Methods of measuring serum markers include immunological-based methods, e.g., enzyme- linked immunosorbent assays (ELISA), radioimmunoassays, and the like, using antibody specific for a given serum marker.
- ELISA enzyme- linked immunosorbent assays
- radioimmunoassays radioimmunoassays, and the like.
- an effective amount of a compound of Formula I or Formula II and an additional antiviral agent is a synergistic amount.
- a "synergistic combination” or a “synergistic amount" of a compound of Formula I or Formula II and an additional antiviral agent is a combined dosage that is more effective in the therapeutic or prophylactic treatment of an HCV infection than the incremental improvement in treatment outcome that could be predicted or expected from a merely additive combination of (i) the therapeutic or prophylactic benefit of the compound of Formula I or Formula II when administered at that same dosage as a monotherapy and (ii) the therapeutic or prophylactic benefit of the additional antiviral agent when administered at the same dosage as a monotherapy.
- a selected amount of a compound of Formula I or Formula II and a selected amount of an additional antiviral agent are effective when used in combination therapy for a disease, but the selected amount of the compound of Formula I or Formula II and/or the selected amount of the additional antiviral agent is ineffective when used in monotherapy for the disease.
- the embodiments encompass (1) regimens in which a selected amount of the additional antiviral agent enhances the therapeutic benefit of a selected amount of the compound of Formula I or Formula II when used in combination therapy for a disease, where the selected amount of the additional antiviral agent provides no therapeutic benefit when used in monotherapy for the disease (2) regimens in which a selected amount of the compound of Formula I or Formula II enhances the therapeutic benefit of a selected amount of the additional antiviral agent when used in combination therapy for a disease, where the selected amount of the compound of Formula I or Formula II provides no therapeutic benefit when used in monotherapy for the disease and (3) regimens in which a selected amount of the compound of Formula I or Formula II and a selected amount of the additional antiviral agent provide a therapeutic benefit when used in combination therapy for a disease, where each of the selected amounts of the compound of Formula I or Formula II, and the additional antiviral agent, respectively, provides no therapeutic benefit when used in monotherapy for the disease.
- a "synergistically effective amount" of a compound of Formula I or Formula II, and an additional antiviral agent, and its grammatical equivalents, shall be understood to include any regimen encompassed by any of (l)-(3) above.
- the embodiments provides methods for treating liver fibrosis (including forms of liver fibrosis resulting from, or associated with, HCV infection), generally involving administering a therapeutic amount of a compound of Formula I or Formula II and optionally one or more additional antiviral agents. Effective amounts of compounds of Formula I or Formula II, with and without one or more additional antiviral agents, as well as dosing regimens, are as discussed below.
- liver fibrosis reduction is determined by analyzing a liver biopsy sample.
- An analysis of a liver biopsy includes assessments of two major components: necroinflammation assessed by "grade” as a measure of the severity and ongoing disease activity, and the lesions of fibrosis and parenchymal or vascular remodeling as assessed by "stage” as being reflective of long-term disease progression. See, e.g., Brunt (2000) Hepatology, 31, 241-246; and Metavir (1994) Hepatology, 20, 15-20.
- a score is assigned.
- the METAVIR scoring system is based on an analysis of various features of a liver biopsy, including fibrosis (portal fibrosis, centrilobular fibrosis, and cirrhosis); necrosis (piecemeal and lobular necrosis, acidophilic retraction, and ballooning degeneration); inflammation (portal tract inflammation, portal lymphoid aggregates, and distribution of portal inflammation); bile duct changes; and the Knodell index (scores of periportal necrosis, lobular necrosis, portal inflammation, fibrosis, and overall disease activity).
- each stage in the METAVIR system is as follows: score: 0, no fibrosis; score: 1, stellate enlargement of portal tract but without septa formation; score: 2, enlargement of portal tract with rare septa formation; score: 3, numerous septa without cirrhosis; and score: 4, cirrhosis.
- Knodell ' s scoring system also called the Hepatitis Activity Index, classifies specimens based on scores in four categories of histological features: I. Periportal and/or bridging necrosis; II. Intralobular degeneration and focal necrosis; III. Portal inflammation; and IV. Fibrosis.
- scores are as follows: score: 0, no fibrosis; score: 1, mild fibrosis (fibrous portal expansion); score: 2, moderate fibrosis; score: 3, severe fibrosis (bridging fibrosis); and score: 4, cirrhosis. The higher the score, the more severe the liver tissue damage. See, e.g., Knodell (1981) Hepatologv, 1, 431.
- the Ishak scoring system is described in Ishak (1995) J. Hepatologv, 22:696-699. Stage 0, No fibrosis; Stage 1, Fibrous expansion of some portal areas, with or without short fibrous septa; stage 2, Fibrous expansion of most portal areas, with or without short fibrous septa; stage 3, Fibrous expansion of most portal areas with occasional portal to portal (P-P) bridging; stage 4, Fibrous expansion of portal areas with marked bridging (P-P) as well as portal-central (P-C); stage 5, Marked bridging (P-P and/or P-C) with occasional nodules (incomplete cirrhosis); stage 6, Cirrhosis, probable or definite.
- a therapeutically effective amount of a compound of Formula I or Formula II, and optionally one or more additional antiviral agents is an amount that effects a change of one unit or more in the fibrosis stage based on pre- and post-therapy liver biopsies.
- a therapeutically effective amount of a compound of Formula I or Formula II, and optionally one or more additional antiviral agents reduces liver fibrosis by at least one unit in the METAVIR, the Knodell, the Scheuer, the Ludwig, or the Ishak scoring system.
- indices of liver function can also be used to evaluate the efficacy of treatment with a compound of Formula I or Formula II. Morphometric computerized semi-automated assessment of the quantitative degree of liver fibrosis based upon specific staining of collagen and/or serum markers of liver fibrosis can also be measured as an indication of the efficacy of a subject treatment method. Secondary indices of liver function include, but are not limited to, serum transaminase levels, prothrombin time, bilirubin, platelet count, portal pressure, albumin level, and assessment of the Child-Pugh score.
- the choice and regimen for administration of an effective amount of compound of Formula I or Formula II, and optionally one or more additional antiviral agents should be within the discretion and wisdom of the patient's attending physician.
- Guidelines for administration include, for example, dose ranges of from about 0.001 mg to about 100 mg/kg of patient body weight of a compound of Formula I or Formula II, preferably a dose range of about 5 ⁇ g to about 50 mg/kg of patient body weight of a compound of Formula I or Formula II, and optionally one or more additional antiviral agents, preferably from about 0.001 mg to about 100 mg/kg of patient body weight, more preferably from about 5 ⁇ g to about 50 mg/kg of patient body weight.
- An effective amount of a compound of Formula I or Formula II, and optionally one or more additional antiviral agents is an amount that is effective to increase an index of liver function by at least about 10%, at least about 20%, at least about 25%, at least about 30%, at least about 35%, at least about 40%, at least about 45%, at least about 50%, at least about 55%, at least about 60%, at least about 65%, at least about 70%, at least about 75%, or at least about 80%, or more, compared to the index of liver function in an untreated individual, or to a placebo-treated individual.
- Those skilled in the art can readily measure such indices of liver function, using standard assay methods, many of which are commercially available, and are used routinely in clinical settings.
- Serum markers of liver fibrosis can also be measured as an indication of the efficacy of a subject treatment method.
- Serum markers of liver fibrosis include, but are not limited to, hyaluronate, N-terminal procollagen III peptide, 7S domain of type IV collagen, C-terminal procollagen I peptide, and laminin.
- Additional biochemical markers of liver fibrosis include ⁇ ⁇ -2-macroglobulin, haptoglobin, gamma globulin, apolipoprotein A, and gamma glutamyl transpeptidase.
- a therapeutically effective amount of a compound of Formula I or Formula II, and optionally one or more additional antiviral agents is an amount that is effective to reduce a serum level of a marker of liver fibrosis by at least about 10%, at least about 20%, at least about 25%, at least about 30%, at least about 35%, at least about 40%, at least about 45%, at least about 50%, at least about 55%, at least about 60%, at least about 65%, at least about 70%, at least about 75%, or at least about 80%, or more, compared to the level of the marker in an untreated individual, or to a placebo-treated individual.
- ELISA enzyme-linked immunosorbent assays
- radioimmunoassays radioimmunoassays
- Quantitative tests of functional liver reserve can also be used to assess the efficacy of treatment with an interferon receptor agonist and pirfenidone (or a pirfenidone analog). These include: indocyanine green clearance (ICG), galactose elimination capacity (GEC), aminopyrine breath test (ABT), antipyrine clearance, monoethylglycine-xylidide (MEG-X) clearance, and caffeine clearance.
- a therapeutically effective amount of a compound of Formula I or Formula II, and optionally one or more additional antiviral agents is an amount that is effective in reducing the incidence (e.g., the likelihood that an individual should develop) of a disorder associated with cirrhosis of the liver by at least about 10%, at least about 20%, at least about 25%, at least about 30%, at least about 35%, at least about 40%, at least about 45%, at least about 50%, at least about 55%, at least about 60%, at least about 65%, at least about 70%, at least about 75%, or at least about 80%, or more, compared to an untreated individual, or to a placebo-treated individual.
- Treatment with a compound of Formula I or Formula II, and optionally one or more additional antiviral agents is effective in reducing the incidence of a disorder associated with cirrhosis of the liver can readily be determined by those skilled in the art.
- liver function increases liver function.
- the embodiments provide methods for increasing liver function, generally involving administering a therapeutically effective amount of a compound of Formula I or Formula II, and optionally one or more additional antiviral agents.
- Liver functions include, but are not limited to, synthesis of proteins such as serum proteins (e.g., albumin, clotting factors, alkaline phosphatase, aminotransferases (e.g., alanine transaminase, aspartate transaminase), 5 '-nucleosidase, ⁇ - glutaminyltranspeptidase, etc.), synthesis of bilirubin, synthesis of cholesterol, and synthesis of bile acids; a liver metabolic function, including, but not limited to, carbohydrate metabolism, amino acid and ammonia metabolism, hormone metabolism, and lipid metabolism; detoxification of exogenous drugs; a hemodynamic function, including splanchnic and portal hemodynamics; and the like.
- proteins such as serum proteins (e
- liver function is increased is readily ascertainable by those skilled in the art, using well-established tests of liver function.
- markers of liver function such as albumin, alkaline phosphatase, alanine transaminase, aspartate transaminase, bilirubin, and the like, can be assessed by measuring the level of these markers in the serum, using standard immunological and enzymatic assays.
- Splanchnic circulation and portal hemodynamics can be measured by portal wedge pressure and/or resistance using standard methods.
- Metabolic functions can be measured by measuring the level of ammonia in the serum.
- serum proteins normally secreted by the liver are in the normal range can be determined by measuring the levels of such proteins, using standard immunological and enzymatic assays. Those skilled in the art know the normal ranges for such serum proteins. The following are non-limiting examples.
- the normal level of alanine transaminase is about 45 IU per milliliter of serum.
- the normal range of aspartate transaminase is from about 5 to about 40 units per liter of serum.
- Bilirubin is measured using standard assays. Normal bilirubin levels are typically less than about 1.2 mg/dL.
- Serum albumin levels are measured using standard assays. Normal levels of serum albumin are in the range of from about 35 to about 55 g/L.
- Prolongation of prothrombin time is measured using standard assays. Normal prothrombin time is less than about 4 seconds longer than control.
- a therapeutically effective amount of a compound of Formula I or Formula II, and optionally one or more additional antiviral agents is one that is effective to increase liver function by at least about 10%, at least about 20%, at least about 30%, at least about 40%, at least about 50%, at least about 60%, at least about 70%, at least about 80%, or more.
- a therapeutically effective amount of a compound of Formula I or Formula II, and optionally one or more additional antiviral agents is an amount effective to reduce an elevated level of a serum marker of liver function by at least about 10%, at least about 20%, at least about 30%, at least about 40%, at least about 50%, at least about 60%, at least about 70%, at least about 80%, or more, or to reduce the level of the serum marker of liver function to within a normal range.
- a therapeutically effective amount of a compound of Formula I or Formula II, and optionally one or more additional antiviral agents is also an amount effective to increase a reduced level of a serum marker of liver function by at least about 10%, at least about 20%, at least about 30%, at least about 40%, at least about 50%, at least about 60%, at least about 70%, at least about 80%, or more, or to increase the level of the serum marker of liver function to within a normal range.
- a subject method will in some embodiments be carried out by administering a compound of Formula I or Formula II, and optionally one or more additional antiviral agent(s).
- the method further includes administration of one or more interferon receptor agonist(s).
- Interferon receptor agonists are described herein.
- the method further includes administration of pirfenidone or a pirfenidone analog.
- Pirfenidone and pirfenidone analogs are described herein.
- Additional antiviral agents that are suitable for use in combination therapy include, but are not limited to, nucleotide and nucleoside analogs.
- Non- limiting examples include azidothymidine (AZT) (zidovudine), and analogs and derivatives thereof; 2',3'-dideoxyinosine (DDI) (didanosine), and analogs and derivatives thereof; 2',3'-dideoxycytidine (DDC) (dideoxycytidine), and analogs and derivatives thereof; 2'3,'-didehydro-2',3'-dideoxythymidine (D4T) (stavudine), and analogs and derivatives thereof; combivir; abacavir; adefovir dipoxil; cidofovir; ribavirin; ribavirin analogs; and the like.
- the method further includes administration of ribavirin.
- Ribavirin l- ⁇ -D-ribofuranosyl-lH-l,2,4-triazole-3-carboxamide, available from ICN Pharmaceuticals, Inc., Costa Mesa, Calif, is described in The Merck Index, 11 th Edition, Rahway, NJ.
- Some embodiments also involve use of derivatives of ribavirin.
- the ribavirin may be administered orally in capsule or tablet form, or in the same or different administration form and in the same or different route as the compound of Formula I or Formula II.
- the method further includes administration of ritonavir.
- Ritonavir 10-hydroxy-2-methyl-5-( 1 -methylethyl)- 1 -[2-( 1 - methylethyl)-4-thiazolyl]-3,6-dioxo-8,l l-bis(phenylmethyl)-2,4,7,12- tetraazatridecan-13-oic acid, 5-thiazolylmethyl ester [5S-(5R*,8R*,1OR*,11R*)], available from Abbott Laboratories, is an inhibitor of the protease of the human immunodeficiency virus and also of the cytochrome P450 3A and P450 2D6 liver enzymes frequently involved in hepatic metabolism of therapeutic molecules in man.
- ritonavir at doses below the normal therapeutic dosage may be combined with other protease inhibitors to achieve therapeutic levels of the second protease inhibitor while reducing the number of dosage units required, the dosing frequency, or both.
- Coadministration of low-dose ritonavir may also be used to compensate for drug interactions that tend to decrease levels of a protease inhibitor metabolized by CYP3A.
- the ritonavir may be administered orally in capsule or tablet or oral solution form, or in the same or different administration form and in the same or different route as the compound of Formula I or Formula II.
- antiviral agents include compounds known to act by inhibition of an HCV viral protease, such as NS3.
- Other antiviral agents include compounds known to act by inhibition of an HCV viral nuclease, such as NS5B.
- the compounds of the invention do not act on either a viral protease or a viral nuclease
- the compounds of the invention can be used in place of, or in addition to, protease inhibitors and nuclease inhibitors, especially when treating an infection produced by a viral strain that has developed resistance, or is known to be capable of developing resistance, to protease or nuclease inhibitors.
- an additional antiviral agent is administered during the entire course of the compound of Formula I or Formula II treatment.
- an additional antiviral agent is administered for a period of time that is overlapping with that of the compound of Formula I or Formula II treatment, e.g., the additional antiviral agent treatment can begin before the compound of Formula I or Formula II treatment begins and end before the compound of Formula I or Formula II treatment ends; the additional antiviral agent treatment can begin after the compound of Formula I or Formula II treatment begins and end after the compound of Formula I or Formula II treatment ends; the additional antiviral agent treatment can begin after the compound of Formula I or Formula II treatment begins and end before the compound of Formula I or Formula II treatment ends; or the additional antiviral agent treatment can begin before the compound of Formula I or Formula II treatment begins and end after the compound of Formula I or Formula II treatment ends.
- Certain illustrative HCV inhibitor compounds which can be administered with the compounds of the present disclosure include those disclosed in the following PCT Patent Application Publications Nos. WO 02/04425, WO
- the compounds of the disclosure can be administered with other anti-HCV activity or anti-Hepatitis C virus activity compounds in combination therapy, either jointly or separately, or by combining the compounds into a composition.
- These illustrative examples include: NIM811 (Novartis), Zadaxin (Sciclone), Suvus (Bioenvision), Actilon (CPGlOlOl) (Coley), Batabulin (T67) (Tularik Inc., South San Francisco, CA), ISIS 14803 (ISIS Pharmaceuticals Inc, Carlsbad, CA/Elan Phamaceuticals Inc., New York, NY), Boceprevir (Schering-Plough Corporation, Kenilworth, NJ), IC41 (Intercell Novartis), Summetrel (Endo Pharmaceuticals Holdings Inc., Chadds Ford, PA), GS-9132 (ACH-806) (Achillion/Gilead), Levovirin (Ribapharm Inc., Costa Mesa, CA), Merimepodib (
- Roferon A Hoffmann-La Roche LTD, Basel, Switzerland
- Intron A Schering- Plough Corporation, Kenilworth, NJ
- Intron A (RegeneRx Biopharmiceuticals Inc., Bethesda, MD), Rebetron (Schering-Plough Corporation, Kenilworth, NJ), Actimmune (InterMune Inc., Brisbane, CA), Interferon- ⁇ (Serono), Multiferon (Viragen Valentis), Wellferon (GlaxoSmithKline pic, Uxbridge, UK),
- the compounds of Formula (I) or Formula (II) may also be combined with one or more additional compounds having anti-Hepatitis C virus activity that are effective to inhibit the function of a target including Hepatitis C virus metalloprotease, Hepatitis C virus serine protease, Hepatitis C virus polymerase, Hepatitis C virus helicase, Hepatitis C virus NS4B protein, Hepatitis C virus entry, Hepatitis C virus binding to a target cell and fusion of its membrane to the target cell and other undefined acts, Hepatitis C virus genome transport including inhibitors o Hepatitis C virus translation/replication, NS2 protein, Hepatitis C virus pVII protein, Hepatitis C virus assembly, Hepatitis C virus egress, Hepatitis C virus NS5A protein, IMPDH for the treatment of an Hepatitis C virus infection, and viracidal molecules.
- additional compounds having anti-Hepatitis C virus activity that are effective to inhibit the function of
- the compounds of Formula I or Formula II described herein may be used in acute or chronic therapy for HCV disease.
- the compound of Formula I or Formula II is administered for a period of about 1 day to about 7 days, or about 1 week to about 2 weeks, or about 2 weeks to about 3 weeks, or about 3 weeks to about 4 weeks, or about 1 month to about 2 months, or about 3 months to about 4 months, or about 4 months to about 6 months, or about 6 months to about 8 months, or about 8 months to about 12 months, or at least one year, and may be administered over longer periods of time.
- the compound of Formula I or Formula II can be administered 5 times per day, 4 times per day, tid, bid, qd, qod, biw, tiw, qw, qow, three times per month, or once monthly. In other embodiments, the compound of Formula I or Formula II is administered as a continuous infusion.
- a compound of Formula I or Formula II is administered orally.
- a compound of Formula I or Formula II as described herein may be administered to the patient at a dosage from about 0.001 mg to about 100 mg/kg patient bodyweight per day, in 1 to 5 divided doses per day.
- the compound of Formula I or Formula II is administered at a dosage of about 5 ⁇ g to about 50 mg/kg patient bodyweight per day, in 1 to 5 divided doses per day.
- the amount of active ingredient that may be combined with carrier materials to produce a dosage form can vary depending on the host to be treated and the particular mode of administration.
- a typical pharmaceutical preparation can contain from about 5% to about 95% active ingredient (w/w). In other embodiments, the pharmaceutical preparation can contain from about 20% to about 80% active ingredient.
- dose levels can vary as a function of the specific compound of Formula I or Formula II, the severity of the symptoms and the susceptibility of the subject to side effects.
- Preferred dosages for a given compound of Formula I or Formula II are readily determinable by those of skill in the art by a variety of means.
- a preferred means is to measure the physiological potency of a given interferon receptor agonist.
- Formula II are administered.
- a compound of Formula I or Formula II is administered once per month, twice per month, three times per month, every other week (qow), once per week (qw), twice per week (biw), three times per week (tiw), four times per week, five times per week, six times per week, every other day (qod), daily (qd), twice a day (qid), or three times a day (tid), over a period of time ranging from about one day to about one week, from about two weeks to about four weeks, from about one month to about two months, from about two months to about four months, from about four months to about six months, from about six months to about eight months, from about eight months to about 1 year, from about 1 year to about 2 years, or from about 2 years to about 4 years, or more.
- the methods provide for combination therapy including administering a compound of Formula I or Formula II, as described above, and an effective amount of ribavirin.
- Ribavirin can be administered in dosages of about 400 mg, about 800 mg, about 1000 mg, or about 1200 mg per day.
- One embodiment provides any of the above-described methods modified to include co-administering to the patient a therapeutically effective amount of ribavirin for the duration of the desired course of compound of Formula I or Formula II treatment.
- Another embodiment provides any of the above-described methods modified to include co-administering to the patient about 800 mg to about 1200 mg ribavirin orally per day for the duration of the desired course of the compound of Formula I or Formula II treatment.
- any of the above-described methods may be modified to include co-administering to the patient (a) 1000 mg ribavirin orally per day if the patient has a body weight less than 75 kg or (b) 1200 mg ribavirin orally per day if the patient has a body weight greater than or equal to 75 kg, where the daily dosage of ribavirin is optionally divided into to 2 doses for the duration of the desired course of the compound of Formula I or Formula II treatment.
- the methods provide for combination therapy including administering a compound of Formula I or Formula II as described above, and an effective amount of levovirin.
- Levovirin is generally administered in an amount ranging from about 30 mg to about 60 mg, from about 60 mg to about 125 mg, from about 125 mg to about 200 mg, from about 200 mg to about 300 gm, from about 300 mg to about 400 mg, from about 400 mg to about 1200 mg, from about 600 mg to about 1000 mg, or from about 700 to about 900 mg per day, or about 10 mg/kg body weight per day.
- levovirin is administered orally in dosages of about 400, about 800, about 1000, or about 1200 mg per day for the desired course of the compound of Formula I or Formula II treatment.
- the methods provide for combination therapy including administering a compound of Formula I or Formula II, as described above, and an effective amount of viramidine.
- Viramidine is generally administered in an amount ranging from about 30 mg to about 60 mg, from about 60 mg to about 125 mg, from about 125 mg to about 200 mg, from about 200 mg to about 300 gm, from about 300 mg to about 400 mg, from about 400 mg to about 1200 mg, from about 600 mg to about 1000 mg, or from about 700 to about 900 mg per day, or about 10 mg/kg body weight per day.
- viramidine is administered orally in dosages of about 800, or about 1600 mg per day for the desired course of NS3 inhibitor compound treatment.
- the methods provide for combination therapy including administering a compound of Formula I or Formula II as described above, and an effective amount of ritonavir.
- Ritonavir is generally administered in an amount ranging from about 50 mg to about 100 mg, from about 100 mg to about 200 mg, from about 200 mg to about 300 mg, from about 300 mg to about 400 mg, from about 400 mg to about 500 mg, or from about 500 mg to about
- ritonavir is administered orally in dosages of about 300 mg, or about 400 mg, or about 600 mg twice per day for the desired course of the compound of Formula I or Formula II treatment.
- Combination Therapies with Alpha-Glucosidase Inhibitors Suitable ⁇ -glucosidase inhibitors include any of the above-described imino-sugars, including long-alkyl chain derivatives of imino sugars as disclosed in U.S. Patent Application Publication No.
- the methods provide for combination therapy including administering a compound of Formula I or Formula II as described above, and an effective amount of an ⁇ -glucosidase inhibitor administered for a period of about 1 day to about 7 days, or about 1 week to about 2 weeks, or about 2 weeks to about 3 weeks, or about 3 weeks to about 4 weeks, or about 1 month to about 2 months, or about 3 months to about 4 months, or about 4 months to about 6 months, or about 6 months to about 8 months, or about 8 months to about 12 months, or at least one year, and may be administered over longer periods of time.
- An ⁇ -glucosidase inhibitor can be administered 5 times per day, 4 times per day, tid (three times daily), bid, qd, qod, biw, tiw, qw, qow, three times per month, or once monthly.
- an ⁇ -glucosidase inhibitor is administered as a continuous infusion.
- an ⁇ -glucosidase inhibitor is administered orally.
- the methods provide for combination therapy including administering a compound of Formula I or Formula II as described above, and an effective amount of ⁇ -glucosidase inhibitor administered to the patient at a dosage of from about 10 mg per day to about 600 mg per day in divided doses, e.g., from about 10 mg per day to about 30 mg per day, from about 30 mg per day to about 60 mg per day, from about 60 mg per day to about 75 mg per day, from about 75 mg per day to about 90 mg per day, from about 90 mg per day to about 120 mg per day, from about 120 mg per day to about 150 mg per day, from about 150 mg per day to about 180 mg per day, from about 180 mg per day to about 210 mg per day, from about 210 mg per day to about 240 mg per day
- the methods provide for combination therapy including administering a compound of Formula I or Formula II as described above, and an effective amount of ⁇ -glucosidase inhibitor administered in a dosage of about 10 mg three times daily.
- an ⁇ - glucosidase inhibitor is administered in a dosage of about 15 mg three times daily.
- an ⁇ -glucosidase inhibitor is administered in a dosage of about 20 mg three times daily.
- an ⁇ - glucosidase inhibitor is administered in a dosage of about 25 mg three times daily.
- an ⁇ -glucosidase inhibitor is administered in a dosage of about 30 mg three times daily.
- an ⁇ - glucosidase inhibitor is administered in a dosage of about 40 mg three times daily. In some embodiments, an ⁇ -glucosidase inhibitor is administered in a dosage of about 50 mg three times daily. In some embodiments, an ⁇ - glucosidase inhibitor is administered in a dosage of about 100 mg three times daily. In some embodiments, an ⁇ -glucosidase inhibitor is administered in a dosage of about 75 mg per day to about 150 mg per day in two or three divided doses, where the individual weighs 60 kg or less.
- an ⁇ - glucosidase inhibitor is administered in a dosage of about 75 mg per day to about 300 mg per day in two or three divided doses, where the individual weighs 60 kg or more.
- the amount of active ingredient (e.g., ⁇ -glucosidase inhibitor) that may be combined with carrier materials to produce a dosage form can vary depending on the host to be treated and the particular mode of administration.
- a typical pharmaceutical preparation can contain from about 5% to about 95% active ingredient (w/w). In other embodiments, the pharmaceutical preparation can contain from about 20% to about 80% active ingredient.
- dose levels can vary as a function of the specific ⁇ -glucosidase inhibitor, the severity of the symptoms and the susceptibility of the subject to side effects.
- Preferred dosages for a given ⁇ - glucosidase inhibitor are readily determinable by those of skill in the art by a variety of means. A typical means is to measure the physiological potency of a given active agent.
- multiple doses of an ⁇ -glucosidase inhibitor are administered.
- the methods provide for combination therapy including administering a compound of Formula I or Formula II as described above, and an effective amount of ⁇ -glucosidase inhibitor administered once per month, twice per month, three times per month, every other week (qow), once per week (qw), twice per week (biw), three times per week (tiw), four times per week, five times per week, six times per week, every other day (qod), daily (qd), twice a day (qid), or three times a day (tid), over a period of time ranging from about one day to about one week, from about two weeks to about four weeks, from about one month to about two months, from about two months to about four months, from about four months to about six months, from about six months to about eight months, from about eight months to about 1 year, from about 1 year to about 2 years, or from about 2 years to about 4 years, or more.
- the methods provide for combination therapy including administering a compound of Formula I or Formula II as described above, and an effective amount of thymosin- ⁇ .
- Thymosin- ⁇ ZADAXIN
- Thymosin- ⁇ can be administered tid, bid, qd, qod, biw, tiw, qw, qow, three times per month, once monthly, substantially continuously, or continuously for the desired course of the compound of Formula I or Formula II treatment.
- thymosin- ⁇ is administered twice per week for the desired course of the compound of Formula I or Formula II treatment.
- Effective dosages of thymosin- ⁇ range from about 0.5 mg to about 5 mg, e.g., from about 0.5 mg to about 1.0 mg, from about 1.0 mg to about 1.5 mg, from about 1.5 mg to about 2.0 mg, from about 2.0 mg to about 2.5 mg, from about 2.5 mg to about 3.0 mg, from about 3.0 mg to about 3.5 mg, from about 3.5 mg to about 4.0 mg, from about 4.0 mg to about 4.5 mg, or from about 4.5 mg to about 5.0 mg.
- thymosin- ⁇ is administered in dosages containing an amount of 1.0 mg or 1.6 mg.
- Thymosin- ⁇ can be administered over a period of time ranging from about one day to about one week, from about two weeks to about four weeks, from about one month to about two months, from about two months to about four months, from about four months to about six months, from about six months to about eight months, from about eight months to about 1 year, from about 1 year to about 2 years, or from about 2 years to about 4 years, or more.
- thymosin- ⁇ is administered for the desired course of the compound of Formula I or Formula II treatment.
- the methods provide for combination therapy including administering a compound of Formula I or Formula II as described above, and an effective amount of an interferon receptor agonist.
- a compound of Formula I or Formula II and a Type I or III interferon receptor agonist are co-administered in the treatment methods described herein.
- Type I interferon receptor agonists suitable for use herein include any interferon- ⁇ (IFN- ⁇ ).
- the interferon- ⁇ is a PEGylated interferon- ⁇ .
- the interferon- ⁇ is a consensus interferon, such as INFERGEN interferon alfacon-1.
- the interferon- ⁇ is a monoPEG (30 kD, linear)-ylated consensus interferon.
- Effective dosages of an IFN- ⁇ range from about 3 ⁇ g to about 27 ⁇ g, from about 3 MU to about 10 MU, from about 90 ⁇ g to about 180 ⁇ g, or from about 18 ⁇ g to about 90 ⁇ g.
- Effective dosages of INFERGEN consensus IFN- ⁇ include about 3 ⁇ g, about 6 ⁇ g, about 9 ⁇ g, about 12 ⁇ g, about 15 ⁇ g, about 18 ⁇ g, about 21 ⁇ g, about 24 ⁇ g, about 27 ⁇ g, or about 30 ⁇ g, of drug per dose.
- Effective dosages of IFN- ⁇ 2a and IFN- ⁇ 2b range from 3 million Units (MU) to 10 MU per dose.
- Effective dosages of PEGASYS PEGylated IFN- ⁇ 2a contain an amount of about 90 ⁇ g to 270 ⁇ g, or about 180 ⁇ g, of drug per dose.
- Effective dosages of PEG-INTRON PEGylated IFN- ⁇ 2b contain an amount of about 0.5 ⁇ g to 3.0 ⁇ g of drug per kg of body weight per dose.
- Effective dosages of PEGylated consensus interferon contain an amount of about 18 ⁇ g to about 90 ⁇ g, or from about 27 ⁇ g to about 60 ⁇ g, or about 45 ⁇ g, of CIFN amino acid weight per dose of PEG-CIFN.
- Effective dosages of monoPEG (30 kD, linear)-ylated CIFN contain an amount of about 45 ⁇ g to about 270 ⁇ g, or about 60 ⁇ g to about 180 ⁇ g, or about 90 ⁇ g to about 120 ⁇ g, of drug per dose.
- IFN- ⁇ can be administered daily, every other day, once a week, three times a week, every other week, three times per month, once monthly, substantially continuously or continuously.
- the Type I or Type III interferon receptor agonist and/or the Type II interferon receptor agonist is administered for a period of about 1 day to about 7 days, or about 1 week to about 2 weeks, or about 2 weeks to about 3 weeks, or about 3 weeks to about 4 weeks, or about 1 month to about 2 months, or about 3 months to about 4 months, or about 4 months to about 6 months, or about 6 months to about 8 months, or about 8 months to about 12 months, or at least one year, and may be administered over longer periods of time.
- Dosage regimens can include tid, bid, qd, qod, biw, tiw, qw, qow, three times per month, or monthly administrations.
- Some embodiments provide any of the above-described methods in which the desired dosage of IFN- ⁇ is administered subcutaneously to the patient by bolus delivery qd, qod, tiw, biw, qw, qow, three times per month, or monthly, or is administered subcutaneously to the patient per day by substantially continuous or continuous delivery, for the desired treatment duration.
- any of the above-described methods may be practiced in which the desired dosage of PEGylated IFN- ⁇ (PEG-IFN- ⁇ ) is administered subcutaneously to the patient by bolus delivery qw, qow, three times per month, or monthly for the desired treatment duration.
- a compound of Formula I or Formula II and a Type II interferon receptor agonist are co-administered in the treatment methods of the embodiments.
- Type II interferon receptor agonists suitable for use herein include any interferon- ⁇ (IFN- ⁇ ).
- An effective dosage of IFN- ⁇ can range from about 0.5 ⁇ g/m 2 to about 500 ⁇ g/m 2 , typically from about 1.5 ⁇ g/m 2 to 200 ⁇ g/m 2 , depending on the size of the patient. This activity is based on 10 6 international units (U) per 50 ⁇ g of protein. IFN- ⁇ can be administered daily, every other day, three times a week, or substantially continuously or continuously.
- IFN- ⁇ is administered to an individual in a unit dosage form of from about 25 ⁇ g to about 500 ⁇ g, from about 50 ⁇ g to about 400 ⁇ g, or from about 100 ⁇ g to about 300 ⁇ g. In particular embodiment, the dose is about 200 ⁇ g IFN- ⁇ . In many embodiments of interest, IFN- ⁇ Ib is administered.
- the amount of IFN- ⁇ per body weight (assuming a range of body weights of from about 45 kg to about 135 kg) is in the range of from about 4.4 ⁇ g IFN- ⁇ per kg body weight to about 1.48 ⁇ g IFN- ⁇ per kg body weight.
- an IFN- ⁇ dosage ranges from about 150 ⁇ g/m 2 to about 20 ⁇ g/m 2 .
- an IFN- ⁇ dosage ranges
- the dosage groups range from about 25 ⁇ g/m 2 to about 100 ⁇ g/m 2 . In other embodiments, the dosage groups range from about 25 ⁇ g/m 2 to about 50 ⁇ g/m 2 .
- a Type I or a Type III interferon receptor agonist is administered in a first dosing regimen, followed by a second dosing regimen.
- the first dosing regimen of Type I or a Type III interferon receptor agonist generally involves administration of a higher dosage of the Type I or Type III interferon receptor agonist.
- the first dosing regimen includes administering CIFN at about 9 ⁇ g, about 15 ⁇ g, about 18 ⁇ g, or about 27 ⁇ g.
- the first dosing regimen can encompass a single dosing event, or at least two or more dosing events.
- the first dosing regimen of the Type I or Type III interferon receptor agonist can be administered daily, every other day, three times a week, every other week, three times per month, once monthly, substantially continuously or continuously.
- the first dosing regimen of the Type I or Type III interferon receptor agonist is administered for a first period of time, which time period can be at least about 4 weeks, at least about 8 weeks, or at least about 12 weeks.
- the second dosing regimen of the Type I or Type III interferon receptor agonist generally involves administration of a lower amount of the Type I or Type III interferon receptor agonist.
- the second dosing regimen includes administering CIFN at a dose of at least about 3 ⁇ g, at least about 9 ⁇ g, at least about 15 ⁇ g, or at least about 18 ⁇ g.
- the second dosing regimen can encompass a single dosing event, or at least two or more dosing events.
- the second dosing regimen of the Type I or Type III interferon receptor agonist can be administered daily, every other day, three times a week, every other week, three times per month, once monthly, substantially continuously or continuously.
- a "priming" dose of a Type II interferon receptor agonist e.g., IFN- ⁇
- IFN- ⁇ is administered for a period of time from about 1 day to about 14 days, from about 2 days to about 10 days, or from about 3 days to about 7 days, before the beginning of treatment with the Type I or Type III interferon receptor agonist. This period of time is referred to as the "priming" phase.
- the Type II interferon receptor agonist treatment is continued throughout the entire period of treatment with the Type I or Type III interferon receptor agonist.
- the Type II interferon receptor agonist treatment is discontinued before the end of treatment with the Type I or Type III interferon receptor agonist.
- the total time of treatment with Type II interferon receptor agonist (including the "priming" phase) is from about 2 days to about 30 days, from about 4 days to about 25 days, from about 8 days to about 20 days, from about 10 days to about 18 days, or from about 12 days to about 16 days.
- the Type II interferon receptor agonist treatment is discontinued once Type I or a Type III interferon receptor agonist treatment begins.
- the Type I or Type III interferon receptor agonist is administered in single dosing regimen.
- the dose of CIFN is generally in a range of from about 3 ⁇ g to about 15 ⁇ g, or from about 9 ⁇ g to about 15 ⁇ g.
- the dose of Type I or a Type III interferon receptor agonist is generally administered daily, every other day, three times a week, every other week, three times per month, once monthly, or substantially continuously.
- the dose of the Type I or Type III interferon receptor agonist is administered for a period of time, which period can be, for example, from at least about 24 weeks to at least about 48 weeks, or longer.
- a "priming" dose of a Type II interferon receptor agonist (e.g., IFN- ⁇ ) is included.
- IFN - ⁇ is administered for a period of time from about 1 day to about 14 days, from about 2 days to about 10 days, or from about 3 days to about 7 days, before the beginning of treatment with the Type I or Type III interferon receptor agonist. This period of time is referred to as the "priming" phase.
- the Type II interferon receptor agonist treatment is continued throughout the entire period of treatment with the Type I or Type III interferon receptor agonist.
- the Type II interferon receptor agonist treatment is discontinued before the end of treatment with the Type I or Type III interferon receptor agonist.
- the total time of treatment with the Type II interferon receptor agonist (including the "priming" phase) is from about 2 days to about 30 days, from about 4 days to about 25 days, from about 8 days to about 20 days, from about 10 days to about 18 days, or from about 12 days to about 16 days.
- Type II interferon receptor agonist treatment is discontinued once Type I or a Type III interferon receptor agonist treatment begins.
- a compound of Formula I or Formula II, a Type I or III interferon receptor agonist, and a Type II interferon receptor agonist are co-administered for the desired duration of treatment in the methods described herein.
- a compound of Formula I or Formula II, an interferon- ⁇ , and an interferon- ⁇ are co-administered for the desired duration of treatment in the methods described herein.
- the invention provides methods using an amount of a Type I or Type III interferon receptor agonist, a Type II interferon receptor agonist, and a compound of Formula I or Formula II, effective for the treatment of HCV infection in a patient.
- Some embodiments provide methods using an effective amount of an IFN- ⁇ , IFN - ⁇ , and an NS3 inhibitor compound in the treatment of HCV infection in a patient.
- One embodiment provides a method using an effective amount of a consensus IFN- ⁇ ⁇ , IFN- ⁇ and a compound of Formula I or Formula II in the treatment of HCV infection in a patient.
- an effective amount of a consensus interferon (CIFN) and IFN- ⁇ suitable for use in the methods of the embodiments is provided by a dosage ratio of 1 ⁇ g CIFN: 10 ⁇ g IFN- ⁇ , where both CIFN and IFN- ⁇ are unPEGylated and unglycosylated species.
- the invention provides any of the above-described methods modified to use an effective amount of INFERGEN consensus IFN- ⁇ and IFN- ⁇ in the treatment of HCV infection in a patient including administering to the patient a dosage of INFERGEN containing an amount of about 1 ⁇ g to about 30 ⁇ g, of drug per dose of INFERGEN, subcutaneously qd, qod, tiw, biw, qw, qow, three times per month, once monthly, or per day substantially continuously or continuously, in combination with a dosage of IFN- ⁇ containing an amount of about 10 ⁇ g to about 300 ⁇ g of drug per dose of IFN- ⁇ , subcutaneously qd, qod, tiw, biw, qw, qow, three times per month, once monthly, or per day substantially continuously or continuously, for the desired duration of treatment with a compound of Formula I or Formula II.
- Another embodiment provides any of the above-described methods modified to use an effective amount of INFERGEN consensus IFN- ⁇ and IFN- ⁇ in the treatment of virus infection in a patient including administering to the patient a dosage of INFERGEN containing an amount of about 1 ⁇ g to about 9 ⁇ g, of drug per dose of INFERGEN, subcutaneously qd, qod, tiw, biw, qw, qow, three times per month, once monthly, or per day substantially continuously or continuously, in combination with a dosage of IFN- ⁇ containing an amount of about 10 ⁇ g to about 100 ⁇ g of drug per dose of IFN- ⁇ , subcutaneously qd, qod, tiw, biw, qw, qow, three times per month, once monthly, or per day substantially continuously or continuously, for the desired duration of treatment with a compound of Formula I or Formula II.
- Another embodiment provides any of the above-described methods modified to use an effective amount of INFERGEN consensus IFN- ⁇ and IFN- ⁇ in the treatment of virus infection in a patient including administering to the patient a dosage of INFERGEN containing an amount of about 1 ⁇ g of drug per dose of INFERGEN, subcutaneously qd, qod, tiw, biw, qw, qow, three times per month, once monthly, or per day substantially continuously or continuously, in combination with a dosage of IFN- ⁇ containing an amount of about 10 ⁇ g to about 50 ⁇ g of drug per dose of IFN- ⁇ , subcutaneously qd, qod, tiw, biw, qw, qow, three times per month, once monthly, or per day substantially continuously or continuously, for the desired duration of treatment with a compound of Formula I or Formula II.
- Another embodiment provides any of the above-described methods modified to use an effective amount of INFERGEN consensus IFN- ⁇ and IFN- ⁇ in the treatment of a virus infection in a patient including administering to the patient a dosage of INFERGEN containing an amount of about 9 ⁇ g of drug per dose of INFERGEN, subcutaneously qd, qod, tiw, biw, qw, qow, three times per month, once monthly, or per day substantially continuously or continuously, in combination with a dosage of IFN - ⁇ containing an amount of about 90 ⁇ g to about 100 ⁇ g of drug per dose of IFN- ⁇ , subcutaneously qd, qod, tiw, biw, qw, qow, three times per month, once monthly, or per day substantially continuously or continuously, for the desired duration of treatment with a compound of Formula I or Formula II.
- Another embodiment provides any of the above-described methods modified to use an effective amount of INFERGEN consensus IFN- ⁇ and IFN- ⁇ in the treatment of a virus infection in a patient including administering to the patient a dosage of INFERGEN containing an amount of about 30 ⁇ g of drug per dose of INFERGEN, subcutaneously qd, qod, tiw, biw, qw, qow, three times per month, once monthly, or per day substantially continuously or continuously, in combination with a dosage of IFN- ⁇ containing an amount of about 200 ⁇ g to about 300 ⁇ g of drug per dose of IFN- ⁇ , subcutaneously qd, qod, tiw, biw, qw, qow, three times per month, once monthly, or per day substantially continuously or continuously, for the desired duration of treatment with a compound of Formula I or Formula II.
- Another embodiment provides any of the above-described methods modified to use an effective amount of PEGylated consensus IFN- ⁇ and IFN- ⁇ in the treatment of a virus infection in a patient including administering to the patient a dosage of PEGylated consensus IFN- ⁇ (PEG-CIFN) containing an amount of about 4 ⁇ g to about 60 ⁇ g of CIFN amino acid weight per dose of PEG-CIFN, subcutaneously qw, qow, three times per month, or monthly, in combination with a total weekly dosage of IFN- ⁇ containing an amount of about 30 ⁇ g to about 1,000 ⁇ g of drug per week in divided doses administered subcutaneously qd, qod, tiw, biw, or administered substantially continuously or continuously, for the desired duration of treatment with a compound of Formula I or Formula II.
- PEG-CIFN PEGylated consensus IFN- ⁇
- Another embodiment provides any of the above-described methods modified to use an effective amount of PEGylated consensus IFN- ⁇ and IFN- ⁇ in the treatment of a virus infection in a patient including administering to the patient a dosage of PEGylated consensus IFN- ⁇ (PEG-CIFN) containing an amount of about 18 ⁇ g to about 24 ⁇ g of CIFN amino acid weight per dose of PEG-CIFN, subcutaneously qw, qow, three times per month, or monthly, in combination with a total weekly dosage of IFN- ⁇ containing an amount of about 100 ⁇ g to about 300 ⁇ g of drug per week in divided doses administered subcutaneously qd, qod, tiw, biw, or substantially continuously or continuously, for the desired duration of treatment with a compound of Formula I or Formula II.
- PEG-CIFN PEGylated consensus IFN- ⁇
- an effective amount of IFN- ⁇ 2a or 2b or 2c and IFN- ⁇ suitable for use in the methods of the embodiments is provided by a dosage ratio of 1 million Units (MU) IFN- ⁇ 2a or 2b or 2c 30 ⁇ g IFN- ⁇ , where both IFN- ⁇ 2a or 2b or 2c and IFN- ⁇ are unPEGylated and unglycosylated species.
- MU 1 million Units
- Another embodiment provides any of the above-described methods modified to use an effective amount of IFN- ⁇ 2a or 2b or 2c and IFN- ⁇ in the treatment of a virus infection in a patient including administering to the patient a dosage of IFN- ⁇ 2a, 2b or 2c containing an amount of about 1 MU to about 20 MU of drug per dose of IFN- ⁇ 2a, 2b or 2c subcutaneously qd, qod, tiw, biw, or per day substantially continuously or continuously, in combination with a dosage of IFN- ⁇ containing an amount of about 30 ⁇ g to about 600 ⁇ g of drug per dose of IFN- ⁇ , subcutaneously qd, qod, tiw, biw, or per day substantially continuously or continuously, for the desired duration of treatment with an a compound of Formula I or Formula II.
- Another embodiment provides any of the above-described methods modified to use an effective amount of IFN- ⁇ 2a or 2b or 2c and IFN- ⁇ in the treatment of a virus infection in a patient including administering to the patient a dosage of IFN- ⁇ 2a, 2b or 2c containing an amount of about 3 MU of drug per dose of IFN- ⁇ 2a, 2b or 2c subcutaneously qd, qod, tiw, biw, or per day substantially continuously or continuously, in combination with a dosage of IFN- ⁇ containing an amount of about 100 ⁇ g of drug per dose of IFN- ⁇ , subcutaneously qd, qod, tiw, biw, or per day substantially continuously or continuously, for the desired duration of treatment with a compound of Formula I or Formula II.
- Another embodiment provides any of the above-described methods modified to use an effective amount of IFN- ⁇ 2a or 2b or 2c and IFN - ⁇ in the treatment of a virus infection in a patient including administering to the patient a dosage of IFN- ⁇ 2a, 2b or 2c containing an amount of about 10 MU of drug per dose of IFN- ⁇ 2a, 2b or 2c subcutaneously qd, qod, tiw, biw, or per day substantially continuously or continuously, in combination with a dosage of IFN - ⁇ containing an amount of about 300 ⁇ g of drug per dose of IFN - ⁇ , subcutaneously qd, qod, tiw, biw, or per day substantially continuously or continuously, for the desired duration of treatment with a compound of Formula I or Formula II.
- Another embodiment provides any of the above-described methods modified to use an effective amount of PEGASYS PEGylated IFN- ⁇ 2a and IFN- ⁇ in the treatment of a virus infection in a patient including administering to the patient a dosage of PEGASYS containing an amount of about 90 ⁇ g to about 360 ⁇ g, of drug per dose of PEGASYS, subcutaneously qw, qow, three times per month, or monthly, in combination with a total weekly dosage of IFN - ⁇ containing an amount of about 30 ⁇ g to about 1,000 ⁇ g, of drug per week administered in divided doses subcutaneously qd, qod, tiw, or biw, or administered substantially continuously or continuously, for the desired duration of treatment with a compound of Formula I or Formula II.
- Another embodiment provides any of the above-described methods modified to use an effective amount of PEGASYS PEGylated IFN- ⁇ 2a and IFN- ⁇ in the treatment of a virus infection in a patient including administering to the patient a dosage of PEGASYS containing an amount of about 180 ⁇ g of drug per dose of PEGASYS, subcutaneously qw, qow, three times per month, or monthly, in combination with a total weekly dosage of IFN- ⁇ containing an amount of about 100 ⁇ g to about 300 ⁇ g, of drug per week administered in divided doses subcutaneously qd, qod, tiw, or biw, or administered substantially continuously or continuously, for the desired duration of treatment with a compound of Formula I or Formula II.
- Another embodiment provides any of the above-described methods modified to use an effective amount of PEG-INTRON PEGylated IFN- ⁇ 2b and IFN- ⁇ in the treatment of a virus infection in a patient including administering to the patient a dosage of PEG-INTRON containing an amount of about 0.75 ⁇ g to about 3.0 ⁇ g of drug per kilogram of body weight per dose of PEG-INTRON, subcutaneously qw, qow, three times per month, or monthly, in combination with a total weekly dosage of IFN- ⁇ containing an amount of about 30 ⁇ g to about 1,000 ⁇ g of drug per week administered in divided doses subcutaneously qd, qod, tiw, or biw, or administered substantially continuously or continuously, for the desired duration of treatment with a compound of Formula I or Formula II.
- Another embodiment provides any of the above-described methods modified to use an effective amount of PEG-INTRON PEGylated IFN- ⁇ 2b and IFN- ⁇ in the treatment of a virus infection in a patient including administering to the patient a dosage of PEG-INTRON containing an amount of about 1.5 ⁇ g of drug per kilogram of body weight per dose of PEG-INTRON, subcutaneously qw, qow, three times per month, or monthly, in combination with a total weekly dosage of IFN- ⁇ containing an amount of about 100 ⁇ g to about 300 ⁇ g of drug per week administered in divided doses subcutaneously qd, qod, tiw, or biw, or administered substantially continuously or continuously, for the desired duration of treatment with a compound of Formula I or Formula II.
- One embodiment provides any of the above-described methods modified to include administering to an individual having an HCV infection an effective amount of a compound of Formula I or Formula II; and a regimen of 9 ⁇ g INFERGEN consensus IFN- ⁇ administered subcutaneously qd or tiw, and ribavirin administered orally qd, where the duration of therapy is 48 weeks.
- ribavirin is administered in an amount of 1000 mg for individuals weighing less than 75 kg, and 1200 mg for individuals weighing 75 kg or more.
- One embodiment provides any of the above-described methods modified to include administering to an individual having an HCV infection an effective amount of a compound of Formula I or Formula II; and a regimen of 9 ⁇ g INFERGEN consensus IFN- ⁇ administered subcutaneously qd or tiw; 50 ⁇ g Actimmune human IFN - ⁇ Ib administered subcutaneously tiw; and ribavirin administered orally qd, where the duration of therapy is 48 weeks.
- ribavirin is administered in an amount of 1000 mg for individuals weighing less than 75 kg, and 1200 mg for individuals weighing 75 kg or more.
- One embodiment provides any of the above-described methods modified to include administering to an individual having an HCV infection an effective amount of a compound of Formula I or Formula II; and a regimen of 9 ⁇ g
- ribavirin administered orally qd, where the duration of therapy is 48 weeks.
- ribavirin is administered in an amount of 1000 mg for individuals weighing less than 75 kg, and 1200 mg for individuals weighing 75 kg or more.
- One embodiment provides any of the above-described methods modified to include administering to an individual having an HCV infection an effective amount of a compound of Formula I or Formula II; and a regimen of 9 ⁇ g INFERGEN consensus IFN- ⁇ administered subcutaneously qd or tiw; and 50 ⁇ g Actimmune human IFN - ⁇ Ib administered subcutaneously tiw, where the duration of therapy is 48 weeks.
- One embodiment provides any of the above-described methods modified to include administering to an individual having an HCV infection an effective amount of a compound of Formula I or Formula II; and a regimen of 9 ⁇ g INFERGEN consensus IFN- ⁇ administered subcutaneously qd or tiw; and 100 ⁇ g Actimmune human IFN- ⁇ lb administered subcutaneously tiw, where the duration of therapy is 48 weeks.
- One embodiment provides any of the above-described methods modified to include administering to an individual having an HCV infection an effective amount of a compound of Formula I or Formula II; and a regimen of 9 ⁇ g INFERGEN consensus IFN- ⁇ administered subcutaneously qd or tiw; 25 ⁇ g Actimmune human IFN - ⁇ Ib administered subcutaneously tiw; and ribavirin administered orally qd, where the duration of therapy is 48 weeks.
- ribavirin is administered in an amount of 1000 mg for individuals weighing less than 75 kg, and 1200 mg for individuals weighing 75 kg or more.
- One embodiment provides any of the above-described methods modified to include administering to an individual having an HCV infection an effective amount of a compound of Formula I or Formula II; and a regimen of 9 ⁇ g INFERGEN consensus IFN- ⁇ administered subcutaneously qd or tiw; 200 ⁇ g Actimmune human IFN- ⁇ lb administered subcutaneously tiw; and ribavirin administered orally qd, where the duration of therapy is 48 weeks.
- ribavirin is administered in an amount of 1000 mg for individuals weighing less than 75 kg, and 1200 mg for individuals weighing 75 kg or more.
- One embodiment provides any of the above-described methods modified to include administering to an individual having an HCV infection an effective amount of a compound of Formula I or Formula II; and a regimen of 9 ⁇ g
- One embodiment provides any of the above-described methods modified to include administering to an individual having an HCV infection an effective amount of a compound of Formula I or Formula II; and a regimen of 9 ⁇ g INFERGEN consensus IFN- ⁇ administered subcutaneously qd or tiw; and 200 ⁇ g Actimmune human IFN- ⁇ lb administered subcutaneously tiw, where the duration of therapy is 48 weeks.
- One embodiment provides any of the above-described methods modified to include administering to an individual having an HCV infection an effective amount of a compound of Formula I or Formula II; and a regimen of 100 ⁇ g monoPEG (30 kD, linear)-ylated consensus IFN- ⁇ administered subcutaneously every 10 days or qw, and ribavirin administered orally qd, where the duration of therapy is 48 weeks.
- ribavirin is administered in an amount of 1000 mg for individuals weighing less than 75 kg, and 1200 mg for individuals weighing 75 kg or more.
- One embodiment provides any of the above-described methods modified to include administering to an individual having an HCV infection an effective amount of a compound of Formula I or Formula II; and a regimen of 100 ⁇ g monoPEG (30 kD, linear)-ylated consensus IFN- ⁇ administered subcutaneously every 10 days or qw; 50 ⁇ g Actimmune human IFN- ⁇ lb administered subcutaneously tiw; and ribavirin administered orally qd, where the duration of therapy is 48 weeks.
- ribavirin is administered in an amount of 1000 mg for individuals weighing less than 75 kg, and 1200 mg for individuals weighing 75 kg or more.
- One embodiment provides any of the above-described methods modified to include administering to an individual having an HCV infection an effective amount of a compound of Formula I or Formula II; and a regimen of 100 ⁇ g monoPEG (30 kD, linear)-ylated consensus IFN- ⁇ administered subcutaneously every 10 days or qw; 100 ⁇ g Actimmune human IFN- ⁇ lb administered subcutaneously tiw; and ribavirin administered orally qd, where the duration of therapy is 48 weeks.
- ribavirin is administered in an amount of 1000 mg for individuals weighing less than 75 kg, and 1200 mg for individuals weighing 75 kg or more.
- One embodiment provides any of the above-described methods modified to include administering to an individual having an HCV infection an effective amount of a compound of Formula I or Formula II; and a regimen of 100 ⁇ g monoPEG (30 kD, linear)-ylated consensus IFN- ⁇ administered subcutaneously every 10 days or qw; and 50 ⁇ g Actimmune human IFN- ⁇ lb administered subcutaneously tiw, where the duration of therapy is 48 weeks.
- One embodiment provides any of the above-described methods modified to include administering to an individual having an HCV infection an effective amount of a compound of Formula I or Formula II; and a regimen of 100 ⁇ g monoPEG (30 kD, linear)-ylated consensus IFN- ⁇ administered subcutaneously every 10 days or qw; and 100 ⁇ g Actimmune human IFN- ⁇ lb administered subcutaneously tiw, where the duration of therapy is 48 weeks.
- One embodiment provides any of the above-described methods modified to include administering to an individual having an HCV infection an effective amount of a compound of Formula I or Formula II; and a regimen of 150 ⁇ g monoPEG (30 kD, linear)-ylated consensus IFN- ⁇ administered subcutaneously every 10 days or qw, and ribavirin administered orally qd, where the duration of therapy is 48 weeks.
- ribavirin is administered in an amount of 1000 mg for individuals weighing less than 75 kg, and 1200 mg for individuals weighing 75 kg or more.
- One embodiment provides any of the above-described methods modified to include administering to an individual having an HCV infection an effective amount of a compound of Formula I or Formula II; and a regimen of 150 ⁇ g monoPEG (30 kD, linear)-ylated consensus IFN- ⁇ administered subcutaneously every 10 days or qw; 50 ⁇ g Actimmune human IFN- ⁇ lb administered subcutaneously tiw; and ribavirin administered orally qd, where the duration of therapy is 48 weeks.
- ribavirin is administered in an amount of 1000 mg for individuals weighing less than 75 kg, and 1200 mg for individuals weighing 75 kg or more.
- One embodiment provides any of the above-described methods modified to include administering to an individual having an HCV infection an effective amount of a compound of Formula I or Formula II; and a regimen of 150 ⁇ g monoPEG (30 kD, linear)-ylated consensus IFN- ⁇ administered subcutaneously every 10 days or qw; 100 ⁇ g Actimmune human IFN- ⁇ lb administered subcutaneously tiw; and ribavirin administered orally qd, where the duration of therapy is 48 weeks.
- ribavirin is administered in an amount of 1000 mg for individuals weighing less than 75 kg, and 1200 mg for individuals weighing 75 kg or more.
- One embodiment provides any of the above-described methods modified to include administering to an individual having an HCV infection an effective amount of a compound of Formula I or Formula II; and a regimen of 150 ⁇ g monoPEG (30 kD, linear)-ylated consensus IFN- ⁇ administered subcutaneously every 10 days or qw; and 50 ⁇ g Actimmune human IFN- ⁇ lb administered subcutaneously tiw, where the duration of therapy is 48 weeks.
- One embodiment provides any of the above-described methods modified to include administering to an individual having an HCV infection an effective amount of a compound of Formula I or Formula II; and a regimen of 150 ⁇ g monoPEG (30 kD, linear)-ylated consensus IFN- ⁇ administered subcutaneously every 10 days or qw; and 100 ⁇ g Actimmune human IFN- ⁇ lb administered subcutaneously tiw, where the duration of therapy is 48 weeks.
- One embodiment provides any of the above-described methods modified to include administering to an individual having an HCV infection an effective amount of a compound of Formula I or Formula II; and a regimen of 200 ⁇ g monoPEG (30 kD, linear)-ylated consensus IFN- ⁇ administered subcutaneously every 10 days or qw, and ribavirin administered orally qd, where the duration of therapy is 48 weeks.
- ribavirin is administered in an amount of 1000 mg for individuals weighing less than 75 kg, and 1200 mg for individuals weighing 75 kg or more.
- One embodiment provides any of the above-described methods modified to include administering to an individual having an HCV infection an effective amount of a compound of Formula I or Formula II; and a regimen of 200 ⁇ g monoPEG (30 kD, linear)-ylated consensus IFN- ⁇ administered subcutaneously every 10 days or qw; 50 ⁇ g Actimmune human IFN- ⁇ lb administered subcutaneously tiw; and ribavirin administered orally qd, where the duration of therapy is 48 weeks.
- ribavirin is administered in an amount of 1000 mg for individuals weighing less than 75 kg, and 1200 mg for individuals weighing 75 kg or more.
- One embodiment provides any of the above-described methods modified to include administering to an individual having an HCV infection an effective amount of a compound of Formula I or Formula II; and a regimen of 200 ⁇ g monoPEG (30 kD, linear)-ylated consensus IFN- ⁇ administered subcutaneously every 10 days or qw; 100 ⁇ g Actimmune human IFN- ⁇ lb administered subcutaneously tiw; and ribavirin administered orally qd, where the duration of therapy is 48 weeks.
- ribavirin is administered in an amount of 1000 mg for individuals weighing less than 75 kg, and 1200 mg for individuals weighing 75 kg or more.
- One embodiment provides any of the above-described methods modified to include administering to an individual having an HCV infection an effective amount of a compound of Formula I or Formula II; and a regimen of 200 ⁇ g monoPEG (30 kD, linear)-ylated consensus IFN- ⁇ administered subcutaneously every 10 days or qw; and 50 ⁇ g Actimmune human IFN- ⁇ lb administered subcutaneously tiw, where the duration of therapy is 48 weeks.
- One embodiment provides any of the above-described methods modified to include administering to an individual having an HCV infection an effective amount of a compound of Formula I or Formula II; and a regimen of 200 ⁇ g monoPEG (30 kD, linear)-ylated consensus IFN- ⁇ administered subcutaneously every 10 days or qw; and 100 ⁇ g Actimmune human IFN- ⁇ lb administered subcutaneously tiw, where the duration of therapy is 48 weeks.
- any of the above-described methods involving administering a compound of Formula I or Formula II, a Type I interferon receptor agonist (e.g., an IFN- ⁇ ), and a Type II interferon receptor agonist (e.g., an IFN- ⁇ ), can be augmented by administration of an effective amount of a TNF- ⁇ antagonist (e.g., a TNF-60 antagonist other than pirfenidone or a pirfenidone analog).
- a TNF- ⁇ antagonist e.g., a TNF-60 antagonist other than pirfenidone or a pirfenidone analog.
- Exemplary, non-limiting TNF- ⁇ antagonists that are suitable for use in such combination therapies include ENBREL, REMICADE, and HUMIRA.
- One embodiment provides a method using an effective amount of ENBREL; an effective amount of IFN- ⁇ ; an effective amount of IFN- ⁇ ; and an effective amount of a compound of Formula I or Formula II in the treatment of an HCV infection in a patient, including administering to the patient a dosage ENBREL containing an amount of from about 0.1 ⁇ g to about 23 mg per dose, from about 0.1 ⁇ g to about 1 ⁇ g, from about 1 ⁇ g to about 10 ⁇ g, from about 10 ⁇ g to about 100 ⁇ g, from about 100 ⁇ g to about 1 mg, from about 1 mg to about 5 mg, from about 5 mg to about 10 mg, from about 10 mg to about 15 mg, from about 15 mg to about 20 mg, or from about 20 mg to about 23 mg of ENBREL, subcutaneously qd, qod, tiw, biw, qw, qow, three times per month, once monthly, or once every other month, or per day substantially continuously or continuously, for the desired duration of treatment.
- One embodiment provides a method using an effective amount of REMICADE, an effective amount of IFN- ⁇ ; an effective amount of IFN - ⁇ ; and an effective amount of a compound of Formula I or Formula II in the treatment of an HCV infection in a patient, including administering to the patient a dosage of REMICADE containing an amount of from about 0.1 mg/kg to about 4.5 mg/kg, from about 0.1 mg/kg to about 0.5 mg/kg, from about 0.5 mg/kg to about 1.0 mg/kg, from about 1.0 mg/kg to about 1.5 mg/kg, from about 1.5 mg/kg to about 2.0 mg/kg, from about 2.0 mg/kg to about 2.5 mg/kg, from about 2.5 mg/kg to about 3.0 mg/kg, from about 3.0 mg/kg to about 3.5 mg/kg, from about 3.5 mg/kg to about 4.0 mg/kg, or from about 4.0 mg/kg to about 4.5 mg/kg per dose of REMICADE, intravenously qd, qod, tiw, biw, qw,
- One embodiment provides a method using an effective amount of HUMIRA, an effective amount of IFN- ⁇ ; an effective amount of IFN - ⁇ ; and an effective amount of a compound of Formula I or Formula II in the treatment of an HCV infection in a patient, including administering to the patient a dosage of HUMIRA containing an amount of from about 0.1 ⁇ g to about 35 mg, from about 0.1 ⁇ g to about 1 ⁇ g, from about 1 ⁇ g to about 10 ⁇ g, from about 10 ⁇ g to about 100 ⁇ g, from about 100 ⁇ g to about 1 mg, from about 1 mg to about 5 mg, from about 5 mg to about 10 mg, from about 10 mg to about 15 mg, from about 15 mg to about 20 mg, from about 20 mg to about 25 mg, from about 25 mg to about 30 mg, or from about 30 mg to about 35 mg per dose of a HUMIRA, subcutaneously qd, qod, tiw, biw, qw, qow, three times per month, once monthly, or once every other
- the methods provide for combination therapy including administering a compound of Formula I or Formula II as described above, and an effective amount of pirfenidone or a pirfenidone analog.
- a compound of Formula I or Formula II, one or more interferon receptor agonist(s), and pirfenidone or pirfenidone analog are co-administered in the treatment methods of the embodiments.
- a compound of Formula I or Formula II, a Type I interferon receptor agonist, and pirfenidone (or a pirfenidone analog) are co-administered.
- a compound of Formula I or Formula II, a Type I interferon receptor agonist, a Type II interferon receptor agonist, and pirfenidone (or a pirfenidone analog) are co-administered.
- Type I interferon receptor agonists suitable for use herein include any IFN- ⁇ , such as interferon ⁇ -2a, interferon ⁇ - 2b, interferon alfacon-1, and PEGylated IFN- ⁇ 's, such as peginterferon ⁇ -2a, peginterferon ⁇ -2b, and PEGylated consensus interferons, such as monoPEG (30 kD, linear)-ylated consensus interferon.
- Type II interferon receptor agonists suitable for use herein include any interferon- ⁇ .
- Pirfenidone or a pirfenidone analog can be administered once per month, twice per month, three times per month, once per week, twice per week, three times per week, four times per week, five times per week, six times per week, daily, or in divided daily doses ranging from once daily to 5 times daily over a period of time ranging from about one day to about one week, from about two weeks to about four weeks, from about one month to about two months, from about two months to about four months, from about four months to about six months, from about six months to about eight months, from about eight months to about 1 year, from about 1 year to about 2 years, or from about 2 years to about 4 years, or more.
- Effective dosages of pirfenidone or a specific pirfenidone analog include a weight-based dosage in the range from about 5 mg/kg/day to about 125 mg/kg/day, or a fixed dosage of about 400 mg to about 3600 mg per day, or about 800 mg to about 2400 mg per day, or about 1000 mg to about 1800 mg per day, or about 1200 mg to about 1600 mg per day, administered orally in one to five divided doses per day.
- One embodiment provides any of the above-described methods modified to include co-administering to the patient a therapeutically effective amount of pirfenidone or a pirfenidone analog for the duration of the desired course of a compound of Formula I or Formula II treatment.
- Combination Therapies with TNF- ⁇ Antagonists provide for combination therapy including administering an effective amount of a compound of Formula I or Formula II as described above, and an effective amount of TNF- ⁇ antagonist, in combination therapy for treatment of an HCV infection.
- Effective dosages of a TNF- ⁇ antagonist range from 0.1 ⁇ g to 40 mg per dose, e.g., from about 0.1 ⁇ g to about 0.5 ⁇ g per dose, from about 0.5 ⁇ g to about 1.0 ⁇ g per dose, from about 1.0 ⁇ g per dose to about 5.0 ⁇ g per dose, from about 5.0 ⁇ g to about 10 ⁇ g per dose, from about 10 ⁇ g to about 20 ⁇ g per dose, from about 20 ⁇ g per dose to about 30 ⁇ g per dose, from about 30 ⁇ g per dose to about 40 ⁇ g per dose, from about 40 ⁇ g per dose to about 50 ⁇ g per dose, from about 50 ⁇ g per dose to about 60 ⁇ g per dose, from about 60 ⁇ g per dose to about 70 ⁇ g per dose, from about 70 ⁇ g to about 80 ⁇ g per dose, from about 80 ⁇ g per dose to about 100 ⁇ g per dose, from about 100 ⁇ g to about 150 ⁇ g per dose, from about 150 ⁇ g to about
- effective dosages of a TNF- ⁇ antagonist are expressed as mg/kg body weight.
- effective dosages of a TNF- ⁇ antagonist are from about 0.1 mg/kg body weight to about 10 mg/kg body weight, e.g., from about 0.1 mg/kg body weight to about 0.5 mg/kg body weight, from about 0.5 mg/kg body weight to about 1.0 mg/kg body weight, from about 1.0 mg/kg body weight to about 2.5 mg/kg body weight, from about 2.5 mg/kg body weight to about 5.0 mg/kg body weight, from about 5.0 mg/kg body weight to about 7.5 mg/kg body weight, or from about 7.5 mg/kg body weight to about 10 mg/kg body weight.
- a TNF- ⁇ antagonist is administered for a period of about 1 day to about 7 days, or about 1 week to about 2 weeks, or about 2 weeks to about 3 weeks, or about 3 weeks to about 4 weeks, or about 1 month to about 2 months, or about 3 months to about 4 months, or about 4 months to about 6 months, or about 6 months to about 8 months, or about 8 months to about 12 months, or at least one year, and may be administered over longer periods of time.
- the TNF- ⁇ antagonist can be administered tid, bid, qd, qod, biw, tiw, qw, qow, three times per month, once monthly, substantially continuously, or continuously. In many embodiments, multiple doses of a TNF- ⁇ antagonist are administered.
- a TNF- ⁇ antagonist is administered once per month, twice per month, three times per month, every other week (qow), once per week (qw), twice per week (biw), three times per week (tiw), four times per week, five times per week, six times per week, every other day (qod), daily (qd), twice a day (bid), or three times a day (tid), substantially continuously, or continuously, over a period of time ranging from about one day to about one week, from about two weeks to about four weeks, from about one month to about two months, from about two months to about four months, from about four months to about six months, from about six months to about eight months, from about eight months to about 1 year, from about 1 year to about 2 years, or from about 2 years to about 4 years, or more.
- a TNF- ⁇ antagonist and a compound of Formula I or Formula II are generally administered in separate formulations.
- a TNF- ⁇ antagonist and a compound of Formula I or Formula II may be administered substantially simultaneously, or within about 30 minutes, about 1 hour, about 2 hours, about 4 hours, about 8 hours, about 16 hours, about 24 hours, about 36 hours, about 72 hours, about 4 days, about 7 days, or about 2 weeks of one another.
- One embodiment provides a method using an effective amount of a TNF- ⁇ antagonist and an effective amount of a compound of Formula I or Formula II in the treatment of an HCV infection in a patient, including administering to the patient a dosage of a TNF- ⁇ antagonist containing an amount of from about 0.1 ⁇ g to about 40 mg per dose of a TNF- ⁇ antagonist, subcutaneously qd, qod, tiw, or biw, or per day substantially continuously or continuously, for the desired duration of treatment with a compound of Formula I or Formula II.
- One embodiment provides a method using an effective amount of ENBREL and an effective amount of a compound of Formula I or Formula II in the treatment of an HCV infection in a patient, including administering to the patient a dosage ENBREL containing an amount of from about 0.1 ⁇ g to about 23 mg per dose, from about 0.1 ⁇ g to about 1 ⁇ g, from about 1 ⁇ g to about 10 ⁇ g, from about 10 ⁇ g to about 100 ⁇ g, from about 100 ⁇ g to about 1 mg, from about 1 mg to about 5 mg, from about 5 mg to about 10 mg, from about 10 mg to about 15 mg, from about 15 mg to about 20 mg, or from about 20 mg to about 23 mg of ENBREL, subcutaneously qd, qod, tiw, biw, qw, qow, three times per month, once monthly, or once every other month, or per day substantially continuously or continuously, for the desired duration of treatment with a compound of Formula I or Formula II.
- One embodiment provides a method using an effective amount of REMICADE and an effective amount of a compound of Formula I or Formula II in the treatment of an HCV infection in a patient, including administering to the patient a dosage of REMICADE containing an amount of from about 0.1 mg/kg to about 4.5 mg/kg, from about 0.1 mg/kg to about 0.5 mg/kg, from about 0.5 mg/kg to about 1.0 mg/kg, from about 1.0 mg/kg to about 1.5 mg/kg, from about 1.5 mg/kg to about 2.0 mg/kg, from about 2.0 mg/kg to about 2.5 mg/kg, from about 2.5 mg/kg to about 3.0 mg/kg, from about 3.0 mg/kg to about 3.5 mg/kg, from about 3.5 mg/kg to about 4.0 mg/kg, or from about 4.0 mg/kg to about 4.5 mg/kg per dose of REMICADE, intravenously qd, qod, tiw, biw, qw, qow, three times per month, once monthly, or once every other month, or per
- One embodiment provides a method using an effective amount of HUMIRA and an effective amount of a compound of Formula I or Formula II in the treatment of an HCV infection in a patient, including administering to the patient a dosage of HUMIRA containing an amount of from about 0.1 ⁇ g to about 35 mg, from about 0.1 ⁇ g to about 1 ⁇ g, from about 1 ⁇ g to about 10 ⁇ g, from about 10 ⁇ g to about 100 ⁇ g, from about 100 ⁇ g to about 1 mg, from about 1 mg to about 5 mg, from about 5 mg to about 10 mg, from about 10 mg to about 15 mg, from about 15 mg to about 20 mg, from about 20 mg to about 25 mg, from about 25 mg to about 30 mg, or from about 30 mg to about 35 mg per dose of a HUMIRA, subcutaneously qd, qod, tiw, biw, qw, qow, three times per month, once monthly, or once every other month, or per day substantially continuously or continuously, for the desired duration of treatment with a compound
- the methods provide for combination therapy including administering an effective amount of a compound of Formula I or Formula II compound as described above, and an effective amount of thymosin- ⁇ , in combination therapy for treatment of an HCV infection.
- Effective dosages of thymosin- ⁇ range from about 0.5 mg to about 5 mg, e.g., from about 0.5 mg to about 1.0 mg, from about 1.0 mg to about 1.5 mg, from about 1.5 mg to about 2.0 mg, from about 2.0 mg to about 2.5 mg, from about 2.5 mg to about 3.0 mg, from about 3.0 mg to about 3.5 mg, from about 3.5 mg to about 4.0 mg, from about 4.0 mg to about 4.5 mg, or from about 4.5 mg to about 5.0 mg.
- thymosin- ⁇ is administered in dosages containing an amount of 1.0 mg or 1.6 mg.
- One embodiment provides a method using an effective amount of ZADAXIN thymosin- ⁇ and an effective amount of a compound of Formula I or Formula II in the treatment of an HCV infection in a patient, including administering to the patient a dosage of ZADAXIN containing an amount of from about 1.0 mg to about 1.6 mg per dose, subcutaneously twice per week for the desired duration of treatment with the compound of Formula I or Formula II.
- Some embodiments provide a method of treating an HCV infection in an individual having an HCV infection, the method including administering an effective amount of a compound of Formula I or Formula II, and effective amount of a TNF- ⁇ antagonist, and an effective amount of one or more interferons.
- One embodiment provides any of the above-described methods modified to use an effective amount of IFN - ⁇ and an effective amount of a TNF- ⁇ antagonist in the treatment of HCV infection in a patient including administering to the patient a dosage of IFN - ⁇ containing an amount of about 10 ⁇ g to about 300 ⁇ g of drug per dose of IFN - ⁇ , subcutaneously qd, qod, tiw, biw, qw, qow, three times per month, once monthly, or per day substantially continuously or continuously, in combination with a dosage of a TNF- ⁇ antagonist containing an amount of from about 0.1 ⁇ g to about 40 mg per dose of a TNF- ⁇ antagonist, subcutaneously qd, qod, tiw, or biw, or per day substantially continuously or continuously, for the desired duration of treatment with a compound of Formula I or Formula II.
- One embodiment provides any of the above-described methods modified to use an effective amount of IFN - ⁇ and an effective amount of a TNF- ⁇ antagonist in the treatment of HCV infection in a patient including administering to the patient a dosage of IFN - ⁇ containing an amount of about 10 ⁇ g to about 100 ⁇ g of drug per dose of IFN- ⁇ , subcutaneously qd, qod, tiw, biw, qw, qow, three times per month, once monthly, or per day substantially continuously or continuously, in combination with a dosage of a TNF- ⁇ antagonist containing an amount of from about 0.1 ⁇ g to about 40 mg per dose of a TNF- ⁇ antagonist, subcutaneously qd, qod, tiw, or biw, or per day substantially continuously or continuously, for the desired duration of treatment with a compound of Formula I or Formula II.
- Another embodiment provides any of the above-described methods modified to use an effective amount of IFN- ⁇ and an effective amount of a TNF- ⁇ ⁇ antagonist in the treatment of a virus infection in a patient including administering to the patient a total weekly dosage of IFN- ⁇ containing an amount of about 30 ⁇ g to about 1,000 ⁇ g of drug per week in divided doses administered subcutaneously qd, qod, tiw, biw, or administered substantially continuously or continuously, in combination with a dosage of a TNF- ⁇ antagonist containing an amount of from about 0.1 ⁇ g to about 40 mg per dose of a TNF- ⁇ antagonist, subcutaneously qd, qod, tiw, or biw, or per day substantially continuously or continuously, for the desired duration of treatment with a compound of Formula I or Formula II.
- Another embodiment provides any of the above-described methods modified to use an effective amount of IFN- ⁇ and an effective amount of a TNF- ⁇ antagonist in the treatment of a virus infection in a patient including administering to the patient a total weekly dosage of IFN- ⁇ containing an amount of about 100 ⁇ g to about 300 ⁇ g of drug per week in divided doses administered subcutaneously qd, qod, tiw, biw, or administered substantially continuously or continuously, in combination with a dosage of a TNF- ⁇ antagonist containing an amount of from about 0.1 ⁇ g to about 40 mg per dose of a TNF- ⁇ antagonist, subcutaneously qd, qod, tiw, or biw, or per day substantially continuously or continuously, for the desired duration of treatment with a compound of Formula I or Formula II.
- One embodiment provides any of the above-described methods modified to use an effective amount of INFERGEN consensus IFN- ⁇ and a TNF- ⁇ antagonist in the treatment of HCV infection in a patient including administering to the patient a dosage of INFERGEN containing an amount of about 1 ⁇ g to about 30 ⁇ g, of drug per dose of INFERGEN, subcutaneously qd, qod, tiw, biw, qw, qow, three times per month, once monthly, or per day substantially continuously or continuously, in combination with a dosage of a TNF- ⁇ antagonist containing an amount of from about 0.1 ⁇ g to about 40 mg per dose of a TNF- ⁇ antagonist, subcutaneously qd, qod, tiw, or biw, or per day substantially continuously or continuously, for the desired duration of treatment with a compound of Formula I or Formula II.
- One embodiment provides any of the above-described methods modified to use an effective amount of INFERGEN consensus IFN- ⁇ and a TNF- ⁇ antagonist in the treatment of HCV infection in a patient including administering to the patient a dosage of INFERGEN containing an amount of about 1 ⁇ g to about 9 ⁇ g, of drug per dose of INFERGEN, subcutaneously qd, qod, tiw, biw, qw, qow, three times per month, once monthly, or per day substantially continuously or continuously, in combination with a dosage of a TNF- ⁇ antagonist containing an amount of from about 0.1 ⁇ g to about 40 mg per dose of a TNF- ⁇ antagonist, subcutaneously qd, qod, tiw, or biw, or per day substantially continuously or continuously, for the desired duration of treatment with a compound of Formula I or Formula II.
- Another embodiment provides any of the above-described methods modified to use an effective amount of PEGylated consensus IFN- ⁇ and an effective amount of a TNF- ⁇ antagonist in the treatment of a virus infection in a patient including administering to the patient a dosage of PEGylated consensus IFN- ⁇ (PEG-CIFN) containing an amount of about 4 ⁇ g to about 60 ⁇ g of CIFN amino acid weight per dose of PEG-CIFN, subcutaneously qw, qow, three times per month, or monthly, in combination with a dosage of a TNF- ⁇ antagonist containing an amount of from about 0.1 ⁇ g to about 40 mg per dose of a TNF- ⁇ antagonist, subcutaneously qd, qod, tiw, or biw, or per day substantially continuously or continuously, for the desired duration of treatment with a compound of Formula I or Formula II.
- PEG-CIFN PEGylated consensus IFN- ⁇
- Another embodiment provides any of the above-described methods modified to use an effective amount of PEGylated consensus IFN- ⁇ and an effective amount of a TNF- ⁇ antagonist in the treatment of a virus infection in a patient including administering to the patient a dosage of PEGylated consensus IFN- ⁇ (PEG-CIFN) containing an amount of about 18 ⁇ g to about 24 ⁇ g of CIFN amino acid weight per dose of PEG-CIFN, subcutaneously qw, qow, three times per month, or monthly, in combination with a dosage of a TNF- ⁇ antagonist containing an amount of from about 0.1 ⁇ g to about 40 mg per dose of a TNF- ⁇ antagonist, subcutaneously qd, qod, tiw, or biw, or per day substantially continuously or continuously, for the desired duration of treatment with a compound of Formula I or Formula II.
- PEG-CIFN PEGylated consensus IFN- ⁇
- Another embodiment provides any of the above-described methods modified to use an effective amount of IFN- ⁇ 2a or 2b or 2c and an effective amount of a TNF- ⁇ antagonist in the treatment of a virus infection in a patient including administering to the patient a dosage of IFN- ⁇ 2a, 2b or 2c containing an amount of about 1 MU to about 20 MU of drug per dose of IFN- ⁇ 2a, 2b or 2c subcutaneously qd, qod, tiw, biw, or per day substantially continuously or continuously, in combination with a dosage of a TNF- ⁇ antagonist containing an amount of from about 0.1 ⁇ g to about 40 mg per dose of a TNF- ⁇ antagonist, subcutaneously qd, qod, tiw, or biw, or per day substantially continuously or continuously, for the desired duration of treatment with a compound of Formula I or Formula II.
- Another embodiment provides any of the above-described methods modified to use an effective amount of IFN- ⁇ 2a or 2b or 2c and an effective amount of a TNF- ⁇ antagonist in the treatment of a vims infection in a patient including administering to the patient a dosage of IFN- ⁇ 2a, 2b or 2c containing an amount of about 3 MU of drug per dose of IFN- ⁇ 2a, 2b or 2c subcutaneously qd, qod, tiw, biw, or per day substantially continuously or continuously, in combination with a dosage of a TNF- ⁇ antagonist containing an amount of from about 0.1 ⁇ g to about 40 mg per dose of a TNF- ⁇ antagonist, subcutaneously qd, qod, tiw, or biw, or per day substantially continuously or continuously, for the desired duration of treatment with a compound of Formula I or Formula II.
- Another embodiment provides any of the above-described methods modified to use an effective amount of IFN- ⁇ 2a or 2b or 2c and an effective amount of a TNF- ⁇ antagonist in the treatment of a virus infection in a patient including administering to the patient a dosage of IFN- ⁇ 2a, 2b or 2c containing an amount of about 10 MU of drug per dose of IFN- ⁇ 2a, 2b or 2c subcutaneously qd, qod, tiw, biw, or per day substantially continuously or continuously, in combination with a dosage of a TNF- ⁇ antagonist containing an amount of from about 0.1 ⁇ g to about 40 mg per dose of a TNF- ⁇ antagonist, subcutaneously qd, qod, tiw, or biw, or per day substantially continuously or continuously, for the desired duration of treatment with a compound of Formula I or Formula II.
- Another embodiment provides any of the above-described methods modified to use an effective amount of PEGASYS PEGylated IFN- ⁇ 2a and an effective amount of a TNF- ⁇ antagonist in the treatment of a virus infection in a patient including administering to the patient a dosage of PEGASYS containing an amount of about 90 ⁇ g to about 360 ⁇ g, of drug per dose of PEGASYS, subcutaneously qw, qow, three times per month, or monthly, in combination with a dosage of a TNF- ⁇ antagonist containing an amount of from about 0.1 ⁇ g to about 40 mg per dose of a TNF- ⁇ antagonist, subcutaneously qd, qod, tiw, or biw, or per day substantially continuously or continuously, for the desired duration of treatment with a compound of Formula I or Formula II.
- Another embodiment provides any of the above-described methods modified to use an effective amount of PEGASYS PEGylated IFN- ⁇ 2a and an effective amount of a TNF- ⁇ antagonist in the treatment of a virus infection in a patient including administering to the patient a dosage of PEGASYS containing an amount of about 180 ⁇ g, of drug per dose of PEGASYS, subcutaneously qw, qow, three times per month, or monthly, in combination with a dosage of a TNF- ⁇ antagonist containing an amount of from about 0.1 ⁇ g to about 40 mg per dose of a TNF- ⁇ antagonist, subcutaneously qd, qod, tiw, or biw, or per day substantially continuously or continuously, for the desired duration of treatment with a compound of Formula I or Formula II.
- Another embodiment provides any of the above-described methods modified to use an effective amount of PEG-INTRON PEGylated IFN- ⁇ 2b and an effective amount of a TNF- ⁇ antagonist in the treatment of a virus infection in a patient including administering to the patient a dosage of PEG-INTRON containing an amount of about 0.75 ⁇ g to about 3.0 ⁇ g of drug per kilogram of body weight per dose of PEG-INTRON, subcutaneously qw, qow, three times per month, or monthly, in combination with a dosage of a TNF- ⁇ antagonist containing an amount of from about 0.1 ⁇ g to about 40 mg per dose of a TNF- ⁇ antagonist, subcutaneously qd, qod, tiw, or biw, or per day substantially continuously or continuously, for the desired duration of treatment with a compound of Formula I or Formula II.
- Another embodiment provides any of the above-described methods modified to use an effective amount of PEG-INTRON PEGylated IFN- ⁇ 2b and an effective amount of a TNF- ⁇ antagonist in the treatment of a virus infection in a patient including administering to the patient a dosage of PEG-INTRON containing an amount of about 1.5 ⁇ g of drug per kilogram of body weight per dose of PEG-INTRON, subcutaneously qw, qow, three times per month, or monthly, in combination with a dosage of a TNF- ⁇ antagonist containing an amount of from about 0.1 ⁇ g to about 40 mg per dose of a TNF- ⁇ antagonist, subcutaneously qd, qod, tiw, or biw, or per day substantially continuously or continuously, for the desired duration of treatment with a compound of Formula I or Formula II.
- HEPTAZYME phosphorothioate oligonucleotides which are complementary to HCV protein sequences and which inhibit the expression of viral core proteins are also suitable for use in combination therapies described herein.
- the additional antiviral agent(s) is administered during the entire course of treatment with the compound of Formula I or Formula II described herein, and the beginning and end of the treatment periods coincide. In other embodiments, the additional antiviral agent(s) is administered for a period of time that is overlapping with that of the compound of Formula I or Formula II treatment, e.g., treatment with the additional antiviral agent(s) begins before the compound of Formula I or Formula II treatment begins and ends before the compound of Formula I or Formula II treatment ends; treatment with the additional antiviral agent(s) begins after the compound of Formula I or Formula II treatment begins and ends after the compound of Formula I or Formula II treatment ends; treatment with the additional antiviral agent(s) begins after the compound of Formula I or Formula II treatment begins and ends before the compound of Formula I or Formula II treatment ends; or treatment with the additional antiviral agent(s) begins before the compound of Formula I or Formula II treatment begins and ends after the compound of Formula I or Formula II treatment ends.
- the compound of Formula I or Formula II can be administered together with (i.e., simultaneously in separate formulations; simultaneously in the same formulation; administered in separate formulations and within about 48 hours, within about 36 hours, within about 24 hours, within about 16 hours, within about 12 hours, within about 8 hours, within about 4 hours, within about 2 hours, within about 1 hour, within about 30 minutes, or within about 15 minutes or less) one or more additional antiviral agents.
- Patient Identification i.e., simultaneously in separate formulations; simultaneously in the same formulation; administered in separate formulations and within about 48 hours, within about 36 hours, within about 24 hours, within about 16 hours, within about 12 hours, within about 8 hours, within about 4 hours, within about 2 hours, within about 1 hour, within about 30 minutes, or within about 15 minutes or less.
- the specific regimen of drug therapy used in treatment of the HCV patient is selected according to certain disease parameters exhibited by the patient, such as the initial viral load, genotype of the HCV infection in the patient, liver histology and/or stage of liver fibrosis in the patient.
- certain disease parameters exhibited by the patient such as the initial viral load, genotype of the HCV infection in the patient, liver histology and/or stage of liver fibrosis in the patient.
- HCV infection in which the subject method is modified to treat a non-responder patient, where the patient receives a 48 week course of therapy.
- Other embodiments provide any of the above-described methods for the treatment of HCV infection in which the subject method is modified to treat a relapser patient, where the patient receives a 48 week course of therapy.
- Other embodiments provide any of the above-described methods for the treatment of HCV infection in which the subject method is modified to treat a naive patient infected with HCV genotype 1, where the patient receives a 48 week course of therapy.
- Other embodiments provide any of the above-described methods for the treatment of HCV infection in which the subject method is modified to treat a naive patient infected with HCV genotype 4, where the patient receives a 48 week course of therapy.
- HCVL high viral load
- One embodiment provides any of the above-described methods for the treatment of an HCV infection, where the subject method is modified to include the steps of (1) identifying a patient having advanced or severe stage liver fibrosis as measured by a Knodell score of 3 or 4 and then (2) administering to the patient the drug therapy of the subject method for a time period of about 24 weeks to about 60 weeks, or about 30 weeks to about one year, or about 36 weeks to about 50 weeks, or about 40 weeks to about 48 weeks, or at least about 24 weeks, or at least about 30 weeks, or at least about 36 weeks, or at least about 40 weeks, or at least about 48 weeks, or at least about 60 weeks.
- Another embodiment provides any of the above-described methods for the treatment of an HCV infection, where the subject method is modified to include the steps of (1) identifying a patient having advanced or severe stage liver fibrosis as measured by a Knodell score of 3 or 4 and then (2) administering to the patient the drug therapy of the subject method for a time period of about 40 weeks to about 50 weeks, or about 48 weeks.
- Another embodiment provides any of the above-described methods for the treatment of an HCV infection, where the subject method is modified to include the steps of (1) identifying a patient having an HCV genotype 1 infection and an initial viral load of greater than 2 million viral genome copies per ml of patient serum and then (2) administering to the patient the drug therapy of the subject method for a time period of about 24 weeks to about 60 weeks, or about 30 weeks to about one year, or about 36 weeks to about 50 weeks, or about 40 weeks to about 48 weeks, or at least about 24 weeks, or at least about 30 weeks, or at least about 36 weeks, or at least about 40 weeks, or at least about 48 weeks, or at least about 60 weeks.
- Another embodiment provides any of the above-described methods for the treatment of an HCV infection, where the subject method is modified to include the steps of (1) identifying a patient having an HCV genotype 1 infection and an initial viral load of greater than 2 million viral genome copies per ml of patient serum and then (2) administering to the patient the drug therapy of the subject method for a time period of about 40 weeks to about 50 weeks, or about 48 weeks.
- Another embodiment provides any of the above-described methods for the treatment of an HCV infection, where the subject method is modified to include the steps of (1) identifying a patient having an HCV genotype 1 infection and an initial viral load of greater than 2 million viral genome copies per ml of patient serum and no or early stage liver fibrosis as measured by a Knodell score of 0, 1, or 2 and then (2) administering to the patient the drug therapy of the subject method for a time period of about 24 weeks to about 60 weeks, or about 30 weeks to about one year, or about 36 weeks to about 50 weeks, or about 40 weeks to about 48 weeks, or at least about 24 weeks, or at least about 30 weeks, or at least about 36 weeks, or at least about 40 weeks, or at least about 48 weeks, or at least about 60 weeks.
- Another embodiment provides any of the above-described methods for the treatment of an HCV infection, where the subject method is modified to include the steps of (1) identifying a patient having an HCV genotype 1 infection and an initial viral load of greater than 2 million viral genome copies per ml of patient serum and no or early stage liver fibrosis as measured by a Knodell score of 0, 1, or 2 and then (2) administering to the patient the drug therapy of the subject method for a time period of about 40 weeks to about 50 weeks, or about 48 weeks.
- Another embodiment provides any of the above-described methods for the treatment of an HCV infection, where the subject method is modified to include the steps of (1) identifying a patient having an HCV genotype 1 infection and an initial viral load of less than or equal to 2 million viral genome copies per ml of patient serum and then (2) administering to the patient the drug therapy of the subject method for a time period of about 20 weeks to about 50 weeks, or about 24 weeks to about 48 weeks, or about 30 weeks to about 40 weeks, or up to about 20 weeks, or up to about 24 weeks, or up to about 30 weeks, or up to about 36 weeks, or up to about 48 weeks.
- Another embodiment provides any of the above-described methods for the treatment of an HCV infection, where the subject method is modified to include the steps of (1) identifying a patient having an HCV genotype 1 infection and an initial viral load of less than or equal to 2 million viral genome copies per ml of patient serum and then (2) administering to the patient the drug therapy of the subject method for a time period of about 20 weeks to about 24 weeks.
- Another embodiment provides any of the above-described methods for the treatment of an HCV infection, where the subject method is modified to include the steps of (1) identifying a patient having an HCV genotype 1 infection and an initial viral load of less than or equal to 2 million viral genome copies per ml of patient serum and then (2) administering to the patient the drug therapy of the subject method for a time period of about 24 weeks to about 48 weeks.
- Another embodiment provides any of the above-described methods for the treatment of an HCV infection, where the subject method is modified to include the steps of (1) identifying a patient having an HCV genotype 2 or 3 infection and then (2) administering to the patient the drug therapy of the subject method for a time period of about 24 weeks to about 60 weeks, or about 30 weeks to about one year, or about 36 weeks to about 50 weeks, or about 40 weeks to about 48 weeks, or at least about 24 weeks, or at least about 30 weeks, or at least about 36 weeks, or at least about 40 weeks, or at least about 48 weeks, or at least about 60 weeks.
- Another embodiment provides any of the above-described methods for the treatment of an HCV infection, where the subject method is modified to include the steps of (1) identifying a patient having an HCV genotype 2 or 3 infection and then (2) administering to the patient the drug therapy of the subject method for a time period of about 20 weeks to about 50 weeks, or about 24 weeks to about 48 weeks, or about 30 weeks to about 40 weeks, or up to about 20 weeks, or up to about 24 weeks, or up to about 30 weeks, or up to about 36 weeks, or up to about 48 weeks.
- Another embodiment provides any of the above-described methods for the treatment of an HCV infection, where the subject method is modified to include the steps of (1) identifying a patient having an HCV genotype 2 or 3 infection and then (2) administering to the patient the drug therapy of the subject method for a time period of about 20 weeks to about 24 weeks.
- Another embodiment provides any of the above-described methods for the treatment of an HCV infection, where the subject method is modified to include the steps of (1) identifying a patient having an HCV genotype 2 or 3 infection and then (2) administering to the patient the drug therapy of the subject method for a time period of at least about 24 weeks.
- Another embodiment provides any of the above-described methods for the treatment of an HCV infection, where the subject method is modified to include the steps of (1) identifying a patient having an HCV genotype 1 or 4 infection and then (2) administering to the patient the drug therapy of the subject method for a time period of about 24 weeks to about 60 weeks, or about 30 weeks to about one year, or about 36 weeks to about 50 weeks, or about 40 weeks to about 48 weeks, or at least about 24 weeks, or at least about 30 weeks, or at least about 36 weeks, or at least about 40 weeks, or at least about 48 weeks, or at least about 60 weeks.
- Another embodiment provides any of the above-described methods for the treatment of an HCV infection, where the subject method is modified to include the steps of (1) identifying a patient having an HCV infection characterized by any of HCV genotypes 5, 6, 7, 8 and 9 and then (2) administering to the patient the drug therapy of the subject method for a time period of about 20 weeks to about 50 weeks.
- Another embodiment provides any of the above-described methods for the treatment of an HCV infection, where the subject method is modified to include the steps of (1) identifying a patient having an HCV infection characterized by any of HCV genotypes 5, 6, 7, 8 and 9 and then (2) administering to the patient the drug therapy of the subject method for a time period of at least about 24 weeks and up to about 48 weeks.
- Any of the above treatment regimens can be administered to individuals who have been diagnosed with an HCV infection. Any of the above treatment regimens can be administered to individuals who have failed previous treatment for HCV infection ("treatment failure patients," including non-responders and relapsers).
- Individuals who have been clinically diagnosed as infected with HCV are of particular interest in many embodiments.
- Individuals who are infected with HCV are identified as having HCV RNA in their blood, and/or having anti-HCV antibody in their serum.
- Such individuals include anti-HCV ELISA-positive individuals, and individuals with a positive recombinant immunoblot assay (RIBA).
- RIBA positive recombinant immunoblot assay
- Such individuals may also, but need not, have elevated serum ALT levels.
- Individuals who are clinically diagnosed as infected with HCV include naive individuals (e.g., individuals not previously treated for HCV, particularly those who have not previously received IFN- ⁇ -based and/or ribavirin-based therapy) and individuals who have failed prior treatment for HCV ("treatment failure" patients).
- Treatment failure patients include non-responders (i.e., individuals in whom the HCV titer was not significantly or sufficiently reduced by a previous treatment for HCV, e.g., a previous IFN- ⁇ monotherapy, a previous IFN- ⁇ and ribavirin combination therapy, or a previous pegylated IFN- ⁇ and ribavirin combination therapy); and relapsers (i.e., individuals who were previously treated for HCV, e.g., who received a previous IFN- ⁇ monotherapy, a previous IFN- ⁇ and ribavirin combination therapy, or a previous pegylated IFN- ⁇ and ribavirin combination therapy, whose HCV titer decreased, and subsequently increased).
- non-responders i.e., individuals in whom the HCV titer was not significantly or sufficiently reduced by a previous treatment for HCV, e.g., a previous IFN- ⁇ monotherapy, a previous IFN- ⁇ and ribavirin combination
- individuals have an HCV titer of at least about 10 5 , at least about 5 x 10 5 , or at least about 10 6 , or at least about 2 x 10 6 , genome copies of HCV per milliliter of serum.
- the patient may be infected with any HCV genotype (genotype 1, including Ia and Ib, 2, 3, 4, 6, etc. and subtypes (e.g., 2a, 2b, 3a, etc.)), particularly a difficult to treat genotype such as HCV genotype 1 and particular HCV subtypes and quasispecies.
- HCV-positive individuals (as described above) who exhibit severe fibrosis or early cirrhosis (non-decompensated, Child' s-Pugh class A or less), or more advanced cirrhosis (decompensated, Child's-Pugh class B or C) due to chronic HCV infection and who are viremic despite prior anti-viral treatment with IFN- ⁇ -based therapies or who cannot tolerate IFN- ⁇ -based therapies, or who have a contraindication to such therapies.
- HCV-positive individuals with stage 3 or 4 liver fibrosis according to the METAVIR scoring system are suitable for treatment with the methods described herein.
- individuals suitable for treatment with the methods of the embodiments are patients with decompensated cirrhosis with clinical manifestations, including patients with far- advanced liver cirrhosis, including those awaiting liver transplantation.
- individuals suitable for treatment with the methods described herein include patients with milder degrees of fibrosis including those with early fibrosis (stages 1 and 2 in the METAVIR, Ludwig, and Scheuer scoring systems; or stages 1 , 2, or 3 in the Ishak scoring system.).
- Additional exemplary compounds of Formula (I) include the following:
- Solution percentages express a weight to volume relationship, and solution ratios express a volume to volume relationship, unless stated otherwise.
- Flash chromatography was carried out on silica gel (SiO 2 ) according to Still's flash chromatography technique (J. Org. Chem., 43, 2923, (1978).
- Suitable aromatic aldehydes include, for example benzaldehyde, benzeneacetaldehyde, 2-bromobenzaldehyde, 2-methoxybenzaldehyde, 2,3- dimethoxybenzaldehyde, benzeneacetaldehyde, 4-(methylthio)benzaldehyde, 1 - naphthaldehyde, anthracene-9-carboxaldehyde, 1 -pyrenecarboxaldehyde, 9H- fluorene-2-carboxaldehyde, 4-butoxybenzaldehyde, and the like, or combinations thereof.
- Suitable heteroaromatic aldehydes include, for example, l-pyrrol-2- aldehyde, l-pyrrol-3 -aldehyde, furan-2-aldehyde, furan-3 -aldehyde, thiophene- 2-aldehyde, thiophene-3 -aldehyde, 4-pyridinecarboxaldehyde, 3- pyridinecarboxaldehyde, 2-pyridinecarboxaldehyde, 4,6-dimethyl-2- pyridinecarboxaldehyde, 4-methyl-pyridinecarboxaldehyde, pyrimidine-2- aldehyde, pyrimidine-4-aldehyde, 2-methyl-pyrimidine-4-aldehyde, 6- methylpyridine-2-aldehyde, pyrazine-2-aldehyde, pyridazine-3 -aldehyde, pyridazine-4-aldehyde, 1
- Target cells were seeded the day before (10 4 cells/well/ 96-well).
- the chemical library was provided in a 96-well format in DMSO solutions at 1OmM concentration.
- the compounds were diluted to a final concentration of 20 ⁇ M in complete medium (DMEM+10%FCS).
- a virus dilution containing -8.10 3 HCV infectious units per ml (FFU/ml) of a cell culture adapted strain (D 183, Zhong et al., J. Virology, 80, 11082-93 (2006)) was prepared in complete medium.
- Compound and virus dilutions were mixed 1 : 1 and added to clone 2 cells, which were incubated in the presence of the virus (400 FFU/well) and compound
- Paraformaldehyde-fixed test wells are washed twice with 100 ⁇ l of PBS and incubated with 50 ⁇ l of blocking buffer (0.3% TritonXIOO, 3% bovine serum albumin -BSA-, 10% fetal calf serum-FCS and 5% hydrogen peroxide in PBS) for 1 hour at room temperature.
- blocking buffer (0.3% TritonXIOO, 3% bovine serum albumin -BSA-, 10% fetal calf serum-FCS and 5% hydrogen peroxide in PBS
- a dilution (l ⁇ g/ml) of a recombinant human IgG anti-E2 is added in incubation buffer (0.3% TritonXIOO, 3% bovine serum albumin (BSA) in PBS) for 1 hour at room temperature.
- the cells are washed four times with 200 ⁇ l of PBS and incubated with the appropriate dilution (1 :15000) of the secondary antibody conjugated to horseradish peroxidase (HRP, Goat anti-human IgG-HRP; Jackson Immunoresearch, Stanford, CA) for 1 hour at room temperature.
- HRP horseradish peroxidase
- the cells are washed again four times with 200 ⁇ l of PBS and the remaining peroxidase activity is evaluated by adding 3, 3', 5,5'- tetramethylbenzidine (TMB; Pierce, Rockford, IL) to the cells in the presence of hydrogen peroxide.
- TMB 3, 3', 5,5'- tetramethylbenzidine
- the reaction can be stopped by the addition of 1 volume of IN H 2 SO 4 , which generates a yellow product with an optimal absorbance of 450 nm.
- Each plate includes a standard curve with serial 2-fold dilutions of the virus to ensure appropriate colorimetric value transformation and negative controls (uninfected cells) to determine the background of the assay.
- Compounds with known antiviral capacity have been included in the process as quality controls of the assay and, as expected, their antiviral activity was also demonstrated using this technology.
- the signals above the background s in each well are expressed as percentage of the control after data transformation using the standard curve. Values below 20% of the control should be considered positive hits.
- the screening technology described above does not discriminate between an antiviral compound and a false-positive result, as both should be associated with a reduced O.D. 450nm signal.
- the readout relies on viable, proliferating cells. Since the virus requires actively dividing cells for efficient replication and viral antigen quantitation relies on the presence of similar amounts of cells in the well, a non-specific toxic effect of a given compound should lead to a false-positive readout. To avoid problem, the impact of the compounds on cell viability was evaluated.
- false-positive results were identified by measuring the cell biomass per well by staining the cells with crystal violet (1% solution in 50% ethanol-water) (see, e.g., Bernhardt et al.
- the candidate molecules selected after this primary screening were tested in a second round (counterscreening) using the same screening concentration. During this process, molecules with similar chemical structures were added to the collection in order to identify common structural features that confer antiviral activity against HCV. The hits obtained in this second round were tested in a third round of counterscreening to clearly identify two classes of inhibitory molecules, whose structures are described in Table 1 and 2. Potency and Toxicity
- IC 50 inhibitory concentration 50
- LD 50 lethal dose 50
- serial dilutions of the different antiviral compounds were assayed using the colorimetric assay.
- Serial 2-fold dilutions of the compound were prepared. These solutions (50 ml) were mixed with 50 ml of an 8.1O 3 FFU/ml virus dilution in complete medium containing final compound concentrations starting at 50 ⁇ M. The mixture was transferred into a 96-well plate containing 10 4 clone 2 cells per well seeded the day prior to the experiment. The cultures were incubated for a period of 72 hours at 37 0 C, after which the cells were fixed and processed for colorimetric analysis as described above.
- IC 50 is defined as the compound concentration that should reduce HCV by 50%, based on the values obtained after O. D. Transformation with the standard curve. This analysis was applied to Class I and Class II molecules obtaining the results described in the Table 3 and Table 4, respectively.
- cell viability was measured in the presence of increasing concentrations of the antiviral compounds.
- Cell viability may be determined by measuring the mitochondrial metabolic capacity of the cells at any given time point. This may be achieved by culturing metabolically active cells with a modified soluble tetrazolium salt Thiazolyl Blue Tetrazolium Bromide also called MTT (Sigma-Aldrich, St.Louis, MO), which transforms MTT into formazan, a purple precipitate.
- This transformation dependent on mitochondrial dehydrogenases, was quantified within 2-4 hours using a colorimetric assay that is read at 570 nm.
- the LD 50 of a particular compound was determined similarly to the IC 50 .
- Serial dilutions of the compound typically from 100 ⁇ M to 100 nanoM
- Cell viability was analyzed by adding MTT (5 ⁇ g/ml final concentration) and measuring the resulting formazan content, after resuspension in 100% DMSO, at 570 nm in a microplate spectrophotometer.
- LD 50 values were obtained by plotting the colorimetric values (O.D. 57 o nm ) versus the compound concentration and determining the concentration that rendered 50% of the activity observed in the control. This procedure is widely used for determination of cell viability because it is rapid, simple and yields highly reproducible results.
Landscapes
- Chemical & Material Sciences (AREA)
- Organic Chemistry (AREA)
- Health & Medical Sciences (AREA)
- Life Sciences & Earth Sciences (AREA)
- Epidemiology (AREA)
- Animal Behavior & Ethology (AREA)
- Veterinary Medicine (AREA)
- Public Health (AREA)
- General Health & Medical Sciences (AREA)
- Medicinal Chemistry (AREA)
- Pharmacology & Pharmacy (AREA)
- Immunology (AREA)
- Zoology (AREA)
- Proteomics, Peptides & Aminoacids (AREA)
- Gastroenterology & Hepatology (AREA)
- Bioinformatics & Cheminformatics (AREA)
- Engineering & Computer Science (AREA)
- Pharmaceuticals Containing Other Organic And Inorganic Compounds (AREA)
Abstract
Hepatitis C virus inhibitors of formula (I) and formula (II) are disclosed. Compositions comprising the compounds and methods for using the compounds to inhibit Hepatitis C Virus and to treat Hepatitis C infections are also disclosed. The compounds are believed to kill, inhibit replication, and/or block viral spread of Hepatitis C virus in a mammal such as a human, through action on a target. The compounds of the invention can be used in the treatment of Hepatitis C virus infections that have developed resistance othe anti-HCV agents, and can be used in combination therapy with other antiviral compounds.
Description
INHIBITORS OF HEPATITIS C VIRUS INFECTION
CROSS-REFERENCE TO RELATED APPLICATIONS
This application claims the priority of U.S. provisional patent applications U.S. Ser. Nos. 61/084,388, filed July 29, 2009, and 61/211,741, filed Apr. 2, 2009, which are incorporated herein by reference in their entireties.
STATEMENT OF GOVERNMENT SUPPORT
This invention was made with government support under Grant Nos. 5R01GM028384 and R01CA108304, awarded by the National Institutes of Health. The U.S. government has certain rights in the invention.
BACKGROUND
Hepatitis C virus (HCV) is a major human pathogen, infecting an estimated 170 million persons worldwide—roughly five times the number infected by human immunodeficiency virus type 1. A substantial fraction of these HCV infected individuals develop serious progressive liver disease, including cirrhosis and hepatocellular carcinoma.
Currently, the most effective HCV therapy employs a combination of α- interferon and ribavirin, leading to sustained efficacy in 40% of patients. Clinical results demonstrate that pegylated α-interferon is superior to unmodified α-interferon as monotherapy. However, even with experimental therapeutic regimens involving combinations of pegylated α-interferon and ribavirin, a substantial fraction of patients do not have a sustained reduction in viral load. HCV is a positive-stranded RNA virus. Based on a comparison of the deduced amino acid sequence and the extensive similarity in the 5' untranslated region, HCV has been classified as a separate genus in the Flaviviridae family. All members of the Flaviviridae family have enveloped virions that contain a positive stranded RNA genome encoding all known virus-specific proteins via
translation of a single, uninterrupted, open reading frame.
A great deal of heterogeneity is found within the nucleotide and encoded amino acid sequence throughout the HCV genome. At least six major genotypes have been characterized, and more than 50 subtypes have been described. The major genotypes of HCV differ in their distribution worldwide, and the clinical significance of the genetic heterogeneity of HCV remains elusive despite numerous studies of the possible effect of genotypes on pathogenesis and therapy.
The single strand HCV RNA genome is approximately 9500 nucleotides in length and has a single open reading frame (ORP) encoding a single large polyprotein of about 3000 amino acids. In infected cells, this polyprotein is cleaved at multiple sites by cellular and viral proteases to produce the structural and non-structural (NS) proteins of the virus. In the case of HCV, the generation of mature nonstructural proteins is effected by two viral proteases. The viral genome also encodes a nuclease that catalyzes replication of viral RNA, in addition to other viral proteins, both functional and structural.
SUMMARY
The present invention is directed to compounds and formulations that are effective for treatment of Hepatits C virus (HCV) infections, such as in humans. In various embodiments, compounds of the invention "kill" the virus, i.e., interfere with viral functions necessary for replication and propagation of the virus in a mammalian host. In various embodiments, compounds of the invention inhibit viral spread, reducing the virulence of the viral strain infecting a population of host cells, such as liver cells in a human patient. The invention is also directed to methods of treatment using compounds of the invention.
W is N wherein W bears an R5-R6 group as defined below, or W is a (Q- C2)alkylene wherein an R5-R6 group are disposed on any carbon atom of the (Q-C2)alkylene or two R5-R6 groups are disposed respectively on each carbon atom of a (C2)alkylene;
X is N or is substituted or unsubstituted (Q-C2)alkylene; Y is NH, (Q-C2)alkylene-NH, hydroxyl, substituted or unsubstituted (Q-C24)alkylene, oxo wherein R7, R8 and R9 are absent, (C3-C30)heterocyclyl or (C5-C3o)heteroaryl, wherein the heterocyclyl or heteroaryl group can be substituted or unsubstituted;
Z is carbonyl or is (C6-C30)aryl or (C5-C30)heteroaryl, wherein the aryl or heteroaryl group can be substituted or unsubstituted;
Z1 is -C(=O)-Z2 wherein Z2 is OR, or NR2, wherein R is H, substituted or unsubstituted (Q-C6)alkyl, or substituted or unsubstituted (C6-Q0)aryl; or N and two R groups bonded thereto form a substituted or unsubstituted heterocyclyl group further comprising 0-2 additional heteroatoms selected from the set consisting of O, N and S; or Z1 is (C6-C30)aryl or (C5-C30)heteroaryl, wherein the aryl or heteroaryl group can be substituted or unsubstituted; the dotted line between W and X indicates an optional double bond, such that when X is nitrogen and a single bond is present between W and X, X is substituted with R and when X is nitrogen and a double bond is present between W and X, X is unsubstituted;
wherein the numbers within the ring comprising W and X indicating position around the ring; wherein the dotted line between C-4 and C-5 indicates an optional double bond; R1 is hydrogen, and R2 and R4 are each independently absent or hydrogen, provided that when a single bond is present between C-4 and C-5, R2 and R4 are both hydrogen, and when a double bond is present between C-4 and C-5, R2 and R4 are both absent; and
R3 is hydrogen, (C6-C30)aryl, or (d-C24)alkylene(C3- C3o)heterocyclyl(C6-C3o)aryl, wherein any aryl, alkylene, or heterocyclyl group can be substituted or unsubstituted; or
R1, R3, C-4; and C-5, wherein a double bond is present between C-4 and C-5, form a fused (C6-C30)aryl ;
R5 is absent, hydrogen, (C,-C24)alkylene, carbonyl, thiocarbonyl, (C6- C30)aryl, or -SO2-; and
R6 is absent, hydrogen, (C6-C30)aryl, (Ci-C24)alkoxy, oxy(C,- C24)alkynyl, -NH-(C, -C24)alkyl, -NH-(C, -C24)alkynyl, (C5-C30)heteroaryl(C6- C30)aryl, or -(C,-C24)alkylene(C6-C30)aryl;
R7 is absent, hydrogen, carbonyl, NH, amino, C(=NR), sulfonyl, or (C,- C2)alkylene;
R8 is absent, NH, amino, carbonyl, C(=NR), (C6-C30)aryl, (C]-C24)alkyl, (Ci-C24)cycloalkyl, (C3-C30)heterocyclyl, or (C5-C30)heteroaryl, wherein the heterocyclyl and heteroaryl can be substituted or unsubstituted;
R9 is absent, (C,-C24)alkyl, -NH(C,-C24)alkyl, amino, (C6-C3o)aryl, or (C5-C30)heteroaryl;
R10 is absent, NH, or O;
R11 is absent, H, (Ci-Cg)cycloalkyl, or (C,-C24)alkyl; wherein any alkyl, alkynyl, alkylene, alkoxy, -NH-alkyl, -NH-alkynyl, alkylene-NH, aryl, cycloalkyl, heterocyclyl, or heteroaryl group can be optionally substituted on any carbon atom with one or more oxy, hydroxyl, halo, (C6-C3o)aryl, azido, amino, (C,-C24)alkynyl, nitro, cyano, (Ci-C6)alkoxy, or
trifluoromethyl groups or any combination thereof and optionally exchanged at carbon with one or more oxy, imino, or thio groups; with the proviso that if Y is hydroxyl, or oxo, then R7, R8, and R9 are each absent; with the proviso that if Y is NH, then R7 is carbonyl, C(=NR), or sulfonyl, R8 is NH, amino, (C6-C3o)aryl, or (Ci-C24)alkyl, and R9 is absent, (Ci- C24)alkyl, (C6-C30)aryl, or (C5-C30)heteroaryl; with the proviso that if Y is (Ci-C24)alkylene, then R7 is NH, R8 is carbonyl or imino, and R9 is -NH(Ci-C24)alkyl or amino; with the proviso that if Z is carbonyl, then R10 is NH or oxy, and R1 ' is (Ci-C24)alkyl; with the proviso that if Z is (C6-C3o)aryl, then R10 and R1 ' are each absent; with the proviso that if R3 is absent or hydrogen, then R6 is absent; or a pharmaceutically acceptable salt, a solvate or hydrate, a prodrug, or a metabolite thereof.
In various embodiments, the present invention provides a compound of formula (II):
wherein
X is nitrogen, oxygen, or CH;
Y is nitrogen, oxygen, or (C5-C3o)heterocyclyl;
Z is nitrogen, -NH, or (C5-C3o)heteroaryl;
Ri is absent, carbonyl, (Ci-C24)alkylene, keto, or hydroxyl; R2 is absent, oxy(Ci-C24)alkyl, or hydroxyl;
R3 is absent, -N-RaRb, or (d-C24)alkyl;
R4 is absent, amino, hydroxyl, or (Ci-C24)alkyl;
R5 is absent, (Ci-C24)alkylene, or (C6-C3o)aryl;
R6 is absent, (Ci-C24)alkynyl, azido, or (C5-C30)heterocyclyl(Ci- C24)alkyl(C5-C30)heteroaryl;
R7 is absent or (Ci-C24)alkylene;
R8 is absent, (Ci-C24)alkylene, (Ci-C24)alkynyl, or azido;
Ra and Rb are each independently hydrogen, (Ci-C24)alkyl, (C6-C3o)aryl, (C6-C3o)aryl(Ci-C24)alkyl, (C5-C3o)heteroaryl, (C5-C30)heteroaryl(Ci-C24)alkyl, (C3-C3o)heterocyclyl, or (C3-C30)heterocyclyl(Ci-C24)alkyl; any (Ci-C24)alkyl, (Ci-C24)alkylene, (C6-C30)aryl, (C3-C30)heterocyclyl, or (C5-C3o)heteroaryl can be optionally substituted on carbon with one or more oxy, hydroxyl, halogen, (C6-C30)aryl, nitro, cyano, (Ci-C6)alkoxy, or trifluoromethyl groups or any combination thereof and optionally exchanged on carbon with one or more oxo, imino, or thio groups; with the proviso that if X is nitrogen, then Ri is carbonyl or (Ci- C24)alkylene and R2 is oxy(Ci-C24)alkyl or hydroxyl; with the proviso that if X is oxygen, then Rj and R2 are absent; with the proviso that if X is CH, then Ri is hydroxyl or keto and R2 is absent; with the proviso that if Y is nitrogen, then R3 is (Ci-C24)alkyl and R4 is amino, hydroxyl, or (Ci-C24)alkyl; with the proviso that if Y is oxygen, then R3 is -N-R3Rb or (C]-C24)alkyl and R4 is absent; with the proviso that if Y is (C5-C30)heterocyclyl, then R3 and R4 are absent;
with the proviso that if Z is nitrogen, then R5 and R7 are each independently (Ci-C24)alkylene and R6 and R8 are each independently (Ci- C24)alkynyl or azido; with the proviso that if Z is NH, then R5 is (Ci-C24)alkylene or (C6- C30)aryl, R6 is absent, (Ci-C24)alkynyl, or (C5-C3o)heterocyclyl(Ci-C24)alkyl(C5- C30)heteroaryl, and R7 and R8 are each absent; with the proviso that if Z is (C5-C3o)heterocyclyl, then R5, R6, R7, and R8 are each absent; or a pharmaceutically acceptable salt, a solvate or hydrate, a prodrug, or a metabolite thereof.
The present invention also provides a pharmaceutical composition. The pharmaceutical composition includes a pharmaceutically acceptable carrier; and a compound of the formula (I) or a compound of the formula (II), or a pharmaceutically acceptable salt, a prodrug, or a metabolite thereof. In various embodiments, the pharmaceutical composition further includes one or more additional compounds having anti-Hepatitis C virus activity.
In various embodiments, the one or more additional compounds having anti-Hepatitis C virus activity can be interferon, ribavirin, or a combination thereof. In various embodiments, the one or more additional compounds can be an inhibitor of a HCV protease, or an inhibitor of a HCV nuclease.
In various embodiments, the interferon includes interferon α2b, pegylated interferon α, consensus interferon, interferon α2a, lymphoblastoid interferon τ, or a combination thereof. In various embodiments, the one or more additional compounds having anti-Hepatitis C virus activity includes interleukin 2, interleukin 6, interleukin 12, interfering RNA, anti-sense RNA, imiqimod, ribavirin, an inosine 5'- monophospate dehydrogenase inhibitor, amantadine, rimantadine, or a combination thereof. In various embodiments, the present invention further provides a method of treating an animal inflicted with Hepatitis C Virus infection. The method
includes administering to an animal in need of such treatment an effective amount of a compound of the formula (I) or a compound of the formula (II), or a pharmaceutically acceptable salt, a solvate or a hydrate, a prodrug, or a metabolite thereof. In various embodiments, the invention provides a method of treatment of an HCV infection in a host animal, such as a human patient, afflicted with an HCV strain that is resistant, or has developed resistance, to inhibitors of HCV viral protease or HCV viral nuclease. The protease(s) and nuclease(s) of viruses, such as HCV, are targeted by many varieties of medicinal compounds, and it is possible, or even likely, that resistance to these mechanisms of action may develop among viral populations. As it is believed by the inventors herein that the compounds of the invention target a viral component other than one of these enzyme systems, the inventors believe that cross-resistance is unlikely. Accordingly, the inventive compounds can be used in treatment of HCV strains that are already resistant, in treatment of HCV strains wherein development of protease or nuclease resistant strains is of concern, and in combination therapy comprising use of a protease inhibitor, a nuclease inhibitor, or both, in conjunction with a compound of the invention.
In various embodiments, the compounds of the invention can also be used to prevent viral spread in a population of cells that has been exposed to an inoculum of HCV. In addition to blocking viral replication within a cell or a population, the compounds of the invention are believed to inhibit the transmission of the virus from an infected cell to an uninfected cell. Therefore, in various embodiments, a method of preventing viral spread is provided, comprising administering an effective amount of a compound of the invention to a patient exposed to an inoculum of HCV.
In various embodiments, the method further includes administering one or more additional compounds having anti-Hepatitis C virus activity prior to, after, or simultaneously with the compound of the formula (I) or formula (II) and a pharmaceutically acceptable salt, a prodrug, or a metabolite thereof.
In one embodiment, the one or more additional compounds having anti- Hepatitis C virus activity are an interferon, ribavirin, or a combination thereof.
In various embodiments, the one or more additional compounds can be an inhibitor of a HCV protease, or an inhibitor of a HCV nuclease. In various embodiments, the interferon includes interferon α2b, pegylated interferon α, consensus interferon, interferon α2a, lymphoblastiod interferon τ, or a combination thereof.
In various embodiments, the one or more additional compounds having anti-Hepatitis C virus activity includes interleukin 2, interleukin 6, interleukin 12, interfering RNA, anti-sense RNA, Imiqimod, ribavirin, an inosine 5'- monophospate dehydrogenase inhibitor, amantadine, rimantadine, or a combination thereof.
In various embodiments, the animal is a human.
In various embodiments, the present invention also provides a method of killing or inhibiting Hepatitis C Virus. The method includes contacting the
Hepatitis C Virus with an effective amount of a compound of the formula (I) or a compound of the formula (II), or a pharmaceutically acceptable salt, a prodrug, or a metabolite thereof.
In various embodiments, the contacting is in vitro. In various embodiments, the contacting is in vivo.
DETAILED DESCRIPTION
One of ordinary skill in the art would readily appreciate that the pharmaceutical formulations and methods described herein can be prepared and practiced by applying known procedures in the pharmaceutical arts. These include, for example, conventional techniques of pharmaceutical sciences including pharmaceutical dosage form design, drug development, pharmacology, of organic chemistry, and polymer sciences. See generally, for example, Remington: The Science and Practice of Pharmacy, 19th Ed., Mack Publishing Co., Easton, Pa. (1995).
Definitions
Reference will now be made in detail to certain claims of the disclosed subject matter, examples of which are illustrated in the accompanying structures and formulas. While the disclosed subject matter will be described in conjunction with the enumerated claims, it will be understood that they are not intended to limit the disclosed subject matter to those claims. On the contrary, the disclosed subject matter is intended to cover all alternatives, modifications, and equivalents, which may be included within the scope of the presently disclosed subject matter as defined by the claims. References in the specification to "one embodiment" indicate that the embodiment described may include a particular feature, structure, or characteristic, but every embodiment may not necessarily include the particular feature, structure, or characteristic. Moreover, such phrases are not necessarily referring to the same embodiment. Further, when a particular feature, structure, or characteristic is described in connection with an embodiment, it is submitted that it is within the knowledge of one skilled in the art to affect such feature, structure, or characteristic in connection with other embodiments whether or not explicitly described.
When a substituent is specified to be an atom or atoms of specified identity, "or a bond", a configuration is referred to when the substituent is "a bond" that the groups that are immediately adjacent to the specified substituent are directly connected to each other by a chemically feasible bonding configuration.
By "chemically feasible" is meant a bonding arrangement or a compound where the generally understood rules of organic structure are not violated; for example a structure within a definition of a claim that would contain in certain situations a pentavalent carbon atom that would not exist in nature would be understood to not be within the claim. The structures disclosed herein, in all of their embodiments are intended to include only "chemically feasible" structures, and any recited structures that are not chemically feasible, for example in a
structure shown with variable atoms or groups, are not intended to be disclosed or claimed herein.
The presently disclosed subject matter relates to the use of a small molecule described herein for treating Hepatitis C Virus infection. When describing the use of a compound of the formula (I) or a compound of the formula (II) described herein, the following terms have the following meanings, unless otherwise indicated.
As used herein, the term "anti-Hepatitis C virus activity" or "anti-HCV activity" means the compound is effective to inhibit the function of one or more targets selected from HCV metalloprotease, HCV serine protease, HCV polymerase, HCV helicase, HCV NS4B protein, HCV entry, HCV assembly, HCV egress, HCV NS 5 A protein, and IMPDH, or any other viral or cellular function necessary for viral spread and replication. And, "anti-HCV activity" refers to any bioactivity a compound may possess with respect to blocking the severity, symptoms, or transmission of the virus among animals, such as among human patients.
Unless otherwise indicated, the words and phrases presented in this document have their ordinary meanings to one of skill in the art. Such ordinary meanings can be obtained by reference to their use in the art and by reference to general and scientific dictionaries, for example, Webster's Third New
International Dictionary, Merriam- Webster Inc, Springfield, MA, 1993, The American Heritage Dictionary of the English Language, Houghton Mifflin, Boston MA, 1981, and Hawley's Condensed Chemical Dictionary, 14th edition, Wiley Europe, 2002. The following explanations of certain terms are meant to be illustrative rather than exhaustive. These terms have their ordinary meanings given by usage in the art and in addition include the following explanations.
As used herein, the term "about" refers to a variation of 10 percent of the value specified; for example about 50 percent carries a variation from 45 to 55 percent.
As used herein, the term "and/or" refers to any one of the items, any combination of the items, or all of the items with which this term is associated.
As used herein, the singular forms "a," "an," and "the" include plural reference unless the context clearly dictates otherwise. Specific and preferred values listed below for radicals, substituents, and ranges, are for illustration only; they do not exclude other defined values or other values within defined ranges for the radicals and substituents.
The term "amine" or "amino" includes primary, secondary, and tertiary amines having, e.g., the formula N(group)3 wherein each group can independently be H or non-H, such as alkyl, aryl, and the like. Amines include but are not limited to R-NH2, for example, alkylamines, arylamines, alkylarylamines; R2NH wherein each R is independently selected, such as dialkylamines, diarylamines, aralkylamines, heterocyclylamines and the like; and R3N wherein each R is independently selected, such as trialkylamines, dialkylarylamines, alkyldiarylamines, triarylamines, and the like. The term also includes compounds of the form R' -NR2 wherein the two "R" groups together with the amino nitrogen atom form a saturated or partically unsaturatured ring, such as a piperidinyl, morpholinyl, of pyrrolidinyl ring. Such rings are also referred to as "heterocyclyl" groups. A fully aromatic ring containing a nitrogen atom is referred to as a "heteroaryl". The term "amine" also includes ammonium ions as used herein. An "amino" group is a substituent of the form -NH2, -NHR, -NR2, -NR3 +, wherein each R is independently selected, and protonated forms of each. Accordingly, any compound substituted with an amino group can be viewed as an amine. An "ammonium" ion includes the unsubstituted ammonium ion NH4 +, but unless otherwise specified, it also includes any protonated or quaternarized forms of amines. Thus, trimethylammonium hydrochloride and tetramethylammonium chloride are both ammonium ions, and amines, within the meaning herein. As used herein, the term "acylamino" refers to N(R)C(=O)R, wherein each R is independently hydrogen, alkyl, or aryl.
As used herein, the term "azido" refers to N3. As used herein, the term "alkyl" refers to a Ci-Ci8 hydrocarbon containing normal, secondary, tertiary or cyclic carbon atoms. Examples are methyl, ethyl, 1-propyl, 2-propyl, 1-butyl, 2-methyl-l -propyl (iso-butyl, - CH2CH(CH3)2), 2-butyl (sec-butyl, -CH(CH3)CH2CH3), 2-methyl-2-propyl (tert-butyl, -C(CH3)3), 1-pentyl, 2-pentyl, 3-pentyl, 2-methyl-2-butyl, 3- methyl-2-butyl, 3-methyl- 1-butyl, 2-methyl-l -butyl, 1-hexyl, 2-hexyl, 3- hexyl, 2-methyl-2-pentyl, 3-methyl-2-pentyl, 4-methyl-2-pentyl, 3-methyl- 3-pentyl, 2-methyl-3-pentyl, 2,3-dimethyl-2-butyl, 3,3-dimethyl-2-butyl. The alkyl can be a monovalent hydrocarbon radical, as described and exemplified above, or it can be a divalent hydrocarbon radical (i.e., alkylene). The alkyl can optionally be substituted with one or more alkoxy, halo, haloalkyl, hydroxy, hydroxyalkyl, aryl, heteroaryl, heterocycle, cycloalkyl, alkanoyl, alkoxy carbonyl, amino, imino, alkylamino, acylamino, nitro, trifluoromethyl, trifluoromethoxy, carboxy, carboxyalkyl, keto, thioxo, alkylthio, alkyl sulfinyl, alkylsulfonyl, cyano, acetamido, acetoxy, acetyl, benzamido, benzenesulfinyl, benzenesulfonamido, benzenesulfonyl, benzenesulfonylamino, benzoyl, benzoylamino, benzoyloxy, benzyl, benzyloxy, benzyloxycarbonyl, benzylthio, carbamoyl, carbamate, isocyannato, sulfamoyl, sulfinamoyl, sulfino, sulfo, sulfoamino, thiosulfo, NRxRy and/or COORX, wherein each Rx and Ry are independently H, alkyl, alkenyl, aryl, heteroaryl, heterocycle, cycloalkyl or hydroxy. The alkyl can optionally be interrupted with one or more non-peroxide oxy (-O-), thio (-S-), imino (-N(R)-), methylene dioxy (-OCH2O-), carbonyl (-C(=O)-), carboxy (-C(=O)O-), carbonyldioxy (-OC(=O)O-), carboxylato (- OC(=O)-), imine (C=NR), sulfinyl (SO) or sulfonyl (SO2). Additionally, the alkyl can optionally be at least partially unsaturated, thereby providing an alkenyl.
As used herein, the term "alkenyl" refers to a C2-C18 hydrocarbon containing normal, secondary, tertiary or cyclic carbon atoms with at least one site of unsaturation, i.e., a carbon-carbon, sp2 double bond. Examples include, but are not limited to: ethylene or vinyl (-CH=CH2), allyl (-CH2CH=CH2),
cyclopentenyl (-C5H7), and 5-hexenyl (-CH2 CH2CH2CH2CH=CH2). The alkenyl can be a mono-valent hydrocarbon radical, as described and exemplified above, or it can be a divalent hydrocarbon radical (i.e., alkenylene).
The alkenyl can optionally be substituted with one or more alkoxy, halo, haloalkyl, hydroxy, hydroxyalkyl, aryl, heteroaryl, heterocycle, cycloalkyl, alkanoyl, alkoxycarbonyl, amino, imino, alkylamino, acylamino, nitro, trifluoromethyl, trifluoromethoxy, carboxy, carboxyalkyl, keto, thioxo, alkylthio, alkylsulfinyl, alkylsulfonyl, cyano, acetamido, acetoxy, acetyl, benzamido, benzenesulfinyl, benzenesulfonamido, benzenesulfonyl, benzenesulfonylamino, benzoyl, benzoylamino, benzoyloxy, benzyl, benzyloxy, benzyloxycarbonyl, benzylthio, carbamoyl, carbamate, isocyannato, sulfamoyl, sulfinamoyl, sulfino, sulfo, sulfoamino, thiosulfo, NRxRy and/or COORX, wherein each Rx and Ry are independently H, alkyl, alkenyl, aryl, heteroaryl, heterocycle, cycloalkyl or hydroxy. Additionally, the alkenyl can optionally be interrupted with one or more non-peroxide oxy (-O-), thio (-S-), imino (-N(H)-), methylene dioxy (- OCH2O-), carbonyl (-C(=O)-), carboxy (-C(O)O-), carbonyldioxy (- OC(O)O-), carboxylato (-OC(O)-), imine (C=NH), sulfinyl (SO) or sulfonyl (SO2).
As used herein, the term "alkylene" refers to a saturated, branched or straight chain or cyclic hydrocarbon radical of 1 to aboutl8 carbon atoms, and having two monovalent radical centers derived by the removal of two hydrogen atoms from the same or different carbon atoms of a parent alkane. Typical alkylene radicals include, but are not limited to: methylene (-CH2-) 1,2-ethylene (-CH2CH2-), 1,3-propylene (-CH2CH2CH2-), 1,4-butylene (-CH2CH2CH2CH2-), and the like.
The alkylene can be substituted with one or more alkoxy, halo, haloalkyl, hydroxy, hydroxyalkyl, aryl, heteroaryl, heterocycle, cycloalkyl, alkanoyl, alkoxycarbonyl, amino, imino, alkylamino, acylamino, nitro, trifluoromethyl, trifluoromethoxy, carboxy, carboxyalkyl, keto, thioxo, alkylthio, alkylsulfinyl, alkylsulfonyl, cyano, acetamido, acetoxy, acetyl, benzamido, benzenesulfinyl, benzenesulfonamido, benzenesulfonyl, benzenesulfonylamino, benzoyl,
benzoylamino, benzoyloxy, benzyl, benzyloxy, benzyloxycarbonyl, benzylthio, carbamoyl, carbamate, isocyannato, sulfamoyl, sulfinamoyl, sulfino, sulfo, sulfoamino, thiosulfo, NRxRy and/or COORX, wherein each Rx and Ry are independently H, alkyl, alkenyl, aryl, heteroaryl, heterocycle, cycloalkyl or hydroxy. Additionally, the alkylene can optionally be interrupted with one or more non-peroxide oxy (-O-), thio (-S-), imino (-N(H)-), methylene dioxy (- OCH2O-), carbonyl (-C(=O)-), carboxy (-C(=O)O-), carbonyldioxy (- OC(=O)O-), carboxylato (-0C(=0)-), imine (C=NH), sulfinyl (SO) or sulfonyl (SO2). Any of these can be referred to as a "substituted alkylene," or the group (-CH2)n- wherein n is 1 to about 18 can be referred to as an "unsubstituted alkylene." Moreover, the alkylene can optionally be at least partially unsaturated, thereby providing an alkenylene.
As used herein, the term "alkenylene" refers to an unsaturated, branched or straight chain or cyclic hydrocarbon radical of 2-18 carbon atoms, and having two monovalent radical centers derived by the removal of two hydrogen atoms from the same or two different carbon atoms of a parent alkene. Typical alkenylene radicals include, but are not limited to: 1 ,2-ethenylene (-CH=CH-).
The alkenylene can optionally be substituted with one or more alkoxy, halo, haloalkyl, hydroxy, hydroxyalkyl, aryl, heteroaryl, heterocycle, cycloalkyl, alkanoyl, alkoxycarbonyl, amino, imino, alkylamino, acylamino, nitro, trifluoromethyl, trifluoromethoxy, carboxy, carboxyalkyl, keto, thioxo, alkylthio, alkylsulfinyl, alkylsulfonyl, cyano, acetamido, acetoxy, acetyl, benzamido, benzenesulfinyl, benzenesulfonamido, benzenesulfonyl, benzenesulfonylamino, benzoyl, benzoylamino, benzoyloxy, benzyl, benzyloxy, benzyloxycarbonyl, benzylthio, carbamoyl, carbamate, isocyannato, sulfamoyl, sulfinamoyl, sulfino, sulfo, sulfoamino, thiosulfo, NRxRy and/or COORX, wherein each Rx and Ry are independently H, alkyl, alkenyl, aryl, heteroaryl, heterocycle, cycloalkyl or hydroxy. Additionally, The alkenylene can optionally be interrupted with one or more non-peroxide oxy (-O-), thio (-S-), imino (— N(H)-), methylene dioxy (- OCH2O-), carbonyl C-C(O)-). carboxy (-CCO)O-), carbonyldioxy (-
OC(O)O-), carboxylato (-OC(O)-), i™ine (C=NH), sulfmyl (SO) or sulfonyl (SO2).
As used herein, the term "alkynyl" refers to a monoradical branched or unbranched hydrocarbon chain, having a point of complete unsaturation (i.e., a carbon-carbon, sp triple bond). In one embodiment, the alkynyl group can have from 2 to 10 carbon atoms, or 2 to 6 carbon atoms. In another embodiment, the alkynyl group can have from 2 to 4 carbon atoms. This term is exemplified by groups such as ethynyl, 1-propynyl, 2-propynyl, 1-butynyl, 2-butynyl, 3-butynyl, 1-hexynyl, 2-hexynyl, 3-hexynyl, 1-octynyl, and the like. The alkynyl can be unsubstituted or substituted.
As used herein, the term "alkoxy" refers to the group alkyl-O-, where alkyl is defined herein. Preferred alkoxy groups include, e.g., methoxy, ethoxy, /7-propoxy, zsø-propoxy, n-butoxy, fert-butoxy, sec-butoxy, rc-pentoxy, n- hexoxy, 1 ,2-dimethylbutoxy, and the like. The alkoxy can optionally be substituted with one or more halo, haloalkyl, hydroxy, hydroxyalkyl, aryl, heteroaryl, heterocycle, cycloalkyl, alkanoyl, alkoxycarbonyl, amino, imino, alkylamino, acylamino, nitro, trifluoromethyl, trifluoromethoxy, carboxy, carboxyalkyl, keto, thioxo, alkylthio, alkylsulfinyl, alkylsulfonyl, cyano, acetamido, acetoxy, acetyl, benzamido, benzenesulfinyl, benzenesulfonamido, benzenesulfonyl, benzenesulfonylamino, benzoyl, benzoylamino, benzoyloxy, benzyl, benzyloxy, benzyloxycarbonyl, benzylthio, carbamoyl, carbamate, isocyannato, sulfamoyl, sulfinamoyl, sulfino, sulfo, sulfoamino, thiosulfo, NRxRy and/or COORX, wherein each Rx and Ry are independently H, alkyl, alkenyl, aryl, heteroaryl, heterocycle, cycloalkyl, or hydroxy.
As used herein, the term "aryl" refers to an unsaturated aromatic carbocyclic group of from 6 to 20 carbon atoms having a single ring (e.g., phenyl) or multiple condensed (fused) rings, wherein at least one ring is aromatic (e.g., naphthyl, dihydrophenanthrenyl, fluorenyl, or anthryl). Preferred aryls include phenyl, naphthyl and the like. The aryl can optionally be a divalent radical, thereby providing an arylene.
The aryl can optionally be substituted with one or more alkyl, alkenyl, alkoxy, halo, haloalkyl, hydroxy, hydroxyalkyl, aryl, heteroaryl, heterocycle, cycloalkyl, alkanoyl, alkoxycarbonyl, amino, imino, alkylamino, acylamino, nitro, trifluoromethyl, trifluoromethoxy, carboxy, carboxyalkyl, keto, thioxo, alkylthio, alkylsulfinyl, alkylsulfonyl, cyano, acetamido, acetoxy, acetyl, benzamido, benzenesulfinyl, benzenesulfonamido, benzenesulfonyl, benzenesulfonylamino, benzoyl, benzoylamino, benzoyloxy, benzyl, benzyloxy, benzyloxycarbonyl, benzylthio, carbamoyl, carbamate, isocyannato, sulfamoyl, sulfinamoyl, sulfmo, sulfo, sulfoamino, thiosulfo, NRxRy and/or COORX, wherein each Rx and Ry are independently H, alkyl, alkenyl, aryl, heteroaryl, heterocycle, cycloalkyl, or hydroxy.
As used herein, the term "bioavailability" refers to the degree to which the pharmaceutically active agent becomes available to the target tissue after the agent's introduction into the body. Enhancement of the bioavailability of a pharmaceutically active agent can provide a more efficient and effective treatment for patients because, for a given dose, more of the pharmaceutically active agent should be available at the targeted tissue sites.
As used herein, the term "carboxyl" refers to -COOH.
As used herein, the phrase "compounds of the disclosure" refer to compounds of formula (I) or formula (II), and pharmaceutically acceptable enantiomers, diastereomers, and salts thereof. Similarly, references to intermediates, are meant to embrace their salts where the context so permits.
As used herein, the term "cycloalkyl" refers to cyclic alkyl groups of from 3 to 20 carbon atoms having a single cyclic ring or multiple condensed rings. Such cycloalkyl groups include, by way of example, single ring structures such as cyclopropyl, cyclobutyl, cyclopentyl, cyclooctyl, and the like, or multiple ring structures such as adamantanyl, and the like.
The cycloalkyl can optionally be substituted with one or more alkyl, alkenyl, alkoxy, halo, haloalkyl, hydroxy, hydroxyalkyl, aryl, heteroaryl, heterocycle, cycloalkyl, alkanoyl, alkoxycarbonyl, amino, imino, alkylamino, acylamino, nitro, trifluoromethyl, trifluoromethoxy, carboxy, carboxyalkyl, keto,
thioxo, alkylthio, alkylsulfinyl, alkylsulfonyl, cyano, acetamido, acetoxy, acetyl, benzamido, benzenesulfinyl, benzenesulfonamido, benzenesulfonyl, benzenesulfonylamino, benzoyl, benzoylamino, benzoyloxy, benzyl, benzyloxy, benzyloxycarbonyl, benzylthio, carbamoyl, carbamate, isocyannato, sulfamoyl, sulfinamoyl, sulfino, sulfo, sulfoamino, thiosulfo, NRxRy and/or COOR", wherein each Rx and Ry are independently H, alkyl, alkenyl, aryl, heteroaryl, heterocycle, cycloalkyl, or hydroxy.
The cycloalkyl can optionally be at least partially unsaturated, thereby providing a cycloalkenyl. Additionally, the cycloalkyl can optionally be a divalent radical, thereby providing a cycloalkylene.
As used herein, the term "halo" refers to fluoro, chloro, bromo, and iodo.
Similarly, the term "halogen" refers to fluorine, chlorine, bromine, and iodine. As used herein, the term "haloalkyl" refers to alkyl as defined herein substituted by 1-4 halo groups as defined herein, which may be the same or different. Representative haloalkyl groups include, by way of example, trifluoromethyl, 3-fluorododecyl, 12,12,12-trifluorododecyl, 2-bromooctyl, 3- bromo-6-chloroheptyl, and the like.
As used herein, the term "heteroaryl" is defined herein as a monocyclic, bicyclic, or tricyclic ring system containing one, two, or three aromatic rings and containing at least one nitrogen, oxygen, or sulfur atom in an aromatic ring, and which can be unsubstituted or substituted. The heteroaryl can optionally be a divalent radical, thereby providing a heteroarylene.
Examples of heteroaryl groups include, but are not limited to, 2H- pyrrolyl, 3H-indolyl, 4H-quinolizinyl, 4nH-carbazolyl, acridinyl, benzo[&]thienyl, benzothiazolyl, β-carbolinyl, carbazolyl, chromenyl, cinnaolinyl, dibenzo[b,d]furanyl, furazanyl, furyl, imidazolyl, imidizolyl, indazolyl, indolisinyl, indolyl, isobenzofuranyl, isoindolyl, isoquinolyl, isothiazolyl, isoxazolyl, naphthyridinyl, naptho[2,3-δ], oxazolyl, perimidinyl, phenanthridinyl, phenanthrolinyl, phenarsazinyl, phenazinyl, phenothiazinyl, phenoxathiinyl, phenoxazinyl, phthalazinyl, pteridinyl, purinyl, pyranyl, pyrazinyl, pyrazolyl, pyridazinyl, pyridyl, pyrimidinyl, pyrimidinyl, pyrrolyl,
quinazolinyl, quinolyl, quinoxalinyl, thiadiazolyl, thianthrenyl, thiazolyl, thienyl, triazolyl, and xanthenyl. In one embodiment the term "heteroaryl" denotes a monocyclic aromatic ring containing five or six ring atoms containing carbon and 1, 2, 3, or 4 heteroatoms independently selected from the group non- peroxide oxygen, sulfur, and N(Z) wherein Z is absent or is H, O, alkyl, phenyl, or benzyl. In another embodiment heteroaryl denotes an ortho-fused bicyclic heterocycle of about eight to ten ring atoms derived therefrom, particularly a benz-derivative or one derived by fusing a propylene, or tetramethylene diradical thereto. The heteroaryl can optionally be substituted with one or more alkyl, alkenyl, alkoxy, halo, haloalkyl, hydroxy, hydroxyalkyl, aryl, heteroaryl, heterocycle, cycloalkyl, alkanoyl, alkoxycarbonyl, amino, imino, alkylamino, acylamino, nitro, trifluoromethyl, trifluoromethoxy, carboxy, carboxyalkyl, keto, thioxo, alkylthio, alkylsulfmyl, alkylsulfonyl, cyano, acetamido, acetoxy, acetyl, benzamido, benzenesulfinyl, benzenesulfonamido, benzenesulfonyl, benzenesulfonylamino, benzoyl, benzoylamino, benzoyloxy, benzyl, benzyloxy, benzyloxycarbonyl, benzylthio, carbamoyl, carbamate, isocyannato, sulfamoyl, sulfinamoyl, sulfino, sulfo, sulfoamino, thiosulfo, NRxRy and/or COORX, wherein each Rx and Ry are independently H, alkyl, alkenyl, aryl, heteroaryl, heterocycle, cycloalkyl, or hydroxy.
As used herein, the term "heterocycle" or "heterocyclyl" refers to a saturated or partially unsaturated ring system, containing at least one heteroatom selected from the group oxygen, nitrogen, and sulfur, and optionally substituted with alkyl, or C(=O)ORb, wherein Rb is hydrogen or alkyl. Typically heterocycle is a monocyclic, bicyclic, or tricyclic group containing one or more heteroatoms selected from the group oxygen, nitrogen, and sulfur. A heterocycle group also can contain an oxo group (=0) attached to the ring. Non-limiting examples of heterocycle groups include 1 ,3-dihydrobenzofuran, 1 ,3-dioxolane, 1,4-dioxane, 1 ,4-dithiane, 2//-pyran, 2-pyrazoline, 4//-pyran, chromanyl, imidazolidinyl, imidazolinyl, indolinyl, isochromanyl, isoindolinyl, morpholine, piperazinyl, piperidine, piperidyl, pyrazolidine, pyrazolidinyl, pyrazolinyl,
pyrrolidine, pyrroline, quinuclidine, and thiomorpholine. The heterocycle can optionally be a divalent radical, thereby providing a heterocyclene.
The heterocycle can optionally be substituted with one or more alkyl, alkenyl, alkoxy, halo, haloalkyl, hydroxy, hydroxyalkyl, aryl, heteroaryl, heterocycle, cycloalkyl, alkanoyl, alkoxycarbonyl, amino, imino, alkylamino, acylamino, nitro, trifluoromethyl, trifluoromethoxy, carboxy, carboxyalkyl, keto, thioxo, alkylthio, alkylsulfinyl, alkylsulfonyl, cyano, acetamido, acetoxy, acetyl, benzamido, benzenesulfϊnyl, benzenesulfonamido, benzenesulfonyl, benzenesulfonylamino, benzoyl, benzoylamino, benzoyloxy, benzyl, benzyloxy, benzyloxycarbonyl, benzylthio, carbamoyl, carbamate, isocyannato, sulfamoyl, sulfinamoyl, sulfino, sulfo, sulfoamino, thiosulfo, NRxRy and/or COORX, wherein each Rx and Ry are independently H, alkyl, alkenyl, aryl, heteroaryl, heterocycle, cycloalkyl, or hydroxy.
Examples of nitrogen heterocycles and heteroaryls include, but are not limited to, pyrrole, imidazole, pyrazole, pyridine, pyrazine, pyrimidine, pyridazine, indolizine, isoindole, indole, indazole, purine, quinolizine, isoquinoline, quinoline, phthalazine, naphthylpyridine, quinoxaline, quinazoline, cinnoline, pteridine, carbazole, carboline, phenanthridine, acridine, phenanthroline, isothiazole, phenazine, isoxazole, phenoxazine, phenothiazine, imidazolidine, imidazoline, piperidine, piperazine, indoline, morpholino, piperidinyl, tetrahydrofuranyl, and the like as well as N-alkoxy-nitrogen containing heterocycles.
As used herein, the term "imino" refers to -C=NH. The imino can optionally be substituted with one or more alkyl, alkenyl, alkoxy, aryl, heteroaryl, heterocycle, or cycloalkyl.
As used herein, the term "exchanged" is intended to indicate that in between two or more adjacent carbon atoms, and the hydrogen atoms to which they are attached (e.g., methyl (CH3), methylene (CH2), or methine (CH)), indicated in the expression using "interrupted" is inserted with a selection from the indicated group(s), provided that the each of the indicated atoms' normal valency is not exceeded, and that the interruption results in a stable compound.
Such suitable indicated groups include, e.g., with one or more non-peroxide oxy (-O-), thio (-S-), imino (-N(H)-), methylene dioxy (-OCH2O-), carbonyl (- C(O)-), carboxy (-C(=O)O-), carbonyldioxy (-OC(O)O-), carboxylato (- OC(O)-), imino (C=NH), sulfinyl (SO) and sulfonyl (SO2). As used herein, the term "isocyanato" refers to -NC.
As used herein, the term "keto" refers to (CO). As to any of the groups described herein, which contain one or more substituents, it is understood, of course, that such groups do not contain any substitution or substitution patterns which are sterically impractical and/or synthetically non-feasible. In addition, the compounds of this disclosed subject matter include all stereochemical isomers arising from the substitution of these compounds.
Selected substituents within the compounds described herein are present to a recursive degree. In this context, "recursive substituent" means that a substituent may recite another instance of itself. Because of the recursive nature of such substituents, theoretically, a large number may be present in any given claim. One of ordinary skill in the art of medicinal chemistry and organic chemistry understands that the total number of such substituents is reasonably limited by the desired properties of the compound intended. Such properties include, by of example and not limitation, physical properties such as molecular weight, solubility or log P, application properties such as activity against the intended target, and practical properties such as ease of synthesis.
Recursive substituents are an intended aspect of the disclosed subject matter. One of ordinary skill in the art of medicinal and organic chemistry understands the versatility of such substituents. To the degree that recursive substituents are present in a claim of the disclosed subject matter, the total number should be determined as set forth above.
As used herein, the term "infection" refers to the invasion of the host by germs including viruses that reproduce and multiply, causing disease by local cell injury, release of poisons, or germ-antibody reaction in the cells. The infection can be in a mammal (e.g., human).
As used herein, the term "metabolite" refers to any compound of the formula (I) or formula (II) produced in vivo or in vitro from the parent drug, or its prodrugs.
As used herein, the term "oxo" refers to =0. As used herein, the term "patient" refers to a warm-blooded animal, and preferably a mammal, such as, for example, a cat, dog, horse, cow, pig, mouse, rat, or primate, including a human.
As used herein, the term "pharmaceutically acceptable" refers to those compounds, materials, compositions, and/or dosage forms that are, within the scope of sound medical judgment, suitable for use in contact with the tissues of human beings and animals without excessive toxicity, irritation, allergic response, or other problems or complications commensurate with a reasonable benefit/risk ratio.
As used herein, the term "pharmaceutically acceptable salts" refers to ionic compounds, wherein a parent non-ionic compound is modified by making acid or base salts thereof. Examples of pharmaceutically acceptable salts include, but are not limited to, mineral or organic acid salts of basic residues such as amines; alkali or organic salts of acidic residues such as carboxylic acids; and the like. The pharmaceutically acceptable salts include conventional non-toxic salts and quaternary ammonium salts of the parent compound formed, for example, from non-toxic inorganic or organic acids. Non-toxic salts can include those derived from inorganic acids such as hydrochloric, hydrobromic, hydroiodic, sulfuric, sulfamic, phosphoric, nitric and the like. Salts prepared from organic acids can include those such as acetic, 2-acetoxybenzoic, ascorbic, benzenesulfonic, benzoic, citric, ethanesulfonic, ethane disulfonic, formic, fumaric, gentisinic, glucaronic, gluconic, glutamic, glycolic, hydroxymaleic, isethionic, isonicotinic, lactic, maleic, malic, mesylate or methanesulfonic, oxalic, pamoic (l,l '-methylene-bis-(2-hydroxy-3-naphthoate)), pantothenic, phenylacetic, propionic, salicylic, sulfanilic, toluenesulfonic, stearic, succinic, tartaric, bitartaric, and the like. Certain compounds can form pharmaceutically acceptable salts with various amino acids. For a review on pharmaceutically
acceptable salts, see, e.g., Berge et al., J. Pharm. Sci. 1977, 66(\), 1-19, which is incorporated herein by reference.
The pharmaceutically acceptable salts of the compounds described herein can be synthesized from the parent compound, which contains a basic or acidic moiety, by conventional chemical methods. Generally, such salts can be prepared by reacting the free acid or base forms of these compounds with a stoichiometric amount of the appropriate base or acid in water or in an organic solvent, or in a mixture of the two; generally, nonaqueous media like ether, ethyl acetate, ethanol, isopropanol, or acetonitrile are preferred. Lists of many suitable salts are found in Remington's Pharmaceutical Sciences, 17th ed., Mack
Publishing Company, Easton, PA, (1985), 1418, and the disclosure of which is incorporated herein by reference.
It should be appreciated by those skilled in the art that compounds useful in the disclosed subject matter having a chiral center may exist in and be isolated in optically active and racemic forms. Some compounds may exhibit polymorphism. It is to be understood that the presently disclosed subject matter encompasses any racemic, optically-active, polymorphic, or stereoisomeric form, or mixtures thereof, of a compound of the presently disclosed subject matter, which possess the useful properties described herein, it being well known in the art how to prepare optically active forms (for example, by resolution of the racemic form by recrystallization techniques, by synthesis from optically-active starting materials, by chiral synthesis, or by chromatographic separation using a chiral stationary phase) and how to determine anti-HCV activity using the standard tests described herein, or using other similar tests which are well known in the art.
One diastereomer of a compound disclosed herein may display superior activity compared with the other. When required, separation of the racemic material can be achieved by HPLC using a chiral column or by a resolution using a resolving agent such as camphonic chloride as in Tucker et al., J. Med. Chem., 37, 2437 (1994). A chiral compound described herein may also be
directly synthesized using a chiral catalyst or a chiral ligand, e.g., Huffman et al., J. Org. Chem., 60:1590 (1995).
As used herein, the terms "stable compound" and "stable structure" are meant to indicate a compound that is sufficiently robust to survive isolation to a useful degree of purity from a reaction mixture, and formulation into an efficacious therapeutic agent. Only stable compounds are contemplated herein.
As used herein, the term "prodrug" refers to any pharmaceutically acceptable form of compound of the formula (I) or formula (II) which, upon administration to a patient, provides a compound of the formula (I) or formula (II). Pharmaceutically acceptable prodrugs refer to a compound that is metabolized, for example hydrolyzed or oxidized, in the host to form a compound of the formula (I) or formula (II). Typical examples of prodrugs include compounds that have biologically labile protecting groups on a functional moiety of the active compound. Prodrugs include compounds that can be oxidized, reduced, aminated, deaminated, hydroxylated, dehydroxylated, hydrolyzed, dehydrolyzed, alkylated, dealkylated, acylated, deacylated, phosphorylated, dephosphorylated to produce the active compound. The compounds of the formula (I) or formula (II) possess antiviral activity against HCV, or are metabolized to a compound that exhibits such activity. As used herein, the term "substituted" is intended to indicate that one or more hydrogens on the atom indicated in the expression using "substituted" is replaced with a selection from the indicated group(s), provided that the indicated atom's normal valency is not exceeded, and that the substitution results in a stable compound. Suitable indicated groups include, e.g., alkyl, alkenyl, alkylidenyl, alkenylidenyl, alkoxy, halo, haloalkyl, hydroxy, hydroxyalkyl, aryl, heteroaryl, heterocycle, cycloalkyl, alkanoyl, acyloxy, alkoxy carbonyl, amino, imino, alkylamino, acylamino, nitro, trifluoromethyl, trifluoromethoxy, carboxy, carboxyalkyl, keto, thioxo, alkylthio, alkylsulfinyl, alkylsulfonyl, cyano, acetamido, acetoxy, acetyl, benzamido, benzenesulfinyl, benzenesulfonamido, benzenesulfonyl, benzenesulfonylamino, benzoyl, benzoylamino, benzoyloxy, benzyl, benzyloxy, benzyloxycarbonyl, benzylthio, carbamoyl, carbamate,
isocyanato, sulfamoyl, sulfinamoyl, sulfino, sulfo, sulfoamino, thiosulfo, NRxRy and/or COORX, wherein each Rx and Ry are independently H, alkyl, alkenyl, aryl, heteroaryl, heterocycle, cycloalkyl, or hydroxy. When a substituent is oxo (i.e., =0) or thioxo (i.e., =S) group, then two hydrogens on the atom are replaced. As used herein, the term "sulfonyl" refers to -SO2-.
As used herein, the term "therapeutically effective amount" is intended to include an amount of a compound described herein, or an amount of the combination of compounds described herein, e.g., to treat or prevent the disease or disorder, or to treat the symptoms of the disease or disorder, in a host. The combination of compounds is preferably a synergistic combination. Synergy, as described for example by Chou and Talalay, Adv. Enzyme ReguL, 22:27 (1984), occurs when the effect of the compounds when administered in combination is greater than the additive effect of the compounds when administered alone as a single agent. In general, a synergistic effect is most clearly demonstrated at suboptimal concentrations of the compounds. Synergy can be in terms of lower cytotoxicity, increased activity, or some other beneficial effect of the combination compared with the individual components.
As used herein, the phrase "complication associated with cirrhosis of the liver" refers to a disorder that is a sequellae of decompensated liver disease, i.e., or occurs subsequently to and as a result of development of liver fibrosis, and includes, but it not limited to, development of ascites, variceal bleeding, portal hypertension, jaundice, progressive liver insufficiency, encephalopathy, hepatocellular carcinoma, liver failure requiring liver transplantation, and liver- related mortality. A "hydrate" is a compound that exists in a composition with water molecules. The composition can include water in stoichiometic quantities, such as a monohydrate or a dihydrate, or can include water in random amounts.
A "solvate" is a similar composition except that a solvent other that water replaces the water. For example, methanol or ethanol can form an "alcoholate", which can again be stoichiometic or non-stoichiometric.
As used herein, the terms "treating" or "treat" includes (i) preventing a pathologic condition from occurring (e.g., prophylaxis); (ii) inhibiting the pathologic condition or arresting its development; (iii) relieving the pathologic condition; and/or (iv) diminishing symptoms associated with the pathologic condition
As used herein, "μg" denotes microgram, "mg" denotes milligram, "g" denotes gram, "μL" denotes microliter, "mL" denotes milliliter, "L" denotes liter, "nM" denotes nanomolar, "μM" denotes micromolar, "mM" denotes millimolar, "M" denotes molar, and "nm" denotes nanometer. Description
In various embodiments, the invention as disclosed herein provides a compound, method and composition for the treatment of hepatitis C in humans or other host animals, that includes administering an effective HCV treatment amount of a compound of the formula (I) or formula (II) as described herein or a pharmaceutically acceptable salt, a prodrug, or a metabolite thereof, optionally in a pharmaceutically acceptable carrier. The compounds of this invention either possess antiviral (i.e., anti-Hepatitis C virus) activity, or are metabolized to a compound that exhibits such activity.
In various embodiments, a compound of the formula (I) or formula (II) further includes one or more additional compounds having anti-Hepatitis C virus activity. In one embodiment, the one or more additional compounds having anti- Hepatitis C virus activity are an interferon, ribavirin, or a combination thereof. In one embodiment, the interferon includes interferon α2b, pegylated interferon α, consensus interferon, interferon α2a, lymphoblastoid interferon τ, or a combination thereof.
In various embodiments, the one or more additional compounds having anti-Hepatitis C virus activity includes interleukin 2, interleukin 6, interleukin 12, interfering RNA, anti-sense RNA, imiqimod, ribavirin, an inosine 5'- monophospate dehydrogenase inhibitor, amantadine, rimantadine, or a combination thereof.
In various embodiments, the one or more additional compounds having anti-Hepatitis C virus activity can be an inhibitor of a HCV protease, such as an inhibitor of the NS3 protease, or can be an inhibitor of a HCV nuclease, such as the NS5B nuclease. The present invention also provides a method of treating an animal inflicted with Hepatitis C Virus infection. The method includes administering to an animal in need of such treatment a compound of the formula (I) or a compound of the formula (II) and a pharmaceutically acceptable salt, a prodrug, or a metabolite thereof. In one embodiment, the method further includes administering one or more additional compounds having anti-Hepatitis C virus activity prior to, after, or simultaneously with the compound of the formula (I) or formula (II) and a pharmaceutically acceptable salt, a prodrug, or a metabolite thereof. In one embodiment, the one or more additional compounds having anti-Hepatitis C virus activity are an interferon, ribavirin, or a combination thereof. In one embodiment, the interferon includes interferon α2b, pegylated interferon α, consensus interferon, interferon α2a, lymphoblastiod interferon τ, or a combination thereof. In one embodiment, the one or more additional compounds having anti-Hepatitis C virus activity includes interleukin 2, interleukin 6, interleukin 12, interfering RNA, anti-sense RNA, Imiqimod, ribavirin, an inosine 5'-monophospate dehydrogenase inhibitor, amantadine, rimantadine, or a combination thereof. In one embodiment, the animal is a human.
The present invention also provides a method of treating an animal inflicted with Hepatitis C Virus infection. The method includes contacting the Hepatitis C Virus with an amount of the compound of the formula (I) or a compound of the formula (II) a pharmaceutically acceptable salt, a prodrug, or a metabolite thereof effective to inhibit or kill the Hepatitis C Virus. In one embodiment, the contacting is in vitro. In one embodiment, the contacting is in vivo. In various embodiments, the invention provides a method of treatment of an HCV infection in a host animal, such as a human patient, afflicted with an
HCV strain that is resistant, or has developed resistance, to inhibitors of HCV viral protease or HCV viral nuclease. The protease(s) and nuclease(s) of viruses, such as HCV, are targeted by many varieties of medicinal compounds, and it is possible, or even likely, that resistance to these mechanisms of action may develop among viral populations. As it is believed by the inventors herein that the compounds of the invention target a viral component other than one of these enzyme systems, the inventors believe that cross-resistance is unlikely. Accordingly, the inventive compounds can be used in treatment of HCV strains that are already resistant, in treatment of HCV strains wherein development of protease or nuclease resistant strains is of concern, and in combination therapy comprising use of a protease inhibitor, a nuclease inhibitor, or both, in conjunction with a compound of the invention.
In various embodiments, the compounds of the invention can also be used to prevent viral spread in a population of cells that has been exposed to an inoculum of HCV. In addition to blocking viral replication within a cell or a population, the compounds of the invention are believed to inhibit the transmission of the virus from an infected cell to an uninfected cell. Therefore, in various embodiments, a method of preventing viral spread is provided, comprising administering an effective amount of a compound of the invention to a patient exposed to an inoculum of HCV.
In various embodiments the present invention provides a compound of formula (I)
W is N wherein W bears an R -R group as defined below, or W is a (C1- C2)alkylene wherein an R5-R6 group are disposed on any carbon atom of the (Ci-C2)alkylene or two R3-R6 groups are disposed respectively on each carbon atom of a (C2)alkylene;
X is N or is substituted or unsubstituted (Ci-C2)alkylene;
Y is NH, (Ci-C2)alkylene-NH, hydroxyl, substituted or unsubstituted (Ci-C24)alkylene, oxo wherein R7, R8 and R9 are absent, (C3-C3o)heterocyclyl or (C5-C30)heteroaryl, wherein the heterocyclyl or heteroaryl group can be substituted or unsubstituted;
Z is carbonyl or is (C6-C3o)aryl or (C5-C30)heteroaryl, wherein the aryl or heteroaryl group can be substituted or unsubstituted;
Z1 is -C(=O)-Z2 wherein Z2 is OR, or NR2, wherein R is H, substituted or unsubstituted (Ci-C6)alkyl, or substituted or unsubstituted (C6-Ci0)aryl; or N and two R groups bonded thereto form a substituted or unsubstituted heterocyclyl group further comprising 0-2 additional heteroatoms selected from the set consisting of O, N and S; or Z1 is (C6-C3o)aryl or (C5-C3o)heteroaryl, wherein the aryl or heteroaryl group can be substituted or unsubstituted; the dotted line between W and X indicates an optional double bond, such that when X is nitrogen and a single bond is present between W and X, X is substituted with R and when X is nitrogen and a double bond is present between W and X, X is unsubstituted;
wherein the numbers within the ring comprising W and X indicating position around the ring; wherein the dotted line between C-4 and C-5 indicates an optional double bond; R1 is hydrogen, and R2 and R4 are each independently absent or hydrogen, provided that when a single bond is present between C-4 and C-5, R2 and R4 are both hydrogen, and when a double bond is present between C-4 and C-5, R2 and R4 are both absent; and
R3 is hydrogen, (C6-C30)aryl, or (d-C24)alkylene(C3- C3o)heterocyclyl(C6-C3o)aryl, wherein any aryl, alkylene, or heterocyclyl group can be substituted or unsubstituted; or
R1, R3, C-4, and C-5, wherein a double bond is present between C-4 and C-5, form a fused (C6-C30)aryl ;
R5 is absent, hydrogen, (C]-C24)alkylene, carbonyl, thiocarbonyl, (C6- C30)aryl, or -SO2-; and
R6 is absent, hydrogen, (C6-C30)aryl, (Ci-C24)alkoxy, oxy(Ci- C24)alkynyl, -NH-(C ,-C24)alkyl, -NH-(C ,-C24)alkynyl, (C5-C30)heteroaryl(C6- C30)aryl, or -(Ci-C24)alkylene(C6-C30)aryl;
R7 is absent, hydrogen, carbonyl, NH, amino, C(=NR), sulfonyl, or (C]- C2)alkylene;
R8 is absent, NH, amino, carbonyl, C(=NR), (C6-C30)aryl, (Ci-C24)alkyl, (C]-C24)cycloalkyl, (C3-C30)heterocyclyl, or (C5-C30)heteroaryl, wherein the heterocyclyl and heteroaryl can be substituted or unsubstituted;
R9 is absent, (Ci-C24)alkyl, -NH(Ci-C24)alkyl, amino, (C6-C30)aryl, or (C5-C30)heteroaryl;
R10 is absent, NH, or O;
R11 is absent, H, (d-C8)cycloalkyl, or (d-C24)alkyl; wherein any alkyl, alkynyl, alkylene, alkoxy, -NH-alkyl, -NH-alkynyl, alkylene-NH, aryl, cycloalkyl, heterocyclyl, or heteroaryl group can be optionally substituted on any carbon atom with one or more oxy, hydroxyl, halo, (C6-C30)aryl, azido, amino, (Ci-C24)alkynyl, nitro, cyano, (Ci-C6)alkoxy, or
trifluoromethyl groups or any combination thereof and optionally exchanged at carbon with one or more oxy, imino, or thio groups; with the proviso that if Y is hydroxyl, or oxo, then R7, R8, and R9 are each absent; with the proviso that if Y is NH, then R7 is carbonyl, C(=NR), or sulfonyl, R8 is NH, amino, (C6-C3o)aryl, or (Ci-C24)alkyl, and R9 is absent, (Ci- C24)alkyl, (C6-C30)aryl, or (C5-C30)heteroaryl; with the proviso that if Y is (Ci-C24)alkylene, then R7 is NH, R8 is carbonyl or imino, and R9 is -NH(Ci-C24)alkyl or amino; with the proviso that if Z is carbonyl, then R10 is NH or oxy, and R1 ' is
(C1-C24)^yI; with the proviso that if Z is (C6-C30)aryl, then R10 and R1 ' are each absent; with the proviso that if R3 is absent or hydrogen, then R6 is absent; or a pharmaceutically acceptable salt, a solvate or hydrate, a prodrug, or a metabolite thereof.
In various embodiments, a group can be unsubstituted, i.e., bearing only hydrogen atoms, or can be substituted. For example, any (Ci-C24)alkyl, (Ci- C24)alkylene, (C6-C3o)aryl, (C]-C24)cycloalkyl, (C3-C3o)heterocyclyl, or (C5- C30)heteroaryl can be substituted on carbon with one or more oxy, hydroxyl, halogen, (C6-C30)aryl, azido, (Ci-C24)alkyl, (Ci-C24)alkenyl, (Ci-C24)alkynyl, nitro, cyano, (Ci-C6)alkoxy, or trifluoromethyl groups or any combination thereof and any carbon atom thereof can be optionally exchanged with one or more oxy (-O-), imino (-NR-), or thio (-S-) groups. In various embodiments, the present invention also provides a pharmaceutically acceptable salt, a solvate or hydrate, a prodrug, or a metabolite, of compound of formula (I). The selection of substituents of Formula (I) would conform to the principles of chemical bonding, and compounds as described therein are intended to have chemically feasible bonding configurations and have sufficient stability to be isolated, purified, and administered to an animal such as a human patient, for example for treatement of a Hepatitis C infection.
In various embodiments of a compound of formula (I), if the bond between C4 and C5 is a double bond, and R2 and R4 are absent.
In various embodiments of a compound of formula (I), if W is nitrogen and a double bond is present between W and X, then R5 and R6 are absent. In various embodiments of a compound of formula (I), if W is (Q-
C2)alkylene, then X is (Ci-C2)alkylene, the optional double bond between W and X is absent, and Rj, R3, C-4 and C-5 form an (C6-C3o)aryl. C-4 and C-5 refer to the carbon atoms of formula (I) so labelled with the numerals 4 and 5, within the nitrogen-containing ring also including W and X. In various embodiments of a compound of formula (I), if X is nitrogen, then W is nitrogen, the optional double bond between X and W is present, the bond between C-4 and C-5 is a double bond, Ri is hydrogen, R2 and R4 are each absent, and R3 is (C6-C30)aryl, or (Q-C24)alkylene(C5-C3o)heterocyclyl(C6- C30)aryl. In various embodiments of a compound of formula (I), if X is (Q-
C2)alkylene, then the bond between W and X is a single bond, and Ri, R2, R3 and R4 are each independently hydrogen or Rj, R3, C-4 and C-5 form an (C6- C30)aryl.
In various embodiments of a compound of formula (I), if Y is amino (- NH2, NHR, or NR2), hydroxyl (OH), or oxo, then R7, R8, and R9 are each absent.
In various embodiments of a compound of formula (I), if Y is NH, then R7 is carbonyl, imino, or sulfonyl, Rg is NH, amino, (C6-C3o)aryl, or (Q- C24)alkyl, and R9 is absent, (Q-C24)alkyl, (C6-C30)aryl, or (C5-C30)heteroaryl.
In various embodiments of a compound of formula (I), if Y is (Q- C24)alkylene, then R7 is NH, R8 is carbonyl or imino, and R9 is -NH(Q- C24)alkyl or amino.
In various embodimentsof a compound of formula (I), if Z is carbonyl, then Rio is NH or oxy, and Rn is (Q-C24)alkyl.
In various embodiments of a compound of formula (I), if Z is (C6- C3o)aryl, then Ri0 and Rn are each absent.
In various embodiments of a compound of formula (I), if R5 is absent or hydrogen, then R6 is absent.
In various embodiments of a compound of formula (I), if R5 is carbonyl or thiocarbonyl, then R6 is (C6-C30)aryl, (C5-C3o)heteroaryl(C6-C3o)aryl, or oxy(C,-C24)alkyl.
In various embodiments of a compound of formula (I), if R5 is (Ci- C24)alkylene, then R6 is (C6-C3o)aryl.
In various embodiments of a compound of formula (I), preferably W is nitrogen or -CH2-; X is nitrogen or -CH2CH2; Y is amino, NH, hydroxyl, -CH2-, or oxo; Z is carbonyl or phenyl; R3 is hydrogen, methylene-N,N'-morpholino-p- fluorophenyl, methylene-N,N'-moφholino-p-trifluoromethylphenyl, m- chlorophenyl, or o,p-difluorophenyl; or Ri, R2, R3, R4, C4, and C5 form a phenyl; R5 is absent, hydrogen, -CH2-, carbonyl, thiocarbonyl, p-benzyl-phenyl, p- fluorophenyl, or o,p-difluorophenyl; R6 is absent, phenyl, p-fluorophenyl, oxy-t- butyl, 4-(o-nitrophenyl)-l,2,3-triazol-l-yl, or p-trifluoromethylphenyl; R7 is absent, hydrogen, carbonyl, -NH, imino, or sulfonyl; R8 is absent, amino, -NH, carbonyl, imino, phenyl, or methyl; R9 is absent, ethyl, octyl, cyclohexyl, amino, o-fluorophenyl, p-trifluoromethylphenyl, p-methoxyphenyl, or 3-pyridinyl; Rn is absent, ethyl, or cyclohexyl. In various embodiments of a compound of formula (I), if W is -CH2-, then X is -CH2CH2-, the optional double bond between W and X is absent, and Ri, R3, C-4 and C-5 form a phenyl.
In various embodiments of a compound of formula (I), if X is nitrogen, then W is nitrogen, the optional double bond between X and W is present, the bond between C-4 and C-5 is a double bond, Ri is hydrogen, R2 and R4 are each absent, and R3 is methylene-N,N'-moφholino-p-fluorophenyl, methylene-N,N'- morpholino-p-trifluoromethylphenyl, m-chlorophenyl, or o,p-difluorophenyl.
In various embodiments of a compound of formula (I), if X is -CH2CH2-, then the bond between W and X is a single bond, and Ri, R2, R3 and R4 are each independently hydrogen.
In various embodiments of a compound of formula (I), if Y is NH, then R7 is carbonyl, imino, or sulfonyl, Rg is NH, amino, phenyl, or methyl, and R9 is absent, ethyl, octyl, hexyl, amino, o-fluorophenyl, p-methoxyphenyl, or 3- pyridinyl. In various embodiments of a compound of formula (I), if Y is -CH2-, then R7 is NH, R8 is carbonyl or imino, and R9 is -NH-CH2CH3 or amino.
In various embodiments of a compound of formula (I), if Z is carbonyl, then Ri0 is NH or oxy, and Ri 1 is ethyl or hexyl.
In various embodiments of a compound of formula (I), if Z is phenyl, then Ri0 and Ri 1 are each absent.
In various embodiments of a compound of formula (I), if R5 is carbonyl or thiocarbonyl, then R6 is phenyl, p-fluorophenyl, oxy-t-butyl, 4-(o- nitrophenyl)-l,2,3-triazol-l-yl, or p-trifluoromethylphenyl.
In various embodiments of a compound of formula (I), if R5 is -CH2-, then R6 is phenyl.
In various embodiments of a compound of formula (I), preferably W is nitrogen; X is -CH2CH2-; Y is amino, hydroxyl, or oxo; Z is phenyl; Ri, R2, R3, and R4 are each independently hydrogen; the dotted line between W and X indicates a single bond; the dotted line between C-4 and C-5 indicates a single bond; R5 is -CH2-, carbonyl, thiocarbonyl, or p-fluorophenyl; R6 is absent, phenyl, or oxy-t-butyl; and R7, R8, R9, Rio, and Rn are each absent.
In various embodiments of a compound of formula (I), preferably W is nitrogen; X is -CH2CH2-; Y is NH or -CH2-; Z is phenyl; Ri, R2, R3, and R4 are each independently hydrogen; the dotted line between W and X indicates a single bond; the dotted line between C-4 and C-5 indicates a single bond; R5 is hydrogen, carbonyl, thiocarbonyl, or p-fluorophenyl; R6 is absent, p- fluorophenyl, 4-(o-nitrophenyl)-l,2,3-triazol-l-yl, or oxy-t-butyl; R7 is carbonyl, -NH, or imino; R8 is amino, -NH, carbonyl, or imino; R9 is absent, ethyl, octyl, cyclohexyl, amino, o-fluorophenyl, p-trifluoromethylphenyl, p-methoxyphenyl, or 3-pyridinyl; and Ri0 and Rn are each absent.
In various embodiments of a compound of formula (I), preferably W is nitrogen; X is -CH2CH2-; Y is amino or NH; Z is carbonyl; Ri, R2, R3, and R4 are each independently hydrogen; the dotted line between W and X indicates a single bond; the dotted line between C-4 and C-5 indicates a single bond; R5 is p-benzyl -phenyl or p-fluorophenyl; R6 is absent; R7 is absent, carbonyl, -NH, or sulfonyl; R8 is absent, -NH, or phenyl; R9 is absent or cyclohexyl; Ri0 is NH or oxy; and Ri 1 is ethyl or cyclohexyl.
In various embodiments of a compound of formula (I), preferably W is nitrogen; X is nitrogen; Y is amino; Z is phenyl; Rj, is hydrogen; R2 and R4 are each absent; R3 is methylene-N,N'-morpholino-p-fluorophenyl, methylene- N,N'-morpholino-p-trifluoromethylphenyl, m-chlorophenyl, or o,p- difluorophenyl; the dotted line between W and X indicates a double bond; the dotted line between C-4 and C-5 indicates a double bond; and R5, R6, R7, R8, R9, Ri0, and Rn are each absent. In various embodiments of a compound of formula (I), preferably W is -
CH2-; X is -CH2CH2-; Y is hydroxyl; Z is phenyl; R,, R2, R3, R4, C4, and C5 form a phenyl; the dotted line between W and X indicates a single bond; and R5, R6, R7, R8j R9, Rio, and R) 1 are each absent.
In various embodiments of a compound of formula (I), X is -CH2CH2-;
Y is 1,2,3-triazol-l-yl;
Z is phenyl;
R6 is absent, oxy-t-butyl, -NH-t-butyl, -O-ethynyl, -NH-ethynyl, -NH-2- propynyl, -NH-3-chloropropyl, -NH-3-azidopropyl, -NH-3-bromopropyl, -NH- phenyl, -NH-benzyl, -t-butyl, methyl, methylchloro, methylazido, -t-butylchloro, phenyl, oxy-i-propyl, -CH(CH2Cl)2, or -CH(CH2N3)2;
R7 is methyl ene-4-yl; and
R8 is 6-azido-purin-3-yl, 6-hydroxy-purin-3-yl, 6-(l,3,4-triazol-l-yl)- purin-3-yl, 6-amino-8-azido-purin-3-yl, 6-amino-8-bromo-purin-3-yl, 6-amino- purin-3-yl, 6-amino-purin-9-yl, 6-(2-propynl-amino)-purin-9-yl, 6-amino-purin- 9-yl, or 6-(2-propynl-amino)-purin-3-yl.
In various embodimentsof a compound of formula (I),
R5 is hydrogen;
R6 is absent; and
R8 is 6-amino-purin-9-yl or 6-amino-purin-3-yl. In various embodiments of a compound of formula (I),
R5 is -SO2-;
R6 is methyl, 3-chloropropyl, or 3-azidopropyl; and
R8 is 6-amino-purin-3-yl
In various embodiments of a compound of formula (I), R5 is carbonyl or thiocarbonyl;
R6 is -NH-benzyl, -t-butyl, methyl, O-methylchloro, methylazido, -t- butylchloro, phenyl, oxy-i-propyl, -O-ethynyl, -NH-ethynyl, -CH(CH2Cl)2, - CH(CH2N3)2, oxy-t-butyl, -NH-phenyl, -NH-acetynyl, -NH-3-azidopropyl, - NH-3-bromopropyl, -NH-3-chloropropyl, -NH-2-propynyl, or -NH-t-butyl; and R8 is 6-amino-purin-3-yl, 6-amino-8-azido-purin-3-yl, 6-amino-8-bromo- purin-3-yl, 6-(l,3,4-triazol-l-yl)-purin-3-yl, 6-hydroxy-purin-3-yl, 6-azido- purin-3-yl, 6-amino-purin-9-yl, or 6-(2-propynl-amino)-purin-3-yl.
In particular embodiments of the invention, the compound of formula (I) is any of the compounds whose structure is shown in Table 1. In various embodiments, a compound of the invention of formula (I) can be any compound as shown in Table 1.
In various embodiments of a compound of formula (I),
X is -CH2CH2-;
Y is 1,2,3-triazol-l-yl; Z is phenyl;
R6 is absent, oxy-t-butyl, -NH-t-butyl, -O-ethynyl, -NH-ethynyl, -NH-2- propynyl, -NH-3-chloropropyl, -NH-3-azidopropyl, -NH-3-bromopropyl, -NH- acetynyl, -NH-phenyl, -NH-benzyl, -t-butyl, methyl, O-methylchloro, methylazido, -t-butylchloro, phenyl, oxy-i-propyl, -CH(CH2Cl)2, or - CH(CH2Ns)2;
R7 is methylene-4-yl; and
R8 is 6-azido-purin-3-yl, 6-hydroxy-purin-3-yl, 6-(l,3,4-triazol-l-yl)- purin-3-yl, 6-amino-8-azido-purin-3-yl, 6-amino-8-bromo-purin-3-yl, 6-amino- purin-3-yl, 6-amino-purin-9-yl, 6-(2-propynl-amino)-purin-9-yl, 6-amino-purin- 9-yl, or 6-(2-propynl-amino)-purin-3-yl. In various embodiments of a compound of formula (I),
R5 is hydrogen;
R6 is absent; and
R8 is 6-amino-purin-9-yl or 6-amino-purin-3-yl.
In various embodiments of a compound of formula (I), R5 is -SO2-;
R6 is methyl, 3-chloropropyl, or 3-azidopropyl; and
R8 is 6-amino-purin-3-yl
In various embodiments of a compound of formula (I),
R5 is carbonyl or thicarbonyl; R6 is -NH-benzyl, -t-butyl, methyl, -O-ethynyl, -NH-ethynyl, O- methylchloro, methylazido, -t-butylchloro, phenyl, oxy-i-propyl, -CH(CH2Cl)2, -CH(CH2N3)2, oxy-t-butyl, -NH-phenyl, -NH-acetynyl, -NH-3-azidopropyl, - NH-3-bromopropyl, -NH-3-chloropropyl, -NH-2-propynyl, or -NH-t-butyl; and
R8 is 6-amino-purin-3-yl, 6-amino-8-azido-purin-3-yl, 6-amino-8-bromo- purin-3-yl, 6-(l,3,4-triazol-l-yl)-purin-3-yl, 6-hydroxy-purin-3-yl, 6-azido- purin-3-yl, 6-amino-purin-9-yl, or 6-(2-propynl-amino)-purin-3-yl.
In various embodiments of a compound of formula (I), the compound is isopropyl 4-((l S,2R)-2-(4-((6-amino-3H-purin-3-yl)methyl)-lH-l,2,3- triazol- 1 -yl)- 1 ,2-diphenylethyl)piperazine- 1 -carboxylate;
3 -(( 1 -(( 1 R,2S)- 1 ,2-diphenyl-2-(piperazin- 1 -yl)ethyl)- 1 H- 1 ,2,3 -triazol-4- yl)methyl)-3H-purin-6-amine;
4-((lS,2R)-2-(4-((6-amino-3H-purin-3-yl)methyl)-lH-l,2,3-triazol-l-yl)- 1 ,2-diphenylethyl)-N-tert-butylpiperazine- 1 -carboxamide; N-allyl-4-((lS,2R)-2-(4-((6-amino-3H-purin-3-yl)methyl)-lH-l,2,3- triazol- 1 -yl)- 1 ,2-diphenylethyl)piperazine- 1 -carboxamide;
4-((lS,2R)-2-(4-((6-amino-3H-purin-3-yl)methyl)-lH-l,2,3-triazol-l-yl)- 1 ,2-diphenylethyl)-N-(3-chloropropyl)piperazine- 1 -carboxamide;
4-((lS,2R)-2-(4-((6-amino-3H-purin-3-yl)methyl)-lH-l,2,3-triazol-l-yl)- 1 ,2-diphenylethyl)-N-(2-bromoethyl)piperazine- 1 -carboxamide; 4-(( 1 S,2R)-2-(4-((6-amino-3H-purin-3 -yl)methyl)- 1 H- 1 ,2,3-triazol- 1 -yl)-
1 ,2-diphenylethyl)-N-(2-azidoethyl)piperazine-l -carboxamide;
4-((lS,2R)-2-(4-((6-amino-3H-purin-3-yl)methyl)-lH-l,2,3-triazol-l-yl)- 1 ,2-diphenylethyl)-N-phenylpiperazine-l -carboxamide;
4-((lS,2R)-2-(4-((6-amino-3H-purin-3-yl)methyl)-lH-l,2,3-triazol-l-yl)- 1 ,2-diphenylethyl)-N-benzylpiperazine- 1 -carboxamide; l-(4-((lS,2R)-2-(4-((6-amino-3H-purin-3-yl)methyl)-lH-l,2,3-triazol-l- yl)-l,2-diphenylethyl)piperazin-l-yl)-2,2-dimethylpropan-l-one; l-(4-((lS,2R)-2-(4-((6-amino-3H-purin-3-yl)methyl)-lH-l,2,3-triazol-l- yl)- 1 ,2-diphenylethyl)piperazin- 1 -yl)ethanone; 1 -(4-((I S,2R)-2-(4-((6-amino-3H-purin-3-yl)methyl)- 1 H- 1 ,2,3-triazol- 1 - yl)-l,2-diphenylethyl)piperazin-l-yl)-2-chloroethanone; l-(4-((lS,2R)-2-(4-((6-amino-3H-purin-3-yl)methyl)-l H-l,2,3-triazol-l- yl)- 1 ,2-diphenylethyl)piperazin- 1 -yl)-2-azidoethanone; l-(4-((lS,2R)-2-(4-((6-amino-3H-purin-3-yl)methyl)-lH-l ,2,3-triazol-l- yl)- 1 ,2-diphenylethyl)piperazin- 1 -yl)-2-chloro-2-methylpropan- 1 -one;
(4-((lS,2R)-2-(4-((6-amino-3H-purin-3-yl)methyl)-lH-l,2,3-triazol-l- yl)- 1 ,2-diphenylethyl)piperazin- 1 -yl)(phenyl)methanone; isopropyl 4-(( 1 S,2R)-2-(4-((6-amino-3H-purin-3 -yl)methyl)- 1 H- 1 ,2,3 - triazol- 1 -yl)- 1 ,2-diphenylethyl)piperazine- 1 -carboxylate; 3-(( 1 -(( 1 R,2S)-2-(4-(methylsulfonyl)piperazin- 1 -yl)- 1 ,2-diphenylethyl)- lH-l,2,3-triazol-4-yl)methyl)-3H-purin-6-amine;
3 -(( 1 -(( 1 R,2S)-2-(4-(3 -chloropropylsulfonyljpiperazin- 1 -yl)- 1 ,2- diphenylethyl)- IH-1, 2,3 -triazol-4-yl)methyl)-3H-purin-6-amine; tert-butyl 4-((l S,2R)-2-(4-((6-hydroxy-3H-purin-3-yl)methyl)-lH-l ,2,3- triazol- 1 -yl)- 1 ,2-diphenylethyl)piperazine- 1 -carboxylate;
tert-butyl 4-((lS,2R)-2-(4-((6-azido-3H-purin-3-yl)methyl)- IH- 1,2,3- triazol- 1 -yl)- 1 ,2-diphenylethyl)piperazine- 1 -carboxylate; tert-butyl 4-((l S,2R)-2-(4-((6-(amino-3-propynl)-3H-purin-3-yl)methyl)- IH-1 ,2,3-triazol- 1 -yl)- 1 ,2-diphenylethyl)piperazine- 1 -carboxylate; tert-butyl 4-((lS,2R)-2-(4-((6-amino-9H-purin-9-yl)methyl)-lH-l,2,3- triazol- 1 -yl)- 1 ,2-diphenylethyl)piperazine- 1 -carboxylate;
9-(( 1 -(( 1 R,2S)- 1 ,2-diphenyl-2-(piperazin- 1 -yl)ethyl)- 1 H- 1 ,2,3-triazol-4- yl)methyl)-9H-purin-6-amine; chloromethyl 4-(( 1 S ,2R)-2-(4-((6-amino-9H-purin-9-yl)methyl)- 1 H- 1 ,2,3-triazol- 1 -yl)- 1 ,2-diphenylethyl)piperazine- 1 -carboxylate;
1 -(4-(( 1 S,2R)-2-(4-((6-amino-9H-purin-9-yl)methyl)- 1 H- 1 ,2,3-triazol- 1 - yl)- 1 ,2-diphenylethyl)piperazin- 1 -yl)-2-azidoethanone; isopropyl 4-(( 1 S ,2R)-2-(4-((6-amino-3 H-purin-3 -yl)methyl)- 1 H- 1 ,2,3 - triazol-1 -yl)-l ,2-diphenylethyl)piperazine-l -thiocarboxylate; 4-(( 1 S,2R)-2-(4-((6-amino-3H-purin-3 -yl)methyl)- 1 H- 1 ,2,3 -triazol- 1 -yl)-
1 ,2-diphenylethyl)-N-ethynylpiperazine- 1 -carbothioamide;
4-(( 1 S,2R)-2-(4-((6-amino-3H-purin-3 -yl)methyl)- 1 H- 1 ,2,3 -triazol- 1 -yl)- 1 ,2-diphenylethyl)-N-phenylpiperazine- 1 -carbothioamide;
44-(( 1 S,2R)-2-(4-((6-amino-3 H-purin-3 -yl)methyl)- 1 H- 1 ,2,3 -triazol- 1 - yl)- 1 ,2-diphenylethyl)-N-benzylpiperazine- 1 -carbothioamide; or,
1 -cyclopentyl-3 -(( 1 R,2S)-2-(4-(4-(2-nitrophenyl)- 1 H- 1 ,2,3 -triazole- 1 - carbonyl)piperazin- 1 -yl)- 1 ,2-diphenylethyl)urea.
In various embodiments, the present invention provides a compound of formula (II):
X is nitrogen, oxygen, or CH; Y is nitrogen, oxygen, or (C5-C3o)heterocyclyl; Z is nitrogen, -NH, or (C5-C3o)heteroaryl;
Ri is absent, carbonyl, (Ci-C24)alkylene, keto, or hydroxyl; R2 is absent, oxy(Ci-C24)alkyl, or hydroxyl; R3 is absent, -N-RaRb, or (Ci-C24)alkyl; R4 is absent, amino, hydroxyl, or (Ci-C24)alkyl; R5 is absent, (Ci-C24)alkylene, or (C6-C30)aryl;
R6 is absent, (Ci-C24)alkynyl, azido, or (C5-C30)heterocyclyl(Ci- C24)alkyl(C5-C30)heteroaryl;
R7 is absent or (Ci-C24)alkylene;
R8 is absent, (Ci-C24)alkylene, (Ci-C24)alkynyl, or azido; Ra and Rb are each independently hydrogen, (Ci-C24)alkyl, (C6-C30)aryl,
(C6-C30)aryl(Ci-C24)alkyl, (C5-C30)heteroaryl, (C5-C30)heteroaryl(Ci-C24)alkyl, (C3-C3o)heterocyclyl, or (C3-C3o)heterocyclyl(Ci-C24)alkyl; any (C]-C24)alkyl, (Ci-C24)alkylene, (C6-C30)aryl, (C3-C30)heterocyclyl, or (C5-C30)heteroaryl can be optionally substituted on carbon with one or more oxy, hydroxyl, halogen, (C6-C30)aryl, nitro, cyano, (Ci-C6)alkoxy, or trifluoromethyl groups or any combination thereof and optionally exchanged on carbon with one or more oxo, imino, or thio groups;
with the proviso that if X is nitrogen, then Ri is carbonyl or (C1- C24)alkylene and R2 is oxy(Ci-C24)alkyl or hydroxyl; with the proviso that if X is oxygen, then Ri and R2 are absent; with the proviso that if X is CH, then Ri is hydroxyl or keto and R2 is absent; with the proviso that if Y is nitrogen, then R3 is (Ci-C24)alkyl and R4 is amino, hydroxyl, or (C]-C24)alkyl; with the proviso that if Y is oxygen, then R3 is -N-R3Rb or (Ci-C24)alkyl and R4 is absent; with the proviso that if Y is (Cs-C3o)heterocyclyl, then R3 and R4 are absent; with the proviso that if Z is nitrogen, then R5 and R7 are each independently (Ci-C24)alkylene and R6 and R8 are each independently (Ci- C24)alkynyl or azido; with the proviso that if Z is NH, then R5 is (Ci-C24)alkylene or (C6-
C30)aryl, R6 is absent, (C)-C24)alkynyl, or (C5-C3o)heterocyclyl(Ci-C24)alkyl(C5- C30)heteroaryl, and R7 and Rg are each absent; with the proviso that if Z is (C5-C3o)heterocyclyl, then R5, R6, R7, and R8 are each absent; or a pharmaceutically acceptable salt, a solvate or hydrate, a prodrug, or a metabolite thereof.
In formula (II), X is nitrogen, oxygen, or CH. Y is nitrogen, oxygen, or (C5-C3o)heterocyclyl. Z is nitrogen, -NH, or (C5-C30)heteroaryl. Ri is absent, carbonyl, (Ci-C24)alkylene, keto, or hydroxyl. R2 is absent, oxy(Ci-C24)alkyl, or hydroxyl. R3 is absent, -N-R3Rb, or (Ci-C24)alkyl. R4 is absent, amino, hydroxyl, or (Ci-C24)alkyl. R5 is absent, (Ci-C24)alkylene, or (C6-C3o)aryl. R6 is absent, (Ci-C24)alkynyl, azido, (C5-C30)heteroaryl(C6-C30)aryl, or (C5- C3o)heterocyclyl(Ci-C24)alkyl(C5-C3o)heteroaryl. R7 is absent or (Ci- C24)alkylene. R8 is absent, (C|-C24)alkylene, (Ci-C24)alkynyl, or azido. R3 and Rb are each independently hydrogen, (Ci-C24)alkyl, (C6-C30)aryl, (C6-
C3o)aryl(Ci-C24)alkyl, (C5-C30)heteroaryl, (C5-C3o)heteroaryl(Ci-C24)alkyl, (C3-
C30)heterocyclyl, or (C3-C30)heterocyclyl(Ci-C24)alkyl. Any (Ci-C24)alkyl, (Ci-C24)alkylene, (C6-C3o)aryl, (C3-C3o)heterocyclyl, or (C5-C30)heteroaryl can be optionally substituted on carbon with one or more oxy, hydroxyl, halogen, (C6-C30)aryl, nitro, cyano, (Ci-C6)alkoxy, or trifluoromethyl groups or any combination thereof and optionally exchanged on carbon with one or more oxo, imino, or thio groups. The present invention also provides a pharmaceutically acceptable salt, a solvate or hydrate, a prodrug, or a metabolite thereof, of compound of formula (II).
In various embodiments of a compound of formula (II), if X is nitrogen, then Ri is carbonyl or (Ci-C24)alkylene and R2 is oxy(Ci-C24)alkyl or hydroxyl.
In various embodiments of a compound of formula (II), if X is oxygen, then Ri and R2 are absent.
In various embodiments of a compound of formula (II), if X is CH, then Ri is hydroxyl or keto and R2 is absent. In various embodiments of a compound of formula (II), if Y is nitrogen, then R3 is (C]-C24)alkyl and R4 is amino, hydroxyl, or (Ci-C24)alkyl.
In various embodiments of a compound of formula (II), if Y is oxygen, then R3 is -N-R3Rb or (Q-C^alkyl and R4 is absent.
In various embodiments of a compound of formula (II), if Y is (C5- C30)heterocyclyl, then R3 and R4 are absent.
In various embodiments of a compound of formula (II), if Z is nitrogen, then R5 and R7 are each independently (C[-C24)alkylene and R6 and R8 are each independently (C]-C24)alkynyl or azido.
In various embodiments of a compound of formula (II), if Z is NH, then R5 is (Ci-C24)alkylene or (C6-C30)aryl, R6 is absent, (C]-C24)alkynyl, (C5- C3o)heteroaryl(C6-C3o)aryl, or (C5-C30)heterocyclyl(Ci-C24)alkyl(C5- C3o)heteroaryl, and R7 and R8 are each absent.
In various embodiments of a compound of formula (II), if Z is (C5- C3o)heterocyclyl, then R5, R6, R7, and R8 are each absent. In various embodiments of a compound of formula (II), X can be nitrogen, oxygen, or CH; Y is nitrogen, oxygen, piperidyl, morpholino, 4-
hydroxyethylpiperazinyl, or 4-hydroxypiperidyl; Z is nitrogen, -NH, 1-methyl- pyrrol-2-yl, or l-methyl-indole-3-yl; Ri is absent, carbonyl, -CH2CH2-, keto, or hydroxyl; R2 is absent, oxy-t-butyl, or hydroxyl; R3 is absent, dimethylamino, or methyl; R4 is absent, amino, hydroxyl, or methyl; R5 is absent, -CH2CH2-, A- ethynylphenyl, or o-trifluoromethylphenyl; R6 is absent, -C≡CH, N3, or N-(3- (lH-l,2,3-triazol-yl)propyl)benzenesulfonamide; R7 is absent Or -CH2CH2-; and R8 is absent, -CH2-, -C≡CH, or N3.
In various embodiments of a compound of formula (II), if X is nitrogen, then Ri is carbonyl or -CH2CH2- and R2 is oxy-t-butyl or hydroxyl. In various embodiments of a compound of formula (II), if Y is nitrogen, then R3 is methyl and R4 is amino, hydroxyl, or methyl.
In various embodiments of a compound of formula (II), if Y is oxygen, then R3 is dimethylamino or methyl and R4 is absent.
In various embodiments of a compound of formula (II), if Y is piperidyl, morpholino, 4-hydroxyethylpiperazinyl, or 4-hydroxypiperidyl, then R3 and R4 are each absent.
In various embodiments of a compound of formula (II), if Z is nitrogen, then R5 and R7 are each independently -CH2CH2-, R6 and R8 are each independently -C≡CH or azido. In various embodiments of a compound of formula (II), if Z is NH, then
R5 is -CH2CH2- or o-trifluoromethylphenyl, R6 is absent, -C≡CH, or N-(3-(lH- l,2,3-triazol-yl)propyl)benzenesulfonamide, and R7 and R8 are each absent.
In various embodiments of a compound of formula (II), if Z is 1-methyl- pyrrol-2-yl or l-methyl-indole-3-yl, then R5, R6, R7, and R8 are each absent. In various embodiments of a compound of formula (II), X, Y, and Z are each independently nitrogen; Ri is carbonyl; R2 is oxy-t-butyl; R3 is methyl; R4 is amino, hydroxyl, or methyl; R5 and R7 are each independently-CH2CH2-; and R6 and R8 are each independently -C≡CH or N3.
In various embodiments of a compound of formula (II), X is oxygen; Y is morpholino; Z is -NH; Ri, R2, R3, R4, R6, R7, and R8 are each absent; and R5 is 4-ethynylphenyl or o-trifluoromethylphenyl.
In various embodiments of a compound of formula (II), X is CH; Y is A- hydroxypiperidyl; Z is l-methyl-indole-3-yl; Ri is hydroxyl; and R2 R3, R4, R5, R6, R7, and R8 are each absent.
In various embodiments of a compound of formula (II), X is nitrogen; Y is oxygen; Z is nitrogen or -NH; Ri is carbonyl; R2 is oxy-t-butyl; R3 is dimethylamino or methyl; R4 is absent; R5 is-CH2CH2-; R6 is -C≡CH, or N3; R7 is absent or -CH2CH2-; and R8 is absent or N3.
In various embodiments of a compound of formula (II), X is nitrogen; Y is 4-hydroxyethylpiperazinyl; Z is l-methyl-pyrrol-2-yl; Ri is -CH2CH2-; R2 is hydroxyl; and R3, R4, R5, R6, R7, and R8 are each absent.
In various embodiments of a compound of formula (II), X, Y, and Z are each independently nitrogen; Ri is carbonyl; R2 is oxy-t-butyl; R3 methyl; R4 is hydroxyl; R5 is -CH2CH2-; R6 is N-(3-(lH-l,2,3-triazol- yl)propyl)benzenesulfonamide; and R7 and R8 are each absent. In particular embodiments of the invention, the compound of formula (II) is any of the compounds whose structure is shown in Table 2.
Methods of Making the Compounds of Formula (I) and Formula (H). The compounds described herein can be prepared by any of the applicable techniques of organic synthesis. Many such techniques are well known in the art. However, many of the known techniques are elaborated in Compendium of Organic Synthetic Methods (John Wiley & Sons, New York) Vol. 1, Ian T. Harrison and Shuyen Harrison (1971); Vol. 2, Ian T. Harrison and Shuyen Harrison (1974); Vol. 3, Louis S. Hegedus and Leroy Wade (1977); Vol. 4, Leroy G. Wade Jr., (1980); Vol. 5, Leroy G. Wade Jr. (1984); and Vol. 6, Michael B. Smith; as well as March, J., Advanced Organic Chemistry, 3rd Edition, John Wiley & Sons, New York (1985); Comprehensive Organic Synthesis. Selectivity, Strategy & Efficiency in Modern Organic Chemistry, In 9 Volumes, Barry M. Trost, Editor-in-Chief, Pergamon Press, New York (1993); Advanced Organic Chemistry, Part B: Reactions and Synthesis, 4th Ed.; Carey and Sundberg; Kluwer Academic/Plenum Publishers: New York (2001);
Advanced Organic Chemistry, Reactions, Mechanisms, and Structure, 2nd Edition, March, McGraw Hill (1977); Protecting Groups in Organic Synthesis, 2nd Edition, Greene, T. W., and Wutz, P.G.M., John Wiley & Sons, New York (1991); and Comprehensive Organic Transformations, 2nd Edition, Larock, R.C., John Wiley & Sons, New York (1999). Exemplary methods of making the compounds described herein are described herein in the examples below.
Obviously, numerous modifications and variations of the presently disclosed subject matter are possible in light of the above teachings. It is therefore to be understood that within the scope of the claims, the disclosed subject matter may be practiced otherwise than as specifically described herein.
Specific ranges, values, and embodiments provided herein are for illustration purposes only and do not otherwise limit the scope of the disclosed subject matter, as defined by the claims.
It should be understood that the present disclosure encompasses all stereochemical isomeric forms, or mixtures thereof, which possess the ability to inhibit HCV protease. Enantiomers of the present disclosure may be resolved by methods known to those skilled in the art, for example, by formation of diastereoisomeric salts which may be separated by crystallization, gas-liquid or liquid chromatography, or selective reaction of one enantiomer with an enantiomer-specific reagent. It should be appreciated that where the desired enantiomer is converted into another chemical entity by a separation technique, then an additional step is required to form the desired enantiomeric form. Alternatively, specific enantiomers may be synthesized by asymmetric synthesis using optically active reagents, substrates, catalysts or solvents, or by converting one enantiomer into the other by asymmetric transformation.
Certain compounds of the present disclosure may also exist in different stable conformational forms which may be separable. Torsional asymmetry due to restricted rotation about an asymmetric single bond, for example because of steric hindrance or ring strain, may permit separation of different conformers. The present disclosure includes each conformational isomer of these compounds and mixtures thereof.
Certain compounds of the present disclosure may exist in zwitterionic form and the present disclosure includes each zwitterionic form of these compounds and mixtures thereof.
The starting materials useful to synthesize the compounds of the present disclosure are known to those skilled in the art and can be readily manufactured or are commercially available.
The following methods set forth below are provided for illustrative purposes and are not intended to limit the scope of the claimed disclosure. It should be recognized that it may be advantageous to prepare such a compound in which a functional group is protected using a conventional protecting group then to remove the protecting group to provide a compound of the present disclosure. The details concerning the use of protecting groups in accordance with the present disclosure are known to those skilled in the art.
Pharmaceutical Formulations
The compounds of this disclosed subject matter are formulated with conventional carriers and excipients, which should be selected in accord with ordinary practice. Tablets should contain excipients, glidants, fillers, binders and the like. Aqueous formulations are prepared in sterile form, and when intended for delivery by other than oral administration generally should be isotonic. All formulations should optionally contain excipients such as those set forth in the Handbook of Pharmaceutical Excipients, 5th Ed.; Rowe, Sheskey, and Owen, Eds.; American Pharmacists Association; Pharmaceutical Press: Washington, DC, 2006. Excipients include ascorbic acid and other antioxidants, chelating agents such as EDTA, carbohydrates such as dextrin, hydroxyalkylcellulose, hydroxyalkylmethylcellulose, stearic acid and the like. The pH of the formulations ranges from about 3 to about 11, but is ordinarily about 7 to 10. While it is possible for the active ingredients to be administered alone it may be preferable to present them as pharmaceutical formulations. The formulations, for human use, of the disclosed subject matter include at least one active ingredient, as above defined, together with one or more acceptable carriers therefor and optionally other therapeutic ingredients. The carrier(s) should be "acceptable" in the sense of being compatible with the other ingredients of the formulation and physiologically innocuous to the recipient thereof.
The formulations include those suitable for the foregoing administration routes. The formulations may conveniently be presented in unit dosage form and may be prepared by any of the methods well known in the art of pharmacy. Techniques and formulations generally are found in Remington's
Pharmaceutical Sciences, Mack Publishing Company, Easton, PA, (1985). Such methods include the step of bringing into association the active ingredient with the carrier which constitutes one or more accessory ingredients. In general the formulations are prepared by uniformly and intimately bringing into association the active ingredient with liquid carriers, finely divided solid carriers, or both, and then, if necessary, shaping the product.
Formulations of the presently disclosed subject matter suitable for oral administration may be presented as discrete units such as capsules, cachets, or tablets each containing a predetermined amount of the active ingredient; as a powder or granules; as a solution or a suspension in an aqueous or non-aqueous liquid; or as an oil-in-water liquid emulsion or a water-in-oil liquid emulsion. The active ingredient may also be administered as a bolus, electuary, or paste.
A tablet is made by compression or molding, optionally with one or more accessory ingredients. Compressed tablets may be prepared by compressing in a suitable machine the active ingredient in a free-flowing form such as a powder or granules, optionally mixed with a binder, lubricant, inert diluent, preservative, surface active or dispersing agent. Molded tablets may be made by molding in a suitable machine a mixture of the powdered active ingredient moistened with an inert liquid diluent. The tablets may optionally be coated or scored and optionally are formulated so as to provide slow or controlled release of the active ingredient therefrom.
For administration to the eye or other external tissues e.g., mouth and skin, the formulations are preferably applied as a topical ointment or cream containing the active ingredient(s) in an amount of, for example, 0.075 to 20% w/w (including active ingredient(s) in a range between 0.1% and 20% in increments of 0.1% w/w such as 0.6% w/w, 0.7% w/w, etc.), preferably 0.2 to 15% w/w and most preferably 0.5 to 10% w/w. When formulated in an ointment, the active ingredients may be employed with either a paraffmic or a water-miscible ointment base. Alternatively, the active ingredients may be formulated in a cream with an oil-in-water cream base. If desired, the aqueous phase of the cream base may include, for example, at least 30% w/w of a polyhydric alcohol, i.e., an alcohol having two or more hydroxyl groups such as propylene glycol, butane 1 ,3-diol, mannitol, sorbitol, glycerol and polyethylene glycol (including PEG 400) and mixtures thereof. The topical formulations may desirably include a compound which enhances absorption or penetration of the active ingredient through the skin or
other affected areas. Examples of such dermal penetration enhancers include dimethyl sulphoxide and related analogs.
The oily phase of the emulsions of this disclosed subject matter may be constituted from known ingredients in a known manner. While the phase may include merely an emulsifier (otherwise known as an emulgent), it desirably includes a mixture of at least one emulsifier with a fat or an oil or with both a fat and an oil. Preferably, a hydrophilic emulsifier is included together with a lipophilic emulsifier which acts as a stabilizer. It is also preferred to include both an oil and a fat. Together, the emulsifϊer(s) with or without stabilizer(s) make up the so-called emulsifying wax, and the wax together with the oil and fat make up the so-called emulsifying ointment base which forms the oily dispersed phase of the cream formulations.
Emulgents and emulsion stabilizers suitable for use in the formulation of the disclosed subject matter include TWEEN 60, SPAN 80, cetostearyl alcohol, benzyl alcohol, myristyl alcohol, glyceryl mono-stearate and sodium lauryl sulfate.
The choice of suitable oils or fats for the formulation is based on achieving the desired cosmetic properties. The cream should preferably be a non-greasy, non-staining and washable product with suitable consistency to avoid leakage from tubes or other containers. Straight or branched chain, mono- or dibasic alkyl esters such as di-isoadipate, isocetyl stearate, propylene glycol diester of coconut fatty acids, isopropyl myristate, decyl oleate, isopropyl palmitate, butyl stearate, 2-ethylhexyl palmitate or a blend of branched chain esters known as Crodamol CAP may be used, the last three being preferred esters. These may be used alone or in combination depending on the properties required. Alternatively, high melting point lipids such as white soft paraffin and/or liquid paraffin or other mineral oils are used.
Pharmaceutical formulations according to the presently disclosed subject matter include one or more compounds of the disclosed subject matter together with one or more pharmaceutically acceptable carriers or excipients and optionally other therapeutic agents. Pharmaceutical formulations containing the
active ingredient may be in any form suitable for the intended method of administration. When used for oral use for example, tablets, troches, lozenges, aqueous or oil suspensions, dispersible powders or granules, emulsions, hard or soft capsules, syrups or elixirs may be prepared. Compositions intended for oral use may be prepared according to any method known to the art for the manufacture of pharmaceutical compositions and such compositions may contain one or more agents including sweetening agents, flavoring agents, coloring agents and preserving agents, in order to provide a palatable preparation. Tablets containing the active ingredient in admixture with non- toxic pharmaceutically acceptable excipient which are suitable for manufacture of tablets are acceptable. These excipients may be, for example, inert diluents, such as calcium or sodium carbonate, lactose, lactose monohydrate, croscarmellose sodium, povidone, calcium or sodium phosphate; granulating and disintegrating agents, such as maize starch, or alginic acid; binding agents, such as cellulose, microcrystalline cellulose, starch, gelatin or acacia; and lubricating agents, such as magnesium stearate, stearic acid or talc. Tablets may be uncoated or may be coated by known techniques including microencapsulation to delay disintegration and adsorption in the gastrointestinal tract and thereby provide a sustained action over a longer period. For example, a time delay material such as glyceryl monostearate or glyceryl distearate alone or with a wax may be employed.
Formulations for oral use may be also presented as hard gelatin capsules where the active ingredient is mixed with an inert solid diluent, for example calcium phosphate or kaolin, or as soft gelatin capsules wherein the active ingredient is mixed with water or an oil medium, such as peanut oil, liquid paraffin, or olive oil.
Aqueous suspensions of the disclosed subject matter contain the active materials in admixture with excipients suitable for the manufacture of aqueous suspensions. Such excipients include a suspending agent, such as sodium carboxymethylcellulose, methylcellulose, hydroxypropyl methylcelluose, sodium alginate, polyvinylpyrrolidone, gum tragacanth and gum acacia, and
dispersing or wetting agents such as a naturally occurring phosphatide (e.g., lecithin), a condensation product of an alkylene oxide with a fatty acid (e.g., polyoxyethylene stearate), a condensation product of ethylene oxide with a long chain aliphatic alcohol (e.g., heptadecaethyleneoxycetanol), a condensation product of ethylene oxide with a partial ester derived from a fatty acid and a hexitol anhydride (e.g., polyoxyethylene sorbitan monooleate). The aqueous suspension may also contain one or more preservatives such as ethyl or n-propyl p-hydroxy-benzoate, one or more coloring agents, one or more flavoring agents and one or more sweetening agents, such as sucrose or saccharin. Oil suspensions may be formulated by suspending the active ingredient in a vegetable oil, such as arachis oil, olive oil, sesame oil, or coconut oil, or in a mineral oil such as liquid paraffin. The oral suspensions may contain a thickening agent, such as beeswax, hard paraffin, or cetyl alcohol. Sweetening agents, such as those set forth above, and flavoring agents may be added to provide a palatable oral preparation. These compositions may be preserved by the addition of an antioxidant such as ascorbic acid.
Dispersible powders and granules of the disclosed subject matter suitable for preparation of an aqueous suspension by the addition of water provide the active ingredient in admixture with a dispersing or wetting agent, a suspending agent, and one or more preservatives. Suitable dispersing or wetting agents and suspending agents are exemplified by those disclosed above. Additional excipients, for example sweetening, flavoring and coloring agents, may also be present.
The pharmaceutical compositions of the disclosed subject matter may also be in the form of oil-in-water emulsions. The oily phase may be a vegetable oil, such as olive oil or arachis oil, a mineral oil, such as liquid paraffin, or a mixture of these. Suitable emulsifying agents include naturally- occurring gums, such as gum acacia and gum tragacanth, naturally occurring phosphatides, such as soybean lecithin, esters or partial esters derived from fatty acids and hexitol anhydrides, such as sorbitan monooleate, and condensation products of these partial esters with ethylene oxide, such as polyoxyethylene
sorbitan monooleate. The emulsion may also contain sweetening and flavoring agents. Syrups and elixirs may be formulated with sweetening agents, such as glycerol, sorbitol, or sucrose. Such formulations may also contain a demulcent, a preservative, a flavoring or a coloring agent. The pharmaceutical compositions of the disclosed subject matter may be in the form of a sterile injectable preparation, such as a sterile injectable aqueous or oleaginous suspension. This suspension may be formulated according to the known art using those suitable dispersing or wetting agents and suspending agents which have been mentioned above. The sterile injectable preparation may also be a sterile injectable solution or suspension in a non-toxic parenterally acceptable diluent or solvent, such as a solution in 1,3-butane-diol or prepared as a lyophilized powder. Among the acceptable vehicles and solvents that may be employed are water, Ringer's solution and isotonic sodium chloride solution. In addition, sterile fixed oils may conventionally be employed as a solvent or suspending medium. For this purpose any bland fixed oil may be employed including synthetic mono- or diglycerides. In addition, fatty acids such as oleic acid may likewise be used in the preparation of injectables.
The amount of active ingredient that may be combined with the carrier material to produce a single dosage form should vary depending upon the host treated and the particular mode of administration. For example, a time-release formulation intended for oral administration to humans may contain approximately 1 to 1000 mg of active material compounded with an appropriate and convenient amount of carrier material which may vary from about 5 to about 95% of the total compositions (weight: weight). The pharmaceutical composition can be prepared to provide easily measurable amounts for administration. For example, an aqueous solution intended for intravenous infusion may contain from about 3 to 500 μg of the active ingredient per milliliter of solution in order that infusion of a suitable volume at a rate of about 30 mL/hr can occur.
Formulations suitable for administration to the eye include eye drops wherein the active ingredient is dissolved or suspended in a suitable carrier, especially an aqueous solvent for the active ingredient. The active ingredient is
preferably present in such formulations in a concentration of 0.5 to 20%, advantageously 0.5 to 10% particularly about 1.5% w/w.
Formulations suitable for topical administration in the mouth include lozenges including the active ingredient in a flavored basis, typically sucrose and acacia or tragacanth; pastilles including the active ingredient in an inert basis such as gelatin and glycerin, or sucrose and acacia; and mouthwashes including the active ingredient in a suitable liquid carrier.
Formulations for rectal administration may be presented as a suppository with a suitable base including for example cocoa butter or a salicylate. Formulations suitable for intrapulmonary or nasal administration have a particle size for example in the range of 0.1 to 500 microns (including particle sizes in a range between 0.1 and 500 microns in increments microns such as 0.5, 1, 30 microns, 35 microns, etc.), which is administered by rapid inhalation through the nasal passage or by inhalation through the mouth so as to reach the alveolar sacs. Suitable formulations include aqueous or oily solutions of the active ingredient. Formulations suitable for aerosol or dry powder administration may be prepared according to conventional methods and may be delivered with other therapeutic agents such as compounds heretofore used in the treatment or prophylaxis of a given condition. Formulations suitable for vaginal administration may be presented as pessaries, tampons, creams, gels, pastes, foams or spray formulations containing in addition to the active ingredient such carriers as are known in the art to be appropriate.
Formulations suitable for parenteral administration include aqueous and non-aqueous sterile injection solutions which may contain anti-oxidants, buffers, bacteriostats and solutes which render the formulation isotonic with the blood of the intended recipient; and aqueous and non-aqueous sterile suspensions which may include suspending agents and thickening agents.
The formulations are presented in unit-dose or multi-dose containers, for example sealed ampoules and vials, and may be stored in a freeze-dried
(lyophilized) condition requiring the addition of the sterile liquid carrier, for
example water for injection, immediately prior to use. Extemporaneous injection solutions and suspensions are prepared from sterile powders, granules and tablets of the kind previously described. Preferred unit dosage formulations are those containing a daily dose or unit daily sub-dose, as herein above recited, or an appropriate fraction thereof, of the active ingredient.
It should be understood that in addition to the ingredients particularly mentioned above the formulations of this disclosed subject matter may include other agents conventional in the art having regard to the type of formulation in question, for example those suitable for oral administration may include flavoring agents.
Compounds of the disclosed subject matter can also be formulated to provide controlled release of the active ingredient to allow less frequent dosing or to improve the pharmacokinetic or toxicity profile of the active ingredient. Accordingly, the disclosed subject matter also provided compositions including one or more compounds of the disclosed subject matter formulated for sustained or controlled release.
Effective dose of active ingredient depends at least on the nature of the condition being treated, toxicity, whether the compound is being used prophylactically (lower doses), the method of delivery, and the pharmaceutical formulation, and should be determined by the clinician using conventional dose escalation studies. It can be expected to be from about 0.0001 to about 100 mg/kg body weight per day, typically, from about 0.01 to about 10 mg/kg body weight per day, more typically, from about 0.01 to about 5 mg/kg body weight per day, and more typically, from about 0.05 to about 0.5 mg/kg body weight per day. For example, the daily candidate dose for an adult human of approximately 70 kg body weight should range from 1 mg to 1000 mg, preferably between 5 mg and 500 mg, and may take the form of single or multiple doses.
If desired, the compounds of the presently disclosed subject matter may be applied in conjunction with one or more inert or active ingredients.
Routes of Administration
One or more compounds of the disclosed subject matter (herein referred to as the active ingredients) are administered by any route appropriate to the condition to be treated. Suitable routes include oral, rectal, nasal, topical (including buccal and sublingual), vaginal and parenteral (including subcutaneous, intramuscular, intravenous, intradermal, intrathecal and epidural), and the like. It should be appreciated that the preferred route may vary with for example the condition of the recipient. An advantage of some of the compounds of this disclosed subject matter is that they are orally bioavailable and can be dosed orally.
Combination Therapy
Active ingredients of the disclosed subject matter can also be used in combination with other active ingredients. Such combinations are selected based on the condition to be treated, cross-reactivities of ingredients and pharmaco- properties of the combination.
It is also possible to combine any compound of the disclosed subject matter with one or more other active ingredients in a unitary dosage form for simultaneous or sequential administration to a patient. The combination therapy may be administered as a simultaneous or sequential regimen. When administered sequentially, the combination may be administered in two or more administrations.
The combination therapy may provide "synergy" and "synergistic effect," i.e., the effect achieved when the active ingredients used together is greater than the sum of the effects that results from using the compounds separately. A synergistic effect may be attained when the active ingredients are: (1) co- formulated and administered or delivered simultaneously in a combined formulation; (2) delivered by alternation or in parallel as separate formulations; or (3) by some other regimen. When delivered in alternation therapy, a synergistic effect may be attained when the compounds are administered or delivered sequentially, e.g., in separate tablets, pills, or capsules, or by different injections in separate syringes. In general, during alternation therapy, an
effective dosage of each active ingredient is administered sequentially, i.e., serially, whereas in combination therapy, effective dosages of two or more active ingredients are administered together.
Pharmaceutical kits useful in the presently disclosed subject matter, which include a therapeutically effective amount of a pharmaceutical composition that includes a compound of component (a) and one or more compounds of component (b), in one or more sterile containers, are also within the ambit of the presently disclosed subject matter. Sterilization of the container may be carried out using conventional sterilization methodology well known to those skilled in the art. Component (a) and component (b) may be in the same sterile container or in separate sterile containers. The sterile containers or materials may include separate containers, or one or more multi-part containers, as desired. Component (a) and component (b), may be separate, or physically combined into a single dosage form or unit as described above. Such kits may further include, if desired, one or more of various conventional pharmaceutical kit components, such as for example, one or more pharmaceutically acceptable carriers, additional vials for mixing the components, etc., as should be readily apparent to those skilled in the art. Instructions, either as inserts or as labels, indicating quantities of the components to be administered, guidelines for administration, and/or guidelines for mixing the components, may also be included in the kit.
Treating a Hepatitis Virus Infection
The methods and compositions described herein are generally useful in treatment of an of HCV infection. Whether a subject method is effective in treating an HCV infection can be determined by a reduction in viral load, a reduction in time to seroconversion (virus undetectable in patient serum), an increase in the rate of sustained viral response to therapy, a reduction of morbidity or mortality in clinical outcomes, or other indicator of disease response.
In general, an effective amount of a compound of Formula I or Formula
II, and optionally one or more additional antiviral agents, is an amount that is effective to reduce viral load or achieve a sustained viral response to therapy.
Whether a subject method is effective in treating an HCV infection can be determined by measuring viral load, or by measuring a parameter associated with HCV infection, including, but not limited to, liver fibrosis, elevations in serum transaminase levels, and necroinflammatory activity in the liver.
The method involves administering an effective amount of a compound of Formula I or Formula II, optionally in combination with an effective amount of one or more additional antiviral agents. In some embodiments, an effective amount of a compound of Formula I or Formula II, and optionally one or more additional antiviral agents, is an amount that is effective to reduce viral titers to undetectable levels, e.g., to about 1000 to about 5000, to about 500 to about 1000, or to about 100 to about 500 genome copies/mL serum. In some embodiments, an effective amount of a compound of Formula I or Formula II, and optionally one or more additional antiviral agents, is an amount that is effective to reduce viral load to lower than 100 genome copies/mL serum.
In some embodiments, an effective amount of a compound of Formula I or Formula II, and optionally one or more additional antiviral agents, is an amount that is effective to achieve a 1.5-log, a 2-log, a 2.5-log, a 3-log, a 3.5-log, a 4-log, a 4.5-log, or a 5-log reduction in viral titer in the serum of the individual.
Generally, the choice and regimen for administration of an effective amount of compound of Formula I or Formula II, and optionally one or more additional antiviral agents, should be within the discretion and wisdom of the patient's attending physician. Guidelines for administration include, for example, dose ranges of from about 0.001 mg to about 100 mg/kg of patient body weight of a compound of Formula I or Formula II, preferably a dose range of about 5 μg to about 50 mg/kg of patient body weight of a compound of Formula I or Formula II, and optionally one or more additional antiviral agents, preferably from about 0.001 mg to about 100 mg/kg of patient body weight, more preferably from about 5 μg to about 50 mg/kg of patient body weight.
In many embodiments, an effective amount of a compound of Formula I or Formula II, and optionally one or more additional antiviral agents, is an amount that is effective to achieve a sustained viral response, e.g., non- detectable or substantially non-detectable HCV RNA (e.g., less than about 500, less than about 400, less than about 200, or less than about 100 genome copies per milliliter serum) is found in the patient's serum for a period of at least about one month, at least about two months, at least about three months, at least about four months, at least about five months, or at least about six months following cessation of therapy. As noted above, whether a subject method is effective in treating an HCV infection can be determined by measuring a parameter associated with HCV infection, such as liver fibrosis. Methods of determining the extent of liver fibrosis are discussed in detail below. In some embodiments, the level of a serum marker of liver fibrosis indicates the degree of liver fibrosis. As one non-limiting example, levels of serum alanine aminotransferase
(ALT) are measured, using standard assays. In general, an ALT level of less than about 45 international units is considered normal. In some embodiments, an effective amount of a compound of Formula I or Formula II, and optionally one or more additional antiviral agents, is an amount effective to reduce ALT levels to less than about 45 IU/ml serum.
A therapeutically effective amount of a compound of Formula I or Formula II, and optionally one or more additional antiviral agents, is an amount that is effective to reduce a serum level of a marker of liver fibrosis by at least about 10%, at least about 20%, at least about 25%, at least about 30%, at least about 35%, at least about 40%, at least about 45%, at least about 50%, at least about 55%, at least about 60%, at least about 65%, at least about 70%, at least about 75%, or at least about 80%, or more, compared to the level of the marker in an untreated individual, or to a placebo-treated individual. Methods of measuring serum markers include immunological-based methods, e.g., enzyme- linked immunosorbent assays (ELISA), radioimmunoassays, and the like, using antibody specific for a given serum marker.
In many embodiments, an effective amount of a compound of Formula I or Formula II and an additional antiviral agent is a synergistic amount. As used herein, a "synergistic combination" or a "synergistic amount" of a compound of Formula I or Formula II and an additional antiviral agent is a combined dosage that is more effective in the therapeutic or prophylactic treatment of an HCV infection than the incremental improvement in treatment outcome that could be predicted or expected from a merely additive combination of (i) the therapeutic or prophylactic benefit of the compound of Formula I or Formula II when administered at that same dosage as a monotherapy and (ii) the therapeutic or prophylactic benefit of the additional antiviral agent when administered at the same dosage as a monotherapy.
In some embodiments, a selected amount of a compound of Formula I or Formula II and a selected amount of an additional antiviral agent are effective when used in combination therapy for a disease, but the selected amount of the compound of Formula I or Formula II and/or the selected amount of the additional antiviral agent is ineffective when used in monotherapy for the disease. Thus, the embodiments encompass (1) regimens in which a selected amount of the additional antiviral agent enhances the therapeutic benefit of a selected amount of the compound of Formula I or Formula II when used in combination therapy for a disease, where the selected amount of the additional antiviral agent provides no therapeutic benefit when used in monotherapy for the disease (2) regimens in which a selected amount of the compound of Formula I or Formula II enhances the therapeutic benefit of a selected amount of the additional antiviral agent when used in combination therapy for a disease, where the selected amount of the compound of Formula I or Formula II provides no therapeutic benefit when used in monotherapy for the disease and (3) regimens in which a selected amount of the compound of Formula I or Formula II and a selected amount of the additional antiviral agent provide a therapeutic benefit when used in combination therapy for a disease, where each of the selected amounts of the compound of Formula I or Formula II, and the additional antiviral agent, respectively, provides no therapeutic benefit when used in
monotherapy for the disease. As used herein, a "synergistically effective amount" of a compound of Formula I or Formula II, and an additional antiviral agent, and its grammatical equivalents, shall be understood to include any regimen encompassed by any of (l)-(3) above.
Treatment of Liver Fibrosis
The embodiments provides methods for treating liver fibrosis (including forms of liver fibrosis resulting from, or associated with, HCV infection), generally involving administering a therapeutic amount of a compound of Formula I or Formula II and optionally one or more additional antiviral agents. Effective amounts of compounds of Formula I or Formula II, with and without one or more additional antiviral agents, as well as dosing regimens, are as discussed below.
Whether treatment with a compound of Formula I or Formula II, and optionally one or more additional antiviral agents, is effective in reducing liver fibrosis is determined by any of a number of well-established techniques for measuring liver fibrosis and liver function. Liver fibrosis reduction is determined by analyzing a liver biopsy sample. An analysis of a liver biopsy includes assessments of two major components: necroinflammation assessed by "grade" as a measure of the severity and ongoing disease activity, and the lesions of fibrosis and parenchymal or vascular remodeling as assessed by "stage" as being reflective of long-term disease progression. See, e.g., Brunt (2000) Hepatology, 31, 241-246; and Metavir (1994) Hepatology, 20, 15-20. Based on analysis of the liver biopsy, a score is assigned. A number of standardized scoring systems exist which provide a quantitative assessment of the degree and severity of fibrosis. These include the METAVIR, Knodell, Scheuer, Ludwig, and Ishak scoring systems.
The METAVIR scoring system is based on an analysis of various features of a liver biopsy, including fibrosis (portal fibrosis, centrilobular fibrosis, and cirrhosis); necrosis (piecemeal and lobular necrosis, acidophilic retraction, and ballooning degeneration); inflammation (portal tract
inflammation, portal lymphoid aggregates, and distribution of portal inflammation); bile duct changes; and the Knodell index (scores of periportal necrosis, lobular necrosis, portal inflammation, fibrosis, and overall disease activity). The definitions of each stage in the METAVIR system are as follows: score: 0, no fibrosis; score: 1, stellate enlargement of portal tract but without septa formation; score: 2, enlargement of portal tract with rare septa formation; score: 3, numerous septa without cirrhosis; and score: 4, cirrhosis.
Knodell ' s scoring system, also called the Hepatitis Activity Index, classifies specimens based on scores in four categories of histological features: I. Periportal and/or bridging necrosis; II. Intralobular degeneration and focal necrosis; III. Portal inflammation; and IV. Fibrosis. In the Knodell staging system, scores are as follows: score: 0, no fibrosis; score: 1, mild fibrosis (fibrous portal expansion); score: 2, moderate fibrosis; score: 3, severe fibrosis (bridging fibrosis); and score: 4, cirrhosis. The higher the score, the more severe the liver tissue damage. See, e.g., Knodell (1981) Hepatologv, 1, 431.
In the Scheuer scoring system scores are as follows: score: 0, no fibrosis; score: 1, enlarged, fibrotic portal tracts; score: 2, periportal or portal-portal septa, but intact architecture; score: 3, fibrosis with architectural distortion, but no obvious cirrhosis; score: 4, probable or definite cirrhosis. See, e.g., Scheuer (1991) J. Hepatologv, 13, 372.
The Ishak scoring system is described in Ishak (1995) J. Hepatologv, 22:696-699. Stage 0, No fibrosis; Stage 1, Fibrous expansion of some portal areas, with or without short fibrous septa; stage 2, Fibrous expansion of most portal areas, with or without short fibrous septa; stage 3, Fibrous expansion of most portal areas with occasional portal to portal (P-P) bridging; stage 4, Fibrous expansion of portal areas with marked bridging (P-P) as well as portal-central (P-C); stage 5, Marked bridging (P-P and/or P-C) with occasional nodules (incomplete cirrhosis); stage 6, Cirrhosis, probable or definite.
The benefit of anti-fϊbrotic therapy can also be measured and assessed by using the Child-Pugh scoring system which includes a multi-component point system based upon abnormalities in serum bilirubin level, serum albumin level,
prothrombin time, the presence and severity of ascites, and the presence and severity of encephalopathy. Based upon the presence and severity of abnormality of these parameters, patients may be placed in one of three categories of increasing severity of clinical disease: A, B, or C. In some embodiments, a therapeutically effective amount of a compound of Formula I or Formula II, and optionally one or more additional antiviral agents, is an amount that effects a change of one unit or more in the fibrosis stage based on pre- and post-therapy liver biopsies. In particular embodiments, a therapeutically effective amount of a compound of Formula I or Formula II, and optionally one or more additional antiviral agents, reduces liver fibrosis by at least one unit in the METAVIR, the Knodell, the Scheuer, the Ludwig, or the Ishak scoring system.
Secondary, or indirect, indices of liver function can also be used to evaluate the efficacy of treatment with a compound of Formula I or Formula II. Morphometric computerized semi-automated assessment of the quantitative degree of liver fibrosis based upon specific staining of collagen and/or serum markers of liver fibrosis can also be measured as an indication of the efficacy of a subject treatment method. Secondary indices of liver function include, but are not limited to, serum transaminase levels, prothrombin time, bilirubin, platelet count, portal pressure, albumin level, and assessment of the Child-Pugh score.
Generally, the choice and regimen for administration of an effective amount of compound of Formula I or Formula II, and optionally one or more additional antiviral agents, should be within the discretion and wisdom of the patient's attending physician. Guidelines for administration include, for example, dose ranges of from about 0.001 mg to about 100 mg/kg of patient body weight of a compound of Formula I or Formula II, preferably a dose range of about 5 μg to about 50 mg/kg of patient body weight of a compound of Formula I or Formula II, and optionally one or more additional antiviral agents, preferably from about 0.001 mg to about 100 mg/kg of patient body weight, more preferably from about 5 μg to about 50 mg/kg of patient body weight. An effective amount of a compound of Formula I or Formula II, and
optionally one or more additional antiviral agents, is an amount that is effective to increase an index of liver function by at least about 10%, at least about 20%, at least about 25%, at least about 30%, at least about 35%, at least about 40%, at least about 45%, at least about 50%, at least about 55%, at least about 60%, at least about 65%, at least about 70%, at least about 75%, or at least about 80%, or more, compared to the index of liver function in an untreated individual, or to a placebo-treated individual. Those skilled in the art can readily measure such indices of liver function, using standard assay methods, many of which are commercially available, and are used routinely in clinical settings. Serum markers of liver fibrosis can also be measured as an indication of the efficacy of a subject treatment method. Serum markers of liver fibrosis include, but are not limited to, hyaluronate, N-terminal procollagen III peptide, 7S domain of type IV collagen, C-terminal procollagen I peptide, and laminin. Additional biochemical markers of liver fibrosis include α α-2-macroglobulin, haptoglobin, gamma globulin, apolipoprotein A, and gamma glutamyl transpeptidase.
A therapeutically effective amount of a compound of Formula I or Formula II, and optionally one or more additional antiviral agents, is an amount that is effective to reduce a serum level of a marker of liver fibrosis by at least about 10%, at least about 20%, at least about 25%, at least about 30%, at least about 35%, at least about 40%, at least about 45%, at least about 50%, at least about 55%, at least about 60%, at least about 65%, at least about 70%, at least about 75%, or at least about 80%, or more, compared to the level of the marker in an untreated individual, or to a placebo-treated individual. Those skilled in the art can readily measure such serum markers of liver fibrosis, using standard assay methods, many of which are commercially available, and are used routinely in clinical settings. Methods of measuring serum markers include immunological-based methods, e.g., enzyme-linked immunosorbent assays (ELISA), radioimmunoassays, and the like, using antibody specific for a given serum marker.
Quantitative tests of functional liver reserve can also be used to assess
the efficacy of treatment with an interferon receptor agonist and pirfenidone (or a pirfenidone analog). These include: indocyanine green clearance (ICG), galactose elimination capacity (GEC), aminopyrine breath test (ABT), antipyrine clearance, monoethylglycine-xylidide (MEG-X) clearance, and caffeine clearance.
A therapeutically effective amount of a compound of Formula I or Formula II, and optionally one or more additional antiviral agents, is an amount that is effective in reducing the incidence (e.g., the likelihood that an individual should develop) of a disorder associated with cirrhosis of the liver by at least about 10%, at least about 20%, at least about 25%, at least about 30%, at least about 35%, at least about 40%, at least about 45%, at least about 50%, at least about 55%, at least about 60%, at least about 65%, at least about 70%, at least about 75%, or at least about 80%, or more, compared to an untreated individual, or to a placebo-treated individual. Whether treatment with a compound of Formula I or Formula II, and optionally one or more additional antiviral agents, is effective in reducing the incidence of a disorder associated with cirrhosis of the liver can readily be determined by those skilled in the art.
Reduction in liver fibrosis increases liver function. Thus, the embodiments provide methods for increasing liver function, generally involving administering a therapeutically effective amount of a compound of Formula I or Formula II, and optionally one or more additional antiviral agents. Liver functions include, but are not limited to, synthesis of proteins such as serum proteins (e.g., albumin, clotting factors, alkaline phosphatase, aminotransferases (e.g., alanine transaminase, aspartate transaminase), 5 '-nucleosidase, γ- glutaminyltranspeptidase, etc.), synthesis of bilirubin, synthesis of cholesterol, and synthesis of bile acids; a liver metabolic function, including, but not limited to, carbohydrate metabolism, amino acid and ammonia metabolism, hormone metabolism, and lipid metabolism; detoxification of exogenous drugs; a hemodynamic function, including splanchnic and portal hemodynamics; and the like.
Whether a liver function is increased is readily ascertainable by those skilled in the art, using well-established tests of liver function. Thus, synthesis of markers of liver function such as albumin, alkaline phosphatase, alanine transaminase, aspartate transaminase, bilirubin, and the like, can be assessed by measuring the level of these markers in the serum, using standard immunological and enzymatic assays. Splanchnic circulation and portal hemodynamics can be measured by portal wedge pressure and/or resistance using standard methods. Metabolic functions can be measured by measuring the level of ammonia in the serum. Whether serum proteins normally secreted by the liver are in the normal range can be determined by measuring the levels of such proteins, using standard immunological and enzymatic assays. Those skilled in the art know the normal ranges for such serum proteins. The following are non-limiting examples. The normal level of alanine transaminase is about 45 IU per milliliter of serum. The normal range of aspartate transaminase is from about 5 to about 40 units per liter of serum. Bilirubin is measured using standard assays. Normal bilirubin levels are typically less than about 1.2 mg/dL. Serum albumin levels are measured using standard assays. Normal levels of serum albumin are in the range of from about 35 to about 55 g/L. Prolongation of prothrombin time is measured using standard assays. Normal prothrombin time is less than about 4 seconds longer than control.
A therapeutically effective amount of a compound of Formula I or Formula II, and optionally one or more additional antiviral agents, is one that is effective to increase liver function by at least about 10%, at least about 20%, at least about 30%, at least about 40%, at least about 50%, at least about 60%, at least about 70%, at least about 80%, or more. For example, a therapeutically effective amount of a compound of Formula I or Formula II, and optionally one or more additional antiviral agents, is an amount effective to reduce an elevated level of a serum marker of liver function by at least about 10%, at least about 20%, at least about 30%, at least about 40%, at least about 50%, at least about 60%, at least about 70%, at least about 80%, or more, or to reduce the level of
the serum marker of liver function to within a normal range. A therapeutically effective amount of a compound of Formula I or Formula II, and optionally one or more additional antiviral agents, is also an amount effective to increase a reduced level of a serum marker of liver function by at least about 10%, at least about 20%, at least about 30%, at least about 40%, at least about 50%, at least about 60%, at least about 70%, at least about 80%, or more, or to increase the level of the serum marker of liver function to within a normal range.
Other Antiviral Agents As discussed above, a subject method will in some embodiments be carried out by administering a compound of Formula I or Formula II, and optionally one or more additional antiviral agent(s).
In some embodiments, the method further includes administration of one or more interferon receptor agonist(s). Interferon receptor agonists are described herein.
In other embodiments, the method further includes administration of pirfenidone or a pirfenidone analog. Pirfenidone and pirfenidone analogs are described herein.
Additional antiviral agents that are suitable for use in combination therapy include, but are not limited to, nucleotide and nucleoside analogs. Non- limiting examples include azidothymidine (AZT) (zidovudine), and analogs and derivatives thereof; 2',3'-dideoxyinosine (DDI) (didanosine), and analogs and derivatives thereof; 2',3'-dideoxycytidine (DDC) (dideoxycytidine), and analogs and derivatives thereof; 2'3,'-didehydro-2',3'-dideoxythymidine (D4T) (stavudine), and analogs and derivatives thereof; combivir; abacavir; adefovir dipoxil; cidofovir; ribavirin; ribavirin analogs; and the like.
In some embodiments, the method further includes administration of ribavirin. Ribavirin, l-β-D-ribofuranosyl-lH-l,2,4-triazole-3-carboxamide, available from ICN Pharmaceuticals, Inc., Costa Mesa, Calif, is described in The Merck Index, 11th Edition, Rahway, NJ. Some embodiments also involve use of derivatives of ribavirin. The ribavirin may be administered orally in
capsule or tablet form, or in the same or different administration form and in the same or different route as the compound of Formula I or Formula II. Of course, other types of administration of both medicaments, as they become available are contemplated, such as by nasal spray, transdermally, intravenously, by suppository, by sustained release dosage form, etc. Any form of administration should work so long as the proper dosages are delivered without destroying the active ingredient.
In some embodiments, the method further includes administration of ritonavir. Ritonavir, 10-hydroxy-2-methyl-5-( 1 -methylethyl)- 1 -[2-( 1 - methylethyl)-4-thiazolyl]-3,6-dioxo-8,l l-bis(phenylmethyl)-2,4,7,12- tetraazatridecan-13-oic acid, 5-thiazolylmethyl ester [5S-(5R*,8R*,1OR*,11R*)], available from Abbott Laboratories, is an inhibitor of the protease of the human immunodeficiency virus and also of the cytochrome P450 3A and P450 2D6 liver enzymes frequently involved in hepatic metabolism of therapeutic molecules in man. Because of its strong inhibitory effect on cytochrome P450 3A and the inhibitory effect on cytochrome P450 2D6, ritonavir at doses below the normal therapeutic dosage may be combined with other protease inhibitors to achieve therapeutic levels of the second protease inhibitor while reducing the number of dosage units required, the dosing frequency, or both. Coadministration of low-dose ritonavir may also be used to compensate for drug interactions that tend to decrease levels of a protease inhibitor metabolized by CYP3A. The ritonavir may be administered orally in capsule or tablet or oral solution form, or in the same or different administration form and in the same or different route as the compound of Formula I or Formula II. Of course, other types of administration of both medicaments, as they become available are contemplated, such as by nasal spray, transdermally, intravenously, by suppository, by sustained release dosage form, etc. Any form of administration should work so long as the proper dosages are delivered without destroying the active ingredient. Other antiviral agents include compounds known to act by inhibition of an HCV viral protease, such as NS3. Other antiviral agents include compounds
known to act by inhibition of an HCV viral nuclease, such as NS5B.
As it is believed by the inventors herein that the compounds of the invention do not act on either a viral protease or a viral nuclease, the compounds of the invention can be used in place of, or in addition to, protease inhibitors and nuclease inhibitors, especially when treating an infection produced by a viral strain that has developed resistance, or is known to be capable of developing resistance, to protease or nuclease inhibitors.
In some embodiments, an additional antiviral agent is administered during the entire course of the compound of Formula I or Formula II treatment. In other embodiments, an additional antiviral agent is administered for a period of time that is overlapping with that of the compound of Formula I or Formula II treatment, e.g., the additional antiviral agent treatment can begin before the compound of Formula I or Formula II treatment begins and end before the compound of Formula I or Formula II treatment ends; the additional antiviral agent treatment can begin after the compound of Formula I or Formula II treatment begins and end after the compound of Formula I or Formula II treatment ends; the additional antiviral agent treatment can begin after the compound of Formula I or Formula II treatment begins and end before the compound of Formula I or Formula II treatment ends; or the additional antiviral agent treatment can begin before the compound of Formula I or Formula II treatment begins and end after the compound of Formula I or Formula II treatment ends.
Certain illustrative HCV inhibitor compounds which can be administered with the compounds of the present disclosure include those disclosed in the following PCT Patent Application Publications Nos. WO 02/04425, WO
03/007945, WO 03/010141, WO 03/010142, WO 03/010143, WO 03/000254, WO 01/32153, WO 00/06529, WO 00/18231, WO 00/10573, WO 00/13708, WO 01/85172, WO 03/037893, WO 03/037894, WO 03/037895, WO 02/100851, WO 02/100846, WO 99/01582, and WO 00/09543. The following lists some illustrative examples of compounds that can be administered with the compounds of this disclosure. The compounds of the
disclosure can be administered with other anti-HCV activity or anti-Hepatitis C virus activity compounds in combination therapy, either jointly or separately, or by combining the compounds into a composition. These illustrative examples include: NIM811 (Novartis), Zadaxin (Sciclone), Suvus (Bioenvision), Actilon (CPGlOlOl) (Coley), Batabulin (T67) (Tularik Inc., South San Francisco, CA), ISIS 14803 (ISIS Pharmaceuticals Inc, Carlsbad, CA/Elan Phamaceuticals Inc., New York, NY), Boceprevir (Schering-Plough Corporation, Kenilworth, NJ), IC41 (Intercell Novartis), Summetrel (Endo Pharmaceuticals Holdings Inc., Chadds Ford, PA), GS-9132 (ACH-806) (Achillion/Gilead), Levovirin (Ribapharm Inc., Costa Mesa, CA), Merimepodib (Vertex Pharmaceuticals Inc., Cambridge, MA), XTL-6865 (Biopharmaceuticals Ltd., Rehovot, Israel), Telaprevir (Vertex Pharmaceuticals Inc., Cambridge, MA), HCV-796 (Wyeth), NM-283 (Idenix), GL-59728 (Gene Labs), GL-60667(Gene Labs), 2'C MeA (Gilead), PSI 6130 (Roche), Rl 626 (Roche), 2'C Methyl adenosine (Merck), JTK-003 (Japan Tobacco Inc., Tokyo, Japan), Ribavirin (Schering-Plough
Corporation, Kenilworth, NJ), Viramidine (Ribapharm Inc., Costa Mesa, CA), Heptazyme (Ribozyme Pharmaceuticals Inc., Boulder, CO), BILN- 2061dervitives (Boehringer Ingelheim Pharma KG, Ingelheim, Germany), SCH 503034 (Schering Plough), Zadazim (SciClone Pharmaceuticals Inc., San Mateo, CA), Ceplene (Maxim Pharmaceuticals Inc., San Diego, CA), CellCept (Hoffmann-La Roche LTD, Basel, Switzerland), Civacir (Nabi Biopharmaceuticals Inc., Boca Raton, FL), Albuferon-α (Human Genome Sciences Inc., Rockville, MD), Infergen A (InterMune Pharmaceuticals Inc., Brisbane, CA), Omega IFN (Intarcia Therapeutics) IFN-β and EMZ701 (Therapeutics Inc., Ontario, Canada), Rebif (Serono, Geneva, Switzerland),
Roferon A (Hoffmann-La Roche LTD, Basel, Switzerland), Intron A (Schering- Plough Corporation, Kenilworth, NJ), Intron A (RegeneRx Biopharmiceuticals Inc., Bethesda, MD), Rebetron (Schering-Plough Corporation, Kenilworth, NJ), Actimmune (InterMune Inc., Brisbane, CA), Interferon-β (Serono), Multiferon (Viragen Valentis), Wellferon (GlaxoSmithKline pic, Uxbridge, UK),
Omniferon (Viragen Inc., Plantation, FL), Pegasys (Hoffmann-La Roche LTD,
Basel, Switzerland), Pegasys and Ceplene (Maxim Pharmaceuticals Inc., San Diego, CA), Pegasys and Ribavirin (Hoffmann-La Roche LTD, Basel, Switzerland), PEG-Intron (Schering-Plough Corporation, Kenilworth, NJ), PEG- Intron/Ribavirin (Schering-Plough Corporation, Kenilworth, NJ), IP-501 (Indevus Pharmaceuticals Inc., Lexington, MA), IDN-6556 (Idun
Pharmaceuticals Inc., San Diego, CA), ITMN-191 (R-7227) (InterMune inhibitor Pharmaceuticals Inc., Brisbane, CA), GL-59728 (Genelabs), MK0608 (Merck), VX-500 and VX-813 (Vertex Pharmaceuticals Inc., Cambridge, MA), CSL-123 (Chiron/CSL), ANA-971 (Anadys), and the like. The compounds of Formula (I) or Formula (II) may also be combined with one or more additional compounds having anti-Hepatitis C virus activity that are effective to inhibit the function of a target including Hepatitis C virus metalloprotease, Hepatitis C virus serine protease, Hepatitis C virus polymerase, Hepatitis C virus helicase, Hepatitis C virus NS4B protein, Hepatitis C virus entry, Hepatitis C virus binding to a target cell and fusion of its membrane to the target cell and other undefined acts, Hepatitis C virus genome transport including inhibitors o Hepatitis C virus translation/replication, NS2 protein, Hepatitis C virus pVII protein, Hepatitis C virus assembly, Hepatitis C virus egress, Hepatitis C virus NS5A protein, IMPDH for the treatment of an Hepatitis C virus infection, and viracidal molecules. Methods of Treatment Monotherapies
The compounds of Formula I or Formula II described herein may be used in acute or chronic therapy for HCV disease. In many embodiments, the compound of Formula I or Formula II is administered for a period of about 1 day to about 7 days, or about 1 week to about 2 weeks, or about 2 weeks to about 3 weeks, or about 3 weeks to about 4 weeks, or about 1 month to about 2 months, or about 3 months to about 4 months, or about 4 months to about 6 months, or about 6 months to about 8 months, or about 8 months to about 12 months, or at least one year, and may be administered over longer periods of time. The compound of Formula I or Formula II can be administered 5 times per day, 4
times per day, tid, bid, qd, qod, biw, tiw, qw, qow, three times per month, or once monthly. In other embodiments, the compound of Formula I or Formula II is administered as a continuous infusion.
In many embodiments, a compound of Formula I or Formula II is administered orally.
In connection with the above-described methods for the treatment of HCV disease in a patient, a compound of Formula I or Formula II as described herein may be administered to the patient at a dosage from about 0.001 mg to about 100 mg/kg patient bodyweight per day, in 1 to 5 divided doses per day. In some embodiments, the compound of Formula I or Formula II is administered at a dosage of about 5 μg to about 50 mg/kg patient bodyweight per day, in 1 to 5 divided doses per day.
The amount of active ingredient that may be combined with carrier materials to produce a dosage form can vary depending on the host to be treated and the particular mode of administration. A typical pharmaceutical preparation can contain from about 5% to about 95% active ingredient (w/w). In other embodiments, the pharmaceutical preparation can contain from about 20% to about 80% active ingredient.
Those of skill should readily appreciate that dose levels can vary as a function of the specific compound of Formula I or Formula II, the severity of the symptoms and the susceptibility of the subject to side effects. Preferred dosages for a given compound of Formula I or Formula II are readily determinable by those of skill in the art by a variety of means. A preferred means is to measure the physiological potency of a given interferon receptor agonist. In many embodiments, multiple doses of a compound of Formula I or
Formula II are administered. For example, a compound of Formula I or Formula II is administered once per month, twice per month, three times per month, every other week (qow), once per week (qw), twice per week (biw), three times per week (tiw), four times per week, five times per week, six times per week, every other day (qod), daily (qd), twice a day (qid), or three times a day (tid), over a period of time ranging from about one day to about one week, from about two
weeks to about four weeks, from about one month to about two months, from about two months to about four months, from about four months to about six months, from about six months to about eight months, from about eight months to about 1 year, from about 1 year to about 2 years, or from about 2 years to about 4 years, or more.
Combination Therapies with Ribavirin
In some embodiments, the methods provide for combination therapy including administering a compound of Formula I or Formula II, as described above, and an effective amount of ribavirin. Ribavirin can be administered in dosages of about 400 mg, about 800 mg, about 1000 mg, or about 1200 mg per day.
One embodiment provides any of the above-described methods modified to include co-administering to the patient a therapeutically effective amount of ribavirin for the duration of the desired course of compound of Formula I or Formula II treatment.
Another embodiment provides any of the above-described methods modified to include co-administering to the patient about 800 mg to about 1200 mg ribavirin orally per day for the duration of the desired course of the compound of Formula I or Formula II treatment. In another embodiment, any of the above-described methods may be modified to include co-administering to the patient (a) 1000 mg ribavirin orally per day if the patient has a body weight less than 75 kg or (b) 1200 mg ribavirin orally per day if the patient has a body weight greater than or equal to 75 kg, where the daily dosage of ribavirin is optionally divided into to 2 doses for the duration of the desired course of the compound of Formula I or Formula II treatment. Combination Therapies with Levovirin
In some embodiments, the methods provide for combination therapy including administering a compound of Formula I or Formula II as described above, and an effective amount of levovirin. Levovirin is generally administered in an amount ranging from about 30 mg to about 60 mg, from about 60 mg to about 125 mg, from about 125 mg to about 200 mg, from about 200 mg to about
300 gm, from about 300 mg to about 400 mg, from about 400 mg to about 1200 mg, from about 600 mg to about 1000 mg, or from about 700 to about 900 mg per day, or about 10 mg/kg body weight per day. In some embodiments, levovirin is administered orally in dosages of about 400, about 800, about 1000, or about 1200 mg per day for the desired course of the compound of Formula I or Formula II treatment. Combination Therapies with Viramidine
In some embodiments, the methods provide for combination therapy including administering a compound of Formula I or Formula II, as described above, and an effective amount of viramidine. Viramidine is generally administered in an amount ranging from about 30 mg to about 60 mg, from about 60 mg to about 125 mg, from about 125 mg to about 200 mg, from about 200 mg to about 300 gm, from about 300 mg to about 400 mg, from about 400 mg to about 1200 mg, from about 600 mg to about 1000 mg, or from about 700 to about 900 mg per day, or about 10 mg/kg body weight per day. In some embodiments, viramidine is administered orally in dosages of about 800, or about 1600 mg per day for the desired course of NS3 inhibitor compound treatment. Combination Therapies with Ritonavir In some embodiments, the methods provide for combination therapy including administering a compound of Formula I or Formula II as described above, and an effective amount of ritonavir. Ritonavir is generally administered in an amount ranging from about 50 mg to about 100 mg, from about 100 mg to about 200 mg, from about 200 mg to about 300 mg, from about 300 mg to about 400 mg, from about 400 mg to about 500 mg, or from about 500 mg to about
600 mg, twice per day. In some embodiments, ritonavir is administered orally in dosages of about 300 mg, or about 400 mg, or about 600 mg twice per day for the desired course of the compound of Formula I or Formula II treatment. Combination Therapies with Alpha-Glucosidase Inhibitors Suitable α-glucosidase inhibitors include any of the above-described imino-sugars, including long-alkyl chain derivatives of imino sugars as disclosed
in U.S. Patent Application Publication No. 2004/0110795; inhibitors of endoplasmic reticulum-associated α-glucosidases; inhibitors of membrane bound α-glucosidase; miglitol (GLYSET), and active derivatives, and analogs thereof; and acarbose (PRECOSE), and active derivatives, and analogs thereof. In many embodiments, the methods provide for combination therapy including administering a compound of Formula I or Formula II as described above, and an effective amount of an α-glucosidase inhibitor administered for a period of about 1 day to about 7 days, or about 1 week to about 2 weeks, or about 2 weeks to about 3 weeks, or about 3 weeks to about 4 weeks, or about 1 month to about 2 months, or about 3 months to about 4 months, or about 4 months to about 6 months, or about 6 months to about 8 months, or about 8 months to about 12 months, or at least one year, and may be administered over longer periods of time.
An α-glucosidase inhibitor can be administered 5 times per day, 4 times per day, tid (three times daily), bid, qd, qod, biw, tiw, qw, qow, three times per month, or once monthly. In other embodiments, an α-glucosidase inhibitor is administered as a continuous infusion.
In many embodiments, an α-glucosidase inhibitor is administered orally. In connection with the above-described methods for the treatment of a flavivirus infection, treatment of HCV infection, and treatment of liver fibrosis that occurs as a result of an HCV infection, the methods provide for combination therapy including administering a compound of Formula I or Formula II as described above, and an effective amount of α-glucosidase inhibitor administered to the patient at a dosage of from about 10 mg per day to about 600 mg per day in divided doses, e.g., from about 10 mg per day to about 30 mg per day, from about 30 mg per day to about 60 mg per day, from about 60 mg per day to about 75 mg per day, from about 75 mg per day to about 90 mg per day, from about 90 mg per day to about 120 mg per day, from about 120 mg per day to about 150 mg per day, from about 150 mg per day to about 180 mg per day, from about 180 mg per day to about 210 mg per day, from about 210 mg per day to about 240 mg per day, from about 240 mg per day to about 270 mg per day,
from about 270 mg per day to about 300 mg per day, from about 300 mg per day to about 360 mg per day, from about 360 mg per day to about 420 mg per day, from about 420 mg per day to about 480 mg per day, or from about 480 mg to about 600 mg per day. In some embodiments, the methods provide for combination therapy including administering a compound of Formula I or Formula II as described above, and an effective amount of α-glucosidase inhibitor administered in a dosage of about 10 mg three times daily. In some embodiments, an α- glucosidase inhibitor is administered in a dosage of about 15 mg three times daily. In some embodiments, an α-glucosidase inhibitor is administered in a dosage of about 20 mg three times daily. In some embodiments, an α- glucosidase inhibitor is administered in a dosage of about 25 mg three times daily. In some embodiments, an α-glucosidase inhibitor is administered in a dosage of about 30 mg three times daily. In some embodiments, an α- glucosidase inhibitor is administered in a dosage of about 40 mg three times daily. In some embodiments, an α-glucosidase inhibitor is administered in a dosage of about 50 mg three times daily. In some embodiments, an α- glucosidase inhibitor is administered in a dosage of about 100 mg three times daily. In some embodiments, an α-glucosidase inhibitor is administered in a dosage of about 75 mg per day to about 150 mg per day in two or three divided doses, where the individual weighs 60 kg or less. In some embodiments, an α- glucosidase inhibitor is administered in a dosage of about 75 mg per day to about 300 mg per day in two or three divided doses, where the individual weighs 60 kg or more. The amount of active ingredient (e.g., α-glucosidase inhibitor) that may be combined with carrier materials to produce a dosage form can vary depending on the host to be treated and the particular mode of administration. A typical pharmaceutical preparation can contain from about 5% to about 95% active ingredient (w/w). In other embodiments, the pharmaceutical preparation can contain from about 20% to about 80% active ingredient.
Those of skill should readily appreciate that dose levels can vary as a
function of the specific α-glucosidase inhibitor, the severity of the symptoms and the susceptibility of the subject to side effects. Preferred dosages for a given α- glucosidase inhibitor are readily determinable by those of skill in the art by a variety of means. A typical means is to measure the physiological potency of a given active agent.
In many embodiments, multiple doses of an α-glucosidase inhibitor are administered. For example, the methods provide for combination therapy including administering a compound of Formula I or Formula II as described above, and an effective amount of α-glucosidase inhibitor administered once per month, twice per month, three times per month, every other week (qow), once per week (qw), twice per week (biw), three times per week (tiw), four times per week, five times per week, six times per week, every other day (qod), daily (qd), twice a day (qid), or three times a day (tid), over a period of time ranging from about one day to about one week, from about two weeks to about four weeks, from about one month to about two months, from about two months to about four months, from about four months to about six months, from about six months to about eight months, from about eight months to about 1 year, from about 1 year to about 2 years, or from about 2 years to about 4 years, or more. Combination Therapies with Thymosin-α In some embodiments, the methods provide for combination therapy including administering a compound of Formula I or Formula II as described above, and an effective amount of thymosin-α. Thymosin-α (ZADAXIN) is generally administered by subcutaneous injection. Thymosin-α can be administered tid, bid, qd, qod, biw, tiw, qw, qow, three times per month, once monthly, substantially continuously, or continuously for the desired course of the compound of Formula I or Formula II treatment. In many embodiments, thymosin-α is administered twice per week for the desired course of the compound of Formula I or Formula II treatment. Effective dosages of thymosin- α range from about 0.5 mg to about 5 mg, e.g., from about 0.5 mg to about 1.0 mg, from about 1.0 mg to about 1.5 mg, from about 1.5 mg to about 2.0 mg, from about 2.0 mg to about 2.5 mg, from about 2.5 mg to about 3.0 mg, from
about 3.0 mg to about 3.5 mg, from about 3.5 mg to about 4.0 mg, from about 4.0 mg to about 4.5 mg, or from about 4.5 mg to about 5.0 mg. In particular embodiments, thymosin-α is administered in dosages containing an amount of 1.0 mg or 1.6 mg. Thymosin-α can be administered over a period of time ranging from about one day to about one week, from about two weeks to about four weeks, from about one month to about two months, from about two months to about four months, from about four months to about six months, from about six months to about eight months, from about eight months to about 1 year, from about 1 year to about 2 years, or from about 2 years to about 4 years, or more. In one embodiment, thymosin-α is administered for the desired course of the compound of Formula I or Formula II treatment. Combination Therapies with Interferon(s)
In many embodiments, the methods provide for combination therapy including administering a compound of Formula I or Formula II as described above, and an effective amount of an interferon receptor agonist. In some embodiments, a compound of Formula I or Formula II and a Type I or III interferon receptor agonist are co-administered in the treatment methods described herein. Type I interferon receptor agonists suitable for use herein include any interferon-α (IFN-α). In certain embodiments, the interferon-α is a PEGylated interferon-α. In certain other embodiments, the interferon-α is a consensus interferon, such as INFERGEN interferon alfacon-1. In still other embodiments, the interferon-α is a monoPEG (30 kD, linear)-ylated consensus interferon. Effective dosages of an IFN-α range from about 3 μg to about 27 μg, from about 3 MU to about 10 MU, from about 90 μg to about 180 μg, or from about 18 μg to about 90 μg. Effective dosages of INFERGEN consensus IFN-α include about 3 μg, about 6 μg, about 9 μg, about 12 μg, about 15 μg, about 18 μg, about 21 μg, about 24 μg, about 27 μg, or about 30 μg, of drug per dose. Effective dosages of IFN-α2a and IFN-α2b range from 3 million Units (MU) to 10 MU per dose. Effective dosages of PEGASYS PEGylated IFN-α2a contain
an amount of about 90 μg to 270 μg, or about 180 μg, of drug per dose. Effective dosages of PEG-INTRON PEGylated IFN-α2b contain an amount of about 0.5 μg to 3.0 μg of drug per kg of body weight per dose. Effective dosages of PEGylated consensus interferon (PEG-CIFN) contain an amount of about 18 μg to about 90 μg, or from about 27 μg to about 60 μg, or about 45 μg, of CIFN amino acid weight per dose of PEG-CIFN. Effective dosages of monoPEG (30 kD, linear)-ylated CIFN contain an amount of about 45 μg to about 270 μg, or about 60 μg to about 180 μg, or about 90 μg to about 120 μg, of drug per dose. IFN-α can be administered daily, every other day, once a week, three times a week, every other week, three times per month, once monthly, substantially continuously or continuously.
In many embodiments, the Type I or Type III interferon receptor agonist and/or the Type II interferon receptor agonist is administered for a period of about 1 day to about 7 days, or about 1 week to about 2 weeks, or about 2 weeks to about 3 weeks, or about 3 weeks to about 4 weeks, or about 1 month to about 2 months, or about 3 months to about 4 months, or about 4 months to about 6 months, or about 6 months to about 8 months, or about 8 months to about 12 months, or at least one year, and may be administered over longer periods of time. Dosage regimens can include tid, bid, qd, qod, biw, tiw, qw, qow, three times per month, or monthly administrations. Some embodiments provide any of the above-described methods in which the desired dosage of IFN-α is administered subcutaneously to the patient by bolus delivery qd, qod, tiw, biw, qw, qow, three times per month, or monthly, or is administered subcutaneously to the patient per day by substantially continuous or continuous delivery, for the desired treatment duration. In other embodiments, any of the above-described methods may be practiced in which the desired dosage of PEGylated IFN-α (PEG-IFN-α) is administered subcutaneously to the patient by bolus delivery qw, qow, three times per month, or monthly for the desired treatment duration. In other embodiments, a compound of Formula I or Formula II and a Type II interferon receptor agonist are co-administered in the treatment methods of the embodiments. Type II interferon receptor agonists suitable for use herein
include any interferon-γ (IFN-γ).
An effective dosage of IFN-γ can range from about 0.5 μg/m2 to about 500 μg/m2, typically from about 1.5 μg/m2 to 200 μg/m2, depending on the size of the patient. This activity is based on 106 international units (U) per 50 μg of protein. IFN-γ can be administered daily, every other day, three times a week, or substantially continuously or continuously.
In specific embodiments of interest, IFN-γ is administered to an individual in a unit dosage form of from about 25 μg to about 500 μg, from about 50 μg to about 400 μg, or from about 100 μg to about 300 μg. In particular embodiment, the dose is about 200 μg IFN-γ. In many embodiments of interest, IFN-γ Ib is administered.
Where the dosage is 200 μg IFN-γ per dose, the amount of IFN-γ per body weight (assuming a range of body weights of from about 45 kg to about 135 kg) is in the range of from about 4.4 μg IFN-γ per kg body weight to about 1.48 μg IFN-γ per kg body weight.
The body surface area of subject individuals generally ranges from about 1.33 m2 to about 2.50 m2. Thus, in many embodiments, an IFN-γ dosage ranges from about 150 μg/m2 to about 20 μg/m2. For example, an IFN-γ dosage ranges
9 9 9 9 from about 20 μg/m to about 30 μg/m , from about 30 μg/m to about 40 μg/m ,
9 9 9 9 from about 40 μg/m to about 50 μg/m , from about 50 μg/m to about 60 μg/m , from about 60 μg/m2 to about 70 μg/m2, from about 70 μg/m2 to about 80 μg/m2,
9 9 9 from about 80 μg/m to about 90 μg/m , from about 90 μg/m to about 100 μg/m2, from about 100 μg/m2 to about 110 μg/m2, from about 110 μg/m2 to about 120 μg/m2, from about 120 μg/m2 to about 130 μg/m2, from about 130 μg/m2 to about 140 μg/m2, or from about 140 μg/m2 to about 150 μg/m2. In some embodiments, the dosage groups range from about 25 μg/m2 to about 100 μg/m2. In other embodiments, the dosage groups range from about 25 μg/m2 to about 50 μg/m2.
In some embodiments, a Type I or a Type III interferon receptor agonist is administered in a first dosing regimen, followed by a second dosing regimen. The first dosing regimen of Type I or a Type III interferon receptor agonist (also
referred to as "the induction regimen") generally involves administration of a higher dosage of the Type I or Type III interferon receptor agonist. For example, in the case of INFERGEN consensus IFN-α (CIFN), the first dosing regimen includes administering CIFN at about 9 μg, about 15 μg, about 18 μg, or about 27 μg. The first dosing regimen can encompass a single dosing event, or at least two or more dosing events. The first dosing regimen of the Type I or Type III interferon receptor agonist can be administered daily, every other day, three times a week, every other week, three times per month, once monthly, substantially continuously or continuously. The first dosing regimen of the Type I or Type III interferon receptor agonist is administered for a first period of time, which time period can be at least about 4 weeks, at least about 8 weeks, or at least about 12 weeks.
The second dosing regimen of the Type I or Type III interferon receptor agonist (also referred to as "the maintenance dose") generally involves administration of a lower amount of the Type I or Type III interferon receptor agonist. For example, in the case of CIFN, the second dosing regimen includes administering CIFN at a dose of at least about 3 μg, at least about 9 μg, at least about 15 μg, or at least about 18 μg. The second dosing regimen can encompass a single dosing event, or at least two or more dosing events. The second dosing regimen of the Type I or Type III interferon receptor agonist can be administered daily, every other day, three times a week, every other week, three times per month, once monthly, substantially continuously or continuously.
In some embodiments, where an "induction'V'maintenance" dosing regimen of a Type I or a Type III interferon receptor agonist is administered, a "priming" dose of a Type II interferon receptor agonist (e.g., IFN-γ) is included. In these embodiments, IFN-γ is administered for a period of time from about 1 day to about 14 days, from about 2 days to about 10 days, or from about 3 days to about 7 days, before the beginning of treatment with the Type I or Type III interferon receptor agonist. This period of time is referred to as the "priming" phase.
In some of these embodiments, the Type II interferon receptor agonist treatment is continued throughout the entire period of treatment with the Type I or Type III interferon receptor agonist. In other embodiments, the Type II interferon receptor agonist treatment is discontinued before the end of treatment with the Type I or Type III interferon receptor agonist. In these embodiments, the total time of treatment with Type II interferon receptor agonist (including the "priming" phase) is from about 2 days to about 30 days, from about 4 days to about 25 days, from about 8 days to about 20 days, from about 10 days to about 18 days, or from about 12 days to about 16 days. In still other embodiments, the Type II interferon receptor agonist treatment is discontinued once Type I or a Type III interferon receptor agonist treatment begins.
In other embodiments, the Type I or Type III interferon receptor agonist is administered in single dosing regimen. For example, in the case of CIFN, the dose of CIFN is generally in a range of from about 3 μg to about 15 μg, or from about 9 μg to about 15 μg. The dose of Type I or a Type III interferon receptor agonist is generally administered daily, every other day, three times a week, every other week, three times per month, once monthly, or substantially continuously. The dose of the Type I or Type III interferon receptor agonist is administered for a period of time, which period can be, for example, from at least about 24 weeks to at least about 48 weeks, or longer.
In some embodiments, where a single dosing regimen of a Type I or a Type III interferon receptor agonist is administered, a "priming" dose of a Type II interferon receptor agonist (e.g., IFN-γ) is included. In these embodiments, IFN -γ is administered for a period of time from about 1 day to about 14 days, from about 2 days to about 10 days, or from about 3 days to about 7 days, before the beginning of treatment with the Type I or Type III interferon receptor agonist. This period of time is referred to as the "priming" phase. In some of these embodiments, the Type II interferon receptor agonist treatment is continued throughout the entire period of treatment with the Type I or Type III interferon receptor agonist. In other embodiments, the Type II interferon receptor agonist treatment is discontinued before the end of treatment with the
Type I or Type III interferon receptor agonist. In these embodiments, the total time of treatment with the Type II interferon receptor agonist (including the "priming" phase) is from about 2 days to about 30 days, from about 4 days to about 25 days, from about 8 days to about 20 days, from about 10 days to about 18 days, or from about 12 days to about 16 days. In still other embodiments, Type II interferon receptor agonist treatment is discontinued once Type I or a Type III interferon receptor agonist treatment begins.
In additional embodiments, a compound of Formula I or Formula II, a Type I or III interferon receptor agonist, and a Type II interferon receptor agonist are co-administered for the desired duration of treatment in the methods described herein. In some embodiments, a compound of Formula I or Formula II, an interferon-α, and an interferon-γ are co-administered for the desired duration of treatment in the methods described herein.
In some embodiments, the invention provides methods using an amount of a Type I or Type III interferon receptor agonist, a Type II interferon receptor agonist, and a compound of Formula I or Formula II, effective for the treatment of HCV infection in a patient. Some embodiments provide methods using an effective amount of an IFN-α, IFN -γ, and an NS3 inhibitor compound in the treatment of HCV infection in a patient. One embodiment provides a method using an effective amount of a consensus IFN-α α, IFN-γ and a compound of Formula I or Formula II in the treatment of HCV infection in a patient.
In general, an effective amount of a consensus interferon (CIFN) and IFN-γ suitable for use in the methods of the embodiments is provided by a dosage ratio of 1 μg CIFN: 10 μg IFN-γ, where both CIFN and IFN-γ are unPEGylated and unglycosylated species.
In one embodiment, the invention provides any of the above-described methods modified to use an effective amount of INFERGEN consensus IFN-α and IFN-γ in the treatment of HCV infection in a patient including administering to the patient a dosage of INFERGEN containing an amount of about 1 μg to about 30 μg, of drug per dose of INFERGEN, subcutaneously qd, qod, tiw, biw, qw, qow, three times per month, once monthly, or per day substantially
continuously or continuously, in combination with a dosage of IFN-γ containing an amount of about 10 μg to about 300 μg of drug per dose of IFN-γ, subcutaneously qd, qod, tiw, biw, qw, qow, three times per month, once monthly, or per day substantially continuously or continuously, for the desired duration of treatment with a compound of Formula I or Formula II.
Another embodiment provides any of the above-described methods modified to use an effective amount of INFERGEN consensus IFN-α and IFN-γ in the treatment of virus infection in a patient including administering to the patient a dosage of INFERGEN containing an amount of about 1 μg to about 9 μg, of drug per dose of INFERGEN, subcutaneously qd, qod, tiw, biw, qw, qow, three times per month, once monthly, or per day substantially continuously or continuously, in combination with a dosage of IFN-γ containing an amount of about 10 μg to about 100 μg of drug per dose of IFN-γ, subcutaneously qd, qod, tiw, biw, qw, qow, three times per month, once monthly, or per day substantially continuously or continuously, for the desired duration of treatment with a compound of Formula I or Formula II.
Another embodiment provides any of the above-described methods modified to use an effective amount of INFERGEN consensus IFN-α and IFN-γ in the treatment of virus infection in a patient including administering to the patient a dosage of INFERGEN containing an amount of about 1 μg of drug per dose of INFERGEN, subcutaneously qd, qod, tiw, biw, qw, qow, three times per month, once monthly, or per day substantially continuously or continuously, in combination with a dosage of IFN-γ containing an amount of about 10 μg to about 50 μg of drug per dose of IFN-γ, subcutaneously qd, qod, tiw, biw, qw, qow, three times per month, once monthly, or per day substantially continuously or continuously, for the desired duration of treatment with a compound of Formula I or Formula II.
Another embodiment provides any of the above-described methods modified to use an effective amount of INFERGEN consensus IFN-α and IFN-γ in the treatment of a virus infection in a patient including administering to the patient a dosage of INFERGEN containing an amount of about 9 μg of drug per
dose of INFERGEN, subcutaneously qd, qod, tiw, biw, qw, qow, three times per month, once monthly, or per day substantially continuously or continuously, in combination with a dosage of IFN -γ containing an amount of about 90 μg to about 100 μg of drug per dose of IFN-γ, subcutaneously qd, qod, tiw, biw, qw, qow, three times per month, once monthly, or per day substantially continuously or continuously, for the desired duration of treatment with a compound of Formula I or Formula II.
Another embodiment provides any of the above-described methods modified to use an effective amount of INFERGEN consensus IFN-α and IFN-γ in the treatment of a virus infection in a patient including administering to the patient a dosage of INFERGEN containing an amount of about 30 μg of drug per dose of INFERGEN, subcutaneously qd, qod, tiw, biw, qw, qow, three times per month, once monthly, or per day substantially continuously or continuously, in combination with a dosage of IFN-γ containing an amount of about 200 μg to about 300 μg of drug per dose of IFN-γ, subcutaneously qd, qod, tiw, biw, qw, qow, three times per month, once monthly, or per day substantially continuously or continuously, for the desired duration of treatment with a compound of Formula I or Formula II.
Another embodiment provides any of the above-described methods modified to use an effective amount of PEGylated consensus IFN-α and IFN-γ in the treatment of a virus infection in a patient including administering to the patient a dosage of PEGylated consensus IFN-α (PEG-CIFN) containing an amount of about 4 μg to about 60 μg of CIFN amino acid weight per dose of PEG-CIFN, subcutaneously qw, qow, three times per month, or monthly, in combination with a total weekly dosage of IFN-γ containing an amount of about 30 μg to about 1,000 μg of drug per week in divided doses administered subcutaneously qd, qod, tiw, biw, or administered substantially continuously or continuously, for the desired duration of treatment with a compound of Formula I or Formula II. Another embodiment provides any of the above-described methods modified to use an effective amount of PEGylated consensus IFN-α and IFN-γ in
the treatment of a virus infection in a patient including administering to the patient a dosage of PEGylated consensus IFN-α (PEG-CIFN) containing an amount of about 18 μg to about 24 μg of CIFN amino acid weight per dose of PEG-CIFN, subcutaneously qw, qow, three times per month, or monthly, in combination with a total weekly dosage of IFN-γ containing an amount of about 100 μg to about 300 μg of drug per week in divided doses administered subcutaneously qd, qod, tiw, biw, or substantially continuously or continuously, for the desired duration of treatment with a compound of Formula I or Formula II. In general, an effective amount of IFN-α2a or 2b or 2c and IFN-γ suitable for use in the methods of the embodiments is provided by a dosage ratio of 1 million Units (MU) IFN-α2a or 2b or 2c 30 μg IFN-γ, where both IFN-α2a or 2b or 2c and IFN-γ are unPEGylated and unglycosylated species.
Another embodiment provides any of the above-described methods modified to use an effective amount of IFN-α2a or 2b or 2c and IFN-γ in the treatment of a virus infection in a patient including administering to the patient a dosage of IFN-α2a, 2b or 2c containing an amount of about 1 MU to about 20 MU of drug per dose of IFN-α2a, 2b or 2c subcutaneously qd, qod, tiw, biw, or per day substantially continuously or continuously, in combination with a dosage of IFN-γ containing an amount of about 30 μg to about 600 μg of drug per dose of IFN-γ, subcutaneously qd, qod, tiw, biw, or per day substantially continuously or continuously, for the desired duration of treatment with an a compound of Formula I or Formula II.
Another embodiment provides any of the above-described methods modified to use an effective amount of IFN-α2a or 2b or 2c and IFN-γ in the treatment of a virus infection in a patient including administering to the patient a dosage of IFN-α2a, 2b or 2c containing an amount of about 3 MU of drug per dose of IFN-α2a, 2b or 2c subcutaneously qd, qod, tiw, biw, or per day substantially continuously or continuously, in combination with a dosage of IFN-γ containing an amount of about 100 μg of drug per dose of IFN-γ, subcutaneously qd, qod, tiw, biw, or per day substantially continuously or
continuously, for the desired duration of treatment with a compound of Formula I or Formula II.
Another embodiment provides any of the above-described methods modified to use an effective amount of IFN-α2a or 2b or 2c and IFN -γ in the treatment of a virus infection in a patient including administering to the patient a dosage of IFN-α2a, 2b or 2c containing an amount of about 10 MU of drug per dose of IFN-α2a, 2b or 2c subcutaneously qd, qod, tiw, biw, or per day substantially continuously or continuously, in combination with a dosage of IFN -γ containing an amount of about 300 μg of drug per dose of IFN -γ, subcutaneously qd, qod, tiw, biw, or per day substantially continuously or continuously, for the desired duration of treatment with a compound of Formula I or Formula II.
Another embodiment provides any of the above-described methods modified to use an effective amount of PEGASYS PEGylated IFN-α2a and IFN- γ in the treatment of a virus infection in a patient including administering to the patient a dosage of PEGASYS containing an amount of about 90 μg to about 360 μg, of drug per dose of PEGASYS, subcutaneously qw, qow, three times per month, or monthly, in combination with a total weekly dosage of IFN -γ containing an amount of about 30 μg to about 1,000 μg, of drug per week administered in divided doses subcutaneously qd, qod, tiw, or biw, or administered substantially continuously or continuously, for the desired duration of treatment with a compound of Formula I or Formula II.
Another embodiment provides any of the above-described methods modified to use an effective amount of PEGASYS PEGylated IFN-α2a and IFN- γ in the treatment of a virus infection in a patient including administering to the patient a dosage of PEGASYS containing an amount of about 180 μg of drug per dose of PEGASYS, subcutaneously qw, qow, three times per month, or monthly, in combination with a total weekly dosage of IFN-γ containing an amount of about 100 μg to about 300 μg, of drug per week administered in divided doses subcutaneously qd, qod, tiw, or biw, or administered substantially continuously or continuously, for the desired duration of treatment with a compound of
Formula I or Formula II.
Another embodiment provides any of the above-described methods modified to use an effective amount of PEG-INTRON PEGylated IFN-α2b and IFN-γ in the treatment of a virus infection in a patient including administering to the patient a dosage of PEG-INTRON containing an amount of about 0.75 μg to about 3.0 μg of drug per kilogram of body weight per dose of PEG-INTRON, subcutaneously qw, qow, three times per month, or monthly, in combination with a total weekly dosage of IFN-γ containing an amount of about 30 μg to about 1,000 μg of drug per week administered in divided doses subcutaneously qd, qod, tiw, or biw, or administered substantially continuously or continuously, for the desired duration of treatment with a compound of Formula I or Formula II.
Another embodiment provides any of the above-described methods modified to use an effective amount of PEG-INTRON PEGylated IFN-α2b and IFN-γ in the treatment of a virus infection in a patient including administering to the patient a dosage of PEG-INTRON containing an amount of about 1.5 μg of drug per kilogram of body weight per dose of PEG-INTRON, subcutaneously qw, qow, three times per month, or monthly, in combination with a total weekly dosage of IFN-γ containing an amount of about 100 μg to about 300 μg of drug per week administered in divided doses subcutaneously qd, qod, tiw, or biw, or administered substantially continuously or continuously, for the desired duration of treatment with a compound of Formula I or Formula II.
One embodiment provides any of the above-described methods modified to include administering to an individual having an HCV infection an effective amount of a compound of Formula I or Formula II; and a regimen of 9 μg INFERGEN consensus IFN-α administered subcutaneously qd or tiw, and ribavirin administered orally qd, where the duration of therapy is 48 weeks. In this embodiment, ribavirin is administered in an amount of 1000 mg for individuals weighing less than 75 kg, and 1200 mg for individuals weighing 75 kg or more.
One embodiment provides any of the above-described methods modified
to include administering to an individual having an HCV infection an effective amount of a compound of Formula I or Formula II; and a regimen of 9 μg INFERGEN consensus IFN-α administered subcutaneously qd or tiw; 50 μg Actimmune human IFN -γ Ib administered subcutaneously tiw; and ribavirin administered orally qd, where the duration of therapy is 48 weeks. In this embodiment, ribavirin is administered in an amount of 1000 mg for individuals weighing less than 75 kg, and 1200 mg for individuals weighing 75 kg or more. One embodiment provides any of the above-described methods modified to include administering to an individual having an HCV infection an effective amount of a compound of Formula I or Formula II; and a regimen of 9 μg
INFERGEN consensus IFN-α administered subcutaneously qd or tiw; 100 μg Actimmune human IFN -γ Ib administered subcutaneously tiw; and ribavirin administered orally qd, where the duration of therapy is 48 weeks. In this embodiment, ribavirin is administered in an amount of 1000 mg for individuals weighing less than 75 kg, and 1200 mg for individuals weighing 75 kg or more. One embodiment provides any of the above-described methods modified to include administering to an individual having an HCV infection an effective amount of a compound of Formula I or Formula II; and a regimen of 9 μg INFERGEN consensus IFN-α administered subcutaneously qd or tiw; and 50 μg Actimmune human IFN -γ Ib administered subcutaneously tiw, where the duration of therapy is 48 weeks.
One embodiment provides any of the above-described methods modified to include administering to an individual having an HCV infection an effective amount of a compound of Formula I or Formula II; and a regimen of 9 μg INFERGEN consensus IFN-α administered subcutaneously qd or tiw; and 100 μg Actimmune human IFN-γlb administered subcutaneously tiw, where the duration of therapy is 48 weeks.
One embodiment provides any of the above-described methods modified to include administering to an individual having an HCV infection an effective amount of a compound of Formula I or Formula II; and a regimen of 9 μg INFERGEN consensus IFN-α administered subcutaneously qd or tiw; 25 μg
Actimmune human IFN -γ Ib administered subcutaneously tiw; and ribavirin administered orally qd, where the duration of therapy is 48 weeks. In this embodiment, ribavirin is administered in an amount of 1000 mg for individuals weighing less than 75 kg, and 1200 mg for individuals weighing 75 kg or more. One embodiment provides any of the above-described methods modified to include administering to an individual having an HCV infection an effective amount of a compound of Formula I or Formula II; and a regimen of 9 μg INFERGEN consensus IFN-α administered subcutaneously qd or tiw; 200 μg Actimmune human IFN-γlb administered subcutaneously tiw; and ribavirin administered orally qd, where the duration of therapy is 48 weeks. In this embodiment, ribavirin is administered in an amount of 1000 mg for individuals weighing less than 75 kg, and 1200 mg for individuals weighing 75 kg or more. One embodiment provides any of the above-described methods modified to include administering to an individual having an HCV infection an effective amount of a compound of Formula I or Formula II; and a regimen of 9 μg
INFERGEN consensus IFN-α administered subcutaneously qd or tiw; and 25 μg Actimmune human IFN-γlb administered subcutaneously tiw, where the duration of therapy is 48 weeks.
One embodiment provides any of the above-described methods modified to include administering to an individual having an HCV infection an effective amount of a compound of Formula I or Formula II; and a regimen of 9 μg INFERGEN consensus IFN-α administered subcutaneously qd or tiw; and 200 μg Actimmune human IFN-γlb administered subcutaneously tiw, where the duration of therapy is 48 weeks. One embodiment provides any of the above-described methods modified to include administering to an individual having an HCV infection an effective amount of a compound of Formula I or Formula II; and a regimen of 100 μg monoPEG (30 kD, linear)-ylated consensus IFN-α administered subcutaneously every 10 days or qw, and ribavirin administered orally qd, where the duration of therapy is 48 weeks. In this embodiment, ribavirin is administered in an amount of 1000 mg for individuals weighing less than 75 kg, and 1200 mg for
individuals weighing 75 kg or more.
One embodiment provides any of the above-described methods modified to include administering to an individual having an HCV infection an effective amount of a compound of Formula I or Formula II; and a regimen of 100 μg monoPEG (30 kD, linear)-ylated consensus IFN-α administered subcutaneously every 10 days or qw; 50 μg Actimmune human IFN-γlb administered subcutaneously tiw; and ribavirin administered orally qd, where the duration of therapy is 48 weeks. In this embodiment, ribavirin is administered in an amount of 1000 mg for individuals weighing less than 75 kg, and 1200 mg for individuals weighing 75 kg or more.
One embodiment provides any of the above-described methods modified to include administering to an individual having an HCV infection an effective amount of a compound of Formula I or Formula II; and a regimen of 100 μg monoPEG (30 kD, linear)-ylated consensus IFN-α administered subcutaneously every 10 days or qw; 100 μg Actimmune human IFN-γlb administered subcutaneously tiw; and ribavirin administered orally qd, where the duration of therapy is 48 weeks. In this embodiment, ribavirin is administered in an amount of 1000 mg for individuals weighing less than 75 kg, and 1200 mg for individuals weighing 75 kg or more. One embodiment provides any of the above-described methods modified to include administering to an individual having an HCV infection an effective amount of a compound of Formula I or Formula II; and a regimen of 100 μg monoPEG (30 kD, linear)-ylated consensus IFN-α administered subcutaneously every 10 days or qw; and 50 μg Actimmune human IFN-γlb administered subcutaneously tiw, where the duration of therapy is 48 weeks.
One embodiment provides any of the above-described methods modified to include administering to an individual having an HCV infection an effective amount of a compound of Formula I or Formula II; and a regimen of 100 μg monoPEG (30 kD, linear)-ylated consensus IFN-α administered subcutaneously every 10 days or qw; and 100 μg Actimmune human IFN-γlb administered subcutaneously tiw, where the duration of therapy is 48 weeks.
One embodiment provides any of the above-described methods modified to include administering to an individual having an HCV infection an effective amount of a compound of Formula I or Formula II; and a regimen of 150 μg monoPEG (30 kD, linear)-ylated consensus IFN-α administered subcutaneously every 10 days or qw, and ribavirin administered orally qd, where the duration of therapy is 48 weeks. In this embodiment, ribavirin is administered in an amount of 1000 mg for individuals weighing less than 75 kg, and 1200 mg for individuals weighing 75 kg or more.
One embodiment provides any of the above-described methods modified to include administering to an individual having an HCV infection an effective amount of a compound of Formula I or Formula II; and a regimen of 150 μg monoPEG (30 kD, linear)-ylated consensus IFN-α administered subcutaneously every 10 days or qw; 50 μg Actimmune human IFN-γlb administered subcutaneously tiw; and ribavirin administered orally qd, where the duration of therapy is 48 weeks. In this embodiment, ribavirin is administered in an amount of 1000 mg for individuals weighing less than 75 kg, and 1200 mg for individuals weighing 75 kg or more.
One embodiment provides any of the above-described methods modified to include administering to an individual having an HCV infection an effective amount of a compound of Formula I or Formula II; and a regimen of 150 μg monoPEG (30 kD, linear)-ylated consensus IFN-α administered subcutaneously every 10 days or qw; 100 μg Actimmune human IFN-γlb administered subcutaneously tiw; and ribavirin administered orally qd, where the duration of therapy is 48 weeks. In this embodiment, ribavirin is administered in an amount of 1000 mg for individuals weighing less than 75 kg, and 1200 mg for individuals weighing 75 kg or more.
One embodiment provides any of the above-described methods modified to include administering to an individual having an HCV infection an effective amount of a compound of Formula I or Formula II; and a regimen of 150 μg monoPEG (30 kD, linear)-ylated consensus IFN-α administered subcutaneously every 10 days or qw; and 50 μg Actimmune human IFN-γlb administered
subcutaneously tiw, where the duration of therapy is 48 weeks.
One embodiment provides any of the above-described methods modified to include administering to an individual having an HCV infection an effective amount of a compound of Formula I or Formula II; and a regimen of 150 μg monoPEG (30 kD, linear)-ylated consensus IFN-α administered subcutaneously every 10 days or qw; and 100 μg Actimmune human IFN-γlb administered subcutaneously tiw, where the duration of therapy is 48 weeks.
One embodiment provides any of the above-described methods modified to include administering to an individual having an HCV infection an effective amount of a compound of Formula I or Formula II; and a regimen of 200 μg monoPEG (30 kD, linear)-ylated consensus IFN-α administered subcutaneously every 10 days or qw, and ribavirin administered orally qd, where the duration of therapy is 48 weeks. In this embodiment, ribavirin is administered in an amount of 1000 mg for individuals weighing less than 75 kg, and 1200 mg for individuals weighing 75 kg or more.
One embodiment provides any of the above-described methods modified to include administering to an individual having an HCV infection an effective amount of a compound of Formula I or Formula II; and a regimen of 200 μg monoPEG (30 kD, linear)-ylated consensus IFN-α administered subcutaneously every 10 days or qw; 50 μg Actimmune human IFN-γlb administered subcutaneously tiw; and ribavirin administered orally qd, where the duration of therapy is 48 weeks. In this embodiment, ribavirin is administered in an amount of 1000 mg for individuals weighing less than 75 kg, and 1200 mg for individuals weighing 75 kg or more. One embodiment provides any of the above-described methods modified to include administering to an individual having an HCV infection an effective amount of a compound of Formula I or Formula II; and a regimen of 200 μg monoPEG (30 kD, linear)-ylated consensus IFN-α administered subcutaneously every 10 days or qw; 100 μg Actimmune human IFN-γlb administered subcutaneously tiw; and ribavirin administered orally qd, where the duration of therapy is 48 weeks. In this embodiment, ribavirin is administered in an amount
of 1000 mg for individuals weighing less than 75 kg, and 1200 mg for individuals weighing 75 kg or more.
One embodiment provides any of the above-described methods modified to include administering to an individual having an HCV infection an effective amount of a compound of Formula I or Formula II; and a regimen of 200 μg monoPEG (30 kD, linear)-ylated consensus IFN-α administered subcutaneously every 10 days or qw; and 50 μg Actimmune human IFN-γlb administered subcutaneously tiw, where the duration of therapy is 48 weeks.
One embodiment provides any of the above-described methods modified to include administering to an individual having an HCV infection an effective amount of a compound of Formula I or Formula II; and a regimen of 200 μg monoPEG (30 kD, linear)-ylated consensus IFN-α administered subcutaneously every 10 days or qw; and 100 μg Actimmune human IFN-γlb administered subcutaneously tiw, where the duration of therapy is 48 weeks. Any of the above-described methods involving administering a compound of Formula I or Formula II, a Type I interferon receptor agonist (e.g., an IFN-α), and a Type II interferon receptor agonist (e.g., an IFN-γ), can be augmented by administration of an effective amount of a TNF-α antagonist (e.g., a TNF-60 antagonist other than pirfenidone or a pirfenidone analog). Exemplary, non-limiting TNF-α antagonists that are suitable for use in such combination therapies include ENBREL, REMICADE, and HUMIRA.
One embodiment provides a method using an effective amount of ENBREL; an effective amount of IFN-α; an effective amount of IFN-γ; and an effective amount of a compound of Formula I or Formula II in the treatment of an HCV infection in a patient, including administering to the patient a dosage ENBREL containing an amount of from about 0.1 μg to about 23 mg per dose, from about 0.1 μg to about 1 μg, from about 1 μg to about 10 μg, from about 10 μg to about 100 μg, from about 100 μg to about 1 mg, from about 1 mg to about 5 mg, from about 5 mg to about 10 mg, from about 10 mg to about 15 mg, from about 15 mg to about 20 mg, or from about 20 mg to about 23 mg of ENBREL, subcutaneously qd, qod, tiw, biw, qw, qow, three times per month, once
monthly, or once every other month, or per day substantially continuously or continuously, for the desired duration of treatment.
One embodiment provides a method using an effective amount of REMICADE, an effective amount of IFN-α; an effective amount of IFN -γ; and an effective amount of a compound of Formula I or Formula II in the treatment of an HCV infection in a patient, including administering to the patient a dosage of REMICADE containing an amount of from about 0.1 mg/kg to about 4.5 mg/kg, from about 0.1 mg/kg to about 0.5 mg/kg, from about 0.5 mg/kg to about 1.0 mg/kg, from about 1.0 mg/kg to about 1.5 mg/kg, from about 1.5 mg/kg to about 2.0 mg/kg, from about 2.0 mg/kg to about 2.5 mg/kg, from about 2.5 mg/kg to about 3.0 mg/kg, from about 3.0 mg/kg to about 3.5 mg/kg, from about 3.5 mg/kg to about 4.0 mg/kg, or from about 4.0 mg/kg to about 4.5 mg/kg per dose of REMICADE, intravenously qd, qod, tiw, biw, qw, qow, three times per month, once monthly, or once every other month, or per day substantially continuously or continuously, for the desired duration of treatment.
One embodiment provides a method using an effective amount of HUMIRA, an effective amount of IFN-α; an effective amount of IFN -γ; and an effective amount of a compound of Formula I or Formula II in the treatment of an HCV infection in a patient, including administering to the patient a dosage of HUMIRA containing an amount of from about 0.1 μg to about 35 mg, from about 0.1 μg to about 1 μg, from about 1 μg to about 10 μg, from about 10 μg to about 100 μg, from about 100 μg to about 1 mg, from about 1 mg to about 5 mg, from about 5 mg to about 10 mg, from about 10 mg to about 15 mg, from about 15 mg to about 20 mg, from about 20 mg to about 25 mg, from about 25 mg to about 30 mg, or from about 30 mg to about 35 mg per dose of a HUMIRA, subcutaneously qd, qod, tiw, biw, qw, qow, three times per month, once monthly, or once every other month, or per day substantially continuously or continuously, for the desired duration of treatment. Combination Therapies with Pirfenidone In many embodiments, the methods provide for combination therapy including administering a compound of Formula I or Formula II as described
above, and an effective amount of pirfenidone or a pirfenidone analog. In some embodiments, a compound of Formula I or Formula II, one or more interferon receptor agonist(s), and pirfenidone or pirfenidone analog are co-administered in the treatment methods of the embodiments. In certain embodiments, a compound of Formula I or Formula II, a Type I interferon receptor agonist, and pirfenidone (or a pirfenidone analog) are co-administered. In other embodiments, a compound of Formula I or Formula II, a Type I interferon receptor agonist, a Type II interferon receptor agonist, and pirfenidone (or a pirfenidone analog) are co-administered. Type I interferon receptor agonists suitable for use herein include any IFN-α, such as interferon α-2a, interferon α- 2b, interferon alfacon-1, and PEGylated IFN-α's, such as peginterferon α-2a, peginterferon α-2b, and PEGylated consensus interferons, such as monoPEG (30 kD, linear)-ylated consensus interferon. Type II interferon receptor agonists suitable for use herein include any interferon-γ. Pirfenidone or a pirfenidone analog can be administered once per month, twice per month, three times per month, once per week, twice per week, three times per week, four times per week, five times per week, six times per week, daily, or in divided daily doses ranging from once daily to 5 times daily over a period of time ranging from about one day to about one week, from about two weeks to about four weeks, from about one month to about two months, from about two months to about four months, from about four months to about six months, from about six months to about eight months, from about eight months to about 1 year, from about 1 year to about 2 years, or from about 2 years to about 4 years, or more. Effective dosages of pirfenidone or a specific pirfenidone analog include a weight-based dosage in the range from about 5 mg/kg/day to about 125 mg/kg/day, or a fixed dosage of about 400 mg to about 3600 mg per day, or about 800 mg to about 2400 mg per day, or about 1000 mg to about 1800 mg per day, or about 1200 mg to about 1600 mg per day, administered orally in one to five divided doses per day.
One embodiment provides any of the above-described methods modified
to include co-administering to the patient a therapeutically effective amount of pirfenidone or a pirfenidone analog for the duration of the desired course of a compound of Formula I or Formula II treatment. Combination Therapies with TNF-α Antagonists In many embodiments, the methods provide for combination therapy including administering an effective amount of a compound of Formula I or Formula II as described above, and an effective amount of TNF-α antagonist, in combination therapy for treatment of an HCV infection.
Effective dosages of a TNF-α antagonist range from 0.1 μg to 40 mg per dose, e.g., from about 0.1 μg to about 0.5 μg per dose, from about 0.5 μg to about 1.0 μg per dose, from about 1.0 μg per dose to about 5.0 μg per dose, from about 5.0 μg to about 10 μg per dose, from about 10 μg to about 20 μg per dose, from about 20 μg per dose to about 30 μg per dose, from about 30 μg per dose to about 40 μg per dose, from about 40 μg per dose to about 50 μg per dose, from about 50 μg per dose to about 60 μg per dose, from about 60 μg per dose to about 70 μg per dose, from about 70 μg to about 80 μg per dose, from about 80 μg per dose to about 100 μg per dose, from about 100 μg to about 150 μg per dose, from about 150 μg to about 200 μg per dose, from about 200 μg per dose to about 250 μg per dose, from about 250 μg to about 300 μg per dose, from about 300 μg to about 400 μg per dose, from about 400 μg to about 500 μg per dose, from about 500 μg to about 600 μg per dose, from about 600 μg to about 700 μg per dose, from about 700 μg to about 800 μg per dose, from about 800 μg to about 900 μg per dose, from about 900 μg to about 1000 μg per dose, from about 1 mg to about 10 mg per dose, from about 10 mg to about 15 mg per dose, from about 15 mg to about 20 mg per dose, from about 20 mg to about 25 mg per dose, from about 25 mg to about 30 mg per dose, from about 30 mg to about 35 mg per dose, or from about 35 mg to about 40 mg per dose.
In some embodiments, effective dosages of a TNF-α antagonist are expressed as mg/kg body weight. In these embodiments, effective dosages of a TNF-α antagonist are from about 0.1 mg/kg body weight to about 10 mg/kg body weight, e.g., from about 0.1 mg/kg body weight to about 0.5 mg/kg body
weight, from about 0.5 mg/kg body weight to about 1.0 mg/kg body weight, from about 1.0 mg/kg body weight to about 2.5 mg/kg body weight, from about 2.5 mg/kg body weight to about 5.0 mg/kg body weight, from about 5.0 mg/kg body weight to about 7.5 mg/kg body weight, or from about 7.5 mg/kg body weight to about 10 mg/kg body weight.
In many embodiments, a TNF-α antagonist is administered for a period of about 1 day to about 7 days, or about 1 week to about 2 weeks, or about 2 weeks to about 3 weeks, or about 3 weeks to about 4 weeks, or about 1 month to about 2 months, or about 3 months to about 4 months, or about 4 months to about 6 months, or about 6 months to about 8 months, or about 8 months to about 12 months, or at least one year, and may be administered over longer periods of time. The TNF-α antagonist can be administered tid, bid, qd, qod, biw, tiw, qw, qow, three times per month, once monthly, substantially continuously, or continuously. In many embodiments, multiple doses of a TNF-α antagonist are administered. For example, a TNF-α antagonist is administered once per month, twice per month, three times per month, every other week (qow), once per week (qw), twice per week (biw), three times per week (tiw), four times per week, five times per week, six times per week, every other day (qod), daily (qd), twice a day (bid), or three times a day (tid), substantially continuously, or continuously, over a period of time ranging from about one day to about one week, from about two weeks to about four weeks, from about one month to about two months, from about two months to about four months, from about four months to about six months, from about six months to about eight months, from about eight months to about 1 year, from about 1 year to about 2 years, or from about 2 years to about 4 years, or more.
A TNF-α antagonist and a compound of Formula I or Formula II are generally administered in separate formulations. A TNF-α antagonist and a compound of Formula I or Formula II may be administered substantially simultaneously, or within about 30 minutes, about 1 hour, about 2 hours, about 4 hours, about 8 hours, about 16 hours, about 24 hours, about 36 hours, about 72
hours, about 4 days, about 7 days, or about 2 weeks of one another.
One embodiment provides a method using an effective amount of a TNF- α antagonist and an effective amount of a compound of Formula I or Formula II in the treatment of an HCV infection in a patient, including administering to the patient a dosage of a TNF-α antagonist containing an amount of from about 0.1 μg to about 40 mg per dose of a TNF-α antagonist, subcutaneously qd, qod, tiw, or biw, or per day substantially continuously or continuously, for the desired duration of treatment with a compound of Formula I or Formula II.
One embodiment provides a method using an effective amount of ENBREL and an effective amount of a compound of Formula I or Formula II in the treatment of an HCV infection in a patient, including administering to the patient a dosage ENBREL containing an amount of from about 0.1 μg to about 23 mg per dose, from about 0.1 μg to about 1 μg, from about 1 μg to about 10 μg, from about 10 μg to about 100 μg, from about 100 μg to about 1 mg, from about 1 mg to about 5 mg, from about 5 mg to about 10 mg, from about 10 mg to about 15 mg, from about 15 mg to about 20 mg, or from about 20 mg to about 23 mg of ENBREL, subcutaneously qd, qod, tiw, biw, qw, qow, three times per month, once monthly, or once every other month, or per day substantially continuously or continuously, for the desired duration of treatment with a compound of Formula I or Formula II.
One embodiment provides a method using an effective amount of REMICADE and an effective amount of a compound of Formula I or Formula II in the treatment of an HCV infection in a patient, including administering to the patient a dosage of REMICADE containing an amount of from about 0.1 mg/kg to about 4.5 mg/kg, from about 0.1 mg/kg to about 0.5 mg/kg, from about 0.5 mg/kg to about 1.0 mg/kg, from about 1.0 mg/kg to about 1.5 mg/kg, from about 1.5 mg/kg to about 2.0 mg/kg, from about 2.0 mg/kg to about 2.5 mg/kg, from about 2.5 mg/kg to about 3.0 mg/kg, from about 3.0 mg/kg to about 3.5 mg/kg, from about 3.5 mg/kg to about 4.0 mg/kg, or from about 4.0 mg/kg to about 4.5 mg/kg per dose of REMICADE, intravenously qd, qod, tiw, biw, qw, qow, three times per month, once monthly, or once every other month, or per day
substantially continuously or continuously, for the desired duration of treatment with a compound of Formula I or Formula II.
One embodiment provides a method using an effective amount of HUMIRA and an effective amount of a compound of Formula I or Formula II in the treatment of an HCV infection in a patient, including administering to the patient a dosage of HUMIRA containing an amount of from about 0.1 μg to about 35 mg, from about 0.1 μg to about 1 μg, from about 1 μg to about 10 μg, from about 10 μg to about 100 μg, from about 100 μg to about 1 mg, from about 1 mg to about 5 mg, from about 5 mg to about 10 mg, from about 10 mg to about 15 mg, from about 15 mg to about 20 mg, from about 20 mg to about 25 mg, from about 25 mg to about 30 mg, or from about 30 mg to about 35 mg per dose of a HUMIRA, subcutaneously qd, qod, tiw, biw, qw, qow, three times per month, once monthly, or once every other month, or per day substantially continuously or continuously, for the desired duration of treatment with a compound of Formula I or Formula II. Combination Therapies with Thvmosin-α
In many embodiments, the methods provide for combination therapy including administering an effective amount of a compound of Formula I or Formula II compound as described above, and an effective amount of thymosin- α, in combination therapy for treatment of an HCV infection.
Effective dosages of thymosin-α range from about 0.5 mg to about 5 mg, e.g., from about 0.5 mg to about 1.0 mg, from about 1.0 mg to about 1.5 mg, from about 1.5 mg to about 2.0 mg, from about 2.0 mg to about 2.5 mg, from about 2.5 mg to about 3.0 mg, from about 3.0 mg to about 3.5 mg, from about 3.5 mg to about 4.0 mg, from about 4.0 mg to about 4.5 mg, or from about 4.5 mg to about 5.0 mg. In particular embodiments, thymosin-α is administered in dosages containing an amount of 1.0 mg or 1.6 mg.
One embodiment provides a method using an effective amount of ZADAXIN thymosin-α and an effective amount of a compound of Formula I or Formula II in the treatment of an HCV infection in a patient, including administering to the patient a dosage of ZADAXIN containing an amount of
from about 1.0 mg to about 1.6 mg per dose, subcutaneously twice per week for the desired duration of treatment with the compound of Formula I or Formula II. Combination Therapies with a TNF-α Antagonist and an Interferon
Some embodiments provide a method of treating an HCV infection in an individual having an HCV infection, the method including administering an effective amount of a compound of Formula I or Formula II, and effective amount of a TNF-α antagonist, and an effective amount of one or more interferons.
One embodiment provides any of the above-described methods modified to use an effective amount of IFN -γ and an effective amount of a TNF-α antagonist in the treatment of HCV infection in a patient including administering to the patient a dosage of IFN -γ containing an amount of about 10 μg to about 300 μg of drug per dose of IFN -γ, subcutaneously qd, qod, tiw, biw, qw, qow, three times per month, once monthly, or per day substantially continuously or continuously, in combination with a dosage of a TNF-α antagonist containing an amount of from about 0.1 μg to about 40 mg per dose of a TNF-α antagonist, subcutaneously qd, qod, tiw, or biw, or per day substantially continuously or continuously, for the desired duration of treatment with a compound of Formula I or Formula II. One embodiment provides any of the above-described methods modified to use an effective amount of IFN -γ and an effective amount of a TNF-α antagonist in the treatment of HCV infection in a patient including administering to the patient a dosage of IFN -γ containing an amount of about 10 μg to about 100 μg of drug per dose of IFN-γ, subcutaneously qd, qod, tiw, biw, qw, qow, three times per month, once monthly, or per day substantially continuously or continuously, in combination with a dosage of a TNF-α antagonist containing an amount of from about 0.1 μg to about 40 mg per dose of a TNF-α antagonist, subcutaneously qd, qod, tiw, or biw, or per day substantially continuously or continuously, for the desired duration of treatment with a compound of Formula I or Formula II.
Another embodiment provides any of the above-described methods
modified to use an effective amount of IFN-γ and an effective amount of a TNF- α α antagonist in the treatment of a virus infection in a patient including administering to the patient a total weekly dosage of IFN-γ containing an amount of about 30 μg to about 1,000 μg of drug per week in divided doses administered subcutaneously qd, qod, tiw, biw, or administered substantially continuously or continuously, in combination with a dosage of a TNF-α antagonist containing an amount of from about 0.1 μg to about 40 mg per dose of a TNF-α antagonist, subcutaneously qd, qod, tiw, or biw, or per day substantially continuously or continuously, for the desired duration of treatment with a compound of Formula I or Formula II.
Another embodiment provides any of the above-described methods modified to use an effective amount of IFN-γ and an effective amount of a TNF- α antagonist in the treatment of a virus infection in a patient including administering to the patient a total weekly dosage of IFN-γ containing an amount of about 100 μg to about 300 μg of drug per week in divided doses administered subcutaneously qd, qod, tiw, biw, or administered substantially continuously or continuously, in combination with a dosage of a TNF-α antagonist containing an amount of from about 0.1 μg to about 40 mg per dose of a TNF-α antagonist, subcutaneously qd, qod, tiw, or biw, or per day substantially continuously or continuously, for the desired duration of treatment with a compound of Formula I or Formula II.
One embodiment provides any of the above-described methods modified to use an effective amount of INFERGEN consensus IFN-α and a TNF-α antagonist in the treatment of HCV infection in a patient including administering to the patient a dosage of INFERGEN containing an amount of about 1 μg to about 30 μg, of drug per dose of INFERGEN, subcutaneously qd, qod, tiw, biw, qw, qow, three times per month, once monthly, or per day substantially continuously or continuously, in combination with a dosage of a TNF-α antagonist containing an amount of from about 0.1 μg to about 40 mg per dose of a TNF-α antagonist, subcutaneously qd, qod, tiw, or biw, or per day substantially continuously or continuously, for the desired duration of treatment
with a compound of Formula I or Formula II.
One embodiment provides any of the above-described methods modified to use an effective amount of INFERGEN consensus IFN-α and a TNF-α antagonist in the treatment of HCV infection in a patient including administering to the patient a dosage of INFERGEN containing an amount of about 1 μg to about 9 μg, of drug per dose of INFERGEN, subcutaneously qd, qod, tiw, biw, qw, qow, three times per month, once monthly, or per day substantially continuously or continuously, in combination with a dosage of a TNF-α antagonist containing an amount of from about 0.1 μg to about 40 mg per dose of a TNF-α antagonist, subcutaneously qd, qod, tiw, or biw, or per day substantially continuously or continuously, for the desired duration of treatment with a compound of Formula I or Formula II.
Another embodiment provides any of the above-described methods modified to use an effective amount of PEGylated consensus IFN-α and an effective amount of a TNF-α antagonist in the treatment of a virus infection in a patient including administering to the patient a dosage of PEGylated consensus IFN-α (PEG-CIFN) containing an amount of about 4 μg to about 60 μg of CIFN amino acid weight per dose of PEG-CIFN, subcutaneously qw, qow, three times per month, or monthly, in combination with a dosage of a TNF-α antagonist containing an amount of from about 0.1 μg to about 40 mg per dose of a TNF-α antagonist, subcutaneously qd, qod, tiw, or biw, or per day substantially continuously or continuously, for the desired duration of treatment with a compound of Formula I or Formula II.
Another embodiment provides any of the above-described methods modified to use an effective amount of PEGylated consensus IFN-α and an effective amount of a TNF-α antagonist in the treatment of a virus infection in a patient including administering to the patient a dosage of PEGylated consensus IFN-α (PEG-CIFN) containing an amount of about 18 μg to about 24 μg of CIFN amino acid weight per dose of PEG-CIFN, subcutaneously qw, qow, three times per month, or monthly, in combination with a dosage of a TNF-α antagonist containing an amount of from about 0.1 μg to about 40 mg per dose
of a TNF-α antagonist, subcutaneously qd, qod, tiw, or biw, or per day substantially continuously or continuously, for the desired duration of treatment with a compound of Formula I or Formula II.
Another embodiment provides any of the above-described methods modified to use an effective amount of IFN-α2a or 2b or 2c and an effective amount of a TNF-α antagonist in the treatment of a virus infection in a patient including administering to the patient a dosage of IFN-α2a, 2b or 2c containing an amount of about 1 MU to about 20 MU of drug per dose of IFN-α2a, 2b or 2c subcutaneously qd, qod, tiw, biw, or per day substantially continuously or continuously, in combination with a dosage of a TNF-α antagonist containing an amount of from about 0.1 μg to about 40 mg per dose of a TNF-α antagonist, subcutaneously qd, qod, tiw, or biw, or per day substantially continuously or continuously, for the desired duration of treatment with a compound of Formula I or Formula II. Another embodiment provides any of the above-described methods modified to use an effective amount of IFN-α2a or 2b or 2c and an effective amount of a TNF-α antagonist in the treatment of a vims infection in a patient including administering to the patient a dosage of IFN-α2a, 2b or 2c containing an amount of about 3 MU of drug per dose of IFN-α2a, 2b or 2c subcutaneously qd, qod, tiw, biw, or per day substantially continuously or continuously, in combination with a dosage of a TNF-α antagonist containing an amount of from about 0.1 μg to about 40 mg per dose of a TNF-α antagonist, subcutaneously qd, qod, tiw, or biw, or per day substantially continuously or continuously, for the desired duration of treatment with a compound of Formula I or Formula II. Another embodiment provides any of the above-described methods modified to use an effective amount of IFN-α2a or 2b or 2c and an effective amount of a TNF-α antagonist in the treatment of a virus infection in a patient including administering to the patient a dosage of IFN-α2a, 2b or 2c containing an amount of about 10 MU of drug per dose of IFN-α2a, 2b or 2c subcutaneously qd, qod, tiw, biw, or per day substantially continuously or continuously, in combination with a dosage of a TNF-α antagonist containing an
amount of from about 0.1 μg to about 40 mg per dose of a TNF-α antagonist, subcutaneously qd, qod, tiw, or biw, or per day substantially continuously or continuously, for the desired duration of treatment with a compound of Formula I or Formula II. Another embodiment provides any of the above-described methods modified to use an effective amount of PEGASYS PEGylated IFN-α2a and an effective amount of a TNF-α antagonist in the treatment of a virus infection in a patient including administering to the patient a dosage of PEGASYS containing an amount of about 90 μg to about 360 μg, of drug per dose of PEGASYS, subcutaneously qw, qow, three times per month, or monthly, in combination with a dosage of a TNF-α antagonist containing an amount of from about 0.1 μg to about 40 mg per dose of a TNF-α antagonist, subcutaneously qd, qod, tiw, or biw, or per day substantially continuously or continuously, for the desired duration of treatment with a compound of Formula I or Formula II. Another embodiment provides any of the above-described methods modified to use an effective amount of PEGASYS PEGylated IFN-α2a and an effective amount of a TNF-α antagonist in the treatment of a virus infection in a patient including administering to the patient a dosage of PEGASYS containing an amount of about 180 μg, of drug per dose of PEGASYS, subcutaneously qw, qow, three times per month, or monthly, in combination with a dosage of a TNF- α antagonist containing an amount of from about 0.1 μg to about 40 mg per dose of a TNF-α antagonist, subcutaneously qd, qod, tiw, or biw, or per day substantially continuously or continuously, for the desired duration of treatment with a compound of Formula I or Formula II. Another embodiment provides any of the above-described methods modified to use an effective amount of PEG-INTRON PEGylated IFN-α2b and an effective amount of a TNF-α antagonist in the treatment of a virus infection in a patient including administering to the patient a dosage of PEG-INTRON containing an amount of about 0.75 μg to about 3.0 μg of drug per kilogram of body weight per dose of PEG-INTRON, subcutaneously qw, qow, three times per month, or monthly, in combination with a dosage of a TNF-α antagonist
containing an amount of from about 0.1 μg to about 40 mg per dose of a TNF-α antagonist, subcutaneously qd, qod, tiw, or biw, or per day substantially continuously or continuously, for the desired duration of treatment with a compound of Formula I or Formula II. Another embodiment provides any of the above-described methods modified to use an effective amount of PEG-INTRON PEGylated IFN-α2b and an effective amount of a TNF-α antagonist in the treatment of a virus infection in a patient including administering to the patient a dosage of PEG-INTRON containing an amount of about 1.5 μg of drug per kilogram of body weight per dose of PEG-INTRON, subcutaneously qw, qow, three times per month, or monthly, in combination with a dosage of a TNF-α antagonist containing an amount of from about 0.1 μg to about 40 mg per dose of a TNF-α antagonist, subcutaneously qd, qod, tiw, or biw, or per day substantially continuously or continuously, for the desired duration of treatment with a compound of Formula I or Formula II.
Combination Therapies with Other Antiviral Agents
Other agents such as inhibitors of HCV NS3 helicase are also attractive drugs for combinational therapy, and are contemplated for use in combination therapies described herein. Ribozymes such as HEPTAZYME and phosphorothioate oligonucleotides which are complementary to HCV protein sequences and which inhibit the expression of viral core proteins are also suitable for use in combination therapies described herein.
In some embodiments, the additional antiviral agent(s) is administered during the entire course of treatment with the compound of Formula I or Formula II described herein, and the beginning and end of the treatment periods coincide. In other embodiments, the additional antiviral agent(s) is administered for a period of time that is overlapping with that of the compound of Formula I or Formula II treatment, e.g., treatment with the additional antiviral agent(s) begins before the compound of Formula I or Formula II treatment begins and ends before the compound of Formula I or Formula II treatment ends; treatment with the additional antiviral agent(s) begins after the compound of Formula I or
Formula II treatment begins and ends after the compound of Formula I or Formula II treatment ends; treatment with the additional antiviral agent(s) begins after the compound of Formula I or Formula II treatment begins and ends before the compound of Formula I or Formula II treatment ends; or treatment with the additional antiviral agent(s) begins before the compound of Formula I or Formula II treatment begins and ends after the compound of Formula I or Formula II treatment ends.
The compound of Formula I or Formula II can be administered together with (i.e., simultaneously in separate formulations; simultaneously in the same formulation; administered in separate formulations and within about 48 hours, within about 36 hours, within about 24 hours, within about 16 hours, within about 12 hours, within about 8 hours, within about 4 hours, within about 2 hours, within about 1 hour, within about 30 minutes, or within about 15 minutes or less) one or more additional antiviral agents. Patient Identification
In certain embodiments, the specific regimen of drug therapy used in treatment of the HCV patient is selected according to certain disease parameters exhibited by the patient, such as the initial viral load, genotype of the HCV infection in the patient, liver histology and/or stage of liver fibrosis in the patient. Thus, some embodiments provide any of the above-described methods for the treatment of HCV infection in which the subject method is modified to treat a treatment failure patient for a duration of 48 weeks.
Other embodiments provide any of the above-described methods for HCV in which the subject method is modified to treat a non-responder patient, where the patient receives a 48 week course of therapy. Other embodiments provide any of the above-described methods for the treatment of HCV infection in which the subject method is modified to treat a relapser patient, where the patient receives a 48 week course of therapy. Other embodiments provide any of the above-described methods for the treatment of HCV infection in which the subject method is modified to treat a naive patient infected with HCV genotype 1, where the patient receives a 48 week course of therapy. Other embodiments
provide any of the above-described methods for the treatment of HCV infection in which the subject method is modified to treat a naive patient infected with HCV genotype 4, where the patient receives a 48 week course of therapy.
Other embodiments provide any of the above-described methods for the treatment of HCV infection in which the subject method is modified to treat a naive patient infected with HCV genotype 1 , where the patient has a high viral load (HVL), where "HVL" refers to an HCV viral load of greater than 2 x 106 HCV genome copies per mL serum, and where the patient receives a 48 week course of therapy. One embodiment provides any of the above-described methods for the treatment of an HCV infection, where the subject method is modified to include the steps of (1) identifying a patient having advanced or severe stage liver fibrosis as measured by a Knodell score of 3 or 4 and then (2) administering to the patient the drug therapy of the subject method for a time period of about 24 weeks to about 60 weeks, or about 30 weeks to about one year, or about 36 weeks to about 50 weeks, or about 40 weeks to about 48 weeks, or at least about 24 weeks, or at least about 30 weeks, or at least about 36 weeks, or at least about 40 weeks, or at least about 48 weeks, or at least about 60 weeks.
Another embodiment provides any of the above-described methods for the treatment of an HCV infection, where the subject method is modified to include the steps of (1) identifying a patient having advanced or severe stage liver fibrosis as measured by a Knodell score of 3 or 4 and then (2) administering to the patient the drug therapy of the subject method for a time period of about 40 weeks to about 50 weeks, or about 48 weeks. Another embodiment provides any of the above-described methods for the treatment of an HCV infection, where the subject method is modified to include the steps of (1) identifying a patient having an HCV genotype 1 infection and an initial viral load of greater than 2 million viral genome copies per ml of patient serum and then (2) administering to the patient the drug therapy of the subject method for a time period of about 24 weeks to about 60 weeks, or about 30 weeks to about one year, or about 36 weeks to about 50 weeks, or about 40
weeks to about 48 weeks, or at least about 24 weeks, or at least about 30 weeks, or at least about 36 weeks, or at least about 40 weeks, or at least about 48 weeks, or at least about 60 weeks.
Another embodiment provides any of the above-described methods for the treatment of an HCV infection, where the subject method is modified to include the steps of (1) identifying a patient having an HCV genotype 1 infection and an initial viral load of greater than 2 million viral genome copies per ml of patient serum and then (2) administering to the patient the drug therapy of the subject method for a time period of about 40 weeks to about 50 weeks, or about 48 weeks.
Another embodiment provides any of the above-described methods for the treatment of an HCV infection, where the subject method is modified to include the steps of (1) identifying a patient having an HCV genotype 1 infection and an initial viral load of greater than 2 million viral genome copies per ml of patient serum and no or early stage liver fibrosis as measured by a Knodell score of 0, 1, or 2 and then (2) administering to the patient the drug therapy of the subject method for a time period of about 24 weeks to about 60 weeks, or about 30 weeks to about one year, or about 36 weeks to about 50 weeks, or about 40 weeks to about 48 weeks, or at least about 24 weeks, or at least about 30 weeks, or at least about 36 weeks, or at least about 40 weeks, or at least about 48 weeks, or at least about 60 weeks.
Another embodiment provides any of the above-described methods for the treatment of an HCV infection, where the subject method is modified to include the steps of (1) identifying a patient having an HCV genotype 1 infection and an initial viral load of greater than 2 million viral genome copies per ml of patient serum and no or early stage liver fibrosis as measured by a Knodell score of 0, 1, or 2 and then (2) administering to the patient the drug therapy of the subject method for a time period of about 40 weeks to about 50 weeks, or about 48 weeks. Another embodiment provides any of the above-described methods for the treatment of an HCV infection, where the subject method is modified to
include the steps of (1) identifying a patient having an HCV genotype 1 infection and an initial viral load of less than or equal to 2 million viral genome copies per ml of patient serum and then (2) administering to the patient the drug therapy of the subject method for a time period of about 20 weeks to about 50 weeks, or about 24 weeks to about 48 weeks, or about 30 weeks to about 40 weeks, or up to about 20 weeks, or up to about 24 weeks, or up to about 30 weeks, or up to about 36 weeks, or up to about 48 weeks.
Another embodiment provides any of the above-described methods for the treatment of an HCV infection, where the subject method is modified to include the steps of (1) identifying a patient having an HCV genotype 1 infection and an initial viral load of less than or equal to 2 million viral genome copies per ml of patient serum and then (2) administering to the patient the drug therapy of the subject method for a time period of about 20 weeks to about 24 weeks.
Another embodiment provides any of the above-described methods for the treatment of an HCV infection, where the subject method is modified to include the steps of (1) identifying a patient having an HCV genotype 1 infection and an initial viral load of less than or equal to 2 million viral genome copies per ml of patient serum and then (2) administering to the patient the drug therapy of the subject method for a time period of about 24 weeks to about 48 weeks. Another embodiment provides any of the above-described methods for the treatment of an HCV infection, where the subject method is modified to include the steps of (1) identifying a patient having an HCV genotype 2 or 3 infection and then (2) administering to the patient the drug therapy of the subject method for a time period of about 24 weeks to about 60 weeks, or about 30 weeks to about one year, or about 36 weeks to about 50 weeks, or about 40 weeks to about 48 weeks, or at least about 24 weeks, or at least about 30 weeks, or at least about 36 weeks, or at least about 40 weeks, or at least about 48 weeks, or at least about 60 weeks.
Another embodiment provides any of the above-described methods for the treatment of an HCV infection, where the subject method is modified to include the steps of (1) identifying a patient having an HCV genotype 2 or 3
infection and then (2) administering to the patient the drug therapy of the subject method for a time period of about 20 weeks to about 50 weeks, or about 24 weeks to about 48 weeks, or about 30 weeks to about 40 weeks, or up to about 20 weeks, or up to about 24 weeks, or up to about 30 weeks, or up to about 36 weeks, or up to about 48 weeks.
Another embodiment provides any of the above-described methods for the treatment of an HCV infection, where the subject method is modified to include the steps of (1) identifying a patient having an HCV genotype 2 or 3 infection and then (2) administering to the patient the drug therapy of the subject method for a time period of about 20 weeks to about 24 weeks.
Another embodiment provides any of the above-described methods for the treatment of an HCV infection, where the subject method is modified to include the steps of (1) identifying a patient having an HCV genotype 2 or 3 infection and then (2) administering to the patient the drug therapy of the subject method for a time period of at least about 24 weeks.
Another embodiment provides any of the above-described methods for the treatment of an HCV infection, where the subject method is modified to include the steps of (1) identifying a patient having an HCV genotype 1 or 4 infection and then (2) administering to the patient the drug therapy of the subject method for a time period of about 24 weeks to about 60 weeks, or about 30 weeks to about one year, or about 36 weeks to about 50 weeks, or about 40 weeks to about 48 weeks, or at least about 24 weeks, or at least about 30 weeks, or at least about 36 weeks, or at least about 40 weeks, or at least about 48 weeks, or at least about 60 weeks. Another embodiment provides any of the above-described methods for the treatment of an HCV infection, where the subject method is modified to include the steps of (1) identifying a patient having an HCV infection characterized by any of HCV genotypes 5, 6, 7, 8 and 9 and then (2) administering to the patient the drug therapy of the subject method for a time period of about 20 weeks to about 50 weeks.
Another embodiment provides any of the above-described methods for
the treatment of an HCV infection, where the subject method is modified to include the steps of (1) identifying a patient having an HCV infection characterized by any of HCV genotypes 5, 6, 7, 8 and 9 and then (2) administering to the patient the drug therapy of the subject method for a time period of at least about 24 weeks and up to about 48 weeks.
Subjects Suitable for Treatment
Any of the above treatment regimens can be administered to individuals who have been diagnosed with an HCV infection. Any of the above treatment regimens can be administered to individuals who have failed previous treatment for HCV infection ("treatment failure patients," including non-responders and relapsers).
Individuals who have been clinically diagnosed as infected with HCV are of particular interest in many embodiments. Individuals who are infected with HCV are identified as having HCV RNA in their blood, and/or having anti-HCV antibody in their serum. Such individuals include anti-HCV ELISA-positive individuals, and individuals with a positive recombinant immunoblot assay (RIBA). Such individuals may also, but need not, have elevated serum ALT levels. Individuals who are clinically diagnosed as infected with HCV include naive individuals (e.g., individuals not previously treated for HCV, particularly those who have not previously received IFN-α-based and/or ribavirin-based therapy) and individuals who have failed prior treatment for HCV ("treatment failure" patients). Treatment failure patients include non-responders (i.e., individuals in whom the HCV titer was not significantly or sufficiently reduced by a previous treatment for HCV, e.g., a previous IFN-α monotherapy, a previous IFN-α and ribavirin combination therapy, or a previous pegylated IFN- α and ribavirin combination therapy); and relapsers (i.e., individuals who were previously treated for HCV, e.g., who received a previous IFN-α monotherapy, a previous IFN-α and ribavirin combination therapy, or a previous pegylated IFN- α and ribavirin combination therapy, whose HCV titer decreased, and
subsequently increased).
In particular embodiments of interest, individuals have an HCV titer of at least about 105, at least about 5 x 105, or at least about 106, or at least about 2 x 106, genome copies of HCV per milliliter of serum. The patient may be infected with any HCV genotype (genotype 1, including Ia and Ib, 2, 3, 4, 6, etc. and subtypes (e.g., 2a, 2b, 3a, etc.)), particularly a difficult to treat genotype such as HCV genotype 1 and particular HCV subtypes and quasispecies.
Also of interest are HCV-positive individuals (as described above) who exhibit severe fibrosis or early cirrhosis (non-decompensated, Child' s-Pugh class A or less), or more advanced cirrhosis (decompensated, Child's-Pugh class B or C) due to chronic HCV infection and who are viremic despite prior anti-viral treatment with IFN-α-based therapies or who cannot tolerate IFN-α-based therapies, or who have a contraindication to such therapies. In particular embodiments of interest, HCV-positive individuals with stage 3 or 4 liver fibrosis according to the METAVIR scoring system are suitable for treatment with the methods described herein. In other embodiments, individuals suitable for treatment with the methods of the embodiments are patients with decompensated cirrhosis with clinical manifestations, including patients with far- advanced liver cirrhosis, including those awaiting liver transplantation. In still other embodiments, individuals suitable for treatment with the methods described herein include patients with milder degrees of fibrosis including those with early fibrosis (stages 1 and 2 in the METAVIR, Ludwig, and Scheuer scoring systems; or stages 1 , 2, or 3 in the Ishak scoring system.). Literature Metavir et al. (1994) Hepatology, 20:15-20; Brunt (2000) Hepatology,
31 :241-246; Alpini (1997) J. Hepatology, 27:371-380; Baroni et al. (1996) Hepatology, 23:1189-1 199; Czaja et al. (1989) Hepatology, 10:795-800; Grossman et al. (1998) J. Gastroenterol. Hepatology, 13:1058-1060; Rockey et al. (1994) J. Invest. Med., 42:660-670; Sakaida et al. (1998) J. Hepatology, 28:471-479; Shi et al. (1997) Proc. Natl. Acad. Sci. USA, 94:10663-10668;
Baroni et al. (1999) Liver, 19:212-219; Lortat- Jacob et al. (1997) J. Hepatology,
26:894-903; Llorent et al. (1996) J. Hepatology, 24:555-563; Balish et al. (1992) J. Infect. Diseases, 166:1401-1403; Katayama et al. (2001) J.Viral Hepatitis, 8:180-185; Wandl et al. (1992) Br. J. Haematol, 81 :516-519; Wandl et al. (1992) Sem. Oncol., 19:88-94; Balish et al. (1992) J. Infectious Diseases, 166:1401-1403; Van Dijk et al. (1994) Int. J. Cancer,56:262-268; Sundmacher et al. (1987) Current Eye Res.. 6:273-276; Torre et al. (2001) J. Med. Virol., 64:455-459; Bekkering et al. (2001U. Hepatology, 34:435-440; Zeuzem et al.
(2001) Gastroenterol., 120:1438-1447; Zeuzem (1999) J. Hepatology. 31 :61-64; Keeffe et al. (1997) Hepatology. 26:101 S-107S; Wills (1990) Clin. Pharmacokinet., 19:390-399; Heathcote et al. (2000) New Engl. J. Med.,
343:1673-1680; Husa and Husova (2001) Bratisl. Lek. Listy, 102:248-252; Glue et al. (2000) Clin. Pharmacol.. 68:556-567; Bailon et al. (2001) Bioconj. Chem., 12:195-202; and Neumann et al. (2001) Science. 282:103; Zalipsky (1995) Adv. Drug Delivery Reviews. S. 16, 157-182; Mann et al. (2001) Lancet, 358:958- 965; Zeuzem et al. (2000) New Engl. J. Med., 343:1666-1672; Osborn et al.
(2002) J. Pharmacol. Exp. Therap.. 303:540-548; Sheppard et al. (2003) Nat. Immunol., 4:63-68; Chang et al. (1999) Nat. Biotechnol., 17:793-797; Adolf (1995) Multiple Sclerosis 1, Suppl. 1 :S44-S47; Chu et al., Tet. Lett., (1996), 7229-7232; Steinkuhler et al., (1998) Biochem., 37: 8899-8905; Ingallinella et al., (1998) Biochem.. 37: 8906-8914; U.S. Patent Nos. 4,806,347, 5,082,659;
5,190,751 ; 5,372,808; 5,382,657; 5,633,388; 5,711,944; 5,824,784; 5,866,684;
5,869,253; 5,908,121; 5,980,884; 5,985,263; 5,985,265; 6,018,020; 6,172,046;
6,245,740; 6,608,027; and 6,177,074; European Patent Application Publication
Nos. EP. 276120 and 294160; Canadian Patent No. 1,321,348; PCT Patent Application Publication Nos. WO 95/33764; 96/21468; 96/11953; 97/06804;
97/43310; 98/17679; 98/22496; 99/38888; 98/46597; 98/46630; 99/07733;
99/07734, 99/64442; 99/50230; 00/09543; 00/09558; 00/59929; 00/66623;
03/064416; 03/064455; and 03/064456;
All patents, patent applications, publications, scientific articles, web sites, and other documents and materials referenced or mentioned herein are indicative of the levels of skill of those skilled in the art to which the invention pertains,
and each such referenced document and material is hereby incorporated by reference to the same extent as if it had been incorporated by reference in its entirety individually or set forth herein in its entirety. Additionally, all claims in this application, and all priority applications, including but not limited to original claims, are hereby incorporated in their entirety into, and form a part of, the written description of the invention. Applicants reserve the right to physically incorporate into this specification any and all materials and information from any such patents, applications, publications, scientific articles, web sites, electronically available information, and other referenced materials or documents. Applicants reserve the right to physically incorporate into any part of this document, including any part of the written description, the claims referred to above including but not limited to any original claims.
The following Examples are intended to illustrate the above invention and should not be construed as to narrow its scope. One skilled in the art should readily recognize that the Examples suggest many other ways in which the invention could be practiced. It should be understood that numerous variations and modifications may be made while remaining within the scope of the invention.
EXAMPLES
Unless otherwise indicated, all numbers expressing quantities of ingredients, properties such as molecular weight, reaction conditions, and so forth used in the specification and claims are to be understood as being modified in all instances by the term "about." Accordingly, unless indicated to the contrary, the numerical parameters set forth in the following specification and attached claims are approximations that may vary depending upon the desired properties sought to be obtained by the present invention. At the very least, and not as an attempt to limit the application of the doctrine of equivalents to the scope of the claims, each numerical parameter should at least be construed in light of the number of reported significant digits and by applying ordinary rounding techniques.
Notwithstanding that the numerical ranges and parameters setting forth the broad scope of the invention are approximations, the numerical values set forth in the specific examples are reported as precisely as possible. Any numerical value, however, inherently contain certain errors necessarily resulting from the standard deviation found in their respective testing measurements.
Exemplary compounds useful in the presently disclosed subject matter are described in Tables 1 and 2 and in the text.
Additional exemplary compounds of Formula (I) include the following:
Examples 1-30
Preparation of Exemplary Compounds
Solution percentages express a weight to volume relationship, and solution ratios express a volume to volume relationship, unless stated otherwise. Flash chromatography was carried out on silica gel (SiO2) according to Still's flash chromatography technique (J. Org. Chem., 43, 2923, (1978).
The preparations of the compounds shown in Table 1 above are presented in Table 3. The starting stilbenes are readily available from aldehydes {see, e.g., Chen et al., Organomet. Chem., 1984, 268, Cl, (b) Pasqualiet al. J. Am. Chem. Soc. 1979, 101, 4740, and (c) Harris et al., J. Am. Chem. Soc. 1987, 109, 4739.) Suitable aldehydes include, for example, aromatic and heteroaromatic aldehydes.
Suitable aromatic aldehydes include, for example benzaldehyde, benzeneacetaldehyde, 2-bromobenzaldehyde, 2-methoxybenzaldehyde, 2,3- dimethoxybenzaldehyde, benzeneacetaldehyde, 4-(methylthio)benzaldehyde, 1 - naphthaldehyde, anthracene-9-carboxaldehyde, 1 -pyrenecarboxaldehyde, 9H- fluorene-2-carboxaldehyde, 4-butoxybenzaldehyde, and the like, or combinations thereof.
Suitable heteroaromatic aldehydes include, for example, l-pyrrol-2- aldehyde, l-pyrrol-3 -aldehyde, furan-2-aldehyde, furan-3 -aldehyde, thiophene- 2-aldehyde, thiophene-3 -aldehyde, 4-pyridinecarboxaldehyde, 3- pyridinecarboxaldehyde, 2-pyridinecarboxaldehyde, 4,6-dimethyl-2- pyridinecarboxaldehyde, 4-methyl-pyridinecarboxaldehyde, pyrimidine-2- aldehyde, pyrimidine-4-aldehyde, 2-methyl-pyrimidine-4-aldehyde, 6- methylpyridine-2-aldehyde, pyrazine-2-aldehyde, pyridazine-3 -aldehyde, pyridazine-4-aldehyde, 1 -methylbenzimidazole-2-aldehyde, isoquinoline-4- aldehyde, 4-quinolinecarboxaldehyde, 3-quinolinecarboxaldehyde, 2- quinolinecarboxaldehyde, 2-chloro-3-quinolinecarboxaldehyde, 1 -methylindole- 3-carboxaldehyde, l-acetyl-3-indolecarboxaldehyde, and the like, or combinations thereof.
Examples 31 -46
The preparations of some of the emamplary compounds shown in Table 2 above are presented in Table 4.
EXAMPLE 2
LIBRARY SCREENING PROCEDURE
Target cells were seeded the day before (104 cells/well/ 96-well). The chemical library was provided in a 96-well format in DMSO solutions at 1OmM concentration. The compounds were diluted to a final concentration of 20μM in complete medium (DMEM+10%FCS). A virus dilution containing -8.103 HCV infectious units per ml (FFU/ml) of a cell culture adapted strain (D 183, Zhong et al., J. Virology, 80, 11082-93 (2006)) was prepared in complete medium. Compound and virus dilutions were mixed 1 : 1 and added to clone 2 cells, which were incubated in the presence of the virus (400 FFU/well) and compound
(lOμM) for 72 hours at 370C. After this incubation period, the cells were fixed at room temperature (RT) with a 4% paraformaldehide solution in phosphate buffered saline (PBS, pH 7) for 20 minutes. The fixed cells were processed for colorimetric analysis as follows. The procedure is a modification of the infectivity titration assay described in Zhong et al., Proc. Natl. Acad. ScL USA, 102, 9294-9 (2005). Paraformaldehyde-fixed test wells are washed twice with 100 μl of PBS and incubated with 50 μl of blocking buffer (0.3% TritonXIOO, 3% bovine serum albumin -BSA-, 10% fetal calf serum-FCS and 5% hydrogen peroxide in PBS) for 1 hour at room temperature. A dilution (lμg/ml) of a recombinant human IgG anti-E2 is added in incubation buffer (0.3% TritonXIOO, 3% bovine serum albumin (BSA) in PBS) for 1 hour at room temperature. The cells are washed four times with 200 μl of PBS and incubated with the appropriate dilution (1 :15000) of the secondary antibody conjugated to horseradish peroxidase (HRP, Goat anti-human IgG-HRP; Jackson Immunoresearch, Stanford, CA) for 1 hour at room temperature. The cells are washed again four times with 200 μl of PBS and the remaining peroxidase activity is evaluated by adding 3, 3', 5,5'- tetramethylbenzidine (TMB; Pierce, Rockford, IL) to the cells in the presence of hydrogen peroxide. The oxidation of TMB leads to the generation of a blue product that absorbs light at 650 nm. Before this colorimetric reaction reaches saturation levels, the reaction can be stopped by the addition of 1 volume of IN
H2SO4, which generates a yellow product with an optimal absorbance of 450 nm. Each plate includes a standard curve with serial 2-fold dilutions of the virus to ensure appropriate colorimetric value transformation and negative controls (uninfected cells) to determine the background of the assay. Compounds with known antiviral capacity have been included in the process as quality controls of the assay and, as expected, their antiviral activity was also demonstrated using this technology. The signals above the background s in each well are expressed as percentage of the control after data transformation using the standard curve. Values below 20% of the control should be considered positive hits. The screening technology described above does not discriminate between an antiviral compound and a false-positive result, as both should be associated with a reduced O.D.450nm signal. As for many cell-based assays, the readout relies on viable, proliferating cells. Since the virus requires actively dividing cells for efficient replication and viral antigen quantitation relies on the presence of similar amounts of cells in the well, a non-specific toxic effect of a given compound should lead to a false-positive readout. To avoid problem, the impact of the compounds on cell viability was evaluated. During the screening process, false-positive results were identified by measuring the cell biomass per well by staining the cells with crystal violet (1% solution in 50% ethanol-water) (see, e.g., Bernhardt et al. J. Cancer Res. Clin. Oncology, 118, 35-43 (1992)). The excess dye was extensively washed off with water and the bound dye was solubilized in 50 ml of a 1% SDS solution in water. The optical density was determined at 570 nm (biomass) and 690 nm (plate background). The difference between the O.D.570-69onm was used to calculate the relative biomass present in each well using vehicle-treated wells as a reference. This staining reflects the number of live cells in the well at the moment of fixation. Using this approach, it was possible to discriminate a positive hit from a false-positive for compounds that are toxic and whose antiviral activity cannot be evaluated using this system. The wells with biomass values below 75% of the positive control were considered false-positive and discarded for further analysis. Compounds for
which antiviral activity in the absence of toxic effects was confirmed, were considered for further evaluation.
The candidate molecules selected after this primary screening were tested in a second round (counterscreening) using the same screening concentration. During this process, molecules with similar chemical structures were added to the collection in order to identify common structural features that confer antiviral activity against HCV. The hits obtained in this second round were tested in a third round of counterscreening to clearly identify two classes of inhibitory molecules, whose structures are described in Table 1 and 2. Potency and Toxicity
It was desirable to define the measurable parameters to be used to evaluate the significance of the antiviral activity of a given compound. Compounds were generally ranked based on their potency, a parameter that is defined by the inhibitory concentration 50 (IC50). The IC50 is the concentration at which the compound inhibits the maximum value of the assay by 50%. This parameter is generally accompanied by the toxicity of the compound, provided as the lethal dose 50 (LD50). The LD50 is the concentration of compound that reduces cell viability by 50%. In general, candidates with a low IC50 and a high LD5o receive high priority, since the likelihood of the specificity of the observed antiviral effect increases as these two indices differ. Potency (ICsn)
In order to determine the IC5O, serial dilutions of the different antiviral compounds were assayed using the colorimetric assay. Serial 2-fold dilutions of the compound were prepared. These solutions (50 ml) were mixed with 50 ml of an 8.1O3 FFU/ml virus dilution in complete medium containing final compound concentrations starting at 50μM. The mixture was transferred into a 96-well plate containing 104 clone 2 cells per well seeded the day prior to the experiment. The cultures were incubated for a period of 72 hours at 370C, after which the cells were fixed and processed for colorimetric analysis as described above. IC50 is defined as the compound concentration that should reduce HCV by 50%, based on the values obtained after O. D. Transformation with the
standard curve. This analysis was applied to Class I and Class II molecules obtaining the results described in the Table 3 and Table 4, respectively.
Table 3
Table 4
Toxicity (LDj0)
Our preliminary toxicity results ensure that the selected compounds are non-toxic at the screening concentration (lOμM). However, in order to measure precisely the toxicity (LD50) of the selected compounds, cell viability was measured in the presence of increasing concentrations of the antiviral
compounds. Cell viability may be determined by measuring the mitochondrial metabolic capacity of the cells at any given time point. This may be achieved by culturing metabolically active cells with a modified soluble tetrazolium salt Thiazolyl Blue Tetrazolium Bromide also called MTT (Sigma-Aldrich, St.Louis, MO), which transforms MTT into formazan, a purple precipitate. This transformation, dependent on mitochondrial dehydrogenases, was quantified within 2-4 hours using a colorimetric assay that is read at 570 nm. The LD50 of a particular compound was determined similarly to the IC50. Serial dilutions of the compound (typically from 100 μM to 100 nanoM) in complete medium were added to the cells and incubated for 72 hours. Cell viability was analyzed by adding MTT (5μg/ml final concentration) and measuring the resulting formazan content, after resuspension in 100% DMSO, at 570 nm in a microplate spectrophotometer. LD50 values were obtained by plotting the colorimetric values (O.D.57onm) versus the compound concentration and determining the concentration that rendered 50% of the activity observed in the control. This procedure is widely used for determination of cell viability because it is rapid, simple and yields highly reproducible results.
All publications, patents, and patent applications are incorporated herein by reference. While in the foregoing specification this disclosed subject matter has been described in relation to certain preferred embodiments thereof, and many details have been set forth for purposes of illustration, it should be apparent to those skilled in the art that the disclosed subject matter is susceptible to additional embodiments and that certain of the details described herein may be varied considerably without departing from the basic principles of the disclosed subject matter.
Claims
1. A compound of formula (I)
W is N wherein W bears an RΛR group as defined below, or W is a (Ci- C2)alkylene wherein an R3-R6 group are disposed on any carbon atom of the (Ci-C2)alkylene or two R3-R6 groups are disposed respectively on each carbon atom of a (C2)alkylene;
X is N or is substituted or unsubstituted (Ci-C2)alkylene;
Y is NH, (Ci-C2)alkylene-NH, hydroxyl, substituted or unsubstituted
(Ci-C24)alkylene, oxo wherein R , R and R are absent, (C3-C30)heterocyclyl or (C5-C3o)heteroaryl, wherein the heterocyclyl or heteroaryl group can be substituted or unsubstituted;
Z is carbonyl or is (C6-C30)aryl or (C5-C3o)heteroaryl, wherein the aryl or heteroaryl group can be substituted or unsubstituted;
Z1 is -C(=O)-Z2 wherein Z2 is OR, or NR2, wherein R is H, substituted or unsubstituted (Ci-C6)alkyl, or substituted or unsubstituted (C6-C]0)aryl; or N and two R groups bonded thereto form a substituted or unsubstituted heterocyclyl group further comprising 0-2 additional heteroatoms selected from the set consisting of O, N and S; or Z1 is (C6-C3o)aryl or (C5-C3o)heteroaryl, wherein the aryl or heteroaryl group can be substituted or unsubstituted; the dotted line between W and X indicates an optional double bond, such that when X is nitrogen and a single bond is present between W and X, X is substituted with R and when X is nitrogen and a double bond is present between W and X, X is unsubstituted; wherein the numbers within the ring comprising W and X indicating position around the ring; wherein the dotted line between C-4 and C-5 indicates an optional double bond;
R1 is hydrogen, and R2 and R4 are each independently absent or hydrogen, provided that when a single bond is present between C-4 and C-5, R2 and R4 are both hydrogen, and when a double bond is present between C-4 and C-5, R2 and R4 are both absent; and
R3 is hydrogen, (C6-C30)aryl, or (Ci-C24)alkylene(C3-
C3o)heterocyclyl(C6-C30)aryl, wherein any aryl, alkylene, or heterocyclyl group can be substituted or unsubstituted; or
R1, R3, C-4; and C-5, wherein a double bond is present between C-4 and C-5, form a fused (C6-C30)aryl ;
R3 is absent, hydrogen, (Ci-C24)alkylene, carbonyl, thiocarbonyl, (C6- C3o)aryl, or -SO2-; and R6 is absent, hydrogen, (C6-C30)aryl, (Ci-C24)alkoxy, oxy(Ci-
C24)alkynyl, -NH-(C ,-C24)alkyl, -NH-(C ,-C24)alkynyl, (C5-C30)heteroaryl(C6- C30)aryl, or -(Ci-C24)alkylene(C6-C30)aryl;
R7 is absent, hydrogen, carbonyl, NH, amino, C(=NR), sulfonyl, or (Q- C2)alkylene; R8 is absent, NH, amino, carbonyl, C(=NR), (C6-C30)aryl, (Ci-C24)alkyl,
(Ci-C24)cycloalkyl, (C3-C30)heterocyclyl, or (C5-C30)heteroaryl, wherein the heterocyclyl and heteroaryl can be substituted or unsubstituted;
R9 is absent, (d-C24)alkyl, -NH(Ci-C24)alkyl, amino, (C6-C30)aryl, or (C5-C30)heteroaryl; R10 is absent, NH, or O;
R11 is absent, H, (C]-C8)cycloalkyl, or (C,-C24)alkyl; wherein any alkyl, alkynyl, alkylene, alkoxy, -NH-alkyl, -NH-alkynyl, alkylene-NH, aryl, cycloalkyl, heterocyclyl, or heteroaryl group can be optionally substituted on any carbon atom with one or more oxy, hydroxyl, halo, (C6-C30)aryl, azido, amino, (Ci-C24)alkynyl, nitro, cyano, (Ci-C6)alkoxy, or trifluoromethyl groups or any combination thereof and optionally exchanged at carbon with one or more oxy, imino, or thio groups; with the proviso that if Y is hydroxyl, or oxo, then R7, R8, and R9 are each absent; with the proviso that if Y is NH, then R7 is carbonyl, C(=NR), or sulfonyl, R8 is NH, amino, (C6-C30)aryl, or (Ci-C24)alkyl, and R9 is absent, (Q- C24)alkyl, (C6-C3o)aryl, or (C5-C30)heteroaryl; with the proviso that if Y is (Ci-C24)alkylene, then R7 is NH, R8 is carbonyl or imino, and R9 is -NH(Ci-C24)alkyl or amino; with the proviso that if Z is carbonyl, then R10 is NH or oxy, and R11 is (C,-C24)alkyl; wwiitthh tthhe proviso that if Z is (C6-C3o)aryl, then R10 and R1 ' are each absent; with the proviso that if R5 is absent or hydrogen, then R6 is absent; or a pharmaceutically acceptable salt, a solvate or hydrate, a prodrug, or a metabolite thereof.
2. A compound of claim 1, wherein W is nitrogen or -CH2-; X is nitrogen or -CH2CH2-; Y is NH, hydroxyl, -CH2-, or oxo;
Z is carbonyl or phenyl; Z1 is phenyl;
R3 is hydrogen, methylene-N,N'-morpholino-p-fluorophenyl, methylene- N,N'-moφholino-p-trifluoromethylphenyl, m-chlorophenyl, or o,p- difiuorophenyl; or Ri, R3, C-4, and C-5 form a phenyl;
R5 is absent, hydrogen, -CH2-, carbonyl, thiocarbonyl, p-benzyl-phenyl, p-fluorophenyl, or o,p-difluorophenyl; R6 is absent, phenyl, p-fluorophenyl, oxy-t-butyl, or p- trifluoromethylphenyl;
R7 is absent, hydrogen, carbonyl, -NH, imino, or sulfonyl;
R is absent, amino, -NH, carbonyl, imino, phenyl, or methyl; R9 is absent, ethyl, octyl, cyclohexyl, amino, o-fluorophenyl, p- trifluromethylphenyl, p-methoxyphenyl, or 3-pyridinyl;
R10 is NH or O;
R11 is absent, ethyl, or cyclohexyl; with the proviso that if W is -CH2-, then X is -CH2CH2-, the optional double bond between W and X is absent, and R1, R2, R3, R4, C-4, and C-5 form a phenyl; with the proviso that if X is nitrogen, then W is nitrogen, the optional double bond between X and W is present, the bond between C-4 and C-5 is a double bond, R1 is hydrogen, R2 and R4 are each absent, and R3 is methylene- N,N'-morpholino-p-fluorophenyl, methylene -N,N'-morpholino-p- trifluoromethylphenyl, m-chlorophenyl, or o,p-difluorophenyl; with the proviso that if X is -CH2CH2-, then the bond between W and X is a single bond, and R1, R2, R3 and R4 are each independently hydrogen; with the proviso that if Y is NH, then R7 is carbonyl, imino, or sulfonyl, R8 is NH, amino, phenyl, or methyl, and R9 is absent, ethyl, octyl, hexyl, amino, o-fluorophenyl, p-methoxyphenyl, or 3-pyridinyl; with the proviso that if Y is -CH2-, then R7 is NH, R8 is carbonyl or imino, and R9 is -NH-CH2CH3 or amino; with the proviso that if Z is carbonyl, then R10 is NH or oxy, and R1 ' is ethyl or hexyl; with the proviso that if Z is phenyl, then R10 and R1 ' are each absent; with the proviso that if R5 is carbonyl or thiocarbonyl, then R6 is phenyl, p-fluorophenyl, oxy-t-butyl, or p-trifluoromethylphenyl; and with the proviso that if R5 is -CH2-, then R6 is phenyl.
3. A compound of claim 2, wherein
W is nitrogen; X is -CH2CH2-;
Y is amino, hydroxyl, or oxo; Z is phenyl;
R1, R2, R3 , and R4 are each independently hydrogen; the dotted line between W and X indicates a single bond; the dotted line between C4 and C5 indicates a single bond; R5 is -CH2-, carbonyl, thiocarbonyl, or p-fluorophenyl; R6 is absent, phenyl, or oxy-t-butyl; and R7, R8 , R9, R10, and R11 are each absent.
4. A compound of claim 2, wherein W is nitrogen;
X is -CH2CH2-;
Y is NH or -CH2-; Z is phenyl;
R1, R2, R3, and R4 are each independently hydrogen; the dotted line between W and X indicates a single bond; the dotted line between C-4 and C-5 indicates a single bond;
R5 is hydrogen, carbonyl, thiocarbonyl, or p-fluorophenyl; R6 is absent, p-fluorophenyl, or oxy-t-butyl;
R7 is carbonyl, -NH, or imino;
R8 is amino, -NH, carbonyl, thiocarbonyl, or imino;
R9 is absent, ethyl, octyl, cyclohexyl, amino, o-fluorophenyl, p- trifluromethylphenyl, p-methoxyphenyl, or 3-pyridinyl; and R10 and R1 ' are each absent.
5. A compound of claim 2, wherein W is nitrogen;
X is -CH2CH2-; Y is amino or NH;
Z is carbonyl; R1, R2, R3, and R4 are each independently hydrogen; the dotted line between W and X indicates a single bond; the dotted line between C-4 and C-5 indicates a single bond; R5 is p-benzyl-phenyl or p-fluorophenyl; R6 is absent; R7 is absent, carbonyl, -NH, or sulfonyl;
R8 is absent, -NH, or phenyl; R9 is absent or cyclohexyl; R10 is NH or oxy; and R11 is ethyl or cyclohexyl.
6. A compound of claim 2, wherein W is nitrogen;
X is nitrogen;
Y is amino; Z is phenyl;
R1, is hydrogen; R2 and R4 are each absent;
R3 is methylene-N,N'-morpholino-p-fluorophenyl, methylene-N,N'- morpholino-p-trifluoromethylphenyl, m-chlorophenyl, or o,p-difluorophenyl; the dotted line between W and X indicates a double bond; the dotted line between C-4 and C-5 indicates a double bond; and R5, R6, R7, R8 , R9, R10, and R11 are each absent.
7. A compound of claim 2, wherein W is -CH2-;
X is -CH2CH2-;
Y is hydroxyl; Z is phenyl;
Ri, R3, C-4, and C-5 form a phenyl; the dotted line between W and X indicates a single bond; and
R5, R6, R7, R8 , R9, R10, and R11 are each absent.
8. A compound of claim 2, wherein the compound is
(lS,2R)-2-(4-(4-fluorophenyl)piperazin-l-yl)-l,2-diphenylethanamine;
( 1 S,2R)-2-(4-benzylpiperazin- 1 -yl)- 1 ,2-diphenylethanamine; tert-butyl 4-(( 1 R,2S)-2-amino- 1 ,2-diphenylethyl)piperazine- 1 - carboxylate;
1 -(( 1 R,2S)- 1 ,2-diphenyl-2-(piperazin- 1 -yl)ethyl)-3-(2-fluorophenyl)urea; tert-butyl 4-(( 1 R,2 S)-2-(3 -(4-methoxyphenyl)ureido)- 1 ,2- diphenylethyl)piperazine- 1 -carboxylate;
1 -ethyl-3 -(( 1 S ,2R)-2-(4-(4-fluorophenyl)piperazin- 1 -yl)- 1 ,2- diphenylethyl)urea;
(l S,2R)-2-(4-(4-fluorophenyl)piperazin-l-yl)-l,2-diphenylethanol;
( 1 R,2S)-2-(4-(4-fluorophenyl)piperazin- 1 -yl)- 1 ,2-diphenylethanol;
N-(( 1 R,2S)-2-(4-(4-fluorophenyl)piperazin- 1 -yl)- 1 ,2- diphenylethyl)acetamide; 1 -((1 R,2S)-2-(4-(4-fluorophenyl)piperazin- 1 -yl)- 1 ,2- dipheny lethy l)guanidine ;
1 -((1 S,2R)-2-(4-(4-fluorophenyl)piperazin- 1 -yl)- 1 ,2- diphenylethyl)guanidine;
1 -((2R,3 S)-3-(4-(4-fluorophenyl)piperazin- 1 -yl)-2,3 - diphenylpropyl)guanidine; l-((2R,3S)-3-(4-(4-fluorophenyl)piperazin-l-yl)-2,3-diphenylpropyl)-3- methylurea;
2-(4-(4-fluorophenyl)piperazin- 1 -yl)- 1 ,2-diphenylethanone;
(2R,3R)-ethyl 2-(3-cyclohexylureido)-3-(4-(4-fluorophenyl)piperazin-l- yl)-3-phenylpropanoate;
(2R,3R)-N-cyclohexyl-3-(4-(4-fluorophenyl)piperazin- 1 -yl)-2- (methylsulfonamido)-3-phenylpropanamide;
(2S,3S)-2-amino-N-cyclohexyl-3-(4-(4-fluorophenyl)piperazin-l-yl)-3- phenylpropanamide; (2R,3R)-3-(4-(4-benzylphenyl)piperazin-l-yl)-N-cyclohexyl-3-phenyl-2-
(phenylsulfonamido)propanamide;
( 1 S,2R)-2-(4-benzylpiperazin- 1 -yl)- 1 ,2-diphenylethanol; l-ethyl-3-((lR,2S)-2-(4-(4-fluorocyclohexa-2,4-dienecarbonyl)piperazin- 1 -yl)- 1 ,2-diphenylethyl)urea; tert-butyl 4-((lR,2S)-l ,2-diphenyl-2-(3-pyridin-3- ylureido)ethyl)piperazine- 1 -carboxylate; tert-butyl 4-((lR,2S)-2-(3-octylureido)-l,2-diphenylethyl)piperazine-l- carboxylate;
( 1 S,2R)-2-(4-((4-(4-fluorophenyl)piperazin- 1 -yl)methyl)- 1 H- 1 ,2,3- triazol- 1 -yl)- 1 ,2-diphenylethanamine;
( 1 S,2R)- 1 ,2-diphenyl-2-(4-((4-(4-(trifluoromethyl)phenyl)piperazin- 1 - yl)methyl)- IH-1 ,2,3-triazol- 1 -yl)ethanamine;
( 1 S,2R)-2-(4-(3 -chlorophenyl)- 1 H- 1 ,2,3-triazol- 1 -yl)- 1 ,2- diphenylethanamine ;
( 1 S,2R)-2-(4-(2,4-difluorophenyl)- 1 H- 1 ,2,3-triazol- 1 -yl)- 1 ,2- diphenylethanamine; tert-butyl 4-((lR,2S)-l,2-diphenyl-2-(3-(4
(trifluoromethyl)phenyl)ureido)ethyl)piperazine- 1 -carboxylate;
1 -cyclopentyl-3 -(( 1 R,2S)-2-(4-(4-(2-nitrophenyl)- 1 H- 1 ,2,3 -triazole- 1 - carbonyl)piperazin- 1 -yl)- 1 ,2-diphenylethyl)urea; l-cyclopentyl-3-((lR,2S)-2-(4-(4-(2-nitrophenyl)-lH-l,2,3-triazole-l- carbonyl)piperazin-l-yl)-l,2-diphenylethyl)urea; and
(2R,3S)-2-amino-N-cyclohexyl-3-(4-(4-fluorophenyl)piperazin-l-yl)-3- phenylpropanamide.
9. A compound of claim 2, wherein the compound is
10. A compound of claim 1, wherein X is -CH2CH2-; Y is 1,2,3-triazol-l-yl; Z is phenyl;
R6 is absent, oxy-t-butyl, -NH-t-butyl, -NH-2-propynyl, -NH-3- chloropropyl, -NH-3-azidopropyl, -NH-3-bromopropyl, -NH-acetynyl, -NH- phenyl, -NH-benzyl, -t-butyl, methyl, O-methylchloro, methylazido, -t- butylchloro, phenyl, oxy-i-propyl, -CH(CH2Cl)2, or -CH(CH2N3)2; R7 is methylene-4-yl; and
R8 is 6-azido-purin-3-yl, 6-hydroxy-purin-3-yl, 6-(l,3,4-triazol-l-yl)- purin-3-yl, 6-amino-8-azido-purin-3-yl, 6-amino-8-bromo-purin-3-yl, 6-amino- purin-3-yl, 6-amino-purin-9-yl, 6-(2-propynl-amino)-purin-9-yl, or 6-(2-propynl- amino)-purin-3-yl.
11. A compound of claim 10, wherein R5 is hydrogen;
R6 is absent; and R8 is 6-amino-purin-9-yl or 6-amino-purin-3-yl.
12. A compound of claim 10, wherein R5 is -SO2-;
R6 is methyl, 3-chloropropyl, or 3-azidopropyl; and R8 is 6-amino-purin-3-yl.
13. A compound of claim 10, wherein R5 is carbonyl or thiocarbonyl; R6 is -NH-benzyl, -t-butyl, methyl, O-methylchloro, methylazido, -O- ethynyl, -NH-ethynyl, -t-butylchloro, phenyl, oxy-i-propyl, -CH(CH2Cl)2, - CH(CH2N3)2, oxy-t-butyl, -NH-phenyl, -NH-acetynyl, -NH-3-azidopropyl, - NH-3-bromopropyl, -NH-3-chloropropyl, -NH-2-propynyl, or -NH-t-butyl; and R8 is 6-amino-purin-3-yl, 6-amino-8-azido-purin-3-yl, 6-amino-8-bromo- purin-3-yl, 6-(l,3,4-triazol-l-yl)-purin-3-yl, 6-hydroxy-purin-3-yl, 6-azido- purin-3-yl, 6-amino-purin-9-yl, or 6-(2-propynl-amino)-purin-3-yl.
14. A compound of claim 10, wherein the compound is isopropyl 4-((lS,2R)-2-(4-((6-amino-3H-purm-3-yl)methyl)-lH-l,2,3- triazol- 1 -yl)- 1 ,2-diphenylethyl)piperazine- 1 -carboxylate;
3 -(( 1 -(( 1 R,2S)- 1 ,2-diphenyl-2-(piperazin- 1 -yl)ethyl)- 1 H- 1 ,2,3 -triazol-4- yl)methyl)-3H-purin-6-amine;
4-((l S,2R)-2-(4-((6-amino-3H-purin-3-yl)methyl)-lH-l,2,3-triazol-l-yl)- 1 ,2-diphenylethyl)-N-tert-butylpiperazine- 1 -carboxamide; N-allyl-4-((lS,2R)-2-(4-((6-amino-3H-purin-3-yl)methyl)-lH-l,2,3- triazol-1 -yl)-l ,2-diphenylethyl)piperazine-l -carboxamide;
4-((lS,2R)-2-(4-((6-amino-3H-purin-3-yl)methyl)-lH-l,2,3-triazol-l-yl)- 1 ,2-diphenylethyl)-N-(3-chloropropyl)piperazine- 1 -carboxamide;
4-((lS,2R)-2-(4-((6-amino-3H-purin-3-yl)methyl)-lH-l,2,3-triazol-l-yl)- 1 ,2-diphenylethyl)-N-(2-azidopropyl)piperazine-l -carboxamide;
4-((lS,2R)-2-(4-((6-amino-3H-purin-3-yl)methyl)-lH-l,2,3-triazol-l-yl)- 1 ,2-diphenylethyl)-N-(3-bromopropyl)piperazine- 1 -carboxamide;
4-((lS,2R)-2-(4-((6-amino-3H-purin-3-yl)methyl)-lH-l,2,3-triazol-l-yl)- 1 ,2-diphenylethyl)-N-(2-azidoethyl)piperazine-l -carboxamide; 4-(( 1 S,2R)-2-(4-((6-amino-3H-purin-3 -yl)methyl)- 1 H- 1 ,2,3 -triazol- 1 -yl)-
1 ,2-diphenylethyl)-N-phenylpiperazine- 1 -carboxamide; 4-((lS,2R)-2-(4-((6-amino-3H-purin-3-yl)methyl)-lH-l ,2,3-triazol-l-yl)- 1 ,2-diphenylethyl)-N-benzylpiperazine- 1 -carboxamide;
1 -(4-(( 1 S,2R)-2-(4-((6-amino-3H-purin-3-yl)methyl)- 1 H- 1 ,2,3 -triazol- 1 - yl)- 1 ,2-diphenylethyl)piperazin- 1 -yl)-2,2-dimethylpropan- 1 -one; l^^ClS^R^^-CCό-amino-SH-purin^-yOmethyO-lH-l^^-triazol-l- yl)- 1 ,2-diphenylethyl)piperazin- 1 -yl)ethanone; l-(4-((lS,2R)-2-(4-((6-amino-3H-purin-3-yl)methyl)-lH-l,2,3-triazol-l- yl)- 1 ,2-diphenylethyl)piperazin- 1 -yl)-2-chloroethanone;
1 -(4-(( 1 S,2R)-2-(4-((6-amino-3H-purin-3-yl)methyl)- 1 H- 1 ,2,3 -triazol- 1 - yl)- 1 ,2-diphenylethyl)piperazin- 1 -yl)-2-azidoethanone; l-(4-((lS,2R)-2-(4-((6-amino-3H-purin-3-yl)methyl)-lH-l,2,3-triazol-l- yl)-l,2-diphenylethyl)piperazin-l-yl)-2-chloro-2-methylpropan-l-one;
(4-((lS,2R)-2-(4-((6-amino-3H-purin-3-yl)methyl)-lH-l,2,3-triazol-l- yl)- 1 ,2-diphenylethyl)piperazin- 1 -yl)(phenyl)methanone; isopropyl 4-(( 1 S,2R)-2-(4-((6-amino-3H-purin-3 -yl)methyl)- 1 H- 1 ,2,3- triazol- 1 -yl)- 1 ,2-diphenylethyl)piperazine- 1 -carboxylate;
3-(( 1 -(( 1 R,2S)-2-(4-(methylsulfonyl)piperazin- 1 -yl)- 1 ,2-diphenylethyl)- lH-l,2,3-triazol-4-yl)methyl)-3H-purin-6-amine;
3-((l-((lR,2S)-2-(4-(3-chloropropylsulfonyl)piperazin-l-yl)-l,2- diphenylethyl)-lH-l,2,3-triazol-4-yl)methyl)-3H-purin-6-amine; tert-butyl 4-((l S,2R)-2-(4-((6-hydroxy-3H-purin-3-yl)methyl)-lH-l,2,3- triazol- 1 -yl)- 1 ,2-diphenylethyl)piperazine- 1 -carboxylate; tert-butyl 4-((lS,2R)-2-(4-((6-azido-3H-purin-3-yl)methyl)- IH- 1,2,3- triazol- 1 -yl)- 1 ,2-diphenylethyl)piperazine- 1 -carboxylate; tert-butyl 4-((l S,2R)-2-(4-((6-(amino-3-propynl)-3H-purin-3-yl)methyl)-
1 H- 1 ,2,3-triazol- 1 -yl)- 1 ,2-diphenylethyl)piperazine- 1 -carboxylate; tert-butyl 4-(( 1 S,2R)-2-(4-((6-amino-9H-purin-9-yl)methyl)- 1 H- 1 ,2,3 - triazol- 1 -yl)- 1 ,2-diphenylethyl)piperazine- 1 -carboxylate;
9-(( 1 -(( 1 R,2S)- 1 ,2-diphenyl-2-(piperazin- 1 -yl)ethyl)- 1 H- 1 ,2,3-triazol-4- yl)methyl)-9H-purin-6-amine; chloromethyl 4-(( 1 S,2R)-2-(4-((6-amino-9H-purin-9-yl)methyl)- 1 H- l,2,3-triazol-l-yl)-l,2-diphenylethyl)piperazine-l -carboxylate; 1 -(4-(( 1 S,2R)-2-(4-((6-amino-9H-puπn-9-yl)methyl)- 1 H- 1 ,2,3 -triazol- 1 - yl)-l ,2-diphenylethyl)piperazin-l -yl)-2-azidoethanone; isopropyl 4-(( 1 S,2R)-2-(4-((6-amino-3H-purin-3 -yl)methyl)- 1 H- 1 ,2,3 - triazol- l-yl)-l,2-diphenylethyl)piperazine-l-thiocarboxylate;
4-((lS,2R)-2-(4-((6-amino-3H-purin-3-yl)methyl)-lH-l,2,3-triazol-l-yl)- 1 ,2-diphenylethyl)-N-ethynylpiperazine- 1 -carbothioamide;
4-((lS,2R)-2-(4-((6-amino-3H-purin-3-yl)methyl)- IH- 1,2,3 -triazol- 1-yl)- 1 ,2-diphenylethyl)-N-phenylpiperazine- 1 -carbothioamide; or,
44-((lS,2R)-2-(4-((6-amino-3H-purin-3-yl)methyl)-lH-l,2,3-triazol-l- yl)-l,2-diphenylethyl)-N-benzylpiperazine-l -carbothioamide.
15. A compound of claim 10, wherein the compound is
16. A compound of formula (II)
X is nitrogen, oxygen, or CH;
Y is nitrogen, oxygen, or (C5-C3o)heterocyclyl;
Z is nitrogen, -NH, or (C5-C3o)heteroaryl;
Ri is absent, carbonyl, (Ci-C24)alkylene, keto, or hydroxyl; R2 is absent, oxy(C]-C24)alkyl, or hydroxyl;
R3 is absent, -N-RaRb, or (C|-C24)alkyl;
R4 is absent, amino, hydroxyl, or (Ci-C24)alkyl;
R5 is absent, (Ci-C24)alkylene, or (C6-C3o)aryl;
R6 is absent, (Ci-C24)alkynyl, azido, or (C5-C30)heterocyclyl(Ci- C24)alkyl(C5-C3o)heteroaryl;
R7 is absent or (Ci-C24)alkylene;
R8 is absent, (Ci-C24)alkylene, (Ci-C24)alkynyl, or azido;
R3 and Rb are each independently hydrogen, (Ci-C24)alkyl, (C6-C30)aryl, (C6-C3o)aryl(Ci-C24)alkyl, (C5-C30)heteroaryl, (C5-C30)heteroaryl(C,-C24)alkyl, (C3-C30)heterocyclyl, or (C3-C30)heterocyclyl(Ci-C24)alkyl; any (Ci-C24)alkyl, (Ci-C24)alkylene, (C6-C30)aryl, (C3-C30)heterocyclyl, or (C5-C3o)heteroaryl can be optionally substituted on carbon with one or more oxy, hydroxyl, halogen, (C6-C3o)aryl, nitro, cyano, (Ci-C6)alkoxy, or trifluoromethyl groups or any combination thereof and optionally exchanged on carbon with one or more oxo, imino, or thio groups; with the proviso that if X is nitrogen, then R1 is carbonyl or (C1- C24)alkylene and R2 is oxy(Ci-C24)alkyl or hydroxyl; with the proviso that if X is oxygen, then R] and R2 are absent; with the proviso that if X is CH, then R] is hydroxyl or keto and R2 is absent; with the proviso that if Y is nitrogen, then R3 is (Ci-C24)alkyl and R4 is amino, hydroxyl, or (Ci-C24)alkyl; with the proviso that if Y is oxygen, then R3 is -N-R3Rb or (C i-C24)alkyl and R4 is absent; with the proviso that if Y is (C5-C3o)heterocyclyl, then R3 and R4 are absent; with the proviso that if Z is nitrogen, then R5 and R7 are each independently (Ci-C24)alkylene and R6 and R8 are each independently (Ci- C24)alkynyl or azido; with the proviso that if Z is NH, then R5 is (Ci-C24)alkylene or (C6- C3o)aryl, R6 is absent, (Ci-C24)alkynyl, or (C5-C3o)heterocyclyl(Ci-C24)alkyl(C5- C3o)heteroaryl, and R7 and R8 are each absent; with the proviso that if Z is (C5-C3o)heterocyclyl, then R5, R6, R7, and R8 are each absent; or a pharmaceutically acceptable salt, a solvate or hydrate, a prodrug, or a metabolite thereof.
17. A compound of claim 16, wherein
X is nitrogen, oxygen, or CH;
Y is nitrogen, oxygen, piperidyl, morpholino, 4-hydroxyethylpiperazinyl, or 4-hydroxypiperidyl;
Z is nitrogen, -NH, l-methyl-pyrrol-2-yl, or l-methyl-indole-3-yl; Ri is absent, carbonyl, -CH2CH2-, keto, or hydroxyl;
R2 is absent, oxy-t-butyl, or hydroxyl;
R3 is absent, dimethylamino, or methyl; R4 is absent, amino, hydroxyl, or methyl;
R5 is absent, -CH2CH2-, 4-ethynylphenyl, or o-trifluoromethylphenyl;
R6 is absent, -C≡CH, N3, or N-(3-(lH-l,2,3-triazol- yl)propyl)benzenesulfonamide; R7 is absent or -CH2CH2-;
R8 is absent, -CH2-, -C≡CH, or N3. with the proviso that if X is nitrogen, then Ri is carbonyl or -CH2CH2- and R2 is oxy-t-butyl or hydroxyl; with the proviso that if Y is nitrogen, then R3 is methyl and R4 is amino, hydroxyl, or methyl; with the proviso that if Y is oxygen, then R3 is dimethylamino or methyl and R4 is absent; with the proviso that if Y is piperidyl, morpholino, 4- hydroxyethylpiperazinyl, or 4-hydroxypiperidyl, then R3 and R4 are each absent; with the proviso that if Z is nitrogen, then R5 and R7 are each independently -CH2CH2-, R6 and R8 are each independently -C≡CH or azido; with the proviso that if Z is NH, then R5 is -CH2CH2- or o- trifluoromethylphenyl, R6 is absent, -C≡CH, or N-(3-(lH-l,2,3-triazol- yl)propyl)benzenesulfonamide, and R7 and R8 are each absent; and with the proviso that if Z is l-methyl-pyrrol-2-yl or l-methyl-indole-3-yl, then R5, R6, R7, and R8 are each absent.
18. A compound of claim 16, wherein
X, Y, and Z are each independently nitrogen; Ri is carbonyl;
R2 is oxy-t-butyl;
R3 is methyl;
R4 is amino, hydroxyl, or methyl;
R5 and R7 are each independently-CH2CH2-; and R6 and R8 are each independently -C≡CH or N3;
19. A compound of claim 16, wherein X is oxygen;
Y is morpholino; Z is -NH;
Ri, R2, R3, R4, R6, R7, and R8 are each absent; and R5 is 4-ethynylphenyl or o-trifluoromethylphenyl.
20. A compound of claim 17, wherein X is CH;
Y is 4-hydroxypiperidyl; Z is l-methyl-indole-3-yl;
Ri is hydroxyl; and
R2 R3, R4, R5, R6, R7, and R8 are each absent.
21. A compound of claim 16, wherein X is nitrogen;
Y is oxygen;
Z is nitrogen or -NH;
Ri is carbonyl;
R2 is oxy-t-butyl; R3 is dimethylamino or methyl;
R4 is absent;
R5 is-CH2CH2-;
R6 is -C≡CH, Or N3;
R7 is absent Or -CH2CH2-; and R8 is absent or N3.
22. A compound of claim 16, wherein X is nitrogen;
Y is 4-hydroxyethylpiperazinyl; Z is l-methyl-pyrrol-2-yl;
R, is -CH2CH2-; R2 is hydroxyl; and R3, R4, R5, R6, R7, and Rg are each absent.
23. A compound of claim 16, wherein
X, Y, and Z are each independently nitrogen; Ri is carbonyl;
R2 is oxy-t-butyl; R3 methyl; R4 is hydroxyl; R5 is -CH2CH2-; R6 is N-(3-(lH-l,2,3-triazol-yl)propyl)benzenesulfonamide; and
R7 and R8 are each absent.
24. A compound of claim 16, wherein the compound is tert-butyl 4-(4-(dimethylamino)-6-(diprop-2-ynylamino)-l,3,5-triazin-2- yl)piperazine-l-carboxylate; tert-butyl 4-(4-(dimethylaminooxy)-6-(prop-2-ynylarnino)-l, 3, 5-triazin- 2-yl)piperazine- 1 -carboxylate; tert-butyl 4-(4-(diprop-2-ynylamino)-6-(hydroxy(methyl)amino)- 1,3,5- triazin-2-yl)piperazine- 1 -carboxylate; tert-butyl 4-(4-(bis(2-azidoethyl)amino)-6-(hydroxy(methyl)amino)-
1, 3, 5-triazin-2-yl)piperazine-l -carboxylate;
2,2'-(4,4'-(6-(l-methyl-lH-pyrrol-2-yl)-l,3,5-triazine-2,4- diyl)bis(piperazine-4, 1 -diyl))diethanol; tert-butyl 4-(4-(bis(2-azidoethyl)amino)-6-methoxy- 1,3,5 -triazin-2- yl)piperazine-l -carboxylate; tert-butyl 4-(4-(hydroxy(methyl)amino)-6-((l-(3-
(phenylsulfonamido)propyl)- IH-1 ,2,3-triazol-4-yl)methylamino)-l ,3 ,5-triazin-2- yl)piperazine-l -carboxylate; tert-butyl 4-(4-(bis(2-azidoethyl)amino)-6-moφholino-l,3,5-triazin-2- yl)piperazine-l -carboxylate; tert-butyl 4-(4-(diprop-2-ynylamino)-6-(l -methylhydrazinyl)-l ,3,5- triazin-2-yl)piperazine-l -carboxylate; 4,6-dimoφholino-N-(3-(trifluoromethyl)phenyl)-l,3,5-triazin-2-amine; N-(4-ethynylphenyl)-4,6-dimorpholino-l,3,5-triazin-2-amine; 1 , 1 '-(6-(I -methyl- 1 H-indol-3-yl)- 1 ,3,5-triazine-2,4-diyl)dipiperidin-4-ol; tert-butyl 4-(4-(bis(2-azidoethyl)amino)-6-morpholino-l,3,5-triazin-2- yl)piperazine-l-carboxylate; l-(4-(bis(2-azidoethyl)amino)-6-moφholino-l,3,5-triazin-2-yl)piperidin- 4-one; and
1 , 1 ' -(6-( 1 -methyl- 1 H-indol-3-yl)- 1 ,3 ,5 -triazine-2,4-diyl)dipiperidin-4-ol .
25. A compound of claim 16, wherein the compound is
26. A pharmaceutical composition comprising: a pharmaceutically acceptable carrier; and a compound of formula (I) of claim 1, or a compound of formula (II) of claim 16; or both, or any pharmaceutically acceptable salt, prodrug, solvate, hydrate, or metabolite of the compound of formula (I) or the compound of formula (II), or both.
27. The composition of claim 26, further comprising one or more additional compounds having anti-Hepatitis C virus activity.
28. The composition of claim 27, wherein the one or more additional compounds having anti-Hepatitis C virus activity are an interferon, ribavirin, or a combination thereof.
29. The composition of claim 27 wherein the one or more additional compounds having anti-Hepatitis C virus activity is an inhibitor of an HCV protease, or an inhibitor of an HCV nuclease, or both.
30. The composition of claim 28, wherein the interferon comprises interferon α2b, pegylated interferon α, consensus interferon, interferon α2a, lymphoblastoid interferon τ, or a combination thereof.
31. The composition of claim 27, wherein the one or more additional compounds having anti-Hepatitis C virus activity comprises interleukin 2, interleukin 6, interleukin 12, interfering RNA, anti-sense RNA, imiqimod, ribavirin, an inosine 5'-monophospate dehydrogenase inhibitor, amantadine, rimantadine, microRNA agonists or antagonists,sssss or a combination thereof.
32. A method of treating an animal infected with Hepatitis C Virus, comprising administering to the animal an effective amount of a compound of formula (I) of claim 1 , or any pharmaceutically acceptable salt, solvate, hydrate, prodrug, or metabolite thereof; or a compound of formula (II) of claim 16; or any pharmaceutically acceptable salt, solvate, hydrate, prodrug, or metabolite thereof.
33. The method of claim 32, wherein a strain of the Hepatitis C Virus with which the animal is infected is resistant or is known to be capable of developing resistance to an anti-HCV therapy.
34. The method of claim 32 wherein treating comprises inhibiting viral spread within the animal after exposure of the animal to an infectious inoculum of the virus.
35. The method of claim 34, wherein a strain of the Hepatitis C virus infecting the animal is a strain that has developed resistance to an inhibitor of a Hepatitis C virus protease or of a Hepatitis C virus nuclease.
36. The method of claim 32, further comprising administering one or more additional compounds having anti-Hepatitis C virus activity prior to, after, or simultaneously with the compound of the formula (I) or formula (II) and a pharmaceutically acceptable salt, a prodrug, or a metabolite thereof.
37. The method of claim 36, wherein the one or more additional compounds having anti-Hepatitis C virus activity are an interferon, ribavirin, or a combination thereof.
38. The method of claim 37, wherein the interferon comprises interferon α2b, pegylated interferon α, consensus interferon, interferon α2a, lymphoblastiod interferon τ, or a combination thereof.
39. The method of claim 36, wherein the one or more additional compounds having anti-Hepatitis C virus activity comprises interleukin 2, interleukin 6, interleukin 12, interfering RNA, anti-sense RNA, Imiqimod, ribavirin, an inosine 5'-monophospate dehydrogenase inhibitor, amantadine, rimantadine, or a combination thereof.
40. The method of claim 32, wherein the animal is a human.
41. A method of killing, inhibiting, or blocking viral spread of a Hepatitis C Virus, comprising contacting the Hepatitis C Virus with an effective amount of a compound of formula (I) of claim 1 , or any pharmaceutically acceptable salt, prodrug, solvate, hydrate, or metabolite thereof; or a compound of formula (II) of claim 16; or any pharmaceutically acceptable salt, prodrug, solvate, hydrate, or metabolite thereof; sufficient to inhibit or kill, inhibit, or block viral spread of the Hepatitis C Virus.
42. The method of claim 41 , wherein the contacting is in vitro.
43. The method of claim 41, wherein the contacting is in vivo.
44. Use of a compound of formula (I) of claim 1 or a compound of formula (II) of claim 16 in preparation of a medicament for the treatment of Hepatitis C virus.
Applications Claiming Priority (4)
| Application Number | Priority Date | Filing Date | Title |
|---|---|---|---|
| US8438808P | 2008-07-29 | 2008-07-29 | |
| US61/084,388 | 2008-07-29 | ||
| US21174109P | 2009-04-02 | 2009-04-02 | |
| US61/211,741 | 2009-04-02 |
Publications (1)
| Publication Number | Publication Date |
|---|---|
| WO2010014744A1 true WO2010014744A1 (en) | 2010-02-04 |
Family
ID=41610723
Family Applications (1)
| Application Number | Title | Priority Date | Filing Date |
|---|---|---|---|
| PCT/US2009/052147 Ceased WO2010014744A1 (en) | 2008-07-29 | 2009-07-29 | Inhibitors of hepatitis c virus infection |
Country Status (1)
| Country | Link |
|---|---|
| WO (1) | WO2010014744A1 (en) |
Cited By (20)
| Publication number | Priority date | Publication date | Assignee | Title |
|---|---|---|---|---|
| US8101643B2 (en) | 2009-02-27 | 2012-01-24 | Enanta Pharmaceuticals, Inc. | Benzimidazole derivatives |
| US8178531B2 (en) | 2010-02-23 | 2012-05-15 | Enanta Pharmaceuticals, Inc. | Antiviral agents |
| US8188132B2 (en) | 2009-02-17 | 2012-05-29 | Enanta Pharmaceuticals, Inc. | Linked dibenzimidazole derivatives |
| US8221737B2 (en) | 2009-06-16 | 2012-07-17 | Enanta Pharmaceuticals, Inc. | Hepatitis C virus inhibitors |
| US8242156B2 (en) | 2009-02-17 | 2012-08-14 | Enanta Pharmaceuticals, Inc. | Linked dibenzimidazole derivatives |
| US8314135B2 (en) | 2009-02-09 | 2012-11-20 | Enanta Pharmaceuticals, Inc. | Linked dibenzimidazole antivirals |
| US8623814B2 (en) | 2010-02-23 | 2014-01-07 | Enanta Pharmaceuticals, Inc. | Antiviral agents |
| US20140045866A1 (en) * | 2010-10-12 | 2014-02-13 | Gemma Casadesus | Purine-based triazoles |
| US8653070B2 (en) | 2009-12-14 | 2014-02-18 | Enanta Pharmaceuticals, Inc. | Hepatitis C virus inhibitors |
| US8673954B2 (en) | 2009-02-27 | 2014-03-18 | Enanta Pharmaceuticals, Inc. | Benzimidazole derivatives |
| US8697704B2 (en) | 2010-08-12 | 2014-04-15 | Enanta Pharmaceuticals, Inc. | Hepatitis C virus inhibitors |
| US8759332B2 (en) | 2009-09-11 | 2014-06-24 | Enanta Pharmaceuticals, Inc. | Hepatitis C virus inhibitors |
| US8778938B2 (en) | 2010-06-04 | 2014-07-15 | Enanta Pharmaceuticals, Inc. | Hepatitis C virus inhibitors |
| US8785487B2 (en) | 2010-01-25 | 2014-07-22 | Enanta Pharmaceuticals, Inc. | Hepatitis C virus inhibitors |
| US8927739B2 (en) | 2011-05-18 | 2015-01-06 | Enanta Pharmaceuticals, Inc. | Processes for the preparation of 5-azaspiro[2.4]heptane-6-carboxylic acid and its derivatives |
| US8933110B2 (en) | 2010-01-25 | 2015-01-13 | Enanta Pharmaceuticals, Inc. | Hepatitis C virus inhibitors |
| US9060971B2 (en) | 2010-03-04 | 2015-06-23 | Enanta Pharmaceuticals, Inc. | Combination pharmaceutical agents as inhibitors of HCV replication |
| US9127021B2 (en) | 2010-04-09 | 2015-09-08 | Enanta Pharmaceuticals, Inc. | Hepatitis C virus inhibitors |
| US9156818B2 (en) | 2009-09-11 | 2015-10-13 | Enanta Pharmaceuticals, Inc. | Hepatitis C virus inhibitors |
| US9765087B2 (en) | 2009-02-27 | 2017-09-19 | Enanta Pharmaceuticals, Inc. | Benzimidazole derivatives |
Citations (7)
| Publication number | Priority date | Publication date | Assignee | Title |
|---|---|---|---|---|
| US3988456A (en) * | 1974-03-29 | 1976-10-26 | Dainippon Pharmaceutical Co., Ltd. | 1,2-Diphenylethanolamine derivatives and their salts and the preparation thereof |
| US5633388A (en) * | 1996-03-29 | 1997-05-27 | Viropharma Incorporated | Compounds, compositions and methods for treatment of hepatitis C |
| WO2005068447A1 (en) * | 2004-01-13 | 2005-07-28 | Pfizer Limited | Piperazine derivatives which exhibit activity as serotonin and noradrenaline re-upatke inhibitors |
| US20050197299A1 (en) * | 2000-08-31 | 2005-09-08 | Babine Robert E. | Peptidomimetic protease inhibitors |
| US6943162B2 (en) * | 2001-01-26 | 2005-09-13 | Smithkline Beecham Corporation | Piperazinyltriazines as estrogen receptor modulators |
| US20070100141A1 (en) * | 2005-10-31 | 2007-05-03 | Pascal Bonaventure | Substituted piperazines and piperidines as modulators of the neuropeptide y2 receptor |
| US20080146518A1 (en) * | 2005-02-15 | 2008-06-19 | Politecnico Di Milano | Cationic Lipids for the Transfection of Nucleic Acids |
-
2009
- 2009-07-29 WO PCT/US2009/052147 patent/WO2010014744A1/en not_active Ceased
Patent Citations (7)
| Publication number | Priority date | Publication date | Assignee | Title |
|---|---|---|---|---|
| US3988456A (en) * | 1974-03-29 | 1976-10-26 | Dainippon Pharmaceutical Co., Ltd. | 1,2-Diphenylethanolamine derivatives and their salts and the preparation thereof |
| US5633388A (en) * | 1996-03-29 | 1997-05-27 | Viropharma Incorporated | Compounds, compositions and methods for treatment of hepatitis C |
| US20050197299A1 (en) * | 2000-08-31 | 2005-09-08 | Babine Robert E. | Peptidomimetic protease inhibitors |
| US6943162B2 (en) * | 2001-01-26 | 2005-09-13 | Smithkline Beecham Corporation | Piperazinyltriazines as estrogen receptor modulators |
| WO2005068447A1 (en) * | 2004-01-13 | 2005-07-28 | Pfizer Limited | Piperazine derivatives which exhibit activity as serotonin and noradrenaline re-upatke inhibitors |
| US20080146518A1 (en) * | 2005-02-15 | 2008-06-19 | Politecnico Di Milano | Cationic Lipids for the Transfection of Nucleic Acids |
| US20070100141A1 (en) * | 2005-10-31 | 2007-05-03 | Pascal Bonaventure | Substituted piperazines and piperidines as modulators of the neuropeptide y2 receptor |
Cited By (21)
| Publication number | Priority date | Publication date | Assignee | Title |
|---|---|---|---|---|
| US8314135B2 (en) | 2009-02-09 | 2012-11-20 | Enanta Pharmaceuticals, Inc. | Linked dibenzimidazole antivirals |
| US8188132B2 (en) | 2009-02-17 | 2012-05-29 | Enanta Pharmaceuticals, Inc. | Linked dibenzimidazole derivatives |
| US8242156B2 (en) | 2009-02-17 | 2012-08-14 | Enanta Pharmaceuticals, Inc. | Linked dibenzimidazole derivatives |
| US9765087B2 (en) | 2009-02-27 | 2017-09-19 | Enanta Pharmaceuticals, Inc. | Benzimidazole derivatives |
| US8101643B2 (en) | 2009-02-27 | 2012-01-24 | Enanta Pharmaceuticals, Inc. | Benzimidazole derivatives |
| US8673954B2 (en) | 2009-02-27 | 2014-03-18 | Enanta Pharmaceuticals, Inc. | Benzimidazole derivatives |
| US8221737B2 (en) | 2009-06-16 | 2012-07-17 | Enanta Pharmaceuticals, Inc. | Hepatitis C virus inhibitors |
| US8759332B2 (en) | 2009-09-11 | 2014-06-24 | Enanta Pharmaceuticals, Inc. | Hepatitis C virus inhibitors |
| US9156818B2 (en) | 2009-09-11 | 2015-10-13 | Enanta Pharmaceuticals, Inc. | Hepatitis C virus inhibitors |
| US8653070B2 (en) | 2009-12-14 | 2014-02-18 | Enanta Pharmaceuticals, Inc. | Hepatitis C virus inhibitors |
| US8933110B2 (en) | 2010-01-25 | 2015-01-13 | Enanta Pharmaceuticals, Inc. | Hepatitis C virus inhibitors |
| US8785487B2 (en) | 2010-01-25 | 2014-07-22 | Enanta Pharmaceuticals, Inc. | Hepatitis C virus inhibitors |
| US8623814B2 (en) | 2010-02-23 | 2014-01-07 | Enanta Pharmaceuticals, Inc. | Antiviral agents |
| US8178531B2 (en) | 2010-02-23 | 2012-05-15 | Enanta Pharmaceuticals, Inc. | Antiviral agents |
| US9060971B2 (en) | 2010-03-04 | 2015-06-23 | Enanta Pharmaceuticals, Inc. | Combination pharmaceutical agents as inhibitors of HCV replication |
| US9127021B2 (en) | 2010-04-09 | 2015-09-08 | Enanta Pharmaceuticals, Inc. | Hepatitis C virus inhibitors |
| US8778938B2 (en) | 2010-06-04 | 2014-07-15 | Enanta Pharmaceuticals, Inc. | Hepatitis C virus inhibitors |
| US8697704B2 (en) | 2010-08-12 | 2014-04-15 | Enanta Pharmaceuticals, Inc. | Hepatitis C virus inhibitors |
| US20140045866A1 (en) * | 2010-10-12 | 2014-02-13 | Gemma Casadesus | Purine-based triazoles |
| US8969556B2 (en) * | 2010-10-12 | 2015-03-03 | Case Western Reserve University | Purine-based triazoles |
| US8927739B2 (en) | 2011-05-18 | 2015-01-06 | Enanta Pharmaceuticals, Inc. | Processes for the preparation of 5-azaspiro[2.4]heptane-6-carboxylic acid and its derivatives |
Similar Documents
| Publication | Publication Date | Title |
|---|---|---|
| WO2010014744A1 (en) | Inhibitors of hepatitis c virus infection | |
| WO2010101649A2 (en) | Sigma 1 receptor inhibition as a novel therapeutical approach against hepatitis c virus infection | |
| US9156818B2 (en) | Hepatitis C virus inhibitors | |
| EP2794565B1 (en) | Hepatitis b antiviral agents | |
| US10905665B2 (en) | Chemical modulators of signaling pathways and therapeutic use | |
| US20220048944A1 (en) | Functionalized peptides as antiviral agents | |
| US20100092479A1 (en) | Compositions and methods for treatment of viral diseases | |
| US11801238B2 (en) | Anti-viral activity of VPS34 inhibitors | |
| US12414955B2 (en) | Anti-viral activity of VPS34 inhibitors | |
| CN117255686A (en) | Antiviral activity of VPS34 inhibitors | |
| CN117241829A (en) | Antiviral activity of VPS34 inhibitors | |
| US20220184054A1 (en) | Anti-viral activity of vps34 inhibitors | |
| US20220184092A1 (en) | Anti-viral activity of vps34 inhibitors | |
| US11987579B2 (en) | Niclosamide analogues and therapeutic use thereof | |
| EA027810B1 (en) | Heterocyclyl carboxamides for treating viral diseases | |
| WO2001058489A1 (en) | Preventives/remedies for postoperative stress | |
| US20230293539A1 (en) | Mll1-wdr5 protein-protein interaction inhibitor compounds and uses thereof | |
| RU2669919C1 (en) | Pan-genomic inhibitors of the hepatitis c virus protein ns5a, pharmaceutical compositions, intermediates for the synthesis of inhibitors, and methods for their preparation and use | |
| CN116249528B (en) | Cold remedies and antiviral agents | |
| US20070232614A1 (en) | Therapeutic Agent for Nonviral Hepatitis | |
| US20230132717A1 (en) | Compounds, compositions, and methods for treating or ameliorating, or preventing viral infections | |
| KR20180036523A (en) | Inhibitor of function of cyclophilin and use of the same | |
| EP4561574A1 (en) | Dosing regimen for a nlrp3 inhibitor | |
| CN118019530A (en) | Methods of treating viral infections | |
| KR20220117805A (en) | Composition for stimulating interferon genes comprising a benzimidazole derivative as an active ingredient |
Legal Events
| Date | Code | Title | Description |
|---|---|---|---|
| 121 | Ep: the epo has been informed by wipo that ep was designated in this application |
Ref document number: 09803559 Country of ref document: EP Kind code of ref document: A1 |
|
| NENP | Non-entry into the national phase |
Ref country code: DE |
|
| 122 | Ep: pct application non-entry in european phase |
Ref document number: 09803559 Country of ref document: EP Kind code of ref document: A1 |




















































































































































